Т. Я. Лазарева, Ю. Ф. Мартемьянов - Основы теории автоматического управления


В учебном пособии изложены основные принципы и методы теории автоматического управления: построение систем управления, методы их математического описания, критерии оценки устойчивости и качества регулирования линейных непрерывных детерминированных систем, а также основы теории автоматического управления нелинейными системами.

Предназначено для студентов высших учебных заведений, обуча-ющихся по направлению подготовки дипломированных специалистов "Автоматизированные технологии и производства", в том числе и для системы дистанционного образования.


Теория автоматического управления является основной общепрофессиональной дисциплиной направления подготовки дипломированного специалиста "Автоматизированные технологии и производства".

Основной целью автоматизации является исключение непосредственного участия человека в управлении производственными процессами и другими техническими объектами. В настоящее время автоматизация технологических процессов представляет собой одно из важнейших средств роста эффективности производства, интенсификации развития народного хозяйства. Таким образом, задача изучения дисциплины "Теория автоматического управления" состоит в освоении основных принципов построения и функционирования автоматических систем управления на базе современных математических методов и технических средств.

Для изучения теории автоматического управления должен применяться системный подход, требующий рассмотрения системы в ее целостности, а не просто учета факторов, влияющих на состояние отдельных элементов.

Учебное пособие написано в соответствии с требованиями Государственного образовательного стандарта курса "Теория автоматического управления". Основное их содержание составляют математическое описание автоматических систем, основы частотного и структурного методов исследования систем, устойчивость, обеспечение устойчивости, качество регулирования, параметрический синтез линейных систем автоматического регулирования, характеристику и особенности нелинейных систем, методы исследования нелинейных систем, устойчивость нелинейных систем.

Ч а с т ь 1 ЛИНЕЙНЫЕ СИСТЕМЫ

1 ОБЩАЯ ХАРАКТЕРИСТИКА ОБЪЕКТОВ И СИСТЕМ АВТОМАТИЧЕСКОГО УПРАВЛЕНИЯ

1.1 Краткие исторические сведения

Впервые сведения об автоматах появились в начале нашей эры в работах Герона Александрийского "Пневматика" и "Механика", где описаны автоматы, созданные самим Героном и его учителем Кте-сибием: пневмоавтомат для открытия дверей храма, водяной орган, автомат для продажи святой воды и др. Идеи Герона значительно опередили свой век и не нашли применения в его эпоху.

В средние века значительное развитие получила так называемая "андроидная" автоматика, когда механики создали ряд автоматов, подражающих отдельным действиям человека, и, чтобы усилить впечатление, изобретатели придавали автоматам внешнее сходство с человеком и называли их "андроидами", т.е. человекоподобными.

В XIII в. немецкий философ-схоласт и алхимик Альберт фон Больштадт построил робота для открывания и закрывания дверей.

Весьма интересные андроиды были созданы в XVII - XVIII вв. В XVIII в. швейцарские часовщики Пьер Дро и его сын Анри создали механического писца, механического художника и др. Прекрасный театр автоматов был создан в XVIII в. русским механиком-самоучкой Кулибиным. Его театр, хранящийся в Эрмитаже, помещен в "часах яичной фигуры".

На рубеже ХVIII и XIX вв., в эпоху промышленного переворота, начинается новый этап в развитии автоматики, связанный с ее внедрением в промышленность. Появились первые автоматические устройства, к которым относятся регулятор уровня Ползунова (1765 г.), регулятор скорости паровой машины Уатта (1784 г.), система программного управления ткацким станком Жаккара (1804 - 1808 гг.) и т.д. Этим было положено начало регуляторостроения.

В 1854 г. выдающийся русский механик и электротехник К. Константинов предложил использовать в паровых машинах "Электромагнитный регулятор скорости вращения", а А. Шпаковский в 1866 г. разработал регулятор, изменяющий подачу топлива в топку соответственно изменению давления пара в котле. В 1879 г. Й. Возняковским и К. Ворониным впервые был осуществлен принцип прерыви

стого регулирования при управлении питанием котла водой.

Если первые регуляторы были связаны с паровой машиной, то со второй половины XIX в. существенную роль в регуляторостроении начинают играть потребности в электрическом освещении. Так, в 60-е годы в работах В. Чиколаева впервые был применен электрический двигатель, а в 1874 г. он предложил и осуществил метод регулирования, составляющий основу современной электромашинной автоматики.

Этот новый период развития автоматики - период регуляторостроения, длившийся свыше полутора столетий, сыграл огромную роль в технике. В это время еще медленно и смутно начинают формироваться важнейшие принципы автоматики: принцип регулирования по отклонению Ползунова-Уатта, развившийся в концепцию обратных связей; принцип регулирования по нагрузке, послуживший основой теории инвариантности, и др. Начиная с курса профессора Петербургского университета Д. Чижова в 1823 г., теория регуляторов входит составным элементом в курсы и монографии по механике и паровым машинам.

Общая теория регуляторов была разработана, в основном, в 1868 - 1876 гг. в работах Д. Максвелла и И. Вышнеградского. Основополагающими трудами Вышнеградского являются: "Об общей теории регуляторов", "О регуляторах непрямого действия". В этих работах можно найти истоки современных инженерных методов исследования устойчивости и качества регулирования.

Достойным продолжателем дела И. Вышнеградского был словацкий инженер А. Стодола, работы которого посвящены исследованию устойчивости ряда схем регулирования, в частности, непрямого регулирования с жесткой обратной связью. В этот же период сформулированы алгебраические критерии устойчивости Рауса и Гурвица.

Бурный рост промышленности отражается и на развитии работ в области теории регулирования. В конце XIX в. и начале XX столетия создаются новые виды электромеханических регулирующих приборов такие, как программные регуляторы, следящие системы и схемы компаудирования. Так, в 1877 г. А. Давыдов разработал проект первой следящей системы, содержащей электрические элементы, предназначенной для автоматического придания орудию надлежащего угла возвышения в соответствии с изменением расстояния до цели, которая была продемонстрирована в 1881 г.

В 1882 г. на Промышленно-художественной выставке в Москве был показан прототип современного программного регулятора, разработанного Н. Захаровым. До настоящего времени используется принцип "установления допустимых предельных значений регулируемого параметра", предложенный в 1884 г. Л. Снегуровым. В этот же период развивается параметрическое регулирование: разработаны дифференциальный регулятор В. Чиколаевым и схема компаудирования генераторов М. Доливо-Добровольским.

Большое значение для развития теории регулирования имели исследования А. Ляпунова. Его труд, опубликованный в 1892 г., "Общая задача устойчивости движения" явился важной вехой в развитии теории устойчивости. В этой работе А. Ляпунов дал первое в истории науки математически строгое определение устойчивости движения, а также разработал два метода решения задач об устойчивости. Первый заключается в обосновании и установлении точных границ применимости анализа устойчивости, основанного на линейных дифференциальных уравнениях, а второй позволяет исследовать устойчивость не только при бесконечно малых отклонениях - "устойчивость в малом", но и при конечных отклонениях - "устойчивость в большом".

Крупный вклад в теорию внес Н. Жуковский, который создал теорию орбитальной устойчивости на основе вариационных принципов динамики, а также дал математическое описание процессов в длинных трубопроводах, рассмотрел влияние сухого трения в регуляторах, исследовал некоторые процессы импульсного регулирования. Им написан первый русский учебник "Теория регулирования хода машин" (1909 г.).

К началу XX в. и в первом его десятилетии теория автоматического регулирования формируется как общая дисциплина с рядом прикладных разделов. Особенно четко мысль о теории регулирования как дисциплине общетехнического характера проводится в работах И. Вознесенского (1922 - 1949 гг.) -руководителя одной из крупных советских школ в этой области, который в 1934 г. впервые выдвинул принцип автономного регулирования. Большой его заслугой является разработка общего метода разбиения процесса регулирования с несколькими регулируемыми величинами на ряд автономных процессов.

Следует отметить ряд интересных изобретений этого периода: "Устройство для получения постоянного тока с постоянным напряжением при переменном числе оборотов генератора" К. Шенфера, "Способ повышения чувствительности регулирования числа оборотов двигателя" В. Володина и М. Писаренко и др. Данный период также характеризуется развитием вопросов автоматического регулирования производства и распределения электрической энергии. Большое значение имели работы С. Лебедева и П. Яданова в области устойчивости энергосистем.

В тридцатые годы XX в. создаются более эффективные методы исследования, в частности, частотные. Появляются работы X. Найквиста (1932 г.), содержащие критерий устойчивости радиотехнических усилителей с обратной связью, и А. Михайлова (1938 г.) "Гармонический метод в теории регулирования", которые вошли в практику в послевоенные годы. В 1946 г. Г. Боде и Л. Маккол ввели логарифмические частотные характеристики. Г. Браун, А. Холл, Д. Кемпбелл, Г. Честнат, В. Солодовников завершили разработку частотных методов синтеза и расчета систем, придав им форму, удобную для инженерных расчетов.

В 40 - 50-е годы разрабатываются основы теории нелинейных систем, сложность которых состоит в отсутствии единого общего математического аппарата. Здесь следует отметить работы по устойчивости А. Лурье (1944 - 1951 гг.), А. Летова (1955 г.). Завершающим этапом этого направления считается разработка теории абсолютной устойчивости, выдвинутой А. Лурье и В. Постниковым (1944 г.), более детально сформулированной М. Айзерманом (1949, 1963 гг.) и доведенной до изящного решения румынским ученым В. Поповым (1959 г.).

Большое значение для качественного исследования нелинейных систем имеют методы фазовой плоскости и фазового пространства, основы которых заложены А. Андроновым и его школой в 1930 - 1940 гг.

Я. Цыпкиным разработаны основы теории релейных (1955 г.) и импульсных (60-е годы) систем с различными видами модуляции. Н. Крыловым и Н. Боголюбовым (1934 г.) разработан метод гармонического баланса для определения параметров автоколебаний и условий их возникновения.

В послевоенные годы теория автоматического управления развивалась плодотворно, и упомянуть обо всех направлениях и авторах просто невозможно. Вот некоторые из них: теория автоматического регулирования по возмущению, теория компенсации возмущений и инвариантности разработаны в трудах Г. Щипа-нова, В. Кулебакина, Б. Петрова и др.; принципы экстремального управления и теория поиска экстремума разработаны В. Казакевичем. А. Фельдбаумом, А. Красовским. В эти же годы создаются основы теории оптимального управления Л. Понтрягиным. А. Летовым, Н. Красовским и др.

В настоящее время значение теории автоматического управления переросло рамки только технических систем. Динамические управляемые процессы имеют место в живых организмах, экономических и организационных человеко-машинных системах, их влияние существенно и отказ от них приводит к крупным потерям.

Дальнейшее развитие и усложнение систем автоматически привело к созданию автоматизированных систем управления (АСУ) технологическими процессами (АСУТП), производством (АСУП) и отраслью (АСУО). По идеологии построения эти системы достаточно близки между собой, хотя функции и технические средства, на которых реализуются эти АСУ, характер решаемых задач существенно отличаются.

1.2 Основные понятия и определения

Задача автоматизации состоит в осуществлении автоматического управления различными техническими процессами.

Любой технологический процесс можно расчленить на ряд более простых неравнозначных составных, но связанных между собой процессов. В связи с этим говорят, что в технологическом процессе выделяют рабочие операции, т.е. действия, непосредственным результатом которых является требуемая обработка материала, энергии, информации, и операции управления, обеспечивающие придание в нужные моменты нужных режимов, направлений и т.п.

Рабочие операции сопряжены с затратами энергии, и, если они выполняются человеком, то на их выполнение затрачивается его физическая сила. На операции управления затрачивается интеллектуальный труд человека, и эти операции требуют определенной квалификации исполнителя.

Замена труда человека в рабочих операциях работой машин и механизмов называется механизацией.

Совокупность операций управления образует процесс управления. Таким образом, под управлением понимают такую организацию того или иного процесса, которая обеспечивает достижение определенной цели.

Замена труда человека в операциях управления действиями технических управляющих устройств называется автоматизацией. Техническое устройство, выполняющее операции управления без непосредственного участия человека, называется автоматическим устройством.

Совокупность технических средств, выполняющих данный процесс, является объектом управления. Совокупность средств управления и объекта образует систему управления. Система, в которой все рабочие операции и операции управления выполняют автоматические устройства, называется автоматической. Система, в которой автоматизирована только часть операций, другая же их часть сохраняется за людьми, называется автоматизированной (частично автоматической).

Частным случаем управления является регулирование. При регулировании координаты процесса (давление, температура, расход, положение и пр.) поддерживаются на заданном значении с помощью специальных устройств - автоматических регуляторов. Совокупность регулируемого объекта и автоматического регулятора образует систему автоматического регулирования. Объекты регулирования и управления по своей физической природе весьма разнообразны, но принципы построения систем управления и методы их исследования одни и те же.

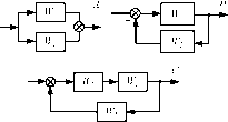
Для наглядного схематического изображения системы автоматического управления (регулирования) используют структурные схемы, в которых отдельные элементы системы изображаются в виде прямоугольников, а связи между элементами - линиями со стрелками, показывающими направление передачи сигнала (рис. 1.1).

Основными элементами системы автоматического регулирования являются объект и регулирующее устройство (регулятор).

а)

1 -> 2 -> 3
б)

Объект

Рис. 1.1 Примеры структурных схем:

а - один элемент системы; б - несколько элементов системы

б)
Т. Я. Лазарева, Ю. Ф. Мартемьянов - Основы теории автоматического управления>
МО

ym(t)

Рис. 1.2 Примеры изображения объектов с входными и выходными сигналами:

а - односвязный - характеризуется наличием векторов, имеющих по одной координате; б - многосвязный - характеризуется несколькими взаимосвязанными координатами

Любой элемент системы характеризуется входной координатой (сигналом) x(t) и выходной координатой y(t), которая зависит от входного сигнала. В свою очередь входная координата может носить возмущающий и управляющий (регулирующий) характер. Возмущающее воздействие (возмущение) хв(0 вызывает отклонение управляемой (регулируемой) координаты от заданного значения. Управляющее u(t) (регулирующее Xj,(t)) воздействие служит для поддержания управляемой (регулируемой) координаты y(t) в соответствии с некоторым законом управления (поддержания регулируемой координаты на заданном уровне) (рис. 1.2).

Объектами управления являются в процессах химической технологии - механизмы, машины и аппараты, в которых протекают технологические процессы (измельчение, перемешивание, кристаллизация, сушка и др.); производства серной кислоты, автомобильных шин и т.п.; предприятия - заводы, фабрики и целые отрасли - химическая, нефтеперерабатывающая и т.п.

1.3 Принципы регулирования

Первый промышленный регулятор, как уже говорилось ранее, был изобретен в 1765 г. И. Ползуно-вым для созданной им паровой машины. Принципиальная схема регулятора приведена на рис. 1.3.

Задачей регулирования является поддержание в паровом котле постоянного уровня. Регулятор представляет собой поплавок 1, связанный системой рычагов с регулирующей заслонкой 2. При увеличении уровня поплавок поднимается вверх, в результате чего заслонка опускается, перекрывая трубопровод и уменьшая подачу воды в котел. При уменьшении уровня поплавок опускается, что приводит к увеличению подачи воды и, следовательно, к повышению уровня.

Т. Я. Лазарева, Ю. Ф. Мартемьянов - Основы теории автоматического управления>


Практически одновременно с И. Ползуновым в 1784 г. Джеймс Уатт сконструировал центробежный регулятор числа оборотов вала паровой машины (рис. 1.4.)

Т. Я. Лазарева, Ю. Ф. Мартемьянов - Основы теории автоматического управления>
Рис. 1.4 Регулятор Уатта
При изменении числа оборотов вала грузы 1 под действием центробежной силы изменяют свое положение, что приводит к перемещению регулирующего органа 2 и изменению подачи пара. Это в свою очередь вызывает изменение числа оборотов вала, но в направлении, противоположном исходному.

Сравнительный анализ рассмотренных регуляторов показывает, что оба они построены по единому принципу, который наглядно проявляется на структурной схеме, представленной на рис. 1.5

б)

а)

Х

в
H Оп Объект n
(у) р) г (у)
Регулятор
Ов

Объект

(Хр) ¦

Регулятор

Рис. 1.5 Структурные схемы систем регулирования:

а - Ползунова; б - Уатта

В рассматриваемых примерах основными элементами системы автоматического регулирования являются: объект - паровой котел и паровая машина; регулирующее устройство - поплавок и центробежная муфта с регулирующими заслонками, соответственно, в регуляторах Ползунова и Уатта.

Выходные координаты, они же и регулируемые переменные - уровень Н и число оборотов n; регулирующие переменные - подача воды в паровой котел - Ов и расход пара в паровую машину - Оп, возмущающие воздействия - давление пара в котле, расход топлива, его теплотворная способность в первом случае и во втором - нагрузка на валу паровой машины, давление пара в трубопроводе.

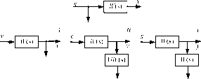
Принцип, по которому построены регуляторы Ползунова и Уатта, состоит в том, что регулятор изменяет регулирующее воздействие при отклонении регулируемой переменной от заданного значения независимо от причин, вызвавших это отклонение. Таким образом, в зависимости от значения выходного сигнала объекта регулятор изменяет его входной сигнал. Для реализации алгоритма регулирования в конструкцию системы вводится связь, получившая название обратной связи, потому что по ней происходит передача сигнала с выхода объекта на его вход по направлению, обратному направлению передачи основного воздействия на объект. Объект и регулятор образуют замкнутую систему, называемую автоматической системой регулирования (АСР). Если сигнал обратной связи складывается с основным сигналом, то связь называется положительной, если вычитается - отрицательной. В автоматических системах управления связь всегда отрицательна.

Схемы с обратной связью осуществляют управление по отклонению (рис. 1.6) показателя процесса -выходной координаты y(t) от заданного значения узад; Ay = y(t) - узад - называется отклонением или ошибкой управления.

Рассмотренная система управления с обратной связью относится к классу систем автоматического регулирования по отклонению.

Таким образом, автоматической системой регулирования по отклонению называют систему, в которой измеряется отклонение регулируемой величины от заданного значения

и в зависимости от измеренно

го отклонения подается такое воздействие на регулирующий орган, которое уменьшает

величину отклонения так, что

Aу ^ 0 при t ^ ж.

Кроме регулирования по отклонению возможен другой способ регулирования - это регулирование по возмущению или компенсация возмущений. В этом случае регулирующее воздействие вырабатывается регулятором в зависимости от величины возмущения. Системы регулирования по возмущению являются разомкнутыми системами, так как в них отсутствует обратная связь (рис. 1.7). Идея этого способа заключается в том, что, если мы сможем компенсировать все возмущения в системе, то регулируемая величина не будет отклоняться от заданного значения. Следует заметить, что компенсация достигается только по измеряемым возмущениям.

Объект _У^
-1 А ' '
Регулятор

Уз;
Регулятор
Т. Я. Лазарева, Ю. Ф. Мартемьянов - Основы теории автоматического управления>
Рис. 1.7 Структурная схема регулирования по возмущению
Рис. 1.6 регулиро

на ?хема отглоне-

нИю

Н.&Ч

Рассматриваемый принцип регулирования впервые был предложен в 1830 г. французским инженером Ж. Понселе при разработке теории центробежных регуляторов хода машин по нагрузке на валу машины, являющейся одним из основных возмущений в объекте, но реализовать свое предложение на практике ему не удалось, так как динамические свойства машины не допускали непосредственного использования принципа компенсации.

В 1940 г. был предложен принцип инвариантности - достижение независимости управляемой координаты от возмущений, практическая реализация которого была получена только в 50-е годы.

Недостаток систем, построенных по принципу компенсации возмущений, очевиден. Компенсировать все возможные возмущения в объекте удается крайне редко, а наличие таких возмущений, как колебание состояния атмосферы, старение катализатора, отложение солей в аппарате, т.е. произвольное изменение свойств объекта, вообще не подлежит компенсации. Например, опасность использования принципа Пон-селе при регулировании уровня жидкости в емкости, когда приток жидкости соотносится с ее расходом, заключается в том, что вследствие изменения расходных характеристик вентилей на притоке и расходе, испарения жидкости, ее дренажа и т. п., емкость может переполниться, либо опустеть.

Регулирование по отклонению лишено этого недостатка, здесь компенсация отклонения регулируемой координаты от заданной происходит независимо от того, какими причинами вызвано это отклонение, но выполнить одновременно условия точности и быстродействия трудно. Часто повышение точности и быстродействия системы приводит к ее неработоспособности.

Наиболее эффективными системами регулирования являются комбинированные АСР, сочетающие оба рассматриваемых принципа (рис. 1.8).

В этих системах наиболее сильные возмущения компенсируются специальным регулятором, а контур регулирования по обратной связи устраняет отклонения регулируемой координаты, вызванные другими возмущениями.

Таким образом, в основе построения системы автоматического регулирования лежат общие фундаментальные принципы регулирования, определяющие, каким образом осуществляется поддержание регулируемой величины на заданном уровне в соответствии с причинами, вызывающими ее отклонение от этого уровня. В настоящее время известно и

используют два фундаментальных принципа регулирования: принцип регулирования по отклонению и принцип регулирования по возмущению.

1.4 Примеры систем автоматического регулирования в химической технологии

Пример 1 Регулирование температуры продукта в кожухотрубчатом теплообменнике. Показателем эффективности регулирования является поддержание температуры продукта на выходе из теплообменника на заданном уровне.

В рассматриваемом примере температура продукта является выходной регулируемой координатой. Стабилизацию температуры легко осуществить, используя в качестве входного регулирующего воздействия расход горячего теплоносителя Отт (рис. 1.9). Анализ объекта показывает, что устранить большую часть возмущающих воздействий невозможно.

^ Продукт а)
Т. Я. Лазарева, Ю. Ф. Мартемьянов - Основы теории автоматического управления>
Рис. 1.9 Система регулирования температуры продукта в теплообменнике:

а - технологическая схема; б - структурная схема
В связи с этим предлагается система регулирования по отклонению температуры продукта путем изменения расхода горячего теплоносителя.

Пример 2 Регулирование давления в верхней части ректификационной колонны.

В вакуумных ректификационных колоннах давление (разряжение) обычно регулируется изменением подачи воздуха или инертного газа в линию между дефлегматором и паровым (водяным) эжектором (рис. 1.10). Здесь регулируемой величиной является разряжение, а регулирующей - расход воздуха.

В рассмотренных случаях структурные схемы систем автоматического регулирования носят упрощенный характер. В любой реальной АСР можно выделить следующие составные элементы: объект регулирования, чувствительный элемент (например, термопара), усилительно-преобразовательное устройство, регулятор, исполнительный механизм (например, мембранный исполнительный механизм), регулирующий орган (например, заслонка). Полная структурная схема изображена на рис.

Т. Я. Лазарева, Ю. Ф. Мартемьянов - Основы теории автоматического управления>
Рис. 1.10 Система регулирования давления в верхней части колонны:

а - технологическая схема; б - структурная схема
Регулиру

ющий

орган

ZJH

Исполни

тельный

механизм
Т. Я. Лазарева, Ю. Ф. Мартемьянов - Основы теории автоматического управления>
Датчик
¦¦(2)—> Объект

п

Рис. 1.11 Структурная схема АСР

В дальнейшем используются только упрощенные схемы, условно относя датчик (чувствительной элемент), преобразователь, исполнительный механизм, регулирующий орган к объекту. Подобное упрощение объясняется тем, что характеристики датчика и регулирующего органа с исполнительным механизмом, устанавливаемых непосредственно на объекте, не изменяются в процессе эксплуатации системы и учитываются при проектировании АСР вместе с характеристиками объекта.

1.5 Классификация систем автоматического управления

Все системы автоматического управления и регулирования делятся по различным признакам на следующие основные классы.

1 По основным видам уравнений динамики процессов управления:

а) линейные системы;

б) нелинейные системы.

2 В зависимости от коэффициентов уравнений и вида уравнений как линейные, так и нелинейные системы подразделяются на:

а) системы, описываемые обыкновенными дифференциальными уравнениями с постоянными коэффициентами;

б) системы, описываемые обыкновенными дифференциальными уравнениями с переменными коэффициентами;

в) системы, описываемые уравнениями в частных производных;

г) системы с запаздыванием, описываемые уравнениями с запаздывающим аргументом.

3 По характеру представления сигналов различают:

а) непрерывные системы;

б) дискретные системы, среди которых выделяют импульсные, релейные, цифровые.

4 По характеру процессов управления:

а) детерминированные системы - системы с определенными переменными и процессами;

б) стохастические системы - системы со случайными переменными и процессами.

5 По характеру функционирования.

В зависимости от того, по какому закону изменяется заданное значение регулируемой величины, системы автоматического управления подразделяются на:

а) системы стабилизации, поддерживающие постоянство регулируемой величины, т.е. узад(7) = const;

б) системы программного регулирования, в которых заданное значение регулируемой величины изменяется по определенной заранее временной программе;

в) следящие системы, в которых заданное значение регулируемой величины изменяется в соответствии с состоянием некоторого заданного вектора переменных во времени;

г) системы оптимального управления, в которых показатель эффективности зависит не только от текущих значений координат, как в экстремальном регулировании, но также от характера их изменения в прошлом, настоящем и будущем, и выражается некоторым функционалом. Нахождение оптимального управления предполагает решение достаточно сложной математической задачи соответствующими методами, кроме того органической составной частью системы является компьютер;

д) адаптивные системы, в которых автоматически изменяются значения узад , собственные параметры или структура при непредвиденных изменениях внешних условий на основании анализа состояния или поведения системы так, чтобы сохранялось заданное качество ее работы. Системы с изменением заданного значения регулируемой величины называют экстремальными, с изменением параметров - самонастраивающимися, с изменением структуры - самоорганизующимися.

1.6 Тренировочные задания

1 На рис. 1.12 изображен объект с входными и выходными сигналами.

А Что такое объект управления? Приведите конкретный пример.

В Какие внешние переменные являются управляющими?

С Какая переменная является управляемой переменной?

2 На рис. 1.13 изображена структурная схема системы автоматического регулирования.

А Какие принципы регулирования реализованы в АСР, изображенной на рис. 1.13?

В Что значит регулирование по отклонению?

С Какая система регулирования является наиболее эффективной?

3 На какие основные классы делятся системы автоматического регулирования?

А К какому классу относится линейная система?

В На какие подклассы делится класс "характер функционирования"? С Что представляет собой класс "характер подачи сигналов"?

1.7 Тест

1 Какой процесс называется механизацией?

А Совокупность операций управления.

В Замена труда человека в рабочих операциях работой машин и механизмов.

С Замена труда человека в операциях управления.

2 Систему управления образуют:

А Совокупность средств управления и объекта.

В Совокупность средств управления.

С Объект управления.

3 Чем характеризуется любой элемент системы?

А Входной координатой.

В Выходной координатой.

С Входной и выходной координатами.

4 Какой принцип регулирования был реализован в первом промышленном регуляторе уровня в котле паровой машины, изобретенном И. Ползуновым.

А Регулирование "по отклонению".

В Регулирование "по возмущению".

С Комбинированное регулирование.

5 Какая система регулирования называется автоматической?

А Все рабочие операции и операции управления выполняют автоматические устройства.

В Часть операций управления выполняют автоматические устройства, другую часть выполняет человек.

С Рабочие операции выполняют машины и механизмы, а операции управления - человек.

6 Детерминированные системы управления отражают:

А Характер подачи сигналов.

В Характер процесса управления.

С Характер функционирования.

7 При классификации систем управления по характеру функционирования система автоматического регулирования может быть:

А Системой программного регулирования.

В Системой с распределенными параметрами.

С Стохастической системой.

8 Система автоматической стабилизации - это система, в которой поддерживается:

А ?зад(7) = const.

В Узад(0 = f (t).

С Узад =f (x).

9 По основным видам уравнений динамики процессов управления системы подразделяются на:

А Непрерывные и дискретные.

В Детерминированные и стохастические.

С Линейные и нелинейные.

10 В оптимальных системах управления показатель эффективности зависит от:

А Текущих значений координат.

В Текущих значений координат, а также характера их изменения в прошлом, настоящем и будущем.

С Собственных параметров системы или структуры.

2.1 Определение регулярного сигнала

Сигнал называется регулярным, если его математическим представлением является заранее заданная функция времени, т.е. он описывается конкретной функцией времени. Реальный же сигнал рассматривается как случайный процесс, определяемый вероятностными характеристиками, так как нельзя заранее предвидеть его изменение во времени.

Выражение регулярного сигнала, определенного функцией времени, называют временным представлением сигнала. Форма записи этих функций различна. Одной из форм записи является представление в виде тригонометрического ряда, каждый член которого является простейшей гармонической функцией времени - косинус или синус. Эти функции получили название гармоник, каждая из которых характеризуется амплитудой, частотой и фазой. Множество амплитуд, частот и фаз называют спектром рассматриваемой функции времени. Подобное представление сигнала называется частотным. Временное и частотное представления сигнала совершенно адекватны. Выбор того или иного представления зависит от особенностей и постановки рассматриваемой задачи.

2.2 Основные типы регулярных сигналов.

Периодические и непрерывные сигналы

К основным типам регулярных сигналов относятся периодический, почти периодический и непериодический сигналы.

Периодический сигнал представляет собой функцию времени, удовлетворяющую условию

f (t) = f (t + T), (2.1)

где t - любой момент времени на интервале -ж< t <ж; T - некоторая постоянная - наименьший конечный промежуток времени, удовлетворяющий условию (2.1), называется периодом функции ft).

Периодическая функция ft) должна быть известна только в пределах промежутка времени, равного периоду Т, далее она в точности повторяется на протяжении каждого периода.

Периодический сигнал физически неосуществим, так как реальный сигнал не может продолжаться бесконечно, он имеет начало и конец. Однако в теоретических исследованиях понятие периодического сигнала используется широко и дает результаты, соответствующие наблюдаемым в действительности.

Периодическая функция произвольного вида, удовлетворяющая условиям Дирихле: ограниченная кусочно-непрерывная, имеет конечное число экстремумов на периоде, может быть представлена рядом

f (t)=-2+Z An cos(nff)t -ф„ Ь (2.

n=1

где Ао - постоянная составляющая; А„ - амплитуда; шп = n ш - частота; ф„ - начальная фаза n-й гармоники.

Таким образом, периодический сигнал можно рассматривать как результат наложения друг на друга бесконечного количества гармоник и постоянной составляющей.

Почти периодический сигнал представляет собой функцию, состоящую из суммы гармонических составляющих с произвольными частотами. При управлении тем или иным процессом встречаются сигналы, частоты которых не находятся в простых кратных соотношениях, что и предопределяет использование почти периодических сигналов. Основным свойством последних является тот факт, что для них может быть определен приближенный период (почти период).

Непериодическим сигналом называется регулярный сигнал, определяемый непериодической функцией, заданной в пределах конечного (t1 < t < t2) или полубесконечного (t1 < t < х) промежутка времени, вне

КОТОРОГО ОНА ТОЖДЕСТВЕННО РАВНА НУЛЮ. ФОРМА СИГНАЛА МОЖЕТ БЫТЬ

ПРАКТИЧЕСКИ ЛЮБОЙ.

Непериодический сигнал можно представить периодической фун-кцией времени с бесконечно большим периодом (рис. 2.2).

Математический метод представления сложных сигналов как периодических, так и непериодических в виде совокупности элементарных гармонических составляющих называется гармоническим анализом.

2.3 Преобразование Фурье, его основные свойства

Для характеристики спектров сигналов используется преобразование Фурье. Прямым преобразованием Фурье называется оператор

х

F(іш) = | f (t)e~mdt, (2.3)

обратным преобразованием Фурье -

F(t) =JF(iro)eiffltdro . (2.4)

—X

Преобразование Фурье ставит во взаимное соответствие два множества функций (f (t) о- F(iw)): первое множество ft) - функции действительного аргумента t; второе множество F(io) - функции мнимого аргумента іш. Прямое преобразование Фурье (2.3) позволяет по заданному оригиналу ft) найти его изображение F(io), обратное преобразование (2.4) позволяет, наоборот, по заданному изображению F(io) найти оригинал

ft).

Основными свойствами преобразования Фурье являются:

1 Свойство линейности.

Если f (t) = ? f (t), то

i=1

F (iw) = t F (iw). (2.5)

i=1

где f(t), f1(t), ..., fn(t) - некоторые функции; F(m), F1(i&), ..., F„(m) - изображения соответствующих функций.

2 Теорема запаздывания.

Еслиf(t) ^ F(m), то



3 Теорема смещения спектра.

Если ft) ^ F(m), то



4 Различный характер функции ft).

Если функция f(t) четная, то ее изображение является вещественной функцией, четной относительно ш и определяется как



с

Если функция f(t) нечетная, то ее изображение является чисто мнимой функцией, нечетной относительно ш:

х

(2.9)

F(iw) = —i I f (t)sin wtdt.

с

Общее количество свойств преобразования Фурье гораздо больше, но именно приведенные выше (2.5) - (2.9) используются при исследовании регулярных сигналов.

2.4 Спектры сигналов

Как уже было сказано, периодический сигнал представляется рядом Фурье (2.2), и структура его спектра полностью определяется амплитудами и фазами гармоник, т.е. модулем Ап и аргументом фп, п = 1, 2, ...

Спектр амплитуд периодического сигнала, состоящий из равноотстоящих линий, длина которых пропорциональна амплитудам Ап соответствующих гармоник, приведен на рис. 2.3.

Непрерывная кривая, соединяющая концы спектра, называется огибающей спектра амплитуд. На практике часто удобна для применения комплексная форма ряда Фурье:

1 да

f (t) = - Ё Апе'пш, (2.10)

п=-да

где An - комплексная амплитуда, 2 t2

(2.11)

Ап

T j f (t)eTinwtdt. t1

Для спектра любых периодических сигналов можно установить характерные свойства:

1 Спектры всегда дискретны, они содержат только гармоники, частоты которых кратны основной частоте. Некоторые гармоники могут отсутствовать.

2 Чем больше период сигна-

2п

ла Т, тем меньше интервал ю = — между соседними частотами и, следовательно, "гуще" спектр. При

T ^ да получают непериодическую функцию, спектр которой становится сплошным, но при этом амплитуды уменьшаются.

3 С уменьшением длительности импульсов т при постоянном периоде амплитуды гармоник уменьшаются, а спектр становится "гуще".

4 Если с уменьшением длительности прямоугольных импульсов увеличивать амплитуду по закону

то их последовательность будет стремиться к последовательности дельта-функций, а амплитуд-

ный спектр

к постоянному для всех частот значению А

Для непериодических сигналов вводится понятие спектральной плотности, которая представляет собой

(2.12)

т-у. , dA

F (ію) = п—, dю

где А - бесконечно малые амплитуды непериодической функции,

T/2

T j f (t^e

(2.13)

dt.

A = lim

T ^да T

-T /2

Величину F(ira) называют также спектральной характеристикой непериодической функции, а модуль |F (ію) = F (ю) - спектром.

Поскольку спектральная характеристика комплексная величина, то ее можно представить в виде

F(ію) = а(ю) + іЬ(ю) = F(ю)е-ф(ю),

дада

где а(ю) = j f (t)cos юtdt; Ь(ю) = j f (t)sin юtdt;

Структура спектра периодического сигнала полностью определяется модулем и фазой спектральной характеристики.

Зависимость модуля и фазы спектральной характеристики непериодического сигнала называют соответственно спектром амплитуд и спектром фаз непериодического сигнала. Особенности спектральных свойств непериодического сигнала состоят в следующем:

1 Спектр всегда непрерывен и характеризуется плотностью амплитуд гармоник, приходящихся на интервал \0; ш].

2 При уменьшении длительности импульса его спектр расширяется вдоль оси ш, а значения плотности амплитуд уменьшаются.

3 Если одновременно с уменьшением длительности т прямоугольного импульса увеличивать его

амплитуду по закону An

то импульс стремится к дельта-функции, а спектральная плотность к по

стоянной величине, равной единице во всем диапазоне частот (-да;да).

2.5 Распределение энергии в спектрах сигналов

В случае периодического сигнала речь ведут о распределении мощности в его спектре, которая определяется как

2,

n

(2.14)

P = RA2 + R У A

рср = 4 Ao + 2 a n-1

где А0, An - коэффициенты ряда Фурье соответствующего периодического сигнала; R - сопротивление элемента или участка, через который проходит сигнал.

Распределение энергии в спектре периодического сигнала представляется в виде суммы бесконечно малых слагаемых, соответствующих бесконечно малым участкам частотного спектра:

Ь(ю)

а(ю)

F(ю) = yj\a(ю)]2 + \Ь(ю)]2 ;

ф(ю) = arctg

(2.15)

1 да

W - - f\F(ю)]2 йю

П J

Выражение — \f (ю)]2 йю представляет собой энергию, выделяемую спектральными составляющими

П

сигнала, расположенными в полосе частот йш в окрестности частоты ш, и называется энергетической спектральной плотностью непериодического сигнала. Формула (2.15) называется формулой Рейли или равенством Парсеваля и используется для выбора максимальной частоты пропускания при условии, что основные составляющие спектра пропускаются без изменения.

2.6 Практическая ширина спектра и искажения сигналов

При передаче периодических сигналов через реальные системы управления может быть передано лишь определенное количество гармоник из их бесконечного числа. При этом важно передать гармонические составляющие с относительно большими амплитудами. В связи с этим вводится понятие практической ширины спектра сигнала, под которой понимается область частот, в пределах которой лежат гармонические составляющие сигнала с амплитудами, превышающими наперед заданную величину. При выборе практической ширины спектра сигнала необходимо учитывать требования к сигналу с энергетической точки зрения и с точки зрения сохранения его формы.

В случае непериодического сигнала так же, как и в случае периодического сигнала, желательно передавать составляющие сигнала со значительными амплитудами. С энергетической точки зрения практическая ширина спектра оценивается по области частот, в пределах которой сосредоточена подавляющая часть всей энергии сигнала, с точки же зрения допустимых искажений формы сигнала определить практическую ширину спектра не представляется возможным. Представление о характере искажений сигнала в зависимости от ширины спектра может быть получено при исследовании прохождения сигналов через системы с заданными характеристиками.

2.7 Представление сигналов

Сигналы могут быть представлены различным образом, при этом входной сигнал всегда является непрерывным, а представлению подлежит сигнал на выходе.

Один и тот же сигнал может иметь различную физическую природу - электрическую, звуковую, световую и т.д.

В теории управления наибольшее распространение получило математическое представление сигналов. Все виды математических представлений сигналов делятся на три основные группы:

1) непрерывное представление - выходной сигнал определен в любой момент времени (рис. 2.4, б);

2) дискретно-непрерывное представление - выходной сигнал является квантованным по времени и непрерывно изменяется только по уровню (рис. 2.4, в);

3) дискретное представление - выходной сигнал квантован как по времени, так и по уровню (рис. 2.4, г).

x(t)

Объект

y(t)^ а)
Т. Я. Лазарева, Ю. Ф. Мартемьянов - Основы теории автоматического управления>
Рис. 2.4 Виды математических представлений сигналов:

а - блок-схема системы; б - непрерывное; в - дискретно-непрерывное;

г - дискретное

В результате квантования сигнала по времени при дискретно-непрерывном и дискретном представлениях может произойти потеря информации, так как остаются значения сигнала только в дискретные моменты времени. Однако благодаря одному из свойств реальных систем в них при определенных условиях сохраняется полная информация о сигнале, если последний известен лишь в дискретные моменты времени. Это свойство известно как теорема Котельникова: сигнал, описываемый функцией с ограниченным спектром, полностью определяется своими значениями, отсчитанными через интервал вре-
б)
Т. Я. Лазарева, Ю. Ф. Мартемьянов - Основы теории автоматического управления>
ширина спектра сигнала.

мени At = — FG, где Fc

Смысл теоремы Котельникова состоит в том, что, если требуется передавать сигнал, описываемый функцией f (t) с ограниченным спектром, то достаточно передавать отдельные мгновенные значения, отсчитанные через конечный промежуток времени At = -1F0. По этим значениям непрерывный сигнал может быть

полностью восстановлен на выходе системы.

Математические представления сигналов на практике чаще всего реализуются в виде модуляции. Под модуляцией понимают изменение одного из параметров какого-либо физического процесса по закону представляемого сообщения. Так, в системах с электрическими сигналами под модуляцией понимают изменение одного из параметров высокочастотного электрического сигнала по закону передаваемого низкочастотного сообщения. В случае модуляции гармонического сигнала различают два основных вида модуляции: амплитудная модуляция и угловая модуляция, которая подразделяется на частотную и фазовую. На практике чаще всего встречаются смешанные виды модуляции - амплитуднофазовая или амплитудно-частотная, при этом один из видов модуляции является полезным, другой -паразитным.

2.8 Сигналы. Их виды

Наиболее часто в теории автоматического управления используются следующие сигналы. 1 Единичный скачок (рис. 2.5):

0 при t < 0;

1 при t > 0.

(2.16)

x(t) = 1(0

1(t) называется также функцией Хевисайда. Строго говоря, функция Хевисайда физически нереализуема, однако, если, к примеру, на исследуемом объекте резко открыть вентиль, в результате чего расход

Рис. 2.5 Единичный скачок

Рис. 2.6 Единичный импульс подаваемого вещества изменится скачком с F1 до F2 , то говорят, что на входе объекта реализован скачкообразный сигнал величиной F2 - F1 , и если последняя разность равна единице, то на входе реализуется единичный скачок.

Спектральная характеристика для единичного скачка:

F (ію) = — e 2. ю

2 Единичная импульсная функция - дельта-функция (рис. 2.6) - это функция, удовлетворяющая следующим условиям:

10 при t Ф 0;

1) 5(t) = \ У t 0

(2.17)

[да при t = 0;

ад

2) J 5(t)dt = 1.

Дельта-функцию называют также функцией Дирака, она относится к классу сингулярных функций. Эту физически также нереализуемую функцию можно представить как импульс бесконечно малой длительности и бесконечно большой амплитуды, т.е. как предел, к которому стремится прямоугольный импульс с основанием At и площадью, равной единице (рис. 2.7, а), если At ^ 0 так, чтобы площадь импульса сохранялась равной единице. Также 5-функцию можно представить как предел некоторой функции (рис. 2.7, б):

(2.18)

5(t) = lim 5(t, в) = lim-Д-

р^ш п(в2t2 + 1)

К основным свойствам дельта-функции можно отнести следующие равенства:

0+

|5(t )dt = 1; (2.19)

0-

Т. Я. Лазарева, Ю. Ф. Мартемьянов - Основы теории автоматического управления>
Рис. 2.7 Представление дельта-функции:

а - прямоугольный импульс; б - 5(в, ^-функция
5-функция является четной функцией:

5(t) = 5(-t); (2.20)

ад

Ix(t)5(t)dt = x(0), (2.21)

т.е. из непрерывной функции можно "вырезать" одну ординату.

Последнее соотношение, используя рассмотренные уже свойства 5-функции, доказывается следующим образом:

| x(t )5(t )dt = | x(t )5(t )dt +1 x(t )5(t)dt +1 x(t )5(t )dt = x(0) • 15(t )dt = x(0).

-ад -ад 0- 0+ 0-

Спектральная характеристика дельта-функции: F(io) = 1.

Между функцией Хевисайда и функцией Дирака существует связь, выражаемая соотношением:

15(t)dt = 1(т), или 5(t) = l'[t]. (2.22)

-ад

На практике считается, что на вход объекта подана 5-функция, если время действия прямоугольного импульса намного меньше времени переходного процесса.

3 Гармонический сигнал (рис. 2.8, а)

x(t) = A sinot (2.23)

используется при исследовании систем автоматического регулирования частотными методами.

Синусоидальный гармонический сигнал можно представить как вращение вектора длиной А вокруг начала координат (рис. 2.8, б) с некоторой угловой скоростью о, рад/с.

Гармонический сигнал характеризуется такими параметрами, как амплитуда - А; период - Т; фаза -ф.

Рис. 2.8 Гармонический сигнал:

а - обычный сигнал; б - представление гармонического сигнала вращением вектора; в - гармонический сигнал со сдвигом фазы

Между периодом и угловой скоростью справедливы соотношения

(2.24)

2л 2п

ю = — и T = — T ю

Если колебания начинаются не из нуля, то они характеризуются фазой колебаний (рис. 2.8, в), которая во временной области характеризуется отрезком At, но обычно фазу выражают в радианах - ф (рис. 2.8, б). Перевод осуществляется по формуле

Т. Я. Лазарева, Ю. Ф. Мартемьянов - Основы теории автоматического управления>


(2.25)

2nAt

T

На практике для получения гармонического сигнала используется генератор синусоидальных колебаний.

4 Сдвинутые элементарные функции.

К этим функциям относятся функции Хевисайда и Дирака с запаздыванием, т.е. 1(t - т) и 5(t - т) (рис. 2.9),

0, t ф т; го, t = т.

5(t - т)

причем

Все свойства 5-функции сохраняются, но записываются в виде:

б)

а)

хА

Рис. 2.9 Сдвинутые элементарные функции

б)

в)

Т. Я. Лазарева, Ю. Ф. Мартемьянов - Основы теории автоматического управления>
x
А ti

0 т t 0 t

Рис. 2.10 Сигнал произвольной формы:

а - входной непрерывный сигнал; б - импульс x(i); в - суперпозиция импульсов, определяющих сигнал x(t)

т+

15(t - т) dt = 1;

S(t - т) = 5(т -1) = S(-(t - т));

ад

I x(t) 5(t - т) dt = х(т).

5 Сигнал произвольной формы - x(t) (рис. 2.10, а).

Любой сигнал произвольной формы можно представить с помощью 5-функции. С этой целью выделяется произвольный момент времени t, и строится столбик высотой x(t) (рис. 2.10, б), соответствующий значению сигнала в момент времени t = t;, и основанием At/.

Этот импульс можно выразить через приближенную дельта-функцию - 5 (t - ti):

площадь равна 1;

5(t - t/)

< ширина равна At;;

At,

высота равна

т. е. xi (t) = x(ti)At; 5 (t - ti).

Заменяя функцию x(t) набором импульсов (рис. 2.10, в), можно записать: ~(t) = X x(t/ )Ati ~(t - ti)

i=1

Если теперь n ^ ад, At/ ^ dт, 5(t -1^ 5(t - т), то

t+

x(t) = | x(T)5(t -T)dT. (2.26)

0

Сигнал произвольной формы можно представить и через единичные функции, для чего выражение (2.26) следует проинтегрировать по частям, используя соотношение 5(t - т) = 1'(t - т), в результате чего получают следующее соотношение

t+

x(t) = x(0) • 1[t] + |х'(т) • 1(t - т)dт . (2.27)

0

2.9 Тренировочные задания

1 В системах автоматического управления наблюдаются различные воздействия и сигналы. Для упрощения анализа и синтеза конкретных систем пользуются разработанной типизацией этих воздействий и сигналов.

А Какой сигнал называется регулярным?

В Какие существуют виды представления сигналов?

С Какие сигналы относятся к основным типам регулярных сигналов?

2 Для характеристики спектров сигналов используется преобразование Фурье. Спектр периодических сигналов характеризуется определенными свойствами. Для непериодического сигнала вводится понятие спектральной плотности.

А Какое преобразование называется преобразованием Фурье?

В Какими характерными свойствами обладает спектр периодического сигнала? С Что такое спектральная характеристика непериодической функции?

3 В теории автоматического управления используются так называемые стандартные сигналы, к которым относятся единичный скачок, единичная импульсная функция - дельта-функция, гармонический сигнал.

А Какая функция называется дельта-функцией?

B Как на исследуемом объекте подать сигнал в виде единичного скачка?

С Какими параметрами характеризуется гармонический сигнал?

2.10 Тест

1 Сигнал называется регулярным, если его математическим представлением является:

А Заранее заданная функция времени.

В Заранее заданная функция частоты.

С Заранее заданная функция времени и частоты.

2 Сигнал называется периодическим, если он представляет собой:

А Функцию времени и удовлетворяет условию

= At + Т) , -да < t < гс.

В Функцию времени и удовлетворяет условию

=At + Т, t1 < t < t2.

С Функцию частоты и удовлетворяет условию

_Дш) = _Дш + W), -гс < ш < гс.

3 Какое из преобразований называется преобразованием Фурье?

А F(і ш)= J f (t) eimdt.

—гс

В F(ш)= J f (t)e~mdt.

-гс

С F(i ш)= J f (t) e~imdt.

-гс

4 Спектральной плотностью непериодического сигнала называется величина

1 dA

п dш

А F (іш) =

В F(іш) =1 —. ? ' п dA

С F(іш) = п dA , ? ’ dш

где А - бесконечно малые амплитуды непериодической функции.

5 Функцией Хевисайда называется функция:

x(t) =

0 при t < 0;

[1 при t > 0. x(t) = 1 при Vt.

x(t) =

[0 при 0>t > t2;

1 при 0 < t < tj.

6 Дельта-функцией называется функция, удовлетворяющая условиям:

да при t = 0; 0 при t Ф 0.

0 при t Ф 0; да при t = 0;

0 при t Ф 0; да при t = 0;

А S(t) В S(t) С 5(t)

да

15(t) dt = 1.

—да

да

J 5(t) dt = 0.

—да

7 Какая функция относится к сдвинутым элементарным функциям?

А x(t).

В x(t - т).

С x(t) + х(т).

8 Сигнал произвольной формы можно представить как:

t

А x(t) = J х(т) h(t — т) dT .

0

t

В x(t) = J x(t) 5(t — т) dT .

0

t

С x(t) = J x(t) h(t — т) 5(т) dT .

0

9 Сигнал называется гармоническим, если

А x(t) = Ah(t)sinat .

В x(t) = A5(t)sinat.

С x(t) = A sin at .

10 Между функцией Хевисайда и функцией Дирака существует связь, выражаемая соотношением

А 1[t] = 5' (t).

В 5(0 = 1' [t].

С J 1[t] dt = 5(t).

3 МАТЕМАТИЧЕСКОЕ ОПИСАНИЕ АВТОМАТИЧЕСКИХ СИСТЕМ

3.1 Основные способы математического описания. Уравнения движения

Математическое описание автоматической системы управления - это описание процессов, протекающих в системе на языке математики.

Построение любое системы управления начинается с изучения объекта управления и составления его математического описания.

В качестве объекта может выступать аппарат, технологический процесс, производство, предприятие и отрасль. Различие математических моделей объектов обуславливается их назначением. Эти модели описывают различные режимы работы объекта или системы управления и могут быть получены одним из способов: экспериментальным, аналитическим, комбинированным или экспериментальноаналитическим.

При экспериментальном способе уравнения моделей получают путем постановки специальных экспериментов (метод активного эксперимента) или путем статистической обработки результатов длительной регистрации переменных объекта в условиях его нормальной эксплуатации (метод пассивного эксперимента).

При аналитическом описании уравнения моделей получают на основании физико-химических закономерностей протекающих процессов.

При экспериментально-аналитическом подходе уравнения моделей получают аналитическим путем с последующим уточнением параметров этих уравнений экспериментальными методами.

При разработке математического описания автоматических систем следует учитывать основные методологические положения теории автоматического управления. Это прежде всего системный подход к решению задач управления, рассматривающий поведение объекта и регулятора в процессе регулирования в неразрывной взаимосвязи; возможность применения методов теории автоматического управления к системам самой разнообразной физической природы вследствие абстрагирования математических моделей от конкретных физических систем. Кроме того, система рассматривается как цепь взаимодействующих физически и информационно элементов и обладает способностью передавать физические воздействия и информационные сигналы в одном, строго определенном направлении; каждый же элемент системы рассматривается как преобразователь входного воздействия в выходную реакцию. Математическое описание как отдельных элементов, так и системы в целом составляется, как правило, с рядом допущений и упрощений, удачность которых зависит от глубины знаний исследователя системы в данной области, его интуиции и обязательно подлежит экспериментальной проверке.

В общем случае уравнения математической модели объекта или системы управления, устанавливающие взаимосвязь между входными и выходными переменными, называются уравнениями движения.

Уравнения, описывающие поведение системы регулирования в установившемся режиме при постоянных воздействиях, называются уравнениями статики.

Уравнения, описывающие поведение системы регулирования при неустановившемся режиме при произвольных входных воздействиях, называются уравнениями динамики.

Все объекты регулирования можно разделить на два класса: объекты с сосредоточенными координатами, динамика которых описывается обыкновенными дифференциальными уравнениями, и объекты с распределенными координатами, динамика которых описывается дифференциальными уравнениями в частных производных. В дальнейшем рассматриваются только объекты с сосредоточенными координатами.

В качестве примера можно рассмотреть объект с сосредоточенными координатами, описываемый дифференциальным уравнением второго порядка (рис. 1.2)

F (y, у" у'\ x, x') + f = 0, (3.1)

где у - выходная переменная; x, f - входные переменные; у", X - первые производные по времени; у" -вторая производная по времени.

При постоянных входных воздействиях x = x0; f=f с течением времени выходная величина принимает постоянное значение у = у0 и уравнение (3.1) преобразуется к виду:

Конечное уравнение (3.2) является уравнением статики.

Статический режим можно характеризовать с помощью статических характеристик.

Статической характеристикой объекта (системы) называется зависимость выходной величины от входной в статическом режиме.

Статическую характеристику можно построить экспериментально, если подавать на вход объекта постоянные воздействия и замерять выходную переменную после окончания переходного процесса. Если объект имеет несколько входов, то он характеризуется семейством статических характеристик. В свою очередь, сама статическая характеристика характеризуется коэффициентом k, который определяется как k = —. Для объектов с нелинейной статической характеристикой коэффициент усиления явля-dx

ется переменной величиной, для объектов же с линейными статическими характеристиками коэффициент усиления - величина постоянная (рис. 3.1).

а) б)

Т. Я. Лазарева, Ю. Ф. Мартемьянов - Основы теории автоматического управления>
Рис. 3.1 Статическая характеристика объектов:

а - нелинейного; б - линейного
3.2 Примеры уравнений объектов управления

В теории автоматического управления широко используется метод математических аналогий, согласно которому различные по физической природе объекты описываются однотипными математическими зависимостями.

Рассмотрим некоторые примеры составления уравнений статики и динамики для различных по физической природе объектов.

3.2.1 ГИДРАВЛИЧЕСКИМ РЕЗЕРВУАР

Примером простейшего объекта автоматического управления является гидравлический резервуар, в котором имеется приток и сток жидкости. Принципиальная и структурная схемы представлены на рис. 3.2.

Основной координатой, характеризующей состояние рассматриваемого объекта, является уровень жидкости Н, который выбирается в качестве выходной регулируемой величины. Входным и соответственно регулирующим воздействием является скорость притока воды в резервуар Q, внешним возмущением - расход воды из резервуара G. При постоянной степени открытия дросселя на притоке жидкости, уровень

Q

а)
(Хв)| G
-II- і

'
i Q н rf

’ (x)
Объект
б)

H

"(У)


’ G
Рис. 3.2 Гидравлическая емкость:

а - принципиальная схема; б - структурная схема

определяется разностью (Q - G). По условиям работы объекта величина притока Q изменяется произвольно во времени.

Уравнение динамики, описывающее зависимость уровня H в переходном режиме от Q, в соответствии с законом гидравлики записывается в виде

sdH=Q-G, (3.3)

dt

где S - площадь поперечного сечения резервуара.

Уравнение (3.3) представляет собой математическое описание объекта регулирования - гидравлической емкости и является обыкновенным дифференциальным уравнением 1-го порядка.

3.2.2 ЭЛЕКТРИЧЕСКАЯ ЕМКОСТЬ

Электрической емкостью называется цепь, состоящая из сопротивления R и емкости С (рис. 3.3).

R

б)

q

(y)

а)

С

Л-

U„

Объект



(x)

Рис. 3.3 Электрическая емкость:

а - принципиальная схема; б - структурная схема

Выходной координатой такого объекта может быть выбран заряд q на обкладках конденсатора, а входной - напряжение на входе цепи ивх.

Дифференциальное уравнение может быть получено на основе закона Кирхгофа:

r^l+q=и вх.

dt C вх

(3.4)

Таким образом, математическим описанием электрической емкости является обыкновенное дифференциальное уравнение 1-го порядка.

3.2.3 ХИМИЧЕСКИЙ РЕАКТОР ПОЛНОГО ПЕРЕМЕШИВАНИЯ

Пусть в реакторе протекает химическая реакция типа А ^ B (рис. 3.4). При выводе уравнений приняты следующие допущения:

1) в реакторе осуществляется идеальное перемешивание реакционной смеси, т.е. концентрация во всех точках реактора одинакова;

2) теплоемкость реакционной смеси постоянна и равна теплоемкости исходного реагента;

3) реакция протекает в изотермических условиях, т.е. температура в реакторе постоянна.

а)

A

CA

б) Ca _

Ca

B

Та

Объект

(x)

(y)

Рис. 3.4 Химический реактор:

а - принципиальная схема; б - структурная схема

При этих допущениях реактор может рассматриваться как объект с сосредоточенными параметрами, материальный баланс которого имеет следующий вид:

Измене- Количество Количе- Количе-
ние ко- реагента А, ство вы- ство ве-
личества = поступивше- - шедшего - щества А,
вещества го вещества вступивш
А в реактор во А его в
\ в реакто- : :входном по- : из реак- : реакцию :
: Ре ! |токе : тора
V ИГ = q(CA° - Ca ) - VKCA , (3-5)

где V- объем реактора; CA - концентрация вещества A; t - время; q - объемный расход реагента А; Ca -

входная концентрация вещества; А, K - константа скорости реакции.

Таким образом, описание химического реактора идеального перемешивания, в котором протекает реакция типа А ^ В, осуществляется обыкновенным дифференциальным уравнением первого порядка. Как видно из этих трех примеров, динамические свойства различных по физической природе объектов обладают некоторыми общими чертами, благодаря чему все рассмотренные объекты описываются однотипными уравнениями - обыкновенными дифференциальными уравнениями первого порядка.

3.3 Определение линейной стационарной системы. Принцип суперпозиции

В теории управления к линейным системам обычно относят те системы, в которых протекающие процессы являются стационарными и описываются линейными дифференциальными уравнениями с постоянными или функционально зависящими от времени коэффициентами. Важным свойством таких систем является их соответствие принципу суперпозиции. В связи с этим определение линейной системы, как правило, дается в следующем варианте: линейными называются системы, подчиняющиеся принципу суперпозиции, который заключается в том, что реакция объекта на сумму входных сигналов Z Xi (t) равна сумме реакций на каждый сигнал в отдельности для любых Xi(t).

Математическая запись принципа суперпозиции состоит из двух соотношений:

(3.6)

( \

y Z x(t) =Z Уі (t);

V І J І

y(cx(t)) = cy( x(t)). (3.7)

Важно отметить, что линейность статических характеристик является необходимым, но не достаточным условием линейности, так как выполнение принципа суперпозиции необходимо не только в статике, но и в динамике. В то же время статическая характеристика, описываемая уравнением прямой у = а х + b , не отвечает принципу суперпозиции. Покажем это на примере функции у = 2 х + 3. Для этого проведем эксперимент, который можно проиллюстрировать постановкой не менее трех опытов.

1 опыт: на вход объекта подадим сигнал хі = 2 и определим выходную координату под действием этого сигнала y1 = 7 (рис. 3.5, а).

2 опыт: на вход объекта подадим другой сигнал x2 = 3, и определим соответствующее ему изменение выходной координаты у2 = 9 (рис. 3.5, б).

3 опыт: на вход объекта подается сигнал, равный сумме в первых двух опытах, x3 = 5 и определяется выходной сигнал у3 = 13 (рис. 3.5, в).

Вследствие того, что у3 ф y1 + y2 (13 ф 16), можно утверждать, что для данной функции принцип суперпозиции не выполняется. Для устранения данного типа нелинейности следует перенести начало координат таким образом, чтобы нулевому входу соответствовал нулевой выход.

Так как большинство объектов управления являются нелинейными, то при определенных условиях нелинейные характеристики могут быть приближенно заменены линейными характеристиками, т.е. производится линеаризация нелинейных зависимостей.

У1 (t)

->

Xs(t) = X1(t) + X2(t)
X2(t)^ 2 опыт
Объект
3 опыт y3(t)

->
Объект
б)

y2(t)

->

в)
а)

1 опыт

X1(t)

Объект

Рис. 3.5 Иллюстрация эксперимента по проверке объекта
Т. Я. Лазарева, Ю. Ф. Мартемьянов - Основы теории автоматического управления>
Рис. 3.6 Линеаризация нелинейной статической характеристики

Одним из наиболее распространенных способов линеаризации является разложение нелинейной функции в ряд Тейлора в окрестности заданной точки и исключение нелинейных членов разложения.

Пусть статическая характеристика описывается нелинейной n раз дифференцируемой, где n - любое натуральное число, функцией у = f (х), которую необходимо линеаризовать в окрестности точки (хо, y0) (рис. 3.6).

Если в пределах максимально возможных отклонений у и х от х0 и у0 f (х) мало отличается от линейной функции, то можно f (х) заменить ее приближением y = f (х). Функция f (х) находится из ряда Тейлора:

f (х) = Дхо) + fо)(х - хо) +...;

У - Уо = f (х) - f (хо) = f'(хо)(х - хо).

Переходя к новой системе координат, х = х - хо; y = у - уо, получим линеаризованное уравнение объ-

екта

dy

у = кх, где к

скх

хо

3.4 Динамическое поведение линейных систем

Под системой в дальнейшем будет пониматься любое множество элементов (может быть отдельный элемент), образующее некоторое целостное единство безотносительно к функциям, которые они выполняют, т. е. это может быть объект, регулятор, система регулирования и т. д.

Т. Я. Лазарева, Ю. Ф. Мартемьянов - Основы теории автоматического управления>
Рис. 3.7 Структурная схема системы
Система называется динамической, если она описывается дифференциальными, интегральными либо конечными уравнениями, зависящими от времени, и называется статической, если в ее описании отсутствует параметр времени.

Наибольший интерес представляет изучение динамического поведения линейной системы, которая в общем случае представлена на рис. 3.7.

Основной задачей изучения динамического поведения линейной системы является получение возможности рассчитывать выходной сигнал y(t) для любого известного входного сигнала х(Д В связи с этим необходимо располагать математическим аппаратом для исследования линейной системы (рис. 3.8).

Основными динамическими характеристиками, используемыми в теории автоматического управления, являются передаточная функция, дифференциальное уравнение, временные характеристики: переходная функция, весовая функция; частотные характеристики: амплитудно-фазовая характеристика (АФХ), расширенная амплитудно-фазовая характеристика (РАФХ), логарифмические частотные характеристики (ЛАФХ). Составляющими основных частотных характеристик являются

Т. Я. Лазарева, Ю. Ф. Мартемьянов - Основы теории автоматического управления>
Рис. 3.8 Динамические характеристики
Т. Я. Лазарева, Ю. Ф. Мартемьянов - Основы теории автоматического управления>
Рис. 3.9 Взаимосвязь динамических характеристик
амплитудно-частотная характеристика (АЧХ), фазо-частотная характеристика (ФЧХ), вещественночастотная характеристика (ВЧХ), мнимая частотная характеристика (МЧХ) и соответственно расширенные - РАЧХ, РФЧХ и логарифмические - ЛАЧХ, ЛВЧХ.

Между этими характеристиками существует связь, которую иллюстрирует схема, изображенная на рис. 3.9.

Ряд динамических характеристик можно получить экспериментальным путем, а некоторые являются теоретическими. На практике экспериментально получают временные характеристики и частотные, точнее, АЧХ и ФЧХ, и уже на основе их записываются дифференциальное уравнение, передаточная функция, а также расширенные и логарифмические частотные характеристики. Таким образом, чтобы оценить динамическое поведение линейной системы, необходимо познакомиться со всеми динамическими характеристиками.

3.5 Динамические процессы в системах

Основным математическим аппаратом при изучении и исследовании систем управления является аппарат дифференциальных уравнений. Круг рассматриваемых объектов был уже определен - это линейные объекты с сосредоточенными координатами. При этом различают стационарные объекты, коэффициенты дифференциальных уравнений которых не изменяются во времени, и нестационарные объекты, у которых коэффициенты изменяются с течением времени, например, изменение теплопроводности, старение катализатора и др.

Большинство объектов регулирования являются нестационарными объектами, однако, скорость изменения их свойств намного меньше скорости регулирования, поэтому такие объекты при расчете систем регулирования можно приближенно рассматривать как стационарные в течение определенного промежутка времени, за который свойства объекта не успевают существенно измениться.

Далее будут рассматриваться линейные стационарные объекты (системы) с сосредоточенными координатами, которые описываются обыкновенными дифференциальными уравнениями с постоянными коэффициентами:

any(n\t) + an_ly{n l)(t) +... + aiy’(t) + a0y(t) = bmx(m\t) + bm_xx{m r)(t) +...

(3.8)

... + blx'(t) + b0 x(t).

Уравнение (3.8) описывает поведение объекта, который имеет статическую характеристику у = — x

a0

в неустановившемся (переходном) режиме при любой форме входного сигнала x(t).

Частными случаями уравнения (3.8) являются уравнения

any(n)(t) + an-iy(n D(t) +... + ajy'(t) + a0y(t) = bmx(m\t) + bm-Xx{m D(t) +...

(3.8, a)

(3.8, б)

... + b1x'(t),

any(n)(t) + an-iy(n 1)(t) + ¦¦¦ + aiy'(t) = bmx(m)(t) + bm-1x(m 1)(t) +

... + b1x'(t) + b0 x(t).

Для объектов, описываемых уравнением (3.8, а), статическая характеристика существует, но является вырожденной, так как b0 = 0. Для объектов же, описываемых уравнением (3.8, б), статическая характеристика не существует.

Объекты, имеющие статическую характеристику, называются статическими, а не имеющие статической характеристики, называются астатическими.

В большинстве случаев, как уже отмечалось выше, уравнения систем автоматического регулирования оказываются нелинейными, поэтому, если это возможно, проводят линеаризацию этих уравнений при помощи ряда Тейлора путем разложения нелинейных функций некоторых переменных по степеням малых приращений этих переменных, взятых в окрестности их значений, соответствующих установившемуся режиму. В результате получают линеаризованные уравнения в отклонениях. Таким образом, в большинстве случаев дифференциальное уравнение (3.8) является уравнением в отклонениях, которое описывает объект или систему регулирования только в окрестности установившегося режима. Для линейных систем уравнения в отклонениях и исходные уравнения совпадают.

Для получения решения уравнения (3.8) необходимо задать начальные условия, под которыми понимается состояние процесса в момент времени, принятом за его начало t = 0:

y(0) = yo; y'(0) = y0,..., у (n-1)(0) = y0n-1). (3.9)

Общее решение уравнения (3.8) представляется в виде:

y(t) = Усв (t) + Увын (t). (3-10)

В выражении (3.10) усв(0 является общим решением соответствующего однородного уравнения и >вын(0 - частное решение неоднородного уравнения (3.8). Следовательно, усв(0 соответствует движению системы в отсутствии входного сигнала x(t) = 0, т.е. собственному свободному движению системы, и определяется свойствами самой системы, которые проявляются в свойствах корней характеристического уравнения. Если эти корни различны, то

Усв (t) =Х (3.11)

i=1

где Xi - корни характеристического уравнения; ci - произвольные постоянные, определяемые из начальных условий.

Частное решение увын(0 зависит от вида функции x(t), определяющей входное воздействие на систему, и соответствует вынужденному движению (состоянию) системы.

Решение (3.10) уравнения (3.8) определяет динамический процесс в системе, происходящий с момента подачи входного воздействия, который принят за начало отсчета времени, поэтому движение системы (переходной процесс) рассматривается только при t > 0, для t < 0 он принят тождественно равным нулю.

Выходной сигнал y(t), получающийся в течение такого процесса, является наиболее полной характеристикой динамических свойств системы, поэтому определение этого сигнала, как уже отмечалось, и является основной задачей теории регулирования. Здесь становится актуальной идея изучения динамических свойств системы с помощью временных характеристик.

3.6 Переходная и весовая функции

3.6.1 ПЕРЕХОДНАЯ ФУНКЦИЯ

Для получения переходной функции в качестве стандартного сигнала используется единичная функция времени (2.16). Такого рода воздействию соответствует, например, сброс или включение нагрузки в системах регулирования (отказ мотора в системе регулирования).

Т. Я. Лазарева, Ю. Ф. Мартемьянов - Основы теории автоматического управления>
Рис. 3.10 Переходная характеристика химического реактора:

а - ступенчатое воздействие; б - кривая разгона
Переходной функцией называется аналитическое выражение для решения линейного дифференциального уравнения (3.8) при входном сигнале x(t) = 1(t) и нулевых начальных условиях, т.е.

any(n) (t) + an_1 y(n-1) (t) +... + a y'(t) + ao y(t) = b1(t),

У(0) = 0; y'(0), ... , y(n-1)(0) = 0. (3.12)

Кривой разгона называется реакция объекта (системы) на единичное ступенчатое воздействие при нулевых начальных условиях.

На практике кривая разгона определяется экспериментальным путем и используется в качестве исходных данных для анализа и синтеза систем автоматического управления исследуемом объектом.

Здесь следует ввести понятия прямой и обратной задач. Прямая задача (задача Коши) заключается в определении решения дифференциального уравнения с заданными начальными условиями. В обратной задаче требуется восстановить вид и коэффициенты дифференциального уравнения по известной интегральной кривой, например, переходной функции. Решение обратной задачи представляет значительную сложность вследствие ее некорректности и здесь существует специальный математический аппарат. Так, например, если предположить, что переходная функция описывается решением уравнения первого порядка

аУ (t) + a0 y(t) = b x(t), x(t) = 1(f), у(0) = 0, или Ty'(t) + y(t) = kx(t),

где к = —; T = —, то определению подлежат к - коэффициент усиления и Т - постоянная времени.

а0 а0

¦У(гс) х(да) ’

В статике у'(і) = 0 и, следовательно, у(да) = к х(да), откуда коэффициент усиления к =

так как

х(да) = 1; y(ro) = h(<x>), то к = h(ro).

Для определения постоянной времени Т исходное уравнение интегрируется в пределах от 0 до да;

TI y’(t )dt = I [l<x(t) - y(t)]dt =| [к(ж>) - h(t )]dt.

0 0 0

Правая часть последнего выражения есть не что иное, как площадь S под экспериментально снятой

кривой разгона (рис. 3.10, б), тогда можно записать; Th(<x>) = S, откуда T = -^—.

h(x)

3.6.2 ВЕСОВАЯ ФУНКЦИЯ

Для получения весовой функции, ее также называют импульсной переходной функцией, в качестве стандартного сигнала используется 5-функция (2.17);

да

15(t )dt = 1.

—да

0 при t Ф?; да при t = т;

S(t -т)

Таким образом, весовой функцией w(t) называется реакция системы на 5-функцию при нулевых начальных условиях.

На практике весовую функцию в отдельных случаях можно получить экспериментальным путем весьма приближенно. Считают, что на вход объекта подана 5-функция, если время действия импульса намного меньше времени переходного процесса. Примером может служить эксперимент по снятию весовой функции химического реактора

(рис. 3.4), являющегося объектом исследования. В качестве входного сигнала в реактор залпом выливается порция красящего вещества (например, чернил). Через некоторое время это вещество появится на выходе, причем его концентрация первоначально возрастает, а затем убывает - красящее вещество вымывается (рис. 3.11).

Подаваемый на вход импульс представляет собой приближенную дельта-функцию, так как его площадь отлична от единицы и равна S. Поэтому для получения весовой функции экспериментально снятый переходный процесс нормируют путем деления его ординат на величину площади входного воздействия S.

Т. Я. Лазарева, Ю. Ф. Мартемьянов - Основы теории автоматического управления>


а)
г S
LAt At
L_^ *->
t
Т. Я. Лазарева, Ю. Ф. Мартемьянов - Основы теории автоматического управления>
Рис. 3.11 Переходная характеристика химического реактора:

а - 5-функция; б - весовая функция

Между временными характеристиками; переходной и весовой функциями существует взаимное однозначное соответствие, которое определяется следующим образом;

t

w(t) = h'(t); h(t) = |w(x)dT.

0

Весовую функцию можно получить и как решение дифференциального уравнения
апУ(n)(t) + an—1У(n 1)(t)+¦¦¦+a y '(t) + a0 y(t) =b5(t);

y(t) = y' (0) = ... = y(n—1)(0) = 0.

При решении подобных уравнений дельта-функцию переводят

в начальные условия, и если n = 2, то «2У (t) + а\У (t) + a0y(t) = 0; y(0) = 0; y'(0) = —.

a2

3.7 Интеграл Дюамеля

Интеграл Дюамеля используется для определения выхода объекта y(t) при произвольном входном сигнале x(t) и известных h(t) либо w(t).

Предполагается, что на вход объекта, описываемого весовой функцией w(t), подается сигнал x(t) (рис. 3.12, а), подробное описание которого дано в п. 2.8.

Если реакцию объекта на 5(t - t,) обозначить через w(t - t,) (весовая функция), а реакцию на 8(t - t,) через w(t -1,) (приближенная весовая функция), то на основании принципа суперпозиции можно записать выходной сигнал на импульс у(t):

У, (t) = w(t -1, )At,x(t,).

Т. Я. Лазарева, Ю. Ф. Мартемьянов - Основы теории автоматического управления>
Рис. 3.12 Представление входного (а) и выходного сигналов (б)

Замена входного сигнала x(t) набором импульсов, высота которых совпадает с соответствующими координатами (рис. 3.12), позволяет записать реакцию на ступенчатую функциюу(t) на основании принципа суперпозиции
У (t) = Z У (t) =Z W(t - ti )At,x(t, ).

i=0 i=0

Если теперь устремить At, ^ 0, при этом tг ^ т; n ^ да; S(t -1г) ^8(t -т); w(t -1г) ^ w(t -т), а At, ^ dx, где т - непрерывный параметр, показывающий сдвиг каждого импульса, то окончательно получаем:

y(t) = | w(t -т) х(т^т. (3.13)

0

Последнее уравнение называется интегралом Дюамеля (уравнением свертки), отражающим связь между входом, выходом объекта и его весовой функцией.

По сути дела весовая функция является памятью объекта, которая показывает, как долго и как сильно влияет на объект импульсное возмущение, поданное на его вход в момент времени т = 0.

Из физического смысла весовой функции верхний предел интегрирования может быть заменен на t, так как невозможно представить реальную систему, в которой на выходную координату в настоящий момент времени оказывают влияние возмущения, которые появляются в последующие моменты времени.

Если произвести замену в формуле (3.13) t = % = '% , d% = d|, то можно записать симметричную формулу

да

(3.14)

y(t) = J x(t -Qw(Qd|.

0

Если для представления входного сигнала использовать не формулу (2.26), а (2.27), то интеграл Дюамеля записывается через переходную функцию:

(3.15)

y(t) = x(0)h(t) + f h(t -т) dx^T')di, J dx

или

dx

y(t) = x(0)h(t) + f dX(t——h(x)dx.

J dx

3.8 Преобразование Лапласа

Основным математическим аппаратом, который используется в теории автоматического управления, является специальный метод прикладного анализа, так называемый операционный метод, в основе которого лежит функциональное преобразование Лапласа.

3.8.1 ОПРЕДЕЛЕНИЕ ПРЕОБРАЗОВАНИЯ ЛАПЛАСА

Преобразованием Лапласа называется преобразование функции x(t) переменной t в функцию x(s) другой переменной s при помощи оператора, определяемого соотношением

L{x(t)} = x(s) = f x(t)e stdt, (3.16)

0

где x(t) - оригинал функции; x(s) - изображение по Лапласу функции x(t); s - комплексная переменная

s = а + іш.

Формула (3.16) определяет прямое преобразование Лапласа. Возможно и так называемое обратное преобразование Лапласа, позволяющее по изображению найти оригинал. Оно определяется соотношением

c+іш

f x(s)estds,

c-іш

1

2п і

L 1{x(s)} = x(t)

(3.17)

где с - абсцисса сходимости функции x(s).

Для большинства функций, встречающихся на практике, составлены таблицы соответствия между оригиналами и изображениями. Изображения некоторых наиболее часто встречающихся функций в теории управления приведены в табл. 3.1. Если же функция отсутствует в таблице, то ее изображение можно получить непосредственно, пользуясь соотношением (3.16).

Пример 3.1 Требуется найти преобразование Лапласа от функции x(t) = e-at.

Согласно определению преобразования Лапласа (3.16) имеем

ад

1.

s+a

x(s) = f e-ate-stdt = f e~(s+a)tdt 0 0

-(s+a)

s+a

Таким образом, e at ^

3.1 Таблица преобразования Лапласа

Ориги

нал
Изображе

ние
Ориги

нал
Изображе

ние
1 8(0 1 8 sinrat ra

2 2 s 2 +ra
2 1 1

s
9 COSQt s

2 2 s 2 +ra
3 t 1

s2
1

0
e'at sinrat ra

(s + a)2 +ra2
4 tn

(n = 1, 2,

•••)
n! 1

1
e'at cosrat s + a
sn+1 (s + a)2 +ra2
5 e'at 1

s + a
1

2
1

СЪ

1

P
1

s(s + a)
6 t e~at 1

(s + a)2
1

3
1(t - a) 1 e-as

s
7 tn eat 1

(s + a)n+1
Широкое применение преобразования Лапласа обусловлено тем, что изображение некоторых функций оказывается проще их оригиналов и ряд операций, таких как интегрирование, дифференцирование над изображениями проще, чем соответствующие операции над оригиналами.

3.8.2 СВОЙСТВА ПРЕОБРАЗОВАНИЯ ЛАПЛАСА

При использовании преобразования Лапласа необходимо знать и применять его свойства, некоторые из них формулируются следующим образом.

1 Теорема линейности: для любых действительных или комплек-сных постоянных А и В линейной комбинации оригиналов соответствует такая же комбинация изображений

Ax1 (t) + Bx2 (t) ^ Ax1 (s) + Bx2 (s'), (3.18)

где xi(t) ^ xi(s); x2(t) ^ x2(s).

2 Теорема подобия: умножение аргумента оригинала на любое постоянное положительное число X приводит к делению аргумента изображения x(s) на то же число X:

x(Xt) XX ) ¦ (3Л9)

3 Теорема затухания: умножение оригинала на функцию eat, где а - любое действительное или комплексное число, влечет за собой ''смещение" независимой переменной s:

eatx(t) ^ x(s - a) . (3.20)

4 Теорема запаздывания: для любого постоянного т > 0

x(t -т) ^ e~sTx(s). (3.21)

5 Теорема дифференцирования по параметру: если при любом значении r оригиналу x(t, r) соответствует изображение x(s, r), то

6 Теорема дифференцирования оригинала: если x(t) ^ x(s), то

(3.23)

x'(t) ^ sx(s) - x(0),

т.е. дифференцирование оригинала сводится к умножению на s его изображения и вычитанию х(0).

В частности, если х(0) = 0, то x'(t) ^ sx(s). Применяя теорему необходимое количество раз, получают

df (t, r) _^ df (s, r)

(3.22)

dr

dr

(3.24)

x (n)(t) ^ snx(s) - sn 1 x(0) - sn 2 x'(0) -... - x(n :)(0).

Если x(0) = x'(0) = ... = x(n 1)(0) = 0, то

x(n)(t) ^ snx(s), (3.25)

т.е. при нулевых начальных значениях n-кратное дифференцирование оригинала сводится к умножению на sn его изображения.

7 Теорема интегрирования оригинала: интегрирование оригинала в пределах от 0 до t приводит к делению изображения на s:

Jx(t)dt ^ x(s). (3.26)

0 s

8 Теорема дифференцирования изображения: дифференцирование изображения сводится к умножению оригинала на (-1):

-tx(t) ^ x'(s). (3.27)

9 Теорема интегрирования изображения: интегрированию изображения в пределах от s до ад соот-

ад

ветствует деление оригинала на t, т.е. если интеграл Jx(z)dz сходится, то

s

^ Jx(s)ds . (3.28)

s

10 Теорема умножения изображения: если x(t) ^ x(s), y(t) ^y(s), то свертке функций

t

x * y = J x(t)y(t - t) dx (3.29)

0

соответствует произведение изображений

xy ^ x(s)y(s). (3.30)

11 Теорема умножения оригиналов: произведению оригиналов соответствует свертка изображений

y(t)x(t) = y(s)x(s) = 2_ J x(z)y(s - z)dz , (3.31)

у-гад

где у = Re z.

12 Теорема о конечном и начальном значениях функции:

lim x(t) = lim sx(s); (3.32)

t^X s^Q

lim x(t) = lim sx(s). (3.33)

t^Q s^w

3.8.3 РЕШЕНИЕ ДИФФЕРЕНЦИАЛЬНЫХ УРАВНЕНИИ

Одним из важнейших применений операционного исчисления - преобразования Лапласа - является решение линейных дифференциальных уравнений с постоянными коэффициентами, которыми как раз и описываются рассматриваемые системы автоматического управления.

Решение дифференциального уравнения в этом случае складывается из следующих этапов:

1) преобразование уравнения по Лапласу;

2) отыскание решения в области комплексного переменного s;

3) переход в область действительного переменного путем обратного преобразования Лапласа.

Пример 3.2

«2y”(t) + а1 У (t) + a0y(t) = V(t);

Ж> = у' (Q) = Q.

Преобразуем данное уравнение по Лапласу:

a2 s 2y(s) + aisy(s) + «qy(s) = b{) • 1/s,

откуда

y(s) =-2"bQ-.

s(a2 s + a1s + aQ)

Пусть полином a2s2 + a1s + aQ = Q имеет корни s1 и s2, тогда, как будет показано ниже, можно записать

, ч CQ C1 C2

y(s) = -°+—+ - 2

где CQ, C1, C2 - некоторые коэффициенты, определяемые методом неопределенных коэффициентов:

C = bQ • C = bQ

'-'П — ¦, '-н —

¦; C2 =-

Q s,s^ 1 S, (s, - S2)' Л S2(S2 - s,)

Пользуясь таблицами обратного преобразования Лапласа, находим

y(t) = Cq + Qe* + C2eS2t.

Полученное выражение y(t) является решением линейного обыкновенного дифференциального уравнения второго порядка при входном сигнале x(t) = 1(t), т.е. ничем иным, как переходной функцией для линейного объекта второго порядка.

3.8.4 РАЗБИЕНИЕ НА ПРОСТЕЙШИЕ ДРОБИ

Как видно из примера 3.2, решение дифференциального уравнения, полученное с использованием преобразования Лапласа, представляет собой рациональную дробь. Для облегчения обратного преобразования полученную дробь необходимо разложить на простейшие дроби, пользуясь следующим правилом.

Дробь

M (S) = Фп-1(s) (3.34)

Фп (s)

называется правильной рациональной дробью, если порядок числителя меньше, чем порядок знаменателя. Для разложения дроби (3.34) необходимо найти корни уравнения фи(s) = Q .

Если корень действительный, то ему соответствует дробь вида

A

S - Sj

Если корни действительные кратности к, то им соответствует сумма дробей

Aksk-1 . (s - Si)k

Л__+ A2 s

+ ... +

s - І\ (s - Si)

Если корни комплексно сопряженные, то

A1s + B (s 2 + as + b)

Если корни комплексно сопряженные кратности к, то

Ai s + Bi A2 s + B2

(s2 + as + b) (s2 + as + b)2

Aks + Bk

(s2 + as + b)k

+ ... +

Таким образом, дробь (3.34) можно представить в виде

Ak

(s - si)k

Ф»-i(s) =

Фи (s)

+^L_ (s - s2 )

Ai A2

--+--2

(s - si) (s - si)2

+ ... +

+ —Bl 2 + ... +——-+ ... +

(s - s2)2 (s - s2)m

(3.35)

Cps + Dp

(s 2 + ais + bi)p

Fqs + Eq

(s2 + ais + bi)q

Cis + Di ( s 2 + ai s + bi ) Fis + Ei (s2 + ai s + bi )

+ C2s + D2

( s 2 + ai s + bi ) 2

+ F2s + E2

( s 2 + ai s + bi ) 2

+ ... +

+ ... +

+ ...

Коэффициенты А\, ..., Ak; Bi, ..., Вт; Ci, ..., Cp; Di,..., Dp, Fi, ..., Fq; Ei, ..., Eq находятся методом неопределенных множителей. В этом случае правая часть (3.35) приводится к общему знаменателю и получается равенство двух дробей, у которых знаменатели равны, следовательно, должны быть равны и числители. Из равенства последних составляется система алгебраических уравнений для определения неизвестных коэффициентов, которая решается известными методами решения линейных алгебраических систем.

При определении оригинала по полученному изображению пользуются следующими формулами соответствия:

>Aesi

s - si

A

(s - si)k

-tk-iesi ;

>A-

(k - i)!

As + B 2 tl л Гі 2 / л B - Aa /2 . Г. ^TTI

---> e 2 < A coshlb - a /4 + . smtyjb - a /4 >.

sA + as + b I yfb-

Пример 3.3 Найти оригинал, если изображение

a 2/4

s2 +2

(s + i)3(s - 2)

Данное изображение раскладывается на простейшие дроби:







Правая часть последнего выражения приводится к общему знаменателю, и из условия равенства числителей получают:

52 + 2 = A1(s + 1)2(s - 2) + A2(s + 1)(s - 2) + A3(s - 2) + B(s +1)3.

Из равенства коэффициентов при соответствующих степенях s в левой и правой частях записывается система алгебраических уравнений:

'Aj + B = 0;

A2 + 3B = 1;

A3 - A2 - 3A1 + 3B = 0;

- 2A3 - 2A2 - 2A1 + B = 2,

решение которой дает А1 = - 2/9; A2 = 1/3; А3 = -1; В = 2/9. Таким образом,





(s + 1)3(s - 2) 9(s +1) 3(s +1)2 (s +1)3 9(s - 2)

Применяя обратное преобразование, записывается выражение для оригинала:

s2 + 2

(s + 1)3(s - 2)

L-







3.9 Передаточная функция

Одной из основных характеристик объекта управления, используемой в теории автоматического управления, является передаточная функция, записываемая в терминах преобразования Лапласа.

Передаточной функцией объекта называется отношение преобразованного по Лапласу выхода объекта y(s) к преобразованному по Лапласу входу x(s) при нулевых начальных условиях.

Передаточная функция определяется только внутренними свойствами системы, является функцией комплексного переменного и обозначается:

W (s)=(3.36)

x(s)

а) б)
Т. Я. Лазарева, Ю. Ф. Мартемьянов - Основы теории автоматического управления>
Рис. 3.13 Примеры различных объектов:

а - с одним входом и одним выходом; б - двумя входами и одним выходом; в - двумя входами и двумя выходами
Передаточная функция характеризует динамику объекта только по определенному каналу, связывающему конкретный вход объекта и конкретный выход (рис. 3.13).

Если объект имеет несколько входов и выходов, то он характеризуется несколькими передаточными функциями, определить которые можно непосредственно, пользуясь определением (3.36).

Пример 3.4 Пусть на вход объекта подается сигнал x(t) — 1 (t), а на выходе снимается сигнал, описываемый функцией y(t) = 2 eT2t.

Для определения передаточной функции необходимо определить x(s) =1; y(s) = —^ и тогда пере-

s s + 2

2s

s + 2

даточная функция W (s) =

Как и дифференциальное уравнение, передаточная функция полностью характеризует динамику линейного объекта. Если задано дифференциальное уравнение объекта, то для получения передаточной функции необходимо преобразовать дифференциальное уравнение по Лапласу и из полученного алгебраиче

y(s)

x(s)

ского уравнения найти отношение

В общем случае дифференциальное уравнение объекта представляется в виде

апУ(n)(t) + an-1y

(п-1)

(t) +... + aiy(t) + a0y(t) =

(3.36, a)

— bmx<'m)(t) + bm-1x<'m 1)(t) + ¦¦¦ + b1x’(t) + b0 x(t')¦

где an, ..., a0; bm, ..., b0 - постоянные коэффициенты.

После преобразования по Лапласу при нулевых начальных условиях получают:

ans"y(s) + an-1sn-1 y(s) + ... + a1sy(s) + a0 y(s) =

— bmsmx(s) + bm-1sm ^(s) + ... + b1sx(s) + b0x(s),

или

m-1

n -1

1s + .

+ a1s + a0) y(s) = (bms m + bm-1s

+ ... + b1s + b0) x(s),

(ansn + an

и тогда

bmsm + bm-1sm 1 + ••• + b1s + b0

ansn + an-1sn-1 + ... + a1s + a0

y(s)

x(s)

(3.37)

W (s)

Если известна передаточная функция объекта, то изображение выхода объекта y(s) равно произведению передаточной функции на изображение входа x(s):

y(s) — W(s) x(s). (3.38)

Последняя запись есть не что иное, как общая форма записи решения дифференциального уравнения в операторной форме.

Таким образом, передаточная функция равна отношению двух полиномов:

w (s )=BM

Ws) A(s),

n-1

где B(s) = bmsm + bm-1sm 1 + ... + b1s + b0; A(s) = ansn + an-1sn ‘ +......+ a1s + a0y .

Для реальных физических объектов можно отметить как характерную особенность тот факт, что степень полинома B(s) всегда меньше или равна степени полинома A(s), т.е. m < n, так что

lim W(s) = 0 .

Передаточная функция также взаимно однозначно связана с временными характеристиками.

Если имеется выражение для переходной функции, следовательно, входной сигнал x(t) = 1(t) или

x(s) = 1, выходной сигнал y(t) = h(t) или y(s) = h(s), и тогда передаточная функция равна

s

(3.39)

W(s) = = sh(s).

x(s)

Из (3.39) может быть получено выражение для переходной функции через преобразование Лапласа:

W(s)

(3.40)

h(s) =

Если известно выражение для весовой функции, то входной сигнал x(t) = 8(t) или x(s) = 1, выходной сигнал w(t) и, следовательно,

W (s) = ^ = w(s), (3.41)

x(s)

Т.Е. ВЫРАЖЕНИЕ ДЛЯ ПЕРЕДАТОЧНОЙ ФУНКЦИИ ЕСТЬ НЕ ЧТО ИНОЕ, КАК ПРЕОБРАЗОВАНИЕ ЛАПЛАСА ОТ ВЕСОВОЙ ФУНКЦИИ.

Пример 3.5 Пусть объект описывается дифференциальным уравнением

y" (t) + 3y'(t) + 4y(t) = 2x(t); y(0) = У(0) = 0 . Найти h(s) и w(s).

Применяя преобразование Лапласа: s2 y(s) + 3sy(s) + 4 y(s) = 2 x(s), определяем передаточную функцию

. Переходная функция h(s) =

h(t) = Г

W (s) =-

s(s2 + 3s + 4)

s(s 2 + 3s + 4)

s 2 + 3s + 4

2

s 2 + 3s + 4

2

s 2 + 3s + 4

w(t) = L-

Весовая функция w(s)

3.10 Тренировочные задания

1 Математическая модель объекта управления или системы управления устанавливает взаимосвязь между входными и выходными переменными. Различают уравнения статики и уравнения динамики. Установлено, что различные по физической природе объекты управления обладают некоторыми общими чертами и описываются однотипными уравнениями с точки зрения математики.

А Какие уравнения называются уравнениями статики?

Что представляет собой статическая характеристика?

В Какие уравнения называются уравнениями динамики?

С Какими уравнениями описываются объекты управления: гидравлический резервуар, электрическая емкость, непрерывный изотермический химический реактор полного перемешивания?

2 Один из классов систем, которые рассматривает теория автоматического управления - это линейные стационарные системы, подчиняющиеся принципу суперпозиции. Основной задачей изучения динамического поведения этих систем является умение рассчитать выходной сигнал для любого известного входного сигнала, т.е. рассчитать динамику системы. С этой целью используются динамические характеристики. Основными временными характеристиками, которые, как правило, получают экспериментально, являются переходная функция и весовая функция.

А Как доказать, что система является линейной системой?

В Какие характеристики относятся к динамическим характеристикам?



С Что представляет собой схема расчета динамики с помощью временных характеристик?

3 Основным математическим аппаратом, используемым в теории автоматического управления, является преобразование Лапласа, с помощью которого записывается основная динамическая характеристика объекта управления - передаточная функция.

А Дайте определение преобразования Лапласа. Сформулируйте основные свойства.

В Запишите в терминах преобразования Лапласа дифференциальное уравнение 4y""(t) + 2y"(t) + y'(t) + 2y(t) = sint, y(0) = 0, /(0) = 1, /(0) = 0 .

C Какая характеристика называется передаточной функцией?

3.11 Тест

1 Какое из уравнений является уравнением динамики?

А F(y, у, 0, х, x) + ) = 0 .

В F(у, у, у, х, х)+ f = 0.

С F(у 0, 0, х0, 0) + f = 0.

2 Каким дифференциальным уравнением описывается динамика таких объектов управления, как электрическая емкость, химический реактор полного перемешивания?

dt

А у dy(t) + y(t) = kx(t).

2 d y(t) dy(t)

В T1

+ y(t) = kx(t).

2 + T2-

dt

dt

С тШ+y(t) = kdx(t>

dt

dt

3 Математическая запись принципа суперпозиции состоит из следующих соотношений ... А У^Х х(t) Уі ух(t));

y(a x(t)) ) a y(x(t)).

В yj^Z xi(t) j = Z Уі (X(t)); у (a x(t ))*a y(x(t)).

с yj^Z xi(t)j=Z Уі (x(t));

у (a x(t)) = a y(x(t)).

4 Какая динамическая характеристика называется переходной функцией?

А Реакция системы на единичный ступенчатый сигнал. В Реакция системы на 5-функцию.

С Реакция системы на гармонический сигнал.

Каким соотношением устанавливается связь между переходной функцией и весовой функцией?

А h(t) = w’(t).

t

В h(t) = |w(t) dt.

0

С h(t) = w(t) + w'(t).

6 Какую связь устанавливает интеграл Дюамеля?

А Между входным и выходным сигналом произвольной формы.

В Между переходной функцией и весовой функцией.

С Между входным сигналом произвольной формы и выходным сигналом. 7 Какое преобразование называется преобразованием Лапласа?

ад

А x(s) = | x2(t) e~stdt. 0

ад

В x(s) = I x(t) e-stdt .

0

С x(s) = | x(t) e lmtdt.

0

8 Какая характеристика называется передаточной функцией?

А Отношение преобразованного по Лапласу выходного сигнала к преобразованному по Лапласу входному сигналу.

В Отношение выходного сигнала к входному при нулевых начальных условиях.

С Отношение преобразованного по Лапласу выходного сигнала к преобразованному по Лапласу выходному сигналу при нулевых начальных условиях.

9 Если известна передаточная функция, то переходная функция определяется как ...

W (s) s

h(l) = І-1

В h(l) = Ul[sW (s)]. С h(l) = nl[W’(s)].

10 Какой интеграл называется интегралом Дюамеля?

ад

А y(t) = | w(t -t) x(t) dx .

0

ад

В y(t) = | ww(t -x) x(t) dx.

0 ад

С y(t) = |w(t)х(т)dx .

0

4 ЧАСТОТНЫЙ метод исследования ЛИНЕЙНЫХ СИСТЕМ

4.1 Элементы теории функции комплексного переменного

Комплексным числом называется число, определяемое соотношением z = a + i b, где а и b - соответственно действительная и мнимая части числа. Такая форма записи комплексного числа называется алгебраической. На комплексной плоскости, в координатах Яе (действительная часть) и Im (мнимая часть), комплексное число геометрически представляется вектором (рис. 4.1); оно может быть изображено также в полярных координатах М (модуль) и ф (фаза) и записано в показательной форме: z = МеІф, где М - длина вектора, соединяющего начало координат с точкой z; ф - угол между положительной ветвью действительной оси и вектором z, причем положительным направлением считается направление отсчета против часовой стрелки.

Третья форма записи комплексного числа - тригонометрическая, так как e±гф = cosф±isinф, z = M cos ф± iM sin ф.

Все составляющие комплексного числа связаны между собой следующими соотношениями (рис. 4.1):

V2 2 b

a + b ; ф = arctg—; a = M cos ф; b = M sin ф .

(рис. 4.2).

равного arctg

При вычислении фазы (аргумента) числа необходимо учитывать, в каком квадранте находится точка z. Ниже приводятся формулы, по которым вычисление фазы ф сводится к определению острого угла, Im z

Re z

b

I квадрант: z1 = a + ib, ф1 = arctg—;

b

n- arctg— a

n a

-+arct^-; 2 b

II квадрант: z2 =

a + ib, ф2 = arctg-

- a

III

z3 = -a - ib, ф3

квадрант:

-b b 3n a

arctg-= n + arctg— =--arctg—

-a a 2 b

Т. Я. Лазарева, Ю. Ф. Мартемьянов - Основы теории автоматического управления>
Рис. 4.2 Определение фазы в зависимости от располо-
IV квадрант:

, -b b 3n a

z4 = a - ib, ф4 = arctg— = -arctg— =--+ arctg—

a a 2 b

Для упрощения операций над комплексными числами полезно знать, что

in /2

in /2.

1 = ei0; -1 = ein

Над комплексными числами проводят те же арифметические операции (сложение, вычитание, умножение, деление), что и над действительными. Сложение и вычитание более удобно проводить над комплексными числами, записанными в алгебраической форме:

Z3 = z ± z2 = (a ± ibi) ± (a2 ±ib2) = (a ± a2) ±i(b2 ±bj),

а умножение и деление над числами, записанными в показательной форме:

z3 = ZjZ2 = М/ф1 M2e1(f2 = MlM2eK<fl +Фг);

z3 = zj / z2 = MjeiTl /M2e'^2 = M1 /M2ei(Vl-фг)

Если аргумент функции - комплексное число, то функция является функцией комплексного переменного. Например, функция W(s), s = ? + іш.

ТАКИМ ОБРАЗОМ, МОЖНО СКАЗАТЬ, ЧТО ФУНКЦИЕЙ КОМПЛЕКСНОГО ПЕРЕМЕННОГО НАЗЫВАЕТСЯ НЕКОТОРЫЙ ОПЕРАТОР (ПРАВИЛО), СОГЛАСНО КОТОРОМУ ТОЧКЕ ОДНОЙ ПЛОСКОСТИ КОМПЛЕКСНОГО ПЕРЕМЕННОГО СТАВИТСЯ В СООТВЕТСТВИЕ ТОЧКА ДРУГОЙ ПЛОСКОСТИ КОМПЛЕКСНОГО ПЕРЕМЕННОГО (РИС. 4.3).

Если функция относится к классу аналитических функций (непрерывная, гладкая, почти всюду дифференцируемая), то такая функция

а)

б)

ІШі

"\W(s)

aj

W(aj) W(0) Re

Рис. 4.3 К определению функции комплексной переменной

Т. Я. Лазарева, Ю. Ф. Мартемьянов - Основы теории автоматического управления>
Рис. 4.4 Конформное отображение
ПОДЧИНЯЕТСЯ ПРИНЦИПАМ КОНФОРМНОГО ОТОБРАЖЕНИЯ, ОСНОВНЫМИ СВОЙСТВАМИ КОТОРОГО ЯВЛЯЮТСЯ СЛЕДУЮЩИЕ:

1 Линия одной комплексной плоскости s отображается в линию другой комплексной плоскости W(s) (рис. 4.4).

2 Бесконечно малый угол отображается в такой же бесконечно малый угол, углы при этом сохраняются (рис. 4.4).

3 Бесконечно малый треугольник отображается в такой же равный ему бесконечно малый треугольник. Направление обхода углов сохраняется. Внутренняя область одного треугольника преобразуется во внутреннюю область другого треугольника (рис. 4.4).

4.2 Частотные характеристики

Важную роль при описании линейных систем играют частотные характеристики, характеризующие реакцию объекта (системы) на гармонический сигнал.

Основной частотной характеристикой является амплитудно-фазовая характеристика (АФХ), которая может быть определена через конформное отображение.

Амплитудно-фазовой характеристикой называется конформное отображение мнимой оси плоскости корней характеристического урав-

Т. Я. Лазарева, Ю. Ф. Мартемьянов - Основы теории автоматического управления>
Рис. 4.5 К определению АФХ
нения на комплексную плоскость амплитудно-фазовой характеристики (рис. 4.5), причем сама мнимая ось отображается в годограф АФХ, правая же полуплоскость корней характеристического уравнения отображается во внутреннюю область АФХ.

Амплитудно-фазовая характеристика является комплексной функцией, поэтому она может быть, как и любая комплексная функция, представлена в показательной форме

W (Ію) = M (ю)егф(ю) (4.1)

и в алгебраической форме

W(im) = Re(m) + i Im(m). (4.2)

Модуль М(ю) в показательной форме записи АФХ называется амплитудно-частотной характеристикой (АЧХ), а фаза или аргумент

ф(ш) называется фазочастотной характеристикой (ФЧХ).

Действительная часть амплитудно-фазовой характеристики Rе(?) называется вещественной частотной характеристикой (ВЧХ).

Мнимая часть амплитудно-фазовой характеристики Im(m) называется мнимой частотной характеристикой (МЧХ).

Между всеми частотными характеристиками существует связь (рис. 4.1). Зная одни из них, можно определить другие, т.е.

(4.3)

M (ю) =7 Re2(m) + Im2(m)

Im(m) Re(m) ’

(4.4)

ф(ю) = arctg

(4.5)

Re(m) = M(m)cosф(ю),

Im(m) = M(m)sinф(ю). (4.6)

4.3 Связь преобразований Лапласа и Фурье

Как известно, любая линейная стационарная система автоматического управления описывается обыкновенным дифференциальным уравнением, которое в операторной форме имеет вид

где y(s) = Jy(t)e~st dt - преобразование Лапласа функции y(t)¦

0

ад

Преобразование Фурье функции y(t) определяется выражением y(m) = Jy(t)e~mtdt, причем должны

0

ад

выполняться условия, что y(t) = 0 при t < 0 и Jy(t)dt существуем

0

Сравнивая преобразования Лапласа и Фурье, видно, что формально оно может быть получено из преобразования Лапласа простой заменой s на т, но из-за второго условия преобразование Фурье выполняется для более ограниченного класса функций Заменяя в уравнении (4^9) s на /ю, получаем:

(an (ію)п + an-1(m)n-1 + ,,, + a1(ia) + a0)y(m) =

= (bm (rn)m + bm_\(m)m-1 + ¦ ¦¦ + b\(im) + b0) x(iro),

откуда

W(ira) = x(m) = bm (irn)m + bm-іО'юГ 1 + ¦¦¦ + bi(ira) + b0 (4 %)

У(ію) an (rn)n + an-1(m)n-1 + ¦¦¦ + a1(irn) + a0

Проводя анализ выражения (4^8), можно записать, что

W(і(й) = B(a>) + i A(<a) = M4 (ю)ег'фЧ(ю)

1 ’ А(ю) + i 4(ю) Mзн(ю)ег'Фзн(ffl)

и сделать вывод: амплитудно-частотная характеристика M(ю) = Mч (ю) является четной функцией; фазо-

M зн (ю)

частотная характеристика ф(ю) =

= фч(П) - фзн(ю) - нечетной функцией; вещественная частотная характеристика Re(ra) - четной функцией; мнимая частотная характеристика Іш(П) - нечетной функцией (рис 4А и 4¦7)¦

Т. Я. Лазарева, Ю. Ф. Мартемьянов - Основы теории автоматического управления>
Рис. 4.6 Свойство четности частотных характеристик:

а - АЧХ; б - ВЧХ
б)

Іш ^

Т. Я. Лазарева, Ю. Ф. Мартемьянов - Основы теории автоматического управления>


Т. Я. Лазарева, Ю. Ф. Мартемьянов - Основы теории автоматического управления>


Рис. 4.7 Свойство нечетности частотных характеристик:

а - ФЧХ; б - МЧХ

Амплитудно-фазовая характеристика также может рассматриваться как изображение Фурье от весовой функции:

W(irn) = |w(t)edt. (4.9)

0

Так как e= cosюt- isinюt, то из (4.9) могут быть получены формулы для определения вещественной и мнимой характеристик:

ад

W(ію) = I w(t){cos rat - i sinrnt}dt,

0

и, следовательно,

ад

Яе(ю) = | w(t)cos юtdt, (4.10)

0

ад

Іт(ю) = -| w(t) sin ю tdt. (4.11)

0

Из последних формул следует, что

Re(rn) = Re(-m), Im(ю) = -Im(-rn), (4.12)

А ЭТО СВИДЕТЕЛЬСТВУЕТ О ТОМ, ЧТО АФХ ПРИ ОТРИЦАТЕЛЬНЫХ ЧАСТОТАХ ЯВЛЯЕТСЯ ЗЕРКАЛЬНЫМ ОТОБРАЖЕНИЕМ АФХ ДЛЯ ПОЛОЖИТЕЛЬНЫХ ЧАСТОТ ОТНОСИТЕЛЬНО ВЕЩЕСТВЕННОЙ ОСИ (РИС. 4.8).

При практических расчетах обычно ограничиваются построением АФХ только для положительных частот. Используя формулу обратного преобразования Фурье, можно по АФХ получить весовую характеристику:

1 ад

w(t) = — |W(ію)еги^ю .

(4.13)

Пример 4.1 Пусть задана передаточная функция объекта W (5) = тотные характеристики.

Заменяя 5 на ію, записываем выражение для АФХ:

, требуется определить час-

s + 2s + 3

W (ію) =

(ію)2 + 2(ію) + 3 (3 -ю2) + 2ію

Так как рассматриваемый объект линеен и стационарен, то, применяя принцип суперпозиции, име-АЧХ (рис. 4.9, а) M (ю) =

ем:

7(3-ю2)2 + 4ю2



ФЧХ (рис. 4.9, б) ф(ю) = -ю - arctg

3-ю

Годограф амплитудно-фазовой характеристики изображен на рис. 4.9, в.

Вещественную и мнимую частотные характеристики обычно получают умножением числителя и знаменателя на выражение, сопряженное знаменателю:

cos © - i sin © (3 — ©2) - 2i© (3 -©2) + 2i© (3 - ©2) - 2i©

W (i©)

(3 - © 2) + 2i©

(3 -©2)cos © - 2© sin © - i((3 -©2)sin © + 2© cos ©) (3-©2)2 + 4©2
Т. Я. Лазарева, Ю. Ф. Мартемьянов - Основы теории автоматического управления>
Рис. 4.9 Графики частотных характеристик:

а - АЧХ; б - ФЧХ; б - АФХ
откуда

- вещественно-частотная характеристика:

(3 - ©2)cos © - 2© sin ©; (3-©2)2 + 4©2 ;

Re(©)

- мнимая частотная характеристика:

Im(©)

(3 - © 2)sin © + 2© cos © (3-©2)2 + 4©2

4.4 Связь дифференциального уравнения с частотными характеристиками

Решение дифференциального уравнения (3.36, а) имеет вид

y(t) = Усв (t) + Увын (t), (4.14)

где увын(7) - вынужденное движение, описываемое частным решением; усв(7) - свободные движения, описываемые общим решением однородного уравнения.

Для установления связи между АФХ и дифференциальным уравнением рассматриваются вынужденные движения при входном гармоническом воздействии вида: x(t) = 2А cos©t, которое можно представить по формуле Эйлера x(t) = Aemt + Ae~mt и рассматривать как сумму входных сигналов, т.е.

x(t) = Xj (t) + x2 (t) .

В этом случае частное решение дифференциального уравнения в силу принципа суперпозиции также представляется в виде суммы

где у (t)иувын (t) определяются соответственно видом x\(t) и x2(t). В связи с этим решения будут искаться в виде

Увын(t) = AW(т)вш; Увын2(t) = AW(-ia)e,

где W(ia), W(-ia) - некоторые неизвестные функции, не зависящие

от t, подлежащие определению.

Для нахождения W(ia) у (t) дифференцируется n раз, а xi(t) - m раз и подставляются в исходное дифференциальное уравнение, в результате получают

AW (ію)егШ [an (ia)n + an_i(m)n- + ... + a^ia) + a0] = (4 15)

= Aeiat [bm (ia)m + bm-1 (ia)m-1 + ... + b1 (ia) + b0 ].

Полученное выражение (4.15) полностью совпадает с полученным ранее выражением (4.8) для АФХ и еще раз подтверждает тот факт, что амплитудно-фазовая характеристика может быть получена простой заменой переменной s на іа.

Функция W(-ia) получается аналогичным образом по формуле (4.15) заменой іа на (-іа).

Записывая полученные выражения для комплексных функций W(ia) и W(-ia) в показательной форме

W(ia) = M(a)e^(ffl); W(-ia) = M(a)e-'ф(и), частное решение уравнения (4.7) преобразуется к виду

увын(t) = AM(a)[e^(ffl)eifflt + е~іч(а)e~iat] = 2AM(a)cos[at +ф(а)] .

Сравнение увын(0, описывающего установившиеся колебания на выходе объекта, с входным сигналом x(t) показывает, что отношение амплитуд выходных и входных колебаний равно 2= M(а), а

это как раз и есть амплитудно-частотная характеристика; разность фаз [at + ф(а)] -at = ф(а) - фазочастотная характеристика.

С изменением частоты колебаний амплитудно- и фазочастотные характеристики изменяются по определенному закону в зависимости от физических свойств объекта. Однако все реальные физические системы обладают одним общим свойством, которое заключается в том, что при увеличении частоты входных колебаний выше некоторого предела (частоты среза) a^ объект практически не реагирует на эти колебания, т.е. амплитуда выходных колебаний равна нулю. Таким образом, для любого реального объекта lim M(a) = 0 .

4.5 Физический смысл частотных характеристик

Физический смысл частотных характеристик устанавливается при их экспериментальном определении.

Пусть на вход линейного объекта подается гармонический сигнал вида x(t) = Asinat. На выходе объекта в установившемся режиме (собственное движение прекратилось) в силу принципа суперпозиции будет наблюдаться также гармонический сигнал с частотой, равной частоте входных колебаний, сдвинутый относительно них по фазе и другой амплитуды (рис. 4.10), т.е. y(t) = ,6sin(at + ф).

x(t)

Объект

y(t)

а)
Т. Я. Лазарева, Ю. Ф. Мартемьянов - Основы теории автоматического управления>
Рис. 4.10 Экспериментальное определение частотных характеристик:

а - объект; б - входной сигнал частоты Ші; в - входной сигнал частоты ш2; г - выходной сигнал частоты ш1; д - выходной сигнал частоты ш2 Степень различия между параметрами входных и выходных гармонических сигналов не зависит от амплитуды и фазы входного сигнала, а определяется только динамическими свойствами самого объекта и частотой колебаний, поэтому в качестве динамических характеристик объекта здесь и используются рассмотренные выше частотные характеристики. Для получения последних экспериментальным путем проводится ряд опытов, для которых используется аппаратура в составе генератора гармонических колебаний с регулируемой частотой и устройства для измерения амплитуды и фазы колебаний.
В результате проведенных экспериментов частотные характеристики определяются следующим образом.

Амплитудно-частотная характеристика (АЧХ) - отношение амплитуды выходных колебаний к амплитуде входного сигнала:

м (ш) = A. (4.16)

Фазочастотная характеристика (ФЧХ) - разность фаз выходных и входных колебаний:

Ф(Ш) = фвых - фвх (4.17)

или

Ф(ш) = -Ар 2п ,

где At(co) - время сдвига.

Таким образом, амплитудно-фазовая характеристика (АФХ) может быть определена как комплексная функция, для которой АЧХ является модулем, а ФЧХ - аргументом. Последние соотношения как раз и определяют физический смысл частотных характеристик.

Имея в своем распоряжении амплитудно-фазовую характеристику, снятую экспериментально, и входной сигнал, можно записать выходной сигнал. Например, АФХ задана годографом (рис. 4.11), на вход подается сигнал x(t) = 2 sin0,5t + 3 cos0,1t - 0,8 sin10t.

Рис. 4.11 Годограф АФХ

Выходной сигнал y(t) в рассматриваемом случае можно записать, используя принцип суперпозиции, как сумму трех сигналов yi(t) = 2 • 2 • sin(0,5t - п/2); y2(t) = 3 • 3 • sin(0,1t + п/2 - п/4); y3(t)= - 1,5 • 0,8 • sin(10t - 3п/2);

y(t) = 4sin(0,5t - п/2) + 9 sin(0,1t - п/4) - 1,2 sin(10t - (3п/2)).

4.6 Минимально-фазовые системы

Амплитудно-фазовую характеристику системы можно записать не в виде (4.8), а, воспользовавшись теоремой Безу, как

П(io- qj)

W (io) = -, (4.18)

П(io- sj)

j=1

где qj - нули, a sj - полюсы передаточной функции.

Числитель функции (4.18) представляет собой произведение сомножителей (io - qj ). Геометрически эта разность является вектором, начало которого лежит в точке qj, а конец - на мнимой оси в точке io (рис. 4.12). Сравнение двух векторов(іо - q/) и (io - q/r), один из которых qj лежит в левой полуплоскости и характеризуется фазой ф', а другой qj’ - в правой полуплоскости и характеризуется фазой ф'', показывает, что при одном и том же модуле всегда ф' < ф'', т.е. для вектора, лежащего в левой полуплоскости, фаза меньше.

Системы (звенья), все нули и полюса передаточных функций которых лежат в левой полуплоскости (действительная часть нулей и полюсов является отрицательной величиной - Re qj < 0; Re sj < 0), называются минимально-фазовыми.

Т. Я. Лазарева, Ю. Ф. Мартемьянов - Основы теории автоматического управления>
Рис. 4.12 К определению минимально-фазовых систем

Системы (звенья), у которых хотя бы один нуль или полюс передаточной функции лежит в правой полуплоскости (действительная часть нулей, полюсов является положительной величиной - Re
q > 0;

Re Sj > 0), называются неминимально-фазовыми.

Можно показать, что для минимально-фазовых звеньев существуют зависимости:

ад

І f ^ du

п J и — ш

—ад

Re(ra)

• Іш(ш)

ф(ш) =

ад

1 f 5е<Щ) du;

п J и — ш

(4.19)

1 rdL и - I — cth

п ¦> dX

dX,

где L(u) = ln M(u); X = lnu; u — переменная интегрирования.

ш

Эти зависимости показывают, что амплитудно-фазовая характеристика минимально-фазовой системы (звена) полностью определяется ее ВЧХ, МЧХ или АЧХ. Это позволяет значительно упростить задачи анализа и синтеза рассматриваемых систем, ограничиваясь изучением их ВЧХ или АЧХ.

Неминимально-фазовую систему в простейшем случае можно представить в виде последовательного соединения минимально-фазовой системы и звена, имеющего один нуль в правой полуплоскости и, соответственно, характеризующегося АФХ:

q — іш j

-eJ

q + іш

іш — q іш + q

(4.20)

W ’(іш)

Амплитудно-частотная характеристика этого звена М '(ш) = 1, а фазо-частотная - ф'(ш) = п — arctg — .

q

Таким образом, рассматриваемое звено сохраняет амплитуду выходного гармонического сигнала равной амплитуде входного сигнала при любой частоте, фаза же при изменении частоты от 0 до ад меняется в интервале от п до 0, т.е. включение звена с АФХ W'(іш) приводит к добавлению положительного сдвига фазы ф'(ш), который при іш ^ 0 равен п и уменьшается при возрастании частоты.

Подобные звенья на практике используются для корректирования фазовых характеристик цепей, для повышения устойчивости и т.д.

4.7 Понятие о логарифмических частотных характеристиках

Кроме рассматриваемых выше частотных характеристик, иногда используют, так называемые, логарифмические частотные характеристики (ЛЧХ). Для их получения выражение АФХ (4.15) записывается в виде

bm (іш)т + ... +1

k0 M 0 (ш)еіф(ш)

W (іш)

b0 b_

a0 ^(іш)” + ... +1

a0

и логарифмируется

lgW(іш) = lgk0 + lgM0(ш) + іф(ш)lge .

Для оценки отношения двух величин используется логарифмическая единица - децибел. Связь между числом децибел ?дб и некоторым числом N дается формулой

?дб = 20 lg N = LmN.

Характеристика

Дю) = Ьт[к0М0(а)\ = Lmk0 + LmM0(a) = 20lgM (ю) (4.21)

называется логарифмической амплитудной частотной характеристикой (ЛАЧХ).

При построении логарифмических частотных характеристик по оси абсцисс откладывается частота в логарифмическом масштабе - lgo, поэтому логарифмическая амплитудная частотная характеристика строится в координатах L(q); lgra, логарифмическая фазовая частотная характеристика (ЛФЧХ) - ф(ю); lgo (рис. 4.13). Логарифмические частотные характеристики называют также диаграммами Боде.

Т. Я. Лазарева, Ю. Ф. Мартемьянов - Основы теории автоматического управления>
ф4

0

п/2
б)

lgro

Рис. 4.13 Логарифмические частотные характеристики:

а - ЛАЧХ; б - ЛФЧХ

4.8 Взаимосвязь динамических характеристик

Основной динамической характеристикой объекта или системы является дифференциальное уравнение. Кроме него могут применяться:

1) передаточная функция;

2) частотные характеристики: амплитудно-частотная, фазочастот-ная, амплитудно-фазовая;

3) переходные характеристики: переходная функция, весовая функция.

Любая из этих характеристик может быть определена, если известно дифференциальное уравнение объекта. Но, несмотря на это, следует еще раз остановиться на их взаимосвязи.

В качестве примера рассмотрим взаимосвязь между переходной функцией и другими характеристиками.

Если известна переходная функция h(t), то по формуле (3.39) определяется передаточная функция объекта W(s) = sh(s), заменой s = ію

в которой, в свою очередь, могут быть получены частотные характеристики: W(ira) = (ію) h(m).

Так как 5(t) является производной от единичной ступенчатой функции, то для линейных систем весовая функция является производной от переходной функции, т.е. w(t) = h'(t).

Дифференциальное уравнение по экспериментально снятой кривой разгона получают с помощью различных методик, позволяющих определить его коэффициенты.

Связь между основными характеристиками приведена в табл. 4.1.

При анализе динамических характеристик одним из возникающих вопросов является определение коэффициента усиления объекта, под которым понимают отношение выходной переменной к входной в установившемся режиме:

K = (4.22)

но, так как y(x) = lim y(t), то

t^x

lim y(t)

K = t ^x_

A '

Используя теорему о конечном значении функции

lim y(t) = lim sy(s),

t ^x s^0

где y(s) = W(5)X(5) = W(s)A , можно записать, что

s

lim y(t) = lim sW (s)A = A lim W (s).

t^X s^Q s s^Q

При единичном ступенчатом воздействии А = 1 и тогда

lim y(t) = lim W (s) = —.

t^X s^Q Qq

4.9 Тренировочные задания

1 Основной частотной характеристикой является амплитудно-фазовая характеристика (АФХ), которой называется конформное отображение мнимой оси плоскости корней характеристического уравнения на плоскость АФХ. Амплитудно-фазовая характеристика является комплексной функцией и может быть записана в показательной форме

W(і ю) = M(ю) e ф(ю)

и алгебраической форме

W (i ю) = Re(ro) + i Іт(ю),

где М(ю) называется амплитудно-частотной характеристикой (АЧХ); ф(ю) - фазочастотной характеристикой (ФЧХ); Re(ra) - вещественно-частотной характеристикой (ВЧХ); Іт(ю) - мнимой частотной характеристикой (МЧХ). Между этими характеристиками существует связь.

А Сформулируйте основные свойства конформного отображения.

В Если известны АЧХ и ФЧХ, то каким образом определяются ВЧХ и МЧХ?

С Как перейти от ВЧХ и МЧХ к АЧХ и фЧх?

2 Частотные характеристики могут быть получены экспериментально в результате подачи на вход объекта гармонического сигнала, а также теоретически в передаточной функции комплексного параметра ^ на ію.

Какие частотные характеристики получают экспериментально?

Задана передаточная функция W(5)

запишите амплитудно-фазовую характеристику в по-

казательной и алгебраической форме.

С Задано дифференциальное уравнение объекта управления y”(t) + 4y'(t) + 4y(t) = 3x(t), запишите амплитудно-фазовую характеристику.

3 Амплитудно-фазовая характеристика связана с другими динамическими характеристиками.

А Как определить весовую функцию по амплитудно-фазовой характеристике? В Как определить АФХ по переходной функции?

С Задана весовая функция w(t) = e-, запишите АФХ.

4.10 Тест

1 В соответствии со свойствами конформного отображения линия переходит...

А В линию.

В В точку.

С В треугольник.

2 Амплитудно-фазовая характеристика является.

А Случайной функцией.

В Комплексной функцией.

С Детерминированной функцией.

3 Как экспериментально получают частотные характеристики? Подачей на вход объекта.

А Гармонического сигнала x(t) = .4 sin№,t.

В 5-функции - x(t) = 5(t).

С Единичного ступенчатого сигнала x(t) = 1(t) .

4 Как перейти от передаточной функции к частотным характеристикам? Положив.

А s = ІЮ .

В s = Ю .

С s = ei—t .

к

5 Если передаточная функция объекта управления W(s) = — + s, то АФХ в показательной форме за-

s

пишется...

к

А W(ІЮ) = —e_ arctgЮ .

Ю

7 2 _¦ —

В W(ію) = e_ 2 .

Ю

к _Ю2 -if-^+arctg—

С W(ію) = e ^2 Ю

Ю

6 Если передаточная функция объекта управления W (s) = 3e~4s, то амплитудно-частотная характеристика запишется как.

А M(ю) = 3e_4<в .

В M(ю) = 3ylsin4— + cos4— .

С M(ю) = 3 .

, то фазочастотная характе

4s (s + 3)(5s + 2)

7 Если передаточная функция объекта управления W(s) =

ристика запишется как.



А ф( х) = _- _ arctg - _ arctg—.



В ф(х) = — + arctgю _ arctgy _ arctg—



С ф(х) = _arctg ю _ arctg--arctg—.

8 Если передаточная функция объекта управления W(s) = 4 + s, то вещественно-частотная характеристика запишется.

А Re(—) = V16 + ю2 .

В Re(—) = 4.

С Re(—) = Ю .

9 Если переходная функция h(t) = t, то АФХ записывается.

і -і—

А W(ію) = — e 2 .

Ю

В W(ію) =-к .

Ю2

С W(Ію)

10 Амплитудно-частотная характеристика представляет собой...

А Отношение выходного сигнала к входному сигналу.

В Отношение фаз выходного и входного сигналов.

С Отношение амплитуды выходного сигнала к амплитуде входного.

5 СТРУКТУРНЫЙ АНАЛИЗ ЛИНЕЙНЫХ СИСТЕМ

5.1 Звено направленного действия

При исследовании систем управления первостепенное значение приобретает характер преобразования сигналов в отдельных элементах, или звеньях. Динамические системы, передаточные функции которых имеют вид простых дробей, называются типовыми или элементарными звеньями. Любой промышленный объект представляется в виде связанных между собой типовых звеньев. Их основу составляет звено направленного действия, основное свойство которого заключается в том, что выходная величина y(t) зависит от входной величины x(t), но обратное воздействие выхода на вход отсутствует. Присоединение к выходу такого звена другого звена не изменяет передаточной функции первого звена. Физическая природа звена направленного действия может быть любой. Характеризуется оно соответствующим уравнением движения, которое и определяет конкретный тип элементарного звена.

Различают следующие звенья: усилительное, интегрирующее, идеальное и реальное дифференцирующие, форсирующее, чистого запаздывания, инерционно-форсирущее, апериодические первого и второго порядка, колебательное, которые по ряду общих закономерностей можно разделить на следующие группы:

1 Статические звенья, у которых статическая характеристика отлична от нуля, имеют однозначную связь между входной и выходной переменными в статическом режиме. К ним относят усилительное, апериодическое, колебательное звенья, у которых передаточный коэффициент связан с передаточной функцией соотношением к = W(5)s=0. Кроме того, статические звенья являются фильтрами низкой частоты, исключение составляет усилительное звено.

2 Дифференцирующие звенья, у которых статическая характеристика равна нулю, - это идеальное и реальное дифференцирующие звенья; в их передаточную функцию всегда входит сомножитель s, поэтому W(s)|s = 0 . Дифференцирующие звенья являются фильтрами высокой частоты, они вносят положительные фазовые сдвиги.

3 Астатические звенья - звенья, не имеющие статической характеристики, к ним относится интегрирующее звено, в передаточную функцию которого обязательно входит сомножитель —, поэтому W(0) =

s

гоШ. Интегрирующие звенья являются фильтрами низкой частоты.

5.2 Типовые динамические звенья

5.2.1 УСИЛИТЕЛЬНОЕ ЗВЕНО

Усилительное звено называют также статическим (безынерционным). Примером его может служить клапан с линеаризованной характеристикой в системах регулирования, различные усилители, рычажные передачи, редукторы и т.д. Это звено мгновенно и без искажений воспроизводит входную величину на выходе.

Уравнение движения усилительного звена имеет вид

(5.1)

y(t) = kx(t),

где к - коэффициент усиления.

Передаточная функция усилительного звена получается в результате преобразования по Лапласу его уравнения y(s) = kx(s), откуда

W(s) = = к. (5.2)

x(s)

Подстановка s = (іш ?) дает выражение АФХ

(5.3)

W(m ?) = к,

отсюда АЧХ: ФЧХ:

М(рш) = к;

(5.4)

(5.5)

ф ?(ш ?) = 0.

Графики частотных характеристик (АЧХ, АФХ) представлены на рис. 5.1.

Частотные характеристики усилительного звена не зависят от частоты, причем ФЧХ тождественно равна нулю, т.е. в гармонических колебаниях, поданных на вход, изменяется только амплитуда в к раз. Амплитудно-фазовая характеристика является положительным действительным числом, ее график представляет собой точку на положительной ветви действительной оси.

Временные характеристики можно получить непосредственно из уравнения (5.1). Если входной сигнал x(t) = 1(t), то получают уравнение переходной функции

і Іт(ш) ^

а)

б)

іі

к

->

Re(<a)

>

ш

Рис. 5.1 Частотные характеристики усилительного звена:

а - АЧХ; б - АФХ

б)
1 ^
0 W

t
w
x J

1
^ a)
0 w

t
hi і.

к -
I к 5(t)
k. I 1 b
0 t 0 w

t
Рис. 5.2 Графики временных характеристик усилительного звена:

а - переходная функция; б - весовая функция

h(t) = к\(і), (5.6)

она равна постоянной величине - коэффициенту усиления звена. Если же х(і) = Ш8(і), то получают уравнение весовой функции

w(t) = кПЪ(і). (5.7)

Графики временных характеристик изображены на рис. 5.2.

5.2.2 ИНТЕГРИРУЮЩЕЕ ЗВЕНО

Уравнение движения интегрирующего звена имеет вид

1 ‘

y(t) = — J x(x)dx, или Ти y (t) = x(t); y(0) = 0, (5.8)

Ти 0

где Ти - постоянная времени звена.

Выходной сигнал интегрирующего звена равен интегралу по времени от входного сигнала, умноженному на коэффициент —.

Ти

Примером интегрирующего звена являются счетчики, суммирующие расход вещества или энергии за определенный промежуток времени, уровень в емкости и т.п.

Передаточная функция интегрирующего звена получается в результате преобразования по Лапласу (5.8):

(5.9)

б) i Im(ro)

Тиsy(s) = x(s) ^ W(s) =— .

Ти s
Т. Я. Лазарева, Ю. Ф. Мартемьянов - Основы теории автоматического управления>
а) ФА
в)

->

п/2 Re(ro) W(i ю)

Рис. 5.3 Частотные характеристики интегрирующего звена:

а - АЧХ; б - ФЧХ; в - АФХ

Частотные характеристики образуются в результате подстановки s = іПю; их графики изображены
на рис. 5.3:
- АФХ 1 1 -і—

W (ію) = — =—e 2;

ТиіЮ ТиЮ
(5.10)
~- АЧХ M (ю) = -1—;

Тию
(5.11)
~-ФЧХ ф(ю) = -п/2 . (5.12)
Амплитудно-частотная характеристика интегрирующего звена является гиперболической функцией

частоты, а фазочастотная не зависит от частоты и равна - -2. В этом случае АФХ является мнимой

функцией частоты, и ее годограф для положительных частот совпадает с отрицательной ветвью мнимой оси.

Переходные характеристики, графики которых изображены на рис. 5.4, определяют из уравнения движения (5.8) подстановкой входного сигнала x(t) = 1(t) и x(t) = 5(t) соответственно для получения выражения:

- переходной функции

(5.13)

(5.14)

,,ч 1 f, 1

h(t) =— I dt =—t T J t

- весовой функции

w(t) = -Г- js(t )dt = T-.

T и о Г и

б)

Т. Я. Лазарева, Ю. Ф. Мартемьянов - Основы теории автоматического управления>
w
ти

Рис. 5.4 Переходные характеристики интегрирующего звена:

а - переходная функция; б - весовая функция

Таким образом, при подаче на вход интегрирующего звена постоянного неисчезающего возмущения выходная координата увеличивается до бесконечности с постоянной скоростью, т.е. отличительной особенностью является тот факт, что переходная функция не имеет установившегося (при t ? да)

конечного значения. Это свойство является причиной принципиального отличия астатических систем автоматического регулирования, содержащих интегрирующее звено, от статических систем, которые не содержат этого звена.

Реакция на ? 5-функцию является ступенчатой функцией с амплитудой —.

5.2.3 ИДЕАЛЬНОЕ ДИФФЕРЕНЦИРУЮЩЕЕ ЗВЕНО Уравнение идеального дифференцирующего звена

y(t) = кхШ'(і), (5.15)

т. е. изменение выходной координаты пропорционально скорости изменения входной координаты. В операторной форме уравнение имеет вид y(s) = ksx(s), откуда передаточная функция

W(s) = = ks . (5.16)

X(s) V '

Частотные характеристики, графики которых представлены на рис. 5.5:

- АФХ

АЧХ

?ф(ю) = -Л-

(5.18)

М(Пш) = к^ю;

ФЧХ

(5.19)

в)

б)

Т. Я. Лазарева, Ю. Ф. Мартемьянов - Основы теории автоматического управления>
фА

п

~2 ~

0
Іш.

Рис. 5.5 Частотные характеристики идеального дифференцирующего звена:

а - АЧХ; б - ФЧХ; в - АФХ

Таким образом, АЧХ прямо пропорциональна частоте, а ФЧХ не зависит от частоты и равна -2. Следовательно, годограф АФХ при ?ф > 0 совпадает с положительной ветвью мнимой оси.

Переходная функция идеального дифференцирующего звена имеет вид:

h(t) = к1' ? (t) = к^5(0, (5.20)

т.е. представляет собой ? 5-функцию с площадью, равной к.

Весовая функция представляет собой производную от 5-функция:

w(t) = (5.21)

В природе идеально дифференцирующих звеньев не существует, так как при ю ^ »??? МЩю) ^ »??, а любой реальный объект практически фильтрует гармонические сигналы с частотой, большей частоты среза данного объекта. Неосуществимость идеального звена видна также и из переходной функции, которая равна ?? 5-функции и из весовой функции, равной производной ? 5-функции.

5.2.4 РЕАЛЬНОЕ ДИФФЕРЕНЦИРУЮЩЕЕ ЗВЕНО

Встречаются звенья, которые реагируют только на скорость изменения входного сигнала. Они описываются уравнениями следующего вида и называются реальными дифференцирующими:

(5.22)

Ty' ?(t) + y(t) = ТдХ^'Щ.

Примером такого звена является RC-цепочка (рис. 5.6).

0-

!>т

Звено

ивх J) =S=C

J0f-

Рис. 5.6 ЛС-цепочка
Т. Я. Лазарева, Ю. Ф. Мартемьянов - Основы теории автоматического управления>
Рис. 5.7 Частотные характеристики реального дифференцирующего звена:

а - АЧХ; б - ФЧХ; б - АФХ

Передаточная функция имеет вид:

y(s) = Тд s

(5.22)

(5.23)

(5.24)

(5.25)

W (5) =

x(s) 1 + Ts

Частотные характеристики, графики которых представлены на рис. 5.7:

- АФХ

Тлю

W (Ію) = ^—

ТдЮ ei(n/2-arctgi®) .

ч



1+тію д/Т?ТІ

Тдю

АЧХ

M (ю) =

?т2ю2 +1

ФЧХ

ф(ю) = — - arctgTa .

У реального дифференцирующего звена при увеличении частоты амплитудно-частотная характе-

Тд

ристика возрастает, но ее верхний предел ограничен величиной Т.

Фазо-частотная характеристика при увеличении частоты уменьшается от -2 до нуля.

Тд

Для положительных частот W(m ?) представляет собой полуокружность диаметром с центром в

Тд

точке-2т _ Для доказательства запишем W(i?ю) в прямоугольных координатах

Тдію(1 - Тію)

(1 + Тію)(1 - Тію) 1 + Т2ю2 1 + Т2ю

ТТдю Тдю

—д-- + i —

W (Ію) = Re(ia) + i Іш(ю) =

22

Полученные значения Яе(ю ?) и Тш(^ю) подставим в уравнение окружности радиуса с центром

Тд



в точке

-|2

или

Тд

Re(ю) —22Т

+ [І Іш(ю)]2 =

Тд

Re(ю) —22Т
ТТдю2 Т

1 д
2

+
" Тдю " 2 " Т "

д
1 + Т 2ю2 _1 + Т2ю2 _ _ 2Т _
Раскрывая скобки, получаем тождество, которое и доказывает, что АФХ действительно представляет собой полуокружность.

Используя взаимосвязь динамических характеристик, получаем уравнение переходной функции в операторной форме по (3.39):

h(s) =

ТдS 1 = Тд 1

1 + Ts s

Применив обратное преобразование Лапласа к последнему выражению, получаем уравнение переходной функции во временной области:

Весовая функция находится как производная от переходной функции

Графики переходных характеристик изображены на рис. 5.8.

б)

IS(t)
1 ^
0 W

t
Т. Я. Лазарева, Ю. Ф. Мартемьянов - Основы теории автоматического управления>


Т. Я. Лазарева, Ю. Ф. Мартемьянов - Основы теории автоматического управления>


XJ

1
^ а)
0 W

t
Рис. 5.8 Переходные характеристики реального дифференцирующего звена:

а - переходная функция; б - весовая функция

На рис. 5.8, а для сравнения показаны переходные функции идеального 1 и реального 2 дифференцирующих звеньев. В силу инерции реальных звеньев изменение выходной координаты - переходной функции происходит постепенно, а не скачком, как в случае идеального звена. Для того, чтобы приблизить свойства реального звена к свойствам идеального, необходимо одновременно увеличивать коэффициенты передачи Тд и уменьшать постоянную времени Т так, чтобы их произведение ТдТ оставалось постоянным.

5.2.5 ФОРСИРУЮЩЕЕ ЗВЕНО

Форсирующим звеном называется звено, описываемое уравнением

Щ) = ^x(t) + Tdtlj . (5.28)

Такое звено может быть получено в результате параллельного соединения усилительного и идеального дифференцирующего звеньев. Оно характеризуется двумя параметрами: коэффициентом передачи к и постоянной времени Т.

Передаточная функция

(5.29)

W(s) = к(1 + Ts).

Замена в (5.28) s = /Пш позволяет получить частотные характеристики форсирующего звена, графики которых показаны на рис. 5.9:

- АФХ

W(/ш) = к(1 + /шт) = кд/1 + (шт)2 е' arctgfflT ; (5.30)

- АЧХ

(5.31)

М(ш) = кд/1 + (шТ)2 ; ф(ш) = arctgo Т .
Т. Я. Лазарева, Ю. Ф. Мартемьянов - Основы теории автоматического управления>
i Im(iB)A
- ФЧХ

(5.32)

в)

W(i ш)

ш ^ ж

->

Re(ш)

Рис. 5.9 Частотные характеристики форсирующего звена:

а - АЧХ; б - ФЧХ; б - АФХ

Как видно из графиков, амплитудно-фазовая характеристика представляет собой прямую, параллельную мнимой оси и пересекающую действительную ось в точке Re = к.

Переходные характеристики получают непосредственно из уравнения (5.28):

- переходная функция - входной сигнал x(t) = 1(t), а выходной сигнал

h(t) = k(1(t) + TU(f)); (5.33)

- весовая функция - входной сигнал x(t) = 8(f), а выходной сигнал

w(t) = k(D8(t) + Т 8'U(t)). (5.34)

Графически изобразить возможно только переходную функцию, которая и представлена на рис. 5.10.

5.2.6 ЗВЕНО ЧИСТОГО ЗАПАЗДЫВАНИЯ

Примером звена чистого запаздывания является транспортер (рис. 5.11).

Если за входную координату принять расход материала в начале транспортера, а за выход - расход материала в конце транспортера, то выходной сигнал будет повторять входной сигнал x(t) с запаздыванием ? т, равным времени движения материала от места погрузки до места выгрузки, причем Пт = L.

v

Уравнение звена чистого запаздывания

(5.35)

y(t) = x(t - Пт).

Передаточная функция получается в результате преобразования Лапласа (5.35):

W(s) = AST. (5.36)

Частотные характеристики:

- АФХ

(5.37)

W(Ію) = е-'шт;

Рис. 5.11 Схема транспортера

Т. Я. Лазарева, Ю. Ф. Мартемьянов - Основы теории автоматического управления>
Рис. 5.12 Частотные характеристики звена чистого запаздывания:

а - АЧХ; б - ФЧХ; б - АФХ
- АЧХ

ФЧХ

Графики частотных характеристик изображены на рис. 5.12.

Так как М(юП) = 1, а отставание по фазе выходных колебаний прямо пропорционально частоте с коэффициентом пропорциональности равным времени чистого запаздывания, то годограф АФХ представляет собой окружность единичного радиуса с центром в начале координат.

Переходные характеристики получаются подстановкой соответствующих входных сигналов в уравнение звена (5.35):

- переходная функция

(5.40)

(5.41)

h(t) = 1(t - Пт),

- весовая функция

w(t) = n(t - Пт).

Графики переходных характеристики изображены на рис. 5.13.

Т. Я. Лазарева, Ю. Ф. Мартемьянов - Основы теории автоматического управления>
Рис. 5.13 Переходные характеристики звена чистого запаздывания:

а - переходная функция; б - весовая функция 5.2.7 АПЕРИОДИЧЕСКОЕ ЗВЕНО ПЕРВОГО ПОРЯДКА
X

1

а)

x

б)
k. I 1 ^
0 t 0 W

t
Апериодическое звено первого порядка называется также инерционным. Оно описывается дифференциальным уравнением первого порядка и имеет не колебательный характер переходного процесса. Примером таких звеньев может служить любая электрическая цепь, включающая сопротивление и емкость, тепловые объекты.

Линейное дифференциальное уравнение имеет вид

Ту n(t) + y(t) = kx(t), (5.42)

где T - постоянная времени звена; к - коэффициент усиления, к > 0, T > 0.

Постоянная времени характеризует инерционность звена и зависит от величин массы или сопротивления и емкости - чем больше масса, сопротивление и емкость, тем больше инерционность звена и больше Т.

Передаточную функцию получают из уравнения (5.42)

Ж) _ к

(5.43)

W (5) =

x(s) Ts +1

Частотные характеристики, графики которых представлены на рис. 5.14:

- АФХ

W (Ію) = k k

(5.44)

-iarctgTto .

Тію+1 4t 2ю2 +1

АЧХ

у]т 2ш2 +1 ’

- ФЧХ

Ф(ш) = -arctgTro . (5.46)

Амплитудно-частотная характеристика апериодического звена первого порядка на нулевой частоте равна коэффициенту усиления к, с увеличением частоты она монотонно уменьшается, асимптотически стремясь к нулю.

в)

б)
Т. Я. Лазарева, Ю. Ф. Мартемьянов - Основы теории автоматического управления>
Т. Я. Лазарева, Ю. Ф. Мартемьянов - Основы теории автоматического управления>
ФА

п

2
ImA

>

Re

Рис. 5.14 Частотные характеристики апериодического звена

первого порядка:

а - АЧХ; б - ФЧХ; в - АФХ

. Следова-

Фазочастотная характеристика при увеличении частоты от 0 до ? го изменяется от 0 до

тельно, годограф АФХ для ?ш > 0 целиком лежит в четвертом квадранте и представляет собой полуок

которая описывается уравнением

ружность диаметром к с центром в точке —

+ [Іт(ш)]2

(5.47)

Re(o)

Доказательство последнего тождества аналогично доказательству подобного выражения для реального дифференцирующего звена. Значения действительной и мнимой частей АФХ заменяются их конкретными выражениями

кТш

1 + Т 2 ш 2

к

1 + T2 ш2

Re(o)

; Іт(ш)

и подставляются в (5.47).

Уравнение переходной функции получают как решение уравнения при x(t) = к(і) или в операторной форме

Co

к 1 Ts +1 s

h(s) = y(s)

s
Т. Я. Лазарева, Ю. Ф. Мартемьянов - Основы теории автоматического управления>
Переходя к оригиналу, получают выражение переходной функции во временной области

h(t) = к[1 - е-1 т ]. (5.48)

Весовую функцию можно получить как производную от переходной функции

а) б)

w(t) = je-t'T . (5.49)

Графики переходных характеристик изображены на рис. 5.15.

Как видно из графиков, переходные характеристики представляют собой монотонные функции времени, по ним можно определить такие параметры, как коэффициент усиления, равный установившемуся значению А(гоП); постоянную времени, равную интервалу времени T от точки касания переходной функции до точки пересечения касательной с ее асимптотой (рис. 5.15, а).

5.2.8 ИНЕРЦИОННО-ФОРСИРУЮЩЕЕ ЗВЕНО

Инерционно-форсирующее звено называют также интегро-диф-ференцирующим или упругим звеном, описывается оно дифференциальным уравнением первого порядка

Ty'(t) + y(t) = k[T0x'(t) + x(t)]. (5.50)

Т. Я. Лазарева, Ю. Ф. Мартемьянов - Основы теории автоматического управления>
Рис. 5.15 Переходные характеристики апериодического звена первого порядка:

а - переходная функция; б - весовая функция
Существенным параметром звена является коэффициент Пт

T

—. Если Пт < 1, то звено по своим

T свойствам приближается к интегрирующему и инерционному звеньям, если же Пт > 1, то звено ближе к дифференцирующим звеньям.

Передаточная функция звена:

Tos +1 Ts +1 '

(5.51)

W (s) = к

Частотные характеристики получают в результате замены s = і П ш: - АФХ

= к-

T02m2 +1 T 2ю2 +1

i(arctgT0®-arctgT®) .

e;
Т. Я. Лазарева, Ю. Ф. Мартемьянов - Основы теории автоматического управления>
ImA
Рис. 5.16 Частотные характеристики инерционно-форсирующего

звена для Пт > 1:

а - АЧХ; б - ФЧХ; в - АФХ
T0im +1 Tim +1

(5.52)

W (ію) = к

в)

ю = го

Re

Т02 а 2 +1 М 2 а 2 +1

а)
Mi

к

к т
Т. Я. Лазарева, Ю. Ф. Мартемьянов - Основы теории автоматического управления>
Ф
б)

в)

ImA

к т_к

а=0

"Re

Рис. 5.17 Частотные характеристики инерционно-форсирующего

звена для т < 1:

а - АЧХ; б - ФЧХ; в - АФХ

- АЧХ

(5.53)

- ФЧХ

ф(а) = arctgT0a - arctgTa . (5.54)

Графики частотных характеристик для Пт > 1 и Пт < 1 изображены соответственно на рис. 5.16 и 5.17.

Используя взаимосвязь динамических характеристик, записываются уравнения переходной и весовой функций, соответственно

h(t) = к[\ + {Т-1Je-tlT j ; (5.55)

"(t) = -Т(у ¦1)e -1T , (5.56)

их графики для Пт > 1 и Пт < 1 изображены на рис. 5.18. и 5.19.

Т. Я. Лазарева, Ю. Ф. Мартемьянов - Основы теории автоматического управления>
Рис. 5.18 Переходные характеристики инерционно-форсирующего

звена для Пт > 1:

а - переходная функция; б - весовая функция
Т. Я. Лазарева, Ю. Ф. Мартемьянов - Основы теории автоматического управления>
Рис. 5.19 Переходные характеристики инерционно-форсирующего

звена для Пт < 1:

а - переходная функция; б - весовая функция
5.2.9 АПЕРИОДИЧЕСКОЕ ЗВЕНО ВТОРОГО ПОРЯДКА

TTy”(t) + (T + T2 )y'(t) + y(t) = kx(t), (5.57)

где Т\, Т2 - постоянные времени; k - коэффициент усиления; Т\, Т2, k > 0.

После преобразования (5.57) по Лапласу

TT ^2 + (T1+ T2)s +1] y(s) = kx(s),

откуда передаточная функция звена равна:

k

(T^ + 1)(T2 s +1)

k

T1T2S 2 + (T1 + T2)s + 1

(5.58)

W (s)

Апериодическое звено второго порядка можно структурно представить в виде последовательного соединения двух звеньев первого порядка с постоянными времени Т1 и T2 (рис. 5.20), поэтому оно не относится к числу элементарных. Корни характеристического уравнения действительные.

Частотные характеристики, графики которых изображены на рис. 5.21:

- АФХ

k

(T1i® + 1)(T2i®+1)

; (5.59)

-i (arctgT[®+arctgT2®)

W (Ію)

?^ю2 +1)(T22ro2 +1)

k 1
T1s +1 T2 s +1
Рис. 5.21 Частотные характеристики апериодического звена

второго порядка:

а - АЧХ; б - ФЧХ; б - АФХ

- АЧХ

- ФЧХ

k;

VT®T+1xTv^1) ’

(5.60)

(5.61)

M (ю)

ф(ю) = -(arctgTj® + arctgT2®).

Для сравнения пунктиром показаны характеристики звена первого порядка. Амплитудно-частотная характеристика при изменении частоты от 0 до гоП изменяется от k до 0. Фазочастотная характеристика изменяется от 0 до -Пп. Годограф амплитудно-фазовой характеристики лежит в 4-м и 3-м квадрантах. Сравнивая частотные характеристики звена первого порядка, видно, что добавление второго звена пер-

Рис. 5.20 Структурная схема апериодического звена второго порядка
Т. Я. Лазарева, Ю. Ф. Мартемьянов - Основы теории автоматического управления>
вого порядка увеличивает инерционность объекта, увеличивает модуль и увеличивает отставание по фазе.

Уравнение переходной функции в операторной форме имеет вид

к 1 (V + 1)(T2s +1) s

= ?0 + Ci

s s +1/ T1

C2

+--.

s +1/T2
Т. Я. Лазарева, Ю. Ф. Мартемьянов - Основы теории автоматического управления>
Рис. 5.22 Переходные характеристики апериодического звена

второго порядка:

а - переходная функция; б - весовая функция Переходя к оригиналу, получают
h(s)

h(t) = C0 + C1e-t / Tl + C2e

t / T2

(5.62)

„ , „ kTi2T^ kT22Ti

где C0 = k; C1 =—1—-; C2 = 21

T2 - T1

Ti - T2

Переходная функция представляет собой неколебательную кривую, имеющую одну точку перегиба и асимптотически стремящуюся к y(x,) = к .

Уравнение весовой функции:

w(t) = h'(t) = - C • e^t / T1 - ^ ¦ e-/T2

T2

T1 2

Графики переходных характеристик изображены на рис. 5.22.

5.2.10 КОЛЕБАТЕЛЬНОЕ ЗВЕНО

C (5.63)

Колебательное звено, как и апериодическое, является звеном второго порядка и описывается дифференциальным уравнением второго порядка, которое удобно записать в виде

(5.64)

T2у '' (t) + T. у ' (t) + y(t) = kx(t).

Характеристическое уравнение колебательного звена

T2 s2 + T„ s +1 = 0

должно иметь пару комплексно сопряженных корней, а это будет только в том случае, если — < 2. Ес-

А

T

ли же T~ -О 2, то корни уравнения -действительные и звено будет апериодическим второго порядка.

Характеристики колебательного звена имеют вид: - передаточная функция

W (s) =

TK2s 2 + TM s +1

(5.65)

- частотные характеристики, графики которых изображены на рис. 5.23:

- АФХ

к к

W (Ію) =

-iarctg ^ 2 22

- АЧХ

(-TKV +1) + /Тдю ^(1 - T^ro2)2 + T2ro2

к

M (ю) =

7(1 - T>2)2 + t>2

(5.66)

(5.67)

- ФЧХ

Т. Я. Лазарева, Ю. Ф. Мартемьянов - Основы теории автоматического управления>


Т. Я. Лазарева, Ю. Ф. Мартемьянов - Основы теории автоматического управления>
Рис. 5.23 Частотные характеристики колебательного звена:

а - АЧХ; б - ФЧХ; б - АФХ
Тдш

Ф(ш) = -arctg-—

1 - Т2ш2 '

(5.68)

Анализ амплитудно-частотной характеристики показывает, что при малых значениях частоты, когда ш ? 4 ??<< ш ? 2, наблюдается некоторое увеличение АЧХ по сравнению с апериодическим звеном,

T

причем при больших значениях — на графике АЧХ появляется максимум. В пределе при Тд = 0 АЧХ

Тд

1

терпит разрыв второго рода при значении шр = —.

Тк

Переходная функция в операторной форме:

h(s)

к 1

Тк2 s 2 + Тд s +1 s

кд

Взяв обратное преобразование Лапласа, получают

h(t) = к[1 + Ae at sin(ot-Р)], (5.69)

где A



К

?(4ТК2 + Тд2)

Тд Тд 2

а =—^; ш = ——; R = arctg—. 2Тк2 А’и В A

w(t) = -Аае at sin(rat-Р) + Аше at cos(rat-Р) = Ae~at (cos(шt - P) - а sin(шt - P)).

(5.70)

Графики переходных функций изображены на рис. 5.24.

Примером колебательного звена могут служить упругая механическая система с существенным влиянием массы, центробежный маятник регулятора частоты вращения вала машины без демпфера и другие.

Т. Я. Лазарева, Ю. Ф. Мартемьянов - Основы теории автоматического управления>
Рис. 5.24 Переходные характеристики колебательного звена:

а - переходная функция; б - весовая функция
Частным случаем колебательного звена является консервативное звено, когда характеристическое уравнение имеет чисто мнимые корни. В этом случае передаточная функция звена преобразуется к виду

W (5)

(5.71)

Амплитудно-фазовая характеристика

к

1 - T2ю2

(5.72)

W (/ю)

является действительной функцией с модулем

к

1 - T2ю2

(5.73)

(5.74)

M (ю)

и фазой

0, ю< 1/T; - п, ю > 1/T,

ф(ю)

годограф которой расположен на действительной полуоси (рис. 5.25).

Т. Я. Лазарева, Ю. Ф. Мартемьянов - Основы теории автоматического управления>
Рис. 5.25 Частотные характеристики консервативного звена:

а - АЧХ; б - ФЧХ; б -АФХ
Т. Я. Лазарева, Ю. Ф. Мартемьянов - Основы теории автоматического управления>
Рис. 5.26 Функции консервативного звена:

а - переходная; б - весовая
Временные характеристики: - переходная функция

(5.75)

h(t) = к

1 - cos

весовая функция

.. k . 1 w)=t sin jt

(5.76)

1

T называется резонансной час-

представляют собой гармонические колебания (рис. 5.26). Частота юр тотой.

5.2.11 ОСОБЫЕ ЗВЕНЬЯ

Определение минимально-фазовых систем (звеньев) было дано ранее. Все рассмотренные звенья относятся к минимально-фазовым звеньям. Однако на практике встречаются и неминимально-фазовые звенья, у которых хотя бы один нуль или полюс передаточной функции имеет положительную вещественную часть. Примерами таких звеньев являются звено чистого запаздывания, а также звенья с передаточными функциями

k (1 - T0 s). (Ts -1) ’

(5.77)

W (s) =

W (s) =

W (s) =-

Ts -1

Tj2s2 - (T + T2)s + 1

Особенностью неминимально-фазовых звеньев по сравнению с минимально-фазовыми является то, что для звеньев, имеющих одинаковые АЧХ, у них отставание по фазе больше. Например, сравнивая

два звена - апериодическое первого порядка и звено с передаточной функцией W (s) = —k—, имеющих

Ts -1

АЧХ в обоих случаях

M (ю) =

VTv+L

но ФЧХ в первом случае ф(ю) = -arctgTro изменяется от нуля до - у, а во втором ф(ю) = -п + arctgTro и изменяется от -? до

Неминимально-фазовые звенья встречаются в электрических схемах при дифференциальных или мостовых соединениях.

Частным случаем неминимально-фазовых звеньев являются неустойчивые звенья, когда только полюсы имеют положительную вещественную часть. Рассмотренное выше звено является неминимальнофазовым неустойчивым звеном, наиболее распространенным среди неустойчивых звеньев, и называется квазиинерционным звеном. Для неустойчивых звеньев не существует установившегося режима, и с течением времени при любом входном сигнале выходная величина стремится в бесконечность.

5.3 Основные способы соединения звеньев

5.3.1 СТРУКТУРНЫЕ СХЕМЫ

При анализе и синтезе систем автоматического управления широко используется структурный анализ, основными понятиями которого служат следующие.

Структурная схема является графическим изображением дифференциального уравнения объекта и обладает главным достоинством любого графического представления - наглядностью.

Элементы структурной схемы называются звеньями, как уже известно, и изображаются в виде прямоугольников, внутри которых записывается передаточная функция звена.

Взаимосвязь между звеньями изображается линиями связи со стрелками, указывающими направление передачи сигнала. Над линией ставится условное обозначение сигнала.

Точка на линии связи, в которой происходит разветвление линии, называется узлом.

Алгебраическое сложение нескольких сигналов изображается в виде круга на линии связи и называется сумматором.

Для изображения основных элементов структурных схем используются условные обозначения, представленные на рис. 5.27.

а)

б)

Звено

линия связи

узел

іи

в)

X і + X2 Х\

Т. Я. Лазарева, Ю. Ф. Мартемьянов - Основы теории автоматического управления>
сумматор
Х2

Рис. 5.27 Условные обозначения элементов структурной схемы

Составление структурной схемы является одним из первых этапов исследования сложных объектов управления, она может быть составлена на основании математического описания, а также исходя из физической модели объекта.

Какой бы сложной ни была структурная схема, в ней всегда присутствуют только три типа соединений: параллельное, последовательное и с обратной связью. Задачей рассмотрения типов соединений является получение соотношения между передаточной функцией соединения и передаточными функциями отдельных звеньев.

5.3.2 ПАРАЛЛЕЛЬНОЕ СОЕДИНЕНИЕ ЗВЕНЬЕВ

При параллельном соединении (рис. 5.28) сигналы входа всех звеньев одинаковы и равны сигналу входа системы x(t), а выход y(t) равен сумме сигналов выходов звеньев.

Для каждого звена в операторной форме можно записать:

yi(s) = x(s)W1(s); У2(s) = x(s)W2(s); ...; yn(s) = x(s)Wn(s),

Т. Я. Лазарева, Ю. Ф. Мартемьянов - Основы теории автоматического управления>
Рис. 5.28 Параллельное соединение звеньев
тогда выход всей системы

y(s) = yi(s) + ... + Уп (s) = x(s)W1(s) + ... + Wn (s)] = x(s)±Wt (s), (5.78)

i=1

откуда передаточная функция параллельного соединения

Wc(s) = XT = XW- (s). (5.79)

x(s) tt

Таким образом, передаточная функция системы параллельно соединенных звеньев равна сумме передаточных функций отдельных звеньев.

Временные характеристики, в частности, переходную функцию можно получить из (5.79):

Т.Е. ПЕРЕХОДНАЯ ФУНКЦИЯ ПАРАЛЛЕЛЬНОГО СОЕДИНЕНИЯ РАВНА СУММЕ ПЕРЕХОДНЫХ ФУНКЦИЙ ОТДЕЛЬНЫХ ЗВЕНЬЕВ.

Частотные характеристики параллельного соединения получают следующим образом:

W (ia) = X Wj (ia) =X (Rej (a) + i Imj (ra));

X hi (t),

i=1

X hi(s)

J=1

hc(t) = L-l[h(s)] = L-1

(5.80)

j=i

j=i

Rec(a) = X Re;- (a); Imc(a) = X im (a). (5.81)

i=1 i=1

Как видно из (5.81), амплитудно-фазовая характеристика параллельного соединения может быть получена в результате сложения действительных и мнимых частей АФХ отдельных звеньев или по правилу сложения векторов. На рис. 5.29 приведена иллюстрация получения АФХ двух параллельно соединенных звеньев, заданных своими АФХ.

Т. Я. Лазарева, Ю. Ф. Мартемьянов - Основы теории автоматического управления>


Т. Я. Лазарева, Ю. Ф. Мартемьянов - Основы теории автоматического управления>
Рис. 5.29 Построение АФХ параллельного соединения:

а - АФХ первого звена; б - АФХ второго звена; в - АФХ параллельного соединения первого и второго звеньев
Т. Я. Лазарева, Ю. Ф. Мартемьянов - Основы теории автоматического управления>
Рис. 5.30 Пример технологического объекта параллельного соединения
Примером технологического объекта, имеющего подобную структурную схему, может служить цепочка параллельно работающих однотипных реакторов (рис. 5.30).

5.2.3 ПОСЛЕДОВАТЕЛЬНОЕ СОЕДИНЕНИЕ ЗВЕНЬЕВ

При последовательном соединении выход предыдущего звена подается на вход последующего (рис. 5.31).

Уравнения выходных сигналов после каждого звена в операторной форме имеют вид:

y^s) = x(s)W1(s); У2ОО = yAs)W2(s); ...; yn(s) = yn_1(s)Wn(s).

Выходной сигнал последнего звена является выходом всей системы: у^) функция системы согласно определению имеет вид

yn(s), а передаточная

Уп (s)

x(s)

y(s)

x(s)

Wc(s)

Проводя последовательную подстановку, получают передаточную функцию последовательного соединения

Wc(s) = W1(s)W2(s) ... Wn(s) = nw(s). (5.82)

1=1

Т. Я. Лазарева, Ю. Ф. Мартемьянов - Основы теории автоматического управления>


Рис. 5.31 Последовательное соединение звеньев

Таким образом, передаточная функция системы последовательно соединенных звеньев равна произведению передаточных функций отдельных звеньев.

Частотные характеристики легко получают из (5.82), так как

п п 1Z Ф j (ffl)

Wc (jffl) = П Wj 0®) = П Mj (®)e j

j=i J=i

и тогда

(5.83)

Mc(®) = Пмі (®); Фс(®) = X^i (®),

j=i j=i

т.е. амплитудно-частотная характеристика последовательного соединения равна произведению АЧХ отдельных звеньев, а фазочастотная - сумме ФЧХ отдельных звеньев. Иллюстрация построения АФХ двух последовательно соединенных звеньев, заданных своими АФХ, приведена на рис. 5.32.

Переходную функцию получают следующим образом. Если входной сигнал x(t) = 1(0, то на выходе первого звена имеем его переходную функцию h1(t), которая подается на вход второго звена. На выходе второго звена получают переходную функцию двух последовательно соединенных звеньев. Если собственная переходная функция второго звена h2(t), то переходная функция соединения определится через интеграл Дюамеля:

hc (t) = j h2 (T) + h (0)h2 (t). (5.84)

Продолжая рассуждения дальше, можно получить выражение переходной функции для любого числа последовательно соединенных звеньев.

а)

k1 ь.
Т. Я. Лазарева, Ю. Ф. Мартемьянов - Основы теории автоматического управления>
Im.

Рис. 5.32 Построение АФХ последовательного соединения:

а - АФХ первого звена; б - АФХ второго звена;

в - АФХ последовательного соединения первого и второго звеньев

Следует отметить, что все полученные утверждения справедливы только для звеньев направленного действия.

Примером технологического объекта, имеющего структурную схему последовательного соединения, является любой технологический процесс, в котором отдельные стадии и участки представляются в виде соответствующего звена.

5.3.4 СОЕДИНЕНИЕ С ОБРАТНОЙ СВЯЗЬЮ

Обратной связью называют передачу сигнала с выхода звена на его вход, где сигнал обратной связи алгебраически суммируется с внешним сигналом. Структурная схема соединения с обратной связью изображена на рис. 5.33.

Если х1 = х + хос, то связь называется положительной, если же х\ = х - хос, то - отрицательной.

Для вывода передаточной функции соединения с положительной обратной связью выходные сигналы для каждого звена в операторной форме записываются как:

y(s) = х (sW^ (s); х (s) = x(s) + хос (s); хос (s) = y(s)W0C (s).

Исключая из полученной системы xi(s) и хос(^), получают

y(s) = x(s) Гпр (s) + y(s) ГоС (s) ^ір (s) ;

y(s) (1 - Гос (s) (s)) = x(s) Гпр (s) ,

откуда передаточная функция соединения с положительной обратной связью имеет вид

Гпр (s)

1 - Гпр (s-Гос (s)

y(s)

x(s)

(5.85)

Wc(s)

Для соединения с отрицательной обратной связью передаточная функция выводится аналогичным образом и определяется в окончательном виде выражением

(5.85П)

Wc(s)

Гпр (s)

1 + Гпр (Г (s)

xu Гпр(s)
у-1**
1
xос Гос(s)
Рис. 5.33 Соединение с обратной связью

На практике наиболее распространенными являются системы с отрицательной обратной связью, к ним относятся, например, все одноконтурные системы автоматического регулирования, причем в прямой цепи расположен объект, а в обратной - регулятор.

5.3.5 ПЕРЕДАТОЧНЫЕ ФУНКЦИИ ЗАМКНУТОЙ СИСТЕМЫ

Структурная схема одноконтурной системы автоматического регулирования приведена на рис. 5.34.

В расчетах систем автоматического регулирования используют три основных вида передаточных функции. Эти функции определяются следующим образом.

Главной передаточной функцией является передаточная функция по каналу регулирования

Узад - y(t), fo(0) = 0:

Wo6 (s)Wp (s)

1 + Woб (5^р (s)

(5.86)

W (5)

Передаточная функция замкнутой системы для ошибки, т.е. по каналу узад - e(t), где e(t) = узад (t) - y(t) -ошибка регулирования и f0(t) = 0:

1

1 + Woб ^ (s)

(5.87)

We (s)

Передаточная функция замкнутой системы по возмущающему воздействию, т.е. по каналу fo(t) - y(t) = 0:

Wo6 (s)



1 + Woб (s^ (s)

(5.88)

Wf (s)

Анализ передаточных функций замкнутой системы показывает, что знаменатель у них один и тот же, а числители различны. Для замкнутой системы можно записать целый ряд других передаточных функций, например, для ошибки по возмущающему воздействию.

Характеристическое уравнение замкнутой системы находится в знаменателе передаточной функции и записывается в виде

f0(t)
Wp(s)
Т. Я. Лазарева, Ю. Ф. Мартемьянов - Основы теории автоматического управления>
Woб(s)
y(t)

Рис. 5.34 Структурная схема одноконтурной системы

1 + Woб (sW (s) = 0. (5.89)

Корни этого уравнения равны полюсам st передаточной функции замкнутой системы. Динамические свойства процессов, протекающих в замкнутой системе, существенно отличаются от таковых в разомкнутой цепи, состоящей из тех же самых звеньев. Так как передаточная функция разомкнутой цепи записывается в виде Wj,.c(s) = W^^W^s), то главная передаточная функция может быть записана как

W(s)

Wp.c (s)

1 + Wp,(s) .

5.3.6 ПРАВИЛА ПРЕОБРАЗОВАНИЯ СТРУКТУРНЫХ СХЕМ

Реальные объекты обладают сложной структурой. Упрощение вывода передаточных функций сложных объектов в схемах достигается за счет преобразования их структурных схем к трем основным типам соединений.

Критерий правильности преобразования структурной схемы заключается в том, чтобы входные и выходные сигналы преобразуемого участка до и после преобразования были одинаковы.

На практике редко встречаются схемы, в которых можно сразу же выделить тот или иной тип соединений, как правило, имеются, так называемые, перекрестные связи. В этом случае возникает необходимость перестановки и переноса сумматоров и узлов.

Например, требуется осуществить перенос узла через звено по направлению распространения сигнала (рис. 5.35, а).

Преобразованию подлежит участок, выделенный пунктиром, который имеет один входной сигнал х (t) и два выходных х (0 и у (t). Требуется перенести узел ”1 ” через звено ” 2” с передаточной функцией W(s).

Простой перенос приводит к схеме, изображенной на (рис. 5.35, б). Эта схема не соответствует исходной, так как отсутствует выходной сигнал х (t), но имеются два сигнала y (t), причем у (s) = х (s) W(s), следовательно, для приведения схемы к исходной необходимо в боковую ветвь на выходе у (t) включить

звено с передаточной функцией —1—. Тогда получают схему (рис. 5.35, в), соответствующую исходной.

W (s)

Таким образом, перенос узла через звено с передаточной функцией W(s) по направлению распространения сигнала сопровождается появлением в боковой цепи звена, имеющего передаточную функцию 1

W(s) '

Т. Я. Лазарева, Ю. Ф. Мартемьянов - Основы теории автоматического управления>
б)
Рис. 5.35 Пример переноса узла через звено:

а - до преобразования; б - неправильное преобразование; в - после преобразования
Рассмотренный пример является доказательством правила переноса узла через звено. Остальные правила переноса приводятся без доказательства и выглядят следующим образом.

1 Перенос узла через узел осуществляется без дополнительных преобразований (рис. 5.36).

а) б)

х (1) (2) х х (2) (1) х

-W W ->

ху ху ху ху

Рис. 5.36 Перенос узла через узел:

а - до переноса; б - после переноса

2 Перенос сумматора через сумматор производится без дополнительных преобразований (от перемены мест слагаемых сумма не изменяется) (рис. 5.37).

цХі + Х2+Х3

хХІ + Х3~

* 1

Рис. 5.37 Перенос сумматора через сумматор:

а - до преобразования; б - после преобразования

3 При переносе узла через сумматор по направлению сигнала в боковой ветви преобразованного участка появляется дополнительное звено с передаточной функцией (-1) (рис. 5.38).

б)

Хі + Х2 ^

а)

Хі + Х2

Хі

Хі

Т. Я. Лазарева, Ю. Ф. Мартемьянов - Основы теории автоматического управления>


Х2

Рис. 5.38 Перенос узла через сумматор:

а - до преобразования; б - после преобразования

4 При переносе сумматора через узел по направлению сигнала в боковой ветви появляется звено с передаточной функцией +1 (рис. 5.39).

Хі + Х2 б)

->ф—>

JL

Хі + Х2 а)

->

Хі + Х2

Хі

Х1 ^ Х

Т4

Хі + Х2
Т. Я. Лазарева, Ю. Ф. Мартемьянов - Основы теории автоматического управления>
Х2
Рис. 5.39 Перенос сумматора через звено:

а - до преобразования; б - после преобразования

5 Перенос узла через звено по направлению сигнала приводит к появлению дополнительного звена с передаточной функцией —і— (рис. 5.40).

W (5)

а) б)
Т. Я. Лазарева, Ю. Ф. Мартемьянов - Основы теории автоматического управления>
Рис. 5.40 Перенос узла через звено:

а - до преобразования; б - после преобразования
6 При переносе узла через звено против направления сигнала появляется дополнительное звено с передаточной функцией W(s) (рис. 5.4і).

а) б)

Т. Я. Лазарева, Ю. Ф. Мартемьянов - Основы теории автоматического управления>
Рис. 5.41 Перенос звена через узел:
а - до преобразования; б - после преобразования

7 Перенос сумматора через звено по направлению сигнала сопровождается появлением дополнительного звена с передаточной функцией W(s) (рис. 5.42).

а) б)
Т. Я. Лазарева, Ю. Ф. Мартемьянов - Основы теории автоматического управления>
Рис. 5.42 Перенос сумматора через звено:

а - до преобразования; б - после преобразования
8 Перенос сумматора через звено против направления сигнала приводит к появлению дополни-

(рис. 5.43).

W (s)

а)

б)
Т. Я. Лазарева, Ю. Ф. Мартемьянов - Основы теории автоматического управления>
Рис. 5.43 Перенос звена через сумматор:

а - до преобразования; б - после преобразования
тельного звена с передаточной функцией

9 Вынесение элемента из прямой связи приводит к появлению дополнительных звеньев, в прямой

1

W (s)

и в дополнительной W2(s) (рис. 5.44).

цепи

а) б)
Т. Я. Лазарева, Ю. Ф. Мартемьянов - Основы теории автоматического управления>
Рис. 5.44 Вынесение элемента из прямой связи:

а - до преобразования; б - после преобразования
10 Внесение элемента в прямую связь сопровождается появлением в одной и второй прямых цепях звеньев с передаточной функцией W2(s) и в дополнительной цепи - звена с передаточной

функцией —1— (рис. 5.45).

W ( s)

а) б)
Т. Я. Лазарева, Ю. Ф. Мартемьянов - Основы теории автоматического управления>
Рис. 5.45 Внесение элемента в прямую связь:

а - до преобразования; б - после преобразования
11 Вынесение элемента из обратной связи сопровождается появлением в прямой цепи элемента с передаточной функцией W2(s), а в дополнительной цепи - звена с передаточной функцией —1— (рис. 5.46).

W (s)

Т. Я. Лазарева, Ю. Ф. Мартемьянов - Основы теории автоматического управления>
Рис. 5.46 Вынесение элемента из обратной связи: а - до преобразования; б - после преобразования
12 Внесение элемента в обратную связь сопровождается появлением в обратной связи звена с пе

редаточной функцией W2(s), в прямой цепи - звена с передаточной функцией звена с передаточной функцией W2(s) (рис. 5.47).

а)

, в дополнительной -

W2(S)

б)

x W (s) У-
Г W1(s)
W1(s)

п
W2(s)
Рис. 5.47 Внесение элемента в обратную связь:

а - до преобразования; б - после преобразования

Пример 5.1 Записать передаточную функцию соединения, изображенного на рис. 5.48.

W5 (s)

W(S) = W (S)[W2 (S) + W3 (S) + W4 (S)] ¦

1 - W5(S)W6(S)

Т. Я. Лазарева, Ю. Ф. Мартемьянов - Основы теории автоматического управления>
Рис. 5.48 Структурная схема некоторого объекта Пример 5.2 Преобразовать структурную схему (рис. 5.49) и записать передаточную функцию
W\(s) W2(s) W3(s)

W (s ) =

1 + W (s) W2 (s) + W2 (s) W3 (s) + W (s) W2 (s) W3 (s) •

Т. Я. Лазарева, Ю. Ф. Мартемьянов - Основы теории автоматического управления>
Рис. 5.49 Структурная схема некоторого объекта с перекрестными связями:

а - до преобразования; б - после преобразования 5.3.7 ФОРМУЛА МЕЙСОНА
При выводе передаточных функций сложных структурных схем не всегда бывает удобно пользоваться правилами преобразования. В 1953 г. Мэйсоном было предложено правило вычисления передаточной функции между двумя заданными узлами. Это правило выражается следующей формулой

'г Л b

Z^npj (s) П (1 + (s')')

i=1

V j=1

(5.90)

Wmn (s)

П (1 + ^рКі (s))

_ i=1

где Wmn(s) - передаточная функция между узлами m и n; '^Жпр. (s) - сумма г передаточных функций

j =1

различных прямых путей из узла m в узел n; W^ (s) - передаточная функция разомкнутого контура, взятая со знаком, соответствующим отрицательной обратной связи; П - произведение, включающее все замкнутые контуры системы; * - знак обозначает исключение из скобки всех членов, содержащих произведения передаточных функций одних и тех же звеньев, включая и звенья с W(s) = 1.

Пример 5.3 Записать передаточную функцию системы (рис. 5.50) по каналу (х - у).

В структурной схеме объекта по каналу (х - у) имеется один прямой путь (г = 1) с передаточной функцией Wnp^s) = W1(s) W2(s) и два замкнутых контура (b = 2) с передаточными функциями разомкнутых цепей с отрицательными обратными связями:

Kl(s) = Wt(s)W2(s)W3(s)W4(s);

Wj,K2 (s) = Wj(s)W4(s).

Подставляя полученное выражение в (5.90), получают:

W (s)= [ (s)W2 (s)(1+W1 (s)W4 (s)) (1+Wt (s)W2 (s)W3 (s)W4 (s))]* [(1+W1(s)W4(s))(1+W1(s)W2(s)W3(s)W4(s))]* '

Т. Я. Лазарева, Ю. Ф. Мартемьянов - Основы теории автоматического управления>


Т. Я. Лазарева, Ю. Ф. Мартемьянов - Основы теории автоматического управления>


Рис. 5.50 Структурная схема технологического объекта

Раскрывая скобки и исключая члены, содержащие передаточные функции общих ветвей, окончательно получают:

Wx_y (s)

_Wt(s)W2(s)_

1 + W (s)W2 (s) + W (s) W2 (s)W3 (s)W4 (s) •

5.4 Типовые законы регулирования

Законом регулирования называется уравнение, описывающее зависимость между входом регулятора Ay(t) = y(t) - Узад и его выходом Хр(Г).

Все законы регулирования подразделяются на простейшие: пропорциональный (П), интегральный (И), дифференциальный (Д) и промышленные: пропорционально-интегральный (ПИ), пропорционально-дифференциальный (ПД), пропорционально-интегрально-дифференциальный (ПИД).

Ниже приводится характеристика всех законов регулирования с точки зрения их динамических свойств.

5.4.1 ПРОПОРЦИОНАЛЬНЫЙ ЗАКОН РЕГУЛИРОВАНИЯ

Пропорциональный закон регулирования описывается уравнением

xp0) = —^iAy(t), (5-91)

где S1 - параметр настройки.

Знак (-) отражает тот факт, что регулятор включается в систему по принципу отрицательной обратной связи.

Пропорциональным регулятором может служить обычное усилительное звено с изменяемым коэффициентом усиления, включенное в отрицательную обратную связь по отношению к объекту. В связи с этим динамические характеристики П-регулятора в основном совпадают с характеристиками усилительного звена и имеют вид: передаточная функция

W(s) = -Si; (5.92)

частотные характеристики, графики которых изображены на рис. 5.51:

АФХ W(Ію) = —S1 = S1ein ; (5.93)
АЧХ М (ю) = S1; (5.94)
ФЧХ ф(ю) = п . (5.95)
МА <

9-

А
б) ImA б)
Si

п
Re

Рис. 5.51 Частотные характеристики П-регулятора:

а - АЧХ; б - ФЧХ; б - АФХ

Ay ^ а)
0 t
-h i

S1
k
0 w

t
Д?А б)

Іад

-wA

1

о

Рис. 5.52 Переходные характеристики П-регулятора:

а - переходная функция; б - весовая функция

Переходная функция (рис. 5.52, а):

(5.96)

h(t) = Xp(t) = —Sii(t) .

Весовая функция (рис. 5.52, б):

Для того, чтобы выяснить недостатки и достоинства того или иного закона регулирования, необходимо рассмотреть переходный процесс замкнутой системы.

Переходный процесс АСР с П-регулятором, изображенный на рис. 5.53, характеризуется тем, что имеется статическая ошибка регули рования, равная ууст - узад. Действительно, по теореме о конечном значении функции можно записать:

Т. Я. Лазарева, Ю. Ф. Мартемьянов - Основы теории автоматического управления>
Рис. 5.53 Переходный процесс АСР с П-регулятором

lim y(t) = lim sy(s) = lim sx(s)WS0 (s),

t —x s—Q s—Q
так как x(s)

1- W (s) = Wq6 (s) = WQ6 (s)

s’ 3 1 + Wоб (s)Wр (s) 1 + Wоб (s)Si ’

то

к об

1 + k об S1

s± = Wo6 (s)

s 1 + Woб (s)Si

(5.98)

lim y(t)

t—Ю

если limWQб (s) = &об .

s—Q

Таким образом, статическая ошибка регулирования зависит от коэффициента усиления объекта и параметра настройки регулятора. Причем статическая ошибка тем меньше, чем больше значение параметра настройки S1. Для того, чтобы эта ошибка отсутствовала, т.е. ууст = Q при коб Q, необходимо, чтобы S1 Ш —— ю Ш. Следовательно, наличие статической ошибки регулирования является органическим недостатком АСР с пропорциональным регулятором.

5.4.2 ИНТЕГРАЛЬНЫЙ ЗАКОН РЕГУЛИРОВАНИЯ

Интегральный закон регулирования описывается уравнением

Xp (t) = -Sq J Ay(x)dx , (5.99)

Q

или

xp(t) = -SoAy(t), (5.99Ш)

где SQ - параметр настройки регулятора.

Интегральным регулятором может служить интегрирующее звено с переменным передаточным коэффициентом, включенное в отрицательную обратную связь к объекту.

Динамические характеристики И-регулятора имеют вид:

- передаточная функция

W(s) = - ^; (5.1QQ)

s

- частотные характеристики, изображенные на рис. 5.54:

АФХ W(ію) =^ = (SQ /ю)еі(п-п/2) = (SQ /ю)еіП/2; (5.1Q1)

ІЮ

АЧХ M (ю) = ^; (5.1Q2)

Im А в)

б)

Т. Я. Лазарева, Ю. Ф. Мартемьянов - Основы теории автоматического управления>
п/2

0
ю ^ 0

Ю ^ 0)1

Re

Рис. 5.54 Частотные характеристики И-закона регулирования:

а - АЧХ; б - ФЧХ; б - АФХ

Ay

Ay А

Т. Я. Лазарева, Ю. Ф. Мартемьянов - Основы теории автоматического управления>


а)

б)

1
k. 1 1 b
0 t 0 w

t
-wo,

S0U
Рис. 5.55 Переходные характеристики И-закона регулирования:

а - переходная функция; б - весовая функция

Переходные характеристики, графики которых представлены на рис. 5.55: - переходная функция

(5.104)

(5.105)

h(t) = - Sot; w(t) = - So

- весовая функция

Переходной процесс в ACP с И-регулятором, изображенный на рис. 5.56, характеризуется отсутствием статической ошибки регулирования, наибольшим значением отклонения регулируемой величины от

Т. Я. Лазарева, Ю. Ф. Мартемьянов - Основы теории автоматического управления>


Рис. 5.56 Переходный процесс в АРС с И-регулятором УСТАНОВИВШЕГОСЯ ЗНАЧЕНИЯ ПО СРАВНЕНИЮ С ДРУГИМИ ЗАКОНАМИ РЕГУЛИРОВАНИЯ, НАИБОЛЬШИМ ВРЕМЕНЕМ РЕГУЛИРОВАНИЯ.

Главным достоинством интегрального регулятора является отсутствие статической ошибки регулирования. Действительно:

Кб (s)

1 + W06 (S) ^

S

lim y(t) = lim sy(s) = lim s —

t ^0 S ^0 S ^0 S

= 0.

5.4.3 ДИФФЕРЕНЦИАЛЬНЫМ ЗАКОН РЕГУЛИРОВАНИЯ

Дифференциальный закон регулирования описывается уравнением

где S2 - параметр настройки, которое является уравнением идеального дифференцирующего звена. На практике дифференциальный закон может быть реализован лишь приближенно в определенном интервале частот. Дифференциальная составляющая вводится в закон регулирования для того, чтобы увеличить быстродействие регулятора, так как в этом случае регулятор реагирует не на абсолютное значение регулируемой величины, а на скорость ее изменения. Дифференциальный регулятор не применяется для регулирования, так как при любом постоянном значении регулируемой величины выходной сигнал такого регулятора равен нулю.

Динамические характеристики Д-закона регулирования:

- передаточная функция

(5.107)

w (s) = -S2 s;

- частотные характеристики, изображенные на рис. 5.57:

АФХ

(5.108)

W(ію) = -S2ію = S2юе 2 ;

(5.109)

АЧХ

M(ю) = S2ro ;

( ) 3п

Ф(ю) = —.

(5.110)

ФЧХ

ImA

б)

в)

Т. Я. Лазарева, Ю. Ф. Мартемьянов - Основы теории автоматического управления>
3п

2

0
Re

Рис. 5.57 Частотные характеристики Д-закона регулирования:

а - АЧХ; б - ФЧХ; в -АФХ

-h а

а)
1 ь,
0 t 0 W

t
Рис. 5.58 Переходная функция Д-закона регулирования:

а - единичное воздействие, б - переходная функция

Переходные характеристики:

- переходная функция

(5.111)

h(t) = - S2 5(t);

- весовая функция

w(t) = - S25'(t), (5.112)

графики которых изображены на рис. 5.58.

ДИФФЕРЕНЦИАЛЬНАЯ СОСТАВЛЯЮЩАЯ УЧАСТВУЕТ ТОЛЬКО В СЛОЖНЫХ ЗАКОНАХ РЕГУЛИРОВАНИЯ ДЛЯ УЛУЧШЕНИЯ КАЧЕСТВА ПЕРЕХОДНОГО ПРОЦЕССА.

5.4.4 ПРОПОРЦИОНАЛЬНО-ДИФФЕРЕНЦИАЛЬНЫЙ ЗАКОН РЕГУЛИРОВАНИЯ

Пропорционально-дифференциальный закон регулирования опи-сывается уравнением

xp(t) = -[УДуСО + S2Ay'(t)] . (5.113)

ЭТОТ РЕГУЛЯТОР ПО СУЩЕСТВУ СОСТОИТ ИЗ ДВУХ ПАРАЛЛЕЛЬНО ВКЛЮЧЕННЫХ СОСТАВЛЯЮЩИХ: ПРОПОРЦИОНАЛЬНОЙ И ДИФФЕРЕНЦИРУЮЩЕЙ.

Динамические характеристики ПД-регулятора:

- передаточная функция

w(5) = -(S1 + s2 s); (5.114)

- частотные характеристики, графики которых изображены на рис. 5.59:

АФХ W(Ію) = -(S1 + S2 Ію) = ,[Д+ДД ei(n+arctg(S2ffl/Si»; (5.115)

ачх м(ю) = ,Js2 + s22ю2; (5.116)

ФЧХ

(5.117)

ф(ю) = arctg(S2ro / Sj) + n • 0
Т. Я. Лазарева, Ю. Ф. Мартемьянов - Основы теории автоматического управления>
ю ^-х
Рис. 5.59 Частотные характеристики ПД-регулятора:

а - АЧХ; б'- ФЧХ; в - АФХ
в)

ІШі

W(i ю)

- S1

Re

Переходная функция, график которой изображен на рис. 5.60:

h(t) = Sx1(t) - S2S(t). (5.117')

Весовая функция:

(5.118)

w(t) = -Sj8(t) - S2S'(t).

С точки зрения качества процесса регулирования в замкнутой АСР пропорционально-дифференциальный регулятор обладает особенностями обоих законов регулирования (рис. 5.61). Наличие воздействия по производной от Ay(t) увеличивает быстродействие регулятора, благодаря чему уменьшается динамическая ошибка по сравнению с пропорциональным регулятором.

Т. Я. Лазарева, Ю. Ф. Мартемьянов - Основы теории автоматического управления>
Рис. 5.61 Переходный процесс в АСР с ПД-регулятором
В установившихся режимах, когда Ay' = 0, регулятор ведет себя как обычный П-регулятор. Величина статической ошибки остается такой же, как и в случае применения П-регулятора, действительно:

lim y(t) = limsy(s) = lims -W°6 (s)-

tW s^O s^0 s 1 + W°6 (s)(S- + S2s)

(5.119)

°6

K°6S- +1

5.4.5 ПРОПОРЦИОНАЛЬНО-ИНТЕГРАЛЬНЫИ ЗАКОН РЕГУЛИРОВАНИЯ Пропорционально-интегральный закон регулирования описывается уравнением

*p(t) = -(SiAy(t) + S0 j АУ(т)dТ) (5.120)

0

и представляет собой параллельное соединение пропорциональной и интегральной составляющих. Динамические характеристики ПИ-регу-лятора:

- передаточная функция

W(s) =~( S- + SiJ; (5.121)

- частотные характеристики (рис. 5.62):

АФХ W(iw) = f S1 + Sl 1; (5.122)

(5.123)

M(w)

АЧХ

Si

п (S,ro^

ф(ю) = — + arctg -S-

2 V So J

(5.124)

ФЧХ

Переходная функция (рис. 5.63, а):

h(t) = (Si 1(t) + So t).

(5.125)

Весовая функция (рис. 5.63, б):

w(t) = (Si5(t) + So).

(5.126)

в) W(i ю)

Т. Я. Лазарева, Ю. Ф. Мартемьянов - Основы теории автоматического управления>
0
Рис. 5.62 Частотные характеристики ПИ-регулятора:

а - АЧХ; б - ФЧХ; в - АФХ
TmA

- Si

Re

а) -wk

б)
->

t
ь.
0 W

t
Рис. 5.63 Переходные характеристики:

а - переходная функция; б - весовая функция

Пропорционально-интегральный регулятор сочетает в себе достоинства П- и И-законов регулирования, а именно: пропорциональная составляющая обеспечивает достаточное быстродействие регулятора, а интегральная составляющая ликвидирует статическую ошибку регулирования. Переходный процесс в АСР с ПИ-регулятором изображен на рис. 5.64.

В начале процесса регулирования основную роль играет пропорциональная составляющая, так как интегральная составляющая зависит не только от абсолютного значения, но и от времени. С увеличением времени возрастает роль интегральной составляющей, обеспечивающей устранение статической ошибки, т.е.

Wo6 (S)

1 + Woб (s)(Si + S0/ s)

lim y(t)

t

lim sy(s) = lim s

s^0 s^0 S

(5.127)

sWq6 (s)

+ Wq6 (s)S1S + S0

= 0.

= lim —

s^0 S

Подбором параметров настройки S0 и S1 можно изменять удель-ный вес каждой составляющей. В частности, при S0 = 0 получается П-регулятор, а при S1 = 0 - И-регулятор.

5.4.6 ПРОПОРЦИОНАЛЬНО-ИНТЕГРАЛЬНО-ДИФФЕРЕНЦИАЛЬНЫЙ

ЗАКОН РЕГУЛИРОВАНИЯ

Пропорционально-интегрально-дифференциальный закон регулирования описывается уравнением

Xp(t) = -(SlAy(t) + S01Ay(x)dx + S2Ay'(t)) . (5.128)

0

Динамические характеристики ПИД-регулятора: передаточная функция

s

W(s) = - (Si + So + S2S). (5.129)

s

частотные характеристики (рис. 5.65):

Т. Я. Лазарева, Ю. Ф. Мартемьянов - Основы теории автоматического управления>
Рис. 5.64 Переходный процесс в АСР с ПИ-, П- и И-регуляторами
(5.130)

- АФХ W(iw) = -(Si+^ + S2S);

ІЮ

+ (S0 - S2M2)2 ю ;

(5.131)

- АЧХ

M (ю )

(5.132)

( e Л

— фЧХ ф(ю ) = — + arctg -———

2 S0 - S2®2 J

Переходные характеристики: переходная функция, при t > 0

h(t)

-(S1 + S0t + S2 d(t));

(5.133)

весовая функция

w(t) = -(S1 d (t) + S0 + S2 d'(t)).

(5.134)

e)

Т. Я. Лазарева, Ю. Ф. Мартемьянов - Основы теории автоматического управления>
ю —— 0
РИС. 5.65 ЧАСТОТНЫЕ ХАРАКТЕРИСТИКИ ПИД-РЕГУЛЯТОРА: А - АЧХ; Б - ФЧХ; В - АФХ
ImA

Re

- S1

ю — да

График переходной функции ПИД-регулятора представлен на рис. 5.66.

si

Т. Я. Лазарева, Ю. Ф. Мартемьянов - Основы теории автоматического управления>


Рис. 5.66 Переходная функция ПИД-регулятора

ПИД-регулятор сочетает в себе достоинства всех трех простейших законов регулирования: высокое быстродействие благодаря наличию импульса по производной от Ay(t) и отсутствие статической ошибки, которое обеспечивает интегральная составляющая (рис. 5.67).

Т. Я. Лазарева, Ю. Ф. Мартемьянов - Основы теории автоматического управления>
РИС. 5.67 ПЕРЕХОДНЫЕ ПРОЦЕССЫ В АСР С РАЗЛИЧНЫМИ ЗАКОНАМИ РЕГУЛИРОВАНИЯ

Необходимо отметить, что применение регуляторов с дифференциальными составляющими, несмотря на их достоинства, не всегда целесообразно, а иногда и недопустимо. Так, для объектов с большим запаздыванием по каналу регулирования бесполезно вводить воздействие по производной от регулируемой величины, так как этот импульс будет поступать в регулятор по истечении времени чистого запаздывания после прихода возмущения, за которое в объекте могут накопиться большие отклонения. Более того, в таких случаях

ПД- или ПИД-регулятор может "раскачать" объект и система потеряет устойчивость.
5.5 Тренировочные задания

i Звеньями называются отдельные элементы системы, в которых происходит преобразование входных сигналов в выходные. Если передаточная функция звена имеет вид простой дроби, то такое звено относится к группе типовых или элементарных звеньев, уравнения которых можно получить из дифференциального уравнения

«2 У "(О + ai У (t) + ao y(t) = b x'(t) + bo x(t), приравнивая те или иные коэффициенты нулю.

Различают следующие звенья: усилительное, интегральное, идеальное и реальное дифференцирующие, чистого запаздывания, апериодическое первого порядка, апериодическое второго порядка, колебательное. Каждое из перечисленных звеньев рассматривается с позиций анализа их динамических характеристик.

А Какие звенья описываются обыкновенными дифференциальными уравнениями?

В Почему идеальное дифференцирующее звено физически не реализуемо?

С На какие группы делятся типовые звенья?

2 При анализе и синтезе систем автоматического управления широко используется структурный анализ. В любой структурной схеме могут присутствовать только три типа соединений: последовательное, параллельное, соединение с обратной связью. Значение передаточных функций отдельных звеньев позволяет записать передаточные функции соединений и построить их частотные характеристики.

Реальные объекты обладают сложной структурой, в них имеются, так называемые, перекрестные связи, которые необходимо развязать, используя правила преобразования структурных схем.

А Какие передаточные функции можно записать для одноконтурной системы автоматического регулирования?

В Заданы передаточные функции звеньев W1(s) = к; W2(s) = 4—. Записать частотные характеристики

Ts

последовательного и параллельного соединений.

С Перенос каких элементов при преобразовании схем производится без дополнительных преобразований?

3 Элементами одноконтурной системы автоматического регулирования являются объект и регулятор. Все законы регулирования подразделяются на простейшие: пропорциональный, дифференциальный, интегральный и промышленные: пропорционально-интегральный, пропорциональнодифференциальный, пропорционально-интегрально-диф-ференциальный. Все законы регулирования рассматриваются с точки зрения их динамических свойств.

А Какой из законов регулирования физически не реализуется?

В Что дает введение в закон регулирования дифференциальной составляющей?

С Передаточные функции регуляторов записываются со знаком

"-". Какую информацию дает этот знак?

5.6 Тест

1 Какие звенья относятся к группе статических звеньев?

А Статическая характеристика отлична от нуля.

В Статическая характеристика не существует.

С Статическая характеристика равна нулю.

2 Передаточная функция какого звена имеет вид W(s) = — ?

Ts

А Усилительного.

В Реального дифференцирующего.

С Интегрального.

3 Передаточная функция апериодического звена первого порядка... А W (s) = TK-.

Ts +1

В W (s) = K + — .

Ts

Ts +1

С W (s) =

4 Кривая разгона какого звена имеет вид?

Т. Я. Лазарева, Ю. Ф. Мартемьянов - Основы теории автоматического управления>
t
А Усилительного.

В Апериодического первого порядка. С Апериодического второго порядка.

5 Какое звено описывается уравнением T y’(t)+y(t) = к x’(t) ? А Апериодическое первого порядка.

В Идеальное дифференцирующее.

С Реальное дифференцирующее.

6 Каким уравнением описывается колебательное звено?

А Ty' (t) + y(t) = kx(t).

В T{T2y"(t) + (T + T2)y (t) + y(t) = кx(t) . С Tky " (t) + TAy'(t) + y(t) = kx(t).

7 Какую кривую разгона имеет звено чистого запаздывания?

8 Какое звено имеет весовую функцию?
Т. Я. Лазарева, Ю. Ф. Мартемьянов - Основы теории автоматического управления>
h

к
^ А h' L В hA L С

X
0 t 0 4* t 0 «г* г

t
В Реальное дифференцирующее.

С Интегральное.

9 Какую весовую функцию имеет апериодическое звено первого порядка?

Т. Я. Лазарева, Ю. Ф. Мартемьянов - Основы теории автоматического управления>


Т. Я. Лазарева, Ю. Ф. Мартемьянов - Основы теории автоматического управления>
WA

_1_ _

T

10

Какое звено имеет изображенную ниже АФХ?

—>



Re(ra)

А Усилительное. В Интегральное. С Колебательное.

11 Какая АФХ соответствует звену чистого запаздывания?

i Іш(ю) А

i Іш(ю)

i Іш(ю)А

с\

Re(ra)

Re(ra)

Re(ra)

12 Какое звено с соответствующей передаточной функцией относится к группе особых звеньев?

T5 + 1 к

T5 - 1

к5

T5 + 1

А W (5) =

В W (5) = С W (5) =

13 Какое соединение называется параллельным?

Т. Я. Лазарева, Ю. Ф. Мартемьянов - Основы теории автоматического управления>


14 В каком варианте правильно осуществлен перенос узла через звено?

Т. Я. Лазарева, Ю. Ф. Мартемьянов - Основы теории автоматического управления>


15 Какой закон регулирования имеет пропорциональный регулятор?

А xp = -S! Ay(t).

В Xp = -S2 Ay'(t) .

С xp = —Si Ay(f)- Si Ay'(t).

16 Какую АФХ имеет ПИ-регулятор?

А В С
ImA к

ю ^ ад
Imi ю =0 к. Im к

ь
А

О

II

S
ю ^ да S

II

о

о
г

Re
0

Re
0

Re
ю ^ да
17 Какую передаточную функцию имеет ПД-регулятор?

A W (5) = —S1 — S2 s. s

В W (s) = —0 — S1 — S2 s . s

С W (s) = — So—s1 . s

18 Какой переходный процесс будет в АСР с И-регулятором?

А
Т. Я. Лазарева, Ю. Ф. Мартемьянов - Основы теории автоматического управления>
Т. Я. Лазарева, Ю. Ф. Мартемьянов - Основы теории автоматического управления>
t
19 Какой из законов регулирования наиболее распространен на практике?

А И-закон.

В ПИ-закон.

С П-закон.

20 Какой из законов регулирования имеет три настроечных параметра?

А ПИ-закон.

В ПД-закон.

С ПИД-закон.

6 устойчивость линейных систем

ВСЯКАЯ СИСТЕМА АВТОМАТИЧЕСКОГО УПРАВЛЕНИЯ ДОЛЖНА НОРМАЛЬНО ФУНКЦИОНИРОВАТЬ ПРИ ДЕЙСТВИИ НА НЕЕ СЛУЧАЙНЫХ ПОМЕХ, ШУМОВ ИЛИ, НЕСМОТРЯ НА ДЕЙСТВИЕ РАЗЛИЧНЫХ ПОСТОРОННИХ ВОЗМУЩЕНИЙ, ОНА ДОЛЖНА РАБОТАТЬ УСТОЙЧИВО. В СВЯЗИ С ЭТИМ ЧРЕЗВЫЧАЙНО ВАЖНЫМ ЯВЛЯЕТСЯ ПОНЯТИЕ ОБ УСТОЙЧИВОСТИ ЗАДАННОГО РЕЖИМА РАБОТЫ СИСТЕМЫ. ДЛЯ ЛИНЕЙ-

НЫХ СИСТЕМ АВТОМАТИЧЕСКОГО УПРАВЛЕНИЯ ЗАДАННЫМ РЕЖИМОМ ПРИНЯТО СОСТОЯНИЕ РАВНОВЕСИЯ.

6.1 Понятие устойчивости и ее определение

В ПРОСТЕЙШЕМ СЛУЧАЕ ПОНЯТИЕ УСТОЙЧИВОСТИ СИСТЕМ СВЯЗАНО СО СПОСОБНОСТЬЮ СИСТЕМЫ ВОЗВРАЩАТЬСЯ В СОСТОЯНИЕ РАВНОВЕСИЯ ПОСЛЕ ИСЧЕЗНОВЕНИЯ ВНЕШНИХ СИЛ, КОТОРЫЕ ВЫВЕЛИ ЕЕ ИЗ ЭТОГО СОСТОЯНИЯ. ЕСЛИ СИСТЕМА НЕУСТОЙЧИВА, ТО ОНА НЕ ВОЗВРАЩАЕТСЯ В ИСХОДНОЕ СОСТОЯНИЕ. ТАКИМ ОБРАЗОМ, РАЗЛИЧАЮТ ТРИ ТИПА СИСТЕМ:

1) устойчивые - системы, которые после снятия возмущений возвращаются в исходное состояние равновесия;

2) нейтральные - системы, которые после снятия возмущения возвращаются в состояние равновесия, отличное от исходного;

3) неустойчивые - системы, в которых не устанавливается равновесие после снятия возмущений.

НАГЛЯДНО УСТОЙЧИВОСТЬ РАВНОВЕСИЯ ПРЕДСТАВЛЯЕТСЯ СЛЕДУЮЩИМИ РИСУНКАМИ (РИС. 6.1).

Положение равновесия шара характеризуется точкой A0. При отклонении в положение Aj в первом случае шар стремится к положению A0, во втором не стремится к этому положению, в третьем — состояние шара безразлично.

Примером устойчивых систем могут служить все типовые звенья, кроме интегрирующего, которое является нейтральным объектом. Переходные процессы, соответствующие импульсным входным сигналам, для

в)

Ао Аі
Т. Я. Лазарева, Ю. Ф. Мартемьянов - Основы теории автоматического управления>
Т. Я. Лазарева, Ю. Ф. Мартемьянов - Основы теории автоматического управления>


Т. Я. Лазарева, Ю. Ф. Мартемьянов - Основы теории автоматического управления>


Рис. 6.1 Иллюстрация понятия устойчивости:

а - устойчивая система; б - неустойчивая система; в - нейтральная система
Т. Я. Лазарева, Ю. Ф. Мартемьянов - Основы теории автоматического управления>
Рис. 6.2 Переходные процессы при импульсном возмущении:

А - АПЕРИОДИЧЕСКОЕ ЗВЕНО ПЕРВОГО ПОРЯДКА; Б - ИНТЕГРАЛЬНОЕ

апериодического звена первого порядка и интегрирующего выглядят следующим образом (рис. 6.2).

ПРИМЕРОМ НЕУСТОЙЧИВОЙ СИСТЕМЫ МОЖЕТ СЛУЖИТЬ ОБЪЕКТ, ОХВАЧЕННЫЙ ПОЛОЖИТЕЛЬНОЙ ОБРАТНОЙ СВЯЗЬЮ. ТАК, НЕКОТОРЫЕ ХИМИЧЕСКИЕ РЕАКТОРЫ, В КОТОРЫХ ПРОИСХОДЯТ ЭКЗОТЕРМИЧЕСКИЕ РЕАКЦИИ, ЯВЛЯЮТСЯ НЕУСТОЙЧИВЫМИ ОБЪЕКТАМИ, ТАК КАК ПРИ ПОВЫШЕНИИ ТЕМПЕРАТУРЫ СКОРОСТЬ ХИМИЧЕСКОЙ РЕАКЦИИ УВЕЛИЧИВАЕТСЯ, ЧТО В СВОЮ ОЧЕРЕДЬ ПРИВОДИТ К УВЕЛИЧЕНИЮ ВЫДЕЛЕНИЯ ТЕПЛА РЕАКЦИИ И ПОВЫШЕНИЮ ТЕМПЕРАТУРЫ. В НЕЛИНЕЙНЫХ СИСТЕМАХ ВОЗМОЖНЫ И ДРУГИЕ ТИПЫ СОСТОЯНИЯ.

Рассмотрим следующий пример (рис. 6.3):

Т. Я. Лазарева, Ю. Ф. Мартемьянов - Основы теории автоматического управления>


Т. Я. Лазарева, Ю. Ф. Мартемьянов - Основы теории автоматического управления>
Рис. 6.3 Полуустойчивые состояния равновесия
Состояние равновесия (рис. 6.3, а) устойчиво лишь до тех пор, пока отклонение не вышло за некоторую границу, определяемую, например, точкой B. Выйдя за нее, шар уже не вернется в точку A. Второй случай (рис. 6.3, б) характеризует принципиально возможное состояние равновесия для нелинейных систем, которое называется полуустойчивым.

Рассматривая нелинейные системы, вводят понятия устойчивости "в малом", "в большом" и "в целом":

? - система устойчива "в малом", если лишь констатируется факт наличия области устойчивости, но границы ее не определены;

? - система устойчива "в большом", когда определены границы области устойчивости, т.е. определены границы области начальных отклонений, при которых система возвращается в исходное состояние;

? - система, которая возвращается в исходное состояние при любых начальных отклонениях, называется устойчивой "в целом". Для некоторого класса систем устойчивость "в целом" называется абсолютной устойчивостью.

СЛУЧАЙ, ИЗОБРАЖЕННЫЙ НА РИС. 6.1, А, СООТВЕТСТВУЕТ УСТОЙЧИВОСТИ "В ЦЕЛОМ”, А НА РИС. 6.3, А - ЛИБО "В БОЛЬШОМ", ЛИБО "В МАЛОМ". В РАССМОТРЕННОМ ПРИМЕРЕ С ШАРОМ ВОПРОС ОБ УСТОЙЧИВОСТИ РЕШАЕТСЯ ПРОСТО, НО В ОБЩЕМ СЛУЧАЕ НЕ ВСЕГДА ЯСНО, ПРИ КАКИХ УСЛОВИЯХ РАВНОВЕСНОЕ СОСТОЯНИЕ СИСТЕМЫ БУДЕТ УСТОЙЧИВО.

КАК УЖЕ НЕОДНОКРАТНО ОТМЕЧАЛОСЬ, ЛИНЕЙНАЯ СИСТЕМА АВТОМАТИЧЕСКОГО РЕГУЛИРОВАНИЯ В ОБЩЕМ СЛУЧАЕ ОПИСЫВАЕТСЯ ЛИНЕЙНЫМ ДИФФЕРЕНЦИАЛЬНЫМ УРАВНЕНИЕМ С ПОСТОЯННЫМИ КОЭФФИЦИЕНТАМИ (3.8) И НАЧАЛЬНЫМИ УСЛОВИЯМИ (3.9).

Регулируемая величинаy(t) представляет собой решение уравнения (3.8): y(t) = Усв(0 + Увын(0. (6.1)

ОТНОСИТЕЛЬНО СОСТАВЛЯЮЩИХ Гсв(Г) И Гвын(Г) РЕШЕНИЯ (6.1) ПОДРОБНО ГОВОРИЛОСЬ В П. 3.4. ПРИ РАССМОТРЕНИИ ВОПРОСОВ УСТОЙЧИВОСТИ ИНТЕРЕС ВЫЗЫВАЕТ ТОЛЬКО СВОБОДНАЯ СОСТАВЛЯЮЩАЯ, ОПРЕДЕЛЯЕМАЯ ОБЩИМ РЕШЕНИЕМ ОДНОРОДНОГО ДИФФЕРЕНЦИАЛЬНОГО УРАВНЕНИЯ (3.8) БЕЗ ПРАВОЙ ЧАСТИ. ФИЗИЧЕСКИЙ СМЫСЛ ЭТОЙ СОСТАВЛЯЮЩЕЙ ЗАКЛЮЧАЕТСЯ В ТОМ, ЧТО ЭТО КАК РАЗ ТО РЕШЕНИЕ, КОТОРОЕ ОТЛИЧНО ОТ НУЛЯ ТОЛЬКО В ТЕЧЕНИЕ ПЕРЕХОДНОГО ПРОЦЕССА И ИСЧЕЗАЕТ ПРИ УСТАНОВИВШЕМСЯ РЕЖИМЕ. ВЫНУЖДЕННАЯ СОСТАВЛЯЮЩАЯ ВЫХОДНОЙ ВЕЛИЧИНЫ, ЗАВИСЯЩАЯ ОТ ВИДА ВНЕШНЕГО ВОЗДЕЙ-

СТВИЯ И ПРАВОЙ ЧАСТИ ДИФФЕРЕНЦИАЛЬНОГО УРАВНЕНИЯ (3.8), НА УСТОЙЧИВОСТЬ СИСТЕМЫ НЕ ВЛИЯЕТ.

СОСТОЯНИЕ РАВНОВЕСИЯ СИСТЕМЫ ОПРЕДЕЛЯЕТСЯ РЕШЕНИЕМ УРАВНЕНИЯ (3.8). ТАК КАК ДИФФЕРЕНЦИАЛЬНОЕ УРАВНЕНИЕ ИМЕЕТ ЕДИНСТВЕННОЕ РЕШЕНИЕ, ТО И СОСТОЯНИЕ РАВНОВЕСИЯ ЕДИНСТВЕННО.

МАТЕМАТИЧЕСКОЕ ОПРЕДЕЛЕНИЕ ПОНЯТИЯ "УСТОЙЧИВОСТИ" ФОРМУЛИРУЕТСЯ СЛЕДУЮЩИМ ОБРАЗОМ. СИСТЕМА ЯВЛЯЕТСЯ УСТОЙЧИВОЙ, ЕСЛИ СВОБОДНАЯ СОСТАВЛЯЮЩАЯ ПЕРЕХОДНОГО ПРОЦЕССА С ТЕЧЕНИЕМ ВРЕМЕНИ СТРЕМИТСЯ К НУЛЮ, Т.Е.

yCB(t) ^ 0 при t ^го . (6.2)

При этом выходная координата системы будет стремиться к вынужденной составляющей, определяемой внешним воздействием и правой частью уравнения (3.8).

Если свободная составляющая неограниченно возрастает, т.е.

(6.3)

усв(0 ^ го при t ^го ,

то система неустойчива.

Понятие устойчивости распространяется и на более общий случай - движение системы.

6.2 Устойчивость линейного дифференциального уравнения с постоянными коэффициентами

Как известно, поведение системы после снятия возмущения, т.е. свободное движение, описывается решением однородного дифференциального уравнения с постоянными коэффициентами:

an у{п) (t) + an-i y{n \і) + ... + ai y'(t) + ao y(t) = 0 (6.4)

и заданными начальными условиями.

С этим уравнением связан характеристический полином:

(6.5)

D(s) = an sп + an-1 sn 1 + ... + a1 s + a0.

Без ограничения общности предположим, что корни этого полинома различны, тогда решение уравнения записывается в виде

y(t)=Yu C/jt • (6.6)

]

Исследуем характер решения. Пусть, например, корень s1 - действительный, тогда возможны два случая:

а) s1 < 0. В этом случае составляющая C1esit имеет вид кривой, асимптотически приближающейся к оси абсцисс t ^ го (рис. 6.4, а).

Действительно, при s1 < 0 имеет место условие

уі = C1esit ^ 0, t ^ го.

Таким образом, если все корни - действительные отрицательные, то и все слагаемые будут стремиться к нулю, а, следовательно, и их сумма.

б) Пусть один из корней действителен и положителен, s1 > 0, тогда абсолютная величина слагаемого Ciesii будет безгранично возрастать при t ^ ю (рис. 6.4, б), т.е. C1esi‘ ^ ю при t ^ ю. В этом случае у ^ ю даже в том случае, когда все остальные слагаемые решения стремятся к нулю при t ^ ю.

Т. Я. Лазарева, Ю. Ф. Мартемьянов - Основы теории автоматического управления>


Т. Я. Лазарева, Ю. Ф. Мартемьянов - Основы теории автоматического управления>


Т. Я. Лазарева, Ю. Ф. Мартемьянов - Основы теории автоматического управления>
Рис. 6.4 Изображение составляющих решения дифференциального уравнения:

а - корни действительные отрицательные; б - корни действительные положительные; в - корни комплексно-сопряженные с отрицательной действительной частью; г - корни комплексно-сопряженные с положительной действительной частью; д - корни мнимые; е - нулевой корень
в) Пусть уравнение (6.5) имеет комплексно-сопряженные корни. Здесь также возможны два случая. Первый случай, если si,2 = а±/ю, причем а < 0, тогда решение yi = cieSit + C2eS2t = Ceatsin(rat + ф)

представляет собой затухающие колебания с частотой ю (рис. 6.5, в), так как eат ^ о при t ^ю, и, следовательно, все выражение также стремится к нулю при возрастании t.

Если комплексно-сопряженные корни имеют отрицательную действительную часть, то соответствующие члены решения стремятся к нулю при t ^ ю .

г) Пусть а > 0. В этом случае решением являются колебания с нарастающей амплитудой (рис. 6.4, г), так как eat ^ ю при t ^ ю, следовательно, yi = CieSit + C2eS2t = Ceat sm(rot + ф) ^ ю .

д) Допустим теперь, что уравнение (6.5) имеет мнимые корни, т.е. si2 =± /ю, тогда решение будет

иметь вид: yi = Cie/ffl + C2e~ia = = C sin(rat + ф), т.е. незатухающие колебания (рис. 6.4, д).

е) Пусть уравнение имеет нулевой корень s1 = 0, в этом случае yi = c , т.е. решение представляет собой константу.

СОСТАВЛЯЮЩУЮ РЕШЕНИЯ Усв(Т) ДАЕТ ОБЩЕЕ РЕШЕНИЕ УРАВНЕНИЯ БЕЗ ПРАВОЙ ЧАСТИ, КОТОРУЮ ЧАСТО НАЗЫВАЮТ ПЕРЕХОДНОЙ СОСТАВЛЯЮЩЕЙ РЕШЕНИЯ. УСТОЙЧИВАЯ СИСТЕМА ХАРАКТЕРИЗУЕТСЯ ТЕМ, ЧТО Усв(Т) ^ 0 ПРИ T ^ ю.

ЕСЛИ ЖЕ ЭТО УСЛОВИЕ НЕ СОБЛЮДАЕТСЯ, ТО СИСТЕМА НЕУСТОЙЧИВА, ЕСЛИ ісв(Т) = CONST, ТО СИСТЕМА НЕЙТРАЛЬНА, А ЕСЛИ Усв(Т) ПРЕДСТАВЛЯЕТ СОБОЙ НЕЗАТУХАЮЩИЕ КОЛЕБАНИЯ, ТО СИСТЕМА НАХОДИТСЯ НА ГРАНИЦЕ УСТОЙЧИВО-

СТИ. ТАКИМ ОБРАЗОМ, СИСТЕМА УСТОЙЧИВА ТОГДА И ТОЛЬКО ТОГДА, КОГДА ВСЕ КОРНИ ХАРАКТЕРИСТИЧЕСКОГО УРАВНЕНИЯ ИМЕЮТ ОТРИЦАТЕЛЬНУЮ ДЕЙСТВИТЕЛЬНУЮ ЧАСТЬ. ЭТО ПРАВИЛО ПОЛУЧИЛО НАЗВАНИЕ - ПРИЗНАК УСТОЙЧИВОСТИ.

Для устойчивости системы необходимо и достаточно, чтобы все корни характеристического уравнения имели отрицательные дейст-вительные части. Геометрическая интерпретация этого признака показана на рис. 6.5.

Отсюда вытекает следующая формулировка признака устойчивости: для устойчивости системы необходимо и достаточно, чтобы все корни характеристического уравнения находились в левой полуплоскости комплексной переменной 5. Если хотя бы один корень лежит справа от мнимой оси, то система неустойчива. Если же хоть один корень лежит на мнимой оси, система находится на границе устойчивости. Мнимая ось /ш является границей устойчивости. Если характери-

Т. Я. Лазарева, Ю. Ф. Мартемьянов - Основы теории автоматического управления>


Т. Я. Лазарева, Ю. Ф. Мартемьянов - Основы теории автоматического управления>


Рис. 6.5 Геометрическая интерпретация признака устойчивости:

а - все корни с отрицательной действительной частью; б - часть корней имеет положительную действительную часть стическое уравнение имеет одну пару мнимых корней, а все остальные корни находятся в левой полуплоскости, то система находится на колебательной границе устойчивости. Если же уравнение имеет нулевой корень, то система находится на апериодической границе устойчивости.

6.3 Изображение движений в фазовом пространстве 6.3.1 ПОНЯТИЕ ФАЗОВОГО ПРОСТРАНСТВА

ПРИ РАССМОТРЕНИИ УСТОЙЧИВОСТИ ДВИЖЕНИЯ ЧРЕЗВЫЧАЙНО ПОЛЕЗНЫМ ОКАЗАЛОСЬ ВВЕДЕНИЕ НЕКОТОРЫХ НАГЛЯДНЫХ ПОНЯТИЙ И ПРЕДСТАВЛЕНИЙ ГЕОМЕТРИЧЕСКОГО ХАРАКТЕРА. ОСНОВНЫМ ИЗ НИХ ЯВЛЯЕТСЯ ПОНЯТИЕ ФАЗОВОГО ПРОСТРАНСТВА, ВВЕДЕННОЕ АКАДЕМИКОМ АНДРОНОВЫМ.

ФАЗОВЫМ ПРОСТРАНСТВОМ НАЗЫВАЕТСЯ ТАКОЕ ПРОСТРАНСТВО, В КОТОРОМ ПРЯМОУГОЛЬНЫМИ КООРДИНАТАМИ ТОЧКИ ЯВЛЯЮТСЯ ВЕЛИЧИНЫ, ОПРЕДЕЛЯЮЩИЕ МГНОВЕННОЕ СОСТОЯНИЕ СИСТЕМЫ, НАЗЫВАЕМЫЕ ФАЗОВЫМИ КООРДИНАТАМИ.

МЕТОД ФАЗОВОГО ПРОСТРАНСТВА ПРИМЕНИМ КАК ДЛЯ ЛИНЕЙНЫХ, ТАК И ДЛЯ НЕЛИНЕЙНЫХ СИСТЕМ.

Любое дифференциальное уравнение n-го порядка можно записать в виде системы из n линейных дифференциальных уравнений первого порядка:

dyi (t) / dt = au у (t) + au У2 (0 + ••• + a^yn (0 + *1 (0;

_ dy2 (t) / dt = а2іУі (t) + a22У2 (t) + - + a2nyn (t) + *2 (t);

dyn (t) / dt = aniyn (t) + an2Уп (t) + - + amyn (t) + *n (t)

ОПИСЫВАЮЩЕЙ ПЕРЕХОДНЫЙ ПРОЦЕСС ПРИ НАЛИЧИИ ВОЗМУЩЕНИЙ

*(t) ={*1, *2 , *n}.

В КАЧЕСТВЕ ФАЗОВЫХ КООРДИНАТ ВЫБИРАЮТ ВЫХОДНУЮ КООРДИНАТУ СИСТЕМЫ И ЕЕ ПРОИЗВОДНЫЕ.

Точка фазового пространства (рис. 6.6), соответствующая состоянию системы в данный момент времени t, называется изображающей точкой (М).

Изменение состояния системы во времени будет соответствовать движению изображающей точки в фазовом пространстве по определенной траектории, которая называется фазовой траекторией.

КАЖДОМУ ПЕРЕХОДНОМУ ПРОЦЕССУ В СИСТЕМЕ СООТВЕТСТВУЕТ СВОЯ ОПРЕДЕЛЕННАЯ ФАЗОВАЯ ТРАЕКТОРИЯ В ФАЗОВОМ ПРОСТРАНСТВЕ И НАОБОРОТ.

Метод фазового пространства получил наибольшее распространение при исследовании систем второго порядка. В этом случае фазовым пространством является плоскость. Система дифференциальных уравнений (6.7) для системы второго порядка в общем случае записывается в виде:

dyi(t) , dt

dy2(t)

dt

f\(y1, y2);

(6.8)

f2(Уі. У2).

Фазовые траектории для систем второго порядка обладают следующими свойствами.

1 В каждой точке фазовой плоскости можно провести единственную касательную к фазовой траектории, т.е. через каждую точку фазовой плоскости проходит только одна траектория. Исключение составляет начало координат: y1 = 0,

у2 = 0, которое соответствует состоянию равновесия. Уравнение состояния равновесия:

' dyi(t) = 0.

< dt ’

dy2(t) = 0

„ dt

НАПРАВЛЕНИЕ КАСАТЕЛЬНОЙ В НАЧАЛЕ КООРДИНАТ НЕОПРЕДЕЛЕННО, ПОЭТОМУ НАЧАЛО КООРДИНАТ, СООТВЕТСТВУЮЩЕЕ СОСТОЯНИЮ РАВНОВЕСИЯ СИСТЕМЫ, НАЗЫВАЕТСЯ ОСОБОЙ ТОЧКОЙ.

2 НАПРАВЛЕНИЕ ДВИЖЕНИЯ НА ТРАЕКТОРИИ ОТМЕЧАЮТ СТРЕЛКАМИ. ДВИЖЕНИЕ ИЗОБРАЖАЮЩЕЙ ТОЧКИ ПО ФАЗОВОЙ ТРАЕКТОРИИ ПРОИСХОДИТ ПО ЧАСОВОЙ СТРЕЛКЕ ВОКРУГ НАЧАЛА КООРДИНАТ.

3 В точках y1 = 0, y2 = 0, т.е. в особых точках, происходит остановка движения.

4 В системах второго порядка фазовые траектории пересекают ось абсцисс под прямым углом, так

как при y2(t) = 0, dy2 = <х, а y1(t) = y(t) достигает своего максимума. dt

5 В верхних квадрантах координатной плоскости изображающая точка движется всегда слева направо, а в нижних - справа налево, так как при y2(t) = dyi (t) > 0 переменная y1(t) = y(t) возрастает, а при

dt

y2 (t) = dy1 (t) < 0 переменная y 1 (t) = y(t) убывает. dt

6 В любой точке фазовой плоскости, где переменная y2(t) и функция f2(y1, y2) не равны нулю, фа-

„ dy 2

зовая траектория имеет только одно определенное направление, соответствующее производной —- в

dy1

данной точке, откуда следует, что фазовые траектории не пересекаются.

НАЧАЛЬНЫЕ УСЛОВИЯ ПЕРЕХОДНОГО ПРОЦЕССА ОПРЕДЕЛЯЮТ КООРДИНАТЫ НАЧАЛЬНОЙ ТОЧКИ Мо НА ФАЗОВОЙ ТРАЕКТОРИИ.

СОВОКУПНОСТЬ ФАЗОВЫХ ТРАЕКТОРИЙ, СООТВЕТСТВУЮЩИХ ВСЕМ ВОЗМОЖНЫМ В ДАННОЙ СИСТЕМЕ НАЧАЛЬНЫМ УСЛОВИЯМ, НАЗЫВАЕТСЯ ФАЗОВЫМ ПОРТРЕТОМ СИСТЕМЫ.

6.3.2 ФАЗОВЫЕ ПОРТРЕТЫ ЛИНЕЙНЫХ СИСТЕМ ВТОРОГО ПОРЯДКА

Для получения уравнений, описывающих фазовый портрет системы второго порядка, необходимо в системе дифференциальных уравнений (6.8) второе уравнение поделить на первое и исключить из рассмотрения время t, в результате чего получают:

dy2 _ /2(Уи Уі). dyx fi(Уі, У2)’

РЕШЕНИЕ ЭТОГО УРАВНЕНИЯ ДАЕТ СЕМЕЙСТВО ИНТЕГРАЛЬНЫХ КРИВЫХ НА ФАЗОВОЙ ПЛОСКОСТИ, ПО КОТОРЫМ СТРОЯТСЯ ФАЗОВЫЕ ТРАЕКТОРИИ СИСТЕМЫ.

ФАЗОВЫЕ ПОРТРЕТЫ ЛИНЕЙНЫХ СИСТЕМ ВТОРОГО ПОРЯДКА КЛАССИФИЦИРУЮТСЯ ПО ТИПАМ ОСОБЫХ ТОЧЕК.

Линейная система второго порядка описывается дифференциальным уравнением вида

d y(t) + dy(t)

(6.9)

+ a0 y(t) _ 0,

dt2 ‘ dt

где y(t) _ выходная координата системы; a0, a1, a2 _ постоянные коэффициенты.

dyi (t) dt

Обозначив y(t) = y1(t), а

= y2 (t), тогда

d2 Уі (t) _ dy 2 (t) , dt2 dt

и уравнение (6.9) можно записать в виде системы дифференциальных уравнений:

dyi(t) _ У .

dt Уі;

(6.10)

!Ъ. _-?l у2<0 _ ill УК,,.

dt a2 a2

Разделив второе уравнение на первое, получают

(6.11)

dy2 __yL

dyi a2 a2 Уі ’

РЕШЕНИЕМ КОТОРОГО БУДЕТ УРАВНЕНИЕ ФАЗОВЫХ ТРАЕКТОРИЙ

У2 = /(Уі, Сі, сі), (6.12)

ГДЕ Сі - ПОСТОЯННЫЕ ИНТЕГРИРОВАНИЯ.

ВОЗМОЖНЫ ШЕСТЬ РАЗЛИЧНЫХ СЛУЧАЕВ ФАЗОВЫХ ТРАЕКТОРИЙ В ЗАВИСИМОСТИ ОТ КОРНЕЙ ХАРАКТЕРИСТИЧЕСКОГО УРАВНЕНИЯ A2 S2 + A1 S + A0 = 0.

Случай 1

Корни _ мнимые при ai = 0, a0 > 0, a2 > 0: s1;2 = +/ш;

ю = ЕТ. СИСТЕМА НАХОДИТСЯ НА ГРАНИЦЕ УСТОЙЧИВОСТИ.

V a2

Уравнение системы: a2y1'(t) + a0 y1(t) = 0, его решение имеет вид

У]_(і) = Asin^t + в), (6.13)

откуда

y2(t) = yi'(t) = Aш cos(ot + в). (6.14)

График y1(t) показан на рис. 6.7.

Для получения уравнения фазовой траектории выражения (6.13) и (6.14) возводят в квадрат и складывают, в результате получают уравнение:

(6.15)

уЦ + У22 _! A2 (Аш)2 '

Выражение (6.15) представляет собой уравнение эллипса с полуосями A и Лш. Задавая различные А, получают семейство фазовых траекторий, которые нигде не пересекаются и имеют общий центр в начале координат (рис. 6.7, в).

Направление движения изображающей точки M в каждой половине фазовой плоскости определяется по знаку у2. При положительной величине y1 может только увеличиваться, а при отрицательном у2 -уменьшаться, следовательно, движение изображающей точки на фазо-

Т. Я. Лазарева, Ю. Ф. Мартемьянов - Основы теории автоматического управления>
Рис. 6.7 Фазовый портрет типа центр:

а - плоскость корней характеристического уравнения; б - переходный процесс; в - фазовый портрет

вой плоскости происходит по часовой стрелке, поэтому незатухающим периодическим колебаниям в системе соответствует на фазовой плоскости замкнутая фазовая траектория.

ОСОБАЯ ТОЧКА СИСТЕМЫ ЯВЛЯЕТСЯ ГЕОМЕТРИЧЕСКИМ ЦЕНТРОМ ФАЗОВЫХ ТРАЕКТОРИЙ И НОСИТ НАЗВАНИЕ ЦЕНТР, А САМА СИСТЕМА НАЗЫВАЕТСЯ КОНСЕРВАТИВНОЙ (Т.Е. СИСТЕМА БЕЗ РАССЕИВАНИЯ ЭНЕРГИИ, БЕЗ ТРЕНИЯ).

Случай 2 Корни - комплексные и имеют отрицательные вещественные части при а12 < 4а0а2; а1 > 0, а2 > 0, ао > 0:

Si,2 = -а ± Іш (РИС. 6.8, А), а = -АхПАг, ш = (1/2A2)Jа2 - 4а0a2 - СИСТЕМА УСТОЙЧИВА. Решение уравнения (6.9) имеет вид:
Yi(T) = AE-aT 8Ш(шТ + В). (6.16)

у2 (t) = у'(0 = уАв~а1 rosfat + в + 5), (6.17)

ОТКУДА

ГДЕ 5 = arctg а; у = .

Уравнения (6.16) и (6.17) дают в фазовой плоскости параметрическое уравнение спиралей (с параметром t). С каждым оборотом, соответствующим одному периоду колебаний, изображающая точка приближается к началу координат, так как значения у1 и у2 за период колебаний становятся меньше, т.е. переходный процесс имеет характер затухающих колебаний.

Особая точка называется устойчивым фокусом.

Т. Я. Лазарева, Ю. Ф. Мартемьянов - Основы теории автоматического управления>


Т. Я. Лазарева, Ю. Ф. Мартемьянов - Основы теории автоматического управления>


Рис. 6.9 Фазовый портрет типа неустойчивый фокус:

а -расположение корней характеристического уравнения; б - переходный процесс; в - фазовый портрет

Случай 3 Корни — комплексные и имеют положительные вещественные части при a21 < 4а0а1; a0 > 0, ai < 0, a2 > 0: s12 = а + іга.

Этот случай соответствует расходящимся колебаниям в системе, т.е. система является неустойчивой. Решение уравнения (6.9):

y1(t) = Aeat sin(ot + в). (6.18)

Откуда

y2(t) = y'(t) = yAeat rosfat + в + 5). (6.17)

Фазовая точка, двигаясь по фазовой траектории, неограниченно удаляется от начала координат. Состоянию неустойчивого равновесия системы соответствует особая точка, которая называется неустойчивый фокус (рис. 6.9).

Если в результате сколь угодно малого возмущения система выйдет из состояния равновесия, то она будет неограниченно удаляться от

НЕГО ПО СПИРАЛИ ФАЗОВОЙ ТРАЕКТОРИИ, Т.Е. В СИСТЕМЕ ВОЗНИКАЕТ КОЛЕБАТЕЛЬНЫЙ ПРОЦЕСС С ВОЗРАСТАЮЩЕЙ АМПЛИТУДОЙ.

СЛУЧАЙ 4 КОРНИ - ВЕЩЕСТВЕННЫЕ ОТРИЦАТЕЛЬНЫЕ ПРИ Л2! > 4АА Лх > 0, А2 > 0, Ао > 0:

si2 = - a ± в; а = -^Ц p = J-J-°4L.

2a2 2a2

ЭТОТ СЛУЧАЙ СООТВЕТСТВУЕТ АПЕРИОДИЧЕСКОМУ ПРОЦЕССУ В СИСТЕМЕ, САМА СИСТЕМА УСТОЙЧИВА.

Решение уравнения (6.9)

РИС. 6.8 ФАЗОВЫЙ ПОРТРЕТ ТИПА УСТОЙЧИВЫЙ ФОКУС:

А - РАСПОЛОЖЕНИЕ КОРНЕЙ ХАРАКТЕРИСТИЧЕСКОГО УРАВНЕНИЯ; Б - ПЕРЕХОДНЫЙ ПРОЦЕСС; В - ФАЗОВЫЙ ПОРТРЕТ
Т. Я. Лазарева, Ю. Ф. Мартемьянов - Основы теории автоматического управления>
y1(t) = C1e—s1t + C2e~s2‘ . (6.20)
У2О) = -Qs1e-S1t - C2. (6.21)
ОТКУДА

Границей области с переходными процессами типа 1 и 2 служат прямые с уравнениями y2 = -s2y1 и y2 = -s1 y1 , которые получаются из (6.20), (6.21) при s1 = 0 или s2 = 0 (обращение одного из корней в нуль).

ВСЕ ФАЗОВЫЕ ТРАЕКТОРИИ ВЛИВАЮТСЯ В НАЧАЛО КООРДИНАТ - ОСОБУЮ ТОЧКУ, НАЗЫВАЕМУЮ УСТОЙЧИВЫМ УЗЛОМ (РИС. 6.10). ВРЕМЯ ДВИЖЕНИЯ К СОСТОЯНИЮ РАВНОВЕСИЯ ТЕОРЕТИЧЕСКИ РАВНО БЕСКОНЕЧНОСТИ.

Т. Я. Лазарева, Ю. Ф. Мартемьянов - Основы теории автоматического управления>
РИС. 6.10 ФАЗОВЫЙ ПОРТРЕТ ТИПА УСТОЙЧИВЫЙ УЗЕЛ:

А - РАСПОЛОЖЕНИЕ КОРНЕЙ ХАРАКТЕРИСТИЧЕСКОГО УРАВНЕНИЯ; Б - ПЕРЕХОДНЫЙ ПРОЦЕСС; В - ФАЗОВЫЙ ПОРТРЕТ
Случай 5 Корни - вещественные положительные при al > 4а0а2, a1 < 0, а2 > 0, a0 > 0: s1;2 = a ± p.

В системе будет апериодический процесс, она неустойчива. Решение уравнения (6.9):

yi(t) = C1es1 + C2es2t . (6.22)

Т. Я. Лазарева, Ю. Ф. Мартемьянов - Основы теории автоматического управления>
Рис. 6.11 Фазовый портрет типа неустойчивый узел: а - расположение корней характеристического уравнения;

Б - ПЕРЕХОДНЫЙ ПРОЦЕСС; В - ФАЗОВЫЙ ПОРТРЕТ
ОТКУДА

У2(І) = y'(t) = Cisiesit

(6.23)

+ C2 S2 es2 2

Фазовые траектории направлены от начала координат в бесконечность, т.е. если в системе имеется отклонение от состояния равновесия (начало координат), то с течением времени оно будет неограниченно возрастать.

Особая точка носит название неустойчивый узел (рис. 6.11). По аналогии со случаем 4 кривым переходного процесса вида 1 соответствуют фазовые траектории вида 1, где крайние траектории определяются уравнениями y2 = s1y1 и y2 = s2y1. Кривым переходного процесса 2 соответствуют фазовые траектории вида 2.

Случай 6 Корни - вещественные и имеют различные знаки при а1 > 0, а2 > 0, а0 < 0: s1 = -a1, s2 = Д

В этом случае будет неустойчивая система (при а0 = 0 - граница устойчивости).

ПЕРЕХОДНЫЙ ПРОЦЕСС В СИСТЕМЕ ИМЕЕТ АПЕРИОДИЧЕСКИЙ ХАРАКТЕР, НО ФАЗОВЫЙ ПОРТРЕТ ИМЕЕТ СОВЕРШЕННО ДРУГОЙ ВИД.

Частным является случай, когда а1 = 0, и, учитывая, что а0 < 0, уравнение (6.9) запишется в виде

dy 2

-= ю

dy1

2 y1 . 2

- ; Ю

(6.24)

y2

Интегрирование этого уравнения дает:

2 2 Уі У 2

(6.25)

(сю2)

с
Т. Я. Лазарева, Ю. Ф. Мартемьянов - Основы теории автоматического управления>
РИС. 6.12 ФАЗОВЫЙ ПОРТРЕТ ТИПА СЕДЛО:

А - РАСПОЛОЖЕНИЕ КОРНЕЙ ХАРАКТЕРИСТИЧЕСКОГО УРАВНЕНИЯ;

Б - ПЕРЕХОДНЫЙ ПРОЦЕСС; В - ФАЗОВЫЙ ПОРТРЕТ

ВЫРАЖЕНИЕ (6.25) ПРЕДСТАВЛЯЕТ СОБОЙ УРАВНЕНИЕ СЕМЕЙСТВА РАВНОСТОРОННИХ ГИПЕРБОЛ, ОТНЕСЕННОЕ К ГЛАВНЫМ ОСЯМ. АСИМПТОТА ГИПЕРБОЛ: F2 = ± шУі.

Каждая из асимптот состоит из трех фазовых траекторий, т.е. особая точка рассматривается как одна из фазовых траекторий.

ОСОБАЯ ТОЧКА НОСИТ НАЗВАНИЕ СЕДЛО, А АСИМПТОТЫ НА ФАЗОВОЙ ПЛОСКОСТИ НАЗЫВАЮТСЯ СЕПАРАТРИСАМИ СЕДЛА (РИС. 6.12).

По двум сепаратрисам изображающая точка приближается к состоянию равновесия, а по двум другим удаляется от него.

ДВИГАЯСЬ ПО ЛЮБОЙ ФАЗОВОЙ ТРАЕКТОРИИ, ИЗОБРАЖАЮЩАЯ ТОЧКА ПО ИСТЕЧЕНИИ ДОСТАТОЧНО БОЛЬШОГО ВРЕМЕНИ УДАЛЯЕТСЯ ОТ СОСТОЯНИЯ РАВНОВЕСИЯ НА СКОЛЬ УГОДНО БОЛЬШОЕ РАССТОЯНИЕ.

СЕДЛО ЯВЛЯЕТСЯ НЕУСТОЙЧИВЫМ СОСТОЯНИЕМ РАВНОВЕСИЯ, ДАЖЕ КОГДА НАЧАЛЬНЫЕ УСЛОВИЯ ТОЧНО СООТВЕТСТВУЮТ ТОЧКЕ НА СЕПАРАТРИСЕ, МАЛЕЙШЕЕ ВОЗМУЩЕНИЕ ПРИВОДИТ К ТОМУ, ЧТО ИЗОБРАЖАЮЩАЯ ТОЧКА, ПОПАВ НА СОСЕДНЮЮ ТРАЕКТОРИЮ, БУДЕТ НЕОГРАНИЧЕННО УДАЛЯТЬСЯ ПО НЕЙ ОТ СОСТОЯНИЯ РАВНОВЕСИЯ.

6.4 Понятие устойчивости движения

ТЕОРИЯ УСТОЙЧИВОСТИ ДВИЖЕНИЯ БЫЛА СОЗДАНА В НАЧАЛЕ НАШЕГО ВЕКА ВЕЛИКИМ РУССКИМ МАТЕМАТИКОМ АЛЕКСАНДРОМ МИХАЙЛОВИЧЕМ ЛЯПУНОВЫМ (1857 - 1918) В СВЯЗИ С ЗАДАЧАМИ НЕБЕСНОЙ МЕХАНИКИ.

ЛЮБАЯ СИСТЕМА, БУДЬ ОНА ИДЕАЛЬНОЙ (ЕСЛИ НА НЕЕ НЕ ДЕЙСТВУЮТ НИКАКИЕ ВОЗМУЩЕНИЯ) ИЛИ РЕАЛЬНОЙ, ОПИСЫВАЕТСЯ ДИФФЕРЕНЦИАЛЬНЫМИ УРАВНЕНИЯМИ, РЕШЕНИЕ КОТОРЫХ ОПРЕДЕЛЯЕТ ТРАЕКТОРИЮ ЕЕ ДВИЖЕНИЯ.

ДВИЖЕНИЕ НАЗЫВАЕТСЯ НЕВОЗМУЩЕННЫМ, ЕСЛИ ОНО ПОЛУЧЕНО В РЕЗУЛЬТАТЕ РАССМОТРЕНИЯ ИДЕАЛИЗИРОВАННОЙ СИСТЕМЫ.

ДВИЖЕНИЕ С УЧЕТОМ ВОЗМУЩЕНИЙ, ВОЗНИКАЮЩИХ В РЕАЛЬНОЙ СИСТЕМЕ, НАЗЫВАЕТСЯ ВОЗМУЩЕННЫМ.

Невозмущенное движение называется устойчивым, если достаточно малые возмущения сколь угодно мало отклоняют возмущенное движение от невозмущенного. Если же возмущенное движение заметно отклоняется от невозмущенного при сколь угодно слабых возмущениях, то оно называется неустойчивым.

В теории устойчивости существуют различные понятия (термины), как то: орбитальная устойчивость (устойчивость по траектории), устойчивость по Ляпунову, асимптотическая устойчивость и т.д.

Прежде чем перейти к определению этих понятий, необходимо уточнить, что понимается под малыми возмущениями. Любые возмущения можно разделить на два типа.

1 Импульсные возмущения.

Возмущение называется импульсным, если оно действует в течение короткого промежутка времени (At) (рис. 6.13, а). Импульс считают мгновенным, если за время At координата не успевает заметно измениться. В этом случае его влияние заключается в мгновенном сдвиге изображающей точки М0 системы из начального положения М0 в некоторое другое положение M0. Траектория невозмущенного движения исходит из точки М, а возмущенного - из M0 и отличается от первой (рис. 6.13, б). Влияние импульса сказывается на всем движении системы, хотя он действовал только при времени At.

ОБОЗНАЧИМ ЧЕРЕЗ Yio КООРДИНАТЫ ТОЧКИ Mo,1 = 1, N; ЧЕРЕЗ y’0 -M0,

i = xTn. ПРИ МАЛОМ СДВИГЕ РАЗНОСТЬ КООРДИНАТ МАЛА ПО АБСОЛЮТНОЙ ВЕЛИЧИНЕ, Т.Е. УДОВЛЕТВОРЯЕТ УСЛОВИЮ

ІУіО - Ую| <П ,

где n - некоторое достаточно малое положительное число.

Малым возмущением называется такое импульсное возмущение, которое вызывает малый сдвиг начального положения изображающей точки системы.

Малым возмущениям соответствуют малые n, чем меньше n, тем меньше возмущения.

Т. Я. Лазарева, Ю. Ф. Мартемьянов - Основы теории автоматического управления>
б)

У2
Рис. 6.13 Действие импульсного возмущения:

а - импульсное возмущение; б - движение в фазовом пространстве
Т. Я. Лазарева, Ю. Ф. Мартемьянов - Основы теории автоматического управления>
Рис. 6.14 Непрерывно действующие возмущения
2 Непрерывно действующие возмущения.

Такие возмущения действуют на систему не только в начальный момент времени, но и в последующие (рис. 6.14). На первый взгляд кажется, что учет таких возмущений сделает более общими и выводы, так как они имеют более общую форму, чем импульсные. Но на практике оказывается не так. Системы, устойчивые при импульсных возмущениях, устойчивы и при непрерывных; неустойчивые при первом типе - неустойчивы и при втором. Причиной этого является тот факт, что непрерывное возмущение можно представить в виде последовательности импульсов, т.е. разрезать весь график x(t) на импульсы длительностью dt, поэтому в дальнейшем рассматриваются лишь импульсные возмущения.

6.5 Основные виды устойчивости

6.5.1 ОРБИТАЛЬНАЯ УСТОЙЧИВОСТЬ

Вводится понятие s-окрестности невозмущенного движения. С этой целью рассматривается траектория невозмущенного движения ММ и строится криволинейный цилиндр радиусом s, осью которого является эта траектория.

Считается, что траектория возмущенного движения мало отклоняется от траектории невозмущенного движения, если она целиком лежит в s-окрестности невозмущенного движения (s - мало). Возмущенное движение исходит из точки M0 (рис. 6.15).

УСТОЙЧИВОСТЬ - ЭТО СВОЙСТВО ДВИЖЕНИЯ, ИМЕЮЩЕЕ КАЧЕСТВЕННЫЙ, А НЕ КОЛИЧЕСТВЕННЫЙ ХАРАКТЕР. ПОЭТОМУ ПРИ ФОРМУЛИРОВКЕ ПОНЯТИЯ УСТОЙЧИВОСТИ ВАЖНА ЛИШЬ ПРИНЦИПИАЛЬНАЯ ВОЗМОЖНОСТЬ ПОДОБРАТЬ СТОЛЬ МАЛОЕ п, ЧТОБЫ КРИВАЯ ВОЗМУЩЕННОГО ДВИЖЕНИЯ НЕ ВЫШЛА ИЗ s-ОКРЕСТНОСТИ НЕВОЗМУЩЕННОГО ДВИЖЕНИЯ ПРИ ЛЮБОМ ЗНАЧЕНИИ s. ЕСЛИ ТАКАЯ ВОЗМОЖНОСТЬ СУЩЕСТВУЕТ, ТО ДВИЖЕНИЕ УСТОЙЧИВО, ЕСЛИ ОНА ОТСУТСТВУЕТ, ТО НЕУСТОЙЧИВО.

Т. Я. Лазарева, Ю. Ф. Мартемьянов - Основы теории автоматического управления>
Рис. 6.15 К понятию
Говорят, система обладает орбитальной устойчивостью, если при любом s можно подобрать такое отличное от нуля значение п в выражении |y.0 - у'0| <п , чтобы траектория возмущенного движения не вышла из s-окрестности невозмущенного движения, то последнее называется устойчивым. Если же подобрать такое п нельзя, то невозмущенное движение неустойчиво.

ПОНЯТИЕ ОРБИТАЛЬНОЙ УСТОЙЧИВОСТИ ИМЕЕТ СУЩЕСТВЕННЫЙ, ПРИНЦИПИАЛЬНЫЙ НЕДОСТАТОК, ОГРАНИЧИВАЮЩИЙ ПРЕДЕЛЫ ЕГО ПРИМЕНИМОСТИ. ПРИ ' й ОРБИТАЛЬНОЙ УСТОЙЧИВОСТИ ВОЗМУЩЕННОЕ ДВИЖЕ

НИЕ МОЖЕТ ЗНАЧИТЕЛЬНО ОТЛИЧАТЬСЯ ОТ НЕВОЗМУЩЕННОГО.

Если даже траектории и близки, но точки М и М' движутся с разными скоростями, то с течением времени расстояние между ними может оказаться большим (рис. 6.16), т.е. если у. - координаты точки М, а у' -M', то при наличии орбитальной устойчивости может оказаться, что величины (у. - у') станут большими. В связи с этим вводится понятие устойчивости по Ляпунову.

6.5.2 УСТОЙЧИВОСТЬ ПО ЛЯПУНОВУ

Движение называется устойчивым по Ляпунову, если для любого s > 0 можно указать число п = n(s) > 0 такое, что из неравенства ||у0 -у0|| < n(s) при t = t0 следует неравенство ||у -у'|| < s для всех t > t0.

Смысл понятия устойчивости по Ляпунову состоит в том, что движение устойчиво, если при достаточно малом начальном сдвиге М'0 от М0 точка М' в последующем движении достаточно близка к М (рис. 6.16). Если же подобрать такое n(s) нельзя, то движение неустойчиво.

6.5.3 АСИМПТОТИЧЕСКАЯ УСТОЙЧИВОСТЬ

Под устойчивостью очень часто понимают свойство тела возвращаться в состояние равновесия, из которого оно предварительно было выведено, например, маятник после затухающих колебаний вернется к положению равновесия (рис. 6.17). Подобное определение можно ввести и для невозмущенного движения.

Т. Я. Лазарева, Ю. Ф. Мартемьянов - Основы теории автоматического управления>


Рис. 6.17 К определению асимптотической устойчивости

Если при движении в пространстве точки М и M' неограниченно сближаются и разности их координат (у - у') ^ 0, то возмущенное движение постепенно возвращается к невозмущенному. Такое движение называется асимптотически устойчивым.

Движение называется асимптотически устойчивым, если можно подобрать такое п, что, если ||у0 - у0|| < П, то выполняется условие ||у - у'11 ^ 0 при t ^ <х>.

Понятие асимптотической устойчивости более узко, чем понятие устойчивости по Ляпунову. Если движение асимптотически устойчиво, то оно наверняка устойчиво по Ляпунову. Но обратное утверждение, вообще говоря, несправедливо. Движение может быть устойчивым по Ляпунову, но не являться асимптотически устойчивым.

6.6 Необходимое условие устойчивости

В п. 6.2 получено необходимое и достаточное условие устойчивости - отрицательность действительных частей корней характеристического уравнения или, что идентично, эти корни должны располагаться слева от мнимой оси.

В этих формулировках изложен не только признак устойчивости, но и дан, в сущности, метод исследования устойчивости: необходимо найти корни характеристического уравнения и проверить, лежат ли они в левой полуплоскости или нет. Однако такой метод совершенно неадекватен задаче исследования в силу следующих причин.

1 Задача определения корней характеристического уравнения просто решается только для уравнений первого и второго порядка; для всех других случаев приходится пользоваться различными приближенными, сравнительно громоздкими методами.

2 Для определения устойчивости необходимо знать только знаки корней, поэтому определение корней представляет ненужную трудоемкую работу. Между тем не получают общих формул, по которым можно было бы судить о влиянии коэффициентов уравнений на устойчивость системы, но именно это влияние, в первую очередь, и интересует проектировщика системы автоматического регулирования.

Задача исследования часто ставится таким образом, что необходимо определить коэффициенты уравнений, при которых система была бы устойчива.

В распоряжении исследователя имеются методы, позволяющие судить об устойчивости системы по так называемым условиям устойчивости, не решая характеристического уравнения и не находя его корней. Первым таким условием, которое следует рассмотреть, является необходимое условие устойчивости.

Пусть характеристическое уравнение n-й степени имеет корни 51, s2, ..., sn. Тогда это уравнение можно записать следующим образом

an (s - Si ) (s - S2 ) ... (s - sn) = 0. (6.26)

Если система устойчива, то корни должны быть либо действительными отрицательными, либо комплексно-сопряженными с отрицательной действительной частью.

Пусть s1 = -а, а > 0, тогда s - s1 = s + а > 0.

Пусть s2,3 = -а ± i ш, а > 0, тогда

(s - s2) (s - s3) = (s + а - i ш) (s + а + i ш) = (s + а)2 + ш2 > 0.

Отсюда следует, что после раскрытия скобок все коэффициенты уравнения будут положительны. Из этих рассуждений следует, что, когда хоть один из коэффициентов характеристического уравнения отрицателен, то система неустойчива.

Если все коэффициенты характеристического полинома ai > 0, то любое действительное положительное значение s, подставленное в уравнение, не может обратить его в нуль и, следовательно, не является корнем характеристического уравнения. Поэтому при ai > 0 невозможно появление нарастающих экспонент, характеризующих апериодическую неустойчивость, т.е. апериодическая неустойчивость невозможна. Однако может возникнуть колебательная неустойчивость, т.е. появление в решении составляющих в виде колебаний с нарастающей амплитудой. Это возникает, когда существуют комплексносопряженные корни с положительной действительной частью. Поэтому условие положительности коэффициентов при порядке системы больше двух является необходимым условием, но не достаточным, а для уравнений первого и второго порядка это условие является и достаточным.

Действительно:

a wai2

a2 s2 + a1 s + a0 = 0; s1;2 =

- a1 +A/a, - 4a0 a2 2a2

Если корни комплексно-сопряженные, то а12 - 4 а0 а2 < 0, а1 > 0; а2 > 0. Следовательно, и а0 > 0, так как а12 < 4 а0 а2 .

6.7 Алгебраические критерии устойчивости

Критерий устойчивости Рауса и Гурвица позволяет по коэффициентам характеристического уравнения без вычисления его корней сделать суждение об устойчивости системы.

Словацкий ученый А. Стодола, преподававший в Швейцарии, поставил перед швейцарским математиком Гурвицем задачу нахождения условий устойчивости для линейной системы любого порядка. Такую же задачу поставил Максвелл в своем докладе, на котором присутствовал английский математик Раус. В результате, независимо друг от друга и в различных формах, Раус и Гурвиц вывели неравенства, соблюдение которых является необходимым и достаточным условием устойчивости систем любого порядка.

6.7.1 КРИТЕРИИ УСТОЙЧИВОСТИ РАУСА

Критерий, который предложил Раус, наиболее просто поясняется табл. 6.1, где D(s) = а0sn + а1 sn-1 + ... + ап-1 s + ап - (6.27)

характеристический полином.

Таблица 6.1
Коэффициент Ті Стро

ка
Столбец
1 2 3 4
- 1 a0 = С11 a2 = C21 a4 = C31
- 2 a1 = С12 a3 = C22 a5 = C32
т з = a0/a1 3 С1з = a2 -

T3a3
C23 = C31 -

T3C32
C33 = C41 -

T3C42
Т 4 = a!/C13 4 C14 = C22 -

Т4С23
Т5 = С13/С14 5
Ті = С1,і-2/c1,i-1 C1,i = C2,i-2 -- ТіС2,і-1 C2,i = C3,i-2 -

- TiC3,i-1
В первой строке записываются в порядке возрастания индексов коэффициенты характеристического уравнения, имеющие четный индекс, во второй - нечетный индекс.

Любой другой коэффициент таблицы определяется как

(6.28)

ck,i ck+1,i—2 Гi Ck+1, i—1,

где ri = c1,i-2 /c1,i-1; k - номер столбца; i - номер строки.

Число строк таблицы Рауса равно степени характеристического полинома плюс единица - (п + 1). После заполнения таблицы можно сделать следующее суждение об устойчивости системы согласно условию устойчивости Рауса.

Для того, чтобы система автоматического управления была устойчива, необходимо и достаточно, чтобы коэффициенты первого столбца таблицы Рауса имели один и тот же знак, т.е. при а0 > 0 были положительными числа:

си = ао > 0; С12 = а1 > 0; св > 0; ...; см + 1 > 0. (6.29)

Если не все коэффициенты первого столбца положительны, то система неустойчива, а число правых корней равно числу перемен знака в первом столбце таблицы Рауса.

Этот критерий очень удобен, когда заданы численные значения коэффициентов характеристического уравнения, очень легок для программирования на ЭВМ и нашел широкое применение при исследовании влияния на устойчивость коэффициентов уравнения либо отдельных параметров системы.

6.7.2 КРИТЕРИЙ УСТОЙЧИВОСТИ ГУРВИЦА

Гурвиц разработал алгебраический критерий устойчивости в форме определителей, составляемый из коэффициентов характеристического уравнения системы.

Из коэффициентов характеристического уравнения (6.27) строят сначала главный определитель Гур-вица (6.30)

n
ах а3 а5 а7 . 0
а0 а2 а4 а6 • 0
0 ах а3 а5 . 0
0 а0 а2 (6.30)

а4 .
0
0 0 0 0 . ап
по следующему правилу: по главной диагонали определителя слева направо выписывают все коэффициенты характеристического уравнения от а1 до ап в порядке возрастания индексов. Столбцы вверх от главной диагонали дополняют коэффициентами характеристического уравнения с последовательно возрастающими индексами, а столбцы вниз - коэффициентами с последовательно убывающими индексами. На место коэффициентов с индексами больше n и меньше нуля проставляют нули.

Отчеркивая в главном определителе Гурвица диагональные миноры, получим определители Гурви-ца низшего порядка.

Д1 _ а1 ; Д 2 _
ах а3 а5
ах

а0
а3

а2
>

и
а0

0
а а4
а а3
(6.31)

Номер определителя определяется номером коэффициента по диагонали. Сам критерий формулируется следующим образом.

Для того, чтобы система автоматического управления была устойчива, необходимо и достаточно, чтобы все определители Гурвица имели знаки, одинаковые со знаком первого коэффициента характеристического уравнения а0, т.е. при а0 > 0:

(6.32)

Д1 > 0; Д2 > 0; Дз > 0; ...; Дп > 0.

Если раскрыть определитель Гурвица для уравнений первого, второго и третьего порядка, то получатся следующие условия устойчивости:

1) n = 1; a0 s + a1 = 0; условия устойчивости: a0 > 0; a1 > 0.

2) n = 2; a0 S + a1 s + a0 = 0; условия устойчивости: a0 > 0; a1 > 0; a2 > 0.

3) n = 3; a0 s3 + a1 s2 + a2 s + a3 = 0; условия устойчивости: a0 > 0; a1 > 0; a2 > 0; a3 > 0; a1 a2 - a0 a3

> 0.

Критерий Гурвица обычно применяют при n < 4.

Так как An = an An-1, то при an > 0 для проверки устойчивости необходимо проверить определители от A1 до An-1.

Если an = 0 или An-1 = 0 при A1 > 0, ..., то система находится на границе устойчивости, причем при an = 0 - граница апериодической устойчивости (один из корней равен нулю); при an-1 = 0 - граница колебательной устойчивости (имеются два комплексно-сопряженных корня).

По этому критерию можно определить критическое значение параметра, при котором система находится на границе устойчивости.

6.7.3 КРИТЕРИЙ УСТОЙЧИВОСТИ ЛЬЕНАРА-ШИПАРО

При исследовании устойчивости систем автоматического регулирования, имеющих порядок характеристического уравнения n > 5, рекомендуется использовать одну из модификаций критерия Гурвица, предложенную в 1914 г. П. Льенаром и Р. Шипаром и вошедшую в теорию автоматического управления как критерий устойчивости Льенара-Шипаро, который формулируется следующим образом.

Для того, чтобы система автоматического управления была устойчивой, необходимо и достаточно, чтобы выполнялось необходимое условие устойчивости и чтобы определители Гурвица с четными индексами (или с нечетными индексами) были положительны, т.е.

a0 > 0, a1 > 0, ..., an > 0; A2 > 0, A4 > 0, A6 > 0, ... (6.33)

или

a0 > 0, a1 > 0, ..., an > 0; A1 > 0, A3 > 0, A5 > 0, ... (6.33, a)

В такой формулировке критерия устойчивости требуется раскрытие меньшего числа определителей, чем по критерию Гурвица.

Пример 6.1 Исследовать на устойчивость с помощью критерия Рауса систему, если характеристическое уравнение имеет вид

D(s) = 3s4 + 5s3 + 2s2 + 7s + 10 = 0. Из коэффициентов уравнения составляется таблица Рауса.

Таблица Рауса к примеру 6.1
Гг строка k столбец k
1 2 3
- 1 a0 = 3 a2 = 2 a4 = 10
- 2 a1 = 5 a3 = 7 a5 = 0
Г3 = 0,6 3 a13 = 10 a23 = 10 0
Г4 = - 2,27 4 a14 =

15,7
a24 = 0 0
Г5 = 0,14 5 a15 = 10 a25 = 0 0
Система не устойчива, так как знаки коэф жциентов первого столбца различны: а0 > 0, a1 > 0, с13 <
0, С14 > 0, С15 > 0.

Пример 6.2 Исследовать на устойчивость с помощью критерия Гурвица, если характеристическое
уравнение имеет вид:

3 s3 + 2s2 + 4s + 2 — 0;

ao — 3; a — 2; a — 4; a, — 2;

Ai — 2 > 0; A 2 =

> 0.

A3 -

Система устойчива, так как A1 > 0, A2 > 0, A3 > 0.

6.7.4 УСТОЙЧИВОСТЬ И УСТАНОВИВШАЯСЯ ПОГРЕШНОСТЬ

Система автоматического регулирования рассчитывается из условия, что в установившемся режиме должна обеспечиваться малая погрешность, а переходный процесс протекать должным образом, т.е. система должна быть устойчивой (не "раскачиваться") и переходный процесс должен затухать с течением времени. В реальных замкнутых

АСР обратная связь - отрицательная, и в этом случае на вход системы действует сигнал s(t) — x(t) -y(t). Рассматриваем канал управления.

Если на вход рассматриваемой системы подается ступенчатая функция x(t) — x0, то при устойчивой системе после окончания переходного процесса на ее выходе устанавливается некоторое постоянное значение ууст (рис. 6.18).

Переходный процесс описывается уравнением (3.8). В установившимся режиме все производные равны нулю и уравнение принимает вид:

a0 .Іуст b0 ^, (6.34)
y = b0 x0

Ауст
(6.35)
а0
откуда

Разность

ys — Х0 - Ууст — ^1 - b-j Х0 (6.36)

называется установившимся значением погрешности. Системы, имеющие ys Ф 0, называются статическими, а установившаяся погрешность ys - статизмом системы. Иногда рассматривается относительная погрешность или коэффициент статизма S:

S = ys.. (6.37)

Х0

Для достижения малой погрешности в установившемся режиме необходимо иметь большое значение коэффициента усиления системы, но при достаточно большом значении последнего система становится неустойчивой, т.е. возникает конфликт между требованием устойчивости и требованием малой погрешности. Решение этой проблемы можно рассмотреть на следующем примере.

Пусть задана система, структурная схема которой изображена на рис. 6.19.



Т. Я. Лазарева, Ю. Ф. Мартемьянов - Основы теории автоматического управления>
Рис. 6.19 Структурная схема системы автоматического регулирования
На этой схеме W,(s) = —-—; W2 (s')-—-2—; W3 (() = ———.

1W 1+sT1 2W 1+sT2 3W 1+sT3

Передаточная функция разомкнутой системы будет:

где K - коэффициент усиления системы и K = k1 k2 k3 .

Для установившегося режима уравнение (6.34) принимает вид (1 + K) ууст = K х0, откуда ууст = K х0 /(1 + K), а статизм системы и коэффициент статизма, соответственно:

у = хо/(1 + K), S = 1/(1 + K).

Характеристическое уравнение рассматриваемой системы имеет вид:

T1 T2 T3 s3 +( T2 + T1 T3 + T2 T3)s2 +( + T2 + T3)s +(1 + K) = 0 .

Так как все коэффициенты характеристического уравнения третьего порядка положительны, то согласно критерию устойчивости Гурвица система будет устойчива, если выполняется неравенство:

T T2 + T1 T3 + T2 T3 )(T1 + T2 + T3)-T1 T2 T3 (1 + K )> о

из которого можно определить коэффициент усиления, т.е.:

K <T t2 + T1 T3 + T2 t3 ) + t2 + t3 ) -1

T1 T2 T3

k1__k2__k3

1 + s T1 1 + s T2 1 + s T3

_K_

(1 + s Ti )(1 + s T2 )(1 + s T3)’

Wp.c (s)

(T

Величина K^ < —

-1 называется предельным коэффициентом усиления.

T2 + T1 T3 + T2 T3 ) T + T2 + T3

T1 T2 T3

Для устойчивости системы необходимо и достаточно, чтобы коэффициент усиления системы был меньше предельного значения K < K^. Если взять Т1 = Т2 = Т3, то Kпp = 8 и, следовательно, K < 8. Если же для получения малой погрешности задать статизм S < 0,01 (S < 1 %), то получается K > 100. Разрешение этого конфликта является одной из основных задач. Пути его разрешения различны, так, например, можно изменять постоянные времени Т1, Т2, Т3 и добиться требуемого значения коэффициента усиления. Наиболее общий путь разрешения такого конфликта - это изменение структурной схемы, введение дополнительных связей.

В общем случае система называется астатической относительно некоторого возмущающего воздействия f если при f = соші: установившееся значение погрешности ys не зависит от значения f В такой системе должно присутствовать интегрирующее звено. Установившаяся погрешность в режиме отработки постоянного рассогласования равна нулю.

6.7.5 ОБЛАСТЬ УСТОЙЧИВОСТИ

На устойчивость системы автоматического регулирования оказывают влияние параметры системы, это наглядно было видно на примере, рассмотренном выше. Геометрический образ зависимости устойчивости от параметров системы называется областью устойчивости и был введен в рассмотрение И. А. Вышнеградским. Построение областей устойчивости является одним из наиболее ценных для практики результатов исследования устойчивости системы.

Область устойчивости строится в пространстве параметров, под которым понимается пространство, координатами которого являются параметры системы. Количество параметров может быть любым, но для графического изображения наиболее распространенными являются два.

Пусть характеристическое уравнение системы имеет вид

s3 + А s2 + В s + 1 = 0,

(6.38)

где А и В - параметры системы.

Для устойчивости системы, исходя из критерия Гурвица, необходимо и достаточно, чтобы А В > 1, откуда граница области устойчивости будет А В = 1.

В плоскости параметров A и В граница области устойчивости представляет собой гиперболу, называемую гиперболой Вышнеградского (рис. 6.20). Область устойчивой работы отмечена штриховкой.

Т. Я. Лазарева, Ю. Ф. Мартемьянов - Основы теории автоматического управления>


Границы области устойчивости могут быть найдены, если приравнять нулю коэффициенты а0, а„ характеристического уравнения и предпоследний определитель Гурвица:

а0 = 0; ап = 0; An-1 = 0. (6.39)

Вторая из этих границ соответствует наличию нулевого корня характеристического уравнения, а третья - наличию чисто мнимых корней. Уравнения (6.39) разбивают пространство параметров на ряд областей, из которых устойчивой будет та область, где определители Гурвица

A1, ..., An-2 положительны.

Рис. 6.20 Гипербола

Вышнеградского 6.8 Частотные критерии устойчивости

Частотные критерии устойчивости позволяют судить об устойчивости систем автоматического управления по виду их частотных характеристик. Эти критерии позволяют исследовать устойчивость систем высокого порядка и имеют простую геометрическую интерпретацию.

6.8.1 ПРИНЦИП АРГУМЕНТА

В основе частотных критериев устойчивости лежит следствие известного из теории функции комплексного переменного принципа аргумента. Пусть дан полином n-й степени (6.27):

D(s) = a0 sn + an-1 sn— + ... +an.

Этот полином в соответствии с теоремой Безу можно представить в виде D(s) = a0 (s - S1) (s - S2) ... (s - Sn), (6.40)

где sj = a,- + щ - корни уравнения D(s) = 0; j = 1, 2, ..., n.

Каждый корень геометрически может быть изображен вектором, проведенным из начала координат к точке sj (рис. 6.21, а). Длина его равна модулю комплексного числа, а угол, образованный вектором с положительным направлением действительной оси, - аргументу или фазе комплексного числа.

Величины (s - sj) геометрически изображаются вектором, проведенным из точки sj к произвольной точке s (рис. 6.21, б).

При s = іш, например, получают:

D(ira) = a0 (іш - s1) (іш - s2) ... (іш - sn), (6.41)

и концы всех векторов будут находиться на мнимой оси (рис. 6.21, б).

Рассматривая вектор D(m), получают, что модуль его равен

(6.42)

|D(io)| = a0| іш - sj II іш - s2||...| іш - sn|,

а аргумент

Если принять за положительное направление отсчета углов вращения против часовой стрелки, то при изменении частоты от -ю до +ю каждый элементарный вектор поворачивается на угол п, если корень расположен слева от мнимой оси, и на -п - если справа (рис. 6.21, г).

Если полином имеет m правых корней и (n - m) левых, то при изменении га от -ю до +ю изменение аргумента вектора D(i га) равно сумме углов поворота вектора (i га - sj), т.е.

AArgD(iro)|га=-ю= п(п - m) - пт = п(п - 2m). (6.44)

Откуда вытекает следующее правило: изменение аргумента D(i га) при изменении частоты от -ю до +ю равно разности между числом левых и правых корней уравнения D(s) = 0, умноженной на п.

При изменении частоты га от 0 до ю изменение аргумента вектора D(ira) будет вдвое меньше

Т. Я. Лазарева, Ю. Ф. Мартемьянов - Основы теории автоматического управления>
Рис. 6.21
Принцип аргумента

(6.45)

га=-ю

(n - 2m)

AArgD(iro)

Это правило положено в основу всех частотных критериев.

6.8.2 КРИТЕРИЙ МИХАЙЛОВА

Этот критерий по существу является геометрической интерпретацией принципа аргумента и был сформулирован в 1938 г. советским ученым Михайловым.

Рассматривается характеристический полином (6.27):

D(s) = a0 sn + a1 sn~l + ... + an.

Замена s = іга, приводит к комплексному полиному, называемому функцией Михайлова.

D(m) = a0 (іш)п + a1 (іш)п"1 + ... + an = и(га) + i ?(га) = Dfa) егф(га), (6.46)

2 4

где

U(ro) = an - an-2ro + an-4ro +

V(ro) = ro(an-l - an-3ro2 + an-5ro4 - ...)

называют соответственно вещественной и мнимой функциями Михайлова; D(ro') - модуль D(iro); ф(го) -фаза D(iro).

При изменении частоты конец вектора D(iro) будет описывать некоторую кривую в комплексной плоскости, которая называется годографом Михайлова.

При изменении частоты от 0 до да угол поворота вектора D вокруг начала координат равен (6.45):

AArgD(iro)

ro=w П / /-> \

ro=0 =- (n - 2m)

отсюда число правых корней полинома

n — - AArgD(iro)|

ro-да

ro=0

(6.47)

т.е. m = 0, если

AArgD(iro)

ro=0

-. (6.48)

Последнее является необходимым условием устойчивости, но недостаточным. Для того, чтобы получить необходимое и достаточное условие устойчивости, необходимо исключить корни, лежащие на

мнимой оси, т. е. должно выполняться условие:

(6.49)

D(i ro) ^ 0.

Формулы (6.48 - 6.49) представляют собой математическое выражение критерия устойчивости Михайлова. Для того, чтобы система автоматического управления была устойчива, необходимо и достаточно, чтобы годограф Михайлова D(iro) при изменении ro от 0 до да повернулся, не проходя через нуль, во-

„ n

круг начала координат против часовой стрелки на угол п —, где n - порядок характеристического уравнения.

Для устойчивых систем годограф Михайлова начинается при ro = 0 на вещественной полуоси, т.е. D(0) = an; кроме того с ростом частоты фаза должна монотонно возрастать, т.е. вектор должен поворачиваться только против часовой стрелки, так как возрастают фазы элементарных векторов (iro - Sj), являющиеся слагаемыми фазы вектора D(iro).

В связи с этим критерий устойчивости можно сформулировать следующим образом:

Из полинома в знаменателе передаточной функции АСР (характеристического полинома) образуется функция Михайлова. Для того, чтобы система автоматического управления была устойчива, необходимо и достаточно, чтобы годограф Михайлова при изменении частоты от 0 до да, начинаясь при ro = 0 на вещественной положительной полуоси, обходил только против часовой стрелки последовательно n квадрантов координатной плоскости, где n - порядок характеристического уравнения.

Годограф Михайлова для устойчивых систем имеет плавную спиралевидную форму и уходит в бес

конечность в том квадранте, номер которого равен степени характеристического уравнения (рис. 6.22).

Т. Я. Лазарева, Ю. Ф. Мартемьянов - Основы теории автоматического управления>
Рис. 6.22 Годограф Михайлова
Признаком неустойчивости системы является нарушение числа и последовательности прохождения квадрантов.

Примеры годографа Михайлова для неустойчивых систем представлены на рис. 6.23.

Для нейтральных систем годограф Михайлова изображен на рис. 6.24. В первых двух случаях небольшие деформации выводят систему на устойчивость, в последнем же система неустойчива.

Т. Я. Лазарева, Ю. Ф. Мартемьянов - Основы теории автоматического управления>


Т. Я. Лазарева, Ю. Ф. Мартемьянов - Основы теории автоматического управления>
Рис. 6.23 Годографы Михайлова для неустойчивых систем:

а - начинается на отрицательной действительной полуоси;

б - не обходит и-квадрантов координатной плоскости; в - не охватывает начало координат
а)

>

U

= 4
Т. Я. Лазарева, Ю. Ф. Мартемьянов - Основы теории автоматического управления>
Рис. 6.24 Годограф Михайлова нейтральных систем:

а, б - система может быть устойчива; в - система неустойчива
Построение годографа Михайлова практически производится либо методом контрольных точек, либо методом вспомогательных годографов. Первый метод сводится к определению ряда точек годографа Михайлова, соответствующих фиксированным значениям частоты. При втором методе определяются годографы отдельных звеньев, применяя правила сложения и умножения векторов, строят искомый годограф.

Анализируя годограф Михайлова, можно установить следующее: когда годограф Михайлова последовательно проходит квадранты, то вещественная и мнимая оси пересекаются поочередно. В точках пересечения с вещественной осью обращается в нуль мнимая функция ?(ш), а в точках пересечения кривой с мнимой осью действительная функция U(q).

Частоты, при которых происходит пересечение осей, определяются корнями уравнений

U (ю) = 0; V (ю) = 0.

(6.50)

корней уравнений (рис.

Точки пересечения кривых и(ю) и ?(ю) с осью абсцисс дают значение 6.25) для и(ю) = 0: юі, ю3, ю5,...; для
Т. Я. Лазарева, Ю. Ф. Мартемьянов - Основы теории автоматического управления>
Рис. 6.25 Действительная и мнимая составляющие функции Михайлова:

а - устойчивая система; б - неустойчивая система
?(ю) = 0: ю0, ю2, ю4,... В этом случае для устойчивой системы обязательно соблюдение неравенства ю0

< ю1 < ю2 < ю3 < ю4 < ...

В связи с этим можно привести следующую формулировку критерия устойчивости:

Система автоматического управления будет устойчива тогда и только тогда, когда вещественная и(ю) и мнимая ?(ю) функции Михайлова, приравненные нулю, имеют все действительные и перемежающиеся корни, причем общее число этих корней равно порядку характеристического уравнения п, и при ю = 0 удовлетворяется условие U(0) > 0; ?(0) > 0.

6.8.3 КРИТЕРИЙ НАЙКВИСТА

Этот частотный критерий, разработанный в 1932 г. американским ученым Найквистом, позволяет судить об устойчивости замкнутой системы по виду АФХ разомкнутой системы.

Пусть передаточная функция разомкнутой системы имеет вид

W (s) = b sm + bjSm 1 +... + bm = Bs) a0sn + a1sn-1 +... + an A(s) ’ Передаточная функция замкнутой АСР по каналу управления:

B(s)

W (s)

B(s)/ A(s)

Wзамк (s) =

1 + W (s) 1 + B(s)/ A(s) A(s) + B(s)

Характеристическое уравнение разомкнутой системы (n-го порядка) определено, как A(s) = 0. Характеристическое уравнение замкнутой системы (n-го порядка) выражается, как A(s) + B(s) = 0. Рассмотрим, что представляет из себя выражение 1 + W(s):

B(s) = A(s) + B(s) = D33” (s) A(s) = A(s) = Dразом (s)

(6.51)

1 + W (s) = 1 +

= H (s),

где Dзамк (s), Dразом (s) - характеристические полиномы, соответственно, замкнутой и разомкнутой АСР. Подставляя s = іш, получим

Т. Я. Лазарева, Ю. Ф. Мартемьянов - Основы теории автоматического управления>


U (ш) + iV (ш) = M (ш)еі<р(ш) -

W (іш)

Ь0(іш)m + Ь1(/ш)m-1 +... + bm a0 (іш)п + ax (іш)n-1 + ... + an

Рис. 6.26 АФХ АФХ разомкнутой системы (рис. 6.26).

разомкнутой Вектор (1+ W(іш)), следовательно, включает в себя свойства замкнутой и

системы разомкнутой системы, и по тому, как ведет себя W(iш) относительно

(-1, /0) можно сделать вывод об устойчивости замкнутой системы.

В дальнейшем рассматривается АФХ, соответствующая положительным частотам.

Выделим три случая состояния равновесия разомкнутой системы: устойчива, нейтральна и неустойчива.

1 случай - система в разомкнутом состоянии устойчива. Тогда изменение аргумента характеристического полинома разомкнутой системы согласно критерию устойчивости Михайлова будет равно (6.48):

п

= п—.

ю=о

Ю=0

AArgD разом (іш)

Для того, чтобы замкнутая система была устойчива, должно выполняться равенство (6.48):

п

= п— .

ю=о

Ю=0

AArgDзамк (іш)

Отсюда следует, что приращение аргумента вектора H(іш) = (1+W(іш)) равно нулю:

= п -- п - = 0.(6.52) 2 2

AArgH (іш) ш=о = АА^за“(іш)| ш=о-АА^разом(іш)

ш=о

ю=0

Соотношение (6.52) означает, что для устойчивости замкнутой системы необходимо, чтобы вектор 1 + W(іш), начало которого находится в точке (-1, і0), а конец, скользя по АФХ разомкнутой системы, не

охватывал точку (-1, і0) при изменении ш от 0 до о (рис. 6.27).

Таким образом, критерий Найквиста гласит:

Если разомкнутая система автоматического управления устойчива, то замкнутая система автоматического управления будет устойчива, если амплитудно-фазовая характеристика разомкнутой системы не охватывает точку (-1, і0) при изменении ш от 0 до о.

Т. Я. Лазарева, Ю. Ф. Мартемьянов - Основы теории автоматического управления>
Рис. 6.27 АФХ:

а - разомкнутой системы; б - функции Н(і ш)
2 случай - система в разомкнутом состоянии неустойчива.

При рассмотрении многоконтурных и одноконтурных систем регулирования, содержащих неустойчивые звенья, разомкнутая система может оказаться неустойчивой.

Пусть в разомкнутом состоянии система неустойчива, при этом характеристическое уравнение разомкнутой системы имеет m корней в правой полуплоскости. Тогда согласно принципу аргумента (6.25):

AArgD разом (ію)

W=W , г\ \

ю=0 = (п - 2m)j-

Если потребовать, чтобы система в замкнутом состоянии была устойчива, то должно выполняться равенство (6.48):

П

= п—

ю=да

ю=0

AArgDзамк (ію)

В этом случае угол поворота вектора Н(і ю) = 1+W(ію) будет равен

ж ж m

п--(n - 2m)— = — 2п.

2 2 2

(6.53)

ю=да

ю=0

AArgH разом (ію)

Последнее говорит о том, что АФХ функции Н(і ю) при изменении частоты от 0 до да охватывает

m

начало координат в положительном направлении — раз.

Число оборотов вектора Н(і ю) вокруг начала координат равно числу оборотов вектора АФХ разомкнутой системы W(j ю) вокруг точки (-1, і0). На основании этого вытекает следующая формулировка критерия Найквиста.

Если разомкнутая система автоматического управления неустойчива, то для того, чтобы замкнутая система автоматического управления была устойчива, необходимо и достаточно, чтобы АФХ разомкнутой системы W(m) при изменении частоты от 0 до да охватывала точку (-1, і0) в положитель-

m

ном направлении — раз, где m

число правых корней характеристического уравнения разомкнутой сис-

темы.

Т. Я. Лазарева, Ю. Ф. Мартемьянов - Основы теории автоматического управления>
Рис. 6.28 АФХ: а - Н(і ю); б - W(і ю) при m = 2
На рис. 6.28 изображены в качестве примера АФХ Н(і ю) и АФХ разомкнутой системы, соответствующие устойчивой замкнутой системе, которая в разомкнутом состоянии неустойчива и m = 2.

При сложной форме W(i ю) могут возникнуть затруднения при определении числа ее оборотов вокруг точки (-1, і0). В этом случае удобно применять "правило переходов", предложенное Я. З. Цыпки-ным

Назовем переход W(m) через вещественную ось при возрастании ю положительным, если он происходит сверху вниз, и отрицательным, если он происходит снизу вверх. Если W(ію) начинается или заканчивается на оси, то она совершает полперехода. Тогда критерий Найквиста можно сформулировать следующим образом.

Если разомкнутая система автоматического управления неустойчива, то для того чтобы замкнутая система автоматического управления была устойчива, необходимо и достаточно, чтобы разность между числом положительных и отрицательных переходов АФХ разомкнутой системы W(m) через отрезок вещественной оси (-да, -1)

при изменении частоты от 0 до да была равна mm, где m - число правых корней характеристического уравнения.

В качестве примера на рис. 6.29 изображена АФХ разомкнутой системы: число правых корней m =

Т. Я. Лазарева, Ю. Ф. Мартемьянов - Основы теории автоматического управления>
Рис. 6.29 АФХ разомкнутой системы при m = 2
2; число переходов - два положительных, один отрицательный, их разность равна

m

1 = следовательно, замкнутая система устойчива.

3 случай - система в разомкнутом состоянии нейтральна.

В этом случае система должна содержать интегрирующие звенья, и тогда характеристическое уравнение разомкнутой системы имеет корни, равные нулю, и записывается в виде

A(s) = sv Aj(s) = 0, (6.54)

где v - порядок астатизма; Ai(s) - полином, не имеющий корней, равных нулю.

Амплитудно-фазовая характеристика разомкнутой системы записы-

B(i ю)

вается в виде

W (i ю) = -

(. ( ? (6.55)

( ю) Ai ( ю)

При ю = 0, W(ira) = да и АФХ претерпевает разрыв, поэтому решать вопрос об устойчивости

замкнутой системы трудно, так как неясно, охватывает АФХ точку (-i, i0) или нет.

Чтобы сохранить формулировку критерия для устойчивых в разомкнутом состоянии систем, при построении годографа Михайлова при изменении частоты от -да до +да обходят начало координат по полуокружности бесконечно малого радиуса г. Тогда нулевые корни дадут такой же угол поворота, как левые корни, т.е. каждый из векторов повернется на угол п (рис. 6.30).

Обходу начала координат по малой дуге геіф соответствует передаточная функция разомкнутой системы

B0)_L_ = r e~iw Ai(0) (геіф)v

B(s) ¦

s V W

(6.56)

W (s)

S=0

от ?— до -?— при изменении ф от — до . 2 2 2 2

При г ^ 0 радиус R ^ да, а аргумент у меняется

Таким образом, при движении по полуокружности бесконечно малого радиуса в плоскости корней АФХ разомкнутой системы сама W(iю) может быть представлена в виде вектора бесконечно большой длины, поворачивающегося на комплексной плоскости по часовой стрелке на угол, равный -?п.

При изменении ю от 0 до да, т.е. г ^ 0, 0 < ф < —, W(ira) изменяется по дуге бесконечно большого ра-

диуса, описывая угол от 0 до

(рис. 6.31). Критерий Найквиста формулируется следующим обра-

зом.

Система автоматического регулирования, нейтральная в разомкнутом состоянии, устойчива в замкнутом состоянии, если АФХ разомкнутой системы с его дополнением в бесконечности не охватывает точку (—1, i0) при изменении ю от 0 до да

Т. Я. Лазарева, Ю. Ф. Мартемьянов - Основы теории автоматического управления>


Т. Я. Лазарева, Ю. Ф. Мартемьянов - Основы теории автоматического управления>
Рис. 6.31 АФХ нейтральной разомкнутой системы:

а - с астатизмом первого порядка, ? = 1; б - с астатизмом второго порядка, ? = 2
Как видно из рис. 6.31, если разомкнутая система имеет астатизм первого порядка, то замкнутая система устойчива, так как точка (-1, /0) не охватывается, если же астатизм будет второго порядка, то замкнутая система неустойчива - точка (-1, /0) охватывается АФХ разомкнутой системы.

Достоинствами критерия Найквиста являются:

1) применимость при неизвестных уравнениях некоторых звеньев разомкнутой системы;

2) возможность исследования устойчивости систем с запаздыванием.

Пример 6.3 Исследовать устойчивость системы критерием Михайлова, если характеристическое уравнение системы имеет вид

D(s) = 2s4 + 4s3 + 2s2 + 5s + 1 = 0.

Заменяя s = /ш, находятся действительная и мнимая функции Михайлова:

D(/q) = 2(/ш)4 + 4(/ш)3 + 2(/ш)2 + 5(/ш) + 1,

откуда

Т. Я. Лазарева, Ю. Ф. Мартемьянов - Основы теории автоматического управления>
Рис. 6.32 Годограф
и(ш) = 2ш4 — 2ш2 + 1;

?(ш) = ш(-4ш2 + 5).

Годограф Михайлова изображен на рис. 6.32. Его анализ показывает, что система неустойчива. Если использовать следствие, то и(ш) = 0; ?(ш) = 0.

Решение этих уравнений дает:

_5

ш21,з = 1 ± /; Шо

0; Ш2,4 = ±

Так как имеются комплексно-сопря-женные корни, то система неустойчива.

'2(s) = e'2s.

Пример 6.4 Исследовать устойчивость системы автоматического регулирования (рис. 6.33), если Wi(s) = А-; Wj(s)

2s +1

x(t)

y(t)

W1(s)

W2(s)

Рис. 6.33 Структурная схема АСР

В разомкнутом состоянии система автоматического регулирования устойчива. Амплитуднофазовая характеристика разомкнутой системы записывается:

W разом (/Ш) = 1 е‘(-2 ш-arctg2 ш)

ЛІ1 + 4 ш 2

и изображена на рис. 6.34.

Im ^
-1
Т. Я. Лазарева, Ю. Ф. Мартемьянов - Основы теории автоматического управления>
Re
Т. Я. Лазарева, Ю. Ф. Мартемьянов - Основы теории автоматического управления>
Рис. 6.35 Годограф Михайлова для устойчивых систем 3-го порядка
тырех (п < 4).

Так как амплитудно-фазовая характеристика разомкнутой системы не охватывает точку с координатами (-1, i0), то замкнутая система устойчива.

6.8.4 ПРИМЕНЕНИЕ КРИТЕРИЕВ ДЛЯ ИССЛЕДОВАНИЯ УСТОЙЧИВОСТИ СИСТЕМ

Сравнение рассмотренных критериев устойчивости позволяет сделать следующий вывод относительно их применимости.

Критерий устойчивости Гурвица целесообразно применять, когда характеристическое уравнение имеет степень не выше че

Критерий устойчивости Рауса дает быстрый ответ при численно заданных коэффициентах, им целесообразно пользоваться, когда п > 4.

Критерий устойчивости Михайлова целесообразно применять при исследовании сложных многоконтурных систем, когда необходимо выяснить влияние изменения структуры системы и средств стабилизации на ее устойчивость.

Критерий устойчивости Найквиста целесообразно применять при исследовании сложных систем. Этот критерий оказывается единственно применимым, когда часть или все характеристики отдельных элементов системы заданы экспериментально, применим при анализе систем, описываемых аналитическими функциями.

Помимо своего прямого назначения частотные критерии устойчивости могут быть использованы для оценки влияний параметров системы на ее устойчивость.

На рис. 6.35 изображен годограф Михайлова для устойчивой системы. Отрезок ОМ0 равен значению вектора D(m) (6.35) при ш = 0 и равен значению коэффициента ап характеристического уравнения.

Можно показать, что коэффициент усиления системы влияет только на свободный член ап характеристического уравнения. Поэтому при его увеличении будет увеличиваться только коэффициент ап, и в этом случае все векторы D(iш) получают одинаковое положительное действительное приращение, и вся кривая Михайлова без деформации передвигается направо, например, из положения 1 в положение 2 (рис. 6.35). Если увеличивать коэффициент усиления и дальше, то при некотором его предельном значении годограф Михайлова пройдет через начало координат, и система выйдет на границу устойчивости. Дальнейшее увеличение коэффициента усиления сделает систему неустойчивой.

Здесь возможно и обратное решение задачи, а именно, нахождение предельного коэффициента усиления. Отрезок OM0 (рис. 6.35) соответствует предельному значению коэффициента (ап)пр, значение которого можно отсчитать и по первоначальному положению кривой Михайлова - отрезок М, М0.

Оценить влияние параметров системы на ее устойчивость, можно и пользуясь критерием Найквиста. В качестве примера ниже рассмотрена система третьего порядка с тремя инерционными звеньями (рис. 6.36), в которой

K1

T1 s +1

W,

K ,

T2 s +1

W3 =

T3s +1
Т. Я. Лазарева, Ю. Ф. Мартемьянов - Основы теории автоматического управления>
Рис. 6.36 Структурная схема системы с тремя звеньями
Wi =

Амплитудно-фазовые характеристики разомкнутой системы для различных значений коэффициента усиления к = K1K, K3 изображена на рис. 6.37, а.

Т. Я. Лазарева, Ю. Ф. Мартемьянов - Основы теории автоматического управления>
Рис. 6.37 АФХ статической системы третьего порядка:

а - для различных коэффициентов усиления; б - вычерчивание обратных изменений единицы масштаба
Т. Я. Лазарева, Ю. Ф. Мартемьянов - Основы теории автоматического управления>
>

Re
Все эти характеристики могут быть получены из "первоначальной" путем изменения масштаба, причем удобнее не вычерчивать характеристику с новым масштабом, а изменять масштаб обратным изменением единицы масштаба. В этом случае достаточно вычерчивать одну АФХ раз и навсегда и уменьшать размер отрезка ОА, равного единице, во столько же раз, во сколько увеличивается коэффициент усиления. При этом точка А будет перемещаться вправо (рис. 6.37, б). При малом значении коэффициента усиления к системы масштаб единицы ОА велик, и точка А находится в положении Аі. В этом случае АФХ разомкнутой системы не охватывает точку А1, и, следовательно, замкнутая система устойчива. При увеличении коэффициента усиления к масштаб единицы уменьшается, критическая точка движется направо и при к = кпр занимает положение A2, система находится на границе устойчивости.

При к > кпр критическая точка продолжает перемещаться направо, занимает положение А3, и система становится неустойчивой.

Влияние коэффициента усиления на устойчивость, используя критерий Найквиста, можно проследить и для систем высокого порядка, в частности, с "клювообразными" характеристиками (рис. 6.38, а). В этом случае при малом значении коэффициента усиления критическая точка находится в положении А1, и замкнутая система устойчива. Увеличение коэффициента усиления передвигает точку в положение А2, к = кпр1, и система выходит на границу устойчивости. Дальнейшее увеличение коэффициента усиления приводит систему к неустойчивости, так как критическая точка занимает положение А3 и охватывается АФХ. Положение А4, в котором к = кпр2, является границей устойчивости, а положение А5 критической точки устойчиво, так как не охватывается АФХ. Таким образом, можно сделать следующий вывод.

Система устойчива при малых значениях коэффициента усиления к < кпр1 и при достаточно больших к > кпр2, имеет две границы устойчивости при к = кпр1 и к = кпр2, неустойчива при кпр1 < к < кпр2.

Анализ амплитудно-фазовой характеристики разомкнутой системы, изображенной на рис. 6.38, б, показывает, что система имеет три предельных значения коэффициента усиления к1пр, к2пр , к3пр, соответствующие точкам А2, А4, А6 и границе устойчивости. При значениях коэффициента усиления к < кпр1, кпр2 < к < кпр3 система устойчива (точки А1, А5), а при значениях кпр1 < к < кпр2, к > кпр3 система неустойчива (точка А3, А7).

Т. Я. Лазарева, Ю. Ф. Мартемьянов - Основы теории автоматического управления>
Рис. 6.38 АФХ системы высокого порядка:

а - "клювообразная" АФХ первого порядка; б - "клювообразная" АФХ

второго порядка
Т. Я. Лазарева, Ю. Ф. Мартемьянов - Основы теории автоматического управления>
Рис. 6.39 АФХ простых систем:

а - АФХ систем первого порядка; б - АФХ систем второго порядка Применение критерия Найквиста к исследованию более простых систем - систем первого и второго
порядка показывает, что если разомкнутая система является системой первого порядка без запаздывания, то как бы ни изменялись параметры системы, АФХ разомкнутой системы всегда будет располагаться в четвертом квадранте (рис. 6.39, а) и, следовательно, замкнутая система всегда будет устойчивой.

Для разомкнутых систем второго порядка АФХ располагается в нижней полуплоскости и, следовательно, как бы ни изменялись ее параметры, АФХ никогда не охватывает точку (-1, i0), и исследуемая замкнутая система всегда будет устойчивой.

Также с помощью критериев устойчивости Михайлова и Найквиста могут быть решены вопросы стабилизации системы. В частности, одним из способов стабилизации является введение гибкой отрицательной связи.

6.8.5 АНАЛИЗ УСТОЙЧИВОСТИ ПО ЛОГАРИФМИЧЕСКИМ ЧАСТОТНЫМ ХАРАКТЕРИСТИКАМ

В инженерной практике иногда анализ устойчивости проводят по логарифмическим частотным характеристикам, построение которых проще, чем амплитудно-фазовой характеристики. Если проследить зависимость между поведением АФХ разомкнутой системы и логарифмической амплитудно-частотной и логарифмической фазочастотной характеристиками, то можно сформулировать критерий Найквиста применительно к логарифмическим частотным характеристикам.

Для того, чтобы система автоматического управления была устойчивой, необходимо и достаточно, чтобы разность между числом положительных и отрицательных переходов логарифмической фазочастот-

Т. Я. Лазарева, Ю. Ф. Мартемьянов - Основы теории автоматического управления>
б)

ю

ю
Рис. 6.40 Частотные характеристики:

а - АФХ; б - логарифмические частотные характеристики
ной характеристикой прямых ±п (2j + 1), где j = 0, 1, 2, ... во всех областях, где логарифмическая ампли-

r m

тудно-частотная характеристика положительна, была равна где m - число правых корней характеристического уравнения разомкнутой системы.

На рис. 6.40 приведены АФХ разомкнутой системы и соответствующие ей ЛАЧХ и ЛФЧХ.

Анализ частотных характеристик показывает, что разность между числом положительных и отрицательных переходов равна нулю, то есть замкнутая система будет устойчива только в том случае, если правые корни будут отсутствовать, т.е. разомкнутая система должна быть устойчивой.

6.9 Д-разбиение

В п. 6.7 было рассмотрено построение областей устойчивости с использованием критерия Гурвица и в качестве примера построена гипербола Вышнеградского. На практике используются другие более общие методы исследования влияния различных параметров системы - на ее устойчивость, т. е. разработаны следующие специальные методы построения областей устойчивости:

1) путем анализа перемещения корней характеристического уравнения в плоскости корней - метод корневого годографа;

2) путем анализа числа корней характеристического уравнения, лежащих в правой полуплоскости, в пространстве параметров системы - метод Д-разбивания пространства параметров, который был предложен и разработан в 1948 г. Неймарком.

6.9.1 ПОНЯТИЕ Д-РАЗБИЕНИЯ

Рассмотрим характеристическое уравнение замкнутой системы n-го порядка, которое всегда

может быть приведено к виду:

D(s) = sn + a1 sn-1 + ... + an = 0 (a0 = 1). (6.57)

Представим себе координатное пространство, осями которого являются коэффициенты уравнения, оно получило название пространство коэффициентов. Каждой точке этого пространства соответствуют конкретные численные значения коэффициентов уравнения и соответствующий им полином n-й степени, который имеет n корней, зависящих от численных значений коэффициентов ai. Если изменять эти коэффициенты, то корни будут перемещаться в комплексной плоскости корней этого уравнения Рассмотрим уравнение третьего порядка

D(s) = s3 + a1 s2 + а2 s + a3 = 0 (6.58)

Т. Я. Лазарева, Ю. Ф. Мартемьянов - Основы теории автоматического управления>
Рис. 6.41 Связь корней характеристического уравнения и пространства коэффициентов:
i га і

S2N
^ a)
s2M !
j !
! ! s1N s1M ^
i r~ • >

a
l 1
s3M 1
4
s3N
а - плоскость корней характеристического уравнения; б - пространство параметров

и соответствующее ему пространство коэффициентов аі, а2, а3 (рис. 6.41).

Каждой точке пространства соответствует вполне определенный полином и вполне определенные три корня.

Например, точка М имеет координаты {а, а, а}, и следовательно, характеристический полином записывается в виде

D(s) = s3 + аім s2 + аш s2 + аш

и имеет корни Sim, Sm, S3M.

Когда один из корней равен 0 или +/ш, тогда точка пространства будет удовлетворять уравнению

D(rn) = (/ш)3 + а1(/ш)2 + а2(/ш) + а3 = 0.

При -да < ш < да этому уравнению соответствует некоторая поверхность Q.

Если корни мнимые, то точка в пространстве коэффициентов попадает на эту поверхность Q. При

пересечении ее корни переходят из одной полуплоскости в другую.

Таким образом, поверхность Q разделяет все пространство на области с равным количеством правых и левых корней, их обозначают D(m), где m - число правых корней характеристического уравнения. Разбиение пространства параметров на области с одинаковым числом правых корней внутри каждой области и выделение среди полученных областей области устойчивости называется методом Д-разбиения.

Для уравнения третьего порядка можно выделить 4 области D(3), D(2), D(1), D(0), последняя будет областью устойчивости.

Если изменяются не все коэффициенты, а часть из них, например, а1 и а2, при а3 = с?пбі, то вместо поверхности получим линию, которая является сечением поверхности Q и разделяет плоскость коэффициентов а1, а2 на области с одинаковым числом правых корней (рис. 6.42).

Т. Я. Лазарева, Ю. Ф. Мартемьянов - Основы теории автоматического управления>
Рис. 6.42 Граница Д-разбиения в плоскости коэффициентов
Уравнение границы Д-разбиения получают из характеристического уравнения системы заменой s = /ш.

D(m) = (іш)п + a1 (іш)п 1 + ... + an = 0. (6.59)

Границу Д-разбиения можно строить не только в пространстве коэффициентов дифференциального уравнения, но и в пространстве параметров системы.

6.9.2 Д-РАЗБИЕНИЕ ПО ОДНОМУ ПАРАМЕТРУ

Пусть требуется выяснить влияние на устойчивость какого-либо параметра v, линейно входящего в характеристическое уравнение. Это уравнение можно привести к виду

D(s) = M(s) + v N(s) = 0. (6.60)

Граница Д-разбиения определится как

D(m) = M(m) + v N(ia) = 0, (6.61)

откуда

V = -MM = Х(ю) + i Y(o). (6.62)

Давая значения ш от -да до да, можно вычислить Х(ш) и Е(ш) и построить границу Д-разбиения, границу строят только для ш > 0, а для ш < 0 получают зеркальным отображением (рис. 6.43).

Если в плоскости комплексных корней двигаться по мнимой оси при изменении ш от -да до да и штриховать ее слева, то в плоскости параметра v этому движению будет соответствовать движение по границе Д-разбиения, которую также штрихуют слева. Если же в плоскости v пересекать границу Д-разбиения по направлению штриховки (7) (рис. 6.43), то этому соответствует переход корня из правой полуплоскости в левую, если же против штриховки - то корень переходит из левой полуплоскости в правую. Если штриховка двойная, то мнимую ось пересекают два корня.

Т. Я. Лазарева, Ю. Ф. Мартемьянов - Основы теории автоматического управления>
Рис. 6.43 Д-разбиение по одному параметру
Для определения области устойчивости достаточно знать распределение корней при каком-либо одном значении параметра v. Переходя в плоскости v от одного параметра к другому, по числу пересечений границы Д-разбиения, направлению и числу штриховок можно определить значение D(m).

Претендентом на область устойчивости является область, внутрь которой направлена штриховка и которая соответствует области с наибольшим числом левых корней. В выбранной области берется значение параметра v и по любому из критериев система проверяется на устойчивость.

Так как v - вещественное число, то из полученной области выделяют только отрезок вещественной оси, лежащей в области устойчивости, например, отрезок AB.

6.9.3 Д-РАЗБИЕНИЕ ПО ДВУМ ПАРАМЕТРАМ На практике часто требуется выяснить влияние на устойчивость двух, а не одного параметра.

Характеристическое уравнение в этом случае приводится к виду:

D(s) = vN(s) + tM(s) + L(s) = 0, (6.63)

подставляя s = іш, получают уравнение для границы Д-разбиения

D(m) = vN(m) + тМ(іш) + L(m) = 0. (6.64)

Если обозначить

(6.65)

(6.66)

(6.67)

N (/ш) = N (ш) + iN2 (ш); М (іш) = М1 (ш) + іМ 2 (ш); L(m) = Lj (ш) + iL2 (ш),

то уравнение для границы можно разбить на два:

vNi (ш) + тМ1 (ш) + Li (ш) = 0; vN2 (ш) + тМ2 (ш) + L2 (ш) = 0.

Последняя система решается относительно параметров т и v:

А і

v = т;

где А
Щш) М1(ш) ; аі = - А(ш) М1(ш) ; А2 = ^(ш) - А(ш)
^(ш) М 2 (ш) - Ц,(ш) М 2 (ш) 2 ^(ш) - L2 (ш)
Задавая различные значения частоты ю от -да до да, для каждого из ее значений по параметрическим уравнениям определяются величины v и т и строится граница Д-разбиения. При этом возможны следующие три случая.

1 При заданной частоте шк определители А ^ 0; А1 ^ 0; А2 ^ 0 отличны от нуля. В этом случае система совместна, и уравнения (6.66) представляют собой прямые линии в плоскости v - т (рис. 6.44, а).

2 При некотором значении шк А = 0, а А1 ^ 0; А2 ^ 0. Тогда система (6.66) несовместна, конечных решений нет. Прямые 1 и 2 параллельны (рис. 6.44, б).

3 При некотором значении шк все определители равны нулю, тогда v и т становятся неопределенными. Прямые 1 и 2 сливаются друг с другом, в этом случае получают не точку, а, так называемую, особую прямую (рис. 6.44, в), уравнение которой:

vM^) + тМ1к) + L^o^ = 0. (6.68)

Особая прямая не относится к кривой Д-разбиения, так как всем ее точкам соответствует одно и то же значение частоты, и направление движения по ней установить невозможно.

в)

Т. Я. Лазарева, Ю. Ф. Мартемьянов - Основы теории автоматического управления>


Т. Я. Лазарева, Ю. Ф. Мартемьянов - Основы теории автоматического управления>
I

0
А = 0 А1 = 0 А2 = 0

Рис. 6.44 Иллюстрация существования решения системы уравнений (6.66):

а - решение существует; б - конечных решений нет; в - решение неопределенно В основном особые прямые возникают при ш = 0 или ш = да, это в том случае, когда ап = 0 либо а0 = 0, соответственно. Если а0 и ап не зависят от v и т, то особые прямые отсутствуют.

После построения границы Д-разбиения и особых прямых необходимо их заштриховать, пользуясь следующим правилом: при возрастании ш от -да до да граница Д-разбиения штрихуется слева, если А > 0, и справа, если А < 0.

Так как ? и т являются четными функциями ш, то границы Д-разбиения для положитель

ных и отрицательных частот совпадают, поэтому кривую Д-разбиения обходят дважды, и она всегда штрихуется двойной штриховкой.

Штриховка особых линий, как правило, одинарная и штрихуется так, чтобы в местах сопряжения с Д-границей заштрихованные и незаштрихованные стороны прямой и кривой были направлены друг к другу (рис. 6.45 а, б).

В тех случаях, когда особая прямая имеет место при некотором конечном значении частоты ш = шк ^ 0 и при этом А проходит через нуль и меняет знак, особая прямая штрихуется согласно правилу, но двойной штриховкой (рис. 6.45, в). Если же А не меняет знак, то особая прямая не штрихуется и из рассмотрения выбрасывается (рис. 6.45, г).

Т. Я. Лазарева, Ю. Ф. Мартемьянов - Основы теории автоматического управления>
Рис. 6.45 Правило штриховки особой прямой при Д-разбиении
по двум параметрам:

а, б - одинарная штриховка; в - двойная штриховка; г - не штрихуется После нанесения штриховки определяют область, претендующую на область устойчивости, т.е. область, внутрь которой направлена штриховка.

Пересечение границы Д-разбиения из заштрихованной зоны в незаштрихованную соответствует переходу двух комплексно-сопряжен-ных корней из левой полуплоскости корней в правую, и наоборот. Пересечение особой прямой с одной штриховкой соответствует переходу одного корня.

6.10 Устойчивость систем с запаздыванием и систем с иррациональными звеньями

Все реальные системы автоматического регулирования являются системами с запаздыванием. Необходимым и достаточным условием устойчивости линейных систем с постоянным запаздыванием является расположение всех корней характеристического уравнения в левой полуплоскости.

Непосредственное нахождение корней характеристического уравнения затруднительно, в связи с его

транцендентностью, поэтому применяют критерии устойчивости. Однако в обычной форме применим только критерий устойчивости Найквиста.

Если Wp.c(/o) - амплитудно-фазовая характеристика разомкнутой системы без запаздывания, а Wp.c.T (io) - амплитудно-фазовая характеристика разомкнутой системы с запаздыванием т, то можно записать:

Wp.c.x(ra) = Wp.c(iQ) ег“т;

Мт(ш) = М(ш);

фт(ш) = ф(ш) - шт.

Графики АФХ разомкнутых систем без запаздывания и с запаздыванием представлены на рис. 6.46. Как видно из графика, АФХ разомкнутой системы с запаздыванием закручивается, так как фаза при изменении частоты от 0 до + да изменяется от 0 до - да.

Если изменять время запаздывания, то можно найти, так называемое, критическое значение, при котором система будет находиться на границе устойчивости.

Для этого критического случая справедлива запись

Wp.c.T (ІШкр) = Wр.c (/Шр.с))Шкр Ткр = M( )(ф(шкр)-Шкр Ткр) = -1. (6.68)

Из соотношения (6.68) можно записать значения фазочастотной харакеристики, при которых пересекается отрицательная действительная ось, т.е.

Фт(/ш,ф) = Ф (шкp) - o^p = - n(2j + 1), (6.69)

где j = 0, 1, 2, ..., откуда

Т. Я. Лазарева, Ю. Ф. Мартемьянов - Основы теории автоматического управления>
Рис. 6.46 АФХ разомкнутой системы с запаздыванием
л+фКр )

2п

+-j.

шкp

(6.70)

Kp

кp

0:

Минимальное критическое время запаздывания является граничным и определяется при j

п + фіш^) = Ф(ш^ )

(6.71)

KP

KP

Его можно определить и графическим способом, для этого проводится окружность единичного радиуса на плоскости АФХ, ее пересечение с АФХ разомкнутой системы без запаздывания определяет ф(шкp), а с запаздыванием позволяет определить шкг, и соответственно ткг, .

6.11 Тренировочные задания

1 Всякая система автоматического управления должна работать устойчиво. Под устойчивостью понимается способность системы возвращаться в первоначальное состояние после снятия возмущения, т.е. y(t) ^ 0 при t ^ да. Необходимым и достаточным условием устойчивости является отрицательность действительной части всех корней характеристического уравнения.

А Какая система называется нейтральной?

В Будет ли система автоматического управления устойчивой, если корни характеристического

уравнения:

Si = -2; 52,3 = -3 + 4/ш; S4 = 5?

С Будет ли система автоматического управления устойчивой, если корни характеристического уравнения расположены слева от мнимой оси?

2 Для ответа на вопрос об устойчивости систем автоматического управления используются критерии устойчивости, позволяющие судить об устойчивости, не находя его корней. И первым является необходимое условие, согласно которому все коэффициенты характеристического уравнения должны быть положительны. Следующей группой критериев являются алгебраические критерии устойчивости, и прежде всего, это критерий Рауса и критерий Гурвица.

А Для каких систем автоматического управления необходимое условие устойчивости является и достаточным?

В Если характеристическое уравнение системы

3S3 + 4S + 2S + 1 = 0,

то в соответствии с критерием Гурвица эта система

а) устойчива;

б) неустойчива;

в) находится на границе устойчивости.

С Какими исходными данными необходимо располагать, чтобы для исследования устойчивости можно было применить критерий Рауса?

3 Для исследования устойчивости широко применяются частотные критерии устойчивости. В соответствии с критерием Михайлова строится годограф Михайлова, который для устойчивых систем должен начинаться на действительной положительной полуоси, обходить последовательно, уходя в бесконечность, нигде не обращаясь в нуль,

n квадрантов координатной плоскости, где n - порядок характеристического уравнения.

Вторым частотным критерием является критерий Найквиста, позволяющий судить об устойчивости замкнутой системы по АФХ разомкнутой системы, причем разомкнутая система может быть устойчивой, неустойчивой и нейтральной, но замкнутая система при выполнении определенных условий может быть во всех случаях устойчивой

А Сформулируйте критерий Найквиста для случая, когда разомкнутая система не устойчива.

В Будет ли устойчива система автоматического управления в соответствии с критерием Михайлова, если действительная функция Михайлова и(ш) = 2 - 3ш; мнимая функция Ми-хайлова ?(ш) = ш + 3ш3?

С Пусть разомкнутая система устойчива и имеет АФХ:

Im ^
Т. Я. Лазарева, Ю. Ф. Мартемьянов - Основы теории автоматического управления>
Будет ли замкнутая система устойчивой?

6.12 Тест

1 Какая из физических систем будет устойчивой?

Т. Я. Лазарева, Ю. Ф. Мартемьянов - Основы теории автоматического управления>


А Система не возвращается в исходное состояние.

В Принимает новое установившееся состояние, отличное от первоначального.

С Система возвращается в исходное состояние.

3 Какая из систем, описываемых уравнением, будет неустойчивой?

А y"(t) + 2 y'(t) +3 y(t) = 0.

В y'"(t) + y"(t) +4y'(t) + 3 y(t) = 0.

c y"(t) - y'(t) +y(t) = 0.

4 Объект имеет характеристическое уравнение a3s3 + a2s2 + a\s + + a0 = 0. Какой из определителей является определителем Гурвица:

0

0

а0

а2

а3

0

а0

ах

а2

а2

ах

а2

ах

А
а3 аз аз 0
0 а2 а2 0
0 ах ах 0
0 а0 а0 а0
a0 a0 а0

5 Согласно алгебраическому критерию Гурвица система устойчива, если...

А Все диагональные миноры главного определителя Гурвица положительны.

В Главный определитель Гурвица положителен, а диагональные миноры отрицательны.

С Диагональные миноры главного определителя Гурвица четного порядка положительны, нечетного отрицательны.

6 Какая из систем согласно критерию Михайлова будет устойчивой, если годограф Михайлова имеет вид

Т. Я. Лазарева, Ю. Ф. Мартемьянов - Основы теории автоматического управления>


Т. Я. Лазарева, Ю. Ф. Мартемьянов - Основы теории автоматического управления>


8 Какими должны быть корни характеристического уравнения для устойчивой системы?

А С отрицательной действительной частью.

В С положительной действительной частью.

С Комплексно-сопряженные с отрицательными и положительными действительными частями.

9 Какая из систем будет устойчивой, если действительная и мнимая функции Михайлова имеют

вид

Т. Я. Лазарева, Ю. Ф. Мартемьянов - Основы теории автоматического управления>


10 Пусть разомкнутая система устойчива, то какая из замкнутых систем будет устойчива, если АФХ разомкнутой системы имеет вид:

Т. Я. Лазарева, Ю. Ф. Мартемьянов - Основы теории автоматического управления>


11 Пусть разомкнутая система нейтральна, то какая замкнутая система будет устойчива, если АФХ разомкнутой системы имеет вид:

В Im С

Т. Я. Лазарева, Ю. Ф. Мартемьянов - Основы теории автоматического управления>


Т. Я. Лазарева, Ю. Ф. Мартемьянов - Основы теории автоматического управления>


-1

Re

12 Пусть разомкнутая система не устойчива, то какая замкнутая система будет устойчива, если АФХ разомкнутой системы имеет вид:

Т. Я. Лазарева, Ю. Ф. Мартемьянов - Основы теории автоматического управления>


Т. Я. Лазарева, Ю. Ф. Мартемьянов - Основы теории автоматического управления>


7 ОБЕСПЕЧЕНИЕ УСТОЙЧИВОСТИ

7.1 Устойчивые и неустойчивые звенья и соединения

Все звенья систем автоматического регулирования подразделяются на устойчивые и неустойчивые. Так, элементарные звенья, как уже отмечалось, являются устойчивыми, исключение составляет интегрирующее звено, относящееся к группе нейтральных звеньев. Неустойчивые звенья имеют полюсы в правой полуплоскости и наиболее распространенным примером таких звеньев является квазиинерционное звено.

На устойчивость систем оказывают влияние параметры регулируемого объекта. Для того, чтобы система была стабильной, необходимо обеспечить требуемый запас устойчивости, причем, если параметры определены приближенно или могут изменяться в процессе эксплуатации системы, то запас устойчивости следует задать большим, чем при точно установленных и неизменных параметрах. Достижение устойчивости возможно осуществить также выбором соответствующих элементов системы регулирования. В частности, следует выбирать такие настройки регуляторов, чтобы система была устойчивой.

Чаще всего определяют настройки регуляторов, при которых корни характеристического уравнения замкнутой системы находятся на мнимой оси (АСР находится на границе устойчивости) для того, чтобы затем по известным методикам создать устойчивую АСР с заданными свойствами.

7.2 Синтез устойчивых систем



Синтез устойчивых систем автоматического регулирования сводится, как упомянуто выше, к выбору настроек регуляторов таким образом, чтобы замкнутая система автоматического регулирования была устойчивой.

Согласно критерия Найквиста граница устойчивости определяется уравнением

Wоб(г^)Wрег(So, Я Я іи) = -1, (7.1)

геометрически отражающим факт прохождения АФХ разомкнутой системы через точку (-1, /0). Здесь WjjerCSo, Я Я іи) - АФХ ПИД-регуля-тора; Я Я S2 - настройки ПИД-регулятора. Как известно, из ПИД-закона регулирования можно получить различные законы регулирования. Рассмотрим синтез устойчивой одноконтурной системы регулирования с различными типами регуляторов.

7.2.1 ПОСТРОЕНИЕ ГРАНИЦЫ УСТОЙЧИВОСТИ ДЛЯ СИСТЕМЫ

С ПИ-РЕГУЛЯТОРОМ

Граница устойчивости, определяемая по уравнению (7.1), для системы с ПИ-регулятором запишется

как

^об(іш)ЖреГ(Я я іи) = -1. (7.2)

Последнее уравнение можно записать в виде системы уравнений, используя амплитудно-частотные и фазочастотные характеристики:

(7.2, а)

M об (и) Мрег (So, Я и) = 1; Фоб (и) + фрег (So, Я и) = -П,

или вещественные и мнимые частотные характеристики:

Rep.c.C®, s0, У) = -!;

(7.2, 6)

Imp.c.(®, So, Sl) = 0.

В плоскости параметров
настроек S0, S1 ПИ-регулятора строится граница устойчивости
(рис. 7.1) по уравнениям (7.2), из которых по заданной частоте определяются настройки S0 и Si. Полученная кривая и является границей устойчивости, ниже этой кривой располагается область устойчивой работы, а выше - об-ласть неустойчивой работы системы регулирования. Точки 1 и 2 на кривой соответствуют границе устойчивости П- и И-регуляторов.

7.2.2 ГРАНИЦЫ УСТОЙЧИВОСТИ ДЛЯ СИСТЕМЫ С П-РЕГУЛЯТОРОМ

Если в системе автоматического регулирования используется П-регулятор с передаточной

функцией Щрег (?) = -S1 , то система уравнений (7.2) принимает вид:

M об(ю) S1 =1 (7 3)

Фоб(ю) = -п

Из второго уравнения системы (7.3) определяется рабочая частота шр (рис. 7.2), соответствующая границе устойчивости, по которой из первого уравнения определяется предельное значение настройки

Si:

(7.4)

іпред

Mоб (юр )

Т. Я. Лазарева, Ю. Ф. Мартемьянов - Основы теории автоматического управления>


Рис. Im2 _частот L Определение ы для границы

гвости системы

л d
уртойчі
і

\ ?

\ V

\

\

ч
/ і *

/ Re

WogZ 1
Рис. 7.3 Графическое определение предельного

Предельное значение настройки П-регулятора S1 можно определить и графическим методом, используя соотношение Щоб(/ш) S1 = -1. Если принять, что S1 = 1, то отрезок d на отрицательной вещественной полуоси полностью определяется АФХ объекта и соответствует ее действительной части при равенстве мнимой нулю. В этом случае АФХ разомкнутой системы совпадает с АФХ объекта.

Увеличение настройки S1 приводит к тому, что АФХ разомкнутой системы начинает увеличиваться и отсекает на вещественной отрицательной полуоси отрезок r = dS1 (рис. 7.3). Дальнейшее увеличение S1 приводит к тому, что при каком-то значении S1 АФХ разомкнутой системы пройдет через точку (-1, /0), т.е. система выйдет на границу устойчивости r = 1. Это значение S1 будет являться предельным и определится из соотношения dS^^ = 1, следовательно, S^^,^ —, т.е. для определения настройки достаточно постро-d

ить АФХ объекта и измерить отрезок d.

7.2.3 ГРАНИЦЫ УСТОЙЧИВОСТИ ДЛЯ СИСТЕМЫ С И-

РЕГУЛЯТОРОМ

Для использования в системе автоматического регулирования И- регулятора система уравнений (7.2) определения границы устойчивости записывается в виде:

(7.5)

Mоб (ю) S0 = 1 Ю

Фоб (Ю) = -^•

РИС. 7.4 ОПРЕДЕЛЕНИЕ ЧАСТОТЫ ГРАНИЦЫ УСТОЙЧИВОСТИ СИСТЕМЫ С И-РЕГУЛЯТОРОМ

Т. Я. Лазарева, Ю. Ф. Мартемьянов - Основы теории автоматического управления>
Графическое определение юго значения настройки И-регулятора
Т. Я. Лазарева, Ю. Ф. Мартемьянов - Основы теории автоматического управления>
'.4 Определение частоты

Рис. 7.5 Графическое определение предельного значения настройки И-регулятора
Как и в случае использования П-регулятора, из второго уравнения системы (7.5) определяется рабочая частота (рис. 7.4), по которой из первого уравнения определяется предельное значение настройки S0:

^?пред = ш '





При графическом определении предельного значения параметра настройки S0 система уравнений (7.5) записывается в виде



Строится АФХ объекта, а затем АФХ разомкнутой системы при S0 = 1 (рис. 7.5). Для построения последней вектор АФХ объекта необходимо развернуть на угол I--2-1, а его модуль разделить на ш. В результате построения определяется отрезок d, отсекаемый АФХ разомкнутой системы на отрицательной вещественной полуоси. Увеличение значения настройки S0 приводит к тому, что АФХ разомкнутой системы "распухает" и отсекает уже на отрицательной вещественной полуоси отрезок г, определяемый как г = S0d.

Дальнейшее увеличение S0 приводит к тому, что АФХ разомкнутой системы пройдет через точку (-1, /0), и следовательно г = 1, а отсюда предельное значение настройки И-регулятора определится как

S = 1 °0пред •

d

Таким образом, для того, чтобы синтезировать устойчивую систему, необходимо выбирать настройки П- и И-регуляторов меньше предельных значений, а ПИ-регулятора из области, расположенной ниже границы устойчивости.

7.3 Оценка запаса устойчивости

Синтез устойчивых систем, находящихся вблизи от границы устойчивости и не обладающих необходимым запасом устойчивости, не удовлетворяет ни одну реальную систему, так как любое изменение переменных, даже незначительное, может вывести систему из устойчивого режима. В связи с этим необходимо количественно оценить запас устойчивости. Наиболее распространенными оценками последнего являются следующие оценки.

7.3.1 КОРНЕВЫЕ МЕТОДЫ ОЦЕНКИ ЗАПАСА УСТОЙЧИВОСТИ

Как известно, границей устойчивости в плоскости корней характеристического уравнения является мнимая ось, поэтому, чем ближе корни характеристического уравнения располагаются к мнимой оси, тем ближе система находится к границе устойчивости. Следовательно, оценить запас устойчивости можно по расположению корней характеристического уравнения. Такой оценкой является степень устойчивости п, которая определяется расстоянием до мнимой оси ближайшего корня (рис. 7.6, а).

Если запас устойчивости будет задан через показатель цзад, то система должна иметь степень устойчивости больше или равную заданной п ^ Пзад, и область расположения корней будет находиться слева от прямой п = пзад (рис. 7.6, а).

Т. Я. Лазарева, Ю. Ф. Мартемьянов - Основы теории автоматического управления>
Рис. 7.6 Корневые показатели оценки запаса устойчивости: а - степень устойчивости; б - степень колебательности; в - одновременное использование степени устойчивости и степени колебательности Другим показателем этой группы является степень колебательности m - модуль минимального отношения действительной и мнимой частей корня Sj характеристического уравнения по сравнению с другими корнями (рис. 7.6, б):
Т. Я. Лазарева, Ю. Ф. Мартемьянов - Основы теории автоматического управления>


Re(Sj)

Im(sj)

(7.8)

m = min

j

= tg9 .

С геометрической точки зрения степень колебательности является тангенсом угла, заключенного между лучами ОА или ОВ, проведенными через начало координат и наиболее удаленные корни, и мнимой осью, т.е. tg ф = m или ф = arctg m. Корни, находящиеся на этих лучах, расположены таким образом, что все остальные корни лежат слева от них (в секторе АОВ).

Для обеспечения запаса устойчивости необходимо, чтобы степень колебательности в системе была больше или равна заданной m > m^, а область заданного запаса устойчивости в этом случае определится сектором АОВ (рис. 7.6, б).

В ряде случаев для оценки запаса устойчивости можно использовать одновременно оба рассмотренных показателя - степень устойчивости и степень колебательности. В этом случае область обеспечения заданного запаса устойчивости определяется областью АВСП (рис. 7.6, в).

7.3.2 ЧАСТОТНЫЕ МЕТОДЫ

Среди частотных методов оценки запаса устойчивости прежде всего выделяются методы, связанные с амплитудно-фазовой характеристикой разомкнутой системы, это запас устойчивости по модулю и запас устойчивости по фазе.

Запас устойчивости по модулю определяется как длина отрезка d, равного расстоянию от точки пересечения АФХ разомкнутой системы с отрицательной вещественной полуосью до точки (-1, /0) (рис. 7.7, а).

Рис. 7.7 Частотные методы:

а - запас устойчивости по модулю; б - запас устойчивости по фазе Численно запас устойчивости по модулю показывает, на сколько должен измениться модуль АФХ разомкнутой системы, чтобы система вышла на границу устойчивости.

Запас устойчивости по фазе - это угол у, лежащий между вещественной отрицательной полуосью и лучом, проведенным из начала координат в точку пересечения АФХ с единичной окружностью с центром в начале координат (рис. 7.7, б).

Численно запас устойчивости по фазе показывает, на сколько должно увеличиться отставание по фазе в разомкнутой системе при неизменном модуле АФХ, чтобы система вышла на границу устойчивости. Как правило, эти показатели используют вместе.

Для работоспособности системы требуется, чтобы запасы устойчивости по модулю и фазе были не меньше некоторых заданных величин: d > ^зад; у > узад.

Одним из основных частотных методов оценки запаса устойчивости является показатель колебательности, который как бы объединяет запас устойчивости по модулю и запас устойчивости по фазе. Оказывается, что степень близости замкнутой системы к границе устойчивости можно определить по величине максимума амплитудно-частотной характеристики разомкнутой системы. Этот максимум и называется показателем колебательности M, если М(0) = 1 (рис. 7.8).

Чем больше максимум имеет АЧХ замкнутой системы, тем ближе АФХ разомкнутой системы к точке (-1, i0) и, следовательно, тем меньше запас устойчивости имеет система как по модулю, так и по фазе. Как известно, АФХ замкнутой системы определяется через АФХ разомкнутой системы следующим образом

W,c (іи) = -

Шрс (іи)

1 + ^р.с (іи)

откуда АЧХ замкнутой системы, соответственно, равна

Re(ro)
Т. Я. Лазарева, Ю. Ф. Мартемьянов - Основы теории автоматического управления>
-1
Т. Я. Лазарева, Ю. Ф. Мартемьянов - Основы теории автоматического управления>
Т. Я. Лазарева, Ю. Ф. Мартемьянов - Основы теории автоматического управления>
Рис. 7.8 АЧХ замкнутой
Mз.с (и)

Кс (ію)|

|1 + ^р.с (іи) '

Анализ АФХ разомкнутой системы показывает, что, как видно из рис. 7.9, ее модуль равен длине отрезка ОВ, т.е. | Жр.с(і'и) I = ОВ.

Вектор 1 + Жр.с(і'и) определяется как разность векторов ОА и ОВ, т. е.

Если изменять частоту от 0 до ас, то отношение— вначале возрастает, а за-

AB Рис. 7.9 Оппрдрлі

тем начинает уменьшаться, следовательно, и АЧХ замкнутой системы вначале будет возрастать, а затем уменьшаться, т.е. будет иметь максимум. Для того, чтобы этот максимум имел заданную величину, а, следовательно, был задан показатель колебательности, необходимо, чтобы геометрически на плоскости АФХразомкнутой системы отношение отрезков ОВ и АВ имело постоянную величину (рис. 7.9):

Т. Я. Лазарева, Ю. Ф. Мартемьянов - Основы теории автоматического управления>


1 + Wp.c (іш) = Wv.c (іш) - (-1) = AB .

OB AB '

Следовательно,Мз.с (ш)

(7.9)

— = М = const.

AB

Если задан показатель колебательности, то задан запас устойчивости (максимум АЧХ замкнутой системы не должен превышать некоторой заранее заданной величины), выражающийся геометрически

в задании на плоскости АФХ разомкнутой системы окружности радиусом r =

, с центром на отри

M2-1

которую не должна пересекать амплитудно-

цательной вещественной полуоси на расстоянии P =

фазовая характеристика разомкнутой системы (рис. 7.10).

7.4 Анализ систем на запас устойчивости

7.4.1 РАСШИРЕННЫЕ ЧАСТОТНЫЕ ХАРАКТЕРИСТИКИ

Как известно, амплитудно-фазовая характеристика является конформным отображением мнимой оси плоскости корней характеристического уравнения на плоскость АФХ, механизмом ее получения является замена в передаточной функции комплексного параметра s на іш. Введение в рассмотрение запаса устойчивости равносильно переносу границы устойчивости.

Если запас устойчивости характеризуется степенью устойчивости, то в этом случае граница устойчивости как бы сдвигается влево на величину пзад (рис. 7.11, а).

Отображение новой границы устойчивости, характеризующейся заданной степенью устойчивости, на плоскость АФХ даст некоторый годограф, который получил название расширенной амплитудно-фазовой характеристики. В плоскости корней характеристического уравнения любая точка на прямой заданной степени устойчивости определяется как s = -пзад + іш. Следовательно, для получения расширенной частотной характеристики необходимо в передаточной функции комплексный параметр s заменить на (-Пзад + іш). Годограф расширенной амплитудно-фазовой характеристики (РАФХ) W( - пзад + іш) по сравнению с обычной АФХ стал как бы шире ("распух") (рис. 7.11, б), в связи с чем эта характеристика и получила название расширенной. Согласно свойствам конформного отображения при ш = 0 эта РАФХ выходит под углом 90° к действительной полуоси.

Следующая расширенная частотная характеристика характеризуется заданной степенью колебательности. В этом случае граница устойчивости определяется лучами АОВ (рис. 7.12, а).

а - плоскость корней характеристического уравнения; б - частотные характеристики

Отображение этой границы на плоскости АФХ и дает годограф расширенной амплитудно-фазовой характеристики по степени колебательности т.

На лучах АОВ параметр s имеет координаты (-а, іш), которые связаны соотношением а = тш, тогда ^ = -а + іш = -тш + іш, следовательно, для получения РАФХ достаточно в передаточной функции комплексный параметр s заменить на (-тш + іш). Годограф рассматриваемой РАФХ - Ж(-тш + іш) на

плоскости АФХ шире, чем годограф обычной АФХ, и при ш = 0 выходит под углом ^-2 + arctgrnj (рис. 7.12, б).

Расширенные амплитудно-фазовые характеристики могут быть записаны через расширенные ампли-тудно- и фазочастотные характеристики:

-іф (т,ш)

W(-n + іш) = М(п, ш) в~Іф(п’ш); W(-mш + іш) = М(т, ш) е“гф№“;. (7.10)

Пример 7.1 Построить расширенные частотные характеристики, если

Ts +1

W (s) =- K

а) Производя замену s = - тш + іш, имеем

Рис. 7.11
Т. Я. Лазарева, Ю. Ф. Мартемьянов - Основы теории автоматического управления>
а — плоскость корней характеристического уравнения; б — частотные характеристики
Т. Я. Лазарева, Ю. Ф. Мартемьянов - Основы теории автоматического управления>
Рис. 7.12 Расширенная частотная характеристика по степени колебательности:
T(-тш+ іш)+1 ((1 -Ттш) + іТш) ’

АФХ: W (-тш+ іш) =

АЧХ: M (т, ш) =

yj( 1 - Ттш)2 + Т2ш2 ’

Тш

ФЧХ: ф = (т, ш) = -arctg

1 - Ттш

Т. Я. Лазарева, Ю. Ф. Мартемьянов - Основы теории автоматического управления>
РИС. 7.13 РАСШИРЕННЫЕ ЧАСТОТНЫЕ ХАРАКТЕРИСТИКИ: А - АЧХ; Б - ФЧХ; В - АФХ
Тю

(1-Ттю)

lim ф(т, ю)

ю^ад

lim arctg

ю^ад \

arctgm + 2 |.

График частотных характеристик изображен на рис. 7.13.

Сравнение АФХ и РАФХ показывает, что для любой частоты значения M(m, ю), ф(т, ю) больше по абсолютной величине чем М(ю), ф(ю), поэтому годограф W(-m& + ію) шире, чем W(rn). Б) ПРОИЗВОДЯ ЗАМЕНУ S = -ц + Ію, ИМЕЕМ:

АФХ:

АЧХ:

W (-ц + ію) = M (ц, ю) =

Т (-ц + ію) +1 (1 - Тц) + іТю K

?(1 - Тц)2 + Т

ФЧХ: ф(п, ю) = -arctgl -Т- 1, 1ітф(ю) = -2 .

^ 1 - Тц) ю^ад 2

Графики частотных характеристик изображены на рис. 7.14.

Т. Я. Лазарева, Ю. Ф. Мартемьянов - Основы теории автоматического управления>
РИС. 7.14 РАСШИРЕННЫЕ ЧАСТОТНЫЕ ХАРАКТЕРИСТИКИ:

А - АЧХ; Б - ФЧХ; В - АФХ
7.4.2 АНАЛИЗ СИСТЕМ НА ЗАПАС УСТОЙЧИВОСТИ

Для анализа систем на запас устойчивости используется аналог критерия Найквиста.

Согласно критерию Найквиста замкнутая система находится на границе устойчивости, если АФХ разомкнутой системы проходит через точку (—1, і0). Применяя этот критерий для исследования системы на запас устойчивости, следует, что если разомкнутая система обладает запасом устойчивости и расширенная амплитудно-фазовая характеристика не охватывает точку (—1, і0), то замкнутая система имеет запас устойчивости не меньше, чем заданный.

Если запас устойчивости оценивается степенью устойчивости ц, то для анализа системы аналог критерия Найквиста может быть использован в следующей формулировке. Если разомкнутая система имеет степень устойчивости цзад, то замкнутая система будет обладать заданной степенью устойчивости, если РАФХ разомкнутой системы W(-q, ію) проходит через точку (-1, і0). Если РАФХ ра

зомкнутой системы W (—ц, ію) не охватывает точку (-1, і0), то степень устойчивости замкнутой системы будет выше заданной цзад.

Условие, согласно которому замкнутая система будет обладать заданной степенью колебательности т, формулируется следующим образом. Если разомкнутая система имеет степень колебательности тзад, то замкнутая система будет обладать заданной степенью колебательности, если РАФХ разомкнутой системы W(-m& + /ш) проходит через точку (-1, /0). Если РАФХ разомкнутой системы W(-m& + /ш) не охватывает точку (-1, /0), то степень колебательности замкнутой системы будет выше тзад .

При анализе системы на запас устойчивости по модулю и по фазе необходимо построить АФХ замкнутой системы и определить исследуемые запасы устойчивости графически, согласно их определению.

При оценке запаса устойчивости по показателю колебательности М строится АФХ разомкнутой

системы и окружность (рис. 7.10) радиуса r =

. Замкнутая сис-

/0

с центром в точке

тема обладает запасом устойчивости выше заданного, если АФХ разомкнутой системы не заходит внутрь этой окружности. Если АФХ касается этой окружности, то замкнутая система обладает заданным запасом устойчивости.

7.5 Синтез систем, обладающих заданным запасом устойчивости

В п. 7.2 был рассмотрен синтез устойчивых систем. Теперь необходимо провести синтез систем, обладающих заданным запасом устойчивости, например, заданной степенью колебательности тзад. Под синтезом в данном случае будем понимать расчет настроек регуляторов в замкнутой одноконтурной системе регулирования.

Как известно, для того, чтобы замкнутая система обладала заданным запасом устойчивости - заданной степенью колебательности, необходимо и достаточно, чтобы РАФХ разомкнутой системы W(-тш + /ш) проходила через точку (-1, /0). На основании этого можно записать:

Woб(-mшр + /шр ) Wр(-mшр + /шр ) = -1. (7.11)

Уравнение (7.11) можно свести к системе двух уравнений, отра-жающих связь между частотными характеристиками объекта и регу-лятора:

(7.12)

Г Mоб(т, Юр)Нр(т, шр, S0, Su S2) = 1; [фоб(т Юр) + Фрт ку So, S^ S2) = - П

где S0, S1, S2 - параметры настроек регуляторов. Система уравнений (7.12) позволяет определить рабочую частоту и параметры настроек регуляторов, эта система может быть записана также в виде:

ІШр.с(т, ш р, S 0, У, S 2) = 0; Rep.c (m, ш p, S 0, S^ S 2) = -1-.

7.5.1 СИСТЕМА С П-РЕГУЛЯТОРОМ

Расширенная амплитудно-фазовая характеристика П-регулятора записывается в виде: Wp(-mю + ію) = -S1 = S1e~,n, тогда система уравнений (7.12) для системы автоматического регулирования с П-регулятором преобразуется к виду:

об (т Юр )Si =1;

Фоб(т
Т. Я. Лазарева, Ю. Ф. Мартемьянов - Основы теории автоматического управления>
б)

а)
(7.13)

Юр ) =-п.

РИС. 7.15 ОПРЕДЕЛЕНИЕ НАСТРОЙКИ П-РЕГУЛЯТОРА, ОБЕСПЕЧИВАЮЩЕЙ

ЗАДАННУЮ СТЕПЕНЬ КОЛЕБАТЕЛЬНОСТИ:

А - ОПРЕДЕЛЕНИЕ РАБОЧЕЙ ЧАСТОТЫ Юр; Б - ОПРЕДЕЛЕНИЕ ЗНАЧЕНИЯ РАЧХ ОБЪЕКТА ПРИ РАБОЧЕЙ ЧАСТОТЕ юр

Из второго уравнения системы определяется рабочая частота юр. Последнюю можно определить и графически, для чего следует построить расширенную фазочастотную характеристику объекта и прямую, равную -п (рис.7.15, а), пересечение которых и дает юр. Настройка П-регулятора опре

делится по соотношению

(7.14)

Si =-

Моб (т, Юр ) ’

где значение расширенной АЧХ объекта можно определить как аналитически, так и графически (рис. 7.15, б).

7.2.5 СИСТЕМА С И-РЕГУЛЯТОРОМ

Расширенная амплитудно-фазовая характеристика И-регулятора имеет вид

-і 2п - arctg— т

- S,

Wp (-тю + ію) =

(-тю +ію) ЮУІ т2 +1

С учетом этой характеристики система уравнений (7.12) для определения настройки S0 и рабочей частоты записывается в виде

J0

Моб(т, Юр)-

= 1;

ю/"т +1

(7.15)

Фоб (т, Юр) = -2п + arctg—.

т

Т. Я. Лазарева, Ю. Ф. Мартемьянов - Основы теории автоматического управления>
РИС. 7.16 ОПРЕДЕЛЕНИЕ НАСТРОЙКИ И-РЕГУЛЯТОРА, ОБЕСПЕЧИВАЮЩЕЙ
ЗАДАННУЮ СТЕПЕНЬ КОЛЕБАТЕЛЬНОСТИ:

А - ОПРЕДЕЛЕНИЕ РАБОЧЕЙ ЧАСТОТЫ шР; Б - ОПРЕДЕЛЕНИЕ ЗНАЧЕНИЯ РАЧХ

ОБЪЕКТА ПРИ РАБОЧЕЙ ЧАСТОТЕ Шр

Решение системы уравнений (7.15) может быть проведено как аналитически, так и графически. Графическое решение второго уравнения с целью определения рабочей частоты представлено на рис. 7.16, а.

На рис. 7.16, б представлено определение значения РАЧХ объекта при рабочей частоте. Настройка S0 И-регулятора, обеспечивающая заданную степень колебательности, определяется соотношением

(7.16)

ю?т2 +1

Моб (^ Юр )

7.5.3 СИСТЕМА С ПИ-РЕГУЛЯТОРОМ

Расширенная амплитудно-фазовая характеристика ПИ-регулятора:

J0

Wp (-тю + ію) = -I Sj +

- тю+ ію

откуда для регулятора

Т. Я. Лазарева, Ю. Ф. Мартемьянов - Основы теории автоматического управления>


- S1mo) + S1 ю юл] т 2 +1

РАЧХ

M (т, ю)

РФЧХ - ф_(т, ю) = П + arctg —--arctgm.

2 S0 - SJ

ПИ-регулятор имеет два параметра настроек S0 и S1, которые вместе с юр подлежат расчету. Система уравнений (7.12) записывается в виде:

J(S0 S!тюр ) + S1 юр

-, -= 1;

м об (т, юр)

юр>/т +1

(7.17)

, ч п Уюр

фоб (m, юр) =- + arCtgT^-^-

2 У - Sтю„

- arctgm = -п.

J0 °Гшр

Полученная система позволяет определить только два неизвестных, а надо три, поэтому она имеет бесконечное множество решений.

Для получения этих решений система разрешается относительно значений настроек:

(7.18)

S0 =юр(т2 + 1)Mо*б(т, юр)фоб(т, юр);

Sl = М,*б (т, юр)[т sinф^б(т, юр) - cos фоб (т, юр)],

ГДЕ М0*б(т,юр) = ——1--; ф^б (M, Шр) = -фОБ(М, юр).

Моб (m, юр )

Т. Я. Лазарева, Ю. Ф. Мартемьянов - Основы теории автоматического управления>


Рис. 7.17 Граница заданной степени колебательности для ПИ-регулятора

По заданной рабочей частоте определяются настройки S0, S1 согласно системе уравнений (7.18). Задавая различные частоты и определяя по ним настройки, строится граница заданной степени колебательности в плоскости параметров So, S1 (рис. 7.17), которая называется кривой равной степени колебательности. Любая точка этой кривой отвечает требованиям обеспечения запаса устойчивости заданной степени колебательности т = тзад.

Кроме того, кривая равной степени колебательности делит всю плоскость настроек S0, S1 на две области: настройки, лежащие над кривой, соответствуют степени колебательности меньше заданной m < тзад, а настройки, лежащие под кривой, соответствуют степени колебательности больше заданной m > тзад. Задание различных значений степени колебательности позволяет получить семейство кривых (рис. 7.17), причем т1 > тзад, а т2 < тзад, и все они располагаются ниже границы устойчивости т = 0.

7.5.4 СИСТЕМА С ПД-РЕГУЛЯТОРОМ

Расширенная амплитудно-фазовая характеристика ПД-регулятора записывается в виде

W (-тю + /ш) = - [S1 + S2 ( - тш + /ш)],

откуда

РАЧХ — Мр(т,ш) = д/(Sj - S2rnra)2 + S^ra2 ;

S2m

S1 - S2

РФЧХ

Фр (т, ш) = п + arctg

Здесь также три неизвестных S1, S2, шp и два уравнения системы (7.12), разрешение которой относительно настроек S1, S2 позволяет записать их в виде:

(7.19)

51 = М**б(т, Шp)[msin(фOб(т, Шp)-п) + cos^6(т, Шp)-п)];

52 =— Моб (т, Шp)m sin(фOб(т, Шp) -п),

шp

ГДЕ Mоб(М, шр) — 1--; Ф об(М, шр) —Фоб(М, шр).

Моб (m, ш р )

Т. Я. Лазарева, Ю. Ф. Мартемьянов - Основы теории автоматического управления>
Рис. 7.18 Граница за-

Г» О IIIIAII
Задавая различные рабочие частоты и определяя соответствующие им настройки, в плоскости параметров настроек S1, S2 строится кривая равной степени колебательности (рис. 7.18). Любая точка этой кривой отвечает требованию, что т = тзад. Выше кри-вой т < тзад, а ниже - т

> тзад.

Предложенное решение вопроса обеспечения устойчивости и создания запаса устойчивости предполагало, что структура системы, а также тип регулятора заданы, но существуют и другие способы, отличные от рассмотренных.

7.6 Обеспечение устойчивости и повышение запаса устойчивости с помощью логарифмических

частотных характеристик

Одним из способов обеспечения устойчивости и заданного запаса устойчивости является выбор основных элементов регулятора и изменение их динамических свойств с помощью местных обратных связей.

Проследить влияние на устойчивость тех или иных параметров удобно по логарифмическим частотным характеристикам, используя критерий Найквиста.

Если система автоматического регулирования представляет собой апериодическое звено, то наиболее характерным параметром, влияющим на устойчивость, является его постоянная времени.

Т. Я. Лазарева, Ю. Ф. Мартемьянов - Основы теории автоматического управления>
Рис. 7.19 Оценка влияния постоянной времени на устойчивость системы:

а -АЧХ; б -ФЧХ

На рис. 7.19 изображены логарифмические частотные характеристики для разомкнутой системы с передаточной функцией
_K_

(Txs + 1)(T2 5 +1) (T35 +1)

W (5)

для двух значений постоянной времени Т11 (сплошная), Т12 (пунктир-ная), Т12 > Т11. Как видно из графиков, увеличение постоянной времени ведет к увеличению запаса устойчивости по фазе от у до у1,

если сопрягающая частота ш1

располагается левее частоты среза шс. Если же сопрягающая частота

расположится правее частоты среза, то увеличение постоянной времени апериодического звена уменьшит за-пас устойчивости.

Это правило справедливо для апериодических, колебательных звеньев. Для форсирующего звена влияние постоянной времени противоположно, а для ряда структур, имеющих передаточную функ-

100(0,15 +1)

цию разомкнутой системы, например, W (5) =-—---, оно не выполняется, т.е. с увеличе-

(5 +1)(0,55 +1)(0,015 +1)

нием T1 запас по фазе уменьшается.

Другим наиболее распространенным путем обеспечения устойчивости и запаса устойчивости АСР является введение в ее прямую цепь дополнительных звеньев, причем введение одного и того же звена в зависимости от структуры и параметров системы дает различные результаты. Поэтому правильный выбор дополнительного звена можно сделать, если известна структура и параметры системы.

7.7 Структурная устойчивость

Структурно-устойчивыми называются системы, которые при каких-либо значениях их параметров могут стать устойчивыми. Структурно-неустойчивыми называются системы, которые не могут стать устойчивыми ни при каких комбинациях значений их параметров.

Вопросы структурной устойчивости возникают при введении дополнительных звеньев, т.е. получаемая система должна быть, в первую очередь, структурно-устойчивой. В ряде случаев по виду структурной схемы можно определить, является система структурно-устойчивой или структурнонеустойчивой.

Система является структурно-устойчивой, если в ее состав входят только устойчивые инерционные и колебательные звенья. Хорошей геометрической интерпретацией является рассмотрение годографа Михайлова.

а - одного интегрирующего звена; б - двух интегрирующих звеньев

Пусть система состоит из одного интегрирующего и устойчивых инерционных и колебательных звеньев. В этом случае годограф Михайлова имеет вид, изображенный на рис. 7.20, а. Анализ этого годографа показывает, что при достаточно малых возмущениях весь годограф сдвигается немного вправо и система становится устойчивой, следовательно, система с одним интегрирующим звеном структурно-устойчива.

Система, состоящая из двух интегрирующих звеньев и любого числа устойчивых инерционных и колебательных звеньев, структурно- неустойчива. Годограф Михайлова этой системы изображен на рис. 7.20, б, из которого видно, что никакими возмущениями не удастся сдвинуть годограф вправо таким образом, чтобы система стала устойчивой.

7.8 Влияние малых параметров на устойчивость

При разработке математического описания системы нередко вносятся те или иные допущения, заключающиеся в пренебрежении малыми параметрами системы. Последнее ведет к понижению порядка дифференциальных уравнений и об устойчивости судят по приближенным "вырожденным" уравнениям чисто интуитивным путем. Однако для конкретных случаев можно оценить влияние малых параметров на устойчивость.

Пусть малый параметр р входит линейно в характеристическое уравнение системы, т.е. это уравнение записывается следующим образом

Т. Я. Лазарева, Ю. Ф. Мартемьянов - Основы теории автоматического управления>
->

U(a)
Рис. 7.20 Годографы Михайлова с целью определения структурной устойчивости системы, состоящей из устойчивых инерционных, колебательных звеньев:
(7.20)

D(s) = pDi(s) + Do(s) = 0,

ГДЕ р - МАЛЫЙ ПАРАМЕТР; Do(S) - ПОЛИНОМ ПОРЯДКА N; D^S) - ПОЛИНОМ ПОРЯДКА

N = M + N.

Здесь возможны три характерных случая:
Т. Я. Лазарева, Ю. Ф. Мартемьянов - Основы теории автоматического управления>
один из корней характеристического уравнения s = и при р > о, аі > о уходит в бесконечность по

Фо bo

отрицательной вещественной оси. При достаточно малых значениях р система будет устойчивой, если корни вырожденного уравнения D0(s) = 0 - левые.

чае условием устойчивости системы является устойчивость решения вырожденного уравнения D0(s) = 0

b, а,

и выполнение неравенства —---L > 0 .

b0 а0

3 Разность порядков числителя и знаменателя m > 2. В этом случае отбрасывать малые параметры при исследовании устойчивости недопустимо.

Встречаются случаи, когда малый параметр входит в уравнение системы в виде полинома. Устойчивость такой системы определяется тем, как располагаются уходящие в бесконечность корни: справа или слева от мнимой оси. Расположение этих корней определяется, так называемым, вспомогательным уравнением. Для того, чтобы исходная система при достаточно малых р была устойчивой, необходимо и достаточно, чтобы вырожденное и вспомогательное уравнения, каждое порознь, удовлетворяли условиям устойчивости.

7.9 Корректирующие устройства

Как уже неоднократно говорилось, одним из приемов обеспечения устойчивости и запаса устойчивости системы является введение в нее дополнительного элемента, который исправляет, корректирует свойства исходной системы и называется корректирующим элементом.

Если этот элемент достаточно сложен, то он называется корректирующим устройством. Таким образом, корректирующее устройство - это функциональный элемент системы автоматического регулирования по отклонению, обеспечивающий необходимые динамические свойства этой системы. Включаются эти элементы в систему различным образом.

7.9.1 ПОСЛЕДОВАТЕЛЬНАЯ КОРРЕКЦИЯ

Корректирующее устройство включается в прямую цепь системы обычно после датчика или же предварительного усилителя. На рис. 7.21 изображена структурная схема системы автоматического регулирования с последовательным корректирующим устройством W (s).

ПРИМЕНЕНИЕ ПОСЛЕДОВАТЕЛЬНЫХ КОРРЕКТИРУЮЩИХ УСТРОЙСТВ НАИБОЛЕЕ УДОБНО В СИСТЕМАХ, У КОТОРЫХ СИГНАЛ УПРАВЛЕНИЯ ПРЕДСТАВЛЯЕТ СОБОЙ НАПРЯЖЕНИЕ ПОСТОЯННОГО ТОКА.

В качестве корректирующих устройств могут быть выбраны следующие:

- идеальное дифференцирующее звено

A(s)

D0(s)

2 Порядок числителя функции

на два порядка выше порядка знаменателя, m = 2. В этом слу

(7.21)

W(s) = Тд s;

- идеальное дифференцирующее звено с совместным введением производной и отклонения

W(s) = кк(Тд s + 1); (7.22)

инерционные дифференцирующие звенья

Тдs +1

Ts +1

W(s) = кк

(7.23)

- идеальное интегрирующее звено

WK(s)

(7.24)

Тд s

- инерционное интегрирующее звено

1

Тд s(Ts +1)

WK(s)

(7.25)

Использование корректирующего элемента с передаточной функцией (7.21) ведет к потере информации о величине отклонения регулируемой величины. В этом случае необходимо учитывать как само отклонение, так и его производную, т.е. корректирующее устройство должно выбираться в виде (7.22). Однако передаточная функция корректирующего устройства должна выбираться в виде (7.23).

Т. Я. Лазарева, Ю. Ф. Мартемьянов - Основы теории автоматического управления>
РИС. 7.21 СТРУКТУРНАЯ СХЕМА СИСТЕМЫ С ПОСЛЕДОВАТЕЛЬНОЙ КОРРЕКЦИЕЙ Использование интегрирующих звеньев (7.24), (7.25) повышает порядок астатизма системы, что ведет к ухудшению устойчивости, поэтому одновременно необходимо позаботиться о дополнительных средствах коррекции с целью повышения устойчивости. Введение производных является одним из способов такой коррекции.
7.9.2 ПАРАЛЛЕЛЬНАЯ КОРРЕКЦИЯ

При параллельной коррекции корректирующее устройство подключается параллельно одному или нескольким основным звеньям (рис. 7.22), при этом возможна коррекция двух видов: упреждающая или прямая связь (рис. 7.22, а) и обратная связь (рис. 7.22, б). В замкнутой системе разница между этими видами параллельной коррекции становится условной и сводится лишь к тому, какие звенья считаются

"охваченными" данной связью. Однако на практике чаще всего используют отрицательную обратную связь.

В зависимости от типа корректирующего устройства различают следующие типы обратных связей:

- жесткая обратная связь

W^s) = кк = сопбі:, (7.26)

ГДЕ K - КОЭФФИЦИЕНТ ЖЕСТКОЙ ОБРАТНОЙ СВЯЗИ;

- инерционная жесткая обратная связь

кк .

TQGs + 1

(7.27)

WK (s)

идеальная гибкая обратная связь (дифференцирующая)

WksO) = Тдs;

(7.28)

Т. Я. Лазарева, Ю. Ф. Мартемьянов - Основы теории автоматического управления>
а)

б)
Рис. 7.22 Структурная схема параллельной коррекции

а — прямая связь; б - обратная связь
- инерционная гибкая обратная связь (изодромная)

kKs .

Too s +1

(7.29)

Wk (s)

- инерционная корректирующая обратная связь (астатическая коррекция)

Wk,(s) = Tr; (7.30)

Ts

- комбинированная обратная связь (изодромная с остаточной неравномерностью)

К (Ts +1)

Too s +1

(7.31)

Wk3 (s)

Анализ применения различных корректирующих устройств позволяет сделать некоторые выводы и рекомендации относительно их использования. Положительная жесткая обратная связь (7.26) служит для увеличения коэффициента усиления, но при этом необходимо следить за постоянной времени, которая также увеличивается, и система может стать неустойчивой. Отрицательная жесткая обратная связь (7.26) используется для уменьшения инерционности системы. Так как положительные обратные связи влекут за собой потерю устойчивости, то в дальнейшем без специальных оговорок будет считаться, что обратная связь - отрицательна. Жесткие обратные связи аннулируют интегрирующие свойства, а гибкие связи сохраняют астатизм. Охват жесткой обратной связью превращает астатические связи в статические. В практическом применении наибольшее распространение получила инерционная гибкая обратная связь.

7.10 Тренировочные задания

1 НА УСТОЙЧИВОСТЬ СИСТЕМ АВТОМАТИЧЕСКОГО УПРАВЛЕНИЯ ОКАЗЫВАЮТ ВЛИЯНИЕ ПАРАМЕТРЫ РЕГУЛИРУЕМОГО ОБЪЕКТА. ДОСТИЖЕНИЕ УСТОЙЧИВОСТИ МОЖНО ОСУЩЕСТВИТЬ ВЫБОРОМ СООТВЕТСТВУЮЩИХ ЭЛЕМЕНТОВ СИСТЕМЫ РЕГУЛИРОВАНИЯ, В ЧАСТНОСТИ, ВЫБОРОМ НАСТРОЕК РЕГУЛЯТОРОВ. ТАКИМ ОБРАЗОМ, СИНТЕЗ УСТОЙЧИВЫХ СИСТЕМ СВОДИТСЯ К ОПРЕДЕЛЕНИЮ НАСТРОЕК РЕГУЛЯТОРОВ, ПРИ КОТОРЫХ СИСТЕМА БУДЕТ НАХОДИТЬСЯ НА ГРАНИЦЕ УСТОЙЧИВОСТИ.

А На каком критерии базируется синтез устойчивых систем?

В Каким образом строится граница устойчивости для систем регулирования с регулятором, имеющим два настроечных параметра?

С Как синтезировать устойчивую систему с П- или И-регулятором?

2 СИСТЕМА АВТОМАТИЧЕСКОГО УПРАВЛЕНИЯ НЕ ТОЛЬКО ДОЛЖНА БЫТЬ УСТОЙЧИВОЙ, НО И ОБЛАДАТЬ НЕКОТОРЫМ ЗАПАСОМ УСТОЙЧИВОСТИ. ПОСЛЕДНИЙ МОЖНО ОЦЕНИТЬ С ПОМОЩЬЮ КОРНЕВЫХ И ЧАСТОТНЫХ МЕТОДОВ.

А Какие корневые методы оценки запаса устойчивости вам известны?

В Какой физический смысл имеет показатель колебательности?

С С помощью каких частотных характеристик вводятся в рассмотрение оценки запаса устойчивости?

3 ДЛЯ АНАЛИЗА СИСТЕМ НА ЗАПАС УСТОЙЧИВОСТИ ИСПОЛЬЗУЕТСЯ АНАЛОГ КРИТЕРИЯ НАЙКВИСТА, НА КОТОРОМ ОСНОВАН И СИНТЕЗ СИСТЕМ, ОБЛАДАЮЩИХ ЗАПАСОМ УСТОЙЧИВОСТИ. ПРИ ЭТОМ, КАК И ПРИ СИНТЕЗЕ УСТОЙЧИВЫХ СИСТЕМ, НЕОБХОДИМО ОПРЕДЕЛИТЬ НАСТРОЙКИ РЕГУЛЯТОРОВ, ПРИ КОТОРЫХ СИСТЕМА ОБЛАДАЕТ ЗАДАННЫМ ЗАПАСОМ УСТОЙЧИВОСТИ.

А Если запас устойчивости оценивается показателем колебательности, то как оценить запас устойчивости замкнутой системы?

В Однозначно или нет решается задача определения настроек ПИ- и ПД-регуляторов на заданный запас устойчивости?

С Что означает термин "структурная неустойчивость"?

7.11 Тест

1 ПРЕДЕЛЬНОЕ ЗНАЧЕНИЕ НАСТРОЕК П-РЕГУЛЯТОРА, ПРИ КОТОРОМ СИСТЕМА НАХОДИТСЯ НА ГРАНИЦЕ УСТОЙЧИВОСТИ, ОПРЕДЕЛЯЕТСЯ ПО СООТНОШЕНИЮ:

А Su

Фоб (®р ) 1

1 пред

Моб (шр ) С S1 пред = Моб (ш р ) +

Фоб К )

2 КАК ОПРЕДЕЛИТЬ СТЕПЕНЬ УСТОЙЧИВОСТИ?

А ¦ Re(S) .

А т = min-— .

Si Im(S;)

В n = min|Re(Si )|;

Si

С y = У-^Уз.

Уі

3 КАК ПОЛУЧИТЬ РАСШИРЕННУЮ АМПЛИТУДНО-ФАЗОВУЮ ХАРАКТЕРИСТИКУ?

А Заменой в передаточной функции S = i ш.

B Заменой в передаточной функции S = i ш + M ш.

C Заменой в передаточной функции S = -т ш + i ш.

4 КАКОЙ ПОКАЗАТЕЛЬ ОПРЕДЕЛЯЕТ ЗАПАС УСТОЙЧИВОСТИ?

А Степень затухания.

В Показатель колебательности.

С Время регулирования.

5 КАКИМ ПОКАЗАТЕЛЕМ ОПРЕДЕЛЯЕТСЯ ЗАПАС УСТОЙЧИВОСТИ ПРИ РАСЧЕТЕ НАСТРОЕЧНЫХ ПАРАМЕТРОВ МЕТОДОМ РАФХ?

А Запас устойчивости на фазе. В Показатель колебательности.

С Степень колебательности.

6 ПРИ РАСЧЕТЕ РЕГУЛЯТОРОВ НА ЗАДАННЫЙ ЗАПАС УСТОЙЧИВОСТИ ИХ НАСТРОЙКИ ВЫБИРАЮТСЯ...

А Вне кривой заданного запаса устойчивости.

В На кривой заданного запаса устойчивости.

С Внутри области, ограниченной кривой заданного запаса устойчивости.

7 ДЛЯ СИСТЕМ РЕГУЛИРОВАНИЯ С ПИ-РЕГУЛЯТОРОМ ГРАНИЦА ЗАДАННОГО ЗАПАСА УСТОЙЧИВОСТИ СТРОИТСЯ В КООРДИНАТАХ.

А Si - So.

В Re(m, ш) - Im(m, ш). C Re(o) - Іт(ш).

8 КАКИЕ ЧАСТОТНЫЕ ХАРАКТЕРИСТИКИ ИСПОЛЬЗУЮТСЯ ПРИ АНАЛИЗЕ СИСТЕМ РЕГУЛИРОВАНИЯ НА ЗАПАС УСТОЙЧИВОСТИ ПО МОДУЛЮ И ФАЗЕ?

А АФХ объекта и АФХ регулятора.

В АФХ разомкнутой системы.

С АФХ замкнутой системы.

9 ГРАНИЦА ЗАДАННОГО ЗАПАСА УСТОЙЧИВОСТИ ОПРЕДЕЛЯЕТСЯ ПО УРАВНЕНИЮ.

А Wоб (-тшр, іШр) Wоб (-тшр, іШр, So, Si) = - 1.

В Жоб (іШр) Жоб (іШр, So, Si) = - 1.

С Wоб (-тшр, іШр) = Wоб (-тшр, іШр, So, Si).

10 ПРИ СИНТЕЗЕ СИСТЕМ НА ЗАДАННЫЙ ЗАПАС УСТОЙЧИВОСТИ РАБОЧАЯ ЧАСТОТА - ЭТО.

А Частота, при которой система находится на границе устойчивости.

В Частота, при которой система находится на границе заданного запаса устойчивости.

С Частота, при которой система находится в области неустойчивой работы.

8 ИССЛЕДОВАНИЕ КАЧЕСТВА ПРОЦЕССОВ РЕГУЛИРОВАНИЯ

Одной из проблем, возникающих при построении систем автоматического регулирования, наряду с проблемой устойчивости, является качество регулирования, характеризующее точность и плавность протекания переходного процесса.

Система автоматического регулирования называется качественной, если она удовлетворяет определенным технологическим требованиям: например, как будет меняться реакция системы, если на ее вход действуют различного рода возмущения как по каналу управления, так и по каналу возмущения, т.е. обеспечивается ли принципиальная возможность прихода системы в некоторое установившееся состояние. Такое понятие качества автоматической системы охватывает ее статические и динамические свойства, выраженные в количественной форме и получившие название показателей качества управления.

8.1 Показатели качества

8.1.1 ПРЯМЫЕ ПОКАЗАТЕЛИ

Наиболее распространенными прямыми показателями или критериями качества, применяемыми в системах управления, являются:

1 Статическая ошибка регулирования уст, определяемая как разность между установившимся значением регулируемой переменной и ее заданным значением (рис. 8.1), т.е. уст = ууст - узад.

2 Динамическая ошибка регулирования удин, определяемая как наибольшее отклонение в переходном процессе регулируемой пере-менной от ее установившегося значения (рис. 8.2).

3 Время регулирования Тр - время, за которое разность между текущим значением регулируемой переменной и ее заданным значением (или установившимся) становится меньше s (рис. 8.1, 8.2), | узад(0 -

y(t)| < s .

Т. Я. Лазарева, Ю. Ф. Мартемьянов - Основы теории автоматического управления>
РИС. 8.3 К ОПРЕДЕЛЕ- Рис. 8.4 К определению

НИЮ степени затухания
4 Перерегулирование о, измеряемое в % и равное отношению первого максимального отклонения регулируемой переменной от ее установившегося значения к этому установившемуся значению (рис. 8.3):

о= Утах~ Ууст 100%. (8.1)

Ууст

Качество регулирования считается удовлетворительным, если перерегулирование не превышает 30 - 40 %.

5 Степень затухания ? у, измеряемая в %, служит количественной оценкой интенсивности затухания колебательных процессов и определяется как отношение разности первой и третьей амплитуд к первой амплитуде (рис. 8.4):

у= (y1 -y3)100 %. (8.2)

У1

Интенсивность затухания колебаний в системе считается удовлетворительной, если степень затухания составляет 75 % и выше, в некоторых случаях допускается порядка 60 %.

Для того, чтобы система автоматического регулирования удовлетворяла требуемому качеству необходимо, чтобы прямые показатели качества регулирования этой системы были меньше или равны заданным, т. е.

У < Узад ; дин Д^дин >

зад; ст

Т < Тзад; а < а

р р зад

Уст < У

У < У зад .

Иногда требования по качеству регулирования могут быть более жесткие, например, переходный процесс должен быть монотонным или монотонным и без перегибов.

Прямые показатели качества удобно использовать в тех случаях, когда имеется график переходного процесса y(t), который может быть получен экспериментально в реальной системе регулирования или путем моделирования на ЭВМ. Если же такой возможности нет, т.е. не удается никаким образом получить кривую переходного процесса, то пользуются косвенными показателями качества, которые вычисляются без построения графика переходного процесса по коэффициентам урав-нений или по частотным характеристикам.

8.1.2 КОСВЕННЫЕ ПОКАЗАТЕЛИ КАЧЕСТВА

Основную группу среди косвенных показателей качества составляют корневые показатели качества регулирования, к которым относятся степень устойчивости и степень колебательности. Эти показатели уже были использованы для определения оценки запаса устойчивости (п. 7.3, где было дано их определение). С точки зрения качества регулирования можно сделать следующие выводы.

1 Степень устойчивости, определяемая по формуле (7.7), характеризует интенсивность затухания наиболее медленно затухающей неколебательной составляющей переходного процесса, которая определяется как ук(і) = СкАп Пусть рассматриваемая система описывается дифференциальным уравнением второго порядка, характеристическое уравнение которого имеет два действительных различных корня s1 = - а1, s2 = - а2 и а1 < а2 (рис. 8.5, а). Последним соответствуют две эле

ментарные составляющие свободного движения системы (рис. 8.5, б):

МО = ; У2 (t) = с1еГа2t.

Как видно из графиков переходных процессов, чем меньше абсолютное значение корня характеристического уравнения, тем медленнее затухает соответствующая ему составляющая. Результирующий переходный процесс y(t) = ^ yi (t). Его затухание определяется наиболее медленно затухающей составляющей, т.е. наименьшим по абсолютному значению корнем характеристического уравнения.

ЕСЛИ ЖЕ ХАРАКТЕРИСТИЧЕСКОЕ УРАВНЕНИЕ СИСТЕМЫ ИМЕЕТ КОМПЛЕКСНЫЕ СОПРЯЖЕННЫЕ КОРНИ, ТО СОСТАВЛЯЮЩАЯ ПЕРЕХОДНОГО ПРОЦЕССА Y(T) БУДЕТ ИМЕТЬ КОЛЕБАТЕЛЬНЫЙ ХАРАКТЕР Y^T) = С^EnTCOSшT, И ДЕЙСТВИТЕЛЬНАЯ ЧАСТЬ КОРНЯ, А ФАКТИЧЕСКИ СТЕПЕНЬ УСТОЙЧИВОСТИ, ТАК КАК п = а, ХАРАКТЕРИЗУЕТ ОГИБАЮЩУЮ (РИС. 8.6).

Т. Я. Лазарева, Ю. Ф. Мартемьянов - Основы теории автоматического управления>
РИС. 8.5 ОПРЕДЕЛЕНИЕ КАЧЕСТВА МОНОТОННЫХ ПЕРЕХОДНЫХ ПРОЦЕССОВ ПО СТЕПЕНИ УСТОЙЧИВОСТИ:

А - РАСПОЛОЖЕНИЕ КОРНЕЙ ХАРАКТЕРИСТИЧЕСКОГО УРАВНЕНИЯ; Б - СОСТАВЛЯЮЩИЕ ПЕРЕХОДНОГО ПРОЦЕССА
i юА а) УА б)

б)
Т. Я. Лазарева, Ю. Ф. Мартемьянов - Основы теории автоматического управления>
C

2

Рис. 8.6 Определение качества колебательных переходных процессов по степени устойчивости:

А - РАСПОЛОЖЕНИЕ КОРНЕЙ ХАРАКТЕРИСТИЧЕСКОГО УРАВНЕНИЯ;

Б - ПЕРЕХОДНЫЕ ПРОЦЕССЫ
Как видно из рис. 8.6, два колебательных переходных процесса разной частоты имеют одинаковые огибающие, т.е. уогиб = e-nt. Но при одинаковой степени устойчивости качество этих переходных процессов существенно отличается друг от друга. Следовательно, знания степени устойчивости для оценки качества колебательных переходных процессов недостаточно.

Степень устойчивости может быть использована для оценки времени регулирования монотонных

в точке t = 0 отсекает на оси абсцисс отрезок — (рис.

п

y = e~nt

C

переходных процессов. Касательная к

8.5, б). Время регулирования в этом случае определяется как

3

Тр < -. (8.3)

п

Если требуется уменьшить время регулирования, то, как следует из (8.3), степень устойчивости надо увеличивать. При оценке времени регулирования частота не учитывается.

2 Степень колебательности так же, как и степень устойчивости, используется и для оценки запаса устойчивости и для оценки качества регулирования. Степень колебательности, определяемая в соответствии с (7.8), характеризует затухание наиболее медленно затухающей составляющей, которая определяется как y(t) = Ae~mratsinrat, откуда следует, что изменение частоты влечет и изменение амплитуды колебаний.

Степень колебательности однозначно связана со степенью затухания. Действительно, в момент

времени t0 амплитуда свободной составляющей определяется как уі= Ae 0, а в момент времени t0 +

Т7 Ae m(^(t0 +Т) -pj sc. г\\

Т, т.е. через период, y3 = Ae . В этом случае степень затухания, согласно (8.2), запишется:

тю^ _ Ae_тю(^ +T)

Ae

\?=-

1 _ e ~m(^T

Ae-mrot0

„ 2п

так как Т = —, то

ю

V = 1 - e-2nm

(8.4)

Степень затухания изменяется от 0 до 1, а степень колебательности — от 0 до оа Наиболее часто используются следующие их значения: m = 0,141 (щ= 0,61); m = 0,221 (щ= 0,75); m = 0,366 (щ= 0,9); m = 0,478 (щ= 0,95).

3 Оценка статической ошибки может быть получена по предельной теореме:

Уст = lim y(t) = lim W3CX(s)s , (8.5)

ts^0

где Wj.^s) - передаточная функция замкнутой системы по каналу ошибки; X(s) - изображение задающе-

C

го воздействия, в большинстве случаев x(t) = С = const и тогда X(s) = —. С учетом вышесказанного

Уст = lim W3C (s) С .

s^0

Например, для систем с интегральным регулятором статическая ошибка отсутствует

Уст = lim

s ^0

С 1 = 0,

= lim

s ^°V s + 5,0^0б (s)

1 + -0- Гоб (s)

А ДЛЯ СИСТЕМ С ПРОПОРЦИОНАЛЬНЫМ РЕГУЛЯТОРОМ РАВНА

1

1 + % (s)

lim

s^al

уст

C

1 + S1k '

Если в Жоб^) коэффициент передачи равен к, то уст

Из последнего соотношения видно, что в системах с П-регулятором статическая ошибка уменьшается с увеличением значения параметра настройки регулятора. В реальных системах берется максимально возможное значение S1, исходя из обеспечения запаса устойчивости.

В заключение следует заметить, что динамическая ошибка корневыми методами не оценивается.

8.1.3 ИНТЕГРАЛЬНЫЕ КРИТЕРИИ КАЧЕСТВА

Интегральные критерии качества представляют собой определенные интегралы по времени в пределах от 0 до да от некоторой функции переходного процесса y(t) или ошибки s(t) и вычисляются непосредственно, либо по переходным функциям системы, или по коэффициентам передаточной функции системы. Целью использования этих критериев является получение общей оценки быстродействия и отклонения регулируемой величины от установившегося значения. К интегральным критериям качества предъявляются два требования: а) простота вычисления интеграла; б) несложность выражения через коэффициенты дифференциального уравнения.

8.1.3.1 Линейный интегральный критерий

ад

(8.6)

Jд =j У (t )dt

0

служит для оценки качества неколебательных процессов. Геометрически этот критерий характеризует площадь, заключенную между кривой переходного процесса и осью абсцисс (рис. 8.7, а), он учитывает как время регулирования, так и величину динамических отклонений. Если неизвестна кривая переходного процесса, но известна передаточная функция замкнутой системы Wj.c(s) и входная переменная x(t) = 1(t), то значение линейного интегрального критерия определяется с использованием теоремы о конечном значении функции. Действительно, формулу (8.6) можно записать иначе:

t

Jл = lim f y(T)dx

и тогда

Jj, = lim s y(s) = lim Ws с (s)x(s) = Ws с (0) x(0).

s ^ 0 s s ^0

Линейный интегральный критерий качества можно вычислить и другими методами. Например, если даны дифференциальное уравнение и начальные условия:

an У{п)(і) + an - i y(n 1)(t) + ... + ayt) = 0,

Уп- 1)(0), ...,yarny(0),

то, проинтегрировав его, получим

J y(n) (t)dt + an-1 f y(n 1) (t )dt + ... + a, f y(t)dt = 0.

Для устойчивых систем y(i)(rc>) = 0 для i = 1, 2, ..., n.

(n - 2V

Тогда - any(-n 1)(0) - an- 1 y(n z;(0) - ... - a0 Ja = 0, откуда

, = any(n-1) (0) + an-1 y(n - 2) (0) +... + a y(0)

а при нулевых начальных условиях

= a1 y(0)

Jд =

Существуют модификации линейного интегрального критерия, которые применяются в тех случаях, когда начальный участок переходного процесса является менее ответственным, например,

f ty(t)dt.

Выведем формулу, позволяющую вычислять такой критерий. Для этого продифференцируем по s функцию

Ж) = J y(t)e- stdt,

0

осуществляющую преобразование по Лапласу функции y(t):

•Ш=-J me-d,.

0

Если перейти к пределу ¦dy(s) при s ^ 0, то получим

ds

Jл = lim(-1)y'(s).

S ^0

Следует отметить, что для вычисления таких критериев не требуется знание переходного процесса. Чем меньше значение линейного интегрального критерия, тем лучше качество процесса регулирования. Однако использование данного типа критериев для знакопеременных переходных процессов не дает объективной картины, так, например, для незатухающей синусоиды /л = 0. Поэтому для оценки качества регулирования таких процессов используют ин-тегральные оценки, знакопеременность подынтегральной функции которых устранена каким-либо способом.

s

(s +1)2 '

*

Пример 8.1 Требуется вычислить J для системы с W(s)

Р е ш е н и е. Найдем y(s).



Т. Я. Лазарева, Ю. Ф. Мартемьянов - Основы теории автоматического управления>
Рис. 8.7 Интегральные оценки качества регулирования:

а линейная; б модульная; в квадратичная
^, a x(s) = -, y(s) = W(s)x(s) = ^ x(s) s s

Так как W (s) =

(s +1)2

= lim(-1)| - 2-

Jn = lim -1

s^0

=2.

(s +1)2

(s +1)3

8.1.3.2 Модульный интегральный критерий

СО

Jм =J ly(t)|dt (8.7)

0

применяется для оценки качества колебательных процессов, а для неколебательных процессов он совпадает с линейным интегральным критерием. Для его вычисления требуется знание переходного процесса. На практике этот критерий используется при численном исследовании систем на моделях с применением вычислительной техники, т.е. там, где операция взятия модуля не представляет трудности. Геометрически критерий равен площади, заключенной между кривой |y(t)| и осью абсцисс (рис. 8.7, б). В некоторых случаях используют модификацию модульного интегрального критерия:

со

J м =1 tly(t )ldt, (8.8)

0

которая придает больший вес значениям переходного процесса в его конце.

8.1.3.3 Интегральный квадратичный критерий ад

Jкв = f .у 2(t)dt (8.9)

0

является наиболее распространенным критерием качества и представляет собой площадь под кривой y2(t) (рис. 8.7, в). Как видно из (8.9), разные по величине ординаты переходного процесса входят в критерий с разным весом, что приводит к тому, что начальный участок переходного процесса приобретает наибольшее значение, чем его "хвост", который практически не влияет на квадратичный критерий. Стремясь минимизировать (8.9), фактически минимизируют наибольшие отклонения регулируемой величины, поэтому минимальные значения критерия всегда соответствуют колебательным процессам с малым затуханием. С целью устранения этого недостатка применяют улучшенную квадратичную оценку:

ад

JL = f (У 2(t) + Ty'2(t))dt, (8.10)

0

которая, кроме самих отклонений, учитывает с весовым коэффициентом их производную. Весовой коэффициент выбирается равным желаемому времени нарастания или применяется в пределах

(8.11)

где Тр - желаемая длительность переходного процесса.

Квадратичный критерий, как и линейный, можно вычислить без построения переходного процесса по частотной характеристике замкнутой системы и преобразованию по Фурье от входного сигнала. Используя формулу Релея, получают:

do =

Jкв = fУ2 (t) dt = fy(t) - fy(io) eiotdo dt = П [y(io) Гy(t) eiotdt

J J n J n J J

о о L о J о L о .

ад i ад i ад

= — Г y(io) y(-io) do = — Г | y(io) |2 do = — Г | W(io)|2 • | x(io) |2 do.

В заключение следует отметить, что абсолютные значения любой интегральной оценки сами по себе не представляют интереса. Они служат для сопоставления различных вариантов настройки одной

и той же системы, а также для определения параметров настройки системы.

8.2 Частотные методы анализа качества регулирования

В инженерной практике широко используются частотные методы исследования систем управления. В частности, группа методов, разработанная В. В. Солодовниковым, позволяет оценить качество регулирования по вещественным частотным характеристикам, построить переходные процессы, а также синтезировать корректирующие устройства.

8.2.1 ЗАВИСИМОСТЬ МЕЖДУ ПЕРЕХОДНОЙ И ЧАСТОТНЫМИ

ХАРАКТЕРИСТИКАМИ

ДЛЯ ОЦЕНКИ КАЧЕСТВА РЕГУЛИРОВАНИЯ НЕОБХОДИМО УСТАНОВИТЬ СВЯЗЬ МЕЖДУ ПЕРЕХОДНОЙ И ЧАСТОТНЫМИ ХАРАКТЕРИСТИКАМИ. В ЧАСТОТНОЙ ОБЛАСТИ ПЕРЕХОДНАЯ ХАРАКТЕРИСТИКА ЗАПИСЫВАЕТСЯ ЧЕРЕЗ ПРЕОБРАЗОВАНИЕ ФУРЬЕ:

у(ію) = jy(t) e~iot dt (8.12, А)

о

и через АФХ системы и изображение входной переменной по Фурье, с другой стороны

Используя обратное преобразование Фурье и последние соотношения, переходный процесс (переходная характеристика) определяется следующим образом:

ад ад

y(t) = -2- j y(mУш ‘ da = — jW(ia )X(ia)eia‘da. (8.13)

При воздействии на вход единичной ступенчатой функцией x(t) = 1(t), изображение которой

x(io) = 1/(io), соотношение (8.13) для переходной функции запишется как

tda.

1 ад 1

h(t) = y(t) = — j W(ia)—e 2n J га

Представляя АФХ через действительную и мнимую часть W(m) = Re(o) + iIm(o) и разла

гая elot по формуле Эйлера, выражение для переходной функции преобразуется к более удобному виду с использованием ВЧХ—Re(o):

h(t) = - J Re(a )

П J

sina t

(8.14)

da .

ИЛИ МЧХ - IM(q):

2 К , - cosa t n 0 a

На практике используется формула (8.14), в которой ВЧХ представляет собой сложную функцию и интегрирование возможно только приближенно: численными методами с применением ЭВМ либо путем предварительной аппроксимации сложной характеристики Re(o) кусочно-линейными функциями суммой трапеций или суммой треугольников, что позволяет получить достаточно удобные выражения.

Если на систему действует произвольное возмущение, то переходный процесс определяется по обобщенным вещественной и мнимой характеристикам:

h(t) = — J Im(a ) C0Sa tda + Re(0).

n J a

(8.15)

Re0<5(ra) = Re[ W(io) X (io)], Ітоб(ш) = Im[ W(io) X (io)] , (8.16)

при этом необходимо, чтобы полюсы функции W(s) X(s) располагались слева от мнимой оси.

8.2.2 СВОЙСТВА ВЕЩЕСТВЕННО-ЧАСТОТНЫХ ХАРАКТЕРИСТИК И СООТВЕТСТВУЮЩИХ ИМ ПЕРЕХОДНЫХ ПРОЦЕССОВ

Основные свойства ВЧХ и переходных процессов следуют из (8.14).

1 Свойство линейности: если ВЧХ можно представить суммой

Re(o) = Yj Re j (ш)

j=1

(8.17, а)

(8.17, б)

(8.17, в)

И КАЖДОЙ составляющей соответствует переходный процесс

2 fRei(ш ) .

Уі (t) = - j

sin(o t) do

то и переходный процесс y(t) может быть представлен суммой составляющих

y(t) = Z У} (t).

j=1

2 Соответствие масштабов по оси ординат для Rе(o) и y(t).

Если умножить Rе(o) на постоянный множитель а, то соответствующее значение y(t) тоже умножается на этот множитель а (рис. 8.8).

3 Соответствие масштабов по оси абсцисс для Rе(o) и y(t).

Если аргумент ш в соответствующем выражении частотной характеристики умножить на постоянное число, то аргумент в соответствующем выражении переходного процесса будет делиться на это число (рис. 8.9), т.е.

У і1Л’Шаш)(ш,),,ш. (8.18)

\aj п0 ю

Т. Я. Лазарева, Ю. Ф. Мартемьянов - Основы теории автоматического управления>
Рис. 8.8 Соответствие масштабов по оси ординат:
а - ВЧХ; б - переходные процессы
Т. Я. Лазарева, Ю. Ф. Мартемьянов - Основы теории автоматического управления>
Рис. 8.9 Соответствие масштабов по оси абсцисс:

а - ВЧХ; б - переходные процессы
4 Начальное значение ВЧХ равно конечному значению переходной характеристики (рис. 8.9)

limRe(ra) = limy(t) = limh(t). (8.19)

Ю^0 t^X t^X

Начальное значение МЧХ Im(0) = О.

5 Конечное значение ВЧХ равно начальному значению переходной характеристики

lim Re(ro) = limy(t) = limh(t). (8.20)

t^0 t^0

Интерес представляют разрывы непрерывности и пики в ве-щественно-частотной характеристике.

Пусть при ш = ш1 ВЧХ имеет разрыв непрерывности (рис. 8.10, а) Rе(ш1) = х, при этом характеристическое уравнение системы будет иметь мнимый корень s1 = ± іш 1, т.е. в системе устанавливаются незатухающие гармонические колебания, если остальные корни левые.

Высокий и острый пик ВЧХ, за которым Rе(ш) переходит через нуль при частоте близкой к ш1, соответствует медленно затухающим колебаниям (рис. 8.10, б).

*>

Ю1

Ю

Рис. 8.10 Различные виды ВЧХ:

а - с разрывами; б - с высоким острым углом

6 Чтобы переходная характеристика имела перерегулирование а < 18 %, ВЧХ должна быть положительной невозрастающей функцией частоты (рис. 8.11), т.е. Rе(ю) > 0, dRe(m) < о.

(ІЮ

7 Условия монотонного протекания переходного процесса.

Чтобы переходный процесс имел монотонный характер, достаточно, чтобы соответствующая ему ВЧХ Rе(ю) являлась положительной, непрерывной функцией частоты с отрицательной, убывающей,

Re(o)

dt

< 0.
Т. Я. Лазарева, Ю. Ф. Мартемьянов - Основы теории автоматического управления>
Рис. 8.12 Условия монотонного протекания переходного процесса:
по абсолютной величине производной (рис. 8.12) Rе(ю) > 0,

ReA а) У і

Re(0)

а - ВЧХ; б - переходный процесс

8 Определение наибольшего значения перерегулирования amax переходного процесса по максимуму ВЧХ (рис. 8.13)

1,18Remax - Re(0) Re(0)

(8.21)

max

где Rеmax - максимальное значение; Re(0) - начальное значение.

Т. Я. Лазарева, Ю. Ф. Мартемьянов - Основы теории автоматического управления>
Рис. 8.13 К опред нию

наибольшего знач перерегулирован
9 Если ВЧХ близка к трапецеидальной, т.е. может быть аппроксимирована трапецией с диапазоном частот 0 - ю2 и коэффициентом наклона х = —-, то время регу-

Ю 2

п _ 4п

лирования переходного процесса системы заключено в пределах — < ТР < —

Ю2 Ю2

8.3 Чувствительность автоматических систем

При анализе устойчивости и качества автоматических систем предполагалось, что значения параметров объекта и управляющего устройства остаются в процессе эксплуатации системы постоянными. В действительности же параметры системы постоянно изменяются по разным причинам, это так называемое, эксплуатационное изменение. Кроме того, значения параметров могут иметь разброс вследствие допусков на изготовление, и текущие значения переменных отличаются от расчетных. В связи с этим возникает задача определения влияния разброса и изменения параметров системы на статические и динамические свойства процесса управления.

Влияния вариаций параметров системы на ее статические и динамические свойства называются параметрическими возмущениями, а возникающие при этом отклонения характеристик системы от расчетных значений - параметрическими погрешностями (ошибками).

Для оценки степени влияния разброса и изменения параметров системы используют понятие -чувствительность системы. Чувствительность - это свойство системы изменять свои выходные переменные и показатели качества при отклонении того или иного ее параметра от исходного или расчетного значения. Для обозначения противоположного свойства используется понятие "грубость" и системы, сохраняющие свои свойства при любых параметрических возмущениях, называются грубыми или робастными.

Количественными оценками чувствительности являются:

? - функция чувствительности;

? - коэффициент чувствительности.

Функцией чувствительности называется частная производная какой-либо динамической характеристики или какого-либо показателя по изменяющемуся (варьируемому) параметру k,. Например, для передаточной функции W(s, k), зависящей от параметра k,, функция чувствительности определяется как

dW(s, kt)

dk

(8.26)

Vkw (s) =

i -ihi = kl0

ДЛЯ ПЕРЕХОДНОЙ ФУНКЦИИ H(T, Ki) ПО ОТНОШЕНИЮ К ПАРАМЕТРУ Кг.

dh(t, к1)

(8.27)

vh (t)=

dk1

1 -lki = ki0

где ki0 - расчетное значение параметра ki.

На практике часто используют относительную функцию чувствительности, которая соответственно для (8.26), (8.27) запишется:

dW(s, к) dki

ki

sw (s) =

W(s, к)

-•4- 140

dh(t, ki)

ki

shki (t) =

k(t, k,)

dk

i Jk, = k,,

Так, для одноконтурной системы автоматического регулирования, состоящей из объекта Wo6(s) = k0 WoA (s) и регулятора Wp(s), относительная функция чувствительности по отношению к параметру k0 определяется соотношением

k0

W(s, k,)’

dW3.a(s, k0)

dko

SWo(s)

С УЧЕТОМ (5.86) ОНО ПРЕОБРАЗУЕТСЯ К ВИДУ

(8.28)

S W0(s) = [l + Wo6 (s)Wр (s)]-1,

которое означает, что чувствительность типовой системы регулирования к изменениям свойств объекта полностью определяется только передаточной функцией разомкнутой системы. Чем меньше значение функции чувстви-тельности, т. е. чем грубее система, тем меньше дополнительное откло-нение выходной переменной и, следовательно, лучше качество системы.

Если функция чувствительности выражается числом, то она называется коэффициентом чувствительности. С помощью коэффициента чувствительности оценивается чувствительность числовых показателей качества, например, показателя колебательности, перерегулирование. Оценка изменения хода процесса по отношению к возмущению производится по формуле Ay(t) = Vg (t) Ak.

По отношению к нескольким параметрическим возмущениям применяют принцип суперпозиции, который можно проиллюстрировать следующим примером.

Пусть система управления описывается дифференциальным уравнением первого порядка

МО + ХО = k ХО или d = -T y(t)+jx«),

ДЛЯ КОТОРОЙ ВВОДЯТСЯ ДВЕ ФУНКЦИИ ЧУВСТВИТЕЛЬНОСТИ

dy(t) dT

dy(t) . dk ’

то

VT (t)

Если продифференцировать исходное уравнение по параметрам k иТ

A dy

dk dt

-1 d 1 ——y(t)+Tx(t);

T dk T

d dy

dT dt

-1 dy 1 k

~^r^dy + ~y y(t) -~r x(t)

T dT T

и произвести в полученных выражениях замену через функции чувствительности, то получают уравнения чувствительности рассматриваемой системы:

dVky (t) dt

T Vky (t) + T x(t);

dVTy (t) dt

T vy (t)+JL( y(t) - kx(t)).

Определив Vky(t)

и VTy (t) , можно найти изменение хода процесса управления за счет изменения па-

раметров k и Т:

Ay(t) = Vky (t) Ak + V,y (t) AT.

Функции чувствительности применяют для проектирования системы с наименьшим изменением качественных показателей при отклонении значений параметров системы от расчетных.

8.4 Понятие об управляемости и наблюдаемости объекта

При проектировании систем управления необходимо предварительно оценивать такие структурные свойства объектов как управляемость и наблюдаемость.

Объект называется полностью управляемым, если его с помощью некоторого ограниченного управляющего воздействия можно перевести в течение конечного интервала времени из любого начального состояния в заданное конечное состояние. Для осуществления такого перевода объекта необходимо, но не достаточно, чтобы каждая из координат состояния зависела хотя бы от одной из составляющих управляющего воздействия.

Линейный стационарный объект называется полностью наблюдаемым, если по результатам наблюдения (измерения или измерения и вычисления) выходных координат можно определить (восстановить) предыдущие значения координат состояния. Для полной наблюдаемости или восстанавливаемости объекта необходимо (но не достаточно), чтобы каждая координата состояния была связана по меньшей мере с одним из наблюдаемых сигналов.

8.5 Тренировочные задания

1 НАРЯДУ С ПРОБЛЕМОЙ УСТОЙЧИВОСТИ ПРИ СИНТЕЗЕ СИСТЕМ АВТОМАТИЧЕСКОГО РЕГУЛИРОВАНИЯ ЯВЛЯЕТСЯ ПРОБЛЕМА КАЧЕСТВА РЕГУЛИРОВАНИЯ, ХАРАКТЕРИЗУЮЩАЯ ТОЧНОСТЬ И ПЛАВНОСТЬ ПРОТЕКАНИЯ ПЕРЕХОДНОГО ПРОЦЕССА. ДЛЯ ОЦЕНКИ КАЧЕСТВА РЕГУЛИРОВАНИЯ В КОЛИЧЕСТВЕННОЙ ФОРМЕ ИСПОЛЬЗУЮТСЯ ПОКАЗАТЕЛИ КАЧЕСТВА, КОТОРЫЕ ПОДРАЗДЕЛЯЮТСЯ НА ПРЯМЫЕ, КОСВЕННЫЕ, ЧАСТОТНЫЕ, ИНТЕГРАЛЬНЫЕ.

А Какие показатели качества называются прямыми и почему?

В Какой из косвенных показателей качества регулирования используют для оценки качества колебательных переходных процессов?

С Что является положительным фактом использования интегральных критериев качества регулирования?

2 В ИНЖЕНЕРНОЙ ПРАКТИКЕ ШИРОКО ИСПОЛЬЗУЮТСЯ ЧАСТОТНЫЕ МЕТОДЫ ИССЛЕДОВАНИЯ СИСТЕМ УПРАВЛЕНИЯ, КОТОРЫЕ ПОЗВОЛЯЮТ ОЦЕНИТЬ КАЧЕСТВО РЕГУЛИРОВАНИЯ ПО ВЕЩЕСТВЕННЫМ ЧАСТОТНЫМ ХАРАКТЕРИСТИКАМ.

А Если ВЧХ представлена суммой, то что представляет собой переходный процесс?

В Если ВЧХ по оси координат увеличили в а раз, то как поведет себя переходный процесс?

С Как определить начальное и конечное значения переходного процесса?

8.6 Тест

1 КАКОЙ ПОКАЗАТЕЛЬ ОТНОСИТСЯ К ГРУППЕ ПРЯМЫХ ПОКАЗАТЕЛЕЙ КАЧЕСТВА РЕГУЛИРОВАНИЯ?

А Степень устойчивости.

В Время регулирования.

С Начальное отклонение.

2 КАКОЙ ПОКАЗАТЕЛЬ КАЧЕСТВА НАЗЫВАЕТСЯ СТАТИЧЕСКОЙ ОШИБКОЙ?

А Максимальное отклонение от заданного значения.

В Отклонение от заданного значения в установившемся состоянии.

С Разность между максимальным и минимальным значениями переходного процесса.

3 СТЕПЕНЬ ЗАТУХАНИЯ ОПРЕДЕЛЯЕТСЯ КАК...

А у = А^Аіоо %.

Уі

В \? = Уі - Уз іоо %.

Уз

С у = А^Аіоо %,

У2

где y1, y2, у3 - амплитуды выходных колебаний.

4 ЕСЛИ п - СТЕПЕНЬ УСТОЙЧИВОСТИ, ТО ВРЕМЯ РЕГУЛИРОВАНИЯ АПЕРИОДИЧЕСКИХ ПЕРЕХОДНЫХ ПРОЦЕССОВ ОПРЕДЕЛЯЕТСЯ КАК.

А т? >П п

В Tp = 3п.

С т <-

-?p —

5 ОЦЕНКА СТАТИЧЕСКОЙ ОШИБКИ МОЖЕТ БЫТЬ ПОЛУЧЕНА КАК.

А Уст = llm y(t).

t

В yCT = maxy(t).

С Уст = miny(t).

6 ИНТЕГРАЛЬНЫЙ КВАДРАТИЧНЫЙ КРИТЕРИЙ КАЧЕСТВА РЕГУЛИРОВАНИЯ - ЭТО...

А J = J (y(t) + y'(t))2 dt.

0

В J = J У2(t)dt.

0

С J = Jy(t)2 + y(t)dt.

0

7 ПРИ АНАЛИЗЕ ПЕРЕХОДНОГО ПРОЦЕССА С ПОМОЩЬЮ ВЧХ НЕОБХОДИМО ПРИВЕСТИ В СООТВЕТСТВИЕ МАСШТАБЫ ПО ОСИ КООРДИНАТ. ЕСЛИ ВЧХ УВЕЛИЧИЛАСЬ В а РАЗ, Т.Е. СТАЛА aRE(©), ТО ПЕРЕХОДНЫЙ ПРОЦЕСС.

А Увеличится в а раз - а y(t).

В Уменьшится в а раз - - y(t).

а

Т. Я. Лазарева, Ю. Ф. Мартемьянов - Основы теории автоматического управления>


С Сожмется в а раз - у

8 УСЛОВИЕМ МОНОТОННОСТИ ПРОТЕКАНИЯ ПЕРЕХОДНОГО ПРОЦЕССА ЯВ-

ЛЯЕТСЯ...
А Re(a) > 0 d Re(ra)

-—< 0 .

da
В Re(a) > 0 d Re(ro)

;-— > 0.

da
С Re(a) < 0 ; d Re(ro)dro < 0
9 СИНТЕЗ СИСТЕМ АВТОМАТИЧЕСКОГО РЕГУЛИРОВАНИЯ

9.1 Задачи синтеза

Рассмотренные выше задачи относятся к задачам анализа автоматических систем. Задачи синтеза можно рассматривать как обратные задачам анализа. Они подразделяются на два вида: во-первых, требуется определить структуру, во-вторых, параметры системы по заданным показателям качества.

Синтез является важнейшим этапом проектирования и конструирования систем, основным и наиболее важным приложением результатов, полученных теорией автоматического управления. При решении задачи полного синтеза необходимо определить алгоритмическую и функциональную структуры системы.

Алгоритмическую структуру системы находят при помощи математических методов на основании требований, записанных в математической форме. В связи с этим процедуру отыскания алгоритмической структуры называют теоретическим синтезом или аналитическим конструированием системы управления.

Синтез функциональной структуры заключается в выборе конкретных элементов системы и согласовании их характеристик. Этот этап проектирования не имеет пока строгой математической основы и относится к области инженерного искусства. Последовательность решения задач полного синтеза может быть различной.

В простых случаях задачу иногда удается решить с методологической точки зрения в идеальной последовательности. При проектировании сложных промышленных систем управления применить такую последовательность, как правило, оказывается невозможно, поэтому в большинстве случаев задачу синтеза решают следующим образом.

Вначале, исходя из требований назначения системы и учитывая условия ее работы, по каталогам серийного оборудования выбирают функционально необходимые элементы: регулирующий орган, исполнительное устройство, датчики, которые вместе с объектом управления образуют неизменную часть системы. Затем на основании требований к статическим и динамическим свойствам системы определяют ее изменяемую часть, алгоритмическая структура которой находится с учетом свойств выбранных функционально необходимых элементов. Техническая же реализация осуществляется с использованием стандартных унифицированных регуляторов и различных корректирующих и компенсирующих устройств. Процессы определения алгоритмической и функциональной структур системы управления тесно переплетаются между собой, их приходится выполнять по несколько раз. Окончательное решение о структуре системы принимается на основе компромисса между точностью и качеством работы системы, с одной стороны, и простотой и надежностью - с другой.

Заключительным этапом проектирования системы управления является расчет настроечных параметров выбранного регулятора. В разделе 7 отмечалось, что под синтезом устойчивых систем понималось определение параметров настроек регуляторов при известной структуре. Ниже приводятся методы расчета настроечных параметров для одноконтурной системы автоматического управления.

В настоящее время разработано много методов расчета настроек регулятора, одни из них являются более точными, но трудоемкими, другие - простыми, но приближенными. Во всех методах необходимо обеспечить процесс регулирования, как правило, удовлетворяющий двум выбранным критериям, один из которых позволяет обеспечить заданный запас устойчивости, а второй - обеспечить качество регулирования.

9.2 Выбор оптимальных настроек регуляторов методом незатухающих колебаний

Метод незатухающих колебаний, предложенный учеными Циглером и Никольсом, является приближенным методом определения оптимальных настроек регуляторов, обеспечивающим необходимый запас устойчивости, некоторую степень затухания и небольшую динамическую ошибку.

Расчет регуляторов с одним параметром настройки производится в один этап и основывается на расчете критического значения настройки пропорциональной составляющей, при которой АСР будет находиться на границе устойчивости. Уравнение для расчета этой настройки выводится из критерия устойчивости Найквиста, чтобы обеспечить запас устойчивости. Для некоторого значения частоты шкр должно выполняться соотношение Wp.c (/шкр) = - 1.

Таким образом, П-регулятор рассчитывается по обычным частотным характеристикам объекта. Уравнения для расчета критических значений настройки ^1кр и частоты шкр имеют вид:

фоб(®кр) П;

(9.1)

(9.2)

(9.3)

&„= —-

—об (® кр -

Оптимальная настройка П-регулятора:

Уопт = 0,55 йкр.

Расчет регуляторов с двумя и более параметрами настройки производится в два этапа: на первом -определяется критическое значение пропорциональной составляющей; на втором - обеспечивается степень затухания Шу = 0,8 ... 0,9.

Оптимальные настройки регуляторов находят по следующим формулам:

- ПИ-регулятор

(9.4)

Уопт = 0,45 йкр ;

- ПИД-регулятор ^опт = 0,6 S\Kp;

O,192SiKp0Kp;

(9.5)

опт

St

'0

1кр

0,471

опт

'2

кр

9.3 Алгоритм расчета области настроек типовых регуляторов методом РАФХ

Метод расширенных частотных характеристик описан в разделе 7 и использован при синтезе систем с заданным запасом устойчивости.

Методика расчета оптимальных настроек регуляторов методом РАФХ аналогична. Под оптимальными настройками в данном методе понимают настройки регулятора, обеспечивающие заданную степень колебательности дазад процесса регулирования при минимуме интегрального квадратичного критерия Jкв. В связи с этим расчет настроечных параметров регулятора распадается на два этапа: определение настроек, обеспечивающих заданный запас устойчивости - заданную степень колебательности, и определение настроек, обеспечивающих качество регулирования, оцениваемое по интегральному квадратичному критерию.

Первый этап подробно описан в разделе 7. Расчет регуляторов с одним настроечным параметром (П- и И-регуляторы) выполняется в один (первый) этап. Для регуляторов с двумя настроечными параметрами на первом этапе рассчитывается линия равной степени колебательности в плоскости параметров настроек S0, S1. На втором этапе необходимо выбрать только одну пару настроек SO™, S”™, соответствующую минимальному значению интегрального квадратичного критерия качества. Расчет этого критерия для различных процессов регулирования показывает, что его минимуму для ПИ-регулятора соответствует точка на кривой равной степени колебательности, расположенная несколько правее вершины (рис. 9.1, а). Такой точкой является точка 3. Разным точкам на кривой равной степени колебательности соответствуют различные процессы регулирования (рис. 9.1, б).

Т. Я. Лазарева, Ю. Ф. Мартемьянов - Основы теории автоматического управления>
Рис. 9.1 Выбор оптимальных настроек ПИ-регулятора:

a - кривая равной степени колебательности; б - графики переходных процессов регулирования для различных настроек ПИ-регулятора
В точке 1 отсутствует пропорциональная составляющая, регулятор работает как интегральный, особенностью которого является наибольшая динамическая ошибка. В точках 2 и 3 регулятор работает как ПИ-регулятор, причем из сравнения этих двух процессов видно, что с точки зрения заданного качества регулирования переходный процесс в точке 3 лучше, чем в точке 2. Так как при движении вдоль кривой равной степени колебательности пропорциональная составляющая возрастает, возрастает рабочая частота, следовательно, уменьшается динамическая ошибка регулирования, но с некоторого момента (точка 2) начинает уменьшаться и величина настройки интегральной составляющей S0, которая определяет скорость устранения статической ошибки. Чем меньше величина S0 , тем медленнее выбирается статическая ошибка, т.е. наблюдается затягивание "хвоста" переходного процесса (точка 4). В точке 5 от-

сутствует интегральная составляющая, регулятор работает как пропорциональный, его особенностью является наличие статической ошибки регулирования.

Оптимальные настройки регулятора S™1- и S™1- рассчитываются по минимуму /кв. Для их выбора необходимо рассчитывать критерий J^ для всех пар настроек регулятора вдоль кривой равной степени колебательности. Эта процедура трудоемка и на практике прибегают к инженерной методике определения местонахождения точки 3. Рабочая частота определяется, исходя из соотношений

шр = 1,2 ш0 или шр = 0,8 шп,

где ш0 - частота, соответствующая вершине кривой m = тзад; шп - частота, соответствующая пропорциональному закону регулирования. После этого по формулам (7.18) рассчитываются SO™, S™1-.

Т. Я. Лазарева, Ю. Ф. Мартемьянов - Основы теории автоматического управления>
Рис. 9.2 Выбор оптимальных настроек ПД-регулятора:

а - линия равной степени колебательности; б - графики процессов регулирования для различных настроек ПД-регулятора
Процедура расчета оптимальных параметров настроек ПД-регу-лятора аналогична расчету ПИ-регулятора. В плоскости параметров S1 и S2 строится кривая заданной степени колебательности (рис. 9.2, а). При движении вдоль кривой вправо увеличивается дифференцио-нальная составляющая S2 и частота. Следовательно, чем больше S2, тем меньше динамическая ошибка регулирования. Величина настройки, пропорциональная составляющей S1, сначала увеличивается, а затем уменьшается, причем, чем больше S2, тем меньше статическая ошибка. Вышесказанное хорошо иллюстрируется графиками процессов регули-рования для различных настроек регуляторов, изображенных на рис. 9.2, б.

Оптимальные настройки S1 , S2 определяются из условия минимума J^, которому на кривой равной степени колебательности соответствует точка, расположенная на ее вершине.

9.4 Графоаналитический метод синтеза систем

Рассматриваемый метод относится к группе графоаналитических методов, разработанных В. Я. Ротачем, в основу которого заложены следующие положения.

Во-первых, считается, что система регулирования обладает необходимым запасом устойчивости, если ее показатель колебательности не превышает величины М = 1,1 ... 1,6, т.е. одним из критериев оптимальности является обеспечение заданного показателя колебательности Мзад.

Во-вторых, линейную систему регулирования можно рассматривать как своеобразный частотный фильтр, через который проходят составляющие гармоники входных воздействий. В зависимости от динамических свойств АСР гармоники с различными частотами претерпевают различные изменения, т.е. амплитуда и фаза выходного сигнала будут другие, чем на входе.

Идеальной системой регулирования считается система, обладающая абсолютными фильтрующими свойствами. Амплитудно-частотная характеристика такой системы относительно возмущающих воздействий равна нулю во всем диапазоне частот от 0 до да, а относительно управляющего воздействия она равна 1, т.е. Мв(ш) = 0; Му(ш) = 1.

Задача выбора оптимальных параметров настроек системы заключается в том, чтобы в наибольшей степени приблизить АЧХ реальной системы к АХЧ идеальной системы. Так как в реальных системах практически невозможно добиться, чтобы выполнялось условие Мв(ш) = 0, то параметры настройки должны выбираться таким образом, чтобы система наиболее интенсивно фильтровала "опасные" гармоники. Так как производственные объекты являются низкочастотным фильтром, то целесообразно выбрать такой метод, который гарантировал бы наилучшее приближение частотных характеристик системы в окрестности точки с нулевой частотой. Приближение реальной системы к идеальной осуществляется путем разложения в ряд Тейлора. Условие оптимальности можно записать в виде:

? - относительно возмущающего воздействия

? Мв(0) = 0; d Мв (0) = 0; (9.6)

d—

- относительно управляющего воздействия

Му(0) = 1; -d-Му (0) = 0. (9.7)

d—

Уравнения (9.6), (9.7) служат для определения оптимальных параметров настроек системы. Расчет проводится в следующем порядке.

1 В пространстве параметров настроек регулятора определяется граница области, в которой система обладает достаточным запасом устойчивости.

2 В этой области определяется точка, удовлетворяющая минимуму отклонения частотных характеристик реальной системы от характеристик идеальной.

Исходными данными являются частотные характеристики объекта, в частности, амплитуднофазовая.

Для построения границы заданного запаса устойчивости используется следующий подход. Как известно, запас устойчивости может определяться двумя числовыми величинами: запасом устойчивости по модулю и запасом устойчивости по фазе, характеризующими степень удаления АФХ разомкнутой системы от "опасной" точки (-1, i0). Но оказывается, что степень удаления АФХ разомкнутой системы от точки (-1, i0) может быть определена по величине максимума амплитудно-частотной характеристики замкнутой системы (см. 7.3.2).

Таким образом, требование, чтобы максимум АЧХ замкнутой системы не превышал некоторой заранее заданной величины, сводится к требованию, чтобы АФХ разомкнутой системы не заходила внутрь области, ограниченной радиусом r и с центром на расстоянии R от начала координат, расположенной на отрицательной вещественной полуоси.

После определения области заданного запаса устойчивости производится определение точки в этой области, соответствующей оптимальным настройкам регулятора.

9.4.1 П-РЕГУЛЯТОР

Передаточная функция П-регулятора записывается в виде

W(s) = кр.

Амплитудно-фазовая характеристика разомкнутой системы с П-регулятором:

^р.с (i—) = кр Жоб (i—).

Определение оптимальной настройки кр производится в следующем порядке.

Строится АФХ разомкнутой системы при кр = 1, что соответствует W(i^ —) = Жоб(і—), т.е. построению АФХ регулируемого объекта (рис. 9.3). Далее, из начала координат проводится луч под углом

р = arcsin— (9.8)

М

к отрицательной вещественной полуоси.

Вычерчивается окружность с центром на вещественной отрицательной полуоси, касающаяся одновременно АФХ объекта и этого луча:

M1

M2 -1 r

В большинстве случаев расчет систем автоматического регулирования проводится на обеспечение показателя коле-бательности М = 1,62, что га-рантирует запас устойчивости по модулю d = 0,38 и по фазе

? у = 36° ?, а степень затухания пе-реходного процесса в колеба-тельном звене Мз.с(0) = 1: Шу = 0,9. В соответствии с этим формулы (9.8) и (9.9) принимают вид

В = arcsin-= 38 ;

(9.10)

1,62

kp = —.

Найденное значение коэффициента передачи является оптимальным значением.

9.4.2 И-РЕГУЛЯТОР

Передаточная функция И-регулятора:

^и (5) =

где -г-= е p

Tp

Амплитудно-фазовая характеристика разомкнутой системы:

kp

Wp.cO'ra ) = -Щ- w06 (іш ); гш Tp

ep -i—

Wpdm ) = -?- Wo6 (/ш )e . ш

Расчет П-регулятора производится в два этапа:

1 По АФХ регулируемого объекта строится АФХ разомкнутой системы для kv = 1 и некоторого значения постоянной времени Тр , величина которой выбирается любой, удобной для построения характеристики:

П

-г —

Wp.c(iH)

iHTp

1

hTp

Wp1c(ira)

Wo6 (іш)е

Т. Я. Лазарева, Ю. Ф. Мартемьянов - Основы теории автоматического управления>
Рис. 9.4 Определение предельного

коэффициента передачи И-регулятора
Последнюю удобно строить, поворачивая каждый вектор АФХ объекта на угол 90° ? по часовой стрелке и уменьшая его длину в Тр ш раз (рис. 9.4).

2 ПРОВОДИТСЯ ЛИНИЯ ПОД УГЛОМ рп К ОТРИЦАТЕЛЬНОЙ ВЕЩЕСТВЕННОЙ ПОЛУОСИ И ВЫЧЕРЧИВАЕТСЯ ОКРУЖНОСТЬ С ЦЕНТРОМ, РАСПОЛОЖЕННЫМ НА ЭТОЙ ОСИ, КАСАЮЩАЯСЯ ОДНОВРЕМЕННО ПОСТРОЕННОЙ ЛИНИИ И АФХ W^ (Іш). ВЕЛИЧИНА КОЭФФИЦИЕНТА ПЕРЕДАЧИ КР, ОБЕСПЕЧИВАЮЩАЯ ЗАДАННУЮ ВЕЛИЧИНУ МАКСИМУМА АЧХ ЗАМКНУТОЙ СИСТЕМЫ (ЗАДАННЫЙ ПОКАЗАТЕЛЬ КОЛЕБАТЕЛЬНОСТИ Мзад ОПРЕДЕЛЯЕТСЯ ПО ФОРМУЛЕ (9.9)), И, СЛЕДОВАТЕЛЬНО, ВЕЛИЧИНА ПРЕДЕЛЬНОГО КОЭФФИЦИЕНТА ПЕРЕДАЧИ И-РЕГУЛЯТОРА, КОТОРАЯ ЯВЛЯЕТСЯ И ЕГО ОПТИМАЛЬНЫМ ЗНА-

ЧЕНИЕМ, ОПРЕДЕЛЯЕТСЯ КАК

kp

Tp

M 1

Tp M -1 Г

(9.11)

Если M ,яд = 1,62, то

зад ’ 1

в = 38°; кр =

Г

(9.12)

9.4.3 ПИ-РЕГУЛЯТОР

Передаточная функция ПИ-регулятора:

V + Ти sy

Амплитудно-фазовая характеристика разомкнутой системы:

(s) = kp\l +

Wo6 (іи ).

Kc(irn) = kp\ 1 +-

Расчет ПИ-регулятора производится в следующем порядке:

1 Строится семейство АФХ разомкнутой системы при kj, = 1 и некоторых различных значениях времени изодрома Ти1 (і = 1, 2, 3, ...), выбираемых произвольно, но с точки зрения удобства построения:

Кб (іи)

об

иТ

Wp.cO'ro) = W06 (іи) - і-

иі

Для определения границы области устойчивости ПИ-регулятора первоначально вычерчивается АФХ объекта W(iUa), которую достаточно иметь в пределах III квадранта комплексной плоскости W (рис. 9.5).

НА ЭТОЙ ХАРАКТЕРИСТИКЕ ВЫБИРАЮТСЯ ТОЧКИ Аі, Аг, А3, ... С ЧАСТОТАМИ шПі, ©?2, Пш3, ..., КОТОРЫЕ СОЕДИНЯЮТСЯ С НАЧАЛОМ КООРДИНАТ ОТРЕЗКАМИ ОА1, ОАг, ОАз, ... . К ЭТИМ ОТРЕЗКАМ В ТОЧКАХ Аі, Аг, Аз, ... ВОССТАНАВЛИВАЮТСЯ ПЕРПЕНДИКУЛЯРЫ. ДАЛЕЕ ОПРЕДЕЛЯЮТСЯ ПОЛОЖЕНИЯ ТОЧЕК bj АФХ РАЗОМКНУТОЙ СИСТЕМЫ. С ЭТОЙ ЦЕЛЬЮ НА ВОССТАНОВЛЕННЫХ ПЕРПЕНДИКУЛЯРАХ ОТКЛАДЫВАЮТСЯ ОТРЕЗКИ АJВJ, ОПРЕДЕЛЯЕМЫЕ, КАК A.B. = . СОЕДИНЯЯ ТОЧКИ bj С ВРЕМЕ-

и Диі

НЕМ ИЗОДРОМА Тих ПЛАВНОЙ КРИВОЙ, ПОЛУЧАЮТ АФХ РАЗОМКНУТОЙ СИСТЕМЫ. АНАЛОГИЧНЫМ ОБРАЗОМ СТРОЯТСЯ АФХ РАЗОМКНУТОЙ СИСТЕМЫ ДЛЯ ДРУГИХ ЗНАЧЕНИЙ Тих.

Т. Я. Лазарева, Ю. Ф. Мартемьянов - Основы теории автоматического управления>
РИС. 9.5 К ОПРЕДЕЛЕНИЮ КОЭФФИЦИЕНТОВ ПЕРЕДАЧИ ПИ-регулятора для различных Ти
зад

1,62, то р = 38°, kpl = - .

ri
Т. Я. Лазарева, Ю. Ф. Мартемьянов - Основы теории автоматического управления>
тимальной настройки ПИ-регулятора
3 В плоскости параметров настроек кр - Ти строится граница области, в которой максимум АЧХ замкнутой системы относительно управляющего воздействия не превышает заданной величины. С этой целью используются полученные данные kpi, Ти1 (рис. 9.6).

Оптимальным настройкам регулятора соответствует точка, для которой отношение - будет максимальным, так как именно в ней выполняется условие (9.7). Такой точкой является точка касания касательной к границе области допустимого запаса устойчивости, проведенной через начало координат. Действительно, любая другая

kpi =

если M

кр Ти ,

прямая, выходящая из начала координат с большим отношением

которое определяет угловой коэффициент, не будет проходить через область допустимого запаса устойчивости, и поэтому получить большую величину отношения в данной системе невозможно без уменьшения ее устойчивости ниже необходимой величины.

9.5 Тренировочные задания

1 Важнейшим этапом проектирования и конструирования систем является синтез, когда необходимо определить алгоритмическую и функциональную структуру. Если структура известна, то синтез сводится к определению параметров настроек регуляторов. Все методы расчета последних подразделяются на точные, но трудоемкие, и простые, но приближенные. Наиболее распространенными являются метод незатухающих колебаний, метод РАФХ и графоаналитический метод.

А В чем заключается синтез функциональной структуры?

В Какие методы расчета параметров настроек регуляторов относятся к точным методам?

С Как называется синтез, заключающийся в расчете параметров настроек регуляторов?

2 Одним из точных методов расчета параметров настроек регуляторов является метод РАФХ, основанный на аналоге критерия Найквиста. Расчет распадается на два этапа: определение настроек, обеспечивающих заданный запас устойчивости, и определение настроек, обеспечивающих качество регулирования.

А Какие параметры настроек регуляторов называются оптимальными согласно методу РАФХ?

В Каким показателем оценивается качество регулирования в методе РАФХ?

С Как выбираются оптимальные настройки в методе РАФХ для регуляторов с двумя настроечными параметрами?

3 Вторым точным методом расчета оптимальных настроек регулятора является графоанали

тический метод, основанный на использовании АФХ регулируемого объекта.

А Каким показателем оценивается запас устойчивости в графоаналитическом методе?

В Как в графоаналитическом методе оценивается качество регулирования?

С Как определить оптимальные настройки ПИ-регулятора?

9.6 Тест

1 Выбор алгоритмической структуры системы автоматического регулирования заключается в выборе...

А Функциональных элементов и их характеристик.

В Структуры системы автоматического регулирования.

С Параметров настроек типовых регуляторов.

2 Выбор оптимальных настроек регуляторов методом незатухающих колебаний относят к

А Точным методам.

В Случайным методам.

С Приближенным методам.

3 При выборе оптимальных настроек ПИ-регулятора рабочая частота определяется как.

А шр = 0,8 шп.

В шр = шп.

Сс Юр 1,2 Шп,

где шп - частота, соответствующая пропорциональному закону регулирования.

4 Точка, соответствующая оптимальным настройкам ПД-регу-лятора, расположена на кри

вой заданной степени колебательности в плоскости параметров настройки регулятора S2 - S1:

А Слева от максимума.

В В вершине.

С Справа от максимума.

5 Каким интегральным критерием оценивается качество регулирования в методе РАФХ расчета оптимальных параметров настроек регуляторов?

А Линейным интегральным критерием.

В Модульным интегральным критерием.

С Квадратичным интегральным критерием.

6 Из скольких этапов складывается расчет оптимальных параметров настроек регуляторов для ПИ- и ПД-регуляторов?

А Из одного.

В Из двух.

С Из трех.

7 В графоаналитическом методе расчета оптимальных параметров настроек регуляторов считается, что обеспечен заданный запас устойчивости, если АФХ разомкнутой системы и окруж-

M M2

ность радиуса r = —2— с центром на отрицательной вещественной полуоси l = —2— —

M -1 M -1

А Пересекаются.

В Касаются.

С Не заходят друг на друга.

8 При каком значении коэффициента передачи Кп, который не известен, строится АФХ разомкнутой системы?

А Кп = 0.

В Кп = 1.

С Кп = К0б.

9 Если показатель колебательности M = 1,62, то коэффициент передачи равен—

А Кп = Hr.

В Кп = г.

С Кп = Hr + 1.

10 При расчете оптимальных настроек параметров И-регулятора постоянная времени Тр выбирается—

А Тр = 1.

В Произвольно.

С Тр = Тоб.

Ч а с т ь 2 НЕЛИНЕЙНЫЕ СИСТЕМЫ

10 ХАРАКТЕРИСТИКА НЕЛИНЕЙНЫХ СИСТЕМ

В системах автоматического управления различают два вида нелинейностей: статические и динамические.

Статические нелинейности - это нелинейности статических характеристик (рис. 10.1). Выходная переменная статических нелинейных звеньев в каждый момент времени зависит только от значений входной переменной в тот же момент времени и не зависит от того, как эта входная переменная изменялась до рассматриваемого момента времени. Таким образом, вход и выход нелинейного звена (рис. 10.1, а) связаны между собой нелинейной статической характеристикой У = f (x) .

Динамические нелинейности - это нелинейности дифференциальных уравнений, описывающих звено, например, (y'(t))2 = kx(t).

В наиболее распространенных случаях нелинейные свойства системы в основном определяются наличием в системе статических нелинейностей. Поэтому рассматриваемый класс нелинейных систем ограничим нелинейностями только статического вида.

а)

x нелинейный •V
элемент W
г)

Т. Я. Лазарева, Ю. Ф. Мартемьянов - Основы теории автоматического управления>


Т. Я. Лазарева, Ю. Ф. Мартемьянов - Основы теории автоматического управления>


д)

Ук

b

У

b
-a a x
-c
-a

-b

Рис. 10.1 Статические характеристики нелинейных элементов:

а - структурная схема нелинейного элемента; б, в - непрерывные однозначные статические характеристики; г - релейная однозначная характеристика; д, е - гистерезисные статические характеристики; ж - опережающая статическая характеристика

10.1 Особенности нелинейных систем

Различают статические нелинейности существенные и слабые. Нелинейность считается слабой, если она может быть заменена линейным элементом без изменения принципиальных особенностей системы, причем процессы в такой линеаризованной системе качественно не должны отличаться от процессов в реальной системе. Нелинейность является существенной, если подобная замена невозможна. В этом случае нелинейные статические характеристики являются разрывными или близкими к разрывным функциями, чаще всего они представляются в виде кусочно-линейных функций, и процессы в линеаризованной и реальной системах сильно отличаются.

Автоматические системы с существенными нелинейностями обладают рядом принципиальных особенностей, которые не присущи линейным системам и не могут быть выявлены при исследовании линеаризованного уравнения системы. Главные особенности этих систем вытекают из их неподчинения принципу суперпозиции:

1 Колебания переходного процесса в нелинейных системах могут отличаться от входного гармонического сигнала как по форме, так и по частоте. Например, для нелинейного элемента со статической характеристикой унэ (x) =| x | при подаче на него входного сигнала x(t) = A sin at выходные колебания не являются гармоническими, они имеют совершенно другую форму и период вдвое меньший, чем период входных колебаний (рис. 10.2).

В линейных же системах при подаче на вход гармонического сигнала на выходе получаем также гармонический сигнал, но другой амплитуды и сдвинутый по фазе.

2 Как известно, в линейных системах частотные характеристики не зависят от амплитуды входного сигнала и полностью определяются свойствами системы.

Т. Я. Лазарева, Ю. Ф. Мартемьянов - Основы теории автоматического управления>
Рис. 10.2 Иллюстрация отличия вынужденных колебаний нелинейного элемента от входного гармонического сигнала:

а - статическая характеристика; б - выходной сигнал нелинейного элемента
б)
Т. Я. Лазарева, Ю. Ф. Мартемьянов - Основы теории автоматического управления>
Рис. 10.3 Зависимость частотных характеристик от амплитуды входного сигнала:

а - статическая характеристика; б - вынужденные колебания нелинейного элемента
а)

Унэ П
Т. Я. Лазарева, Ю. Ф. Мартемьянов - Основы теории автоматического управления>
В нелинейных системах такой аппарат частотных характеристик не подходит. Здесь частотные характеристики существенно зависят от амплитуды входного сигнала, т.е. Мнэ(ю, A), фнэ (ю, A). Если рассмотреть нелинейный элемент со статической характеристикой, представленной на рис. 10.3, а, то этот элемент при малых амплитудах входного сигнала (A < B) ведет себя как линейный, а при больших амплитудах входного сигнала (A > B) выходные колебания искажаются (рис. 10.3, б).

3 В нелинейных системах условия устойчивости зависят от величины внешнего воздействия: система устойчива при одних значениях воздействий и неустойчива при других его значениях. Здесь нельзя говорить однозначно, устойчива система или нет.

Линейная система, например, ay'(t) + y(t) = 0, имеет одно единственное состояние равновесия (y(t) = 0). Нелинейная система, описываемая в общем виде уравнением УW(t) = F(y(n-1)(t),y (t),y(t)) в динамике, имеет много состояний равновесия, определяемых нелинейным уравнением F(0,0,..., у) = 0 .

Для некоторых нелинейных систем, имеющих зону нечувствительности, наблюдается континиум состояний равновесия. Таким образом, в нелинейных системах говорят только об устойчивости конкретного состояния равновесия - устойчиво оно или нет. Весь строй мышления меняется, так как при одних внешних воздействиях переходной процесс сходится, а при других расходится. В связи с этим для нелинейных систем применяют понятие "устойчивость в малом", "устойчивость в большом", "устойчивость в целом".

Система устойчива в малом, если она устойчива только при малых начальных отклонениях. Система устойчива в большом, если она устойчива при больших начальных отклонениях. Система устойчива в целом, если она устойчива при любых начальных отклонениях.

4 В нелинейных системах могут существовать собственные особые движения, получившие название автоколебаний. Автоколебания - это устойчивые собственные колебания, возникающие из-за нелинейных свойств системы при особых условиях. Режим автоколебаний принципиально отличается от колебаний линейной системы на границе устойчивости. В линейной системе малейшие изменения ее параметров приводят к изменению колебательного процесса, он становится либо сходящимся, либо расходящимся. Автоколебания являются устойчивым режимом, если малые изменения параметров системы не выводят ее из этого режима. Автоколебания могут быть и не устойчивым режимом, если малые изменения параметров системы выведут ее из этого режима. Амплитуда колебаний не зависит от начальных условий и уровня внешних воздействий.

В общем случае автоколебания в нелинейных системах нежелательны, а иногда и недопустимы. Однако, следует отметить, что в некоторых нелинейных системах автоколебания являются основным рабочим режимом.

10.2 Типовые нелинейные элементы системы управления

Структура и уравнение нелинейной автоматической системы в общем случае могут быть очень сложными. Степень сложности зависит от количества, вида и места включения нелинейных элементов. Однако, большинство реальных систем содержит один существенно нелинейный элемент. Линейная часть включает в себя все линейные звенья системы и может иметь структуру любой сложности, в частности, содержит внутренние обратные связи. Как уже отмечалось выше, нелинейные свойства системы определяются наличием в ней статических нелинейностей, т.е. нелинейная часть, образованная одним нелиней-ным элементом, имеет выходную переменную унэ, которая в наиболее общем случае выражается как функция входной величины x и ее производной X :

Унэ = f (X. X')- (10-1)

Простейшими нелинейными элементами являются статические нелинейности, у которых выходная переменная зависит только от входной переменной, причем, эта зависимость строго однозначна: Унэ = f (x). Такие нелинейности называются типовыми, для них записывается статическая характеристика и рассматривается преобразование ими гармонического сигнала x(t) = A sin at. Наиболее часто встречаются следующие типовые нелинейности.

1 Усилительное звено с зоной нечувствительности. Статическая характеристика этого звена представлена на рис. 10.4, а. Такими характеристиками обладают некоторые схемы электронных, магнитных и

Т. Я. Лазарева, Ю. Ф. Мартемьянов - Основы теории автоматического управления>
г)
Т. Я. Лазарева, Ю. Ф. Мартемьянов - Основы теории автоматического управления>


Т. Я. Лазарева, Ю. Ф. Мартемьянов - Основы теории автоматического управления>
Рис. 10.4 Звено с зоной нечувствительности:

а - статическая характеристика; б - прохождение гармонического сигнала; в - входной сигнал; г - механическая модель
гидравлических усилителей в области малых входных сигналов. Простейшей механической моделью зоны нечувствительности является система соединения двух валов с пружинным возвратом ведомого вала в нейтральное положение при наличии участка свободного хода в системе передачи (рис. 10.4, г). Статическая характеристика звена (рис. 10.4, а) выражается следующими уравнениями

x + а при x <-a; <0 при | x |< а;

(10.2)

Унэ

x - а при x > а.

При подаче на вход звена гармонического сигнала x1(t) (рис. 10.4, в) с амплитудой A < а , на выходе звена сигнала не будет, так как изменение x1 не превышает величины зоны нечувствительности. Если же на вход подать сигнал x2(t) (рис. 10.4, в) с амплитудой A > а , то на выходе будет наблюдаться периодический сигнал (рис. 10.4, б), который может быть построен по рис. 10.4, а, в, как третья проекция. Если x2(t) < а, то унэ (t) = 0, если x2(t) > а, то выходной сигнал унэ (t) совпадает с верхней частью входного сигнала x2(t). В результате на выходе усилительного звена с зоной нечувствительности будет выходной сигнал, отличный от гармонического по форме и представляющий собой участки с нулевым сигналом и сигналом, отличным от нуля.

2 Усилительное звено с ограничением амплитуды. Это звено называют также нелинейным звеном с зоной насыщения. Статическая характеристика изображена на рис. 10.5, а и записывается в виде

,v. = (гчв|г|“:| (10.3)

[а signx при | x |> a.

Подобными характеристиками обладают практически все реальные усилители, ограниченные по мощности в области больших входных сигналов.

Механической моделью звена является система соединения двух валов через упругую пружину при наличии ограничений или упоров в системе ведомого вала (рис. 10.5, г).

При подаче на вход звена гармонического сигнала x1 (t) с амплитудой A < а (меньше зоны насыщения) (рис. 10.5, в) на выходе звена будет также гармонический сигнал, так как в этом случае звено работает как линейное (рис. 10.5, б). Если амплитуда входного сигнала x2(t) больше, чем зона насыщения (A >а), то при достижении ее, т.е. как

Т. Я. Лазарева, Ю. Ф. Мартемьянов - Основы теории автоматического управления>
Рис. 10.5 Усилительное звено с ограничением амплитуды:

а - статическая характеристика; б - прохождение гармонического сигнала; в - входной сигнал; г - механическая модель

только x2(t) = а, на выходе звена установится значение унэ (t) = а и будет сохраняться до тех пор, пока x2 (t) > а . Если же значение входного сигнала достигнет значения x2 (t) = -а , то на выходе значение выходного сигнала установится равным -а, унэ = -а и будет сохраняться, пока x2 (t) < -а в диапазоне -а < x2(t) < а . Нелинейный элемент имеет статическую характеристику унэ = x и, следовательно, в этом случае через него пройдут отдельные участки входного гармонического сигнала. В результате на выходе усилительного звена с зоной насыщения установится периодический выходной сигнал по форме напоминающий трапеции, боковые стороны которых искривлены по синусоиде.

3 Двухпозиционное реле. Статическая характеристика звена представлена на рис. 10.6, а и записывается как
(10.4)

J B при x > 0; [- B, при x < 0.

Двухпозиционное реле представляет собой самостоятельный нелинейный физически реализуемый элемент, который используется в различных схемах сигнализации, а также для устройств специального типа, применяемых для форсирования управляющего сигнала при больших рассогласованиях между переменной и заданием.

При подаче на вход звена гармонического сигнала x(t) (рис. 10.6, в) на его выходе установятся прямоугольные колебания, амплитуда которых будет B при x > 0 и -B при x < 0 .

Вынужденные колебания на выходе двухпозиционного реле представлены на рис. 10.6, б.

4 Двухпозиционное реле с зоной возврата. Однозначные релейные характеристики соответствуют некоторой идеализации реальной системы. В действительности обычно величина входного сигнала, при котором происходит скачок выходной величины унэ, бывает различной для переключения контакта в прямом и обратном направлениях. Статическая характеристика двухпозиционного реле с зоной возврата представлена на рис. 10.7, а и математически выражается следующим образом

Т. Я. Лазарева, Ю. Ф. Мартемьянов - Основы теории автоматического управления>


(10.5)

Унэ =

B при - a < x < ж;

{- B, при - ж < x < a.

На участке -a < x < а величина унэ имеет два значения B или -B в зависимости от предшествующих значений x. Условия скачка при переходе с нижней ветви на верхнюю выражается следующим образом: x = а, унэ =-B, dx/ dt > 0. Аналогично записываются условия скачкообразного перехода с верхней

ветви на нижнюю: x = -а, унэ = B, dx/dt < 0 .

При подаче на вход звена гармонического сигнала (рис. 10.7, в) на выходе звена наблюдаются прямоугольные колебания с амплитудой, равной B (рис. 10.7, б). Скачкообразный переход с +B на -B происходит в момент времени, когда x(t) = -а, а с -B на +B , когда x(t) = а. Свойствами подобного релейного элемента обладают усилители с зоной насыщения, охваченные положительной обратной связью. Такая нелинейная характеристика типична для двухпозиционных переключающих элементов, например, электромагнитных реле.

Т. Я. Лазарева, Ю. Ф. Мартемьянов - Основы теории автоматического управления>
гармонического сигнала; в - входной сигнал
5 Усилительное звено с зоной застоя (звено типа люфт). Нелинейность такого вида наиболее часто встречается в механических системах и связана с наличием зазоров или с сухим трением в системе передачи. Если в механической модели звена с зоной нечувствительности (рис. 10.8, г) убрать пружину, стремящуюся возвратить ведомый вал в нулевое положение, то получится модель нелинейности типа люфт (рис. 10.8, г). Зависимость между положением ведущего x и ведомого унэ валов неоднозначна. Статическая характеристика, выражающая эту зависимость, представлена на рис. 10.8, а.

Аналитически характеристика звена типа люфт записывается следующим образом: dx

Унэ

x - a при > 0; dt

(10.6)

dx

x + a при < 0, dt

Фн

= 0 пРи I Унэ - x I < a

dt

имеет гистерезисный вид и зависит не только от значе-

В этом случае статическая характеристика ния x(t), но и от знака скорости изменения унэ.

Т. Я. Лазарева, Ю. Ф. Мартемьянов - Основы теории автоматического управления>


а - статическая характеристика; б - входной сигнал; в - прохождение гармонического сигнала; г - механическая модель

При подаче на вход гармонического сигнала x(t) (рис. 10.8, б) на выходе нелинейного элемента будет наблюдаться некоторый периодический процесс, представленный на рис. 10.8, в, для которого характерным является появление участков "зависания" унэ, т.е. на них изменения унэ не происходит за счет наличия сухого трения в золотнике. Однако, выходной сигнал унэ не задерживается в зоне покоя в области нулевых значений. Это означает также, что пока входная координата не изменится настолько, чтобы она превысила значение 2а, выходная переменная не будет изменяться. Поэтому при изменении направления действия выходная переменная начнет изменяться лишь тогда, когда значение входной переменной изменится на величину, равную удвоенному параметру а (параметр а характеризует, например, сухое трение).

6 Трехпозиционное реле с зоной нечувствительности и зоной возврата. Нелинейности такого типа часто встречаются в системах автоматического регулирования, особенно, когда элементом, управляющим включением и выключением вспомогательной энергии, является электрическое реле, например, электрический сервомотор, управляемый с помощью реле.

Статическая характеристика представляет собой релейную характеристику, отличительной особенностью которой является то, что выходная переменная изменяется скачком в зависимости от изменения входного сигнала и может принимать одно из трех значений: B, 0, - B . Эта характеристика изображена на рис. 10.9, а и является ярким примером существенно нелинейной функции. Здесь можно выделить три типичные зоны нелинейности: зону нечувствительности, участки неоднозначности и участки насыщения.

Зона нечувствительности определяется величиной тока срабатывания реле. Участки неоднозначности представляют петли, образуемые вертикальными и горизонтальными участками характеристики, а участки насыщения определяются релейным характером включения энергии.

Математическая запись статической характеристики трехпозиционного реле с зоной нечувствительности выглядит следующим образом:

(10.7)

B, 0, - B .

В этом случае переход от унэ = 0 к унэ = B происходит при x = a, а возврат - при x = b .

Подобная статическая характеристика может быть получена при охвате усилителя с зоной нечувствительности и ограничением положительной обратной связью. Для ее получения может быть применена электрическая схема (рис. 10.9, г), состоящая из двух электромагнитных реле K1 и K2, включенных через вентили WS1 и WS2. Контакты

Т. Я. Лазарева, Ю. Ф. Мартемьянов - Основы теории автоматического управления>
Рис. 10.9 Трехпозиционное реле с зоной нечувствительности:

а - статическая характеристика; б - входной сигнал; в - прохождение гармонического сигнала; г - электрическая схема
реле K1 и K2 замыкают цепь между источником питания и напряжением B выходными зажимами так, что в зависимости от значения x напряжение z на зажимах принимает значение -B, 0, B в соответствии с характеристикой (рис. 10.9, а).

При подаче на вход рассматриваемого нелинейного элемента гармонического сигнала (рис. 10.9, б) на выходе наблюдается периодический процесс, представляющий собой чередование участков нечувствительности и прямоугольных импульсов амплитудой B или -B. Переключение реле с B на -B и наоборот с -B на B происходит с некоторым запаздыванием в силу разных значений токов срабатывания и отпусканием реле.



10.3 Методы линеаризации

Особенности поведения нелинейных систем и многообразия протекающих в них процессов создают трудности при их математическом описании и исследовании. Во многих случаях представляется возможным и целесообразным заменить реальные нелинейные характеристики приближенными линейными зависимостями, т.е. исходная нелинейная система будет заменена некоторой линеаризованной системой. В зависимости от типа нелинейностей применяют различные методы линеаризации. Наиболее распространенными являются: для слабых нелинейностей - разложение в ряд Тейлора, для сильных нелинейностей - гармоническая линеаризация, для релейных систем - вибрационная линеаризация.

10.3.1 РАЗЛОЖЕНИЕ В РЯД ТЕЙЛОРА

Основным методом линеаризации нелинейных зависимостей является метод перехода к малым возмущениям и метод осреднения нелинейных характеристик.

Если статическая характеристика нелинейного элемента унэ = f (x) является непрерывной функцией с непрерывными производными в некоторой области значений x, то эта характеристика всегда может быть разложена в ряд Тейлора в окрестности любой точки x0 , принадлежащей этой области:

Унэ = f (x) = f x) + Ax + ^^(Ax)2 + L .

Смысл линеаризации заключается в том, что при достаточно малых значениях Ax = x - x0 можно положить, что

f (x) « f (x0) + f'(x0)Ax .

Если обозначить Ду = f (х) - f (х0), то получают линеаризованную статическую характеристику в отклонениях (рис. 10.10)

Т. Я. Лазарева, Ю. Ф. Мартемьянов - Основы теории автоматического управления>
Рис. 10.11 Гармоническая линеаризация
Ду = аДх, (10.8, а)

где а = f'(х0), или

Унэ и ах + b , (10.8, б)

ГДе b = f (Х0) - f'(Х0)Х0.

10.3.2 ГАРМОНИЧЕСКАЯ ЛИНЕАРИЗАЦИЯ

В теории управления в большинстве случаев приходится иметь дело с неаналитическими, разрывными и неоднозначными нелинейностями. Для характеристики особенностей подобных нелинейных элементов, как уже отмечалось выше, рассматривается прохождение через них гармонического сигнала x(t) = A sin at. Если система изменяет частоту входных колебаний, то она называется частотопреобразующей, если нет - нечастотопреобразующей. Далее рассматриваются нечастотопреобразующие системы. На выходе безынерционного нелинейного нечастотопреобразующего элемента со статической характеристикой унэ = f (х) установятся периодические колебания, которые можно представить как сумму гармонических составляющих с помощью ряда Фурье (рис. 10.11), в состав которого входят гармоники

У! (t) = С^іпО? + фЦ;

y3(t) = C3sin(3a0t + ф3) и т.д.

Частота ю0 называется главной частотой. Если на выходе нелинейного элемента рассматривать только первую гармонику, а остальные во внимание не принимать, то получим некоторый линеаризованный элемент. Такую процедуру можно проделать, если будет выполняться гипотеза фильтра. Выходной сигнал после нелинейного элемента записывается следующим образом:

Унэ(t) = а0 + Xa sinkat + bk coskat),

k=1

2 0

где а0 = — I f (Asin at)d (at);

20

ак = — | f (Asin at)sin katd (at);

20

bk = — | f (A sin at) cos kat d (at).

T00

Согласно гипотезе фильтра все гармоники, начиная со второй, имеют достаточно малую амплитуду по сравнению с первой гармоникой и ими можно пренебречь. Тогда уравнение вынужденных колебаний на выходе запишется в виде

унэ (t) и а0 + a1sinюt + b1 cos at (10.9)

или унэ (t) и C1 sin(a t + ф) + а0,

где c =ijа2 + b2 ; ф = arctg —.

Если принимать а0 = 0 , то

(10.10)

Унэ (t) и Ц sin(at + ф).

Таким образом, на вход подали гармонический сигнал и на выходе получили также гармонический сигнал (10.10). Следовательно, в рассмотрение можно ввести частотные характеристики, аналогичные частотным характеристикам линейной системы:

- амлитудно-частотная характеристика

М нэ (га,А) = C-; (10.11)

- фазочастотная характеристика

Фнэ (га,А) = Фвых (ю.А) - Фвых (га) ; (1°. 12)

- амплитудно-фазовая характеристика

WB3 (ira, A) = Mнэ (га, A) е1фнэ(гаА)

(10.13)

Так как характеристики (10.11) - (10.13) были получены для линеаризованной системы, то они получили название эквивалентных.

На практике широкое распространение получили обратные частотные характеристики:

- обратная АФХ:

(ira, A) = ^ Д a) = M-ір (ra, A) еіф”*р(га,А); (10.14)

- обратная АЧХ:

Мобр (га,A) = M 1 A); (10.15)

Mнэ (га, A)

- обратная ФЧХ:

Фобр (га, A) = -фнэ (га, A) . (10.16)

Рассмотрим несколько примеров.

Пример 10.1 Построить эквивалентные частотные характеристики для нелинейного элемента -двухпозиционного реле (рис. 10.6, а).

Так как характеристика однозначна, то коэффициент Ъ1 = 0, а коэффициент а1 определится следующим образом, период Т0 = 2п .

2п

IB sin га/d (га/)

0

B.

пА

пА

а1

Следовательно,

- эквивалентная амплитудно-частотная характеристика (рис. 10.12, а)

B

М нэ (A) = ;

- эквивалентная фазочастотная характеристика (рис. 10.12, б)

Фнэ(А)=0;

- эквивалентная амплитудно-фазовая характеристика (рис. 10.12, в)

Wro (А)

в.

пА;

а)

Мнэі

б)

Фнэ П

i Im(A) i

в) i Ітобр(А) і

г)

А = 0

>

Reобр(A)

Re(A)

Рис. 10.12 Эквивалентные частотные характеристики двухпозиционного реле:

а - АЧХ; б - ФЧХ; в - АФХ; г - инверсная АФХ

инверсная амплитудно-фазовая характеристика (рис. 10.12, г)

Wo6p (iA)

В результате гармонической линеаризации двухпозиционное реле заменяется линейной статической системой.

Пример 10.2 Построить эквивалентные частотные характеристики для двухпозиционного реле с зоной нечувствительности (рис. 10.13, а). Так как характеристика однозначна, то b1 = 0,

n/2

4 4B

a = B sin юга (at) = cos a. 1 nA J nA

где a = arcsina/A (рис. 10.13, б).

Унэі

B

- а
і а)
- B а X
а) унэ j l

B -

¦ B
б)

нэ

at

Рис. 10.13 Гармоническая линеаризация двухпозиционного реле с зоной нечувствительности:

а - статическая характеристика; б - входной и выходной сигнал

фнэП

б)

а)

Мн

Т. Я. Лазарева, Ю. Ф. Мартемьянов - Основы теории автоматического управления>


A/a

A/a

iIm(A/a)A

і п^бр^)

в)

г)

I/B

15

A = 0

——->

A = a Reoбр(A/a)

Рис. 10.14 Эквивалентные частотные характеристики двухпозиционного реле с зоной нечувствительности:

а - АЧХ; б - ФЧХ; в - АФХ; г - инверсная АФХ

Согласно определению эквивалентных частотных характеристик имеем:

- эквивалентная амплитудно-частотная характеристика

4B

Мнэ (A) = cos a , nA

которую обычно записывают как функцию не амплитуды входного сигнала, а отношения (A / a), что соответствует измерению A в единицах a, и, следовательно,

Мнэ (A/ a) =пЬ/1 - (a/ A)2 ;

- эквивалентная фазочастотная характеристика

фнэ (A / a) = 0.

Графики эквивалентных частотных характеристик изображены на рис. 10.14.

10.3.3 ВИБРАЦИОННАЯ ЛИНЕАРИЗАЦИЯ

Для линеаризации релейных элементов часто применяют вибрационную линеаризацию путем создания высокочастотных колебаний на их входе. В этом случае релейный элемент линеаризуется, и поэтому вся система в целом ведет себя как система непрерывного действия.

Эффект вибрационной линеаризации может быть описан с помощью метода гармонической линеаризации. Сущность вибрационной линеаризации применительно к двухпозиционному реле может быть проиллюстрирована следующим образом. Если на вход двухпозиционного реле подать чисто переменный сигнал x(t) = A sin at, то на выходе получается также чисто переменный сигнал унэ (t) в виде прямоугольной волны (рис. 10.15). Если же на вход подать сумму сигналов: переменного и постоянного значения, т.е. x(t) = х0 + A sin at, где x0 - const, то на выходе вследствие изменения скважности выходных импульсов в выходном сигнале появится постоянная составляющая y0, величина которой зависит от величины х0 на входе реле (рис. 10.15). Зависимость постоянной составляющей у0 на выходе реле от величины постоянной составляющей х0 на его входе показана на рис. 10.15, г.

Форма этой зависимости определяется формой входного переменного сигнала и релейной характеристикой. Таким образом, постоянную составляющую входного сигнала релейный элемент пропускает как звено непрерывного действия. При этом для малых величин постоянного сигнала звено является линейным.

Высокочастотные воздействия, осуществляющие вибрационную линеаризацию, могут быть получены тремя способами: с помощью генератора, создающего вынужденные колебания системы, путем автоколебаний в самой САУ и путем создания скользящего режима.

Т. Я. Лазарева, Ю. Ф. Мартемьянов - Основы теории автоматического управления>
Рис. 10.15 Эффект вибрационной линеаризации:

а - статическая характеристика; б - входные сигналы; в - выходные сигналы; г - зависимость постоянной составляющей на выходе от постоянной

составляющей на входе
10.4 Тренировочные задания

1 Система автоматического управления называется нелинейной, если она не подчиняется принципу суперпозиции. Различают два вида нелинейностей: статические - это нелинейности статических характеристик и динамические - это нелинейности дифференциальных уравнений. Простейшими нелинейными элементами являются статические нелинейности, у которых выходная переменная зависит только от входной переменной, причем эта зависимость строго однозначна: унэ = f (х). Такие нелинейности называются типовыми.

А Как доказать, что система относится к классу нелинейных систем автоматического управления?

B Что представляют собой статические нелинейности и динамические нелинейности? С Приведите пример типовых нелинейных элементов.

2 Как известно, особенности нелинейных систем вытекают из неподчинения принципу суперпозиции, основными из которых являются следующие: выходной сигнал в нелинейных системах отличается от входного гармонического сигнала как по форме, так и по частоте; частотные характеристики зависят от амплитуды входного сигнала; условия устойчивости зависят от величины внешнего воздействия; в системе существуют собственные особые движения, называемые автоколебаниями.

А Почему частотные характеристики нелинейных систем зависят от амплитуды входного сигнала? В Сколько состояний равновесия имеет нелинейная система?

С Что такое автоколебания?

3 При исследовании нелинейных систем очень часто их нелинейные характеристики заменяют приближенными линейными зависимостями, в этом случае говорят, что проводят линеаризацию нелинейной системы. Полученная система называется линеаризованной. Наиболее распространенными методами линеаризации являются: для слабых нелинейностей - разложение в ряд Тейлора, для сильных нелинейностей - гармоническая линеаризация, для релейных систем - вибрационная линеаризация.

А Что означает слабая нелинейность и почему для нее используется разложение в ряд Тейлора?

В Каким требованиям должна отвечать нелинейная система, чтобы к ней можно было применять гармоническую линеаризацию?

С Какие характеристики нелинейных систем вводятся в рассмотрение в результате проведения гармонической линеаризации?

10.5 Тест

1 Какая из статических характеристик нелинейного элемента является неоднозначной?

Т. Я. Лазарева, Ю. Ф. Мартемьянов - Основы теории автоматического управления>


С
Т. Я. Лазарева, Ю. Ф. Мартемьянов - Основы теории автоматического управления>
Унзі

b
\
-b X
Унэ А

А --А

3 В результате линеаризации путем разложения в ряд Тейлора в окрестности точки х0 = 1 нелинейной статической характеристики унэ = х2 получена линеаризованная статическая характеристика:

А Унэ и х + 1В Унэ и 2х - 1С Унэ и х + .

4 При проведении гармонической линеаризации вынужденные колебания на выходе нелинейного элемента записываются в виде

А унэ (t) и a0 + aj sin ю t + bj cos ю t.

В унэ (t) и aj sin ю t + a2cos ю t.

С унэ (t) и a0 + b1cos ю t + b2cos ю t.

5 Эквивалентная амплитудно-частотная характеристика нелинейного элемента определяется как

Т. Я. Лазарева, Ю. Ф. Мартемьянов - Основы теории автоматического управления>


В
Т. Я. Лазарева, Ю. Ф. Мартемьянов - Основы теории автоматического управления>
А мнэ (A)

В мнэ (A) С мнэ (A)

aj + A

bi '

где Cj =yjaj + bj . A

aj + bj

Эквивалентная фазочастотная характеристика нелинейного элемента определяется как

А Фнэ (А) = arctg

a

В Фнэ (А) = arctgТ1 b1

С Фнэ(А) = arctgA-.

7 Вибрационная линеаризация осуществляется путем создания высокочастотных колебаний

А На входе нелинейной системы.

В На входе и выходе нелинейной системы.

С На выходе нелинейной системы.

8 Какой из нелинейных элементов, характеризуемый статической характеристикой, является частотопреобразующим?

Т. Я. Лазарева, Ю. Ф. Мартемьянов - Основы теории автоматического управления>


УнэП

b

-b

Т. Я. Лазарева, Ю. Ф. Мартемьянов - Основы теории автоматического управления>


9 Какое разложение называется разложением в ряд Тейлора функции унэ = f (x) ?

А Унэ = f(Xo) + ^-l0! Ax + ^ІХо)(Дх)2 +.... в >„=f(xo)+/:|о)ах+/:|о)ах+....

С Унэ = f (xo) + f X x0)Ax + f 'X xo)(Ax)2 + ¦¦¦ .

10 Для каких нелинейных элементов при их линеаризации применяют вибрационную линеаризацию?

А Частотопреобразующих элементов.

В Релейных элементов.

С Элементы с зоной нечувствительности.

11 МЕТОД ФАЗОВОЙ ПЛОСКОСТИ

При исследованиях нелинейных систем широко используется метод фазового пространства, относящийся к группе графоаналитических методов, описывающих поведение систем при помощи наглядных геометрических представлений - фазовых портретов. Применительно к линейным системам этот метод рассмотрен в разделе 6.3.

11.1 Основные понятия

Основным понятием метода является понятие фазового пространства, под которым понимается пространство, в котором прямоугольными координатами точки являются величины, определяющие мгновенное состояние системы, называемые фазовыми координатами.

Метод фазового пространства применим как для линейных, так и для нелинейных систем. Последние в общем случае описываются системой нелинейных дифференциальных уравнений вида:

' dyl(t) dt

dy2(t) • dt

/і(УиУ2, ^, y„);

Л(УиУ2,-, y„);

(11.1)

= fn (Уи У2, -, Уп ),

I dt

где y1, y2,..., уп - фазовые координаты: t - время; /1, /2,..., /п - нелинейные функции.

Фазовые координаты y1, y2,..., yn могут иметь любой физический смысл - температура, концентрация и др., но обычно в качестве них выбирают выходную переменную и ее (п -1) производную, т.е.

У (t) = y(t), y2 (t) = y(t), ... , Уп (t) = y(n-1) (t).

Наибольшее распространение метод фазового пространства получил при исследовании систем второго порядка. В этом случае фазовым пространством является плоскость. Система дифференциальных уравнений (11.1) для системы второго порядка запишется в виде:

^=/1( У1,У2);

dt

(11.2)

dy2 (t)

= /2 ( y1, y 2 ) .

dt

Из этой системы получают уравнение, описывающее фазовый портрет. Для этого необходимо исключить из рассмотрения время, в результате чего получают следующее уравнение

dy 2 = f2( У1. У 2) (113)

dy1 f1(У1, У2) ’ '

решение которого дает семейство интегральных кривых на фазовой плоскости, являющихся фазовыми траекториями системы.

11.2 Фазовые портреты нелинейных систем

Фазовые портреты нелинейных систем второго порядка определяются решением дифференциального уравнения (11.3), которое в данном случае является нелинейным, что и обуславливает характерные особенности этих траекторий.

Линейная система имеет единственное состояние равновесия, определяемое (11.3), и характер особой точки полностью определяет поведение системы при любых отклонениях от состояния равновесия. В нелинейной системе состояний равновесия может быть много, следовательно и особых точек также много, но их характер определяет поведение фазовых траекторий только вблизи них. Так, на рис. 11.1 изображен типичный фазовый портрет нелинейной системы.

Т. Я. Лазарева, Ю. Ф. Мартемьянов - Основы теории автоматического управления>
Рис. 11.1 Фазовый портрет нелинейной системы
Эта система имеет три состояния равновесия в точках А, В, С. Причем точка А является особой точкой типа "центр", а В и С - типа "седло". При рассмотрении свободных движений их амплитуда может вырасти до определенного предела и оставаться далее постоянной, а не расходиться. На фазовой плоскости помимо особых точек фазовый портрет может содержать особые линии, одной из которых является особая траектория - изолированная замкнутая кривая, называемая предельным циклом (рис. 11.2). Фазовые траектории могут асимптотически приближаться к предельному циклу - "наматываться" (рис. 11.2, а) и "сматываться", уходя в бесконечность (рис. 11.2, б).

Предельным циклам соответствуют периодические процессы, в окрестности которых имеют место колебательные процессы (рис. 11.3), т.е. предельному циклу соответствует режим автоколебаний в системе.

Т. Я. Лазарева, Ю. Ф. Мартемьянов - Основы теории автоматического управления>
Рис. 11.2 Особые фазовые траектории - предельный цикл:

а - устойчивый; б - неустойчивый
Т. Я. Лазарева, Ю. Ф. Мартемьянов - Основы теории автоматического управления>
РИС. 11.3 ПЕРЕХОДНЫЕ ПРОЦЕССЫ:

А - ПРИ УСТОЙЧИВОМ ПРЕДЕЛЬНОМ ЦИКЛЕ; Б - ПРИ НЕУСТОЙЧИВОМ

ПРЕДЕЛЬНОМ ЦИКЛЕ
Предельные циклы могут быть устойчивыми и неустойчивыми, и соответственно автоколебания - устойчивыми и неустойчивыми. Предельный цикл называется устойчивым, если фазовые траектории снаружи и изнутри "наматываются на него" (рис. 11.2, а, 11.3, а). В такой системе обязательно будет наблюдаться автоколебательный режим.

Предельный цикл называется неустойчивым, если фазовые траектории удаляются от него с обеих сторон, т.е. "сматываются" (рис. 11.2, б, 11.3, б).

Если начальные условия таковы, что изображающая точка находится внутри предельного цикла, представленного на рис. 11.2, а, то она будет двигаться по фазовой траектории к нему, система ведет себя, как неустойчивая система, особая точка - начало координат является неустойчивым фокусом. Если же в начальный момент времени изображающая точка находится снаружи предельного цикла, то она движется по фазовой траектории, приближаясь к нему, система ведет себя как устойчивая система. В этом случае говорят, что рассматриваемая система неустойчива "в малом", устойчива "в большом" и режим автоколебаний устойчивый.

Если рассматривать те же самые начальные условия, но для случая, представленного на рис. 11.2, б, то говорят, что система устойчива "в малом" (особая точка - устойчивый фокус), неустойчива "в большом", режим автоколебаний неустойчивый.

Т. Я. Лазарева, Ю. Ф. Мартемьянов - Основы теории автоматического управления>
Рис. 11.4 Фазовый портрет системы:

а - полуустойчивый предельный цикл; б - с двумя предельными циклами
Если начальные условия таковы, что одна фазовая траектория "наматывается" на предельный цикл, а другая - "сматывается", то система является неустойчивой и "в малом", и "в большом". В этом случае предельный цикл и соответственно режим автоколебаний называется полуустойчивым (рис. 11.4, а). Система может иметь не один, а несколько предельных циклов. Система, фазовый портрет которой изображен на рис. 11.4, б, имеет два предельных цикла, один из них - внутренний устойчивый, другой -внешний неустойчивый. Состояние равновесия одно и неустойчивое.

Другим видом особых линий, которые встречаются в нелинейных системах, являются сепаратрисы - кривые, разделяющие области фазового портрета с различным характером фазовых траекторий. Так, в линейных системах второго порядка при рассмотрении фазового портрета типа седло асимптоты гипербол y2 = ±rayj, ю2 = a0 /a2, a1 = 0 и являются как раз сепаратрисами.

Типичный фазовый портрет нелинейной системы изображен на рис. 11.5. Здесь имеются следующие особые точки: точка А - устойчивый фокус, точка В - неустойчивый узел и точка С - седло. В соответствии с этим сепаратрисы разделяют фазовый портрет на четыре области: 1 - затухающих колебаний, 2 - автоколебаний, 3 и 4 - неустойчивых апериодических процессов.

Т. Я. Лазарева, Ю. Ф. Мартемьянов - Основы теории автоматического управления>
Рис. 11.5 Фазовый портрет нелинейной системы
Нелинейные системы с элементами, имеющими зону нечувствительности или сухое трение, имеют не один стационарный режим, а целую область, что на фазовой плоскости выражается "вытягиванием" особой точки в особую линию (рис. 11.6).

В заключение следует сказать, что если известен фазовый портрет, то о системе известно все.

11.3 Методы построения фазовых портретов

Для построения фазовых портретов нелинейных систем используется ряд методов. Наибольшее распространение получили нижеследующие методы.

11.3.1 ИНТЕГРИРОВАНИЕ УРАВНЕНИЙ ФАЗОВЫХ ТРАЕКТОРИЙ

В линейных системах интегрирование дифференциального уравнения фазовых траекторий (11.3) не представляет трудностей. Для нелинейных систем эта задача существенно усложняется. Аналитическое решение в большинстве случаев получить не удается, поэтому для построения фазовых портретов нелинейных систем применяют численное интегрирование уравнения (11.3). В ряде случаев предварительно проводят качественное исследование изучаемой системы. Благодаря использованию методов качественной теории дифференциальных уравнений определяют структуру фазовых портретов - число и тип возможных в данной системе состояний равновесия, количество предельных циклов и их взаиморасположение, наличие сепаратрис. Все это позволяет определить совокупность возможных в исследуемой системе режимов работы, и численное интегрирование уравнения фазовых траекторий выполнить для целого ряда начальных условий, которые являются наиболее важными с точки зрения выделения областей фазового портрета.

Пример 11.1 Построить фазовый портрет нелинейной системы методом интегрирования уравнения фазовой траектории.

Нелинейная система описывается дифференциальным уравнением

? (у),

Т d^у + d^ _ 0 dt2 dt

где f (у) - релейная характеристика вида

[Б, у > С;

f (у) _-0, - С < у < С;

- Б у <- С.

В этом случае уравнение нелинейной системы записывается для трех участков релейной характеристики

у > С;

- С < у < С; у < -С.

То ^ + ? _-Ш.

dt2 dt

+ ф _

0 dt2 dt Фу + ф _ о,

dt2 dt

Рассмотрим, как самое простейшее, второе уравнение системы и получим для участка нечувствительности релейной характеристики уравнение фазовой траектории. С этой целью проводится подстановка у1 _ у; у2 _ Су / dt и дифференциальное уравнение второго порядка сводится к системе дифференциальных уравнений первого порядка

'у, _ ?

t у2;

Су2 _-_Lу

. dt То у2'

Поделив второе уравнение на первое, получим дифференциальное уравнение фазовых траекторий

Су2 1 1

2 _ - , решение которого дает у2 _ - у1 + С1,

Суі То Т

где С1 - постоянная интегрирования, определяемая начальными условиями.

Таким образом, фазовые траектории на участке -С < у < С представляют собой прямые линии (рис. 11.7). Движение по фазовым траекториям происходит в верхней полуплоскости, где у2 > 0 , слева направо, а в нижней полуплоскости, где у2 < 0, - справа налево.

Т. Я. Лазарева, Ю. Ф. Мартемьянов - Основы теории автоматического управления>


Рис. 11.7 Фазовый портрет

для системы автоматического управления с релейной

характеристикой - двухпозиционное реле с зоной

По первому уравнению нелинейной системы можно построить фазовый портрет правее линии II -II. Для этого аналогичным образом получаем уравнение фазовых траекторий

= -кВ - у2:

т у т1

dy\

откуда

У2ФУ2

dyi = -Т0

У2 + кВ

Интегрирование последнего выражения, переписанного в виде

У = Т0 J-

kBdy - То j dy2 + С2

У2 + кВ

дает фазовые траектории в виде логарифмических кривых

Уі = То {кВ ln|У2 + кЩ - у2 )+ С2

которые изображены на рис. 11.7 правее линии II - II, где у1 > C.

Третье уравнение нелинейной системы позволяет записать уравнение фазовых траекторий левее линии I - I. Это уравнение, полученное таким же образом, как и предыдущее, записывается в виде

Т0у2 Фу2 = -кВ + у2 , откуда Фу1 = -Т0 У2<Фу2 и, соответственно, dУl Уі - кВ

Уі = -То (кВln|У2 - кВ + У2 )- сз.

Фазовые траектории на участке левее линии I - I, где у1 < C, представляют собой логарифмические кривые (рис. 11.7).

Таким образом, фазовые траектории получены для трех различных участков, которые необходимо связать между собой, но метод непосредственного интегрирования уравнения фазовых траекторий без дополнительных предложений этого сделать не позволяет, но тем не менее он дает полное представление о характере фазового портрета за исключением линий I - I и II - II.

11.3.2 МЕТОД ИЗОКЛИН

Метод изоклин имеет невысокую точность и используется для качественной оценки хода фазовых траекторий.

Изоклиной называется кривая, представляющая геометрическое место точек, в которых касательные ко всем интегральным кривым наклонены под одним и тем же углом к оси абсцисс.

Методика построения фазового портрета методом изоклин складывается из следующих этапов:

1 Построение изоклин;

2 Нанесение направления касательных к фазовым траекториям;

3 Определение характера искомого фазового портрета.

При использовании метода изоклин считается известным система дифференциальных уравнений (11.2), описывающая исследуемую систему, для которой предстоит построить фазовый портрет. Следо

Фу2 = f2 (у1, у2 ) ФУ1 МУъ У 2 )

. Для получения изоклин необ-

вательно, известно уравнение фазовых траекторий (11.3)

ходимо положить

Фу2 = const, т.е. ЩтуА = const. (11.4)

ФУ1 Шъ У 2)

Задавая различные значения константы - (C) в (11.4), на фазовой плоскости строится семейство изоклин, на которых под углом у = arctgC к оси абсцисс наносятся стрелки и по ним определяется характер фазового портрета системы.

Допустим, что поле изоклин имеет вид, представленный на

рис. 11.8. Начальное положение изображающей точки выбирается произвольно на изоклине C1 = 0. Из

этой точки М0 проводится два отрезка: один под углом = arctgQ , а другой под углом у2 = arctgC2 до

пересечения их с соседней изоклиной С2.

Точки пересечения отрезков с изоклиной обозначаются М[ и М'{, соответственно. За точку фазовой траектории принимается точка М1,

С = 0
Т. Я. Лазарева, Ю. Ф. Мартемьянов - Основы теории автоматического управления>
С = о

Рис. 11.8 Построение фазового портрета методом изоклин

лежащая между ними. Повторяя построения таким же образом, но из точки М1, т.е. проводя два отрезка до соседней изоклины под углом у2 = arctgC2 и у3 = arctgC3, находится точка М2 и т.д. Точность фазового портрета зависит от числа изоклин, по которым он строится. Особым точкам на фазовой плоскости соответствуют точки пересечения нескольких изоклин, так как в них направление фазовых траекторий становится неопределенным.
Пример 11.2 Построить фазовый портрет нелинейной системы методом изоклин. Система описывается нелинейным дифференциальным уравнением

^ - k (1 - у 2 ) + y = о.

dt2 v y ’H y

Производя замену y1(t) = y(t), y2(t) = dy/ dt, дифференциальное уравнение второго порядка заменяется системой дифференциальных уравнений первого порядка

dy1

dt

dyi „ dt

= y2;

= k( - Уі )2 y2 - Уі

Уравнение фазовой траектории получается, если поделить второе уравнение на первое

= k(1 - Уі)2у, -Л,

dy1 y2

а уравнение изоклин

k (1 - Уі )2 А = С . y2

Задавая различные значения С (С0 = 0; С1 = 0,25; С2 = 0,5; С3 = 1; С4 = 2; С5 = 5; С-1 = -0,25; С-2 = -0,5;

С-3 = -1; С-4 =-2; С-5 =-5), для каждого из них по уравнению на фазовой плоскости строится изоклина (на рис. 11.9 сплошные кривые).

Затем на каждой кривой наносятся стрелочки под углами у = arctg С (у = 0°; у» 4°; у» 26,5°; у» 45°; у И 64°; у» 89°) к оси абсцисс.

По этим стрелочкам восстанавливаются искомые фазовые траектории. В данном случае получается устойчивый предельный цикл, что соответствует автоколебаниям в системе. Другие фазовые траектории носят спиралевидный характер и "наматываются" на предельный цикл как снаружи, так и изнутри.

Особая точка - начало координат является устойчивым фокусом.

Т. Я. Лазарева, Ю. Ф. Мартемьянов - Основы теории автоматического управления>
Рис. 11.9 Фазовый портрет нелинейной системы 11.3.3 МЕТОД ПРИПАСОВЫВАНИЯ
Метод припасовывания нашел свое применение при построении фазовых портретов нелинейных систем, которые могут быть представлены в виде линейной и нелинейной частей (рис. 11.10), причем линейная часть является системой второго порядка, а нелинейная часть характеризуется кусочнолинейной статической характеристикой.

Т. Я. Лазарева, Ю. Ф. Мартемьянов - Основы теории автоматического управления>
Рис. 11.10 Структурная схема нелинейной системы
Согласно этому методу фазовая траектория строится по частям, каждой из которых соответствует линейный участок статической характеристики. На таком рассматриваемом участке система линейна и ее решение может быть найдено непосредственным интегрированием уравнения для фазовой траектории этого участка. Интегрирование уравнения при построении фазовой траектории производится до тех пор, пока последняя не выйдет на границу следующего участка. Значения фазовых координат в конце каждого участка фазовой траектории являются начальными условиями для решения уравнения на следующем участке. В этом случае говорят, что начальные условия припасовываются, т.е. конец предыдущего участка фазовой траектории является началом следующего. Граница между участками называется линией переключения.

Таким образом, построение фазового портрета методом припасовывания производится в следующей последовательности:

1) выбираются или задаются начальные условия;

2) интегрируется система линейных уравнений для того линейного участка, на который попали начальные условия, до момента выхода на границу следующего участка;

3) производится припасовывание начальных условий.

Пример 11.3 Построить фазовый портрет нелинейной системы методом припасовывания.

Нелинейная система описывается следующей системой дифференциальных уравнений

1 при У1 < 1] > 0;
-1 1 при У2
при Уі >
1 при У1 > 1] < 0.
-1 і| при У2
при У1 <
, dt '

dt = f

. dt f

Начальные условия: y (0) = y10 = -1; y2(0) = y20 = -1.

Статическая характеристика нелинейного элемента является кусочно-линейной функцией, имеющей два участка линейности. В связи с этим система дифференциальных уравнений для первого и второго участков соответственно будет иметь вид

dyi

dt

dy2

dt

dyL=y

dt 2, (*

dy_ = -1 1

dt

= У2;

со и

=1

Фазовая плоскость разбивается на участки, на каждом из которых движение изображающей точки описывается одним из линейных уравнений (*) или (**). Границей между участками является линия ABCD - линия переключения (рис. 11.11).

При заданных начальных условиях изображающая точка находится на входе в первый участок, следовательно, первый участок фазовой траектории М0М1 находится интегрированием уравнения (*) при

начальных условиях у10, у20. Поделив второе уравнение на первое, получают dy2/ dy1 = 1/у2, откуда

y2

уравнение фазовой траектории -2- + С0 = y1, где С0 = -3/2.

Т. Я. Лазарева, Ю. Ф. Мартемьянов - Основы теории автоматического управления>
Рис. 11.11 Построение фазового портрета мето-
Конечная точка первого участка находится как точка пересечения с линией переключения АВ, на которой y = 1, следовательно из

у2 /2-3/2 = 1, y2 = 2,23. Координаты точки М1 (1; 2,23) являются начальными условиями для решения системы уравнений (**), описывающей второй участок фазовой траектории М1М2 , т.е. так же как для первого участка, для второго участка получают

y22

dL = - —, откуда + C = -y , C = -3,5 .

dy1 y2 2

Координаты точки М2 находятся как координаты точки пересечения фазовой траектории второго участка с линией переключения

CD:

у2 /2-3,5 = 1; y = -1; y2 =-3.

Продолжая аналогичные рассуждения, находят все остальные участки фазовой траектории. Фазовый портрет системы приведен на рис. 11.11, он представляет собой участки парабол с вершинами, расположенными на оси y1 и припасовыванными друг к другу на линии переключения.

11.3.4 МЕТОД СШИВАНИЯ

Метод сшивания во многом аналогичен методу припасовывания. И часто эти два метода рассматривают вместе, как один. Метод сшивания применим во всех тех же ситуациях, что и метод припасовыва-ния, т.е. статическая характеристика нелинейного элемента является кусочно-линейной функцией. При построении фазового портрета эта характеристика разбивается на линейные участки, для каждого из которых строится своя фазовая траектория и определяется некоторая область фазового пространства. Общий фазовый портрет получается "сши

ванием" отдельных областей желаемым образом. При переходе изображающей точки через границы этих заранее установленных областей, система изменяет свою структуру. Таким образом, метод "сши

вания" используется при построении фазовых портретов систем с переменной структурой. Примерами таких систем являются релейные системы, замыкающие или размыкающие часть схемы при переходе через линии сшивания. В таких системах при определенных условиях

Рис. 11.12 Релейная система:

а - структурная схема; б - статическая характеристика

возможно получить виды движения более высокого качества, чем в любой из отдельно взятых структур.

В качестве примера рассмотрим простейшую релейную систему (рис. 11.12, а), состоящую из линейной части, описываемой дифференциальным уравнением второго порядка, и нелинейного элемента со статической характеристикой (рис. 11.12, б).

Таким образом, пусть рассматриваемая система описывается следующим образом

= У2;

dyx

dt

^ --г (Уі),

I dt

где y1 = y; y2 = dy/dt = dy1/ dt; к - коэффициент усиления линейной части; f (y1) - релейная характеристика: f (y) = a signy1. Тогда уравнение фазовой траектории

^ = (-к / y2) f (Уі ) dyi

X

а
1 б)
- a y
а)
X ЛЧ
y
НЭ
или

y2 / 2 ± kay1 = C .

Верхний знак соответствует правой, нижний - левой полуплоскости. Ось ординат является линией переключения. Фазовыми траекториями являются замкнутые кривые, образованные отрезками парабол (рис. 11.13, а).

Введение зоны нечувствительности приводит к появлению отрезка покоя и полосы, образованной линиями переключения, внутри которой отрезки траекторий горизонтальны (рис. 11.13, б). При наличии гистерезиса процесс расходится (рис. 11.13, в).

Т. Я. Лазарева, Ю. Ф. Мартемьянов - Основы теории автоматического управления>


Т. Я. Лазарева, Ю. Ф. Мартемьянов - Основы теории автоматического управления>
Рис. 11.13 Фазовые портреты релейной системы:

а - с двухпозиционным реле; б - с двухпозиционным реле с зоной нечувствительности; в - с двухпозиционным реле с гистерезисом
Стабилизировать подобную систему можно, охватив релейный элемент отрицательной обратной связью, по производной выходной величины. Тогда фазовый портрет описывается уравнением

dy2 ka

2 = - sign(y1 - koc y2

y2

dy1

^ + kay1 = C ,

если y + косy2 > 0;

и, следовательно,

Линия переключения у2 =- — у1 (рис. 11.14) представляет собой прямую, проходящую через нача-

кос

ло координат и наклоненную под углом arctg(-1/кос). Справа от этой линии у1 + косу2 > 0, слева -у + косу2 < 0 . Фазовые траектории в обоих случаях - параболы, положение вершин которых определяется постоянной интегрирования С, зависящей от начальных условий. Полностью фазовый портрет рассматриваемой системы изображен на рис. 11.14, а.

Т. Я. Лазарева, Ю. Ф. Мартемьянов - Основы теории автоматического управления>
Рис. 11.14 Построение фазового портрета методом сшивания:

а - фазовый портрет; б - движение по линии переключение На линии переключения можно выделить три характерных участка, разграниченных точками касания А и В линии переключения с показанными пунктиром параболами. За пределами отрезка АВ фазовая траектория по одну сторону линии переключения после перехода через нее является продолжением траектории по другую сторону линии. Внутри отрезка АВ фазовые траектории подходят к нему с двух сторон и упираются в него. Изображающая точка не может сойти с этого отрезка, но не может и остаться на нем. Этот процесс можно расшифровать следующим образом. Пусть движение идет по фазовой траектории 1 (рис. 11.14, б). Как только фазовая траектория пересечет линию переключения АО, вступит в свои права фазовая траектория 2, которая вернет процесс к отрезку ОА. Однако, на пути движения встречается фазовая траектория 3 и т.д. В результате изображающая точка вибрирует около линии переключения и перемещается к началу координат. В этом случае говорят, что изображающая точка скользит по линии переключения к равновесному состоянию типа устойчивого узла. Процесс такого рода называется скользящим процессом, а отрезок АВ - линией скольжения.
Движение вдоль линии скольжения определяется только линией переключения и совершенно не зависит от параметров линейной части. Это обстоятельство используется при построении многих систем с переменной структурой.

11.4 Тренировочные задания

1 Фазовый портрет нелинейной системы определяется решением дифференциального уравнения су2 /йух = f212)//112), которое в данном случае является нелинейным, что и обусловливает характерные особенности фазовых траекторий. Так, особые точки определяют поведение фазовых траекторий только вблизи них. Помимо особых точек фазовый портрет нелинейной системы может содержать особые линии. Вся область фазового портрета разделена на области с различным характером фазовых траекторий.

А Что представляет собой особая линия, называемая предельным циклом?

В Что такое сепаратриса?

С Дайте характеристику типового фазового портрета.

2 Для качественной оценки фазовых траекторий используется метод изоклин. При построении фазового портрета этим методом строятся на всей фазовой плоскости изоклины, а затем на них

наносятся направления касательных к фазовым траекториям, по которым определяется характер фазового портрета.

А Что такое изоклина?

В Какими исходными данными необходимо обладать, чтобы можно было приступить к построению фазового портрета методом изоклин?

С Почему фазовый портрет, построенный методом изоклин, носит качественный характер?

3 Методы припасовывания и сшивания используются для построения точных фазовых портретов для нелинейных систем, имеющих кусочно-линейные статические характеристики. Для каждого линейного участка статической характеристики строится фазовая траектория. На границах этих линейных участков согласно метода припасовывания принимается, что конечные значения предыдущего участка являются начальными условиями для последующего участка. При использовании метода сшивания фазовый портрет получают "сшиванием" отдельных областей желаемым образом.

А Какова последовательность построения фазового портрета методом припасовывания?

В Что значит сшить фазовый портрет?

С Для каких систем наиболее часто применяют метод "сшивания" при построении фазовых портретов?

11.5 Тест

1 Предельным циклом называется:

А Замкнутая кривая.

В Асимптота фазовых траекторий.

С Фазовая траектория, уходящая в бесконечность.

2 Дифференциальное уравнение для семейства фазовых траекторий на плоскости имеет

вид:

А dyj dt = /2О1У2)/МУъ Уг).

В dy2<dyi = МУиУ2)/Уг) .

С йуг!dt = f2(Уі,Уг)/fi(Уі,Уг).

3 Сепаратрисой называется А Замкнутая кривая.

В Кривая, разделяющая области фазового портрета с различным характером фазовых траекторий.

С Фазовая траектория, сходящаяся к особой точке.

4 Изоклиной называется кривая, представляющая геометрическое место точек, в которых касательные ко всем интегральным кривым наклонены к оси абсцисс

А Под прямым углом.

В Под одним и тем же углом.

С Под углом 180°.

5 Уравнением изоклин является уравнение

А dy2l dyx = f2(yu y2)l Муъ y2). В dyA dy2 = М.Уи У2)| f2(y\> У2). С fi(yi, y2)l f2(yi, y2) = const.

6 Метод изоклин построения фазового портрета А Имеет высокую точность.

В Используется для качественной оценки хода фазовых траекторий.

С Используется для количественной оценки хода фазовых траекторий.

7 Метод припасовывания используется при построении фазовых портретов нелинейных систем, характеризующихся

А Кусочно-линейной статической характеристикой.

характерис-

статической

В Непрерывной дифференцируемой

тикой.

характерис-

статической

С Монотонно возрастающей гладкой

тикой.

8 Что обозначает термин "припасовывание"?

А Начальные условия последующего участка являются конечными значениями предыдущего участка.

В Начальные условия последующего участка совпадают с начальными условиями предыдущего участка.

С Начальные условия для всех участков фазовой траектории одинаковы.

9 Метод сшивания используется при построении фазовых портретов системы автоматического управления:

А С нестационарным объектом управления.

В С переменной структурой.

С С постоянной структурой.

10 При построении фазового портрета методом сшивания общий фазовый портрет получается " сшиванием" отдельных областей

А Желаемым образом.

В Путем припасовывания.

С Подгонкой начальных условий последующего участка к конечным значениям последующего участка.

12 УСТОЙЧИВОСТЬ НЕЛИНЕЙНЫХ СИСТЕМ

Общая теория устойчивости нелинейных систем была развита в работах А. М. Ляпунова, им впервые было введено понятие устойчивости движения.

12.1 Устойчивость движения нелинейных систем

Любая система автоматического управления описывается дифференциальным уравнением, решение которого в фазовом пространстве дает траекторию движения. Понятие устойчивости движения сформулировано в разделе 6.4.

Движение может быть устойчивым и неустойчивым. В реальных системах неустойчивые движения не наблюдаются.

В разделе 6.5 сформулированы основные виды устойчивости и в том числе понятие устойчивости по Ляпунову. Остановимся еще раз на этом определении.

Движение называется устойчивым по Ляпунову, если по любому е можно указать число n = п(е) > 0

такое, что если при t = 0 из неравенства || у0 - у* || < п(е) следует неравенство || y(t) - y* (t) || < е для всех t е Rt.

Смысл этого определения состоит в том, что движение устойчиво, если при достаточно малом начальном сдвиге М0 от М0, точка М* в последующем движении достаточно близка к М (рис. 12.1, а).

Если при движении в пространстве точки М и М * неограниченно сближаются, то траектория возмущенного движения возвращается на траекторию невозмущенного движения, и последнее называется асимптотически устойчивым (рис. 12.1, б).

Т. Я. Лазарева, Ю. Ф. Мартемьянов - Основы теории автоматического управления>
Рис. 12.1 К определению устойчивости движения:
а - по Ляпунову; б - асимптотической

Движение называется асимптотически устойчивым, если можно подобрать такое n, что если IIУ0 - у* I < n, то выполняется условие || y(t) - у* (t) || ^ 0 при t ^ ж.

Понятие асимптотической устойчивости более узко, чем понятие устойчивости по Ляпунову. Если движение асимптотически устойчиво, то оно наверняка устойчиво по Ляпунову. Обратное утверждение, вообще говоря, несправедливо, т.е. движение может быть устойчивым по Ляпунову, но неустойчивым асимптотически.

При исследовании устойчивости нелинейных систем исследуют отдельные виды движения - состояние равновесия и автоколебания.

Состояние равновесия, за которое принимают обычно тривиальное решение у = 0, является устойчивым, если вокруг начала координат существует область притяжения траекторий G (рис. 12.2, а). В этом случае говорят, что состояние равновесия устойчиво в "малом", т.е. гарантируют устойчивость лишь при достаточно малых отклонениях. Другими словами, если задать область допустимых отклонений е , то от нее будет зависеть область допустимых начальных условий n . Для устойчивости системы достаточно, чтобы движение изображающей точки происходило внутри этой заданной допустимой области отклонений е (рис. 12.2, а). Если система не только не выходит за границы допустимой области, но и возвращается к прежнему состоянию равновесия, то такая система является асимптотически устойчивой.

Для определения устойчивости в "большом" необходимо задать область n1 возможных (например, по техническим условиям) отклонений в данной системе. Если эта область n1 целиком лежит в области

G, и при этом выполняется условие, что max|у0 - у* = п Пі <n, то состояние равновесия устойчиво в "большом" (рис. 12.2, б).

Т. Я. Лазарева, Ю. Ф. Мартемьянов - Основы теории автоматического управления>
Рис. 12.2 Иллюстрация устойчивости:

а - в "малом"; б - в "большом"

Если область G распространяется на все пространство, то равновесие называется устойчивым в "целом".

Для исследования устойчивости в "малом", в "большом" и в "целом" используют специальные методы, которые рассматриваются ниже.
12.2 Первый метод Ляпунова

Первый метод Ляпунова дает ответ об устойчивости движения по первому приближению с помощью методов, основанных на качественном анализе дифференциальных уравнений возмущенного движения, которым удовлетворяют отклонения возмущенного движения от невозмущенного: Ду() = y(t)-у*(t), где y(t) - возмущенное, а у*(t) - невозмущенное движения.

Если дифференциальное уравнение движения имеет вид

f((..., y'(t), y(t))= 0, (12.1)

то для вывода уравнения возмущенного движения необходимо переменную y(t ) = Ду( )+y* (t) подставить в (12.1).

Тогда

F((t), Ду(и-1)(0, ..., Ду'^), Ду^) + y*(t))= 0 (12.2)

будет являться уравнением в отклонениях.

Если функция F в (12.2) допускает разложение в ряд Тейлора по степеням Ду, то выполнив это разложение, получают

f( ..., 0 у*)+)(П)(0,..., o, y)nm+... +

+ Fдy,(0, ..., 0, у*)(t) + Fдy(о, ..., 0, у*)Ay(t) = 0.

Если отклонения достаточно малы, то, пренебрегая членами в (12.3), зависящими от них в степени выше первой, учитывая начальные условия и переобозначив Ду^) = y(t), получают линеаризованное уравнение, которое также называется линеаризованным уравнением первого приближения и записывается в виде

Any)+ ••• + A1 y'(t) + A0y(t)= 0 . (12.4)

Исследование устойчивости движения по уравнению первого приближения объясняется, с одной стороны, простотой подобного подхода, с другой стороны, исследования процессов, происходящих в реальных системах, часто позволяют определить только первые линейные члены.

Но, однако, уравнение первого приближения не всегда позволяет сделать правильный вывод об устойчивости движения. Условия, позволяющие дать правильные ответы и решить важную и принципиальную задачу теории автоматического управления об устойчивости движения были сформулированы А.М. Ляпуновым и оформлены в виде трех теорем, именуемых первым методом Ляпунова.

Теорема 1 Если линейная система первого приближения устойчива, то соответствующее состояние равновесия нелинейной системы также устойчиво по Ляпунову.

Теорема 2 Если линейная система первого приближения неустойчива, то соответствующее состояние равновесия нелинейной системы также неустойчиво по Ляпунову.

Теорема 3 Если линейная система первого приближения находится на границе устойчивости, то судить об устойчивости исходной нелинейной системы по уравнениям первого приближения нельзя. В этом случае необходимо рассматривать исходную нелинейную систему.

Эти теоремы позволяют судить по результатам исследования уравнений первого приближения об устойчивости в "малом" состояния равновесия исходной нелинейной системы.

В качестве примера рассмотрим нелинейную систему второго порядка, описываемую системой двух дифференциальных уравнений первого порядка:

dyijt)

= Нуи У2);

dt

(12.5)

^ = Q(y„ у 2).

dt

Предметом исследования является определение устойчивости состояния равновесия (у1020), т.е. характера движения вблизи этого состояния, которое определяется как dy1(t)/dt = dy2(t)/dt = 0 .



Согласно первому методу Ляпунова система дифференциальных уравнений (12.5) заменяется линеаризованной системой первого приближения. Для этого, если функции P(y12), Q( , у2) являются

аналитическими, то их разлагают в ряд Тейлора и получают следующую систему уравнений

d^1(t)

= а1АУ1() + а2^У2(t) + Q;

dt

(12.6)

^d2,^) = Ь1АУ1 (t) + Ь2АУ2 (t) + С2

dt

дНУи У 2)

др(Уи У 2 )

где

^2

у10,у20

у10,у20

b1 =

b2 =

дУ1

дУ2

у10 , у20

У10 , У20

Ау = У1- У10, АУ 2 = У2- у 20;

С1, С2 - члены степени выше первой относительно у1, у2. Система первого приближения получается из (12.6) отбрасыванием нелинейных членов Q, Q:

(12.7)

йАУу\ ^)=а1 ДУ1(t)+а2 Ау 2(t);

dt

dAd2.^ ) = Ь1АУ1 (t) + Ь2АУ 2 (t X dt

Система дифференциальных уравнений (12.7) является линейной системой с постоянными коэффициентами и исследуется на устойчивость любыми известными методами исследования устойчивости линейных систем. В частности, характеристическое уравнение системы имеет вид

S2-(а1 + b2 )S + a1b2 - a2b1 = 0, (12.8)

и, следовательно, характер устойчивости решения определяется корнями S1 и S2 этого уравнения. Если эти корни имеют отрицательную часть, то система первого приближения устойчива, следовательно, устойчива и исходная нелинейная система. Если же действительная часть положительна, то линейная система неустойчива и исходная нелинейная система неустойчива. Если корни будут чисто мнимыми, то линейная система находится на границе устойчивости и сказать что-либо конкретное относительно устойчивости исходной нелинейной системы нельзя, так как неизвестно как ведут себя отброшенные нелинейные члены. В этом случае необходимо рассматривать систему второго приближения. Если же исследование этой системы не даст конкретного ответа, то рассматривается система третьего приближения и т. д.

Первый метод Ляпунова можно использовать и для исследования устойчивости движения. Если последнее описывается дифференциальным уравнением (12.1), то для исследования устойчивости движения это уравнение необходимо линеаризовать путем разложения в ряд Тейлора в окрестности исследуемого движения y10 (t), y20 (t), ..., yn0 (t), например, таким движением является гармонический сигнал -синусоида. В результате линеаризации получают уравнение первого приближения, которое является линейным уравнением с коэффициентами, зависящими от времени:

An(t)yn (t) + An-i(t)y(n-l)(t) +... + A(t)y'(t) + Ao(t)y(t) = 0 .

Пример 12.1 Исследовать на устойчивость систему автоматического регулирования с помощью первого метода Ляпунова, если она описывается следующей системой дифференциальных уравнений:

' М! = - y (t)+yiMy, (t);

dt

= -Ay, (t)+y2 (t).

I dt

Прежде всего определяются состояния равновесия из системы уравнений dy1 / dt = dy2 / dt = 0, т.е.

- уі + уі у, =0;

- y2 + у2 = 0

Система имеет два состояния равновесия. Первое - y10 = 0, y20 = 0; второе - y10 - любое, y20 = 1. Исследуем на устойчивость первое состояние равновесия. Для этого линеаризуем исходную систему в окрестности точки y10 = 0 , y20 = 0 и получим линейную систему первого приближения

dt =-y1(t);

‘Ат = — У2 (' >¦

dyi(t)

Характеристическое уравнение этой системы: (S'+1)2 = 0, его корни S1 = S 2 = -1 - отрицательные действительные, следовательно, система первого приближения устойчива. Состояние равновесия исходной нелинейной системы также устойчиво и представляет собой особую точку типа устойчивый узел.

12.3 Второй метод Ляпунова

А. М. Ляпунов предложил метод, позволяющий получить достаточные условия устойчивости нелинейных систем автоматического управления. Первоначально метод был разработан для исследования локальной устойчивости, т. е. устойчивости в достаточно малой окрестности особых точек, в дальнейшем он был расширен и для исследования устойчивости "в большом". Этот метод получил название второго метода Ляпунова. Для его изложения необходимы некоторые вспомогательные сведения, приведенные ниже.

12.3.1 ПОНЯТИЕ О ЗНАКООПРЕДЕЛЕННЫХ, ЗНАКОПОСТОЯННЫХ И ЗНАКОПЕРЕМЕННЫХ ФУНКЦИЯХ

Пусть имеется функция нескольких переменных V = V(y1, y2,..., yn), где y1, y2,..., yn являются прямоугольными координатами n-мерного фазового пространства. В каждой точке этого пространства функция V имеет некоторое определенное значение, в зависимости от того какие это будут значения вводятся названия этой функции.

Функция V называется знакоопределенной в данной области, если она во всех точках этой области вокруг начала координат сохраняет один и тот же знак и нигде, кроме начала координат, не обращается в нуль.

Примером знакоопределенной функции является функция вида V = у1 + у 2 + ¦¦¦+у2п, которая при всех вещественных значениях у1, у2,..., уп будет положительной (V > о) и только, когда одновременно у1 = 0, у2 = 0, ..., уп = 0 она обращается в нуль (V = о). Эта функция называется знакоопределенной положительной в отличие от функции V = -(у2 + уі2 + ¦¦¦+уП ), которая называется знакоопределенной отрицательной, так как для любых у1, у2,,,,, уп V <0 и V = 0 при у1 = 0, у2 = 0, ¦¦¦, уп = 0^

Функция V называется знакопостоянной, если она в рассматриваемой области сохраняет один и тот же знак, но может обращаться в нуль не только в начале координат, но и в других точках данной области

Примером знакопостоянной функции при п = 3 является функция V = (у +у2 )2 + у32, которая обращается в нуль, помимо начала координат, еще на прямой у2 = -у1 и у3 = 0, во всех остальных точках она положительна^ Функция V = |sin у1 + cos у2| также является знакопостоянной, так как она при всех действительных у1 и у2 положительна или равна нулю^

Функция V называется знакопеременной, если она в данной области вокруг начала координат меняет свой знак

Примером знакопеременной функции является функция V = у1 + у2 ¦ Эта функция положительна для всех точек справа от прямой у1 = -у2 и отрицательна слева от этой прямой

12А2 ФУНКЦИЯ ЛЯПУНОВА

Согласно второму методу Ляпунова в рассмотрение вводится специальная функция V(у1, у2,,,,, уп), заданная в фазовом пространстве, называемая функцией Ляпунова и обладающая следующими свойствами:

j Функция V непрерывна со всеми своими частными производными первого порядка в некоторой открытой области, содержащей начало координат

2 В начале координат функция V(, у2,,,,, уп) принимает нулевое значение, т^ при у1 = 0, у2 = 0 , ¦¦¦, уп = ^ V(УJ, у2, •••, уп)= 0^

3 Всюду внутри рассматриваемой области функция V является знакоопределенной, т^ либо V > 0 , либо V < 0 ¦

Полная производная от функции Ляпунова по времени запишется в виде

dV = 3^dyL +3^dy^ + + dV ёуп (12 9)

dt ду1 dt ду2 dt дуп dt

Пусть рассматриваемая нелинейная система автоматического управления описывается системой дифференциальных уравнений первого порядка в отклонениях всех переменных от их значений в установившемся процессе^ Следовательно, для нелинейной системы п-го порядка эти уравнения будут:

^і()

dt

dV2 (t)

dt

у2, -, уп);

f2(уъ у2, -, уп);

(12,10)

Fnуъ у2, -, уп),

где функции FU F2 , ..., р произвольны и содержат нелинейности любого вида, но всегда удовлетворяют условию, что при у1 = у2 = ¦¦¦ = уп = 0, F1 = F2 =... = Fn = 0, так как в установившемся состоянии все отклонения переменных и их производных равны нулю по самому определению понятия этих отклонений

Если теперь в производную от функции Ляпунова (12.9) подставить значения dy1l dt, dy2l dt, , dyn ldt из системы уравнений рассматриваемой системы управления (12.10), то получим производную от функции Ляпунова по времени в виде

(12.11)

dV dV ^ dV ^ dV „ -= F + F2 +... + Fn

dt дУі дУ2 дУп ‘

Правые части уравнений (12.10) представляют собой заданные функции от отклонений y1, y2,..., уп. Следовательно, производная от функции Ляпунова по времени, так же как и сама функция V, является некоторой функцией отклонений, т. е.

d- = W{y), (12.12)

причем, так же как и функция V , эта функция W тождественно обращается в нуль при y1 = y2 =... = yn = 0 . В связи с этим к функции W (12.12) можно применять понятия знакоопределенности, знакопостоянства и знакопеременности в некоторой области вокруг начала координат.

12.3.3 ТЕОРЕМЫ ЛЯПУНОВА

В основе второго метода Ляпунова лежит известная теорема Дирихле, согласно которой равновесие устойчиво, если в положении равновесия потенциальная энергия системы имеет минимум. А.М. Ляпуновым были сформулированы три теоремы: об устойчивости, об асимптотической устойчивости и о неустойчивости.

Теорема 1 Если существует знакоопределенная функция V (, у2,..., yn), производная которой по времени в силу дифференциальных уравнений, описывающих нелинейную систему, или представляет собой знакопостоянную функцию противоположного с V знака, или тождественно равна нулю, то нелинейная система устойчива.

Теорема 2 Если существует знакоопределенная функция

V(, y2,..., yn), производная которой по времени в силу дифференциальных уравнений, описывающих нелинейную систему, представляет собой знакоопределенную функцию противоположного с V знака, то нелинейная система асимптотически устойчива.

Теорема 3 Если существует какая-либо функция V(у1, y2,..., yn), производная которой по времени в силу дифференциальных уравнений, описывающих нелинейную систему, представляет собой знакоопределенную функцию, причем в любой сколь угодно малой окрестности начала координат имеется область, в которой знак функции V совпадает со знаком производной dV l dt, то состояние системы Уі = y2 = ••• = Уп = 0 неустойчиво.

Проиллюстрировать справедливость этих теорем можно на наглядных геометрических образах. Пусть имеется некоторая нелинейная система третьего порядка, которая описывается системой дифференциальных уравнений в отклонениях от значений переменных в стационарном состоянии вида (12.10):

•dy1(t) = FiСуі, у2, Уз); dt

' ^ = F2(уі, у,, уз); (12.13)

dt

= F3( У2, Уз).

I dt

Координаты состояний равновесия определяются из системы алгебраических уравнений

(12.14)

Fi(Уі, У2, Уз) = F2у У2, Уз) = ^ІУъ У2, Уз) = 0

Для определенности предполагается, что рассатриваемая система имеет только одно состояние равновесия, совпадающее с началом координат y1 = y2 = у3 = 0 .

В качестве функции Ляпунова рассматривается знакоопределенная положительная функция

VyУl, У2,Уз)= «12Уі2 + a2У2 + a32Уз , (l2.15)

где ai, i = 1,2,3 - произвольно заданные вещественные числа. Если теперь этой функции придавать некоторые возрастающие постоянные значения 0, C1, C2, ..., т.е.

2 2 2 2 2 2 a1 У1 + a2 У2 + a3 У3 = 0 ;

2 2 2 2 2 2 a1 У1 + a2 У 2 + a3 у3 = C1;

2 2 2 2 2 2 a1 Уі + a2 У 2 + a3 Уз = C2;

• • • 5

то первому из них в фазовом пространстве У1 - у2 - у3 соответствует точка У1 = у2 = у3 = 0, а остальным -эллипсоиды, причем каждый последующий эллипсоид содержит внутри себя целиком предыдущий (рис. 12.3), т.е. в силу однозначности функции V поверхности, соответствующие различным значениям Ci , не пересекаются между собой, а составляют семейство вложенных друг в друга поверхностей, причем меньшим значениям Ci соответствуют внутренние поверхности, увеличение значений Ci обозначает переход к внешним поверхностям.

Производная от функции Ляпунова (12.15) по времени в силу системы дифференциальных уравнений (12.13) согласно (12.11) запишется в виде

dV

dt

2a12УЛІУ^ У2 , Уз ) + 2a2 У2F2 (Уl, У2, Уз) +

(12.16)

+ 2a32УзF3 (yu У2 , Уз) = W (Уі, У2, Уз)

Пусть изображающая точка в начальный момент находится на поверхности V = C4 (рис. 12.3). Градиент функции V есть вектор, определяемый проекциями dV/ dyi на оси координат, т.е.

gradV

dV dV dV дУ\ оУ/ дУз

Если теперь ввести в рассмотрение вектор F(у) с проекциями F1 = dy1/ dt, F2 = dy2/ dt, F3 = dyз/ dt, то этот вектор будет ни чем иным как вектором скорости изображающей точки M в фазовом пространстве (рис. 12.3). Согласно (12.16) можно записать

^ = W (У) = grad VF (У), (12.17)

dt

где у = (y1, y2, уз) - вектор координат состояния системы. Таким образом, производная функции Ляпунова по времени, составленная в силу уравнений системы (12.13), представляет собой скалярное произведение градиента этой функции на вектор фазовой скорости.

Вектор gradV (y) перпендикулярен к поверхности V = const (в частности, на рис. 12.3 к V = C4) и направлен в сторону возрастания значения V . Если производная dV/dt > 0, то, согласно (12.17), вектор фазовой скорости F (у) составляет с вектором gradV (у) острый угол, т.е. фазовая траектория пересекает поверхность V = const в сторону увеличения значений V (у).

Если же dV/dt < 0, угол между gradV(y) и F(у) тупой и фазовая траектория идет в сторону уменьшения значений V (у). Таким образом, если dV / dt < 0, то изображающая точка переместится на внутреннюю поверхность C3 и, двигаясь далее, будет неограниченно приближаться к состоянию равновесия - началу координат фазового пространства и уже никак не сможет выйти за пределы тех эллипсоидов, в которые она проникла. Это и означает затухание всех отклонений y1, y2, уз

в переходном процессе с течением времени. Если W (y1, y2, уз) = 0, то изображающая точка может остановиться на соответствующей поверхности. Такое перемещение является достаточным признаком устойчивости, т.е., если оно осуществляется, то устойчивость гарантируется.

В случае асимптотической устойчивости изображающая точка не может остаться на одной из поверхностей, а пойдет внутрь вплоть до начала координат, где y1 = y2 = у3 = 0 и V(, y2, y3 ) = 0.

Геометрическую иллюстрацию теоремы Ляпунова о неустойчивости удобно привести для случая n = 2 на фазовой плоскости (рис. 12.4). Пусть функция V(y1, y2) знакопеременная с линиями V = const, а ее производная dV / dt = W(y1, y2) положительно определенная. При произвольных начальных условиях фазовая траектория, направляясь в соответствии со свойствами (12.17), попадает в область, где V (у1, y2 )> 0 и будет удаляться от начала координат.

Если же W(y1, y2) является отрицательно определенной функцией, то фазовая траектория удаляется от начала координат в область, где V(y1, y2 )< 0 .

В качестве примера проведем строгое доказательство теоремы I Ляпунова.

Зададим некоторое значение е>0 и область значений вектора y = (y1, y2,..., yn), ограниченную величиной его нормы I y I = е .

Пусть имеется положительно определенная функция V (y)> 0, точная нижняя грань значений которой при 11 y I = е есть а > 0, т.е.

inf V(y) = а> 0. (12.18)

Поскольку V(0) = 0, то из непрерывности определенно положительной функции V(y) следует, что можно взять такое значение 5 > 0, чтобы V(y) < а при || y || <5.

Предположим, что начальные условия лежат внутри области 5 (подобрать их таким образом можно всегда), т.е. ||y(t0 )||<5 и, следовательно, V (y(t0 ))<а. Тогда для решения y(t) при t > t0 функция V (y(t)) будет не возрастающей, так как по условию теоремы dV/dt = W(y)<0. Таким образом, получаем, что VУУ))< Vy(t0 У < а . При этом неизбежно | y(t) || < е, так как, если бы было || y(t) || > е , то получилось бы

V(y) > inf V(y) = а, что противоречит условию V(y(t)) < V(y(t0)) < а . Теорема доказана.

II y| І=е

Если условия теоремы выполняются, то система устойчива. Но это не означает, что система не может быть устойчивой и за пределами этих условий, все зависит от выбора функции Ляпунова V .

12.3.4 МЕТОДИКА ПРИМЕНЕНИЯ ТЕОРЕМ ЛЯПУНОВА

При заданных уравнениях системы регулирования можно подобрать несколько различных вариантов функции V, поскольку требуется только знакоопределенность ее и ее производной. Различные варианты функции V , удовлетворяющие теореме, могут дать соответственно различные варианты условий устойчивости для одной и той же системы регулирования. При этом одни из них будут шире, другие уже, последние могут входить в первые как частный случай и т.д. От более или менее удачного подбора функции Ляпунова V будет зависеть большая или меньшая близость полученных достаточных условий устойчивости к необходимым и достаточным, т. е. более или менее полный охват всей области устойчивости данной системы. В большинстве технических задач вполне удовлетворяются только достаточными условиями.

Методику применения теорем Ляпунова удобно рассматривать на примере устойчивости нелинейных систем автоматического регулирования с одной однозначной нелинейностью. Структурная схема такой системы изображена на рис. 12.5.

Пусть управляемый объект описывается в фазовом пространстве системой обыкновенных дифференциальных уравнений второго порядка

' dyx(t) . dt

dy2 (t )

„ dt

«и Уі + «12 У2 + b\x; «21 Уі + «22 У2 + b2 x,

(12.19)

Т. Я. Лазарева, Ю. Ф. Мартемьянов - Основы теории автоматического управления>


Т. Я. Лазарева, Ю. Ф. Мартемьянов - Основы теории автоматического управления>


Рис. 12.5 Структурная схема Рис. 12.6 Характери-

нелинейной АСР стика нелинейного

исполнительного устройства

где y1(t), y2 (t) - фазовые координаты; x(t) - скалярная координата; «11, «12, «21, «22 - коэффициенты, из которых может быть образована невырожденная матрица; b1, b2 - коэффициенты.

Регулятор представляет собой нелинейное исполнительное устройство-привод, обратную связь привода и измерительно-усилительное устройство. Этот регулятор описывается следующими уравнениями

ст() = C1 У1 (t) + С2У2 (t) - rx(tI

где ст - скалярная координата; r - коэффициент обратной связи привода; F(ст) - характеристика исполнительного устройства; Q, C2 - коэффициенты, характеризующие измерительно-усилительное устройство, в соответствии с которым выходная координата объекта записывается в виде C1У1 (t) + C2 У2 (t) .

Нелинейная функция может иметь произвольную нечетно-симметричную форму (12.6), удовлетворяющую условиям

F(0) = 0, ctF(ст) > 0 при ст^ 0. (12.21)

Для исследования устойчивости вторым методом Ляпунова заданная система уравнений (12.19), (12.20) должна быть приведена к каноническому виду путем замены переменных:

Z (t) = «11У1 (t) + «12 У2 (t) + ^x(t);

z2(t) = «21 У1(0 + «22У2(t) + b2x(t);. (12.22)

CT(t) = C1У1 (t) + C2У2 (t) - rx(t) .

Продифференцировав эти соотношения и произведя замену в соответствии с (12.22), получают систему уравнений вида auz\(t) + blF (a);

dz1 (t) dt

dz2(t) dt

da(t) dt

(12.23)

--a22 z2(t) + b2 F (a); C1z1(t) + C2 z2(t) - rF (a),

в предположении, что матрица, составленная из коэффициентов a11, a12, a21, a22 приведена к диагональной форме, т.е. коэффициенты a12 = a21 = 0. Общая матрица системы (12.23) должна быть невырожденной, т. е.

a11 0 b1

0 a22 b2

C2 -r

Для решаемой задачи функцию Ляпунова рекомендуется брать в виде квадратичной формы плюс интеграл от нелинейности

V(z, a) = B1z12 + B2z| +1F(a)da, (12.24)

0

где B1, B2 - некоторые положительные квадратичные коэффициенты координат z1 и z2. Интеграл в этом выражении также является положительно определенной функцией координаты a, что легко проверить по виду характеристики F(a). Таким образом, функция Ляпунова (12.24) является положительно определенной.

Производная этой функции (12.24) в силу уравнений системы (12.23) запишется в виде

dV

dt

dV dz1 dV dz

da

dz1 dz2 da

1 + 2 B2 z2 2 + F(a)

dt 2 2 dt dt

+ F (a)— = 2B1z1

dt dt 1 1

dz1 dt dz2

(12.25)

= 2B1z1 (a„z1 + b1F (a)) + 2B2 z2 (a22 z2 + b2 F (a)) +

+F (a)(C z1 + C2 z2 - rF (a)).

Произведя некоторые преобразования и замену переменных C1 = 2B1 a11 , C2 = 2B2 a22 , производная от функции Ляпунова примет следующий вид

= -C1z? - C2 z22 - rF2 (a) + dt

+ 2F (a) [ + 1/2Q )z1 + {B2b2 + 1/2C2 )z2 ].

Полученное выражение (12.25) представляет собой квадратичную форму и согласно теоремам Ляпунова должна быть знакоопределенной или знакопостоянной отрицательной функцией. Установим обратное: при каких условиях эта производная будет положительной определенной функцией. Для этого необходимо воспользоваться критерием Сильвестра. Так как коэффициенты C1 и C2 являются коэффициентами положительно-определенной квадратичной формы, то неравенства критерия Сильвестра выполняются. Остается потребовать, чтобы

-BA + 1/2C1) {B2b2 + 1/2C2)

C1

0

-BA + 1/2Q)

0

C2

{B2b2 + 1/2C2)

> 0,

отсюда - Ba + \/2C1)2 C2 - (B2b2 + 1/2C2 )2 C1 + rC1C2 > 0 .

ТАКИМ ОБРАЗОМ, ПОЛУЧАЕМ, ЧТО КОЭФФИЦИЕНТ ОБРАТНОЙ СВЯЗИ ПРИВОДА ДОЛЖЕН ВЫБИРАТЬСЯ В СООТВЕТСТВИИ С НЕРАВЕНСТВОМ

ЭТО И ЯВЛЯЕТСЯ ДОСТАТОЧНЫМ УСЛОВИЕМ АСИМПТОТИЧЕСКОЙ УСТОЙЧИВОСТИ РЕШЕНИЯ z1 = 0 , z2 = 0, ст = 0.

В УСЛОВИЯ УСТОЙЧИВОСТИ НЕ ВОШЛИ НИКАКИЕ ПАРАМЕТРЫ НЕЛИНЕЙНОЙ ХАРАКТЕРИСТИКИ F(а). СЛЕДОВАТЕЛЬНО, ОНИ СПРАВЕДЛИВЫ ПРИ ЛЮБОЙ ФОРМЕ НЕЛИНЕЙНОСТИ, УДОВЛЕТВОРЯЮЩЕЙ ОБЩИМ ТРЕБОВАНИЯМ (12.21). ТАКИЕ УСЛОВИЯ УСТОЙЧИВОСТИ, КОТОРЫЕ НЕ ЗАВИСЯТ ОТ КОНКРЕТНОЙ ФОРМЫ НЕЛИНЕЙНОСТИ, НАЗЫВАЮТ УСЛОВИЯМИ АБСОЛЮТНОЙ УСТОЙЧИВОСТИ СИСТЕМЫ.

12.3.5 Методы построения функции Ляпунова

ОДНОЙ ИЗ ОСНОВНЫХ ПРОБЛЕМ, ВОЗНИКАЮЩИХ ПРИ ПРАКТИЧЕСКОМ ИСПОЛЬЗОВАНИИ ВТОРОГО МЕТОДА ЛЯПУНОВА, ЯВЛЯЕТСЯ ВЫБОР ФУНКЦИИ ЛЯПУНОВА. ОБЩЕГО МЕТОДА ВЫБОРА ФУНКЦИИ ЛЯПУНОВА НЕ СУЩЕСТВУЕТ, НО ВСЕ ЖЕ ИМЕЮТСЯ НЕКОТОРЫЕ РЕКОМЕНДАЦИИ ПО СОСТАВЛЕНИЮ ЭТОЙ ФУНКЦИИ ДЛЯ ИССЛЕДОВАНИЯ ОПРЕДЕЛЕННОГО КЛАССА СИСТЕМ. ЧАЩЕ ВСЕГО ЭТУ ФУНКЦИЮ

ВЫБИРАЮТ В ВИДЕ КВАДРАТИЧНЫХ ФОРМ.

ФУНКЦИЯ ЛЯПУНОВА ДЛЯ ЛИНЕЙНЫХ СИСТЕМ

ДЛЯ ЛИНЕЙНЫХ СИСТЕМ ФУНКЦИЯ ЛЯПУНОВА ПРЕДСТАВЛЯЕТ СОБОЙ КВАДРАТИЧНЫЕ ФОРМЫ КООРДИНАТ, КОЭФФИЦИЕНТЫ КОТОРЫХ НАХОДЯТСЯ СРАВНИТЕЛЬНО ЛЕГКО.

ПУСТЬ ДАНА СИСТЕМА ДИФФЕРЕНЦИАЛЬНЫХ УРАВНЕНИЙ

^ = Z агіУі > J i = 1’2>-> n (12'27)

И ПУСТЬ КОРНИ ЕЕ ХАРАКТЕРИСТИЧЕСКОГО УРАВНЕНИЯ ЛЕВЫЕ, Т.Е. ИМЕЮТ ОТРИЦАТЕЛЬНЫЕ ДЕЙСТВИТЕЛЬНЫЕ ЧАСТИ.

БУДЕМ ИСКАТЬ КОЭФФИЦИЕНТЫ l,}. КВАДРАТИЧНОЙ ФОРМЫ

(12.28)

L(y) ZZlJyyj, i lji,

i=i j=1

ТАК, ЧТОБЫ ПОЛНАЯ ПРОИЗВОДНАЯ ЭТОЙ ФОРМЫ

г > (i + 1/2Ci )2 ) + (B2b2 + yiC2 )2)

(12.26)

Ci

C2

dL( у) dt

n ЯТ n ( n n \

Z'dr-±= Z 2Zljyj ZaJkyk =-G(y) (12-29)

і=1иУі Ul i=1 ^ j=1 k=1 ^

БЫЛА ОПРЕДЕЛЕННО-ОТРИЦАТЕЛЬНОЙ.

ДЛЯ ЭТОГО, СЛЕДУЯ ЛЯПУНОВУ, ЗАДАДИМСЯ ОПРЕДЕЛЕННО-ПОЛОЖИТЕЛЬНОЙ

ФОРМОЙ

G(y)=ZZgjyi-yj > (12-30)

С КОЭФФИЦИЕНТАМИ gy. = g]1.

ТАКУЮ ФОРМУ МОЖНО ВЫБРАТЬ СЛЕДУЮЩИМ ОБРАЗОМ: ЗАДАЮТСЯ n ПРОИЗВОЛЬНЫМИ ВЕЩЕСТВЕННЫМИ КОЭФФИЦИЕНТАМИ g„, g22,..., gnn И ЗАТЕМ ОПРЕДЕЛЯЮТ g12 = g11 g12,gv = gigJJ,.... ТОГДА G(y) ПРЕДСТАВЛЯЕТ СОБОЙ ПОЛНЫЙ КВАДРАТ

G( y) = (g11 y1 + g 22 y2 +... + gnnyn )2

И ЯВЛЯЕТСЯ ОПРЕДЕЛЕННО-ПОЛОЖИТЕЛЬНОЙ функцией. ЛЯПУНОВЫМ БЫЛО ДОКАЗАНО, ЧТО ПРИ ОТРИЦАТЕЛЬНЫХ ДЕЙСТВИТЕЛЬНЫХ ЧАСТЯХ КОРНЕЙ ХАРАКТЕРИСТИЧЕСКОГО УРАВНЕНИЯ ВСЕГДА МОЖНО ЕДИНСТВЕННЫМ ОБРАЗОМ ПОДОБРАТЬ КОЭФФИЦИЕНТЫ ФОРМЫ, КОТОРАЯ БУДЕТ ОПРЕ-

(12.32)

ДЕЛЕННО-ПОЛОЖИТЕЛЬНОИ. ТАК КАК dL/dt < 0, ТО L ЯВЛЯЕТСЯ ФУНКЦИЕЙ ЛЯПУНОВА.

ЛЯПУНОВ УКАЗАЛ СЛЕДУЮЩИЙ МЕТОД НАХОЖДЕНИЯ ФУНКЦИИ V ДЛЯ ЛИНЕЙНЫХ СИСТЕМ. БУДЕМ ИСКАТЬ ЛИНЕЙНУЮ ФОРМУ ПЕРЕМЕННЫХ

и = АУ\ + A2у2 + •••+АУн j (12.31)

КОТОРАЯ УДОВЛЕТВОРЯЛА БЫ УСЛОВИЮ

ди

X (а1іУі + а2гУ2 + K + атУн ) — = Хи • 1=1 дУг

Для нахождения коэффициентов А1, А2, ..., Ап подставим (12.31) в последнее выражение, в результате получим

X (а1гУ1 + а2гУ2 + к + атУп )Аг = Х(А1У1 + ••• + АпУп ) •

г=1

Так как y1, у2, ..., ун независимые переменные, то равенство может существовать лишь при условии, что все коэффициенты при y1, y2,..., уп тождественно равны нулю. Находим

' (а11 -Х)А1 + а12 А2 + к + а1пАп =0;

_ а21А1 + (а22 -Х)А2 + к + а2пАп = 0; (12 33)

.ап1А1 + ап2 А2 + к + (апп - Х)Ап = 0 •

Условием совместности этих п уравнений является равенство нулю определителя системы (Д = 0), где х является корнем характеристического уравнения. Так как в общем случае их п, то можно найти п значений для функции и , равных ии и2, к, ип. Поскольку корни могут быть комплексными, т.е. Хі =аг + ву, Хі =аі -ftij, то им соответствуют сопряженные значения функции иг и иг.

Составим далее функцию

v = u1U1 + и2й 2 + к+ипйп, (12.34)

если иг окажется действительной величиной, возьмем иг2 . Таким образом получаем положительноопределенную функцию, производная по времени которой будет

dUi

dt

dV

(12.35)

dt

dt

i=1

i=1

dUi _ dUi Аг

где

dt дУ dt

Подставляя в (12.35) значение dyjdt из уравнения (12.27), в конечном итоге получаем

dV ¦П -

-= X 2аiUi Uг ,

dt =1

(12.36)

где аг - действительные части корней.

Таким образом, указан способ построения функции Ляпунова для линейной системы.

Метод Г. Сеге

Согласно этому методу функция Ляпунова записывается в виде

аг} (Уг )УІ + 2X аг (Уг )УіУj

(12.37)

j=2

г * j

i =1

где коэффициенты аі}- являются функциями фазовых координат уг, т.е. аі}-(уг). Производная от функции Ляпунова по времени будет

dt dt dt

da j (Уг) dyi

dV _ yj

dt f_l1

dan (Уг ) ,.2 Ф,

+ 2a, (y,)dy- + 2У г dt ” ’ dt j_2

1 _ 2L j *i

dyi

(12.38)

X у іУі ~t + % (y )^Уі + aj (у г )y г

Работу метода Г. Сеге удобнее проследить на примере систем второго порядка. В этом случае (12.37) примет вид

V _ «11 (Уі ) Уі2 + 2^12 (Уі) Уі У2 + 0^22 (У2 ) У2 . (12.39)

Определению подлежат коэффициенты a11(y1), a12( y1), a22( y2). Принимается, что a22( y2) _ 1, тогда

V _ a11 (У1)У12 + 2а12(У1)У1 У2 + У22,

и, следовательно, производная (12.38) записывается следующим образом

dV _ da11(y1) 2 dyy + 2a11(y1) dyy + 2 da12(y1) y1 y2 dyy +

dt dy1 dt ^ dt dt dt

dyL У + 2a (y)У ^2. + 2y2

(12.40)

+ 2a12(y1)~r У2 + 2a12 (У1) У1 У dt dt

Так как исходная нелинейная система второго порядка записывается в виде

¦_ ^1(У1, У2);

dt

dyx(t) _

dt

dy2 (t)

_ F2(Уи У2Х

dt

то производная от функции Ляпунова в силу этих дифференциальных уравнений будет

dV

dt

+ 2

_ dan(У1) y 12 F1 (У1 , У2) + 2a11 (У1 ) y1F1 (У1 , У2) +

dy1

da1j( У1) У1У2 F1 (У1, У2) + 2a12 (У1 ) У^2(Уъ У2) + (12.41, а)

dy1

+ 2a12 (У1 )F1 (У1, У2)У2 + 2У2 (У1, У2)-

Предположим, что правая часть производной функции Ляпунова представляет собой полином второго порядка относительно yk

?(У1,У2) _ А2(У1)У2 + ЛСУ1ХУ2 + Ao(У1), (12.4l, 6)

где A0, A1, A2 - полиномы, зависящие от y1.

Для обеспечения устойчивости во всей области (y1, y2) необходимо потребовать, чтобы уравнение v(y1, y2) _ 0 имело кратные корни, условием которого является равенство нулю дискриминанта:

A1 - 4 A2 А0 _ 0 .

Согласно методу Г. Сеге принимается A2 _ A1 _ 0 и на основании этого составляется система дифференциальных уравнений для определения коэффициентов a11, a12:

dan( У1)

dy1

da!2( У1)

dy1

/(

/2(

, all(Уl), У1)_0;

, a12(Уl), У1) _ 0

(12.42)

Далее необходимо решить систему дифференциальных уравнений (12.42) относительно a11, a12. Найденные значения коэффициентов подставляются в выражение для функции Ляпунова и ее производной, после чего проверяется знакоопределенность функции V(y1, y2) и определяется знак производной dV / dt. На основании полученных результатов о знакоопределенности функции V(y1, y2) и знаке dV/dt делается вывод об устойчивости системы автоматического управления по Ляпунову: система будет устойчивой, если получили, что V(уі, y2) > 0, а dV/dt < 0 .

Метод Д. Шульца

Согласно этому методу функция Ляпунова записывается в виде

у Уі У2

V = jwTdy = {??і^іД ...,0)d^i + |VV2(уі,§2,0, ...,0d2 +

+ ]vV„ (Уі, у 2 , ..., У„_1, )d§„,

(12.43)

0

где VV - градиент функции Ляпунова, т.е. VV = {dV/dy1,...,dV/dyn} для системы уравнений n-го порядка, который записывается в виде

а1іУі + a12 У2 + к + а1пУп

а21 Уі + a22 У2 + к + а2пУ п

(12.44)

VV =

Кі Уі + ап2У2 + к + аппУп J

Производная по времени от функции Ляпунова будет

— = VVTdУ, (І2.45)

dt dt

где VVT - транспонированный столбец VV , т. е.

VVT = (аііУі + аІ2У2 + к + аіпУп , к , апіУі + ап2У2 + к + аппУп X ёУ / dt = (йуі / dt, dy2 / dt, ..., dyn / dt).

В такой постановке задачи о выборе функции Ляпунова определению подлежат коэффициенты аі}-, при этом принимается условие, что аij = аji = const. Для определения коэффициентов записывается условие выполнения неравенства dV / dt < 0, из которого составляется система уравнений, разрешаемая относительно аі}-, i = І, п ; j = І, п. После определения коэффициентов записывается конкретное значение

функции Ляпунова и производится проверка условий V(Уі, у2, к, Уп) > 0, по результатам которой делается вывод об устойчивости рассматриваемой системы автоматического управления.

Метод Лурье - Постникова

Согласно этому методу функция Ляпунова для системы квазилинейных уравнений, т.е. уравнений, содержащих линейную часть и аддитивно входящую нелинейность, записывается в виде:

У

V (Уп У 2 , --v Уп ) = V!( Уп У 2 , --v Уп ) + j /(У)dУ, (І2.46)

0

где V (уі, у2, к, уп) - функция Ляпунова для линейной части, которая, как правило, пишется в виде квадратичной формы; f (у) - нелинейность, имеющая место в системе.

Анализ устойчивости сводится к конкретной записи функции Ляпунова и ее производной с последующей проверкой их знаков и применением теоремы об устойчивости.

Функция Ляпунова в виде (І2.46) уже была использована в разделе І2.3.4 при рассмотрении общей методики применения теоремы Ляпунова.

І2.3.6 ПРИМЕРЫ ПОСТРОЕНИЯ ФУНКЦИИ ЛЯПУНОВА

Пример 12.2 Пусть нелинейная система автоматического управления описывается нелинейным дифференциальным уравнением второго порядка

d2y(t) dy(t) 3/ч Л

+ ^7Т + У 3(t) = 0. dt2 dt

Исследовать эту систему на устойчивость вторым методом Ляпунова, используя при построении функции Ляпунова метод Г. Сеге.

Исходное нелинейное дифференциальное уравнение второго порядка следует привести к системе дифференциальных уравнений первого порядка

dyx(t)

= y2(t);

dt

dyi(t) =

= - yi3(t) - У2(t)-

dt

Согласно методу Г. Сеге функция Ляпунова имеет вид

V = aii (Уі ) Уі2 + 2ai2( Уі ) Уі + у2 ¦

Производная от нее с учетом системы дифференциальных уравнений

dV da,, ( y,) 2 „ , , „ da12( y,) 2

— = d Уі2 У2 + 2aii (Уі) Уі У 2 + 2 d v у, y2 +

dt dyi dyi

+ 2a12 (Уі )У22 - 2a12 (Уі )Уі У2 - 2a12 (Уі )У14 - 2У2 - 2Уі3У2 ¦

Образуем функцию y(y) = А2у2 + А,y2 + А0 из производной dV / dt по степеням y2, сравнивая выраже

ния dV / dt и у(у), получим

da12 (Уі)

. dy1

А2 = 2

Уі + a12( Уі)-1

da12 (Уі)

dy,

da„( У1)

. dy,

А, =

Уі + a12 (Уі)

Уі - 2 Уі

Уі - 2

У1 + 2aii( Уі)

dai2( У1) dy1

У14.

Уі + a12 (У1)

Ao =-2

Для получения устойчивости во всей области (y,, y2) необходимо, чтобы коэффициенты А, = А2 = 0, что приводит к системе дифференциальных уравнений относительно an( y,) и a12( y,):

dan( У,)

Уі + 2aii(Уі) = 2(1 + Уі ) Уі + ai2(У1) = 1

dy,

daii( У,)

dy,

Решение первого уравнения, т.е. an( y,) ищется в виде

aii( Уі) =аУі2 +р.

Подставив это решение в уравнение, получим

2ay12 + 2ay,2 + 2Р = 2 + 2 y 2.

Приравняв коэффициенты при одинаковых степенях y,, определим значения коэффициентов

a = 1/2, Р = 1 .

Решением второго уравнения является a12( y,) = у, у = 1.

Подставим найденные значения an и a12 в функцию Ляпунова и ее производную

V = 1 Уі4 + У12 + 2 Уі У2 + У2, d- = -2 У4,

2 dt

видно, что dV / dt < 0 при любых значениях y,. А это и указывает на устойчивость рассматриваемой системы автоматического управления по Ляпунову.

Пример 12.3 Исследовать устойчивость нелинейной системы, динамика которой описывается

системой уравнений

dd = -3У2 -F(Уі)У,;

, dt

dd = -2 У2 + F (Уі) Уl,

I dt

используя второй метод Ляпунова и форму Д. Шульца при построении функции Ляпунова.

В соответствии с методом Д. Шульца градиент функции Ляпунова представляется в виде

VV =

а11 Уі + а12 У2 _а21 Уі +а22У2

Производная от функции Ляпунова d— = vvt d—; или в соответствии с исходной системой

dV

dt

= -У12 [а1^(У1) -а 21F(У1>] + У1У2 х х [- 3а1112F(y1) - 2а2122F(y1)]- у] [2а22 + 3а1

Положим а12 = а 21 = 0 , тогда

dV = -а11F(У1)У12 - 2а22у2 + У1У2[- 3а11 +а22F(У1)]. dt

Если -3а1121F(у1) = 0, то dV / dt < 0.

Это возможно, если а„ = 0^ F (У1).

В соответствии с последним выражением градиент функции Ляпунова и ее производная запишутся в виде

а 22 3

а 22 У 2

а 22 F 2( У1) Уі

dV

dt

F (У1) У1

2а 22 У2-

VV =

Согласно формуле (12.43) получим функцию Ляпунова

У1 У 2

V =j^fF ©^+jа 22ndn.

0 0

У1

Приняв а22 = 6 , запишем V = 2 j F(|)|d| + 3yf .

0

Если произведение F (y1)y1 = X находится в первом и третьем квадрантах, то функция Ляпунова положительно определенна, а ее производная отрицательно определенна, т.е. V > 0, dV / dt < 0, но это и указывает на устойчивость рассматриваемой системы.

Пример 12.4 Найти условие устойчивости нелинейной системы автоматического регулирования, описываемой системой уравнений

[ + аУ1 = bF (У2);

< dt

= СУ1 -PF (У2),

I dt

с помощью второго метода Ляпунова.

Функция Ляпунова записывается в соответствии с методом Лурье - Постникова в виде

У2

V = ау2 + jF(Qd%, а > 0,

0

производная от этой функции — = -2аау12 + 2dF (У2) У1 -PF 2( У2),

dt

где d = аЬ + 1/2с .

Условие отрицательной определенности dV / dt записывается в виде р> 0, (db + c /2)2 - 2аар< 0. Для того, чтобы последнее неравенство имело положительное решение а > 0, необходимо и достаточно выполнение неравенства ap > bc, которое обеспечивает положительность обоих корней уравнения

а2b2 + а(Ьс - 2аР) + c2 / 4 = 0.

Таким образом, если ap> bc, то рассматриваемая система автоматического регулирования устойчива.

12.4 Критерий абсолютной устойчивости Попова

Большие возможности для исследования устойчивости и даже качества нелинейных систем открывает предложенный в 1960 году румынским ученым Поповым критерий абсолютной устойчивости, особенно его геометрическая трактовка, позволяющая привлечь к исследованию рассматриваемого класса нелинейных систем частотные методы.

Рассматривается нелинейная система, на которую действует конечного вида произвольное воздействие f (t), ограниченное лишь тем, что оно считается исчезающим, т.е. lim f (t) = 0 (рис. 12.7).

t ^ю

Пусть линейная часть системы описывается передаточной функцией W (5), а во временной области -весовой функцией w(t), нелинейный элемент характеризуется статической характеристикой y(t) = Ф[х(0].

¦ z(t)
НЭ У
і
W(s)
ft)

Рис. 12.7 Нелинейная система с исчезающим воздействием

Вся нелинейная система в интегральной форме описывается уравнением

t

x(t) = f (t) - z(t) = f (t) - J w(t - т)Ф[х(т)]т, (12.47)

0

изображение по Лапласу которого x(s) = f (s) - W(s)Z^[x(t)]}.

Состояние равновесия x = 0 будет устойчивым по Ляпунову, если для любого сколь угодно малого положительного е существует другое положительное п(е) такое, что при supf (t)| = п0, п0 <п имеет место неравенство x(t) < е . Если п неограниченно, имеет место устойчивость в целом.

Абсолютной устойчивостью равновесия называется устойчивость в целом, имеющая место для всех характеристик Ф(х), принадлежащих к определенному классу.

Будем рассматривать устойчивость для характеристик Ф( х), лежащих в углу а, т.е. принадлежащих подклассу (0, к) (рис. 12.8).

Если равновесие абсолютно устойчиво, то оно абсолютно устойчиво и для всех прямолинейных характеристик y = hx, где 0 < h < к, поскольку эти прямые относятся к данному подклассу.

Т. Я. Лазарева, Ю. Ф. Мартемьянов - Основы теории автоматического управления>


Исходная нелинейная система (рис. 12.7) представляет собой по своей структуре замкнутую систему, в которой нелинейный элемент охвачен отрицательной обратной связью с линейным звеном W (s). Если провести линеаризацию нелинейной характеристики Ф( x(t)), то полученную уже замкнутую линейную систему можно исследовать на устойчивость с помощью частотного критерия Найквиста.

Рассмотрим основной случай, когда линейная часть системы устойчива, т. е. ее характеристическое уравнение не имеет правых корней или тоже самое, что W (s) не имеет правых полюсов и тогда годограф вектора разомкнутой системы линеаризованной характеристики hW (/ю) не пере-Рис. 12.8 Класс нелинейных секает отрезка (-ю, -1) действительной оси. В соответствии характеристик с критерием Найквиста этого условия достаточно, чтобы

замкнутая линейная система была устойчива. Так как 0 < h < к , то достаточным условием устойчивости всех линейных систем из подкласса (0, к) будет условие, чтобы W (/ю) не пересекала отрезка действительной оси (—ю, -1/ к).

Можно показать, что это условие необходимо и достаточно. Действительно, пусть линейная часть устойчива, но W(/ю) пересекает четное число раз отрезок (-ю, -1/к). Изменяя h в пределах от 0 до к, тем самым перемещается правая граница критического отрезка, причем значению h = 0 соответствует точка -ю , а h = к - -1/к. Всегда можно выбрать h внутри заданных границ так, чтобы правая граница критического отрезка попала в любую точку отрезка (-ю, -1/к).

Если характеристика W(іа) пересекает четное число раз отрезок (-да, -1/k), то выберется значение h так, чтобы число пересечений стало на единицу меньше, но тогда замкнутая система становится неустойчивой. Таким образом, чтобы замкнутая система оставалась устойчивой при любых h, заключенных в пределах 0 < h < k , необходимо и достаточно, чтобы W (іа) нигде не пересекала отрезок (-да, -1/k) оси абсцисс.

Для произвольной нелинейной функции из подкласса (0, k) достаточное условие абсолютной устойчивости было сформулировано Поповым и выглядит следующим образом.

Для того, чтобы положение равновесия нелинейной системы с устойчивой линейной частью было устойчиво, достаточно выполнение следующих условий:

1 Существует такое действительное число а, при котором действительная часть функции Попова П( іа) была положительна

Re П(іа) = Re[(1 + iaa)W (іа) +1/ k ] > 0. (12.48)

2 Функция Ф(x) принадлежит подклассу (0, k), т.е. 0 <Ф(x)/ x < k .

Доказательство этой теоремы не приводится, но рассматривается геометрическая трактовка. Для этого вводятся следующие характеристики видоизмененной частотной характеристики линейной части W * (а), связанной с исходной W (а) соотношениями:

Re W * (і а) = Re W (іа); (12 49)

Im W*(іа) = а Im W(іа),

т. е. действительная часть видоизмененной характеристики равна действительной части исходной, а мнимая равна мнимой части исходной, умноженной на а . Так как ImW(іа) = 0 и ImW*(а) = 0 одновременно, то точки пересечения действительных характеристик совпадают. Действительная и мнимая части видоизмененной характеристики W * (а) являются четными функциями а. Если степень числителя W(а) не выше степени знаменателя и W(а) имеет не более одного полюса в начале координат, то при а ^ да ReW * (а) и ImW * (а) стремятся к конечным пределам и характеристика W * (а) лежит в конечной части плоскости целиком.

Пусть

W (іа) = U (а) + і? (а);

W* (іа) = U*(а) + jV* (а),

тогда

Re[ + /'аа))(і а) +1/k] = U(а) -аа?(а) +1/k > 0 (12.50)

или

U*(а)-а?*(а) +1/k > 0.

Критическим случаем является случай, когда

U *(а)-а? *(а) +1/k = 0,

который дает в координатах U*, V* уравнение прямой линии, касающейся характеристики W * (і а). Прямая проходит через точку (-1/k, іа) и имеет угловой коэффициент 1/а .

Когда U *(а)-а? *(а) +1/k > 0, W * (а) лежит в части плоскости, включающей начало координат, т.е. правее прямой.

Таким образом, для абсолютной устойчивости равновесия достаточно, чтобы на плоскости видоизмененной частотной характеристики W* (а) линейной части системы можно было провести прямую через точку (-1/k, і0) так, чтобы W* (а) целиком располагалась справа от этой прямой (рис. 12.9, а).

На рис. 12.9, б приведен случай, когда отделяющую прямую построить нельзя и судить об устойчивости также нельзя.

(12.53)

Критерий Попова распространен также на системы с неустойчивой или нейтральной линейной частью. В этом случае должны выполняться условия Re(1 + іаа^(іа) +1/k > 0; r <Ф(x)/ x < k + r,

т.е. нелинейная характеристика должна укладываться в углу, ограниченном прямыми с угловыми коэффициентами r и к + r . При этом r выбирается так, чтобы 1 + rW(ію) имела все нули в левой полуплоскости, а W1 (ію) - видоизмененная характеристика линейной части

W1(ia)

W (ію)

1 + rW (ію)

Между критерием абсолютной устойчивости Попова и вторым методом Ляпунова существует глубокая связь. Было доказано, что если выполняется условие абсолютной устойчивости Попова, то существует типовая функция Ляпунова - квадратичная форма плюс нелинейность, причем условие Re(П(ію)) > 0 является необходимым и достаточным.

Пример 12.5 Нелинейная система второго порядка имеет линейную часть, описываемую уравнением

Т. Я. Лазарева, Ю. Ф. Мартемьянов - Основы теории автоматического управления>
Рис. 12.9 Геометрическая трактовка абсолютной устойчивости системы:

а - устойчивая систем; б - неустойчивая
W (s)

1

s + 2кю0 s + ю

Требуется определить, при каких значениях к система будет абсолютно устойчива, если характеристика нелинейного элемента лежит в секторе (0, к).

Видоизмененная характеристика линейной части будет

2кю0ю1

W (ію) =-

со,, -оз

') +4Н2ю2ю2
Т. Я. Лазарева, Ю. Ф. Мартемьянов - Основы теории автоматического управления>
Рис. 12.10 Видоизмененная АФХ
Анализ этой характеристики показывает, что при всех ю мнимая часть характеристики отрицательна, а это говорит о том, что вся характеристика W* (ію) лежит в нижней полуплоскости (рис. 12.10).

При частотах ю = 0, ю = 1, ю = ж она имеет общие точки с характеристикой W(ію).

Касательная к кривой АФХ W * (ію) в начале координат проходит под углом arctg(2hd>0) к вещественной оси. Сама кривая W* (ію) лежит правее этой касательной, поэтому всегда можно провести прямую Попова через точку -1/к под некоторым углом а (рис. 12.10). Система абсолютно устойчива при всех к и для всех однозначных нелинейных характеристик, принадлежащих сектору (0, <х).

12.5 Тренировочные задания

1 В нелинейных системах исследуется устойчивость движения. Различают возмущенное движение и невозмущенное движение. Основными видами устойчивости движения являются понятия устойчивости движения по Ляпунову и асимптотической устойчивости. Кроме того для нелинейных систем существуют такие понятия, как устойчивость в "малом" и устойчивость в "большом".

Для исследования устойчивости в "малом" используется первый метод Ляпунова, который позволяет судить об устойчивости нелинейной системы по линейной системе первого приближения.

А Какое движение называется возмущенным движением и какое движение называется невозмущенным движением?

В Какой смысл имеет понятие устойчивости движения системы по Ляпунову и чем оно отличается от асимптотической устойчивости?

С Какие теоремы были доказаны Ляпуновым в первом методе исследования устойчивости в "малом" состояния равновесия нелинейной системы.

2 Как известно, достаточные условия устойчивости нелинейных систем дает второй метод Ляпунова, позволяющий исследовать устойчивость в "большом". Согласно этому методу в рассмотрение вводится функция V(y1,y2,...,yn), заданная в фазовом пространстве и обладающая следующими свойствами: непрерывна со всеми своими частными производными в некоторой открытой области, содержащей начало координат; при yj = y2 =... = yn = 0 - V(yj,y2,..., yn) = 0; внутри рассматриваемой области V является знакоопределенной функцией, т.е. V > 0 или V < 0 .

А. М. Ляпуновым были сформулированы три теоремы: об устойчивости, об асимптотической устойчивости и о неустойчивости. Так для доказательства асимптотической устойчивости строится и исследуется производная по времени функции Ляпунова, которая в силу системы дифференциальных уравнений, описывающих нелинейную систему, должна быть знакоопределенной функцией противоположного с V знака.

Если найти такую функцию V удастся, то устойчивость нелинейной системы будет доказана, причем устойчивость в "большом". Единого подхода к построению функции V(yj,y2,..., yn) не существует, но имеются рекомендации по составлению этой функции для исследования определенного класса систем.

А Какая теорема физики лежит в основе второго метода Ляпунова?

В Какими свойствами должна обладать функция Ляпунова и ее производная по времени, чтобы нелинейная система была устойчива ?

С Как Вы объясните, что второй метод Ляпунова дает устойчивость нелинейной системы в "большом"?

3 Для исследования устойчивости определенного класса нелинейных систем применяют критерий абсолютной устойчивости. Этот критерий относится к группе частотных критериев устойчивости. Рассматриваемая нелинейная система представляет собой замкнутую систему и состоит из линейной части, характеризуемой амплитудно-фазовой характеристикой W(іа), и нелинейного элемента со статической характеристикой Ф(х) из подкласса (0,к), т.е. 0 < Ф(х)/x < к, стоящего в отрицательной обратной связи.

Для устойчивости состояния равновесия нелинейной системы с устойчивой линейной частью достаточно выполнения условия, что действительная часть функций Попова П(ію) положительна.

А Как Вы понимаете абсолютную устойчивость?

В Что представляет собой видоизмененная амплитудно-фазовая характеристика линейной части, и как последняя связана с исходной?

С Дайте геометрическую трактовку критерия абсолютной устойчивости.

12.6 Тест

1 Для асимптотической устойчивости необходимо, чтобы при t

А ||y(t) - y *(t)||<8.

В || y(t) -y*(t) ||> e.

С || y(t) - y*(t)|K 0.

2 Если нелинейная система второго порядка описывается системой дифференциальных уравнений первого порядка

-d- = Р( Уі, У2І < dt

^2 = Q( Уь У2Х I dt

то состояние равновесия определяется решением следующей системы

А \Р(Уі> У2) =0;

1б( Уі, У2) = 0

В [Р( Уі, У 2) = const;

1б( Уі, У 2) = const.

С ИУі>У2) = *;

1q( Уі, У2) = ”.

3 Линеаризованное уравнение первого приближения записывается в виде

А ЛпУ (n)(t) +... + 4/(0 + Ao y(t) = 0.

В ЛпУ (n)(t) + ... + ЛіУ ''(t) + Л0 У 2(t) = 0.

С Лп (у(n) (t))2 +... + Лі (У '(t))2 + Л0У2 (t) = 0.

4 Знакоопределенной функцией является функция вида

А V = Уі + У2 +... + Уп.

В V = уі2 + y22 + ... + у2„.

С V = (Уі2 + У2) + (УІ + Уз) ¦¦¦ + у4-

5 Функция Ляпунова при уі = y2 =... = уп = 0 принимает значение

А V (Уі, У2,..., Уп ) = ”.

B V(Уі,У2,...,Уп) = °.

С V(у,У2,...,Уп) = const.

6 В фазовом пространстве функция Ляпунова представляет собой

А Плоскость.

В Многогранник.

С Параболоид.

7 Производная от функции Ляпунова по времени в силу системы дифференциальных уравнений, описывающих нелинейную систему

dh.

dt

записывается в виде

а dV=dVFi +dLFi +...+^—Fn.

dt дУ\ дУ2 fyn

В dV = 3VF 'd^F _ 'd^F + F _ F _ _ F

В F1 F2 ... Fn + F1 F2 ... Fn.

dt дУі ^2 СУп

с dV = dVFn +dLFni +...+^Fl

dt СУі СУ 2 СУп

8 Критерий абсолютной устойчивости Попова используется для исследования устойчивости нелинейных систем со статическими характеристиками вида

Т. Я. Лазарева, Ю. Ф. Мартемьянов - Основы теории автоматического управления>


Ук

9 Состояние равновесия нелинейной системы будет устойчиво, если на плоскости видоизмененной АФХ W*(ію) линейной части, если W*(ію) и прямая, проведенная через точку (-1/K, ію), расположены следующим образом

Т. Я. Лазарева, Ю. Ф. Мартемьянов - Основы теории автоматического управления>


Т. Я. Лазарева, Ю. Ф. Мартемьянов - Основы теории автоматического управления>


10 Функция Попова, используемая в критерии абсолютной устойчивости, записывается в виде

А П(іго) = W(iro) +1/ к.

В П(іго) = (1 + iaro)W(iro) +1/к.

С П(іго) = iaroW (іа) +1/ к.

13 АВТОКОЛЕБАНИЯ В НЕЛИНЕЙНЫХ СИСТЕМАХ

13.1 Понятие об автоколебаниях

Одной из основных особенностей нелинейных систем, как уже отмечалось в разделе 10, является режим автоколебаний. Автоколебания - это устойчивые собственные колебания, возникающие за счет непериодического источника энергии и определяемые свойствами системы. Этот режим принципиально отличается от колебаний линейной системы на границе устойчивости. В линейной системе при малейшем уменьшении ее параметров колебательный процесс становится либо затухающим, либо расходящимся. Автоколебания же являются устойчивым режимом: малые изменения параметров системы не выводят ее из этого режима. Амплитуда автоколебаний не зависит от начальных условий и уровня внешних воздействий.

Автоколебания в нелинейных системах в общем случае нежелательны, а иногда и недопустимы. Однако, в некоторых нелинейных системах автоколебания являются основным рабочим режимом. Примерами автоколебательных систем являются часы, электрический звонок, всевозможные генераторы; при определенных условиях автоколебания возникают и в химических реакторах.

Для большинства реальных систем определение автоколебаний является сложной проблемой, являясь в то же время одной из задач исследования нелинейных систем.

При изучении режима автоколебаний необходимо ответить на вопросы, связанные с условиями их возникновения, числом, параметрами автоколебаний и их устойчивостью.

Как известно, на фазовой плоскости автоколебательному режиму соответствует изолированная замкнутая фазовая траектория - предельный цикл. В связи с этим проследить условия возникновения автоколебаний можно на примере возникновения предельного цикла. Существует два режима возникновения автоколебаний, которые называются режимами мягкого и жесткого возбуждения.

Характер возникновения автоколебаний и изменение фазового портрета удобно проследить на примере системы второго порядка.

Пусть при некотором значении какого-либо параметра а системы ее фазовый портрет имеет вид, представленный на рис. 13.1, а. Система устойчива, все фазовые траектории ведут к состоянию равновесия, которым в данном случае является начало координат.

Параметр а можно изменять. Изменяя непрерывно этот параметр систему можно сделать неустойчивой. Допустим, что при значении параметра a = a1 образуется устойчивый предельный цикл бесконечно малых размеров (рис. 13.1, б). При дальнейшем изменении этого

а)

У2 А
Т. Я. Лазарева, Ю. Ф. Мартемьянов - Основы теории автоматического управления>
Т. Я. Лазарева, Ю. Ф. Мартемьянов - Основы теории автоматического управления>
Рис. 13.1 Режим мягкого возбуждения возникновения автоколебаний:

а - устойчивое состояние системы; б - образование предельного цикла бесконечно малых размеров; в - распухание предельного цикла
параметра предельный цикл будет распухать (рис. 13.1, в), его наличие на фазовой плоскости говорит о возникновении в системе автоколебаний. Подобный режим возникновения автоколебаний называется режимом мягкого возбуждения.

При режиме мягкого возбуждения образуется устойчивый предельный цикл, но состояние равновесия становится неустойчивым. При этом режиме иногда бывает неопасно выходить за пределы области устойчивости, если при этом предельный цикл оказывается достаточно малым. Образующиеся автоколебания имеют малые размеры и находятся в пределах допустимой погрешности, что может оказаться вполне приемлемым для системы регулирования и не несет нежелательных явлений. Иногда же эти автоколебания могут быть даже полезными, так как уничтожают застой в зоне нечувствительности, образованный, например, сухим трением.

Другой характер возникновения автоколебаний в нелинейных системах заключается в следующем. Также как и в предыдущем случае рассматривается фазовый портрет устойчивой системы (рис. 13.2, а).

Пусть изменяется какой-либо параметр а нелинейной системы, и при некотором его значении a = a1 образуются как бы "слипшиеся" друг с другом два предельных цикла конечных размеров, а не бесконечно малых (рис. 13.2, б). Один из этих предельных циклов является устойчивым, а другой - неустойчивым. При дальнейшем увеличении параметра а неустойчивый предельный цикл "съеживается", уменьшаясь по размерам, а устойчивый "распухает", увеличиваясь в размерах (рис. 13.2, в). Наконец, при некотором значении параметра а = а2 неустойчивый предельный цикл "съеживается" до минимума и сливается с точкой равновесия (рис. 13.2, г).

В результате остается лишь один предельный цикл, причем устойчивый. Неустойчивый предельный цикл, слипшись с точкой равновесия, как бы заражает ее своей неустойчивостью, и она становится неустойчивой.

У2 и а)

У2 п

б)
Т. Я. Лазарева, Ю. Ф. Мартемьянов - Основы теории автоматического управления>
Т. Я. Лазарева, Ю. Ф. Мартемьянов - Основы теории автоматического управления>
Рис. 13.2 Режим жесткого возбуждения:

а - устойчивое состояние системы; б - образование двух слипшихся предельных циклов; в - изменение размеров предельных циклов; г - устойчивый предельный цикл
Подобный режим возникновения автоколебаний, при котором сразу же возникает предельный цикл конечных размеров, называется режимом жесткого возбуждения. При режиме жесткого возбуждения

может оказаться опасным сколь угодно малый выход системы за пределы области устойчивости. Значения параметров а1 и а2, при которых качественно изменяется картина фазового портрета называются бифуркационными.

Для определения автоколебаний и их исследования разработаны специальные методы и критерии.

13.2 Методы исследования автоколебаний

13.2.1 КРИТЕРИЙ БЕНДИКСОНА

В ряде случаев можно воспользоваться критериями, с помощью которых удается показать, что в фазовом портрете рассматриваемой системы нет замкнутых фазовых траекторий, т.е. в рассматриваемой системе автоколебания отсутствуют. Одним из таких критериев отсутствия замкнутых фазовых траекторий, дающих достаточные условия отсутствия автоколебаний, является критерий Бендиксона, который наиболее прост для практического применения.

Пусть рассматриваемая система описывается системой дифференциальных уравнений второго порядка

' ^ = F,(y„ У2);

^ = F2(JV У2),

I dt

где F1(y1, y2), F2(y1, y2) - нелинейные функции аналитические на всей фазовой плоскости.

Критерий Бендиксона формулируется следующим образом: если в некоторой области на фазовой плоскости выражение dF1 / dy1 + dF2 / ду2 знакопостоянно, то в этой области не существует замкнутых фазовых траекторий.

В тех случаях, когда критерий Бендиксона не выполняется или не может быть использован, например, функции F11, у2), F21, у2) не являются аналитическими, применяются другие методы для определения автоколебательных режимов.

Прежде чем рассмотреть другие методы нахождения автоколебаний, приведем следующий пример на использование критерия Бендиксона.

Пример 13.1 Пусть химический реактор идеального перемешивания, в котором протекает химическая реакция типа A ^ 2B, описывается следующими уравнениями

' dyl(t)

, dt ' dy2(t) „ dt

-У12 (t) + У2 (t) + X(У10 - У1 (t)); У12 (t) - У2 (t) + X(У20 - У2 (t)),

где у1, у2 - текущие концентрации реагентов в реакторе; у10, у20 - начальные входные концентрации реагентов; X - расход; t - время.

Требуется ответить на вопрос: будут или нет автоколебания в химическом реакторе, используя критерий Бендиксона. В соответствии с этим критерием находится выражение

S + ^2 = -2 у,- 2-X.

ду дУ2

Очевидно, что в соответствии с физическим смыслом у1 > 0 , у2 > 0, т.е. концентрации не могут быть отрицательными, а также X > 0, последнее выражение представляет собой знакопостоянную отрицательную функцию. Следовательно, согласно критерию Бендиксона в рассматриваемой системе - химическом реакторе автоколебания существовать не могут.

13.2.2 МЕТОД ТОЧЕЧНОГО ПРЕОБРАЗОВАНИЯ

Этот метод используется для качественного исследования хода фазовых траекторий, выявления автоколебаний в системе и изучения их устойчивости. Суть метода заключается в следующем.

Рассмотрим на фазовой плоскости отдельную фазовую траекторию и какую-либо полупрямую, например Оу1 (рис. 13.3).

В некоторый момент времени фазовая траектория пересечет положительную полуось в точке M1 с координатой у1. При дальнейшем движении фазовая траектория вновь пересечет положительную полуось, но уже в точке М2 с координатой у2 .

Через каждую точку полуоси Oy1 проходит лишь одна фазовая траектория, поэтому обходу изображающей точки вокруг начала координат соответствует переход произвольной точки полупрямой Oy1 (точки M1 ) в другую точку этой же полупрямой (точку M2 ). Иначе говоря, обходу фазовой траектории вокруг начала координат соответствует точечное преобразование полупрямой Oy1 в саму себя. Очевидно, что положение точки M2 зависит от M1 , т. е.

У12 = f(.y\), (13.1)

где через у11 , у12 обозначены абсциссы точек М1 и М2.

Функция у2 = f (у1) называется функцией последования.

В некоторых случаях эту функцию (13.1) удается получить аналитически из исходного дифференциального уравнения системы.

Если при любом у1 получается, что у2 < у1, то в системе будет затухающий процесс, т.е. фазовая траектория - спираль, навивающаяся на начало координат; если у2 > у1, то процесс в системе будет расходящимся.

При у12 = у11 на фазовой траектории будет предельный цикл, который соответствует колебательному режиму в системе. Представим функцию последования f (у1) графически (рис. 13.4).

Т. Я. Лазарева, Ю. Ф. Мартемьянов - Основы теории автоматического управления>
Рис. 13.4 Функция последования
На этот график наносится прямая у12 = у11 . Анализируя взаиморасположение кривой f (у1) и прямой у2 = у1, легко видеть, что если при некотором у* выполняется равенство у1 = у1 = у*, т.е. f(у1) пересекает прямую у12 = у1, то через точку у* проходит замкнутая фазовая траектория.

Рассматривая взаиморасположение кривой f (у1) и прямой у2 = у1 можно также ответить на вопрос, будут ли устойчивы периодические колебания, соответствующие этой замкнутой траектории.

Пусть в начальный момент времени изображающая точка находится в точке М на некоторой фазовой траектории. При движении по этой траектории переходим к точке с абсциссой у12. Далее у( преобразуется в у3, у3 - в у4 и т.д. (рис. 13.4.).

Для других начальных условий: абсцисса точки М1 ^ у1, также строится "лестница" движения от этой точки (рис. 13.4), таким образом получают, что изображающая точка с обеих сторон от "неподвижной" точки у1* приближается к ней. Следовательно, в данном случае на фазовой плоскости будет устойчивый предельный цикл, соответствующий устойчивым автоколебаниям в системе. Величина у1* определяет амплитуду автоколебаний.

Различные случаи точечного преобразования и соответствующие им фазовые портреты представлены на рис. 13.5. На рис. 13.5, а представлена функция последования для системы, имеющей два предельных цикла, из которых один устойчив, а другой неустойчив. Функция последования для системы с полуустойчивым предельным циклом изображена на рис. 13.5, б.



Т. Я. Лазарева, Ю. Ф. Мартемьянов - Основы теории автоматического управления>
Рис. 13.5 Варианты точечного преобразования:

а - наличие устойчивого и неустойчивого предельных циклов; б - наличие полуустойчивого предельного цикла
13.3 Метод гармонического баланса

Рассмотренные методы нахождения автоколебаний и исследования автоколебаний применимы только для систем второго порядка. Однако большинство реальных систем автоматического управления описывается уравнениями более высокого порядка. Наиболее распространенным методом исследования таких систем на практике является метод гармонического баланса.

Метод гармонического баланса был предложен для определения автоколебаний в нелинейной системе Л. С. Гольдфарбом. Этот метод основан на применении частотных характеристик нелинейной системы, получаемых в результате гармонической линеаризации, в связи с чем и применяется для приближенного исследования.

Исследуемая нелинейная система должна быть представима в виде замкнутой системы, состоящей из линейной части, характеризуемой амплитудно-фазовой характеристикой - WR (/ю) и объединяющей

все линейные элементы системы, и нелинейного звена с характеристикой унэ = F(у) (рис. 13.6).

линейная

часть
у
нелинейное

звено
у
Рис. 13.6 Структурная схема нелинейной системы

К нелинейному элементу предъявляется единственное требование, что он не должен быть частотопреобразующим. Нелинейность может быть как статической, так и динамической.

Линейная часть должна быть фильтром высоких частот. Подобное упрощение для большинства промышленных систем регулирования не несет значительных ошибок.

Для применения метода гармонического баланса звено должно быть линеаризовано методом гармонической линеаризации, при котором не учитываются старшие гармонические составляющие на выходе этого звена. Если на вход этого звена подается гармонический сигнал частоты ю0, то на его выходе устанавливаются колебания, содержащие сумму гармоник с частотой ®о , 2®о, 3юо , ... . Каждая из этих гармоник поступает на вход линейной части и, проходя через нее, изменяет свою амплитуду в Мл (кю0) раз, где Мл (со) - амплитудно-частотная характеристика линейной части. Но для того, чтобы выполнялась для линейной части гипотеза фильтра высокой частоты, АЧХ линейной части должна удовлетворять условию М л0 )>> М л (2ю0), т.е. АЧХ должна быть одной из видов, представленных на рис. 13.7.

Амплитудно-частотная характеристика, представленная на

рис. 13.7, а, называется характеристикой типа фильтра. Система с такой характеристикой не пропускает высокие частоты. Другой вид АЧХ (рис. 13.7, б) относится к характеристикам резонансного типа. Система пропускает здесь ряд частот, отличных от о 0 , но эти частоты

Т. Я. Лазарева, Ю. Ф. Мартемьянов - Основы теории автоматического управления>
Рис. 13.7 Амплитудно-частотные характеристики линейной части:

а - типа фильтра; б - резонансного типа

незначительно отклоняются от ю0, остальные не проходят. Таким образом, выходной сигнал линейной части будет практически содержать лишь первую гармонику с частотой ю0.

Рассматриваемая нелинейная система заменяется линеаризованной системой, в которой нелинейное звено заменено линеаризованным и описывается эквивалентной амплитудно-фазовой характеристикой ^нэ (iA).

Так как автоколебания представляют собой незатухающие колебания в нелинейной системе, то в замкнутой линеаризованной системе возникновение незатухающих колебаний за счет первой гармоники возможно только в единственном случае, когда эта система находится на границе устойчивости. В этом случае характеристическое уравнение замкнутой системы должно иметь пару чисто мнимых корней. В соответствии с критерием Найквиста амплитудно-фазовая характеристика разомкнутой системы Wрс (ію, A) = WR (ію)Гнэ (iA) должна проходить через точку с координатами (-1, i0). Следовательно,
Wn (io)Wm (iA) = -1

или

WR (io) = - 1 =-Zm (iA). (13.2)

Wнэ (iA) нэ

Уравнение (13.2) сводится к следующим двум уравнениям

М л(ю) М нэ(A) = 1; (13 3)

Фл И + Фнэ (A) = n

Уравнения (13.2), а также (13.3) определяют амплитуду Aa и частоту юа периодического решения, т. е. гармонический сигнал после прохождения нелинейного звена и линейной части должен иметь на входе в нелинейное звено опять ту же частоту и амплитуду. Если решение (Aa, юа) системы (13.3) будет действительное положительное, то в рассматриваемой системе возможны автоколебания с частотой юа и амплитудой Aa .

На практике уравнение (13.2) обычно решается графически. Для этого на комплексной плоскости с координатами Re(o), i Іт(ю) вычерчиваются амплитудно-фазовая характеристика линейной части WR (ю) и инверсная амплитудно-фазовая характеристика нелинейного звена с обратным знаком - 2нэ (iA)

(рис. 13.8). Точка пересечения этих кривых свидетельствует о том, что решение системы (13.2) существует (рис. 13.8, а), а значит в рассматриваемой системе возможны
Т. Я. Лазарева, Ю. Ф. Мартемьянов - Основы теории автоматического управления>
Рис. 13.8 Графический метод определения автоколебаний:

а - автоколебания существуют - точка M; б - автоколебания не существуют
колебания, следовательно, в исходной нелинейной системе возможны автоколебания, параметры которых определяются координатами точ

ки M пересечения годографов WR (ію) и - 2нэ (а) . Амплитуда автоколебаний определяется по - 2 нэ (A), а частота - по WR(ю). Если кривые WR(ю) и -2нэ(а) не пересекаются (рис. 13.8, б), то в рассматриваемой' системе автоколебания отсутствуют.

Графическое решение уравнения (13.2) позволило формально найти периодическое решение, так как физически возможны лишь устойчивые периодические колебания. В связи с этим возникает еще проблема исследования устойчивости найденных автоколебаний. Для исследования устойчивости автоколебаний метод гармонического баланса предполагает применение критерия, вытекающего из критерия Найквиста.

Если АФХ линейной части не охватывает инверсную АФХ нелинейного элемента т.е. |wn(ію)| <|-гнэ(iA)| и, следовательно ^рс(ію, A)| < 1 (АФХ разомкнутой системы

не охватывает точку с координатами (-1, і?)), то замкнутая система будет устойчивой.

Если АФХ линейной части охватывает инверсную АФХ нелинейного элемента, |wn(ію) >|-2нэ (iA)|, (ію, а) > 1 (АФХ разомкнутой системы охватывает точку с координатами (-1, і0)), то замкнутая система будет неустойчивой.

Наличию автоколебаний в нелинейной системе соответствует факт нахождения линеаризованной системы на границе устойчивости, поэтому для исследования их устойчивости предполагается, что под действием возмущений линеаризованная система сдвигается с границы устойчивости. Последующее движение системы оценивается по приведенному выше аналогу критерия Найквиста.

Пусть автоколебаниям в системе соответствует точка M

(рис. 13.9, а). В результате действия возмущений система сместилась в точку мх, которой соответствует новое состояние нелинейной системы, характеризующееся возрастанием амплитуды в случае движения по кривой -2нэ(iA) вправо. Точка мх находится вне АФХ линейной части, следовательно, согласно аналогу критерия Найквиста система в этом случае будет вести себя как устойчивая, тогда колебания в ней будут затухать, т.е. амплитуда колебаний будет уменьшаться. Последнее через некоторое время приведет к тому, что амплитуда колебаний станет равной исходной амплитуде автоколебаний Aa, т.е. система вернется в состояние, характеризуемое точкой M .

Если по какой-либо причине амплитуда в системе уменьшится, новому состоянию системы будет соответствовать точка м2, находящаяся внутри АФХ линейной части. В этом случае, применяя аналог критерия Найквиста, видно, что здесь система ведет себя как неустойчивая система. Амплитуда колебаний, следовательно, будет возрастать, но не до бесконечности, а до амплитуды автоколебаний Aa. Таким образом, система опять вернется в состояние, соответствующее режиму автоколебаний - точку M . Следовательно, во всех случаях происходит возврат системы в режим автоколебаний, что и говорит о том, что автоколебания будут устойчивыми.

На рис. 13.9, б изображены годографы АФХ линейной части и инверсной АФХ нелинейного элемента с обратным знаком, соответствующие неустойчивым колебаниям в системе. Режиму автоколебаний соответствует точка M. Если отклонение от этого режима приводит

Т. Я. Лазарева, Ю. Ф. Мартемьянов - Основы теории автоматического управления>


Рис. 13.9 Исследование устойчивости автоколебаний:

а - устойчивые автоколебания; б - неустойчивые автоколебания в состояние, характеризуемое точкой M1, то в силу критерия Найквиста эта точка не охватывает АФХ линейной части, следовательно, система будет вести себя как устойчивая. Колебания в такой системе затухают, т.е. амплитуда уменьшается, и движение будет происходить по кривой -Z^ (iA), удаляясь от точки M . Если же в силу действующих возмущений произойдет увеличение амплитуды колебаний, и система примет состояние, отвечающее точке M 2, которая охватывает АФХ линейной части, то в силу критерия устойчивости система будет вести себя как неустойчивая. Амплитуда колебаний будет возрастать, и движение будет происходить по кривой -Zнэ (iA) в сторону противоположную от точки м . Здесь возврат в точку м невозможен. Таким образом, расположение кривых Wn(ію) и -Z^(iA) на рис. 13.9, б соответствует случаю, когда автоколебания в системе неустойчивы.

Уп

Подводя итог, следует отметить, что применение метода гармонического баланса сводится к гармонической линеаризации нелинейного элемента, построению частотных характеристик, с последующим их анализом.

-b

Пример 13.2 Определить амплитуду и частоту автоколебаний системы, состоящей из линейной части с передаточной функцией Wji (5) = Ke-sT /(Ts +1) и трех-позиционного реле (рис. 13.10).

Рис. 13.10 Статическая харак

теристика трехпозиционного

характеристики пересекаются в двух точках M1 и M2 . Точка M1 со-ответствует неустойчивым колеба-

В результате гармонической линеаризации получают, что -Zнэ(iA) = -nA2 /4cVa2 -b2 . На рис. 13.11 приведены -Z^(iA). Эти

ниям, а M2 - устойчивым, параметры которых юа b=1.

' 0,375 с-

Aa и 3.

T = 10 с, т = 5 c, c = 25.

если кл = 1,

Т. Я. Лазарева, Ю. Ф. Мартемьянов - Основы теории автоматического управления>


Рис. 13.11 Определение амплитуды и частоты автоколебаний

13.4 Тренировочные задания

1 Одной из особенностей нелинейных систем является режим автоколебаний, которые могут быть устойчивыми и неустойчивыми. На фазовой плоскости режиму автоколебаний соответствует замкнутая кривая, называемая предельным циклом. Существуют два режима возникновения автоколебаний: режим мягкого и режим жесткого возбуждения.

А На какие вопросы необходимо ответить при изменении автоколебаний?

В Чем режим мягкого возбуждения отличается от режима жесткого возбуждения?

С Какие автоколебания называются устойчивыми?

2 Для исследования режима автоколебаний применяют различные критерии и методы. Так критерий Бендиксона позволяет ответить на вопрос о существовании в системе замкнутых фазовых траекторий, т.е. автоколебаний.

Для качественного исследования хода фазовых траекторий, выявления автоколебаний в системе и изучения их устойчивости используется метод точечного преобразования.

А В соответствии с критерием Бендиксона в рассматриваемой области не существует фазовых траекторий при выполнении определенных условий. Сформулируйте эти условия

В Какая функция называется функцией последования?

С Каким образом в соответствии с методом преобразования можно определить в системе существующий режим?

3 Для исследования режима автоколебаний в системах высокого порядка используется метод гармонического баланса, являющийся приближенным методом. Исследуемая нелинейная система должна быть представлена в виде замкнутой системы, состоящей из нелинейной части с АФХ Wn (т) и нелинейного звена с характеристикой унэ = f (y), допускающего гармоническую линеаризацию. Для ответа на вопрос о существовании в системе автоколебаний графически решается уравнение

Wn О'ю) Wнэ (iA) = -1. Если АФХ линейной части пересекается с инверсной АФХ нелинейной части 2нэ (iA) = 1/ WK3 (iA), то в системе существуют автоколебания, в противном случае не существуют. При существовании автоколебаний определяют их параметры - частоту и амплитуду и, используя аналог критерия Найквиста, отвечают на вопрос об устойчивости автоколебаний.

А Какими свойствами должна обладать линейная часть нелинейной системы, чтобы можно было применить к исследованию режима автоколебаний метод гармонического баланса?

В Какой факт лежит в основе доказательства существования в нелинейной системе автоколебаний?

С Сформулируйте аналог критерия Найквиста для исследования устойчивости автоколебаний.

13.5 Тест

1 В каком из трех случаев автоколебания устойчивы

Т. Я. Лазарева, Ю. Ф. Мартемьянов - Основы теории автоматического управления>


Т. Я. Лазарева, Ю. Ф. Мартемьянов - Основы теории автоматического управления>


2 При режиме жесткого возбуждения возникновения автоколебаний образуются А два слипшихся друг с другом предельных цикла конечных размеров;

В два предельных цикла, один из которых бесконечно мал, а второй имеет конечные размеры; С два бесконечно малых предельных цикла.

В критерии Бендиксона исследуется выражение

dFl dF2 dFl dF2 ; дУі дУі дУ2 дУ2 ’

В F Зц дУ 1 дУ 2

С F+dF_.

дУ2 дУі '

4 В критерии Бендиксона исследуемое выражение должно быть

А знакопеременным;

В знакоопределенным;

С знакопостоянным.

5 В результате исследования режима автоколебаний методом точечного преобразования получили следующую функцию последования.

Т. Я. Лазарева, Ю. Ф. Мартемьянов - Основы теории автоматического управления>
В точке А будет предельный цикл
А устойчивый;

В неустойчивый;

С полуустойчивый.

6 В результате построения функции последования получим yj2 > yj, что свидетельствует о том, что в системе будет процесс

А колебательный;

В расходящийся;

С затухающий.

7 Согласно метода гармонического баланса в нелинейной системе существует режим автоколебаний, если АФХ линейной части и инверсная АФХ нелинейного элемента расположены следующим образом

Т. Я. Лазарева, Ю. Ф. Мартемьянов - Основы теории автоматического управления>


Т. Я. Лазарева, Ю. Ф. Мартемьянов - Основы теории автоматического управления>


8 Параметры автоколебаний определяются из следующей системы уравнений

Т. Я. Лазарева, Ю. Ф. Мартемьянов - Основы теории автоматического управления>
А Гмнэ (іА) = Мл (іа);

ІФнэ(іА) = -Фл(іа);

В \ Мнэ (iA)Mл (іа) = 1;

ІФнэ(iA)+Фл(іа) = п;

С \Мнэ (iA) + Мл (іа) = 1;

1 Фнэ (іА)Фл (іа) = п
9 Режим автоколебаний устойчив в случае

Т. Я. Лазарева, Ю. Ф. Мартемьянов - Основы теории автоматического управления>


10 Основное уравнение, используемое в методе гармонического баланса, имеет вид

А WR (rn)Wm (іА) = -1;

В WR (іа) + WB3 (іА) = -1;

С Wл(іа) = Wнэ (іА).

14 КАЧЕСТВО НЕЛИНЕЙНЫХ СИСТЕМ 14.1 Методы определения качества регулирования

нелинейных систем

Вблизи границы устойчивости качество процесса регулирования ухудшается, это обстоятельство дает полагать, что любой критерий устойчивости может послужить основой для выработки тех или иных оценок качества процесса.

В линейных системах все критерии устойчивости устанавливают неравенство, дающее условия нахождения всех корней характеристического уравнения слева от мнимой оси. Как известно, одним из таких показателей является степень устойчивости, но на практике качество оценивается по иным прямым показателям качества, с которыми устанавливается связь через степень устойчивости.

С помощью критерия Попова понятие степени устойчивости может быть использовано и для нелинейных систем.

Говорят, что нелинейная система обладает затуханием или степенью устойчивости 50 не меньше заданной, если для отклонения процесса |(t) от вынужденного или отклонения координат от положения равновесия при любых t остается справедливым неравенство

т=т-уі (оі< Me-5°, (i4.i)

где M - const.

Чтобы неравенство (14.1) могло иметь место при любых t, необходимо, чтобы

lim§(t)e5ot < M. (14.2)

t^w

Если этот предел будет равным нулю, т.е. lim ^(t )e5 ot = 0,

t

то это означает, что |(t0 быстрее, чем e~5ot.

По аналогии с линейными системами для оценки качества нелинейной системы можно применить интегральную квадратичную оценку

I = j у 2(t)dt = ] F 2( x)dt, (14.3)

о о

где у - выходная координата нелинейного элемента.

В общем виде определить или оценить величину интеграла (14.3) не представляется возможным. Но, если наложить некоторые ограничения на класс нелинейных функций F(x), то оценка величины интеграла становится возможной.

Т. Я. Лазарева, Ю. Ф. Мартемьянов - Основы теории автоматического управления>
Рис. 14.1 Класс нелинейных функций
Дополнительное ограничение, налагаемое на функцию F(х), сводится к следующему. Рассматривается класс функций, удовлетворяющих условию

0 < F(x) < к2. (14.4)

x

Касательная, проведенная из начала координат F(х), имеет угловой коэффициент к0, причем к0 < к2, и кривая F (х) лежит ниже касательной во всех точках, кроме точки касания (рис. 14.1).

Для введения оценки выбирается промежуточный параметр к1, заключенный между к0 и к2:

к0 < к1 < к2 ,

причем

k _ 2k0k2

k0 + k2

Оценка:

/н (0)

: IF(x)dx-

0

k 2k 2

02

ak0k2

I <-

I / и (im)|2 dm,

(14.5)

k2 k0

2n(k2 - k{)Y

где /и - реакция линейной части на возмущение начальных условий;

/ н - преобразованная по Фурье; a - выбирается как можно меньшей, в пределе это может быть угловой коэффициент касательной, проведенной из точки (-1/k0, ю) к видоизмененной частотной характеристике системы.

Таким образом, оценка (14.5) сводится к выражению, которое всегда может быть определено путем интегрирования графика функции F (х) в заданных пределах и вычисления интеграла

d/H (t)

dt

I /н(im) dm _ I/i2(t)dt;

/(t)_ /н (t)

Оценка (14.5) дает удовлетворительные результаты, если k1 достаточно отличается от k0. Если эти величины близки, пользоваться оценкой не имеет смысла.

14.2 Тренировочные задания

1 В нелинейных системах для исследования качества регулирования используют критерии устойчивости, из которых выводят такой показатель как степень устойчивости. Также для оценки качества регулирования используют интегральные критерии качества.

А В каком виде записывается интегральный квадратичный критерий?

В Какие ограничения накладываются на нелинейную функцию y _ F(х) при расчете интегральных критериев?

С В каких случаях говорят, что нелинейная система обладает

затуханием?

14.3 Тест

1 Для затухания системы необходимо, чтобы выполнялось условие

А |y(t) - У1 (t)|_ Me-&0t.

В |y(t)-yx(t)|>Me-50 .

С |y(t) - У1 (t) |< Me-&0t .

2 Для расчета интегрально-квадратичного критерия качества используют:

А Эквивалентную АФХ нелинейного элемента.

В Статическую характеристику нелинейного элемента.

С Инверсную частотную характеристику нелинейного элемента.

15 РЕШЕНИЕ ТРЕНИРОВОЧНЫХ ЗАДАНИЙ

Раздел 1

1 А Совокупность технических средств, выполняющих некоторый процесс, называется объектом управления. Примером объекта управления, например, является процесс ректификации, центрифуга и др.

В Входные переменные являются управляющими, если они служат для поддержания управляемой переменной в соответствии с некоторым законом управления.

С Переменная, которую необходимо поддерживать в соответствии с некоторым законом управления, называется управляемой.

2 А В АСР, изображенной на рис. 1.2, реализованы принципы регулирования по отклонению и по возмущению.

В Если регулятор изменяет регулирующее воздействие при отклонении регулируемой переменной от заданного значения (Ay(t) =

= y(t) - узад), то такой принцип регулирования называется регулированием по отклонению, Ay(t) называется отклонением или ошибкой управления.

С Наиболее эффективной является комбинированная система регулирования.

3 А Линейная система относится к классу систем по основным видам уравнений динамики процессов управления.

В Класс "характер функционирования" делится на:

а) системы стабилизации;

б) системы программного регулирования;

в) следящие системы;

г) системы оптимального управления;

д) адаптивные системы.

С Класс "характер подачи сигналов" подразделяется на:

а) непрерывные системы;

б) дискретные системы, в которых выделяют импульсные, релейные, цифровые.

Раздел 2

1 А Сигнал называется регулярным, если его математическим представлением является заранее заданная функция времени.

В Существуют временное и частотное представления сигналов.

С К основным типам регулярных сигналов относятся: периодический, почти периодический и непериодический.

2 А Преобразованием Фурье называется оператор

ад

F(im) = J f (t) г-ш dt.

—ад

В Характерными свойствами спектра периодического сигнала являются:

а) спектры всегда дискретны, частоты основных гармоник кратны основной частоте;

б) чем больше период сигнала T, тем "гуще" спектр; при T ^ ад получают непериодическую функцию;

в) с уменьшением длительности импульсов при постоянном периоде амплитуды гармоник уменьшаются, а спектр становится "гуще";

г) если с уменьшением длительности прямоугольных импульсов увеличивать амплитуды по закону А0 = 1/т, то их последовательность стремится к последовательности дельта-функций, а амплитудный спектр - к постоянному для всех частот значению Ап = 1/Г.

С Спектральной характеристикой непериодической функции называется величина

dA

dm

где А - бесконечно малые амплитуды периодической функции.

3 А Дельта-функцией называется функция, удовлетворяющая условиям:

Г0 при t Ф 0;

ад при t = 0;

J S(t) dt = 1.

S(t) ='

В Сигнал в виде единичного скачка на исследуемом объекте подают путем резкого открытия вентиля, чтобы расход подаваемого вещества изменялся скачком на единицу.

С Гармонический сигнал характеризуется амплитудой, периодом и фазой.

Раздел 3

1 А Уравнениями статики называются уравнения, описывающие поведение системы регулирования в установившемся режиме при постоянных воздействиях.

Статической характеристикой объекта (системы) называется зависимость выходной величины от входной в статическом режиме.

В Уравнениями динамики называются уравнения, описывающие поведение системы регулирования при неустановившемся режиме и произвольных входных воздействиях.

С Гидравлический резервуар, электрическая емкость, непрерывный химический реактор полного перемешивания описываются обыкновенным дифференциальным уравнением с постоянными коэффициентами первого порядка.

2 А Для доказательства линейности системы проводят эксперимент, состоящий из трех опытов:

1 опыт: на вход системы подается входной сигнал x1(t) и определяется выходная координата>'1(t) в установившемся режиме;

2 опыт: на вход системы подается другой сигнал x2(t) и определяется координата_y2(t);

3 опыт: на вход системы подается сигнал, равный сумме входных сигналов x3(t) = x1(t) + x2(t), и определяется выходная координата y3(t). Далее проверяется выполнение соответствия y3(t) = y1(t) + y2(t) для любого момента времени. Если оно выполняется, то выполняется принцип суперпозиции, и система, следовательно, является линейной.

В Основными динамическими характеристиками, используемыми в теории автоматического управления, являются: передаточная функция, дифференциальное уравнение, переходная функция, весовая функция, частотными характеристикими: амплитудно-фазовая, амплитудно-частотная, фазочастотная, вещественно-частотная.

С Схема расчета динамики с помощью временных характеристик состоит из следующих этапов:

1) выбирается стандартный сигнал на входе ?(0 = (?(Д ..., ?пШ

2) входной сигнал произвольной формы представляется как суперпозиция стандартных сигналов

x(t) = aiv(t) + a,2V2(t) + anVn(t);

3) определяется реакция системы на стандартные сигналы

Vi (t), i = 1, п ;

4) выходной сигнал y(t) определяется как суперпозиция выходных сигналов yi(t):

y(t) = aiy (t) + a2У2 (t) +... + aпУп (t).

3 А Преобразованием Лапласа называется преобразование функции x(t) переменной t в функцию x(s)

ад

другой переменной 5 при помощи оператора L[x(t)] = x(s) = jx(t)e~stdt. Основными свойствами преобразо-

0

вания Лапласа являются следующие:

а) теорема линейности Ax1(t)+Bx2 (t ).=' Ax1 (s)+Bx2 (s);

б) теорема подобия x(l t) ='-11 xf-1

в) теорема затухания e1t x(t) = x(s -1);

г) теорема запаздывания x(t -т) .=' e~sT x(s) и др.

В (4s3 + 2s2 + s + 2)y(s) -4s-2 = --^.

s2 +1

С Передаточной функцией объекта называется отношение преобразованного по Лапласу выходного сигнала y(s) к преобразованному по Лапласу входному сигналу x(s) при нулевых начальных условиях.

Раздел 4

1 А Основными свойствами конформного отображения являются:

а) линия одной комплексной плоскости отображается в линию другой комплексной плоскости;

б) бесконечно малый угол отображается в такой же бесконечно малый угол, углы сохраняются;

в) треугольник одной комплексной плоскости отображается в такой же или подобный треугольник другой комплексной плоскости, направление обхода сохраняется;

г) внутренняя область одного треугольника преобразуется во внутреннюю область другого треугольника.

В Re(o) = М(ш) cos ф(ш); Іш(ш) = M(o) sin ф(ш).

С M(ю) = JRe2(ra) + Im2 (ю) ; ф(ю) = arctgIm(^ .

Re(ф)

2 А Экспериментально получают АЧХ и ФЧХ. АЧХ представляет собой отношение амплитуды выходного сигнала к амплитуде входного сигнала. ФЧХ - разность фаз выходного и входного сигнала.

ю

-і arctg—

12 3ю

—5--1—2-.

ю +16 ю +16

В W(ію)

W (ію)

ю2 +16

С W(ію)

3 -2 arctg -

—,-e 2

ю2 + 4

ОТ

3 А Весовая функция представляет собой обратное преобразование Фурье от АФХ w(t) = j W(ію) е'шйю .

0

В Если h(t) - переходная функция, то W(m) = (ію) Ъ(ію).

С W(ію) =—= 1 e-іarctg ю

ію+1 ую2+1

Раздел 5

1 А Обыкновенными дифференциальными уравнениями описываются апериодическое звено первого порядка, апериодическое звено второго порядка, колебательное звено.

В У реальных звеньев АЧХ М(ю) ^ 0 при ю ^ от. У идеально-дифференцирующего звенаМ(ю) ^ от при ю ^ от, его неосуществимость также видна из временных характеристик, так как h(t) = 5(t), а w(t) = 5' (t).

С Типовые звенья подразделяются на:

а) статические, у которых статическая характеристика отлична от нуля;

б) дифференцирующие, у которых статическая характеристика

равна нулю;

в) астатические, у которых статическая характеристика не су

ществует.

2 А Для одноконтурной системы автоматического регулирования можно записать передаточные функции по каналу регулирования, по каналу возмущения, по каналу ошибки.

В При последовательном соединении:

W(iю) = W1(iю) W2(iю);

к .

тю ’

M (ю) = Mj (ю) M2 (ю)

п ¦2 '

ф(ю) = ф1 (ю) + Ф2 (ю)

При параллельном соединении:

W(iю) = Wj(i ю) + W2(iю);

Re(o) = Rej (ю) + Re2 (ю) = к;

Іт(ю) = Imj (ю) + Im2 (ю) = ——.

Т ю

С Без дополнительных преобразований производится перенос узла через узел и перенос сумматора через сумматор.

3 А Физически не реализуем Д-закон регулирования.

В Введение в закон регулирования дифференциальной составляющей увеличивает быстродействие регулятора.

С Знак "-" у передаточных функций регулятора учитывает тот факт, что регулятор включается в систему по принципу отрицательной обратной связи.

Раздел 6

1 А Система, которая после снятия возмущения принимает новое состояние равновесия, отличное от первоначального, называется нейтральной.

В Система автоматического управления не устойчива, так как один из корней S4 положительный.

С Система автоматического регулирования, у которой корни характеристического уравнения расположены слева от мнимой оси, устойчива.

2 А Необходимое условие устойчивости является и достаточным для систем, описывающихся обыкновенными дифференциальными уравнениями первого и второго порядка.

В В соответствии с критерием Гурвица система устойчива: Aj = 4 > 0; A2 = 5 > 0; A3 = 5 > О.

С Для исследования устойчивости с помощью критерия Рауса необходимо располагать уравнением, которое описывает систему автоматического управления.

3 А Если разомкнутая система не устойчива, то для того, чтобы замкнутая система была устойчивой, необходимо и достаточно, что

бы АФХ разомкнутой системы охватывало точку (-1, /0) m / 2 раз, где m - число правых корней характеристического уравнения разомкнутой

системы.

В В соответствии с критерием Михайлова система автоматического управления не устойчива, так как корни не являются действительными чередующимися между собой.

С В соответствии с критерием Найквиста система устойчива, так как АФХ разомкнутой системы не охватывает точку (-1, /0).

Раздел 7

1 А Синтез устойчивых систем базируется на критерии устойчивости Найквиста.

В Граница устойчивости для систем автоматического регулирования, с регуляторами, имеющими два настроечных параметра, строится в плоскости параметров настройки s1 - s0 (ПИ-регулятор) или s2 - s1 (ПД-регулятор) по уравнению Wq6(/rop)Wp(/rop, s0, s1) = -1 или Wq6(/rop)Wp(/rop, s1, s2) = -1 соответственно.

С Задача синтеза систем регулирования с П- или И-регулятором решается однозначно, так как имеются два уравнения и два неизвестных Qp и s1 (или s0).

2 А К корневым показателям оценки запаса устойчивости относятся степень устойчивости и степень колебательности.

В Показатель колебательности - это максимум АЧХ замкнутой системы.

С Корневые оценки запаса устойчивости вводятся в рассмотрение через расширенные амплитуднофазовые характеристики.

3 А Если запас устойчивости оценивается показателем колебательности М, то замкнутая система обладает заданным запасом устойчивости, если АФХ разомкнутой системы касается окружности радиуса r = M / (M 2 - 1) с центром в точке l = M 2/ (M 2 - 1).

В Задача определения настроек регуляторов ПИ и ПД на заданный запас устойчивости решается неоднозначно. Задача имеет бесконечное множество решений.

С Структурно-неустойчивыми называются системы, которые не могут стать устойчивыми ни при каких комбинациях значений их параметров.

Раздел 8

1 А Прямыми показателями качества являются показатели, которые позволяют непосредственно по кривой переходного процесса оценивать качество регулирования. К ним относятся статическая ошибка регулирования, динамическая ошибка регулирования, время регулирования, перерегулирование, степень затухания.

В Для оценки качества регулирования колебательных переходных процессов используется степень колебательности.

С Положительным фактором использования интегральных критериев качества является получение общей оценки быстродействия и отклонения регулируемой величины от установившегося значения.

2 А Если ВЧХ представима суммой и каждой составляющей соответствует переходный процесс, то и переходный процесс представляется суммой составляющих.

В Если ВЧХ на оси ординат увеличивается в а раз, то и переходный процесс увеличивается в а раз.

С Конечное значение переходного процесса равно начальному значению ВЧХ; начальное значение переходного процесса равно конечному значению ВЧХ.

Раздел 9

1 А Синтез функциональной структуры заключается в выборе конкретных элементов и согласовании их характеристик.

В К точным методам расчета параметров настроек регуляторов относятся метод РАФХ и графоаналитический метод.

С Расчет параметров настроек регуляторов называется параметрическим синтезом.

2 А Оптимальными параметрами настроек регуляторов согласно методу РАФХ являются настройки, обеспечивающие заданную степень колебательности и минимум квадратичного интегрального критерия.

В Качество регулирования в методе РАФХ оценивается квадратичным интегральным критерием.

С Для регуляторов с двумя настроечными параметрами оптимальным настройкам соответствует точка, лежащая на кривой заданной степени колебательности в плоскости настроечных параметров, в которой квадратичный интегральный критерий минимален.

3 А В графоаналитическом методе запас устойчивости оценивается показателем колебательности.

В Качество регулирования в графоаналитическом методе оценивается с помощью критерия оптимальной фильтрации, заключающегося в наилучшем приближении АЧХ реальной системы к АЧХ идеальной системы на низких частотах и, в частности, при ш = 0. Условия оптимальности записываются в виде:

- относительно возмущающего воздействия

М в (0) = 0; dM в (0)/йШ= 0;

- относительно управляющего воздействия

Му (0) = 1; dM у (0)/dro= 0.

С Точка, соответствующая оптимальным настройкам ПИ-регу-лятора, находится в точке касания касательной, проведенной из начала координат к кривой заданного запаса устойчивости в плоскости параметров настроек Ти - Кп (время изодрома - коэффициент передачи).

Раздел 10

1 А Для доказательства нелинейности системы автоматического управления проводят эксперимент, состоящий из трех опытов. В первом опыте на вход нелинейной системы подается входной сигнал х1 и в установившемся режиме фиксируется сигнал у = f (xj) на выходе системы. Во втором опыте подается входной сигнал х2 и фиксируется выходной сигнал y2 = f (x2). В третьем опыте на вход системы подается сигнал х3, равный сумме первых двух, т.е. х3 = х1 + х2 и аналогичным образом фиксируется сигнал y3 = f (х3). После завершения эксперимента необходимо проверить выполнение принципа суперпозиции: y3 = yj + y2. Для нелинейной системы принцип суперпозиции не имеет места, т.е. в результате сравнения получают неравенство у3 ф yj + y2, что и подтверждает нелинейность системы.

В Статические нелинейности - это нелинейности статических характеристик. Выходная переменная статических нелинейных звеньев в каждый момент времени зависит только от значения входной переменной в тот же момент времени и не зависит от того, как эта входная переменная изменялась до рассматриваемого момента времени. Вход и выход нелинейного звена связаны между собой нелинейной статической характеристикой.

Динамические характеристики - это нелинейности дифференциальных уравнений, описывающих звено, например,

(y'(t))2 + y(t) = kx(t).

С Типовыми нелинейными элементами, которые также называются типовыми нелинейными звеньями, являются звено с зоной нечувствительности, усилительное звено с зоной насыщения, двухпозиционное реле и др.

2 А Статические характеристики типовых нелинейных элементов, а также большинства других нелинейных элементов, не относящихся к типовым, представляют собой кусочно-линейные функции. При подаче на вход элементов гармонического сигнала в зависимости от его амплитуды будет работать либо вся статическая характеристика, либо ее часть. Например, при исследовании звена с зоной насыщения -B при малых амплитудах A < B звено будет вести себя как линейное, а при больших амплитудах входного сигнала A > B - как нелинейное. Таким образом, частотные характеристики, называемые для нелинейных элементов эквивалентными, зависят как от частоты, так и амплитуды входного сигнала Wm (гю, A), для нечастотопреобразующих элементов частотные характеристики зависят только от амплитуды входного сигнала ^нэ (Ію, A).

В Динамика нелинейной системы описывается нелинейным

дифференциальным уравнением y(n)(t) = F(y(n-j)(t), y'(t),y(t)). Состояния равновесия определяются решением уравнения F(0,0,..., у'(t),y(t)), которое является нелинейным и имеет несколько решений, количество которых определяется характером нелинейности, следовательно, и состояний равновесия будет несколько.

С В нелинейных системах могут наблюдаться незатухающие колебания, обусловленные внутренними свойствами системы, которые получили название автоколебаний.

3 А Нелинейность называется слабой, если она может быть заменена линейным элементом без изменения принципиальных особенностей системы. Для линеаризации таких нелинейностей применяют разложение статической характеристики унэ = f^ (х) в ряд Тейлора в окрестности точки х0, считая после этой операции

Унэ ~ ах + b ,

где a = уэ0), b = f^ (х0) - уэ0) х0; х0 - любая точка рассматриваемой области.

Процессы в полученной линеаризованной системе не должны качественно отличаться от процессов в реальной системе.

В Гармоническая линеаризация применяется к нелинейным системам, характеризуемым неаналитическими, разрывными и неоднозначными нелинейностями. Кроме того, рассматриваемые нелинейные системы должны быть нечастотопреобразующими, на выходе иметь периодические колебания и для них должна выполняться гипотеза фильтра. При выполнении всех перечисленных условий выходной периодический сигнал можно разложить в ряд Фурье, оставив в результате проведения линеаризации только первые гармоники.

С В результате проведения гармонической линеаризации нелинейной системы в рассмотрение вводятся частотные характеристики, получившие название эквивалентных, так как они получены для линеаризованной системы: эквивалентная амплитудно-частотная характеристика Мнэ(A), эквивалентная фазочастотная характеристика фнэ (A), эквивалентная амплитудно-фазовая характеристика (iA). В соответствии с определением частотных характеристик

Wm (iA) = M нэ (Л)ггфнэ (A).

Раздел 11

1 А Особая траектория, представляющая собой изолированную замкнутую кривую, называется предельным циклом. Предельный цикл может быть устойчивым, если все фазовые траектории на него "наматываются", и неустойчивым, если фазовые траектории с него "сматываются", уходя в бесконечность.

В Сепаратриса - особая траектория, представляющая собой кривую, разделяющую фазовый портрет на области с различным характером фазовых траекторий.

С Типичный фазовый портрет нелинейной системы состоит из областей с различным характером фазовых траекторий, разделенных между собой сепаратрисами. В каждой области характер фазовой траектории определяется особой точкой.

2 А Изоклиной называется кривая, представляющая геометрическое место точек, в которых касательные ко всем интегральным кривым наклонены под одним и тем же углом к оси абсцисс.

В При построении фазового портрета методом изоклин необходимо знать систему дифференциальных уравнений, описывающих нелинейную систему, для которой строится фазовый портрет.

С Метод изоклин имеет невысокую точность и носит качественный характер, так как фазовая траектория определяется по направлению касательных к ней; начальная точка определяется произвольно.

3 А Построение фазового портрета методом припасовывания производится в следующей последовательности:

- выбираются или задаются начальные условия;

- интегрируется система линейных уравнений для того линейного участка, на который попали начальные условия, до момента выхода на границу следующего участка;

производится припасовывание начальных условий.

В При построении фазовых портретов методом сшивания фазовые траектории линейных участков "сшиваются" желаемым образом, т.е. на границе конечные значения не принимаются за начальные для граничащих участков. Конечные значения предыдущего участка рассчитываются - какие получились, такие получились, а начальные условия для последующего участка задаются желаемым образом.

С Метод "сшивания" используется при построении фазовых портретов систем с переменной структурой. При переходе изображающей точки через границы заранее установленных областей, система изменяет свою структуру.

Раздел 12

1 А Движение называется невозмущенным, если оно получено в результате рассмотрения идеализированной системы. Движение с учетом возмущений, возникающих в реальной системе, называется возмущенным.

В Смысл понятия устойчивости движения по Ляпунову состоит в том, что движение устойчиво, если при достаточно малом начальном сдвиге точки M* от M0, точка M* в последующем движении достаточно близка к M. Если эти точки будут неограниченно сближаться, то траектория возмущенного движения будет возвращаться на траекторию невозмущенного движения, и тогда такое движение будет называться асимптотически устойчивым.

С Первый метод Ляпунова включает три теоремы:

1 Если линейная система первого приближения устойчива, то соответствующее состояние равновесия нелинейной системы устойчиво по Ляпунову.

2 Если линейная система первого приближения неустойчива, то соответствующее состояние равновесия нелинейной системы неустойчиво по Ляпунову.

3 Если линейная система первого приближения находится на границе устойчивости, то судить об устойчивости исходной нелинейной системы по уравнениям первого приближения нельзя. Необходимо рассматривать исходную нелинейную систему.

2 А В основе второго метода Ляпунова лежит теорема Дирихле, согласно которой равновесие устойчиво, если в положении равновесия потенциальная энергия системы имеет минимум.

В Для того, чтобы доказать, что нелинейная система устойчива, необходимо построить функцию V(y1,y2,...,yn), которая должна быть знакоопределенной функцией, а ее производная по времени в силу дифференциальных уравнений, описывающих нелинейную систему, знакопостоянной функцией противоположного с V знака или тождественно равна нулю.

С Второй метод Ляпунова доказывает устойчивость нелинейной системы в "большом". Для подтверждения этого факта рассматривается геометрическая иллюстрация. Пусть V(y1,y2, ...,yn) знакоопределенная положительная функция V > 0, тогда ей в фазовом пространстве соответствуют эллипсоиды, причем каждый последующий содержит внутри себя целиком предыдущий. Производная по времени от этой функции dV/ dt < 0 , что свидетельствует о том, что изображающая точка перемещается по фазовой траектории на внутреннюю поверхность, неограниченно приближаясь к состоянию равновесия, она уже никак не может выйти за пределы тех эллипсоидов, в которые проникла. Как только dV / dt = 0 , то изображающая точка останавливается на соответствующей поверхности, что и доказывает устойчивость в " большом".

3 А Абсолютной устойчивостью равновесия называется устойчивость в целом, имеющая место для всех характеристик Ф(х), принадлежащих определенному классу.

В Видоизмененная амплитудно-фазовая характеристика W*(/ю) линейной части получается из исходной W (/ю) по следующим соотношениям:

Re W (ira) = Re W(ira); Im W*(ira) = ra Im W(ira).

С Для геометрической трактовки критерия абсолютной устойчивости рассматривается плоскость видоизмененной частотной характеристики W*(ira) линейной части системы. Для абсолютной устойчивости равновесия достаточно, чтобы на плоскости АФХ W*(ira) можно было провести прямую через точку (-1/ K; i0) так, чтобы W*(ira) целиком располагалась справа от этой прямой.

Раздел 13

1 А При изучении режима автоколебаний необходимо ответить на вопросы: существуют автоколебания или нет; если существуют, то устойчивы они или нет, и каковы параметры автоколебаний - частота и амплитуда.

В В режиме мягкого возбуждения при значении a1, характеризующем нелинейную систему и который можно изменять, образуется устойчивый предельный цикл бесконечно малых размеров, который начинает распухать, достигая в конце концов конечных значений. При режиме жесткого возбуждения образуются как бы слипшиеся друг с другом два предельных цикла конечных размеров, один из них устойчив, другой - нет. Дальнейшее изменение параметра a позволяет неустойчивый предельный цикл сжать до точки, а устойчивый будет распухать, увеличиваясь в размерах.

В обоих случаях состояние равновесия будет неустойчивым, а автоколебания - устойчивыми.

С Автоколебания будут устойчивыми, если на фазовой плоскости на соответствующий им предельный цикл фазовые траектории наматываются.

2 А Критерий Бендиксона используется для ответа на вопрос о существовании в рассматриваемой системе режима автоколебаний. Так для нелинейной системы второго порядка, описываемой системой дифференциальных уравнений

^ = КС%*>. ^ = КСи, Л),

dt dt

где F1(y1, y2), F2 (y1, y2) - нелинейные аналитические функции на всей фазовой плоскости, исследуется выражение dF-+—^. Если это выражение знакопостоянно, то в этой области замкнутых фазовых траек-

дУі ^2

торий не существует, т. е. не существует режима автоколебаний.

В Функция y2 = f(yj) называется функцией последования. Здесь yj1 - значение фазовой координаты y1 при первом пересечении положительной полуоси y1 ; y12 - значение фазовой координаты y1 при втором пересечении.

С Для определения в нелинейной системе существующего режима анализируются значения фазовой координаты y при ее пересечении фазовой траекторией. Если yj, y2 - значения фазовой координаты при первом и втором пересечении ее фазовой траекторией, то при y1 = y2 на фазовой траектории будет предельный цикл, соответствующий режиму автоколебаний. Если же yj < y2, то в системе будет наблюдаться затухающий процесс, а при yj > y2 процесс в системе будет расходящимся.

3 А Для применения метода гармонического баланса линейная часть нелинейной системы должна быть фильтром высоких частот и описываться амплитудно-фазовой характеристикой W, (ira). Амплитудночастотная характеристика должна удовлетворять условию Мл (ra0) >> M л (2ra0).

В В основе доказательства существования в системе автоколебаний лежит тот факт, что исходная нелинейная система заменяется линеаризованной системой, в которой возникновение незатухающих колебаний возможно только в единственном случае, когда эта система находится на границе устойчивости. В этом случае амплитудно-фазовая характеристика разомкнутой системы согласно критерию Найквиста должна проходить через точку (-1; i0), т.е. W (ira)Wm (A) = -1.

С Аналог критерия Найквиста для исследования устойчивости автоколебаний формулируется следующим образом: если АФХ линейной части не охватывает инверсную АФХ нелинейного элемента, т.е. \Wn(ira) < \-Zнэ (iA)\, то замкнутая система будет устойчивой.

Раздел 14

1 А Интегральный квадратичный критерий для нелинейных систем записывается в виде

I = IF 2(x)dt,

о

где y = F(x(t)) - характеристика нелинейного элемента.

В На класс нелинейных функций F(х) накладываются ограничения вида 0 < F(x) < k2 с целью вы-

x

числения интеграла качества, так как в самом общем виде оценить его не представляется возможности.

С Говорят, что нелинейная система обладает затуханием или степенью устойчивости 50 не меньше заданной, если для отклонения процесса |(t) от вынужденного или отклонения координат от положения равновесия при любых t остается справедливым неравенство ||(t)| = |y(t) -y1(t)| <Me~Sot, где M - const.

СПИСОК ЛИТЕРАТУРЫ

1 Алексеев А. А., Имаев Д. Х., Кузьмин Н. Н., Яковлев В. Б. Теория управления: Учебник. СПб.: ЛЭТИ, 1999. 435 с.

2 Софиева Ю. Н., Софиев А. Э. Теория автоматического управления. М.: МИХМ, 1975. 165 с.

3 Сборник задач по теории автоматического регулирования и управления / Под ред. В. А. Бесекер-ского. М.: Наука, 1978. 512 с.

4 Теория автоматического управления. Ч. 1 / Под ред. А. А. Во-ронова. М.: Высшая школа, 1986. 367 с.

5 Теория автоматического управления. Ч. 2 / Под ред. А. А. Во-ронова. М.: Высшая школа, 1986. 504 с.

6 Первозванский А. А. Курс теории автоматического управления: Учебное пособие для вузов. М.: Наука, 1986. 616 с.

7 Лукас В. А. Теория автоматического управления. М.: Недра, 1990. 416 с.

8 Попов В. Л. Теория линейных систем регулирования и управления. М.: Наука, 1989. 304 с.

9 Ротач В. Я. Расчет динамики промышленных автоматических систем регулирования. М.: Энергия, 1973. 440 с.

10 Теория автоматического управления: Сборник задач и контрольных вопросов / Сост. Ю. Н. Со-фиева. М., 1974. 92 с.

11 Фельдбаум А. А., Бутковский А. Г. Методы теории автоматического управления. М.: Наука, 1971. 744 с.

12 Ротач В. Я. Теория автоматического управления теплоэнергетическими процессами. М.: Энерго-атомиздат, 1985. 296 с.

13 Дудников Е. Г. Основы автоматического регулирования тепловых процессов. М.: Госэнергоиз-дат, 1956. 264 с.

14 СТЕФАНИ Е. П. ОСНОВЫ РАСЧЕТА НАСТРОЕК РЕГУЛЯТОРОВ И ТЕПЛОЭНЕРГЕТИЧЕСКИХ ПРОЦЕССОВ. М.: ЭНЕРГОИЗДАТ, 1982. 352 С.

15 Попов Е. П. Теория линейных систем автоматического регулирования и управления: Учебное пособие для втузов. М.: Наука, 1989. 389 с.

16 Теория автоматического управления. Ч. 1 / Под ред. А. В. Не-тушила. М.: Высшая школа, 1978. 424 с.

17 Теория автоматического управления. Ч. 2 / Под ред. А. В. Нетушила. М.: Высшая школа, 1972. 432 с.

18 Попов Е. П. Теория нелинейных систем автоматического регулирования и управления. М.: Наука, 1998. 256 с.

19 Лазарева Т. Я., Мартемьянов Ю. Ф. Линейные системы автоматического регулирования. Тамбов: Изд-во Тамб. гос. техн. ун-та, 2001. 264 с.



РЕГУЛЯРНЫЕ СИГНАЛЫ И ИХ ХАРАКТЕРИСТИКИ

В теории автоматического управления при рассмотрении тех или иных систем имеют место различные воздействия и сигналы. Анализ и синтез конкретных автоматических систем существенно упрощается, если пользоваться разработанной типизацией этих воздействий и сигналов. Математическим представлением сигналов является некоторая функция времени, определяющая закон его изменения, заложенный в нем независимо от физической природы. В зависимости от характера изменения сигнала во времени, формы математического представления различают регулярные - детерминированные и нерегулярные - случайные сигналы.



Какая система называется устойчивой, если после снятия возмущения ...



Проводится линия под углом рш к вещественной отрицательной полуоси и строятся окружности с центром на этой оси, касающиеся АФХ разомкнутой системы для различных Ти1 и этой прямой. Для каждого значения Ти1 определяется предельное значение коэффициента передачи



    Учет: Делопроизводство - Автоматизация - Софт