Симоненко И. - КОМПЬЮТЕРНЫЕ СОЦИАЛЬНЫЕ ТЕХНОЛОГИИ В ПРАКТИКЕ УПРАВЛЕНИЯ ПЕРСОНАЛОМ

МОСКОВСКИЙ ГОСУДАРСТВЕННЫЙ СОЦИАЛЬНЫЙ УНИВЕРСИТЕТ

Учебный материал предназначен для студентов, специалистов в области менеджмента и работы с персоналом, практических социологов, психологов, руководителей. В нем рассматриваются вопросы компьютеризации средств управления персоналом, позволяющих обеспечить его эффективное использование в изменяющихся экономических условиях.
Автор представляет анализ закономерностей движения кадрового состава предприятий, характерные для современной социально-экономической ситуации, а также дает общие характеристики апробированных на практике технологий управления персоналом, разработанных на основе компьютерных систем экспертно-тестовой диагностики.

ВВЕДЕНИЕ


Компьютеризация гуманитарных наук в нашей стране до настоящего момента не достигла уровня создания социально-технологических средств, направленных на практическое преобразование, оптимизацию управленческих механизмов. С началом компьютерного бума психологи и, несколько в меньшей степени, - социологи начали лихорадочно заниматься превращением существующего в бумажном варианте методического обеспечения в программные инструменты быстрого добывания денег.
Появилось огромное количество компьютерных тестов, процедур обработки анкет, психологизированных игрушек, обучающих и тренинговых систем, которые позволили их производителям снять первый урожай прибылей с неискушенных пользователей, старающихся не отстать от жизни и укомплектовать вновь приобретенный компьютер джентельменским набором гуманитарных программ, плохо представляя себе, для чего они могут пригодиться и не вдаваясь поэтому в вопросы качества их изготовления. Судя по отсутствию в большинстве случаев обратной связи от таких пользователей, расчет оказался верным и приобретенная продукция, не дойдя до компьютера, благополучно осела в сейфах начальства в виде внушительных дискетных библиотек.
Одна из причин может быть связана с ориентацией разработчиков на специфику российского рынка, а не на задачи технологизации процесса внедрения создаваемого компьютерного инструментария для достижения какого-либо общественно-полезного преобразовательного эффекта. В настоящее время первая волна беспорядочного спроса значительно пошла на убыль. Это, по всей вероятности, повлечет за собой переоценку приоритетов и формирование какого-то нового подхода к разработке прикладных программ гуманитарного профиля.
Будет ли данный подход отвечать потребностям совершенствования процессов общественного развития покажет время. В настоящей работе делается попытка обобщить опыт применения высокопроизводительной персональной вычислительной техники для совершенствования одной из наиболее перспективных сфер интереса современных специалистов гуманитарного профиля - управления персоналом организаций.
При этом внимание автора привлекали прежде всего производственные предприятия, так как кадровые проблемы в промышленности сейчас можно считать самыми сложными и глубокими по сравнению с задачами использования человеческого фактора на организационных объектах любого другого типа. Это позволило в конечном счете создать социально-технологические средства, оказавшиеся достаточно эффективными и для сферы частного бизнеса. Парадоксальность нашей современной экономики связана, в частности, с тем, что на фоне значительных перестроечных потрясений происходят интенсивные изменения в характере самого труда, вызванные его информатизацией и компьютеризацией. Это приводит, с одной стороны, к изменению характера предмета труда, в качестве которого все больше выступают не материальные объекты, а информационные процессы. Данный феномен соответствует общемировой тенденции перетекания трудовых ресурсов из сферы материального производства в информационную сферу: в США, например, процентные соотношения численности занятых в этих сферах составляли соответственно 70 к 30% в 1946 году и 55 к 45% в 1980 году (11, с.6). С другой стороны, в условиях всеобщего распространения автоматизированных методов становится достаточно актуальной проблема перехода к новой системе организации труда.
Ее отличие от реализованных ныне почти повсеместно принципов Тейлора и Форда состоит в ориентации на высвобождение творческого потенциала людей, занятых в производственном процессе (69, с.32).
Обеспечение перехода к стабильным и высокоэффективным социально-экономическим отношениям, позволяющим использовать достижения очередного витка научно-технической революции, зависит от формирования более совершенной системы управления экономикой, начиная с системы управления отдельными предприятиями, независимо от их формы собственности.
Необходимость преобразования управленческих механизмов связана с комплексом разнопорядковых проблем, сочетание которых позволяет считать наш современный переходный период одним из самых болезненных в истории общества. Кризис экономики, - проблемы неплатежей, недопоставки сырья и материалов, ориентация на внешний, а не на внутренний рынок, невыплата и задержка зарплаты, - все это приводит к дисбалансам в движении трудовых ресурсов.
С одной стороны, проводятся массовые сокращения и растет безработица, с другой - не решены проблемы комплектации производственных организаций необходимым им персоналом.
Вероятными последствиями перечисленных процессов являются: окончательная потеря контроля со стороны органов управления предприятиями за движением кадров, разрушение интегративных связей внутри целого социального слоя общества - производителей промышленной продукции.
Сочетание специфических для российской экономики процессов преобразований на макроструктурных уровнях с общемировыми тенденциями в изменениях характера производства ставит задачу разработки принципиально новой модели промышленного предприятия, адаптированного как к технологическим, так и к социально-экономическим изменениям. Составным компонентом такой модели может стать система управления персоналом, построенная на основании использования имеющихся в нашей стране достижений в области разработки социальных технологий, а также возможностей их компьютеризации.
Построение новой организационной структуры может быть основано на решении некоторых исходных проблем, одной из которых является разработка концепции управления персоналом предприятия, ориентированной на формирование его коллектива в условиях перехода к новому экономическому порядку.
В 70 - 80-е годы в отечественной социологической литературе выходило большое количество публикаций, имевших большое значение для создания концепции заводских социологических служб. В то же время преимущественно кадровая ориентация создаваемых в рамках данной концепции технологических средств сочеталась с отсутствием концептуального обоснования принципов работы с кадрами на общетеоретическом уровне. Заводские социологи слабо представляли себе задачи специалиста по управлению персоналом, применяли существующие диагностические методы достаточно эпизодически, использовали недостаточно адекватные показатели движения трудовых ресурсов.
Само понятие персонал предприятия было мало разработано и фактически не употреблялось для каких-либо методологических построений.
Эти факторы можно рассматривать в числе некоторых из множества причин нежизнеспособности производственных социологических служб, большинство из которых было поспешно ликвидировано в условиях резкого изменения социально-экономической ситуации.
Вместе с тем, проблемы социального управления, в том числе и кадровые, на переходном этапе обостряются все сильнее, что предполагает возможность продолжения поиска путей их разрешения на основании разработки социальных технологий на основе накопленного теоретического и практического потенциала.
Таким образом, в современной социально-экономической ситуации можно выделить следующие процессы, определившие общую направленность настоящей работы: кризис экономики, обостряющий проблемы в обеспечении производства квалифицированным персоналом, распад заводской социологии, накопившей ранее значительный теоретический и практический потенциал по использованию человеческого фактора, информатизация и компьютеризация различных сфер жизни общества, позволяющая по-новому использовать данный потенциал для преодоления трудностей переходного периода. Все это позволяет считать актуальным повышение эффективности социальных технологий, направленных на реализацию основных целевых функций предприятий.
В условиях современной социально-экономической ситуации наиболее актуальной организационной задачей представляется реформирование деятельности существующих кадровых служб на основе создания и внедрения в традиционные методы комплектования коллективов предприятий принципиально новых социологически и психологически обеспеченных технологий работы с кадрами без значительных структурных преобразований кадровых подразделений.
Достаточно результативным направлением технологизации управления персоналом может быть переход от разработки и использования отдельных социальных технологий к их объединению в единые социально-технологические системы, под которыми понимаются комплексы взаимосвязанных и взаимодействующих технологий, каждая из которых направлена на модификацию определенной регулирующей составляющей подсистемы управления персоналом предприятия - прием, расстановку, аттестацию и обучение кадров. При этом результаты применения одной технологии используются в качестве исходной информации для реализации другой технологии.
Теоретическое обоснование понятийного и методического аппарата указанных средств представляется заслуживающим внимания исследователей, разрабатывающих методологию социальной инженерии.
В предлагаемой книге обобщается опыт восьмилетней практической работы автора в качестве специалиста-социолога служб управления персоналом в производственных организациях трех отраслей экономики - авиационной, автотранспортной и микроэлектронной.
Охарактеризованные в книге социальные технологии могут использоваться:

  1. специалистами по управленческому консультированию для решения задач организационного проектирования промышленных предприятий и других организаций;
  2. работниками служб управления персоналом в сфере государственных организаций, промышленности и частного бизнеса для решения обострившихся в период экономической дестабилизации проблем подбора и расстановки кадров на основе использования преимуществ максимально автоматизированного инструментария.
  3. заводскими социологическими службами и отдельными социологами, уцелевшими на некоторых предприятиях в процессе перестроечных преобразований, для создания эффективной системы управления персоналом.
Проведенный анализ теоретических подходов к изучению социальных технологий может быть использован для чтения учебных курсов по социальной инженерии, социологии труда, социологии организаций, управления персоналом, управленческого консультирования и т. д.
Полученные результаты обсуждались на семинарах и конференциях практикующих психологов и социологов. Созданные под руководством автора программные системы были поставлены более чем в 30 организаций производственного и непроизводственного профиля.
Среди них: предприятия микроэлектронной промышленности и машиностроения, ракетно-космическая корпорация Энергия, корпорация IBM, концерн СахаАлмазинвест, коммерческие банки и страховые компании.
С декабря 1995 г. на базе теоретических положений настоящей работы и обобщенного в ней практического опыта на социологическом факультете Московского государственного социального университета проводятся теоретические и практические занятия со студентами по учебным курсам Управленческое консультирование и Управление персоналом.
Ориентация работы на практические задачи определила ее структуру.
В первой главе освещаются некоторые итоги и перспективы компьютеризации социологического обеспечения кадровой работы на основе применения компьютерных социальных технологий, охарактеризована специфика социально-технологических систем управления персоналом как одной из разновидностей автоматизируемых гуманитарных разработок, проанализированы процессы движения кадрового состава предприятий в условиях нестабильной экономики и предложены некоторые варианты оптимизации персонала на производстве на основе разработанных системно-программных комплексов.
Во второй главе приведены основные методические положения, особенности программно-технологической структуры и результаты апробации на конкретных объектах двух компьютерных социально-технологических систем управления персоналом. Рассмотренные программно-технологические комплексы могут быть внедрены в любой организации независимо от характера деятельности и формы собственности в случае обращения ее представителя по адресу: 103575. Москва. Зеленоград.
Кор. 906. Комн. 134.
Центр компьютерных технологий Старт.

ГЛАВА 1. ДИАГНОСТИКА И ОПТИМИЗАЦИЯ ПЕРСОНАЛА НА ОСНОВЕ СОЗДАНИЯ КОМПЬЮТЕРНЫХ СОЦИАЛЬНЫХ ТЕХНОЛОГИЙ И КОМПЛЕКСНЫХ СОЦИАЛЬНО-ТЕХНОЛОГИЧЕСКИХ СИСТЕМ

Применение компьютерных методов для повышения эффективности социологического обеспечения работы с персоналом


Один из способов выведения производства из кризиса можно соотнести с автоматизацией различных подсистем управления предприятием. Кадровая служба является одной из таких подсистем, а методы социолого-психологического обеспечения входят в число средств совершенствования ее деятельности, поэтому компьютеризация может в равной мере распространяться как на традиционные процедуры учета и оформления кадровой документации, так и на методики диагностики различных социально обусловленных и личностных характеристик работников. Роль компьютерных технологий для повышения эффективности социологического обеспечения работы с кадрами определяется, во-первых, общими закономерностями информатизации системы управления предприятиями в нашей стране в современных условиях, во-вторых, особенностями процесса внедрения вычислительных методов в социологические исследования, в-третьих, спецификой применения программного обеспечения к задачам автоматизации социальных технологий кадровой работы. Попытки широкого внедрения автоматических систем управления производством во всем мире предпринимались еще с конца 60-х годов, и эта первая волна принесла главным образом убытки для промышленности как в нашей стране, так и за рубежом (11, с. 315).
Причин тому в литературе называется достаточно много. Среди них выделяются такие факторы: понятийный барьер - невозможность реально или доступно сформулировать программисту суть производственных задач специалистом-инженером или управленцем; несовершенство, а зачастую и абсурдность различных производственно-технических нормативов и инструкций, выполнение которых пытались автоматизировать (11, с. 317); противоречие между внедряемыми системами и так называемым человеческим фактором, предполагающим наличие определенного консерватизма при восприятии АСУ (58, с. 224 - 238) , отсутствие принципиально новых идей при разработке большинства АСУ (75,с. 59) и т. д. В этот период на некоторых предприятиях предпринимались не слишком успешные попытки автоматизации кадровой работы путем создания систем АСУ Кадры.
В некоторых из них были предусмотрены процедуры использования социально-психологических методов (28, с. 136). Однако такие системы не получили распространения, так как обладали недостатками, присущими всем АСУ первого поколения, а также не содержали в себе самого главного - системы процедур и мероприятий по внедрению, то есть они не были технологиями в отличие от многих других производственных АСУ. В конце 80-х годов до нашей страны дошел новый этап компьютерной революции, связанный с появлением вычислительных машин принципиально нового типа - персональных компьютеров. Их главное преимущество состоит в приближении техники к запросам пользователя-специалиста. При этом программисты, как это указывается в разных источниках, создают все более совершенные средства общения с ЭВМ, а специалисты в конкретных областях, в том числе и социологи, самостоятельно применяют эти ЭВМ (11, с. 318; 19, с. 337 - 338).
Такая точка зрения представляется достаточно идеализированной для оценки сегодняшнего уровня внедрения персональной вычислительной техники. Специальные программные средства общения с компьютером требуют существенных совместных трудозатрат как со стороны представителей конкретных областей, так и со стороны программистов высокого уровня.
На сегодняшний день нельзя назвать ни одной прикладной или чисто научной области, где имеются программы, позволяющие эффективно решать хотя бы 50 % существующих расчетных или информационных задач. Приоритетом пользуются только высокоприбыльные разработки массового спроса: операционные системы, игры, бухгалтерские программы, текстовые процессоры. Что касается управления производством, то накопление автоматизированного инструментария происходит по сценарию, аналогичному предыдущему этапу компьютеризации.
Различными коммерческими организациями и собственными силами предприятий создаются программы управления сбытом, кадрами, учетом сырья и материалов, которые находятся в состоянии постоянной доработки и устранения ошибок программирования. Такое положение объясняется, с одной стороны, тем же отсутствием технологического обоснования порядка внедрения данных систем, с другой - отсутствием взаимопонимания между программистами и специалистами.
Те и другие зачастую не умеют использовать преимущества компьютера для достижения оптимальной концепции программы. Техника позволяет преодолеть понятийный барьер, непреодоленной остается проблема консерватизма человеческого фактора.
Публикаций по автоматизации и информатизации социологических методов на базе персонального компьютера в литературе можно найти сравнительно немного, очевидно, в связи с новизной данного направления (50).
Заслуживают внимания подходы, сформулированные с позиций социологического знания к определению сущности понятия компьютерные технологии.
Например, Д. А. Шевченко и В. А. Хорошилов соотносят это понятие с первым периодом информатизации в нашей стране, когда в
60 - 80-е годы она базировалась на использовании больших ЭВМ (19, с. 335 -336). С началом перехода к персональным машинам, по мнению этих авторов, начался период новых информационных технологий. Таким образом, компьютерные и новые информационные технологии противопоставляются, что неправомерно, так как те и другие предполагают использование разных модификаций одного типа вычислительной техники - ЭВМ разных поколений.
К тому же большие машины в нашей стране вообще мало у кого ассоциируются с компьютерами как таковыми, а применяемые на них программы были слишком громоздки и оторваны от конечного пользователя, чтобы считаться компьютерными технологиями.
Более приемлемой представляется точка зрения А.А. Ослона, который приводит следующие особенности компьютерной технологии в социологических исследованиях: использование ЭВМ в качестве рабочего места на всех этапах работы, начиная с разработки программы и кончая формированием выходного документа; возможность коллективных действий разных специалистов; работа как с числовыми массивами, так и с информацией нечислового характера; объединение нескольких ПК в вычислительную сеть. Он же приводит некоторые специфические виды работ, выполняемые при разработке компьютерной технологии.
К ним относятся: отработка целесообразных последовательностей технологических операций, их документирование и обучение пользователей; системное программирование - вся совокупность действий по установке и адаптации программных продуктов, на которых базируется компьютерная технология; прикладное программирование - разработка отдельных прикладных программ, кирпичиков, выполняющих основные вычислительные операции; управление базами данных; техническое обслуживание компьютеров (50, с. 51).
Вместе с тем, приведенные положения в большей степени относятся к технологизации исследовательской сферы деятельности социологов, в то время как автоматизация работы социального инженера предполагает некоторую специфику. Ориентация на задачи подготовки и реализации управленческого решения делает не обязательной коллективность его обоснования, так как используются стандартные и отработанные процедуры.
В период всеобщей компьютеризации достаточно актуальным представляется вопрос о том, каким образом можно автоматизировать ту или иную социальную технологию? Казалось бы, ответ прост и очевиден - все этапы имеющейся в бумажном варианте методики программируются, программа ставится на машину, и социальная технология становится компьютерной социальной технологией.
Такой ответ ошибочен - программирование методики не делает ее компьютерной технологией, так как ничего принципиально нового в процесс диагностики объекта и воздействия на него этот способ не внесет, а просто сократит время обработки результатов. Технология же (любая) ставит своей целью такое преобразование социального или природного объекта, которое приведет к приданию ему нового заданного качества.
На этом же основании для признания способа работы компьютерной социальной технологией представляется недостаточным простое объединение в сеть нескольких или многих ее пользователей.
Исходя из данных положений, можно сформулировать некоторые признаки компьютерной социальной технологии как способа качественного изменения объекта. Часть из них может быть использована при компьютеризации технологий любой сферы практики.

  1. Включенность программного средства в систему практических мероприятий и процедур, направленных на диагностику и оптимизацию социального объекта путем подготовки или реализации управленческих решений.
  2. Применение сложных методов обработки, позволяющих при решении прикладных задач обеспечить получение нового знания за счет более глубокого проникновения в недоступные простым методам закономерности функционирования и развития социального объекта. Эта проблема может быть решена без привлечения других специалистов, владеющих такими сложными методами, так как они реализованы в программе.
  3. Комбинация нескольких или многих методов обработки, - скажем, кластерного и факторного анализов - повышает достоверность результатов без ущерба для оперативности применения технологии.
  4. Возможность одновременного сопоставления результатов диагностики нескольких социальных объектов, данные о которых могут содержаться в одном или разных тематических разделах дисковой памяти.
  5. Последовательное применение разных программно-методических инструментов для обработки разных типов информации. Разные программные продукты целенаправленно объединяются в некий технологический цикл, в котором исходная информация обрабатывается одной программой, полученный результат подхватывается другой программой (импортируется в нее) для решения новой задачи и т.д., пока не будет достигнут результат, необходимый пользователю. Последнее положение применительно к социальной технологии означает, что технология подготовки и технология реализации управленческого решения с применением компьютера могут быть объединены в одну систему.
В настоящее время уже существует достаточно большое количество отечественных диагностических программ в области прикладной социологии и психодиагностики, выполненных в виде разнообразных по методикам и техникам компьютерных систем. К ним можно отнести следующие разработки, основанные на чисто тестовых методах: система ПАС (МИФИ); АРМ психолога-2 (Всероссийский центр профориентации); МОНАДА (Институт прикладной психологии.
С-Петербург); АРМ психолога (НПО ПОЛИС); 17 личностных факторов, Индивидуальный деловой стиль, Тест менеджерского потенциала (факультет психологии МГУ) и др. Кроме этого существуют программы, выполненные на основе методик экспертной оценки: Система автоматизированной аттестации руководителей и специалистов (автор В.К.
Тарасов), Деловой портрет (МП Управленческое консультирование), ЭКСПАН, KELLY (факультет психологии МГУ) и др.



Диагностика профессионально-ситуативных требований

Отсюда можно сформулировать перечень управленческих решений, которые должна принять администрация предприятия для обеспечения стабилизации положения с кадрами на организационном уровне. Это, во-первых, отказ от планового принципа комплектования вакантных рабочих мест и переход к обоснованным методам формирования коллектива, во-вторых, создание в структуре кадровой службы группы социологического обеспечения управления персоналом численностью не более, чем 1 - 3 специалиста (социолога или психолога) на 5 тысяч работающих, при текучести 40 - 60%, оснащенных компьютером и соответствующей социально-технологической системой, в-третьих, реализация организационно-технических мероприятий по внедрению указанной системы.
Поскольку принятие таких решений в условиях почти повсеместной ликвидации социологических служб представляется проблематичным, наиболее выполнимой задачей для специалиста по управлению персоналом является начало применения технологии без преобразования кадровой службы, что будет подготовкой к созданию в ее структуре группы социологического обеспечения.
Реализацию технологии подготовки указанных решений могут выполнять: специалисты соответствующих научно-внедренческих или вузовских центров, действующие на договорной основе; работники кадровых служб, имеющие соответствующий образовательный уровень и профессиональную подготовку; уцелевшие кое-где на предприятиях социологи и психологи. Наиболее трудной задачей в современных условиях для социального инженера является обеспечение условий для принятия таких решений.
Общими задачами подготовки таких условий можно считать: диагностику возможности возникновения проблемной ситуации при обеспечении предприятия той или иной категорией персонала; начало процесса стабилизации кадрового состава в рамках действующей плановой системы набора, а также подготовку аргументации для подготовки факта осознания руководством кадровой службы необходимости изменения такой системы.
Для этого можно выделить два объекта реализации диагностической технологии, являющейся исходным компонентом предлагаемой технологической системы: движение кадровых групп из организации и обратно и профессионально-ситуативные требования к отдельным специальностям в конкретных подразделениях.
Для изучения общего движения кадров необходимо провести диагностику по следующим направлениям: выявить в процентах от общего числа сокращаемых количество кадровых работников, предлагаемых руководством к сокращению, но остающихся впоследствии на предприятии; определить уровень текучести среди этих рабочих, а также среди вновь принимаемых рабочих на места со стабильным наличием вакансий; выявить уровень естественной убыли в процентах от общей численности коллектива; установить, какое количество кадровых рабочих увольняется в течение года по собственному желанию.
Оптимальное состояние кадрового состава в условиях переходного периода состоит в том, что количество вновь принимаемых на вакантные рабочие места и закрепляющихся на предприятии молодых рабочих должно компенсировать количество ежегодно выбывающих по естественным причинам, а количество кадровых работников, предполагаемых к сокращению, но потом направленных на работу по другим специальностям в пределах предприятия, должно компенсировать количество кадровых рабочих, уволившихся в течение того же года по собственному желанию.
При таком соотношении будет обеспечиваться, с одной стороны, сохранение кадрового ядра коллектива, с другой - его обновление в условиях дестабилизации. В случае нарушения указанного соотношения представляется возможным возникновение серьезных кадровых проблем - либо замедление квалификационного роста, старение коллектива, усиление уровня консервативности и сопротивления внедрению новой техники; либо повышение затрат на обучение часто сменяемых кадров, снижение эффективности работы оборудования.
Указанная диагностика позволит выявить наиболее приоритетное направление стабилизации движения кадров - работу с сокращаемым кадровым составом или вновь принимаемыми рабочими, что не исключает управления одновременно двумя указанными группами персонала.
Кроме того, формализованные результаты диагностики позволят сделать возможность появления значительных кадровых проблем воспринимаемой администрацией до возникновения таких проблем.
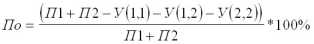
При разработке таких показателей необходимо учитывать, что традиционная формула расчета коэффициента текучести в условиях современной социально-экономической ситуации отображает не столько движение неадаптирующихся на предприятии людей, сколько число увольняемых руководством по сокращению штатов или вынужденных уходить кадровых рабочих, так как этот коэффициент представляет собой отношение суммарного количества уволенных как по инициативе администрации, так и по инициативе работников к общему списочному составу. В связи с этим возникает методическая задача поиска и вывода более адекватных показателей движения персонала.
Попытка ее разрешения приведена во второй главе настоящей работы.
Диагностика профессионально-ситуативных требований должна осуществляться для обеспечения частичной стабилизации коллектива на основе внедрения технологии профотбора и адаптации кадров в рамках действующей системы планового приема. Для этого предполагается: предварительно выявить на предприятии те, не подлежащие сокращению рабочие места, для которых свойственно постоянное наличие или периодическое появление кадровых вакансий; определить среди них специальности с наибольшей текучестью; построить для выявленных специальностей систему критериев (профессионально-ситуативных нормативов профотбора), позволяющих при приеме или переводе получать совокупность (перечень) профессионально-должностных позиций и подразделений, специфика работы в которых соответствует личностным способностям кандидата к эффективному труду на конкретных рабочих местах.
Для этого применяются методы психологического тестирования уже адаптированных на определенных участках работников. По их тестовым результатам и экспертным оценкам рассчитываются нормативы, используемые в дальнейшем при профотборе. В этом проявляется ориентация на оптимальную расстановку, а не на последовательную выбраковку способных адаптироваться кандидатов.
Следующим шагом должна стать организация профотбора и адаптации кадров применительно к диагностированным ранее приоритетным для оптимизации категориям персонала и специальностям с наибольшей сменяемостью.
Профотбор организуется по следующей схеме. Кандидат на прием проходит сначала предварительное собеседование с сотрудником отдела кадров для выяснения анкетных данных, после чего обследуемый направляется к специалисту по профотбору для проведения тестирования. Оно может проходить за экраном компьютера или в бланковом варианте с последующим вводом результатов в машину. Ответы на тест обрабатываются и на экран выводится список рекомендуемых специальностей и подразделений (с имеющимися вакансиями).
Распечатка с данным результатом передается в отдел кадров, где происходит оформление на наиболее рекомендуемые должности. В зависимости от степени профпригодгости планируются мероприятия по проведению профессиональной адаптации. При этом различаются два уровня профпригодности - высокая и средняя. В первом случае предполагается проводить анкетирование для выявления трудностей в освоении профессии дважды - в середине обучения и в конце.
Первый раз выпускаются методические карты, адресованные инструктору-наставнику, мастеру, преподавателю теоретического курса, с перечнем трудностей в освоении практических навыков или теоретического курса. Во второй раз устанавливается, насколько устранены выявленные недостатки. В случае их устранения обучаемый рекомендуется для представления на квалификационную комиссию, в противном случае срок обучения увеличивается.
При определении у кандидата на этапе профотбора высокой степени профпригодности анкетирование проводится один раз - в середине обучения. Решение о присвоении разряда принимается непосредственно на комиссии.
Организация данной деятельности в рамках существующей плановой системы набора позволит, во-первых, начать частичную стабилизацию коллектива; во-вторых, предоставит специалисту по управлению персоналом информацию для обоснования целесообразности внедрения предлагаемой системы перед администрацией предприятия, то есть позволит разработать способ предотвращения значительной дестабилизации кадрового состава, возможность которой может быть выявлена в ходе предварительной диагностики. В качестве аргументов для обоснования необходимости внедрения апробированной системы могут применяться показатели текучести среди двух категорий работников - прошедших профотбор и адаптацию и не прошедших.
Меньший уровень текучести в первой группе позволит обосновать результативность применения технологии на предприятии, а также будет критерием ее эффективности.
В случае осознания руководством целесообразности внедрения системы, прошедшей практическую апробацию, должна быть разработана последовательность организационных мероприятий - подготовка нормативного документа о создании группы социологического обеспечения, набор штатных специалистов, организация их деятельности во взаимодействии с кадровой службой и производственными подразделениями и т.д. При этом численность такой группы и функции сотрудников определяется, исходя из стоящих перед ними общих задач - диагностики нормативных требований, профотбора по диагностированным нормативам, адаптация отобранных работников. Поэтому оптимальной представляется численность в 3 человека на 5 тыс. работающих.
По специализации это: инженер по профдиагностике, выполняющий работы в производственных подразделениях по построению профессиональных нормативов; инженер по профотбору, осуществляющий отбор кандидатов по построенным нормативам; инженер по адаптации, обеспечивающий повышение успешности освоения рекомендованной профессии.
Реализация этих мероприятий представляет собой этап принятия решения, так как понимание администрацией необходимости реорганизации деятельности означает, что решение уже начало формироваться, но принятым его можно считать после подписания соответствующих документов.
Когда это произойдет, начинается этап внедрения технологии реализации решения, которая представляет собой воспроизводство технологического цикла профотбора и адаптации кадров, отработанного в ходе диагностики, до момента достижения сбалансированного кадрового состава после чего технология начинает эксплуатироваться в условиях стабилизированного положения с персоналом для восполнения главным образом естественной убыли работников.
Считать приведенные последовательности деятельности социального инженера самостоятельными, но взаимосвязанными технологиями позволяет их направленность на разные по своему характеру задачи: проблемно-содержательные при диагностике, проектно-организационные при принятии решения, эксплуатационные (рутинизированные) при его реализации. Кроме того, каждая из них направлена на определенный объект, в качестве которого выступают: процесс движения кадров (диагностика), действующая на предприятии система набора персонала (принятие решения) и оптимизируемый кадровый состав организации (эксплуатация). В то же время каждая из технологий имеет комплекс стандартизованных процедур и действий, взаимосвязанных между собой в пределах специфики данной технологии.
Соответствие понятию система социальных технологий проявляется, во-первых, в их направленности на достижение единой цели - стабилизацию и поддержание в сбалансированном состоянии кадрового состава предприятия; во-вторых, в том, что в каждой последующей технологии используются результаты предыдущей в качестве исходной информации для начала применения.
За счет реализации принципа системности в социологическом обеспечении управления персоналом достигается эффективность предлагаемых технологий незначительной по численности группой специалистов.
Для сравнения можно сказать, что система стабилизации трудового коллектива, применявшаяся на Пермском телефонном заводе, требовала наличия 10 - 14 специалистов на 5 тыс. работающих при текучести 20%.
Не менее важным для стабилизации положения предприятия является его обеспечение руководящими кадрами всех уровней. Данная потребность в настоящий момент тоже стала проблемой, так как формирование управленческого корпуса на производстве все еще осуществляется на основе принципов кадровой политики.
На оценке данного способа работы с персоналом следует остановиться подробнее.
Понятие кадровая политика было достаточно распространенным среди хозяйственных руководителей и производственных социологов в конце восьмидесятых годов, когда необходимость экономических изменений была уже всеми осознана, но их реализация тонула в словесном водопаде политических лидеров. Если политика вообще, - как это справедливо обосновали классики марксизма, - связана с проблемами захвата, удержания и использования государственной власти, то кадровая политика во многих производственных организациях осуществляется как результат воплощения в жизнь субъективных составляющих власти высшего руководства. Этот субъективизм почти всегда основан на приоритете личных представлений директора о степени полезности того или иного руководителя более низкого ранга.
Уровень управленческой эффективности последнего зависит в конечном счете от того, ориентирован ли директор на выполнение основной целевой функции предприятия - выпуск качественной продукции - или главное для него - сохранение своего личного достаточно привилегированного сейчас, как и всегда, положения. Можно предположить, что в первом случае осуществляется кадровая политика, целью которой является сохранение, удержание и использование личной власти руководителя, во втором случае можно говорить об управлении персоналом в целях укрепления жизнеспособности организации в целом в условиях сегодняшней экономической неразберихи.
Для первой и второй ситуаций характерны принципиально противоположные механизмы формирования команды подчиненных.
Для государственной экономики советского периода был свойствен эффект самоорганизации кадровой структуры, состоящий в том, что эффективность работы руководителей разных уровней производственной организации определяется прежде всего управленческой компетентностью людей, занимающих ключевые уровни руководства. Если на такой должности находится сильный в управленческом отношении начальник, то он тем или иным способом подбирает себе таких же сильных замов, потому что не боится конкуренции с их стороны. Если наоборот, то первый уровень подчинения, а за ним и все последующие, должен уметь руководить хуже, чем вышестоящий.
Таким образом, эффективный директор или его заместитель улучшает, а неэффективный - ухудшает управленческий потенциал предприятия (34, с. 127; 35). Поскольку в конечном итоге высшие руководящие посты на уровне министерств и государства в целом заняли люди, оказавшиеся беспомощными перед проблемами вытаскивания страны из кризиса, то руководство предприятий и подчиненный ему корпус руководителей нижеследующих уровней по определению данного эффекта формировались на основе деградирующей кадровой иерархии. Осложнялось положение тем, что в данной системе типичной карьерой было продвижение технических специалистов. Они могут хорошо освоить производственный процесс, но имеют поверхностные представления об экономике, социологии, теории управления и других дисциплинах, необходимых при всяком руководстве.
Такой подход к выдвижению кадров сформировался еще со времен индустриализации. Вместе с тем, в настоящее время в обществе происходит резкое падение престижа работы специалиста на производстве, массовый отток инженеров высокой квалификации в коммерческие структуры с последующим перепрофилированием на деятельность преимущественно в финансовой сфере. Это сочетается с нежеланием специалистов, оставшихся на предприятии, занимать руководящие должности, особенно в среднем звене управления, так как повышение ответственности не сопровождается адекватным ростом заработка. Существенную негативную роль для перспективы обновления управленческого персонала сыграла ликвидация системы государственного распределения выпускников вузов.
Предприятия не могут обеспечить для них даже тех условий работы, которые существовали раньше, поэтому производству приходится рассчитывать главным образом на сохранившийся контингент инженеров, как правило, средней степени эффективности. Все это приводит к снижению количества руководителей высокой квалификации на средних и низших уровнях (от мастера до начальника цеха).
Что касается более высоких уровней (директорат), то здесь преобладают люди, не имеющие опыта руководства в условиях конкуренции. Поэтому они ориентируются на формирование команд подчиненных в традициях административной системы - на основе личного мнения директора о пригодности того или иного кандидата на выдвижение.
Эти особенности также характеризуют нарушение кадрового баланса в пользу преобладания неэффективного управленческого персонала.
Указанные особенности позволяют заключить, что формирование управленческого персонала и взаимодействие с ним со стороны высшего руководства предприятием в значительной степени зависят от системы неформальных требований, часто несовпадающих с официальными предписаниями, зафиксированными в нормативных документах организации. Как правило, такие требования возникают в результате действия системы неписаных законов - неформальной структуры, которая может противоречить или соответствовать главной целевой функции.
Например, могут иметь место контакты руководителей в неформальной обстановке вне организации, направленные на обсуждение и решение каких-либо производственных проблем. Они соответствуют формально-декларированной предприятием функции. В то же время, такие факты, как, например, изготовление деталей из заведомо бракованных заготовок, достаточно часто происходящее на производстве, являются следствием функционирования латентной (скрытой) подсистемы требований в рамках неформальной структуры.
Это оказывается возможным, если начальники смежных цехов, поставляющего заготовки и изготавливающего из них продукцию, - оба сознательно нарушают определенные нормативные предписания.
Наличие данных факторов позволяет считать нецелесообразным для широкого применения на отечественных предприятиях метода обязательной и всеобщей ротации управленческих кадров, распространенного во многих западных и восточных промышленных корпорациях. Периодическая смена места работы абсолютно всеми руководителями, в той или иной степени (сознательно или неосознанно) ориентированными на требования латентной структуры, приведет к проникновению нелегализуемых негативных для производства правил поведения из одних организационных структур предприятия в другие по всей вертикали управления. Ротация должна применяться достаточно избирательно на основании результатов предварительной диагностики, направленной на выявление степени выраженности неформальной структуры на всех или ключевых уровнях управления.
В случае преобладания включенности большинства руководителей какого-либо уровня в такую структуру, он должен повергаться целенаправленной ротации путем замены определенного числа руководителей на тех, кто ориентирован на требования формальной структуры.
Подводя некоторые предварительные итоги, можно конкретизировать основные проблемы, возникающие в настоящий момент на производстве применительно к управленческому персоналу.

  1. Преобладание при оценке руководителей и назначениях на руководящие должности субъективных критериев, сформированных в сознании директората на основе принципов кадровой политики, препятствует формированию эффективных для нестабильной социально-экономической ситуации управленческих команд на производстве.
  2. Наличие на предприятиях системы неформальных требований, противостоящих основной целевой функции организации, в условиях экономической дестабилизации и снижения общего уровня жизни работников промышленных отраслей позволяет считать возможной постепенную переориентацию представителей руководства на преимущественную реализацию личных интересов в ущерб производственным задачам.
  3. Уход в частнопредпринимательскую сферу большого количества специалистов высокой квалификации, преобладание на большинстве уровней управленческой иерархии предприятий руководителей технического профиля преимущественно среднего уровня, не имеющих опыта управления в условиях конкурентной экономики, приводит к нарушению баланса кадрового состава руководства в сторону увеличения числа неэффективных руководителей.
  4. Ликвидация системы государственного распределения специалистов-выпускников вузов, фактический распад системы комплектования руководящих должностей за счет внутреннего кадрового резерва делают невозможным свойственное застойному периоду оперативное рекрутирование кандидатов на выдвижение, что потенциально может привести через 5 - 10 лет к моральному и физическому устарению большей части представителей управленческого корпуса.
Преобладание при оценке и назначениях руководителей субъективных критериев (п. 1), а также наличие системы неформально-латентных требований (п. 2), свойственны как плановой, так и переходной экономике.
Кроме того, указанные факторы имеют место и в условиях развитого капитализма, поэтому их можно считать нормативными процессами, которые значительно активизировались на отечественных предприятиях при общей экономической дестабилизации.
Перераспределение кадров специалистов и управленцев в область чисто коммерческого бизнеса (п. 3), а также ликвидацию системы комплектования предприятий специалистами-выпускниками вузов (п.
4) можно считать специфическими вненормативными процессами, вызванными общеэкономическими причинами.
Можно выделить следующие направления оптимизации положения с руководящими кадрами.

  1. Обеспечение процесса формирования у высшего руководства обоснованных критериев подбора руководящих кадров и воздействия на мотивацию подчиненных на основании применения принципов научного управления персоналом.
  2. Организация постоянно действующей системы выборочной ротации руководящих кадров прежде всего на тех должностных уровнях, где преобладают руководители, ориентированные на выполнение неформальных требований, противостоящих главной целевой функции.
  3. Обеспечение повышения мотивации недостаточно эффективных руководителей на основании выявления наиболее предпочтительного для конкретного уровня и конкретного руководителя стиля взаимодействия (авторитарного или демократического) со стороны вышестоящих уровней.
  4. Формирование по определенным нормативным критериям производственных коллективов под выполнение конкретной задачи, в качестве которой может выступать, например, проектирование и производство какой-либо новой техники. В этом выражается переход от вертикального управления к матричному, основанному на целевых принципах руководства.
  5. Подбор специалистов, пригодных к эффективной управленческой деятельности на производстве из числа работников предприятия и выпускников вузов соответствующего профиля.
Разрешение перечисленных проблем в рамках существовавшей когда-то производственной социологии представляется проблематичным ввиду уже упомянутого выше распада таковой. Кроме того, очевидно, уместно будет вспомнить, чем ранее занимались социологи на предприятиях применительно к проблемам управленческих кадров. Наиболее распространенными в 80-х годах можно считать две технологии, реализуемые в разных интерпретациях, - это подбор резерва и аттестация.
Занимаясь их внедрением, социолог или соответствующая группа (лаборатория, отдел) в лучшем случае выполняли функцию обслуживания того механизма формирования кадрового состава, который уже сложился применительно к требованиям всей политико-экономической системы общества или субъективных представлений руководства. В то же время социолог был просто не в состоянии обслужить фиктивную потребность в подборе резерва в силу невозможности охватить больше одного-двух должностных уровней, несовершенства имеющихся у него методик, своей низкой в большинстве случаев квалификации и т. п. Фиктивной такая потребность названа здесь потому, что само понятие кадрового резерва рассчитано на случайное событие, на то, что действующий руководитель выйдет на пенсию, серьезно заболеет или уйдет на повышение, поэтому вся деятельность социолога по подбору резерва за некоторыми отдельными исключениями была чисто формальной и могла не осуществляться вовсе.


Кадровый состав предприятий в современных социально-экономических условиях

(19, с. 321; 78; 22; 5; 28). Кроме того, можно назвать систему контроля адаптации молодых рабочих, предложенную социально-психологической лабораторией ПО Красногорский механический завод, автоматизированные системы аттестации ИТР на предприятии и прогнозирования профпригодности, созданные службой социологии и психофизиологии труда рижского ПО Коммутатор и некоторые другие (32).
Считать данные системы технологиями позволяет их соответствие следующим критериям - направленность на удовлетворение постоянной потребности предприятия: комплектование кадрами определенной квалификации, стабилизация коллективов и др.; высокий уровень стандартизации организационно-методических процедур; устойчивый преобразовательный эффект; выраженный в том числе и в экономических показателях; возможность тиражирования на других объектах. Но основное содержание работы социологов 70 - начала 80-х годов все же было связано с социальным планированием, которое довольно быстро показало свою несостоятельность по низким практическим результатам, связанным в большей степени не с нетехнологичностью данного направления, а с формально-бюрократической системой его реализации.
Кроме приведенных можно перечислить целый ряд практически ориентированных средств, которые достаточно сложно в связи с недостатком информации отнести к технологиям или к чему-либо другому. Это средства, направленные на: планирование развития социальной инфраструктуры; повышение эффективности системы образования и подготовки кадров от развития материальной базы до организационного обеспечения функционирования средних специальных, высших учебных заведений и производственных структур подготовки рабочих; - они были выпущены отделом управления кадрами Норильского горно-металлургического комбината.
В то же время выделяется несколько методик, программ и т. п., соотносящихся скорее не с технологизацией, а с решением локальных проблем. Это, например, программы стабилизации численности населения Норильского промрайона и совершенствования работы детских дошкольных учреждений (отдел управления кадрами Норильского ГМК), методика выбора руководителей низшего и среднего звена Сержант - ПО Коммутатор (Рига).
Первую разработку, по мнению автора, нельзя считать технологией, потому что можно ожидать прекращения действия указанной программы после достижения оптимального результата, вторая относится к средствам другого типа, так как ее появление было вызвано не объективной общественной потребностью, а развернувшейся по всей стране политической кампанией всеобщих выборов.
Однако применительно к условиям переходного периода использование традиционных технологических средств не представляется возможным, во-первых, в связи с тем, что дестабилизация большинства подсистем управления вызвана не частными рутинизированными задачами, а общеэкономическими причинами, действие которых не предусматривалось при проектировании существующих технологий. Выявление последствий влияния таких макроэкономических факторов для определенной (например, кадровой) подсистемы управления конкретным предприятием должно осуществляться путем диагностики степени стабильности или уровня дестабилизации в процессе функционирования данной подсистемы до актуализации той или иной проблемы. Такая диагностика представляется необходимым компонентом кадровой технологии, так как прогнозирование возникновения проблемы позволило бы планировать методы перераспределения персонала, что актуально в условиях снижения экономической устойчивости объекта.
Во-вторых, направленность технологий на модификацию какой-либо одной составляющей управления - субъекта (оргструктуры как системы, регламентирующей деятельность администрации), объекта(формирование мотивированного на производительный труд коллектива) или механизма их совместимости (подбор персонала, соответствующего требованиям оргструктуры) - не позволяет считать возможным преодоление дестабилизирующих факторов, так как происходит интенсивное изменение всех этих объектов и субъектов.
Почти на всех предприятиях уже произошли (кое-где несколько раз) преобразования организационной структуры в связи с сокращением объемов производства путем хирургического удаления подразделений и производств, низкая или недостаточно высокая результативность которых является очевидной в условиях ужесточения конкуренции и не требует специального технологического обоснования.
Практика постоянного сокращения рабочих мест затрудняет внедрение имеющихся технологий профотбора, ориентированных, наоборот, на удовлетворение постоянного дефицита рабочей силы. В то же время остаются вакантными рабочие места на определенных технологических участках.
Мотивация работников претерпела существенные изменения в результате появления возможностей для обеспечения более высокого, чем на производстве заработка в мелкокоммерческом бизнесе, где к тому же существует свободный режим работы.
Произошел также фактический распад прежней системы материального стимулирования, что не позволяет или значительно ограничивает применение экономических методов для формирования мотивации работников в рамках, скажем, широкоизвестных теории Х и теории Y управления персоналом.
Все эти процессы предполагают модификацию подходов к технологизации управления всеми перечисленными подсистемами: оргструктурой, мотивацией, механизмом их взаимодействия на основе предварительного выявления специфической динамики их функционирования в период кардинального реформирования.
В-третьих, существующие технологии не предполагали изменения регулирующей функции существующих функциональных подразделений предприятия, занятых работой с персоналом, - отделов кадров и технического обучения. Предполагалось, что их деятельность должна оптимизироваться в результате создания в структуре организации социологической службы, оснащенной соответствующими технологиями, которая обеспечит внедрение научно обоснованных методов решения появляющихся типовых проблем. Поэтому достаточно популярными вопросами производственной социологии были вопросы поиска наиболее оптимальной структуры такой службы, а также оснащения ее соответствующими технологиями.
Получилось, что формально-бюрократические структуры в кадровых службах и социологические лаборатории, отделы НОТ и пр. занимались одним и тем же объектом управления, никак не взаимодействуя между собой. Это оказалось одной из причин ликвидации социологических служб с началом кризиса экономики, так как их полезность для производства была менее очевидной, чем подразделений, оформляющих трудовые книжки.
Отсюда, в условиях современной нестабильной социально-экономической ситуации наиболее актуальной организационной задачей представляется активизация регулирующей функции существующих кадровых служб на основе внедрения социологических методик и процедур в традиционные методы комплектования коллективов предприятий. Это предполагает создание принципиально новых технологий управления персоналом без значительных структурных преобразований кадровых подразделений.
На основании вышеизложенного можно заключить, что в условиях экономической дестабилизации достаточно результативным направлением технологизации управления персоналом может быть переход от создания и применения отдельных социальных технологий к их объединению в единые социально-технологические системы, под которыми понимаются комплексы взаимосвязанных и взаимодействующих технологий, каждая из которых направлена на модификацию определенной регулирующей составляющей подсистемы управления персоналом предприятия. При этом результаты применения одной технологии используются в качестве исходной информации для реализации другой технологии.
В таких системах могут быть реализованы следующие комплексы социальных технологий.

  1. Объединение в единый цикл технологий подготовки, принятия и реализации управленческих решений о переходе к обоснованному управлению персоналом. В таком цикле на этапе диагностики (подготовка решений) предполагается получить, во-первых, результаты оценки движения основных групп персонала из организации во внешнюю среду и обратно, а также внутри предприятия (миграция разных групп рабочих, алгоритмы формирования управленческих команд на разных уровнях руководства); во-вторых, на уровне отдельных профессионально-должностных позиций выявить специфику нормативных требований к персоналу. Первый результат представляет степень отклонения от нормативного состояния, что позволяет планировать организационно-технические мероприятия для доведения уровня движения кадров до оптимального состояния, достигаемого на основании использования второго результата в качестве эталона для формирования коллектива.
Уровень принятия и реализации решений предполагает разработку и внедрение алгоритма деятельности подразделений и служб предприятия по достижению диагностированного нормативного состояния. Такой алгоритм должен содержать основные этапы внедрения технологии начиная с вопросов материально-технического обеспечения, состава и обязанностей исполнителей, кончая описанием процедур контроля эффективности технологии.

  1. Объединение в одной системе разных по содержательной направленности технологий.

Применительно к рабочим кадрам это технологии:
а) профотбора кадров на основании определения соответствия личностных качеств кандидата выявленным в ходе диагностики профессионально-должностным требованиям;
б) профессиональной адаптации кадров, прошедших профотбор, предполагающей повышение мотивации за счет совершенствования эффективности процесса обучения профессии.
Взаимодействие таких технологий осуществляется на основе изменения степени контроля за проведением мероприятий по адаптации в зависимости от степени профпригодности принятых кандидатов.
Применительно к кадрам руководителей могут объединяться технологии:
а) аттестации кадров - выявления индивидуального соответствия уже работающих руководителей действующим в организации формально-декларируемым и скрытым требованиям;
б) отбора кадров - определения степени пригодности к выполнению функций руководителя на конкретном должностном уровне у рядовых специалистов;
в) расстановки кадров - выявления и оптимизации алгоритма подбора руководителей на ключевых руководящих уровнях.
Взаимодействие данных технологий реализуется на основе проведения периодической экспертно-тестовой диагностики управленческого потенциала руководителей организации в результате проведения которой единовременно решаются задачи: аттестация, позволяющая высшему руководству корректировать стиль взаимодействия с конкретными руководителями, усиливая или ослабляя его авторитарные или демократические составляющие; построение профессионально-ситуативных нормативов оптимального руководителя для последующего отбора кандидатов; диагностика алгоритма расстановки кадров, существующего на всех или ключевых должностных уровнях, на основе чего администрацией могут быть приняты решения о должностных перемещениях для оптимизации зафиксированного на конкретном уровне кадрового состава управленцев.
Реализация таких достаточно сложных комплексных систем представляется возможной на основе, во-первых, совершенствования существующих технологий и создания новых средств в виде программно-компьютерных систем; во-вторых, на основе встраивания таких систем в совокупность организационно-технических мероприятий по внедрению технологии.
Внимание к этим направлениям было вызвано следующими причинами.
Комплектование предприятия кадрами составляет нормативную потребность, удовлетворение которой является одной из сторон социально-инженерной деятельности, в рамках которой построена настоящая работа.
Эта потребность в современных социально-экономических условиях сопряжена с обострившимися кадровыми проблемами. Существующие на сегодняшний день кадровые службы не могут решить их с помощью традиционных формально-бюрократических структур и методов работы.
Решение таких проблем составляет в то же время значительный резерв для экономической стабилизации, так как оно не требует больших финансовых затрат и уже доказало свою эффективность ранее.
Результативное применение технологий управления персоналом позволяет, с одной стороны, удовлетворить нормативную потребность в обновлении коллектива, с другой - решить кадровые проблемы, вызванные сбоями в механизме управления.
Очевидно, что достаточно актуальным является вопрос о том, насколько практически эффективно использование социально-технологических систем, созданных на основании вышеизложенных положений. Поиск ответа на него и составил практическую направленность настоящей работы.
При этом созданные технологии были предназначены для повышения эффективности профессионально-производственной деятельности двух основных кадровых групп - рабочих и руководителей среднего и высшего звена предприятий в условиях экономической дестабилизации.
Необходимо было получить ответ на вопрос: возможно ли повысить эффективность профессионально-производственной деятельности двух указанных групп работников в условиях переходного периода путем реализации технологических систем оценки, отбора, расстановки и адаптации кадров, направленных на оптимизацию регулирующей составляющей существующих кадровых служб?
При этом под эффективностью понимается не столько повышение производительности труда, ставшее менее актуальным в условиях кризиса производства, сколько формирование сбалансированного кадрового состава предприятия, позволяющего оптимизировать процесс трудовой деятельности коллектива.
Резюмируя содержание данного параграфа, можно подвести следующие итоги.

  1. Разработка социальных технологий как методов реализации социоинженерии должна начинаться с диагностики объективного механизма формирования социального заказа, определяющего появление той или иной технологии.
  2. Такой механизм может быть соотнесен с представлением о том, что совершенствование системы управления предприятием должно осуществляться на основе учета степени стабильности или дестабилизации в его функционировании в результате действия внешнеэкономических или внутренних причин.
  3. В условиях общеэкономической дестабилизации производства представляется проблематичным применение существующих социальных технологий управления персоналом, разработанных для решения отдельных стандартизованных задач, возникавших в процессе стабильного функционирования предприятий в период плановой экономики вследствие кардинальных изменений, происходящих в настоящий момент в движении кадров.
  4. Одним из направлений для создания эффективных способов стабилизации персонала в условиях переходного периода может стать переход к созданию социально-технологических систем, включающих в себя комплексы социальных технологий, объединенных в единый технологический цикл.

Кадровый состав предприятий в современных социально-экономических условиях и средства его оптимизации


Основной целью управления персоналом предприятий в современных социально-экономических условиях переходного периода представляется формирование сбалансированного кадрового состава организации, позволяющего обеспечить адаптацию производства к требованиям конкурентной экономики. Такие требования прежде всего предполагают переход от плановых методов комплектования предприятий кадрами к формированию коллективов на основе учета и использования особенностей развивающегося в настоящий момент рынка труда. Возникает закономерный вопрос - что следует понимать под сбалансированным кадровым составом?
Отвечая на него, целесообразно провести сравнение положения с кадрами на производстве, а также используемых в работе с ними социологических средств 70 - 80-х годов и настоящего времени.
В настоящее время движение кадров на многих предприятиях характеризуется, с одной стороны, резким увеличением количества работников, планомерно и регулярно увольняемых администрацией в связи с сокращением объемов производства, с другой - ослаблением внутренних интегративных связей коллектива в результате падения зарплаты и действия других общесоциальных и локальных причин.
Это, в свою очередь, приводит, во-первых, к не снижающемуся количеству увольнений по собственному желанию квалифицированных рабочих, во-вторых, к значительному уменьшению числа людей, приходящих на предприятия производственной сферы. Последнюю категорию составляют главным образом те, кто не сумел найти свое место в предпринимательских структурах или в нелегком мелкокоммерческом бизнесе и ищут временный источник заработка.
Следствием данных процессов являются снижение общего квалификационного уровня кадров предприятий, повышение численности членов коллектива старших возрастных групп, падение закрепляемости новых рабочих, главным образом молодежи.
Как показывают последние исследования в области социальной структуры рабочей силы, а также личный опыт автора, прекращение приема новых работников на предприятие приводит к отсутствию притока молодежи и снижению численности сотрудников в возрасте до 30 лет. С другой стороны, покидает завод в первую очередь молодежь, как наиболее активная социальная группа (6, с. 23).
Возникающие в результате этих процессов организационные образования можно квалифицировать как кадровый состав с нарушенным балансом между группами персонала, способствующими и препятствующими выполнению целевой функции предприятия. Сбалансированная персонал-организация отличается, наоборот, преобладающим закреплением тех групп работников, которые ориентированы на эффективную производственную деятельность. В то же время производство промышленной продукции в нашей стране все еще существует и параллельно с сокращением рабочих мест и преимущественным перемещением трудовых ресурсов из организаций не уменьшается количество вакансий на ключевых технологических участках - автоматических линиях с высокой интенсивностью труда, в цехах с повышенной вредностью, неустойчивым графиком сменности и т.п.
Нестабильность кадрового состава в таких подразделениях особенно высока. Кроме того, в настоящее время параллельно с ликвидацией рабочих мест происходит создание новых, что вызвано: конверсией отечественной промышленности, традиционно ориентированной ранее на нужды военно-промышленного комплекса; началом встраивания России в систему капиталистической интеграции - сборка компьютеров из зарубежных комплектующих, создание совместных производственных предприятий и т.д.; активизацией России на международном рынке вооружений, высокая конкуренция на котором предъявляет соответствующие требования к рабочей силе.
Резюмируя вышеизложенное, можно следующим образом систематизировать основные процессы, происходящие в настоящее время при комплектовании производственных коллективов рабочими кадрами, а также при движении работников из организации во внешнюю среду и обратно.

  1. Естественная убыль - смертность, выход на пенсию, призыв в армию и т. д. - составляет до 8 - 10 % от общей численности работающих за счет резкого возрастания смертности особенно среди мужчин в возрасте 30 - 55 лет, а также в связи с появлением законодательно подкрепленной возможности преждевременного ухода на пенсию.
  2. Сокращения (в том числе и квалифицированных работников) по инициативе администрации в связи с падением роста производства, ликвидацией рабочих мест достигают на некоторых предприятиях 60 % от первоначальной численности, что объективно способствует развитию безработицы.
  3. Резко увеличилось число увольнений по собственному желанию кадровых рабочих в связи с падением заработной платы.
  4. Для процесса движения кадров характерно уменьшение количества кандидатов на прием, имеющих определенную квалификацию и психологически ориентированных на эффективную работу, и преобладание людей, ищущих временное место в связи с потерей предыдущего перед уходом в частнопредпринимательскую сферу.
  5. Продолжаются, как и в период плановой экономики, систематические увольнения не адаптировавшихся вновь поступивших рабочих (главным образом молодежи) по их инициативе. Уровень текучести среди них достигает 30 - 50 % в течение года после приема.
Убыль по естественным причинам (п. 1) и низкая адаптируемость (п.
5) , свойственная как периоду плановой экономики, так и существующая в настоящее время, представляют собой нормативные процессы, связанные с необходимостью постоянного воспроизводства на предприятии сбалансированного кадрового состава его коллектива. В настоящее время происходит значительное усиление дестабилизирующих факторов в движении указанных кадровых групп.
В других позициях охарактеризованы процессы, детерминируемые общесоциальными отклонениями от нормального функционирования общества в целом и потому порождающие потребность коренного реформирования всей системы управления предприятием и подсистемы управления персоналом в том числе.
Наиболее вероятными перспективными последствиями периодического воспроизводства перечисленных кадровых дисбалансов являются: окончательная потеря контроля со стороны органов управления предприятиями за процессами движения кадров, неустраняемое физическое старение коллективов, начало фактического распада целого социального слоя общества - производителей промышленной продукции.
Можно выделить следующие общие направления работы с персоналом, позволяющие стабилизировать положение с кадрами на производстве на основе удовлетворения нормативных потребностей и снижения потерь от общеэкономической дестабилизации.

  1. Восполнение естественной убыли кадров путем обоснованного набора новых рабочих, ориентированных на стабильную производственную деятельность.
  2. Обеспечение адаптации вновь поступивших рабочих к условиям труда, существующим на предприятии и в конкретном подразделении при переходе к рыночным отношениям.
  3. Переподготовка и переориентация членов коллектива, подлежащих сокращению, на работу по специальностям, где сохраняется прием новых кандидатов.
  4. Ужесточение процедуры профотбора для выявления и отсева людей, ищущих временную работу в связи с потерей предыдущего места перед уходом в частнопредпринимательскую сферу.
Решение этих задач осложняется прежде всего отсутствием достаточно квалифицированных кадров психологов и социологов, долгое время занимавшихся решением этих проблем на предприятиях в составе многочисленных социологических служб. Как известно, такие подразделения были почти повсеместно ликвидированы в период так называемой перестройки.
Положение в данной сфере производственной жизни обостряется еще и в связи с тем, что кадровые службы, после ликвидации штатных структур социоинженерного обеспечения продолжают применять формально-бюрократические методы комплектования коллективов. Процедура заполнения вакансий на рабочую специальность осуществляется по следующему циклу, соответствующему основополагающим принципам плановой экономики.
Допустим, на заводе, администрация которого активно стремится найти выход из кризиса, создается новое конкурентоспособное производство по западной лицензии. Существует перспектива выхода на экспортные поставки. Появляется некоторое количество новых рабочих мест. Руководство нового цеха или группы цехов подает в отдел кадров заявку на набор рабочих.
При этом на удовлетворение этой заявки устанавливается контрольный срок, несоблюдение которого предусматривает применение санкций депремирования и т. д. по отношению к кадровой службе. В то же время в приемной предприятия всегда находится определенное количество желающих получить работу. В данный момент все они без исключения направляются в новый цех для простого выполнения плановой установки.
Как правило, в течение года увольняется по собственному желанию 30 - 50% таких работников. Около 50 % остаются, но уходят в течение следующего года и весь цикл в срочном порядке повторяется опять, поскольку производство все же создано.
О качестве выпускаемой продукции и о потерях говорить не приходится.
Аналогичные формально-бюрократические процедуры сохраняются в деятельности отдела технического обучения, обязанного обеспечить профессиональную подготовку поступивших кандидатов. По завершении такой подготовки достаточно часто выясняется, что кандидат на получение квалификационного разряда не знает о существовании закрепленного за ним инструктора производственного обучения.



Определение используемого принципа подбора руководителей

Этого просто никто бы не заметил. Поэтому, когда с началом так называемой перестройки и очередной кампании всеобщих выборов, кое-где на предприятиях все же произошли значительные кадровые изменения, социологи фактически не приняли в них участия или их мнение мало учитывалось.
Основным фактором, позволяющим начать разрешение перечисленных проблем, представляется управленческое решение о переходе к обоснованным методам управления персоналом, принимаемое на высших уровнях руководства предприятием - директором и его заместителем по работе с кадрами. Оно может быть принято в виде приказа или плана работы группы социологического обеспечения, содержащего мероприятия по внедрению социально-технологической системы диагностики и оптимизации управленческого персонала предприятия.
Технология подготовки таких решений как составная часть указанной системы направлена на получение следующих результатов.

  1. Определение используемого принципа подбора руководителей, позволяющее выявить преобладание на каждом или только на ключевых уровнях управления эффективных или неэффективных начальников. Данный результат далеко не всегда очевиден для высшего руководства, так как каждый из его представителей исходит преимущественно из своей личной оценки подчиненных. При диагностике на формализованном уровне обобщается мнение представителей нескольких уровней руководства, то есть получается более объективный результат. Он позволит зафиксировать момент, когда необходимо изменить стиль взаимодействия или кадровый состав подчиненных.
  2. Определение тех должностных уровней, где преобладают руководители, ориентированные на скрытые требования латентной структуры, противостоящие главной целевой функции. Такие работники могут быть достаточно эффективными, но их ориентации позволяют считать возможным неблагоприятное для предприятия перерождение кадрового состава.
  3. Прогноз неблагоприятных тенденций в формировании управленческого персонала позволит осуществить мероприятия по оптимизации кадрового состава определенных должностных уровней до возникновения проблемной ситуации путем построения системы ситуативных нормативов, позволяющих выполнять задачи оценки, подбора, перемещения руководящих кадров в пределах предприятия.
Решение перечисленных диагностических задач представляется возможным осуществить путем проведения диагностики выраженности деловых и характерологических качеств руководителей. Для этого используются методы экспертной оценки и психологического тестирования.
При обработке выявляются совокупности качеств, взаимосвязанные между собой в соответствии с формальными или неформальными требованиями.
Результатом построения системы нормативов для оценки или отбора кадров является построение для каждого должностного уровня социально-психологических профилей, отображающих ориентацию работников на выполнение следующих нормативных требований, действующих в данной организации:

  1. эффективность управленческой деятельности на конкретном должностном уровне, выражающаяся в выполнении заданных производственных показателей независимо от характера методов и средств их достижения;
  2. включенность в латентную (скрытую) структуру, противостоящую основной целевой функции организации;
  3. включенность в формально-декларированную структуру, соответствующую основной целевой функции;
  4. включенность в социально-положительную структуру. К социально-положительной структуре относятся требования, воспринимаемые вышестоящим руководством как социально-одобряемые признаки поведения;
  5. включенность в социально-инверсную структуру. К социально-инверсной структуре относятся качества, воспринимаемые вышестоящим руководством как социально-негативные признаки поведения.
При этом оптимальным для организации в целом и для отдельного должностного уровня можно считать кадровый состав, при котором, во-первых, преобладают руководители, ориентированные преимущественно на выполнение формальных требований; во-вторых, действует механизм замены выбывающих управленцев на тех, у кого преобладает аналогичная формальная ориентация.
На основании результатов диагностики появляется возможность для обоснования управленческих решений по следующим направлениям.

  1. Применительно к тем должностным уровням, где преобладают работники, относительно которых был получен низкий показатель соответствия нормативу эффективного руководителя, высшему руководству могут быть представлены рекомендации о целесообразности применения авторитарного стиля. Он предполагает усиление централизации и может включать в себя следующие виды взаимодействия с подчиненными:
  1. не привлекать слабых в управленческом отношении руководителей к решению сложных вопросов;
  2. оказывать помощь при возникновении нестандартных ситуаций;
  3. давать распоряжения в предельно конкретной форме;
  4. установить жесткую систему контроля и отчетности;
  5. использовать однозначную систему поощрений и наказаний. Демократическому стилю более свойственна децентрализация управления, предполагающая: предоставление инициативы в вопросах кадровых назначений, финансирования, внедрения новой техники; постановка задач в общей форме без излишней детализации; использование главным образом методов убеждения при реализации решений и т. д. Данный стиль рекомендуется применять на тех уровнях, где преобладают руководители с высокой или средней степенью соответствия указанному нормативу.
Диагностика позволяет реализовать методы воздействия на мотивацию управленческого персонала на основе рекомендации выбора того стиля, который является наиболее адекватным выявленным условиям.

  1. Те уровни руководства, где зафиксирована преобладающая включенность действующего управленческого персонала в латентную часть неформальной структуры в перспективе могут испытать перерождение кадрового состава, выражающееся в переориентации большинства его представителей на достижение каких-либо личных целей в ущерб интересам производства. Примером может служить широко распространенное использование руководством автотранспортных предприятий автомобилей в личных целях, ставшая практически официальной в таких организациях торговля администрации запасными частями и т. д. Относительно данных уровней, где зафиксировано значительное количество подчиненных с высокой степенью соответствия нормативу неформальной структуры, высшему руководству предприятия может быть рекомендовано проведение ротации кадров.
Решение задачи повышения качественных параметров существующего управленческого персонала нельзя осуществлять на основании механического копирования западных методов, в частности на основе планирования в настоящий момент ротации, охватывающей значительное число уровней руководства. Ее целесообразно применять только там, где это необходимо после проведения предварительной диагностики.

  1. Аналогичным образом - путем определения степени соответствия каждому из построенных нормативов - может устанавливаться предполагаемая ориентация на требования той или иной структуры выпускников вузов соответствующего профиля, из числа которых могут рекрутироваться специалисты, способные в будущем к руководящей работе.
В полученных рекомендациях реализуется возможность оптимизации управленческого потенциала руководителей предприятия до возникновения проблемной ситуации, вызванной снижением эффективности или перерождением большинства управленцев. Выполняемая диагностика позволяет в данном случае реализовать методы подбора и расстановки кадров.
Представление перечня указанных рекомендаций высшему руководству предприятия позволяет говорить о переходе от диагностической технологии к технологии принятия и реализации управленческих решений об обоснованном формировании управленческого кадрового состава. На стадии принятия такого решения может быть выпущен нормативный документ о кадровых перемещениях в рамках ротации, наборе молодых специалистов, составлена индивидуальная программа реализации определенного стиля взаимодействия директора и его заместителей с отдельными уровнями руководства и т. д.
Технология реализации решения представляет собой периодическое воспроизводство диагностики для регулярной оптимизации руководящего персонала предприятия до момента сглаживания дисбалансов в ориентациях кадрового состава управленцев. После этого технология начинает использоваться в режиме оптимизации нормативных процессов.
Данные результаты имеют значение для коренного реформирования процесса принятия и реализации управленческих решений, и может возникнуть вопрос: будет ли подлежать изменению неадекватный принцип подбора кадров, если он устраивает тех, кто обладает властью? Дело в том, что сейчас это зависит не столько от личных пристрастий высшей администрации, сколько от устойчивости предприятия в условиях возникающей конкуренции. Нестабильность экономического положения требует опираться на тех, кто способен вывести организацию из кризиса, независимо от того, приспосабливаются они к ожиданиям директората или нет.
Механизм банкротства предприятий уже разработан государственными органами и кое-где он начинает применяться, поэтому руководитель, активно использующий методы оптимизации управления находится в более выгодном положении, чем тот, кто инертно следует правилу поиска своих людей. Сложность приведенных проблем предполагает, во-первых, наличие высокого уровня профессионализма у современного социального инженера, во-вторых, подготовку достаточного количества таких профессионалов, пригодных для их разрешения, в-третьих, разработку новых технологических средств, адекватных изменениям кадрового состава.
Как это было показано выше, для движения двух основных групп персонала - рабочих и руководителей - в современных условиях характерны как нормативные процессы, связанные с закономерностями естественного воспроизводства кадров, так и вненормативные особенности, обусловленные дестабилизацией общей социально-экономической ситуации в условиях переходного периода. Отсюда, основной проблемой технологизации кадровой работы в настоящее время можно считать перевод вненормативных процессов движения трудовых ресурсов в нормативное состояние.
Особенность технологий управления персоналом, создаваемых в современных условиях, состоит в том, что они должны быть достаточно эффективными и как средства сглаживания действующих на предприятии последствий социальных потрясений, и как собственно социально-инженерные средства нормативно-преобразовательной деятельности по совершенствованию системы управления предприятием.
Для обеспечения условий такой эффективности предлагается разграничить два аспекта - организационный и содержательно-методический.
Организационный аспект позволяет выделить в технологии раздел, включающий в себя описание совокупности мероприятий по решению вопросов организации разработки или внедрения технологии - характеристика структуры коллектива или подразделения, кадровый состав исполнителей, вопросы материально-технического обеспечения, последовательность разработки (внедрения), и т. д.
Содержательно-методический аспект предполагает наличие теоретического обоснования данного технологического средства, описания процедур по обработке исходной информации, указаний по применению полученных результатов в практике управления.
При разработке технологий необходимо учитывать, что в современных условиях применительно к рабочим кадрам задачи технологизации связаны прежде всего с переводом системы управления персоналом из режима сокращения численности (вненормативный процесс) в режим постоянного воспроизводства естественной убыли трудовых ресурсов (нормативный процесс). В связи с тем, что процесс комплектования вакансий для руководителей гораздо менее динамичен, чем для рабочих, а также в связи с большей сложностью управленческих функций, исходной задачей технологизации в рамках удовлетворения нормативной потребности постоянного совершенствования управленческого механизма является повышение его качественных характеристик за счет применения передовых диагностических методов по отношению к уже существующему на сегодняшний день персоналу руководителей.
Отсюда в первом случае (относительно рабочих кадров) эффективность создаваемых технологий может быть обеспечена за счет приоритетной разработки вопросов, связанных с организационным аспектом, во втором (относительно руководителей) она зависит в большей степени от разработанности содержательно-методического аппарата.
Попытка решения указанных проблем была реализована автором при создании и применении социально-технологических систем управления персоналом, включающих в себя взаимосвязанные технологии подготовки и реализации управленческих решений.
При их разработке возникли проблемы, связанные с несовершенством существующего содержательно-методического аппарата, применяемого в процессе диагностики профессионально значимых личностных качеств респондентов для выявления степени их профпригодности к конкретным видам производственной деятельности. В связи с этим возникает необходимость анализа подходов к решению данной проблемы различными научными дисциплинами.
Существующие в настоящее время применительно к работе с кадрами диагностические технологии реализованы в рамках разных отраслей гуманитарного научного знания и прежде всего в общей психологии и психофизиологии.
Одним из направлений технологизации управления персоналом в новых условиях на методическом уровне является формирование новых диагностических процедур при проведении профотбора.
В таких процедурах наряду с традиционными психофизиологическими и общепсихологическими методами должны использоваться социологические критерии для определения профпригодности кандидата на прием. Рассмотрим отличие последних от методов, относящихся к предметной сфере психологии труда.
Можно считать, что психологические способы определения профпригодности реализуются на основании так называемого общенормативного подхода к диагностике.
Он предполагает задание нормативного или желательного состояния диагностируемого объекта либо на основе общепринятых в данной научной области ценностей и социальных идеалов, либо на основе теоретических и концептуальных построений (88, с. 52). Таким образом строятся, например, широко распространенные в психологии труда профессиограммы различных профессий, представляющие собой подробное описание социально-экономических, технических и др. особенностей профессии, психофизиологических критериев. Определение профпригодности поступающего на работу в данном случае осуществляется после выполнения им заданий на имитаторах данного вида трудовой деятельности или специальных аппаратах, диагностирующих уровень выраженности необходимых моторных, сенсорных, зрительных и других физиологических функций. На этой основе была построена вся психотехника 20 - 30-х годов, которая была в конечном итоге ликвидирована не только вследствие субъективных политических гонений (36), но и в результате серьезных диагностических ошибок.
Эти ошибки были связаны с недостаточным учетом психотехниками общепсихологических факторов, определяющих личностную установку человека на эффективный или неэффективный труд, а также непониманием компенсаторных механизмов поведения. Современными исследованиями в рамках психологии труда было доказано, что даже не обладая необходимыми физиологическими функциями, человек может работать эффективно за счет подключения сознательных действий, например путем правильной организации рабочего места или умения планировать дневную выработку
(7, с.11-15, 26-27). Однако общепсихологический подход тоже иногда оказывается недостаточным при определении профпригодности, так как базируется на тех же общенормативных принципах. В данном случае они могут проявляться при построении по результатам многофакторных личностных тестов характерологических типовых профилей работников определенной специальности. Такие профили рассчитываются путем простого усреднения тестовых оценок по шкалам теста среди всех испытуемых выборки.
В процессе статистического сопоставления данных результатов с производственными показателями автором настоящей работы было установлено отсутствие значимых корреляций у рабочих шести специальностей (65). То есть профдиагностика по данным типовым профилям может привести к преимущественному отбору недостаточно эффективных работников.
Наиболее приемлемым для проведения работ по профотбору представляется ситуативно-нормативный подход (88, с. 60 - 68; 19, с. 305 - 306). Одно из базисных положений данного подхода применительно к кадровой проблематике связано с диагностикой и использованием требований, предъявляемых к работнику со стороны какой-либо социально значимой ситуации в качестве внешнего критерия для построения эталонного норматива.
Специфика этой ситуации отображается, например, в условиях работы на конкретном производственном участке, которые могут отличаться от условий другого участка в рамках той же профессии. Выявить специфику данных отличий для построения норматива профпригодности можно с помощью социологической диагностики уровня эффективности производственной деятельности уже адаптированных в специфических производственных условиях людей. В этом состоит социологический аспект профотбора. Однако в большинстве существующих технологий, построенных на предварительной диагностике нормативных должностных требований применительно к рабочим кадрам, выявлялись организационные параметры (сплоченность и др.), характеризующие эталонное состояние уже сформированных коллективов (88, с. 94 - 135).
Формирование коллектива еще на стадии приема новых рабочих за счет организации социологически обеспеченного профотбора на основе принципов ситуативно-нормативного анализа в ходе разработки указанных технологий реализовано не было.
Применительно к управленческим кадрам указанные технологии не предполагали выявления формально-латентных систем требований, действующих на каждом предприятии, и поэтому не обеспечивали адекватность динормативных деловых качеств оптимального руководителя специфике конкретной социально-экономической ситуации.
Кроме того, ориентация ситуативно-нормативных технологических средств на оперативное внедрение специалистами разной (в том числе и невысокой) квалификации позволяла фиксировать при диагностике нормативных должностных требований только факторы (тестовые шкалы, экспертные параметры), статистически значимые для эффективной работы в конкретный момент времени. Вместе с тем, при диагностике необходимо учитывать, что как статистически значимые, так и статистически незначимые для производительной работы психологические факторы находятся в сложном компенсаторном взаимодействии.
Те и другие в условиях резких перестроечных изменений в экономических отношениях могут приобретать более или менее приоритетное содержание в разных производственных ситуациях. Этот приоритет необходимо выявлять и использовать при диагностике путем построения не одного норматива, а их системы.
На методическом уровне необходим переход к многонормативной диагностике, которая требует использования достаточно сложных статистических расчетов. Их реализация возможна на базе персональной вычислительной техники, что делает достаточно актуальными для более подробного рассмотрения вопросы сопряжения указанных технических средств со специфическим социолого-психологическим инструментарием специалиста по персоналу.
Подводя итоги вышеизложенному, можно сформулировать следующие положения, позволяющие выработать общие подходы к разработке концепции управления персоналом предприятий в условиях переходного периода.

  1. В связи с различием подходов к определению основных понятий, характеризующих работу с кадрами в условиях плановой экономики, в качестве исходного понятия для формирования концепции управления персоналом предлагается рассматривать персонал организации как общность людей, объединенных системой профессионально-должностных позиций, для выполнения основной целевой функции предприятия.
  2. Основной целью управления персоналом предприятий в современных социально-экономических условиях переходного периода представляется формирование сбалансированного кадрового состава организации, позволяющего обеспечить адаптацию производства к требованиям нестабильной экономики. Такие требования прежде всего предполагают переход от плановых методов комплектования предприятий кадрами к формированию коллективов на основе учета и использования особенностей развивающегося в настоящий момент рынка труда. Сбалансированный кадровый состав должен быть основан на преобладании в коллективе групп работников, представители которых ориентированы на выполнение требований формальной структуры социальной организации предприятия.
  3. В связи с тем, что для движения основных групп персонала - рабочих и руководителей разных уровней - в современных условиях характерны как отклонения в нормативных процессах, связанных с закономерностями естественного воспроизводства кадров в условиях стабильной экономики, так и вненормативные особенности, обусловленные дестабилизацией общей социально-экономической ситуации переходного периода, основной проблемой технологизации кадровой работы в настоящее время можно считать перевод вненормативных процессов в движении трудовых ресурсов в нормативное состояние. Это является одной из сторон социально-инженерной деятельности, в рамках которой строится деятельность специалистов по управлению персоналом.
  4. Сложность приведенных задач предполагает, во-первых, наличие высокого уровня профессионализма у современного социального инженера, во-вторых, подготовку достаточного количества таких профессионалов, пригодных для их разрешения; в - третьих, разработку новых концептуально обоснованных социально-технологических средств.
  5. В условиях реформируемой экономики достаточно результативным направлением технологизации управления персоналом может быть переориентация с разработки и применения отдельных социальных технологий на их объединение в единые социально-технологические системы, под которыми понимаются комплексы взаимосвязанных и взаимодействующих технологий, каждая из которых направлена на модификацию определенной регулирующей составляющей имеющейся на предприятии подсистемы управления персоналом - подготовку или реализацию управленческих решений. При этом результаты применения одной технологии используются в качестве исходной информации для реализации другой технологии.
  6. Технологизация управления рабочими кадрами как одной из основных групп персонала может базироваться на следующих принципах:
  1. основное направление деятельности социального инженера в области стабилизации положения с рабочими кадрами связано с обеспечением перевода процесса формирования коллектива предприятия из вненормативного режима постоянного сокращения рабочих мест в нормативный режим оперативного заполнения вакансий, постоянно появляющихся ввиду естественной убыли трудовых ресурсов. Применяемые для этого технологии должны быть достаточно универсальными и эффективными как социально-технологические средства и как методы противодействия социальным отклонениям;
  2. исходной диагностической задачей технологизации управления персоналом на уровне подготовки управленческого решения о переходе к обоснованному управлению персоналом в современных условиях можно считать создание системы контроля и отслеживания процесса движения трудовых ресурсов из организации во внешнюю среду и обратно, построенной на основе совокупности формализованных показателей. Для приведения существующей системы учета рабочих кадров на предприятии в соответствие с процессом движения трудовых ресурсов необходимо отказаться от традиционного метода определения текучести вследствие его неадекватности указанному процессу и разработать более адекватные показатели, позволяющие обосновать необходимость решения о преобразовании системы управления персоналом для применения новых технологических средств;
  3. использование новых технологий на уровне принятия решения предполагает реформирование кадровых подразделений в систему управления персоналом на предприятии без значительного изменения существующих организационных структур. Решению этой задачи могут способствовать: отказ от принципа планового набора; создание группы профдиагностики и профотбора в составе отдела кадров, объектом работы которой являлись бы как кандидаты на прием, так и сотрудники, подлежащие сокращению, для их переориентации и переподготовки в пределах предприятия; изменение общей формально-бюрократической направленности работы отдела технического обучения путем применения его сотрудниками формализованных процедур, направленных на обеспечение успешности адаптации вновь поступивших рабочих;
  4. общеметодической основой реализации технологий, предназначенных для стабилизации рабочих коллективов является выявление на предприятии профессионально-должностных позиций с постоянно существующими или систематически появляющимися вакансиями для построения системы профессионально-ситуативных нормативов профотбора на эти должности на основе методов и процедур, созданных в рамках ситуативно-нормативного подхода, которые до сих пор не применялись для комплектации коллективов на ранних стадиях их формирования - при приеме на работу;
  5. для обеспечения максимальной эффективности внедрения указанных методик в условиях переходного периода представляется целесообразным использовать в них методы многовариантного нормативного анализа, позволяющие выявлять на формализованном уровне для каждого кандидата на прием систему профессионально-должностных позиций и подразделений, где его адаптация может пройти достаточно успешно.

    Программно-технологическая реализация методики

    Если положительной является сумма нагрузок формальных конструктов, то им присваиваются первые ранги, номера которых уменьшаются по мере снижения величины нагрузки. В этом случае считается, что идентифицирована сначала формальная структура. Последовательность конструктов в этом факторе представляет собой порядок выраженности д е л о в ы х к а ч е с т в у работника, являющегося оптимальным для формальной системы требований.
    Если теперь умножить все нагрузки такого фактора на -1, то последовательность качеств изменится на обратную (изменится направление вектора), то есть первые ранги в факторе займут конструкты другого полюса признака латентные - и таким образом выявляется латентная структура деловых качеств. Аналогичные операции выполняются для конструктов, идентифицированных по модели социальная положительность-инверсность.
    В приведенном на стр. 101 -102 фрагменте таблицы главных компонент можно увидеть, что в качестве формально-латентной модели может рассматриваться фактор 1 (зафиксирована поляризация признака (-Л;+Ф) и набольший баланс модулей между полюсами (4.654)), а в качестве соц. положительной инверсной - фактор N3
    ТАБЛИЦА 3. ГЛАВНЫХ КОМПОНЕНТ ПОСЛЕ ПРОЦЕДУРЫ ВАРИМАКС

    Суммарный вес 12.558 6.933 4.481 3.234
    1. Исполнительность .946 -.254 -.096 -.138
    2. Деловитость .768 .566 .021 .278
    3. Порядочность .526 -.689 .221 -.011
    34. Скрытность -.697 -.029 .581 .079
    35. Дотошность .019 -.142 -.068 .788
    Суммарный вес 12.558 6.933 4.481 3.234
    СУММЫ НАГРУЗОК КОНСТРУКТОВ ФОРМАЛЬНОЙ И ЛАТЕНТНОЙ СТРУКТУР
    Латентная структура -5.654 -2.000 -3.765 7.000
    Формальная структура 1.000 -4.000 2.000 8.000
    Баланс сумм
    (сумма модулей)
    4.654 2.000 1.765 1.000
    Соц.-положит. структура -4.654 -1.000 -3.798 6.000
    Соц.-отриц. структура -1.000 -3.000 2.000 8.000
    Баланс сумм
    (сумма модулей)
    3.654 2.000 1.798 2.000
    (единственный из факторов с поляризованным признаком). После выявления структур признаков в системе конструктов, качества в факторах ранжируются соответственно порядку их выраженности в той или иной структуре. Ранжирование нагрузок осуществляется по графам каждого фактора. Первый ранг присваивается наибольшей положительной нагрузке, последний наименьшей отрицательной (см. табл. 4 на стр. 103 ). Если значение нагрузки по модулю меньше критического значения, то нагрузка по этой переменной исключается из ранжирования.
    Необходимо отметить, что такой способ ранжирования нагрузок является принципиально отличным от общепринятого и основанного на представлении о том, что информативным является только число (модуль) нагрузки, выражающее только силу связи переменной с фактором, а знак зависит от причин, определяемых случайностями вычислительных процедур. Это не совсем правильно, потому что изучение корреляционных матриц, подвергаемых компонентному анализу, показывает, что переменные (в данном случае это конструкты), имеющие одинаковые знаки внутри фактора, коррелируют между собой положительно, а с переменными противоположного знака нагрузок - отрицательно, поэтому ранжирование их без учета знака по убыванию чисел модулей нагрузок приводит к искажению поляризованной структуры данного фактора.
    Если соответствующий норматив оказался структурирован, то он представляется как последовательность деловых качеств работника, ориентированного на ту или иную систему требований, отвечающую смысловому аспекту данного норматива. После расчета нормативов реализуется процедура п р о е к ц и и объектов оценки, т.е. руководителей, - в пространство нормативных факторов. В результате получается столбец индексов и степеней соответствия оцениваемых той или иной системе требований, действующей на Таблица 4. Главные компоненты после варимакс (ранжированные)

    Суммарный вес 12.558 6.933 4.481 3.234
    1. Исполнительность .974 .000 .000 .000
    2. Деловитость .946 .000 .000 .000
    3. Порядочность -.910 .000 .000 .000
    34. Скрытность -.917 .000 .000 .000
    35. Дотошность -.955 .000 .000 .000
    23. Умение взаимод. .000 .000 .751 .000
    33. лУвзавышестслу .000 .000 .656 .000
    24. -Удобсотдоиспо .000 .000 -.684 .000
    23. -Упрасисподчи .000 .000 -.751 .659
    данном должностном уровне. Все нормативы, построенные по результатам экспертных оценок, представлены в программе, как ДЕЛОВОЙ ПОТЕНЦИАЛ испытуемых.
    Он предоставляет информацию об уже работающих на данной должности людях. Эта информация может быть использована как для оценки специфики механизма подбора кадров, так и для решения задач аттестации. Но в организации, как правило, достаточно актуальной является проблема подбора профессионально пригодных к управленческой деятельности работников.
    Для ее разрешения в Элите существует система тестов, разработанных на базе нескольких отечественных вопросников. Между всеми нормативами, построенными по экспертным оценкам, и шкалами теста рассчитываются корреляционные связи (коэффициенты), позволяющие определить для каждой шкалы то числовое значение в баллах (или стенах), которое соответствует психологии работника, оптимального для данной системы требований. Таким образом по шкалам теста рассчитываются нормативы, составляющие психологический потенциал испытуемых.
    В результате по каждой выборке, объединяющей людей одного должностного уровня, по каждому из диагностированных по экспертным оценкам нормативов и тесту строятся два критерия - нормальный и жесткий (жесткий, т.к. он более строго настраивается на соответствующий норматив деловых качеств). Один из критериев, как правило, оказывается более приоритетным для прогноза психологической ориентации респондента.
    Такой прогноз делается на основании вычисления индексов соответствия любого респондента параметрам рассчитанного тестового норматива.

    Программно-технологическая реализация методики на базе компьютерной системы Элита

    Реализация диагностической методики в компьютерной системе основывалась на объединении в одном технологическом средстве двух этапов одной технологии - подготовки и принятия управленческого решения. В брошюрно-бланковых методиках аналогичного профиля процедуры этих этапов, как правило, оторваны друг от друга и разделены значительным временным интервалом. Программа Элита, направлена на решение проблем диагностики и оптимизации управленческого потенциала руководителей предприятия. В данном параграфе приводится описание работы самой программы, которое некоторым образом воспроизводит логику ее применения в организации.
    После запуска программы на экране появляется Основное меню (4), которое содержит 6 разделов.
    Предполагается, что пользователь (социолог или психолог) после первого входа в программу должен ознакомиться с информационным разделом, чтобы понять, для решения каких задач она может быть использована и какие результаты позволяет получить. При этом имеется в виду, что соответствующий специалист уже имеет социальный заказ со стороны руководства какой-либо организации на улучшение системы кадровой работы. При формировании такого заказа необходимо получить ответ руководства на вопрос о том, на какие должностные уровни или профессии необходимо ориентировать ELITA VERSION 1.0 1992 COPYRIGHT (C) НПКСТАРТ РЕСПОНДЕНТ - Иванов И.И., ИМЯ БАЗЫ ДАННЫХ -
    ВИЦЕ-ПРЕЗИДЕНТЫ ФИРМЫ ТИП БД - ТЕСТ ЭЛИТЫ,
    КАТАЛОГ - ЭЛИТА, ЕДИНИЦЫ ВВОДА - СЫРОЙ БАЛЛ ОСНОВНОЕ МЕНЮ ИНФОРМАЦИЯ БАЗЫ ДАННЫХ ВВОД ДИАГНОСТИКА ОПТИМИЗАЦИЯ РЕЗУЛЬТАТ

    ДИАГНОСТИКА ОТД. ДОЛЖН. УРОВНЯ
    ДИАГНОСТИКА ГРУППЫ РЕСП-ТОВ
    ДИАГНОСТИКА ОТДЕЛЬН. РЕСП-ТА
    ПОДБОР КАДРОВ
    РАССТАНОВКА КАДРОВ
    АТТЕСТАЦИЯ
    4. Основное меню программы Элита . внедряемую систему подбора и расстановки персонала. Ею можно охватить абсолютно всю кадровую структуру по всей вертикали руководства или по всем рабочим специальностям, можно использовать не только на ключевых направлениях.
    Исходя из понимания компьютерной технологии как последовательности процедур, направленных на обработку различных данных при помощи нескольких программно-инструментальных средств, в программе была предусмотрена возможность обработки данных двух типов. Во-первых, это результаты тестирования, во-вторых, экспертные оценки по системе ситуативных конструктов, характеризующих ту или иную профессиональную деятельность. Те и другие содержатся в разделе Основного меню - Базы данных.
    Основой программы является алгоритм предварительного расчета нормативных профилей, представляющих собой личностные модели работников данного должностного уровня, включенных в разные системы требований. Эти нормативы строятся путем обработки результатов тестирования и экспертных оценок уже адаптированных на данной должности людей, поэтому после предварительного контакта с руководством предприятия (подразделения) специалисту необходимо определиться, каким инструментарием он будет пользоваться. В программе предусмотрена возможность работы с несколькими типами тестов.
    Выбор одного из них осуществляется пользователем в разделе Базы данных Основного меню, где может быть установлен один из четырех имеющихся в программе каталогов.
    1. Каталог Кэттелл а) - данные импортированы из электронного опросника 17 ЛФ (компьютерная версия теста Кэттелла).
    2. Каталог Кэттелл б) - данные получены самим пользователем по имеющейся у него версии теста Кэттелла по своему ключу или по любому другому многофакторному тесту.
    3. Каталог Элита а) - данные представляют собой результаты тестирования по встроенной в Элиту батарее тестовых методик.
    4. Каталог Элита б) - данные получены самим пользователем по имеющимся у него тестам.
    Устанавливая тот или иной каталог, пользователь тем самым задает режим своей работы с информацией только выбранного типа, после чего ему необходимо осуществить тестирование респондентов, действующих на данном должностном уровне. Что касается экспертных оценок, то здесь также предоставляется определенная свобода выбора варианта использования системы конструктов, характеризующих тот или иной вид деятельности. Наиболее эффективным способом представляется предварительное применение другой компьютерной программы Келли - для получения такой системы конструктов у экспертов методом диад. Извлеченные таким образом перечни конструктов, относящиеся к определенному должностному уроню, затем опять предлагаются на бланках или на экране вместе со списками испытуемых для реализации процедуры оценивания, которое обычно проводится по семибалльной шкале.
    Но пользователь может применить и встроенную в программу стандартизованную систему конструктов, полученную и апробированную в ходе нескольких диагностических исследований (66).
    Кроме оценок по конструктам необходимо получить также оценки производственной эффективности деятельности каждого испытуемого на рассматриваемой должности. Перед вводом собранных данных в машину необходимо создать файл базы данных (войдя в соответствущий раздел Основного меню), где будут храниться введенные результаты, относящиеся только к данному должностному уровню.
    База данных создается путем ввода в русском регистре названия диагностируемой должности, например: вице-президент компании или начальник цеха. Эти названия могут быть предъявлены для повторного выбора той б.д., диагностику которой необходимо выполнить. После этого можно перейти к разделу Ввод собранных данных в созданную б.д. При этом тестирование как по методикам Элиты, так и по опроснику 17 ЛФ может проводиться и за экраном компьютера, и в бланковом варианте, предполагающем последующую набивку результатов в программу.
    Результаты теста 17 ЛФ могут быть экспортированы в Элиту для дальнейшего расчета нормативов.
    Прокомментированные выше разделы Основного меню представляют собой подготовительные этапы технологии, которая предполагает получение прикладных результатов в ходе реализации разделов Диагностика и Оптимизация Основного меню. Каждый из них представляет собой по сути технологию внутри технологии.
    Режимы, входящие в раздел Диагностика (см.4) объединяют последовательность способов обоснования управленческого решения о кадровых перемещениях (объект алгоритмизации) (87). Главным результатом реализации этого раздела является расчет совокупности эталонов (нормативных критериев), характеризующих ту или иную систему требований, действующих на данном должностном уровне.
    Эти эталоны могут быть представлены пятью нормативами деловых и психологических качеств работника, построенными по результатам тестирования и экспертным оценкам.
    Расчет нормативов происходит в режиме Диагностика отдельного должностного уровня. Обоснование управленческого решения о кадровых перемещениях может изначально опираться на анализ личностной сферы респондента, осуществляемый по результатам тестирования по методикам Элиты. Получение этих данных предусмотрено в режимах Диагностика отдельного респондента и Диагностика группы респондентов.
    Раздел Оптимизация соответствует технологическому этапу п р и н я т и я решения о кадровых перемещениях (назначениях). Объектом алгоритмизации в данном случае выступают процедуры, направленные на подготовку к внедрению технологии доведения социального объекта до некоторого нормативного состояния, то есть технологии р е а л и з а ц и и решения.
    При этом режим Расстановка кадров позволяет определить, по какому принципу была сформирована кадровая структура данного должностного уровня или организации в целом - преобладают ли в ней руководители, противостоящие главной целевой функции предприятия или принимающие ее. Режим Аттестация предназначен для определения степени включенности действующего на данной должности работника в ту или иную систему нормативных требований.
    Оптимизация кадровой структуры может осуществляться как путем перемещения работников, не прошедших аттестацию на другие должности, так и посредством сравнения с каждым нормативом личностных качеств вновь поступающих на работу. Эти функции реализованы в режиме Подбор кадров. Раздел Результаты Основного меню позволяет вывести на экран или в файл для последующей распечатки числовые и текстовые данные, полученные в ходе выполнения предыдущих разделов.
    На 5 (стр.110) в схематичной форме приводится последовательность реализации вышеизложенной технологии в процессе взаимодействия всех применяемых в ней программных средств.
    Таким образом, можно констатировать, что приведенная компьютерная технология представляет собой замкнутый цикл по диагностике социального объекта, в качестве которого рассматривается производственная организация. Результатом применения такой технологии должно быть приведение данного объекта к заданному нормативному состоянию, соответствующему главной целевой функции организации.

    Результаты эмпирических исследований и применение технологии

    Наряду с прикладными задачами в ходе разработки методики были получены некоторые результаты, показательные в чисто исследовательском плане. По программе Элита были обработаны экспертные оценки конструктов, отображающих деятельность руководителей на 9 должностных уровнях, а также результаты тестирования оцениваемых. Пять выборок включали начальников линейных и функциональных подразделений автотранспортных предприятий (т.о. Мострансагенство и Мосснабтранс) и четыре были сформированы из начальников лабораторий и начальников разрабатывающих и вспомогательных отделов НИИ Молекулярной электроники, специализирующегося на разработке микроэлектронной техники.
    Общая численность всей выборки - 92 человека (по 8 - 12 чел.). Всего было привлечено 33 эксперта.
    Оценки охватывают период с 1988 по 1994 год. Исследовательские задачи заключались в том, чтобы: а) на содержательном уровне выявить специфику деловых качеств, свойственных, во-первых, эффективному руководителю, работающему в период перестройки в указанных отраслях экономики, во-вторых, руководителю, включенному в латентную структуру социальной организации предприятия;
    б) установить, какая из моделей деятельности формальнолатентная, эффективного управления в границах главной
    ИНСТРУМЕНТ 1 ПРОЦЕДУРА
    ОБЪЕКТ ПРИМЕНЕНИЯ ИНСТРУМЕНТА 1 ПРОЦЕДУРА
    РЕЗУЛЬТАТ (ОБЪЕКТ ПРИМЕНЕНИЯ ИНСТРУМЕНТА 3)
    ИНСТРУМЕНТ 3
    ПРОЦЕДУРА ПРОЦЕДУРА ОБЪЕКТ ПРИМЕНЕНИЯ
    ИНСТРУМЕНТОВ 2 И 4
    ИНСТРУМЕНТ 2 5. Последовательность применения технологии диагностики и оптимизации управленческого потенциала руководителей организации на базе компьютерной системы Элита. целевой функции, или социально-положительно-инверсная - является наиболее выраженной для изучаемых выборок. Решением первой задачи можно считать приведенные ниже перечни деловых качеств, отображающие искомые модели на рассмотренных должностных уровнях.
    Типичными для оптимального по своей производственной эффективности руководителя в автотранспортных предприятиях являются следующие деловые качества: умение организовать выполнение плана; экономическая грамотность; знание специфики своей работы; умение быстро реагировать на изменение ситуации.
    Типично негативными (отрицательная корреляция с оценками производственной эффективности) являются: опыт руководящей работы; умение объективно оценивать труд других людей; техническая грамотность; общая культура; дисциплинированность; справедливость.
    Оптимальный руководитель в НИИ микроэлектроники (начальники разрабатывающих и вспомогательных отделов и лабораторий) должен обладать следующими типичными качествами : экономическая грамотность; способность правильно распределять работу среди подчиненных; умение не перекладывать свою вину на других; стремление в работе отдавать предпочтение общественным, а не личным интересам.
    Типично негативные: стремление набивать себе цену (говорить о трудностях в работе для получения дополнительных преимуществ); суетливость; подверженность влиянию внешних факторов, стремление плыть по течению.
    Качествами, характеризующими включенность начальника функционального или линейного подразделений автокомбината в латентную структуру (то есть маскируемую экспертами вследствие наличия каких-либо социально значимых причин), оказались: общая культура; справедливость; выдержка, умение владеть собой; дисциплинированность; техническая грамотность; умение ладить с руководством; умение выслушать и понять чужую точку зрения.
    Типично негативными для латентной структуры на этом должностном уровне были: умение организовать выполнение плана; умение быстро реагировать на изменение ситуации; умение осуществлять контроль за работой подчиненных; умение воспитывать подчиненных.
    Общим для руководителей НИИ микроэлектроники, включенных в латентную структуру оказалось всего одно качество - знание специфики работы возглавляемого подразделения.
    Типично негативные качества выявлены не были. На каждом из трех диагностируемых уровней латентной структурой отвергались свои качества.
    Вместе с тем, достаточно показательной для этих должностей оказалась социально-инверсная структура. Это объясняется, видимо, тем, что в более позднем варианте методики в список конструктов были включены не только социально-положительные полюса, как это делалось в технологиях ГМАТ, но и полюса конструктов, воспринимаемые экспертами в виде отрицательных стимулов.
    Такое повышение контрастности возможно приводит к усилению выраженности таких качеств по сравнению с качествами латентной структуры.
    Типичными для социально-инверсной структуры были : умение преувеличивать свои действительные достижения; суетливость; стремление в работе придерживаться правила - не делай того, что поставило бы тебя под удар;
    Отвергались социально-инверсной структурой: техническая грамотность; умение не перекладывать свою вину на других людей; способность к планированию работы возглавляемого подразделения; умение четко представлять конкретные задачи.
    На основании анализа приведенных позиций можно сделать некоторые выводы о специфике проявления личностных качеств руководителей, действующих в той или иной системе требований, свойственных данной производственной организации. Специфика автотранспортных предприятий выражается в частности в том, что оптимальным для эффективной производственной деятельности в период перестройки являлся руководитель в первую очередь обладающий деловыми качествами, непосредственно связанными с производственными показателями. Причем эти качества должны были иметь высокую степень выраженности. С другой стороны, отрицательное воздействие на выполнение основной целевой функции предприятия в условиях администативно-командной экономики оказывали качества, имеющие общее социально-одобряемое содержание: общая культура, дисциплинированность, техническая грамотность и т. п. Латентная структура на этих уровнях представляет собой в целом как бы зеркальное отражение норматива оптимального работника, так как для включенного в нее руководителя характерными были именно такие социально-положительные личностные черты.
    По всей вероятности в данном случае была диагностирована не столько структура требований, активно противостоящая главной целевой функции, сколько латентная функция формальной структуры. Она характеризует возможность регулирования столкновений людей с различными целями, а не объединения их вокруг одной цели - выполнения декларированной предприятием функции.
    Для руководителя, эффективно работающего в организации научно-исследовательского профиля, во-первых, зафиксирован приоритет качеств, соответствующих специфике его профессионально-аналитической деятельности (способность правильно распределять работу среди подчиненных), которая в то же время сопряжена с определенной личной ответственностью (умение не перекладывать свою вину на других). Во-вторых, было выявлено общее с оптимальным начальником подразделения в системе Автотранса и, по-видимому, наиболее актуальное в современных условиях для любого руководителя качество - экономическая грамотность.
    Что касается латентной структуры, то ее нетипичность, то есть свои перечни качеств для каждого из четырех должностных уровней, можно объяснить большей дифференциацией функций при управлении в данном виде профессиональной деятельности.
    Для решения второй задачи были рассмотрены факторные матрицы, полученные после обработки экспертных оценок каждой выборки по методу главных компонент. Результаты, приведенные в таблице выраженности диагностированных моделей (табл.5 на стр.114), показывают, что для 6 выборок из 9 (это в основном автотранспортные предприятия) фактор, объединяющий качества формально-латентной модели имеет максимальный вес среди всех факторов, зафиксированных в матрице.
    Для 3 должностных уровней НИИ микроэлектроники наиболее весомым оказался фактор социально-положительно-инверсной модели.



    Результаты эмпирических исследований и применение технологии

    После выбора одной из них выполняется построение норматива по данным текущей базы. По завершении расчета на экране появляется график (2) в виде столбцовой гистограммы, в котором по каждой шкале теста отмечены интервалы и уровни, соответствующие значениям характерологических параметров работника, оптимального для работы по данной специальности.
    Норматив представляет собой совокупность числовых значений в баллах или стенах, рассчитанных по каждой шкале теста. Эти значения характеризуют личностный профиль работника, способного к эффективной работе по определенной специальности в конкретном подразделении предприятия.
    В программу заложен достаточно эффективный алгоритм верификации рассчитанных нормативов. Под верификацией, используемой в системе ПРОФИ-2, понимается проверка достоверности построенных нормативов.
    Режим реализуется пользователем в соответствующем разделе Основного меню, а также автоматически при расчете норматива несколькими следующими способами.

    1. Проверка адекватности норматива. Проверка заключается в вычислении коэффициента парной ранговой корреляции Спирмена между рангами оценок эффективности и рангами рассчитанных индексов соответствия нормативу респондентов исходной выборки.
    Если полученный коэффициент адекватности положительно значим, норматив можно считать адекватным. Он может быть использован для отбора на данную специальность наиболее эффективных работников.
    Если коэффициент адекватности незначим, то норматив отображает только типичные для исходной выборки психологические свойства работников. Достоверность прогноза производственной эффективности в этом случае не гарантирована в силу несоответствия экспертных оценок и личностных качеств, выявляемых с помощью теста.

    1. Верификация по известным группам. Режим предполагает проведение проверки способности норматива фиксировать у любого респондента психологические качества, свойственные лицам данной профессиональной или социально-демографической группы.
    Кроме возможности диагностировать эффективность работника, норматив должен соответствовать среднестатистическому личностному профилю данной группы оцениваемых.
    Выявление степени такого соответствия осуществляется путем оценки сходства и различия личностных качеств респондентов нормативной выборки с личностными качествами респондентов из числа двух других выборок (метод известных групп).
    При этом пользователь должен иметь четкое представление о возможном сходстве и различии психологии работников из разных выборок.
    Например, известно, что на некотором предприятии наладчики технологического оборудования и операторы автоматических линий работают на одном и том же оборудовании, выполняя во многом сходные производственные функции в одном цехе. Респонденты, вошедшие в третью выборку - радиомонтажники выполняют принципиально отличные производственные обязанности.
    Исходя из предположения о том, что личностные качества респондентов первых двух выборок должны быть в чем-то сходными, и они должны отличаться от качеств работников третьей выборки, можно провести верификацию по известным группам c целью определения контрастности норматива.
    В программе такая верификация осуществляется после указания пользователем при помощи курсора тех баз данных, респонденты которых по его мнению должны быть по своей характерологии значимо близкими или значимо далекими по отношению к респондентам текущей базы данных.
    Между средними значениями индексов соответствия из текущей БД и из указанных пользователем выборок осуществляется расчет значения Т-критерия Стьюдента.
    Если расчетное значение Т-критерия между установленной значимо близкой БД и текущей БД не превышает критическое табличное, а между установленной значимо далекой и текущей БД превышает его - норматив можно считать контрастным, то есть способным выделять специфические личностные свойства работников данной социальной группы.
    В этом случае в итоговый файл раздела Отчет - Верификация по известным группам для данного критерия (нормального или жесткого) печатается следующий результат: Значимое сходство психологических профилей между установленными близкими выборками зафиксировано при вероятности 95%. Значимое различие психологических профилей между установленными далекими выборками зафиксировано при вероятности 95%. Такой результат, когда выявлено как значимое сходство, так и значимое различие, является наиболее оптимальным для вывода о способности норматива фиксировать специфические личностные качества составивших его респондентов. Данное соотношение получается далеко не всегда в силу недостоверности указания пользователем близких и далеких выборок, либо в связи с типичностью качеств респондентов текущей БД.

    1. Расчет Т-критерия Стьюдента по всем базам данных. Режим позволяет проконтролировать правильность выбора пользователем значимо близкой и значимо далекой БД при реализации разделов Верификация - Известные группы.
    Если сходство-различие с установленными пользователем базами данных (БД) не было зафиксировано, то в полной таблице Т-критерия можно найти БД cходные с текущей и отличные от нее. Это можно сделать как непосредственно - сравнивая расчетные Т-значения с табличными, так и в более подробной форме - выбрав режим раздела Верификация - Таблица интерпретации фрагмента таблицы Т-критерия Стьюдента.
    После завершения расчета и выполнения верификации нормативов можно считать законченным второй технологический цикл - выполнение диагностики для нахождения эталонного состояния объекта. Таким образом осуществляется подготовка управленческого решения о приеме на ту или иную должность.
    Принятие данного решения происходит после реализации режима Сравнение программы, в котором происходит расчет близости личностных характеристик отдельно выбранных или всех респондентов из текущей БД со всеми построенными нормативами.
    Сравнение реализуется либо путем расчета индексов соответствия всех респондентов из текущей базы данных каждому из имеющихся в ПРОФИ-2 нормативов, либо после выбора из списка в текущей базе одного респондента, которого необходимо сравнить с нормативами, и последующего выполнения такого сравнения.
    Индекс соответствия Y(j) раcсчитывается по двум критериям - нормальному и жесткому.
    Полученный индекс соответствия сравнивается с допустимым значением индекса соответствия, полученным при реализации режима Расчет норматива.
    Если Y(j) не превышает допустимое значение, название данной специальности включается в формируемый в этот момент программой список значимо близких нормативов, если превышает, - в список значимо далеких. Результаты выполнения режима Сравнение в виде перечня (списка) рекомендуемых (значимо близких) специальностей выводятся на экран ( 3).
    Кроме того, в соответствующий файл раздела Отчет выводится таблица сравнения с нормативами отдельных респондентов. Она получается путем расположения названий значимо близких нормативов в порядке убывания их предпочтительности для сравниваемого респондента. Среди значимо далеких первые места занимают наиболее далекие для данного оцениваемого нормативные профили.
    Кроме этой таблицы в данном разделе отчета имеется итоговый список рекомендуемых специальностей. В него включены специальности, нормативы которых близки данному респонденту по приоритетным критериям.
    Реализация режима Сравнение соответствует завершению третьего технологического цикла - соотнесения показателей социального объекта с эталоном (нормативом).
    Бланк с раcпечаткой результатов передается сотруднику отдела кадров, оформляющему кандидата на работу по одной из перечисленных специальностей в рекомендуемое подразделение.
    Таким образом осуществляется принятие управленческого решения, обоснованного в ходе диагностики.
    PROFI-2 VERSION 2.0 1992 COPYRIGHT (C) НПК СТАРТ
    БАЗА ДАННЫХ - ОPERATOR, СПЕЦИАЛЬНОСТЬ РЕСПОНДЕНТОВ
    ОПЕРАТОРЫ, ТИП БД - ИМПОРТИРОВАННАЯ, ЕДИНИЦА ВВОДА -
    СЫРЫЕ БАЛЛЫ, ФОРМА ТЕСТА - А
    ИТОГОВЫЙ СПИСОК РЕКОМЕНДУЕМЫХ СПЕЦИАЛЬНОСТЕЙ

    СПЕЦИАЛЬНОСТЬ ИНДЕКС БЛИЗОСТИ
    ПРИОРИТЕТН. КРИТЕРИЮ
    1.
    2.
    3.
    ОПЕРАТОРЫ
    НАЛАДЧИКИ
    НАЛАДЧИКИ
    Ц. 10 *
    Ц. 02 *
    БИС *
    1.08
    0.54
    0.37

    Сравнение закончено. Подробные результаты в ОТЧЕТЕ.
    Для продолжения нажмите любую клавишу.
    3. Результаты выполнения режима Сравнение программы ПРОФИ-2.

    Результаты эмпирических исследований и применение технологии

    Представляется возможным воспроизвести некоторые факты предыстории разработки настоящей технологии. В 1990 году одно из предприятий по выпуску электронной техники заключило контракт с южнокорейской фирмой на производство элементов интегральных микросхем. Для выпуска продукции была создана технологическая линия, отвечающая некоторым западным стандартам качества.
    Необходимо было укомплектовать новое производство персоналом, способным выполнять работу на соответствующем уровне.
    Руководство кадровой службы поставило перед социологом задачу использовать в отделе кадров процедуру профессионального отбора поступающих на работу. Задача состояла в том, чтобы кандидаты на прием проходили определенное тестовое испытание, результатом которого должен быть перечень подразделений и специальностей, где данный претендент сможет проявить себя как наиболее эффективный работник. Результативное решение этой задачи было возможно при использовании ЭВМ с соответствующим программным обеспечением, ввиду большого объема исходной информации.
    Компьютер был предоставлен кадровой службой, а в качестве базовой программы, ориентированной на осуществление профотбора был приобретен электронный опросник 17 ЛФ.
    Тест 17 ЛФ представляет собой многофункциональную диагностическую систему, позволяющую эффективно изучать психологическую структуру личностных качеств отдельного человека. Вместе с тем, в программе предусмотрены процедуры построения усредненного типового профиля респондентов какой-либо профессиональной группы. С учетом средних типовых значений, а также тестовых норм населения в целом рассчитывается коэффициент подобия (Rp) данного испытуемого профилям работников разных специальностей предприятия. На первый взгляд эта процедура позволяет достаточно обоснованно решать задачи профотбора, поскольку каждый кандидат на прием может быть диагностирован на близость к психологии специалистов той или иной профессиональной группы.
    Однако в процессе эксплуатации теста 17 ЛФ была предпринята попытка сопоставления коэффициентов подобия (Rp) рабочих шести специальностей (по 12-15 чел) с результатами их производственной деятельности. Необходимо было выяснить, позволяет ли типовой профиль, рассчитанный на ограниченной выборке, отличать высокоэффективных работников от низкоэффективных. Респонденты для построения типовых профилей отбирались с учетом эффективности их производственной деятельности.
    Такое сопоставление проводилось путем расчета коэффициентов корреляции между рангами экспертных оценок эффективности работы респондентов за определенный период и рангами коэффициентов подобия (Rp). Результаты, приведенные в таблице 1 (стр.
    83), свидетельствуют о том, что из 6 выборок значимая положительная корреляция была зафиксирована только в двух при вероятности 90% (а 0,1).
    Результаты, полученные для других выборок, показывают, что диагностика по построенным типовым профилям может привести к преимущественному отбору недостаточно эффективных работников. Очевидно, включение в выборку респондентов с высокими показателями не является достаточным условием для получения типового профиля, валидного на производственные результаты.
    Это может происходить за счет расчета среднестатистических стеновых значений по каждой шкале теста, тогда как необходимо выявлять значения, отображающие требования специфической социально-производственной ситуации, предъявляемые к психологии эффективного работника. Необходимость учитывать социологические аспекты профотбора при формировании нормативного профиля послужила основанием для разработки новой программы.
    После ее создания нужно было установить, насколько построенные по шести указанным специальностям нормативы пригодны Таблица 1. Результаты проверки адекватности нормативных профилей ПРОФИ-2 и типовых профилей 17 ЛФ диагностируемым параметрам

    Специальность Корреляция к-тов
    подобия (Rp 17ЛФ) с
    эксперт. Оценками
    Корреляция индексов соответствия (ПРОФИ) эксперт. Оценками
    Ж.К. Н.К.
    Операторы фотолитогр.
    Операторы прец. Литогр.
    Наладчики тех. Оборуд.
    Наладчики БИС
    Операторы микросварки
    Контролеры внеш. Вида
    0,48*
    0,47*
    - 0,769*
    0,052
    - 0,08
    0,322
    0,95**
    0,83**
    - 0,27
    0,87**
    0,69**
    0,95**
    0,91**
    0,69**
    0,14
    0,79**
    0,66**
    0,81**
    * Значимые при вероятности 90%(а 0,1); ** - при вероятности 95%(а 0,05). В графах Н.К. и Ж.К. приведены для сравнения коэффициенты адекватности нормативов нормального и жесткого критериев системы ПРОФИ-2 (см. ниже) для дифференцирования высоко- и низкоэффективных работников. Одним из способов был расчет коэффициента корреляции (адекватности), охарактеризованного выше, между рангами усредненных экспертных оценок производственной эффективности и рангами индексов соответствия респондентов нормативу.
    Результаты табл. 1 свидетельствуют, что применение системы ПРОФИ-2 позволяет значительно повысить диагностические возможности теста 17 ЛФ. Вместе с тем, для получения практических результатов, подтверждающих правильность полученных расчетных данных нужно было выполнить некоторую внедренческую работу в реальных условиях производственной организации, а также попытаться выполнить поставленную практическую задачу.
    Процедура профотбора состояла в следующем. Кандидат после предварительного собеседования с работником отдела кадров направлялся к социологу для опроса. Респондент проходил тестирование за компьютером по опроснику 17 ЛФ или по его бланковому варианту с последующим вводом результатов в 17 ЛФ.
    Результаты тестирования копировались (переписывались) в программу ПРОФИ-2, где социологом выполнялось сравнение со всеми построенными нормативами. Распечатка с перечнем рекомендуемых специальностей и подразделений передавалась в отдел кадров.
    Однако в процессе работы выяснилось, что кадровая служба не соблюдает предлагаемые рекомендации и принимает всех подряд потому, что существует план приема в новое производство, которое нужно как можно скорее укомплектовать персоналом. В противном случае руководство создаваемых подразделений и отдел кадров будут наказаны финансовыми мерами воздействия.
    Несмотря на это, определение профпригодности кандидатов было продолжено в целях выявления возможного практического эффекта. На этапе управления адаптацией разработанные процедуры применялись в полном объеме.
    Профдиагностика продолжалась с января 1992 по март 1994 г. За этот период было протестировано более 280 человек. По прошествии сроков адаптации работников (86 чел.), принятых в период с января 1992 года по апрель 1993 года (16 месяцев), был выполнен анализ гипотетической эффективности профотбора. В связи с этим встал вопрос о поиске критериев такой эффективности.
    Для их выявления необходимо рассмотреть существовавший в период плановой экономики способ определения особенностей движения рабочих кадров.
    Как известно, одним из основных направлений производственной социологии в период ее возникновения и становления в нашей стране была борьба с текучестью кадров. Она основывалась на понимании необходимости, с одной стороны, повышать закрепляемость на предприятии новых работников, в первую очередь молодежи, с другой - не препятствовать естественной сменяемости определенной части трудового коллектива. Стабильный коллектив предполагает постоянство состава работников в сочетании с рациональной подвижностью в связи с должностным и профессиональным продвижением (19, с. 316).
    В этом теоретическом подходе вполне адекватно отображались реальные процессы движения прежде всего рабочих кадров того времени.
    Но на методическом уровне для оценки такого движения использовалась недостаточно адекватная общеизвестная формула расчета коэффициента текучести:

    Результаты эмпирических исследований и применение технологии
    , где
    Т - текучесть; Уа - количество уволенных по инициативе администрации;
    Ус - количество уволенных по собственному желанию;
    Оч - общая численность работающих. В этой формуле, в коэффициентах Ус и Уа объединялись как те работники, которые выбывали с предприятия по естественным причинам: выход на пенсию, переход в другую социальную группу в связи с получением специального образования, призыв на военную службу и т. д., так и те, кто не сумел адаптироваться в результате несоответствия между своими ожиданиями и условиями труда. Эта последняя группа собственно и составляла предмет интереса социологов, была основным резервом сокращения производственных потерь, так как включала в себя 50 - 70 % объема текучести кадров в промышленности (19, с.321). Все социологические разработки в данной области были ориентированы на фиксацию уровня текучести по указанной формуле, то есть фактически измеряли ее искаженный уровень как до начала реализации мероприятий по снижению, так и после.
    В условиях стабильной экономической ситуации эти искажения не бросались в глаза потому, что общий отток кадров с предприятий нигде не был значительным сравнительно с сегодняшним положением, а также потому, что устранимые потери косвенно отображались указанным коэффициентом. Поэтому в качестве более приемлемой для адекватной оценки движения рабочих кадров в современных условиях переходного периода может быть следующая формула:

    Результаты эмпирических исследований и применение технологии
    , где По - процент оставшихся на предприятии за два отчетных года; П1 - количество поступивших на предприятие в первом году;
    П2 - количество поступивших на предприятие во втором году;
    У(1,1) - количество поступивших на предприятие в первом году и в том же году уволившихся;
    У(1,2) - количество поступивших на предприятие в первом году и уволившихся во втором году;
    У(2,2) - количество поступивших на предприятие во втором году и в том же году уволившихся. Данный коэффициент предлагается на основе формулы, примененной специалистами Отраслевого научно-исследовательского отдела по профориентации, профотбору и адаптации рабочих кадров Управления кадрами и учебными заведениями МЭП СССР для расчета экономической эффективности работ по профотбору и адаптации кадров, выполненных в течении 10 лет на казанском НПО Элекон(68, с. 274.). В исходном варианте, приведенном в указанном источнике, использовалась только верхняя часть (числитель) предлагаемой в настоящей диссертации формулы, что характеризует абсолютную численность закрепившихся работников, а не их процентный состав, что не совсем информативно. Другой показатель должен отображать долю сотрудников, не сумевших закрепиться на предприятии в период адаптации . Он может рассчитываться следующим образом:

    Результаты эмпирических исследований и применение технологии
    , где
    Пу - процент уволившихся с предприятия за два отчетных года.
    Преимущество приведенных коэффициентов перед традиционным состоит в том, что они отображают не только процент закрепившихся, но и стаж работы на предприятии людей, уволившихся с него в период адаптации. На базе этих показателей может быть разработана система формализованных критериев для отслеживания процесса движения кадров. В качестве других информативных параметров могут быть выбраны не только стаж, но и возраст, специфика производства и т. д. В данной системе показателей возможно использование прежней формулы, которая должна применяться только к категории адаптированных работников со стажем более двух лет и характеризовать не текучесть кадров, а их отток с предприятия в результате мероприятий сокращения и различных естественных причин.
    Таким образом, в качестве критериев эффективности предлагаемой технологии были выбраны приведенные выше показатели текучести и закрепляемости кадров по двум группам поступивших в данный период рабочих. В первую группу входили профпригодные для конкретной специальности люди, во вторую - признанные несоответствующими ее специфике.
    Предполагалось, что профотбор можно считать средством повышения производственной эффективности в том случае, если коэффициент текучести в первой группе ниже, чем тот же коэффициент во второй, а коэффициент закрепляемости - наоборот должен быть выше в первой и ниже во второй.
    Анализ проводился по четырем специальностям из шести, так как по ним было выявлено сопоставимое количество респондентов как первой, так и второй групп. Весь рассматриваемый период был разделен на два отчетных этапа в соответствии с применяемыми формулами:
    1-й этап - январь 1992 г. - август 1992 г.;
    2-й этап - сентябрь 1992 г. - апрель 1993 г.
    Исходные данные для расчета коэффициентов получались по журналу учета уволенных, где находились даты увольнения тех, кто проходил профотбор в указанный период.
    Результаты расчета приведены в табл. 2, в которой:

    1. П1 - количество поступивших на предприятие в первом отчетном периоде;
    2. П2 - количество поступивших на предприятие во втором отчетном периоде;
    3. У(1,1) - количество поступивших на предприятие в первом отчетном периоде и в том же периоде уволившихся;
    4. У(1,2) - количество поступивших на предприятие в первом отчетном периоде и уволившихся во втором отчетном периоде;
    5. У(2,2) - количество поступивших на предприятие во втором отчетном периоде и в том же периоде уволившихся.
    В среднем по первой группе было уволено - 17,4 % ; осталось - 82,6 %. По второй группе уволено - 32,6 % ; осталось - 67,4 %. Анализ таблицы показывает, что процент уволенных за рассматриваемый период в большинстве выборок (в 4-х из 5) в 1,5 - 2 раза ниже в группе респондентов (первой), для которых на стадии приема прогнозировалась успешность адаптации. Процент оставшихся на предприятии в этой группе соответственно значительно выше, чем среди респондентов с прогнозированной низкой адаптивностью.
    Таким образом, применение технологии позволяет добиться снижения текучести среди рабочих со стажем до 1 года в среднем в 1,8 раза.



    Система диагностики и оптимизации управленческого потенциала руководителей


    Таблица 2. Результаты определения гипотетической эффективности профотбора

    П1+П2 У(1,1) У(1,2) У(2,2) Уволен. % Оставш. % Группа
    НАЛАДЧИКИ ТЕХНОЛОГИЧЕСКОГО ОБОРУДОВАНИЯ
    21 2 1 0 14.3 85.7 1
    65 9 8 3 30.8 69.2 2
    ОПЕРАТОРЫ ПРЕЦИЗИОННОЙ ФОТОЛИТОГРАФИИ
    23 1 0 0 4.3 95.7 1
    63 10 11 3 38.1 61.9 2
    ОПЕРАТОРЫ ФОТОЛИТОГРАФИИ, ЦЕХ А
    20 1 5 0 30.0 70.0 1
    66 10 6 3 28.8 71.2 2
    ОПЕРАТОРЫ ФОТОЛИТОГРАФИИ, ЦЕХ Б
    17 1 2 0 17.6 82.4 1
    69 10 9 3 31.9 68.1 2
    ОПЕРАТОРЫ МИКРОСВАРКИ
    29 3 3 0 20.7 79.3 1
    57 8 8 3 33.3 66.7 2
    В одной из наиболее эффективных технологий аналогичного профиля - системе стабилизации коллектива Пермского телефонного завода (1975 - 1976 гг.) был достигнут уровень снижения - в 2,8 раза. Количество специалистов-исполнителей при этом составляло
    10 - 14 человек на 5 тыс. работающих. В предлагаемом варианте их должно быть 1 - 3 чел., что свидетельствует о сопоставимом уровне эффективности. Кроме того, в пермской системе СТК уровень текучести составлял 20% в условиях экономической стабильности, предлагаемая технология применялась при уровне текучести 50% в обстановке дестабилизации положения предприятия.
    Это является свидетельством ее адаптированности к условиям, предлагаемым кадровой службе со стороны существующей социально-экономической ситуации. На втором этапе работ по реализации технологии, как уже было указано, осуществлялось анкетирование вновь принятых рабочих для выявления и устранения факторов, препятствующих адаптации. При разработке анкеты учитывался достаточно широкий комплекс таких факторов - от удовлетворенности профессией до технических условий труда.
    Устранение некоторых из них мало зависит от усилий специалиста по персоналу, а также не входит в его компетенцию. К числу таких факторов можно отнести, например, требования трудовой дисциплины, удовлетворенность выполняемой работой, санитарно-гигиенические условия труда.
    Поэтому диагностика по данным позициям носила информативный характер и была направлена главным образом на доведение до сведения администрации явных отклонений от существующих производственных требований.
    В то же время успешность адаптации зависит от правильной организации процесса освоения профессии вновь принятым работником, на который может оказывать прямое воздействие специалист по персоналу.
    В предлагаемой технологии такое воздействие было основано, во-первых, на выявлении недостатков в системе производственного обучения и индивидуальных трудностей, возникающих у обучаемых при освоении специальности; во-вторых, на внедрении рекомендаций по устранению выявленных недостатков.
    Первая из этих двух задач решалась путем организации и обработки результатов анкетного опроса всех принятых на предприятие в период прохождения ими производственного обучения, вторая - путем выпуска методических карт с перечнем выявленных недостатков. Один экземпляр такой карты передавался инструктору производственного обучения, закрепленному за каждым новым рабочим для его производственного обучения, второй находился у председателя цеховой аттестационной комиссии. При квалификационном экзамене на присвоение разряда комиссия имела возможность проконтролировать путем опроса аттестуемого устранение выявленных недостатков.
    Эта несложная система оказалась достаточно эффективной.
    При обработке первых анкет выяснилось, что после двух месяцев освоения специальности 41 % новых работников не знакомы со своим инструктором производственного обучения, 61% не могут назвать ни одной выполняемой ими производственной операции, 45% имеют те или иные затруднения при освоении профессиональных навыков. Были выявлены также другие достаточно субъективные проблемы, свойственные любому предприятию.
    Роль социолога в данном случае заключалась в организации механизма выявления, огласки, документирования и контроля устранения таких факторов.
    После 6 месяцев функционирования данной системы количество выявляемых недостатков снизилось на 30 %, что являлось свидетельством результативности используемой технологии.
    На основании полученных данных можно сделать вывод о том, что при комплектовании предприятия кадрами в условиях переходного периода существует возможность повысить эффективность профессионально-производственной деятельности рабочих основных специальностей, а также стабилизировать их отток из организации путем применения рассматриваемой автоматизированной технологии профотбора и адаптации кадров. Такая возможность подтверждается следующими интегративными результатами:

    1. адекватностью между формализованными индексами соответствия социально-психологическому нормативу оптимального работника уже адаптированных на предприятии рабочих и их производственными показателями;
    2. процентным соотношением между количеством рабочих, закрепившихся на предприятии и уволившихся с него в период адаптации (увольнялось больше тех, для кого прогнозировалось низкое соответствие социально-психологическому нормативу оптимального работника, а оставались, наоборот, в высокой или средней степени соответствующие ему);
    3. оптимизацией процесса освоения специальности за счет внедрения мероприятий по диагностике и устранению факторов, препятствующих производственной адаптации вновь принятых рабочих.

    Контрольные вопросы

    1. В чем сущность метода CONCURRENT VALIDITY?
    2. Что такое профессионально-ситуативный и социально-демографический нормативы профотбора?
    3. В чем состоит недостаток традиционной формулы расчета текучести кадров?

    Система диагностики и оптимизации управленческого потенциала руководителей предприятия на базе программно-технологического комплекса ЭЛИТА

    Диагностическая методика


    Наиболее общие проблемы, возникающие на предприятиях в настоящий момент в связи с необходимостью их комплектования руководящими кадрами всех уровней были охарактеризованы выше, во второй главе настоящей работы. Одним из вариантов разрешения указанных проблем, то есть попыткой оптимизировать подбор, расстановку и аттестацию руководителей на производстве является применение автоматизированных социальных технологий управления персоналом. В качестве одной из таких технологий, предназначенных для оценки, подбора и расстановки руководящего персонала, может быть предложена разработанная автором компьютерная система диагностики и оптимизации управленческого потенциала руководящих кадров предприятия Элита.
    Общеметодологическую основу реализованной в программе методики составляют некоторые положения структурно-функционального анализа, сформулированные Р. Мертоном. Мертон рассматривает явления, обозначаемые понятием функции, как те наблюдаемые последствия, которые способствуют приспособлению или адаптации данной социальной системы (44, с.128).
    Одной из таких систем можно считать любую производственную организацию. Дисфункции - это те наблюдаемые последствия, которые уменьшают приспособление или адаптацию системы. В любой момент то или иное явление, например действие руководителя, может иметь как функциональные, так и дисфункциональные последствия. Поэтому применение функционального анализа для формирования и проведения политики вообще, или практики управления персоналом, в частности, связано с поиском чистого итогового баланса совокупности последствий.
    Кроме того, возникает проблема разграничения случаев, когда субъективные цели людей совпадают с объективными последствиями их действий, со случаями, когда они расходятся. Проведение диагностики такого рассогласования позволяет определить, в какой фазе своего развития находится социальная организация предприятия и каковы перспективы ее жизнеспособности.
    Пояснить эти общие положения может анализ социальной организации как фактически сложившейся устойчивой воспроизводящейся структуры совместной деятельности людей, примененный в восьмидесятых годах В.К. Тарасовым при разработке системы автоматизированной аттестации руководителей и специалистов (76). При определенных недостатках представления составных элементов социальной организации, о которых подробнее говорилось в первой главе настоящей работы, заслуживает внимания представленная автором характеристика латентной и формальной структур.
    Последняя представляет собой ряд нормативных правил, документов и положений, регулирующих деятельность работников. Формальная структура определяется действием двух функций - явной, то есть теми фактическими последствиями, которые соответствуют ранее декларированным целям, и латентной, то есть теми результатами поведения людей, которые не могут быть декларированы по тем или иным причинам (76, с. 36-39).
    Это могут быть причины, противостоящие главной целевой функции организации, и тогда можно говорить не о латентной функции формальной структуры, а о самостоятельной латентной структуре, представляющей собой сложившуюся в организации систему неписаных законов и нормативных правил. Одним из механизмов этой структуры является, например, порядок формирования кадровой иерархии на всей вертикали управления по принципу приоритета личной преданности перед производственной эффективностью претендента на руководящую должность.
    Поэтому при разработке СААРС одной из задач было определение степени включенности аттестуемого в латентную структуру. В основу методики была положена обработка экспертных оценок деятельности руководителя, отображенной в 80 признаках словаря деловых характеристик. Эксперт должен отобрать из предложенной ему совокупности мнений те, которые обычно высказываются коллективом о данном аттестуемом. Потом из 80 признаков словаря по определенным критериям отбираются 16 фраз, чаще всего указанных экспертами.
    Они составляют деловой портрет аттестуемого. Исходя из того, что каждый признак представлен шестью суждениями, характеризущими разную степень его выраженности, для каждого признака можно получить усредненную по экспертам оценку у данного аттестуемого.
    В некоторых исследованиях с применением СААРС степень включенности оцениваемого в латентную структуру была диагностирована путем вычисления разности между оценками по признакам : соответствие занимаемой должности и авторитет в коллективе. Автор исходил из предположения, что если, например, руководитель по мнению экспертов мало соответствует должности, но имеет высокий авторитет в коллективе, то это значит, что коллектив не ориентирован на выполнение данным работником требований формальной структуры, что и означает его (работника) включенность в латентную структуру (75, с.90).
    При таком подходе позиция группы экспертов предполагается как надструктурная, то есть эксперты молчаливо считаются вполне объективными, чтобы по их оценкам сделать вывод о структурной принадлежности аттестуемого.
    Однако из того, что коллектив не ориентирован на выполнение данным работником требований формальной структуры, далеко не всегда следует, что он (аттестуемый) действительно включен в латентную структуру. Эксперты сами являются частью коллектива и могут быть выразителями как формальных, так и латентных критериев. Не исключена ситуация, когда эксперты, руководствуясь приоритетным для них критерием, оценивают одни качества аттестуемого более объективно, другие - менее. Если имеет место принадлежность большинства экспертов к латентной структуре, то высокий авторитет при низком соответствии должности может характеризовать соотношение, обратное диагностированному - аттестуемый для экспертов плохо соответствует должности, так как не стремится выполнять принимаемые ими неписаные законы, но эксперты не могут не признать, что он пользуется авторитетом в коллективе.
    Это, в свою очередь, может иметь место именно потому, что он пытается отстаивать интересы этого коллектива, противостоящие таким законам. То есть объективно аттестуемый соответствует должности (ее основным формально-структурным требованиям), отвергая скрытые требования, и поэтому имеет высокий авторитет.
    Одной из особенностей методики СААРС можно считать отсуствие процедур, направленных на устранение субъективизма экспертов. Это свойственно всем разработкам, осуществляемым на основе принципов групповой оценки личности (ГОЛ), в свое время подвергнутым достаточно обоснованной критике (91).
    Преодоление указанных недостатков методик ГОЛ можно связать с технологиями, разработанными в системе Главмосавтотранса (ГМАТ) под руководством В. В. Щербины (45; 46). В них были применены процедуры снижения гала-эффекта и явлений смещения центра и полюсов шкалы, почти всегда присутствующих в любой экспертной оценке. Позитивное значение данных процедур заключалось, в частности, в том, что нормированию подвергалась прямоугольная матрица усредненных по экспертам оценок деловых качеств испытуемых не только по столбцам, но и по строкам, что позволило получить достаточно достоверную, хотя и модифицированную по сравнению с исходной ранговую матрицу. Этим преодолевался недостаток подхода к проблеме нормировки, общепринятого, например, в психологии и связанного с приверженностью к расчету так называемых Z-значений только по столбцам качеств или личностных конструктов для получения сопоставимых между собой оценок.
    В этом случае субъективизм экспертов оказывается полностью сохраненным в итоговой ранговой матрице, поскольку ранги Z-оценок идентичны рангам сырых усредненных оценок. Этот эффект был отмечен в зарубежных исследованиях, где в некоторых случаях от Z-оценок, необходимых в большей степени для нормализации результатов тестирования, просто отказывались (16).
    В то же время при разработке методики необходимо учитывать возможность получения ответов на вопросы: был ли в результате нормировок устранен субъективизм экспертов? И, если да, какой субъективизм был устранен? То, что он был устранен в методиках ГМАТ, само собой имеется в виду, так как реализуются предназначенные для этого процедуры и на выходе получается видоизмененная матрица нормированных оценок (46).
    Здесь, по-видимому, уместным будет более подробно остановиться на рассмотрении разновидностей искажений экспертных оценок. При всей условности и неполноте такого перечня можно обозначить следующие варианты проявления субъективизма экспертов для семибалльной шкалы.

    1. Смещение центра и полюсов шкалы. Для одного 7 баллов - это высшая степень совершенства, не свойственная никому, кроме Господа Бога, для другого этой оценки заслуживает любой, кто немного лучше остальных.
    2. Некомпетентность, плохое знание оцениваемых. Оценки ставятся на глазок обычно в интервале 4 - 6 баллов.
    3. Неосознанное занижение всем под влиянием случайных причин. Например, у эксперта плохое настроение, потому что его помяли в общественном транспорте. Максимальная оценка - 4 балла.
    4. Сознательное завышение всем, чтобы не подвести своих. Одинаково высокие оценки по многим качествам у всех оцениваемых. Минимальная оценка - 4 балла.
    5. Субъективно-личностное отношение к некоторым оцениваемым. Один не нравится, поэтому ему надо ставить на
      2 - 3 балла ниже, чем остальным.
    6. Субъективно-конформное отношение к некоторым оцениваемым. Этот плохой, потому что он плохой для начальства.
    7. Сознательное или подсознательное искажение оценок у большинства испытуемых по некоторым качествам. Визуально, как правило, не фиксируется. Имеет место потому, что выраженность этих качеств у действующих руководителей противостоит основной целевой функции организации и значит должна камуфлироваться.
    Можно выполнять процедуры снижения субъективизма экспертов безотносительно к ответу на вопрос: какой субъективизм будет устранен с их помощью, - рассчитывая на то, что эти процедуры избавляют от любого субъективизма. Но не менее правомерным представляется допущение, что чисто математические операции вообще не позволяют устранить искажения в оценках, вызванные воздействием устойчивых социально значимых причин (пункт 7). В этом случае может возникнуть ситуация, когда модель оптимального работника, состоящая из тех деловых качеств, нормированные оценки по которым значимо коррелируют с оценками производственной эффективности испытуемых, окажется нормативом руководителя, оптимального для латентной (скрываемой) системы требований. Если осуществлять подбор кадров в соответствии с таким эталоном, то не исключена вероятность стабильной выбраковки претендентов, ориентированных на выполнение основной целевой функции предприятия, и приема тех, кто этой функции будет эффективно противостоять, полностью устраивая тоже противостоящее ей руководство.
    Такой кандидат будет соответствовать не истинной модели оптимального руководителя, а той, которая укладывается в представления экспертов.
    Кроме этого, искажения оценок имеют разные степени выраженности. Они могут быть незначительными, и тогда ими можно пренебречь; они могут быть достаточно высокими, и тогда их необходимо учитывать.
    При разработке методики, положенной в основу Элиты наиболее актуальным было признано не столько получение ответа на вопрос: устраняется ли в каждом конкретном случае субъективизм экспертов с помощью процедур нормировки, - сколько выяснение того, насколько сильным было искажение по каждому качеству при оценке руководителей данного должностного уровня. Необходимо было предусмотреть процедуры, позволяющие определить тот порог, ниже или выше которого качество можно считать сильно или слабо искажаемым.
    В первом случае существует вероятность того, что значительные искажения вызваны не случайными (пункты 1 - 6 ), а устойчивыми социально значимыми факторами (пункт 7), то есть качество может быть идентифицировано как исходный элемент латентной структуры. Для качеств с невысокими искажениями можно сделать вывод, что субъективизм экспертов был устранен процедурами нормирования, то есть он был недостаточно устойчивым и качество может быть идентифицировано как элемент формальной структуры (в соответствии с теоретическими выкладками Мертона и Тарасова).
    Одна из особенностей применяемой методики основана на представлении о том, что предъявляемые эксперту списки признаков, строго говоря, не являются деловыми качествами, так как, проставляя оценки, эксперт искажает их в соответствии со степенью своего субъективизма. Имеющиеся в Элите признаки были частично получены у руководства одного из предприятий методом диад и по сути представляют собой систему ситуативных к о н с т р у к т о в, характеризующих деятельность руководителя так, как ее представляют себе эксперты. Конструкт можно представить себе как референтную ось, основной параметр оценки, зачастую не вербализованный и не нашедший отражения в символе, иногда вообще ничем не означенный, кроме как стихийными процессами, им управляемыми. На поведенческом уровне его можно рассматривать как открытый человеком способ поведения... (81, с. 31).
    Деловыми качествами такие признаки можно назвать после реализации процедур, направленных на устранение субъективизма экспертов. Экспертам предлагались только однополюсные конструкты, так как наличие в вопроснике второго полюса при оценке людей может приводить к увеличению искажений - эксперт, как правило, жмется (ставит более высокие оценки) к социально-одобряемому полюсу по большинству конструктов. Поэтому противоположный полюс был подразумеваемым. При этом в список включались как социально-положительные полюсы конструктов, например умение организовать коллектив на выполнение конкретной задачи, так и имеющие социально-негативное звучание, например склонность к созданию конфликтных ситуаций.
    Применяемая методика основана на использовании экспертных оценок сверху, т.е. в качестве экспертов привлекаются 5 - 7 руководителей более высокого ранга, знающие каждого из оцениваемых. Это обусловлено тем, что оценкам снизу или сбоку свойственна изначальная несопоставимость (91).
    После выполнения операций, связанных с устранением искажений, необходимо было построить систему нормативных критериев, отображающих специфику требований структур, действующих в данный момент на диагностируемом должностном уровне. Поскольку все расчеты осуществляет компьютер, может быть построено до 5 нормативов, каждый из которых представляет собой определенную последовательность деловых качеств. Это следующие нормативы:
    а) норматив работника, являющегося наиболее оптимальным для эффективной управленческой деятельности на конкретном должностном уровне. В него входят деловые качества, экспертные оценки выраженности которых у действующих руководителей значимо коррелируют с оценками их общей производственной эффективности;
    б) норматив работника, включенного в латентную (скрытую) структуру деловых качеств. К латентной структуре относятся качества, оценки по которым сознательно или подсознательно искажаются экспертами и искажение это обусловлено не какими-либо случайными факторами, а наличием определенных социально значимых причин;
    в) норматив работника, включенного в формально-декларированную структуру деловых качеств. К формально-декларируемой структуре относятся качества, выраженность которых не искажается экспертами при оценке;
    г) норматив работника, включенного в социально-положительную структуру деловых качеств. К социально-положительной структуре относятся качества, воспринимаемые экспертами как социально одобряемые признаки поведения; например, такими признаками могут быть: порядочность, знание специфики работы подразделения;
    д) норматив работника, включенного в социально-инверсную структуру деловых качеств. К социально-инверсной структуре относятся качества, не воспринимаемые экспертами как социально-положительные признаки поведения, например склонность к созданию конфликтных ситуаций, упрямство.
    Пять указанных нормативов рассчитываются сначала по результатам обработки экспертных оценок деловых качеств группы руководителей, уже работающих на каком-либо должностном уровне.
    Каждый из нормативов может быть либо рассчитан, либо нет, так как качества, диагностированные по отдельности как исходные признаки какого-либо смыслового аспекта - эффективности деятельности, формального, латентного, положительного, инверсного, - могут оказаться не связанными между собой в факторную структуру, выявляемую методом расчета главных компонент (в программе был реализован алгоритм, изложенный Г. Харманом (82).После их вычисления осуществляется процедура Варимакс, предназначенная для нахождения так называемой простой структуры, т.е. для преобразования факторной матрицы таким образом, чтобы числовое значение нагрузки данного конструкта было по возможности максимальным для одного фактора и минимальным для всех остальных. В теоретических источниках по факторному анализу такая структура матрицы обычно оценивается как наиболее достоверная.
    После выполнения процедуры Варимакс в каждом факторе новой матрицы определяется баланс нагрузок каждой пары признаков. То есть в матрице выявляются такие факторы, в которых нагрузки формальных конструктов концентрируются на одном полюсе, а нагрузки латентных - на другом. Такая идентификация формально-латентной модели осуществляется путем суммирования с учетом знака по отдельности нагрузок латентных (сильно искажаемых) и формальных (слабо искажаемых) конструктов. Если оказалось, что сумма формальных конструктов в данном факторе положительна, а латентных отрицательна, то это означает, что такой фактор характеризуется взаимным отталкиванием (отрицательными корреляционными связями) между группой формальных и группой латентных конструктов.
    Эти две группы концентрируются в факторе на разных полюсах, то есть образуют с т р у к т у р у формально-латентной модели деловых качеств руководителя на данном должностном уровне.



    Система профотбора и адаптации рабочих кадров

    Таким образом, появляется возможность перейти от методов механической выбраковки кандидатов к методам обоснованной расстановки персонала.
  1. Технологизация управления руководящими кадрами предполагает использование следующих принципов:
  1. подготовка управленческого решения о переходе к обоснованному управлению персоналом применительно к руководящему персоналу должна состоять в получении информации о степени соответствия или несоответствия механизма комплектования конкретных должностных уровней кадрами задачам эффективной производственной деятельности. На основе данного результата высшему руководству предприятия может быть рекомендовано своевременно усиливать или ослаблять авторитарные либо демократические составляющие стиля управления при взаимодействии с тем или иным должностным уровнем;
  2. на уровне принятия решения представляется целесообразным осуществить переход от формальных процедур формирования резерва и аттестации к технологии проведения периодической диагностики, направленной на выявление степени соответствия личностных ориентаций руководителей разных уровней задаче выполнения главной целевой функции организации;
  3. на уровне реализации решения о комплектации нижестоящих уровней руководства новыми кадрами в результате применения технологии должны быть диагностированы те должностные уровни, где рекомендуется проведение ротации действующих руководителей на базе выявления их личностной предрасположенности к включенности в ту или иную систему требований, а также определена степень профпригодности к руководящей работе у кандидатов на прием;
  4. в методическом отношении наиболее перспективным представляется построение для всех руководящих (или ключевых) должностных уровней системы критериев, позволяющих осуществлять многонормативный анализ для выявления формальных, латентных, социально-негативных и социально-положительных (одобряемых) систем требований, действующих в данной организации и предъявляемых к руководителям со стороны формальных и неформальных структур и социальных групп.
  1. При совершенствовании разработок, создаваемых на основе ситуативно-нормативного подхода в общеметодическом отношении представляется целесообразным, во-первых, учитывать при построении социально-психологического норматива оптимального работника возможное компенсаторное воздействие факторов (личностных и поведенческих характеристик), которые могут быть актуализованы при изменении производственной ситуации; во-вторых, преодолеть ориентацию технологий на ручную обработку, что ограничивало количество объектов нормативной диагностики до 1 - 2 моделей, снижало диагностические возможности методик и не позволяло социологу работать в режиме оперативного заполнения постоянно появляющихся вакансий.
  2. Разрешение указанных проблем представляется возможным на основе применения в технологиях достаточно сложных статистических методов обработки исходных тестовых, экспертных и анкетных данных, что в свою очередь предполагает необходимость использования высокоэффективной компьютерной техники.
  3. На основании вышеизложенного можно заключить, что для формирования концепции управления персоналом являются актуальными следующие технологические проблемы: теоретическая разработка вопросов компьютеризации методов кадровой диагностики; переработка и перевод существующих методик в программные системы на основе использования в них наиболее эффективных статистических методов; встраивание вновь созданных программно-компьютерных средств в систему мероприятий по внедрению новых средств оптимизации управления персоналом. Результатом решения перечисленных задач и является создание новой социально-технологической системы. Описание двух таких системных комплексов приведено в следующих главах настоящего исследования.

Контрольные вопросы



  1. Какие признаки компьютерной социальной технологии характеризуют ее как способ качественного изменения объекта?
  2. Что такое сбалансированный кадровый состав организации?
  3. Каким образом происходит изменение кадрового состава предприятий в современных социально-экономических условиях?

ГЛАВА 2. РАЗРАБОТКА И ПРАКТИЧЕСКОЕ ПРИМЕНЕНИЕ КОМПЬЮТЕРИЗИРОВАННЫХ СОЦИАЛЬНО-ТЕХНОЛОГИЧЕСКИХ СИСТЕМ УПРАВЛЕНИЯ ПЕРСОНАЛОМ

Система профотбора и адаптации рабочих кадров на базе программно-технологического комплекса ПРОФИ-2

Диагностическая методика


Построение сбалансированной кадровой структуры предприятия в современных условиях неопределенной социально-экономической ситуации закономерно начинать с упорядочения движения трудовых ресурсов на низовых уровнях профессионально-должностной иерархии предприятия. Это относится прежде всего к движению кадров рабочих основных специальностей, целенаправленное влияние на которое может осуществляться на основе создания и использования достаточно эффективных автоматизированных технологических средств.
Общая характеристика одного из них приводится в настоящей главе. В качестве объекта применения разработанной автором технологии были выбраны рабочие основного производства завода Микрон шести специальностей: операторы фотолитографии, операторы прецизионной литографии, наладчики технологического оборудования, наладчики автоматических линий по производству больших интегральных микросхем (БИС), операторы микросварки, контролеры внешнего вида деталей, а также кандидаты на прием на работу по этим специальностям. Численность работников предприятия, принявших участие в диагностике, - 72 человека (по 10 - 14 чел. каждой специальности), численность кандидатов - 280 человек. Численность группы экспертов - 22 человека.
Сбор информации при разработке технологии проводился с 1992 по 1994 г. В качестве методических средств применялись: тест Кэттэлла (компьютерная версия-вопросник 17 личностных факторов - адаптированная на факультете психологии МГУ версия теста Кэттэлла); экспертная оценка эффективности производственной деятельности рабочих указанных специальностей вышестоящим руководством (мастера, начальники участков, технологи); анкета по выявлению уровня адаптированности вновь принятых рабочих.
Диагностика состояла из двух этапов: проведение обоснованного профотбора кандидатов на прием и выявление факторов, затрудняющих адаптацию на рабочем месте после приема.
Задачей первого этапа было не столько отсеивание тех, кто психологически не соответствовал требованиям, предъявляемым к работнику в конкретном производственном подразделении, сколько поиск специальности и цеха, где по мере возможности будет достигнуто такое соответствие.
На втором этапе нужно было выявить и устранить как производственные, так и непроизводственные факторы, отрицательно влияющие на адаптацию.
Первый этап в свою очередь подразделялся на два подэтапа - диагностический и прогностический.
В ходе диагностического этапа в соответствии с принципами ситуативно-нормативного подхода были построены социально-психологические нормативы, отображающие характерологические профили личностных качеств работников, способных к эффективной профессионально-производственной деятельности по каждой из указанных специальностей в определенном подразделении предприятия.
В основу методики расчета нормативов были положены общие принципы ряда социальных технологий в области кадровой проблематики, распространенных в последнее время в некоторых отраслях экономики (45; 46; 87).
Кроме того, для создания программы использовался метод, называемый в западной литературе CONCURRENT VALIDITY. Он применяется в зарубежных фирмах с начала 30-х годов и направлен на конструирование тестовых систем на базе эмпирических критериев.
Создание обоснованных тестов связано обычно с тем, что на первом этапе проводится тестирование работников предприятия, которые прошли адаптацию в данном производственном подразделении. Результаты тестирования коррелируются с трудовыми достижениями. Тесты, имеющие заметные положительные корреляции с производственными показателями, считаются валидными на текущий момент испытания уже работающих лиц.
Предположительно, эти же тесты должны помочь при отборе тех, кто еще только собирается поступать на работу.
Если кандидаты на прием показывают высокие результаты в тех тестах, в которых достаточно хорошо проявили себя уже работающие, вероятность успешной адаптации таких респондентов считается достаточно высокой (1, с. 140).
Такой подход основан на аналогии в оценках эмпирических результатов тестирования и результатов производственной деятельности. Отобранные таким образом тесты, далее даются вновь поступающим.
Зачисляются на работу только те, кто имеет высокие тестовые баллы.
В системе ПРОФИ-2 производственные показатели представлены в виде экспертных оценок эффективности производственной деятельности адаптированных на предприятии работников - представителей шести диагностируемых специальностей, которые выполняют сходные профессиональные функции в рамках одной должностной позиции.
Исходя из положений метода CONCURRENT VALIDITY опросник 17ЛФ или другой многофакторный тест можно рассматривать в качестве батареи тестов, используемых для выявления личностных факторов, валидных на производственные результаты. Усредненные и ранжированные оценки экспертов последовательно коррелируются с каждой из 17 шкал теста, применяемого пользователем.
Ориентация методики на ее реализацию в компьютерном варианте позволила использовать следующие более совершенные по сравнению с существующими в бланковых вариантах диагностические процедуры.

  1. Отбор экспертов для выявления в их исходной совокупности такой группы, оценки которой наиболее адекватны тестовому профилю эффективного работника.
Существуют методы определения компетентности экспертов в качестве оценщиков на основании применения методик групповой оценки личности (ГОЛ). При этом критерием информативности групповой оценки считается согласованность (похожесть) оценок отдельных экспертов между собой, определяемая по коэффициенту надежности Кронбаха.
Предполагается, что отсутствие такой согласованности свидетельствует о том, что либо оцениваемое свойство не проявилось у объекта оценивания, либо оценщики по разному проинтерпретировали инструкцию (8, с. 80).
Данный критерий представляется ограниченно достоверным, так как в его основе лежит допущение об абсолютной правильности коллективного мнения об объекте. На самом деле единообразие такого мнения может означать, что оно прямо противоположно реальной выраженности данного признака у человека, так как в группе, да и в обществе в целом, могут действовать субъективные нормы, требующие искажать те или иные качества личности.
Без учета данного социально обусловленного фактора построена, например, компьютерная экспертная система Экспан (разработана на психфаке МГУ), в которой, если эксперт шагает не в ногу со всей ротой, значение его оценки достаточно субъективно принижается после расчета результата.
В применяемой в настоящей работе методике использовался другой критерий достоверности оценок.
Таковым критерием считалась степень согласованности оценок группы экспертов с результатами тестирования по шкалам теста. Для выявления такой согласованности расчет нормативов профотбора по тестовым данным и экспертным оценкам проводился многократно, в несколько циклов, вплоть до расчета коэффициента адекватности тестовых значений норматива оптимального работника экспертным оценкам производственной эффективности.
После завершения очередного цикла, из исходной совокупности оценок исключался один эксперт и расчет повторялся без него. Таким образом получался ряд коэффициентов адекватности, наибольший положительный из которых относился к группе экспертов, оценки которых наиболее соответствуют не друг другу, а значениям, полученным по шкалам теста.

  1. Многонормативный анализ. Строится не один норматив, а их система, которая содержит нормативы, объединенные по двум основаниям: социальная специфика и диагностическая достоверность.
Социальная специфика отображается, в свою очередь, в двух нормативах, каждый из которых пользователь может предпочесть в зависимости от требований диагностической задачи, - это профессионально-ситуативный и социально-демографический нормативы.
В первом случае предполагается, что пользователь сгруппировал респондентов в выборке с учетом их половозрастных характеристик например, он мог объединить в ней наладчиков-мужчин до 25 лет, чтобы помимо профессиональных составляющих отобразить в нормативе социально-демографические особенности данной группы людей. При реализации данного варианта диагностики специалист может выбрать выполнение расчета социально-демографического норматива. Во втором случае предполагается, что отображать данную специфику нет необходимости вследствие, например, небольшого объема исходной выборки.
Тогда может быть выбран профессионально-ситуативный норматив.
Диагностическая достоверность достигается в алгоритме жесткой или стандартной настройки нормативов на производственные требования. Эта настройка выполняется не по желанию пользователя, а в автоматическом режиме путем выбора наиболее адекватного параметра.
В результате всех расчетов по каждой выборке, объединяющей респондентов одной специальности, строятся два диагностических норматива-критерия профпригодности - жесткий и нормальный.
Жесткий критерий представляет собой совокупность личностных факторов, представленных всеми шкалами теста. В него включаются как статистически значимые для производственной эффективности шкалы, так и связанные с ней недостаточно сильно. Определяющим для выбора такого варианта являлось представление о том, что в понятии незначимой корреляции сохраняется значение связи (зависимости) - коэффициент может быть более или менее удален от границы значимости и, следовательно, данный психологический фактор оказывает более или менее существенное воздействие на производственные показатели.
Такие шкалы теста как бы дополняют информацию о степени влияния на результативность работы на данном рабочем месте факторов, коррелирущих с оценками производственной эффективности статистически значимо.
В нормальный критерий включаются только значимые шкалы. Это объясняется тем, что сильная связь с производственными результатами того или иного личностного фактора является свидетельством его наибольшего влияния на их изменение. Поэтому шкалы теста, показавшие статистически значимые корреляции с оценками производственной эффективности целесообразно рассматривать в качестве самостоятельного норматива, не затеняемого никакой дополнительной информацией.
Нормальный критерий - это необходимая, но не всегда достаточная норма информации. Применение нормального критерия позволяет конкретизировать прогноз возможности проявления у любого респондента личностных качеств, наиболее характерных для данной специальности.
Тот или другой критерий в специфической производственной ситуации является наиболее адекватным ее требованиям, поэтому в методике предусмотрена процедура определения приоритетности одного из них в конкретных профессионально-производственных условиях. Приоритетный критерий является решающим для определения пригодности респондента для выполнения конкретных производственных обязанностей.
Кроме выявления сильно и слабо значимых для эффективной работы шкал необходимо было для каждой шкалы рассчитать те числовые значения, которые будут наиболее свойственны оптимальному работнику данной специальности в конкретном производственном подразделении. Для этого использовались принципы построения нормативных моделей оптимального работника, применяемые ранее в некоторых методиках (87).
В исследованиях аналогичного направления принималось допущение, что модель (норматив) оптимального работника должна отображать, с одной стороны, типичные психологические качества респондентов данной должностной группы, с другой - фиксировать внутригрупповые различия по признаку выраженности оптимальных навыков и умений (90). Для выполнения этого соотношения в качестве допустимой величины отклонения для шкал теста, значимо связанных с производственными результатами, принималась величина, равная 1,5 суммарного среднеквадратического отклонения (сигмы).
Она определяет верхние и нижние границы выборки по каждой значимой шкале в стенах или баллах. Наличие числовых значений, соответствующих таким границам, у любого респондента является свидетельством наличия у него личностных качеств, наиболее выраженных у оптимального работника.
Рассчитанные для таких шкал оптимальные значения представляют собой норматив профотбора, соответствующий нормальному критерию.
Для жесткого критерия дополнительно рассчитывались наиболее благоприятные параметры для недостаточно сильно связанных с производственной эффективностью тестовых шкал. Их величина определялась размахом доверительного интервала, протяженность которого была задана числом коэффициента корреляции, а отклонение в сторону верхней или нижней границы выборки - его знаком.
Это оказалось важным для малых выборок, так как позволило сделать модель более строгой с учетом точечных границ значимых шкал теста. Рассчитанные таким образом оптимальные значения представляют собой норматив профотбора.
Один из критериев - жесткий или нормальный, - как это уже было отмечено, является приоритетным для выявления психологической профпригодности. Приоритетность устанавливается на основании вычисления индивидуальных индексов соответствия любого респондента параметрам рассчитанного тестового норматива.
Индекс характеризует потенциальную способность оцениваемого к выполнению определенных производственных функций.

  1. Наличие достаточно эффективного аппарата статистической верификации построенных нормативов.
Такой аппарат включает в себя метод известных (контрастных) групп для определения степени сходства средних индексов соответствия для респондентов выбранных пользователем трех разных профессиональных групп и расчет Т-критерия Стьюдента для определения сходства средних по всем имеющимся в распоряжении диагноста выборкам.
Использование данных функций позволяет, с одной стороны, повысить достоверность диагностики, то есть решить практическую задачу, с другой, выполнять какую-нибудь исследовательскую работу, например поиск закономерностей распределения признака (профпригодность, адаптируемость, обучаемость и т.д.) в больших выборках.
В ходе реализации прогностического подэтапа необходимо было построить и отработать систему процедур для определения профпригодности кандидатов на прием на работу.
В ее основе находится тот же порядок расчета индекса соответствия результатов тестирования респондента-кандидата построенному нормативному профилю. В данном случае этот показатель вычисляется по результатам вычисления отклонений по каждой шкале теста между баллами норматива и баллами кандидата на прием.
Эти отклонения затем усредняются относительно количества шкал с учетом среднеквадратичного отклонения.
Полученное число и представляет собой индекс, который может не превышать или превышать некоторое предельно допустимое нормативом значение. Первый случай является основанием для прогноза успешной адаптации респондента на данном рабочем месте, так как фиксируется соответствие его личностных качеств и профиля оптимального для данной специальности работника.
Второй свидетельствует о рассогласовании этих сравниваемых параметров и не позволяет прогнозировать успешность адаптации.
Предложенные при расчете индекса соответствия процедуры отличаются тем, что они позволяют сочетать устойчивость и изменчивость границ (порогов) профпригодности в каждом нормативе. Это достигается, во-первых, возможностью для пользователя произвольно выбрать такую нужную ему степень соответствия нормативу (высокую, среднюю или низкую), относительно которой прогноз профпригодности представляется наиболее приемлемым в конкретной производственной ситуации.
Во-вторых, для каждой профессиональной нормативной выборки внутри этих трех степеней соответствия устанавливаются специфические устойчивые границы, позволяющие отображать межпрофессиональные отличия при прогнозе профпригодности.
Для выявления профпригодности респондента осуществляется сравнение результатов его тестирования со всеми построенными нормативами.
На втором этапе диагностики необходимо было выявить факторы, препятствующие успешному освоению профессии вновь принятым работником для их последующей проверки и устранения.
Для этого была разработана анкета начинающего рабочего, предназначенная для проведения опроса спустя 1 - 1,5 месяца после прихода в подразделение. Предполагалось, что за данный период факторы, препятствующие адаптации, проявляются достаточно определенно, чтобы их диагностировать.
Анкета содержит 6 диагностических разделов (не считая паспортички) от трех до десяти вопросов в каждом. В данных разделах выявляется мнение рабочего о следующих особенностях процесса адаптации и условий труда:

  1. соответствие выбранной специальности индивидуальным склонностям и возможные причины перехода на работу по другой специальности (путем увольнения с предприятия или перехода в другое подразделение);
  2. соответствие заработка трудовому вкладу;
  3. эффективность профессионально-производственного обучения;
  4. удовлетворенность выполняемой работой;
  5. самооценка соблюдения требований трудовой дисциплины;
  6. оценка условий труда (санитарно-гигиенические условия, безопасность труда, организация и качество питания и т. д.)
При проведении анкетирования респондент заносит ответы на специальный бланк, - как и при тестовом опросе. Но в данном случае он ставит в соответствующую строку бланка номер выбранного кода ответа для закрытых вопросов или пишет свой собственный ответ на открытый вопрос.

Программно-технологическая реализация диагностической методики

Разработка концепции программы основывалась на общих признаках автоматизированной социальной технологии, сформулированных во второй главе настоящей работы, а также на положениях диагностической методики. Автоматизации подвергался этап обоснования и поведения профотбора как наиболее стандартизованный и трудоемкий по количеству расчетных операций. В соответствии с обоснованными общеметодологическими подходами были разработаны основные режимы системы ПРОФИ-2, содержащиеся в Основном меню программы. Его изображение приведено на 1.
В программе ПРОФИ-2 предусмотрена возможность работы с двумя разными (по выбору пользователя программы) вариантами теста Кэттэлла: во-первых, с тем вопросником, ключом и тестовыми нормами, которые уже имеются у пользователя-специалиста, и он предпочитает применять только данный инструмент, во-вторых, с компьютерной версией теста - программой 17 ЛФ. В первом случае в программе ПРОФИ-2 реализуется порядок занесения вручную с клавиатуры и дальнейшей обработки результатов в собственную базу данных, во втором - в импортированную базу данных, куда тестовые показатели респондентов автоматически импортируются (переписываются) из программы 17 ЛФ.
Под базой данных, используемой в системе ПРОФИ-2 понимается один файл, содержащий результаты тестирования нескольких или многих респондентов, а также их экспертные оценки.
Выбор одного из двух указанных инструментов определяется самим пользователем и зависит от нескольких факторов, к числу которых можно отнести наличие или отсутствие средств на приобретение второй программы (17 ЛФ), приверженность к специфическим (своим) тестовым нормам и т. п.
После занесения в базу данных результатов тестирования в нее вводятся экспертные оценки эффективности производственной деятельности испытуемых из нормативной выборки или оценки по какому-либо другому внешнему критерию (например, уровень обучаемости и т. д.). Эта функция реализована в разделе Ввод Основного меню.
Таким образом реализуется первый технологический цикл, направленный на формирование совокупности исходных данных для построения норматива, которое выполняется в разделе Расчет норматива. Пользователю предлагается выбор той социально-ситуативной специфики, в соответствии с которой была сформирована база данных.


Теоретическое обоснование управления персоналом

Однако считать технологиями можно только некоторые из них, прежде всего потому, что только в единичных случаях были разработаны и применены на практике процедуры или методика внедрения. Однозначно данное требование было соблюдено лишь применительно к программе СААРС В.К.
Тарасова. Применение неавтоматизированных технологий управления персоналом, создаваемых на основе социолого-психологических методов, как правило, сопряжено со следующими проблемами.

  1. Недостаточная достоверность прогноза соответствия должностным требованиям вследствие: наличия искажений при ответах на пункты теста или анкеты, которые можно учитывать при обработке, но невозможно устранить на этапе опроса при использовании бланковых методов, высокой доли ручного труда при выполнении расчетных операций, приводящего к элементарным ошибкам счета, несовершенства методик, ориентированных на фиксацию только тех характерологических признаков, которые могут быть установлены при помощи ручной обработки (боязнь разработчиков усложнить методику, чтобы повысить возможность ее внедрения специалистами разной квалификации).
Автоматизированный вариант опроса позволяет осуществлять контроль за стратегиями ответов респондента и, в случае выявления какой-либо системы в ответах, предупреждать его о необходимости предоставления правдивой информации. Ошибки счета в законченной и правильно отлаженной программе практически исключаются.
Достоверность прогноза профпригодности может быть повышена также за счет применения в программной системе сложных методов обработки.

  1. Временной разрыв между этапами подготовки и реализации управленческого решения о приеме на работу или кадровых перемещениях. Много времени уходит на обработку информации (обсчет тестов и анкет, личностный анализ, построение профессиограмм, получение тестовых норм, сравнение с ними кандидата на прием или аттестуемого и т.п.). Например, на построение норматива профотбора по уже собранным данным вручную с использованием результатов тестирования по опроснику Кэттэлла и экспертных оценок производственной эффективности (методика ГМАТ) уходит 1 - 3 рабочих дня.
В компьютерном варианте норматив считается за 30 секунд. Поэтому появляется возможность расширить область поиска оптимальной должностной позиции для кандидата на прием от одного-двух нормативов до их неограниченного количества, то есть заниматься не столько отбором, сколько расстановкой кадров с большей степенью вероятности оптимального трудоустройства.
Кроме того, создание программы предполагает объединение технологий подготовки и реализации управленческого решения о приеме на работу в едином инструментально-методическом средстве, что должно повысить общую эффективность технологий.

  1. Противоречие между предметной сферой специалиста по социально-психологическим методам работы с персоналом и традиционными видами деятельности кадровой службы (учет и оформление документации). В представлениях работников отделов кадров такой специалист всегда занимается малопонятными и не слишком необходимыми предприятию вопросами, связанными скорее с научно-исследовательской деятельностью. Достаточно часто социолог или психолог своими действиями подтверждает это предвзятое мнение, так как долго не предоставляет никакого результата, значимого для производства. Автоматизация позволяет представить в качестве основного результата не столько предварительный диагноз нормативного состояния, сколько окончательный прогноз профпригодности испытуемого к той или иной профессиональной деятельности. Все малопонятные расчетные процедуры достаточно оперативно реализуются в скрытом режиме.
На основании рассмотрения существующей ситуации с внедрением компьютерных методов в производственную социологию можно сделать вывод о том, что, несмотря на все преимущества, автоматизированные социальные технологии управления персоналом в настоящее время в нашей стране фактически отсутствуют даже на уровне разработок. Есть отдельные программы, но нет технологий как описаний системы организационных мероприятий и процедур, обеспечивающих внедрение этих программ на том или ином объекте.
Подводя некоторые итоги, можно заключить, что для формирования концепции управления персоналом являются актуальными следующие технологические проблемы: теоретическая разработка вопросов компьютеризации методов кадровой диагностики (частично, в эскизной форме, она была выполнена в настоящей главе); переработка и перевод существующих методик в программные системы на основе использования в них наиболее эффективных статистических методов; встраивание вновь созданных программно-компьютерных средств в систему мероприятий по внедрению новых способов оптимизации управления персоналом. Результатом решения перечисленных задач и является создание компьютерной социальной технологии.

Теоретическое обоснование управления персоналом на основе внедрения комплексных социально-технологических систем

Кадровые вопросы можно считать приоритетными в деятельности производственных социологов 80-х годов, что проявлялось не только в процессе разработки технологических средств диагностики и оптимизации кадрового состава предприятий, но и в результатах их практического внедрения. Об этом свидетельствуют, например, данные исследования, проведенного группой социологов Харьковского авиационного института во второй половине 80-х годов на электротехнических предприятиях практически всех регионов СССР.
В ходе исследования выяснилось, что на совершенствование работы с кадрами было направлено 40% всех внедренных рекомендаций, текучесть изучали 30,6% заводских социологических служб (Тростановский Ж. С., Эпштейн А. И., Копылов В. А. Социологическая служба предприятия //Социологич. исслед. 1992.
10). Аналогичное заключение можно сделать о содержательной направленности большинства социальных технологий, применяемых тогда и в других отраслях промышленности и транспорта. Поэтому достаточно актуальной представляется характеристика тех исходных понятий, которые характеризуют работу с кадрами как одну из управленческих подсистем предприятия.
Основными системообразующими элементами любого управленческого процесса, как известно, являются: субъект управления, наделенный активностью и реализующий ее; объект, на который направлена активность субъекта и сама управленческая деятельность как активное воздействие субъекта на объект. Представляется целесообразным предварить обоснование особенностей технологизации управления персоналом анализом подходов к характеристике объекта данной разновидности управленческой деятельности для конкретизации и уточнения его определения.
Единого подхода к данной проблеме до настоящего времени не выработано, несмотря на многочисленные исследования. Используются такие термины, как кадры, трудовые ресурсы, промышленно-производственный персонал, работники производства, кадровый потенциал и т. п. (27; 60; 86; 79; 21).
Определения сущности явлений, обозначаемых указанными понятиями, также отличаются значительным разнообразием. Например, под кадрами может пониматься: совокупность различных профессионально-квалификационных групп работников, занятых в различных сферах и отраслях народного хозяйства (27, с. 8), штатный состав квалифицированных работников организации (79, с.4).
Кроме того, достаточно распространенным было изучение такого социального образования как трудовой коллектив (18; 80; 48), который также понимался неоднозначно. Он рассматривался как: специфический тип организованной социальной группы, ориентированной на извне заданную цель (19, с. 308); ячейка общества и одновременно организованная общность людей, объединенная конкретным видом деятельности, формами собственности, отношениями сотрудничества, взаимопомощи, установками, ценностными ориентациями и нормами поведения (33, с.116); группа объединенных общими целями и задачами людей, достигшая в процессе совместной социально ценной деятельности высокого уровня развития (61, с. 166).
Таким образом, можно отметить, что в понятии кадры на первый план на отраслевом, общеэкономическом или организационном уровнях выдвигается профессионально-квалификационный состав работников, а в понятии трудовой коллектив - интегративно-целевые стороны деятельности организованных групп людей.
В современных социально-экономических условиях происходит, с одной стороны, коренное преобразование существующей профессионально-квалификационной структуры, а также зарождение новых профессий, связанных с частнопредпринимательской сферой, с другой - резкое ослабление интегративных коллективистских связей между участниками производственного процесса на отдельных предприятиях. На некоторых из них происходит распад коллективов как таковых.
В такой ситуации представляется возможным конкретизировать два указанных исходных понятия для отображения структурообразующих факторов, позволяющих обеспечить сохранение целостности организации в процессе перехода к новому экономическому укладу.
Одной из форм такой конкретизации можно считать использование термина персонал организации, в котором концентрируются как обезличенная принадлежность к какой-либо организационной структуре, так и собственно социальный компонент этой структуры - люди, обеспечивающие ее функционирование и представляющие собой ее кадровый состав.
Персоналом в данном случае считается общность людей, объединенных системой профессионально-должностных позиций, для выполнения основной целевой функции организации.
Управление персоналом можно представить как целенаправленную деятельность руководства предприятия, осуществляемую для формирования максимального соответствия между формальными профессионально-должностными требованиями и личностными качествами, а также ориентациями сотрудников.
Технологизацию управления персоналом предлагается использовать как способ преобразования регулирующей составляющей управленческого процесса путем ее совершенствования на основе разработки и внедрения социальных технологий.
В связи с этим в качестве объекта настоящего исследования были выбраны социальные технологии управления персоналом производственной организации. Обоснование специфики таких технологий необходимо предварить теоретическим анализом работ, уже проводившихся в этом направлении ранее.
В отечественной социологической литературе исходные понятия, относящиеся к указанному вопросу, упоминаются достаточно редко и, как правило, в связи с технологическими средствами, предназначенными для совершенствования работы с кадрами.
Э.А. Розанов, например, рассматривает кадровую структуру (персонал-организацию) предприятия как составную часть его социальной организации, определяющую социально-профессиональный и должностной статус работника, его роль и функции в системе предприятия, дающие возможность реализации его знаний и умений в трудовой деятельности.
Кадровая политика есть стратегия (программа) реализации кадрового потенциала. Персонал-технология - комплекс средств, приемов, операций и процедур по осуществлению кадровой политики через персонал-организацию (64, с. 66 - 67, 72).
В данных положениях кадровая структура соотносится преимущественно с элементами формальной организации - описанием содержания статуса, роли, функций, их значения для социализации личности в труде. Сами же участники трудового процесса как специально организованная для совместного выполнения социально значимой задачи совокупность людей остаются за пределами содержательной характеристики.
Достаточно психологизированное определение персонал-технологии приводит В.К. Тарасов, представляя ее как такой образ поведения, придерживаясь которого, используя вербальные образцы, слова, обращенные к другим людям, можно добиться изготовления ими любой продукции, реализовать любую технологию (75, с. 9).
Очевидно, что, следуя этому определению при разработке и внедрении персонал-технологий, можно переориентироваться на процесс манипуляции людьми в соответствии с какими-либо субъективными представлениями разработчика или руководителя, которые могут не совпадать с объективными интересами производства.
В редакционной статье одного из первых номеров бюллетеня Персонал Киевского заочного университета управления персоналом персонал-технологии характеризуются как подробное описание процесса проведения исследования по решению конкретной задачи в работе с персоналом.
Базируется такое описание на конкретной программе и конкретных социологических и психологических методиках (62, с.20).
Такая точка зрения в большей степени относится не к технологии, а к научному исследованию, отличающемуся от последней целым рядом особенностей и прежде всего ориентацией на получение какого-либо теоретического объяснения или описания объекта. Практическая направленность технологических средств, требующая максимальной простоты и доступности инструментария, в данном случае не учитывается. Кроме того, сам термин персонал-технологии представляется не совсем точным, так как в нем не отображается функциональный смысл такой технологии, а представлен скорее элемент профессионального сленга разработчиков указанных средств.
Продолжая смысловой ряд можно было бы сформулировать такие термины, как, например, автомобиль-технологии, самолет-технологии, и т. п. В качестве более корректного варианта может быть использовано понятие технологии управления персоналом, например, производственной организации, в котором указаны как объект, так и характер воздействия.
Технологиями управления персоналом можно считать социальные технологии, предназначенные для повышения эффективности выполнения основной целевой функции организации за счет постоянной оптимизации кадрового состава, позволяющей формировать коллектив предприятия адекватно требованиям существующей социально-экономической ситуации.
Можно выделить следующие основные направления социологического обеспечения технологизации управления персоналом.

  1. Проектирование и совершенствование организационной структуры предприятия. Данное направление наиболее последовательно представлено в деятельности специалистов по управленческому консультированию и ориентировано на совершенствование системы должностей и подразделений, на основании приоритета требований обеспечения эффективности производства. Значительно меньшее внимание уделяется вопросам изучения личностных особенностей людей, вовлеченных в производственный процесс с точки зрения выяснения степени согласованности реформированной оргструктуры с такими особенностями (10; 58; 13). Перечисленные и другие работы традиционно относятся к предметной сфере социологии организаций.
  2. Подбор и расстановка кадров, формирование производственных коллективов.
Основное содержание этой функции можно связать с попытками добиться максимального сочетания существующих организационных структур с имеющимися в какой-либо совокупности людей личностными качествами, наиболее соответствующими специфике данного производства. Данный вид управления не предполагает изменения ни организационно-структурной составляющей, ни личностной (90; 15; 7).
Можно сказать, что применяемые в данном случае технологии и методики имеют междисциплинарный характер, так как в них преобладают социально-психологические методы, объектом преобразования является в конечном счете организация в целом, а средством - оптимизация управления. Поэтому можно относить такие разработки к сфере социальной психологии, социологии организаций или психологии труда.

Формирование трудовой мотивации работников.


Применяемые в рамках данного направления методы предполагают формирование такой характерологической структуры личностных качеств работника, которые должны обеспечивать эффективную работу каждого члена коллектива в рамках действующей профессионально-должностной системы. Приоритетная ориентация на решение этой задачи свойственна традициям западной школы научного управления (38; 94). Вместе с тем, в отечественной социологии труда в 70-е годы значительное распространение получили разработки, в большинстве случаев основанные на стремлении применить западный опыт для решения задач совершенствования социалистических предприятий.
При этом была сделана попытка трансформировать чисто управленческие методы воздействия на мотивацию, обоснованные, например, в теориях Х и Y Макгрегора, школе человеческих отношений Мэйо, классификации потребностей Маслоу, в комплексный подход. Он базировался на представлениях о том, что мотивацию нужно формировать не только за счет использования администрацией внешних побудителей или развития творческих составляющих труда, но путем воздействия социолога на весь комплекс факторов - условий жизни и работы, социально-психологического климата и т. д. Данный подход довольно скоро оказался неэффективным (87), что привело к первому кризису заводской социологии в начале 80-х годов и ее переориентации на реализацию концепции социально-инженерной деятельности. Ее сущность состоит в обосновании принципов разработки и применения хорошо алгоритмизированных средств преобразования системы управления предприятиями или другими социальными объектами - социальных технологий.
Они предназначены для решения повторяющихся стандартизованных управленческих задач и поэтому могут тиражироваться на разных объектах.
В настоящее время большинство заводских социологических служб, действовавших на основании данной концепции ликвидировано, что позволяет поставить вопрос о необходимости переоценки существующей концептуально-теоретической схемы. В настоящей работе она разрабатывается на основании требований, предъявляемых к производственной социологии со стороны сложившейся экономической ситуации, не позволяющей в настоящий момент планировать создание социологических подразделений на предприятиях, а также на основании особенностей формирования социального заказа на разработку принципиально новых технологических средств в условиях переходного периода.
Необходимость в разработке любой технологии возникает, как правило, в результате появления или осознания людьми какой-либо постоянно существующей общественно-полезной потребности - физиологической, социальной и т. д. Для удовлетворения потребностей создаются соответствующие технологии, реализуемые в организациях различного профиля - предприятиях, фирмах, банках и пр. Организации, в свою очередь, имеют ряд своих потребностей, удовлетворение которых должно обеспечить стабильное функционирование, - это существующие в явной форме потребности в сырье, энергии, кадрах и т. д. Их бесперебойное удовлетворение обеспечивается за счет создания и постоянного совершенствования системы управления организацией.
Таким образом, разработка, внедрение и постоянная оптимизация этой системы тоже являются определенной жизненно значимой потребностью, требующей создания технологий, традиционно называемых социальными.
В процессе удовлетворения перечисленных потребностей предприятия можно выделить две стадии. Первая представляет собой стабильное функционирование организации как системы, созданной для выполнения какой-либо общественно значимой задачи. Отличительная черта этого этапа - постоянство реализации всех технологических циклов с высокой периодичностью за счет бесперебойного поступления всех составляющих производственного цикла на всех этапах - от поставок до сбыта.
Возникающие в отдельных подсистемах сбои и ошибки более или менее эффективно преодолеваются за счет высокой стабильности системы в целом.
Для второго этапа характерно наоборот прерывание или замедление процесса удовлетворения основных потребностей предприятия за счет внешних или внутренних причин, в числе которых могут быть, например, общий кризис экономики в целом или моральное и физическое устарение оборудования на конкретном производстве. Возникновение дестабилизирующих факторов приводит не к ликвидации организации как элемента экономики, а к нарушениям в процессах удовлетворения его основных потребностей - падает сбыт, сырье и материалы не поставляются, зарплата не выплачивается, люди бегут и т. п., - то есть возникает проблемная ситуация как следствие более глубокой социальной проблемы, представляющей собой отклонение от состояния нормативного функционирования.
Особенность потребности совершенствования системы управления связана с тем, что такая система, как всякое надстроечное образование, обладает определенной инертностью, то есть не реформируется автоматически на стадии стабильного функционирования. Это имеет место потому, что потребность в ее совершенствовании не является очевидной для людей, населяющих организацию.
Главное для них - найти поставщиков, рынки, организовать технологический процесс и пр. Для актуализации такой потребности необходим переход какой-либо подсистемы предприятия в стадию нестабильного функционирования, которое и является побудительным фактором для создания социальной технологии, направленной на преодоление уже появившихся недостатков. Если потребность в создании автомобилей стоит сама собой и не требует актуализации, то для того, чтобы стала очевидной, например, потребность в совершенствовании системы подбора и расстановки кадров, нужно, чтобы на предприятии подскочила текучесть, после чего начинает создаваться средство ее снижения.
В данном случае проблемная ситуация представляет собой вариант реализации нормативной потребности.
Основная трудность для социального инженера состоит в том, чтобы прежде всего диагностировать отличие постоянно существующей при нормальном состоянии объекта потребности в улучшении одной из сторон или всей системы управления, от глубинной проблемы, возникающей в результате сбоев в функционировании управленческого механизма.
Проявление потребности первого типа - это социальная норма, реализация проблемы - это свидетельство наличия социальной патологии. Поскольку в условиях современных экономических потрясений самые разнообразные проблемы приобретают глобальный характер, - они существуют практически на всех предприятиях в течение длительного времени, - то среди специалистов по управлению появляется закономерное стремление к разрешению этих как частных, так и общесоциальных проблем путем создания соответствующих средств, которые часто представляются как социальные технологии.
Можно сказать, что мучительный поиск таких технологий сейчас является главным занятием органов государственного управления. Таким образом, хроническая патология всего управленческого механизма интерпретируется как нормальная потребность его совершенствования. Это противоречит основному предназначению технологии, ориентированной на применение в естественных, а не в экстремальных условиях.
Применяемые во втором случае способы можно считать скорее не социальными технологиями, а средствами социального клинициста (врача).
Не случайно традиционные функции консультантов в западной системе организаций данного профиля подразделяются на роли: эксперта, врача, педагога-инструктора, а не социального инженера(77).
В условиях стабильного функционирования экономики в целом были выполнены и реализованы на практике разработки, которые могут быть отнесены как к социальным технологиям, так и к способам разрешения проблем.
Так, еще в 1975 г. социологической лабораторией Пермского телефонного завода была создана методика стабилизации кадров трудового коллектива, позволяющая сократить текучесть среди молодежи до естественного уровня. Аналогичная по задачам система отбора и адаптации кадров, была создана социологами ленинградского ПО Светлана.
Можно выделить также технологические процедуры: Профессиональное продвижение рабочих, Должностное продвижение ИТР и служащих, Анализ текучести, применяемые в ПО КАМАЗ; технологии работы с кадрами таких служб как Главмосавтотранс, где в середине 80-х годов были разработаны методики оценки кандидатов на должность руководителей среднего звена, оценки деловых и личностных качеств линейных руководителей среднего звена, обоснованного подбора и изменения состава производственных бригад с целью повышения эффективности их деятельности и др.



Выраженность Диагностированных Моделей

Характерно, что для руководителя в автопредприятии формально-латентный фактор по перечню качеств на 60-80% совпадает с моделью оптимального руководителя. То есть степень эффективности начальника функционального или линейного подразделения автотранспортного предприятия непосредственно связана со степенью его включенности в формальную или латентную структуру.
Конечно, нельзя считать, что приведенные результаты репрезентируют деятельность типичного хозяйственного руководителя Таблица .5 Выраженность Диагностированных Моделей

ДОЛЖНОСТНОЙ УРОВЕНЬ ВЕСА ФАКТОРОВ
ФОРМ.-ЛАТЕНТНЫЙ ПОЛОЖ.-ИНВЕРСНЫЙ
Нач. Лабораторий (1992 г.) 6,47 (2)* 7,99 (1)
Нач. Лабораторий (1988 г.) 10,46 (1) не выявлялся
Нач. Отделов НИИ (вспомог.) 6,73 (2) 6,73 (2)
Нач. Отделов НИИ (разраб.) 4,57 (3) 9,88 (1)
Нач. Трансагенств 10,6 (1) не выявлялся
Нач. Автоколонн автокомб. по доставке грузов населению 8,96 (1) не выявлялся
Нач. Функц. отделов того же автокомб. 11,4 (1) не выявлялся
Нач. Автоколонн автокомб. по снабжению предприятий 11,22 (1) не выявлялся
Нач. Функц. отделов того же автокомб. 8,33 (1) не выявлялся
* Числа в скобках обозначают ранг фактора в матрице, определяемый по величине его веса в сравнении с весами других факторов.
эпохи перестройки. Но они могут более или менее достоверно отображать ситуацию в двух контрастных по своим функциям отраслях.
Это позволяет рассматривать приведенные перечни качеств как полученные с разных исходных точек срезы менталитета представителей управленческого корпуса в один из ключевых периодов формирования новых экономических отношений. Полученные результаты были использованы руководством предприятий при кадровых перестановках, выполняемых в процессе формирования новой организационной структуры, создание которой обусловливалось требованиями переходного периода.
Результаты диагностики, выполненной на основании использования системы Элита позволили при формировании оргструктуры произвести должностные перестановки управленцев как высшего, так и среднего звена без последующего изменения рекомендованных социологом назначений, что свидетельствует о высокой достоверности диагностической методики.

Контрольные вопросы



  1. Какие бывают искажения при оценке экспертами представителей персонала организации?
  2. Что такое функции и дисфункции организации?
  3. Какие варианты социально-психологических нормативов деятельности руководителя применяются в системе Элита?

ЛИТЕРАТУРА



  1. Аванесов В.С. Тесты в социологическом исследовании. М., Наука, 1982. 199 с.
  2. Антонюк Г.А. Социальное проектирование и управление общественным развитием. Минск:, Наука и техника, 1986. 203 с.
  3. Афанасьев В.Г. Человек в управлении обществом. М., Политиздат, 1977. 382 с.
  4. Боровик В.С. Службы социального развития промышленных предприятий и потребность в новом типе мышления
  5. Барклянский Ю.А. Концепция деятельности социологической службы Норильского комбината // Концепции деятельности социологических служб промышленных предприятий. М., ИСИ, 1986. 171 с.
  6. Борисов В.А., Козина И.М. Об изменениии статуса рабочих на предприятии //Социологические исследования. 1994. - 11.
  7. Борисова Е.М., Логинова Г.П. Индивидуальность и профессия. М., Знание, 1991. - 80 с.
  8. Общая психодиагностика /Под ред. А.А. Бодалева и др. М., МГУ, 1987. 304 с.
  9. Волков Г. Общество, человек, управление // Коммунист. 1977. N14.
  10. Вооглайд Ю. Место консультанта в совершенствовании организации управления. // Теория и практика управленческого консультирования. Таллинн: Валгус, 1978. 163 с.
  11. Громов Г.Р. Очерки информационной технологии. М., Инфо-Арт, 1993. 335 с.
  12. Грудулис А.Я. Социальная инженерия на службе современного капитализма. М., Мысль, 1972. 72 с.
  13. Григас Р. Социальная организация предприятия и ее функции. Вильнюс: Минтис, 1980. 317 с.
  14. Гвишиани Д.М. Организация и управление. М., Наука, 1972. 536 с.
  15. Геллерштейн С.Г. Руководство по психотехническому профессиональному подбору. М., Госуд. изд-во, 1-я Образцовая типография, 1929. 374 с.
  16. Девятко Н.Ф. Измерение установки: становление социологической парадигмы // Социологические исследования. 1991. 6.
  17. Дикарева А.А., Мирская М. И. Социология труда. М., Высшая школа, 1989. 303 с.
  18. Донцов А.И. Психология коллектива. М., МГУ, 1984. 208 с.
  19. Социология труда / Под ред. Н.И. Дряхлова, А.И. Кравченко, В.В. Щербины. М., МГУ, 1993. 368 с.
  20. Ефимов А. Элитные группы, их возникновение и эволюция // Знание-сила. 1988. 1.
  21. Жуплев А.В. Эффект горизонта. М., Московский рабочий, 1989. 168 с.
  22. Зайцев А.К. Социологическая служба производственного объединения. М., Экономика, 1982. 56 с.
  23. Зайцев А.К. Методика разработки и внедрения социальной технологии в условиях промышленного предприятия. // Социальные резервы повышения качества и эффективности труда. М., МДНТП им. Ф.Э. Дзержинского, 1986. 106 с.
  24. Иванцевич Дж.М., Лобанов А.А. Человеческие ресурсы управления. М., Дело, 1993. 300 с.
  25. Иконникова Г.И. О понятии социальной технологии // Фило- софские науки. - 1984. 5.
  26. Ионин А.Г. Технология социальная // Современная западная социология. Словарь. М., Политиздат, 1990. 432 с.
  27. Кабаков В.Д., Лебедев А.Д. Совершенствование кадровой политики на предприятиях машиностроения. Л., Машиностроение, 1988. 83 с.
  28. Калашников С.В. Место и функции социологической и психологической проблематики в деятельности социально-психологических служб // Концепции деятельности социологических служб промышленных предприятий. М., ИСИ, 1986. 171 с.
  29. Кравченко А.И. Социология труда: тенденции и итоги развития // Социологические исследования. 1994. 6.
  30. Кравченко А.И. Социология труда // Социология. Словарь-справочник. М., Наука, 1990. Т.2. 231 с.
  31. Кравченко А.И. Трудовые организации: структура, функции, поведение. М., Наука, 1991. 238 с.
  32. Кравченко А.И. Социология труда в XX веке. М., Наука, 1987. 238 с.
  33. Краткий словарь по социологии / Под ред. Д.М. Гвишиани, Н.И. Лапина. М., Политиздат, 1988. 478 с.
  34. Кудряшева Л.Д. Каким быть руководителю? Л., Лениздат, 1986. 158 с.
  35. Кудряшева Л.Д. Системно-психологическая оценка кадров и управленческих систем. Кишинев, Штиинца, 1983. 159 с.
  36. Колбановскиий В. Так называемая психотехника // Психологический журнал. 1992. 3.
  37. Лапин Н.И., Наумова Н.Ф., Коржева Э.М. Теория и практика социального планирования. М., Политиздат, 1975. 197 с.
  38. Мак-Грегор Д. Человеческий фактор и производство // Соци- ологические исследования. 1995. 1.
  39. Марков М. Технология и эффективность социального управления. М., Прогресс, 1982. 267 с.
  40. Марксистско-ленинская социология. М., МГУ, 1989. 285 с.
  41. Меньшиков Л.И. Служба социологии и психофизиологии труда на рижском ПО Коммунар // Концепции деятельности социологических служб промышленных предприятий. М., ИСИ, 1986. 171 с.
  42. Маркович Д. Социология труда. М., Прогресс, 1988. 627 с.
  43. Мерсер Д. ИБМ: Управление в самой преуспевающей корпорации мира. М., Прогресс, 1991. 453 с.
  44. Мертон Р. Явные и латентные функции // Информационный бюллетень научного совета АН СССР по проблемам конкретных социологических исследований. М., ИСИ, 1968. 6.
  45. Методические рекомендации по оценке кандидата на должность руководителя среднего звена. М., НПО Главмосавтотранс, 1986. 47 с.
  46. Методические рекомендации по оценке деловых и личностных качеств линейных руководителей среднего звена. М., НПО Главмосавтотранс, 1987. 41 с.
  47. Методические рекомендации по подбору состава водительских бригад с целью повышения эффективности их деятельности. М., НИС по труду Главмосавтотранса, 1982. 36 с.
  48. Методические рекомендации по обоснованному изменению состава водительских бригад с целью повышения эффективности их деятельности М., НИС по труду Главмосавтотранса, 1984. 56 с.
  49. Методические рекомендации по разработке плана социального развития коллектива автопредприятия. М., НИС по труду Главмосавтотранса, 1980. 96 с.
  50. Методы социологических исследований. Материалы третьей Всесоюзной конференции в Звенигороде. М. ИСИ, 1989. Вып. 3. 112 с.
  51. Недобенко К.В. Социально-психологический аспект нормативного поведения руководителей в организации. КД. Л., 1985.
  52. Никредин Г.Д. Разработка и внедрение социальных технологий в производственном коллективе. Ар. КД. М., 1990.
  53. Ослон А.А. Принципы компьютерной технологии ВЦИОМ. // Методы социологических исследований. Материалы третьей Всесоюзной конференции в Звенигороде. М. ИСИ, 1989. Вып.3. 112 с.
  54. Поппер К. Открытое общество и его враги. М., Межд. фонд Культурная инициатива, 1992. Т. 1. 442 с. Поппер К. Нищета историцизма // Вопросы философии. 1992. 9.
  55. Попова И.М. От социального знания к социальной инженерии // Социологические исследования. 1988. 1.
  56. Пригожин А.И. Социологические аспекты управления. М., Знание, 1974. 63 с.
  57. Пригожин А.И. Социология организаций //Социология. Словарь-справочник. М., Наука, 1990. Т.1. 204 с.
  58. Пригожин А.И. Социология организаций. М., Наука, 1980. 257 с.
  59. Пригожин А.И. Социальное управление // Социология. Словарь-справочник. М., Наука, 1990. Т.1. 204 с.
  60. Папулов А.П. Кадры управления производством. М., Экономика, 1985. 159 с.
  61. Психология. Словарь / Под ред. А.В. Петровского, М.Г. Яро- шевского. М., Политиздат, 1990. 494 с.
  62. Персонал // Бюллетень ВЗУУП. Киев, ВЗУУП, 1991. 1.
  63. Рихтаржик К. Социология на путях познания. М., Прогресс, 1981. 262 с.
  64. Розанов Э.А. Социальная технология как метод управления коллективом. КД. М, 1991.
  65. Симоненко И.Л. Соотношение социологического и психологического подходов при разработке компьютерных методик // Социологические исследования. 1992. 1.
  66. Симоненко И. Л. От кадровой политики к управлению персоналом // Социологические исследования. 1994. 8-9.
  67. Симоненко И. Л. Компьютеризация социально-инженерной деятельности //Социологические исследования. 1995. 12.
  68. Соколов В.А., Гимадутдинова Г.Х. и др. Ориентир. Казань, Татарское книжное издательство, 1991. 286 с.
  69. Соколова Г.Н. Тенденции развития социологии труда // Социологические исследования. 1991. 3.
  70. Стефанов Н. Общественные науки и социальная технология. М., Прогресс, 1977. 250 с.
  71. Стояцкий М. Н. Условия и средства реализации социальных технологий в процессе модернизации советского общества // Социальные технологии, вопросы теории и практики. Тезисы докладов и сообщений научно-практической конференции. Ростов-на-Дону, Рост. гос. ун-т, 1992. 181 с.
  72. Соловьев, А. Лучанкин. Предисловие // Социальные технологии, вопросы теории и практики. Тезисы докладов и сообщений научно-практической конференции. Ростов-на-Дону, Рост. гос. ун-т, 1992. 181 с.
  73. Сысоева Л.Л. Социальная инженерия и специфика промышленной социологии // Социологические исследования. 1984. 1.
  74. Суслов В.Я. Предмет социологии труда. Л., ЛГУ, 1971. 216 с.
  75. Тарасов В.К. Персонал-технология. Отбор и подготовка менеджеров. Л., Машиностроение, 1989. 367 с.
  76. Тарасов В.К. Система автоматизированной аттестации руководителей и специалистов. Таллин, Валгус, 1984. - 119 с.
  77. Ушанов Ю.А. Практика работы управленческих консультантов в США // Социально-психологические проблемы управленческой деятельности в условиях хозяйственной самостоятельности предприятий. М., МДНТП, 1989. 131 с.
  78. Федотова А.П. Основные направления развития системы социального управления на ПО Светлана // Концепции деятельности социологических служб промышленных предприятий. М., ИСИ, 1986. 171 с.
  79. Филиппов А.В. Работа с кадрами как составная часть управ- ления социальными процессами // Актуальные вопросы организационно-психологического обеспечения работы с кадрами. М., Моск. ин-т упр-я им. С. Орджоникидзе, 1989. 153 с.
  80. Фоминых В.П. Межличностные отношения в структуре взаимодействия членов подрядных коллективов //Проблемы социально-психологической службы промышленного предприятия. Курган, Полиграфист, 1985. 310 с.
  81. Ф. Франселла, Д. Банистер. Новый метод исследования личности. М., Прогресс, 1987. 233 с.
  82. Харман Г. Современный факторный анализ. М., Статистика, 1972. 485 с.
  83. Херцберг Ф., Майнер М.У. Побуждения к труду и производст- венная мотивация // Социологические исследования. 1990. 1.
  84. Чичилимов В.В. Повышение эффективности деятельности социологической службы промышленного предприятия // Концепции деятельности социологических служб промышленных предприятий. М., ИСИ, 1986. 171 с.
  85. Штольберг Р. Социология труда. М., Прогресс, 1982. 248 с.
  86. Шаховой В.А. Организация работы с кадрами управления предприятий. М., Знание, 1982. 62 с.
  87. Щербина В.В., Садовникова Л.Б. Социолого-психологическое обеспечение работы с кадрами. Кишинев, Штиинца, 1989. 149 с.
  88. Щербина В.В. Средства социологической диагностики в системе управления. М., МГУ, 1993. 120 с.
  89. Щербина В.В. Проблемы технологизации социоинженерной деятельности // Социологические исследования. 1990. 8.
  90. Щербина В.В. Технология оценки кандидата на должность руководителя // Социологические исследования. 1987. 4.
  91. Щербина В.В. Использование методики ГОЛ в заводской социологии // Социологические исследования. 1989. 5.
  92. Якокка Л. Карьера менеджера. М., Прогресс, 1990. 384 с.
  93. Hayek F. A. Collektivist Ekonomik Planning. 1935.
  94. Maslou A. H. Motivation and personaliti. N. Y. 1970.




    Труд: Организация - Управление - Персонал