Балашов В. - Механизмы управления организационными проектами
Институт проблем управления им. В.А. Трапезникова
ВВЕДЕНИЕ
Управление проектами, как управление изменениями, является на сегодняшний день интенсивно развивающейся областью теории управления, результаты исследований в которой находят широкое применение на практике. Одним из возможных объектов изменений являются организационные системы, поэтому актуальным является рассмотрение механизмов управления (процедур принятия решений) организационными проектами (ОП).
Изложение материала настоящей работы имеет следующую структуру. В первом разделе качественно обсуждаются проблемы управления ОП. Во втором разделе вводится система классификаций задач управления ОП, что позволяет в третьем разделе описать специфику ОП, перечислить основные задачи управления ими, рассмотреть возможность применения известных механизмов управления и выделить перспективные области исследований.
В четвертом разделе рассматриваются модели саморазвития в управлении ОП, в пятом разделе обсуждаются возможные подходы к постановке и решению задачи синтеза комплекса механизмов управления. Последующие разделы (с шестого по десятый) посвящены решению задач синтеза механизмов управления ОП: в шестом разделе исследуются теоретико-игровые модели матричных структур управления, в седьмом - метод нечеткого критического пути, в восьмом - игры с переменным составом в управлении ОП, в девятом - механизмы управления риском ОП, в десятом - оптимизационные модели распределенных проектов.
Заключение содержит краткое обсуждение основных результатов и перспектив дальнейших исследований.
ПРОБЛЕМЫ УПРАВЛЕНИЯ ОРГАНИЗАЦИОННЫМИПРОЕКТАМИ
Управление проектами (УП) как самостоятельный раздел теории управления социально-экономическими системами, изучающий эффективные методы, формы и средства управления изменениями, появился в начале 80-х годов 20-го века (основной формальный аппарат УП - теория календарно-сетевого планирования и управления (КСПУ) [16, 23, 31, 36, 41, 45, 51, 103] - появилась в 50-е годы) и интенсивно развивается по сегодняшний день. Общее представление о современном состоянии УП можно получить из отечественных [32, 42, 59, 71, 77, 99, 103, 106-109] и зарубежных [118-121, 128-130, 132, 136, 137] монографий, справочников и учебных пособий.
При этом все шире и полнее в УП используются результаты теории управления, менеджмента, математической экономики, психологии, социологии и т.д. [5, 6, 30, 33, 38, 52, 53, 56, 74, 75, 78, 98, 112, 115, 117, 122, 131, 135].
В соответствии с определением, приведенным в [42], "проект -ограниченное во времени целенаправленное изменение отдельной системы с установленными требованиями к качеству результатов, возможными рамками расхода средств и ресурсов и специфической организацией". Существенную роль в УП играют механизмы УП -совокупность законов, правил и процедур, регламентирующих взаимодействие участников проекта, в том числе - процедуры принятия решений руководителем проекта (РП).
В зависимости от сферы деятельности, в которой осуществляется проект, различают следующие их типы [42, 108, 118]:
- технический проект;
- организационный проект;
- экономический проект;
- социальный проект,
а также все их возможные комбинации (смешанные проекты).
Объектом исследования в настоящей работе являются организационные проекты, предметом - механизмы управления организационными проектами. Поэтому перечислим известные из литературы характеристические свойства организационных проектов с тем, чтобы затем провести классификацию задач управления ими и выявить их специфику.
В [42] отмечается, что, например, реформирование предприятия, реализация концепции новой системы управления, создание новой организации или проведение международного форума - как организационные проекты характеризуются следующим (что и отражает качественно основные проблемы, возникающие при управлении ОП):
- цели проекта заранее сформулированы, однако, результаты проекта количественно и качественно труднее определить, чем в других типах проектов;
- срок и продолжительность задаются предварительно и могут уточняться;
- ресурсы предоставляются, во многом, по мере возможности;
- расходы на проект фиксируются и подвергаются контролю на экономичность, однако, требуют корректировки по мере прогресса проекта.
В большинстве работ подчеркивается, что ОП имеют нестандартный жизненный цикл, в котором пропорции между основными фазами (концепции, разработки, реализации и завершения) отличаются от типовых в сторону большей продолжительности начальных фаз [42, 106-109].
Близкими к приведенным выше характеристикам обладают так называемые активные проекты. Под активным проектированием понимается совокупность действий субъекта экономики в условиях нестабильной среды с целью создания и управления устойчиво функционирующими социально-экономическими объектами на основе многокритериального анализа и синтеза условий функционирования элементов системы, которые способны к целенаправленному (активному) поведению [34].
В [55] отмечается, что каждый активный проект является, прежде всего, инновационным, так как его главная цель заключается в разработке и применении новых технологий, обеспечивающих развитие экономических систем. В результате активного проектирования формируется новая информационно-управляющая система. При этом цели проекта предварительно намечаются, но требуют корректировки по мере получения частных результатов; сроки и продолжительность проекта также корректируются в зависимости от полученных промежуточных результатов и общего продвижения проекта; ресурсы для проекта предоставляются по мере необходимости; расходы предварительно намечаются и уточняются по мере продвижения проекта.
Активный проект является адаптивной системой с обратной связью, которая реагирует и подстраивается под внутренние и внешние изменения, внося соответствующие коррективы и устраняя конфликты. Основным при этом является то, что параметры активного проекта меняются с течением времени под воздействием различных факторов.
В [26, 42, 108] подчеркивается, что типичным представителем организационного проекта является мультипроект - изменение организационной системы, технологий и т.д., совокупность проектов выполняемых организацией с целью оказания услуг и производства продукции в соответствии с изменяющимся спросом. Поэтому с точки зрения мультипроектности [26] организационные проекты близки к целевым программам [1, 76, 96, 97, 101].
В [108] организационные проекты приводятся в одном ряду с нетрадиционными проектами (то есть проектами, появление которых обусловлено либо необходимостью немедленных активных действий, либо/и необходимостью организационных изменений, либо/и определяющим воздействием одного или нескольких факторов, характеризующих тип и условия реализации проекта):
- антикризисное управление [63];
- реформирование и реструктуризация предприятий и компаний [9, 49, 68-70, 72, 102];
- финансовые проекты;
- маркетинговые проекты;
- инновационные проекты;
- образовательные проекты;
- организационные проекты;
- управление программами;
- управление при чрезвычайных ситуациях и др.
Также отмечается, что организационные проекты - особенно для новых и сложных предприятий разрабатывается в две стадии: эскизный проект, рассматривающий альтернативные варианты реорганизации и рабочий проект, разрабатываемый в три этапа. На первом этапе формируется общая структурная схема организации, на втором - разрабатывается состав основных подразделений и связей между ними, на третьем этапе осуществляется регламентация организационной структуры. Примером возможной структуры организационного проекта реструктуризации является следующая [108]:
¦ Принятая методология, исходные нормативы.
¦ Анализ состояния компании, в том числе: организационноуправленческие факторы, финансово-экономические факторы.
¦ Концепция реструктуризации.
¦ Проект изменения организационной структуры.
¦ Проект изменения мощности (численности) производственных (управленческих) единиц.
¦ Проект изменения функций управления.
¦ Проекты развития реорганизуемых элементов компании.
¦ Расчет затрат на реализацию проекта.
¦ Календарный график реализации проекта.
¦ Расчет эффективности проекта.
¦ Оценка риска.
¦ Формы авторского надзора разработчика.
Отдельно следует выделить проблемы управления научными проектами. Специфической чертой научных проектов являются: некоммерческая направленность; неопределенность результатов; продолжительные сроки реализации; трудность оценки как прогнозируемых и планируемых, так и фактических результатов реализации проектов; необходимость комплексного охвата предметных областей и организации информационного обмена; отсутствие аналогий в ретроспективе; узкая специализация участников, что накладывает соответствующие требования на механизмы управления.
Вернемся к определению организационного проекта. Так как проектом называется изменение некоторой системы, то под организационным проектом будем понимать ограниченное во времени целенаправленное изменение организационной системы (ОС) с установленными требованиями к качеству результатов, возможными рамками расхода средств и ресурсов и специфической организацией.
Следовательно, для того, чтобы систематически перечислить задачи, возникающие при управлении организационными проектами, и выявить их специфику, необходимо детализировать и расшифровать компоненты определения организационного проекта.
СИСТЕМА КЛАССИФИКАЦИЙ ЗАДАЧ УПРАВЛЕНИЯ ОРГАНИЗАЦИОННЫМИ ПРОЕКТАМИ
В соответствии с приведенным выше определением организационный проект заключается в целенаправленном изменении организационной (активной) системы. Для того чтобы понять суть этих изменений, рассмотрим принятую в теории активных систем (АС) модель организационной (активной) системы. Описание модели активной системы определяется заданием [33, 48, 86]:
- состава АС (участников, входящих в АС, то есть ее элементов);
- структуры АС (совокупности информационных, управляющих, технологических и других связей между участниками АС);
- множеств допустимых действий участников АС, отражающих, в том числе, институциональные, технологические и другие ограничения их совместной деятельности;
- целевых функций участников АС, отражающих их предпочтения и интересы и зависящих, в общем случае, от действий всех участников АС;
- информированности - той информации, которой обладают участники АС на момент принятия решений о выбираемых стратегиях;
- порядка функционирования - последовательности получения информации и выбора стратегий участниками АС.
Дополнительными параметрами, характеризующими АС, являются наличие или отсутствие:
- динамики [83, 87, 114];
- многоуровневости [29, 39, 40, 82];
- множества взаимосвязанных агентов [82, 83, 90];
- распределенного контроля [44, 47, 54, 91];
- неопределенности [20, 21, 83, 84, 87] и т.д.
Следовательно, организационный проект как изменение организационной системы может затрагивать изменения: состава, структуры, допустимых множеств, целевых функций, информированности и порядка функционирования. Понятно, что изменения могут и должны касаться в общем случае всех перечисленных
параметров, и поиск оптимального результата проекта заключается в определении наиболее эффективной допустимой комбинации всех параметров АС. Тем не менее, традиционно в теории управления социально-экономическими системами рассматривается система вложенных задач управления (решения более частных задач используются при решении более общих).
Эта вложенность (то есть вложенность соответствующих объектов управления) показана на рисунке 1. Так, наиболее подробно (по сравнению с остальными) исследованными являются задачи мотивационного управления, затрагивающие изменения целевых функций управляемых субъектов - активных элементов (АЭ), наименее исследованными - задачи синтеза состава и структуры системы.

Таким образом, первым основанием системы классификаций организационных проектов является предмет изменений - параметры АС, подвергающиеся целенаправленным изменениям. Возможные значения признаков по данному основанию - целевые функ-
ции, допустимые множества, информированность, состав, порядок функционирования, структура АС. Введенное основание классификации отвечает, фактически, на вопрос ЧТО подвергается изменениям в АС?.
Задавая аналогичные вопросы и используя определение ОП, можно получить другие основания системы классификаций. Основанием для выделения множества вопросов могут служить список вопросительных местоимений русского языка: кто, какой, что, чей, сколько, каков, который [100, С. 24] и список вопросительных наречий русского языка: где, куда, когда, зачем, почему, как, откуда [100, С. 336].
Приведенный список вопросов можно соотнести с процессуальными компонентами деятельности [32, 80]: потребность -мотив - цель - задачи - технология (содержание и формы, методы и средства) - результат (см. таблицу 1).
| Табл. 1. Компоненты деятельности и характеристики изменений |
Компоненты
деятельности |
Вопросы |
Характеристики изменений |
| Потребность |
Когда |
Возникновение необходимости
деятельности |
| Мотив |
Где,
почему,
зачем |
Пространственная и временная локализация объекта деятельности, мотивировка необходимости изменений |
| Цель |
Какой,
каков,
который |
Общие требования к результату деятельности |
| Задачи |
Какой,
каков,
который |
Детальные требования к результату деятельности |
| н Содержанием |
сЧто к |
Предмет деятельности |
|
|
Формы |
Куда.
откуда |
Характеристики начального и конечного состояния изменяемой системы |
|
Методы |
Как |
Механизмы (организация деятельности в узком смысле) |
|
Средства |
Чем.
сколько |
Ресурсы деятельности |
| Результат |
Какой.
каков.
который |
Характеристики результата деятельности |
В таблице 1 приведены характеристики собственно деятельности, исчерпывающие список вопросительных местоимений и наречий (за исключением вопроса кто). Кроме характеристик деятельности. также являющихся возможными основаниями системы классификаций. существенным является то. КТО осуществляет деятельность (является субъектом. осуществляющим деятельность).
Роль субъекта деятельности чрезвычайно велика. ведь ему приходится проектировать собственную деятельность. которая в ОП заключается в целенаправленном изменении некоторой АС (предмета деятельности). элементом которой или надсистемой для которой является сам субъект.
В первом приближении можно выделить внешние и внутренние (по отношению к изменяемой в ОП активной системе) субъекты деятельности.
Внешний субъект деятельности может осуществлять изменения АС. не входя в состав этой АС и не содержа ее в своем составе. Этой ситуации соответствует случай классического управления проектами. когда субъект и предмет деятельности принадлежат разным системам (см. рисунок 2). причем сам субъект не изменяется.
Внешний по отношению к изменяемой АС субъект может содержать ее в качестве своего элемента. Именно случаю классического организационного управления соответствует наличие внешнего субъекта деятельности. который осуществляет измене-
ния (управление) предмета деятельности (управляемых субъектов и/или объектов, принадлежащих той же метасистеме), но не изменяется сам - см. рисунок 3.
И, наконец, организационному проекту соответствует внешний или внутренний субъект деятельности, который, наряду с предметом деятельности, изменяется сам (см. рисунок 4).
Таким образом, отличительной (и во многом характеристической) чертой организационных проектов является то, что в них изменяется субъект управления. Другими словами, в ОП непременно имеют место саморазвитие и самоорганизация.
Отметим, что приведенное понимание вовсе не размежевывает управление ОП и управления проектами вообще (в сложившемся на сегодняшний день понимании и виде) - не исключен случай, когда руководство проекта может быть распределенным, например, при наличии внешнего по отношению к изменяемой АС руководителя (или соруководителя - внешнего менеджера организационного проекта) его деятельность может описываться в рамках классического УП, а деятельность внутреннего руководителя (например, функционального руководителя ОС, деятельность подразделения которого реформируется в процессе ОП) может рассматриваться как самоуправление, основывающееся на классическом организационном управлении.
Наличие изменений, происходящих с субъектом управления (руководителем проекта), является чрезвычайно существенным. Как показывает опыт реформирования и реструктуризации предприятий, разработки и реализации программ развития регионов и т.д. [49, 68-70, 72], если осуществлением ОП занимается только внешняя команда консультантов (как в обычном УП), а руководство предприятия или региона не вовлечено в этот процесс, то успеха достичь, как правило, не удается.
И наоборот, если руководство предприятия или региона действует совместно с внешними консультантами, то в этом случае можно надеяться на успех в реализации организационных изменений.
Третьим ключевым вопросом является КАК следует осуществлять изменения ОС? Этот вопрос соответствует методам деятельности, направленной на изменение ОС.
Если мы говорим об управлении этой деятельностью, то методам соответствуют механизмы управления - совокупность правил и процедур принятия управленческих решений. Ниже, в основном, рассматриваются именно механизмы управления.
СПЕЦИФИКА УПРАВЛЕНИЯ ОРГАНИЗАЦИОННЫМИ ПРОЕКТАМИ И БАЗОВЫЕ МЕХАНИЗМЫ
Как подчеркивалось во втором разделе, организационные проекты, заключающиеся в целенаправленном изменении организационных систем, характеризуются тем, что в них предмет и субъект изменений, обладающие свойством активности (то есть способностью к принятию решений, самостоятельному выбору действий и т.д.), могут совпадать. Поэтому можно считать, что специфика управления ОП, в частности, заключается в том, что управление ОП может рассматриваться как процесс саморазвития и самоорганизации.
Последний тезис накладывает ограничения на механизмы управления, которые могут быть использованы при управлении ОП. Поэтому перечислим известные результаты теории управления, которые могут быть использованы при управлении ОП (таблица 2 и таблица 3), с тем, чтобы затем перейти к изучению механизмов, отражающих присущие именно организационным проектам свойства.
В таблице 2 перечислены параметры АС, являющиеся предметами управления в ОП (см. второй раздел) и указаны основные работы, посвященные разработке и исследованию соответствующих механизмов управления.
| Табл. 2. Предметы управления и библиография |
| Предмет управления |
Библиография |
| Состав АС |
[32, 82, 91] |
| Структура АС |
[29, 39, 40, 82, 85, 91] |
| Множества допустимых действий участников АС |
[15, 27, 28, 87, 90, 114] |
| Целевые функции участников АС |
[19, 27, 30, 59, 65,
82-88, 90, 91, 113] |
| Информированность |
[43, 46, 62, 67, 89, 91] |
| Порядок функционирования |
[29, 43, 48, 61, 62, 90, 91] |
|
Рассмотрим теперь базовые механизмы управления проектами, которые могут быть использованы при управлении ОП. Для их систематизации перечислим, следуя [32], основные задачи управления проектами, соответствующие основным четырем фазам жизненного цикла проекта - разработка концепции, планирование и разработка, реализация (осуществление) и завершение проекта [42, 106-109]. Задачи приводятся в столбцах таблицы 3, в ее строках указаны базовые механизмы управления проектами (с указанием основных работ, содержащих их описание). На пересечении строк и столбцов отмечена целесообразность использования механизмов управления при решении тех или иных задач управления ОП (+ -рекомендуется использовать, - - возможно использовать, - -практически не используются).
Механизмы
смешанного
финансирования [32, 66] |
- |
- |
- |
- |
+ |
- |
- |
- |
- |
Механизмы
самоокупаемости
[23, 32] |
- |
- |
- |
- |
+ |
- |
- |
- |
- |
Механизмы
страхования
[22, 32, 66] |
- |
- |
- |
- |
+ |
- |
+ |
- |
- |
Противозатратные
механизмы
[19, 32] |
- |
- |
- |
+ |
+ |
- |
- |
- |
- |
Механизмы
льготного налогообложения [25] |
- |
- |
- |
+ |
+ |
- |
- |
- |
- |
Механизмы
ценообразования [15, 19, 23, 32, 86] |
- |
- |
- |
+ |
+ |
- |
- |
- |
- |
Механизмы
стимулирования
[23, 32, 65, 88, 90,
113] |
- |
- |
+ |
- |
- |
+ |
- |
+ |
- |
Механизмы
освоенного объема
[59, 60, 113] |
- |
- |
- |
- |
- |
- |
+ |
+ |
- |
Механизмы
оперативного
управления
[23, 32] |
- |
- |
- |
- |
- |
- |
- |
+ |
- |
Отметим, что перечисленные в таблице 3 механизмы управления проектами являются процедурами принятия решений относительно изменений (перехода от существующих к оптимальным) отдельных параметров ОС - состава, структуры, функций, обеспечения ресурсами и т.д. В то же время, при осуществлении ОП необходимо рассматривать возможность целенаправленного изменения всех составляющих ОС с учетом их взаимосвязи.
То есть, в управлении ОП необходимо использование комплекса механизмов управления - совокупности согласованных процедур принятия решений относительно изменения всех параметров ОС.

На рисунке 5 приведено соотношение между процессами управления - использование фиксированного механизма управления (процедуры принятия решений) соответствует процессной деятельности (функционированию); более общим случаем является синтез и использование оптимального механизма управления фиксированной компонентой ОС; и, наконец, еще более общий случай - синтез и использование оптимального комплекса механизмов управления.
Таким образом, в управлении ОП на сегодняшний день можно выделить две общие проблемы - необходимость учета эффектов саморазвития и самоорганизации и необходимость постановки и решения задачи синтеза оптимального комплекса механизмов управления. Рассмотрим сначала специфику саморазвития и самоорганизации в управлении ОП.
МОДЕЛИ САМОРАЗВИТИЯ В УПРАВЛЕНИИ ОРГАНИЗАЦИОННЫМИ ПРОЕКТАМИ
Под саморазвитием в [110, С. 590] понимается самодвижение, связанное с переходом на более высокую ступень организации, под самодвижением - изменение объекта под влиянием внутренне присущих ему противоречий, факторов и условий. При этом внешние воздействия играют модифицирующую или опосредующую роль.
Более общим является понятие самоорганизации [110, С. 591] -процесса, в ходе которого создается, воспроизводится или совершенствуется организация сложной системы (термин самоорганизующаяся система ввел У.Р. Эшби [116], развивающиеся АС рассматривались [28], динамические эффекты научения в АС - в [61, 81, 87]).
Отметим, что различают три типа самоорганизации: самостоятельное зарождение организации (возникновение новой целостной системы), гомеостатические процессы и процессы совершенствования и саморазвития систем, которые способны накапливать и использовать прошлый опыт.
МЕТОД НЕЧЕТКОГО КРИТИЧЕСКОГО ПУТИ
Повышение или поддержание квалификации агента (в последнем случае стимулирование со стороны ФР может рассматриваться как тарифный оклад не зависящий от деятельности агента) требует от ФР затрат c(r). Кроме того, в целевые функции участников рассматриваемой АС могут входить константы, отражающие постоянные и не зависящие от их действий доходы или расходы (постоянные издержки, фиксированная составляющая оплаты и т.д.).
Предположим, что стимулирование агента со стороны РП и ФР известно ему на момент принятия решений о выбираемых типе и действии. В силу гипотезы рационального поведения [48, 86] агент будет при известном стимулировании стремиться своим выбором максимизировать собственную целевую функцию (3).
Отметим, что введение дополнительного требования гарантированного обеспечения участникам АС некоторых фиксированных значений полезности не изменяет качественно результатов проводимого ниже анализа.
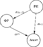
В рассматриваемой модели матричной структуры управления задача управления, решаемая с точки зрения РП, заключается в нахождении РП систем стимулирования, побуждающих ФР и агента выбирать такие стратегии, которые максимизировали бы целевую функцию РП (1).
Множество решений игры (множество реализуемых типов и действий) можно записать как:
(4) P(s h) = {(y’, r’) е A x W | Sy’) + h(r’) - c(y’, r’)
s(y) + h(r) - c(y, r) y е A, r е W}.
Лемма 1. s, h, y’ е A, r’ е W: если (y’, r’) е P(s, h), то (y’, r’) е P(s*, h*), где
(5) s*(y)
f s(y'), y = y'
[0, в остальных случаях ’
h (r'), r = Г
(6) h*(r)
0, в остальных случаях
Доказательство леммы 1 заключается в подстановке (5), (6) в
(4).
Содержательно, лемма 1 означает, что РП и ФР достаточно ограничиться классом компенсаторных систем стимулирования [65, 86, 87] вида (5)-(6), которые могут интерпретироваться как договора, предусматривающие фиксированные выплаты агенту за выполнение им условий договора (выбор соответствующих действий и типов).
Из (4)-(6) следует, что (у’, r’) е Р(о*, h*)
(7) о*(у’) + h*(r’) - с(у’, r’) - с(у, r) уе A, r е W.
Введем следующие предположения.
А.1. A = , W - компакт.
А.2. а) r е W min с(у, r) = 0; б) с(у, r) не убывает по у е A и
уеА
не возрастает по r е W; c0(r) не убывает по r е W.
Содержательно введенные предположения означают, что действием агента является выбор положительнозначной скалярной величины (которая может интерпретироваться как объем произведенных работ, число отработанных часов и т.д.), причем, независимо от квалификации, выбором нулевого действия агент может обеспечить себе как минимум нулевые затраты; кроме того затраты агента не уменьшаются с увеличением действия при фиксированной квалификации и не увеличиваются с ростом квалификации при фиксированном действии, а затраты ФР по повышению квалификации агента монотонны.
Из (7) следует, что в рамках предположений А.1 и А.2 для любых (у’, r’) е Р(о, h ) имеет место:
(8) о*(у’) + h*(r’) с(у’, r’).
Обсудим теперь порядок функционирования. Предположим, что сначала РП устанавливает стимулирование для ФР и агента, затем свое стимулирование выбирает ФР и, наконец, агент выбирает свои действия и типы. Таким образом, в рассматриваемой игре стратегией РП является выбор функций стимулирования о(-) и о0(-), стратегией ФР - выбор функции стимулирования h('), стратегией агента - выбор типа r и действия у.
Задача ФР заключается в максимизации собственной целевой функции (2) выбором функции стимулирования агента h(') при известном стимулировании со стороны РП. Обозначим P(o0) -множество систем стимулирования h('), на которых достигается максимум (2) при условии, что агент выбирает действия, стремясь максимизировать (3) при стимулировании (5)-(6). Справедлив следующий аналог леммы 1.
Лемма 2. О0, o*, h*, (y’, r’) e P(o*, h*): если h* e P(s0), то h* e P(Oo*), где
(9) Oo (y, r)
f oo(y',r'), y = y',r = r 0, в остальных случаях
Доказательство леммы 2 заключается в подстановке (9) в определение P(o0).
По лемме 2 РП может ограничиться классом систем стимулирования (9), в соответствии с которым он выплачивает ФР вознаграждение только в случае предоставления последним для участия в проекте агента, обладающего требуемой квалификацией и выполняющего заданный объем работ.
Лемма 3. Парето-эффективными для РП и ФР и реализующими соответствующие действия и типы агента являются платежи, обращающие (8) в равенство, то есть
(10) (y’, r’) e P(o*, h*) o*(y’) + h*(r’) = c(y’, r’).
Доказательство леммы 3 очевидно (см. также [43, 44, 91]).
Если потребовать, чтобы значения целевых функций участников системы были неотрицательны (условие индивидуальной рациональности), то получим, что (y’, r’) e P(o, h ), помимо (10), должна выполняться следующая система неравенств:
(11) o*(yr) + Oo*(y’, r’) ?H(y’),
(12) h*(r’) + co(r’) ? Oo*(y’, r’).
Отметим, что при неотрицательном стимулировании в рамках предположения А.2 агент всегда может обеспечить себе нулевую полезность, выбрав нулевое действие.
Таким образом, в соответствии с леммами 1-3 использование систем стимулирования (5), (6), (9), удовлетворяющих (10)-(12), обеспечивает реализуемость действия y’ и типа r’. Рассмотрим, какие типы и действия выгодно реализовывать РП.
Из условия задачи Ф(у’, r’) ® max следует, что долж-
(уУ),(10)-(12)
но быть выполнено:
(13) а*(у’) + О0у \ r’) = c(y’, r’) +c0(r’\
(то есть РП заинтересован в выполнении (12) как равенства), откуда следует справедливость утверждения следующей леммы.
Лемма 4. Целевая функция РП достигает максимума при реализации действий и типов агента (у , r*), определяемых в результате решения следующей задачи:
(14) (у*, r*) = arg max {H(y) - co(r) - c(y, r)}.
ye A, reQ
Интересно отметить, что в соответствии с леммой 4 реализовывать оказывается выгодно действия и типы, которые оптимальны по Парето с точки зрения всех участников АС (исследовать неэффективные по Парето равновесия мы не будем - см. [48]). Анализ (10)-(13) дает простое необходимое условие существования индивидуально-рационального и Парето-эффективного равновесия: c(y*, r*) + co(r*) H(y*), то есть эффект от участия агента в проекте не должен быть меньше суммы его собственных затрат и затрат ФР по обеспечению требуемой квалификации агента.
Вычислим следующую величину: Л = H(y*) - c0(r*) - c(y , r*).
Результаты лемм 1-4 обосновывают справедливость следующего утверждения, дающего решение задачи управления в рассматриваемой модели матричной структуры управления.
Утверждение 2. Оптимальные с точки зрения РП действия и типы агента (14) реализуются системами стимулирования (5), (6),
(9), удовлетворяющими (10)-(13). При этом значение его целевой функции равно Л.
Задача управления выше была сформулирована с точки зрения РП. В то же время, условия (10)-(14) дают нечто большее, чем решение данной задачи, а именно, они характеризуют множество стратегий участников, которые являются равновесными по Нэшу в игре РП и ФР и Парето-эффективными с точки зрения всех участников АС - РП, ФР и агента (см. условие (14)).
Множество этих стратегий (то есть стратегий, удовлетворяющих (10)-(12)) назовем областью компромисса (см. аналогии с областью компромисса в трудовых контрактах в [65] и в АС РК [44, 47, 91]).
Наличие непустой области компромисса в рассматриваемой модели, совместно с результатами [44, 47, 91], позволяет утверждать что характерной особенностью матричных структур управления является неединственность эффективных равновесных управляющих воздействий, приводящих к одним и тем же результатам деятельности управляемого субъекта.
Решением задачи управления в том виде, в котором она сформулирована выше (когда первый ход делает РП), является точка, принадлежащая области компромисса, которая наиболее выгодна для РП, то есть точка, обращающая (12) в равенство. В то же время, введение области компромисса позволяет ставить и решать и другие задачи, например, выбор состояния АС, оптимального с точки зрения ФР и др.
Рассмотрим в качестве иллюстрации следующий пример.
Пример 2. Пусть H(y) = у, с0(г) = Г, c(y, r) = y2/2r. Из (14) следует, что у = r = 1/4. Из (10)-(12) получаем, что стимулирование
(5), (6), (9) должно удовлетворять следующей системе неравенств:
(15) о* + h* = 1/8,
(16) о* + о0* ? 1/4,
(17) h* + 1/16 ? Оо*.
Область компромисса, задаваемая системой неравенств (15)-(17) и требованием неотрицательности стимулирования, затенена на рисунке 7.

Проанализируем характерные точки рисунка 2. Прямая AB отражает зависимость h (s), получающуюся из условия (10) (в рассматриваемом примере - (15)), которое гласит, что руководители должны компенсировать затраты агента. Область компромисса, лежащая между прямыми CD и EF показывает, что диапазон суммарных выплат РП функциональному руководителю и агенту лежит между 3/16 и 1/4. Выигрыши РП и ФР при этом равны соответственно 1/16 и 0.
Если РП устанавливает правила игры, то есть делает ход первым, сообщая свои стратегии ФР и агенту, то он заинтересован в минимизации собственных выплат (ему выгодна прямая CD). Следовательно, у него есть две альтернативы - самому оплатить все затраты агента и стоимость изменения его квалификации ФР (точке C соответствуют платежи SC* 1/8, S 0C 1/16), либо выплатить ФР сумму s 0D 3/16, обязав его компенсировать затраты агенту (точка D). Если правила игры устанавливает ФР, то есть он делает ход первым, сообщая свои стратегии РП и агенту, то он заинтересован в минимизации собственных выплат (ему выгодна прямая EF). Следовательно, у него есть две альтернативы, отличающиеся от альтернатив РП тем, что прибыль остается у ФР.
Выигрыши РП и ФР при этом равны соответственно 0 и 1/16. Другими словами, ФР и РП делят полезность 1/16 и эту прибыль получает тот, кто делает ход первым (см. также [43, 65]). -
Наличие области компромисса, то есть целого множества возможных эффективных взаимодействий РП и ФР, свидетельствует о присутствии возможности управления системой, состоящей из РП, ФР и агента, поэтому исследуем роль вышестоящих органов.
Как отмечалось выше, в управлении проектами РП использует агента, подчиненного ФР, как ресурс, следовательно, необходимо исследовать возможные формальные взаимодействия между ними.
Область компромисса, задаваемая неравенствами (10)-(12), задает ту область возможных значений, относительно которой РП и ФР могут вести переговоры. Фактически, им необходимо придти к договоренности о том, как распределить между собой прибыль, равную (см. также механизмы распределения ресурса в распределенных системах принятия решений [44])
D = H(y*) - C0(r*) - c(y*, r*).
Если один из руководителей (РП или ФР) наделен правом сделать первый ход и предложить партнеру некоторый дележ прибыли, причем партнер вынужден либо согласиться, либо отказаться от участия в АС, то решение однозначно и дается (для ФР, делающего ход первым справедлив результат, аналогичный утверждению 2, с тем лишь отличием, что системы стимулирования (5), (6) и (9) должны удовлетворять неравенствам (10) и (12), а неравенство (11) должно быть выполнено как равенство). Если партнер может выдвинуть контрпредложение, то необходимо исследовать динамику процесса переговоров [105], вводя дополнительные предположения о стратегиях их участников (при этом все предложения должны оставаться внутри области компромисса).
Ситуация усложняется, если РП и ФР не могут придти к договоренности. Тогда необходимо вмешательство вышестоящих органов управления (обладающих правом приоритетного хода, то есть правом навязывания правил игры, по отношению к обоим рассматриваемым руководителям).
Примером может служить фиксация параметров договора между РП и ФР: например, обязательство РП осуществлять выплаты ФР пропорционально выплатам агенту (s0 = a s, a 0), что, однако, не делает решение единственным -см. рисунок 7, или распределение прибыли D пополам между РП и ФР, что также не делает решение единственным, и т.д.
Помимо отмеченной выше роли вышестоящего руководства, заключающейся просто в помощи достижения компромисса между РП и ФР, то есть непосредственном подсказывании или навязывании конкретной точки внутри области компромисса, вышестоящее руководство имеет также возможность: путем стимулирования РП и/или ФР изменить их предпочтения, изменив тем самым и область компромисса; навязать конкретное решение, являющееся оптимальным с точки зрения общесистемных критериев и т.д.
Итак, в настоящем разделе рассмотрена модель матричной структуры управления, в которой учитывается взаимодействие между руководителями проектов и функциональными руководителями. Получено решение задачи управления (утверждение 2) и охарактеризована область компромисса - множество таких стратегий руководителей, которые являются равновесными и Парето-эффективными.
Исследована роль вышестоящих органов управления в обеспечении эффективного функционирования АС в целом.
Перспективными направлениями исследований представляются: поиск равновесных стратегий в режиме конкуренции ПМ и ФР, исследование возможности образования коалиции между ними (по аналогии с тем как это делается в [47] для АС РК, а также изучение управляемости рассматриваемой АС с точки зрения целей и предпочтений систем более высокого уровня иерархии.
МЕТОД НЕЧЕТКОГО КРИТИЧЕСКОГО ПУТИ
Рассмотрим проект, состоящий из набора операций (работ). Технологическая зависимость между операциями задается в виде сети (сетевого графика), то есть ориентированного графа (V, E), \V\ = m, без контуров, в котором выделены два множества вершин -входы сети и выходы сети. При этом дуги сети соответствуют операциям, а вершины - событиям (моментам окончания одной или нескольких операций). В четком случае для каждой операции (i; j) задана ее продолжительность tj.
Методы описания и исследования сетевых графиков изучаются в теории календарно-сетевого планирования и управления (КСПУ) [23, 31, 41, 45, 51].
Опишем классический (четкий) метод критического пути (critical path method - CPM). Легко видеть, что продолжительность проекта определяется путем максимальной длины, называемым критическим путем.
Операции, принадлежащие критическому пути, называются критическими. Остальные (некритические) операции имеют резерв времени, характеризуемый максимальной задержкой операции, при которой продолжительность проекта не изменяется. Критические операции имеют нулевой резерв.
Приведем соответствующие формулы.
Для сети всегда существует правильная нумерация (такая, при которой из вершины с большим номером не идет дуг в вершины с меньшими номерами). Поэтому будем считать, что события занумерованы таким образом, что нумерация является правильной.
Предположим, что выполнение комплекса операций (проекта) начинается в нулевой момент времени. Обозначим Q0 - множество событий, не требующих выполнения ни одной из операций, то есть входы сети; Qi - множество событий, непосредственно предшествующих событию i, то есть множество вершин j сети, для которых существует дуга (j; i).
Положим
(1) t- = 0, i е Qo; t- = max (t- + t,¦) i e V \ Qo.
j^Qi
Величина tt называется ранним моментом (временем) свершения
i-го события и характеризует время, раньше которого это событие произойти не может. Длина критического пути
(2) T = max t-
isV
определяется ранним временем свершения конечного события, то есть события, заключающегося в завершении всех операций.
Поздним моментом t+ свершения события называется максимальное время его наступления, не изменяющее продолжительности проекта. Обозначим Ri - множество событий, непосредственно следующих за событием i, то есть множество вершин j сети, для которых существует дуга (i;j). Вычислим для каждой вершины-события i длину li максимального пути от этой вершины до выхода сети - события, заключающегося в завершении всего комплекса операций (для выходов сети считаем соответствующие величины равными нулю):
(3) U = max (lj + tj), i e V.
j^Ri
Положим t+ = T - li, i e V.
Полным резервом Ati события i называется разность между его поздним и ранним моментами свершения, то есть
(4) Ati = t+ - t-, i e V.
Итак, мы описали простейший (базовый вариант) метода критического пути, соответствующий случаю, когда имеется полная и точная информация о продолжительностях операций. Однако, во многих реальных ситуациях такая информация отсутствует, то есть имеет место неопределенность.
В зависимости от имеющейся информации различают интервальную (известен диапазон значений продолжительностей операций), вероятностную (известно распределение вероятностей продолжительностей операций) и нечеткую (имеется нечеткая информация относительно продолжительностей операций) неопределенность.
При вероятностной неопределенности в общем случае невозможно (исключение составляют операции, выполняемые последовательно или параллельно) получение аналитических выражений для распределений вероятностей и других характеристик событий проекта, поэтому для исследования свойств критического пути применяют методы имитационного моделирования - Монте-Карло и другие, реализованные в современных программных комплексах управления проектами. Мы остановимся на анализе интервальной и нечеткой неопределенности, то есть случаев информированности, при которых возможно получение аналитических выражений для параметров событий, что, несомненно, чрезвычайно привлекательно с точки зрения задач принятия управленческих решений.
Сначала обобщим рассмотренную модель на случай интервальной неопределенности относительно продолжительности операций, а именно, будем считать, что t- е [ t-, tj ], i, j e V.
Тогда ранние моменты ti свершения событий принадлежат отрезкам А- = [ t-, t- ], где
(5) t-- = t- = 0, i е Qo; t = max (t-- + t-),
JeQi
t- = max (t-+ + t j), i e V \ Q0.
1 JeQt J ]l’ *0
Длина критического пути принадлежит отрезку D = [T-; T+], где
(6) T- = max t--, T = max t-+.
ieV ieV
По аналогии с (3), вычислим для каждой вершины-события i оценки [/Г; lг+ ] длины максимального пути от этой вершины до
выхода сети - события, заключающегося в завершении всего комплекса операций (для выходов сети считаем соответствующие величины равными нулю):
(7) l- = max (lj + t- ), lj = max (Ij + t-), i e V.
JeRi JeRi
Положим tj~ = T- - lT, tj+ = T+ - lj, i e V.
Получаем следующую оценку границ отрезков, которым принадлежат полные резервы событий: (8) D ti = t\ - ti , D t+ = t+ - t+ , i e V.
В интервальной модели, в отличие от классической, нельзя однозначно сказать является ли событие критическим. Все операции могут быть разделены на три класса.
В первый класс попадают события, для которых имеет место полная определенность, то есть, события, для которых обе границы (8) равны между собой и равны нулю. Эти операции можно с полным основанием назвать критическими.
Во второй (промежуточный по степени критичности) класс попадают события, для которых нижняя граница отрезка полных резервов равна нулю, а правая строго положительна. Такие события могут в рамках существующей неопределенности оказаться критическими.
Условно назовем их полукритическими.
И, наконец, третий класс составляют события, для которых нижняя граница отрезка полных резервов строго положительна. Такие события можно с полной определенностью отнести к некритическим.
Рассмотрим иллюстративный пример.
Пример 3. Пусть имеется сеть, приведенная на рисунке 8 с интервалами продолжительностей операций, приведенными в таблице
4. В таблице 5 приведены параметры событий, рассчитанные соответствии с формулами (5)-(8).
| Табл. 5. Параметры событий в примере 3 |
| Событие |
Г |
t+ |
l |
l+ |
t+- |
t++ |
At |
At+ |
| 0 |
0 |
0 |
6 |
12 |
0 |
0 |
0 |
0 |
| 1 |
1 |
3 |
5 |
9 |
1 |
3 |
0 |
0 |
| 2 |
4 |
7 |
2 |
4 |
4 |
8 |
0 |
1 |
| 3 |
2 |
6 |
4 |
6 |
2 |
6 |
0 |
0 |
| 4 |
6 |
12 |
0 |
0 |
6 |
12 |
0 |
0 |
|
Видно, что при использовании нижних границ интервалов продолжительностей операций критическими являются все события и длина критического пути T ~ = 6, а при использовании верхних границ - критическим является путь 0-1-3-4 длины T = 12. Следовательно, в условиях существующей неопределенности события 0, 1, 3 и 4 являются критическими, а событие 2 - полукритиче-ским. -
Отметим, что в предельном случае интервальной неопределенности, то есть при полной информированности, когда отрезки [ tj, tj ] - суть точки, i, j е V, выражения (5)-(8) переходят в соответствующие выражения (1)-(4).
Обобщим теперь рассмотренную модель интервальной неопределенности на нечеткий случай, при котором относительно продолжительностей операций имеется нечеткая информация jl~ (tij) ,
Hj ¦!
где Id~ (- ) : ® [0; 1] - функция принадлежности нечеткой про-
hj +
должительности операции (i, j), i, j е V.
Нечеткая информация относительно продолжительности операций может быть получена от экспертов в ситуации, когда проект и каждая операция являются уникальными (например, научные, организационные и др. проекты) и отсутствуют как нормативы, так и статистические данные.
В соответствии с принципом обобщения [14, 64, 94] функция принадлежности нечеткого раннего времени свершения /-го события, i е V, имеет вид (ранние времена свершения событий - входов сети являются четкими равны нулю):(9) m ( x)
min [ min (m ~ ( xn )); m (x.) ].
max
{(xj/). J-Q/.xj I max(xj+xj/)=x} J-Q/
J-Q/
Функция принадлежности нечеткого времени завершения проекта (нечеткой длины критического пути) есть
(іо) т~(т)
min (m ~- (X.)).
max
{(X/),i-V |min(xj ')=т} J-V
J-V j
Нечеткие длины максимального пути от вершины i е V до выхода сети (соответствующие длины для событий - выходов сети -являются четкими и равны нулю) имеют функцию принадлежности
(11) m~( x) =
min [min (m ( x.j)); m ~( x.)].
max
{(xj). j-R/,xj
max(Xj + X/i )=x} j-R/
J-R
Функции принадлежности нечетких поздних времен свершения событий имеют вид:
(12) m~+ (x) = max min [m~(T); m~(xt)], / е V.
t/ {(T, X/ ) | T - X/ = x} T l/
Функции принадлежности нечетких полных резервов событий имеют вид:
(13) m (x) = max
^ {(У/. x/ )|У/ -
Величину m = m
} min [ m~+ (y); mr (x H/ е V
X/ = x} * *
(0) е [0; 1] можно интерпретировать как степень принадлежности i-го события критическому пути, / е V.
Информация о степенях принадлежности событий критическому пути может служить для руководителей проекта индикатором, отражающим требование первоочередного внимания к событиям, у которых эти степени равны единице или близки к ней.
Отметим, что в частном случае нечеткой неопределенности -при интервальной неопределенности (то есть когда m~ (t.) = 1 и
HJ " У
Supp m(tj) = [ tj, tJj ], (/, J) е E) выражения (9)-(13) переходят в соответствующие выражения (5)-(8).
ИГРЫ С ПЕРЕМЕННЫМ СОСТАВОМ И УПРАВЛЕНИЕ ОРГАНИЗАЦИОННЫМИ ПРОЕКТАМИ
В организационных проектах, да и в проектах других типов, реализуемых в проектно-ориентированных организациях, одной из задач управления является формирование команды проекта, то есть выбор из числа сотрудников организации и/или из числа потенциальных внешних участников проекта такого их набора, реализация проекта которыми будет наиболее эффективной. Адекватной моделью этой ситуации являются рассматриваемые ниже в настоящем разделе игры с переменным составом (в которых набор игроков, принимающих участие в игре, является переменным).
Задачи формирования состава исполнителей, выбора команды проекта и т.д. близки к задачам оптимизации состава АС, решаемые в таких разделах теории управления социально-экономическими системами как: теория активных систем, теория контрактов, экономика труда, экономика организаций и др. Поэтому, прежде чем переходить к исследованию игр с переменным составом, проведем краткий обзор результатов решения задач оптимизации состава ОС.
РАСПРЕДЕЛЕННЫЕ ПРОЕКТЫ
Двойственным к надежности является понятие риска - вероятности нарушения основными параметрами системы границ заданной области. В то же время, риск может рассматриваться как мера (числовая характеристика) надежности.
Отметим, что о надежности имеет смысл говорить только в том случае, когда результаты деятельности системы (ее основные параметры) зависят от случайных или неопределенных факторов. Поясним последнее утверждение.
Приведенное выше определение эффективности управления вводилось для детерминированных систем, то есть таких систем, деятельность которых не зависит (реально или в рамках некоторой модели) от неизвестных факторов. При этом возможно полное отождествление допустимой (с точки зрения надежности) и желательной (с точки зрения критерия эффективности) областей значений основных параметров функционирования системы. Иными словами, для детерминированных систем определения надежности и эффективности совпадают - условно можно считать, что определение эффективности для этого класса систем автоматически включает определение надежности, то есть максимизация эффективности эквивалентна максимизации надежности.
Сложнее дело обстоит с недетерминированными системами, к рассмотрению которых мы и переходим.
Предположим, что управляющему органу известна модель поведения управляемого объекта с точностью до некоторого параметра ? е W, относительно которого известно, что он заведомо принадлежит множеству W. Этот неизвестный параметр будем называть состоянием природы. Содержательно, неопределенный (с точки зрения управляющего органа) параметр может быть внешним по отношению к системе и отражать влияние на нее окружающей среды (при этом значения состояния природы могут быть известны управляемому объекту - симметричная информированность, или неизвестны - асимметричная информированность [86, 88]), или быть внутренним и отражать неполную информированность управляющего органа об управляемом объекте.
Таким образом, состояние системы зависит от управления и неопределенного параметра, то есть P = P(s, ?). Следовательно, критерий эффективности функционирования К(-,-) также должен зависеть от неопределенного параметра:
K(y, о, ?): A xMх W ® Ж1,
и эффективность управления, в свою очередь, должна зависеть от этого параметра (ср. с (1)):
(3) К(о ?) = max K(y, о, ?).
yeP(s ,?)
Величина (3) может рассматриваться как косвенная оценка надежности механизма управления О. Действительно, критерий сравнения надежностей различных механизмов управления может быть сформулирован следующим образом: механизм о1 е M обладает большей надежностью, чем механизм о2 е M (обозначим о1 - О 2), если
(4) ? е W К(Оі, ?) К(О2, ?).
Функционал (3) (точнее - отношение - , определяемое (4)), зависящий от двух переменных - управления и состояния природы, одновременно учитывает обе основных характеристики функционирования системы - соответственно, эффективность и надежность. Если существует такое допустимое управление О е M, которое является максимальным по отношению - на множестве M, то есть при любом состоянии природы имеет эффективность, большую, чем любое другое управление (s е M S - s), то можно считать, что задача максимизации эффективности эквивалентна задаче максимизации надежности.
При этом управление S условно можно назвать идеальным (абсолютно оптимальным или доминантным - по аналогии с доминантными стратегиями в теории игр [48, 133]) - независимо от условий функционирования оно обеспечивает максимальную эффективность, то есть гарантированно является максимально надежным. Однако в большинстве случаев идеального управления не существует.
Для существования идеального управления необходима полнота и транзитивность отношения - в смысле (4). Понятно, что в общем случае (и в большинстве случаев, наблюдаемых на практике) может иметь место: $ Si Ф s2 е M, $ ?1 Ф ?2 е W: K(sh ?і) K(s2, ?і), K(s2, ?2) K(Si, ?2).
Содержательно, в различных условиях оптимальными могут оказываться различные управления. Отсутствие идеального управления делает задачу синтеза оптимального управления, обладающего максимальной надежностью не решаемой в общем виде.
Поясним это утверждение.
Зависимость эффективности управления (3) от состояния природы превращает задачу синтеза оптимального управления в двухкритериальную. В то же время известно, что универсальных методов решения многокритериальных задач не существует (единственная общепризнанная рекомендация - выделение множества решений, эффективных по Парето).
Если по аналогии с (2) максимизировать критерий (3) на множестве допустимых управлений, то получим параметрическое управление:
(5) s*(6) = arg max K(s, ?) = arg max { max K(y, s, ?)}.
s eM seM yeP (s ,?)
Если на момент принятия решения управляющим органом (или, в случае асимметричной информированности, после наблюдения состояния управляемого объекта) конкретное значение состояния природы становится ему известно, то возможно использование параметрических решений вида (5). При этом эффективность управления равна эффективности управления в условиях полной информированности [82, 88].
Если же реализация состояния природы остается неизвестной управляющему органу, то использование механизмов с параметрическим управлением невозможно. Поэтому в большинстве работ по теоретико-игровому моделированию организаций используется следующий подход.
Предположим, что управляющий орган производит переход от критерия K(s, ?), определяемого (3) и зависящего от состояния природы, к детерминированному критерию K(d) с помощью некоторой процедуры устранения неопределенности [27, 88]:
K(s, ?) ^ K(s), после чего решает детерминированную задачу синтеза оптимального управления (2). Возможность использования той или иной процедуры устранения неопределенности определяется имеющейся информацией.
Иными словами в рамках рассматриваемых формальных моделей поведения считается, что выполнена гипотеза детерминизма [48]. Полная информированность в данном случае означает зависимость оптимизируемого критерия только от, во-первых, фиксированных значений существенных внутренних и внешних параметров, стратегий остальных участников системы и т.д., и, во-вторых, от единственной свободной переменной - стратегии самого лица, принимающего решение.
Приведенное положение используется во всех моделях теории игр - производя выбор своей стратегии, игрок, так или иначе, вынужден делать предположения о поведении других игроков (см. обсуждение различных концепций равновесия в [48, 131, 133 и др.]).
Следует признать, что в действительности при оценке ситуации и принятии решений любой субъект использует множество критериев. Вводимое в формальных моделях предположение о полной информированности (единственности и скалярности оптимизируемого критерия) обусловлено отсутствием, за исключением небольшого числа очень частных случаев (см. ссылки в [82]), общих и адекватных моделей принятия решений в условиях неопределенности.
Изучение процессов принятия индивидуальных и коллективных решений, а также разработка адекватно описывающих их математических моделей, является актуальной задачей.
Существует множество процедур устранения неопределенности (достаточно полное перечисление можно найти в
[43, 78, 86, 88, 94, 104] и другой литературе по моделям принятия решений в условиях неопределенности). Приведем три наиболее часто используемые из них.
Субъективный критерий эффективности. Управляющий орган подставляет в критерий эффективности (3) свою субъективную (или полученную от экспертов) оценку ?’ е W состояния природы. Субъективное решение определяется:
(6) а*(?’) = arg max K(s ?’).
s eM
Критерий гарантированной эффективности соответствует наиболее пессимистическим расчетам управляющего органа -оптимальное гарантированное решение максимизирует эффективность при наихудшем состоянии природы:
(7) s*g = arg max min K(s ?).
s eM ? gQ
Критерий ожидаемой эффективности может быть использован, если управляющий орган имеет в своем распоряжении распределение р(?) вероятностей состояния природы (это распределение может отражать как его субъективные представления, так и быть полученным в результате обработки статистических данных, например - результатов наблюдений за управляемым объектом и окружающей средой):
(8) s*p = arg max f K(s ?) р(?) d?.
s eM J
Q
Если задано множество B c A допустимых состояний управляемой системы и известна плотность р(?) распределения вероятностей состояния природы, то возможно рассчитать риск
(9) r(o{ )) = Prob {P(s) п (A \ B) * 0},
как числовую характеристику надежности, определяемую вероятностью выхода существенных параметров системы из допустимого множества B с A при заданном управлении s е M.
Таким образом, для заданного управления s е M существуют две характеристики: его эффективность K(s) и надежность (точнее
- риск) r(s). Как предлагалось выше, задачу (двухкритериальную) синтеза управлений можно формулировать либо как задачу синтеза управления, имеющего максимальную эффективность при заданном уровне риска:
\К(s) ® max
J S gM
1 r(s) ? r0
либо как задачу синтеза управления, минимизирующего риск при заданном уровне K0 гарантированной эффективности:
\r(s) ® min
J S gM
1 К (s) Ко ¦
Очевидно, что если существует идеальное управление (эффективность которого максимальна при любом состоянии природы), то оно является оптимальным по всем приведенным выше частным критериям. С другой стороны, для решения, оптимального по одному из частных критериев, в общем случае может найтись такое состояние природы, при котором некоторое другое решение будет иметь строго большую эффективность.
Таким образом, в рамках формальных моделей на сегодняшний день не существует универсального критерия, позволяющего объединить задачу максимизации эффективности и задачу максимизации надежности. В то же время, принцип детерминизма требует детерминированности задачи принятия решения центром.
Следовательно, с одной стороны, эффективность механизма управления (которая, в том числе, может являться сверткой нескольких частных критериев) и надежность механизма управления являются рядоположенными его характеристиками. С другой стороны, при формулировке и решении задачи синтеза оптимального управления, являющейся задачей принятия решений, может использоваться только один критерий, поэтому, основным, наверное, следует считать все-таки обобщенный критерий эффективности в широком смысле, явно (в виде ограничений, или в виде процедур устранения неопределенности и т.д.) или неявно включающий в себя как собственно критерий эффективности, так и некоторые показатели надежности.
Так как эффективность и надежность являются равноправными характеристиками механизма управления, то возможен альтернативный подход - определить критерий надежности таким (достаточно общим) способом, чтобы он учитывал и включал в себя показатели эффективности, и постулировать, что эффективность механизма управления является вторичной по отношению к достаточно широко трактуемой его надежности. Оба двойственных подхода имеют право на существование.
При использовании каждого из них любое описание (модель) каждой конкретной организационной системы должно удовлетворять требованию учета в оптимизируемом критерии как показателей эффективности, так и показателей надежности.
Наряду с надежностью отдельных элементов, ключевой характеристикой любой системы, определяющей ее надежность, является избыточность - как элементного состава, так и функций, связей и т.д. Поэтому анализ надежности статических (неадаптивных) систем достаточно прост. Действительно, в статике возможность повышения надежности обусловлена либо увеличением надежности элементов, либо увеличением избыточности [32, 82]. Следует отметить, что повышение надежности посредством увеличения избыточности требует определенных затрат, изменения информационной нагрузки на участников системы, изменения структуры подчиненности и т.д., влияние которых может привести к изменению эффективности управления.
Следовательно, возникает оптимизационная задача - определения рационального компромисса между изменениями надежности и эффективности.
Кратко обсудив методологические проблемы определения и анализа надежности и риска в моделях управления организационными системами, перейдем к исследованию специфики управления риском в организационных проектах.
Как отмечалось выше, отличительной (и во многом характеристической) чертой организационных проектов является то, что в них изменяется субъект управления, и наличие изменений, происходящих с субъектом управления (руководителем проекта), является чрезвычайно существенным. Поэтому рассмотрим механизмы управления риском в рамках моделей саморазвития.
Прежде всего, необходимо отметить, что в управлении ОП используется следующая общая технология учета и анализа риска.
На первом этапе решается задача синтеза оптимального механизма управления. Если неопределенные факторы отсутствуют (модель детерминированная), то ни о каком управлении риском речи не идет. Если в модели присутствуют неопределенные факторы, то может быть получено параметрическое решение задачи синтеза (см. выше). Если значение неопределенного параметра станет известным на момент принятия решений, то возможно непосредственное использование параметрических решений (набор этих решений может использоваться как конструктор [32], те или иные элементы которого используются в зависимости от ситуации).
В противном случае возможны два варианта.
На втором этапе центр может устранить неопределенность (см. методы устранения неопределенности выше) и решать детерминированную задачу, то есть рассчитывать на наихудший случай, ожидаемую полезность и т.д. При этом управление риском заключается в анализе зависимости оптимального решения от информации, имеющейся о неопределенном параметре.
Методы и примеры такого анализа подробно описаны в [82, 88, 90 и др.].
Альтернативой является исследование зависимости оптимального решения от значений неопределенных параметров, и поиск решения, оптимального в рамках имеющейся информации о возможных значениях неопределенных параметров. Примерами являются: анализ чувствительности (устойчивости) решения по параметрам модели, использование решений, обладающих максимальной гарантированной эффективностью в заданной области значений неопределенных параметров, а также применение обобщенных решений [84].
Последний подход представляется более привлекательным, чем использование решений, оптимальных в условиях неопределенности, так как он предоставляет в распоряжение лица, принимающего решения, гибкий инструмент анализа влияния неопределенных факторов на состояния управляемой системы и эффективность управления. Например, имея диаграммы риск-эффективность-стоимость, или кривые безразличия эффективности управления на плоскости параметров и т.д. - см. примеры в [4, 25, 44 и др.] и ниже - пример 5, можно сравнивать целесообразность использования тех или иных управлений с учетом имеющейся у центра информации и накопленного им опыта.
На третьем этапе центр производит выбор управлений, реализуется состояние управляемой системы, производится анализ эффективности используемых процедур принятия решений, их корректировка, а затем этапы повторяются с учетом принятых изменений и вновь поступившей информации о неопределенных факторах.
Приведем примеры использования приведенной методики, используя результаты анализа моделей саморазвития, описанных в четвертом разделе настоящей работы.
В рамках модели 1, рассмотренной в четвертом разделе, доказано, что оптимальным реализуемым действием является
(10) х*(А, а, r) = arg max [А x - J*(x, a, r)],
xeA0
зависимость целевой функции центра от параметров А, а и r имеет вид:
(11) F(A, а, г) = А х*(А, а г) - ? с1(у1(х(А, a r), а), а г)
ІЕІ
а задача комплексного развития заключается в следующем:
(12) F(A а r) - Со(ао, а) - Cr(rft r) ® max .
reQ, а0
Неопределенность (недостаточная информированность центра) может иметь место относительно следующих параметров:
- целевых функций участников системы и множеств их допустимых стратегий - в этом случае целесообразно использование обобщенных решений по аналогии с тем, как это реализовано в [84];
- начального состояния (а0 r0) управляемой системы;
- прогноза цен А;
- параметров функций затрат са(а0, а) и cr(r0, r).
Следовательно возникает риск - возможность выхода параметров системы из заданной области, обусловленная незнанием или ошибочными представлениями о перечисленных существенных параметрах.
Рассмотрим способы описания риска и управления им в модели саморазвития на следующем примере (см. также пример 1).
Пример 5. Пусть агенты имеют квадратичные функции затрат
типа Кобба-Дугласа: ci(yi, ri) = yf /2ri, i e І, а оператор агрегирования Q(y, а) = а ? yt, W = .
iel
Тогда, как было вычислено в первом примере,
y* (x, Я, r) = x гг / aR, где R = ? ri, u*(z, a, r) = x2 / 2 a2 R,
ІЕІ
x*(1 a r) = Я a2 R, F(1, a r) = Я a2 R / 2.
Пусть Ca(ao, a) = b (a- ao)2, Cr(ra r) = ? yt (г - r0i )2 .
ІЕІ
Тогда задача развития персонала - при заданных Я, a и r0 определить r е W, максимизирующее целевую функцию центра с учетом затрат cr(-) на изменение квалификации персонала - имеет вид:
(13) Я2 о2 R / 2 - ? Гг (ri - гоі )2 ®mWx.
ІЕІ rG
Решение этой задачи:
(14) Гг = Гог + Я2 a2 / 4 Гг, І е І.
Отметим, что для всех агентов выполнено гг ri0, то есть происходит повышение квалификации, причем ее прирост гг - гІ0 пропорционален внешней цене (при более выгодных внешних условиях выгодно повышать квалификацию) и эффективности a технологии, используемой центром (при неэффективной технологии повышать квалификацию не имеет смысла), и обратно пропорционален удельным затратам {у} на обучение персонала.
Задача развития центра - при заданных Я, г и a0 определить a 0, максимизирующее целевую функцию центра с учетом затрат Со(-) на изменение технологии - имеет вид:
(15) Я2 a2R/2- b (a- a0)2 ® max,
a 0
а ее решение: (16) a* = a0
2 b - Я2 R’
то есть a a0 при 2 b Я R. Последнее условие можно интерпретировать следующим образом: при высокой квалификации персонала и выгодных внешних условиях (соответственно - больших значениях R и Я) можно и не совершенствовать технологию.
Если в рассматриваемой модели присутствует неопределенность, то использование оптимальных управлений в условиях неопределенности означает следующее. Когда относительно параметров модели имеется интервальная неопределенность, то, например, в решении (14) следует использовать минимальные (пессимистические) оценки внешних цен 1 и максимальные оценки удельных затрат {gi} на обучение персонала.
Если имеется вероятностная неопределенность относительно квалификации персонала R, то так как выражение (15) линейно по этой переменной, можно подставить ожидаемое значение и т.д.
Использованию анализа чувствительности (параметрических, сценарных или многокритериальных методов) соответствует построение зависимостей решений задач управления от параметров модели и использование центром этих зависимостей для принятия окончательных решений. Примеры таких зависимостей (линии уровня (16)), приведенные для задачи развития центра (15) на рисунках 9 и 10 (при а0 = 1 и R = 1, ff = 1,5, соответственно), позволяют оценить последствия принимаемых управленческих решений с учетом как эффективности, так и риска.

Q? ¦
06-
Рис. 10. Параметрический анализ решения задачи (15) примера 5
На рисунке 11 приведены линии уровня целевой функции центра в зависимости от параметров Ь и l при а0 = 1, R = 1.

Видно, что, если для каждой комбинации параметров используется соответствующее оптимальное решение, то эффективность управления устойчива по параметрам модели. Если отказаться от этого предположения, и считать, что используется фиксированное решение, например, а' 7,7, вычисленное в предположении а0 = 7, R = 7, р = 1,5, Я = 0,5, то зависимость эффективности от параметров модели будет иметь вид, приведенный на рисунке 12.

Рис, 12, Параметрический анализ эффективности решения а' 1,1 в примере 5
Зависимость эффективностей F(a ) и F(a') от параметров 1 и приведена на рисунке 13 (соответственно, верхняя и нижняя поверхности), иллюстрирующем тот факт, что использование фиксированных решений приводит к снижению эффективности. -

Таким образом, для эффективного управления риском в организационных проектах необходимо комплексное использование параметрического анализа, рассмотрение различных процедур устранения неопределенности и применение обобщенных решений, которые в совокупности дают руководителю проекта необходимую для принятия решений информацию.
РАСПРЕДЕЛЕННЫЕ ПРОЕКТЫ
Многие крупные проектами являются распределенными, причем ключевым фактором является распределенность в пространстве и во времени. Если распределенность во времени - характерная черта любого проекта, то в распределенных проектах ресурсы и работы разнесены пространственно, что требует разработки специальных методов управления.
Примером из области управления организационными проектами может служить консалтинговая деятельность некоторой компании, клиентами которой являются различные предприятия и регионы.
Рассмотрим сначала отдельно пространственный фактор, а затем обобщим соответствующую модель на динамический случай.
Пусть для выполнения работ проекта требуется ресурс одного типа. Обозначим: I = {1, 2, п} - множество пунктов производства - пространственно локализованных мест концентрации ресурса, J = {1, 2, т} - множество пунктов потребления - пространственно локализованных мест выполнения работ, dj -количество ресурса, необходимого для реализации работ в j-ом пункте потребления, j е J, si - количество ресурса в i-ом пункте производства, i е I, cij - затраты на перемещение единицы ресурса из i-го пункта производства в j-ый пункт потребления, Ху - количество ресурса, перемещаемого из i-го пункта производства в j-ый пункт потребления.
Тогда задача минимизации затрат на перемещение ресурса заключается в следующем:
(1) Е xc ® miп,
ieI, jeJ {Xj}
(2) xij 0, i е I, j е J,
(3) Е Xj ^ dp j е J
ieI
(4) Е Xij ? Si, i е I.
jeJ
Условие (1) отражает минимизацию суммарных затрат, условие (2) - нецелесообразность транспортировки ресурса из одного пункта производства в другой, условие (3) - требование обеспечения работ ресурсами, условие (4) - ограничения на начальное распределение ресурса.
Задача (1)-(4) является классической транспортной задачей, методы эффективные решения которой хорошо известны [16, 23]. В частности, она имеет решение, если Е si ^ Е dj, то есть, если
ieI jeJ
имеющимися ресурсами может быть удовлетворен существующий суммарный спрос.
Рассмотрев статическую модель, обратимся к динамическому случаю. В качестве отступления отметим, что задачу (1)-(4) можно использовать как эвристический метод решения и для динамики, решая ее для каждого фронта работ.
Без ограничений общности (с учетом статической задачи) предположим, что пункты производства и потребления совпадают: I = J. Пусть имеются T периодов времени, и заданы: потребности в
ресурсах - dj, t = 1, T, j e J, и распределение ресурсов в начальный момент времени - х0, j e J.
Обозначая xj - количество ресурса, перемещаемого из пункта
i в пункт j в конце (t - 1)-го (или в начале t-го) периода времени, получим, что динамика количества ресурса в пунктах потребления будет описываться следующей системой рекуррентных уравнений:
(5) xj = xT + Е xtj- Е xji, je J t =1T.
i^J i^J
Суммарные затраты на перемещение ресурсов в периоде t равны Е j, t = 1T .
i, j^J
В качестве критерия эффективности выберем суммарные по всем периодам затраты (можно использовать дисконтированную полезность и т.д.). Тогда задача оптимальной динамики ресурсов заключается в следующем
T
(6) Е Е j ® min,
СИНТЕЗ ОПТИМАЛЬНОГО КОМПЛЕКСА МЕХАНИЗМОВ УПРАВЛЕНИЯ
Очевидно, в управлении ОП наиболее существенны первый и третий типы самоорганизации (так как гомеостазис, как правило, характерен для процессной, а не проектной деятельности).
Так как отличительной чертой управления ОП является саморазвитие, то обсудим, что понимается под развитием. Общее определение [110, С. 561] таково: развитие - необратимое, направленное, закономерное изменение материальных и идеальных объектов.
Обратимость изменений имеет место в процессах функционирования (циклического воспроизведения постоянного набора функций)
Отсутствие закономерности характерно, например, для случайных процессов катастрофического типа, и имеет место, в частности, при последовательности рефлекторных управлений. В управлении ОП (да и любыми проектами) управление как воздействие на управляемую систему, производимое с целью обеспечения
требуемого ее поведения, непременно подчинено цели и носит закономерный характер.
При отсутствии направленности изменения не могут накапливаться и процесс теряет целостность. Следовательно, в управлении ОП существенно научение, так как подчиненность цели (порождающей критерий эффективности деятельности) дает возможность накапливать опыт и закреплять положительные изменения.
С точки зрения процессов развития в результате реализации ОП ОС переходит в качественно новое состояние - в ней возникают, трансформируются или исчезают элементы, связи, функции и т.д.
Введя основные определения, рассмотрим две теоретикоигровые модели саморазвития в управлении ОП.
Модель 1. Рассмотрим модель ОС - многоэлементную детерминированную двухуровневую активную систему (АС), состоящую из центра и п активных элементов (АЭ). Стратегией АЭ является выбор действий, стратегией центра - выбор функции стимулирования, то есть зависимости вознаграждения каждого АЭ от его действий и, быть может, действий других АЭ или других агрегированных показателей их совместной деятельности.
Обозначим yi е Ai - действие i-го АЭ, i е I = {1, 2, п} -
п
множество АЭ, y = (y1t y2, yn) е A' = П Ai - вектор действий
i=1
АЭ, y_i = (yi, У2, Уг-1, У1+1, ¦¦¦, Уп) е А_г = П Aj - обстановка игры
J
для i-го АЭ.
Предположим, что i-ый АЭ характеризуется параметром ri е Д, называемым его типом и отражающим эффективность деятельности АЭ, i е I. Вектор типов всех АЭ обозначим r = (r 1, Г2, Гп).
Пусть результат деятельности z е A0 = Q(A’, а) АС, a 0, состоящей из п АЭ, является функцией (называемой функцией агрегирования) их действий: z = Q(y, а), где а - параметр, отражающий технологию деятельности и характеризующий центр. Интересы и предпочтения участников АС - центра и АЭ - выражены их целевыми функциями. Целевая функция центра является функционалом фо, z) и представляет собой разность между его доходом 1 z, где 1 может интерпретироваться как рыночная цена, и суммарным вознаграждением u(z, r), выплачиваемым АЭ:
u(z, r) = 2 Si (z, r),
i=1
где Oi(z, r) - стимулирование i-го АЭ,
o(z, r) = (ol(z, r), o2(z, r), on(z, r)), то есть
(1) Ф(о(-), z, l r) = lz - ^Ог (z,r).
i=1
Целевая функция i-го АЭ является функционалом fi(ог, уг, ri) и представляет собой разность между стимулированием, получаемым им от центра, и затратами ci(yi, ri), где ri е Wi с - тип АЭ, то есть:
(2) fi(s(-), z, y, r) = Oi(z, r) - Ci(y, ri), i е I.
Отметим, что индивидуальное вознаграждение i-го АЭ в общем случае явным или неявным образом зависит от действий и типов всех АЭ (случай сильно связанных АЭ [90]).
Примем следующий порядок функционирования АС. Центру и АЭ на момент принятия решения о выбираемых стратегиях (соответственно - функциях стимулирования и действиях) известны целевые функции и допустимые множества всех участников АС, а также функция агрегирования.
Центр, обладая правом первого хода, выбирает функции стимулирования и сообщает их АЭ, после чего АЭ при известных функциях стимулирования выбирают действия, максимизирующие их целевые функции.
Рассмотрим случай, когда центр наблюдает только результат деятельности АС, от которого зависит его доход, но не знает и не может восстановить индивидуальных действий АЭ, то есть, имеет место агрегирование информации - центр имеет не всю информацию о действиях АЭ, а ему известен лишь некоторый их агрегат.
Обозначим Р(о) - множество реализуемых (выбираемых АЭ при данной системе стимулирования) действий. Минимальными затратами центра на стимулирование по реализации действий АЭ у’ е A’ будем называть минимальное значение суммарных выплат элементам, при которых данный вектор действий является равновесием Нэша в игре АЭ, то есть решение следующей задачи: min , где x(y’) = {о() I y’ e P(o)}. Как и в
? о i (Q( y',a), r) ®
s (¦)= (У)
одноэлементной АС [86], гарантированной эффективностью (далее просто эффективностью) стимулирования является минимальное значение целевой функции центра на соответствующем множестве решений игры (всюду, где встречаются минимумы и максимумы, будем предполагать, что они достигаются):
(3) К(о(-), l, a, r) = min Ф(о(-), Q(y, a), l r).
yeP(a (¦))
Задача синтеза оптимальной функции стимулирования заключается в поиске допустимой системы стимулирования о , имеющей максимальную эффективность:
(4) о*(1, a r) = arg max K(o(-), l, a, r).
о (¦)
В [90] доказано, что в частном случае, когда действия АЭ наблюдаются центром, и типы АЭ также достоверно известны центру,
П
оптимальной (точнее - ^-оптимальной, где 8 = ? 8г ) является
г=1
квазикомпенсаторная система стимулирования о K , зависящая от наблюдаемых действий АЭ:
Сг (У , Гі ) + 8 г , Уг = Уг
. 0, Уг * Уг*
i e I,
(5) О гк
где 8г - сколь угодно малые строго положительные константы, і e I, а оптимальное действие У , реализуемое системой стимулирования (5) как единственное равновесие в доминантных стратегиях (РДС) [48], является решением следующей задачи оптимального согласованного планирования [27]:
У*(г) = arg max {H (у) - ? ег (У, rt)},
У^А' id
где H (¦) - функция дохода центра, зависящая от наблюдаемых действий АЭ.
Определим множество векторов действий АЭ, приводящих к заданному результату деятельности АС:
Y(z, a) = {y e A’ | Q(y, a) = z} c A’, z e A0.
В [90] доказано, что в случае наблюдаемых действий и типов АЭ минимальные затраты центра на стимулирование по реализации вектора действий y е A’ равны суммарным затратам АЭ V ci (y, ri) . По аналогии вычислим: минимальные суммарные
І?І
затраты АЭ по достижению результата деятельности z е А0
П
J (z, a, r) = min V ci(y, ri), а также множество действий
yGY (z ,a) i=i
n
Y (z, a, r) = Arg min V ci(y, ri), на котором достигается соот-
yGY (z ,a) i=i
ветствующий минимум.
Введем относительно параметров АС следующие предположения, которые, если не оговорено особо, будем считать выполненными в ходе всего последующего изложения материала настоящего раздела:
А.1. i е I Ai - отрезок с левым концом в нуле.
А.2. i е I 1) функция ci(-) непрерывна по всем переменным; 2) yi е Ai, ri е Wi ci(yi, ri) неотрицательна и не убывает по yi и не возрастает по ri, i е I; 3) ri е Wi ci(0, ri) = 0, i е I.
А.3. Функции стимулирования принимают неотрицательные значения.
А.4. Q: A’x ® А0 с Жm - однозначное непрерывное отображение, где 1 ? m ? n.
А.5. x е А0 a 0 y’ е Y(x, a), i е I, yi е Proji Y(x, a) cj(y„ y’-i) не убывает по yt, j е I.
Фиксируем произвольный результат деятельности x е A0 и произвольный векторy*(x, a, r) е Y*(x, a, r) c Y(x, a).
Утверждение 1. При использовании центром следующей S-оптимальной системы стимулирования
(6) s * (z, a, r)
c(y \x,a,r), r) + , z = x . ,
, i е I,
0, z ^ x вектор действий АЭ y (x, a, r) реализуется как единственное РДС с минимальными затратами центра на стимулирование равными J*(x, a, r).
Доказательство утверждения 1 практически повторяет доказательство теоремы 4.5.1 в [90] и опускается.
На втором шаге решения задачи стимулирования ищется наиболее выгодный для центра результат деятельности АС х (1 a, r) е А0 как решение задачи оптимального согласованного планирования:
(7) х*(1, a, r) = arg max [1 х - J*(x, a, r)].
хеАо
В [90] доказана теорема об идеальном агрегировании в моделях стимулирования, которая утверждает, что в случае, когда функция дохода центра зависит только от результата деятельности АС, эффективности стимулирования одинаковы как при использовании стимулирования АЭ за наблюдаемые действия, так и при стимулировании за агрегированный результат деятельности. Этот результат справедлив и в рассматриваемой модели при условии, что центру известны: цена 1, функции затрат агентов (то есть, параметры {r}) и технология производства а.
Подставляя (7) и J (х (1, a, r), а, г) в (1) получаем зависимость целевой функции центра (которую можно рассматривать как его прибыль) от параметров 1, a и r:
(8) F(1, a, r) = 1 х*(1, a r) - J*(x*(1, a r), a r).
Если параметр 1 интерпретируется как внешняя (экзогенно заданная) стоимость единицы результата деятельности АС, то, варьируя два оставшихся параметра - a и r, центр может оптимизировать свою прибыль, то есть, максимизировать выражение (8).
Таким образом, мы осуществили переход от микромодели (задачи синтеза оптимальной функции стимулирования), в которой описывалось взаимодействие центра с подчиненными ему АЭ, к макромодели, отражающей эффективность технологии деятельности сотрудников заданной квалификации в зависимости от внешних условий (см. выражение (8)). Другими словами, получена возможность рассматривать оптимизационные задачи, не акцентируя внимания на аспектах активности участника и задачах управления АЭ (отражаемыми в теоретико-игровых моделях стимулирования с агрегированием информации).
Понятно, что, как изменение технологии a, так и квалификации r (эффективности деятельности) сотрудников - АЭ - требует определенных затрат, которые будем описывать функциями ca(a1, a2) и cr(r1, r2), которые отражают затраты центра соответственно на изменение технологии с a1 0 на а2 0 и изменение типов с r1 е W на r2 е W.
Относительно функций затрат предположим следующее: если a2 a1, то ca(a1, a2) 0, если a2 a1, то ca(a1, a2) 0, если r2 r1, то cr(r1, r2) 0. Обозначим (a0, r0) - начальное состояние (до реализации ОП) АС.
Возникают следующие три (две частных и одна общая) задачи:
1. Задача развития персонала. При заданных 1, а и r0 определить r е W, максимизирующее целевую функцию центра (8) с учетом затрат на изменение квалификации персонала:
(9) F(1 a, r) - cr(ra r) ® max .
reQ
Решение этой задачи имеет вид r (1, a r0);
2. Задача развития центра (совершенствования технологии деятельности). При заданных 1, r и а0 определить а 0, максимизирующее целевую функцию центра (8) с учетом затрат на изменение технологии:
(10) F(1 a r) - c0(a0, а) ® max .
а 0
Решение этой задачи имеет вид a (1 a0, r);
3. Задача комплексного развития. При заданном начальном состоянии (о0, r0) определить конечное состояние (a 0, r е W), максимизирующее целевую функцию центра (8) с учетом затрат на изменение технологии и квалификации персонала:
(11) F(1, a r) - ca(a0, a) - c^, r) ® max .
reQ, a0
Решение этой задачи имеет вид (r*(1, a0, r0), a*(1, a0, r0)).
При известных зависимостях F(- ), ca(-), cr() задачи (9)-(11) являются стандартными оптимизационными задачами. Приведем пример их решения.
Пример 1. Пусть агенты имеют квадратичные функции затрат типа Кобба-Дугласа: ci(yi, ri) = yf /2ri, i е I, а оператор агрегирования Q(y, a) = a ^ уг .
ieI
Тогда y*(x, l r) = x r, / aR, где R = Уri,
ІЕІ
v*(z, a r) = x2 / 2 a R, x*(1, a r) = l a R, F(1 a, r) = l2 a2 R / 2
(отметим, что в рассматриваемом примере имеет место идеальное агрегирование).
Если cB(a0, a) = Ь exp {a- a0}, cr(r0, r) = gexp {r - r0}, то R = R0 + In (l2 a2 / 2 d), а a определяется из решения следующего трансцендентного уравнения (если условие второго порядка не выполнено, то на максимальную величину a необходимо накладывать ограничения): I2 a [R0 + ln (l2 a2/2 d)] = b exp {a- a0}. - 1
До сих пор мы рассматривали, фактически, статический случай, в котором решалась задача выбора конечного состояния при известном начальном (см. задачу комплексного развития выше), то есть процесс перехода от начального состояния к конечному не детализировался. В ОП во многих случаях существенным оказывается процесс перехода, поэтому сформулируем динамическую задачу комплексного развития.
Пусть имеются T периодов времени: t = 1, T, для которых известна (точно или в виде прогноза) последовательность цен {1t}t = 1, T . Известно также начальное состояние ОС (a0, r0). Требуется определить допустимые траектории развития персонала {rt е Wt}t = 1, T и изменения технологии {at 0}t =1, T, которые максимизируют суммарную дисконтированную (с коэффициентом g) полезность центра:
T
(12) У {F(1t, at, rt) - ca(aui, at) - Cr(rt_b r)} ® max .
7=1 {r^Wt ,at^}t=lj
Для решения задачи (12) может быть использован метод динамического программирования.
Модель 2. Рассмотрим АС с распределенным контролем (РК), включающую один АЭ, характеризуемый функцией затрат c(y, 5), у е A, s е S, и k центрами, характеризуемыми функциями дохода H,(y, rІ), где r, е W,, i е K = {1, 2, ..., k} - множеству центров. Целевая функция І-го центра имеет вид
(13) Ф,(о,(-), y, r) = Hi(y, r) - s,(y), i e K, а целевая функция АЭ:
(14) f(o(-), y, s) = У (y) - c(y, s),
isK
где s(-) = (Gi(-), Sn(-)).
Порядок функционирования таков - сначала центры одновременно и независимо выбирают свои стратегии - функции стимулирования, а затем при известных функциях стимулирования АЭ выбирает действие, максимизирующее его целевую функцию (14).
В [91] доказано, что при использовании центрами компенсаторных систем стимулирования существуют два режима взаимодействия центров (два типа равновесий их игры) - режим сотрудничества и режим конкуренции, причем последний неэффективен для системы в целом. Поэтому одной из основных задач управления АС РК является обеспечение режима сотрудничества центром. Введем следующие величины:
(15) Wi(s, Гг) = max {H(y, r) - c(y, s)}, i e K,
ysA
(16) x*(s, r) = arg max {У H(y, r) - c(y, s)},
ysA isK
где r = (rГ2, rn) e W = г ,
isK
(17) W*(s, r) = max {У H(y, r) - c(y, s)}.
ysA isK
По аналогии с [44, 47, 91] запишем область компромисса
(18) L*(r, s) = {l 0 | H(x*(s, r), ri) - li W(s, ri), i e K;
У l = c(x*(s, r), s)}.
isK
В соответствии с результатами, полученными в [44], режим сотрудничества имеет место тогда и только тогда, когда множество
(18) не пусто. Обозначим
(19) W* хS* = {(r, s) e W xS | L*(r, s) * 0}.
Пусть s0 e S и r0 e W - начальные параметры АС и известны затраты cs,r(s0, r0, s, r) по их изменению до значений s e S и r e W, соответственно. Тогда возможны две постановки задачи.
Первая задача, которую условно можно назвать задачей выбора направления развития, заключается в определении таких значений параметров участников АС из множества (19), при которых затраты на изменения минимальны:
(20) cs,r(so, го, s, r) ® min* * .
(s, Г)gQ xS
Второй задачей является задача оптимального развития, которая заключается в выборе таких значений параметров участников АС, при которых выигрыш АС в целом (с учетом затрат на изменения) максимален:
(21) W*(s, r) - Cs,r(so, го s, r) ® max .
(s, r) G QxS
Задачи (20) и (21) являются стандартными задачами условной оптимизации. Термины саморазвитие и самоорганизация применимы к ним, так как они должны решаться центрами или метацентром, то есть участниками рассматриваемой АС.
В заключение рассмотрения настоящей модели отметим, что все полученные результаты по аналогии с тем, как это делалось в [44], могут быть обобщены на случаи: нескольких агентов с векторными предпочтениями, векторных предпочтений центров, многоуровневых АС.
Результаты исследования двух приведенных в настоящем разделе моделей саморазвития в управлении ОП (см. также модели матричных структур управления в шестом разделе) позволяют говорить о существовании единого подхода к описанию эффектов саморазвития и самоорганизации (см. также модели обучения менеджеров проектов в [37]). Подход этот заключается в следующем: сначала описывается зависимость равновесного (в теоретикоигровом смысле) состояния АС от параметров центра и агентов, характеризующих их свойства, которые могут изменяться. Затем вводятся затраты на целенаправленное изменение этих параметров, и решается задача определения таких новых значений этих параметров (или траектории их изменения), которые максимизировали бы эффективность функционирования АС в будущем (или в процессе перехода из заданного начального состояния в конечное) с учетом затрат на переход.
Применение данного подхода к максимально широкому классу задач управления динамическими АС представляется перспективным направлением будущих исследований.
СИНТЕЗ ОПТИМАЛЬНОГО КОМПЛЕКСА МЕХАНИЗМОВ УПРАВЛЕНИЯ
Приведем постановку задачи синтеза оптимального комплекса механизмов управления ОС. Пусть ОС описывается набором (вектором) множества L= {1, 2, 1} переменных:
У = (уі, У2, ¦¦¦, yd е A = П 4 , где y, е A„ i е L, и существуют гло-
ieL
бальные ограничения A на комбинации переменных: у е A’ о A .
Под механизмом ы(-) е X будем понимать отображение множества Mu сL значений управляемых переменных во множество Ku сL значений управляющих переменных, то есть u: AMu ® AKu, где AMu = П Ai , AKu = П Ai . Будем считать, что множество X
ieMu ieKu
допустимых механизмов таково, что для любого механизма u(-) е х, выполнены глобальные ограничения, то есть
(1) X = {u(d I (yMu, yKu): yKu = u(yMu) ® (yMu, yKu) е ProjMuuKu(A )},
где yMu =(yj)j е Mu, yKu =(yj)j е Ku-
Введем S с X - подмножество множества допустимых механизмов, S е 2х - множеству всех подмножеств множества X. Обозначим Qs - множество всевозможных последовательностей элементов множества S, qs - произвольный элемент множества Qs. Множество S механизмов назовем непротиворечивым, если
(2) 0$qs е Qs: $ (u, v) е qs: Mu о Kv * 0.
Свойство непротиворечивости означает, что для данного набора механизмов не существует их последовательности, для которой нашлась бы переменная, которая была бы одновременно управляемой для первого механизма в этой последовательности и управляющей - для последнего.
Непротиворечивость множества механизмов порождает в ОС иерархию: множество параметров АС может быть упорядочено - на
нижнем уровне находятся параметры из множества Ls = L \ - Ku,
ueZ
на следующем уровне - параметры, которые являются управляющими по отношению к параметрам нижнего уровня, но управляе-
мыми для параметров, находящихся на более высоких уровнях иерархии, и т.д.
Поставим в соответствие /-му параметру АС активного агента, обладающего целевой функцией f: А ® Ж1, / е L.
При заданном комплексе механизмов S агенты из множества LS будут стремиться выбирать равновесные по Нэшу стратегии. Обозначим соответствующее множество равновесий Нэша
(3) EN(S) = {yLs е Als I / е Ls, yt е А/
fikyLS, u(yLZ)) f/(yLlIy/, U^LsIyi))}, где u(yLS) - действия, выбираемые агентами из множества - Ku
ueS
(эти действия при заданном комплексе механизмов определяются действиями, выбираемыми агентами из множества LS).
Пусть на множестве А ’ состояний системы задан функционал Ф(-): А ® Ж1, характеризующий эффективность ее функционирования. Задача синтеза оптимального комплекса механизмов может формулироваться следующим образом:
(4) min F(yLs u(yLs)) ® max ,
yLZeEN (S) Se2" ,(1),(2)
то есть требуется найти непротиворечивый и удовлетворяющий глобальным ограничениям (условия (2) и (1) соответственно) комплекс механизмов, обладающий максимальной гарантированной эффективностью.
Отметим, что при формулировке задачи (4) мы не учитывали явным образом интересы агентов из множества - Ku . Если пред-
ugS
положить, что каждый из них может самостоятельно выбирать определенные механизмы управления, то получим задачу, аналогичной задаче структурного синтеза, описанной в [29, 85].
На сегодняшний день общих методов решения задачи (4) или задачи структурного синтеза неизвестно. Поэтому на практике при синтезе комплекса механизмов либо решают задачу последовательного синтеза, либо согласовывают в рамках той или иной метамодели отдельные оптимальные механизмы управления.
В матричных структурах управления, характерных для проектно-ориентированных организаций [113, 120, 137], каждый из управляемых субъектов (агентов в терминах управления проектами, АЭ в терминах теории активных систем) может быть одновременно подчинен нескольким управляющим органам (центрам). В теории активных систем (АС) такие модели получили название активных систем с распределенным контролем (РК).
Специфика АС РК заключается в том, что в них возникает игра центров, равновесие в которой определяет окончательное управляющее воздействие на агентов.
В работах [44, 47, 91], посвященных изучению АС РК, предполагается, что все управляющие органы оказывают воздействие либо на одни и те же компоненты вектора действий агента, либо на различные, но содержательно схожие (например, объем работ, продолжительность рабочего времени и т.д.) компоненты. В то же время, специфика стимулирования в управлении организационными проектами [113] такова, что, не только предпочтения, но и ответственность, возможности воздействия и т.д. различных центров могут быть определены на различных компонентах векторов действий и параметров агента (последние могут отражать, например, его квалификацию).
Примером может служить взаимодействие руководителей проектов (РП) и функциональных руководителей (ФР, то есть руководителей подразделений, которым принадлежат агенты, например, по штатному расписанию).
Руководитель проекта, который использует агента как ресурс, заинтересован в результатах его деятельности и осуществляет стимулирование в зависимости от этих результатов. Функциональный руководитель получает от руководителя проекта (естественно, косвенным образом в силу принадлежности одной организации и/или в рамках договорных отношений) вознаграждение за результаты деятельности агента данной квалификации и стимулирует агента в зависимости от квалификации.
В рамках рассматриваемой ниже теоретико-игровой модели взаимодействия участников системы (агента, руководителя проекта и функционального руководителя) анализируются равновесные состояния и обосновывается роль вышестоящих органов (устанавливающих правила игры для участников нижележащих уровней), которые выбором параметров механизма управления могут согласовать (в определенной степени) интересы руководителя проекта и функционального руководителя, побуждая их, соответственно, эффективно управлять деятельностью агентов и повышать квалификацию подчиненных.
Рассмотрим АС, состоящую из трех участников: РП, ФР и агента (см. рисунок 6), имеющих соответственно следующие целевые функции:
(1) Ф(а() ad), y, r) = H(y) - a(y) - s0(y, r),
(2) Фо(ао(¦), h(-), y, r) = ady, r) - h(r) - co(r),
(3) f(a(¦), h() y, r) = a(y) + h(r) - c(y, r),
где H(y) - функция дохода РП; a(y), a0(y, r), h(r) - функции стимулирования, c(y, r) - функция затрат агента, c0(r) - функция затрат ФР, y е A - действие агента, r е W - тип агента, отражающий его квалификацию (эффективность деятельности).

Содержательно, агент, подчиненный ФР, выбирает в рамках проекта, выполняемого под руководством РП, свой тип r е W и действие y е A. РП получает от выбора этого действия доход H(y) и
выплачивает агенту вознаграждение a(y), где a: A ® , а также
стимулирует ФР в размере a0(y, r), где a0: A х W ® , за использование подчиненного последнему агента. Вознаграждение агента складывается из стимулирования, получаемого от РП и зависящего от его действий, и стимулирования h(r), где h: W ® , получаемого от ФР и зависящего от его типа (квалификации).
Вторая составляющая оплаты может рассматриваться как тарифный оклад, не зависящий от действий. Затраты агента c(y, r) по выбору действия y е A зависят от его квалификации r е W.
УПРАВЛЕНИЕ РИСКОМ В ОРГАНИЗАЦИОННЫХ ПРОЕКТАХ
В большинстве работ по теории управления социальноэкономическими системами (активными системами - АС) рассматриваются задачи управления (планирования, стимулирования и др. [33, 48, 86]) в предположении, что состав участников системы (далее для краткости - состав), то есть набор управляющих органов - центров - и управляемых субъектов - агентов, фиксирован. Коль скоро известно решение задачи управления для фиксированного состава АС, появляется возможность рассмотрения задачи управления составом активной системы, то есть задачи определения оптимального (в оговариваемом ниже смысле) набора агентов, которых следует включить в систему, и тех их действий, выбор которых наиболее выгоден для центра (или центров, если последних несколько).
Если имеется решение задачи управления составом, то следующим шагом может быть решение задачи синтеза оптимальной структуры АС - определения числа уровней иерархии, распределения участников АС по уровням, определения связей между ними и т.д. (см. также выше и [39, 40, 44, 47, 82]).
В теории контрактов [20, 21, 83, 125, 126, 131] исследовались модели определения оптимального числа работников (в основном, однородных) при ограничениях согласованности стимулирования и резервной заработной платы [126, 131]. Обычно в работах зарубежных авторов по теории контрактов считается, что на момент заключения контракта будущее значение состояния природы (внешнего неопределенного фактора, определяющего условия функционирования АС) неизвестно ни центру, ни потенциальным работникам, но они имеют о нем информацию в виде вероятностного распределения. Задача центра заключается в определении зависимости вознаграждения работников от результатов их деятельности или действий и числа работников, нанимаемых в зависимости от состояния природы, которые максимизировали бы математическое ожидание целевой функции центра при условии, что всем принятым на работу гарантируется уровень полезности не меньший резервной заработной платы (при этом может добавляться условие обеспечения центром определенных гарантий для безработных). Отметим, что сформулированная задача существенно проще (так как не учитывается активность работников), чем базовая модель теории контрактов [123], в которой фигурирует дополнительное условие выбора агентом действия, максимизирующего его ожидаемую полезность при заданной системе стимулирования.
Подробное описание соответствующих результатов приведено в обзоре [20]. В настоящей работе нас будут интересовать постановки теоретикоигровых задач, учитывающие потенциальную активность всех участников ОС.
В рамках экономики труда [112, 115, 122, 134] основной результат, определяющий оптимальное количество работников, отражает равенство производимого ими предельного продукта (предельной производительности) и предельных затрат на их привлечение и удержание (см. обсуждение взаимосвязи между экономикой труда и задачами управления организационными системами в [13, 65]). Количество дополнительной продукции (дохода), которое получает фирма, нанимая одного дополнительного (сверх уже работающих) работника (единицу труда), называется предельным продуктом труда. Предельные издержки есть затраты центра на стимулирование при приеме на работу дополнительного работника.
Условие максимизации прибыли (разности между доходом центра и его затратами на стимулирование) требует, чтобы прибыль была максимальна. Для этого следует изменять число занятых (увеличивать, если предельный доход превышает предельные издержки, и уменьшать в противном случае) до тех пор, пока предельный доход не будет равен предельным издержкам.
В экономике организаций принят следующий общий подход к определению оптимального размера организации (см. подробное обсуждение и ссылки в [73]). С одной стороны, существует рынок -как система обмена прав собственности. С другой стороны, экономические агенты объединяются в организации, взаимодействующие на рынке.
Объяснением существования экономических организаций служит необходимость компромисса между трансзакционными издержками и организационными издержками, которые определяются затратами на координацию внутри организации, которые растут с увеличением ее размеров.
Транзакционные издержки препятствуют рынку заместить собой организацию, а организационные издержки препятствуют организации заместить собой рынок. Основная идея (качественная), используемая в экономике организаций при обсуждении задач формирования состава заключается в том, что, так как и первые, и последние издержки зависят от размера организации и ее структуры, то, теоретически, должны существовать оптимальные параметры организации, при которых достигается уравновешивание упомянутых тенденций замещения.
Обсудим теперь кратко результаты, полученные в рамках теории активных систем. Впервые в теории активных систем задачи формирования состава АС рассматривались в работах [32, 66] для случая назначения проектов.
Вообще, задача о назначении с неизвестными центру и сообщаемыми ему агентами параметрами эффективности их деятельности на различных должностях неоднократно привлекала внимание исследователей, особенно в области управления проектами [32].
В работе [35] рассмотрена модель динамики трудовых ресурсов между несколькими предприятиями в зависимости от условий оплаты труда и неденежных факторов вознаграждения работников. Несколько моделей, в которых определялось оптимальное с точки зрения информационной нагрузки на центр число агентов, которых следует включать в АС, рассматривались в работе [82] при изучении факторов, определяющих эффективность управления многоуровневыми организационными системами.
Широкое распространение в задачах управления АС нашли методы теории графов [23]. Задачи определения оптимальной последовательности выполнения операций (сокращение производственного цикла, коммерческого цикла, задачи снабжения и др. [3, 7, 10, 11, 12, 23, 26, 32]) условно могут рассматриваться как задачи формирования состава.
Наиболее представительным классом механизмов управления АС, которые могут рассматриваться как задачи формирования состава, являются конкурсные и аукционные механизмы, в которых ресурс или работы распределяются между претендентами на основании упорядочения эффективностей их деятельности. Примерами являются прямые, простые и двухэтапные конкурсы, конкурсы исполнителей в управлении проектами, задачи назначения исполнителей (так называемые сложные конкурсы) и др. [32].
Первые систематические постановки задач формирования состава АС (отметим, что речь идет именно о задачах формирования состава, а не управления составом, так как в большинстве известных моделей речь идет о формировании состава АС с нуля) появились недавно - см. монографию [90]. В упомянутой работе выделяются три общих подхода к решению задач формирования состава АС на основании рассмотрения задач стимулирования.
Первый подход заключается в лобовом рассмотрении всех возможных комбинаций потенциальных участников АС. Его достоинство - нахождение оптимального решения, недостаток - высокая вычислительная сложность. Второй подход основывается на методах локальной оптимизации (перебора составов АС из некоторой окрестности определенного состава). Используемые при этом эвристические методы в общем случае не дают оптимального решения и поэтому требуют оценивания их гарантированной эффективности.
И, наконец, третий подход заключается в исключении заведомо неэффективных комбинаций агентов на основании анализа специфики задачи стимулирования (см. упорядочение агентов, имеющих сепарабельные затраты, в задачах формирования состава АС). При этом вычислительная сложность резко сокращается и удается получить точное (оптимальное) решение, но, к сожалению, данный подход применим далеко не всегда, и в каждом конкретном случае возможность его использования требует соответствующего обоснования.
Завершив краткий обзор моделей оптимизации состава АС, перейдем к рассмотрению игр с переменным составом.
Обозначим: I = {1, 2, ..., п} - множество игроков (агентов), Л, -множество допустимых действий (выборов) i-го агента, f(y, г,) - его
целевую функцию, где y = (yh y2, ..., yn) е Л’ = ^Л, - вектор
ІЕІ
действий агентов, г, е W - тип i-го агента, i е I, J е 2 - подмножество множества игроков.
Пусть у i-го агента существует действие z е Л,, такое, что y. , е Л.і f(y.,, z) =Z, где y., = (yi, ..., y.i, y,+i, ..., уП) - обстановка игры для него, Л4 = ^ Л}. , i е I. Содержательно, выбирая действие
І*І
z е Л, i-ый игрок отказывается от игры и получает гарантированный (независящий от действий других игроков) выигрыш Z. Игроков, отказавшихся от игры, будем называть пассивными, принимающих участие в игре - активными. Итак, множество активных игроков есть J = {і е I | y, Ф z}, множество пассивных игроков -I \ J = {І е I | у, = z}.
Введем множество равновесий Нэша ENJ) игры активных игроков
(1) En(J) = {xj е ЛJ | i е J, y, е Л, f(xj, zJ f,(xj\yl, zJ}, J с I, где xj = (x) е J - вектор действий активных игроков, zI\J - вектор действий пассивных игроков (то есть, вектор размерности II \ J\, все элементы которого равны z), xJ\yi - вектор xj действий активных игроков, в котором действие i-го игрока х, заменено на y, i е I.
Очевидно, что на одной и той же исходной игре в нормальной форме Г0 = {I, (Л) е j, f) е /} можно определить 2VI игр, каждая из которых будет соответствовать участию в ней некоторого подмножества множества I игроков.
Анализ игр с переменным составом заключается в исследовании зависимости равновесия и выигрышей игроков от множества J активных агентов. С нормативной точки зрения формирование команды проекта (как синтез игры с переменным составом) может рассматриваться как задача поиска множества активных игроков, обеспечивающего либо максимум функционала, отражающего интересы и предпочтения ЛПР (центра, руководителя проекта и т.д.) и определенного в общем случае на множестве векторов действий всех агентов, либо максимум функционала, отражающего интересы и предпочтения самих агентов.
Рассмотрим возможные варианты.
Определим следующий функционал, отражающий гарантированный суммарный выигрыш активных игроков:
(2) f(J) = min r) 2 f ( xj zi\j К J ?1
*J eEN( J ) "J
и функционал
(3) fJ = fJ) + \I \ J Z, J с I,
отражающий суммарный гарантированный выигрыш всех (и активных, и пассивных) игроков. Очевидно, f(I) = fo(I).
Отметим, что учет интересов всех участников (в том числе - пассивных) характерно для управления ОП.
Помимо функционалов (2) и (3), характеризующих абсолютные величины выигрышей агентов, можно рассматривать относительные характеристики fJ) / \J\ и f0(J / \J\, показывающие удельные (приходящиеся в среднем на одного активного игрока или, соответственно, на каждого из n игроков) эффективности реализации проекта множеством J исполнителей (нормировка на постоянное число n - размер максимального состава - не имеет смысла).
Обозначим F(y) - целевую функцию центра, определенную на множестве A ’ всевозможных векторов действий агентов. С точки зрения центра гарантированная эффективность деятельности множества J с I активных игроков равна
(4) K(J = min F(xj, zij).
xJ gEN ( J )
Таким образом, в рамках рассматриваемой модели возможны следующие пять постановок задач: максимизировать, варьируя множество активных игроков, один из функционалов: fJ), f0(J), fJ) / \J\, f0(J) / \J\ или K(J).
Качественно, в системах с переменным составом (и однородными участниками) имеют место две противоположных тенденции. С одной стороны, с ростом числа активных участников возрастает интегральный результат их деятельности, а, с другой стороны, возрастают как организационные издержки (затраты на координацию совместной деятельности), так и индивидуальные затраты [73, 82, 90, 91].
Поэтому, как правило, существует промежуточный (по числу участников - между максимальным и минимальным составом) оптимум - такое множество активных игроков, которое максимизирует функционал эффективности, в качестве которого (в зависимости от решаемой исследователем операций задачи) может выступать один из введенных выше функционалов. Поиску этого оптимума для ряда задач управления (типов организационных проектов) и посвящено дальнейшее изложение материала настоящего раздела.
Рассмотрим сначала простейший случай, в котором ОС однородна, то есть, все агенты одинаковы, то есть f(y, rt) = g(y), Ai = A, i e I, поэтому зависимость от r будем опускать. Тогда действие, доставляющее максимум целевой функции любого активного агента, одинаково для всех из них и определяется числом активных агентов. Обозначим это действие
(5) ?т = arg max g((q)m, (z)n-m ) m = 1, n.
qsA
Выигрыш любого агента равен g((vm)m (z)n-m), поэтому fm) = m g((Vm)m (z)n-m),
fo(m) = fm) + (n - m) Z,
Mm) / m = g((Vm)m, (z)n-m) + (n - m) Z / m,
K(m) = F((Vm)m, (z)n-m), m = 1, n.
Задача оптимизации состава однородной ОС заключается в определении оптимального (по тому или иному, но определенному, критерию) числа однородных активных агентов. Для ее решения достаточно сравнить n + 1 вариант - включение в состав проекта m
агентов, где m = 1, n, и отказ от выполнения проекта (m = 0).
Рассмотрим это решение для случая, когда целевая функция агента имеет вид
(6) g(q, m) = H(q) W+(m) - c(q) W(m).
Введем следующие предположения:
1. A = ;
2. z = 0;
3. H(q) - неотрицательная непрерывно дифференцируемая положительнозначная вогнутая функция;
4. c(q) - неотрицательная непрерывно дифференцируемая положительнозначная возрастающая строго выпуклая функция, c(0) = 0;
5. W_(m) и W+(m) - неубывающие положительнозначные функции;
6. lim All = +
q®? H(q)
W (m)
7. lim -- = + . m®? W+ (m)
Содержательные интерпретации функции (6) и введенных предположений таковы: выбирая действие q 0 агент получает доход, зависящий от этого действия и от числа активных агентов, причем имеет место эффект кооперации - с ростом числа активных агентов доход каждого из них возрастает. Кроме того, выбор действия сопряжен для агента с некоторыми затратами (большим действиям соответствуют большие затраты), которые при фиксированном действии возрастают с ростом числа активных агентов возрастают.
Последний эффект отражает организационные издержки - затраты на организацию и координацию совместной деятельности, взаимодействие агентов и т.д.
Из введенных предположений можно сделать выводы, которые сформулируем в виде следующего утверждения (доказательство его справедливости производится апелляцией к известным результатам математического анализа и опускается).
Утверждение 3. Если выполнены предположения 1-7, то в АС с однородными агентами, имеющими целевую функцию (6) для любого числа активных агентов оптимальное действие vm существует, конечно, единственно и удовлетворяет
(7) vm = g о-1 (W(m)),
H\q )
c'(q) ’
где g01 (- ) - функция, обратная к функции g0(q)
W(m)
W_ (m) W+ (m).
Во многих прикладных задачах целевая функция агента может быть линеаризована по доходу, то есть, представлена в виде
(8) g(q, m) = q m - co(q) Wo(m).
Утверждение 4. Если выполнены предположения 1-7, то в АС с однородными агентами, имеющими целевую функцию (8), для любого числа активных агентов равновесное действие vm существует, конечно, единственно, удовлетворяет
(9) Vm = c0-1 (m / Wo(m)), и достигает максимума при конечном числе активных агентов.
Доказательство утверждения . Справедливость выражения (9) вытекает из (7) и (8). Из предположений 5 и 7 следует, что максимум отношения m / W0(m) достигается при конечном m , а из предположения 4 следует монотонность функции с01 (- ). -
Рассмотрим еще более частный случай.
Пример 4. Если выполнены предположения 1-7 и агенты имеют квадратичные функции затрат типа Коба-Дугласа, то в АС с однородными агентами, имеющими целевую функцию (8), для любого числа активных агентов равновесное действие vm = m / W0(m) существует, конечно, единственно, достигает максимума при конечном числе m активных агентов. Кроме того, f0(m) = f(m) = m3 / 2 W0(m). Видно, что в данном случае максимум суммарных равновесных действий и максимум суммы целевых функций активных агентов достигается при одном и том же их числе. -
В заключение настоящего раздела отметим, что, если ОС неоднородна, то есть агенты различаются по своим характеристикам, то задача определения решения игры с переменным составом характеризуется высокой сложностью - для каждой из 2п возможных комбинаций активных агентов необходимо вычислить равновесие Нэша их игры, гарантированные значения критериев эффективности, а затем выбрать состав команды проекта, максимизирующий гарантированную эффективность. Лобовое решение этой задачи вряд ли целесообразно, так как отсутствие аналитического решения не даст возможности анализировать свойства оптимального состава, устойчивость решения, его чувствительность и т.д.
Поэтому перспективным направлением дальнейших исследований представляется выделение классов задач, в которых упорядочение агентов по типам позволяет предложить простые эвристические процедуры (например, включать в команду проекта агентов в порядке убывания их типов) определения рационального состава исполнителей ОП.
УПРАВЛЕНИЕ РИСКОМ В ОРГАНИЗАЦИОННЫХ ПРОЕКТАХ
Риском называется характеристика состояния системы (последствия управленческого решения и т.д.), функционирующей в условиях неопределенности, описываемая совокупностью события, вероятности этого события и функции потерь [22]. Иногда риском называют ожидаемый ущерб, а уровнем безопасности - разность между максимальным и ожидаемым ущербом. Существуют два основных вида механизмов стабилизации социальноэкономических систем и, в частности, управления риском.
Первый класс механизмов - механизмы, нацеленные на снижение риска возникновения неблагоприятных и чрезвычайных ситуаций. К этому классу механизмов принадлежат внешние и внутренние экономические механизмы, направленные на снижение уровня риска: стимулирования, налогообложения, квотные, резервирования и другие.
Второй класс механизмов - механизмы перераспределения риска (страхования), направленные в первую очередь не на снижение уровня риска, а на снижение отрицательных последствий наступления неблагоприятных событий.
Следовательно, при использовании тех или иных механизмов управления (под механизмом понимается совокупность правил и процедур принятия управленческих решений [86]) ОП следует, наряду с эффективностью управления, анализировать его надежность. Под надежностью механизма будем понимать его свойство, состоящее в способности обеспечивать принадлежность основных параметров системы, включающей как управляющий орган (что, как отмечалось выше, чрезвычайно важно именно для ОП), так и управляемый субъект, заданной области в процессе ее функционирования. Числовой характеристикой надежности механизма управления ОП может служить вероятность выхода существенных параметров системы из допустимого множества при заданном управлении. Получаем многокритериальную задачу принятия решений, которая рассматривается в докладе для ряда частных случаев ОП.
Основным методом исследования при этом является теоретико-игровое [48] и теоретико-графовое моделирование [23], основным результатом - совокупность методик совместной оценки надежности и эффективности различных механизмов управления ОП.
Для того чтобы понять специфическую роль надежности и риска как характеристики функционирования некоторой системы, необходимо вспомнить определение эффективности функционирования (эффективности управления). Предположим, что имеется некоторая детерминированная система - активная или пассивная. Выделим в этой системе управляющий орган и управляемый объект (критерием такого разделения является возможность управляющего органа целенаправленно влиять на состояние управляемого объекта посредством выбора управляющих воздействий).
Обозначим y е A - состояние управляемого объекта, P(s) - множество состояний этого объекта, зависящее от управляющего воздействия s е M, принадлежащего допустимому множеству M (при использовании управления s управляемый объект оказывается в одной из точек множества P(s)). Введем на множестве A XM скалярный (для простоты) функционал K(y, s): A XM ® Ш1, который назовем критерием эффективности функционирования системы.
Критерий эффективности сопоставляет каждому значению пары состояние -управление действительное число, причем считается, что вид функционала K(-,-) таков, что чем больше это число, тем лучше (естественно, с чьей-то фиксированной точки зрения - например, центра - см. ниже). Величину
(1) K(s) = max K(y, s)
ysP(G )
называют эффективностью управления s е M (эффективностью механизма управления), а величину Kg(S) = min K(y, s) - гаранти-
ysP(G )
рованной эффективностью управления [86].
Задача управления (точнее - задача синтеза оптимального управляющего воздействия) заключается в выборе такого s е M, на котором бы достигался максимум (1), то есть оптимальным считается управление, имеющее максимальную эффективность. Обозначим решение задачи управления
(2) s* = arg max K(s) = arg max { max K(y,s)}.
s eM s eM yeP(s)
Отметим, что до сих пор при определении эффективности управления мы не делали различий между активными и пассивными системами. Обсудим теперь специфику каждого из этих классов систем.
Каждая система - активная или пассивная - может рассматриваться как черный ящик, для которого известна реакция P(s) (выход - состояние системы) на входное воздействие (вход - начальное состояние и/или управление).
В пассивной системе (не содержащей ни одного управляемого объекта, который обладал бы свойством активности, то есть -способностью к целенаправленному поведению), например - в динамической системе, задаваемой уравнением X = G(x, s), множество P(s) определяется функцией G(x, s).
В активной системе P(s) является множеством решений игры управляемых активных элементов, то есть, например, в одноэлементной активной системе P(s) = Arg max fiy,d), где f(-,-) - целе-
ysA
вая функция активного элемента [86]. В многоэлементной АС P(s) может быть равновесием Нэша игры элементов при заданном управлении со стороны центра [90], в динамической АС - дисконтированной полезностью агента [87] и т.д.
В пассивной системе критерий эффективности K(-,-) отражает цель управления, определяемую создателем системы управления. В активных системах предполагается, что критерий эффективности отражает интересы активного субъекта - управляющего органа (центра).
Схожесть источников возникновения критериев эффективности в обоих типах систем является объяснением отождествления интересов центра и интересов АС в целом, а также отождествления интересов оперирующей стороны (центра) и интересов исследователя операций [43, 48].
Таким образом, с точки зрения формального определения эффективности управления активная и пассивная системы, практически, неразличимы. Содержательные различия заключаются в том, что в активной системе критерий эффективности и множество управляемых состояний элементов зависят, соответственно, от предпочтений центра и предпочтений активных элементов, в то время как в пассивной системе описание системы или ее модели подразумевает явное задание этих характеристик.
Кратко рассмотрев основные подходы к определению эффективности управления, перейдем, следуя [82], к определению понятия надежности механизма управления социально-экономической системой.
В энциклопедическом словаре приведено следующее определение надежности технических систем. Надежность - комплексное свойство технического объекта; состоит в его способности выполнять заданные функции, сохраняя свои характеристики в установленных пределах [СЭС, М.: Советская энциклопедия, 1988.
С. 855]. Аналогичное определение может быть сформулировано и для социально-экономических систем [82].
Надежностью механизма управления организационной системой будем называть его свойство, состоящее в способности обеспечивать принадлежность основных параметров системы некоторой (заданной, допустимой и т.д.) области в процессе ее функционирования. Таким
образом, определение надежности подразумевает задание совокупности параметров ее функционирования (действий, состояний, результатов деятельности и т.д., которые считаются основными) и фиксацию некоторой области значений этих параметров, которая считается допустимой.
ЗАКЛЮЧЕНИЕ
t=1 i, j^J {xiJ }
(7) xj 0, i j e J, t = 1T,
(8) xj dj, t = 1T, j e J,
где xj определяется выражением (5) при известных xj, j e J.
Задача (6)-(8) имеет решение, если Е x0 max Е dj. Задача
J t=1-T jJ
(6)-(8) может быть решена методом динамического программирования [16, 23, 36] при условии, что на каждом шаге решается соответствующая транспортная задача.
В заключение отметим, что перспективными направлениями будущих исследований моделей распределенных проектов представляются:
- обобщение задач (1)-(4) и (6)-(8) на случай нескольких видов ресурсов (если не накладывать ограничений на комбинации ресурсов различных типов, то, по-видимому, новых качественных эффектов не возникнет);
- разработка общих методов решения задачи (6)-(8) и их программная реализация;
- постановка и решение задачи синтеза сетевого графика с учетом затрат на перемещение ресурсов;
- решение прикладных задач с целью формирования библиотеки типовых решений задач управления распределенными проектами.
ЗАКЛЮЧЕНИЕ
Таким образом, в настоящей работе организационные проекты предложено рассматривать как целенаправленное изменение организационных систем. Выявленная специфика организационных проектов и результаты исследования возможности применения известных организационных механизмов управления (см. разделы 1-3) показали рассмотрения моделей саморазвития ОС (см. четвертый раздел) , а также необходимость постановки и решения задачи синтеза оптимального комплекса механизмов управления (см. пятый раздел).
Ряд актуальных задач управления ОП, таких как: согласование взаимодействия функциональных руководителей и руководителей проектов, формирования команды проекта, разработки механизмов планирования в условиях неопределенности и др., решены в разделах 6-10.
В качестве перспективных направлений исследований с точки зрения возможных приложений следует выделить, в первую очередь, изучение возможности синтеза результатов практической деятельности по реформированию и реструктуризации предприятий и теоретико-игровых моделей управления организационными проектами. С точки зрения теории целесообразным представляется дальнейшая разработка и исследование моделей саморазвития и самоорганизации в ОС, а также решение задач синтеза оптимальных комплексов механизмов управления.
ЛИТЕРАТУРА
1 Авдеев Ю.А. Оперативное планирование в целевых программах. Одесса: МАЯК, 1990. - 136 с.
2 Айзерман М.А., Алескеров Ф.Т. Выбор вариантов: основы теории. М.: Наука, 1990. - 236 с.
3 Андронникова Н.Г., Баркалов С.А., Бурков В.Н., Котенко А.М. Модели и методы оптимизации региональных программ развития. М.: ИПУ РАН, 2001. - 60 с.
4 Андронникова Н.Г., Бурков В.Н., Леонтьев С.В. Комплексное оценивание в задачах регионального управления. М.: ИПУ РАН, 2002. - 54 с.
5 Акоф Р., Эмери Ф. О целеустремленных системах. М.: Сов. радио, 1974. - 272 с.
6 Ансоф И. Стратегическое управление. М.: Экономика, 1989. - 519 с.
7 Ануфриев И.К., Бурков В.Н., Вилкова Н.И., Рапацкая С.Т. Модели и механизмы внутрифирменного управления. М.: ИПУ РАН, 1994. - 72 с.
8 Арутюнов А.В., Бурков В.Н., Заложнев А.Ю., Карамзин Д.Ю. Задача оптимального распределения ресурсов по множеству независимых операций // Автоматика и Телемеханика. 2002.
5. С. 108 - 119.
9 Балашов В.Г., Ильдеменов С.В., Ириков В.А., Леонтьев С.В., Тренев В.Н. Реформирование и реструктуризация предприятий..
М.: Издательство ПРИОР, 1998.
10 Баркалов С.А., Бурков В.Н., Гилязов Н.М. Методы агрегирования в управлении проектами. М.: ИПУ РАН, 1999. - 55 с.
11 Баркалов С. А., Бурков В.Н. Минимизация упущенной выгоды в задачах управления проектами. М.: ИПУ РАН, 2001. - 56 с.
12 Баркалов С.А., Бурков В.Н., Курочка П.Н., Образцов Н.Н. Задачи управления материально-техническим снабжением в рыночной экономике. М.: ИПУ РАН, 2000. - 58 с.
13 Баркалов С.А., Новиков Д.А., Попов С.С. Индивидуальные стратегии предложения труда: теория и практика. М.: ИПУ РАН, 2002. - 109 с.
14 Беллман Р., Заде Л. Принятие решений в расплывчатых условиях / Вопросы анализа и процедуры принятия решений. М.: Мир, 1976.
С. 172 -215.
15 Бурков В. Н. Основы математической теории активных систем. М.: Наука, 1977. - 255 с.
16 Бурков В.Н., Горгидзе И.А., Ловецкий С.Е. Прикладные задачи теории графов. Тбилиси: Мецниереба, 1974. - 234 с.
17 Бурков В.Н., Горгидзе И.И., Новиков Д.А., Юсупов Б.С. Модели и механизмы распределения затрат и доходов в рыночной экономике. М.: ИПУ РАН, 1997. - 57 с.
18 Бурков В.Н., Гуреев А.Б., Новиков Д.А., Цветков А.В. Эффективность ранговых систем стимулирования // Автоматика и телемеханика. 8.
2000. С. 115 - 125.
19 Бурков В.Н., Данев Б., Еналеев А.К. и др. Большие системы: моделирование организационных механизмов. М.: Наука, 1989. - 245 с.
20 Бурков В.Н., Еналеев А.К., Новиков Д.А. Механизмы стимулирования в вероятностных моделях социально-экономических систем // Автоматика и Телемеханика. 1993. 11.
С. 3 - 30.
21 Бурков В.Н., Еналеев А.К., Новиков Д.А. Механизмы функционирования социально-экономических систем с сообщением информации // Автоматика и Телемеханика. 1996.
3. С. 3 - 25.
22 Бурков В.Н., Заложнев А.Ю., Кулик О.С., Новиков Д.А. Механизмы страхования в социально-экономических системах. М.: ИПУ РАН, 2001. -109 с.
23 Бурков В.Н., Заложнев А.Ю., Новиков Д.А. Теория графов в управлении организационными системами. М.: Синтег, 2001. - 124 с.
24 Бурков В.Н., Заложнев А.Ю., Новиков Д.А. Управление риском: механизмы взаимного и смешанного страхования // Автоматика и Телемеханика. 2001. 10.
С. 125 - 131.
25 Бурков В.Н., Заложнев А.Ю., Леонтьев С.В., Новиков Д.А., Чернышев Р. А. Механизмы финансирования программ регионального развития. М.: ИПУ РАН, 2002. - 52 с.
26 Бурков В.Н., Квон О.Ф., Цитович Л.А. Модели и методы мультипро-ектного управления. М.: ИПУ РАН, 1998. - 62 с.
27 Бурков В.Н., Кондратьев В.В. Механизмы функционирования организационных систем. М.: Наука, 1981. - 384 с.
28 Бурков В.Н., Кондратьев В.В., Цыганов В.В., Черкашин А.М. Теория активных систем и совершенствование хозяйственного механизма. М.: Наука, 1984. - 272 с.
29 Бурков В.Н., Кузнецов Н.А., Новиков Д.А. Механизмы управления в сетевых структурах // Автоматика и Телемеханика. 2002. 12.
С. 96 - 115.
30 Бурков В.Н., Ириков В.А. Модели и методы управления организационными системами. М.: Наука, 1994. - 270 с.
31 Бурков В.Н., Ланда Б.Д., Ловецкий С.Е., Тейман А.И., Чернышев В.Н. Сетевые модели и задачи управления. М.: Советское радио, 1967. - 144 с.
32 Бурков В.Н., Новиков Д.А. Как управлять проектами. М.: Синтег, 1997. - 188 с.
33 Бурков В.Н., Новиков Д.А. Теория активных систем: состояние и перспективы. М.: СИНТЕГ, 1999. - 128 с.
34 Бурков В.Н., Павлов С.Г., Цымбал С.В. Технология создания эффективных социально-экономических комплексов на основе активного проектирования // Труды МНПК Теория активных систем. М.: ИПУ РАН,
2001. С. 52 - 54.
35 Бурков В.Н., Перфильева Л.Г., Тихонов А.А. Модель динамики трудовых ресурсов / Механизмы функционирования организационных систем: теория и приложения. М.: ИПУ, 1982.
С. 120 - 124.
36 Вагнер Г. Основы исследования операций. М.: Мир, 1972. Т. 1 - 3.
37 Васильев Д.К., Заложнев А.Ю., Новиков Д.А., Цветков А.В. Типовые решения в управлении проектами.
М.: ИПУ РАН, 2003.
38 Виханский О.С., Наумов А.И. Менеджмент: человек, стратегия, организация, процесс. М.: Изд-во МГУ, 1996. - 416 с.
39 Воронин А. А., Мишин С.П. Алгоритмы поиска оптимальной структуры организационной системы // Автоматика и Телемеханика.
2002. 5. С. 120 - 132.
40 Воронин А.А., Мишин С.П. Модель оптимального управления структурными изменениями организационной системы // Автоматика и телемеханика. 2002.
8. С. 136 - 150.
41 Воропаев В.И. Модели и методы календарного планирования в автоматизированных системах управления строительством. М.: Стройиздат, 1974. - 232 с.
42 Воропаев В.И. Управление проектами в России. М.: Аланс, 1995. -225 с.
43 Гермейер Ю.Б. Игры с непротивоположными интересами. М.: Наука, 1976. - 327 с.
44 Гилев С.Е., Леонтев С.В., Новиков Д.А. Распределенные системы принятия решений в управлении региональным развитием. М.: ИПУ РАН,
2002. - 54 с.
45 Голенко Д.И. Статистические методы сетевого планирования и управления. М.: Наука, 1968. - 400 с.
46 Горелик В.А., Кононенко А.Ф. Теоретико-игровые модели принятия решений в эколого-экономических системах. М.: Радио и связь, 1982. -144 с.
47 Губко М.В., Караваев А.П. Матричные структуры управления // Автоматика и Телемеханика. 2001.
10. С. 132 - 146.
48 Губко М.В., Новиков Д.А. Теория игр в управлении организационными системами. М.: Синтег, 2002. - 148 с.
49 Дранко О.И., Ильдеменов С.В., Леонтьев С.В. Реформа предприятия и управление финансами.
М.: КОНСЭКО, 1998.
50 Егоршин А.П. Управление персоналом. Н. Новгород: НИМБ, 1997. -607 с.
51 Зуховицкий С.И., Радчик И.А. Математические методы сетевого планирования. М.: Наука, 1965. - 296 с.
52 Иванилов Ю.П., Лотов А.В. Математические модели в экономике. М.: Наука, 1979. - 304 с.
53 Интриллигатор М. Математические методы оптимизации и экономическая теория. М.: Прогресс, 1975. - 606 с.
54 Ириков В.А., Тренев В.Н. Распределенные системы принятия решений.
М.: Наука, 1999.
55 Кабицын А.В., Павлов С.Г., Черноморский Д.А. Активное проектирование: методология использования в российских условиях / Труды МНПК Современные сложные системы управления.
Липецк: ЛГТУ, 2002. С. 60 - 61.
56 Карпов А.В. Психология принятия управленческих решений. М.: Юристъ, 1998. - 440 с.
57 Кини Р.Л., Райфа Х. Принятие решений при многих критериях: предпочтения и замещения. М.: Радио и связь, 1981. - 560 с.
58 Клейнер Г.Б. Производственные функции: теория, методы, применение. М.: Финансы и статистика, 1986. - 238 с.
59 Колосова Е.В., Новиков Д.А., Цветков А.В. Методика освоенного объема в оперативном управлении проектами. Москва, 2001. - 156 с.
60 Колосова Е.В., Цветков А.В. Primavera для предприятия // Директор информационной службы. 4. 2001.
С. 16 - 22.
61 Кононенко А.Ф. О многошаговых играх с обменом информацией // ЖВМ и МФ. 1977.
Том 17. 4. С. 922 - 931.
62 Кононенко А.Ф., Халезов А.Д., Чумаков В.В. Принятие решений в условиях неопределенности. М.: ВЦ АН СССР, 1991. - 211 с.
63 Коротков Э.М. Антикризисное управление.
М.: ИНФРА-М, 2000.
64 Кофман А. Введение в теорию нечетких множеств. М.: Радио и связь, 1982. - 432 с.
65 Кочиева Т.Б., Новиков Д.А. Базовые системы стимулирования. М.: Апостроф, 2000. - 108 с.
66 Кузьмицкий А.А., Новиков Д.А. Организационные механизмы управления развитием приоритетных направлений науки и техники. М.: ИПУ РАН, 1993. - 68 с.
67 Кукушкин Н.С., Морозов В.В. Теория неантагонистических игр. М.: МГУ, 1984. - 104 с.
68 Леонтьев С.В., Масютин С.А., Тренев В.Н. Стратегии успеха: обобщение опыта реформирования российских промышленных предприятий.
М.: ООО Типография Новости, 2000.
69 Леонтьев С.В. Модели и методы управления разработкой и реализацией программ регионального развития.
М.: Физматлит, 2002.
70 Леонтьев С.В. Технология инновационного развития организационной структуры предприятия.
М.: МФТИ, 2000.
71 Либерзон В.И. Основы управления проектами. М.: Нефтяник, 1997. -150 с.
72 Мазур И.И., Шапиро В.Д. и др. Реструктуризация предприятий и компаний.
М.: Высшая школа, 2000.
73 Менар К. Экономика организаций. М.: ИНФРА-М, 1996. - 160 с.
74 Месарович М., Мако Д., Такахара И. Теория иерархических многоуровневых систем. М.: Мир, 1973. - 344 с.
75 Мескон М., Альберт М., Хедоури Ф. Основы менеджмента. М.: Дело, 1998. - 800 с.
76 Мильнер Б.З., Евенко Л.И., Раппопорт В.С. Системный подход к организации управления. М.: Экономика, 1983. - 224 с.
77 Мир управления проектами / Под. ред. Х. Решке, Х. Шелле. М.: Аланс, 1993. - 304 с.
78 Мулен Э. Кооперативное принятие решений: аксиомы и модели. М.: Мир, 1991. - 464 с.
79 Нейман Д., Моргенштерн О. Теория игр и экономическое поведение. М.: Наука, 1970. - 707 с.
80 Новиков А.М. Методология образования.
М.: Эгвес, 2002.
81 Новиков Д.А. Закономерности итеративного научения. М.: ИПУ РАН, 1998 - 96 с.
82 Новиков Д.А. Механизмы функционирования многоуровневых организационных систем. М.: Фонд Проблемы управления, 1999. - 150 с.
83 Новиков Д.А. Механизмы стимулирования в динамических и многоэлементных социально-экономических системах // Автоматика и Телемеханика. 1997.
6. С. 3 - 26.
84 Новиков Д.А. Обобщенные решения задач стимулирования в активных системах. М.: ИПУ РАН, 1998. - 68 с.
85 Новиков Д.А. Сетевые структуры и организационные системы. М.: ИПУ РАН, 2003. - 108 с.
86 Новиков Д.А., Петраков С.Н. Курс теории активных систем. М.: СИНТЕГ, 1999. - 108 с.
87 Новиков Д.А., Смирнов И.М., Шохина Т.Е. Механизмы управления динамическими активными системами. М.: ИПУ РАН, 2002. - 124 с.
88 Новиков Д.А. Стимулирование в социально-экономических системах (базовые математические модели). М.: ИПУ РАН, 1998. - 216 с.
89 Новиков Д.А., Чхартишвили А.Г. Активный прогноз. М.: ИПУ РАН,
2002. - 101 с.
90 Новиков Д.А., Цветков А.В. Механизмы стимулирования в многоэлементных организационных системах. М.: Апостроф, 2000. - 184 с.
91 Новиков Д.А., Цветков А.В. Механизмы функционирования организационных систем с распределенным контролем. М.: ИПУ РАН, 2001. -118 с.
92 Ногин В.Д., Протодьяконов И.О., Евлампиев И.И. Основы теории оптимизации. М.: Высшая школа, 1986. - 384 с.
93 Опойцев В.И. Равновесие и устойчивость в моделях коллективного поведения. М.: Наука, 1977. - 248 с.
94 Орловский С. А. Проблемы принятия решений при нечеткой исходной информации. М.: Наука, 1981. - 206 с.
95 Подиновский В.В., Ногин В.Д. Парето-оптимальные решения многокритериальных задач.
М.: Наука, 1982.
96 Поспелов Г.С., Ириков В.А., Курилов А.Е. Процедуры и алгоритмы формирования комплексных программ. М.: Наука, 1985. - 424 с.
97 Поспелов Г.С., Ириков В.А. Программно-целевое планирование и управление. М.: Советское радио, 1976. - 344 с.
98 Прангишвили И.В. Системный подход и общественные закономерности.
Серия Системы и проблемы управления. М.: СИНТЕГ, 2000. - 528 с.
99 Путеводитель в мир управления проектами: пер. с англ. Екатеринбург: УГТУ, 1998. - 191 с.
100 Русский язык: справочник для школьника / Под ред. В. Славкина. М.: центр гуманитарных наук при ф-те журналистики МГУ, 1995. - 510 с.
101 Санталайнен Т. Управление по результатам. М.: Прогресс, 1988. - 320 с.
102 Технология и опыт вывода предприятия из критического и банкрот-ного состояния в конкурентоспособное / Под. ред. В. А. Ирикова. Москва, 1996. - 232 с.
103 Толковый словарь по управлению проектами / Под ред. В.К. Иванец, А.И.
Кочеткова, В.Д. Шапиро, Г.И. Шмаль.
М.: ИНСАН, 1992.
104 Трахтенгерц Э.А. Компьютерная поддержка принятия решений. М.: Синтег, 1998. - 376 с.
105 Трахтенгерц Э. А. Компьютерная поддержка переговоров при согласовании управленческих решений. М.: Синтег, 2003. - 284 с.
106 Управление проектами. Зарубежный опыт / Под. ред.
В.Д. Шапиро. С.-Пб.: ДваТрИ, 1993. - 443 с.
107 Управление проектами / Общая редакция - В.Д. Шапиро. С.-Пб.: ДваТрИ, 1996. - 610 с.
108 Управление проектами: справочное пособие / Под ред. И.И. Мазура, В.Д.
Шапиро. М.: Высшая школа, 2001. - 875 с.
109 Управление проектами. Основы системных представлений и опыт применения: Учебн. пособие / А.М.
Немчин, С.Н. Никешин, В.А. Хитров; СПб., 1993. - 65 с.
110 Философский энциклопедический словарь. М.: Советская энциклопедия, 1983. - 840 с.
111 Фишберн П. Теория полезности для принятия решений. М.: Наука, 1978. - 352 с.
112 Фишер С., Дорнбуш Р., Шмалензи Р. Экономика. М.: Дело, 1993. -864 с.
113 Цветков А.В. Стимулирование в управлении проектами. М.: Апостроф, 2001. - 144 с.
114 Цыганов В.В. Адаптивные механизмы в отраслевом управлении. М.: Наука, 1991. - 166 с.
115 Эренберг Р.Дж., Смит Р.С. Современная экономика труда.
Теория и государственная политика. М.: Изд-во МГУ, 1996. - 800 с.
116 Эшби У.Р. Введение в кибернетику.
М.: Изд-во иностранной литературы. 1959. - 432 с.
117 Янг С. Системное управление организацией. М.: Советское радио, 1982. - 456 с.
118 A guide to the project management body of knowledge (PMBOK® guide). 2000. - 215 p.
119 Czarnecki M.T. Managing by measuring: How to improve your organization’s performance through effective benchmarking.
N.Y.: American management association, 1999.
120 Dinsmore P.C. Winning in business with enterprise project management. N.Y.: American management association, 1999. - 271 p.
121 Fleming Q.W., Hoppelman J.M. Earned value Project Management. PMI, 1996. - 141 p.
122 Frank J. The new Keynesian economics: unemployment, search and contracting. Brington: Wheatsheaf books, 1986. - 283 p.
123 Grossman S., Hart O. An analysis of the principal-agent problem // Econometrica. 1983. Vol.
51. N 1. P. 7 - 45.
124 Handbook of labor economics / Ed. by O. Ashenfelter, R. Layard. Amsterdam: North-Holland Publishing Company, 1986. Vol.1 - 787 p. Vol.
2. - P. 788 - 1273.
125 Hart O.D., Holmstrom B. Theory of contracts // Advances in economic theory. 5-th world congress.
Cambridge: Cambridge Univ. Press, 1987.
P. 71 -155.
126 Hart O.D. Optimal labor contracts under asymmetric information: an introduction // Review of Economic Studies. 1983. Vol.
50. N 1. P. 3 - 35.
127 Hurwicz L. On informationally decentralized systems / Decision and organization. Amsterdam: North-Holland Press, 1972.
P. 297 - 336.
128 Kerzner H. Project management: a systems approach to planning, scheduling and controlling. N.Y.
John Wiley Sons, 1998.
129 Kliem R.L., Ludin I.S. Project management practitioner’s book.
N.Y.: American Management Association, 1998.
130 Lientz B.P., Rea K.P. Project management for the 21-st century.
San Diego: Academic Press, 1998.
131 Mas-Collel A., Whinston M.D., Green J.R. Microeconomic theory.
N.Y.: Oxford Univ. Press, 1995. - 981 p.
132 Mintzberg H., Quinn J.B. The strategy process: concepts, contexts, cases.
London: Prentice Hall, 1988.
133 Myerson R.B. Game theory: analysis of conflict.
London: Harvard Univ. Press, 1991. - 568 p.
134 Perlman R. Labor theory. N.Y.: Wiley, 1969. - 237 p.
135 Peters T.J., Watermann R.H. In search of excellence. NY: HR, 1982. -360 p.
136 The principles of project management / Ed. by J.S. Pennypacker.
N.Y.: PMI, 1997.
137 Turner J.R. The handbook of project-based management.
London: McGraw-Hill Companies, 1999.
Менеджмент: Стратегии - Виды - Организация