Телекоммуникационные технологии.Сети TCP-IP
Формат заголовка IP-дейтаграммы
IP-дейтаграмма состоит из заголовка и данных.Заголовок дейтаграммы состоит из 32-разрядных слов и имеет переменную длину, зависящую от размера поля “Options”, но всегда кратную 32 битам. За заголовком непосредственно следуют данные, передаваемые в дейтаграмме.
Формат заголовка:

Значения полей заголовка следующие.
Ver (4 бита) - версия протокола IP, в настоящий момент используется версия 4, новые разработки имеют номера версий 6-8.
IHL (Internet Header Length) (4 бита) - длина заголовка в 32-битных словах; диапазон допустимых значений от 5 (минимальная длина заголовка, поле “Options” отсутствует) до 15 (т.е. может быть максимум 40 байт опций).
TOS (Type Of Service) (8 бит) - значение поля определяет приоритет дейтаграммы и желаемый тип маршрутизации. Структура байта TOS:

Три младших бита (“Precedence”) определяют приоритет дейтаграммы:
111 - управление сетью
110 - межсетевое управление
101 - CRITIC-ECP
100 - более чем мгновенно
011 - мгновенно
010 - немедленно
001 - срочно
000 - обычно
Биты D,T,R,C определяют желаемый тип маршрутизации:
D (Delay) - выбор маршрута с минимальной задержкой,
T (Throughput) - выбор маршрута с максимальной пропускной способностью,
R (Reliability) - выбор маршрута с максимальной надежностью,
C (Cost) - выбор маршрута с минимальной стоимостью.
В дейтаграмме может быть установлен только один из битов D,T,R,C. Старший бит байта не используется.
Реальный учет приоритетов и выбора маршрута в соответствии со значением байта TOS зависит от маршрутизатора, его программного обеспечения и настроек. Маршрутизатор может поддерживать расчет маршрутов для всех типов TOS, для части или игнорировать TOS вообще. Маршрутизатор может учитывать значение приоритета при обработке всех дейтаграмм или при обработке дейтаграмм, исходящих только из некоторого ограниченного множества узлов сети, или вовсе игнорировать приоритет.
Total Length (16 бит) - длина всей дейтаграммы в октетах, включая заголовок и данные, максимальное значение 65535, минимальное - 21 (заголовок без опций и один октет в поле данных).
ID (Identification) (16 бит), Flags (3 бита), Fragment Offset (13 бит) используются для фрагментации и сборки дейтаграмм и будут подробнее рассмотрены ниже в п. 2.4.1.
TTL (Time To Live) (8 бит) - “время жизни” дейтаграммы. Устанавливается отправителем, измеряется в секундах. Каждый маршрутизатор, через который проходит дейтаграмма, переписывает значение TTL, предварительно вычтя из него время, потраченное на обработку дейтаграммы. Так как в настоящее время скорость обработки данных на маршрутизаторах велика, на одну дейтаграмму тратится обычно меньше секунды, поэтому фактически каждый маршрутизатор вычитает из TTL единицу. При достижении значения TTL=0 дейтаграмма уничтожается, при этом отправителю может быть послано соответствующее ICMP-сообщение. Контроль TTL предотвращает зацикливание дейтаграммы в сети.
Protocol (8 бит) - определяет программу (вышестоящий протокол стека), которой должны быть переданы данные дейтаграммы для дальнейшей обработки. Коды некоторых протоколов приведены в таблице 2.4.1.
Таблица 2.4.1
Коды IP-протоколов
| Код | Протокол | Описание |
| 1 | ICMP |
Протокол контрольных сообщений
Header Checksum (16 бит) - контрольная сумма заголовка, представляет из себя 16 бит, дополняющие биты в сумме всех 16-битовых слов заголовка. Перед вычислением контрольной суммы значение поля “Header Checksum” обнуляется. Поскольку маршрутизаторы изменяют значения некоторых полей заголовка при обработке дейтаграммы (как минимум, поля “TTL”), контрольная сумма каждым маршрутизатором пересчитывается заново. Если при проверке контрольной суммы обнаруживается ошибка, дейтаграмма уничтожается.
Source Address (32 бита) - IP-адрес отправителя.
Destination Address (32 бита) - IP-адрес получателя.
Options - опции, поле переменной длины. Опций может быть одна, несколько или ни одной. Опции определяют дополнительные услуги модуля IP по обработке дейтаграммы, в заголовок которой они включены. Подробнее опции рассматриваются в пп. , .
Padding - выравнивание заголовка по границе 32-битного слова, если список опций занимает нецелое число 32-битных слов. Поле “Padding” заполняется нулями.
Сообщение "Описание базы данных (Database Description)"

Значения полей:
Options(1 октет) - то же, что и в сообщениях Hello.
IMMS (3 бита) - последние 3 бита октета, следующего за полем "Options": I - Initialize, бит 5; M - More, бит 6, MS - Master/Slave, бит 7. Использование этих бит будет описано ниже. Остальная часть октета, где находятся эти биты, обнулена.
DD Sequence number (DDSN) (4 октета) - порядковый номер данного сообщения.
LSA Header (20 октетов) - описание (набор идентификаторов) записи из базы данных состояния связей, представляющее собой заголовок "Объявления о состоянии связей" (см. , формат поля "LSA Header" - в ). В сообщении может присутствовать несколько описаний (полей "LSA Header"), следующих друг за другом; их число определяется из общей длины сообщения, указанной в OSPF заголовке.
Обмен сообщениями "Описание базы данных" происходит при работе протокола обмена (Exchange protocol, см. ) между двумя смежными маршрутизаторами. Обмен начинается с выяснения, кто из двух маршрутизаторов будет играть главную роль, а кто подчиненную.
Маршрутизатор, желающий начать обмен на правах главного, отправляет пустое сообщение с установленными битами IMMS и произвольным, но не использованным в обозримом прошлом номером DDSN (предлагается использовать время суток). Второй маршрутизатор подтверждает, что согласен играть подчиненную роль: он отправляет обратно также пустое сообщение с тем же DDSN, c установленными битами I и M и сброшенным битом MS.
Если же оба маршрутизатора одновременно решили начать процедуру обмена, то маршрутизатор, получивший в ответ на свое сообщение о начале обмена сообщение второго маршрутизатора о начале обмена вместо подтверждения подчиненной роли, сравнивает адрес второго маршрутизатора со своим. Если свой адрес меньше, маршрутизатор принимает подчиненную роль и отправляет соответствующее подтверждение, иначе принятое сообщение игнорируется.
После того, как роли распределены, начинается обмен описаниями базы данных. Главный отправляет подчиненному сообщения с описаниями своей базы данных; номера DDSN увеличиваются с каждым сообщением, бит I сброшен, бит МS установлен, бит M установлен во всех сообщениях, кроме последнего.
Подчиненный отправляет подтверждения на каждое полученное от главного сообщения. Эти подтверждения представляют собой сообщения того же типа, содержащие описание базы данных подчиненного маршрутизатора. Номер DDSN равен номеру подтверждаемого сообщения, биты I и MS сброшены, бит М установлен во всех сообщениях, кроме последнего.
При неполучении подтверждения от подчиненного в течение некоторого тайм-аута главный посылает сообщение повторно. Если подчиненный получает сообщение с уже встречавшимся номером DDSN, он должен повторить передачу соответствующего подтверждения. Это касается также и фазы инициализации (распределения ролей).
Если один из маршрутизаторов уже передал все данные, он продолжает передавать пустые сообщения со сброшенным битом М, пока другая сторона также не закончит передачу всех данных и не передаст сообщение (или подтверждение) со сброшенным битом М.
На этом процедура обмена описаниями базы данных заканчивается.

Значения полей:
Options(1 октет) - то же, что и в сообщениях Hello.
IMMS (3 бита) - последние 3 бита октета, следующего за полем "Options": I - Initialize, бит 5; M - More, бит 6, MS - Master/Slave, бит 7. Использование этих бит будет описано ниже. Остальная часть октета, где находятся эти биты, обнулена.
DD Sequence number (DDSN) (4 октета) - порядковый номер данного сообщения.
LSA Header (20 октетов) - описание (набор идентификаторов) записи из базы данных состояния связей, представляющее собой заголовок "Объявления о состоянии связей" (см. , формат поля "LSA Header" - в ). В сообщении может присутствовать несколько описаний (полей "LSA Header"), следующих друг за другом; их число определяется из общей длины сообщения, указанной в OSPF заголовке.
Обмен сообщениями "Описание базы данных" происходит при работе протокола обмена (Exchange protocol, см. ) между двумя смежными маршрутизаторами. Обмен начинается с выяснения, кто из двух маршрутизаторов будет играть главную роль, а кто подчиненную.
Маршрутизатор, желающий начать обмен на правах главного, отправляет пустое сообщение с установленными битами IMMS и произвольным, но не использованным в обозримом прошлом номером DDSN (предлагается использовать время суток). Второй маршрутизатор подтверждает, что согласен играть подчиненную роль: он отправляет обратно также пустое сообщение с тем же DDSN, c установленными битами I и M и сброшенным битом MS.
Если же оба маршрутизатора одновременно решили начать процедуру обмена, то маршрутизатор, получивший в ответ на свое сообщение о начале обмена сообщение второго маршрутизатора о начале обмена вместо подтверждения подчиненной роли, сравнивает адрес второго маршрутизатора со своим. Если свой адрес меньше, маршрутизатор принимает подчиненную роль и отправляет соответствующее подтверждение, иначе принятое сообщение игнорируется.
После того, как роли распределены, начинается обмен описаниями базы данных. Главный отправляет подчиненному сообщения с описаниями своей базы данных; номера DDSN увеличиваются с каждым сообщением, бит I сброшен, бит МS установлен, бит M установлен во всех сообщениях, кроме последнего.
Подчиненный отправляет подтверждения на каждое полученное от главного сообщения. Эти подтверждения представляют собой сообщения того же типа, содержащие описание базы данных подчиненного маршрутизатора. Номер DDSN равен номеру подтверждаемого сообщения, биты I и MS сброшены, бит М установлен во всех сообщениях, кроме последнего.
При неполучении подтверждения от подчиненного в течение некоторого тайм-аута главный посылает сообщение повторно. Если подчиненный получает сообщение с уже встречавшимся номером DDSN, он должен повторить передачу соответствующего подтверждения. Это касается также и фазы инициализации (распределения ролей).
Если один из маршрутизаторов уже передал все данные, он продолжает передавать пустые сообщения со сброшенным битом М, пока другая сторона также не закончит передачу всех данных и не передаст сообщение (или подтверждение) со сброшенным битом М.
На этом процедура обмена описаниями базы данных заканчивается.
PIM DM
PIM (Protocol Independent Multicast) – два протокола групповой маршрутизации (для плотного и разреженного расположения членов групп, соответственно dense mode и sparse mode), не зависящие от используемого протокола "обычной" маршрутизации.PIM DM (PIM Dense Mode) используется в системах сетей с большой плотностью получателей. Этот протокол реализует метод RPF с усечением (немодифицированный, то есть без доступа к внутренним таблицам протокола маршрутизации, вследствие чего достигается независимость от протокола маршрутизации). Необходимость периодической посылки "пробных" дейтаграмм не является существенным недостатком при плотном расположении получателей.
При работе протокола PIM DM могут возникнуть две особые ситуации.
Несколько маршрутизаторов подключены к одной широковещательной сети N, которая через вышестоящий маршрутизатор G соединяется с системой сетей, в которой находится отправитель (рис. 8.4.1). В сетях, подключенных к маршрутизаторам В и С, находятся члены группы, а в сети, подключенной к маршрутизатору А – нет.

Рис. 8.4.1. Особая ситуация (1) в PIM DM
Вышестоящий маршрутизатор G посылает в сеть N первую групповую дейтаграмму. Маршрутизатор А откликается сообщением Prune, однако отсекать сеть N от дерева рассылки нельзя, так как есть получатели в сетях В и С. Протокол предлагает следующее решение: маршрутизатор G, получив Prune, запускает таймер. Маршрутизаторы В и С, прослушивая сеть, обнаруживают посланное узлом А Prune, и тут же один из них отправляет сообщение Join (второй, обнаружив в сети Join, не предпринимает никаких действий, поскольку одного такого сообщения достаточно). Маршрутизатор G, приняв Join, игнорирует предыдущий Prune. Если же за определенное время сообщение Join не будет принято, сеть N отрезается от дерева рассылки.
Вторая особая ситуация возникает, когда два маршрутизатора А и В подключены к одной и той же клиентской сети N, в которой находится получатель (рис. 8.4.2).

Рис. 8.4.2. Особая ситуация (2) в PIM DM
Оба маршрутизатора будут отправлять групповые дейтаграммы в сеть N, так как им известно, что в ней находится получатель. Очевидно, что при этом создается избыточный трафик из лишних экземпляров дейтаграмм. Во избежание этого эффекта маршрутизатор (предположим, А), обнаружив, что в сети N действует "конкурирующий" маршрутизатор В, также рассылающий групповые дейтаграммы от источника S в группу G, посылает сообщение Assert, содержащее расстояние от A до S. Конкурирующий узел В, получив это сообщение, сравнивает расстояние от себя до S с указанным в сообщении, и если свое расстояние больше, то соответствующий интерфейс отрезается от дерева с помощью Prune. Аналогичным образом посылается и обрабатывается Assert из В в А. При равных расстояниях побеждает маршрутизатор с большим IP-адресом.
Протокол PIM DM прост в реализации и в настройке; предусмотрено взаимодействие с протоколом DVMRP. В качестве недостатка отметим необходимость рассылать пробные дейтаграммы каждые 3 минуты, так как за это время истекает срок действия сообщения Prune.
Алгоритм построения таблицы маршрутов
В этом разделе для простоты будем называть таблицей маршрутов таблицу, являющуюся результатом деятельности протокола RIP, как описано выше, т.е. состоящую из строк с полями "Сеть", "Расстояние", "Следующий маршрутизатор". Записывать строку в таблице маршрутов будем следующим образом:А=2a
?
Это означает, что расстояние от данного маршрутизатора до сети А равно 2, а дейтаграммы, следующие в сеть А, надо пересылать маршрутизатору ?.
Вектором расстояний называется набор пар ("Сеть", "Расстояние до этой сети"), извлеченный из таблицы маршрутов. Каждую такую пару мы назовем элементом вектора расстояний. Мы будем записывать вектор расстояний в виде (А=2,В=1): это означает, что расстояние от данного маршрутизатора до сети А равно 2, до сети В- 1.
Расстояние до сети, к которой маршрутизатор подключен непосредственно, примем равным 1.
Каждый маршрутизатор, на котором запущен модуль RIP, периодически широковещательно распространяет свой вектор расстояний. Вектор распространяется через все интерфейсы маршрутизатора, подключенные к сетям, входящим в RIP-систему.
Каждый маршрутизатор также периодически получает векторы расстояний от других маршрутизаторов. Расстояния в этих векторах увеличиваются на 1, после чего сравниваются с данными в таблице маршрутов, и, если расстояние до какой-то из сетей в полученном векторе оказывается меньше расстояния, указанного в таблице, значение из таблицы замещается новым (меньшим) значением, а адрес маршрутизатора, приславшего вектор с этим значением, записывается в поле "Следующий маршрутизатор" в этой строке таблицы. После этого вектор расстояний, рассылаемый данным маршрутизатором, соответственно изменится.
В этом разделе для простоты будем называть таблицей маршрутов таблицу, являющуюся результатом деятельности протокола RIP, как описано выше, т.е. состоящую из строк с полями "Сеть", "Расстояние", "Следующий маршрутизатор". Записывать строку в таблице маршрутов будем следующим образом:
А=2->
(3)
Это означает, что расстояние от данного маршрутизатора до сети А равно 2, а дейтаграммы, следующие в сеть А, надо пересылать маршрутизатору (3).
Вектором расстояний называется набор пар ("Сеть", "Расстояние до этой сети"), извлеченный из таблицы маршрутов. Каждую такую пару мы назовем элементом вектора расстояний. Мы будем записывать вектор расстояний в виде (А=2,В=1): это означает, что расстояние от данного маршрутизатора до сети А равно 2, до сети В- 1.
Расстояние до сети, к которой маршрутизатор подключен непосредственно, примем равным 1.
Каждый маршрутизатор, на котором запущен модуль RIP, периодически широковещательно распространяет свой вектор расстояний. Вектор распространяется через все интерфейсы маршрутизатора, подключенные к сетям, входящим в RIP-систему.
Каждый маршрутизатор также периодически получает векторы расстояний от других маршрутизаторов. Расстояния в этих векторах увеличиваются на 1, после чего сравниваются с данными в таблице маршрутов, и, если расстояние до какой-то из сетей в полученном векторе оказывается меньше расстояния, указанного в таблице, значение из таблицы замещается новым (меньшим) значением, а адрес маршрутизатора, приславшего вектор с этим значением, записывается в поле "Следующий маршрутизатор" в этой строке таблицы. После этого вектор расстояний, рассылаемый данным маршрутизатором, соответственно изменится.
Алгоритм SPF
Алгоритм SPF, основываясь на базе данных состояния связей, вычисляет кратчайшие пути между заданной вершиной S графа и всеми остальными вершинами. Результатом работы алгоритма является таблица, где для каждой вершины V графа указан список ребер, соединяющих заданную вершину S с вершиной V по кратчайшему пути.Алгоритм SPF был предложен Е.В.Дейкстрой (E.W.Dijkstra).
Пусть
S - заданная вершина (источник путей);
E - множество обработанных вершин, т.е. вершин, кратчайший путь к которым уже найден;
R - множество оставшихся вершин графа (т.е. множество вершин графа за вычетом множества E);
O - упорядоченный список путей.
Описание алгоритма
1. Инициализировать E={S}, R={все вершины графа, кроме S}. Поместить в О все односегментные (длиной в одно ребро) пути, начинающиеся из S, отсортировав их в порядке возрастания метрик.
2. Если О пуст или первый путь в О имеет бесконечную метрику, то отметить все вершины в R как недостижимые и закончить работу алгоритма.
3. Рассмотрим P - кратчайший путь в списке О. Удалить P из О. Пусть V - последний узел в P.
Если V принадлежит E, перейти на шаг 2;
иначе P является кратчайшим путем из S в V (будем записывать как V:P); перенести V из R в E.
4. Построить набор новых путей, подлежащих рассмотрению, путем добавления к пути P всех односегментных путей, начинающихся из V. Метрика каждого нового пути равна сумме метрики P и метрики соответствующего односегментного отрезка, начинающегося из V. Добавить новые пути в упорядоченный список О, поместив их на места в соответствии со значениями метрик. Перейти на шаг 2.
Все вычисления производятся локально по известной базе данных, а потому - быстро по сравнению с дистанционно-векторными протоколами, при этом результаты получаются на основе полной, а не частичной информации о графе системы сетей.
Алгоритм SPF, основываясь на базе данных состояния связей, вычисляет кратчайшие пути между заданной вершиной S графа и всеми остальными вершинами. Результатом работы алгоритма является таблица, где для каждой вершины V графа указан список ребер, соединяющих заданную вершину S с вершиной V по кратчайшему пути.
Алгоритм SPF был предложен Е.В.Дейкстрой (E.W.Dijkstra).
Пусть
S - заданная вершина (источник путей);
E - множество обработанных вершин, т.е. вершин, кратчайший путь к которым уже найден;
R - множество оставшихся вершин графа (т.е. множество вершин графа за вычетом множества E);
O - упорядоченный список путей.
Описание алгоритма
1. Инициализировать E={S}, R={все вершины графа, кроме S}. Поместить в О все односегментные (длиной в одно ребро) пути, начинающиеся из S, отсортировав их в порядке возрастания метрик.
2. Если О пуст или первый путь в О имеет бесконечную метрику, то отметить все вершины в R как недостижимые и закончить работу алгоритма.
3. Рассмотрим P - кратчайший путь в списке О. Удалить P из О. Пусть V - последний узел в P.
Если V принадлежит E, перейти на шаг 2;
иначе P является кратчайшим путем из S в V (будем записывать как V:P); перенести V из R в E.
4. Построить набор новых путей, подлежащих рассмотрению, путем добавления к пути P всех односегментных путей, начинающихся из V. Метрика каждого нового пути равна сумме метрики P и метрики соответствующего односегментного отрезка, начинающегося из V. Добавить новые пути в упорядоченный список О, поместив их на места в соответствии со значениями метрик. Перейти на шаг 2.
Все вычисления производятся локально по известной базе данных, а потому - быстро по сравнению с дистанционно-векторными протоколами, при этом результаты получаются на основе полной, а не частичной информации о графе системы сетей.
Анализ сетевого трафика
Анализ сетевого трафика проводится для обнаружения атак, предпринятых злоумышленниками, находящимися как в сети организации, так и в Интернете.ARP для дейтаграмм, направленных в другую сеть
Дейтаграмма, направленная во внешнюю (в другую) сеть, должна быть передана маршрутизатору. Предположим, хост А отправляет дейтаграмму хосту В через маршрутизатор G. Несмотря на то, что в заголовке дейтаграммы, отправляемой из А, в поле “Destination” указан IP-адрес В, кадр Ethernet, содержащий эту дейтаграмму, должен быть доставлен маршрутизатору. Это достигается тем, что IP-модуль при вызове ARP-модуля передает тому вместе с дейтаграммой в качестве IP-адреса узла назначения адрес маршрутизатора, извлеченный из таблицы маршрутов. Таким образом, дейтаграмма с адресом В инкапсулируется в кадр с MAC-адресом G:
Модуль Ethernet на маршрутизаторе G получает из сети этот кадр, так как кадр адресован ему, извлекает из кадра данные (то есть дейтаграмму) и отправляет их для обработки модулю IP. Модуль IP обнаруживает, что дейтаграмма адресована не ему, а хосту В, и по своей таблице маршрутов определяет, куда ее следует переслать. Далее дейтаграмма опять опускается на нижний уровень, к соответствующему физическому интерфейсу, которому передается в качестве IP-адреса узла назначения адрес следующего маршрутизатора, извлеченный из таблицы маршрутов, или сразу адрес хоста В, если маршрутизатор G может доставить дейтаграмму непосредственно к нему.
AS_PATH
AS_PATH (тип 2) – обязательный атрибут, содержащий список автономных систем, через которые должна пройти дейтаграмма на пути в указанную в маршруте сеть. AS_PATH представляет собой чередование сегментов двух типов: AS_SEQUENCE – упорядоченный список АС, и AS_SET – множество АС (последнее может возникнуть при агрегировании нескольких маршрутов со схожими, но не одинаковыми AS_PATH в один общий маршрут).Каждый BGP-узел при анонсировании маршрута (за исключением IBGP-соединений) добавляет в AS_PATH номер своей АС. Возможно (в зависимости от политики) дополнительно добавляются номера других АС.
Атака крошечными фрагментами (Tiny Fragment Attack)
В случае, когда на вход фильтрующего маршрутизатора поступает фрагментированная датаграмма, маршрутизатор производит досмотр только первого фрагмента датаграммы (первый фрагмент определяется по значению поля IP-заголовка Fragment Offset=0). Если первый фрагмент не удовлетворяет условиям пропуска, он уничтожается. Остальные фрагменты можно безболезненно пропустить, не затрачивая на них вычислительные ресурсы фильтра, поскольку без первого фрагмента датаграмма все равно не может быть собрана на узле назначения.При конфигурировании фильтра перед сетевым администратором часто стоит задача: разрешить соединения с TCP-сервисами Интернет, инициируемые компьютерами внутренней сети, но запретить установление соединений внутренних компьютеров с внешними по инициативе последних. Для решения поставленной задачи фильтр конфигурируется на запрет пропуска TCP-сегментов, поступающих из внешней сети и имеющих установленный бит SYN в отсутствии бита ACK; сегменты без этого бита беспрепятственно пропускаются в охраняемую сеть, покольку они могут относиться к соединению, уже установленному ранее по инициативе внутреннего компьютера.
Рассмотрим, как злоумышленник может использовать фрагментацию, чтобы обойти это ограничение, то есть, передать SYN-сегмент из внешней сети во внутреннюю.
Злоумышленник формирует искусственно фрагментированную датаграмму с TCP-сегментом, при этом первый фрагмент датаграммы имеет минимальный размер поля данных — 8 октетов (напомним, что размеры фрагментов указываются в 8-октетных блоках). В поле данных датаграммы находится TCP-сегмент, начинающийся с TCP-заголовка. В первых 8 октетах TCP-заголовка находятся номера портов отправителя и получателя и поле Sequence Number, но значения флагов не попадут в первый фрагмент. Следовательно, фильтр пропустит первый фрагмент датаграммы, а остальные фрагменты он проверять не будет. Таким образом, датаграмма с SYN-сегментом будет успешно доставлена на узел назначения и после сборки передана модулю TCP.
На рис. 9.12 пример датаграммы из 2 фрагментов (IP-заголовки выделены серым). В поле данных первого фрагмента находится 8 октетов TCP-заголовка. В поле данных второго фрагмента помещена остальная часть TCP-заголовка с флагом SYN.

Рис. 9.12. Фрагментированный TCP-сегмент
Описанный выше прием проникновения сквозь фильтр называется «Tiny Fragment Attack» (RFC-1858). Использование его в других случаях (для обхода других условий фильтрации) не имеет смысла, так как все остальные «интересные» поля в заголовке TCP и других протоколов находятся в первых 8 октетах заголовка и, следовательно, не могут быть перемещены во второй фрагмент.
Для защиты от этой атаки фильтрующему маршрутизатору, естественно, не следует инспектировать содержимое не первых фрагментов датаграмм — это было бы равносильно сборке датаграмм на промежуточном узле, что быстро поглотит все вычислительные ресурсы маршрутизатора. Достаточно реализовать один из двух следующих подходов:
1) не пропускать датаграммы с Fragment Offset=0 и Protocol=6 (TCP), размер поля данных которых меньше определенной величины, достаточной, чтобы вместить все «интересные поля» (например, 20);
2) не пропускать датаграммы с Fragment Offset=1 и Protocol=6 (TCP): наличие такой датаграммы означает, что TCP-сегмент был фрагментирован с целью скрыть определенные поля заголовка и что где-то существует первый фрагмент с 8 октетами данных. Несмотря на то, что в данном случае первый фрагмент будет пропущен, узел назначения не сможет собрать датаграмму, так как фильтр уничтожил второй фрагмент.
Отметим, что поскольку в реальной жизни никогда не придется фрагментировать датаграмму до минимальной величины, риск потерять легальные датаграммы, применив предложенные выше методы фильтрации, равен нулю.
Второй аспект фрагментации, интересный с точки зрения безопасности, — накладывающиеся (overlapping) фрагменты. Рассмотрим пример датаграммы, несущей TCP-сегмент и состоящей из двух фрагментов (рис. 9.13, IP-заголовок выделен серым цветом). В поле данных первого фрагмента находится полный TCP-заголовок, без опций, дополненный нулями до размера, кратного восьми октетам. В поле данных второго фрагмента — часть другого TCP-заголовка, начиная с девятого по порядку октета, в котором установлен флаг SYN.
Видно, что второй фрагмент накладывается на первый (первый фрагмент содержит октеты 0–23 данных исходной датаграммы, а второй фрагмент начинается с октета 8, потому что его Fragment Offset=1). Поведение узла назначения, получившего такую датаграмму, зависит от реализации модуля IP. Часто при сборке датаграммы данные второго, накладывающегося фрагмента записываются поверх предыдущего фрагмента. Таким образом, при сборке приведенной в примере датаграммы в TCP-заголовке переписываются поля начиная с ACK SN в соответствии со значениями из второго фрагмента, и в итоге получается SYN-сегмент.

Рис. 9.13. Накладывающиеся фрагменты
Если для защиты от Tiny Fragment Attack применяется подход 1) из описанных выше (инспекция первого фрагмента датаграммы), то с помощью накладывающихся фрагментов злоумышленник может обойти эту защиту.
Маршрутизатор, применяющий второй подход, будет успешно противостоять Tiny Fragment Attack с накладывающимися фрагментами.
Атрибуты агрегирования
ATOMIC_AGGREGATE (тип 6) и AGGREGATOR (тип 7)– необязательные атрибуты, связанные с операциями агрегирования (объединения) нескольких маршрутов в один. Для более детального ознакомления с ними отсылаем читателей к документу RFC-1771.Атрибуты пути (Path Attributes)
Ниже перечислены все атрибуты пути, определенные для протокола BGP.База данных состояния связей
Для работы алгоритма SPF на каждом маршрутизаторе строится база данных состояния связей, представляющая собой полное описание графа OSPF-системы. При этом вершинами графа являются маршрутизаторы, а ребрами- соединяющие их связи. Базы данных на всех маршрутизаторах идентичны.За создание баз данных и поддержку их взаимной синхронизации при изменениях в структуре системы сетей отвечают другие алгоритмы, содержащиеся в протоколе OSPF. Мы рассмотрим эти алгоритмы , а сейчас будем считать, что базы данных на всех маршрутизаторах каким-то образом построены, синхронизированы и правильно описывают граф системы в данный момент времени.
База данных состояния связей представляет из себя таблицу, где для каждой пары смежных вершин графа (маршрутизаторов) указано ребро (связь), их соединяющее, и метрика этого ребра. Граф считается ориентированным, то есть ребро, соединяющее вершину ?
с вершиной ?
, и ребро, соединяющее вершину ?
с вершиной ?
, могут быть различны или это может быть одно и то же ребро, но с разными метриками.
База данных состояния связей в нашем примере () выглядит следующим образом:

Базовая передача данных
Модуль TCP выполняет передачу непрерывных потоков данных между своими клиентами в обоих направлениях. Клиентами TCP являются прикладные процессы, вызывающие модуль TCP при необходимости получить или отправить данные процессу-клиенту на другом узле.Протокол TCP рассматривает данные клиента как непрерывный неинтерпретируемый поток октетов. TCP разделяет этот поток на части для пересылки на другой узел в TCP-сегментах некоторого размера. Для отправки или получения сегмента модуль TCP вызывает модуль IP.
Немедленное отправление данных может быть затребовано процессом-клиентом от TCP-модуля с помощью специальной функции PUSH, иначе TCP сам будет решать, как накапливать и когда отправлять данные клиента или когда передавать клиенту полученные данные.
Бесклассовая модель (CIDR)
Предположим, в локальной сети, подключаемой к Интернет, находится 2000 компьютеров. Каждому из них требуется выдать IP-адрес. Для получения необходимого адресного пространства нужны либо 8 сетей класса C, либо одна сеть класса В. Сеть класса В вмещает 65534 адреса, что много больше требуемого количества. При общем дефиците IP-адресов такое использование сетей класса В расточительно. Однако если мы будем использовать 8 сетей класса С, возникнет следующая проблема: каждая такая IP-сеть должна быть представлена отдельной строкой в таблицах маршрутов на маршрутизаторах, потому что с точки зрения маршрутизаторов — это 8 абсолютно никак не связанных между собой сетей, маршрутизация дейтаграмм в которые осуществляется независимо, хотя фактически эти IP-сети и расположены в одной физической локальной сети и маршруты к ним идентичны. Таким образом, экономя адресное пространство, мы многократно увеличиваем служебный трафик в сети и затраты по поддержанию и обработке маршрутных таблиц.С другой стороны, нет никаких формальных причин проводить границу сеть-хост в IP-адресе именно по границе октета. Это было сделано исключительно для удобства представления IP-адресов и разбиения их на классы. Если выбрать длину сетевой части в 21 бит, а на номер хоста отвести, соответственно, 11 бит, мы получим сеть, адресное пространство которой содержит 2046 IP-адресов, что максимально точно соответствует поставленному требованию. Это будет одна сеть, определяемая своим уникальным 21-битным номером, следовательно, для ее обслуживания потребуется только одна запись в таблице маршрутов.
Единственная проблема, которую осталось решить: как определить, что на сетевую часть отведен 21 бит? В случае классовой модели старшие биты IP-адреса определяли принадлежность этого адреса к тому или иному классу и, следовательно, количество бит, отведенных на номер сети.
В случае адресации вне классов, с произвольным положением границы сеть-хост внутри IP-адреса, к IP-адресу прилагается 32-битовая маска, которую называют маской сети (netmask) или маской подсети (subnet mask). Сетевая маска конструируется по следующему правилу:
Описанная выше модель адресации называется бесклассовой (CIDR - Classless Internet Direct Routing, прямая бесклассовая маршрутизация в Интернет). В настоящее время классовая модель считается устаревшей и маршрутизация и (большей частью) выдача блоков IP-адресов осуществляются по модели CIDR, хотя классы сетей еще прочно удерживаются в терминологии.
Бесплатное программное обеспечение
. Разные программы.. Библиотека для формирования кадров и даfтаграмм произвольного формата.
. Библиотека для извлечения пакетов из сети (используется также программой tcpdump).
. Библиотека для поддержки SSL.
. Программа для прослушивания сети (sniffer).
. Программа для анализа и конвертирования дамп-файлов, записанных различными программами прослушивания.
. Программа для обнаружения в сети узлов, находящихся в режиме прослушивания.
. Сканер сети.
. Сканер для обнаружения проблем с безопасностью в сети. Использует nmap.
. Программа для формирования сообщений различных протоколов.
. Программа для обнаружения несоответствия между IP- и MAC-адресами в сети.
. NIDS (система обнаружения атак в сети).
. Универсальный прокси-сервер для TCP-сервисов (reference implementation).
. Программа мониторинга и фильтрации запросов на установление TCP-соединений через супердемон inetd.
. Программа для обнаружения попыток сканирования хоста.
. Утилита для отслеживания изменений в файловой системе.
. Супердемон для замены inetd. Осуществляет фильтрацию соединений и уменьшает риск DoS атак.
. Еще один вариант замены супердемона inetd.
, , . Реализации протокола SSH - защищенного варианта Telnet + FTP.
. Система распределенной аутентификации в сети.
. Утилита слежения за лог-файлами протоколов.
CBT
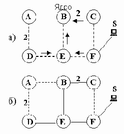
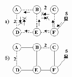
Метод CBT (Core Based Trees, Деревья с фиксированным ядром) основан на том, что для каждой группы назначается главный маршрутизатор, называемый ядром, – он будет корнем дерева рассылки (узел В на рис. 8.3.3). Все маршрутизаторы, к которым могут быть подключены потенциальные члены группы, знают адрес ядра. После того, как член группы зарегистрировался на маршрутизаторе с помощью протокола IGMP, маршрутизатор посылает в сторону ядра сообщение Join для присоединения к дереву рассылки. Промежуточные маршрутизаторы, пересылая это сообщение в сторону ядра, одновременно помечают интерфейсы, через которые получены сообщения Join, как принадлежащие дереву рассылки для данной группы. Сообщение следует до ядра или до первого маршрутизатора, уже присоединенного к дереву рассылки.
Рис. 8.3.3. Метод CBT
а) посылка сообщений Join; б) сформированное дерево рассылки
S – источник, A-F – маршрутизаторы;
к маршрутизатору А не подключены члены группы; метрики всех сетей, кроме явно указанных, равны 1
Состояние принадлежности к дереву имеет определенный срок годности, поэтому периодически требуется посылка подтверждений. Отметим, что каждый маршрутизатор посылает подтверждение вышестоящему (следующему по пути к ядру) маршрутизатору. Неподтвержденные в течение некоторого времени ветви дерева усекаются.
Рассылка же самих групповых дейтаграмм маршрутизаторами происходит аналогично методу остовых деревьев: дейтаграмма рассылается через все интерфейсы, принадлежащие дереву рассылки, кроме того, с которого дейтаграмма была получена. Если источник дейтаграммы не является членом группы, то его маршрутизатор сначала инкапсулирует групповую дейтаграмму в обычную, адресованную ядру, а ядро уже инициирует групповую рассылку по дереву.
Достоинства этого метода:
Недостатки CBT аналогичны недостаткам метода остовых деревьев:
Протокол CBT (RFC-2189) реализует метод CBT так, как он описан в п. . В протоколе CBT предусмотрена возможность взаимодействия с DVMRP.
Decision Process
Рассмотрим действия BGP-маршрутизатора при получении и анонсировании маршрута (рис. 7.4.1). Маршрутизатор использует три базы данных: Adj-RIBsIn, Loc-RIB и Adj-RIBsOut, в которых содержатся маршруты, соответственно, полученные от соседей, используемые самим маршрутизатором и объявляемые соседям. Также на маршрутизаторе сконфигурированы две политики: политика приема маршрутов (accept policy) и политика анонсирования маршрутов (announce policy). Для обработки маршрутов в базах данных в соответствии с имеющимися политиками маршрутизатор выполняет процедуру под названием процесс отбора (decision process), описанную ниже.Маршруты, полученные от BGP-соседей, помещаются в базу данных Adj-RIBsIn. В соответствии с политикой приема для каждого маршрута в Adj-RIBsIn вычисляется приоритет (это называется фазой 1 процесса отбора). В результате этих действий некоторые маршруты могут быть отбракованы (признаны неприемлемыми).
Далее (фаза 2) для каждой сети из всех имеющихся (полученных и неотбракованных) вариантов выбирается маршрут с большим приоритетом. Результаты заносятся в базу Loc-RIB, откуда менеджер маршрутной таблицы IP-модуля может их взять для установки в таблицу маршрутов маршрутизатора и для экспорта во внутренний протокол маршрутизации с тем, чтобы и другие узлы автономной системы имели маршруты к внешним сетям. И наоборот, чтобы другие автономные системы имели маршруты к сетям данной АС, из таблиц протокола (протоколов) внутренней маршрутизации могут извлекаться номера сетей своей АС и заноситься в Loc-RIB.
Задача третьей фазы – отбор маршрутов для анонсирования (рассылки соседям). Из LocRIB выбираются маршруты, соответствующие политике анонсирования, и результат помещается в базу Adj-RIBsOut, содержимое которой и рассылается BGP-соседям. Возможно, что маршрутизатор имеет разные политики анонсирования для каждого соседа.

Рис. 7.4.1. Обработка маршрутной информации модулем BGP
Важным свойством процесса отбора является то, что BGP-маршрутизатор объявляет только те маршруты, которые он сам использует. Это обстоятельство является следствием природы IP-маршрутизации: при выборе маршрута для дейтаграммы учитывается только адрес получателя и никогда – адрес отправителя. Таким образом, если маршрутизатор сам использует один маршрут в сеть Х, а соседу объявил другой, то дейтаграммы от соседа все равно будут пересылаться в сеть Х по тому маршруту, который использует сам маршрутизатор, поскольку адрес отправителя при выборе маршрута IP-модулем не рассматривается.
Десинхронизация TCP-соединения
Злоумышленник Х, находящийся в одном сегменте сети с узлами А и В или на пути между А и В, может произвести десинхронизацию TCP-соединения между А и В для установления полного контроля над соединением, то есть, злоумышленник получит возможность действовать как от имени А, так и от имени В. Для обозначения имперсонации, выполняемой таким методом, в англоязычной литературе используется термин TCP hijacking. Впервые эта атака была описана в [].Определим, что такое десинхронизация TCP-соединения. При установленном соединении каждый из узлов А и В знает, октеты с какими номерами может прислать ему собеседник в данный момент: если последнее подтверждение, высланное узлом А, было ACKAB и при этом узел А объявил окно WAB, то А ожидает от В октетов с номерами SNBA, попадающими в объявленное окно, то есть:
ACKAB <= SNBA <= ACKAB + WAB
Аналогично в узле В ожидается от А:
ACKBA <= SNAB <= ACKBA + WBA
Если, например, узел А по какой-то причине получает от В сегмент с номером SNBA, не попадающим в окно, то этот сегмент уничтожается, а в ответ А отправляет в В сегмент с SNAB, ACKAB, WAB, чтобы указать узлу В, какие именно октеты ожидает получить А. Отметим, что скорее всего этот сегмент не содержит данных, но номер SNAB в этом сегменте тем не менее должен быть указан, где SNAB — номер следующего октета данных, который А когда-либо вышлет в В.
Предположим, злоумышленнику каким-то образом удалось сбить показатели счетчиков узлов А и (или) В так, что вышеприведенные неравенства больше не выполняются (как это можно сделать, мы обсудим ниже). Далее мы будем использовать обозначения вида SNAB(B), что означает «приемлемый SNAB с точки зрения В».
Теперь, если В посылает в А сегмент с неким номером SNBA(B), адекватным с точки зрения В, но уже не попадающим в окно в узле А, то А возвращает узлу В подтверждение со своим значением ACKAB=SNBA(A). Однако в этом же сегменте имеется номер SNAB(A), который теперь уже В рассматривает как не попадающий в свое окно и отправляет в А подтверждение SNBA(B), ACKBA=SNAB(A). Номер SNBA(B), как и раньше, неприемлем для А, и узел А вновь отправляет в В подтверждение, и этот цикл, называемый ACK-шторм, теоретически продолжается до бесконечности, а практически — до тех пор, пока один из ACK-сегментов не потеряется в сети. Чем сильнее шторм, тем больше загрузка сети, тем выше процент потерь, следовательно, тем быстрее шторм прекратится.
Итак, в десинхронизированном состоянии любая попытка обмена данными вызывает только ACK-шторм, а сами сегменты с данными участниками соединения уничтожаются.
В это время злоумышленник, знающий «правильные» номера с точки зрения обоих узлов, берет на себя функции посредника (рис. 9.6). Он прослушивает сеть, обнаруживает сегмент с данными длиной L октетов, направленный, например, из А в В, меняет в нем номер SNAB(A) на ожидаемый узлом В номер SNAB(B) и, пересчитав контрольную сумму, отправляет сегмент в В от имени А. После этого в узел А от имени В злоумышленник отправляет подтверждение на этот сегмент, содержащее правильный с точки зрения А номер SNBA(A). Во время этого обмена в виде побочного явления возникают два ACK-шторма: первый инициирует узел В, получивший из А оригинальный сегмент с SNAB(A) != SNAB(B), а второй шторм возникает, когда узел А получает от В сегмент, подтверждающий получение данных от Х, и в этом сегменте SNBA(B) != SNBA(A).

Рис. 9.6. Действия злоумышленника-посредника в десинхронизированном соединении между узлами А и В
(L1, L2 — объем данных в пересылаемых сегментах)
Разумеется, злоумышленник затевает атаку не для того, чтобы просто ретранслировать сегменты, которые он и так может подслушать. Ничто не мешает ему изменять содержащиеся в сегментах данные или добавлять свои: на рис. 9.6 это отображено в виде «данных 2», имеющих длину L2 октетов, в то время как оригинальные данные обозначены «данные 1» длиной L1 октетов. Например, если имеет место сессия программы telnet и А посылает в В некоторую команду, то злоумышленник может вставить в этот сегмент еще одну команду. Результат выполнения своей команды он получит, подслушав ответный сегмент SNBA(B), направленный из В в А, который узел А не воспримет из-за несовпадения порядковых номеров, так как SNBA(B) != SNBA(A). Зато злоумышленник, удалив из этого сегмента результат выполнения своей команды, отправит то, что осталось (то есть результат оригинальной команды) в А от имени В уже с приемлемым порядковым номером SNBA(A).
Злоумышленник может вообще игнорировать сегменты, посылаемые узлом А и отправлять в В только свои данные, получая ответы прослушиванием сети и соответственно реагируя на них, но в этом случае узел А заметит, что В не отвечает на его команды, и может забеспокоиться.
Рассмотрим, каким образом злоумышленник может перевести TCP-соединение в десинхронизированное состояние.
Ранняя десинхронизация
Ранняя десинхронизация (рис. 9.7): злоумышленник, прослушивая сеть, обнаруживает момент установления соединения между А и В, от имени А сбрасывает соединение RST-сегментом и тут же открывает его заново, но уже с новыми номерами ISN. Разберем эту процедуру в деталях.
Сначала А посылает в В сегмент SYNAB, ISNAB(A), потом В отвечает сегментом SYNBA, ISNBA(1), ACKBA(ISNAB(A)+1). По получении этого сегмента А переходит в состояние ESTABLISHED и посылает в В подтверждающий сегмент ACKAB(ISNBA(1)+1).
В этот момент злоумышленник от имени А отправляет в В сегмент RSTAB и следом за ним сегмент SYNAB, ISNAB(X), содержащий те же номера портов, но другой номер ISNAB= ISNAB(X), неприемлемый для А.
При получении этих сегментов узел В закрывает установленное соединение с А, а затем тут же вновь отрывает его и отправляет в А сегмент SYNBA, ISNBA(2), ACKBA(ISNAB(Х)+1), где ISNBA(2) — новый начальный порядковый номер, ISNBA(1) != ISNBA(2).
Узел А не воспринимает этот сегмент из-за несовпадения порядковых номеров, но злоумышленник от имени А посылает в В сегмент SNAB=ISNAB(Х)+1, ACKAB(ISNBA(2)+1).

Рис. 9.7. Ранняя десинхронизация TCP-соединения
(сегменты ACK-шторма не показаны)
После этого оба узла А и В находятся в состоянии ESTABLISHED, но соединение десинхронизировано (рис. 9.8).

Рис. 9.8. Состояние соединения после ранней десинхронизации
Отметим, что некоторые реализации TCP в нарушение стандарта в ответ на получение RST-сегмента сами отправляют RST-сегмент. В этом случае десинхронизация описанным способом невозможна.
Десинхронизация нулевыми данными
Десинхронизация нулевыми данными (рис. 9.9): злоумышленник, дожидаясь момента, когда соединение находится в неактивном состоянии (данные не передаются), посылает узлу А от имени В и узлу В от имени А фальсифицированные сегменты с данными, вызывая тем самым десинхронизацию. Посылаемые данные должны быть «нулевыми» — то есть приложение-получатель должно их молча игнорировать и не посылать никаких данных в ответ. Этот метод десинхронизации подходит для Telnet-соединений, которые, во-первых, часто находятся в неактивном состоянии, а во-вторых, в протоколе Telnet имеется команда «нет операции» (IAC NOP). Сегмент, содержащий произвольное число таких команд (IAC NOP IAC NOP …), будет принят приложением и полностью проигнорирован.
Кроме того, в начале Telnet-сеанса производится аутентификация пользователя. Ра-зумно ( с точки зрения злоумышленника) произвести десинхронизацию после того, как введен пароль, а не в самом начале соединения. Отметим, что даже использование одноразовых паролей в этом случае пользователю не поможет.

Рис. 9.9. Десинхронизация TCP-соединения нулевыми данными
(сегменты ACK-шторма не показаны)
После описанной процедуры имеет место следующая ситуация, показанная на рис. 9.10.

Рис. 9.10. Состояние соединения после десинхронизации нулевыми данными
Имперсонация с помощью десинхронизации является сравнительно простой и очень эффективной атакой. Она позволяет злоумышленнику установить полный контроль над TCP-соединением без использования ложных сообщений ARP, ICMP или протоколов маршрутизации, без атак типа «отказ в обслуживании», которые могут быть обнаружены администратором сети или атакуемого узла. Обнаружить такие атаки можно, прослушивая сеть на предмет ACK-штормов.
Для защиты от описанных в этом пункте атак маршрутизатор (шлюз, брандмауэр), соединяющий сеть с внешним миром, должен быть настроен на запрет пропуска пакетов;
а) приходящих на внешний интерфейс, но имеющих адрес отправителя из внутренней сети;
б) приходящих на внутренний интерфейс, но имеющих адрес отправителя из внешней сети.
Случай а) соответствует ситуации, когда узлы А и В находятся во внутренней сети, а злоумышленник расположен снаружи и пытается послать узлу А датаграмму якобы от узла В. Случай б) соответствует ситуации, когда злоумышленник находится во внутренней сети, а узлы А и В — снаружи. Подчеркнем, что предложенные меры не защитят от всех разновидностей имперсонации: например, когда узел Х находится в одной сети с узлом А или В, или, естественно, когда все три узла расположены в одной сети.
Хороший алгоритм генерации случайных номеров ISN защитит от атаки в случае отсутствия обратной связи, но бесполезен, если злоумышленник может видеть сегменты, передаваемые из А в В.
В общем случае только шифрование данных или аутентификация сегментов могут гарантировать защиту от имперсонации.
Динамическая маршрутизация
В случае объединения сетей со сложной топологией, когда существует несколько вариантов маршрутов от одного узла к другому и (или) когда состояние сетей (топология, качество каналов связи) изменяется с течением времени, таблицы маршрутов составляются динамически с помощью различных протоколов маршрутизации. Подчеркнем, что протоколы маршрутизации не осуществляют собственно маршрутизацию дейтаграмм- она в любом случае производится модулем IP согласно записям в таблице маршрутов, как обсуждалось выше. Протоколы маршрутизации на основании тех или иных алгоритмов динамически редактируют таблицу маршрутов, то есть вносят и удаляют записи, при этом часть записей может по-прежнему статически вноситься администратором.В зависимости от алгоритма работы различают дистанционно-векторные протоколы (distance vector protocols) и протоколы состояния связей (link state protocols).
По области применения существует разделение на протоколы внешней (exterior) и внутренней (interior) маршрутизации.
Дистанционно-векторные протоколы реализуют алгоритм Беллмана-Форда (Bellman-Ford). Общая схема их работы такова: каждый маршрутизатор периодически широковещательно рассылает информацию о расстоянии от себя до всех известных ему сетей (“вектор расстояний”). В начальный момент времени, разумеется, рассылается информация только о тех сетях, к которым маршрутизатор подключен непосредственно.
Также каждый маршрутизатор, получив от кого-либо вектор расстояний, в соответствии с полученной информацией корректирует уже имеющиеся у него данные о достижимости сетей или добавляет новые, указывая маршрутизатор, от которого получен вектор, в качестве следующего маршрутизатора на пути в данные сети. Через некоторое время алгоритм сходится и все маршрутизаторы имеют информацию о маршрутах до всех сетей.
Дистанционно-векторные протоколы хорошо работают только в небольших сетях. Подробнее алгоритм их работы будет рассмотрен в . Развитие технологии векторов расстояний - “векторы путей”, применяющиеся в протоколе BGP.
При работе протоколов состояния связей каждый маршрутизатор контролирует состояние своих связей с соседями и при изменении состояния (например, при обрыве связи) рассылает широковещательное сообщение, после получения которого все остальные маршрутизаторы корректируют свои базы данных и пересчитывают маршруты. В отличие от дистанционно-векторных протоколов протоколы состояния связей создают на каждом маршрутизаторе базу данных, описывающую полный граф сети и позволяющую локально и, следовательно, быстро производить расчет маршрутов.
Распространенный протокол такого типа, OSPF, базируется на алгоритме SPF (Shortest Path First) поиска кратчайшего пути в графе, предложенном Дейкстрой (E.W.Dijkstra).
Протоколы состояния связей существенно сложнее дистанционно-векторных, но обеспечивают более быстрое, оптимальное и корректное вычисление маршрутов. Подробнее протоколы состояния связей будут рассмотрены на примере протокола OSPF в .
Протоколы внутренней маршрутизации (например, RIP, OSPF; собирательное название IGP - Interior Gateway Protocols) применяются на маршрутизаторах, действующих внутри автономных систем. Автономная система - это наиболее крупное деление Интернет, представляющее из себя объединение сетей с одинаковой маршрутизационной политикой и общей администрацией, например, совокупность сетей компании Глобал Один и ее клиентов в России.
Область действия того или иного протокола внутренней маршрутизации может охватывать не всю автономную систему, а только некоторое объединение сетей, являющееся частью автономной системы. Такое объединение мы будем называть системой сетей, или просто системой, иногда с указанием протокола маршрутизации, действующего в этой системе, например: RIP-система, OSPF-система.
Маршрутизация между автономными системами осуществляется пограничными (border) маршрутизаторами, таблицы маршрутов которых составляются с помощью протоколов внешней маршрутизации (собирательное название EGP - Exterior Gateway Protocols). Особенность протоколов внешней маршрутизации состоит в том, что при расчете маршрутов они должны учитывать не только топологию графа сети, но и политические ограничения, вводимые администрацией автономных систем на маршрутизацию через свои сети трафика других автономных систем. В настоящее время наиболее распространенным протоколом внешней маршрутизации является BGP.
Дополнительные возможности OSPF
В дополнение к общей идеологии протоколов состояния связей, описанной в предыдущих разделах этой главы, в OSPF реализованы дополнительные возможности, позволяющие оптимизировать расчет маршрутов в сетях с множественным доступом и в сложных системах сетей.DVMRP
Протокол DVMRP (Distance Vector Multicast Routing Protocol, RFC-1075) – самый старый протокол групповой маршрутизации, он используется в ядре экспериментальной сети MBONE. Протокол работает по технологии RPF с усечением, но для построения деревьев используется собственный дистанционно-векторный протокол, аналогичный протоколу RIP.Протокол DVRMP прост в реализации и весьма эффективен, но он подходит только для небольших сетей с высокой плотностью получателей. К недостаткам метода RPF, описанным в предыдущем пункте (относительно большой размер хранимой таблицы и необходимость рассылки "пробных" дейтаграмм по всей системе сетей), добавляется ограничение на размер системы сетей, унаследованное от протокола RIP (в DVMRP значение бесконечности равно 32).
Фаза закрытия соединения

Проблемы возникновения некорректных ситуаций, например, наполовину открытое соединение, получение заблудившихся в сети старых SYN-сегментов, неожиданный крах программ и т.п., решаются путем детектирования ошибки (несоответствие или бессмысленные значения ACK или SN), после чего посылается сигнал RST (сегмент с установленным битом RST) и соединение ликвидируется.
(С)
Фильтрация на маршрутизаторе
Фильтры на маршрутизаторе, соединяющем сеть предприятия с Интернетом, применяются для запрета пропуска датаграмм, которые могут быть использованы для атак как на сеть организации из Интернета, так и на внешние сети злоумышленником, находящимся внутри организации.Отметим, что более безопасным и управляемым решением, чем фильтрация того или иного TCP-трафика следующего от или к компьютеру пользователя, является работа пользователей через прокси-серверы. Прокси-сервер берет на себя функции предоставления пользователю требуемого сервиса и сам связывается с необходимыми хостами Интернета. Хост пользователя же взаимодействует только с прокси-сервером и не нуждается в коннективности с Интернетом. Таким образом, фильтрующий маршрутизатор разрешает прохождение TCP-сегментов определенного типа только от или к прокси-серверу. Преимущества этого решения следующие.
Прокси-сервер находится под контролем администратора предприятия, что позволяет реализовывать различные политики для дифференцированного управления доступом пользователей к сервисам и ресурсам Интернета, фильтрации передаваемых данных (защита от вирусов, цензура и т.п.), кэширования (там, где это применимо).
С точки зрения Интернета от имени всех пользовательских хостов предприятия действует один прокси-сервер, то есть имеется только один потенциальный объект для атаки из Интернета, а безопасность одного прокси-сервера, управляемого профессионалом, легче обеспечить, чем безопасность множества пользовательских компьютеров.
Формат BGP-сообщения
Сообщение протокола BGP состоит из заголовка и тела. Заголовок имеет длину 19 октетов и состоит из следующих полей:1 - OPEN 2 - KEEPALIVE 3 - UPDATE 4 - NOTIFICATION
Формат сообщения KEEPALIVE
Сообщение KEEPALIVE состоит только из BGP-заголовка.Формат сообщения NOTIFICATION
Сообщение NOTIFICATION состоит из следующих полей:Определены следующие коды ошибок:
1 - Ошибка заголовка 2 - Ошибка в сообщении OPEN 3 - Ошибка в сообщении UPDATE 4 - Истекло время ожидания сообщения KEEPALIVE 5 - Ошибка последовательности состояний 6 - Закрытие соединения по желанию участника
(С)
Формат сообщения OPEN
Сообщение OPEN состоит из следующих полей:Формат сообщения UPDATE
Сообщение UPDATE состоит из трех частей переменной длины: список недействительных маршрутов, список атрибутов и список сетей, к которым эти атрибуты относятся. Две последние части представляют собой собственно информацию о маршруте в указанные сети. (То есть, если маршруты в несколько разных сетей имеют одинаковые атрибуты, то они объединяются в одном сообщении UPDATE. Разумеется, предварительно адреса сетей везде, где это возможно, агрегируются в общий префикс.) Как первая часть сообщения, так и две последние могут отсутствовать.Формат сообщения:
X= Длина_всего_сообщения - 19(длина заголовка) - 4 - L1 - L2.
Список адресов сетей и список недействительных маршрутов представляют собой списки элементов, каждый элемент состоит из 2 частей:
Например, префикс 10.0.0.0/8 представляется в виде двух октетов:
| 8 | 10 |
Префикс 172.16.192.0/19 представляется в виде 4 октетов:
| 19 | 172 | 16 | 192 |
Напомним, что формально префикс представляет собой адрес некой сети, а длина префикса интерпретируется также как длина сетевой маски. В реальном адресном пространстве префикс может соответствовать одной IP-сети или агрегировать в себе несколько IP-сетей.
Для отмены маршрута достаточно указать только адрес сети (префикс) назначения, по которому сосед найдет и удалит из своей базы все данные по этому маршруту. В одном сообщении может быть отменено несколько маршрутов.
Для объявления маршрута следует представить префикс назначения и список атрибутов пути для этого префикса. Только один список атрибутов передается в одном собщении, но указанные атрибуты могут относиться к нескольким префиксам, список которых приводится за списком атрибутов.
Список атрибутов представляет собой список элементов, каждый элемент состоит из 4 частей:
Флаги атрибута:
Длина и интерпертация данных атрибута зависит от типа атрибута.
Формулировка маршрутных политик
Способы описания маршрутных политик не являются частью протокола BGP и отличаются в различных реализациях BGP. Однако в любом случае политики базируются на критериях отбора маршрутов и модификации атрибутов маршрутов, попавших под критерии отбора. Модификация атрибутов маршрута в свою очередь влияет на приоритет этого маршрута при отборе нескольких альтернативных маршрутов во время фазы 2.Для полного запрета принятия или объявления маршрута используется фильтрация, которую можно рассматривать как назначение наинизшего приоритета, не позволяющего использовать маршрут вообще.
Отбор маршрутов из базы Adj-RIBsIn (для реализации политики приема) может производиться, например, по следующим критериям:
К маршруту, удовлетворяющему установленному критерию, можно применить следующие политики:
Административный вес маршрута не является атрибутом BGP, он устанавливает внутренний приоритет маршрута на данном маршрутизаторе (в то время, как LOCAL_PREF устанавливает приоритет маршрута в рамках автономной системы).
Если (после выполнения фильтрации) в базе Adj-RIBsIn имеется несколько альтернативных маршрутов, ведущих в одну сеть назначения, то отбор лучшего из них производится фазой 2 по приведенным ниже критериям (на примере маршрутизаторов Cisco). Критерии последовательно применяются в указанном порядке, пока не останется единственный маршрут:
Аналогично, отбор маршрутов в базу Adj-RIBsOut (для реализации политики объявлений) может производиться, например, по следующим критериям:
К маршруту, удовлетворяющему установленному критерию, можно применить следующие политики:
Фрагментация дейтаграмм
Различные среды передачи имеют различный максимальный размер передаваемого блока данных (MTU- Media Transmission Unit), это число зависит от скоростных характеристик среды и вероятности возникновения ошибки при передаче. Например, размер MTU в 10Мбит/с Ethernet равен 1536 октетам, в 100 Мбит/с FDDI - 4096 октетам.При передаче дейтаграммы из среды с большим MTU в среду c меньшим MTU может возникнуть необходимость во фрагментации дейтаграммы. Фрагментация и сборка дейтаграмм осуществляются модулем протокола IP. Для этого применяются поля “ID” (Identification), “Flags” и “Fragment Offset” заголовка дейтаграммы.
Flags -поле состоит из 3 бит, младший из которых всегда сброшен:
0
Значения бита DF (Don’t Fragment):
0 - фрагментация разрешена,
1 - фрагментация запрещена (если дейтаграмму нельзя передать без фрагментации, она уничтожается).
Значения бита MF (More Fragments):
0 - данный фрагмент последний (единственный),
1 - данный фрагмент не последний.
ID (Identification) - идентификатор дейтаграммы, устанавливается отправителем; используется для сборки дейтаграммы из фрагментов для определения принадлежности фрагментов одной дейтаграмме.
Fragment Offset - смещение фрагмента, значение поля указывает, на какой позиции в поле данных исходной дейтаграммы находится данный фрагмент. Смещение считается 64-битовыми порциями, т.е. минимальный размер фрагмента равен 8 октетам, а следующий фрагмент в этом случае будет иметь смещение 1. Первый фрагмент имеет смещение нуль.
Рассмотрим процесс фрагментации на примере. Допустим, дейтаграмма размером 4020 октетов (из них 20 октетов заголовка) передается из среды FDDI (MTU=4096) в среду Ethernet (MTU=1536). На границе сред производится фрагментация дейтаграммы. Заголовки в данной дейтаграмме и во всех ее фрагментах одинаковой длины - 20 октетов.
Исходная дейтаграмма:
заголовок: ID=X, Total Length=4020, DF=0, MF=0, FOffset=0
данные (4000 октетов): “А....А” (1472 октета), “В....В” (1472 октета), “С....С” (1056 октетов)
Фрагмент 1:
заголовок: ID=X, Total Length=1492, DF=0, MF=1, FOffset=0
данные: “А....А” (1472 октета)
Фрагмент 2:
заголовок: ID=X, Total Length=1492, DF=0, MF=1, FOffset=184
данные: “B....B” (1472 октета)
Фрагмент 3:
заголовок: ID=X, Total Length=1076, DF=0, MF=0, FOffset=368
данные: “C....C” (1056 октетов)
Фрагментация может быть рекурсивной, т.е., например, фрагменты 1 и 2 могут быть еще раз фрагментированы; при этом смещение (Fragment Offset) считается от начала исходной дейтаграммы.
Функции протокола IP
Протокол IP находится на межсетевом уровне стека протоколов TCP/IP. Функции протокола IP определены в стандарте RFC-791 следующим образом: “Протокол IP обеспечивает передачу блоков данных, называемых дейтаграммами, от отправителя к получателям, где отправители и получатели являются компьютерами, идентифицируемыми адресами фиксированной длины (IP-адресами). Протокол IP обеспечивает при необходимости также фрагментацию и сборку дейтаграмм для передачи данных через сети с малым размером пакетов”.Протокол IP является ненадежным протоколом без установления соединения. Это означает, что протокол IP не подтверждает доставку данных, не контролирует целостность полученных данных и не производит операцию квитирования (handshaking) - обмена служебными сообщениями, подтверждающими установку соединения с узлом назначения и его готовность к приему данных. Протокол IP обрабатывает каждую дейтаграмму как независимую единицу, не имеющую связи ни с какими другими дейтаграммами в Интернет. После того, как дейтаграмма отправляется в сеть, ее дальнейшая судьба никак не контролируется отправителем (на уровне протокола IP). Если дейтаграмма не может быть доставлена, она уничтожается. Узел, уничтоживший дейтаграмму, может оправить по обратному адресу ICMP-сообщение (см. п. ) о причине сбоя.
Гарантию правильной передачи данных предоставляют протоколы вышестоящего уровня (например, протокол ), которые имеют для этого необходимые механизмы.
Одна из основных задач, решаемых протоколом IP,- маршрутизация дейтаграмм, т.е. определение пути следования дейтаграммы от одного узла сети к другому на основании адреса получателя.
Общий сценарий работы модуля IP на каком-либо узле сети, принимающего дейтаграмму из сети, таков:
При получении данных от вышестоящего уровня для отправки их по сети IP-модуль формирует дейтаграмму с этими данными, в заголовок которой заносятся адреса отправителя и получателя (также полученные от транспортного уровня) и другая информация; после чего выполняются следующие шаги:
Здесь и далее узлом сети называется компьютер, подключенный к сети и поддерживающий протокол IP. Узел сети может иметь один и более IP-интерфейсов, подключенных к одной или разным сетям, каждый такой интерфейс идентифицируется уникальным IP-адресом.
IP-сетью называется множество компьютеров (IP-интерфейсов), часто, но не всегда подсоединенных к одному физическому каналу связи, способных пересылать IP-дейтаграммы друг другу непосредственно (то есть без ретрансляции через промежуточные компьютеры), при этом IP-адреса интерфейсов одной IP-сети имеют общую часть, которая называется адресом, или номером, IP-сети, и специфическую для каждого интерфейса часть, называемую адресом, или номером, данного интерфейса в данной IP-сети. В настоящем пособии речь идет преимущественно об IP-сетях, поэтому приставку “IP” мы будем как правило опускать.
Маршрутизатором, или шлюзом, называется узел сети с несколькими IP-интерфейсами, подключенными к разным IP-сетям, осуществляющий на основе решения задачи маршрутизации перенаправление дейтаграмм из одной сети в другую для доставки от отправителя к получателю.
Хостами называются узлы IP-сети, не являющиеся маршрутизаторами. Обычно хост имеет один IP-интерфейс (например, связанный с сетевой картой Ethernet или с модемом), хотя может иметь и несколько.
Маршрутизаторы представляют собой либо специализированные вычислительные машины, либо компьютеры с несколькими IP-интерфейсами, работа которых управляется специальным программным обеспечением. Компьютеры конечных пользователей, различные серверы Интернет и т.п. вне зависимости от своей вычислительной мощности являются хостами.
Неотъемлемой частью IP-модуля является протокол ICMP (Internet Control Message Protocol), отправляющий диагностические сообщения при невозможности доставки дейтаграммы и в других случаях. Совместно с протоколом IP работает также протокол ARP (Address Resolution Protocol), выполняющий преобразования IP-адресов в MAC-адреса (например, адреса Ethernet). Работа протоколов ICMP и ARP рассмотрена ниже в пп. и соответственно.
Функции протокола TCP
Протокол TCP (Transmission Control Protocol, Протокол контроля передачи) обеспечивает сквозную доставку данных между прикладными процессами, запущенными на узлах, взаимодействующих по сети. Стандартное описание TCP содержится в RFC-793.TCP- надежный байт-ориентированный (byte-stream) протокол с установлением соединения. TCP находится на транспортном уровне стека TCP/IP, между протоколом IP и собственно приложением. Протокол IP занимается пересылкой дейтаграмм по сети, никак не гарантируя доставку, целостность, порядок прибытия информации и готовность получателя к приему данных; все эти задачи возложены на протокол TCP.
При получении дейтаграммы, в поле Protocol которой указан код протокола TCP (6), модуль IP передает данные этой дейтаграммы модулю TCP. Эти данные представляют собой TCP-сегмент, содержащий TCP-заголовок и данные пользователя (прикладного процесса). Модуль TCP анализирует служебную информацию заголовка, определяет, какому именно процессу предназначены данные пользователя, проверяет целостность и порядок прихода данных и подтверждает их прием другой стороне. По мере получения правильной последовательности неискаженных данных пользователя они передаются прикладному процессу.
Ниже основные функции протокола TCP и их реализация рассмотрены более подробно.
Иерархическая маршрутизация (Разбиение на области)
Для упрощения вычисления маршрутов и уменьшения размера базы данных состояния связей OSPF-система может быть разбита на отдельные независимые области (areas), объединяемые в единую систему особой областью, называемой магистралью (backbone). Области, не являющиеся магистралью, называются периферийными.Маршруты внутри каждой области вычисляются как в отдельной системе: база данных состояния связей содержит записи только о связях маршрутизаторов внутри области, действие протокола затопления не распространяется за пределы области.
Некоторые маршрутизаторы принадлежат магистрали и одной или нескольким периферийным областям. Такие маршрутизаторы называются областными пограничными маршрутизаторами (area border router, ABR). Каждая область должна иметь как минимум один ABR, иначе она будет полностью изолирована от остальной части системы.
Областные пограничные маршрутизаторы поддерживают отдельные базы данных состояния связей для всех областей, к которым они подключены. На основании этих данных они обобщают информацию о достижимости сетей внутри отдельных областей и сообщают результат в смежную область. Также ABR обрабатывают подобные сообщения от других ABR (граничащих с другими областями) и ретранслируют информацию о внешних маршрутах, исходящую от пограничных маршрутизаторов (автономной) системы (ASBR).
Тем самым обеспечивается передача маршрутной информации и коннективность между областями. При этом за пределы области передается не полная база данных состояния связей, а просто список сетей этой области, достижимых извне области через данный ABR, вместе с метриками расстояния до этих сетей. Если возможно, адреса сетей агрегируются в общий адрес с более короткой маской. Подобную же информацию, но только о сетях, лежащих за пределами OSPF-системы, распространяют ASBR.
Имперсонация без обратной связи
Рассмотрим самый сложный случай: перехват и прослушивание данных, отправляемых из А в В невозможны. Этот случай (рис. 9.4) является наиболее общим: узел Х находится в сети, не имеющей никакого отношения к узлам А и В и не лежащей между ними (А и В могут находиться как в одной, так и в разных сетях).
Рис. 9.4. Имперсонация без обратной связи
Подчеркнем, что имперсонация без обратной связи имеет смысл лишь тогда, когда злоумышленнику для достижения своей цели достаточно только передать данные на узел А от имени узла В, и последующий ответ узла А уже не имеет значения. Классическим примером такой атаки является отправка злоумышленником на порт сервера Rlogin TCP-сегмента, содержащего какую-либо команду операционной системе узла А. Узел А выполняет эту команду, полагая, что она поступила с узла В.
Если имперсонация UDP-сообщений без обратной связи остается тривиальной, злоумышленник должен только сфабриковать датаграмму, адресованную от узла В узлу А, и отправить ее по назначению, то в случае с TCP все обстоит не так просто. Прежде чем отправить узлу А сегмент с данными, узел Х должен установить с ним соединение от имени узла В. Напомним, как происходит установление соединения: узел Х от имени В отправляет в А сегмент с битом SYN, где указывает начальный номер ISN(В). Узел А отвечает узлу В SYN-сегментом, в котором подтверждает получение предыдущего сегмента, и устанавливает свой начальный номер ISN(A). Этот сегмент злоумышленник никогда не получит.
Здесь возникает две проблемы: во-первых, узел В, получив от А ответ на SYN-сегмент, который он никогда не посылал, отправит узлу А сегмент с битом RST, тем самым сводя к нулю усилия злоумышленника. Во-вторых, узел Х все равно не сможет отправить в А следующий сегмент (как раз это должен быть сегмент с данными), потому что в этом сегменте узел Х должен подтвердить получение SYN-сегмента от А, то есть поместить в поле ACK SN заголовка своего сегмента значение ISN(A)+1. Но злоумышленник не знает номера ISN(A), потому что соответствующий сегмент ушел к узлу В.
Первая проблема решается относительно просто: злоумышленник проводит против узла В атаку типа «отказ в обслуживании» с тем расчетом, чтобы узел В не был способен обрабатывать сегменты, приходящие из А. Например, можно поразить узел В шквалом SYN-сегментов от несуществующих узлов1 (подробнее об отказах в обслуживании см. п. ). Впрочем, к облегчению злоумышленника, может оказаться, что узел В просто выключен.
Для решения второй проблемы злоумышленник должен уметь предсказывать значения ISN(A). Если операционная система узла А использует какую-либо функцию для генерации значений ISN (например, линейную зависимость от показания системных часов), то последовательно открыв несколько пробных соединений с узлом А и проанализировав присылаемые в SYN-сегментах от А значения ISN, злоумышленник может попытаться установить эту зависимость опытным путем.
Хорошая реализация TCP должна использовать случайные числа для значений ISN (более подробное обсуждение этого вопроса можно найти в RFC-1948). Несмотря на кажущуюся простоту этого требования, проблема с угадыванием номеров ISN остается актуальной и по сей день2.
2 В марте 2001 г. была опубликована информация о предсказуемости номеров ISN в Cisco IOS. См. также бюллетени CERT "Vulnerability Note VU#498440", "", работы [] и [].
Итак, приведем схему атаки для имперсонации TCP-соединения без обратной связи (рис. 9.5).

Рис. 9.5. Схема атаки с имперсонацией TCP-соединения без обратной связи
3 Узел Х может отправить подряд несколько сегментов с данными, пока он остается в рамках объявленного узлом А окна, размер которого он выяснил во время пробных соединений.
Имперсонация
Предположим, что узел А обменивается IP-датаграммами с узлом В, при этом узлы идентифицируют друг друга по IP-адресам, указываемым в датаграммах. Предположим далее, что узел В имеет особые привилегии при взаимодействии с А: то есть А предоставляет В некоторый сервис, недоступный для других хостов Интернета. Злоумышленник на узле Х, желающий получить такой сервис, должен имитировать узел В — такие действия называются имперсонацией узла В узлом Х.Говоря о сервисах, мы имеем в виду приложения UDP или TCP, то есть речь идет об имперсонации UDP-сообщений или TCP-соединений (соответственно, UDP-spoofing и TCP-spoofing). Часто одновременно с имперсонацией злоумышленник предпринимает атаки типа «отказ в обслуживании» (п. ) против узла В для исключения последнего из процесса сетевого взаимодействия.
Хосты А, В и Х могут располагаться друг относительно друга различным образом, от этого зависит, какие методы имперсонации применит злоумышленник.
Если злоумышленник может перехватить трафик, идущий от узла А к В (одним из методов, описанных в предыдущем пункте), то задача имперсонации практически выполнена. Получая от узла А UDP-сообщения или TCP-сегменты, адресованные узлу В, злоумышленник не передает их по назначению, а вместо этого сам формирует пакеты от имени В. При этом узел В даже не подозревает о происходящем, поэтому атаковать его на предмет отказа в обслуживании не имеет смысла.
Напомним, что перехват трафика возможен, когда:
1) А, В и Х находятся в одной IP-сети (ARP-атака);
2) А и Х находятся в одной сети, а В — в другой (навязывание ложного маршрутизатора);
3) А и В находятся в разных сетях, а Х находится на пути между ними (или включает себя в маршрут путем атаки на протокол маршрутизации).
В остальных случаях злоумышленник не может перехватить данные, передаваемые из А в В. По-прежнему ничто не мешает ему отправлять в адрес А сфальсифицированные датаграммы от имени В, но ответные пакеты А будет отправлять узлу В, минуя злоумышленника. Важным обстоятельством в этих условиях является то, имеет ли узел Х возможность подслушивать эти ответные пакеты, или же злоумышленник вынужден работать вслепую.
Инкапсуляция и обработка пакетов
При продвижении пакета данных по уровням сверху вниз каждый новый уровень добавляет к пакету свою служебную информацию в виде заголовка и, возможно, трейлера (информации, помещаемой в конец сообщения). Эта операция называется инкапсуляцией данных верхнего уровня в пакете нижнего уровня. Служебная информация предназначается для объекта того же уровня на удаленном компьютере, ее формат и интерпретация определяются протоколом данного уровня.Разумеется, данные, приходящие с верхнего уровня, могут на самом деле представлять собой пакеты с уже инкапсулированными данными еще более верхнего уровня.
С другой стороны, при получении пакета от нижнего уровня он разделяется на заголовок (трейлер) и данные. Служебная информация из заголовка (трейлера) анализируется и в соответствии с ней данные, возможно, направляются одному из объектов верхнего уровня. Тот в свою очередь рассматривает эти данные как пакет со своей служебной информацией и данными для еще более верхнего уровня, и процедура повторяется, пока пользовательские данные, очищенные от всей служебной информации, не достигнут прикладного процесса.
Возможно, что пакет данных не будет доведен до самого верхнего уровня, например, в случае, если данный компьютер представляет собой промежуточную станцию на пути между отправителем и получателем. В этом случае объект соответствующего уровня при анализе служебной информации заметит, что пакет на этом уровне адресован не ему (хотя с точки зрения нижележащих уровней он был адресован именно этому компьютеру). Тогда объект выполнит необходимые действия для перенаправления пакета к месту назначения или возврата отправителю с сообщением об ошибке, но в любом случае не будет продвигать данные на верхний уровень.
Модель OSI предложена достаточно давно, однако протоколы, на ней основанные, используются редко, во-первых, в силу своей не всегда оправданной сложности, во-вторых , из-за существования хотя и не соответствующих строго модели OSI, но уже хорошо зарекомендовавших себя стеков протоколов (например, TCP/IP).
Поэтому модель OSI стоит рассматривать, в основном, как опорную базу для классификации и сопоставления протокольных стеков.
IP-адреса
IP-адрес является уникальным 32-битным идентификатором IP-интерфейса в Интернет. Часто говорят, что IP-адрес присваивается узлу сети (например, хосту); это верно в случае, если узел является хостом с одним IP-интерфейсом, иначе следует уточнить, об адресе какого именно интерфейса данного узла идет речь. Далее для краткости там, где это не вызовет неверного толкования, вместо адреса IP-интерфейса узла сети говорится об IP-адресе хоста.IP-адреса принято записывать разбивкой всего адреса по октетам, каждый октет записывается в виде десятичного числа, числа разделяются точками. Например, адрес 10100000010100010000010110000011
записывается как 10100000.01010001.00000101.10000011 = 160.81.5.131.
IP-адрес хоста состоит из номера IP-сети, который занимает старшую область адреса, и номера хоста в этой сети, который занимает младшую часть. Положение границы сетевой и хостовой частей (обычно оно характеризуется количеством бит, отведенных на номер сети) может быть различным, определяя различные типы IP-адресов, которые рассматриваются ниже.
Истощение ресурсов узла или сети
SmurfАтака smurf состоит в генерации шквала ICMP Echo-ответов, направленных на атакуемый узел. Для создания шквала злоумышленник направляет несколько сфальсифицированных Echo-запросов от имени жертвы на широковещательные адреса нескольких сетей, которые выступят в роли усилителей. Потенциально большое число узлов, находящихся в сетях-усилителях и поддерживающих обработку широковещательных Echo-запросов, одновременно отправляет ответы на атакуемый узел. В результате атаки сеть, в которой находится жертва, сам атакуемый узел, а также и сети-усилители могут быть временно заблокированы шквалом ответных сообщений. Более того, если атакуемая организация оплачивает услуги провайдера Интернета пропорционально полученному трафику, ее расходы могут существенно возрасти.
Для атакуемого узла и его сети не существует адекватных способов защиты от этой атаки. Очевидно, что блокирование ICMP-сообщений маршрутизатором на входе в атакуемую сеть не является удовлетворительным решением проблемы, поскольку при этом канал, соединяющий организацию с провайдером Интернета, остается подверженным атаке, а именно он, как правило, является наиболее узким местом при работе организации с Интернетом. И поскольку ICMP-сообщения были доставлены провайдером на маршрутизатор организации, они подлежат оплате.
Атаку smurf можно обнаружить путем анализа трафика на маршрутизаторе или в сети. Признаком атаки является также полная загрузка внешнего канала и сбои в работе хостов внутри сети. При обнаружении атаки следует определить адреса отправителей сообщений Echo Reply (это сети-усилители), установить в регистратуре Интернета их административную принадлежность и обратиться к администраторам с просьбой принять меры защиты для усилителей, описываемые ниже. Администратор атакуемой сети также должен обратиться к своему провайдеру с извещением об атаке; провайдер может заблокировать передачу сообщений Echo Reply в канал атакуемой организации.
Для устранения атак smurf защитные меры могут быть предприняты как потенциальными усилителями, так и администраторами сетей, в которых может находиться злоумышленник. Это:
В этой связи отметим, что каждая сеть может оказаться в любой из трех ролей: сети злоумышленника, усилителя или жертвы, поэтому, принимая меры по защите других сетей, вы можете надеяться, что администраторы других сетей достаточно квалифицированы и принимают те же самые меры, которые могут защитить вас.
SYN flood и Naptha
Распространенная атака SYN flood (она же Neptune) состоит в посылке злоумышленником SYN-сегментов TCP на атакуемый узел в количестве большем, чем тот может обработать одновременно (это число невелико — обычно несколько десятков).
При получении каждого SYN-сегмента модуль TCP создает блок TCB, то есть выделяет определенные ресурсы для обслуживания будущего соединения, и отправляет свой SYN-сегмент. Ответа на него он никогда не получит. (Чтобы замести следы и не затруднять себя игнорированием ответных SYN-сегментов, злоумышленник будет посылать свои SYN-сегменты от имени несуществующего отправителя или нескольких случайно выбранных несуществующих отправителей.) Через несколько минут модуль TCP ликвидирует так и не открытое соединение, но если одновременно злоумышленник сгенерирует большое число SYN-сегментов, то он заполнит все ресурсы, выделенные для обслуживания открываемых соединений, и модуль TCP не сможет обрабатывать новые SYN-сегменты, пока не освободится от запросов злоумышленника. Постоянно посылая новые запросы, злоумышленник может продолжительно удерживать жертву в блокированном состоянии. Чтобы снять воздействие атаки, злоумышленник посылает серию сегментов с флагом RST, которые ликвидируют полуоткрытые соединения и освобождают ресурсы атакуемого узла.
Целью атаки является приведение узла (сервера) в состояние, когда он не может принимать запросы на открытие соединений. Однако некоторые недостаточно хорошо спроектированные системы в результате атаки не только перестают открывать новые соединения, но и не могут поддерживать уже установленные, а в худшем случае — зависают.
Атаку SYN flood можно определить как удерживание большого числа соединений на атакуемом узле в состоянии SYN-RECEIVED. В последнее время , что большое число соединений в состояниях ESTABLISHED и FIN-WAIT-1 также вызывает отказы в обслуживании на сервере. Эти отказы выражаются по-разному в различных системах: переполнение таблиц процессов (process table attack) и файловых дескрипторов, невозможность открытия новых и обрыв установленных соединений, зависание серверных процессов или всей системы.
Подобные бреши в безопасности стеков TCP/IP получили собирательное название Naptha. Подчеркнем, что выполнение атаки Naptha не требует от злоумышленника тех же затрат по поддержанию TCP-соединений, что и от атакуемого узла. Злоумышленник не создает блоков TCB, не отслеживает состояния соединений и не запускает прикладных процессов; при получении TCP-сегмента от атакуемого узла злоумышленник просто генерирует приемлемый ответ, основываясь на флагах и значениях полей заголовка принятого сегмента, чтобы перевести или удержать TCP-соединение на атакуемом узле в нужном состоянии. Разумеется, злоумышленник, чтобы скрыть себя, будет посылать сегменты от имени несуществующего (выключенного) узла и принимать ответные сегменты от атакуемого узла методом прослушивания.
Полной защиты от описанных атак не существует. Чтобы уменьшить подверженность узла атаке администратор должен использовать программное обеспечение, позволяющее установить максимальное число открываемых соединений, а также список разрешенных клиентов (если это возможно)1. Только необходимые порты должны быть открыты (находиться в состоянии LISTEN), остальные сервисы следует отключить. Операционная система должна иметь устойчивость к атакам Naptha — при проведении атаки не должно возникать отказа в обслуживании пользователей и сервисов, не имеющих отношения к атакуемым.
Должен также проводиться анализ трафика в сети для выявления начавшейся атаки, признаком чего является большое число однотипных сегментов, и блокирование сегментов злоумышленника фильтром на маршрутизаторе. Маршрутизаторы Cisco предлагают механизм TCP Intercept, который служит посредником между внешним TCP-клиентом и TCP-сервером, находящимся в защищаемой сети. При получении SYN-сегмента из Интернета маршрутизатор не ретранслирует его во внутреннюю сеть, а сам отвечает на этот сегмент от имени сервера. Если соединение с клиентом устанавливается, то маршрутизатор устанавливает соединение с сервером от имени клиента и при дальнейшей передаче сегментов в этом соединении действует как прозрачный посредник, о котором ни клиент, ни сервер не подозревают. Если ответ от клиента за определенное время так и не поступил, то оригинальный SYN-сегмент не будет передан получателю.
Если SYN-сегменты начинают поступать в большом количестве и на большой скорости, то маршрутизатор переходит в «агрессивный» режим: время ожидания ответа от клиента резко сокращается, а каждый вновь прибывающий SYN-сегмент приводит к исключению из очереди одного из ранее полученных SYN-сегментов. При снижении интенсивности потока запросов на соединения маршрутизатор возвращается в обычный, «дежурный» режим.
Отметим, что применение TCP Intercept фактически переносит нагрузку по борьбе с SYN-атакой с атакуемого хоста на маршрутизатор, который лучше подготовлен для этой борьбы.
UDP flood
Атака состоит в затоплении атакуемой сети шквалом UDP-сообщений. Для генерации шквала злоумышленник использует сервисы UDP, посылающие сообщение в ответ на любое сообщение. Примеры таких сервисов: echo (порт 7) и chargen (порт 19). От имени узла А (порт отправителя —7) злоумышленник посылает сообщение узлу В (порт получателя — 19). Узел В отвечает сообщением на порт 7 узла А, который возвращает сообщение на порт 19 узла В, и так далее до бесконечности (на самом деле, конечно, до тех пор, пока сообщение не потеряется в сети). Интенсивный UDP-трафик затрудняет работу узлов А и В и может создать затор в сети.
UDP-сервис echo может быть также использован для выполнения атаки fraggle. Эта атака полностью аналогична smurf, однако менее популярна у злоумышленников из-за меньшей эффективности.
Для защиты от атак типа UDP flood следует отключить на узлах сети все неиспользуемые сервисы UDP (отметим, что вам вряд ли когда-нибудь вообще понадобятся сервисы echo и chargen). Фильтр на маршрутизаторе-шлюзе должен блокировать все UDP-сообщения кроме тех, что следуют на разрешенные порты (например, порт 53 — DNS).
В заключение этого подпункта отметим, что использование промежуточных систем для реализации атак, связанных с генерацией направленного шквала пакетов (типа smurf), оказалось весьма плодотворной идеей для злоумышленников. Такие атаки называются распределенными (Distributed DoS, DDoS). Для их реализации злоумышленниками создаются программы-демоны, захватывающие промежуточные системы и впоследствии координирующие создание направленных на атакуемый узел шквалов пакетов (ICMP Echo, UDP, TCP SYN). Захват систем производится путем использования ошибок в программах различных сетевых сервисов. Примеры таких распределенных систем — TFN, trin001 (см. ).
Ложные DHCP-клиенты
Атака состоит в создании злоумышленником большого числа сфальсифицированных запросов от различных несуществующих DHCP-клиентов. Если DHCP-сервер выделяет адреса динамически из некоторого пула, то все адресные ресурсы могут быть истрачены на фиктивных клиентов, вследствие чего легитимные хосты не смогут сконфигурироваться и лишатся доступа в сеть.
Для защиты от этой атаки администратору следует поддерживать на DHCP-сервере таблицу соответствия MAC- и IP-адресов (если это возможно); сервер должен выдавать IP-адреса в соответствии с этой таблицей.
Изменение конфигурации или состояния узла
Перенаправление трафика на несуществующий узелВ п. были рассмотрены различные методы перехвата трафика злоумышленником. Любой из этих методов может быть использован также и для перенаправления посылаемых атакуемым узлом (или целой сетью) данных «в никуда», результатом чего будет потеря связи жертвы с выбранными злоумышленником узлами или сетями.
В случае с протоколом BGP злоумышленнику достаточно сбросить TCP-соединение между BGP-соседями (см. ниже), чтобы каждый из соседей удалил маршруты, полученные от другого, и распространил информацию о недостижимости этих маршрутов другим своим соседям. К счастью, применение BGP-аутентификации, которая, напомним, работает на уровне TCP, существенно затрудняет эту задачу, поскольку злоумышленник, не зная пароля, не может сфабриковать приемлемый RST-сегмент.
В дополнение отметим, что при использовании в сети любого протокола маршрутизации злоумышленник может генерировать сфальсифицированные сообщения протокола, содержащие некорректные или предельные значения некоторых полей (порядковых номеров, возраста записи, метрики), что приведет к нарушениям в системе маршрутизации (см., например, [], []).
Навязывание длинной сетевой маски
Если хост получает маску для своей сети через ICMP-сообщение Address Mask Reply, то, сформировав ложное сообщение с длинной маской (например, 255.255.255.252), злоумышленник существенно ограничит способность атакуемого хоста к соединениям (коннективность). Если в «суженной» злоумышленником сети не окажется маршрутизатора по умолчанию, то жертва сможет посылать данные только узлам, попадающим под навязанную маску.
В настоящее время хосты динамически конфигурируются с помощью протокола DHCP (что, впрочем, открывает перед злоумышленником более широкие возможности: выдав себя за DHCP-сервер, злоумышленник может полностью исказить настройки стека TCP/IP атакуемого хоста). Тем не менее, следует проверить, как система отреагирует на получение ICMP Address Mask Reply.
Десинхронизация TCP-соединения
Десинхронизация TCP-соединения была рассмотрена в п. . Очевидно, что если после выполнения десинхронизации злоумышленник не будет функционировать в качестве посредника, то передача данных по атакованному TCP-соединению будет невозможна.
Изменение состояния RIP-системы
Выясним, что происходит в случае, когда состояние системы неожиданно изменяется, например, маршрутизатор ?отключается от сети А.

Рис. 4.1.2. Изменение состояния RIP-системы
Узел ?
обнаруживает свое отсоединение от сети А и меняет таблицу маршрутов, устанавливая бесконечное расстояние до всех сетей, ранее достижимых через маршрутизаторы, подключенные к сети А (то есть ?
). В протоколе RIP значение бесконечности равно 16.
A=16a
?
B=1a
?
C=16a
?
D=16a
?
Е=2a
?
Вектор расстояний, построенный на основании этой таблицы, рассылается в сеть В, чтобы маршрутизаторы, направлявшие свои данные через ?
в ставшие недоступными сети, если таковые маршрутизаторы существуют, соответственно изменили свои маршрутные таблицы.
Допустим, в узле ?
имелась следующая таблица маршрутов:
A=2a
?
B=1a
?
C=1a
?
D=2a
?
Е=1a
?
Узел ?
периодически и широковещательно рассылает в сети В, С, Е свой вектор расстояний (А=2,В=1,С=1,D=2,E=1). Узел ?
получает этот вектор, увеличивает расстояния на 1: (А=3,В=2,С=2,D=3,E=2) и замечает, что расстояния А=3, С=2 и D=3 меньше бесконечностиследовательно, соответствующие записи таблицы маршрутов модифицируются и она принимает вид:
A=3a
?
B=1a
?
C=2a
?
D=3a
?
Е=2a
?
Таким образом, узел ?
построил маршруты в обход поврежденного участка и восстановил достижимость всех сетей.
Классовая модель
В классовой модели IP-адрес может принадлежать к одному из четырех классов сетей. Каждый класс характеризуется определенным размером сетевой части адреса, кратным восьми; таким образом, граница между сетевой и хостовой частями IP-адреса в классовой модели всегда проходит по границе октета. Принадлежность к тому или иному классу определяется по старшим битам адреса.Класс А. Старший бит адреса равен нулю. Размер сетевой части равен 8 битам. Таким образом, может существовать всего примерно 27 сетей класса А, но каждая сеть обладает адресным пространством на 224 хостов. Так как старший бит адреса нулевой, то все IP-адреса этого класса имеют значение старшего октета в диапазоне 0— 127, который является также и номером сети.
Класс В. Два старших бита адреса равны 10. Размер сетевой части равен 16 битам. Таким образом, может существовать всего примерно 214 сетей класса В, каждая сеть обладает адресным пространством на 216 хостов. Значения старшего октета IP-адреса лежат в диапазоне 128 — 191, при этом номером сети являются два старших октета.
Класс С. Три старших бита адреса равны 110. Размер сетевой части равен 24 битам. Количество сетей класса С примерно 221, адресное пространство каждой сети рассчитано на 254 хоста. Значения старшего октета IP-адреса лежат в диапазоне 192 - 223, а номером сети являются три старших октета.
Класс D. Сети со значениями старшего октета IP-адреса 224 и выше. Зарезервированы для специальных целей. Некоторые адреса используются для мультикастинга - передачи дейтаграмм группе узлов сети, например:
224.0.0.1 - всем хостам данной сети;
224.0.0.2 - всем маршрутизаторам данной сети;
224.0.0.5 - всем OSPF-маршрутизаторам;
224.0.0.6 - всем выделенным (designated) OSPF-маршрутизаторам;


Рис. 2.2.1. Классы IP-адресов
В классе А выделены две особые сети, их номера 0 и 127. Сеть 0 используется при маршрутизации как указание на маршрут по умолчанию (см. п. 2.3) и в других особых случаях.
IP-интерфейс с адресом в сети 127 используется для адресации узлом себя самого (loopback, интерфейс обратной связи). Интерфейс обратной связи не обязательно имеет адрес в сети 127 (особенно у маршрутизаторов), но если узел имеет IP-интерфейс с адресом 127.0.0.1, то это - интерфейс обратной связи. Обращение по адресу loopback-интерфейса означает связь с самим собой (без выхода пакетов данных на уровень доступа к среде передачи); для протоколов на уровнях транспортном и выше такое соединение неотличимо от соединения с удаленным узлом, что удобно использовать, например, для тестирования сетевого программного обеспечения.
В любой сети (это справедливо и для бесклассовой модели, которую мы рассмотрим ниже) все нули в номере хоста обозначают саму сеть, все единицы - адрес широковещательной передачи (broadcast).
Например, 194.124.84.0 - сеть класса С, номер хоста в ней определяется последним октетом. При отправлении широковещательного сообщения оно отправляется по адресу 194.84.124.255. Номера, разрешенные для присваивания хостам: от 1 до 254 (194.84.124.1 — 194.84.124.254), всего 254 возможных адреса.
Другой пример: в сети 135.198.0.0 (класс В, номер хоста занимает два октета) широковещательный адрес 135.198.255.255, диапазон номеров хостов: 0.1 — 255.254 (135.198.0.1 — 135.198.255.254).
Конфигурирование RIP
Общий порядок действий при конфигурировании модуля RIP следующий:указать, какие сети, подключенные к маршрутизатору, будут включены в RIP-систему;
указать "nonbroadcast networks", т.е. сети со статической маршрутизацией (например, тупиковые сети, подсоединенные к внешнему миру через единственный шлюз), куда не нужно рассылать векторы расстояний;
указать "permanent routes"- статические маршруты, например, маршрут по умолчанию за пределы автономной системы.
Конфликты маршрутных политик
Рассмотрим пример (рис. 7.4.2).
Рис. 7.4.2. Автономные системы
Предположим, автономная система 5 формирует маршрут до сетей автономной системы 1. Политическая ситуация такова, что АС3 берет с АС5 существенно большие деньги за транзитный трафик, чем АС4 и АС2, поэтому АС5 формирует политику приема маршрутов, в соответствии с которой на маршруты, полученные от АС3, но ведущие в сети других АС (АС1 и АС2), назначается меньший приоритет, чем на маршруты в те же сети, но полученные от АС4. Таким образом, АС5 ожидает, что ее маршрутизатор установит маршрут в АС1 как 5-4-2-1 (естественно, что к сетям самой АС3 маршрут будет кратчайший: 5-3).
Однако выясняется, что маршрутизатор АС5 выбрал маршрут 5-3-1, то есть политика не действует, хотя все настройки в АС5 произведены верно. Дело в том, что к четвертой системе АС5 относится гораздо более дружелюбно и тарифицирует ее трафик по обычным расценкам, вследствие чего для АС4 нет разницы, как добираться в АС1: 4-3-1 или 4-2-1. АС4 по какой-то причине выбирает маршрут 4-3-1, и поскольку маршрутом 4-2-1 она не пользуется, она его и не объявляет. В результате у АС5 нет вариантов: эта автономная система просто не получает анонс маршрута 4-2-1 и вынуждена использовать маршрут 3-1.
Для решения проблемы АС5 должна обратиться к АС4 с просьбой установить политику приема маршрутов так, чтобы использовать маршрут 4-2-1. Однако, если АС3 тарифицирует трафик АС4 не просто по обычным тарифам, а со скидками, то для АС4 невыгодно вносить требуемые изменения, и АС5 остается перед выбором: либо дорого платить за трафик через АС3, либо не иметь связи с АС1.
Описанная ситуация представляет собой конфликт интересов, который не может быть разрешен программным обеспечением протокола BGP. Отметим, что в этом нет вины самого протокола; мы наблюдаем здесь побочный эффект технологии маршрутизации "только по адресу получателя", используемой протоколом IP.
Литература
[Bellovin] // Computer Communications Review, Vol. 19, No. 2, pp. 32-48, April 1989.[McDanel] McDanel, B. "TCP Timestamping - Obtaining System Uptime Remotely" // Bugtraq, March 11, 2001.
[Zalewski] , April 2001.
[Newsham] , February 2001.
[Joncheray] // Proceedings of 5th USENIX UNIX Security Symposium, June 1995.
[Savage] Savage S., Cardwell N., Wetherall D., Anderson T. "TCP Congestion Control with a Misbehaving Receiver" // ACM Computer Communications Review, Vol. 29, No. 5, pp. 71-78, October 1999.
[Moore] // Proceedings of 10th USENIX UNIX Security Symposium, August 2001.
[Vetter] Vetter B., Wang F., Wu S.F. "An experimental study of insider attacks on the OSPF routing protocol" // IEEE International Conference on Network Protocol (ICNP), pp. 293-300, Atlanta, USA, October 1997.
[Wang] Wang F., Gong F., Wu S.F. Narayan R. "Intrusion Detection for Link State Routing Protocol Through Integrated Network Management" // Proc. of Eighth International Con-ference on Computer Communications and Networks, Boston, October 1999.
LOCAL_PREF
LOCAL_PREF (тип 5) – необязательный атрибут, устанавливающий для данной АС приоритет данного маршрута среди всех маршрутов к заявленной сети, известных внутри АС. Атрибут вычисляется каждым пограничным маршрутизатором для каждого присланного ему по EBGP маршрута и потом распространяется вместе с этим маршрутом по IBGP в пределах данной АС. Способ вычисления значения атрибута определяется политикой приема маршрутов (по умолчанию берется во внимание только длина AS_PATH). LOCAL_PREF используется для согласованного между маршрутизаторами одной АС выбора маршрута из нескольких вариантов.Ложные ARP-ответы
Для перехвата трафика между узлами А и В, расположенными в одной IP-сети, злоумышленник использует протокол ARP. Он рассылает сфальсифицированные ARP-сообщения так, что каждый из атакуемых узлов считает MAC-адрес злоумышленника адресом своего собеседника (рис. 2.78).
Рис. 9.1. Схема ARP-атаки
План атаки:
1. Злоумышленник определяет MAC-адреса узлов А и В:
% ping IP(A); ping IP(B); arp —a
2. Злоумышленник конфигурирует дополнительные логические IP-интерфейсы на своем компьютере, присвоив им адреса А и В и отключив протокол ARP для этих интерфейсов, чтобы их не было «слышно» в сети, например:
# ifconfig hme0:1 inet IP(A) -arp # ifconfig hme0:2 inet IP(B) -arp
Затем он устанавливает статическую ARP-таблицу:
# arp —s IP(A) MAC(A) # arp —s IP(B) MAC(B)
и разрешает ретрансляцию IP-датаграмм (переводит компьютер в режим маршрутизатора).
3. Злоумышленник отправляет на МАC-адрес узла А кадр со сфабрикованным ARP-ответом, в котором сообщается, что IP адресу В соответствует MAC-адрес Х. Аналогично узлу В сообщается, что IP адресу А соответствует тот же MAC-адрес Х (рис. 9.1). Для формирования сообщений можно использовать библиотеку libnet. Так как ARP — протокол без сохранения состояния, то узлы А и В примут ARP-ответы, даже если они не посылали запросов. Далее злоумышленник периодически (достаточно это делать раз в 20–40 секунд) повторяет посылку сфальсифицированных ARP-ответов для обновления сфабрикованных записей в ARP-таблицах узлов А и В, чтобы удерживать эти узлы в неведении относительно истинных адресов и не дать им сформировать соответствующие ARP-запросы.
4. Введенные в заблуждение узлы А и В пересылают свой трафик через узел Х, полагая, что сообщаются друг с другом непосредственно. Злоумышленник может просто прослушивать трафик или изменять передаваемые данные в своих интересах.
Узел В может быть шлюзом сети, в которой находится узел А. В этом случае злоумышленник может перехватывать весь трафик между узлом А и Интернетом.
Также злоумышленник может вообще не передавать кадры узла А узлу В, а выдавать себя за узел В, фабрикуя ответы от его имени и отсылая их в А (см. также п. ).
Разделение сети на сегменты с помощью коммутаторов, очевидно, не является препятствием для описанной ARP-атаки.
Отметим, что в сфабрикованных ARP-ответах злоумышленник может вместо своего MAC-адреса указать несуществующий адрес Ethernet. Впоследствии он может извлекать из сети кадры, направленные на этот адрес путем прослушивания сети или перепрограммирования MAC-адреса своей сетевой карты. Это потребует несколько больших усилий, но взамен злоумышленник сможет практически полностью замести следы, поскольку его собственный MAC-адрес уже нигде не фигурирует.
Для обнаружения ARP-атак администратор должен вести базу данных соответствия MAC- и IP-адресов всех узлов сети и использовать программу arpwatch, которая прослушивает сеть и уведомляет администратора о замеченных нарушениях. Если сеть разделена на сегменты коммутаторами, то администратор должен настроить их таким образом, чтобы в сегмент, где находится станция администратора, перенаправлялись кадры из всех сегментов сети вне зависимости от того, кому они предназначены.
Использование статических ARP-таблиц, по крайней мере — на ключевых узлах (серверах, маршрутизаторах), защитит их от ARP-атаки, правда, за счет накладных расходов на поддержку этих таблиц в актуальном состоянии.
Пользователю на атакуемом хосте, не снабженном статической ARP-таблицей, крайне сложно заметить, что он подвергся ARP-атаке, поскольку представляется маловероятным, что пользователь помнит MAC-адреса других узлов своей сети и периодически проверяет ARP-таблицу своего компьютера. Возможно, что операционная система отслеживает изменения в ARP-таблице и вносит в лог-файл записи вида «arp info for 0x11223344 overwritten by 01:02:03:04:05:06», однако, в общем случае, для отслеживания ARP-атак следует полагаться на администратора сети и программу arpwatch.
Ложные дубликаты подтверждений
Опять рассмотрим ситуацию, когда узел А находится в медленном старте после установления соединения. А отправляет в В один сегмент (SN=1–1000), но узел В, вместо того чтобы ответить подтверждением ACK SN=1001, отвечает серией сфабрикованных подтверждений ACK SN=1 (рис. 9.15).Получение дубликатов подтверждений включает на узле А алгоритмы быстрой повторной передачи (fast retransmit) и быстрого восстановления (fast recovery). Последний из них представляет в данном случае особый интерес. Напомним, что алгоритм быстрого восстановления базируется на предположении, что каждый полученный дубликат предыдущего подтверждения, кроме того, что говорит о потере сегмента, также подразумевает, что какой-то другой полноразмерный сегмент покинул сеть. Вследствие этого окно cwnd, измеряемое в полноразмерных сегментах, временно увеличивается на число полученных дубликатов, пока не придет подтверждение, отличное от предыдущих.
Поскольку сам дубликат подтверждения не несет никакой информации о том, получение какого именно сегмента вызвало отправку данного дубликата, ничто не может уберечь отправителя от ложных дубликатов подтверждений, сгенерированных получателем. Таким образом, получатель заставляет отправителя необоснованно увеличить окно cwnd и ускорить отправку данных.

Рис. 9.15 Ложные дубликаты подтверждений
Фактически узел А будет отправлять данные со скоростью, с которой В генерирует дубликаты подтверждений. В какой-то момент в узле А сработает таймер повторной передачи для сегмента SN=1–1000, поскольку он так и не был подтвержден. Узел В отреагирует на это посылкой кумулятивного подтверждения на все полученные к этому моменту данные и переключится на генерацию ложных дубликатов этого последнего подтверждения, снова вынуждая отправителя необоснованно увеличивать cwnd.
Маршрутизация групповых дейтаграмм
Задачей этого раздела является описание методов маршрутизации групповых дейтаграмм, то есть продвижения их через систему сетей от отправителя к членам группы. После описания методов маршрутизации в п. рассмотрены использующие их протоколы.Маршрутизация
Процесс маршрутизации дейтаграмм состоит в определении следующего узла (next hop) в пути следования дейтаграммы и пересылки дейтаграммы этому узлу, который является либо узлом назначения, либо промежуточным маршрутизатором, задача которого — определить следующий узел и переслать ему дейтаграмму. Ни узел-отправитель, ни любой промежуточный маршрутизатор не имеют информации о всей цепочке, по которой пересылается дейтаграмма; каждый маршрутизатор, а также узел-отправитель, основываясь на адресе назначения дейтаграммы, находит только следующий узел ее маршрута.Маршрутизация дейтаграмм осуществляется на уровне протокола IP.
Маршрутизация выполняется на основе данных, содержащихся в таблице маршрутов. Строка в таблице маршрутов состоит из следующих полей:
Таблица может составляться вручную или с помощью специализированных протоколов. Каждый узел сети, в том числе и хост, имеет таблицу маршрутов, хотя бы самую простую.
Маршрутизатор или шлюз?
Небольшое замечание о терминологии.С точки зрения топологии соединений G2 (рис. 2.3.2) является собственно маршрутизатором (router), так как он коммутирует потоки дейтаграмм между своими многочисленными IP-интерфейсами, в то время как G1 является шлюзом (gateway) — интерфейсом между двумя разнородными средами передачи данных (локальной сетью Ethernet и выделенной линией). Все дейтаграммы, идущие вовне локальной сети, он безусловно транслирует на G2, и только G2 приступает именно к маршрутизации. Однако, с точки зрения общего подхода к задаче маршрутизации как определения следующего маршрутизатора в пути дейтаграммы на основе записей в таблице маршрутов, функции G1 и G2 не различаются, различается только сложность их маршрутных таблиц. Поэтому мы будем считать термины “маршрутизатор” (“router”) и “шлюз” (“gateway”) синонимами и будем использовать термин “шлюз”, говоря о маршрутизаторе, расположенном между локальной сетью конечного пользователя (например, сетью предприятия) и “внешним миром”.
Методы и инструменты
Для достижения своих целей злоумышленник использует прослушивание (sniffing), сканирование сети и генерацию пакетов. Под генерацией пакетов понимается создание и отправка специально сконструированных датаграмм или кадров, позволяющих злоумышленнику выполнить ту или иную атаку. Особо выделим здесь фальсификацию пакетов, то есть создание IP-датаграмм или кадров уровня доступа к сети, направленных якобы от другого узла (spoofing).Метрики
Метрика представляет собой оценку качества связи в данной сети (на данном физическом канале); чем меньше метрика, тем лучше качество соединения. Метрика маршрута равна сумме метрик всех связей (сетей), входящих в маршрут. В простейшем случае (как это имеет место в протоколе ) метрика каждой сети равна единице, а метрика маршрута тогда просто является его длиной в хопах.Поскольку при работе алгоритма SPF ситуации, приводящие к счету до бесконечности, отсутствуют, значения метрик могут варьироваться в широком диапазоне. Кроме того, протокол OSPF позволяет определить для любой сети различные значения метрик в зависимости от типа сервиса. (Тип сервиса запрашивается дейтаграммой в соответствии со значением поля TOS ее заголовка, см. ) Для каждого типа сервиса будет вычисляться свой маршрут, и дейтаграммы, затребовавшие наиболее скоростной канал, могут быть отправлены по одному маршруту, а затребовавшие наименее дорогостоящий канал - по другому.
Метрика сети, оценивающая пропускную способность, определяется как количество секунд, требуемое для передачи 100 Мбит через физическую среду данной сети. Например, метрика сети на базе 10Base-T Ethernet равна 10, а метрика выделенной линии 56 кбит/с равна 1785. Метрика канала со скоростью передачи данных 100 Мбит/с и выше равна единице.
Порядок расчета метрик, оценивающих надежность, задержку и стоимость, не определен. Администратор, желающий поддерживать маршрутизацию по этим типам сервисов, должен сам назначить разумные и согласованные метрики по этим параметрам.
Если не требуется маршрутизация с учетом типа сервиса (или маршрутизатор ее не поддерживает), используется метрика по умолчанию, равная метрике по пропускной способности.
В нашем примере мы будем использовать метрики, указанные на рисунке, без учета типов сервиса. Следует заметить, что маршрутизация по типам сервиса крайне редка, более того, она исключена из последних версий стандарта OSPF.
Межсетевой уровень и протокол IP
Основным протоколом этого уровня является протокол IP (Internet Protocol).Протокол IP доставляет блоки данных, называемых дейтаграммами, от одного IP-адреса к другому. IP-адрес является уникальным 32-битным идентификатором компьютера (точнее, его сетевого интерфейса). Данные для дейтаграммы передаются IP-модулю транспортным уровнем. IP-модуль предваряет эти данные заголовком, содержащим IP-адреса отправителя и получателя и другую служебную информацию, и сформированная таким образом дейтаграмма передается на уровень доступа к среде передачи (например, одному из физических интерфейсов) для отправки по каналу передачи данных.
Не все компьютеры могут непосредственно связаться друг с другом; часто для того, чтобы передать дейтаграмму по назначению, требуется направить ее через один или несколько промежуточных компьютеров по тому или иному маршруту. Задача определения маршрута для каждой дейтаграммы решается протоколом IP.
Когда модуль IP получает дейтаграмму с нижнего уровня, он проверяет IP-адрес назначения. Если дейтаграмма адресована данному компьютеру, то данные из нее передаются на обработку модулю вышестоящего уровня (какому конкретно - указано в заголовке дейтаграммы). Если же адрес назначения дейтаграммы - чужой, то модуль IP может принять два решения: первое - уничтожить дейтаграмму, второе - отправить ее дальше к месту назначения, определив маршрут следования - так поступают промежуточные станции - маршрутизаторы.
Также может потребоваться, на границе сетей с различными характеристиками, разбить дейтаграмму на фрагменты, а потом собрать в единое целое на компьютере-получателе. Это тоже задача протокола IP.
Если модуль IP по какой-либо причине не может доставить дейтаграмму, она уничтожается. При этом модуль IP может отправить компьютеру-источнику этой дейтаграммы уведомление об ошибке; такие уведомления отправляются с помощью протокола ICMP, являющегося неотъемлемой частью модуля IP. Более никаких средств контроля корректности данных, подтверждения их доставки, обеспечения правильного порядка следования дейтаграмм, предварительного установления соединения между компьютерами протокол IP не имеет. Эта задача возложена на транспортный уровень.
Многие IP-адреса имеют эквивалентную форму записи в виде доменного имени (например, IP-адрес 194.84.124.4 может быть записан как maria.vvsu.ru). Преобразование между этими двумя формами выполняется службой DNS (Domain Name Service). Доменные имена обсуждаются в курсе “Введение в Интернет”, служба DNS рассматривается в курсе . Доменные имена введены для удобства использования человеком. Все TCP/IP-процессы и коммуникационное оборудование используют только IP-адреса.
Протоколы IP и ICMP подробно рассмотрены в .
MOSPF
Протокол MOSPF (Multicast OSPF, RFC-1584) является расширением протокола OSPF. Маршрутизатор, поддерживающий это расширение, устанавливает бит "М" в поле "Options" сообщения "Hello". В базе данных состояния связей вводится дополнительный тип записи: для указанной сети перечисляются все группы, члены которых есть в этой сети. Эти записи, как и все прочие записи базы данных состояния связей, распространяются по системе сетей с помощью протокола веерной рассылки. Для транзитной сети запись вносится в базу данных выделенным маршрутизатором.Деревья рассылки групповых дейтаграмм строятся по методу RPF на основе базы данных состояния связей. Отметим, что рассылка "пробных" групповых дейтаграмм и последующее усечение ненужных ветвей дерева в данном случае не производится, так как информация о наличии в сетях членов групп уже содержится в базе данных.
Протокол MOSPF имеет серьезную проблему, связанную с масштабированием: для каждой пары "источник-группа" проводится отдельный запуск алгоритма SPF для расчета дерева рассылки. При большом числе источников, а также при нестабильной топологии системы сетей, на эти вычисления затрачиваются существенные вычислительные ресурсы маршрутизаторов. Кроме того, следует учесть необходимость веерной рассылки информации о членстве в группах при ее изменении.
И, наконец, очевидно, что MOSPF требует использования OSPF в качестве протокола маршрутизации, то есть, не является независимым и может применяться только в OSPF-системах.
MULTI_EXIT_DISC
MULTI_EXIT_DISC (тип 4) – необязательный атрибут, представляющий собой приоритет использования объявляющего маршрутизатора для достижения через него анонсируемой сети, то есть фактически это метрика маршрута с точки зрения анонсирующего маршрут BGP-узла. Имеет смысл не само значение а разница значений, когда несколько маршрутизаторов одной АС объявляют о достижимости через себя одной и той же сети, предоставляя таким образом получателям несколько вариантов маршрутов в одну сеть. При прочих равных условиях дейтаграммы в объявляемую сеть будут посылаться через маршрутизатор, заявивший меньшее значение MULTI_EXIT_DISC.Атрибут сохраняется при последующих объявлениях маршрута по IBGP, но не по EBGP.
Накладывающиеся маршруты
Пусть в графе OSPF-системы некий маршрутизатор имеет связи с вершинами N и М, которые представляют сети хостов, подключенные к различным интерфейсам маршрутизатора. Это означает, что в таблице маршрутов этого маршрутизатора, будет две записи: одна для сети N, другая для сети M.Предположим теперь, что адрес и маска сети М таковы, что она является подсетью сети N. Например, N=172.16.0.0 netmask 255.255.0.0; M=172.16.5.0 netmask 255.255.255.0.
В этом случае дейтаграммы, следующие по адресу, находящемуся в обеих сетях, будут отправлены в сеть с более длинной маской. Например, адрес 172.16.5.1 находится как в сети N, так и в сети М, но маска сети M длиннее, следовательно, дейтаграмма, следующая по этому адресу, будет отправлена в сеть М.
Навязывание ложного маршрутизатора
Для перехвата трафика, направленного от некоторого узла А в другую сеть, злоумышленник может навязать хосту свой адрес в качестве адреса маршрутизатора, которому должны быть переданы отправляемые узлом А данные. В этом случае узел А будет направлять трафик на узел злоумышленника, который после анализа и, возможно, модификации данных, отправит их далее настоящему маршрутизатору.Ложное сообщение ICMP Redirect
Как правило, навязывание ложного маршрутизатора выполняется с помощью фальсифицированных ICMP-сообщений Redirect, так как документ RFC-1122 требует, чтобы хосты обязательно обрабатывали такие сообщения. В подложном сообщении злоумышленник объявляет свой собственный адрес в качестве адреса маршрутизатора (рис. 9.2).

Рис. 9.2. Навязывание ложного маршрутизатора с помощью ICMP Redirect
Напомним действия хоста А при получении сообщения Redirect. Хост А считает, что Redirect является реакцией на ранее отправленную датаграмму некому хосту В, причем заголовок и первые 64 бита этой датаграммы возвращаются внутри полученного сообщения. Из возвращенного заголовка хост А определяет, что он должен сделать перенаправление для датаграмм, направленных в В, и вносит в свою таблицу маршрутов частный маршрут к хосту В через маршрутизатор, указанный в сообщении Redirect. Следует обратить внимание, что все сообщения Redirect обрабатываются одинаково независимо от кода сообщения — таким образом, посылка Redirect с кодом 0 («перенаправление для сети получателя») не вызовет изменения маршрута в сеть, в которой находится получатель, а приведет к установке частного маршрута к хосту В, как и в случае сообщения с кодом 1.
Сообщение Redirect должно быть отправлено маршрутизатором, который в таблице маршрутов хоста А является следующим маршрутизатором на пути в В, при этом хост В не должен находиться в той же IP-сети, что и А, а новый объявленный маршрутизатор Х, наоборот, обязан находиться в одной IP-сети с хостом А.
Таким образом, для создания ложного сообщения Redirect с целью перехвата трафика между хостами А и В злоумышленник должен находиться в одной IP-сети с А и знать адрес маршрутизатора, через который А отправляет датаграммы в В. Если в сети имеется единственный шлюз, то он и является искомым маршрутизатором. Далее злоумышленник формирует IP-датаграмму, где в качестве адреса отправителя указан IP-адрес шлюза, а получателем является хост А. В датаграмму помещается сообщение Redirect, где в поле Адрес нового маршрутизатора значится IP-адрес злоумышленника, а дальше приводится заголовок произвольной датаграммы, якобы ранее направленной из А в В. Совершенно необязательно приводить там заголовок реальной датаграммы, потому что модуль IP не хранит информацию о ранее отправленных датаграммах. Получившееся сообщение отправляется адресату — хосту А, который считает, что оно прибыло от шлюза и меняет свою таблицу маршрутов. Новый маршрут к хосту В будет действителен в течение нескольких минут, поэтому, чтобы поддерживать его постоянно, злоумышленник должен посылать сфабрикованные сообщения периодически.
Отметим, что трафик из В в А будет по- прежнему направляться маршрутизатором непосредственно хосту А, минуя злоумышленника (рис. 9.2), потому что маршрутизатор и хост А находятся в одной сети, следовательно, маршрутизатор в принципе не может использовать никаких промежуточных узлов для достижения хоста А.
Несмотря на такой «половинчатый» перехват, злоумышленник может просматривать и модифицировать данные, направляемые из А в В, а если он находится в одном сегменте с хостом А или маршрутизатором, то и наблюдать за ответами узла В, направляемыми в А. Более того, злоумышленник может вообще не пересылать датаграммы в узел В, а отвечать на них сам, фабрикуя датаграммы от имени узла В (см. также п. ).
Для устранения возможности описываемой атаки необходимо отключить на хосте обработку сообщений Redirect. Несмотря на то, что это действие противоречит требованиям к хостам, установленным в документе RFC-1122, оно выглядит совершенно разумным, особенно для хостов в сетях с единственным шлюзом, однако не все операционные системы могут поддерживать такое отключение.
Вообще говоря, для пользователя атакуемого узла не составит особого труда раскрыть замысел злоумышленника: полученное сообщение Redirect отобразится в виде неожиданно появившейся строки в таблице маршрутов, направляющей данные для хоста В через узел Х2. Кроме того, программа traceroute скорее всего покажет дополнительный промежуточный узел на пути к В. К сожалению пользователи обычно не заглядывают в таблицу маршрутов и не запускают traceroute, если поведение сетевых программ не вызывает у них подозрений, поэтому злоумышленник имеет хорошие шансы остаться незамеченным.
2Узел Х может и не быть узлом злоумышленника. Затратив определенные усилия на программирование, тот может создать узел-фантом, присвоив ему свободный IP-адрес Х и свободный MAC-адрес. Фабрикуя ARP-ответы от имени узла Х, злоумышленник обеспечит доставку кадров, предназначенных этому узлу, в свой сегмент Ethernet, откуда он может их получить, настроив свою сетевую карты на вымышленный MAC-адрес Х, или извлечь с помощью прослушивания. Использование такой схемы не может скрыть наличия Redirect-атаки, но весьма затрудняет обнаружение злоумышленника.
Атака при конфигурировании хоста
В некоторых случаях навязывание ложного маршрутизатора может быть произведено с помощью ICMP-сообщения Router Advertisement или через протокол DHCP.
Сообщения Router Advertisement могут использоваться хостами для установки маршрута по умолчанию, однако в реальной жизни такое происходит нечасто, так как для удаленного динамического конфигурирования стека TCP/IP хоста обычно используется протокол DHCP. Если же хост все-таки обрабатывает сообщения Router Advertisement, то сформировав подложное сообщение, злоумышленник может перенаправить на себя весь трафик хоста А, адресованный за пределы его сети, а не только трафик, адресованный узлу В. Как и в предыдущем случае, данные на обратном пути будут доставляться маршрутизатором на хост А непосредственно, минуя злоумышленника.
Фальсификация сообщений протокола DHCP будет успешна, если хост конфигурирует себя через этот протокол. В ответ на запрос DHCPDISCOVER злоумышленник оперативно возвращает хосту подложное сообщение DHCPOFFER, где в числе дополнительных параметров указывает себя в качестве маршрутизатора по умолчанию. Чтобы опередить предложение от легитимного сервера, злоумышленник может рассылать DHCPOFFER непрерывно, чтобы сделавший запрос хост получил предложение немедленно. В этом случае также происходит «половинчатый» перехват.
Отметим, что если хост принимает предложения только от определенных серверов, то злоумышленник может легко выдать себя за один из таких серверов, установив соответствующие обратные адреса в датаграммах с DHCP-сообщениями.
Атака на протоколы маршрутизации
Если злоумышленник хочет перехватить трафик между узлами сети Р и узлами сети Q, и при этом не находится ни в одной из сетей P или Q, но расположен на пути между ними, он может попытаться ввести в заблуждение маршрутизаторы. Маршрутизаторы не реагируют на сообщения ICMP Redirect, поэтому для успешной атаки необходимо, чтобы они использовали какой-либо протокол маршрутизации. В этом случае злоумышленник может сформировать подложные сообщения протокола маршрутизации с целью переключения требуемых маршрутов на себя. Например (рис. 9.3) узел Х, приняв широковещательные RIP-сообщения, рассылаемые узлами А (вектор P=3) и В (вектор Q=2), отправляет сообщение с вектором Q=1 на индивидуальный адрес маршрутизатора А, а сообщение P=2 — на индивидуальный адрес В.

Рис. 9.3. Навязывание ложного RIP-маршрутизатора X для перехвата трафика между сетями P и Q
Возможна ситуация, когда значение вектора, объявляемого, например, маршрутизатором В: Q=1. В этом случае Х не может немедленно предложить лучшего маршрута, но он может применить следующий прием. Сначала, выбрав паузу в рассылке RIP-сообщений маршрутизатором В, Х от имени В отправляет в А вектор Q=16, что заставит маршрутизатор А удалить из своей таблицы маршрут в сеть Q, так как до этого А отправлял датаграммы в Q через В. Сразу же вслед за этим Х отправляет вектор Q=1 от своего имени, и А устанавливает маршрут в сеть Q через Х. Последующие векторы Q=1 от В будут проигнорированы, поскольку они не предлагают лучшего маршрута.
IBGP-соседи для пересылки датаграмм друг другу могут пользоваться результатами работы внутреннего протокола маршрутизации, злоумышленник может предварительно атаковать протокол внутренней маршрутизации, замкнув на себя трафик между сетями, в которых находятся BGP-маршрутизаторы (например, это сети P и Q на рис. 9.3) и модифицируя данные BGP-соединения в своих целях.
Конечно, атака на протокол BGP выглядит трудноосуществимой, но, тем не менее, такие атаки возможны. Аутентификация TCP-сегментов с помощью алгоритма MD5 поможет избежать неприятностей.
NBMA- и point-to-multipoint сети
В случае, когда несколько OSPF-маршрутизаторов подключены к сети множественного доступа, не поддерживающей широковещательную передачу (NBMA-сеть), они следуют той же процедуре, что и в случае широковещательной сети, поскольку каждый маршрутизатор также может непосредственно связаться с каждым, и, следовательно, существует та же проблема "N2" по числу отношений смежности и числу записей в базе данных состояния связей. В случае NBMA-сетей проблема даже усугубляется тем, что поддержка постоянных соединений между любыми двумя маршрутизаторами для обмена маршрутной информацией (отношения смежности) может потребовать значительных технических и финансовых затрат.Отличие NBMA от широковещательных сетей состоит в том, что адреса всех соседей должны быть предварительно сконфигурированы на каждом маршрутизаторе, потому что возможности передавать мультикастинговые сообщения нет.
Если маршрутизатор, подключенный к нешироковещательной сети, может непосредственно связаться с несколькими, но не со всеми маршрутизаторами этой сети (неполный множественный доступ), такое соединение конфигурируется как point-to-multipoint и не рассматривается протоколом OSPF как сеть множественного доступа со всеми вышеописанными последствиями. Маршрутизатор, подключенный к соединению типа point-to-multipoint, устанавливает двухточечные связи с каждым своим соседом по соединению (см. также ).
Могут быть также причины, по которым администратор пожелает сконфигурировать сеть с полным множественным доступом как point-to-multipoint.
Несанкционированное подключение к сети
Для незаконного подключения к сети злоумышленник, разумеется, должен иметь физическую возможность такого подключения. В крупных корпоративных и особенно университетских сетях такая возможность часто имеется. Следующим шагом для злоумышленника является конфигурирование параметров стека TCP/IP его компьютера.Прослушивание сети (сегмента сети) даст злоумышленнику много полезной информации. В частности, он может определить, какие IP-адреса имеют узлы сети, и с помощью ICMP Echo-запросов (программа ping) определить, какие адреса не используются (или компьютеры выключены). После этого злоумышленник может присвоить себе неиспользуемый адрес.
Найти IP-адрес маршрутизатора по умолчанию можно, подслушав кадры с датаграммами, направленными на IP-адреса, не принадлежащие сети. Эти кадры направлены на MAC-адрес маршрутизатора. Очевидно, что узлы сети время от времени генерируют ARP-запросы о MAC-адресе маршрутизатора; ответы на эти запросы, посылаемые маршрутизатором, содержат как его MAC-адрес, так и IP-адрес. Зная MAC-адрес маршрутизатора и подслушав такие ответы, злоумышленник определит искомый IP-адрес.
Для обнаружения маршрутизатора злоумышленник может использовать также сообщения ICMP Router Advertisement/Solicitation.
Для определения маски сети злоумышленник может послать на адрес маршрутизатора сообщение ICMP Address Mask Request. В ответ маршрутизатор должен выслать маску сети в сообщении Address Mask Reply.
Если маршрутизатор не поддерживает сообщения Address Mask Request/Reply, злоумышленник может применить следующий простой метод. Путем арифметических вычислений он определяет минимальную сеть, включающую его собственный адрес и найденный адрес маршрутизатора, и назначает себе маску этой сети. Например, пусть адрес, присвоенный злоумышленником, X=10.0.0.57, а адрес маршрутизатора G=10.0.0.1, то есть, расписывая последний октет в двоичном виде:
X=10.0.0.00111001 G=10.0.0.00000001
Максимальная общая часть обоих адресов (то есть, искомая минимальная сеть, включающая оба адреса): N=10.0.0.00XXXXXX
Значит, N=10.0.0.0/26, а маска — 255.255.255.192.
Все датаграммы, направленные за пределы этой минимальной сети, будут переданы маршрутизатору. Если маска определена неправильно, и на самом деле злоумышленник находится в сети, например, 10.0.0.0/16 и посылает датаграмму узлу 10.0.1.1, маршрутизатор примет эту датаграмму от злоумышленника и просто передаст ее узлу назначения в этой же самой сети.
Конечно, существует вероятность, что злоумышленник неправильно определит IP-адрес для присвоения и окажется за пределами сети. Кроме того, возможная конфигурация нескольких IP-сетей в одном сегменте Ethernet усложнит задачу злоумышленника. Однако после периода проб и ошибок злоумышленник имеет все шансы определить необходимые параметры для конфигурирования своего хоста.
Отметим, что если в сети имеется сервер DHCP, который предоставляет IP-адреса всем желающим, то он полностью сконфигурирует узел злоумышленника без всяких усилий со стороны последнего. Это событие будет зарегистрировано в журнале сервера.
Для предотвращения несанкционированного подключения к сети администратор должен использовать статическую ARP-таблицу на маршрутизаторе (и ключевых хостах-серверах) и программу arpwatch. Статическая ARP-таблица не позволит злоумышленнику получить ни одну датаграмму от узла, который ее использует, поскольку MAC-адрес злоумышленника, естественно, не значится в таблице. Программа arpwatch уведомит администратора о появлении узла с неизвестным MAC-адресом.
Однако, если злоумышленник, определив IP- и MAC-адреса какого-либо компьютера в своей сети, дождется его выключения (или проведет против него атаку «отказ в обслуживании», приводящую к неспособности атакуемого хоста работать в сети), а потом присвоит себе его MAC- и IP-адреса, то обнаружить такого злоумышленника будет невозможно и все его действия будут приписаны атакованному хосту.
Несанкционированный обмен данными
С целью обеспечения безопасности внутренней (корпоративной) сети на шлюзе могут использоваться фильтры, препятствующие прохождению определенных типов датаграмм. Датаграммы могут фильтроваться по IP-адресам отправителя или получателя, по протоколу (поле Protocol IP-датаграммы), по номеру порта TCP или UDP, по другим параметрам, а также по комбинации этих параметров.В этом пункте мы рассмотрим два приема, которые может использовать злоумышленник для проникновения через некоторые фильтры.
NEXT_HOP
NEXT_HOP (тип 3) – обязательный атрибут, указывающий адрес следующего BGP-маршрутизатора на пути в заявленную сеть (см. обсуждение в п. ); может совпадать или не совпадать с адресом BGP-узла, анонсирующего маршрут. Указанный в NEXT_HOP маршрутизатор должен быть достижим для получателя данного маршрута. При передаче маршрута по IBGP NEXT_HOP не меняется.Обеспечение достоверности
Модуль TCP обеспечивает защиту от повреждения, потери, дублирования и нарушения очередности получения данных.Для выполнения этих задач все октеты в потоке данных сквозным образом пронумерованы в возрастающем порядке. Заголовок каждого сегмента содержит число октетов данных в сегменте и порядковый номер первого октета той части потока данных, которая пересылается в данном сегменте. Например, если в сегменте пересылаются октеты с номерами от 2001 до 3000, то номер первого октета в данном сегменте равен 2001, а число октетов равно 1000.
Номер первого байта в потоке определяется на этапе установления соединения и обозначается ISN+1 (подробнее см. ). Например, ISN+1=1.
Также для каждого сегмента вычисляется контрольная сумма, позволяющая обнаружить повреждение данных.
При удачном приеме октета данных принимающий модуль посылает отправителю подтверждение о приеме- номер удачно принятого октета. Если в течение некоторого времени отправитель не получит подтверждения, считается, что октет не дошел или был поврежден, и он посылается снова. Этот механизм контроля надежности называется PAR (Positive Acknowledgment with Retransmission). В действительности подтверждение посылается не для одного октета, а для некоторого числа последовательных октетов (подробнее см. ).
Нумерация октетов используется также для упорядочения данных в порядке очередности и обнаружения дубликатов (которые могут быть посланы из-за большой задержки при передаче подтверждения или потери подтверждения).
Обсуждение фрагментации
Максимальное количество фрагментов равно 213=8192 при минимальном (8 октетов) размере каждого фрагмента. При большем размере фрагмента максимальное количество фрагментов соответственно уменьшается.При фрагментации некоторые опции копируются в заголовок фрагмента, некоторые — нет. Все остальные поля заголовка дейтаграммы в заголовке фрагмента присутствуют. Следующие поля заголовка могут менять свое значение по сравнению с первоначальной дейтаграммой: поле опций, флаг “MF”, “Fragment Offset”, “Total Length”, “IHL”, контрольная сумма. Остальные поля копируются во фрагменты без изменений.
Каждый модуль IP должен быть способен передать дейтаграмму из 68 октетов без фрагментации (максимальный размер заголовка 60 октетов [IHL=15] + минимальный фрагмент 8 октетов).
Сборка фрагментов осуществляется только в узле назначения дейтаграммы, поскольку разные фрагменты могут следовать в пункт назначения по разным маршрутам.
Если фрагменты задерживаются или утрачены при передаче, то у остальных фрагментов, уже полученных в точке сборки, TTL уменьшается на единицу в секунду до тех пор, пока не прибудут недостающие фрагменты. Если TTL становится равным нулю, то все фрагменты уничтожаются и ресурсы, задействованные на сборку дейтаграммы, высвобождаются.
Максимальное количество идентификаторов дейтаграмм - 65536. Если использованы все идентификаторы, нужно ждать до истечения TTL, чтобы можно было вновь использовать тот же самый ID, поскольку за TTL секунд “старая” дейтаграмма будет либо доставлена и собрана, либо уничтожена.
Передача дейтаграмм с фрагментацией имеет определенные недостатки. Например, как следует из предыдущего абзаца, максимальная скорость такой передачи равна 65536/TTL дейтаграмм в секунду. Если учесть, что рекомендованная величина TTL равна 120, получаем максимальную скорость в 546 дейтаграмм в секунду. В среде FDDI MTU равен примерно 4100 октетам, откуда получаем максимальную скорость передачи данных в среде FDDI не более 18 Мбит/с, что существенно ниже возможностей этой среды.
Другим недостатком фрагментации является низкая эффективность: при потере одного фрагмента заново передается вся дейтаграмма; при одновременном ожидании отставших фрагментов нескольких дейтаграмм создается ощутимый дефицит ресурсов и замедляется работа узла сети.
Способом обойти процесс фрагментации является применение алгоритма “Path MTU Discovery” (“Выявление MTU на пути следования”), этот алгоритм поддерживается протоколом TCP. Задачей алгоритма является обнаружение минимального MTU на всем пути от отправителя к месту назначения. Для этого посылаются дейтаграммы с установленным битом DF (“фрагментация запрещена”). Если они не доходят до места назначения, размер дейтаграммы уменьшается, и так происходит до тех пор, пока передача не будет успешной. После этого при передаче полезных данных создаются дейтаграммы с размером, соответствующим обнаруженному минимальному MTU.
Обсуждение
Применение того или иного протокола групповой маршрутизации существенно зависит от того, плотно или разреженно расположены получатели группового трафика. Для плотного расположения годятся протоколы DVMRP, MOSPF и PIM DM; для разреженного подходят PIM SM и CBT.Все перечисленные протоколы находятся в экспериментальной стадии. Протокол DVMRP, как указывалось выше, используется в ядре MBONE. Однако наиболее перспективными выглядят протоколы PIM DM и PIM SM; они также поддерживаются маршрутизаторами Cisco.
(С)
Протокол OSPF гораздо сложнее протокола RIP, но следует помнить, что маршрутизация является критически важной задачей для сетей TCP/IP. Благодаря использованию более совершенного алгоритма протокол OSPF работает в сетях любой сложности и не имеет ограничений и побочных эффектов протокола RIP. При этом время, используемое на построение таблицы маршрутов, и нагрузка на сеть для передачи служебной информации в среднем меньше по сравнению с тем, что потребовал бы RIP для такой же системы. (Например, при стабильной конфигурации системы маршрутная информация рассылается модулем OSPF каждые 30 минут, а модулем RIP - каждые 30 с.)
Кроме того, OSPF предлагает дополнительные возможности для оптимизации процесса построения маршрутов в системе. Во-первых, это специальная трактовка сетей множественного доступа, во-вторых, возможность разбить систему на области различного типа (обычные, тупиковые, не совсем тупиковые). Также разработаны и разрабатываются другие расширения протокола, не описанные выше.
Основная документация по протоколу OSPF содержится в следующих источниках:
RFC-2328 — стандарт протокола OSPF, версия 2 (RFC-1247, 1583, 2178 - предыдущие версии OSPF-2, RFC-1131 - описание OSPF-1);
RFC-1587 — работа с NSSA;
RFC-1584 — расширения OSPF для мультикастинговой маршрутизации (см. также RFC-1585);
RFC-1586 — рекомендации для работы OSPF поверх Frame Relay.
RFC-1793 — расширения OSPF для работы с соединениями, устанавливаемыми по требованию (demand circuits);
RFC-1850 — дополнения к MIB (Management Infomation Base) для объектов протокола OSPF.
Конфигурирование OSPF-маршрутизатора потребует, как минимум, следующих шагов:
Могут возникнуть также и другие задачи, связанные со спецификой системы.
(С)
Протокол RIP очень прост и до сих пор продолжает использоваться в системах с простой топологией, но обладает недостатками, которые не позволяют применять его в обширных и сложных системах.
Во-первых, малое значение бесконечности (из-за эффекта "счет до бесконечности") ограничивает размер RIP-системы четырнадцатью промежуточными маршрутизаторами в любом направлении. Кроме того, по той же причине весьма затруднительно использование сложных метрик, учитывающих не просто количество промежуточных маршрутизаторов, но и скорость и качество канала связи (чем хуже (медленнее) канал, тем больше метрика).
Во-вторых, само явление счета до бесконечности вызывает сбои в маршрутизации.
В-третьих, широковещательная рассылка векторов расстояний каждые 30 секунд ухудшает пропускную способность сети.
В-четвертых, время схождения алгоритма при создании маршрутных таблиц достаточно велико (по крайней мере, по сравнению с протоколами состояния связей).
В-пятых, несмотря на то, что каждый маршрутизатор начинает периодическую рассылку своих векторов, вообще говоря, в случайный момент времени (например, после включения), через некоторое время в системе наблюдается эффект синхронизации маршрутизаторов, сходный с эффектом синхронизации аплодисментов. Все маршрутизаторы рассылают свои вектора в один и тот же момент времени, что приводит к большим пикам трафика и отказам в маршрутизации дейтаграмм во время обработки большого количества одновременно полученных векторов.
Протокол RIP описан в RFC-1058 (версия 1) и RFC-1388 (версия 2).
(С)
Опции IP
Опции определяют дополнительные услуги протокола IP по обработке дейтаграмм. Опция состоит, как минимум, из октета “Тип опции”, за которым могут следовать октет “Длина опции” и октеты с данными для опции.Структура октета “Тип опции”:

Значения бита С:
1 - опция копируется во все фрагменты;
0 - опция копируется только в первый фрагмент.
Определены два класса опций: 0- “Управление” и 2 - “Измерение и отладка”. Внутри класса опция идентифицируется номером. Ниже приведены опции, описанные в стандарте протокола IP; знак “-” в столбце “Октет длины” означает, что опция состоит только из октета “Тип опции”, число рядом с плюсом означает, что опция имеет фиксированную длину (длина указывается в октетах).
Таблица 2.4.2
Опции IP
Класс
При обнаружении в списке опции “Конец списка опций” разбор опций прекращается, даже если длина заголовка (IHL) еще не исчерпана. Опция “Нет операции” обычно используется для выравнивания между опциями по границе 32 бит.
Большинство опций в настоящее время не используются. Опции “Stream ID” и “Безопасность” применялись в ограниченном круге экспериментов, функции опций “Запись маршрута” и “Internet Timestamp” выполняет программа traceroute. Определенный интерес представляют только опции “Loose/Strict Source Routing”, они рассмотрены в следующем пункте.
Применение опций в дейтаграммах замедляет их обработку. Поскольку большинство дейтаграмм не содержат опций, то есть имеют фиксированную длину заголовка, их обработка максимально оптимизирована именно для этого случая. Появление опции прерывает этот скоростной процесс и вызывает стандартный универсальный модуль IP, способный обработать любые стандартные опции, но за счет существенной потери в быстродействии.
Опции “Loose/Strict Source Routing”
Опции “Loose/Strict Source Routing” (класс 0, номера 3 и 9 соответственно) предназначены для указания дейтаграмме предопределенного отправителем маршрута следования.Обе опции выглядят одинаково:
Тип опции
1 октет
Поле “Данные” содержит список IP-адресов требуемого маршрута в порядке следования. Поле “Указатель” служит для определения очередного пункта маршрута, оно содержит номер первого октета IP-адреса этого пункта в поле “Данные”. Номера считаются от начала опции с единицы, начальное значение указателя - 4.
Опции работают следующим образом.
Предположим, дейтаграмма, посланная из A в B, должна проследовать через маршрутизаторы G1 и G2. На выходе из А поле “Destination Address” заголовка дейтаграммы содержит адрес G1, а поле данных опции - адреса G2 и В (указатель=4). По прибытии дейтаграммы в G1 из поля данных опции, начиная с октета, указанного указателем (октет 4), извлекается адрес следующего пункта (G2) и помещается в поле “Destination Address”, при этом значение указателя увеличивается на 4, а на место адреса G2 в поле данных опции помещается адрес того интерфейса маршрутизатора G1, через который дейтаграмма будет отправлена по новому месту назначения (то есть в G2). По прибытии дейтаграммы в G2 процедура повторяется и дейтаграмма отсылается в В. При обработке дейтаграммы в В обнаруживается, что значение указателя (12) превышает длину опции, это значит, что конечный пункт маршрута достигнут.
Отличия опций “Loose Source Routing” и “Strict Source Routing” друг от друга заключаются в следующем:
“Loose”: очередной пункт требуемого маршрута может быть достигнут за любое количество шагов (хопов);
“Strict”: очередной пункт требуемого маршрута должен быть достигнут за 1 шаг, то есть непосредственно.
Рассмотренные опции копируются во все фрагменты. В дейтаграмме может быть только одна такая опция.
Опции “Loose/Strict Source Routing” могут быть использованы в целях несанкционированного проникновения через контролирующий (фильтрующий) узел (в поле “Destination Address” устанавливается разрешенный адрес, дейтаграмма пропускается контролирующим узлом, далее из поля данных опции подставляется запрещенный адрес и дейтаграмма перенаправляется по этому адресу уже за пределами досягаемости контролирующего узла), поэтому в целях безопасности рекомендуется вообще запретить пропуск контролирующим узлом дейтаграмм с рассматриваемыми опциями.
Быстродействующей альтернативой использованию опции “Loose Source Routing” является IP-IP инкапсуляция: вложение IP-дейтаграммы внутрь IP-дейтаграммы (поле “Protocol” внешней дейтаграммы имеет значение 4, см. ). Например, требуется отправить некоторый TCP-сегмент из А в В через С. Из А в С отправляется дейтаграмма вида:

При обработке дейтаграммы в С обнаруживается, что данные дейтаграммы должны быть переданы для обработки протоколу IP и представляют собой, разумеется, также IP-дейтаграмму. Эта внутренняя дейтаграмма извлекается и отправляется в В.
При этом дополнительное время на обработку дейтаграммы потребовалось только в узле С (обработка двух заголовков вместо одного), но во всех остальных узлах маршрута никакой дополнительной обработки не потребовалось, в отличие от случая использования опций.
Применение IP-IP инкапсуляции также может вызвать описанные выше проблемы с безопасностью.
ORIGIN
ORIGIN (тип 1) – обязательный атрибут, указывающий источник информации о маршруте:0 – IGP (информация о достижимости сети получена от протокола внутренней маршрутизации или введена администратором),
1 – EGP (информация о достижимости сети импортирована из устаревшего протокола EGP),
2 – INCOMPLETE (информация получена другим образом, например, RIP->OSPF->BGP или BGP->OSPF->BGP).
Атрибут ORIGIN вставляется маршрутизатором, который генерирует информацию о маршруте, и при последующем анонсировании маршрута другими маршрутизаторами не изменяется. Атрибут фактически определяет надежность источника информации о маршруте (наиболее надежный ORIGIN=0).
Основные сведения о мультикастинге
Мультикастингом (multicasting) называется рассылка дейтаграмм группе получателей. Для идентификации групп используются специальные адреса получателя; эти адреса назначаются из класса D в диапазоне 224.0.0.0– 239.255.255.255. Дейтаграмма, направленная на групповой адрес, должна быть доставлена всем участникам группы. В дальнейшем в этой главе такие дейтаграммы мы будем называть групповыми.Некоторые из групповых адресов зарезервированы для специальных групп (см. RFC-1700 или ). Например:
224.0.0.1 – все узлы в данной сети; 224.0.0.2 – все маршрутизаторы в данной сети; 224.0.0.5 – все OSPF-маршрутизаторы; 224.0.0.6 – выделенные OSPF-маршрутизаторы; 224.0.0.9 – маршрутизаторы RIP-2; 224.0.0.10 – IGRP-маршрутизаторы; 224.0.1.1 – получатели информации по протоколу точного времени NTP;
и так далее.
Все адреса в диапазоне 224.0.0.0 – 238.255.255.255 предназначены для использования в масштабе Интернет. Адреса вида 239.Х.Х.Х зарезервированы для внутреннего использования в частных сетях.
Приложения групповой рассылки дейтаграмм достаточно очевидны и перспективны: это рассылка новостей, трансляция радио- или видеопрограмм, дистанционное обучение, и т.п. Мультикастинг активно используется также и для передачи служебного трафика (маршрутной информации, сообщений службы точного времени и др.).
Групповая рассылка, по сравнению с индивидуальной, уменьшает нагрузку на сеть. Предположим, дейтаграмму следует отправить 500 получателям. Используя индивидуальную рассылку, отправитель должен сгенерировать 500 дейтаграмм, каждая из которых будет отправлена одному узлу. При мультикастинге отправитель создает одну дейтаграмму с групповым адресом назначения; по мере продвижения через сеть дейтаграмма будет дублироваться только на "развилках" маршрутов от отправителя к получателям. В лучшем случае – если таких развилок не будет, то есть, например, все получатели находятся в одной сети Ethernet, – экономия трафика будет 500-кратной. При этом сохраняются также вычислительные ресурсы промежуточных узлов.
Получателей дейтаграмм с определенным групповым адресом мы будем называть членами данной группы. Отметим, что отправитель групповой дейтаграммы не обязан знать индивидуальные IP-адреса получателей и не обязан быть членом группы.
Недостатком групповой рассылки является очевидная невозможность использования на транспортном уровне протокола TCP. Использование же протокола UDP влечет за собой все его недостатки: ненадежность доставки, отсутствие средств реагирования на заторы в сети и т.д. Кроме того, в отдельных случаях при изменении маршрутов рассылки групповые дейтаграммы могут не только теряться, но и дублироваться, и это должно учитываться приложениями.
Для организации IP-сети с поддержкой мультикастинга необходимо следующее (RFC-1112):
Мультикастинг поддерживается в реализациях TCP/IP всех современных операционных систем Что касается второго требования, то, например, в Ethernet существует специальный диапазон адресов для групповой рассылки IP-дейтаграмм: 01:00:5e:X:Y:Z, где ХYZ – младшие 23 бита IP-адреса. То есть, групповому IP-адресу 224.255.0.1 на уровне Ethernet будет соответствовать MAC-адрес 01:00:5e:7f:00:01. Необходимо отметить, что это соответствие не является однозначным: в тот же MAC-адрес будут преобразованы IP-адреса 225.255.0.1, ..., 239.255.0.1, 225.127.0.1, ..., 239.127.0.1.
Построение системы сетей с поддержкой мультикастинга является гораздо более сложной задачей, чем организация групповой рассылки в пределах одной IP-сети. Для продвижения групповых дейтаграмм от отправителя к получателям через систему сетей необходимо осуществлять маршрутизацию дейтаграмм. Однако по групповой дейтаграмме нельзя определить индивидуальные IP-адреса ее получателей, следовательно, использование обычной IP-маршрутизации и даже ее принципов не имеет смысла. Поэтому для маршрутизации групповых дейтаграмм были разработаны специальные методы и протоколы, которые будут рассмотрены ниже в этой главе.
Основным предположением, которое при этом делается, является то, что маршрутизатор знает, члены каких групп находятся в непосредственно подсоединенных к нему сетях. Таким образом, прежде чем перейти к вопросам маршрутизации групповых дейтаграмм, требуется разработать механизм регистрации членов групп на маршрутизаторе, к которому подключена их сеть. Этот механизм (протокол IGMP) рассмотрен в п. .
В настоящее время для использования групповой рассылки в масштабе глобальных сетей создается экспериментальная сеть MBONE. Точнее, это "надсеть" (overlay network), построенная поверх существующих сегментов Интернет. MBONE состоит из областей, маршрутизаторы которых используют различные протоколы маршрутизации, и ядра, в котором используется протокол DVMRP (см. п. ). Если между областями MBONE находятся маршрутизаторы, не поддерживающие мультикастинг, то для соединения таких областей применяется туннелирование: групповые дейтаграммы инкапсулируются в дейтаграммы индивидуальной адресации, передаваемые между пограничными маршрутизаторами рассматриваемых областей.
OSPF-заголовок
Протокол OSPF в стеке протоколов TCP/IP находится непосредственно над протоколом IP, код OSPF равен 89. То есть если значение поля "Protocol" IP-дейтаграммы равно 89, то данные дейтаграммы являются сообщением OSPF и передаются OSPF-модулю для обработки. Соответственно размер OSPF-сообщения ограничен максимальным размером дейтаграммы.Все сообщения OSPF имеют общий заголовок (следующий в дейтаграмме непосредственно за IP-заголовком):

Значения полей:
Version (1 октет) - версия протокола (=2);
Type (1 октет) - тип сообщения:
1 - Hello;
2 - описание базы данных (Database Description);
3 - запрос состояния связей (Link State Request);
4 - обновление состояния связей (Link State Update);
5 - подтверждение приема сообщения о состоянии связей (Link State Acknowledgment).
Packet length (2 октета) - длина сообщения в октетах, включая заголовок.
Router ID (4 октета) - идентификатор маршрутизатора, отправившего сообщение. Router ID равен адресу одного из IP-интерфейсов маршрутизатора. У маршрутизаторов Cisco это наибольший из адресов локальных интерфейсов, а если таковых нет, то наибольший из адресов внешних интерфейсов.
Area ID (4 октета) - номер области, к которой относится данное сообщение; номер 0 зарезервирован для магистрали. Часто номер области полагают равным адресу IP-сети (одной из IP-сетей) этой области.
Checksum (2 октета) - контрольная сумма, охватывает все OSPF-сообщение, включая заголовок, но исключая поле "Authentication"; вычисляется по тому же алгоритму, что и в IP-заголовке.
Authentication Type (2 октета) - тип аутентификации сообщения. Стандарт определяет несколько возможных типов, самые простые из них: 0 - нет аутентификации, 1 - аутентификация с помощью пароля.
Authentication (8 октетов) - аутентификационные данные; например, восьмисимвольный пароль.
Далее при рассмотрении формата сообщений вышеописанный заголовок будет изображаться в виде поля "OSPF-заголовок", помещенного в начало сообщения.
Остовые деревья (Spanning Trees)
В системе сетей выбирается корневой маршрутизатор, после этого из графа системы выделяется подграф-дерево, соединяющий корневой маршрутизатор со всеми остальными маршрутизаторами системы ("остовое дерево", рис. 8.3.1). Эта процедура производится на этапе инициализации системы – в процессе работы дерево не изменяется.После построения остового дерева каждый маршрутизатор должен хранить для каждого из своих интерфейсов только флаг "этот интерфейс принадлежит/не принадлежит дереву". Групповая дейтаграмма от любого узла распространяется следующим образом: полученная маршрутизатором дейтаграмма ретранслируется через все интерфейсы, принадлежащие остовому дереву, кроме того интерфейса, с которого она была получена.

Рис. 8.3.1. Рассылка групповой дейтаграммы по остовому дереву
S – источник, A-F – маршрутизаторы;
ветви дерева обозначены сплошными линиями; метрики всех сетей, кроме явно указанных, равны 1
Метод остовых деревьев несколько лучше веерной рассылки – в том смысле, что теперь дейтаграммы распространяются по строго определенным маршрутам и в каждую сеть попадает только один экземпляр дейтаграммы. Также существенно уменьшена нагрузка на маршрутизаторы, которым больше не требуется хранить "исторические" таблицы дейтаграмм.
Однако групповые дейтаграммы по-прежнему рассылаются во все сети независимо от наличия в них получателей, кроме того:
Отказ в обслуживании
Атаки типа «отказ в обслуживании» (DoS, denial of service), по-видимому, являются наиболее распространенными [] и простыми в исполнении. Целью атаки является приведение атакуемого узла или сети в такое состояние, когда передача данных другому узлу (или передача данных вообще) становится невозможна или крайне затруднена. Вследствие этого пользователи сетевых приложений, работающих на атакуемом узле, не могут быть обслужены — отсюда название этого типа атак. Атаки DoS используются как в комплексе с другими (имперсонация, п. ), так и сами по себе.DoS-атаки можно условно поделить на три группы:
Перехват данных
Простейшей формой перехвата данных является прослушивание сети. В этом случае злоумышленник может получить массу полезной информации: имена пользователей и пароли (многие приложения передают их в открытом виде), адреса компьютеров в сети, в том числе адреса серверов и запущенные на них приложения, адрес маршрутизатора, собственно передаваемые данные, которые могут быть конфиденциальными (например, тексты электронных писем) и т. п. Прослушивание сети и меры по обнаружению узлов, находящихся в режиме прослушивания, обсуждались в п. .Однако если сеть разбита на сегменты с помощью коммутаторов, то злоумышленник может перехватить только кадры, получаемые или отправляемые узлами сегмента, к которому он подключен. Простое прослушивание также не позволяет злоумышленнику модифицировать передаваемые между двумя другими узлами данные. Для решения этих задач злоумышленник должен перейти к активным действиям, чтобы внедрить себя в тракт передачи данных в качестве промежуточного узла. (Такие атаки в англоязычной литературе называют man-in-the-middle attack.)
PIM SM
Протокол PIM SM (Protocol Independent Multicast, Sparse mode, RFC-2362) применяется для маршрутизации дейтаграмм для малочисленных групп, члены которых находятся далеко друг от друга (в этом случае недостатки метода RPF с усечением становятся существенными).Функционирование протокола можно кратко описать как метод CBT, переходящий в RPF. Для группы назначается точка рандеву (RP), адрес которой известен всем потенциальным членам группы. Маршрутизатор, в сети которого зарегистрировались члены группы, посылает в RP сообщение Join, которое обрабатывается промежуточными маршрутизаторами как в технологии CBT – таким образом формируется первоначальное дерево рассылки.
Отправитель дейтаграмм (точнее, маршрутизатор отправителя), посылает в RP сообщения Register, в которых инкапсулируются групповые дейтаграммы. RP извлекает дейтаграммы из этих сообщений и рассылает их по сформированному дереву рассылки. Если отправитель работает достаточно интенсивно, то RP посылает в его сторону сообщение Join – то есть, отправитель становится членом группы и может рассылать групповые дейтаграммы по дереву непосредственно, минуя стадию туннелирования в точку рандеву.
Распространение групповых дейтаграмм по дереву рассылки осуществляется аналогично методу CBT: дейтаграмма рассылается через все интерфейсы, принадлежащие дереву, кроме того, с которого она была получена.
Далее, получая дейтаграммы, адресованные группе, маршрутизатор может заметить, что интенсивность этого потока превышает некоторый установленный лимит. В этом случае маршрутизатор решает оптимизировать дерево рассылки. Он посылает сообщение Join к источнику следующей полученной им дейтаграммы, адресованной данной группе, а в точку рандеву посылается сообщение Prune. Таким образом, дерево, изначально созданное вокруг точки рандеву, оптимизируется для данного источника. (Только "конечные" маршрутизаторы дерева рассылки могут инициировать этот процесс.)
Следует отметить, что переход к дереву, оптимизированному для источника, приводит к необходимости хранить и обрабатывать на маршрутизаторах большее количество служебной информации, что не всегда приемлемо, поэтому существует возможность отключения такого перехода.
Предусмотрен также обратный переход к дереву с корнем в точке рандеву. Он производится, если оптимизация дерева оказалась неоправданной.
Поддержка множественных маршрутов
Если между двумя узлами сети существует несколько маршрутов с одинаковыми или близкими по значению метриками, протокол OSPF позволяет направлять части трафика по этим маршрутам в пропорции, соответствующей значениям метрик. Например, если существует два альтернативных маршрута с метриками 1 и 2, то две трети трафика будет направлено по первому из них, а оставшаяся треть- по второму.Положительный эффект такого механизма заключается в уменьшении средней задержки прохождения дейтаграмм между отправителем и получателем, а также в уменьшении колебаний значения средней задержки.
Менее очевидное преимущество поддержки множественных маршрутов состоит в следующем. Если при использовании только одного из возможных маршрутов этот маршрут внезапно выходит из строя, весь трафик будет разом перемаршрутизирован на альтернативный маршрут, при этом во время процесса массового переключения больших объемов трафика с одного маршрута на другой весьма велика вероятность образования затора на новом маршруте. Если же до аварии использовалось разделение трафика по нескольким маршрутам, отказ одного из них вызовет перемаршрутизацию лишь части трафика, что существенно сгладит нежелательные эффекты.
Рассмотрим теперь следующий пример.

Рис. 5.1.5. Пример особой ситуации при поддержке множественных маршрутов
Узел ?
отправляет данные в ?
, используя поддержку множественных маршрутов, по маршрутам С (2/3 трафика) и АВ (1/3 трафика). Однако узел ?
тоже поддерживает механизм множественных путей, и когда к нему пребывают дейтаграммы, адресованные в ?
(в том числе, и отправленные из ?
), он применяет к ним ту же логику, то есть 2/3 из них отправляются в ?
по маршруту В, а одна треть - по маршруту АС. Следовательно, 1/9 дейтаграмм, отправленных узлом ?
в узел ?
, возвращаются опять в узел ?
, и тот 1/3 из них опять отправляет в ?
по маршруту С, а 2/3 - по маршруту АВ через узел ?
и так далее. В итоге сформировался "частичный цикл" при посылке дейтаграмм из ?
в ?
, который, помимо частичного зацикливания дейтаграмм, ведет к быстрой перегрузке линии А.
Избежать этого явления позволяет следующее правило.
Если узел Х отправляет данные в узел Y, он может пересылать их через узел Q только в том случае, если Q ближе к Y, чем Х.
В разобранном выше примере, следуя этому правилу, ?
не может посылать данные в ?
через ?
, поскольку ?
не ближе к ?
, чем ?
. Однако такая посылка возможна, если связи между узлами имеют метрики, например, как изображено на следующем рисунке.

Рис. 5.1.6. Пример корректной ситуации при поддержке множественных маршрутов
Для реализации построения дополнительных альтернативных маршрутов с учетом вышеприведенного правила в алгоритме SPF требуется внести изменения в шаг 3 и добавить шаг 3А. Ниже приводится новая версия алгоритма SPF, в которой изменение и дополнение показаны курсивом.
Алгоритм SPF с поддержкой множественных маршрутов
1. Инициализировать E={S}, R={все вершины графа, кроме S}. Поместить в О все односегментные (длиной в одно ребро) пути, начинающиеся из S, отсортировав их в порядке возрастания метрик.
2. Если О пуст или первый путь в О имеет бесконечную метрику, то отметить все вершины в R как недостижимые и закончить работу алгоритма.
3. Рассмотрим P - кратчайший путь в списке О. Удалить P из О. Пусть V - последний узел в P.
Если V принадлежит E, перейти на шаг 3А;
иначе P является кратчайшим путем из S в V; перенести V из R в E. Перейти на шаг 4.
3А. Рассмотрим W, узел, предшествующий V в пути Р. Если расстояние от S до W меньше расстояния от S до V, обозначить Р как приемлемый альтернативный путь к V. В любом случае перейти на шаг 2.
4. Построить набор новых путей, подлежащих рассмотрению, путем добавления к пути P всех односегментных путей, начинающихся из V. Метрика каждого нового пути равна сумме метрики P и метрики соответствующего односегментного отрезка, начинающегося из V. Добавить новые пути в упорядоченный список О, поместив их на места в соответствии со значениями метрик. Перейти на шаг 2.
Построение маршрутов
Рассмотрим работу алгоритма SPF и построение маршрутов на примере системы, изображенной на рис. 5.1.1. Для простоты будем рассматривать OSPF-систему, состоящую только из маршрутизаторов, соединенных линиями связи типа "точка-точка".
Рис. 5.1.1. Пример OSPF-системы
Обозначения на рисунке: ?
,?
,?
,?
- маршрутизаторы; A,B,C,D - линии связи (или просто связи), цифры означают метрику каждой связи.
Превентивное сканирование
Администратор сети должен знать и использовать методы и инструменты злоумышленника и проводить превентивное сканирование сети организации для обнаружения слабых мест в безопасности до того, как это сделает злоумышленник. Для этой цели имеется также специальное программное обеспечение — сканеры безопасности, network security scanners, типа .Преждевременные подтверждения
Еще одна разновидность атаки строится на том, что получатель может заранее высылать подтверждения еще не принятых им, находящихся в пути сегментов, заставляя отправителя поверить, что данные уже доставлены, результатом чего будет увеличение cwnd и преждевременная отправка новых данных.Отметим, что хотя получатель и может предсказать границы сегментов отправителя (при передаче большого объема данных отправитель, как правило, помещает данные в полноразмерные сегменты, имеющие одинаковый объем) и соответственно формировать преждевременные подтверждения, большая точность при этом не требуется. Подтверждение любого блока данных, как мы уже замечали выше, приводит к увеличению окна cwnd и отправке новых полноразмерных сегментов.
Более того, если получатель «перестарается» и подтвердит то, что еще не выслано, подтверждение будет просто проигнорировано отправителем и не приведет ни к каким неприятным последствиям.
В отличие от двух предыдущих атак атака преждевременными подтверждениями разрушает механизм обеспечения надежности передачи данных: если какой-либо из сегментов с данными, отправленный из А в В, потеряется в пути, повторной передачи этого сегмента не будет, поскольку он был уже заранее подтвержден получателем. Однако прикладные протоколы HTTP и FTP, с помощью которых и передается большинство данных в Интернете, предоставляют возможность запрашивать у сервера не весь файл, а его определенные части (большинство серверов поддерживают эту возможность). Поэтому, применив описанную атаку и получив основной объем данных с HTTP- или FTP-сервера на завышенной скорости, злоумышленник может впоследствии с помощью запросов на частичную передачу «залатать дыры», образовавшиеся из-за потерянных сегментов.
Описанные атаки особенно эффективны при передаче сравнительно небольших объемов данных (файлов), когда весь файл может быть передан взрывным образом за одно время обращения. Эксперименты [] показали, что скорость загрузки файла увеличивается в несколько раз. Работа конкурирующих TCP-соединений (имеющихся в том же коммуникационном канале) практически блокируется, поскольку из-за резко возросшей интенсивности трафика другие соединения диагностируют состояние затора и принимают соответствующие меры по уменьшению скорости передачи данных, фактически освобождая канал для злоумышленника.
Для реализации описанных атак требуется сравнительно небольшая (несколько десятков строк) модификация модуля TCP на компьютере В. Для защиты от расщепления подтверждений достаточно доработать реализацию модуля TCP: разрешить увеличивать cwnd только после получения подтверждения, охватывающего целый сегмент. Адекватной защиты от двух других атак не существует. Чтобы решить эту проблему, авторы работы [] предлагают внести в заголовок TCP дополнительное поле cumulative nonce, которое будет играть роль идентификатора сегмента; используя это поле, легитимные подтверждения должны ссылаться на сегмент (сегменты), получение которых вызвало отправку данного подтверждения. Это должно предотвратить отправку ложных дубликатов и подтверждений еще не полученных сегментов. За деталями мы отсылаем читателя к первоисточнику, однако маловероятно, чтобы дизайн протокола TCP был изменен.
В заключение упомянем о достаточно простом способе ускоренного получения файлов от отправителя по протоколам HTTP и FTP. Для этого получатель использует программу, способную получать файл по частям (сервер также должен поддерживать соответствующие расширения протоколов HTTP и FTP); пример такой программы для ОС Windows — Flashget. Для загрузки файла с сервера программа одновременно открывает несколько соединений, каждое из которых запрашивает свой фрагмент файла. Фрагменты впоследствии будут состыкованы на локальном диске получателя.
Предположим, что в коммуникационном канале одновременно передают данные 10 TCP-соединений. В результате работы алгоритмов реагирования на заторы они примерно поровну делят между собой полосу пропускания канала, и каждое получает 1/10 его часть. Но если программа загрузки файла открывает не одно, а, например, 5 соединений, то общее число соединений равно 14, из них получением частей одного файла занято 5 соединений, то есть, на получение файла отведено 5/14 = 36% канала, а не 10%, как было раньше.
Пример маршрутизации
Рассмотрим процесс маршрутизации на примере.Допустим (см. рис. 2.3.1), хосты А и В находятся в сети 1, сеть 1 соединяется с сетью 2 с помощью маршрутизатора G1. К сети 2 подключен маршрутизатор G2, соединяющий ее с сетью 3, в которой находится хост С.

Рис. 2.3.1. Пример маршрутизации
Таблица маршрутов хоста А выглядит, например, так:
Сеть 1 А Прочие сети G1
Это означает, что дейтаграммы, адресованные узлам сети 1, отправляет сам хост А (так как это его локальная сеть), а дейтаграммы, адресованные в любую другую сеть (это называется маршрут по умолчанию), хост А отправляет маршрутизатору G1, чтобы тот занялся их дальнейшей судьбой.
Предположим, хост А посылает дейтаграмму хосту В. В этом случае, поскольку адрес В принадлежит той же сети, что и А, из таблицы маршрутов хоста А определяется, что доставка осуществляется непосредственно самим хостом А.
Если хост А отправляет дейтаграмму хосту С, то он определяет по IP-адреcу C, что хост С не принадлежит к сети 1. Согласно таблице маршрутов А, все дейтаграммы с пунктами назначения, не принадлежащими сети 1, отправляются на маршрутизатор G1 (это называется маршрут по умолчанию). При этом хост А не знает, что маршрутизатор G1 будет делать с его дейтаграммой и каков будет ее дальнейший маршрут- это забота исключительно G1. G1 в свою очередь по своей таблице маршрутов определяет, что все дейтаграммы, адресованные в сеть 3, должны быть пересланы на маршрутизатор G2. Это может быть как явно указано в таблице, находящейся на G1, в виде
Сеть 3 G2,
так и указано в виде маршрута по умолчанию.
На этом функции G1 заканчиваются, дальнейший путь дейтаграммы ему неизвестен и его не интересует. Маршрутизатор G2, получив дейтаграмму, определяет, что она адресована в одну из сетей (№3), к которым он присоединен непосредственно, и доставляет дейтаграмму на хост С.
Пример подключения локальной сети организации к Интернет
Рассмотрим реальный пример подключения к Интернет локальной сети организации (рис. 2.3.2). IP-адрес локальной сети - 194.84.124.0/24 (сеть класса С). В эту сеть включен маршрутизатор G1. IP-интерфейс этого маршрутизатора, подключенный к локальной сети Ethernet, имеет адрес 194.84.124.1. Второй IP-интерфейс маршрутизатора подключен к выделенной линии (синхронный последовательный канал), ведущей к провайдеру Интернет. К другому концу этой линии подключен IP-интерфейс маршрутизатора G2, принадлежащего провайдеру. Эти два интерфейса образуют отдельную сеть 194.84.0.116/30. В этой сети на номер интерфейса отведено всего 2 бита — 4 варианта адресов, из которых один (00) обозначает саму сеть, один (11) — широковещательный; таким образом, в подобной сети может находиться всего 2 узла — это минимальная возможная сеть. Интерфейс маршрутизатора G1 в сети 194.84.0.116/30 имеет адрес 194.84.0.117, а маршрутизатора G2 — 194.84.0.118. Маршрутизатор G2 имеет еще некоторое количество интерфейсов, к части которых подключены выделенные линии от других клиентов, к части — локальные сети коммуникационного центра, другие маршрутизаторы и магистральные линии дальней связи.
Рис. 2.3.2. Подключение локальной сети к Интернет
Пример построения таблицы маршрутов
Рассмотрим этот процесс на примере следующей сети.
Рис. 4.1.1. Пример RIP-системы
Здесь ?
, ?
, ?
, ?
- маршрутизаторы, A, B, C, D, E - сети. Хосты в сетях не показаны за ненадобностью. Мы будем следить за формированием таблицы маршрутов в узле ?.
В начальный момент времени (например, после подачи питания на маршрутизаторы) таблица маршрутов в узле ?
выглядит следующим образом (т.к. узел ?
знает только о тех сетях, к которым подключен непосредственно):
A=1a
?
B=1a
?
Следовательно, узел ?
рассылает в сети А и В вектор расстояний (А=1,В=1).
Аналогично узел ?
рассылает в сети A, C, D вектор (A=1,C=1,D=1). Узел ?
получает этот вектор из сети А, увеличивает расстояния на 1 (A=2,C=2,D=2) и сравнивает с данными в своей таблице маршрутов. Новое расстояние до сети А оказывается больше, чем уже внесенное в таблицу (А=1), следовательно, новое значение игнорируется. Поскольку сети C и D вовсе не фигурируют в его таблице маршрутов, они туда вносятся. В узле ?
имеем:
A=1a
?
B=1a
?
C=2a
?
D=2a
?
Узел ?
в свою очередь рассылает вектор (D=1,E=1) в сети D и E. Узел ?
получает этот вектор из сети D, увеличивает расстояния на 1, после чего добавляет себе в таблицу данные о сети Е (Е=2a
?
). Ранее из узла ?
он получил информацию о сети В и добавил себе в таблицу строку В=2a
?
. Узел ?
рассылает в сети A, C, D свой обновленный вектор расстояний (A=1,B=2,C=1,D=1,E=2).
Узел ?
получает этот вектор от ?
из сети А, увеличивает расстояния на 1: (A=2,B=3,C=2,D=2,E=3) и замечает, что все указанные расстояния, кроме расстояния до сети Е, больше либо равны значениям, имеющимся в его таблице. Сеть Е в таблице узла ?
отсутствует, следовательно, она туда вносится, и в узле ?
мы получаем:
A=1a
?
B=1a
?
C=2a
?
D=2a
?
Е=3a
?
Далее маршрутизатор ?
, ранее не работавший по каким-либо причинам, рассылает в сети В, С, Е свой вектор (В=1,С=1,Е=1). Узел ?
получает этот вектор из сети В, увеличивает расстояния на 1 и обнаруживает, что расстояние Е=2 меньше имеющегося в таблице Е=3, следовательно запись о сети Е в таблице заменяется на Е=2a
?. Остальные элементы полученного от ?
вектора не вызывают обновления таблицы.
Итоговая таблица маршрутов маршрутизатора ?
:
A=1a
?
B=1a
?
C=2a
?
D=2a
?
Е=2a
?
На этом алгоритм сходится, то есть при неизменной топологии системы никакие векторы расстояний, получаемые маршрутизатором ?
, больше не внесут изменений в таблицу маршрутов. Аналогичным образом алгоритм составления таблицы маршрутов работает и сходится на других маршрутизаторах. Отметим, что несмотря на то, что таблицы маршрутов построены, векторы расстояний продолжают периодически широковещательно рассылаться каждым маршрутизатором. Это требуется для оперативного реагирования на внезапные изменения топологии системы (см. п. 4.1.2).
Очевидно, что вид построенной таблицы маршрутов может зависеть от порядка получения маршрутизатором векторов расстояний. Например, если бы узел ?
получил вектор от узла ?
раньше, чем от узла ?
, то дейтаграммы в сеть С посылались бы от ?
через ?.
Пример работы алгоритма SPF
Рассмотрим работу алгоритма на примере базы данных состояния связей рассматриваемой системы.

Рис. 5.1.2. OSPF-система и ее база данных состояния связей
Возьмем в качестве вершины S маршрутизатор ?.
Инициализация
S=?
, E={?
}, R={?
,?
,?
}, O={D,C} (из вершины ?
согласно базе данных выходят только связи D (к ?
) и С (к ?
), причем метрика D меньше).
Итерация 1
P=D. Поскольку D ведет от ?
к ?
, то V=?
. Так как V не находится в Е, то кратчайший путь ?
a
?
есть P. Добавляем этот факт в таблицу результатов, изымаем P из O, переносим V из R в Е.
Строим новые пути (шаг 4 алгоритма): согласно базе данных из вершины V=?
существует два односегментных пути: B и D. Добавив их к P=D, получим пути DD и DB с метрикой 2 каждый. Эти пути добавляются в упорядоченный список О.
E={?
,?
}, R={?
,?
}, O={DD,DB,C}.
Результаты: (?
: D)
Итерация 2
P=DD. Двигаясь по этому пути из ?
, мы попадем опять в ?
, то есть V=?
. Так как V находится в Е, то исключаем P из О и переходим к следующей итерации.
E={?
,?
}, R={?
,?
}, O={DB,C}.
Результаты: (?
: D)
Итерация 3
P=DB. Двигаясь по этому пути из ?
, мы попадем в ?
, то есть V=?
. Так как V не находится в Е, то кратчайший путь ?
a
?
есть P. Добавляем этот факт в таблицу результатов, изымаем P из O, переносим V из R в Е.
Строим новые пути: согласно базе данных из V=?
существует три односегментных пути: A,В и C. Добавив их к P=DB, получим пути DBA, DBB и DBC с метриками 4,3 и 5 соответственно. Эти пути добавляются в упорядоченный список О.
E={?
,?
,?
}, R={?
}, O={C, DBB, DBA, DBC}.
Результаты: (?
: D;?
:DB)
Итерация 4
P=С. V=?
. Так как V находится в Е, то исключаем P из О и переходим к следующей итерации.
E={?
,?
,?
}, R={?
}, O={DBB, DBA, DBC}.
Результаты: (?
: D;?
:DB)
Итерация 5
P=DBB. V=?
. Так как V находится в Е, то исключаем P из О и переходим к следующей итерации.
E={?
,?
,?
}, R={?
}, O={DBA, DBC}.
Результаты: (?
: D;?
:DB)
Итерация 6
P=DBA, следовательно V=?
. Так как V не находится в Е, то кратчайший путь ?
a
?
есть P. Добавляем этот факт в таблицу результатов, изымаем P из O, переносим V из R в Е.
Строим новые пути: согласно базе данных из V=?
существует один односегментный путь A. Добавив его к P=DBА, получим путь DBAА с метрикой 6. Этот путь добавляется в упорядоченный список О.
E={?
,?
,?
,?
}, R={}, O={DBC,DBAA}.
Результаты: (?
: D;?
:DB,?
:DBA)
Итерации 7 и 8
На этих итерациях из списка О будут удалены оставшиеся пути, так как они ведут к вершинам, уже находящимся в множестве Е, больше никаких изменений не произойдет.
Итерация 9
Так как список О пуст и множество R пусто, то кратчайшие пути из S до всех вершин графа построены, недостижимых вершин нет. Работа алгоритма закончена.
Результатом работы является таблица кратчайших путей от маршрутизатора ?
до всех остальных маршрутизаторов:
?
a
?
:DB
?
a
?
:DBA
?
a
?
:D
На основе этой информации в узле ?
строится таблица маршрутов, ведущих ко всем узлам OSPF-системы. Для этого из вышеприведенной таблицы нужно взять первую связь каждого пути. Маршрутизатор, к которому ведет эта связь, будет являться следующим маршрутизатором для данного маршрута. При этом алгоритм SPF гарантирует, что и следующий маршрутизатор построил кратчайшие пути, соответствующие путям маршрутизатора ?
, т.е. если кратчайший путь из ?
в ?
(DBA) лежит через узел ?
, в который ведет связь D, то кратчайший путь из ?
в ?
будет ВА.
Таким образом, таблица маршрутов в узле ?
будет выглядеть:
?
a
?
: через ?
, линия D
?
a
?
: через ?
, линия D
?
a
?
: через линию D
Пример разбиения на области
Рассмотрим автономную систему, изображенную на рис. 5.4.1. Кружками обозначены маршрутизаторы, буквами- IP-сети, к которым они подключены.
Рис. 5.4.1. Пример разбиения OSPF-системы на области
Система поделена на три области, из которых область номер 0 (area 0) является магистралью (backbone). Маршрутизаторы ?
и ?
являются пограничными маршрутизаторами автономной системы. Маршрутизаторы ?
, ?
, ?
, ?
- областные пограничные маршрутизаторы. Сети A, B, C, G, K, H принадлежат магистрали. Метрики связей с каждой сетью равны 1.
Рассмотрим содержимое базы данных состояния связей в области 1. В этой базе данных находятся:
1. Записи о связях маршрутизаторов ?
, ?
, ?
, ?
с сетями D, F, J, источниками которых являются эти маршрутизаторы; на основании этих записей рассчитываются маршруты внутри области 1 (см. также ).
2. Записи о достижимости сетей магистрали (A, B, C, G, K, H); вносятся маршрутизаторами ?
и ?
на основании вычислений по базе данных магистрали, копию которой каждый из них имеет, так как подключен к магистрали непосредственно. При этом каждый из них объявляет только кратчайшее расстояние от себя каждой сети магистрали для того, чтобы внутренние маршрутизаторы области могли строить маршруты до сетей магистрали в соответствии с этими значениями через тот или иной ABR.
Например, для сети А ABR ?
объявит маршрутизаторам области 1 метрику 2, а ?
- метрику 3. Маршрутизатор ?
не знает, каким маршрутом ?
или ?
будут отправлять дейтаграммы в сеть А, однако он знает, что от него до узла ?
кратчайший маршрут - D c метрикой 1, а до узла ?
- маршрут FJ с метрикой 2 (не маршрут DG, потому что G не принадлежит области 1). Следовательно, ?
делает вывод, что кратчайший путь в сеть А имеет метрику 3 и проходит через ?
, а как достичь маршрутизатора ?
, ему известно.
3. Записи о достижимости сетей области 2 (E, I, L); вносятся маршрутизаторами ?
и ?
на основании метрик расстояний до этих сетей, объявленных в магистраль ABR-маршрутизаторами ?
и ?
. При этом каждый из узлов ?
и ?
добавляет к этим метрикам длину кратчайшего пути по магистрали от себя до ?
и ?
, после чего для каждой сети области 2 выбирает наименьшее значение и объявляет его в область 1.
Например, ?
объявляет в магистраль, что сеть Е достижима через него с метрикой 1, а ?
- что та же сеть достижима через него с метрикой 3 (маршрут "НЕ" находится за пределами области 2). Маршрутизатор ?
получает эти сообщения и вычисляет по своей копии базы данных магистрали, что метрика кратчайшего пути от него до ?
равна 2, а до ?
- 1. Следовательно, расстояние до сети Е от узла ?
равно 3, если следовать через ?
, и 4, если следовать через ?
. На основании этого результата ?
объявляет в область 1, что сеть Е достижима через него с метрикой 3.
Для внутренних маршрутизаторов области 1 объявления областных пограничных маршрутизаторов о достижимости сетей магистрали и о достижимости сетей области 2 неотличимы по своему виду. И то и другое суть объявления о достижимости сетей автономной системы, не входящих в данную область (см. ).
4. Записи о достижимости сетей за пределами автономной системы; вносятся маршрутизаторами ?
и ?
и представляют собой просто ретрансляцию сообщений о внешних маршрутах, распространяемых пограничными маршрутизаторами системы (?
и ?
) (см. также ).
5. Записи о достижимости пограничных маршрутизаторов автономной системы (?
и ?
); вносятся маршрутизаторами ?
и ?
на основании вычислений по базе данных магистрали, к которой подключены ?
и ?
(см. также ). Каждый ABR объявляет кратчайшее расстояние от себя до каждого ASBR, которого он может достичь. Такие объявления необходимы, так как внутрь области не распространяется информация о маршрутах к маршрутизаторам других областей.
Аналогичным образом строятся базы данных состояния связей в области 2 и в магистрали.
физическая структура которой приведена на
Рассмотрим пример. Пусть имеется OSPF-система, физическая структура которой приведена на рис. 5.3.1 (значком с изображением компьютера обозначены хосты).
Рис. 5.3.1. Пример физической структуры OSPF-системы
Граф этой системы выглядит следующим образом (вершины в виде кружков обозначают маршрутизаторы, в виде прямоугольников- тупиковые сети, в виде треугольника - транзитную сеть; ребра графа ориентированные, числа рядом с ребрами - метрики).

Рис. 5.3.2. Граф системы, изображенной на рис. 5.3.1
Если выделенным маршрутизатором сети Т является узел ?
, то отношения смежности в системе установлены между следующими парами маршрутизаторов: (?
,?
), (?
,?
), (?
,?
), (?
,?
), (?
,?
). Эти пары обмениваются между собой сообщениями OSPF для синхронизации копий баз данных.
Маршрутизаторы ?
и ?
не являются смежными, однако они соседи, то есть обмениваются сообщениями "Hello", принимают участие в выборах выделенного маршрутизатора и, разумеется, могут отправлять дейтаграммы непосредственно друг другу. Например, дейтаграмма из ?
в ?
проследует по маршруту ?
a
?
a
?
, но информацию о том, что такой маршрут возможен, маршрутизатор ?
получил не от ?
(так как они не смежны), а от выделенного маршрутизатора ?
после того как тот, в свою очередь, получил ее от ?
.
Каждый маршрутизатор вставляет в базу данных и контролирует состояние связей, идущих от него к другим маршрутизаторам (двухточечные связи), тупиковым и транзитным сетям. Связи, идущие из транзитной сети (вершина Т), вставляются в базу данных выделенным маршрутизатром ?
. Связей, идущих из тупиковой сети, существовать не может.
Вершина "транзитная сеть Т" представляет также и хосты, находящиеся в IP-сети Т.
Принуждение к ускоренной передаче данных
Механизм реагирования на заторы сети (congestion control), реализуемый протоколом TCP (RFC-2581), позволяет злоумышленнику-получателю данных принудить отправителя высылать данные с многократно увеличенной скоростью []. В результате злоумышленник отбирает для своих нужд ресурсы сервера-отправителя и компьютерной сети, замедляя или блокируя соединения прочих участников сетевого взаимодействия.Атаки выполняются путем специально организованной посылки злоумышленником подтверждений приема данных (ACK-сегментов). Все описываемые в этом пункте атаки эксплуатируют следующее неявное допущение, заложенное в протокол TCP: один участник TCP-соединения полностью доверяет другому участнику в том, что тот действует в строгом соответствии с теми же спецификациями протокола, что и первый.
В следующих подпунктах мы будем считать, что узел А отправляет данные узлу В, а последний пытается принудить узел А передавать данные на завышенной скорости.
Проблемы безопасности протоколов TCP/IP
В данной главе рассматривается безопасность сетевого взаимодействия только на уровнях от доступа к сети до транспортного включительно, то есть охватываются аспекты безопасности собственно передачи данных через сети IP (Интернет). Здесь мы не останавливаемся на содержании этих данных и возможности их использования в неблаговидных целях. Последнее относится к безопасности прикладных протоколов и приложений Интернета.Прежде чем перейти к разбору конкретных приемов, классифицируем действия злоумышленника — атаки, направленные против какого-либо узла (или, возможно, целой сети). Злоумышленник ставит перед собой определенную цель, как-то:
Промежуточные состояния соединения
TCP-соединение во время функционирования проходит через ряд промежуточных состояний. Это состояния LISTEN, SYN-SENT, SYN-RECEIVED, ESTABLISHED, FIN-WAIT-1, FIN-WAIT-2, CLOSE-WAIT, CLOSING, LAST-ACK, TIME-WAIT, а также фиктивное состояние CLOSED. (Состояние CLOSED является фиктивным, поскольку оно представляет отсутствие соединения.) Переход из одного состояния в другое происходит в ответ на события, как то: запросы клиента, приход сегментов, истечение контрольного времени.Определены следующие запросы процесса-клиента модулю TCP (с каждым запросом, кроме OPEN, передается имя соединения):
ACTIVE-OPEN - активное открытие соединения;
PASSIVE-OPEN - пассивное открытие соединения (см. выше );
SEND - отправка данных (передается указатель на буфер данных, размер буфера, значения флагов URG и PSH);
RECEIVE - получение данных (передается указатель на буфер данных, размер буфера; возвращается счетчик полученных октетов, значения флагов URG и PSH);
STATUS - запрос состояния соединения;
CLOSE - закрытие соединения (производится досылка всех неотправленных данных и обмен сегментами с битом FIN);
ABORT - ликвидация соединения (уничтожаются блок TCB и все неотправленные данные, посылается сегмент с битом RST).
Деятельность программы протокола TCP можно рассматривать как реагирование на события в зависимости от состояния соединения.
Ниже описаны состояния соединения и приведены диаграммы переходов. Под термином "процесс" здесь понимается процесс TCP-модуля, работающий с данным соединением на локальном узле; термин "чужой" относится к процессу, работающему с данным TCP-соединением на удаленном узле.
LISTEN - процесс пассивно ждет запроса со стороны чужих сокетов.
SYN-SENT - процесс отправил свой SYN и ждет чужого SYN.
SYN-RECEIVED - процесс получил чужой SYN, отправил (раньше или только что) свой SYN и ждет ACK на свой SYN.
ESTABLISHED - процесс отправил ACK на чужой SYN, получил ACK на свой SYN; соединение установлено.
FIN-WAIT-1 - процесс первый отправил свой FIN и ждет реакцию той стороны; при этом он, возможно, продолжает получать данные.
FIN-WAIT-2 - процесс получил ACK на свой ранее отправленный FIN, но не получил чужой FIN; ждет чужой FIN; при этом, возможно, продолжает получать данные.
CLOSE-WAIT - процесс, не отправив свой FIN (возможно, не собираясь прекращать соединение), получает чужой FIN; он отправляет ACK на чужой FIN, но при этом, возможно, продолжает отправлять данные.
LAST-ACK - процесс отправил свой FIN, но ранее он уже получил FIN с той стороны и отправил на него ACK; поэтому процесс ожидает чужой ACK на свой FIN для окончательного закрытия соединения.
CLOSING - процесс ранее отправил свой FIN и еще не получил не него подтверждение, но получил чужой FIN (и отправил на него ACK); ждет ACK на свой FIN.
TIME-WAIT - процесс ранее отправил свой FIN и получил на него подтверждение, получил чужой FIN и только что отправил на него ACK; теперь процесс ждет некоторое время (два времени жизни сегмента, обычно 4 минуты) для гарантии того, что та сторона получит его ACK на свой FIN, после чего соединение будет окончательно закрыто.
CLOSED - соединение отсутствует.
В диаграммах пп. 3.3.1 и 3.3.2 состояния соединения заключены в прямоугольники, переходы между ними показаны стрелками, с каждой стрелкой соотносится овал, поясняющий причину перехода. В овале над горизонтальной чертой указывается событие, вызвавшее переход (курсивом обозначено поступление запросов от локального процесса-клиента); под горизонтальной чертой - действие, сопутствующее переходу.
Прослушивание сети
Прослушивание сети Ethernet (а подавляющее большинство локальных сетей используют именно эту технологию) является тривиальной задачей: для этого нужно просто перевести интерфейс в режим прослушивания (promiscuous mode). Легко доступны программы, не только записывающие весь трафик в сегменте Ethernet, но и выполняющие его отбор по установленным критериям: например, программа или входящая в поставку ОС Solaris программа snoop.Среди других сетевых технологий подвержены прослушиванию сети FDDI и радиосети (например Radio Еthernet). Несколько сложнее для злоумышленника извлечь трафик из телефонных выделенных и коммутируемых линий — главным образом, из-за сложности физического доступа и подключения к таким линиям. Однако следует помнить, что злоумышленник может оккупировать промежуточный маршрутизатор и таким образом получить доступ ко всему транзитному трафику, независимо от используемых технологий на уровне доступа к сети.
Ограничить область прослушивания в сети Ethernet можно разбиением сети на сегменты с помощью коммутаторов. В этом случае злоумышленник, не прибегая к активным действиям, описанным в п. , может перехватить только кадры, получаемые или отправляемые узлами сегмента, к которому он подключен. Единственным способом борьбы с прослушиванием сегмента Ethernet является шифрование данных.
Злоумышленник, прослушивающий сеть, может быть обнаружен с помощью утилиты , которая выявляет в сети узлы, чьи интерфейсы переведены в режим прослушивания.
AntiSniff выполняет три вида тестов узлов сегмента Ethernet. Первый тест основан на особенностях обработки разными операционными системами кадров Ethernet, содержащих IP-датаграммы, направленные в адрес тестируемого узла. Например, некоторые ОС, находясь в режиме прослушивания, передают датаграмму уровню IP, независимо от адреса назначения кадра Ethernet (в то время как в обычном режиме кадры, не направленные на MAC-адрес узла, системой вообще не рассматриваются). Другие системы имеют особенность при обработке кадров с широковещательным адресом: в режиме прослушивания MAC-адрес ff:00:00:00:00:00 воспринимается драйвером интерфейса как широковещательный. Таким образом, послав сообщение ICMP Echo внутри «неверного» кадра, который при нормальных обстоятельствах должен быть проигнорирован, и получив на него ответ, AntiSniff заключает, что интерфейс тестируемого узла находится в режиме прослушивания.
Второй тест основан на предположении, что программа прослушивания на хосте злоумышленника выполняет обратные DNS-преобразования для IP-адресов подслушанных датаграмм (поскольку часто по доменному имени можно определить назначение и важность того или иного узла). AntiSniff фабрикует датаграммы с фиктивными IP-адресами (то есть не предназначенные ни одному из узлов тестируемой сети), после чего прослушивает сеть на предмет DNS-запросов о доменных именах для этих фиктивных адресов. Узлы, отправившие такие запросы, находятся в режиме прослушивания.
Тесты третьей группы, наиболее универсальные, с одной стороны, так как не зависят ни от типа операционной системы, ни от предполагаемого поведения прослушивающих программ. С другой стороны, эти тесты требуют определенного анализа от оператора, то есть — не выдают однозначный результат, как в двух предыдущих случаях кроме того, они сильно загружают сеть. Тесты основаны на том, что интерфейс, находящийся в обычном режиме, отфильтровывает кадры, направленные не на его адрес, с помощью программно-аппаратного обеспечения сетевой карты, и не задействует при этом ресурсы операционной системы. Однако в режиме прослушивания обработка всех кадров ложится на программное обеспечение злоумышленника, то есть, в конечном счете, на операционную систему. AntiSniff производит пробное тестирование узлов сети на предмет времени отклика на сообщения ICMP Echo, после чего порождает в сегменте шквал кадров, направленных на несуществующие MAC-адреса, при этом продолжая измерение времени отклика. У систем, находящихся в обычном режиме, это время растет, но незначительно, в то время как узлы, переведенные в режим прослушивания, демонстрируют многократный (до 4 раз) рост задержки отклика.
В связи с вышеизложенным отметим, что представление о прослушивании как о безопасной деятельности, которую нельзя обнаружить, не соответствует действительности.
Протокол ARP
Протокол ARP (Address Resolution Protocol, Протокол распознавания адреса) предназначен для преобразования IP-адресов в MAC-адреса, часто называемые также физическими адресами.MAC расшифровывается как Media Access Control, контроль доступа к среде передачи. МАС-адреса идентифицируют устройства, подключенные к физическому каналу, пример MAC-адреса - адрес Ethernet.
Для передачи IP-дейтаграммы по физическому каналу (будем рассматривать Ethernet) требуется инкапсулировать эту дейтаграмму в кадр Ethernet и в заголовке кадра указать адрес Ethernet-карты, на которую будет доставлена эта дейтаграмма для ее последующей обработки вышестоящим по стеку протоколом IP. IP-адрес, включенный в заголовок дейтаграммы, адресует IP-интерфейс какого-либо узла сети и не заключает в себе никаких указаний ни на физическую среду передачи, к которой подключен этот интерфейс, ни тем более на физический адрес устройства (если таковой имеется), с помощью которого этот интерфейс сообщается со средой.
Поиск по данному IP-адресу соответствующего Ethernet-адреса производится протоколом ARP, функционирующим на уровне доступа к среде передачи. Протокол поддерживает в оперативной памяти динамическую arp-таблицу в целях кэширования полученной информации. Порядок функционирования протокола следующий.
С межсетевого уровня поступает IP-дейтаграмма для передачи в физический канал (Ethernet), вместе с дейтаграммой передается, среди прочих параметров, IP-адрес узла назначения. Если в arp-таблице не содержится записи об Ethernet-адресе, соответствующем нужному IP-адресу, модуль arp ставит дейтаграмму в очередь и формирует широковещательный запрос. Запрос получают все узлы, подключенные к данной сети; узел, опознавший свой IP-адрес, отправляет arp-ответ (arp-response) со значением своего адреса Ethernet. Полученные данные заносятся в таблицу, ждущая дейтаграмма извлекается из очереди и передается на инкапсуляцию в кадр Ethernet для последующей отправки по физическому каналу.
ARP-запрос или ответ включается в кадр Ethernet непосредственно после заголовка кадра.
Форматы запроса и ответа одинаковы и отличаются только кодом операции (Operation code, 1 и 2 соответственно).

Несмотря на то, что ARP создавался специально для Ethernet, этот протокол может поддерживать различные типы физических сред (поле “Hardware type (Тип физической среды)”, значение 1 соответствует Ethernet), а также различные типы обслуживаемых протоколов (поле “Protocol type (Тип протокола)”, значение 2048 соответствует IP). Поля H-len и P-len содержат длины физического и “протокольного” адресов соответственно, в октетах. Для Ethernet H-len=6, для IP P-len=4.
Поля “Source hardware address” и “Source protocol address” содержат физический (Ethernet) и “протокольный” (IP) адреса отправителя. Поля “Target hardware address” и “Target protocol address” содержат соответствующие адреса получателя. При посылке запроса поле “Target hardware address” инициализируется нулями, а в поле “Destination (Адрес назначения)” заголовка Ethernet-кадра ставится широковещательный адрес.
Протокол EIGRP
EIGRP (Enhanced Interior Gateway Routing Protocol) – дистанционно векторный протокол маршрутизации, разработанный фирмой Cisco на основе протокола IGRP той же фирмы. Протокол IGRP был создан как альтернатива протоколу RIP (до того, как был разработан OSPF). После появления OSPF Cisco представила EIGRP – переработанный и улучшенный вариант IGRP, свободный от основного недостатка дистанционно-векторных протоколов – особых ситуаций с зацикливанием маршрутов – благодаря специальному алгоритму распространения информации об изменениях в топологии сети. Несмотря на то, что в общем случае протоколы состояния связей (OSPF) отрабатывают изменения в топологии сети быстрее, чем EIGRP, а также OSPF имеет ряд дополнительных возможностей, EIGRP более прост в реализации и менее требователен к вычислительным ресурсам маршрутизатора.Ознакомиться с описанием протокола EIGRP можно на Интернет-сайте фирмы Cisco . Ниже мы рассмотрим основные особенности EIGRP.
EIGRP-маршрутизатор обнаруживает своих соседей путем периодической рассылки сообщений "Hello". Эти же сообщения используются для мониторинга состояния связи с соседом (рассылаются каждые 5 секунд в сетях с большой пропускной способностью – например, Ethernet – и каждые 60 секунд в "медленных" сетях). Такой мониторинг позволяет рассылать в сети векторы расстояний не периодически, а только при изменении топологии сети.
EIGRP использует комплексное значение метрики, вычисляемое на основании показателей пропускной способности и задержки при передаче данных в сети. Также в расчет метрики могут быть включены показатели загрузки и надежности сети. В отличие от протокола RIP метрика в EIGRP не является фактором, ограничивающим размер системы.
При получении от соседей векторов расстояний, маршрутизатор для каждой сети назначения не только выбирает соседа, через которого лежит кратчайший путь в эту сеть, но также запоминает и вероятных заместителей (feasible successors). Вероятным заместителем становится маршрутизатор, объявивший метрику маршрута от себя до данной сети меньшую, чем полная метрика установленного маршрута. Рассмотрим пример на рис. 6.1 (для простоты метрики всех связей, кроме (4)-(5), считаем равными единице; метрика связи (4)-(5) равна 0,5).

Рис 6.1. Пример EIGRP-системы
Кружками обозначены маршрутизаторы, прямоугольником – сеть назначения А. Маршрутизатор (3) получает от (5) элемент вектора расстояний (А=1), а от (4) – (А=1,5). В таблице маршрутизатора (3) узел (5) становится следующим маршрутизатором на пути в сеть А, а узел (4) – вероятным заместителем, так как заявленное им расстояние до А (1,5) меньше полной метрики установленного маршрута (3)-(5)-А, которая равна 2.
Обратим внимание на маршрутизаторы (1) и (2). Они присылают узлу (3) элемент (А=3) и, следовательно, не являются вероятными заместителями маршрута из (3) в А, что, безусловно, разумно.
Если связь между узлами (3) и (5) обрывается, то (3) ищет в своей EIGRP-таблице вероятного заместителя ((4)) и немедленно устанавливает маршрут в сеть А через него. Таким образом время, в течение которого маршрут в сеть А отсутствовал, существенно сокращается по сравнению с протоколом RIP, где требуется ждать, когда соседи пришлют очередные векторы расстояний.
Если же ни одного вероятного заместителя не найдено (допустим, связь (3)-(4) тоже обрывается), то маршрутизатор переходит в активное состояние и начинает опрос всех своих соседей на предмет наличия маршрута в сеть А, сообщая при этом что его собственное расстояние до А равно бесконечности. Здесь вступает в работу алгоритм DUAL (Diffusing Update Algorithm). Следуя этому алгоритму, сосед отвечает на запрос только тогда, когда у него есть либо готовый маршрут в А, либо вероятный заместитель – в любом из этих случаев сосед присылает в узел (3) свое расстояние до А. Иначе сосед сам переходит в активное состояние и процесс повторяется (разумеется с той разницей, что к маршрутизатору (3) запрос не посылается; кроме того, маршрутизатор, находящийся в активном состоянии, сам может отвечать на запросы, посылая в ответ свое текущее значение расстояния до А). Таким образом область "активизированных" маршрутизаторов расширяется до тех пор, пока не будет обнаружен маршрут в сеть А или доказано его отсутствие, после чего волна сходится в обратном направлении к инициировавшему процесс узлу, при этом все маршрутизаторы вносят в свои таблицы надлежащие изменения.
В нашем простом примере, после того как (3) переходит в активное состояние, узлы (1) и (2) получают от него запрос о маршруте в сеть А с пометкой, что расстояние от (3) до А теперь равно бесконечности. Каждый из них, поскольку ранее он добирался в А через (3), помечает этот маршрут как недостижимый, и, не найдя вероятного заместителя, активизируется и опрашивает своего соседа. Получив эти запросы, (1) и (2) отвечают друг другу, что сеть А недостижима, переходят в пассивное состояние и возвращают узлу (3) информацию о недостижимости сети А.
Естественно, что подобная процедура (поиск вероятного заместителя, а при отсутствии такого – запуск алгоритма DUAL) происходит не только при обрыве связи, а также и в общем случае: если следующий маршрутизатор на пути в А прислал вектор, в котором расстояние до сети А увеличилось по сравнению с предыдущим сообщением от того же маршрутизатора.
В протоколе EIGRP также реализованы процедуры Split Horizon и Poison Reverse (см. п. ), которые выполняются не всегда, а в зависимости от состояния маршрутизатора и его соседей.
Из-за того, что EIGRP-маршрутизатор не просто принимает от соседей векторы расстояний, а строит на их основе некоторое представление от топологии сети ("вероятные заместители"), контролирует состояние связи с соседями и использует алгоритм DUAL, что всё вместе напоминает протоколы состояния связей, Cisco классифицирует EIGRP как "гибридный" протокол.
(С)
Протокол Hello
После инициализации модуля OSPF (например, после подачи питания на маршрутизатор) через все интерфейсы, включенные в OSPF-систему, начинают рассылаться Hello-сообщения (формат сообщений см. в п. ). Задача Hello-протокола- обнаружение соседей и установление с ними отношений смежности.Соседями называются OSPF-маршрутизаторы, подключенные к одной сети (к одной линии связи) и обменивающиеся Hello-сообщениями.
Смежными называются соседние OSPF маршрутизаторы, которые приняли решение обмениваться друг с другом информацией, необходимой для синхронизации базы данных состояния связей и построения маршрутов. Не все соседи становятся смежными (этот вопрос будет рассмотрен в пп. , ).
Другая задача протокола Hello - выбор выделенного маршрутизатора в сети с множественным доступом, к которой подключено несколько маршрутизаторов (см. пп. , ).
Hello-пакеты продолжают периодически рассылаться и после того, как соседи были обнаружены. Таким образом маршрутизатор контролирует состояние своих связей с соседями и может своевременно обнаружить изменение этого состояние (например, обрыв связи или отключение одного из соседей). Обрыв связи может быть также обнаружен и с помощью протокола канального уровня, который просигнализирует о недоступности канала.
В сетях с возможностью широковещательной рассылки (broadcast networks) Hello-пакеты рассылаются по мультикастинговому адресу 224.0.0.5 ("Всем ОSPF-маршрутизаторам"). В других сетях все возможные адреса соседей должны быть введены администратором.
Протокол ICMP
Протокол ICMP (Internet Control Message Protocol, Протокол Управляющих Сообщений Интернет) является неотъемлемой частью IP-модуля. Он обеспечивает обратную связь в виде диагностических сообщений, посылаемых отправителю при невозможности доставки его дейтаграммы и в других случаях. ICMP стандартизован в RFC-792, дополнения — в RCF-950,1256.ICMP-сообщения не порождаются при невозможности доставки:
Все ICMP-сообщения имеют IP-заголовок, значение поля “Protocol” равно 1. Данные дейтаграммы с ICMP-сообщением не передаются вверх по стеку протоколов для обработки, а обрабатываются IP-модулем.
После IP-заголовка следует 32-битное слово с полями “Тип”, “Код” и “Контрольная сумма”. Поля типа и кода определяют содержание ICMP-сообщения. Формат остальной части дейтаграммы зависит от вида сообщения. Контрольная сумма считается так же, как и в IP-заголовке, но в этом случае суммируется содержимое ICMP-сообщения, включая поля “Тип” и “Код”.

Таблица 2.5.1
Виды ICMP-сообщений
Тип
В сообщении типа 12 в поле “хххххххххх” ( 1 октет) заносится номер октета заголовка, в котором обнаружена ошибка; в сообщениях типов 3, 4, 11 не используется. Все неиспользуемые поля заполняются нулями. Сообщения типа 4 (“Замедление источника”) генерируются в случае переполнения (или опасности переполнения) буферов обработки дейтаграмм адресата или промежуточного узла на маршруте. При получении такого сообщения отправитель должен уменьшить скорость или приостановить отправку дейтаграмм до тех пор, пока он не перестанет получать сообщения этого типа. IP-заголовок и начальные слова оригинальной дейтаграммы приводятся для опознания ее отправителем и, возможно, анализа причины сбоя.
Тип 5
Сообщения типа 5 направляются маршрутизатором отправителю дейтаграммы в случае, когда маршрутизатор считает, что дейтаграммы в данное место назначения следует направлять через другой маршрутизатор. Адрес нового маршрутизатора приведен во втором слове сообщения. Понятие “место назначения” конкретизируется значением поля “Код” (см. табл. 2.5.1). Информация о том, куда была направлена дейтаграмма, породившая ICMP-сообщения, извлекается из ее заголовка, присоединенного к сообщению. Отсутствие передачи сетевой маски ограничивает область применения сообщений типа 5.
Типы 0,8
Сообщения типов 0 и 8 используются для тестирования связи по протоколу IP между двумя узлами сети. Тестирующий узел генерирует сообщения типа 8 (“Эхо-запрос”), при этом “Идентификатор” определяет данный сеанс тестирования (номер последовательности отправляемых сообщений), поле “Номер по порядку” содержит номер данного сообщения внутри последовательности. В поле данных содержатся произвольные данные, размер этого поля определяется общей длиной дейтаграммы, указанной в поле “Total length” IP-заголовка. IP-модуль, получивший эхо-запрос, отправляет эхо-ответ. Для этого он меняет местами адреса отправителя и получателя, изменяет тип ICMP-сообщения на 0 и пересчитывает контрольную сумму. Тестирующий узел по самому факту получения эхо-ответов, времени оборота дейтаграмм, проценту потерь и последовательности прибытия ответов может сделать выводы о наличии и качестве связи с тестируемым узлом. На основе посылки и приема эхо-сообщений работает программа ping.Тип 9

Сообщения типа 9 ( объявление маршрутизатора) периодически рассылаются маршрутизаторами хостам сети для того, чтобы хосты могли автоматически сконфигурировать свои маршрутные таблицы. Обычно такие сообщения рассылаются по мультикастинговому адресу 224.0.0.1 (“всем хостам”) или по широковещательному адресу.
Сообщение содержит адреса одного или нескольких маршрутизаторов, снабженных значениями приоритета для каждого маршрутизатора. Приоритет является числом со знаком, записанным в дополнительном коде; чем больше число, тем выше приоритет.
Поле “NumAddr” содержит количество адресов маршрутизаторов в данном сообщении; значение поля “AddrEntrySize” равно двум (размер поля, отведенного на информацию об одном маршрутизаторе, в 32-битных словах). “Время жизни” определяет срок годности информации, содержащейся в данном сообщении, в секундах.
Тип 10
Сообщения типа 10 (запрос объявления маршрутизатора) состоит из двух 32-битных слов, первое из которых содержит поля “Тип”, “Код” и “Контрольная сумма”, а второе зарезервировано (заполняется нулями).
Типы 17 и 18

Сообщения типов 17 и 18 (запрос и ответ на запрос значения маски сети) используются в случае, когда хост желает узнать маску сети, в которой он находится. Для этого в адрес маршрутизатора (или широковещательно, если адрес маршрутизатора неизвестен) отправляется запрос. Маршрутизатор отправляет в ответ сообщение с записанным в нем значением маски той сети, из которой пришел запрос. В том случае, когда отправитель запроса еще не знает своего IP-адреса, ответ отправляется широковещательно.
Поля “Идентификатор” и “Номер по порядку” могут использоваться для контроля соответствий запросов и ответов, но в большинстве случаев игнорируются.
Протокол IGMP
Протокол IGMP (Internet Group Memebership Protocol) предназначен для регистрации на маршрутизаторе членов групп, находящихся в непосредственно присоединенных к нему сетях. Имея эту информацию, маршрутизатор может сообщать другим маршрутизаторам (с помощью протоколов групповой маршрутизации) о необходимости пересылки ему дейтаграмм для тех или иных групп. Современная версия протокола IGMP – версия 2 – документирована в RFC-2236.IGMP работает непосредственно поверх протокола IP, и идентифицируется значением 2 в поле "Protocol" заголовка IP-дейтаграммы. За IP-заголовком в дейтаграмме следует сообщение IGMP:

Значения полей:
Type (8 бит) – тип сообщения.
Max Response Time (8 бит) – максимальное время отклика, задествовано только в сообщениях типа Membership Query.
Checksum (16 бит) – контрольная сумма.
Group Address (32 бита) – групповой IP-адрес.
Существуют следующие типы сообщений:
Membership Query (Type=17) – запрос о наличии в сети членов групп (отправляется маршрутизатором). Запросы обо всех имеющихся группах – общие запросы – отправляются по адресу 224.0.0.1 ("всем узлам"); запросы о наличии членов определенной группы – частные запросы – отправляются по адресу этой группы.
Membership Report (Type=22) – уведомление о наличии в сети члена группы (отправляется хостом – членом группы по адресу группы).
Leave Group (Type=23) – уведомление об отсоединении хоста от группы (отправляется отсоединившимся хостом по адресу 224.0.0.2 – "всем маршрутизаторам").
Протокол функционирует следующим образом.
Маршрутизатор при своем включении и далее периодически рассылает по адресу 224.0.0.1 общий запрос Membership Query, при этом поле "Group Address" обнулено. Период этих рассылок может меняться администратором; значение по умолчанию – 125 с. Приняв такой запрос, каждый получатель групповых дейтаграмм выжидает случайное время. Если за это время кто-то другой уже ответил сообщением Membership Report, то данный хост не отвечает, иначе он сам посылает такое сообщение. Значение поля "Max Response Time" в Membership Query указывает максимальное время, на которое хост может задержать Membership Report (обычно 10 с). Описанный подход используется, чтобы избежать посылки многочисленных ответов с адресом одной и той же группы: маршрутизатору не нужно знать, сколько именно членов данной группы есть у него в сети, ему требуется лишь сам факт их наличия.
Сообщение Membership Report посылается по адресу группы, и этот же адрес помещается в поле "Group Address". Следует отметить, что маршрутизатор является членом всех групп, то есть получает сообщения, направленные на любой групповой адрес.
Если хост является членом нескольких групп, то вышеописанная процедура с выжиданием и отправкой ответа выполняется независимо для каждой группы.
При подключении хоста к новой группе он самостоятельно отправляет сообщение типа Membership Report, не дожидаясь очередного запроса от маршрутизатора.
Для каждой группы, члены которой обнаружились в сети, маршрутизатор ведет отсчет времени неактивности. Если ни одного Membership Report для этой группы не было получено за определенный период (по умолчанию – 260 с), то маршрутизатор считает, что членов этой группы в сети больше нет.
Когда хост отсоединяется от группы, он может послать сообщение Leave Group по групповому адресу 224.0.0.2 ("всем маршрутизаторам"); адрес группы содержится в поле "Group Address". Хосту следует сделать это, если на последний запрос Membership Query от имени данной группы отвечал именно этот хост. Получив сообщение Leave Group, маршрутизатор генерирует частный запрос Membership Query для членов только этой группы. Если за время, указанное в поле "Max Response Time" запроса (по умолчанию – 1 с), маршрутизатор не получил ни одного ответа Membership Report, он считает, что членов данной группы в сети больше нет. Для надежности запрос посылается 2 раза.
Если к одной сети подключены несколько маршрутизаторов, поддерживающих протокол IGMP, то запросы рассылает только маршрутизатор с наименьшим IP-адресом (то есть, если маршрутизатор получил из сети Membership Query с IP-адресом отправителя меньшим, чем его собственный адрес, он должен перестать посылать запросы и перейти в режим прослушивания обмена IGMP-сообщениями).
Для обратной совместимости с первой версией протокола IGMP предусмотрено сообщение Membership Report version 1 (Type=18), а также некоторые специальные действия при работе протокола. Подробнее об этом можно узнать в документе RFC-2236.
Протокол обмена
После установления отношений смежности для каждой пары смежных маршрутизаторов происходит синхронизация их баз данных. Эта же операция происходит при восстановлении ранее разорванного соединения, поскольку в образовавшихся после аварии двух изолированных подсистемах базы данных развивались независимо друг от друга. Синхронизация баз данных происходит с помощью протокола обмена (Exchange protocol).Сначала маршрутизаторы обмениваются только описаниями своих баз данных (Database Description), содержащими идентификаторы записей и номера их версий, это позволяет избежать пересылки всего содержимого базы данных, если требуется синхронизировать только несколько записей (подробнее алгоритм обмена и формат сообщений описан в ).
Во время этого обмена каждый маршрутизатор формирует список записей, содержимое которых он должен запросить (то есть эти записи в его базе данных устарели либо отсутствуют), и соответственно отправляет пакеты запросов о состоянии связей (Link State Request, см. также ). В ответ он получает содержимое последних версий нужных ему записей в пакетах типа "Обновление состояния связей (Link State Update)" (см. также ).
После синхронизации баз данных производится построение маршрутов, как описано в .
Протокол OSPF
Протокол маршрутизации OSFP (Open Shortest Path First) представляет собой протокол состояния связей, использующий алгоритм SPF поиска кратчайшего пути в графе. OSPF применяется для внутренней маршрутизации в системах сетей любой сложности.Протокол RIP
Протокол RIP является дистанционно-векторным протоколом внутренней маршрутизации. Процесс работы протокола состоит в рассылке, получении и обработке векторов расстояний до IP-сетей, находящихся в области действия протокола, то есть в данной RIP-системе. Результатом работы протокола на конкретном маршрутизаторе является таблица, где для каждой сети данной RIP-системы указано расстояние до этой сети (в хопах) и адрес следующего маршрутизатора. Информация о номере сети и адресе следующего маршрутизатора из этой таблицы вносится в таблицу маршрутов, информация о расстоянии до сети используется при обработке векторов расстояний.Протокол затопления (flooding)
Каждый маршрутизатор отвечает за те и только те записи в базе данных состояния связей, которые описывают связи, исходящие от данного маршрутизатора. Это значит, что при образовании новой связи, изменении в состоянии связи или ее исчезновении (обрыве), маршрутизатор, ответственный за эту связь, должен соответственно изменить свою копию базы данных и немедленно известить все остальные маршрутизаторы OSPF-системы о произошедших изменениях, чтобы они также внесли исправления в свои копии базы данных.Подпротокол OSPF, выполняющий эту задачу, называется протоколом затопления (Flooding protocol). При работе этого протокола пересылаются сообщения типа "Обновление состояния связей (Link State Update)" (см. также ), получение которых подтверждается сообщениями типа "Link State Acknowledgment" (см. также ).
Каждая запись о состоянии связей имеет свой номер (номер версии), который также хранится в базе данных. Каждая новая версия записи имеет больший номер. При рассылке сообщений об обновлении записи в базе данных номер записи также включается в сообщение для предотвращения попадания в базу данных устаревших версий.
Маршрутизатор, ответственный за запись об изменившейся связи, рассылает сообщение "Обновление состояния связи" по всем интерфейсам. Однако новые версии состояния одной и той же связи должны появляться не чаще, чем оговорено определенной константой.
Далее на всех маршрутизаторах OSPF-системы действует следующий алгоритм.
1. Получить сообщение. Найти соответствующую запись в базе данных. 2. Если запись не найдена, добавить ее в базу данных, передать сообщение по всем интерфейсам. 3. Если номер записи в базе данных меньше номера пришедшего сообщения, заменить запись в базе данных, передать сообщение по всем интерфейсам. 4. Если номер записи в базе данных больше номера пришедшего сообщения и эта запись не была недавно разослана, разослать содержимое записи из базы данных через тот интерфейс, откуда пришло сообщение. Понятие "недавно" определяется значением константы. 5. В случае равных номеров сообщение игнорировать.
Протокол OSPF устанавливает также такую характеристику записи в базе данных, как возраст. Возраст равен нулю при создании записи. При затоплении OSPF-системы сообщениями с данной записью каждый маршрутизатор, который ретранслирует сообщение, увеличивает возраст записи на определенную величину. Кроме этого, возраст увеличивается на единицу каждую секунду. Из-за разницы во времени пересылки, в количестве промежуточных маршрутизаторов и по другим причинам возраст одной и той же записи в базах данных на разных маршрутизаторах может несколько различаться, это нормальное явление.
При достижении возрастом максимального значения (60 минут), соответствующая запись расценивается маршрутизатором как просроченная и непригодная для вычисления маршрутов. Такая запись должна быть удалена из базы данных.
Поскольку базы данных на всех маршрутизаторах системы должны быть идентичны, просроченная запись должна быть удалена из всех копий базы данных на всех маршрутизаторах. Это делается с использованием протокола затопления: маршрутизатор затапливает систему сообщением с просроченной записью. Соответственно, в описанный выше алгоритм обработки сообщения вносятся дополнения, связанные с получением просроченного сообщения и удалением соответствующей записи из базы данных.
Чтобы записи в базе данных не устаревали, маршрутизаторы, ответственные за них, должны через каждые 30 минут затапливать систему сообщениями об обновлении записей, даже если состояние связей не изменилось. Содержимое записей в этих сообщениях неизменно, но номер версии больше, а возраст равен нулю.
Вышеописанные протоколы обеспечивают актуальность информации, содержащейся в базе данных состояния связей, оперативное реагирование на изменения в топологии системы сетей и синхронизацию копий базы данных на всех маршрутизаторах системы.
Для обеспечения надежности передачи данных реализован механизм подтверждения приема сообщений, также для всех сообщений вычисляется контрольная сумма.
В протоколе OSPF может быть применена аутентификация сообщений, например, защита их с помощью пароля.
(С)
Proxy ARP
ARP-ответ может отправляться не обязательно искомым узлом, вместо него это может сделать другой узел. Такой механизм называется proxy ARP.Рассмотрим пример (рис. 2.6.1). Удаленный хост А подключается по коммутируемой линии к сети 194.84.124.0/24 через сервер доступа G. Сеть 194.84.124.0 на физическом уровне представляет собой Ethernet. Сервер G выдает хосту А IP-адрес 194.84.124.30, принадлежащий сети 194.84.124.0. Следовательно, любой узел этой сети, например, хост В, полагает, что может непосредственно отправить дейтаграмму хосту А, поскольку они находятся в одной IP-сети.

Рис. 2.6.1. Proxy ARP
IP-модуль хоста В вызывает ARP-модуль для определения физического адреса А. Однако вместо А (который, разумеется, откликнуться не может, потому что физически не подключен к сети Ethernet) откликается сервер G, который и возвращает свой Ethernet-адрес как физический адрес хоста А. Вслед за этим В отправляет, а G получает кадр, содержащий дейтаграмму для А, которую G отправляет адресату по коммутируемому каналу.
(С)
Работа протокола RIP
Для каждой записи в таблице маршрутов существует время жизни, контролируемое таймером. Если для любой конкретной сети, внесенной в таблицу маршрутов, в течение 180 с не получен вектор расстояний, подтверждающий или устанавливающий новое расстояние до данной сети, то сеть будет отмечена как недостижимая (расстояние равно бесконечности). Через определенное время модуль RIP производит "сборку мусора" - удаляет из таблицы маршрутов все сети, расстояние до которых бесконечно.При получении сообщения типа "ответ" для каждого содержащегося в нем элемента вектора расстояний модуль RIP выполняет следующие действия:
Сообщения типа "ответ" рассылаются модулем RIP каждые 30 с по широковещательному или мультикастинговому (только RIP-2) адресу; рассылка "ответа" может происходить также вне графика, если маршрутная таблица была изменена (triggered response). Стандарт требует, чтобы triggered response рассылался не немедленно после изменения таблицы маршрутов, а через случайный интервал длительностью от 1 до 5 с. Эта мера позволяет несколько снизить нагрузку на сеть.
В каждую из сетей, подключенных к маршрутизатору, рассылается свой собственный вектор расстояний, построенный с учетом , сформулированного выше в п. 4.2.1. Там, где это возможно, адреса сетей агрегируются (обобщаются), то есть несколько подсетей с соседними адресами объединяются под одним, более общим адресом с соответствующим изменением маски.
В случае triggered response посылается информация только о тех сетях, записи о которых были изменены.
Информация о сетях с бесконечной метрикой посылается только в том случае, если она была недавно изменена.
При получении сообщения типа "запрос" с адресом 0.0.0.0 маршрутизатор рассылает в соответствующую сеть обычное сообщение типа ответ. При получении запроса с любым другим значением в поле (полях) "IP Address" посылается ответ, содержащий информацию только о сетях, которые указаны. Такой ответ посылается на адрес запросившего маршрутизатора (не широковещательно), при этом из п. 4.2.1 не учитывается.
Расщепление подтверждений
Пусть узел А, после установления соединения, находится в режиме медленного старта. Окно перегрузки cwnd равно одному полноразмерному сегменту, который и высылается в В (рис. 2.91). Однако В, вместо того, чтобы ответить одним подтверждением о получении всего сегмента (ACK SN=1001), высылает несколько подтверждений с возрастающими номерами ACK SN (например, 300, 600 и, наконец, 1001), как бы подтверждая получение сегмента по частям.Отметим, что стандарт TCP при этом не нарушается, потому что в TCP подтверждается получение октетов, а не сегментов. Однако алгоритм медленного старта неявно подразумевает, что получатель посылает не более одного подтверждения при получении каждого очередного сегмента, и, как следствие, окно cwnd увеличивается на один полноразмерный сегмент с приходом каждого подтверждения, независимо от того, получение какого числа октетов оно подтверждает.
В итоге при нормальном поведении узла В отправитель на следующем шаге увеличил бы окно cwnd только на 1 сегмент и отправил бы в В два следующих полноразмерных сегмента (SN=1001 и 2001). Но узел В, выслав три подтверждения вместо одного, вынудил узел А увеличить значение cwnd до 4 и отправить 4 сегмента вместо двух.

Рис. 9.14. Расщепление подтверждений
В общем случае, если полноразмерный сегмент содержит N октетов, то узел В может отправить M <= N подтверждений. Простые арифметические подсчеты показывают, что тогда на i-м шаге (то есть через время RTT*i, где RTT — время обращения) узел А будет отправлять не N*2i октетов, как это было бы при нормальном поведении получателя, а порядка N*Mi октетов, если, конечно, узел В позаботится об объявлении подобающего размера окна получателя. Типичный размер поля данных сегмента — 1460 октетов. Наиболее агрессивное поведение получателя (1460 подтверждений на каждый сегмент) теоретически приведет к тому, что уже после третьего шага узел В может получить 2,9 Гбайт данных. Разумеется, скорость не может расти бесконечно — она будет ограничена возможностями сети и узла-отправителя.
Разделение каналов
Протокол TCP обеспечивает работу одновременно нескольких соединений. Каждый прикладной процесс идентифицируется номером порта. Заголовок TCP-сегмента содержит номера портов процесса-отправителя и процесса-получателя. При получении сегмента модуль TCP анализирует номер порта получателя и отправляет данные соответствующему прикладному процессу.Все распространенные сервисы Интернет имеют стандартизованные номера портов. Например, номер порта сервера электронной почты - 25, сервера FTP - 21. Список стандартных номеров портов можно найти в файле /etc/services (Unix).
Совокупность IP-адреса и номера порта называется сокетом. Сокет уникально идентифицирует прикладной процесс в Интернет. Например, сокет сервера электронной почты на хосте 194.84.124.4 обозначается как 194.84.124.4.25; часто номер порта отделяется двоеточием.
Разграничение хостов и маршрутизаторов
Выше мы разбирали систему сетей, состоящую только из маршрутизаторов, соединенных двухточечными линиями связи. В этой системе отсутствовали хосты.Предположим, что к маршрутизатору ?
подключена сеть N1 из некоторого количества хостов H1-Hk. Следуя разобранной выше модели, каждый хост должен быть также вершиной графа OSPF-системы, хотя сам и не строит базу данных и не производит вычисления маршрутов. Тем не менее, информация о связях маршрутизатора ?
с каждым из хостов сети N1 и о метриках этих связей должна быть внесена в базу данных, чтобы все остальные маршрутизаторы системы могли построить маршруты от себя до этих хостов.

Рис. 5.1.3. OSPF-система с маршрутизаторами и хостами
Очевидно, что такая процедура неэффективна. Вместо информации о связях с каждым хостом в базу данных вносится информация о связи с сетью, то есть сама IP-сеть становится вершиной графа системы, соединенной с маршрутизатором ?
с помощью некоторой связи P.

Рис. 5.1.4. OSPF-система с маршрутизаторами и тупиковой сетью
Подчеркнем, что в данном случае сеть, точнее ее адрес, используется как обобщающий идентификатор группы хостов, находящихся в одной IP-сети, к которой маршрутизатор ?
непосредственно подключен. Вершина N1 называется тупиковой сетью (stub network); все узлы сети, обозначаемые этой вершиной, являются хостами, у которых установлен маршрут по умолчанию, направленный на маршрутизатор ?.
Протокол OSPF производит разграничение хостов и маршрутизаторов. Если к IP-сети N1 подключен еще и один из интерфейсов маршрутизатора ?
, то связь между ?
и ?
будет установлена отдельно, как если бы они были соединены двухточечной линией связи (при этом у маршрутизатора ?
также будет связь с тупиковой сетью N1).
При подключении тупиковой сети N1 в базе данных состояния связей появится запись:
| Отaдо | Связь | Метрика |
| ?aN1 | P | 1 |
Связей, направленных из вершины N1, в базе данных не будет, потому что вершина N1 не является маршрутизатором. Построение маршрутов до вершины N1 (то есть фактически сразу до всех хоcтов сети N1) будет произведено каждым маршрутизатором обычным способом по алгоритму SPF.
Разрыв магистрали
Рассмотрим случай, когда магистраль в результате аварии или изначально оказалась разделенной на две части, связь между которыми может быть установлена только через сети, принадлежащие одной из периферийных областей. На примере нашей автономной системы предположим, что сети B и H перестали функционировать или отсутствуют. Следовательно, связь магистральных сетей А и С, с одной стороны, и К и G, с другой стороны, возможна только через сети E, I, L, не принадлежащие магистрали.
Рис. 5.4.2. Разрыв магистрали
В этом случае между маршрутизаторами ?
и ?
, принадлежащими магистрали, должна быть сконфигурирована виртуальная связь, которая вносится в базу данных состояния связей магистрали с метрикой, равной метрике реального "обходного" пути через область 2, эта метрика в нашем случае равна 3. Таким образом, при расчете маршрутов маршрутизаторы магистрали считают, что ?
и ?
соединены непосредственно друг с другом и связность магистрали восстанавливается.
На каждом из маршрутизаторов ?
и ?
при конфигурировании виртуальной связи указывается его партнер по виртуальной связи и область, через которую проходит реальный маршрут виртуальной связи, такая область называется транзитной. Виртуальная связь считается связью типа "точка-точка", следовательно, маршрутизаторы ?
и ?
устанавливают между собой отношения смежности через эту связь.
Разумеется, при необходимости использовать маршрут, лежащий через виртуальную связь, узел ?
должен вместо этого отправлять дейтаграммы узлу ?
, который, руководствуясь своей маршрутной таблицей, направит их дальше через область 2, в конце концов они попадут к маршрутизатору ?
и будут отправлены по назначению. Соответствующие действия при необходимости использовать виртуальную связь предпримет и узел ?
.
В случае отсутствия виртуальной связи коннективность между сетями А и С, с одной стороны, и сетями G, K и областью 1, с другой стороны, будет отсутствовать, несмотря на существование физического маршрута через область 2. Это связано, например, с тем, что маршрутизатор ?
подключен к магистрали, следовательно, маршруты до сетей А и С, принадлежащих магистрали, он должен рассчитывать по базе данных магистрали. Однако граф магистрали больше не является связным и сети А и С недостижимы. Несмотря на то, что ?
объявляет данные о достижимости сетей А и С в области 2, эти данные используются только внутренними маршрутизаторами области.
Реализация BGP
Пара BGP-соседей устанавливает между собой соединение по протоколу TCP, порт 179. Соседи, принадлежащие разным АС, должны быть доступны друг другу непосредственно; для соседей из одной АС такого ограничения нет, поскольку протокол внутренней маршрутизации обеспечит наличие всех необходимых маршрутов между узлами одной автономной системы.Поток информации, которым обмениваются BGP-соседи по протоколу TCP, состоит из последовательности BGP-сообщений. Максимальная длина сообщения 4096 октетов, минимальная– 19. Имеется 4 типа сообщений.
Реализация протокола RIP
Существуют две версии протокола RIP: RIP-1 и RIP-2. Версия 2 имеет некоторые усовершенствования, как то: возможность маршрутизации сетей по модели CIDR (кроме адреса сети передается и маска), поддержка мультикастинга, возможность использования аутентификации RIP-сообщений и др.RPF
Метод RPF (Reverse Path Forwarding) состоит в следующем.Маршрутизатор получил через интерфейс I групповую дейтаграмму от источника S. Если через I лежит кратчайший маршрут от данного маршрутизатора до узла S, то ретранслировать дейтаграмму через все интерфейсы кроме того, с которого она получена. Иначе дейтаграмму игнорировать.
Например (рис. 8.3.2, а) маршрутизатор В проигнорирует дейтаграмму, полученную от узла С, но примет дейтаграмму от узла Е и ретранслирует ее через все остальные интерфейсы.

Рис. 8.3.2. Метод RPF
а) рассылка дейтаграмм; б) сформированное дерево рассылки
S – источник, A-F – маршрутизаторы;
метрики всех сетей, кроме явно указанных, равны 1
В результате каждый маршрутизатор принимает для ретрансляции только те групповые дейтаграммы, которые следуют от источника к маршрутизатору по кратчайшему пути. Иными словами, дейтаграммы распространяются от источника ко всем маршрутизаторам системы по оптимальному остовому дереву с корнем в источнике (рис. 8.3.2, б). Для каждого источника такое дерево возникает автоматически по мере продвижения дейтаграммы.
Однако поскольку ретрансляция групповой дейтаграммы производится маршрутизатором через все интерфейсы, кроме входного, некоторые экземпляры дейтаграммы являются лишними и засоряют сеть. Речь идет о тех дейтаграммах, которые будут отброшены соседними маршрутизаторами на основании того, что они прибыли с "неоптимальных" интерфейсов, то есть распространялись не по ветвям дерева (например, дейтаграмма, посланная узлом С к узлу В на рис. 8.3.2, а). Избежать ретрансляции дейтаграммы через связи, не принадлежащие дереву, можно с помощью следующей модификации алгоритма: "Полученная групповая дейтаграмма предается только в те сети, где находятся маршрутизаторы, кратчайший маршрут к которым от узла S проходит через данный маршрутизатор." Следуя этому правилу, узел С не отправит дейтаграмму в В, поскольку кратчайший путь от источника до узла В проходит не через С.
Важно отметить, что для реализации метода RPF необходимо иметь доступ к таблице маршрутов. Более того, для реализации модифицированного алгоритма требуется доступ к внутренним данным протокола внутренней маршрутизации (например, к базе данных состояния связей OSPF) – иначе нельзя сделать вывод о маршрутах, используемых другими узлами системы (источниками групповых дейтаграмм).
Следующая модификация RPF призвана учесть наличие или отсутствие получателей групповой дейтаграммы в сетях системы с тем, чтобы дейтаграммы рассылались только в те сети, где есть члены данной группы. Применяемый для этого метод называется prunes – усечение (от английского prune – "обрезать ветви дерева").
Первая групповая дейтаграмма распространяется обычным образом по алгоритму RPF и достигает всех маршрутизаторов системы. Если к какому-то "конечному" маршрутизатору не присоединены члены данной группы (это устанавливается с помощью протокола IGMP), он посылает через тот интерфейс, откуда получил групповую дейтаграмму, специальное сообщение Prune (по адресу данной группы). Это сообщение, принятое маршрутизатором, находящемся в вышестоящем узле дерева, означает "не посылать больше через этот интерфейс дейтаграммы от данного источника для данной группы". Вышестоящий маршрутизатор помечает этот интерфейс как pruned (усеченный) на определенный срок. По истечении этого срока процесс повторяется сначала. Однако имеется сообщение Graft (от английского "прививать растение"), позволяющее быстро подсоединиться к существующему дереву (то есть отменить ранее посланное Prune), не дожидаясь очередной рассылки "пробной" дейтаграммы.
Если Prune получено от всех нижележащих маршрутизаторов, маршрутизатор отправляет Prune еще более вышестоящему маршрутизатору– таким образом можно усекать целые поддеревья.
Метод RPF (с усечением) обладает следующими чрезвычайно существенными достоинствами:
Недостатки рассматриваемого метода:
Несмотря на описанные недостатки, именно метод RPF лежит в основе многих протоколов групповой маршрутизации.
Сбой системы
DoS-атаки этой группы не связаны с какими-либо проблемами протоколов стека TCP/IP, а используют ошибки в их программной реализации. Эти ошибки сравнительно просто исправить. Мы дадим краткий обзор наиболее известных атак, имея в виду, что в скором времени они, видимо, будут представлять лишь исторический интерес. С другой стороны нет никаких гарантий того, что не будут обнаружены новые ошибки. Все описываемые ниже атаки приводят к общему сбою уязвимой системы. Для защиты от них необходимо использовать последние версии операционных систем и следить за обновлениями к ним.Ping of death
Атака состоит в посылке на атакуемый узел фрагментированной датаграммы, размер которой после сборки превысит 65 535 октетов. Напомним, что длина поля Fragment Offset заголовка IP-датаграммы — 13 битов (то есть, максимальное значение равно 8192), а измеряются смещения фрагментов в восьмерках октетов. Если последний фрагмент сконструированной злоумышленником датаграммы имеет, например, смещение Fragment Offset=8190, а длину — 100, то его последний октет находится в собираемой датаграмме на позиции 8190*8+100=65620 (плюс как минимум 20 октетов IP-заголовка), что превышает максимальный разрешенный размер датаграммы.
Teardrop
Атака использует ошибку, возникающую при подсчете длины фрагмента во время сборки датаграммы. Предположим, фрагмент А имеет смещение 40 (Fragment Offset=5) и длину 120, а фрагмент В — смещение 80 и длину 160, то есть фрагменты накладываются, что, в общем-то, разрешено. Модуль IP вычисляет длину той части фрагмента В, которая не накладывается на А: (80+160) – (40+120)=80, и копирует последние 80 октетов фрагмента В в буфер сборки. Предположим, злоумышленник сконструировал фрагмент В так, что тот имеет смещение 80, а длину 72. Вычисление длины перекрытия дает отрицательный результат: (80+72) – (40+120)= –8, что с учетом представления отрицательных чисел в машинной арифметике интерпретируется как 65528, и программа начинает записывать 65 528 байтов в буфер сборки, переполняя его и затирая соседнюю область памяти.
Land
Атака состоит в посылке на атакуемый узел SYN-сегмента TCP, у которого IP-адрес и порт отправителя совпадают с адресом и портом получателя.
Nuke
Атака состоит в посылке на атакуемый TCP-порт срочных данных (задействовано поле Urgent Pointer). Атака поражала через порт 139 Windows-системы, в которых в прикладном процессе не была предусмотрена возможность приема срочных данных, что приводило к краху системы.
Счет до бесконечности
Рассмотрим следующую систему сетей:
Рис. 4.2.2. Пример RIP-системы (иллюстрация счета до бесконечности)
Первоначально сеть А была подсоединена к узлу ?
, но в какой-то момент времени произошла авария и сеть А оказалась изолированной.
До момента аварии маршрутизаторы имели следующие записи относительно сети А:
Узел ?
А=1a
?
Узел ?
А=2a
?
Узел ?
А=2a
?
Немедленно после аварии запись в таблице маршрутов узла А изменяется на А=16a
?
, это говорит о том, что сеть А недостижима, а точнее, что сеть А через узел ?
недостижима.
Вектор расстояний, рассылаемый из ?
, с элементом A=16 достигает узла ?
, но по какой-то причине задерживается на пути в ?
. Согласно дополнениям к алгоритму рассылки векторов расстояний, приведенным в предыдущем пункте, узел ?
вносит в свою таблицу запись А=16a
?
и рассылает вектор с элементом А=16.
В этот момент узел ?
, до которого сообщение от узла ?
о недостижимости сети А еще не дошло, рассылает в сети Е свой вектор с элементом А=2. Узел ?
получает этот вектор, прибавляет к расстоянию 1 и замечает, что оно меньше записанного в таблице (бесконечность), следовательно, в таблице маршрутов узла ?
появляется запись А=3a
?
. Вектор расстояний с элементом А=3 рассылается узлом ?
в сети С и достигает узла ?
.
Узел ?
, руководствуясь теми же соображениями, что и узел ?
ранее, модифицирует свою таблицу: А=4a
?
.
Примерно в это время узел ?
получает наконец-то вектор А=16, отправленный после аварии узлом ?
, но вслед за этим из узла ?
приходит вектор А=4, который узел ?
рассылает в сети D. Поскольку ?
отправляет дейтаграммы в сеть А через ?
, он обязан реагировать на любые объявления узлом ?
расстояния до сети А. Поэтому в таблице узла ?
появляется А=5a
?
.
Соответствующий вектор от узла ?
с элементом А=5 достигает по сети Е узел ?
, в таблице маршрутов которого указано, что дейтаграммы в сеть А он отправляет через ?
. Следовательно, узел ?
обязан реагировать на любые объявления узлом ?
расстояния до сети А. Поэтому в таблице узла ?
появляется А=6a
?
.
Вектор от узла ?
с элементом А=6 достигает по сети С узел ?
, в таблице маршрутов которого указано, что дейтаграммы в сеть А он отправляет через ?
. Следовательно, узел ?
обязан реагировать на любые объявления узлом ?
расстояния до сети А. Поэтому в таблице узла ?
появляется А=7a
?
.
Далее все повторяется по кругу до тех пор, пока расстояние до А не станет равным бесконечности в таблицах всех трех маршрутизаторов. Несмотря на это в течение "счета до бесконечности" сеть А считается достижимой, поскольку расстояние до нее считается конечным, и все дейтаграммы, адресованные в сеть А, отправляются маршрутизаторами согласно их таблицам, то есть по кругу, что нельзя признать разумной и корректной маршрутизацией.
Существуют и более сложные ситуации, когда возникает необходимость "счета до бесконечности". Чтобы уменьшить отрицательный эффект этого явления, значение бесконечности не должно быть велико. В протоколе RIP оно равно 16, что в свою очередь ограничивает размер RIP-системы.
Семиуровневая модель OSI
Модель OSI (Open System Interconnect Reference Model, Эталонная модель взаимодействия открытых систем) представляет собой универсальный стандарт на взаимодействие двух систем (компьютеров) через вычислительную сеть.Эта модель описывает функции семи иерархических уровней и интерфейсы взаимодействия между уровнями. Каждый уровень определяется сервисом, который он предоставляет вышестоящему уровню, и протоколом- набором правил и форматов данных для взаимодействия между собой объектов одного уровня, работающих на разных компьютерах.
Идея состоит в том, что вся сложная процедура сетевого взаимодействия может быть разбита на некоторое количество примитивов, последовательно выполняющихся объектами, соотнесенными с уровнями модели. Модель построена так, что объекты одного уровня двух взаимодействующих компьютеров сообщаются непосредственно друг с другом с помощью соответствующих протоколов, не зная, какие уровни лежат под ними и какие функции они выполняют. Задача объектов - предоставить через стандартизованный интерфейс определенный сервис вышестоящему уровню, воспользовавшись, если нужно, сервисом, который предоставляет данному объекту нижележащий уровень.
Например, некий процесс отправляет данные через сеть процессу, находящемуся на другом компьютере. Через стандартизованный интерфейс процесс-отправитель передает данные нижнему уровню, который предоставляет процессу сервис по пересылке данных, а процесс-получатель через такой же стандартизованный интерфейс получает эти данные от нижнего уровня. При этом ни один из процессов не знает и не имеет необходимости знать, как именно осуществляет передачу данных протокол нижнего уровня, сколько еще уровней находится под ним, какова физическая среда передачи данных и каким путем они движутся.
Эти процессы, с другой стороны, могут находиться не на самом верхнем уровне модели. Предположим, что они через стандартный интерфейс взаимодействуют с приложениями вышестоящего уровня и их задача (предоставляемый сервис) - преобразование данных, а именно фрагментация и сборка больших блоков данных, которые вышестоящие приложения отправляют друг другу. При этом сущность этих данных и их интерпретация для рассматриваемых процессов совершенно не важны.
Возможна также взаимозаменяемость объектов одного уровня (например, при изменении способа реализации сервиса) таким образом, что объект вышестоящего уровня не заметит подмены.
Вернемся к примеру: приложения не знают о том, что их данные преобразуются именно путем фрагментации/сборки, им достаточно знать то, что нижний уровень предоставляет им некий “правильный” сервис преобразования данных. Если же для какой-то другой сети понадобится не фрагментация/сборка пакетов, а, скажем, перестановка местами четных и нечетных бит, то процессы рассматриваемого уровня будут заменены, но приложения ничего не заметят, так как их интерфейсы с нижележащим уровнем стандартизованы, а конкретные действия нижележащих уровней скрыты от них.
Объекты, выполняющие функции уровней, могут быть реализованы в программном, программно-аппаратном или аппаратном виде. Как правило, чем ниже уровень, тем больше доля аппаратной части в его реализации.
Организация сетевого взаимодействия компьютеров, построенного на основе иерархических уровней, как описано выше, часто называется протокольным стеком.
Сети множественного доступа
Протокол OSPF особым образом выделяет сети множественного доступа, то есть сети, где каждый узел может непосредственно связаться с каждым. Такие сети могут также поддерживать широковещательную передачу и мультикастинг (broadcast networks, например, Ethernet, FDDI) или не поддерживать таковой (non-broadcast multi-access networks, NBMA, например, Х.25, Frame Relay, ATM).Рассмотрим сначала случай широковещательной сети, к которой подключено несколько маршрутизаторов. Следуя модели работы протоколов состояния связей, связь каждой пары маршрутизаторов должна рассматриваться как связь типа "точка-точка", что значит: каждый маршрутизатор должен установить смежность с каждым, то есть всего N(N-1)/2 отношений смежности, по которым происходит обмен всеми типами сообщений, описанных в . Каждый маршрутизатор будет вносить в базу данных N-1 записей о связях с другими маршрутизаторами плюс одна связь с вершиной типа "тупиковая сеть" (то есть с хостами, которые тоже могут находиться в этой IP-сети), всего в базе данных будет N2 записей, касающихся рассматриваемой сети.
Сканирование сети
Сканирование сети имеет своей целью выявление подключенных к сети компьютеров и определение работающих на них сетевых сервисов (открытых портов TCP или UDP). Первая задача выполняется посылкой ICMP-сообщений Echo с помощью программы ping с последовательным перебором адресов узлов в сети. Стоит попробовать отправить Echo-сообщение по широковещательному адресу — на него ответят все компьютеры, поддерживающие обработку таких сообщений.Администратор сети может обнаружить попытки сканирования путем анализа трафика в сети и отслеживания Echo-сообщений, за короткий промежуток времени посылаемых последовательно по всем адресам сети. Для большей скрытности злоумышленник может существенно растянуть процесс во времени («медленное сканирование») — это же касается и сканирования портов TCP/UDP. Также злоумышленник может применить «обратное сканирование» (inverse mapping): в этом случае на тестируемые адреса посылаются не сообщения ICMP Echo, а другие сообщения, например RST-сегменты TCP, ответы на несуществующие DNS-запросы и т. п. Если тестируемый узел не существует (выключен), злоумышленник получит в ответ ICMP-сообщение Destination Unreachable: Host Unreachable.
Следовательно, если сообщение не было получено, то соответствующий узел подключен к сети и работает.
Программа traceroute поможет в определении топологии сети и обнаружении маршрутизаторов.
Для определения того, какие UDP- или TCP-приложения запущены на обнаруженных компьютерах, используются программы-сканеры, например, программа . Поскольку номера портов всех основных сервисов Интернета стандартизованы, то, определив, например, что порт 25/TCP открыт, можно сделать вывод о том, что данный хост является сервером электронной почты, и т. д. Полученную информацию злоумышленник может использовать для развертывания атаки на уровне приложения.
Сканирование TCP-портов хоста производится несколькими способами. Наиболее простой способ — установление TCP-соединения с тестируемым портом с помощью функции connect. Если соединение удалось установить, значит, порт открыт и к нему подсоединено серверное приложение. Достоинством этого способа является возможность выполнения сканирования любым пользователем, и даже без специального программного обеспечения: стандартная программа telnet позволяет указать произвольный номер порта для установления соединения. Существенный недостаток — возможность отслеживания и регистрации такого сканирования: при анализе системного журнала сканируемого хоста будут обнаружены многочисленные открытые и сразу же прерванные соединения, в результате чего могут быть приняты меры по повышению уровня безопасности.
Сканирование в режиме половинного открытия (half- open scanning) не имеет описанного недостатка, но требует от злоумышленника возможности формировать одиночные TCP-сегменты в обход стандартного модуля TCP (или, при использовании уже написанных программ, как минимум — прав суперпользователя). В этом режиме злоумышленник направляет на сканируемый порт SYN-сегмент и ожидает ответа. Получение ответного сегмента с битами SYN и ACK означает, что порт открыт; получение сегмента с битом RST означает, что порт закрыт. Получив SYN+ACK, злоумышленник немедленно отправляет на обнаруженный порт сегмент с битом RST, таким образом ликвидируя попытку соединения. Так как соединение так и не было открыто (ACK от злоумышленника не был получен), то зарегистрировать такое сканирование гораздо сложнее.
Третий способ — сканирование с помощью FIN-сегментов. В этом случае на сканируемый порт посылается сегмент с установленным битом FIN. Хост должен ответить RST-сегментом, если FIN-сегмент адресован закрытому порту. FIN-сегменты, направленные на порт, находящийся в состоянии LISTEN, многими реализациями TCP/IP игнорируются (стандарт требует в состоянии LISTEN посылать RST-сегменты в ответ на сегменты, имеющие неприемлемый ACK SN; про сегменты, имеющие только флаг FIN, ничего не говорится). Таким образом, отсутствие отклика говорит о том, что порт открыт. Варианты этого способа сканирования — посылка сегментов с флагами FIN, PSH, URG («Xmas scan») или вообще без всяких флагов («Null scan»).
Конечно, сканирование SYN-сегментами дает более надежные результаты, однако, к счастью, многие брандмауэры могут не пропускать SYN-сегменты без флага ACK из Интернета во внутреннюю сеть1 (так, запрещаются соединения хостов Интернета с внутренними хостами, инициируемые из Интернета, но разрешаются соединения, инициируемые изнутри).
1 О способе проникновения SYN-сегментов через брандмауэр с помощью фрагментации дейтаграмм см. п. .
Программа может зарегистрировать попытки сканирования в различных режимах.
Для определения открытых портов UDP злоумышленник может отправить на тестируемый порт UDP-сообщение. Получение в ответ ICMP-сообщения Port Unreachable (тип 3, код 3) говорит о том, что порт закрыт.
Программа-сканер может также определить операционную систему сканируемого узла по тому, как узел реагирует на специальным образом сконструированные, нестандартные пакеты: например, TCP-сегменты с бессмысленными сочетаниями флагов или ICMP-сообщения некоторых типов, и по другим признакам.
В марте 2001 г. в списке рассылки шла оживленная дискуссия об опции TCP Timestamp (Временной штамп) []. У многих систем часы модуля TCP, чьи показания помещаются в опцию Timestamp, связаны с системными часами, что позволяет по значению опции определить uptime — время, прошедшее с момента загрузки компьютера. Эта информация может представлять потенциальную угрозу для безопасности компьютера в следующих аспектах.
Однако возможность выполнения реальных атак с использованием значения uptime пока остается под вопросом.
В заключение отметим, что для определения адресов работающих в сети компьютеров и запущенных на них UDP- или TCP-сервисов злоумышленник, непосредственно подключенный к сегменту сети, может использовать простое прослушивание. Такая форма сканирования сети является более скрытной, чем рассылка тестирующих датаграмм.
9.1.3. Генерация пакетов
Генерация датаграмм или кадров произвольного формата и содержания производится не менее просто, чем прослушивание сети Ethernet. Библиотека обеспечит программиста всем необходимым для решения этой задачи. Библиотека предоставляет инструментарий для обратного действия — извлечения пакетов из сети и их анализа.
На многочисленных сайтах Интернета злоумышленник может найти уже готовые программы, генерирующие пакеты целенаправленно для выполнения какой-либо атаки или сканирования сети (например, программа nmap, упомянутая выше). Применение таких программ часто не требует от злоумышленника ни квалификации программиста, ни понимания принципов работы сети, что делает многие из описанных атак, особенно атаки типа «отказ в обслуживании», широко доступными для исполнения.
Сообщение Hello

Значения полей:
Network Mask (4 октета) - маска IP-сети, в которой находится интерфейс маршрутизатора, отправившего сообщение.
Hello Interval (2 октета) - период посылки Hello-сообщений, в секундах.
Options (1 октет) - определено значение нескольких бит:
DC
БитТ
установлен a
поддерживается маршрутизация по типу сервиса (этот бит исключен из последней версии стандарта OSPF, но может поддерживаться для совместимости с предыдущими версиями).
Бит Е
установлен a
маршрутизатор может принимать и объявлять внешние маршруты через данный интерфейс, сброшен a
данный интерфейс маршрутизатора принадлежит тупиковой области.
Бит MC
установлен a
маршрутизатор поддерживает маршрутизацию мультикастинговых дейтаграмм (RFC 1584, в этой части пособия не обсуждается).
Бит N/P
установлен a
данный интерфейс маршрутизатора принадлежит не совсем тупиковой области (NSSA).
Бит EA
установлен a
маршрутизатор может получать и ретранслировать объявления о "внешних атрибутах" (к настоящему моменту описание опции не разработано).
Бит DC
установлен a
маршрутизатор поддерживает работу с соединениями, устанавливаемыми по требованию (demand circuits, RFC 1793) - это, например, означает, что записи о связях, устанавливаемых по требованию, не устаревают.
Поле "Options" используется для согласования возможностей маршрутизаторов-соседей (маршрутизатор может прервать соседские отношения, если какие-то опции соседа его не устраивают) и для определения того, какую информацию о состоянии связей не нужно посылать маршрутизатору-соседу, потому что он все равно не сможет ее обработать.
Priority (1 октет) - приоритет маршрутизатора; устанавливается администратором, используется при выборах выделенного маршрутизатора; маршрутизатор с нулевым приоритетом никогда не будет избран.
Dead Interval (4 октета) - время в секундах, по истечении которого маршрутизатор-сосед, не посылающий сообщения Hello, считается отключенным.
Designated Router (DR) (4 октета) - идентификатор выделенного маршрутизатора с точки зрения маршрутизатора, посылающего сообщение (0, если выделенный маршрутизатор еще не выбран).
Backup Designated Router (BDR) (4 октета) - идентификтор запасного выделенного маршрутизатора с точки зрения маршрутизатора, посылающего сообщение (0, если запасной выделенный маршрутизатор еще не выбран).
Neighbor,..., Neighbor - список идентификаторов соседей, от которых получены Hello-сообщения за последние Dead Interval секунд; число полей "Neighbor" определяется из общей длины сообщения, указанной в OSPF-заголовке. Длина одного поля — 4 октета.
После того, как пара маршрутизаторов начинает обмениваться Hello-сообщениями с каким-то соседом, этот процесс проходит через несколько стадий:
DOWN - сосед не обнаружен или отключился;
INIT - послано Hello-сообщение или получено от маршрутизатора, еще не зачисленного в список соседей;
2-WAY (двусторонняя связь) - получено Hello-сообщение, в котором данный маршрутизатор-получатель перечислен в списке соседей, а отправитель этого сообщения также зачислен в список соседей данного маршрутизатора;
WAIT - ожидание в течение Dead Interval секунд для обнаружения всех соседей; в это время маршрутизатор передает Hello-сообщения, но не участвует в выборах выделенного маршрутизатора и в синхронизировании баз данных;
EXSTART - установление ролей главный/подчиненный и инициализация структур данных для обмена описаниями баз данных (протокол обмена);
EXCHANGE - обмен описаниями баз данных (протокол обмена);
LOADING - синхронизация баз данных, пересылка сообщений-запросов о состояниях связей и ответов на них (протокол обмена);
FULL - базы данных синхронизированы.
Каждый маршрутизатор самостоятельно производит выборы выделенного и запасного выделенного маршрутизаторов на основании имеющихся у него данных о соседях и о том, кого каждый из соседей назначил на эту роль. Фактически процесс выборов происходит постоянно, после получения каждого Hello-сообщения, но алгоритм гарантирует, что при стабильном состоянии сети всеми маршрутизаторами будут выбираться одни и те же DR и BDR.
Каждый маршрутизатор может объявить себя либо выделенным, либо запасным, поместив свой идентификатор в соответствующее поле своих Hello-сообщений. Иначе он может поместить туда адреса других маршрутизаторов, если он считает их занимающими соответствующие роли. Если маршрутизатор не определился с выбором DR и (или) BDR (например, после включения), он заполняет соответствующие поля нулями.
Выбор проводится только среди соседей, с которыми установлена двусторонняя связь и приоритет которых не равен нулю; в этот список маршрутизатор включает и себя, если его приоритет не нулевой.
Итак, после получения очередного Hello-сообщения маршрутизатор приступает к выбору DR и BDR. Он помнит мнения своих соседей по поводу того, кто является DR и BDR, которые он узнал из получаемых Hello-сообщений, а также свой собственный предыдущий выбор.
После выбора DR и BDR маршрутизатор сообщает их идентификаторы в своих Hello-сообщениях. Если в результате процедуры выбора DR или BDR изменились по сравнению с предыдущим выбором данного маршрутизатора, он устанавливает необходимые отношения смежности, если они еще не были установлены, и разрывает ненужные больше отношения смежности, если таковые имеются.
Когда маршрутизатор подключается к сети, сначала он достигает состояния 2-WAY со всеми своими соседями, а потом, прежде чем приступать к выборам, ожидает время WAIT. В течение этого времени он передает Hello-сообщения с обнуленными полями DR и BDR. После истечения периода WAIT вновь подключившийся маршрутизатор может предлагать себя на роль BDR , производить выборы и формировать отношения смежности.
Сообщение "Обновление состояния связей (Link State Update)"

Сообщение "Обновление состояния связей" собственно и содержит информацию из базы данных состояния связей. Это сообщение отправляется в ответ на запрос (тип 3) при работе протокола обмена (см. ), а также при работе протокола затопления (см. )для распространения информации об изменении состояния связей. В последнем случае его получение подтверждается сообщениями типа 5 "Link State Acknowledgment", в случае отсутствия подтверждения посылка повторяется.
Сообщение типа 4 состоит из одного или нескольких объявлений о состоянии связей (Link State Advertisement, LSA), следующих друг за другом. Существует несколько типов LSA. Каждое LSA состоит из заголовка и тела. Типы LSA и их формат будут рассмотрены в следующих пунктах этого раздела (пп. - ).
Число объявлений LSA в сообщении определяется первым 32-битным словом, следующим за OSPF заголовком. Длина каждого LSA определяется соответствующим полем в заголовке LSA. Если все LSA, которые требуется отправить, не помещаются в одно сообщение, они могут быть распределены по нескольким сообщениям.
Дейтаграмма с OSPF сообщением типа 4, несущим 3 LSA, имеет следующую общую структуру:

Сообщение "Подтверждение приема сообщения о состоянии связей (Link State Acknowledgment)"

Сообщения типа 5 отправляются в подтверждение получения сообщений типа 4 при работе протокола затопления. Сообщение содержит одно или несколько подтверждений, каждое подтверждение состоит из заголовка LSA (см. ), получение которого подтверждается.
Маршрутизатор может не посылать подтверждение на каждое сообщение типа 4, а послать одно сообщение типа 5 с подтверждениями на получение LSA, присланных в нескольких сообщениях типа 4, но в любом случае задержка с посылкой подтверждений не должна быть велика.
Число подтверждений в одном сообщении типа 5 определяется из общей длины сообщения, указанной в OSPF-заголовке.
Сообщение "Запрос состояния связи (Link State Request)"

Сообщение "Запрос состояния связи" отправляется при работе протокола обмена (см. ) после того, как был произведен обмен описаниями баз данных.
Сообщение содержит один или несколько идентификаторов записей, которые маршрутизатор хочет получить от своего соседа. Каждый идентификатор записи состоит из полей "Link State Type", "Link State ID" и "Advertising Router"; значения этих полей будут рассмотрены при обсуждении заголовков объявлений о состоянии связей (LSA) в . Число идентификаторов (то есть число запросов) в одном сообщении определяется из общей длины сообщения, указанной в OSPF-заголовке.
Подтверждением приема запроса является посылка сообщения типа 4 "Обновление состояния связи". При отсутствии подтверждения в течение некоторого тайм-аута запрос посылается повторно. Если все запросы не могут быть помещены в одно сообщение, они разбиваются на несколько сообщений, но каждое следующее сообщение-запрос посылается только после получения всех записей, запрошенных в предыдущем.
Создание статических маршрутов
Таблица маршрутов может заполняться различными способами. Статическая маршрутизация применяется в том случае, когда используемые маршруты не могут измениться в течение времени, например, для выше обсужденных хоста и маршрутизатора, где просто отсутствуют какие-либо альтернативные маршруты. Статические маршруты конфигурируются администратором сети или конкретного узла.Для рядового хоста из рассмотренного выше примера достаточно указать только адрес шлюза (следующего маршрутизатора в маршруте по умолчанию), остальные записи в таблице очевидны, и хост, зная свой собственный IP-адрес и сетевую маску, может внести их самостоятельно. Адрес шлюза может быть указан как вручную, так и получен автоматически при конфигурировании стека TCP/IP через DHCP сервер (см. лабораторную работу в курсе ).
Стек протоколов TCP/IP
TCP/IP - собирательное название для набора (стека) сетевых протоколов разных уровней, используемых в Интернет. Особенности TCP/IP:
Рис. 1.2.1. Стек протоколов TCP/IP
Стек протоколов TCP/IP делится на 4 уровня: прикладной (application), транспортный (transport), межсетевой (internet) и уровень доступа к среде передачи (network access). Термины, применяемые для обозначения блока передаваемых данных, различны при использовании разных протоколов транспортного уровня - TCP и UDP, поэтому на рисунке 1.2.1 изображено два стека. Как и в модели OSI, данные более верхних уровней инкапсулируются в пакеты нижних уровней (см. рис. 1.2.2).

Рис. 1.2.2. Пример инкапсуляции пакетов в стеке TCP/IP
Примерное соотношение уровней стеков OSI и TCP/IP показано на рис. 1.2.3.

Рис. 1.2.3. Соотношение уровней стеков OSI и TCP/IP
Ниже кратко рассматриваются функции каждого уровня и примеры протоколов. Программа, реализующая функции того или иного протокола, часто называется модулем, например, “IP-модуль”, “модуль TCP”.
Таблицы маршрутов
Рассмотрим примеры маршрутных таблиц, с которыми имеет дело администратор локальной сети 194.84.124.0/24.Таблица маршрутов рядового хоста с адресом 194.84.124.4 (хост В на рис. 2.3.2):
Таблица 2.3.1
Destination
Значение первой записи очевидно, вторая запись определяет, что дейтаграммы, адресованные в локальную сеть, хост отправляет самостоятельно через свой интерфейс le0. Третья запись (маршрут по умолчанию) устанавливает, что все остальные дейтаграммы передаются на адрес 194.84.124.1, который является адресом следующего маршрутизатора (флаг G), для дальнейшей пересылки. Чтобы определить способ достижения самого маршрутизатора, следует, очевидно, обратиться ко второй строке таблицы, так как адрес маршрутизатора принадлежит сети 194.84.124.0.
Заметим, что в этой таблице для простоты опущены маски сетей.
Пример таблицы маршрутов маршрутизатора, соединяющего локальную сеть с провайдером Интернет по выделенному каналу (G1 на ):
Таблица 2.3.2
Destination
Первые две записи говорят о том, что маршрутизатор самостоятельно, через свои соответствующие IP-интерфейсы отправляет дейтаграммы, адресованные в сети, к которым он подключен непосредственно. Все остальные дейтаграммы перенаправляются к G2 (194.84.0.118). Интерфейс se0 обозначает последовательный (serial) канал - выделенную линию.
"Телекоммуникационные технологии (Сети TCP/IP)"
Список литературы
Ресурсы on-line
Библиотека Афины
: описания, документация, руководства.
первый октет обнулен за исключением

Значения полей:
VEB(3 бита) - первый октет обнулен за исключением трех старших бит V (бит 5), E (бит 6) и B (бит 7). Установленные значения этих бит говорят о том, что маршрутизатор, объявивший данное LSA, является:
бит B - пограничным маршрутизатором области (ABR);
бит Е - пограничным маршрутизатором системы (ASBR);
бит V - оконечной точкой виртуальной связи.
Число связей (2 октета) - число связей, объявленных в данном LSA.
Объявление о каждой связи состоит из полей "Link ID", "Link Data", "Type", "#TOS", "TOS 0 metric", за которыми может следовать 0 или более 32-разрядных слов, состоящих из полей "TOS", нулевого октета и "TOS metric". Количество таких слов определяется полем "#TOS".
Link ID (4 октета), Link Data (4 октета), Type (1 октет) - интерпретация полей "Link ID" и "Link Data" зависит от значения поля "Type" (ниже в колонке "Link Data" под IP-адресом понимается IP-адрес интерфейса объявляющего маршрутизатора, подключенного к той связи, которую он объявляет):
#TOS (1 октет) - число метрик для маршрутизации по типу сервиса для данной связи (0 - метрики для маршрутизации по типу сервиса не определены).
TOS 0 metric (2 октета) - метрика данной связи для маршрутизации без учета типа сервиса (метрика по умолчанию).
TOS (1 октет), TOS metric (2 октета) - метрика данной связи ("TOS metric") для указанного типа сервиса ("TOS"). Число таких метрик определено полем "#TOS" и может быть равно нулю. Значение TOS определяется, как в заголовке IP-дейтаграммы. Несмотря на то, что маршрутизация по типу сервиса исключена из последней версии стандарта OSPF, эти поля поддерживаются для совместимости с предыдущими версиями.
Кроме собственно связей с тупиковыми сетями, следующие связи объявляются как связи с тупиковыми сетями:
к сети множественного доступа. Перечисляются

Значения полей:
Network Mask (4 октета) - маска сети множественного доступа (адрес этой сети указан в поле "Link State ID" заголовка LSA).
Attached Router (4 октета) - идентификатор маршрутизатора, подключенного к сети множественного доступа. Перечисляются все маршрутизаторы, установившие отношения смежности с выделенным маршрутизатором. Длина списка маршрутизаторов определяется из общей длины LSA, указанной в заголовке LSA.
LSA этого типа описывает связи, направленные в графе системы от вершины типа "транзитная сеть" к маршрутизаторам этой сети. Метрика этих связей не указывается, поскольку она считается равной нулю.
Далее следует одна или более

Значения полей:
Network Mask (4 октета) - маска внешней IP-сети. IP-адрес этой сети указан в поле "Link State ID" заголовка LSA.
Далее следует одна или более записей с указанием метрики и других характеристик маршрута до данной сети для разных типов сервиса (поля "E TOS", "TOS metric", "Forwarding Address", "External Route Tag"). Первыми указываются характеристики для TOS=0 (т.е. когда тип сервиса не учитывается), эта часть присутствует обязательно. Число прочих типов сервиса, представленных в LSA, определяется из общей длины LSA, указанной в заголовке LSA. Несмотря на то, что маршрутизация по типу сервиса исключена из последней версии стандарта OSPF, соответствующие поля поддерживаются для совместимости с предыдущими версиями.
E (E TOS) - младший бит октета, содержащего значение TOS (самим значением TOS используются биты 3-6). Имеет следующие значения:
Е установлен a
метрика внешнего маршрута исчисляется в единицах, не сравнимых с исчислением метрик в OSPF (протоколы внешней маршрутизации, поставляющие данные о внешних маршрутах, не обязаны использовать совместимые с OSPF значения метрик); в этом случае метрика, указанная для соответствующего TOS, должна считаться больше любой метрики в OSPF-системе;
Е сброшен a
метрика внешнего маршрута может складываться с метриками внутренних маршрутов.
TOS 0 metric (TOS metric) (2 октета) - метрика для соответствующего значения TOS.
Forwarding Address (4 октета) - адрес маршрутизатора, которому следует пересылать дейтаграммы, адресованные в объявляемую внешнюю сеть. Это поле используется, когда ASBR считает, что он сам - не лучший "следующий маршрутизатор" на пути в данную внешнюю сеть. Например, в одной IP-сети с ASBR находится маршрутизатор G, не поддерживающий протокол OSPF (а поддерживающий, например, BGP), причем через G лежат кратчайшие маршруты к определенным внешним сетям. ASBR, который также поддерживает и BGP, узнаёт от G об этих маршрутах и объявляет их в автономной системе, однако с помощью "Forwarding Address" он тут же указывает, что дейтаграммы, адресованные в эти сети, лучше сразу же направлять маршрутизатору G.
Возможны и другие примеры.
Если поле "Forwarding Address" обнулено, то дейтаграммы следует пересылать тому ASBR, который объявил данное LSA.
External Route Tag (4 октета) - поле, используемое ASBR для целей внешней маршрутизации; модулем OSPF игнорируется.
Если возможно, адреса нескольких внешних сетей агрегируются в общий адрес с более короткой маской, что уменьшает количество LSA и размер базы данных.
о расстоянии только до одной

LSA типа 3 или 4 содержит объявление о расстоянии только до одной IP-сети, лежащей за пределами области (до одного пограничного маршрутизатора). Адрес сети или идентификатор маршрутизатора указан в поле "Link State ID" заголовка LSA.
Поле "Network Mask" (4 октета) содержит значение маски сети, если это LSA типа 3, или все единицы, если это LSA типа 4. Далее следует 32-битное слово, два последних октета которого содержат метрику расстояния по умолчанию (тип сервиса 0), после которого может следовать 0 или более 32-битных слов, объявляющих метрики расстояний для маршрутизации по типам сервиса- аналогично тому, как это сделано в LSA типа 1. Несмотря на то, что маршрутизация по типу сервиса исключена из последней версии стандарта OSPF, эти поля поддерживаются для совместимости с предыдущими версиями.
Поле "#TOS" здесь отсутствует, т.к. число объявлений метрик для типов сервиса можно вычислить из общей длины LSA, указанной в заголовке LSA.
LSA типа 3 и 4 распространяются областными пограничными маршрутизаторами как внутри периферийных областей, так и в магистрали. LSA, распространяемые в периферийной области, содержат информацию о достижимости сетей и ASBR, находящихся в магистрали и других периферийных областях. LSA, распространяемые в магистрали, содержат информацию о достижимости сетей и ASBR, находящихся в периферийной области.
Если возможно, адреса нескольких сетей агрегируются в общий адрес с более короткой маской, что уменьшает количество LSA и размер базы данных.
Типы BGP-сообщений
OPEN – посылается после установления TCP-соединения. Ответом на OPEN является сообщение KEEPALIVE, если вторая сторона согласна стать BGP-соседом; иначе посылается сообщение NOTIFICATION с кодом, поясняющим причину отказа, и соединение разрывается.KEEPALIVE – сообщение предназначено для подтверждения согласия установить соседские отношения, а также для мониторинга активности открытого соединения: для этого BGP-соседи обмениваются KEEPALIVE-сообщениями через определенные интервалы времени.
UPDATE – сообщение предназначено для анонсирования и отзыва маршрутов. После установления соединения с помощью сообщений UPDATE пересылаются все маршруты, которые маршрутизатор хочет объявить соседу (full update), после чего пересылаются только данные о добавленных или удаленных маршрутах по мере их появления (partial update).
NOTIFICATION – сообщение этого типа используется для информирования соседа о причине закрытия соединения. После отправления этого сообщения BGP-соединение закрывается.
Типы и формат сообщений
В протоколе RIP имеются два типа сообщений, которыми обмениваются маршрутизаторы:Обмен сообщениями происходит по порту 520 UDP.
Формат сообщений обоих типов одинаков:

Поля, помеченные знаком *, относятся к версии 2; в сообщениях RIP-1 эти поля должны быть обнулены.
Сообщение RIP состоит из 32-битного слова, определяющего тип сообщения и версию протокола (плюс "Routing Domain" в версии 2), за которым следует набор из одного и более элементов вектора расстояний. Каждый элемент вектора расстояний занимает 5 слов (20 октетов) (от начала поля "Address Family Identifier" до конца поля "Metric" включительно). Максимальное число элементов вектора - 25, если вектор длиннее, он может разбиваться на несколько сообщений.
Поле "Command" определяет тип сообщения: 1 - request, 2 - response; поле "Version" - версию протокола (1 или 2).
Поле "Address Family Identifier" содержит значение 2, которое обозначает семейство адресов IP; другие значения не определены. Поля "IP address" и "Metric" содержат адрес сети и расстояние до нее.
Дополнительно к полям версии 1 во второй версии определены следующие.
"Routing Domain" - идентификатор RIP-системы, к которой принадлежит данное сообщение; часто - номер автономной системы. Используется, когда к одному физическому каналу подключены маршрутизаторы из нескольких автономных систем, в каждой автономной системе поддерживается своя таблица маршрутов. Поскольку сообщения RIP рассылаются всем маршрутизаторам, подключенным к сети, требуется различать сообщения, относящиеся к "своей" и "чужой" автономным системам.
"Route Tag" - используется как метка для внешних маршрутов при работе с протоколами внешней маршрутизации.
"Subnet Mask" - маска сети, адрес которой содержится в поле IP address. RIP-1 работает только с классовой моделью адресов.
"Next Hop" - адрес следующего маршрутизатора для данного маршрута, если он отличается от адреса маршрутизатора, пославшего данное сообщение. Это поле используется, когда к одному физическому каналу подключены маршрутизаторы из нескольких автономных систем и, следовательно, некоторые маршрутизаторы "чужой" автономной системы физически могут быть достигнуты напрямую, минуя пограничный (логически подключенный к обеим автономным системам) маршрутизатор. Об этом пограничный маршрутизатор и объявляет в поле "Next Hop".
Адрес 0.0.0.0 в сообщении типа "ответ" обозначает маршрут, ведущий за пределы RIP-системы. В сообщении типа "запрос" этот адрес означает запрос информации о всех маршрутах (полного вектора расстояний). Указание в сообщении типа "запрос" адреса конкретной сети означает запрос элемента вектора расстояний только для этой сети - такой режим используется обычно только в отладочных целях.
Аутентификация может производиться протоколом RIP-2 для обработки только тех сообщений, которые содержат правильный аутентификационный код. При работе в таком режиме первый 20-октетный элемент вектора расстояний, следующий непосредственно за первым 32-битным словом RIP-сообщения, является сегментом аутентификации. Он определяется по значению поля "Address Family Identifier", равному в этом случае 0xFFFF. Следующие 2 октета этого элемента определяют тип аутентификации, а остальные 16 октетов содержат аутентификационный код. Таким образом, в RIP-сообщении с аутентификацией может передаваться не 25, а только 24 элемента вектора расстояний, которые следуют за сегментом аутентификации. К настоящему моменту надежного алгоритма аутентификации для протокола RIP не разработано; стандартом определена только аутентификация с помощью обычного пароля (значение поля "Тип" равно 2).
Типы Объявлений о состоянии связей (LSA)
Тип 1. Router Links Advertisement- маршрутизатор объявляет о своих связях с соседними маршрутизаторами, транзитными и тупиковыми сетями; распространяется каждым маршрутизатором внутри области, к которой принадлежат эти связи.Тип 2. Network Links Advertisement - содержит список маршрутизаторов, подключенных к сети множественного доступа; распространяется выделенным маршрутизатором внутри области, к которой принадлежит данная сеть. Фактически описывает связи, направленные в графе системы от вершины типа "транзитная сеть" к маршрутизаторам этой сети.
Тип 3. Summary Link Advertisement - описывает расстояние от данного областного пограничного маршрутизатора (ABR) до IP-сети, находящейся за пределами данной области, но принадлежащей данной OSPF-системе; распространяется этим ABR внутри области.
Тип 4. AS Boundary Router Summary Link Advertisement - описывает расстояние от данного ABR до данного пограничного маршрутизатора системы (ASBR); распространяется этим ABR внутри области.
Тип 5. AS External Link Advertisement - описывает расстояние до сети, находящейся за пределами OSPF-системы; распространяется ASBR и ретранслируется во все области, кроме тупиковых, их пограничными маршрутизаторами.
Тип 7. AS External Link Advertisement (NSSA) - то же, что тип 5, но распространяется внутри (в них распространение LSA типа 5 запрещено); на границе NSSA и магистрали преобразуется в LSA типа 5 для дальнейшего распространения в системе. Формат идентичен формату LSA типа 5 за исключением номера типа.
Транспортный уровень
Протоколы транспортного уровня обеспечивают прозрачную (сквозную) доставку данных (end-to-end delivery service) между двумя прикладными процессами. Процесс, получающий или отправляющий данные с помощью транспортного уровня, идентифицируется на этом уровне номером, который называется номером порта. Таким образом, роль адреса отправителя и получателя на транспортном уровне выполняет номер порта (или проще- порт).Анализируя заголовок своего пакета, полученного от межсетевого уровня, транспортный модуль определяет по номеру порта получателя, какому из прикладных процессов направлены данные, и передает эти данные соответствующему прикладному процессу (возможно, после проверки их на наличие ошибок и т.п.). Номера портов получателя и отправителя записываются в заголовок транспортным модулем, отправляющим данные; заголовок транспортного уровня содержит также и другую служебную информацию; формат заголовка зависит от используемого транспортного протокола.
На транспортном уровне работают два основных протокола: UDP и TCP.
TCP (Transmission Control Protocol - протокол контроля передачи) - надежный протокол с установлением соединения: он управляет логическим сеансом связи (устанавливает, поддерживает и закрывает соединение) между процессами и обеспечивает надежную (безошибочную и гарантированную) доставку прикладных данных от процесса к процессу.
Данными для TCP является не интерпретируемая протоколом последовательность пользовательских октетов, разбиваемая для передачи по частям. Каждая часть передается в отдельном TCP-сегменте. Для продвижения сегмента по сети между компьютером-отправителем и компьютером-получателем модуль TCP пользуется сервисом межсетевого уровня (вызывает модуль IP).
Более подробно работа протокола TCP рассматривается в .
Все приложения, приведенные как пример в предыдущем пункте, пользуются услугами TCP.
Протокол UDP
UDP (User Datagram Protocol, протокол пользовательских дейтаграмм) фактически не выполняет каких-либо особых функций дополнительно к функциям межсетевого уровня (протокола IP, см. и ). Протокол UDP используется либо при пересылке коротких сообщений, когда накладные расходы на установление сеанса и проверку успешной доставки данных оказываются выше расходов на повторную (в случае неудачи) пересылку сообщения, либо в том случае, когда сама организация процесса-приложения обеспечивает установление соединения и проверку доставки пакетов (например, NFS).
Пользовательские данные, поступившие от прикладного уровня, предваряются UDP-заголовком, и сформированный таким образом UDP-пакет отправляется на межсетевой уровень.
UDP-заголовок состоит из двух 32-битных слов:

Значения полей:
Source Port - номер порта процесса-отправителя.
Destination Port - номер порта процесса-получателя.
Length - длина UDP-пакета вместе с заголовком в октетах.
Checksum - контрольная сумма. Контрольная сумма вычисляется таким же образом, как и в TCP-заголовке (см. ); если UDP-пакет имеет нечетную длину, то при вычислении контрольной суммы к нему добавляется нулевой октет.
После заголовка непосредственно следуют пользовательские данные, переданные модулю UDP прикладным уровнем за один вызов. Протокол UDP рассматривает эти данные как целостное сообщение; он никогда не разбивает сообщение для передачи в нескольких пакетах и не объединяет несколько сообщений для пересылки в одном пакете. Если прикладной процесс N раз вызвал модуль UDP для отправки данных (т.е. запросил отправку N сообщений), то модулем UDP будет сформировано и отправлено N пакетов, и процесс-получатель будет должен N раз вызвать свой модуль UDP для получения всех сообщений.
При получении пакета от межсетевого уровня модуль UDP проверяет контрольную сумму и передает содержимое сообщения прикладному процессу, чей номер порта указан в поле “Destination Port”.
Если проверка контрольной суммы выявила ошибку или если процесса, подключенного к требуемому порту, не существует, пакет игнорируется. Если пакеты поступают быстрее, чем модуль UDP успевает их обрабатывать, то поступающие пакеты также игнорируются. Протокол UDP не имеет никаких средств подтверждения безошибочного приема данных или сообщения об ошибке, не обеспечивает приход сообщений в порядке отправки, не производит предварительного установления сеанса связи между прикладными процессами, поэтому он является ненадежным протоколом без установления соединения. Если приложение нуждается в подобного рода услугах, оно должно использовать на транспортном уровне протокол TCP.
Максимальная длина UDP-сообщения равна максимальной длине IP-дейтаграммы (65535 октетов) за вычетом минимального IP-заголовка (20) и UDP-заголовка (8), т.е. 65507 октетов. На практике обычно используются сообщения длиной 8192 октета.
Примеры прикладных процессов, использующих протокол UDP: NFS (Network File System - сетевая файловая система), TFTP (Trivial File Transfer Protocol - простой протокол передачи файлов), SNMP (Simple Network Management Protocol - простой протокол управления сетью), DNS (Domain Name Service - доменная служба имен).
Туннелирование
Предположим, злоумышленник хочет отправить данные с узла Х узлу А, находящемуся за пределами его сети, однако правила фильтрации на маршрутизаторе запрещают отправку датаграмм узлу А (рис. 9.11). В то же время разрешена отправка датаграмм узлу В, также находящемуся за пределами охраняемой сети.Злоумышленник использует узел В как ретранслятор датаграмм, направленных в А. Для этого он создает датаграмму, направленную из Х в В, в поле Protocol которой помещается значение 4 («IP»), а в качестве данных эта датаграмма несет другую IP-датаграмму, направленную из Х в А. Фильтрующий маршрутизатор пропускает сформированную датаграмму, поскольку она адресована разрешенному узлу В, а IP-модуль узла В извлекает из нее вложенную датаграмму. Видя, что вложенная датаграмма адресована не ему, узел В отправляет ее по назначению, то есть узлу А (рис. 9.11).
Описанная операция называется туннелированием. Для ее осуществления злоумышленник может иметь, а может и не иметь сговора с узлом В — в зависимости от того, что представляет собой этот узел и как он сконфигурирован. Если В является маршрутизатором, то он может обрабатывать вложенные датаграммы без всякого сговора со злоумышленником, если только администратор не заблокировал такую возможность.
Того же самого результата можно добиться, применив IP-опцию Loose/Strict Source Routing.

Рис. 9.11. Туннелирование сквозь фильтрующий маршрутизатор
Отметим, что адрес отправителя датаграммы скрыть нельзя, поэтому, если маршрутизатор не пропускает также датаграммы, идущие из А, то есть осуществляет фильтрацию по адресу отравителя, то обмануть его вышеописанным способом невозможно. В этом случае злоумышленник имеет только одностороннюю связь с узлом А.
Очевидно, что туннелирование может использоваться и в обратном направлении, то есть, для проникновения из Интернета внутрь охраняемой сети. При этом узел Х находится в Интернете, а узлы А и В — в охраняемой сети и узлу В разрешено получение датаграмм из внешних сетей.
Для защиты от туннелирования следует запретить маршрутизатору транслировать во внешнюю сеть датаграммы с полем Protocol=4 и датаграммы с опциями. Напомним, что туннелирование используется для подключения сетей, поддерживающих групповую рассылку, к сети MBONE через сети, не поддерживающие групповую маршрутизацию. В этом случае все маршрутизаторы защищаемой (внутренней) системы сетей должны поддерживать групповую маршрутизацию, а инкапсуляция и извлечение групповых датаграмм должны выполняться непосредственно на фильтрующем маршрутизаторе.
Тупиковые и не совсем тупиковые области
Число внешних маршрутов, которые пограничные маршрутизаторы автономной системы объявляют в системе, может быть очень велико, потому что в общем случае эти маршруты должны описывать путь до любой сети в Интернет. Для многих периферийных областей, особенно имеющих только один ABR, знать и обрабатывать все эти маршруты представляется избыточным. Внутренним маршрутизаторам области для отправки данных, адресованных вовне автономной системы, достаточно пересылать их пограничному маршрутизатору области, а тот уже, на основании всей информации о внешних маршрутах, будет принимать решения, через какой из пограничных маршрутизаторов системы отправить эти данные.Области, внутрь которых не передается информация о внешних маршрутах (см. ), называются тупиковыми областями (stub areas). Все дейтаграммы, исходящие из данной области и адресованные за пределы автономной системы, отправляются по маршруту по умолчанию (default) через определенный ABR. Тупиковая область может иметь несколько ABR, но для каждого узла внутри области установлен маршрут по умолчанию, проходящий только через один их ABR.
Данные о достижимости сетей своей автономной системы объявляются в тупиковую область ее пограничными маршрутизаторами, как и в обычную область. Однако и эта информация может оказаться избыточной (например, если тупиковая область имеет всего один ABR). Тогда маршрут по умолчанию распространяется не только на дейтаграммы, адресованные за пределы автономной системы, но и на дейтаграммы, адресованные за пределы области.
В тупиковой области не могут находиться пограничные маршрутизаторы автономной системы. Через тупиковую область не может проходить виртуальная связь.
Протокол OSPF определяет также понятие не совсем тупиковых областей (not so stubby area, NSSA). К таким областям относятся тупиковые области, в которых разрешено объявлять некоторые внешние маршруты. Рассмотрим автономные системы, изображенные на рис. 5.4.3.

Рис. 5.4.3. Пример NSSA
Толстые стрелки описывают объявление (экспорт) маршрутов, тонкие- сами маршруты.
К области 1, входящей в АС 1, подключена небольшая автономная система 2, маршрутизируемая по RIP. Объявление области 1 как не совсем тупиковой позволяет, с одной стороны, не экспортировать в нее все внешние маршруты, ведущие из АС 1 и объявленные в магистрали, заменив их, как и в тупиковой области, маршрутом по умолчанию (default). С другой стороны, есть возможность сделать исключение, а именно, объявить внутри области 1 внешний маршрут в АС 2 через ASBR ?
и экспортировать это объявление в остальную часть АС 1 через ABR ?
.
Внешние маршруты, которые можно объявлять в NSSA, отличаются от остальных внешних маршрутов (которые не объявляются, а сводятся в маршрут по умолчанию) тем, что объявление о них имеет специальный тип (см. ).
Уменьшение числа отношений смежности
Очевидно, такое буквальное следование идеологии не является рациональным. Протокол OSPF сводит ситуацию только к N отношениям смежности, выбирая среди всех маршрутизаторов данной широковещательной сети один выделенный маршрутизатор (designated router, DR), с которым все остальные маршрутизаторы устанавливают отношения смежности.Это значит, что каждый "невыделенный" маршрутизатор поддерживает синхронизацию базы данных состояния связей не со всеми соседями, а только с выделенным маршрутизатором. При этом протокол затопления в подобной сети работает следующим образом: "обычный" маршрутизатор сообщает об изменении состояния своих связей выделенному маршрутизатору, а тот затапливает сеть этим сообщением и его получают все остальные маршрутизаторы сети. Естественно, что по своим внешним интерфейсам, ведущим к прочим маршрутизаторам системы, не находящимся в данной сети множественного доступа, каждый маршрутизатор отправляет сообщения без участия выделенного маршрутизатора.
Уменьшение размера базы данных
Протокол OSPF позволяет также редуцировать размер базы данных состояния связей. Для этого в граф системы вводится виртуальная вершина "транзитная сеть", представляющая собой сеть множественного доступа как таковую. Каждый маршрутизатор, в том числе и выделенный, при таком подходе имеет не набор двухточечных связей со всеми остальными маршрутизаторами своей сети, а одну связь с вершиной "транзитная сеть". Таким образом, в базу данных вносится всего 2N, а не N2 записей: N записей о связях, идущих от маршрутизаторов к вершине "транзитная сеть", и столько же связей, идущих в обратном направлении.За поддержку в базе данных записей о связях, идущих от маршрутизаторов, отвечают, как и положено, сами маршрутизаторы. Эти связи имеют метрику, равную метрике сети (например, 10 в случае 10Base-T Ethernet).
За поддержку связей, идущих от транзитной сети к маршрутизаторам, отвечает выделенный маршрутизатор (см. также ). Такие связи имеют нулевую метрику, это связано с тем, что при такой модели маршрут между двумя маршрутизаторами А и В в сети T проходит через вершину "транзитная сеть Т", то есть его метрика равна сумме метрик связей АТ и ТВ. Очевидно, что метрика этого маршрута должна быть равна метрике сети, но метрика связи АТ уже равна метрике сети, следовательно, метрика связи ВТ должна быть нулевой.
Управление потоком
Для ускорения и оптимизации процесса передачи больших объемов данных протокол TCP определяет метод управления потоком, называемый методом скользящего окна, который позволяет отправителю посылать очередной сегмент, не дожидаясь подтверждения о получении в пункте назначения предшествующего сегмента.Протокол TCP формирует подтверждения не для каждого конкретного успешно полученного пакета, а для всех данных от начала посылки до некоторого порядкового номера ACK SN (Acknowledge Sequence Number) исключительно. В качестве подтверждения успешного приема, например, первых 2000 байт, высылается ACK SN = 2001: это означает, что все данные в байтовом потоке под номерами от ISN+1=1 до данного ACK SN -1 (2000) успешно получены (см. рис. 3.1.2).

Рис. 3.1.2. Метод скользящего окна
Вместе с посылкой отправителю ACK SN получатель объявляет также “размер окна”, например - 6000. Это значит, что отправитель может посылать данные с порядковыми номерами от текущего ACK SN = 2001 до (ACK SN + размер окна -1) = 8000, не дожидаясь подтверждения со стороны получателя. Допустим, в данный момент отправитель посылает тысячеоктетный сегмент с порядковым номером данных SN=4001. Если не будет получено новое подтверждение (новый ACK SN), отправитель будет посылать данные, пока он остается в пределах объявленного окна, то есть до номера 8001. После этого посылка данных будет прекращена до получения очередного подтверждения и (возможно) нового размера окна. Однако размер окна выбирается таким образом, чтобы подтверждения успевали приходить вовремя и остановки передачи не происходило - для этого и предназначен метод скользящего окна. Размер окна может динамически изменяться получателем.
Для временной остановки посылки данных достаточно объявить нулевое окно. Но даже и в этом случае через определенные промежутки времени будут отправляться сегменты с одним октетом данных. Это делается для того, чтобы отправитель гарантированно узнал о том, что получатель вновь объявил ненулевое окно, поскольку получатель обязан подтвердить получение “пробных” сегментов, а в этих подтверждениях он укажет также и текущий размер своего окна.
Как уже было сказано выше, протокол TCP позволяет вести полнодуплексную передачу. Один и тот же сегмент, высылаемый, например, из В в А, может содержать в заголовке служебную информацию по подтверждению получения данных от А, а в поле данных - полезные данные для А.
Модуль TCP может оптимизировать максимальный размер сегмента исходя из значений MTU на разных участках маршрута (см. также , "Path MTU Discovery") и других характеристик соединения.
Модуль TCP может использовать алгоритм "медленного старта", формируя при установлении соединения окно перегрузки, размер которого изначально равен размеру одного сегмента. Это окно показывает, сколько сегментов TCP-модуль, с его собственной точки зрения, может отправить без получения подтверждения. Скользящее же окно, рассмотренное выше, показывает, какой объем неподтвержденных данных модулю разрешено отправить с точки зрения удаленного модуля, получателя его данных. После прихода подтверждения от получателя окно перегрузки увеличивается на 1 сегмент, и отправитель может выслать уже два сегмента, не дожидаясь подтверждения. Такой подход позволяет постепенно увеличивать нагрузку на сеть. Если окно перегрузки становится больше скользящего окна, объявляемого получателем, ограничение на передачу неподтвержденных данных устанавливает уже скользящее окно получателя.
В случае, если никакие данные приложениями не передаются, а соединение открыто, модуль TCP может периодически посылать сегменты-зонды для выяснения того, не отключилась ли другая сторона без уведомления партнера (например, в результате обрыва линии или другим некорректным образом). Такое зондирование проводится примерно каждые два часа неактивности.
Управление соединениями
Соединение- это совокупность информации о состоянии потока данных, включающая сокеты, номера посланных, принятых и подтвержденных октетов, размеры окон.Каждое соединение уникально идентифицируется в Интернет парой сокетов.
Соединение характеризуется для клиента именем, которое является указателем на структуру TCB (Transmission Control Block), содержащую информацию о соединении.
Открытие соединения клиентом осуществляется вызовом функции OPEN, которой передается сокет, с которым требуется установить соединение. Функция возвращает имя соединения. Различают два типа открытия соединения: активное и пассивное.
При активном открытии TCP-модуль начинает процедуру установления соединения с указанным сокетом, при пассивном - ожидает, что удаленный TCP-модуль начнет процедуру установления соединения с указанного сокета. Указание 0.0.0.0:0 в качестве сокета при пассивном открытии означает, что ожидается соединение с любого сокета. Такой способ применяется в демонах - серверах Интернет, которые ждут установления соединения от клиента. Клиент же применяет процедуру активного открытия; сокет при этом формируется из IP-адреса сервера и стандартного номера порта для данного сервиса.
Закрытие соединения клиентом производится с помощью функции CLOSE, которой передается имя соединения.
Процедура установления соединения происходит следующим образом.
Предположим, узел А желает установить соединение с узлом В. Первый отправляемый из А в В TCP-сегмент не содержит полезных данных, а служит для установления соединения. В его заголовке (в поле Flags, см. ) установлен бит SYN, означающий запрос связи, и содержится ISN (Initial Sequence Number - начальный номер последовательности) - число, начиная с которого узел А будет нумеровать отправляемые октеты (например, 0). В ответ на получение такого сегмента узел В откликается посылкой TCP-сегмента, в заголовке которого установлен бит ACK, подтверждающий установление соединения для получения данных от узла А. Так как протокол TCP обеспечивает полнодуплексную передачу данных, то узел В в этом же сегменте устанавливает бит SYN, означающий запрос связи для передачи данных от В к А, и передает свой ISN (например, 0). Полезных данных этот сегмент также не содержит. Третий TCP-сегмент в сеансе посылается из А в В в ответ на сегмент, полученный из В. Так как соединение А -> В можно считать установленным (получено подтверждение от В), то узел А включает в свой сегмент полезные данные, нумерация которых начинается с номера ISN(A)+1. Данные нумеруются по количеству отправленных октетов. В заголовке этого же сегмента узел А устанавливает бит ACK, подтверждающий установление связи B -> A, что позволяет хосту В включить в свой следующий сегмент полезные данные для А.

Рис. 3.1.1. Установка TCP-соединения
Сеанс обмена данными заканчивается процедурой разрыва соединения, которая аналогична процедуре установки, с той разницей, что вместо SYN для разрыва используется служебный бит FIN (“данных для отправки больше не имею”), который устанавливается в заголовке последнего сегмента с данными, отправляемого узлом.
Уровень доступа к среде передачи
Функции этого уровня:Стек TCP/IP не подразумевает использования каких-либо определенных протоколов уровня доступа к среде передачи и физических сред передачи данных. От уровня доступа к среде передачи требуется наличие интерфейса с модулем IP, обеспечивающего передачу дейтаграммы между уровнями. Также требуется обеспечить преобразование IP-адреса узла сети, на который передается дейтаграмма, в MAC-адрес. Часто в качестве уровня доступа к среде передачи могут выступать целые протокольные стеки, тогда говорят об IP поверх ATM, IP поверх IPX, IP поверх X.25 и т.п.
(С)
Уровень приложений
Приложения, работающие со стеком TCP/IP, могут также выполнять функции уровней представления и частично сеансового модели OSI; например, преобразование данных к внешнему представлению, группировка данных для передачи и т.п.Распространенными примерами приложений являются программы telnet, ftp, HTTP-серверы и клиенты (WWW-броузеры), программы работы с электронной почтой.
Для пересылки данных другому приложению, приложение обращается к тому или иному модулю транспортного уровня.
Уровни модели OSI
Ниже перечислены (в направлении сверху вниз) уровни модели OSI и указаны их общие функции.Уровень приложения (Application) - интерфейс с прикладными процессами.
Уровень представления (Presentation) - согласование представления (форматов, кодировок) данных прикладных процессов.
Сеансовый уровень (Session) - установление, поддержка и закрытие логического сеанса связи между удаленными процессами.
Транспортный уровень (Transport) - обеспечение безошибочного сквозного обмена потоками данных между процессами во время сеанса.
Сетевой уровень (Network) - фрагментация и сборка передаваемых транспортным уровнем данных, маршрутизация и продвижение их по сети от компьютера-отправителя к компьютеру-получателю.
Канальный уровень (Data Link) - управление каналом передачи данных, управление доступом к среде передачи, передача данных по каналу, обнаружение ошибок в канале и их коррекция.
Физический уровень (Physical) - физический интерфейс с каналом передачи данных, представление данных в виде физических сигналов и их кодирование (модуляция).
Веерная рассылка (Flooding)
Веерная рассылка – наиболее простой метод маршрутизации групповых дейтаграмм, при котором дейтаграмма рассылается во все сети системы независимо от наличия в той или иной сети членов группы. При поступлении групповой дейтаграммы маршрутизатор проверяет, впервые ли он получает эту дейтаграмму. Если да, то маршрутизатор рассылает дейтаграмму через все свои интерфейсы, кроме того, с которого она была получена. Иначе дейтаграмма игнорируется.Отметим, что маршрутизатор должен хранить в памяти список всех "недавно" полученных групповых дейтаграмм от каждого источника для каждой группы и производить поиск в этом списке при получении каждой дейтаграммы. При интенсивном групповом трафике это потребует больших затрат памяти и мощности процессора.
Другим существенным недостатком этого метода является то, что групповая дейтаграмма рассылается от источника всеми возможными путями: в некоторые сети дейтаграмма может быть передана несколько раз (разными маршрутизаторами). При этом наличие или отсутствие получателей не принимается в расчет.
Плюсы веерной рассылки: простота реализации, надежность (за счет избыточности), независимость от маршрутных таблиц и протоколов маршрутизации.
Внешние маршруты
Для достижения сетей, не входящих в OSPF-систему (в автономную систему), используются пограничные маршрутизаторы автономной системы (autonomous system border router, ASBR), имеющие связи, уходящие за пределы системы.ASBR вносят в базу данных состояния связей данные о сетях за пределами системы, достижимых через тот или иной ASBR. Такие сети, а также ведущие к ним маршруты называются внешними (external).
В простейшем случае, если в системе имеется только один ASBR, он объявляет через себя маршрут по умолчанию (default route) и все дейтаграммы, адресованные в сети, не входящие в базу данных системы, отправляются через этот маршрутизатор.
Если в системе имеется несколько ASBR, то, возможно, внутренним маршрутизаторам системы придется выбирать, через какой именно пограничный маршрутизатор нужно отправлять дейтаграммы в ту или иную внешнюю сеть. Это делается на основе специальных записей, вносимых ASBR в базу данных системы. Эти записи содержат адрес и маску внешней сети и метрику расстояния до нее, которая может быть, а может и не быть сравнимой с метриками, используемыми в OSPF-системе (см. также ). Если возможно, адреса нескольких внешних сетей агрегируются в общий адрес с более короткой маской.
ASBR может получать информацию о внешних маршрутах от протоколов внешней маршрутизации, а также все или некоторые внешние маршруты могут быть сконфигурированы администратором (в том числе единственный маршрут по умолчанию).
Внутренний BGP, маршрутные серверы и атрибут NEXT_HOP
Очевидно, что BGP-маршрутизаторы, находящиеся в одной АС, также должны обмениваться между собой маршрутной информацией. Это необходимо для согласованного отбора внешних маршрутов в соответствии с политикой данной АС и для передачи транзитных маршрутов через автономную систему. Такой обмен производится также по протоколу BGP, который в этом случае часто называется IBGP (Internal BGP), (соответственно, протокол обмена маршрутами между маршрутзаторами разных АС обозначается EBGP –External BGP).Отличие IBGP от EBGP состоит в том, что при объявлении маршрута BGP-соседу, находящемуся в той же самой АС, маршрутизатор не должен добавлять в AS_PATH номер своей автономной системы. Действительно, если номер АС будет добавлен, и сосед анонсирует этот маршрут далее (опять с добавлением номера той же АС), то одна и та же АС будет перечислена AS_PATH дважды, что расценивается как цикл.
Это очевидное правило влечет за собой интересное следствие: чтобы не возникло циклов, маршрутизатор не может анонсировать по IBGP маршрут, полученный также по IBGP, поскольку нет способов определить зацикливание при объявлении BGP-маршрутов внутри одной АС.
Следствием этого следствия является необходимость полного графа IBGP-соединений между пограничными маршрутизаторами одной автономной системы: то есть каждая пара маршрутизаторов должна устанавливать между собой соединение по протоколу IBGP. При этом возникает проблема большого числа соединений (порядка N2, где N-число BGP-маршрутизаторов в АС). Для уменьшения числа соединений применяются различные решения: разбиение АС на конфедерации (подсистемы), применение серверов маршрутной информации и др.
Сервер маршрутной информации (аналог выделенного маршрутизатора в OSPF), обслуживающий группу BGP-маршрутизаторов, работает очень просто: он принимает маршрут от одного участника группы и рассылает его всем остальным. Таким образом, участникам группы нет необходимости устанавливать BGP-соединения попарно; вместо этого каждый участник устанавливает одно соединение с сервером. Группой маршрутизаторов могут быть, например, все BGP-маршрутизаторы данной АС, однако маршрутные серверы могут применяться для уменьшения числа соединений также и на внешних BGP-соединениях – в случае, когда в одной физической сети находится много BGP-маршрутизаторов из различных АС (например, в точке обмена трафиком между провайдерами, рис. 7.2.1.).
Выборы выделенного маршрутизатора
Выборы выделенного маршрутизатора проводятся с помощью протокола Hello (алгоритм выборов описан в ). Кроме выделенного маршрутизатора выбирается также и запасной выделенный маршрутизатор (backup designated router, BDR), остальные маршрутизаторы сети устанавливают отношения смежности как с DR, так и с BDR (следовательно, в предыдущем пункте при описании отношений смежности не хватает BDR). Все сообщения для DR и BDR посылаются по мультикастинговому адресу 224.0.0.6 "Всем выделенным OSPF-маршрутизаторам".Запасной выделенный маршрутизатор получает эти сообщения, но не предпринимает никаких действий, связанных со своей выделенной функцией. Однако если выделенный маршрутизатор отключается (этот факт детектируется с помощью протокола Hello), то запасной немедленно становится выделенным, не тратя времени на установление отношений смежности с остальными маршрутизаторами, так как эти отношения уже установлены. При этом с помощью протокола Hello выбирается новый запасной выделенный маршрутизатор. Если бывший выделенный маршрутизатор подключится снова, статус выделенного маршрутизатора ему не возвращается.
Зацикливание
К сожалению, поведение дистанционно-векторных протоколов (и в частности, протокола RIP) при изменении топологии системы не всегда корректно и предсказуемо.Рассмотрим вышеописанную ситуацию с отсоединением узла ?
от сети А.

Рис. 4.2.1. Изменение состояния RIP-системы
Мы предполагали, что узел ?
не отправлял дейтаграмм через узел ?
(и, следовательно, изменение таблицы маршрутов в узле ?
не повлияло на таблицу узла ?
). Предположим теперь, что ?
отправлял дейтаграммы в сеть А через ?
, то есть таблица в узле ?
имела вид:
A=2a
?
B=1a
?
C=1a
?
D=2a
?
Е=1a
?
После отсоединения ?
от сети А узел ?
получает от ?
вектор (A=16,B=1,C=16,D=16,E=2). Проанализировав этот вектор, ?
делает вывод, что все указанные в нем расстояния больше значений, содержащихся в его маршрутной таблице, на основании чего этот вектор узлом ?
игнорируется.
В свою очередь узел ?
рассылает в сети В, С, Е вектор (A=2,B=1,C=1,D=2,E=1). Узел ?
получает этот вектор, увеличивает расстояния на 1: (А=3,В=2,С=2,D=3,E=2) и замечает, что расстояния А=3, С=2 и D=3 меньше бесконечности, следовательно, соответствующие записи таблицы маршрутов в узле ?
модифицируются и она принимает вид:
A=3a
?
B=1a
?
C=2a
?
D=3a
?
Е=2a
?
Очевидно, после этого содержимое таблиц узлов ?
и ?
стабилизируется.
Рассмотрим теперь записи о достижении сети А в таблицах маршрутизаторов ?
и ?
.
В узле ?
: A=3a
?
В узле ?
: A=2a
?
Таким образом, возникло зацикливание: данные, адресованные в сеть А, будут пересылаться между узлами ?
и ?
до тех пор, пока не истечет время жизни дейтаграмм и они не будут уничтожены.
Для того, чтобы избежать зацикливания, в алгоритм рассылки векторов расстояний вносятся следующие дополнения.
1. Если дейтаграммы, адресованные в сеть Х, посылаются через маршрутизатор G, находящийся в сети N, то в векторе расстояний, рассылаемом в сети N, расстояние до сети Х не указывается.
В нашем примере узел ?
будет рассылать в сети В вектор (B=1,C=1,D=2,E=1). Элемент А=2 не будет включен в этот вектор, потому что дейтаграммы в сеть А отправляются узлом ?
через узел ?
, а узел ?
находится в сети В. При рассылке узлом ?
вектора расстояний в другие сети элемент A=1 будет указан (но не будут указаны какие-то другие элементы).
2. Если маршрутизатор G объявляет новое расстояние до сети Х, то это расстояние вносится в таблицы маршрутов узлов, отправляющих дейтаграммы в сеть X через G, независимо от того, больше оно или меньше уже внесенного в таблицы расстояния.
В нашем примере это означает, что если в маршрутной таблице узла ?
записано А=1a
?
и ?
получает от ?
вектор с элементом А=16, то несмотря на то, что 1 меньше бесконечности, узел ?
модифицирует запись в таблице: А=16a
?
.
Очевидно, что при выполнении вышеуказанных условий зацикливания, рассмотренного в примере, не образуется и строятся корректные маршруты. Однако таким образом устраняются далеко не все случаи зацикливания.
Существует модификация дополнения 1, позволяющая ликвидировать более сложные особые ситуации, в том числе, некоторые случаи счета до бесконечности (см. также следующий пункт):
1А. Если дейтаграммы, адресованные в сеть Х, посылаются через маршрутизатор G, находящийся в сети N, то в векторе расстояний, рассылаемом в сети N, расстояние до сети Х полагается равным бесконечности.
Тем не менее и в этом случае особые ситуации все еще остаются.
Задача внешеней маршрутизации
В предыдущих главах мы рассмотрели протоколы маршрутизации, работающие внутри автономных систем. Задача следующего уровня– построение маршрутов между сетями, принадлежащими разным автономным системам.Рассматриваемый на этом уровне, Интернет представляет собой множество автономных систем, произвольным образом соединенных между собой (рис. 7.1.1). Внутреннее строение автономных систем скрыто, известны только адреса IP-сетей, составляющих АС.

Рис. 7.1.1. Автономные системы
Автономные системы соединяются с помощью пограничных маршрутизаторов. Связи между маршрутизаторами могут иметь разную физическую природу: например, это может быть сеть Ethernet, к которой подключено сразу несколько пограничных маршрутизаторов разных автономных систем, выделенный канал типа "точка-точка" между двумя маршрутизаторами и т.п. Часто сама связующая сеть не принадлежит ни к одной автономной системе, в таком случае она называется демилитаризованной зоной (DMZ).
В зависимости от своего расположения в общей структуре Интернет автономная система может быть тупиковой (stub) – имеющей связь только с одной АС (АС7 на рис. 7.1.1), – или многопортовой (multihomed), т.е. имеющей связи с несколькими АС. Если административная политика автономной системы позволяет передавать через свои сети транзитный трафик других АС, то такую автономную систему можно назвать транзитной (transit).
Пограничный маршрутизатор сообщает связанным с ним другим пограничным маршрутизаторам, какие сети каких автономных систем достижимы через него. Обмен подобной информацией позволяет пограничным маршрутизаторам занести в таблицу маршрутов записи о сетях, находящихся в других АС. При необходимости эта информация потом распространяется внутри своей автономной системы с помощью протоколов внутренней маршрутизации (см., например, внешние маршруты в OSPF) с тем, чтобы обеспечить внешнюю коннективность своей АС.
Задачей этого пункта является обсуждение протокола обмена маршрутной информацией между пограничными маршрутизаторами.
Принципиальным отличием внешней маршрутизации от внутренней является наличие маршрутной политики, то есть при расчете маршрута рассматривается не столько метрика, сколько политические и экономические соображения. Это обстоятельство не позволяет адаптировать под задачу внешней маршрутизации готовые протоколы внутренней маршрутизации, просто применив их к графу автономных систем, как раньше они применялись к графу сетей. По той же причине существующие подходы – дистанционно-векторный и состояния связей – непригодны для решения поставленной задачи.
Например, рассмотрим систему маршрутизаторов, аналогичную графу автономных систем, изображенному на рис. 7.1.1. Алгоритм SPF гарантирует, что если узел (1) вычислил маршрут в узел (6) как (1)-(3)-(5)-(6), то узел (3) также будет использовать маршрут (3)-(5)-(6). Это происходит потому, что все узлы одинаково интерпретируют метрики связей и используют одни и те же математические процедуры для вычисления маршрутов. Однако если применять протокол состояния связей на уровне автономных систем может произойти следующее: АС1 установила, что оптимальный маршрут по соображениям пропускной способности сетей в АС6 выглядит 1-3-5-6. Но АС3 считает, что выгодней добираться в АС6 по маршруту 3-1-2-4-6, так как АС5 дорого берет за передачу транзитного трафика. В итоге, из-за того, что у каждой АС свое понятие метрики, то есть качества маршрута, происходит зацикливание.
Казалось бы, дистанционно-векторный подход мог бы решить проблему: АС3, не желающая использовать АС5 для транзита в АС6, просто не прислала бы в АС1 элемент вектора расстояний для АС6, следовательно первая система никогда не узнала бы о маршруте 1-3-5-6. Но с другой стороны при использовании дистанционно-векторного подхода получателю вектора расстояний неизвестно описание маршрута на всей его протяженности. Рассмотрим другую политическую ситуацию на примере того же рис. 7.1.1: АС1 получает от АС3 вектор АС6=2 и направляет свой трафик в АС6 через АС3, не подозревая, что на этом маршруте располагается АС5, которая находится с АС1 в состоянии войны и, естественно, не пропускает транзитный трафик от и для АС1. В результате АС1, установив внешне безобидный маршрут в АС6, осталась без связи с этой автономной системой. Если бы АС1 получила полное описание маршрута, то она несомненно бы выбрала альтернативный вариант 1-2-4-6, однако в дистанционно-векторных протоколах такая информация не передается.
Для решения задачи внешней маршрутизации был разработан протокол BGP (Border Gateway Protocol). Используемая в настоящий момент версия этого протокола имеет номер 4, соответствующий стандарт – RFC-1771, 1772.
Общая схема работы BGP такова. BGP-маршрутизаторы соседних АС, решившие обмениваться маршрутной информацией, устанавливают между собой соединения по протоколу BGP и становятся BGP-соседями (BGP-peers).
Далее BGP использует подход под названием path vector, являющийся развитием дистанционно-векторного подхода. BGP-соседи рассылают (анонсируют, advertise) друг другу векторы путей (path vectors). Вектор путей, в отличие от вектора расстояний, содержит не просто адрес сети и расстояние до нее, а адрес сети и список атрибутов (path attributes), описывающих различные характеристики маршрута от маршрутизатора-отправителя в указанную сеть. В дальнейшем для краткости мы будем называть набор данных, состоящих из адреса сети и атрибутов пути до этой сети, маршрутом в данную сеть.
Данных, содержащихся в атрибутах пути, должно быть достаточно, чтобы маршрутизатор-получатель, проанализировав их с точки зрения политики своей АС, мог принять решение о приемлемости или неприемлемости полученного маршрута.
Например, наиболее важным атрибутом маршрута является AS_PATH – список номеров автономных систем, через которые должна пройти дейтаграмма на пути в указанную сеть. Атрибут AS_PATH можно использовать для:
Анонсируя какой-нибудь маршрут, BGP-маршрутизатор добавляет в AS_PATH номер своей автономной системы.
Другие атрибуты будут рассмотрены в п. .
Заголовок LSA
Все объявления о состоянии связей (LSA) состоят из заголовка и тела и пересылаются в сообщениях OSPF типа 4 (см. ), а заголовки отдельно также пересылаются в сообщениях типа 2 и 5 (см. пп. и соответственно). Заголовок LSA имеет одинаковый формат для всех типов LSA.
Значения полей:
LS Age (2 октета) - возраст связи (связей), содержащихся в данном LSA (см. выше п. 5.2.3).
Options (1 октет) - содержимое октета аналогично такому же октету в сообщении Hello.
LS Type (1 октет) - тип LSA (см. предыдущий пункт);
Link State ID (4 октета) - идентификатор связи (связей), объявляемых в данном LSA, интерпретация этого поля зависит от типа LSA:
Тип LSA
Advertising Router (4 октета) - идентификатор маршрутизатора, ответственного за объявление и поддержку связи (связей), содержащихся в данном LSA.
Link State sequence number (4 октета) - порядковый номер (версия) состояния связи (связей), содержащихся в данном LSA. Порядковые номера изменяются от 1-N до N-1, где N=231=2147483648, номер -N не используется. При достижении записью номера N-1 маршрутизатор, ответственный за эту запись, принудительно удаляет ее из базы данных путем присвоения ей максимального возраста (см. п. 5.2.3), после чего заново объявляет ее с начальным номером 1-N.
LS Checksum (2 октета) - контрольная сумма, вычисляется таким же методом, что и контрольная сумма IP-заголовка; защищает как заголовок, так и тело LSA.
length (2 октета) - длина LSA в октетах, включая 20 октетов заголовка LSA.
Заголовок TCP-сегмента
TCP-сегмент состоит из заголовка и данных.Заголовок сегмента состоит из 32-разрядных слов и имеет переменную длину, зависящую от размера поля Options, но всегда кратную 32 битам. За заголовком непосредственно следуют данные- часть потока данных пользователя, передаваемая в данном сегменте.
Формат заголовка:

Значения полей заголовка следующие.
Source Port (16 бит), Destination Port (16 бит) - номера портов процесса-отправителя и процесса-получателя соответственно.
Sequence Number (SN) (32 бита) - порядковый номер первого октета в поле данных сегмента среди всех октетов потока данных для текущего соединения, то есть если в сегменте пересылаются октеты с 2001-го по 3000-й, то SN=2001. Если в заголовке сегмента установлен бит SYN (фаза установления соединения), то в поле SN записывается начальный номер (ISN), например, 0. Номер первого октета данных, посылаемых после завершения фазы установления соединения, равен ISN+1. Acknowledgment Number (ACK) (32 бита) - если установлен бит ACK, то это поле содержит порядковый номер октета, который отправитель данного сегмента желает получить. Это означает, что все предыдущие октеты (с номерами от ISN+1 до ACK-1 включительно) были успешно получены.
Data Offset (4 бита) - длина TCP-заголовка в 32-битных словах.
Reserved (6 бит) - зарезервировано; заполняется нулями.
Control Bits (6 бит) - управляющие биты; активным является положение “бит установлен”.
URG - поле срочного указателя (Urgent Pointer) задействовано;
ACK - поле номера подтверждения (Acknowledgment Number) задействовано;
PSH - осуществить “проталкивание” - если модуль TCP получает сегмент с установленным флагом PSH, то он немедленно передает все данные из буфера приема процессу-получателю для обработки, даже если буфер не был заполнен;
RST - перезагрузка текущего соединения;
SYN - запрос на установление соединения;
FIN - нет больше данных для передачи.
Window (16 бит) - размер окна в октетах (см. выше ).
Checksum (16 бит) - контрольная сумма, представляет собой 16 бит, дополняющие биты в сумме всех 16-битовых слов сегмента (само поле контрольной суммы перед вычислением обнуляется). Контрольная сумма, кроме заголовка сегмента и поля данных, учитывает 96 бит псевдозаголовка, который для внутреннего употребления ставится перед TCP-заголовком. Этот псевдозаголовок содержит IP-адрес отправителя (4 октета), IP-адрес получателя (4 октета), нулевой октет, 8-битное поле "Протокол", аналогичное полю в IP-заголовке, и 16 бит длины TCP сегмента, измеренной в октетах. Такой подход обеспечивает защиту протокола TCP от ошибшихся в маршруте сегментов. Информация для псевдозаголовка передается через интерфейс "Протокол TCP/межсетевой уровень" в качестве аргументов или результатов запросов от протокола TCP к протоколу IP.
Urgent Pointer (16 бит) - используется для указания длины срочных данных, которые размещаются в начале поля данных сегмента. Указывает смещение октета, следующего за срочными данными, относительно первого октета в сегменте. Например, в сегменте передаются октеты с 2001-го по 3000-й, при этом первые 100 октетов являются срочными данными, тогда Urgent Pointer = 100. Протокол TCP не определяет, как именно должны обрабатываться срочные денные, но предполагает, что прикладной процесс будет предпринимать усилия для их быстрой обработки. Поле Urgent Pointer задействовано, если установлен флаг URG.
Options - поле переменной длины; может отсутствовать или содержать одну опцию или список опций, реализующих дополнительные услуги протокола TCP. Опция состоит из октета "Тип опции", за которым могут следовать октет "Длина опции в октетах" и октеты с данными для опции.
Стандарт протокола TCP определяет три опции (типы 0,1,2).
Опции типов 0 и 1 ("Конец списка опций" и "Нет операции" соответственно) состоят из одного октета, содержащего значение типа опции. При обнаружении в списке опции "Конец списка опций" разбор опций прекращается, даже если длина заголовка сегмента (Data Offset) еще не исчерпана. Опция "Нет операции" может использоваться для выравнивания между опциями по границе 32 бит.
Опция типа 2 "Максимальный размер сегмента" состоит из 4 октетов: одного октета типа опции (значение равно 2), одного октета длины (значение равно 4) и двух октетов, содержащих максимальный размер сегмента, который способен получать TCP-модуль, отправивший сегмент с данной опцией. Опцию следует использовать только в SYN-сегментах на этапе установки соединения.
Padding - выравнивание заголовка по границе 32-битного слова, если список опций занимает нецелое число 32-битных слов. Поле Padding заполняется нулями.
Запись адресов в бесклассовой модели
Для удобства записи IP-адрес в модели CIDR часто представляется в виде a.b.c.d / n, где a.b.c.d— IP адрес, n — количество бит в сетевой части.Пример: 137.158.128.0/17.
Маска сети для этого адреса: 17 единиц (сетевая часть), за ними 15 нулей (хостовая часть), что в октетном представлении равно
11111111.11111111.10000000.00000000 = 255.255.128.0.
Представив IP-адрес в двоичном виде и побитно умножив его на маску сети, мы получим номер сети (все нули в хостовой части). Номер хоста в этой сети мы можем получить, побитно умножив IP-адрес на инвертированную маску сети.
Пример: IP = 205.37.193.134/26 или, что то же,
IP = 205.37.193.134 netmask = 255.255.255.192.
Распишем в двоичном виде:
IP = 11001101 00100101 11000111 10000110 маска = 11111111 11111111 11111111 11000000
Умножив побитно, получаем номер сети (в хостовой части - нули):
network = 11001101 00100101 11000111 10000000
или, в октетном представлении, 205.37.193.128/26, или, что то же, 205.37.193.128 netmask 255.255.255.192.
Хостовая часть рассматриваемого IP адреса равна 000110, или 6. Таким образом, 205.37.193.134/26 адресует хост номер 6 в сети 205.37.193.128/26. В классовой модели адрес 205.37.193.134 определял бы хост 134 в сети класса С 205.37.193.0, однако указание маски сети (или количества бит в сетевой части) однозначно определяет принадлежность адреса к бесклассовой модели.
Упражнение. Покажите, что адрес 132.90.132.5 netmask 255.255.240.0 определяет хост 4.5 в сети 132.90.128.0/20 (в классовой модели это был бы хост 132.5 в сети класса В 132.90.0.0). Найдите адрес broadcast для этой сети.
Очевидно, что сети классов А, В, С в бесклассовой модели представляются при помощи масок, соответственно, 255.0.0.0 (или /8), 255.255.0.0 (или /16) и 255.255.255.0 (или /24).
Защита хоста
Мероприятия по защите хоста проводятся для предотвращения атак, цель которых — перехват данных, отказ в обслуживании, или проникновение злоумышленника в операционную систему.Защита маршрутизатора
Мероприятия по защите маршрутизатора проводятся с целью предотвращения атак, направленных на нарушение схему маршрутизации датаграмм или на захват маршрутизатора злоумышленником.
Бизнес: Предпринимательство - Малый бизнес - Управление
- Бизнес
- Разновидности бизнеса
- Планирование бизнеса
- Управление бизнесом
- Предпринимательство
- Русское предпринимательство
- Управление и предпринимательство
- Малый бизнес
- Виды малого бизнеса
- Русский малый бизнес
- Управление малым бизнесом
- Posix для малого бизнеса
- Телефония как малый бизнес
- Телефония на Java для малого бизнеса