Смагин В. - Лекции по международному маркетингу
1. Состояние и перспективы развития внешнеэкономических связей России.
Внешнеторговый оборот - это стоимость импорта + стоимость экспорта.
Внешнеторговый оборот России
1995 г.: 102 млрд. $ (экспорт - 65 млрд. $ - темп роста на 2-3 % меньше, чем в 1996 г.)
1996 г.: 133 млрд. $ (экспорт - 86,5 млрд. $) - это примерно 16 место в мире по товарообороту.
Долг России на 1996 г. - 26 млрд. $.
Долг стран СНГ России на 1996 г. - 9 млрд. $.
Структура экспорта России
45% - вывоз энергоносителей
15% - вывоз металлов
9% - вывоз продукции машиностроения
Торговля со странами дальнего зарубежья составляет 77% от внешнеторгового оборота России.
Основные внешнеторговые партнеры России по объему оборота:
¦Германия
¦Италия
¦Нидерланды
¦Польша
¦США (за последний год торговый оборот с США возрос на 5-7%)
Торговый оборот со странами СНГ в 1996 г. возрос на 10% по отношению к 1995 г.
В 1996 г. наблюдалось падение импорта из стран дальнего зарубежья (снижение импорта составило ≈ 4,4%), что компенсировалось импортом из стран СНГ.
Перспективы развития внешней торговли России:
¦усиление связей со странами Азиатско-Тихоокеанского экономического блока
¦рост экспорта:
?нефти до 127 млн. т
?газа до 200 млн. м3
¦криминализация внешней торговли (в основном торговли нефтью)
¦рост неплатежей из стран СНГ
¦отсутствие качественных товаров, поступающих из стран СНГ
Структура бартерных операций со странами дальнего зарубежья
(данные за 1995 г.)
| вид товара |
экспорт |
импорт |
| 1. Продовольствие и сырье для его производства. |
2,4% |
22,4% |
| 2. Топливно-энергетические товары. |
14,1% |
1,7% |
| 3. Товары химической промышленности. |
11,5% |
11,9% |
| 4. Черные и цветные металлы и изделия из них. |
43,8% |
2,9% |
| 5. Древесина и изделия из дерева. |
5,2% |
1,9% |
| 6. Изделия машиностроения. |
13,7% |
48,1% |
| 7. Продукция текстильной и обувной промышленности |
2,5% |
9% |
Зарубежные активы предприятий и граждан РФ
| виды активов |
1991 г., млрд. $ |
1995 г., млрд. $ |
| 1. Легальные |
7,5 |
29,9 |
| 2. Депозиты |
2,9 |
9,8 |
| 3. Наличные |
5 |
20,1 |
| 4. Нелегальные |
3 |
19,9 |
Наблюдается значительный рост (в среднем в 4,33 раза) российских активов за рубежом.
Структура внешней торговли стран дальнего зарубежья
(данные на 1995 г.)
| Страны |
экспорт, млрд. $ |
импорт, млрд. $ |
| 1. Германия |
421 |
356 |
| 2. США |
394 |
515 |
| 3. Великобритания |
185 |
224 |
| 4. Италия |
170 |
182 |
| 5. Нидерланды |
134 |
127 |
| 6. Бельгия |
118 |
120 |
Сущность и основные задачи, решаемые в международном маркетинге
.
Виды и последовательность решений.
Международный маркетинг - это логика предпринимательского мышления, рассматривающая весь мировой рынок как сферы производственно-сбытовой деятельности и источник получения прибыли на систематизированной плановой основе.
Сущность международного маркетинга - рассмотрение всего мира как своего потенциального рынка, его анализ и удовлетворение его потребностей.
Особенности международного маркетинга
1. Большой риск, так как международному маркетингу нужны большие усилия, чтобы определить метод работы на рынке.
2. Более высокие требования к конкурентоспособности товара.
3. Большие трудности в изучении рынка.
4. Более высокая конкуренция рынка и необходимость учета международного ведения дел.
5. Международный маркетинг дает возможность определить целевые позиции фирмы в управлении деловой активности фирмы на мировом рынке.
Признаки экспортной операции:
◊пересечение товаром границы
◊оплата в иностранной валюте
Основные понятия
| Традиционный экспорт |
- продажа за рубежом для передачи в собственность при этом продажа осуществляется без дальнейшего сопровождения (экспортер несет ответственность только до момента поставки) |
| Экспортный маркетинг |
- экспортер систематически обрабатывает заграничный рынок, приспосабливает свой товар к нему, контролирует весь путь товара от поставщика к потребителю |
| Международный маркетинг |
- экспортер глубоко и постоянно исследует зарубежный рынок, использует все инструменты маркетинга и различные формы внешнеэкономических связей:
♦обмен
♦контракт
♦совместное предприятие
♦дочерние предприятия и пр. |
| Международный менеджмент (бизнес) |
- предполагает маркетинговую деятельность за границей, которая охватывает не только сбыт, но и все сферы деятельности предприятия (снабжение, НИОКР, финансы, кадры и пр.) - часто имеет место в рамках ТНК (транснациональных корпораций) |
Задачи международного маркетинга
Задачи международного маркетинга можно сформулировать как ответ на следующие вопросы:
1. Выходить или нет на зарубежный рынок? (этот вопрос решается при определении целей выхода и угроз)
2. На какой рынок выходить? (определяется с каким товаром выходить - со старым или с новым)
3. Как выйти на рынок и как найти потребителя? (самостоятельно или с партнером; в качестве экспортера или импортера; самостоятельно или с посредником; поставлять готовую продукцию или полуфабрикаты)
4. Какую программу маркетинга необходимо разработать, чтобы достичь целей?
5. Какие экономические, научно-технические результаты можно получить, участвуя в международном разделении труда?
6. Как организовать на предприятии процесс разработки и реализации программы международного маркетинга?
Последовательность решений, принимаемых в международном маркетинге
1. Анализ среды международного маркетинга.
2. Определение целей выхода на международный рынок.
3. Анализ и определение рынка выхода.
4. Определение способа выхода на внешний рынок.
5. Принятие решения о комплексе маркетинга.
6. Выбор структуры организации работ по маркетингу (службы маркетинга).
Интернационализация предприятия, мотивы и этапы.
Мотивы выхода на внешний рынок
(мотивы интернационализации)
1. Стремление лучше использовать имеющиеся производственные мощности.
2. Стремление приобрести известность экспортера в своей стране.
3. Ожидание ухудшения экономического состояния страны.
4. Возможность улучшить финансовое положение за счет экспорта для модернизации производства.
5. Возможность получения иностранной валюты.
6. Стремление обеспечить преимущество перед конкурентами в своей стране.
7. Обеспечить более высокую рентабельность оборота на зарубежных рынках.
8. Стремление получить ценное ноу-хау.
9. Желание работать в условиях более низкой конкуренции за рубежом, чем в своей стране.
(мотивы расположены в порядки уменьшения значимости для малых предприятий)
Этапы интернационализации(этапы выхода за рубеж)
Этапы интернационализации можно представить в виде следующего рисунка:
1-ый этап: Местная стадия развития, которая характеризуется местным производством.
2-ой этап: Начальная стадия интернационализации отличается наличием контактов за рубежом до момента операций зарубежных дилеров и агентов.
3-ий этап: Стадия развития характеризуется всеми видами контактов с зарубежными контрагентами до создания производственного предприятия за рубежом.
4-ый этап: Стадия роста предполагает наличие производственных предприятий за рубежом, которые расположены не более чем в 6 странах.
5-ый этап: Многонациональная стадия интернационализации предполагает создание производственных предприятий в более чем 6 странах мира (данная стадия характерна для транснациональных корпораций).
Сущность интернационализации
Движущие силы интернационализации - это прежде всего взаимодействия между отечественными и зарубежными партнерами в виде следующих способов действий:
¦экспорт товара;
¦передача ноу-хау;
¦торговля;
¦прямые инвестиции
(по сути это прямые и обратные связи между элементами различных национальных рынков).
Пути к созданию первого зарубежного предприятия

Наиболее эффективными считаются варианты (г) и (д) при создании производственного предприятия за рубежом.
Изучение среды обитания международного маркетинга
План.
1. Экономическая среда. Виды стран по структуре хозяйства и характер распределения доходов.
2. Факторы конкурентоспособности стран.
3. Политико-правовая среда.
4. Виды торговых барьеров.
Экономическая среда.
Виды стран по структуре хозяйства и характер распределения доходов.
Изучение среды международного маркетинга начинается с определения тенденций развития мировой экономики.
Основные тенденции развития мировой экономики:
¦активный рост объемов международной торговли (и как следствие - рост конкуренции), рост капитальных вложений за рубежом
¦утрата доминирующего положения США и рост производственной и торговой мощи Японии
¦становление международной финансовой системы
¦рост торговых барьеров, стремление защитить внутренний рынок от конкуренции
¦открытие новых больших рынков (самый большой - Россия)
Классификация стран для международного маркетинга
При рассмотрении окружающей среды в международном маркетинге страны необходимо рассматривать по:
- структуре хозяйства
- структуре распределения дохода
По структуре хозяйства различают:
♦страны с экономикой типа натурального хозяйства (с преимущественным самопотреблением товаров и с небольшим прямым обменом).
Например: Эфиопия, Бангладеш и др.
♦страны-экспортеры сырья.
Например: Чили, Заир, Саудовская Аравия и др.
♦промышленно-развивающиеся страны (примерно 10% ВНП составляет обрабатывающая промышленность)
Например: Филиппины, Индия и др.
♦промышленно-развитые страны
По характеру распределения дохода различаю страны:
*с очень низким доходом
*с преимущественно низким доходом
*с очень низким и в тоже время с очень высоким доходом
*с низким, со средним и с высоким уровнем дохода
*с преимущественно средним уровнем дохода
ВНП на душу населения
?высокий уровень (25 стран) - 6 тыс. $
?средний уровень (54 страны) - от 545 $ до 6 тыс.
◊высший средний уровень (37 стран) - от 2,2 тыс. $ до 6 тыс. $
◊низший средний уровень (17 стран) - от 545 $ до 2,2 тыс. $
?низкий уровень дохода (42 страны) - меньше 545 $
Факторы конкурентоспособности стран.
Определение конкурентоспособности страны необходимо при выходе на внешний рынок и определении сравнительных преимуществ.
Факторы конкурентоспособности стран
⇒динамика экономики
⇒промышленная эффективность
⇒динамика рынка
⇒финансовая динамика
⇒человеческие ресурсы
⇒государственное вмешательство
⇒национальные ресурсы
⇒внешняя ориентация (ориентация на внешний рынок)
⇒инвестиционная ориентация
⇒социально-экономический консенсус и стабильность
Различают две группы стран:
- промышленно-развитые
- промышленно-развивающиеся
Основные страны входящие в эти группы
| Промышленно-развитые страны |
Промышленно-развивающиеся страны |
?Австрия
?Австралия
?Бельгия
?Люксембург
?Канада
?Дания
?Франция
?Германия
?Греция
?Ирландия
?Финляндия
?Италия |
?Япония
?Нидерланды
?Новая Зеландия
?Норвегия
?Португалия
?Испания
?Швеция
?Швейцария
?Турция
?Великобритания
?США |
?Бразилия
?Гонконг
?Индия
?Южная Корея
?Малайзия
?Мексика
?Сингапур
?Таиланд
|
Конкурентоспособность стран по факторам
п/п |
Факторы
конкурентоспособности |
Промышленно-развитые страны |
Промышленно-развивающиеся страны |
| 1 |
Динамика экономики |
1. США
2. Швейцария
3. Япония |
4. Таиланд
5. Сингапур
6. Гонконг |
| 2 |
Промышленная эффективность |
1. Швейцария
2. Япония
3. Дания |
1. Гонконг
2. Южная Корея
3. Сингапур |
| 3 |
Динамика рынка |
1. США
2. Япония
3. Германия |
1. Гонконг
2. Сингапур
3. Таиланд |
| 4 |
Финансовая динамика |
1. Швейцария
2. США
3. Новая Зеландия |
1. Гонконг
2. Сингапур
3. Таиланд |
| 5 |
Человеческие ресурсы |
1. США
2. Япония
3. Дания |
1. Гонконг
2. Сингапур
3. Таиланд |
| 6 |
Государственное вмешательство |
1. Турция
2. США
3. Швейцария |
1. Гонконг
2. Сингапур
3. Таиланд |
| 7 |
Национальные ресурсы |
1. Норвегия
2. Австралия
3. Канада |
1. Мексика
2. Бразилия
3. Таиланд |
| 8 |
Внешняя ориентация |
1. Япония
2. Нидерланды
3. Ирландия |
1. Сингапур
2. Гонконг
3. Таиланд |
| 9 |
Инновационная ориентация |
1. Япония
2. Швейцария
3. Германия |
1. Таиланд
2. Южная Корея
3. Гонконг |
| 10 |
Социально-политический консенсус |
1. Швейцария
2. Дания
3. Новая Зеландия |
1. Сингапур
2. Таиланд
3. Малайзия |
Источники информации по состоянию и развитию мировой экономики:
♦Ежегодник статистики международной торговли
Year book of International Trade Statistics
♦Статистика товаров внешней торговли
Commodity Trade Statistics
♦Ежегодник платежных балансов
Balance of Payments Yearbook
♦Международная финансовая статистика (ежемесячник)
International Finance Statistics
Политико-правовая среда.
При рассмотрении политико-правовой среды в международном маркетинге первое на что следует обращать внимание - это форма правления.
Виды политических систем
(форм правления)

При рассмотрении окружающей среды в международном маркетинге рассматривается степень государственного вмешательства (централизация доходов и расходов).
|
Страны |
Доля централизованных
доходов
в % от ВНП |
Доля централизованных расходов
в % от ВНП |
| Япония |
13,6% |
17% |
| Швеция |
42,9% |
40,8% |
| Германия |
28,5% |
29,9% |
| США |
19,7% |
27,9% |
Виды торговых барьеров.

Таможенная пошлина
Расчет таможенной пошлины может производиться различными способами на основе установленных нормативов.
1. Расчет пошлины исходя из стоимости товара (ad valorem)
Пимп1=Ст* Кпш, где
Пимп1 - размер пошлины с импорта
Ст - стоимость товара (обычно по контракту)
Кпш - нормативный коэффициент пошлины
Пример. Ст=700000 у. ед.; Кпш=20%, тогда Пимп1=700000*0,2=140000 у. ед.
2. Специфический способ расчета пошлины с учетом количества единиц поставляемого товара.
Пимп2=В* Кпш*Кэ/Квк, где
Пимп2 - величина товара
Кпш - пошлина с единицы товара (обычно в экю)
В - количество единиц товара
Кэ - курс экю
Квк - курс валюты контракта
Кэ/Квк - переводной коэффициент
3. Смешанный способ расчета пошлины.
Этапы: - рассчитывается пошлина, исходя из стоимости товара
- рассчитывается пошлина, исходя из количества товара
- взимается пошлина по тому варианту, по которому ее величина больше
Пример. Таможенные тарифы США.
¦тариф на ввоз норковых шуб - 0%
¦тариф на детские товары - до 35%
¦тариф на детское питание - 18%
¦тариф на ввоз омаров - 0% и др.
Внетарифные барьеры
Экспортная квота - это отношение объема экспорта в натуральном (стоимостном) выражении к объему производства данного товара в стране за определенный период.

Импортная квота - это отношение импорта товара к объему потребления этого товара в стране за определенный период времени.

Статистика. В малых станах квоты обычно выше, нежели в крупных государствах, так как имеют малый внутренний рынок.
| Страны |
Квоты на экспорт |
Квоты на импорт |
| Япония |
13% |
9% |
| Германия |
27% |
20% |
| Франция |
23% |
25% |
| Великобритания |
23% |
28% |
| Бельгия |
60% |
70% |
| Ирландия |
69% |
63% |
Очень большое влияние на внешнеполитические связи оказывают экономические сообщества (в частности, ЕЭС).
Культурная среда бизнеса и ее влияние
на международный маркетинг
План.
1. Основные понятия и элементы культуры, влияние на бизнес.
2. Сравнительные характеристики национальных культур.
3. Понятие культурного облика страны. Распределение стран по атрибутам культуры.
4. Деловые отношения с новыми культурами.
Основные понятия и элементы культуры, влияние на бизнес.
Культура - это сложное единое целое, включающее знание, искусство, мораль, веру, законы, обычаи и любые другие способности и привычки, приобретенные человеком как членом общества.
Культура - коллективное программирование мышления.
Состав элементов культурной средыв международном бизнесе
Право - чем выше культура, тем четче определены правовые акты и законодательная система, что помогает избегать конфликтные ситуации.
Политическая система - чем выше культура, тем легче проводить демократические преобразования.
Технология - совмещает в себе уровень науки и развитость инфраструктуры (по отношению общества к науке можно судить о его культуре).
Образование и искусство - уровень образования говорит о будущем нации.
Ценности, отношения, религия и язык очень тесно взаимосвязаны. В настоящий момент в международном маркетинге большое внимание уделяется изучению религии, так как она во многом предопределяет взаимоотношения между партнерами (например: в странах с преобладающей протестантской церковью экономическая эффективность государств выше, нежели в странах с католической церковью; в странах, где преобладает ислам очень высока ответственность людей за совершенные поступки и пр.).
Очень важное значение в международном маркетинге имеет язык.
Например. В мире насчитывается:
¦44 англоязычные страны
¦27 стран с преобладающим французским языком
¦20 стран, в которых говорят на испанском
Например. В Японском языке насчитывается около 20000 английских слов.
Классификации культур
1. По первому признаку:
♦культуры низкого контекста
♦культуры высокого контекста
Культура высокого контекста - в межличностных отношениях самую большую роль играют интуиция и ситуация, а так же традиция (формализация отношений не обязательна). Данный тип культуры характерен для народов Азии.
Культура низшего контекста - все межличностные отношения должны быть формализованы, отсутствует влияние традиций. Этот тип культуры характерен для Европы, США.
2. Деление культур на основе четырех критериев:
?длина иерархической лестницы (характеризует степень равенства между людьми - чем больше разница между людьми, тем длиннее иерархическая лестница)
?отношение к состоянию неопределенности (отношение к планированию и контролю)
?индивидуализм - насколько независимо человек принимает решение
?маскулинизм - это предпочтение, отдаваемое людьми мужским или женским ценностям в манере поведения (чем больше мужское начало, тем выше маскулинизм)
Сравнительные характеристики национальных культур.
Сравнительные характеристики культур
⇒Россия:
*многонациональная культура
*один язык
*традиция верности
*склонность к благотворительности
*высокая способность к выживанию
*храбрость, отсутствие страха перед риском
*недоверчивость
*пренебрежение прошлым опытом
⇒Франция:
?рациональность
?стремление во всем найти логику
?индивидуализм
?высоко ценятся опыт и зрелость
?порядочность
?уход от конфликтных ситуаций
?выносливая нация, не отличающаяся большой силой
⇒Германия, Австрия:
◊люди не приемлют риска
◊сосредоточенность на самореализации, независимости и лидерстве
◊процветание соперничества
◊консерватизм
◊жесткая, суровая организация, иерархия
◊аккуратность, тщательность
⇒Испания
*эмоциональность
*низкая дисциплина (особенно в группе)
*строгая иерархия
*диктаторский стиль руководства
*важность лозунгов
*видение кратко- и среднесрочных перспектив
⇒Великобритания
*классовые традиции
*основные цели:
?безопасность жизни
?обеспечение ресурсами
?получение удовольствия
*логичность (при принятии решений, в поведении)
*высокий уровень адаптации к новым условиям
*индивидуализм
*мужественность
*слабая выносливость
*гордость за страну и королеву
*полная децентрализация при принятии решений
*ориентация на краткосрочную перспективу
⇒США
*индивидуализм (каждый за себя)
*терпимость к риску
*низкий уровень избежания неопределенности
*главные ориентиры:
?самореализация
?лидерство
?благосостояние
*умеренная мужественность, предпочтительнее деликатность; ориентация на межличностные отношения
*принятие действий на основе точных данных
*каждый ответственен за конечный результат
*карьера превыше семьи
*высокая ориентация на перемены (даже выше, чем на стабильность)
⇒Бразилия
*преобладание португальских традиций над испанскими
*патернализм (преданность в рамках фирмы)
*централизация власти (принятие решений только на высшем уровне)
*не ценится время
*сложность работы в группе
*строгая субординация
*предпочтение долгосрочным связям
*личное ведение дел (а не по телефону и пр.)
*важен престиж работы, а не удовольствие от нее
⇒Китай
♦хорошее владение искусством переговоров
♦сочетание древней цивилизации и современного максимализма
♦философия взаимной выгоды
♦нацеленность на будущее
♦авторитарное лидерство
♦способность предвидения
♦особое отношение к старшим (глубочайшее уважение и почтение)
⇒Япония
◊высокий уровень избежания неопределенности
◊высокий уровень мужественности
◊тепло и сочувствие ценятся выше, чем престиж, безопасность и удовольствие
◊вертикально-горизонтальные группы
◊разделение ответственности
◊теневая роль лидера
◊культура групповой работы, инициатива групп
◊преданность целям фирмы (патернализм)
◊чувствительность к структуре капитала
◊принцип старшинства важнее квалификации
◊неприятие иностранного менеджмента
Понятие культурного облика страны. Распределение стран по атрибутам культуры.
Графическое представление культурногооблика стран
Распределение стран по атрибутам культуры
Деловые отношения с новыми культурами.
При установлении деловых отношений с новыми культурами необходимо проделать следующие процедуры:
1. Необходимо определить в какой мере следует воспринимать новую культуру. Обязательно следует знать:
♦императивы культуры
♦эксклюзивы (то, что специфично для усвоения иностранцами)
♦что находится в серой зоне (когда простительно незнание иностранцу)
2. Необходим учет квалификации и склонностей к самооценке.
3. Определение схемы возможных барьеров при вхождении на новый рынок, зная культурные особенности.
4. Проведение сортировки барьеров на:
¦устранимые (например, язык)
¦неустранимые (к ним следует приспосабливаться)
5. Подбор местных гарантов при проникновении в новую культуру.
6. Проверка всех предложений перед внедрением на небольших группах.
Отношение к товарам в разных странах
Отношение к характеристикам товара в различных странах отличается в силу культурных и прочих специфик, под влиянием которых формируются свои уникальные приоритеты.
| Характеристики товара |
Германия |
Франция |
Испания |
Великобритания |
Италия |
| 1. Марка товара |
3 |
3 |
2 |
3 |
4 |
| 2. Гарантия |
4 |
4 |
4 |
4 |
3 |
| 3. Цена |
2 |
2 |
3 |
2 |
2 |
| 4. Качество (потребительские свойства) |
1 (72%) |
1 (58%) |
1 |
1 |
1 |
| 5. Упаковка |
5 |
5 |
5 |
5 |
5 |
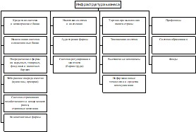
Понятие предпринимательского климата. Инфраструктура бизнеса.
Предпринимательский климат всегда рассматривается во взаимосвязи с инфраструктурой бизнеса.

Строгой классификации компонентов инфраструктуры бизнеса не существует, но по сферам деятельности все же можно произвести их некоторую группировку.
Предпринимательский климат - это отношение государства и общества к бизнесу. Предпринимательский климат определяется во многом морально-этическими ценностями, действующими в данном обществе.
Инфраструктура бизнеса - это объекты, обеспечивающие нормальное функционирование материального производства.
- это совокупность организационно-правовых форм, опосредующих движение деловых отношений и увязывающие их в единое целое.
тимулы и ограничения предпринимательской деятельности на примере США.
Исходными посылками для введения стимулов и ограничений являются ценностные установки общества.
В США основополагающие ценности - это принцип индивидуализма и принцип личной предприимчивости, опоры на свои силы (следствием этого является личный упорный труд). Эти принципы порождают свободу предпринимательства и особое отношение к собственности (потеря собственности отождествляется с потерей свободы).
Ключевые моменты ведения хозяйства:
¦трудолюбие
¦бережность
Франчайзинг как форма партнерства.
1. Экспорт (нерегулярный, регулярный):
а) экспорт при косвенном маркетинге
б) экспорт при прямом маркетинге
Косвенный маркетинг осуществляется через:
¦отечественного оптовика
¦отечественного агента
¦отечественную организацию
Плюсы:
- риск наименьший
- малые затраты
Минусы:
- нет связи с внешним рынком
- недолговечность контактов
Прямой маркетинг осуществляется через:
¦сбытовой отдел
¦филиал за рубежом
¦зарубежных дистрибъютеров
¦зарубежных агентов
¦экспортный отдел в своей стране
Плюсы:
- связи с внешним рынком более надежные
- возможность получения дополнительной прибыли
Минусы:
- большие затраты
- выше риск
2. Совместное предпринимательство.
Совместное предпринимательство предусматривает обязательное партнерство.
Формы партнерства:
1)лицензирование и франчайзинг
2)управление по контракту
3)подрядное производство
4)предприятия совместного владения
3. Прямое инвестирование:
?создание сборочного производства за рубежом
?создание полностью производственного предприятия за рубежом
Сравнительный анализ форм совместного предпринимательства
| Способы выхода на международный рынок |
Преимущества |
Недостатки |
|
Лицензирование |
¦простота выхода на внешний рынок
¦минимальный риск
¦приобретение опыта и имиджа
¦сокращение затрат на НИР и ОКР |
¦утеря абсолютного контроля над производством
¦прибыль от лицензии в основном пойдет лицензиату, а не лицензиару
¦появление конкурентов
¦отставание от НТП |
| Управление по контракту (приобретение know-how в области управления) |
¦малый риск
¦доходы идут сразу |
¦замедление собственного развития
¦необходим большой штат управленцев |
| Подряд (контракт с местной организацией) |
¦сокращение выхода на рынок
¦небольшой риск |
¦потеря потенциальной прибыли
¦меньший контакт с производством на национальном рынке |
| Предприятия совместного владения |
¦возможность покрыть нехватку в ресурсах
¦легкость выхода на рынок другой страны |
¦конфликты между представителями разных стран (особенно при разделе прибыли)
¦ущемление прав одной стороны в пользу другой |
Варианты стратегии выхода на международный рынок
Лицензирование. Определение цены лицензии.
Формы платежей.
Лицензия - предоставление прав компетентными юридическими лицами в установленном порядке на определенных условиях.
По лицензии предоставляются права на:
¦ввоз-вывоз товара
¦использование изобретений, промышленных образцов, товарных знаков, know-how
¦ведение каких-либо работ
В лицензионном соглашении принимают участие две стороны:
¦лицензиар - владелец прав
¦лицензиат - пользователь
Лицензионное соглашение - это договор об условиях передачи и использовании сведений.
Виды лицензий
1. Патентные.
2. Беспатентные (не имеющие патентной защиты).
По объему передаваемых прав:
¦полные (патентные - на весь срок действия патента)
?исключительные - лицензиар не имеет права сам пользоваться изобретением на территории покупателя лицензии и не имеет права передавать этот интеллектуальный продукт другим лицам для использования на оговоренной территории
?простые
¦частичные
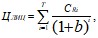
Определение цены лицензии
Чтобы оформить лицензионное соглашение необходимо определить цену лицензии.
Цена лицензии - это доля продавца в прибыли покупателя.
ЦЛИЦ=NТ*Т*ПЕД.*α, где
ЦЛИЦ - цена лицензии
NТ - объем продаж
Т - срок действия лицензии
ПЕД.- прибыль с единицы изделия
α - доля лицензиара
1) Структурный метод расчета цены лицензии
| Виды затрат |
Доля в |
цене (%) |
|
ТПН |
ТНП |
| 1. Прямые затраты |
40 |
25 |
| 2. Затраты на хранение, сбыт, администрацию и пр. |
50 |
30 |
| 3. Прибыль изготовителя |
10 |
5 |
| 4.Отпускная цена изготовителя |
100 |
60 |
| 5. Расходы и прибыль продавца |
- |
40 |
| 6. Цена реализации товара |
100 |
100 |
Пример.
Дано: Sпр.=20 тыс. ед.
NТ=100 тыс. шт. (ТПН)
Определить цену лицензии.
Решение:
1. Цотпускная=20*100/40=50 тыс. ед.
2. Пед.=50*0,1=5 тыс. ед.
3. Плизензиара=0,35*5=1,75 тыс. ед. (при α=35% - обычно α=20-35%)
4. ЦЛИЦ.=1,75*100=175 млн. ед.
2) Паушальная форма расчета цены лицензии.
Паушальная форма расчета предусматривает единовременную выплату цены лицензии, которая не зависит от реального объема освоения и коммерческой реализации объекта лицензирования (сумма выплаты оговаривается непосредственно в лицензионном соглашении).
А) для лицензиара:

где
а - банковская процентная ставка
СRi - цена лицензии с учетом ставки роялти
В) для лицензиата

где
b - ставка для кредита лицензиата
СRi - цена лицензии с учетом ставки роялти
При установлении цены лицензии существуют ограничения:
а) для продавца - доход должен быть больше, чем от других способов освоения рынка
б) для покупателя - прибыль должна быть больше, чем прибыль конкурентов с учетом затрат на лицензию
3) Расчет лицензии на основе ставок роялти.
Данная система предусматривает выплату цены лицензии в виде текущих платежей пропорционально объему использования объекта лицензирования.

, где
i - год соглашения
Ri - ставка роялти
Ставка роялти колеблется в зависимости от вида товара от 1% до 7%. Ставка роялти дифференцируется (изменяется) во времени с целью сохранения пропорции при распределении прибыли между лицензиатом и лицензиаром при изменении цен и объема выпуска.
Сроки действия лицензионного соглашения
♦5-7 лет - know-how, освоение которого не требует больших капитальных вложений, либо товары с коротким жизненным циклом
♦7-9 лет - сроки освоения выпуска товара составляют 1,5-2 года
♦8-10 лет - длительное производство товара, его освоение, необходимость в больших капитальных вложениях
Пример. Расчет цены лицензии на основе метода роялти (метода текущих платежей) и паушальной системы расчета
Дано:
Т=10 лет
Программа выпуска:
| Год действия лицензии |
|
min |
max |
ср. |
| 1 |
0 |
0 |
0 |
0 |
| 2 |
10 |
272100 |
457500 |
360600 |
| 3 |
15 |
408150 |
|
|
| 4 |
25 |
680250 |
|
|
| 5 |
20 |
544200 |
|
|
| 6 |
10 |
272100 |
|
|
| 7 |
10 |
272100 |
|
|
| 8 |
10 |
272100 |
|
|
Ставка роялти:
| Год действия лицензии |
Ставка роялти в % |
| 1-4 |
5 |
| 5-6 |
4,5 |
| 7 |
4 |
| 8 |
3,5 |
Цена единицы изделия:
| Год действия лицензии |
Цена изделия в условных единицах |
| 1-4 |
5 |
| 5-6 |
4,5 |
| 7 |
4 |
| 8 |
3,5 |
Решение:
1) Программа минимум:
а) ЦЛИЦ.(РОЯЛТИ)=0+6,8*272100*0,05+6,8*408150*0,05+6,8*680250*0,05+ 6,5*544200*0,045+6*272100*0,045+5,5*272100*0,04+5*272100*0,035=802694 усл. ед.
б) ЦЛИЦ.(ПАУШ.)=0+6,8*272100*0,05*0,7561+6,8*408150*0,05*0,675+...=442373 усл. ед.
(при а=15%)
Часто используется комбинированная форма оплаты, при которой расчет исходной цены лицензии производится по роялти, затем делается пересчет для паушального платежа, после чего выбирается начальный платеж (обычно это 10-30% от цены по паушальной форме)
Франчайзинг как форма партнерства.
Франчайзинг - это метод продажи товаров и услуг с использованием договорных отношений (договор франшизы предоставляет право на льготное предпринимательство).
Лица:
*франчайзер - продавец
*франчайзи - покупатель
Платежи:
◊единовременные
◊текущие (за управленческие услуги) - в среднем 6,5% от валового дохода франчайзи (оператора)
◊за рекламу (около 3,5% от валового дохода)
Сроки: обычно договор франшизы заключается на 3-5 лет, но в дальнейшем может быть продлен (иногда до 20 лет)
Объекты договора:
?торговая марка
?управленческие услуги
?обучение (например, приемам продажи)
Договор франшизы включает:
1. Права, которые передаются франчайзером франчайзи.
2. Срок действия договора.
3. Территория действия соглашения.
4. Оговаривается возможность и порядок выбора субфранчайзера.
5. График исполнения работ.
6. Порядок и объем выплат франчайзеру.
7. Удержание налогов.
8. Реклама.
9. Обучение.
10. Право на торговые марки.
11. Продажа предприятия.
12. Защита от неправильного использования know-how и недобросовестной конкуренции.
13. Невыполнение обязательств.
14. Разрешение споров.
Взаимоотношения между продавцом и покупателем при исполнении франчайзинга:
1. Партнеры по договору остаются самостоятельными в правовом отношении.
2. Руководство предприятия-покупателя действует согласно указаниям франчайзера.
3. Обязательно следование стратегии маркетинга, разработанной франчайзером.
4. Используется торговая марка продавца.
5. Предусматривается вовлечение продавца в рекламную компанию.
6. Защита прав франчайзи на оговоренной территории.
7. Франчайзи не имеет права брать на реализацию продукцию у конкурентов.
8. Франчайзи пользуется кредитом франчайзера с целью финансирования проекта и реализации продукции.
9. Складское хранение финансируется франчайзером.
10. Имеется возможность заключения нескольких договоров франшизы, если товары не являются конкурирующими.
Совместные предприятия, порядок образования и виды.
В 1996 г. в России работало порядка 15 тыс. совместных предприятий (СП). Их рост по сравнению с показателями 1995 г. составил около 10%.
Наибольшее число СП (около 15%) приходится на страны СНГ. Участие остальных стран на российском рынке в области совместного предпринимательство выглядит следующим образом: США, Германия, Китай, Финляндия, Великобритания и др. (в порядке убывания доли СП с этими странами).
Совместные предприятия по сферам деятельности:
¦22% - промышленность
¦43% - торговля и общественное питание
¦8% - строительство
В СП России занято около 453 тыс. человек (97% - граждане РФ). Порядка 60% промышленной продукции приходится на СП.
6,4% продукции СП идет на экспорт.
Объем иностранных инвестиций в 1996 г. составил 700 млн. $ (на 4,5% больше, чем в 1995 г.).
Виды совместных предприятий
1. По местонахождению и принадлежности участников СП:
а) промышленно-развитые страны с промышленно-развитыми
б) промышленно-развитые с развивающимися (типа север-юг)
в) бывшие соц-страны с промышленно-развитыми
г) бывшие соц-страны с развивающимися
2. По структуре партнеров (капитала):
а) с участием лишь частного капитала
б) с участием частного капитала
в) с участием национальных и межнациональных организаций
3. По доле участия партнеров в капитале:
а) на паритетных началах
б) с большей долей иностранного капитала
в) с меньшей долей иностранного капитала
4. По виду деятельности:
а) национально-исследовательские
б) производственные
в) закупочные
г) сбытовые
д) комплексные
Порядок создания совместного предприятия
1. Определение цели.
2. Выбор партнера за рубежом.
3. Подготовка исходной информации и оценка вариантов.
4. Технико-экономическое обоснование.
5. Подготовка учредительных документов.
Этапы обоснования решения при создании СП
1. Изучение рынка сбыта (объем и динамика развития, цены конкурентов, анализ конкурентов).
2. SWOT - анализ (но сначала российского партнера).
3. Оценка имущественных активов
а) по остаточной стоимости
б) по рыночной стоимости
в) оценка стоимости вклада в уставной капитал СП
1. Финансовый анализ и аудит (показатели и сравнительный анализ с отечественными и зарубежными фирмами).
2. Разработка стратегии развития и составление бизнес-плана.
3. Оценка бизнеса:
♦оценка дохода с учетом стратегии
♦дисконтирование потока денежных средств
♦оценка окупаемости проекта
♦экспертиза (схема погашения задолженности)
Ограничения на создание СП
1. Производство любого оружия, взрывчатых веществ и т.п., а так же ремонт военной техники.
2. Изготовление наркотических и сильнодействующих ядовитых веществ.
3. Посев и выращивание наркотических культур.
4. Переработка руд, драгоценных металлов, радиоактивных и редкоземельных руд.
5. Лечение больных, страдающих опасными и особо опасными заболеваниями, онкологических и псих больных и пр.
6. Изготовление орденов и медалей.
(Закон об иностранных инвестициях)
Различие между филиалом и представительством:
Представительство - не имеет права юридического лица и права самостоятельной хозяйственной деятельности.
Филиал - имеет право самостоятельной хозяйственной деятельности, но без права юридического лица.
Экономическое обоснование создания совместного предприятия.
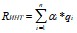
Эффективность совместного предприятия оценивается рядом показателей:
1. Интегральная эффективность СП:

t , где
Т - срок действия соглашения
αt - коэффициент дисконтирования
Л - ликвидационная стоимость СП
П - прибыль
А - амортизация
К -капитальные вложения
2. Рентабельность капитальных вложений:

- годовая рентабельность

- среднегодовая рентабельность
3. Рентабельность для российского партнера:

, где
Н - налог на доход
4. Условие валютной окупаемости:

, где
γрос. - доля российского партнера
КЭКСП - доля экспорта
ЦЭКСП - цена экспорта
NГ - объем годового выпуска СП
К - валютный курс
Расчет эффективности создания СП.
Экономическое обоснование создания СП.
Дано:
NГ=2000 шт./г
КЭ=6% - экспортная квота
SH=1500 тыс. руб.
КВАЛ=55 руб./$ - курс валюты
Т=10 лет - срок действия СП
Л=500 тыс. руб. - ликвидность
НДОХ=30% - налог на прибыль СП
НА=8% - норма амортизации
α=0,1 - норма дисконта
ЦВНЕШНЯЯ=20 $/шт.
ЦВНУТР.=1000 руб./шт.
КРОС.=1000 тыс. руб. - вклад российского участника
КИН.=15000 $ - вклад иностранного участника
Определить: экономический эффект, рентабельность, эффективность для российского участника.
Решение:
1) Доля вклада российского партнера в УФ:
γ=1000000/(1000000+15000*55)=0,55 (55%)
2) Годовая сумма амортизационных отчислений:
А=(1000000+15000*55)*0,08=146000 тыс. руб.
3) Расчет ежемесячной чистой прибыли:
ПрЧИСТ=((2000*0,94*1000+2000*0,06*20*55)-150000-146000)*(1-0,3)=256200
4) Оценка интеграционного эффекта:
ЭСП=(256200+146000)*6,145-(1000000+15000*55)+500000*0,386=839519 руб.
(0.386 - коэффициент приведения к 10-му году)
1) Рентабельность совместного предпринимательства:
ρСП=(256200+14600)/(1000000+15000*55)=0,22 (22%)
1) Проверка условия валютной окупаемости:
256200*(1-0,55)/55 2000*0,06*20
1) Интеграционный эффект для российского участника:
ЭРОС=256200*0,55*(1-0,15)*6,145-(1000000+500000*0,55)=11000 руб.
ρРОС=256200*0,55*0,15/1000000=0,12
Риски при выходе на внешний рынок и способы их учета.
Виды рисков при осуществлении международного производства:
♦рыночные (сбытовые)
♦политические
♦коммерческие (например, неплатежеспособность покупателя)
♦производственные
♦научно-технические (неопределенность в получении результата)
Риски в сфере торговли:
◊коммерческие
?рыночные
?транспортные
?риски по акцепту
?риски конкуренции
◊политические
?риски конверсии и трансферта
?риск установления моратория (отсрочки по платежам и финансовым обязательствам)
?риск изменения валютного курса
Способы противостояния рискам
1. Разбиение риска на составляющие (деление риска).
2. Переложение ответственности за риск на других лиц.
3. Упреждение риска.
4. Ликвидация риска (по возможности).
Пример. Оценка риска при продаже лицензии
Интенсивность риска
Виды риска |
Значимость вида риска |
Незначитель-ный
(0,1) |
Нормальный
(0,3) |
Значитель-ный
(0,5) |
Очень значительный
(0,7) |
Экстремаль-ный
(0,9) |
| 1.Бизнес-риск |
0,3 |
Х |
|
|
|
|
| 2. Риск нарушения закона |
0,05 |
Х |
|
|
|
|
| 3. Социально-политический риск |
0,3 |
|
|
Х |
|
|
| 4. Валютный риск |
0,1 |
|
Х |
|
|
|
| 5. Риск конверсии и трансферта |
0,1 |
Х |
|
|
|
|
| 6. Риск замещения |
0,05 |
|
Х |
|
|
|
| 7. Риск транспортировки и складирования |
0,1 |
Х |
|
|
|
|

, где
qi - значение интенсивности каждого вида риска
RИНТ=0,3*0,01+0,1*0,05+0,5*0,3+0,1*0,3+0,1*0,1+0,3*0,05+0,1*0,1
При оценке риска на российском рынке следует учитывать 3 группы факторов риска:
¦социально-политический риск - 14 показателей (например: стабильность производства, оценка социальной стабильности, оценка официальной оппозиции, наличие неофициальной оппозиции, оценка отношений между рабочими и управляющими, оценка уровня безработица и др.)
¦внутриэкономический риск - 16 показателей (например: оценка роста ВНП, оценка текущей инфляции, налогово-бюджетная политика и др.)
¦внешнеэкономический риск - 14 показателей (например: рост экспорта в долларовую зону, рост импорта и др.)
Каждый показатель представляет собой бальную оценку (обычно в пределах от 1 до 10). Минимальной оценке соответствует наилучшее значение показателя и наоборот.
Форма участия в международных рынках.
Стили поведения стран.
План.
1. Формы присутствия на международном рынке. Понятие транснациональных компаний и банков.
2. Стили поведения стран на международном рынке.
3. Глобальные и мультинациональные компании. Их основные характеристики
Формы присутствия на международном рынке.
Понятие транснациональных компаний и банков.
Транснационализация - образование международных производственных и финансовых концернов путем создания зарубежного производства или филиалов банков на основе единства собственности, обеспечивающего контроль за деятельностью подконтрольных предприятий.
Примеры: Fillips, Sony, Mercedes и др.
Признаки транснационализации:
Компания обязательно включает производственные и финансовые единицы в 2-х или более странах. При этом:
1) общая стратегия осуществляется через общий центр
2) отдельные единицы связаны посредством собственности и могут оказывать влияние на других через деление знаниями, ресурсами, ответственностью.
Особенности транснациональных компаний (ТНК):
1) не менее 25% операций компании проводятся за рубежом
2) оборот свыше 1 млрд. $ (по крайней мере не менее 100 млн. $)
3) отрыв от национальной почвы
4) глобальный характер внутрифирменного планирования и сбыта под централизованным контролем
5) технологическое взаимодействие выражающее часто в обмене незавершенным производством по некоммерческим трансфертным ценам
6) раздел рынков между филиалами
7) централизованное технологическое обеспечение
(ООН регулирует число стран оперирования для ТНК)
тили поведения стран на международном рынке.
Различают 4 стиля поведения стран на международном рынке:
1) этноцентрическтй стиль поведения - ориентация на свой внутренний рынок (любая деятельность на международном рынке как продолжение операций на национальном рынке).
2) полицентрический стиль поведения предусматривает опыт работы на иностранных рынках, между этими рынками мало сходства, в следствии чего необходимо приспосабливать свою деятельность к индивидуальным требованиям каждого рынка.
3) региоцентрический стиль поведения - хорошее знание рынков, их особенностей в пределах региона (между рынками много общего ⇒ единая программа маркетинга и пр. для всего рынка) {например, Африка}.
4) геоцентрический стиль - глобальный опыт работы на международном рынке, выпуск стандартизированной продукции глобальное использования во всем мире, способствование сбыту повсеместно с учетом местных особенностей.
Матрица стилей поведения на международном рынке

Стрелками указаны противоположные стили поведения
Характеристики стилей поведения
(EPRG профиль)
| Характеристики |
E |
P |
R |
G |
| 1. Главная цель фирмы (миссия фирмы) |
прибыльность |
публичное признание |
прибыльность + публичное признание |
прибыльность + публичное признание |
| 2. Постановка цели |
сверху |
снизу (от рынка) |
согласование между регионами и филиалами |
согласование между всеми уровнями корпорации |
| 3. Коммуникации |
Иерархические связи (большое количество команд и рекомендаций) |
Малая связь между головной компанией и филиалами |
вертикальные иерархические связи внутри региона |
Вертикальные иерархические связи внутри компании |
| 4. Распределение ресурсов |
Все вопросы инвестирования решаются головной компанией |
Поддержка филиалов собственными силами |
Регионы распределяют ресурсы под присмотром головной компании |
Распределение ресурсов зависит от головных и местных управляющих |
|
|
|
|
|
| 5. Структура компании |
Дивизиональная, продуктовая иерархическая |
Иерархическая по дивизионам с автономными национальными подразделениями |
Матричная организация продуктовых и региональных структур |
Сеть организаций, включающая зоны холдинговых и конкурирующих организаций |
| 6. Стратегия |
Глобальная интеграция |
Национальная ответственность |
Региональная интеграция и национальная ответственность |
Глобальная и национальная ответственность |
| 7. Культура |
Культура собственной страны |
Культура множества стран |
Региональная структура |
Глобальная культура, подходящая для всех |
Глобальные и мультинациональные компании. Их основные характеристики.
Одной из тенденций в развитии мировых экономических отношений является появление глобальных и мультинациональных компаний, а также глобальных и мультинациональных ниш рынка.
Причины объединения компаний:
- разорение компаний
- стремление компаний к глобализации своей деятельности
Сравнительные характеристики глобальных и мультинациональных компаний
| Характеристики |
Мультинациональные компании |
Глобальные компании |
| 1. Жизненный цикл продукта (ЖЦП) |
Компании работают на разных стадия ЖЦП для каждого национального рынка |
Всем покупателям на всех рынках предлагается продвинутый товар с глобальным ЖЦ |
| 2. Конструкция |
Конструкция продукта относительно собственного рынка изменяется для каждого национального рынка |
Используются единые международные критерии для всех рынков |
| 3. Адоптация |
Обязательная адоптация к национальным рынкам |
Предоставляется подходящий продукт для всех рынков (приспособление к глобальным нуждам) |
| 4. Сегментация |
Для каждого сегмента свой продукт (учет требований региональных и национальных рынков) |
Работа в сегментах похожих групп (при этом мало различных рынков и все они стандартизованы) |
| 5. Конкуренция |
Конкуренция определяется собственным рынком |
Конкуренция осуществляется на национальных рынках, но зависит от общего глобального положения фирмы |
| 6. Производство |
Стандартизация продукта лимитируется только национальными вкусами, требованиями и критериями
|
Глобальная стандартизация продукции |
| 7. Продукт |
Товар дифференцируется для различных рынков на основе базовой конструкции |
Продукт не дифференцирован и акцент делается на полезность и отличительность товара |
| 8. Цена |
Ориентация на то, что потребитель готов платить больше за данный продукт |
Потребитель хочет получить стандартизованную продукцию по низкой цене |
| 9. Способ продвижения товара |
Акцент делается на свой национальный имидж |
При продвижении происходят небольшие изменения за счет национальных отличительных особенностей, но все же мах стремлении к универсальности способов продвижения |
| 10. Каналы распределения товара |
Используются национальные каналы распределения |
Глобальная стандартизация каналов распределения |
Международные товарные стратегии.
План.
1. Аспекты менеджмента при разработке товарной стратегии.
2. Разработка международных товарных стратегий.
1. Аспекты менеджмента при разработке товарной стратегии.
Процедура выбора brand name:
1. Получение списка имен (собираются граждане разных стран - около 1000 человек, которых просят назвать имена, сочетающиеся в их воображении с товаром).
2. Отсеивание полученного списка имен лингвистами-специалистами (остается порядка 500 имен, которые передаются заказчику).
3. Заказчик отбирает около 50-100 имен.
4. Производится проверка оставшихся имен на регистрацию в интересующих заказчика странах (в итоге остается около 10 имен).
5. Принимается окончательное решение о выборе имени.
Факторы, лежащие в основе формирования brand name:
1. Географическое место или имя.
2. Слово, предполагающее характеристику или назначение товара.
3. Слово, которое очевидно описывает товар, но может не иметь значения для человек, не владеющего нужным иностранным языком.
4. Аббревиатура, не являющаяся словом или комбинацией слов.
Факторы, вызывающие изменения при разработке товара
| Факторы |
Вид изменения |
| 1. Уровень грамотности |
Упрощение товара с уменьшением уровня грамотности |
| 2. Уровень дохода |
Изменение качества и цены |
| 3. Процентная ставка |
Изменение качества и цены, так как доходность от вложения капитала в качество может не принести ожидаемого дохода (или наоборот) |
| 4. Различие в стандартах |
Проведение переградуировки товара в соответствии с используемой системой измерений |
| 5. Климатические условия |
Адоптация товара |
Разработка международных товарных стратегий.
Виды товарных стратегий:
?стратегия расширения (использование тех же подходов, что и на домашнем рынке)
?стратегия адоптации (изменение товара с целью удовлетворения требований рынка)
?стратегия изобретательности (предполагает новый подход при разработке товарной стратегии)
Международные стратегии продукта
| Концепции |
Функции товара |
Условия использования
товара |
Возможность
покупать
товар |
Рекомендованная стратегия товара |
Рекомендованная стратегия коммуникаций |
Примеры |
| 1 |
Те же |
Те же |
есть |
Расширение |
Расширение |
Прохладительные напитки |
| 2 |
Другие |
Те же |
есть |
Расширение |
Адоптация |
Велосипеды |
| 3 |
Те же |
Другие |
есть |
Адоптация |
Расширение |
Масляные присадки |
| 4 |
Другие |
Другие |
есть |
Адоптация |
Адоптация |
Одежда, открытки |
| 5 |
Те же |
? |
есть |
Изобретательность |
Изобретательность |
Стиральные машины |
Стимулы и ограничения деятельности иностранных предприятий
¦предприимчивость
¦трезвость
¦самосовершенствование
Результатом такого подхода является прагматизм и особое отношение к знаниям, как к обязательному элементу достижения успеха. При всем этом большое значение имеет религия.
Факторы, способствующие благоприятномупредпринимательскому климату
◊стабильность государственной поддержки предпринимательства (не прямое администрирование, а создание благоприятных условий для предпринимательства)
◊льготный налоговый режим
◊система мер, обеспечивающих приток денежных средств в область бизнеса
◊создание инновационных центров (сочетание государственного финансирования и частных вливаний)
◊создание и развитие сети фирм, оказывающих финансовую помощь предприятиям
◊консалтинговые центры
◊эффективная система защиты интеллектуальной собственности
◊упрощение процедур регулирования хозяйственной деятельностью, в том числе, упрощение отчетности
◊обеспечение информацией и средствами коммуникаций
◊свобода творчества
◊повышение качества рабочей силы
◊ориентиры на достижение успеха
Стимулы и ограничения деятельности иностранных предприятийна рынке США
1. Федеральный уровень
Стимулы:
¦те же льготы и налоги, что и для местных фирм
¦поощрение прямых вложений и инкорпарирования (вхождение в долю)
¦нет ограничения на частные вложения
¦нет ограничений на ввоз валюты и биржевые операции
Ограничения:
¦запрещена предпринимательская деятельность иностранных инвесторов на предприятиях национальной безопасности, авиационной промышленности, атомной промышленности, судоходства и связи
2. Уровень правительства штатов
Стимулы:
¦большая лояльность по отношению к иностранным вложениям: существует порядка 6000 комитетов по привлечению иностранного капитала (для создания, в частности, новых рабочих мест)
¦вводятся специальные стимулы для иностранных инвесторов
3. Отношение населения к иностранному капиталу:
¦в общем отношение нейтральное
¦положительное, когда иностранные инвестиции способствуют снижению цен на товары при росте объемов выпуска
4. Отношение местных предпринимателей к иностранному капиталу:
¦недоброжелательное, особенно в сфере товаров народного потребления (в следствии перенасыщенности рынка), и, как следствие, попытка давления на правительство с целью установления различных барьеров
Оформление нового иностранного предприятияв штате Калифорния
1. Подается заявление секретарю штата Калифорнии.
2. Предоставление сертификата о хорошей репутации, который должен быть подписан в своей стране и в США.
3. Предоставление квалификационного сертификата-удостоверения о регистрации + налоговая декларация.
Осуществление платежей:
¦200$ - за сертификат
¦350$ - за регистрацию
¦ежегодная плата - 9,6% от чистой прибыли
Помощь иностранным предпринимателям:
¦программа предоставления льготных займов:
?прямые займы (обычно из собственных средств администрации штата под 7% и не более 150 тыс. $)
?долевое участие в займах коммерческих банков (если общая сумма не превышает 350 тыс. $)
?гарантирование банковских кредитов (гарантирование выплаты до 90%, но гарантия дается на сумму не более 350 тыс. $)
?сроки займов:
*на 6 лет - займы на текущие нужды
*на 20 лет - займы на приобретение оборудования
*на 30 лет - займы на восстановление (например, от стихийных бедствий)
¦консультационная помощь:
?по законодательству штата
?по поиску места размещения предприятия
?по составлению плана развития
?по финансированию
Ограничения иностранного предпринимательства
1. Ограничения на сферы инвестирования (данную информацию можно получить в министерстве торговли).
2. Ограничения на владение недвижимостью.
3. Ограничения на разработку и аренду месторождений.
4. Ограничения на вложения в банковскую и страховую сферы.
Особенности налогообложения и их учет при выходе на рынок США.
Ставки федерального налога на прибыль:
♦15% - на первые 50 тыс. $ чистой прибыли
♦25% - на следующие 25 тыс. $ чистой прибыли
♦34% - на чистую прибыль сверх этой суммы
Ставки налогов с частных лиц:
◊15-17% при доходе от 0 до 17,9 тыс. $
◊28% при доходе 17,9-43,2 тыс. $
◊31% при доходе 43,2 тыс. $
Ставки налогов для супругов, оформляющих совместную декларацию:
*15% - совместный доход 0-29,8 тыс. $
*28% - доход 29,8-71,9 тыс. $
*31% - доход 71,9 тыс. $
Подоходным налогом облагаются:
¦заработная плата
¦прибыль от предпринимательской деятельности
¦пособия по безработице
¦частично пенсии и пособия по социальному страхованию
Подоходным налогом не облагаются:
¦проценты по государственным ценным бумагам
¦расходы на лечение
¦выплаты процентов по кредиту на покупку дома
¦налоги штату и пожертвования неприбыльным предприятиям
Различия налогов для фирм по штатам
¦Невада, Южная Дакота, Техас, Вашингтон, Вайоминг - отсутствуют налоги для корпораций
¦минимальные ставки налога (1-6%): Арканзас, Иллинойс (4%), Мичиган (2,3%), Оклахома (5%), Индиана (3,4%)
¦максимальные ставки налога (6-12%): Айова, Аризона (10,5%), Вермонт (9%), Калифорния, Коннектикут (11,5%), Нью-Йорк (9%), Колумбия (10%)
¦местные специальные налоги (1-2%): Миссури, Мичиган, Джорджия, Нью-Йорк
Этапы исследования.
Этапы исследования рынка
| Изучение и анализ условий рынка |
Изучение форм и методов торговли |
*анализ спроса
*анализ предложения
*анализ требований потребителей к товару
*анализ перспектив развития рынка |
*изучение и оценка деятельности конкурирующих фирм
*изучение коммерческой практики транспортных правовых и торгово-политических условий данной страны |
В практике изучения международных рынков используются кабинетные и полевые исследования. Изучение рынков осуществляется на различных этапах.
Предлагаемое исследование проводится с целью выбора рынка с наибольшим потенциалом и нужной ценой.
Поэтапное изучение международного рынка
1. Исследование доступности рынка (это исследование проводится кабинетным методом).
2. Исследование прибыльности рынков (проводятся кабинетные исследования ценовой ситуации).
3. Исследование объема рынка (кабинетные исследования численности потребителей и их доходов, определение доли расходов на ваш товар).
| Исследования 1-3 проводятся в своей стране |
4. Кабинетные исследования за границей с целью уточнения предположений, сделанных на предыдущих этапах.
5. Непосредственное изучение рынка за границей (полевое исследование).
6. Начальные полевые исследования (на малой выборке покупателей).
7. Основные полевые исследования.
| Исследования 4-7 проводятся за границей |
8. Составление плана маркетинга.
9. Проникновение на рынок.
При установлении длительных связей с зарубежными партнерами необходимо прогнозировать конъюнктуру рынка.
Прогноз конъюнктуры рынка - это функция нескольких факторов:
⇒прогноз общехозяйственной конъюнктуры
⇒прогноз валютно-хозяйственного состояния страны
⇒прогноз соотношения спроса и предложения
Прогноз при определении объемов спроса учитывает:
⇒объемы потребления товаров
⇒прогноз закупок в государственные запасы
⇒прогноз динамики запасов у потребителей
Прогноз предложения включает:
⇒прогноз производства (осуществляется на основе данных о вновь вводимых мощностях и по загрузке имеющихся
⇒прогноз динамики запасов у производителей
⇒прогноз поступлений из государственных запасов
При прогнозировании спроса обязательно учитывается:
⇒прогноз по вводу новых предприятий-потребителей
⇒прогноз по новым отраслям потребления
⇒прогноз конкуренции товаров-заменителей
Прогноз развития мировой торговли включает анализ:
⇒объема экспорта
⇒объема импорта
⇒баланса торговли
⇒прогноза возможностей правительственных организаций
⇒прогноза ограничивающих международных соглашений
Также осуществляется прогноз относительно ограничений, касающихся защиты окружающей среды.
Особенности кабинетных исследований.
Кабинетные исследования проводятся по каталогам, по консультациям в министерствах и посольствах, а также при содействии ООН (организация Компас). При этом используется правительственная статистика, списки фирм, торговых организаций, торговые и технические журналы, журналы ранее проведенных маркетинговых исследований.
Кабинетные исследования зарубежных рынков часто проводятся на основе неполной или искаженной информации, в следствии чего возникает риск получения неадекватных результатов.
Особенности полевых исследований.
Проблемы, возникающие при проведении полевых исследований:
♦проблема выборки
♦проблема опроса населения (в основном - языковая)
♦проблема опроса по телефону (в некоторых странах высокие тарифы, отсутствуют телефоны и т.п.)
♦отказ от дачи интервью (особенно в некоторых восточных странах)
Рекомендации к проведению полевых исследований
1. Персональные опросы являются наиболее эффективными.
2. Проводить групповые опросы при работе с товарами производственного назначения.
3. Показ перспективных образцов.
4. Специальная подготовка интервьюеров.
5. Иметь удостоверение.
6. Минимум политических вопросов.
7. Безобидность проведения опроса.
Особенности изучения международных рынков.
Формы изучения международных рынков
1. Использование правительственных агентств по исследованию рынка.
2. Местные национальные филиалы государственных агентств.
3. Местные агентства, имеющие связи с фирмами, специализирующимися на исследовании рынка.
4. Национальная фирма поручает выполнение исследования конкретной фирме.
5. Проведение исследований собственными силами фирмы.
Решение о том на какие рынке выходить связанно с классификацией рынков по странам.
Характеристики по которым происходит отбор (отсеивание) стран:
?размер рынка
?динамика роста рынка
?издержки по ведению дел на рынке
?конкурентные преимущества
?степень риска
Одним из основных критериев выбора рынка является долговременный доход на вложенный капитал.
При предварительном отборе стран используются следующие характеристики:
1. Политические и правовые факторы:
а) политическая система
б) законодательная система
в) стабильность
2. Социо-культурные факторы:
а) социальная структура общества
б) образование
в) значение религии
3. Географические и демографические факторы:
а) инфраструктура
б) сырьевые ресурсы
в) темпы роста численности населения
4. Экономико-технологические факторы6
а) экономическое развитие
б) технологическое развитие (уровень инноваций)
в) развитие населения (квалификация кадров)
5. Потенциал рынка:
а) объем рынка
б) рост рынка
в) покупательные способности
г) конкуренция
Таблица анализа маркетинговой ситуации на международном рынке
| Наименование фактора |
Характеристика фактора |
Весовой коэффициент фактора |
|
1. Размеры потенциального рынка (млн. $) |
?50 (млн. $)
от 30 до 50 (млн. $)
от 15 до 30 (млн. $)
от 8 до 15 (млн. $)
от 2 до 8 (млн. $) |
8
16
24
32
40 |
|
2. Динамика роста торговли определенная в результате теста(поведение товаров) [% в год] |
¦-5 и более
¦+5
¦ -5
¦~ 0
¦ +5 |
6
12
18
20
30 |
|
3. Перспектива на ближайшие 10 лет (%) в год |
¦очень плохая перспектива (-40% и более)
¦плохая перспектива ( от -10 до -40 %)
¦средняя перспектива (нет снижений)
¦хорошая (10-40% роста)
¦очень хорошая (40% и более процентов роста)
|
4
8
12
16
20 |
|
4. Сезонность нашего экспортного товара, когда местный товар... |
¦наиболее дешевый
¦продается по обычной цене
¦еще не продан
¦отсутствует как и любой другой импортный товар
¦наш товар всесезонен и продается постоянно |
10
20
-
50
30
|
|
5. Наш товар стоит на данном рынке... |
¦очень дорого
¦дорого
¦столько, сколько местный марочный
¦ дешевле всех |
8
16
32
40 |
|
6. К нашему товару относятся... |
¦очень отрицательно
¦с некоторой предубежденностью
¦отрицательно только подростки
¦нейтрально
¦положительно |
2
4
6
8
10 |
|
7. Потребность в товаре |
¦отсутствует в 75% региона
¦отсутствует в 50% региона
¦отсутствует в 25% региона
¦всюду положительное отношение к товару
¦всюду товар необходим |
4
8
12
16
20 |
| 8. Частота покупок товара |
¦2-3 раза в неделю
¦1 раз в 3 и более месяцев
¦1 раз в 3 месяца
¦1 раз в 4 недели
¦1 раз в 1-3 недели |
6
12
18
24
30 |
| 9. Отношение к специфическому свойству товара |
¦не одобрительное
¦равнодушное
¦положительное
¦очень хорошее |
16
24
32
40 |
| 10. Отношение к товару торговых посредников |
¦отрицательное
¦несколько отрицательное
¦равнодушное
¦осторожное оптимистическое
¦благоприятное |
12
24
36
48
60 |
| 11. Упаковка |
¦нужна новая
¦необходимы изменения
¦необходима доработка
¦нужно изменить надпись
¦вполне приемлема |
10
20
30
40
50 |
| 12. Вид активности конкурентов |
¦ценовая война
¦рекламная атака (от 3-х и более союзников)
¦рекламная атака 1-2 конкурентов
¦низкая рекламная активность
¦нет конкурентов |
10
20
30
40
50 |
| 13. Необходимый объем рыночных исследований для приспособления товара к рынку |
¦очень большой (до 1 года)
¦средний (до 0,5 года)
¦малый (до 3 месяцев)
¦незначительный (1 месяц)
¦нулевой |
12
24
36
48
60 |
Торгово-политическая обстановка:
*торговый договор отсутствует:
*есть торговое соглашение, ограничивающее связи:
*есть торговое соглашение и хорошие торговые контакты:
*есть протокол о торговле и устойчивые связи: |
-2
-1
+1
+2 |
2. Наличие ограничений по торговле:
◊эмбарго на ряд товаров
◊отсутствие ограничений
◊режим благоприятствования |
-1
0
+1 |
3. Отношения с потенциальными покупателями:
♦в прошлом торговли не было
♦в прошлом была незначительная торговля
♦эпизодические деловые связи
♦устойчивые коммерческие связи |
-2
-1
+1
+2 |
4. Эффективность рекламы:
?очень низкая
?средняя
?высокая |
-2
-1
+2 |
5. Информация о рынке:
⇒почти отсутствует
⇒фрагментарна и ненадежна
⇒многочисленная, надежная |
-2
-1
+2 |
Для получения окончательного вывода полученные значения суммируются и эта величина является корректирующей.
Пример.
| По 1-ой таблице |
По 2-ой таблице |
1-ый вариант: 500
2-ой вариант: 500 |
+3
-2 |
Вывод: выбирается 1-ый вариант.
При выборе международного рынка может быть использован подход, основанный на учете значимости сегментов рынка и бальной оценки, даваемой данному рынку по заданным характеристикам.
Оценка сегментов
1. Выбор системы критериев.
2. Взвешивание критериев.
3. Оценка доступности рынка и его привлекательности.
4. оценка способности работать на рынке.
5. Сравнение и выбор наилучшего сегмента.
Пример. Выходить на рынок А или В?
1) Оценка доступности и привлекательности:
|
Значимость |
Рынок А |
|
Рынок В |
|
| Характеристики |
αi |
Абсолютное значение |
Взвешенное значение |
Абсолютное значение |
Взвешенное значение |
1. Общее количество потенциальных потребителей
2. Размеры потенциальных групп
3. Средний доход потребителей
4. Частота покупок
5. Интенсивность спроса
6. Стабильность спроса
7. Темп роста спроса |
20
15
5
5
15
15
25 |
5
3
4
1
2
1
4 |
100
45
20
5
30
15
100 |
5
1
4
1
1
1
1 |
100
5
20
5
15
15
25 |
|
|
Сумма: |
315 |
Сумма: |
195 |
2) Оценка способности работать на данном рынке (внутренние возможности фирмы):
|
Значимость |
Рынок А |
|
Рынок В |
|
| Характеристики |
αi |
Абсолютное значение |
Взвешенное значение |
Абсолютное значение |
Взвешенное значение |
1. Число конкурентных преимуществ
2. Сила конкурентных преимуществ
3. Постоянство конкурентных преимуществ
4. Внешние требования к развитию товара
5. Способность быстро реагировать на внешние требования
6. Способность к инвестированию в производство
7. Способность к развитию каналов сбыта |
8
25
25
10
10
12
10 |
3
4
4
4
5
3
4 |
24
100
100
40
50
36
40 |
1
1
1
2
4
4
5 |
8
25
25
20
40
48
50 |
|
|
Сумма: |
390 |
Сумма: |
216 |
3) Выбор рынка:
В данном случае выбирается рынок В.
Конкурентоспособность фирмы
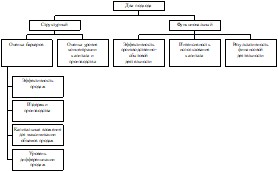
План.
1. Понятия и показатели конкурентоспособности.
2. Методы оценки конкурентоспособности.
3. Показатели эффективности деятельности фирмы на рынке.
4. Конкурентный статус фирмы и его использование при формировании стратегии фирмы.
Понятия и показатели конкурентоспособности.
Конкурентоспособность фирмы - это совокупность характеристик фирмы, обеспечивающих ей прибыльность в краткосрочном периоде и преимущества перед конкурентами.
Конкурентный потенциал - это совокупность характеристик фирмы, определяющих возможности предприятия в долгосрочном периоде по сравнению с конкурентами.
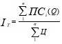
Оценка конкурентоспособности фирмы может происходить по двум показателям:
- конкурентоспособность по товарной массе:

,
где
ПСi - потребительская стоимость товара (качество)
Ц - цена товара
- конкурентоспособность по эффективности производственной деятельности

,
где
РЭi - любой экономический показатель вашей фирмы
РЭК - экономический показатель конкурента
Коэффициент конкурентоспособности:
Ki=IТi*IЭi
Методы оценки конкурентоспособности.
Методы оценки конкурентоспособности
1. Метод оценки по сравнительным преимуществам
В основе оценки лежат издержки по экспорту данной продукции.
2. Метод оценки по теории равновесия фирмы и отрасли (по факторам производства)
Конкурентоспособность оценивается по объему продаж как функции от факторов производства (чем больше функция, тем выше конкурентоспособность). Факторы производства:
¦% ставка по банковским кредитам
¦стоимость закупок оборудования
¦структура з/п
Метод оценки по профилю качества продукции
Данный метод строится на использовании секторограмм:
Можно произвести нормировку шкал с учетом значимости параметров.
4. Метод оценки по рыночным позициям фирм
5. Матричный метод
В данном методе оцениваются:
¦конкурентный статус фирмы
¦доля рынка фирмы
Показатели эффективности деятельности фирмы на рынке.
Показатели эффективности деятельности предприятия
1. Показатели рентабельности
2. Рентабельность продаж:

,
где П - выручка от продажи
N пр. - объем продаж (в ед.)
1.2.Рентабельность активов:

,
где
П - чистая прибыль
1.3. Рентабельность основного капитала:

,
где
П - чистая прибыль
Кос.к. - основной капитал
1.4. Рентабельность собственного капитала:

,
где
П - чистая прибыль
Кс.к. - собственный капитал
2. Показатели объемов продаж
2.1. Объем продаж в абсолютном выражении: Nпр.
2.2. Объем продаж на 1-го работника:

,
где
Ч∑ - количество работников
2.3. Отношение себестоимости товарного выпуска к объему продаж:

,
где Ns - себестоимость товарного выпуска
2.4. Отношение объема продаж к себестоимости материальных запасов:

,
где См.зап. - стоимость материальных запасов
2.5. Отношение объема продаж к нетто активам:

, где ∑Ан - нетто активы
2.6. Отношение объема продаж к основному капиталу:

,
где Кос.к. - стоимость основного капитала
2.7. Отношение объема продаж к оборотному капиталу:

,
где Коб.к. - стоимость оборотного капитала
При использовании функционального подхода при оценке конкурентоспособности фирмы все показатели разбиваются на 3 группы:
1. Группа показателей, характеризующих снабженческо-сбытовую деятельность
1.1.

1.2.

1.3.

2. Группа показателей, характеризующих интенсивность использования капитала:
2.1.

2.2.

2.3.

2.4.

2.5.

2.6.
4. Конкурентный статус фирмы и его использование при формировании стратегии фирмы.
Матричный способ оценки конкурентоспособности
Данный метод основан на определении конкурентного статуса фирмы.
Матрица МакКинзи
| темп роста рынка |
|
|
|
|
|
|
|
|
|
|
|
|
|
|
|
Конкурентный статус фирмы |
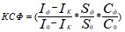
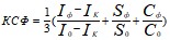
Конкурентный статус фирмы (КСФ) - используется как показатель конкурентоспособности для выбора стратегической позиции фирмы.
Конкурентный статус фирмы отражает потенциал фирмы.
Конкурентный статус фирмы содержит три составляющие:
¦инвестиционная характеристика
¦стратегическая составляющая
¦потенциал фирмы
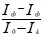
1. Инвестиционная составляющая (характеризует мощность фирмы):

, где
Iф - фактическое состояние
Iк - критическое состояние
I0 - оптимальное состояние
2. Стратегическая составляющая

, при этом оценивается:
♦система планирования
♦маркетинговые исследования
♦работы по разработке продукции
♦освоение продукции
Составляющие формулы определяются на основе заранее разработанных таблиц-шаблонов, где перечисляются характеристики по каждой составляющей и оценка по бальной шкале.
3. Потенциал фирмы:

, при этом оценивается:
?обучение, подготовка кадров
?приобретение новых технологий
?создание новых служб, изменение организационной структуры
Для получения обобщающего КСФ используют два подхода:
1. Адетивный подход (объединение по линейной шкале):
а) сильный статус
б) средний статус
в) слабый статус |
0,7-1
0,5-0,7
0-0,4 |
2. Мультипликативный подход (объединение по нелинейной шкале):
а) сильный статус
б) средний статус
в) слабый статус |
0,512-1
0,125-0,512
до 0,116 |
В качестве исходных документов для получения информации о фирмах могут быть использованы:
¦информационная карта фирмы
¦бизнес справка по фирме
¦бизнес профиль фирм
(их содержание приблизительно одинаковое)
Состав информационной карты фирмы
1. Общая характеристика фирмы:
2. характеристика деятельности фирмы
3. юридическая форма фирмы и форма собственности
4. национальная принадлежность капитала
5. номенклатура производства (основные товары)
6. номенклатура экспорта
7. номенклатура импорта
8. удельный вес в национальном (мировом) производстве или торговле
9. в каких банках пользуется кредитом
10. владелиц фирмы или акционерного общества
11. в какую финансовую группу входит
12. дочерние предприятия (название и доля участия головной компании в ее участии)
13. основные конкуренты
14. связи фирмы с другими компаниями (персональные, коммерческие, финансовые, производственные, патентные)
15. связи с представителями государственного аппарата
16. имеется ли собственный научно-исследовательский центр и патенты
17. с какими странами осуществляет торговлю
2. Финансово-экономические показатели фирмы:
3. акционерный капитал
4. собственный капитал
5. оборот
6. активы
7. прибыль
8. число занятых
3. Руководящий состав фирмы:
Имя, Фамилия, должность
4. Деловая характеристика фирмы:
5. выполнение обязательств по контракту
6. соблюдение сроков поставок
7. выполнение платежей
8. форма платежа
9. отстаивание своих цен
10. размер предоставляемой скидки
11. качество поставляемого товара
12. принимает ли встречные обязательства по контракту
13. спорные вопросы решает:
14. в судебном порядке
15. переговорами
16. смешанным способом
17. имелись ли арбитражные дела
18. предоставляет ли возможность посещения своих заводов
5. Адрес, телефоны, факсы и прочее.
Выбор способа выхода
на международный рынок
План.
1. Способы выхода на международный рынок и их сравнительный анализ.
2. Лицензирование. Особенности определения цены лицензии.
Виды (формы) платежей.
3. Франчайзинг как форма партнерства.
4. Совместные предприятия, порядок образования и виды.
5. Экономическое обоснование создания совместного предприятия.
6. Риски при выходе на внешний рынок и способы их учета.
1. Способы выхода на международный рынок и их сравнительный анализ.
Способы выхода на внешний рынок
Маркетинг: Практика - Рынок - Анализ - Финансы