Зайцев М.Г., Варюхин С.Е. - Методы оптимизации управления и принятия решений: примеры, задачи, кейсы
Книга содержит более 300 задач и кейсов по курсу «Количественные метода в менеджменте», с неизменным успехом читавшемуся авторами на протяжении 8 лет на различных программах MBA и Executive MBA в Институте бизнеса и делового администрирования АНХ при Правительстве РФ, Высшей школы менеджмента ГУ-ВШЭ, других институтов, а также на различных корпоративных программах. Множество разнообразных и относительно простых для анализа примеров дает представление о том, как широк спектр приложений количественных методов в управлении.
Книга адресована студентам, слушателям различных программ MBA и как материал для самостоятельных занятий. Для менеджера она является своеобразной «базой данных» для сознания собственных количественных моделей и применения их в практике своей компании. Преподаватели могут использовать книгу как материал для практикумов и семинаров.
.только мелкие сооружения доводит до конца начавший строительство архитектор, истинно же великие постройки всегда оставляют ключевой камень потомству! Вся эта книга — не более как проект, вернее, даже набросок проекта. О, Время, Силы, Терпение и Звонкая монета!
Герман Мелвилл «Моби Дик, или Белый Кит»
Предисловие
Курс «Количественные методы в менеджменте» является обязательной частью любой серьезной программы профессиональной подготовки и переподготовки современных управленцев. В нем рассматриваются модели и методы оптимизации управления и принятия решений, развитые за почти сто лет, прошедшие с момента появления научного менеджмента, в специальном разделе прикладной математики, называемом «Исследование операций» (Operations Research).
Все эти модели и методы возникли как ответ науки на прямой заказ от бизнеса, поэтому их распространенность в реальной деловой практике исключительно велика.
Одним из наиболее активных «потребителей» рекомендаций, выдаваемых количественными методами, является Операционный менеджмент - раздел менеджмента, занимающийся рассмотрением каждодневных операций компании, не важно, работает ли компания в сфере производства, торговли или в сфере услуг. Оптимальные планы производства, продаж, закупок, перевозок, агрегатное планирование, управление запасами и проектами, организация работы и оценка эффективности систем массового обслуживания - вот далеко не полный перечень применений количественных методов в управлении операциями.
Количественные методы предоставляют мощные инструменты анализа в области финансового планирования, оптимизации инвестиционных портфелей, для оценки и управления финансовыми рисками, прогнозирования ценообразования производных ценных бумаг и пр.
Трудно представить себе маркетинговые исследования без использования методов статистики и бизнес - прогноза, а количественные методы выбора альтернативы в условиях неопределенности и риска дают незаменимые инструменты для рационального принятия решений во всех областях от производственного и операционного менеджмента до инвестиционного анализа и стратегического управления.
Количественные методы дают четкие и ясные ответы на точно поставленные вопросы. Они позволяют просчитать последствия выбора различных альтернатив и выделить наилучшую по тому или иному критерию. Однако сами по себе количественные методы вопросов не ставят, критерии не выбирают и решений не принимают. Это - задача менеджеров.
Именно менеджер должен увидеть в реальной ситуации возможности применения количественных методов для повышения эффективности управления, распознать, какую именно из известных моделей использовать, проявить волю для организации сбора необходимой информации (данных) для формулировки модели. А после решения задачи (не важно, решил он ее самостоятельно или с помощью специалистов и консультантов) именно менеджер должен понять, что означает полученный результат и как его использовать для принятия разумного управленческого решения.
Таким образом, основная задача курса «Количественные методы в менеджменте» состоит в том, чтобы подготовить менеджеров к использованию количественных методов для принятия эффективных управленческих решений.
Вместе с тем, традиционный подход к преподаванию исследования операций в программах российского высшего экономического и управленческого образования делает основной акцент на математической стороне проблемы, на детальном рассмотрении вопроса о том, как получить решение поставленной математической задачи, какие эффективные алгоритмы решения существуют и в чем они состоят, как технически реализовать и в каких условиях следует применять тот или другой алгоритм. Такой подход полностью оправдан, когда речь идет о подготовке математиков и программистов - специалистов в области исследования операций.
Однако, как отмечено выше, цели курса «Количественные методы в менеджменте» в программах МВА (и других программах подготовки и переподготовки менеджеров) существенно иные. Менеджер должен научиться правильно применять готовые компьютерные программы, хорошо разработанную технику анализа количественных моделей управления для принятия эффективных управленческих решений, а не разрабатывать их заново. В случае, когда стандартные системы поддержки принятия решений по какой-либо причине неприменимы, менеджер может и должен обратиться к услугам специалиста по исследованию операций. Но никто не заменит его на стадии построения модели, определения ее входных и выходных параметров, а также на стадии анализа результатов и принятия решения.
Для реализации отмеченных целей, во-первых, в основу преподавания курса должен быть положен анализ практических управленческих проблем и ситуаций (кейсов). Только на практических примерах можно пытаться научить студентов и слушателей ставить задачу, строить модель для применения количественных методов и анализировать управленческие аспекты полученных решений. Во-вторых, нужно снабдить слушателей инструментом для решения поставленных задач и анализа решений (анализа чувствительности решения к изменениям входных параметров, проигрывание ситуаций «что - если» и т.п.). Таким инструментом может и должен быть компьютер. Подавляющее большинство кейсов и задач представляющих хоть какой-то практический интерес, не может быть проанализировано без компьютера. При этом для эффективного анализа большинства реальных или реалистичных учебных примеров вполне достаточно использовать общедоступную программу электронных таблиц MS-Excel с несколькими дополнительными надстройками к ней.
Следуя этим принципам преподавания, авторы на протяжении более чем 8 лет многократно проводили курс «Количественные методы в менеджменте» в различных вариантах на различных программах MBA и Executive MBA в Институте бизнеса и делового администрирования АНХ при Правительстве РФ, Высшей школы менеджмента ГУ-ВШЭ, на различных корпоративных программах. Это потребовало подбора и разработки большого количества кейсов и задач для обеспечения как лекционного и семинарского материала, так и материала для самостоятельной работы слушателей и контрольных мероприятий. Результаты этой работы подытожены в настоящем сборнике, который содержит более 300 кейсов и задач.
Многие из них предложены авторами. Некоторая часть материала возникла в результате переработки идей и сюжетов, которые авторы почерпнули в примерах и задачах для самостоятельного решения в различных зарубежных учебниках по количественным методам и операционному менеджменту. При этом авторы не ограничивались простым переводом текстов кейсов и задач, а стремились (там, где это уместно) «русифицировать» их так, чтобы практические менеджеры - слушатели программ, в которых преподавался курс «Количественные методы в менеджменте», находили там легко узнаваемые детали российских экономических и социальных реалий и деловой культуры. С этой целью, как правило, изменялись и численные данные задач. Учебники, оказавшие на авторов наибольшее влияние, приведены в списке литературы в конце этого предисловия.
Наиболее интересной частью материалов, представленных в настоящем сборнике, мы считаем кейсы и задачи, «принесенные» нашими слушателями -практическими менеджерами различных российских и международных компаний. Система оценки работы слушателей, которую используют авторы, включает необязательное задание (которое, однако, может существенно повысить оценку за курс). От слушателя требуется найти в работе своей компании проблему, для которой полезно использовать рассмотренные в курсе количественные методы, сформулировать задачу и решить ее.
1 В этой книге мы используем западный новомодный термин «кейс» и традиционный российский термин «задача» как родственные по смыслу. Сюжеты и кейсов и задач, рассмотренных в книге, представляют реальные или реалистические управленческие проблемы и ситуации. Кейс представляет такую ситуацию более развернуто, с большим количеством деталей (как правило, не нужных для формальной модели). В нем, как правило, формулируется не один, а много вопросов, возникающих при различных вариациях исходных данных. Это позволяет проанализировать различные управленческие аспекты проблемы, провести анализ вопросов «что -если», получить оценку ситуации с разных точек зрения. Вследствие этого и ответ к кейсу не столь однозначен как ответ к задаче. В задаче ситуация более рафинированна, сложность и неоднозначность, присущие реальной управленческой ситуации, заретушированы, применение количественных методов более прямолинейно и носит скорее характер упражнения, чем поддержки принятия решения.
Лучшие из «принесенных» слушателями проблем включены в настоящий сборник (их заголовки содержат помету «бизнес-кейс»). Они составляют около 10% всех кейсов и задач. Для них мы всегда указываем имя автора кейса, его должность и место работы на момент прохождения курса (даже если из методических соображений или соображений конфиденциальности информации кейс был нами переработан). Мы глубоко благодарны слушателям, внесшим столь ценный вклад в настоящий сборник, тем более, что эти слушатели, как правило, не нуждались в улучшении своей оценки. Отметим так же, что часть задач слушателей были настолько сложны, что мы пока не сумели упростить их так, чтобы со спокойной совестью предлагать для решения другим слушателям и студентам. Возможно, что они еще дождутся своего часа.
Весь материал сборника разбит на две части: «Оптимизация в условиях полной определенности» и «Принятие решений в условиях неопределенности и риска», традиционно выделяемые при преподавании курса «Количественные методы в менеджменте» и содержащие следующие разделы:
I. Оптимизация в условиях полной определенности
1 Метод линейной оптимизации
2 Транспортные задачи и логистика; задачи о назначениях и отборе
3 Планирование и анализ проектов
4 Оптимальное управление запасами
5 Комплексное и многопериодное планирование
II. Принятие решений в условиях неопределенности и риска
6 Оптимальное управление запасами с учетом случайных вариаций спроса
7 Выбор альтернатив
8 Управление проектами с учетом случайных вариаций времени выполнения
9 Оценка эффективности систем массового обслуживания и их оптимизация
Каждому разделу предшествует краткий обзор необходимых теоретических концепций и формул. Этот раздел не имеет своей целью заменить учебники по количественным методам в менеджменте. Он лишь «настраивает» читателя на восприятие материала раздела, содержит абсолютно необходимые справочные сведения и описание компьютерных инструментов для решения, а также конкретные ссылки на учебные пособия (в том числе и зарубежные), содержащие подробное изложение соответствующих теоретических материалов.
Далее следует подраздел «Приемы решения задач», содержащий примеры кейсов и задач с решениями. Разобранные примеры формализации моделей и постановки задач, а также приемы их решений с помощью MS Excel, помогут читателю не только решить аналогичные задачи, приведенные в сборнике, но и, как надеются авторы, применить освоенную технику к реальным практическим задачам управления.
Все файлы MS Excel, содержащие примеры, разобранные в разделах «Приемы решения задач», а также надстройку к MS Excel для анализа систем массового обслуживания, написанную авторами для этого раздела курса, читатель найдет на специальной страничке сайта Института бизнеса и делового администрирования АНХ при правительстве РФ, посвященной настоящей книге.
После этого следуют собственно кейсы и задачи для самостоятельного решения. Следует обратить внимание, что они сгруппированы не по применяемым методам решения, не по их сложности или каким-либо другим характеристикам техники решения, а по сферам деятельности и по областям менеджмента компании (производство, торговля, транспорт и логистика, сфера услуг, финансы, реклама и маркетинг и т.п.).
В конце книги приведены краткие ответы ко всем задачам и кейсам для самостоятельного решения.
Авторы надеются, что настоящий сборник может быть полезен с двух точек зрения. Во-первых, его могут использовать преподаватели как материал для практикума и семинаров по количественным методам в управлении (под каким бы названием и в каких бы программах этот материал ни подавался).
Во-вторых, материалы сборника могут использоваться
заинтересованными студентами, слушателями различных программ и работающими менеджерами как материал для самостоятельных занятий. Относительно простые для анализа примеры, приведенные в сборнике, дают представление о том, как широк спектр приложений количественных методов в управлении. Авторы надеются, что представленные в сборнике разнообразные примеры послужат читателю-менеджеру своеобразной «базой данных» для развития собственных количественных моделей управления и применения их в практике своей компании.
ЛИТЕРАТУРА
1. М.Г. Зайцев, Методы оптимизации управления для менеджеров (компьютерно-ориентированный подход), «Дело», Москва 2002, «Дело», Москва 2005 (изд. 2-ое дополненное и исправленное).
2. Чейз Р.Б., Эквилайн Н.Дж., Якобс Р.Ф., Производственный и операционный менеджмент, “Вильямс”, Москва-Санкт-Петербург-Киев, 2001
3. Эддоус М., Стенфилд Р., Методы принятия решений, «ЮНИТИ Аудит», Москва, 1997
4. Томас Р., Количественные методы анализа хозяйственной деятельности, «Дело и Сервис», Москва 1999
5. В.Н. Сулицкий, Методы статистического анализа в управлении, «Дело», Москва,2002
6. В.А. Козловский, Т.В. Маркина, В.М. Макаров, Производственный и операционный менеджмент, Учебник и Практикум “Специальная Литература”, Санкт-Петербург, 1998
7. Е.С. Вентцель, Исследование операций, «Наука», Москва 1988.
8. Исследование операций в экономике, под ред. Н.Ш. Кремера, ЮНИТИ, Москва, 1997
9. Фомин Г.П., Математические методы и модели в коммерческой деятельности, “Финансы и Статистика”, Москва, 2001
10. М.С. Красс, Б.П. Чупрынов, Основы математики и ее приложения в математическом образовании, раздел II - Основы оптимального управления, «Дело», Москва 2001
11. Austin L.M., P. Ghandforoush, Management Science for Decision Makers, West Publishing Company, 1993
12. Chase R.B., N.J. Aquilano, Jacobs F.R., Production and Operations Management / Manufacturing and Services, Irwin- McGrow-Hill, 1995
13. Lawrence J.A., B.A. Pasternack, Applied Management Science (Computer Integrated Approach for Decision Making), J Willey&Sons, 1998
14. Meredith J.R., S.M. Shafer, E.Turban, Quantitative Business Modeling, SouthWestern, Thomson Learning, 2002.
15. Hiller F.S., G.J. Lieberman, Introduction to Operations Research, McGrow-Hill International Edition, 1995.
Настоящий сборник кейсов и задач составляет учебный комплекс вместе с учебным пособием [1]. Они связаны единой концепцией курса «Количественные методы в менеджменте», общей методикой подачи материала, основанной на рассмотрении реалистических управленческих ситуаций и активном
использовании MS Excel для их анализа, акцентированием управленческих аспектов при использовании количественных методов как поддержки для принятия решений.
Учебное пособие [1] содержит весь теоретический материал,
необходимый для рассмотрения кейсов и задач первой части настоящего
сборника.
Вопросы, связанные с принятием решений в условиях неопределенности и риска в учебное пособие [1] не вошли. Все эти вопросы автор учебного пособия [1] предполагает рассмотреть в специальной книге, которая находится в стадии подготовки к изданию.
Для изучения теоретических вопросов, не вошедших в пособие [1], но необходимых для рассмотрения кейсов и задач второй части настоящего
сборника, авторы рекомендуют отдельные главы учебников [2-5]. Ссылки на них будут даны в соответствующих разделах настоящего сборника.
В переводном издании одного из наиболее популярных на западе учебников по операционному менеджменту [2] содержатся описания всех количественных методов и моделей, которые авторы используют в этом сборнике.
Переводные книги [3,4] содержат большинство из рассматриваемых в сборнике вопросов. В них достаточно много реалистичных практических примеров и мини - кейсов, но, к сожалению, совершенно не используется компьютерная поддержка и, в соответствии с традиционной манерой изложения, слишком много внимания уделяется изложению «ручных» методов анализа количественных моделей.
В книге [5] рассмотрены статистические методы и модели, не затронутые в пособии [1]. Приведены примеры использования этих методов в практических ситуациях, взятых из разных областей управленческой деятельности. Особенно полезно использовать эту книгу при решении задач разделов 6 и 7.
В книге [6], хорошо представлено использование некоторых количественных методов и моделей в производственном и операционном менеджменте, а в практикуме приведено много интересных задач.
В качестве общего введения в предмет можно использовать интересную популярную книжку [7].
В книгах [8-10] подробно представлены математические методы и алгоритмы, лежащие в основе оптимального управления.
Современные американские учебники [11-15] оказали большое влияние на авторов и в плане формирования концепции курса «Количественные методы в менеджменте», и в плане разработки конкретных методик преподавания, и как источники кейсов и задач с интересным управленческим содержанием, которые в переработанном, «русифицированном» виде вошли в настоящий сборник.
Благодарности
Мы благодарим ректора Института бизнеса и делового администрирования АНХ при правительстве РФ профессора С.П. Мясоедова и декана Высшей школы менеджмента ГУ - ВШЭ профессора С.Р. Филоновича. Их бизнес школы стали для нас настоящей творческой лабораторией, вне которой настоящая книга не могла бы возникнуть.
Мы приносим искреннюю благодарность нашим бельгийским коллегам по совместной программе Executive MBA школы менеджмента университета Антверпена (UAMS) и ИБДА АНХ профессорам Нико Вандале и Клоду Ван Мехелену за неформальное творческое сотрудничество, которое во многом сформировало нашу концепцию преподавания курса, и за любезно предоставленные учебные материалы и кейсы, которые в переработанном виде вошли в настоящую книгу.
Мы глубоко благодарны нашим слушателям:
Аксенову Сергею Петровичу (совместная программа Executive MBA школы менеджмента университета Антверпена UAMS и IBS-M (ИБДА) АНХ, группа ЕМВА-04, 1999 г.),
Аптекарю Андрею Александровичу (программа MBA Высшей школы менеджмента ГУ-ВШЭ, группа 20, 2004 г.),
Бакшееву Егору Владимировичу (программа MBA Высшей школы менеджмента ГУ-ВШЭ, группа 08, 2002 г.),
Балю Игорю Эмиьевичу (программа MBA Высшей школы менеджмента ГУ-ВШЭ, группа 15, 2003 г.),
Вощинскому Сергею Сергеевичу (программа MBA ИБДА АНХ, группа МВА-10, 2001 г.),
Голубеву Сергею Александровичу (программа MBA ИБДА АНХ, группа РМВА-06, 2003 г.),
Джавахяну Вигену Мишаевичу (программа MBA ИБДА АНХ, группа МВА-11, 2001 г.),
Довнару Александру Станиславовичу (совместная программа Executive MBA школы менеджмента университета Антверпена UAMS и IBS-M (ИБДА) АНХ, группа ЕМВА-09, 2002 г.),
Зайцеву Александру Владимировичу (программа MBA ИБДА АНХ, группа МВА-12, 2002 г.),
Кобленц Наталье Георгиевне (программа MBA Высшей школы менеджмента ГУ-ВШЭ, группа 11, 2002 г.),
Кузембаеву Рашиду Талаповичу (программа MBA Высшей школы менеджмента ГУ-ВШЭ, группа 18, 2003 г.),
Кузьмичевой Виктории Николаевне (совместная программа Executive MBA школы менеджмента университета Антверпена UAMS и IBS-M (ИБДА), группа ЕМВА-10, 2002 г.),
Левину Алексею Алексеевичу (совместная программа Executive MBA школы менеджмента университета Антверпена UAMS и IBS-M (ИБДА), группа ЕМВА-09, 2002 г.),
Попову Дмитрию Сергеевичу (программа MBA Высшей школы
менеджмента ГУ-ВШЭ, группа 01, 2000 г.),
Макарочкиной Наталье Викторовне (совместная программа Executive MBA школы менеджмента университета Антверпена UAMS и IBS-M (ИБДА), группа ЕМВА-16, 2006 г.),
Малинину Юрию Алексеевичу (совместная программа Executive MBA школы менеджмента университета Антверпена UAMS и IBS-M (ИБДА), группа ЕМВА-09, 2002 г.),
Мирошниченко Александру Витальевичу (программа MBA Высшей школы менеджмента ГУ-ВШЭ, группа 04, 2001 г.),
Пчелинцеву Владимир Юрьевичу (программа MBA ИБДА АНХ, группа МВА-04, 2002 г.),
Робертусу Виталий Владимировичу (совместная программа Executive MBA школы менеджмента университета Антверпена UAMS и IBS-M (ИБДА) АНХ, группа ЕМВА-11, 2003 г.),
Федосееву Дмитрий Александровичу (программа MBA ИБДА АНХ, группа МВА-10, 2001 г.),
Чупрыненко Ирине Владимировне (совместная программа Executive MBA школы менеджмента университета Антверпена UAMS и IBS-M (ИБДА) АНХ, группа ЕМВА-11, 2003 г.),
Шевлягину Виктору Владимировичу (программа MBA ИБДА АНХ, группа РМВА-02, 2001 г.),
Щурову Дмитрию Вячеславовичу (совместная программа Executive MBA школы менеджмента университета Антверпена UAMS и IBS-M (ИБДА) АНХ, группа ЕМВА-13, 2004 г),
Ясенской Виктории Владиславовне (совместная программа Executive MBA школы менеджмента университета Антверпена UAMS и IBS-M (ИБДА) АНХ, группа ЕМВА-03, 1999 г),
которые сумели применить знания и навыки, полученные в нашем курсе, для решения практических проблем в своих компаниях и сформулировали задачи и кейсы, вошедшие в настоящий сборник.
Мы также благодарны всем слушателям программ MBA и Executive MBA вышеуказанных школ, которые своим энтузиазмом и добрым отношением к предмету стимулировали нас к работе над этой книгой.
Наконец, мы искренне признательны нашим женам: Алле Варюхиной, которая перерешала большинство задач и составила первую базу данных задач, решений и ответов, и Наталье Зайцевой, которая прочитала и откорректировала первоначальный текст рукописи. В результате их работы количество ошибок в книге значительно уменьшилось. Вместе с тем мы отдаем себе отчет, что в таком объемном сборнике все ошибки (как в формулировках задач и кейсов, так и в их решениях) устранить сразу невозможно. Поэтому мы заранее благодарны читателям, которые такие ошибки обнаружат и сообщат нам о них.
Зайцев М.Г., Варюхин С.Е. 26 апреля 2006 года
Часть 1. Оптимизация в условиях полной определенности
1. Метод линейной оптимизации. Теоретические замечания.
В первой части этого сборника рассмотрены примеры применения количественных моделей и методов, цель которых найти оптимальную стратегию управления (или, хотя бы рассчитать результат при выбранной стратегии управления) в условиях, когда все параметры и правила функционирования управляемой системы четко определены и не подвержены никаким случайным воздействиям.
В реальной жизни вряд ли может существовать “полная определенность”. Однако, несмотря на то, что жизнь полна случайностей, сложна и неоднозначна, часто возникают ситуации, когда мы склонны игнорировать случайность. В некоторых ситуациях, случайные воздействия на интересующий нас процесс управления не учитываются потому, что они малы и несущественны. В других ситуациях, случайные факторы, которые могут оказать сильное и негативное влияние на нашу деятельность (поломки оборудования, катастрофы, социальные потрясения и т.п.), к счастью, происходят достаточно редко. Поэтому, если не считать мероприятий страхования от их последствий, мы также не склонны учитывать их в наших ежедневных планах.
Широко используемым методом в приведенных ниже примерах является метод линейной оптимизации. С помощью моделей линейной оптимизации рассматриваются задачи, целью которых является составление оптимальных планов. Речь может идти об оптимальных планах производства, продаж, закупок, перевозок, об оптимальном финансовом планировании, оптимальной организации рекламной кампании или об оптимальном плане инвестиционного портфеля фирмы. Планирование - это одна из основных функций менеджмента. Поэтому кейсы и задачи, посвященные линейной оптимизации - наиболее многочисленны в этом сборнике.
При постановке любой задачи оптимизации необходимо, прежде всего, определить количественную характеристику цели, которую мы хотим достичь в процессе оптимизации - целевую функцию. Это может быть максимум прибыли или минимум издержек (в денежном, временном или каком-либо другом выражении). Целевая функция показывает, почему одно рассматриваемое решение лучше или хуже другого.
Целевая функция зависит от величин, называемых переменными решения. Эти величины, мы должны изменять, разыскивая оптимальное решение. Цель оптимизации найти такие значения переменных решения, при которых целевая функция максимальна или минимальна.
Любая оптимизация всегда проводится при наличии некоторых ограничений - условий, ограничивающих изменения переменных решения при поиске максимальной или минимальной целевой функции. Эти ограничения могут диктоваться
• вторичными целями (например, минимизируя риск инвестиционного портфеля, мы одновременно хотим добиться ожидаемой прибыли не хуже заданной),
• ограниченностью ресурсов, находящихся в нашем распоряжении (денежных, временных, материальных), а также
• установленными «правилами игры» (рыночные ограничения, нормативные акты, лимитирующие ту или иную характеристику или любые требования субъекта, принимающего решения).
Линейное оптимизация имеет дело с моделями, в которых целевая функция линейно зависит от переменных решения, и ограничения представляют собой линейные уравнения или неравенства относительно переменных решения. Фактически, это означает, что целевая функция и ограничения могут представлять собой только суммы произведений постоянных коэффициентов на переменные решения в первой степени, т.е. выражения типа c
Ix
I + c
2x
2 + ... + c
nx
n
Почему модели линейной оптимизации столь важны?
Это связано с тем, что очень много важных для практики проблем, относящихся к самым разным сферам деятельности, могут быть проанализированы с помощью моделей линейного программирования; существуют эффективные и универсальные алгоритмы решения задач линейной оптимизации, реализованные в общедоступном программном обеспечении; методы анализа моделей линейной оптимизации позволяют не просто получить оптимальное решение, но и дают информацию о том, как может изменяться это решение при изменении параметров модели. Именно эта информация, позволяющая получить ответы на вопросы типа “что - если”, представляет особую ценность для лица, принимающего решение.
Конечно, модели с нелинейными соотношениями между переменными
типа
cx
1x
2, c
1x
21, cx
1/ x
2, С
1ЛХ и т.п.,
так же могут быть важны для практики. Однако в отличие от моделей линейной оптимизации, не существует универсального алгоритма, который бы во всех случаях гарантированно приводил к искомому оптимуму.. Поэтому для проведения нелинейной оптимизации требуется уделить больше внимания деталям алгоритма и его реализации, чем обычно может уделить менеджер. Исключением является нелинейная оптимизация, в которой целевая функция имеет квадратичный характер. Пример оптимизации с такой функцией рассмотрен ниже С другой стороны, собственно концепция условной оптимизации, достаточно хорошо может быть проиллюстрирована на примерах линейной (и целочисленной) оптимизации.
Для решения задач линейной оптимизации можно использовать надстройку к программе электронных таблиц MS Excel, которая называется «Поиск решения». Это мы и будем делать всюду в настоящем сборнике.
При этом мы предполагаем, что читатель владеет основными навыками работы с электронными таблицами MS Excel:
— умеет вводить и форматировать данные в ячейках листа электронной таблицы;
— знает, чем отличаются формулы в MS Excel от алгебраических формул, и умеет их задавать и распространять (“протягивать”);
— знает, что такое абсолютные и относительные адреса ячеек и как их правильно использовать при распространении формул;
— знает о существовании мастера функций, и использовал некоторые функции MS Excel и т.п.
Разумеется, предполагается, что читатель владеет основными навыками работы в среде Windows и связанной с этим терминологией (окно, флажок, переключатель, выделение с помощью мыши, щелчок, назначение левой и правой кнопки мыши, контекстное меню и пр.).
Если у читателя есть пробелы в этой области, целесообразно до начала работы с данным пособием их ликвидировать, используя многочисленные руководства, обучающие программы и справочные системы Windows и MS Excel.
Как мы уже отметили, для первых разделов сборника (линейная оптимизация, транспортные задачи и задачи о назначениях), а также для отдельных примеров в других разделах, необходимо, чтобы конфигурация MS Excel включала надстройку «Поиск решения». Если эта надстройка установлена, то среди пунктов меню «Сервис», читатель найдет пункт «Поиск решения» (в английском варианте - Solver). Если такого пункта нет, следует открыть пункт меню «Сервис»\«Надстройки» (в английском варианте -Add-Ins) и в открывшемся списке найти и отметить «Поиск решения». После нажатия кнопки Ok (в случае, если программа нашла путь к дистрибутиву MS Office) и после нового вызова MS Excel, «Поиск решения» должен появиться среди пунктов меню «Сервис». Если в списке надстроек нет надстройки «Поиск решения», необходимо переустановить MS Office, отметив необходимые компоненты установки MS Excel.
Подробно о задачах линейной оптимизации, анализе устойчивости и связанных с ним понятий теневых цен, интервалов устойчивости, нормированной стоимости, целочисленных переменных и пр. читайте в учебном пособии [1].
Приемы решения задач
1.П-1. Фирма «Фасад»
Фирма «Фасад» производит двери для продажи местным строительным компаниям. Репутация фирмы позволяет ей продавать всю производимую продукцию. На фирме работает 10 рабочих в одну смену (8 рабочих часов), 5 дней в неделю, что дает 400 часов в неделю. Рабочее время поделено между двумя существенно различными технологическими процессами: собственно производством и конечной обработкой дверей. Из 400 рабочих часов в неделю 250 отведены под собственно производство и 150 под конечную обработку. «Фасад» производит 3 типа дверей: стандартные, полированные и резные. В таблице приведены временные затраты и прибыль от продажи одной двери каждого типа.
|
|
Время на производство (мин) |
Время на обработку (мин) |
Прибыль |
|
Стандартные |
30 |
15 |
$ 45 |
|
Полированные |
30 |
30 |
$ 90 |
|
Резные |
60 |
30 |
$120 |
a. Сколько дверей различных типов нужно производить, чтобы
максимизировать прибыль?
b. Оптимально ли распределение рабочего времени между двумя технологическими процессами (производство и конечная обработка)? Как изменится прибыль, если распределить рабочее время между этими процессами оптимально?
c. На предстоящей неделе «Фасад» должен выполнить контракт на поставку 280 стандартных, 120 полированных и 100 резных дверей. Для выполнения заказа «Фасад» может закупить некоторое количество полуфабрикатов дверей у внешнего поставщика. Эти полуфабрикаты «Фасад» может использовать только для производства стандартных и полированных, но не резных дверей. При этом изготовление стандартной двери требует лишь 6 мин процесса обработки, а полированной - 30 мин обработки (процесс собственно производства для этих полуфабрикатов не требуется). Полученная таким образом стандартная дверь приносит $15 прибыли, а полированная - $50. Предполагая, что по-прежнему 250 часов в неделю отведено под производство и 150 под обработку, определите сколько и каких дверей «Фасад» должен произвести самостоятельно, и сколько полуфабрикатов закупить для изготовления стандартных и полированных дверей?
d. Как изменится оптимальный план, полученный при выполнении предыдущего пункта, если правильно распределить время между собственно производством и обработкой дверей? Каково будет правильное распределение в данном случае?
Решение задачи.
а. Прежде всего, определим цель задачи и вид целевой функции. В данном случае мы хотим максимизировать прибыль, следовательно, целевая функция должна вычислять полную прибыль. В задаче не приводится сведений об издержках и выручке, а задана прибыль, которую приносит каждая произведенная дверь. Поэтому полная прибыль P будет определяться этой прибылью и тем, сколько дверей произведено.
Эти соображения приводят нас к выводу, что в качестве переменных задачи следует выбрать количества дверей каждого типа, которые следует произвести. Значит в задаче будет 3 переменных: Хі - количество стандартных дверей, Х
2 - количество полированных и Х
3 - количество резных дверей. При этом целевая функция запишется, очевидно, следующим образом:
P = Хі*45 + X2*90 + Хз*120 ($).
Лучше всего организовать данные на листе MS Excel следующим образом (Рис. 1):
|
|
A |
B |
C |
D |
E |
F |
|
1 |
Фи |
)ма «Фасад» |
|
2 |
|
Время на производство (мин) |
Время на обработку (мин) |
Прибыль,
$ |
Переменные |
|
3 |
Стандартные |
30 |
15 |
45 |
0 |
X1 |
|
4 |
Полированные |
30 |
30 |
90 |
0 |
X2 |
|
5 |
Резные |
60 |
30 |
120 |
0 |
X3 |
|
6 |
|
|
|
|
Целевая функция |
|
7 |
|
|
|
|
=СУММПРОИЗВ
(E3:E5;D3:D5) |
|
8 |
|
|
|
|
1 |
|
|
Рис. 1 |
Удобно выделить ячейки, в которых будут располагаться переменные цветом, (в данном случае серым), т. к. начальные значения переменных неизвестны, а ссылаться на переменные при вычислениях необходимо. Целевая функция задана с помощью стандартной функции MS Excel =СУММПРОИЗВ( ) (или SUMPRODUCT() в английской версии), которая и вычисляет приведенное выше выражение для P.
На следующем этапе решения следует выяснить, при каких ограничениях нужно найти максимальную прибыль. В данном случае из условия следует, что можно затратить на производственную стадию не больше 250 часов в неделю, а на обработку не больше 150 часов. Других существенных ограничений в задаче нет. Так как в надстройке «Поиск решения» нельзя задавать ограничения в виде формул, все необходимые расчеты для задания ограничений следует сделать на листе MS-Excel.
Итак, следует подсчитать, сколько времени на каждой стадии потребуется для реализации произвольного плана производства дверей. Для стадии
производства это время будет равно t1=X1*30+X2*30+X3*60 (мин), а для стадии обработки
t
2=X
1 *15+X
2*30+X
3 *30 (мин),
По условию
t
1<=250*60 (мин), а t
2<=150*60 (мин).
Добавим эти формулы на лист с данными задачи (Рис. 2):
|
|
A |
B |
C |
D |
E |
F |
|
1 |
Фирма «Фасад» |
|
2 |
|
Время на производство (мин) |
Время на обработку (мин) |
Прибыль,
$ |
Переменные |
|
3 |
Стандартные |
30 |
15 |
45 |
0 |
X1 |
|
4 |
Полированные |
30 |
30 |
90 |
0 |
X2 |
|
5 |
Резные |
60 |
30 |
120 |
0 |
X3 |
|
6 |
|
|
|
|
Целевая функция |
|
7 |
|
=СУММПРОИЗВ(
$E$3:$E$5;B3:B5) |
=СУММПРОИЗВ(
$E$3:$E$5;C3:C5) |
|
=СУММПРОИЗВ
(E3:E5;D3:D5) |
|
8 |
Ограничения |
=250*60 |
=400*60-B8 |
|
|
|
|
Рис. 2 |
Теперь имеется вся информация, необходимая надстройке «Поиск решения» для определения оптимального по прибыли плана производства.
В строке меню находим пункт Сервис (Tools), а внутри выпадающего меню пункт Поиск решения (в английской версии программы Solver).
Вызов надстройки «Поиск решения» приводит к появлению следующего диалогового окна ():

Рис. 3
В нем и следует задать параметры поиска.
В окошке Установить целевую ячейку указываем ячейку, содержащую целевую функцию (нашем примере, как видно из Рис. 2, это ячейка E7). Переключатель оставляем в позиции Равной максимальному значению. В окошке Изменяя ячейки нужно указать ячейки, содержащие переменные решения - в нашем случае это Е3:Е5. Чтобы указать несколько ячеек, просто выделяем диапазон, как обычно это делается в Excel (в случае разрозненных ячеек удерживая клавишу Ctrl на клавиатуре).
Для того, чтобы добавить что-либо в окно Ограничения, следует нажать кнопку Добавить и в выпадающем окне () ввести ограничения

Рис. 4
В данном случае записано, что число в ячейке В7 меньше или равно числа в ячейке В8, и число в ячейке С7 меньше или равно числа в ячейке С8.
Результат всех этих действий показан на рисунке ().
 |
|
Рис. 5 |
До запуска надстройки на поиск нужно еще, нажав кнопку Параметры, вызвать панель Параметров поиска решения () и отметить галочками в соответствующих окошках, что задача соответствует линейной модели и что переменные неотрицательны.
Рис. 6
Больше никаких изменений здесь делать не нужно. Нажав ОК возвращаемся в панель Поиск решения.
Теперь можно нажимать кнопку Выполнить, после чего и будет найдено решение, о чем и сообщит панель Результаты поиска решения ().


Рис. 7
|
Нажав ОК Вы сохраните найденное решение на листе MS Excel, содержащем условия задачи. |
|
|
A |
B |
C |
D |
E |
F |
|
1 |
Фи |
)ма «Фасад» |
|
2 |
|
Время на производство (мин) |
Время на обработку (мин) |
Прибыль,
$ |
Переменные |
|
3 |
Стандартные |
30 |
15 |
45 |
0 |
X1 |
|
4 |
Полированные |
30 |
30 |
90 |
100 |
X2 |
|
5 |
Резные |
60 |
30 |
120 |
200 |
X3 |
|
6 |
|
|
|
|
Целевая функция |
|
7 |
|
15000 |
9000 |
|
33000 |
|
8 |
Ограничения |
15000 |
9000 |
|
|
|
|
|
Рис. 8 |
Проверьте, что получился следующий результат (Рис. 8).
В данном случае оказывается, что максимально возможная прибыль равна 33000 $ и получена она будет, если производить за неделю 100 полированных дверей и 200 резных. Это и есть оптимальный план производства для базовой задачи (пункт а).
b. В первой части задачи мы полагали, что суммарное рабочее время по каким-то причинам (не упоминаемым в условии задачи) жестко разбито на 250 часов производства и 150 часов обработки. Возможно, что это связано со специализацией рабочих.
Тем не менее, можно попробовать выяснить, каково оптимальное распределение рабочего времени между стадиями? Ведь если выигрыш от некоторого, возможного на практике, изменения условий значителен, будет иметь смысл приложить определенные усилия и реорганизовать работу.
Сначала взглянем на отчет об устойчивости. Чтобы получить его для предыдущего решения задачи, нужно в итоговом окне Результаты поиска решения (), прежде чем нажать клавишу ОК, отметить пункт Тип отчета -Устойчивость. При этом к книге MS Excel добавится лист Отчет по устойчивости 1 (). Подробнее об анализе устойчивости задачи линейной
|
Изменяемые ячейки |
|
|
|
|
Ячейка |
Имя |
|
$E$3 |
Стандартные
Переменные |
|
$E$4 |
Полированные
Переменные |
|
$E$5 |
Резные
Переменные |
|
|
|
|
Ограничения |
|
|
|
|
Ячейка |
Имя |
|
$B$7 |
Время на
производство
(мин) |
|
$C$7 |
Время на обработку (мин) |
|
Результ.
значение
100
200
Результ.
значение
15000
9000
0 |
Допустимое
Уменьшение
Целевой
Коэффициент
Допустимое
Увеличение
Нормир.
стоимость
1E+30
15
45
-15
30
30
90
30
60
120
Допустимое
Теневая
Ограничение
Допустимое
Уменьшение
Цена
Увеличение
Правая часть
3000
6000
15000
9000
6000
1500
Рис. 9
В данном случае нас интересует теневая цена ресурсов. Так как теневая цена Времени на обработку выше, чем Времени на производство, очевидно, что следует перераспределить рабочее время в пользу обработки. Руководствуясь отчетами об устойчивости можно подобрать нужное распределение времени, но удобнее изменить задачу.
Чтобы модифицировать задачу в соответствии с изменившимися условиями, достаточно отказаться от ограничения по рабочему времени каждой из стадий и потребовать, чтобы суммарное рабочее время не превышало = 400*60 (мин).
Оставим действующим решение задачи (а), и для модифицированной задачи создадим новый лист. (Имеет смысл создать копию листа, щелкнув правой кнопкой по ярлычку листа и отметив пункт Переместить/Скопировать, а затем поставив флажок Создавать копию. При этой процедуре копируется и скрытый лист с установками для надстройки «Поиск решения».)
Для изменения условий добавим в ячейки D7 и D8 формулы:
=B7+B8 и =400*60,
|
|
A |
B |
C |
D |
E |
F |
|
1 |
Фи |
)ма «Фасад» |
|
2 |
|
Время на производство (мин) |
Время на обработку (мин) |
Прибыль,
$ |
Переменные |
|
3 |
Стандартные |
30 |
15 |
45 |
0 |
X1 |
|
4 |
Полированные |
30 |
30 |
90 |
400 |
X2 |
|
5 |
Резные |
60 |
30 |
120 |
0 |
X3 |
|
6 |
|
|
|
|
Целевая функция |
|
7 |
|
12000 |
12000 |
24000 |
36000 |
|
8 |
Ограничения |
15000 |
9000 |
24000 |
|
|
|
|
Рис. 10 |
соответственно. После этого нужно немного модифицировать задание надстройке «Поиск решения». Вызвав надстройку, удалим из ограничений условие $B$7:$C$7 <= $B$8:$C$8, и добавим вместо него условие D7 <= D8. Получим следующее решение (Рис. 10)_
Распределение времени на производство и на обработку изменилось. Кроме того отметим, во-первых, что максимальная общая прибыль выросла на 3000$ в неделю. Во-вторых, оптимальный план рекомендует выпускать только полированные двери в количестве 400 штук.
Применительно к реальной ситуации вызывает некоторые подозрения рекомендация совсем не выпускать двери первого и третьего типов. Понятно, что условия задачи отвечают ситуации, когда рынок дверей сильно не насыщен, но при этом существуют другие поставщики дверей разных типов. Сужение ассортимента может осложнить позиции фирмы в конкурентной борьбе, особенно при условии ограниченных производственных возможностях фирмы (суммарное время на производство и обработку ограниченно).
Поэтому имеет смысл посмотреть, что меняется, если потребовать выпускать все двери. Конечно, здесь нужно задать некоторое конкретное число, которое мы вынуждены «взять с потолка». Положим, что следует выпускать не менее 50 штук дверей каждого типа. Введем в ячейки G3:G5 число 50 и добавим в надстройку «Поиск решения» ограничение E3:E5 <= G3:G5. Получим новое решение задачи (снова лучше создать сначала копию листа) (Рис. 11 a).
Введенное ограничение, как любое новое ограничение задачи, уменьшает итоговую прибыль. Тем не менее, она оказывается выше, чем прибыль в базовом решении (а). Кроме того, ведь в базовом решении тоже не предполагалась к выпуску стандартная дверь. Если и в базовом решении потребовать выпускать не менее 50 дверей каждого типа, то общая прибыль снизится от 33000$ до 32250$ (Рис. 11 б).
Конечно, только что проведенное исследование задачи не требуется по условию, но зачастую такой анализ («что будет если...») очень интересен и полезен для принятия разумного управленческого решения при использовании той или иной математической модели.
|
|
Переменные |
|
|
Переменные |
|
|
|
50 |
X1 |
50 |
50 |
X1 |
50 |
|
|
287.5 |
X2 |
50 |
100 |
X2 |
50 |
|
і |
50 |
X3 |
50 |
175 |
X3 |
50 |
|
1 |
Целевая функция |
|
Целевая функция |
|
|
|
34125 |
а) |
32250 |
б) |
|
1 |
|
|
|
|
|
|
|
|
Рис. 11 |
с. Новые условия, описанные в пункте с, усложняют задачу. Чтобы их учесть следует ввести две новые переменные: количество стандартных дверей и количество полированных дверей, изготовленных из полуфабрикатов стороннего поставщика. Кроме этого нужно учесть размер заказа и потребовать безусловного его выполнения.
Организация данных на листе MS Excel в этом случае представлена на Рис.
12.
|
Фирма «Фасад» |
|
|
Время на
произвол
ство |
Время на обработку (мин) |
Прибыль, $ |
Переменные |
Всего, шт. |
Заказ |
|
Стандартные |
30 |
15 |
45 |
0 |
X1 |
280 |
280 |
|
Полированные |
30 |
30 |
90 |
120 |
X2 |
120 |
120 |
|
Резные |
60 |
30 |
120 |
124 |
X3 |
124 |
100 |
|
Стандартные П |
0 |
6 |
15 |
280 |
X4 |
|
|
|
Полированные П |
0 |
30 |
50 |
0 |
X5 |
|
|
|
|
|
Полное время |
Целевая функция |
|
|
|
|
11040 |
9000 |
20040 |
29880 |
|
|
|
Ограничения |
15000 |
9000 |
24000 |
|
|
|
|
|
|
Рис. 12 |
В ячейках G3:G5 мы подсчитываем полное количество дверей каждого типа, а в настройке «Поиска решения» сравниваем результаты с заказом. Что касается общего времени на обработку и производство, то мы вернулись к первоначальным условиям: 150 и 250 часов соответственно.
Часть d. Для решения этой задачи нужно изменить только одно условие - так же как мы делали при анализе части b задачи, ограничим только суммарное время двух стадий. Результат представлен на .
|
Фирма «Фасад» |
|
|
|
|
Время на производство (мин) |
Время на обработку (мин) |
Прибыль, $ |
Переменные |
|
Всего |
Заказ |
|
Стандартные |
30 |
15 |
45 |
0 |
X1 |
1900 |
280 |
|
Полированные |
30 |
30 |
90 |
0 |
X2 |
120 |
120 |
|
Резные |
60 |
30 |
120 |
100 |
X3 |
100 |
100 |
|
Стандартные П |
|
6 |
15 |
1900 |
X4 |
|
|
|
Полированные П |
|
30 |
50 |
120 |
X5 |
|
|
|
|
Полное время |
|
Целевая функция |
|
|
|
|
6 000 |
18 000 |
24 000 |
46 500 |
|
|
|
Ограничения |
|
|
24 000 |
|
|
|
|
|
Рис. 13 |
Целевая функция в этом варианте задачи сильно выросла, больше чем в 1.5 раза в сравнении со случаем неоптимального разделения времени. Однако оптимальный план производства наводит на новые вопросы о путях развития данного бизнеса. Например:
- Общее количество дверей, которые можно изготовить с использованием полуфабрикатов, гораздо больше, чем в начальном плане. Можно ли обеспечить сбыт такого количества стандартных дверей?
- Если продать 1900 стандартных дверей невозможно (а возможно, допустим, 600), то, при добавлении соответствующего ограничения, возрастет производство дверей других типов. А сколько их можно продавать за неделю?
- А нельзя ли увеличить сбыт, сбросив отпускные цены (и уменьшив тем самым прибыльность)? Принесет ли это дополнительные деньги?
Впрочем, это уже совершенно выходит за рамки первоначальной задачи.
1.П-2. Компания “Черные каски”
Горнопромышленная компания “Черные каски” собирается работать в некоторой области в течение следующих пяти лет. У нее имеется 4 шахты, для каждой из которых есть технический верхний предел на количество руды, которая может быть выдана «на гора» за год. Эти верхние пределы составляют: шахта Койот - 2 млн. тонн, шахта Мокрая - 2.5 млн. тонн, шахта Елизавета - 1.3 млн. тонн и шахта Ореховый лог - 3 млн. тонн.
Стоимость извлечения руды на разных шахтах различная, вследствие отличающихся глубины и геологических условий. Эти стоимости составляют (включая последующую обработку): шахта Койот - 6 $/тонна, шахта Мокрая -5.5 $/тонна, шахта Елизавета - 7 $/тонна и шахта Ореховый лог - 5 $/тонна.
При этом руда из различных шахт имеет и разное содержание извлекаемого компонента. Для упомянутых выше шахт содержание извлекаемого компонента равно: 10%, 7%, 15% и 5% соответственно. Каждая руда
перерабатывается по одному и тому же технологическому процессу, а затем смешивается, чтобы получить более-менее однородную руду с заданным и фиксированным содержанием извлекаемого компонента, так как технологический процесс на металлургическом предприятии подстроен под определенное содержание соединений металла в руде.
Так как руды с течением времени становятся беднее, металлургическое предприятие, на которое компания поставляет руду, собирается провести постепенный переход на обработку более бедных руд. Если в первый год предприятие ожидает 5 млн. тонн руды с содержанием извлекаемого компонента 9%, то во второй и третий годы - 5.63 млн. тонн руды с содержанием 8%, а в четвертый и пятый годы - 6.43 млн. тонн 7%-ной руды.
Соответственно понизится и стоимость руды. Если в первый год руда покупается по $10 за тонну, то 8%-ная руда будет стоить $8.9 за тонну, а 7%-ная -$7.8 за тонну.
Запланируйте добычу руды на четырех шахтах в течение следующих пяти лет так, чтобы максимизировать прибыль.
Представьте, что владелец горнорудной компании получил предложение о продаже. По оценке экспертов покупатель предлагает цену, превышающую стоимость имущества компании на $70 млн. Однако владелец считает, что за пять лет он заработает большую сумму. Стоит ли в действительности продавать компанию? При оценке стоимости компании примите ставку дисконтирования равной 10% в год.
Решение задачи.
Итак, необходимо выяснить, какую максимальную прибыль может дать компания в ближайшие 5 лет. Именно исходя из величины этой прибыли можно будет оценить привлекательность предложения о продаже компании.
При тех условиях, которые описаны в задаче, единственное что мы можем варьировать, это количество руды, добываемой на каждой из шахт. Причем из-за изменения условий размер добычи может меняться из года в год. Следовательно, нам необходимо подобрать размер добычи для 4 шахт в каждом году, на пять следующих лет. Таким образом, в задаче должно быть 4*5=20 переменных.
Если у нас будет информация о том, сколько руды добывается на каждой из шахт, мы сможем рассчитать издержки по добыче. Зная цену, по которой металлургический комбинат будет принимать руду в последующие пять лет, и планируемый объем закупок, мы сможем определить полный доход компании за пять лет - целевую функцию задачи.
|
|
A |
B |
C |
D |
E |
F |
G |
|
1 |
шахта |
предел
выработк
и |
|
содержани е ИК |
себест.
руды |
|
|
|
2 |
Койот |
2 |
|
10% |
6 |
|
|
|
3 |
Мокрая |
2.5 |
|
7% |
5.5 |
|
|
|
4 |
Елизавета |
1.3 |
|
15% |
7 |
|
|
|
5 |
Ореховый
лог |
3 |
|
5% |
5 |
|
|
|
6 |
|
|
|
|
|
|
|
|
7 |
шахта |
1 год |
2 год |
3 год |
4 год |
5 год |
|
|
8 |
Койот |
|
|
|
|
|
|
|
9 |
Мокрая |
|
|
|
|
|
|
|
10 |
Елизавета |
|
|
|
|
|
|
|
11 |
Ореховый л. |
|
|
|
|
|
|
|
12 |
задан. % |
9% |
8% |
8% |
7% |
7% |
|
|
13 |
|
і |
2 |
3 |
4 |
5 |
|
|
14 |
средний % |
=СУММПРОИЗВ(B8:B11;$D$2:$D$5)/B18 |
-> |
|
|
15 |
кол-во руды |
^’УММШЕП) |
-> |
|
|
Млн. $ |
|
16 |
доход |
=B15*B20-СУММПРОИЗВ(B8:B11;$E$2:$E$5)
-> |
=СУММ(Б16Е1
6) |
|
17 |
... с
дисконтом |
=B16/$A$18AB13 |
=СУММ(Б17Е1
7) |
|
18 |
1.1 |
5.00 |
5.63 |
5.63 |
6.43 |
6.43 |
|
|
19 |
|
|
|
|
|
|
|
|
20 |
цена руды |
10.0 |
8.9 |
8.9 |
7.8 |
7.8 |
|
|
|
Рис. 14 |
Остается организовать данные в таблицу Excel для этой задачи так, чтобы было удобно задавать условия в Поиске решения и протягивать формулы.
Один из вариантов организации данных представлен на .
В ячейках B8:F11 приготовлено место для переменных задачи -количества руды, добываемой в разные годы на каждой шахте. Для удобства вычислений в ячейках сверху для этих шахт в том же порядке перечислены данные задачи: в ячейках B2:B5 - предельная годовая выработка руды на шахтах в млн. тонн, в ячейках D2:D5 - содержание извлекаемого компонента в руде в % от массы, а в ячейках E2:E5 - себестоимость извлечения 1 тонны руды в
долларах.
В строке B12:F12 записаны заданные проценты содержания извлекаемого компонента в сырье, поставляемом металлургическому комбинату. В строке B18:F18 - плановый объем закупок сырья комбинатом в млн. тонн, а в строке B20:F20 - цена покупки тонны сырья.
Так как нужный процент извлекаемого компонента в сырье для металлургов добывающая компания получает путем смешивания различных руд, то вся добытая руда в конечном итоге будет продана комбинату по закупочной цене. Общее количество добытой руды мы подсчитываем в строке B15:F15 просто складывая добычу на отдельных шахтах с помощью функции Excel вида ^УММ^БВЗП). Для этого вводим эту формулу в ячейку B15 и протягиваем вправо до ячейки F15. В задании для поиска решения нужно будет потребовать, чтобы значения ячеек B15:F15 в точности равнялись плановой продаже в эти же годы B18:F18.
Произведение добычи за год на цену продажи даст нам доход за любой год. Однако для получения чистой прибыли нужно из этой суммы вычесть
=В15*В20-СУММПРОИЗВ(В8:В11;$Е$2:$Е$5). Далее формула протянута вправо до ячейки F16. Соответственно, формула =СУММ(В16Е16), записанная в ячейке G16, дает полную прибыль за пять лет.
собственные расходы (будем полагать, что все прочие издержки и налоги расписаны на себестоимость). Величина расходов может быть найдена перемножением размеров добычи на издержки за тонну. Для расчета опять удобно использовать функцию =СУММПРОИЗВ( ). Издержки в первый год в этом случае будут вычисляться по формуле =СУММПРОИЗВ(В8:В11;$Е$2:$Е$5). Знаки $ здесь добавлены, чтобы формулу удобно было протягивать, распространяя вычисления на все годы добычи.
Так как, собственно говоря, отдельно величины издержек нас не интересуют, скомбинируем расчет валовых доходов с издержками и сразу получим прибыль. Формулы для расчета прибыли записаны в строке B16:F16 и для ячейки В16 - прибыли за первый год эта формула выглядит следующим образом:
Однако, знать полную прибыль - недостаточно. Ведь нам нужно знать, сколько стоит эта будущая прибыль сегодня. Для этого нужно дисконтировать все годовые доходы к нулевому году, т.е. к текущему моменту. Коэффициент дисконта равен 1.1 (10% в год), значит прибыль первого года нужно поделить на 1.1. Прибыль второго года - на 1.12 и т.д. Эти расчеты выполнены в строке В17Е17 (в Excel символ “Л” обозначает возведение в степень, например 23 = 2
Л3). И, как итог, в ячейке G17 эти дисконтированные прибыли просуммированы. Таким образом целевую функцию мы задали.
В условиях данной задачи, как вы можете проверить сами, результаты максимизации полной номинальной прибыли за пять лет (ячейка G16) и суммы дисконтированных денежных поток за пять лет (ячейка G17), оказываются одинаковыми. В общем случае, это, конечно не так.
Подумаем теперь об ограничениях. Об одном ограничении - суммарной добыче за каждый год - мы уже позаботились (значения ячеек В15Е15 строго равняются плановой продаже в эти же годы В18Е18).
Второе очевидное ограничение - на предельную выработку для каждой шахты - задать очень просто, так как все необходимые данные для сравнения у нас уже есть. Правда придется задать в Поиске решения не одно, а пять ограничений, для каждого года отдельно. Для первого года ограничение будет выглядеть следующим образом: В8:В11 <= В2:В5. Для второго C8:C11 <= В2:В5 и т. д.
Последнее существенное ограничение связано с процентным содержанием извлекаемого компонента. Чтобы сравнить реальное содержание с заданным, его нужно сначала рассчитать. Итоговое содержание извлекаемого компонента является средневзвешенным для всего объема добычи за год, значит его следует находить по формуле:
Итоговый процент =
ДШ *Р! + ДШ 2 * Р 2 + ДШ 3 *Рз + ДШ 4 *р
4 + ДШ 5 *Р5
Общая годовая добыча
Где ДШі - размеры годовой добычи для каждой шахты, а р
; - процентное содержание извлекаемого компонента для руд каждой из шахт. На для первого года эта формула записана так:
=СУММПРОИЗВ(В8:В11;$В$2:$Б$5)/В18. Протягиванием получим реальный процент содержания для каждого года. Для Поиска решения ограничение на
содержание извлекаемого компонента в сырье нужно записать как строгое равенство: B14:F14 = B12:F12.
Ну вот все необходимые ограничения заданы. Не забудьте отметить опции Линейная модель и Неотрицательные значения во вкладке Параметры.
Если вы не допустили ошибок при вводе формул, то после запуска надстройки Поиск решения на выполнение получите следующее решение (
): .__.
|
шахта |
1 год |
2 год |
3 год |
4 год |
5 год |
|
|
Койот |
2.00 |
2.00 |
2.00 |
2.00 |
2.00 |
|
|
Мокрая |
0.00 |
0.00 |
0.00 |
1.43 |
1.43 |
|
|
Елизавета |
1.00 |
0.69 |
0.69 |
0.00 |
0.00 |
|
Ореховый
лог |
2.00 |
2.94 |
2.94 |
3.00 |
3.00 |
|
|
задан. % |
9% |
8% |
8% |
7% |
7% |
|
|
|
1 |
2 |
3 |
4 |
5 |
|
|
средний % |
9.0% |
8.0% |
8.0% |
7.0% |
7.0% |
|
|
кол-во руды |
5.00 |
5.63 |
5.63 |
6.43 |
6.43 |
$ млн. |
|
доход |
21.0 |
18.5 |
18.5 |
15.1 |
15.1 |
88.29 |
... с
дисконтом |
19.09 |
15.29 |
13.90 |
10.34 |
9.40 |
68.02 |
|
|
Рис. 15 |
Общая номинальная прибыль за 5 лет составит $88.29 млн., но эти будущие доходы следует оценить сегодня в сумму $68 млн. Следовательно предложение $70млн. оказывается справедливым и даже выгодным для компании “Черные каски”, если эта сумма будет выплачена немедленно.
1.П-3. Сталепрокатный завод
Сталепрокатный завод производит стальные листы трех различных размеров: 100 дюймов, 80 дюймов и 55 дюймов. Поступил заказ на стальные листы размером 45, 30 и 18 дюймов в количестве 150, 200 и 185 штук соответственно.
a. Каким образом компания должна разрезать стальные листы, чтобы минимизировать отходы? Учтите, что желательно также при раскрое не получать слишком много лишних листов с размерами, заданными данным заказчиком.
b. Приведите наилучшее решение для случая, когда заказанные в этот раз размеры встречаются при заказах довольно часто и для случая, когда полученный заказ совершенно нестандартный.
Решение задачи.
Эта задача представляет своеобразный тип задач, в которых условие задачи нужно расшифровать, после чего решение оказывается очень легким.
В реальной практике менеджера такие обстоятельства встречаются очень часто. Ведь человек далекий от специфических математических или программистских методов формулирует проблему пользуясь либо общеупотребительными словами, либо специфическими, но не математическими терминами (скажем бухгалтерскими или производственными). Чтобы в этих условиях поставить задачу, нужно сначала перевести формулировку проблемы на язык количественных методов. Такой перевод, как и всякое взаимодействие на стыке терминологий разных групп людей, зачастую оказывается весьма не простой задачей.
В данной задаче переформулировать условие оказывается несложно.
Из листов каждого из размеров (100, 80 и 55) можно выкроить по нескольку различных наборов заказанных листов. Например из листа размера 55 дюймов можно получить 1 лист размером 45 дюймов (10 дюймов - в обрезки), или 1 лист в 30 дюймов и 1 в 18 дюймов (7 - в обрезки), или 3 листа в 18 дюймов (1 дюйм - в обрезки). Если перебрать все возможные варианты раскроя, их окажется не так уж много. Так как для каждого варианта известно и количество полученных листов и количество обрезков, то выбрав в качестве переменных количество листов раскроенных по каждому из описанных вариантов, можно построить задачу линейной оптимизации. Целевой функцией будет общее количество остатков. Цель - минимизация остатков при условии исполнения заказа.
Пример организации таблицы для расчета всех нужных для решения задачи величин приведен ниже на .
Задание для Поиска решения в данном случае будет выглядеть очень просто: целевая ячейка - H19, цель - минимум, изменяемые ячейки - G3:G17. По смыслу задачи следует потребовать, чтобы переменные были целыми числами (G3:G17 = целое). Как обычно во вкладке параметры отмечаем, что задача линейная и переменные неотрицательны.
Условие выполнения заказа может быть записано по-разному. Можно потребовать точного выполнения заказа (C19:E19 = C20:E20), что, очевидно, соответствует недопустимости получения лишних листов заказанных размеров. Можно использовать более мягкое условие: количество полученных листов не менее заказанного (C19:E19 >= C20:E20), что допустимо в случае, когда оставшиеся листы могут быть проданы другому заказчику.
При ответе на вопрос а разумно потребовать точного выполнения заказа. При этом общее количество остатков равно 670 дюймам. Для выполнения заказа придется разрезать 44 листа по 3-ему варианту, 106 листов по 8-му, 47 - по 10-му и 2 листа по 15-му варианту.
Если не требовать точного соответствия результатов раскроя заказу, общее количество остатков значительно уменьшится и составит 350 дюймов. Однако при этом будет получено 550 листов размеров 18 дюймов, что в 3 раза больше, чем было заказано.
|
|
A |
B |
C |
D |
E |
F |
G |
H |
I |
J |
|
1 |
Вариант
раскроя |
Лист
проката |
Размер листа, дюймов |
|
Число
листо
в |
Остаток |
|
|
|
2 |
45 |
30 |
18 |
|
|
|
|
3 |
1 |
100 |
2 |
0 |
0 |
|
0 |
=В3-СУММПРОИЗВ(
$C$2:$E$2;C3:E3) |
|
4 |
2 |
100 |
1 |
1 |
1 |
|
0 |
7 |
|
|
|
5 |
3 |
100 |
1 |
0 |
3 |
|
0 |
1 |
|
|
|
6 |
4 |
100 |
0 |
3 |
0 |
|
0 |
10 |
|
|
|
7 |
5 |
100 |
0 |
2 |
2 |
|
0 |
4 |
|
|
|
8 |
6 |
100 |
0 |
1 |
3 |
|
0 |
16 |
|
|
|
9 |
7 |
100 |
0 |
0 |
5 |
|
0 |
10 |
|
|
|
10 |
8 |
80 |
1 |
1 |
0 |
|
0 |
5 |
|
|
|
11 |
9 |
80 |
1 |
0 |
1 |
|
0 |
17 |
|
|
|
12 |
10 |
80 |
0 |
2 |
1 |
|
0 |
2 |
|
|
|
13 |
11 |
80 |
0 |
1 |
2 |
|
0 |
14 |
|
|
|
14 |
12 |
80 |
0 |
0 |
4 |
|
0 |
8 |
|
|
|
15 |
13 |
55 |
1 |
0 |
0 |
|
0 |
10 |
|
|
|
16 |
14 |
55 |
0 |
1 |
1 |
|
0 |
7 |
|
|
|
17 |
15 |
55 |
0 |
0 |
3 |
|
0 |
1 |
|
|
|
18 |
|
|
|
|
|
|
|
Целевая функция |
|
|
|
19 |
|
Получен о листов |
0 \ |
0 |
0 |
|
Всего |
=СУММПРОИ
H3:H17;G3:G |
[ЗВ(
17) |
|
20 |
|
Заказ |
150 \ |
200 |
185 |
|
|
|
|
|
|
|
=СУММПРОИЗВ(С3:С17;$а$3:$а$17) |
Рис. 16
Для того, чтобы получить более разумный план раскроя, можно потребовать дополнительно, чтобы количество полученных листов не превышало заказанное на некоторое предельное число, скажем 10%. Как вы можете убедиться, при этом общее количество обрезков увеличится до 650 дюймов. Что практически совпадает с вариантом точного выполнения заказа.
1.П-4. На кондитерской фабрике. (Кейс)
Действие 1-е. (Борьба научного подхода и эмпирики.
Маленькая кондитерская фабрика должна закрыться на реконструкцию. Необходимо реализовать оставшиеся запасы сырья, для производства продуктов из ассортимента фабрики, получив максимальную прибыль. Запасы и расход каждого вида сырья для производства единицы продукции каждого вида, а также нормы прибыли для каждого продукта (прибыль на 1 пакет), представлены в таблице.
Сырье Запасы, кг
Продукты, расход сырья, кг
|
|
|
Ореховый
звон |
Райский
вкус |
Батончик |
Белка |
Ромашка |
Темный
шоколад |
1411 |
0.8 |
0.5 |
1 |
2 |
1.1 |
Светлый
шоколад |
149 |
0.2 |
0.1 |
0.1 |
0.1 |
0.2 |
|
Сахар |
815.5 |
0.3 |
0.4 |
0.6 |
1.3 |
0.05 |
|
Карамель |
466 |
0.2 |
0.3 |
0.3 |
0.7 |
0.5 |
|
Орехи |
1080 |
0.7 |
0.1 |
0.9 |
1.5 |
0 |
|
Прибыль/пакет у.е. |
1 |
0.7 |
1.1 |
2 |
0.6 |
В разговоре с владельцем фабрики мастер, используя свой 20-летний опыт, предлагает «на глазок» выпустить по 200 пакетов каждого продукта, утверждая, что ресурсов «должно хватить», а прибыль получится, очевидно, 1080 у.е.
При разговоре присутствует сын владельца фабрики, только что закончивший программу «Бакалавр делового администрирования», который утверждает, что такие проблемы надо решать не «на глазок», а с помощью линейного программирования. Умиленный отец обещает сыну всю прибыль сверх 1080 у.е., если он предложит лучший план, чем многоопытный мастер.
Анализ Действия 1-го.
Переменные решения в данном случае - это количество пакетов каждого из 5-ти продуктов, выпускаемых фабрикой.
При этом целевую функцию - прибыль от производства - можно записать как сумму произведений количества произведенных пакетов каждого продукта на норму прибыли каждого продукта
Ограничения состоят в том, что расход каждого из сырьевых ресурсов на весь производственный план не должен превышать запас данного ресурса. Расход каждого вида сырья на производство одного пакета каждого продукта, можно найти на пересечении строчки (сырье) и столбца (продукт) в таблице параметров. Это, так называемые, технологические коэффициенты производства.
Организуем данные на листе MS Excel так, как это показано на рисунке () «На кондитерской фабрике».
|
|
A |
B |
С |
D |
E |
F |
G |
|
1 |
На кондитерской фабрике |
|
2 |
|
|
Продукты |
|
3 |
Сырье |
Запасы |
Ореховый
звон |
Райский вкус |
Батончик |
Белка |
Ромашка |
|
4 |
Темный шок. |
1411 |
0,8 |
0,5 |
1 |
2 |
1,1 |
|
5 |
Светлый шок. |
149 |
0,2 |
0,1 |
0,1 |
0,1 |
0,2 |
|
6 |
Сахар |
815,5 |
0,3 |
0,4 |
0,6 |
1,3 |
0,05 |
|
7 |
Карамель |
466 |
0,2 |
0,3 |
0,3 |
0,7 |
0,5 |
|
8 |
Орехи |
1080 |
0,7 |
0,1 |
0,9 |
1,5 |
0 |
|
9 |
Прибыль |
1 |
0,7 |
1,1 |
2 |
0,6 |
|
10 |
|
|
|
|
|
|
|
|
11 |
|
|
|
|
|
|
|
|
12 |
|
|
Ореховый
звон |
Райский вкус |
Батончик |
Белка |
Ромашка |
|
13 |
|
Переменные |
454,48 |
58,78 |
0,00 |
503,99 |
9,13 |
|
14 |
|
|
|
|
Цель |
|
|
|
15 |
|
Расход |
|
P = |
=СУММПРОИЗВ(С13:?13;С9:?9) |
|
16 |
Темный шок. |
=СУММПРОИЗВ($С$13:$?$13;С4:?4) |
|
|
|
|
17 |
Светлый шок. |
=СУММПРОИЗВ($С$13:$?$13;С5:?5) |
|
|
|
|
18 |
Сахар |
=СУММПРОИЗВ($С$13:$?$13;С6:?6) |
|
|
|
|
19 |
Карамель |
=СУММПРОИЗВ($С$13:$?$13;С7:?7) |
|
|
|
|
20 |
Орехи |
=СУММПРОИЗВ($С$13:$?$13;С8:?8) |
|
|
|
|
|
Рис. 17 |
В ячейку F16 введена целевая функция, представляющая собой сумму произведений прибылей от продажи одного пакета каждого продукта (строка 9) на произведенное количество каждого продукта (строка 13). В ячейках C13:G13 -содержатся переменные
В ячейках B16:B20- введены формулы, отражающие расход ресурсов на весь производственный план.
Остается сформировать задачу для надстройки Поиск решения. После того, как мы зададим целевую ячейку, цель (поиск максимума), изменяемые ячейки и отметим во вкладке «Параметры», что задача линейная и переменные неотрицательны, останется только задать ограничение. В данном случае оно только одно (если задавать его для группы ячеек): реальный расход ресурсов, рассчитанный в ячейках B16:B20, не должен превышать запасы на складе, записанные в ячейках B4:B8.
После команды «Выполнить» получим решение, приведенное на рисунке ().
|
На кондитерской фабрике |
|
|
|
Продукты |
|
Сырье |
Запасы |
Ореховый
звон |
Райский вкус |
Батончик |
Белка |
Ромашка |
|
Темный шок. |
1411 |
0,8 |
0,5 |
1 |
2 |
1,1 |
|
Светлый шок. |
149 |
0,2 |
0,1 |
0,1 |
0,1 |
0,2 |
|
Сахар |
815,5 |
0,3 |
0,4 |
0,6 |
1,3 |
0,05 |
|
Карамель |
466 |
0,2 |
0,3 |
0,3 |
0,7 |
0,5 |
|
Орехи |
1080 |
0,7 |
0,1 |
0,9 |
1,5 |
0 |
|
Прибыль |
1 |
0,7 |
1,1 |
2 |
0,6 |
|
|
|
|
|
|
|
|
|
|
|
|
|
|
|
|
|
|
|
Ореховый
звон |
Райский вкус |
Батончик |
Белка |
Ромашка |
|
|
Переменные |
454,48 |
58,78 |
0,00 |
503,99 |
9,13 |
|
|
|
|
|
Цель |
|
|
|
|
Расход |
|
Р= |
1509,09 |
|
|
|
Темный шок. |
1411,00 |
|
|
|
|
|
|
Светлый шок. |
149,00 |
|
|
|
|
|
|
Сахар |
815,50 |
|
|
|
|
|
|
Карамель |
465,89 |
|
|
|
|
|
|
Орехи |
1080,00 |
|
|
|
|
|
|
|
Рис. 18 |
В установках надстройки Поиск решения существует возможность потребовать целочисленности переменных решения. Для этого достаточно в левом поле этого окна указать ячейки, содержащие переменные решения, а из предлагаемых ограничений выбрать ограничение «цел».
|
Добавление ограничения |
|
Ссылка на ячейку: |
Ограничение: |
|
|tCH3:jGH3 °Ы |
цел |
- |
1 целое |
|
|
<=
>- |
|
|
|
OK 1 Отмен; |
Завить 1 Справка | |
|
|
цел |
|
|
|
|
двоим |
|
|
|
|
Рис. 20 |
Вопреки тому, что можно было бы ожидать, получаемое целочисленное решение (производственный план) не совпадает с округленным оптимальным решением, полученным без условия целочисленности () .
|
|
Ореховый
звон |
Райский вкус |
Батончик |
Белка |
Ромашка |
|
Переменные |
450,00 |
60,00 |
10,00 |
500,00 |
10,00 |
|
|
|
|
Цель |
|
|
|
Расход |
|
Р= |
1509,00 |
|
|
|
|
Рис. 21 |
|
При этом итоговая прибыль целочисленного решения чуть выше того, что получается при простом округлении решения, приведенного на ._ |
|
|
Ореховый
звон |
Райский вкус |
Батончик |
Белка |
Ромашка |
|
Переменные |
450,00 |
60,00 |
10,00 |
500,00 |
10,00 |
|
|
|
|
Цель |
|
|
|
Расход |
|
Р= |
1509,00 |
|
|
|
|
Рис. 22 |
Тем не менее, в данной задаче отличие целочисленного решения от обычного по величине целевой функции весьма мало. При этом следует иметь в виду, что добавление этого ограничения исключает использование эффективных методов решения задач линейного программирования. В частности, при целочисленных ограничениях невозможно получить отчет об устойчивости, который, как мы уже видели и неоднократно убедимся далее, дает чрезвычайно важную информацию для анализа вопросов «что если», обеспечивает общий взгляд на исследуемую проблему и более глубокое ее понимание. Задача с целочисленными переменными гораздо более сложна для исследования, а алгоритмы ее решения гораздо менее универсальны и эффективны. Поэтому не задавайте без нужды условие целочисленности. Это особенно важно, когда вы исследуете большую модель (несколько десятков и сотен переменных и ограничений). Задавая целочисленное ограничение в подобной задаче, вы обязательно обнаружите, что время поиска решения драматически увеличилось.
Разумеется, в некоторых случаях без условия целочисленности не обойтись (см. предыдущий пример, а также ниже примеры задач с двоичными, логическими переменными).
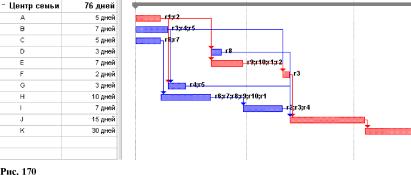
Действие 2-е. Жаль..., ведь мы все так любим «Батончик»!
После решения задачи об оптимальном плане производства для родной кондитерской фабрики, юноша (сын владельца фабрики) испытал двойственное чувство. С одной стороны, прибыль, соответствующая найденному им производственному плану, почти на 430 у.е. больше, чем по плану мастера, т.е. он заработал более 400 баксов. Это здорово! С другой стороны, почему компьютер отказался от выпуска Батончика (его с раннего детства любимого лакомства)? Юноша был уверен, что «Батончик» - один из лучших продуктов, который выпускает фабрика его отца. Если его не окажется на прилавках, может пострадать имидж фабрики. Ведь не только он сам, но и все соседи в округе обожают эту конфету!
Кроме того, он вспомнил, что на занятиях по количественным методам в менеджменте, преподаватель все время твердил об анализе полученного оптимального решения на устойчивость: малые изменения величины запасов могут привести к радикальному изменению решения! А вдруг этот вредный
старый мастер не только план производства определяет на глазок, но и запасы сырья взвешивает кое-как? А что, если каких-то запасов не хватит для его оптимального плана? Он не доберет прибыли! Может быть тогда более прибыльным станет иной план? Какой?
И еще одна мысль. У него есть в кармане, что-то около 50 баксов. Может пустить их в дело? Докупить у знакомого оптовика какого-нибудь сырья, потихоньку подложить на склад (чтоб мастер не заметил), как будто, так и было. Тогда можно получить дополнительную прибыль (и премию от отца). Только вот какого сырья докупать? И сколько? И на сколько от этого возрастет прибыль? Итак, ответьте на следующие вопросы.
a. Как надо изменить норму прибыли для любимого продукта сына хозяина фабрики (Батончика), чтобы он вошел в оптимальный план (ответьте, не решая задачу, анализируя лишь отчет об устойчивости)?
b. Введите это изменение в данные и решите задачу заново. Как изменился оптимальный план?
c. Какой ресурс является наиболее дефицитным (т.е. максимально влияет на прибыль)?
d. Можете ли Вы сказать (не решая задачу снова) как изменится прибыль от производства, если количество этого ресурса оценено а) с избытком в 10 весовых единиц; б) с недостатком в 5 единиц?
e. Есть ли другой способ добиться производства «Батончика» (кроме изменения нормы прибыли)?
Анализ Действия 2-го.
Для того, чтобы разобраться в ситуации, требуется провести анализ решения. В этом нам поможет отчет об устойчивости решения, поэтому вернемся еще раз в установки Поиска решения, удалим условие целочисленности, которое мы добавляли с целью эксперимента и найдем прежнее решение. Когда Поиск решения сообщит, что решение найдено, отметим в правом окне пункт «Устойчивость». На новом листе будет получен отчет следующего вида ().
|
Ограничения |
|
Ячейка |
Имя |
Результ.
значение |
Теневая
Цена |
Ограничение Правая часть |
Допустимое
Увеличение |
Допустимое
Уменьшение |
|
$B$16 |
Темный шок. Расход |
1411,00 |
0,0454 |
1411 |
0,262411 |
7,952174 |
|
$B$17 |
Светлый шок. Расход |
149,00 |
2,4973 |
149 |
1,042254 |
11,868952 |
|
$B$18 |
Сахар Расход |
815,50 |
1,0115 |
815,5 |
0,392226 |
20,092150 |
|
$B$19 |
Карамель Расход |
465,89 |
0,0000 |
466 |
1,00E+30 |
0,110834 |
|
$B$20 |
Орехи Расход |
1080,00 |
0,2297 |
1080 |
16,043860 |
0,318052 |
|
|
Рис. 23 |
|
Изменяемые ячейки |
|
Ячейка |
Имя |
Результ.
значение |
Нормир.
стоимость |
Целевой
Коэффициент |
Допустимое
Увеличение |
Допустимое
Уменьшение |
|
$C$13 |
Переменные Ореховый звон |
454,48 |
0,0000 |
1 |
0,052299 |
0,019488 |
|
$D$13 |
Переменные Райский вкус |
58,78 |
0,0000 |
0,7 |
0,043961 |
0,345734 |
|
$E$13 |
Переменные Батончик |
0,00 |
-0,0087 |
1,1 |
0,008737 |
1,00E+30 |
|
$F$13 |
Переменные Белка |
503,99 |
0,0000 |
2 |
0,956405 |
0,021902 |
|
$G$13 |
Переменные Ромашка |
9,13 |
0,0000 |
0,6 |
0,100575 |
0,039565 |
|
Согласно отчету об устойчивости, нормированная стоимость конфеты «Батончик», не вошедшей в оптимальный план составляет 0,00874 у.е. Абсолютная величина этого числа показывает, на сколько нужно увеличить
прибыль от производства одного пакетика этих конфет, чтобы «Батончик» вошел в оптимальный план. С точки зрения анализа ситуации, малость этого числа (менее 0,8% от нормы прибыли) свидетельствует о том, что если мы «насильно» заставим Поиск решения запланировать выпуск «Батончика» (введя условие E13>= 100, например), большого уменьшения прибыли не произойдет.
|
|
Ореховый
звон |
Райский вкус |
Батончик |
Белка |
Ромашка |
|
Переменные |
411,70 |
73,40 |
100,00 |
462,98 |
15,11 |
|
|
|
|
Цель |
|
|
|
Расход |
|
Р= |
1508,11 |
|
|
|
|
Рис. 24 |
Давайте проверим это умозаключение и потребуем, чтобы количество произведенных пакетиков «Батончика» было бы не менее 100 ()._
Прибыль уменьшилась менее, чем на 1 у.е. Потребуем, чтобы количество произведенных пакетиков «Батончика» было бы не менее 200, 300 .... Во всех этих случаях мы получим другие оптимальные решения, а прибыль будет отличаться от оптимальной (для исходного варианта постановки задачи) не более чем на 1%.
Интересно, а какое же количество Батончика запланирует выпустить Поиск решения, если мы изменим его норму прибыли, как подсказывает отчет об устойчивости?
Добавим к цене «Батончика» чуть большее число, чем нормированная стоимость Батончика - 0,01 у.е, чтобы заведомо изменить оптимальный план. При этом мы можем быть уверены, что Батончик войдет в оптимальный план, но не можем знать заранее, в каком количестве, и не можем определить, как изменяться количества других конфет.
|
|
Ореховый
звон |
Райский вкус |
Батончик |
Белка |
Ромашка |
|
Переменные |
0,00 |
217,50 |
1067,50 |
65,00 |
70,00 |
|
|
|
|
Цель |
|
|
|
Расход |
|
Р= |
1509,17 |
|
|
|
|
Рис. 25 |
В этом случае прибыль на единицу этого продукта станет равной 1,11 у.е. Еще раз запустим Поиск решения. Результат представлен на следующем рисунке (). _____
Видно, сколь драматически отличается это решение от базового, хотя значения прибыли практически одинаковы! В таких случаях обычно говорят, что решение задачи неустойчиво.
Решение называется неустойчивым, если малые изменения параметров приводят к огромным изменениям решения.
Чаще всего о неустойчивости говорят в негативном смысле, подразумевая даже, что неустойчивость ограничивает возможности аналитика использовать количественные методы для принятия управленческих решений. Действительно, поскольку в реальной ситуации параметры модели всегда известны с определенной неточностью (ошибкой), а малые изменения параметров приводят к катастрофическим изменениям решения, то найденное оптимальное решение кажется бесполезным!
Действительно, если мы пытаемся выбрать между несколькими различными альтернативами, каждая из которых может стать оптимальной при незначительным изменении параметров, мы не сможем сделать правильный выбор. В этом случае уместно говорить о «деструктивной» роли неустойчивости и пытаться найти методы борьбы с ней.
Однако, в данном случае, неустойчивость решения не создает никаких проблем: ведь прибыль-то в обоих случаях почти одинакова! Попробуйте вернуть прежнее значение прибыли для Батончика (1.1 у.е.) - прибыль уменьшится до 1498,5 у.е. Это менее чем на 1% ниже оптимальной.
Таким образом, в нашем распоряжении оказывается множество альтернативных решений, сильно различающихся по значениям переменных, но очень близких по прибыли. Это - не плохо. Это - очень хорошо!
Наличие многих, пусть не вполне оптимальных, но «хороших» альтернативных решений позволяет менеджеру выбрать такое, которое в наилучшей степени отвечает тем или иным неформализуемым требованиям и условиям, которые всегда присутствуют при принятии решений. В данном случае, таким неформализуемым условием является аномальная любовь лица, принимающего решение, к «Батончику», который, к несчастью, не вошел в оптимальный план при исходной постановке задачи. За эту любовь приходится платить либо повышением цены на данный продукт, либо снижением валовой прибыли. Что предпочесть?
Смириться с отсутствием Батончика в оптимальном плане?
Повысить цену?
Ввести ограничение на минимальное количество пакетиков Батончика?
На этот вопрос модель ответа не даст. Модели не принимают решений! Эта задача менеджера. Наличие множества альтернативных решений поможет ему выбрать решение, «приятное во всех отношениях». При этом, оно необязательно должно быть оптимальным в строго математическом смысле слова.
Необходимо, видимо, еще отметить, что в задаче про кондитерскую фабрику несмотря на обилие решений, близких к оптимальному, имеется еще больше «плохих» решений. Разумеется, решение, предложенное мастером, было неважным. Но там получилось не совсем честно - ведь ни один ресурс не израсходован полностью. Мастер мог бы уточнить свое предложение, несколько увеличив план производства. Если мы чуть изменим модель, потребовав, чтобы выпускались одинаковые количества конфет (для этого добавим одно
|
|
Ореховый
звон |
Райский вкус |
Батончик |
Белка |
Ромашка |
|
Переменные |
212,86 |
212,86 |
212,86 |
212,86 |
212,86 |
|
|
|
|
Цель |
|
|
|
Расход |
|
Р= |
1149,43 |
|
|
|
|
Рис. 26 |
Прибыль теперь побольше, чем в первоначальном предложении выпустить по 200 пакетов, но все равно гораздо хуже оптимального решения. Так что выпускать одинаковое количество конфет смысла нет.
Или, например, мы вводили требование выпустить не меньше чем 100, 200, 300 пакетов «Батончика» и результат почти не менялся. А если бы народу захотелось, чтобы было много «Ромашки»? В базовом плане ее всего 9 пакетов. Давайте добавим ограничение, что «Ромашки» должно быть не менее 300 пакетов ()!
|
|
Ореховый
звон |
Райский вкус |
Батончик |
Белка |
Ромашка |
|
Переменные |
0,00 |
0,00 |
767,50 |
122,50 |
300,00 |
|
|
|
|
Цель |
|
|
|
Расход |
|
Р= |
1269,25 |
|
|
|
|
Рис. 27 |
Этот результат в комментариях не нуждается.
Таким образом, наличие большого числа решений, близких к оптимальному, не является гарантией того, что любой, произвольно выбранный план, окажется хорошим.
Вернемся к полученному нами ранее отчету об устойчивости (). Из нижней таблицы, «рассказывающей» о ресурсах, следует, что наибольшей теневой ценой обладает ресурс №2 - «Светлый шоколад». Это и есть наиболее дефицитный ресурс. Правда интервал устойчивости, соответствующий этой цене (2.4973 у.е.) очень узок. Если запас светлого шоколада оценен с избытком в 10 единиц (то есть, на самом деле, его запас не 149, а 139), то реальная прибыль будет ниже на
^Pmax =
ЛЪ2 X /2 = -
10х2.
5 = -
25 у?.
Формулу для оценки уменьшения прибыли можно использовать, поскольку ЛЪ
2 = -10 попадает в интервал устойчивости (допустимое уменьшение 11,868952). Вместе с тем, если запас этого ресурса оценен с недостатком в 5 единиц (то есть, на самом деле, его запас не 149, а 154), предсказать увеличение прибыли нельзя, т.к. ЛЪ
2 = +5 выходит за границы интервала устойчивости (допустимое увеличение 1,042254).
Ответить на последний вопрос (Есть ли другой способ добиться производства «Батончика», кроме изменения нормы прибыли или введения дополнительных ограничений на минимальное количество пакетов Батончика в плане?) не так просто.
Прежде всего обратим внимание на то, что любой производственный план есть результат конкуренции продуктов за ресурсы. Заметим, что у Батончика, не вошедшего в оптимальный план прибыль на единицу продукта отнюдь не самая низкая: «Ореховый звон», «Райский вкус» и «Ромашка» менее прибыльны. Тем не менее Батончик проиграл конкуренцию за ресурсы, и его нормированная цена показывает, как много он проиграл.
Эксперимент с увеличением нормы прибыли Батончика, показывает, что основным конкурентом Батончика является Белка. Разумно предположить, что конкурируют они за наиболее дефицитные ресурсы, т. е. те которые имеют более высокие теневые цены. Такими ресурсами являются светлый шоколад и сахар.
К сожалению, никакого алгоритма, который бы показал какой ресурс и насколько нужно увеличить, чтобы снять (или смягчить) конкуренцию Батончика и Белки нет. Можно, однако, попробовать увеличить один из дефицитных ресурсов на величину, выходящую за пределы интервала устойчивости его запаса и заново решить задачу на максимум. При этом можно добиться, чтобы в плане присутствовали значительные количества пакетиков и Батончика и Белки.
В больших задачах линейной оптимизации подобное исследование может быть весьма трудоемким. Прямого ответа на поставленный вопрос отчет об
устойчивости не дает. Однако, ориентиром в таком исследовании может служить, например, теневая цена ресурса
Дейчтвие 3-е. Проблема учета постоянных издержек
После проведенного анализа, сын владельца фабрики принес свой первый оптимальный план в цех и с гордостью показал мастеру. Мастер на мгновенье нахмурился («ишь, какой умный нашелся!»), но затем с облегчением вздохнул и громко засмеялся:
- Ну, что ж, молодой человек, замечательно! Будем реализовывать! Только учти, что по технологии до (или после) производства конфеты Белка (особенно в таком количестве как ты рекомендуешь), надо остановить производственную линию и тщательно ее вычистить, а то будет брак! А стоит такая очистка 400 у.е.! Так что с премией своей можешь попрощаться.
Вот это удар!
Что же делать? Надо срочно пересчитать оптимальный план с учетом этой постоянной издержки. Тем более (вспомнил мальчик), что для этого существует очень изящный метод, использующий целочисленные переменные.
Анализ Действия 3-его.
Прежде чем приступить непосредственно к анализу неожиданно возникшей проблемы сына хозяина кондитерской фабрики заметим, что попытка учета постоянных издержек наталкивается на фундаментальное ограничение моделей линейного программирования. Действительно, линейная—целевая функция P (будь то прибыль или издержки) в линейной модели должна быть представлена как сумма произведений целевых коэффициентов на переменные решения:
Р -
сіXі + с
2X
2 + ... + c
nXn .
Если трактовать Xj как количества произведенных единиц продукта j-го типа, а коэффициенты с как издержки на единицу произведенного продукта (или прибыль на единицу продукта, т. е. цена минус издержки на производство одного изделия), то очевидно, что принимаются в расчет только те издержки, которые пропорциональны количеству выпущенных изделий. Эти издержки называются переменными. К таким издержкам относятся оплата сдельного труда, расход материалов, электроэнергии и пр.
Однако, наряду с переменными издержками, с процессом производства (или обслуживания) всегда связаны также и постоянные издержки. К издержкам такого рода можно отнести затраты на аренду помещений, оплату работы менеджеров и вспомогательных служб, расходы на связь и оргтехнику и пр.
Если эти расходы одинаковы, независимо от вида производимой продукции, то они не влияют на определение оптимального плана выпуска продукции. Их просто можно прибавить к оптимальным переменным издержкам (или вычесть из оптимальной прибыли), определенным путем решения оптимизационной задачи.
Представим, однако, что на одной и той же производственной линии можно производить различные продукты, причем для производства каждого нового продукта нужно произвести переналадку оборудования, что для каждого продукта характеризуется своими затратами (устойчивый английский термин для таких затрат - «setup cost»). В таком случае вид целевой функции должен быть существенно изменен.
Заметим, что встречающаяся в бухгалтерском учете практика «размазывания» постоянной издержки по всей партии выпущенных изделий и увеличение таким образом величины издержек на одно изделие, совершенно неприменима при решения ЛП-задачи об оптимальном плане. В этой задаче количество выпущенных изделий данного типа - это переменная X, подлежащая определению (т.е. заранее неясно на какое количество изделий нужно «размазать» постоянную издержку), а издержка (или прибыль) на одно произведенное изделие Cj должна быть постоянной (т.е. независящей от количества выпущенных изделий).
Вернемся теперь к анализу ситуации на кондитерской фабрике. Введем в рассмотрение величину постоянных издержек 400 у.е., связанную с производством конфеты «Белка» ().
Будем считать, что постоянная издержка появляется, когда произведен хотя бы один пакет этой конфеты. Она не зависит от того, как много пакетиков «Белки» произведено. Однако если «Белка» не производится вообще, то этой издержки нет.
В этих условиях целевую функцию - прибыль, можно записать «по Ехсеі’евски» следующим образом: =СУММПРОИЗВ(С13:Ш3;С9:09)-ЕСЛИ(Е13>0;Б10;0).
|
|
A |
B |
C |
D |
E |
F |
G |
|
1 |
На кондитерской фабрике |
|
2 |
|
|
Продукты |
|
3 |
Сырье |
Запасы |
Ореховый
звон |
Райский вкус |
Батончик |
Белка |
Ромашка |
|
4 |
Темный шок. |
=1411+14 |
0,8 |
0,5 |
1 |
2 |
1,1 |
|
5 |
Светлый шок. |
= 149+15 |
0,2 |
0,1 |
0,1 |
0,1 |
0,2 |
|
6 |
Сахар |
=815,5+16 |
0,3 |
0,4 |
0,6 |
1,3 |
0,05 |
|
7 |
Карамель |
=466+17 |
0,2 |
0,3 |
0,3 |
0,7 |
0,5 |
|
8 |
Орехи |
= 1080+18 |
0,7 |
0,1 |
0,9 |
1,5 |
0 |
|
9 |
Прибыль |
|
1 |
0,7 |
1,1 |
2 |
0,6 |
|
10 |
Постоянная издержка |
|
|
|
400 |
|
|
11 |
Есть\Нет |
Y = |
|
|
|
0 |
|
|
12 |
|
|
Ореховый
звон |
Райский вкус |
Батончик |
Белка |
Ромашка |
|
13 |
|
Переменные |
0,00 |
0,00 |
0,00 |
0,00 |
0,00 |
|
14 |
|
|
|
|
Цель |
|
|
|
15 |
|
Расход |
|
P = |
=СУММПРОИЗВ^13^13;C9:G9)-F10*F1 |
|
16 |
Темный шок. |
=СУММПРОИЗВ($С$13:$G$13;C4:G4) |
|
|
|
|
17 |
Светлый шок. |
=СУММПРО1 |
|
|
|
|
|
|
18 |
Сахар |
=СУММПРО1 |
|
Вместо функции =если() |
=F13-10000*F11 |
|
19 |
Карамель |
=СУММПРО1 |
|
|
|
|
|
|
20 |
Орехи |
=СУММПРОИЗВ^$13:$G$13;C8:G8) |
|
|
|
|
|
Рис. 28 |
Однако, такой вид функции («ступенька») совершенно не соответствует принципам линейной модели. Более того, если убрать флажок в окне «Линейная модель», задача все равно не будет решаться. Функция ЕСЛИ - это «смерть» любого алгоритма оптимизации: он обязательно «застрянет» возле этой ступеньки и оптимального решения не найдет.
Для подобных случаев, существует специальный метод, позволяющий явно не использовать функцию =ЕСЛИ(..).
Для этого вместо каждой такой функции вводят одну дополнительную переменную и одно дополнительное ограничение.
Запишем в ячейке F10 величину постоянной издержки (400) для конфеты «Белка», а в ячейку F11 поместим новую переменную Y, показывающую, выпускается «Белка» или нет. Чтобы показывать нам это переменная Y будет принимать всего два значения: 0 и 1.
При этом для корректного расчета прибыли нужно написать:
=СУММПРОГОВ(С13:013;С9:09)^1^10.
Если «Белка» выпускается, то переменная Y=1, и из прибыли вычитаются 400 у.е. постоянной издержки очистки линии. Если «Белка» не выпускается, то переменная Y=0 и из прибыли не вычитается ничего.
Разумеется, без дополнительного ограничения Поиск решения заведомо не станет присваивать переменной Y значение 1, ибо это невыгодно. Поэтому запишем формулу =F13-10000*F11 , т.е. объем выпуска «Белки» - 10000 умноженное на переменную Y - и, затем, потребуем в установках Поиска решения, чтобы это выражение было не больше 0!
В этом случае, если объем выпуска «Белки» хоть как-нибудь отличается от нуля, Поиск решения сможет удовлетворить заданное ограничение, только если задаст Y=1. И 10000 здесь, это просто произвольное большое число, превышающее любой возможный (при данных ресурсах) объем выпуска конфет. В первоначальных решениях мы видели, что выпускается от 1000 до 1500 пакетов, значит, даже если будет выпускаться только одна «Белка», условие выполнится только при Y=1. Если «Белка» не выпускается и значение ячейки F13 равно нулю, то Поиск решения волен выбрать в качестве значения переменной Y и ноль, и единицу. Но при выборе в качестве цели максимума прибыли, алгоритм, конечно, и теперь уже совершенно правомерно, оставит переменную Y равной нулю.
Фактически, речь идет о том, что если оптимизационный алгоритм «согласен» положить Y = 1 и уменьшить прибыль P на величину 400 у.е., то ограничений на производство «Белки» нет. Если же, алгоритм «желает» положить Y = 0, то ему придется отказаться от производства «Белки».
Чтобы переменная Y принимала только значения 1 и 0 добавим соответствующее ограничение - «F11=двоичное». Не забудьте только перед вводом этого ограничения добавить ячейку F11 в список переменных.
Замечание.
Чтобы указать в качестве переменных несвязанные ячейки или диапазоны, нужно сначала выделить один диапазон, затем нажать на клавиатуре кнопку Ctrl и, удерживая ее, выделить второй диапазон, третий и т.д.
Итак, к нашему исходному групповому ограничению добавится еще два: новая переменная двоичная и конструкция =F13-10000*F11 в ячейке F18 меньше или равна нулю. Если вы все сделали правильно запуск Поиска решения на выполнение принесет следующий результат ().
|
На кондитерской фабрике |
|
|
|
Продукты |
|
Сырье |
Запасы |
Ореховый
звон |
Райский вкус |
Батончик |
Белка |
Ромашка |
|
Темный шок. |
1411 |
0,8 |
0,5 |
1 |
2 |
1,1 |
|
Светлый шок. |
149 |
0,2 |
0,1 |
0,1 |
0,1 |
0,2 |
|
Сахар |
815,5 |
0,3 |
0,4 |
0,6 |
1,3 |
0,05 |
|
Карамель |
466 |
0,2 |
0,3 |
0,3 |
0,7 |
0,5 |
|
Орехи |
1080 |
0,7 |
0,1 |
0,9 |
1,5 |
0 |
|
Прибыль |
|
1 |
0,7 |
1,1 |
2 |
0,6 |
|
Постоянная издержка |
|
|
|
400 |
|
|
Есть\Нет |
Y= |
|
|
|
0 |
|
|
|
|
Ореховый
звон |
Райский вкус |
Батончик |
Белка |
Ромашка |
|
|
Переменные |
0,00 |
283,66 |
1168,48 |
0,00 |
18,93 |
|
|
|
|
|
Цель |
|
|
|
|
Расход |
|
Р= |
1495,25 |
|
|
|
Темный шок. |
1331,1 |
|
|
|
|
|
|
Светлый шок. |
149,0 |
|
|
|
|
|
|
Сахар |
815,5 |
|
Вместо функции =если() |
0,00 |
<=0 |
|
Карамель |
445,1 |
|
|
|
|
|
|
Орехи |
1080,0 |
|
|
|
|
|
|
|
Рис. 29 |
Кроме очевидных изменений в оптимальном плане, следует отметить главное - целевая функция уменьшилась по сравнению с прежним результатом всего на 14 у.е.! Ну а если вспомнить план, в котором тоже было много «Батончика», то и вообще только на 3 у.е.
Мало этого, можно посоветовать молодому человеку напомнить отцу, что в исходном плане старого мастера так же предусматривался выпуск «Белки», стало быть прибыль была бы не 1080 у.е., а всего 680! Так что парень честно отыграл еще 400 у.е.
Возвращаясь к хитрому приему, который позволил нам обойти использование функции =ЕСЛИ(..), следует проверить, что алгоритм вообще захочет, хоть при каких-нибудь условиях включить «Белку» в план производства. Очевидно, что при достаточной прибыльности «Белки» это должно оказаться выгодным. Вот только мы теперь не имеем инструмента в виде отчета об устойчивости, который нам мог бы подсказать, сколько именно прибыльности не хватает «Белке», чтобы войти в оптимальный план. Ведь при использовании целочисленных ограничений такой отчет создать невозможно.
Придется действовать методом подбора. В первоначальном плане «Белка» производилась в количестве 504 пакетов. Значит, чтобы вернуться к этому плану, окупив постоянную издержку в 400 у.е., одной дополнительной единицы прибыльности должно хватить. И действительно, при изменении прибыльности «Белки» до 3 у.е. оптимальное решение включает эту конфету в оптимальный план почти в прежнем объеме ().
|
Прибыль |
|
1 |
0,7 |
1,1 |
3 |
0,6 |
|
Постоянная издержка |
|
|
|
400 |
|
|
Есть\Нет |
Y= |
|
|
|
1 |
|
|
|
|
Ореховый
звон |
Райский вкус |
Батончик |
Белка |
Ромашка |
|
|
Переменные |
396,47 |
0,00 |
0,00 |
534,98 |
21,69 |
|
|
|
|
|
Цель |
|
|
|
|
Расход |
|
Р= |
1614,43 |
|
|
|
Темный шок. |
1411,0 |
|
|
|
|
|
|
Светлый шок. |
137,1 |
|
|
|
|
|
|
Сахар |
815,5 |
|
Вместо функции =если() |
-9465,02 |
<=0 |
|
Карамель |
464,6 |
|
|
|
|
|
|
Орехи |
1080,0 |
|
|
|
|
|
|
|
Рис. 30 |
При этом переменная Y оказывается равной 1 и из прибыли вычитаются 400 у.е. издержки очистки линии. Таким образом использованный нами прием способен не только запрещать выпуск конфет, но и разрешать его при подходящих условиях.
1.П-5. Оптимизация производства на заводе «Прогресс» (Кейс)
Действие 1-е. Оптимальный план.
На рисунке () представлена схема движения материалов, частей, узлов и агрегатов, проходящих трансформацию от сырья к готовой продукции на заводе «Прогресс».
Завод производит 3 продукта A, D, и F.
 |
|
Рис. 31 |
Схема показывает последовательность операций на имеющихся у завода универсальных станках, которым необходимо подвергнуть сначала сырье, а затем полуфабрикаты, для производства готовых продуктов, и время (в минутах), необходимое для каждой операции. Это время указано на схеме в скобках рядом с именем соответствующего станка.
Таким, образом, хотя положение станков на заводе, разумеется, фиксировано, они могут (и должны) выполнять различные операции (на разных стадиях технологического процесса) над сырьем, или полуфабрикатами для производства различных продуктов, после соответствующей настройки.
Например, два имеющихся одинаковых станка, обозначенных как Ресурс-2, требуются для выполнения 4-х операций (см. рисунок). Для осуществления
каждой из этих операций нужно некоторое время для перенастройки станка (setup time). В случае Ресурс- 2 необходимо 120 минут для перенастройки на любую из 4-х требуемых операций.
На схеме также показан максимальный рыночный спрос на каждый из продуктов фабрики (кол-во шт./неделю).
Для производства одной единицы продукта A требуется по одной единице сырья ARM и CRM. Одна единица продукта D требует по одной единице сырья ARM, CRM и ERM. Одна единица продукта F требует только одну единицу сырья FRM.
В первой таблице указано количество имеющихся на заводе станков каждого типа и время перенастройки каждого из станков на новую операцию.
|
Имеющиеся ресурсы |
|
Тип станка |
Время переналадки, минут |
Количество
станков |
|
Ресурс- 1 |
15 |
1 |
|
Ресурс-2 |
120 |
2 |
|
Ресурс-3 |
60 |
2 |
|
Ресурс-4 |
20 |
2 |
|
Ресурс-5 |
0 |
1 |
Завод работает 5 дней в неделю, по 8 часов в день. Сверхурочная работа не допускается. Завод не имеет больших собственных складов и не может, поэтому, произвести за неделю больше, чем потребляет рынок.
|
Операционные расходы по эксплуатации станков |
Тип
станков |
Зарплата
$ |
Накладные расходы $ |
Всего$ |
|
Ресурс- 1 |
500 |
1500 |
2000 |
|
Ресурс-2 |
1000 |
1000 |
2000 |
|
Ресурс-3 |
1000 |
1800 |
2800 |
|
Ресурс-4 |
1000 |
2000 |
3000 |
|
Ресурс-5 |
500 |
700 |
1200 |
|
Итого |
4000 |
7000 |
11000 |
В следующей таблице указаны операционные расходы по эксплуатации станков каждого типа. Эти суммы должны выплачиваться в конце каждой недели после продажи выпущенной продукции и, таким образом, входят в себестоимость продукции._
Первый шаг анализа
Какую максимальную прибыль может получить завод за неделю, если он удовлетворит полностью рыночный спрос на продукты A, D и F?
Способен ли завод удовлетворить этот спрос?
Найдите оптимальный план производства продуктов A, D и F за неделю, который обеспечит заводу максимальную прибыль. Какова эта реальная прибыль?
Второй шаг анализа (Предложение добросовестного рабочего)
Недавно на заводе прошло общее собрание персонала, на котором выступал директор и призывал всех работать более эффективно, добиваться большей производительности.
Мастер, отвечающий за работу универсального станка Ресурс-2, принял пламенную речь директора близко к сердцу и почувствовал угрызения совести, поскольку вверенный ему универсальный станок (чудо техники) простаивает.
(Определите, сколько процентов рабочего времени станок Ресурс-2 простаивает).
Мастер подсчитал, сколько необходимых полуфабрикатов для продуктов A, D и F может произвести его станок. Он также подсчитал, какую прибыль мог бы получить завод, если бы он произвел и продал такое количество продуктов A, D и F (Подсчитайте и Вы).
Мастер подготовил предложение о немедленном увеличении снабжения его станка сырьем и материалами с целью гигантского увеличения объема производства. «Сумасшедшие деньги просто валяются у нас под ногами, а мы не хотим их подобрать из-за нашего разгильдяйства и неумения работать!» - лейтмотив его предложения.
Принять ли предложение мастера или отклонить (и мягко успокоить добросовестного работника)?
Третий шаг анализа (Предложение ненормального инженера-технолога)
Через несколько дней после собрания к директору пришел молодой инженер-технолог. Директор его недолюбливал. Вид у него всегда был какой-то рассеянный. Вместо того чтобы летать по цехам, ликвидировать сбои и аварии, организовывать людей на авралы, он частенько забивался в какой-нибудь тихий уголок и чего-то писал на бумажке.
И вот написал ...рационализаторское предложение: переоборудовать станок Ресурс-2 так, чтобы тот смог выполнять часть работы станка Ресурс-1. При этом все операции, в которых участвует станок Ресурс-1, сократятся на 1 мин., зато все операции станка Ресурс-2 увеличатся на 3 мин. На переоборудование 2-х станков Ресурс-2 нужно $15000.
Директор не поленился и подсчитал, что в результате при производстве по 1 шт. продуктов A, D и F на станке Ресурс-1 будет выиграно только 3 мин, а на станках Ресурс-2 проиграно 18 мин. Таким образом, длительность производственного цикла увеличится на 15 мин!
(Подсчитайте и Вы, по схеме технологического процесса на рис. 1__).
«И за это $15000? Да он и правда ненормальный!»
Вне себя, директор уже готов вызвать нерадивого инженера, наорать на него и заставить заниматься делом, а не глупыми выдумками. «А не послушается, так и выгнать, к чертовой матери!»
Остановить ли директора или, правильно, пусть выгоняет дурака?
Четвертый шаг анализа
После истории с ненормальным инженером-технологом, зам. директора по маркетингу и продажам то же решил включиться в процесс оптимизации работы завода. На собрании руководителей подразделений он отметил, что рост прибыли сдерживается не только ограниченностью производственных ресурсов, но и ограниченным спросом отечественного рынка на некоторые продукты завода.
«Рынок полностью потребляет все производимые нами продукты типа A и F. Если бы мы могли найти для них новые рынки сбыта, мы смогли бы производить их больше и получать больше прибыли!» Все восприняли замечание зам. директора как очень правильное. (Согласны ли Вы с ним?) Зам. директора по маркетингу сказал также, что он слышал о том, что в Монголии есть спрос на продукты, которые производит завод. Он готов съездить в командировку в Монголию и разобраться на месте. Разумеется, предложение было одобрено.
Через две недели, зам. директора вернулся чрезвычайно воодушевленный. «В Монголии замечательный рынок для наших продуктов D и F! Они готовы покупать еженедельно 35 шт. D и 25 шт. F. Никаких дополнительных затрат для нас! Они будут забирать продукцию у нас прямо со склада, как наши отечественные потребители, каждую неделю!» «Есть только одна маленькая проблема, Монголия бедная страна, поэтому они не могут платить столько же, сколько наши отечественные потребители. Они просят сбросить наши цены на одну треть. Но ведь и в этом случае мы будем иметь заметную прибыль! При этом есть твердая уверенность, что монголы будут использовать нашу продукцию для своего внутреннего производства, а не спекулировать купленными у нас товарами на нашем отечественном рынке».
Директор согласен, что любая прибыль будет одобрена акционерами.
Как изменить производственный план, и сколько продавать монголам?
Пятый шаг анализа
После долгих колебаний директор решается выйти на собрание акционеров с предложением купить еще один станок Ресурс-1 за $300,000. Это потребует удвоить количество рабочих, занятых на обслуживание и в операциях со станком Ресурс-1. Соответственно удвоятся операционные расходы. Акционеры потребуют информацию о том, когда окупятся инвестиции, и какую прибыль сможет приносить завод после этого Найдите новый оптимальный план производства продуктов A, D и F за неделю, который обеспечит заводу максимальную прибыль. Какова теперь эта прибыль?
За сколько времени окупятся инвестиции? (Найдите не дисконтированный период окупаемости).
Сделайте расчет в двух вариантах:
завод отказался от предложения зам. директора по маркетингу от выхода на монгольский рынок, т.е. продукцию можно поставлять только на отечественный рынок;
монгольский рынок доступен для продукции завода.
Какое решение относительно целесообразности покупки второго станка Ресурс-1, приняли бы Вы в каждом из вариантов?
Анализ Действия 1-го.
Шаг 1.
На первом шаге анализа необходимо сформулировать и решить задачу линейной оптимизации плана производства завода. Для того, чтобы сделать это, удобно организовать данные, приведенные в тексте в следующую таблицу.
|
|
А |
в |
с |
D |
Е F |
G |
н |
1 |
|
1 |
Шаг 1-3 |
|
|
|
|
|
|
|
|
2 |
Оптимальный план |
|
|
|
|
|
|
|
3 |
|
Продукты |
|
|
|
|
|
4 |
Станки |
Запас
времени |
А |
D |
F |
Время
обработки |
% использования оборудования |
Кол-во
переналадок |
Время
переналадки |
|
5 |
РЕСУРС-1
РЕСУРС-2
РЕСУРС-3
РЕСУРС-4
РЕСУРС-5 |
2400 |
0 |
34 |
14 |
=СУММПРОИЗВ($С$11: $Е$11 |
С5:Е5)+Н5‘І5 |
15 |
|
6 |
4800 |
24 |
9 |
15 |
|
|
=F6/B6 |
|
4 |
120 |
|
7 |
4800 |
33 |
15 |
22 |
|
|
|
|
6 |
60 |
|
8 |
4800 |
20 |
18 |
27 |
|
|
|
|
4 |
20 |
|
э |
2400 |
8 |
17 |
0 |
1 |
г |
1 |
г |
2 |
0 |
|
10 |
Прибыль |
|
115 |
145 |
115 |
|
|
|
|
|
11 |
Рыночный спрос |
40 |
80 |
40 |
|
|
|
|
|
12 |
Макс. Прибыль |
=СУММПРОИЗВ(С11 :Е11 ;С10:Е10)-11000 |
|
|
|
13 |
|
|
|
|
|
|
|
|
14 |
|
А |
D |
F |
|
Время
обработки |
% использования оборудования |
|
15 |
Переменные |
0 |
0 |
0 |
РЕСУРС-1 |
=СУММПР0ИЗВ($В$15:$0$15;С5:Е5)+Н5‘І5 |
|
|
іб |
|
|
|
|
РЕСУРС-2 |
|
|
=F16/B( |
|
|
|
17 |
|
Цель |
|
|
РЕСУРС-3 |
|
|
|
|
|
|
|
18 |
Прибыль |
=СУММПРОИЗВ(В15:015;С10:ЕЮ)-11000 |
|
|
|
|
|
|
19 |
|
|
|
РЕСУРС-5 |
1 |
г |
1 |
г |
|
|
|
|
Рис. 32 |
Заполнение пустой таблицы начнем с внесения информации о рыночном спросе в ячейки С11:Е11 (для продуктов A,D,F - это 40, 80, 40 штук соответственно). Затем, заполним строчку «Прибыль» (ячейки С10:Е10). Для этого взглянем на схему технологического процесса и определим, какое сырье требуется для производства 1 шт. продукта А. Двигаясь сверху вниз по схеме (квадратика с именем продукта к квадратикам с именем сырья) найдем, что для производства 1 шт. продукт А требуется 1 порция сырья ARM и 1 порция сырья CRM. Вычитая из отпускной цены продукта А стоимость сырья ARM и CRM, найдем условную прибыль при производстве продукта А, равную $115. Аналогично, прибыль от производства 1 шт. продуктов D и А равны $145 и $115 соответственно.
При расчете этой условной прибыли мы приняли предположение, что переменная часть издержек связана только с затратой сырья. Все остальные издержки (включая зарплату рабочих, обслуживающих универсальные станки), включены в постоянную издержку, связанную с функционированием завода -$11000 (как следует из таблицы ).
Взяв сумму произведений рыночного спроса на условную прибыль от 1 шт. каждого продукта и вычтя постоянную издержку в $11000, найдем максимальную прибыль. которую может заработать завод за неделю, если удовлетворит этот рыночный спрос (формула в ячейке С12). Результат - $9800 в неделю.
По-видимому, завод не может заработать эту прибыль, поскольку не может удовлетворить рыночный спрос из-за недостатка производственных ресурсов. Такими производственными ресурсами, очевидно, является время обработки на каждом универсальном станке, которым располагает завод в неделю. Поскольку завод работает в одну смену, 5 дней в неделю - это 40 часов на каждом станке. Выразим это время в минутах (т.к. расход времени каждого ресурса на каждую технологическую операцию, задан на схеме в минутах). Так как Ресурс-1 присутствует на заводе в одном экземпляре (), время обработки различных полуфабрикатов на нем составляет 2400 мин. в неделю. Станки Ресурс-2, Ресурс-3 и Ресурс-4 присутствуют в 2 экземплярах (), поэтому время обработки на каждом из них - по 4800 мин. в неделю. На станке Ресурс-5 (так же как на Ресурс-1) имеется 2400 мин. в неделю.
Посмотрим теперь, сколько времени каждый из производимых продуктов требует от каждого из ресурсов. Для этого необходимо заполнить ячейки С5:Е9 нашей таблицы.
Взглянем опять на схему технологического процесса и определим, сколько времени станка Ресурс-1 требует производство 1 шт. продукта А? Следуя по схеме сверху вниз (от продукта А к сырью), видим, что в этой части схемы Ресурс-1 вообще не встречается. Следовательно, для производства продукта А он не нужен. Т.е. продукт А требует 0 мин. от Ресурса-1. Аналогично найдем, что производство продукта D требует от станка Ресурс-1 34 мин., а производство продукта F - 14 мин.
Действуя аналогично заполним строчку С6-Е6 (сколько времени каждый из продуктов A, D и F требуют от Ресурса-2), и оставшиеся строчки С7:Е9 (нормы временных затрат Ресурсов 3-5 на производство A,D и F).
После этого, сосчитаем, сколько всего времени требуется от каждого ресурса, чтобы выполнить рыночный спрос (т.е. произвести 40 шт. A, 80 шт. D и 40 шт. F). Для этого очевидно необходимо найти сумму произведений строчки норм затрат данного ресурса на единицу каждого продукта на требуемое количество каждого продукта в соответствие с рыночным спросом. Введенная в ячейку F5 формула отражает это действие (ее, разумеется, следует протянуть на ячейки F6:F9).
В этой формуле отражена еще одна важная деталь. Для того чтобы произвести весь ассортимент продуктов, каждый из Ресурсов нужно переналаживать на разные технологические операции. Это требует времени, которое должно быть прибавлено к полученному суммарному времени на обработку. Сколько времени нужно прибавить зависит от того, какое количество переналадок каждого ресурса в неделю мы готовы произвести. Иными словам, какой величины партию продукции мы собираемся «прогнать» через каждый Ресурс, настроенный на данную технологическую операцию.
С одной стороны, чем меньше переналадок мы делаем, тем меньше времени Ресурс простаивает, тем больше продукции мы можем произвести. Минимальное количество переналадок Ресурса 1, необходимое чтобы обеспечить недельный цикл (т.е., чтобы следующую неделю можно было бы начать, имея Ресурс 1, настроенный на ту же технологическую операцию, что и в начале прошлой недели), очевидно, должно быть равно 3. Аналогично, для Ресурса 2 количество переналадок будет 4 (несмотря на то, что количество станков равно 2).
Примем, для простоты, что вообще, минимальное количество переналадок в неделю равно количеству технологических операций, в которых участвует данный Ресурс (в скольких бы экземплярах станок не существовал, и в скольких бы операциях не участвовал). Количество переналадок и времени каждой переналадки для каждого станка введены в ячейках H5:H9 и I5:I9 соответственно.
С другой стороны, минимальное количество переналадок, которые мы собираемся делать, означает большой размер партии продукции, который мы «прогоняем» через каждый Ресурс, настроенный на данную технологическую операцию. Это означает, что на полу в цехах завода (или на специальных промежуточных складах) будет лежать большой объем различных полуфабрикатов - незавершенной продукции, в которой заморожены средства, затраченные на сырье, труд и пр. С этим связаны специфические издержки хранения, которые мы не учитываем сейчас, при анализе кейса, но которые в реальности могут заставить изменить наше решение о минимальном количестве переналадок (подробнее об издержках хранения см. учебные пособия [1,2] и задачи соответствующего раздела в настоящем сборнике).
После введения формул в ячейки F5:F9 и формул, показывающих процент использования оборудования (т.е. отношение требуемого времени на обработку и переналадку каждого Ресурса для производство продукции в количестве, равном рыночному спросу, к реально имеющемуся времени), мы можем видеть, что Ресурс-1 должен быть загружен на 139%, в то время как все остальные ресурсы недогружены (). Таким образом. Ресурс-1 является узким местом («бутылочным горлышком») нашего технологического процесса, и не позволяет заводу удовлетворить рыночный спрос полностью и заработать максимально возможную прибыль (поскольку использование сверхурочных не предусматривается).
Чтобы рассчитать реальную прибыль, которую может заработать завод, нужно решить задачу линейной оптимизации. В качестве переменных решения (ячейки B15:D15) выберем реальные количества продуктов A, D и F, которые может произвести завод, чтобы максимизировать прибыль - целевую функцию (ячейка B18). При этом в ячейках F15 :F 19 вычислим сколько времени на обработку и переналадку каждого Ресурса при этом требуется, а в ячейках G15:G19 - каков при этом будет процент использования оборудования. Разумеется, в ограничениях для «Поиска решения» необходимо потребовать, чтобы этот процент не превышал 100%. Кроме того, необходимо потребовать, чтобы количество произведенного продукта каждого типа (A, D, F) не превышало рыночный спрос. В результате решения этой задачи получим следующий результат .
|
|
А |
в |
С |
в |
Е |
F |
G |
И |
I |
|
|
1 |
Решение |
|
|
|
|
|
|
|
|
|
|
2 |
Оптимальный план |
|
|
|
|
|
|
|
|
|
3 |
|
Продукты |
|
|
|
|
|
|
4 |
Станки |
Запас
времени |
А |
D |
F |
Время
обработки |
% использования оборудования |
Кол-во
переналадок |
Время
переналадки |
|
5 |
res1 |
2400,00 |
0,00 |
34,00 |
14,00 |
3325,00 |
139% |
3,00 |
15,00 |
|
6 |
res2 |
4800,00 |
24,00 |
9,00 |
15,00 |
2760,00 |
58% |
4,00 |
120,00 |
|
7 |
res3 |
4800,00 |
33,00 |
15,00 |
22,00 |
3760,00 |
78% |
6,00 |
60,00 |
|
8 |
res4 |
4800,00 |
20,00 |
18,00 |
27,00 |
3400,00 |
71% |
4,00 |
20,00 |
|
9 |
res5 |
2400,00 |
8,00 |
17,00 |
0,00 |
1680,00 |
70% |
|
0,00 |
|
10 |
Прибыль |
|
115,00 |
145,00 |
115,00 |
|
|
|
|
|
11 |
Рыночный спрос |
40,00 |
80,00 |
40,00 |
|
|
|
|
|
|
12 |
Макс. Прибыль |
9800,00 |
|
|
|
|
|
|
|
|
13 |
|
|
|
|
|
|
|
|
|
|
|
14 |
|
А |
D |
F |
|
Время
обработки |
% использования оборудования |
|
15 |
Переменные |
40,00 |
52,79 |
40,00 |
res1 |
2400,00 |
100% |
|
16 |
|
|
|
|
res2 |
2515,15 |
52% |
|
17 |
|
Цель |
|
|
res3 |
3351,91 |
70% |
|
|
|
|
18 |
Прибыль |
5855,15 |
|
|
res4 |
2910,29 |
61% |
|
|
|
|
19 |
|
|
|
|
res5 |
1217,50 |
51% |
|
|
|
|
|
Рис. 33 |
Таким образом, прибыль завода почти на $4000 ниже максимальной. Это и является «завязкой» сюжета кейса: как улучшить производительность цеха и добиться большей прибыли?
Шаг 2.
Разумеется, ответ на вопрос, сформулированный на этом шаге -отрицательный. Предложение добросовестного рабочего не проходит. Поток произведенной продукции завода определяется его узким местом - Ресурсом-1, и сколько бы полуфабрикатов не произвел мастер на станке Ресурс-2, эта продукция будет не более чем мусор, поскольку станок Ресурс-1 не позволит переработать ее всю в конечную продукцию. Вместе с тем интересно узнать, какую все-таки прибыль завода мог «насчитать» наш мастер, если бы он игнорировал все ограничения (производственные мощности других Ресурсов, ограничения по рыночному спросу), кроме ограничения на производительность своего Ресурса-2. Ответ поразителен: прибыль увеличилась бы в 10 раз. При этом, производить нужно было бы только продукт D в количестве в 8 раз превышающем рыночный спрос.
При всей абсурдности этого решения из него можно извлечь полезную мораль: оптимизировать всегда следует весь производственный процесс (или любой другой бизнес процесс, цепочку поставок и пр.), а не какую-то часть процесса. В противном случае, мы рискуем получить такое, с позволения сказать, «субоптимальное» решение.
Шаг 3.
Прежде всего, следует понять, откуда директор получил увеличение времени производственного цикла (т.е. времени, необходимого для производства 1 шт. A, 1 шт. D и 1 шт. F). Взглянем на схемы технологического процесса.
Видно, что Ресурс-1 не используется при производстве A. Таким образом, выигрыш от снижения времени операций на станке Ресурс-1 нет. При производстве D, Ресурс-1 используется дважды. На каждой операции выигрыш составит по 1 мин. При производстве F, Ресурс-1 используется один раз -выигрыш 1 мин. Итого, выигрыш 3 мин. Однако, при производстве продукта А Ресурс-2 используется трижды. На каждой операции проигрыш составляет по 3 мин. (итого -9 мин.). При производстве продукта D Ресурс-2 используется дважды. На каждой операции проигрыш составляет по 3 мин. (итого - 6 мин.). Наконец, при производстве продукта F Ресурс-2 используется один раз -проигрыш 3 мин. В сумме на увеличении времени операций станка Ресурс-2 мы теряем 18 мин. Эффект от внедрения этого рацпредложения - увеличение времени производственного цикла на 15 мин. По мнению директора это недопустимо (по-видимому, это время фигурировало в отчетных документах завода).
На самом деле, конечно, в предложении молодого технолога есть смысл. Ведь увеличение времени обработки на станке Ресурс-2 означает лишь уменьшение его простоев, в то время как, пусть и небольшое, но уменьшение времени обработки на станке Ресурс-1, означает расширение узкого места и реальное увеличение выпуска конечной продукции. Вопрос лишь в том, насколько быстро это рационализаторское предложение окупится? Это нужно сосчитать.
Скопируйте лист с полученным на шаге 1 решением исходной задачи (как описано в примере решения задачи о фирме «Фасад»- при этом скопируются и установки «Поиска решений») и замените данные о нормах расхода времени Ресурсов 1-2 после внедрения предложения технолога. Измененный фрагмент таблицы Ms Excel представлен на
|
3 |
|
Продукты |
|
4 |
Станки |
Запас
времени |
А |
D |
F |
|
5 |
Ресурс -1 |
2400 |
0 |
32 |
13 |
|
6 |
Ресурс -2 |
4800 |
33 |
15 |
18 |
|
|
Рис. 34 |
После использования «Поиска решения» получим новый оптимальный план ().
|
|
>
ш
О
о |
Е |
F |
|
н |
I |
|
1 |
"Ненормальный" инженер-технолог |
|
|
|
|
|
|
2 |
Оптимальным план |
|
|
|
|
|
|
|
3 |
|
Продукты |
|
|
|
|
|
4 |
Станки |
Запас
времени |
А |
D |
F |
Время
обработки |
% использования оборудования |
Кол-во
переналадок |
Время
переналадки |
|
5 |
Ресурс -1 |
2400 |
0 |
32 |
13 |
3125 |
130% |
3 |
15 |
|
в |
Ресурс -2 |
4800 |
33 |
15 |
18 |
3720 |
78% |
4 |
120 |
|
7 |
Ресурс -3 |
4800 |
33 |
15 |
22 |
3760 |
78% |
6 |
60 |
|
8 |
Ресурс -4 |
4800 |
20 |
18 |
27 |
3400 |
71% |
4 |
20 |
|
9 |
Ресурс -5 |
2400 |
8 |
17 |
0 |
1680 |
70% |
|
0 |
|
10 |
Прибыль |
|
115 |
145 |
115 |
|
|
|
|
|
11 |
Рыночным спрос |
40 |
80 |
40 |
|
|
|
|
|
12 |
Макс. Прибыль |
9800 |
|
|
|
|
|
|
|
13 |
|
|
|
|
|
|
|
|
|
|
14 |
|
А |
D |
F |
|
Время
обработки |
% использования оборудования |
|
15 |
Переменные |
40 |
57.344 |
40 |
Ресурс -1 |
2400,00 |
100% |
|
16 |
|
|
|
|
Ресурс -2 |
3380.16 |
70% |
|
17 |
|
Цель |
|
|
Ресурс -3 |
3420,16 |
71% |
|
|
|
18 |
Прибыль |
6514.84 |
|
|
Ресурс -4 |
2992,19 |
62% |
|
|
|
19 |
Дельта |
659.70 |
|
|
Ресурс -5 |
1294,84 |
54% |
|
|
|
28 |
Период
окупаемости |
22,7 |
нед. |
|
|
|
|
|
|
|
|
Рис. 35 |
Видно, что после внедрения предложения инженера-технолога еженедельная прибыль возросла на $659,7. Это означает, что примерно через 23 недели (меньше чем за полгода) инвестиции в усовершенствование производственного процесса окупятся, и прибыль завода возрастет на 11%.
Шаг 4.
Прежде всего, согласимся с директором по маркетингу, что отечественный рынок ограничивает производство продуктов A и F. И в оптимальном плане для исходной ситуации (), и после внедрения предложения технолога () продукты A и F производятся по максимуму, который может быть потреблен рынком.
Разумеется, и производственная мощность Ресурса-1 также используется полностью. Поэтому трудно ожидать прироста выпуска продуктов A и F (если бы емкость рынка увеличилась), без уменьшения выпуска продукта D. Но при этом валовая прибыль завода, конечно, может возрасти.
Для проверки этого предложения директора по маркетингу нам понадобится новая таблица MS Excel ()
|
|
А |
в |
с |
в |
Е |
F |
G |
и |
I |
J |
- |
|
1 |
Шаг 4-5 |
|
|
|
|
|
|
|
|
|
|
|
2 |
Оптимальный план |
|
|
|
|
|
|
|
|
|
|
3 |
|
Продукты |
|
|
|
|
|
|
|
4 |
|
Запас
времени |
А |
D |
F |
DM |
FM |
Время
обработки |
% использования оборудования |
Кол-во
переналадок |
Время
переналадки |
|
5 |
Ресурс -1 |
2400 |
0 |
32 |
13 |
32 |
13 |
3645 |
152% |
3 |
15 |
|
6 |
Ресурс -2 |
4300 |
33 |
15 |
18 |
15 |
18 |
3120 |
65% |
4 |
120 |
|
7 |
Ресурс -3 |
4300 |
33 |
15 |
22 |
15 |
22 |
3320 |
69% |
6 |
60 |
|
8 |
Ресурс -4 |
4300 |
20 |
18 |
27 |
18 |
27 |
3680 |
77% |
4 |
20 |
|
э |
Ресурс -5 |
2400 |
8 |
17 |
0 |
17 |
0 |
1360 |
57% |
|
0 |
|
10 |
Прибыль |
|
115 |
145 |
115 |
65 |
55 |
|
|
|
|
|
11 |
Рыночный спрос |
40 |
80 |
40 |
35 |
25 |
|
|
|
|
|
12 |
Макс. Прибыль |
13450 |
|
|
|
|
|
|
|
|
|
13 |
|
|
|
|
|
|
|
|
|
|
|
|
14 |
|
А |
D |
F |
DM |
FM |
|
Время
обработки |
% использования оборудования |
|
|
|
15 |
Переменные |
0 |
0 |
0 |
0 |
0 |
Ресурс |
=CyMMnPOH3B($B$15:$F$15;C5:G5)+J3‘K3 |
|
16 |
|
|
|
|
|
|
Ресурс |
-2 |
=Н16/В6 |
|
|
|
17 |
|
Цель |
|
|
|
|
Ресурс -3 |
|
|
|
|
18 |
Прибыль |
=CyMMnPOl43B(B15:F15;C10:G10)-11000 |
|
|
|
|
19 |
|
|
|
Ресурс -5 |
|
|
|
|
|
Рис. 36 |
Здесь мы рассматриваем продукты, которые завод будет выпускать для монголов, как новые продукты в ассортименте. Они требуют таких же норм затрат Ресурсов на их производств как и продукты D и F, производимые на отечественный рынок, но приносят меньшую прибыль (прибыль рассчитана как 2/3 от нормальной отпускной цены продуктов D и F минус те же издержки) и имеют другие рыночные ограничения.
Таким образом, теперь в нашей задаче 5 переменных. Соответственно поправлены формулы в ячейках B18 и H15:H19 (для расчета общего расхода времени Ресурсов на данный производственный план).
Результат расчета показан на
|
13 |
|
А |
D |
F |
DM |
FM |
|
Время
обработки |
% использования оборудования |
|
14 |
Переменные |
40 |
57,344 |
40 |
0 |
0 |
Ресурс -1 |
2400 |
100% |
|
15 |
|
|
|
|
|
|
Ресурс -2 |
3140,1563 |
65% |
|
16 |
|
Цель |
|
|
|
|
Ресурс -3 |
3240,1563 |
68% |
|
17 |
Прибыль |
6514,84 |
|
|
|
|
Ресурс 4 |
2952,1875 |
62% |
|
18 |
|
|
|
|
|
|
Ресурс -5 |
1294,8438 |
54% |
|
|
Рис. 37 |
Он выглядит обескураживающее для директора по маркетингу: производить для монголов на этих условиях ничего не надо. Понятно, что остановиться на этом результате в реальности вряд ли удалось бы. В конце концов, директор по маркетингу открывает новую стратегическую перспективу для завода. Выход на монгольский рынок сулит новые возможности роста. Как можно отвергнуть такую идею только потому, что какой-то там «Поиск решения» не находит это выгодным? Нужно разобраться.
Разобраться поможет отчет по устойчивости, который «Поиск решения» может выдать к этому решению ().
|
Изменяемые ячейки |
|
Ячейка |
Имя |
Результ.
значение |
Но|>ми|>.
стоимость |
Целевой
Коэффициент |
Допустимое
Увеличение |
Допустимое
Уменьшение |
|
$В$15 |
Переменные А |
40 |
115 |
115 |
1Е+30 |
115 |
|
$С$15 |
Переменные D |
57,34 |
0 |
145 |
138,08 |
0,62 |
|
$D$15 |
Переменные F |
40 |
56,00 |
115 |
1Е+30 |
56,00 |
|
$Е$15 |
Переменные DM |
0 |
-80,00 |
65 |
80.00 |
1Е+30 |
|
$F$15 |
Переменные FM |
0 |
-3,91 |
55 |
3.91 |
1Е+30 |
|
граничения |
|
Ячейка |
Имя |
Результ.
значение |
Теневая
Цена |
Ограничение Правая часть |
Допустимое
Увеличение |
Допустимое
Уменьшение |
|
$Н$15 |
Ресурс -1 Время оораоотк |
2400 |
4,53 |
2400 |
725 |
1835 |
|
$Н$16 |
Ресурс -2 Время оораоотк |
3140,16 |
0 |
4800 |
1Е+30 |
1650,84 |
|
$Н$17 |
Ресурс -3 Время оораоотк |
3240,16 |
0 |
4800 |
1Е+30 |
1550,84 |
|
Ш18 |
Ресурс 4 Время оораоотк |
2052,10 |
0 |
4800 |
1Е+30 |
1847,81 |
|
$Н$19 |
Ресурс -5 Время оораоотк |
1204,84 |
0 |
2400 |
1Е+30 |
1105,16 |
|
|
Рис. 38 |
Ключом к анализу решения в данном случае является столбик «Нормир. стоимость» таблицы «Изменяемые ячейки» этого отчета. Нормированная стоимость (если она отрицательна) показывает, сколько не хватает данному продукту по норме прибыли, чтобы войти в оптимальный план (подробнее о смысле нормированной стоимости читайте в учебном пособии [1]). Для переменной DM (количество продукта D для монголов)_нормированная стоимость равна -$80. Ровно настолько прибыль от предполагаемой продажи D монголам ($65) ниже, чем от продажи D на отечественном рынке.
Этот результат совершенно понятен. Ведь мы не может удовлетворить спрос на D на отечественном рынке при прибыли $145 за 1 штуку D. Понятно, что при этом продавать D монголам с потерей $80 за штуку будет слишком щедро. Да ведь и сам директор по маркетингу в своем выступлении на собрании руководителей говорил о необходимости расширения рынка для продуктов A и F, а не D (по-видимому, за время своего путешествия по Монголии он просто забыл об этих «несущественных» деталях).
Гораздо интереснее результат для продукта FM (фактически - продукт F, предназначенный для монголов). Его нормированная стоимость составляет только -$3,91. Это значит, что если директору по маркетингу удастся «подвинуть» цену на этот продукт в переговорах с монголами всего на $5 за штуку (что при отпускной цене $120 вполне реальная задача), производство F для монголов станет выгодным!
Допустим, это удалось, и проверим, какой будет теперь новый оптимальный план. Для этого просто изменим в нашей таблице MS Excel прибыль для FM с $55 до $60 и запустим «Поиск решения». Результат представлен во фрагменте .
 |
|
Рис. 39 |
Теперь нужно производить 25 шт. FM для монголов, за счет сокращения выпуска D на отечественный рынок с 57 до 47 штук в неделю. При этом прибыль слегка возрастает (с $6514 до $6542) за счет того, что мы превысили пороговую прибыльность в расчете на единицу продукта FM на $1.09 ($5 - $3.91).
Если по какой-то причине даже такой минимальный сдвиг цены невозможен, можно, в конце концов, согласиться на этот план и при прежней цене на FM. При этом прибыль завода снизится с $6514 до $6417 ($6514 - $3.91*25), что составит всего 1,5%. Ради стратегической перспективы, такую жертву, наверное, можно перетерпеть. Используя полученную таблицу MS Excel, можно рассмотреть и другие компромиссные планы и/или ограничения.
Принятие управленческого решения в реальности не обязательно должно быть продиктовано только математически рассчитанной выгодой оптимальной плана. Однако наличие оптимального плана служит четким ориентиром, позволяя количественно оценить, сколько стоит выбор той или иной стратегической альтернативы или компромисса, заставляющих нас от этого оптимального плана отойти. Суждение о том, приемлема или нет эта цена, не является вопросом математическим, но всегда остается за лицом, принимающим решение.
Шаг 5.
Для расчета нового оптимального плана в случае приобретения второго станка Ресурс-1 достаточно внесение минимальных изменений в одну из рассмотренных ранее таблиц MS Excel.
Если мы предположим, что в нашем распоряжении есть только отечественный рынок, то модифицировать нужно таблицу на . При этом необходимо запас времени для обработки и переналадки Ресурса-1 увеличить вдвое (записать в ячейку B5 4800 вместо 2400), а также учесть увеличение операционных расходов на $2000, связанных с обслуживание второго станка Ресурс-1 (см. условие задачи), т.е. вычесть 2000 из формул в ячейках С12 и В18.
|
|
>
ш
о
о
гл
“П |
G |
н |
I |
|
|
1 |
Второй станок Ресурс-1. Только отечественным рынок. |
|
|
|
|
|
2 |
Оптимальным план |
|
|
|
|
|
|
|
3 |
|
Продукты |
|
|
|
|
|
|
4 |
Станкм |
Запас
времени |
А |
D |
F |
Время
обработки |
% использования оборудования |
Кол-во
переналадок |
Время
переналадки |
|
5 |
Ресурс -1 |
4800 |
0 |
32 |
13 |
3125 |
65% |
3 |
15 |
|
G |
Ресурс -2 |
4800 |
33 |
15 |
18 |
3720 |
78% |
4 |
120 |
|
7 |
Ресурс -3 |
4800 |
33 |
15 |
22 |
3760 |
78% |
6 |
60 |
|
8 |
Ресурс -4 |
4800 |
20 |
18 |
27 |
3400 |
71 % |
4 |
20 |
|
9 |
Ресурс -5 |
2400 |
8 |
17 |
0 |
1680 |
70% |
|
0 |
|
10 |
Прибыль |
|
115 |
145 |
115 |
|
|
|
|
|
11 |
Рыночным спрос |
40 |
80 |
40 |
|
|
|
|
|
|
12 |
Макс. Прибыль |
7800 |
|
|
|
|
|
|
|
|
13 |
|
|
|
|
|
|
|
|
|
|
|
14 |
|
А |
D |
F |
|
Время
обработки |
% использования оборудования |
|
15 |
Переменные |
40 |
80 |
40 |
Ресурс -1 |
3125,00 |
65% |
|
16 |
|
|
|
|
Ресурс -2 |
3720,00 |
78% |
|
17 |
|
Цель |
|
|
Ресурс-3 |
3760,00 |
78% |
|
|
|
|
18 |
Прибыль |
7800,00 |
|
|
Ресурс -4 |
3400,00 |
71 % |
|
|
|
|
19 |
Дельта |
1285.16 |
|
|
Ресурс -5 |
1680,00 |
70% |
|
|
|
Период
20 окупаемое тіі |
233,43 |
нед. |
|
|
|
|
|
|
|
|
|
Рис. 40 |
Как видно из полученной таблицы (), теперь завод зарабатывает максимально возможную прибыль (правда, по сравнению с первоначальным вариантом, она уменьшилась на $2000). Дополнительная прибыль, по сравнению с первоначальным вариантом увеличилась примерно на $1285 в неделю (если предложение технолога, рассмотренное на шаге 3, на заводе внедрено). Окупятся вложенные инвестиции ($300000) за 4,5 года. При этом, загрузка всех Ресурсов (включая и Ресурс -1, теперь - в количестве 2 станков) не будет превышать 70%-80%.
Если вдруг за это время рыночный спрос изменится, так что потребуется выпускать, скажем, 80 шт. A, 40 шт. D и 80 шт. F в неделю, то, как видно из фрагмента нашей таблицы (), лимитирующими окажутся Ресурсы 2-3, в то время как недавно купленный новый станок Ресурс-1 окажется совершенно не загруженным.
|
|
Продукты |
|
|
|
|
Станки |
Запас
времени |
А |
D |
F |
Время
обработки |
% использования оборудования |
пе| |
|
Ресурс -1 |
4800 |
0 |
32 |
13 |
2365 |
48% |
|
|
Ресурс -2 |
4800 |
33 |
15 |
18 |
5160 |
108% |
|
|
Ресурс -3 |
4800 |
33 |
15 |
22 |
5360 |
112% |
|
|
Ресурс -4 |
4800 |
20 |
18 |
27 |
4560 |
95% |
|
|
Ресурс -5 |
2400 |
8 |
17 |
0 |
1320 |
55% |
|
|
Прибыль |
|
115 |
145 |
115 |
|
|
|
|
Рыночный спрос |
80 |
40 |
80 |
|
|
|
|
Макс. Прибыль |
11200 |
|
|
|
|
|
|
Рис. 41 |
Так покупать или не покупать новый станок Ресурс-1? Ведь это серьезное инвестиционное решение для завода. Но модели не принимают решений! Это дело менеджеров. Думается, однако, что рассмотренная модель дает менеджеру немало информации к размышлению, весьма полезной для принятия рационального управленческого решения.
|
|
ь_
ш
о
о
ш
< |
О |
Н |
: |
j |
К |
|
|
1 |
Второй станок Ресурс-1. Монгольский рынок открыт. |
|
|
|
|
|
|
|
2 |
Оптимальный план |
|
|
|
|
|
|
|
|
|
3 |
|
Продукты |
|
|
|
|
|
|
|
|
4 |
|
Запас
времени |
А |
D |
F |
DM |
FM |
Время
обработки |
% использования оборудования |
Кол-во
переналадок |
Время
переналадки |
|
5 |
Ресурс -1 |
4800 |
0 |
32 |
13 |
32 |
13 |
4570 |
>
СП |
3 |
15 |
|
6 |
Ресурс -2 |
4800 |
33 |
15 |
18 |
15 |
18 |
4695 |
98% |
4 |
120 |
|
7 |
Ресурс -3 |
4800 |
33 |
15 |
22 |
15 |
22 |
4835 |
101% |
6 |
60 |
|
8 |
Ресурс -4 |
4800 |
20 |
18 |
27 |
18 |
27 |
4705 |
98% |
4 |
20 |
|
9 |
Ресурс -5 |
2400 |
8 |
17 |
0 |
17 |
0 |
2275 |
95% |
|
0 |
|
10 |
Прибыль |
|
115 |
145 |
115 |
65 |
55 |
|
|
|
|
|
11 |
Рыночный спрос |
40 |
80 |
40 |
35 |
25 |
|
|
|
|
|
|
12 |
Макс. Прибыль |
11450 |
|
|
|
|
|
|
|
|
|
|
13 |
|
|
|
|
|
|
|
|
|
|
|
|
|
14 |
|
А |
D |
F |
DM |
FM |
|
Время
обработки |
°о использования оборудования |
|
15 |
Переменные |
40 |
80 |
40 |
35 |
23,41 |
Ресурс-1 |
4549.31818 |
95% |
|
16 |
|
|
|
|
|
|
Ресурс-2 |
4666.36364 |
97% |
|
17 |
|
Цель |
|
|
|
|
Ресурс-3 |
4800 |
100% |
|
|
|
|
18 |
Прибыль |
11362,50 |
|
|
|
|
Ресурс-4 |
4662,04545 |
97% |
|
|
|
|
19 |
Дельта |
4847,66 |
|
|
|
|
Ресурс-5 |
2275 |
95% |
|
|
|
|
20 |
Период
окупаемости |
61,89 |
нед. |
|
|
|
|
|
|
|
|
|
|
|
Рис. 42 |
Рассмотрим теперь вариант, когда завод принял решение о выходе на монгольский рынок, и после этого обсуждается возможность покупки второго станка Ресурс-1. Теперь, аналогичные изменения нужно внести в таблицу . Результат показан в таблице .
Видно, что теперь завод полностью справляется с рыночным спросом на отечественном рынке и почти закрывает потребности монгольского рынка, зарабатывая при этом прибыль $11363, очень близкую к максимально возможной $11450. Выигрыш по сравнению с первоначальным вариантом составляет $4848, и инвестиции ($300000) окупаются чуть больше, чем за 1 год и 2 месяца.
Разумеется, в этом случае инвестиция выглядит гораздо более привлекательной, чем если бы монгольский рынок не был открыт. Особенно, по-видимому, греет душу финансового директора то, что производственная линия завода оказывается сбалансированной: все ресурсы загружены примерно одинаково, причем процент использования оборудования от 95%-100%. Никто не простаивает!
Однако, мечта финансового директора, скорее всего, обернется кошмаром для менеджеров производственного отдела. Отсутствие ярко выраженного «узкого места» сразу резко усложнит процесс составления производственных графиков и планов закупки сырья и материалов, а неизбежные вариации длительностей обработки, сроков поставки и т. п. будут приводить либо к простоям, либо к длинным очередям полуфабрикатов то на одной то на другой операции, провоцируя авралы с неизбежными потерями качества продукции (подробнее об этом см. [16]). Однако, это уже совершенно другая тема, выходящая далеко за рамки линейной оптимизации производственного плана.
1.П-6. Аренда с предоплатой
Компания должна арендовать складское пространство на следующие 6 месяцев года. Известно, какие площади будут требоваться в каждом из этих месяцев. Однако, так как эти пространственные требования весьма различны, неясно, арендовать ли максимальную площадь на 6 месяцев, арендовать ежемесячно только те площади, которые востребованы в данном месяце или попытаться составить оптимальный план аренды на следующие 6 месяцев и заключать договоры по мере необходимости на один или несколько месяцев в соответствии с планом.
Требующиеся площади: 30, 20, 40, 10, 50 и 20 тыс.м
2 в январе, феврале, ..., июне месяце соответственно. Стоимость аренды 1 м
2 на 1, 2, 3, 4, 5 и 6 месяцев: 7; 12.8; 18.6; 23.6; 27.5 и 31.2 $ соответственно, оплата вперед за весь срок в пределах 6 мес.
Учтите, что в январе расходы на аренду не должны превышать $400 тыс., а в феврале и в марте по $200 тыс.
a. Составьте план аренды, минимизирующий затраты.
b. Сравните с оптимальным планом различные варианты аренды, которые можно было бы предложить не решая задачу (скажем те, что были упомянуты в условии задачи).
c. Представьте, что никаких финансовых ограничений нет, сколько денег можно было бы сэкономить на соответствующем этому случаю плане аренды?
d. Рассмотрите вопрос о кредите, который можно взять в январе под 5% в месяц, чтобы реализовать этот лучший план. Помните, что в реальности вы можете выплатить в первые три месяца только 400, 200 и 200 тыс. соответственно, а в следующие 3 мес. ваши финансовые возможности не ограничены. Стоит ли взять кредит?
Решение задачи.
Вначале давайте определимся с выбором переменных задачи. Так как по смыслу задачи нам необходимо решить для каждого месяца, сколько квадратных метров (точнее, десятков тысяч. м
2) складской площади нанимать и на какой срок, имеет смысл выбрать 36 переменных - 6 сроков найма для каждого из шести месяцев. Понятно, что примерно половина переменных должны оставаться нулями, так как мы не можем нанимать площади в начале июня, например, на срок больше месяца. А на все шесть возможных сроков складские площади можно арендовать только в январе. Но с этими подробностями можно разобраться позже.
Целевая функция задачи - общая сумма арендной платы. Имея план найма по месяцам подсчитать ее не сложно.
На показан вариант организации данных на листе Excel. В строке C3:H3 собраны данные о стоимости аренды на сроки от 1 до 6 месяцев. Так как платить нужно сразу за весь срок найма, данные о стоимости аренды в расчете на один месяц нам не понадобятся. В табличке C7:H12 будут располагаться
переменные. При этом число в ячейке E8, например, будет означать, сколько тыс.
|
|
A |
B |
C |
|
E |
F |
|
H |
I |
J |
K |
|
1 |
|
Стоимость аренды |
|
|
|
|
2 |
На сколько месяцев |
на 1 |
на 2 |
на 3 |
на 4 |
на 5 |
на 6 |
|
|
|
|
3 |
7 |
12.8 |
19 |
24 |
28 |
31 |
|
|
|
|
|
і |
|
|
|
|
|
|
|
|
|
|
5 |
Возможный план |
Переменные: сколько тыс. м2 арендовать и на сколько месяцев |
|
6 |
аренды в: |
|
на 1 |
на 2 |
на 3 |
на 4 |
на 5 на 6 |
|
Ограничения: |
|
7 |
январь |
|
|
|
|
|
=СУММ(С7:Н7) |
30 |
|
8 |
февраль |
|
|
|
|
|
=СУММ(С8^8^7:Н7) |
20 |
|
9 |
март |
|
|
|
|
=СУММ(С9^9^8^8;Е7:Н7) |
40 |
|
10 |
апрель |
|
|
|
=СУММ(С10:Е10;О9:Р9;Е8:С8;Р7:И7) |
10 |
|
11 |
май |
|
|
|
=СУММ(С11:ІЭ11;D10:E10;E9:F9;F8:G8;G7:H7) |
50 |
|
12 |
июнь |
|
|
|
=СУММ(С12^11;Е10^9^8;Н7) |
20 |
|
|
Рис. 43 |
В столбце J7:J12 будем подсчитывать, сколько тыс. м
2 площади имеется у нас в аренде в каждом из шести месяцев полугодия. На рисунке показаны формулы для расчета. Эти формулы не так просты, как можно было бы ожидать, потому что почти каждый раз нужно учитывать не только те площади, которые мы наняли в текущем месяце, но и нанятые ранее на срок больше месяца.
Для января, конечно, все просто, так как нанятых ранее площадей нет. Значит, простая сумма нанятых в январе площадей и есть полная арендованная площадь.
Для расчета суммарного количества складских площадей в феврале нужно сложить все площади, нанятые в феврале, и добавить площади, нанятые в январе на срок два месяца и более (формула =СУММ(С8:08;Б7:Н7)).
Для расчета суммарного количества складских площадей в марте нужно сложить все площади, нанятые в марте, и добавить площади, нанятые в феврале на срок два месяца и более и нанятые в январе на срок три месяца и более. И т.д. вплоть до июня, в котором мы имеем все площади, нанятые в июне на месяц, плюс нанятые в мае на два месяца, плюс нанятые в апреле на три месяца, ..., плюс нанятые в январе на шесть месяцев.
Эти количества имеющихся в каждом месяце площадей должны быть не меньше плановой потребности (ячейки K7:K12).
|
|
A |
B |
C |
D |
E |
F |
|
H |
I |
J |
K |
|
1 |
|
|
Стоимость аренды |
|
|
|
|
2 |
На сколько месяцев |
на 1 |
на 2 |
на 3 |
на 4 |
на 5 |
на 6 |
|
|
|
|
3 |
7 |
12.8 |
19 |
24 |
28 |
31 |
|
|
|
|
|
і |
|
|
|
|
|
|
|
|
|
|
5 |
Возможный план |
Переменные: сколько тыс. м2 арендовать и на сколько месяцев |
|
6 |
аренды в: |
|
на 1 |
на 2 |
на 3 |
на 4 |
на 5 |
на 6 |
|
Ограничения: |
|
7 |
январь |
|
|
|
|
|
=СУММ(С7:Н7) |
30 |
|
8 |
февраль |
|
|
|
|
|
=СУММ(С8:?8;07:Н7) |
20 |
|
9 |
март |
|
|
|
|
=СУММ(С9:Р9;ІЭ8:08;Е7:Н7) |
40 |
|
10 |
апрель |
|
|
|
=СУММ(С10:Е10;ІЭ9:Р9;Е8:08;Р7:Н7) |
10 |
|
11 |
май |
|
|
|
=СУММ(С11:Р11 ;О10:Е10;Е9:Р9;Р8:С8;С7:Н7) |
50 |
|
12 |
июнь |
|
|
|
|
=СУММ(С12;ІЭ11;Е10;Р9;08;Н7) |
20 |
|
|
|
|
|
|
|
|
|
|
|
|
|
13 |
январь |
|
=СУММПРОИЗВ($С$3:$Н$3;С7:Н7) |
400 |
|
тыс. |
|
|
15 |
февраль |
|
=СУММПРОИЗВ($С$3:$Н$3;С8:Н8) |
200 |
|
тыс. |
|
|
16 |
март |
|
=СУММПРОИЗВ($С$3:$Н$3;С9:Н9) |
200 |
|
тыс. |
|
|
17 |
апрель |
|
=СУММПРОИЗВ($С$3:$Н$3;С10:Н10) |
|
|
|
|
|
18 |
май |
|
=СУММПРОИЗВ($С$3:$Н$3;С11:Н11) |
|
|
|
|
|
19 |
июнь |
|
=СУММПРОИЗВ($С$3:$Н$3;С12:Н12) |
|
|
|
|
|
20 |
С мин.= =СУММ(С14:С19) |
|
|
|
|
|
|
|
|
Рис. 44 |
В ячейках C14:C19 () подсчитаем сколько денег будет затрачено на аренду в каждом месяце. При принятой схеме оплаты для этого нужно просто умножить нанятые в данном месяце площади на цены аренды и сложить.
В последней ячейке столбца (C20) все месячные выплаты просуммированы. Эта сумма и будет целевой функцией задачи оптимизации.
Кроме упомянутого выше ограничения на количество необходимых площадей в задаче есть и другие ограничения. Они касаются максимальных денежных расходов в январе, феврале и марте. Для того, чтобы можно было удобно задать соответствующие ограничения в Поиске решения максимальная величина затрат в каждый из этих трех месяцев также записана в таблице в ячейках H14:H16.
Таким образом, все необходимое для постановки задачи Поиску решения сделано, остается поставить задачу и выполнить оптимизацию.
Однако, до того, как найти оптимальное решение, неплохо было бы попробовать подыскать план аренды «вручную», для сохранения интриги, так сказать, и чистоты эксперимента.
Попробуем первое очевидное решение - нанимать каждый месяц ровно столько, сколько нужно в этом месяце на срок в один месяц ().
|
|
A |
B |
C |
D |
E |
F |
|
H |
I |
J |
K |
|
5 |
Возможный план |
Переменные: сколько тыс. |
м2 арендовать и на сколько месяцев |
|
|
6 |
аренды в: |
|
на 1 |
на 2 |
на 3 |
на 4 |
на 5 |
на 6 |
|
Ограничения: |
|
7 |
январь |
|
30.00 |
|
|
|
|
|
|
30 |
30 |
|
8 |
февраль |
|
20.00 |
|
|
|
|
|
|
20 |
20 |
|
9 |
март |
|
40.00 |
|
|
|
|
|
|
40 |
40 |
|
10 |
апрель |
|
10.00 |
|
|
|
|
|
|
10 |
10 |
|
11 |
май |
|
50.00 |
|
|
|
|
|
|
50 |
50 |
|
12 |
июнь |
|
20.00 |
|
|
|
|
|
|
20 |
20 |
|
13 |
|
|
|
|
|
|
|
|
|
|
|
|
14 |
январь |
|
210.0 |
тыс. |
Плата за аренду |
|
400 |
|
тыс. |
|
|
15 |
февраль |
|
140.0 |
тыс. |
|
|
|
200 |
|
тыс. |
|
|
16 |
март |
|
280.0 |
тыс. |
|
|
|
200 |
|
тыс. |
|
|
17 |
апрель |
|
70.0 |
тыс. |
|
|
|
|
|
|
|
|
18 |
май |
|
350.0 |
тыс. |
|
|
|
|
|
|
|
|
19 |
июнь |
|
140.0 |
тыс. |
|
|
|
|
|
|
|
|
20 |
С мин.= |
1 190.0 |
Целевая функция: |
|
|
|
|
|
|
|
Рис. 45 |
Итого, общая величина затрат 1190 тыс. Пока нам не с чем сравнивать это число. Однако, можно отметить, что при таком плане аренды мы не укладываемся в лимит расходов в марте месяце.
Можно даже не пробовать аренду 50 тыс. м
2 на шесть месяцев в январе. Очевидно, что расходы превысят 1500 тыс., притом, что лимит расходов в январе 400 тыс.
Так как плата за месяц аренды при больших сроках меньше, очевидно, что следует максимально использовать такую скидку. Наименьшие потребности в площадях составляют 10 тыс. м
2 (в апреле). В связи с этим можно нанять в январе 10 тыс. м
2 на шесть месяцев и еще 20 на один месяц. А в остальные месяцы донанимать к имеющимся 10 тыс. м
2 столько, сколько не хватает до плановой потребности.
|
|
A |
B |
C |
D |
E |
F |
|
H |
I |
J |
K |
|
5 |
Возможный план |
Переменные: сколько тыс. |
м2 арендовать и на сколько месяцев |
|
|
6 |
аренды в: |
|
на 1 |
на 2 |
на 3 |
на 4 |
на 5 |
на 6 |
|
Ограничения: |
|
7 |
январь |
|
20.00 |
|
|
|
|
10.00 |
|
30 |
30 |
|
8 |
февраль |
|
10.00 |
|
|
|
|
|
|
20 |
20 |
|
9 |
март |
|
30.00 |
|
|
|
|
|
|
40 |
40 |
|
10 |
апрель |
|
0.00 |
|
|
|
|
|
|
10 |
10 |
|
11 |
май |
|
40.00 |
|
|
|
|
|
|
50 |
50 |
|
12 |
июнь |
|
10.00 |
|
|
|
|
|
|
20 |
20 |
|
13 |
|
|
|
|
|
|
|
|
|
|
|
|
14 |
январь |
|
452.0 |
тыс. |
Плата за аренду |
|
400 |
|
тыс. |
|
|
15 |
февраль |
|
70.0 |
тыс. |
|
|
|
200 |
|
тыс. |
|
|
16 |
март |
|
210.0 |
тыс. |
|
|
|
200 |
|
тыс. |
|
|
17 |
апрель |
|
- |
тыс. |
|
|
|
|
|
|
|
|
18 |
май |
|
280.0 |
тыс. |
|
|
|
|
|
|
|
|
19 |
июнь |
|
70.0 |
тыс. |
|
|
|
|
|
|
|
|
20 |
С мин.= |
1 082.0 |
Целевая функция: |
|
|
|
|
|
|
|
Рис. 46 |
Такой план приведен на . Расходы снизились до 1082 тыс. Однако есть перерасход средств в январе и марте.
Если не задаваться целью не иметь лишних площадей, можно обратить внимание на то, что в феврале и июне нужно 20 тыс. м
2, Таким образом, сняв в январе 20 тыс. м
2 на все шесть месяцев можно полностью покрыть потребности этих месяцев и заодно сильно сократить затраты на ежемесячный найм площадей. Правда в апреле 10 тыс. м
2 будут простаивать, но проверить такой план не мешает. Результат расчета приведен на следующем рисунке ()._
|
|
A |
B |
C |
D |
E |
F |
|
H |
I |
J |
K |
|
5 |
Возможный план |
Переменные: сколько тыс. |
м2 арендовать и на сколько месяцев |
|
|
6 |
аренды в: |
|
на 1 |
на 2 |
на 3 |
на 4 |
на 5 |
на 6 |
|
Ограничения: |
|
7 |
январь |
|
10.00 |
|
|
|
|
20.00 |
|
30 |
30 |
|
8 |
февраль |
|
|
|
|
|
|
|
|
20 |
20 |
|
9 |
март |
|
20.00 |
|
|
|
|
|
|
40 |
40 |
|
10 |
апрель |
|
|
|
|
|
|
|
|
20 |
10 |
|
11 |
май |
|
30.00 |
|
|
|
|
|
|
50 |
50 |
|
12 |
июнь |
|
|
|
|
|
|
|
|
20 |
20 |
|
13 |
|
|
|
|
|
|
|
|
|
|
|
|
14 |
январь |
|
694.0 |
тыс. |
Плата за аренду |
|
400 |
|
тыс. |
|
|
15 |
февраль |
|
- |
тыс. |
|
|
|
200 |
|
тыс. |
|
|
16 |
март |
|
140.0 |
тыс. |
|
|
|
200 |
|
тыс. |
|
|
17 |
апрель |
|
- |
тыс. |
|
|
|
|
|
|
|
|
18 |
май |
|
210.0 |
тыс. |
|
|
|
|
|
|
|
|
19 |
июнь |
|
- |
тыс. |
|
|
|
|
|
|
|
|
20 |
С мин.= |
1 044.0 |
Целевая функция: |
|
|
|
|
|
|
|
Рис. 47 |
Отличный по деньгам план - 1044 тыс. долларов! Действительно, выгодно иметь некоторое количество лишних площадей, так как скидки за длительный срок аренды перекрывают расходы от найма лишних площадей. К сожалению, применение такого плана невозможно, из-за перерасхода средств в январе - у нас просто нет 694 тыс. в этом месяце.
В целом получается, что мы можем подобрать неплохие планы аренды, однако они не реализуемы из-за перерасхода средств. А подбирать план с учетом месячных лимитов средств хоть и можно, но это достаточно трудоемкая работа. Поэтому вернемся к оптимизации.
Перечислим сначала все требующиеся установки Поиска решения.
Целевая ячейка - C20, суммарные затраты.
Цель - минимум расходов.
Изменяемые ячейки - C7:H12. Можно, конечно, выделить шесть диапазонов ячеек: C7:H7, C8:G8, C9:F9, C10:E10, C11:D11 и С12 (для этого при указании ячеек в Поиске решения надо удерживать нажатой клавишу CTRL), но это необязательно. Во-первых, экономия переменных тут не требуется. А во-вторых, Поиск решения и сам, без дополнительных ограничений оставит лишние ячейки нулевыми. Ведь при подсчете снятой площади (ячейки J7:J12) лишние ячейки не используются, зато они учитываются при расчете оплаты (ячейки C14:C19). Так что при минимизации расходов лишние переменные автоматически обнулятся.
Кроме обычных ограничений линейности модели и не отрицательности переменных (вкладка Параметры) нужно добавить только два групповых ограничения.
1. Суммарные арендуемые площади не меньше, чем ежемесячные потребности - J7:J12>=K7:K12.
2. Суммарные затраты в первые три месяца не должны превышать 400, 200 и 200 тыс. соответственно - C14:C16<=H14:H16.
Все, можно делать расчет.
Результат оптимизации не слишком нас удивил ().
|
|
A |
B |
C |
D |
E |
F |
|
H |
I |
J |
K |
|
5 |
Возможный план |
Переменные: сколько тыс. |
м2 арендовать и на сколько месяцев |
|
|
6 |
аренды в: |
|
на 1 |
на 2 |
на 3 |
на 4 |
на 5 |
на 6 |
|
Ограничения: |
|
7 |
январь |
|
22.15 |
0.00 |
0.00 |
0.00 |
0.00 |
7.85 |
|
30 |
30 |
|
8 |
февраль |
|
0.00 |
10.00 |
0.00 |
0.00 |
2.15 |
0.00 |
|
20 |
20 |
|
9 |
март |
|
20.00 |
0.00 |
0.00 |
0.00 |
0.00 |
0.00 |
|
40 |
40 |
|
10 |
апрель |
|
0.00 |
0.00 |
0.00 |
0.00 |
0.00 |
0.00 |
|
10 |
10 |
|
11 |
май |
|
30.00 |
10.00 |
0.00 |
0.00 |
0.00 |
0.00 |
|
50 |
50 |
|
12 |
июнь |
|
0.00 |
0.00 |
0.00 |
0.00 |
0.00 |
0.00 |
|
20 |
20 |
|
13 |
|
|
|
|
|
|
|
|
|
|
|
|
14 |
январь |
|
400.0 |
тыс. |
Плата за аренду |
|
400 |
|
тыс. |
|
|
15 |
февраль |
|
187.1 |
тыс. |
|
|
|
200 |
|
тыс. |
|
|
16 |
март |
|
140.0 |
тыс. |
|
|
|
200 |
|
тыс. |
|
|
17 |
апрель |
|
- |
тыс. |
|
|
|
|
|
|
|
|
18 |
май |
|
338.0 |
тыс. |
|
|
|
|
|
|
|
|
19 |
июнь |
|
- |
тыс. |
|
|
|
|
|
|
|
|
20 |
С мин.= |
1 065.1 |
Целевая функция: |
|
|
|
|
|
|
|
Рис. 48 |
В общем, это похоже на два последних наших плана. Они только слегка скорректированы для учета ограничений на расход средств. Тем не менее, теперь мы можем быть уверены в том, что лучшего плана аренды не существует.
Здесь кстати проверить, каковы будут издержки, если не учитывать лимит средств. Для этого можно убрать соответствующее ограничение из Поиска решения, а лучше просто заменить верхние границы расходов большими числами (). . . ......
|
|
A |
B |
C |
D |
E |
F |
G |
H |
I |
J |
K |
|
6 |
аренды в: |
|
на 1 |
на 2 |
на 3 |
на 4 |
на 5 |
на 6 |
|
Ограничения: |
|
7 |
январь |
|
10.00 |
0.00 |
0.00 |
0.00 |
0.00 |
20.00 |
|
30 |
30 |
|
8 |
февраль |
|
0.00 |
0.00 |
0.00 |
0.00 |
0.00 |
0.00 |
|
20 |
20 |
|
9 |
март |
|
20.00 |
0.00 |
0.00 |
0.00 |
0.00 |
0.00 |
|
40 |
40 |
|
10 |
апрель |
|
0.00 |
0.00 |
0.00 |
0.00 |
0.00 |
0.00 |
|
20 |
10 |
|
11 |
май |
|
30.00 |
0.00 |
0.00 |
0.00 |
0.00 |
0.00 |
|
50 |
50 |
|
12 |
июнь |
|
0.00 |
0.00 |
0.00 |
0.00 |
0.00 |
0.00 |
|
20 |
20 |
|
13 |
|
|
|
|
|
|
|
|
|
|
|
|
14 |
январь |
|
694.0 |
тыс. |
Плата за аренду |
|
1 000 |
|
тыс. |
|
|
15 |
февраль |
|
- |
тыс. |
|
|
|
1 000 |
|
тыс. |
|
|
16 |
март |
|
140.0 |
тыс. |
|
|
|
1 000 |
|
тыс. |
|
|
17 |
апрель |
|
- |
тыс. |
|
|
|
|
|
|
|
|
18 |
май |
|
210.0 |
тыс. |
|
|
|
|
|
|
|
|
19 |
июнь |
|
- |
тыс. |
|
|
|
|
|
|
|
|
20 |
С мин.= |
1 044.0 |
Целевая функция: |
|
|
|
|
|
|
|
Рис. 49 |
Как вы можете убедиться, этот план мы нашли раньше () и отметили его, как очень хороший, но не укладывающийся в лимит расходов. Видимо, именно этот план имеет смысл реализовывать за счет кредита.
Давайте рассчитаем финансовые потоки при взятом кредите ().
Понятно, что нам необходимо взять 294 тыс. (694-400). Тогда в январе долг составит 294 тыс. и за месяц набежит 14.7 тыс. долларов по процентам (5%*294).
В феврале у нас расходов нет, но зато есть 200 тыс., которые мы можем направить на погашение кредита. Т.о. наш долг в феврале уменьшится до 108.7 тыс. (294+14.7-200). Однако на эту сумму снова будут начислены проценты и она
|
|
A |
B |
C |
D |
E |
F |
|
H |
I |
J |
|
13 |
|
|
|
|
|
Долг |
Проценты |
|
|
|
14 |
январь |
|
694.0 |
тыс. |
Плата
за
аренду |
294.0 |
14.7 |
1 000 |
|
тыс. |
|
15 |
февраль |
|
- |
тыс. |
108.7 |
5.4 |
1 000 |
|
тыс. |
|
16 |
март |
|
140.0 |
тыс. |
54.1 |
2.7 |
1 000 |
|
тыс. |
|
17 |
апрель |
|
- |
тыс. |
|
- |
|
|
|
|
|
18 |
май |
|
210.0 |
тыс. |
|
|
|
|
|
|
|
19 |
июнь |
|
- |
тыс. |
|
|
|
|
|
|
|
20 |
С мин.= 1 066.8 Целевая функция: |
22.8 |
|
|
|
|
|
Рис. 50 |
В марте наши расходы на аренду составляют 140 тыс. при лимите 200 тыс. Таким образом, 60 тыс. мы можем направить на погашение кредита. После этого мы останемся должны 54.1 тыс. (108.7+5.4-60).
В апреле мы можем выплатить остатки долга по кредиту, включая набежавшие за март проценты в сумме 2.7 тыс.
Итого по взятому кредиту нужно выплатить 22.8 тыс. Эту сумму нужно добавить к расходам по найденному оптимальному плану - 1044 тыс., что в итоге даст 1066.8 тыс. долларов. Это, к сожалению, чуть хуже найденного ранее оптимального плана (), при котором мы без всяких проблем укладываемся в лимиты.
Проведенные расчеты оставляют, однако, некоторое чувство неудовлетворенности. Ведь размер кредита мы не выбирали, а просто взяли, сколько не хватало до реализации наилучшего плана. Если уж решать задачу оптимизации, то нужно решать ее до конца. Иначе говоря, нельзя ли включить в задачу оптимизации возможность взятия кредита наиболее выгодного для нас размера?
Разумеется, можно.
Но задачу придется несколько усложнить. Добавим к задаче еще три переменных: сколько денег занять в январе и сколько долга оставить в феврале и марте. Очевидно, что, так или иначе, в апреле мы погасим все долги. Мы добавили новые переменные в ячейки E14:E16 (). В ячейках G14:G16 на сумму оставшегося долга начисляются проценты.
Если аккуратно округлить значения переменных, соблюдая ограничения на ресурсы, получим реальный план производства конфет (). Как видим, общая прибыль составила примерно 1509 долл., т.е. прибавка к исходному плану достигает 429 долл._
|
|
Ореховый
звон |
Райский вкус |
Батончик |
Белка |
Ромашка |
|
Переменные |
454,00 |
59,00 |
0,00 |
504,00 |
9,00 |
|
|
|
|
Цель |
|
|
|
Расход |
|
Р= |
1508,70 |
|
|
|
|
Рис. 19 |
|
|
A |
B |
C |
D |
E |
F |
G |
H |
I |
J |
K |
|
13 |
|
|
|
|
|
Долг |
Проценты |
|
|
|
|
|
14 |
январь |
|
- |
тыс. |
168 |
=C14_H14 |
=E14*$K$14 |
400 |
|
тыс. |
5% |
|
15 |
февраль |
|
_ |
тыс. |
0 |
=F14+G14_
H15+C15 |
=E15*$K$14 |
200 |
|
тыс. |
|
|
16 |
март |
|
- |
тыс. |
0 |
=F15+G15_
H16+C16 |
=E16*$K$14 |
200 |
|
тыс. |
|
|
17 |
апрель |
|
_ |
тыс. |
|
|
|
|
|
|
|
|
18 |
май |
|
_ |
тыс. |
|
|
|
|
|
|
|
|
19 |
июнь |
|
_ |
тыс. |
|
|
|
|
|
|
|
|
20 |
С мин.= |
=СУММ(С14:О19)+?20 |
|
=СУММ^14^16) |
|
|
|
|
|
Рис. 51 |
В ячейках F14:F16 подсчитывается размер кредита (F14), а затем и остаток долга. Три переменных нам нужны для того, чтобы не оперировать отрицательными значениями кредита и долга. В установках Поиска решения мы потребуем, чтобы ячейки E14:E16 были больше, чем F14:F16. При этом по условию на переменные они еще и больше нуля. Таким образом, если долг по кредиту положителен, соответствующая переменная будет равна ему, а если отрицателен (кредит погашен), переменная будет равна нулю.
При такой организации задачи мы позволяем Поиску решения вообще не планировать кредит, если это выгоднее.
Кроме сделанных исправлений уберем из списка ограничений ограничение на расходы в январе, феврале и марте. На следующем рисунке приведен результат оптимизации ()._
|
|
A |
B |
C |
D |
E |
F |
G |
H |
I |
J |
K |
|
5 |
Возможный план |
Переменные: сколько тыс. |
м2 арендовать и на сколько месяцев |
|
|
|
6 |
аренды в: |
|
на 1 |
на 2 |
на 3 |
на 4 |
на 5 |
на 6 |
|
Ограничения: |
|
7 |
январь |
|
10.00 |
0.00 |
10.00 |
0.00 |
0.00 |
10.00 |
|
30 |
30 |
|
8 |
февраль |
|
0.00 |
0.00 |
0.00 |
0.00 |
0.00 |
0.00 |
|
20 |
20 |
|
9 |
март |
|
20.00 |
0.00 |
0.00 |
0.00 |
0.00 |
0.00 |
|
40 |
40 |
|
10 |
апрель |
|
0.00 |
0.00 |
0.00 |
0.00 |
0.00 |
0.00 |
|
10 |
10 |
|
11 |
май |
|
30.00 |
10.00 |
0.00 |
0.00 |
0.00 |
0.00 |
|
50 |
50 |
|
12 |
июнь |
|
0.00 |
0.00 |
0.00 |
0.00 |
0.00 |
0.00 |
|
20 |
20 |
|
13 |
|
|
|
|
|
Долг |
Проценты |
|
|
|
|
|
14 |
январь |
|
568.0 |
тыс. |
168 |
168.0 |
8.4 |
400 |
|
тыс. |
5% |
|
15 |
февраль |
|
_ |
тыс. |
0 |
_23.6 |
0.0 |
200 |
|
тыс. |
|
|
16 |
март |
|
140.0 |
тыс. |
0 |
_83.6 |
0.0 |
200 |
|
тыс. |
|
|
17 |
апрель |
|
_ |
тыс. |
|
|
|
|
|
|
|
|
18 |
май |
|
338.0 |
тыс. |
|
|
|
|
|
|
|
|
19 |
июнь |
|
_ |
тыс. |
|
|
|
|
|
|
|
|
20 |
С мин.= |
1 054.4 |
|
|
|
8.4 |
|
|
|
|
|
|
Рис. 52 |
Как мы видим, кредит предусмотрен. Оказывается, как это часто бывает, невыгоден не сам кредит - невыгоден слишком большой кредит! Если же взять только 168 тыс. (соответствующим образом изменив план аренды, конечно), расходы удается уменьшить примерно на 12 тыс.
1.П-7. Большой портфель
Некий бизнесмен, удалясь от дел, решает вложить часть своих накоплений в размере $1 млн. в акции известных компаний. Его помощник собрал данные о доходности 15 компаний за последние 11 лет. Эти данные приведены в таблице.
|
Компания |
|
Доход по акциям компании, % |
|
‘90 |
‘91 |
‘92 |
‘93 |
‘94 |
‘95 |
‘96 |
‘97 |
‘98 |
‘99 |
‘00 |
|
APPLE |
13 |
36 |
13 |
-46 |
15 |
4 |
-33 |
-29 |
92 |
202 |
-67 |
|
BOEING |
10 |
0 |
-22 |
8 |
19 |
63 |
33 |
11 |
-25 |
4 |
61 |
|
BP AMOCO |
20 |
-12 |
-28 |
40 |
35 |
30 |
46 |
23 |
14 |
40 |
-22 |
|
DEBEERS |
-1 |
68 |
-59 |
64 |
11 |
33 |
9 |
-29 |
-26 |
83 |
2 |
|
DOW CHEM |
-24 |
14 |
15 |
13 |
13 |
16 |
22 |
22 |
0 |
30 |
-15 |
|
DU PONT |
1 |
30 |
12 |
1 |
14 |
32 |
46 |
31 |
-4 |
6 |
-27 |
|
EXXON |
8 |
16 |
1 |
5 |
-4 |
28 |
22 |
29 |
23 |
7 |
14 |
|
FIAT |
-39 |
-16 |
-23 |
24 |
62 |
-17 |
-5 |
16 |
4 |
-8 |
-10 |
|
FORD |
-36 |
-11 |
75 |
47 |
-14 |
7 |
13 |
36 |
31 |
-13 |
-15 |
|
GE |
-12 |
21 |
25 |
20 |
-7 |
50 |
50 |
43 |
23 |
48 |
14 |
|
G. MOTORS |
-7 |
-11 |
9 |
68 |
-28 |
35 |
21 |
10 |
27 |
25 |
-28 |
|
INTEL |
-3 |
11 |
74 |
72 |
0 |
95 |
108 |
28 |
41 |
33 |
-10 |
|
LOCKHEED |
-21 |
45 |
17 |
35 |
-2 |
76 |
22 |
8 |
9 |
-62 |
56 |
|
MICROSOFT |
58 |
106 |
38 |
-12 |
54 |
38 |
83 |
82 |
80 |
44 |
-39 |
|
PEPSICO |
34 |
18 |
33 |
-2 |
-12 |
57 |
9 |
26 |
9 |
-16 |
23 |
Бизнесмен желает обеспечить доход не менее 18% в год при наименьшем риске. Он слышал, что портфель с наименьшим риском следует формировать по методу Марковица.
Суть этого подхода состоит в том, что дисперсия доходности (т.е. риск) портфеля из двух, например, видов акций, может быть меньше, чем дисперсия любой из этих акций, в случае, когда доходность по акциям меняется в противофазе. Т.е. в то время, когда доходность по одной из акций падает, по другой она обычно растет. Это видно из стандартной формулы для расчета дисперсии суммы двух случайных величин. Если в первую акцию (дисперсия а
12) вложено p % денег, а во вторую (дисперсия а
22) q % денег, то дисперсию портфеля можно рассчитать по формуле:
2 2 2 2 2 г)
Т портфеля — Р ^ q Т 2 2Р\2 pa
lqa
2
В этой формуле через р
12 обозначен коэффициент корреляции между доходностями двух акций. Дисперсия такого пакета будет меньше наименьшей из двух акций, если только коэффициент корреляции не слишком близок к единице и если распределение средств по акциям не слишком ассиметрично. Разумеется, наиболее сильно дисперсия уменьшается, если коэффициент корреляции отрицателен. Увеличение числа акций в пакете снижает его дисперсию еще больше. Этот эффект известен в финансах как диверсификация портфеля.
N N
Для N видов акций эта формула имеет вид D
addda^ — IIV; Cov(R
i, R
;),
i—1 j—1
где Cov(R
i, R
;) - ковариации доходности для всех пар видов акций, а x
i - доли капитала, вложенные в каждый вид акций.
a. Постройте таблицу Excel, позволяющую рассчитать риск портфеля и его средний доход. Для расчета взаимных и собственных дисперсий различных акций используйте функцию Excel =КОВАР( ).
b. Каковы риск (корень из дисперсии портфеля) и ожидаемый доход при вложении одинаковой суммы во все акции?
c. Сформулируйте на основе построенной таблицы задачу для Поиска решения (она получится квадратичной по переменным) и найдите портфель с минимальным риском, дающий не менее 18% дохода.
d. Каков будет доход портфеля, если добиваться наименьшего возможного риска? Как возрастет риск, если потребовать не менее 25% дохода?
Решение задачи.
Из пояснений к методу Марковица в тексте задачи следует, что задача, вообще говоря, не является задачей линейной оптимизации. И все же характер нелинейности уравнений таков, что имеется достаточно эффективная методика решения систем подобных уравнений со многими неизвестными. В стандартной надстройке Поиск решения, поставляемой с MS Excel, для решения этой задачи следует отказаться от линейной модели и решать нелинейную задачу. При этом, судя по всему, Поиск решения сам опознает вид нелинейности и достаточно эффективно решает задачу.
Разумеется, в реальных условиях имело бы смысл выбирать не из десятка видов акций, а из тысяч, по крайней мере. И в этом случае стандартная надстройка к Excel не смогла бы помочь, так как допускает использование не более 200 переменных. Однако, кроме стандартного Поиска решения существует продвинутая программа под названием Premium Solver. Эту программу, также оформленную как надстройка к Excel с очень похожим интерфейсом, можно найти на сайте компании-создателя этого инструмента FrontLine System . Собственно, стандартная надстройка к Excel лицензирована компанией Майкрософт у этой же компании. Надстройку Premium Solver можно скачать бесплатно и пользоваться ею в течение двухнедельного пробного срока.
Главный модуль надстройки позволяет решать задачи с тысячами переменных и ограничений. Кроме этого, в коммерческой версии Поиска решения используется более совершенный алгоритм решения задач. Задачи, квадратичные по переменным, решаются одним модулем с задачами линейной оптимизации (Standard LP/Quadratic), в то время как все остальные нелинейные задачи решаются с помощью другого модуля - GRG Nonlinear Solver - менее эффективными по скорости и результатам методами.
Для решения задачи введем на страницу MS Excel заданную таблицу доходностей по годам (). Для удобства дальнейшей работы исходная таблица повернута (транспонирована). В строке B14:P14 с помощью функции Excel =СРЗНАЧ( ) сосчитана средняя доходность каждой акции за 11 лет в процентах. Эти данные необходимы для расчета ожидаемой доходности. Фактически мы при этом полагаем, что средняя доходность по акциям каждой компании не изменится в ближайшем будущем. Так как ожидаемая доходность -величина случайная, то мы можем утверждать, что для следующего года ожидаемую доходность можно рассчитать как случайную величину с нормальным распределением, с математическим ожиданием, равным среднему значению, и
стандартным отклонением, равным стандартному отклонению, рассчитанному по прошлым значениям доходности.
Чтобы сформировать портфель акций нужно решить, какую часть денег потратить на покупку пакетов каждой из акций. Если мы решим этот вопрос, то ожидаемая доходность портфеля в целом будет равна сумме произведений долей акций в портфеле на их доходность. Таким образом, максимально возможная доходность портфеля акций равна доходности самой прибыльной из акций (в нашем случае MS - 48%), а минимально возможная доходность портфеля -доходности самой непривлекательной акции (в данном случае FI). В этих крайних случаях портфель акций будет содержать акции только одной компании.
В этой задаче, поэтому, не имело бы смысла максимизировать доходность портфеля - она и так известна. Наша задача - составить портфель акций так, чтобы при заданной средней доходности портфеля ее стандартное отклонение для
|
|
A |
B |
C |
D |
E |
F |
G |
H |
I |
J |
K |
L |
M |
N |
O |
P |
|
1 |
Доход по акциям компании, % |
|
|
|
|
|
|
|
|
|
|
|
|
|
2 |
|
AP |
BO |
BP |
DB |
DO |
DP |
EX |
FI |
FO |
GE |
GM |
IN |
LM |
MS |
PEP |
|
3 |
1990 |
13 |
10 |
20 |
-1 |
-24 |
1 |
8 |
-39 |
-36 |
-12 |
-7 |
-3 |
-21 |
58 |
34 |
|
4 |
1991 |
36 |
0 |
-12 |
68 |
14 |
30 |
16 |
-16 |
-11 |
21 |
-11 |
11 |
45 |
106 |
18 |
|
5 |
1992 |
13 |
-22 |
-28 |
-59 |
15 |
12 |
1 |
-23 |
75 |
25 |
9 |
74 |
17 |
38 |
33 |
|
6 |
1993 |
-46 |
8 |
40 |
64 |
13 |
1 |
5 |
24 |
47 |
20 |
68 |
72 |
35 |
-12 |
-2 |
|
7 |
1994 |
15 |
19 |
35 |
11 |
13 |
14 |
-4 |
62 |
-14 |
-7 |
-28 |
0 |
-2 |
54 |
-12 |
|
8 |
1995 |
4 |
63 |
30 |
33 |
16 |
32 |
28 |
-17 |
7 |
50 |
35 |
95 |
76 |
38 |
57 |
|
9 |
1996 |
-33 |
33 |
46 |
9 |
22 |
46 |
22 |
-5 |
13 |
50 |
21 |
108 |
22 |
83 |
9 |
|
10 |
1997 |
-29 |
11 |
23 |
-29 |
22 |
31 |
29 |
16 |
36 |
43 |
10 |
28 |
8 |
82 |
26 |
|
11 |
1998 |
92 |
-25 |
14 |
-26 |
0 |
-4 |
23 |
4 |
31 |
23 |
27 |
41 |
9 |
80 |
9 |
|
12 |
1999 |
202 |
4 |
40 |
83 |
30 |
6 |
7 |
-8 |
-13 |
48 |
25 |
33 |
-62 |
44 |
-16 |
|
13 |
2000 |
-67 |
61 |
-22 |
2 |
-15 |
-27 |
14 |
-10 |
-15 |
14 |
-28 |
-10 |
56 |
-39 |
23 |
|
14 |
Средняя
доходность,
% |
=СРЗНАЧ(B3:B13) |
14 |
10 |
13 |
14 |
-1 |
11 |
25 |
11 |
41 |
17 |
48 |
16 |
|
|
Рис. 53 |
Продолжим построение таблицы и для этого добавим в нее часть, позволяющую рассчитывать дисперсии доходности для каждой из акций и их взаимные дисперсии (так называемые ковариации). Чтобы подсчитать ковариации доходностей всех пар для 15 акций нужно, конечно, иметь таблицу размером 15х15 ячеек. Для удобства добавим вертикальный столбец с названиями компаний (A16:A30) (). В каждой из 225 ячеек должно содержаться значение ковариации доходностей соответствующей пары компаний. Скажем в ячейке B17, соответствующей паре компаний Apple-Boeing (столбец - строка), должна быть формула =КОВАР($C$3:$C$13;B$3:B$13), где столбец $C$3:$C$13 показывает доходность акций Boeing, а столбец B$3:B$13 - доходность акций Apple. Так как эту формулу нужно протягивать, то адреса ячеек частично фиксированы. При протягивании формулы вправо должны вычисляться ковариации доходностей всех других компаний с доходностью Boeing, поэтому столбец полностью фиксирован. Мы не будем отдельно вычислять дисперсию доходности Boeing, так как выражение вида =КОВАР($С$3:$С$13; C$3:C$13) и так вычисляет эту дисперсию.
К сожалению, протянуть введенную формулу вертикально так, чтобы сразу получились верные формулы нельзя, так как в первом столбце формулы для ковариации при протягивании будут меняться номера строк, а не имена столбцов.
Поэтому придется сначала протянуть формулу вверх и вниз на оставшиеся компании, потом скорректировать ссылки на столбец доходности для каждой компании, а после этого протягивать полученные формулы вправо.
|
|
A |
B |
C |
D |
E |
F |
G |
H |
I |
J |
K |
L |
M |
N |
O |
P |
|
15 |
|
Взаимная дисперсия (ковариация) |
|
|
|
|
|
|
|
|
|
|
16 |
APPLE |
=КОВАР($B$3:$B$13;B$3:B$13) |
-106 |
-208 |
-423 |
280 |
223 |
-277 |
-1773 |
968 |
-599 |
|
17 |
BOEING |
=КОВАР($C$3:$C$13;B$3:B$13) |
86 |
-13 |
-377 |
96 |
-119 |
60 |
501 |
-484 |
184 |
|
18 |
BP |
=КОВАР($D$3:$D$13;B$3:B$13) |
27 |
270 |
-132 |
131 |
334 |
327 |
-301 |
165 |
-208 |
|
19 |
DEBEERS |
999 |
=КОВАР($E$3:$E$13;C$3:C$13) |
76 |
-599 |
142 |
313 |
-35 |
-98 |
-150 |
-350 |
|
20 |
DOW CH |
347 |
-54 |
149 |
193 |
242 |
199 |
18 |
135 |
194 |
232 |
174 |
327 |
-70 |
202 |
-102 |
|
21 |
DU PONT |
-73 |
26 |
184 |
61 |
199 |
390 |
82 |
16 |
89 |
213 |
98 |
425 |
86 |
558 |
71 |
|
22 |
EXXON |
-106 |
86 |
27 |
-46 |
18 |
82 |
112 |
-71 |
20 |
134 |
66 |
126 |
152 |
144 |
106 |
|
23 |
FIAT |
-208 |
-13 |
270 |
76 |
135 |
16 |
-71 |
678 |
92 |
-86 |
-7 |
-114 |
-62 |
-53 |
-330 |
|
24 |
FORD |
-423 |
-377 |
-132 |
-599 |
194 |
89 |
20 |
92 |
1001 |
231 |
466 |
736 |
233 |
-67 |
70 |
|
25 |
GE |
280 |
96 |
131 |
142 |
232 |
213 |
134 |
-86 |
231 |
424 |
297 |
552 |
93 |
140 |
49 |
|
26 |
GM |
5095 |
-119 |
334 |
313 |
174 |
98 |
66 |
-7 |
466 |
297 |
748 |
783 |
50 |
-106 |
-24 |
|
27 |
INTEL |
-277 |
60 |
327 |
-35 |
327 |
425 |
126 |
-114 |
736 |
552 |
783 |
1528 |
404 |
111 |
165 |
|
28 |
LM |
-1773 |
501 |
-301 |
-98 |
-70 |
86 |
152 |
-62 |
233 |
93 |
50 |
404 |
1302 |
-364 |
430 |
|
29 |
MS |
968 |
-484 |
165 |
-150 |
202 |
558 |
144 |
-53 |
-67 |
140 |
-106 |
111 |
-364 |
1663 |
2 |
|
30 |
PEPSICO |
-599 |
184 |
-208 |
-350 |
-102 |
71 |
106 |
-330 |
70 |
49 |
-24 |
165 |
430 |
2 |
425 |
|
31 |
|
|
|
|
|
|
|
|
|
|
|
|
|
|
|
|
|
32 |
Инвестиці |
0.0% |
0.0% |
0.0% |
50% |
0.0% |
0.0% |
0.0% |
5.2% |
8.2% |
0.0% |
0.0% |
0.0% |
0.0% |
4.0% |
33% |
|
33 |
=СУММ( |
B AP |
BO |
BP |
DB |
DO |
DP |
EX |
FI |
FO |
GE |
GM |
IN |
LM |
MS |
PEP |
|
34 |
|
=B32*B14/100 |
0.07 |
0 |
0 |
0 |
-0 |
0.01 |
0 |
0 |
0 |
0 |
0.02 |
0.05 |
|
35 |
Вариация |
=B32*СУММПРОИЗВ($B$32 :$P$32;B16:P16) |
=J32*СУММПРОИЗВ($B$32:$P$32;B24: |
|
36 |
Целевая функция |
|
|
|
|
|
Мин. |
допустимый средний доход |
|
|
|
37 |
=СУММ(В35:Р35) |
|
|
|
|
|
=СУММПРОИЗВ(В32:Р32;В14:Р14)/100 |
|
38 |
=A37A0.5 |
|
|
|
|
|
|
|
15% |
|
|
|
|
|
|
|
|
|
Рис. 54 |
Таким образом, мы получим ковариации для всех возможных пар компаний. Таблица ковариаций должна получиться симметричной относительно диагонали B16:P30. Если бы мы знали не только ковариации доходностей, но и доли капитала x,, вложенные в каждую акцию, то могли бы рассчитать
дисперсию портфеля акций в целом по формуле
15 15
D портфеля =zz x
ix
jКовар(Д., Rj), где Ковар(Д., R) - рассчитанные нами
i=i j=i
ковариации доходности для всех пар компаний.
Ранее мы уже выяснили, что доли капитала, потраченные на покупку каждого из пакетов акций, должны быть переменными задачи. Выделим строку B32:P32 под такие переменные. Так как сумма всех переменных xi, x
2, ... x
15 -должна равняться единице или 100% капитала (ячейка A33), то при постановке задачи потребуем, чтобы A33=1.
Для расчета дисперсии портфеля удобно переписать формулу для ?
портф
еля
15 I 15
Z
x, jZ
xj
КоваР
( R,
, Rj
)
портфеля
в более удобном для расчетов виде
. Часть
i=1 I j =1
формулы в фигурных скобках
это сумма произведений долей на
соответствующие ковариации, значит ее можно записать с помощью функции =СУММПРОИЗВ( ). Тогда для Apple, например, можно вычислить значение
Г 15 ]
выражения х
1 Xj Ковар(А
1, R
j ы с помощью формулы
j=і
=Б32*СУММПРОИЗВ($Б$32:$Р$32;Б16:Р16). Запишем эту формулу в ячейку B35. К сожалению эту формулу так же неудобно протягивать. Поэтому после того, как вы все же протянете ее вправо до конца, исправьте в ней то, что необходимо. Для ориентира в ячейке J35 приведена правильная формула.
Суммирование всех ячеек строки B35:P35 соответствует первому символу суммы в формуле для D
nop^
ex}l. Таким образом в ячейке A37 () мы вычисляем ту самую дисперсию портфеля, которая нам необходима для решения задачи. Это и есть целевая ячейка.
Так как для сравнения удобнее использовать стандартное отклонение, вычислим в ячейке A38 корень из дисперсии (=КОРЕНЬ(A37)).
Мы уже обсуждали здесь, как вычислить ожидаемый доход портфеля. Для этого запишем в ячейке I37 формулу =СУММПРОИЗВ(B32:P32;B14:P14). Вычисляемую тут доходность портфеля при минимизации следует удерживать на уровне не ниже заданного. Зададим минимально допустимый доход в ячейке I38.
Теперь можно ставить задачу надстройке Поиск решения. Пройдемся еще раз по необходимым установкам. Целевая функция в ячейке A37, цель - поиск минимума функции. Изменяемые ячейки Б32:Р32. Вид модуля для решения задачи - Standard LP/Quadratic (для продвинутого Solver^) . Опции -подразумеваются неотрицательные значения переменных (Assume Non-Negative) и не следует отмечать, что задача линейная, если используется встроенный «Поиск решения» . Ограничений всего два - сумма долей капитала, вложенных во все пакеты, равна 100% (A33=1) и средний ожидаемый доход должен быть не менее заданного I37>=I38.
|
Запускаем задачу на решение и получаем результат () |
|
|
A |
B |
C |
D |
E |
F |
G |
H |
I |
J |
K |
L |
M |
N |
O |
P |
|
32 |
Инвестиция |
0.0% |
0.0% |
0.0% |
50.4% |
0.0% |
0.0% |
0.0% |
0.0% |
8.5% |
0.0% |
0.0% |
0.0% |
0.0% |
10.2% |
30.9% |
|
33 |
100.00% |
AP |
BO |
БР |
DB |
DO |
DP |
EX |
FI |
FO |
GE |
GM |
IN |
LM |
MS |
PEP |
|
34 |
|
0 |
0 |
0 |
0.071 |
0 |
0 |
0 |
0 |
0.009 |
0 |
0 |
0 |
0 |
0.049 |
0.05 |
|
35 |
Вариация |
0 |
0 |
0 |
51.89 |
0 |
0 |
0 |
0 |
-17.2 |
0 |
0 |
0 |
0 |
9.15 |
-12 |
|
36 |
Целевая функция |
|
|
|
|
|
|
Мин. допустимый средний доход |
|
|
|
|
37 |
31.83 |
|
|
|
|
|
|
|
18% |
|
|
|
|
|
|
|
|
38 |
5.64 |
|
|
|
|
|
|
|
18% |
|
|
|
|
|
|
|
|
|
Рис. 55 |
Оказывается, что деньги будут вложены в 4 пакета акций. При этом ожидается доход 18%, а риск портфеля составит 5.64%. Учитывая, что речь идет о нормальном распределении для такой случайной величины, как доход, можно сказать, что с вероятностью 95% реальная величина дохода составит от ~7% (18%-1.96*5.64%) до ~29% (18%+1.96*5.64%).
Что изменится, если мы попытаемся составить более доходный портфель акций? Зададим минимальный доход на уровне 25% и снова найдем минимум дисперсии.
|
|
A |
B |
C |
D |
E |
F |
G |
H |
I |
J |
K |
L |
M |
N |
O |
P |
|
32 |
Инвестиция |
0.0% |
19.2% |
0.0% |
25.2% |
0.0% |
0.0% |
0.0% |
0.0% |
8.6% |
0.0% |
0.0% |
7.4% |
0.0% |
25.6% |
14.0% |
|
33 |
100.00% |
AP |
BO |
BP |
DB |
DO |
DP |
EX |
FI |
FO |
GE |
GM |
IN |
LM |
MS |
PEP |
|
34 |
|
0 |
0.0283 |
0 |
0.036 |
0 |
0 |
0 |
0 |
0.009 |
0 |
0 |
0.03 |
0 |
0.124 |
0.023 |
|
35 |
Вариация |
0 |
15.922 |
0 |
29.31 |
0 |
0 |
0 |
0 |
-7.79 |
0 |
0 |
16.88 |
0 |
76.39 |
3.547 |
|
36 |
Целевая функция |
|
|
|
|
|
|
Мин. допустимый средний доход |
|
|
|
|
37 |
134.26 |
|
|
|
|
|
|
|
25% |
|
|
|
|
|
|
|
|
38 |
11.59 |
|
|
|
|
|
|
|
25% |
|
|
|
|
|
|
|
|
|
Рис. 56 |
В этом случае получается, что наименьшее стандартное отклонение портфеля составляет 11.6%. Поэтому с вероятностью 95% реальная величина дохода составит от 2.3% (25%-1.96*11.6%) до 47.7% (25%+1.96*11.6%). С точки зрения минимальной прибыли разницы практически нет, но средняя прибыль существенно выше. Так что более правильным будет выбрать второй портфель. В нем, как вы видите, содержится 6 пакетов акций.
Если у вас есть настроение, попробуйте определить при каком уровне дохода нижняя граница 95%-ного доверительного интервала станет отрицательной.
Разумеется, сами по себе полученные числа мало что значат. Все дело в том, на каких условиях вы готовы вложить капитал. Если, например, вы хотите, чтобы нижняя граница не опускалась ниже 8%, то из предложенных акций вообще невозможно составить нужный пакет. Придется расширить область поиска. Убедиться в этом можно заменив условие на минимальный доход условием на нижнюю границу доходности (например I37-1.96*D38/100>=8%).
Если вообще снять условие на доход и оставить только требование A33=1, то мы найдем минимально возможный риск для портфеля, состоящего из предложенных акций. Он равен 3.78%, как несложно убедиться.
|
|
A |
B |
C |
D |
E |
F |
G |
H |
I |
J |
K |
L |
M |
N |
O |
P |
|
32 |
Инвестиция |
6.7% |
6.7% |
6.7% |
6.7% |
6.7% |
6.7% |
6.7% |
6.7% |
6.7% |
6.7% |
6.7% |
6.7% |
6.7% |
6.7% |
6.7% |
|
33 |
100.00% |
AP |
BO |
BP |
DB |
DO |
DP |
EX |
FI |
FO |
GE |
GM |
IN |
LM |
MS |
PEP |
|
34 |
|
0.012 |
0.0098 |
0.011 |
0.009 |
0.006 |
0.009 |
0.009 |
-0 |
0.007 |
0.017 |
0.007 |
0.027 |
0.011 |
0.032 |
0.011 |
|
35 |
Вариация |
17.21 |
0.5106 |
10.82 |
9.717 |
9.717 |
10.78 |
3.772 |
1.445 |
6.815 |
13.01 |
36.3 |
22.74 |
2.601 |
12.13 |
-0.49 |
|
36 |
Целевая функция |
|
|
|
|
|
|
Мин. допустимый средний доход |
|
|
|
|
37 |
157.08 |
|
|
|
|
|
|
|
18% |
|
|
|
|
|
|
|
|
38 |
12.53 |
|
|
|
|
|
|
|
18% |
|
|
|
|
|
|
|
|
|
Рис. 57 |
Мы пропустили вопрос о равном распределении денег по всем пакетам акций. Давайте запишем в ячейке B32 выражение =1/15 и протянем его на все остальные переменные. Получим следующий результат ()_
Как мы видим, средний ожидаемый доход в этом случае равен 18%, как при первом расчете портфеля! Если у вас возникло впечатление, что, может быть, никакой минимизации и не требовалось, попробуйте оценить доверительный интервал для полученного значения риска. Вы убедитесь, что нижняя граница интервала достигла значения -6.7%, при верхней границе + 42.4%. Таким образом, этот портфель акций является довольно рискованным вложением! Во всяком случае, если вам вдруг понадобится крупная сумма наличных и вы вынуждены будете продавать акции в неблагоприятной ситуации, то ваши инвестиции принесут немалый убыток.
В заключение сделаем одно замечание, относительно приведенных данных по доходностям. Хотя приведенные величины рассчитаны на основе данных о реальных курсах акций (NYSE), но в них недостает сведений о выплаченных в эти годы дивидендах. Дивиденды могут не выплачиваться вообще, либо выплачиваться раз в несколько лет, либо несколько раз в год - это зависит от политики компаний. Поэтому реальная доходность акций может быть выше.
Часть 2. Транспортные задачи и логистика; задачи о назначениях и отборе.
Теоретические замечания.
Представление о том, что такое транспортная задача, у специалиста по исследованию операций и у менеджера отдела логистики очень сильно отличаются. С точки зрения менеджера, транспортные задачи - это любые задачи, связанные оптимизацией перевозок. Именно по этому принципу мы и собрали задачи и кейсы в раздел «Логистика». С точки зрения специалиста по исследованию операций, транспортная задача - это специальный вид задачи линейной оптимизации, для которой, в силу ее формулировки и в виду очень специальных ограничений, существуют исключительно эффективные алгоритмы решения. В этот тип попадают и такие реальные задачи, в которых ничего никуда не перевозится (примерами таких задач являются задачи 1.32, 2.1, 11.6 и 11.7, включенные в настоящий сборник).
Транспортная задача
Классическая транспортная задача имеет целью минимизацию транспортных издержек при перевозках однотипных грузов от нескольких поставщиков (с различных складов), расположенных в разных местах, к нескольким потребителям. При этом, в транспортной задаче, принимают в расчет только переменные транспортные издержки, т. е. считают, что суммарные издержки пропорциональны количеству перевезенных единиц груза.
При постановке транспортной задачи необходимо прежде всего задать таблицу транспортных издержек для перевозок единицы груза c (см )от i-го поставщика к у-му потребителю. Эта таблица имеет m строк (по числу поставщиков) и n столбцов (по числу потребителей).
Таблица перевозок Ху имеет те же размеры (mxn) и содержит переменные решения. Необходимо также задать запасы поставщиков, готовые к вывозу (на - это столбец S
i) и величины заказов потребителей (на рисунке - это строка
D).
В транспортной задаче предполагается, что необходимо вывести запасы каждого i-го поставщика и удовлетворить заказ каждого у-го потребителя. Это возможно только если сумма запасов всех поставщиков равна сумме заказов всех потребителей. Это важнейшее условие применимости тех самых эффективных алгоритмов, о которых мы упомянули, условие сбалансированности.
Ограничения транспортной задачи имеют очень простой вид: сумма переменных решения вдоль каждой i-ой строки должна быть равна запасу поставщика S,, а сумма переменных решения вдоль каждого j-го столбца должна быть равна заказу соответствующего потребителя Dj.
Наконец, чтобы получить целевую функцию (суммарные издержки), необходимо рассмотреть суммы произведений каждой строки таблицы транспортных издержек на соответствующую строку таблицы перевозок и сложить их, суммируя по i от 1 до т. Это и даст двойную сумму, показанную на . При этом номер источника ( поставщика), 1< i
|
|
( с и 11 |
С12 . |
С >
V1n |
|
(x11 |
x12 . |
x > • X1n |
|
(S ^ |
|
= |
С21 |
С22 . |
. С2
2 n |
, D) = |
Х21 |
x22 . |
. x2n |
, (S,) = |
S2 |
|
|
V Ст1 |
Ст2 . |
. С )
mn у |
|
V xm1 |
xm2 . |
. x
mn У |
|
m J |
|
Dj =(D„ A.....Dn)
n m
X(xv ~Si)=0 X(xv ~Di)=0, i = 1,2,...m, j = 1,2,...n
j=1 i=1
m n
Min: C=XXxc
i=1 j=1 |
Рис. 64
Если задача сбалансирована и никаких других ограничений, кроме упомянутых выше нет, Поиск решения использует эффективный алгоритм решения для этой задачи, причем, если запасы и заказы выражены целыми числами, то и переменные решения xij получатся целыми, даже если не требовать этого специально. Кроме того, гарантировано, что количество ненулевых перевозок xij не будет превышать m+n-1, т.е.количество «игроков» (поставщиков и потребителей) минус 1.
Несбалансированность в транспортной задаче
Если сумма запасов превышает сумму заказов (излишек запасов) или, наоборот сумма запасов меньше, чем сумма заказов (дефицит запасов) необходимо сбалансировать задачу.
В первом случае,
m n
Z s.>Z D,.
i=1 j=1
нужно добавить в таблицу транспортных издержек и в таблицу перевозок по одному лишнему столбцу.
Это можно трактовать так, как если бы появился еще один «фиктивный» потребитель. Если потребовать, чтобы заказ этого «потребителя» в точности равнялся бы разности между суммой всех запасов и суммой всех заказов
D„„ = Z S,-Z D,,
1=1 j=1
а издержки перевозок грузов к нему от любого поставщика равны нулю, будем иметь сбалансированную транспортную задачу. При этом переменные решения в последнем столбце дадут количество грузов, которые должны остаться на каждом из складов.
Во втором случае, когда
m n
Z S,D,.
1=1 j=1
нужно добавить в таблицу транспортных издержек и в таблицу перевозок по одной лишней строчке.
Это можно трактовать так, как если бы появился еще один «фиктивный» поставщик. Потребуем, чтобы запас этого «поставщика» в точности равнялся бы разности между суммой всех заказов и суммой всех запасов
nm
Sf„,=Z Dj-Z Si,
,=1 1=1
а издержки перевозок грузов от него к любому поставщику равны нулю. Вновь имеем сбалансированную транспортную задачу. При этом переменные решения в лишней строчке - это тот объем грузов, которые не получит каждый потребитель.
Заметим, что несбалансированные транспортные задачи можно, конечно, решать и просто заменив в соответствующих ограничениях знаки равенств на знаки нестрогих неравенств. Однако, при этом надо иметь в виду, что для решения такой задачи MS-Excel будет применять общие методы решения ЛП-задач, а не специфические «транспортные» алгоритмы. В результате эффективность решения может быть значительно ниже, и получение целочисленного решения не гарантируется.
Еще одно возможное осложнение транспортной задачи - это запрещение определенной перевозки от /-го поставщика к j-му потребителю для составляемого плана перевозок (ремонт дороги, неплатеж и пр.). В этом случае, естественно, можно просто ввести ограничение Xj =0. Однако, вновь это означает невозможность использования эффективных «транспортных» алгоритмов решения.
Чтобы сохранить форму транспортной задачи и учесть этот запрет, достаточно в таблице транспортных издержек заменить Cj на очень большое число (на порядок большее, чем максимальная цена перевозки в таблице транспортных издержек). Это фактически будет означать, что оптимизационный алгоритм наверняка положит соответствующее значение перевозки X/j равным нулю, поскольку перевозка по этому маршруту просто крайне невыгодна.
Подробнее о постановке и методах решения транспортной задачи читайте в учебных пособиях [1,2,7-11].
Задача о назначениях
Задача о назначениях - это модель для количественного анализа ситуаций, когда менеджер должен назначить рабочих для выполнения различных производственных операций, распределить ряд производственных заданий по различным машинам (которые могут эти задания выполнить с различной эффективностью), или решить какого торгового агента в какую область послать для продвижения продукции фирмы. Это распределение или назначение должно быть сделано либо из соображений наибольшей эффективности, либо из соображений наименьших затрат.
С математической точки зрения, задача о назначениях - это частный случай транспортной задачи, в которой число поставщиков (например, число рабочих или, иначе, поставщиков рабочей силы) в точности равно числу потребителей (“работ”, различных технологических операций). Поэтому таблица “транспортных издержек” (аналогом которых может выступать любая мера эффективности выполнения той или иной операции данным работником) должна быть квадратной.
Кроме того, в задаче о назначениях от каждого поставщика к каждому потребителю поставляется только одна единица “груза” (например, только одного рабочего можно назначить для выполнения данной работы), или ни одной. Поэтому все “запасы” и все “заказы” равны 1.
Понятно, что все переменные решения в задаче о назначениях могут принимать только значения 1 или 0. На первый взгляд, это похоже на задачи целочисленного линейной оптимизации. Однако, в силу упомянутых выше особенностей структуры ограничений транспортной задачи, явно требовать целочисленности переменных решения (их равенства только нулю или единице) не требуется. Такие значения получаются при решении автоматически. При этом, разумеется, «транспортные» алгоритмы решения гораздо более эффективны, чем алгоритмы решения задач целочисленного линейной оптимизации.
Задача о назначениях так же может быть несбалансированной, если количество рабочих (претендентов на работы) не равно количеству работ. Так же, как и в случае транспортной задачи, это осложнение разрешается добавлением дополнительного столбца и строки (фиктивной работы, если претендентов больше, чем работ, или фиктивного рабочего, если наоборот).
Подробнее о задаче о назначениях читайте в учебных пособиях [1,2,7-11].
Задачи оптимизации логистики и цепочек поставок.
Задачи, возникающие в деятельности отдела логистики часто гораздо сложнее и разнообразнее, чем простая транспортная задача, хотя последняя очень часто может входить в них как составная часть. Всякий раз, когда это возможно, нужно стремиться использовать правила решения транспортной задачи, описанные выше. Даже если решаемая задача «не вполне транспортная», практика показывает, что выполнение этих прпавил способствует повышению эффективности решения. Однако нужно иметь в виду, что любое дополнительное ограничение сверх описанных выше ограничений транспортной задачи, заставляет Поиск решения отказаться от специфических «транспортных» алгоритмов и решать задачу общим Симлекс-методом. Это, в свою очередь, означает, что переменные решения (объемы перевозок) могут оказаться нецелыми, а их количество будет превышать число поставщиков плюс число потребителей минус 1. В этом случае, неизбежно введение требования целочисленности переменных решения, что сильно усложняет задачи логистики.
Нередко, алгоритмы решения логистических задач, вообще не имеют ничего общего с транспортной задачей. Например, популярная практическая задача о выборе оптимального маршрута объезда нескольких клиентов, как будет показано ниже, сводится к весьма сложной задаче целочисленной линейной оптимизации.
Аналогично, задачи о выборе оптимального поставщика или задачи о назначениях с дополнительными условиями потребуют явного введения условия целочисленности.
Приемы решения задач
2.П-1. Дорстрой
С шести асфальтобетонных заводов должен вывозиться асфальт для строительства 5 участков автодорог области. Транспортные издержки при перевозках, разумеется, в общем различны (см. таблицу).
Транспортные издержки
|
|
Участок A |
Участок B |
Участок C |
Участок D |
Участок E |
|
АБЗ 16 |
1200 |
1250 |
850 |
900 |
1350 |
|
АБЗ 17 |
1250 |
950 |
1250 |
850 |
700 |
|
АБЗ 18 |
1400 |
1000 |
1200 |
1050 |
850 |
|
АБЗ 19 |
1350 |
850 |
800 |
750 |
1200 |
|
АБЗ 20 |
1300 |
650 |
1300 |
1050 |
1300 |
|
АБЗ 21 |
1500 |
850 |
1000 |
1250 |
700 |
|
Заказы дорожно-строительных бригад на завтра: |
|
|
Участок A |
Участок B |
Участок C |
Участок D |
Участок E |
|
Количество машин |
79 |
28 |
61 |
77 |
72 |
|
|
Заводы в состоянии предоставить завтра, |
|
Источник |
АБЗ 16 |
АБЗ 17 |
АБЗ 18 |
АБЗ 19 |
АБЗ 20 |
АБЗ 21 |
|
Кол-во машин |
65 |
46 |
52 |
29 |
28 |
67 |
|
чего, очевидно, недостаточно.
Менеджер подрядной организации хочет минимизировать транспортные расходы для данных условий.
a. Каковы наименьшие транспортные издержки?
b. Сколько машин и на какие участки будет недопоставлено?
c. После составления плана менеджер получил указание, по причинам неэкономического характера, план поставок асфальта для участка А необходимо выполнить полностью. Каковы транспортные издержки нового плана? Сколько машин и на какие участки будет недопоставлено в этом случае?
d. При утверждении нового плана у руководства, выяснилось, что из-за аварийного состояния моста перевозка асфальта с АБЗ 21 на участок Е по прямому маршруту невозможна. Объездной маршрут увеличивает стоимость рейса на 300 рублей. Насколько при этом возрастут транспортные расходы? Что выгоднее, оставить почти утвержденный план, несмотря на увеличении издержек, или составить новый план с учетом сложившейся ситуации?
e. Есть ли у задачи альтернативные решения?
Решение задачи.
В данном случае перед нами простая транспортная задача. Правда, дополнительные вопросы могут оказаться не такими уж простыми, но, в любом случае, задачу следует сначала решить в основной постановке.
Как обычно, сначала проверяем, сбалансирована ли задача, так как дисбаланс сразу нужно будет учесть при правильной организации данных на листе Excel. Общее количество машин асфальта, которые можно вывезти с заводов - 287 штук. Общий заказ дорожно-строительных бригад - 317 машин. Действительно, как и сказано в тексте задачи имеется дисбаланс заказов и запасов. Размер дисбаланса - 30 машин.
Для того, чтобы сбалансировать задачу нужно добавить недостающего поставщика асфальта мощностью в 30 машин в день. Учтем это при построении таблицы ().
|
|
A |
B |
C |
D |
E |
F |
G |
|
1 |
|
Участок A |
Участок B |
Участок C |
Участок D |
Участок E |
Планируется
отгрузить |
|
2 |
АБЗ 16 |
1200 |
1250 |
850 |
900 |
1350 |
65 |
|
3 |
АБЗ 17 |
1250 |
950 |
1250 |
850 |
700 |
46 |
|
4 |
АБЗ 18 |
1400 |
1000 |
1200 |
1050 |
850 |
52 |
|
5 |
АБЗ 19 |
1350 |
850 |
800 |
750 |
1200 |
29 |
|
6 |
АБЗ 20 |
1300 |
650 |
1300 |
1050 |
1300 |
28 |
|
7 |
АБЗ 21 |
1500 |
850 |
1000 |
1250 |
700 |
67 |
|
8 |
АБЗ Х |
0 |
0 |
0 |
0 |
0 |
30 |
|
9 |
Требуемо е кол-во |
79 |
28 |
61 |
77 |
72 |
^УММПРОИЗВ^:
F8;B12:F18) |
|
10 |
|
|
|
|
|
|
|
|
11 |
|
Участо к A |
Участо к B |
Участо к C |
Участо к D |
Участо к E |
Контроль отгрузки |
|
12 |
АБЗ 16 |
|
|
|
|
|
СУММ^ПЕП)-
G2 |
|
13 |
АБЗ 17 |
|
|
|
|
|
СУММ^ВЕВ)-
G3 |
|
14 |
АБЗ 18 |
|
|
|
|
|
СУММ^МЕМ)-
G4 |
|
15 |
АБЗ 19 |
|
|
|
|
|
СУММ^ИЕИ)-
G5 |
|
16 |
АБЗ 20 |
|
|
|
|
|
СУММф^Е^)-
G6 |
|
17 |
АБЗ 21 |
|
|
|
|
|
СУММ^ПЕП)-
G7 |
|
18 |
АБЗ Х |
|
|
|
|
|
СУММф^Е^)-
G8 |
|
19 |
Контроль
выполнен
ия заказов |
=СУМ
М^12:
B18)-
B9 |
=СУМ
М(02:
C18)-
C9 |
=СУМ
Мф12:
D18)-
D9 |
=СУМ
М^12:
E18)-E9 |
=СУМ
М^12:
F18)-F9 |
|
В данном случае фиктивный поставщик асфальта носит гордое имя АБЗ X. Как обычно, мы считаем все перевозки от фиктивного поставщика бесплатными.
Так как стоимость перевозок от отдельных поставщиков нас не интересует, мы рассчитываем сразу суммарную стоимость перевозок, перемножая таблицу перевозок B12:F18 на таблицу цен B2:F8 с помощью функции =СУММПРОИЗВ( ). Суммарная стоимость всех перевозок и есть целевая функция задачи (ячейка G9).
Стандартные условия транспортной задачи - должно быть доставлено ровно столько, сколько заказано, и должно быть вывезено все, что предложено -могут быть заданы с помощью записанных в строке B19:F19 и столбце G12:G18 выражений.
Вызываем надстройку Поиск решения и ставим задачу. Целевая ячейка -G9, цель - минимум издержек. Изменяемые ячейки - таблица перевозок B12:F18. Параметры решения - линейная модель и неотрицательные значения переменных. Ограничения - B19:F19=0 и G12:G18=0. Жмем кнопку Выполнить и получаем, если вы нигде не ошиблись, сообщение, что решение найдено ().
|
|
Участок A |
Участок B |
Участок C |
Участок D |
Участок E |
Планируется
отгрузить |
|
АБЗ 16 |
1200 |
1250 |
850 |
900 |
1350 |
65 |
|
АБЗ 17 |
1250 |
950 |
1250 |
850 |
700 |
46 |
|
АБЗ 18 |
1400 |
1000 |
1200 |
1050 |
850 |
52 |
|
АБЗ 19 |
1350 |
850 |
800 |
750 |
1200 |
29 |
|
АБЗ 20 |
1300 |
650 |
1300 |
1050 |
1300 |
28 |
|
АБЗ 21 |
1500 |
850 |
1000 |
1250 |
700 |
67 |
|
АБЗ Х |
|
|
|
|
|
30 |
Требуемое
кол-во |
79 |
28 |
61 |
77 |
72 |
251 950 |
|
|
|
|
|
|
|
|
|
|
Участо к A |
Участо к B |
Участо к C |
Участо к D |
Участо к E |
Контроль отгрузки |
|
АБЗ 16 |
4 |
0 |
61 |
0 |
0 |
-2.2E-09 |
|
АБЗ 17 |
0 |
0 |
0 |
46 |
0 |
-1.5E-09 |
|
АБЗ 18 |
45 |
0 |
0 |
2 |
5 |
-1.7E-09 |
|
АБЗ 19 |
0 |
0 |
0 |
29 |
0 |
6.8E-11 |
|
АБЗ 20 |
0 |
28 |
0 |
0 |
0 |
-2.0E-09 |
|
АБЗ 21 |
0 |
2.1E-09 |
0 |
0 |
67 |
-2.2E-09 |
|
АБЗ Х |
30 |
0 |
0 |
0 |
0 |
7.0E-11 |
Контроль
выполнен
ия заказов |
-2.6E-
09 |
6.53E-
11 |
-2E-09 |
-2.6E-
09 |
-2.4E-
09 |
|
|
|
Рис. 66 |
Напоминаем, что числа вида 2.1E-09 - это малые десятичные дроби в
научной форме записи. Надстройка Поиск решения, при заданной точности решения, не отличает их от нуля. Не будем придираться и мы, так как в остальном решение нас устраивает. План составлен, общие издержки - 251 950 руб. -минимальные из всех возможных при выполнении заказов бригад.
Как мы можем видеть, не повезло только бригаде, работающей на участке А. Все недопоставленные машины пришлись на их долю (перевозки от поставщика АБЗ Х).
Если мы хотим угодить некоему, оставшемуся неназванным лицу, и выполнить заказ участка А полностью, нужно как-то изменить таблицу цен. Дополнительные ограничения в задание для Поиска решения добавлять нежелательно, так как мы выйдем за рамки собственно транспортной задачи, чего без веских оснований делать не следует.
До сих пор мы не задавали в ценах перевозок от фиктивного поставщика разных цен. Но делали мы это именно потому, что хотели поставить всех клиентов в равные условия, по отношению к такому фиктивному поставщику. А что, если условия не равные? В таком случае мы можем поставить в качестве цены перевозки от АБЗ Х на участок А какое-нибудь большое число, которое фактически запретит данную перевозку для Поиска решения.
Ставим цену 10 тыс. за машину и вновь ищем решение ().
Требуемое
кол-во |
79 |
28 |
61 |
77 |
72 |
262 450 |
|
|
|
|
|
|
|
|
|
|
Участок A |
Участок B |
Участок C |
Участок D |
Участок E |
Контроль отгрузки |
|
АБЗ 16 |
34 |
0 |
31 |
0 |
0 |
-2.2E-09 |
|
АБЗ 17 |
0 |
0 |
0 |
46 |
0 |
-1.5E-09 |
|
АБЗ 18 |
45 |
0 |
0 |
2 |
5 |
-1.7E-09 |
|
АБЗ 19 |
0 |
0 |
0 |
29 |
0 |
6.8E-11 |
|
АБЗ 20 |
0 |
28 |
0 |
0 |
0 |
-2.0E-09 |
|
АБЗ 21 |
0 |
2.1E-09 |
0 |
0 |
67 |
-2.2E-09 |
|
АБЗ Х |
0 |
0 |
30 |
0 |
0 |
7.0E-11 |
|
|
Рис. 67 |
Теперь вся недопоставка пришлась на долю участка С. Общая цена вопроса 10.5 тыс. рублей - именно на столько возросли издержки перевозок после волевого решения выполнить план поставок на участок А.
Для ответа на вопрос d сначала изменим цену перевозки от АБЗ 21 на участок Е на 300 рублей и позволим Excel пересчитать текущие издержки. Получаем общие издержки в 282 550 рублей, что выше, чем в последнем плане перевозок на 20 100 руб. Это не удивительно, так как в соответствии с планом перевозок мы везли по этому маршруту 67 машин асфальта.
Попробуем оптимизировать план перевозок, для этого еще раз запустим Поиск решения.
Требуемое
кол-во |
79 |
28 |
61 |
77 |
72 |
271 450 |
|
|
|
|
|
|
|
|
|
|
Участок A |
Участок B |
Участок C |
Участок D |
Участок E |
Контроль отгрузки |
|
АБЗ 16 |
65 |
0 |
0 |
0 |
0 |
0.0E+00 |
|
АБЗ 17 |
0 |
0 |
0 |
18 |
28 |
0.0E+00 |
|
АБЗ 18 |
8 |
0 |
0 |
0 |
44 |
0.0E+00 |
|
АБЗ 19 |
0 |
0 |
0 |
29 |
0 |
0.0E+00 |
|
АБЗ 20 |
6 |
22 |
0 |
0 |
0 |
0.0E+00 |
|
АБЗ 21 |
0 |
6 |
61 |
0 |
0 |
0.0E+00 |
|
АБЗ Х |
0 |
0 |
0 |
30 |
0 |
0.0E+00 |
Как вы видите (), нам удалось отыграть у жестокой судьбы 11 100 рублей на составлении нового плана перевозок. В этом плане не повезло участку
D.
Что касается альтернативных решений, то повторный поиск к успеху не приводит. По-видимому, других решений этой задачи, приводящих к той же самой стоимости перевозок, нет.
2.П-2. Поставки двух видов продуктов
Менеджер отдела логистики составляет план перевозок продукции фирмы с 3 ее складских комплексов База 1, ... База 3 к четырем клиентам: X, Y, Z и W. Речь идет о перевозках двух видов продукции: A и B.
Стоимость перевозок для каждого вида продукции, исходя из расстояний и других обстоятельств, даны в таблице.
|
|
|
Клиент X |
Клиент Y |
Клиент Z |
Клиент W |
|
|
|
A |
B |
A |
B |
A |
B |
A |
B |
|
База 1 |
A |
595 |
|
480 |
|
455 |
|
430 |
|
|
B |
|
780 |
|
665 |
|
640 |
|
815 |
|
База 2 |
A |
435 |
|
530 |
|
480 |
|
485 |
|
|
B |
|
735 |
|
735 |
|
680 |
|
585 |
|
База 3 |
A |
545 |
|
465 |
|
525 |
|
440 |
|
|
B |
|
715 |
|
755 |
|
815 |
|
795 |
|
|
Клиенты заказывают следующие количества товаров A, B. |
|
|
Клиент X |
Клиент Y |
Клиент Z |
Клиент W |
|
|
A |
B |
A |
B |
A |
B |
A |
B |
|
Заказы, шт. |
15 |
20 |
22 |
26 |
12 |
22 |
32 |
42 |
|
|
На базах же в настоящий момент имеются следующие запасы товара: |
|
|
База 1 |
База 2 |
База 3 |
|
|
A |
B |
A |
B |
A |
B |
|
Запасы, шт. |
21 |
21 |
33 |
42 |
17 |
57 |
a. Составьте план перевозок, минимизирующий транспортные издержки. Если спрос по отдельным позициям удовлетворить невозможно, руководствуйтесь минимумом издержек для себя.
b. Каков наихудший план перевозок?
Решение задачи.
В обычных транспортных задачах речь идет о перевозках какого-то одного груза. В многопродуктовых же задачах рассматриваются перевозки грузов сразу нескольких типов. Очевидно, это больше соответствует реальной ситуации.
Для решения задачи можно использовать два подхода. Первый подход достаточно очевиден - нужно разделить задачу на две, по числу продуктов, предназначенных для перевозки. Каждая из двух задач будет при этом решаться обычным способом. Второй подход предполагает получение решения в одной задаче. Это может быть оправдано, если перевозки разных грузов будут как-то увязаны друг с другом.
Первый подход мы рассматривать не будем, так как никаких особенностей в решении отдельных задач нет. Будем решать задачу целиком.
Как обычно, прежде чем строить таблицу для решения задачи, проверим баланс. Общее количество груза в запасах 191 ед., общее количество заказанного груза - 191 ед. Общий баланс имеется. Но в этой задаче имеется два вида грузов, и общий баланс может не отражать балансов отдельных продуктов. Поэтому в данном случае нам придется проверять баланс по каждому продукту отдельно.
Теперь задача оказывается не сбалансированной по обоим продуктам: продукта А имеется в запасах 71 ед., а заказано клиентами 81 ед., продукта B в запасах 120 ед., а заказано клиентами 110 ед. Так что задачу придется балансировать искусственно.
Продукта А не хватает для удовлетворения клиентов, значит нужно добавить фиктивного поставщика с запасом продукта А в 10 единиц. Продукт В имеется в избытке, поэтому нужен дополнительный клиент, который закажет оставшиеся 10 единиц. Чтобы не загромождать таблицу будем считать, что фиктивный поставщик имеет только продукт А, а фиктивный клиент заказывает только продукт В. В этом случае мы получим следующую таблицу ().
В данной задаче в качестве целевой функции разумно выбрать полные издержки по перевозкам. Подсчитаем их по формуле
=СУММПРОИЗВ(С3:К9;С13:К19), где таблица C3:K9 содержит цены перевозок, а таблица переменных С13:К19 - количества грузов, перевозимые по каждому из допустимых маршрутов. Целью оптимизации, разумеется, выбираем поиск минимума.
В строке С20:К20 подсчитываем баланс выполнения заказов, а в столбце L13:L19 - баланс вывоза запасов.
В принципе, можно было бы ставить задачу Поиску решения, но давайте еще раз посмотрим таблицу цен перевозок. В исходной таблице цен пустые ячейки означали отсутствие соответствующей перевозки. Например, пустая ячейка D3 показывает, что никакой перевозки, способной при отгрузке получить 1 единицу продукта А с базы 1, а доставить 1 единицу продукта В клиенту Х не существует. Однако для надстройки Поиск решения пустая ячейка означает нулевую цену и такие перевозки будут запланированы. Поэтому нам следует запретить все подобные перевозки.
Как и в обычных задачах запретить перевозку по маршруту можно, поставив высокую цену перевозки. Давайте добавим в таблицу цен произвольное число, много большее любой из имеющихся цен, в каждую из оставшихся пустыми ячеек.
|
|
A |
B |
С 1 D |
Е 1 F |
G 1 H |
і 1 j |
K |
L 1 M |
N |
O |
|
1 |
|
|
Клиент X |
Клиент Y |
Клиент Z |
Клиент W |
*** |
Запасы |
|
|
|
2 |
|
|
A |
B |
A |
B |
A |
B |
A |
B |
B |
|
|
|
|
|
3 |
База
1 |
A |
595 |
9999 |
480 |
9999 |
455 |
9999 |
430 |
9999 |
|
21 |
|
|
|
|
4 |
B |
9999 |
780 |
9999 |
665 |
9999 |
640 |
9999 |
815 |
|
21 |
|
|
|
|
5 |
База
2 |
A |
435 |
9999 |
530 |
9999 |
480 |
9999 |
485 |
9999 |
|
33 |
|
|
|
|
6 |
B |
9999 |
735 |
9999 |
735 |
9999 |
680 |
9999 |
585 |
|
42 |
|
|
|
|
7 |
База
3 |
A |
545 |
9999 |
465 |
9999 |
525 |
9999 |
440 |
9999 |
|
17 |
|
|
|
|
8 |
B |
9999 |
715 |
9999 |
755 |
9999 |
815 |
9999 |
795 |
|
57 |
|
|
|
|
9 |
*** |
A |
|
|
|
|
|
|
|
|
|
10 |
|
|
|
|
10 |
Заказы |
15 |
20 |
22 |
26 |
12 |
22 |
32 |
42 |
10 |
=СУММПРОИЗВ |
|
11 |
|
|
|
|
|
|
|
(C3:K9;C13:K19) |
|
|
12 |
|
|
A |
B |
A |
B |
A |
B |
A |
B |
B |
Запасы |
|
|
|
13 |
База
1 |
A |
|
|
|
|
|
|
|
|
|
=СУММ(С13:К13)-Ь3 |
|
14 |
B |
|
|
|
|
|
|
|
|
|
=СУММ(С14:К14)-Ь4 |
|
15 |
База
2 |
A |
|
|
|
|
|
|
|
|
|
=СУММ(С15 :K15)-L5 |
|
16 |
B |
|
|
|
|
|
|
|
|
|
=СУММ(С16:К16)А6 |
|
17 |
База
3 |
A |
|
|
|
|
|
|
|
|
|
=СУММ(С17:К17)-Ь7 |
|
18 |
B |
|
|
|
|
|
|
|
|
|
=СУММ(С18:К18)А8 |
|
19 |
*** |
A |
|
|
|
|
|
|
|
|
|
=СУММ(С19:К19)-Ь9 |
|
20 |
|
|
=СУ |
=СУ |
=СУ |
=СУ |
=СУ |
=СУ |
=СУ |
=СУ |
=СУММ(К13:К19)-К10 |
|
|
Рис. 69 |
При этом цены фиктивных перевозок должны остаться равными 0.
Теперь можно искать решение.
В полученном решении () недостающие 10 единиц продукта А будут недопоставлены клиенту Y, а излишек продукта B целиком останется на базе 3.
|
|
A 1 B |
С |
D |
Е |
F |
G |
H |
I |
J |
K |
L |
|
10 |
Заказы |
15 |
20 |
22 |
26 |
12 |
22 |
32 |
42 |
10 |
104 760 |
|
11 |
|
|
|
|
|
|
|
|
|
12 |
|
|
A |
B |
A |
B |
A |
B |
A |
B |
B |
Запасы |
|
13 |
База
1 |
A |
0 |
0 |
0 |
0 |
0 |
0 |
21 |
0 |
0 |
0 |
|
14 |
B |
0 |
0 |
0 |
0 |
0 |
21 |
0 |
0 |
0 |
0 |
|
15 |
База
2 |
A |
15 |
0 |
0 |
0 |
12 |
0 |
6 |
0 |
0 |
0 |
|
16 |
B |
0 |
0 |
0 |
0 |
0 |
0 |
0 |
42 |
0 |
0 |
|
17 |
База
3 |
A |
0 |
0 |
12 |
0 |
0 |
0 |
5 |
0 |
0 |
0 |
|
18 |
B |
0 |
20 |
0 |
26 |
0 |
1 |
0 |
0 |
10 |
0 |
|
19 |
*** |
A |
0 |
0 |
10 |
0 |
0 |
0 |
0 |
0 |
0 |
0 |
|
20 |
|
|
0 |
0 |
0 |
0 |
0 |
0 |
0 |
0 |
0 |
|
|
|
Рис. 70 |
Минимальная общая стоимость перевозок составит 104 760 рублей.
Чтобы проверить, насколько полученный при оптимизации план лучше, чем другие возможные планы, поищем план, приносящий максимум издержек.
Для этого нужно будет модифицировать таблицу цен. Ведь мы ставили большую цену перевозки для запрещения некоторых маршрутов, а при поиске максимума такое запрещение можно реализовать, только поставив низкую цену.
Проще всего это сделать через меню Правка\Заменить... -> Найти: 10000, Заменить на: -10000, Заменить все.
После замены запускаем Поиск решения вновь и меняем цель поиска на максимум.
|
|
A |
B |
С 1 D |
E 1 F |
G | H |
i | j |
K |
L |
|
1 |
|
|
Клиент X |
Клиент Y |
Клиент Z |
Клиент W |
*** |
Запасы |
|
2 |
|
|
A |
B |
A |
B |
A |
B |
A |
B |
B |
|
|
3 |
База
1 |
A |
595 |
-9999 |
480 |
-9999 |
455 |
-9999 |
430 |
-9999 |
|
21 |
|
4 |
B |
-9999 |
780 |
-9999 |
665 |
-9999 |
640 |
-9999 |
815 |
|
21 |
|
5 |
База
2 |
A |
435 |
-9999 |
530 |
-9999 |
480 |
-9999 |
485 |
-9999 |
|
33 |
|
6 |
B |
-9999 |
735 |
-9999 |
735 |
-9999 |
680 |
-9999 |
585 |
|
42 |
|
7 |
База
3 |
A |
545 |
-9999 |
465 |
-9999 |
525 |
-9999 |
440 |
-9999 |
|
17 |
|
8 |
B |
-9999 |
715 |
-9999 |
755 |
-9999 |
815 |
-9999 |
795 |
|
57 |
|
9 |
*** |
A |
|
|
|
|
|
|
|
|
|
10 |
|
10 |
Заказы |
15 |
20 |
22 |
26 |
12 |
22 |
32 |
42 |
10 |
122 930 |
|
11 |
|
|
|
|
|
|
|
|
|
12 |
|
|
A |
B |
A |
B |
A |
B |
A |
B |
B |
Запасы |
|
13 |
База
1 |
A |
15 |
0 |
6 |
0 |
0 |
0 |
0 |
0 |
0 |
0 |
|
14 |
B |
0 |
14 |
0 |
0 |
0 |
0 |
0 |
7 |
0 |
0 |
|
15 |
База
2 |
A |
0 |
0 |
16 |
0 |
0 |
0 |
17 |
0 |
0 |
0 |
|
16 |
B |
0 |
6 |
0 |
26 |
0 |
0 |
0 |
0 |
10 |
0 |
|
17 |
База
3 |
A |
0 |
0 |
0 |
0 |
12 |
0 |
5 |
0 |
0 |
0 |
|
18 |
B |
0 |
0 |
0 |
0 |
0 |
22 |
0 |
35 |
0 |
0 |
|
19 |
*** |
A |
0 |
0 |
0 |
0 |
0 |
0 |
10 |
0 |
0 |
0 |
|
20 |
|
|
0 |
0 |
0 |
0 |
0 |
0 |
0 |
0 |
0 |
|
|
|
Рис. 71 |
В полученном решении () суммарная стоимость перевозок
возрастает до 122930 рублей. Таким образом, наихудший план отличается от лучшего меньше чем на 20%, что дает определенную свободу выбора среди возможных планов перевозок.
2.П-3. Компью-Нет
Зам директора по персоналу фирмы «Компью-Нет» должен составить 6 пар-команд из техника-программиста и специалиста по маркетингу для работы по установке компьютерных сетей по индивидуальным требованиям клиентов. Пары составляются из вновь набранных сотрудников, среди которых проведен специальный психологический тест на взаимную совместимость. Индекс совместимости варьирует от 20 (выраженная враждебность) до 1 (возможность
|
|
Аня |
Маша |
Катя |
Лиза |
Ольга |
Софья |
|
Иван |
3 |
4 |
9 |
18 |
9 |
6 |
|
Михаил |
16 |
8 |
12 |
13 |
20 |
4 |
|
Павел |
8 |
6 |
13 |
1 |
6 |
9 |
|
Николай |
16 |
9 |
6 |
8 |
1 |
11 |
|
Алексей |
8 |
12 |
17 |
5 |
3 |
5 |
|
Петр |
2 |
9 |
1 |
10 |
5 |
17 |
a. Определите такое распределение по парам, которое обращает в минимум суммарный индекс совместимости.
b. Каков наихудший индекс совместимости у отобранных пар?
c. Определите, сколько имеется лучших, в смысле суммарного индекса, решений.
d. Можно ли так подобрать пары, чтобы ни один индекс совместимости не превышал 6?
Решение задачи.
В данном случае, учитывая что каждый из сотрудников должен быть назначен только один раз (составляются пары), задачу можно сразу определить, как задачу о назначениях. Так как количество программистов равно количеству специалистов по маркетингу (их по шесть человек), то задача сбалансирована. По условию задачи никаких запретов на составление определенных пар нет, следовательно, эта задача не содержит никаких осложнений. Поэтому прямо решаем ее по стандартной схеме.
Сначала скопируем таблицу данных и вставим ее чуть ниже по странице. Выделим в ней область данных и сотрем их - в освобожденных ячейках, в данном случае B11:G16, будут располагаться переменные задачи ()
|
|
A |
B |
C |
D |
E |
F |
G |
H |
I |
J |
K |
L |
M |
|
1 |
|
Аня |
Маша |
Катя |
Лиза |
Ольга |
Софья |
|
|
|
|
|
|
|
2 |
Иван |
3 |
4 |
9 |
18 |
9 |
6 |
1 |
=СУММПРОИЗВ (B2:G2;B11:G11) |
|
3 |
Михаил |
16 |
8 |
12 |
13 |
20 |
4 |
1 |
=СУММПРОИЗВ(B3:G3;B12:G12) |
|
4 |
Павел |
8 |
6 |
13 |
1 |
6 |
9 |
1 |
=СУММПРОИЗВ(B4:G4;B13:G13) |
|
5 |
Николай |
16 |
9 |
6 |
8 |
1 |
11 |
1 |
^’УМ^^ОтВ^^^М^М) |
|
6 |
Алексей |
8 |
12 |
17 |
5 |
3 |
5 |
1 |
=СУММПРОИЗВ (B6:G6;B15:G15) |
|
7 |
Петр |
2 |
9 |
1 |
10 |
5 |
17 |
1 |
=СУММПРОИЗВ (B7:G7;B16:G16) |
|
8 |
|
1 |
1 |
1 |
1 |
1 |
1 |
|
=СУММПРОИЗВ (B2:G7;B 11:G16) |
|
9 |
|
|
|
|
|
|
|
|
|
|
|
|
|
|
10 |
|
Аня |
Маша |
Катя |
Лиза |
Ольга |
Софья |
|
|
|
|
|
|
|
11 |
Иван |
0 |
0 |
0 |
0 |
0 |
0 |
^’уммшшп) |
|
|
|
|
12 |
Михаил |
0 |
0 |
0 |
0 |
0 |
0 |
^УММ^^^П) |
|
|
|
|
13 |
Павел |
0 |
0 |
0 |
0 |
0 |
0 |
^УММ^^^П) |
|
|
|
|
14 |
Николай |
0 |
1 |
0 |
0 |
0 |
0 |
^УММ^М^М) |
|
|
|
|
15 |
Алексей |
0 |
0 |
0 |
0 |
0 |
0 |
^УММ^^^^) |
|
|
|
|
16 |
Петр |
0 |
0 |
0 |
0 |
0 |
0 |
^умм^^^^) |
|
|
|
|
17 |
|
=СУМ |
=СУМ |
=СУ |
=СУМ |
=СУМ |
=СУММ^1Ш16) |
|
|
|
|
|
|
Рис. 72 |
Так как эта задача - задача о назначениях, то переменные должны в итоге принять какое-либо из двух возможных значений: 0 или 1. Значение переменной 1 в ячейке С14, к примеру, означает, что будет создана команда из программиста Николая и специалиста по маркетингу Маши. И напротив, если в ячейке, находящейся на пересечении некоторого столбца и некоей строки, содержится 0, значит, данная команда не будет создана. При этом, если найти суммы переменных по столбцам или строкам, как это сделано в представленной таблице, то все они в правильном решении должны оказаться равными 1. Это будет означать, что каждый из программистов назначен только в одну команду, как и каждый из специалистов по маркетингу.
В таком случае, для переменных, принимающих только значения 0 и 1, в каждой строке и в каждом столбце переменных будет содержаться только одна единица, а все остальные переменные останутся нулевыми.
Далее, для построения целевой функции, нужно рассчитать суммарный индекс совместимости команд. Его можно вычислить используя всего одну хорошо известную нам формулу =СУММПРОИЗВ( ), если применить ее не для двух строк или столбцов, а для двух таблиц. Разумеется размер таблиц так же должен совпадать.
Итак, запишем в ячейку I8 формулу: =СУММПРОИЗВ(Б2:07;Б11:016). Если в нижней таблице - таблице переменных B11:G16 - будут содержаться только нули и шесть единиц, формирующих пары, результатом выполнения функции станет сумма индексов совместимости для всех шести пар. При показанном в таблице () состоянии переменных результатом вычисления функции будет число 9, на которое умножится единственная единица, соответствующая паре Маша-Николай.
Вообще говоря, тут уже можно было бы поставить задачу Поиску решения. Однако заметим, что во втором вопросе идет речь об индексах совместимости для каждой пары, а этой информации мы не имеем, так как вычислили сразу сумму. Давайте вычислим индексы для каждой пары отдельно.
Если записать в ячейке I2 формулу =СУММПРОИЗВ(В2^2;В11^11), то мы сможем вычислить индекс пары, которую техник-программист Иван составит с кем-либо из специалистов по маркетингу. Протягивая формулу вниз, на ячейки I3:I7, мы получим такие индексы для всех остальных пар, так как в каждую пару обязательно входит один из техников-программистов.
Безусловно, можно было бы вычислять индексы и для пар, составляемых специалистами по маркетингу с кем-либо из программистов. Для этого в строке Б9 нужно было ввести формулу =СУММПРОИЗВ(В11:В16;В2:В7), и протянуть ее вправо. Результат, в смысле составляемых пар, в обоих случаях один и тот же.
Теперь все готово для решения задачи. Вызываем Поиск решения и указываем целевую ячейку - I8. Так как чем меньше индекс, тем лучше, в качестве цели указываем поиск минимума. Переменные задачи B11:G16. В параметрах обязательно указываем, что подразумевается линейная модель и что переменные неотрицательны. Ограничений в задаче о назначениях, как и в транспортных задачах, должно быть всего 2 (групповых). Ограничение H11:H16=H2:H7 требует, чтобы каждый из техников-программистов был назначен только один раз (столбец H2:H7 содержит только единицы), а ограничение B17:G17=B8:G8 требует того же для специалистов по маркетингу.
Замечание: В ограничениях можно было бы написать и H11:H16=1 и B17:G17=1, однако это было бы не в духе идеологии Excel. Первый способ является более гибким для модификации и исследования исходной задачи. В прочих задачах вы в этом убедитесь. Кроме этого, в такой форме записи ограничений задача о назначениях полностью совпадает с транспортной, что позволяет использовать для решения нескольких разных задач один и тот же однажды сделанный шаблон.
Хотя мы ожидаем получить в качестве решения задачи двоичные значения переменных, нет необходимости вводить это в качестве дополнительного ограничения задачи. Напоминаем, что для решения транспортных задач, используется особый алгоритм в Поиске решения, при котором переменные автоматически остаются целыми. Этот алгоритм очень быстр, он может быть в тысячи раз быстрее алгоритма «ветвей и границ», с помощью которого решаются линейные задачи с целочисленными переменными. И хотя на простых задачах с малым числом переменных этого можно и не заметить, но для реальных задач разница будет весьма существенной.
Результатом решения будет следующая таблица ().
Суммарный индекс совместимости равен 19. Таблица переменных дает распределение по парам: Иван-Аня, Михаил-Маша, Павел-Лиза, Николай-Ольга,
|
|
A |
B |
C |
D |
E |
F |
G |
H |
I |
|
1 |
|
Аня |
Маша |
Катя |
Лиза |
Ольга |
Софья |
|
|
|
2 |
Иван |
3 |
4 |
9 |
18 |
9 |
6 |
1 |
3 |
|
3 |
Михаил |
16 |
8 |
12 |
13 |
20 |
4 |
1 |
8 |
|
4 |
Павел |
8 |
6 |
13 |
1 |
6 |
9 |
1 |
1 |
|
5 |
Николай |
16 |
9 |
6 |
8 |
1 |
11 |
1 |
1 |
|
6 |
Алексей |
8 |
12 |
17 |
5 |
3 |
5 |
1 |
5 |
|
7 |
Петр |
2 |
9 |
1 |
10 |
5 |
17 |
1 |
1 |
|
8 |
|
1 |
1 |
1 |
1 |
1 |
1 |
|
19 |
|
9 |
|
|
|
|
|
|
|
|
|
|
10 |
|
Аня |
Маша |
Катя |
Лиза |
Ольга |
Софья |
|
|
|
11 |
Иван |
1 |
0 |
0 |
0 |
0 |
0 |
1 |
|
|
12 |
Михаил |
0 |
1 |
0 |
0 |
0 |
0 |
1 |
|
|
13 |
Павел |
0 |
0 |
0 |
1 |
0 |
0 |
1 |
|
|
14 |
Николай |
0 |
0 |
0 |
0 |
1 |
0 |
1 |
|
|
15 |
Алексей |
0 |
0 |
0 |
0 |
0 |
1 |
1 |
|
|
16 |
Петр |
0 |
0 |
1 |
0 |
0 |
0 |
1 |
|
|
17 |
|
1 |
1 |
1 |
1 |
1 |
1 |
|
|
Рис. 73
В полученном решении индексы совместимости пар принимают значения от 1 до 8, где 8 и есть наихудший индекс среди всех пар. Следует отметить, что и он ниже границы безразличия (10).
При решении задачи мы молчаливо предполагали, что решение будет единственным, но, вообще говоря, это далеко не всегда так. Вполне вероятно, что таблица совместимостей допускает несколько разбиений по парам, дающих одинаковый результат в смысле суммарного индекса. Может оказаться, что для наилучшего суммарного индекса так же имеется несколько возможных составов пар.
К сожалению, надстройка Поиск решения не имеет какого-либо механизма, позволяющего получить все такие решения. Можно, однако, получив одно решение, запустить Поиск решения еще раз, не обнуляя переменные. В случае, если есть и другие решения, новое решение будет получено. Несколько раз запуская Поиск решения и сохраняя полученный результат вы можете получить набор вариантов разбиения, имеющих различные индексы пар, но одинаковый суммарный индекс.
В этой задаче вы можете получить два разных разбиения по парам, одно показано выше, а второе имеет следующий набор индексов пар: 4, 4, 1, 1, 8, 1.
К сожалению, возможность получить несколько решений, из-за каких-то особенностей надстройки Поиск решения, зависит от неизвестных нам параметров настройки компьютера, на котором делается расчет. В некоторых случаях удается получить только одно решение и попытки пересчета ни к чему не приводят. Если есть возможность, попробуйте сделать расчеты на разных компьютерах.
Чтобы вернуться к исходному решению следует стереть все переменные и повторить расчет.
Итак, имеется 2 решения задачи с суммарным индексом совместимости 19. Так как в обоих решениях самый плохой индекс 8, то ни одно из них не имеет какого-либо преимущества.
Ответ на последний вопрос (d) не представляет особенных проблем, в смысле организации задачи. Но зато поднимает целый пласт интересных вопросов, часть из которых мы сейчас обсудим.
Как мы увидели при поиске оптимального решения, во всех альтернативных планах решения лучше, чем с максимальным индексом 8, нет. Но значит ли это, что вообще плана с индексами не хуже 6 не существует? Разумеется, нет.
Вполне могут существовать множество планов с индексами не хуже 6, но зато с суммарным индексом выше 19! Поиск решения, естественно, игнорирует эти планы, потому что ищет план с наименьшим суммарным индексом. Но мы готовы пойти на ухудшение суммарного индекса, если максимальный из индексов команд будет меньше 8.
Здесь уместно напомнить, что в задаче оптимизации можно поставить только одну цель. В случае же, если нужно достичь нескольких целей приходится создавать некий синтетический показатель. Либо, кроме главной цели, задавать дополнительные ограничения, направленные на получение не слишком плохого результата по другим вашим требованиям. В данной задаче мы были заинтересованы, чтобы индексы всех пар были минимальными. Так как поставить такую задачу нельзя, использовали синтетический показатель - суммарный индекс. Однако полученное решение нас не устраивает, поэтому остается только один путь - добавить новые ограничения.
Попробуем потребовать, чтобы ни один индекс совместимости команд не превышал 6: I2:I7<=6. Добавляем это ограничение в список Поиска решения и запускаем на выполнение.
|
|
A |
B |
C |
D |
E |
F |
G |
H |
I |
|
1 |
|
Аня |
Маша |
Катя |
Лиза |
Ольга |
Софья |
|
|
|
2 |
Иван |
3 |
4 |
9 |
18 |
9 |
6 |
1 |
3.5 |
|
3 |
Михаил |
16 |
8 |
12 |
13 |
20 |
4 |
1 |
6 |
|
4 |
Павел |
8 |
6 |
13 |
1 |
6 |
9 |
1 |
1 |
|
5 |
Николай |
16 |
9 |
6 |
8 |
1 |
11 |
1 |
1.5 |
|
6 |
Алексей |
8 |
12 |
17 |
5 |
3 |
5 |
1 |
6 |
|
7 |
Петр |
2 |
9 |
1 |
10 |
5 |
17 |
1 |
1.1 |
|
8 |
|
1 |
1 |
1 |
1 |
1 |
1 |
|
19.1 |
|
9 |
|
|
|
|
|
|
|
|
|
|
10 |
|
Аня |
Маша |
Катя |
Лиза |
Ольга |
Софья |
|
|
|
11 |
Иван |
0.5 |
0.5 |
0 |
0 |
0 |
0 |
1 |
|
|
12 |
Михаил |
0 |
0.5 |
0 |
0 |
0 |
0.5 |
1 |
|
|
13 |
Павел |
0 |
0 |
0 |
1 |
0 |
0 |
1 |
|
|
14 |
Николай |
0 |
0 |
0.1 |
0 |
0.9 |
0 |
1 |
|
|
15 |
Алексей |
0.4 |
0 |
0 |
0 |
0.1 |
0.5 |
1 |
|
|
16 |
Петр |
0.1 |
0 |
0.9 |
0 |
0 |
0 |
1 |
|
|
17 |
|
1 |
1 |
1 |
1 |
1 |
1 |
|
|
Первое, на что следует обратить внимание, это факт, что требуемое решение найдено. Теперь рассмотрим полученное решение внимательней ( ). _
Рис. 74.
При ближайшем рассмотрении оказывается, что это не совсем то, чего мы ожидали. Более того, это решение не соответствует никакой реальной ситуации, ведь взвешивать индексы совместимости бессмысленно. Команда с плохим индексом совместимости работает плохо, пусть даже время ее работы невелико.
Но почему получилось решение не в целых числах, если транспортный алгоритм оперирует целыми значениями? Очевидно потому, что Поиск решения вовсе и не использовал транспортный алгоритм. Для поиска решения этой задачи использован стандартный симплекс-метод, потому и получились дробные величины назначений.
В задачах линейной оптимизации для «борьбы» с нецелыми решениями мы использовали целые или двоичные ограничения на переменные. Поступим здесь так же, добавим условие, что все переменные - двоичные (0 или 1) и снова попробуем решить задачу ().
|
|
A |
B |
C |
D |
E |
F |
G |
H |
I |
|
1 |
|
Аня |
Маша |
Катя |
Лиза |
Ольга |
Софья |
|
|
|
2 |
Иван |
3 |
4 |
9 |
18 |
9 |
6 |
1 |
4 |
|
3 |
Михаил |
16 |
8 |
12 |
13 |
20 |
4 |
1 |
4 |
|
4 |
Павел |
8 |
6 |
13 |
1 |
6 |
9 |
1 |
1 |
|
5 |
Николай |
16 |
9 |
6 |
8 |
1 |
11 |
1 |
6 |
|
6 |
Алексей |
8 |
12 |
17 |
5 |
3 |
5 |
1 |
3 |
|
7 |
Петр |
2 |
9 |
1 |
10 |
5 |
17 |
1 |
2 |
|
8 |
|
1 |
1 |
1 |
1 |
1 |
1 |
|
20 |
|
9 |
|
|
|
|
|
|
|
|
|
|
10 |
|
Аня |
Маша |
Катя |
Лиза |
Ольга |
Софья |
|
|
|
11 |
Иван |
0 |
1 |
0 |
0 |
0 |
0 |
1 |
|
|
12 |
Михаил |
0 |
0 |
0 |
0 |
0 |
1 |
1 |
|
|
13 |
Павел |
0 |
0 |
0 |
1 |
0 |
0 |
1 |
|
|
14 |
Николай |
0 |
0 |
1 |
0 |
0 |
0 |
1 |
|
|
15 |
Алексей |
0 |
0 |
0 |
0 |
1 |
0 |
1 |
|
|
16 |
Петр |
1 |
0 |
0 |
0 |
0 |
0 |
1 |
|
|
17 |
|
1 |
1 |
1 |
1 |
1 |
1 |
|
|
Рис. 75
В данном случае решение так же найдено и теперь удовлетворяет всем нашим ожиданиям. Да, максимальный коэффициент 6. Да, все назначения либо 0, либо 1. И, наконец, суммарный индекс выше, чем в оптимальном решении, полученном нами ранее.
Задача решена. Но давайте проделаем еще небольшое исследование.
Если проверить в исходной таблице индексов совместимости команд минимальные индексы совместимости для каждого техника-программиста и специалиста по маркетингу, то можно увидеть, что самые большие индексы (из минимальных!) равны 4. Это означает, что в принципе, может существовать решение, где все коэффициенты не хуже 4!
По той же таблице можно проанализировать, действительно ли такое решение возможно. Однако, во-первых, быстрее изменить ограничение в Поиске решения и получить ответ автоматически, а во-вторых, все равно для большой таблицы такой анализ «вручную» невозможен. Поэтому изменим ограничение I2:I7<=6 на I2:I7<=4 и снова поищем решение.
Увы, Поиск решения сообщает, что решение не найдено. Это означает, что нельзя назначить 6 пар так, чтобы коэффициенты были не хуже 4. А если не хуже 5?
Проверяем и убеждаемся, что такого решения тоже не существует. Придется остановиться на коэффициентах не хуже 6.
Обратите внимание, что если после получения резюме Поиска решения о том, что решение не найдено, нажать кнопку OK, на листе с задачей сохранится НЕ решение, а просто итог поиска. Состояние задачи, на котором надстройка пришла к заключению, что решения не существует. Например такой ().
|
|
A |
B |
C |
D |
E |
F |
G |
H |
I |
|
1 |
|
Аня |
Маша |
Катя |
Лиза |
Ольга |
Софья |
|
|
|
2 |
Иван |
3 |
4 |
9 |
18 |
9 |
6 |
1 |
3.75 |
|
3 |
Михаил |
16 |
8 |
12 |
13 |
20 |
4 |
1 |
5 |
|
4 |
Павел |
8 |
6 |
13 |
1 |
6 |
9 |
1 |
1 |
|
5 |
Николай |
16 |
9 |
6 |
8 |
1 |
11 |
1 |
3.25 |
|
6 |
Алексей |
8 |
12 |
17 |
5 |
3 |
5 |
1 |
5 |
|
7 |
Петр |
2 |
9 |
1 |
10 |
5 |
17 |
1 |
1.45 |
|
8 |
|
1 |
1 |
1 |
1 |
1 |
1 |
|
19.45 |
|
9 |
|
|
|
|
|
|
|
|
|
|
10 |
|
Аня |
Маша |
Катя |
Лиза |
Ольга |
Софья |
|
|
|
11 |
Иван |
0.25 |
0.75 |
0 |
0 |
0 |
0 |
1 |
|
|
12 |
Михаил |
0 |
0.25 |
0 |
0 |
0 |
0.75 |
1 |
|
|
13 |
Павел |
0 |
2E-15 |
0 |
1 |
0 |
0 |
1 |
|
|
14 |
Николай |
0 |
0 |
0.45 |
0 |
0.55 |
0 |
1 |
|
|
15 |
Алексей |
0.3 |
0 |
0 |
0 |
0.45 |
0.25 |
1 |
|
|
16 |
Петр |
0.45 |
0 |
0.55 |
0 |
0 |
0 |
1 |
|
|
17 |
|
1 |
1 |
1 |
1 |
1 |
1 |
|
|
Рис. 76
Зачастую такой результат может подсказать, какое условие не удается выполнить. В таком случае Поиск решения останавливается в состоянии, когда удовлетворены все условия, кроме одного, и это можно увидеть.
В случае, если не выполнены несколько условий, по такой итоговой таблице обычно мало что удается понять.
Еще одно замечание. Иногда задание дополнительного ограничения на индексы команд или другие соответствующие им величины в транспортных задачах и задачах о назначениях не приводят к появлению дробных назначений. Значит ли это, что был использован транспортный алгоритм?
Отнюдь. Просто оказалось, что решение в целых числах приводит к оптимальному решению. В разобранной задаче не целочисленное решение имело суммарный индекс 19.1, а целочисленное - 20. Поэтому алгоритм поиска решения и остановился на дробных назначениях. Если бы целочисленное решение было лучше всех остальных, его бы мы и увидели, как результат оптимизации.
2.П-4. Распределение аудиторов по фирмам
Менеджер - координатор аудиторской фирмы должен распределить аудиторов для работы на следующий месяц. Аудиторы различаются по квалификации и опыту работы. Прежде чем приступить к аудиту конкретной фирмы они должны затратить определенное время на подготовку и консультации. В данный момент имеются заявки от 10 клиентов. Менеджер - координатор, учитывая опыт работ аудиторов каждой конторы, оценил время, необходимое «среднему» аудитора каждой конторы для подготовки к аудиту конкретного клиента. Результаты представлены в таблице.
|
Конторы |
Клиенты |
Число
сотруд
ников |
|
1 |
2 |
3 |
4 |
5 |
6 |
7 |
8 |
9 |
10 |
|
Гаапвилл |
8 |
21 |
15 |
13 |
9 |
17 |
18 |
7 |
26 |
9 |
35 |
|
Финанстаун |
14 |
18 |
17 |
19 |
12 |
6 |
|
15 |
24 |
13 |
20 |
|
Исабург |
9 |
15 |
18 |
16 |
16 |
15 |
11 |
13 |
21 |
19 |
25 |
|
Нью-Баланс |
11 |
|
14 |
7 |
23 |
9 |
6 |
18 |
|
7 |
10 |
|
Заявки |
4 |
9 |
2 |
12 |
7 |
6 |
9 |
3 |
18 |
5 |
|
a. Распределите аудиторов так, чтобы суммарные временные затраты на подготовку были бы минимальны. Пропуски в некоторых клетках таблицы означают, что аудиторы данной конторы не имеют опыт аудита в отрасли, к которой относится данный клиент, и не должны к нему посылаться.
b. Найдите оптимальное распределение аудиторов в случае, если назначение клиенту аудиторов только из одной конторы нежелательно.
Решение задачи.
В данном случае мы имеем дело с транспортной задачей, так как аудиторы из одной конторы могут быть назначены разным клиентам одновременно, т.е. мы не ищем только соответствия контора - клиент. Следовательно, в задаче требуется найти, сколько аудиторов из Гаапвила будет назначено 1-му, 2-му. 3-ему, ... 10-му клиентам, сколько аудиторов из Финанстауна будет назначено 1-му, 2-му. 3-ему, ... 10-му клиентам и т.д. для остальных контор. В соответствии с этим в задаче должно быть не менее чем 40 переменных (4 конторы х 10 клиентов). Однако прежде чем строить задачу необходимо убедиться, что задача сбалансирована.
Считаем общее число аудиторов в конторах - 90 человек. Считаем общее число аудиторов в заявках - 75 человек. Т.о. необходимого баланса нет. Так как аудиторов больше, чем упомянуто в заявках клиентов, то нам недостает клиентов, которые заказали бы оставшихся 15 аудиторов. Так как нам выгодно стремиться к меньшему количеству переменных, введем одного дополнительного фиктивного клиента под именем «не использованы» и в качестве заказа укажем ему оставшихся 15 аудиторов. При этом будем иметь ввиду, что все аудиторы, назначенные данному клиенту в действительности останутся не занятыми. Этот фиктивный клиент нужен только для приведения задачи к стандартному транспортному виду.
В качестве примера организации данных на листе Excel можно предложить следующую таблицу ().
|
|
A |
B |
C |
D |
E |
F |
G |
H |
I |
J |
K |
L |
M |
|
1 |
Конторы |
Клиенты |
Не
исп |
Число
сотрудников |
|
2 |
1 |
2 |
3 |
4 |
5 |
6 |
7 |
8 |
9 |
10 |
|
3 |
Гаапвилл |
8 |
21 |
15 |
13 |
9 |
17 |
18 |
7 |
26 |
9 |
|
35 |
|
4 |
Финанста
ун |
14 |
18 |
17 |
19 |
12 |
6 |
99 |
15 |
24 |
13 |
|
20 |
|
5 |
Исабург |
9 |
15 |
18 |
16 |
16 |
15 |
11 |
13 |
21 |
19 |
|
25 |
|
6 |
Нью-
Баланс |
11 |
99 |
14 |
7 |
23 |
9 |
6 |
18 |
99 |
7 |
|
10 |
|
7 |
Заявки |
4 |
9 |
2 |
12 |
7 |
6 |
9 |
3 |
18 |
5 |
15 |
=СУММПРОИЗ
В(
B3:L6;B11:L14) |
|
8 |
|
|
|
|
|
|
|
|
|
|
|
|
|
|
9 |
Конторы |
Клиенты |
Не
исп |
Число
сотрудников |
|
10 |
1 |
2 |
3 |
4 |
5 |
6 |
7 |
8 |
9 |
10 |
|
11 |
Гаапвилл |
|
|
|
|
|
|
|
|
|
|
|
^УММфП^
1)-M3 |
|
12 |
Финанста
ун |
|
|
|
|
|
|
|
|
|
|
|
-20 |
|
13 |
Исабург |
|
|
|
|
|
|
|
|
|
|
|
-25 |
|
14 |
Нью-
Баланс |
|
|
|
|
|
|
|
|
|
|
|
-10 |
|
15 |
Заявки |
=СУММ
B7 |
1(B1 |
:B14)- |
-6 |
-9 |
-3 |
-18 |
-5 |
-15 |
|
|
|
Рис. 77 |
Обратите внимание на изменение исходной таблицы временных затрат на подготовку к аудиту.
Во-первых, временные затраты для добавочного фиктивного клиента не заданы вообще. Правильно ли это? На самом деле, так как в Excel пустые ячейки при вычислениях полагаются содержащими 0, временные затраты заданы и равны 0. Можно ли задать какое-либо другое значение в этих ячейках? Вообще-то можно, результаты минимизации при этом не изменятся. Однако какое число вы могли бы подставить вместо нулей? Видимо, любое произвольное число. Но, так как часть аудиторов будет неизбежно назначена этому фиктивному клиенту, заданное вами произвольное число войдет в целевую функцию, являющуюся суммарными временными затратами всех аудиторов! Таким образом целевая функция будет показывать не реальные временные затраты, а некий индекс. Его, разумеется, можно пересчитать к реальным временным затратам, вычтя из него 15 умноженное на заданное вами произвольное число. А это, в свою очередь, эквивалентно тому, что вы сразу зададите в качестве временных затрат для фиктивного клиента нулевые значения.
Заметьте еще, что если бы вы задали в качестве временных затрат для фиктивного клиента не равные величины, то и результаты минимизации могли бы оказаться неправильными. Это могло случиться, если бы введенные вами временные затраты были в том же диапазоне, что и имеющиеся в исходной таблице данные, т.е. от 6 до 26.
Во-вторых, в пустых ячейках проставлено число 99. Эти изменения связаны с необходимостью запретить назначения аудиторов из Финанстауна седьмому клиенту и аудиторов из Нью-Баланс - второму и девятому клиентам. Здесь уместно напомнить, что в транспортной задаче не должно быть лишних ограничений. По существу их всего два - все заказы должны быть в точности исполнены и все аудиторы должны быть распределены по клиентам. Поэтому писать в ограничениях Поиска решения что-то вроде переменная C14=0 не следует. Нужно просто задать в таблице такое произвольное значение времени подготовки, чтобы Поиск решения сам отказался от нежелательных для вас назначений. Так как мы будем искать минимум временных затрат, то следует, очевидно, записать в пустых ячейках какие-либо числа, гораздо большие самого большого числа в таблице. Мы уже находили это число (26), следовательно, можно эффективно запретить назначения, записав в пустые ячейки 100, или 1000, или 10000 и т.д. Мы проставили число 99 исключительно с целью уменьшить ширину таблицы для данной книги.
Если бы целью задачи был поиск максимума (допустим речь шла бы о прибыли), то для запрещения следовало бы использовать число, гораздо меньшее наименьшего из таблицы, в том числе и отрицательное.
А теперь задумайтесь, почему мы в данном случае недрогнувшей рукой вписали в пустые ячейки число, взятое с потолка, в то время как немногим раньше убеждали вас, что писать что-либо отличное от нуля в пустые ячейки временных затрат для фиктивного клиента не следует ни в коем случае?
Конечно, это именно потому, что соответствующие назначения в случае с запретами не будут сделаны! А раз переменные в таблице снизу C14, H12 и J14 останутся равными 0, то на какое бы число мы их не умножали при расчете суммарных затрат, результата они не изменят.
В-третьих, в строку заказов B7:K7 мы добавили число 15 в ячейке L7 - фиктивный заказ добавленного клиента.
С учетом этих изменений количество переменных достигло 44 (B11:L14).
Чтобы рассчитать реальные издержки времени на подготовку для всех контор в сумме запишем в ячейку M7 формулу =СУММПРОИЗВ(B3:L6;B11:L14). Это и будет целевая функция задачи.
Теперь нужно задать стандартные ограничения транспортных задач. Для этого сделаем расчеты - сколько же всего аудиторов назначено каждому клиенту и сколько аудиторов каждой конторы распределено.
Если записать в ячейку B15 формулу =СУММ(В11:В14)-В7, то мы подсчитаем разницу между заказом первого клиента (B7) и числом назначенных ему аудиторов. Эта разница, в случае правильного решения задачи, должна быть равной нулю. Протянем формулу вправо, на оставшихся 10 клиентов (включая фиктивного). Аналогичную формулу используем для контроля использования аудиторов контор. Запишем в ячейку M11 формулу =СУММ(В11Х11)-М3 и протянем ее вниз. В постановке задачи для Поиска решения мы должны будем потребовать, чтобы ячейки B15:L15=0 и M11:M14=0.
Почему в данном случае мы предлагаем сравнивать разницу между заказом и назначением с нулем, а не просто сравнивать заказы и назначения? Конечно, не потому, что имеется какая-либо разница в результате решения. Эти изменения связаны с тем, что для контроля правильности решения, которое будет получено, неплохо будет и визуально проверить результаты. А в этом случае значительно проще сравнивать все получаемые числа с нулем, чем друг с другом. Если мы ожидаем, что при правильном решении получатся нули, то сможем сразу увидеть, если это будет не так. В предыдущей задаче суммы заказов мы и так сравнивали практически с одним и тем же числом - единицей, так что там не имело смысла усложнять формулы.
Как обычно, при постановке задачи Поиску решения во вкладке Параметры отметим галочками, что задача линейная и переменные неотрицательны.
После запуска Поиска решения на выполнение получаем следующее решение ().
|
Конторы |
Клиенты |
Не
исп. |
Число
сотрудников |
|
1 |
2 |
3 |
4 |
5 |
6 |
7 |
8 |
9 |
10 |
|
Г аапвилл |
8 |
21 |
15 |
13 |
9 |
17 |
18 |
7 |
26 |
9 |
|
35 |
Финанста
ун |
14 |
18 |
17 |
19 |
12 |
6 |
99 |
15 |
24 |
13 |
|
20 |
|
Исабург |
9 |
15 |
18 |
16 |
16 |
15 |
11 |
13 |
21 |
19 |
|
25 |
Нью-
Баланс |
11 |
99 |
14 |
7 |
23 |
9 |
6 |
18 |
99 |
7 |
|
10 |
|
Заявки |
4 |
9 |
2 |
12 |
7 |
6 |
9 |
3 |
18 |
5 |
15 |
950 |
|
|
|
|
|
|
|
|
|
|
|
|
|
|
|
Конторы |
Клиенты |
Не
исп. |
Число
сотрудников |
|
1 |
2 |
3 |
4 |
5 |
6 |
7 |
8 |
9 |
10 |
|
Г аапвилл |
4 |
0 |
2 |
11 |
7 |
0 |
0 |
3 |
0 |
5 |
3 |
0 |
Финанста
ун |
0 |
2 |
0 |
0 |
0 |
6 |
0 |
0 |
0 |
0 |
12 |
0 |
|
Исабург |
0 |
7 |
0 |
0 |
0 |
0 |
0 |
0 |
18 |
0 |
0 |
0 |
Нью-
Баланс |
0 |
0 |
0 |
1 |
0 |
0 |
9 |
0 |
0 |
0 |
0 |
0 |
|
Заявки |
0 |
0 |
0 |
0 |
0 |
0 |
0 |
0 |
0 |
0 |
0 |
|
|
|
Рис. 78 |
Как мы видим общие затраты составили 950 рабочих часов. При этом фиктивному заказчику назначены 3 аудитора из конторы Гаапвил и 12 аудиторов из конторы Финанстаун - в реальности эти аудиторы не будут заняты в предстоящий период.
Как мы можем убедиться, запрещения назначений, сделанные нами, так же сработали правильно. При этом аудиторы Гаапвила назначены шести клиентам (1му - 4, 3-му - 2, 4-му -11, 5-му - 7, 8-му -3 и 10-му - 5), а аудиторы Финанстауна, Исабурга и Нью-Баланса - двум клиентам каждый.
Для всех клиентов, кроме 2-го и 4-го, все назначенные аудиторы принадлежат к одной и той же конторе.
Замечание: если вы при расчете получили в некоторых ячейках своей таблицы вместо нулей числа вроде 3.9E-10, не волнуйтесь. Это число в научной форме записи, есть очень маленькая дробь - 39 деленное на сто миллиардов. Так как программа ищет решение не абсолютно точное, а приближенное, то для нее это число с приемлемой точностью уже не отличается от нуля. Часто можно получить несколько более точный результат, увеличив количество итераций во вкладке Параметры со 100 (по умолчанию) до 10000. Но можно и просто не обращать внимания на эти малые числа. Правильное решение все равно получено.
Следующий вопрос задачи, который на первый взгляд выглядит так невинно, перемещает нас из области транспортных задач в область задач линейного программирования, так как ответ на него нельзя получить без увеличения числа ограничений. Но в рамках обычной задачи линейного программирования решение оказывается несложным. В сущности, ведь чего нам нужно добиться? Чтобы ни одна из переменных, относящихся к назначениям аудиторов для любого клиента не была равна сумме назначений для этого клиента. В этом случае хотя бы один аудитор среди назначенных клиенту будет из «второй» конторы.
Давайте дублируем лист с таблицей (щелкнуть по ярлыку правой кнопкой мыши, выбрать Переместить/Скопировать, отметить создавать копию, ОК) и изменим формулы в строке B15:L15. Запишем в ячейку B15 формулу =СУММ(В11:В14) и протянем ее вправо. Затем в ячейке B17 запишем формулу для разницы между переменной и заказом в целом =В11-В$15. Эту формулу нужно растянуть так, чтобы охватить все переменные, то есть на область B17:K20. Фиктивного клиента мы здесь пропускаем, так как на него ограничение не распространяется - можно отставить аудиторов только одной фирмы. После этого возвращаемся в Поиск решения и меняем введенное ранее условие B15:L15=0 на B15:L15= B7:L7. Мы снова вернулись к обычному виду этого ограничения для того, чтобы не считать еще раз суммы назначений аудиторов для клиентов.
Теперь добавим новое ограничение, позволяющее назначить каждому клиенту аудиторов не менее чем из двух контор. Судя по всему такое решение существует, какой-нибудь пример подобного решения можно найти и вручную. Однако оптимальное решение найдет нам Поиск решения, после того, как мы потребуем, чтобы все числа в таблице B17:K20 были меньше или равны -1 (ноль соответствует нежелательному назначению всех аудиторов из одной конторы). Приведем часть полученной таблицы, относящуюся к решению ().
|
Заявки |
4 |
9 |
2 |
12 |
7 |
6 |
9 |
3 |
18 |
5 |
15 |
982 |
|
|
|
|
|
|
|
|
|
|
|
|
|
|
|
Конторы |
Клиенты |
Не
исп. |
Число
сотрудников |
|
1 |
2 |
3 |
4 |
5 |
6 |
7 |
8 |
9 |
10 |
|
Г аапвилл |
3 |
0 |
1 |
11 |
6 |
0 |
0 |
2 |
0 |
4 |
8 |
-1.1E-08 |
Финанста
ун |
0 |
3 |
1 |
0 |
1 |
5 |
0 |
1 |
1 |
1 |
7 |
7.6E-10 |
|
Исабург |
1 |
6 |
0 |
0 |
0 |
0 |
1 |
0 |
17 |
0 |
0 |
9.5E-10 |
Нью-
Баланс |
0 |
0 |
0 |
1 |
0 |
1 |
8 |
0 |
0 |
0 |
0 |
3.8E-10 |
|
|
Рис. 79 |
Как мы видим, общее количество часов, затраченных на подготовку, выросло до 982. При этом во всех случаях аудиторы назначаются из двух контор. Несколько изменились и количества не назначенных аудиторов - теперь из Гаапвила не использованы 8 аудиторов, а из Финанстауна только 7.
Постойте, а почему же, если задача решалась симплекс-методом, а не транспортным алгоритмом переменные остались целыми? В данном случае это просто случайность - оптимальное решение оказывается целым и никакое решение не в целых числах не лучше полученного. А в общем случае могли получиться и дробные назначения: полтора аудитора одному клиенту, а 0.5 другому.
2.П-5. Заводы ЖБИ
Корпорация “Современные железобетонные изделия” имеет в окрестностях и черте города 5 небольших заводов ЖБИ (ЖБИ 1,ЖБИ 2, ... ЖБИ 5). Кроме этого, у корпорации есть 3 охраняемых площадки-склада (Склад A, Склад B, Склад C) для временного хранения изделий, хотя корпорация старается работать на заказ. В настоящий момент в отделе продаж имеется заказ от строительной фирмы на поставку новых ж\б блоков высокой прочности в количестве 1050 шт. Учитывая прочие заказы заводы могут за обусловленный срок поставить следующее количество блоков:
|
ЖБИ 1 |
ЖБИ 2 |
ЖБИ 3 |
ЖБИ 4 |
ЖБИ 5 |
|
290 |
165 |
235 |
255 |
105 |
Корпорация имеет транспортный отдел, который помогает зарабатывать дополнительные деньги (стоимость перевозки для близко расположенных заказчиков включена в стоимость изделий), поэтому заказанные блоки должны быть доставлены на площадки семи клиентов строительной компании. Стоимости перевозок с заводов на склады и с заводов клиентам даны в таблицах.
|
Перевозки заводы - клиентам: |
|
Ед. |
Клиент |
Клиент |
Клиент |
Клиент |
Клиент |
Клиент |
Клиент |
|
1 |
2 |
3 |
4 |
5 |
6 |
7 |
|
ЖБИ 1 |
84 |
36 |
42 |
81 |
63 |
60 |
66 |
|
ЖБИ 2 |
63 |
48 |
33 |
24 |
33 |
21 |
33 |
|
ЖБИ 3 |
63 |
18 |
33 |
66 |
45 |
45 |
51 |
|
ЖБИ 4 |
39 |
33 |
57 |
63 |
42 |
51 |
45 |
|
ЖБИ 5 |
30 |
21 |
42 |
42 |
24 |
33 |
24 |
Строительная компания заказывает поставку блоков в два этапа: через 2 недели 545 блоков и еще через две недели 505 блоков. Заказы для отдельных клиентов даны в таблице.
|
штук |
Клиент 1 |
Клиент 2 |
Клиент 3 |
Клиент 4 |
Клиент 5 |
Клиент 6 |
Клиент 7 |
1-ый
Заказ |
90 |
65 |
45 |
75 |
95 |
100 |
75 |
2-ой
Заказ |
55 |
45 |
70 |
75 |
40 |
35 |
185 |
Но корпорации выгодней выполнить весь заказ в течение 3-4 дней, а затем переналадить оборудование на изготовление другого изделия из пакета заказов. В этом случае приходится часть изделий отправлять клиентам немедленно после набора необходимой прочности, а остальные складировать на собственных площадках. Стоимости перевозок на склады корпорации так же даны в таблице.
|
Перевозки заводы - склады |
|
ед |
Склад 1 |
Склад 2 |
Склад 3 |
|
ЖБИ 1 |
78 |
15 |
42 |
|
ЖБИ 2 |
33 |
60 |
60 |
|
ЖБИ 3 |
60 |
9 |
24 |
|
ЖБИ 4 |
51 |
45 |
15 |
|
ЖБИ 5 |
33 |
39 |
12 |
Разумеется, в этом случае в обусловленные заказом сроки 505 складированных блоков должны будут доставлены клиентам прямо со складов. Стоимости перевозок блоков со складов к клиентам даны в следующей таблице.
|
|
Клиент 1 |
Клиент 2 |
Клиент 3 |
Клиент 4 |
Клиент 5 |
Клиент 6 |
Клиент 7 |
|
Склад 1 |
27 |
57 |
63 |
21 |
30 |
39 |
24 |
|
Склад 2 |
69 |
21 |
27 |
66 |
48 |
45 |
51 |
|
Склад 3 |
42 |
18 |
42 |
54 |
33 |
39 |
36 |
a. Составьте план перевозок заводы-клиенты, заводы-склады и склады-клиенты так, чтобы издержки корпорации были минимальны. Учтите, что изготовленные заранее 505 блоков, реально можно складировать следующим образом: Склад A -150 шт., Склад B -150 шт. и Склад C -205 шт.
b. Определите, как изменились бы издержки, если оптимизировать задачу по частям: сначала перевозки заводы-клиенты, затем заводы-склады и склады-клиенты.
Решение задачи.
В этой, довольно объемной задаче, при решении явно следует поменять местами вопросы а и b. Ведь каждая отдельная задача в вопросе b не должна вызвать у нас проблем - это все знакомые нам задачи. А уж после того, как мы решим задачу наиболее очевидным способом, можно будет перейти к тотальной оптимизации.
Давайте начнем с перевозок заводы-клиенты. Как следует из условия задачи заводы представят к перевозке 1050 блоков, из которых к клиентам можно будет перевезти 545 блоков, а остальные придется везти на склады. Для нас это означает, что первая из отдельных задач не сбалансирована. Для того, чтобы сбалансировать задачу придется добавить фиктивного клиента, который и «закажет» лишние 505 блоков. В этом случае задачу можно построить следующим образом ().
|
|
A |
B |
C |
D |
E |
F |
G |
H |
I |
J |
|
1 |
Оптимизация перевозок по частям: заводы-клиенты |
|
|
2 |
|
Кл. 1 |
Кл. 2 |
Кл. 3 |
Кл. 4 |
Кл. 5 |
Кл. 6 |
Кл. 7 |
Скл. |
Объем производства |
|
3 |
ЖБИ 1 |
84 |
36 |
42 |
81 |
63 |
60 |
66 |
|
290 |
|
4 |
ЖБИ 2 |
63 |
48 |
33 |
24 |
33 |
21 |
33 |
|
165 |
|
5 |
ЖБИ 3 |
63 |
18 |
33 |
66 |
45 |
45 |
51 |
|
235 |
|
6 |
ЖБИ 4 |
39 |
33 |
57 |
63 |
42 |
51 |
45 |
|
255 |
|
7 |
ЖБИ 5 |
30 |
21 |
42 |
42 |
24 |
33 |
24 |
|
105 |
|
8 |
1-ый
Заказ |
90 |
65 |
45 |
75 |
95 |
100 |
75 |
505 |
=СУММПРОИЗВ(В3:
I7;B11:I15) |
|
9 |
|
|
|
|
|
|
|
|
|
|
|
10 |
|
Кл. 1 |
Кл. 2 |
Кл. 3 |
Кл. 4 |
Кл. 5 |
Кл. 6 |
Кл. 7 |
Скл. |
итого |
|
11 |
ЖБИ 1 |
|
|
|
|
|
|
|
|
^умм^ыи)^ |
|
12 |
ЖБИ 2 |
|
|
|
|
|
|
|
|
=СУММф12:П2) -J4 |
|
13 |
ЖБИ 3 |
|
|
|
|
|
|
|
|
^УММф^ш) -J5 |
|
14 |
ЖБИ 4 |
|
|
|
|
|
|
|
|
=СУММф 14:I14) -J6 |
|
15 |
ЖБИ 5 |
|
|
|
|
|
|
|
|
=СУММда15:Н5) -J7 |
|
16 |
|
^УММфПЯ^)-
B8 |
=СУ |
=СУ |
=СУ |
=СУ |
|
|
|
Рис. 80 |
Целевая функция здесь - полные издержки перевозки. Выражения для задания ограничений в Поиске решения записываются как обычно (строка B16:I16 и столбец J11:J15). Разумеется, перевозку блоков к фиктивному клиенту мы, как обычно, оставляем бесплатной. Соответствующие издержки будут учтены при решении задачи о перевозке на склады.
Поиск решения выдает следующий оптимальный план перевозок ().
1-ый
Заказ |
90 |
65 |
45 |
75 |
95 |
100 |
75 |
505 |
15 555 |
|
|
|
|
|
|
|
|
|
|
|
|
|
Кл. 1 |
Кл. 2 |
Кл. 3 |
Кл. 4 |
Кл. 5 |
Кл. 6 |
Кл. 7 |
Скл. |
итого |
|
ЖБИ 1 |
0 |
0 |
0 |
0 |
0 |
0 |
0 |
290 |
290 |
|
ЖБИ 2 |
0 |
0 |
0 |
75 |
0 |
90 |
0 |
0 |
165 |
|
ЖБИ 3 |
0 |
65 |
45 |
0 |
0 |
10 |
0 |
115 |
235 |
|
ЖБИ 4 |
90 |
0 |
0 |
0 |
65 |
0 |
0 |
100 |
255 |
|
ЖБИ 5 |
0 |
0 |
0 |
0 |
30 |
0 |
75 |
0 |
105 |
|
|
0 |
0 |
0 |
0 |
0 |
0 |
0 |
0 |
|
|
|
Рис. 81 |
Как мы видим, на склады отправится вся продукция завода ЖБИ 1 и часть продукции заводов ЖБИ 3 и ЖБИ 4. Стоимость этой фазы перевозок 15555 единиц.
Следующая часть перевозок - перевозки с заводов на склады. В предыдущей части мы выяснили, сколько блоков должно быть вывезено на склады с каждого из заводов. Емкость складов и цены перевозки нам известны из условия задачи. Составим соответствующую таблицу ().
|
|
A |
B |
C |
D |
E |
|
1 |
Оптимизация перевозок по частям: заводы-склады |
|
2 |
|
Склад 1 |
Склад 2 |
Склад 3 |
|
|
3 |
ЖБИ 1 |
78 |
15 |
42 |
290 |
|
4 |
ЖБИ 2 |
33 |
60 |
60 |
0 |
|
5 |
ЖБИ 3 |
60 |
9 |
24 |
115 |
|
6 |
ЖБИ 4 |
51 |
45 |
15 |
100 |
|
7 |
ЖБИ 5 |
33 |
39 |
12 |
0 |
|
8 |
|
150 |
150 |
205 |
=СУММПРОИЗВ(B3 :D 7;B11:D15) |
|
9 |
|
|
|
|
|
|
10 |
|
Склад 1 |
Склад 2 |
Склад 3 |
итого |
|
11 |
ЖБИ 1 |
|
|
|
СУММ^ШИ)^ |
|
12 |
ЖБИ 2 |
|
|
|
СУММф^^П)^ |
|
13 |
ЖБИ 3 |
|
|
|
СУММ^И^В)^ |
|
14 |
ЖБИ 4 |
|
|
|
СУММ^М^М)^ |
|
15 |
ЖБИ 5 |
|
|
|
СУММф^^^)^ |
|
16 |
|
=СУММ(
B11:B15)-
B8 |
=СУММ(
C11:C15)-
C8 |
=СУММ(
D11:D15)
-D8 |
|
|
|
Рис. 82 |
В данном случае задача сбалансирована, так как емкость складов равна 505 блокам. Конечно, с некоторых заводов мы ничего не собираемся перевозить на склады, и их можно было бы пропустить при составлении таблицы. Но в дальнейшем при составлении общего плана перевозок полная таблица может нам понадобиться, поэтому оставим ее без сокращений.
|
|
150 |
150 |
205 |
17 790 |
|
|
|
|
|
|
|
|
Склад 1 |
Склад 2 |
Склад 3 |
итого |
|
ЖБИ 1 |
35 |
150 |
105 |
0 |
|
ЖБИ 2 |
0 |
0 |
0 |
0 |
|
ЖБИ 3 |
115 |
0 |
0 |
0 |
|
ЖБИ 4 |
0 |
0 |
100 |
0 |
|
ЖБИ 5 |
0 |
0 |
0 |
0 |
|
|
0 |
0 |
0 |
|
|
|
Рис. 83 |
Поиск решения дает следующий результат для этой части перевозок ( _____
Общая стоимость перевозок составила 17790 единиц.
И последняя часть задачи - перевозки с трех складов к клиентам, которые происходят через две недели. Задача и здесь сбалансирована, второй заказ в сумме составляет 505 блоков, которые мы ранее запасли на трех складских площадках. Составляем новую таблицу () и ищем решение последней, третьей задачи.
|
|
A |
B |
C |
D |
E |
F |
G |
H |
I |
|
1 |
Оптимизация перевозок по частям: склады-клиенты |
|
2 |
|
Кл. 1 |
Кл. 2 |
Кл. 3 |
Кл. 4 |
Кл. 5 |
Кл. 6 |
Кл. 7 |
Запасы |
|
3 |
Склад 1 |
27 |
57 |
63 |
21 |
30 |
39 |
24 |
150 |
|
4 |
Склад 2 |
69 |
21 |
27 |
66 |
48 |
45 |
51 |
150 |
|
5 |
Склад 3 |
42 |
18 |
42 |
54 |
33 |
39 |
36 |
205 |
|
6 |
2-ой
Заказ |
55 |
45 |
70 |
75 |
40 |
35 |
185 |
^УММПРОИЗВф
3:H5;B9:H11) |
|
7 |
|
|
|
|
|
|
|
|
|
|
8 |
|
Кл. 1 |
Кл. 2 |
Кл. 3 |
Кл. 4 |
Кл. 5 |
Кл. 6 |
Кл. 7 |
|
|
9 |
Склад 1 |
|
|
|
|
|
|
|
=СУММ(B9:H9)-I3 |
|
10 |
Склад 2 |
|
|
|
|
|
|
|
^УММфЮЛЮ)-
I4 |
|
11 |
Склад 3 |
|
|
|
|
|
|
|
^УММфПЛП)-
I5 |
|
12 |
|
=СУ
ММ(
B9:B
11)-
B6 |
=СУ
ММ(
C9:C
11)-
C6 |
=СУ
ММ(
D9:D
11)-
D6 |
=СУ
ММ(
E9:E1
1)-E6 |
=СУ
ММ(
F9:F1
1)-F6 |
=СУ
ММ(
G9:G
11)-
G6 |
=СУ
ММ(
H9:H
11)-
H6 |
|
|
|
Рис. 84 |
Полученной решение представлено в таблице . Как мы видим издержки по перевозкам составили 15210 единиц.
2-ой
Заказ |
55 |
45 |
70 |
75 |
40 |
35 |
185 |
15 210 |
|
|
Кл. 1 |
Кл. 2 |
Кл. 3 |
Кл. 4 |
Кл. 5 |
Кл. 6 |
Кл. 7 |
|
|
Склад 1 |
55 |
0 |
0 |
75 |
0 |
0 |
20 |
0 |
|
Склад 2 |
0 |
45 |
70 |
0 |
0 |
35 |
0 |
0 |
|
Склад 3 |
0 |
0 |
0 |
0 |
40 |
0 |
165 |
0 |
|
|
0 |
0 |
0 |
0 |
0 |
0 |
0 |
|
|
|
Рис. 85 |
Суммируя все три результата мы можем сказать, что минимальные издержки при оптимизации перевозок по частям составят 48555 единиц.
|
|
A |
B |
C |
D |
E |
F |
G |
H |
I |
|
1 |
|
Кл. 1 |
Кл. 2 |
Кл. 3 |
Кл. 4 |
Кл. 5 |
Кл. 6 |
Кл. 7 |
Объем произв. |
|
2 |
ЖБИ 1 |
84 |
36 |
42 |
81 |
63 |
60 |
66 |
290 |
|
3 |
ЖБИ 2 |
63 |
48 |
33 |
24 |
33 |
21 |
33 |
165 |
|
4 |
ЖБИ 3 |
63 |
18 |
33 |
66 |
45 |
45 |
51 |
235 |
|
5 |
ЖБИ 4 |
39 |
33 |
57 |
63 |
42 |
51 |
45 |
255 |
|
6 |
ЖБИ 5 |
30 |
21 |
42 |
42 |
24 |
33 |
24 |
105 |
|
7 |
1-ый
Заказ |
90 |
65 |
45 |
75 |
95 |
100 |
75 |
=СУММПРОИЗВ(
B2:H6;B10:H14) |
|
9 |
|
Кл. 1 |
Кл. 2 |
Кл. 3 |
Кл. 4 |
Кл. 5 |
Кл. 6 |
Кл. 7 |
итого |
|
10 |
ЖБИ 1 |
|
|
|
|
|
|
|
^УММЬЮЛЮ) |
|
11 |
ЖБИ 2 |
|
|
|
|
|
|
|
=СУММ(Б11:Ш1) |
|
12 |
ЖБИ 3 |
|
|
|
|
|
|
|
|
|
13 |
ЖБИ 4 |
|
|
|
|
|
|
|
|
|
14 |
ЖБИ 5 |
|
|
|
|
|
|
|
^УММЕМЛМ) |
|
15 |
|
=СУМ |
=СУМ |
=СУМ |
=СУМ |
=СУМ |
=СУМ |
^УМадЕюлмуш |
|
17 |
|
Склад 1 |
Склад 2 |
Склад 3 |
|
|
Полные |
издержки |
|
18 |
ЖБИ 1 |
78 |
15 |
42 |
|
|
=I7+E23+I37 |
|
19 |
ЖБИ 2 |
33 |
60 |
60 |
|
|
|
|
|
|
20 |
ЖБИ 3 |
60 |
9 |
24 |
|
|
|
|
|
|
21 |
ЖБИ 4 |
51 |
45 |
15 |
|
|
|
|
|
|
22 |
ЖБИ 5 |
33 |
39 |
12 |
|
|
|
|
|
|
23 |
|
150 |
150 |
205 |
=СУММПРОИЗВ(B18:D22;B26:D30) |
|
|
|
|
|
|
|
|
|
|
|
|
25 |
|
Склад 1 |
Склад 2 |
Склад 3 |
итого |
|
|
|
|
|
26 |
ЖБИ 1 |
|
|
|
=СУММ^26Ю26) |
=E26+I10-I2 |
|
27 |
ЖБИ 2 |
|
|
|
=СУММБ27: D27) |
=E27+I11-I3 |
|
28 |
ЖБИ 3 |
|
|
|
=СУММ^28Ю28) |
=E28+I12-I4 |
|
29 |
ЖБИ 4 |
|
|
|
=СУММда29Ю29) |
=E29+I13-I5 |
|
30 |
ЖБИ 5 |
|
|
|
=СУММда30Ю30) |
=E30+I14-I6 |
|
31 |
|
=СУМ |
=СУМ |
=СУММ |
I(D26:D3 |
0)-D23 |
|
|
|
|
33 |
|
Кл. 1 |
Кл. 2 |
Кл. 3 |
Кл. 4 |
Кл. 5 |
Кл. 6 |
Кл. 7 |
Запасы |
|
34 |
Склад 1 |
27 |
57 |
63 |
21 |
30 |
39 |
24 |
150 |
|
35 |
Склад 2 |
69 |
21 |
27 |
66 |
48 |
45 |
51 |
150 |
|
36 |
Склад 3 |
42 |
18 |
42 |
54 |
33 |
39 |
36 |
205 |
|
37 |
2-ой
Заказ |
55 |
45 |
70 |
75 |
40 |
35 |
185 |
=СУММПРОИЗВ(
B34:H36;B40:H42) |
|
39 |
|
Кл. 1 |
Кл. 2 |
Кл. 3 |
Кл. 4 |
Кл. 5 |
Кл. 6 |
Кл. 7 |
итого |
|
40 |
Склад 1 |
|
|
|
|
|
|
|
=СУММ(B40:H40) |
|
41 |
Склад 2 |
|
|
|
|
|
|
|
|
|
42 |
Склад 3 |
|
|
|
|
|
|
|
=СУММ(B42:H42) |
|
43 |
|
=СУМ |
=СУМ |
=СУМ |
=СУМ |
=СУМ |
=СУМ |
=СУММ(H40:H42)-H37 |
Рис. 86
Теперь решим эту задачу сразу для всех трех частей перевозок. Для этого объединим все задачи на одном листе и свяжем их друг с другом (). Так как в целом задача сбалансирована, можно убрать фиктивного получателя из первой задачи.
При объединении задач, выражения для расчета баланса по доставке (строки B15:H15, B30:D30 и B43:H43) останутся теми же самыми. В установках для Поиска решения мы потребуем, чтобы значения выражений в этих ячейках равнялись нулю. А вот формулы для подсчета вывезенных блоков мы подкорректируем. Теперь в них должны содержаться просто суммы для всех блоков, вывезенных с каждого пункта (столбцы I10:I14, E26:E30 и I40:I42). Баланс по перевозкам с заводов клиентам и на склады мы рассчитаем в столбце H26:H30 - все, что произведено на данном заводе, должно быть вывезено, либо клиентам, либо на склады. В ограничениях укажем, что H26:H30=0. Для перевозок со складов к клиентам потребуем просто, чтобы I40:I42 равнялись I34:I36.
В ячейках I7, E23 и I37 мы по прежнему считаем стоимости перевозок в отдельных частях. Но в качестве целевой функции мы выберем сумму этих трех величин (ячейка G18).
Так как мы собираемся выбирать оптимальные перевозки среди всех маршрутов на всех участках, то переменными задачи будут все три прежние таблицы переменных: B10:H14, B26:D30 и B40:H42. Напомним, что для указания в качестве переменных разрозненных ячеек или диапазонов ячеек нужно при выделении удерживать нажатой клавишу Ctrl.
Итак, задача для Поиска решения поставлена. Проверьте, что у вас указаны все пять групповых ограничений и в Параметрах отмечено, что задача линейная, а переменные неотрицательны. Если все сделано верно, Поиск решения сможет найти оптимальное решение.
Чтобы не вставлять в книгу еще одну громоздкую таблицу, мы его целиком приводить не будем. Отметим только результаты минимизации в отношении стоимости перевозок. В отличие от оптимизации по частям стоимость перевозок составила 47025 единиц. Сокращение издержек произошло за счет лучшего плана перевозок с заводов.
Следует отметить, что авторы и сами понимают, что решать задачу для всех трех участков вместе, вообще говоря, не требовалось. Ведь изменение плана перевозок с заводов на склады и к клиентам не могло ничего изменить в плане перевозок со складов к клиентам. Тем не менее, мы привели это полное решение, для того, чтобы продемонстрировать работоспособность метода решения даже и в такой, странной на первый взгляд, постановке.
2.П-6. Две бригады
Для выполнения срочного заказа мастер должен набрать из 14 рабочих (Р1, Р2...Р14) бригаду в 5 человек.
Среднее время, которое каждый из 14 рабочих тратит на ту или иную операцию (О1, О2,...О5), требующуюся для выполнения заказа, дано в таблице. Размер заказа равен 100 единицам, так что в реальности каждая операция будет выполнена 100 раз.
|
Время, минут |
O1 |
O2 |
O3 |
O4 |
O5 |
|
P1 |
67 |
55 |
51 |
63 |
49 |
|
P2 |
61 |
77 |
52 |
72 |
66 |
|
P3 |
63 |
73 |
72 |
42 |
58 |
|
P4 |
52 |
44 |
72 |
50 |
55 |
|
P5 |
53 |
76 |
63 |
45 |
47 |
|
P6 |
70 |
55 |
77 |
46 |
67 |
|
P7 |
43 |
61 |
75 |
54 |
75 |
|
P8 |
69 |
70 |
55 |
47 |
61 |
|
P9 |
71 |
56 |
67 |
42 |
45 |
|
P10 |
68 |
63 |
77 |
61 |
69 |
|
P11 |
54 |
59 |
51 |
66 |
56 |
|
P12 |
57 |
53 |
61 |
62 |
59 |
|
P13 |
73 |
64 |
46 |
72 |
60 |
|
P14 |
70 |
65 |
78 |
45 |
49 |
Определите оптимальное распределение рабочих по операциям. Рассчитайте количество рабочего времени, требующегося на выполнение заказа. Можно ли при этом выполнить заказ за 10 рабочих дней? (Считайте, что рабочая смена равна 8 часам.)
Помогите мастеру набрать запасную бригаду из 5 человек, на случай, если заказ будет удвоен, а время на выполнение останется практически прежним. Представьте списки бригад. Рассчитайте количество рабочего времени, требующегося на выполнение удвоенного заказа в сложившихся обстоятельствах.
Что следует сделать, чтобы набрать две как можно более равные по силам бригады? Представьте списки новых бригад.
Решение задачи.
Так как каждый рабочий должен быть назначен только на одну операцию, то мы имеем дело с задачей о назначениях. В этой ситуации мы сразу можем определить, что задача не сбалансирована, так как операций 5, а рабочих 14. В условиях нехватки операций для назначения остальных рабочих мы можем сбалансировать задачу, введя фиктивные дополнительные операции. Чтобы сэкономить переменные задачи введем только одну фиктивную операцию и назовем ее «Другие работы». На эту операцию назначим 9 рабочих (14-5) оставшихся в стороне от заказа.
Для решения задачи построим обычную таблицу, которая для всех транспортных задач и задач о назначениях выглядит практически одинаково ( ).
|
|
A |
B |
C |
D |
E |
F |
G |
H |
I |
|
1 |
|
O1 |
O2 |
O3 |
O4 |
O5 |
Другие
работы |
Рабочее время |
|
|
2 |
P1 |
67 |
55 |
51 |
63 |
49 |
0 |
^УММПРОИЗВ^^З^^^) |
|
3 |
P2 |
61 |
77 |
52 |
72 |
66 |
0 |
=СУММПРОИЗВ(B3:G3;B19:G19) |
|
4 |
P3 |
63 |
73 |
72 |
42 |
58 |
0 |
=СУММПРОИЗВ(B4:G4;B20:G20) |
|
5 |
P4 |
52 |
44 |
72 |
50 |
55 |
0 |
^УММПРОИЗВ^^^^!) |
|
6 |
P5 |
53 |
76 |
63 |
45 |
47 |
0 |
=СУММПРОИЗВ(B6:G6;B22:G22) |
|
7 |
P6 |
70 |
55 |
77 |
46 |
67 |
0 |
=СУММПРОИЗВ(B7:G7;B23:G23) |
|
8 |
P7 |
43 |
61 |
75 |
54 |
75 |
0 |
=СУММПРОИЗВ(B8:G8;B24:G24) |
|
9 |
P8 |
69 |
70 |
55 |
47 |
61 |
0 |
=СУММПРОИЗВ(B9:G9;B25:G25) |
|
10 |
P9 |
71 |
56 |
67 |
42 |
45 |
0 |
=СУММПР ОИЗВ(B10:G10;B26: G26) |
|
11 |
P10 |
68 |
63 |
77 |
61 |
69 |
0 |
=СУММПРОИЗВ(B11:G11;B27:G27) |
|
12 |
P11 |
54 |
59 |
51 |
66 |
56 |
0 |
=СУММПР ОИЗВ(B12:G12;B28:G28) |
|
13 |
P12 |
57 |
53 |
61 |
62 |
59 |
0 |
=СУММПРОИЗВ(B13:G13;B29:G29) |
|
14 |
P13 |
73 |
64 |
46 |
72 |
60 |
0 |
=СУММПРОИЗВ (B14:G14;B30:G30) |
|
15 |
P14 |
70 |
65 |
78 |
45 |
49 |
0 |
=СУММПРОИЗВ(B15:G15;B31:G31) |
|
16 |
|
|
|
|
|
|
|
=СУММ(Ш:Ш5) |
|
|
17 |
|
O1 |
O2 |
O3 |
O4 |
O5 |
Д.р. |
|
Раб. дней |
|
18 |
P1 |
|
|
|
|
|
|
=СУММ(Б18^18) |
=H2* 100/60/8 |
|
19 |
P2 |
|
|
|
|
|
|
=СУММ(Б19^19) |
=H3* 100/60/8 |
|
20 |
P3 |
|
|
|
|
|
|
=СУММ(Б20^20) |
=H4* 100/60/8 |
|
21 |
P4 |
|
|
|
|
|
|
=СУММ(Б2Ш21) |
=H5* 100/60/8 |
|
22 |
P5 |
|
|
|
|
|
|
=СУММ(Б22^22) |
=H6* 100/60/8 |
|
23 |
P6 |
|
|
|
|
|
|
=СУММ(Б23^23) |
=H7* 100/60/8 |
|
24 |
P7 |
|
|
|
|
|
|
=СУММ(Б24^24) |
=H8* 100/60/8 |
|
25 |
P8 |
|
|
|
|
|
|
=СУММ(Б25^25) |
=H9* 100/60/8 |
|
26 |
P9 |
|
|
|
|
|
|
=СУММ(Б26^26) |
=H10*100/60/8 |
|
27 |
P10 |
|
|
|
|
|
|
=СУММ(Б27^27) |
=H11*100/60/8 |
|
28 |
P11 |
|
|
|
|
|
|
=СУММ(Б28^28) |
=H12*100/60/8 |
|
29 |
P12 |
|
|
|
|
|
|
=СУММ(Б29^29) |
=H13*100/60/8 |
|
30 |
P13 |
|
|
|
|
|
|
=СУММ(Б30^30) |
=H14*100/60/8 |
|
31 |
P14 |
|
|
|
|
|
|
=СУММ(Б3Ш31) |
=H15* 100/60/8 |
|
32 |
|
=СУМ |
=СУМ |
=СУМ |
=СУМ |
=СУМ |
=СУММ^18^31)^33 |
=МАКС(І2:Л5) |
|
33 |
|
1 |
1 |
1 |
1 |
1 |
9 |
|
|
|
34 |
|
|
|
|
|
|
|
|
|
|
35 |
=H16*100/60 |
<-Всего рабочих часов |
|
|
|
|
Рис. 87 |
В задаче имеется 84 переменных (14*6), отвечающих всем возможным назначениям. Время выполнения фиктивной операции задаем равным нулю.
В ячейках H2:H15 рассчитываем время выполнения одной назначенной операции каждым рабочим и в ячейке H16 суммируем все это рабочее время. Таким образом в ячейке H16 содержится целевая функция задачи.
Для ответов на вопросы задачи нам нужно также подсчитать требующееся рабочее время с учетом того, что все операции нужно выполнить 100 раз. В ячейке A3 5 запишем формулу для полного рабочего времени в часах =H16*100/60. А в ячейках I18:I31 подсчитаем, сколько смен должен проработать каждый рабочий.
Разумеется, может оказаться, что количество смен получится различным. В этих условиях длительность выполнения заказа определится максимальным из этих времен. Для определения максимального времени используем функцию =МАКС(І2:Л5).
Чтобы поставить задачу Поиску решения нужно еще сделать расчеты количеств назначений для рабочих и операций. Для контроля числа назначенных на каждую операцию рабочих введем в ячейку G32 формулу =СУММ(018:031)-G33, которую затем протянем влево. «Заказанное» количество рабочих указано в строке B33:G33. Для контроля числа назначений для каждого из рабочих, введем в ячейку H18 формулу =СУММ(В18^18), которую следует затем протянуть вниз. Теперь можно ставить задачу Поиску решения.
Итак, целевая ячейка H16, цель - поиск минимума затрат рабочего времени. Переменные задачи B18:G31. Во вкладке Параметры отмечаем, что задача линейная, а переменные неотрицательны. И в списке ограничений вводим условия: B32:G32=0 и H18:H31=1, обычные для задач о назначениях.
В результате оптимизации получаем следующий план назначений (Рис. 88)
|
|
|
|
|
|
|
|
220 |
|
|
|
O1 |
O2 |
O3 |
O4 |
O5 |
Д. р. |
|
Раб. дней |
|
P3 |
0 |
0 |
0 |
1 |
0 |
0 |
1 |
8.75 |
|
P4 |
0 |
1 |
0 |
0 |
0 |
0 |
1 |
9.17 |
|
P7 |
1 |
0 |
0 |
0 |
0 |
0 |
1 |
8.96 |
|
P9 |
0 |
0 |
0 |
0 |
1 |
0 |
1 |
9.38 |
|
P13 |
0 |
0 |
1 |
0 |
0 |
0 |
1 |
9.58 |
|
|
0 |
0 |
0 |
0 |
0 |
0 |
|
9.58 |
|
|
1 |
1 |
1 |
1 |
1 |
9 |
|
|
|
|
|
|
|
|
|
|
|
|
|
|
366.7 |
|
|
<-Всего рабочих часов |
|
|
|
|
Рис. 88 |
Мы оставили в итоговой таблице только рабочих, назначенных в бригаду. Все прочие назначены на другие работы.
В этом оптимальном плане общие трудозатраты составят 366.7 часов рабочего времени. Напомним, что мы минимизировали не время выполнения заказа (что может быть интересно заказчику), а затраты рабочего времени в человеко-часах (что интересно производителю работ).
При этом на одну единицу в заказе будет израсходовано 220 минут рабочего времени, а длительность исполнения заказа составит 9.58 смены, т.е. чуть меньше 10 рабочих дней.
Для набора двух бригад вместо одной можно действовать двумя способами.
Первый способ соответствует логике задачи - раз одна бригада набрана, давайте вычеркнем этих рабочих из списка. Т. е. нам нужно скопировать лист и удалить строки, соответствующие рабочим P3, P4, P7, P9 и P13 из обеих частей таблицы, верхней и нижней. Только не забудьте проверить, что все формулы остались правильными. Кроме этого нужно изменить количество лишних рабочих в ячейке G33 с 9 до 4. После новой оптимизации получим второй план назначений ().
|
|
|
|
|
|
|
|
250 |
|
|
|
O1 |
O2 |
O3 |
O4 |
O5 |
Д. р. |
|
Раб. дней |
|
P1 |
0 |
0 |
1 |
0 |
0 |
0 |
1 |
10.63 |
|
P5 |
0 |
0 |
0 |
0 |
1 |
0 |
1 |
9.79 |
|
P11 |
1 |
0 |
0 |
0 |
0 |
0 |
1 |
11.25 |
|
P12 |
0 |
1 |
0 |
0 |
0 |
0 |
1 |
11.04 |
|
P14 |
0 |
0 |
0 |
1 |
0 |
0 |
1 |
9.38 |
|
|
0 |
0 |
0 |
0 |
0 |
0 |
|
11.25 |
|
|
1 |
1 |
1 |
1 |
1 |
4 |
|
|
|
|
|
|
|
|
|
|
|
|
|
|
416.7 |
|
|
<-Всего рабочих часов |
|
|
|
Рис. 89 |
В таблице снова оставлены только назначенные во вторую бригаду рабочие.
Как вы можете видеть, теперь максимальная длительность работ составила бы чуть больше 11 дней, а трудозатраты увеличились до 417 часов. Левые колонки в таблицах 2.7 и 2.8 содержат списки двух составленных бригад.
Если заказ действительно будет удвоен, то реальный срок выполнения составит 12 дней, вместо 10, а трудозатраты возрастут до 783.4 часа.
Второй способ решения можно получить, если воспользоваться простыми соображениями. Что в реальности получится после набора второй бригады? Очевидно, на каждую операцию будет назначено по два человека, а не по одному. А так как первая бригада - лучшая, то рабочие первой бригады обязательно будут при этом выбраны. Поэтому, если в строке заказов B33:G33 вместо единиц проставить двойки, а вместо 9 оставить 4, то мы отберем лучших 10 человек, среди которых будут 5 рабочих первой бригады, а остальные 5 составят вторую бригаду.
Этот второй способ проще первого, так как никаких изменений в формулах не требуется и после коррекции заказов можно сразу запускать Поиск решения на выполнение. Мы не будем приводить итоговую таблицу, так как она полностью повторяет предыдущее решение, кроме того, что для трудозатрат сразу будет получено число (470 минут), соответствующее удвоенному заказу.
Вопрос о равных бригадах оказывается более сложным. Фактически он соответствует решению дополнительной задачи линейного программирования. Мы предлагаем воспользоваться уже полученными списками бригад и оставляем на долю читателя попытку решить задачу о равных бригадах с нуля и в одной задаче.
Так как мы отобрали лучших рабочих, очевидно, было бы разумно составлять две равные бригады именно из них. Конечно, может быть из всех рабочих можно выбрать две совершенно равные бригады. Но при этом, время исполнения заказа и использованное рабочее время в целом могут сильно увеличиться, что нежелательно по смыслу задачи.
Поэтому наша задача состоит в разбиении 10 выбранных рабочих на две бригады. В таблице 2.9 показан пример организации данных для решения задачи.
|
|
A |
B |
C |
D |
E |
F |
G |
I |
J |
|
|
|
|
1-я
бри
гада |
|
2-я
бри
гада |
=СУММ(Т2Е6) |
=СУММ^2:
G6) |
|
|
|
|
1 |
P3 |
43 |
P1 |
54 |
=C2*C9+E2*E9 |
=E2+C2-F2 |
=F2* 100/60/8 |
=G2* 100/60/8 |
|
|
2 |
P4 |
44 |
P5 |
53 |
=C3*C10+E3*E10 |
=E3+C3-F3 |
=F3* 100/60/8 |
=G3* 100/60/8 |
|
|
3 |
P7 |
46 |
P11 |
51 |
=C4*C11+E4*E11 |
=E4+C4-F4 |
=F4* 100/60/8 |
=G4* 100/60/8 |
|
|
4 |
P9 |
42 |
P12 |
45 |
=C5 *C12+E5 *E 12 |
=E5+C5-F5 |
=F5* 100/60/8 |
=G5* 100/60/8 |
|
|
5 |
P13 |
45 |
P14 |
47 |
=C6*C13+E6*E13 |
=E6+C6-F6 |
=F6* 100/60/8 |
=G6* 100/60/8 |
|
|
|
|
220 |
|
250 |
=F1-G1 |
|
|
|
|
|
|
Войдут в первую бригаду |
|
|
|
|
|
|
1 |
P3 |
|
P1 |
= 1-C9 |
|
|
|
|
|
|
2 |
P4 |
|
P5 |
= 1-C10 |
|
|
|
|
|
|
3 |
P7 |
|
P11 |
= 1-C11 |
|
|
|
|
|
|
4 |
P9 |
|
P12 |
= 1-C12 |
|
|
|
|
|
|
5 |
P13 |
|
P14 |
= 1-C13 |
|
|
|
|
|
|
Рис. 90 |
В области A1:D7 приведены списки бригад, выбранные нами ранее. Указаны времена выполнения операций с 1-ой по 5-ю соответствующими рабочими первой и второй бригады. Введем переменные C9:C13, которые показывают, кто из рабочих старой первой бригады войдет в первую новую бригаду. Так как для каждой операции выбор рабочих делается из двух человек, то если рабочий старой первой бригады выбран в новую первую бригаду, значит рабочий старой второй бригады в нее выбран не будет. Например, если выбрать рабочего P3, то не будет выбран рабочий P1 и наоборот. Поэтому формулы в столбце E9:E13 вычисляют, кто из рабочих старой второй бригады будет выбран в новую первую бригаду. Для этого переменные C9:C13 должны быть двоичными, разумеется.
Если список новой первой бригады в столбцах C9:C13 и E9:E13 составлен, то можно вычислить время выполнения каждой из операций рабочими новой первой бригады. Это сделано в столбце F2:F6. Формула суммы в ячейке F1 в этом случае подсчитает время однократного исполнения всех операций первой бригадой. Аналогичные расчеты для второй бригады проведены в столбце G1:G6.
Теперь вся проблема в определении целевой функции.
В общем, мы можем действовать двумя способами. Первый способ предполагает, что мы хотим все заботы о поиске подходящего решения возложить на компьютер. В этом случае нам нужно так построить целевую функцию, чтобы получить нужное решение сразу после завершения процедуры оптимизации. Второй способ оставляет определенные действия и на нашу долю.
Так как мы хотим добиться наименьшей разницы во времени выполнения заказа двумя бригадами, подсчитаем в ячейке F7 эту самую разницу: =F1-G1. Можно ли выбрать полученное выражение в качестве целевой функции? Давайте попробуем. Надо только решить, какую выбрать цель.
Можем ли мы потребовать, чтобы F7 была минимально возможной? Очевидно, нет. Ведь если значение ячейки F1 будет меньше, чем значение ячейки G1, то целевая функция станет отрицательной. А наименьшее значение целевой функции будет достигнуто при наибольшей разнице во временах выполнения. Причем, такое решение у нас уже есть, если хорошенько подумать.
Можно попросить, чтобы значение целевой ячейки равнялось заданному числу (третий выбор цели оптимизации). Что тут плохо, так это то, что мы не знаем, какое число выбрать. Если выбрать 0, то есть ли вообще такое решение? Попробуем.
Итак: цель - равенство 0, переменные C9:C13, ограничение - переменные = двоичные, параметры - линейная задача. Запускаем поиск, получаем ответ, что поиск не может найти подходящего решения. Значит придется пробовать несколько разных значений до тех пор, пока мы не набредем на нужное значение.
Пробовать в качестве цели нечетные числа, и в частности единицу, очевидно не стоит, так как сумма двух времен четное число (220+250=470), а разница между временами бригад в этом случае может быть только четной.
Новая цель - целевая функция равна 2. Запускаем поиск - оп, решение найдено! Времена выполнения 236 и 234 минуты для первой и второй бригады соответственно. Не так уж много и работы понадобилось. Что еще хорошо в этом подходе, что можно подбирать любую разницу по заданному значению, а не только минимальную. Иногда это оказывается очень полезным. Например, в случае, если вы хотите получить несколько решений, близких к оптимальному решению.
Но, все таки, что там насчет первого способа? Чтобы сразу искать нужное решение?
На самом деле и это не сложно. У нас ведь была одна проблема, что целевая функция могла быть отрицательной. Так давайте потребуем, чтобы поиск минимума велся только среди неотрицательных значений целевой функции! Добавляем ограничение - F7>=0, и спокойно ищем минимум целевой функции. Приведем и полученноерешение, то же самое, что и при поиске заданной
|
|
|
1-я
бри
гада |
|
2-я
бри
гада |
236 |
234 |
|
Время
работы
рабочих
1-ой бр. |
Время работы рабочих 2-ой бр. |
|
1 |
P3 |
43 |
P1 |
54 |
54 |
43 |
|
11.3 |
9.0 |
|
2 |
P4 |
44 |
P5 |
53 |
44 |
53 |
|
9.2 |
11.0 |
|
3 |
P7 |
46 |
P11 |
51 |
51 |
46 |
|
10.6 |
9.6 |
|
4 |
P9 |
42 |
P12 |
45 |
42 |
45 |
|
8.8 |
9.4 |
|
5 |
P13 |
45 |
P14 |
47 |
45 |
47 |
|
9.4 |
9.8 |
|
|
|
220 |
|
250 |
2 |
|
|
|
|
|
|
Войдут в первую бригаду |
|
|
|
|
|
|
1 |
P3 |
0 |
P1 |
1 |
Вторая |
|
|
|
|
|
2 |
P4 |
1 |
P5 |
0 |
бригада - |
|
|
|
|
|
3 |
P7 |
0 |
P11 |
1 |
остальны
е |
|
|
|
|
|
4 |
P9 |
1 |
P12 |
0 |
рабочие |
|
|
|
|
|
5 |
P13 |
1 |
P14 |
0 |
|
|
|
|
|
|
|
Рис. 91 |
В одну бригаду войдут рабочие P1, P4, P9, P11, P13, а в другую - P3, P5, P7, P9, P14. Следует заметить, что наши попытки выровнять бригады привели к тому, что время выполнения заказа увеличилось до 11 суток.
2.П-7. Отделочный камень для коттеджей (Кейс)
Николай Кузьмин, кандидат химических наук, 10 лет после защиты диссертации занимался рентгеновским анализом структуры
жидкокристаллических полимеров. Тема научных исследований проблемной лаборатории одного из московских Вузов, в которой он работал, была связана с высокоэластическими полимерами нового типа, которые при определенных механических и электрических воздействиях меняли свою надмолекулярную структуру и демонстрировали свойства жидких кристаллов. Прикладного значения тема в то время не имела (хотя в отчетах, как водится, дело представлялось совсем иначе), но с научной точки зрения объекты были прелюбопытные.
Николай тесно контактировал с группой химиков-синтетиков, которые, руководствуясь результатами его структурных исследований, по его просьбе синтезировали все новые и новые ряды полимерных материалов этого типа. Однажды в результате такого синтеза появились «уроды», твердые как камни, которые не демонстрировали никаких высокоэластических или жидкокристаллических свойств, сколько их не нагревай и не растягивай. Сначала Николай хотел их просто выбросить, но для порядка решил все же зарегистрировать их структурные и прочностные характеристики. Обточив образец для того, чтобы поставить его в рентгеновский аппарат, наш химик поразился красотой рисунка полимерного камня. Он напоминал хорошо обработанный природный гранит...
Выступление Николая на научном семинаре лаборатории по результатам текущего этапа работы разочаровало его коллег. Никаких мезофаз, структурных превращений и пр. новые материалы не показывали.
- Может у них хоть прочность высокая? - спросил один из сотрудников.
Прочность у материалов была повыше, чем у природного гранита, но до
высокоориентированных полимерных рекордсменов было очень далеко.
- Так зачем они тогда нужны?
- Ну, может как отделочный материал, их легко синтезировать разных цветов и с разными рисунками. - смущенно ответил Кузьмин, и забросил своих «уродов» в дальний угол лабораторного шкафа.
А на дворе был 1991 год. Еще через год научным сотрудникам стало недосуг удовлетворять собственное любопытство за государственный счет. Зарплаты не хватало, чтобы купить пару обуви детям. Нужно было думать, как кормить семью. И Николай вспомнил про тупиковую ветвь своих исследований. Он показал образцы искусственных камней своему школьному приятелю, инженеру-строителю, который в это время начал строить особняки для новых русских. Тот сказал, что если можно синтезировать их в больших объемах, то они вполне могут рассматриваться как недорогой, прочный и красивый отделочный материал.
Кузьмин воодушевился, и в своем гараже на даче соорудил установки для синтеза и обработки этих полимерных камней. Потом - участие в выставке, где его заметили люди из строительной фирмы и дали небольшой заказ. На вырученные деньги Николай год кормил семью и арендовал заброшенный автосервис под Черноголовкой, где и наладил свое первое промышленное производство.
Дальше - больше. Камни продавались хорошо, и через три года у Кузьмина было 5 оптовых магазинов - складов («отделений компании», как он говорил) в Подмосковье:
в Черноголовке, где впервые реализовалась идея; недалеко от Голицыно для обслуживания лидеров дачного строительства по западному направлению (Минское, Киевское, Рублевского и Ново-рижского шоссе);
под Подольском для обслуживания Калужского направления;
в Лобне для обслуживания перспективного «президентского» направления,
в Бронницах, чтобы не осталось «неохваченным» ни одно из дачных направлений Подмосковья.
Каждый магазин возглавлял менеджер, все - бывшие научные сотрудники, давние знакомые Кузьмина. Менеджеры, естественно, получали проценты с продаж и всемерно стремились к развитию своего оптового магазина - склада.
Большая часть продукции изготавливалась в Черноголовке, там же где находился первый (сейчас уже совсем не самый доходный магазин). Цех мог производить 270 тонн искусственных камней, но такая производственная мощность очень скоро стала совершенно недостаточна. Все 5 отделений компании жаловались на нехватку товара при все возрастающем спросе клиентов.
Поскольку Подольск находился дальше от Черноголовки, чем другие отделения компании (и продавал существенно меньше, чем Голицынское отделение), Николай всегда отправлял продукцию в Подольск в последнюю очередь, по остаточному принципу. Это приводило в ярость менеджера Подольского отделения, Евгения Антипова, и после горячих дискуссий было решено открыть новое производство в Обнинске. Организовать цех поближе к Москве тогда уже было очень трудно и дорого. Цех в Обнинске мог производить 150 тонн продукции ежемесячно.
Однако и это не помогло полностью удовлетворить спрос на замечательные «Камни Кузьмина», делающие отделку коттеджа столь привлекательной и недорогой. Николай знал, что этот спрос растет с каждым месяцем. После консультаций со своим юристом, и получив согласие на кредит в своем банке, Николай принял решение о скорейшем открытии двух новых цехов для производства искусственных камней.
Каждый цех должен иметь такую же производственную мощность, что и цех в Обнинске. Под цех с мощностью, превышающей 150 тонн искусственного камня в месяц, по новым требованиям подмосковных властей нужна намного большая территория (а земля в Подмосковье сейчас безумно дорогая), он должен быть расположен далеко от жилых объектов, а значит, не будет никаких подъездных путей. Николай провел интенсивный поиск и отобрал 3 приемлемых места для постройки двух цехов: на окраине Воскресенска, недалеко от Дмитрова и в маленьком местечке Первомайское на полпути в Волоколамск. При окончательном выборе двух мест для постройки из этих трех кандидатов нужно принять во внимание транспортные издержки и потребности в товаре существующих отделений компании.
Черноголовским отделением занимается сам Николай Кузьмин. Потребность отделения составляет 70 тонн в месяц, которые полностью удовлетворяются цехом в Черноголовке - ведь возить продукцию никуда не надо. Грех было бы не удовлетворять потребности клиентов.
Голицынское отделение (его возглавляет Рустем Сабиров) было вторым отделением, основанным Николаем и до сих пор оно остается самым доходным. По оценкам Рустема спрос составляет 250 тонн в месяц. Цех в Черноголовке традиционно поставляет 150 тонн продукции каждый месяц. Транспортные издержки в расчете на одну тонну, перевезенную из Черноголовки в Голицыно, составляют 1400 руб. Хотя издержки по перевозке одной тонны груза из Обнинска в Голицыно были бы всего 800 руб., Рустем понимал, что ему не дождаться товара из Обнинска, поскольку на него «наложил лапу» напористый Евгений Антипов из Подольского отделения (ведь для него собственно этот второй цех и был построен). Поэтому он всегда просил Николая доставить еще хотя бы 50 тонн из Черноголовки (правда, безрезультатно).
Два дополнительных цеха, конечно, смогут удовлетворить потребность Рустема в дополнительных 100 тоннах продукции, которые ему необходимы. Разумеется, транспортные расходы будут существенно варьировать в зависимости от того, какие места будут для них выбраны. Это будет 500 руб. на тонну при транспортировке из Первомайского, 1220 руб. - из Дмитрова и 1550 руб.- из Воскресенска.
Елена Матухина, менеджер отделения в Лобне, была особенно расстроена из-за недостаточного размера поставок для ее магазина. У нее спрос составлял 160 тонн в месяц, а получала она только 70 тонн: 50 тонн из цеха в Черноголовке и 20 тонн из Обнинска. Она никак не могла понять, почему Николай не поставлял ей все 160 тонн из Черноголовки. Ведь транспортные издержки в расчете на 1 тонну оттуда составляли всего 900 руб., в то время как привести 1 тонну из Обнинска стоит 1300 руб., и еще за это на нее непрерывно «наезжает» Антипов. Елена надеялась, что Николай выберет Дмитров для одного из новых цехов. Тогда она смогла быть получить все недостающие ей 90 тонн с транспортной издержкой всего 500 руб. за 1 тонну. Если не Дмитров, то подошло бы и Первомайское, хотя транспортные издержки в этом случае возросли бы до 600 руб. за тонну. Поскольку транспортные издержки из Воскресенска в Лобню составили бы 1400 руб. за тонну, Елена подсчитала, что это делает для нее невозможным поставки оттуда.
Отделение в Подольске, возглавляемое Евгением Антиповым, получает 100 тонн искусственного камня в месяц из Обнинска. Спрос составлял 180 тонн. Евгению удалось отстоять поставки из нового цеха в Обнинске (который и был построен в результате его постоянного давления). Транспортные издержки из Обнинска в Подольск составляли 900 руб., в то время как транспортировка камня из Черноголовки в Подольск обходилась бы в 1100 руб. за тонну. Однако добиться, чтобы вся продукция из Обнинска шла только ему, Евгению не удалось. Вмешалась Матухина, тихой сапой, оттяпавшая себе 20 тонн в месяц, и 30 тонн пришлось согласиться отдать новому отделению в Бронницах. Евгений надеялся, что Дмитров не будет выбран в качестве места дислокации новых производственных цехов, поскольку при поставке товара из Дмитрова в Подольск транспортные издержки составили бы 1550 руб. за тонну. Поставки из Первомайского и Воскресенска составили бы соответственно 700 руб. и 1050 руб. за тонну, что его вполне устраивало.
Отделение в Бронницах получало только половину от своей ежемесячной потребности. 30 тонн искусственного камня приходили в Бронницы из Обнинска. Транспортные издержки при этом составляли 1300 руб. за тонну. Из Черноголовки транспортные издержки составили бы 900 руб., но Владимир Копцев, менеджер отделения в Бронницах понимал, что при этом Кузьмину пришлось бы уменьшить поставки Голицынскому отделению, на что он никогда бы не пошел. Поэтому Копцев возлагал большие надежды на запуск новых цехов. Особенно заинтересован он был в запуске цеха в Воскресенске, поскольку при этом транспортные издержки для него составили бы всего 300 руб. за тонну. Он мог бы получить весь требующийся ему товар (60 тонн) из Воскресенска. Правда, даже, если Воскресенск и не будет выбран, Первомайское то же терпимо, хотя и гораздо хуже. Транспортные издержки при поставках из Первомайского в Бронницы составят 950 руб. за тонну. А вот Дмитров для него совсем неприемлем
- 1750 руб. за тонну.
Николай Кузьмин уже несколько недель обдумывал дилемму о выборе окончательных мест дислокации новых цехов, и, в конце концов, решил собрать совещание всех руководителей отделений. Решение будет трудным, но цель ясна
- минимизировать транспортные издержки. Совещание произошло в Черноголовке. Присутствовали все, кроме Елены Матухиной.
Протокол совещания
Кузьмин:
Благодарю всех за то, что собрались. Как вы знаете, я решил открыть два новых производственных цеха в Первомайском, Дмитрове или в Воскресенске. Два цеха, конечно, изменят существующую практику поставок, и я искренне надеюсь, что они позволят поставлять столько искусственного камня, сколько вам требуется. Я знаю, что вы могли бы продавать больше нашей продукции, и я прошу прощенья за то, что такая ситуация продолжалась так долго.
Копцев:
Николай, я много думал о нашей проблеме, и я чувствую, что хотя бы один цех должен быть открыт в Воскресенске. Как ты знаешь, сейчас я получаю только половину продукции, от потребностей моего отделения. Мой брат Сергей очень заинтересован в руководстве новым цехом, и я знаю, что он прекрасно справится с этим.
Сабиров:
Володя, я уверен, что Сергей сможет справиться с этой работой, и я знаю, как трудно сейчас найти приличную работу инженеру-технологу (ведь он у тебя работает на Воскресенском химическом комбинате, не правда ли?). Тем не менее, нам следует рассматривать полные издержки, связанные с транспортировкой продукции во все наши отделения, а не персоналии. Я думаю, что новые цеха должны быть открыты в Первомайском и Дмитрове. Мое отделение находится гораздо дальше от производственных цехов (действующих и потенциального в Воскресенске), чем все остальные отделения нашей компании, и выбор Первомайского и Дмитрова мог бы существенного уменьшить мои транспортные издержки.
Копцев:
Согласен, Рустем, однако, есть и другие важные факторы. В Воскресенске, как ты верно заметил, расположен мощный химический комбинат, производящий необходимое сырье для наших искусственных камней, и мой брат обеспечит, чтобы новый цех в Воскресенске смог бы получать сырье на 100 руб. за тонну дешевле, чем оба существующие и два других планируемых цеха. Это соответственно снизит себестоимость продукции, производимой в Воскресенске.
Сабиров:
Выигрыш в 100 руб. на тонну никак не компенсирует возрастание моих транспортных издержек. У меня и так они самые большие - 1400 руб. за тонну, а если выбрать Воскресенск они составят 1550 руб.! И в таких условиях должно работать отделение, обеспечивающее максимальный объем продаж!
Антипов:
Успокойтесь, вы оба. Очевидно, что мы не сможем полностью удовлетворить интересы каждого из нас. Поэтому я предлагаю, чтобы мы проголосовали за два лучших места дислокации новых цехов.
Кузьмин:
Я не думаю, что голосование хорошая идея. Во-первых, Елена не смогла присутствовать, а во-вторых, мне кажется, что нам нужно попытаться учесть все существующие факторы, используя логику, а не личные пристрастия и эмоции.
После безрезультатного собрания, Кузьмин попросил бывшего теоретика своей проблемной лаборатории, который раньше занимался компьютерным моделированием в статистической физике полимеров, а теперь подвизался на преподавании количественных методов в менеджменте в модной бизнес школе, применить эти методы для принятия рационального решения о размещении его новых производственных цехов. Как вы думаете, к какому результату тот пришел?
Анализ кейса.
C технической точки зрения анализ кейса не вызывает никаких трудностей. Необходимо выбрать два из трех потенциальных мест для строительства цехов, на основе минимизации издержек транспортных перевозок камней от четырех цехов, где производятся искусственные камни (два имеющихся цеха - в Черноголовке и Обнинске, и два новых) к четырем магазинам складам (в Подольске, Голицыно, Лобне и Бронницах). Магазин в Черноголовке можно из количественной модели исключить, т.к. очевидно, что он должен снабжаться цехом, расположенным в Черноголовке, поскольку транспортные издержки при этом нулевые.
Это можно сделать, либо решив последовательно 3 транспортные задачи (для трех возможных сочетаний двух новых цехов: Первомайское - Воскресенск, Дмитров - Первомайское и Дмитров - Воскресенск), либо совместив задачу выбора двух поставщиков из трех возможных с минимизаций издержек транспортных перевозок от них. Мы реализуем второй путь.
Однако, кроме минимизации полных транспортных издержек компании путем оптимального выбора мест для новых цехов, стоит также обратить внимание на то, что менеджеры - руководители отделений компании лично заинтересованы в минимизации издержек транспортных перевозок именно к их магазину, так как этим определяется прибыль магазина, а, следовательно, и их персональный доход. Полезно выяснить, кто и сколько выиграет или проиграет в результате перехода от статус-кво к оптимальному (для компании в целом) решению. Эти данные впоследствии необходимо использовать для модификации системы выплат и компенсаций менеджеров.
Начнем с анализа статус-кво. Насколько сложившаяся практика поставок выгодна для компании в целом? В тексте кейса можно найти информацию о ценах и объемах перевозок, а также о величинах оцениваемого дефицита поставок. Все необходимые для дальнейшего анализа данные собраны в таблице.
|
|
Подольск |
Голицыно |
Бронницы |
Лобня |
Запас |
|
Черноголовка |
1100 |
1400 |
900 |
900 |
200 |
|
Обнинск |
900 |
800 |
1300 |
1300 |
150 |
|
Первомайское |
700 |
500 |
950 |
600 |
150 |
|
Дмитров |
1550 |
1220 |
1750 |
500 |
150 |
|
Воскресенск |
1050 |
1550 |
300 |
1400 |
150 |
|
Заказ |
180 |
250 |
60 |
160 |
|
|
|
Рис. 92 |
Потребность магазина в Черноголовке составляет 70 тонн в год и удовлетворяется цехом в Черноголовке, который производит 270 тонн искусственных камней в год. Таким образом, на четыре оставшихся магазина приходится 200 тонн камней из Черноголовки, что и отражено в таблице (в колонке Запас). Цены перевозок 1 тонны камней из Воскресенска в каждый из четырех магазинов уменьшены на 100 руб., по сравнению с данными, обсуждавшимися в тексте. Тем самым учтено, что себестоимость сырья, в случае строительства цеха в Воскресенске, будет на 100 руб. меньше на каждую тонну произведенных камней.
В следующей таблице () представлена ситуация на сегодняшний
|
день. |
|
|
Черноголовка |
Подольск |
Голицыно |
Бронницы |
Лобня |
Запас |
|
Черноголовка |
0 |
1100 |
1400 |
900 |
900 |
270 |
|
Обнинск |
2000 |
900 |
800 |
1300 |
1300 |
150 |
|
Заказ |
70 |
180 |
250 |
60 |
160 |
|
|
Дефицит |
0 |
-80 |
-100 |
-30 |
-90 |
|
|
Поставка |
70 |
100 |
150 |
30 |
70 |
|
|
|
Рис. 93 |
Оставим в стороне вопрос о том, почему разные отделения компании имеют различные отношения величины дефицита к реальной потребности. В принципе, мы могли бы перераспределить имеющийся дефицит в 300 тонн в год (сумма заказов от всех отделений - 720 тонн, а производственные мощности двух имеющихся цехов - 420 тонн) исходя из минимума транспортных издержек. Однако, по-видимому, транспортные издержки не являются основным фактором в распределении ограниченных ресурсов компании по ее отделениям. Здесь важную роль могут иметь упущенные возможности от неудовлетворенного спроса, цены и ассортимент продукции каждого отделения. Нет уверенности, что при решении вопроса о величине поставок все эти факторы принимались во внимание Кузьминым (скорее, наоборот, решающим фактором было давление менеджеров -руководителей отделений). Однако, поскольку объективная информация на этот счет в кейсе отсутствует, примем величины поставок в каждое отделение как данность и проверим, правильно ли определены поставщики для каждого отделения с точки зрения минимизации полных издержек транспортных перевозок. Просто решим сбалансированную транспортную задачу с двумя поставщиками и четырьмя заказчиками.
|
На приведены планы поставок как есть и как должно быть из соображений минимума издержек (нижняя таблица), а также соответствующие издержки._ |
|
|
A |
B C |
D |
E |
F |
G |
|
1 |
Status Quo: Издержки и заказы |
|
|
|
|
|
2 |
|
Черноголовка |
Подольск |
Голицыно |
Бронницы |
Лобня |
Запас |
|
3 |
Черноголовка |
0 |
1100 |
1400 |
900 |
900 |
270 |
|
4 |
Обнинск |
2000 |
900 |
800 |
1300 |
1300 |
150 |
|
5 |
|
|
|
|
|
|
|
|
6 |
Потребность |
70 |
180 |
250 |
60 |
160 |
720 |
|
7 |
Дефицит |
0 |
-80 |
-100 |
-30 |
-90 |
|
|
8 |
Заказ |
70 |
100 |
150 |
30 |
70 |
420 |
|
9 |
|
|
|
|
|
|
|
|
10 |
Status Quo: Реально существу |
^ющий план перевозок |
|
|
|
|
11 |
|
Черноголовка |
Подольск |
Голицыно |
Бронницы |
Лобня |
Запас |
|
12 |
Черноголовка |
70 |
|
150 |
|
50 |
270 |
|
13 |
Обнинск |
|
100 |
|
30 |
20 |
150 |
|
14 |
Заказ |
70 |
100 |
150 |
30 |
70 |
420 |
|
15 |
|
Средневзвешенные транспортные издержки |
|
|
|
16 |
|
0 |
900 |
1 400 |
1 300 |
1 014 |
|
|
|
|
|
|
|
|
|
|
|
18 |
Издержки Status Quo= |
410 000 |
|
|
|
|
|
19 |
|
|
|
|
|
|
|
|
20 |
Оптимум для Status Quo. |
|
|
|
|
|
|
21 |
|
Черноголовка |
Подольск |
Голицыно |
Бронницы |
Лобня |
Запас |
|
22 |
Черноголовка |
70 |
100 |
0 |
30 |
70 |
270 |
|
23 |
Обнинск |
0 |
0 |
150 |
0 |
0 |
150 |
|
24 |
Заказ |
70 |
100 |
150 |
30 |
70 |
420 |
|
25 |
|
Средневзвешенные транспортные издержки |
|
|
|
26 |
|
0 |
1 100 |
800 |
900 |
900 |
|
|
27 |
Выигрыш
\Проигрыш |
0 |
-200 |
600 |
400 |
114 |
|
|
|
|
|
|
|
|
|
|
|
29 |
Оптимальные издержки= |
320 000 |
|
|
|
|
|
|
Рис. 94 |
Видно, что сложившаяся практика поставок обусловливает транспортные издержки почти на 30% выше, чем оптимальные. Анализ средневзвешенных транспортных издержек каждого магазина показывает, что при переходе от сложившейся практики поставок к оптимальной, выиграли бы все менеджеры-руководители отделений, кроме «напористого» Евгения Антипова. Понятно, что именно давление этого менеджера и, возможно, стремление Кузьмина продавать как можно больше (и в первую очередь) на западном направлении сформировало нынешнюю неэффективную систему поставок.
Перейдем теперь к решению задачи об оптимальном выборе местоположения для новых цехов. На представлена организация данных на листе MS Excel для использования Поиска решения.
|
|
>
ГО
о
о |
E |
F |
G |
|
1 |
Выбор положения цехов и объемов поставок |
|
|
|
|
2 |
|
|
Подольск |
Голицыно |
Бронницы |
Лобня |
Запас |
|
3 |
Черноголовка |
|
1100 |
1400 |
900 |
900 |
200 |
|
4 |
Обнинск |
|
900 |
800 |
1300 |
1300 |
150 |
|
5 |
Первомайское |
|
700 |
500 |
950 |
600 |
1 50 |
|
6 |
Дмитров |
|
1550 |
1220 |
1750 |
500 |
150 |
|
7 |
Воскресенск |
|
1050 |
1550 |
300 |
1400 |
150 |
|
8 |
Заказ |
|
180 |
250 |
60 |
160 |
|
|
9 |
|
|
|
|
Полные издержки = |
=СУММПРОИЗВ^3:
F7;C12:F16) |
|
10 |
|
|
|
|
|
|
|
|
11 |
|
Брать\Не брать |
Подольск |
Голицыно |
Бронницы |
Лобня |
Запас |
|
12 |
Черноголовка |
|
|
|
|
|
=СУММ(а2^12)-
G3*B12 |
|
13 |
Обнинск |
|
|
|
|
|
=СУММ(а3^13)-
G4*B13 |
|
14 |
Первомайское |
|
|
|
|
|
=СУММ(а4^14)-
G5*B14 |
|
15 |
Дмитров |
|
|
|
|
|
=СУММ(а5^15)-
G6*B15 |
|
16 |
Воскресенск |
|
|
|
|
|
=СУММ(а6^16)-
G7*B16 |
|
17 |
Заказ |
|
=СУММ(С |
=СУММр- |
=СУММ^ |
=СУММ^12^16)^8 |
|
18 |
|
|
|
|
|
|
|
|
19 |
|
Средневзвешенн ые транспортные издержки |
|
|
|
20 |
|
|
=СУММП
РОИЗВ^
12:C16;C3
:C7)/C8 |
=СУММПР
ОИЗВР12
:D16;D3:D
7)/D8 |
=СУММПР
ОИЗВ^12
:E16;E3:E
7)/E8 |
=СУММПР
ОИЗВ^12:
F16;F3:F7)/
F8 |
|
|
21 |
|
Средневзвешенные транспортные издержки для Status Quo |
|
|
22 |
|
|
900 |
1 400 |
1 300 |
1 014 |
|
|
23 |
Выигрыш
\Проигрыш |
|
=C22-C20 |
=D22-D20 |
=E22-E20 |
=F22-F20 |
|
|
|
Рис. 95 |
Переменными решения являются 20 объемов перевозок от каждого поставщика (два старых цеха и 3 потенциальных новых) в каждое отделение компании - ячейки С12Л6, а также пять двоичных переменных (0/1) в ячейках B12:B16, отвечающие на вопрос «Выбирать или не выбирать» потенциальное местоположение для строительства нового цеха. Целевая функция - суммарные издержки транспортных перевозок введена в ячейке I3.
Ограничения в ячейках C17:F17 - обычное для транспортной задачи требование удовлетворения заказа данного потребителя - отделения компании. Аналогично, в ячейках H12:H16 введено ограничение, обусловленное производственными мощностями цехов в Черноголовке и Обнинске. Обратите внимание, что величина производственной мощности множится на двоичную переменную «Выбирать или не выбирать» данное место для строительства цеха. Очевидно, если эта переменная равна 0 («не выбирать»), то запас,
соответствующий этому гипотетическому цеху равен 0. При задании ограничений в Поиске решения необходимо, очевидно, потребовать, чтобы ячейки C18:F18 и H12:H16 равнялись нулю. Кроме этого, можно потребовать, чтобы двоичные переменные B12:B13 оставались равными единице. Это означает, что старые места цехов уже выбраны.
Решение показано на .
Здесь мы позволим себе небольшое отступление.
Мы не раз отмечали, что алгоритм упрощенной версии надстройки Поиск решения, имеющейся в стандартной поставке MS Office, не вполне устойчив. Это приводит к тому, что на разных компьютерах (или для разных версий Windows и MS Office), решение находится с разной степенью эффективности. В частности, в данной задаче Поиск решения иногда выдает сообщение о том, что нарушается условие линейности. При этом повторение процедуры поиска решения приводит к тому, что верное решение все таки успешно находится.
Видно, что модель рекомендует выбрать Дмитров и Первомайское в качестве мест для строительства новых цехов. При этом суммарные транспортные издержки составят 481000 руб. в год. В случае выбора пар Дмитров -Воскресенск или Первомайское -Воскресенск издержки соответственно 555500 руб. и 500500 руб. (проверьте это непосредственным решением транспортной задачи для данных вариантов)._
|
|
>
го
о |
D |
E |
F |
G |
|
1 |
Выбор положения цехов и объемов поставок |
|
|
|
|
2 |
|
|
Подольск |
Голицыно |
Бронницы |
Лобня |
Запас |
|
3 |
Черноголовка |
|
1100 |
1400 |
900 |
900 |
200 |
|
4 |
Обнинск |
|
900 |
800 |
1300 |
1300 |
150 |
|
5 |
Первомайское |
|
700 |
500 |
950 |
600 |
150 |
|
6 |
Дмитров |
|
1550 |
1220 |
1750 |
500 |
150 |
|
7 |
Воскресенск |
|
1050 |
1550 |
300 |
1400 |
150 |
|
8 |
Заказ |
|
180 |
250 |
60 |
160 |
|
|
9 |
|
|
|
Полные издержки= |
481 000 |
|
10 |
|
|
|
|
|
|
|
|
11 |
|
Брать\Не брать |
Подольск |
Голицыно |
Бронницы |
Лобня |
Запас |
|
12 |
Черноголовка |
1 |
130 |
0 |
60 |
10 |
0 |
|
13 |
Обнинск |
1 |
50 |
100 |
0 |
0 |
0 |
|
14 |
Первомайское |
1 |
0 |
150 |
0 |
0 |
0 |
|
15 |
Дмитров |
1 |
0 |
0 |
0 |
150 |
0 |
|
16 |
Воскресенск |
0 |
0 |
0 |
0 |
0 |
0 |
|
17 |
Заказ |
|
0 |
0 |
0 |
0 |
|
|
18 |
|
|
|
|
|
|
|
|
19 |
|
Средневзвешенные транспортные издержки |
|
|
|
20 |
|
1 044 |
620 900 |
525 |
|
|
21 |
|
Средневзвешенные транспортные издержки для Status Quo |
|
22 |
|
|
900 |
1 400 |
1 300 |
1 014 |
|
|
23 |
Выигрыш
\Проигрыш |
|
-144 |
780 |
400 |
489 |
|
|
|
Рис. 96 |
Интересно оценить, как изменились средневзвешенные транспортные издержки за 1 тонну для каждого из отделений компании. Видно, что опять выиграли все, кроме Антипова. При этом вариации транспортных издержек для различных отделений компании очень велики: максимальные и минимальные значения отличаются почти в два раза. Это, очевидно, несправедливо, и, несомненно, вызовет трения в компании. Для их преодоления можно рекомендовать создать общий фонд для оплаты транспортных издержек, как фиксированный процент с выручки от продаж каждого отделения, или как-то иначе изменить систему выплат и компенсаций менеджеров-руководителей. В любом случае необходимо прекратить «перетягивание одеяла» между руководителями различных отделений компании - это неизбежно оборачивается убытками для компании в целом.
Цепочка поставок компании «НАЦПРОДУКТ» (Кейс)
2.П-8.
Действие 1-е: Постановка задач оптимизации.
Металлургическая компания НАЦПРОДУКТ является одним из крупнейших производителей ценного продукта X в стране Y. Компания владеет 5 заводами с различными производственными мощностями, построенными в разное время и поэтому имеющими различные ограничения на качество исходного сырья, а также различные значения себестоимости продукта, в зависимости от качества сырья.
Производство продукта Х является высокоэнергоемким. Поэтому заводы строились вблизи мощных источников энергии, но при этом оказались далеко от мировых транспортных путей.
Рынок испытывает высокую потребность в ценном продукте Х, но страна Y небогата сырьем для производства этого продукта. Сырье - руда с различным процентным содержанием искомого компонента (ИК), добывается в весьма удаленных районах мира.
В результате, доля транспортных издержек компании НАЦПРОДУКТ составляет свыше 30% в себестоимости продукта Х.
Цепочка поставок компании НАЦПРОДУКТ построена просто и логично.
|
Потребность заводов компании в сырье на планируемый период |
|
|
Завод 1 |
Завод 2 |
Завод 3 |
Завод 4 |
Завод 5 |
мин. % ИК
k%min |
5% |
5% |
5% |
7% |
7% |
Объем
(млн.тонн) |
18 |
25 |
30 |
15 |
20 |
|
|
Рис. 97 |
В зависимости от спроса на различные вариации продукта Х на внутреннем и внешнем рынке и в зависимости от контрактов, заключенных отделом сбыта компании, определяется производственный план и потребность в сырье для каждого завода. Технологические особенности каждого завода определяют минимальное содержание ИК в руде для каждого завода. Если среднее содержание ИК в руде ниже этого минимального, сырье непригодно для производства продукта на этом заводе. Минимальное содержание ИК и потребность в сырье на планируемый период для каждого завода приведены в таблице ()._
Технологи компании знают, что в зависимости от процентного содержания ИК в руде, себестоимость продукции будет разная. Она максимальна при минимальной концентрации ИК в руде и падает при увеличении концентрации ИК. Приблизительная зависимость себестоимости переработки 1 тыс. тонн сырья C в зависимости от концентрации извлекаемого компонента к выражается эмпирической формулой
min
C = (1-H •
max
min
с параметрами, специфическими для каждого завода, представленными в
следующей таблице (). |
|
Параметры зависимости себестоимости от концентрации ИК в сырье |
|
|
Завод 1 |
Завод 2 |
Завод 3 |
Завод 4 |
Завод 5 |
Cmax
$/тыс.тонн |
20,0 |
18,0 |
16,0 |
22,0 |
20,0 |
|
H |
1,5 |
1,2 |
1,2 |
1 |
1 |
|
|
Рис. 98 |
Тем не менее, себестоимость продукции планируется по максимальному уровню, так как неизвестно, какого качество сырье будет реально поставлено на завод.
Определенные таким образом потребности в сырье, и минимально возможные значения концентрации ИК для каждого завода и служат основными ограничениями для плана закупок.
Закупки сырья являются ключевой, жизненно важной функцией для компании НАЦПРОДУКТ. Это - внешнеэкономическая деятельность, ей присуще множество тонкостей и подводных камней, связанных с международным торговым правом, таможенным регулированием и налоговым законодательством. Поэтому в отделе закупок работают очень опытные люди с юридическим и экономическим образованием. Руководитель отдела, Боб Безукоризненный, двадцать лет назад окончил Престижный Университет по специальности «Внешнеэкономическая деятельность» и имеет большой практический опыт работы в этой сфере. При составлении плана закупок, он придает особое значение выбору надежных поставщиков. Ведь срыв сроков поставок или отклонения от необходимого качества сырья грозят остановкой производства и многомиллионными убытками.
С целью ранжирования мировых поставщиков сырья по этому признаку, в отделе было проведено исследование истории поставок сырья их клиентам в разных странах мира. При этом была использована как открытая, так и конфиденциальная информация, которую удалось добыть, используя многочисленные связи и контакты Боба в этой, весьма специфической сфере деятельности. В результате удалось приписать каждому поставщику специальный «индекс ненадежности», меняющийся от 1 (очень надежный поставщик) до 10 (абсолютно ненадежный).
Практически компания НАЦПРОДУКТ может закупать сырье у десяти различных поставщиков в разных странах мира. Индексы ненадежности каждого поставщика, максимальные и минимальные объемы поставок, которые поставщик готов предоставить компании НАЦПРОДУКТ на планируемый период, цены сырья и среднее значение концентрации ИК для каждого поставщика представлены на .
|
Характеристики возможных поставщиков сырья для заводов НАЦПРОДУКТ |
|
Поставщик |
Индекс
ненадеж
ности |
Максимум,
млн.
тонн |
Минимум,
млн.
тонн |
0/
%
концентрации
ИК |
Цена
($/тонна) |
|
1 |
4 |
16 |
1 |
6,00% |
11,25 |
|
2 |
2 |
20 |
1 |
8,00% |
23,7 |
|
3 |
6 |
24 |
1 |
5,80% |
11,3 |
|
4 |
8 |
28 |
1 |
5,30% |
10,65 |
|
5 |
1 |
30 |
2 |
7,80% |
22,2 |
|
6 |
6 |
32 |
2 |
6,20% |
14,7 |
|
7 |
5 |
34 |
2 |
7,10% |
17,3 |
|
8 |
4 |
36 |
2 |
6,00% |
12,55 |
|
9 |
9 |
38 |
3 |
5,90% |
10,8 |
|
10 |
6 |
40 |
3 |
5,60% |
10,6 |
|
|
Рис. 99 |
Боб Безукоризненный считает, что индекс ненадежности поставок не должен превышать 4 для обеспечения бесперебойной работы компании. Это не значит, что поставщиков с индексом ненадежности выше 4 совсем нельзя включать в план. Но уж если их необходимо использовать, то весовая доля их поставок должна быть не слишком велика. Зато большая весовая доля надежных поставщиков улучшает качество закупки и компенсирует наличие небольшой доли ненадежных поставщиков.
Разумеется, следует стремиться закупить сырье по возможно низким ценам, удовлетворив при этом требованиям надежности поставок, ограничениям, выдвигаемым поставщиками по объему поставок, и требуемой заводами минимальной концентрации ИК.
После того, как поставщики выбраны, и объемы поставок каждого из них определены, наступает очередь отдела логистики. Эта работа в компании традиционно рассматривается как сугубо техническая. Руководители смежных отделов не любят, когда директор по логистике Феофан Перевозчиков выступает с какими-либо замечаниями по работе отдела закупок или, тем более, производственного отдела. Как любит говорить Боб Безукоризненный: «Ваше дело привести сырье, которое мы обеспечили нашими договорами с поставщиками, остальное вас не касается».
Опыт показывает, что транспортные издержки составляют около 30% суммарной себестоимости продукции компании. В компании утвердилось мнение, что транспортные издержки столь высоки из-за неэффективной работы отдела логистики. В конце концов, о задаче оптимизации транспортных издержек все слышали еще в институте. Это - азы количественных методов управления. Однако никто не слышал, чтобы отдел Феофана Перевозчикова использовал количественные методы оптимизации в своей практической работе. Феофан действительно считал это излишним. Ему казалось, что и без всяких замысловатых оптимизационных методов ясно, от какого поставщика вести сырье каждому заводу. Реальная работа состояла в том, чтобы вовремя и правильно зафрахтовать суда и железнодорожные составы для перевозки и проконтролировать движение грузов. Это отдел логистики делал неплохо. Поэтому критику коллег он считал несправедливой. Однако под давлением этой критики он, в конце концов, взял в штат молодого выпускника факультета вычислительной математики и кибернетики Лучшего Университета страны Y, Макса Сиплексова (сына своего старого приятеля).
Макс хорошо учился в университете, но после окончания не захотел идти в аспирантуру, предпочитая попробовать себя на практической работе, поэтому предложение от Компании НАЦПРОДУКТ принял с энтузиазмом.
|
Цены перевозки 1 тонны сырья от каждого из 10 мировых поставщиков к каждому заводу компании |
|
|
Заводы-потребители |
|
Поставщики |
1 |
2 |
3 |
4 |
5 |
|
1 |
24,2 |
17,6 |
25,8 |
24,2 |
18,8 |
|
2 |
28,8 |
9,6 |
11,8 |
10,2 |
15,6 |
|
3 |
15,0 |
7,8 |
21,8 |
8,2 |
11,0 |
|
4 |
23,2 |
17,4 |
25,4 |
19,8 |
26,2 |
|
5 |
23,6 |
20,2 |
22,6 |
20,4 |
14,6 |
|
6 |
14,2 |
8,2 |
9,4 |
15,8 |
8,4 |
|
7 |
12,0 |
16,2 |
19,2 |
18,2 |
19,0 |
|
8 |
15,8 |
19,0 |
12,6 |
24,0 |
21,2 |
|
9 |
11,4 |
20,2 |
16,6 |
25,4 |
22,2 |
|
10 |
21,4 |
20,2 |
16,6 |
25,4 |
22,2 |
|
|
Рис. 100 |
Феофан поручил Максу, для начала, две задачи. Первая задача (ради которой, собственно, по настоянию «общественности», и был взят молодой специалист-«оптимизатор») - это минимизация издержек транспортных перевозок от поставщиков, выбранных отделом закупок, к заводам компании. В глубине души, Феофан был уверен, что ничего нового эта задача для отдела логистики не даст. После того как отдел Боба определил поставщиков, вариантов перевозок было не так уж много, они сильно различались по цене и неоднократно были тщательно проанализированы его сотрудниками. Что тут делать компьютерным методам? Тем не менее, он предоставил Максу таблицу цен перевозок от каждого из 10 возможных поставщиков к каждому из заводов ()._
Вторая задача казалась Феофану гораздо более привлекательной: составить оптимальный план закупок и проанализировать, насколько оптимально отдел закупок выбирает поставщиков для компании. Для постановки и решения этой задачи, разумеется, следовало получить необходимую информацию от Боба Безукоризненного.
Перед тем как идти к Бобу, Феофан зашел к Зам. генерального директора компании по управлению операциями Алексу Заверховному и убедил его, что было бы нерационально использовать нового перспективного сотрудника - Макса Симплексова, только для узких целей отдела логистики. Почему бы не поручить ему оптимизацию и на других участках работы компании? Заверховный предложение одобрил. Действительно, хорошее начинание надо внедрять повсеместно, особенно если это не требует дополнительных затрат.
Боб воспринял обращение Феофана крайне скептически («Задачи нашего отдела четко определены и требуют настоящих экспертов для их решения; что за дикая идея оптимизировать экспертные оценки?»), но против «неубиенного» аргумента Феофана возражать не стал, и информацию выдал.
Итак, молодой сотрудник Макс Симплексов получил две задачи для решения.
— Первая задача состоит в том, чтобы полностью обеспечить заводы сырьем требуемого качества и добиться минимальной стоимости закупок сырья при обеспечении высокой надежности поставок.
— Вторая задача состоит в том, чтобы от выбранных поставщиков наиболее дешевым способом привести каждому заводу сырье требуемого качества.
Определите оптимальные планы закупок сырья и его транспортировки к заводам потребителям.
Приложение
Эмпирическая зависимость себестоимости переработки продукции от процентного содержания извлекаемого компонента в руде для заводов компании НАЦі ПРОДУКТ
k - k
C = (1-H mm
) C
i ' max
k mm
где С - себестоимость продукции, С max - максимальная себестоимость (при минимально допустимой концентрации ИК), H - коэффициент, выражающий скорость снижения себестоимости при росте содержания ИК в руде.
Значения k, С max и H для каждого завода приведены на и .
Анализ действия 1 кейса.
Определение оптимального плана закупок
В задаче определения оптимального плана закупок переменными решения, очевидно являются объемы закупок у каждого /-го поставщика V; . Поскольку поставщиков 10, i меняется от 1до 10.
Помимо этого необходимо ввести 10 двоичных переменных типа «выбрать - не выбирать» для каждого поставщика:
(0 - не выбирать
xi = <
[1 - выбрать
Введение этих переменных необходимо, т.к. каждый поставщик согласен поставить не меньше, чем некоторый минимальный объем сырья Vmin . Соответственно, мы обязаны купить не меньше этого минимального объема или не покупать у этого поставщика вообще ничего. Можно поэтому записать ограничение на объем закупок у каждого поставщика снизу в виде
V>x • V.
г г mm-
Аналогичное ограничение на величину поставок от каждого поставщика сверху запишется в виде:
V- < Vm
Как было рассмотрено в кейсе «На кондитерской фабрике» (действие 3), необходимо обеспечить связь между парой переменных хг о- V; , которая исключала бы ситуацию, когда
V > 0, а xt = 0
Действительно, если мы не выбрали данного поставщика, т.е. xi = 0 , то обязательно должно быть Уі = 0, т.е. никаких закупок у данного поставщика не делается. Эта связь задается условием:
V -100 • х- < 0
Число 100 здесь - это большое число, превышающее максимальный объем, который каждый поставщик способен продать. Последнее условие можно было бы записать в виде
• xi < 0
V - ?т
В этом случае это условие включило бы и ограничение Vi < Vmax и условие связи Vi - 100*xi < 0 , вынуждающее алгоритм положить Vi = 0 , если xi = 0 .
Два других очевидных ограничения - это ограничение на суммарный объем закупок
10 5
Z V=Z Vj =108
i=1 j=1
состоящее в том, что суммарный объем закупок должен покрывать
потребности 5-ти заводов компании - 108 млн. тонн, и
10
ZV (%ИК1 > 7%) > 35
i=1
состоящее в том, что суммарный объем закупок сырья с высоким (более 7%) содержанием искомого компонента в руде должен покрывать потребности 2х заводов компании, и следовательно, такое сырье должно быть закуплено в объеме, не меньшем, чем 35 млн. тонн.
Важнейшим ограничением плана закупок является обеспечение надежности поставок, которая оценивается как средневзвешенный индекс надежности выбранных поставщиков. Обозначим индекс надежности каждого поставщика как RIi , а индекс надежности поставок сырья на год как, т.е. средневзвешенный индекс выбранных поставщиков как Шзакупок.
Выражение для средневзвешенного индекса поставщиков имеет следующий вид
10
ZRIi'I']
RI = і=1
закупок 10
ZV
=1
Однако, присутствие переменных решения в знаменателе сделает нашу задачу нелинейной, что значительно затруднит поиск решения. В этом нет
10 5
никакой необходимости, т. к. согласно условию Z V=Z Vj =108 , суммарный
i=1 j=1
объем закупок должен точно равняться 108 млн. тонн. Учитывая это обстоятельство, можно переписать выражение
I RI,-V
I R,-v,
J=1_
10
IV
RI з
=1
в виде
RIз
108
и потребовать, чтобы этот индекс в оптимальном плане не превышал 4:
закупок
Наконец выражение для целевой функции - суммарной стоимости закупок,
которая должна быть минимальна, запишется в виде:
10
с = IV,c,
=1
|
где С( — стоимость одной тонны сырья у I -го поставщика. |
|
|
A |
B |
C |
D |
E |
F |
G |
H |
І |
J |
K |
|
1 |
План закупок. Выбор поставщиков. Оптимизация |
|
|
|
|
2 |
|
|
|
|
|
|
|
|
|
|
|
|
3 |
Завод |
1 |
2 |
3 |
4 |
5 |
|
|
|
|
|
|
4 |
Кол-во |
18 |
25 |
30 |
15 |
20 |
|
|
|
|
|
|
5 |
min % ИК |
5% |
5% |
5% |
7% |
7% |
|
|
|
|
|
|
Ь |
|
|
|
|
|
|
|
|
|
|
|
|
7 |
Постав
щик |
Max |
Min |
% ИК |
Цена |
Индекс
надеж
ности |
|
Брать/не
брать |
Объем закупок |
Условие
связи |
Мин.
объем |
|
8 |
1 |
1Ь |
1 |
Ь.0% |
7.50 |
4 |
|
|
|
=І8-100*Н8 |
=C8*H8 |
|
9 |
2 |
30 |
1 |
8.0% |
15.80 |
2 |
|
|
|
|
|
|
10 |
3 |
24 |
1 |
5.8% |
7.53 |
Ь |
|
|
|
|
|
|
11 |
4 |
28 |
1 |
5.3% |
7.10 |
8 |
|
|
|
|
|
|
12 |
5 |
20 |
2 |
7.8% |
14.80 |
1 |
|
|
|
|
|
|
13 |
Ь |
32 |
2 |
Ь.2% |
9.80 |
Ь |
|
|
|
|
|
|
14 |
7 |
34 |
2 |
7.1% |
11.53 |
5 |
|
|
|
|
|
|
15 |
8 |
3Ь |
2 |
Ь.0% |
8.37 |
4 |
|
|
|
|
|
|
1Ь |
9 |
38 |
3 |
5.9% |
7.20 |
9 |
|
|
|
|
|
|
17 |
10 |
40 |
3 |
5.Ь% |
7.07 |
Ь |
|
|
|
|
|
|
18 |
|
|
|
|
|
|
|
|
ИТОГО |
Требуется |
|
|
19 |
|
|
|
|
|
|
|
Закупок |
=СУММ(І8:І17) |
=СУММ(В4^4) |
|
20 |
Стоимость |
|
|
|
|
Закупок
с%ИК>7% |
=І9+І12+І14 |
=E4+F4 |
|
|
21 |
=СУММПРОИЗВ($І$8:$І$
17;E8:E17) |
|
|
|
|
Индекс
надежности |
=СУММПРОИЗ В($І$8:$І$17;F 8:F17)/J19 |
4 |
|
|
|
Рис. 101 |
На приведена организация данных на листе MS Excel для использования Поиска решений. В ячейках A1:F3 введены данные, касающиеся требования к поставкам сырья 5-ти заводов компании, а в ячейках A4:F16 -данные о потенциальных поставщиках компании, включая возможные максимальный и минимальный объем закупок, %ИК в руде, цену одной тонны руды и индекс надежности, приписанный поставщику экспертами отдела закупок компании НАЦПРОДУКТ. Двоичные переменными решения располагаются в ячейках H7:H16 («выбрать поставщика или не выбирать») и переменные объемы закупок - в ячейках I7:I16. Целевая функция введена в ячейку L7.
В ячейки J7:J16 введены условия связи между объемом закупок Vf и двоичной переменной Xf (4), а в ячейки K7:K16 - выражения для минимального объема закупок, равного либо 0, либо Vmin.
Наконец, в ячейках I18:121 введены левые части ограничений на суммарный объем закупок, на объем закупок руды с высоким процентным содержанием ИК (%ИК>7%), а также выражение для средневзвешенного индекса надежности поставщиков. В ячейках J18:J21 - соответственно правые части ограничений (6), (7), (9).
Оптимальный план поставок, полученный с использованием Поиска решений, представлен на .
|
|
A |
в |
C |
D |
E |
F |
G |
H |
I |
J |
K |
|
1 |
План закупок. Выбор поставщиков. Оптимизация |
|
|
|
|
2 |
|
|
|
|
|
|
|
|
|
|
|
|
3 |
Завод |
1 |
2 |
3 |
4 |
5 |
|
|
|
|
|
|
4 |
Кол-во |
18 |
25 |
30 |
15 |
20 |
|
|
|
|
|
|
5 |
min % ИК |
5% |
5% |
5% |
7% |
7% |
|
|
|
|
|
|
b |
|
|
|
|
|
|
|
|
|
|
|
|
7 |
Постав
щик |
Max |
Min |
% ИК |
Цена |
Индекс
надеж
ности |
|
Брать/не
брать |
Объем закупок |
Условие
связи |
Мин.
объем |
|
8 |
1 |
1b |
1 |
b.0% |
7.50 |
4 |
|
1 |
16.00 |
-84 |
1.00 |
|
9 |
2 |
30 |
1 |
8.0% |
15.80 |
2 |
|
0 |
0.00 |
0 |
0.00 |
|
10 |
3 |
24 |
1 |
5.8% |
7.53 |
6 |
|
0 |
0.00 |
0 |
0.00 |
|
11 |
4 |
28 |
1 |
5.3% |
7.10 |
8 |
|
0 |
0.00 |
0 |
0.00 |
|
12 |
5 |
20 |
2 |
7.8% |
14.80 |
1 |
|
1 |
19.25 |
-81 |
2.00 |
|
13 |
b |
32 |
2 |
b.2% |
9.80 |
6 |
|
0 |
0.00 |
0 |
0.00 |
|
14 |
7 |
34 |
2 |
7.1% |
11.53 |
5 |
|
1 |
15.75 |
-84 |
2.00 |
|
15 |
8 |
3b |
2 |
b.0% |
8.37 |
4 |
|
1 |
36.00 |
-64 |
2.00 |
|
1b |
9 |
38 |
3 |
5.9% |
7.20 |
9 |
|
0 |
0.00 |
0 |
0.00 |
|
17 |
10 |
40 |
3 |
5.b% |
7.07 |
6 |
|
1 |
21.00 |
-79 |
3.00 |
|
18 |
|
|
|
|
|
|
|
|
ИТОГО |
Требуется |
|
|
19 |
|
|
|
|
|
Закупок |
108.00 |
108 |
|
|
20 |
Стоимость |
|
|
Закупок с%ИК>7% |
35.00 |
35 |
|
|
21 |
1036.15 |
|
|
Индекс надежности |
4.00 |
4 |
|
|
|
Рис. 102 |
Видно, что следует выбрать поставщиков №1, 5, 7, 8 и 10. При этом все ограничения по объему поставок, качество сырья и надежности поставок выполнены.
В полученном решении условие связи между двоичными переменными и объема закупок (Vi - 100*xf < 0) фактически не является связывающим. И без него Поиск решения выбрал объемы закупок, превышающие минимально допустимые. Легко понять, что это отнюдь не всегда будет так. Пусть, например, поставщики требуют, чтобы минимальные объемы закупок составляли не менее 50% от объявленных ими же максимальных допустимых объемов. Решение задачи в этом случае показано на .
Видно, что теперь условие связи Vf - 100*xf < 0 существенно влияет на решение, ухудшая целевую функцию и меняя оптимальный выбор поставщиков.
|
|
A |
в |
C |
D |
E |
F |
G |
H |
I |
J |
K |
|
1 |
План закупок. Выбор поставщиков. Оптимизация |
|
|
|
|
2 |
|
|
|
|
|
|
|
|
|
|
|
|
3 |
Завод |
1 |
2 |
3 |
4 |
5 |
|
|
|
|
|
|
4 |
Кол-во |
18 |
25 |
30 |
15 |
20 |
|
|
|
|
|
|
5 |
min % ИК |
5% |
5% |
5% |
7% |
7% |
|
|
|
|
|
|
Ь |
|
|
|
|
|
|
|
|
|
|
|
|
7 |
Постав
щик |
Max |
Min |
% ИК |
Цена |
Индекс
надеж
ности |
|
Брать/не
брать |
Объем закупок |
Условие
связи |
Мин.
объем |
|
8 |
1 |
1Ь |
8 |
6.0% |
7.50 |
4 |
|
1 |
15.00 |
-85 |
8.00 |
|
9 |
2 |
30 |
15 |
8.0% |
15.80 |
2 |
|
1 |
15.00 |
-85 |
15.00 |
|
10 |
3 |
24 |
12 |
5.8% |
7.53 |
6 |
|
0 |
0.00 |
0 |
0.00 |
|
11 |
4 |
28 |
14 |
5.3% |
7.10 |
8 |
|
0 |
0.00 |
0 |
0.00 |
|
12 |
5 |
20 |
10 |
7.8% |
14.80 |
1 |
|
1 |
20.00 |
-80 |
10.00 |
|
13 |
Ь |
32 |
1Ь |
Ь.2% |
9.80 |
6 |
|
0 |
0.00 |
0 |
0.00 |
|
14 |
7 |
34 |
17 |
7.1% |
11.53 |
5 |
|
0 |
0.00 |
0 |
0.00 |
|
15 |
8 |
3Ь |
18 |
Ь.0% |
8.37 |
4 |
|
1 |
18.00 |
-82 |
18.00 |
|
1Ь |
9 |
38 |
19 |
5.9% |
7.20 |
9 |
|
0 |
0.00 |
0 |
0.00 |
|
17 |
10 |
40 |
20 |
5.Ь% |
7.07 |
6 |
|
1 |
40.00 |
-60 |
20.00 |
|
18 |
|
|
|
|
|
|
|
|
ИТОГО |
Требуется |
|
|
19 |
|
|
|
|
|
Закупок |
108.00 |
108 |
|
|
20 |
Стоимость |
|
|
Закупок с%ИК>7% |
35.00 |
35 |
|
|
21 |
1078.77 |
|
|
Индекс надежности |
3.91 |
4 |
|
|
|
Рис. 103 |
Определение оптимального плана перевозок
Это задача практически мало отличается от обычной сбалансированной транспортной задачи. На показана организация данных для Поиска решения MS-Excel.
После выбора поставщиков на предыдущем шага анализа кейса, в таблице цен транспортных перевозок от каждого из потенциальных поставщиков к каждому из 5-ти заводов компании, осталось всего 5 строк, а именно строки № 1,5,7,8,10 - т.е. строки с номерами выбранных поставщиков.
Переменные решения B11:F16 - объемы перевозок от каждого из выбранных поставщиков к каждому заводу-потребителю. В ячейках G11:G15 -стандартные требования поставщиков: суммарный вывезенный объем от каждого поставщика равен его запасу, а в ячейках B16:F16 - аналогичные требования заводов потребителей: суммарный объем сырья, привезенный от каждого из поставщиков, равен заказу.
Единственное отличие данной задачи от транспортной - это требования каждого поставщика к качеству сырья: средневзвешенное процентное содержание ИК в доставленной руде не должно быть меньше минимально допустимого. Для заводов 1-3 это 5%, а для заводов 4-5, это 7%. Эти требования выражены ограничениями, введенными в ячейках B17:F17.
При этом снова, как и на предыдущем шаге анализа, выражение для средневзвешенного процентного содержания ИК в руде, доставленной j-ому заводу потребителю
5
2 % ИК г Vi % ИК — J—1_
® j поставки 5
2 V
г —1
где Vг - объем сырья привезенный от i-го поставщика, заменен на
5
^ % ИКІ Vi
i=1_
совпадающей с предыдущей формулой при условии, что суммарный объем сырья, привезенный данному заводу от всех поставщиков, равен заказу этого завода, но устраняющей переменные решения из знаменателя.
Целевая функция, равная сумме сумм произведений цен на объемы перевозок введена в ячейку H17._ |
|
|
A |
B |
C |
D |
E |
F |
G |
H |
I |
|
1 |
Оптимальный план перевозок |
|
|
|
|
|
|
|
|
|
|
|
|
|
|
|
|
|
3 |
Поставщик |
1 |
2 |
3 |
4 |
5 |
Объем закупо |
% ИК |
Цена |
|
4 |
1 |
24.2 |
17.6 |
25.8 |
24.2 |
18.8 |
16.00 |
0.060 |
7.50 |
|
5 |
5 |
23.6 |
20.2 |
22.6 |
20.4 |
14.6 |
19.25 |
0.078 |
14.80 |
|
6 |
7 |
12 |
16.2 |
19.2 |
18.2 |
19 |
15.75 |
0.071 |
11.53 |
|
7 |
8 |
15.8 |
19 |
12.6 |
24 |
21.2 |
36.00 |
0.060 |
8.37 |
|
8 |
10 |
21.4 |
20.2 |
16.6 |
25.4 |
22.2 |
21.00 |
0.056 |
7.07 |
|
9 |
Заказы |
18 |
25 |
30 |
15 |
20 |
|
|
|
|
10 |
min % ИК |
0.05 |
0.05 |
0.05 |
0.07 |
0.07 |
|
|
|
|
II |
|
|
|
|
|
|
|
|
|
|
12 |
Поставщик |
1 |
2 |
3 |
4 |
5 |
|
Издержки |
|
|
13 |
1 |
|
|
|
|
|
=СУММ^13:
F13)-G4 |
^УММПРОИЗВ^^^
13:F13) |
|
14 |
5 |
|
|
|
|
|
=СУММ^14:
F14)-G5 |
^УММПРОИЗВ^^^
14:F14) |
|
15 |
7 |
|
|
|
|
|
=СУММ^15:
F15)-G6 |
^УММПРОИЗВ^^^
15:F15) |
|
16 |
8 |
|
|
|
|
|
=СУММ^16:
F16)-G7 |
^УММПРОИЗВ^^^
16:F16) |
|
17 |
10 |
|
|
|
|
|
=СУММ^17:
F17)-G8 |
^УММПРОИЗВ^^^
17:F17) |
|
18 |
|
=СУММ(В13:В17)-В9 |
|
|
|
=СУММ0-І13 |
:H17) |
|
19 |
Реальный
% ИК |
=СУММПРОИЗВ(В13:B17;$H$4:$H$8)/B9 |
|
|
|
|
|
Рис. 104 |
j поставки
Решение задачи приведено на .
Видно, что все ограничения на объемы поставок и качество доставленного сырья выполнены. При этом 4-му и 5-му заводу поставки осуществляются не только от поставщиков руды с процентным содержанием ИК выше 7%, но и от тех, где %ИК ниже 7%. Предполагается, что перед переработкой сырье, пришедшее от разных поставщиков, проходит стадию перемешивания так, что концентрация ИК в ней становится равной средневзвешенному значению, которое, как видно, удовлетворяет необходимым требованиям.
|
|
>
ГО
о
D |
E |
F |
G |
H |
I |
|
1 |
Оптимальный план перевозок |
|
|
|
|
|
|
|
|
|
|
|
|
|
|
|
|
|
3 |
Поставщик |
1 |
2 |
3 |
4 |
5 |
Объем закупок |
% ИК |
Цена |
|
4 |
1 |
24.2 |
17.6 |
25.8 |
24.2 |
18.8 |
16.00 |
0.060 |
7.50 |
|
5 |
5 |
23.6 |
20.2 |
22.6 |
20.4 |
14.6 |
19.25 |
0.078 |
14.80 |
|
6 |
7 |
12 |
16.2 |
19.2 |
18.2 |
19 |
15.75 |
0.071 |
11.53 |
|
7 |
8 |
15.8 |
19 |
12.6 |
24 |
21.2 |
36.00 |
0.060 |
8.37 |
|
8 |
10 |
21.4 |
20.2 |
16.6 |
25.4 |
22.2 |
21.00 |
0.056 |
7.07 |
|
9 |
Заказы |
18 |
25 |
30 |
15 |
20 |
|
|
|
|
10 |
min % ИК |
0.05 |
0.05 |
0.05 |
0.07 |
0.07 |
|
|
|
|
11 |
|
|
|
|
|
|
|
|
|
|
12 |
Поставщик |
1 |
2 |
3 |
4 |
5 |
|
Издержки |
|
|
13 |
1 |
0 |
15.25 |
0 |
0 |
0.75 |
0.000 |
282.50 |
|
|
14 |
5 |
0 |
0 |
0 |
0 |
19.25 |
0.000 |
281.05 |
|
|
15 |
7 |
1.75 |
0 |
0 |
14 |
0 |
0.000 |
275.80 |
|
|
16 |
8 |
16.25 |
0 |
19.75 |
0 |
0 |
0.000 |
505.60 |
|
|
17 |
10 |
0 |
9.75 |
10.25 |
1 |
0 |
0.000 |
392.50 |
|
|
18 |
|
0.000 |
0.000 |
0.000 |
0.000 |
0.000 |
|
1 737 |
|
|
19 |
Реальный
% ИК |
0.0611 |
0.0584 |
0.0586 |
0.0700 |
0.0773 |
|
|
|
|
|
Рис. 105 |
Действие 2-е: Оптимизация и здравый смысл.
Феофан дал Максу на решение задач месяц. Однако через два дня воодушевленный юноша уже принес решения: оптимальный план закупок и оптимальный план транспортировки закупленного сырья к заводам -потребителям.
Разумеется, опытные Боб и Феофан предоставили юноше информацию, которая они использовали для составления планов прошлого периода. Так что теперь можно было сравнить результаты «высоко научных методов» и здравого смысла профессионалов со стажем.
Боб был снисходителен и благодушен. Он все время похлопывал Макса по плечу и хвалил:
- Молодец, ты же выбрал именно тех самых поставщиков, что и мы! Правда, объем закупок у нас немного другой..., гм... и цена закупки у тебя получилась немного меньше., но это, брат, мелочи! Разница-то. гм, ведь это чуть больше, чем твоя зарплата за год, ха-ха, шучу, конечно! Зато у нас надежность поставщиков выше. А это в нашем деле важнее, чем какие-то 0,2% себестоимости закупок.
- И потом, согласись, - добавил Боб серьезно - главное, что мы ранжировали поставщиков по степени надежности. Без этого вся твоя оптимизация была бы абсолютной ерундой.
Макс согласился.
- А после этого, план закупок определяется просто на основе здравого смысла. Хочешь, покажу как?
Боб показал. Макс стоял, словно в воду опущенный. Боб успокаивал:
- Все равно, молодец, все сделал правильно. Просто, в нашей сфере тебе негде развернуться, у нас и так все оптимизировано, опытным путем. Иди, лучше Феофану помоги. Вот у него точно есть резервы.
И Макс пошел к Феофану.
Феофану результаты Макса не понравились совсем. Сначала он вообще не понял, как можно везти на завод, у которого минимально допустимая концентрация ИК в руде 7%, сырье с процентным содержанием ИК равным 6%. Макс объяснил, что перед переработкой сырье, пришедшее от разных поставщиков, проходит стадию перемешивания. При этом концентрация ИК становится равной средневзвешенному значению. (Он узнал это, поговорив с менеджером из производственного отдела). После этого Феофан смягчился, однако мнения о полезности расчета не изменил:
- Ну что это меняет? Посмотри, в твоем варианте транспортные издержки всего на 0,1% меньше, чем у меня. Я же тебе говорил, что если поставщики заданы, то маршруты перевозок сырья на заводы определяются элементарно. Показать?
Макс расстроился окончательно, но Феофан не унимался:
- И это все, что может твоя оптимизация? Почему вы - он имел в виду и Макса и Боба - все время выбираете тех поставщиков, от которых дорого вести?
Анализ действия 2 кейса.
Неужели действительно полученные нами оптимальные планы выбора поставщиков, закупки и транспортировки руды могут быть получены без формулировки количественной модели и оптимизационных инструментов типа
Поиска решения?!
Количественная модель, пусть даже не вполне формализованная, все равно, конечно, нужна. А вот планы, близкие к оптимальным, действительно можно получить просто на основе здравого смысла и метода проб и ошибок.
Используем организацию данных на листе MS Excel, близкую к представленной на ).
В качестве переменных решения рассматриваем только объемы поставок, а введенные формулы используем для расчета стоимости закупки (ячейка A21), общего объема поставок и объема поставок руды с высоким содержанием ИК (I19,I20). Формула для средневзвешенного индекса надежности выбранных поставщиков введена в ячейку I21.
Попробуем заполнять таблицу, руководствуясь здравым смыслом. Наши ориентиры:
- выбирать надежных поставщиков,
- при этом стараться минимизировать цену закупки,
- закупить ровно 108 млн. тонн руды,
- при это не менее 35 млн. тонн должна быть руда с %ИК>7%.
Руководствуясь этими ориентирами разумно начать закупку у самого надежного поставщика № 5. У него индекс надежности 1, и руда качественная -%ИК=7,8%. Закупим у него максимум того, что он готов продать - 20 млн.тонн.
На следующем шаге вспомним, что нам надо закупить 35 млн. тонн руды с %ИК выше 7%. Здесь у нас всего 2 альтернативы: купить у поставщика №2 или №7. У поставщика №2 хороший индекс надежности (2), но слишком высокая цена. У поставщика №7 индекс надежности ниже «критического» уровня 4, однако если добавить его поставки к поставкам высоконадежного поставщика №5, средневзвешенный индекс надежности не выйдет за критический предел. Вместе с тем, его цена на треть меньше, чем цена поставщика №2.
Итак, купим у поставщика №7 недостающие нам 15 млн. тонн с %ИК=7,1%. Тогда мы удовлетворим требованию закупки 35 млн. тонн сырья с %ИК>7%. При этом наш индекс надежности будет равен 2,71.
Далее займемся закупкой сырья с более низким содержанием ИК, а потому более дешевого. Индекс надежности поставщиков этого сырья не очень хороший - минимум 4. Естественно, поэтому обратиться именно к поставщикам с этим индексам. Это поставщики №№ 1, 8. Более дешевый поставщик №1. Закупим у него максиму того, что он может продать - 16 млн. тонн. Далее, мы вынуждены обратиться к поставщику №8 и сделать у него также максимальную закупку - 36 млн. тонн. При этом наш средневзвешенный индекс надежности закупок будет 3,48, а суммарный объем закупок - 87 млн.тонн. Необходимо закупить еще 21 млн. тонн руды. Для этой закупки придется использовать поставщиков с индексом надежности 6 (лучше не осталось). Это поставщики №№ 1,6.10. Наиболее дешевый из них - поставщик №10. У него мы и закупим недостающие нам 21 млн. тонн руды.
|
|
|
в |
|
|
E |
F |
G |
H |
I |
|
1 |
План закупок. Выбор поставщиков. Здравый смысл Боба. |
|
2 |
|
|
|
|
|
|
|
|
|
|
3 |
Завод |
1 |
2 |
3 |
4 |
5 |
|
|
|
|
4 |
Кол-во |
18 |
25 |
30 |
15 |
20 |
|
|
|
|
5 |
min % ИК |
5% |
5% |
5% |
7% |
7% |
|
|
|
|
6 |
|
|
|
|
|
|
|
|
|
|
7 |
Постав
щик |
Max |
Min |
% ИК |
Цена |
Индекс
надеж
ности |
|
Брать/не
брать |
Объем закупок |
|
8 |
1 |
16 |
1 |
6.0% |
7.50 |
4 |
|
1 |
16.00 |
|
9 |
2 |
30 |
1 |
8.0% |
15.80 |
2 |
|
|
|
|
10 |
3 |
24 |
1 |
5.8% |
7.53 |
6 |
|
|
|
|
11 |
4 |
28 |
1 |
5.3% |
7.10 |
8 |
|
|
|
|
12 |
5 |
20 |
2 |
7.8% |
14.80 |
1 |
|
1 |
20.00 |
|
13 |
6 |
32 |
2 |
6.2% |
9.80 |
6 |
|
|
|
|
14 |
7 |
34 |
2 |
7.1% |
11.53 |
5 |
|
1 |
15.00 |
|
15 |
8 |
36 |
2 |
6.0% |
8.37 |
4 |
|
1 |
36.00 |
|
16 |
9 |
38 |
3 |
5.9% |
7.20 |
9 |
|
|
|
|
17 |
10 |
40 |
3 |
5.6% |
7.07 |
6 |
|
1 |
21.00 |
|
18 |
|
|
|
|
|
|
|
|
ИТОГО |
|
19 |
|
|
|
|
|
Закупок |
108.00 |
|
20 |
Стоимость |
|
|
Закупок с%ИК>7% |
35.00 |
|
21 |
1038.60 |
|
|
Индекс надежности |
3.97 |
|
|
Рис. 106 |
Результирующий план представлен на . Видно, что этот план всего на 0,2% хуже (по величине целевой функции - суммарной стоимости закупок), чем план, полученный Максом с использованием формальной модели и инструмента оптимизации Поиск решения._
Совершенно аналогичный результат можно получить и в отношении плана транспортировки сырья от выбранных поставщиков к заводам-потребителям. Для упрощения анализа воспользуемся тем же листом MS Excel, который мы использовали для нахождения оптимального плана перевозок с помощью Поиска решения.).
Обратим внимание, что у нас есть два завода-потребителя, к которым нужно отвести сырье с повышенным содержанием ИК, и два поставщика (№№5,7). У которых такое сырье есть. Таким образом, сначала решим транспортную задачу 2x2. Очевидно, что нужно отвести 20 млн. от поставщика №5 на завод №5, а не на завод №4, поскольку цена перевозки от поставщика №5 на завод №5 меньше, чем цена перевозки от него на завод №4. В то же время от поставщика №7 нужно 15млн. отвести на завод №4, так как эта цена ниже, чем цена перевозки от него на 5-ый завод. Таким образом, с перевозкой сырья с высоким содержанием ИК мы закончили.
Далее нужно сырье от поставщиков №№1,8,10 на заводы №№1-3. Это -транспортная задача 3x3. начнем с завода №1. Для него минимальная цена перевозки будет от поставщика №8. Привезем от этого поставщика требуемые заводом №1 18 млн. тонн. Оставшиеся у этого поставщика 18млн. тонн отвезем на завод №3 по минимальной возможной цене. Завод №3 требовал 30 млн. тонн. Недостающие ему 12 млн. тонн привезем от поставщика №10 по наименьшей возможной для этого поставщика цене. Оставшиеся у поставщика №10 9 млн. тонн отвезем на завод №2. И, наконец, доставим 16 млн. тонн от поставщика №1 на завод №2. Результирующий план представлен на .
Воспроизведенная логика выглядит очень ясной и естественной. Даже если Феофан и не с первого раза определил этот план, не вызывает сомнений, что методом проб и ошибок к этому почти оптимальному результату можно прийти очень легко. Видно, что суммарные транспортные издержки лишь на 0,1% выше, чем в оптимальном решении (принимающем во внимание, что из-за перемешивания сырья с разным содержанием ИК на заводы №4, №5 можно вести сырье не только от поставщиков №5, №7).
Причина, почему оптимизационные методы не смогли улучшить планы, составленные на основе «здравого смысла», очевидно, состоит в том, что рассмотренные задачи очень просты. Собственно люди для того и ограничивают сферы своей деятельности и ответственности, разделяя единые бизнес-процессы на части, за которые отвечают различные департаменты организации, чтобы сделать процесс принятия каждодневных решений проще. Попытки улучшить подобные рутинные решения, вырабатываемые внутри того или иного подразделения, привлекая методы оптимизации, обычно не дают заметных результатов. Как сказал Боб «все, что можно уже оптимизировано опытным путем».
При этом, очевидно, что задачи, которые могут быть поставлены перед тем или иным подразделением не могут (да и не должны!) включать вопросы, за которые ответственны другие подразделения организации. Боб и его отдел закупок, выбирая надежных поставщиков для заводов компании, руководствуется минимумом информации о производстве, совершенно необходимым для осуществления его деятельности: сколько и какого минимального качества сырье нужно доставить на каждый завод. Он не может (не хочет и не должен) принимать во внимание тонкости процесса производства, которые могут уменьшить его себестоимость - это дело менеджеров производственного отдела! Отдел закупок не отвечает за доставку. Поэтому издержки транспортировки его не интересуют -это дело транспортного отдела, руководимого Феофаном!
С другой стороны, Феофан и его отдел логистики отвечает за транспортные издержки, но не может выбирать от каких поставщиков вести сырье. Ведь не этот отдел заключает с ними договора о поставках! После же того, как поставщики определены, действительно, существуют очень немного разумных вариантов перевозок, и серьезной необходимости в компьютерных методах и, правда, нет.
|
|
>
ГО
о
о |
E |
F |
G |
H |
I |
|
1 |
Оптимальный план перевозок |
|
|
|
|
|
|
2 |
|
|
|
|
|
|
|
|
|
|
3 |
Поставщик |
1 |
2 |
3 |
4 |
5 |
Объем закупок |
% ИК |
Цена |
|
4 |
1 |
24.2 |
17.6 |
25.8 |
24.2 |
18.8 |
16.00 |
0.060 |
7.50 |
|
5 |
5 |
23.6 |
20.2 |
22.6 |
20.4 |
14.6 |
19.25 |
0.078 |
14.80 |
|
6 |
7 |
12 |
16.2 |
19.2 |
18.2 |
19 |
15.75 |
0.071 |
11.53 |
|
7 |
8 |
15.8 |
19 |
12.6 |
24 |
21.2 |
36.00 |
0.060 |
8.37 |
|
8 |
10 |
21.4 |
20.2 |
16.6 |
25.4 |
22.2 |
21.00 |
0.056 |
7.07 |
|
9 |
Заказы |
18 |
25 |
30 |
15 |
20 |
|
|
|
|
10 |
min % ИК |
0.05 |
0.05 |
0.05 |
0.07 |
0.07 |
|
|
|
|
11 |
|
|
|
|
|
|
|
|
|
|
12 |
Поставщик |
1 |
2 |
3 |
4 |
5 |
|
Издержки |
|
|
13 |
1 |
|
16 |
|
|
|
0.000 |
281.60 |
|
|
14 |
5 |
|
|
|
|
20 |
0.750 |
292.00 |
|
|
15 |
7 |
|
|
|
15 |
|
-0.750 |
273.00 |
|
|
16 |
8 |
18 |
|
18 |
|
|
0.000 |
511.20 |
|
|
17 |
10 |
|
9 |
12 |
|
|
0.000 |
381.00 |
|
|
18 |
|
0.000 |
0.000 |
0.000 |
0.000 |
0.000 |
|
1 739 |
|
|
19 |
Реальный % ИК |
0.0600 |
0.0586 |
0.0584 |
0.0710 |
0.0780 |
|
|
|
|
20 |
|
Издержки переработки |
|
|
|
|
|
|
21 |
Max |
20 |
18 |
16 |
22 |
20 |
|
|
|
|
22 |
k |
1.5 |
1.2 |
1.2 |
1 |
1 |
ИТОГО |
|
|
|
23 |
Реально |
14.00 |
14.30 |
12.77 |
21.69 |
17.71 |
1 672.4 |
|
|
|
|
Рис. 107 |
Крайними в этой цепочке поставок оказываются менеджеры производственного отдела компании и инженеры завода. Они работают с тем сырьем, которое им доставили, и возможностей снизить себестоимость переработки сырья у них очень немного.
Однако, не следует думать, что корень всех зол в компании - это отдел Боба. В рамках поставленных перед ним задач, отдел формирует почти оптимальный план поставок. Он не принимает во внимание всю информацию, касающуюся производственного процесса и логистики. Но ведь и инженеры заводов, наверняка, не хотят ничего знать о трудностях нахождения надежных поставщиков и тонкостях заключения международных договоров. И отдел логистики не может вникать ни в детали производства, ни в проблемы отдела закупок...
Отсечение деталей бизнес-процесса, не относящихся к сфере деятельности того или иного функционального подразделения компании - это необходимое условие работы функциональных подразделений, основа разделения труда в компании. Реорганизация работы компании, связанная с переходом от управления функциональными отделами к управлению бизнес-процессами - весьма сложная задача.
С другой стороны, очевидно, что вряд ли можно добиться оптимизации полных издержек, связанных с закупкой, транспортировкой и переработкой сырья, оптимизируя работу различных функциональных подразделений компании порознь. Наверняка, полученное решение будет, мягко выражаясь, «субоптимальным».
Уходя домой, Макс думал, что и в сфере логистики, как говорил Боб, «развернуться» ему не удалось. Зря, наверное, он не пошел в аспирантуру.... Во всяком случае, в этой компании перспектив для оптимизации не видно.
- Хотя..., может попробовать по-другому...?- Тут он вспомнил последнюю фразу Феофана, и светлая мысль пришла ему в голову.
Как вы полагаете, какая?
Анализ действия 3 кейса.
Очевидно, что «светлая мысль», посетившая Макса состояла в том, чтобы одновременно решать вопрос о выборе поставщиков и маршрутах перевозках так, чтобы минимизировать суммарные издержки закупки, перевозки и переработки сырья на заводах компании. Мы назовем такой план «интегрированным планом» для всей цепочки поставок НАЦПРОДУКТ.
В предыдущих действиях мы записали целевые функции для задач о плане закупок и о плане перевозок и вычислили их оптимальные значения. К сожалению, эти оптимальные значения очень мало отличались от тех, которые Боб и Феофан получили, руководствуясь просто здравым смыслом. На , где приведен план перевозок Феофана, мы также вычислили стоимость переработки руды на 5-ти заводах компании с учетом формулы
min
C = (1 - H •
max '
min
Просуммировав три функции издержек (закупок, перевозки и переработки), мы получим себестоимость производства металла Х в компании НАЦПРОДУКТ, которую сформировалась на основе «здравого смысла» -
ТС = 1038,6 + 1738,8 + 1642,7 = $ 4449,8 млн.
Ее и предстоит улучшить в интегрированном плане для цепочки поставок.
Организация данных для оптимизации интегрированного плана цепочки поставок представлена на .
|
|
A|B|C|D|E|F| G 1 H |
I |
|
1 |
Оптимальный интегрированный план в цепочке поставок НАЦПРОДУКТ. |
|
|
2 |
Поставщи
ки |
Max |
Min |
% ИК |
Цена |
Индекс |
Брать/ не брать |
Мин. закупка |
Связь |
|
3 |
1 |
16 |
1 |
0.060 |
7.5 |
4 |
0 |
=G3*C3 |
=G15-100*G3 |
|
4 |
2 |
30 |
1 |
0.080 |
15.8 |
2 |
1 |
=G4*C4 |
=G16-100*G4 |
|
5 |
3 |
24 |
1 |
0.058 |
7.53 |
6 |
1 |
=G5*C5 |
=G17-100*G5 |
|
6 |
4 |
28 |
1 |
0.053 |
7.1 |
8 |
0 |
=G6*C6 |
=G18-100*G6 |
|
7 |
5 |
20 |
2 |
0.078 |
14.8 |
1 |
1 |
=G7*C7 |
=G19-100*G7 |
|
8 |
6 |
32 |
2 |
0.062 |
9.8 |
6 |
1 |
=G8*C8 |
=G20-100*G8 |
|
9 |
7 |
34 |
2 |
0.071 |
11.53 |
5 |
1 |
=G9*C9 |
=G21-100*G9 |
|
10 |
8 |
36 |
2 |
0.060 |
8.37 |
4 |
1 |
=G10*C10 |
=G22-100*G10 |
|
11 |
9 |
38 |
3 |
0.059 |
7.2 |
9 |
0 |
=G11*C11 |
=G23-100*G11 |
|
12 |
10 |
40 |
3 |
0.056 |
7.07 |
6 |
0 |
=G12*C12 |
=G24-100*G12 |
|
13 |
|
Заводы-потребители - объемы |
|
|
|
|
14 |
Поставщи
ки |
1 |
2 |
3 |
4 |
5 |
Объемы поставок |
Огранич |
|
|
15 |
1 |
- |
- |
- |
- |
0.0 |
- |
=СУММ®15^15)^15 |
|
16 |
2 |
- |
21.8 |
- |
8.2 |
- |
30.0 |
=СУММ®16^16)^16 |
|
17 |
3 |
- |
3.2 |
- |
6.8 |
- |
10.0 |
=СУММ (B17:F17)-G17 |
|
18 |
4 |
- |
- |
- |
- |
- |
- 0.0 |
=СУММ®18^18)^18 |
|
19 |
5 |
- |
- |
- |
- |
10.0 |
10.0 |
=СУММ^19^19)^19 |
|
20 |
6 |
- |
- |
16.0 |
- |
10.0 |
26.0 |
=СУММ^20^20)^20 |
|
21 |
7 |
18.0 |
- |
- |
- |
- |
18.0 |
=СУММ(B21:F21)-G21 |
|
22 |
8 |
- |
- |
14.0 |
- |
- |
14.0 |
=СУММ^22^22)^22 |
|
23 |
9 |
0.0 |
- |
- |
- |
- |
- |
=СУММ®23^23)^23 |
|
24 |
10 |
- |
- |
0.0 |
- |
- |
0.0 |
=СУММ^24^24)^24 |
|
25 |
Заказы |
18 |
25 |
30 |
15 |
20 |
Индекс ненадежности |
Реально |
Д/Б |
|
26 |
Ограниче
ния |
=СУММ(
B15:B24)
B25 |
=СУММ(
C15:C24)-
C25 |
=СУММ(
D15:D24)-
D25 |
=СУММ(
E15:E24)-
E25 |
=СУММ(
F15:F24)-
F25 |
=СУММПРОИЗВ^
15^24^3^12)/СУ
ММ^25^25) |
4 |
|
27 |
min % ИК |
5.00% |
5.00% |
5.00% |
7.00% |
7.00% |
|
|
|
|
28 |
Реальный % ИК |
=СУММПРОИЗВ(B15:B24;$D$3:$D$12)/
B25 |
=СУММП
РОИЗВ^ |
=СУММ^29^30^
31) |
Полная себестоимость |
|
29 |
себестои
м. |
20 |
18 |
16 |
22 |
20 |
=СУММПРОИЗВ^
15:F24;B34:F43) |
Стоимость перевозки |
|
30 |
K %ИК |
1.50 |
1.20 |
1.20 |
1.00 |
1.00 |
=СУММПРОИЗВ^
31:F31;B25:F25) |
Стоимость производства |
|
31 |
Себесто
имость |
=B29*(1-
B30*(B28-
B27)/B27
) |
=C29*(1-
C30*(C28
C27)/C27
) |
=D29*(1-
D30*(D28
D27)/D27
) |
=E29*(1-
E30*(E28-
E27)/E27
) |
=F29*(1-
F30*(F28-
F27)/F27) |
=СУММПРОИЗВ^
15:G24;E3:E12) |
Стоимость закупки |
|
32 |
|
Заводы-потребители - цены перевозок |
|
|
Здрав. смысл |
Дельта |
|
33 |
Поставщи |
1 |
2 |
3 |
4 |
5 |
|
|
34 |
1 |
24.2 |
17.6 |
25.8 |
24.2 |
18.8 |
=G28 |
4 449.8 |
=(H34-G28)/H34 |
|
35 |
2 |
28.8 |
9.6 |
11.8 |
10.2 |
15.6 |
=G29 |
1 738.8 |
=(H35-G29)/H35 |
|
36 |
3 |
15 |
7.8 |
21.8 |
8.2 |
11 |
=G30 |
1 672.4 |
=(H36-G30)/H36 |
|
37 |
4 |
23.2 |
17.4 |
25.4 |
19.8 |
26.2 |
=G31 |
1 038.6 |
=(H37-G31)/H37 |
|
38 |
5 |
23.6 |
20.2 |
22.6 |
20.4 |
14.6 |
|
|
|
|
39 |
6 |
14.2 |
8.2 |
9.4 |
15.8 |
8.4 |
|
|
|
|
40 |
7 |
12 |
16.2 |
19.2 |
18.2 |
19 |
|
|
|
|
41 |
8 |
15.8 |
19 |
12.6 |
24 |
21.2 |
|
|
|
|
42 |
9 |
11.4 |
20.2 |
16.6 |
25.4 |
22.2 |
|
|
|
|
43 |
10 |
21.4 |
20.2 |
16.6 |
25.4 |
22.2 |
|
|
|
Рис. 108
В качестве переменных решения выступают 50 значений объемов перевозок от 10 потенциальных поставщиков к 5-ти заводам компании (ячейки B15:F24), 10 значений объемов закупок у каждого из 10-ти потенциальных поставщиков (ячейки G15:G24), а также 10 двоичных переменных типа «выбрать данного поставщика или не выбирать» (ячейки G3:G12), назначение которых было подробно рассмотрено в анализе действия 1.
Формулы в ячейках H3:H12, выражающие минимально возможный объем закупок у каждого поставщика, и ячейках I3:I12, выражающие связь между объемами закупок и двоичными переменными «выбрать поставщика или не выбирать», также как и формула для средневзвешенного индекса надежности
поставок (ячейка H26), подробно рассматривались при анализе плана закупок в действии 1.
Формулы в ячейках H15:H24, выражающие требования поставщиков, и в ячейках B26:F26, выражающие требования по заказам заводов-потребителей, также как и формулы для средневзвешенного %ИК в руде, доставленной на каждый завод (ячейки B28:F28), подробно обсуждались при анализе плана перевозок в действии 1.
Целевая функция, равная сумме трех издержек (закупки, перевозки и переработки), введена в ячейке L3. Издержки закупки сырья (ячейка L9) и его перевозки от поставщиков к заводам-потребителям (ячейка L5) рассматривались при анализе действия 1 кейса. Издержка переработки (ячейка L7) определена как сумма произведений объемов сырья, заказанных каждым заводом, на себестоимость переработки сырья каждым заводом, которые зависят от средневзвешенного процентного содержания ИК, доставленного каждому заводу. Последние вычислялись по формуле 1 (ячейки B31:F31).
При задании условий для поиска оптимального решения необходимо просто объединить ограничения, вводившиеся при поиске оптимального плана закупок и оптимального плана перевозок. Установки Поиска решения для интегрированного плана цепочки поставок представлены на .
іШ
Поиск решения
Установить целевую ячейку;
Равной: С максимальному значении? С* значению; |о
* минимальному значению Изменяя ячейки:
I $G$У.т 12; ІЙ* 1S; $G$24; $6$ 1S:$F$24 Предіолажігь |
Ограничения;
Добавить
В^іпоіыить I
Закрыть
Параметры
|B$26:$F|26«0
$B$2B:fF$23 >= $B$27:fF$27
|G$15:$G|24 <- $B$3:$6$12
$G$15:$G$24 >= $H$3:$H$12
$G$3:$4$12 = лаоичное
$H$1S:$H$24=0
$I$3;$1$12 <= 0
$L$28 <- $M$2S _
Изменить
Восстановить
Удалить
Справка
Рис. 109
Оптимальное решение для интегрированного плана цепочки поставок представлено на .
Видно, что суммарные издержки по закупке, перевозке и переработке руды, уменьшились по сравнению с планированием по «здравому смыслу» почти на 15%, что при огромных оборотах компании НАЦ!ПРОДУКТ выражается весьма значительной суммой, превышающей $700 млн. При этом издержки перевозки сократились на 34%, а издержки переработки - на 18%, за счет возрастания издержек закупки на 23%. Выбраны другие поставщики, закуплено сырье с более высоким содержанием ИК. При этом высококачественное сырье доставлено не только на заводы №№4,5, но и на заводы №№1,2, что существенно снизило стоимость переработки. Разумеется, при выборе поставщиков должным образом учтены транспортные издержки.
|
|
A B C D E F G |
H |
I |
|
1 |
Оптимальный интегрированный план в цепочке поставок НАЦ |
ПРОДУК" |
|
|
2 |
Поставщики |
Max |
Min |
% ИК |
Цена |
Индекс |
Брать/ не брать |
Мин.
закупка |
Связь |
|
3 |
1 |
16 |
1 |
0.060 |
7.5 |
4 |
0 |
0 |
0.0 |
|
4 |
2 |
30 |
1 |
0.080 |
15.8 |
2 |
1 |
1 |
-70.0 |
|
5 |
3 |
24 |
1 |
0.058 |
7.53 |
6 |
1 |
1 |
-90.0 |
|
6 |
4 |
28 |
1 |
0.053 |
7.1 |
8 |
0 |
0 |
0.0 |
|
7 |
5 |
20 |
2 |
0.078 |
14.8 |
1 |
1 |
2 |
-90.0 |
|
8 |
6 |
32 |
2 |
0.062 |
9.8 |
6 |
1 |
2 |
-74.0 |
|
9 |
7 |
34 |
2 |
0.071 |
11.53 |
5 |
1 |
2 |
-82.0 |
|
10 |
8 |
36 |
2 |
0.060 |
8.37 |
4 |
1 |
2 |
-86.0 |
|
11 |
9 |
38 |
3 |
0.059 |
7.2 |
9 |
0 |
0 |
0.0 |
|
12 |
10 |
40 |
3 |
0.056 |
7.07 |
6 |
0 |
0 |
0.0 |
|
13 |
|
Заводы-потребители - объемы |
|
|
|
|
14 |
Поставщики |
1 |
2 |
3 |
4 |
5 |
Объемы
поставок |
Огранич |
|
|
15 |
1 |
- |
- |
- |
- |
0.0 |
- |
0.00 |
|
|
16 |
2 |
- |
21.8 |
- |
8.2 |
- |
30.0 |
0.00 |
|
|
17 |
3 |
- |
3.2 |
- |
6.8 |
- |
10.0 |
0.00 |
|
|
18 |
4 |
- |
- |
- |
- |
- |
- 0.0 |
0.00 |
|
|
19 |
5 |
- |
- |
- |
- |
10.0 |
10.0 |
0.00 |
|
|
20 |
6 |
- |
- |
16.0 |
- |
10.0 |
26.0 |
0.00 |
|
|
21 |
7 |
18.0 |
- |
- |
- |
- |
18.0 |
0.00 |
|
|
22 |
8 |
- |
- |
14.0 |
- |
- |
14.0 |
0.00 |
|
|
23 |
9 |
0.0 |
- |
- |
- |
- |
- |
0.00 |
|
|
24 |
10 |
- |
- |
0.0 |
- |
- |
0.0 |
0.00 |
|
|
25 |
Заказы |
18 |
25 |
30 |
15 |
20 |
Индекс ненадеж
ности |
Реально |
Д/Б |
|
26 |
Ограниче-ния |
0.00 |
0 |
0 |
0 |
0 |
4 |
4 |
|
27 |
min % ИК |
5.00% |
5.00% |
5.00% |
7.00% |
7.00% |
|
|
|
|
28 |
Реальный % ИК |
7.10% |
7.72% |
6.11% |
7.00% |
7.00% |
3 795.2 |
Полная
себестоимость |
|
29 |
Max
себестоим. |
20 |
18 |
16 |
22 |
20 |
1 146.4 |
Стоимость
перевозки |
|
30 |
^УоИК |
1.50 |
1.20 |
1.20 |
1.00 |
1.00 |
1 372.0 |
Стоимость
производства |
|
31 |
Себесто
имость |
7.40 |
6.25 |
11.75 |
22.00 |
20.00 |
1 276.8 |
Стоимость закупки |
|
32 |
|
Заводы-потребители - цены перевозок |
|
Здрав.
смысл |
Дельта |
|
33 |
Поставщики |
1 |
2 |
3 |
4 |
5 |
|
|
34 |
1 |
24.2 |
17.6 |
25.8 |
24.2 |
18.8 |
3 795.2 |
4 449.8 |
15% |
|
35 |
2 |
28.8 |
9.6 |
11.8 |
10.2 |
15.6 |
1 146.4 |
1 738.8 |
34% |
|
36 |
3 |
15 |
7.8 |
21.8 |
8.2 |
11 |
1 372.0 |
1 672.4 |
18% |
|
37 |
4 |
23.2 |
17.4 |
25.4 |
19.8 |
26.2 |
1 276.8 |
1 038.6 |
-23% |
|
38 |
5 |
23.6 |
20.2 |
22.6 |
20.4 |
14.6 |
|
|
|
|
39 |
6 |
14.2 |
8.2 |
9.4 |
15.8 |
8.4 |
|
|
|
|
40 |
7 |
12 |
16.2 |
19.2 |
18.2 |
19 |
|
|
|
|
41 |
8 |
15.8 |
19 |
12.6 |
24 |
21.2 |
|
|
|
|
42 |
9 |
11.4 |
20.2 |
16.6 |
25.4 |
22.2 |
|
|
|
|
43 |
10 |
21.4 |
20.2 |
16.6 |
25.4 |
22.2 |
|
|
|
|
|
Рис. 110 |
Таким образом, включение в оптимизационную модель всех стадий цепочки поставок привело к весьма ощутимому снижению издержек. Это и не удивительно. Чем больше переменных решения включено в модель, тем больше у оптимизационного алгоритма возможностей улучшить значение целевой функции.
Правда, рассмотренная модель интегрированного плана цепочки поставок компании НАЦПРОДУКТ все же представляется весьма упрощенной по
сравнению с ситуацией, которая могла бы иметь место в реальности. Во-первых, мы рассматривали величины валовых годовых закупок и перевозок. В реальности, необходимо было бы составить многопериодный план закупки и поставки сырья, скажем, на каждую неделю, для каждого поставщика и потребителя на год. Во-вторых, мы рассматривали некоторую интегральную, средневзвешенную характеристику надежности поставок в целом. В реальности, следовало бы позаботиться об обеспечении надежности поставок на каждый завод, в каждый планируемый период. При этом, помимо качественной экспертной оценки надежности поставщика, полезно было бы использовать количественные характеристики надежности, например, величины вариации времени поставки и качества сырья. Это потребовало бы расчета и создания резервных запасов сырья на каждом заводе (см. [2-6] и задачи раздела 2.1 настоящего сборника). В-третьих, учитывая огромный объем поставок сырья, при его перевозке наверняка бы возникли проблемы, связанные с ограничениями мощностей транспортных средств и учетом условно-постоянных издержек при их использовании и т. д. и
т. п. Все это, без сомнений, резко увеличило бы количество переменных в оптимизационной модели. Естественно возникает вопрос, возможно ли получить интегральный план цепочки поставок, подобный рассмотренному в настоящем примере, для реальной компании тех же масштабов, что и НАЦПРОДУКТ?
Прежде всего, отметим, что современные оптимизационные инструменты позволяют решать задачи с количеством переменных до 1 млн. на обычном переносном компьютере. Используемый для решения задач в этом сборнике Поиск решения, созданный компанией Frontline systems в 1991г., и называемый Standard Solver, способен справиться с задачами, в которых не более 200 переменных. Современный общедоступный продукт этой компании Premium Solver позволяет рассматривать задачи с количеством переменных решения до 2000. Эта же компания предлагает специальные Solver’ы, с «мощностью» до 1 млн. переменных. Существуют и другие профессиональные оптимизационные инструменты с «мощностями» такого же порядка. Информацию о них можно найти на сайтах
-
-
-
-
В специальной литературе имеются сведения о внедрении в управленческую практику оптимизационных моделей с количеством переменных
от нескольких тысяч до сотен тысяч (см., например Interfaces_ ,
конференция INFORMS 2004_). При этом,
подобные модели реализуются на обычных переносных компьютерах с дружественным интерфейсом, позволяющим менеджерам в разумное время не только получать решения оптимизационных задач для реальных цепочек поставок, логистических и дистрибуторских сетей, но и проигрывать интересующие их сценарии «что, если...». Таким образом, можно утверждать, что с технической точки зрения, в настоящее время, практически отсутствуют ограничения для оптимизации логистики и производства даже для крупных компаний.
Сказанное выше совсем не означает, что процесс интеграции и оптимизации цепочки поставок (или другого бизнес-процесса) в реальной компании - это простое дело. Сложности, однако, как правило, лежат не в области
количественных методов и технической реализации оптимизационных моделей, а в области человеческих и информационных проблем управления.
Во-первых, как это и отражено в тексте кейса, люди, работающие в том или ином функциональном подразделении компании, склонны считать, что в их отделе дела идут вполне хорошо, а проблемы компании коренятся в неудовлетворительной работе коллег из других функциональных подразделений. Феофан ожидает от Макса более совершенного плана закупок, а не перевозок, а Боб рекомендует ему «пойти и помочь Феофану». Инициировать процесс изменения принятия решений или каких-либо организационных изменений в компании может только топ-менеджмент. Поэтому критическим условием для начала процесса интеграции цепочки поставок и оптимизации планирования является наличие убежденности топ-менеджеров в существовании проблемы, необходимости изменений.
Во-вторых, любое усечение функций того или иного подразделения, а тем более передача другим лицам ключевой функции принятия решений, вызовет сопротивление руководителей подразделений и персонала, поскольку люди будут воспринимать это как первый шаг к собственному увольнению. Боб сейчас - это одна из ключевых фигур в компании потому, что он принимает решение, с кем из потенциальных поставщиков заключить договор, а с кем - нет, и передача этой функции Максу или компьютеру вряд ли ему понравится. Необходимо должным образом мотивировать людей - участников процесса изменений, убедить их в том, что снижение издержек и увеличение прибыльности компании благотворно скажется на каждом из них (и вести изменения соответственно).
В-третьих, для построения, правильного функционирования оптимизационной модели и генерирования результатов, полезных для принятия управленческих решений, необходимы объективные данные, адекватные построенной модели. Вместе с тем, несмотря на наличие в организации весьма совершенных информационных систем, консультанты-практики, нередко, испытывают сложности с получением необходимых для модели данных. Причина в том, что при проектировании и настройке информационной системы, вопреки заклинаниям специалистов по ИСУ, менеджеры ориентируются на организационную структуру и способ ведения дела «как есть», а не «как должно быть» в оптимальной модели бизнес-процессов.
Наверняка можно назвать еще много причин, препятствующих внедрению оптимизационных моделей в практику управления и интегрированию бизнес-процессов. Однако, все эти вопросы, очевидно, выходят за рамки настоящего сборника. Повторим, однако, что со стороны количественных методов и существующих в настоящее время оптимизационных инструментов ограничений для этой деятельности практически нет.
2.П-9. Фирма «Хороший хозяин»
Фирма «Хороший хозяин» имеет сеть из 12 магазинов бытовых инструментов и оборудования в крупном городе. Все магазины снабжаются одним складом. Доставка осуществляется одной автомашиной, принадлежащей фирме, и проводится раз в два дня. При этом на складе формируется груз, который всегда можно развезти за одну ездку. Автомашина забирает его со склада и развозит по магазинам, объезжая их по очереди.
Пользуясь подробной картой города можно нарисовать все возможные участки пути между магазинами и складом. При 12 пунктах, которые должен посетить автомобиль, и с учетом того, что он должен вернуться обратно на склад, получается 78 различных участков пути (количество клеток выше диагонали в приведенной таблице). Протяженность всех этих участков приведена в таблице.
Расстояния,
км |
Б |
1 |
2 |
3 |
4 |
5 |
6 |
7 |
8 |
9 |
10 |
11 |
12 |
|
База |
|
5 |
8 |
6 |
35 |
9 |
13 |
27 |
23 |
19 |
14 |
20 |
20 |
|
Маг. № 1 |
5 |
|
13 |
5 |
37 |
14 |
18 |
28 |
28 |
24 |
19 |
21 |
25 |
|
Маг. № 2 |
8 |
13 |
|
9 |
39 |
7 |
8 |
33 |
17 |
12 |
9 |
26 |
20 |
|
Маг. № 3 |
6 |
5 |
9 |
|
40 |
13 |
16 |
32 |
26 |
21 |
17 |
25 |
26 |
|
Маг. № 4 |
35 |
37 |
39 |
40 |
|
32 |
34 |
12 |
37 |
37 |
33 |
17 |
21 |
|
Маг. № 5 |
9 |
14 |
7 |
13 |
32 |
|
4 |
28 |
15 |
10 |
5 |
22 |
14 |
|
Маг. № 6 |
13 |
18 |
8 |
16 |
34 |
4 |
|
31 |
10 |
6 |
1 |
25 |
14 |
|
Маг. № 7 |
27 |
28 |
33 |
32 |
12 |
28 |
31 |
|
37 |
36 |
30 |
7 |
22 |
|
Маг. № 8 |
23 |
28 |
17 |
26 |
37 |
15 |
10 |
37 |
|
5 |
9 |
33 |
16 |
|
Маг. № 9 |
19 |
24 |
12 |
21 |
37 |
10 |
6 |
36 |
5 |
|
6 |
30 |
16 |
|
Маг. № 10 |
14 |
19 |
9 |
17 |
33 |
5 |
1 |
30 |
9 |
6 |
|
25 |
12 |
|
Маг. № 11 |
20 |
21 |
26 |
25 |
17 |
22 |
25 |
7 |
33 |
30 |
25 |
|
18 |
|
Маг. № 12 |
20 |
25 |
20 |
26 |
21 |
14 |
14 |
22 |
16 |
16 |
12 |
18 |
|
a. Сформулируйте задачу линейной оптимизации, которая позволяет найти самый короткий по общей протяженности маршрут для автомашины, позволяющий объехать все 12 магазинов. Никаких ограничений на порядок объезда магазинов нет. Машина должна выехать со склада и на него же вернуться.
b. Предположим, что на этот раз магазин №2 не нуждается в доставке товара. Какой маршрут теперь будет самым коротким.
Решение задачи.
Умудренный опытом читатель, может подумать, что предложение решить подобную задачу - злая шутка. Ведь это знаменитая задача коммивояжера, классический пример применения метода динамического программирования, на котором десятилетиями оттачивают свое искусство программисты. Мы же не договаривались писать программы для компьютера!
На самом деле, наша цель заключается в том, чтобы сформулировать и решить с помощью «Поиска решения» задачу линейной (целочисленной) оптимизации, соответствующую задаче коммивояжера. При этом мы не будем настаивать, что метод решения таких задач, с помощью надстройки «Поиск решения», является более эффективным, чем динамическое программирование. Просто для большинства пользователей сегодня он может оказаться более доступным.
Для начала смело заверим читателя, что сформулировать такую задачу можно! Такая уверенность сильно помогает при решении.
Через некоторое время после того, как вы решительно возьметесь за постановку задачи, вам покажется, что сформулировать задачу не так уж и несложно. Ведь в одной из разобранных нами в первом разделе задач как раз формируется последовательность выполнения заказов, приводящая к наименьшим задержкам в выполнении. А здесь мы составим последовательность объезда магазинов и минимизируем общий путь - и все !?
К сожалению все не так просто. Да, в определенном смысле эти задачи родственны. Но в задаче о порядке выполнения заказов длительность выполнения заказа не зависела от того, какой заказ выполнялся перед ним. В данной же задаче расстояние, которое грузовик пройдет до очередного магазина, зависит от того, какой магазин он посетил перед этим. В таких условиях не удается так же просто вычислить расстояние до очередного магазина, как в предыдущей задаче.
Вместо этого можно попробовать просто составить табличку 13х13 переменных, соответствующую таблице расстояний (база и 12 магазинов) и расставить в этой табличке 13 единиц, которые будут показывать, какие переезды между магазинами выбраны. Если теперь применить функцию =СУММПРОИЗВ( ) к этим двум таблицам, то мы сразу получим общее расстояние, которое проехал грузовик. Таким образом задача линейной целочисленной оптимизации практически составлена ().
|
|
A |
B |
C |
D |
E |
F |
G |
H |
I |
j |
K |
L |
M |
N |
O |
P |
|
1 |
|
|
|
|
|
|
|
|
|
|
|
|
|
|
|
|
|
2 |
|
|
0 |
1 |
2 |
3 |
4 |
5 |
6 |
7 |
8 |
9 |
10 |
11 |
12 |
|
|
3 |
0 |
База |
## |
5 |
8 |
6 |
35 |
9 |
13 |
27 |
23 |
19 |
14 |
20 |
20 |
=СУММПРОИЗВ(
C3:O3;C18:O18) |
|
4 |
1 |
Мг 1 |
5 |
## |
13 |
5 |
37 |
14 |
18 |
28 |
28 |
24 |
19 |
21 |
25 |
0 |
|
5 |
2 |
Мг 2 |
8 |
13 |
## |
9 |
39 |
7 |
8 |
33 |
17 |
12 |
9 |
26 |
20 |
0 |
|
6 |
3 |
Мг 3 |
6 |
5 |
9 |
## |
40 |
13 |
16 |
32 |
26 |
21 |
17 |
25 |
26 |
0 |
|
7 |
4 |
Мг 4 |
35 |
37 |
39 |
40 |
## |
32 |
34 |
12 |
37 |
37 |
33 |
17 |
21 |
0 |
|
|
|
|
|
|
|
|
|
|
|
|
|
|
|
|
|
|
|
15 |
12 |
Мг 12 |
20 |
25 |
20 |
26 |
21 |
14 |
14 |
22 |
16 |
16 |
12 |
18 |
## |
0 |
|
16 |
|
|
|
|
|
|
|
|
|
|
|
|
|
|
|
0 |
|
17 |
|
|
0 |
1 |
2 |
3 |
4 |
5 |
6 |
7 |
8 |
9 |
10 |
11 |
12 |
|
|
18 |
|
База |
|
|
|
|
|
|
|
|
|
|
|
|
|
=СУММ^ 18:O18) |
|
19 |
|
Мг 1 |
|
|
|
|
|
|
|
|
|
|
|
|
|
0 |
|
20 |
|
Мг 2 |
|
|
|
|
|
|
|
|
|
|
|
|
|
0 |
|
21 |
|
Мг 3 |
|
|
|
I |
Іер |
;ме |
ннь |
іе |
|
|
|
|
|
0 |
|
22 |
|
Мг 4 |
|
|
|
|
|
|
|
|
|
|
|
|
|
0 |
|
|
|
|
|
|
|
|
|
|
|
|
|
|
|
|
|
|
|
30 |
|
Мг 12 |
|
|
|
|
|
|
|
|
|
|
|
|
|
0 |
|
31 |
|
|
0 |
0 |
0 |
0 |
0 |
0 |
0 |
0 |
0 |
0 |
0 |
0 |
=СУММ^18Ю30) |
|
|
Рис. 111 |
Однако здесь нас также поджидает глубокое разочарование. Дело в том, что чаще всего предлагаемый Поиском решения маршрут не является кольцевым.
 |
|
Рис. 112 |
Т.е. какая-то часть маршрута действительно соответствует выезду из базы, посещению нескольких магазинов и возвращению назад - База-> Магазин №3 -> Магазин №1-> База. Но большая часть предложенного маршрута имеет вид: Мг 2 -> Мг 5-> Мг 2, или Мг 7 -> Мг 11 -> Мг 7 (и ).
|
|
|
|
|
|
|
|
|
|
|
|
|
|
|
|
|
|
|
|
0 |
1 |
2 |
3 |
4 |
5 |
6 |
7 |
8 |
9 |
10 |
11 |
12 |
|
|
0 |
База |
## |
5 |
8 |
6 |
35 |
9 |
13 |
27 |
23 |
19 |
14 |
20 |
20 |
5 |
|
1 |
Мг 1 |
5 |
## |
13 |
5 |
37 |
14 |
18 |
28 |
28 |
24 |
19 |
21 |
25 |
5 |
|
2 |
Мг 2 |
8 |
13 |
## |
9 |
39 |
7 |
8 |
33 |
17 |
12 |
9 |
26 |
20 |
7 |
|
3 |
Мг 3 |
6 |
5 |
9 |
## |
40 |
13 |
16 |
32 |
26 |
21 |
17 |
25 |
26 |
6 |
|
4 |
Мг 4 |
35 |
37 |
39 |
40 |
## |
32 |
34 |
12 |
37 |
37 |
33 |
17 |
21 |
21 |
|
5 |
Мг 5 |
9 |
14 |
7 |
13 |
32 |
## |
4 |
28 |
15 |
10 |
5 |
22 |
14 |
7 |
|
6 |
Мг 6 |
13 |
18 |
8 |
16 |
34 |
4 |
## |
31 |
10 |
6 |
1 |
25 |
14 |
1 |
|
7 |
Мг 7 |
27 |
28 |
33 |
32 |
12 |
28 |
31 |
## |
37 |
36 |
30 |
7 |
22 |
7 |
|
8 |
Мг 8 |
23 |
28 |
17 |
26 |
37 |
15 |
10 |
37 |
## |
5 |
9 |
33 |
16 |
5 |
|
9 |
Мг 9 |
19 |
24 |
12 |
21 |
37 |
10 |
6 |
36 |
5 |
## |
6 |
30 |
16 |
5 |
|
10 |
Мг 10 |
14 |
19 |
9 |
17 |
33 |
5 |
1 |
30 |
9 |
6 |
## |
25 |
12 |
1 |
|
11 |
Мг 11 |
20 |
21 |
26 |
25 |
17 |
22 |
25 |
7 |
33 |
30 |
25 |
## |
18 |
7 |
|
12 |
Мг 12 |
20 |
25 |
20 |
26 |
21 |
14 |
14 |
22 |
16 |
16 |
12 |
18 |
## |
21 |
|
|
|
|
|
|
|
|
|
|
|
|
|
|
|
|
98 |
|
|
|
0 |
1 |
2 |
3 |
4 |
5 |
6 |
7 |
8 |
9 |
10 |
11 |
12 |
|
|
|
База |
0 |
1 |
0 |
0 |
0 |
0 |
0 |
0 |
0 |
0 |
0 |
0 |
0 |
1 |
|
|
Мг 1 |
0 |
0 |
0 |
1 |
0 |
0 |
0 |
0 |
0 |
0 |
0 |
0 |
0 |
1 |
|
|
Мг 2 |
0 |
0 |
0 |
0 |
0 |
1 |
0 |
0 |
0 |
0 |
0 |
0 |
0 |
1 |
|
|
Мг 3 |
1 |
0 |
0 |
0 |
0 |
0 |
0 |
0 |
0 |
0 |
0 |
0 |
0 |
1 |
|
|
Мг 4 |
0 |
0 |
0 |
0 |
0 |
0 |
0 |
0 |
0 |
0 |
0 |
0 |
1 |
1 |
|
|
Мг 5 |
0 |
0 |
1 |
0 |
0 |
0 |
0 |
0 |
0 |
0 |
0 |
0 |
0 |
1 |
|
|
Мг 6 |
0 |
0 |
0 |
0 |
0 |
0 |
0 |
0 |
0 |
0 |
1 |
0 |
0 |
1 |
|
|
Мг 7 |
0 |
0 |
0 |
0 |
0 |
0 |
0 |
0 |
0 |
0 |
0 |
1 |
0 |
1 |
|
|
Мг 8 |
0 |
0 |
0 |
0 |
0 |
0 |
0 |
0 |
0 |
1 |
0 |
0 |
0 |
1 |
|
|
Мг 9 |
0 |
0 |
0 |
0 |
0 |
0 |
0 |
0 |
1 |
0 |
0 |
0 |
0 |
1 |
|
|
Мг 10 |
0 |
0 |
0 |
0 |
0 |
0 |
1 |
0 |
0 |
0 |
0 |
0 |
0 |
1 |
|
|
Мг 11 |
0 |
0 |
0 |
0 |
0 |
0 |
0 |
1 |
0 |
0 |
0 |
0 |
0 |
1 |
|
|
Мг 12 |
0 |
0 |
0 |
0 |
1 |
0 |
0 |
0 |
0 |
0 |
0 |
0 |
0 |
1 |
|
|
|
1 |
1 |
1 |
1 |
1 |
1 |
1 |
1 |
1 |
1 |
1 |
1 |
1 |
|
Рис. 113
Разумеется, это вовсе не решение исходной задачи.
Если бы проблема была бы только в маршрутах вида Мг 7 -> Мг 11 -> Мг 7, ее легко было бы устранить. В самом деле, при наличии таких маршрутов в полученном решении соответствующие элементы таблицы переменных оказываются симметричными относительно диагонали C18-O30. Например, единица, показывающая наличие перевозки, стоит и в ячейке J29 (переезд из Мг 7 в Мг 11), и в ячейке N25 (переезд из Мг 11 в Мг 7), симметричной ячейке J29 относительно диагонали таблицы переменных.
Добавим к нашему решению еще одну таблицу, по размеру совпадающую с таблицей переменных, в которой сложим симметричные относительно диагонали переменные друг с другом.
Это, правда, не делается простым протягиванием. А в задании для «Поиска решения» добавим условие, что все эти суммы меньше или равны 1. Это исключит возвратные маршруты.
После этого запустим надстройку Поиск решения на выполнение и опять проанализируем полученное решение (в таблице на приведено только
|
|
|
|
|
|
|
|
|
|
|
|
|
|
|
|
109 |
|
|
|
0 |
1 |
2 |
3 |
4 |
5 |
6 |
7 |
8 |
9 |
10 |
11 |
12 |
|
|
|
База |
0 |
0 |
0 |
1 |
0 |
0 |
0 |
0 |
0 |
0 |
0 |
0 |
0 |
1 |
|
|
Кл 1 |
1 |
0 |
0 |
0 |
0 |
0 |
0 |
0 |
0 |
0 |
0 |
0 |
0 |
1 |
|
|
Кл 2 |
0 |
0 |
0 |
0 |
0 |
0 |
0 |
0 |
0 |
1 |
0 |
0 |
0 |
1 |
|
|
Кл 3 |
0 |
1 |
0 |
0 |
0 |
0 |
0 |
0 |
0 |
0 |
0 |
0 |
0 |
1 |
|
|
Кл 4 |
0 |
0 |
0 |
0 |
0 |
0 |
0 |
0 |
0 |
0 |
0 |
1 |
0 |
1 |
|
|
Кл 5 |
0 |
0 |
1 |
0 |
0 |
0 |
0 |
0 |
0 |
0 |
0 |
0 |
0 |
1 |
|
|
Кл 6 |
0 |
0 |
0 |
0 |
0 |
1 |
0 |
0 |
0 |
0 |
0 |
0 |
0 |
1 |
|
|
Кл 7 |
0 |
0 |
0 |
0 |
1 |
0 |
0 |
0 |
0 |
0 |
0 |
0 |
0 |
1 |
|
|
Кл 8 |
0 |
0 |
0 |
0 |
0 |
0 |
0 |
0 |
0 |
0 |
0 |
0 |
1 |
1 |
|
|
Кл 9 |
0 |
0 |
0 |
0 |
0 |
0 |
0 |
0 |
1 |
0 |
0 |
0 |
0 |
1 |
|
|
Кл 10 |
0 |
0 |
0 |
0 |
0 |
0 |
1 |
0 |
0 |
0 |
0 |
0 |
0 |
1 |
|
|
Кл 11 |
0 |
0 |
0 |
0 |
0 |
0 |
0 |
1 |
0 |
0 |
0 |
0 |
0 |
1 |
|
|
Кл 12 |
0 |
0 |
0 |
0 |
0 |
0 |
0 |
0 |
0 |
0 |
1 |
0 |
0 |
1 |
|
|
|
1 |
1 |
1 |
1 |
1 |
1 |
1 |
1 |
1 |
1 |
1 |
1 |
1 |
|
|
|
Рис. 114 |
|
Во-первых, видно, что общая длина маршрута увеличилась с 98 до 109 км. Т.е. введенное ограничение действительно привело к изменению маршрута. |
 |
|
Рис. 115 |
Анализ полученного решения (и ) показывает, что и на этот раз решение не может нас устроить. Получилось три цикла, вместо одного.
Если углубиться в анализ графов (а полученное решение можно назвать несвязным графом), можно создать запрет на циклы длиной в 3 звена и более. На сайте на страничке об этой книге вы можете посмотреть альтернативное решение данной задачи, использующее такой подход.
Здесь же мы приведем более громоздкое, но и более очевидное решение. К тому же оно во многих случаях находится компьютером быстрее.
Придется пойти сложным путем, в частности оказывается, что при этом необходимо использование более продвинутой модели надстройки Поиск решения под названием Large-Scale LP Solver. Эту продвинутую надстройку можно найти на сайте компании-создателя этого инструмента FrontLine System . Надстройку можно скачать бесплатно и пользоваться ею в течение двухнедельного пробного срока.
Этот вариант надстройки позволяет решать задачи с десятками тысяч переменных и ограничений. Именно это нас и интересует, так как в предложенной здесь формулировке задачи линейной целочисленной оптимизации оказывается не менее 1608 переменной. Стандартная версия надстройки «Поиск решения» в MS Excel допускает не более 200 переменных.
Для того, чтобы построить задачу линейной целочисленной оптимизации, дающую верное решение задачи коммивояжера вообще, и нашей задачи в частности, необходимо сформулировать требования к переменным, которые обязательно должны выполняться. Таких требований в общем три:
В первый магазин маршрута объезда автомобиль должен прибыть с базы.
Для каждого последующего магазина пунктом, из которого прибыл автомобиль должен являться предыдущий по порядку посещения магазин.
Из последнего магазина автомобиль должен отправиться обратно на базу.
Таким образом на первом шаге мы выбираем 1 из 12 магазинов, в который поедем с базы (склада), т.е. имеем 12 переменных.
На втором шаге выбираем второй пункт маршрута. Так как мы поедем из выбранного на первом шаге магазина (1 из 12) в другой магазин (вообще говоря тоже 1 из 12, так как заранее неизвестно, какой магазин посещен первым), но не на базу, то для выбора второго пункта посещения необходимо выбрать одно направление поездки из 144 (=12*12) возможных. При этом после выбора нужно будет проверить, что выбор «откуда» прибыл, совпадает с выбором «куда» прибыл, сделанным на предыдущем шаге.
На третьем, четвертом, ..., двенадцатом шаге делаем то же самое. Каждый такой выбор добавляет 144 переменных к задаче.
На последнем тринадцатом шаге мы должны вернуться на базу. Для этого нужно выбрать пункт «откуда» автомобиль туда вернется. Это необходимо для вычисления длины маршрута возвращения. Это добавит к задаче еще 12 переменных. Итого получаем 12 + 11* 12*12 + 12 = 1608 переменных.
Мы, однако, не будем так экономить на переменных. Учитывая, что нужно иметь возможность легкой модификации задачи для ответов на дополнительные вопросы без перестройки всей модели, лучше будем строить задачу как более общую. Если, например, мы хотим иметь возможность строить маршруты с промежуточным возвращением на склад, следует на каждом шаге допустить выезд из 12 магазинов и склада (базы) и возможность возвращения в любой из этих 13 пунктов.
В новой таблице () приведен пример организации данных для нашей задачи.
В ячейках D36:O168 и C169:C180 содержатся переменные задачи. В данном случае единица в ячейке D36 строки D36:O36 показывает, что первым пунктом посещения после отправления с базы является Мг 1. При этом строка D21:O21 просто дублирует строку D36:O36, а в ячейке R21 по формуле =СУММПРОИЗВ ($D$1:$O$1; D21:O21) вычисляется номер посещенного магазина.
|
|
A |
B |
C |
D |
E |
F |
G |
H |
I |
J |
K |
L |
M |
N |
о |
P |
Q |
R |
|
1 |
|
|
0 |
1 |
2 |
3 |
4 |
5 |
6 |
7 |
8 |
9 |
10 |
11 |
12 |
|
|
|
|
2 |
0 |
База |
## |
5 |
8 |
6 |
35 |
9 |
13 |
27 |
23 |
19 |
14 |
20 |
20 |
|
|
|
|
3 |
1 |
Мг 1 |
5 |
## |
13 |
5 |
37 |
14 |
18 |
28 |
28 |
24 |
19 |
21 |
25 |
|
|
|
|
4 |
2 |
Мг 2 |
8 |
13 |
## |
9 |
39 |
7 |
8 |
33 |
17 |
12 |
9 |
26 |
20 |
Таблица |
|
5 |
3 |
Мг 3 |
6 |
5 |
9 |
## |
40 |
13 |
16 |
32 |
26 |
21 |
17 |
25 |
26 |
взаимных |
|
6 |
4 |
Мг 4 |
35 |
37 |
39 |
40 |
## |
32 |
34 |
12 |
37 |
37 |
33 |
17 |
21 |
расстояний, км. |
|
7 |
5 |
Мг 5 |
9 |
14 |
7 |
13 |
32 |
## |
4 |
28 |
15 |
10 |
5 |
22 |
14 |
|
|
|
|
8 |
6 |
Мг 6 |
13 |
18 |
8 |
16 |
34 |
4 |
## |
31 |
10 |
6 |
1 |
25 |
14 |
|
|
|
|
9 |
7 |
Мг 7 |
27 |
28 |
33 |
32 |
12 |
28 |
31 |
## |
37 |
36 |
30 |
7 |
22 |
|
|
|
|
10 |
8 |
Мг 8 |
23 |
28 |
17 |
26 |
37 |
15 |
10 |
37 |
## |
5 |
9 |
33 |
16 |
|
|
|
|
11 |
9 |
Мг 9 |
19 |
24 |
12 |
21 |
37 |
10 |
6 |
36 |
5 |
## |
6 |
30 |
16 |
|
|
|
|
12 |
10 |
Мг 10 |
14 |
19 |
9 |
17 |
33 |
5 |
1 |
30 |
9 |
6 |
## |
25 |
12 |
|
|
|
|
13 |
11 |
Мг 11 |
20 |
21 |
26 |
25 |
17 |
22 |
25 |
7 |
33 |
30 |
25 |
## |
18 |
|
|
|
|
14 |
12 |
Мг 12 |
20 |
25 |
20 |
26 |
21 |
14 |
14 |
22 |
16 |
16 |
12 |
18 |
## |
|
|
|
|
15 |
|
|
Расстояния между пунктами маршрута, км |
|
Всего км. |
|
16 |
|
|
5 15 |
9 |
7 |
4 |
1 |
6 |
5 |
16 |
21 |
12 |
7 |
20 |
|
118 |
|
17 |
|
0 |
=R21 |
2 |
0 |
0 |
0 |
0 |
0 |
0 |
0 |
0 |
0 |
=R33 |
|
|
|
18 |
|
|
|
|
|
|
|
|
|
|
|
|
|
|
|
|
|
|
19 |
|
|
1 |
1 |
1 |
1 |
1 |
1 |
1 |
1 |
1 |
1 |
1 |
1 |
=СУММ(036:0180) |
|
20 |
|
|
|
|
|
|
|
|
|
|
|
|
|
|
|
|
|
|
|
21 |
1 |
|
|
1 |
0 |
0 |
0 |
0 |
0 |
0 |
0 |
0 |
0 |
0 |
0 |
V |
1 |
1 |
|
22 |
2 |
|
|
°? |
0 |
1 |
0 |
0 |
0 |
0 |
0 |
0 |
0 |
0 |
0 |
/ |
1 |
3 X |
|
23 |
3 |
|
|
0\ |
1 |
0 |
0 |
0 |
0 |
=СУММ()36:036) |
/ |
1 |
1 |
2/ |
|
24 |
4 |
|
|
0 \ |
0 |
0 |
|
|
|
|
|
|
1 ^ |
о |
|
=СУММШЮИЗВда$0:$0$1?)21:021) |
|
25 |
5 |
|
|
0 |
\0 |
0 |
1 |
0 |
|
26 |
6 |
|
|
0 |
L- |
=СУММф36^48) |
) |
0 |
1 |
0 |
0 |
1 |
1 |
0 |
|
27 |
7 |
|
|
0 |
0 |
) |
1 |
0 |
0 |
0 |
1 |
1 |
0 |
|
28 |
8 |
|
|
0 - |
¦0 |
|
|
0 |
0 |
0 |
0 |
1 |
1 |
0 |
|
29 |
9 |
|
|
0 |
0 |
С |
У ММ |
1(D1 |
09:) |
Л20 |
|
0 |
0 |
0 |
1 |
1 |
1 |
0 |
|
30 |
10 |
|
|
0 |
0 |
0 |
1 |
0 |
0 |
0 |
0 |
0 |
0 |
0 |
0 |
1 |
1 |
0 |
|
31 |
11 |
|
|
0 |
0 |
0 |
0 |
0 |
0 |
1 |
0 |
0 |
0 |
0 |
0 |
1 |
1 |
0 |
|
32 |
12 |
|
|
0 |
0 |
0 |
0 |
0 |
0 |
0 |
0 |
0 |
0 |
1 |
0 |
1 |
1 |
0 |
|
33 |
13 |
|
1 |
|
|
|
|
|
|
|
|
|
|
|
|
1 |
1 |
0 |
|
34 |
|
|
|
|
|
|
|
|
|
|
|
|
|
|
|
|
|
|
|
35 |
|
|
0 |
1 |
2 |
3 |
4 |
5 |
6 |
7 |
8 |
9 |
10 |
11 |
12 |
|
|
|
|
36 |
0 |
1 |
|
1 |
0 |
0 |
0 |
0 |
0 |
0 |
0 |
0 |
0 |
0 |
0 |
=СУММ
(D36:036) |
|
37 |
1 |
2 |
|
0 |
0 |
1 |
0 |
0 |
0 |
0 |
0 |
0 |
0 |
0 |
0 |
1 |
|
|
|
38 |
2 |
|
|
0 |
0 |
0 |
0 |
0 |
0 |
0 |
0 |
0 |
0 |
0 |
0 |
0 |
|
|
|
39 |
3 |
|
|
0 |
0 |
0 |
0 |
0 |
0 |
0 |
0 |
0 |
0 |
0 |
0 |
0 |
|
|
|
|
|
|
|
|
|
|
|
|
|
|
|
|
|
|
|
|
|
|
|
48 |
12 |
|
|
0 |
0 |
0 |
0 |
0 |
0 |
0 |
0 |
0 |
0 |
0 |
0 |
0 |
|
|
|
49 |
1 |
3 |
|
0 |
0 |
0 |
0 |
0 |
0 |
0 |
0 |
0 |
0 |
0 |
0 |
0 |
|
|
|
|
|
|
|
|
|
|
|
|
|
|
|
|
|
|
|
|
|
|
|
157 |
1 |
12 |
|
0 |
0 |
0 |
0 |
0 |
0 |
0 |
0 |
0 |
0 |
0 |
0 |
0 |
|
|
|
|
|
|
|
|
|
|
|
|
|
|
|
|
|
|
|
|
|
|
|
163 |
7 |
|
|
0 |
0 |
0 |
0 |
0 |
0 |
0 |
0 |
0 |
0 |
1 |
0 |
1 |
|
|
|
|
|
|
|
|
|
|
|
|
|
|
|
|
|
|
|
|
|
|
|
168 |
12 |
|
|
0 |
0 |
0 |
0 |
0 |
0 |
0 |
0 |
0 |
0 |
0 |
0 |
=СУММ
(D168:0168) |
|
169 |
1 |
13 |
0 |
|
|
|
|
|
|
|
|
|
|
|
|
=C169 |
|
|
170 |
2 |
|
0 |
|
|
|
|
|
|
|
|
|
|
|
|
=C170 |
|
|
|
|
|
|
|
|
|
|
|
|
|
|
|
|
|
|
|
|
|
|
179 |
11 |
|
1 |
|
|
|
|
|
|
|
|
|
|
|
|
1 |
|
|
|
180 |
12 |
|
0 |
|
|
|
|
|
|
|
|
|
|
|
|
0 |
|
|
Рис. 116
Выбор второго пункта посещения делается в ячейках D37:O48. Единица в ячейке F37 показывает, что вторым пунктом выбран Мг 3 (см. номер магазина по этому же столбцу, в котором стоит 1, в ячейке F35). При этом ссылку на номер предыдущего магазина смотрим по этой же строке в ячейке A37. В столбце
P36:P168 считаются суммы по строкам переменных. Эти суммы позволяют с одной стороны задать ограничение на выбор только одного пункта назначения на каждом шаге, а с другой стороны формируют очень нужные нам данные. В самом деле, так как номер строки в соответствии с нумерацией в столбце А показывает, из какого пункта прибыл автомобиль, то столбец P37:P48 должен совпадать со строкой D21:O21. Как вы видите, так оно и есть. Но главное, что этого можно потребовать при поиске решения (в данной, более продвинутой, версии Поиска решения можно сравнивать строки и столбцы)!
В строке D22:O22 вычисляются суммы по столбцам от D37:D48 до 037:048, также подытоживающие результаты выбора на втором шаге, для использования их на шаге третьем. Т.е. в строке D22:022 показано, какой магазин был выбран на втором шаге. Непосредственно для лучшего представления результатов в ячейке R22 по той же формуле =СУММПРОИЗВ ($D$1:$O$1; D22:O22) вычисляется номер посещенного магазина.
Выбор третьего пункта посещения делается в ячейках D49:O60. Снова суммы в столбце P49:P60 должны совпадать со значениями в строке D22:022, показывающей второй пункт посещения.
В общем эта процедура построения таблицы продолжается до выбора 13 пункта без изменений. Как уже отмечалось выше на тринадцатом шаге нужно вернуться в базу, поэтому пункт назначения определен. Для «выбора» предыдущего пункта используем 12 переменных: C169:C180. Собственно говоря, прочие соотношения остаются теми же, только в некоторых местах надобность в суммировании отсутствует, т.к. в сумме имеется только одно слагаемое. Значения ячеек в столбце P169:P180 должны совпасть со значениями в строке D32:O32, что также нужно будет задать в списке ограничений Large-Scale LP Solver’а. Для того, чтобы каждый магазин был выбран в качестве пункта назначения только 1 раз, используются результаты расчетов в ячейках C19:O19. Очевидно следует потребовать, чтобы суммы всех переменных по столбцам равнялись 1, что соответствует выбору каждого магазина один и только один раз.
Чтобы выбрать каждый магазин только 1 раз в качестве предыдущего пункта посещения используем результаты суммирования в столбце Q21:Q33. В каждой из этих ячеек найдены суммы ячеек соответствующие выбору: Мг 1 на шагах 2, 3, 4...12, Мг 2 на шагах 2, 3, 4...12 и т.д. до Мг 12. Если потребовать, чтобы Q21:Q33 = 1, каждый магазин выступит в качестве предыдущего пункта посещения один и только один раз.
Ну и наконец, самое главное - расчет расстояний. Собственно говоря, мы ведь и вводили такое большое количество переменных именно для того, чтобы в каждом пункте легко вычислять, откуда приехали. Поэтому отдельные таблицы переменных для каждого из пунктов посещения дают при умножении на нужную часть таблицы расстояний C2:O14 расстояние очередной поездки. Например в C16 по формуле =СУММПРОИЗВ($C$2:$0$2;$C36:$036) вычислено расстояние от базы до первого пункта посещения. В ячейках D16:O16 по другой формуле вида =СУММПРОИЗВ($C$3:$0$14;$C37:$048) вычислено расстояние от первого пункта посещения до второго, от второго до третьего и т. д.
Сумма всех этих расстояний и дает длину маршрута объезда магазинов (Q16), которая в нашей задаче играет роль целевой функции, минимума которой мы хотим добиться.
Остается сформировать задание для Поиска решения. В новой, использованной нами при решении данной задачи, инкарнации этой надстройки это выглядит следующим образом ()
Solver Parameters
1?
Solve
Hi Cel:
ЕчиэІ ю; f" мах (* Mlts
By Changing '-.'аг;гз!е Ceils: |
О value of: |
|
5O$3fi:5O$WS;5C$lfi9:$CSia0 |
|
|
Subject to the Constraints: |
|
SC S169; SC 5 ISO - binary |
Ж |
|
$C$L9:SO$19 = 1 |
— |
|
SDS36;50?168 - binary |
— |
|
EP5109:SP$120 = ?0$27:$O$Z7 |
|
|
S?5l2l:SPn32 - SD52S:SOS2S |
|
|
S=5133:SP$144 = SD529:$OS29 |
|
&ИЯ |La-ge-Scale LP Soever
Charge
Delete |
Close
Qpbons
Add
variables
=teset All
He's
SP5145:$PSI56 ж $0530:50530 SPS1S7:5PS163 - SDS31:$OS31 S?S169:S??230 - SD?32:?OS32 вРШ:*Р«Э - I S?53?:SP543 = 50521:50521 SPS^;S?S60 = SOS22:SO?22 3PS6 L:$p$72 = ?DS23:SO?23 $P$73:S?S3- - SQS24:*QS2-3 SPSS5:S?S96 - SD52S:50s2S SP^7:?PSll08 = 5DS26:SC526 5QS2l:SQ633 = I
Рис. 117
На рисунке снизу от диалогового окна Поиска решения показаны те ограничения, которые не видны в самом окне.
Так же желательно установить большую точность при поиске решения на вкладке Options ()
 |
|
Рис. 118 |
|
Если теперь запустить поиск решения, то спустя 1-3 минуты, в зависимости от мощности процессора, получим то решение, которое и показано в табличке: минимальная длина маршрута 118 км, порядок пунктов посещения - |
|
База (0) |
1 |
3 |
2 |
5 |
6 |
10 |
9 |
8 |
12 |
4 |
7 |
11 |
База (0) |
|
Как вы можете убедиться, это решение отличается от предыдущих вариантов большей длиной. На приведено изображение оптимального маршрута поездки автомобиля по магазинам.
 |
|
Рис. 119 |
Вопрос b.
Разумеется, чтобы ответить на этот вопрос можно было бы перестроить задачу, выбросив из всех расчетов магазин №2. Это заодно уменьшило бы число переменных.
Однако, как мы видели, задача строится довольно долго, а это значит, что вероятность внести ошибку при перестройке задачи довольно велика. Кроме того, полная перестройка таблицы и задачи не в духе MS Excel. Лучше всего было бы добиться нового решения немного изменив данные.
Таким образом, нам нужно получить решение, в котором будет присутствовать фиктивный заезд в магазин №2. Только этот заезд не должен влиять на правильный расчет расстояний и обязан дать нулевой вклад в суммарную длину маршрута.
Этого можно добиться простым способом. Изменим таблицу расстояний так, чтобы места магазина №2 и базы на карте поездок совпадали. Для этого зададим расстояния от магазина №2 до всех пунктов, такими же, как от базы. А расстояние от базы до самого магазина сделаем нулевым. Изменения, которые нужно внести в таблицу расстояний, показаны на .
|
|
A |
B |
C |
D |
E |
F |
G |
H |
I |
J |
K |
L |
M |
N |
O |
P |
Q |
R |
|
1 |
|
|
0 |
1 |
2 |
3 |
4 |
5 |
6 |
7 |
8 |
9 |
10 |
11 |
12 |
|
|
|
|
2 |
0 |
База |
## |
5 |
0 |
6 |
35 |
9 |
13 |
27 |
23 |
19 |
14 |
20 |
20 |
|
|
|
|
3 |
1 |
Мг 1 |
5 |
## |
5 |
5 |
37 |
14 |
18 |
28 |
28 |
24 |
19 |
21 |
25 |
|
|
|
|
4 |
2 |
Мг 2 |
0 |
5 |
## |
6 |
35 |
9 |
13 |
27 |
23 |
19 |
14 |
20 |
20 |
Таблица |
|
5 |
3 |
Мг 3 |
6 |
5 |
6 |
## |
40 |
13 |
16 |
32 |
26 |
21 |
17 |
25 |
26 |
взаимных |
|
6 |
4 |
Мг 4 |
35 |
37 |
35 |
40 |
## |
32 |
34 |
12 |
37 |
37 |
33 |
17 |
20 |
расстояний, км. |
|
7 |
5 |
Мг 5 |
9 |
14 |
9 |
13 |
32 |
## |
4 |
28 |
15 |
10 |
5 |
22 |
14 |
|
|
|
|
8 |
6 |
Мг 6 |
13 |
18 |
13 |
16 |
34 |
4 |
## |
31 |
10 |
6 |
1 |
25 |
14 |
|
|
|
|
9 |
7 |
Мг 7 |
27 |
28 |
27 |
32 |
12 |
28 |
31 |
## |
37 |
36 |
30 |
7 |
22 |
|
|
|
|
10 |
8 |
Мг 8 |
23 |
28 |
23 |
26 |
37 |
15 |
10 |
37 |
## |
5 |
9 |
33 |
16 |
|
|
|
|
11 |
9 |
Мг 9 |
19 |
24 |
19 |
21 |
37 |
10 |
6 |
36 |
5 |
## |
6 |
30 |
16 |
|
|
|
|
12 |
10 |
Мг 10 |
14 |
19 |
14 |
17 |
33 |
5 |
1 |
30 |
9 |
6 |
## |
25 |
12 |
|
|
|
|
13 |
11 |
Мг 11 |
20 |
21 |
20 |
25 |
17 |
22 |
25 |
7 |
33 |
30 |
25 |
## |
18 |
|
|
|
|
14 |
12 |
Мг 12 |
20 |
25 |
20 |
26 |
21 |
14 |
14 |
22 |
16 |
16 |
12 |
18 |
## |
|
|
|
|
|
Рис. 120 |
Общая длина такого минимального маршрута составит 112 км.
Отметим, что качество поиска довольно сильно зависит от установок точности поиска. Попробуйте обнулить переменные, уменьшить точность и повторить поиск. Вы увидите, что будет найдено не лучшее решение.
Часть 3. Планирование и анализ проектов
Теоретические замечания.
Под проектом понимают совокупность операций (заданий, работ), которые нужно выполнить для достижения поставленной цели в ограниченное время при ограниченных материальных, людских и финансовых ресурсах.
Сложные проекты могут содержать тысячи различных операций, требующие различных затрат времени и ресурсов. Некоторые операции должны следовать одна за другой в строгой последовательности, другие - могут выполняться независимо и параллельно. Отсрочка начала работ или задержка их завершения для некоторых операций может и не привести к удлинению проекта в целом, в то время как для других операций такие задержки критически влияют на срок выполнения проекта. Поэтому планирование, мониторинг и управление сложным проектом, правильное распределение ресурсов, выявление и концентрация внимания менеджера на «критических» операциях, определяющих срок завершение проекта в целом, очень затруднительно без специальных методик и инструментов количественного анализа, а также без специальных программных средств.
В настоящее время широко распространенны две взаимосвязанные методики количественного анализа проектов - CPM (английская аббревиатура Critical Path Method, т.е. метод критического пути) и PERT (Program Evaluation and Review Technique, метод анализа и обзора проекта). Рассмотрение PERT, включающего в анализ вероятностные аспекты, связанные с неопределенностью в длительностях отдельных стадий проекта, мы перенесем во вторую часть книги. В этом разделе мы сконцентрируемся на проблемах, связанных с методом критического пути CPM, предполагающего анализ проекта в условиях, когда длительности различных стадий проекта четко определены. Мы рассмотрим определение критических и некритических стадий проекта, временных резервов, исследование соотношения «Длительность проекта - Издержки» (СРМ/Cost), а также влияния ограничений в использовании ресурсов на расписание проекта. Для решения всех этих проблем, в настоящем разделе мы активно привлекаем программу MS Project 2003 (русифицированная версия).
Для иллюстрации основных этапов планирования и анализа проекта, рассмотрим упрощенный пример проекта сноса старого здания в центре большого города и построения на его месте многоэтажного гаража. Проект содержит следующие крупные мероприятия по сносу дома, сведенные в таблицу ().
|
Стадии проекта «Снеси - построй» |
|
Этап |
Описание |
Предшествен
ник |
Длитель
ность
(дней) |
|
A |
Установить взрывные заряды |
- |
5 |
|
B |
Эвакуировать окружение |
- |
4 |
|
C |
Подготовить колону грузовиков |
- |
3 |
|
D |
Взорвать здание |
A,B |
1 |
|
E |
Разобрать развалины и вывести строительный мусор |
CD |
7 |
|
F |
Вырыть котлован |
E |
12 |
|
G |
Подвести коммуникации |
E |
15 |
|
H |
Залить бетон в фундамент |
F |
10 |
|
I |
Возвести металлический каркас |
F,G |
8 |
|
J |
Установить электропроводку |
I |
15 |
|
K |
Установить пол и возвести стены |
I |
20 |
|
L |
Установить лифты |
I |
7 |
|
M |
Провести отделочные работы |
H,J,K,L |
14 |
|
|
Рис. 121 |
Каждое из перечисленных мероприятий может рассматриваться как независимая стадия проекта (или работа), требующая собственных материальных, финансовых и людских ресурсов. Для каждой стадии должна быть оценена длительность проведения работ, исходя из имеющихся ресурсов. В настоящем разделе мы будем считать, что эти длительности не подвержены случайным вариациям (условие «полной определенности»), но могут быть уменьшены путем вложения дополнительных финансовых средств.
Первый вопрос, возникающий при беглом взгляде на таблицу с описанием проекта, сколько времени требуется для выполнения всего проекта? Искушение ответить на этот вопрос, просто просуммировав длительности отдельных стадий, очевидно, дает сильно завышенную длительность проекта (121 день). Поскольку разные стадии требуют использования различных трудовых ресурсов, понятно, что некоторые из них могут выполняться независимо друг от друга и параллельно. Вместе с тем, некоторые стадии не могут быть начаты, до того, как завершены другие стадии.
Например, невозможно взорвать здание, не установив взрывные заряды и не проведя эвакуацию окружения. В то же время, подготовка колонны грузовиков
(стадия C) может проводиться параллельно стадиям A, B и D, но должна быть закончена до начала стадии E (разбор развалин и вывоз мусора).
Таким образом, с самого начала планирования и анализа проекта необходимо четко представить себе взаимосвязи между отдельными стадиями и установить соотношения «предшественник» - «последователь» для всех стадий проекта. Допустим, что менеджер проекта, основываясь на знании современных строительных технологий и на здравом смысле, установил такие соотношения «предшественник» - «последователь» для стадий проекта (см. третью колонку таблицы). Далее, можно использовать программу MS Project для детального анализа проекта.
Вызовем MS Project и создадим пустой проект. В столбец Название задания введем обозначения этапов проекта, а в столбец Длительность - их наивероятнейшую продолжительность. Если у вас есть эти данные в электронной форме (например, в файле Word или Excel), то их можно вставить целой группой - выделив и вставив столбец названий, а затем столбец длительностей. После этого получится результат, показанный на рисунке ().
|
|
? |
Название
задачи |
Длительность |
Начало |
Окончание |
|
^Январь 2005 |
|
24 [27 [30 [02 [05 [08 [11 [14 [17 [20 [23 [26 |
|
1 |
|
А |
5 дней |
Пн 27.12.04 |
Пт 31.12.04 |
|
|
|
|
2 |
|
В |
4 дней |
Пн 27.12.04 |
Чт 30.12 .04 |
|
— |
|
|
3 |
|
С |
3 дней |
Пн 27.12.04 |
Ср 29.12.04 |
|
ш |
|
|
4 |
|
D |
1 день |
Пн 27.12.04 |
Пн 27.12.04 |
|
1 |
|
|
5 |
|
Е |
7 дней |
Пн 27.12.04 |
Вт 04.01.05 |
|
mi |
виз |
|
6 |
|
F |
12 дней |
Пн 27.12.04 |
Вт 11.01.05 |
|
laaaaaaaaaaiiis |
|
7 |
|
G |
15 дней |
Пн 27.12.04 |
Пт 14.01.05 |
|
|
liiiiiiiiiiiiii |
|
8 |
|
Н |
10 дней |
Пн 27.12.04 |
Пт 07.01.05 |
|
ІИ |
laiaii |
|
9 |
|
I |
8 дней |
Пн 27.12.04 |
Ср 05.01.05 |
|
ІІІІІІІІІІІ |
|
10 |
|
J |
15 дней |
Пн 27.12.04 |
Пт 14.01.05 |
|
ИІ |
|
|
11 |
|
К |
20 дней |
Пн 27.12.04 |
Пт 21.01.05 |
|
¦ни |
llllllllllllllM |
|
12 |
|
L |
7 дней |
Пн 27.12.04 |
Вт 04.01.05 |
|
|
|
13 |
|
М |
14 дней |
Пн 27.12.04 |
Чт 13.01.05 |
|
|
|
|
|
|
|
|
|
|
|
|
|
Рис. 122 |
В табличке слева можно добавлять и убирать столбцы, в данном случае нам нужны для работы всего три столбца. В два мы вставили информацию, а в еще один столбец нужно ввести информацию о предшественниках. Остальные столбцы лучше убрать, чтобы освободить рабочее место на экране. Для этого нужно просто щелкнуть правой кнопкой мыши на заголовке столбца и в появившемся контекстном меню выбрать команду Скрыть столбец.
Видно, что сразу при вводе исходной информации о проекте MS Project начинает строить, так называемую, диаграмму Ганта (см, [1-4,6,8,11-15]), давая графическое представление проекта, в котором длина каждого столбика, соответствующего определенной стадии проекта, пропорциональна длительности стадии.
До тех пор, пока мы не указали предшественников для каждого из этапов, на диаграмме Ганта с правой стороны все этапы начинаются одновременно. Для того, чтобы ввести информацию об этапах, предшествующих данному, нужно
|
сделать двойной щелчок на названии этапа. При этом появится диалоговое окно, в котором можно вводить самую разнообразную информацию об этапе. |
 |
|
Рис. 123 |
Нас интересует вкладка Предшественники (), на которой в столбце Название задачи можно выбрать все этапы, предшествующие данному этапу (список содержит все этапы проекта, которые вы указали ранее). Предшествующие этапы вводятся по одному на строку. При этом можно указать, начинается ли наш этап сразу после окончания предшествующего, или с некоторым запаздыванием и т.д. По умолчанию же последующий этап начинается так рано, как только возможно после окончания предшествующего. После того, как все предшественники этапа указаны, нужно нажать кнопку ОК и затем вызвать такое же окно для другого этапа.
 |
|
Рис. 124 |
После того, как все предшественники указаны, получаем следующую диаграмму Ганта (). Уменьшить размах диаграммы можно инструментом Уменьшить (значок в виде лупы со знаком минус). Удобно также добавить к проекту так называемую суммарную задачу (Сервис/Параметры/Вид, отметить
[Показывать] суммарную задачу проекта внизу диалогового окна). При этом на диаграмму Ганта будет добавлена суммарная задача (проект) с указанием полной длительности проекта (). Это полезно при исследовании вопросов, связанных, например, с сокращением проекта, так как любые изменения длительности проекта будут немедленно изображаться на диаграмме Ганта.
|
Ид. |
Название задачи |
Длительность |
Предшественники |
|Янв '05 |Фев '05 | Мар '05 | Апр |
|
27 1 03 110 117 1 24 I 31 107 114 | 21 I 28 |07І14І21 | 28 | 04 |
|
1 |
A |
5 дней |
|
|
-I
L |
1 |
|
|
|
2 |
В |
4 дней |
|
|
3 |
С |
3 дней |
|
|
4 |
D |
1 день |
1;2 |
|
|
5 |
E |
7 дней |
3;4 |
|
6 |
F |
12 дней |
5 |
|
|
7 |
G |
15 дней |
5 |
|
|
8 |
H |
10 дней |
6 |
1 |
- |
|
|
|
9 |
I |
8 дней |
6;7 |
|
|
|
10 |
J |
15 дней |
9 |
— |
|
11 |
K |
20 дней |
9 |
№ |
шщ |
1 |
|
12 |
L |
7 дней |
9 |
Ш- |
|
|
13 |
M |
14 дней |
8;10;11;12 |
¦ |
|
|
Рис. 125 |
После того, как диаграмма построена, длительность проекта и другие сведения о нем можно посмотреть, используя меню Проект/Сведения о проекте и далее кнопка Статистика ().
 |
|
Рис. 126 |
Итак, ожидаемая продолжительность проекта «Снеси-Построй» 70 рабочих
дней.
Внимательно рассмотрев диаграмму Ганта, можно заметить, что не все стадии одинаково влияют на время выполнения проекта и, соответственно, не все стадии следует стремиться начинать (и заканчивать) так рано, как только возможно. Например, начало стадии L можно безболезненно отодвинуть на срок до 13 дней. Это не повлечет за собой удлинения проекта в целом. В то же время, стадию K невозможно отодвинуть (или задержать ее окончание) без того, чтобы не удлинить проект, поскольку задержка с выполнением стадии K, неизбежно вызовет задержку начала работ на стадии M, что неизбежно повлечет удлинение проекта. Такие стадии называют «критическими» стадиями, поскольку они критически влияют на длительность проекта.
Критические стадии не могут быть отсрочены или удлинены без соответствующего удлинения проекта в целом. Некритические стадии имеют некоторый допустимый временной интервал (его называют временным резервом), в котором можно изменять их длительность или моменты начала работ, без изменения длительность проекта.
Сразу после введения информации о проекте, MS Project уже «знает» какие стадии критические, а какие - нет. Для того чтобы заставить его «поделиться» с нами этой информации, нужно всего лишь отформатировать диаграмму Ганта. Вызовите в меню Формат команду Мастер диаграмм Ганта. В появившемся диалоговом окне нажмите кнопку Далее. В следующем окне (слева) отметьте кнопку-переключатель Критический путь и снова нажмите кнопку Далее. Здесь (справа) нужно отметить возможность Настроить сведения о задаче и опять нажать Далее. В новом окне (слева) полезно попросить, чтобы рядом с отрезком, изображающим этап, отображалось и его название.
 |
|
Рис. 127 |
Теперь можно выбрать кнопку Готово, а в появившемся окне ( справа) нажать кнопку Форматировать. После этого появится заключительное окно с кнопкой Выход из мастера.
 |
|
Рис. 128 |
В результате всех этих манипуляций исходная диаграмма Ганта преобразуется к следующему виду ().
 |
|
Рис. 129 |
По этой диаграмме можно определить, что этапы A, D, E, G, I, K и M являются критическими и любое изменение их длительности отражается на длительности проекта в целом (по умолчанию критические этапы выделяются красным цветом, но здесь мы их выделили черной сплошной заливкой, т.к. иллюстрации не цветные).
Если использовать другое графическое представление проекта - сетевую диаграмму (см, [1-4,6,8,11-15]), то станет видно, что все критические стадии образуют один или несколько непрерывных «путей», идущих от начала проекта к его финишу и образующих как бы скелет проекта. Для визуализации критических путей лучше рассматривать сетевую диаграмму проекта, а не диаграмму Ганта.
Чтобы посмотреть сетевую диаграмму нужно в меню Вид выбрать пункт Сетевой график. Так как вид графика по умолчанию не слишком удобен, лучше в меню Формат выбрать пункт Макет... и в большом диалоговом окне () отметить, чтобы связи между этапами отображались прямыми (Стиль линий связи) и что нужно скрыть все поля, кроме идентификатора (Параметры диаграммы)._
Макет
Режим расположения рамок
(Г іРасполагать все рзмки.автоматически] С Разрешить располагать рамки вручную
Расположение рамок
Расположение: |Сверху вниз слева
Строки: Выравнивание: | по центру ^ Интервал: [40 ^ Высота: | автоподбор
Интервал: [бО -j-j Ширина: |автоподбор I- Учитывать разрывы страниц
Столбцы: Выравнивание: | по центру
ф Показывать суммарные задачи Ф Не отрывать задачи от их суммарных задач Стиль линий связи С Прямоугольные Цвет линий связи
ф Показывать стрелки Г~ Показывать надписи для связей
(•' Прямые
(• Некритические связи: || Синий Критические связи: Красный
С В соответствии с цветом рамки предшественника Параметры диаграммы
Цвет фона: || | Двто"
Фоновый узор:
Г” Показывать разрывы страниц Ф Скрыть все поля, кроме идентификатора
ф Помечать завершенные и находящиеся в процессе выполнения задачи Справка
ОК
Отмена
|
Рис. 130 |
 |
После этого сетевая диаграмма примет удобный вид ().
Рис. 131
По сетевой диаграмме сразу видно, что критический путь только один -ADEGIKM (если перейти от номеров этапов к их названиям).
Чтобы найти информацию о временных резервах некритических стадий необходимо выбрать пункт меню «Вид-Таблица» и в раскрывшемся списке выбрать таблицу вида «Календарный план». При этом границу окна диаграммы
Ганта следует отодвинуть влево, чтобы раскрыть нужные столбцы таблицы. Эта таблица (Рис. 132) содержит столбцы с датами «раннего» и «позднего» старта [1] (на приведенном рисунке они скрыты для экономии места, но по умолчанию присутствуют) и столбец «Общий временной резерв», в котором отражены значения временных резервов некритических стадий. Эти значения показывают, насколько максимально можно отложить окончание данной некритической стадии, чтобы не увеличить длительность проекта. В столбце «Свободный временной резерв» показано, насколько максимально можно отложить окончание данной некритической стадии, чтобы не сдвинуть начало стадии - последователя. Разумеется, для критических стадий оба типа временных резервов равны нулю.
В представленной таблице только для стадии F значения «Общий временной резерв» и «Свободный временной резерв» различаются. Постараемся понять, в чем состоят эти различия, используя сетевую диаграмму на . Общий временной резерв стадии F (на диаграмме - стадия №6) равен 3 дням.
|
|
|
Названив
задачи |
Начало |
Окончание |
Позднее
начало |
Позднее
окончание |
Свободный
временной
резерв |
Обилій временной резер в |
|
|
|
4 |
Ян в '05 |
Фев '05 |
Map '05 1. |
|
13 120 127 |03 10 17 24 31 07 |14 |21 |
28 07 |
4 |2lf28 |
|
|
0 |
- Снес |
ииитиии |
итттп |
тиши |
шшш |
0 дней |
0 дней |
|
Г" |
|
|
|
|
|
|
1 |
А |
Пн 27.12.04 |
Пт 31.12.04 |
Пн 27.12.04 |
Пт 31.12.04 |
0 дней |
0 дней |
|
А ш |
|
|
|
|
|
|
|
2 |
В |
Пн 27 .12.04 |
Чт 30.12 .04 |
Вт 28.12.04 |
Пт 31.12.04 |
1 день |
1 день |
|
в © |
|
|
|
|
|
|
|
3 |
С |
Пн 27.12.04 |
Ср 29.12.04 |
Чт 30.12.04 |
Пн 03.01.05 |
3 дней |
3 дней |
|
с Ц- |
|
|
|
|
|
|
|
4 |
D |
Пн 03 .01.05 |
Пн 03.01.05 |
Пн 03.01.05 |
Пн 03.01.05 |
0 дней |
0 дней |
|
D |
|
|
|
|
|
|
|
5 |
Е |
Вт 04.01.05 |
Ср 12.01.05 |
Вт 04.01.05 |
Ср 12.01.05 |
0 дней |
0 дней |
|
Е |
|
|
|
|
|
|
|
6 |
F |
Чт 13.01.05 |
Пт 28.01.05 |
Вт 18.01.05 |
Ср 02.02.05 |
0 дней |
3 дней |
|
|
F |
|
|
|
|
|
|
7 |
G |
Чт 13.01.05 |
Ср 02.02.05 |
Чт 13.01.05 |
Ср 02.02.05 |
0 дней |
0 дней |
|
|
G ;¦!' нш нш |
|
|
|
|
|
|
8 |
н |
Пн 31.01.05 |
Пт 11.02.05 |
Вт 01.03.05 |
Пн 14.03.05 |
21 дней |
21 дней |
|
|
н |
|
|
|
|
|
|
|
9 |
і |
Чт 03.02.05 |
Пн 14.02.05 |
Чт 03.02.05 |
Пн 14.02.05 |
0 дней |
0 дней |
|
|
1 |
|
|
|
|
|
|
|
10 |
J |
Вт 15.02.05 |
Пн 07.03.05 |
Вт 22.02.05 |
Пн 14.03.05 |
5 дней |
5 дней |
|
|
|
J 1_ |
|
|
|
|
? |
11 |
К |
Вт 15.02.05 |
Пн 14.03.05 |
Вт 15.02.05 |
Пн 14.03.05 |
0 дней |
0 дней |
|
|
|
К tiff |
|
|
|
|
I |
,2 |
L |
Вт 15.02.05 |
Ср 23.02 .05 |
Пт 04.03.05 |
Пн 14.03.05 |
13 дней |
13 дней |
|
|
|
L ?т— |
|
|
|
|
1 |
13 |
М |
Вт 15.03.05 Пт 01.04.05 Вт 15.03.05 |
Пт 01.04.05 |
0 дней |
0 дней |
|
|
|
|
м |
|
|
|
|
Рис. 132 |
Это значит, что если увеличить длительность этой стадии более, чем на 3 дня, критический путь будет проходить через нее, а не через стадию G (стадия №7). Причина очевидна: длительность стадии F - 12 дней, а стадии G - 15 дней. Вместе с тем, если увеличить длительность стадии F хотя бы на 1 день, начало стадии H (стадия №8 на диаграмме ) сразу сдвинется, а соответственно ее временной резерв - 21 день, сразу уменьшится на 1 день. Фактически нулевой «Свободный временной резерв» означает, что данная некритическая стадия входит в цепочку некритических стадий, имеющих общий временной резерв (он будет отмечен у последней некритической стадии в цепочки).
Это обстоятельство следует учитывать при анализе влияния увеличения длительности некритических стадий на продолжительность проекта в целом. Например, если известно, что окончания стадий C и J задерживаются соответственно на 3 и 4 дня, то из представленной на Рис. 132 таблицы видно, что на продолжительность проекта в целом это не повлияет, поскольку отмеченные задержки находятся в пределах допустимых временных резервов. Если, однако, известно, что стадии F и H задерживаются соответственно на 3 и 20 дней (т.е. на сроки меньшие, чем соответствующие значения «Общий временной резерв»), то подобный вывод неверен. Поскольку стадии F и H образуют цепочку и разделяют общий временной резерв (о чем сигнализирует нулевое значение «Свободный временной резерв» стадии F), то отмеченные задержки приведут к удлинению проекта на два дня: суммарное увеличение длительности стадий F и H равно 23 дням, а общий временной резерв для цепочки F-H - 21 день.
Итак, планирование и предварительный анализ проекта должны дать ответ на следующие основные вопросы:
- какой путь является критическим и какова его длительность (т.е. какова длительность проекта);
- какие допустимые временные интервалы (временные резервы) существуют для начала и окончания некритических стадий при заданной длительности проекта;
- как отсрочка или задержка выполнения любой стадии (стадий) проекта скажется на его длительности;
- какие стадии (и насколько) нужно сократить, чтобы добиться сокращения проекта на заданную величину при минимуме дополнительных финансовых вложений.
- каким образом ограничение по использованию материальных, трудовых и финансовых ресурсов влияет на длительность проекта в целом и на график выполнения отдельных стадий проекта.
Представленные в разделе «Приемы решения задач» примеры, показывают, как все эти вопросы могут решаться на практике и каким образом ответы на них способны обеспечить принятие рациональных решений по управлению реальными проектами. Подробнее о методах анализа и планирования проектов читайте в книгах [1-4,6,8,11-15].
Приемы решения задач.
3.П-1. Обеспечение заданных сроков за счет сверхурочных
В таблице приведены «макро» стадии проекта опытно-конструкторской разработки с привлечением субподрядчика. Заданы нормальные сроки и затраты, исходя из хорошо известных по опыту норм трудозатрат и тарифов, а также сроки и затраты при максимально возможном использовании сверхурочной работы.
|
|
|
Нормальные |
Со сверхурочными |
|
Стадия |
Предшест
венник |
Время
(недель) |
Издержки
(у.е.) |
Время
(недель) |
Издержки
(у.е.) |
|
A |
- |
6 |
12 |
4 |
22 |
|
B |
A |
3 |
4 |
2 |
5 |
|
C |
B |
3 |
5 |
3 |
5 |
|
D |
A |
2 |
10 |
1,5 |
12 |
|
E |
D |
7 |
10 |
4 |
19 |
|
F |
B,D |
8 |
20 |
5 |
32 |
|
G |
E |
8 |
12 |
4,5 |
26 |
|
H |
D |
3 |
1 |
2 |
2 |
Проект должен быть завершен за 16 недель.
a. Возможно ли это? Какие минимальные затраты при этом необходимы?
b. Если бюджет проекта не может превышать 80 у.е., какова будет минимальная длительность проекта?
Решение задачи.
Сначала построим проект в MS Project, чтобы определить нормальную длительность проекта и понять, в чем, собственно, проблема.
Для этого перенесем в Project информацию из трех первых столбцов таблицы. При записи времени выполнения стадий в столбец Длительность добавляйте после числа букву «н», чтобы указать программе, что длительность указана в неделях.
Напомним, как отформатировать диаграмму Ганта для более удобного ее представления. Вызовите в меню Формат команду Мастер диаграмм Ганта. В появившемся диалоговом окне нажмите кнопку Далее. В следующем окне ( слева) отметьте радио-кнопку Критический путь и снова нажмите кнопку Далее. Здесь (справа) нужно отметить возможность Настроить сведения о задаче и опять нажать Далее. В новом окне (слева) полезно попросить, чтобы справа или слева рядом с отрезком, изображающим этап, отображалось и его название.

|
Теперь можно выбрать кнопку Готово, а в появившемся окне ( справа) нажать кнопку Форматировать. После этого появится заключительное окно с кнопкой Выход из мастера. |
 |
В результате всех этих манипуляций исходная диаграмма Ганта преобразуется к следующему виду ().
|
Рис. 134 |
 |
По этой диаграмме можно определить, что этапы A, D, E и G являются критическими и любое изменение их длительности отражается на длительности проекта в целом. К сожалению, связи между этапами изображены недостаточно ясно для того, чтобы определить, имеется ли в проекте один критический путь или их два, или больше. Для идентификации критических путей лучше рассматривать сетевую диаграмму проекта, а не диаграмму Ганта.
Чтобы посмотреть сетевую диаграмму нужно в меню Вид выбрать пункт Сетевой график. Так как вид графика по умолчанию не слишком удобен, нужно в меню Формат выбрать пункт Макет... и в большом диалоговом окне отметить, чтобы связи между этапами отображались прямыми (Стиль линий связи) и что нужно скрыть все поля, кроме идентификатора (Параметры диаграммы).
|
После этого сетевая диаграмма примет удобный вид (). |
 |
|
Рис. 136 |
По сетевой диаграмме сразу видно, что критический путь только один -ADEG (если перейти от номеров этапов к их названиям).
Дпительн Пред
Название
задачи
- Всего
Июн
15
дней
нед нед нед нед нед нед нед нед
Рис. 137
В результате получится следующая диаграмма Ганта (Рис. 137).
Вызвав меню Проект->Сведения о проекте...->Статистика... или добавив к диаграмме Гантта суммарную задачу (Рис. 137) можно установить, что
длительность проекта при нормальной продолжительности всех стадий составляет 115 рабочих дней, или, иначе, 23 недели (5 рабочих дней в неделе).
По условию задачи мы можем сократить длительность проекта только за счет сверхурочных работ. В этом случае стоимость проекта возрастет за счет того, что за тот же объем работ придется заплатить дороже. Используем начальные данные задачи и рассчитаем стоимость недели нормальной работы и недели сверхурочной работы (40 обычных рабочих часов и 40 дополнительных рабочих часов). На показано, как это сделать.
Прочерк в ячейке H5 показывает, что укоротить длительность стадии невозможно.
|
|
A |
в 1 C |
D 1 Е |
F |
G |
H |
|
1 |
Стадия |
Нормальные |
Со сверхурочными |
Нормаль
ные
издержки |
Стоимость
сверх
урочных |
Рост
стоимости |
|
2 |
Время
(недель) |
Издержк и (у.е.) |
Время
(недель) |
Издержки
(у.е.) |
|
3 |
A |
6 |
12 |
4.0 |
22 |
=C3/B3 |
=(E3-C3)
/(B3-D3)+F3 |
=G3-F3 |
|
4 |
B |
3 |
4 |
2.0 |
5 |
1.33 |
2.33 |
1.00 |
|
5 |
C |
3 |
5 |
3.0 |
5 |
1.67 |
- |
- |
|
6 |
D |
2 |
10 |
1.5 |
12 |
5.00 |
9.00 |
4.00 |
|
7 |
E |
7 |
10 |
4.0 |
19 |
1.43 |
4.43 |
3.00 |
|
8 |
F |
8 |
20 |
5.0 |
32 |
2.50 |
6.50 |
4.00 |
|
9 |
G |
8 |
12 |
4.5 |
26 |
1.50 |
5.50 |
4.00 |
|
10 |
H |
3 |
1 |
2.0 |
2 |
0.33 |
1.33 |
1.00 |
|
|
Рис. 138 |
Эти данные, введенные в сведения об этапах проекта, можно использовать как для расчета нормальной стоимости проекта, так и для расчета стоимости сокращенного проекта.
Для этого зададим сначала ресурсы для каждой стадии проекта. Так как стоимости работ по каждой из стадий различны, логично считать, что на каждой стадии используются разные ресурсы. Назовем их так же, как и стадии, но малыми буквами. Напоминаем, что это можно сделать в диалоговом окне Сведения о задаче (вызывается двойным щелчком мыши по имени стадии), на вкладке Ресурсы (Рис. 139).
 |
|
Рис. 139 |
После ввода всех ресурсов щелкните меню Окно -> Разделить. В результате в нижней части экрана появится дополнительное окно. По умолчанию вначале откроется окно Ресурсы и предшественники, но по щелчку правой кнопкой мыши на этом окне появится контекстное меню (), в котором можно выбрать другое, нужное нам сейчас, окно Трудозатраты ресурсов (
|
|
Скрытъ представление формы |
|
И |
Ресурсы и предшественники
Ресурсы и последователи
Предшественники и последователи
Календарный план ресурсов
Трудозатраты ресурсов
Затраты на ресурсы
Заметки
Объекты |
|
|
Рис. 140 |
).
В этом окне мы сможем задавать сверхурочную работу в столбце Сверхур. труд. Но сначала нужно задать стоимости ресурсов. Двойной щелчок левой кнопкой мыши по названию ресурса вызовет диалоговое окно Сведения о ресурсе
(). На вкладке Затраты этого окна можно задать величины нормальной стоимости работы (Стандартная ставка) и стоимости сверхурочной работы {Ставка сверхурочных).
 |
|
Рис. 141 |
По умолчанию предлагается ввести эти ставки в рублях в час. Рубли мы исправлять не будем, просто будем помнить, что «р» - это условная единица.
 |
|
Рис. 142 |
А вот часы исправим на недели. Для этого просто напишите вместо «ч» -«н». Нажимаем ОК и переходим к другой стадии. После щелчка на следующей стадии проекта в верхней таблице, нижняя таблица обновится. В ней появится следующий ресурс, для которого тоже нужно ввести данные о стоимости работ. Сделайте это для всех стадий и всех ресурсов. Для стадии С и ресурса с в качестве стоимости сверхурочной работы введите какое-нибудь большое число, например 999 р./н. Мы используем его в качестве индикатора, показывающего, что сверхурочные работы на стадии С запрещены.
После того, как вся эта работа будет проделана, можно снова посмотреть статистику проекта. Теперь мы видим там и сведения о стоимости работ - 74 единицы. Разумеется, эти данные мы могли бы получить и просто просуммировав издержки по стадиям в столбце D3:D10 таблицы, приведенной на . Но нас интересуют другие сведения, а именно - как будет расти стоимость проекта при назначении сверхурочных работ по различным стадиям. И теперь, после ввода всех необходимых данных, стоимость проекта будет пересчитываться автоматически.
Основная тактика сокращения длительности проекта состоит в том, чтобы проводить сокращение на одну единицу длительности за каждый шаг. При этом на каждом шаге следует выбирать критическую стадию, сокращение которой стоит дешевле всего.
Сокращать на две и более единицы времени за один шаг - порочная практика, так как если при сокращении на один шаг стадия перестает быть критической, то дальнейшее ее сокращение бессмысленно и влечет бесполезные затраты денежных ресурсов.
Итак, взглянем снова на таблицу стоимостей работ (). Самая дешевая для сокращения стадия - H, но она не критическая. Из критических стадий A, D, E, G самая дешевая - удорожание работ на 3 единицы - стадия E.
Для ее сокращения щелкнем название стадии в верхней таблице и, после этого, в нижней таблице в столбце Сверхур. труд проставим 40 часов сверхурочного времени (это 5 нормальных рабочих дней или одна рабочая неделя). После ввода и перехода в верхнюю таблицу календарная длительность стадии в верхней таблице изменится с 7 до 6 недель. Соответственно изменится диаграмма Ганта. Посмотрим статистику проекта: длительность проекта сократилась до 110 дней (22 недели), а его стоимость возросла до 77 единиц, что и соответствует удорожанию работ с 1.43 единицы до 4.43 (Рис. 143).
 |
|
Рис. 143 |
Двигаемся дальше. Стадию E можно сократить до четырех недель, а так как после первого сокращения она осталась критической, то стоит попробовать снова сократить ее.
Проставим 80 сверхурочных часов для стадии E. Длительность стадии - 5 недель, длительность проекта - 21 неделя (105 дней), стоимость проекта - 80 единиц. Стадия остается критической. Сократим ее еще раз.
Проставим 120 сверхурочных часов для стадии E. Длительность стадии - 4 недели, длительность проекта - 20 недель (100 дней), стоимость проекта - 83 единицы. Стадия остается критической. Но, к сожалению, предел сокращения достигнут и остается сокращать другие стадии.
Из оставшихся критических стадий A, D, G дешевле сокращать стадии G или D - это стоит 4 дополнительных единицы. При этом стадию D можно сократить всего на 0.5 недели, зато стадию G на 3.5 недели. Так как безразлично, с чего начать, начнем с D, чтобы сразу покончить с ней.
Проставим 20 сверхурочных часов (0.5 недели) для стадии D. Новая длительность стадии - 1.5 недели, длительность проекта - 19.5 недели (97.5 дней), стоимость проекта - 85 единиц.
Теперь перейдем к стадии G. Проставим сначала 20 сверхурочных часов, чтобы избавиться от дробных единиц длительности проекта. Длительность стадии упала до 7.5 недель, длительность проекта - 19 недель (95 дней), стоимость проекта - 87 единиц. Стадия остается критической. Сократим ее еще раз.
Проставим 60 сверхурочных часов для той же стадии G. Длительность стадии - 6.5 недель, длительность проекта - 18 недель (90 дней), стоимость проекта - 91 единица. Критический путь пока не изменился. Сократим стадию G
|
Ид. |
Название
задачи |
Длительное! |
Затраты |
|
1 |
A |
6 нед |
12.00р |
|
2 |
B |
3 нед |
3.99р |
|
3 |
C |
3 нед |
5.01 р |
|
4 |
D |
1.5 нед |
12.00р |
|
5 |
E |
4 нед |
19.01 р |
|
6 |
F |
8 нед |
20.00р |
|
7 |
G |
5.5 нед |
22.00р |
|
8 |
H |
3 нед |
0.99р |
Янв '05 |Фев '05 |Мар '05 |Апр '05 |Май '(
03|10|17|24|31|07|14|21|28|07|14|21|28|04|11|18|25j02|~0І |
 |
Рис. 144
Проставим 100 сверхурочных часов. Длительность стадии - 5.5 недель, длительность проекта - 17 недель (85 дней), стоимость проекта - 95 единиц.
Как видно по диаграмме Ганта () критический путь изменился, и число критических стадий прибавилось. Взглянем еще и на сетевую диаграмму (), чтобы лучше понять, что произошло.
 |
|
Рис. 145 |
Оказывается, теперь мы имеем не один, а два критических пути: новый путь ABF (1-2-6) и старый путь ADEG (1-4-5-7). (Заметим, что насчет пути ADF (1-4-6) Project явно погорячился. Ведь длительность стадии D 1.5 недель, а стадии B -3 недели, так что длительность ADF всего 15.5 недель, в то время как длительности ABF и ADEG - 17 недель, но это издержки оформления. Дело в том, что настраиваемый вид стрелки зависит только от того, какие стадии она соединяет: в данном случае стрелка показывается жирной, если «входит» в критическую стадию. Сетевая диаграмма, к сожалению, игнорирует тот факт, что соединяемые стрелкой две критические стадии принадлежат разным критическим путям. )
Теперь вы можете посмотреть, что будет, если, не учитывая сложившейся ситуации, стадию G сократить еще на неделю (итого 140 часов сверхурочных). По диаграмме Ганта видно (), что путь ADEG перестал быть критическим. Статистика проекта показывает, что длительность проекта осталась предней - 17 недель (85 дней), а стоимость увеличилась до 99 единиц.
Фев '05 Мар '05 Апр '05 Май '(
|
Ид. |
Название
задачи |
Длительност |
Затраты |
|
1 |
A |
6 нед |
12.00р |
|
2 |
B |
3 нед |
3.99р |
|
3 |
C |
3 нед |
5.01 р |
|
4 |
D |
1.5 нед |
12.00р |
|
5 |
E |
4 нед |
19.01 р |
|
6 |
F |
8 нед |
20.00р |
|
7 |
G |
4.5 нед |
26.00р |
|
8 |
H |
3 нед |
0.99р |
03|10|17|24|31|07|14|21|28|07|14|21|28|04|11|18|25|02|0І
 |
F |
Рис. 146
Если бы мы сразу сокращали длительность стадии до предельной (4.5 недели), то могли бы и пропустить этот неоправданный расход денежных ресурсов.
Но вернемся назад и снова проставим для стадии G только 100 сверхурочных часов.
В сложившейся ситуации для сокращения проекта придется сокращать одновременно стадии на двух критических путях. Попытка сократить стадию одного из путей приведет только к тому, что этот путь перестанет быть критическим, но длительность проекта не уменьшится. Можно, правда, сократить стадию, через которую проходят оба критических пути (если она есть, конечно)!
В нашем проекте это стадия A. Ее сокращение на неделю добавляет к стоимости проекта 5 единиц. По таблице () мы можем прикинуть, что сокращение пары других стадий будет стоить существенно дороже, поэтому остановимся на этой стадии. Добавляем ей 40 часов сверхурочных работ и наконец получаем желаемую длительность проекта в 16 недель (80 дней). Стоимость проекта при такой длительности составит 100 единиц ().
 |
|
Рис. 147 |
Для ответа на второй вопрос задачи мы можем просто снова проследить график сокращений. Как мы отметили, стоимость проекта в 80 единиц была достигнута, когда мы сокращали стадию E. При этом длительность проекта составляла 21 неделю. А так как мы шли путем наименьших затрат, то сильнее сократить проект при такой предельной стоимости невозможно.
3.П-2. Предел еженедельного финансирования проекта.
В таблице приведены данные о крупных стадиях кампании продвижения нового продукта фирмы на рынок.
|
Стадия |
Предшественник |
Продолжительность
(недель) |
Затраты
(у.е.) |
|
A |
- |
6 |
24 |
|
B |
A |
4 |
30 |
|
C |
A |
3 |
15 |
|
D |
B |
3 |
54 |
|
E |
B,C |
10 |
90 |
|
F |
D,E |
2 |
30 |
|
G |
F |
6 |
135 |
|
H |
B |
6 |
45 |
|
I |
FH |
8 |
105 |
a. Каков минимальный срок окончания проекта?
b. Каково должно быть еженедельное финансирование проекта для расписаний, когда
i. все стадии начинаются «так рано, как только возможно»;
ii. все стадии начинаются «так поздно, как только возможно»; при сохранении минимальной длительности проекта?
c. Финансовый департамент фирмы уведомляет руководителей проекта, что еженедельное финансирование не может превышать 25 у.е. Как изменится срок выполнения проекта?
Решение задачи.
Разберем, как можно решить эту задачу с использованием MS Project.
Сначала введем основную информацию о проекте - порядок следования этапов и их длительность (). Чтобы ввести длительность стадий в неделях нужно после числа, показывающего длительность, добавить букву “н”. В этом случае MS Project интерпретирует введенные данные, как длительность в неделях. Либо можно переводить длительности стадий в рабочие дни, умножая на 5.
|
Ид. |
Название задачи |
Длительность |
Предшественники |
|
1 |
A |
6 нед |
|
|
2 |
B |
4 нед |
1 |
|
3 |
C |
3 нед |
1 |
|
4 |
D |
3 нед |
2 |
|
5 |
E |
10 нед |
2;3 |
|
6 |
F |
2 нед |
4;5 |
|
7 |
G |
6 нед |
6 |
|
8 |
H |
6 нед |
2 |
|
9 |
I |
8 нед |
6;8 |
|
|
Рис. 148 |
Как легко убедиться, вызвав меню Проект\Сведения о проекте...\Статистика, ожидаемая продолжительность проекта - 150 рабочих дней. Критические стадии проекта A, B, E, F и I. По сетевой диаграмме () видно, что эти 5 этапов образуют один-единственный критический путь ABEFI.
В результате для введенных данных мы получим следующую диаграмму "анта для этого проекта. ().
Інв. '05 |Фев '05 |Мар '05 |Апр '05 |Май '05 |Июн '05 |Июл . '05
03|10|17|24|31|07|14|21|28|07|14|21|28|04|11|18|25|02|09|16|23|30|06|13|20|27|04|11|18|25 |
 |
|
Рис. 149 |
 |
|
Рис. 150 |
Так как мы предполагали (при вводе данных «по умолчанию»), что каждый этап проекта начинается «так рано, как только возможно» без всяких задержек после окончания этапа, то полученная длительность проекта и есть минимальная.
Чтобы получить диаграмму расхода денег по времени используем тот факт, что MS Project позволяет учитывать расходы ресурсов произвольного вида. В качестве ресурса используем деньги._
|
|
A |
B |
C |
LU
О |
F |
|
1 |
Стадия |
Предшест
венник |
Продолжи
тельность,
недель |
Затраты |
Затраты в % |
|
2 |
на этап |
на неделю |
25 |
|
3 |
A |
- |
6 |
24 |
4 |
16.0% |
|
4 |
B |
A |
4 |
30 |
7.5 |
30.0% |
|
5 |
C |
A |
3 |
15 |
5 |
20.0% |
|
6 |
D |
B |
3 |
54 |
18 |
72.0% |
|
7 |
E |
B,C |
10 |
90 |
9 |
36.0% |
|
8 |
F |
D,E |
2 |
30 |
15 |
60.0% |
|
9 |
G |
F |
6 |
135 |
22.5 |
90.0% |
|
10 |
H |
B |
6 |
45 |
7.5 |
30.0% |
|
11 |
I |
F,H |
8 |
105 |
13.125 |
52.5% |
|
|
Рис. 151 |
В таблице Excel () сделан расчет недельного расхода средств по каждой стадии (общие затраты, деленные на продолжительность в неделях) в условных единицах (столбец E3:E11) и в процентах от 25 условных единиц
(столбец F3:F11). Здесь 25 условных единиц выбраны из-за того, что в следующем вопросе указан именно такой недельный предел финансирования.
Введем указанные ресурсы в данные о проекте. |
|
|
Название задачи |
Длительность |
Предшественн |
Названия ресурсов |
|
0 |
Сумма |
150 дней |
|
|
|
1 |
А |
6 нед |
|
М[16%] |
|
2 |
В |
4 нед |
1 |
М[30%] |
|
3 |
С |
3 нед |
1 |
М[20%] |
|
4 |
D |
3 нед |
2 |
М[72%] |
|
5 |
Е |
10 нед |
2,3 |
М[36%] |
|
6 |
F |
2 нед |
4;5 |
М[60%] |
|
7 |
G |
6 нед |
6 |
М[90%] |
|
3 |
Н |
6 нед |
2 |
М[30%] |
|
Э |
I |
8 нед |
6;8 |
М[53%] |
|
|
Рис. 152 |
Двойной щелчок на названии задачи вызывает диалог ввода данных о проекте (пример для этапа G на ). Проследите только, чтобы сразу правильно ввести процент расхода ресурса, так как при последующих изменениях этой величины MS Project будет интерпретировать их, как увеличение доступных ресурсов и пропорционально уменьшит длительность этапа. Исправить это можно, прямо указав правильную длительность.
 |
|
Рис. 153 |
После того, как расходы ресурсов будут указаны, можно будет посмотреть на диаграмму расходов (в процентах от 25 единиц). Для этого в меню Вид нужно выбрать команду График ресурсов. График расхода ресурсов для текущего проекта показывает (), что при предусмотренном порядке выполнения этапов в течение 9 недель средства будут перерасходованы.
 |
|
Рис. 154 |
В течение трех недель расход финансовых ресурсов будет равен 138% от 25 единиц (34.5), а в течение 6 недель - 143% (35.75).
Напомним, что эта диаграмма соответствует принципу, начинать выполнение этапов «так рано, как только возможно». Теперь посмотрим, что изменится, если выбрать режим «так поздно, как только возможно». Разумеется, при сохранении длительности проекта, в этом режиме передвинутся только сроки выполнения не критических стадий. Поэтому и исправлять необходимо только данные не критических стадий. Давайте только сохраним уже построенный проект, чтобы иметь два варианта установок режима.
Для каждого этапа откройте в диалоговом окне Сведения о задаче вкладку Дополнительно () и в окне Тип ограничения задайте режим Как можно позже.
 |
|
Рис. 155 |
Диаграмма Ганта по мере внесения исправлений показывает, что все этапы становятся критическими. Это, конечно, условность и связана она с тем, что если мы отложим выполнение не критического этапа на такой срок, то в момент, когда он, наконец, начнет выполняться, этап уже будет критическим. Любые задержки с его исполнением приведут к увеличению длительности проекта в целом.
После того, как для всех нужных этапов заданы необходимые ограничения, снова посмотрим временной график расхода ресурсов ().
 |
|
Рис. 156 |
Как мы можем убедиться, графики отличаются друг от друга, но перерасход ресурсов сохраняется. Судя по этому, выровнять расход ресурсов так чтобы он не превышал нормы, при сохранении длительности проекта не удастся.
Тем не менее, попробуем использовать инструментарий MS Project для выравнивания ресурсов, чтобы выяснить, как быстро можно выполнить проект, оставаясь в заданных границах финансовых ограничений.
Вернемся в сохраненную ранее версию проекта.
В меню Сервис команда Выравнивание загрузки ресурсов вызовет следующее диалоговое окно ().
 |
|
Рис. 157 |
Измените установки выравнивания в нижней части диалогового окна, так чтобы они соответствовали показанным на . Опция Выравнивание только в пределах погрешности имеющегося резерва соответствует запрещению изменения длительности проекта. Попробуем все же сначала подвигать некритические стадии между режимами «так рано, как возможно» и «так поздно, как возможно», чтобы убедиться, что нельзя выполнить проект в заданный срок и не перерасходовать деньги.
В этом диалоговом окне нужно нажать кнопку Выровнять. После этого на экране немедленно появляется окно, извещающее, что выполнить выравнивание невозможно. Нажмите кнопку Пропустить все. В результате мы получим измененную диаграмму Ганта (), показывающую, чего смогла добиться подпрограмма выравнивания ресурсов, оставаясь в рамках предписанных ограничений.
 |
|
Рис. 158 |
|Янв '05 |Фев '05 |Мар '05 |Апр '05 |Май '05 |Июн '05 |Июл '05 Аві
271 0^ 10 | 17 | 24 | 31 | 07 | 14 | 21 | 28 | 07 | 14 | 21 | 28 | 04 | 11 | 18 | 25 | 02 | 09 | 16 | 23 | 30 | 06 | 13 | 20 | 27 | 04 111 | 18 | 25 01
Длительность проекта при этом не изменилась, в чем можно убедиться, снова поглядев статистику проекта.
 |
|
Рис. 159 |
А теперь поглядим на график расхода ресурсов (). Как мы видим инструмент выравнивания действительно кое-чего добился - перерасход в первом периоде несколько уменьшился. Однако лучшего результата не удается получить, даже если разрешить временно прерывать выполнение этапов.
Вернемся к выравниванию ресурсов и разрешим увеличивать длительность проекта (нужно снять все галочки в нижних четырех окнах диалога ). В этом случае диаграмма Ганта изменится следующим образом (). Даже по этой диаграмме видно, что проект удлинился. В статистике проекта можно
посмотреть, что длительность проекта стала равняться 195 дням.
¦ Інв '05 |Фев '05 |Мар 'Q5 |АПР '05 |Май '05 |Иіюн '05 ІИюл '05
Авг '05 Сен '05 Окт
01 08 15 22 29 05 12 19 26 03
03 10 17 24 31 07 14 21 28 07 14 21 28 04 11 18 25 02 09 16 23 30 06 13 20 27 04 11 18 25

ц.
Рис. 160
Остается убедиться, что перерасхода ресурсов больше нет. Снова перейдем к виду окна График ресурсов ().
 |
|
Рис. 161 |
Как мы видим, теперь никакого перерасхода нет. К сожалению, быстрее выполнить проект при данных ограничениях по финансированию невозможно.
3.П-3. Проект Омикрон
Строительная фирма «Олл-Строй» планирует построить новый объект по заказу военного ведомства. Весь проект был разбит на отдельные крупные этапы, которых получилось ровно 20. Этим этапам дали условные имена, в военном стиле, от A до T. Эксперты определили ориентировочную продолжительность этапов в расчете на отличную организацию труда, результаты этой оценки представлены в таблице. Длительность дана в неделях.
|
Этап |
A |
B |
C |
D |
E |
F |
G |
H |
I |
J |
K |
L |
M |
N |
O |
P |
Q |
R |
S |
T |
Нормальная
длительность |
6 |
9 |
11 |
10 |
15 |
9 |
20 |
9 |
15 |
12 |
11 |
11 |
13 |
8 |
14 |
6 |
12 |
10 |
12 |
12 |
Стоимость
первого
сокращения |
8 |
7 |
5 |
8 |
8 |
- |
3 |
1 |
6 |
9 |
1 |
4 |
2 |
7 |
4 |
2 |
5 |
3 |
6 |
7 |
|
... второго ... |
11 |
11 |
9 |
13 |
12 |
- |
7 |
8 |
10 |
- |
1 |
10 |
6 |
16 |
6 |
2 |
9 |
4 |
10 |
13 |
Разумеется, выделенные 20 этапов не могут выполняться все одновременно. Работы над любыми этапами могут начаться только после выполнения этапов, которые подготавливают фронт работ для них. А часть этапов могут выполняться параллельно. Схема, показывающая последовательность выполнения этапов, изображена на рисунке. Стрелки показывают направление хода работ. Например, после начала работ (Старт) могут одновременно выполняться этапы B, G, F и A. Но этап D начнется только после окончания этапа B, а этапы C и E - после окончания этапа A и т.д.

*
Из схемы ясно, что проект Омикрон будет полностью завершен после того, как будут выполнены все работы на этапах R, O и S. К этому времени все работы на этапах, предшествующих данным, будут завершены.
a. Постройте таблицу Excel, позволяющую подсчитать ориентировочное время выполнения проекта, как время завершения самого позднего по времени из последних этапов - R, O и S.
Получившийся по предварительному плану срок выполнения проекта не устраивает заказчика, хотя смета ему представляется разумной. И заказчик требует сократить длительность проекта на 5 недель. Эксперты исследовали все возможные способы ускорения работ, и выяснили, что больше чем на 2 недели ни один этап сократить невозможно. При этом сокращение длительности повлечет за собой дополнительные издержки, разные для разных этапов. Размеры издержек (в десятках тысяч долл.) приведены в таблице. Там, где стоимость сокращения не указана, сокращение невозможно. Из этих данных видно, что сокращение этапа на первую неделю стоит обычно меньше, чем последующее сокращение на вторую неделю.
b. На основе таблицы для расчета длительности проекта постройте задачу линейной оптимизации, позволяющую определить, какова минимальная стоимость сокращения проекта на 5 недель. Предварительно, меняя длительность этапов в таблице, убедитесь, что сокращение длительности многих этапов (например O или L) не приводит к сокращению длительности проекта в целом. Определите, какие именно этапы и на какой срок в результате пришлось сократить в оптимальном варианте.
c. После того, как представитель фирмы уведомил заказчика, что сокращение длительности проекта возможно только при увеличении сметных расходов, заказчик пообещал выплатить 200 тыс. за каждую неделю сокращения срока. Какой срок сокращения проекта наиболее выгоден строительной компании при таких условиях?
d. Определите, какова наименьшая возможная длительность проекта Омикрон, при данных условиях сокращения? В какую сумму обошлось бы такое сокращение?
Решение задачи.
Эта задача относится к области управления проектами. Простые задачи этого вида можно решить вручную. Но для более сложных задач правильный выбор решения может оказаться весьма нелегким, из-за большого количества связей и вариантов выбора. Такая ситуация часто разрешается путем использования методов линейной оптимизации, если, разумеется, вы можете сформулировать задачу соответствующим образом.
Разберемся сначала в самой задаче.
Диаграмма, данная нам в условии задачи, в области управления проектами называется сетевой диаграммой. На любой такой диаграмме можно выделить так называемые «пути». Путь - это последовательность этапов проекта, по которой можно пройти, двигаясь по стрелкам от старта проекта до его финиша. Например в нашем проекте это Старт-В-^-І-^-.Л-Финиш или Старт-A-C-J-M-S-Финиш. Всего в данном проекте можно выделить 8 путей.
|
в целом. |
|
|
A |
B |
C |
D |
E |
F |
G |
H |
I |
J |
K |
L |
M |
N |
O |
P |
Q |
R |
S |
T |
U |
V |
|
1 |
|
kQ
ч
п
X
у |
A |
B |
C |
D |
E |
F |
G |
H |
I |
J |
K |
L |
M |
N |
O |
P |
Q |
R |
S |
T |
|
2 |
|
6
/~ |
9 |
11 |
10 |
15 |
9 |
20 |
9 |
15 |
12 |
11 |
11 |
13 |
8 |
14 |
6 |
12 |
10 |
12 |
12 |
|
. =СУММПРОИЗВ($C$2:$V$2;C3:V3) |
|
|
|
|
|
|
|
|
|
|
|
|
|
|
|
|
3 |
BDIQR |
56 |
0 |
1 |
0 |
1 |
0 |
0 |
0 |
0 |
1 |
0 |
0 |
0 |
0 |
0 |
0 |
0 |
1 |
1 |
0 |
0 |
|
4 |
BHPR |
34 |
0 |
1 |
0 |
0 |
0 |
0 |
0 |
1 |
0 |
0 |
0 |
0 |
0 |
0 |
0 |
1 |
0 |
1 |
0 |
0 |
|
5 |
GLO |
42 |
0 |
0 |
0 |
0 |
0 |
0 |
1 |
0 |
0 |
0 |
0 |
1 |
0 |
0 |
1 |
0 |
0 |
0 |
0 |
0 |
|
6 |
GKNS |
51 |
0 |
0 |
0 |
0 |
0 |
0 |
1 |
0 |
0 |
0 |
1 |
0 |
0 |
1 |
0 |
0 |
0 |
0 |
1 |
0 |
|
7 |
FKNS |
40 |
0 |
0 |
0 |
0 |
0 |
1 |
0 |
0 |
0 |
0 |
1 |
0 |
0 |
1 |
0 |
0 |
0 |
0 |
1 |
0 |
|
8 |
AEMS |
46 |
1 |
0 |
0 |
0 |
1 |
0 |
0 |
0 |
0 |
0 |
0 |
0 |
1 |
0 |
0 |
0 |
0 |
0 |
1 |
0 |
|
9 |
ACJMS |
54 |
1 |
0 |
1 |
0 |
0 |
0 |
0 |
0 |
0 |
1 |
0 |
0 |
1 |
0 |
0 |
0 |
0 |
0 |
1 |
0 |
|
10 |
ACJTS |
53 |
1 |
0 |
1 |
0 |
0 |
0 |
0 |
0 |
0 |
1 |
0 |
0 |
0 |
0 |
0 |
0 |
0 |
0 |
1 |
1 |
|
11 |
|
Г |
=МАКС(B11:B23)
1 1 1 1 1 |
|
|
|
|
|
|
|
|
|
|
|
|
|
|
|
12 |
|
56 |
<- Длительность критического пути |
|
|
|
|
|
|
|
|
|
Рис. 162 |
Пути на сетевой диаграмме имеют несколько интересных свойств. Каждому пути можно приписать определенную длительность, равную сумме длительностей составляющих его этапов проекта. Так как этапы проекта выделяются таким образом, что каждый этап, отделенный от другого входящей стрелкой, может начаться только после того, как предшественник закончится, то выполнить все работы по пути Старт-A-C-J-M-S-Финиш, например, невозможно меньше, чем за 51 неделю. Отсюда следует, что и весь проект не может быть выполнен быстрее, чем будут выполнены все работы по самому длительному пути. Поэтому в теории управления проектами самый длинный путь (или пути, если их несколько) называют критическим. Для нас в данном случае важно, что определив длительность критического пути, мы сразу определим длительность проекта Для
В строках 1 и 2 перечислены названия этапов и их длительности. В столбце A3A10 приведены названия всех 8 путей на диаграмме (для краткости Старт и Финиш опущены). Если теперь в ячейках C3:V10 отметить единицами, какие из этапов принадлежат данному пути (в столбце A3:A10 слева), то формулы вида =СУММПРОИЗВ($С$2:$?$2;С3: V3) в ячейках В3В10 покажут длительности путей. Разумеется, длительности путей можно было бы подсчитать и так, вручную. Но мы хотим, чтобы эти длительности легко пересчитывались при изменении длительностей этапов, так как эти длительности будут меняться при сокращении длительности проекта. Кстати говоря и саму табличку C3: V10 можно заполнять автоматически, используя могучие возможности Excel.
Для этого в ячейке C3 следует написать такую, может быть на вид устрашающую, но на деле простую формулу
=ЕСЛИ(ЕОШИБКА(ПОИСК(С$1;$Л3));0;1). Функция ПОИСК(С$1;$А3) ищет текст C1 в тексте A3. В случае успеха функция возвращает номер символа, с которого в A3 идет текст C1, а в случае, если такого текста в A3 нет возвращает ошибку ЗНАЧ. Так как ни то ни другое нам не интересно, а нужно знать есть заданная буква в названии пути или нет, то мы используем функцию ЕОШИБКА(). Эта функция возвращает значение ИСТИНА, если результат выполнения функции ПОИСК() дал ошибку ЗНАЧ, и значение ЛОЖЬ, если буква была найдена. Так как нам нужно, чтобы в ячейке С3 стоял 0, если буквы этапа в названии пути нет и единица, если есть, то далее мы используем функцию ЕСЛИ(). В том виде, как она записана выше, эта функция возвращает как раз нужные нам значения: если ЕОШИБКА() дает ИСТИНА (есть ошибка), то 0 (буквы нет), если ЕОШИБКА() дает ЛОЖЬ (нет ошибки), то 1 (буква найдена). Как часто бывает в Excel, такую функцию легче сконструировать, чем описать, как она работает.
Знаки $ добавлены так, чтобы функцию можно было протянуть на всю таблицу C3:V10. При протягивании получаем результат, показанный в таблице
1.28.
Как мы видим в столбце 53:510 длительности путей заключены в интервале от 32 до 56 недель. При этом самый длинный путь - BDIQR. Таким образом длительность проекта Омикрон составит не менее 56 недель. Эта величина и является ответом на вопрос а. Если записать в ячейке B12 формулу =МАКС(В11:В23), то длительность проекта, при изменении длительностей этапов, будет показываться автоматически. Это удобно для подбора сокращаемых этапов.
После проделанной нами работы становится понятно, что нет никакого смысла сокращать длительность этапов O и L - ведь они вообще не входят в состав критического пути BDIQR. Очевидно, что сокращать нужно только те этапы, которые входят в критический путь. Может показаться даже, что для сокращения проекта на пять недель нужно сократить каждый из этапов пути BDIQR на одну неделю! Тем более, что сокращение любого этапа на первую неделю значительно дешевле, чем на вторую.
Пробуем! Изменяем длительность В с 9 до 8 недель, D - с 10 до 9 и т.д. И наконец в ячейке В12 читаем новую длительность проекта - 54 недели. А вовсе не нужные нам 51 неделю. Сразу видно, что критический путь теперь ACJMS, а не BDIQR, который перестал быть критическим после сокращения третьего этапа на 1 неделю.
Таким образом, после сокращения пути BDIQR на 2 недели путь ACJMS также становится критическим. Теперь, для сокращения длительности проекта в целом придется сокращать и путь BDIQR, и путь ACJMS. А кроме того мы забыли про стоимость сокращения. Если мы хотим, чтобы стоимость сокращения была наименьшей, то первые 2 сокращаемых этапа должны быть самыми дешевыми (из пяти возможных). Так как при дальнейшем сокращении длительности проекта придется сокращать длительность сразу двух этапов, то нужно будет отбирать их так, чтобы сумма стоимостей их сокращения была минимальной из других возможных сумм. А что будет, когда количество критических путей станет равной 3? В общем, ясно, что сложность задачи быстро растет с увеличением срока сокращения.
Давайте не будем больше мучиться и построим задачу линейной оптимизации - пусть Поиск решения отыщет наилучший метод сокращения длительности проекта.
Для этого немного перестроим нашу таблицу (). Во-первых, вставим 6 строк между 2-ой и 3-ей строчками и занесем в строки C3:V3 и C4:V4 информацию о стоимости сокращения на первую и вторую недели соответственно. Числа 999 соответствуют запрету на сокращение. Мы нигде не будем оговаривать такой запрет, но используем большие числа, как индикатор запрещенного сокращения. В пятую строку занесем исходную длительность каждого этапа. Строки 7 и 8 будут содержать информацию о сокращении этапов. Так как стоимость сокращения на первую и вторую недели различна, мы не может выбрать в качестве переменных длительность сокращения для каждого этапа (на 1 или 2 недели). Поэтому переменные будут двоичные. Единица в соответствующей ячейке будет означать, что сокращение данного этапа на одну неделю сделано, ноль - сокращения не было. В строке C6:V6 по формуле типа =C7+C8 подсчитывается общая величина сокращения каждого этапа. По этим данным в строке C2: V2 будем вычислять новую длительность для всех этапов.
При таких изменениях ячейки B9:B16 содержат, как и раньше, длительности путей, но теперь эта длительность вычисляется с учетом проводимых сокращений.
|
|
A |
B |
C |
D |
E |
F |
G |
H |
I |
J |
K |
L |
M |
N |
O |
P |
Q |
R |
S |
T |
U |
V |
|
1 |
56 |
|
A |
B |
C |
D |
E |
F |
G |
H |
I |
J |
K |
L |
M |
N |
O |
P |
Q |
R |
S |
T |
|
2 |
Новая
длительность |
6 |
9 |
11 |
10 |
15 |
9 |
20 |
9 |
15 |
12 |
11 |
11 |
13 |
8 |
14 |
6 |
12 |
10 |
12 |
12 |
|
3 |
Ст. сокр. 1ю н. |
8 |
7 |
5 |
8 |
8 |
- |
3 |
1 |
6 |
9 |
1 |
4 |
2 |
7 |
4 |
2 |
5 |
3 |
6 |
7 |
|
4 |
Ст. сокр. 2ю н. |
11 |
11 |
9 |
13 |
12 |
- |
7 |
8 |
10 |
- |
1 |
10 |
6 |
16 |
6 |
2 |
9 |
4 |
10 |
13 |
|
5 |
Исходная длит. |
6 |
9 |
11 |
10 |
15 |
9 |
20 |
9 |
15 |
12 |
11 |
11 |
13 |
8 |
14 |
6 |
12 |
10 |
12 |
12 |
|
6 |
Общ. сокр. |
0 |
0 |
0 |
0 |
0 |
0 |
0 |
0 |
0 |
0 |
0 |
0 |
0 |
0 |
0 |
0 |
0 |
0 |
0 |
0 |
|
7 |
1 -ая нед. |
0 |
0 |
0 |
0 |
0 |
0 |
0 |
0 |
0 |
0 |
0 |
0 |
0 |
0 |
0 |
0 |
0 |
0 |
0 |
0 |
|
8 |
2-ая нед. |
0 |
0 |
0 |
0 |
0 |
0 |
0 |
0 |
0 |
0 |
0 |
0 |
0 |
0 |
0 |
0 |
0 |
0 |
0 |
0 |
|
9 |
BDIQR |
56 |
0 |
1 |
0 |
1 |
0 |
0 |
0 |
0 |
1 |
0 |
0 |
0 |
0 |
0 |
0 |
0 |
1 |
1 |
0 |
0 |
|
10 |
BHPR |
34) |
0 |
1 |
0 |
0 |
0 |
0 |
0 |
1 |
0 |
0 |
0 |
0 |
0 |
0 |
0 |
1 |
0 |
1 |
0 |
0 |
|
11 |
GLO |
42 |
^0 |
|
= |
СУ |
ЛМІ |
1РС |
)ИЗ |
В($( |
C$2 |
$V |
>2;C |
9: V |
9) |
|
1 |
0 |
0 |
0 |
0 |
0 |
|
12 |
GKNS |
51 |
|
|
|
|
|
0 |
0 |
0 |
0 |
1 |
0 |
|
0 |
0 |
0 |
0 |
0 |
0 |
1 |
0 |
0 |
0 |
1 |
0 |
0 |
1 |
|
13 |
FKNS |
40 |
0 |
0 |
0 |
0 |
0 |
1 |
0 |
0 |
0 |
0 |
1 |
0 |
0 |
1 |
0 |
0 |
0 |
0 |
1 |
0 |
|
14 |
AEMS |
46 |
1 |
0 |
0 |
0 |
1 |
0 |
0 |
0 |
0 |
0 |
0 |
0 |
1 |
0 |
0 |
0 |
0 |
0 |
1 |
0 |
|
15 |
ACJMS |
54 |
1 |
0 |
1 |
0 |
0 |
0 |
0 |
0 |
0 |
1 |
0 |
0 |
1 |
0 |
0 |
0 |
0 |
0 |
1 |
0 |
|
16 |
ACJTS |
53 |
1 |
0 |
1 |
0 |
0 |
0 |
0 |
0 |
0 |
1 |
0 |
0 |
0 |
0 |
0 |
0 |
0 |
0 |
1 |
1 |
|
17 |
|
Г |
|
=МАКС(В11:В23) |
|
|
|
|
|
|
|
Стоимость сокращения |
|
18 |
|
56 |
<- Длительность критического пути |
|
|
|
|
|
|
0 |
|
19 |
|
51 |
<- Заданная длительность |
|
|
|
|
|
|
|
|
|
Рис. 163 |
Теперь мы имеем практически все для того, чтобы написать целевую функцию задачи. По смыслу это должна быть полная стоимость сокращения. Сумма произведений =СУММПРОИЗВ(C3: V3;C7: V7) даст нам полную стоимость сокращений на первую неделю. Аналогичная операция для строк C4: V4 и строки
C8:V8 - стоимость сокращения всех выбранных этапов на вторую неделю. Запишем в ячейку V18 сразу сумму этих двух формул:
=СУММПРОИЗВ(С3: V3;C7: V7) + СУММПРОИЗВ(С4: V4;C8: V8).
Это и будет наша целевая функция.
Желаемая длительность сокращенного проекта будет параметром нашей задачи оптимизации. Запишем эту величину - желаемую длительность проекта, в ячейку B19. А также, для справки, исходную его длительность - 56 недель -занесем в ячейку A1.
У нас практически все готово для постановки задачи Поиску решения.
Вы можете заметить, что в ячейках C9:V16 у нас содержится довольно хитрая формула, причем явно не линейная. Как же быть с ней?
На самом деле она не должна нам помешать. Ведь при поиске решения значения в этих ячейках не пересчитываются, они вычислены один раз и не меняются при решении задачи. Тем не менее, если возникает какая-то проблема, и вы не уверены в безобидности этих формул, выделите эту часть таблицы, скопируйте ее в буфер и вставьте на то же место в виде значений. Формулы исчезнут.
Итак, вызываем Поиск решения и отмечаем в параметрах, что задача линейная. Указываем в качестве целевой ячейку V18, а в качестве цели -минимум издержек.
Переменные задачи C7: V8.
Теперь зададим ограничения. Первое ограничение состоит в том, что переменные - двоичные: C7: V8 = двоичное.
Второе ограничение должно задать длительность проекта. Так как формулу =МАКС(В9:В16) мы использовать в вычислениях не можем, потребуем просто, чтобы все длительности путей были меньше или равны заданной длительности проекта в целом: В9:В16 <=В20.
И, наконец, техническое ограничение. Каждый этап должен быть сокращен сначала на первую, а уже потом на вторую неделю. Для этого потребуем, чтобы C7: V7 >= C8: V8. Так как в нашей задаче сокращение на вторую неделю стоит не меньше, чем сокращение на первую неделю для всех этапов, то это условие не особенно нужно. Обычно оно удовлетворяется автоматически (кроме этапов K и P). Но при чуть других условиях задачи оно бы потребовалось, поэтому не мешает испытать такое ограничение, в расчете на будущее использование.
Теперь все ограничения заданы. Запускаем Поиск решения на выполнение и получаем следующий результат (). Общая стоимость сокращения на 5 недель - 380000. При этом следует сократить этапы В, C, I, M, Q, S на одну неделю и этап R на две недели.
|
56 |
|
A |
B |
C |
D |
E |
F |
G |
H |
I |
J |
K |
L |
M |
N |
O |
P |
Q |
R |
S |
T |
Новая
длительность |
6 |
9 |
11 |
10 |
15 |
9 |
20 |
9 |
15 |
12 |
11 |
11 |
13 |
8 |
14 |
6 |
12 |
10 |
12 |
12 |
|
Ст. сокр. 1ю н. |
8 |
7 |
5 |
8 |
8 |
- |
3 |
1 |
6 |
9 |
1 |
4 |
2 |
7 |
4 |
2 |
5 |
3 |
6 |
7 |
|
Ст. сокр. 2ю н. |
11 |
11 |
9 |
13 |
12 |
- |
7 |
8 |
10 |
- |
1 |
10 |
6 |
16 |
6 |
2 |
9 |
4 |
10 |
13 |
|
Исходная длит. |
6 |
9 |
11 |
10 |
15 |
9 |
20 |
9 |
15 |
12 |
11 |
11 |
13 |
8 |
14 |
6 |
12 |
10 |
12 |
12 |
|
Общ. сокр. |
0 |
1 |
1 |
0 |
0 |
0 |
0 |
0 |
1 |
0 |
0 |
0 |
1 |
0 |
0 |
0 |
1 |
2 |
1 |
0 |
|
1-ая нед. |
0 |
1 |
1 |
0 |
0 |
0 |
0 |
0 |
1 |
0 |
0 |
0 |
1 |
0 |
0 |
0 |
1 |
1 |
1 |
0 |
|
2-ая нед. |
0 |
0 |
0 |
0 |
0 |
0 |
0 |
0 |
0 |
0 |
0 |
0 |
0 |
0 |
0 |
0 |
0 |
1 |
0 |
0 |
|
BDIQR |
51 |
0 |
1 |
0 |
1 |
0 |
0 |
0 |
0 |
1 |
0 |
0 |
0 |
0 |
0 |
0 |
0 |
1 |
1 |
0 |
0 |
|
BHPR |
31 |
0 |
1 |
0 |
0 |
0 |
0 |
0 |
1 |
0 |
0 |
0 |
0 |
0 |
0 |
0 |
1 |
0 |
1 |
0 |
0 |
|
GLO |
42 |
0 |
0 |
0 |
0 |
0 |
0 |
1 |
0 |
0 |
0 |
0 |
1 |
0 |
0 |
1 |
0 |
0 |
0 |
0 |
0 |
|
GKNS |
50 |
0 |
0 |
0 |
0 |
0 |
0 |
1 |
0 |
0 |
0 |
1 |
0 |
0 |
1 |
0 |
0 |
0 |
0 |
1 |
0 |
|
FKNS |
39 |
0 |
0 |
0 |
0 |
0 |
1 |
0 |
0 |
0 |
0 |
1 |
0 |
0 |
1 |
0 |
0 |
0 |
0 |
1 |
0 |
|
AEMS |
44 |
1 |
0 |
0 |
0 |
1 |
0 |
0 |
0 |
0 |
0 |
0 |
0 |
1 |
0 |
0 |
0 |
0 |
0 |
1 |
0 |
|
ACJMS |
51 |
1 |
0 |
1 |
0 |
0 |
0 |
0 |
0 |
0 |
1 |
0 |
0 |
1 |
0 |
0 |
0 |
0 |
0 |
1 |
0 |
|
ACJTS |
51 |
1 |
0 |
1 |
0 |
0 |
0 |
0 |
0 |
0 |
1 |
0 |
0 |
0 |
0 |
0 |
0 |
0 |
0 |
1 |
1 |
|
|
|
|
|
|
|
|
|
|
|
|
|
|
|
|
Стоимость сокращения |
|
|
51 |
<- Длительность критического пути |
|
|
|
|
|
|
38 |
|
|
51 |
<- Заданная длительность |
|
|
|
|
|
|
|
|
|
Рис. 164 |
Следует отметить, что для дальнейшего сокращения проекта придется сокращать несколько этапов на каждом шаге сокращения. Как можно увидеть в таблице (), после того, как длительность проекта достигла 51 недели, три пути являются критическими.
Для ответа на следующий вопрос задачи (b) можно перестроить нашу задачу. Однако значительно быстрее просто решить полученную задачу несколько раз, подставляя разные желаемые длительности проекта. Так как каждый этап можно сократить не более чем на 2 недели, а критический путь содержал 5 этапов, то ясно, что более чем на 10 недель сократить проект невозможно. Значит, полное исследование задачи займет немного времени.
Построим табличку, в которой будем записывать результаты расчетов. Пусть таблица содержит данные об итоговой длительности проекта, номере недели сокращения проекта, сокращенных этапах, стоимости сокращения на данную неделю, суммарной стоимости сокращения проекта с нарастающим итогом и финансовом результате сокращения с учетом полученной премии. Чтобы заполнить таблицу начнем с сокращения проекта на 1 неделю.
Заданная длительность проекта - 55 недель. Вызываем Поиск решения и получаем рекомендацию, сократить этап R на первую неделю. Стоимость сокращения - 3 (30000). Меняем заданную длительность на 54 недели. Повторяем оптимизацию. Получаем рекомендацию, сократить этап R на вторую неделю. Стоимость сокращения - 4 (40000), общая стоимость сокращения 70000. Финансовый результат - 330000. Продолжаем заполнять таблицу до тех пор, пока не получим ответ, что решение не найдено. Как вы видите, это произошло при попытке сократить проект до 45 недель, как мы и ожидали. Рассмотрим полученную итоговую таблицу ().
Длительность
проекта |
Неделя
сокращения |
Этапы |
Стоимость
данного
сокращения |
Итого |
Выигрыш |
|
55 |
1 |
R |
30 |
30 |
170 |
|
54 |
2 |
R |
40 |
70 |
330 |
|
53 |
3 |
QM |
70 |
140 |
460 |
|
52 |
4 |
CI |
110 |
250 |
550 |
|
51 |
5 |
BS |
130 |
380 |
620 |
|
50 |
6 |
AD |
160 |
540 |
660 |
|
49 |
7 |
QS |
190 |
730 |
670 |
|
48 |
8 |
IJK |
200 |
930 |
670 |
|
47 |
9 |
BCK |
210 |
1140 |
660 |
|
46 |
10 |
ADG |
270 |
1410 |
590 |
|
|
Рис. 165 |
Видно, что выигрыш сначала увеличивался, а затем стал уменьшаться. Очевидно, что максимальный выигрыш (670 тыс.) как раз и соответствует оптимальному (для строительной фирмы) сроку сокращения длительности проекта (7 недель). При этом проект будет выполнен за 49 недель. Сокращение на 8-ю неделю стоит 200 тыс. и полностью поглощает премию за сокращение на очередную неделю, а сокращение на 9 и 10 неделю стоит строительной фирме дороже, чем предложенные премиальные. Таким образом, строителям следует договариваться о выполнении проекта за 49 недель.
Сокращение проекта на максимально возможный срок - 10 недель -принесет строительной фирме (дополнительно к сметной прибыли) только 590 тыс.
3.П-4. Научно-просветительский центр планирования семьи в
Нигерии.
Доктор Адиномба Ватага, зам. директора научно - просветительского центра планирования семьи в Заречной провинции Нигерии, получил задание организовать, как часть большого проекта, формирование и обучение пяти команд тренеров-демонстраторов для пропаганды и обучения населения новым методам контроля за рождаемостью. Эти люди уже прошли ранее обучение в Центре, но должны получить специальный инструктаж по методике демонстрации и использования новых методов контрацепции. Необходимо подготовить два типа материалов: (1) для обучения тренеров и (2) для раздачи на занятиях населению. Необходимо также обеспечить прибытие квалифицированных преподавателей для проведения обучения тренеров-демонстраторов, а также собрать и разместить участников тренинга.
Доктор Ватага, прежде всего, собрал менеджеров центра. Основываясь на имеющемся опыте организации подобных мероприятий, они совместно идентифицировали работы, которые должны быть выполнены, их последовательность и длительность. Результаты этого анализа сведены в таблице
|
|
Работа |
Предшеств
ующий
этап |
Время
(дней) |
Кол-во
работни
ков |
|
A |
Определить преподавателей и их расписание |
|
5 |
2 |
|
B |
Организовать транспорт |
|
7 |
3 |
|
C |
Определить и собрать учебные материалы |
|
5 |
2 |
|
D |
Обеспечить размещение участников |
A |
3 |
1 |
|
E |
Определить состав команд |
A |
7 |
4 |
|
F |
Доставить команды в Центр |
B,E |
2 |
1 |
|
G |
Доставить преподавателей в Центр |
A, B |
3 |
2 |
|
H |
Напечатать учебные материалы для программы |
C |
10 |
6 |
|
I |
Доставить материалы программы |
H |
7 |
3 |
|
J |
Провести тренинг команд |
D,F,G,I |
15 |
0 |
|
K |
Командам провести пропаганду и тренинг населения в выделенных районах |
J |
30 |
0 |
|
|
Луис Бодага, старший менеджер, обратил внимание на требование выполнить проект в течении 60 рабочих дней. Вытащив калькулятор, он сложил все времена, приведенные в таблице. Получилось 94 дня. |
«Невыполнимая задача, однако» - заявил Бодага.
«Нет» - ответил доктор Ватага - «некоторые из этих задач могут идти параллельно».
«Будьте поосторожней, однако» - предупредила миссис Оглагада - «ведь нас всего 10 человек в офисе для выполнения всей этой работы.».
«Хорошо, давайте проверим, достаточно ли у нас рук и голов, чтобы справиться с работой, когда будем составлять расписание проекта», предложил доктор Ватага, «а если окажется, что мы не укладываемся в срок при нормальном рабочем графике, то я имею разрешение фонда «Правильный путь» израсходовать дополнительно до $2500 для ускорения проекта, если мы сумеем обосновать, что эти расходы абсолютно необходимы».
После дополнительного обсуждения команда менеджеров определила на сколько максимально может быть сокращена каждая стадия и сколько это должно стоить. Эти цифры (вместе с нормальной длительностью и нормальной стоимостью) для каждой стадии приведены во второй таблице.
|
Стоимость работ |
|
|
|
Норма |
Минимум |
Сокращения одного дня |
|
|
Работа |
Время |
$ |
Время |
$ |
$ |
|
A |
Определить преподавателей и их расписание |
5 |
400 |
2 |
700 |
100 |
|
B |
Организовать транспорт |
7 |
1000 |
4 |
1450 |
150 |
|
C |
Определить и собрать учебные материалы |
5 |
400 |
3 |
500 |
50 |
|
D |
Обеспечить размещение участников |
3 |
2500 |
1 |
3000 |
250 |
|
E |
Определить состав команд |
7 |
400 |
4 |
850 |
150 |
|
F |
Доставить команды в Центр |
2 |
1000 |
1 |
2000 |
1000 |
|
G |
Доставить преподавателей в Центр |
3 |
1500 |
2 |
2000 |
500 |
|
H |
Напечатать учебные материалы для программы |
10 |
3000 |
6 |
4000 |
200 |
|
I |
Доставить материалы программы |
7 |
200 |
2 |
600 |
80 |
|
J |
Провести тренинг команд |
15 |
5000 |
10 |
7000 |
400 |
|
K |
Командам провести пропаганду и тренинг
населения в выделенных районах |
30 |
10000 |
20 |
14000 |
400 |
a. Сколько времени требуется для выполнения проекта, если не принимать во внимание ограниченность трудовых ресурсов?
b. Выберите оптимальный способ перепланирования данного проекта с целью разгрузки перегруженных трудовых ресурсов. Какова длительность проекта?
c. Что нужно сделать, чтобы выполнить проект в срок? Сколько это стоит?
Решение задачи.
|
Работа |
A |
B |
C |
D |
E |
F |
G |
H |
I |
|
Трудовые |
Гі, Г2 |
Гз, Г4, |
Гб, Г7 |
Г8 |
Г9, |
Гз |
Г4, Г5 |
Гб, Г7, |
Г2, Гз, |
|
ресурсы |
|
Г5 |
|
|
Гі0, |
|
|
Г8, Г9, |
Г4 |
|
|
|
|
|
|
ri, Г2 |
|
|
Гі0, Гі |
|
Прежде всего, введем в MS Project информацию о стадиях проекта, их длительностях и соотношениях предшественник-последователь. Далее необходимо ввести информацию о трудовых ресурсах, которые будут выполнять каждую стадию. Будем считать, что все сотрудники Центра взаимозаменяемы, и необходимо лишь выделить нужное их количество на каждую стадию в соответствии с потребностями. В принципе, это можно сделать различными способами. Мы рассмотрим лишь одну из возможностей. Обозначим каждого из сотрудников Центра (1 единицу трудового ресурса) как ri,r2 ... r10, и будем назначать их на работы по порядковому номеру (стадии J и K не требуют участия персонала Центра): ________
Ввести эту информацию о ресурсах можно, дважды щелкнув на имени задачи и выбрав вкладку «Ресурсы» в появившемся окне «Сведения о задаче». Вводите по одному ресурсу в каждой строчке. После ввода этой информации и форматирования диаграммы с помощью мастера диаграмм Ганта (с требованием указать критические стадии, имена ресурсов, выполняющих каждую стадию, и связи между стадиями) получим следующую диаграмму ()
Рис. 166
Из рисунка видно, что в проекте один критический путь CHIJK, и длительность проекта равна 67 дней. Имея ввиду резервы сокращения стадий проекта и стоимости сокращения (отраженные во второй таблице), кажется вполне возможным сократить проект до 60 дней, уложившись в сумму $2500. Однако прежде чем начать сокращения необходимо проверить, не перегружены ли наши ресурсы («хватит ли у них рук и голов», как выразился доктор Ватага)?
Для этого в MS Project имеются 3 инструмента: Лист ресурсов, График ресурсов и Использование ресурсов, которые можно найти в меню Вид.
Длительнс
Название
Авг'01
! Сен '01
Окт '01
23 | 30 | 06 113 | 20 | 27 | 03 | 10 117 | 24 | 01 | 08 115 | 22 | 29 |
этапа
Сумма Ь7 дней
5 дней
7 дней
5 дней
3 дней
7 дней
2 дней
3 дней
10 дней
7 дней
15 дней
30 дней
|
<І> |
г1 |
Трудовой |
|
|
г2 |
Трудовой |
|
|
гЗ |
Трудовой |
|
|
г4 |
Трудовой |
|
|
г5 |
Трудовой |
|
|
г7 |
Трудовой |
|
<І> |
г8 |
Трудовой |
|
<І> |
г9 |
Трудовой |
|
<І> |
МО |
Трудовой |
|
|
Гб |
Трудовой |
|
|
Рис. 167 |
Лист ресурсов покажет, что ресурсы г1? г8, г9, r1o - перегружены ( ), выделив имена этих ресурсов красным цветом и поставив восклицательный знак возле каждого из них_
График ресурсов покажет что в определенные дни перегруженные ресурсы загружены на 200%. На рис. показан график ресурса г1. Аналогичные графики имеют место для ресурсов г8,г9,г10.
 |
|
Рис. 168 |
Наиболее полезен для нашей проблемы вид «Использование ресурсов», который дает информацию о том, в каких стадиях данный ресурс занят, и в какие
|
дни он перегружен. |
 |
|
Рис. 169 |
Из видно, что ресурсы г1? r9, r10 двукратно перегружены потому, что одновременно должны участвовать в выполнении стадий E и H, а ресурс г8 двукратно перегружен, поскольку одновременно назначен на стадии D и H (стадия D на диаграмме Ганта начинается одновременно со стадией E).
Можно, попытаться использовать инструмент Выравнивание загрузки ресурсов в меню Сервис, который уже применялся нами в предыдущем примере.
В нижнем поле окна «Выравнивание загрузки ресурсов»
— снимем галочку на пункте «Выравнивание только в пределах имеющегося (временного) резерва», разрешив тем самым увеличивать длительность проекта;
— снимем галочку на пункте «... допускается коррекция отдельных назначений», запретив тем самым разбивать команды, необходимые для
выполнения данной стадии и выполнять каждому члену команды «свою часть работы» в отсутствие других членов;
— и поставим галочку на пункте «... допускается прерывание оставшихся трудозатрат».
В результате, после выравнивания загрузки ресурсов получим следующую диаграмму Ганта

Видно, что проект удлинился до 76 дней за счет того, что стадии D и E были сдвинуты после окончания стадии H. Изменился и критический путь проекта. Теперь им стал путь AEFJK, а стадии C, H и I перестали быть критическими. Нетрудно проверить, что при этом перегрузка ресурсов была устранена.
Однако нас не устраивает длительность проекта в 76 дней. Нам необходимо уложить его в 60 дней. Для этого, очевидно, необходимо начать сокращение критических стадий. Согласно таблице стоимостей работ из имеющихся критических стадий самая низкая стоимость сокращения - у стадии A. Попробуем сократить ее на 1 день (добавив 8 сверхурочных часов для обоих ресурсов стадии). Проект сокращается до 75 дней, однако, проверка загруженности ресурсов с помощью вида Лист ресурсов показывает, что ресурсы Гі, Гз, r8, г9, rio вновь перегружены. Вновь используем Выравнивание загрузки

Длительность проекта в результате выравнивания ресурсов не возросла, а стадии D и E оказались разорванными. Дальнейшее сокращение стадии А делает ее (а также стадию E) некритической, так что сокращению подлежит только дорогие стадии F, J и K, что делает невозможным выполнить проект за 60 дней при заданных финансовых ограничениях.
Можно попытаться зайти с другой стороны, и начать сокращать проект без выравнивания ресурсов, а затем попробовать снять перегрузку. Вернемся к диаграмме на и начнем сокращать критические стадии C ($50) и /($80). Сокращение C до 3 дней и / до 2 дней не меняет критического пути и сокращает проект до 60 дней всего за $500. Однако проверка загруженности ресурсов показывает, что ресурсы гі, г3, г8, г9, гю перегружены. Использование «Выравнивания загрузки ресурсов» вновь удлиняет проект до 71 дня. Значит, процесс сокращения нужно начинать сначала, теперь сокращая стадии нового критического пути AEFJK. При этом мы уже видели, что при сокращении критической стадии A вновь возникнет проблема перегрузки ресурсов.
Попробуйте, если хватит терпения, довести этот итерационный процесс (сокращение - выравнивание - сокращение - выравнивание...) до конца и проверить, можно ли уложить издержки сокращения в заданную сумму $2500. Авторам терпения не хватило, а попытки заставить слушателей на занятиях проверить это самостоятельно приводили к противоречивым (и непроверенным) результатам.
Нетрудно понять, однако, что для рассматриваемого проекта описанные трудности возникают от того, что алгоритм «Выравнивания загрузки ресурсов» сдвигает начало стадий D и E на момент окончания стадии H, а затем, когда мы начинаем сокращать стадию А, стадии D и E вновь «наползают» на стадию H. Почему бы не поступить наоборот и не сдвинуть начало стадии H на момент окончания стадии E? В этом случае, как следует из , на котором изображено расписание использования наших ресурсов, все проблемы перегрузки ресурсов будут полностью разрешены. Для того чтобы осуществить эту идею, просто сообщим MS Project, что стадия H имеет еще двух предшественников -стадию D и E, т. е. не может начаться, пока те не закончатся. Ведь соотношения предшественник-последователь продиктованы технологией выполнения работ, а распределение имеющихся у нас ресурсов можно рассматривать как часть нашего технологического процесса.
|
В этом случаепосле исходной диаграммы получим следующую |
 |
Видно, что длительность проекта возросла при этом лишь до 74 дней (а не 76, как после работы алгоритма «Выравнивание загрузки ресурсов»), а критическим оказывается путь AEHIJK. Сокращение последовательно стадии I на 5 дней, А - на 3 дня, Е - на 3 дня и H - на 3 дня дает длительность проекта 60 дней, без изменения критического пути, при дополнительной стоимости $1750 ($80*5+$100*3+$150*3+$200*3). Легко проверить, что на любой стадии сокращение проекта никакой перегрузки ресурсов не возникает. Таким образом, задача доктора Ватага решена.
Мы не утверждаем, что приведенное решение наилучшее, но оно заведомо лучше, чем варианты, которые получались при применении алгоритма «Выравнивание загрузки ресурсов». Трудно сказать, почему этот алгоритм не нашел столь очевидного решения: передвинуть стадию H после окончания стадий D и E, а предпочел сдвинуть начало стадий D и E на момент окончания стадии H. Мало того, что это создало проблемы для дальнейшего сокращения проекта (в конце концов, алгоритм «не мог знать», что после выравнивания загрузки ресурсов нам понадобится сокращать проект), но и привело к увеличению длительности проекта на 2 дня большему, чем в решении, предложенном авторами.
Авторы могут предположить, что алгоритм сначала стремится выровнять загрузку ресурсов без увеличения длительности проекта, т.е. «не трогая» критические стадии (а стадия H, как раз, критическая!). Когда же перемещение некритических стадий (D и E) в рамках их временных резервов оказывается недостаточным, алгоритм, по-видимому, двигает их дальше, до устранения перегрузки ресурсов. Имея в виду огромное разнообразие проблем, которые могут возникать при распределении ресурсов, планировании и анализе проектов, подобная последовательность действий кажется вполне разумной. Однако в рассматриваемом случае эффективное разрешение проблемы перегрузки ресурсов и сокращения проекта до заданной длительности требует, как раз, нарушить эту последовательность, и переместить именно критическую стадию H, не трогая некритические стадии D и E. Этот пример, с одной стороны, позволяет почувствовать, насколько нетривиальна задача о планировании проекта при ограниченных ресурсах, а, с другой стороны, демонстрирует пользу от применения непредвзятого человеческого взгляда на конкретную проблему и собственного здравого смысла, даже при наличии мощного алгоритма, поставляемого уважаемой компьютерной корпорацией.
Часть 4. Оптимальное управление запасами
Принятые обозначения и необходимые формулы
Q — объем заказа, количество единиц
EOQ — экономичный размер заказа (economic order quantity)
n — число заказов в год
D, Di — годовой спрос, количество единиц
S — затраты переналадки или издержки заказа
С — стоимость единицы товара, изделия
h — затраты хранения в год, процентов от стоимости
Н — затраты хранения на единицу в год, денежных единиц
р — скорость производства, штук в единицу времени
d — скорость потребления, штук в единицу времени
L — время выполнения заказа, доставки и т.п.
Т — время выполнения заказа, доставки и т.п.
I — наличие товара на складе, количество единиц
ROP — точка перезаказа (reorder point)
SS — страховой запас, безопасный резерв (safety stock)

Экономичный размер заказа:
TH = HQ 2
Годовые издержки хранения:
TS
Годовые издержки заказа: Полные годовые издержки:
TH + TS + D * C
полные
|
Экономичный размер партии продукции: |
 |
|
Годовые издержки хранения: |
TH = HQ х
Годовые издержки заказа, переналадки
TS = DS
Оптимальная частота заказов для группы товаров из m наименований:
Z DihiCi
i=1
2S
где i = номер каждого товара в списке.
Оптимальные размеры заказов для товаров из группы:
Di
ROP = dL + SS
Точка перезаказа:
Теоретические замечания.
Фундаментальный вопрос управления запасами, на первый взгляд, очень прост: Какова должна быть величина товарного запаса на складе, чтобы минимизировать издержки по управлению запасами и обеспечить достойный уровень обслуживания клиента? Он разделяется на две части:
Как сделать издержки управления запасами минимальными при заданном (постоянном или непостоянном, но известном) спросе?
Как оценить риск возникновения дефицита на складе с учетом случайных вариаций реального спроса? Сколько нужно платить за содержание необходимого резервного запаса для того, чтобы снизить риск возникновения дефицита до приемлемого уровня и обеспечить достойный уровень обслуживания клиентов?
Первая часть вопроса - из серии принятия решений в условиях полной определенности. Примеры и задачи, иллюстрирующие методы ее решения, мы рассмотрим в настоящем разделе. Вторая часть, предусматривает детальный анализ характеристик случайного спроса. Связанные с ней примеры и задачи, рассматриваются в части 2 настоящего сборника.
Важнейшая функция запасов состоит в том, что они играют роль буфера, смягчающего удары, испытываемые фирмой в результате нестабильных поставок сырья или товаров от поставщиков или сильных вариаций потребительского спроса на тот или иной продукт. В производственном процессе, запасы незавершенной продукции (полуфабрикатов) необходимы для обеспечения независимости различных производственных операций. Поддержание большого уровня запасов позволяет реже их восполнять, тратить меньше времени менеджеров на формирование заказа, его оформление, контроля доставки новой партии товара. Все это толкает менеджеров, непосредственно отвечающих за наличие запасов продукции на складах фирмы, увеличивать уровень этих запасов. Известная среди управленцев поговорка гласит: «Возмущенный клиент, не найдя на складе товара, значащегося в прайс-листе фирмы, вопит, а большие запасы -молчат».
Однако «молчание больших запасов» не менее опасно, чем «вопли возмущенного клиента». Дело в том, что с запасами связаны специфические издержки хранения, размер которых может составлять 20-40% в год от стоимости среднегодового уровня запаса, при чем, что особенно существенно, большая их часть не проходит через бухгалтерию, как прямые затраты, а является, так называемыми, «упущенными возможностями». Несмотря на то, что их «сразу не видно», большие упущенные возможности, приводят фирму к банкротству так же быстро, как и большие прямые затраты.
Основная идея теории оптимального управления запасами состоит в том, чтобы разделить издержки на переменные и постоянные. Оказывается, что эти две группы издержек по-разному зависят от размера заказа и уровня запаса товара на складе. Ниже мы коротко рассмотрим природу этих издержек и пути их оптимизации.
Переменные издержки- издержки хранения.
Эти издержки должны быть прямо пропорциональны количеству единиц хранимых запасов и стоимости единицы запаса. Основную часть этих издержек составляют упущенные возможности при альтернативном использовании капитала, «замороженного» в запасах. Каждая область бизнеса характеризуется своей требуемой нормой доходности. Капитал, вложенный в этот бизнес, в среднем (по стране, региону, городу) должен давать определенный процент дохода ежегодно. Капитал, вложенный в запасы, такого процента не дает. Следовательно, неполученный процент - это издержка хранения.
Если товар приобретен в кредит, то за этот кредит нужно платить проценты, что опять-таки составляет издержки хранения.
При цивилизованном ведении бизнеса, товар должен быть застрахован и подлежит налогообложению. Страховка и налог на запас также составляет определенный процент от стоимости товара и также входит в издержки хранения.
Перечисленные издержки строго пропорциональны стоимости запасов. Поэтому их удобно задавать в расчете на единицу запаса в год. Мы будем использовать для обозначения таких удельных издержек хранения либо большую букву H (от английского термина Holding cost), полагая, что размерность этой величины
[H] - денежная единица/(единица запаса хв год)
либо маленькую букву h, полагая, что это процент от стоимости единицы запаса C при хранении этой единицы в течение года.
Тогда, суммарные предельные издержки хранения всегда будут пропорциональны количеству хранимых единиц запаса и времени хранения, а коэффициентом пропорциональности, как раз, будет H.
Разумеется, можно относить издержки хранения к любому временному интервалу (неделя, квартал, год). В практике торговых складов чаще в качестве базового временного интервала используется именно год. На производстве, это могут быть и другие, более короткие интервалы (неделя).
Главное из чего надо исходить при решении включать те или иные складские затраты в величину H или не включать - это условие (хотя бы приблизительное) пропорциональности суммарных издержек хранения количеству хранимых единиц данного запаса и времени их хранения.
Например, в издержки хранения можно включить потери от распродажи «залежалого товара» по сниженным ценам. Правда, оценить вклад этих издержек в величину H сложнее, поскольку потери от снижения цены продаж «залежавшейся» части купленной партии, нужно распределить на всю партию (чтобы сохранилась пропорциональность издержек хранения количеству хранимых единиц запаса). Однако, при длительном ведении бизнеса, средний процент от стоимости купленной партии, соответствующий этому виду издержек может быть оценен более или менее определенно
Постоянные издержки - издержки по запуску новой партии продукции -(производство) или затраты на формирование и оформление заказа - (торговля)
Эти издержки не зависят от величины предполагаемой партии продукции (заказа).
В торговле их чаще всего связывают, с оплатой труда менеджеров, «ведущих» этот заказ, с возможными затратами на сопровождение заказа сотрудником фирмы (контроль погрузки - разгрузки, ускорение прохождения оформления документов на таможне и т.п.), с офисными расходами при оформлении и размещении заявки поставщику на новый заказ и другими сопутствующими расходами.
При рассмотрении транспортной задачи, мы считали, транспортные издержки переменными, поскольку перевозка двух одинаковых контейнеров, конечно, стоит в два раза больше, чем перевозка одного такого же контейнера. Однако если фирма использует большегрузные машины транспортной компании, для пополнения запасов товаров на складе, то при выполнении определенных ограничений на объем и вес груза, стоимость перевозки не зависит от содержимого груза. В этом случае, транспортная издержка может составить большую часть расходов S «по оформлению, размещению и доставке заказа».
Если в транспортных расходах можно выделить постоянную и переменную части, то первую нужно включить в S, а вторую - в цену единицы товара (что скажется на издержках хранения H).
В производстве этим постоянным издержкам соответствуют затраты на переналадку оборудования для выпуска данной партии продукции (устойчивый английский термин - Setup cost). Величину этих издержек, в расчете на один заказ (или на одну переналадку производственной линии) принято обозначать буквой S. Размерность этой величины
[S] — денежная единица/на один заказ.
Эти издержки постоянные в том смысле, что S не зависит от размера партии продукции данного наименования. Однако, чем больше размер заказа, тем реже приходится оплачивать расходы на его оформление, тем меньше затраты на оформление заказов (или на переналадку оборудования) за выбранный базовый период (год, неделя и т. п.).
При ведении бухгалтерского учета, в издержки хранения включают прямые расходы на содержание склада: амортизация здания (или аренда), оплата персонала, охрана и т.п. Хотя перечисленные издержки, несомненно, относятся к категории складских издержек, при анализе оптимизационных моделей управления запасами, их не следует включать ни в величину H, ни в величину S. Дело в том, что все эти издержки являются интегральными. Они совершенно не зависят от размера закупленной и хранимой партии данного товара. Даже если склад пустой, фирма все равно несет эти издержки. Они не зависят от того, какие именно товары, и в каком количестве хранятся на складе.
Разумеется, если принято стратегическое решение существенно снизить размер товарных запасов, то для их хранения понадобится меньше складских площадей, и следовательно уменьшатся затраты на их содержание. Прямые складские издержки, таким образом, влияют на рентабельность торговой фирмы и должны учитываться при оценке эффективности работы склада. Они определяют решения, связанные с определением размеров складов, ассортимента продуктов, с которым должна работать фирма и т.п.Однако, такие решения принимается гораздо реже, чем решение о размере закупаемой партии продукции данного наименования, которое и является предметом рассмотрения оптимизационных моделей управления запасами. Размер склада и ассортимент продуктов в таких задачах не могут рассматриваться как переменные решения. Поэтому на результаты оптимизации уровней запасов и размеров заказа, указанные выше оказывают лишь косвенное влияние, и прямо в них фигурировать не могут.
Модель экономичного размера заказа
Это - одна из первых моделей количественного менеджмента. Несмотря на свой почтенный возраст и простоту, она до сих пор остается вполне практическим инструментом (и уж, во всяком случае, полезным ориентиром) при управлении запасами.
Основные допущения и параметры модели Модель отвечает на вопрос:
Какой должен быть размер заказа (и как часто его нужно делать) для данного вида товара («артикула»), что минимизировать издержки его хранения, при условии, что
— спрос на запас постоянен (не зависит от времени) и составляет D единиц в год;
— закупочная цена единицы запаса постоянна (не зависит от размера закупаемой партии) и равна С;
— издержки хранения единицы запаса в год равны H (или h% от стоимости единицы запаса С);
— стоимость оформления одного заказа (или стоимость переналадки оборудования для начала новой партии продукции) равна S.
Хотя, допущения, сформулированные в первом и втором пунктах, являются сильным упрощением по сравнению с реальным бизнесом, мы сначала их примем, чтобы получить ответ на поставленный вопрос в виде простой формулы, которая может служить полезным ориентиром и в более реальных ситуациях. Затем эти упрощения можно отбросить и проанализировать более реальные ситуаций с помощью тех или иных вычислительных инструментов, например, MS Excel.

На показано как меняется в принятой модели товарный запас данного артикула. Если в начальный момент времени на склад приходит новая партия данного товара Q, то с течением времени, его товарный запас уменьшается с постоянной скоростью на d единиц в день, и через некоторое время обращается в ноль. Однако, если заблаговременно сделать заявку на такую же по величине новую партию товара, и при этом «подгадать» так, чтобы она пришла как раз тогда, когда весь запас этого артикула на складе исчерпан, товарный запас снова
подскочит до величины Q , снова будет уменьшаться с постоянной скоростью и т.д.
«Подгадать» очень не сложно. Если ежедневный спрос на данный товар d, а время выполнения заявки поставщиком L (от английского термина Lead time), то новую заявку нужно делать, очевидно, тогда, когда на складе осталось dxL единиц запаса данного артикула.
Если каждый раз заказывать партию одного и того же размера, то при годовом спросе D нужно повторить этот цикл D/Q раз.
Важно понять (и это демонстрирует), что годовой спрос отнюдь не определяет размер закупаемой партии Q. Можно закупать редко и большими партиями, а можно часто и малыми. В сумме за отраженный на графике период и в первом и во втором случае закуплено одно и то же количество товара. Так, что за год и та, и другая стратегия удовлетворят потребность клиентов в этом товаре. Однако оказывается, что складские издержки при этом будут разными.
Действительно, средний уровень товарного запаса на складе в первом случае составляет 0,5 условных единиц, а во втором - 0,2 условные единицы ( ). Ясно, поэтому, что издержки хранения этого товара за год будут различны. В общем случае можно, очевидно, написать, что если закупается партия товара величиной Q, и этот запас линейно уменьшается до нуля, то его средний уровень равен Q/2. Тогда, годовые издержки хранения равны
TH = HQ 2
Ясно, что чем меньше заказываемая партия товара Q, тем меньше издержки хранения за год. При Q^0, издержки хранения нулевые. Однако, чем меньше размер партии, тем чаще нужно делать заказ, и, следовательно, тем больше издержки, связанные с оформлением заказа. Нетрудно понять, что поскольку для удовлетворения годового спроса D на данный товар с помощью заказов по Q единиц необходимо D/Q заказов, годовые издержки на оформление заказов составят
TS = DS
Q
соответственно, полные складские издержки за год составят
T = HQ + DS 2 Q
 |
|
Рис. 174 |
На показан график зависимости этих издержек T от величины заказа Q (а также показано, как изменяются величины TH и TS) . Видно, что первое слагаемое в сумме T (издержки хранения за год) линейно растет с ростом величины заказа Q, в то время как второе слагаемое убывает обратно пропорционально Q. Понятно, что сумма T имеет минимум. Величину заказа, соответствующего этому минимуму обозначают как EOQ (сокращение от английского термина Economic Order Quantity). Это и есть оптимальный (или экономичный) размер заказа, обеспечивающий минимум полных складских издержек.
Читатель, знакомый с началами математического анализа наверняка вспомнит, что необходимое условие минимума функции в данной точке - это равенство нулю ее первой производной. В данном случае речь идет о функции T(Q). Если взять от нее производную и приравнять нулю, получим значение Q, соответствующее минимуму полных издержек T, т.е. значение EOQ. Нетрудно проверить (а для забывших таблицу производных - поверить), что
2DS
H
EOQ
Подставив значение EOQ в выражение для годовых издержек хранения TH, оформления заказа TS и полных издержек Tmin, получим
TH = TS = :Щ§Н. ^ Tmn =ЛІ 2DSH
Таким образом, при экономичном размере заказа годовые издержки хранения и оформления заказа равны друг другу, а полные издержки - в два раза больше.
Оптимальная частота заказа для группы товаров.
На оптовом складе обычно находятся товары многих тысяч наименований (артикулов). При этом от каждого из поставщиков фирма обычно получает много десятков (если не сотен) различных наименований товаров. Поставщиков всегда, несомненно, меньше, чем разных типов товаров на складе.
Формула экономичного размера заказа требует оценить размер заказа (и, следовательно, оптимальный уровень запаса) каждого артикула отдельно. Однако, невозможно себе представить, что за каждым из нескольких десятков наименований товаров, которые фирма получает от данного поставщика, она будет посылать специальный транспорт. Да и поставщик, видимо, будет настаивать на том, чтобы в каждом заказе отгружать весь ассортимент товаров, которые фирма у него покупает.
Таким образом, возникает необходимость объединять товары в группы (группируя их, например, по поставщикам, которые эти товары поставляют) и определять оптимальную частоту заказа целой группы товаров. Это легко сделать, используя ту же идею, что и в исходной модели экономичного размера заказа.
Пусть имеется группа из к товаров от i=1 до i=k, которые мы заказываем у данного поставщика. Пусть годовая потребность каждого из них Di, а стоимость - Ci. И пусть стоимость формирования, размещения и доставки заказа для всей группы товаров равна S. Если мы предполагаем, что нужно делать n заказов в год, то количество каждого товара в каждом заказе должно быть Di/n . Тогда издержки хранения и издержки заказа за год будут выражаться формулами:
Годовые издержки хранения к DC h%
2n
Годовые издержки заказа TS — nS
Минимизируя сумму этих издержек TH+TS, легко получить, что оптимальная частота заказа группы товаров равна
Z DCh
i—1
2S
Модель производства оптимальной партии продукции
Принципы, использованные в модели экономичного размера заказа, легко переносятся на оптимальный размер партии конкретной продукции, выпускаемой той или иной производственной линией, способной выпускать различные продукты.
Пусть некая универсальная линия производит ряд различных деталей (ЛАС,...) для конвейера. Пусть производительность линии при производстве деталей определенного типа (например, А) равна р, а скорость потребления конвейером этих деталей равна d, причем d < р.
Годовая потребность конвейера в этих деталях D=dxT, где T - временной период в 1 год, равный количеству временных единиц, через которые определена скорость (365 дней, или 52 недели, или 12 месяцев и т.п.). Если d и р - это количества деталей потребляемых конвейером и выпускаемых линией за один месяц, 7=12, а если это количества деталей потребляемых конвейером и
выпускаемых линией за один день, то Т=365 и т.д. Чтобы удовлетворить годовую потребность конвейера можно запустить линию один раз в год на производство этих деталей. Линия воспроизведет годовую потребность конвейера за время, меньшее 1 года (т.к. d < p). При этом большая партия деталей ляжет на склад, что обусловит большую величину издержек хранения. Если запускать линию на производство этих деталей часто и выпускать малые партии, то издержки хранения можно уменьшить, но возрастут издержки, связанные с переналадкой линии.
Обозначая, по-прежнему, издержки хранения как H, а издержки переналадки как S мы придем к той же модели экономичного размера заказа (в производстве она называется моделью экономичного размера партии продукции), за одним небольшим исключением. После завершения выпуска данной партии продукции Q, максимальный уровень запаса деталей на складе QMaKC будет меньше, чем размер произведенной партии продукции Q.
Предположим, что линии запускается в момент, когда запас деталей на складе исчерпан. Тогда конвейер начинает потреблять детали сразу же, по мере того как они выходят с производственной линии. Поскольку линия выпускает детали быстрее, чем их потребляет конвейер, запас постепенно растет, но медленнее, чем, если бы конвейер стоял, а все детали шли на склад.
Если обозначить время работы производственной линии по выпуску данной партии через tp, то можно записать, что размер выпущенной партии будет, очевидно,
Q = Р х tp
количество использованных деталей
Q = d х t
исп p
а величина созданного запаса за это время равна
QMCKC = (Р - d) х tp = Q х (Р - d)/Р ,
т.е. меньше, чем размер выпущенной партии Q (мы использовали соотношение tp=Q/p, чтобы исключить из формулы время производства).
Начиная с момента tp и до начала следующего запуска линии, этот запас будет уменьшаться до нуля. График изменения величины буферного запаса показан на

Поскольку максимальный уровень буферного запаса равен QMaKC, а не размеру партии продукции Q, то именно QMaKC, фигурирует в выражении для издержек хранения за год. Подставляя QMaKC в выражения для издержек хранения TH и сохраняя Q в выражении для издержек, связанных с запуском новой партии TS (аналог издержек оформления заказа в модели EOQ), получим выражение для оптимального размера партии - EBQ (Economic Batch Quantity) в виде
EBQ
2DS p
-x —-—
H p - d
Ограничения модели экономичного размера заказа (партии продукции) и возможность их преодоления.
Основным ограничением рассмотренных моделей является предположение о постоянстве спроса (производственных планов). При этом, фактически считается, что спрос всегда был такой же, как сейчас, и всегда будет такой же, как сейчас. Поэтому «горизонт планирования» в рассмотренных моделях бесконечен. Вычисленный размер оптимального заказа или партии продукции всегда должен был быть таким и никогда не должен меняться в будущем. Если, например модель рекомендует сделать не целое число заказов в год, это нельзя рассматривать как недостаток модели. Ведь следующий год не отличается от предыдущего, конец года не знаменует собой завершение какого-то этапа, с точки зрения модели.
На практике ситуация редко бывает подобна описанной. Нет ничего более непостоянного, чем спрос, а потому бессмысленно планировать на период больше, чем тот, на который мы стараемся спрос предсказать. Именно поэтому, формулы для EOQ и EBQ нельзя рассматривать как истины в последней инстанции, а только как полезные оценки и ориентиры.
В тех случаях, когда вариации спроса велики, но предсказуемы (например, сезонные колебания, повторяющиеся из года в год, накладывающиеся на устойчивый долговременный тренд, определяемый жизненным циклом продукта или фирмы), и горизонт планирования конечен, можно пытаться улучшить предсказания моделей EOQ и EBQ, используя методы линейной целочисленной оптимизации. Модель должна предсказать, в какой момент, и какого размера заказ следует сделать, чтобы минимизировать издержки за планируемый период. При этом, разумеется, никаких простых формул для размера заказа (партии продукции) не получится, и промежутки времени между последовательными заказами не будут постоянными. Существенно, однако, что принцип, лежащий в основе оптимизационной модели управления запасами, останется тот же, что и в исследованных моделях EOQ и EBQ. Издержки управления запасами представляются как сумма переменных издержек хранения (большая часть которых - это альтернативные издержки размещения капитала, вложенного в запас, неполученные проценты на «замороженный» в запасах капитал), и прямых издержек по осуществлению заказа, пополнению запаса (в которые включена и постоянная часть транспортных издержек).
Примеры такой оптимизации управления запасами представлены в настоящем разделе, а также в разделе «Комплексное и многопериодное планирование» настоящего сборника.
Ограничение модели EOQ, связанное с игнорированием зависимости стоимости единицы продукта от размера партии (оптовые скидки), не является существенным и легко преодолевается в рамках этой модели с использованием любого вычислительного инструмента, например, MS Excel. Подобные примеры рассмотрены в настоящем разделе.
Более подробно об основаниях и применениях теории управления запасами читайте в книгах [1-4, 6, 8, 11-13, 15,16].
Приемы решения задач.
4.П-1. Выбор поставщика
|
Поставщик А |
Поставщик В |
|
Кол-во |
Цена за шт., руб. |
Кол-во |
Цена за шт., руб. |
|
до 5000 |
5 |
до 9999 |
4.8 |
|
5000 - 19999 |
4.6 |
10 000 - 29 999 |
4.5 |
|
от 20 000 |
4.4 |
от 30 000 |
4.3 |
Машиностроительный завод покупает болты с гайками для сборочного участка, годовая потребность в которых составляет 50 тыс. штук в год. На данный момент имеется два предложения от разных поставщиков, условия которых приведены в таблице.__
Стоимость хранения для завода можно оценить в 38% от стоимости единицы хранения в год. Стоимость оформления одного заказа - 1000 руб. Спрос в течение года на данные болты равномерный.
a. Каков оптимальный размер заказа с учетом скидок каждого из поставщиков.
b. Какого поставщика следует предпочесть?
Решение задачи.
Спрос на болты по условию задачи известный и постоянный, следовательно, мы можем без ограничений использовать модель экономичного размера заказа EOQ. При этом все издержки будут определяться полными издержками хранения и заказа за год. Однако имеется система скидок на базовые цены, а это значит, что отклонение от экономичного размера заказа может оказаться выгодным, если полученные скидки превышают рост издержек хранения. Значит к сумме издержек хранения и заказа нужно добавить общие затраты на покупку болтов, чтобы иметь возможность корректно сравнивать разные предложения.
Так как в данной задаче нам необходимо рассчитать оптимальный заказ для шести цен и количественных диапазонов (2 поставщика и 3 диапазона действия цен у каждого) организуем данные, как показано в таблице (). В верхних ячейках A2:C2 запишем общие данные: издержки хранения, издержки заказа и годовую потребность. В строках B4:G4 и B5:G5 запишем верхние и нижние границы диапазонов скидок. Число 1 млн. в ячейках D4 и G4 заменяет бесконечную границу диапазона и выбрано произвольно, для упрощения формул.
|
|
A |
B |
C |
D |
E |
F |
G |
|
1 |
h |
S |
D |
|
|
|
|
|
2 |
38% |
1000 |
50000 |
|
|
|
|
|
3 |
|
Поставщик A |
Поставщик B |
|
4 |
Порог скидки, макс. |
4 999 |
19 999 |
1 000 000 |
9 999 |
29 999 |
1 000 000 |
|
5 |
мин. |
1 |
5 000 |
20 000 |
1 |
10 000 |
30 000 |
|
6 |
Цена |
5 |
4.6 |
4.4 |
4.8 |
4.5 |
4.3 |
|
7 |
EOQ |
=КОРЕНЬ(2*$C$2*$B$2/(B6*$A$2)) |
|
|
|
8 |
Реальный Q |
=ЕСЛИ(И(B7>=B5;B7<=B4);B7;ЕСЛИ(B7|
| |
|
9 |
TH |
=B8/2*$A$2*B6 |
|
|
|
|
|
10 |
TS |
=$C$2/B8*$B$2 |
|
|
|
|
|
11 |
T |
=B10+B9 |
|
|
|
|
|
|
12 |
Т+ТС |
=B11+$C$2*B6 |
|
|
|
|
|
|
Рис. 176 |
Для расчета экономичного размера заказа используем стандартную формулу EOQ = л]2DS/H . В нашей задаче величина H непостоянна, так как она
зависит от цены товара, а цена может быть разной. Поэтому в расчетах вместо самой величины H будем использовать ее выражение через цену и издержку хранения в процентах h: H=h*C. С этой поправкой формула для EOQ и записана в ячейке B7. Ссылки на издержки хранения h, годовую потребность D и издержки заказа S фиксированы, для удобства протягивания формулы вправо, для расчета EOQ для других цен закпки. После протягивания формулы получаем
|
Порог скидки, макс. |
4 999 |
19 999 |
1 000 000 |
9 999 |
29 999 |
1 000 000 |
|
мин. |
1 |
5 000 |
20 000 |
1 |
10 000 |
30 000 |
|
Цена |
5 |
4.6 |
4.4 |
4.8 |
4.5 |
4.3 |
|
EOQ |
7 254.8 |
7 563.6 |
7 733.6 |
7 404.4 |
7 647.2 |
7 823.0 |
|
|
Рис. 177 |
Если мы теперь сравним полученные значения EOQ с диапазонами количеств закупаемых болтов, для которых действуют те цены, по которым мы считали EOQ, то обнаружим несколько несоответствий. Например, при покупке болтов у поставщика A по цене 5 руб. за штуку оптимальная величина заказа равна примерно 7255 штук. Но такая цена действует только при покупке менее 5000 штук. Если мы будем закупать болты партиями по 7255 штук, то их цена будет только 4.6 руб. Это конечно неплохо, но мы ведь хотели выяснить, какую партию болтов лучше всего выбрать, если покупать их по цене 5 руб.!
Ясно, что выбирать размер партии мы должны только внутри диапазона от 1 до 5000 штук. Какой же размер выбрать? Здесь нужно вспомнить, как выглядит график зависимости суммы издержек хранения и заказа от размера заказа. А именно, график этот показывает гладкую функцию без перегибов с одним минимумом. Это значит, что чем ближе размер заказа к EOQ, тем меньше издержки и наоборот. Следовательно, в тех случаях, когда мы не можем выбрать размер заказа равным EOQ, мы должны взять реально возможную величину заказа, наиболее близкую к экономичному размеру заказа.
В случае с покупкой болтов по цене 5 руб. - это верхняя граница диапазона, т.е. 4999 штук.
Поэтому в таблицу () кроме строки для расчета EOQ добавлена строка “Реальный Q” - реальный размер заказа. В этой строке мы будем записывать тот размер заказа, который выбираем на самом деле. Конечно, в жизни мы можем выбирать реальный размер заказа отличным от теоретически оптимального не только из-за диапазонов действия цен. Скажем, во втором столбце, EOQ равен 7563.6 и попадает в диапазон действия цены 4.6 руб. - от 5000 до 19999. Но не можем же мы заказать дробное число болтов. Значит, как минимум надо выбрать реальный размер заказа, как округленное до целых значений EOQ. Кроме того, часто бывает, что штучный товар фасуется в стандартную тару. В этом случае нужно заказывать партию так, чтобы получалось целое число коробок или ящиков и т.п. Могут быть и другие причины, заставляющие отклоняться от теоретической величины оптимального заказа. Поэтому не существует никакой стандартной формулы для реального Q.
В сложных случаях реальный Q можно проставить вручную с учетом известных вам условий. А в нашей задаче можно написать и формулу, так как выбор достаточно прост. Такая формула и записана в ячейке B8. Словами действие формулы можно описать следующим образом. Если размер EOQ больше или равен минимально возможной партии и меньше или равен максимально возможной партии, выбираем реальный размер заказа равным EOQ. Если это не так, то если EOQ меньше минимальной партии, выбираем реальный размер заказа равным минимальной партии, а иначе выбираем размер заказа равным максимально возможной партии (т.к. EOQ оказался больше, чем максимальная партия).
Формулы для расчета TH, TS и T очевидно нет нужды комментировать. Заметим только, что опять знаки $ добавлены так, чтобы формулы можно было протягивать. Полная величина издержек включает в себя не только T, но и сумму, истраченную на покупку годового запаса болтов. Годовой запас здесь взят потому, что издержки хранения и заказа тоже вычислены в расчете на год.
Все вновь введенные формулы так же, как и формула для EOQ, протягиваются вправо на все шесть ячеек. В результате получаем следующую таблицу (). В последней строке таблицы выведены наименьшие
|
|
Поставщик A |
Поставщик B |
|
Порог скидки, макс. |
4 999 |
19 999 |
1 000 000 |
9 999 |
29 999 |
1 000 000 |
|
мин. |
1 |
5 000 |
20 000 |
1 |
10 000 |
30 000 |
|
Цена |
5 |
4.6 |
4.4 |
4.8 |
4.5 |
4.3 |
|
EOQ |
7 254.8 |
7 563.6 |
7 733.6 |
7 404.4 |
7 647.2 |
7 823.0 |
|
Реальный Q |
4 999 |
7 564 |
20 000 |
7 404 |
10 000 |
30 000 |
|
TH |
4 749 |
6 611 |
16 720 |
6 753 |
8 550 |
24 510 |
|
TS |
10 002 |
6 611 |
2 500 |
6 753 |
5 000 |
1 667 |
|
T |
14 751 |
13 221 |
19 220 |
13 506 |
13 550 |
26 177 |
|
Т+ТС |
264 751 |
243 221 |
239 220 |
253 506 |
238 550 |
241 177 |
возможные издержки при покупке болтов по каждой из шести предложенных цен. Из этих шести значений издержек наименьшей оказывается 238 550 руб., которая получается при покупке болтов у поставщика B партиями по 10 тыс. штук по цене 4.5 руб. за штуку. __
Из таблицы видно, что покупка болтов по меньшей цене, но более крупными партиями по 20 -30 тыс. штук оказывается чуть дороже, так как предлагаемые скидки полностью съедаются потерями от замораживания капитала при такой политике закупок.
4.П-2. Строительная фирма
Строительная фирма из Подмосковья, специализирующаяся на кровельных работах, использует большое количество металлочерепицы (около 35 000 кв. м в год). При небольших закупках, скажем на одну кровлю (~ 150 кв. м.), один метр черепицы стоит $10.2. При заказе 900 кв. м и более цена 1 кв. м снижается на $0.5. При крупных заказах свыше 3000 кв. м скидка составляет уже 7.5% и наконец при заказе партии в 8000 кв. м дилер устанавливает цену в $9.3 за кв. м, т.к. это количество составляет ровно 1 контейнер и дилеру не приходится самому формировать заказ. Издержки по оформлению заказа и его доставке составляют $500.
Средний доход по рублевым вкладам в регионе составляет 15%. Учтите, что вследствие некоторых обстоятельств неэкономического характера, перенос запасов на следующий год крайне нежелателен.
a. Какой план заказов Вы бы предложили в этой ситуации?
b. Каковы были бы издержки в этом случае?
Решение задачи.
Задача очень близка к рассмотренной нами ранее задаче 3.1, однако в ней есть один интересный момент, который нужно разобрать отдельно.
|
|
A |
B |
C |
D |
E |
F |
G |
|
1 |
h |
S |
D |
|
|
|
|
|
2 |
15% |
500 |
35 000 |
|
|
|
|
|
3 |
|
|
|
|
4 |
Порог скидки, макс. |
899 |
2 999 |
7 999 |
1 000 000 |
|
|
|
5 |
мин. |
1 |
900 |
3 000 |
8 000 |
|
|
|
6 |
Цена |
10.2 |
9.7 |
9.435 |
9.3 |
|
|
|
7 |
EOQ |
=КОРЕНЬ(2*$C$2*$B$2/(B6*$A$2)) |
|
|
|
8 |
Реальный Q |
=ОКРУГЛ(ЕСЛИ(И(B7>=B5;B7<=B4);B7;ЕСЛИ(B7 |
|
9 |
Число заказов |
=$C$2/B8 |
|
|
|
|
|
10 |
TH |
=B8/2*$A$2*B6 |
|
|
|
|
|
11 |
TS |
=$C$2/B8*$B$2 |
|
|
|
|
|
|
T |
=B10+B9 |
T |
|
|
|
|
12 |
Т+ТС |
=B11+$C$2*B6 |
|
|
|
|
|
|
Рис. 179 |
Организация задачи на листе Excel такая же, как и в предыдущей задаче (), с учетом того, что имеется только один поставщик. Отметим также немного модифицированную формулу для расчета реального заказа в строке B8:E8. По сравнению с формулой, использованной нами ранее добавлена функция =ОКРУГЛ( ). Эта функция используется в Excel для того, чтобы округлять числа до нужного числа знаков после (до) запятой. Наша запись =ОКРУГЛ( выражение; 0) означает, что будет проведено округление до целых (ни одного знака после запятой). А если бы нам потребовалось округлить число до десятков, мы написали бы =ОКРУГЛ(выражение; -1).
Кроме этой косметической поправки добавлена строка, в которой вычисляется количество заказов в год путем деления годовой потребности на реальный размер заказа.
|
h |
S |
D |
|
|
|
15% |
500 |
35 000 |
|
|
|
|
|
|
|
|
|
Порог скидки, макс. |
899 |
2 999 |
7 999 |
1 000 000 |
|
мин. |
1 |
900 |
3 000 |
8 000 |
|
Цена |
10.2 |
9.7 |
9.44 |
9.3 |
|
EOQ |
4 782.9 |
4 904.6 |
4 971.7 |
5 009.0 |
|
Реальный Q |
899.0 |
2 999.0 |
4 972.0 |
8 000.0 |
|
Число заказов |
38.932 |
11.671 |
7.039 |
4.375 |
|
TH |
688 |
2 182 |
3 520 |
5 580 |
|
TS |
19 466 |
5 835 |
3 520 |
2 188 |
|
T |
20 154 |
8 017 |
7 040 |
7 768 |
|
Т+ТС |
377 154 |
347 517 |
337 440 |
333 268 |
|
|
Рис. 180 |
После протягивания формул получаем результат, представленный в следующей таблице (). ___
Выберем наименьшие издержки в последней строке таблицы. Эти издержки - $333268 - соответствуют размеру заказа 8000 кв. м. Таким образом выгоднее всего заказывать каждый раз по 8000 кв. м.
Однако если посмотреть на число заказов в год для этой величины заказа, мы увидим, что оно не целое ~ 4.4 заказа. На практике это означает, что в двух годовых периодах из пяти будет сделано 5 заказов, а в оставшихся трех - 4 заказа. Если поделить число дней в году на 4.4, то мы найдем, что промежуток между заказами составляет 83 дня. Обычно это не создает никаких проблем. Но в этой задаче поставлено условие - переноса остатков на другой год быть не должно. Для нас это значит, что число заказов в год должно быть целым.
Такое условие соответствует тому, что каждый год заказы будут делаться в одно и то же время. Это бывает удобно и для заказчика и для поставщика, так как облегчает планирование.
Рассмотрим другие варианты заказов. Во-первых, можно заметить, что ни в одном из четырех рассмотренных нами случаев число заказов не получилось целым. Наиболее близким к целому числу получилось количество заказов при покупке металлочерепицы по цене $9.44. Если заказывать не по 4972 кв. м., как советует теория, а по 5000, то как раз и получится ровно 7 заказов в год. Причем общие издержки в этом случае то же невелики и не могут сильно вырасти при столь незначительном отклонении от EOQ.
Сразу очевидно, что нет смысла пробовать вариант закупки партиями по 7000 кв. м., т.к. ценовой диапазон остается тем же самым, дисконтной скидки нет, но зато величина 7000 гораздо больше отличается от EOQ, чем 5000.
Во-вторых, если выбирать только среди равных по величине заказов, то есть смысл попробовать вариант 4 заказов в год, что соответствует реальному заказу 8750 кв. м. В этом случае скидка действует, так что можно надеяться на неплохой результат, несмотря на большее отклонение от EOQ.
В-третьих, вовсе не обязательно выбирать равные по размеру заказы. Так как заказ партиями по 8000 кв. м. выгоднее всего, то можно попробовать сделать 4 заказа по 8000 кв. м. и 1 заказ на 3000 кв. м. или 3 по 8000 кв. м. и 2 по 5500 кв. м.
Сделаем расчеты для всех этих вариантов. Результаты представлены в таблице (). По сравнению с предыдущей таблицей добавлена еще одна строка снизу, озаглавленная “Итог”. Дело в том, что придется еще отдельно от
|
Вариант |
1 |
2 |
3 |
4 |
|
Порог скидки, макс. |
7 999 |
1 000 000 |
7 999 |
1 000 000 |
7 999 |
1 000 000 |
|
мин. |
3 000 |
8 000 |
3 000 |
8 000 |
3 000 |
8 000 |
|
Цена |
9.44 |
9.3 |
9.44 |
9.3 |
9.44 |
9.3 |
|
EOQ |
4 971.7 |
5 009.0 |
4 971.7 |
5 009.0 |
4 971.7 |
5 009.0 |
|
Реальный Q |
5 000 |
8 750 |
5 500 |
8 000 |
3 000 |
8 000 |
|
Число заказов |
7 |
4 |
2 |
3 |
1 |
4 |
|
TH |
3 540 |
6 103 |
3 894 |
5 580 |
2 124 |
5 580 |
|
TS |
3 500 |
2 000 |
3 182 |
2 188 |
5 833 |
2 188 |
|
T |
7 040 |
8 103 |
7 076 |
7 768 |
7 957 |
7 768 |
|
Т+ТС |
337 440 |
333 603 |
337 476 |
333 268 |
338 357 |
333 268 |
|
Итог |
|
|
334 590 |
333 704 |
|
|
Рис. 181 |
Посмотрите на итог расчетов по первому и второму вариантам. В обоих случаях в качестве реального Q выбраны величины, отличные и от EOQ, и от порогов скидки. Но во втором варианте издержки меньше.
Третий вариант представляет систему неравных заказов, поэтому при расчете по прежней схеме мы получаем два значения годовых издержек: издержки $337 476 соответствуют тому, что мы делаем в течение года равные заказы размером 5500 кв. м., а издержка $333 268 - тому, что делаем в течение года заказы размером 8000 кв. м. Но ведь на самом деле это не так. На деле какую-то часть года мы делаем заказы по 5500, а остальное время - по 8000. Можно даже точно сказать, как распределяться эти доли, полагая, что расход материала равномерный. Так как по системе заказов по 5500 кв. м. мы получим 11000 кв. м. черепицы, а по системе заказов по 8000 кв. м. - 24000 кв. м., резонно будет сделать вывод, что 11/35 года делались заказы по 5500, а 24/35 года - по 8000 кв. м. Оказывается, что для вычисления годовых расходов при неравных заказах, суммы расхода, полученные в строке T+TC, нужно просто взвесить с весами, пропорциональными времени действия каждого размера заказа. Таким образом и получено число в строке “Итог” для третьего варианта выбора заказов: 334590 = 11/35*337476 + 24/35*333268. Ну и вывод, третий вариант оказался лучше первого, но хуже второго.
В четвертом варианте, так же с неравными заказами, периоды действия заказов по 3000 кв. м. и 8000 кв. м. равны 3/35 и 32/35 года соответственно. Взвешивание годовых расходов из строки T+TC дает итоговую сумму издержек
$333704 - так же очень хороший результат. Однако вариант 2 остался чуть более выгодным.
В результате получилось, что кроме очевидного варианта заказа 7 раз по 5000 кв. м. нашлось еще 3 возможных варианта, и все они выгоднее первого.
Снова отметим, что вполне возможно, что некоторые другие обстоятельства, не укладывающиеся в рамки модели, принудят нас к выбору системы заказов, отличной от оптимальной. Например, кто-то попросит использовать именно первый вариант системы. Допустим, что к этой просьбе желательно прислушаться, по каким-то обстоятельствам. Но мы будем знать, по крайней мере, что это решение стоит нам около $3800 и принимать окончательное решение, что называется, с открытыми глазами.
4.П-3. Лов рыбы
Фирма, занимающаяся промышленным ловом рыбы, нуждается в закупках горючего. Ежемесячные потребности рыболовецкой флотилии в дизельном топливе (в тоннах) представлены в таблице. |
|
Месяц |
ю
X |
со
е |
Он
аЗ |
а
С
< |
Май |
X
2
К |
ч
2
К |
U
со
< |
X
<и
О |
О |
ч
о
к |
и
к
« |
|
Спрос |
о
о |
о
о |
о
о
00 |
о
о
о |
о
о
?О |
о
о
о |
о
о
о |
о
о
00 |
о
о
г-' |
о
о |
о
о
ч- |
о
о
ч- |
|
Стоимость тонны горючего - $200, а издержки хранения, рассчитанные по внутренней норме доходности фирмы, составляют $15 в месяц на каждую тонну.
Новый заказ на поставку горючего влечет за собой издержки в размере $20000, не зависящие, при тех масштабах закупок, которые осуществляет фирма, от объема поставки.
a. Сформулируйте задачу линейной оптимизации.
b. Составьте план закупок горючего на год так, чтобы минимизировать общие издержки хранения и запуска. Какова будет сумма издержек?
c. Сравните оптимальные издержки с вариантами закупки всего годового запаса горючего либо сразу (в январе), либо ежемесячно.
d. Финансовый отдел требует не производить закупки горючего в августе, в связи с приходящимися на этот месяц большими выплатами. Изменит ли это требование план закупок? Как изменятся общие издержки?
Указание: если при запуске «Поиска решения» появится сообщение «Условия линейной модели не удовлетворяются», ответьте ОК и запустите «Поиск решения» еще раз.
Решение задачи.
Эта задача принадлежит к типу задач о выборе размера лота, и относится, таким образом, к теме управление запасами. Более точно можно сказать, что это задача на управление запасами в условиях, когда спрос в предстоящий период времени является детерминированным (т.е. не случайным), но существенно
переменным. Как вы можете видеть из соответствующего раздела учебников [14] и [11-15], методы решения подобных задач в теории управления запасами имеются, но, к сожалению, они не достаточно эффективны. В то же время по своей постановке задача выглядит как типичная задача линейной целочисленной
оптимизации.
Для предварительного расчета издержек при различных вариантах времени и размеров заказов, о чем спрашивается в вопросе с, можно составить следующую
|
(): |
|
|
A |
B |
C |
D |
E |
F |
G |
H |
I |
|
1 |
|
|
|
|
|
|
|
|
|
|
2 |
|
Dв год = |
7800 |
|
|
|
|
|
|
|
3 |
Себестоимость |
200 |
Стоимость = |
=C3*C2 |
Полные издержки = |
=F3+I21 |
|
4 |
Издержки хранения = |
15 |
Издержки заказа = |
20 000 |
|
|
|
|
5 |
|
|
|
|
|
|
|
|
|
|
6 |
Месяіц |
Спрос |
ЛОТ |
|
|
Остаток на
складе |
Издержки храпенин |
Издержки
дакада |
Полные
издержки |
|
7 |
|
|
|
|
|
|
|
|
|
|
8 |
Янв |
100 |
7800 |
=ЕСЛИ^8>0; 1 ;0) |
|
=C8-B8 |
=$C$4*F8 |
=D8*$F$4 |
=I7+G8+H8 |
|
9 |
Фев |
500 |
|
=ЕСЛИ(C9>0;1;0) |
|
=F8+C9-B9 |
=$C$4*F9 |
=D9*$F$4 |
=I8+G9+H9 |
|
|
|
|
|
|
|
|
|
|
|
|
19 |
Дек |
400 |
|
=ЕСЛИ(Ш9>0;1;0) |
|
=F18+C19-B19 |
=$C$4*F19 |
=D19*$F$4 |
=I18+G19+H19 |
|
20 |
|
=СУММ
(B8:B19) |
=СУММ^8
:C19) |
|
|
|
=СУММ^
8:G19) |
=СУММ(Ш:
H19) |
|
|
21 |
|
|
|
|
|
|
Целевая функция = |
=I19 |
|
|
Рис. 182 |
таблицу
В этой таблице в ячейках С8-С19 нужно записывать количества горючего, закупаемого в каждом из месяцев. Для начала в ячейке С8 проставлено число 7800, что соответствует покупке всего необходимого на год горючего в начале года. В ячейках B8-B19 содержатся значения спроса или расхода горючего. На основе этих данных в ячейках F8-F19 подсчитывается остаток на складе в конце каждого месяца. Сначала, для января, как разница между закупленным и израсходованным в этом месяце горючим, а в следующих ячейках - сумма с нарастающим итогом, учитывающая остаток горючего в предыдущем месяце. Таким образом, в ячейке F19 мы имеем остаток горючего на конец года.
Значения остатков горючего в ячейках F8-F19 нужны не только для того, чтобы отслеживать возникновение дефицита горючего (а его быть не должно), но и для расчета издержек хранения. Издержки хранения горючего рассчитываются в ячейках G8-G19 как остаток горючего в конце месяца умноженный на стоимость его хранения ($15 в нашем случае) в течение месяца. Все эти издержки для лучшей ориентировки в результатах суммируются в G20.
В тех случаях, когда в текущем месяце закупается партия горючего, к общим издержкам следует добавить издержку заказа. Для этого в ячейках D8-D19 используются формулы вида =ЕСЛИ(С8>0;1;0). Эта формула дает следующий результат: если в ячейке С8 содержится число, большее 0 (т. е. закуплено горючее), значение ячейки D8 будет равно 1, если в ячейке С8 - 0, значение ячейки D8 будет равно 0. Следовательно, для всех месяцев, в которых закупалось горючее, в ячейках D8-D19 будут стоять 1, а для остальных - нули. Эти значения использованы в ячейках H8-H19 для подсчета издержек заказа по очевидной формуле.
И, наконец, в ячейках /8-/19 издержки хранения и издержки заказа из столбцов G и H суммируются с нарастающим итогом в результате чего в ячейке /21 мы имеем сумму всех этих издержек.
Вверху, в ячейке /3, общие издержки хранения и заказа складываются с постоянными издержками, равными стоимости горючего за год. В следующей таблице даны результаты расчетов в соответствии с изложенной схемой для заказа всего горючего в начале года ():____
|
Вв год |
7800 |
|
|
|
|
|
|
|
Себестоимость= |
200 |
Стоимость= |
1 560 000 |
Полные издержки= |
2 219 000 |
Издержки
хранения= |
15 |
Издержки заказа= |
20 000 |
|
|
|
|
|
|
|
|
|
|
|
|
|
|
Месяц |
Спрос |
ЛОТ |
|
|
Остаток на складе |
Издержки
храаення |
Издержки
заказа |
Полные
издержки |
|
|
|
|
|
|
|
|
|
|
|
Янв |
100 |
7800 |
1 |
|
7700 |
115 500 |
20 000 |
135 500 |
|
Фев |
500 |
|
0 |
|
7200 |
108 000 |
0 |
243 500 |
|
Мар |
800 |
|
0 |
|
6400 |
96 000 |
0 |
339 500 |
|
Апр |
1000 |
|
0 |
|
5400 |
81 000 |
0 |
420 500 |
|
Май |
600 |
|
0 |
|
4800 |
72 000 |
0 |
492 500 |
|
Июн |
1000 |
|
0 |
|
3800 |
57 000 |
0 |
549 500 |
|
Июл |
1000 |
|
0 |
|
2800 |
42 000 |
0 |
591 500 |
|
Авг |
800 |
|
0 |
|
2000 |
30 000 |
0 |
621 500 |
|
Сен |
700 |
|
0 |
|
1300 |
19 500 |
0 |
641 000 |
|
Окт |
500 |
|
0 |
|
800 |
12 000 |
0 |
653 000 |
|
Ноя |
400 |
|
0 |
|
400 |
6 000 |
0 |
659 000 |
|
Дек |
400 |
|
0 |
|
0 |
0 |
0 |
659 000 |
|
|
7800 |
7800 |
|
|
|
639 000 |
20 000 |
|
|
|
|
|
|
|
|
Целевая с |
зункция= |
659 000 |
|
|
Рис. 183 |
Эти результаты потребуются для ответа на вопрос с. Если же записать в ячейки С8-С19, где выбираются размеры лотов (партий горючего), значения, равные спросу в каждом месяце, получим издержки при ежемесячном заказе. Эти издержки составят: $240000 - целевая функция и $1800000 - полные издержки. Таким образом, ежемесячный заказ дает экономию в $419 тыс.
Найдем теперь оптимальный план закупок, соответствующий минимальным возможным издержкам. Здесь следует отметить, что задача нами уже почти построена: целевая функция - общие издержки хранения и заказов, переменные - значения лотов для каждого месяца, ограничение - отсутствие дефицита. Одна неувязка - функцию =ЕСЛИ() в задаче линейной оптимизации использовать нельзя, она нелинейная (в математике ее график представляют прямоугольной ступенькой и называют функцией Хевисайда). Такая функция обычно заведет в тупик и алгоритм нелинейной оптимизации. Если в надстройке Поиск решения снять условие линейной модели и попробовать минимизировать целевую функцию в таблице 1.16 с отмеченными переменными решениями и ограничениями, программа не возразит, но и приемлемого результата не даст. Поэтому придется использовать прием, служащий в математике для замены функции =ЕСЛИ().
Для этого в тех ячейках, в которых были записаны эти функции, разместим дополнительные переменные двоичного типа. Теперь переменных у нас будет не 12, а 24 - 12 размеров лотов и 12 указателей на то, сделан заказ или нет. Так как схема расчета издержек, построенная нами ранее предполагает, что в ячейках D8-
|
D19 записаны нули и единицы, показывающие, был заказ или нет, то никаких исправлений в других формулах не потребуется ():___ |
|
|
A |
B |
C |
D |
E |
F |
G |
H |
I |
|
1 |
|
|
|
|
|
|
|
|
|
|
2 |
|
Dв год = |
7800 |
|
|
|
|
|
|
|
3 |
Себестоимость |
200 |
Стоимость = |
=C3*C2 |
Полные издержки = |
=F3+I21 |
|
4 |
Издержки хранения = |
15 |
Издержки заказа = |
20 000 |
|
|
|
|
5 |
|
|
|
|
|
|
|
|
|
|
6 |
Месяц |
Спрос |
ЛОТ |
|
|
Остаток на складе |
Издержки
хранения |
Издержки
заказа |
Пол woe
издержки |
|
7 |
|
|
|
|
|
|
|
|
|
|
8 |
Янв |
100 |
7800 |
1 |
=C8-100000*D8 |
=C8-B8 |
=$C$4*F8 |
=D8*$F$4 |
=I7+G8+H8 |
|
9 |
Фев |
500 |
|
0 |
=C9-100000*D9 |
=F8+C9-B9 |
=$C$4*F9 |
=D9*$F$4 |
=I8+G9+H9 |
|
|
|
|
|
|
|
|
|
|
|
|
19 |
Дек |
400 |
|
0 |
=C19-100000*D19 |
=F18+C19-B19 |
=$C$4*F19 |
=D19*$F$4 |
=I18+G19+H19 |
|
20 |
|
=СУММ
(B8:B19) |
=СУММ(
C8:C19) |
|
|
|
=СУММ^
8:G19) |
=СУММ(Ш:
H19) |
|
|
21 |
|
|
|
|
|
|
Целевая функция = |
=I19 |
|
|
Рис. 184 |
Вызовем надстройку Поиск решения и зададим параметры задачи: целевая ячейка - I21, цель - минимум, переменные - C8-D19, ограничения - F8-F19>=0, D8-D19 = двоичные, линейная модель, неотрицательные значения переменных. Запуск Поиска решения на выполнение принесет неприятный результат - хотя заказы были сделаны, значения двоичных переменных остались равными 0. Этого и следовало ожидать, ведь никакой связи между заказами и двоичными переменными мы для Поиска решения не указали, поэтому он выбрал «наилучшие» значения.
Чтобы ввести такую связь запишем в ячейки E8-E19 линейные выражения вида = C8 - 100000*D8 (об использовании этого дополнительного условия, типичного для задач с целочисленными ограничениями, читайте в учебном пособии [1]). А затем добавим в параметрах поиска решения новое ограничение: E8-E19 <= 0. Теперь, после модификации, запуск поиска решения принесет долгожданный результат ():
|
Ов год |
7800 |
|
|
|
|
|
|
|
Себестоимость= |
200 |
Стоимость= |
1 560 000 |
Полные издержки= |
1 740 000 |
Издержки
хранения= |
15 |
Издержки заказа= |
20 000 |
|
|
|
|
|
|
|
|
|
|
|
|
|
|
Месяц |
Спрос |
ЛОТ |
|
|
Остаток на складе |
Издержки
хранения |
Издержки
дакада |
Полные
издержки |
|
|
|
|
|
|
|
|
|
|
|
Янв |
100 |
600 |
1 |
-99400 |
500 |
7 500 |
20 000 |
27 500 |
|
Фев |
500 |
0 |
0 |
0 |
0 |
0 |
0 |
27 500 |
|
Мар |
800 |
800 |
1 |
-99200 |
0 |
0 |
20 000 |
47 500 |
|
Апр |
1000 |
1600 |
1 |
-98400 |
600 |
9 000 |
20 000 |
76 500 |
|
Май |
600 |
0 |
0 |
0 |
0 |
0 |
0 |
76 500 |
|
Июн |
1000 |
2000 |
1 |
-98000 |
1000 |
15 000 |
20 000 |
111 500 |
|
Июл |
1000 |
0 |
0 |
0 |
0 |
0 |
0 |
111 500 |
|
Авг |
800 |
1500 |
1 |
-98500 |
700 |
10 500 |
20 000 |
142 000 |
|
Сен |
700 |
0 |
0 |
0 |
0 |
0 |
0 |
142 000 |
|
Окт |
500 |
1300 |
1 |
-98700 |
800 |
12 000 |
20 000 |
174 000 |
|
Ноя |
400 |
0 |
0 |
0 |
400 |
6 000 |
0 |
180 000 |
|
Дек |
400 |
0 |
0 |
0 |
0 |
0 |
0 |
180 000 |
|
|
7800 |
7800 |
6 |
|
|
60 000 |
120 000 |
|
|
|
|
|
|
|
|
Целевая функция= |
180 000 |
|
|
Рис. 185 |
Введенные нами выражения работают следующим образом.
Если в ячейке C9, например, записано не нулевое количество горючего, то для выполнения условия E9 <= 0 , Поиск решения вынужден будет присвоить переменной D9 значение 1. При этом число 100000, являющееся множителем, выбрано из тех соображений, что оно должно быть на порядок больше любого возможного значения лота. Так как максимальный лот равен 7800, множителя 100000 достаточно. Если бы максимальное значение переменной не могло превышать 50, можно было бы взять множитель 1000.
Если же в ячейке C9 размер заказа 0, то условие C9 - 100000*D9 <= 0 будет выполнено и в случае, если D9 = 0, и в случае, если D9 = 1. Какое же значение выберет Поиск решения? Естественно D9 = 0! Ведь цель задачи -минимизировать издержки, и выбор нулевого значения экономит $20000.
Таким образом, ответы на вопросы a, b и с мы получили. Минимальные полные издержки составят $1740000, что на $60000 лучше, чем при ежемесячном плане заказов. При этом будет сделано 6 заказов.
Чтобы ответить на вопрос d, следует внести в условия поиска минимальные изменения - так как мы видим, что в полученном решении закупки горючего в августе действительно запланированы, внесем дополнительное ограничение: С15 = 0. При этом условии мы получим следующее решение ( ):
|
DB год |
7800 |
|
|
|
|
|
|
|
Себестоимость= |
200 |
Стоимость= |
1 560 000 |
Полные издержки= |
1 742 000 |
Издержки
хранения= |
15 |
Издержки заказа= |
20 000 |
|
|
|
|
|
|
|
|
|
|
|
|
|
|
Месяц |
Спрос |
ЛОТ |
|
|
Остаток на складе |
Издержки
хранения |
Издержки
дакада |
Полные
издержки |
|
|
|
|
|
|
|
|
|
|
|
Янв |
100 |
600 |
1 |
-99400 |
500 |
7 500 |
20 000 |
27 500 |
|
Фев |
500 |
0 |
0 |
0 |
0 |
0 |
0 |
27 500 |
|
Мар |
800 |
800 |
1 |
-99200 |
0 |
0 |
20 000 |
47 500 |
|
Апр |
1000 |
1600 |
1 |
-98400 |
600 |
9 000 |
20 000 |
76 500 |
|
Май |
600 |
0 |
0 |
0 |
0 |
0 |
0 |
76 500 |
|
Июн |
1000 |
1000 |
1 |
-99000 |
0 |
0 |
20 000 |
96 500 |
|
Июл |
1000 |
1800 |
1 |
-98200 |
800 |
12 000 |
20 000 |
128 500 |
|
Авг |
800 |
0 |
0 |
0 |
0 |
0 |
0 |
128 500 |
|
Сен |
700 |
1200 |
1 |
-98800 |
500 |
7 500 |
20 000 |
156 000 |
|
Окт |
500 |
0 |
0 |
0 |
0 |
0 |
0 |
156 000 |
|
Ноя |
400 |
800 |
1 |
-99200 |
400 |
6 000 |
20 000 |
182 000 |
|
Дек |
400 |
0 |
0 |
0 |
0 |
0 |
0 |
182 000 |
|
|
7800 |
7800 |
7 |
|
|
42 000 |
140 000 |
|
|
|
|
|
|
|
|
Целевая функция= |
182 000 |
|
|
Рис. 186 |
По издержкам оно хуже предыдущего всего на $2000.
Задачи для самостоятельного решения
4.1. Выгодное предложение
Потребность в некотором изделии составляет 1000 штук в год. Стоимость размещения каждого заказа — $10; годовые расходы, связанные с хранением изделий в запасе, составляют $2 за каждое изделие.
a. В каких объемах нужно заказывать это изделие?
b. Допустим, что на каждый заказ предоставляется скидка в размере $100, если объем заказа не меньше 500 единиц. Означает ли это, что изделия следует заказывать партиями по 500 единиц, или следует придерживаться решения, принятого в а)?
4.2. Гостиница
Гостиница должна менять 2000 комплектов постельного белья ежегодно. При покупке белья действуют оптовые скидки:
|
Кол-во |
1 - 99 |
100 - 499 |
500 и более |
|
Цена одного комплекта |
20 |
19 |
18 |
Цена хранения одного комплекта на складе 23% от стоимости в год. Расходы по оформлению и размещению заказа на складе $100 за каждый заказ.
Определить оптимальный размер заказа, количество заказов в год и полную стоимость заказа.
4.3. Чековая лента
Крупный магазин использует 12 000 бумажных рулонов для чековых аппаратов в год. Каждый новый заказ чистых рулонов стоит $150, а издержки хранения одного рулона составляют 30% от его стоимости в год. Цена одного рулона равна $1.90, если размер заказа до 2999 рулонов; $1.82 если размер заказа от 3000 до 5999 рулонов, $1.74 , если размер заказа 6000 и выше.
a. Рассчитайте экономический размер заказа для каждого диапазона цен, какой реальный размер заказа может быть выбран в каждом из вариантов цен?
b. Какой размер заказа выбрали бы Вы и как часто Вам пришлось бы делать очередной заказ? Каковы полные издержки в этом случае?
4.4. Военный госпиталь
Военный госпиталь должен менять 1200 комплектов постельного белья ежегодно. Цена одного комплекта 320 руб. Надежный поставщик, с которым госпиталь давно сотрудничает, делает скидки на оптовые закупки белья:
|
Кол-во |
100...299 |
300...999 |
1000.5000 |
Цена одного комплекта,
руб |
300 |
280 |
270 |
Интендантское ведомство полагает, что стоимость хранения одного комплекта на складе составляет 15% стоимости в год. Расходы по оформлению и размещению заказа на складе 800 руб. за каждый заказ.
a. Определить оптимальный размер заказа, количество заказов в год и полную стоимость заказа.
b. Каков будет план заказов при условии, что остатки неиспользованного белья не могут переходить на другой год (т.е. нужно сделать целое число заказов в год и к окончанию года склад должен остаться пустым.
4.5. Закупки в компании Стоик
Менеджер по закупкам компании Стоик Ольга Никитина зарабатывает 18 000 долл. в год, прочие расходы компании, связанные с ее наймом (налоги и проч. ) составляют 2 000 долл . Обеспечение ее рабочего места (аренда офисного пространства, программное обеспечение, интернет и телефон, поездки и проч.) обходится компании в 5000 долл. в год.
За месяц Ольга размещает в среднем 80 заказов. Дальнейшее информационное сопровождение заказов вплоть до принятия партии товара на фирме со стороны других сотрудников компании обходится в 14 долл. за заказ.
Стоимость заимствованных денег для компании равна 14% в год. Разного рода страховые затраты составляют около 5% в расчете на 1 долл. запасов в год. Потери товара при перескладировании можно оценить в 1%.
a. Рассчитайте средние затраты компании на размещение заказов и содержание запасов?
b. Каков оптимальный размер заказа для компьютерных столиков, которые компания закупает в количестве около 3380 штук в год, если известно, что спрос на них практически не испытывает сезонных колебаний, а закупочная цена составляет 100 долл.
c. Какой размер заказа следует выбрать для вращающихся кресел, которые компания закупает в количестве около 5200 штук в год, при тех же условиях, если их закупочная цена равна 30 долл.
d. Какую частоту заказов следует выбрать для заказа, в котором объединены эти две позиции (у них один поставщик). Как при этом изменятся полные издержки.
4.6. Компания К-спойлер
Компания К-спойлер производит сложную лазерную технику. В настоящее время К-спойлер время от времени изготавливает в одном из своих производственных цехов электронное устройство E-472b, которое используется при сборке одного из продуктов компании.
Потребность в устройстве E-472b на следующий год оценивается в 32 тысячи штук. Стоимость устройства .E-472b составляет $60, а суммарные издержки хранения единицы этого устройства составляют $10 за год. Стоимость подготовки заказа и выполнения пуско-наладочных работ для запуска производства очередной партии E-472b в собственном цехе составляет $400.
Завод работает 250 дней в году. Сборочная линия по изготовлению продукта, в котором используется устройство E-472b, также работает 250 дней в году.
Производственный цех, где выпускается устройство, изготавливает 320 таких устройств в день.
a. Подсчитайте экономичный размер заказа.
b. Сколько заказов нужно размещать каждый год? Каковы будут издержки хранения и издержки заказа в расчете на год?
c. Если бы данное устройство можно было покупать в другой фирме (при тех же затратах на оформление заказа в $400, и цене в $60, но с поставкой всего заказа целиком, а не по мере изготовления), каким бы должен быть размер заказа? Каковы будут издержки хранения и издержки заказа в расчете на год в этом случае? Какой вариант экономически более выгоден?
d. Если среднее время выполнения заказа другой фирмой составляет 12 рабочих дней, а уровень резервного запаса составляет 640 штук, какой должна быть точка очередного заказа?
4.7. Горный автомобиль
Южно-российская компания Горец-Авто занимается тюнингом джипов определенной популярной марки с целью приспособления к использованию в горной местности.
Компания заказывает стороннему производителю - мощной машиностроительной компании - специальное устройство, которое устанавливается по одному на каждое колесо джипа. При общем объеме тюнинга в 3000 машин в год, таких устройств требуется 15000 с учетом запасных частей для ремонта. Стоимость одного устройства в закупке - 90 долларов. Кроме этого, т.к. машиностроительная компания заинтересована в более крупных по объему заказах, что снижает издержки запуска нового вида продукции, она устанавливает фиксированную плату «за прием заказа» - 1000 долларов, которая автоматически добавляется к общему счету. Мощности машиностроительной компании позволяют изготавливать 500 устройств в день. (Обе компании работают 250 дней в году.)
Для компании Горец-Авто издержки хранения составляют 42% в год. Транспортные расходы на доставку устройств с предприятия-изготовителя равны 250 долларов на заказ.
a. Подсчитайте экономичный размер заказа устройств у машиностроительной компании. Сколько заказов нужно размещать каждый год? Каковы будут издержки хранения, издержки заказа и полные издержки в расчете на год?
b. Если уровень резервного запаса устройств на фирме Горец-Авто составляет 250 штук, а подготовка заказа к исполнению на машиностроительном предприятии, а затем упаковка и отправка на Горец-Авто занимает 1 день, то при каком количестве устройств на складе соответствующая служба должна сделать новый заказ?
c. Начальник отдела логистики компании Горец-Авто рассматривает вариант изготовления этого устройства на своей производственной базе, после некоторого ее расширения, что потребует вложения около 100 тыс. долларов. При этом будет возможным производить 100 устройств в день, и обходиться они будут по 95 долларов за штуку. Зато издержки запуска для устройства составят всего 200 долларов. Каким должен быть размер заказа собственному производству? Каковы будут издержки хранения и издержки заказа в расчете на год в этом случае? Какой вариант экономически более выгоден?
4.8. Сибирские моторы
Корпорация Сибирские моторы, производитель турбин, работает по 18 часов в сутки, 300 дней в году. Титановые лопасти изготавливаются на специальной установке по производству турбинных лопастей. Производительность этой установки — 500 лопастей в час, а среднее их потребление на линиях сборки турбин — 5000 единиц в день. Установка по производству турбинных лопастей запускается 15 раз в год - каждые 20 рабочих дней - и производит необходимое количество лопастей. Стоимость лопастей — $15 за одну единицу, а издержки хранения составляют $0,10 в день за одну единицу (страховка, проценты на капиталовложения, выделение места для хранения).
Стоимость подготовительных (пуско-наладочных) работ, связанных с каждым очередным запуском в работу установки по производству турбинных лопастей составляет $3000.
a. Рассчитайте издержки хранения и заказа лопастей, связанные с принятым планом производства в корпорации.
b. Можно ли снизить общую сумму издержек за счет изменения плана производства лопастей? Сколько раз в году нужно запускать установку в этом случае?
c. Из-за сложного процесса наладки конечного продукта время от времени линии приходится приостанавливать, поэтому при средней потребности лопастей на сборке в 5000 в день этот спрос варьирует, причем стандартное отклонение составляет 1000 единиц. Если принять, что после подачи заявки на изготовление очередной партии лопастей они начнут поступать на участок сборки лишь спустя сутки, то при каком количестве лопастей на промежуточных складах следует подавать такую заявку?
4.9. Компания Желтый дракон
Принадлежащая г. Сунь Цзы компания Желтый дракон Цзяо покупает у двух разных поставщиков два изделия А и Б, которые она использует в своей производственной системе. Эти изделия требуются постоянно на протяжении всего года (52 недели). Использование изделий А относительно постоянное; эти изделия заказываются каждый раз, когда остающееся их количество снижается до точки очередного заказа. Б заказываются у поставщика, который время от времени, без определенного графика приостанавливает производство данного изделия на три недели, что, разумеется, увеличивает период поставки. Данные по этим двум изделиям следующие.
|
|
А |
Б |
|
Годовая потребность |
10000 |
5000 |
|
Затраты на хранение |
20% |
20% |
|
Затраты на размещение заказа и на пуско-наладочные работы |
$150 |
$25 |
|
Период выполнения заказа |
4 недели |
1 неделя |
|
Резервный запас |
55 штук |
7 штук |
|
Стоимость изделия |
$10 |
$2 |
a. Какой должна быть система управления запасами для А, т.е. какой должна быть величина очередного заказа и какой должна быть точка очередного заказа?
b. Какой должна быть система управления запасами для Б?
4.10. ЖК-панели (бизнес-кейс)
Компания занимается сборкой жидкокристаллических мониторов на заводе «Квант». Производится сборка моделей с экраном 15-, 17-, 18-, 19-дюймов. Большая часть потребительского спроса (около 80%) приходится на 15-дюймовые мониторы.
Поставки жидкокристаллических панелей и комплектующих деталей осуществляются из Кореи. Большую часть общей стоимости 15-дюймого ЖК-монитора составляет стоимость панели. Поэтому компания стремится минимизировать расходы на данный определяющий фактор.
В настоящее время основным поставщиком ЖК-панелей для компании является фирма «CARDINAL». Однако фирма «SYSCOM», давний партнер компании, вышла с новыми предложениями по поставке панелей в следующем году.
|
SYSCOM |
|
Количество |
Цена |
|
до 5000 |
205 |
|
5000-10000 |
200 |
|
свыше 10000 |
196 |
|
CARDINAL |
|
Количество |
Цена |
|
до 3000 |
204 |
|
3000-6000 |
201 |
|
свыше 6000 |
198 |
Издержки хранения панели оцениваются примерно в 31% в год от стоимости. Расходы по оформлению и доставке составляют 10000 долларов США. Панели пакуются в стандартные короба по 96 штук. Планируемая потребность в будущем году - 50000 панелей.
a. Определите, какой поставщик предлагает более выгодные условия.
b. Какие панели и какой размер заказа следует выбрать при одинаковом качестве панелей и одинаковой стоимости доставки?
c. Изменится ли ваш выбор, если «CARDINAL» предложит сбросить один доллар с цены при покупке панелей только у них?
4.11. Совхоз Чапаевец
|
Заказываемое кол-во |
Цена единицы, руб. за 1 кг. |
|
До 10 тонн |
7.00 |
|
От 10 тонн до 1 вагона |
6.30 |
|
1 или 2 вагона |
5.87 |
|
Больше 2 вагонов |
5.46 |
Совхоз Чапаевец нуждается в двойном суперфосфате в количестве 200 тонн в год в ближайшие несколько лет. Главный агроном г. Боднарук нашел через Интернет предложение солидной компании, осуществляющей поставки фасованных в полипропиленовые мешки удобрений. Эта компания работает с мелкими и средними потребителями удобрений, при этом для различных объемов поставок действуют различные цены.__
Совхоз готов закупать удобрения в течение 6 месяцев в году, когда имеется возможность вносить их в почву. Издержки, связанные с заказом партии и ее поставкой составляют 9000 руб.
Внутренняя норма прибыли совхоза может быть оценена в 70% в год. Один вагон соответствует 50 тоннам. По территории совхоза проходит железнодорожный путь, имеется разгрузочная площадка со складом, так что дополнительные транспортные расходы пренебрежимо малы.
a. Какой размер заказа минимизирует общие затраты? Каковы они для идеального случая?
b. Очевидно, что переход запаса на следующий год не выгоден. Поэтому следует выбрать размер заказа так, чтобы в году (точнее в полугодии) было сделано целое число заказов, или вообще выбрать несколько разных по размеру поставок. Подумайте, как подсчитать издержки в этом последнем случае. Решите, какое количество удобрений и в какие сроки следует заказывать, если переход запаса на следующий год не допустим? Подтвердите все свои выводы расчетами.
4.12. Фирма ТорАгро-В
Фирма ТорАгро-В должна закупать сырье для производства специального ветеринарного препарата в количестве 4 тонн в год. Закупка может быть сделана у трех разных поставщиков, два из которых могут реализовывать различные по величине партии продукции и предлагают систему скидок, а еще один поставщик продает это сырье только партиями величиной в 1500 кг.
Поставщик из Ярославля предлагает следующие условия продажи: при покупке менее 100 кг - $20.00 за 1 кг. от 100 кг до 500 кг - $19.50 за 1 кг.
от 500 кг и более - $19.10 за 1 кг.
Поставщик из Тульской области предлагает другие цены и пороги скидок: при покупке менее 200 кг - $19.6 за 1 кг. от 200 кг до 999 кг - $19.10 за 1 кг.
от 1000 кг и более - $18.50 за 1 кг.
Оптовый поставщик из Рязани продает партии кратные полутора тоннам в специальной упаковке по цене $18.4 за кг.
Издержки хранения для фирмы ТорАгро-В можно принять равными 55% от стоимости сырья в год. Стоимость исполнения заказа - $50.
a. Рассчитайте экономичные размеры заказов для каждого предложения.
b. Какое предложение самое выгодное для ТорАгро-В? Какими партиями следует покупать сырье? Подтвердите все свои выводы расчетами.
4.13. Крыша
Строительная фирма, специализирующаяся на кровельных работах, использует большое количество металлочерепицы (около 20 000 кв. м в год). При небольших закупках, скажем на одну кровлю (~ 150 кв. м ), один метр черепицы стоит $9.5. При заказе 800 кв. м и более цена 1 кв. м снижается на $0.6. При крупных заказах свыше 3000 кв. м скидка составляет уже 8% и наконец при заказе партии в 9000 кв. м дилер устанавливает цену в $8.5 за кв. м, т.к. это количество составляет ровно 1 контейнер и дилеру не приходится самому формировать заказ. Издержки по оформлению заказа и его доставке составляют $600.
Средний доход по рублевым вкладам в регионе составляет 16%. Учтите, что вследствие некоторых обстоятельств неэкономического характера, перенос запасов на следующий год крайне нежелателен.
a. Какой план заказов Вы бы предложили в этой ситуации?
b. Каковы были бы издержки в этом случае?
4.14. Предприятие АСЗ
Предприятие АСЗ изготавливает промышленные станки-роботы для металлообработки. На следующий год запланировано произвести 44 тысячи станков нескольких моделей.
Однако предприятие имеет проблемы с тарой для своей продукции. Хорошего партнера, изготавливающего тару, у предприятия пока нет, упаковка получается ненадежной, что приводит к повреждениям продукции при транспортировке, нареканиям клиентов и высоким дополнительным издержкам (около 300 млн. руб. в год).
Отдел по работе с клиентами мебельной фабрики «Северянка», расположенной в том же городе, случайно получил информацию о проблемах с упаковкой продукции у АСЗ и предложил конструкторам и отделу маркетинга изучить возможность сотрудничества с АСЗ. В результате АСЗ получил предложение мебельной фабрики об изготовлении упаковочных комплектов для станков в количестве до 100 тысяч в год при цене в 5000 рублей за комплект, включающий все необходимое для упаковки. При этом «Северянка» готова, после уточнения параметров упаковки и проведения испытаний заказчиком, в кратчайшие сроки выйти на производительность 500 комплектов в день.
В том случае, если мощности «Северянки» по производству тары не будут загружены полностью, а заказы на упаковочные комплекты будут поступать периодически, мебельная фабрика вынуждена будет добавлять к стоимости заказа 400 тыс. рублей - издержки, связанные с переходом на другую продукцию.
Менеджерам АСЗ прототип упаковочного комплекта очень понравился, однако цена упаковки при этом превысила прежнюю в 10 раз, что поначалу вызвало у них резкое неприятие. Возникла идея создать упаковочное производство на своей промышленной площадке.
Расчеты показали, что это возможно, но при плановой мощности в 50 тыс. комплектов потребует вложения около 50 млн. рублей и даст возможность получить комплекты по цене лишь немногим меньшей, а именно - 4500 руб.
Оба предприятия работают 250 дней в году. Менеджеры АСЗ оценивают издержки хранения в 75% в год.
a. Подсчитайте экономичный размер заказа упаковки у «Северянки».
b. Сколько заказов нужно размещать каждый год? Каковы издержки хранения и издержки заказа в расчете на год? Какова будет в этом случае общая сумма затрат?
c. Каковы полные годовые издержки в случае разворачивания собственного производства упаковки? Какой вариант - собственное производство или покупка упаковки экономически более выгоден?
d. Когда менеджеры АСЗ разрабатывали проект собственного производства упаковки, они заложили плановую мощность 50 тыс. комплектов в год, так как столько получалось исходя из мощностей оборудования. На деле, реальная мощность составила 52 тыс. комплектов в год. С учетом перспективы роста это даже неплохо, но в настоящее время производство упаковки простаивает чуть ли не 2 месяца в году. Представитель завода в соседней области нашел потенциального клиента, который хотел бы получать аналогичный тип упаковки для своей продукции в количестве 10 тыс. комплектов в год по цене 5000 руб. (при себестоимости для АСЗ 4500 руб.). Но он желает получать свой заказ раз в месяц равными долями. АСЗ перенастройка оборудования с заказа на заказ обойдется в 300 тыс. рублей. Принять ли это предложение? (Учтите, что в этом случае недостающие 2000 комплектов, которые АСЗ не успеет произвести на своем оборудовании, придется заказать у «Северянки», и они соглашаются выполнять такой заказ 1 раз в год.).
e. Имеет ли смысл пытаться договориться с «Северянкой» и заводом-клиентом насчет лучшего для АСЗ графика заказов. Каковы издержки при таком наилучшем для АСЗ плане.
4.15. Сеть магазинов «Деловой костюм»
Компания, управляющая сетью магазинов Деловой костюм, имеет отдел закупок, в котором работают три человека. Заработная плата управляющего отделом 2000 долл., а двух менеджеров - по 1000 долл. в месяц. Большая часть закупок совершается в офисе фирмы, так как многие из поставщиков работают с компанией не первый год и предпочитают сами привозить образцы товара и заодно проводить переговоры о закупках, однако некоторая часть товара закупается у новых или очень удаленных поставщиков. Поэтому компания несет дополнительные расходы, связанные с командировками менеджеров, примерно составляющие 10000 долл. в год. Еще около 2000 долл. в год теряется на закупке образцов различных товаров, которые впоследствии не продаются. На оплату мобильной связи, Интернета и проч. уходит 250 долл. в месяц. Кроме этого
поддержка рабочих мест для сотрудников (компьютеры, офисное оборудование, расходные материалы и проч.) стоит компании примерно 2000 долл. ежегодно. Отдел закупок делает около 1500 заказов поставщикам в год.
Хотя наценка на товар в магазинах фирмы составляет в среднем 50%, однако накладные расходы велики, так что с учетом срока оборачиваемости товара около 3 мес. чистый доход составляет 40% в год.
a. Компания закупает для своей сети магазинов 12 тыс. женских костюмов от фирмы Бизнес-вумен дресс в год. Закупочная цена костюмов - 100 долл. за единицу. Транспортные расходы на доставку партии товара составят 60 долл. Эти расходы остаются постоянными, если закупать не более 4000 костюмов, так как выполняются одним и тем же грузовичком. Менеджер по закупкам покупает эти костюмы партиями по 1000 единиц. Найдите суммарные годовые издержки компании, связанные с хранением и заказом этого товара. Так как прямые издержки, связанные с обработкой товара на складе компании, составляют не более 0,5% от стоимости товара, считайте, что издержки хранения связаны только с замораживанием денег.
b. Рассчитайте оптимальный размер заказа женских костюмов от фирмы Бизнес-вумен дресс. Найдите суммарные годовые издержки компании, связанные с хранением и заказом этого товара в случае оптимального по размеру заказа.
c. Менеджер по продажам на фирме Бизнес-вумен дресс заинтересован, чтобы костюмы закупались как можно большими партиями. Поэтому он предлагает менеджеру по закупкам компании Деловой костюм закупать всегда сразу всю партию товара, требующуюся сети магазинов на сезон -3000 костюмов. В этом случае компании будет предоставлена скидка - 4% от цены закупки. Следует ли принять данное предложение?
4.16. Тенек-Сервис (бизнес-кейс)
Специалист по ремонту автомобилей марки «Mercedes-Benz» организовал новый цех “Тенек-Сервис”, в котором собирается восстанавливать автомобили. Он рассчитал среднемесячную потребность в запасных частях разного вида и ищет оптимальные каналы снабжения.
Имеющийся поблизости дилер “Mercedes-Benz”, предложил “ Тенек-Сервис” покупать у них все запасные части, в которых они могут нуждаться. Цены на запчасти приведены в таблице.
С другой стороны, можно покупать запчасти прямо в Германии. При этом небольшая компания, поставляющая запасные части для различных автомобилей из Германии, может обеспечить доставку закупленных запчастей не чаще одного раза в неделю. Цена запчастей, поставляемых по этому каналу, разумеется, значительно ниже, даже с оплатой транспортировки (см. таблицу). Кроме оплаты перевозки из Германии, которая зависит от массы закупленных запчастей, имеется также плата за выполнение заказа. За то, что перевозчик заедет за сформированным заказом к поставщику запчастей, а потом завезет заказ в “Тенек-Сервис” компания берет €80.
Владелец “Тенек-Сервис” оценивает издержки хранения в 20 % в год.
|
Зап. часть |
A 000 420 |
A 124 421 |
A 140 421 |
A 140 423 |
A 201 423 |
A 140 835 |
A 210 830 |
A 601 180 |
A 104 180 |
A 003 094 |
A 112 180 |
|
Цена дилера, € |
140 |
140 |
231 |
176 |
89.2 |
414 |
54.3 |
29.5 |
23.3 |
40.3 |
23 |
|
Цена производителя + трансп. издержки. € |
118 |
118 |
194 |
148 |
74.9 |
348 |
45.6 |
24.8 |
19.6 |
33.8 |
19.3 |
|
Потребность в расчете на 6 мес. |
87 |
44 |
52 |
61 |
61 |
70 |
117 |
26 |
438 |
87 |
312 |
|
Зап. часть |
A 119 180 |
A 604 094 |
A 604 094 |
N
000
172 |
A 126 277 |
A 129 277 |
A 124 463 |
A 140 670 |
A 140 824 |
A 003 159 |
A 003 159 |
|
Цена дилера, € |
30.4 |
70.3 |
45.2 |
15.5 |
39.9 |
143 |
102 |
1098 |
36.1 |
27.1 |
7.3 |
|
Цена производителя + трансп. издержки. € |
25.5 |
59.1 |
38 |
13 |
33.5 |
120 |
85.9 |
922 |
30.3 |
22.8 |
6.1 |
|
Потребность в расчете на 6 мес. |
165 |
44 |
52 |
70 |
65 |
65 |
44 |
13 |
22 |
624 |
1864 |
a. Рассчитайте стоимость запчастей для “Тенек-Сервис” на ближайшие 6 месяцев при покупке их у местного дилера и при доставке из Германии. Учтите, что у местного дилера можно покупать запчасти прямо по мере возникновения потребности в них, а при доставке из Германии имеются еще и издержки, связанные с заказом запчастей и их хранением. Считайте, что запчасти заказываются независимо друг от друга. Какой вариант выгодней?
b. Так как число заказов во многих случаях невелико, а значения числа заказов при расчете по EOQ получаются дробными, по полученному в первом случае результату трудно составить конкретный план управления запасами. Составьте нелинейную задачу оптимизации чтобы получить план с целыми значениями числа заказов.
c. В полученном решении для разных запчастей получается от одного до
четырех заказов за полгода. Очевидно, что можно сгруппировать запчасти с одинаковой частотой заказов в четыре группы. Эти группы запчастей будут заказываться одновременно, что поможет уменьшить
соответствующую издержку. Откорректируйте полученное решение «вручную» так, чтобы учесть это обстоятельство.
d. Предположите теперь, что заказ будет формироваться на все виды запчастей одновременно (заказ группы товаров). Каковы будут издержки в этом случае?
Часть 5. Комплексное и многопериодное планирование
Приемы решения задач.
5.П-1. Агрегатный план производственного отдела компании
«Вал» (Кейс)
Агрегатным планированием называют совокупное планирование производства, управления запасами, субподрядами и трудовыми ресурсами, распространяемое на несколько временных периодов. Агрегатное планирование относится к категории среднесрочного планирования. Типичные сроки агрегатного планирования - квартал (12 недель) или год (12 месяцев). Подробнее об агрегатном планировании читайте в учебных пособиях [2,6].
Компания «Вал» производит продукты с примерно одинаковыми издержками и ценами так, что с точки зрения среднесрочного планирования, их можно объединить в одну группу, различие между отдельными продуктами игнорировать и говорить о единственном продукте.
Прогнозируемые данные по объемам продаж компании «Вал» на следующий год, представленные в таблице, как и в предыдущие годы, демонстрируют сильную сезонную вариацию. Годовой спрос (в денежном выражении) -$130 Млн. При этом, различие спроса по месяцам варьирует более, чем вдвое: от $15,8М в ноябре, до $7М - в июня.
|
|
Рабочих
дней |
Прогноз
спроса
($Млн.) |
Рабочих дней (нарастающи м итогом) |
Спрос
(нарастающим
итогом) |
|
Январь |
20 |
7.6 |
20 |
7.6 |
|
Февраль |
21 |
8.4 |
41 |
16.0 |
|
Март |
23 |
10.2 |
64 |
26.2 |
|
Апрель |
20 |
9.0 |
84 |
35.2 |
|
Май |
22 |
11.8 |
106 |
47.0 |
|
Июнь |
22 |
7.0 |
128 |
54.0 |
|
Июль |
10 |
8.6 |
138 |
62.6 |
|
Август! |
23 |
12.6 |
161 |
75.2 |
|
Сентябрь |
20 |
14.4 |
181 |
89.6 |
|
Октябрь |
22 |
12.8 |
203 |
102.4 |
|
Ноябрь |
20 |
15.8 |
223 |
118.2 |
|
Декабрь |
20 |
11.8 |
243 |
130.0 |
В таблице также показано количество рабочих дней в каждом месяце. Видно, что это количество варьирует очень слабо, за исключением июля, когда все производственные мощности компании останавливаются, а рабочих отправляют в отпуск на три недели. Это означает, что количество продукции, которое компания может произвести в обычный месяц, примерно постоянно. Как же обеспечить удовлетворение столь сильно меняющегося спроса? Менеджер производственного отдела рассматривает различные стратегии поведения в этой ситуации.
Первая стратегия состоит в том, чтобы накапливать запасы продукции на складе в периоды низкого спроса и использовать их в периоды высокого спроса.
Вторая стратегия состоит в том, чтобы регулировать численность рабочих в соответствии с колебаниями спроса на продукцию компании: нанимать дополнительно рабочих в периоды возрастания производственной загрузки и увольнять их в периоды спада. Хотя менеджер отдает себе отчет в том, что человеческий капитал - это главное богатство компании, и что поступать так с квалифицированными работниками нельзя, тем не менее, в данном случае такая опция давно используется в компании, поскольку значительная доля ее трудовых ресурсов занята неквалифицированным трудом, а в этом случае сезонные рабочие - это обычная практика (вспомним, например, сезонных рабочих на сельскохозяйственных работах или на сахарных заводах).
Существует также третья стратегия - введение сверхурочной работы для уже имеющихся на производстве рабочих в пики производственной загрузки и перевод рабочих на неполный рабочий день (с частичной оплатой) в периоды спада.
Очевидно также, что возможны различные комбинации этих стратегий.
Таким образом, основная задача менеджмента производственного отдела состоит в том, чтобы найти и реализовать такой план организации работ на предстоящий год, который бы обеспечивал безусловное выполнение заказов и минимизировал издержки.
При этом необходимо рассмотреть следующие компоненты издержек:
— издержки хранения (подробнее об издержках хранения читайте в учебных
пособиях [1,2])
— издержки, связанные с введением сверхурочной работы и частичной
занятости
— издержки, связанные с наймом новых рабочих и увольнением старых.
Бухгалтерия представила следующие цифры для представляющих интерес
издержек:
|
стоимость найма новых рабочих |
$ 200/ на одного рабочего |
|
затраты на увольнение |
$ 500/ на одного рабочего |
|
нормальная зарплата |
$ 5/в час |
|
оплата сверхурочных |
плюс 50% к норме. |
|
оплата времени, когда рабочий незанят |
$ 3/в час |
|
издержки хранения |
2%/ в месяц от стоимости остатка на складе на начало месяца. |
Нормальный рабочий день (без сверхурочных и частично незанятого времени) длится 8 часов.
«ВАЛ» использует, так называемый, «плановый коэффициент» для соотнесения спроса (выраженного в денежных единицах) и производственных возможностей (выраженных во временных единицах). Опыт и финансовая отчетность показывают, что 1 человеко-час рабочего времени производится продукции на $30 в отпускных ценах.
Предполагается, что на складе нет запасов в начале года и что в конце года запасы должны также равняться нулю.
Количество рабочих в начале года - 1583. Увольнение и новый набор рабочих происходят в начале месяца; отгрузку продукции - в конце.
Анализ кейса
Стоящая перед производственным отделом компании «Вал» задача, конечно, является задачей линейной оптимизации. Часто задачи линейной оптимизации представляют как задачи об оптимальном «смешении». Задача об оптимальном производственном плане - это оптимальное смешение продуктов, которые может произвести фирма при тех или иных производственных, рыночных и прочих ограничениях, в потоке выпускаемой продукции, максимизирующем прибыль. Оптимальный финансовый портфель - это смешение ценных бумаг, финансовых инструментов, обеспечивающих минимум риска для вложений средств инвестора, при заданных ограничениях на доходность, типы ценных бумаг и пр. Нередко изложение темы линейной оптимизации начинают с задачи об оптимальной диете, в которой нужно найти оптимальное смешение продуктов, минизимирующее затраты, при обеспечении необходимых физиологических требований животного или человека.
В нашем случае требуется найти оптимальное «смешение» стратегий. Сколько в каждом месяце нанимать или увольнять рабочих, сколько назначать сверхурочных или, наоборот, незанятых часов, сколько произведенной продукции отсылать на склад или, наоборот, забирать со склада, при безусловном обеспечении плана отгрузки готовой продукции потребителям. В отличие от рассмотренных выше относительно простых задач производственного планирования, не вполне очевидно, какие в данном случае должны быть переменные решения, целевая функция и ограничения. Чтобы прояснить эти вопросы рассмотрим последовательно три стратегии, которые предполагает использовать менеджмент производственного отдела:
— найм и увольнение,
— сверхурочные и неполный рабочий день,
— запасание излишков продукции на складе или использование складских запасов прошлых месяцев для обеспечения части отгрузки потребителю. Разумеется, при этом мы не будем рассматривать вопрос об оптимизации
издержек, а будем лишь вычислять издержки при условии, что план отгрузки продукции потребителю должен быть безусловно выполнен.
После рассмотрения «чистых» стратегий, займемся их оптимальным смешением.
Стратегия 1: Найм и увольнение.
Попробуем выполнить план отгрузки, варьируя численность рабочих. Будем требовать, чтобы в каждый месяц было произведено ровно столько продукции, сколько по плану требуется отгрузить, и, исходя из этого, определим, сколько нам требуется рабочих в каждом месяце, сколько нам необходимо их нанять или уволить, и каковы будут при этом наши издержки.
Прежде всего, рассчитаем, сколько необходимо рабочих часов Tj, чтобы произвести количество продукции Dj, необходимое по плану в i-ом месяце. Используя плановый коэффициент Е=30$/час, найдем, что требуемое время Tj можно рассчитать по формуле:
T = А/ 30.
Далее рассчитаем, сколько нормированного рабочего времени WTj у нас есть в каждом месяце
WTj = 8 х dj х Nj,
где 8 - это количество рабочих часов в смене, dj- количество рабочих дней в месяце, а Nj - количество рабочих на производстве.
Для того чтобы выполнить план отгрузки необходимо, чтобы имеющееся количество рабочих часов совпадало с требуемым. Приравнивая правые части этих двух формул, найдем количество рабочих, необходимых нам каждый j-ый месяц
Nj = Dj/(30 х 8 х dj).
Если количество рабочих, которые нам необходимы в данном месяце N меньше, чем у нас есть в предыдущем месяце Ni-i, то необходимо нанять недостающих рабочих HNj, т.е.,
Если N > N_1, HNj = Nt - Nj _1
Если, наоборот, у нас больше рабочих, чем требуется в следующем месяце, то нужно уволить избыток рабочих YNj, т.е.
Если Nj < Nj-i, YNj = Nj- - Nt.
При этом наши издержки за год можно очевидно выразить как сумму ежемесячных издержек на зарплату, найм и увольнение рабочих:
C = 2 (5 х WT + 200 х HNj + 500 х YNt),
j =1
где коэффициенты 5, 200 и 500 означают соответственно зарплату за 1 час нормированного рабочего времени, стоимость найма одного рабочего и стоимость увольнения одного рабочего.
Чтобы «оживить» эти простые формулы сделаем следующую таблицу MS Excel (), где с их использованием вычислим, когда и сколько нанимать или увольнять рабочих и какие при этом будут издержки.
|
|
>
ГО
о
о
ГП |
F |
G |
H |
|
1 |
Стратегия регулирования численности |
|
|
|
|
2 |
|
Кол-во
рабочих
дней |
Спрос
($Млн.) |
Требуемое
кол-во
рабочих |
Найм |
Увольне
ние |
WT (чел.
час.) |
Издержки ($) |
|
3 |
Янв |
20 |
7.6 |
=C3*1000000
/(8*30*B3) |
|
|
=8*B3*D3 |
=5*G3+
200*E3+500*F3 |
|
4 |
Фев |
21 |
8.4 |
1 667 |
=ЕСЛИ(
D4>D3;
D4-D3;0) |
=ЕСЛИ(
D3>D4;
D3-D4;0) |
280 000 |
1 416 667 |
|
5 |
Мар |
23 |
10.2 |
1 848 |
181 |
0 |
340 000 |
1 736 232 |
|
6 |
Апр |
20 |
9.0 |
1 875 |
27 |
0 |
300 000 |
1 505 435 |
|
7 |
Май |
22 |
11.8 |
2 235 |
360 |
0 |
393 333 |
2 038 636 |
|
8 |
Июн |
22 |
7.0 |
1 326 |
0 |
909 |
233 333 |
1 621 212 |
|
9 |
Июл |
10 |
8.6 |
3 583 |
2 258 |
0 |
286 667 |
1 884 848 |
|
10 |
Авг |
23 |
12.6 |
2 283 |
0 |
1 301 |
420 000 |
2 750 362 |
|
11 |
Сен |
20 |
14.4 |
3 000 |
717 |
0 |
480 000 |
2 543 478 |
|
12 |
Окт |
22 |
12.8 |
2 424 |
0 |
576 |
426 667 |
2 421 212 |
|
13 |
Ноя |
20 |
15.8 |
3 292 |
867 |
0 |
526 667 |
2 806 818 |
|
14 |
Дек |
20 |
11.8 |
2 458 |
0 |
833 |
393 333 |
2 383 333 |
|
15 |
|
|
Итого |
|
4 494 |
3 619 |
|
24 374 901 |
|
|
Рис. 187 |
При вычислении требуемого числа рабочих в январе в ячейке D3 получается 1583,3 рабочих, что практически равно числу рабочих в компании на начало года. Поэтому найм и увольнение вычисляются, только начиная с февраля (ячейки D4 и F4). Всюду, где требуется нанять рабочих, количество увольнений равно нулю и наоборот (как и должно быть). Общие издержки такой стратегии составят $23 108 235. При этом видно, что за год, согласно этому плану, мы должны нанять 4411 рабочих и уволить 3619.
Вряд ли план выглядит привлекательно. Однако мы и не собираемся его реализовывать. Чистые стратегии мы рассматриваем лишь для того, чтобы лучше уяснить стоящую перед нами задачу.
Стратегия 2: Сверхурочные и частичная занятость.
В этой стратегии мы будем сохранять численность рабочих постоянной и равной их количеству на начало года - 1583 чел. Попробуем этим дружным коллективом, никого не нанимая и не увольняя выполнить план производства и отгрузки продукции. Вновь потребуем, чтобы в каждый месяц было произведено ровно столько продукции, сколько по плану требуется отгрузить. Вновь используем формулы T = Dj30 и WT, = 8 х d, х N, при вычислении требуемого для производства необходимой продукции количества часов T, и имеющихся в данном месяце нормированных рабочих часов WTj. При этом в формуле для имеющихся в нашем распоряжении рабочих часов будет фигурировать постоянное количество рабочих N0=1583:
WT = 8 х d, х Nо.
Ясно, что поскольку теперь количество рабочих не меняется, уравнять требуемое количество часов T и количество имеющихся рабочих часов WTj невозможно. Разность между ними и составит либо количество сверхурочных часов, которые необходимо назначить в данном месяце (обозначим их СУ,) - если T, > WT,, либо количество незанятых часов в данном месяце (обозначим из НЗ,) -если T, < WT,. Формально это можно написать следующим образом
Если Тг > WTt, СУ. = Т. - WT.
Иначе ИЗ. = WTt - Tt '
При этом наши издержки за год можно очевидно выразить как сумму ежемесячных издержек на зарплату, на оплату сверхурочных и на компенсацию
вынужденно незанятых часов:
12
C = ? (5 xWT. + 7,5 X СУ. - 2 х ИЗ.) ,
t=1
где коэффициенты 5 и 7,5 означают соответственно зарплату за 1 час нормированного рабочего времени и оплату одного часа сверхурочных (50% дополнительно к обычному тарифу). Что касается незанятых часов, то их необходимо выделить из нормированных .часов WTt. За них следует платить не $5, а только $3, что и отражено в последней формуле. В ней написано, что за все нормированные часы рабочим выплачивается по $5, а затем за вынужденно незанятые часы вычитается $2 (=$5-$3).
На показано, как MS Excel реализует эти формулы, указывая, когда и сколько назначать сверхурочных и незанятых часов и какие при этом будут издержки.
|
|
A |
в |
C |
D |
E |
F |
G |
|
1 |
Сверхурочные |
- частичная занятость |
|
|
|
|
2 |
Количество рабочих на начало года |
1583 |
|
|
|
3 |
|
Кол-во
рабочих
дней |
Спрос
($Млн.) |
Требуется время (часов) |
Число
рабочих
часов |
Сверхур./
свободные
часы |
Издержки ($) |
|
4 |
Янв |
20 |
7.6 |
=C4*1000000/30 |
=8*B4*$E$2 |
=D4-E4 |
F4>0;7,5*F4;2
*F4) |
|
5 |
Фев |
21 |
8.4 |
280 000 |
265 944 |
14 056 |
1 435 140 |
|
6 |
Мар |
23 |
10.2 |
340 000 |
291 272 |
48 728 |
1 821 820 |
|
7 |
Апр |
20 |
9.0 |
300 000 |
253 280 |
46 720 |
1 616 800 |
|
8 |
Май |
22 |
11.8 |
393 333 |
278 608 |
114 725 |
2 253 480 |
|
9 |
Июн |
22 |
7.0 |
233 333 |
278 608 |
-45 275 |
1 302 491 |
|
10 |
Июл |
10 |
8.6 |
286 667 |
126 640 |
160 027 |
1 833 400 |
|
11 |
Авг |
23 |
12.6 |
420 000 |
291 272 |
128 728 |
2 421 820 |
|
12 |
Сен |
20 |
14.4 |
480 000 |
253 280 |
226 720 |
2 966 800 |
|
13 |
Окт |
22 |
12.8 |
426 667 |
278 608 |
148 059 |
2 503 480 |
|
14 |
Ноя |
20 |
15.8 |
526 667 |
253 280 |
273 387 |
3 316 800 |
|
15 |
Дек |
20 |
11.8 |
393 333 |
253 280 |
140 053 |
2 316 800 |
|
16 |
|
|
|
|
|
|
25 055 631 |
|
|
Рис. 188 |
Видно, что «бережное отношение к людям», проявленное в этой стратегии стоит компании почти на $2 млн. дороже. Кроме того, это «бережное отношение» весьма относительно. Например, в ноябре, для выполнения требуемого выпуска продукции необходимо 526667 человеко-часов, а имеется в наличии всего 253280. Таким образом, для выполнения плана необходимо назначить 273387 сверхурочных часов, т. е. каждый рабочий в течение месяца будет работать почти по 17 часов в день (хорошо еще, что не больше 24 часов).
Стратегия 3: Использование склада.
В этой стратегии, в отличие от двух рассмотренных ранее, не предполагается, что продукция, произведенная в данном месяце точно равна плану отгрузки в этом месяце. Напротив, она может быть как больше, так и меньше требуемой по плану. В первом случае избыток произведенной продукции ляжет на склад, во втором случае недостаток продукции будет взят со склада.
Для реализации этой стратегии необходимо, чтобы в периоды низкого спроса, продукция на складе запасалась, а в пиковые периоды использовалась. Глядя на исходную таблицу (), нетрудно заметить, что январь - это очень хороший месяц для создания резерва на складе: количество рабочих дней в нем такое же, как в ноябре, а спрос - в два раза меньше, чем в ноябре. Однако, взглянув на таблицу, аналогичную в своем компьютере, вы можете увидеть, что даже в январе нам требуется 53 сверхурочных часа, чтобы справиться с планом (на в книге этого не видно, так как в ячейке D4 распечатана формула, а не число). Таким образом, ясно, что в чистом виде стратегия использования склада (без дополнительного найма или без сверхурочных) не проходит, поскольку нам просто не хватает рабочих.
Чтобы все же исследовать вариант использования склада, модифицируем эту чистую стратегию, дополнив ее единовременным наймом. Вычислим, используя таблицу из первой стратегии (), сколько в среднем на нужно рабочих ежемесячно, и наймем всех недостающих сразу в начале года. Оказывается, что в среднем следует иметь 2298 рабочих, т.е. нанять в январе нужно 715 человек. После этого ни нанимать, ни увольнять больше никого не станем, нанятые рабочие будут работать только в нормированные рабочие часы. Причем если они произведут больше продукции, чем надо, продукция ляжет на склад, если же они произведут меньше, часть продукции будет взята со склада.
Назовем среднее количество требуемых рабочих N. Тогда имеется следующее количество нормированных рабочих часов:
WTi = 8 х di х N
За это рабочее время будет произведено следующее количество продукции
(в $):
Продукция^ = 30 х WTi.
Количество продукции на складе в данном месяце ( Складу , в $) найдем как количество продукции на складе в прошлом месяце (Склад;.1) плюс количество произведенной продукции Продукция; минус количество отгруженной продукции Di:
Склад = Склад _ + Продукцияі - D.
При этом наши издержки за год можно очевидно выразить как затраты на единовременный найм и сумму ежемесячных издержек на зарплату плюс издержки хранения, которые составляют 2% от стоимости остатка на складе в
данном месяце:
12
C = Z (5 х WT + 2% х Складі) + 200 х (N - N0) .
і=1
показывает, какой план получается в данной стратегии.
|
|
>
ГО
о
о |
E 1 F 1 G |
H |
|
1 |
Найм и создание запаса |
Количество рабочих на начало года |
1 583 |
|
2 |
|
|
0 |
Начальный склад |
|
Сразу нанять |
715 |
|
3 |
|
Кол-во
рабочих
дней |
Спрос |
Продукция |
Склад |
Кол-во
рабочих
требуется |
WT |
Издержки |
|
4 |
Янв |
20 |
7.6 |
=30*G4/
1000000 |
=C2+D4-
C4 |
=C4*1000000
/(8*B4*30) |
=8*B4*$F$16 |
=5*G4+2%*
E4*1000000 |
|
5 |
Фев |
21 |
8.4 |
11.58 |
=E4+D5-
C5 |
1 667 |
386 064 |
2 062 566 |
|
6 |
Мар |
23 |
10.2 |
12.68 |
9.1 |
1 848 |
422 832 |
2 296 106 |
|
7 |
Апр |
20 |
9.0 |
11.03 |
11.1 |
1 875 |
367 680 |
2 060 954 |
|
8 |
Май |
22 |
11.8 |
12.13 |
11.5 |
2 235 |
404 448 |
2 251 462 |
|
9 |
Июн |
22 |
7.0 |
12.13 |
16.6 |
1 326 |
404 448 |
2 354 131 |
|
10 |
Июл |
10 |
8.6 |
5.52 |
13.5 |
3 583 |
183 840 |
1 189 395 |
|
11 |
Авг |
23 |
12.6 |
12.68 |
13.6 |
2 283 |
422 832 |
2 386 054 |
|
12 |
Сен |
20 |
14.4 |
11.03 |
10.2 |
3 000 |
367 680 |
2 042 902 |
|
13 |
Окт |
22 |
12.8 |
12.13 |
9.5 |
2 424 |
404 448 |
2 213 411 |
|
14 |
Ноя |
20 |
15.8 |
11.03 |
4.8 |
3 292 |
367 680 |
1 934 179 |
|
15 |
Дек |
20 |
11.8 |
11.03 |
4.0 |
2 458 |
367 680 |
1 918 787 |
|
16 |
|
|
|
|
|
=H1+H2 |
|
24 613 508 |
Рис. 189
Общие издержки по этой стратегии получаются где-то посередине между издержками первой и второй стратегии. Однако нетрудно заметить, что в конце года стоимость остатка на складе получилась $4 млн.
На самом деле, в конце года склад должен быть пустой. Это значит, что мы перестраховались с количеством рабочих, которых собрались нанять в начале года. Видимо 2298 рабочих - это слишком много. Попробуем поварьировать число нанимаемых сразу рабочих в ячейке H2. При этом значения всех меняющихся величин в таблице (в том числе произведенной продукции, остатков на складе и суммарных издержек) автоматически пересчитываются.
|
|
A |
B |
C |
D |
E |
F |
G |
H |
|
1 |
Найм и создание запаса |
Количество рабочих на начало года |
1583 |
|
2 |
|
|
0 |
Начальный склад |
|
Сразу нанять |
600.0 |
|
3 |
|
Кол-во
рабочих
дней |
Спрос |
Продукция |
Склад |
Кол-во
рабочих
требуется |
WT |
Издержки |
|
4 |
Янв |
20 |
7.6 |
10.48 |
2.9 |
1 583 |
349 333 |
1 804 267 |
|
5 |
Фев |
21 |
8.4 |
11.00 |
5.5 |
1 667 |
366 800 |
1 943 680 |
|
6 |
Мар |
23 |
10.2 |
12.05 |
7.3 |
1 848 |
401 733 |
2 155 387 |
|
7 |
Апр |
20 |
9.0 |
10.48 |
8.8 |
1 875 |
349 333 |
1 922 987 |
|
8 |
Май |
22 |
11.8 |
11.53 |
8.5 |
2 235 |
384 267 |
2 092 213 |
|
9 |
Июн |
22 |
7.0 |
11.53 |
13.1 |
1 326 |
384 267 |
2 182 773 |
|
10 |
Июл |
10 |
8.6 |
5.24 |
9.7 |
3 583 |
174 667 |
1 067 573 |
|
11 |
Авг |
23 |
12.6 |
12.05 |
9.2 |
2 283 |
401 733 |
2 191 947 |
|
12 |
Сен |
20 |
14.4 |
10.48 |
5.2 |
3 000 |
349 333 |
1 851 547 |
|
13 |
Окт |
22 |
12.8 |
11.53 |
4.0 |
2 424 |
384 267 |
2 000 773 |
|
14 |
Ноя |
20 |
15.8 |
10.48 |
-1.3 |
3 292 |
349 333 |
1 719 707 |
|
15 |
Дек |
20 |
11.8 |
10.48 |
-2.7 |
2 458 |
349 333 |
1 693 307 |
|
16 |
|
|
|
|
|
2 183 |
|
22 626 160 |
Рис. 190
Видно (), что если уменьшить количество нанятых рабочих до 600 человек (итого 2183 рабочих), то в колонке «Склад» появляются отрицательные числа. Это, очевидно, свидетельствует о том, что план отгрузки не выполняется, произведенной продукции не хватает. При найме 650 рабочих (итого 2233 рабочих), в конце года на складе опять имеется небольшой избыток продукции. Продолжая уменьшать число нанятых рабочих, найдем наконец такое их количество, при котором в конце года склад обращается практически в ноль (646 нанятых). Результат рассмотрения стратегии №3 представлен на .
|
|
A |
B |
C |
D |
E |
F |
G |
H |
|
1 |
Найм и создание запаса |
Количество рабочих на начало года |
1583 |
|
2 |
|
|
0 |
Начальный склад |
|
Сразу нанять |
646 |
|
3 |
|
Кол-во
рабочих
дней |
Спрос |
Продукция |
Склад |
Кол-во
рабочих
требуется |
WT |
Издержки |
|
4 |
Янв |
20 |
7.6 |
10.70 |
3.1 |
1 583 |
356 693 |
1 845 483 |
|
5 |
Фев |
21 |
8.4 |
11.24 |
5.9 |
1 667 |
374 528 |
1 991 373 |
|
6 |
Мар |
23 |
10.2 |
12.31 |
8.0 |
1 848 |
410 197 |
2 211 838 |
|
7 |
Апр |
20 |
9.0 |
10.70 |
9.7 |
1 875 |
356 693 |
1 978 334 |
|
8 |
Май |
22 |
11.8 |
11.77 |
9.7 |
2 235 |
392 363 |
2 156 098 |
|
9 |
Июн |
22 |
7.0 |
11.77 |
14.5 |
1 326 |
392 363 |
2 251 516 |
|
10 |
Июл |
10 |
8.6 |
5.35 |
11.2 |
3 583 |
178 347 |
1 116444 |
|
11 |
Авг |
23 |
12.6 |
12.31 |
10.9 |
2 283 |
410 197 |
2 269 815 |
|
12 |
Сен |
20 |
14.4 |
10.70 |
7.2 |
3 000 |
356 693 |
1 928 311 |
|
13 |
Окт |
22 |
12.8 |
11.77 |
6.2 |
2 424 |
392 363 |
2 086 076 |
|
14 |
Ноя |
20 |
15.8 |
10.70 |
1.1 |
3 292 |
356 693 |
1 805 745 |
|
15 |
Дек |
20 |
11.8 |
10.70 |
0.01 |
2 458 |
356 693 |
1 783 761 |
|
16 |
|
|
|
|
|
2 229 |
|
23 424 794 |
|
|
Рис. 191 |
Видно, что стратегия №3 на $950 тыс. лучше, чем стратегия №1. Однако и ее мы не собираемся реализовывать. Наша задача - найти оптимальную смесь трех исследованных стратегий. Теперь мы готовы приступить к формулировке этой задачи, поскольку мы записали все выражения, определяющие издержки в чистых стратегиях так, что осталось лишь свести все эти выражения в одну формулу, которая и будет целевой функцией нашей задачи линейной оптимизации.
Оптимальная смесь стратегий.
Итак, запишем, каковы будут наши издержки в случае, если мы собираемся реализовать все три стратегии сразу:
— нанимать и увольнять рабочих
— назначать сверхурочные и незанятые часы
— отправлять излишки продукции на склад и забирать их со склада
Сводя все рассмотренные ранее формулы для расходов, получим
12
C = У (5 X WT. + 7,5 X СУ. - 2 х НЗ + 200 х HN + 500 х YN. + 2% х Склад ) .
? і 7 і і і і г /
i=1
В этой формуле 6 типов переменных, каждая в 12 экземплярах (по числу месяцев в году). Однако, разумеется, не все переменные являются независимыми. Запишем известные нам связи между ними.
Во-первых, вспомним выражения для количества имеющихся в нашем распоряжении нормированных рабочих часов WTi
WTt = 8 X d X Nt.
Понятно, что количество имеющихся рабочих часов зависит от числа рабочих в компании в данном месяце Nt. Однако это число непосредственно не входит в выражение (12) для суммарных издержек. Выразим его через количество нанятых и уволенных рабочих в данном месяце:
N = Nj_i + HNt - VNj.
Здесь отражен следующий простой факт: количество рабочих в данном месяце равно количеству рабочих в предыдущем месяце плюс количество рабочих, нанятых в начале данного месяца, минус количество рабочих, уволенных в начале данного месяца. Разумеется, что в каждом месяце рабочие либо нанимаются, либо увольняются, т.е. одна из двух величин HNt или YNt всегда равна нулю. Тем не менее, удобно ввести обе эти величины. Они выражают собой первую пару наших независимых переменных для каждого месяца. Действительно, сколько нанять и сколько уволить рабочих в данном месяце - это наше управленческое решение, совершенно независимое от предыстории. Следить же за тем, чтобы одна из этих величин равнялась нулю, мы поручим Поиску решения. Минимизируя суммарные издержки, алгоритм Поиска решения не должен позволить обеим этим величинам быть отличным от нуля в одном и том же месяце. Ведь это неоправданно увеличит издержки!
Обратимся теперь к выражению для стоимости остатка продукции на складе CKnadt. Это выражение дается формулой:
Склад = Склад _1 + Продукцияі - Di.
где, однако, выражение для произведенной продукции должно быть теперь изменено по сравнению со старой формулой Продукция1 = 30 х WT. Ведь теперь, продукция производится не только в нормированные часы WTt , но и в сверхурочные часы СУ, и не производится в незанятые часы H3t. Таким образом,
Продукция^ = 30 х (WT + СУІ + H3t)
Теперь видно, что остаток на складе и произведенная продукция могут быть выражены через уже введенные переменных HNt и yNt и через новую пару переменных решения Cyt и H3t. Опять очевидно, что количество назначенных в данном месяце сверхурочных и незанятых часов - это независимое управленческое решение. Как и в случае первой пары переменных, в этой паре одна из переменных в каждом данном месяце должна быть равна нулю. И опять мы возложим контроль выполнения этого требования на Поиск решения. Он обеспечит его выполнение из соображений минимума полных издержек.
Итак, в нашей задаче линейной оптимизации должно быть 4 независимых переменных каждый месяц. Всего - 48 переменных.
Теперь займемся ограничениями. Единственное неформальное ограничение, которое необходимо выполнить, минимизируя годовые издержки, это обеспечить безусловное выполнение плана отгрузки продукции потребителям. Это не значит, что каждый месяц нужно производить столько продукции, сколько требуется отгрузить или больше. Как мы видели при анализе стратегии №3, это значит, что остаток на складе в каждом месяце не должен опускаться ниже нуля. Реально на складе, разумеется, не может быть отрицательного количества продукции, но в нашей формуле Склад = Склад_1 + Продукцияі - D , этот остаток вполне может стать отрицательным, если произведенной в данном месяце продукции плюс запаса на складе окажется меньше значения потребительского
спроса Dj. Чтобы не допустить этого, достаточно потребовать в ограничениях Поиска решения, что остаток на складе в каждый месяц был бы больше или равен нулю, т.е. Складов при всех значениях і от 1 до 12.
При анализе стратегии №2 мы видели, что количество сверхурочных часов в ноябре превысило количество нормированных часов WTi. В принципе, ничто не мешает Поиску решения задать такое число сверхурочных часов в месяц, что в пересчете на одного рабочего на день окажется больше сверхурочных часов, чем их есть в сутках. Разумеется, поэтому, количество сверхурочных часов следует ограничить. В тексте кейса нет никаких указаний на эту верхнюю границу. Исходя из обычной практики, ограничим число сверхурочных в месяц 20% от числа нормированных часов, т.е. запишем, что СУІ <20% * WTi.
На показана организация данных для решения задачи линейной оптимизации. Переменные решения - ячейки D5:G16. В ячейке H5 - выражение для количества рабочих в январе. В ячейках H6:H16 введено выражение для количества рабочих в компании (Ni = Ni_ + HNi - YNi) для каждого месяца, начиная с февраля. С этого месяца формулу можно протягивать. В ячейках /5:716 введена формула WTi = 8 х di х N. для количества рабочих часов, в ячейках J5:J16
- формула Продукция-^ = 30 х (WTi + СУІ + НЗІ) для количества произведенной продукции.
В ячейках K5:K16 записана формула (Склад.. = Склад.._ + Продукцияі - Д )
для остатков продукции на складе. Так же как и в случае с числом рабочих, ее можно протягивать, начиная со второго месяца. Поэтому формулы в ячейках K5 и K6:K16 отличаются. В ячейках L5L16 введено выражение для ежемесячных издержек, в соответствие с итоговой формулой, а в ячейке L17 - сумма этих издержек - наша целевая функция. Последняя колонка, ячейки M5:M16 - это максимальное значение сверхурочных часов каждый месяц, необходимое для ввода ограничений.
|
|
A|B|C|D|E|F|G| Н 1 I |
J |
K |
L |
M |
|
1 |
Оптимальная смешанная стратегия |
|
|
|
|
|
2 |
Количество рабочих на начало года |
Начальный склад |
|
|
|
|
|
3 |
1583 |
|
|
|
|
|
0 |
|
|
|
|
|
|
|
4 |
|
Кол.
раб.
дней |
Спрос
$Млн. |
Найм |
Уволь
не-ние |
Св.
уроч.
часы |
Не
занят.
часы |
Кол.
рабо
чих |
Раб.
часы |
Продукция
$Млн. |
Склад
$Млн. |
Издержки $ |
Макс. св.
уроч. |
|
5 |
Янв |
20 |
7.6 |
|
|
|
|
=A3+D5
-E5 |
=8*B5*H5 |
=30/1000000
*(I5+F5-G5) |
=G3+J5
-C5 |
=5*I5
+7.5*F5-2*G5
+200*D5
+500*E5
+2%*K5*
1000000 |
=20%*I5 |
|
6 |
Фев |
21 |
8.4 |
|
|
|
|
=H5+D6
-E6 |
265 944 |
8.0 |
=K5+J6
C6 |
1 321 254 |
53 189 |
|
7 |
Мар |
23 |
10.2 |
|
|
|
|
1 583 |
291 272 |
8.7 |
-1.9 |
1 418 658 |
58 254 |
|
8 |
Апр |
20 |
9.0 |
|
|
|
|
1 583 |
253 280 |
7.6 |
-3.3 |
1 200 666 |
50 656 |
|
9 |
Май |
22 |
11.8 |
|
|
|
|
1 583 |
278 608 |
8.4 |
-6.7 |
1 258 470 |
55 722 |
|
10 |
Июн |
22 |
7.0 |
|
|
|
|
1 583 |
278 608 |
8.4 |
-5.4 |
1 285 635 |
55 722 |
|
11 |
Июл |
10 |
8.6 |
|
|
|
|
1 583 |
126 640 |
3.8 |
-10.2 |
429 779 |
25 328 |
|
12 |
Авг |
23 |
12.6 |
|
|
|
|
1 583 |
291 272 |
8.7 |
-14.0 |
1 175 702 |
58 254 |
|
13 |
Сен |
20 |
14.4 |
|
|
|
|
1 583 |
253 280 |
7.6 |
-20.8 |
849 710 |
50 656 |
|
14 |
Окт |
22 |
12.8 |
|
|
|
|
1 583 |
278 608 |
8.4 |
-25.3 |
887 515 |
55 722 |
|
15 |
Ноя |
20 |
15.8 |
|
|
|
|
1 583 |
253 280 |
7.6 |
-33.5 |
596 843 |
50 656 |
|
16 |
Дек |
20 |
11.8 |
|
|
|
|
1 583 |
253 280 |
7.6 |
-37.7 |
512 811 |
50 656 |
|
17 |
|
|
|
|
|
|
|
|
|
|
|
=СУММ^5±16) |
|
|
Рис. 192 |
В ограничениях Поиска решений вводим требование, чтобы ячейки K5:K16 были бы не меньше нуля (склад не должен быть отрицательным) и F5:F\6 не больше, чем M5:M16 - ежемесячные сверхурочные не превышают 20% от нормированных часов в данном месяце. На следующем рисунке () показано решение, полученное после запуска надстройки Поиск решения.
|
|
А 1 В 1 C|D| E|F| G |
H |
I |
J |
K |
L |
M |
|
1 |
Оптимальная смешанная стратегия |
|
|
|
|
|
|
|
2 |
Количество рабочих на начало года |
Начальный склад |
|
|
|
|
|
|
3 |
1583 |
|
|
|
|
|
0 |
|
|
|
|
|
|
|
4 |
|
Кол.
раб.
дней |
Спрос
$Млн. |
Найм |
Уволь
не-ние |
Св.
уроч.
часы |
Не
занят.
часы |
Кол.
рабо- чих |
Раб.
часы |
Продукция
$Млн. |
Склад
$Млн. |
Издержки $ |
Макс. св.
уроч. |
|
5 |
Янв |
20 |
7.6 |
0.333 |
0 |
0 |
0 |
1 583 |
253 333 |
7.6 |
0.0 |
1 266 733 |
50 667 |
|
6 |
Фев |
21 |
8.4 |
83.33 |
0 |
0 |
0 |
1 667 |
280 000 |
8.4 |
0.0 |
1 416 667 |
56 000 |
|
7 |
Мар |
23 |
10.2 |
181.2 |
0 |
0 |
0 |
1 848 |
340 000 |
10.2 |
0.0 |
1 736 232 |
68 000 |
|
8 |
Апр |
20 |
9.0 |
215.7 |
0 |
0 |
0 |
2 063 |
330 159 |
9.9 |
0.9 |
1 712 022 |
66 032 |
|
9 |
Май |
22 |
11.8 |
0 |
0 |
0 |
0 |
2 063 |
363 175 |
10.9 |
0.0 |
1 815 873 |
72 635 |
|
10 |
Июн |
22 |
7.0 |
0 |
0 |
0 |
0 |
2 063 |
363 175 |
10.9 |
3.9 |
1 893 778 |
72 635 |
|
11 |
Июл |
10 |
8.6 |
0 |
0 |
0 |
0 |
2 063 |
165 079 |
5.0 |
0.2 |
830 349 |
33 016 |
|
12 |
Авг |
23 |
12.6 |
649.9 |
0 |
0 |
0 |
2 713 |
499 257 |
15.0 |
2.6 |
2 678 762 |
99 851 |
|
13 |
Сен |
20 |
14.4 |
0 |
0 |
0 |
0 |
2 713 |
434 136 |
13.0 |
1.2 |
2 195 670 |
86 827 |
|
14 |
Окт |
22 |
12.8 |
0 |
0 |
0 |
0 |
2 713 |
477 550 |
14.3 |
2.8 |
2 443 268 |
95 510 |
|
15 |
Ноя |
20 |
15.8 |
0 |
0 |
0 |
0 |
2 713 |
434 136 |
13.0 |
0.0 |
2 170 682 |
86 827 |
|
16 |
Дек |
20 |
11.8 |
0 |
0 |
0 |
40 803 |
2 713 |
434 136 |
11.8 |
0.0 |
2 089 076 |
86 827 |
|
17 |
|
|
|
|
|
|
|
|
|
|
|
22 249 111 |
|
|
|
Рис. 193 |
Во-первых, отметим, что суммарные издержки в оптимальной смешанной стратегии примерно на $1,175 млн. ниже, чем в третьей, лучшей из чистых стратегий. Во-вторых, сам план управления трудовыми ресурсам и запасами на складе выглядит намного привлекательнее, чем в чистых стратегиях.
Действительно, если сравнить суммарный объем продукции, лежащей на складе в течение года, согласно смешанной и чистой стратегиям (т.е. просуммировать числа в ячейках K5:K16 () и E5:E16 () ), то окажется, что в смешанной стратегии эта сумма равна $11,7 млн., а в чистой $87,8 млн.
Еще более заметно преимущество смешанной стратегии в управление трудовыми ресурсами. Действительно, вместо огромных чисел нанятых и уволенных рабочих и жутких количеств сверхурочных часов в стратегиях №1 и №2, смешанная стратегия рекомендует нанять 1130 рабочих (сумма ячеек D5:D16), никого не увольнять (!), не назначать сверхурочных, и в декабре (под Рождество!) предоставить рабочим ~40800 незанятых часов, которые составляют менее 10% от нормированных рабочих часов декабря (и могут быть использованы рабочими для покупок рождественских подарков).
После первого впечатления от «сказочной» эффективности метода линейной оптимизации, возникают, однако некоторые вопросы.
Вопрос 1. Полученное решение рекомендует нанять 1130 рабочих. Это значит, что следующий год компания начнет не с 1583 рабочими (как нынешний), а с 2713 рабочими. Допустим, что следующий год будет таким же, как предыдущий (тот же объем и та же сезонность спроса). Какой план получится по этой смешанной стратегии? Что делать с 1130 нанятыми рабочими?
Ответ на этот вопрос получить совсем нетрудно. Для этого достаточно просто поменять число рабочих в начале года с 1583 на 2713 и вызвать Поиск решения еще раз. Новое решение показано на .
|
|
А 1 В 1 C|D| E|F| G |
H |
I |
J |
K |
L |
M |
|
1 |
Оптимальная смешанная стратегия |
|
|
|
|
|
|
|
2 |
Количество рабочих на начало года |
Начальный склад |
|
|
|
|
|
|
3 |
2 713 |
|
|
|
|
|
0 |
|
|
|
|
|
|
|
4 |
|
Кол.
раб.
дней |
Спрос
$Млн. |
Найм |
Уволь
не-ние |
Св.
уроч.
часы |
Не
занят.
часы |
Кол.
рабо- чих |
Раб.
часы |
Продукция
$Млн. |
Склад
$Млн. |
Издержки $ |
Макс. св.
уроч. |
|
5 |
Янв |
20 |
7.6 |
0 |
866 |
0 |
0 |
1 847 |
295 597 |
8.9 |
1.3 |
1 936 104 |
59 119 |
|
6 |
Фев |
21 |
8.4 |
0 |
0 |
0 |
0 |
1 847 |
310 377 |
9.3 |
2.2 |
1 595 472 |
62 075 |
|
7 |
Мар |
23 |
10.2 |
0 |
0 |
0 |
0 |
1 847 |
339 937 |
10.2 |
2.2 |
1 743 233 |
67 987 |
|
8 |
Апр |
20 |
9.0 |
0 |
0 |
0 |
0 |
1 847 |
295 597 |
8.9 |
2.0 |
1 518 893 |
59 119 |
|
9 |
Май |
22 |
11.8 |
0 |
0 |
0 |
0 |
1 847 |
325 157 |
9.8 |
0.0 |
1 625 786 |
65 031 |
|
10 |
Июн |
22 |
7.0 |
0 |
0 |
0 |
0 |
1 847 |
325 157 |
9.8 |
2.8 |
1 680 881 |
65 031 |
|
11 |
Июл |
10 |
8.6 |
588.1 |
0 |
0 |
0 |
2 436 |
194 843 |
5.8 |
0.0 |
1 091 824 |
38 969 |
|
12 |
Авг |
23 |
12.6 |
290 |
0 |
0 |
0 |
2 725 |
501 490 |
15.0 |
2.4 |
2 614 336 |
100 298 |
|
13 |
Сен |
20 |
14.4 |
0 |
0 |
0 |
0 |
2 725 |
436 078 |
13.1 |
1.1 |
2 202 933 |
87 216 |
|
14 |
Окт |
22 |
12.8 |
0 |
0 |
0 |
0 |
2 725 |
479 686 |
14.4 |
2.7 |
2 452 784 |
95 937 |
|
15 |
Ноя |
20 |
15.8 |
0 |
0 |
0 |
0 |
2 725 |
436 078 |
13.1 |
0.0 |
2 180 392 |
87 216 |
|
16 |
Дек |
20 |
11.8 |
0 |
0 |
0 |
42 745 |
2 725 |
436 078 |
11.8 |
0.0 |
2 094 902 |
87 216 |
|
17 |
|
|
|
878 |
866 |
|
|
|
|
|
|
22 737 540 |
|
Рис. 194
Полные издержки возросли на ~$488000, но они, все равно остаются на ~$0,7 млн. ниже, чем в лучшей из чистых стратегий. Что же происходит с планом управления трудовыми ресурсами? Полученное решение рекомендует уволить 866 рабочих в январе и нанять 878 рабочих в июле и в августе. Таким образом, опять компьютер нанял на 12 человек больше, чем уволил! Численность рабочих в компании возросла до 2725 человек. Интересно, он когда-нибудь остановится?
Давайте проверим. Повторим расчет еще раз (теперь для года, следующего за «следующим»). Ответ приведен на . Издержки - почти те же. В январе решение рекомендует уволить 878 человек и те же 878 человек нанять в июле и в августе. Как говорят вычислители, система вышла на «стационар» (стационарное решение).
|
|
А 1 В 1 C|D| E 1 F 1 G |
H |
I |
J |
K |
L |
M |
|
1 |
Оптимальная смешанная стратегия |
|
|
|
|
|
|
|
2 |
Количество рабочих на начало года |
Начальный склад |
|
|
|
|
|
|
3 |
2 725 |
|
|
|
|
|
0 |
|
|
|
|
|
|
|
4 |
|
Кол.
раб.
дней |
Спрос
$Млн. |
Найм |
Уволь-
не-ние |
Св.
уроч.
часы |
Не
занят.
часы |
Кол.
рабо- чих |
Раб.
часы |
Продукция
$Млн. |
Склад
$Млн. |
Издержки $ |
Макс. св.
уроч. |
|
5 |
Янв |
20 |
7.6 |
0 |
878 |
0 |
0 |
1 847 |
295 597 |
8.9 |
1.3 |
1 942 349 |
59 119 |
|
6 |
Фев |
21 |
8.4 |
0 |
0 |
0 |
0 |
1 847 |
310 377 |
9.3 |
2.2 |
1 595 472 |
62 075 |
|
7 |
Мар |
23 |
10.2 |
0 |
0 |
0 |
0 |
1 847 |
339 937 |
10.2 |
2.2 |
1 743 233 |
67 987 |
|
8 |
Апр |
20 |
9.0 |
0 |
0 |
0 |
0 |
1 847 |
295 597 |
8.9 |
2.0 |
1 518 893 |
59 119 |
|
9 |
Май |
22 |
11.8 |
0 |
0 |
0 |
0 |
1 847 |
325 157 |
9.8 |
0.0 |
1 625 786 |
65 031 |
|
10 |
Июн |
22 |
7.0 |
0 |
0 |
0 |
0 |
1 847 |
325 157 |
9.8 |
2.8 |
1 680 881 |
65 031 |
|
11 |
Июл |
10 |
8.6 |
588.1 |
0 |
0 |
0 |
2 436 |
194 843 |
5.8 |
0.0 |
1 091 824 |
38 969 |
|
12 |
Авг |
23 |
12.6 |
290 |
0 |
0 |
0 |
2 725 |
501 490 |
15.0 |
2.4 |
2 614 336 |
100 298 |
|
13 |
Сен |
20 |
14.4 |
0 |
0 |
0 |
0 |
2 725 |
436 078 |
13.1 |
1.1 |
2 202 933 |
87 216 |
|
14 |
Окт |
22 |
12.8 |
0 |
0 |
0 |
0 |
2 725 |
479 686 |
14.4 |
2.7 |
2 452 784 |
95 937 |
|
15 |
Ноя |
20 |
15.8 |
0 |
0 |
0 |
0 |
2 725 |
436 078 |
13.1 |
0.0 |
2 180 392 |
87 216 |
|
16 |
Дек |
20 |
11.8 |
0 |
0 |
0 |
42 745 |
2 725 |
436 078 |
11.8 |
0.0 |
2 094 902 |
87 216 |
|
17 |
|
|
|
878 |
878 |
|
|
|
|
|
|
22 743 785 |
|
Рис. 195
Задумаемся над полученным результатом. Фактически, модель дает нам рекомендации относительно желательной численности структуры наших трудовых ресурсов. Если предстоящий нам год - типичный по объему заказов их распределению по месяцам, то для минимизации издержек нам следует иметь не 1583 рабочих, а 2725, причем 878 (т.е. примерно треть из них) должны быть сезонными рабочими.
Мы не ставили подобный вопрос, когда формулировали задачу среднесрочного планирования. Но в этом, как раз, и сила хорошей
количественной модели: она содержит в себе ответы на вопросы, которые мы даже не предполагали задавать при ее формулировке!
Вопрос 2. Не слишком ли малы изменения издержек в разных рассмотренных стратегиях? Ведь фактически, при суммарных издержках на уровне $22-25 млн. разница между различными стратегиями (включая оптимальную) не превышает $1-2 млн. Стоит ли вообще тратить время на минимизацию ?
Для ответа на этот вопрос рассчитаем, сколько нужно выплатить рабочим за нормированные часы, чтобы выполнить годовой план по спросу. Просто просуммируем цифры ежемесячных спросов в ячейках С5:С16 последней таблицы, умножим на 1 млн., разделим на 30 и умножим на стандартную оплату одного рабочего часа - $5. Получится $21,7 млн. Это - тот базовый уровень неизбежных расходов, от которого и нужно отсчитывать реальные издержки, связанные с тем, что план отгрузки нужно выполнять каждый месяц (а не только в целом за год), для чего необходимо варьировать численность рабочих, сверхурочных и незанятых часов и нести издержки хранения.
Если использовать этот базовый уровень неизбежных затрат, то нетрудно проверить, что оптимальная стратегия лучше, чем стратегия №1 - в 4,6 раза, чем стратегия №2 - в 5,8 раза, чем стратегия №3 - в 3 раза.
Кроме того, время даже очень квалифицированного сотрудника, затраченное на подобную минимизацию стоит гораздо меньше, чем $1 млн.
Вопрос 3. Зачем компьютер в декабре вводит режим неполной занятости, если в январе следующего года рабочих, все равно, придется увольнять?
Этот вопрос, часто задаваемый в аудитории, «индуцирован» процедурой исследования, проведенной при ответе на вопрос 1. Там мы, как бы, свернули нашу таблицу MS Excel в кольцо, оптимизируя план на несколько идентичных лет вперед. Реально, компьютер оптимизирует план от января до декабря и ничего «не знает» про следующий январь. Следующий год - за границами нашей модели.
Если Вам угодно провести явную оптимизацию плана на три года (предположив, что спрос в следующих годах будет такой же, как в нынешнем), следует просто скопировать кусок таблицы А5$:С16 вниз на два следующих года, а затем протянуть формулы в ячейках H6:M6 до конца надстроенной таблицы. Нужно только заново ввести внизу формулу для суммарных издержек (ячейка L41).
Остается заново ввести установки Поиска решения с учетом того, что число переменных увеличилось до 144, и найти новое оптимальное решение.
Оптимальный план на три года, приведенной на , не предполагает никаких незанятых часов в декабре первого года, а рекомендует увольнять рабочих в декабре первого и в январе второго года и в декабре второго и в январе третьего года. При этом суммарные издержки за три года получаются, естественно, ниже, чем при последовательной минимизации сначала на первый, а потом на второй и третий годы (проведенной при ответе на вопрос 1).
Проблема, однако, в том, что спрос на три года вперед редко когда известен. А, кроме того, подобный эффект, все равно, возникнет на границе второго и третьего года. Поэтому на практике для преодоления замеченного нами «граничного эффекта» (когда рекомендуемые компьютером действия в конце рассматриваемого периода не учитывают условий начала следующего периода) применяют, так называемый, «катящийся план». Суть его очень проста. Сначала делаем расчет на 12 периодов. Следуем рекомендации оптимального плана на первый период. А в конце первого периода получаем от отдела маркетинга и сбыта прогноз на 13 период (ведь если этот отдел выдал информацию о спросе на 12 месяцев вперед, он способен повторять это каждый месяц) и повторяем оптимизацию, только теперь для периодов со 2-го по 13-ый и.т.д.
|
|
А 1 В 1 C|D| E|F| G |
H |
I |
J |
K |
L |
M |
|
1 |
Оптимальная смешанная стратегия |
|
|
|
|
|
|
|
2 |
Количество рабочих на начало года |
Начальный склад |
|
|
|
|
|
|
3 |
1 583 |
|
|
|
|
|
0 |
|
|
|
|
|
|
|
4 |
|
Кол.
раб.
дней |
Спрос
$Млн. |
Найм |
Уволь
не-ние |
Св.
уроч.
часы |
Не
занят.
часы |
Кол.
рабо- чих |
Раб.
часы |
Продукция
$Млн. |
Склад
$Млн. |
Издержки $ |
Макс. св.
уроч. |
|
5 |
Янв |
20 |
7.6 |
0.333 |
0 |
0 |
0 |
1 583 |
253 333 |
7.6 |
0.0 |
1 266 733 |
50 667 |
|
6 |
Фев |
21 |
8.4 |
83.33 |
0 |
0 |
0 |
1 667 |
280 000 |
8.4 |
0.0 |
1 416 667 |
56 000 |
|
7 |
Мар |
23 |
10.2 |
181.2 |
0 |
0 |
0 |
1 848 |
340 000 |
10.2 |
0.0 |
1 736 232 |
68 000 |
|
8 |
Апр |
20 |
9.0 |
215.7 |
0 |
0 |
0 |
2 063 |
330 159 |
9.9 |
0.9 |
1 712 022 |
66 032 |
|
9 |
Май |
22 |
11.8 |
0 |
0 |
0 |
0 |
2 063 |
363 175 |
10.9 |
0.0 |
1 815 873 |
72 635 |
|
10 |
Июн |
22 |
7.0 |
0 |
0 |
0 |
0 |
2 063 |
363 175 |
10.9 |
3.9 |
1 893 778 |
72 635 |
|
11 |
Июл |
10 |
8.6 |
0 |
0 |
0 |
0 |
2 063 |
165 079 |
5.0 |
0.2 |
830 349 |
33 016 |
|
12 |
Авг |
23 |
12.6 |
649.9 |
0 |
0 |
0 |
2 713 |
499 257 |
15.0 |
2.6 |
2 678 762 |
99 851 |
|
13 |
Сен |
20 |
14.4 |
0 |
0 |
0 |
0 |
2 713 |
434 136 |
13.0 |
1.2 |
2 195 670 |
86 827 |
|
14 |
Окт |
22 |
12.8 |
0 |
0 |
0 |
0 |
2 713 |
477 550 |
14.3 |
2.8 |
2 443 268 |
95 510 |
|
15 |
Ноя |
20 |
15.8 |
0 |
0 |
0 |
0 |
2 713 |
434 136 |
13.0 |
0.0 |
2 170 682 |
86 827 |
|
16 |
Дек |
20 |
11.8 |
0 |
255 |
0 |
0 |
2 458 |
393 333 |
11.8 |
0.0 |
2 094 176 |
78 667 |
|
17 |
Янв |
20 |
7.6 |
0 |
611 |
0 |
0 |
1 847 |
295 597 |
8.9 |
1.3 |
1 808 770 |
59 119 |
|
18 |
Фев |
21 |
8.4 |
0 |
0 |
0 |
0 |
1 847 |
310 377 |
9.3 |
2.2 |
1 595 472 |
62 075 |
|
19 |
Мар |
23 |
10.2 |
0 |
0 |
0 |
0 |
1 847 |
339 937 |
10.2 |
2.2 |
1 743 233 |
67 987 |
|
20 |
Апр |
20 |
9.0 |
0 |
0 |
0 |
0 |
1 847 |
295 597 |
8.9 |
2.0 |
1 518 893 |
59 119 |
|
21 |
Май |
22 |
11.8 |
0 |
0 |
0 |
0 |
1 847 |
325 157 |
9.8 |
0.0 |
1 625 786 |
65 031 |
|
22 |
Июн |
22 |
7.0 |
0 |
0 |
0 |
0 |
1 847 |
325 157 |
9.8 |
2.8 |
1 680 881 |
65 031 |
|
23 |
Июл |
10 |
8.6 |
588.1 |
0 |
0 |
0 |
2 436 |
194 843 |
5.8 |
0.0 |
1 091 824 |
38 969 |
|
24 |
Авг |
23 |
12.6 |
290 |
0 |
0 |
0 |
2 725 |
501 490 |
15.0 |
2.4 |
2 614 336 |
100 298 |
|
25 |
Сен |
20 |
14.4 |
0 |
0 |
0 |
0 |
2 725 |
436 078 |
13.1 |
1.1 |
2 202 933 |
87 216 |
|
26 |
Окт |
22 |
12.8 |
0 |
0 |
0 |
0 |
2 725 |
479 686 |
14.4 |
2.7 |
2 452 784 |
95 937 |
|
27 |
Ноя |
20 |
15.8 |
0 |
0 |
0 |
0 |
2 725 |
436 078 |
13.1 |
0.0 |
2 180 392 |
87 216 |
|
28 |
Дек |
20 |
11.8 |
0 |
267 |
0 |
0 |
2 458 |
393 333 |
11.8 |
0.0 |
2 100 245 |
78 667 |
|
29 |
Янв |
20 |
7.6 |
0 |
611 |
0 |
0 |
1 847 |
295 597 |
8.9 |
1.3 |
1 808 770 |
59 119 |
|
30 |
Фев |
21 |
8.4 |
0 |
0 |
0 |
0 |
1 847 |
310 377 |
9.3 |
2.2 |
1 595 472 |
62 075 |
|
31 |
Мар |
23 |
10.2 |
0 |
0 |
0 |
0 |
1 847 |
339 937 |
10.2 |
2.2 |
1 743 233 |
67 987 |
|
32 |
Апр |
20 |
9.0 |
0 |
0 |
0 |
0 |
1 847 |
295 597 |
8.9 |
2.0 |
1 518 893 |
59 119 |
|
33 |
Май |
22 |
11.8 |
0 |
0 |
0 |
0 |
1 847 |
325 157 |
9.8 |
0.0 |
1 625 786 |
65 031 |
|
34 |
Июн |
22 |
7.0 |
0 |
0 |
0 |
0 |
1 847 |
325 157 |
9.8 |
2.8 |
1 680 881 |
65 031 |
|
35 |
Июл |
10 |
8.6 |
588.1 |
0 |
0 |
0 |
2 436 |
194 843 |
5.8 |
0.0 |
1 091 824 |
38 969 |
|
36 |
Авг |
23 |
12.6 |
290 |
0 |
0 |
0 |
2 725 |
501 490 |
15.0 |
2.4 |
2 614 336 |
100 298 |
|
37 |
Сен |
20 |
14.4 |
0 |
0 |
0 |
0 |
2 725 |
436 078 |
13.1 |
1.1 |
2 202 933 |
87 216 |
|
38 |
Окт |
22 |
12.8 |
0 |
0 |
0 |
0 |
2 725 |
479 686 |
14.4 |
2.7 |
2 452 784 |
95 937 |
|
39 |
Ноя |
20 |
15.8 |
0 |
0 |
0 |
0 |
2 725 |
436 078 |
13.1 |
0.0 |
2 180 392 |
87 216 |
|
40 |
Дек |
20 |
11.8 |
0 |
0 |
0 |
42 745 |
2 725 |
436 078 |
11.8 |
0.0 |
2 094 902 |
87 216 |
|
41 |
|
|
|
|
|
|
|
|
|
|
|
67 479 968 |
|
|
42 |
|
|
|
|
|
|
|
|
|
В среднем за год |
22 493 323 |
|
Рис. 196
Таким образом, каждый раз, рассчитав оптимальный план на 12 периодов вперед, мы реально делаем только первый шаг, корректируя наши дальнейшие действия, в зависимости от новой информации о спросе, поступающей в следующие периоды.
Вопрос 4. Почему, все-таки, компьютер не использует сверхурочных
часов?
Ответ на этот вопрос очевиден: потому что ставка оплаты за сверхурочные часы слишком высока по сравнению с другими имеющимися возможностями.
Попробуем уменьшить ставку оплаты за сверхурочные с 50% к норме (т.е. с $7,5 за час) до 20% к норме (т.е. до $6 за час). Поменяем соответствующую формулу в ячейке L5 для плана на 1 год и протянем ее на ячейки L6L16. Повторив расчет, получим результат, показанный на .
|
|
A|B|C|D|E|F| G |
H |
I |
J |
K |
L |
M |
|
1 |
Оптимальная смешанная стратегия |
|
|
|
|
|
|
|
2 |
Количество рабочих на начало года |
Начальный склад |
|
|
|
|
|
|
3 |
1 583 |
|
|
|
|
|
0 |
|
|
|
|
|
|
|
4 |
|
Кол.
раб.
дней |
Спрос
$Млн. |
Найм |
Уволь
не-ние |
Св.
уроч.
часы |
Не
занят.
часы |
Кол.
рабо- чих |
Раб.
часы |
Продукция
$Млн. |
Склад
$Млн. |
Издержки $ |
Макс. св.
уроч. |
|
5 |
Янв |
20 |
7.6 |
0.333 |
0 |
0 |
0 |
1 583 |
253 333 |
7.6 |
0.0 |
1 266 733 |
50 667 |
|
6 |
Фев |
21 |
8.4 |
83.33 |
0 |
0 |
0 |
1 667 |
280 000 |
8.4 |
0.0 |
1 416 667 |
56 000 |
|
7 |
Мар |
23 |
10.2 |
181.2 |
0 |
0 |
0 |
1 848 |
340 000 |
10.2 |
0.0 |
1 736 232 |
68 000 |
|
8 |
Апр |
20 |
9.0 |
215.7 |
0 |
0 |
0 |
2 063 |
330 159 |
9.9 |
0.9 |
1 712 022 |
66 032 |
|
9 |
Май |
22 |
11.8 |
0 |
0 |
0 |
0 |
2 063 |
363 175 |
10.9 |
0.0 |
1 815 873 |
72 635 |
|
10 |
Июн |
22 |
7.0 |
0 |
0 |
0 |
0 |
2 063 |
363 175 |
10.9 |
3.9 |
1 893 778 |
72 635 |
|
11 |
Июл |
10 |
8.6 |
0 |
0 |
0 |
0 |
2 063 |
165 079 |
5.0 |
0.2 |
830 349 |
33 016 |
|
12 |
Авг |
23 |
12.6 |
527.1 |
0 |
0 |
0 |
2 591 |
476 667 |
14.3 |
1.9 |
2 527 703 |
95 333 |
|
13 |
Сен |
20 |
14.4 |
0 |
0 |
587 |
0 |
2 591 |
414 493 |
12.5 |
0.0 |
2 075 983 |
82 899 |
|
14 |
Окт |
22 |
12.8 |
0 |
0 |
0 |
0 |
2 591 |
455 942 |
13.7 |
0.9 |
2 297 275 |
91 188 |
|
15 |
Ноя |
20 |
15.8 |
0 |
0 |
82 899 |
0 |
2 591 |
414 493 |
14.9 |
0.0 |
2 569 855 |
82 899 |
|
16 |
Дек |
20 |
11.8 |
0 |
0 |
0 |
21 159 |
2 591 |
414 493 |
11.8 |
0.0 |
2 030 145 |
82 899 |
|
17 |
|
|
|
1008 |
0 |
|
|
|
|
|
|
22 172 616 |
|
Рис. 197
Как видно, теперь возможность назначения сверхурочных часов использована, причем в ноябре назначено максимальное количество сверхурочных - 20% от нормированных часов ноября. При этом суммарные издержки уменьшились за счет сильного уменьшения издержек хранения и уменьшения количества нанятых рабочих.
Таким образом, опять, анализ агрегатного плана оптимальной смешанной стратегии стимулирует обсуждение вопросов, выходящих за рамки среднесрочного планирования. Если мы хотим уменьшить число сезонных рабочих, рекомендованное по результатам анализа вопроса 1, следует пересмотреть тариф оплаты сверхурочных часов.
Задачи для самостоятельного решения
5.1. План для MemoBlink
Фирма MemoBlink поставляет модули для промышленных компьютеров. Издержки производства составляют в расчете на модуль: произведенный в основное время - $70, в сверхурочное время - $110, при использовании субподрядчика - $120.
Затраты на хранение - $4 за единицу в месяц.
Спрос на модули и мощности по производству в предстоящие 4 месяца даны в таблице:
|
|
Январь |
Февраль |
Март |
Апрель |
|
спрос |
2000 |
2200 |
1700 |
2200 |
|
мощности |
|
|
|
|
|
основное время |
1500 |
1500 |
750 |
1500 |
|
сверхурочное время |
300 |
300 |
150 |
300 |
|
субконтракт |
500 |
500 |
500 |
500 |
Изделия произведенные сверх спроса можно хранить на складе, что влечет за собой соответствующие издержки хранения.
a. Составьте агрегатный план производства на четыре месяца, позволяющий минимизировать издержки и добиться безусловного удовлетворения спроса.
b. Предположим, что Вы продаете модули по цене $200. Составьте агрегатный план производства на те же четыре месяца, позволяющий максимизировать прибыль.
c. Что изменится в плане, если цена продажи модулей снизится до $115.
5.2. Компания «ПП-Быстроупак» (бизнес-кейс)
Компания «ПП-Быстроупак» собирается реконструировать
законсервированную в 90-х годах фабрику для производства полипропиленовой тары и изделий из полипропилена - мешков, сеток для овощей, сетки для изгородей и т.п. На рынке имеется достаточное количество типового
оборудования для подобного производства. Выбор конфигурации цехов зависит от планируемого объема выпуска продукции разного вида.
В таблице приведены издержки времени, которые необходимы для производства полуфабрикатов для 1000 шт. продукции (для сетки для изгородей -на 1000 п.м. сетки). Например, для 1000 шт. мешков типа BD требуется 1.5 часа работы экструдера 1, 0.9 часа работы экструдера 2, 1.05 часа вязального 1 и 0.9 часа печатного станка типа W или 3 часа работы печатного станка типа F. Печатный станок типа W позволяет делать на мешках простую одноцветную печать, а станок типа F - может печатать восьмицветные красивые логотипы компаний, заказывающих тару для своей продукции. Цены на такие мешки с цветными логотипами несколько выше, что и отражено в таблице числами 72/80 -т.е. 72 (с простой печатью) или 80 (с цветной) долларов прибыли с 1000 мешков.
|
|
Мешки
B |
Мешки
BD |
Мешки
DS |
Сетки
малые |
Сетки
большие |
ПП
изгород
ь |
|
Экструдер 1 |
1.50 |
1.50 |
1.50 |
0.60 |
1.20 |
0 |
|
Экструдер 2 |
- |
0.90 |
1.20 |
- |
- |
32 |
|
Вязальный 1 |
1.05 |
1.05 |
1.05 |
- |
- |
0 |
|
Вязальный 2 |
- |
- |
- |
0.75 |
1.35 |
0 |
|
Плетельный |
- |
- |
- |
- |
- |
24 |
|
Печатный W или F |
0.9/3 |
0.9/3 |
0.9/3 |
- |
- |
0 |
|
Прибыль, $/1000 шт или метров |
40 / 46 |
72 / 80 |
112 / 122 |
14 |
32 |
480 |
|
Потребность рынка, тыс. шт. |
800 |
250 |
200 |
400 |
100 |
12 |
Конечно, новая фабрика потребует времени на наладку оборудования и поиск клиентов. Но отдел маркетинга оценивает возможности сбыта основных видов продукции к концу года как очень хорошие. Конкретные числа также приведены в таблице. Очевидно, что подобный уровень спроса сулит неплохие прибыли, но это в будущем. А сейчас компания с трудом собрала полтора миллиона долларов на закупку оборудования.
Вновь принятый на работу директор по производству видел примерный план закупки оборудования, но сейчас он хочет определить оптимальный, с точки зрения максимальной прибыли для прогнозируемой потребности в продукции, план закупки станков. Цены на все станки в тыс. долл. указаны во второй таблице.
|
Экструдер 1 |
Экструдер 2 |
Вязальный 1 |
Вязальный 2 |
Плетель
ный |
Печатный F |
Печатный W |
|
120 |
100 |
60 |
50 |
80 |
70 |
20 |
Фабрика будет работать в две смены (16 часов в день) 26 дней в месяц в среднем.
а. Определите, сколько и каких станков следует закупить, чтобы максимизировать месячную прибыль. Мешки одного вида, но с разным типом печати, можно выпускать в произвольном соотношении (в рамках прогнозируемой потребности).
b. Какое количество продукции разного вида выгодней выпускать на закупленном оборудовании? Каков ожидаемый размер прибыли?
c. После заключения контрактов на поставки оборудования, директор по производству случайно выяснил, что печатный станок F довольно капризен, и часто нуждается в наладке. При этом его реальная производительность составляет только 80% от номинальной. Как это обстоятельство повлияет на план выпуска продукции?
5.3. Ферма Бэрримора
Фермер Джон Бэрримор получил по наследству ферму площадью 200 гектар. Ферма не слишком процветает, но Джон хотел бы превратить ее в процветающее хозяйство. Однако есть проблемы.
Основная проблема заключается в том, что в настоящий момент денег у Джона нет, а нужно профинансировать начинающийся год. Да еще необходимо выкупить закладную на ферму на сумму $250 тыс. в ближайшие два года. Для поправления дел можно взять ссуду на пятилетний срок под 15% в год, но для этого в банк следует представить хороший бизнес-план, из которого было бы видно, что ссуда будет выплачена в срок. При этом деньги нужно возвращать начиная со второго года, не менее четверти исходной суммы в год.
В общем, Джон должен спланировать хозяйственную деятельность на ферме и финансовые потоки на ближайшие 5 лет.
В настоящее время на ферме имеется стадо коров из 120 голов. Из них 10 новорожденных телок, 10 телок годовалого возраста и по 10 дойных коров каждого из возрастов от 2 до 11 лет.
Каждая дойная корова приносит в среднем 1 1/10 теленка в год. Половина этих телят - бычки, которые продаются почти сразу после рождения в среднем за $200 каждый. Оставшиеся телки могут быть либо проданы практически немедленно за $300 каждая, либо откармливаться в течение двух лет, для пополнения стада дойных коров в двухлетнем возрасте. После достижения 12-ти летнего возраста коровы должны быть проданы, выручка составляет $500 за каждую. В текущем году приплод и старые коровы уже проданы.
Для прокорма одной телки необходимо 2/3 гектара площади пастбищ и сенокосов, а для прокорма одной дойной коровы - 1 гектар. Кроме этого каждая дойная корова для производства молока требует 0,9 тонн зерна и 9 тонн сахарной свеклы в год. Содержание скота - телок и дойных коров - требует затраты 18 и 62 рабочих часа в год соответственно.
Зерно и сахарную свеклу можно выращивать на ферме или покупать. Каждый гектар занятый сахарной свеклой дает 35 тонн свеклы. Каждый гектар, занятый под пшеницу, дает 3 тонны зерна. На ферме Джона только 25 гектар подходят для выращивания зерна.
Зерно и свекла могут быть, разумеется, закуплены на стороне. Зерно - за $90 тонна, а свекла - за $40 тонна. Собственный урожай можно продать по тем же ценам.
Каждый из продуктов фермы требует определенных трудозатрат, ресурс которых, измеряемый в человеко-часах, ограничен, и равен 5500 часов в год. Этот ресурс стоит фермеру $38 500 в год. Если нанимать работников дополнительно, то это будет стоить $8 за рабочий час. Выращивание зерна и свеклы требуют 4 и 14 рабочих часов в год на гектар соответственно.
Молоко от одной коровы дает ежегодный доход $6000.
В имеющемся помещении фермы в настоящее время можно разместить не более 130 коров. Если поголовье потребуется увеличить, будут необходимы единовременные затраты в размере $800 на одну добавочную корову (телку) в среднем. Джон твердо решил, что в конце пятого года его дойное стадо не должно превышать 170 голов, так как иначе будут возникать проблемы, которые он не в силах формализовать. Кроме этого в целях обеспечения продолжения хозяйственной деятельности после 5-го года он должен оставлять ежегодно не менее 10 телок. Из этих же соображений площади под зерно и свеклу на пятом году должны быть не менее чем площади на четвертом, несмотря на то, что урожай можно будет использовать только на шестом году.
Каждый из продуктов фермы требует также затраты других ресурсов, что приводит к финансовым издержкам, пропорциональным количеству производимого продукта: каждая телка обходится в $547 в год, каждая дойная корова - в $1350 в год, каждый гектар, отведенный под зерно - $100 в год, и, наконец, каждый гектар, отведенный под свеклу - $200 в год.
Ни в каком году финансовый поток не должен быть отрицательным.
a. Как фермер должен работать за следующие пять лет, чтобы максимизировать прибыль?
b. Какую наименьшую ссуду он может взять, чтобы обеспечить положительный баланс?
c. Банк по своим расчетам предполагает, что Джон должен взять ссуду в $500 тыс. Выгодно ли это Джону? Какой размер ссуды ему наиболее выгоден?
Указания: Для простоты деньги, которые зарабатывает Джон Бэрримор, не дисконтирутся.
Поиск решения иногда выдает ложное сообщение о невыполнении линейности. В этом случае еще раз запустите Поиск решения.
5.4. Горные лыжи
Компания, производящая горные лыжи, планирует производство на 3-ий квартал. В июле компания нанимает значительное число студентов, готовых работать в вечернюю и ночную смены. Это позволяет повысить загрузку оборудованию и довести производственную мощность предприятия до 1000 пар лыж в месяц против 400 пар в случае, если на фабрике заняты только постоянные рабочие. Число работающих студентов убывает в августе, поскольку они готовятся к возвращению в свои университеты. В результате производственная мощность в августе не превышает 800 пар. В сентябре студенты на предприятии отсутствуют, и производственная мощность возвращается к исходному значению 400 пар в месяц.
Поскольку компания платит студентам меньше, чем кадровым рабочим себестоимость продукции в эти месяцы оказывается разной. В июле она составляет $25 за пару, в августе $26 за пару, а в сентябре $29 за пару. Использование сверхурочных добавляет к себестоимости в июле $5 за пару, в августе - $6, а в сентябре - $8.
Вместе с тем, спрос на продукцию компании значительно растет по мере приближения к зимнему сезону. Он прогнозируется на уровне 300 пар в июле, 500 пар в августе и 1000 пар в сентябре. Поскольку в 4-ом квартале спрос также прогнозируется высокий, а производственные мощности компании не увеличатся, требуется создать к концу сентября резерв в 1200 пар. В начале июня на складе -200 пар лыж.
Ясно, что для удовлетворения спроса, компания должна создавать запасы в летние месяцы. При этом необходимо принять во внимание, что издержки хранения составляют 3% в месяц. Кроме того, так как суммарный спрос (включая резервный запас), который компания должна удовлетворить в эти месяцы составляет 300+500+1000+1200=3000 пар, а нормальная производственная мощность плюс запас составляет 1000+800+400+200=2400 пар, неизбежно введение сверхурочной работы. Максимальное увеличение производственной мощности за счет сверхурочных часов составит в июле 20%, в августе - 50% и в сентябре - 50%. При этом в июле и в августе оборудование будет работать в три смены, а в сентябре кадровые рабочие будут работать по 12 часов в сутки.
a. Составьте план производства по месяцам. Как будут загружены производственные мощности?
b. Каков будет объем хранимых запасов на конец каждого месяца?
5.5. Компания Красный молот
Компания Красный молот производит бытовые электроинструменты: дрели, отвертки, фрезеры, косилки и проч. Спрос на эту продукцию в России имеет ярко выраженный сезонный характер. Электроинструмент востребован потребителем с мая по август, но дистрибьюторы и мелкие оптовые покупатели закупают товар в основном с января по март и небольшое количество в остальные месяцы года.
|
Спрос на электроинструменты, тыс. штук |
|
янв |
фев |
мар |
апр |
май |
июн |
июл |
авг |
сен |
окт |
ноя |
дек |
|
75 |
150 |
200 |
150 |
40 |
20 |
20 |
20 |
15 |
15 |
15 |
25 |
Завод закупает необходимые для производства материалы на рынке, где сезонный спрос практически отсутствует, поэтому не зависимо от времени закупки материалы обходятся ему в среднем в 300 руб. на единицу электроинструмента. Средняя добавленная стоимость при производстве составляет 400 руб. и тоже не зависит от времени производства. Однако завод варьирует среднюю отпускную цену, следуя политике конкурентов. По месяцам эта отпускная цена выглядит следующим образом.
|
Отпускная цена завода на электроинструмент |
|
янв |
фев |
мар |
апр |
май |
июн |
июл |
авг |
сен |
окт |
ноя |
дек |
|
1000 |
1100 |
1200 |
1300 |
1300 |
1300 |
1300 |
1300 |
1000 |
1000 |
1000 |
1000 |
Это изменение цен ожидаемо дистрибьюторами и сохраняется уже в течение нескольких лет (не считая некоторого инфляционного роста средних цен).
Постоянная часть издержек, связанная с функционированием цехов, составляет 6 млн. руб. в месяц. Причем эту издержку можно снизить до 1 млн., если цеха законсервировать и полностью остановить производство.
Так как завод способен производить до 100 тыс. единиц продукции в месяц, то его мощности вполне достаточно, чтобы удовлетворить спрос. Однако в некоторые месяцы спрос превышает предельную мощность и в таких случаях приходится производить товар заранее и хранить на складе. Издержка хранения, связанная с замораживанием денег, составляет для предприятия 50% в год.
Учитывая реальную мощность предприятия, был составлен план производства (см. таблицу) полностью удовлетворяющий спрос.
|
План производства, тыс. единиц |
|
янв |
фев |
мар |
апр |
май |
июн |
июл |
авг |
сен |
окт |
ноя |
дек |
|
100 |
100 |
100 |
100 |
100 |
0 |
0 |
0 |
0 |
45 |
100 |
100 |
Составители плана исходили из того, что в сентябре завод не работает и к октябрю склад завода пуст.
a. Какую прибыль получает завод с учетом потерь, связанных с издержками хранения?
b. Можно ли в рамках имеющихся ограничений составить лучший план? Как изменится прибыль?
c. Если не задавать заранее рабочие и нерабочие месяцы, то возможно ли еще улучшить полученный многопериодный план?
5.6. Компания АгроМашЗавод
Компания АгроМашЗавод, планирует закупку комплектующих для одного из ее изделий - косилки Стриж-8а - для заключения договоров с производителями. Ожидаемая потребность на одно из комплектующих в течение следующих двенадцати месяцев дана в следующей таблице.
|
Месяц |
1 |
2 |
3 |
4 |
5 |
6 |
7 |
8 |
9 |
10 |
11 |
12 |
|
Потребность |
20 |
20 |
30 |
40 |
140 |
360 |
500 |
540 |
460 |
80 |
0 |
20 |
Часть стоимости выполнения заказа, не зависящая от количества заказываемых компонентов и включающая такие издержки, как оплата труда рабочих, оформления документов, часть транспортных расходов и пр., составляет 5000 руб. Издержки хранения одной единицы этого комплектующего составляют 50 руб. в месяц при стоимости самого комплектующего 500 руб.
a. Составьте план закупки этого комплектующего на предстоящий годовой период в предположении, что никаких скидок на крупный заказ нет. Каково оптимальное число заказов?
b. Сколько средств позволяет сэкономить этот план в сравнении с ежемесячными заказами?
c. Постройте зависимость годовых издержек от числа заказов в году. При любом количестве заказов, они должны быть сделаны в оптимальные сроки. Постройте график для этой зависимости.
5.7. Компания «Лем и сыновья»
Производственная фирма изготавливающая различные бытовые устройства, выпускает, в частности, сепулькаторы модели DUAL. На это изделие имеется план заказов и весьма устойчивый прогноз отдела маркетинга на
следующий год. В соответствие с этим планом нужно выпустить следующее количество продукции:
|
Месяц |
ю
X |
СО
е |
Он
аЗ |
Он
с
< |
Май |
X
2
К |
ч
2
К |
U
СО
< |
X
<и
О |
О |
ч
о
К |
и
к
« |
|
Спрос |
600 |
550 |
600 |
350 |
625 |
400 |
680 |
325 |
325 |
620 |
450 |
500 |
Имеющаяся мощная универсальная роботизированная линия позволяет произвести всего за один месяц все требующиеся изделия.
Переналадка этой линии для производства сепулькаторов стоит $3000. В то время, когда она не занята изготовлением этой продукции, линия загружена другими изделиями из обширного ассортимента фирмы.
Известно, что преждевременное производство продукции, которая не будет в данном месяце отгружена потребителю, приводит к омертвлению капитала. Размер упущенной выгоды при этом зависит от общей прибыльности конкретного бизнеса. Отдел логистики фирмы подсчитал, что хранение 1 сепулькатора на складе в течение месяца приносит $2.5 убытка - т.н. издержки хранения.
a. Составьте план запуска универсальной линии на производство сепулькаторов на год так, чтобы минимизировать общие издержки хранения и запуска. Какова будет сумма издержек?
b. Сравните оптимальные издержки с вариантами изготовления годового запаса сразу и ежемесячного запуска линии.
Указание: если при запуске Поиска решения появится сообщение «Условия линейной модели не удовлетворяются», ответьте ОК и запустите Поиск решения еще раз, не обнуляя переменные.
5.8. График доставки
Прогноз спроса на сырье для производства тангриза на следующий год по результатам продаж предыдущих лет (с учетом слабого возрастающего тренда и сезонности), представлен в таблице.
|
Месяц |
1 |
2 |
3 |
4 |
5 |
6 |
7 |
8 |
9 |
10 |
11 |
12 |
Заказ,
мешков |
134 |
136 |
138 |
140 |
140 |
144 |
288 |
420 |
340 |
200 |
160 |
160 |
Стоимость одного мешка сырья 5 у.е. При оценке издержек хранения сырья на складе учитывается стоимость замороженного капитала в размере 2% от стоимости сырья в месяц.
Сырье поставляется на предприятие в железнодорожных вагонах. В каждом вагоне можно привезти не более 600 мешков сырья. Стоимость доставки одного вагона сырья - 50 у.е.
а. Составьте план поставок сырья на склад завода, минимизирующий суммарные издержки хранения и доставки. Учтите два варианта работы с поставками:
i. Поставки идут только полными вагонами;
ii. Вагоны могут идти с неполной загрузкой.
b. Какое количество вагонов потребуется в том и другом случаях для выполнения всех поставок в течение года?
c. Какое количество вагонов будет оптимальным при стоимости доставки 80 у.е. и неполной загрузке вагона?
d. При какой минимальной стоимости доставки (с точностью до 5 единиц) оказывается выгодным грузить вагоны полностью?
Указание: если при запуске Поиска решения появится сообщение «Условия линейной модели не удовлетворяются», ответьте ОК и запустите Поиск решения еще раз, не обнуляя переменные.
Часть 2
Методы принятия решений в условиях неопределенности и риска
Часть 6. Оптимальное управление запасами с учетом случайных вариаций спроса.
Принятые обозначения и необходимые формулы
Q — объем заказа, количество единиц
EOQ — экономичный размер заказа (economic order quantity)
n — число заказов в год
D, Di — годовой спрос, количество единиц
S — затраты переналадки или издержки заказа
С — стоимость единицы товара, изделия
h — затраты хранения в год, процентов от стоимости
Н — затраты хранения на единицу в год, денежных единиц
р — скорость производства, штук в единицу времени
d — скорость потребления, штук в единицу времени
L — время выполнения заказа, доставки и т.п.
Т — время выполнения заказа, доставки и т.п.
I — наличие товара на складе, количество единиц
s — стандартное отклонение спроса за единицу времени
SL — стандартное отклонение спроса, расхода за время выполнения
заказа
а — риск дефицита.
Psl — сервисный уровень, уровень обслуживания (service level)
ROP — точка перезаказа (reorder point)
SS — страховой запас, безопасный резерв (safety stock)
Сизб — цена избытка в однопериодной модели, потери при избытке Снед — цена недостатка в однопериодной модели, упущенная выгода P — обычная прибыль при плановой продаже товара в однопериодной
модели
Экономичный размер заказа:
|
нормальное |  |
|
Стандартное |
|
Р( z) |  |
распределение:
, где
- отклонение от среднего, выраженное в единицах стандартного отклонения:.
s - стандартное отклонение спроса, x - спрос, х - средний спрос.
При использовании MS Excel для расчетов, требующих вычисления интегралов от нормального распределения, можно использовать следующие функции:
Риск возникновения дефицита при запасе, отклоняющемся от среднего на z единиц: аП = І-НОРМСТРАСП(Х) или аП =1-NORMSDIST(z).
Отклонение запаса от среднего, обеспечивающее заданный риск дефицита: z =НОРМСТОБР(1-Па) или z =NORMSINV(1-DaD.
ss = z * S
Безопасный резерв: L
Точка перезаказа: ROP = dL + SS
Стандартное отклонение спроса за время выполнения заказа:
S L = WL
при постоянном сроке L
- в случае, если срок поставки варьирует, имея
s,
или
Sl =л s L + d s,
среднее значение L и стандартное отклонение 1 Количество не обслуженных клиентов:
E(z) = SL ( ^ exp(- —) - za) л[2я 2
E (Psl) = (1 - Psl )Q
или
Величина заказа в модели фиксированного периода между заказами:
Q = d (L + T) + zs4L+T -1
Риск, соответствующий минимуму потерь в однопериодной модели
заказа:
изб
a=
C + С
^изб нед
: Q = d + szc
Оптимальный размер заказа в однопериодной модели: Средняя прибыль за один период при оптимальном заказе:
1 Z 2
L(z) = ,_exp(--) - za
,[2ж 2 ’
Pq = Pd - s(zCm6 + (CU36 + Снед )L(z))
где
Теоретические замечания
В разделе об оптимизации издержек управления запасами в условиях постоянного спроса мы рассмотрели модель фиксированного размера заказа, которая предполагает, что восполнение запаса происходит периодически, и при этом каждый раз размер заказа один и тот же. Модель, определяет оптимальный размер заказа из соображений минимума суммы издержек хранения и издержек заказа за 1 год, тем самым, задавая средний уровень запаса данного товара на складе и частоту его заказов у поставщика.
Если поставщик выполняет поданный вами заказ за L дней, то для правильного функционирования в соответствие с моделью фиксированного размера заказа необходимо делать заказ на новую партию товара тогда, когда на складе осталось d-L единиц данного товара (где d - величина дневного спроса). В этом случае (см. ) как раз к тому моменту, когда новый товар придет на склад, весь запас этого товара, до того хранившийся на складе, будет распродан. При этом уровень запаса на складе будет меняться со временем периодически от EOQ (экономичный размер заказа) до нуля.

При случайном спросе (даже если он в среднем постоянен) ситуация, очевидно, усложнится. Если спрос за время ожидания поставки новой партии товара случайно оказался выше оставленного запаса, равного ожидаемому среднему спросу d-L, то возникнет дефицит (кривая уровня запаса на во втором цикле уходит в отрицательную область). Если он случайно оказался ниже оставленного запаса d-L, то в момент прихода на склад новой партии товара, размером EOQ, на складе еще останется некоторое количество этого товара, и уровень запаса будет выше, чем требует модель экономичного размера заказа. Избежать случайных вариаций уровня запаса при случайном спросе, очевидно, нельзя, а вот возникновение дефицита, в рыночных условиях естественно избегать. Во-первых, дефицит означает потерю прибыли от упущенных продаж (спрос на которые реально был зафиксирован) и, во-вторых, грозит потерей доброго отношения клиентов, которые, не найдя у вас на складе товар, заявленный в ассортименте, уйдут к вашему конкуренту, что снизит спрос на товары фирмы в будущем.
Вследствие этого правильная оценка риска возникновения дефицита, проведение мероприятий по снижению риска дефицита до приемлемого уровня, обеспечивающего достойный уровень обслуживания клиента, и оценка связанных с ними издержек является важной задачей менеджера, отвечающего за управление запасами.
Постановка задачи о количественной оценке риска возникновения дефицита и плате за его снижение до заданного уровня.
Если на время ожидания поставки новой партии товара (L дней) оставлять
запас, равный среднему спросу за это время (dL единиц товара), то, очевидно, что вероятность дефицита составит 50%, поскольку, как часто и как сильно спрос отклоняется от среднего значения вверх, так же часто и так же сильно он отклоняется от него вниз. Понятно также, что для того, чтобы снизить риск возникновения дефицита, следует делать заказ поставщику на пополнение запаса тогда, когда запас данного товара на складе выше среднего спроса за время ожидания поставки. Чем выше величина этого резервного запаса (или, иначе, безопасного резерва), тем ниже риск возникновения дефицита.
С другой стороны, содержание безопасного резерва означает повышение уровня запаса данного товара на складе. Действительно, для минимизации издержек по управлению запасами, уровень запаса должен меняться от EOQ, в момент разгрузки пришедшего от поставщика товара на склад, до нуля в момент, когда следующая партия товара от поставщика прибыла на склад (сразу после ее разгрузки уровень товара опять подскочит до EOQ). При случайном спросе, уровень запаса в момент прибытия новой партии товара от поставщика в среднем будет составлять нуль: иногда на складе останется нераспроданный товар, а иногда уровень запаса будет формально отрицательным (см. ), что означает неудовлетворенный спрос, дефицит. Если для снижения риска возникновения дефицита создается безопасный резерв, то средний уровень запас в момент прибытия новой партии товара от поставщика будет равен не нулю, а этому безопасному резерву. Последнее означает повышение среднего уровня запаса на складе на величину безопасного резерва и, соответственно, увеличение издержек хранения по сравнению с их оптимальным значением. Эти дополнительные издержки хранения и есть плата за снижение риска возникновения дефицита:
ATH = И • SS
где ATH - дополнительные издержки хранения безопасного резерва,
SS - (safety stock) - величина безопасного резерва в единицах хранения (шт.)
H - удельная издержка хранения, представляющая собой процент от стоимости единицы запаса.
Для количественной оценки риска возникновения дефицита при заданном уровне безопасного резерва или, наоборот, для определения величины безопасного резерва при заданном уровне риска возникновения дефицита необходимо знать основные характеристики случайного спроса: его ожидаемое (среднее) значение, стандартное отклонение и частотное распределение (или, точнее, распределение вероятностей) за время поставки.
Основные характеристики случайного спроса.
Как и всякая другая случайная величина, спрос характеризуется своим ожидаемым (средним) значением, стандартным отклонением (характеристика разброса относительно среднего) и частотным распределением.
Среднее значение и стандартное отклонение спроса за принятый единичный период (день, неделя) должны быть определены по историческим данным о продажах данного товара, т.е. по числовой выборке.
Из числовой выборки желательно исключать любые катастрофические периоды (природные, финансовые, политические), любые периоды, содержащие мероприятия по продвижению данного товара и т.п., оставляя лишь «серые будни», ничем не отличающиеся друг от друга.
Пример такой выборки приведен на рисунке (). По вертикальной оси отложены количества проданного в разные дни товара (в стандартных контейнерах), а по горизонтальной - номер дня.
 |
|
Рис. 199 |
Как видно из диаграммы (), несмотря на то, что в приведенном примере спрос весьма значительно варьирует день ото дня, в среднем он постоянен. Если провести по выбранной совокупности точек, так называемую, линию тренда, то она окажется почти горизонтальной. Линия тренда представляет собой меняющийся со временем центр числовой выборки. Обычно ее проводят, пользуясь принципом максимального правдоподобия, так, чтобы сумма квадратов отклонений точек выборки от линии тренда была минимальной.
Поскольку в рассматриваемом примере спрос в среднем не меняется со временем, его среднее значение можно найти простым усреднением всех точек выборки по формуле N
Е х
І=1
(1)
где Xi - спрос в i-ый день, N - количество дней в выборке, X - не меняющееся со временем среднее значение спроса за 1 день.
Очевидно, что одно только среднее значение недостаточно для характеристики случайного спроса. Необходимо также характеризовать величину разброса точек выборки вокруг среднего значения. Наиболее употребительной характеристикой разброса является среднеквадратичное или стандартное отклонение S. Эта величина определяется как корень квадратный из среднего значения квадрата отклонений ежедневного спроса от его среднего значения. Среднее значение квадрата отклонений называется дисперсией S2.
rN
Z(xi -x )2
(2)
i=1_
N -1
Причина популярности именно этой характеристики разброса, а не, скажем, среднего значения модулей отклонений спроса от среднего, или максимальных отклонений от среднего и т.п., состоит в следующем. Если нас интересует суммарный спрос за L дней или суммарный спрос на один и тот же товар в L различных магазинах (обозначим его XL), иными словами, если мы изучаем случайный спрос, который можно представить как сумму случайных величин:
XL = xi + X2 + ... + XL , (3)
то оказывается, что среднее значение этого суммарного спроса равно сумме средних значений каждого из случайных слагаемых, т. е. сумме средних (ожидаемых) значений спроса каждый день, которые в случае в среднем постоянного спроса одинаковы и равны X , т.е.
XL = x1 + x2 +... + XL = L • X (4)
Аналогично, дисперсия этого суммарного спроса равна сумме дисперсий
каждого случайного слагаемого, которые в случае не меняющегося спроса то же
2
одинаковы и равны дисперсии ежедневного спроса S т.е.
s X = s12+s2 +...+sL = L's 2 (5)
Тогда для стандартного отклонения суммарного спроса за L дней получим
sX =4ь • s (6)
Приведенные соотношения, представляют собой известные теоремы теории вероятности и отражают важнейшие закономерности случайности, проявляющиеся на практике. Если мы реально сделаем выборку значений суммарного спроса за L дней, оценим стандартное отклонение этого суммарного спроса и сравним его со стандартным отклонением спроса за 1 день, мы найдем,
что стандартное отклонение выросло в X раз, в то время как среднее значение суммарного спроса стало в L раз выше среднего значения дневного спроса. Таким
образом, относительные вариации суммарного спроса за L дней в X раз меньше, чем относительные вариации дневного спроса. Для характеристики относительных вариаций случайной величины используют коэффициент вариации:
(7)
Тогда можно написать, что коэффициент вариации суммарного спроса за L дней в Л раз меньше, чем коэффициент вариации дневного спроса:
CVl ~Л ¦
(8)
CV
т.е. суммарный спрос за L дней в VL раз менее случаен, чем ежедневный
спрос.
Подчеркнем еще раз, что при определении стандартного отклонения суммы случайных величин нельзя складывать стандартные отклонения каждой из них. Дело в том, что отклонения от среднего значения спроса одинаково часто и «с одинаковым размахом» происходят как вниз, так и вверх от него. Поэтому для суммы случайных величин они частично компенсируют друг друга. Закон, утверждающий, что складываются дисперсии этих величин (квадраты стандартных отклонений), количественно характеризует степень этой компенсации.
Заметим, что никакая другая характеристика разброса, кроме стандартного отклонения (корня из дисперсии), не позволяет выразить эти важнейшие статистические закономерности столь наглядно.
В случае, если числовая выборка значений спроса свидетельствует, что спрос непостоянен (см. ), ожидаемая величина спроса, конечно, не может быть вычислена как простое среднее по выборке, по формуле
N
Е xi i=1
N
В этом случае с помощью специальных статистических методов прогноза нужно выделить линию тренда (в данном случае она включает линейный тренд с сезонными колебаниями) и продлить выделенные тенденции на некоторый промежуток времени в будущем.

Разумеется, невозможно определить, как долго обнаруженная тенденция будет продолжаться. Однако если она существовала достаточно долго в прошлом, есть основания надеяться, что она сохранится и в ближайшем будущем.
Полученная линия тренда определяет ожидаемое (среднее) значение
спроса в разные моменты времени в прошлом и в будущем X (t) . Кроме того, применяемый статистический метод прогноза обязательно выдаст стандартное
отклонение точек выборки от линии тренда -S (поскольку сама линия проведена
Л
на основе минимизации S ).
Подчеркнем, что если все же вычислить ожидаемый спрос, как простое среднее, получится линия «прогноза», показанная пунктиром на . Предсказываемое этой линией «ожидаемое» значение спроса не может иметь ничего общего с действительностью, но, что еще более важно, вычисленное на основе этого «ожидаемого» значения стандартное отклонение спроса Гм
Z(X- “ x)2 S N^l
будет, очевидно, намного больше реального.
Частотное распределение случайного спроса.
Разобьем весь диапазон изменения спроса (в нашей выборке спрос заключен в пределах от 0 до 2-х контейнеров) на небольшое число более мелких интервалов так, чтобы в каждый из них попали какие-то точки из нашей выборки ( а). Подсчитаем количество точек выборки , попавших в каждый такой интервал и построим диаграмму частотного распределения спроса (б).
|
Площадь каждого из прямоугольников на этой диаграмме равна доли точек, попадающих в интервал, на который такой прямоугольник опирается (б). Очевидно, что сумма площадей всех прямоугольников на диаграмме частотного распределения равна 1. |
 |
|
Рис. 201 |
Частотное распределение дает оценку вероятности попадания спроса в каждый из выделенных интервалов. С его помощью можно попытаться оценить риск дефицита. Представим себе, что мы планируем запас товара на один день, зная, что средний спрос равен 1 контейнеру. Допустим, что мы собираемся оставить на один день торговли 1,2 контейнера данного товара. Какова будет вероятность того, что спрос превысит наш запас, и возникнет дефицит?
Для ответа на этот вопрос попробуем просто сложить площади прямоугольников, опирающихся на интервалы [1,2-1,4], [1,4-1,6], [1,6-1,8] и [1,82,0] (б). Площадь каждого из прямоугольников равна частоте, с которой спрос из нашей выборки попадал в каждый из этих интервалов. Сумма площадей этих прямоугольников, очевидно, покажет, как часто спрос превышал 1,2 контейнера. В данном случае окажется, что это частота равна 0,22 (22 точки из 100 вошедших в выборку лежат выше ординаты 1,2).
Если эту частоту, которая относится к случайной выборке из истории продаж данного товара использовать, как оценку вероятности того, что спрос превысит 1,2 контейнера, то получается, что вопрос об оценки риска возникновения дефицита решен.
Однако, на самом деле, оценка вероятности по частоте всегда сопряжена с ошибкой, которая тем больше, чем меньше размер выборки. Если мы подбрасываем монету 10 раз, то вполне возможно, что орел выпадет 8 раз, что приведет к оценке выпадения монетки на орла равной 0,8. Разумеется, если подбросить монету 100 раз, выпадение орла 80 раз практически исключено, и оценка вероятности получится гораздо более близкой к 0,5.
Статистика позволяет оценить ошибки в оценках вероятности по частоте и среднего и стандартного отклонения по выборке (см. для справки здесь и далее, например, книгу В.Н. Сулицкий, Методы статистического анализа в управлении, «Дело», Москва, 2002). Допустим, в нашем случае выборки из 100 чисел -значений спроса на некоторый товар за предшествующие 100 дней, среднее значение оценено как X «1, а стандартное отклонение спроса - как s«0,1. Тогда стандартная ошибка Ах в определении среднего составит
(9)
Ах = -^L «1%
VN ,
где N=100 - размер выборки. Такого же порядка будет и ошибка в определении стандартного отклонения s (хотя формула для нее будет сложнее). А вот относительная стандартная ошибка в определении вероятности р попадания случайного спроса в тот или иной интервал частотной диаграммы будет равна
Ар
pN
~ ~ (10)
что для р«0,1 и N = 100 составит величину в 30%, а для р«0,01 - почти 100%! Разумеется, увеличение размера выборки позволяет уменьшить и ошибки в оценке распределения вероятностей, однако, на практике в бизнесе редко удается получить большие выборки. Кроме того, если, как в случае, показанном на , среднее (ожидаемое) значение спроса меняется со временем, получение адекватного частотного распределения существенно усложняется.
Вместе с тем, оказывается, что во многих случаях специальных исследований для оценки распределения вероятностей интересующей нас величины (в частности, распределения вероятностей различных значений спроса) по частотному распределению выборочных значений не требуется. Дело в том, что если нас интересует суммарный спрос за несколько (L) дней или суммарный спрос в нескольких сравнимых друг с другом торговых точек, то его распределение заранее известно.
Независимо от того, как распределено каждое случайное слагаемое в сумме случайных величин, сама сумма должна быть распределена нормально со средним значением, равным сумме средних значений слагаемых (формула 4) и дисперсией, равной сумме дисперсий слагаемых (формула 5).
Это утверждение выражает важнейший статистический закон, известный как центральная предельная теорема теории вероятностей [5,8]. Везде, где мы имеем дело с суммой случайных величин (не важно, одинаково распределенных или нет, если только одна или несколько из них не доминируют над всеми остальными), мы встречаем это замечательное распределение вероятностей. Даже если речь идет о спросе за 1 день, он весьма часто формируется благодаря множеству малых случайных факторов, и потому также распределен нормально. Это распределение очень часто встречается на практике и в других случаях (именно поэтому оно и называется нормальным). Вследствие этого стоит изучить его свойства и использовать для оценки различных рисков, в частности, риска возникновения дефицита.
Нормальное распределение вероятностей.
Нормальное распределение для плотности вероятности случайной величины имеет вид:
( х-х )2 1 2 2
х)= ?2Те ¦ (11)
где X - среднее значение случайной величины (например, ожидаемое значение случайного спроса), а sx — ее стандартное отклонение.
Это распределение было введено Гауссом еще в 18 веке. Затем два российских математика - П.Чебышев и А.Марков в конце 19 и в начале 20 века, доказали (во все более общих предположениях) центральную предельную теорему о том, что сумма большого числа любых слагаемых распределена в соответствие с этим распределением, где X равно сумме средних значений слагаемых (4), а дисперсия s2x - равна сумме дисперсий каждого слагаемого (5).
Чтобы не вдаваться в точное определение плотности распределения вероятности, несколько упрощенно, можно представить себе, что описанная формулой (11) кривая - это огибающая частотного распределения, составленного из очень узких столбиков, площадь каждого из которых дает вероятность того, что случайная величина (спрос) попадет в тот интервал, на котором столбик построен (). Сумма площадей всех прямоугольников на этой диаграмме, т. е. площадь под кривой нормального распределения равна 1.
 |
|
Рис. 202 |
Интересно, что выбором масштаба все нормальные кривые (с разными средними значениями и стандартными отклонениями) можно свести к одной. Если ввести величину z, равную
(12)
и измеряющую величину отклонения спроса от его среднего значения, выраженную в единицах стандартного отклонения, то получится, так называемое
стандартное нормальное распределение, не имеющее никаких параметров (иначе можно сказать, что его среднее значение равно нулю, а стандартное отклонение -1):
z
~2
Р( z) =
(13)
42л
Именно это стандартное нормальное распределение и изображено на
.
Оценка риска возникновения дефицита по нормальному распределению.
Допустим, что в результате анализа числовой выборки спроса на некоторый товар получено, что среднее (ожидаемое на планируемый период) значение ежедневного спроса X ^1 (в единицах больших контейнеров), а стандартное отклонение ежедневного спроса оценено как S^0,1 контейнера. Пусть время выполнения поставщиком заявки на пополнение запаса составляет L=16 дней. Это означает, в соответствие с формулами (4) и (5), что среднее значение суммарного спроса за L=16 дней ожидания поставки составит
XL = L ¦* , (14)
а стандартное отклонение этого суммарного спроса равно
s* =4l ¦ 5 (15)
При этом случайное значение суммарного спроса X L распределено нормально.
Допустим, что менеджер оставляет на время ожидания поставки запас ROP = Xl , где ROP - аббревиатура английских слов Re-Order Point - точка
перезаказа.
Дефицит возникнет, если спрос превысит оставленный менеджером запас. В данном случае - если спрос за время ожидания поставки будет выше среднего
значения XL . Вероятность этого события будет измеряться суммарной площадью всех столбиков на частотной диаграмме нормального распределения (), лежащих справа от значения z=0 (или * = Xl ). Очевидно, что эта площадь (площадь под правой половиной кривой нормального распределения) равна 0,5, а значит, вероятность дефицита составит 50%.
Пусть менеджер, желая снизить риск возникновения дефицита, делает
перезаказ, когда запас данного товара на складе ROp > Xl . Пусть оставленный запас превышает величину среднего суммарного спроса за время выполнения поставки на za стандартных отклонений суммарного спроса за это время, т.е.
ROP - XL
(16)
Za
Тогда риск возникновения дефицита будет измеряться площадью под хвостом кривой нормального распределения справа от значения га().
Таким образом, Za показывает, какой безопасный резерв SS = Zasx нужно добавить к среднему спросу за время ожидания поставки так, чтобы риск возникновения дефицита в этом периоде не превысил а.
Практически вычисление риска возникновения дефицита а при заданном значении точки перезаказа ROP, или, наоборот, вычисление величины безопасного резерва SS и точки перезаказа ROP при выбранном значении риска возникновения дефицита а, сводится к вычислению площадей под кривой стандартного нормального распределения. Это вычисление легко выполнить с помощью специальных функций MS-Excel.
Функция HOPMCTPACn(z) ( в английском варианте MS Excel -NORMSDIST) вычисляет площадь под кривой стандартного нормального распределения от -да до Z. Таким образом, если задать
(15а)
ROP - XL
то риск возникновения дефицита при таком запасе можно получить по формуле:
а= 1-НОРМСТРАСП^а) (16)
Функция НОРМСТОБР(вероятность) ( в английском варианте MS Excel - NORMSINV) решает обратную задачу: вычисляет величину z так, чтобы площадь под кривой стандартного нормального распределения, опирающейся на интервал от -да до Z, равнялась заданной вероятности. Таким образом, если задать требуемый риск возникновения дефицита за время ожидания поставки а, то величину Za, показывающую какой безопасный резерв SS=ZaSX нужно создать, чтобы снизить риск дефицита до заданного значения а следует рассчитать по формуле:
zа=НОРМСТОБР(1-а) (17)
Подчеркнем, что в качестве вероятности, запрашиваемой этой функцией, нужно подставить вероятность того, что дефицита за время ожидания поставки не
будет, т. е. 1-а.
При этом точка перезаказа будет определяться как
ROP = XL + ZaSx (18)
Риск возникновения дефицита и уровень обслуживания.
Вероятность (риск) возникновения дефицита определяет долю заказов, при ожидании которых был зафиксирован дефицит. Пусть, например, менеджер работал в течение 100 месяцев, делая в среднем 1 заказ в месяц на восполнение запаса некоторого товара. Если риск возникновения дефицита поддерживался на уровне в 5%, это значит, что в 5 месяцах из 100 у него возникал дефицит, т.е. спрос превышал запас, оставленный на время ожидания поставки. Эта цифра не говорит, однако, ничего о том, как велик был дефицит в каждом из 5-ти месяцев, когда он был зафиксирован, и сколько клиентов за все время работы (или в среднем за каждый из этих 100 месяцев) остались не обслуженными. Вместе с тем, именно эта последняя величина наиболее наглядно характеризует уровень обслуживания клиентов с точки зрения менеджера.
Уровень обслуживания Psi (по-английски service level) - это средняя доля отказов продать 1 единицу данного товара в период между заказами. Например, если уровень обслуживания, который хотят поддерживать менеджеры фирмы, равен 99,9%, а количество единиц товара, продаваемых в период между последовательными поставками новых партий товара, равно Q =1000 шт., то это
значит, что в среднем число отказов в продаже 1 единицы товара E =1. Вообще говоря,
(19)
Между средней долей отказов существует непростая связь:
С Л
1 ^а
и риском возникновения дефицита
E (а) =
(20)
где, в соответствие с (17) zа=НОРМСТОБР(1-а).
Следует подчеркнуть, что часто воспринимаемая как «очевидная» связь
совершенно неверна (поэтому мы ее перечеркнули). Причина возникновения этого неверного представления - в непонимании смысла величины риска дефицита. Если, как в приведенном выше примере, риск возникновения дефицита равен 5%, т.е. случается в среднем 5 раз на 100 периодов между заказами, то понятно, что средняя на период доля отказов должна быть гораздо меньше. Ведь в 95-ти периодах дефицита не было и, следовательно, отказов не было вообще! В 5-ти периодах дефицит был, и трудно сразу сказать, какое количество отказов произошло в этих периодах. Однако, при взгляде на нормальное распределение () видно, что вероятность большого числа отказов намного меньше, чем малого. Поскольку все произошедшие в 5 периодов отказы нужно «размазать» по 100 периодам, чтобы получить среднее число отказов за период, становится ясно, что отличие уровня обслуживания от 1
намного меньше, чем а. Используя формулу (20), можно получить, что при Q=1000 и sx=50, при а=5%, среднее число отказов за период между заказами
E *4,045, а Psi ^99,9% (подробнее о связи между риском дефицита и уровнем обслуживания см. гл.15 [2]).
Для тех читателей, кто помнит определение среднего значения функции непрерывной случайной величины и владеет навыками интегрирования, ниже приведен вывод соотношения (20).
Для вычисления среднего значения числа отказов за период между
заказамиE (a), при условии, что безопасный резерв SS=zasx обеспечивает величину риска возникновения дефицита а, введем функцию числа отказов, зависящую от величины спроса x
Г 0 , если x < ROP
Если выразить число отказов, как функцию от относительного отклонения спроса от среднего z, то, очевидно, получится:
Г 0 , если z < za
Вид этой функции E(z) показан на . Если спрос ниже оставленного запаса ROP (или z < za), никаких отказов не возникает. Если, наоборот, спрос превысил запас ROP (z>za), то число отказов равно величине этого превышения E(x)=Sx(z-za).
 |
za z
-3 -2 -1 0 a 1 2 z 3 |
Рис. 203
распределению
Среднее значение функции E(x) по нормальному определяется как
z
J (z - za ) •e 2 dz
|
E (а) |  |
e
2 dz |
(22)
Разумеется, что после интегрирования по величине спроса x (или по z), эта функция не может зависеть от x или z, а определяется лишь заданным риском возникновения дефицита a или ROP (что безразлично, так как между этими величинами существует однозначная связь (18)). Вычисляя последний интеграл по частям, получаем искомую формулу (20).
Модель фиксированного периода между заказами.
Выше была рассмотрена модель фиксированного размера заказа ( ), согласно которой при постоянном (в среднем) спросе один и тот же заказ Q делается в момент, когда уровень запаса падает до значения ROP. В случае если никаких случайных вариаций спроса нет, то ROP=dL, где d- ежедневный спрос, а L- время выполнения заявки на пополнение запаса поставщиком. При наличии случайных вариаций спроса, к среднему значению спроса за время ожидания поставки (d-L) прибавляется безопасный резерв SS=zaSx, который обеспечивает снижение риска дефицита с 50% (если оставленный запас равен среднему спросу d-L) до а. При этом моменты времени, когда делается заказ на восполнение запаса, перестают быть строго периодичными: поскольку спрос случаен, уровень ROP достигается в одном периоде раньше, а в другом - позже (а).
 |
|
Рис. 204 |
Такая модель удобна, если фирма торгует одним или небольшим числом товаров, каждый из которых заказывается у поставщика отдельно. На реальном оптовом складе нередко находятся несколько тысяч (а иногда и десятки тысяч) наименований различных товаров. При этом количество поставщиков, обычно гораздо меньше, так что у каждого поставщика фирма заказывает несколько различных товаров (а иногда несколько десятков и даже сотен наименований). В этом случае товары для заказа объединяются в группу, и определяется оптимальная частота заказа группы товаров, минимизирующая издержки управления запасами (см. п.6.6 [1]).
Представим себе, что такая группа товаров поступила на склад в момент времени t=0. Можно, разумеется, для каждого товара в этой группе рассчитать значение ROPi, но из-за случайности и независимости спроса на разные товары в группе, моменты времени, когда эти уровень запаса каждого i-го товара достигнет соответствующего значения ROPi, будут, очевидно, различными. Группа
«рассыплется», поскольку модель фиксированного размера заказа требует делать заказ каждого товара в момент достижения уровня его запаса значения ROPf, т.е. отдельно от других товаров в группе. Если мы хотим сохранить группу товаров и делать заказ для всех товаров в группе одновременно, необходимо перейти к другой модели - модели фиксированного периода между заказами.
В этой модели моменты времени, когда делается заказ, фиксированы и строго периодичны, а размер заказа меняется, в зависимости от того каким был спрос в предыдущий период, и каким он прогнозируется в следующем периоде (рис. б). Пусть период между заказами равен T, а время выполнения заказа поставщиком L. При вычислении величины заказа следует иметь ввиду, что количества товара в этом заказе плюс количество товара, который в данный момент имеется на складе, должно хватить до момента, когда следующий заказ (который предстоит сделать через время T) придет на склад (рис. б). Таким образом, планируемый период в данной модели равен T+L. Если прогнозируемый средний ежедневный спрос на этот период равен X , стандартное отклонение ежедневного спроса S, а приемлемый риск возникновения дефицита за этот период принят равным а, то, очевидно, что необходимый на этот период времени запас равен среднему спросу за T+L плюс безопасный резерв:
x •(T + L) + zа s л/(T + L) ,
где s • ^/(T + L) - стандартное отклонение спроса за планируемый период.
Если в момент заказа на складе еще есть I единиц данного товара, то величина заказа, очевидно, определится формулой
Q = x •(T + L) + zas • V(T + L) _ 1 (23)
(подробнее о модели с постоянным периодом между заказами см. гл.15
[2]).
Замечание о случайных вариациях времени поставки.
В обеих рассмотренных моделях предполагалось, что единственным источником случайного изменения уровня запаса на складе является случайный спрос. Характеристикой случайных вариаций ежедневного спроса является стандартное отклонение ежедневного спроса s. При этом считалось, что время поставки L - строго постоянно, иными словами - поставщик идеален. У реальных поставщиков время поставки более или менее варьирует. Разумеется, это должно отразиться за вариациях уровня запаса на складе и, соответственно, на величине необходимого безопасного резерва.
Допустим, что L - это среднее время, проходящее от момента подачи заявки на новый заказ поставщику до момента прихода заказа на склад, а случайный разброс этого времени поставки характеризуется стандартным отклонением Sl. Будем, для определенности считать, что и та и другая величина измеряется в днях. Если средний ежедневный спрос равен X , то стандартное отклонение спроса за время ожидания поставки новой партии товара за счет за счет вариации времени поставки, очевидно, составит x ¦ sL. В то же время, как подробно рассмотрено ранее, стандартное отклонение спроса при фиксированном времени поставки , за счет случайных вариаций ежедневного спроса, составит
s>[Г.
В случае, когда и ежедневный спрос, и время поставки независимо варьируют, необходимо учесть оба эти случайных фактора. По общему правилу (5), для вычисления стандартного отклонения суммарного случайного спроса за время ожидания поставки (которое само подвержено случайным вариациям), необходимо сложить квадраты стандартных отклонений, связанных с каждым из двух случайных факторов, и извлечь квадратный корень из их суммы:
s x = д/ s 2 L + x 2 si (24)
Однопериодная модель заказа.
Модель применяется в ситуации, когда приобретаемый запас должен быть распродан в течение ограниченного промежутка времени (скоропортящиеся продукты, модная сезонная одежда и пр.). Если товар не продан по нормальной цене в этот промежуток времени (в сезон), он обязательно реализуется по сниженным ценам на внесезонной распродаже. При этом цена распродажи может быть существенно ниже не только нормальной цены, но и себестоимости товара, в результате чего продавец несет значительные убытки. С другой стороны, если продавец, пытаясь застраховаться от потерь, связанных с распродажей товара по сниженным ценам, закажет партию, заведомо ниже величины прогнозируемого спроса на данный период, он фактически отказывается от части прибыли, которую предлагает ему рынок. Модель определяет оптимальный размер заказа, максимизирующий прибыль продавца в условиях случайного спроса, когда неизбежны либо потери от распродажи излишков, либо упущенная выгода при возникновении дефицита товара.
Пусть прогнозируемый средний спрос на данный товар на сезон составляет d , а стандартное отклонение спроса S. Пусть нормальная цена при продаже товара в сезон составляет р, при себестоимости с, а цена единицы товара на распродаже Руцен<с. Тогда потери от распродажи 1 единицы избытка товара составит сизб=с-руцен, а потери от дефицита в 1 единицу товара оценим как упущенную прибыль от несостоявшейся продажи этой единицы товара Сдеф=р-с.
При оценке оптимального размера запаса, максимизирующего прибыль, экономисты используют подход, известный как маржинальный анализ. Согласно этому подходу, максимум прибыли (или минимум упущенных возможностей, что равнозначно, если под упущенными возможностями понимать на равных основаниях и прямые потери и незаработанную прибыль) получится, если ожидаемые потери от 1 единицы дефицита равны ожидаемым потерям от 1 единицы избытка. Термин «ожидаемые» означает среднее значение потерь при многократном повторении заказа (т.е. потери за много сезонов подряд, или во многих магазинах в данном сезоне). Если вероятность дефицита обозначить а, а вероятность избытка, соответственно (1—а), то условие максимума прибыли имеет вид:
(25)
а' С деф (1 а) ' Сизб
Отсюда можно определить оптимальное значение риска возникновения дефицита, определяющее максимум прибыли:
(26)
Сизб
С деф + Сизб
заказа
а далее, используя формулы (17),(18), можно найти оптимальный размер га=НОРМСТОБР(1-а)
Qonm = d + ZaS (27)
Заметим, что сформулированное на основе маржинального анализа соотношение (25), в данном случае является результатом точной математической процедуры максимизации прибыли (или минимизации упущенных возможностей). Для читателей, знакомых с определением среднего значения функции непрерывной случайной величины и владеющих навыками интегрирования, ниже приведен вывод соотношения (25).
Обозначим размер заказа на данный период (сезон) Q. Тогда, если спрос за период распределен нормально, среднее значение прибыли от продажи товара в сезон составит
( x—d )2
e 2s2 dx
да
{ P( x, Q)
1
42ns
P(Q)
(28)
—да
где P(x,Q) - прибыль, которую получит продавец, если сделал заказ Q, а спрос был x. Выражение для P(x,Q), очевидно, имеет вид:
P( x, Q) =
(Р — c) ' x — (c — Руцен ) ' (Q — x), еСли x ^ Q
(р — c)' Q, если x > Q
(29)
Разумеется, спрос не может быть отрицательным, поэтому нижний предел
в интеграле (28) должен быть равен нулю. Однако, если d > 3 - s (а только в этом случае спрос можно считать распределенным приблизительно нормально), замена нижнего предела на -да вполне допустима. С учетом (29), интеграл (28) можно переписать в виде:
1 Q (x—d )2
P(Q) = -7^- J [(Р — С) ' x — (С — Руцен ) ' (Q — x)] ' e 2S2 dx +
-ПКИ Іда
( x—d )2
2 s2 - dx
(30)
|
да |
 |
|
Q |
( Р — C) ' Q
-42ns
Дифференцируя это выражение по Q и вводя обозначения Сдеф = р-С и Сизб = С-Руцен, получаем dP(Q) 1
(Q-d )2 (Q-d )2
)• Q • е 2s - Си3бQ •e 2s2
?С деф + Сизб
dQ
ns
(31)
(Q-d )2
Q (x-d)
(x-d)
да
e 2s2 dx - CMQ • e 2s2 + Сдеф fe 2s2 dx
' изб
ns
Приводя подобные члены и замечая, что
Q (x-d )2 е 2 s dx = 1 -а
да (x-d )2
f е 2s2 dx = а
>7ГС*'
f е 2 s 2 dx = 1 -t dins •*
-да
находим соотношение (25) а • Сдеф = (1 - а) • сизб
?2П
(25)
Вычислим теперь величину максимальной прибыли, которую
обеспечивает оптимальный заказ (27).
Q-d
x-d
Вводя переменную
, где а - риск
, определяя
возникновения дефицита (если спрос x превысит Q) преобразуем выражение для среднего значения прибыли Р(а) к виду:
р(а) = (|Сдеф + сизб ) • s
j(d + zs) • e 2 dz
2n
-да
СШ6(d + Zas) Za Ad_ + Сдеф(d + zas) “ — (32)
да z
~аЛ) I 2
j e 2 dz -
j e 2 dz
I2n -да V2n
00 za
Вычисляя каждый из интегралов, приводя подобные члены и вспоминая, что Сдеф=р-С , получаем
P(a) = (Р - с) • d - s • [Сизб • za + (Сизб + Сдеф)• Е(а)] ,
(33)
где E(a)- известная функция числа отказов при заданном риске возникновения дефицита а (20). Для вычисления ожидаемой максимальной прибыли в выражение (33) нужно подставить значение а, из формулы (26).
Видно, что выражение для максимальной ожидаемой прибыли меньше, чем прибыль от единицы товара, умноженная на среднюю величину спроса, поскольку неизбежны либо прямые потери от распродажи при избытке товара, либо упущенные возможности от неудовлетворенного спроса при дефиците.
Замечание об экономически обоснованном риске дефицита в модели фиксированного размера заказа.
При рассмотрении модели фиксированного размера заказа мы отмечали, что создание безопасного резерва SS имеет своей целью снижение риска возникновения дефицита до приемлемого уровня и повышение уровня обслуживания клиента. Поскольку содержание безопасного резерва требует дополнительных затрат в виде увеличения издержек хранения , может создаться впечатление, что создание безопасного резерва вызвано альтруистическим желанием улучшить качество обслуживания клиента, и по своей природе является чисто затратным мероприятием. Это впечатление, несомненно, ошибочно. Как ясно сформулировано в однопериодной модели заказа, дефицит обусловливает упущенную прибыль от несостоявшихся продаж. Поэтому снижение риска дефицита прямо увеличивает прибыль, полученную фирму.
Так же как в однопериодной модели заказа маржинальный анализ позволяет найти оптимальное значение риска дефицита, которое минимизирует суммарные упущенные возможности (незаработанную прибыль от неудовлетворенного спроса и прямые потери от распродажи излишков), что приводит к максимизации прибыли фирмы, в модели фиксированного размера заказа можно поставить вопрос о минимизации суммарных упущенных возможностей, возникающих, с одной стороны, вследствие несостоявшихся из-за дефицита продаж, а, с другой стороны, вследствие увеличения издержек хранения при содержании безопасного резерва.
Упущенную при возникновении дефицита прибыль можно оценить как
число отказов в продаже единицы товара за период между заказами E(a), умноженное на прибыль от продажи 1 единицы товара. С учетом (20), это упущенная за период прибыль равна
1 a
—е~ 2
(p - с)Е(a) = (p
V2
(34)
где p и c - соответственно цена и себестоимость 1 единицы товара. Содержание безопасного резерва SS (18), обеспечивающего данное значение риска возникновения дефицита a, в течение периода T между заказами, обусловливает следующие дополнительные издержки хранения ATH = H ¦ SS ¦ T = h% ¦ с ¦ za ¦ ¦ T (35)
Варьируя величину риска дефицита a, можно минимизировать сумму
(34) и (35). Соответствующее этому минимуму значение a^r и обеспечит максимум прибыли фирмы.
В этом рассуждении, так же как и в однопериодной модели заказа, мы полагали, что потери от дефицита связаны только с упущенной выгодой от несостоявшихся из-за дефицита продаж. Качественно, однако, понятно, что дефицит способствует снижению лояльности клиентов фирмы, их переключению на услуги конкурентов. Связанные с этим процессом потери весьма трудно оценить. Однако, в зависимости от стратегии и целей фирмы, грубые оценки этих потерей могут быть прибавлены к упущенной выгоде от несостоявшихся продаж:
Cдеф—(P-C)+Cgw, (36)
где cgw - называют потерями от утраты доброго отношения клиентов (good will). Очевидно, что учет этих потерь приведет к уменьшению оптимального, «экономически обоснованного» значения для риска дефицита.
Приемы решения задач
6.П-1. Магазин сантехники
Магазин сантехники, работающий 364 дня в году, продает фильтры для
|
145 |
259 |
184 |
263 |
279 |
203 |
155 |
209 |
189 |
226 |
132 |
249 |
По оценке менеджера, он соответствовал обычному среднему спросу на данный товар.
По сложившейся практике магазин заказывает примерно по 900 фильтров раз в месяц. Заказ, издержки по оформлению и доставке которого, составляют $300, исполняют в течение 10 дней. Закупочная цена $15. Менеджер не знает цифры по внутренней норме доходности магазина и считает, что единственным надежным ориентиром для сравнения эффективности вложения денег является доход по срочному вкладу, который составляет в регионе не менее 15% в год. Запас на складе не страхуется и не подлежит налогообложению.
a. Каковы складские издержки магазина при работе с этим товаром? Можно ли, и на сколько снизить эти издержки.
b. Из маркетинговых соображений менеджер готов допустить риск дефицита не более а=1%. Определите, при каком количестве фильтров на складе следует делать новый заказ в этом случае.
c. Представьте себе, что вы собираетесь отказаться от безопасного резерва. На сколько дней позже вы сделаете очередной заказ в сравнении с моделью из пункта b?
d. Определите точку перезаказа для модели управления, в которой задан не риск дефицита, а уровень обслуживания Psi = 99%.
Решение задачи.
В этой задаче обсуждается модель управления запасами в условиях случайного спроса. Так как ни средний спрос, ни его стандартное отклонение явно не указаны, но приведена небольшая статистическая выборка по объему продаж за последние недели, нам предлагается оценить эти параметры спроса самостоятельно.
Используем для оценки среднего спроса встроенную функцию MS Excel =СРЗНАЧ( ) или =AVERAGE( ) в английской версии MS Office. В качестве параметров функции следует указать всю таблицу с данными о продажах. При этом средний спрос за неделю оказывается равным 207.8 единиц.
Для оценки стандартного отклонения спроса от среднего тоже можно использовать встроенную функцию MS Excel =СТАНДОТКЛОН( ) (или =STDEV( )). В качестве параметра функции опять укажем таблицу с данными. Среднее недельное стандартное отклонение спроса получается равным примерно 48.8 единиц.
Разумеется, при таком небольшом размере выборки, точность определения реальных значений среднего спроса и его стандартного отклонения оказывается невелика. Но тут уже ничего не поделаешь, если более обширной статистики нет. Наши сомнения в корректности расчета этих параметров спроса может в некоторой степени развеять замечание, что по оценке менеджера, спрос соответствовал обычному среднему спросу на данный товар. Т.е. продажи за любой период не выходили за рамки обычных, тех к которым уже привыкли.
Чтобы еще больше укрепить свою уверенность в возможности использования модели экономичного размера заказа в данной ситуации можно построить диаграмму спроса. По диаграмме мы могли бы оценить, нет ли какого-нибудь устойчивого тренда в продажах - падения или роста. Для этого потребуем добавить на диаграмму линию тренда. Делается это следующим образом. Щелкнем по любому из кружков, показывающих данные о продажах правой клавишей мыши. Из появившегося меню выберем пункт Добавить линию тренда... . Появится окно Линия тренда следующего вида (рис. 3.2). Выберем для линии тренда линейный тренд (выбран по умолчанию) и щелкнем вкладку Параметры. В открывшемся окне, прежде чем нажать кнопку OK, отметим галочками пункты: показывать уравнение на диаграмме и поместить на диаграмму величину достоверности аппроксимации (RA2),_
 |
|
Рис. 205 |
Получим следующую диаграмму (). По самим данным, что называется невооруженным взглядом, никакого явного тренда не видно. Но и математический инструмент, с помощью которого мы построили линию тренда «насильно», показывает, что достоверность приведенного уравнения для предложенной им линии тренда y= -1.16x + 215 близка к нулю.
300
250
200
150
100
50
0

y = -1.16x + 215.32 R2 = 0.01
1 2 3 4 5 6 7 8 9 10 11 12
Рис. 206
Для нас это достаточное основание для использования модели экономичного размера заказа.
Теперь давайте извлечем из условия задачи все данные, которые необходимы для расчета EOQ и издержек хранения и заказа.
Относительно издержек хранения нам известна из условия только стоимость денег - 15% в год. Так как о других издержках не упоминается, примем это число, как текущую величину издержек хранения h. Эту величину мы можем использовать только в сочетании с количеством замораживаемых в одной единице товара денег. Хотя в задаче даны два числа: розничная цена - 25$ и закупочная - 15$, выбрать следует, разумеется, именно закупочную цену. Именно эти деньги оказываются замороженными, если товар не продается. Итак C=15.
Издержки заказа S равны 300$.
Таким образом, у нас имеются все данные для расчета EOQ и издержек хранения и заказа при различных размерах партии. Создадим рабочую таблицу Excel для решения поставленной проблемы ().
|
|
A |
B |
C |
D |
E |
F |
G |
H |
I |
J |
K |
L |
|
1 |
145 |
259 |
184 |
263 |
279 |
203 |
155 |
209 |
189 |
226 |
132 |
249 |
|
2 |
|
|
|
|
|
|
|
|
|
|
|
|
|
3 |
=СТАНДОТКЛОН
(A1:L1) |
в
неделю |
=A3*52A0.5 |
в год |
Стандартное отклонение спроса |
|
|
|
|
|
|
4 |
=СРЗНАЧ(Д1Л1) |
в
неделю |
=A4*52 |
в год |
Средний спрос |
|
|
|
|
|
|
и |
|
|
|
|
|
|
|
|
|
|
|
|
6 |
S = |
300 |
$ |
EOQ = |
=(2*C4*B6/
(Б7*Б8))Л0.5 |
|
Q = |
900 |
|
|
|
|
7 |
h = |
15% |
|
Qreal = |
|
|
|
TH = |
=I6*$B$9/2 |
|
|
8 |
С = |
15 |
$ |
N = |
=$C$4/E7 |
|
TS = |
=$B$6*$C$4/I6 |
|
|
9 |
H = |
=B8*B7 |
$ |
|
|
|
|
T = |
=I8+I7 |
|
|
|
|
Рис. 207 |
В ячейках A3 и A4 содержатся формулы =СТАНДОТКЛОН( A1:L1) и СРЗНАЧ^!^! ) для расчета стандартного отклонения спроса и среднего спроса
за неделю. В ячейках C3 и С4 эти величины пересчитаны в расчете на год. Для расчета среднего годового спроса средний недельный спрос умножен на 52 (число недель в году), а для расчета стандартного отклонения спроса в расчете на год,
недельное стандартное отклонение умножено на V52.
Значение издержек хранения в денежных единицах H найдено по формуле
H=h*C.
По этим данным, используя стандартную формулу, находим экономичный размер заказа EOQ. Напоминаем, что знак Л используется в Excel для обозначения степени. Поэтому запись вида (,..)Л0.5 означает, что выражение в скобках возводится в степень 0.5 (или ^), т.е. вычисляется квадратный корень из выражения в скобках. Тоже самое можно было бы сделать, используя стандартную функцию Excel =КОРЕНЬ(...), но знак степени вводить быстрее.
Как обычно в задачах на управление запасами, найденная нами величина EOQ является только ориентиром для выбора реального размера заказа Qreal. Его можно получить в данном случае, например, простым округлением, так как никаких требований к размеру заказа не предъявляется.
В ячейке E8 вычисляется число заказов в год (для Qreal), а в ячейках I7:I9 -издержки хранения, заказа и их сумма для принятого в настоящее время заказа Q=900 штук.
На следующем рисунке () показаны результаты вычислений.
|
|
A |
B |
C |
|
E |
F |
G |
H |
I |
J |
K |
L |
|
1 |
145 |
259 |
184 |
263 |
279 |
203 |
155 |
209 |
189 |
226 |
132 |
249 |
|
2 |
|
|
|
|
|
|
|
|
|
|
|
|
|
3 |
48.8 |
в неделю |
351.9 |
в год |
Стандартное отклонение спроса |
|
|
|
|
|
4 |
207.8 |
в неделю |
10 803.0 |
в год |
Средний спрос |
|
|
|
|
|
|
|
5 |
|
|
|
|
|
|
|
|
|
|
|
|
|
6 |
S= |
300 |
$ |
EOQ= |
1697.3 |
|
|
Q= |
900 |
1700 |
1800 |
|
|
7 |
h= |
15% |
|
Qreal~ |
1700 |
|
|
TH= |
1 013 |
1 913 |
2 025 |
|
|
8 |
С= |
15 |
$ |
N= |
6.35 |
|
|
TS= |
3 601 |
1 906 |
1 801 |
|
|
9 |
H= |
2.25 |
$ |
|
|
|
|
T= |
4 614 |
3 819 |
3 826 |
17.2% |
|
|
Рис. 208 |
Воспользуемся близостью полученного EOQ=1697.3 к круглому числу, и выберем Qreal равным 1700 единиц. При этом в среднем будет сделано 6.35 заказа в год.
По условию задачи известно, что по сложившейся практике заказ равен 900 единиц, что практически вдвое меньше оптимума. Вычислим издержки хранения TH, заказа TS и полные издержки T для двух политик управления запасами: с заказом Qreal =900 единиц и Qreal =1700 единиц. Оказывается, разница в издержках существует - 795$, но она не драматически велика. Таким образом, за счет изменения размера заказа удается сэкономить около 17% = (4614-3819)/4614.
Разумно будет прикинуть, как изменятся издержки, если мы будем делать целое число заказов в год, например 6. При этом заказы будут делаться примерно раз в два месяца, а размер одного заказа составит около 1800 единиц. Как вы видите по таблице (), полные издержки возрастают только на 7 единиц. Таким образом, если нет никаких препятствий, не отраженных в условии задачи, было бы разумно делать заказы вдвое реже, чем в настоящее время.
Теперь нужно рассчитать точку перезаказа ROP. Отметим здесь, что фактически в компании используется модель фиксированного размера заказа. Именно поэтому в условии задачи не упоминаются остатки склада на текущее
время. А то обстоятельство, что заказ делается раз в месяц, связано с тем, что средний срок продажи 900 фильтров составляет чуть больше месяца. Так что фактически мы должны определить, при каком количестве фильтров на складе следует делать очередной заказ в размере 1800 единиц, если желаемая величина риска дефицита составляет 1%.
|
|
A |
B |
C |
D |
E |
F |
G |
H |
I |
J |
K |
L |
|
1 |
145 |
259 |
184 |
263 |
279 |
203 |
155 |
209 |
189 |
226 |
132 |
249 |
|
2 |
|
|
|
|
|
|
|
|
|
|
|
|
|
3 |
48.8 |
в неделю |
351.9 |
в год |
Стандартное отклонение спроса |
|
|
|
|
4 |
207.8 |
в неделю |
10 803.0 |
в год |
Средний спрос |
|
|
|
|
|
|
|
5 |
|
|
|
|
|
|
|
|
|
|
|
|
|
6 |
S= |
300 |
$ |
EOQ= |
1697.3 |
|
|
Q= |
900 |
1800 |
1700 |
|
|
7 |
h= |
15% |
|
Qreal |
1800 |
|
|
TH= |
1 013 |
2 025 |
1 913 |
|
|
8 |
С= |
15 |
$ |
N= |
6.00 |
|
|
TS= |
3 601 |
1 801 |
1 906 |
|
|
9 |
H= |
2.25 |
$ |
|
|
|
|
T= |
4 614 |
3 826 |
3 819 |
17.1% |
|
10 |
L= |
=10/7 |
|
Sl= |
=A3*B10A0.5 |
|
|
|
|
|
|
|
11 |
SS= |
=B12*E10 |
|
|
|
|
|
|
|
|
|
|
12 |
z= |
=НОРМСТОБР(1-B13) |
|
|
|
|
|
|
|
|
|
13 |
а= |
1% |
|
|
|
|
|
|
|
|
|
|
|
14 |
ROP= |
=A4*B10+E10*B12 |
|
|
|
|
|
|
|
|
|
15 |
t= |
=B11/A4*7 |
|
|
|
|
|
|
|
|
|
|
|
Рис. 209 |
В следующей таблице () добавлены необходимые параметры L и а, после чего можно вычислять точку перезаказа. Срок выполнения заказа L записан сразу в неделях, для этого в ячейке B10 написана формула =10/7. Отклонение запаса от среднего z, обеспечивающее заданный риск дефицита считаем по обычной формуле z =НОРМСТОБР(1- а). Чтобы рассчитать безопасный резерв (SS=z*SL, ячейка B11) остается найти стандартное отклонение спроса за время выполнения заказа. Так как время исполнения не варьирует,
можно использовать обычную формулу SL = WL (ячейка E10).
Точка перезаказа ROP также рассчитывается по обычной формуле -ROP = dL + z * SL (ячейка B14).
На рисунке () показан результат расчета.
|
|
A |
B |
C |
D |
E |
|
6 |
S= |
300 |
$ |
EOQ= |
1697.3 |
|
7 |
h= |
15% |
|
Qreal= |
1800 |
|
8 |
С= |
15 |
$ |
N= |
6.00 |
|
9 |
H= |
2.25 |
$ |
|
|
|
10 |
L= |
1.43 |
|
Sl= |
58.3 |
|
11 |
SS= |
135.7 |
|
|
|
|
12 |
z= |
2.326 |
|
|
|
|
13 |
a= |
1% |
|
|
|
|
14 |
ROP= |
432.5 |
|
|
|
|
15 |
t= |
4.6 |
|
|
|
Для z получаем примерно +2.326 стандартных отклонения. Следовательно, как мы и ожидали, безопасный резерв будет положительным и новый заказ будет сделан раньше, чем на складе останется запас для торговли на 10 дней (время исполнения заказа). При этом получаем, что SL=58.3. Значит безопасный резерв составит около 136 единиц. Это даст нам окончательный результат ROP=432.5, который, по смыслу, следует округлить до ближайшего большего целого - 433 единицы.
Для ответа на вопрос пункта c достаточно вычислить, за какое время в среднем распродается безопасный резерв. При средних недельных продажах в 207.8 штук безопасный резерв размером 135.6 штук будет продан за 4.6 дня (B15). После этого на складе останется ровно столько, сколько в среднем продается за время выполнения заказа - 10 дней. Поэтому при переходе от одной модели к другой оформление заказа отложится на 4-5 дней.
Отметим еще раз, что средний срок между заказами в обеих моделях - с безопасным резервом и без него - один и тот же. Только при одной стратегии к моменту получения заказа на складе будет оставаться в среднем безопасный резерв, а в другой склад будет пуст.
Более удобный подход к формированию безопасного резерва связан с заданием уровня обслуживания. Дело в том, что бывает довольно трудно определить, какая величина риска дефицита оправдана экономически. Конечно, если ваш магазин единственное место в округе, в котором посетитель может купить некий товар, так что не застав его на прилавке один раз, он неизбежно возвратится за ним снова, создавать безопасный резерв практически бессмысленно (если речь не идет о продовольствии). Однако в более сложных случаях для определения безопасного резерва желательно знать, сколько потенциальных клиентов вы теряете из-за дефицита. Именно эта величина и определяет безопасный резерв.
В этой задаче речь идет об уровне обслуживания 99%. Это значит, что вы надеетесь обслужить 99% всех клиентов, затребовавших данный товар, не взирая на случайность спроса. Оценить примерное число клиентов, которым не хватит товара, можно по формуле E(Psl) = (1 - Psl )Q, где Q - среднее количество
проданного товара за период и оно равно размеру заказа. Если средняя покупка равна 1 штуке, то Q - это и число клиентов. Если же средняя покупка равна q, то число необслуженных клиентов составит E(Psl)/q . К сожалению, простой связи между уровнем обслуживания и риском дефицита а нет, т.е. вообще говоря а Ф 1 - Psl !
Но, с другой стороны, мы можем определить долю потерянных клиентов, или, лучше сказать, долю потерянных покупок, через нормальное распределение.
Для этого нужно использовать формулу E( z) = SL ( — exp(--) - za). Так как в
этой формуле известна только величина стандартного отклонения за время выполнения заказа SL , величину параметров z и а придется подбирать. Точнее, подбирать придется только величину z, потому что а = 1-НОРМСТРАСЩХ).
Так как оценки доли потерянных покупок двумя способами должны давать одинаковый результат, то, подобрав такое значение z, чтобы выполнялось условие E(Psl) = E (z), мы найдем z и а соответствующие заданному уровню обслуживания Psl. Сделать это удобнее всего с помощью надстройки Поиск
|
решения, используя нелинейную модель. Дополним нашу таблицу необходимыми формулами ()______^__ |
|
|
A |
B |
C |
D |
E |
F |
G |
H |
I |
J |
|
6 |
S= |
300 |
$ |
EOQ= |
1697.3 |
|
|
Q= |
900 |
1800 |
|
7 |
h= |
15% |
|
Qreal |
1800 |
|
|
TH= |
1 013 |
2 025 |
|
8 |
С= |
15 |
$ |
N= |
6.00 |
|
|
TS= |
3 601 |
1 801 |
|
9 |
H= |
2.25 |
$ |
|
|
|
|
T= |
4 614 |
3 826 |
|
10 |
L= |
=10/7 |
|
Sl= |
=A3*B10A0.5 |
|
|
|
|
|
11 |
SS= |
=B12*E10 |
SS= |
=E12*E10 |
|
|
|
|
|
12 |
z= |
=НОРМСТОЕР(1-Б13) |
z= |
0.237 |
|
|
|
|
|
|
13 |
a= |
1% |
|
az |
=1-HOPMCTPACn(E12) |
|
|
|
|
14 |
ROP= |
=A4*B10+E10*B12 |
ROP = |
=A4*B10+E10*E12 |
|
|
|
|
15 |
t= |
=B11/A4*7 |
Psl= |
99.0% |
|
|
|
|
|
|
16 |
|
|
|
Esl= |
=(1-E15)*E7 |
|
|
|
|
|
17 |
|
|
E(z)-Esl=0 |
=E10*(
1/КОРЕНЬ(2 *nM())*EXP(-(E12A2)/2)-E 12*E13 )-E16 |
|
|
|
|
|
Рис. 211 |
В задании Поиску решения следует указать только целевую ячейку - E17, цель оптимизации - равенство целевой ячейки значению 0 и изменяемую ячейку -E12. Ограничения не нужны, так как z может принимать любые значения, в отличие от величины a, которая изменяется от 0 до 1 (этим, собственно, и обусловлен наш выбор переменной). После запуска Поиска решения на выполнение получаем следующий результат ()._
|
|
A |
B |
C |
D |
E |
|
10 |
L= |
1.43 |
|
Sl= |
58.3 |
|
11 |
SS= |
135.7 |
|
SS= |
11.4 |
|
12 |
z= |
2.326 |
|
z= |
0.196 |
|
13 |
a= |
1% |
|
az= |
42.2% |
|
14 |
ROP= |
432.5 |
|
ROP = |
308.2 |
|
15 |
t= |
4.6 |
|
Psl= |
99.0% |
|
16 |
|
|
|
Esl= |
18.0 |
|
17 |
|
|
|
E(z)-Esl=0 |
0.0000 |
Рис. 212
|
|
A |
B |
C |
D |
E |
F |
|
10 |
L= |
1.43 |
|
Sl= |
58.3 |
58.3 |
|
11 |
SS= |
135.7 |
|
SS= |
11.4 |
135.6 |
|
12 |
z= |
2.326 |
|
z= |
0.196 |
2.326 |
|
13 |
a= |
1% |
|
az |
42.2% |
1.0% |
|
14 |
ROP= |
432.5 |
|
ROP = |
308.2 |
432.4 |
|
15 |
t= |
4.6 |
|
Psl= |
99.0% |
99.989% |
|
16 |
|
|
|
Esl= |
18.0 |
0.2 |
|
17 |
|
|
|
E(z)-Esl=0 |
0.0000 |
0.0000 |
Значит, сервисному уровню 99% соответствует риск дефицита 42.2% и точка перезаказа ROP=308.2. Безопасный резерв оказывается равным всего 11.4 единиц, что меньше дневного спроса. На практике это означает отсутствие страхования от дефицита. _____
Давайте заодно подберем величину сервисного уровня, соответствующую риску дефицита а = 1%. Для этого можно несколько раз запустить Поиск решения, меняя величину Psl. С достаточной для наших целей точностью, величина Psl=99.989% соответствует риску дефицита около 1% (). Разумеется и величины z и ROP получаются такими же, как при расчетах из пункта b. Разница между этими расчетами заключается только в том, что раньше нам было неизвестно, сколько клиентов теряется за один период заказа. С практической точки зрения следует сделать вывод о том, что заданный риск дефицита в 1% излишне жесткий, так как при нем теряется только 1 клиент за год (0.2*6 заказов). Даже если эта покупка потеряна для магазина компании, то неполученная выгода составит всего 10$. А платим мы за это около 305$ (135.7*2.25 - стоимость хранения безопасного резерва).
Отметим, наконец, что невозможно построить никакой таблицы соответствия между Psl и а, так как связь между ними зависит от соотношения между средним спросом и стандартным отклонением спроса за время выполнения заказа.
6.П-2. Оптовые продажи хозтоваров
Компания ООО ОллОпт является независимым поставщиком предметов домашнего обихода в магазины. Управляющий пытается поддерживать у себя такой запас товаров, который удовлетворял бы 98% запросов со стороны его клиентов. Комплект ножей C01134 из нержавеющей стали является одной из тысяч позиций запасов ОллОпт. Потребность в этих ножах (2400 комплектов в год) относительно стабильна на протяжении всего года. Общая стоимость размещения заказа у поставщика ножей составляет $5. По оценкам ОллОпт, хранение запаса, выплата процентов по заемному капиталу, страховки и т.п. добавляют к стоимости хранения примерно $4 за один комплект в течение года. Склад заказывает комплекты ножей партиями по 100 штук.
Анализ данных за прошедший период показывает, что стандартное отклонение потребности со стороны розничных торговцев составляет примерно 4 комплекта в день (предполагается, что в году работают все 365 дней). Период выполнения заказа составляет одну неделю.
a. Определите точку перезаказа в модели фиксированного размера заказа при существующей средней периодичности заказов на комплекты ножей.
b. Каков экономичный размер заказа? Какова точка перезаказа для экономичного размера заказа?
c. Представьте себе, что склад должен перейти на модель заказов с фиксированным периодом между заказами при том же сервисном уровне. Сегодня нужно сделать новый заказ на комплекты ножей, а на складе лежит количество комплектов, соответствующее точке перезаказа для модели фиксированного размера заказа (вопрос а). Сколько комплектов следует заказать, если период между заказами будет составлять полмесяца? Сравните эту величину с размером заказа для модели фиксированного размера заказа (вопрос а). В чем причина их различия?
d. Если все же заказать 100 комплектов, как раньше, какой уровень обслуживания получится для этой позиции товарных запасов?
Решение задачи.
Формулировки вопросов к этой проблеме показывают, что речь идет о двух моделях управления запасами в условиях случайного спроса. Так как в первых вопросах речь идет о модели фиксированного размера заказа, будем при построении таблицы Excel ориентироваться на эту модель. Сначала извлечем из условия все нужные данные и проверим, все ли нам известно?
Итак, годовая потребность D=2400 единиц. Стоимость размещения заказа 5 долл. Издержки хранения 4 долл. на один комплект в год. Это данные, которые позволяют рассчитать величину экономичного размера заказа и годовые издержки хранения и заказа. Еще дан текущий размер заказа Q =100, для него также можно рассчитать все издержки.
Так как нам нужно вычислять точку перезаказа (ROP), выпишем данные о времени выполнения заказа (L=1 неделя), стандартном отклонении спроса (s=4 комплекта за один день торговли) и желаемом уровне обслуживания (Psl=98%).
Не дан в условии задачи срок между заказами T, но его можно рассчитать по размеру заказа и годовой потребности в товаре (=2400/100 дней).
Построим таблицу для решения задачи (левая часть). В таблице приведен сразу результат после поиска величины z надстройкой Поиск решения. Никаких новых формул по сравнению с предыдущей задачей нет. Отметим только, что время в задаче измеряем в днях. Поэтому срок исполнения заказа задан в рабочих днях (7 дней), а дневной спрос определен по годовой потребности (=2400/365).
|
|
A |
B |
C |
D |
E |
|
1 |
D = |
2400 |
|
EOQ= |
77.5 |
|
2 |
H = |
4 |
|
Qreal |
100 |
|
3 |
S = |
5 |
|
N= |
24.0 |
|
4 |
^цень |
6.58 |
|
TH= |
200 |
|
5 |
^день |
4 |
|
TS= |
120 |
|
6 |
Psl= |
98.00
% |
|
TS+TH= |
320 |
|
7 |
L= |
7 |
|
Sl= |
10.58 |
|
8 |
T= |
15 |
|
Esl= |
2 |
|
9 |
m= |
365 |
|
E(Z)-Esl= |
0.000
0 |
|
10 |
|
|
|
z= |
0.529
0 |
|
11 |
|
|
|
a,z= |
0.298
4 |
|
12 |
SS= |
5.60 |
|
ROP= |
51.6 |
|
|
A |
B |
C |
D |
E |
|
1 |
D = |
2400 |
|
EOQ= |
77.5 |
|
2 |
H = |
4 |
|
Qreal |
77 |
|
3 |
S = |
5 |
|
N= |
31.2 |
|
4 |
^день |
6.58 |
|
TH= |
154 |
|
5 |
^день |
4 |
|
TS= |
156 |
|
6 |
Psl= |
98.00
% |
|
TS+TH= |
310 |
|
7 |
L= |
7 |
|
Sl= |
10.58 |
|
8 |
T= |
12 |
|
Esl= |
1.54 |
|
9 |
m= |
365 |
|
E(Z)-Esl= |
0.0000 |
|
10 |
|
|
|
z= |
0.6892 |
|
11 |
|
|
|
a,z= |
0.2454 |
|
12 |
SS= |
7.29 |
|
ROP= |
53.3 |
Так как теоретическая точка перезаказа равна 51.6 штук, получаем для порога перезаказа величину 52 штуки. Т.е., как только система учета обнаружит, что на складе осталось 52 комплекта ножей, она должна дать сигнал о перезаказе, с тем чтобы уровень обслуживания был не ниже 98%.
В обычных условиях может показаться, что такая точность не нужна, так как в реальности информация обо всех товарах, нуждающихся в перезаказе, будет собрана и отправлена в лучшем случае в конце дня. Но следует отметить, что дело системы управления запасами дать правильный сигнал о необходимости определенных действий, а уж как вы распорядитесь представленной информацией - дело ваше. Кроме этого, уже существуют крупные системы управления запасами, например универмаги в Японии, в которых управление запасами полностью компьютеризировано. Поэтому запрос на допоставку уходит практически сразу после достижения порога перезаказа. Причем это происходит в условиях, когда сроки поставки составляют 1-2 суток и даже несколько часов.
Как мы видим из полученного решения, реальный размер заказа недалек от экономичного размера заказа EOQ=77.5 комплектов. Для того, чтобы убедиться в том, что реальный размер заказа выбран разумно, рассчитаем все издержки и точку перезаказа для Qreai = 77 (справа).
Общие издержки хранения и заказа в этом случае равны примерно 310 единиц, против 320 единиц в случае Qreal = 100. Это около 3%, что, скорее всего, несущественно. Порог перезаказа несколько возрос (на практике до 54 комплектов) за счет увеличения безопасного резерва с 6 до 8 единиц. Сам же безопасный резерв возрос вследствие того, что из-за уменьшения размера заказа увеличилось отношение стандартного отклонения спроса к размеру заказа. (Sl/ Qreal). Тем не менее такое изменение так же не представляется существенным. Таким образом можно сделать вывод о разумном выборе размера заказа.
Что касается уровня обслуживания, то он скорее всего занижен. В самом деле, риск дефицита составляет около 30%, а страховой запас примерно равен дневному спросу при времени выполнения заказа 7 дней. Уже это представляется неразумным.
Данных о прибыли, получаемой при продаже одного комплекта, у нас нет. Но можно оценить, что потери потенциальной прибыли примерно соответствуют издержкам храненения безопасного резерва, если прибыль за комплект составляет менее 0.5 долл. А так как прибыль наверняка существенно выше, то, очевидно, уровень обслуживания занижен.
Вернемся теперь к последнему вопросу задачи - переходу к другой модели управления. При фиксированном периоде между заказами время между заказами остается постоянным и равным среднему периоду между заказами в модели фиксированного размера заказа. Мы уже вычисляли его, и при среднем размере заказа в 100 комплектов оно составляло 15 дней (округленно). Практически нам нужно изменить в предыдущей таблице две формулы. Заменить формулу для вычисления стандартного отклонения за время выполнения заказа
Sl = WL на формулу Sl+t = sQl + T, соответствующую отклонению спроса за время до следующей коррекции запасов. И заменить расчет значения ROP на вычисление размера заказа при имеющихся остатках на складе Q = d(L + T) + zSL+T -1. Лучше всего скопировать задачу на новую страницу, а потом сделать необходимые изменения. Для количества остатков на складе I возьмем неокругленное значение точки ROP, чтобы не вносить лишних отклонений.
После этого остается только вновь поставить задачу для Поиска решения и получить новый результат (слева). __ __
|
|
A |
B |
C |
D |
E |
|
1 |
D = |
2400 |
|
EOQ= |
77.5 |
|
2 |
H = |
4 |
|
Qreal |
100 |
|
3 |
S = |
5 |
|
N= |
24.0 |
|
4 |
^цень |
6.58 |
|
TH= |
200 |
|
5 |
^день |
4 |
|
TS= |
120 |
|
6 |
Psl= |
98.00
% |
|
TS+TH= |
320 |
|
7 |
L= |
7 |
|
Sl= |
18.76 |
|
8 |
T= |
15 |
|
Esl= |
2 |
|
9 |
m= |
365 |
|
E(Z)-Esl= |
0.000
0 |
|
10 |
T+L= |
22 |
|
z= |
0.867
3 |
|
11 |
I= |
51.6 |
|
a,z= |
0.192
9 |
|
12 |
SS= |
16.27 |
|
Qftpm= |
109.3
3 |
|
|
Рис. 215 |
|
|
A |
B |
C |
D |
E |
|
1 |
D = |
2400 |
|
EOQ= |
77.5 |
|
2 |
H = |
4 |
|
Qreal |
100 |
|
3 |
S = |
5 |
|
N= |
24.0 |
|
4 |
^день |
6.58 |
|
TH= |
200 |
|
5 |
Бдень |
4 |
|
TS= |
120 |
|
6 |
Psl= |
95.48
% |
|
TS+TH= |
320 |
|
7 |
L= |
7 |
|
Sl= |
18.76 |
|
8 |
T= |
15 |
|
Esl= |
4.52 |
|
9 |
m= |
365 |
|
E(Z)-Esl= |
0.0000 |
|
10 |
T+L= |
22 |
|
z= |
0.3701 |
|
11 |
I= |
51.6 |
|
a,z= |
0.3557 |
|
12 |
SS= |
6.94 |
|
Qftpm= |
100.0 |
Как мы можем видеть, для обеспечения того же сервисного уровня 98% нам нужно заказать не 100 комплектов, а 110 (увеличивая Qftpm до ближайшего большего целого). Так как заказ в модели фиксированного размера заказа мы должны были бы сделать в этот же самый момент, то различия в объеме заказа можно связать только с нашим решением изменить модель управления запасами. Эти 9-10 единиц разницы получаются из-за того, что мы не следим больше за складом до следующего срока заказа. А так как при случайном росте спроса мы сможем пополнить запас товара на складе только через T+L дней, вместо L, то безопасный резерв увеличился до 16 комплектов. Обратите внимание на то, что риск дефицита, соответствующий тому же сервисному уровню, теперь уменьшился до 19%.
Если бы мы заказали все те же 100 комплектов, то сервисный уровень составил бы всего 95.48%. В этом не сложно убедиться, если, варьируя величину сервисного уровня и запуская каждый раз Поиск решения, подобрать такую величину Psi , чтобы размер заказа Qftpm стал равен 100 комплектам ( справа).
6.П-3. Новый Электрон
Компания Новый Электрон производит различные мелкие бытовые товары, содержащие электронику: игрушки, радио-часы, прочие товары, содержащие встроенные калькуляторы, часы, приемники и проч. Практически все комплектующие поставляются со стороны. Небольшое предприятие компании занимается только изготовлением различных пластиковых корпусов и деталей фирменного дизайна, а сборочные цеха осуществляют сборку и предпродажную подготовку товаров.
Так как комплектующие поставляются большей частью из Китая, а почти все оставшееся из Европы, то проблемы управления запасами встают перед компанией в полный рост.
Ввиду большой удаленности поставщиков комплектующие приходится заказывать довольно большими партиями, а время выполнения заказа иногда достигает 2 месяцев. Так как отдел снабжения и закупок нацелен главным образом на обеспечение низкой стоимости комплектующих, приходится иметь дело с массой различных и не всегда надежных поставщиков. Поэтому, кроме обычных проблем с поставками через границу, приходится учитывать возможность брака, пересортицы (поставки комплектующих другого типа), задержки заказа поставщиком и пр.
Например, для маленькой электронной платки CW022e стоимостью 2 долл., история поставок позволяет получить следующие данные. Время выполнения заказа - 5 недель, стандартное отклонение времени выполнения 3 дня. Количество брака в поставке - 5%. Около 40% брака - дефекты ручной пайки, этот дефект может быть исправлен в отделении по работе с браком сборочного цеха компании. Вероятность пересортицы - 6%.
Хотя потребности в детали на сборке определяются планом производства (25000 штук в месяц на предстоящий планируемый период), но существуют причины, по которым эти потребности испытывают случайные колебания -проблемы со сборкой другой продукции, колебания сбыта и т.п. Как показывает опыт, стандартное отклонение потребности в электронной плате CW022e составляет 1000 штук в неделю.
Кроме этого, следует учесть, что сборочный цех также имеет некоторый процент брака. Причем около 1% электронных плат, поступивших на сборку, оказываются из-за этого безнадежно испорченными.
Дополнительные издержки, не зависящие от размера заказа, составляют около 300 долл. в расчете на 1 заказ. Стандартная упаковка содержит 200 таких плат, заказать целое число упаковок - по разным причинам - в интересах заказчика.
a. В настоящий момент компания имеет на складе 34887 таких плат, и настало время, когда нужно сделать новый заказ. Определите стоимость денег для компании (издержки хранения в процентах). Считайте, что точка перезаказа определена менеджерами компании верно. Целевой уровень обслуживания - не ниже 99%.
b. Определите величину планируемого менеджером заказа и средний срок между получением заказов.
c. Каким образом можно подстраховаться от полного отсутствия ожидаемой поставки (пересортица)?
d. Найдите стоимость безопасного резерва, который нужно создать для страховки от неполучения нужного заказа. Какой минимальный размер штрафа для поставщика следовало бы предусмотреть в договоре на случай пересортицы?
Решение задачи.
Учитывая, что в задаче идет речь о случайном спросе, а в вопросе а упоминается точка перезаказа, следует сделать вывод, что в компании при управлении запасами используется модель фиксированного размера заказа. Если бы безопасный резерв планировался исходя из заданного риска дефицита, наша задача была бы более простой. Мы сначала построили бы таблицу Excel, позволяющую вычислить экономичный размер заказа EOQ и точку повторного заказа ROP, полагая что величина издержек хранения h нам известна. А затем сформулировали нелинейную задачу для надстройки Excel Поиск решения, для поиска нужного значения величины h при заданных условиях.
Так как в данном случае речь идет о сервисном уровне (или, иначе говоря, уровне обслуживания), то придется решать нелинейную задачу уже для поиска величины z - отклонения заказа от средней потребности или а - риска дефицита. Добавить к этой задаче еще и поиск величины h не удастся, так как решение нелинейных задач с несколькими (даже с двумя) переменными при таких уравнениях, которые используются в задаче, дело весьма не простое. Поэтому величину h придется подбирать вручную.
Чтобы понять, какие данные нам нужно знать для решения задачи, давайте взглянем на формулы, которые следует использовать при рассматриваемой модели управления запасами.
Во-первых, это формула для расчета экономичного размера заказа EOQ = л)2DS H , где H=h*C.
клиентов: , если срок
Во-вторых, формулы для количества не обслуженных
1 2
I Z і—
EP) = (1 - Psi )Q или E(z) = SL (^= exP(- —) - zа), где SL = s4l
л2ж 2
sl = -JsL+dy
выполнения заказа постоянный и
, если срок исполнения -
случайная величина со средним значением L, и стандартным отклонением sl.
В-третьих, формула для расчета точки перезаказа - ROP = dL + z * SL.
Запишем сначала наиболее очевидные данные. Стоимость одной платы в закупке С=2 долл. Стоимость оформления заказа S=300 долл. Годовая потребность в таких платах на сборке D=12*25000.
Величину Q - реальный размер заказа, мы определим после вычисления экономичного размера заказа EOQ. Значение планового уровня обслуживания Psl нам дано в задаче - 99%. Так как время выполнения заказа L=5 недель оказывается непостоянным, следует записать в таблицу еще и стандартное отклонение для этой величины sl=3 дня. Можно сразу определиться с основными единицами измерения времени в задаче, пусть это будут недели, и тогда лучше записать стандартное отклонение сразу в неделях: sl=3/7 недели. Кстати, как вы, видимо, заметили при чтении условия задачи, стандартное отклонение спроса s=I000, также дано в задаче в расчете на одну неделю работы. Средний недельный спрос на плату на сборке дан в расчете на месяц - 25000 штук, чтобы найти среднюю недельную потребность удобно годовую потребность D поделить на число недель в году: d=D/52.
Значение точки перезаказа - 34887 штук.
Таким образом, мы вроде бы имеем все необходимое, чтобы решить задачу и найти неизвестную величину издержек хранения h. Осталось понять, что делать с заданными значениями вероятности брака и пересортицы.
С одной стороны, очевидно, что содержание брака в поставке есть некая случайная величина, которая может увеличить риск дефицита. Если вместо качественных изделий поступит некоторое количество бракованных, то на сборке деталей не хватит. Если же придет партия плат другого предназначения (пересортица), то окажется, что пропущена целая поставка, так как использовать эти платы будет невозможно. В общем, кажется, что эти вероятности (брака и пересортицы) нужно как-то использовать при расчете безопасного резерва. Вот только как? Каким образом их связать с вариациями спроса, которые мы учитываем в стандартной модели управления заказами?
Чтобы разобраться в этом вопросе, следует сначала понять, как можно защитить себя от дефицита комплектующих в каждом из этих случаев.
Для того, чтобы защититься от случайных всплесков спроса, мы создаем безопасный резерв, равный избытку спроса, который мы хотели бы удовлетворить. Более высокий спрос возникает с вероятностью, равной заданному риску дефицита. При этом мы понимает, что если дефицит все же возникнет, то он составит очень небольшую долю от общего количества плат, использованных на сборке. Таким образом, получается что, заказывая дополнительно некоторое, сравнительно со средней потребностью малое, количество плат мы практически полностью страхуемся от дефицита.
Совершенно другая ситуация с пересортицей комплектующих. Хотя вероятность ее не слишком велика - 6% - последствия значительно более тяжелые, чем в первом случае. Ведь мы получим не 94% (100% -6%) годных плат, а совсем ничего, ноль. И защититься от такого события, запасая те же 6% потребности за период между заказами, не получится, Единственное, что можно сделать для защиты от полной пропажи заказа, это держать на складе страховой неснижаемый запас в размере среднего заказа. В данном случае не важно, каково точное значение вероятности потери поставки - 20%, или 10%, или 32%, например, - запасать приходится полную поставку.
Разумеется, при низкой вероятности подобного события имеет смысл поискать другие возможности для ликвидации последствий потери поставки. Например, срочный заказ с доставкой авиатранспортом плюс небольшой резерв на время доставки. Или, при гибкой схеме производства, временное переключение на сборку других изделий в запас, с последующей сборкой удвоенного количества изделий, для которых не хватило комплектующих. И т. д. Но, так как из условия задачи никаких таких возможностей не следует, а вероятность пересортицы не так уж мала, используем вариант с дополнительным резервом.
Ситуация с браком в данном случае, напротив, значительно проще, чем с пересортицей. Предположим, что в каждой партии мы получаем 5% бракованных изделий. Чтобы застраховать себя от дефицита комплектующих в этом случае следует просто заказывать большее их количество. Если нужно 1000 плат, а вероятность брака 5%, нужно заказать 1000/95%=1053 платы. Как раз 1000 из них окажется годной.
А вот если бы мы имели какую-то информацию не только о среднем содержании брака, но и о вариациях доли брака в поставках, можно было бы включить эти данные в стандартную схему расчета страхового резерва через пересчет стандартного отклонения в потребности деталей на сборке.
Таким образом, защита от брака должна быть сделана на уровне коррекции общей потребности в таких платах на сборке. По условию, из 5% брака 40% можно отремонтировать, следовательно только 3% поступающих плат невозможно использовать. Кроме этого еще около 1% будет загублено на сборке. Итого, следует заказывать такое количество плат, чтобы 96% от них равнялось
действительной потребности на сборке. Если годовая потребность D=300 тыс. штук, то скорректированная потребность с учетом брака D*=300000/96%.
В таблице () показан пример организации данных в листе Excel для решения этой задачи. Основная часть таблицы в пояснениях, видимо, не нуждается. Отметим только некоторые моменты.
Значение 20% для издержек хранения указано наобум, только для того, чтобы не получалось ошибок при вычислении формул._
|
|
A |
B |
C |
D |
E |
|
1 |
D = |
300 000 |
|
|
|
|
2 |
D* = |
=B1/(1-B1
B15) |
4- |
EOQ = |
=(2*B2*B6/B3)A0.5 |
|
3 |
H = |
=B4*B5 |
|
Qreal |
=0KPyra(E2/200;0)*200 |
|
4 |
h = |
20% |
|
|
|
|
5 |
C = |
2 |
|
TH = |
=E3/2*B3 |
|
6 |
S = |
300 |
|
TS = |
=E8*B6 |
|
7 |
i = |
=B2/52 |
за нед |
T = |
=E5+E6 |
|
8 |
?*н = |
=1000 |
за нед |
N = |
=B2/E3 |
|
9 |
Psl = |
99% |
|
At дней _ |
=365/E8 |
|
10 |
L = |
5 |
нед |
SL = |
=(B8*B8*B10+B7*B7*B 11*B11 )Л0.5 |
|
11 |
Sl = |
=3/7 |
нед |
dL = |
=B7*B10 |
|
12 |
|
|
|
Esl = |
=(1-B9)*E3 |
|
13 |
P =
A пересорт |
6% |
|
E(Z)-Esl
=0 |
=E10*(1/K0PEHb(2*nH())*EXP(-
(E^2)/2)-E14*E15)-E12 |
|
14 |
Рбрака |
3% |
|
z = |
? |
|
15 |
Рсоб. брака |
1% |
|
$z |
=1 -НОРМСТРАСПЕ14) |
|
16 |
|
|
|
ROP = |
=E11+E14*E10 |
|
|
Рис. 216 |
Формула для Qreal составлена таким образом, чтобы автоматически округлять значение EOQ до ближайшего целого числа, кратного 200. Для этого значение EOQ сначала делится на 200, затем округляется до целого числа (0 знаков после запятой), а после этого снова умножается на 200.
В ячейке E8 подсчитывается количество заказов в год, а в E9 - число дней между заказами.
Для того, чтобы найти значения z и az, соответствующие заданному уровню обслуживания записаны формулы, необходимые для надстройки Поиск решения. В ячейке E13 записана целевая функция - разность между количеством необслуженных клиентов, рассчитанным через уровень обслуживания и размер заказа с одной стороны и рассчитанным через стандартное отклонение спроса и величины z и az с другой. Эта разность должна равняться нулю при значениях z и az соответствующих заданному уровню обслуживания Psl. Так как величины z и az связаны друг с другом через нормальное распределение, в качестве параметра для поиска решения оставлена величина z, а риск дефицита az находим по формуле =1-НОРМСТРАСП(E14). Ячейка E14 содержит единственную переменную задачи - z.
Так как величина z может принимать любые значения, от бесконечно больших отрицательных, до бесконечно больших положительных, никаких дополнительных ограничений в надстройке Поиск решения задавать не следует. И, конечно, не следует отмечать, что задача линейная, так как это не так.
|
Запуск Поиска решения на выполнение должен принести следующий результат, показанный на . ___ |
|
D = |
300 000 |
|
|
|
|
D* = |
312 500 |
|
EOQ = |
21 651 |
|
H = |
0.4 |
|
Qreal |
21 600 |
|
h = |
20% |
|
|
|
|
C = |
2 |
|
TH = |
4 320 |
|
S = |
300 |
|
TS = |
4 340 |
|
dн = |
6010 |
за нед |
T = |
8 660 |
|
^ = |
1000 |
за нед |
N = |
14.5 |
|
Psl = |
99% |
|
Д^цней _ |
25.2 |
|
L = |
5 |
нед |
Sl = |
3 411 |
|
Sl = |
0.43 |
нед |
dL = |
30 048 |
|
|
|
|
Esl = |
216.00 |
P =
А пересорт |
6% |
|
E(Z)-Esl =0 |
0.000000 |
|
P брака |
3% |
|
z = |
1.14 |
|
Pgq6.брака |
1% |
|
az = |
12.7% |
|
|
|
|
ROP = |
33 937 |
|
Рис. 217
Полученное для точки перезаказа значение 33937, значительно отличается от приведенного в задаче числа 34887. Значит, величину издержек хранения мы не угадали.
Попробуем взять большое значение для h, например 200%. Снова запускаем поиск решения на выполнение и получаем ROP= 35725. Теперь мы видим, что искомое значение издержек находится где-то между 20% и 200%.
Давайте для большей уверенности в ответе построим график зависимости значения ROP от h в этом интервале. Для этого рассчитаем все значения ROP для для h= 20%, 30%, 40% и т.д.
|
20% |
30% |
40% |
50% |
60% |
70% |
|
33 937 |
34 279 |
34 495 |
34 693 |
34 812 |
34 939 |
|
|
|
80% |
90% |
100% |
120% |
150% |
200% |
|
35 048 |
35 134 |
35 225 |
35 353 |
35 492 |
35 725 |
|
|
А затем по полученной таблице построим график () |

Рис. 218
Горизонтальной штриховой линией на графике показан заданный в задаче уровень ROP=34887. Видно, что решение в этой задаче может быть только одно, и оно близко к 65%.
|
|
A |
B |
C |
D |
E |
|
1 |
D = |
300 000 |
|
|
|
|
2 |
D* = |
312 500 |
|
EOQ= |
12 010 |
|
3 |
H = |
1.3 |
|
Qreal= |
12 000 |
|
4 |
h = |
65% |
|
|
|
|
5 |
C = |
2 |
|
TH= |
7 800 |
|
6 |
S = |
300 |
|
TS= |
7 813 |
|
7 |
d„ = |
6010 |
за нед |
T= |
15 613 |
|
8 |
Sn = |
1000 |
за нед |
N= |
26.0 |
|
9 |
Psl= |
99% |
|
^tдней |
14.0 |
|
10 |
L= |
5 |
нед |
Sx= |
3 411 |
|
11 |
SL= |
0.43 |
нед |
dL= |
30 048 |
|
12 |
|
|
|
Esl= |
120.00 |
|
13 |
P =
пересорт |
6% |
|
E(Z)-Esl=0 |
0.000233 |
|
14 |
P =
^ брака |
3% |
|
z= |
1.42 |
|
15 |
P =
соб.брака |
1% |
|
«z= |
7.8% |
|
16 |
|
|
|
ROP = |
34 887 |
|
17 |
|
|
|
|
|
|
18 |
SS= |
4 839 |
|
12 000 |
1.5625 |
|
19 |
THss= |
6 291 |
|
15 600 |
9 984 |
Рис. 219
Подставим его в нашу расчетную таблицу и пересчитаем значение z. Получаем искомый результат для ROP. Это значит, что менеджер действительно оценивает стоимость издержек хранения в компании в 65% в год ().
b. Для таких издержек хранения экономичный размер заказа EOQ=12010. Поэтому, с учетом требования кратности заказа двумстам, для реального размера заказа получим 12 тыс. ровно. Последний наш расчет показывает также, что при этом будет сделано 26 заказов в год, а средний срок между заказами составит 14 дней.
c. Вопрос о защите от пересортицы мы уже обсуждали. И, так как размер резерва должен быть равен реальному заказу, планируем его в размере 12 тыс. штук.
d. Учитывая, что мы должны оценить свои потери от хранения резерва защиты от потери поставки, а вероятность пересортицы не слишком велика, будем считать, что резерв не расходуется никогда. В этом случае издержки хранения резерва составят THres=1.3*12000=15600 долл. в год. Однако поставщик должен платить только по факту пересортицы, поэтому нужно подсчитать размер штрафа в расчете на одну поставку. Для этого вычислим количество таких поставок с пересортицей за год. Это 6% от 26 поставок за год - 6%*26=1.56. Разделим средние годовые издержки хранения резерва на среднее количество ошибочных поставок за год. Получаем штраф за одну ошибочную поставку 15600/1.56=10000 долл.
На самом деле среднее число поставок в год не равно в точности 26, оно чуть больше. Поэтому при расчете прямо в таблице Excel размер штрафа получится чуть меньший - 9984 долл. ().
6.П-4. Свежая пресса
Андрей имеет небольшой бизнес - торговля газетами и журналами. Он снабжает свежей прессой несколько десятков лотков в трех-четырех районных городах. Так как свежая газета - товар скоропортящийся, ему все время приходится задумываться о том, сколько же экземпляров заказывать, чтобы увеличить количество клиентов и не слишком много терять на устаревших номерах.
Заказ «толстой» газеты «Наши заботы» - каждый раз вызывает у Андрея головную боль. Дело в том, что эта газета, выходящая 3 раза в неделю, в воскресном номере имеет приложение «Поможем себе сами», пользующееся большим спросом у покупателей. Если клиент покупает саму газету, то он обязательно берет и приложение. Но многие хотят приобрести только приложение. Когда Андрей, по совету киоскеров, разрешил продавать
приложение отдельно от основной части газеты, число клиентов резко увеличилось.
К сожалению, издательство пока не готово изменить свою политику относительно распространения этого издания только вместе с приложением. Поэтому закупать приходится обе части вместе, а при разрешении раздельной продажи их на лотках, много экземпляров основной части воскресного номера газеты остается нераспроданной.
Основная часть закупается Андреем по цене 8 руб. за экз. и продается в розницу за 14 руб. Нераспроданные номера частью продаются по более низкой цене, а частью уничтожаются, так что в целом не проданный вовремя номер приносит 5 руб. убытка. Продажи воскресного номера газеты «Наши заботы» за последние 16 недель собраны в таблице.
|
Продажи двух частей вместе, экз. |
|
434 |
238 |
161 |
341 |
|
422 |
359 |
370 |
390 |
|
211 |
437 |
321 |
312 |
|
194 |
253 |
334 |
425 |
|
Продажи приложения отдельно, экз. |
|
271 |
246 |
233 |
200 |
|
180 |
168 |
195 |
173 |
Приложение к газете закупается за 7 руб., но продается по 16 руб. В случае, если приложение не удается продать вовремя, его дешевая распродажа и утилизация приносят 4 руб. убытка. Андрей несколько недель закупал воскресный номер газеты большими партиями, чем раньше, для того, чтобы определить возможный спрос. При этом получились следующие результаты, так же приведенные в таблице.
a. Определите, сколько экземпляров газеты нужно было бы закупать, если продавать обе части только вместе? Считайте, что никто из клиентов, покупающих приложение отдельно не станет покупать газету, если ее продавать только комплектом. Какова будет в этом случае средняя прибыль? Насколько она изменится, если закупать просто среднее количество продаваемых экземпляров? Если закупать столько, чтобы избыток возникал только в 60% периодов?
b. Определите, сколько экземпляров приложения нужно было бы закупать, если бы обе части газеты можно было бы закупить по отдельности?
c. Сколько экземпляров газеты нужно покупать в сложившихся обстоятельствах (закупка обеих частей вместе, продажа отдельно), чтобы максимизировать прибыль? Какова величина этой прибыли для обеих частей?
d. Какой вариант, из обсуждавшихся в вопросах a, b и с, выгоднее всего для Андрея?
e. Имеет ли смысл издательству менять свою политику, идя навстречу распространителям? Основывайте свой ответ на примере Андрея.
Решение задачи.
Проблема, поставленная в данной задаче, решается в рамках однопериодной модели заказа. Срок поставки мал и фиксирован, запасов товара не возникает ввиду малого срока жизни товара - а это характерно именно для однопериодной модели.
Для проведения расчетов в данной модели управления запасами необходимо знать выигрыш при продаже товара вовремя, потери в случае, если товар не удалось продать, а также характеристики распределения спроса на товар. Средний спрос и его стандартное отклонение можно оценить по приведенным историческим данным о спросе в предшествующие 16 недель (продажи двух частей вместе). Из текста задачи следует, что стоимость основной части и приложения составляет 15 руб. (7+8). Так как продаются обе части вместе за 30 руб., то выигрыш при продаже вовремя составляет 15 руб.
Когда, ввиду случайного высокого спроса, газеты не хватает, продавец на каждом запрошенном экземпляре теряет сумму выигрыша, как упущенную
выгоду. Поэтому занесем это число в таблицу (), как цену недостатка
нед-- |
|
|
A |
B |
C |
D |
|
1 |
Продажа только вместе (а) |
|
2 |
434 |
238 |
161 |
341 |
|
3 |
422 |
359 |
370 |
390 |
|
4 |
211 |
437 |
321 |
312 |
|
5 |
194 |
253 |
334 |
425 |
|
6 |
|
|
|
|
|
7 |
C= |
15 |
Cнед |
15 |
|
8 |
P= |
30 |
Сизб |
9 |
|
9 |
P =
А уценки |
6 |
а= |
=D8/(D8+D7) |
|
10 |
di= |
=СРЗНАЧ( A2: D 5 ) |
z= |
=НОРМСТОБР(1-09) |
|
11 |
Si= |
=СТАНДОТКЛОН(А2
:D5) |
Qopt= |
=B10+B11*D10 |
|
12 |
|
|
L(z,a)= |
=1/КОРЕНЬ(2*ПИ( ))*EXP(-(D 10A2/2))-D9*D 10 |
|
13 |
|
|
Средняя
прибыль= |
=(B8-B7)*B10-
B11*(D8*D10+(D8+D7)*D12) |
|
|
Рис. 220 |
Если какое-то количество экземпляров закупленного выпуска газеты не продается вовремя, номер продается с уценкой на 5 и 4 рубля для основной части и приложения, т.е. общая уценка при продаже вместе составит 9 рублей, а цена продажи 6 рублей. Занесем величину прямых потерь от уценки в таблицу, как цену избытка Сизб.
|
|
A |
B |
С |
D |
|
1 |
Продажа только вместе (а) |
|
|
|
|
|
|
|
7 |
С= |
15 |
С =
'-'нед |
15 |
|
8 |
P= |
30 |
Сизб |
9 |
|
9 |
P =
А уценки |
6 |
а= |
38% |
|
10 |
di= |
325.13 |
z= |
0.319 |
|
11 |
si= |
90.03 |
Qopt= |
354 |
|
12 |
|
|
L(z,a)= |
0.2597 |
|
13 |
|
|
Средняя
прибыль= |
4 058 |
Таким образом, все необходимые для расчета данные у нас имеются. Формулы, по которым рассчитывается оптимальный размер заказа и средняя прибыль, показаны на . Странная на первый взгляд конструкция ПИ( ) (в английском варианте PI( )) - это просто псевдо-функция, выдающая число л:=3.14159265... . Ее имеет смысл использовать, если нужно получить число к с точностью выше, чем два знака после запятой, которые помнят практически все. В таблице () показаны численные результаты расчета._
Рис. 221
Величина а в данном случае показывает вероятность того, что возникнет недостаток экземпляров. Так как а =38%, т.е. меньше половины, то выгодно заказывать больше среднего спроса, а именно 354 экземпляра газеты. Средняя прибыль при этом составит 4058 рублей. Здесь можно прикинуть, сколько теряет продавец за счет вариаций спроса.
В самом деле, если бы средний спрос 325 экземпляров был просто постоянным спросом, то продавец неизменно получал бы 15*325=4877 рублей от продажи воскресного номера. А так как при оптимальном заказе в условиях случайного спроса он может получить в среднем только 4058 руб., то потери составляют около 800 рублей. Немало!
Разумеется, эти потери сильно зависят от величины вариации спроса, т.е. в конечном итоге от величины стандартного отклонения спроса. Если вариация спроса будет меньше, средний доход станет ближе к доходу при постоянном спросе и наоборот.
|
|
A |
B |
С |
D |
|
1 |
Продажа только вместе (а) |
|
2 |
434 |
238 |
161 |
341 |
|
3 |
422 |
359 |
370 |
390 |
|
4 |
211 |
437 |
321 |
312 |
|
5 |
194 |
253 |
334 |
425 |
|
6 |
|
|
|
|
|
7 |
С= |
15 |
Снед |
15 |
|
8 |
Р= |
30 |
Сизб |
9 |
|
9 |
Р =
А уценки |
6 |
а= |
= 1-НОРМСТРАСПр 10) |
|
10 |
dj= |
=СРЗНАЧ( A2: D 5 ) |
z= |
=(D 11-B10)/B 11 |
|
11 |
Sl= |
=СТАНДОТКЛОН(А2
:D5) |
Ореал |
300 |
|
12 |
|
|
L(z,a)= |
=1/КОРЕНЬ(2*ПИ( ))*EXP(-(D10A2/2))-D9*D 10 |
|
13 |
|
|
Средняя
прибыль= |
=(B8-B7)*B10-
B11*(D8*D10+(D8+D7)*D12) |
|
|
Рис. 222 |
В приведенных расчетах мы вычисляли среднюю прибыль для оптимального размера заказа. Для того, чтобы определить среднюю прибыль при произвольном размере заказа следует изменить схему расчета величины а. Для оптимального размера заказа она зависит от цены избытка и цены недостатка. При заданном произвольном размере заказа величина а определится по отклонению z размера заказа от среднего спроса. В таблице () приведена новая схема расчета. Обратите внимание, что вместо Оопт теперь в таблице фигурирует величина 0реал.___
По этой величине Ореал мы находим величину z - отклонение заказа от среднего спроса d; в штуках стандартных отклонений s;. Для такого отклонения вероятность возникновения дефицита а найдется через интеграл от нормального распределения =1-НОРМСТРАСП(7).
В случае Ореал=325 (средний спрос) риск дефицита составит, естественно, 50%, а средний доход уменьшится до 4015 рублей.
Чтобы узнать, при каком размере заказа риск дефицита достигнет 60%, попробуем подобрать величину Ореал опытным путем. Так как высокая точность нас не интересует, это не составит труда, надо только попробовать 3-4 значения Ореал ().
|
C= |
15 |
C =
нед |
15 |
|
C= |
15 |
C =
нед |
15 |
|
P= |
30 |
Сизб |
9 |
|
P= |
30 |
Сизб |
9 |
P
А уценки |
6 |
a= |
50% |
|
P =
уценки |
6 |
a= |
60% |
|
d7= |
325.1 |
z= |
-0.00 |
|
di= |
325.
1 |
z= |
-0.257 |
|
Si= |
90.0 |
Qреaл |
325 |
|
Si= |
90.0 |
Qреал |
302 |
|
|
|
L(z,a)= |
0.3996 |
|
|
|
L(z,a)= |
0.5405 |
|
|
Средняя прибыль= |
4 015 |
|
|
Средняя прибыль= |
3 917 |
|
|
Рис. 223 |
Подходящая величина - 302 экземпляра. Средняя прибыль при этом упадет до 3917 рублей.
Теперь разберем следующий по сложности случай - и закупка и продажа обеих частей по отдельности. Собственно говоря, усложнение здесь носит экстенсивный характер, так как вместо одного издания нужно сделать те же расчеты для двух изданий. Расчетные формулы остаются прежними. Нужно только подправить цены закупки, продажи и распродажи и потери избытка и недостатка. В следующей таблице () приведены результаты расчета.
|
Основная часть |
|
Приложение |
|
C= |
8 |
Cнед |
8 |
|
C= |
7 |
Cнед |
9 |
|
P= |
16 |
Сизб |
5 |
|
P= |
16 |
Сизб |
4 |
P
A уценки |
3 |
a= |
38% |
|
P =
A уценки |
3 |
a= |
31% |
|
di= |
325.1 |
z= |
0.293 |
|
di= |
519.1 |
z= |
0.502 |
|
Si= |
90.0 |
Qopt= |
352 |
|
Si= |
97.47 |
Qopt= |
568 |
|
|
|
L(z,a)= |
0.2693 |
|
|
|
L(z,a)= |
0.1971 |
|
|
Средняя прибыль= |
2 154 |
|
|
Средняя прибыль= |
4 227 |
|
|
Рис. 224 |
Для того, чтобы рассчитать средние продажи и стандартное отклонение продаж для приложения, следует учесть, что нужно изменить табличку статистических данных. Ведь приложение продавалось и в составе комплекта и отдельно. Поэтому статистическая таблица продаж приложения для последних 8 недель будет выглядеть так: 482, 683, 554, 512, 374, 421, 529, 598.
По этим данным и вычислены d/ и sl для приложения.
Основной результат, который нас интересует - средняя прибыль для оптимального плана закупок. В данном случае она может составить 6380 руб. (2154+4227), что примерно в полтора раза больше, чем при продаже воскресного выпуска комплектом.
Вернемся к реальному положению дел - закупка газеты комплектом - и посмотрим, может ли улучшить ситуацию продажа двух частей газеты по отдельности. Так как все, кто купил основную часть, покупают и приложение, то мы должны разбить покупки на две части - тех, кто купит комплект, и тех, кто купит только вторую часть. Очевидно, что результат расчета для целого комплекта воскресного выпуска совпадет с полученным в части а (), так как условия покупки и продажи остаются прежними. А вот для приложения условия в части цены закупки и продажи придется изменить. Для того, чтобы продать один экземпляр приложения, мы должны купить целый комплект за 15 руб. После продажи второй части за 16 руб. у нас останется на руках основная часть, за которую мы сможем выручить только 3 руб. Итого от продажи приложения за нормальную цену и основной части по сниженной цене мы получим 19 руб. Если в избытке окажется целый комплект, то на дешевой распродаже получаем за него только 6 руб. Средний спрос и стандартное отклонение спроса вычислим по таблице статистики продаж приложения отдельно в последние 8 недель, которая приведена в условии задачи.
|
После подстановки всех данных получим следующий результат () |
|
Комплект |
|
Приложение |
|
C= |
15 |
C =
нед |
15 |
|
C= |
15 |
C =
нед |
4 |
|
P= |
30 |
Сизб |
9 |
|
P= |
19 |
Сизб |
9 |
P
А уценки |
6 |
а= |
38% |
|
P =
A уценки |
6 |
a= |
69% |
|
d7= |
325.1 |
z= |
0.319 |
|
di= |
208.2
5 |
z= |
-0.502 |
|
Sl= |
90.0 |
Qopt= |
354 |
|
Sl= |
37.57 |
Qopt= |
189 |
|
|
|
L(z,a)= |
0.2597 |
|
|
|
L(z,a)= |
0.6994 |
|
|
Средняя прибыль= |
4 058 |
|
|
Средняя прибыль= |
661 |
|
|
Рис. 225 |
Общая прибыль, которую можно получить при оптимальном размере заказа 543 комплекта (354+189), составит 4719 руб. Т.о. при такой политике продаж мы можем получить дополнительно 661 руб.
Разумеется, при таком расчете мы оставили в стороне вопрос эффективности вложений. Ясно, что прибыль на вложенный рубль при такой политике будет весьма невысока. Но при отсутствии реальных альтернатив для вложения денег и такой вариант увеличения объема продаж может быть приемлемым. Для более глубокого разбора ситуации в задаче не хватает данных об издержках, связанных с осуществлением торгового процесса, и данных о продаже других изданий.
При сравнении трех вариантов закупки и продажи газеты мы нашли, что для владельца бизнеса выгоднее всего иметь возможность закупать две части газеты отдельно. Давайте оценим, какой вариант выгоднее для издательства.
При закупке и продаже газеты комплектом Андрей купит 354 экз., так что издательство получит 5307 руб. (15*354). При закупке и продаже основной части и приложения отдельно Андрей купит 352 экз. основной части по 8 руб. и 568 экз. приложения по 7 руб. Итого издательство получит 6789 руб. И, наконец, при закупке газеты комплектом и продаже частей по отдельности Андрей купит 543 экз. комплектов по 15 руб., что принесет издательству 8148 руб.
Стоит ли удивляться тому, что издательство настаивает на сохранении status quo?
6.П-5. Банк «Белый Тигр»
Вице-президент отдела предоставления кредитов и ссуд филиала банка Белый Тигр в Гонконге, мистер Донг должен прогнозировать объем ежеквартального спроса на долгосрочные кредиты. Банк Белый Тигр (материнская компания) обеспечивает фонды для выдачи этих кредитов на основании прогноза Донга под льготный процент - 7% годовых для своего отделения в Гонконге. Мр. Донг отдает эти деньги клиентам в долгосрочную ссуду под 12% годовых.
Мр. Донг делает прогноз на основе исторических данных филиала с помощью изощренной модели, учитывающей годовые сезонные колебания с трендом. После обработки поквартальных данных за последние 7 лет, он получил следующую таблицу.
|
1114 |
1153 |
714 |
1197 |
999 |
635 |
1192 |
|
1030 |
899 |
1174 |
564 |
794 |
1054 |
833 |
|
1037 |
661 |
1055 |
755 |
963 |
713 |
584 |
|
843 |
748 |
627 |
832 |
734 |
600 |
926 |
В таблице представлены все требования на кредиты (в млн. йен) приведенные к первому кварталу будущего года. Из этих данных мр. Донг и получил средний спрос на кредиты и стандартное отклонение для этого спроса.
Если он переоценит спрос (т.е. не сможет отдать под долгосрочный кредит все деньги, полученные от материнской компании), он вынужден будет инвестировать остаток в краткосрочный депозит всего лишь под 3,5% годовых, и его босс Накамура-сан будет очень недоволен. Однако, если мр. Донг переоценит спрос на долгосрочные кредиты, его босс будет также очень раздражен. В этом случае, филиал банка должен будет занять деньги на американских денежных рынках, на которых текущий процент по займам для иностранных банков - 17% годовых.
Политика банка Белый Тигр запрещает отказывать в кредитах клиентам, удовлетворяющим требованиям надежности, сформулированным комиссией по кредитам, дабы не потерять доброе отношение клиентов. Ставка процента по кредитам также не подлежит изменению, после утверждения соответствующей комиссией.
Сколько фондов под долгосрочные кредиты должен заказывать мр. Донг, чтобы оптимизировать прибыль отделения? Не покажется ли эта политика подозрительной его боссу? Как он должен аргументировать ее экономическую целесообразность? Какую прибыль он ожидает получить при оптимальном выборе размера запрашиваемых фондов?
Какова была бы прибыль, если бы спрос всегда в точности соответствовал среднему?
После расчета оптимального размера заказа в однопериодной модели, мр. Донг решил построить диаграмму для спроса на кредиты. Он выбрал следующие интервалы: 1 инт. - спрос < 600 млн. , 2 инт. - спрос 601-700 млн., 3 инт. - 701800, 4 инт. - 801-900 млн., 5 инт. - 901-1000 млн., 6 инт. - 1001-1100 млн., 7 инт. -более 1.1 млрд. йен. (постройте и вы). При этом он обнаружил, что распределение спроса довольно значительно отличается от нормального. Может быть, и оценка оптимального размера заказа по однопериодной модели неверна? Проверьте это, определив размер фондов, имеющий максимальное значение EMV. (Для этого вычислите сначала вероятности того, что величина спроса попадет в любой из выбранных интервалов).
Какую прибыль мр. Донг ожидает получить при выборе размера запрашиваемых фондов по максимуму EMV?
Какую максимальную прибыль может принести данный бизнес филиала банка Белый Тигр, если мр. Донг всегда будет угадывать будущий спрос?
Решение задачи.
На первый взгляд задача выглядит довольно забавно - в качестве хранимых запасов выступают сами деньги. Но, собственно, какая разница, замораживаем ли мы деньги на счету компании, или наличные деньги в большом чемодане, или деньги, уже потраченные на закупку товара? Результат ведь все равно один и тот же - неработающие деньги приносят убытки. Так что в данном случае мы имеем дело с той же однопериодной моделью управления запасами, только закупаем свободные денежные средства, которые можем продать с выгодой для себя, либо можем заморозить, и понести убытки.
Как и в любой проблеме, подразумевающей использование однопериодной модели управления запасами, основная задача заключается в правильном определении цены избытка и цены недостатка.
Если мы получаем деньги по цене 7%, а клиентов кредитуем из расчета 12% в год, то на недостатке средств сразу теряем 5% упущенной выгоды от каждой недостающей йены. Но это еще не все потери, так как банк может отказать клиенту в кредите только в случае его ненадежности. Если же клиент в состоянии представить необходимые гарантии, банк обязан дать кредит. При этом, если собственных средств не хватило, то приходится брать деньги у другого банка под 17% годовых. Так как клиент получает кредит по цене 12%, то на этой операции теряется 5% в качестве прямых убытков. Итого, каждая недозаказанная йена обходится банку в 10% в расчете на год. Это и есть цена недостатка.
Если выделенные деньги не удается инвестировать, то нашему банку приходится использовать их для краткосрочного кредитования под 3.5% годовых и, таким образом, нести прямые убытки в размере тех же 3.5% (7%-3.5%). Так как других потерь нет, кроме морального ущерба, который мы в рамках данной проблемы обсуждать не будем, эти 3.5% и составят цену избытка.
По этим двум числам можно сразу сделать вывод о том, что следует заказывать денег больше, чем в средний объем спроса на кредиты. Построим таблицу Excel и рассчитаем точный объем заказа на кредиты (слева).
|
Оптимальный размер заказа |
|
Заказ на уровне среднего спроса |
|
C= |
7% |
Cнед |
10% |
|
C= |
7% |
Cнед |
10% |
|
P= |
12% |
Сизб |
3.50% |
|
P= |
12% |
Сизб |
3.50% |
P
А уценки |
3.50% |
а= |
26% |
|
P =
уценки |
3.50% |
а= |
50% |
|
di= |
872.5
5 |
z= |
0.646 |
|
di= |
872.55 |
z= |
0.000 |
|
Si= |
202.2
2 |
Qopt= |
1003 |
|
si= |
202.22 |
Qреал |
872.55 |
|
|
|
L(z,a)= |
0.15650 |
|
|
|
L(z,a)= |
0.3989 |
|
|
Средняя прибыль= |
34.8 |
|
|
Средняя
прибыль= |
32.7 |
|
|
Максимум= |
43.6 |
|
|
|
|
|
|
Рис. 226 |
В данном случае мы не показываем, какие формулы использовались, так как в этом плане задача ничем не отличается от предыдущей. Величину среднего спроса и стандартного отклонения рассчитываем по приведенной в условии задачи таблице спроса.
Как вы можете видеть, оптимальный объем зарезервированных денег составляет 1003 млн. йен. С учетом среднего спроса около 873 млн. йен в среднем каждый год должно оставаться 130 млн. йен неиспользованных денег. Понятно, что такая стратегия нуждается в объяснении.
В данном случае мр. Донг должен аргументировать свое решение тем, что на каждой недостающей йене филиал банка теряет примерно в три раза больше, чем на лишней. Уместно также представить расчет средней прибыли при заказе средств в размере, соответствующем среднему спросу. Такой расчет приведен на справа. Напомним еще раз, что в данном случае мы задаем величину заказа 0реал сами, а величины z и а рассчитываем по отклонению заданного
Q ~ d,
z-s реал I
и а = І-НОРМСТРАСП(Х)
заказа от среднего спроса
соответственно. При заданной нами величине заказа равной среднему спросу z=0 и а =50%, а средняя прибыль составит только 32.7 млн. йен, что на 2.1 млн. меньше, чем при резервировании 1003 млн. Надо полагать, что босс был бы удовлетворен таким объяснением.
Разумеется, потери в однопериодной модели управления запасами связаны с вариациями спроса. При малых вариациях доход будет близок к максимально возможному для существующего уровня среднего спроса. Этот максимальный доход равен, очевидно, 43.6 млн. йен (5%*872.55). Чем выше вариации спроса, т.е. чем больше стандартное отклонение, тем больше потери. В приведенной ситуации колебания спроса приводят к потерям прибыли в размере около 25%.
Следующая часть задачи обычно решается методами принятия решений в условиях неопределенности. Тем не менее принцип решения точно такой же, как в однопериодной модели. Вся разница заключается в том, что в однопериодной модели распределение спроса полагается соответствующим нормальному распределению, а при построении таблицы выигрышей и потерь этого не требуется. Распределение спроса может быть любым.
В реальной ситуации кажущееся отклонение распределения спроса от нормального может быть обусловлено недостаточной статистикой. В общем и целом желательно проверить соответствие распределения нормальному с помощью критерия х2, например. Для нашего случая гистограмма распределения для спроса выглядит следующим образом ().
Предположим, что мр. Донг прав и распределение действительно отличается от номального. В этом случае мы получим следующую таблицу
|
Спрос, млн. ? |
550 |
650 |
750 |
850 |
950 |
1050 |
1150 |
Вероятнос
ть |
7.1% |
14.3% |
21.4% |
14.3% |
10.7% |
14.3% |
17.9% |
Рис. 227
В качестве значений спроса выбраны середины интервалов.
 |
599 699 799 899 999 1099 1199
Рис. 228 |
Мы полагаем, что спрос будет равен одной из 7 приведенных величин в интервале от 550 до 1150 млн. йен. Выбирать размер заказа на финансирование кредитов мы будем из этого же набора. Поэтому таблица выигрышей примет следующий вид ().
|
|
A |
B |
C |
D |
E |
F |
G |
H |
I |
|
1 |
С
'“'норм |
5% |
|
C
?-'нед |
10% |
|
Сизб |
3.50% |
|
|
2 |
|
|
|
|
|
|
|
|
|
|
3 |
|
550 |
650 |
750 |
850 |
950 |
1050 |
1150 |
Результат |
|
4 |
550 |
=$A4*$B$1 |
=$A4*$B$1-(C$3-$A4)*$E$ 1 |
|
|
=СУММПРОИЗВ($
B$12:$H$12;B4:H4) |
|
5 |
650 |
|
=$A5*$B$1 |
|
|
|
|
=СУММПРОИЗВ($ |
|
6 |
750 |
|
|
=$A6*$ |
B$1 |
|
|
|
=СУММПРОИЗВ($ |
|
7 |
850 |
|
|
|
=$A7*$B$1 |
|
|
=СУММПРОИЗВ($ |
|
8 |
950 |
|
|
|
|
=$A8*$B$1 |
|
=СУММПРОИЗВ($ |
|
9 |
1050 |
|
|
|
|
|
=$A9*$B$1 |
=СУММПРОИЗВ($ |
|
10 |
1150 |
=B$3*$B$1-($A10-B$3)*$H$1 |
|
|
|
=$A10* |
=СУММПРОИЗВ($ |
|
11 |
мах |
=МАКС(B4:B10) |
=МАКС |
=МАКС |
=МАКС |
=МАКС |
=МАКС |
=МАКС |
=СУММПРОИЗВ($ |
|
12 |
|
7.14% |
14.29% |
21.43% |
14.29% |
10.71% |
14.29% |
17.86% |
|
|
|
Рис. 229 |
Числа в столбце A4:A10 - это набор объемов финансирования, из которых мы выберем оптимальный. А строка B3:H3 задает набор вероятных объемов спроса.
В таблице B4:H10 нужно рассчитать, какова будет прибыль (или убыток), для каждой возможной пары заказ-реальный спрос. Всего может реализоваться 49 различных исходов - по 7 возможных объемов спроса на каждый из 7 объемов финансирования.
Эту таблицу можно заполнить и вручную, однако при таком размере удобнее составить формулы, которые можно было бы протягивать.
Самый простой вид имеет формула расчета прибыли для ячеек, расположенных на диагонали таблицы B4:H10. В этих случаях количество заказанных денег совпадает со спросом по итогам периода, босс доволен работой вверенного ему подразделения и прибыль составляет плановые 5% на заказанную сумму. Для ячейки B4, например, формула выглядит следующим образом: =$A4*$B$1. Знаки $ добавлены так, чтобы ячейку можно было скопировать и вставить в остальные диагональные ячейки, не корректируя.
Если спрос превысил объем резервированных средств, то плановые 5% прибыли будут получены только с суммы, равной спросу. Остаток средств на счету банка при этом принесет убыток в размере 3.5%. Такая ситуация соответствует части таблицы B4:H10, расположенной ниже диагонали. В ячейке B10 показана формула =B$3*$B$1-($A10-B$3)*$H$1, подходящая для расчета прибыли в такой ситуации. Первое слагаемое - это прибыль 5% со средств, соответствующих спросу 550 млн. йен. Во втором слагаемом (точнее вычитаемом) сначала вычисляется размер избытка средств (в данном случае 1150550), а затем умножается на величину потерь при краткосрочном кредитовании 3.5%. Эта формула, с учетом расставленных значков $, фиксирующих некоторые ячейки, строки или столбцы, может быть распространена на все ячейки таблицы прибылей, расположенные ниже диагонали.
В тех случаях, когда резервированных средств оказалось недостаточно, плановая прибыль 5% будет получена со всех имевшихся средств. Но каждая недостающая йена принесет убыток в размере 10%. Такая ситуация соответствует части таблицы выигрышей, расположенной выше диагонали. В ячейке C4 показана работающая в этой части таблицы формула =$A4*$B$1-(C$3-$A4)*$E$1. Ее так же можно распространить на оставшуюся незаполненной часть таблицы.
|
|
550 |
650 |
750 |
850 |
950 |
1050 |
1150 |
|
550 |
27.5 |
17.5 |
7.5 |
-2.5 |
-12.5 |
-22.5 |
-32.5 |
|
650 |
24 |
32.5 |
22.5 |
12.5 |
2.5 |
-7.5 |
-17.5 |
|
750 |
20.5 |
29 |
37.5 |
27.5 |
17.5 |
7.5 |
-2.5 |
|
850 |
17 |
25.5 |
34 |
42.5 |
32.5 |
22.5 |
12.5 |
|
950 |
13.5 |
22 |
30.5 |
39 |
47.5 |
37.5 |
27.5 |
|
1050 |
10 |
18.5 |
27 |
35.5 |
44 |
52.5 |
42.5 |
|
1150 |
6.5 |
15 |
23.5 |
32 |
40.5 |
49 |
57.5 |
|
|
Рис. 230 |
Таким образом, мы рассчитали прибыли для каждого из 49 возможных исходов работы. Результат показан в следующей таблице ()._
Спрос оказывается равным 550 млн., 650 млн. и т.д. с вероятностями 7.14%, 14.29% и т.д. не зависимо от того, какой объем финансирования мы закажем. Поэтому, если мы решим заказать на предстоящий период 550 млн. йен, например, то с вероятностью 7.14% получим доход 27.5 млн. (спрос 550), с вероятностью 14.29% - 17.5 млн. (спрос 650), с вероятностью 21.43% - 7.5 млн. (спрос 750) и т.д.
Среднюю прибыль в этом случае можно рассчитать по стандартной
_ 7
формуле теории вероятности для расчета средних значений -=1 xiPi , где xi -
i=1
величина прибыли, а pi - вероятность ее получения. В Excel такая формула будет выглядеть как =СУММПРОИЗВ($B$12:$H$12;B4:H4), что и записано в ячейке I4 для объема финансирования в 550 млн. йен. Если повторить такой расчет для шести оставшихся возможностей выбора, получим средний результат - прибыль или убыток - для любого из 7 возможных выборов объема финансирования ( ).
|
|
550 |
650 |
750 |
850 |
950 |
1050 |
1150 |
Результат |
|
550 |
27.5 |
17.5 |
7.5 |
-2.5 |
-12.5 |
-22.5 |
-32.5 |
-4.64 |
|
650 |
24 |
32.5 |
22.5 |
12.5 |
2.5 |
-7.5 |
-17.5 |
9.04 |
|
750 |
20.5 |
29 |
37.5 |
27.5 |
17.5 |
7.5 |
-2.5 |
20.07 |
|
850 |
17 |
25.5 |
34 |
42.5 |
32.5 |
22.5 |
12.5 |
27.14 |
|
950 |
13.5 |
22 |
30.5 |
39 |
47.5 |
37.5 |
27.5 |
31.57 |
|
1050 |
10 |
18.5 |
27 |
35.5 |
44 |
52.5 |
42.5 |
34.02 |
|
1150 |
6.5 |
15 |
23.5 |
32 |
40.5 |
49 |
57.5 |
33.82 |
|
max |
27.5 |
32.5 |
37.5 |
42.5 |
47.5 |
52.5 |
57.5 |
43.57 |
|
|
7.14% |
14.29% |
21.43% |
14.29% |
10.71% |
14.29% |
17.9% |
|
|
|
Рис. 231 |
В строке max показана ситуация, когда мы точно угадываем спрос. Если бы мр. Донг был на это способен, банк получал бы в среднем 43.6 млн. прибыли. Естественно, это полностью совпадает с результатом, полученным в однопериодной модели.
В реальной же ситуации, если у мр. Донга не никаких дополнительных источников информации о грядущем спросе и он может использовать только данные собственной статистики, наилучшим выбором окажется резервирование 1050 млн. йен. Такой выбор принесет в среднем 34.02 млн. йен прибыли.
Сравнивая полученный результат с рекомендациями и оценками прибыли в однопериодной модели, мы видим, что оба подхода дают близкие результаты. Во всяком случае, рекомендованные объемы резервирования денежных средств не противоречат друг другу.
|
Спрос, млн. ? |
550 |
650 |
750 |
850 |
950 |
1050 |
1150 |
Вероятнос
ть |
8.9% |
10.8% |
16.3% |
19.4% |
18.2% |
13.4% |
13.0% |
|
|
Рис. 232 |
Заметим еще, что более существенные отличия в оценках средней прибыли для различных объемов заказа, связаны с различными оценками вероятностей спроса в этих двух подходах. Если пользоваться нормальным распределением для вероятностей, то вместо использованной нами таблицы вероятностей () получилось бы следующая таблица () . Здесь для расчета вероятностей использованы полученные нами раньше оценки среднего спроса 872.6 и стандартного отклонения спроса - 202.2.___
Таким образом, заменяя реальное распределение для спроса нормальным, мы, возможно, недооцениваем вероятность высокого спроса на кредиты.
Часть 7. Выбор альтернатив.
Основные формулы теории вероятностей
Вероятность того, что произойдет хотя бы одно из нескольких несовместных событий A1, A2,... An, равна сумме их вероятностей:
P(A1 или А2 или...или An) = P(A1)+ P(A2)+...+ P(An)
События называются несовместными (взаимоисключающими), если ни какие два из них не происходят одновременно.
Если два независимых события A1 и A2 могут произойти одновременно (совместны), то вероятность того, что произойдет хотя бы одно из них
P(A1 или A2) = P(A1)+ P(A2) - P(A1)* P(A2)
Если нескольких несовместных событий A1, A2,... An, в совокупности исчерпывают все возможные исходы (образуют полную группу событий)
P(A1)+ P(A2)+...+ P(An)=1
Если несколько событий A1, A2,... An независимы (т.е. вероятность каждого из них Ai не зависит от того, произошло ли другое событие Aj или нет), то вероятность того, что все они произойдут одновременно равна произведению их вероятностей
P(A1 и A2 и...и An) = P(A1)* P(A2)*...* P(An)
Если два события A и С не являются независимыми (т.е. вероятность одного из них зависит от того произошло ли другое или нет), то вероятность того , что они произойдут одновременно равна
P(A и С) = P(Q* P(A/C)=P(A)*P(C/A)
P(А) и P(Q - безусловные вероятности событий А и С (независимо оттого произошло ли другое событие), P(А/С) вероятность события А при условии, что случилось событие С, P(C/A) вероятность события С при условии, что случилось событие А
Если событие А может произойти в результате нескольких событий С1, С2, ... Ст, то полная вероятность события А (если случилось хотя бы одно из событий Сі) равна
P(A)=P(^)*P(A/C1)+ p^p^^H.^ P(Qm)*P(A/Cm)
(Формула полной вероятности)
Если событие-следствие А произошло, то вероятности событий - условий С должны быть переоценены:
P(Ci/A) =
P(Ci)*P(A/Ci)
P(Ct)* P(A/Cj) + P(C 2) * P(A/C2) + ... + P(Cm)* P(A/Cm )
(Формула Байеса)
Теоретические замечания.
Процесс принятия любого управленческого решения - это всегда выбор из нескольких рассматриваемых альтернатив:
Инвестировать деньги в данный проект или нет?
Продать убыточное отделение компании или инвестировать в его реорганизацию?
Покупать акции компании А или компании В или продавать и те и
другие?
Вложить деньги в новое оборудование, чтобы снизить издержки по производству данного продукта, в дополнительную рекламу продукта или в информационную систему, эффективно обрабатывающую клиентскую базу данных, и позволяющую перейти к прямому маркетингу продукта?
Количество подобных вопросов, на которые управленец должен давать ответы каждый день, можно умножать беспредельно. Их разнообразие бесконечно.
Очень часто привлекательность той или иной альтернативы (по сравнению с другими рассматриваемыми альтернативами), зависит от того, каким образом будут развиваться события, от того, какой из предполагаемых «сценариев будущего» реализуется. Поскольку человеку не дано достоверно предвидеть будущее, процесс выбора из нескольких альтернатив в таких условиях называют принятием решения в условиях неопределенности и риска. В случае если лицо, принимающее решение, не имеет никакого представления о вероятностях реализации того или иного сценария будущего, говорят о принятии решения в условиях полной неопределенности. Если, наоборот, лицо, принимающее решение, имеет те или иные объективные оценки вероятностей различных сценариев будущего, говорят о принятии решения в условиях риска.
Таблица выигрышей и потерь.
Первое, что нужно сделать для систематизации процесса выбора из нескольких альтернатив, это оценить выигрыши и потери, к которым приведет выбор каждой альтернативы, при условии реализации каждого из рассматриваемых сценариев будущего. Все выигрыши и потери нужно свести в таблицу (или матрицу) выигрышей и потерь. В этой таблице столько строк, сколько рассматривается альтернатив, и столько столбцов, сколько сценариев будущего, определяющих результат каждой альтернативы, принимается во внимание.
Рассмотрим в качестве примера некоторую компанию «Энергия палеолита»- ЭП, которая занимается тем, что покупает земли в потенциально нефтеносных районах, некоторое время ждет, а затем принимает решение: бурить скважину или продать землю. В настоящий момент компания имеет участок земли в нефтеносном районе. Проведенный экономический и геофизический анализ показывает, что при бурении скважины на максимальную глубину, доступную компании при имеющемся оборудовании, в данном районе составят 700 тысяч у.е. Если при этом нефть не будет найдена, эти издержки составят прямые потери компании (пессимистический сценарий). В случае обнаружения нефти, геофизический анализ позволяет оценить типичный объем нефти, который можно извлечь из данной скважины (консервативный сценарий) и максимальный для данных условий объем (оптимистический сценарий). Экономический прогноз будущих цен на нефть на период эксплуатации скважины и переменных эксплуатационных издержек, позволяет оценить свободные финансовые потоки от каждого года за все время эксплуатации скважины. Дисконтируя эти потоки с коэффициентом дисконта равным средневзвешенной стоимости капитала компании (WACC - см, например, Р.Брейли и С.Майерс «Принципы корпоративных финансов») и суммируя их с первоначальной инвестицией на бурение скважины, можно получить чистую приведенную стоимость проекта бурения и эксплуатации скважины при среднем и при максимально возможном запасе нефти (т.е. при консервативном и оптимистическом сценарии). Полученные таким образом оценки выигрышей при консервативном и оптимистическом сценариях приведены в следующей таблице. Там же показана рыночная цена, которую можно получить, если продать этот участок, разумеется, до того, как пробурена скважина. Будем считать, что остаточная цена земли после безрезультатного бурения равна нулю (или что она учтена в сумме постоянных издержек бурения).
|
Таблица выигрышей и потерь компании «Энергия палеолита» |
|
|
Сценарии будущего |
|
Альтернативы |
Нефти нет |
Средний запас |
Мощный фонтан |
|
Бурить |
-700 |
+500 |
+2000 |
|
Продать |
+150 |
+150 |
+150 |
|
|
Рис. 233 |
Экономический и геофизический анализ, который привел компанию ЭП к цифрам, приведенным в данной таблице, сродни бизнес плану для любого нового проекта или предприятия. Любой бизнес план включает стратегический и маркетинговый анализ, проект организационной структуры, план управления операциями и человеческими ресурсами, и, наконец, финансовый анализ проекта, дающий его чистую приведенную стоимость (ЧПС) и показывающий инвестиционную привлекательность проекта. Поскольку все цифры, используемые в финансовом анализе, носят прогнозный характер, т.е. соответствуют предполагаемым объемам продаж, ценам и издержкам, число, выражающее чистую приведенную стоимость проекта имеет мало смысла, если не проведен анализ чувствительности результата к изменению прогнозных параметров. Если изменение всех прогнозных параметров проекта в пределах, которые кажутся менеджеру разумными, оставляет ЧПС проекта положительной, проект должен быть принят. В большинстве случаев, прогнозные параметры не являются независимыми. Поэтому разумно рассматривать их взаимосвязанное изменение как «сценарий будущего». Обычно рассматривают пессимистический, консервативный и оптимистический сценарий, что и соответствует трем сценариям в проблеме компании «Энергия палеолита». Хорошо, если во всех трех сценариях ЧПС положительна. В случае «Энергии палеолита» это не так. Нередко и в других представляющих интерес проектах, для пессимистического сценария существует риск потерь.
Итак, серьезный экономический анализ проведен. Получены три цифры выигрышей и потерь, а также цифра выигрыша, в случае отказа от бурения. С этого места и должен начаться наш анализ. Что же все-таки делать: бурить или продать?
Принятие решений в условиях полной неопределенности
Если у нас нет никакой информации о вероятностях рассматриваемых сценариев будущего, т.е. мы совершенно не представляем себе, каковы шансы найти нефть на нашем участке, наука может предложить очень не много. То, что она предлагает, высокопарно называют «критериями принятия решений». Эти критерии помогают систематизировать выбор из нескольких альтернатив, в зависимости от нашего отношения к риску.
Рассмотрим первым критерий «Максимина», соответствующий логике выбора крайнего пессимиста, который считает, что какую бы альтернативу он ни выбрал, с ним все равно случится самое худшее. Самое худшее - это минимальный выигрыш (в случае если этот минимальный выигрыш выражается отрицательным числом, это фактически максимальный проигрыш). Поэтому выбирать следует ту альтернативу, где этот минимальный выигрыш -максимален. Из видно, что в случае «Энергии палеолита», наихудший возможный сценарий при выборе альтернативы «Бурить» - это отсутствие нефти. При этом наш выигрыш составляет «- 700 тыс.». Если мы выберем альтернативу «Продать», то независимо от сценария будущего, наш выигрыш составит «150 тыс». Поскольку при выборе альтернативы «Продать» минимальный выигрыш больше, чем при выборе альтернативы «Бурить», согласно критерию максимина, нужно выбрать именно альтернативу «Продать». Логика вполне понятная с житейской точки зрения. Однако, в случае «Энергии палеолита» такая логика попросту закрывает бизнес компании. Согласно критерию максимина, мы всегда будем выбирать альтернативу «Продать», поскольку бурение неизбежно связано с некоторым риском не найти нефть и потерять деньги. Более того, систематическое применение критерия максимина закроет любой бизнес. Очевидно, что любое бизнес решение содержит в себе риск потерь. Чтобы ничего никогда не терять, придется отказаться от любой деятельности (и собственности).
Второй, часто цитируемый критерий, называется критерием «Минимаксных сожалений» (в русскоязычной литературе его чаще называют критерием «Минимаксного риска», что представляется авторам менее точным, чем буквально переведенное английское название - «Minimax regret»). Его тоже можно представить как выбор пессимиста, считающего, что какую бы альтернативу он ни выбрал, с ним случится самое худшее. Но теперь этот пессимист - бизнесмен. А бизнесмен не любит не только прямых потерь, но и упущенной выгоды. Поэтому «самое худшее» для такого пессимиста - это большие упущенные возможности, в которых на равных основаниях учитываются как прямые потери, так и не полученная прибыль. Для расчета упущенных возможностей при выборе каждой альтернативы, если реализуется любой сценарий будущего, нужно переделать таблицу выигрышей и потерь следующим образом (и ).
|
Таблица выиг |
рышей и потерь компании «Энергия палеолита» |
|
|
Сценарии будущего |
|
Альтернативы |
Нефти нет |
Средний запас |
Мощный фонтан |
|
Бурить |
-700 |
+500 |
+2000 |
|
Продать |
+150 |
+150 |
+150 |
|
Максимум |
150 |
500 |
2000 |
|
|
Рис. 234 |
|
Таблица упущенных возможностей компании «Энергия палеолита» |
|
|
Сценарии будущего |
|
Альтернативы |
Нефти нет |
Средний запас |
Мощный фонтан |
|
Бурить |
850 |
0 |
0 |
|
Продать |
0 |
+350 |
+1850 |
|
|
Рис. 235 |
Во-первых, допишем строку «Максимум» таблицы выигрышей и потерь, в которую поместим максимальный выигрыш для данного сценария будущего, реализующийся, если выбрана «правильная» альтернатива. Во-вторых в клетках новой таблицы упущенных возможностей запишем разницу между этим максимальным для данного сценария выигрышем и реальным выигрышем, который будет получен, если выбрана каждая из рассматриваемых альтернатив.
Если нефти нет, то «правильная» альтернатива - «Продать», и соответствующие ей упущенные возможности равны 0 (достигнут наилучший результат, ничего не потеряно). Аналогично 0 упущенных возможностей соответствует сценариям «Средний запас» и «Мощный фонтан», если выбрана альтернатива «Бурить». Наоборот, если нефти нет, а выбрана альтернатива «Бурить», упущенные возможности эта разность между возможным выигрышем 150 и реально полученным отрицательным «выигрышем», равным минус 700 тыс., т.е. +850 тыс. Если же нефть есть, то при «Среднем запасе» упущенные возможности равны +350 тыс., а при «Мощном фонтане» они равны +1850 тыс.
Видно, что наихудший результат (максимум упущенных возможностей) при альтернативе «Бурить» (850 тыс., если нефти нет) меньше, чем при альтернативе «Бурить» (1850 тыс., при наихудшем для этой альтернативы сценарии - «Мощный фонтан»). Следовательно, согласно критерию минимаксных сожалений, выбрать нужно альтернативу «Бурить». Очевидно, что критерий минимаксных сожалений не всегда будет давать результат, противоположный критерию максимина, и не всегда будет рекомендовать одну и ту же альтернативу (как критерий максимина). Если бы выигрыш от альтернативы «Продать» при сценарии «Мощный фонтан» был бы не 2000, а 900, то критерий минимаксных сожалений, так же как и критерий максимина рекомендовал бы выбрать альтернативу «Продать».
На первый взгляд кажется, что критерий минимаксных сожалений, более гибкий, чем критерий максимина, и более приемлемый для бизнес решений. Однако нетрудно видеть, что в случае «Энергии палеолита» он совпадает с третьим известным критерием «Максимакса» (он и в других случаях будет весьма часто совпадать с этим критерием). Этот критерий рекомендует выбирать ту альтернативу, где максимальный выигрыш (выигрыш для оптимистического сценария) максимален. Например, если владелец бизнеса, с помощью консультантов оценивший его стоимость, узнает, что сегодня в местном казино будет разыгрываться сумма, превышающая стоимость его бизнеса, он, согласно критерию максимакса, должен поставить бизнес на карту. Вряд ли подобные «рекомендации» кто-нибудь может воспринимать серьезно.
Таким образом, систематическое применение критериев «минимаксных сожалений» и «максимакса», несомненно, приведет к потере бизнеса, так же как и систематическое применение критерия «максимина». В случае «максимина» - из-за нежелания брать на себя хоть какой-нибудь риск потерь, а в случае «минимаксных сожалений» или «максимакса» из-за оголтелого стремления к максимальному выигрышу, невзирая на соответствующие ему шансы. Неутешительный вывод. Неутешительный - для критериев принятия решений в условиях полной неопределенности. Понимать смысл и соотношение этих критериев полезно, но, с практической точки зрения, ситуации «полной неопределенности» лучше избегать. Для рационального принятия решений, необходимо хотя бы грубо оценить вероятности (шансы) различных сценариев будущего. Если это сделано, то проблему принятия решений классифицируют как выбор альтернатив «в условиях риска».
Принятие решений в условиях риска.
Описывая деятельность компании «Энергия палеолита» в начале настоящего раздела, мы заметили, что после покупки земли в нефтеносном районе и перед принятием решения о бурении, менеджмент компании некоторое время ждет. Чего собственно здесь можно ждать? Очевидно, ждать можно результатов бурения более смелых и более богатых соседей, набрать статистику, характеризующую степень нефтеносности района, и оценить вероятности обнаружения нефти на своем участке (который априори ничем от соседских не отличается).
Пусть к моменту принятия решения 100 соседей пробурили скважины, и
— в 50 случаях нефть не была найдена
— в 30 случаях обнаружены запасы, близкие к средним ожидаемым
— в 20 случаях забил мощный фонтан
Исходя из этих данных, можно получить естественные оценки вероятности рассматриваемых сценариев будущего, которые отражены в новом варианте таблицы выигрышей и потерь компании «Энергия палеолита»
|
|
А |
В |
с |
в |
в |
F G |
H |
|
J |
|
1 |
|
|
Сценарии будущего |
|
|
|
|
|
2 |
|
Нефти
нет |
Средний
запас |
Мощный
фонтан |
ЕМ? |
|
|
|
|
|
3 |
Альтернативы |
|
|
|
|
|
|
|
|
|
4 |
Бурить |
-700 |
500 |
2000 |
200 |
=СУММПР0ИЗВ(В4:04:$В$7:$0$7) |
|
5 |
Продать |
150 |
150 |
150 |
150 |
=CyMMnPOH3B(B5:D5:$B$7:SD$7) |
|
6 |
Максимум |
150 |
500 |
2000 |
625 |
=CyMMnPOH3B(B6:D6:$B$7:$D$7) |
|
7 |
Вероятности |
0,5 |
0,3 |
0,2 |
|
I 1 |
|
|
|
|
8 |
|
|
|
Е?РІ= |
425 |
=F6-MAKC(F4:F5) |
|
|
|
|
9 |
|
|
|
|
|
|
|
|
|
|
Рис. 236 Расчет ожидаемой монетарной ценности альтернатив и стоимости совершенной информации |
В случае, когда вероятности сценариев будущего определены, наиболее употребительным критерием выбора из нескольких альтернатив является критерий «Ожидаемой монетарной ценности» - EMV (по-английски Expected Monetary Value). Для каждой /'-ой альтернативы следует рассчитать величину суммы произведений выигрышей при различных сценариях будущего Oij на величины вероятностей этих сценариев pj:
ЕМУ,- =Х О, ¦ р, , (1)
J
после чего выбрать ту альтернативу, для которой EMV максимальна. Из табл. 3 видно, что для случае компании ЭП максимальное EMV достигается для альтернативы «Бурить»: EMVi=200 (в то время как для альтернативы «Продать» EMV2=150).
Смысл величины EMV проявляется очень наглядно, если представить себе, что компания ЭП имеет в данном нефтеносном районе не один, а 100 одинаковых участков, и решение о бурении или продаже принимается для всех 100 участков одновременно. Тогда, если решено «Бурить», примерно на 50 участках компания ЭП потеряет по 700 тыс. Суммарный «выигрыш» составит -35000 тыс. На 30 участках компания ЭП выиграет 30x500 тыс. = 15000 тыс., а примерно с 20 участков, где забьет мощный фонтан, компания ЭП получит 20x2000 тыс. = 40000 тыс. Просуммировав эти три числа, получим, что суммарный выигрыш на всех 100 участках будет примерно +20000 тыс. Т.е. с одного участка компания ЭП получит примерно 200 тыс. Таким образом, EMV -это ожидаемый выигрыш, который получила бы компания ЭП с одного участка, если бы решение о бурении было принято для множества одинаковых участков. Читатели, знакомые с теорией вероятностей, конечно, узнали в этой величине математическое ожидание. В данном случае речь идет о математическом ожидании случайной величины выигрыша, который получает компания при выборе данной альтернативы и случайной реализации данного сценария будущего.
Совершенно очевидно, что если компания ЭП действительно владеет множеством одинаковых участков в одном и том же нефтеносном районе, то выбор альтернативы «Бурить» принесет больший выигрыш, чем выбор альтернативы «Продать» (для всех участков). Однако если компания ЭП владеет лишь одним участком, то почему и в этом случае, при рациональном выборе из имеющихся двух альтернатив («Бурить» или «Продать») компания должна выбрать альтернативу с большей ожидаемой монетарной ценностью - EMV? Отвлекаясь, от конкретной проблемы компании ЭП, следует отметить, что ответ на поставленный вопрос определяется характером принимаемого компанией решения.
Если речь идет о судьбоносном решении, если вы понимаете, что подобный выбор никогда больше не представится вам в будущем, то выбор альтернативы будет определяться лишь вашим субъективным отношением к величине вероятностей различных исходов, а также к величинам выигрышей и потерь. В случае компании ЭП, если потери в 700 тыс. кажутся вам невосполнимыми, а вероятность исхода, приводящего к потерям - 50% пугающе большой, вы, несомненно, выберете альтернативу «Продать» (в соответствие с критерием максимина). Если, напротив, выигрыш в 2000 тыс. кажется непреодолимо привлекательным, его шансы - 20% весьма значительными, а потери в 700 тыс. (в случае неблагоприятного исхода) не слишком пугают, вы выберете альтернативу «Бурить» (в соответствие с критерием максимакса, или критерием минимаксных сожалений).
Если же принимаемое решение носит рутинный характер, если подобные решения вам приходится принимать многократно, если они составляют существо вашего бизнеса, то EMV, ожидаемая монетарная ценность альтернативы, будет правильным ориентиром в принятии решения. Компания «Энергия палеолита» в данный момент владеет единственным участком и принимает серьезное инвестиционное решение. Но это решение, очевидно, не уникально. Ведь покупка участков, их продажа или бурение и эксплуатация скважин на них - это бизнес компании. Месяц назад аналогичное решение, возможно, принималось относительно другого участка (с другими вероятностями сценариев будущего, другими издержками бурения, запасами нефти и, соответственно, выигрышами от бурения и эксплуатации скважины), а через месяц подойдет очередь принятия подобных решений для двух других участков в других районах, с другими числовыми характеристиками выигрышей и потерь и с другими шансами различных сценариев будущего. Если компания ЭП каждый раз будет руководствоваться критерием максимальной ожидаемой ценности, в долгосрочной перспективе она будет в выигрыше. Нельзя предсказать величину этого выигрыша, так как числовые характеристики решения меняются раз от раза, но сам по себе выигрыш гарантирован.
Следует особо подчеркнуть, что выбор альтернативы с максимальной ожидаемой ценностью никоим образом не гарантирует выигрыша в данном конкретном случае. Руководствуясь принципом максимальной EMV, в данном конкретном случае, вы должны быть готовы к потерям. В случае компании ЭП вероятность потерь 50%! Однако в долгосрочной перспективе, при многократном принятии подобного решения, принцип максимальной EMV обязательно обеспечит перевес выигрышей над потерями и, следовательно, обеспечит положительный суммарный баланс.
В заключение отметим, что вместо критерия максимума ожидаемой монетарной ценности альтернативы, мы с тем же успехом могли бы использовать критерий минимума ожидаемых упущенных возможностей - EOL (по-английски - Expected Opportunity Loss). Ожидаемые упущенные возможности для данной альтернативы вычисляются аналогично ожидаемой монетарной ценности как средневзвешенное от упущенных возможностей для каждого из рассматриваемых сценариев будущего Lij с весами, равными вероятностям этих сценариев pf.
ЕОЦ =? ¦ Pj (2)
j
В таблице на сопоставлены результаты вычислений по таблице выигрышей и потерь и по таблицы упущенных возможностей. Видно, что минимум ожидаемых упущенных возможностей (425 тыс.) соответствует той же альтернативе «Бурить», что и максимум ожидаемой монетарной ценности. Как отмечалось в Теоретических замечаниях к разделу «Оптимальное управление запасами с учетом случайных вариаций спроса», это не случайность, а строгий математический вывод. максимум прибыли соответствует, минимуму упущенных возможностей, если при вычислении последних на равных основаниях учитывать и не полученную прибыль и прямые потери.
|
|
А В С |
D |
Е |
F |
|
1 |
Таблица выигрышей и потерь |
|
|
|
|
2 |
Сценарии будущего |
|
|
|
3 |
|
Нет нефти |
Средний запас |
Мощный фонтан |
ЕМ? |
|
4 |
Альтернативы |
|
|
|
|
|
5 |
Бурить |
-700 |
500 |
2000 |
200 |
|
6 |
Продать |
150 |
150 |
150 |
150 |
|
7 |
Максимум |
150 |
500 |
2000 |
625 |
|
8 |
Вероятности |
0.5 |
0.3 |
0.2 |
|
|
9 |
|
Е?РІ |
425 |
|
10 |
Таблица упущенных возможностей |
|
|
|
|
11 |
|
Состояния окружения |
|
|
|
12 |
|
Нет нефти |
Средний запас |
Мощный фонтан |
EOL |
|
13 |
Альтернативы |
|
|
|
|
|
14 |
Бурить |
850 |
0 |
0 |
425 |
|
15 |
Продать |
0 |
350 |
1850 |
475 |
|
16 |
Вероятности |
0.5 |
0.3 |
0.2 |
|
|
17 |
|
|
|
|
|
Рис. 237 |
Стоимость совершенной информации.
В условиях неопределенности и риска дополнительная информация, очевидно, увеличивает шансы лица, принимающего решение, на выигрыш и величину ожидаемого выигрыша. Представим себе, что в случае компании «Энергия палеолита» имеется возможность использовать новейшую геофизическую методику исследования недр, которая дает абсолютно достоверный результат: если нефти нет, методика определит, что ее нет, если нефть имеется в среднем запасе, методика предскажет средний запас, и, наконец, если на данном участке можно достать мощный запас нефти, методика предскажет мощный фонтан. И все это абсолютно достоверно, вероятность ошибки - 0%! Такую информацию называют совершенной. От людей невозможно получить совершенную информацию, касающуюся будущего. Любой прогноз содержит некоторую ошибку, любое предсказание имеет некоторую вероятность не сбыться. Ниже мы учтем это обстоятельство в нашем анализе и научимся оценивать стоимость несовершенной (но добросовестной информации). Сейчас же зададимся вопросом о справедливой стоимости совершенной информации (рассматривая ее как некоторый недостижимый идеал). Стоимость любой несовершенной информации будет, очевидно, всегда ниже стоимости совершенной информации.
Следует отметить, что стоимость информации не может зависеть от того, реализацию какого именно сценария будущего она предсказывает. В случае ЭП, геофизики не сделают так, чтобы нефть была. Они только предсказывают, есть она или нет. Причем, независимо от результата исследования (предскажут они, что нефть будет обнаружена при бурении или нет), стоимость работ одна и та же, и оплатить их нужно до получения результата. Какова же максимальная граница для справедливой цены, которую компания ЭП может согласиться заплатить за подобное геофизическое исследование?
Для ответа на этот вопрос, прежде всего, заметим, что владение совершенной информацией позволяет получить максимум того, что можно извлечь из данного сценария будущего. Допустим, что геофизики предскажут, что нефти на участке нет. Тогда компания ЭП, очевидно, продаст землю (и получит 150 тыс.). Если геофизики предскажут, что нефть есть в среднем или мощном запасе, компания, очевидно, будет бурить (и получит либо 500 тыс. либо 2000 тыс., в зависимости от предсказания геофизиков). Интересно, что до начала подобного исследования, компания ЭП может оценить вероятность того или иного прогноза геофизиков на основании имеющейся статистической информации о нефтеносности района. Очевидно, что вероятность отрицательного прогноза геофизиков 50%, вероятность прогноза среднего запаса - 30%, а мощного фонтана - 20%. Таким образом, если бы у компании ЭП было 100 участков в данном районе, то примерно на 50 из них геофизики предсказали бы отсутствие нефти, и, продав эти участки, компания получила бы по 150 тыс. с каждого. Примерно на 30 участках геофизики предсказали бы средний запас, а на 20 - мощный фонтан, и, пробурив скважины на этих участках, компания ЭП получила бы с первых по 500 тыс., а со вторых - по 2000 тыс. В итоге, с каждого из 100 участков, при использовании такого геофизического исследования, компания ЭП получила бы в среднем по 625 тыс. (см. и ), а не 200 тыс. Ожидаемая монетарная ценность решения, принятого с учетом совершенной информации на 425 тыс. больше, чем без нее. Это и есть верхняя граница справедливой стоимости совершенной информации (EVPI - от английского термина Expected Value of Perfect Information) . Если геофизики просят за свою услугу меньше, чем 425 тыс., компании ЭП есть смысл заплатить, так как в итоге ожидаемая монетарная ценность с каждого участка возрастет. Если геофизики оценивают свою услугу выше 425 тыс., компании ЭП нет смысла ее использовать.
Подчеркнем еще раз, что EVPI=425 тыс. - это предельная цена за информацию, которую компании ЭП имеет смысл платить при решении вопроса о выборе из данных альтернатив. В реальности, методика, предлагаемая геофизиками, наверняка, не дает 100% результата. Поэтому представляемая ими информация - несовершенна и ее стоимость ниже EVPI.
Заметим также, что из таблицы 4 видно, что минимальные упущенные возможности (EOL] для альтернативы «Бурить») в точности равны стоимости совершенной информации. Это опять-таки не случайность. Ведь если мы владеем совершенной информацией, мы из каждого сценария будущего возьмем по максимуму, т. е. наши упущенные возможности будут равны нулю. Величина минимума упущенных возможностей при отсутствии дополнительной информации и есть та максимальная цена, которую мы сможем заплатить за совершенную информацию - EVPI.
Анализ устойчивости выбора оптимальной альтернативы для компании «Энергия палеолита».
Согласно принципу максимальной ожидаемой монетарной стоимости из двух рассматриваемых альтернатив «Бурить» и «Продать» компании ЭП следует выбрать альтернативу «Бурить». Однако, принимая ответственное управленческое решение, необходимо проверить, насколько чувствителен сделанный выбор к изменению прогнозных параметров и оценок вероятностей, с помощью которых были вычислены EMVj для каждой альтернативы. Из условия неизвестны прогнозные параметры, на основе которых компания ЭП получила значения выигрышей и потерь для каждой из альтернатив при каждом сценарии будущего. Поэтому часть анализа устойчивости, включающую вариацию этих параметров, мы привести здесь не сможем. Однако рассмотреть влияние оценок вероятностей различных сценариев будущего совершенно необходимо, тем более что именно в этих (обычно весьма грубых) оценках и коренится основная причина неустойчивости решения о выборе из нескольких альтернатив.
В случае компании ЭП оценить статистическую ошибку в оценках вероятностей совсем нетрудно. Мы уже приводили формулу для стандартной ошибки в определении вероятностей по выборке (формула (10) в Теоретических замечаниях к разделу «Оптимальное управление запасами с учетом случайных вариаций спроса» - см. [5]). Перепишем эту формулу еще раз, пренебрегая несущественными коэффициентами:
Ар 1
(2)

где N - размер выборки. Компания ЭП оценивала вероятности обнаружения нефти на своем участке, основываясь на результатах бурения на 100 соседних участках. Таким образом, типичная статистическая ошибка такой оценки - 10%. Выборочное значение оценки вероятности по частоте распределено примерно нормально. Поэтому с вероятностью 95% можно утверждать, что она отклоняется от неизвестного истинного значения вероятности не более чем на 2Ар (см. [5]). Попробуем проверить, как изменятся значения EMVt для каждой альтернативы, если варьировать значения вероятностей сценариев будущего в пределах статистической ошибки. Поскольку наиболее критичным для нашего анализа является сценарий «Нефти нет», будем увеличивать вероятность этого сценария за счет уменьшения вероятности сценария «Мощный фонтан». При варьировании вероятностей, необходимо соблюдать, так называемое, условие нормировки:
(3)
Сумма вероятностей всех сценариев будущего должна равняться единице, т. е. рассматриваемые сценарии обязательно должно быть взаимоисключающими в совокупности исчерпывающими.
На показано, как меняется ожидаемая монетарная стоимость альтернативы «Бурить» при небольшом увеличении вероятности пессимистического сценария «Нефти нет». Увеличение этой вероятности всего на 0,05 (что составляет всего 10% - стандартное отклонение оценки вероятности сценария «Нефти нет») снижает ожидаемую монетарную стоимость альтернативы «Бурить» в 3 раза и делает ее в два раза меньше, чем EMV альтернативы «Продать». Увеличение вероятности сценария «Нефти нет» всего на 0,02 уравнивает альтернативы «Бурить» и «Продать» по ожидаемым монетарным стоимостям. Это означает, что для рационального выбора между альтернативами «Бурить» и «Продать» в случае компании ЭП необходимо знать вероятности сценариев будущего с точностью до 0,01, что требует статистики N=10000, которой у компании ЭП нет.
|
А |
В |
с |
D |
Е |
|
1 Г |
|
Сценарии будущего |
|
|
Нефти |
Средний |
Мощный |
|
|
2 |
нет |
запас |
фонтан |
ЕМ? |
|
з Альтернативы |
|
|
|
|
|
4 Бурить |
-700 |
500 |
2000 |
65 |
|
5 Продать |
150 |
150 |
150 |
150 |
|
6 Максимум |
150 |
500 |
2000 |
532.5 |
|
7 Вероятности |
0.55 |
0.3 |
0.15 |
|
|
8 |
|
|
Е?РІ= |
382.5 |
|
|
Нефти |
Средний |
Мощный |
|
|
9 |
нет |
запас |
фонтан |
ЕМ? |
|
ю Альтернативы |
|
|
|
|
|
и Бурить |
-700 |
500 |
2000 |
146 |
|
12 Продать |
150 |
150 |
150 |
150 |
|
із Максимум |
150 |
500 |
2000 |
588 |
|
14 Вероятности |
0.52 |
0.3 |
0.1S |
|
|
15 |
|
|
Е?РІ= |
438 |
|
|
Рис. 238 Изменение EMVt при вариации вероятности сценария «Нефти нет» |
Таким образом, в данном случае следует признать, что различие между EMV альтернатив «Бурить» и «Продать», отраженное в таблице на не является значимым. Оно уничтожается в результате небольшой вариации значения вероятности пессимистического сценария «Нефти нет», которая меньше, чем величина статистической ошибки для оценки вероятности этого сценария по имеющейся у компании ЭП выборке. Фактически это означает, что рациональный выбор между альтернативами «Бурить» и «Продать» без дополнительной информации (за которую, конечно, придется заплатить) невозможен. Если требуемая плата за дополнительную информацию превысит стоимость совершенной информации EVPI, следует признать, что рациональный выбор между рассматриваемыми альтернативами невозможен вообще. Наука бессильна. И либо нужно довериться интуиции (и бурить), либо «спрятаться» за критерием максимина (и продать).
Обратим внимание на любопытное изменение стоимости совершенной информации в зависимости от соотношения ожидаемых монетарных ценностей сравниваемых альтернатив (- ). Чем больше различие между EMVi («Бурить») и EMV2 («Продать»), тем ниже стоимость совершенной информации. Она максимальна в случае, когда ценности альтернатив почти одинаковы. Это вполне понятно: чем сложнее различить сравниваемые альтернативы, тем более остро мы нуждаемся в дополнительной информации, тем выше ее стоимость.
Дерево альтернатив
Таблица выигрышей и потерь удобна для формализации процесса принятия «одношаговых» решений:
Бурить скважину или продать участок?
Инвестировать в первый, второй или третий проект?
Сделать заказ объемом V1,V2,V3 или V10?
и т. п.
Нередко, однако, нужно выбирать между альтернативами, каждая из которых представляет собой «многошаговый» процесс принятия решений. Эти шаги могут быть разнесены во времени, причем на каждом шаге может возникать свой набор альтернатив и сценариев будущего. В этом случае визуализировать процесс выбора из рассматриваемых альтернатив удобно с помощью дерева альтернатив (иначе говорят - дерева решений). Дерево альтернатив - это необходимый инструмент при стратегическом планировании и инвестиционном
анализе. Рассмотрим инвестиционную проблему некоторой компании «Вольный
полет» .
Компания «Вольный полет» рассматривает проект по обслуживанию служебных перелетов на юго-востоке США. Эксперты полагают, что на услуги компании созрел спрос со стороны фирм, которые не в состоянии обращаться к компаниям, предоставляющим самолет на полное время, но, тем не менее, время от времени нуждаются в них.
Первое решение, которое должна принять фирма, какой самолет купить: новый турбовинтовой - $550 тыс. или подержанный поршневой - $250 тыс. Эксперты полагают, что в следующем годы такой самолет будет стоить еще меньше $150 тыс.
В связи с этим имеется идея, не начать ли с одного поршневого самолета, а если спрос будет большой, на следующий год купить еще один такой же самолет.
Для количественного анализа проблемы выбора из рассматриваемых альтернатив, компания «Вольный полет» - ВП силами своего финансового директора и с помощью экспертов по рынку подобных услуг составляет прогноз финансовых потоков, которые можно ожидать от данного проекта при двух сценариях будущего: высоком спросе на услугу (оптимистический сценарий) и низком спросе (пессимистический сценарий). Для получения конкретных чисел в бизнес-плане проекта следует задаться двумя прогнозными уровнями продаж (для двух рассматриваемых сценариев будущего), спрогнозировать
конкурентоспособные цены на аренду турбовинтового и поршневого самолета и соответствующие эксплуатационные издержки.
Проект рассчитывается на несколько лет. Разумеется, финансовые потоки, получаемые от проекта в разные годы его существования нужно дисконтировать. Исходя из степени рискованности проекта и соотношения между собственным и заемным капиталом компании, финансовый директор определил коэффициент дисконта 10%. При расчете ежегодных финансовых потоков, в принципе, следует ставить вопрос о том высоким или низким будет спрос в каждый год функционирования проекта. Но для упрощения анализа, эксперты рекомендуют выделить две фазы проекта: первый год и все последующие годы, резонно полагая, что первый год - это год становления проекта, а затем, начиная со второго года, все бизнес-процессы в компании, так же как и реакция рынка на новое предложение, должны устояться. Поэтому при формулировке проблемы выбора оптимальной альтернативы, финансовый директор ВП рассчитал финансовые потоки в первом году проекта для каждой альтернативы при разных сценариях будущего, и соответствующие суммарные финансовые потоки от всех последующих лет функционирования проекта, дисконтированные на конец второго года. Все эти финансовые потоки показаны на в колонках, обозначенных CF (Cash Flow - финансовый поток по-английски).
|
|
А |
в |
С |
D |
Е |
F |
о |
Н |
і |
J |
К |
L |
м |
н |
|
|
1 |
|
|
|
|
Год 1 |
|
|
|
|
|
|
Год2 |
|
|
|
|
2 |
|
Альтернативы |
|
|
Спрос |
Р |
CF |
|
Альтернативы |
|
|
Спрос |
р |
CF |
|
|
3 |
|
|
|
|
|
|
|
|
|
|
|
Высокий |
5°
о
со |
9601 |
|
|
4 |
|
|
|
|
|
|
150 |
|
|
|
L J |
|
|
|
|
|
Высокий |
ьич? |
|
|
|
|
|
5 |
|
|
|
|
|
|
|
|
|
|
|
Низкий |
20% |
2201 |
|
|
? |
|
Турбовинтовой |
-550 |
L А |
|
|
|
|
|
|
|
|
|
|
|
|
7 |
|
|
|
|
|
|
|
|
|
|
— |
Высокий |
40%| |
9301 |
|
|
? |
|
|
|
|
Низкий_ |
4Щ |
30 |
|
|
|
Г 1 |
|
|
|
|
|
|
|
|
|
9 |
|
|
|
|
|
|
|
|
|
|
|
Низкий |
60% |
14 011 |
|
|
10 |
|
|
|
|
|
|
|
|
|
|
|
|
|
|
|
|
11 |
|
|
|
|
|
|
|
|
|
|
|
Высокий |
80%1 |
800 |
|
|
12 |
(У |
|
|
|
|
|
|
|
Купить второй самолет |
-150 |
• |
|
|
|
|
|
13 |
|
|
|
|
|
|
|
/Л |
|
|
|
Низкий |
2 0 % 1 |
100| |
|
|
14 |
|
|
|
|
Высокий |
60%] |
юо| |
О |
|
|
|
|
|
|
|
|
15 |
|
|
|
|
|
|
|
|
|
|
|
Высокий |
80% |
410| |
|
|
16 |
|
Поршневой 1 |
-250 |
п |
|
|
|
|
Продолжать с одним |
0 |
г 1 |
|
|
|
|
|
17 |
|
|
|
|
|
|
|
|
|
|
|
Низкий |
20% |
180| |
|
|
18 |
|
|
|
|
|
|
|
|
|
|
|
|
|
|
|
|
19 |
|
|
|
|
|
|
|
|
|
|
|
Высокий |
40% |
360 |
|
|
20 |
|
|
|
|
Низкий |
40% |
50І |
|
|
|
к 1 |
|
|
|
|
|
|
|
|
|
21 |
|
|
|
|
|
|
|
|
|
|
гн |
Низкий |
60%| |
14 011 |
|
|
22 |
|
|
|
|
|
|
|
|
|
|
|
|
|
|
|
|
|
Рис. 239 Дерево альтернатив для проблемы компании «Вольный полет» |
На изображено дерево альтернатив для проблемы компании «Вольный полет». Дерево альтернатив состоит из узлов двух типов (белые и черные кружки), ветвей и плодов (выигрыши или инвестиции - числа в прямоугольниках). Начнем рассмотрение дерева с крайнего левого белого узла. Из этого узла исходят две ветви соответствующие двум основным альтернативам, между которыми компании следует сделать выбор: купить турбовинтовой самолет или поршневой. Белыми узлами мы будем обозначать места, где нам предстоит принять решение.
Если выбрать альтернативу «Турбовинтовой самолет», потребуется инвестиция в 550 тыс. (на рисунке изображен отрицательный выигрыш -550 тыс.), после чего мы попадаем в черный узел. Здесь не мы принимаем решение. Можно сказать, это делает судьба, выбирая тот или иной сценарий будущего: реализуется ли в первом году функционирования проекта высокий или низкий спрос на услугу, предлагаемую компанией. Если реализуется высокий спрос, то прогнозируется финансовый поток от проекта в размере 150 тыс. Если же реализуется низкий спрос, то прогноз дает лишь 30 тыс.
После первого года функционирования проекта, мы попадаем в один из двух следующих черных узлов, где «судьба определит» будет ли спрос высоким или низким во втором и во всех последующих годах проекта. При высоком спросе компания оценивает суммарный финансовый поток от всего проекта, дисконтированный на конец второго как 960 тыс. (если спрос в первом году также был высоким) или 930тыс. (если высокий спрос установился после низкого спроса в первом году), а в случае низкого спроса финансовый поток составит всего 220 тыс. (если спрос в первом году был высоким) или 140 тыс. (если в первом году спрос был низким). Небольшие отличия в суммарных финансовых потоках от второго и всех последующих годов функционирования проекта в зависимости от того, какой был спрос в первом году, возможно, обусловлены особенностями планируемой маркетинговой стратегии.
Если выбрать альтернативу «Поршневой самолет», потребуется инвестиция в 250 тыс., после чего ветвь дерева альтернатив приходит в черный узел, где «судьба выбирает» один из сценариев будущего, т.е. высокий или низкий спрос будет на предлагаемую нами услугу в первом году. При высоком спросе прогнозируется финансовый поток в 100 тыс., т.е. меньше, чем после первого года работы с турбовинтовым самолетом (по-видимому, из-за более низких цен продажи этой услуги). При низком спросе прогнозируемый финансовый поток в 50 тыс. выше, чем в случае турбовинтового самолета (по-видимому, из-за того, что эксплуатационные издержки на поршневой самолет ниже, чем на турбовинтовой).
Если реализуется благоприятный для нас сценарий высокого спроса, мы попадаем в белый узел, где нам предстоит принять второе решение: расширить ли бизнес, купив второй поршневой самолет, который к тому моменту будет стоить всего 150 тыс., или продолжать работать с одним самолетом (что, разумеется, не требует никаких дополнительных инвестиций). Если же спрос в первом году был низким, мы не рассматриваем возможность расширения бизнеса, и безальтернативно продолжаем с одним поршневым самолетом.
Затем, ветви дерева альтернатив приводят нас в черные узлы, в которых, аналогично ветви «Турбовинтовой самолет», «судьба решит» подарить ли компании ВП высокий спрос или ограничиться низким спросом. При высоком спросе с двумя поршневыми самолетами компания прогнозирует суммарный финансовый поток от всех последующих лет функционирования проекта, дисконтированный на конец второго года, в 800тыс., а при низком спросе - всего в 100 тыс. Если продолжать с одним самолетом, соответствующие потоки оцениваются в 410 тыс. и 180 тыс., т.е. при высоком спросе в два раза ниже (из-за меньшего объема продаж, поскольку у нас один самолет, а не два), а при низком спросе - в два раза выше (из-за меньших эксплуатационных издержек). В случае если в первом году спрос был низким, суммарные финансовые потоки во втором и всех последующих годах прогнозируются на уровне 380 тыс. и 140 тыс. (отличия от 410 тыс. и 180 тыс., как и в случае турбовинтового самолета, могут быть обусловлены особенностями маркетинговой стратегии компании).
На дерева альтернатив, кроме рассмотренных финансовых потоков, показаны также вероятности реализации различных сценариев будущего. Если происхождение прогнозных значений финансовых потоков, указанных на дереве альтернатив, представляется вполне очевидным, то происхождение оценок вероятностей различных сценариев будущего, несомненно, требует пояснений. В отличие от оценок вероятностей найти или не найти нефть в примере компании «Энергии палеолита», где эти оценки были получены на основании выборки реальных результатов бурения на соседних участках, в данном случае, указанные вероятности, не могут быть ничем иным как субъективными экспертными оценками.
Организовать такую экспертную оценку можно, например, следующим образом. Можно попросить два десятка экспертов ответить на 3 вопроса:
будет ли спрос на услугу, предлагаемую компанией «Вольный полет» высоким или низким (имеются ввиду прогнозные значения уровней продаж услуги, определенные с помощью экспертов как «высокий» и «низкий» спрос) в первый год функционирования проекта?
будет ли спрос высоким или низким во второй (и все последующие годы функционирования проекта),
если в первом году он окажется высоким? если в первом году он окажется низким?
Экспертам следует предложить следующие 5 вариантов ответов и приписать этим ответам количественные значения вероятности высокого спроса:
|
Ответ |
Вероятность высокого спроса |
|
Спрос будет высокий |
100% |
|
Спрос будет скорее высоким, чем низким |
75% |
|
Шансы на высокий и низкий спрос равны |
50% |
|
Спрос будет скорее низким, чем высоким |
25% |
|
Спрос будет низким |
0% |
|
|
Рис. 240 |
По выборке из 20 экспертных ответов можно найти среднее значение вероятности высокого спроса. Точность, с которой мы предлагаем каждому эксперту определить эту вероятность, составляет Ap=25%. Однако, точность среднего значения вероятности, определенного по выборке из N=20 ответов составит примерно (см. [5])

Ap
(4)
т.е. не превысит 5%-6%, что вполне приемлемо.
Можно, конечно, и прямо попросить каждого эксперта оценить вероятность высокого спроса численно. Однако в этом случае мы делегируем каждому эксперту ответственность самостоятельно определить шкалу своих субъективных оценок. Нет никакого способа сопоставить эти шкалы, и вряд ли полученная средняя оценка вероятности будет характеризоваться большей точностью, чем полученная по описанной выше процедуре. В любом случае существенно, чтобы экспертов было много. Только это позволяет надеяться выявить объективную основу в субъективных экспертных оценках.
Итак, согласно экспертной оценке, вероятность высокого спроса на услугу, предлагаемую компанией ВП, 60%. Если спрос окажется высоким в первом году, то по усредненному мнению экспертов, он с вероятностью 80% останется высоким и во все последующие годы функционирования проекта. Если же спрос будет низким в первом году, то вероятность того, что он станет высоким во втором году (и во все последующие годы) составляет всего 40%. Эти цифры и отражены на дерева альтернатив в колонках, обозначенных P (вероятности).
Анализируя дерево, нам предстоит ответить на следующие вопросы:
Правильна ли идея, расширить деятельность компании за счет покупки второго поршневого самолета на втором году при высоком спросе?
Какой самолет купить: турбовинтовой или поршневой?
Один из мажоритарных акционеров компании настаивает на рассмотрении идеи свертывания бизнеса после первого года работы в случае низкого спроса. По имеющимся оценкам турбовинтовой самолет через год может быть продан за $500 тыс. Необходимо также модифицировать дерево альтернатив, в соответствии с этой идеей, и ответить на сформулированные выше вопросы для нового варианта дерева альтернатив.
Анализ дерева альтернатив следует начинать с вычисления ожидаемой монетарной стоимости ветвей, приводящих к крайним правым черным узлам. Мы проведем этот анализ в таблице MS-Excel, конфигурация которой максимально повторяет конфигурацию дерева альтернатив. На показан первый шаг анализа - вычисление ожидаемых монетарных ценностей для каждой из пяти ветвей дерева:
1. Турбовинтовой самолет, высокий спрос в первом году
2. Турбовинтовой самолет, низкий спрос в первом году
3. Поршневой самолет, высокий спрос в первом году, покупка второго самолета
4. Поршневой самолет, высокий спрос в первом году, работа с одним самолетом
5. Поршневой самолет, низкий спрос в первом году
Колонка EMV2 отражает сумму финансовых потоков от всего проекта, начиная со второго года, дисконтированных на конец второго года.
|
|
А |
В |
С |
D |
Е |
F |
G |
Н |
I |
J |
К |
I |
|
1 |
Cm. дисконта |
10% |
|
|
|
|
|
|
|
|
|
|
|
2 |
Коэфф. дисконта |
1,1 |
ГОД1 |
|
Г ОД2 |
|
|
|
|
3 |
Альтернативы |
|
Спрос |
р |
CF |
Альтернативы |
Спрос |
Р |
CF |
ЕМ?г |
SDCF |
ЕМ |
|
4 |
|
|
Высокий |
60% |
150 |
|
Высокий |
80% |
960 |
=Н4*І4+Н5*І5 |
|
|
5 |
Турбовинтовой |
-550 |
|
|
|
|
Низкий |
20% |
220 |
|
|
|
|
6 |
|
|
|
|
|
|
|
|
|
|
|
|
|
7 |
|
|
Низкий |
40% |
30 |
|
Высокий |
40% |
930 |
456 |
|
|
|
8 |
|
|
|
|
|
|
Низкий |
60% |
140 |
|
|
|
|
? |
|
|
10 |
|
|
|
|
|
Купить 2-OIі
самолет |
Высокий |
80% |
800 |
660 |
|
|
|
11 |
|
|
|
|
|
-150 |
Низкий |
20% |
100 |
|
|
|
|
12 |
|
|
Высокий |
60% |
100 |
|
|
|
13 |
Поршневом |
-250 |
|
|
|
Продолжать с
одним |
Высокий |
80% |
410 |
364 |
|
|
|
14 |
|
|
|
|
|
|
Низкий |
20% |
180 |
|
|
|
|
15 |
|
|
|
|
|
|
|
|
|
|
|
|
|
10 |
|
|
Низкий |
40% |
50 |
|
Высокий |
40% |
380 |
236 |
|
|
|
17 |
|
|
|
|
|
|
Низкий |
60% |
140 |
|
|
|
|
|
Рис. 241 Первый шаг преобразований дерева альтернатив |
Вычисленные ожидаемые монетарные ценности ветвей EMV2 должны заменить на дереве альтернатив пары веток, исходящих из 5-ти крайних черных узлов. Преобразованный вид дерева альтернатив показан на .
|
|
А |
в |
0 |
D |
Е |
F |
0 |
Н |
I |
J |
К |
L |
|
|
1 |
|
|
|
|
Год 1 |
|
|
|
|
|
|
|
|
|
2 |
|
Альтернативы |
|
|
Спрос |
р |
CF |
|
Альтернативы |
|
|
ем?2 |
|
|
3 |
|
|
|
|
|
|
|
|
|
|
|
|
|
|
4 |
|
|
|
|
Высокий |
60°/о |
150 |
|
ЁГО] |
|
|
|
|
|
|
|
5 |
|
|
|
|
|
|
|
|
|
|
|
|
|
|
6 |
|
Турбовинтовой |
-550 |
Г^І
L А |
|
|
|
|
|
|
|
|
|
|
7 |
|
|
|
|
|
|
|
|
|
|
|
|
|
|
? |
|
|
|
|
Низкий_ |
|
30 |
|
|
|
—\ |
456| |
|
|
9 |
|
|
|
|
|
|
|
|
|
|
|
|
|
|
10 |
|
|
|
|
|
|
|
|
|
|
|
|
|
|
11 |
|
|
|
|
|
|
|
|
|
|
|
|
|
|
12 |
о |
|
|
|
|
|
|
|
Купить второй
самолет |
-150 |
|
660 |
|
|
13 |
|
|
|
|
|
|
|
|
|
|
|
|
|
|
14 |
|
|
|
|
Высокий |
60% |
100 |
О |
|
|
|
|
|
|
15 |
|
|
|
|
|
|
|
|
|
|
|
|
|
|
іе |
|
|
-250 |
г-1 |
|
|
|
|
Продолжать с одним |
0 |
|
364 |
|
|
Поршневой ’ |
к А |
|
|
17 |
|
|
|
|
|
|
|
|
|
|
|
|
|
|
18 |
|
|
|
|
|
|
|
|
|
|
|
|
|
|
10 |
|
|
|
|
|
|
|
|
|
|
|
|
|
|
20 |
|
|
|
|
Низкий |
40% |
50 |
|
|
|
-*| |
2 3 61 |
|
|
21 |
|
|
|
|
|
|
|
|
|
|
|
|
_ |
|
|
Рис. 242 Дерево альтернатив после первого шага преобразований. |
Смысл проведенного преобразования в том, что поскольку мы не можем предсказать по какому сценарию будущего (или, иначе, по какой ветке, исходящей из черного узла) реально пойдет развитие событий, оценивая привлекательность каждой из ветвей, подходящих к черному узлу слева, мы учитываем оба сценария с весами, равными вероятностям их осуществления.
На следующем шаге анализа следует просуммировать плоды, висящие на одной и той же ветви дерева альтернатив. Например, если мы выбрали альтернативу «Турбовинтовой самолет» и спрос в первом году был высоким, мы рассчитываем получить от первого года функционирования 150 тыс., а от всех последующих лет - 812 тыс. Эти плоды следует сложить, учитывая, разумеется, что 150 тыс. мы получим в конце первого года, а сумма дисконтированных потоков EMV2=812 тыс. относится к концу второго года. Чтобы эти деньги можно было сравнивать и складывать, необходимо дисконтировать сумму EMV2 на 1 год. Результат этой операции для всех пяти ветвей показан на .
|
|
А |
В |
С |
D |
Е |
F |
0> |
н |
I |
J |
К |
L |
М |
|
1 |
Cm. дисконта |
10% |
|
|
|
|
|
|
|
|
|
|
|
|
2 |
Коэфф дисконта |
1,1 |
ГОД1 |
|
Г ОД2 |
|
|
|
|
|
3 |
Альтернативы |
|
Спрос |
р |
CF |
Альтернативы |
Спрос |
р |
CF |
ем?2 |
E_DCF |
ЕМ?, |
NPV |
|
4 |
|
|
Высокий |
60% |
150 |
|
Высокий |
80% |
960 |
812 |
=J4 $В$2+Е4 |
|
|
5 |
Турбовинтовой |
-550 |
|
|
|
|
Низкий |
20% |
220 |
|
|
|
|
|
е |
|
|
|
|
|
|
|
|
|
|
|
|
|
|
7 |
|
|
Низкий |
40% |
30 |
|
Высокий |
40% |
930 |
456 |
444,5 |
|
|
|
8 |
|
|
|
|
|
|
Низкий |
60% |
140 |
|
|
|
|
|
9 |
|
|
10 |
|
|
|
|
|
Купить 2-ои
самолет |
Высокий |
80% |
800 |
660 |
=J10 B2+F11+E12 |
|
11 |
|
|
|
|
|
-150 |
Низкий |
20% |
100 |
|
|
|
|
|
12 |
|
|
Высокий |
60% |
100 |
|
|
|
|
13 |
Поршневой |
-250 |
|
|
|
Продолжать с
одним |
Высокий |
80% |
410 |
364 |
=Л 3. В2+Е12 |
|
|
14 |
|
|
|
|
|
|
Низкий |
20% |
180 |
|
|
|
|
|
15 |
|
|
|
|
|
|
|
|
|
|
|
|
|
|
16 |
|
|
Низкий |
40% |
50 |
|
Высокий |
40% |
380 |
236 |
264,5 |
|
|
|
17 |
|
|
|
|
|
|
Низкий |
60% |
140 |
|
|
|
|
|
18 |
|
|
|
|
|
|
|
|
|
|
|
|
|
|
|
Рис. 243 Второй шаг преобразований дерева альтернатив |
|
|
А |
в |
С |
D |
Е |
F |
G |
н |
і |
|
|
1 |
|
|
|
|
Год 1 |
|
|
|
|
|
|
2 |
|
Альтернативы |
|
|
Спрос |
р |
|
Альтернативы |
E_DCF |
|
|
3 |
|
|
|
|
|
|
|
|
|
|
|
4 |
|
|
|
|
Высокий |
60% |
|
|
SS8.11 |
|
|
5 |
|
|
|
|
|
|
|
|
|
|
|
? |
|
Турбовинтовой |
-550 |
L. А |
|
|
|
|
|
|
|
7 |
|
|
|
|
|
|
|
|
|
|
|
8 |
|
|
|
|
Низкий |
40% |
|
|
444,5| |
|
|
9 |
|
|
|
|
|
|
|
|
|
|
|
10 |
|
|
|
|
|
|
|
|
|
|
|
11 |
|
|
|
|
|
|
|
|
|
|
|
12 |
а |
|
|
|
|
|
|
Купить второй самолет |
550 |
|
|
13 |
|
|
|
|
|
|
ГЛ- |
|
|
|
|
14 |
|
|
|
|
Высокий |
60%’ |
|
|
|
|
|
15 |
|
|
|
|
|
|
|
_ч |
|
Ж |
|
10 |
|
Поршневом ' |
-250 |
П |
|
|
|
Продолжать с одним |
ЖзЬй |
|
|
17 |
|
|
|
|
|
|
|
/ |
|
X |
|
18 |
|
|
|
|
|
|
|
|
|
|
|
10 |
|
|
|
|
|
|
|
|
|
|
|
20 |
|
|
|
|
Низкий |
40% |
|
|
264.5І |
|
|
21 |
|
|
|
|
|
|
|
|
|
|
|
|
Рис. 244 Дерево альтернатив после второго шага преобразований |
В случае если выбрана альтернатива «Поршневой самолет» и спрос в первом году был высоким, мы можем либо купить второй самолет (инвестируя дополнительно 150 тыс.), либо продолжить с одним. Это отличие отражено в формулах для вычисления суммарного дисконтированного потока для 3-ей и 4-ой ветви. Заметим, что получение финансовый потока от первого года работы с поршневым самолетом при высоком спросе (100 тыс.) и инвестиция во второй самолет (-150 тыс.) не разделены значительным промежутком времени, поэтому они суммируются непосредственно, без коэффициентов дисконта. Напротив, финансовый поток от всех последующих лет функционирования проекта с двумя самолетами (660 тыс.) относится к концу второго года и поэтому при суммировании делится на коэффициент дисконта. Вид дерева после этого шага преобразования показан на .
Из рис. 3 видно, что при выборе альтернативы «Турбовинтовой самолет», суммарный финансовый поток за все время функционирования проекта, дисконтированный на конец 1-го года ожидается равным 888,1 тыс., если спрос в первом году будет высоким (что ожидается с вероятностью 60%), или равным 444,5 тыс., если спрос в первом году будет низким (с вероятностью 40%). Если выбран «Поршневой самолет», то при высоком спросе в первом году (что произойдет с вероятностью 60%) суммарный финансовый поток от всего проекта ожидается равным 550 тыс., если принято также решение о покупке второго самолета, и равным 430,9, если второй самолет не покупать. Очевидно, что второй самолет следует купить. Поэтому ветвь, соответствующая альтернативе «Продолжить с одним самолетом» на зачеркнута.
На третьем шаге анализа нужно, очевидно, избавиться от последних двух черных узлов и вычислить отдачу от проекта для двух основных альтернатив на конец первого года - EMV1. Результат показан на и .
|
|
А |
в |
с |
D |
Е |
F |
о |
н |
і |
j |
к |
L |
м |
N |
О |
Р |
|
1 |
Cm. дисконта |
10% |
|
|
|
|
|
|
|
|
|
|
|
|
|
|
|
2 |
Коэфф. дисконта |
1,1 |
Год 1 |
|
Год2 |
|
|
|
|
|
|
|
|
3 |
Альтернативы |
|
Спрос |
Р |
CF |
Альтернативы |
Спрос |
р |
CF |
ем?2 |
EDCF |
EMVi |
NPV |
|
|
|
|
4 |
|
|
Высокий |
60% |
150 |
|
Высокія) |
80% |
960 |
812 |
888,2 |
= K4‘D4+K7lD7 |
|
|
|
5 |
Турбовинтовой |
-550 |
|
|
|
|
Низкий |
20% |
220 |
|
|
|
|
|
|
|
|
В |
|
|
|
|
|
|
|
|
|
|
|
|
|
|
|
|
|
7 |
|
|
Низкий |
40%, |
30 |
|
Высокий |
40% |
930 |
456 |
444,5 |
|
|
|
|
|
|
8 |
|
|
|
|
|
|
Низкий |
60% |
140 |
|
|
|
|
|
|
|
|
9 |
|
|
|
|
|
10 |
|
|
|
|
|
Купить 2-ои
самолет |
Высокий |
80% |
800 |
660 |
550 |
=МАКС(К10:К13)*D12+К16 D16 |
|
11 |
|
|
|
|
|
-150 |
Низкий |
20% |
100 |
|
|
|
|
|
|
|
|
12 |
|
|
Высокий |
60% |
100 |
|
|
|
|
|
|
|
13 |
Поршневой |
-250 |
|
|
|
Продолжать с
одним |
Высокий |
80% |
410 |
364 |
430,9 |
|
|
|
|
|
|
14 |
|
|
|
|
|
|
Низкий |
20% |
180 |
|
|
|
|
|
|
|
|
15 |
|
|
|
|
|
|
|
|
|
|
|
|
|
|
|
|
|
16 |
|
|
Низкий |
40%, |
50 |
|
Высокий |
40% |
380 |
236 |
264,5 |
|
|
|
|
|
|
17 |
|
|
|
|
|
|
Низкий |
60% |
140 |
|
|
|
|
|
|
|
|
1R |
|
|
|
|
|
|
|
|
|
|
|
|
|
|
|
|
|
|
Рис. 245 Третий шаг преобразования дерева альтернатив |
|
|
А |
в |
С |
D |
Е |
F |
|
|
1 |
|
|
|
|
|
|
|
|
2 |
|
Альтернативы |
|
|
|
ЕМ?і |
|
|
3 |
|
|
|
|
|
|
|
|
4 |
|
|
|
|
|
|
|
|
5 |
|
|
|
|
|
|
|
|
е |
|
|
-550 |
|
|
710,7 |
|
|
Турбовинтовой |
|
|
|
7 |
|
|
|
|
|
|
|
|
Э |
|
|
|
|
|
|
|
|
9 |
|
|
|
|
|
|
|
|
10 |
|
|
|
|
|
|
|
|
11 |
|
|
|
|
|
|
|
|
12 |
а |
|
|
|
|
|
|
|
13 |
|
|
|
|
|
|
|
|
14 |
|
|
|
|
|
|
|
|
15 |
|
|
|
|
|
|
|
|
іе |
|
Поршневом |
-250 |
|
|
435,8 |
|
|
|
|
|
|
Рис. 246 Дерево альтернатив после третьего шага преобразований |
Обратим внимание, что при вычислении ожидаемой монетарной ценности проекта на конец первого года EMVi для альтернативы «Поршневой самолет», мы не отбросили сами ветвь «Продолжить с одним самолетом», а ввели функцию Макс(), чтобы MS-Excel выбрала какая из альтернатив («Купить второй самолет» или «Продолжить с одним») более ценная. Это будет очень полезно на стадии анализа чувствительности нашего решения к изменению прогнозных параметров. Действительно, кто может гарантировать, что при варьировании вероятностей различных сценариев будущего, альтернатива «Продолжить с одним» не станет более привлекательна, чем альтернатива «Купить второй самолет»? В случае «ручного» выбора более привлекательной альтернативы, нам пришлось бы переделать формулу. Введенная же формула с функцией Макс() всегда будет автоматически выбирать более ценную альтернативу.
На последнем шаге анализа нужно лишь сложить финансовые потоки, получаемые от всего проекта и дисконтированные на конец первого года для двух основных альтернатив, с первоначальными инвестициями (предварительно дисконтировав EMVi для каждой альтернативы на i год). Конечный результат анализа показан на .
|
|
А |
в |
с |
D |
Е |
F |
о |
н |
і |
j |
к |
L |
м |
N |
о |
|
1 |
Cm. дисконта |
10% |
|
|
|
|
|
|
|
|
|
|
|
|
|
|
2 |
Коэфф. дисконта |
1,1 |
Год 1 |
|
Год2 |
|
|
|
|
|
|
|
3 |
Альтернативы |
|
Спрос |
р |
CF |
Альтернативы |
Спрос |
р |
CF |
ем?2 |
? DCF |
ЕМ?і |
NPV |
|
|
|
4 |
|
|
Высокий |
60% |
150 |
|
Высокий |
80% |
960 |
812 |
888,2 |
710,7 |
96,12 |
=І_4/В2+В5 |
|
5 |
Турбовинтовой |
-550 |
|
|
|
|
Низкий |
20% |
220 |
|
|
|
|
|
|
|
6 |
|
|
|
|
|
|
|
|
|
|
|
|
|
|
|
|
7 |
|
|
Низкий |
40% |
30 |
|
Высокий |
40% |
930 |
456 |
444,5 |
|
|
|
|
|
? |
|
|
|
|
|
|
Низкий |
60% |
140 |
|
|
|
|
|
|
|
9 |
|
|
|
10 |
|
|
|
|
|
Купить 2-ои
самолет |
Высокий |
80% |
800 |
660 |
550 |
435,8 |
146,2 |
=L10/В2+В13 |
|
11 |
|
|
|
|
|
-150 |
Низкий |
20% |
100 |
|
|
|
|
|
|
|
12 |
|
|
Высокий |
60%, |
100 |
|
|
|
|
|
|
13 |
Поршневой |
-250 |
|
|
|
Продолжать с
одним |
Высокий |
80% |
410 |
364 |
430,9 |
|
|
|
|
|
14 |
|
|
|
|
|
|
Низкий |
20% |
180 |
|
|
|
|
|
|
|
15 |
|
|
|
|
|
|
|
|
|
|
|
|
|
|
|
|
16 |
|
|
Низкий |
40% |
50 |
|
Высокий |
40% |
380 |
236 |
264,5 |
|
|
|
|
|
17 |
|
|
|
|
|
|
Низкий |
60% |
140 |
|
|
|
|
|
|
|
18 |
|
|
|
|
|
|
|
|
|
|
|
|
|
|
|
|
|
Рис. 247 Конечный результат анализа дерева альтернатив |
Видно, что альтернатива «Поршневой самолет» с последующей покупкой второго самолета (после первого года с высоким спросом) существенно более привлекательна (NPV=146,2 тыс.), чем альтернатива «Турбовинтовой самолет» (NPV=96,12 тыс.).
Анализ устойчивости выбора оптимальной альтернативы по дереву альтернатив для компании «Вольный полет».
Поскольку параметры дерева альтернатив всегда содержат множество прогнозных значений и грубых оценок, результат выбора оптимальной альтернативы, так же как и в случае выбора альтернатив по таблице выигрышей и потерь, должен быть проанализирован на чувствительность к изменению прогноз параметров и оценок в пределах интервалов, которые кажутся разумными лицам, принимающим решение.
Как и в случае компании «Энергия палеолита» у нас нет информации, касающейся прогнозных параметров, определяющих финансовые потоки при различных альтернативах и сценариях будущего. Однако, как и в случае компании ЭП, можно и нужно проанализировать устойчивость выбора альтернативы «Поршневой самолет» при вариации оценок вероятностей различных сценариев будущего, тем более что ошибки этих субъективных экспертных оценок могут быть особенно большими.
Начнем с вариации вероятностей высокого и низкого спроса в первом году (оставив вероятности высокого и низкого спроса во втором и всех последующих годах функционирования проекта неизменными). Для простоты будем считать, что вероятность высокого или низкого спроса не зависят от того, приобретет компания ВП «Турбовинтовой самолет» или «Поршневой самолет». Для анализа устойчивости удобно использовать лист MS-Excel, представленный в табл. 9. ввести в ячейку D12 формулу «=D4», а в ячейки D7 и D16 формулы «=1-D4» и «=1-D12». После этого можно использовать таблицу подстановки для вычисления значений NPV двух основных альтернатив, подставляя по строкам значения вероятности высокого спроса в интервале от 10% до 90%. Полученный результат показан в следующей таблице ().
|
Спрос - 1-ый год |
NPV (тыс.) |
|
Р-высокого |
Турбовинтовой |
Поршневой |
|
10% |
-105,5 |
16,4 |
|
20% |
-65,2 |
42,4 |
|
30% |
-24,9 |
68,3 |
|
40% |
15,5 |
94,3 |
|
50% |
55,8 |
120,2 |
|
60% |
96,1 |
146,2 |
|
70% |
136,4 |
172,1 |
|
80% |
176,8 |
198,1 |
|
90% |
217,1 |
224,0 |
Рис. 248
Видно, что в отличие от ситуации компании «Энергия палеолита», в данном случае, в огромном интервале изменения оценки вероятности оптимистического сценария, альтернатива «Поршневой самолет» остается выгоднее, чем «Турбовинтовой самолет».
Можно проверить влияние вариации этого параметра на NPV основных альтернатив при измененных значениях вероятностей высокого и низкого спроса во втором и всех последующих годах функционирования проекта. Примем, для примера, все эти вероятности, равными 50%. Тогда результат вариации вероятности высокого спроса в первом году на NPV турбовинтового и поршневого самолета представится таблицей ()
|
Спрос - 1-ый год |
NPV (тыс.) |
|
Р-высокого |
Турбовинтовой |
Поршневой |
|
10% |
-65,1 |
17,8 |
|
20% |
49,7 |
25,2 |
|
30% |
-34,2 |
32,6 |
|
40% |
-18,8 |
40,1 |
|
50% |
-3,3 |
47,5 |
|
60% |
12,1 |
55,0 |
|
70% |
27,6 |
62,4 |
|
80% |
43,1 |
69,8 |
|
90% |
58,5 |
77,3 |
Рис. 249
И в этом случае, преимущество альтернативы «Поршневой самолет» не вызывает сомнений, хотя при этом оказывается, что второй самолет покупать не надо.
Устойчивое преимущество альтернативы «Поршневой самолет» над альтернативой «Турбовинтовой самолет» при широкой вариации наименее определенного параметра модели - вероятности высокого спроса на предлагаемую услугу, несомненно, укрепляет уверенность в правильности рекомендуемого решения - покупки поршневого самолета.
Вместе с тем, реализация сценария низкого спроса во втором и всех последующих годах функционирования проекта, как нетрудно проверить, приводит к существенным потерям. Так при покупке турбовинтового самолета и реализации низкого спроса и в первом, и во втором, и во всех последующих годах
потери составят -404 тыс. В случае покупки поршневого самолета и низком спросе во все годы функционирования проекта потери составят -88,8 тыс., а если спрос в первом году окажется высоким, будет куплен второй самолет, а спрос во все последующие годы будет низким, потери составят -213 тыс.
При консервативно-пессимистическом взгляде на развитие событий, можно рассматривать низкий спрос в первом году как индикатор провала проекта и во всех последующих годах. Тогда возникает идея выйти из проекта после первого неудачного года, продав самолет, чтобы минимизировать потери. Известно, что поршневой самолет через год будет стоить 150 тыс., а турбовинтовой - 500 тыс. Дерево, соответствующее решению выйти из бизнеса после первого неудачного года, изображено на .
|
|
А |
в |
С |
D |
Е |
F |
о |
Н |
і |
j |
К |
L |
м |
N |
|
|
1 |
|
|
|
|
Год 1 |
|
|
|
|
|
|
Год2 |
|
|
|
|
2 |
|
Альтернативы |
|
|
Спрос |
р |
CF |
|
Альтернативы |
|
|
Спрос |
р |
CF |
|
|
3 |
|
|
|
|
|
|
|
|
|
|
|
Высокий |
5°
о
со |
Э60| |
|
|
4 |
|
|
|
|
Высокий |
боч? |
І50І |
|
|
|
1
L 4 |
|
|
|
|
|
|
|
11 |
|
5 |
|
|
|
|
|
|
|
|
|
|
|
Низкий |
20% |
220| |
|
|
? |
|
Турбовинтовой |
-550 |
Г^І L А |
|
|
|
|
|
|
|
|
|
|
|
|
7 |
|
|
|
|
|
|
|
|
|
|
|
|
|
|
|
|
? |
|
|
|
|
Низкий_ |
4П°^ |
530| |
|
|
|
|
|
|
|
|
|
9 |
|
|
|
|
|
|
|
|
|
|
|
|
|
|
|
|
10 |
|
|
|
|
|
|
|
|
|
|
|
|
|
|
|
|
11 |
|
|
|
|
|
|
|
|
|
|
|
Высокий |
80%] |
13001 |
|
|
12 |
(У |
|
|
|
|
|
|
|
Купить второй самолет |
-150 |
П
L л |
|
|
|
|
|
13 |
|
|
|
|
|
|
|
/Л |
|
|
|
Низкий |
2 0 % 1 |
100| |
|
|
14 |
|
|
|
|
Высокий |
60%| |
100І |
о |
|
|
|
|
|
|
|
|
15 |
|
|
|
|
|
|
|
|
|
|
|
Высокий |
80°Х| |
4101 |
|
|
16 |
|
Поршневой 1 |
-250 |
П |
|
|
|
|
Продолжать с одним |
0 |
Г 1 |
|
|
|
|
|
17 |
|
|
|
|
|
|
|
|
|
|
|
Низкий |
20% |
1 so| |
|
|
18 |
|
|
|
|
|
|
|
|
|
|
|
|
|
|
|
|
19 |
|
|
|
|
|
|
|
|
|
|
|
|
|
|
|
|
20 |
|
|
|
|
Низкий |
40%| |
2001 |
|
|
|
|
|
|
|
|
|
21 |
|
|
|
|
|
|
|
|
|
|
|
|
|
|
|
|
|
Рис. 250 |
|
Результаты анализа этого дерева представлены в таблице () |
|
|
А |
в |
с |
D |
Е |
F |
|
н |
і |
J |
к |
L |
и |
N |
0 |
P |
|
1 |
Cm. дисконта |
10% |
|
|
|
|
|
|
|
|
|
|
|
|
|
|
|
2 |
Коэфф. дисконта |
1,1 |
Год 1 |
|
Год2 |
|
|
|
|
|
|
|
|
3 |
Альтернативы |
|
Спрос |
Р |
CF |
Альтернативы |
Спрос |
р |
CF |
ем?2 |
E_DCF |
ЕМ?] |
NPV |
|
|
|
|
4 |
|
|
Высокий |
60% |
150 |
|
Высокий |
80% |
960 |
812 |
883,2 |
744,9 |
127,2 |
|
|
|
|
5 |
Турбовинтовой |
-550 |
|
|
|
|
Низкий |
20% |
220 |
|
|
=K4*D4+E7*D7 |
|
|
|
е |
|
|
|
|
|
|
|
|
|
|
|
|
|
|
|
|
|
7 |
|
|
Низкий |
40'% |
530 |
|
|
|
|
|
|
|
|
|
|
|
|
8 |
|
|
|
|
|
|
|
|
|
|
|
|
|
|
|
|
|
9 |
|
|
|
|
10 |
|
|
|
|
|
Купить 2-ои
самолет |
Высокий |
80% |
800 |
660 |
550 |
410 |
122,7 |
|
|
|
|
11 |
|
|
|
|
|
-150 |
Низкий |
20% |
100 |
|
|
=МАКС(К10; K13)*D 12+E16*D 16 |
|
12 |
|
|
Высокий |
60% |
100 |
|
|
|
|
|
|
|
13 |
Поршневом |
-250 |
|
|
|
Продолжать с
одним |
Высокий |
80% |
410 |
364 |
430,9 |
|
|
|
|
|
|
14 |
|
|
|
|
|
|
Низкий |
20% |
180 |
|
|
|
|
|
|
|
|
15 |
|
|
|
|
|
|
|
|
|
|
|
|
|
|
|
|
|
1? |
|
|
Низкий |
40%, |
200 |
|
|
|
|
|
|
|
|
|
|
|
|
17 |
|
|
|
|
|
|
|
|
|
|
|
|
|
|
|
|
|
|
Рис. 251 |
Видно, что теперь рекомендуемая альтернатива - это «Турбовинтовой самолет». Нетрудно проверить, что вариация в широких пределах вероятности высокого спроса в первом году оставляет эту рекомендацию неизменной. Причина такой устойчивости достаточно очевидна: новый турбовинтовой самолет
- это более ликвидное вложение средств, чем подержанный поршневой: турбовинтовой самолет теряет в цене за 1 год 50 тыс., а поршневой - 100 тыс.
Вместе с тем видно, что максимальное NPV при решении выйти из бизнеса после первого года с низким спросом - 127,2 тыс., соответствующее в данном случае покупке турбовинтового самолета, ниже, чем максимальное NPV первоначального варианта (продолжать бизнес, невзирая на спрос в первом году)
- 146,2 тыс., соответствующее покупке поршневого самолета. Если бы мы рассмотрели дерево, включающее выбор из двух альтернатив после низкого спроса в первом году: выйти из бизнеса или продолжать, невзирая на низкий спрос в первом году, то в для альтернативы «Турбовинтовой самолет» был бы рекомендован выход из бизнеса после первого неудачного года, а для альтернативы «Поршневой самолет» - продолжение бизнеса.
Резюмируя, можно сказать, что если выбрать альтернативу «Поршневой самолет» и продолжать бизнес, невзирая на то, какой был спрос в первом году, то ожидаемая NPV проекта составит 146,2 тыс. Однако максимальные возможные потери в этом проекте составляют -213 тыс. Если выбрать альтернативу «Турбовинтовой самолет» и выйти из бизнеса после первого неудачного года, ожидаемая NPV составит 127,2 тыс., но потери, после выхода из бизнеса после первого неудачного года с учетом дисконтирования суммы в 530 тыс. на 1 год составят 530 тыс./1,1-550 тыс.=-68,2 тыс. (правда, если спрос в первом году окажется высоким, а затем сменится на низкий, потери будут еще больше -232 тыс., но в такое развитие событий совсем не хочется верить...).
Так что же делать?
Выбрать альтернативу «Поршневой самолет», купить второй самолет, если спрос в первом году окажется высоким, и продолжать с одним, если спрос в первом году будет низким
ИЛИ
Выбрать альтернативу «Турбовинтовой самолет» и выйти из бизнеса после первого неудачного года?
Здесь опять пора вспомнить, что
МОДЕЛИ НЕ ПРИНИМАЮТ РЕШЕНИЯ, ЭТО - ДЕЛО МЕНЕДЖЕРОВ.
В зависимости от ваших стратегических целей, от вашей индивидуальной склонности к риску, от требований инвесторов, от условий получения кредита, в зависимости от множества конкретных обстоятельств вашего бизнеса, будет принято то или другое решение. Роль количественной модели дерева альтернатив в том, что она позволяет всесторонне исследовать бизнес идею, объективно и рационально оценить привлекательность конкурирующих альтернатив, в том, что она стимулирует дискуссии, заставляет вас искать новые продолжения бизнеса и, тем самым, несомненно, увеличивает ваши шансы на успех.
Переоценка вероятностей сценариев будущего в свете
дополнительной информации. Стоимость несовершенной информации.
При обсуждении проблемы компании «Энергия палеолита» мы ввели понятие о стоимости совершенной информации, как верхней границы для платы за любую информацию. Там мы отметили, что совершенная информация - это идеал. Любые даже вполне добросовестные реальные прогнозы или предсказания содержат вероятность ошибки. Поэтому стоимость любой реальной, несовершенной информации ниже, чем оцененная выше стоимость совершенной информации EVPI. В настоящем разделе мы рассчитаем стоимость несовершенной информации в зависимости от степени ее достоверности (вероятности ошибки прогноза или предсказания) и увидим насколько эта стоимость ниже EVPI.
Мы оставили проблему компании ЭП после неутешительного вывода о том, что выбор альтернативы «Бурить» крайне чувствителен к вероятности отсутствия нефти на участке. Изменение этой вероятности всего на 5% (что меньше статистической ошибки для оценки этой вероятности) приводит к тому, что EMVi альтернативы «Бурить» становится меньше EMV2 альтернативы «Продать». Таким образом, рациональный выбор между этими двумя альтернативами невозможен без дополнительной информации.
Допустим, что в случае компании ЭП такую дополнительную информацию можно получить, если привлечь геофизиков, которые могут провести зондирование недр с помощью локации длинных звуковых волн от небольшого взрыва. Агентство, проводящее такую локацию, имеет достаточный опыт проведения работ и накопило значительную статистику, позволяющую судить о надежности метода. Эта статистическая информация сведена на .
|
Условные вероятности правильности прогноза |
|
|
Прогноз |
I1
(нефти
нет) |
I2
(средний
запас) |
I3
(мощный
фонтан) |
Реальные
состояния |
S1
(нефти нет) |
0.75 |
0.20 |
0.05 |
S2
(средний запас) |
0.15 |
0.65 |
0.20 |
S3
(мощный фонтан) |
0.0 |
0.35 |
0.65 |
|
|
Рис. 252 |
Таблица показывает, что информация, предоставляемая геофизиками, вполне научная, добросовестная, но не совершенная. Действительно, если реально нефти в недрах нет (реальное состояние S1), то в 75% случаев прогноз предсказывает, что ее нет (результат прогноза I1), в 20% случаев методика «видит» средний запас нефти (результат прогноза I2), а в 5% - даже мощный фонтан (результат прогноза I3). Если реально существует средний запас нефти (реальное состояние S2), прогноз в 65 % случаев предсказывает именно «Средний запас» (результат прогноза I2), в 20% случаев - переоценивает запас и предсказывает «Мощный фонтан» (результат прогноза I3), а в 15% случаев, к сожалению, «просматривает» нефть и выдает результат I1 - «Нефти нет». Если залежи нефти соответствуют классификации «Мощный фонтан», прогноз никогда не выдает результат I1 - «Нефти нет», но в 35% случаев недооценивает запас и выдает результат I2 - «Средний запас».
Понятно, что оплата работ Агентства, никак не зависит от того, какой результат они предскажут. Оно должно привести и установить оборудование, затратить расходные материалы и время своих сотрудников, провести компьютерную обработку полевых измерений и, в конце концов, что-то заработать на этом исследовании. Стоимость работ определена в 100 тыс. у.е., и деньги, разумеется, нужно выплатить сразу по выполнении работ.
Цена, которую требуют геофизики, ниже определенной выше стоимости совершенной информации (мы определили EVPI=425 тыс.). Однако сумма весьма значительная. Соответствует ли она степени надежности предоставляемой информации? Стоит ли компании ЭП нанять агентство для проведения этих работ перед принятием решения о бурении? Поможет ли эта (несовершенная) информация снять неопределенность в определении ценности альтернатив, рассматриваемых компанией ЭП и рационально решить, что все-таки делать: «Бурить» или «Продать»?
Для решения сформулированных вопросов, представим проблему компании ЭП как двухступенчатый процесс принятия решений. На первом шаге следует решить, нанять ли агентство для проведения работ по прогнозированию залегания нефти на данном участке, или не нанимать. На втором этапе следует принять решение, бурить ли скважину или продать землю, в зависимости от результатов прогноза агентства (если на первом шаге было принято решение об его использовании). Дерево альтернатив, отражающее этот двухступенчатый процесс принятия решений, изображено на .
|
|
|
|
|
|
|
|
|
|
|
1 1 |
|
|
|
|
|
|
|
|
Нанять |
|
|
/ТЛ |
Не нанимать |
|
|
|
|
|
|
|
|
|
|
|
|
|
|
|
|
|
|
|
|
|
|
|
|
|
|
|
|
|
|
|
|
|
|
|
|
|
|
|
|
|
|
|
А |
|
|
|
|
|
|
|
|
|
|
|
|
|
|
_И_ |
|
|
|
|
|
|
|
|
|
|
|
|
|
|
|
|
|
|
|
|
|
|
|
|
|
|
Р0і)-неф |
и нет |
Р(І2) - средний |
іапас |
Р(І3)- мощный с| |
онтан |
|
|
|
|
|
|
|
|
|
|
1 |
г |
|
|
] |
|
|
|
|
|
|
|
|
|
|
|
|
|
|
|
|
-/9 1_ |
|
|
|
|
|
|
|
|
|
|
|
|
|
|
|
|
|
|
|
|
|
|
|
|
|
|
Про |
дать |
Бурк |
ть |
|
|
Про |
дать |
Бурк |
ТЬ |
|
|
Пр( |
дать |
Бурк |
ТЬ |
|
|
Про |
дать |
Бурк |
ТЬ |
|
|
1 |
|
|
|
|
|
1 |
|
|
|
|
|
і |
|
|
|
|
|
ч |
|
|
|
|
|
150 |
|
|
|
|
150 |
|
|
|
|
150 |
|
|
|
|
150 |
|
|
|
|
|
А |
|
|
|
|
|
|
|
А |
|
|
|
-і |
|
|
|
|
|
|
|
|
|
|
|
W |
|
|
|
|
|
W |
|
|
|
|
|
1 |
? |
|
|
|
|
|
|
|
|
|
|
|
|
|
|
|
|
|
|
|
|
|
|
|
|
|
|
|
|
|
|
|
|
Нет |
Сре |
іний |
Мои |
,НЫЙ |
|
|
Нет |
Сре |
іний |
Мои |
ІНЫЙ |
|
|
Нет |
Сре |
*ний |
Mol |
іный |
|
|
Нет |
Сре |
іний |
Мо |
щный |
|
P(S, |
fli) |
P(S2 |
1) |
P(S3 |
fli) |
|
P(S |
(У |
P(S2 |
У |
P3 |
/у |
|
P(S |
(У |
P(S2 |
|3) |
P(S; |
/у |
|
Р |
=0.5 |
Р2 |
=0.3 |
Рз |
=0.2 |
|
|
' |
1 |
|
’ |
г |
|
|
|
1 |
|
1 |
|
|
|
г |
|
|
’ |
г |
|
|
Г |
|
_ |
|
г |
|
-700 |
500 |
2000 |
|
-700 |
500 |
2000 |
|
-700 |
500 |
2000 |
|
-700 |
500 |
2000 |
|
|
|
|
|
|
|
|
|
|
|
|
|
|
|
|
|
|
Рис. 253 Дерево альтернатив для проблемы компании ЭП |
Рассмотрение дерева начнем с узла №1, в котором следует выбрать одну из альтернатив «Нанять» агентство, проводящее геофизическое исследование недр, или «Не нанимать». Если выбрана альтернатива «Не нанимать», мы попадем в узел №9, где нужно непосредственно (без дополнительной информации) решить «Бурить» или «Продать».
Если выбрана альтернатива «Продать», компания получает 150 тыс., если же выбрана альтернатива «Бурить», ветка дерева приводит нас в черный узел №10, где «судьба определяет» будет ли найдена нефть или нет, и если будет, то в какой объеме. Для сравнения ветвей «Бурить» и «Продать», исходящих из узла №10, нужно вычислить ожидаемую монетарную ценность альтернативы «Бурить», как сумму произведений вероятностей на величины выигрышей. Собственно, эта часть дерева уже была проанализирована выше с помощью таблицы выигрышей и потерь, в результате чего было найдено, что альтернатива «Бурить» более привлекательна (для нее EMV1=200 тыс.), однако отличие от альтернативы «Продать» (EMV2=150) не слишком велико и полностью ликвидируется увеличением вероятности отсутствия нефти на 2%.
Если выбрана альтернатива «Нанять», ветвь дерева приводит в черный узел №2, где «судьба выбирает», какой прогноз выдаст агентство в результате звуковой локации недр. Агентство может выдать три различных прогноза, которые реализуются с разными вероятностями:
Нефти нет - с вероятностью P(Ii)
Средний запас - с вероятностью P(I2)
Мощный фонтан - с вероятностью P(I3)
Эти вероятности нам предстоит определить. Они зависят, во-первых, от априорных вероятностей залегания нефти на данном участке (оценки которых нам известны), а во-вторых, от условных вероятностей правильности прогноза, заданных таблицей i3.
Далее, в зависимости от того, какой прогноз выдаст агентство, ветви дерева приведут нас либо в узел №3 (если выдан прогноз «Нефти нет»), либо в узел №4 (если прогноз - «Средний запас»), либо в узел №5 (при прогнозе «Мощный фонтан»). В любом из этих узлов компании ЭП предстоит принять решение: «Бурить» или «Продать». При выборе альтернативы «Продать» во всех случаях компания получает 150 тыс., а при выборе альтернативы «Бурить», в зависимости от того, какой сценарий будущего реализуется в действительности -700 тыс., 500 тыс. или 2000 тыс. Мы не включили в дерево альтернатив требуемую агентством плату за проведение исследований 100 тыс., поскольку наша задача - найди предельную стоимость несовершенной информации с точки зрения компании ЭП. Если эта стоимость выше, чем требуемые 100 тыс., компании ЭП следует привлечь агентство для проведения исследований.
Таким образом, все выигрыши, получаемые при попадании в узлы 3-8, следует уменьшить на 100 тыс. В остальном же, участки дерева, исходящие из узлов №№3-5, выглядят точно также, как участок, исходящий из узла №9. Есть ли между этими участками какие-либо различия? Разумеется, есть! Вероятности реализации сценариев будущего в узлах №№6-8 отличаются от априорных вероятностей p1=0,5, p2=0,3 и p3=0,2, оцененных по выборке результатов прошлых бурений на соседских участках, и существенно различаются между собой.
Представьте себе, что, разрываясь между альтернативами «Бурить» -«Продать», вы решились нанять агентство для исследования недр на вашем участке и заплатили геофизикам 100 тыс. Они провозились 2 месяца, после чего выдали свое предсказание: «Нефти нет» (мы обозначили это предсказание как I1). Что вам теперь делать? Если продать участок, вы получите только 50 тыс. Обидно! А вдруг они ошиблись? Ведь их информация несовершенна! С тяжелым чувством вы ложитесь спать, а утром просыпаетесь с твердой уверенностью: нефть есть, надо бурить! Что собственно изменилось после нелепого прогноза этих геофизиков с их непонятной методикой? Ну да, все выигрыши уменьшились на 100 тыс. Теперь, если забьет мощный фонтан, получим не 2000 тыс., а 1900 тыс., а если нефти не найдем, то потеряем не -700 тыс., а -850 тыс. Ну и что? Все равно, почему бы не рискнуть?
Рискнуть, конечно, всегда можно. Однако перед этим неплохо бы оценить, как изменились вероятности предполагаемых сценариев будущего после получения дополнительной информации от геофизиков. Если бы геофизики выдали совершенную информацию, то вероятность того, что нефти нет, после их предсказания «Нефти нет» (мы обозначили ее на дереве альтернатив как P(S1/I1) ) равнялась бы 1, а вероятности того, что нефть имеется в среднем запасе или что забьет мощный фонтан (P(S2/I1), P(S3/I1)) равнялись бы нулю. В этих условиях бурить глупо. Поскольку информация геофизиков несовершенна, P(S2/I1) и
P(’S3/Ii) не равны нулю, но они, по-видимому, существенно уменьшились по сравнению с априорными вероятностями p2=0,3 и p3=0,2, в то время как вероятность отсутствия нефти P(S1/I1) после отрицательного прогноза геофизиков существенно возросла.
Наша задача - определить эти «апостериорные вероятности» P(S;/Ij) различных результатов бурения S; после проведения геофизического исследования недр и получения предсказания Ij. Для решения этой задачи представим получение результата прогноза геофизическим агентством как двухступенчатый вероятностный процесс, изображенный с помощью дерева вероятностей на .
|
|
|
|
|
|
|
Выбор участка |
|
|
|
|
|
|
|
|
|
|
|
|
|
|
|
|
|
|
|
|
|
|
|
|
|
|
|
|
|
|
|
|
|
|
|
|
|
|
s1 |
|
|
ш |
S, |
|
|
S3 |
|
|
|
|
|
|
|
Нефти
нет |
|
|
|
|
Средний
запас |
|
|
Мощный
фонтан |
|
|
|
|
|
|
|
Рі=0,5 |
|
|
|
|
р2=0,3 |
|
|
Рз=0.2 |
|
|
|
|
|
|
|
|
|
|
|
|
|
|
|
|
|
|
|
|
|
|
|
|
|
|
|
|
|
|
|
|
|
|
|
|
|
|
|
|
|
|
|
|
|
|
|
|
|
|
|
|
|
|
|
|
|
ПРО |
Г Н 0 3 |
|
|
|
|
|
|
|
|
|
|
|
|
|
|
|
|
|
|
|
|
|
|
|
|
|
|
|
|
А |
|
|
|
|
|
|
|
|
|
|
|
|
|
|
|
|
49 |
|
|
|
|
W- |
|
|
|
|
|
|
|
|
|
|
|
|
|
|
|
|
|
|
|
|
|
|
|
|
|
|
|
|
|
|
|
|
|
|
|
|
|
|
|
|
|
|
|
I |
|
|
|
|
|
|
|
|
|
|
|
|
|
|
|
|
|
|
|
|
1 |
|
|
|
|
|
Нефти
нет |
Средний
запас |
Мощный
фонтан |
|
Нефти
нет |
Средний
запас |
Мощный
фонтан |
|
Нефти
нет |
Средний
запас |
Мощный
фонтан |
|
|
|
P(UlSi) |
P02/S,) |
Р(№) |
|
P(MS2) |
P{l,/S2) |
P(h/S2) |
|
P(MS3) |
p(ys3) |
P(MS3) |
|
|
|
0,75 |
0,2 |
0,05 |
|
0,15 |
0,65 |
0,2 |
|
0 |
0,35 |
0,65 |
|
|
|
|
|
|
|
|
|
|
|
|
|
|
|
|
|
Рис. 254 Дерево вероятностей для получения результата исследований недр. |
Когда агентство получило заказ от компании ЭП на проведение исследований, ему неизвестно есть ли нефть на данном участке и если есть, то каков ее запас. Возможны три варианта с априорными вероятностями,
отраженными на рис._7. Затем, при использовании геофизиками методики
звукового зондирования, возможно три варианта предсказания, выдаваемого ими по результатам исследования. Вероятности этих результатов зависят от реального содержания недр и отражены в таблице 13 и на рис.___7. Вычислим, с какой вероятностью можно ожидать, что геофизики выдадут результат «Нефти нет». Из
рис._7 видно, что этот результат может быть получен тремя путями:
Реально нефти нет (сценарий S1, вероятность p1), и геофизики верно определили, что ее нет (прогноз I1, вероятность P(I1/S1))
Реально нефть в среднем запасе (сценарий S2, вероятность p2), но геофизики неверно определили, что ее нет (прогноз I1, вероятность P(I1/S2))
Реально на участке мощный запас (сценарий S3, вероятность p3), но геофизики неверно определили, что ее нет (прогноз I1, вероятность P(I1/S3), в данном случае, согласно таблице 13, равная нулю)
Вероятность каждого из трех путей (согласно теореме теории вероятностей об умножении вероятностей 2-х событий) равна произведению априорной вероятности p; сценария S; и условной вероятности P(I1/Si), что при данном сценарии S;, геофизическое исследование выдаст результат I1. Поскольку никакие два из этих путей не могут реализоваться одновременно (по терминологии теории вероятностей, они попарно несовместны) эти три произведения вероятностей нужно сложить, чтобы найти вероятность того, что исследование выдаст результат «Нефти нет» (по теореме теории вероятностей о сложении вероятностей несовместных событий):
3
P = Рі ¦ P( V Si) + P2 ¦ P( hi s 2) + P3 ¦ P( 1,1 S3) = X Pi • P( h! Si)
j=1 (5)
Аналогично, для двух других возможных прогнозов геофизиков получим
3
Pj = Рі ¦ P( I j / S,) + P2 ¦ P( I j / S 2) + P3 ¦ P( I j i S3) = X P, ¦ P( I j i Si)
i =1
(5а)
В таблице на представлены вычисления этих вероятностей с помощью MS-Excel.
|
|
А |
в |
О
О
m |
F |
G |
H |
1 |
J |
к |
L |
|
1 |
|
|
Прогноз |
Априорные
вероятности |
|
|
|
|
|
|
|
2 |
|
|
II |
l2 |
h |
рі |
|
|
II |
Ii |
Із |
|
3
4
5 |
Реальные
состояния |
Si |
0.75 |
0.2 |
0.05 |
0.5 |
|
Si |
1 |
0 |
0 |
|
|
Si |
0.15 |
0.65 |
0.2 |
0.3 |
|
Si |
0 |
1 |
0 |
|
|
S3 |
0 |
0.35 |
0.65 |
0.2 |
|
S3 |
0 |
0 |
1 |
|
|
6 |
Полные
вероятности |
Pi |
0,420 |
0,365 |
0,215 |
|
|
Pi |
0,500 |
0,300 |
0,200 |
|
|
7 |
|
|
=CyMMnPOH3B($F$3:$F$5;C3:C5) |
|
|
=CyMMnPOH3B($F$3:$F$5;l3:l5) |
|
8 |
|
|
|
|
|
|
|
|
Рис. 255 Полные вероятности возможных прогнозов агентства в зависимости от условных вероятностей правильности прогноза. |
Видно, что эти полные вероятности Pj отличаются от априорных вероятностей pj нахождения нефти в сторону занижения вероятности прогноза I1 («Нефти нет») и соответственно завышения вероятностей прогнозов I2 и I3. Нетрудно проверить, что если бы геофизики всегда правильно диагностировали реальное состояние недр, вероятности Pj совпали бы с вероятностями pj.
Для анализа дерева альтернатив компании ЭП, нам, однако, требуются не условные вероятности правильности прогноза геофизиков P(Ij/Si), а другие, «апостериорные», вероятности P(Si /Ij) того, что если геофизики выдали прогноз Ij, то при бурении реализуется состояние недр Si. Эти вероятности можно определить, используя простое рассуждение (известное в теории вероятностей, как теорема Байеса [5]). Запишем вероятность того, что одновременно произошло два случайных события: на участке реально нет нефти (при бурении реализовалось состояние S1) и геофизики предсказали, что нефти нет (выдали прогноз I1):
^(ад) = P1 ¦ P( I1 / S1), (6)
т.е. как произведение вероятности того, что нефти на участке нет, на условную вероятность того, что при этом осуществится прогноз I1. Собственно, мы уже использовали эту формулу при вычислении полных вероятностей (5), (5а). Формула (6) воспринимается очень естественно (как почти все результаты теории вероятностей) и обычно не вызывает никаких вопросов. Однако с точки зрения теории вероятностей искомую вероятность P(Si, Ii) можно записать и по-другому:
P(Si,7i) = Pi ¦ P(Si/Ii), (6а)
т.е. как произведение вероятности того, что осуществился прогноз I1, на условную вероятность того, что при этом оказалось, что нефти на участке действительно нет. С точки зрения теории вероятностей выражения (6) и (6а) совершенно равноправны, и фактически рассматриваются как определения условных вероятностей P(I1/S1) и P(S1/I1). Психологически, выражение (6) может восприниматься более естественно, потому, что отрицательный прогноз I1 интуитивно рассматривается как следствие того, что нефти на участке действительно нет - S1, в то время как отсутствие нефти S1, конечно, не может рассматриваться как следствие отрицательного прогноза I1. Однако причинноследственная связь здесь совершенно ни при чем: ведь если мы вычисляем по аналогичной формуле,
(6б)
P (S1,12) = Р1 ¦ P( 12/ S1)
вероятность P(S1, I2) того, что нефти на участке нет, а при этом геофизики предсказывают, что есть «Средний запас», вряд ли возможно думать, что прогноз I2 есть следствие того, что реально нефти нет - S1.
Так или иначе, оставляя в стороне психологические особенности восприятия результатов теории вероятностей, и приравнивая правые части выражений (6) и (6а), получим выражение для одной из исходных апостериорных вероятностей:
Р1 ¦ Р( У Sj) Р1
W I1)
(7)
т.е., условная вероятность того, что нефть на участке не будет обнаружена, если геофизики выдали прогноз, что ее нет P(S1/I1), равна произведению априорной вероятности отсутствия нефти p1 на условную вероятность P(I1/S1) отрицательного прогноза на участке, где действительно нефти нет, деленное на полную вероятность отрицательного прогноза, рассчитанную по формуле (5).
Совершенно аналогично для всех интересующих нас апостериорных вероятностей найдем:
Pi ¦ Р(Ij / St)
Pj
P(S / Ij)
(7а)
где полные вероятности прогноза Ij - P(Ij) рассчитываются по формуле
(5а).
|
А |
В |
0
0
m |
F |
G |
Н |
I |
J |
к |
L |
M I |
|
|
|
Прогноз |
Априорные
вероятности |
|
|
|
|
|
|
|
|
|
|
II |
I; |
Із |
i>i |
E |
|
|
Ii |
I; |
ІЗ |
|
Реальные
состояния |
Si |
0.75 |
0,2 |
0,05 |
0,5 |
=СУММ(СЗ:ЕЗ) |
Si |
1 |
0 |
0 |
|
|
S; |
0,15 |
0,65 |
0,2 |
0.3 |
1 |
|
S; |
0 |
1 |
0 |
|
|
s3 |
0 |
0,35 |
0,65 |
0,2 |
1 |
|
S3 |
0 |
0 |
1 |
|
Полные
вероятности |
Pi |
0,420 |
0,365 |
0,215 |
|
|
|
Pi |
0,500 |
0,300 |
0,200 |
|
|
|
|
=CYMMnPOH3B($F$3:$F$5;C3:C5) |
|
|
|
=CyMMnP0113B($F$3:$F$5;l3:l5) |
|
|
|
|
|
|
|
|
|
|
|
Апосте |
эиорные вероятности |
|
|
|
|
|
|
|
|
ii |
I; |
E |
|
|
|
|
II |
I; |
ІЗ |
|
Реальные
состояния |
Si |
0,893 |
0,274 |
0.116 |
=$F3*E3/E$6 |
|
Si |
1 |
0 |
il
&
4
* |
L3 ,L$6 |
|
S; |
0.107 |
0.534 |
0.279 |
|
|
|
S; |
0 |
1 |
0 |
|
|
S3 |
0 |
0,192 |
0,605 |
|
|
|
|
0 |
0 |
1 |
|
|
|
s |
1 |
1 |
1 |
=СУММ(Е11:Е13) |
|
|
E |
1 |
1 |
=СУММ (Eli :E13) |
|
|
Рис. 256 Вычисление апостериорных вероятностей для проблемы компании ЭП. |
Вычисление по формулам (7а) легко провести с помощью Ms-Excel, как показано в таблице 15. Заметим, что для проверки правильности вычисления стоит убедиться, что суммы этих вероятностей по столбцам равны 1 (для таблицы условных вероятностей правильности прогноза сумма вероятностей по строчкам равна 1).
Следует сравнить апостериорные вероятности в каждом столбце (при каждом варианте выданного прогноза) с априорными вероятностями нахождения нефти. Видно, например, что в случае получения прогноза «Нефти нет» вероятность того, что ее действительно нет должна быть оценена как P(S1/I1)=0,89, т.е. значительно возросла по сравнению с априорной вероятностью p1=0,5. Напротив, вероятность наличия нефти в среднем запасе упала примерно до 11%, а вероятность мощного фонтана - до нуля. Это значит, что если будет принято решение продать землю, риск упущенной выгоды при этом составит только 11% (против исходных 50%). В случае, положительных прогнозов I2 или I3, наоборот, существенно возрастают вероятности реально найти нефть и уменьшаются риски, связанные с отрицательным результатом бурения (до 27% в случае прогноза I2 и до 12% в случае прогноза I3 против исходных 50%).
Разумеется, если бы методика геофизиков могла выдавать совершенный прогноз, то все отмеченные выше риски упали бы до нуля, а таблица апостериорных вероятностей, как видно из , совпала бы с таблицей условных вероятностей правильности прогноза.
Зная апостериорные вероятности нахождения нефти после выданного прогноза Ij, можно вернуться к анализу дерева альтернатив (рис. 6). На первом шаге анализа необходимо вычислить ожидаемые монетарные стоимости бурения при условии того, что геофизики выдали прогнозы I1, I2 или I3, в узлах №№ 6-8 с учетом найденных апостериорных вероятностей. Обозначим их как EMV6, EMV7, EMV8. Результат вычислений получен в строчке 13 таблицы . Состояние дерева альтернатив после этого шага изображено на (EMV10=200 было рассчитана ранее). После расчета EMV альтернатив, связанных с бурением их следует сравнить EMV=150 альтернативы «Продать» и выбрать максимальную для каждого из узлов №№6-8. Результат расчета показан в строке 15 () и на . Таким образом, как и следовало ожидать, анализ дерева показывает, что нужно следовать рекомендациям геофизиков, т.е. продавать землю, если прогноз «Нефти нет» и бурить, если прогноз «Средний запас» или «Мощный фонтан».
|
|
А |
в |
О
О
m |
F |
G |
Н 1 |
|
|
1 |
|
|
Прогноз |
Априорные
вероятности |
|
|
|
|
|
2 |
|
|
Ii |
h |
I3 |
1>і |
|
|
|
|
|
3 |
Реальные
состояния |
Si |
0.75 |
0.2 |
О
о |
0.5 |
|
|
|
|
|
4 |
s2 |
0.15 |
0,65 |
0,2 |
0,3 |
|
|
|
|
|
5 |
s3 |
0 |
0.35 |
0.65 |
0.2 |
|
|
|
|
|
6 |
Полные
вероятности |
Pi |
0,420 |
0,365 |
0,215 |
|
|
|
|
|
|
7 |
|
|
|
|
|
|
|
|
8 |
|
Апостериорные вероятности |
|
|
|
|
|
|
9 |
|
|
Ii |
І2 |
I3 |
Выигрыши |
|
|
|
|
|
10 |
Реальные
состояния |
Si |
0,893 |
0,274 |
0,116 |
-700 |
|
|
|
|
|
11 |
S2 |
0.107 |
0.534 |
0.279 |
гм
О
О |
|
|
|
|
|
12 |
s3 |
0,000 |
0,192 |
0,605 |
2000 |
|
|
|
|
|
13 |
ЕМ?_ Бурить |
-571 |
458,9 |
1267 |
ЬЪ
И
<У“) I—I
пн
0
1
и
и |
S10$F$12.E10 Е12) |
|
14 |
ЕМ?_Продать |
150 |
150 |
150 |
|
|
|
|
|
|
15 |
EMV_max |
150 |
458,9 |
1267 |
|
|
|
|
|
|
16 |
ЕМ?_Нанять |
503 |
=СУММПР ОН ЗВ (C6 :E6;C15 :E15) |
|
|
|
|
17
Рис. 257 Расчет EMV альтернативы «Нанять» дерева вероятностей компании ЭП |
|
|
|
|
|
|
|
|
|
|
|
|
|
1 1 |
|
|
|
|
|
|
|
|
Нанять |
|
|
/ л |
|
Не нанимать |
|
|
|
|
|
|
|
|
|
|
|
-ЧХ- |
|
|
|
|
|
|
|
|
|
|
|
|
|
|
|
|
|
|
|
|
|
|
|
|
|
А |
|
|
|
|
|
|
|
|
|
|
|
|
|
|
_w_ |
|
|
|
|
|
|
|
|
|
|
|
|
|
|
|
|
|
|
|
|
|
|
|
|
|
|
Р(Іі)- неф |
ги нет |
Р(І2 |
|
средний |
іапас |
Р(Із |
- МОЩНЫЙ 4 |
онтан |
|
|
|
|
|
|
|
г |
|
|
’ |
г |
|
|
3 |
|
|
|
_ |
1 |
|
|
/гл |
|
|
ГГЛ |
|
|
|
|
|
_Х»Л_ |
|
|
г? |
|
|
|
|
|
|
|
|
|
|
|
|
|
|
|
|
|
|
|
|
|
|
Прядать |
Бурк |
ть |
|
|
Пр< |
дать |
Бурк |
ТЬ |
|
|
Прі |
дать |
Бурк |
ТЬ |
|
|
Нр< |
да іу |
Бурк |
ТЬ |
|
|
|
|
|
|
|
ч- |
' х" |
|
|
|
|
|
X |
|
|
|
|
|
X |
|
|
|
|
150 |
|
|
|
|
X 150 |
|
|
|
|
X 150 |
|
|
|
|
X |
-350 |
|
|
|
|
|
xj |
г / |
|
|
X Ч |
|
г |
|
|
|
|
г |
|
|
|
|
|
г |
|
|
|
Х-571 |
|
|
|
459 |
|
|
|
1267 |
|
|
|
200 |
|
|
|
X ч |
|
|
|
|
|
|
|
|
|
|
|
|
|
|
Рис. 258 Первый шаг анализа дерева альтернатив компании ЭП |
На следующем шаге анализа нужно найти сумму произведений EMVmax, показанных в строчке 15 таблицы на , и полных вероятностей Pj прогноза Ij, чтобы заменить ветки с плодами, исходящие из узла №2, на единый плод -ожидаемую монетарную стоимость альтернативы «Нанять». Эта сумма произведений вычислена в ячейке С16 (). Полученная величина ЕМ?_нанять=503 тыс. много больше, чем ожидаемая монетарная стоимость альтернативы «Бурить», при условии, что ЭП не нанимает геофизическое агентство: EMV_^ нанимать=200. Таким образом, выигрыш от несовершенной информации геофизиков составит EVSI=303 тыс. (EVSI - сокращение от английского Expected Value of Sample [or Survey] Information). Как видно, EVSI в данном случае примерно в полтора раза меньше стоимость совершенной информации EVPI=425 тыс. (рассчитанной ранее). Это верхняя граница того, что ЭП может заплатить за такую информацию (с учетом существующих вероятностей ошибок прогноза). Поскольку агентство требует меньшую плату (100 тыс.), компании ЭП нужно соответствующее исследование заказать и затем следовать полученным рекомендациям. Ожидаемая монетарная стоимость такого поведения превысит ожидаемую монетарную стоимость альтернативы «Бурить» (без использования дополнительной информации) на 203 тыс. (с учетом платы агентству за предоставленную несовершенную информацию).
Интересно выяснить чувствительность принятого решения к вариации априорных вероятностей нахождения нефти. Без дополнительной информации, увеличение вероятности отсутствия нефти всего на 2% ликвидировало всякое различие между EMV альтернатив «Бурить» и «Продать» и не позволяло принять рационального решения. Посмотрим, как будет меняться EM^rara^ при вариации этой вероятности в сравнении с EMV альтернативы «Не нанимать». Как и раньше, будет изменять вероятность p1 («Нефти нет») за счет вероятности p3=1-pi-p2 («Мощный фонтан»). Показанный на лист MS-Excel позволяет легко провести такой анализ (по сравнению с таблицей 16 сюда добавлен расчет EMV альтернативы «Не нанимать») и резюмировать его с помощью таблицы подстановок. Результат так же приведен на .
|
|
А |
В |
О
О
ГТІ |
F |
G |
Н |
i |
J |
к |
|
|
1 |
|
|
Прогноз |
Априорные
вероятности |
|
|
|
|
|
|
|
2 |
|
|
І1 |
І2 |
Іі |
Pi |
|
|
Р |
EVSI |
|
|
|
3 |
Реальные
состояния |
Si |
0,75 |
02 |
0,05 |
0,5 |
|
|
|
303 |
=F17 |
|
|
4 |
s2 |
0,15 |
0fi5 |
02 |
03 |
|
|
0,1 |
43 |
|
|
|
5 |
s3 |
0 |
035 |
0,65 |
02 |
|
|
0,19 |
105 |
|
|
|
6 |
Полные
веноятиости |
Pi |
0,420 |
0365 |
0215 |
|
|
|
0,2 |
112 |
|
|
|
7 |
|
|
|
|
|
|
0,3 |
176 |
|
|
|
8 |
|
Апостериорные ве |
зоятности |
|
|
|
0,4 |
239 |
|
|
|
9 |
|
|
іі |
І2 |
іі |
Выигрыши |
|
|
0,5 |
303 |
|
|
|
10 |
Реальные
состояния |
Si |
0,893 |
0274 |
0,116 |
-700 |
|
|
0,6 |
147 |
|
|
|
11 |
s2 |
0,107 |
0534 |
0279 |
500 |
|
|
0,62 |
106 |
|
|
|
12 |
S3 |
ОШ) |
0,192 |
0,605 |
2000 |
|
|
0,7 |
0 |
|
|
|
13 |
ЕМ?Бурить |
-571.429 |
458.9041 |
1267,442 |
|
|
|
|
|
|
|
|
14 |
ЕМ?_Продать |
150 |
150 |
150 |
|
|
|
|
|
|
|
|
15 |
EMV max |
150 |
458.9041 |
1267,442 |
|
|
|
|
|
|
|
|
16 |
ЕМ?_Нанять |
503 |
|
|
EVSI |
|
|
|
|
|
|
|
17 |
|
|
|
|
|
303 |
1
CD
О
II |
F19 |
|
|
|
|
|
18 |
Альтернативы |
Нефти
нет |
Средний
запас |
Мощный
фонтан |
EMV |
EMVJHe нанимать |
|
|
|
|
|
|
19 |
Бурить |
-700 |
500 |
2000 |
200 |
200 |
|
|
|
|
|
|
|
20 |
Продать |
150 |
150 |
150 |
150 |
|
|
|
|
|
|
|
|
21 Вероятности |
0,500 |
0,300 |
0,200 |
|
|
|
|
|
|
|
|
|
|
Рис. 259 Анализ устойчивости решения для дерева альтернатив компании ЭП |
Видно, что по сравнению с исследованной выше ситуацией принятия решения лишь на основе априорных вероятностей, интервал устойчивости выбора оптимальной альтернативы расширился с 2% до 12% изменения вероятности p1. Лишь при увеличении вероятности отсутствия нефти до 62% стоимость несовершенной информации практически сравнивается с требуемой платой за проведения геофизических исследований (что делает альтернативу «Нанять» агентство невыгодной). При этом, однако, нетрудно проверить, что в этом случае альтернатива «Бурить» стоит -124 тыс., что не оставляет сомнений в правильности альтернативы «Продать» и без привлечения геофизиков. Уменьшение вероятности p1 до 19% также делает найм агентства невыгодным. Но опять-таки видно, что в этом случае он абсолютно излишен, так как стоимость альтернативы «Бурить» становится равной 1037 тыс., что не оставляет сомнений в необходимости «Бурить».
Таким образом, привлечение дополнительной (пусть и несовершенной информации) позволяет разрешить проблему неопределенности выбора компании «Энергия палеолита» и принять рациональное решение.
Приемы решения задач
7.П-1. Производитель снегоходов
Производитель снегоходов должен сделать заказ на двигатели на 1 месяц работы у внешнего поставщика. Время выполнения этого заказа поставщиком - 2 месяца. Кампания делает снегоходы на заказ и количество произведенной продукции определяется числом заказов на снегоходы в данном месяце. Какое число заказов компания будет иметь через 2 месяца (когда подойдет заказ от поставщика, который надо сделать сегодня) неизвестно, но предыдущий опыт позволяет оценить вероятность различных уровней спроса. Данные представлены в таблице.
|
Кол-во двигателей |
200 |
300 |
400 |
500 |
600 |
700 |
|
Вероятность продаж |
0.15 |
0.25 |
0.25 |
0.2 |
0.1 |
0.05 |
Если купленный двигатель используется в тот месяц, для которого он куплен, он дает прибыль $300, если он залеживается до следующего месяца, это влечет убытки $100.
Постройте таблицу выигрышей и потерь. Используя принцип максимума ожидаемой монетарной ценности определите:
каков оптимальный размер заказа?
какова цена совершенной информации?
Как изменится оптимальное решение, если потери от неиспользованного вовремя, двигателя составляют $300? Как при этом изменится стоимость совершенной информации?
Проанализируйте, насколько существенно изменится решение, если вероятности известны с точностью не лучше 5 процентных пунктов.
Сравните выводы, к которым приводят критерии максимина и минимаксных сожалений, с решением на основе максимума ожидаемой монетарной ценности альтернативы.
Решение задачи.
Для того чтобы построить таблицу выигрышей и потерь необходимо определиться, какие значения спроса (сценарии будущего) мы будем считать возможными и из каких предполагаемых размеров заказа мы будем выбирать оптимальный (альтернативы).
Данная в условиях задачи таблица распределения вероятностей различных значений спроса подталкивает к тому, чтобы в качестве возможных значений спроса выбрать 6 чисел, отраженных в ней. Это особенно естественно, поскольку для этих уровней спроса уже оценены соответствующие вероятности.
Отвлекаясь от конкретной формулировки условия задачи, обсудим происхождение представленной в условии таблицы распределения вероятностей различных значений спроса? Как подробно обсуждалось в теоретическом введении к настоящей главе, существуют два источника для подобного рода информации: реальная выборка значений спроса, основанная на исторических данных, или экспертные оценки. Очевидно, что в реальной выборке различные «некруглые» значения спроса (например, 222, 390, 715 и т.п.) были сгруппированы в 6 диапазонов около представленных в таблице «круглых» значений от 200 до 700. Результаты построенной на исторических данных статистической выборки могут непосредственно использоваться для прогноза спроса на интересующий нас период времени в будущем (в этом случае говорят, что используется «наивный прогноз: завтра будет так же, как сегодня»). Разумеется, эти результаты можно скорректировать, используя экспертные оценки. Например, пусть из тех же исторических данных следует, что спрос на тот или иной продукт имеет сильную сезонную компоненту (что весьма реалистично для продажи снегоходов), или наш отдел маркетинга в настоящее время проводит мероприятия по интенсивному продвижению продукта так, что в следующем месяце ожидается существенное увеличение спроса, по сравнению с предыдущими месяцами, на основании которых и было получено распределение вероятностей, представленное в условии задачи. В этом случае, менеджеры отдела маркетинга могут предположить (на основании своего опыта), что представленные в таблице уровни спроса следует увеличить (например, на 30%), сохранив прежние оценки вероятностей этих уровней, или наоборот, сохранив возможные уровни продаж, сдвинуть максимум распределения вероятностей в сторону более высоких значений.
Поскольку вся эта «внутренняя кухня компании» осталась за рамками рассматриваемой задачи, примем, что данное в условии распределение вероятностей спроса следует непосредственно применить к интересующему нас месяцу. Тогда, для избежания не нужных сложностей, в качестве рассматриваемых альтернатив размера заказа естественно выбрать те же значения, что и уровни спроса, представленные в таблице.
|
|
X
(3
LL
Ш
О
о
со
< |
|
1 |
Прибыль= 0.3 тыс. Потери= -0.1 тыс. |
|
2 |
|
|
Возможный спрос (состояние окружения) |
|
3 |
|
|
200 |
300 |
400 |
500 |
600 |
700 |
|
4 |
Варианты заказа (альтернативы) |
200 |
|
|
|
|
|
|
|
5 |
300 |
|
|
|
|
|
|
|
6 |
400 |
|
|
|
|
|
|
|
7 |
500 |
|
|
|
|
|
|
|
8 |
600 |
|
|
|
|
|
|
|
9 |
700 |
|
|
|
|
|
|
|
10 |
|
|
|
|
|
|
|
|
|
11 |
Вероятность спроса |
0.15 |
0.25 |
0.25 |
0.2 |
0.1 |
0.05 |
|
|
Рис. 260 |
Тогда таблицей выигрышей и потерь будет иметь 6x6=36 клеток, в каждой из которых необходимо подсчитать финансовый выигрыш или потерю. Если организовать таблицу так, как показано на рисунке (), то эти финансовые результаты должны содержаться в ячейках C4:H9. Их можно подсчитать для каждого из 36 вариантов развития событий отдельно, но это утомительно и, главное, совсем не в духе идеологии MS-Excel. Лучше составим формулу._
При различных вариантах заказа и спроса может возникнуть две принципиально разных ситуации.
Первая ситуация. Спрос превысил сделанный заказ или в точности соответствовал ему. В этом случае мы продадим все, что у нас запасено на данный месяц и не больше этого. В таблице C4:H9 этой ситуации отвечают ячейки, расположенные выше диагонали, идущей от ячейки C4 к ячейке H9 (либо расположенные на самой диагонали). Чтобы подсчитать прибыль в этих случаях достаточно, очевидно, умножить размер заказа на прибыль от продажи одной единицы. В виде формулы для протягивания для ячейки C4 это запишется так: =$B4*$C$1. Здесь ссылка на величину прибыли от использования одного двигателя в течение месяца со дня покупки фиксирована полностью и при протягивании не изменяется, а ссылка на размер заказа фиксирована только по столбцу. Это сделано для того, чтобы при протягивании формулы вправо ссылаться на одну и ту же величину заказа, а при протягивании вниз переходить к следующему размеру заказа, который меняется по строкам.
Вторая ситуация. Спрос оказался ниже размера заказа. В этом случае часть закупленных двигателей останется на складе и принесет убытки. Продадим
мы столько двигателей, какова оказалась величина спроса, а разница между размером заказа и спросом останется. Поэтому прибыль для ячейки C9, например, запишется следующим образом: =C$3*$C$1+ ($B9-C$3)*$F$1. В первом
слагаемом (полученной прибыли) ссылка на величину спроса C$3 фиксирована по строке, поэтому при протягивании формулы по вертикали не меняется, а при протягивании по горизонтали указывает на различную величину спроса. Во втором слагаемом ссылка на размер заказа фиксирована по столбцу, а ссылка на величину спроса по строке (все, как и в предыдущих случаях). Чтобы записать одну формулу для всех случаев, используем функцию =ЕСЛИ(..). В ячейке C4 запишем:
=ЕСЛИ($B4<=C$3;$B4*$C$1;C$3*$C$1+($B4-C$3)*$F$1), т.е. если заказ меньше спроса или равен ему, используем формулу =$B4*$C$1, а если нет - формулу = C$3*$C$1+($B4-C$3)*$F$1.
Распространив эту формулу на всю таблицу, получим следующий
|
). |
|
|
X
(3
LL
Ш
О
о
со
< |
|
1 |
Прибыль= 0.3 тыс. Потери= -0.1 тыс. |
|
2 |
|
|
Возможный спрос (состояние окружения) |
|
3 |
|
|
200 |
300 |
400 |
500 |
600 |
700 |
|
4 |
Варианты заказа (альтернативы) |
200 |
60 |
60 |
60 |
60 |
60 |
60 |
|
5 |
300 |
50 |
90 |
90 |
90 |
90 |
90 |
|
6 |
400 |
40 |
80 |
120 |
120 |
120 |
120 |
|
7 |
500 |
30 |
70 |
110 |
150 |
150 |
150 |
|
8 |
600 |
20 |
60 |
100 |
140 |
180 |
180 |
|
9 |
700 |
10 |
50 |
90 |
130 |
170 |
210 |
|
10 |
|
|
|
|
|
|
|
|
|
11 |
Вероятность спроса |
0.15 |
0.25 |
0.25 |
0.2 |
0.1 |
0.05 |
|
|
Рис. 261 |
результат (
Из этой таблицы следует, что если мы закажем, например, 600 двигателей, то с вероятностью 0,15 получим $20 тыс. С вероятностью 0,25 получим $60 тыс., с такой же вероятностью 0,25 - $100 тыс., с вероятностью 0,2 - $140 тыс., с вероятностью 0,1 мы точно попадем в спрос и получим $180 тыс. и, наконец, с вероятностью 0.05 спрос превысит наш заказ и мы получим те же $180 тыс., что и при спросе 600 двигателей.
Используя эти данные можно оценить средний взвешенный финансовый результат EMV для каждой альтернативы (значения размера заказа). Рассчитаем величину EMV для каждой альтернативы, используя функцию =СУММПРОИЗВ(..). Для заказа в 700 двигателей функция будет иметь вид:
=СУММПРОИЗВ($С$11:$Н$11;С9:Н9). Ссылка на строку вероятностей
фиксирована. Поместим эту формулу в ячейку I9 и протянем вверх до ячейки I4.
|
Величина EMV () с ростом заказа меняется немонотонно: сначала растет от 60 тыс. до 102 тыс., а затем уменьшается до 90 тыс. Максимальная величина средней прибыли - 102 тыс. - соответствует заказу 500 двигателей. |
|
|
A BCDEFGH |
I |
|
1 |
Прибыль= 0.3 тыс. Потери= -0.1 тыс. |
|
|
2 |
|
|
Возможный спрос (состояние окружения) |
|
|
3 |
|
|
200 |
300 |
400 |
500 |
600 |
700 |
EMV |
|
4 |
Варианты заказа (альтернативы) |
200 |
60 |
60 |
60 |
60 |
60 |
60 |
60 |
|
5 |
300 |
50 |
90 |
90 |
90 |
90 |
90 |
84 |
|
6 |
400 |
40 |
80 |
120 |
120 |
120 |
120 |
98 |
|
7 |
500 |
30 |
70 |
110 |
150 |
150 |
150 |
102 |
|
8 |
600 |
20 |
60 |
100 |
140 |
180 |
180 |
98 |
|
9 |
700 |
10 |
50 |
90 |
130 |
170 |
210 |
90 |
|
10 |
|
|
|
|
|
|
|
|
|
|
11 |
Вероятность спроса |
0.15 |
0.25 |
0.25 |
0.2 |
0.1 |
0.05 |
|
|
|
Рис. 262 |
Как показано в теоретическом введении, дополнительная информация способна увеличить нашу ожидаемую прибыль и уменьшить риск потерь. Вычислим стоимость совершенной информации. Для этого сначала, в строке C10:H10 определим максимальные выигрыши при каждом сценарии будущего, используя функцию =МАКС(..).
Для ячейки С10 формула будет выглядеть следующим образом: =МАКС(C4:C9). При протягивании формулы вправо до ячейки H10, мы увидим, что каждый раз из столбца прибылей выбирается значение ячейки, расположенной на диагонали таблицы.
Так как вероятности каждого уровня спроса остаются прежними, мы можем подсчитать ожидаемую монетарную ценность в гипотетическом случае владения совершенной информацией (т.е. если каждый месяц некий ангел-
|
хранитель будет подсказывать нам точное значение споса). Для этого просто |
|
|
A BCDEFGH |
I |
|
1 |
Прибыль= 0.3 тыс. Потери= -0.1 тыс. |
|
|
2 |
|
|
Возможный спрос (состояние окружения) |
|
|
3 |
|
|
200 |
300 |
400 |
500 |
600 |
700 |
EMV |
|
4 |
Варианты заказа (альтернативы) |
200 |
60 |
60 |
60 |
60 |
60 |
60 |
60 |
|
5 |
300 |
50 |
90 |
90 |
90 |
90 |
90 |
84 |
|
6 |
400 |
40 |
80 |
120 |
120 |
120 |
120 |
98 |
|
7 |
500 |
30 |
70 |
110 |
150 |
150 |
150 |
102 |
|
8 |
600 |
20 |
60 |
100 |
140 |
180 |
180 |
98 |
|
9 |
700 |
10 |
50 |
90 |
130 |
170 |
210 |
90 |
|
10 |
Угадали спрос |
60 |
90 |
120 |
150 |
180 |
210 |
120 |
|
11 |
Вероятность спроса |
0.15 |
0.25 |
0.25 |
0.2 |
0.1 |
0.05 |
|
|
12 |
EMVPI= 120 EVPI= 18 |
|
|
Рис. 263 |
Оказывается, уникальный источник совершенной информации, каждый месяц сообщающий нам точные значения будущего спроса, увеличивает нашу ожидаемую прибыль всего на 18% (получим 102 тыс. вместо 120 тыс.). Эта величина и есть стоимость совершенной информацией EVPI, т.е. верхняя граница цены, которую мы готовы платить за информацию при выборе из рассматриваемых альтернатив при данных сценариях будущего.
Как уже неоднократно подчеркивалось, совершенную информацию (особенно о спросе) получить невозможно. Несовершенная информация (основанная на экспертных оценках) всегда носит вероятностный характер и
действует на статистическое распределение вероятностей, изменяя его в ту или другую сторону. Например, если наши эксперты из отдела маркетинга говорят, что спрос в следующем месяце будет выше обычного, это, очевидно, означает, что вероятности высокого спроса должны увеличиться, а вероятности низкого спроса, напротив, уменьшиться. В нашей таблице вероятность того, что спрос не превысит 400 двигателей, равна 0,65 (0,15+0,25+0,25), а вероятность того, что спрос будет 500 двигателей и выше - 0,35. Т.е. вероятность низкого спроса почти вдвое выше вероятности высокого. Предположим, что информация экспертов выравнивает эти вероятности. Тогда распределение вероятностей можно записать, вычитая из первых трех вероятностей по 0.05, и добавляя столько же к последним трем вероятностям (см. таблицу )._
|
Оценка распределения вероятностей при учете информации |
|
Спрос |
200 |
300 |
400 |
500 |
600 |
700 |
|
Вероятности при повышенном спросе |
0.1 |
0.2 |
0.2 |
0.25 |
0.15 |
0.1 |
|
Вероятности при пониженном спросе |
0.2 |
0.3 |
0.3 |
0.15 |
0.05 |
0 |
Рис. 264
В свою очередь, если спрос в следующем месяце ожидается ниже, чем в текущем, мы можем оценить изменение распределения вероятностей, уменьшив вероятности высокого спроса и увеличив, соответственно, вероятности низкого (см. таблицу на рис. 206 ). Для сравнения на рисунке () все три распределения показаны в виде графиков.
 |
Рис. 265
Жирной непрерывной линией показано первоначальное распределение.
Для вновь полученных распределений вероятностей спроса нужно повторить расчеты максимального значения EMV. Скопируем построенную раньше таблицу на два новых листа Excel (через команду Переместить\Скопировать...). Заменим в этих листах вероятности на новые и получим следующий результат (). |
0.35 0.3 -0.25 -0.2 -0.15 -0.1 -0.05 -
0 -1
|
|
A BCDEFGH |
I |
|
1 |
Прибыль= 0.3 тыс. Потери= -0.1 тыс. |
|
|
2 |
|
|
Возможный спрос (состояние окружения) |
|
|
3 |
|
|
200 |
300 |
400 |
500 |
600 |
700 |
EMV |
|
4 |
Варианты заказа (альтернативы) |
200 |
60 |
60 |
60 |
60 |
60 |
60 |
60 |
|
5 |
300 |
50 |
90 |
90 |
90 |
90 |
90 |
82 |
|
6 |
400 |
40 |
80 |
120 |
120 |
120 |
120 |
92 |
|
7 |
500 |
30 |
70 |
110 |
150 |
150 |
150 |
90 |
|
8 |
600 |
20 |
60 |
100 |
140 |
180 |
180 |
82 |
|
9 |
700 |
10 |
50 |
90 |
130 |
170 |
210 |
72 |
|
10 |
Угадали спрос |
60 |
90 |
120 |
150 |
180 |
210 |
107 |
|
11 |
Вероятность спроса |
0.2 |
0.3 |
0.3 |
0.15 |
0.05 |
0 |
|
|
|
Рис. 266 Расчет EMV альтернатив для пониженного спроса |
|
|
A BCDEFGH |
I |
|
1 |
Прибыль= 0.3 тыс. Потери= -0.1 тыс. |
|
|
2 |
|
|
Возможный спрос (состояние окружения) |
|
|
3 |
|
|
200 |
300 |
400 |
500 |
600 |
700 |
EMV |
|
4 |
Варианты заказа (альтернативы) |
200 |
60 |
60 |
60 |
60 |
60 |
60 |
60 |
|
5 |
300 |
50 |
90 |
90 |
90 |
90 |
90 |
86 |
|
6 |
400 |
40 |
80 |
120 |
120 |
120 |
120 |
104 |
|
7 |
500 |
30 |
70 |
110 |
150 |
150 |
150 |
114 |
|
8 |
600 |
20 |
60 |
100 |
140 |
180 |
180 |
114 |
|
9 |
700 |
10 |
50 |
90 |
130 |
170 |
210 |
108 |
|
10 |
Угадали спрос |
60 |
90 |
120 |
150 |
180 |
210 |
134 |
|
11 |
Вероятность спроса |
0.1 |
0.2 |
0.2 |
0.25 |
0.15 |
0.1 |
|
|
|
Рис. 267 Расчет EMV альтернатив для повышенного спроса |
Как мы можем видеть, при повышенном спросе () максимальное значение EMV (114 тыс.) соответствует выбору либо 500, либо 600 двигателей. При пониженном спросе () максимальное значение EMV (92 тыс.) соответствует выбору 400 двигателей. Однако результат заказа 500 двигателей всего на 2 тыс. хуже.
Это означает, что если мы будем все время заказывать 500 двигателей и не станем реагировать на сигналы о возможном повышенном или пониженном спросе, то фактически ничего не потеряем. Выбор 500 двигателей оптимален и остается таковым даже при значительных вариациях вероятностей сценариев будущего, отражающих возможные вариации спроса. Это небольшое исследование является ответом и на вопрос о том, изменяется ли оптимальное решение, если учесть, что все вероятности известны нам с точностью не лучше 5 процентных пунктов. Мы взяли два крайних случая того, как может выглядеть истинное распределение вероятностей спроса и, выбранное первоначально решение -заказать 500 двигателей, практически не изменилось.
Наряду с распределением вероятностей спроса большое влияние на выработку решения имеет относительная величина возможных потерь. Мы говорим относительная, так как значение имеет соотношение величин прибыли от использования двигателя в конечном изделии и потери от его хранения в течение лишнего месяца. В первоначальной постановке задачи ожидаемые потери в три раза меньше, чем прибыль. Из-за этого оптимальный размер заказа получается выше, чем среднее значение ежемесячного спроса. Мы, кстати, до сих пор не подсчитывали, каков именно этот средний спрос. Давайте сделаем это сейчас.
Расчет среднего спроса делается точно так же, как и ожидаемой монетарной ценности, только теперь значения спроса мы умножаем на соответствующие вероятности. Добавим в какую-нибудь ячейку формулу =СУММПРОИЗВ($С$11:$Н$11;С3:Н3).
Результат вычисления оказывается равным 400 двигателей.
Таким образом, мы получили оптимальный размер заказа в 500 двигателей при среднем спросе 400 двигателей. Это, как мы уже отметили, связано с тем, что прибыль от своевременного использования двигателя выше, чем потери от его хранение в течение лишнего месяца.
В задаче спрашивается, как изменится решение, если потери достигают 300 единиц. При этом размер прибыли в расчете на один двигатель равен потерям. Если вспомнить идеологию однопериодной модели заказа, связь которой с данной задачей очевидна, то можно предположить, что в этих условиях выгоднее всего окажется заказ, равный среднему. Проверим это, изменив в исходной таблице () величину потерь на -0,3 тысячи ().
|
|
A BCDEFGH |
I |
|
1 |
Прибыль= 0.3 тыс. Потери= -0.3 тыс. |
|
|
2 |
|
|
Возможный спрос (состояние окружения) |
|
|
3 |
|
|
200 |
300 |
400 |
500 |
600 |
700 |
EMV |
|
4 |
Варианты заказа (альтернативы) |
200 |
60 |
60 |
60 |
60 |
60 |
60 |
60 |
|
5 |
300 |
30 |
90 |
90 |
90 |
90 |
90 |
81 |
|
6 |
400 |
0 |
60 |
120 |
120 |
120 |
120 |
87 |
|
7 |
500 |
-30 |
30 |
90 |
150 |
150 |
150 |
78 |
|
8 |
600 |
-60 |
0 |
60 |
120 |
180 |
180 |
57 |
|
9 |
700 |
-90 |
-30 |
30 |
90 |
150 |
210 |
30 |
|
10 |
Угадали спрос |
60 |
90 |
120 |
150 |
180 |
210 |
120 |
|
11 |
Вероятность спроса |
0.15 |
0.25 |
0.25 |
0.2 |
0.1 |
0.05 |
400 |
|
12 |
EMVPI= 120 EVPI= 33 |
|
|
Рис. 268 |
Как мы видим, оптимальный заказ, соответствующий максимальному значению EMV=87 тыс., действительно равен 400 двигателям. Построенная таблица содержит и другую интересную, с точки зрения формирования заказа, информацию. Например, из того, что EMV300=81 тыс., а EMV500=78 тыс., можно сделать вывод, что ошибка в величине заказа в меньшую сторону обойдется дешевле, чем в сторону завышения.
В целом же условия бизнеса ухудшились. Возможные потери, в случае если мы завысили оценку спроса, увеличились. Поэтому ожидаемая прибыль при оптимальном размере заказа и стала меньше.
Здесь же отметим и возросшую цену совершенной информации (EVPI=33 тыс.). Это соответствует общему принципу, который понятен и интуитивно: чем выше риск и вероятные потери, тем дороже информация.
Проверьте, что стоимость совершенной информации обращается в ноль, если возможные потери статут равны нулю. И снова все понятно: если информация не приносит дополнительных денег она ничего не стоит!
Последний вопрос задачи фактически тоже связан с точность имеющейся у нас статистической информации. Допустим, что статистики по снегоходам у нас нет. Приведенные значения вероятностей мы взяли из данных о спросе на какой-либо близкий товар, из экспертных оценок, но совершенно не уверены, что они справедливы в нашем случае. Попробуем, в этой ситуации, привлечь оценки по критериям максимина и минимаксных сожалений.
Оценка по критерию максимина очень проста и не требует каких-либо изменений в проделанных уже расчетах. Вернемся к первоначальной таблице (). Согласно критерию максимина, для каждой альтернативы нужно выбрать тот сценарий будущего, при котором наш выигрыш минимален (это критерий пессимиста - с нами случится самое худшее, какую бы альтернативу мы
ни выбрали), а затем выбрать ту альтернативу, где это «самое худшее» лучше всех остальных. В данной задаче, независимо от выбранной альтернативы, самое худшее - это наименьший спрос- 200 двигателей. Посмотрим по таблице, при каком заказе прибыль для спроса 200 двигателей максимальна. Ясно, что это 60 тыс., и соответствует такая величина прибыли заказу 200 двигателей. Это и есть оптимальное решение по критерию максимина._
|
|
A BCDEFGH |
I |
|
1 |
Прибыль= 0.3 тыс. Потери= -0.1 тыс. |
|
|
2 |
|
|
Возможный спрос (состояние окружения) |
|
|
3 |
|
|
200 |
300 |
400 |
500 |
600 |
700 |
EMV |
|
4 |
Варианты заказа (альтернативы) |
200 |
60 |
60 |
60 |
60 |
60 |
60 |
60 |
|
5 |
300 |
50 |
90 |
90 |
90 |
90 |
90 |
84 |
|
6 |
400 |
40 |
80 |
120 |
120 |
120 |
120 |
98 |
|
7 |
500 |
30 |
70 |
110 |
150 |
150 |
150 |
102 |
|
8 |
600 |
20 |
60 |
100 |
140 |
180 |
180 |
98 |
|
9 |
700 |
10 |
50 |
90 |
130 |
170 |
210 |
90 |
|
10 |
Угадали спрос |
60 |
90 |
120 |
150 |
180 |
210 |
120 |
|
11 |
Вероятность спроса |
0.15 |
0.25 |
0.25 |
0.2 |
0.1 |
0.05 |
400 |
12
^3" |
EMVPI= 120 EVPI= 18 |
|
14 |
|
|
200 |
300 |
400 |
500 |
600 |
700 |
Макс.
потери |
|
15 |
Варианты заказа (альтернативы) |
200 |
0 |
30 |
60 |
90 |
120 |
150 |
150 |
|
16 |
300 |
10 |
0 |
30 |
60 |
90 |
120 |
120 |
|
17 |
400 |
20 |
10 |
0 |
30 |
60 |
90 |
90 |
|
18 |
500 |
30 |
20 |
10 |
0 |
30 |
60 |
60 |
|
19 |
600 |
40 |
30 |
20 |
10 |
0 |
30 |
40 |
|
20 |
700 |
50 |
40 |
30 |
20 |
10 |
0 |
50 |
|
|
Рис. 269 |
Для оценки по критерию минимаксных сожалений необходимо построить таблицу упущенных возможностей. В этой таблице на месте финансового выигрыша (или потери) в каждой клетке должна содержаться разница между максимально возможной прибылью для данного уровня спроса (строка C10:H10) и прибылью из таблицы C4:H9. Запишем в ячейку C15 формулу =C$10-C4 и распространим ее на всю вторую таблицу C15:H20 (Рис. 211). После этого нам нужно выбрать для каждого размера заказа максимальные упущенные возможности («самое худшее» - по критерию максимальных сожалений). Добавим к таблице столбец «Макс. потери». Запишем в ячейку I15 формулу =МАКС(05:Н15) и протянем ее вниз до ячейки I20. Таким образом, мы получили максимальные упущенные возможности для каждой альтернативы - размера заказа. Обратите внимание, что эти упущенные возможности имеют разную природу. Все числа выше диагонали (здесь наши упущенные возможности равны нулю, так как заказ оказался в точности равным спросу) - это неполученная прибыль. Числа ниже диагонали - прямые финансовые потери. Согласно критерию максимаксных сожалений мы должны учитывать эти два вида потерь на равных основаниях.
Величина максимальных упущенных возможностей с увеличением размера заказа тоже меняется немонотонно - сначала уменьшается, а потом растет. Самое маленькое значение этой величины - 40 тыс. - соответствует заказу в 600 двигателей. Заметьте, что выбор по критерию минимаксных сожалений зависит только от соотношения прибылей и потерь и не учитывает распределение вероятностей. Тем не менее, в данном случае, выбор оказывается близким к выбору в соответствии с критерием максимума EMV.
7.П-2. Дефектные комплектующие
Один из цехов приборостроительного предприятия производит элетромагнитные катушки, которые c вероятностью p могут быть дефектными. Количество изделий в партии 2000.
Прошлый опыт указывает, что в зависимости от правильности настройки производственной линии и соблюдения технологических параметров, вероятность дефекта в партии p равна либо 0,03, либо 0,10. Причем, в среднем для 80 % произведенных партийp равняется 0,03, а для 20% партийp равняется 0,10.
Эти катушки используются как комплектующие при сборке приборов, и в конечном счете их качество будет определено выходным техническим контролем. Предприятие может или испытывать каждую катушку на специальном стенде, что обходится в 15$ за штуку и отбрасывать дефектные, или использовать изделия на сборке непосредственно без испытания. Если выбрано последнее, дефект обнаружится при сплошном техническом контроле на выходе с производственной линии, а стоимость переделки составит в конечном счете 175$ за каждый дефектный прибор.
Что выгоднее для предприятия: испытывать каждую катушку на стенде до сборки приборов или переделывать дефектные приборы после сплошного контроля?
Требуется также рассмотреть дополнительную возможность: из каждой партии можно отправить в лабораторию любое изделие, по которому (по отклонению некоторой совокупности характеристик от заданных значений) можно будет практически достоверно установить состояние линии и ожидаемый процент бракованных катушек в данной партии. Стоимость анализа 125$. Стоит ли проводить такой анализ? Каковы будут суммарные издержки в этом случае? Как следует поступить, если выборочный лабораторный анализ качества технологического процесса не дает абсолютно достоверного результата (несмотря на обещания разработчиков методики). Реально, такой анализ с 95%-ой вероятностью правильно определяет долю брака, но в 5% случаев допускает ошибку (т.е. если реально процент брака в партии 3%, анализ в 5% случаев дает оценку брака 10%, и наоборот, если реально процент брака 10%, анализ в 5% случаев определяет его равным 3%). Дает ли в этом случае какую либо выгоду такой лабораторный анализ? Каковы будут суммарные издержки?
Решение задачи.
В этой задаче таблица выигрышей 4x4, так как выбирать приходится только из двух альтернатив - проверять катушки или нет, и процентное содержание бракованных изделий в изготовленной партии также может принимать только два значения (два сценария будущего).
Если мы примем решение обязательно проверять все катушки, то и при доле бракованных изделий в 3%, и при доле в 10% издержки в расчете на партию из 2000 изделий будут одинаковы и составят $30000 ($15*2000). Если мы решим оставить все на выходной контроль, то при доле бракованных катушек в 3% нам придется переделать около 60 приборов (2000*3%), что обойдется в 10500 ед. Это значительно меньше, чем при сплошной проверке. Но при доле бракованных катушек в 10% издержки достигнут 35000 ед., что больше, чем при сплошной проверке.
Организуем данные так, как показано на рисунке () и запишем в таблицу результаты наших вычислений.
|
|
А |
В |
С |
D | Е |
1
2
3
4
5
6
7
D
9 |
Количество изд. в партии |
2000 |
Стоимость переделки |
175 |
|
Цена испытания на стенде |
15 |
Стоимость анализа |
125 |
|
Таблиц |
а прибылей и затрат |
|
|
Процент дефектных изделий |
3% |
10% |
ЕМ? |
|
|
Испытывать все изделия |
-30 000 |
-30 000 |
|
|
|
Оконечный контроль |
-10 500 |
-35 000 |
|
|
|
Максимум |
-10 500 |
-30 000 |
|
|
|
Вероятность |
80% |
20% |
Е?РІ= |
|
|
¦1 n
Рис. 270 |
Рис. 271
В результате этих расчетов получим искомое решение ().
А В С D Ё~ |
|
1 |
Количество изд. в
партии |
2000 |
|
Стоимость
переделки |
175 |
|
|
Цена испытания на |
|
|
Стоимость |
|
|
2 |
стенде |
15 |
|
анализа |
125 |
|
3 |
Таблица прибылей и затрат |
|
|
|
Процент дефектных |
|
|
ЕМ? |
|
|
4 |
изделий |
3% |
10% |
|
ЕМ? без ЛА |
|
|
Испытывать все |
|
|
|
|
|
5 |
катушки на стенде |
-30 000 |
-30 000 |
-30 000 |
|
|
6 |
Выходной контроль |
-10 500 |
-35 000 |
-15 400 |
-15 400 |
|
7 |
Максимум |
-10 500 |
-30 000 |
-14 400 |
|
|
8 |
|
|
|
|
|
|
9 |
Вероятность |
80% |
20% |
EVP l= |
1 000 |
|
|
Рис. 272 |
Ясно, что в среднем выходной контроль выгоднее сплошной проверки катушек на стенде практически вдвое - суммарные издержки составляют только $15400 против $30000.
Рассчитанная стоимость совершенной информации EVPI =$1000 ( ). Таким образом, если лабораторный анализ первого изделия в партии способен абсолютно точно определить, какая доля брака будет в текущей партии, т.е. дает совершенную информацию до принятия решения о методе контроля для данной партии, можно ожидать еще $875 экономии издержек (EVPI минус стоимость лабораторного анализа).
Несколько иная ситуация возникает в случае, если лабораторный анализ не дает абсолютно точной информации. Как подробно рассмотрено в теоретическом введении к этой главе, следует нарисовать дерево альтернатив (рис.216), включающее двухступенчатое решение:
использовать лабораторный анализ или нет
проверять все катушки или положится на выходной контроль.
При этом для расчета вероятностей различных сценариев будущего, соответствующих выбору тех или иных ветвей дерева, необходимо, исходя из условных вероятностей правильности предсказаний лабораторного анализа, вычислить полные вероятности Pj того или иного результата прогноза Ij (см. формулу 5а), а также переоценить вероятности P(Si/Ij) уровней брака в данной партии (3% или 10%) в свете предсказаний лабораторного анализа. Эти вычисления проведены на листе MS-Excel, представленном на .
|
|
А |
В |
С |
D |
Е |
F |
G |
|
|
1 |
Условные вероятно брака п |
сти правильности определения доли ри лабораторном анализе |
|
|
|
|
|
2 |
|
П р о це нт д е ф е кт н ы у, изделий |
Полные
вероятности |
|
|
|
|
|
3 |
|
3% |
18% |
р(і) |
|
|
|
|
|
4 |
Предсказание 3% |
95,0% |
5,0% |
77,0% |
=СУМ М П Р 0 ИЗ В < В4: С4: $ В $6: $ С $6) |
|
5 |
Предсказание 10% |
5,0% |
95,0% |
28,0% |
=СУММПРОИЗВ(В5:С5; |
(В$6:$С$6) |
|
В |
Априорные вероятности PCS') |
80% |
20% |
|
|
|
|
|
|
7 |
Ап о от е р и о р н ы е в е р о я т н о от и |
|
|
|
|
|
|
В |
|
П р о це нт д е ф е іа н ы к изделий |
|
|
|
|
|
|
9 |
|
3% |
10% |
|
|
|
|
|
|
10 |
Предсказание 3% |
98,7% |
1,3% |
|
|
|
|
|
|
11 |
Предсказание 10% |
17,4% |
82,6% |
=C5*C$6/$D5 |
|
|
|
|
1? |
|
|
|
|
|
|
Рис. 273 Расчет полных вероятностей различных предсказаний лабораторного анализа и апостериорных вероятностей различных уровней брака в данной партии. |
Полные вероятности P(Ij) показаны в ячейках D4,D5. Если бы лабораторный анализ давал безошибочную (совершенную) информацию, то эти полные вероятности были бы равны априорным, т.е. 80% и 20%. Но из-за внутреннего несовершенства методики анализа, в некоторых случаях он предскажет 3%-ю долю дефектных катушек тогда, когда доля брака на самом деле равна 10%, и наоборот. Эти ошибки в большей или меньшей степени отклонят полные вероятности предсказания уровня дефектности партии от априорных вероятностей.
Расчет апостериорных вероятностей P(Si/Ij), т.е. вероятностей уровня дефектности партии в свете дополнительной информации, полученной из лабораторного анализа, в соответствие с формулой (7а), представлен в ячейках B10:C11. Видно, что если лабораторный анализ выдал предсказание «Доля брака в текущей партии 3%», то с вероятностью 98,7% нужно ожидать, что это так и есть. Лишь 1,3% вероятности за то, что в действительности доля брака составит 10%. Если лабораторный анализ выдал предсказание «Доля брака в текущей партии 10%», то это подтвердится с вероятностью 82,6%, а с вероятностью 17,4% уровень брака будет 3%.
Эти вероятности использованы для построения дерева альтернатив на
.
|
|
|
|
|
|
|
|
|
|
|
|
|
|
|
|
|
|
|
|
3 |
|
|
|
|
|
|
|
|
|
|
|
|
|
|
|
|
|
|
|
|
|
|
J |
|
|
|
|
|
|
|
|
|
|
|
|
|
I |
|
|
|
|
|
|
|
|
|
|
|
|
Лаборатор |
ный анализ |
|
|
Без лабораторного |
анализа |
|
|
|
|
|
|
А |
|
|
|
|
|
|
|
|
|
|
|
|
|
—- |
|
|
|
|
|
|
|
|
|
|
|
|
|
W |
|
|
|
|
|
|
|
|
|
|
|
77% |
|
|
|
23% |
|
|
|
|
|
|
|
|
|
|
Пред сказ |
ано 3% |
|
|
Пред сказ |
но 10% |
|
|
1 |
L |
|
|
|
|
Стенд |
Р |
А |
ыходной контроль |
Стенд |
р |
|
ыходной контроль |
Стенд |
|
^Выходной контроль |
|
|
|
I1 о |
|
|
|
-(¦ Л |
|
|
|
|
|
|
|
|
|
|
|
|
|
|
|
|
|
|
|
|
|
\ 1 |
у |
|
|
|
|
|
|
I- |
|
|
|
|
\ ^ |
1 |
|
|
|
|
|
|
|
|
|
|
|
|
|
|
|
|
|
|
|
|
|
|
|
|
|
’ |
' |
|
|
|
|
_ |
' |
|
|
|
|
¦ |
1 |
|
|
|
|
|
|
-30000 |
|
|
|
|
-30000 |
|
|
|
|
-30000 |
|
|
|
|
|
|
|
|
3% |
|
10% |
|
3% |
м |
> |
10% |
|
3% |
шк |
10% |
|
|
|
|
|
|
|
|
|
|
|
|
|
|
|
|
|
|
|
|
|
|
U |
|
|
|
|
|
|
|
|
|
|
|
|
|
|
|
|
|
|
|
|
|
|
|
|
|
|
|
|
|
|
' |
. 90,7% |
|
’ |
,1,3% |
|
’ |
17,40% |
|
" |
.02,60% |
|
” |
00% |
|
• |
• 20% |
|
|
|
-10500 |
|
-35000 |
|
-10500 |
|
-35000 |
|
-10500 |
|
-35000 |
|
|
|
|
|
|
|
|
|
|
|
|
|
|
|
|
Рис. 274 Дерево альтернатив для проблемы дефектных комплектующих. |
Анализ дерева, как рассматривалось в теоретическом введении, следует начать с вычисления ожидаемой монетарной ценности ветвей, приводящих в крайние черные узлы. В нашем случае это узлы №№5,6,8. EMV альтернативы «Выходной контроль» без лабораторного анализа уже была вычислена на листе MS-Excel, представленном на .
|
|
>
СО
О
О |
Е |
F |
G |
|
|
3 |
Таблица прибылей и затрат |
|
|
|
|
|
4 |
П р о це нт д е ф е ктн ы к изделий |
3% |
10% |
ЕМ? |
ЕМ? без ЛА |
|
5 |
Испытывать все
катушки на стенде |
-30 000 |
-30 000 |
-30 000 |
|
|
В |
Выходной контроль |
-10 500 |
-35 000 |
-15 400 |
15 400 |
|
7 |
Максимум |
-10 500 |
-30 000 |
-14 400 |
|
|
S |
|
|
|
|
|
|
9 |
Веооятность |
80% |
20% |
Е?РІ= |
1 000 |
|
10 |
|
|
|
11 |
Условные вероятно бвака п |
сти правильности определения доли ри лабораторном анализе |
|
|
|
|
|
12 |
|
Процент дефектных изделий |
Полные
вероятности |
|
|
|
|
|
13 |
|
3% |
10% |
р(і) |
|
|
|
|
|
14 |
Предсказание 3% |
95,0% |
5,0% |
77,0% |
|
|
|
|
|
15 |
Предсказание 10% |
5,0% |
95,0% |
23,0% |
|
|
|
|
|
16 |
Априорные вероятности PfSI |
80% |
20% |
|
|
|
|
|
|
17 |
|
|
|
|
|
|
18
19 |
Переоценка вероятностей |
|
|
|
|
|
|
|
Процент дефектных изделий |
ЕМ?_испыты-вать все |
ЕМ?_вы ход-ной контроль |
ЕМ? max |
ЕМ? сЛА |
|
20 |
|
3% |
10% |
|
|
|
|
|
21 |
Предсказание 3% |
98,7% |
1,3% |
-30 000 |
-10 818 |
-10 818 |
-15 230 |
|
22 |
Предсказание 10% |
17,4% |
82,6% |
-30 000 |
-30 739 |
-30 000 |
|
|
23 |
Испытывать все
катушки на стенде |
-30 000 |
-30 000 |
|
|
|
|
|
24 |
Выходной контроль |
-10 500 |
-35 000 |
EVSI = |
170 |
|
|
|
25 |
|
|
|
|
|
|
|
Рис. 275 Расчет оптимального решения по дереву альтернатив для проблемы дефектных комплектующих. |
EMV, соответствующие узлам №№5,6, для альтернатив «Выходной контроль» после предсказаний лабораторным анализом соответственно 3% или 10% брака в данной партии (и переоцененными вероятностями различных уровней брака в свете этой информации) вычислены в ячейках E21:E22 листа MS-Excel, представленного на . Для вычисления этих значений мы ввели в ячейку E21 формулу
СУММПРОИЗВ (B21:C21;$B$24:$C$24),
и протянули ее на ячейку E22. В графу «EMV_испытывать все» (т.е. испытывать все катушки на стенде), в ячейки D21:D22, мы просто переписали стоимости сплошного контроля катушек на стенде, которые не зависят от предсказаний лабораторного анализа.
Вид дерева альтернатив после этого первого шага анализа представлен на .
 |
|
после первого шага анализа. |
Видно, что если лабораторный анализ предсказал 3% брака в текущей серии, следует положиться на выходной контроль, а если - 10%, следует провести сплошную проверку всех катушек на стенде. В ячейках F21:F22 мы вычислили максимум из EMV альтернатив, исходящих из узлов №№3,4 дерева на рис. 218. Видно, однако, что альтернативы, исходящие из узла №4 отличаются очень незначительно. Поэтому следует ожидать, что стоимость информации, представляемой лабораторным анализом будет невелика. Чтобы проверить это завершим анализ дерева на рис. 218, вычислив ожидаемую монетарную ценность ветки, входящей в узел №2. Для этого в ячейку G21 листа на рис. 217 введем формулу
СУММПРОИЗВ(Г21Е22; D14:D15)
т. е. перемножим ожидаемые монетарные ценности наилучших альтернатив, исходящих из узлов №№3,4 на рис. 218, на полные вероятности предсказаний 3% или 10% брака в лабораторном анализе.
Сравнивая значения EMV_без ЛА=-$ 15400 (ячейка Е6) с только что вычисленной EMV_ЛА=-$ 15230 (ячейка G21), находим, что стоимость несовершенной информации EVSI составляет всего $170 (ячейка Е24). Учитывая, что стоимость лабораторного анализа составляет $125, реальный выигрыш от весьма точной (95% попаданий!), но несовершенной информации лабораторного анализа составит всего $45. Это более чем в 20 раз меньше, чем определенная выше стоимость совершенной информации (EVPI=$1000). Впечатляющий пример влияния несовершенства информации на ее стоимость!
Как и в предыдущей рассмотренной задаче в строке «Максимум» показано, каковы были бы издержки, если бы до принятия решения, мы могли бы получить совершенную информацию о доле брака в данной партии. В столбце D5:D7 будем рассчитывать ожидаемую прибыль для обеих альтернатив и для выбора при владении совершенной информации. Заодно сразу же найдем стоимость совершенной информации. На следующем рисунке () показаны использованные формулы.
|
|
А |
В |
С |
D |
Е |
|
|
1 |
Количество изд. в партии |
2000 |
Стоимость переделки |
175 |
|
|
2 |
Цена испытания на стенде |
15 |
Стоимость анализа |
125 |
|
|
3 |
Таблица прибылей и |
затрат |
|
|
|
|
4 |
Процент дефектных изделий |
3% |
10% |
ЕМ? |
|
|
|
|
Испытывать все катушки на |
|
|
|
|
|
|
5 |
стенде |
=-Ш$1*Ш$2 |
=-$В$ГШІ2 |
=СУММПРОИЗВ($В$9:$С$9;В5:С5) |
|
6 |
Выходной контроль |
=-ІВ$ГВ4*$Е$1 |
=-$В$ГС4*$Е$1 |
=СУММПРОИЗВ($В$9:$С$9;В6:С6) |
|
7 |
Максимум |
=МАКС(В5;В6) |
=МАКС(С5;С6) |
=СУММПРОИЗВ($В$9:$С$9;В7:С7) |
|
|
|
|
|
|
|
|
|
9 |
Вероятность |
80% |
20% |
Е?РІ = |
=D7-MAKC(D5:D6) |
|
Часть 8. Управление проектами с учетом случайных вариаций времени выполнения стадий
Теоретические замечания.
Теоретическое введение.
В разделе «Планирование и анализ проектов в условиях полной определенности» мы базировались на методе критического пути - CPM (critical path method), основанном на определении временных резервов всех стадий проекта. Если временной резерв стадии равен нулю, то ее нельзя удлинить или отложить, не удлинив проект в целом. Такие стадии называются критическими. Если требуется сократить проект, вложив в него дополнительные финансовые и/или трудовые ресурсы, то сокращать нужно именно критические стадии. Некритические стадии можно удлинять или откладывать в пределах имеющихся у них временных резервов, а их сокращение бесполезно, так как не приводит к сокращению проекта в целом. Эта концепция оказывается весьма плодотворной при определении длительности и расписания проекта, выбора оптимального пути для сокращения проекта до заданного срока при минимуме финансовых вложений, определении оптимальной длительности проекта с точки зрения конечного финансового результата и при наличии ограничений на ресурсы (материальные и трудовые).
Успешное применение этой концепции обусловлено точным определением длительности каждой стадии проекта. В случае, если время выполнения тех или иных стадий проекта подвержены случайным вариациям (что в реальности, конечно, так и есть), то понятия критических стадий и критического пути размываются. Действительно, представим себе, что длительность каждой i-ой стадии случайна, и ее можно характеризовать средней длительностью ti и
стандартным отклонением времени выполнения от этой средней длительности si. Пусть при введении в MS Project информации о стадиях проекта использовалась
средняя длительность каждой стадии ti . Пусть при этом некоторая стадия проекта оказалась некритической с временным резервом (Total Slack) равным, скажем, TS=5 дням. Допустим, однако, что стандартное отклонение для времени
выполнения этой стадии также равно si =5 дням. Это значит, что случайное, но очень вероятное, удлинение этой стадии по сравнению со средним значением на 5-6 дней, сделает эту стадию критической. Напротив, случайное сокращение критической стадии на ту же величину, может перевести ее в разряд некритических.
«Критический путь» может быть определен и в этом случае, как путь, у которого суммарная средняя длительность составляющих его стадий самая большая, т.е. путь у которого
<г) = Z'"'= max, о)
іепути
где суммируются только те стадии, которые принадлежат выбранному пути (знак означает ожидаемое суммарное время выполнения всех стадий на данном пути, а знак е означает, что стадия і принадлежит рассматриваемому пути). Но в конкретной реализации проекта, из-за случайной вариации длительности различных стадий проекта, этот «в среднем самый длинный путь» может оказаться короче других «в среднем не самых длинных». Иными словами, может оказаться, что все работы «критического пути» уже закончены, а проект в целом еще нет, так какие-то «некритические» стадии случайно удлинились.
В этом случае, выводы об окончании проекта могут носить лишь вероятностный характер. Можно определить среднее время окончания «критического пути», средние длительности выполнения работ по путям, близким к «критическому», средние длительности всех путей, ведущих от начала проекта к его концу, однако это еще не даст ясного представления о сроках окончания проекта. Основной величиной, дающей такое представление, становится вероятность окончания проекта к заданному сроку (объявленному заказчику и согласованному с ним). Оценка этой вероятности (а также вероятности того, что финансовые затрату по проекту не превысят заданной величины) и посвящена методика PERT (program evaluation and review technique).
Очевидно, что если объявить заказчику в качестве срока окончания проекта среднее (ожидаемое) время завершения проекта по критическому пути, то вероятность невыполнения этого обязательства, не завершения проекта к заданному сроку (и, соответственно, вероятность штрафных санкций за это) будет, как минимум, равна 50%. Действительно, поскольку время выполнения проекта по критическому пути (как и по любому другому пути от начала к концу проекта) есть сумма случайных длительностей лежащих на нем стадий, частотное распределение для случайной величины - времени выполнения проекта по данному пути, будет описываться нормальной кривой (см. теоретическое введение к разделу «Оптимальное управление запасами с учетом случайных вариаций спроса», а также [5]). Центр частотного распределения соответствует ожидаемому времени окончания всех стадий на данном пути. Вероятность, что реальная длительность проекта превысит это ожидаемое (среднее) время, очевидно, равна 50%. На самом деле, вероятность окончания проекта в целом (а не только всех стадий на критическом пути) ко времени еще меньше, так из-за возможности случайного удлинения некритических стадий, пути, считавшиеся «некритическими» могут затянуться и после окончания всех стадий «критического» пути.
 |
|
Рис. 277 |
Понятно, что если мы хотим снизить вероятность не завершения проекта к объявленному сроку до величины а, необходимо задать некоторый безопасный резерв времени (см. теоретическое введение к разделу «Оптимальное управление запасами с учетом случайных вариаций спроса»), и объявить временем окончания проекта Tfin большее, чем ().
Напомним, что если время Tfin задано, то вероятность того, что все стадии данного пути будут выполнены к этому сроку можно рассчитать по формуле
P(t < Тйп)=НОРМСТРАСП(2а), (2)
где
_ Tfin — < Tpath ¦>
а s path , (3)
Spath - стандартное отклонение времени выполнения всех стадий по данному пути. Его квадрат равен сумме квадратов стандартных отклонений времени выполнения всех стадий, лежащих на данном пути (см. формулу теоретического введения к разделу «Оптимальное управление запасами с учетом случайных вариаций спроса»)
2 2 2 2
S path = S1 + S2 + ... + SL (4)
Как уже отмечалось, вероятность окончания критического пути к заданному времени Tfin, выше, чем вероятность окончания проекта в целом к этому времени. Чтобы проект в целом завершился к заданному времени Tfln, нужно чтобы были завершены работы по всем путям, ведущим от начала проекта к его концу. Согласно правилу умножения вероятностей независимых событий (см., например [5]), вероятности каждого из них должны быть перемножены. Можно подумать, что в нашем случае, это означает, что для нахождения вероятности окончания проекта в целом к заданному времени Tfin нужно перемножить вероятности окончания работ по всем путям, идущим от начала проекта к его концу. К сожалению, это не совсем так, поскольку длительности разных путей, идущих от начала проекта к его концу не обязательно являются независимыми случайными величинами. Они могут содержать одинаковые стадии (нередко разные критические пути вообще отличаются 1-2 стадиями), поэтому точное нахождение вероятности их совместного окончания ко времени Tfm -сложная (если, вообще, разрешимая) задача.
Тем не менее, представление о вероятности окончания проекта в целом к заданному времени Tfin можно получить, вычислив следующие два числа:
- вероятность окончания критического пути ко времени Tfin можно рассматривать как завышенную оценку вероятности окончания всего проекта к этому времени (назовем ее «оптимистической» оценкой искомой вероятности)
- произведение вероятностей окончания всех путей, идущих от начала проекта к его концу, даст явно заниженную оценку искомой вероятности (назовем эту оценку - «пессимистической»).
В интервале между этими двумя оценками и лежит интересующая нас вероятность. В рассматриваемом ниже примере анализа проекта по методу PERT мы увидим, что если задавать разумные значения Tfin , отвечающие достаточно высоким значениям этих вероятностей (что только и представляет интерес с практической точки зрения), то упомянутый выше интервал сужается.
Отметим также, что если длительность некоего пути от начала к концу проекта значительно ниже длительности «критического» пути crit>, то вероятность его завершения ко времени Tfin, сопоставимому с crit> будет, очевидно, близка к единице. Это значит, что вкладом такого пути в произведение вероятностей завершения всех путей к этому времени, можно пренебречь (если этот путь не учитывать, произведение вероятностей почти не изменится). Таким образом, фактически при вычислении «пессимистической» оценки, достаточно учесть лишь пути, близкие по длительности к критическому, что в случае больших и сложных проектов весьма существенно.
Итак, для того чтобы вычислить вероятность завершения любого пути, идущего от начала к концу проекта, к заданному времени Tfin, достаточно знать среднее (ожидаемое) время завершения этого пути path> и стандартное отклонение этого времени spath, которые вычисляются по формулам (1) и (4) соответственно. В таком случае, основной проблемой практического использования метода PERT становятся оценки среднего (ожидаемого) времени
^ и стандартного отклонения si для каждой стадии проекта.
Если входящая в проект стадия представляет собой более или менее стандартную операцию, то на основании выборки исторических данных можно
определить 11 и si. Однако в большинстве случаев такие данные отсутствуют, и вряд ли могут быть в принципе получены, поскольку по самой своей природе каждый проект чем-то отличается от ему подобных, а значит сведение данных из разных проектов в одну и ту же статистическую выборку неправомерно.
Единственным источником информации в таком случае может быть экспертная оценка. Собирая информацию о каждой стадии (работе) проекта, следует попросить специалистов (менеджеров, инженеров, мастеров и рабочих), ответственных за данную стадию, опираясь на их предшествующий опыт и учитывая особенности данного проекта, оценить ее среднюю длительность и возможный разброс. Для унификации оценки возможного разброса времени выполнения работ по данной стадии удобно каждому эксперту предложить дать 3 оценки этого времени:
- оптимистическая оценка t0pt (нижняя граница для времени выполнения стадии - «раньше ни за что не успеть»)
- наиболее вероятное значение tmod (иначе,. модальное значение - «скорее всего работа будет выполнена за ... дней»)
- пессимистическая оценка tpes (верхняя граница для времени выполнения стадии - «дольше уж вряд ли затянем»)
Разумеется, хорошо, если по каждой стадии ответы дадут несколько независимых экспертов. Усреднение этих оценок существенно увеличит их надежность (см. Теоретическое введение к разделу «Выбор альтернатив в условиях неопределенности и риска»).
Для вычисления среднего значения длительности стадии ti и стандартного
отклонения si по этим данным, математики, входившие в группу специалистов, разрабатывавших PERT, предложили простую и универсальную модель для распределения вероятностей длительности каждой стадии проекта.
Приемы решения задач.
8.П-1. Проект «Снеси-Построй»
В соответствии с общим планом развития города на месте одного из ветхих зданий, построенных в 60-х годах, должен быть возведен многоэтажный гараж. Упрощенный план работ содержит 13 этапов. В таблице собраны сведения об этих этапах, включающие список этапов-предшественников для каждого из 13 этапов проекта, наиболее вероятную (Mod) продолжительность этапов в рабочих днях, а также оценки минимальной (Opt) и максимальной (Pes) возможной продолжительности этапов. Эти оценки найдены в результате опроса экспертов.
|
Этапы проекта и их описание |
Предшествен
ники |
Оценка
продолжительности, рабочих дней |
|
Opt |
Mod |
Pes |
|
A |
Установить заряды |
- |
3 |
5 |
13 |
|
В |
Эвакуировать окружение |
- |
2 |
4 |
12 |
|
С |
Подготовить колонну грузовиков |
- |
2 |
3 |
4 |
|
D |
Взорвать здание |
A,B |
1 |
1 |
7 |
|
E |
Разобрать развалины |
C,D |
6 |
7 |
8 |
|
F |
Вырыть котлован |
E |
10 |
12 |
32 |
|
G |
Подвести коммуникации |
E |
2 |
15 |
16 |
|
H |
Залить бетон в фундамент |
F |
4 |
10 |
16 |
|
I |
Возвести ж\б конструкции |
F,G |
1 |
8 |
9 |
|
J |
Установить электропроводку |
I |
3 |
15 |
21 |
|
K |
Установить пол и возвести стены |
I |
18 |
20 |
34 |
|
L |
Установить лифты |
I |
5 |
7 |
9 |
|
M |
Отделочные работы |
H,J,K,L |
5 |
14 |
17 |
Какова вероятность окончания проекта «Снеси-Построй» не более чем за 68 рабочих дней? За 79 рабочих дней?
К какому сроку проект будет завершен с вероятностью 99%?
Решение задачи.
Этот проект уже рассматривался в теоретическом введении к разделу «Планирование и анализ проектов». Там мы, в частности, с помощью MS Project получили сетевую диаграмму проекта и нашли критический путь, используя в качестве длительностей стадий их наивероятнейшие значения (колонка Mod в данной задаче).
Как рассмотрено в теоретическом введении к настоящему разделу, для расчета вероятности выполнения проекта к заданному сроку, недостаточно знания только критического пути. Нужно найти все пути, близкие к критическому пути по длительности.
В принципе, для небольшого проекта, в котором общее число различных путей на сетевой диаграмме не превышает десятка, можно просто перечислить все возможные пути. Но даже для проекта, который мы рассматриваем, общее число путей на сетевой диаграмме достигает 21. Для более сложных проектов количество возможных путей может быть несколько сотен и даже тысяч. Выписывать их все не очень эффективно, тем более, что большая их часть имеет длительности существенно меньшие длительности критического пути и никак не влияет на вероятность окончания проекта к данному сроку. Тем не менее, позднее мы это сделаем для нашего примера, чтобы проверить выводы, которые сейчас получим более практичным способом.
Для начала вычислим средние значения и стандартные отклонения для длительностей всех стадий (по формулам (5) и (6) теоретического введения), используя таблицу Excel. На следующем рисунке () приведены полученные результаты.
|
|
A |
B |
C |
D |
E |
F |
G |
|
1 |
|
Оптимисти
ческая |
Наивероят
нейшая |
Пессимис
тическая |
Средняя
Ti |
Стандартное
отклонение
s |
s2 |
|
2 |
A |
3 |
5 |
13 |
6.0 |
=(D2-B2)/6 |
=F2A2 |
|
3 |
В |
2 |
4 |
12 |
=(B3+4*C3+D3)/6 |
2.78 |
|
4 |
С |
2 |
3 |
4 |
3.0 |
0.33 |
0.11 |
|
5 |
D |
1 |
1 |
7 |
2.0 |
1.00 |
1.00 |
|
6 |
E |
6 |
7 |
8 |
7.0 |
0.33 |
0.11 |
|
7 |
F |
10 |
12 |
32 |
15.0 |
3.67 |
13.44 |
|
8 |
G |
2 |
15 |
16 |
13.0 |
2.33 |
5.44 |
|
9 |
H |
4 |
10 |
16 |
10.0 |
2.00 |
4.00 |
|
10 |
I |
1 |
8 |
9 |
7.0 |
1.33 |
1.78 |
|
11 |
J |
3 |
15 |
21 |
14.0 |
3.00 |
9.00 |
|
12 |
K |
18 |
20 |
34 |
22.0 |
2.67 |
7.11 |
|
13 |
L |
5 |
7 |
9 |
7.0 |
0.67 |
0.44 |
|
14 |
M |
5 |
14 |
17 |
13.0 |
2.00 |
4.00 |
|
|
Рис. 278 |
Прежде всего, заметим, что если в качестве информации о длительности этапов ввести MS Project вычисленные средние значения ti, то критическим станет путь ADEFIKM, и его длительность составит 72 дня (проверьте это).
Далее, попробуем найти пути на сетевой диаграмме проекта, близкие к новому критическому. Используем дополнительную возможность MS Project -выделение этапов, которые лежат на путях, отличающихся от критического на заданное число дней. Вызовите через меню Сервис/Параметры диалоговое окно параметров и щелкните по ярлыку вкладки Расчеты ().
В этой вкладке следует отметить опцию «Рассчитывать несколько критических путей» и задать резерв, для начала, один день. После нажатия кнопки ОК исходная сетевая диаграмма изменится ().
 |
|
Рис. 279 |

Как можно видеть, на ней появились два новых «критических» этапа - B и G . При увеличении резерва до двух, трех, четырех дней сетевая диаграмма не меняется, следовательно, близкими к критическому пути (ADEFIKM по средней оценке длительности) пути можно считать пути BDEFIKM, ADEGIKM и BDEGIKM.
В таблице на рисунке Рис. 281 показаны длительности всех путей проекта при оценке по средней длительности этапов.
|
ADEFIKM |
72.0 |
|
ADEFILM |
57.0 |
|
BDEFIKM |
71.0 |
|
CEGIJM |
57.0 |
|
ADEGIKM |
70.0 |
|
BDEFILM |
56.0 |
|
BDEGIKM |
69.0 |
|
ADEGILM |
55.0 |
|
CEFIKM |
67.0 |
|
BDEGILM |
54.0 |
|
CEGIKM |
65.0 |
|
ADEFHM |
53.0 |
|
ADEFIJM |
64.0 |
|
BDEFHM |
52.0 |
|
BDEFIJM |
63.0 |
|
CEFILM |
52.0 |
|
ADEGIJM |
62.0 |
|
CEGILM |
50.0 |
|
BDEGIJM |
61.0 |
|
CEFHM |
48.0 |
|
CEFIJM |
59.0 |
|
|
|
|
|
Рис. 281 |
Видно, что действительно, на срок не более 4 дней от критического пути отличаются именно эти пути. Используем их для дальнейших расчетов и рассчитаем среднюю продолжительность и стандартное отклонение длительности для каждого из отобранных путей. Для вычисления средней длительности пути достаточно сложить средние длительности этапов, из которых он состоит. Для вычисления стандартных отклонений отобранных путей, сложим квадраты стандартных отклонений длительностей лежащих на них стадий (колонка G). Стандартное отклонение длительности пути равно корню квадратному из суммы квадратов стандартных отклонений длительности этапов, из которых он состоит.
Добавим под построенной таблицей еще одну (), в которой и проведем вычисления средних значений и стандартных отклонений длительностей каждого из путей, величин z (отклонение средней длительности пути от заданного срока Тпроекта в единицах стандартного отклонения) и вероятностей окончания работ, принадлежащих этим путям за время Тпроекта. В таблице на показаны использованные формулы.
|
|
A |
B |
C |
D |
E |
F |
G |
H |
|
16 |
Тпроекта= |
68 |
P |
z |
Средняя
Ti |
Стандартное
отклонение
s |
s2 |
|
|
17 |
|
ADEFIKM |
=НОРМСТРАСП(СІ17) |
=E2+E5+E6+E7+E10+E12+E14 |
|
|
18 |
|
BDEFIKM |
29.26% |
=($B$16-E18)/F18 |
=?18Л0.5 |
=G3+G5+G6+G7+G
10+G12+G14 |
|
19 |
|
ADEGIKM |
33.57% |
-0.42 |
70.0 |
4.7 |
22.2 |
|
|
20 |
|
BDEGIKM |
41.60% |
-0.21 |
69.0 |
4.7 |
22.2 |
|
|
2 1 |
|
|
|
| |
|
|
|
|
22 |
Пессимистическая
оценка вероятности |
=C18*C17*C19*C20 |
Оптимистическая
оценка вероятности |
=МИН(C17:C20) |
|
|
Рис. 282 |
Для пути ADEFIKM вероятность завершения к 68-му дню примерно равна 23% (). Вероятность завершения получилась меньше 50% потому, что и сам срок в 68 дней меньше средней суммарной продолжительности выполнения всех этапов на критическом пути (72 дня). Для четвертого пути BDEGIKM вероятность завершения к 68-му дню существенно больше (~ 41.6%). Это связано с тем, что его средняя длительность всего 69 дней.
|
|
A |
B |
C |
D |
E |
F |
G |
|
16 |
Тпроекта— |
68 |
P |
z |
Средняя
Ti |
Стандартное
отклонение
s |
s2 |
|
17 |
|
ADEFIKM |
23.34% |
-0.73 |
72.0 |
5.5 |
30.2 |
|
18 |
|
BDEFIKM |
29.26% |
-0.55 |
71.0 |
5.5 |
30.2 |
|
19 |
|
ADEGIKM |
33.57% |
-0.42 |
70.0 |
4.7 |
22.2 |
|
20 |
|
BDEGIKM |
41.60% |
-0.21 |
69.0 |
4.7 |
22.2 |
|
2 1 |
|
|
|
|
|
|
|
|
22 |
Пессимистическая
оценка вероятности |
0.95% |
|
Оптимистическая
оценка вероятности |
23.34% |
|
|
Рис. 283 |
Так как критическим является путь ADEFIKM, то он и определяет среднюю длительность проекта. Оценку вероятности выполнения проекта к заданному сроку, сделанную по длительности критического пути, в теоретическом введении к разделу мы назвали «оптимистической» оценкой. Из вычисленных вероятностей завершения путей (C17:C20), вероятность завершения критического пути к любому заданному сроку наименьшая. Это обстоятельство использовано для расчета «оптимистической» оценки вероятности завершения проекта в заданный срок в ячейке G22. Напомним, что «оптимистический» характер этой оценки в том, что вследствие случайных вариаций длительности этапов, некоторый другой путь может оказаться длиннее критического, и проект в целом не будет совершен к заданному сроку.
Вычисление произведения вероятностей того, что каждый из отобранных проектов закончится к заданному сроку Тпроекта дает заниженную, «пессимистическую» оценку окончания проекта ко времени Тпроекта., поскольку, как отмечалось в теоретическом введении к разделу, длительности путей близких
критическому не являются независимыми случайными величинами.
Как вы можете убедиться, перемножив вероятности, пессимистическая оценка для вероятности выполнения проекта к сроку 68 дней не превышает 1%. Следовательно, точная оценка вероятности выполнения проекта лежит где-то между 1% и 23%.
Нетрудно найти аналогичные вероятности для срока 72 дня. Для этого
|
заменим значение плановой длительности проекта в ячейке B |
|
|
A |
B |
C |
D |
E |
F |
G |
|
16 |
Проекта” |
72 |
P |
z |
Средняя
Ti |
Стандартное
отклонение
s |
2
s |
|
17 |
|
ADEFIKM |
50.00% |
0.00 |
72.0 |
5.5 |
30.2 |
|
18 |
|
BDEFIKM |
57.22% |
0.18 |
71.0 |
5.5 |
30.2 |
|
19 |
|
ADEGIKM |
66.43% |
0.42 |
70.0 |
4.7 |
22.2 |
|
20 |
|
BDEGIKM |
73.77% |
0.64 |
69.0 |
4.7 |
22.2 |
|
2 1 |
|
|
|
|
|
|
|
|
22 |
Пессимистическая
оценка вероятности |
14.02% |
|
Оптимистическая
оценка вероятности |
50.00% |
|
|
Рис. 284 |
6 на 72 ().
Несмотря на то, что заданный срок на два дня больше продолжительности проекта по наивероятнейшему пути, вероятность выполнения проекта в срок значительно меньше 50%. Даже оптимистическая оценка вероятности в точности равна 50%. Это показывает, важность расчетов по методу PERT для правильной оценки вероятности выполнения любого проекта к заданному сроку.
Если задавать сроки выполнения, для которых оптимистическая оценка вероятности выполнения проекта порядка 90% и выше, пессимистическая оценка приближается к оптимистической. Посмотрите, например, на результаты расчета для плановой продолжительности проекта 79 дней ().
|
|
A |
B |
C |
D |
E |
F |
G |
|
16 |
Тпроекта— |
79 |
P |
z |
Средняя
Ti |
Стандартное
отклонение
s |
2
s |
|
17 |
|
ADEFIKM |
89.85% |
1.27 |
72.0 |
5.5 |
30.2 |
|
18 |
|
BDEFIKM |
92.72% |
1.46 |
71.0 |
5.5 |
30.2 |
|
19 |
|
ADEGIKM |
97.19% |
1.91 |
70.0 |
4.7 |
22.2 |
|
20 |
|
BDEGIKM |
98.31% |
2.12 |
69.0 |
4.7 |
22.2 |
|
2 1 |
|
|
|
|
|
|
|
|
22 |
Пессимистическая
оценка вероятности |
79.60% |
|
Оптимистическая
оценка вероятности |
89.85% |
|
|
Рис. 285 |
Точная оценка вероятности выполнения проекта к этому сроку заключена в пределах от 79% до 90%, что уже явно достаточно для любых практических целей.
|
|
A |
B |
C |
D |
E |
F |
G |
|
16 |
Проекта” |
85 |
P |
z |
Средняя
Ti |
Стандартное
отклонение
s |
s2 |
|
17 |
|
ADEFIKM |
99.10% |
2.36 |
72.0 |
5.5 |
30.2 |
|
18 |
|
BDEFIKM |
99.46% |
2.55 |
71.0 |
5.5 |
30.2 |
|
19 |
|
ADEGIKM |
99.93% |
3.18 |
70.0 |
4.7 |
22.2 |
|
20 |
|
BDEGIKM |
99.97% |
3.39 |
69.0 |
4.7 |
22.2 |
|
2 1 |
|
|
|
|
|
|
|
|
22 |
Пессимистическая
оценка вероятности |
98.45% |
|
Оптимистическая
оценка вероятности |
99.10% |
|
|
Рис. 286 |
На последний вопрос задачи о сроке, которому проект будет выполнен с вероятностью 99%, можно отвечать двумя способами. Очевидный способ -просто перебрать несколько значений длительности проекта и посмотреть на результат. При этом вам понадобится не более 3-4 попыток._
Результат подбора приведен 12 способ удобен тем, что можно подбирать значение вероятности с учетом обеих оценок сразу - и оптимистической, и пессимистической.
Другой способ состоит в обратном расчете величины z и, затем, Тпроекта по заданной вероятности P. Подобный же расчет мы делали при расчете безопасного резерва для заданной вероятности риска дефицита в теме «Оптимальное управление запасами с учетом случайных вариаций спроса». В этом случае величина z определится по обратной функции нормального распределения z=НОРМСТОБР( P ). Тогда Тпроекта= Tadefikm + z*Sadefikm. Это, разумеется, только оптимистическая оценка вероятности. Пессимистическая оценка при этом окажется чуть ниже 99% (см. ).
|
|
A |
B |
C |
D |
E |
F |
G |
|
24 |
Тпроекта— |
84.79 |
P |
z |
Средняя
Ti |
Стандартное
отклонение
s |
s2 |
|
25 |
|
|
99.00% |
2.326 |
72.0 |
5.5 |
30.2 |
|
|
Рис. 287 |
Заметим, в заключение, что в MS Project есть инструментальная панель «Анализ по методу PERT». Для ее вызова щелкните правой кнопкой мыши на зоне инструментальных панелей и в контекстном меню выберите соответствующий пункт. Появится новая панель().
 |
|
Рис. 288 |
Щелчок по правому значку этой панели (Лист ввода PERT) вызовет к жизни таблицу, изображенную на рисунке (). Данные о различных оценках длительности этапов можно ввести в нее простой вставкой из буфера обмена.
|
Ид. |
Название задачи |
Длительность |
Оптимистическая
длительность |
Ожидаемая
длительность |
Пессимистическая
длительность |
|
1 |
A |
6 дней |
3 дней |
5 дней |
13 дней |
|
2 |
В |
5 дней |
2 дней |
4 дней |
12 дней |
|
3 |
С |
3 дней |
2 дней |
3 дней |
4 дней |
|
4 |
D |
2 дней |
1 день |
1 день |
7 дней |
|
5 |
E |
7 дней |
6 дней |
7 дней |
8 дней |
|
6 |
F |
15 дней |
10 дней |
12 дней |
32 дней |
|
7 |
G |
13 дней |
2 дней |
15 дней |
16 дней |
|
8 |
H |
10 дней |
4 дней |
10 дней |
16 дней |
|
9 |
I |
7 дней |
1 день |
8 дней |
9 дней |
|
10 |
J |
14 дней |
3 дней |
15 дней |
21 дней |
|
11 |
K |
22 дней |
18 дней |
20 дней |
34 дней |
|
12 |
L |
7 дней |
5 дней |
7 дней |
9 дней |
|
13 |
M |
13 дней |
5 дней |
14 дней |
17 дней |
|
|
Рис. 289 |
Если после этого щелкнуть средний значок (калькулятор - Вычисления по методу PERT), столбец Длительность будет заполнен новыми значениями -средними оценками длительностей отдельных стадий, рассчитанных по формуле (5) теоретического введения к разделу. Щелчки левой кнопкой мыши по трем значкам с левой стороны панели покажут календарные графики выполнения проекта для оптимистической, наивероятнейшей и пессимистической оценок длительности этапов.
После ввода этих данных можно посмотреть диаграммы Ганта, отвечающие оптимистическим, наивероятнейшим и пессимистическим оценкам и длительности проекта в этих случаях.
Существует также возможность изменить веса в формуле (5) для среднего значения длительности стадий (чего мы делать не рекомендуем).
К сожалению, ничего больше эта панель не предлагает. Таким образом, провести PERT-анализ до конца в MS Project не удается.
Биржевая торговля: Управление капиталом - Портфель - Риск - Страхование