Конкурентоспособность продукции
Современное тяжелое положение промышленности страны свидетельствует о сложности создания цивилизованного рынка лишь только в результате пассивного следования за проводимыми рыночными реформами.
Современный опыт мирового хозяйства подсказывает необходимость активного вмешательства в этот процесс непосредственных субъектов рынка предприятий. И в первую очередь это касается формирования методов эффективной работы в условиях развития конкуренции.
Опыт последних лет подсказывает, что далеко не все отечественные предприятия готовы к ведению конкурентной борьбы. Многие, даже обладая конкурентоспособной продукцией, из-за отсутствия практики использования всего комплекса маркетинга, не могут реализовать это преимущество.
Вместе с тем конкурентная ситуация с каждым годом все более осложняется постепенным расширением границы рынка и вовлечением в него западных фирм, имеющих значительный опыт работы в условиях жесткой конкуренции. Прямое использование этого опыта на российских предприятиях часто затруднено из-за отсутствия универсальных схем конкурентного поведения на рынке.
В современных условиях каждому предприятию особенно важно правильно оценить создавшуюся рыночную обстановку с тем, чтобы предложить эффективные средства конкуренции, которые, с одной стороны, отвечали бы сложившейся в России рыночной ситуации и тенденциям ее развития, с другой стороны особенностям конкретного производства.
Наиболее сложными этапами этой работы являются осмысление путей достижения конкурентных преимуществ и разработка на этой основе мероприятий по усилению конкурентной позиции предприятия. Все это делает актуальной тему данной дипломной работы.
Цель дипломной работы состоит в разработке рекомендаций (мероприятий) по обеспечению конкурентоспособности продукции АО ЛМ.
Задачи дипломной работы:
1.рассмотреть теоретические основы теории конкурентного преимущества,
2.определить понятие конкурентоспособности и рассмотреть методы ее изучения,
3.провести анализ конкурентоспособности продукции АО ЛМ одним из методов,
4.на основании проведенного исследования разработать мероприятия по обеспечению конкурентоспособности продукции АО ЛМ и сделать расчет их экономической эффективности.
Объектом исследования является продукция АО ЛМ.
Предметом исследования потребительские и срочные показатели изделия мебели типа Стенка.
Выбор предприятия мебельной промышленности в качестве объекта исследования сделан по причине того, что на Дальнем Востоке, да и в целом по России объем производства, и потребления мебели снижается. А это говорит о том, что увеличения продаж за счет расширения рынка ждать не приходится. Из этой ситуации есть один выход: увеличения своей доли рынка за счет отвоевания ее у конкурента.
А это возможно лишь при наличии конкурентоспособной продукции, без которой все остальные элементы маркетинговой деятельности не обеспечат предприятию стабильного процветания.
В соответствии с изложенными целями и задачами диплом состоит из трех разделов.
В первом разделе рассмотрено понятие конкуренции, ее концепция, дан обзор существующих теорий конкурентного преимущества. Здесь же рассмотрены основы исследования конкурентоспособной продукции.
Очень большой вклад в развитие теории о конкуренции внес М.Е. Портер, труды которого широко освещены в данном разделе.
Вторая глава диплома посвящена исследованию деятельности, рынка и продукции АО ЛМ. В ходе исследования был использован анализ хозяйственной деятельности предприятия, ситуационный анализ рыночной среды, а также составлен план исследования конкурентоспособности изделия мебели Стенка относительно приоритетных конкурентов.
В третьей главе освещена процедура проведения исследования результатов изучения конкурентоспособной продукции АО ЛМ. В ходе исследования был реализован традиционный метод.
Кроме того, в третьей главе разработаны рекомендации по обеспечению конкурентоспособной продукции АО ЛМ и предоставлено их экономическое обоснование.
Конкурентоспособность и завоевание преимуществ в конкурентной борьбе
Понятие конкуренции, ее виды. Модель пяти сил конкуренции
Термин конкуренция в экономической литературе имеет различные трактовки.
А. Смит рассматривал конкуренцию как поведенческую категорию, когда индивидуальные продавцы и покупатели соперничают на рынке за более выгодные продажи и покупки соответственно.
Ф. Найт определял конкуренцию как ситуацию, в которой конкурирующих единиц много и они недвижимы. Й. Шумпстер утверждал, что по крайней мере с точки зрения экономического роста конкуренция представляет собой соперничество старого с новым.
Если говорить с точки зрения рыночной структуры, конкуренция ряд условий, которые ставят фирму в положение принимающего цену (price-taker). В этом смысле конкуренцию можно определять как тип рынка, противоположных монополистической структуре.
С другой стороны, конкуренцию можно определить с помощью ассоциации со словом конкурировать (соревноваться, соперничать) как тип поведения фирм соперников на данном рынке.
Чистая конкуренция возникает тогда, когда многочисленные продавцы и покупатели, занимающиеся куплей-продажей гомогенного (идентичного) продукта. Примером такого рынка является рынок финансов, сельского хозяйства. При этом продавцы и покупатели в одиночку не в состоянии влиять на цену.
Последняя устанавливается через взаимодействие спроса и предложения.
Совершенная конкуренция это чистая конкуренция с двумя дополнительными характеристиками:
1.совершенная мобильность ресурсов внутри рынка и отсутствия барьеров для ресурсов на вход/выход из этого рынка,
2.обладание как продавцами, так и покупателями совершенного знания о рынке.
В мировой экономике нет примеров совершенной конкуренции. Понятие совершенная конкуренция используется как некий стандарт для оценки других форм рыночной организации.
Эффективная (реальная) конкуренция возникает тогда, когда покупатели и продавцы оперируют независимо. Чтобы быть эффективной конкурирующая система должна быть открытой и свободной, а ее участники сравнимы, так как нельзя назвать состязание между неравными настоящей конкуренцией. Состязание также не является конкуренцией, если в ней выигрывает меньшинство, а проигрывают многие.
В этом случае результатом является монополия, препятствующая эффективной конкуренции. Неурегулированная монополия менее привлекательна с точки зрения общества, чем любая из форм конкуренции, имея в виде ее социальные последствия.
Несмотря на то, что каждый рынок имеет свои уникальные особенности, все же есть нечто общее в том, как осуществляется конкуренция на различных рынках.
Суть конкуренции выражают единой аналитической концепцией, используемой для выявления природы и оценки интенсивности конкуренции. Согласно исследованиям известного английского ученого, авторитета в области конкуренции М.Е.
Портера состояние конкуренции на определенном рынке можно охарактеризовать 5 конкурентными силами (рис. 1).
При оценке угрозы появления новых конкурентов необходимо руководствоваться понятием барьера входа в отрасль, высоту которого определяют следующими факторами:
1.Экономикой масштабов. Обычно организации, впервые появившиеся на рынке, начинают деятельность по сбыту нового продукта в масштабах существенно меньших, нежели его традиционные производители.
Поэтому их производственно-сбытовые издержки выше, что обуславливает при равенстве рыночных цен получение меньшей прибыли, а может быть и убытки.
Рис. 1
Концепция конкуренции
2. Привычностью марки товара. Потребители конкретных товаров ориентированы на приобретение товаров определенных марок.
Новым производителям необходимо сделать свою марку популярной среди новых потребителей.
3. Фиксированными затратами, связанными с входом в новую отрасль.
4. Затратами на новые основные фонды, которые во многих случаях требуется формировать.
5. Доступом к системе товародвижения. Традиционные производители могут создать барьеры для новых производителей на пути их проникновения в сбытовые сети.
В этом случае новым товаропроизводителям придется создавать свои каналы сбыта, что требует высоких затрат.
6. Доступом к отраслевой системе снабжения.
7. Отсутствием опыта производства данного вида продукта.
8. Возможными ответными действиями предприятия отрасли (отказ в продаже патента и т. д.).
Что касается угрозы замены данного продукта новыми, то имеется в виду производство продуктов, удовлетворяющих ту потребность, но созданных на основе совершенно новых принципов. При оценке угрозы замены необходимо учитывать характеристики и цены продукта-заменителя по отношению к традиционным продуктам, цену переключения на использование нового продукта, предрасположенность потребителя к замене продуктов.
Сила позиции поставщиков. Она во многом определяется типом рынка, на котором действуют поставщики и предприятия отрасли.
Если поставщики диктуют свои условия предприятиям, то последние находятся в менее выигрышной позиции. Сила позиции поставщиков определяется следующими факторами:
А. разнообразием и качеством поставляемых продуктов (услуг),
Б. Наличие возможности смены поставщиков,
В. величиной объемов продукции, закупаемой у поставщиков (большие объемы закупок делают поставщиков более зависимыми от предприятия).
Сила позиции покупателей определяется следующими факторами:
1.возможностью переключиться на использование других продуктов,
2.затратами, связанными с этим переключением,
3.объемом закупаемых продуктов.
Рассмотренные выше 4 группы факторов определяют привлекательность отрасли и целесообразность вести в ней бизнес. Исследования в указанных направлениях дадут фирме возможность определить конкурентный климат, интенсивность соперничества и тип конкурентного преимущества, которым владеет каждый из конкурентов.
Конкурентная борьба в самой отрасли между предприятиями реализуется через рыночные конкурентные стратегии, которые приносят тот или иной успех в виде желаемого превосходства над соперниками. Во многих случаях стратегия имеет ценовой и неценовой характер или представляет собой смесь отмеченных факторов.
Обычно стратегии строятся на факторах:
-цена,
-новый/улучшенный продукт,
-расширенный ассортимент,
-технические новшества,
-применение менее дорогостоящих методов производства,
-сервис, гарантии, стимулирование и т. д.
Давление на противников зависит от того, является ли фирма лидером (инициатором), рыночным претендентом или последователем.
Лидер фирма с наибольшим рыночным влиянием, долей. Для того, чтобы оставаться лидером организация должна действовать на трех фронтах:
1.расширении рынка,
2.увеличении доли на рынке,
3.предохранении своего бизнеса от посягательств конкурентов.
Виды оборонительной стратегии:
1.Позиционная оборона. Направлена на создание трудно преодолимых барьеров вокруг своей позиции. В чистом виде редко приводит к успеху, так как должна сопровождаться приспособлениями к изменениям внешней среды.
Лучший метод обороны непрерывное обновление выпускаемых продуктов.
2. Фланговая оборона направлена на защиту наиболее уязвимых мест, куда в первую очередь могут направить свои атаки конкуренты.
3.Упреждающая оборона. Основана на предвосхищающих действиях, делающих потенциальную атаку конкурентов невозможной или существенно ослабляющих ее.
Например, предвидя появление на рынке нового конкурента, можно снизить цену на свою продукцию.
4.Оборона с контрнаступлением. Этот вид обороны используется, если не дали эффекта упреждающая и фланговая стратегии.
Например, увидев слабые места атакующего конкурента можно ударить по нему (например, противопоставить в рекламе надежность своих изделий недоработкам в новинках конкурента).
5.Мобильная оборона направлена на распространение своей деятельности на новые рынки с целью создания плацдарма для будущих оборонительных и поступательных действий.
6.Сжимающая оборона. Основана на сдаче ослабленных рыночных территорий конкурентам.
Позволяет экономить ресурсы, концентрировать средства на более значительных и необходимых направлениях.
Рыночный претендент организация, борющаяся за увеличение рыночной доли, за вхождение в число лидеров. Для того, чтобы бороться претендент должен обладать определенными преимуществами над рыночным лидером (предлагать лучший продукт, низкая цена и т. д.). Для достижения своих целей претендент использует стратегии:
1. Фронтальная атака требует больших денежных ресурсов и характеризуется активными действиями на позиции конкурентов (продукт, цена, реклама и т. д.).
2. Фланговая атака направлена на слабые места конкурентов, концентрирует усилия на получение преимуществ в этих слабых местах.
3. Атака с окружением предполагает атаку со всех направлений. Применяется тогда, когда претендент надеется за короткий срок сломить конкурента и стать лидером.
4.Обходная атака. Достигнув преимуществ на более легких рынках (географически, технологически) осуществляется атака на основании области конкурентов.
5.Горизонтальная атака заключается в небольших периодических атаках в целях деморализации конкурента (выборочное снижение цен, использование слабых с правовой точки зрения мест в деятельности конкурента). Используют эту стратегию небольшие фирмы против более крупных.
Для достижения победы партизанские действия должны подкрепляться более массированными атакующими действиями.
Рыночный последователь организация, которая проводит политику следования за лидером, целью которой является сохранение рыночной доли не принимая рискованных решений. Он может опираться на опыт лидеров, копировать и совершенствовать начинания лидера.
Он может быть более мобильным и гибким, добиваясь цели с минимум риска и затрат.
Организации, действующие в рыночной нише обслуживают маленькие рыночные сегменты, которые конкуренты не заметили или не приняли в расчет. Рыночные ниши бывают высокоприбыльны за счет высокого уровня удовлетворения специфических потребностей ограниченного круга клиентов по повышенным ценам.
В том случае, когда в отрасли существует много организаций-конкурентов, отслеживание деятельности всех этих организаций трудоемкая задача. Поэтому круг организаций-конкурентов сужают до круга приоритетных конкурентов. Приоритетными конкурентами для лидера являются лидеры и часть сильных претендентов.
Для претендентов претенденты и некоторые лидеры. Интересы последних больше на с кем не пересекаются, поскольку находятся в разных весовых категориях.
Другая концепция выделения приоритетных конкурентов основана на разделении выпускаемых продуктов на продукты данной группы и на продукты-заменители. Определение приоритетных конкурентов также можно произвести через опросы потребителей.
М.Е. Портер предлагает конкретизацию приоритетных конкурентов через объединение их в стратегические группы.
Стратегическая группа состоит из соперничающих фирм с одинаковым стилем конкурентной активности и позиции на рынке. Схожесть должна быть в ассортименте, типах каналов распространения, сервисе, ценах, качестве, типе покупателя.
Очевидно, что сильнее конкурируют компании, попавшие в одну стратегическую группу. Однако это не означает, что различные стратегические группы не конкурируют друг с другом.
Исследования для выделенной группы приоритетных конкурентов проводят в следующих направлениях:
1.исследование конкурентоспособности продуктов.
2.исследование конкурентоспособности маркетинговой деятельности.
3.изучение конкурентоспособности фирмы в целом.
В рамках данной дипломной работы будет рассмотрено лишь первое направление.
Основы теории конкурентного преимущества
Конкурентоспособность отдельного товара (услуги) определяется как его преимущество по сравнению с каким-то другим товаром (аналогичным или товаром-заменителем) при решении потенциальным покупателем (заказчиком) своих проблем.
В общем виде, конкурентоспособность это сравнительное преимущество.
Начало создания теории сравнительных преимуществ относят к концу XVIII XIX вв., когда в трудах Д. Рикардо были изложены основные положения теории сравнительных издержек. Сущность теории состояла в том, что преимущество в обмене получают те страны, которые производят продукцию с меньшими издержками.
Модификация теории сравнительных издержек в теорию сравнительных преимуществ связывают с трудами шведского экономиста Э. Хекшера (1919 г.) и его ученика Б. Олина (1935 г.). Существо выводов, полученных ими, получивших название теоремы Хекшера-Олина: страна экспортирует товары в производстве которых наиболее эффективно использованы факторы производства и импортирует товары с дефицитными факторами производства.
Математическое описание этой модели принадлежит П. Самуэльсону и В. Стопперу (сороковые годы ХХ века).
Дальнейшее развитие теории сравнительных преимуществ дано в трудах В. Леонтьева (семидесятые годы ХХ века). Его выводы, получившие название парадокс Леонтьева были прямо противоположны выводам Хекшера-Олина.
Новые тенденции в развитии мирового хозяйства в последние десятилетия потребовали пересмотра ряда взглядов. Наиболее значительны в девяностые годы были исследования М.Е.
Портера, разработавшего теорию конкурентного преимущества.
М.Е. Портер пришел к выводу, что ни один из факторов, таких как наличие рабочей силы, практика управления, государственная политика и т. д., взятые в отдельности не позволяют достаточно убедительно ответить на вопрос, что определяет успех фирмы. Конкурентоспособность, по Портеру, отражает продуктивность использования ресурсов.
Следовательно, для обеспечения конкурентоспособности фирмы постоянно заботятся о наиболее полном и эффективном использовании имеющихся в их распоряжении (и приобретаемых в будущем) всех видов ресурсов.
Причем, по Портеру, конкурентоспособность не является иммонентным (внутренне присущим) качеством. Конкурентоспособность может быть оценена в сравнении конкурентов.
Поэтому конкурентоспособность понятие относительное.
Если применить теорию конкурентоспособности в узком смысле, касаемо конкурентоспособности товара (услуги), то получаем следующие выводы:
1.Конкурентоспособность товара можно определить лишь при сравнении (сопоставлении) его свойств с товарами конкурентов, либо с гипотетическим товаром-эталоном.
2.В конечном счете более конкурентоспособным товаром является тот, который дает преимущества при решении последним своих проблем.
3.Конкурентоспособность не является постоянным качеством товара. Следовательно фирмы должны постоянно совершенствовать товар с целью более полного удовлетворения потребностей потребителя.
4.Конкурентоспособность определяется совокупностью показателей: цена, качество, упаковка (внешний вид), гарантийное обслуживание и т. д. Ни один из них в отдельности не дает полного представления о преимуществе товара.
Оценка степени конкурентоспособности является сложной задачей. Здесь можно столкнуться с проблемами двух видов:
1.выбор базовых товаров сравнения,
2.выбор критериев сравнения.
Обоснованию сравнивать идентичные товары, то есть те, которые удовлетворяют одну и ту же потребность, распространяемы по аналогичным каналам, ориентированы на одну и ту же целевую аудиторию. В противном случае сравнение буде некорректным.
Вообще, по Портеру, существует 2 вида конкурентного преимущества товара:
1.снижение издержек,
2.дифференциация товара (придание товару каких-то дополнительных ценностей).
Первое преимущество заключается в росте прибыли за счет эффекта масштаба при изготовлении стандартных изделий. Второе рост прибыли вследствие более высокой цены, достигнутой в результате придания товару уникальности и лучших потребительских свойств, рассчитанного на конкретные узкие группы потребителей.
Выбор стратегии зависит от факторов:
1.структуры стратегического потенциала фирмы,
2.особенности отрасли.
Как уже было сказано, конкурентоспособность не является компонентом качества. Поэтому М. Е. Портер считает необходимым проводить анализ среды.
Портер выделил следующие факторы внешней среды, влияющие на успех в конкурентной борьбе (рис. 2) и назвал их детерминанты ромба.
Рис. 2
Детерминанты стратегического ромба

Параметры факторов в преломлении к конкурентоспособности товара представляют собой материальные и нематериальные условия производства товаров, обеспечивающих те или иные свойства продукта.
Стратегии фирм-конкурентов, свойства их товаров представляют собой пятую конкурентную силу, рассмотренную в п. 1.1.
Параметры спроса характеризуются требовательностью покупателей к качеству, эластичностью спроса по цене, уровнем доходов, величиной спроса и т. д.
Родственные и поддерживающие отрасли обеспечивают фирму необходимыми материальными, полуфабрикатами, товарами-субститутами, НИОКР.
Детерминанты конкурентного преимущества оказывают друг на друга взаимное влияние.
Конкурентное преимущество товара и фирма в целом не может быть поддержана без постоянного совершенствования всех детерминант ромба. Учитывая это, каждая фирма должна постоянно поддерживать на высоком уровне свой стратегический потенциал, его факторы (кадры, НИОКР, технологии, инвестиции в основные фонды, маркетинговые исследования и коммуникации), чтобы иметь возможность систематически анализируя макро и микросреды достигать максимального конкурентного статуса, обеспечивающего длительное процветание фирмы.
Исследование конкурентоспособности продуктов
Изучение конкурентоспособности продукта является составной частью исследования конкурентоспособности маркетинговой деятельности, а последнее входит составной частью в изучение конкурентоспособности фирмы в целом.
Изучение конкурентоспособности продукции проводят по схеме, представленной на рисунке 3.
Прежде чем приступить к расчету количественного значения показателя конкурентоспособности по алгоритму, представленному на рисунке 3, необходимо провести ряд дополнительных исследований.
На первой стадии проводится экспериментальное определение или расчет всех характеристик собственного товара.
На второй определяются цели оценки конкурентоспособности.
На третьей методами маркетинга проводятся сегментация рынка и обоснование целевого сегмента.
Если таковых окажется несколько, то оценку конкурентоспособности товара необходимо проводить для каждого сегмента отдельно.
После этого приступают к оценке показателя конкурентоспособности. Оценить последний можно несколькими методами:
1.методом расчетных единичных и групповых показателей,
2.методом с использованием функции желательности,
3.методом многокритериальной оптимизации.
Схема оценки конкурентоспособности продукции

В основе первого метода лежит расчет единичных и групповых показателей, на базе которых определяется интегральный показатель конкурентоспособности.
На первом этапе выбирается база сравнения. В качестве базы для сравнения может служить либо лучший из уже существующих на целевом рынке товар-конкурент, либо некоторый абстрактный эталон.
На втором этапе выделяются наиболее значимые для потребителя критерии (показатели).
Перечень критериев для мебельной промышленности представлен на рис. 3. Значение критерия у базисной модели обозначим Рб, а у сравниваемого образца Р.
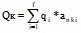
На третьем этапе по каждому критерию рассчитывается единичный показатель конкурентоспособности (qi).
qi = Р / Рб (1.1)
На четвертом этапе внутри каждой группы критериев производят ранжирование показателей по степени их значимости для потребителя и в соответствии с этим присваивают им вес: аni для потребительских показателей, аэi для экономических, акi для показателей качества, аmi для технических. Причем:

(1.2)
где Р, l, f, t количество экономических, потребительских показателей качества и технических параметров.
На пятом этапе производится расчет группового показателя как сводного индекса конкурентоспособности по каждой группе критериев (Q)

(1.3)

где Qn, Qэ, Qк, Qm сводные параметрические индексы конкурентоспособности по потребительским, экономическим, качественным и техническим параметрам.
Анализ конкурентоспособности продукции
На шестом этапе рассчитывается интегральный показатель конкурентоспособности (К):
К = Qn / Qэ (1.4)
Экономический смысл интегрального показателя конкурентоспособности заключается в том, что на единицу затрат потребитель получает К единиц полезного эффекта. Если К больше 1, то уровень качества (технического уровня или потребительских свойств) выше уровня затрат и товар является конкурентным, если К менее 1 неконкурентным на данном рынке.
Данный метод имеет ряд недостатков:
1.во всех случаях предполагается линейная зависимость конкурентоспособности от значения критерия, то есть по всем параметрам эластичность спроса равна 1,
2.не учитывается то, что для некоторых критериев существуют ограничения, объективные или субъективные, при нарушении которых конкурентоспособность стремится к нулю,
3.при сравнении нескольких товаров необходимо проведение для каждой пары в отдельности,
4.сложно устанавливать весовые значения аij,
5.невозможно установить степень влияния на конкурентоспособность товара факторов, не поддающихся количественной оценке,
6.данным методом рассчитывается конкурентоспособность одного объекта относительно другого, а не уровень конкурентоспособности объекта вообще.
Второй метод, основанный на использовании функции желательности был предложен в (4).
Этот метод более трудоемок в математических расчетах. Суть его сводится к тому, что определяются параметры сравниваемых объектов в интервале от 0 до 1. Затем для сравнения параметров различной размерности рассчитывают приведенные значения параметров аппроксимирующей функции. Далее рассчитывают значение функции желательности по всему изделию (по всем параметрам), используя геометрическую среднюю.
Сравнивая значение функции желательности, полученное вышеуказанным способом определяют изделие, обладающее наилучшей совокупностью потребительских свойств.
Данный метод имеет следующие недостатки:
1.при расчете конкурентоспособности не учитывается различное влияние разных параметров на конкурентоспособность продукции,
2.для каждого из параметров предлагается определять только одну аппроксимирующую функцию. Это не всегда может обеспечить необходимую достоверность расчетов, особенно при использовании в качестве аппроксимирующей линейной функции.
3.дает несколько искаженный характер.
Третий метод определяется, метод многокритериальной оптимизации, базируется на решении многокритериальной задачи ранжирования: из N объектов с присущими им Sn признаками желательным является тот, который имеет набор признаков является наилучшим.
Решают такую задачу одним из способов математического программирования.
Этот метод является одним из самых точных, но в то же время трудоемких, требующий достаточного навыка владения математическим аппаратом.
При выборе образца конкурента необходимо, чтобы он и оцениваемый продукт были аналогичными по назначению и условиям использования и предназначались для одной группы потребителей.
Важным направлением исследования конкурентоспособности продуктов является оценка конкурентной позиции отдельных продуктов на разных рынках, осуществляемая по двум показателям: качество цена. Такую оценку рекомендуется осуществлять в следующей последовательности:
1.оцениваются продукты данной фирмы и ее главных конкурентов на исследуемом рынке по двум критериям: интегральному показателю качества, характеризующему уровень потребительских свойств товара, его способность решать проблемы потребителей, и цене.
2.все исследуемые продукты наносят на поле матрицы качество цена, используя в случае необходимости в качестве третьей координаты объем реализации (диаметр окружности).
3.для всей совокупности анализируемых продуктов определяется среднее значение показателя качества и цены и проводятся линии, характеризующие эти средние значения.
4.подобная оценка проводится для всех важнейших рынков.
5.по степени концентрации продуктов фирм-конкурентов в различных квадрантах матрицы определяется острота конкурентной борьбы на отдельных рынках и на совокупном рынке.
6.исходя из принципа предпочтительности деятельности на рынках, где острота конкурентной борьбы наименьшая, корректируется производственно-сбытовая политика с точки зрения качества, цены выпускаемой продукции и рынка сбыта. Например, осуществляется переход на выпуск более простой, но и более дешевый продукции.
В заключении следует отметить, что до сих пор речь шла о ведении конкурентной борьбы в рамках закона и этических норм. Однако, существует и недобросовестная конкуренция. Недобросовестная конкуренция методы конкурентной борьбы, связанные с нарушением принятых на рынке норм и правил конкуренции.
К ним относят: демпинг, установление контроля над деятельностью конкурента с целью прекращения этой деятельности, злоупотребление господствующим положением на рынке, установление дискриминационных цен или коммерческих условий, установление зависимости поставок конкретных товаров или услуг от принятия ограничений в отношении производства или распределения конкурирующих товаров, тайный сговор на торгах и создание тайных картелей, распространение ложной информации и реклама, заимствование товарных знаков, копирование продуктов конкурентов.
Недобросовестная конкуренция в большинстве стран запрещается соответствующими законодательными актами по борьбе м подзаконной деловой практикой, по охране прав потребителей, по контролю за деятельность монополий, а также гражданским, уголовным кодексом.
Анализ конкурентоспособности продукции на предприятии ОАО Ламмебель
ОАО Ламмебель расположено в городе Лесозаводске на правом берегу р. Уссури по адресу: г. Лесозаводск, ул. Свердлова, 24.
Строительство Лесозаводского мебельного комбината велось в соответствии с техническим проектом, утвержденным приказом Министерство СССР 209 от 25.05. 86 г. Ввод комбината предусматривался двумя пусковыми комплексами.
В ноябре 1987 г. была введена в эксплуатацию первая очередь мебельного комбината по производству товарных ламинированных деталей мощностью 1682,6 тыс. м2, все объекты вспомогательного и обслуживающего производства для обеспечения работы основного производства и общежития на 591 место. В 1988 89 гг. сданы в эксплуатацию детский сад на 240 мест и жилой дом 90-квартирный дом.
30.12.1989 г. введена в эксплуатацию вторая очередь ЛМК по производству корпусной мебели. После пуска в эксплуатацию комбинат занимался освоением мощностей по производству ламинированных деталей и корпусной мебели.
Наивысший процент освоения мощностей комбинат достиг в 1992 г. С 1993 г. начался спад производства. В условиях экономического кризиса, инфляции образовалась нехватка оборотных средств.
На основании решения конференции трудового коллектива от 26.06.96 г. 1 и 17.09.92 г. 2 и в соответствии с законом Российской Федерации О предпринимательской деятельности, Указа президента Российской Федерации от 01.07.92 г. 721 и Программы приватизации создано АО открытого типа Ламинированная мебель, сокращенно Ламмебель, целью которого является получение прибыли от производства мебели, оказания услуг бытового и промышленного характера. Организационная структура АО Ламинированная мебель относится к линейно-функциональному типу и представлены на рис.
2.1.
В состав АО ЛМ входят 4 основных цеха и 3 вспомогательных. Общая стоимость активной части основных производственных фондов по состоянию на 01.01.99 г. составила 8229 тыс. руб., что составляет 27% от аналогичного показателя в 1997 г. Такой скачок объясняется консервацией производственных фондов, связанной со спадом производства.
Численность персонала на 1999 г. составила 130 человек.
Продукция, выпускаемая АО ЛМ сертифицирована центром сертификации Приморсктехцентр. Качество соответствует всем требованиям ГОСТа 19371-90. Органом сертификации после проведения проверки выдан знак соответствия, которым маркируется вся исходящая документация.
За отчетный период претензий по качеству ОАО ЛМ не имеет.
Производственные площади деревообрабатывающего комплекса в состоянии производств:
1.мебель,
2.дверные блоки,
3.изделия деревообработки,
4.плита ламинированная,
5.теплоэнергия.
ОАО Ламмебель - единственное на Дальнем Востоке предприятие, специализирующееся на выпуске корпусной мебели из ламинированной плиты. Двери изготавливаются из массива натуральной древесины.
Ламинированная плита состоит из:
1.плита древесно-стружечная (ДСП) по ГОСТу 10632-89.
2.бумага текстурная.
3.смола КФКМ-2.
Рис. 2.1 Организационная структура АЛ Ламмебель

После процесса прессования, который длится 2 секунды получают ДСП-плиту. Далее по специальной технологии изготавливают декоративную пленку на бумажной основе, имитирующей ценные породы древесины, разнообразные цвета и оттенки.
При изготовлении декоративных пленок для пропитки бумаг после печати используют мочевиноформальдегидные смолы с некоторыми добавками.
Основные показатели деятельности ОАО Ламмебель в динамике за 3 года представлены в табл. 2.1.
Анализ данных таблицы 2.1 показывает, что за весь анализируемый период (1997 1999 гг.) на предприятии усиливается тенденция к затовариванию продукции на складе. В 1997 г. из 8655,9 тыс. руб. произведенной продукции 98,5% (8527 : 8655,9) было реализовано.
Поэтому в 1998 г. было выпущено на 6,8% продукции больше. Однако, было реализовано лишь 56% (5198,6 : 9242) выпуска.
В результате чего финансовый результат вылился в убыток размером 2633,4 тыс. руб. с остатком нереализованной продукции в 4043,4 тыс. руб.
Таблица 2.1
Основные показатели деятельности ОАО Ламмебель
| Показатель |
1997 |
1998 |
1999 |
Отношение, % |
| 1998 к |
1999 к |
1999 к |
| 1997 |
1998 |
1997 |
| Товарная продукция, тыс. руб. |
8655,9 |
9242 |
5445 |
106,8 |
58,9 |
62,9 |
| Выручка от реализации, тыс. руб. |
8527 |
5198,6 |
2407,2 |
61,0 |
46,3 |
28,2 |
| Остатки товарной продукции на складе, тыс. руб. |
128,9 |
4043,4 |
3037,8 |
313,6 |
75 |
235,7 |
| Себестоимость товарной продукции, тыс. руб. |
7335 |
7832 |
4614 |
106,8 |
58,9 |
63 |
| Прибыль, убыток от реализации, тыс. руб. |
1192 |
-2633,4 |
-2206,8 |
Х |
Х |
Х |
Далее несмотря на то, что объемы производства в 1999 г. по сравнению с 1998 г. на 41,1% (I = 58,9) вследствие еще большего снижения объемов реализации с 5198,6 тыс. руб. до 2407,2 тыс. руб. в 1999 г. убыток составил 2206,8 руб. Данная ситуация, конечно же, отрицательно отразилась на платежеспособности предприятия, большая часть оборотных средств которого замерло в виде нереализованной товарной продукции.
Таким образом, на предприятии АО ЛМ существует серьезная проблема, связанная с реализацией продукции. Для того, чтобы решить данную проблему необходимо провести анализ всех составляющих комплекса маркетинга: продукт, цена, продвижение и распределение товара, а также провести мероприятия по их приспособлению, адаптации к внешним условиям: деятельности конкурентов, поведению потребителей, потенциалу предприятия и прочим внешним факторам.
В данной дипломной работе будет проведено исследование первого составляющего комплекса маркетинга продукта. Потому что без конкурентоспособной продукции все другие составляющие маркетинговой деятельности не смогут обеспечить долговременную стабильность в работе предприятия.
Анализ хозяйственной деятельности АО ЛМ
Рассмотрим динамику и структуру выпуска товарной продукции АО ЛМ. Результаты представлены в табл.
2.2.
Анализ таблицы 2.2 показывает, что в целом объем произведенной продукции в 1999 г. по отношению к 1997 г. упал на 37,1% и составил 62,9% от уровня 1997 г. Снижение выпуска товарной продукции произошло за счет отказа от производства изделий деревообработки ламинированной плиты для реализации на сторону, а также снижение на 90% производства теплоэнергии. В то же время существенно на 157,9% в 1999 г. по сравнению с 1997 г. был увеличен выпуск дверных блоков из натуральной древесины, а также мебели на 5,6%.
Хотя этот уровень ниже уровня 1998 г. на 19,7% и 9,5% соответственно.
Таблица 2.2
Динамика состава товарной продукции АО ЛМ
| Показатель |
1997 |
1998 |
1999 |
| Тыс. руб. |
Уд.
вес, % |
Тыс. руб. |
Уд.
вес, % |
Тыс. руб. |
Уд.
вес, % |
Товарная продукция, всего,
В том числе: |
8655,9 |
100 |
9242,1 |
100 |
5445 |
100 |
| Мебель |
3469,2 |
40,1 |
4048 |
43,8 |
3664 |
67,3 |
| Дверные блоки |
388,4 |
4,5 |
1247,7 |
13,5 |
1001,9 |
18,4 |
| Изделия деревообработки |
276,4 |
3,2 |
720,8 |
7,8 |
- |
- |
| Плита ламинированная |
1215 |
14 |
332,7 |
3,6 |
- |
- |
| Теплоэнергия |
3306,9 |
38,2 |
2892,7 |
31,3 |
344,2 |
14,3 |
| Показатель |
2000, план |
Отношение, % |
| Тыс. руб. |
Уд.
вес, % |
98 к 97 |
99 к 98 |
99 к 97 |
2000 план к 99 |
Товарная продукция, всего,
В том числе: |
5700 |
100 |
106,7 |
58,9 |
62,9 |
104,7 |
| Мебель |
4210 |
74 |
116,7 |
90,5 |
105,6 |
114,9 |
| Дверные блоки |
1120 |
19,6 |
321,2 |
80,3 |
257,9 |
111,8 |
| Изделия деревообработки |
- |
- |
260,8 |
- |
- |
- |
| Плита ламинированная |
- |
- |
27,4 |
- |
- |
- |
| Теплоэнергия |
370 |
6,3 |
87,5 |
11,9 |
10 |
107,5 |
Таким образом, на 1999 г. АО ЛМ в структуре своей товарной продукции имеет 2 наименования:
-мебель из ламинированной плиты,
-дверные блоки.
Анализ структуры товарной продукции показывает, что за 3 года отслеживаются следующие тенденции:
1.устойчивая тенденция увеличения доли изготовления мебели и дверных блоков. Удельный вес продукции указанных наименований во всей товарной продукции увеличился с 40,1% до 67,3% и с 4,5% до 18,4% соответственно.
2.тенденция к падению объемов производства ламинированной плиты на реализацию. В 1999 г. последняя производилась только под нужды собственного производства АО ЛМ.
3.значительно уменьшилась доля в структуре товарной продукции производства собственной продукции: с 38,2% в 1997 г. до 14,3% в 1999 г. Этот факт объясняется снижением потребности производства в теплоэнергии.
4.АО ЛМ в 1999 г. отказалось от изготовления прочих изделий деревообработки.
5.таким образом, из двух обозначенных выше видов продукции основным является производство мебели, составившее в 1999 г. 67,3% ассортимента товарной продукции.
Анализ плана на 2000 г. свидетельствует о намерении руководства АО ЛМ увеличить выпуск товарной продукции на 4,7%. Этот рост планируется по всем номенклатурным единицам: рост выпуска мебели на 14,9%, дверных блоков на 11,8%, теплоэнергии на 7,5%.
Причем, в структуре товарной продукции увеличение доли мебели планируется с 67,3% до 74%, дверных блоков с 18,4 до 19,6, долю производства теплоэнергии планируется снизить с 14,3% до 6,3%.
Из всего вышеуказанного следует, что мебель до 1999 г. была основным элементом товарной продукции, ее позиции в 2000 г. планируется еще более укреплять.
В таблице 2.3 представлена динамика основных технико-экономических показателей.
Из таблицы 2.3 видно, что с 1998 г. наблюдается резкое снижение реализации производства, что является причиной снижения объемов выпуска товарной продукции.
Численность работающих уменьшается, что является средством сокращения работников вызванного критической ситуацией с платежеспособностью предприятия.
За счет сокращения работников в 1998 г. удалось добиться роста выработки товарной продукции на 52,6%. Однако, резкое снижение выпуска товарной продукции в 1999 г., несмотря на продолжающееся сокращение штатов, привело к снижению производительности труда на 11,2%.
На протяжении трех лет наблюдается резкое снижение стоимости ОПФ, что связано с консервацией простаивающих мощностей. Исключительно по этой причине в таблице 2.3 прослеживается положительная тенденция в показателе фондоотдачи.
Стоит отметить, что на протяжении трех лет на относительно постоянном уровне держится показатель уровень затрат на 1 рубль товарной продукции.
Критическая ситуация обстоит с показателями прибыли и рентабельности. Начиная с 1998 г. финансовый результат деятельности АО ЛМ состоит в убытке. Если в 1998 г. на 1 рубль реализованной продукции пришлось 0,507 рублей убытка, то в 1999 г. этот показатель ухудшился до 0,917 рублей убытка.
Все это вызывает необходимость анализа финансового состояния АО ЛМ. В приложении 1 содержится баланс АО ЛМ.
На основании данных баланса рассчитываем ряд коэффициентов (табл. 2.4).
Данные таблицы 2.4 показывают, что на протяжении трех лет идет тенденция к ухудшению использования оборотных средств: для получения 1 рубля реализованной продукции в оборот вовлекается все больше оборотных средств. В 1999 г. их было вовлечено на 404,5% больше, чем в 1997 г. Уровень рассматриваемого показателя сложился под влиянием как снижения выручки от реализации, так и увеличением среднего остатка оборотных средств.
Таблица 2.3
Основные технико-экономические показатели
| Показатель |
1997 |
1998 |
1999 |
Отношение |
| 98 к 97 |
99 к 98 |
99 к 97 |
| 1. Объем реализации, тыс. руб. |
8527 |
5198,6 |
2407,2 |
60,9 |
46,3 |
28,2 |
| 2. Товарная продукция, тыс. руб. |
8655,9 |
9242 |
5445 |
106,8 |
58,9 |
62,9 |
| 3. Среднесписочная численность работников, чел. |
268 |
184 |
122 |
69,9 |
66,6 |
66,3 |
| 4. Выработка товарной продукции на 1 чел. (стр.1:стр.3) |
32,9 |
50,2 |
44,6 |
152,6 |
88,8 |
135,6 |
| 5. Годовая средняя заработная плата, тыс. руб. / чел. |
13442 |
15632 |
18344 |
116,3 |
117,3 |
136,5 |
| 6. Среднегодовая стоимость ОПФ, тыс. руб. |
141105 |
78242 |
47012 |
55,4 |
60,0 |
33,3 |
| 7. Себестоимость товарной продукции, тыс. руб. |
7335 |
7832 |
4614 |
106,8 |
58,9 |
63 |
| 8. Фондоотдача (стр.2 : стр.6) |
0,061 |
0,118 |
0,155 |
193,4 |
131,4 |
254 |
| 9. Уровень затрат на 1 руб. ТП |
84,7 |
84,3 |
85,7 |
99 |
101,7 |
101,2 |
| 10. Прибыль |
1192 |
-2633,4 |
-2206,8 |
-320 |
119 |
-285 |
| 11. Рентабельность (прибыль на 1 руб. реализованной продукции) |
0,139 |
-0,507 |
-0,917 |
-465 |
-180 |
-759 |
Значение коэффициента меньше 1, свидетельствует о том, что не все источники средств предприятия могут быть покрыто собственными средствами. Наилучшего значения данный показатель был достигнут на предприятии в 1999 г.
Значение коэффициента финансовой устойчивости больше 1 на протяжении трех лет говорит о независимости предприятия от внешних финансовых источников.
Таблица 2.4
Показатели финансового состояния АО ЛМ
| Показатель |
1997 |
1998 |
1999 |
Отношение |
| 98 к 97 |
99 к 98 |
99 к 97 |
| 1. Собственные средства, тыс. руб. |
119491 |
88603,4 |
60818,8 |
74,2 |
68,6 |
50,9 |
| 2. Общая сумма источников, тыс. руб. |
192914 |
92260,4 |
86699,8 |
47,8 |
93,9 |
44,9 |
| 3. Коэффициент автономии (стр.1 : стр.2) |
0,619 |
0,96 |
0,7 |
155 |
72,9 |
113 |
| 4. Заемные средства, тыс. руб. |
73423 |
3657 |
25881 |
490 |
707 |
35,2 |
| 5. Коэффициент финансовой устойчивости (стр.1 : стр.4) |
1,627 |
24,2 |
2,35 |
1487 |
9,7 |
144,4 |
| 6. Денежные средства на расчетном счете, тыс. руб. |
43 |
3 |
- |
6,9 |
- |
- |
| 7. Сумма платежей предстоящих, тыс. руб. |
56612 |
2985 |
21936 |
5,3 |
734,8 |
38,7 |
| 8. Коэффициент платежеспособности (стр.6 : стр.7) |
0,075 |
0,1 |
- |
130,2 |
- |
- |
| 9. Средний остаток оборотных средств, тыс. руб. |
9732 |
6243 |
13861 |
64,1 |
222,0 |
142,4 |
| 10. Выручка от реализации, тыс. руб. |
8527 |
5198,6 |
2407,2 |
60,9 |
46,3 |
28,2 |
| 11. Коэффициент использования средств в обороте (стр.9 : стр.10) |
114,13 |
120,09 |
575,8 |
105,2 |
479,5 |
504,5 |
И, наконец, коэффициент платежеспособности показывает крайне низкую степень платежеспособности предприятия. Размер причитающихся текущих выплат значительно превышает размер имеющихся денежных средств.
Именно потому в практике работы предприятия много расчетов проводят взаимозачетами, иначе предприятия рассчитаться со своими кредиторами и поставщиками не в состоянии.
Общие выводы из анализа:
АО ЛМ на начало 2000 г. находится в критическом состоянии:
-неплатежеспособен,
-реализация произведенной продукции крайне неудовлетворительна,
-основные фонды, производственные мощности, позволяющие производить качественную продукцию деревообработки простаивают вследствие плохой реализации готовой продукции,
-ассортимент продукции со временем уменьшается.
Это требует проведения анализа всех составляющих маркетинговой деятельности предприятия. Так как объем дипломной работы ограничен, то в данной работе будет проведено исследование конкурентоспособности продукции АО ЛМ.
Оценка конкурентной среды АО ЛМ
Дадим оценку интенсивности конкуренции на рынке продаж мебели. Для этого охарактеризуем 5 сил конкуренции по М.Е.
Портеру.
1. Угроза появления новых конкурентов.
Препятствием для появления новых конкурентов служат следующие барьеры:
А. затраты на приобретение основных фондов велики.
По той причине большинство предприятий мебельной промышленности образованы на базе ранее существующих предприятий путем их приватизации. В этом отношении не является исключением и АО ЛМ.
Б. фиксированные затраты, связанные с получением лицензии, сертификата соответствия, экологического сертификата.
В. что касается прихода на дальневосточный рынок производителей других регионов, то высокие железнодорожные тарифы являются барьером для прочих российских производителей мебели, а низкий курс рубля по отношению к доллару США на фоне низкой платежеспособности населения делает импортную мебель в своем большинстве неконкурентоспособной по цене.
Из всего вышесказанного следует, что барьеры входа с мебельную отрасль Дальнего востока значительны, что сводит к минимуму конкуренцию со стороны потенциально новых производителей.
2. Угроза замены данного продукта.
Мебель относится к движимому мобильному имуществу человека. Ее развитие, изменение находится в тесной связи с развитием образа жизни людей. История мебели неотделима от общей истории техники, искусства и культуры человека.
Но это накладывает свой отпечаток лишь на изменение мебельных форм, материалов, конструкций. Мебель неотделимая часть жилища человека.
До сих пор пока жизнедеятельность человека будет связана с помещением, конкуренция со стороны замены рассматриваемого товара новым практически отсутствует, возможно, лишь изменение материала, технологии изготовления (например, появление надувной мебели). Однако все эти изменения касаются очень узкого сегмента потребителей.
3. Сила позиции поставщиков.
Для того, чтобы определить влияние поставщиков на конкурентную среду АО ЛМ обозначим перечень материалов и сырья, используемых в производстве:
А. ламинированная плита,
Б. смола,
В. теплоэнергия.
Из всех перечисленных позиций материалов АО ЛМ производит закупку лишь смолы. Другими двумя видами материалов АО ЛМ обеспечивает себя самостоятельно, так как имеет производственные мощности для изготовления ДСП, ее ламинирования, а также получения теплоэнергии. В этом отношении практическое большинство мебельных фабрик Хабаровского края находятся в менее удачном положении: все они используют ДСП, производимую на Амурском мебельном деревообрабатывающем комбинате.
Себестоимость этой плиты существенно выше себестоимости ДСП, производимой на АО. Удорожание Амурской ДСП вызвано высокими железнодорожными тарифами и тарифами на теплоэнергии.
В результате, мебель из Сибири имеет цену не выше, а порой и ниже цен фабрик Хабаровского края.
Что касается первичного сырья для изготовления ДСП, то, благодаря тому, что на Дальнем востоке сосредоточено множество лесозаготовительных предприятий, последние, конкурируя между собой, ставят АО ЛМ и другие предприятия по изготовлению ДСП в выгодное положение.
Что касается смол, то все мебельные предприятия Дальнего востока приобретают их за границей. Планировалось открытие производства смол в г. Комсомольск-на-Амуре, но стройка как уже 7 лет заморожена.
Поэтому мебельные предприятия, закупая смолы за границей, полностью зависят от конъюнктуры рынка этого товара за границей, колебаний курса рубля, что ослабляет их конкурентную позицию.
План изучения конкурентоспособности продукции
4. Сила позиции покупателей.
Прежде всего определим целевой сегмент потребителей, на которых ориентирована продукция АО ЛМ.
В ассортимент продукции АО ЛМ (Приложение 1) входит мебель для дома и офисная мебель. Следовательно, целевыми рынками АО ЛМ являются:
-население,
-учреждения, организации, предприятия.
Структура реализованной мебели АО ЛМ по целевым рынкам распределена следующим образом: 89% составляет мебель для дома и 11% - офисная мебель. Учитывая это можно сделать вывод, что основной перспективный целевой рынок потребителей для АО ЛМ является население.
Поэтому в дальнейшем все исследование будет ориентировано именно на этот целевой рынок. Кроме того, из общей численности населения Приморского края целесообразно исключить население с доходами ниже среднего, так как они представляют собой неплатежеспособный сегмент потребителя.
Несмотря на то, что цены мебели АО ЛМ значительно ниже цен некоторых аналогов, имея доходы ниже среднего (ниже прожиточного минимума), этот сегмент целевого рынка не способен платить за мебель.
Для сегментации выбранного целевого рынка воспользуемся вторичной маркетинговой информацией, представленных в журнале Маркетинговые исследования в России и за рубежом 7 1998 г. В статье представлены результаты предпочтений потребителей в отношении ряда потребительских товаров, в том числе мебели. Проведенное исследование определило, что критериями сегментации потребителей мебели являются уровень доходов и планировка жилплощади.
Имея в виду, что территориально рынок сбыта мебели АО ЛМ определен территорией Приморского края, воспользуясь статистической информацией, определим структуру целевого рынка (рис. 2.2).
Для того, чтобы правильно выбрать привлекательный целевой сегмент, воспользуемся системой предпочтений каждого сегмента (17):
I, II сегменты. Цена для них не является основным при выборе изделий мебели. Предпочитают мебель, изготовленную из натуральной древесины ценных пород.
Какой-либо иной материал приемлем при условии, что изготовителем является зарубежная фирма, изготовитель эксклюзивной мебели. При выборе мебели они обращают внимание прежде всего на: марку (изготовитель), дизайн, материал, из которого изготовлена мебель.
Причем потребители сегмента I предпочитают ознакамливаться с изделиями по каталогам, а представители сегмента II заказывать мебель на заказ индивидуально под свою планировку.
Рис. 2.2
Структура целевого рынка потребителей в разрезе критериев сегментации: уровень доходов и типу жилплощади
Учитывая вышеприведенные цифры имеем следующую структуру целевого рынка:
Рис. 2.3 Размер сегментов потребителей целевого рынка

III сегмент. При выборе мебели руководствуются:
-дизайном (предпочитают западный внешний вид),
-удобство пользования мебелью,
-возможность размещения в малогабаритной квартире,
-цена.
IV сегмент. Критерии выбора мебели:
-предпочитают покупать мебель сразу для всей комнаты, так как ценят единство и гармонию стиля,
-обращают внимание на комплекты мебели, нежели на отдельные изделия,
-дизайн (западный внешний вид),
-цена.
Дадим характеристику изделиям мебели АО ЛМ с точки зрения потребительских свойств:
1.Материал, из которого собственно изготавливается мебель, - ДСП (натуральное дерево применяется для отделки отдельных элементов).
2.Большинство изделий из ассортимента предназначены для малогабаритных квартир.
3.В ассортимент входят как комплект мебели (стенки), так и отдельные предметы мебели.
Вывод: на данном этапе целевым сегментом потребителей мебели АО ЛМ являются потребители со средним уровнем дохода, проживающих в квартире старой планировки.
Определим угрозы для АО ЛМ исходящие со стороны целевого сегмента:
-низкая платежеспособность, связанная с низким уровнем жизни,
-влияние вкусов на покупку,
-требование высочайшего качества,
-большой ассортимент мебели, представленный в магазинах,
-снижение спроса, обусловленное вышеприведенным фактором, а также демографическими процессами: снижение рождаемости, трудностями в приобретении и расширении жилплощади, снижающие потребность в дополнительных изделиях мебели. В целом по России объем производства и потребления мебели снизился на 15% в 1998 г. по сравнению с 1996 г.
Это позволяет сделать вывод, что для выживания предприятиям мебельной промышленности придется усилить конкурентную борьбу с целью увеличения своей доли, рынка сбыта за счет отвоевания ее у конкурента. Так как рассчитывать на появление новых рынков сбыта не приходится. А это возможно только при условии более полного удовлетворения требованиц и потребностей потребителей, представляющих целевой сегмент потребителей.
Для этого необходимо систематически изучать вкусы целевого сегмента, потребность в различных деталях интерьера, а также быстрой смены ассортимента.
5. Конкуренция между производителями мебели, продаваемой на рынке Приморского края.
На рынке Приморского края существует порядка 20 предприятий, так или иначе связанных с изготовлением мебели. Для объективного и результативного исследования следует определить приоритетных конкурентов, так называемых конкурентов одной весовой категории.
Приоритетные конкуренты производят продукты аналогичные по назначению и условиям использования, предназначающие для одного и того же сегмента потребителя.
Характеристики продукции АО ЛМ:
1.Корпусная мебель (исключаем конкурентов, изготовляющих прочие виды мебели),
2.Серийное производство (исключаем конкурентов, занимающихся индивидуальным изготовлением мебели),
3.Материал, лежащий в основе изготовления мебели ДСП (исключаем конкурентов, изготавливающих мебель из натурального дерева и синтетических пластмасс и пластиков),
4.Целевой сегмент население, проживающее в малогабаритных квартирах.
Отобрав по вышеперечисленными критериям, составим перечень приоритетных конкурентов с указанием занимаемой каждым из них доли на рынке мебели Приморского края (табл. 2.5).
Для того, чтобы отобрать изделие, по которому будет строиться весь дальнейший анализ, проанализируем структуру реализованной мебели АО ЛМ в 1999 г.
Данные таблицы 2.5 показывают, что наибольшая доля продаж в структуре реализованной продукции приходится на стенки.
Таблица 2.5
| Наименование |
Удельный вес реализованной продукции, % |
| 1. стенки, 2 наименования |
48 |
| 2. кухни, 3 наименования |
9 |
| 3. уголок школьника в ассортименте |
3 |
| 4. единичные изделия: |
|
| -шкаф-купе |
11 |
| -прочие шкафы в ассортименте |
15 |
| -комод |
4 |
| -столы, 10 наименований |
10 |
| Всего |
100 |
Поэтому для анализа выбираем 1 ассортиментную единицу стенка Картина. В дальнейшем сравнение будем осуществлять по этому наименованию.
Таблица 2.6
Состав приоритетных конкурентов и занимаемая ими доля рынка
| Конкуренты |
Доля рынка, % |
| Владивостокская мебельная фабрика (ВМФ) |
8 |
| Уссурийская мебельная фабрика (УМФ) |
2 |
| Мебель производства Ю. Корея (К) |
30 |
| Импортная мебель Западных стран (Италия) |
39 |
| Ближнее зарубежье (Белоруссия) |
7,5 |
| Мебель производства Сибирь (Сибирь) |
6 |
| Мебель производства ДОК г. Лесозаводск (ДОК) |
1,5 |
| Артемовская мебельная фабрика |
3 |
| АО Ламмебель |
2 |
| Итого |
100 |
Разместим всех приоритетных конкурентов на координатной плоскости: цена изделия Стенка и возможность размещения ее в малогабаритной квартире.
Из рисунка 2.3 видно, что на рынке Приморского края четко выделяется 4 стратегические группы конкурентов:
1.стенки, хорошо вписываемые в квартиру старой планировки с относительно высокой ценой;
2.стенки, хорошо вписываемые в квартиру старой планировки с относительно средними ценами;
3.стенки со средними ценами, но для размещения в квартирах старой планировки комплекты мебели придется расчленять;
4.стенки с высокими ценами, предназначенные главным образом для квартир новой планировки.
Рис. 2.3
Карта стратегических групп конкурентов

АО ЛМ входит во вторую стратегическую группу, в которой ее главными конкурентами являются: Уссурийская мебельная фабрика, ДОК г. Лесозаводск, мебельная фабрика Сибири. Удельный вес мебели этой группы на рынке составляет 11,5%. Наибольший удельный вес в рассматриваемой стратегической группе принадлежит Сибирским фабрикам 6%, имеющих цены несколько ниже, чем Приморские.
Доля остальных конкурентов в рамках рассматриваемой группы примерно одинакова: 1,5 2% рынка, в том числе столько же составляет и доля АО ЛМ на рынке стенок. Определим доли производителей стенок в рамках конкурентов второй стратегической группы (табл.
2.7).
Таблица 2.7
Рыночная доля конкурентов одной стратегической группы
| Предприятия |
Доля рынка, % |
Доля в стратегической группе, % |
| Сибирь |
6 |
52 |
| УМФ |
2 |
17,4 |
| ДОК |
1,5 |
17,2 |
| ЛМ |
2 |
17,4 |
| Всего |
11,5 |
100 |
Из таблицы 2.7 видно, что рыночным лидером в рамках выбранной стратегической группы являются стенки из Сибири. Все приморские конкуренты имеют примерно одинаковую долю. Учитывая, что лидер еще и предлагает мебель хоть и незначительно, но по более низким ценам, конкурентное преимущество для стенок АО ЛМ следует формировать через придание изделиям мебели дополнительных ценностей, значимых для потребителя.
Определению атрибутов (показателей) мебели, значимых для целевого сегмента будет посвящена следующая глава дипломной работы.
План изучения конкурентоспособности продукции АО ЛМ
Цель изучения конкурентоспособности продукции: определить направления формирования конкурентных преимуществ продукции АО ЛМ.
Задачи исследования:
1.Определить критерии (показатели), характеризующие идеальное изделие мебели типа Стенка для целевого сегмента потребителей АО ЛМ.
2.Оценить изделие типа Стенка АО ЛМ по этим показателям, а также изделия конкурентов стратегической группы.
3.Оценить конкурентоспособность изделия мебели АО ЛМ.
4.Определить направления конкурентных преимуществ продукции АО ЛМ.
5.Разработать рекомендации по обеспечению конкурентоспособности продукции АО ЛМ.
Объект исследования: изделия мебели типа Стенка, изготовленная АО ЛМ и его приоритетных конкурентов.
Предмет исследования: показатели, характеризующие ценность изделия мебели (рис. 2.4).
Показатель технологичность характеризуется эффективностью принятых конструкторско-технологических решений, обеспечивающих высокую производительность труда при изготовлении мебели, что характеризуется трудоемкостью и материалоемкостью.
Рис. 2.4
Показатели оценки конкурентоспособности изделий мебели (1)

Показатели комфортабельности характеризуют удобство пользования изделием, удобство ухода за изделием и удобство размещения изделия в помещении. К первому относят следующие:
-соответствие изделия его функциональному назначению,
-удобство эксплуатации,
-насыщенность целесообразными элементами внутреннего оборудования (шкафы, полки, перегородки и т. д.),
Ко вторым:
-соответствие изделия санитарным нормам,
-простота уборки,
-легкость перемещения,
К третьим:
-возможность блокирования изделия в функциональные и художественные группы.
Эстетические показатели характеризуют изделия мебели по соответствию его современным требованиям к форме и внешнему виду. К ним относятся: форма, цвет, фактура и рисунок лицевых поверхностей, а также гармоничность фурнитуры в изделии.
Под формой понимают совокупность художественных качеств, выраженных во внешних очертаниях, членениях, пластике изделия, набора его элементов, деталей. Оценивая цвет, фактуру и рисунок лицевых поверхностей, учитывают насыщенность и чистоту цвета, гармонию цветовых сочетаний.
Эстетические показатели отражают рациональность формы изделия, целостность композиции, совершенство производственного исполнения и стабильность товарного вида. Эстетические показатели технического уровня также являются и потребительскими показателями качества.
Оценка изделия по комфортабельности производится в баллах.
Патентно-правовой показатель характеризует степень патентной защиты и чистоты изделия, выражающихся в получении различного рода сертификатов.
Показатель уровня унификации характеризуется степенью насыщенности конструкции изделия унифицированными элементами, и оценивается коэффициентами унификации и рассчитывается как отношение числа типоразмеров деталей в изделии к общему числу деталей изделия.
Показатель стабильности качества складывается из оценки:
-уровня исполнения изделия (степень соответствия изделия требованиям ГОСТов),
-надежности и долговечности изделия (показателями, полученными в результате испытаний мебели).
Надежность характеризует сохранение основных параметров во времени.
Потребительские показатели качества мебели определяет покупатель.
Показатели социального назначения характеризуют соответствие изделия мебели структуре общественных потребностей, а также способность изделий удовлетворять потребность в конкретных условиях потребления. Он характеризует соответствие изделия структуре потребностей целевого сегмента, моральное старение изделия.
Фундаментальные показатели качества мебели характеризуют ее использование по назначению и включают показатели, определяющие выполнение основной функции, показатели универсальности, выполнения вспомогательных операций: вместимости корпусной мебели, возможность использования мебели в качестве перегородки и т. д.
Показатель совершенства выполнения вспомогательных операций (транспортировки, подготовки к эксплуатации, обслуживание, ремонт) оценивает особенность изделий на этапах, сопутствующих выполнению основной функции.
Эргономические показатели устанавливают соответствие изделий любым эргономическим требованиям человека.
Показатели безопасности потребления определяют степень защиты человека от воздействия опасных и вредных факторов, возникающих при эксплуатации мебели (вредность летучих компонентов отделочных покрытий, надежность фиксации дверей, полок, т. д.).
Методы исследования:
1. Для определения конкурентоспособности продукции АО ЛМ воспользуемся традиционным способом, описанным в п. 1.3.
2. Для определения позиции АО ЛМ и его основных конкурентов воспользуемся матрицей Мак-Кинзи.
Разработка реализации по обеспечению конкурентоспособности продукции АО ЛМ
Исследование было проведено согласно плану, представленному в п. 2.4.
Этап 1. Определение характеристик идеального изделия целевого сегмента.
При разработке анкеты встает вопрос количества параметров, описывающих изделие. Так как опрашиваемыми являются потребители, то в данном случае идеальное изделие мебели для целевого сегмента должно быть описано показателями комфортабельности, социального назначения, фундаментальными показателями, показатели надежности в потреблении, эстетические и безопасности (рис. 3.1). Задача опрашиваемых состояла в выборе 11 наиболее значимых для них характеристик и их ранжирование (распределение в порядке убывания значимости).
Ранжирование проводится последующей методике: наиболее значимой характеристике присваивается значение ранга 1, следующей по важности ранга 2 и так далее до 11.
Если несколько характеристик по мнению опрашиваемого равноценны, то им присваиваются одинаковые ранги.
Перечень показателей включая показатели, описанные выше. В качестве опрашиваемых выступали эксперты (работники отделов розничной продажи мебели) и представители целевого сегмента, которые отбирались случайным образом.
Всего было опрошено 77 человек.
Перечень наиболее важных проранжированных критериев выглядит следующим образом (табл. 3.2).
Таблица 3.1
| Показатель |
Ранг средневзвешенный |
| Насыщенность целесообразными элементами внутреннего оборудования (полки, перегородки и т.д.) |
7 |
| Простота уборки |
11 |
| Легкость передвижения внутри помещения |
6 |
| Возможность блокирования изделия в функциональные группы и их разделение |
2 |
| Цвет, фактура лицевых поверхностей |
3 |
| Надежность и долговечность |
5 |
| Вред выделения летучих компонентов покрытия |
10 |
| Удобство использования мебелью (высота, глубина блоков) |
8 |
| Конструкторское решение, дизайн |
1 |
| Вместимость мебели |
4 |
| Универсальность |
9 |
Таким образом, для большинства представителей целевой аудитории основным критерием выбора мебели является конструкторское решение, дизайн, а менее значимо простота уборки. Прочие факторы (помимо представленных в таблице 3.1) являются для представителей целевой аудитории несущественными.
После того, как определены показатели, необходимо определить оценку значения каждого из них в идеальном изделии мебели, позволяющим сформировать для представителей целевой аудитории потребительские свойства. Для этого построим для каждого из показателя шкалу возможных значений (таблица 3.2).
Таблица 3.2
| Показатель |
Шкала измерения показателя |
| Насыщенность целесообразными элементами внутреннего оборудования (полки, перегородки и т.д.) |
Высокая, средняя, низкая |
| Простота уборки |
Обычная, хлопотная |
| Легкость передвижения внутри помещения |
Незначительные усилия, средние, значительные |
| Возможность блокирования изделия в функциональные группы и их разделение |
Блокирование на блоки, блокированиедо конечного функционального состояния |
| Цвет, фактура лицевых поверхностей |
Дерево, однотонные расцветки, темные тона, светлые тона |
| Надежность и долговечность |
Да, нет |
| Вред выделения летучих компонентов покрытия |
Да, нет |
| Удобство использования мебелью (высота, глубина блоков) |
Не пользоваться подручными средствами, допустимо пользование подручными средствами |
| Конструкторское решение, дизайн |
Крупногабаритные, многосекционные, позволяющие расчленить составляющие |
| Вместимость мебели |
Высокая, средняя, низкая |
| Универсальность |
Высокая, средняя, низкая |
Опрашиваемому предлагается обвести в кружок желательное значение показателя и зачеркнуть крестиком совершенно неприемлемое.
В результате заполнения были определены следующие показатели идеального изделия мебели для целевого сегмента:
Мебель не должна быть крупногабаритной. Она должна с легкостью вписываться в интерьер квартир старой планировки. Кроме того, желательно, чтобы ее без труда можно было перегруппировать.
Предпочтение отдано декоративной отделке подл дерево. Однотонная расцветка не вызывает симпатии у потребителя. Кроме того, несмотря на отрицание крупногабаритной мебели есть потребность в увеличении от вместимости, универсальности.
Желательно, при передвижении мебели применять незначительные усилия, что выражается в низкой массе изделия и снабжении ее различного рода подвижных блоков (колес и т. д.).
Этап 2. Сравнение продукции АО ЛМ и ее приоритетных конкурентов и параметрами идеального изделия мебели
Реализация данного этапа возможна при опросе экспертов, знающих досконально большую часть изделий мебели, представленных на дальневосточном рынке. Потребители не могут выступать в качестве таких экспертов.
Поэтому данный тип будет реализовываться через опрос работников АО ЛМ и розничных продавцов мебели. Всего опрошено 11 человек. Каждый товар конкурента предлагалось оценить по показателям идеального товара, используя 5 бальную шкалу: 5 лучшая, максимальная оценка, 1 наихудшая оценка.
Далее была определена средняя взвешенная. Результаты представлены в таблице 3.4.
Таблица 3.4
| Факторы конкурентоспособности |
Исследуемые продукты (на примере ) |
| ЛМ |
Сибирь |
УМФ |
ДОК |
Идеальные изделия типа Стенка |
| 1 |
3 |
3 |
2 |
4 |
5 |
| 2 |
4 |
4 |
4 |
3 |
5 |
| 3 |
5 |
2 |
4 |
2 |
5 |
| 4 |
2 |
4 |
3 |
4 |
5 |
| 5 |
3 |
5 |
4 |
3 |
5 |
| 6 |
4 |
4 |
5 |
3 |
5 |
| 7 |
4 |
3 |
4 |
2 |
5 |
| 8 |
3 |
4 |
4 |
2 |
5 |
| 9 |
2 |
4 |
3 |
2 |
5 |
| 10 |
5 |
5 |
2 |
3 |
5 |
| 11 |
1 |
3 |
4 |
2 |
5 |
Далее исследование будем проводить методом расчета единичных и групповых показателей.
Рассчитаем по каждому показателю единичный показатель конкурентоспособности (qi) продукта по отношению к эталону и сводный индекс конкурентоспособности каждого конкурента по потребительским показателям. Результаты представлены в таблице 3.5.
Таблица 3.5
Определение сводного индекса конкурентоспособности по потребительским показателям
| Показ-ль конкурентосп-ти |
Индекс qi |
Вид показ-ля |
Вес аi |
qi * аi |
| ЛМ |
Сибирь |
УМФ |
ДОК |
ЛМ |
Сибирь |
УМФ |
ДОК |
| 1 |
0,6 |
0,6 |
0,4 |
0,8 |
7 |
0,07 |
0,042 |
0,042 |
0,028 |
0,056 |
| 2 |
0,8 |
0,8 |
0,8 |
0,6 |
11 |
0,01 |
0,0008 |
0,0008 |
0,0008 |
0,006 |
| 3 |
1 |
0,4 |
0,8 |
0,4 |
6 |
0,09 |
0,09 |
0,036 |
0,072 |
0,09 |
| 4 |
0,4 |
0,8 |
0,6 |
0,8 |
2 |
0,15 |
0,06 |
0,12 |
0,09 |
0,06 |
| 5 |
0,6 |
1 |
0,8 |
0,6 |
3 |
0,13 |
0,078 |
0,13 |
0,104 |
0,078 |
| 6 |
0,8 |
0,8 |
1 |
0,6 |
5 |
0,1 |
0,08 |
0,08 |
0,1 |
0,05 |
| 7 |
0,8 |
0,6 |
0,8 |
0,4 |
10 |
0,03 |
0,024 |
0,018 |
0,024 |
0,012 |
| 8 |
0,6 |
0,8 |
0,8 |
0,4 |
8 |
0,06 |
0,036 |
0,048 |
0,048 |
0,024 |
| 9 |
0,4 |
0,8 |
0,6 |
0,4 |
1 |
0,17 |
0,068 |
0,136 |
0,102 |
0,068 |
| 10 |
1 |
1 |
0,4 |
0,6 |
4 |
0,12 |
0,12 |
0,12 |
0,048 |
0,072 |
| 11 |
0,1 |
0,6 |
0,8 |
0,4 |
9 |
0,05 |
0,005 |
0,03 |
0,04 |
0,02 |
| Сводный индекс конкурентоспособности |
65 |
1 |
0,6038 |
0,7608 |
0,6568 |
0,6000 |
Анализ таблицы 3.5 показывает, что из четырех изделий мебели максимально по потребительским показателям к идеальному изделию близко изделия сибирских производителей, затем УМФ, затем АО ЛМ и ДОК.
АО ЛМ уступает мебели из Сибири по следующим потребительским свойствам:
-возможность блокирования изделия в функциональные группы и их разделение,
-цвет, фактура лицевых поверхностей,
-удобство пользования мебелью,
-конструкторское решение, дизайн.
Этап 3. Расчет конкурентоспособности по экономическим показателям.
При сравнении изделий мебели по экономическим показателям возьмем за базу сравнения розничную цену на Стенку Карина АО ЛМ. И определим конкурентоспособность цен других изготовителей относительно цен АО ЛМ.
Результаты представим в таблице 3.6.
Таблица 3.6
Определение сводного индекса Расчет конкурентоспособности по экономическим показателям
| Показатель |
ЛМ |
Сибирь |
УМФ |
ДОК |
Расчет показателя |
ai |
qi * ai |
|
| ЛМ |
Сибирь |
УМФ |
ДОК |
| Цена розничная |
19800 |
18370 |
21300 |
24200 |
1 |
1 |
1 |
1,078 |
0,93 |
0,82 |
Из таблицы 3.6 видно, что по экономическому показателю стенка Карина более конкурентоспособна, чем аналоги, изготовленные на УМФ и ДОК, но менее конкурентоспособна, чем мебель сибирского производства.
Для ого, чтобы рассчитать интегральный показатель конкурентоспособности приведем Qэ и Qn в сопоставимый вид. Для этого рассчитаем Qэ для каждого изготовителя относительно изделия АО ЛМ, приняв Qэ АО ЛМ за 1. Имеем:
Qс = 0,7608 : 0,6038 = 1,26,
Qумф = 0,6568 : 0,6038 = 1,087,
Qдок = 0,6000 : 0,6038 = 0,993,
где Qс, Qумф, Qдок сводные индексы конкурентоспособности предприяти1 Сибири, УМФ, ДОК относительно АО ЛМ.
Воспользовавшись формулой (1.4) имеем:
Клм = 1 : 1 = 1,
Кумф = 1,087 : 1/0,93 = 1,01,
Кс = 1,26 : 1/1,078 = 1,36,
Кдок = 0,993 : 1/0,82 = 0,81.
Вышеприведенные расчеты позволяют сделать вывод:
1. Самым конкурентоспособным изделием в рамках рассматриваемой стратегической группы является мебель сибирского производства: на единицу затрат потребитель получает 1,36 единиц полезного эффекта. Данное обстоятельство обеспечило как конкурентным преимуществом по потребительским показателям, так и по экономическим.
2. Потребители мебели УМФ на единицу затрат получают 1,01 единицы полезного эффекта. Конкурентное преимущество мебели УМФ состоит в лучших потребительских качествах по сравнению с мебелью АО ЛМ.
По экономическим характеристикам (цене) мебель УМФ проигрывает мебели АО ЛМ.
Рекомендации по обеспечению конкурентоспособности
Однако, так как Кумф больше 1, это означает, что преимущество сильнее недостатка, вызванного более высокой ценой.
3. Кдок менее 1 свидетельствует о неконкурентоспособности мебели, производимой ДОК относительно АО ЛМ. Причем конкурентные недостатки выражаются как по показателю цена, так и по потребительским показателям.
Этап 4. Расчет конкурентоспособности по потребительским показателям.
Обобщенный показатель стабильности качества складывается из оценки:
-уровня исполнения изделия,
-надежности и долговечности изделия,
-гарантийного срока.
Оценим мебель каждого из рассматриваемых производителей по перечисленным показателям.
Для оценки уровня исполнения проведем экспертный опрос продавцов мебели на предмет жалоб, поступающих от покупателей о недостатках приобретаемой ими мебели (неточность отверстий для шурупов, несовпадение деталей одного и того же комплекта по тону и т. д.), а также по числу рекламаций, предъявляемых магазинами к производителям. Всего было опрошено 14 экспертов.
Для оценки по показателю надежности и долговечности изделия был проведен экспертный опрос трех технологов АО ЛМ. В их задачу входило проранжировать материалы, лежащие в основе изготовления мебели того или иного изготовителя по степени сохранения основных параметров изделия, их привлекательности во времени при соответствующих условиях эксплуатации, их ремонтопригодность.
Показатель гарантийного срока определялся продолжительностью последнего. Результаты представлены в таблице 3.7.
Таблица 3.7
Определение конкурентоспособности мебели по показателям стабильности качества
| Показатель |
Качественная или количественная характеристика показателя |
Балльная оценка по 3-балльной шкале |
| ЛМ |
Сибирь |
УМФ |
ДОК |
ЛМ |
Сибирь |
УМФ |
ДОК |
| Число жалоб от продавцов среди опрошенных магазинов |
- |
- |
2 |
2 |
3 |
3 |
1 |
1 |
| Число рекламаций за недокомплектацию |
- |
1 |
1 |
- |
3 |
1 |
1 |
3 |
| Степень сохранения основных параметров во времени |
Высокая |
Высокая |
Средняя |
Низкая |
3 |
3 |
2 |
1 |
| Ремонтопригодность |
Средняя |
Средняя |
Средняя |
Высокая |
2 |
2 |
2 |
3 |
По данным таблицы 3.6 рассчитаем групповой сводный параметрический индекс конкурентоспособности по показателям стабильности качества (табл. 3.8).
Сравнение будем проводить относительно изделия АО ЛМ.
Таблица 3.8
Расчет параметрических индексов конкурентоспособности по показателю стабильности качества
| Показатель |
Балльная оценка, qi |
Ранг
пока-
зателя аi |
qi * аi |
| ЛМ |
Сибирь |
УМФ |
ДОК |
ЛМ |
Сибирь |
УМФ |
ДОК |
| Число жалоб |
1 |
1 |
1/3 |
1/3 |
0,4 |
0,4 |
0,4 |
0,13 |
0,13 |
| Число рекламаций |
1 |
1/3 |
1/3 |
1 |
0,3 |
0,3 |
0,1 |
0,1 |
0,3 |
| Степень сохранения основных параметров во времени |
1 |
1 |
2/3 |
1/3 |
0,2 |
0,2 |
0,2 |
0,13 |
0,7 |
| Ремонтопригодность |
1 |
1 |
1 |
1,5 |
0,1 |
0,1 |
0,1 |
0,1 |
0,15 |
| Сводный индекс конкурентоспособности |
1 |
0,8 |
0,46 |
0,65 |
Анализ данных таблицы 3.8 показывает, что по показателям стабильности качества изделие мебели АО ЛМ самое конкурентоспособное. Только по показателю ремонтопригодности оно уступает мебели ДОК.
Что касается показателя гарантийный срок, то таковой на свое изделие дает мебельная фабрика из Сибири. Ни одно из трех приморских предприятий не устанавливают на свои изделия гарантийный срок.
Этап 5. Определение конкурентоспособности изделия мебели АО ЛМ по техническим показателям.
Оценка конкурентоспособности изделий по показателю техничность практически трудно осуществима. Проблема состоит в отсутствии информации о трудоемкости и материалоемкости изготовления изделия Стенка у разных производителей. Поэтому ограничимся оценкой показателей комфортабельности и этических показателей.
Для их оценки был использован метод экспертного опроса дизайнеров, конструкторов и технологов АО ЛМ. Всего было опрошено 23 человека.
Результаты представлены в таблице 3.9.
Таблица 3.9
Определение конкурентоспособности изделий мебели по показателям технического уровня
| Показатель |
Количественная или качественная оценки |
Балльная оценка по 3-балльной шкале |
| ЛМ |
Сибирь |
УМФ |
ДОК |
ЛМ |
Сибирь |
УМФ |
ДОК |
| Целостность композиции |
Удовл. с условием |
Удовл. |
Удовл. с условием |
Удовл. с условием |
3 |
3 |
3 |
3 |
| Насыщенность и чистота цвета, сила тона |
Удовл. |
Удовл. |
Удовл.с условием |
Удовл.с условием |
3 |
3 |
2 |
2 |
| Гармония цветовых сочетаний |
Удовл. |
Удовл. |
Удовл. |
Удовл. |
3 |
3 |
3 |
3 |
| Совершенство производственного исполнения |
Удовл. |
Удовл. |
Удовл.с условием |
Удовл. |
3 |
3 |
2 |
3 |
Рассчитаем для каждого изготовителя qi, сравнив каждое изделие с изделием АО ЛМ. Результаты сведем в таблицу 3.9.
Из данных таблицы 3.9 видно, что по показателям технического уровня изделия мебели АО ЛМ уступает одному производителю: мебель из Сибири. Относительно двух других конкурентов мебель АО ЛМ вне конкуренции.
Причем, конкурентное преимущество мебели из Сибири зафиксировано по одному техническому показателю: целостность композиции.
Таблица 3.10
Расчет параметрических индексов конкурентоспособности по показателям технического уровня
| Показатель |
Балльная оценка, qi |
Ранг
пока-
зателя аi |
qi * аi |
| ЛМ |
Сибирь |
УМФ |
ДОК |
ЛМ |
Сибирь |
УМФ |
ДОК |
| Целостность композиции |
1 |
1,5 |
1 |
1 |
0,3 |
0,3 |
0,45 |
0,3 |
0,3 |
| Насыщенность и чистота цвета, сила тона |
1 |
1 |
0,67 |
0,67 |
0,2 |
0,2 |
0,2 |
0,134 |
0,134 |
| Гармония цветовых сочетаний |
1 |
1 |
1 |
1 |
0,3 |
0,3 |
0,3 |
0,3 |
0,3 |
| Совершенство производственного исполнения |
1 |
1 |
0,67 |
1 |
0,2 |
0,2 |
0,2 |
0,134 |
0,2 |
| Сводный индекс конкурентоспособности |
1 |
1,15 |
0868 |
0,934 |
Оценив конкурентоспособность изделия мебели АО ЛМ по четырем показателям построим матрицу Мак-Кинзи для определения местоположения АО ЛМ в рамках рассматриваемой стратегической группы. Для этого определим привлекательность рынка изготовления мебели (табл.
3.10), а также оценим относительные преимущества в конкуренции (таблица 3.11).
Для определения относительного положения каждого из изготовителей на рассматриваемом рынке примем наибольшую оценку (оценка Сибири) за 1. оценки остальных производителей пересчитаем относительно оценки мебели из Сибири. Имеем:
АО ЛМ - 0,907 (1 : 1,1024),
УМФ 0,809 (0,8928 : 1,1024),
ДОК 0,783 (0,8632 : 1,1024).
Результаты нанесем на матрицу Мак-Кинзи (рис. 3.1).
Таблица 3.11
Определение притягательности рынка
| Критерий оценки |
Удельный вес |
Качественная оценка |
Оценка в баллах |
Итоговая оценка |
| 1. Рост рынка |
40 |
До 1999 г. наблюдалось сужение рынка. В I квартале 2000 г. зафиксирован рост |
50 |
20 |
| 2. Сложность вступительных барьеров |
20 |
Высок для предприятий, занимающихся как изготовлением ДСП, так и мебели. Низкий для изготовителей мебели из той же ламинированной плиты |
60 |
12 |
| 3. Власть клиентов |
30 |
Высокая |
30 |
9 |
| 4. Возможность дифференциации цен |
10 |
Высокая |
80 |
8 |
| Итого |
100 |
- |
- |
49 |
Таблица 3.12
Определение относительных преимуществ в конкуренции
| Показатель конкурентоспособности |
Уд.
вес |
АО ЛМ |
Сибирь |
| Q |
Общая оценка |
Q |
Общая оценка |
| 1. потребительские |
40 |
1 |
0,4 |
1,26 |
0,504 |
| 2. постоянство качества |
20 |
1 |
0,2 |
0,8 |
0,16 |
| 3. технические |
10 |
1 |
0,1 |
1,15 |
0,115 |
| 4. экономические |
30 |
1 |
0,3 |
1,078 |
0,323 |
| Итого |
100 |
|
1 |
|
1,1024 |
| Показатель конкурентоспособности |
Уд.
вес |
УМФ |
ДОК |
| Q |
Общая оценка |
Q |
Общая оценка |
| 1. потребительские |
40 |
1,087 |
0,435 |
0,993 |
0,3972 |
| 2. постоянство качества |
20 |
0,46 |
0,092 |
0,65 |
0,13 |
| 3. технические |
10 |
0,868 |
0,0868 |
0,934 |
0,09 |
| 4. экономические |
30 |
0,93 |
0,279 |
0,82 |
0,246 |
| Итого |
100 |
|
0,8928 |
|
0,8632 |
Относительное преимущество предприятия в конкурентной борьбе.
Рис. 3.1
Матрица Мак-Кинзи определения позиции изделия мебели типа Стенка у разных изготовителей рассматриваемой стратегической группы

Из рисунка 3.1 видно, что из рассматриваемых производителей продукции мебельных фабрик из Сибири наиболее конкурентоспособна в рамках рассматриваемой стратегической группы предприятий. Этот же производитель имеет наибольшую долю.
Продукция АО ЛМ находится на втором месте, на третьем УМФ и на четвертом ДОК.
Конкурентная политика АО ЛМ должна быть направлена, в первую очередь, на позиции изготовителя из Сибири.
Рекомендации по обеспечению конкурентоспособности мебели типа Стенка АО ЛМ
Учитывая весь вышеприведенный анализ целесообразно провести следующие мероприятия:
1. Исследования показали, что требования покупателей к внешнему виду изделий мебели значительно более высокие и разнообразные, чем к их функционально-эксплуатационных свойствам.
При возможности выбора эстетические и потребительские показатели мебели имеют доминирующее значение. Отсюда мероприятия в первую очередь должны касаться повышения эстетических показателей.
Разработка технического задания по улучшению технических показателей.
Техническое задание разработано для конструкторов и дизайнеров АО ЛМ.
Задание: не утратив характеристик мебели производства АО ЛМ, по которым она превышает изделия мебели конкурентов (таблица 3.5, 3.6, 3.7, 3.9) разработать новый опытный образец и провести эксперимент для определения целесообразности запуска его в серийное производство. При этом должны быть учтены следующие пожелания:
-создание мебели без сдвоенных вертикальных и горизонтальных щитов;
-в шкафах (отделениях, секциях) для посуды, буфетах, сервантах наличие удобно расположенного ящика, специально оборудованного для хранения столовых приборов;
-в шкафах для одежды наличие зеркала (наружного или внутреннего), на высоких дверях наличие устройств, ограничивающих открывание;
- в шкафах (отделениях) для белья в зоне ниже 600 мм от уровня пола - наличие выдвижных устройств вместо полок;
- в шкафах (отделениях) для книг при глубине отделения более 300 мм наличие подставки для книг второго ряда;
-в секретерных отделениях необходимо наличие устройств для компактного и организованного хранения бумаги, письменных принадлежностей, документов, желательно устройство небольшого отделения, запирающегося замком с секретом.
В отделениях для теле- и радиоаппаратуры предусмотреть устройства для хранения фонотеки.
При проектировании опытного образца предусмотреть возможность максимального разбиения комплекта мебели (Стенка) на составляющие, представляющие собой законченное изделие мебели, а также процесс обратной компоновки, обеспечивая стилевое единство компонента мебели.
2. Мероприятия по совершенствованию потребительских характеристик мебели.
Техническое задание для конструкторов и дизайнеров АО ЛМ по улучшению потребительских характеристик изделия мебели АО ЛМ.
Задачи:
-несмотря на серийность производства, обеспечить индивидуальность производства благодаря принципу вариантных превращений, используя при этом стандартные элементы,
-используя стандартны элементы обеспечить нестандартность изделия за счет изменения форм, архитектуры, пропорций, силуэтов не примелькавшихся покупателю,
-обеспечить увеличение вместимости корпусной мебели,
-обеспечить трансформированность мебели (быстрый перевод одного вида мебели секретер в стол, кресло в кровать, т. д.,
-максимальна я безопасность крепления.
3. Мероприятия по совершенствованию показателей качесва.
Установление на изделия мебели АО ЛМ гарантийного срока до 3 лет. Это вызывает необходимость обеспечения ремонта, реставрации поврежденной мебели. Для этого следует заключить с розничными предприятиями, принимающими на реализацию мебель АЛ ЛМ договора. На основании этих договоров розничные магазины рассматривают дату продажи мебели, принимают заявки на смену (ремонт) элементов мебели, потерявших привлекательный вид от населения.
После чего в АО ЛМ готовят под заказ магазина детали, элементы. Служба сервиса магазина производит замену устаревшей детали мебели.
Расчет экономической эффективности мероприятий по обеспечению конкурентоспособности продукции АО ЛМ
Расчет экономического эффекта будем проводить, используя формулу взаимосвязи конкурентоспособности и объема продаж, приведенную в части 1 Управление качеством.

(3.2)
где N число продукции конкурентов продукции А;
A вид продукции А;
КА - конкурентоспособность продукции А;
m соотношение спрос-предложение;
вА показатель престижа фирмы, представляющей на рынок продукцию А;
вi показатель престижа фирмы конкурентов;
ВА - доля рынка, занимаемая продукцией А.
Для упрощения процедуры расчетов примем, что m = 1 (баланс спроса и предложения), У вi/ ВА = 1, то есть превосходства в имидже ни одна фирма не имеет, имидж у них одинаковый.
Тогда на состояние 1999 г. при доле рынка АО ЛМ 17,4% (табл. 2.7) формула примет вид:
0,174 = 1 : (1 + 1) 1/ КА;
отсюда КА = 0,41.
Соответственно КА для мебели из Сибири составит: 0,52 = 1 : 2 1/К; К 1,25;
Для мебели ДОК 0,172 = 1 : 2 1/К; К = 0,4;
Для мебели УМФ 0,174 = 1 : 2 1/К; К = 0,41.
Таким образом, показатель качества мебели фирмы АО ЛМ составляет 41% от качества основных конкурентов, а качество мебели из Сибири в 1,25 раз выше, чем в среднем у конкурентов.
Если после проведения мероприятий, описанных в п. 3.2 позиция мебели АО ЛМ по показателям, составляющим конкурентное преимущество продукции ЛМ не ухудшится, а по тем показателям, по которым АО ЛМ уступал конкурентам после проведения мероприятий АО ЛМ войдет хотя бы на тот же уровень конкурентов, то стоит предположить, что КА будет в интервале от 0,41 до 1,25. На основании формулы 3.2 составим таблицу прогноза.
Из таблицы 3.12 видно, что после проведения мероприятий реально удалось увеличить долю рынка с 17,4% до 43,5%. Увеличение доли рынка влечет за собой рост выручки, а следовательно, прибыли от реализации.
Сделаем прогноз финансовых результатов деятельности АО ЛМ после реализации мероприятий (табл. 3.13).
Таблица 3.13
Прогноз доли рынка АО ЛМ в зависимости от изменения КА после проведения мероприятия
| Показатели |
Пессимистический прогноз |
Оптимистический прогноз |
Реальный |
| КА |
0,41 |
1,25 |
0,83 |
| ВА |
17,4 |
52 |
43,5 |
Таблица 3.14
Прогноз финансовых результатов деятельности ОАО ЛМ
| Показатель |
1999 г. |
Прогноз 2000 |
Изменение |
| Доля рынка в рамках стратегической группы, % |
17,4 |
43,5 |
26,1 |
| Объем реализации, тыс. руб. |
2407,2 |
6018 |
3610,8 |
| Объем товарной продукции, тыс. руб. |
5445 |
6000 |
555 |
| Условно постоянных расходов в себестоимости товарной продукции, тыс. руб. |
930 |
930 |
- |
| Экономия на условно постоянных расходах |
- |
95 |
- |
| Себестоимость товарной продукции, тыс. руб. |
4614 |
4989 |
375 |
| Прибыль от реализации |
-2207 |
1032 |
3239 |
| Рентабельность, % (стр. 7 : стр. 6) |
-47 |
20 |
67 |
Заключение
Термин конкуренция в экономической литературе имеет различные трактовки. В общем понимании это тип поведения фирм соперников на определенном рынке.
Выделяют следующие виды конкуренции:
-читая,
-совершенная,
-эффективная.
Несмотря на определенные различия, есть нечто общее в том, как осуществляется конкуренция на различных рынках. Суть конкуренции М.Е Портер на любом рынке характеризует пятью конкурентными силами:
1.потенциальные конкуренты,
2.клиенты,
3.угроза со стороны товарозаменителей,
4.поставщики,
5.существующие конкуренты в отрасли.
Пять сил конкуренции позволяют охарактеризовать степень конкурентной борьбы, ее остроту на любом рынке.
Характер конкурентной борьбы во многом зависит от того, является ли фирма лидером, претендентом, последователем или организаций, действующей в рыночной нише.
В том случае, когда в отрасли существует много организаций-конкурентов, круг последних сужают до круга приоритетных конкурентов.
Конкурентоспособность товара (услуги) его преимущество по сравнению с каким-то другим товаром при решении потенциальным покупателем своих проблем. В общем виде, конкурентоспособность это сравнительное преимущество, которое не является иммонентным качеством товара, а заменяется во времени под воздействием множества различных факторов.
Конкурентоспособность может быть оценена только в сравнении конкурентов.
При исследовании конкурентоспособности необходимо:
1.выбрать базовые товары сравнения,
2.выбрать критерии сравнения (показатели).
Обоснованно сравнивать идентичные товары, то есть те, которые удовлетворяют одну и ту же потребность, распространяются по аналогичным каналам, ориентированы на одну и ту же целевую группу.
По М.Е. Портеру существует 2 вида конкурентного преимущества:
1.снижение издержек,
2.дифференциация товара.
Исследование конкурентоспособности можно проводить двумя методами:
-метод расчета единичных и групповых показателей,
-метод с использованием функции желательности,
-метод многокритериальной оптимизации.
В качестве объекта исследования в дипломной работе была рассмотрена деятельность АО ЛМ.
Анализ хозяйственной деятельности позволил сделать следующие выводы:
1.Наблюдается затоваривание продукции на складе, что выражается в резком снижении уровня реализации продукции,
2.Снизился уровень изготовления товарной продукции, что является следствием плохой реализации,
3.Ассортимент продукции уменьшается,
4.Происходит сокращение кадров,
5.Производственные мощности используются на 50%,
6.Показатели рентабельности с 1998 г. по 1999 г. вылились в убыток,
7.Выявлена крайне низкая платежеспособность.
Данная критическая ситуация требует проведения всех составляющих маркетинговой деятельности.
Анализ конкурентной среды предприятия позволил сделать следующие выводы:
1.Угроза со стороны новых производителей, товарозаменителей, поставщиков незначительны.
2.Сила позиции клиентов огромна. Это вызывает необходимость сегментации рынка потребителей.
В качестве сегмента покупателей АО ЛМ определены люди со средним доходом, проживающие в квартирах старой планировки.
3.Конкуренция внутри отрасли жесткая.
Дальнейшее исследование потребовало выделение стратегической группы приоритетных конкурентов. В ходе ряда процедур были определены три главных конкурента АО ЛМ, с продукцией которых в дальнейшем осуществлялось сравнение.
Кроме того, была определена единица сравнения изделия мебели типа Стенка.
Целью исследования конкурентоспособности мебели АО ЛМ, описанного в главе три, было определение направлений формирования конкурентных преимуществ. Исследование проводилось традиционным способом по совокупности комплексных показателей: технические, потребительские, экономические и показатели стабильности качества.
Были сделаны следующие выводы:
1. По потребительским показателям мебель АО ЛМ находится на третьей позиции среди четырех конкурентов.
По данной группе показателей слабые стороны мебели АО ЛМ состоят в:
А. невозможности блокирования изделия в функциональные группы и их разделение,
Б. Цвет, фактура лицевых поверхностей,
В. неудобство пользования мебелью,
Г. конструкторское решение, дизайн.
2. По экономическим показателям (цена розничная) мебель АО ЛМ находится на второй позиции и уступает лишь одному конкуренту.
3. Интегральный показатель конкурентоспособности, определяющий соотношение ценность продукта / цена свидетельствует о третьей позиции мебели АО ЛМ. Причем невысокая позиция продукта АО ЛМ относительно конкурентов обеспечена низкой оценкой потребительских свойств мебели.
4. По показателям стабильности качества изделия АО ЛМ самые конкурентоспособные.
5. По техническим показателям - АО ЛМ на второй позиции.
Рост относительного преимущества АО ЛМ по совокупности показателей вывел его на второе место.
На основании сделанных выводов были предложены следующие рекомендации по обеспечению повышения конкурентоспособности изделий мебели АО ЛМ:
1.направления улучшения потребительских свойств изделий мебели,
2.направления улучшения технических свойств изделий мебели,
3.направления максимизации показателей качества.
Расчет экономической эффективности данных мероприятий при реальном прогнозе позволит увеличить долю на сегменте АО ЛМ с 17,4% до 43,5%, обеспечив при этом рентабельность до 20%.
Библиографический список
1.Азоев Г.Л. Конкуренция: анализ, стратегия и практика.
М.: Центр экономики и маркетинга, 1996. 208 с.
2.Академия рынка: маркетинг (сборник) М.: Экономика, 1993. 571 с.
3.Акофф Р. Планирование будущего корпорации. М.: Прогресс, 1985. 326 с.
4.Ансофф Н. Стратегическое управление. М.: Экономика, 1989. 519 с.
5.Багиев Г.Л., Аренков И.А. Основы современного маркетинга.
СПб: СПб УЭиФ, 1995. 116 с.
6.Весник Н.А., Тарасова И.А. Потребитель выбирает // Маркетинговые исследования в России и за рубежом. 1998. - 7.
7.Голубков Е.П. Маркетинговые исследования: теория, методология, практика.
М.: Финпресс, 1998. 416 с.
8.Горбашко Е.А. Менеджмент качества и конкурентоспособности.
СПб.: СПбГУЭФ, 1998. 207 с.
9.Гончарова Н.П., Перерва П.Г. Маркетинг инновационного процесса.
Киев, 1998. 267 с.
10.Долинская М.Г., Соловьев И.А. Маркетинг и конкурентоспособность промышленного предприятия.
М.: Дело, 1992. 207 с.
11.Ковалев А.Н., Войленко В.В. Маркетинговый анализ.
М.: Центр экономики и маркетинга, 1996. 176 с.
12.Маркетинг / Под ред. А.Н. Романова.
М.: Банки и биржи, ЮНИТИ, 1996. 560 с.
13.Организация маркетинга. Цель покупатель.
М.: Дело, 1996. 183 с.
14.Сахаров В.В., Фурин А.И. Качество мебели.
М.: Лесная промышленность , 1998. 152 с.
15.Тарасова В.П., Крутикова Ф.А. Толковый словарь рыночной экономики.
М.: Глория, 1993. 302 с.
16.Экономика и статистика фирм / Под ред. В.Е. Адамова и др.
М.: Финансы и статистика, 1997. 240 с.
17.Экономическая стратегия фирмы / Под ред. А.П.
Градова. СПб: Специальная литература, 1995. 415 с.
Приложение
Анализ и состав размещения активов ОАО Ламмебель
| Актив |
1997 |
1998 |
1999 |
| Тыс. руб. |
% |
Тыс. руб. |
% |
Тыс. руб. |
% |
| Нематериальные активы |
9 |
0,004 |
11 |
0,01 |
12 |
0,01 |
| Основные средства |
181620 |
4,15 |
82322 |
89,2 |
70363 |
4,15 |
| Незавершенное строительство |
1520 |
0,79 |
1030 |
1,11 |
240 |
0,27 |
| Долгосрочные финансовые вложения |
33 |
0,017 |
21 |
0,022 |
17 |
0,02 |
| Прочие внеоборотные активы |
- |
- |
- |
- |
- |
- |
| Оборотные средства |
9732 |
5,04 |
6243 |
6,8 |
13861 |
15,99 |
| Убыток |
- |
- |
2633,4 |
2,85 |
2206,8 |
2,5 |
| Итого |
19914 |
100 |
92260,4 |
100 |
86699,8 |
100 |
| Пассив |
|
|
|
|
|
|
| Уставный капитал |
43 |
0,02 |
43 |
0,04 |
43 |
0,05 |
| Добавочный капитал |
115840 |
60,04 |
84955,4 |
92,08 |
57181,8 |
65,95 |
| Фонды накопления |
3549 |
1,84 |
3549 |
3,8 |
3549 |
4,09 |
| Целевое финансирование |
59 |
0,03 |
56 |
0,06 |
45 |
0,05 |
| Итого собственные средства |
119491 |
61,94 |
88603,4 |
96,03 |
60818,8 |
70,14 |
| Расчеты с кредиторами |
73068 |
37,88 |
3657 |
3,96 |
25953 |
29,82 |
| Расчеты по дивидендам |
355 |
0,18 |
- |
- |
28 |
0,03 |
| Итого заемные средства |
73423 |
38,05 |
3657 |
3,96 |
25881 |
29,85 |
| Всего |
19914 |
100 |
92260,4 |
100 |
86699,8 |
100 |