Корпорации), проводящие согласованный бизнес по всему миру, очень часто
применяют в стратегическом планировании матричную структуру. По
строкам такой матрицы расположены страны, где ведется бизнес, а по
столбцам . направления бизнеса, являющиеся для Корпорации
профильными. На пересечении строки и столбца формируется бизнес-
единица с двойным подчинением: региональному менеджменту, с одной
стороны, и руководству бизнес- направления Корпорации, с другой стороны.
Специфика стратегического планирования в таких сложных
экономических системах, как Корпорации, состоит в оптимизации
одновременно двух бизнес- портфелей: регионального портфеля и портфеля
направлений. При этом:
в качестве критериев оптимизации бизнес- портфелей выступают не
только классические факторы экономической эффективности
(продажи, прибыль, экономическая добавленная стоимость и т.д.), но и
факторы ожидаемых перспектив бизнеса, рассматриваемые с точки
зрения его жизненного цикла;
стратегическое планирование носит многоуровневый характер и
протекает, с одной стороны, на уровнях региональных сообществ
Корпорации, а, с другой стороны, - на уровнях бизнес- направлений
Корпорации;
планирование развивается в условиях максимума неопределенности
относительно рыночных факторов. При этом присутствует
неопределенность двух видов: а) неопределенность при качественном
распознавании текущего количественного уровня факторов; б)
неопределенность прогнозных значений параметров стратегического
плана.
В этом главе книги предлагается ряд вариантов учета
неопределенности при стратегическом планировании, с применением
формализмов теории нечетких множеств. Для примера рассмотрим
простейший стратегический план регионального сообщества Корпорации за
текущий финансовый год в предположении, что само региональное
сообщество (далее по тексту статьи - Компания) представляет собой
трехуровневую иерархическую систему: Компания содержит в своем составе
несколько департаментов (бизнес- единицы в стратегическом плане
Корпорации), а в сами департаменты входят несколько локальных
однопрофильных бизнес- направлений. Стратегическое планирование в
Компании проводится на всех трех уровнях: по локальным бизнес-
направлениям, по департаментам и по Компании в целом. При этом
целесообразно, чтобы для безболезненного агрегирования информации
структура планов на всех выделенных уровнях иерархии была однотипной.
В состав стратегического плана обычно включаются следующие
основные блоки:
макроэкономический блок, описывающий внешнее окружение
бизнеса;
маркетинговый блок, описывающий рынок бизнесов и конкуренцию
на нем;
финансовый блок, в котором собраны все финансовые показатели
планируемого объекта;
блок решений, в котором фиксируются мероприятия по
совершенствованию бизнеса, сроки их проведения и ответственные
лица.
Далее по ходу изложения раздела мы рассмотрим характерные и
вполне уместные варианты применения нечетких описаний для каждого
выделенного блока (за исключением блока решений, где математика уже не
участвует).
Макроэкономический блок. PETS-анализ
Глава 1 Глава 2
В ходе первичного анализа макроэкономического окружения бизнеса
часто применяется четырехсоставная PETS-модель (P . Political & Legal, E .
Economic, T . Technological, S . Social) по группам условий: политические и
правовые, экономические, технологические и социальные соответственно.
В модели рассматривается возможность (ожидаемость) возникновения
событий соответствующей направленности, которые рассматриваются
как возможность или риск для данного бизнеса. Часто руководителей
бизнеса, ответственных за разработку стратегического плана, менеджеры
высших звеньев склоняют к тому, чтобы определять вероятности
наступления событий количественно. Конечно, для такой количественной
оценки нет никаких оснований. Сам термин «вероятность» в таком
употреблении не выдерживает критики, потому что единичные
неоднородные по происхождению события не обладают статистикой, и
говорить о частоте их возникновения невозможно.
Сразу же напрашиваются два способа внедрения нечетких описаний в
PETS-модель:
замена «вероятности» ожидаемостью, выраженной в качественных
терминах «очень низкая ожидаемость», «низкая ожидаемость»,
«средняя ожидаемость», «высокая ожидаемость», «очень высокая
ожидаемость». При этом самой ожидаемости не может быть
сопоставлен количественный носитель;
замена бинарной шкалы «возможность/риск для бизнеса» шкалой на 5
состояний: «скорее, возможность», «предположительно,
возможность», «неопределенность», «предположительно, риск»,
«скорее, риск».
Формирование поля событий (и их оценка) может производиться на
основе экспертного опроса.
W- Weakness, O . Opportunities, T . Threats) можно использовать
как количественные, так и качественные шкалы.
Введем двухуровневую шкалу, содержащую ряд базовых факторов,
которые в свою очередь, характеризуются наборами своих составляющих
факторов. В качестве базовых факторов, характеризующих силу/слабость
бизнеса, можно выбрать следующие: Техника, Качество, Затраты, Продажи,
Цены, Сервис, Логистика. Составляющими факторами, например, по
фактору «Продажи», являются: доступ к сложившимся каналам продаж,
региональное присутствие, доступ к ключевым потребителям, реклама,
квалификация персонала и т.д.
Тогда агрегирование составляющих факторов на уровень базовых
факторов может осуществляться на основе матричной схемы агрегирования,
которая уже рассматривалась нами в разделах 2.10 и 3.2 настоящей работы и применительно к комплексному финансовому анализу предприятий.
Рассмотрим пример. Пусть базовый фактор определен двумя
составляющими факторами с весами 0.6 и 0.4, причем уровень первого
составляющего фактора определен экспертом как 0.8, а уровень второго
составляющего фактора . как 0.5. Требуется качественно определить
уровень базового фактора.
Решение. Возьмем за основу набор функций принадлежности
стандартной пятиуровневой классификации на 01-носителе. Функция
принадлежности подмножества «Высокий уровень фактора», определенная
на 01-носителе х, имеет следующий аналитический вид:

Соответственно, распознавание уровня дает, что первый составляющий
фактор со степенью уверенности 0.5 является высоким, и с той же
уверенностью . очень высоким. Распознавание уровня второго
составляющего фактора дает однозначное признание этого уровня средним.
Чтобы оценить силу/слабость бизнеса по базовому фактору, составим
таблицу для вычисления SW по матричной схеме (таблица 8.1).

что при распознавании по формуле (8.1) позиционирует уровень SW на
100% как высокий.
Изложение примера закончено. Аналогичным образом можно
осуществить матричную свертку при переходе от частных показателей
силы/слабости бизнеса по базовым факторам к интегральному показателю
силы/слабости бизнеса. Нужно только определить веса базовых факторов в
интегральной оценке.
конкурентоспособность бизнеса и его перспективность. Тогда мы можем
проводить анализ в рамках модели Shell/DPM 3х3, имеющей высокое
практическое значение для стратегического планирования [Hoichens-
Robinson]. Главный вывод, который можно сделать на основе модели . это
позиционировать бизнес и тем самым определить его место и роль в
совокупном портфеле бизнесов Компании.
Конкурентоспособность (А) можно измерять на основе следующих
базовых факторов:
соотношение доли бизнеса и доли основного конкурента (RCP .
Relative Competitive Position) . a1;
распознаваемость имени Компании . a2;
сила бренда бизнеса/Компании . a3;
развитость дистрибьюторской сети . a4;
технологические позиции бизнеса . a5.
Рассмотрим пример. Пусть интегральный фактор А бизнеса
определен пятью базовыми факторами с системой весов и количественными
уровнями, установленными таблицей 8.2, а интегральный фактор B этого же
бизнеса определен пятью базовыми факторами с системой весов и
количественными уровнями, установленными таблицей 8.3. Требуется
качественно определить уровни интегральных факторов A и B на основании
трехуровневой 01-классификации.
Таблица 8.2. Матрица для оценки интегрального фактора А


Решение. При распознавании мы взяли за основу набор функций
принадлежности вида рис. 8.1. Функция принадлежности подмножества
«Высокий уровень фактора», определенная на 01-носителе х, имеет
следующий аналитический вид:

В свою очередь, функция принадлежности подмножества «Средний уровень
фактора» имеет следующий аналитический вид:

Соответственно, выполняется:

Расчет применительно к таблицам 2.11 и 2.12 дает:
A =0.3*0.3 + 0.15*0.9 + 0.15*0.7 + 0.2*0.7 + 0.2*0.9 = 0.65, (8.6)
B = 0.15*0.9 + 0.3*0.3 + 0.15*0.5 + 0.25*0.7 + 0.15*0.7 = 0.58, (8.7)
что при распозновании по формулам (8.4), (8.5) позиционирует:
уровень А на 25% как высокий и на 75% как средний;
уровень B на 100% как средний.
Изложение примера завершено. Теперь, распознав уровни А и B, можно
позиционировать бизнес в соответствии с моделью Shell/DDM. В таблицу
8.4 сведены позиции модели [Hoichens-Robinson] и возможные стратегии
ведения бизнеса.
Таблица 8.4. Позиции бизнеса в соответствии с моделью Shell/DDM





Схематически позиции модели сведены на рис. 8.2. Мы видим, что по
условиям расчетного примера оцениваемый бизнес позиционируется по
строке 5 таблицы 4 «Продолжать бизнес с осторожностью». При этом
некоторое смещение в область высокой конкурентноспособности (А+)
говорит о том, что бизнес имеет нарастающие конкурентные преимущества,
что, при наличии осторожных инвестиций, может позволить ему занять
большую долю рынка продаж, т.е. увеличить массу прибыли.

Рис. 8.2. Позиционная матрица 3х3.
часто применяется четырехсоставная PETS-модель (P . Political & Legal, E .
Economic, T . Technological, S . Social) по группам условий: политические и
правовые, экономические, технологические и социальные соответственно.
В модели рассматривается возможность (ожидаемость) возникновения
событий соответствующей направленности, которые рассматриваются
как возможность или риск для данного бизнеса. Часто руководителей
бизнеса, ответственных за разработку стратегического плана, менеджеры
высших звеньев склоняют к тому, чтобы определять вероятности
наступления событий количественно. Конечно, для такой количественной
оценки нет никаких оснований. Сам термин «вероятность» в таком
употреблении не выдерживает критики, потому что единичные
неоднородные по происхождению события не обладают статистикой, и
говорить о частоте их возникновения невозможно.
Сразу же напрашиваются два способа внедрения нечетких описаний в
PETS-модель:
замена «вероятности» ожидаемостью, выраженной в качественных
терминах «очень низкая ожидаемость», «низкая ожидаемость»,
«средняя ожидаемость», «высокая ожидаемость», «очень высокая
ожидаемость». При этом самой ожидаемости не может быть
сопоставлен количественный носитель;
замена бинарной шкалы «возможность/риск для бизнеса» шкалой на 5
состояний: «скорее, возможность», «предположительно,
возможность», «неопределенность», «предположительно, риск»,
«скорее, риск».
Формирование поля событий (и их оценка) может производиться на
основе экспертного опроса.
Маркетинговый блок. Анализ сильных и слабых сторон бизнеса
Для оценки сильных и слабых сторон бизнеса (SWOT-анализ, SStrength,W- Weakness, O . Opportunities, T . Threats) можно использовать
как количественные, так и качественные шкалы.
Введем двухуровневую шкалу, содержащую ряд базовых факторов,
которые в свою очередь, характеризуются наборами своих составляющих
факторов. В качестве базовых факторов, характеризующих силу/слабость
бизнеса, можно выбрать следующие: Техника, Качество, Затраты, Продажи,
Цены, Сервис, Логистика. Составляющими факторами, например, по
фактору «Продажи», являются: доступ к сложившимся каналам продаж,
региональное присутствие, доступ к ключевым потребителям, реклама,
квалификация персонала и т.д.
Тогда агрегирование составляющих факторов на уровень базовых
факторов может осуществляться на основе матричной схемы агрегирования,
которая уже рассматривалась нами в разделах 2.10 и 3.2 настоящей работы и применительно к комплексному финансовому анализу предприятий.
Рассмотрим пример. Пусть базовый фактор определен двумя
составляющими факторами с весами 0.6 и 0.4, причем уровень первого
составляющего фактора определен экспертом как 0.8, а уровень второго
составляющего фактора . как 0.5. Требуется качественно определить
уровень базового фактора.
Решение. Возьмем за основу набор функций принадлежности
стандартной пятиуровневой классификации на 01-носителе. Функция
принадлежности подмножества «Высокий уровень фактора», определенная
на 01-носителе х, имеет следующий аналитический вид:

Соответственно, распознавание уровня дает, что первый составляющий
фактор со степенью уверенности 0.5 является высоким, и с той же
уверенностью . очень высоким. Распознавание уровня второго
составляющего фактора дает однозначное признание этого уровня средним.
Чтобы оценить силу/слабость бизнеса по базовому фактору, составим
таблицу для вычисления SW по матричной схеме (таблица 8.1).

что при распознавании по формуле (8.1) позиционирует уровень SW на
100% как высокий.
Изложение примера закончено. Аналогичным образом можно
осуществить матричную свертку при переходе от частных показателей
силы/слабости бизнеса по базовым факторам к интегральному показателю
силы/слабости бизнеса. Нужно только определить веса базовых факторов в
интегральной оценке.
Маркетинговый блок. Двумерный анализ «конкурентоспособность, перспективность»
Пусть мы имеем два интегральных измерителя бизнеса:конкурентоспособность бизнеса и его перспективность. Тогда мы можем
проводить анализ в рамках модели Shell/DPM 3х3, имеющей высокое
практическое значение для стратегического планирования [Hoichens-
Robinson]. Главный вывод, который можно сделать на основе модели . это
позиционировать бизнес и тем самым определить его место и роль в
совокупном портфеле бизнесов Компании.
Конкурентоспособность (А) можно измерять на основе следующих
базовых факторов:
соотношение доли бизнеса и доли основного конкурента (RCP .
Relative Competitive Position) . a1;
распознаваемость имени Компании . a2;
сила бренда бизнеса/Компании . a3;
развитость дистрибьюторской сети . a4;
технологические позиции бизнеса . a5.
Рассмотрим пример. Пусть интегральный фактор А бизнеса
определен пятью базовыми факторами с системой весов и количественными
уровнями, установленными таблицей 8.2, а интегральный фактор B этого же
бизнеса определен пятью базовыми факторами с системой весов и
количественными уровнями, установленными таблицей 8.3. Требуется
качественно определить уровни интегральных факторов A и B на основании
трехуровневой 01-классификации.
Таблица 8.2. Матрица для оценки интегрального фактора А


Решение. При распознавании мы взяли за основу набор функций
принадлежности вида рис. 8.1. Функция принадлежности подмножества
«Высокий уровень фактора», определенная на 01-носителе х, имеет
следующий аналитический вид:

В свою очередь, функция принадлежности подмножества «Средний уровень
фактора» имеет следующий аналитический вид:

Соответственно, выполняется:

Расчет применительно к таблицам 2.11 и 2.12 дает:
A =0.3*0.3 + 0.15*0.9 + 0.15*0.7 + 0.2*0.7 + 0.2*0.9 = 0.65, (8.6)
B = 0.15*0.9 + 0.3*0.3 + 0.15*0.5 + 0.25*0.7 + 0.15*0.7 = 0.58, (8.7)
что при распозновании по формулам (8.4), (8.5) позиционирует:
уровень А на 25% как высокий и на 75% как средний;
уровень B на 100% как средний.
Изложение примера завершено. Теперь, распознав уровни А и B, можно
позиционировать бизнес в соответствии с моделью Shell/DDM. В таблицу
8.4 сведены позиции модели [Hoichens-Robinson] и возможные стратегии
ведения бизнеса.
Таблица 8.4. Позиции бизнеса в соответствии с моделью Shell/DDM





Схематически позиции модели сведены на рис. 8.2. Мы видим, что по
условиям расчетного примера оцениваемый бизнес позиционируется по
строке 5 таблицы 4 «Продолжать бизнес с осторожностью». При этом
некоторое смещение в область высокой конкурентноспособности (А+)
говорит о том, что бизнес имеет нарастающие конкурентные преимущества,
что, при наличии осторожных инвестиций, может позволить ему занять
большую долю рынка продаж, т.е. увеличить массу прибыли.

Рис. 8.2. Позиционная матрица 3х3.
Финансовый блок. Бизнес-план
Глава 1 Глава 2
Как мы показали в главе 4, все финансовые показатели за ряд лет в
бизнес-плане уместно представлять в виде треугольно-нечетких
последовательностей, характеризующих оптимистические,
пессимистические и наиболее ожидаемые финансовые сценарии.
Результирующие показатели бизнес-плана по итогам ряда лет (NPV, EVA
нарастающим итогом, IRR и др.) приобретают в этой постановке задачи
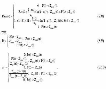
треугольно-нечеткий вид. Соответственно, это позволяет оценить риски -
инвестиционной деятельности, срыва финансовых обязательств и т.д. . По методу оценки риска инвестиций, рассмотренного в разделе 4.3 настоящей
монографии. Например, если результирующий треугольный показатель Z =
{Zmin, Zav, Zmax} в момент времени t должен быть больше уставочного
значения P(t), то риск обратного события (срыва плана) вычисляется по
формуле:

В простейшем случае, для треугольно-симметричных результирующих
факторов, можно использовать формулу для оценки риска из раздела 4.4
книги. Пусть

для оценки пенсионных систем. Однако есть целый ряд вопросов, где
разработанные модели не дают удовлетворительного решения. Речь идет об
оценке эффективности накопительных инвестиций на фондовом рынке.
Проблема в том, что фондовый рынок . это объект исследования,
обладающий принципиально иным уровнем неопределенности, нежели
источники поступлений и реципиенты платежей в пенсионных системах, .
различные когорты граждан, с их показателями рождаемости, смертности и
платежности. Если для моделирования поступлений и платежей в
пенсионной системе применимость вероятностных схем никем не
оспаривается, то, напротив, вся история мирового фондового рынка
свидетельствует, что классические приемы вероятностного моделирования
фондовых индексов неадекватны. Пасуя перед этой неопределенностью,
актуарии обычно переводят свои исследования в плоскость сценарных
подходов, либо просто фиксируя ставку процента на инвестиции, либо
генерируя сценарии фондового рынка на основе предустановленного
вероятностного закона.
Прорыв в теории актуарного оценивания накопительных пенсионных
систем состоится, когда появятся адекватные модели прогнозирования
фондовых индексов (хорошо известные модели классов ARCH/GARCH
перестают работать, когда система фондового рынка терпит
парадигмальный, эпистемологический разрыв, и предыстория динамики
рыночных индексов становится непригодной для прогноза будущего
поведения индексов). В этой связи в актуарных расчетах может применяться
метод прогнозирования фондовых индексов, изложенный в главе 7
настоящей работы.
На выходе модели мы получаем прогноз по индексам двух возможных
типов:
как последовательность действительных случайных величин,
распределенных по вероятностному закону с треугольно-нечеткими
параметрами доходности и риска (далее . вид А);
как последовательность треугольных нечетких чисел,
характеризующих расчетный коридор доходности по индексу (далее .
вид B).
Возникает резон и все остальные описания актуарной модели привести
к одному из предложенных видов. Это возможно сделать, прибегая к
следующему алгоритму:
1. Если исходная модель . это последовательность случайных величин с
классическими вероятностными распределениями, то это частный
случай вида А, когда треугольно-нечеткие параметры распределений
становятся четкими (обычными действительными числами).
2. От вида А к виду B можно перейти так. Пусть случайная величина
имеет распределение с треугольными параметрами r (первый
начальный момент распределения) и
(корень квадратный из
второго центрального момента распределения). Точка после символа
( A ) означает, что рассматривается треугольное нечеткое число или
нечеткая функция (последовательность). От предложенного вида А к
виду B можно перейти по формуле:

часть информации, содержащуюся в распределениях, зато резко выигрываем
в простоте представления и решения задачи. Поэтому далее будем излагать
задачу управления инвестициями пенсионного фонда в простейшей
постановке вида B.
инвестирование пенсионных резеров осуществляется на фондовом рынке,
при формировании инвестиционного портфеля из N модельных классов
(рис. 9.1).

Рис. 9.1. Накопительная пенсионная система.
Введем обозначения:



планово поступления превышают платежи, тогда некоторая доля от разницы
между поступлениями и платежами формирует поток инвестиций (мы ее не
знаем, нам предстоит ее определить в ходе решения задачи). Если разница
отрицательна, то возникает поток отрицательных инвестиций (отзыва
средств с фондового рынка).
Накопленные нарастающим итогом инвестиции обращаются на рынке
и приносят доход, который можно исчислить по формуле:


Рассмотрим расчетный пример.
фондовых инструментов: акции и облигации. Также зафиксируем для
простоты размер инвестиционных отчислений, положив их на уровне
разницы между поступлениями и платежами.
Первоначально, до применения процедуры оптимизации, положим,
что инвестирование совершается только в акции. Параметры инвестиций,
платежей и поступлений, доходности фондовых инструментов, а также
результаты расчетов сведены в таблицу 9.1.
Видно, что возникают риски недостаточности пенсионных резервов
(одновременно замечаем, что последовательное наращивание
неопределенности от года к году сводится к тому, что интервалы, в которые
попадают резервы, все расширяются).
Теперь применим процедуру оптимизации (9.8) с ограничениями (9.9),
получив оптимальное долевое распределение между акциями и облигациями
по каждому прогнозному году в горизонте инвестирования. Результат
оптимизации показан в таблице 9.2 (использовался инструмент Solver таблиц
Excel). Видим, что максимум возможного риска уменьшился с 9% до 4%.
Таким образом, путем перехода от агрессивной стратегии
инвестирования к консервативной удалось существенно снизить риски
недостаточности пенсионных резервов в первые годы плана, сузив плановый
интервал колебаний пенсионных резервов практически вдвое. Однако эта
стратегия на поздних сроках подлежит коррекции - резервы сформированы
на должном уровне, появляется возможность рисковать, поэтому идет
возврат к акциям.
Разумеется, оптимальное распределение изменится, как только
изменятся параметры потоков поступлений, инвестиций и платежей, и
задачу оптимизации придется решать заново.
Таблица 9.1. Прогноз денежных потоков пенсионного фонда

Таблица 9.2. Прогноз денежных потоков фонда после оптимизации
инвестиций

Как мы показали в главе 4, все финансовые показатели за ряд лет в
бизнес-плане уместно представлять в виде треугольно-нечетких
последовательностей, характеризующих оптимистические,
пессимистические и наиболее ожидаемые финансовые сценарии.
Результирующие показатели бизнес-плана по итогам ряда лет (NPV, EVA
нарастающим итогом, IRR и др.) приобретают в этой постановке задачи
треугольно-нечеткий вид. Соответственно, это позволяет оценить риски -
инвестиционной деятельности, срыва финансовых обязательств и т.д. . По методу оценки риска инвестиций, рассмотренного в разделе 4.3 настоящей
монографии. Например, если результирующий треугольный показатель Z =
{Zmin, Zav, Zmax} в момент времени t должен быть больше уставочного
значения P(t), то риск обратного события (срыва плана) вычисляется по
формуле:

В простейшем случае, для треугольно-симметричных результирующих
факторов, можно использовать формулу для оценки риска из раздела 4.4
книги. Пусть

Актуарное моделирование пенсионных фондов
В мировой практике накопилось огромное число актуарных моделейдля оценки пенсионных систем. Однако есть целый ряд вопросов, где
разработанные модели не дают удовлетворительного решения. Речь идет об
оценке эффективности накопительных инвестиций на фондовом рынке.
Проблема в том, что фондовый рынок . это объект исследования,
обладающий принципиально иным уровнем неопределенности, нежели
источники поступлений и реципиенты платежей в пенсионных системах, .
различные когорты граждан, с их показателями рождаемости, смертности и
платежности. Если для моделирования поступлений и платежей в
пенсионной системе применимость вероятностных схем никем не
оспаривается, то, напротив, вся история мирового фондового рынка
свидетельствует, что классические приемы вероятностного моделирования
фондовых индексов неадекватны. Пасуя перед этой неопределенностью,
актуарии обычно переводят свои исследования в плоскость сценарных
подходов, либо просто фиксируя ставку процента на инвестиции, либо
генерируя сценарии фондового рынка на основе предустановленного
вероятностного закона.
Прорыв в теории актуарного оценивания накопительных пенсионных
систем состоится, когда появятся адекватные модели прогнозирования
фондовых индексов (хорошо известные модели классов ARCH/GARCH
перестают работать, когда система фондового рынка терпит
парадигмальный, эпистемологический разрыв, и предыстория динамики
рыночных индексов становится непригодной для прогноза будущего
поведения индексов). В этой связи в актуарных расчетах может применяться
метод прогнозирования фондовых индексов, изложенный в главе 7
настоящей работы.
На выходе модели мы получаем прогноз по индексам двух возможных
типов:
как последовательность действительных случайных величин,
распределенных по вероятностному закону с треугольно-нечеткими
параметрами доходности и риска (далее . вид А);
как последовательность треугольных нечетких чисел,
характеризующих расчетный коридор доходности по индексу (далее .
вид B).
Возникает резон и все остальные описания актуарной модели привести
к одному из предложенных видов. Это возможно сделать, прибегая к
следующему алгоритму:
1. Если исходная модель . это последовательность случайных величин с
классическими вероятностными распределениями, то это частный
случай вида А, когда треугольно-нечеткие параметры распределений
становятся четкими (обычными действительными числами).
2. От вида А к виду B можно перейти так. Пусть случайная величина
имеет распределение с треугольными параметрами r (первый
начальный момент распределения) и
(корень квадратный из
второго центрального момента распределения). Точка после символа
( A ) означает, что рассматривается треугольное нечеткое число или
нечеткая функция (последовательность). От предложенного вида А к
виду B можно перейти по формуле:

часть информации, содержащуюся в распределениях, зато резко выигрываем
в простоте представления и решения задачи. Поэтому далее будем излагать
задачу управления инвестициями пенсионного фонда в простейшей
постановке вида B.
Актуарная модель накопительной пенсионной системы
Рассмотрим накопительную пенсионную систему, в которойинвестирование пенсионных резеров осуществляется на фондовом рынке,
при формировании инвестиционного портфеля из N модельных классов
(рис. 9.1).

Рис. 9.1. Накопительная пенсионная система.
Введем обозначения:



планово поступления превышают платежи, тогда некоторая доля от разницы
между поступлениями и платежами формирует поток инвестиций (мы ее не
знаем, нам предстоит ее определить в ходе решения задачи). Если разница
отрицательна, то возникает поток отрицательных инвестиций (отзыва
средств с фондового рынка).
Накопленные нарастающим итогом инвестиции обращаются на рынке
и приносят доход, который можно исчислить по формуле:


Рассмотрим расчетный пример.
Пример актуарного расчета
Пусть инвестирование активов фонда совершается в два классафондовых инструментов: акции и облигации. Также зафиксируем для
простоты размер инвестиционных отчислений, положив их на уровне
разницы между поступлениями и платежами.
Первоначально, до применения процедуры оптимизации, положим,
что инвестирование совершается только в акции. Параметры инвестиций,
платежей и поступлений, доходности фондовых инструментов, а также
результаты расчетов сведены в таблицу 9.1.
Видно, что возникают риски недостаточности пенсионных резервов
(одновременно замечаем, что последовательное наращивание
неопределенности от года к году сводится к тому, что интервалы, в которые
попадают резервы, все расширяются).
Теперь применим процедуру оптимизации (9.8) с ограничениями (9.9),
получив оптимальное долевое распределение между акциями и облигациями
по каждому прогнозному году в горизонте инвестирования. Результат
оптимизации показан в таблице 9.2 (использовался инструмент Solver таблиц
Excel). Видим, что максимум возможного риска уменьшился с 9% до 4%.
Таким образом, путем перехода от агрессивной стратегии
инвестирования к консервативной удалось существенно снизить риски
недостаточности пенсионных резервов в первые годы плана, сузив плановый
интервал колебаний пенсионных резервов практически вдвое. Однако эта
стратегия на поздних сроках подлежит коррекции - резервы сформированы
на должном уровне, появляется возможность рисковать, поэтому идет
возврат к акциям.
Разумеется, оптимальное распределение изменится, как только
изменятся параметры потоков поступлений, инвестиций и платежей, и
задачу оптимизации придется решать заново.
Таблица 9.1. Прогноз денежных потоков пенсионного фонда

Таблица 9.2. Прогноз денежных потоков фонда после оптимизации
инвестиций

Программные решения для нечеткого финансового менеджмента
Глава 1 Глава 2
Научные результаты настоящей монографии легли в основу ряда
программных средств финансового менеджмента. Краткое описание одной
из программ представлено ниже.
и евро давит доллар по всему полю, многие задаются вопросом: что нас ждет
дальше. Все хорошо научены мировыми финансовыми кризисами и
понимают, что наш мир полно связен, и больше нет расстояний между
финансовыми рынками. То, что происходит в США, не может не касаться,
скажем, России. Слишком большая страна терпит кризис, и не просто
страна, а эмитент мировой резервной валюты и генератор единой меры
стоимости.
Итак, давайте посмотрим на надвигающееся будущее гадательно, «как
бы сквозь тусклое стекло».
Прогнозирование будущего только отчасти, как это ни прискорбно
звучит, может считаться наукой. В той мере, в которой будущее не
определяется настоящим (а это часто так и есть), прогнозирование
невозможно. В противном случае весь наш мир легко описывался бы формулами, и возобладало бы механистическое мировоззрение в духе
Ньютона-Лапласа. Однако Вселенная представляется нам весьма странным
местом, где большая часть событий не может быть предсказана наперед. В
этом философском смысле мы . индетерминисты, а не фаталисты, и это
заставляет нас пользоваться в научном анализе категориями случайности,
возможности, вероятности и ожидаемости.
Уже сам факт признания ограниченных возможностей
прогнозирования как приема предсказания будущего является научным
обоснованием наших разработок. Альтернативный взгляд . тотальной
предсказуемости будущего по данным прошлого представляется нам
абсолютно ненаучным и, более того, обреченным на вымирание. Как ни
странно и ни дико признавать, но ряд авторов подсознательно
придерживается подобного механистического воззрения на вещи. Большая
часть этих ученых . бывшие разработчики и исследователи динамических
адаптивных систем, в том числе с участием человека. Но жизнь . это не
механика и не техника, и то, что бывает приемлемо для прогноза поведения
неживых объектов, всегда спотыкается при анализе объектов живых, и, в
частности, при экономическом анализе. Потому что экономика . это прежде
всего люди, из головы которых вырастает определенный способ
производства и распределения материальных благ. Экономика часто
иррациональна, потому что она бывает движима иррациональными
мотивациями людей, такими как жадность и глупость. Бескорыстной
экономики не бывает вовсе, она строится на консолидации корыстных
интересов, но иногда одни интересы одних и тех же лиц идут в разрез с
другими интересами тех же самых лиц. Так, глупость и неосмотрительность
вредят желанию разбогатеть, хотя очень часто сопутствуют жадности, на
которой, собственно, и основывается стяжательство.
Феномен Кассандры, которая предсказала падение Трои еще до
высадки греческих армий на побережье Малой Азии . это также ненаучный
феномен, во всяком случае, это феномен не того уровня развития науки, с
которой мы сегодня имеем дело. В противном случае, следовало бы ходить к
гадалкам и строить гороскопы. При всем нашем уважении к гороскопам, что
исходят от профессиональных и честных астрологов, мы морально не готовы
вовлечь эти практики в свою научную орбиту. Хотя, заметим, короли не
брезговали советами звездочетов, и часто эта продвинутость спасала жизнь
тем и другим (об этом Вальтер скоттовский роман «Квентин Дорвард»). И
потом: интуиция . мать везения (игроки в азартные игры хорошо это
понимают; а жизнь . азартная игра, мы договорились рассматривать это
именно так).
В отличие от Кассандры, мы, формируя прогнозы, должны установить
строгие научные связи между причинами и следствиями событий, даже если
эти связи выражены языком вероятностей и нечетких описаний.
Применительно к нашей задаче это означает, что количественным прогнозам
фондового рынка должна предшествовать качественная, экспертная модель
этого рынка и его макроэкономического окружения. Правильное понимание
процессов на качественном уровне влечет достоверные количественные
оценки; а исходная неопределенность, правильно понятая и оцененная,
может быть конвертирована в объективную оценку разброса
прогнозируемых параметров фондового рынка.
Самыми крупными мазками можно описать тенденции, царящие
сегодня на мировом финансовом рынке, и то, что нас вероятнее всего ждет в
ближайшие 5 . 10 лет:
Пузырь «новой экономики» сдулся, США переживают рецессию и
угрозу дефляции. Адекватной реакцией на эти процессы является
внешнеполитическая экспансия США в странах третьего мира, в том
числе силой оружия.
Фондовые рынки всего мира потеряли устойчивость и ориентиры. По
сути, американский рынок сегодня управляется не объективными
количественными факторами, а новостями и мнениями. Что до рынков
развивающихся стран, то они как никогда являются уязвимыми к
колебаниям кросс-курсов мировых валют.
Мировые частные пенсионные системы потерпели за последние два
года убытки в несколько триллионов долларов (из-за вложений в
перегретые фондовые ценности). Вкупе с неумолимым старением
населения Земли это вызывает мировой пенсионный кризис.
Доллар США плавно девальвируется относительно евро, и ослабление
национальной валюты США вызвано прежде всего пересмотром роли
США в системе международных инвестиций. Привлекательность
таких инвестиций в экономику США снижается по тенденции.
Инвестор становится другим. Он корректирует свои инвестиционные
предпочтения, рационализуя их. Председатель Мао Цзэдун в своих
научных трудах однажды указывал на то, что каждое поколение
должно иметь свою войну. Перефразируя Мао, скажем: каждое
поколение с нуля приобретает опыт оптимального инвестирования
денег в фондовые ценности и, пока не набьет шишек, ничему не
научится. Если бы уроки родителей шли впрок, не повторилась бы
история с NASDAQ, потому что была бы памятна история с
Панамским каналом.
Терпит кризис наука фондового менеджмента. В очередной раз попали
под удар теории: Марковица, Шарпа-Линтнера, Блэка-Шоулза,
Боллерслева (GARCH . прогнозирование). (Markowitz, Sharpe-Littner,
Black-Sholes). Новая парадигма фондового рынка вызывает к жизни
новую научную парадигму. Возникает спрос на новые теории
рыночной оценки.
Ясно одно: Америка и весь мир вслед за нею входит в полосу новых
смутных времен. Контуры этих новых времен еще не обозначили себя,
стратегические инвестиционные цели не сформировались. И до тех пор, пока
не сформируется окончательно новая рациональная инвестиционная
парадигма фондового рынка (взамен парадигмы irrational exuberance),
останутся завышенными цены на традиционные материальные ресурсы:
золото и нефть. В то же время у нас есть кое-какие мысли на сей счет и ряд
сбывшихся прогнозов [Nedosekin].
Научные результаты настоящей монографии легли в основу ряда
программных средств финансового менеджмента. Краткое описание одной
из программ представлено ниже.
Предсказать завтрашний день
Во времена, когда падают ведущие американские фондовые индексы,и евро давит доллар по всему полю, многие задаются вопросом: что нас ждет
дальше. Все хорошо научены мировыми финансовыми кризисами и
понимают, что наш мир полно связен, и больше нет расстояний между
финансовыми рынками. То, что происходит в США, не может не касаться,
скажем, России. Слишком большая страна терпит кризис, и не просто
страна, а эмитент мировой резервной валюты и генератор единой меры
стоимости.
Итак, давайте посмотрим на надвигающееся будущее гадательно, «как
бы сквозь тусклое стекло».
Прогнозирование будущего только отчасти, как это ни прискорбно
звучит, может считаться наукой. В той мере, в которой будущее не
определяется настоящим (а это часто так и есть), прогнозирование
невозможно. В противном случае весь наш мир легко описывался бы формулами, и возобладало бы механистическое мировоззрение в духе
Ньютона-Лапласа. Однако Вселенная представляется нам весьма странным
местом, где большая часть событий не может быть предсказана наперед. В
этом философском смысле мы . индетерминисты, а не фаталисты, и это
заставляет нас пользоваться в научном анализе категориями случайности,
возможности, вероятности и ожидаемости.
Уже сам факт признания ограниченных возможностей
прогнозирования как приема предсказания будущего является научным
обоснованием наших разработок. Альтернативный взгляд . тотальной
предсказуемости будущего по данным прошлого представляется нам
абсолютно ненаучным и, более того, обреченным на вымирание. Как ни
странно и ни дико признавать, но ряд авторов подсознательно
придерживается подобного механистического воззрения на вещи. Большая
часть этих ученых . бывшие разработчики и исследователи динамических
адаптивных систем, в том числе с участием человека. Но жизнь . это не
механика и не техника, и то, что бывает приемлемо для прогноза поведения
неживых объектов, всегда спотыкается при анализе объектов живых, и, в
частности, при экономическом анализе. Потому что экономика . это прежде
всего люди, из головы которых вырастает определенный способ
производства и распределения материальных благ. Экономика часто
иррациональна, потому что она бывает движима иррациональными
мотивациями людей, такими как жадность и глупость. Бескорыстной
экономики не бывает вовсе, она строится на консолидации корыстных
интересов, но иногда одни интересы одних и тех же лиц идут в разрез с
другими интересами тех же самых лиц. Так, глупость и неосмотрительность
вредят желанию разбогатеть, хотя очень часто сопутствуют жадности, на
которой, собственно, и основывается стяжательство.
Феномен Кассандры, которая предсказала падение Трои еще до
высадки греческих армий на побережье Малой Азии . это также ненаучный
феномен, во всяком случае, это феномен не того уровня развития науки, с
которой мы сегодня имеем дело. В противном случае, следовало бы ходить к
гадалкам и строить гороскопы. При всем нашем уважении к гороскопам, что
исходят от профессиональных и честных астрологов, мы морально не готовы
вовлечь эти практики в свою научную орбиту. Хотя, заметим, короли не
брезговали советами звездочетов, и часто эта продвинутость спасала жизнь
тем и другим (об этом Вальтер скоттовский роман «Квентин Дорвард»). И
потом: интуиция . мать везения (игроки в азартные игры хорошо это
понимают; а жизнь . азартная игра, мы договорились рассматривать это
именно так).
В отличие от Кассандры, мы, формируя прогнозы, должны установить
строгие научные связи между причинами и следствиями событий, даже если
эти связи выражены языком вероятностей и нечетких описаний.
Применительно к нашей задаче это означает, что количественным прогнозам
фондового рынка должна предшествовать качественная, экспертная модель
этого рынка и его макроэкономического окружения. Правильное понимание
процессов на качественном уровне влечет достоверные количественные
оценки; а исходная неопределенность, правильно понятая и оцененная,
может быть конвертирована в объективную оценку разброса
прогнозируемых параметров фондового рынка.
Самыми крупными мазками можно описать тенденции, царящие
сегодня на мировом финансовом рынке, и то, что нас вероятнее всего ждет в
ближайшие 5 . 10 лет:
Пузырь «новой экономики» сдулся, США переживают рецессию и
угрозу дефляции. Адекватной реакцией на эти процессы является
внешнеполитическая экспансия США в странах третьего мира, в том
числе силой оружия.
Фондовые рынки всего мира потеряли устойчивость и ориентиры. По
сути, американский рынок сегодня управляется не объективными
количественными факторами, а новостями и мнениями. Что до рынков
развивающихся стран, то они как никогда являются уязвимыми к
колебаниям кросс-курсов мировых валют.
Мировые частные пенсионные системы потерпели за последние два
года убытки в несколько триллионов долларов (из-за вложений в
перегретые фондовые ценности). Вкупе с неумолимым старением
населения Земли это вызывает мировой пенсионный кризис.
Доллар США плавно девальвируется относительно евро, и ослабление
национальной валюты США вызвано прежде всего пересмотром роли
США в системе международных инвестиций. Привлекательность
таких инвестиций в экономику США снижается по тенденции.
Инвестор становится другим. Он корректирует свои инвестиционные
предпочтения, рационализуя их. Председатель Мао Цзэдун в своих
научных трудах однажды указывал на то, что каждое поколение
должно иметь свою войну. Перефразируя Мао, скажем: каждое
поколение с нуля приобретает опыт оптимального инвестирования
денег в фондовые ценности и, пока не набьет шишек, ничему не
научится. Если бы уроки родителей шли впрок, не повторилась бы
история с NASDAQ, потому что была бы памятна история с
Панамским каналом.
Терпит кризис наука фондового менеджмента. В очередной раз попали
под удар теории: Марковица, Шарпа-Линтнера, Блэка-Шоулза,
Боллерслева (GARCH . прогнозирование). (Markowitz, Sharpe-Littner,
Black-Sholes). Новая парадигма фондового рынка вызывает к жизни
новую научную парадигму. Возникает спрос на новые теории
рыночной оценки.
Ясно одно: Америка и весь мир вслед за нею входит в полосу новых
смутных времен. Контуры этих новых времен еще не обозначили себя,
стратегические инвестиционные цели не сформировались. И до тех пор, пока
не сформируется окончательно новая рациональная инвестиционная
парадигма фондового рынка (взамен парадигмы irrational exuberance),
останутся завышенными цены на традиционные материальные ресурсы:
золото и нефть. В то же время у нас есть кое-какие мысли на сей счет и ряд
сбывшихся прогнозов [Nedosekin].
SBS Portfolio Optimization System
Глава 1 Глава 2
Назначение программы «Система оптимизации фондового
портфеля» (далее СОФП), внедренной в Пенсионном фонде России, . это
оптимизация модельного фондового портфеля на основе исторических и
прогнозных данных по соответствующим фондовым индексам. Язык
программирования . Java. Объем, занимаемый программой на жестком
диске . 20 мегабайт.
Программа СОФП создавалась под моим непосредественным научным
руководством в течение 2002 . 2003 г.г.
Перейдем к описанию функциональности отдельных модулей
программы.
Вексельное обращение

Один из экранов модуля программы представлен на рис. 10.1.

Рис. 10.1. Экран модуля работы с инвестиционными профайлами
Инвестиционный профайл . это программная информационная
конструкция, в которой сосредоточена вся история операций с
инвестиционным портфелем. В ПФР под инвестиционным профайлом
понимается управляющая компания, которой переданы в управление
инвестиции определенного размера. В ходе модификации содержимого
профайла сотрудники ПФР могут моделировать операции управляющей
компании по управлению активами, оценивать эффективность и риск этих
операций.
Вексельное обращение

Функциональность модуля:
обеспечивает табличный режим сводного представления всех
созданных инвестиционных профайлов с отображением наименования
инвестиционного профайла, даты создания инвестиционного
профайла, среднего значения планового показателя Шарпа;
обеспечивает переход к режимам и процедурам создания нового
инвестиционного профайла, ребалансинга текущего модельного
портфеля выделенного профайла, консолидации инвестиционных
профайлов с созданием нового инвестиционного профайла, удаления
профайла, установки текущего модельного портфеля в
инвестиционном профайле;
обеспечивает возможность просмотра и печати отчетовов по
модельным портфелям конечного пользователя, с возможностью
сохранения отчета в форматах xml, html, pdf.


Вексельное обращение

Один из экранов модуля программы представлен на рис. 10.3.

Рис. 10.3. Экран модуля данных по индексам и модельным классам
Функциональность модуля позволяет:
обеспечить руководителю программы возможность корректировать
число модельных классов и сопоставлять им новые индексы;
обеспечить руководителю программы возможность добавлять новые
индексы, обновлять данные по индексам, использую специальный
графический интерфейс пользователя;
обеспечить руководителю программы возможность добавлять новые
индексы, обновлять данные по индексам путем импорта необходимой
информации из соответствующих файлов предустановленного
формата;
обеспечить руководителю программы возможность корректировать
рабочие параметры модулей программы;
обеспечить руководителю программы возможность установки и
изменения ограничений на процентное содержание модельных активов
в портфеля.
Вексельное обращение

Один из экранов модуля программы представлен на рис. 10.4.

Рис. 10.4. Экран модуля работы с профайлами экономического региона
Профайл экономического региона . это программная информационная
конструкция, позволяющая пользователю консолидировать всю историю
прогнозирования фондовых и макроэкономических индексов по одной
стране или по группе стран.
Функциональность модуля позволяет:
обеспечить табличный режим сводного представления всех созданных
профайлов экономического региона с отображением профайлов
экономического региона и даты создания профайлов экономического
региона;
обеспечить научному руководителю программы возможность
корректировать прогноз в составе профайла экономического региона;
обеспечить конечному пользователю и научному руководителю
программы возможность просматривать результаты прогнозирования
по всем профайлам экономического региона;
обеспечить конечному пользователю и научному руководителю
программы возможность просматривать и печатать отчеты по каждому
прогнозу, с возможностью сохранения отчета в форматах xml, html,
pdf;
обеспечить научному руководителю программы возможность
использовать прогнозные оценки доходности и риска по индексам в
качестве экспертных оценок;
обеспечить руководителю программы возможность ведения
справочника экономических регионов.
Вексельное обращение

Один из экранов модуля программы представлен на рис. 10.5.

Рис. 10.5. Экран модуля создания профайлов экономического региона
Функциональность модуля позволяет:
создавать профайлы экономического региона с указанием региона, с
возможностью распределения индексов по группам и контролем
наличия индексов макроэкономических показателей по указанному
экономическому региону;
задавать необходимые исходные данные, требуемые для выполнения
прогноза;
выполнять прогноз в соответствии с алгоритмом прогноза (на
основании научных результатов главы 7 настоящей диссертационной
работы);
получать результаты прогноза по индексам и обобщенному портфелю
в графическом представлении;
обеспечивать сохранение созданного профайла экономического
региона/прогноза;
создавать и отображать отчет при завершении создания профайла
экономического региона или при изменении прогноза.
менеджмента, осуществляющихся в расплывчатых информационных
условиях. Условия фондовой деятельности были и будут расплывчатыми
всегда (надеюсь, этот тезис не нуждается в каких-то специальных
доказательствах). Тем не менее, фондовый рынок существовал и будет
существовать, решения как принимались, так и принимаются. А вот что
ложится в основу этих решений, и в какой степени интуитивная основа
фондовых решений может быть рационализирована, стать предметом
научного изучения, - это как раз и есть предмет моего нынешнего
рассмотрения.
Иногда фондовые решения бывают вынужденными. Например,
вынужденность имеет место в случае инвестиций Пенсионного фонда РФ,
который, по условиям новой российской пенсионной реформы, обязан
производить инвестиции пенсионных резервов в акции и облигации
российских корпораций. Кажутся несовместимыми (не только мне, но и
руководству ПФР) две вещи: консервативный характер пенсионных
накоплений, требующий повышенной сохранности, и агрессивный характер
инвестиционной деятельности на фондовой рынке, сопровождающейся
повышенным риском убытков. Тем более это противоречие очевидно для
развивающейся страны (такой, как Россия), когда даже государственные
ценные бумаги обладают риском неисполнения обязательств по ним (что и
было успешно продемонстрировано в августе 1998 года).
Однако природа пенсионных сбережений такова, что они просто
обязаны быть инвестированы на фондовом рынке, дабы экономика страны
получила низкопроцентный источник денежных средств для развития.
Результатом такого развития является добавочный валовый внутренний
продукт, который впоследствии должен быть перераспределен между
будущими пенсионерами. И другого долгосрочного инвестиционного
механизма, обеспечивающего будущие пенсионные выплаты,
гарантированные от инфляционного обесценения, в обществе
капиталистического типа не существует. Поэтому пенсионные накопления
все равно будут инвестированы на фондовом рынке, и задача менеджеров
всех уровней . не потерять активы и не позволить им обесцениться.
Полагаю, содержание работы доказывает, что нечеткие множества
являются более предпочтительным инструментом для моделирования
поведения финансовых систем в условиях неопределенности, нежели
традиционные вероятности. Субъективные вероятности, используемые в
финансовом менеджменте скорее по инерции, все чаще обнаруживают свою
ограниченность в информационном плане, недостаточность и
недостоверность. Вероятностным моделям, детищу ХIX-XX веков, все
сложнее становится описывать реальности XXI века. Научная парадигма
финансового менеджмента изменяется у нас на глазах, и вероятностные
методы не поспевают за этими изменениями.
Финансовые системы непрерывно усложняются. Причиной тому
является технический прогресс, предоставляющий экономическим системам
дополнительные возможности для роста и развития. Внедрение в
экономическую жизнь компьютерных систем и сетей позволяет
корпорациям выйти на качественно новый уровень финансовой организации.
И такое объективное усложнение финансовых систем приводит к появлению
для них новых, в том числе неблагоприятных, возможностей развития,
которые подлежат изучению.
К сожалению, часто экономическая наука не поспевает за событиями и
не может предоставить практике финансового менеджмента адекватные
модели для управления финансами. Научная необеспеченность в управлении
финансами приводит к порочной практике некачественного управления
финансовыми активами, и через это . к банкротствам корпораций и
рыночным кризисам. Именно самонадеянность финансовых аналитиков,
апологетов т.н. «новой экономики», привела к тому, что ожидания
безгранично и бесконечно растущего фондового рынка вызвали
триллионные (в долларовом выражении) убытки корпораций и домаших
хозяйств по всему миру. Вызванные растиражированными
неквалифицированными советами убытки порождают полномасштабное
недоверие к инвестиционным консультантам и к тем модельным
предпосылкам, которые они кладут в основу своего научного анализа.
Очень часто практики финансового менеджмента, не доверяясь
дискредитированным теориям, управляют вверенными им активами, что
называется, «на глазок», базируясь на своей интуиции, которая очень часто
даже не вербализована. Эта интуитивная активность, помноженная на опыт
управления финансами, образует бесценный материал для исследования.
Лица, обладающие интуицией и опытом, становятся экспертами, чья
активность становится объектом научного исследования. Получается, что
объект научного исследования финансовых систем доопределился: если
ранее в него входил только экономический объект (корпорация, отрасль,
экономический регион, страна), то в современном финансовом менеджменте
объект научного исследования дополняется лицом, принимающим решения.
Таким лицом выступает как финансовый менеджер, так и финансовый
аналитик, готовящий решения для менеджера. Активность обоих этих лиц
подлежит детальному исследованию, и наилучшими формализмами для
моделирования этой активности, без сомнения, выступают нечеткие
множества.
В этой книге на примере метода комплексного финансового анализа
корпорации, нам удалось показать, как экспертные представления об уровне
факторов могут быть включены в модель оценки риска банкротства, каким
образом перейти от качественных представлений об уровнях факторов к
количественным. Там же мы использовали экспертные оценки в части
параметров бизнес-плана, которые не могут не иметь размытого вида.
Эксперт по продажам, как и любое другое лицо, не может ничего сказать о
будущих продажах вполне точно; поэтому он склонен опираться на
интервальные, размытые оценки. Чем опытнее эксперт, тем менее размытые
он дает оценки, и тем, соответственно, ниже риск неэффективности
принимаемых решений; однако есть неустранимая информационная
неопределенность, которую профессиональный эксперт должен уметь
чувствовать и выражать хотя бы в терминах естественного языка. В свою
очередь, экспертная уверенность (неуверенность) в своих оценках может
быть легко описана в количественных терминах, что мы и показали как в
предыдущей книге, так и в этой монографии.
Фондовый рынок является еще более сложным объектом научного
исследования, нежели отдельная корпорация, потому что на этом рынке
действуют десятки тысяч корпораций и миллионы частных и
институциональных инвесторов. Совместная деятельность этих
экономических агентов рынка приводит к результатам инвестирования в
ценные бумаги, фиксируемым фондовыми индексами. Равно как и в случае
моделирования финансовых систем корпораций, экспертные представления
и оценки могут быть формализованы и успешно применены в ходе
моделирования поведения фондового рынка и отдельных его субъектов.
Оценка инвестиционной привлекательности ценных бумаг (матричные
методы которой изложены нами в главе 5), если ее применить к большому
множеству эмитентов, дает нам материал для моделирования рынка в
целом, и обобщение этих результатов позволяет нам выдвинуть
современные теории оптимизации фондового портфеля и прогнозирования
фондовых индексов (главы 6 и 7 работы).
Полагаю, мне удалось разработать целый ряд научных теорий и
методов оценки, которые имеют существенное значение для рыночных
исследований и для практики финансового менеджмента в условиях
существенной информационной неопределенности. Практическое внедрение
разработанные теории и методы нашли в практике Пенсионного фонда
Российской Федерации, в ходе управления накопительной составляющей
трудовых пенсий граждан России. Полагаю, это лучшая рекомендация моим
научным исследованиям. Помимо этого, разработанные модели легли в
основу ряда компьютерных программ для финансового менеджмента, что
позволяет воспроизводить и использовать результаты моих научных работ в
практике управления финансами.
прогнозирования фондовых индексов на основе
нечеткой модели
П1.1. Классификация экономических регионов и индексов.
Обозначения
Все индексы, которые нам следует прогнозировать и наблюдать,
подразделяются на три большие группы:
Индексы долговых обязательств (к ним относим государственные
облигации, облигации субъектов региона, банковские депозиты,
корпоративные обязательства и эмиссионные ипотечные ценные
бумаги);
Индексы акций (к ним относим собственно акции с высокой и низкой
капитализацией (1-ый и второй эшелоны соответственно), а также паи
взаимных индексных фондов . разрешенные активы для пенсионных
инвестиций по законодательству РФ);
Индексы макроэкономических факторов (к ним относим валовой
внутренний продукт, инфлятор, кросс-курс валюты по отношению к
рублю, а также PE Ratio).
Также мы предполагаем, что существует взаимно однозначное
соответствие между индексом и экономическим регионом, который мы
далее будем называть держателем индекса. Предполагаем, что все бумаги
или тенденции, участвующие в формировании того или иного индекса,
выпущены или имеют место на географической территории региона .
держателя индекса. Выделяем следующие регионы, представляющие
интерес для исследований:
США и Канада (US);
Россия (RU);
Европейский союз (EC);
Англия (GB);
Япония (JAP);
Регион развивающихся стран (EMM).
В зависимости от типа индекса, варьируются применяемые модели и
методики прогнозирования. Изложим эти модели и методики
последовательно, от фазы к фазе процесса прогнозирования, как они
перечислены.


отзывные тенденции, стартовое размещение активов вырождено, и
невозможно отследить динамику портфеля, чувствительность его долей к
колебаниям экзогенных факторов. Поэтому в модели нагляднее в любом
случае стартовать с контрольной портфельной точки (по 50% акций и
облигаций в портфеле). Если отзывные тенденции перетока капитала
сохранятся, то портфель быстро выродится, и это можно будет наблюдать в
динамике.
Для всех индексов, отвечающих данному экономическому региону,
Привязка дискретного времени к непрерывному осушествляется таким
образом, что значения индексов и параметров для дискретного времени
соответствуют значениям последнего торгового дня соответствующего
квартала.
По обобщенному инвестиционному портфелю устанавливаются
текущие значения доходностей и рисков модельных классов акций и

В силу существенной нестационарности макроэкономических
процессов ( допущение экспертной модели) мы не беремся прогнозировать
их с помощью известных методов авторегрессионного анализа, как, скажем,
в моделях ALM [Lattice Financial]. Взамен мы предлагаем искать их в форме
полосы с прямолинейными границами вида.


и процесс переходит на фазу 3 . анализ ожидаемой инвестиционной
динамики.

Так, для входной ситуации №4, которую мы распознаем как призывно-
промежуточная при стартовом инвестировании и как призывную при
перетоке капиталов, мы прогнозируем увеличение размера капиталов,
инвестированных в акции и облигации, и соответствующий рост уровня
кумулятивных индексов. Сразу же отметим, что уровень индекса облигаций
является низкоэластичным фактором в отношении объемов операций, а
уровень индекса акций . Высоко эластичным фактором. Это обусловлено
тем, что процентные ставки по облигациям колеблются в достаточно узких
пределах; снизу они ограничены уровнем инфляции (или предельно
приближены к ней), а сверху . уровнем прибыльности корпораций,
позволяющим надежно обслуживать накопленную кредиторскую
задолженность без существенного ухудшения своего финансового состояния
(при минимальном уровне риска банкротства). Хотя для справедливости
отметим, что резкое падение курсов акций вызвало настолько мощный
переток денег в облигации США, что столь низкого уровня процентных
ставок не отмечалось с 1960 года. Но эту тенденцию здесь мы
рассматриваем как временную. Рано или поздно ставки выровняются,
потому что большая часть капиталов, сейчас осевших в облигациях США,
перетечет за рубеж.
Далее процесс прогнозирования переходит на фазу 4 . прогноз
расчетного коридора доходности по индексу.
торгов мы решаем пренебречь этой эластичностью в нашей модели и
построить прогноз доходности по облигациям на базе матрицы премий за
риск (таблица П1.1). Значения в матрице определяются нами на основе
дополнительных макроэкономических сооброжений экспертной модели.
Таблица П1.1. Премии за инвестиционный риск по облигациям

Приведенная модель премий за риск является стационарной и действует на
всем интервале прогнозирования.

Высокая эластичность фактора текущей доходности по акциям (на
уровне торгового дня, недели и тд) по фактору роста или спада объема торгов
вызывает существенные ценовые колебания индекса. Однако при
рассмотрении модели рационального поведения инвестора мы отмечаем, что
бурная динамика котировок на уровне среднесрочной перспективе
элиминируется тем, что вступает в действие фактор
переоцененности/недооцененности акций. И, таки образом, индекс акций в
среднесрочной перспективе формирует циклический тренд вокруг своих
средних значений, обусловленных рациональным уровнем PE Ratio.
Поэтому мы принимаем решение не моделировать объемную эластичность
доходности индекса акций, а учесть ее в модели косвенно на уровне
эластичности по фактору PE Ratio.
Упомянутая модель эластичности имеет вид:

и эти параметры определяются на основе дополнительных соображений
экспертной модели.
В том, что коэффициент эластичности скачкообразно изменяется при
переходе PE через уставочное значение, мы отражаем ассиметричность
инвестиционного выбора в преломлении на тип инвестора. Так, консервативный инвестор, почувствовав неладное и минимизируя риски,
выводит активы быстрее, чем если бы он вводил их при улучшении
инвестиционного климата. Наоборот, агрессивный инвестор будет быстрее
покупать, чем продавать, т.е. не минимизировать риски, а максимизировать
прибыль. В глазах же инвестора промежуточного типа рациональные темпы
прилива-отлива капитала совпадают; из контрольной портфельной точки он
побежит влево или вправо по линии эффективной границы с одной и той же
скоростью, если текущее значение PE Ratio будет симметрично ложиться
справа или слева от ставки, соответственно.
Линейный вид модели (П1.5) по умолчанию предполагает отсутствие
глубоких колебаний текущего PE Ratio от своего уставочного значения, т.к.
при наличии эффективных средств распознавания рыночной ситуации (а у
нас все эти средства описаны) инвестор будет оперативно корректировать
свою инвестиционную стратегию, и колебания индекса PE Ratio не будут
сильноволатильными.
То есть модель предполагает детальную настройку на
инвестиционную ситуацию (инвестиционную тенденцию). Потому что в
реальности рациональный инвестор очень пристально следит за
макроэкономической ситуацией, и его решения по управлению фондовым
капиталом являются точными (дифференцированными) и оперативными
(алертными), что и отражено в модели.
Модель (П1.5) предполагает механизм саморегуляции рынка в режиме
отрицательной обратной связи. Согласно соотношениям, переоценка
индекса влечет отрицательную доходность и спад уровня, что, в свою
очередь, приводит к недооценке и возникновению положительной
доходности. Все вместе это порождает цикличное поведение, цикличный
тренд.
На фондовых рынках наблюдается тенденция, когда акции с низкой
капитализацией ориентируются на тенденции акций с высокой
капитализацией. Особенно это справедливо для технически слабых
фондовых рынков, когда обращающиеся на нем акции не имеют
«собственного слова», то есть отвязаны от своих фундаментальных
характеристик, и не существует на рынке игроков, которые могли бы
привести в соответствие фундаментальные параметры акции и ее цену. Так,
российский фондовый рынок живет и еще некоторое время будет жить с
оглядкой на рынок американский, следуя в фарватере американской
динамики, а акции, эмитированные в российской глубинке, долго еще будут
оглядываться на динамику акций гигантов отечественной индустрии.
Парадоксально, но в краткосрочной перспективе корреляция индексов
акций первого и второго эшелона близка к нулю. Связано это с тем, что
акции второго эшелона обращаются быстрее акций первого эшелона и также
быстро изменяются в цене. Если рассмотреть корреляцию этих акций на
долгосрочной основе, элиминировав низко периодические колебания
индексов, то такая корреляция будет стремиться к единице по тенденции.
Поэтому справедливо будет считать, что на уровне монотонного
фондового портфеля в среднесрочной перспективе существует линейная
зависимость между расчетной доходностью акций первого и второго
эшелона:

Косвенно наш вывод подтверждают и результаты моделирования при
помощи программы SBS Portfolio Optimization System (рис. П1.1). Видно,
что кривизна параболы эффективной границы невелика (даже при нулевой
корреляции), а по мере роста корреляции эта парабола будет только
спрямляться.
Итак мы получили прогноз расчетного коридора доходности для всех
типов фондовых индексов, и теперь процесс переходит на фазу 5 . оценка
доходности и риска индексов и ребалансинг портфеля.

Рис. П1.1. Модельный портфель из акций первого и второго эшелонов
и риска фондовых индексов, потому что в условиях существенной
неопределенности и рационального инвестиционного выбора эти оценки
являются наиболее правдоподобными (равновесными). Такие оценки
говорят о том, что при инвестиционном равновесном выборе в оценках
доходности и риска отсутствуют смещения, в противном случае (например,
при несимметричном риске предполагается возможность переоценки
(недооценки) индекса).
Расчетный коридор доходности в нашей модели связан с нечеткими
оценками доходности и риска следующим простым соотношением
упреждения:

Упреждение здесь в том, что мы на базе расчетного коридора,
полученного на текущем интервале прогнозирования, формируем оценки
уже для последующего интервала прогнозирования. Диапазон половинного
среднеквадратического отклонения в (П1.9) . это диапазон рационального
доверия к тем оценкам, которые попадают в соответствующий расчетный
коридор (в предположении нормального распределения разброса с
нечеткими параметрами распределения). Если уровень доверия ниже, то
коридор шире, и им захватываются фактически неправдоподобные сценарии
развития событий. Наоборот, если доверие выше, то коридор уже, и в него
не попадают уже вполне правдоподобные оценки.
При переходе от (П1.9) к записи в действительных числах возникает
система трех линейных алгебраических уравнений с тремя неизвестными
(временно, для удобства представления, снимем в формулах зависимость от
времени):

Соотношения (П1.11) - (П1.13) выражают ту суть, что соотношение
доходности и риска по индексам в максимальном и минимальном варианте
зависит только от соотношения максимума и минимума доходности в
расчетном коридоре. Тогда все параметры модели находятся по формулам:
для Rmax < 0 и Rmin < 0


экономического региона нами получены. Фактически это означает, что
можно ежеквартально решать оптимизационную задачу для обобщенного
инвестиционного портфеля из акций и облигаций и определять
рациональную траекторию скольжения своей портфельной точки от границы
к границе по ходу прогнозирования (фаза 6 прогнозирования).
Рассмотрим вариант скольжения эффективной границы обобщенного
инвестиционного портфеля (отрисовывается только средняя линия границы)
от шага к шагу прогноза в условиях ухудшения инвестиционной обстановки
(рис. П1.2)

Если действовать, как посоветовала в 2001 г. Эбби Коэн, то ничего
делать не нужно, только поддерживать фиксированный баланс активов.
Такая тактика на падающем рынке вызывает только дополнительные
убытки, рост риска портфеля, и больше ничего. Наоборот: следует
освобождаться от акций в несколько раз быстрее, чем они падают,
переливаясь в облигации или вообще уходя с рынка. Тем самым достигается
опережающее снижение портфельного риска и реализуется консервативный
инвестиционный выбор. Выбор Эбби Коэн в этом случае оказывается
незаконно-агрессивным, анти-оптимальным; градиент ее выбора
(приращение доходности к приращению риска) во всех точках ее
инвестиционной траектории отрицателен. Наш градиент во всех точках
положителен, и более того: он растет.
Эти соображения оперативного порядка зафиксированы нами в модели
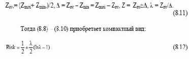
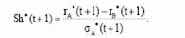
с помощью модифицированного показателя Шарпа:

Выражение (П1.17) - это не классический показатель Шарпа, потому
что в числителе вычитается осредненная доходность по всему классу
облигаций, а не доходность одних гос облигаций. Но смысл этого показателя
очень значим: он выражает экономическую эффективность инвестиций в
обобщенный инвестиционный портфель из всех акций и всех облигаций в
пределах данного экономического региона.
Мы говорим, что по мере снижения экономической эффективности портфеля (преимущественно за счет падения доходности акций) доля акций в портфеле должна снижаться опережающими темпами. То есть условие сохранения оптимальности при движении справа налево по границе . это условие положительного градиента (при движении слева направо градиент может быть любым):

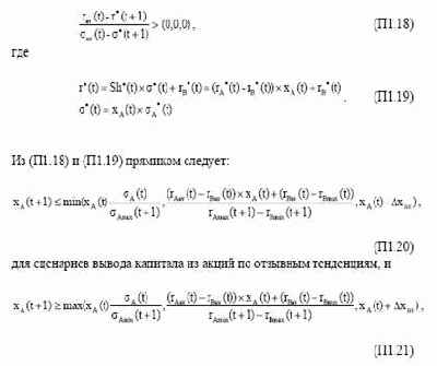
для сценариев инвестирования капитала в акции по призывным тенденциям.
По выжидательным тенденциям для акций изменения доли их в портфеле не
происходит. В (П1.20) и (П1.21) пл x - это плановый приток или отток
капитала, который вступает в действие, если остальные расчетные значения
в формулах приобретают неоптимальные или недопустимые по граничным
условиям значения.
Таким образом, мы получили целевое значение доли акций в портфеле
на прогнозный период времени, определяемое по (П1.20) . (П1.21).
Рациональные размеры долей облигаций (B) и выводимого капитала
(N) определяются на основании данных таблицы П1.2 о рациональных
перетоках капитала (обозначения: xA(t) = xA(t+1)- xA(t), xB(t) = xB(t+1)-
xB(t) ). Из таблицы П1.2 видно, что когда перетока по акциям нет, то за
основу при выборе очередного перетока берутся значения перетока по
облигациям на предыдущем шаге моделирования. И, во избежание
расходимости процесса формирования портфеля, всякий новый переток в
таких случаях в два раза меньше предыдущего (поскольку доходность по
облигациям низка, существенного изменения характеристик обобщенного
инвестиционного портфеля ожидать не приходится). Такой способ
организации перетоков обусловлен нестабильностью тенденций, связанных с
выжидательным выбором по акциям, неустойчивым равновесием
выжидательных состояний. А там, где нестабильность, там резкие движения
недопустимы, потому что можно получить неожиданные чувствительные
убытки.


Особенностью формул (П1.22) - (П1.24) является элиминирование
промежуточной неопределенности при построении прогнозной оценки, так
как мы считаем, что на прогнозные величины влияют в первую очередь
ожидаемые средние значения индексов, полученные на предыдущих
временных интервалах прогнозирования. То есть в нашей экспертной
модели прогнозная неопределенность имеет период действия (и влияния на
оценки) ровно один прогнозный квартал. Если бы принцип элиминирования
в оценках не соблюдался, то тогда наш прогноз оказался бы «зашумленным»
накопленными размытыми оценками.
Также (П1.24) выражает самую суть наших модельных допущений о
рациональном выборе. Рациональное значение
(t) Λ 1, при совпадении
текущего значения PE Ratio с уставочным, говорит нам о том, что система
инвестиционного выбора находится в равновесии, и весь рост доходов по
акциям обеспечен соответствующим ростом валового внутреннего
регионального продукта. Если обеспечение прироста акций реальными
ценностями (прибылью корпораций) не происходит в полном объеме, то
акции начинают переоцениваться, «перегреваться», и запускается механизм
снижения текущей доходности по индексу (через эластичность вида (П1.5)).
После реализации фазы 7 процесс переходит на техническую фазу 8
(ветвление процедуры прогнозирования).
Прогнозное время увеличивается на единицу, и проверяется условие t
> tкон . Если условие выполняется, то процесс собственно прогнозирования
завершен, и начинается реализация фазы 9. Если прогнозирование не
завершено, то оно возобновляется, начиная с фазы 3.
На этой фазе полученный прогноз по индексам претерпевает поправку
на кросс-курс национальной валюты экономического региона по отношению
к российскому рублю. Эта коррекция проводится по формуле:

На этой фазе строится оценка расчетного коридора финальной
доходности по индексу, скорректированному фазой выше. Соотношение для
расчетного коридора финальной доходности:

На этой фазе получается итоговая оценка доходности и риска
фондового индекса, которая может быть взята за основу в ходе портфельной
оптимизации, если горизонт инвестирования совпадает с периодом
прогнозирования. Все оценки получаются по формулам (П1.9)-(П1.16), с
заменой расчетного коридора (t) R на параметр \ R .
сих пор не имел удовлетворительной теории для количественного
оценивания. В то же время неопределенность, сопровождающая финансовые
решения, постоянно рождает неуверенность принимающего эти решения
лица, порождает риск неверной интерпретации исходной инвормации для
принятия решения. И такую неуверенность уже давно следовало бы
научиться количественно измерять.
Неуверенность ЛПР в своих оценках ситуации порождает
качественные высказывания в терминах естественного языка. Например,
рассматривая фундаментальные характеристики ценной бумаги, инвестор
оценивает текущее значение показателя P/E, которое равно 20. «Много» это
или «мало», вот вопрос, который уже обсуждался нами в 1.1. Инвестор
может обратиться к финансовому консультанту. Точным ответом на вопрос
инвестора будет гистограмма, где по оси Х отложены значения показателя P/E, а по оси Y . то, с какой относительной частотой выпадают те или иные
значения показателя для предприятий той же отрасли, что и объект анализа.
Анализируя гистограмму, инвестор может задаться вопросом, почему
одним компаниям позволено иметь большие значения P/E, а другим .
меньшие, и какой уровень P/E следует считать объективным. Инвестор опять беспокоит своего консультанта, и тот выдает заключение. Оказывается, доходность бумаги состоит в обратном отношении к ее надежности, и зачастую люди покупают высоко капитализированные компании, имея ввиду в первую очередь низкий риск дефолта, а во вторую очередь рассматривая уже соображения, связанные с доходностью. Что до объективного уровня, то все зависит от периода анализа. Например, для высокотехнологичных компаний в 1999-2000 г.г. характерным уровнем P/E был уровень в несколько десятков единиц. Сегодня же типовое значение . 10-15, потому что произошла коррекция.
И вот инвестор созрел для того, чтобы принимать решение. Он
говорит себе: «Сегодня у компании Х цена акций $20, а соотношение P/E
составляет 41. Ее капитализация . 100 млрд долларов, однако я считаю, что компания все равно переоценена, и такой уровень P/E . слишком высокий.
Для этой компании я считаю приемлемым диапазон P/E порядка 30-35. И
даже если сегодня цена компании растет, я тем не менее нахожу, что этот
рост ненадежен и может смениться спадом. Я буду покупать эти акции при
целевой цене на уровне $15-$17, что соответствует моим ожиданиям».
Таким образом, инвестор произвел свою самостоятельную оценку
ситуации и принял решение.
При этом в основаниях этого решения мы можем увидеть:
ожидания . связанные с перспективами роста данных акций;
нечеткую классификацию, когда инвестор сопоставлял текущую
капитализацию компании с ее P/E и производил анализ уровня
показателя.
Все, что инвестор говорит на словах, он может вполне
трансформировать в описания на языке математики. И тогда ожидания,
предпочтения и нечеткие оценки, сделанные инвестором, явятся исходной
информацией для моделирования предпосылок для принятия (непринятия)
инвестиционного решения.
Оценивая акции, инвестор может производить и макроэкономические
оценки, например, перспектив тех или иных отраслей или даже
национальной экономики. Уже в том утверждении, что США проходят фазу
рецессии, содержится огромное количество информации, которую
необходимо учитывать для принятии решения. Подробно об этом говорится
в разделе 5 книги, а сейчас ограничимся тем замечанием, что рецессия
ставит одни отрасли в привилегированное положение, а другие отрасли
оказываются ущемленными. Значит, идет межотраслевое перераспределение
инвестиционных рисков, которое надо иметь ввиду.
Инвестор, покупая или продавая акции, должен составить себе мнение
о том, какой рынок сейчас одерживает победу . «медвежий» или «бычий».
Это дает ему основания считать, «что на «медвежьем» рынке переоцененные
активы, скорее всего, упадут, а недооцененные, если и упадут, то неглубоко.
И наоборот: на «бычьем» рынке недооцененные активы, скорее всего,
возрастут, а переоцененные, если и возрастут, то несильно». Все, что
отмечено курсивом в этих закавыченных предложениях, представляет собой
предмет оценки инвестором текущего состояния рынка и его перспектив.
Таким образом, на примере инвестиционных решений, мы заключаем,
что огромное количество информации содержится в трудно формализуемых
интуитивных предпочтениях ЛПР. Если эти предпочтения и допущения ЛПР
обретают вербальную форму, они сразу же могут получить количественную
оценку на базе формализмов теории нечетких множеств и составить
обособленный конвент исходной информации в рамках финансовой модели.
Мы можем назвать этот обособленный контент экспертной моделью.
Информация экспертной модели образует информационную ситуацию
относительно уровня входной неопределенности финансовой модели. Она
выступает как фильтр для исходных оценок параметров, преобразуя их из
ряда наблюдений квазистатистики (см. 1.4) в функции принадлежности
соответствующего носителя параметра тем или иным нечетко описанным
кластерам (состояниям уровня параметра). Таким образом, от нечеткой
оценки входных параметров после ряда преобразований мы можем перейти
к нечетким оценкам финансовых результатов и оценить риск их
не достижения в рамках принимаемых в плановом порядке финансовых
решений.
инвестиционного выбора с повышенной долей акций в обобщенном
инвестиционном портфеле.
Активное управление портфелем - тип управления,
характеризующийся непрерывным ребалансингом портфеля, на основе
алертов (алертное управление портфелем) или на основании других
соображений.
Алерт - предупредительный сигнал, свидетельствующий о
качественных изменениях макроэкономического характера (макроалерт) или
о фиксированном изменении показателей цены, доходности, отношения РЕ и
т.д. (технический алерт).
Алертное управление портфелем - активное управление портфелем
на основе алертов.
Асимметричный инвестиционный выбор - свойство
иррационального инвестиционного выбора. Асимметрия развивается сразу в
двух плоскостях. Во-первых, горечь убытков переживается интенсивнее, чем
радость от прибыли. Во-вторых, рациональный инвестор не так скоро
продает временно подорожавшие ценности, как скоро он скупает временно
подешевевшие. В основе асимметрий лежат жадность и страх.
Безразличие - свойство рационального инвестиционного выбора.
Истерия - сопутствующий признак иррационального инвестиционного
выбора, необоснованный сброс акций, вызывающий их недооценку,
рыночная паника.
Консервативный инвестиционный выбор - тип рационального
инвестиционного выбора с повышенной долей облигаций в обобщенном
инвестиционном портфеле.
Конечная (финальная) доходность - относительное приращение
цены индекса за расчетный год (в процентах годовых).
Контрольная портфельная точка - 50% акций, 50% облигаций
(50:50).
Модифицированный показатель Шарпа - см. Шарпа показатель.
Монотонный инвестиционный портфель - сформированный на
основании золотого правила инвестирования обобщенный инвестиционный
портфель. Характеризуется тем, что в нем нет активов-аутсайдеров (с
одновременно худшими показателями по доходности и риску). Существует
не всегда и не везде. Например, в США в июле-августе 2002 года не
существовал, из за глобальной переоцененности акций; тем самым сегмент
высокодоходных высоко рискованных инвестиций оказался
несформированным, а монотонный портфель . незаполненным. Когда
доходности и риски индексов в монотонном портфеле определить трудно,
формируются отношения порядка.
Невозможность прогнозирования - отсутствие достаточных научных
осно-аний для формирования прогноза. Справедливо в отношении
долгосрочных прогнозов индексов.
Недооценка - состояние рынка, при котором цены активов ниже
рационального, заранее оцененного уровня.
Низко эластичный фактор - фактор, не обладающий заметной
чувствительностью к изменению другого фактора, влияющего на поведение
данного. В нашем случае . практическое отсутствие зависимости расчетного
коридора доходности индекса облигаций от объемов торгов.
Обобщенный модельный инвестиционный портфель - портфель,
сформированный в данном экономическом регионе и состоящий из акций
(А), облигаций (B) и не фондовых активов (N). Характеризуется списком
соответствующих индексов и долевым распределением (A, B, N).
Абстрактная категория, применяемая в моделях прогнозирования индексов.
Объемная эластичность фактора доходности - зависимость
доходности индекса от объемов торгов.
Оперативное управление портфелем - управление портфелем в
режиме реального времени.
Отношение РЕ (коэффициент Ц/Д), (PE Ratio) - отношение цены
акции (индекса) к чистой прибыли на одну акцию (осредненную акцию
индекса) в годовом исчислении. По индексу рассчитывается как
средневзвешенное по акциям, входящим в индекс, с учетом рыночной
капитализации соответствующих акций и их доли в индексе.
Отношение порядка - математически выраженное отношение
количественного предпочтения одних объектов другим. Мы рассматриваем
отношения порядка доходностей и рисков в монотонном инвестиционном
портфеле.
Отрезвление - здесь: промежуточное состояние между
иррациональным и рациональным инвестиционным выбором. Характерный
пример . август 2002 года, США.
Отрицательная обратная связь - термин теории автоматического
управления. Отражает способность автоматической системы в ходе
изменения выходного сигнала вырабатывать корректирующее воздействие
на входной сигнал противоположной направленности. У нас: отрицательный
наклон линий эластичности фактора расчетной доходности индекса по
фактору отношения РЕ вызывает в прогностической модели такую
последовательность прогнозных событий, при которой переоцененные
активы начинают падать в цене, а недооцененные . расти в цене.
Пассивное управление портфелем - см. принцип балансирования.
Переоценка - состояние рынка, при котором цены активов выше
рационального, заранее оцененного уровня.
Пик тренда - локальный или глобальный максимум тренда.
Полосовая эффективная граница - см. эффективная граница.
Премия за риск - надбавка к текущей доходности акций или
облигаций к уровню денежной инфляции. Выражает то, что в ходе
инвестиций происходит выведение денежных средств из оборота, которое
может сопровождаться их потерей (обесценением), поэтому возникает риск
инвестирования, за который инвестор вправе потребовать (и требует)
компенсационную премию. Экзотический вид ПЗР . премия к доходности
акций из-за недобросовестной бухгалтерской отчетности (при завышении
размеров корпоративной прибыли).
Принцип балансирования (принцип следования за рынком,
принцип Эбби Коэн) - антинаучный принцип инвестирования, основанный
на балансировании своего портфеля в соответствии с тенденциями
индексов. На нем основана работа так называемых балансовых индексных
фондов (терпящих сейчас колоссальные убытки). В последний раз
отстаивался американским финансовым аналитиком Эбби Коэн в 2001 году.
Промежуточный инвестиционный выбор - тип рационального
инвестиционного выбора с паритетной долей акций и облигаций в
обобщенном инвестиционном портфеле. Контрольная портфельная точка
принадлежит этому типу выбора.
Равно предпочтительность - см. безразличие.
Разумная диверсификация - научно обоснованное включение в
портфель активов с различными соотношениями доходности и риска
индексов. В частности, монотонный инвестиционный портфель
диверсифицирован разумно.
Ралли - термин, выражающий бурный рост активов после некоторого
спада цен. Обычно Р. провоцируется игрой на повышение.
Расчетный коридор доходности портфеля - треугольная оценка
будущего значения индекса в конце оперативного интервала
прогнозирования (у нас . квартал). Связан с доходностью и риском индекса
простыми формулами.
Рациональный инвестор - инвестор, мотивирующий свой
инвестиционный выбор научными соображениями.
Рациональный инвестиционный выбор (рациональные
инвестиции) -выбор рационального инвестора, опирающийся на научно
обоснованные рыночные прогнозы. Предполагает положительную
конечную (финальную) доходность инвестиций на интервале
прогнозирования.
Ребалансинг портфеля - изменение долей портфеля на основе
некоторых входящих предпосылок (например, смена инвестиционной
тенденции, алерт).
Синхронная волатильность - когда активы, входящие в один индекс,
колеблются синфазно в силу полной корреляции активов. Обычно .
проявление стадности инвесторов.
Средняя рациональная линия рынка - модель, использующаяся при
долгосрочном прогнозировании. Предполагает возможность экстраполяции
данных, полученных на среднесрочном интервале прогнозирования, для
долгосрочного интервала.
Стадность - термин Дж. Сороса. Выражает свойство массовых
инвестиционных процессов, при котором все ориентируются друг на друга и
одновременно покупают, и продают одни и те же активы. На
повышающемся рынке стадность вызывает эффект ралли. Стадность
провоцирует синхронную волатильность. Препятствует разумной
диверсификации.
Страх - здесь: тип иррационального инвестиционного выбора,
характеризующийся немотивированной недооценкой активов индекса.
Сопровождается неврозом инвестора, возникающим в ходе оценки зоны
риска индекса. Также см. Жадность.
Технический анализ - совокупность приемов, позволяющих
предсказывать индексы на ограниченном интервале времени (от одного
торгового дня до квартала). Невозможно применять для среднесрочного
прогнозирования индексов из-за предположения о стационарности
тенденций, которые обязаны проявиться и в недалеком будущем.
Противовес ТА . фундаментальный анализ.
Типы рационального инвестиционного выбора - агрессивный,
консервативный, промежуточный.
Тренд - средняя линия цены индекса (у нас . треугольная нечеткая
функция или последовательность). В техническом анализе тренд
оценивается методом скользящей средней (с усредненным суммированием
ценовых отсчетов индекса за определенное количество дней). В настоящем
документе прогнозируется именно тренд индекса.
Фундаментальный анализ - совокупность приемов, позволяющих
оценить качество ценной бумаги на основе фундаментальных ее
характеристик, включая соотношение цены и качества, а также данных по
эмитенту ценной бумаги. Иногда выводы ФА противоречат выводам
технического анализа. Настоящий документ написан с позиций именно
фундаментального анализа.
Циклический тренд - тренд, который отражает циклическое
поведение индекса в связи с непрерывно меняющимся макроэкономическим
окружением индекса и связанными с этим переоценками и недооценками.
Шарпа показатель - дробь: в числителе . разница доходностей
индекса и государственных облигаций (условно- безрисковый актив), в
знаменателе - риск индекса. У нас, наряду с классическим показателем
Шарпа, используется модифицированный показатель, где в числителе
вычитается не доходность по госбумагам, а доходность индекса облигаций в
обобщенном инвестиционном портфеле.
Эбби Коэн - современный американский финансовый аналитик. Одно
время успешно предсказывала рыночные тенденции, заслужив себе
популярность ведущего прогнозиста США. Однако советы Эбби Коэн,
датированные 2001 годом, о балансировании портфелей с падающими
активами по принципу следования за рынком привели к убыткам в
миллиарды долларов по всей Америке.
Экономический регион - страна или совокупность стран, индексы
которых можно оценивать автономно, на базе единой валюты, с
сопоставимым уровнем инфляции и темпами роста валового внутреннего
продукта. Примеры, рассмотренные в настоящем документе: США и Россия.
Экспертная модель - совокупность качественных описаний текущего
состояния объекта исследования (в нашем случае . фондового рынка и его
макроэкономического окружения) и предполагаемых тенденций развития
объекта исследования. Только правильно составленная экспертная модель
может привести нас к корректной математической модели и адекватным
методикам. Прогнозы, не опирающиеся на экспертную модель,
бессмысленны.
Эффективная граница портфельного множества - вогнутая
кривая без разрывов в координатах «Риск-Доходность», характеризующая
максимум доходности портфеля с неизвестными весами активов при
фиксированном риске портфеля. В нечеткой постановке задачи эффективная
граница приобретает вид полосовой эффективной границы.
Эйфория - сопутствующий признак иррационального
инвестиционного выбора, необоснованный закуп акций, вызывающий их
переоценку.
превосходном спектакле театра Кабуки (в Россию этот театр приезжает в
среднем раз в четверть века). Эта постановка и сейчас у меня перед глазами.
Сюжет одного из отрывков таков: художник попадает в джунгли; вдруг
появляется тигр. Художник понимает, что он может обезопасить тигра
единственным образом . если успеет нарисовать его. Художник
принимается рисовать тигра на вертикальной каменной плите; его работа
сокрыта от зрителей. И вдруг все мы с трепетом наблюдаем, как на
противоположной стороне плиты медленно проступает изображение тигра!..
Художник заклял тигра, тигр исчезает.
Приведенная аллегория неслучайна. Применительно к финансам тигр
. это неослабная угроза потерять деньги, джунгли . мир завтрашнего дня,
полный неопределенности и неожиданности, а художник . это финансист.
Нарисовать тигра означает познать тигра, сделать его видимым, обличить.
Тигр бессмертен. Мы не можем убить его, не можем сделать его
домашним животным, не можем посадить на цепь или в клетку. Тигр - это
хаос. Но всякий хаос посылается нам промыслительно, чтобы система,
претерпевшая хаос и уцелевшая под его напором, устремилась к новой
градации порядка. Таков закон эволюции; не мы его авторы, и не нам его
отменять.
Нарисовать тигра означает наметить его контуры, описать его повадки.
Предвосхитить его распорядок дня, его рацион. Тогда, возможно, нам
удастся уцелеть от лап хищника. Мы не сможем посадить тигра в клетку,
равно как и оградиться от тигра забором и самим жить за этим забором, как
в клетке. Джунгли . это правила игры, необычайно азартной игры.
Опасность неотменима. Жить вообще опасно. Но, если сделаться смелее и
перестать бояться боли, бояться будущего, - то откроется, что джунгли . это
увлекательнейшее приключение. В джунглях нам предстоит построить
хижину, перейти реку вброд, встретиться с тигром и заклясть его, чтобы
остаться в живых. Участь разведчика почетна, тем более это наша общая
участь, участь человека и человечества, и другой у нас нет.
Нет такого человека, который бы хоть однажды в жизни не потерял
деньги. В той или иной степени мы все были хоть раз за свою жизнь в роли
ограбленных. В Америке финансовые пирамиды имеют давнюю историю;
Россия столкнулась с этим впервые в 90-х годах прошлого века. Но, вне
зависимости от того, известны нам свойства пирамид или нет, терять деньги
одинаково больно и досадно. Но боль и досада выступают великими
учителями. Они учат терпению, осторожности, правильной расстановке
акцентов, отбивают алчность и делают человека в конечном счете мудрее.
Мне довелось как-то присутствовать на одном из уголовных процессов
по делу о пирамидах. Процесс шел несколько лет (потому что от пирамиды
пострадало 8000 человек, и суд посчитал необходимым разобраться в деле,
что называется, до последнего доллара). На первых заседаниях гневу
одураченных людей не было границ. Они требовали от суда самого сурового
наказания для мошенников. Кое-кто даже был готов (если ему дадут
револьвер и право выносить вердикт) самолично расправиться с
подсудимыми. К концу же процесса, когда время взяло свое, и страсти
подутихли, вдруг прозвучало, как выстраданный урок, от одной из
потерпевших: «Мы сами виноваты». Нужно было прожить несколько лет
один на один с обидой, чтобы выстрадать истину о том, что виноваты все,
или не виноват никто. Что пирамида . это только реакция на жадность и
страх, это материализованный образ болезни и одновременно . горькое
лекарство от нее.
Быть мудрее, учиться жить в джунглях, не превращаясь при этом в
дикое животное, то жадное, то пугливое, . это лозунг дня. В переводе на
язык денег это означает . быть инвестором, учиться оценивать риски и
парировать их.
Инвестировать в условиях суровой, дикой неопределенности . это
искусство, оттачиваемое десятилетиями. Инвестиции . это азартная игра. Не
всем по нутру азартные игры. Но все, что связано с деньгами, азартно
поневоле, потому что деньги . это чрезвычайно текучий продукт. Удержать
деньги под своим контролем намного труднее, чем эти самые деньги
заработать. Поэтому мы можем оценить всю тяжесть потерь от финансовых
катаклизмов, ложащуюся на плечи пенсионеров. Сдувшийся пузырь «новой
экономики» больнее всего ударил именно по ним, - потому что они уже
сделали свой инвестиционный выбор и теперь могут только получать
результат этого выбора, иногда весьма прискорбный . отрицательный, в
форме убытков и потери капитала.
Все говорит за то, что надо учиться инвестировать в условиях
неопределенности относительно неизвестного будущего и
трудноразличимого настоящего, инвестировать в расплывчатых условиях.
Это ключевое соображение и предопределило название книги, которую вы
держите в руках. Инвестируя в расплывчатых условиях, за основу следует
брать только самые стойкие истины, которые апробированы тысячелетиями
практики операций с материальными ценностями. Золотое правило
инвестирования свидетельствует, что большей ожидаемой доходности
операций соответствует больший риск потерять деньги. Диверсификация
учит не держать все яйца в одной корзине. Есть еще несколько подобных
близких по существу соображений, из которых человек опытный сделает
свои выводы. Возьмем хотя бы Экклезиаста: «Лучше горсть с покоем,
нежели пригоршни с трудом и томлением духа» (Еккл. 4.6). {Better one
handful with tranquility than two handfuls with toil and chasing after the wind
Eccl 4:6}. Не об инвестициях ли в государственные облигации это сказано?
Все мы . эмитенты, инвесторы, эксперты - обречены на активность.
Но в ходе принятия своих рыночных решений мы сталкиваемся с одной
общей проблемой . с неизвестностью завтрашнего дня, которая создает
расплывчатые условия для инвестиций. Все стремятся сделать этот мир
более предсказуемым, что вызывает потребность в планировании,
прогнозировании, в оценке рыночного риска. Генерируются сценарии
перспективного развития событий, связанных с изменением уровня цен,
объемов выпуска и продаж товарной продукции, с изменением
макропараметров экономической среды (уровней налогообложения, ставок
по краткосрочным кредитам, темпов инфляции и т.д.), а затем проводится
анализ реакции корпоративных финансов на реализуемый гипотетический
сценарий. Оптимистические сценарии улучшают финансовое состояние
корпорации и ее рыночное положение, а пессимистические . ухудшают, в
том числе приводя корпорацию на грань банкротства.
Центральный вопрос . какова ожидаемость тех или иных сценариев в
перспективной картине существования корпорации. И вот здесь
исследователи начинают вводить веса сценариев в интегральной картине,
причем эти веса имеют вероятностный смысл. При этом сразу возникает два
вопроса:
на каком основании эти веса устанавливаются;
все ли потенциальные сценарии развития корпорации и ее окружения
учтены в интегральной картине.
Честный ответ на эти два вопроса неутешителен: не хватает оснований
для назначения весов в свертке сценариев, не все сценарии учтены, да и
учесть их все не представляется возможным.
Можно перейти из дискретного пространства сценариев в
непрерывное, заменив дискретное весовое распределение факторов
непрерывной плотностью распределения. Имея такие распределения на
входе в модель, можно точно или приближенно восстановить распределение
выходных параметров модели (например, финансовых показателей). И такой
путь, снимая проблему ограниченности сценариев, не снимает другую
проблему . обоснованности модельных вероятностных распределений.
Если рассматривать классическое понимание вероятности, то прежде
всего такая вероятность вводится как частота однородных событий,
происходящих в неизменных внешних условиях. В реальной экономике нет
ни однородности, ни неизменности условий. Даже два предприятия,
принадлежащие к одной отрасли и работающие на одном и том же рынке,
развиваются по-разному в силу внутренних особенностей. Так, успешный
менеджмент одной такой компании приводит ее к успеху, а неуспешный
менеджмент другой . к банкротству. На уровне «черных ящиков» обе
компании могут выглядеть одинаково, однородно, но при раскрытии
информации о компаниях, при детализации вся однородность пропадает.
Не сохраняется однородность и с течением времени. Так,
американский фондовый рынок образца 2002 года . это вовсе не то же
самое, что рынок образца 1999 года (до рецессии). Кардинально различны
все макроэкономические параметры. Ясно, что рынку до кризиса может быть сопоставлена одна сценарно-вероятностная модель, а для после кризисного
рынка она будет совсем другой: изменятся как сами сценарии, так и их веса.
Много усилий в науке было потрачено на то, чтобы отойти от
классического понимания вероятностей. По мере перехода от классической
вероятности к аксиологической (субъективной) возрастала роль эксперта,
назначающего вероятностные, веса, увеличивалось влияние субъективных
предпочтений эксперта на оценку. Соответственно, чем более субъективной
становилась вероятность, тем менее научной она оказывалась.
Появление субъективных вероятностей в экономическом анализе
далеко не случайно. Этим было ознаменовано первое стратегическое
отступление науки перед лицом неопределенности, которая имеет
неустранимый характер. Такая неопределенность является не просто
неустранимой, она является «дурной» в том смысле, что не обладает
структурой, которую можно было бы один раз и навсегда модельно описать
вероятностями и вероятностными процессами. То, что с большим успехом
используется в технике, в теории массового обслуживания, в статистике как
науке о поведении большого числа однородных (принадлежащих одному
модельному классу) объектов, то совершенно не проходит в моделях
финансового менеджмента. Исследователь имеет дело с ограниченным
набором событий, разнородных по своему происхождению, и он
затрудняется в том, какие выводы сделать на основе полученной
информации.
Таким образом, сам эксперт, его научная активность, его предпочтения
начинают сами выступать как объект научного исследования. Уверенность
(неуверенность) эксперта в оценке приобретают количественное выражение,
и здесь вероятностям делать уже совершенно нечего. Аналогия может быть
такой, что если раньше врач пытался лечить больного, то теперь в лечении
нуждается он сам. Объект научного исследования доопределился: если ранее
в него входил только экономический объект (корпорация, отрасль,
экономический регион, страна), то в современном финансовом менеджменте
объект научного исследования дополняется лицом, принимающим решения
(ЛПР) {DM . decision maker}. Таким лицом выступает как финансовый
менеджер, так и финансовый аналитик, готовящий решения для менеджера.
Активность обоих этих лиц подлежит детальному исследованию.
Самое главное в такой постановке научной задачи . научиться
моделировать субъектную активность. В частности, важно представлять, по каким критериям ЛПР производит распознавание текущей экономической
ситуации, состояния объекта исследования, поля для принятия решений.
Информации не хватает, она не очень высокого качества. Соответственно,
ЛПР сознательно или подсознательно отходит от точечных числовых
оценок, заменяя их качественными характеристиками ситуации,
выраженными на естественном языке (например, «высокий/низкий уровень
фактора», «большой/малый/незначительный размер денежного потока»,
«приемлемый/запредельный риск» и т.д.). Пока терминам естественного
языка не сопоставлена количественная оценка, они могут
интерпретироваться произвольно. Но если такая оценка состоялась как
конвенциальная модель, образованная на пересечении мнений и
предпочтений целого ряда экспертов, наблюдающих примерно одну и ту же
экономическую реальность, тогда она обладает значимостью для
моделирования экономического объекта, наряду с данными о самом этом
объекте.
Моделируя финансовую деятельность в условиях существенной
неопределенности, я органично для себя счел удобным и полезным
применять в финансовом анализе формализмы теории нечетких
множеств. Начинал я свою научную карьеру как специалист по теории
вероятностей. И тем с большим трудом я вынужден был признать, что
вероятности, даже новейшего образца, категорически проигрывают
нечетким множествам в главном: в умении описывать самое существо
субъективной активности лица, познающего мир и принимающего решения.
А для того, чтобы бороться с неопределенностью, мы должны научиться ее
моделировать, разграничивая познаваемые вещи от вещей, которые нам не
суждено познать никогда. И если мы нашли формулу границы между
непознаваемым и познаваемым, между определенным и неразличимым, мы
добились максимума того, что в человеческих силах. Остальное следует
препоручить силам высшего порядка (хотя познание человеческое, конечно,
не остановишь).
Что такое сегодня «высокая процентная ставка по кредитам»? Мы не
узнаем об этом ничего, пока не опросим некоторую группу предприятий,
пользующихся кредитными ресурсами банков. Все эти предприятия
пользуются кредитами на разных условиях: чем надежнее заемщик, тем
меньшую ставку по кредиту он может себе позволить. Все заемщики разные,
однако в ходе сводного исследования вырисовывается некая целостная
картина (обычно интерпретируемая как гистограмма испытаний).
Становится возможным определить некую среднюю ставку заимствований, вокруг которой группируются все остальные ставки.
И, чем далее вправо по оси Х (уровень процентной ставки) мы будем двигаться от определенногосреднего значения, тем больше оснований мы получаем заявлять, что данная ставка . «высокая». Так мы можем выделить три группы ставок: «высокая», «средняя», «низкая» - и разнести все имеющиеся ставки по выделенным классам (кластерам) двумя путями. Мы можем сделать это вполне точно (хотя и грубо), установив соответствующие интервалы на оси Х, и принадлежность к тому или иному интервалу будет вызывать однозначную словесную оценку. Если делать такую же работу более тщательно, то следует описать нашу уверенность (неуверенность) в классификации. Тогда четкие множества интервалов преобразуются в нечеткие подмножества с размытыми границами, а степень принадлежности той или иной процентной ставки к данному подмножеству определяется функцией принадлежности, построенной по специальным правилам.
Таким образом, наметились пути второго стратегического
отступления науки в ходе исследования неопределенности в экономике.
Если раньше ученые вынуждены были отказаться от классической
вероятности в пользу вероятности субъективной, то теперь и субъективная
вероятность перестает устраивать исследователя. Потому что в ней
оказывается слишком много субъективной экспертной оценки и слишком
мало . информации о том, как эта оценка была получена.
Третьего стратегического отступления не предвидится, потому как
некуда. Мы отступаем потому, что хотим сохранить адекватность
используемых моделей и требуемую степень их достоверности. Мы хотим
быть честными, поэтому постепенно выводим субъективные вероятности из
оборота, заменяя их нечеткими множествами. И тут возникает возможность
для перегруппировки и стратегического наступления на неопределенность.
Причин к этому несколько:
нечеткие множества идеально описывают субъектную активность
ЛПР;
нечеткие числа (разновидность нечетких множеств) идеально подходят
для планирования факторов во времени, когда их будущая оценка
затруднена (размыта, не имеет достаточных вероятностных
оснований). Таки образом, все сценарии по тем или иным отдельным
факторам могут быть сведены в один сводный сценарий в форме
треугольного числа, где выделяются три точки: минимально
возможное, наиболее ожидаемое и максимально возможное значения
фактора. При этом веса отдельных сценариев в структуре сводного
сценария формализуются как треугольная функция принадлежности
уровня фактора нечеткому множеству «примерного равенства
среднему»;
мы можем в пределах одной модели формализовывать как
особенности экономического объекта, так и познавательные
особенности связанных с этим объектом субъектов менеджера и
аналитика;
мы можем вернуть вероятностные описания в свой научный обиход,
как вероятностные распределения с нечеткими параметрами
[Nedosekin]. Нечеткость параметров распределения обусловлена тем,
что классически понимаемой статистической выборки наблюдений
нет, и для анализа мы пользуемся научной категорией
квазистатистики (которую я ввел в [Nedosekin]). При таком подходе
треугольные параметры распределения устанавливаются на основе
процедуры установления степени правдоподобия. Таким образом,
наметился путь для синтеза вероятностных и нечетко-множественных
описаний.
Собственно, вся настоящая монография как раз и посвящена
обоснованию применимости нечетко-множественных описаний в
финансовом менеджменте. Написанию книги предшествовало пять лет
научных исследований [My Internet site] по применению теории нечетких
множеств в финансовом и инвестиционном анализе. Вероятности как
инструмент моделирования финансовых процессов укоренились в
экономическом анализе уже сравнительно давно (более полувека назад).
Нечеткие же множества . инструмент для экономических исследований
довольно непривычный и новый, причем это замечание справедливо не
только для России (где рыночная экономика существует всего 20 лет, если
не брать в расчет дореволюционную историю), но и для всего остального
мира.
Поток публикаций по применению нечетких множеств в
экономическом и финансовом анализе растет лавинообразно.
Международная ассоциация International Association for Fuzzy-Set
Management & Economy (SIGEF) [SIGEF] регулярно апробирует новые
результаты в области нечетко-множественных экономических исследований.
Исследователями написано несколько сотен монографий по этой
проблематике. В России этот процесс только набирает обороты. На своем
персональном сайте в сети Интернет я собираю работы по направлению
«Нечеткие множества в экономике и финансах». Работ пока опубликовано немного (несколько десятков, включая мои собственные), но, как говаривал
наш первый президент Горбачев, «процесс пошел».
связанное с тем, что на рыночные условия оказывает свое одновременное
воздействие неизмеримое число факторов различной природы и
направленности, не подлежащих совокупной оценке. Но и даже если бы все
привходящие рыночные факторы были в модели учтены (что невероятно),
сохранилась бы неустранимая неопределенность относительно характера
реакций рынка на те или иные воздействия.
Рыночная неопределенность законно считается «дурной», т.е. не
обладающей статистической природой. Экономика непрерывно порождает
изменяющиеся условия хозяйствования, она подчинена закономерностям
циклического развития, при этом хозяйственные циклы не являются
стопроцентно воспроизводимыми, т.к. циклическая динамика
макроэкономических факторов находится в суперпозиции с динамикой
научно-технического прогресса. Возникающая в результате этой
суперпозиции рыночная парадигма является уникальной. Из всего
сказанного следует, что не удается получить выборки статистически
однородных событий из их генеральной совокупности, наблюдаемых в
неизменных внешних условиях наблюдения. То есть классически
понимаемой статистики нет.
Во всех определениях термина «статистика» (обширный перечень
таких определений приведен в [Nedosekin]) есть общее зерно, которое
собственно, и относится к статистике в самом общем смысле слова, и это
зерно в следующем. Мы имеем некий набор наблюдений по одному объекту
или по совокупности объектов. Причем мы предполагаем, что за случайной
выборкой наблюдений из гипотетической их генеральной совокупности
кроется некий фундаментальный закон распределения, который сохранит
свою силу еще на определенный период времени в будущем, что позволит
нам прогнозировать тренд будущих наблюдений и расчетный диапазон
отклонений этих наблюдений от расчетных ожидаемых трендовых значений.
Если мы договорились, что все наблюдения совершались в
неизменных однотипных внешних условиях и/или наблюдались объекты с
одинаковыми свойствами по факту, например, их появления по одной и той
же причине, то мы оцениваем и подтверждаем искомый закон распределения
частотным методом. Разбивая весь допустимый диапазон наблюдаемого параметра на ряд равных интервалов, мы можем подсчитать, сколько
наблюдений попало в каждый выбранный интервал, то есть построить
гистограмму. Известными методами мы можем перейти от гистограммы к
плотности вероятностного распределения, параметры которого можно
оптимальным образом подобрать. Таким образом, идентификация
статистического закона завершена.
Если же мы имеем дело с «дурной» неопределенностью, когда у нас
нет достаточного количества наблюдений, чтобы вполне корректно
подтвердить тот или иной закон распределения, или мы наблюдаем объекты,
которые, строго говоря, нельзя назвать однородными, тогда классической
статистической выборки нет.
В то же время, мы, даже не имея достаточного числа наблюдений,
склонны подразумевать, что за ними стоит проявление некоторого закона.
Мы не можем оценить параметры этого закона вполне точно, но мы можем
прийти к определенному соглашению о виде этого закона и о диапазоне
разброса ключевых параметров, входящих в его математическое описание. И
вот здесь уместно ввести понятие квазистатистики [Nedosekin]:
Квазистатистика . эта выборка наблюдений из их генеральной
совокупности, которая считается недостаточной для идентификации
вероятностного закона распределения с точно определенными параметрами,
но признается достаточной для того, чтобы с той или иной субъективной
степенью достоверности обосновать закон наблюдений в вероятностной или
любой иной форме, причем параметры этого закона будут заданы по
специальным правилам, чтобы удовлетворить требуемой достоверности
идентификации закона наблюдений.
Выдвинутое определение квазистатистики дает расширительное
понимание вероятностного закона, когда он имеет не только частотный, но и
субъективно- аксиологический смысл. Здесь намечены контуры синтеза
вероятности в классическом смысле - и вероятности, понимаемой как
структурная характеристика познавательной активности эксперта-
исследователя.
Также это определение намечает широкое поле для компромисса в
том, что считать достаточным объемом выборки, а что . нет. Например,
эксперт, оценивая финансовое положение предприятий
машиностроительной отрасли, понимает, что каждое предприятие отрасли уникально, занимает свою рыночную нишу и т.д., и поэтому классической
статистики нет, даже если выборка захватывает сотни предприятий. Тем не
менее, эксперт, исследуя выборку какого-то определенного параметра,
подмечает, что для большинства работающих предприятий значения данного
параметра группируются внутри некоторого расчетного диапазона, ближе к
некоторым наиболее ожидаемым, типовым значениям факторов. И эта
закономерность дает эксперту основания утверждать, что имеет место закон
распределения, и далее эксперт может подыскивать этому закону
вероятностную или, к примеру, нечетко-множественную форму.
Аналогичные рассуждения можно провести, если эксперт наблюдает
один параметр единичного предприятия, но во времени. Ясно, что в этом
случае статистическая однородность наблюдений отсутствует, поскольку со
временем непрерывно меняется рыночное окружение фирмы, условия ее
хозяйствования, производственные факторы и т.д. Тем не менее, эксперт,
оценивая некоторое достаточно приличное количество наблюдений, может
сказать, что «вот это состояние параметра типично для фирмы, это . из ряда
вон, а вот тут я сомневаюсь в классификации». Таким образом, эксперт
высказывается о законе распределения параметра таким образом, что
классифицирует все наблюдения нечетким, лингвистическим способом, и
это уже само по себе есть факт генерации немаловажной для принятия
решений информации. И, раз закон распределения сформулирован, то
эксперт имел дело с квазистатистикой.
Понятие квазистатистики дает широкий простор для применения
нечетких описаний для моделирования законов, по которым проявляется та
или иная совокупность наблюдений. Строго говоря, не постулируя
квазистатистики, нельзя вполне обоснованно с научной точки зрения
моделировать неоднородные и ограниченные по объему наблюдения
процессы, протекающие на фондовом рынке и в целом в экономике,
невозможно учитывать неопределенность, сопровождающую процесс
принятия финансовых решений.
И вот сейчас настало самое время ввести формализмы нечетких
множеств, используемые по ходу изложения. Часть из них предложена
самим основателем теории нечетких множеств . профессором Лофти А. Заде
[Zadeh homepage], часть является новой и содержится в [Nedosekin].
Программное обеспечение Lotus тут
Назначение программы «Система оптимизации фондового
портфеля» (далее СОФП), внедренной в Пенсионном фонде России, . это
оптимизация модельного фондового портфеля на основе исторических и
прогнозных данных по соответствующим фондовым индексам. Язык
программирования . Java. Объем, занимаемый программой на жестком
диске . 20 мегабайт.
Программа СОФП создавалась под моим непосредественным научным
руководством в течение 2002 . 2003 г.г.
Перейдем к описанию функциональности отдельных модулей
программы.

|
Один из экранов модуля программы представлен на рис. 10.1.

Рис. 10.1. Экран модуля работы с инвестиционными профайлами
Инвестиционный профайл . это программная информационная
конструкция, в которой сосредоточена вся история операций с
инвестиционным портфелем. В ПФР под инвестиционным профайлом
понимается управляющая компания, которой переданы в управление
инвестиции определенного размера. В ходе модификации содержимого
профайла сотрудники ПФР могут моделировать операции управляющей
компании по управлению активами, оценивать эффективность и риск этих
операций.

|
Функциональность модуля:
обеспечивает табличный режим сводного представления всех
созданных инвестиционных профайлов с отображением наименования
инвестиционного профайла, даты создания инвестиционного
профайла, среднего значения планового показателя Шарпа;
обеспечивает переход к режимам и процедурам создания нового
инвестиционного профайла, ребалансинга текущего модельного
портфеля выделенного профайла, консолидации инвестиционных
профайлов с созданием нового инвестиционного профайла, удаления
профайла, установки текущего модельного портфеля в
инвестиционном профайле;
обеспечивает возможность просмотра и печати отчетовов по
модельным портфелям конечного пользователя, с возможностью
сохранения отчета в форматах xml, html, pdf.
Модуль создания инвестиционного профайла и модельных портфелей



|
Один из экранов модуля программы представлен на рис. 10.3.

Рис. 10.3. Экран модуля данных по индексам и модельным классам
Функциональность модуля позволяет:
обеспечить руководителю программы возможность корректировать
число модельных классов и сопоставлять им новые индексы;
обеспечить руководителю программы возможность добавлять новые
индексы, обновлять данные по индексам, использую специальный
графический интерфейс пользователя;
обеспечить руководителю программы возможность добавлять новые
индексы, обновлять данные по индексам путем импорта необходимой
информации из соответствующих файлов предустановленного
формата;
обеспечить руководителю программы возможность корректировать
рабочие параметры модулей программы;
обеспечить руководителю программы возможность установки и
изменения ограничений на процентное содержание модельных активов
в портфеля.

|
Один из экранов модуля программы представлен на рис. 10.4.

Рис. 10.4. Экран модуля работы с профайлами экономического региона
Профайл экономического региона . это программная информационная
конструкция, позволяющая пользователю консолидировать всю историю
прогнозирования фондовых и макроэкономических индексов по одной
стране или по группе стран.
Функциональность модуля позволяет:
обеспечить табличный режим сводного представления всех созданных
профайлов экономического региона с отображением профайлов
экономического региона и даты создания профайлов экономического
региона;
обеспечить научному руководителю программы возможность
корректировать прогноз в составе профайла экономического региона;
обеспечить конечному пользователю и научному руководителю
программы возможность просматривать результаты прогнозирования
по всем профайлам экономического региона;
обеспечить конечному пользователю и научному руководителю
программы возможность просматривать и печатать отчеты по каждому
прогнозу, с возможностью сохранения отчета в форматах xml, html,
pdf;
обеспечить научному руководителю программы возможность
использовать прогнозные оценки доходности и риска по индексам в
качестве экспертных оценок;
обеспечить руководителю программы возможность ведения
справочника экономических регионов.

|
Один из экранов модуля программы представлен на рис. 10.5.

Рис. 10.5. Экран модуля создания профайлов экономического региона
Функциональность модуля позволяет:
создавать профайлы экономического региона с указанием региона, с
возможностью распределения индексов по группам и контролем
наличия индексов макроэкономических показателей по указанному
экономическому региону;
задавать необходимые исходные данные, требуемые для выполнения
прогноза;
выполнять прогноз в соответствии с алгоритмом прогноза (на
основании научных результатов главы 7 настоящей диссертационной
работы);
получать результаты прогноза по индексам и обобщенному портфелю
в графическом представлении;
обеспечивать сохранение созданного профайла экономического
региона/прогноза;
создавать и отображать отчет при завершении создания профайла
экономического региона или при изменении прогноза.
Заключение
Моя книга посвящена исследованию операций фондовогоменеджмента, осуществляющихся в расплывчатых информационных
условиях. Условия фондовой деятельности были и будут расплывчатыми
всегда (надеюсь, этот тезис не нуждается в каких-то специальных
доказательствах). Тем не менее, фондовый рынок существовал и будет
существовать, решения как принимались, так и принимаются. А вот что
ложится в основу этих решений, и в какой степени интуитивная основа
фондовых решений может быть рационализирована, стать предметом
научного изучения, - это как раз и есть предмет моего нынешнего
рассмотрения.
Иногда фондовые решения бывают вынужденными. Например,
вынужденность имеет место в случае инвестиций Пенсионного фонда РФ,
который, по условиям новой российской пенсионной реформы, обязан
производить инвестиции пенсионных резервов в акции и облигации
российских корпораций. Кажутся несовместимыми (не только мне, но и
руководству ПФР) две вещи: консервативный характер пенсионных
накоплений, требующий повышенной сохранности, и агрессивный характер
инвестиционной деятельности на фондовой рынке, сопровождающейся
повышенным риском убытков. Тем более это противоречие очевидно для
развивающейся страны (такой, как Россия), когда даже государственные
ценные бумаги обладают риском неисполнения обязательств по ним (что и
было успешно продемонстрировано в августе 1998 года).
Однако природа пенсионных сбережений такова, что они просто
обязаны быть инвестированы на фондовом рынке, дабы экономика страны
получила низкопроцентный источник денежных средств для развития.
Результатом такого развития является добавочный валовый внутренний
продукт, который впоследствии должен быть перераспределен между
будущими пенсионерами. И другого долгосрочного инвестиционного
механизма, обеспечивающего будущие пенсионные выплаты,
гарантированные от инфляционного обесценения, в обществе
капиталистического типа не существует. Поэтому пенсионные накопления
все равно будут инвестированы на фондовом рынке, и задача менеджеров
всех уровней . не потерять активы и не позволить им обесцениться.
Полагаю, содержание работы доказывает, что нечеткие множества
являются более предпочтительным инструментом для моделирования
поведения финансовых систем в условиях неопределенности, нежели
традиционные вероятности. Субъективные вероятности, используемые в
финансовом менеджменте скорее по инерции, все чаще обнаруживают свою
ограниченность в информационном плане, недостаточность и
недостоверность. Вероятностным моделям, детищу ХIX-XX веков, все
сложнее становится описывать реальности XXI века. Научная парадигма
финансового менеджмента изменяется у нас на глазах, и вероятностные
методы не поспевают за этими изменениями.
Финансовые системы непрерывно усложняются. Причиной тому
является технический прогресс, предоставляющий экономическим системам
дополнительные возможности для роста и развития. Внедрение в
экономическую жизнь компьютерных систем и сетей позволяет
корпорациям выйти на качественно новый уровень финансовой организации.
И такое объективное усложнение финансовых систем приводит к появлению
для них новых, в том числе неблагоприятных, возможностей развития,
которые подлежат изучению.
К сожалению, часто экономическая наука не поспевает за событиями и
не может предоставить практике финансового менеджмента адекватные
модели для управления финансами. Научная необеспеченность в управлении
финансами приводит к порочной практике некачественного управления
финансовыми активами, и через это . к банкротствам корпораций и
рыночным кризисам. Именно самонадеянность финансовых аналитиков,
апологетов т.н. «новой экономики», привела к тому, что ожидания
безгранично и бесконечно растущего фондового рынка вызвали
триллионные (в долларовом выражении) убытки корпораций и домаших
хозяйств по всему миру. Вызванные растиражированными
неквалифицированными советами убытки порождают полномасштабное
недоверие к инвестиционным консультантам и к тем модельным
предпосылкам, которые они кладут в основу своего научного анализа.
Очень часто практики финансового менеджмента, не доверяясь
дискредитированным теориям, управляют вверенными им активами, что
называется, «на глазок», базируясь на своей интуиции, которая очень часто
даже не вербализована. Эта интуитивная активность, помноженная на опыт
управления финансами, образует бесценный материал для исследования.
Лица, обладающие интуицией и опытом, становятся экспертами, чья
активность становится объектом научного исследования. Получается, что
объект научного исследования финансовых систем доопределился: если
ранее в него входил только экономический объект (корпорация, отрасль,
экономический регион, страна), то в современном финансовом менеджменте
объект научного исследования дополняется лицом, принимающим решения.
Таким лицом выступает как финансовый менеджер, так и финансовый
аналитик, готовящий решения для менеджера. Активность обоих этих лиц
подлежит детальному исследованию, и наилучшими формализмами для
моделирования этой активности, без сомнения, выступают нечеткие
множества.
В этой книге на примере метода комплексного финансового анализа
корпорации, нам удалось показать, как экспертные представления об уровне
факторов могут быть включены в модель оценки риска банкротства, каким
образом перейти от качественных представлений об уровнях факторов к
количественным. Там же мы использовали экспертные оценки в части
параметров бизнес-плана, которые не могут не иметь размытого вида.
Эксперт по продажам, как и любое другое лицо, не может ничего сказать о
будущих продажах вполне точно; поэтому он склонен опираться на
интервальные, размытые оценки. Чем опытнее эксперт, тем менее размытые
он дает оценки, и тем, соответственно, ниже риск неэффективности
принимаемых решений; однако есть неустранимая информационная
неопределенность, которую профессиональный эксперт должен уметь
чувствовать и выражать хотя бы в терминах естественного языка. В свою
очередь, экспертная уверенность (неуверенность) в своих оценках может
быть легко описана в количественных терминах, что мы и показали как в
предыдущей книге, так и в этой монографии.
Фондовый рынок является еще более сложным объектом научного
исследования, нежели отдельная корпорация, потому что на этом рынке
действуют десятки тысяч корпораций и миллионы частных и
институциональных инвесторов. Совместная деятельность этих
экономических агентов рынка приводит к результатам инвестирования в
ценные бумаги, фиксируемым фондовыми индексами. Равно как и в случае
моделирования финансовых систем корпораций, экспертные представления
и оценки могут быть формализованы и успешно применены в ходе
моделирования поведения фондового рынка и отдельных его субъектов.
Оценка инвестиционной привлекательности ценных бумаг (матричные
методы которой изложены нами в главе 5), если ее применить к большому
множеству эмитентов, дает нам материал для моделирования рынка в
целом, и обобщение этих результатов позволяет нам выдвинуть
современные теории оптимизации фондового портфеля и прогнозирования
фондовых индексов (главы 6 и 7 работы).
Полагаю, мне удалось разработать целый ряд научных теорий и
методов оценки, которые имеют существенное значение для рыночных
исследований и для практики финансового менеджмента в условиях
существенной информационной неопределенности. Практическое внедрение
разработанные теории и методы нашли в практике Пенсионного фонда
Российской Федерации, в ходе управления накопительной составляющей
трудовых пенсий граждан России. Полагаю, это лучшая рекомендация моим
научным исследованиям. Помимо этого, разработанные модели легли в
основу ряда компьютерных программ для финансового менеджмента, что
позволяет воспроизводить и использовать результаты моих научных работ в
практике управления финансами.
Appendix
Приложение 1. Подробное изложение методапрогнозирования фондовых индексов на основе
нечеткой модели
П1.1. Классификация экономических регионов и индексов.
Обозначения
Все индексы, которые нам следует прогнозировать и наблюдать,
подразделяются на три большие группы:
Индексы долговых обязательств (к ним относим государственные
облигации, облигации субъектов региона, банковские депозиты,
корпоративные обязательства и эмиссионные ипотечные ценные
бумаги);
Индексы акций (к ним относим собственно акции с высокой и низкой
капитализацией (1-ый и второй эшелоны соответственно), а также паи
взаимных индексных фондов . разрешенные активы для пенсионных
инвестиций по законодательству РФ);
Индексы макроэкономических факторов (к ним относим валовой
внутренний продукт, инфлятор, кросс-курс валюты по отношению к
рублю, а также PE Ratio).
Также мы предполагаем, что существует взаимно однозначное
соответствие между индексом и экономическим регионом, который мы
далее будем называть держателем индекса. Предполагаем, что все бумаги
или тенденции, участвующие в формировании того или иного индекса,
выпущены или имеют место на географической территории региона .
держателя индекса. Выделяем следующие регионы, представляющие
интерес для исследований:
США и Канада (US);
Россия (RU);
Европейский союз (EC);
Англия (GB);
Япония (JAP);
Регион развивающихся стран (EMM).
В зависимости от типа индекса, варьируются применяемые модели и
методики прогнозирования. Изложим эти модели и методики
последовательно, от фазы к фазе процесса прогнозирования, как они
перечислены.


Модель и методика для фазы 1 (старт)
В ходе моделирования обнаружилось, что когда на рынке доминируютотзывные тенденции, стартовое размещение активов вырождено, и
невозможно отследить динамику портфеля, чувствительность его долей к
колебаниям экзогенных факторов. Поэтому в модели нагляднее в любом
случае стартовать с контрольной портфельной точки (по 50% акций и
облигаций в портфеле). Если отзывные тенденции перетока капитала
сохранятся, то портфель быстро выродится, и это можно будет наблюдать в
динамике.
Для всех индексов, отвечающих данному экономическому региону,
Привязка дискретного времени к непрерывному осушествляется таким
образом, что значения индексов и параметров для дискретного времени
соответствуют значениям последнего торгового дня соответствующего
квартала.
По обобщенному инвестиционному портфелю устанавливаются
текущие значения доходностей и рисков модельных классов акций и

В силу существенной нестационарности макроэкономических
процессов ( допущение экспертной модели) мы не беремся прогнозировать
их с помощью известных методов авторегрессионного анализа, как, скажем,
в моделях ALM [Lattice Financial]. Взамен мы предлагаем искать их в форме
полосы с прямолинейными границами вида.


и процесс переходит на фазу 3 . анализ ожидаемой инвестиционной
динамики.

Так, для входной ситуации №4, которую мы распознаем как призывно-
промежуточная при стартовом инвестировании и как призывную при
перетоке капиталов, мы прогнозируем увеличение размера капиталов,
инвестированных в акции и облигации, и соответствующий рост уровня
кумулятивных индексов. Сразу же отметим, что уровень индекса облигаций
является низкоэластичным фактором в отношении объемов операций, а
уровень индекса акций . Высоко эластичным фактором. Это обусловлено
тем, что процентные ставки по облигациям колеблются в достаточно узких
пределах; снизу они ограничены уровнем инфляции (или предельно
приближены к ней), а сверху . уровнем прибыльности корпораций,
позволяющим надежно обслуживать накопленную кредиторскую
задолженность без существенного ухудшения своего финансового состояния
(при минимальном уровне риска банкротства). Хотя для справедливости
отметим, что резкое падение курсов акций вызвало настолько мощный
переток денег в облигации США, что столь низкого уровня процентных
ставок не отмечалось с 1960 года. Но эту тенденцию здесь мы
рассматриваем как временную. Рано или поздно ставки выровняются,
потому что большая часть капиталов, сейчас осевших в облигациях США,
перетечет за рубеж.
Далее процесс прогнозирования переходит на фазу 4 . прогноз
расчетного коридора доходности по индексу.
Модель и методика оценки расчетного коридора доходности по индексу облигаций (фаза 4)
В силу низкой эластичности индекса облигаций к рыночным объемамторгов мы решаем пренебречь этой эластичностью в нашей модели и
построить прогноз доходности по облигациям на базе матрицы премий за
риск (таблица П1.1). Значения в матрице определяются нами на основе
дополнительных макроэкономических сооброжений экспертной модели.
Таблица П1.1. Премии за инвестиционный риск по облигациям

Приведенная модель премий за риск является стационарной и действует на
всем интервале прогнозирования.

Высокая эластичность фактора текущей доходности по акциям (на
уровне торгового дня, недели и тд) по фактору роста или спада объема торгов
вызывает существенные ценовые колебания индекса. Однако при
рассмотрении модели рационального поведения инвестора мы отмечаем, что
бурная динамика котировок на уровне среднесрочной перспективе
элиминируется тем, что вступает в действие фактор
переоцененности/недооцененности акций. И, таки образом, индекс акций в
среднесрочной перспективе формирует циклический тренд вокруг своих
средних значений, обусловленных рациональным уровнем PE Ratio.
Поэтому мы принимаем решение не моделировать объемную эластичность
доходности индекса акций, а учесть ее в модели косвенно на уровне
эластичности по фактору PE Ratio.
Упомянутая модель эластичности имеет вид:

и эти параметры определяются на основе дополнительных соображений
экспертной модели.
В том, что коэффициент эластичности скачкообразно изменяется при
переходе PE через уставочное значение, мы отражаем ассиметричность
инвестиционного выбора в преломлении на тип инвестора. Так, консервативный инвестор, почувствовав неладное и минимизируя риски,
выводит активы быстрее, чем если бы он вводил их при улучшении
инвестиционного климата. Наоборот, агрессивный инвестор будет быстрее
покупать, чем продавать, т.е. не минимизировать риски, а максимизировать
прибыль. В глазах же инвестора промежуточного типа рациональные темпы
прилива-отлива капитала совпадают; из контрольной портфельной точки он
побежит влево или вправо по линии эффективной границы с одной и той же
скоростью, если текущее значение PE Ratio будет симметрично ложиться
справа или слева от ставки, соответственно.
Линейный вид модели (П1.5) по умолчанию предполагает отсутствие
глубоких колебаний текущего PE Ratio от своего уставочного значения, т.к.
при наличии эффективных средств распознавания рыночной ситуации (а у
нас все эти средства описаны) инвестор будет оперативно корректировать
свою инвестиционную стратегию, и колебания индекса PE Ratio не будут
сильноволатильными.
То есть модель предполагает детальную настройку на
инвестиционную ситуацию (инвестиционную тенденцию). Потому что в
реальности рациональный инвестор очень пристально следит за
макроэкономической ситуацией, и его решения по управлению фондовым
капиталом являются точными (дифференцированными) и оперативными
(алертными), что и отражено в модели.
Модель (П1.5) предполагает механизм саморегуляции рынка в режиме
отрицательной обратной связи. Согласно соотношениям, переоценка
индекса влечет отрицательную доходность и спад уровня, что, в свою
очередь, приводит к недооценке и возникновению положительной
доходности. Все вместе это порождает цикличное поведение, цикличный
тренд.
На фондовых рынках наблюдается тенденция, когда акции с низкой
капитализацией ориентируются на тенденции акций с высокой
капитализацией. Особенно это справедливо для технически слабых
фондовых рынков, когда обращающиеся на нем акции не имеют
«собственного слова», то есть отвязаны от своих фундаментальных
характеристик, и не существует на рынке игроков, которые могли бы
привести в соответствие фундаментальные параметры акции и ее цену. Так,
российский фондовый рынок живет и еще некоторое время будет жить с
оглядкой на рынок американский, следуя в фарватере американской
динамики, а акции, эмитированные в российской глубинке, долго еще будут
оглядываться на динамику акций гигантов отечественной индустрии.
Парадоксально, но в краткосрочной перспективе корреляция индексов
акций первого и второго эшелона близка к нулю. Связано это с тем, что
акции второго эшелона обращаются быстрее акций первого эшелона и также
быстро изменяются в цене. Если рассмотреть корреляцию этих акций на
долгосрочной основе, элиминировав низко периодические колебания
индексов, то такая корреляция будет стремиться к единице по тенденции.
Поэтому справедливо будет считать, что на уровне монотонного
фондового портфеля в среднесрочной перспективе существует линейная
зависимость между расчетной доходностью акций первого и второго
эшелона:

Косвенно наш вывод подтверждают и результаты моделирования при
помощи программы SBS Portfolio Optimization System (рис. П1.1). Видно,
что кривизна параболы эффективной границы невелика (даже при нулевой
корреляции), а по мере роста корреляции эта парабола будет только
спрямляться.
Итак мы получили прогноз расчетного коридора доходности для всех
типов фондовых индексов, и теперь процесс переходит на фазу 5 . оценка
доходности и риска индексов и ребалансинг портфеля.

Рис. П1.1. Модельный портфель из акций первого и второго эшелонов
Модели и методики для фазы 5
Мы ищем симметричные квазистатистические оценки для доходностии риска фондовых индексов, потому что в условиях существенной
неопределенности и рационального инвестиционного выбора эти оценки
являются наиболее правдоподобными (равновесными). Такие оценки
говорят о том, что при инвестиционном равновесном выборе в оценках
доходности и риска отсутствуют смещения, в противном случае (например,
при несимметричном риске предполагается возможность переоценки
(недооценки) индекса).
Расчетный коридор доходности в нашей модели связан с нечеткими
оценками доходности и риска следующим простым соотношением
упреждения:

Упреждение здесь в том, что мы на базе расчетного коридора,
полученного на текущем интервале прогнозирования, формируем оценки
уже для последующего интервала прогнозирования. Диапазон половинного
среднеквадратического отклонения в (П1.9) . это диапазон рационального
доверия к тем оценкам, которые попадают в соответствующий расчетный
коридор (в предположении нормального распределения разброса с
нечеткими параметрами распределения). Если уровень доверия ниже, то
коридор шире, и им захватываются фактически неправдоподобные сценарии
развития событий. Наоборот, если доверие выше, то коридор уже, и в него
не попадают уже вполне правдоподобные оценки.
При переходе от (П1.9) к записи в действительных числах возникает
система трех линейных алгебраических уравнений с тремя неизвестными
(временно, для удобства представления, снимем в формулах зависимость от
времени):

Соотношения (П1.11) - (П1.13) выражают ту суть, что соотношение
доходности и риска по индексам в максимальном и минимальном варианте
зависит только от соотношения максимума и минимума доходности в
расчетном коридоре. Тогда все параметры модели находятся по формулам:
для Rmax < 0 и Rmin < 0


экономического региона нами получены. Фактически это означает, что
можно ежеквартально решать оптимизационную задачу для обобщенного
инвестиционного портфеля из акций и облигаций и определять
рациональную траекторию скольжения своей портфельной точки от границы
к границе по ходу прогнозирования (фаза 6 прогнозирования).
Рассмотрим вариант скольжения эффективной границы обобщенного
инвестиционного портфеля (отрисовывается только средняя линия границы)
от шага к шагу прогноза в условиях ухудшения инвестиционной обстановки
(рис. П1.2)

Если действовать, как посоветовала в 2001 г. Эбби Коэн, то ничего
делать не нужно, только поддерживать фиксированный баланс активов.
Такая тактика на падающем рынке вызывает только дополнительные
убытки, рост риска портфеля, и больше ничего. Наоборот: следует
освобождаться от акций в несколько раз быстрее, чем они падают,
переливаясь в облигации или вообще уходя с рынка. Тем самым достигается
опережающее снижение портфельного риска и реализуется консервативный
инвестиционный выбор. Выбор Эбби Коэн в этом случае оказывается
незаконно-агрессивным, анти-оптимальным; градиент ее выбора
(приращение доходности к приращению риска) во всех точках ее
инвестиционной траектории отрицателен. Наш градиент во всех точках
положителен, и более того: он растет.
Эти соображения оперативного порядка зафиксированы нами в модели
с помощью модифицированного показателя Шарпа:

Выражение (П1.17) - это не классический показатель Шарпа, потому
что в числителе вычитается осредненная доходность по всему классу
облигаций, а не доходность одних гос облигаций. Но смысл этого показателя
очень значим: он выражает экономическую эффективность инвестиций в
обобщенный инвестиционный портфель из всех акций и всех облигаций в
пределах данного экономического региона.
Мы говорим, что по мере снижения экономической эффективности портфеля (преимущественно за счет падения доходности акций) доля акций в портфеле должна снижаться опережающими темпами. То есть условие сохранения оптимальности при движении справа налево по границе . это условие положительного градиента (при движении слева направо градиент может быть любым):

для сценариев инвестирования капитала в акции по призывным тенденциям.
По выжидательным тенденциям для акций изменения доли их в портфеле не
происходит. В (П1.20) и (П1.21) пл x - это плановый приток или отток
капитала, который вступает в действие, если остальные расчетные значения
в формулах приобретают неоптимальные или недопустимые по граничным
условиям значения.
Таким образом, мы получили целевое значение доли акций в портфеле
на прогнозный период времени, определяемое по (П1.20) . (П1.21).
Рациональные размеры долей облигаций (B) и выводимого капитала
(N) определяются на основании данных таблицы П1.2 о рациональных
перетоках капитала (обозначения: xA(t) = xA(t+1)- xA(t), xB(t) = xB(t+1)-
xB(t) ). Из таблицы П1.2 видно, что когда перетока по акциям нет, то за
основу при выборе очередного перетока берутся значения перетока по
облигациям на предыдущем шаге моделирования. И, во избежание
расходимости процесса формирования портфеля, всякий новый переток в
таких случаях в два раза меньше предыдущего (поскольку доходность по
облигациям низка, существенного изменения характеристик обобщенного
инвестиционного портфеля ожидать не приходится). Такой способ
организации перетоков обусловлен нестабильностью тенденций, связанных с
выжидательным выбором по акциям, неустойчивым равновесием
выжидательных состояний. А там, где нестабильность, там резкие движения
недопустимы, потому что можно получить неожиданные чувствительные
убытки.


Особенностью формул (П1.22) - (П1.24) является элиминирование
промежуточной неопределенности при построении прогнозной оценки, так
как мы считаем, что на прогнозные величины влияют в первую очередь
ожидаемые средние значения индексов, полученные на предыдущих
временных интервалах прогнозирования. То есть в нашей экспертной
модели прогнозная неопределенность имеет период действия (и влияния на
оценки) ровно один прогнозный квартал. Если бы принцип элиминирования
в оценках не соблюдался, то тогда наш прогноз оказался бы «зашумленным»
накопленными размытыми оценками.
Также (П1.24) выражает самую суть наших модельных допущений о
рациональном выборе. Рациональное значение
(t) Λ 1, при совпадении
текущего значения PE Ratio с уставочным, говорит нам о том, что система
инвестиционного выбора находится в равновесии, и весь рост доходов по
акциям обеспечен соответствующим ростом валового внутреннего
регионального продукта. Если обеспечение прироста акций реальными
ценностями (прибылью корпораций) не происходит в полном объеме, то
акции начинают переоцениваться, «перегреваться», и запускается механизм
снижения текущей доходности по индексу (через эластичность вида (П1.5)).
После реализации фазы 7 процесс переходит на техническую фазу 8
(ветвление процедуры прогнозирования).
Прогнозное время увеличивается на единицу, и проверяется условие t
> tкон . Если условие выполняется, то процесс собственно прогнозирования
завершен, и начинается реализация фазы 9. Если прогнозирование не
завершено, то оно возобновляется, начиная с фазы 3.
На этой фазе полученный прогноз по индексам претерпевает поправку
на кросс-курс национальной валюты экономического региона по отношению
к российскому рублю. Эта коррекция проводится по формуле:

На этой фазе строится оценка расчетного коридора финальной
доходности по индексу, скорректированному фазой выше. Соотношение для
расчетного коридора финальной доходности:

На этой фазе получается итоговая оценка доходности и риска
фондового индекса, которая может быть взята за основу в ходе портфельной
оптимизации, если горизонт инвестирования совпадает с периодом
прогнозирования. Все оценки получаются по формулам (П1.9)-(П1.16), с
заменой расчетного коридора (t) R на параметр \ R .
Эксперт и его познавательная активность
Субъективный фактор в процессе принятия финансовых решений досих пор не имел удовлетворительной теории для количественного
оценивания. В то же время неопределенность, сопровождающая финансовые
решения, постоянно рождает неуверенность принимающего эти решения
лица, порождает риск неверной интерпретации исходной инвормации для
принятия решения. И такую неуверенность уже давно следовало бы
научиться количественно измерять.
Неуверенность ЛПР в своих оценках ситуации порождает
качественные высказывания в терминах естественного языка. Например,
рассматривая фундаментальные характеристики ценной бумаги, инвестор
оценивает текущее значение показателя P/E, которое равно 20. «Много» это
или «мало», вот вопрос, который уже обсуждался нами в 1.1. Инвестор
может обратиться к финансовому консультанту. Точным ответом на вопрос
инвестора будет гистограмма, где по оси Х отложены значения показателя P/E, а по оси Y . то, с какой относительной частотой выпадают те или иные
значения показателя для предприятий той же отрасли, что и объект анализа.
Анализируя гистограмму, инвестор может задаться вопросом, почему
одним компаниям позволено иметь большие значения P/E, а другим .
меньшие, и какой уровень P/E следует считать объективным. Инвестор опять беспокоит своего консультанта, и тот выдает заключение. Оказывается, доходность бумаги состоит в обратном отношении к ее надежности, и зачастую люди покупают высоко капитализированные компании, имея ввиду в первую очередь низкий риск дефолта, а во вторую очередь рассматривая уже соображения, связанные с доходностью. Что до объективного уровня, то все зависит от периода анализа. Например, для высокотехнологичных компаний в 1999-2000 г.г. характерным уровнем P/E был уровень в несколько десятков единиц. Сегодня же типовое значение . 10-15, потому что произошла коррекция.
И вот инвестор созрел для того, чтобы принимать решение. Он
говорит себе: «Сегодня у компании Х цена акций $20, а соотношение P/E
составляет 41. Ее капитализация . 100 млрд долларов, однако я считаю, что компания все равно переоценена, и такой уровень P/E . слишком высокий.
Для этой компании я считаю приемлемым диапазон P/E порядка 30-35. И
даже если сегодня цена компании растет, я тем не менее нахожу, что этот
рост ненадежен и может смениться спадом. Я буду покупать эти акции при
целевой цене на уровне $15-$17, что соответствует моим ожиданиям».
Таким образом, инвестор произвел свою самостоятельную оценку
ситуации и принял решение.
При этом в основаниях этого решения мы можем увидеть:
ожидания . связанные с перспективами роста данных акций;
нечеткую классификацию, когда инвестор сопоставлял текущую
капитализацию компании с ее P/E и производил анализ уровня
показателя.
Все, что инвестор говорит на словах, он может вполне
трансформировать в описания на языке математики. И тогда ожидания,
предпочтения и нечеткие оценки, сделанные инвестором, явятся исходной
информацией для моделирования предпосылок для принятия (непринятия)
инвестиционного решения.
Оценивая акции, инвестор может производить и макроэкономические
оценки, например, перспектив тех или иных отраслей или даже
национальной экономики. Уже в том утверждении, что США проходят фазу
рецессии, содержится огромное количество информации, которую
необходимо учитывать для принятии решения. Подробно об этом говорится
в разделе 5 книги, а сейчас ограничимся тем замечанием, что рецессия
ставит одни отрасли в привилегированное положение, а другие отрасли
оказываются ущемленными. Значит, идет межотраслевое перераспределение
инвестиционных рисков, которое надо иметь ввиду.
Инвестор, покупая или продавая акции, должен составить себе мнение
о том, какой рынок сейчас одерживает победу . «медвежий» или «бычий».
Это дает ему основания считать, «что на «медвежьем» рынке переоцененные
активы, скорее всего, упадут, а недооцененные, если и упадут, то неглубоко.
И наоборот: на «бычьем» рынке недооцененные активы, скорее всего,
возрастут, а переоцененные, если и возрастут, то несильно». Все, что
отмечено курсивом в этих закавыченных предложениях, представляет собой
предмет оценки инвестором текущего состояния рынка и его перспектив.
Таким образом, на примере инвестиционных решений, мы заключаем,
что огромное количество информации содержится в трудно формализуемых
интуитивных предпочтениях ЛПР. Если эти предпочтения и допущения ЛПР
обретают вербальную форму, они сразу же могут получить количественную
оценку на базе формализмов теории нечетких множеств и составить
обособленный конвент исходной информации в рамках финансовой модели.
Мы можем назвать этот обособленный контент экспертной моделью.
Информация экспертной модели образует информационную ситуацию
относительно уровня входной неопределенности финансовой модели. Она
выступает как фильтр для исходных оценок параметров, преобразуя их из
ряда наблюдений квазистатистики (см. 1.4) в функции принадлежности
соответствующего носителя параметра тем или иным нечетко описанным
кластерам (состояниям уровня параметра). Таким образом, от нечеткой
оценки входных параметров после ряда преобразований мы можем перейти
к нечетким оценкам финансовых результатов и оценить риск их
не достижения в рамках принимаемых в плановом порядке финансовых
решений.
Приложение 2. Краткий терминологический словарь
Агрессивный инвестиционный выбор - тип рациональногоинвестиционного выбора с повышенной долей акций в обобщенном
инвестиционном портфеле.
Активное управление портфелем - тип управления,
характеризующийся непрерывным ребалансингом портфеля, на основе
алертов (алертное управление портфелем) или на основании других
соображений.
Алерт - предупредительный сигнал, свидетельствующий о
качественных изменениях макроэкономического характера (макроалерт) или
о фиксированном изменении показателей цены, доходности, отношения РЕ и
т.д. (технический алерт).
Алертное управление портфелем - активное управление портфелем
на основе алертов.
Асимметричный инвестиционный выбор - свойство
иррационального инвестиционного выбора. Асимметрия развивается сразу в
двух плоскостях. Во-первых, горечь убытков переживается интенсивнее, чем
радость от прибыли. Во-вторых, рациональный инвестор не так скоро
продает временно подорожавшие ценности, как скоро он скупает временно
подешевевшие. В основе асимметрий лежат жадность и страх.
Безразличие - свойство рационального инвестиционного выбора.
Истерия - сопутствующий признак иррационального инвестиционного
выбора, необоснованный сброс акций, вызывающий их недооценку,
рыночная паника.
Консервативный инвестиционный выбор - тип рационального
инвестиционного выбора с повышенной долей облигаций в обобщенном
инвестиционном портфеле.
Конечная (финальная) доходность - относительное приращение
цены индекса за расчетный год (в процентах годовых).
Контрольная портфельная точка - 50% акций, 50% облигаций
(50:50).
Модифицированный показатель Шарпа - см. Шарпа показатель.
Монотонный инвестиционный портфель - сформированный на
основании золотого правила инвестирования обобщенный инвестиционный
портфель. Характеризуется тем, что в нем нет активов-аутсайдеров (с
одновременно худшими показателями по доходности и риску). Существует
не всегда и не везде. Например, в США в июле-августе 2002 года не
существовал, из за глобальной переоцененности акций; тем самым сегмент
высокодоходных высоко рискованных инвестиций оказался
несформированным, а монотонный портфель . незаполненным. Когда
доходности и риски индексов в монотонном портфеле определить трудно,
формируются отношения порядка.
Невозможность прогнозирования - отсутствие достаточных научных
осно-аний для формирования прогноза. Справедливо в отношении
долгосрочных прогнозов индексов.
Недооценка - состояние рынка, при котором цены активов ниже
рационального, заранее оцененного уровня.
Низко эластичный фактор - фактор, не обладающий заметной
чувствительностью к изменению другого фактора, влияющего на поведение
данного. В нашем случае . практическое отсутствие зависимости расчетного
коридора доходности индекса облигаций от объемов торгов.
Обобщенный модельный инвестиционный портфель - портфель,
сформированный в данном экономическом регионе и состоящий из акций
(А), облигаций (B) и не фондовых активов (N). Характеризуется списком
соответствующих индексов и долевым распределением (A, B, N).
Абстрактная категория, применяемая в моделях прогнозирования индексов.
Объемная эластичность фактора доходности - зависимость
доходности индекса от объемов торгов.
Оперативное управление портфелем - управление портфелем в
режиме реального времени.
Отношение РЕ (коэффициент Ц/Д), (PE Ratio) - отношение цены
акции (индекса) к чистой прибыли на одну акцию (осредненную акцию
индекса) в годовом исчислении. По индексу рассчитывается как
средневзвешенное по акциям, входящим в индекс, с учетом рыночной
капитализации соответствующих акций и их доли в индексе.
Отношение порядка - математически выраженное отношение
количественного предпочтения одних объектов другим. Мы рассматриваем
отношения порядка доходностей и рисков в монотонном инвестиционном
портфеле.
Отрезвление - здесь: промежуточное состояние между
иррациональным и рациональным инвестиционным выбором. Характерный
пример . август 2002 года, США.
Отрицательная обратная связь - термин теории автоматического
управления. Отражает способность автоматической системы в ходе
изменения выходного сигнала вырабатывать корректирующее воздействие
на входной сигнал противоположной направленности. У нас: отрицательный
наклон линий эластичности фактора расчетной доходности индекса по
фактору отношения РЕ вызывает в прогностической модели такую
последовательность прогнозных событий, при которой переоцененные
активы начинают падать в цене, а недооцененные . расти в цене.
Пассивное управление портфелем - см. принцип балансирования.
Переоценка - состояние рынка, при котором цены активов выше
рационального, заранее оцененного уровня.
Пик тренда - локальный или глобальный максимум тренда.
Полосовая эффективная граница - см. эффективная граница.
Премия за риск - надбавка к текущей доходности акций или
облигаций к уровню денежной инфляции. Выражает то, что в ходе
инвестиций происходит выведение денежных средств из оборота, которое
может сопровождаться их потерей (обесценением), поэтому возникает риск
инвестирования, за который инвестор вправе потребовать (и требует)
компенсационную премию. Экзотический вид ПЗР . премия к доходности
акций из-за недобросовестной бухгалтерской отчетности (при завышении
размеров корпоративной прибыли).
Принцип балансирования (принцип следования за рынком,
принцип Эбби Коэн) - антинаучный принцип инвестирования, основанный
на балансировании своего портфеля в соответствии с тенденциями
индексов. На нем основана работа так называемых балансовых индексных
фондов (терпящих сейчас колоссальные убытки). В последний раз
отстаивался американским финансовым аналитиком Эбби Коэн в 2001 году.
Промежуточный инвестиционный выбор - тип рационального
инвестиционного выбора с паритетной долей акций и облигаций в
обобщенном инвестиционном портфеле. Контрольная портфельная точка
принадлежит этому типу выбора.
Равно предпочтительность - см. безразличие.
Разумная диверсификация - научно обоснованное включение в
портфель активов с различными соотношениями доходности и риска
индексов. В частности, монотонный инвестиционный портфель
диверсифицирован разумно.
Ралли - термин, выражающий бурный рост активов после некоторого
спада цен. Обычно Р. провоцируется игрой на повышение.
Расчетный коридор доходности портфеля - треугольная оценка
будущего значения индекса в конце оперативного интервала
прогнозирования (у нас . квартал). Связан с доходностью и риском индекса
простыми формулами.
Рациональный инвестор - инвестор, мотивирующий свой
инвестиционный выбор научными соображениями.
Рациональный инвестиционный выбор (рациональные
инвестиции) -выбор рационального инвестора, опирающийся на научно
обоснованные рыночные прогнозы. Предполагает положительную
конечную (финальную) доходность инвестиций на интервале
прогнозирования.
Ребалансинг портфеля - изменение долей портфеля на основе
некоторых входящих предпосылок (например, смена инвестиционной
тенденции, алерт).
Синхронная волатильность - когда активы, входящие в один индекс,
колеблются синфазно в силу полной корреляции активов. Обычно .
проявление стадности инвесторов.
Средняя рациональная линия рынка - модель, использующаяся при
долгосрочном прогнозировании. Предполагает возможность экстраполяции
данных, полученных на среднесрочном интервале прогнозирования, для
долгосрочного интервала.
Стадность - термин Дж. Сороса. Выражает свойство массовых
инвестиционных процессов, при котором все ориентируются друг на друга и
одновременно покупают, и продают одни и те же активы. На
повышающемся рынке стадность вызывает эффект ралли. Стадность
провоцирует синхронную волатильность. Препятствует разумной
диверсификации.
Страх - здесь: тип иррационального инвестиционного выбора,
характеризующийся немотивированной недооценкой активов индекса.
Сопровождается неврозом инвестора, возникающим в ходе оценки зоны
риска индекса. Также см. Жадность.
Технический анализ - совокупность приемов, позволяющих
предсказывать индексы на ограниченном интервале времени (от одного
торгового дня до квартала). Невозможно применять для среднесрочного
прогнозирования индексов из-за предположения о стационарности
тенденций, которые обязаны проявиться и в недалеком будущем.
Противовес ТА . фундаментальный анализ.
Типы рационального инвестиционного выбора - агрессивный,
консервативный, промежуточный.
Тренд - средняя линия цены индекса (у нас . треугольная нечеткая
функция или последовательность). В техническом анализе тренд
оценивается методом скользящей средней (с усредненным суммированием
ценовых отсчетов индекса за определенное количество дней). В настоящем
документе прогнозируется именно тренд индекса.
Фундаментальный анализ - совокупность приемов, позволяющих
оценить качество ценной бумаги на основе фундаментальных ее
характеристик, включая соотношение цены и качества, а также данных по
эмитенту ценной бумаги. Иногда выводы ФА противоречат выводам
технического анализа. Настоящий документ написан с позиций именно
фундаментального анализа.
Циклический тренд - тренд, который отражает циклическое
поведение индекса в связи с непрерывно меняющимся макроэкономическим
окружением индекса и связанными с этим переоценками и недооценками.
Шарпа показатель - дробь: в числителе . разница доходностей
индекса и государственных облигаций (условно- безрисковый актив), в
знаменателе - риск индекса. У нас, наряду с классическим показателем
Шарпа, используется модифицированный показатель, где в числителе
вычитается не доходность по госбумагам, а доходность индекса облигаций в
обобщенном инвестиционном портфеле.
Эбби Коэн - современный американский финансовый аналитик. Одно
время успешно предсказывала рыночные тенденции, заслужив себе
популярность ведущего прогнозиста США. Однако советы Эбби Коэн,
датированные 2001 годом, о балансировании портфелей с падающими
активами по принципу следования за рынком привели к убыткам в
миллиарды долларов по всей Америке.
Экономический регион - страна или совокупность стран, индексы
которых можно оценивать автономно, на базе единой валюты, с
сопоставимым уровнем инфляции и темпами роста валового внутреннего
продукта. Примеры, рассмотренные в настоящем документе: США и Россия.
Экспертная модель - совокупность качественных описаний текущего
состояния объекта исследования (в нашем случае . фондового рынка и его
макроэкономического окружения) и предполагаемых тенденций развития
объекта исследования. Только правильно составленная экспертная модель
может привести нас к корректной математической модели и адекватным
методикам. Прогнозы, не опирающиеся на экспертную модель,
бессмысленны.
Эффективная граница портфельного множества - вогнутая
кривая без разрывов в координатах «Риск-Доходность», характеризующая
максимум доходности портфеля с неизвестными весами активов при
фиксированном риске портфеля. В нечеткой постановке задачи эффективная
граница приобретает вид полосовой эффективной границы.
Эйфория - сопутствующий признак иррационального
инвестиционного выбора, необоснованный закуп акций, вызывающий их
переоценку.
Нечеткая логика и финансы
Глава 2 Модели и методикиВведение в нечеткую логику
Лет пятнадцать тому назад мы с моим другом побывали напревосходном спектакле театра Кабуки (в Россию этот театр приезжает в
среднем раз в четверть века). Эта постановка и сейчас у меня перед глазами.
Сюжет одного из отрывков таков: художник попадает в джунгли; вдруг
появляется тигр. Художник понимает, что он может обезопасить тигра
единственным образом . если успеет нарисовать его. Художник
принимается рисовать тигра на вертикальной каменной плите; его работа
сокрыта от зрителей. И вдруг все мы с трепетом наблюдаем, как на
противоположной стороне плиты медленно проступает изображение тигра!..
Художник заклял тигра, тигр исчезает.
Приведенная аллегория неслучайна. Применительно к финансам тигр
. это неослабная угроза потерять деньги, джунгли . мир завтрашнего дня,
полный неопределенности и неожиданности, а художник . это финансист.
Нарисовать тигра означает познать тигра, сделать его видимым, обличить.
Тигр бессмертен. Мы не можем убить его, не можем сделать его
домашним животным, не можем посадить на цепь или в клетку. Тигр - это
хаос. Но всякий хаос посылается нам промыслительно, чтобы система,
претерпевшая хаос и уцелевшая под его напором, устремилась к новой
градации порядка. Таков закон эволюции; не мы его авторы, и не нам его
отменять.
Нарисовать тигра означает наметить его контуры, описать его повадки.
Предвосхитить его распорядок дня, его рацион. Тогда, возможно, нам
удастся уцелеть от лап хищника. Мы не сможем посадить тигра в клетку,
равно как и оградиться от тигра забором и самим жить за этим забором, как
в клетке. Джунгли . это правила игры, необычайно азартной игры.
Опасность неотменима. Жить вообще опасно. Но, если сделаться смелее и
перестать бояться боли, бояться будущего, - то откроется, что джунгли . это
увлекательнейшее приключение. В джунглях нам предстоит построить
хижину, перейти реку вброд, встретиться с тигром и заклясть его, чтобы
остаться в живых. Участь разведчика почетна, тем более это наша общая
участь, участь человека и человечества, и другой у нас нет.
Нет такого человека, который бы хоть однажды в жизни не потерял
деньги. В той или иной степени мы все были хоть раз за свою жизнь в роли
ограбленных. В Америке финансовые пирамиды имеют давнюю историю;
Россия столкнулась с этим впервые в 90-х годах прошлого века. Но, вне
зависимости от того, известны нам свойства пирамид или нет, терять деньги
одинаково больно и досадно. Но боль и досада выступают великими
учителями. Они учат терпению, осторожности, правильной расстановке
акцентов, отбивают алчность и делают человека в конечном счете мудрее.
Мне довелось как-то присутствовать на одном из уголовных процессов
по делу о пирамидах. Процесс шел несколько лет (потому что от пирамиды
пострадало 8000 человек, и суд посчитал необходимым разобраться в деле,
что называется, до последнего доллара). На первых заседаниях гневу
одураченных людей не было границ. Они требовали от суда самого сурового
наказания для мошенников. Кое-кто даже был готов (если ему дадут
револьвер и право выносить вердикт) самолично расправиться с
подсудимыми. К концу же процесса, когда время взяло свое, и страсти
подутихли, вдруг прозвучало, как выстраданный урок, от одной из
потерпевших: «Мы сами виноваты». Нужно было прожить несколько лет
один на один с обидой, чтобы выстрадать истину о том, что виноваты все,
или не виноват никто. Что пирамида . это только реакция на жадность и
страх, это материализованный образ болезни и одновременно . горькое
лекарство от нее.
Быть мудрее, учиться жить в джунглях, не превращаясь при этом в
дикое животное, то жадное, то пугливое, . это лозунг дня. В переводе на
язык денег это означает . быть инвестором, учиться оценивать риски и
парировать их.
Инвестировать в условиях суровой, дикой неопределенности . это
искусство, оттачиваемое десятилетиями. Инвестиции . это азартная игра. Не
всем по нутру азартные игры. Но все, что связано с деньгами, азартно
поневоле, потому что деньги . это чрезвычайно текучий продукт. Удержать
деньги под своим контролем намного труднее, чем эти самые деньги
заработать. Поэтому мы можем оценить всю тяжесть потерь от финансовых
катаклизмов, ложащуюся на плечи пенсионеров. Сдувшийся пузырь «новой
экономики» больнее всего ударил именно по ним, - потому что они уже
сделали свой инвестиционный выбор и теперь могут только получать
результат этого выбора, иногда весьма прискорбный . отрицательный, в
форме убытков и потери капитала.
Все говорит за то, что надо учиться инвестировать в условиях
неопределенности относительно неизвестного будущего и
трудноразличимого настоящего, инвестировать в расплывчатых условиях.
Это ключевое соображение и предопределило название книги, которую вы
держите в руках. Инвестируя в расплывчатых условиях, за основу следует
брать только самые стойкие истины, которые апробированы тысячелетиями
практики операций с материальными ценностями. Золотое правило
инвестирования свидетельствует, что большей ожидаемой доходности
операций соответствует больший риск потерять деньги. Диверсификация
учит не держать все яйца в одной корзине. Есть еще несколько подобных
близких по существу соображений, из которых человек опытный сделает
свои выводы. Возьмем хотя бы Экклезиаста: «Лучше горсть с покоем,
нежели пригоршни с трудом и томлением духа» (Еккл. 4.6). {Better one
handful with tranquility than two handfuls with toil and chasing after the wind
Eccl 4:6}. Не об инвестициях ли в государственные облигации это сказано?
Все мы . эмитенты, инвесторы, эксперты - обречены на активность.
Но в ходе принятия своих рыночных решений мы сталкиваемся с одной
общей проблемой . с неизвестностью завтрашнего дня, которая создает
расплывчатые условия для инвестиций. Все стремятся сделать этот мир
более предсказуемым, что вызывает потребность в планировании,
прогнозировании, в оценке рыночного риска. Генерируются сценарии
перспективного развития событий, связанных с изменением уровня цен,
объемов выпуска и продаж товарной продукции, с изменением
макропараметров экономической среды (уровней налогообложения, ставок
по краткосрочным кредитам, темпов инфляции и т.д.), а затем проводится
анализ реакции корпоративных финансов на реализуемый гипотетический
сценарий. Оптимистические сценарии улучшают финансовое состояние
корпорации и ее рыночное положение, а пессимистические . ухудшают, в
том числе приводя корпорацию на грань банкротства.
Центральный вопрос . какова ожидаемость тех или иных сценариев в
перспективной картине существования корпорации. И вот здесь
исследователи начинают вводить веса сценариев в интегральной картине,
причем эти веса имеют вероятностный смысл. При этом сразу возникает два
вопроса:
на каком основании эти веса устанавливаются;
все ли потенциальные сценарии развития корпорации и ее окружения
учтены в интегральной картине.
Честный ответ на эти два вопроса неутешителен: не хватает оснований
для назначения весов в свертке сценариев, не все сценарии учтены, да и
учесть их все не представляется возможным.
Можно перейти из дискретного пространства сценариев в
непрерывное, заменив дискретное весовое распределение факторов
непрерывной плотностью распределения. Имея такие распределения на
входе в модель, можно точно или приближенно восстановить распределение
выходных параметров модели (например, финансовых показателей). И такой
путь, снимая проблему ограниченности сценариев, не снимает другую
проблему . обоснованности модельных вероятностных распределений.
Если рассматривать классическое понимание вероятности, то прежде
всего такая вероятность вводится как частота однородных событий,
происходящих в неизменных внешних условиях. В реальной экономике нет
ни однородности, ни неизменности условий. Даже два предприятия,
принадлежащие к одной отрасли и работающие на одном и том же рынке,
развиваются по-разному в силу внутренних особенностей. Так, успешный
менеджмент одной такой компании приводит ее к успеху, а неуспешный
менеджмент другой . к банкротству. На уровне «черных ящиков» обе
компании могут выглядеть одинаково, однородно, но при раскрытии
информации о компаниях, при детализации вся однородность пропадает.
Не сохраняется однородность и с течением времени. Так,
американский фондовый рынок образца 2002 года . это вовсе не то же
самое, что рынок образца 1999 года (до рецессии). Кардинально различны
все макроэкономические параметры. Ясно, что рынку до кризиса может быть сопоставлена одна сценарно-вероятностная модель, а для после кризисного
рынка она будет совсем другой: изменятся как сами сценарии, так и их веса.
Много усилий в науке было потрачено на то, чтобы отойти от
классического понимания вероятностей. По мере перехода от классической
вероятности к аксиологической (субъективной) возрастала роль эксперта,
назначающего вероятностные, веса, увеличивалось влияние субъективных
предпочтений эксперта на оценку. Соответственно, чем более субъективной
становилась вероятность, тем менее научной она оказывалась.
Появление субъективных вероятностей в экономическом анализе
далеко не случайно. Этим было ознаменовано первое стратегическое
отступление науки перед лицом неопределенности, которая имеет
неустранимый характер. Такая неопределенность является не просто
неустранимой, она является «дурной» в том смысле, что не обладает
структурой, которую можно было бы один раз и навсегда модельно описать
вероятностями и вероятностными процессами. То, что с большим успехом
используется в технике, в теории массового обслуживания, в статистике как
науке о поведении большого числа однородных (принадлежащих одному
модельному классу) объектов, то совершенно не проходит в моделях
финансового менеджмента. Исследователь имеет дело с ограниченным
набором событий, разнородных по своему происхождению, и он
затрудняется в том, какие выводы сделать на основе полученной
информации.
Таким образом, сам эксперт, его научная активность, его предпочтения
начинают сами выступать как объект научного исследования. Уверенность
(неуверенность) эксперта в оценке приобретают количественное выражение,
и здесь вероятностям делать уже совершенно нечего. Аналогия может быть
такой, что если раньше врач пытался лечить больного, то теперь в лечении
нуждается он сам. Объект научного исследования доопределился: если ранее
в него входил только экономический объект (корпорация, отрасль,
экономический регион, страна), то в современном финансовом менеджменте
объект научного исследования дополняется лицом, принимающим решения
(ЛПР) {DM . decision maker}. Таким лицом выступает как финансовый
менеджер, так и финансовый аналитик, готовящий решения для менеджера.
Активность обоих этих лиц подлежит детальному исследованию.
Самое главное в такой постановке научной задачи . научиться
моделировать субъектную активность. В частности, важно представлять, по каким критериям ЛПР производит распознавание текущей экономической
ситуации, состояния объекта исследования, поля для принятия решений.
Информации не хватает, она не очень высокого качества. Соответственно,
ЛПР сознательно или подсознательно отходит от точечных числовых
оценок, заменяя их качественными характеристиками ситуации,
выраженными на естественном языке (например, «высокий/низкий уровень
фактора», «большой/малый/незначительный размер денежного потока»,
«приемлемый/запредельный риск» и т.д.). Пока терминам естественного
языка не сопоставлена количественная оценка, они могут
интерпретироваться произвольно. Но если такая оценка состоялась как
конвенциальная модель, образованная на пересечении мнений и
предпочтений целого ряда экспертов, наблюдающих примерно одну и ту же
экономическую реальность, тогда она обладает значимостью для
моделирования экономического объекта, наряду с данными о самом этом
объекте.
Моделируя финансовую деятельность в условиях существенной
неопределенности, я органично для себя счел удобным и полезным
применять в финансовом анализе формализмы теории нечетких
множеств. Начинал я свою научную карьеру как специалист по теории
вероятностей. И тем с большим трудом я вынужден был признать, что
вероятности, даже новейшего образца, категорически проигрывают
нечетким множествам в главном: в умении описывать самое существо
субъективной активности лица, познающего мир и принимающего решения.
А для того, чтобы бороться с неопределенностью, мы должны научиться ее
моделировать, разграничивая познаваемые вещи от вещей, которые нам не
суждено познать никогда. И если мы нашли формулу границы между
непознаваемым и познаваемым, между определенным и неразличимым, мы
добились максимума того, что в человеческих силах. Остальное следует
препоручить силам высшего порядка (хотя познание человеческое, конечно,
не остановишь).
Что такое сегодня «высокая процентная ставка по кредитам»? Мы не
узнаем об этом ничего, пока не опросим некоторую группу предприятий,
пользующихся кредитными ресурсами банков. Все эти предприятия
пользуются кредитами на разных условиях: чем надежнее заемщик, тем
меньшую ставку по кредиту он может себе позволить. Все заемщики разные,
однако в ходе сводного исследования вырисовывается некая целостная
картина (обычно интерпретируемая как гистограмма испытаний).
Становится возможным определить некую среднюю ставку заимствований, вокруг которой группируются все остальные ставки.
И, чем далее вправо по оси Х (уровень процентной ставки) мы будем двигаться от определенногосреднего значения, тем больше оснований мы получаем заявлять, что данная ставка . «высокая». Так мы можем выделить три группы ставок: «высокая», «средняя», «низкая» - и разнести все имеющиеся ставки по выделенным классам (кластерам) двумя путями. Мы можем сделать это вполне точно (хотя и грубо), установив соответствующие интервалы на оси Х, и принадлежность к тому или иному интервалу будет вызывать однозначную словесную оценку. Если делать такую же работу более тщательно, то следует описать нашу уверенность (неуверенность) в классификации. Тогда четкие множества интервалов преобразуются в нечеткие подмножества с размытыми границами, а степень принадлежности той или иной процентной ставки к данному подмножеству определяется функцией принадлежности, построенной по специальным правилам.
Таким образом, наметились пути второго стратегического
отступления науки в ходе исследования неопределенности в экономике.
Если раньше ученые вынуждены были отказаться от классической
вероятности в пользу вероятности субъективной, то теперь и субъективная
вероятность перестает устраивать исследователя. Потому что в ней
оказывается слишком много субъективной экспертной оценки и слишком
мало . информации о том, как эта оценка была получена.
Третьего стратегического отступления не предвидится, потому как
некуда. Мы отступаем потому, что хотим сохранить адекватность
используемых моделей и требуемую степень их достоверности. Мы хотим
быть честными, поэтому постепенно выводим субъективные вероятности из
оборота, заменяя их нечеткими множествами. И тут возникает возможность
для перегруппировки и стратегического наступления на неопределенность.
Причин к этому несколько:
нечеткие множества идеально описывают субъектную активность
ЛПР;
нечеткие числа (разновидность нечетких множеств) идеально подходят
для планирования факторов во времени, когда их будущая оценка
затруднена (размыта, не имеет достаточных вероятностных
оснований). Таки образом, все сценарии по тем или иным отдельным
факторам могут быть сведены в один сводный сценарий в форме
треугольного числа, где выделяются три точки: минимально
возможное, наиболее ожидаемое и максимально возможное значения
фактора. При этом веса отдельных сценариев в структуре сводного
сценария формализуются как треугольная функция принадлежности
уровня фактора нечеткому множеству «примерного равенства
среднему»;
мы можем в пределах одной модели формализовывать как
особенности экономического объекта, так и познавательные
особенности связанных с этим объектом субъектов менеджера и
аналитика;
мы можем вернуть вероятностные описания в свой научный обиход,
как вероятностные распределения с нечеткими параметрами
[Nedosekin]. Нечеткость параметров распределения обусловлена тем,
что классически понимаемой статистической выборки наблюдений
нет, и для анализа мы пользуемся научной категорией
квазистатистики (которую я ввел в [Nedosekin]). При таком подходе
треугольные параметры распределения устанавливаются на основе
процедуры установления степени правдоподобия. Таким образом,
наметился путь для синтеза вероятностных и нечетко-множественных
описаний.
Собственно, вся настоящая монография как раз и посвящена
обоснованию применимости нечетко-множественных описаний в
финансовом менеджменте. Написанию книги предшествовало пять лет
научных исследований [My Internet site] по применению теории нечетких
множеств в финансовом и инвестиционном анализе. Вероятности как
инструмент моделирования финансовых процессов укоренились в
экономическом анализе уже сравнительно давно (более полувека назад).
Нечеткие же множества . инструмент для экономических исследований
довольно непривычный и новый, причем это замечание справедливо не
только для России (где рыночная экономика существует всего 20 лет, если
не брать в расчет дореволюционную историю), но и для всего остального
мира.
Поток публикаций по применению нечетких множеств в
экономическом и финансовом анализе растет лавинообразно.
Международная ассоциация International Association for Fuzzy-Set
Management & Economy (SIGEF) [SIGEF] регулярно апробирует новые
результаты в области нечетко-множественных экономических исследований.
Исследователями написано несколько сотен монографий по этой
проблематике. В России этот процесс только набирает обороты. На своем
персональном сайте в сети Интернет я собираю работы по направлению
«Нечеткие множества в экономике и финансах». Работ пока опубликовано немного (несколько десятков, включая мои собственные), но, как говаривал
наш первый президент Горбачев, «процесс пошел».
Статистика и квазистатистика
Неопределенность . это неустранимое качество рыночной среды,связанное с тем, что на рыночные условия оказывает свое одновременное
воздействие неизмеримое число факторов различной природы и
направленности, не подлежащих совокупной оценке. Но и даже если бы все
привходящие рыночные факторы были в модели учтены (что невероятно),
сохранилась бы неустранимая неопределенность относительно характера
реакций рынка на те или иные воздействия.
Рыночная неопределенность законно считается «дурной», т.е. не
обладающей статистической природой. Экономика непрерывно порождает
изменяющиеся условия хозяйствования, она подчинена закономерностям
циклического развития, при этом хозяйственные циклы не являются
стопроцентно воспроизводимыми, т.к. циклическая динамика
макроэкономических факторов находится в суперпозиции с динамикой
научно-технического прогресса. Возникающая в результате этой
суперпозиции рыночная парадигма является уникальной. Из всего
сказанного следует, что не удается получить выборки статистически
однородных событий из их генеральной совокупности, наблюдаемых в
неизменных внешних условиях наблюдения. То есть классически
понимаемой статистики нет.
Во всех определениях термина «статистика» (обширный перечень
таких определений приведен в [Nedosekin]) есть общее зерно, которое
собственно, и относится к статистике в самом общем смысле слова, и это
зерно в следующем. Мы имеем некий набор наблюдений по одному объекту
или по совокупности объектов. Причем мы предполагаем, что за случайной
выборкой наблюдений из гипотетической их генеральной совокупности
кроется некий фундаментальный закон распределения, который сохранит
свою силу еще на определенный период времени в будущем, что позволит
нам прогнозировать тренд будущих наблюдений и расчетный диапазон
отклонений этих наблюдений от расчетных ожидаемых трендовых значений.
Если мы договорились, что все наблюдения совершались в
неизменных однотипных внешних условиях и/или наблюдались объекты с
одинаковыми свойствами по факту, например, их появления по одной и той
же причине, то мы оцениваем и подтверждаем искомый закон распределения
частотным методом. Разбивая весь допустимый диапазон наблюдаемого параметра на ряд равных интервалов, мы можем подсчитать, сколько
наблюдений попало в каждый выбранный интервал, то есть построить
гистограмму. Известными методами мы можем перейти от гистограммы к
плотности вероятностного распределения, параметры которого можно
оптимальным образом подобрать. Таким образом, идентификация
статистического закона завершена.
Если же мы имеем дело с «дурной» неопределенностью, когда у нас
нет достаточного количества наблюдений, чтобы вполне корректно
подтвердить тот или иной закон распределения, или мы наблюдаем объекты,
которые, строго говоря, нельзя назвать однородными, тогда классической
статистической выборки нет.
В то же время, мы, даже не имея достаточного числа наблюдений,
склонны подразумевать, что за ними стоит проявление некоторого закона.
Мы не можем оценить параметры этого закона вполне точно, но мы можем
прийти к определенному соглашению о виде этого закона и о диапазоне
разброса ключевых параметров, входящих в его математическое описание. И
вот здесь уместно ввести понятие квазистатистики [Nedosekin]:
Квазистатистика . эта выборка наблюдений из их генеральной
совокупности, которая считается недостаточной для идентификации
вероятностного закона распределения с точно определенными параметрами,
но признается достаточной для того, чтобы с той или иной субъективной
степенью достоверности обосновать закон наблюдений в вероятностной или
любой иной форме, причем параметры этого закона будут заданы по
специальным правилам, чтобы удовлетворить требуемой достоверности
идентификации закона наблюдений.
Выдвинутое определение квазистатистики дает расширительное
понимание вероятностного закона, когда он имеет не только частотный, но и
субъективно- аксиологический смысл. Здесь намечены контуры синтеза
вероятности в классическом смысле - и вероятности, понимаемой как
структурная характеристика познавательной активности эксперта-
исследователя.
Также это определение намечает широкое поле для компромисса в
том, что считать достаточным объемом выборки, а что . нет. Например,
эксперт, оценивая финансовое положение предприятий
машиностроительной отрасли, понимает, что каждое предприятие отрасли уникально, занимает свою рыночную нишу и т.д., и поэтому классической
статистики нет, даже если выборка захватывает сотни предприятий. Тем не
менее, эксперт, исследуя выборку какого-то определенного параметра,
подмечает, что для большинства работающих предприятий значения данного
параметра группируются внутри некоторого расчетного диапазона, ближе к
некоторым наиболее ожидаемым, типовым значениям факторов. И эта
закономерность дает эксперту основания утверждать, что имеет место закон
распределения, и далее эксперт может подыскивать этому закону
вероятностную или, к примеру, нечетко-множественную форму.
Аналогичные рассуждения можно провести, если эксперт наблюдает
один параметр единичного предприятия, но во времени. Ясно, что в этом
случае статистическая однородность наблюдений отсутствует, поскольку со
временем непрерывно меняется рыночное окружение фирмы, условия ее
хозяйствования, производственные факторы и т.д. Тем не менее, эксперт,
оценивая некоторое достаточно приличное количество наблюдений, может
сказать, что «вот это состояние параметра типично для фирмы, это . из ряда
вон, а вот тут я сомневаюсь в классификации». Таким образом, эксперт
высказывается о законе распределения параметра таким образом, что
классифицирует все наблюдения нечетким, лингвистическим способом, и
это уже само по себе есть факт генерации немаловажной для принятия
решений информации. И, раз закон распределения сформулирован, то
эксперт имел дело с квазистатистикой.
Понятие квазистатистики дает широкий простор для применения
нечетких описаний для моделирования законов, по которым проявляется та
или иная совокупность наблюдений. Строго говоря, не постулируя
квазистатистики, нельзя вполне обоснованно с научной точки зрения
моделировать неоднородные и ограниченные по объему наблюдения
процессы, протекающие на фондовом рынке и в целом в экономике,
невозможно учитывать неопределенность, сопровождающую процесс
принятия финансовых решений.
И вот сейчас настало самое время ввести формализмы нечетких
множеств, используемые по ходу изложения. Часть из них предложена
самим основателем теории нечетких множеств . профессором Лофти А. Заде
[Zadeh homepage], часть является новой и содержится в [Nedosekin].
Программное обеспечение Lotus тут
Нечеткие множества приходят на помощь
Глава 1 Глава 2
Носитель U . это универсальное множество, к которому относятся
все результаты наблюдений в рамках оцениваемой квазистатистики.
Например, если мы наблюдаем возраст занятых в определенных отраслях
экономики, то носитель . это отрезок вещественной оси [16, 70], где
единицей измерения выступают годы жизни человека.
Вексельное обращение

Носитель U . это универсальное множество, к которому относятся
все результаты наблюдений в рамках оцениваемой квазистатистики.
Например, если мы наблюдаем возраст занятых в определенных отраслях
экономики, то носитель . это отрезок вещественной оси [16, 70], где
единицей измерения выступают годы жизни человека.

|
Нечеткое множество А . это множество значений носителя, такое,
что каждому значению носителя сопоставлена степень принадлежности
этого значения множеству А. Например: буквы латинского алфавита X, Y, Z
безусловно принадлежат множеству Alphabet = {A, B, C, X, Y, Z}, и с этой
точки зрения множество Alphabet . четкое. Но если анализировать
множество «Оптимальный возраст работника», то возраст 50 лет
принадлежит этому нечеткому множеству только с некоторой долей
условности, которую называют функцией принадлежности.
Вексельное обращение

что каждому значению носителя сопоставлена степень принадлежности
этого значения множеству А. Например: буквы латинского алфавита X, Y, Z
безусловно принадлежат множеству Alphabet = {A, B, C, X, Y, Z}, и с этой
точки зрения множество Alphabet . четкое. Но если анализировать
множество «Оптимальный возраст работника», то возраст 50 лет
принадлежит этому нечеткому множеству только с некоторой долей
условности, которую называют функцией принадлежности.

|
Функция принадлежности А(u) . это функция, областью
определения которой является носитель U, u U, а областью значений .
единичный интервал [0,1]. Чем выше А(u), тем выше оценивается степень
принадлежности элемента носителя u нечеткому множеству А. Например, на
рис. 2.1 представлена функция принадлежности нечеткого множества
«Оптимальный возраст работающего», полученная на основании опроса
ряда экспертов.
Видно что возраст от 20 до 35 оценивается экспертами как бесспорно
оптимальный, а от 60 и выше . как бесспорно неоптимальный. В диапазоне
от 35 до 60 эксперты проявляют неуверенность в своей классификации, и
структура этой неуверенности как раз и передается графиком функции
принадлежности.

Рис. 2.1. Функция принадлежности нечеткого подмножества
«Оптимальный возраст работника»
Вексельное обращение

определения которой является носитель U, u U, а областью значений .
единичный интервал [0,1]. Чем выше А(u), тем выше оценивается степень
принадлежности элемента носителя u нечеткому множеству А. Например, на
рис. 2.1 представлена функция принадлежности нечеткого множества
«Оптимальный возраст работающего», полученная на основании опроса
ряда экспертов.
Видно что возраст от 20 до 35 оценивается экспертами как бесспорно
оптимальный, а от 60 и выше . как бесспорно неоптимальный. В диапазоне
от 35 до 60 эксперты проявляют неуверенность в своей классификации, и
структура этой неуверенности как раз и передается графиком функции
принадлежности.

Рис. 2.1. Функция принадлежности нечеткого подмножества
«Оптимальный возраст работника»

|
Заде [Zadeh] определяет лингвистическую переменную так:


нечеткому подмножеству M1, а вторая . M2. Таким образом, конструктивное
описание лингвистической переменной завершено.


нечеткому подмножеству M1, а вторая . M2. Таким образом, конструктивное
описание лингвистической переменной завершено.
Операции над нечеткими подмножествами
Глава 1 Глава 2
Для классических множеств вводятся операции:
пересечение множеств . операция над множествами А и В,


Вексельное обращение

пересечение множеств . операция над множествами А и В,



|
Нечеткое число . это нечеткое подмножество универсального
множества действительных чисел, имеющее нормальную и выпуклую
функцию принадлежности, то есть такую, что а) существует такое значение
носителя, в котором функция принадлежности равна единице, а также а) при
отступлении от своего максимума влево или вправо функция
принадлежности убывает.
Рассмотрим два типа нечетких чисел: трапециевидные и треугольные.
Вексельное обращение

Исследуем некоторую квазистатистику и зададим лингвистическую
переменную = «Значение параметра U», где U . множество значений
носителя квазистатистики. Выделим два терм-множества значений: T1 = «U
у лежит в диапазоне примерно от a до b» с нечетким подмножеством М1 и
безымянное значение T2 с нечетким подмножеством М2, причем
выполняется М2 = - М1. Тогда функция принадлежности T1(u) имеет
трапезоидный вид, как показано на рис. 2.2.

Поскольку границы интервала заданы нечетко, то разумно ввести
абсциссы вершин трапеции следующим образом:

при этом отстояние вершин а1, а2 и в1, в2 соответственно друг от друга
обуславливается тем, что какую семантику мы вкладываем в понятие
«примерно»: чем больше разброс квазистатистики, тем боковые ребра
трапеции являются более пологими. В предельном случае понятие
«примерно» выражается в понятие «где угодно».
Если мы оцениваем параметр качественно, например, высказавшись
«Это значение параметра является средним», необходимо ввести
уточняющее высказывание типа «Среднее значение . это примерно от a до
b», которое есть предмет экспертной оценки (нечеткой классификации), и
тогда можно использовать для моделирования нечетких классификаций
трапезоидные числа. На самом деле, это самый естественной способ
неуверенной классификации.
Вексельное обращение


Это, с точки зрения функции принадлежности, придает последней
треугольный вид (рис. 2.3), причем степень приближения характеризуется
экспертом.

Рис. 2.3. Функция принадлежности треугольного нечеткого числа
Треугольные числа . это самый часто используемый на практике тип
нечетких чисел, причем чаще всего - в качестве прогнозных значений
параметра.
(нечеткая арифметика) - вводит набор операций над нечеткими числами. Эти
операции вводятся через операции над функциями принадлежности на
основе так называемого сегментного принципа.
Определим уровень принадлежности как ординату функции
принадлежности нечеткого числа. Тогда пересечение функции
принадлежности с нечетким числом дает пару значений, которые принято
называть границами интервала достоверности.
Зададимся фиксированным уровнем принадлежности и определим
соответствующие ему интервалы достоверности по двум нечетким числам A
и B : [a1, a2] и [b1, b2], соответственно. Тогда основные операции с нечеткими
числами сводятся к операциям с их интервалами достоверности. А операции
с интервалами, в свою очередь, выражаются через операции с
действительными числами - границами интервалов:

Из существа операций с трапезоидными числами можно сделать ряд
важных утверждений (без доказательства):
действительное число есть частный случай треугольного
нечеткого числа;
сумма треугольных чисел есть треугольное число;
треугольное (трапезоидное) число, умноженное на
действительное число, есть треугольное (трапезоидное) число;
сумма трапезоидных чисел есть трапезоидное число;
сумма треугольного и трапезоидного чисел есть трапезоидное
число.
Анализируя свойства нелинейных операций с нечеткими числами
(например, деления), исследователи приходят к выводу, что форма функций
принадлежности результирующих нечетких чисел часто близка к
треугольной. Это позволяет аппроксимировать результат, приводя его к
треугольному виду. И, если приводимость налицо, тогда операции с
треугольными числами сводятся к операциям с абсциссами вершин их
функций принадлежности.
То есть, если мы вводим описание треугольного числа набором
абсцисс вершин (a, b, c), то можно записать:

Это . самое распространенное правило мягких вычислений.
OpenGL в Delphi тут
множество нечетких чисел.
Нечеткая прямоугольная матрица . это дважды индексированное
конечное множество нечетких чисел, причем первый индекс пробегает M
строк, а второй - N столбцов. При этом, как и в случае матриц
действительных чисел, операции над нечеткими прямоугольными
матрицами сводятся к операциям над нечеткими компонентами этих матриц.
Например,

где все операции над нечеткими числами производятся так, как они введены
параграфом выше.
Поле нечетких чисел . это несчетное множество нечетких чисел.
Нечеткая функция . это взаимно однозначное соответствие двух
полей нечетких чисел. В наших приложениях область определения нечеткой
функции явзяется осью действительных чисел, то есть вырожденным
случаем поля нечетких чисел, когда их треугольные функции
принадлежности вырождаются в точку с координатами (а, 1).
Нечеткую функцию уместно назвать по типу тех чисел, которые
характеризуют область ее значений. Если поле значений . это поле
треугольных чисел, то и саму функцию уместно назвать треугольной.
Например, прогноз продаж компании (нарастающим итогом) задан
тремя функциями вещественной переменной: f1(T) . оптимистичный
прогноз, f2(T) . пессимистичный прогноз, f3(T) . Средне ожидаемые значения
продаж, где Т . время прогноза. Тогда лингвистическая переменная
«Прогноз продаж в момент Т» есть треугольное число ( f1(T), f2(T), f3(T) ), а
все прогнозное поле есть треугольная нечеткая функция (рис. 2.4), имеющая
вид криволинейной полосы.

Рис. 2.4. Нечеткий прогноз продаж
Рассмотрим ряд операций над треугольными нечеткими функциями
(утверждения приводятся без доказательства):
сложение: сумма (разность) треугольных функций есть треугольная
функция;
умножение на число переводит треугольную функцию в треугольную
функцию;
дифференцирование (интегрирование) треугольной нечеткой
функции проводится по правилам вещественного дифференцирования
(интегрирования):

функция, зависящая от нечеткого параметра, является нечеткой.
возможных плотностей вероятностной функции распределения,


Тогда мы можем рассматривать числа (xi1, xiL, xi2) как треугольные
нечеткие параметры плотности распределения, которая и сама в этом случае
имеет вид нечеткой функции. А зона предельного правдоподобия тогда есть
не что иное, как нечеткий вектор.
Мы видим, что полученное вероятностное распределение имеет не
только частотный, но и субъективный смысл, так как зона предельного
правдоподобия зависит от того, как мы бракуем вероятностные гипотезы.
Представляется, что такое описание всецело отвечает природе
квазистатистики, как мы ее здесь вводим. Чем хуже условия для выдвижения
правдоподобных вероятностных гипотез, чем тяжелее обосновывать такое
правдоподобие, - тем большее значение занимает фактор экспертной оценки.
То вероятностное описание, что мы имеем в итоге, - это гибрид, который
обещает быть плодотворным.
В качестве примера можно рассмотреть нормальный закон
распределения с нечетким среднеквадратическим отклонением (рис. 2.5).
Эта нечеткая функция не имеет полосового вида. И тут самое время
заметить, что функция с треугольными нечеткими параметрами в общем
случае сама не является треугольной и к треугольному виду не приводится.

Рис. 2.5. Нормальный закон распределения с нечетким
среднеквадратическим отклонением
Зато выполняется нормировочное условие:

где правая часть представляет собой нечеткое число с вырожденной в точку
функцией принадлежности. Интеграл же, не определенный для не четких
функций общего вида, представляет здесь предел сумм




Выберем уровень отсечения F1 < F0 и признаем все вероятностные
гипотезы правдоподобными, если соответствующий критерий
правдоподобия лежит в диапазоне от F1 до F0. Тогда всем правдоподобным
вероятностным гипотезам отвечает множество векторов ,которое в
двумерном фазовом пространстве представляет собой выпуклую область с
нелинейными границами.
обладающее следующей структурой:

Также соблюдается правило очередности в рассмотрении фразы для
понимания: сначала все связки И применяются к двум смежным предикатам, а затем все связки ИЛИ применяются к результатам предшествующих
операций.
Например, классический вывод «Если Сократ человек, а человек
смертен, то и Сократ смертен» можно преобразовать к структуре
формального знания по следующим правилам:
вводится два класса объектов X1 = «Человек (Люди)» и X2 =
«Смертный (-ая, -ое)»;
рассматриваются два аргумента: a1 = «Сократ», a2 = «Человек» = X1.
Тогда наше знание имеет формулу
ЕСЛИ a1 ЕСТЬ X1 И (a2 = X1) ЕСТЬ X2
ТО a1 ЕСТЬ X2 (2.25)
Очень часто в структуре знаний классы объектов являются нечеткими
понятиями. Также высказывающиеся лица могут делать выводы,
содержащие элементы неуверенности, оценочности. Это заставляет нас
переходить от знаний в классическом понимании к знаниям нечетким.
Введем следующий набор лингвистических переменных со своим
терм-множеством значений:

AND/OR = Отношение связи = {И/ИЛИ, Скорее всего И/ИЛИ,
Вероятно И/ИЛИ...}
(2.28)
Вводя эти переменные, мы предполагаем, что они содержат
произвольное число оттеночных значений, ранжированных по силе
(слабости) в определенном порядке. Носителем этих переменных может
выступать единичный интервал.
Тогда под нечетким знанием можно понимать следующий
формализм:

Характерным примером нечеткого знания является высказывание
типа: «Если ожидаемое в ближайшей перспективе отношение цены акции к
доходам по ней порядка 10, и (хотя и не обязательно) капитализация этой
компании на уровне 10 млрд. долларов, то, скорее всего, эти акции следует
покупать». Курсивом обозначены все оценки, которые делают это знание
нечетким.
Поскольку нечеткое знание определяется через лингвистические
переменные, то и операции нечеткого логического вывода можно
количественно определить на базе операций с соответствующими
функциями принадлежности. Однако детальное рассмотрение этого вопроса
мы опускаем.
С некоторых пор нечеткие знания начали активно применяться для
выработки брокерских рекомендаций по приобретению (удержанию,
продаже) ценных бумаг. Например, монография [Peray] рассматривает
вопрос о целесообразности инвестирования в фондовые активы в
зависимости от характера экономического окружения, причем параметры
этого окружения являются нечеткими значениями. На сайте [Peray
homepage] автор вышеупомянутой монографии поддерживает бюллетень
макроэкономических индикаторов и соответствующих условий
инвестирования на тех или иных рынках.
На нечетких знаниях могут быть организованы специализированные
экспертные системы, реализующие механизм нечетко-логического вывода.
Простейший пример такого рода системы мы находим на сайте [Option
Advisor], где выработка опционной стратегии сопровождается нечеткой
предварительной оценкой характера рынка. В этом смысле также
представляет интерес и заслуживает упоминания работа [Trippi].
вещественной оси [0,1]. Любые конечномерные отрезки вещественной оси
могут быть сведены к отрезку [0,1] путем простого линейного
преобразования, поэтому выделенный отрезок единичной длины носит
универсальный характер и заслуживает отдельного термина. Назовем
носитель вида [0,1] 01- носителем.
Теперь введем лингвистическую переменную «Уровень показателя»
с терм-множеством значений «Очень низкий, Низкий, Средний, Высокий,
Очень Высокий». Для описания подмножеств терм-множества введем
систему из пяти соответствующих функций принадлежности
трапециедального вида:


Везде в (2.30) х . это 01.носитель. Построенные функции
принадлежности приведены на рис. 2.6.

Рис. 2.6. Система трапециевидных функций принадлежности на 01-носителе

0.7, 0.9), которые являются, с одной стороны, абсциссами максимумов
соответствующих функций принадлежности на 01-носителе, а, с другой
стороны, равномерно отстоят друг от друга на 01-носителе и симметричны
относительно узла 0.5. Тогда введенную лингвистическую переменную «Уровень фактора»,
определенную на 01-носителе, в совокупности с набором узловых точек
здесь и далее будем называть стандартным пятиуровневым нечетким 01-
классификатором.
Сконструированный нечеткий классификатор имеет большое значение
для дальнейшего изложения. Его суть в том, что если о факторе неизвестно
ничего, кроме того, что он может принимать любые значения в пределах 01-
носителя (принцип равно предпочтительности), а надо провести ассоциацию
между качественной и количественной оценками фактора, то предложенный
классификатор делает это с максимальной достоверностью. При этом сумма
всех функций принадлежности для любого х равна единице, что указывает
на непротиворечивость классификатора.
Если при распознавании уровня фактора эксперт располагает
дополнительной информацией о поведении фактора (например,
гистограммой), то классификация фактора в общем случае не будет иметь
стандартного вида, потому что узловые точки классификации и
соответствующие функции принадлежности будут лежать несимметрично на
носителе соответствующего фактора.
Также, если существует набор из i=1..N отдельных факторов со своими
текущими значениями xi, и каждому фактору сопоставлен свой
пятиуровневый классификатор (необязательно стандартный, необязательно
определенный на 01-носителе), то можно перейти от набора отдельных
факторов к единому агрегированному фактору A_N, значение которого
распознать впоследствии с помощью стандартного классификатора.
Количественное же значение агрегированного фактора определяется по
формуле двойной свертки:

Из формулы (2.31) становится понятным назначение узловых точек в
нечетком классификаторе. Эти точки выступают в качестве весов при
агрегировании системы факторов на уровне их качественных состояний. Тем
самым узловые точки осуществляют сведение набора нестандартных
классификаторов (со своими не симметрично расположенными узловыми
точками) к единому классификатору стандартного вида, с одновременным
переходом от набора нестандартных носителей отдельных факторов к
стандартному 01-носителю.
Можно построить матрицу, где по строкам расположены факторы, а по
столбцам . их качественные уровни. На пересечении строк и столбцов лежат
значения функций принадлежности соответствующих качественных
уровней. Дополним матрицу еще одним столбцом весов факторов в свертке
pi и еще одной строкой с узловыми точками j. Тогда для расчета
агрегированного показателя A_N по (2.31) в полученной матрице собраны
все необходимые исходные данные. Поэтому предлагаемую здесь схему
агрегирования данных целесообразно назвать матричной.
Матричные схемы на основе пятиуровневых классификаторов уже
давно и довольно успешно применяются для комплексной оценки уровня
функционирования многофакторных систем, в том числе и финансовых
(например, финансов корпорации). Об этом речь будет идти в главах 3, 5 и 8
настоящей книги.
Все изложение данного параграфа базируется на пятиуровневом
классификаторе. На самом же деле, уровней в классификаторе может быть
произвольное число, и все определяется лишь удобством моделирования.
Простейший классификатор . бинарный (хорошо-плохо, высоко-низко), но
он представляется слишком грубым, т.к. не фиксирует характерного
среднего положения, вокруг которого и группируется большинство
количественных состояний в реальной жизни. Отвлеченная аналогия:
крайности жизни особенно выпукло наблюдаются с позиций мещанской
середины (об этом «Степной Волк» Г.Гессе). Поэтому целесообразно
говорить о стандартном трехуровневом нечетком 01-классификаторе
(состояния Низкий, Средний, Высокий) с функциями принадлежности
следующего вида (рис. 2.7):

Рис. 2.7. Трехуровневая 01-классификация

Итак, изложение базовых формализмов теории нечетких множеств
завершено. Посмотрим, чем все-таки они могут нам помочь.
сфокусировано на финансовом здоровье эмитента. Вкладывая деньги,
инвестор (или собственник) рассчитывает получить доход как в форме
дивидендов по акциям, процентов по долговым обязательствам, так и в виде
курсового роста соответствующих инвестиционных инструментов.
Ухудшение финансового здоровья эмитента, сопровождающееся ростом его
долгов, вызывает риск срыва платежей по обязательствам, прекращения
любых выплат и сворачивания деятельности неудачливого субъекта рынка.
Иными словами, возникает риск банкротства. Минимизировать риск
банкротства, максимально оздоровить финансы корпорации . это задача
финансового менеджмента корпорации.
Задача определения степени риска банкротства является актуальной
как для собственников предприятия, так и для его кредиторов. Поэтому
вызывают интерес любые научно обоснованные методики оценки риска
банкротства.
Степень риска банкротства . это комплексный показатель,
характеризующий как финансовое положение предприятия, так и качество
управления им, которое, в конечном счете, получает свое выражение в
финансовом эквиваленте, но не исчерпывается одними лишь финансовыми
последствиями.
Так, безалаберное одалживание средств у банков рано или поздно
приведет к тому, что объем заемных средств превысит реальные
возможности предприятия по расчетам с кредиторами. Это означает потерю
финансовой устойчивости, которая легко измерима по балансу фирмы. Но
корень проблемы находится не в самих финансах, а в неадекватных способах
управления ими. Финансы . только зеркало проблемы, которую необходимо
решать зачастую даже не финансовыми средствами (например . уволить
некомпетентного менеджера).
В практике финансового анализа очень хорошо известен ряд
показателей, характеризующих отдельные стороны текущего финансового
положения предприятия. Сюда относятся показатели ликвидности,
рентабельности, устойчивости, оборачиваемости капитала, прибыльности и
т.д. По ряду показателей известны некие нормативы, характеризующие их
значение положительно или отрицательно. Например, когда собственные
средства предприятия превышают половину всех пассивов,
соответствующий этой пропорции коэффициент автономии больше 0.5, и это
его значение считается "хорошим" (соответственно, когда оно меньше 0.5 -
"плохим"). Но в большинстве случаев показатели, оцениваемые при анализе,
однозначно нормировать невозможно. Это связано со спецификой отраслей
экономики, с текущими особенностями действующих предприятий, с
состоянием экономической среды, в которой они работают.
Тем не менее, любое заинтересованное положением предприятия лицо
(у нас оно называется ЛПР), не довольствуется простой количественной
оценкой показателей. Для ЛПР важно знать, приемлемы ли полученные
значения, хороши ли они, и в какой степени. Кроме того, ЛПР стремится
установить логическую связь количественных значений показателей
выделенной группы с риском банкротства. То есть ЛПР не может быть
удовлетворено бинарной оценкой "хорошо - плохо", его интересуют оттенки
ситуации и экономическая интерпретация этих оттеночных значений. Задача
осложняется тем, что показателей много, изменяются они зачастую
разнонаправлено, и поэтому ЛПР стремится "свернуть" набор всех
исследуемых частных финансовых показателей в один комплексный, по
значению которого и судить о степени благополучия ("живучести") фирмы и
о том, насколько далеко или близко предприятие отстоит от банкротства.
Успешный анализ риска банкротства предприятия возможен лишь на основе
следующих основных предпосылок:
1. В основу анализа ложатся результаты наблюдения предприятия за
возможно более долгий период времени.
2. Учетные формы, используемые при анализе, должны достоверно
отображать подлинное финансовое состояние предприятия.
3. Для анализа используются лишь те показатели, которые в наибольшей
степени критичны с точки зрения их относимости к банкротству
данного предприятия. А это возможно, когда ЛПР оценивает не только
финансовое состояние предприятие, но и его отраслевое положение.
4. Лицо, производящее анализ, должно располагать представительной
статистикой банкротств, которая также должна быть верифицирована
на относимость к банкротству данного предприятия . с точки зрения
отрасли, страны и периода времени, за который проводится анализ.
Все перечисленное говорит о том, что эксперт-аналитик должен
составить представление о том, что является «хорошим» или «плохим» в
масштабе отрасли, к которой относится данное предприятие.
Так, например, инвестор в ценные бумаги должен следить за тем, как
ключевое отношение цены акции к доходам по ней для предприятия
соотносится с тем же для сектора экономики, к которому оно относится.
Такая информация содержится практически на всех крупных американских
финансовых Интернет- сайтах, а кое-где, например на сайте [Quick Stock
Evaluation], проводится сопоставление двух уровней показателей и
делается заключение о том, в какой качественной степени эти уровни
отстоят друг от друга.
В развитых странах мира проблема снабжения заинтересованных лиц
полной и обновляемой экономической статистикой успешно решена. Так
[MGFS Industry Groups.], 9000 американских акционерных обществ, чьи
акции котируются на ведущих биржах страны, классифицированы и
отнесены к 9 отраслям, 31 индустриальной экономической группе и 215
секторам. По каждой из этих групп доступна информация по широкому
спектру финансовых показателей деятельности группы, полученных как
средневзвешенное по всем предприятиям, входящим в эту группу. Такая
масштабная база для сопоставительного анализа позволяет ЛПР принимать
уверенные решения. В России подобная работа только начинается, поэтому
при классификации показателей следует опираться не только на статистику,
но и на мнение экспертов, располагающих многолетним фактическим
опытом финансового анализа предприятий.
В США наиболее широко распространенным подходом к анализу
риска банкротства предприятия является подход Альтмана [Altman],
который состоит в следующем:
Применительно к данной стране и к интервалу времени формируется
набор отдельных финансовых показателей предприятия, которые на
основании предварительного анализа имеют наибольшую относимость к
свойству банкротства. Пусть таких показателей N.
В N-мерном пространстве, образованном выделенными показателями,
проводится гиперплоскость, которая наилучшим образом отделяет
успешные предприятия от предприятий-банкротов, на основании данных
исследованной статистики. Уравнение этой гиперплоскости имеет вид


Отмеченный подход, разработанный в 1968 г. Эдвардом Альтманом,
был применен им самим в том же году применительно к экономике США. В
результате появилось широко известная формула:

Позже (1983) Альтман распространил свой подход на компании, чьи
акции не котируются на рынке. Соотношение (3.2) в этом случае приобрело
Вид

Подход Альтмана, называемый также методом дискриминантного
анализа, был впоследствии применен самим Альтманом и его
последователями в ряде стран (Англия, Франция, Бразилия и т.п.). Так,
например Тоффлер и Тисшоу [Toffler] , для случая Великобритании
получили следующую зависимость:



Сопоставление данных, полученных для ряда стран, показывает, что
веса в Z - свертке и пороговый интервал [Z1 , Z2] сильно разнятся не только
от страны к стране, но и от года к году в рамках одной страны (можно
сопоставить выводы Альтмана о положении предприятий США за 10 лет
анализа). Получается, что подход Альтмана не обладает устойчивостью к
вариациям в исходных данных. Статистика, на которую опирается
Альтман и его последователи, возможно, и репрезентативна, но она не
обладает важным свойством статистической однородности выборки
событий. Одно дело, когда статистика применяется к выборке радиодеталей
из одной произведенной партии, а другое, - когда она применяется к фирмам
с различной организационно-технической спецификой, со своими
уникальными рыночными нишами, стратегиями и целями, фазами
жизненного цикла и т.д. Здесь невозможно говорить о статистической
однородности событий, и, следовательно, допустимость применения
вероятностных методов, самого термина "вероятность банкротства" ставится
под сомнение.
Разумеется, мы вправе ожидать, что чем выше, скажем, уровень
финансовой автономии предприятия, тем дальше оно отстоит от
банкротства. Это же выражают все монотонные зависимости, полученные на
основе подхода Альтмана. Но сколь в действительности велика эта
дистанция в конкретном случае отдельного предприятия . вопрос этот,
скорее всего, не может быть решен на основе подхода Альтмана, потому что
вывод этот может быть сделан не на основании данных самого предприятия,
а на базе статистики (квазистатистики) всех возможных банкротств.
Вызревает желание не применять и не примерять общее к частному, а
детально исследовать сами эти частности, в отношении к общему, т.е.
поменять направление исследования.
Подход Альтмана имеет право на существование, когда в наличии (или
обосновываются модельно) однородность и репрезентативность событий
выживания/банкротства. Но ключевым ограничением этого метода является
даже не проблема качественной статистики. Дело в том, что классическая
вероятность - это характеристика не отдельного объекта или события, а
характеристика генеральной совокупности событий. Рассматривая
отдельное предприятие, мы вероятностно описываем его отношение к
полной группе. Но уникальность всякого предприятия в том, что оно может
выжить и при очень слабых шансах, и, разумеется, наоборот. Единичность
судьбы предприятия подталкивает исследователя присмотреться к
предприятию пристальнее, расшифровать его уникальность, его специфику,
а не "стричь под одну гребенку"; не искать похожести, а, напротив,
диагностировать и описывать отличия. При таком подходе статистической
вероятности места нет. Исследователь интуитивно это чувствует и переносит
акцент с прогнозирования банкротства (которое при отсутствии полноценной
статистики оборачивается гаданием на кофейной гуще) на распознавание
сложившейся ситуации с определением дистанции, которая отделяет
предприятие от состояния банкротства.
Исследователь, анализируя близкие в рыночном смысле предприятия,
модельно обосновывает их квазиоднородность в пределах заданной
выборки. Исследователь собирает квазистатистику в том смысле, как она
понимается в разделе 1.4 настоящей монографии. И тогда сопоставительный
анализ предприятий выборки и их нечеткая классификация по уровню
отдельных финансовых показателей становятся научно обоснованным
делом.
связи с неуверенностью эксперта, что возникает в ходе различного рода
классификаций. Например, когда эксперт не может четко разграничить
понятия «высокой» и «максимальной» вероятности, или когда надо провести
границу между средним и низким уровнем значения параметра.
Тогда применение нечетких описаний означает следующее:
1. Эксперт строит лингвистическую переменную со своим терм-
множеством значений. Например: переменная «Уровень
менеджмента» может обладать терм .множеством значений «Очень
низкий, Низкий, Средний, Высокий, Очень высокий».
2. Чтобы конструктивно описать лингвистическую переменную, эксперт
выбирает соответствующий ей количественный признак . например,
сконструированный специальным образом показатель уровня
менеджмента, который принимает значения от нуля до единицы.
3. Далее эксперт каждому значению лингвистической переменной
(которое, по своему построению, является нечетким подмножеством
значений интервала (0,1) . области значений показателя уровня
менеджмента) сопоставляет функцию принадлежности уровня
менеджмента тому или иному нечеткому подмножеству.
Общеупотребительными функциями в этом случае являются
трапециевидные функции принадлежности (см. рис. 3.1). Верхнее
основание трапеции соответствует полной уверенности эксперта в
правильности своей классификации, а нижнее . уверенности в том, что
никакие другие значения интервала (0,1) не попадают в выбранное
нечеткое подмножество.

Рис. 3.1. Трапециевидные функции принадлежности
Для целей компактного описания трапециевидные функции
принадлежности (х) удобно описывать трапециевидными числами вида
(а1, а2, а3, а4), (3.8)
где а1 и а4 - абсциссы нижнего основания, а а2 и а3 - абсциссы верхнего
основания трапеции (рис. 3.1), задающей (х) в области с ненулевой
принадлежностью носителя х соответствующему нечеткому подмножеству.
Теперь описание лингвистической переменной завершено, и аналитик
может употреблять его как математический объект в соответствующих
операциях и методах. Продемонстрируем это на примере нашего
собственного метода, впервые изложенного в [Nedosekin]1.
Этап 1 (Лингвистические переменные и нечеткие подмножества)
а. Лингвистическая переменная Е «Состояние предприятия» имеет пять
значений:
E1 . нечеткое подмножество состояний "предельного
неблагополучия";
E2 . нечеткое подмножество состояний "неблагополучия";
E3 . нечеткое подмножество состояний "среднего качества";
1Метод разработан мною совместно с О.Максимовым
E4 . нечеткое подмножество состояний "относительного
благополучия";
E5 . нечеткое подмножество состояний "предельного благополучия".
б. Соответствующая переменной E лингвистическая переменная G
«Риск банкротства» также имеет 5 значений:
G1 . нечеткое подмножество "предельный риск банкротства",
G2 . нечеткое подмножество "степень риска банкротства высокая",
G3 . нечеткое подмножество " степень риска банкротства средняя",
G4 . нечеткое подмножество " низкая степень риска банкротства ",
G5 . нечеткое подмножество "риск банкротства незначителен".
Носитель множества G . показатель степени риска банкротства g -
принимает значения от нуля до единицы по определению.
в. Для произвольного отдельного финансового или управленческого
показателя Хi задаем лингвистическую переменную Вi «Уровень
показателя Хi» на нижеследующем терм- множестве значений:
Bi1 - подмножество "очень низкий уровень показателя Хi",
Bi2- подмножество "низкий уровень показателя Хi",
Bi3 - подмножество "средний уровень показателя Хi",
Bi4 - подмножество "высокий уровень показателя Хi",
Bi5- подмножество "очень высокий уровень показателя Хi".
Этап 2 (Показатели). Построим набор отдельных показателей X={Хi}
общим числом N, которые, по мнению эксперта-аналитика, с одной стороны,
влияют на оценку риска банкротства предприятия, а, с другой стороны,
оценивают различные по природе стороны деловой и финансовой жизни
предприятия (во избежание дублирования показателей с точки зрения их
значимости для анализа). Пример выбора системы показателей:
Х1 - коэффициент автономии (отношение собственного капитала к
валюте баланса);
Х2 - коэффициент обеспеченности оборотных активов собственными
средствами (отношение чистого оборотного капитала к оборотным
активам);
Х3 - коэффициент промежуточной ликвидности (отношение суммы
денежных средств и дебиторской задолженности к краткосрочным
пассивам);
Х4 - коэффициент абсолютной ликвидности (отношение суммы
денежных средств к краткосрочным пассивам);
Х5 - оборачиваемость всех активов в годовом исчислении (отношение
выручки от реализации к средней за период стоимости активов);
Х6 - рентабельность всего капитала (отношение чистой прибыли к
средней за период стоимости активов).
Этап 3 (Значимость). Сопоставим каждому показателю Хi уровень его
значимости для анализа ri. Чтобы оценить этот уровень, нужно расположить
все показатели по порядку убывания значимости так, чтобы выполнялось
правило

Если система показателей проранжирована в порядке убывания их
значимости, то значимость i-го показателя ri следует определять по правилу
Фишберна [Fishburn]:

Правило Фишберна отражает тот факт, что об уровне значимости
показателей неизвестно ничего кроме (3.9). Тогда оценка (3.10) отвечает
максиму энтропии наличной информационной неопределенности об объекте
исследования.
Если же все показатели обладают равной значимостью
(равно предпочтительны или системы предпочтений нет), тогда

Этап 4 (Классификация степени риска). Построим классификацию
текущего значения g показателя степени риска как критерий разбиения этого множества на нечеткие подмножества (таблица 3.1):

Этап 5 (Классификация значений показателей). Построим
классификацию текущих значений x показателей Х как критерий разбиения
полного множества их значений на нечеткие подмножества вида В. Чтобы не
загромождать наше описание, приведем пример такой классификации
(специфика России) сразу для примера с 6 показателями, приведенного при
рассмотрении этапа 2 (таблица 3.2). При этом в клетках таблицы стоят
трапециевидные числа, характеризующие соответствующие функции
принадлежности. Например, при классификации уровня параметра Х1
эксперт, затрудняясь в разграничении уровня на «низкий» и «средний»,
определил диапазоном своей неуверенности интервал (0.25, 0.3).

Этап 6 (Оценка уровня показателей). Произведем оценку текущего
уровня показателей и сведем полученные результаты в таблицу 3.3.


Этап 8 (Оценка степени риска). Теперь выполним формальные
арифметические действия по оценке степени риска банкротства g:


Существо формул (3.12) и (3.13) состоит в следующем. Первоначально
мы оцениваем веса того или иного подмножества из B в оценке состояния
корпорации Е и в оценке степени риска G (внутреннее суммирование в
(3.12)). Эти веса в последующем участвуют во внешнем суммировании для
определения среднего значения показателя g, где gj есть не что иное как
средняя оценка g из соответствующего диапазона таблицы 3.1 этапа 4
метода.
Этап 9 (Лингвистическое распознавание). Классифицируем
полученное значение степени риска на базе данных таблицы 3.1.
Результатом классификации являются лингвистическое описание степени
риска банкротства и (дополнительно) степень уверенности эксперта в
правильности его классификации. И тем самым наш вывод о степени риска
предприятия приобретает не только лингвистическую форму, но и
характеристику качества наших утверждений.
Полное описание метода завершено. Теперь рассмотрим пример.
Постановка задачи. Рассмотрим корпорацию "CD" (реально
функционирующую в России), которая анализируется по двум периодам—
IV-ый квартал 1998 г. и I-ый кварталы 1999 года. Произвести комплексную
оценку его финансового состояния в указанный период времени.
Решение (номера пунктов соответствуют номерам этапов метода).
1. Определяем множества E, G и B, как это сделано на этапе 1
метода.
2. Выбранная на этапе 2 система Х из 6 показателей остается без
изменений.
3. Также принимаем, что все показатели являются равнозначными
для анализа (ri = 1/6).
4. Степень риска классифицируется по правилу таблицы 3.3 этапа 4
метода.
5. Выбранные показатели на основании предварительного
экспертного анализа получили классификацию таблицы 3.2.
6. Финансовое состояние предприятия «CD» характеризуется
следующими финансовыми показателями (таблица 3.5):

7. Проведем классификацию текущих значений х по критерию
таблицы 3.2. Результатом проведенной классификации является
таблица 3.6:

Анализ таблицы 3. 6 дает, что по втором периоде произошло качественное
падение обеспеченности одновременно с качественным ростом
оборачиваемости активов.
8. Оценка степени риска банкротства по формуле (3.12) дает gI =
0.389, gII = 0.420, откуда заключаем, что произошло серьезное
ухудшение состояния предприятия (резкий количественный
рост оборачиваемости не сопровожден качественным ростом,
зато наблюдается качественный спад автономности, абсолютной
ликвидности и рентабельности).
9. Лингвистическое распознавание степени риска по таблице 2.2
дает степень риска банкротства как пограничную между низкой
и средней, причем уверенность эксперта в том, что уровень
именно средний, нарастает от периода к периоду.
Инвестиции (в широком смысле) - временный отказ экономического
субъекта от потребления имеющихся в его распоряжении ресурсов
(капитала) и использование этих ресурсов для увеличения в будущем своего
благосостояния.
Инвестиционный проект - план или программа мероприятий,
связанных с осуществлением капитальных вложений с целью их
последующего возмещения и получения прибыли.
Инвестиционный процесс - развернутая во времени реализация
инвестиционного проекта. Началом инвестиционного процесса является
принятие решения об инвестициях, а концом - либо достижение всех
поставленных целей, либо вынужденное прекращение осуществления
проекта.
Инвестиционный проект предполагает планирование во времени трех
основных денежных потоков: потока инвестиций, потока текущих
(операционных) платежей и потока поступлений. Ни поток текущих
платежей, ни поток поступлений не могут быть спланированы вполне точно,
поскольку нет и не может быть полной определенности относительно
будущего состояния рынка. Цена и объемы реализуемой продукции, цены на
сырье и материалы и прочие денежно-стоимостные параметры среды по
факту их осуществления в будущем могут сильно разниться с
предполагаемыми плановыми значениями, которые оцениваются с позиций
сегодняшнего дня.
Неустранимая информационная неопределенность влечет столь же
неустранимый риск принятия инвестиционных решений. Всегда остается
возможность того, что проект, признанный состоятельным, окажется de-facto
убыточным, поскольку достигнутые в ходе инвестиционного процесса
значения параметров отклонились от плановых, или же какие-либо факторы
вообще не были учтены.
Инвестор никогда не будет располагать всеобъемлющей оценкой риска, так как число разнообразий внешней среды всегда превышает управленческие возможности принимающего решения
лица [Ashby], и обязательно найдется слабоожидаемый сценарий развития
событий (любая катастрофа, к примеру), который, будучи неучтен в проекте,
тем не менее, может состояться и сорвать инвестиционный процесс. В то же
время инвестор обязан прилагать усилия по повышению уровня своей
осведомленности и пытаться измерять рискованность своих инвестиционных
решений как на стадии разработки проекта, так и в ходе инвестиционного
процесса. Если степень риска будет расти до недопустимых значений, а
инвестор не будет об этом знать, то он обречен действовать вслепую.
Способ оценки риска инвестиций прямо связан со способом описания
информационной неопределенности в части исходных данных проекта. Если
исходные параметры имеют вероятностное описание, то показатели
эффективности инвестиций также имеют вид случайных величин со своим
импликативным вероятностным распределением. Однако, чем в меньшей
степени статистически обусловлены те или иные параметры, чем слабее
информационность контекста свидетельств о состоянии описываемой
рыночной среды и чем ниже уровень интуитивной активности экспертов,
тем менее может быть обосновано применение любых типов вероятностей в
инвестиционном анализе.
Альтернативный способ учета неопределенности - так называемый
минимаксный подход. Формируется некий класс ожидаемых сценариев
развития событий в инвестиционном процессе и из этого класса выбирается
два сценария, при которых процесс достигает максимальной и минимальной
эффективности, соответственно. Затем ожидаемый эффект оценивается по
формуле Гурвица с параметром согласия . При =0 (точка Вальда) за
основу при принятии решения выбирается наиболее пессимистичная оценка
эффективности проекта, когда в условиях реализации самого
неблагоприятного из сценариев сделано все, чтобы снизить ожидаемые
убытки. Такой подход, безусловно, минимизирует риск инвестора. Однако в
условиях его использования большинство проектов, даже имеющих весьма
приличные шансы на успех, будет забраковано. Возникает опасность
паралича деловой активности, с деградацией инвестора как лица,
принимающего решения.
Вот наглядный пример из практики азартных игр. Любой игрок в
преферанс знает, что в ходе торговли за прикуп игрок с высокой степенью
повторяемости должен заявлять на одну- две взятки больше, чем у него есть
на руках, в расчете на добрый прикуп. Иначе, по результатам множества игр
он окажется в проигрыше или, в лучшем случае, "при своих", потому что его
соперники склонны к разумной агрессии, т.е. к оправданному риску.
Понимая инвестиции как разновидность деловой игры, мы скажем по
аналогии: инвестору вменяется в обязанность рисковать, но рисковать
рационально, присваивая каждому из потенциальных сценариев
инвестиционного процесса свою степень ожидаемости. В противном случае
он рискует потерпеть убыток от непринятия решения - убыток чрезмерной
перестраховки. В карточной игре приличная карта, приличный прикуп
приходят не так часто. В том же преферансе игрок, объявивший шесть
взяток и сыгравший по факту восемь, вызывает всеобщее недовольство
вероятным "перезакладом". Становится обидно за партнера, за его неумение
играть, когда по-настоящему приличная карта приходит так редко.
Инструментом, который позволяет измерять возможности (ожидания),
является теория нечетких множеств. Впервые мы находим ее применение к
инвестиционному анализу в трудах Профессоров Кофмана (A.Kaufman) и
Хил Алуха (J.Gil Aluja) [Gil Aluja]. Используя предложенный в этих работах
подход, построим метод оценки инвестиционного риска, как на стадии
проекта, так и в ходе инвестиционного процесса.
множества действительных чисел, имеющее нормальную и выпуклую
функцию принадлежности, то есть такую, что а) существует такое значение
носителя, в котором функция принадлежности равна единице, а также а) при
отступлении от своего максимума влево или вправо функция
принадлежности убывает.
Рассмотрим два типа нечетких чисел: трапециевидные и треугольные.

|
Исследуем некоторую квазистатистику и зададим лингвистическую
переменную = «Значение параметра U», где U . множество значений
носителя квазистатистики. Выделим два терм-множества значений: T1 = «U
у лежит в диапазоне примерно от a до b» с нечетким подмножеством М1 и
безымянное значение T2 с нечетким подмножеством М2, причем
выполняется М2 = - М1. Тогда функция принадлежности T1(u) имеет
трапезоидный вид, как показано на рис. 2.2.

Поскольку границы интервала заданы нечетко, то разумно ввести
абсциссы вершин трапеции следующим образом:

при этом отстояние вершин а1, а2 и в1, в2 соответственно друг от друга
обуславливается тем, что какую семантику мы вкладываем в понятие
«примерно»: чем больше разброс квазистатистики, тем боковые ребра
трапеции являются более пологими. В предельном случае понятие
«примерно» выражается в понятие «где угодно».
Если мы оцениваем параметр качественно, например, высказавшись
«Это значение параметра является средним», необходимо ввести
уточняющее высказывание типа «Среднее значение . это примерно от a до
b», которое есть предмет экспертной оценки (нечеткой классификации), и
тогда можно использовать для моделирования нечетких классификаций
трапезоидные числа. На самом деле, это самый естественной способ
неуверенной классификации.

|

Это, с точки зрения функции принадлежности, придает последней
треугольный вид (рис. 2.3), причем степень приближения характеризуется
экспертом.

Рис. 2.3. Функция принадлежности треугольного нечеткого числа
Треугольные числа . это самый часто используемый на практике тип
нечетких чисел, причем чаще всего - в качестве прогнозных значений
параметра.
Операции над нечеткими числами
Целый раздел теории нечетких множеств . мягкие вычисления(нечеткая арифметика) - вводит набор операций над нечеткими числами. Эти
операции вводятся через операции над функциями принадлежности на
основе так называемого сегментного принципа.
Определим уровень принадлежности как ординату функции
принадлежности нечеткого числа. Тогда пересечение функции
принадлежности с нечетким числом дает пару значений, которые принято
называть границами интервала достоверности.
Зададимся фиксированным уровнем принадлежности и определим
соответствующие ему интервалы достоверности по двум нечетким числам A
и B : [a1, a2] и [b1, b2], соответственно. Тогда основные операции с нечеткими
числами сводятся к операциям с их интервалами достоверности. А операции
с интервалами, в свою очередь, выражаются через операции с
действительными числами - границами интервалов:

Из существа операций с трапезоидными числами можно сделать ряд
важных утверждений (без доказательства):
действительное число есть частный случай треугольного
нечеткого числа;
сумма треугольных чисел есть треугольное число;
треугольное (трапезоидное) число, умноженное на
действительное число, есть треугольное (трапезоидное) число;
сумма трапезоидных чисел есть трапезоидное число;
сумма треугольного и трапезоидного чисел есть трапезоидное
число.
Анализируя свойства нелинейных операций с нечеткими числами
(например, деления), исследователи приходят к выводу, что форма функций
принадлежности результирующих нечетких чисел часто близка к
треугольной. Это позволяет аппроксимировать результат, приводя его к
треугольному виду. И, если приводимость налицо, тогда операции с
треугольными числами сводятся к операциям с абсциссами вершин их
функций принадлежности.
То есть, если мы вводим описание треугольного числа набором
абсцисс вершин (a, b, c), то можно записать:

Это . самое распространенное правило мягких вычислений.
OpenGL в Delphi тут
Нечеткие последовательности, нечеткие прямоугольные матрицы
Нечеткая последовательность . это пронумерованное счетноемножество нечетких чисел.
Нечеткая прямоугольная матрица . это дважды индексированное
конечное множество нечетких чисел, причем первый индекс пробегает M
строк, а второй - N столбцов. При этом, как и в случае матриц
действительных чисел, операции над нечеткими прямоугольными
матрицами сводятся к операциям над нечеткими компонентами этих матриц.
Например,

где все операции над нечеткими числами производятся так, как они введены
параграфом выше.
Поле нечетких чисел . это несчетное множество нечетких чисел.
Нечеткая функция . это взаимно однозначное соответствие двух
полей нечетких чисел. В наших приложениях область определения нечеткой
функции явзяется осью действительных чисел, то есть вырожденным
случаем поля нечетких чисел, когда их треугольные функции
принадлежности вырождаются в точку с координатами (а, 1).
Нечеткую функцию уместно назвать по типу тех чисел, которые
характеризуют область ее значений. Если поле значений . это поле
треугольных чисел, то и саму функцию уместно назвать треугольной.
Например, прогноз продаж компании (нарастающим итогом) задан
тремя функциями вещественной переменной: f1(T) . оптимистичный
прогноз, f2(T) . пессимистичный прогноз, f3(T) . Средне ожидаемые значения
продаж, где Т . время прогноза. Тогда лингвистическая переменная
«Прогноз продаж в момент Т» есть треугольное число ( f1(T), f2(T), f3(T) ), а
все прогнозное поле есть треугольная нечеткая функция (рис. 2.4), имеющая
вид криволинейной полосы.

Рис. 2.4. Нечеткий прогноз продаж
Рассмотрим ряд операций над треугольными нечеткими функциями
(утверждения приводятся без доказательства):
сложение: сумма (разность) треугольных функций есть треугольная
функция;
умножение на число переводит треугольную функцию в треугольную
функцию;
дифференцирование (интегрирование) треугольной нечеткой
функции проводится по правилам вещественного дифференцирования
(интегрирования):

функция, зависящая от нечеткого параметра, является нечеткой.
Вероятностное распределение с нечеткими параметрами
Пусть имеется квазистатистика и ее гистограмма и пусть одна извозможных плотностей вероятностной функции распределения,


Тогда мы можем рассматривать числа (xi1, xiL, xi2) как треугольные
нечеткие параметры плотности распределения, которая и сама в этом случае
имеет вид нечеткой функции. А зона предельного правдоподобия тогда есть
не что иное, как нечеткий вектор.
Мы видим, что полученное вероятностное распределение имеет не
только частотный, но и субъективный смысл, так как зона предельного
правдоподобия зависит от того, как мы бракуем вероятностные гипотезы.
Представляется, что такое описание всецело отвечает природе
квазистатистики, как мы ее здесь вводим. Чем хуже условия для выдвижения
правдоподобных вероятностных гипотез, чем тяжелее обосновывать такое
правдоподобие, - тем большее значение занимает фактор экспертной оценки.
То вероятностное описание, что мы имеем в итоге, - это гибрид, который
обещает быть плодотворным.
В качестве примера можно рассмотреть нормальный закон
распределения с нечетким среднеквадратическим отклонением (рис. 2.5).
Эта нечеткая функция не имеет полосового вида. И тут самое время
заметить, что функция с треугольными нечеткими параметрами в общем
случае сама не является треугольной и к треугольному виду не приводится.

Рис. 2.5. Нормальный закон распределения с нечетким
среднеквадратическим отклонением
Зато выполняется нормировочное условие:

где правая часть представляет собой нечеткое число с вырожденной в точку
функцией принадлежности. Интеграл же, не определенный для не четких
функций общего вида, представляет здесь предел сумм




Выберем уровень отсечения F1 < F0 и признаем все вероятностные
гипотезы правдоподобными, если соответствующий критерий
правдоподобия лежит в диапазоне от F1 до F0. Тогда всем правдоподобным
вероятностным гипотезам отвечает множество векторов ,которое в
двумерном фазовом пространстве представляет собой выпуклую область с
нелинейными границами.
Нечеткие знания
Назовем формальным знанием высказывание естественного языка,обладающее следующей структурой:

Также соблюдается правило очередности в рассмотрении фразы для
понимания: сначала все связки И применяются к двум смежным предикатам, а затем все связки ИЛИ применяются к результатам предшествующих
операций.
Например, классический вывод «Если Сократ человек, а человек
смертен, то и Сократ смертен» можно преобразовать к структуре
формального знания по следующим правилам:
вводится два класса объектов X1 = «Человек (Люди)» и X2 =
«Смертный (-ая, -ое)»;
рассматриваются два аргумента: a1 = «Сократ», a2 = «Человек» = X1.
Тогда наше знание имеет формулу
ЕСЛИ a1 ЕСТЬ X1 И (a2 = X1) ЕСТЬ X2
ТО a1 ЕСТЬ X2 (2.25)
Очень часто в структуре знаний классы объектов являются нечеткими
понятиями. Также высказывающиеся лица могут делать выводы,
содержащие элементы неуверенности, оценочности. Это заставляет нас
переходить от знаний в классическом понимании к знаниям нечетким.
Введем следующий набор лингвистических переменных со своим
терм-множеством значений:

AND/OR = Отношение связи = {И/ИЛИ, Скорее всего И/ИЛИ,
Вероятно И/ИЛИ...}
(2.28)
Вводя эти переменные, мы предполагаем, что они содержат
произвольное число оттеночных значений, ранжированных по силе
(слабости) в определенном порядке. Носителем этих переменных может
выступать единичный интервал.
Тогда под нечетким знанием можно понимать следующий
формализм:

Характерным примером нечеткого знания является высказывание
типа: «Если ожидаемое в ближайшей перспективе отношение цены акции к
доходам по ней порядка 10, и (хотя и не обязательно) капитализация этой
компании на уровне 10 млрд. долларов, то, скорее всего, эти акции следует
покупать». Курсивом обозначены все оценки, которые делают это знание
нечетким.
Поскольку нечеткое знание определяется через лингвистические
переменные, то и операции нечеткого логического вывода можно
количественно определить на базе операций с соответствующими
функциями принадлежности. Однако детальное рассмотрение этого вопроса
мы опускаем.
С некоторых пор нечеткие знания начали активно применяться для
выработки брокерских рекомендаций по приобретению (удержанию,
продаже) ценных бумаг. Например, монография [Peray] рассматривает
вопрос о целесообразности инвестирования в фондовые активы в
зависимости от характера экономического окружения, причем параметры
этого окружения являются нечеткими значениями. На сайте [Peray
homepage] автор вышеупомянутой монографии поддерживает бюллетень
макроэкономических индикаторов и соответствующих условий
инвестирования на тех или иных рынках.
На нечетких знаниях могут быть организованы специализированные
экспертные системы, реализующие механизм нечетко-логического вывода.
Простейший пример такого рода системы мы находим на сайте [Option
Advisor], где выработка опционной стратегии сопровождается нечеткой
предварительной оценкой характера рынка. В этом смысле также
представляет интерес и заслуживает упоминания работа [Trippi].
Нечеткие классификаторы и матричные схемы агрегирования данных
Определим в качестве носителя лингвистической переменной отрезоквещественной оси [0,1]. Любые конечномерные отрезки вещественной оси
могут быть сведены к отрезку [0,1] путем простого линейного
преобразования, поэтому выделенный отрезок единичной длины носит
универсальный характер и заслуживает отдельного термина. Назовем
носитель вида [0,1] 01- носителем.
Теперь введем лингвистическую переменную «Уровень показателя»
с терм-множеством значений «Очень низкий, Низкий, Средний, Высокий,
Очень Высокий». Для описания подмножеств терм-множества введем
систему из пяти соответствующих функций принадлежности
трапециедального вида:


Везде в (2.30) х . это 01.носитель. Построенные функции
принадлежности приведены на рис. 2.6.

Рис. 2.6. Система трапециевидных функций принадлежности на 01-носителе

0.7, 0.9), которые являются, с одной стороны, абсциссами максимумов
соответствующих функций принадлежности на 01-носителе, а, с другой
стороны, равномерно отстоят друг от друга на 01-носителе и симметричны
относительно узла 0.5. Тогда введенную лингвистическую переменную «Уровень фактора»,
определенную на 01-носителе, в совокупности с набором узловых точек
здесь и далее будем называть стандартным пятиуровневым нечетким 01-
классификатором.
Сконструированный нечеткий классификатор имеет большое значение
для дальнейшего изложения. Его суть в том, что если о факторе неизвестно
ничего, кроме того, что он может принимать любые значения в пределах 01-
носителя (принцип равно предпочтительности), а надо провести ассоциацию
между качественной и количественной оценками фактора, то предложенный
классификатор делает это с максимальной достоверностью. При этом сумма
всех функций принадлежности для любого х равна единице, что указывает
на непротиворечивость классификатора.
Если при распознавании уровня фактора эксперт располагает
дополнительной информацией о поведении фактора (например,
гистограммой), то классификация фактора в общем случае не будет иметь
стандартного вида, потому что узловые точки классификации и
соответствующие функции принадлежности будут лежать несимметрично на
носителе соответствующего фактора.
Также, если существует набор из i=1..N отдельных факторов со своими
текущими значениями xi, и каждому фактору сопоставлен свой
пятиуровневый классификатор (необязательно стандартный, необязательно
определенный на 01-носителе), то можно перейти от набора отдельных
факторов к единому агрегированному фактору A_N, значение которого
распознать впоследствии с помощью стандартного классификатора.
Количественное же значение агрегированного фактора определяется по
формуле двойной свертки:

Из формулы (2.31) становится понятным назначение узловых точек в
нечетком классификаторе. Эти точки выступают в качестве весов при
агрегировании системы факторов на уровне их качественных состояний. Тем
самым узловые точки осуществляют сведение набора нестандартных
классификаторов (со своими не симметрично расположенными узловыми
точками) к единому классификатору стандартного вида, с одновременным
переходом от набора нестандартных носителей отдельных факторов к
стандартному 01-носителю.
Можно построить матрицу, где по строкам расположены факторы, а по
столбцам . их качественные уровни. На пересечении строк и столбцов лежат
значения функций принадлежности соответствующих качественных
уровней. Дополним матрицу еще одним столбцом весов факторов в свертке
pi и еще одной строкой с узловыми точками j. Тогда для расчета
агрегированного показателя A_N по (2.31) в полученной матрице собраны
все необходимые исходные данные. Поэтому предлагаемую здесь схему
агрегирования данных целесообразно назвать матричной.
Матричные схемы на основе пятиуровневых классификаторов уже
давно и довольно успешно применяются для комплексной оценки уровня
функционирования многофакторных систем, в том числе и финансовых
(например, финансов корпорации). Об этом речь будет идти в главах 3, 5 и 8
настоящей книги.
Все изложение данного параграфа базируется на пятиуровневом
классификаторе. На самом же деле, уровней в классификаторе может быть
произвольное число, и все определяется лишь удобством моделирования.
Простейший классификатор . бинарный (хорошо-плохо, высоко-низко), но
он представляется слишком грубым, т.к. не фиксирует характерного
среднего положения, вокруг которого и группируется большинство
количественных состояний в реальной жизни. Отвлеченная аналогия:
крайности жизни особенно выпукло наблюдаются с позиций мещанской
середины (об этом «Степной Волк» Г.Гессе). Поэтому целесообразно
говорить о стандартном трехуровневом нечетком 01-классификаторе
(состояния Низкий, Средний, Высокий) с функциями принадлежности
следующего вида (рис. 2.7):

Рис. 2.7. Трехуровневая 01-классификация

Итак, изложение базовых формализмов теории нечетких множеств
завершено. Посмотрим, чем все-таки они могут нам помочь.
Финансовый менеджмент в расплывчатых условиях
Главное внимание инвестора в ценные бумаги эмитента должно бытьсфокусировано на финансовом здоровье эмитента. Вкладывая деньги,
инвестор (или собственник) рассчитывает получить доход как в форме
дивидендов по акциям, процентов по долговым обязательствам, так и в виде
курсового роста соответствующих инвестиционных инструментов.
Ухудшение финансового здоровья эмитента, сопровождающееся ростом его
долгов, вызывает риск срыва платежей по обязательствам, прекращения
любых выплат и сворачивания деятельности неудачливого субъекта рынка.
Иными словами, возникает риск банкротства. Минимизировать риск
банкротства, максимально оздоровить финансы корпорации . это задача
финансового менеджмента корпорации.
Задача определения степени риска банкротства является актуальной
как для собственников предприятия, так и для его кредиторов. Поэтому
вызывают интерес любые научно обоснованные методики оценки риска
банкротства.
Степень риска банкротства . это комплексный показатель,
характеризующий как финансовое положение предприятия, так и качество
управления им, которое, в конечном счете, получает свое выражение в
финансовом эквиваленте, но не исчерпывается одними лишь финансовыми
последствиями.
Так, безалаберное одалживание средств у банков рано или поздно
приведет к тому, что объем заемных средств превысит реальные
возможности предприятия по расчетам с кредиторами. Это означает потерю
финансовой устойчивости, которая легко измерима по балансу фирмы. Но
корень проблемы находится не в самих финансах, а в неадекватных способах
управления ими. Финансы . только зеркало проблемы, которую необходимо
решать зачастую даже не финансовыми средствами (например . уволить
некомпетентного менеджера).
В практике финансового анализа очень хорошо известен ряд
показателей, характеризующих отдельные стороны текущего финансового
положения предприятия. Сюда относятся показатели ликвидности,
рентабельности, устойчивости, оборачиваемости капитала, прибыльности и
т.д. По ряду показателей известны некие нормативы, характеризующие их
значение положительно или отрицательно. Например, когда собственные
средства предприятия превышают половину всех пассивов,
соответствующий этой пропорции коэффициент автономии больше 0.5, и это
его значение считается "хорошим" (соответственно, когда оно меньше 0.5 -
"плохим"). Но в большинстве случаев показатели, оцениваемые при анализе,
однозначно нормировать невозможно. Это связано со спецификой отраслей
экономики, с текущими особенностями действующих предприятий, с
состоянием экономической среды, в которой они работают.
Тем не менее, любое заинтересованное положением предприятия лицо
(у нас оно называется ЛПР), не довольствуется простой количественной
оценкой показателей. Для ЛПР важно знать, приемлемы ли полученные
значения, хороши ли они, и в какой степени. Кроме того, ЛПР стремится
установить логическую связь количественных значений показателей
выделенной группы с риском банкротства. То есть ЛПР не может быть
удовлетворено бинарной оценкой "хорошо - плохо", его интересуют оттенки
ситуации и экономическая интерпретация этих оттеночных значений. Задача
осложняется тем, что показателей много, изменяются они зачастую
разнонаправлено, и поэтому ЛПР стремится "свернуть" набор всех
исследуемых частных финансовых показателей в один комплексный, по
значению которого и судить о степени благополучия ("живучести") фирмы и
о том, насколько далеко или близко предприятие отстоит от банкротства.
Успешный анализ риска банкротства предприятия возможен лишь на основе
следующих основных предпосылок:
1. В основу анализа ложатся результаты наблюдения предприятия за
возможно более долгий период времени.
2. Учетные формы, используемые при анализе, должны достоверно
отображать подлинное финансовое состояние предприятия.
3. Для анализа используются лишь те показатели, которые в наибольшей
степени критичны с точки зрения их относимости к банкротству
данного предприятия. А это возможно, когда ЛПР оценивает не только
финансовое состояние предприятие, но и его отраслевое положение.
4. Лицо, производящее анализ, должно располагать представительной
статистикой банкротств, которая также должна быть верифицирована
на относимость к банкротству данного предприятия . с точки зрения
отрасли, страны и периода времени, за который проводится анализ.
Все перечисленное говорит о том, что эксперт-аналитик должен
составить представление о том, что является «хорошим» или «плохим» в
масштабе отрасли, к которой относится данное предприятие.
Так, например, инвестор в ценные бумаги должен следить за тем, как
ключевое отношение цены акции к доходам по ней для предприятия
соотносится с тем же для сектора экономики, к которому оно относится.
Такая информация содержится практически на всех крупных американских
финансовых Интернет- сайтах, а кое-где, например на сайте [Quick Stock
Evaluation], проводится сопоставление двух уровней показателей и
делается заключение о том, в какой качественной степени эти уровни
отстоят друг от друга.
В развитых странах мира проблема снабжения заинтересованных лиц
полной и обновляемой экономической статистикой успешно решена. Так
[MGFS Industry Groups.], 9000 американских акционерных обществ, чьи
акции котируются на ведущих биржах страны, классифицированы и
отнесены к 9 отраслям, 31 индустриальной экономической группе и 215
секторам. По каждой из этих групп доступна информация по широкому
спектру финансовых показателей деятельности группы, полученных как
средневзвешенное по всем предприятиям, входящим в эту группу. Такая
масштабная база для сопоставительного анализа позволяет ЛПР принимать
уверенные решения. В России подобная работа только начинается, поэтому
при классификации показателей следует опираться не только на статистику,
но и на мнение экспертов, располагающих многолетним фактическим
опытом финансового анализа предприятий.
В США наиболее широко распространенным подходом к анализу
риска банкротства предприятия является подход Альтмана [Altman],
который состоит в следующем:
Применительно к данной стране и к интервалу времени формируется
набор отдельных финансовых показателей предприятия, которые на
основании предварительного анализа имеют наибольшую относимость к
свойству банкротства. Пусть таких показателей N.
В N-мерном пространстве, образованном выделенными показателями,
проводится гиперплоскость, которая наилучшим образом отделяет
успешные предприятия от предприятий-банкротов, на основании данных
исследованной статистики. Уравнение этой гиперплоскости имеет вид


Отмеченный подход, разработанный в 1968 г. Эдвардом Альтманом,
был применен им самим в том же году применительно к экономике США. В
результате появилось широко известная формула:

Позже (1983) Альтман распространил свой подход на компании, чьи
акции не котируются на рынке. Соотношение (3.2) в этом случае приобрело
Вид

Подход Альтмана, называемый также методом дискриминантного
анализа, был впоследствии применен самим Альтманом и его
последователями в ряде стран (Англия, Франция, Бразилия и т.п.). Так,
например Тоффлер и Тисшоу [Toffler] , для случая Великобритании
получили следующую зависимость:



Сопоставление данных, полученных для ряда стран, показывает, что
веса в Z - свертке и пороговый интервал [Z1 , Z2] сильно разнятся не только
от страны к стране, но и от года к году в рамках одной страны (можно
сопоставить выводы Альтмана о положении предприятий США за 10 лет
анализа). Получается, что подход Альтмана не обладает устойчивостью к
вариациям в исходных данных. Статистика, на которую опирается
Альтман и его последователи, возможно, и репрезентативна, но она не
обладает важным свойством статистической однородности выборки
событий. Одно дело, когда статистика применяется к выборке радиодеталей
из одной произведенной партии, а другое, - когда она применяется к фирмам
с различной организационно-технической спецификой, со своими
уникальными рыночными нишами, стратегиями и целями, фазами
жизненного цикла и т.д. Здесь невозможно говорить о статистической
однородности событий, и, следовательно, допустимость применения
вероятностных методов, самого термина "вероятность банкротства" ставится
под сомнение.
Разумеется, мы вправе ожидать, что чем выше, скажем, уровень
финансовой автономии предприятия, тем дальше оно отстоит от
банкротства. Это же выражают все монотонные зависимости, полученные на
основе подхода Альтмана. Но сколь в действительности велика эта
дистанция в конкретном случае отдельного предприятия . вопрос этот,
скорее всего, не может быть решен на основе подхода Альтмана, потому что
вывод этот может быть сделан не на основании данных самого предприятия,
а на базе статистики (квазистатистики) всех возможных банкротств.
Вызревает желание не применять и не примерять общее к частному, а
детально исследовать сами эти частности, в отношении к общему, т.е.
поменять направление исследования.
Подход Альтмана имеет право на существование, когда в наличии (или
обосновываются модельно) однородность и репрезентативность событий
выживания/банкротства. Но ключевым ограничением этого метода является
даже не проблема качественной статистики. Дело в том, что классическая
вероятность - это характеристика не отдельного объекта или события, а
характеристика генеральной совокупности событий. Рассматривая
отдельное предприятие, мы вероятностно описываем его отношение к
полной группе. Но уникальность всякого предприятия в том, что оно может
выжить и при очень слабых шансах, и, разумеется, наоборот. Единичность
судьбы предприятия подталкивает исследователя присмотреться к
предприятию пристальнее, расшифровать его уникальность, его специфику,
а не "стричь под одну гребенку"; не искать похожести, а, напротив,
диагностировать и описывать отличия. При таком подходе статистической
вероятности места нет. Исследователь интуитивно это чувствует и переносит
акцент с прогнозирования банкротства (которое при отсутствии полноценной
статистики оборачивается гаданием на кофейной гуще) на распознавание
сложившейся ситуации с определением дистанции, которая отделяет
предприятие от состояния банкротства.
Исследователь, анализируя близкие в рыночном смысле предприятия,
модельно обосновывает их квазиоднородность в пределах заданной
выборки. Исследователь собирает квазистатистику в том смысле, как она
понимается в разделе 1.4 настоящей монографии. И тогда сопоставительный
анализ предприятий выборки и их нечеткая классификация по уровню
отдельных финансовых показателей становятся научно обоснованным
делом.
Матричный метод оценки риска банкротства корпорации
Нечеткие описания в структуре метода анализа риска появляются всвязи с неуверенностью эксперта, что возникает в ходе различного рода
классификаций. Например, когда эксперт не может четко разграничить
понятия «высокой» и «максимальной» вероятности, или когда надо провести
границу между средним и низким уровнем значения параметра.
Тогда применение нечетких описаний означает следующее:
1. Эксперт строит лингвистическую переменную со своим терм-
множеством значений. Например: переменная «Уровень
менеджмента» может обладать терм .множеством значений «Очень
низкий, Низкий, Средний, Высокий, Очень высокий».
2. Чтобы конструктивно описать лингвистическую переменную, эксперт
выбирает соответствующий ей количественный признак . например,
сконструированный специальным образом показатель уровня
менеджмента, который принимает значения от нуля до единицы.
3. Далее эксперт каждому значению лингвистической переменной
(которое, по своему построению, является нечетким подмножеством
значений интервала (0,1) . области значений показателя уровня
менеджмента) сопоставляет функцию принадлежности уровня
менеджмента тому или иному нечеткому подмножеству.
Общеупотребительными функциями в этом случае являются
трапециевидные функции принадлежности (см. рис. 3.1). Верхнее
основание трапеции соответствует полной уверенности эксперта в
правильности своей классификации, а нижнее . уверенности в том, что
никакие другие значения интервала (0,1) не попадают в выбранное
нечеткое подмножество.

Рис. 3.1. Трапециевидные функции принадлежности
Для целей компактного описания трапециевидные функции
принадлежности (х) удобно описывать трапециевидными числами вида
(а1, а2, а3, а4), (3.8)
где а1 и а4 - абсциссы нижнего основания, а а2 и а3 - абсциссы верхнего
основания трапеции (рис. 3.1), задающей (х) в области с ненулевой
принадлежностью носителя х соответствующему нечеткому подмножеству.
Теперь описание лингвистической переменной завершено, и аналитик
может употреблять его как математический объект в соответствующих
операциях и методах. Продемонстрируем это на примере нашего
собственного метода, впервые изложенного в [Nedosekin]1.
Этап 1 (Лингвистические переменные и нечеткие подмножества)
а. Лингвистическая переменная Е «Состояние предприятия» имеет пять
значений:
E1 . нечеткое подмножество состояний "предельного
неблагополучия";
E2 . нечеткое подмножество состояний "неблагополучия";
E3 . нечеткое подмножество состояний "среднего качества";
1Метод разработан мною совместно с О.Максимовым
E4 . нечеткое подмножество состояний "относительного
благополучия";
E5 . нечеткое подмножество состояний "предельного благополучия".
б. Соответствующая переменной E лингвистическая переменная G
«Риск банкротства» также имеет 5 значений:
G1 . нечеткое подмножество "предельный риск банкротства",
G2 . нечеткое подмножество "степень риска банкротства высокая",
G3 . нечеткое подмножество " степень риска банкротства средняя",
G4 . нечеткое подмножество " низкая степень риска банкротства ",
G5 . нечеткое подмножество "риск банкротства незначителен".
Носитель множества G . показатель степени риска банкротства g -
принимает значения от нуля до единицы по определению.
в. Для произвольного отдельного финансового или управленческого
показателя Хi задаем лингвистическую переменную Вi «Уровень
показателя Хi» на нижеследующем терм- множестве значений:
Bi1 - подмножество "очень низкий уровень показателя Хi",
Bi2- подмножество "низкий уровень показателя Хi",
Bi3 - подмножество "средний уровень показателя Хi",
Bi4 - подмножество "высокий уровень показателя Хi",
Bi5- подмножество "очень высокий уровень показателя Хi".
Этап 2 (Показатели). Построим набор отдельных показателей X={Хi}
общим числом N, которые, по мнению эксперта-аналитика, с одной стороны,
влияют на оценку риска банкротства предприятия, а, с другой стороны,
оценивают различные по природе стороны деловой и финансовой жизни
предприятия (во избежание дублирования показателей с точки зрения их
значимости для анализа). Пример выбора системы показателей:
Х1 - коэффициент автономии (отношение собственного капитала к
валюте баланса);
Х2 - коэффициент обеспеченности оборотных активов собственными
средствами (отношение чистого оборотного капитала к оборотным
активам);
Х3 - коэффициент промежуточной ликвидности (отношение суммы
денежных средств и дебиторской задолженности к краткосрочным
пассивам);
Х4 - коэффициент абсолютной ликвидности (отношение суммы
денежных средств к краткосрочным пассивам);
Х5 - оборачиваемость всех активов в годовом исчислении (отношение
выручки от реализации к средней за период стоимости активов);
Х6 - рентабельность всего капитала (отношение чистой прибыли к
средней за период стоимости активов).
Этап 3 (Значимость). Сопоставим каждому показателю Хi уровень его
значимости для анализа ri. Чтобы оценить этот уровень, нужно расположить
все показатели по порядку убывания значимости так, чтобы выполнялось
правило

Если система показателей проранжирована в порядке убывания их
значимости, то значимость i-го показателя ri следует определять по правилу
Фишберна [Fishburn]:

Правило Фишберна отражает тот факт, что об уровне значимости
показателей неизвестно ничего кроме (3.9). Тогда оценка (3.10) отвечает
максиму энтропии наличной информационной неопределенности об объекте
исследования.
Если же все показатели обладают равной значимостью
(равно предпочтительны или системы предпочтений нет), тогда

Этап 4 (Классификация степени риска). Построим классификацию
текущего значения g показателя степени риска как критерий разбиения этого множества на нечеткие подмножества (таблица 3.1):

Этап 5 (Классификация значений показателей). Построим
классификацию текущих значений x показателей Х как критерий разбиения
полного множества их значений на нечеткие подмножества вида В. Чтобы не
загромождать наше описание, приведем пример такой классификации
(специфика России) сразу для примера с 6 показателями, приведенного при
рассмотрении этапа 2 (таблица 3.2). При этом в клетках таблицы стоят
трапециевидные числа, характеризующие соответствующие функции
принадлежности. Например, при классификации уровня параметра Х1
эксперт, затрудняясь в разграничении уровня на «низкий» и «средний»,
определил диапазоном своей неуверенности интервал (0.25, 0.3).

Этап 6 (Оценка уровня показателей). Произведем оценку текущего
уровня показателей и сведем полученные результаты в таблицу 3.3.


Этап 8 (Оценка степени риска). Теперь выполним формальные
арифметические действия по оценке степени риска банкротства g:


Существо формул (3.12) и (3.13) состоит в следующем. Первоначально
мы оцениваем веса того или иного подмножества из B в оценке состояния
корпорации Е и в оценке степени риска G (внутреннее суммирование в
(3.12)). Эти веса в последующем участвуют во внешнем суммировании для
определения среднего значения показателя g, где gj есть не что иное как
средняя оценка g из соответствующего диапазона таблицы 3.1 этапа 4
метода.
Этап 9 (Лингвистическое распознавание). Классифицируем
полученное значение степени риска на базе данных таблицы 3.1.
Результатом классификации являются лингвистическое описание степени
риска банкротства и (дополнительно) степень уверенности эксперта в
правильности его классификации. И тем самым наш вывод о степени риска
предприятия приобретает не только лингвистическую форму, но и
характеристику качества наших утверждений.
Полное описание метода завершено. Теперь рассмотрим пример.
Постановка задачи. Рассмотрим корпорацию "CD" (реально
функционирующую в России), которая анализируется по двум периодам—
IV-ый квартал 1998 г. и I-ый кварталы 1999 года. Произвести комплексную
оценку его финансового состояния в указанный период времени.
Решение (номера пунктов соответствуют номерам этапов метода).
1. Определяем множества E, G и B, как это сделано на этапе 1
метода.
2. Выбранная на этапе 2 система Х из 6 показателей остается без
изменений.
3. Также принимаем, что все показатели являются равнозначными
для анализа (ri = 1/6).
4. Степень риска классифицируется по правилу таблицы 3.3 этапа 4
метода.
5. Выбранные показатели на основании предварительного
экспертного анализа получили классификацию таблицы 3.2.
6. Финансовое состояние предприятия «CD» характеризуется
следующими финансовыми показателями (таблица 3.5):

7. Проведем классификацию текущих значений х по критерию
таблицы 3.2. Результатом проведенной классификации является
таблица 3.6:

Анализ таблицы 3. 6 дает, что по втором периоде произошло качественное
падение обеспеченности одновременно с качественным ростом
оборачиваемости активов.
8. Оценка степени риска банкротства по формуле (3.12) дает gI =
0.389, gII = 0.420, откуда заключаем, что произошло серьезное
ухудшение состояния предприятия (резкий количественный
рост оборачиваемости не сопровожден качественным ростом,
зато наблюдается качественный спад автономности, абсолютной
ликвидности и рентабельности).
9. Лингвистическое распознавание степени риска по таблице 2.2
дает степень риска банкротства как пограничную между низкой
и средней, причем уверенность эксперта в том, что уровень
именно средний, нарастает от периода к периоду.
Инвестиционный проект: эффективность и риск
Начнем наше изложение c трех базовых определений.Инвестиции (в широком смысле) - временный отказ экономического
субъекта от потребления имеющихся в его распоряжении ресурсов
(капитала) и использование этих ресурсов для увеличения в будущем своего
благосостояния.
Инвестиционный проект - план или программа мероприятий,
связанных с осуществлением капитальных вложений с целью их
последующего возмещения и получения прибыли.
Инвестиционный процесс - развернутая во времени реализация
инвестиционного проекта. Началом инвестиционного процесса является
принятие решения об инвестициях, а концом - либо достижение всех
поставленных целей, либо вынужденное прекращение осуществления
проекта.
Инвестиционный проект предполагает планирование во времени трех
основных денежных потоков: потока инвестиций, потока текущих
(операционных) платежей и потока поступлений. Ни поток текущих
платежей, ни поток поступлений не могут быть спланированы вполне точно,
поскольку нет и не может быть полной определенности относительно
будущего состояния рынка. Цена и объемы реализуемой продукции, цены на
сырье и материалы и прочие денежно-стоимостные параметры среды по
факту их осуществления в будущем могут сильно разниться с
предполагаемыми плановыми значениями, которые оцениваются с позиций
сегодняшнего дня.
Неустранимая информационная неопределенность влечет столь же
неустранимый риск принятия инвестиционных решений. Всегда остается
возможность того, что проект, признанный состоятельным, окажется de-facto
убыточным, поскольку достигнутые в ходе инвестиционного процесса
значения параметров отклонились от плановых, или же какие-либо факторы
вообще не были учтены.
Инвестор никогда не будет располагать всеобъемлющей оценкой риска, так как число разнообразий внешней среды всегда превышает управленческие возможности принимающего решения
лица [Ashby], и обязательно найдется слабоожидаемый сценарий развития
событий (любая катастрофа, к примеру), который, будучи неучтен в проекте,
тем не менее, может состояться и сорвать инвестиционный процесс. В то же
время инвестор обязан прилагать усилия по повышению уровня своей
осведомленности и пытаться измерять рискованность своих инвестиционных
решений как на стадии разработки проекта, так и в ходе инвестиционного
процесса. Если степень риска будет расти до недопустимых значений, а
инвестор не будет об этом знать, то он обречен действовать вслепую.
Способ оценки риска инвестиций прямо связан со способом описания
информационной неопределенности в части исходных данных проекта. Если
исходные параметры имеют вероятностное описание, то показатели
эффективности инвестиций также имеют вид случайных величин со своим
импликативным вероятностным распределением. Однако, чем в меньшей
степени статистически обусловлены те или иные параметры, чем слабее
информационность контекста свидетельств о состоянии описываемой
рыночной среды и чем ниже уровень интуитивной активности экспертов,
тем менее может быть обосновано применение любых типов вероятностей в
инвестиционном анализе.
Альтернативный способ учета неопределенности - так называемый
минимаксный подход. Формируется некий класс ожидаемых сценариев
развития событий в инвестиционном процессе и из этого класса выбирается
два сценария, при которых процесс достигает максимальной и минимальной
эффективности, соответственно. Затем ожидаемый эффект оценивается по
формуле Гурвица с параметром согласия . При =0 (точка Вальда) за
основу при принятии решения выбирается наиболее пессимистичная оценка
эффективности проекта, когда в условиях реализации самого
неблагоприятного из сценариев сделано все, чтобы снизить ожидаемые
убытки. Такой подход, безусловно, минимизирует риск инвестора. Однако в
условиях его использования большинство проектов, даже имеющих весьма
приличные шансы на успех, будет забраковано. Возникает опасность
паралича деловой активности, с деградацией инвестора как лица,
принимающего решения.
Вот наглядный пример из практики азартных игр. Любой игрок в
преферанс знает, что в ходе торговли за прикуп игрок с высокой степенью
повторяемости должен заявлять на одну- две взятки больше, чем у него есть
на руках, в расчете на добрый прикуп. Иначе, по результатам множества игр
он окажется в проигрыше или, в лучшем случае, "при своих", потому что его
соперники склонны к разумной агрессии, т.е. к оправданному риску.
Понимая инвестиции как разновидность деловой игры, мы скажем по
аналогии: инвестору вменяется в обязанность рисковать, но рисковать
рационально, присваивая каждому из потенциальных сценариев
инвестиционного процесса свою степень ожидаемости. В противном случае
он рискует потерпеть убыток от непринятия решения - убыток чрезмерной
перестраховки. В карточной игре приличная карта, приличный прикуп
приходят не так часто. В том же преферансе игрок, объявивший шесть
взяток и сыгравший по факту восемь, вызывает всеобщее недовольство
вероятным "перезакладом". Становится обидно за партнера, за его неумение
играть, когда по-настоящему приличная карта приходит так редко.
Инструментом, который позволяет измерять возможности (ожидания),
является теория нечетких множеств. Впервые мы находим ее применение к
инвестиционному анализу в трудах Профессоров Кофмана (A.Kaufman) и
Хил Алуха (J.Gil Aluja) [Gil Aluja]. Используя предложенный в этих работах
подход, построим метод оценки инвестиционного риска, как на стадии
проекта, так и в ходе инвестиционного процесса.
Метод нечетко-множественной оценки инвестиционного проекта
Глава 1 Глава 2
В литературе по инвестиционному анализу хорошо известна формула
чистой современной ценности инвестиций (NPV - Net Present Value).
Возьмем один важный частный случай оценки NPV, который и будем
использовать в дальнейшем рассмотрении:
Все инвестиционные поступления приходятся на начало инвестиционного
процесса.
Оценка ликвидационной стоимости проекта производится postfactum, по
истечении срока жизни проекта.
Тогда соотношение для NPV имеет следующий вид:

где I - стартовый объем инвестиций, N - число плановых интервалов
(периодов) инвестиционного процесса, соответствующих сроку жизни
проекта, Vi - оборотное сальдо поступлений и платежей в i-ом периоде, ri -
ставка дисконтирования, выбранная для i-го периода с учетом оценок
ожидаемой стоимости используемого в проекте капитала (например,
ожидаемая ставка по долгосрочным кредитам), C - ликвидационная
стоимость чистых активов, сложившаяся в ходе инвестиционного процесса
(в том числе остаточная стоимость основных средств на балансе
предприятия).
Инвестиционный проект признается эффективным, когда NPV,
оцененная по (4.1), больше определенного проектного уровня G (в самом
распространенном случае G = 0).
Ставка дисконтирования планируется такой, что период начислений
процентов на привлеченный капитал совпадает с соответствующим
периодом инвестиционного процесса.
(N+1)-ый интервал не относится к сроку жизни проекта, а выделен в
модели для фиксации момента завершения денежных взаиморасчетов
всех сторон в инвестиционном процессе (инвесторов, кредиторов и
дебиторов) по кредитам, депозитам, дивидендам и т.д., когда итоговый
финансовый результат проекта сделается однозначным.
Если все параметры в (4.1) обладают "размытостью", т.е. их точное
планируемое значение неизвестно, тогда в качестве исходных данных
уместно использовать треугольные нечеткие числа с функцией
принадлежности следующего вида (рис. 4.1). Эти числа моделируют
высказывание следующего вида: "параметр А приблизительно равен a и
однозначно находится в диапазоне [amin, amax]".

Рис. 4.1. Треугольное число
Полученное описание позволяет разработчику инвестиционного
проекта взять в качестве исходной информации интервал параметра [amin,
amax] и наиболее ожидаемое значение a , и тогда соответствующее
треугольное число A = (amin, a , amax) построено. Далее будем называть
параметры (amin, a , amax) значимыми точками треугольного нечеткого числа
A . Вообще говоря, выделение трех значимых точек исходных данных
весьма распространено в инвестиционном анализе (см., например,
[Behrens]). Часто этим точкам сопоставляются субъективные вероятности
реализации соответствующих ("пессимистического", "нормального" и
"оптимистического") сценариев исходных данных. Но мы не считаем себя
вправе оперировать вероятностями, значений которых не можем ни
определить, ни назначить (в главе 1 настоящей диссертационной работы мы
коснулись этого предмета, в частности, говоря о принципе максимума
энтропии). Поэтому в инвестиционном анализе мы замещаем понятие
случайности понятиями ожидаемости и возможности.
В том случае, если какой-либо из параметров A известен вполне точно
или однозначно задан, то нечеткое число A вырождается в
действительное число А с выполнением условия amin = a = amax. При этом
существо метода остается неизменным.
В отношении вида G . Инвестор, выбирая ожидаемую оценку G ,
руководствуется, возможно, не только тактическими, но и
стратегическими соображениями. Так, он может позволить проекту быть
даже несколько убыточным, если этот проект диверсифицирует
деятельность инвестора и повышает надежность его бизнеса. Как
вариант: инвестор реализует демпинговый проект, компенсацией за
временную убыточность станет захват рынка и сверхприбыль, но
инвестор хочет отсечь сверхнормативные убытки на той стадии, когда
рынок уже будет переделен в его пользу. Или наоборот: инвестор идет на
повышенный риск во имя прироста средневзвешенной доходности своего
бизнеса.
Таким образом, задача инвестиционного выбора в приведенной выше
постановке есть процесс принятия решения в расплывчатых условиях,
когда решение достигается слиянием целей и ограничений [Bellmann-
Zadeh].
Чтобы преобразовать формулу (4.1) к виду, пригодному для
использования нечетких исходных данных, воспользуемся сегментным
Способом
Зададимся фиксированным уровнем принадлежности
и определим
соответствующие ему интервалы достоверности по двум нечетким числам A
и B : [a1, a2] и [b1, b2], соответственно. Тогда основные операции с нечеткими
числами сводятся к операциям с их интервалами достоверности. А операции
с интервалами, в свою очередь, выражаются через операции с
действительными числами - границами интервалов:


Задавшись приемлемым уровнем дискретизации по на интервале
принадлежности [0, 1], мы можем реконструировать результирующее
нечеткое число NPV путем аппроксимации его функции и принадлежности
NPV ломаной кривой по интервальным точкам.
Часто оказывается возможным привести NPV к треугольному виду,
ограничиваясь расчетами по значимым точкам нечетких чисел исходных
данных. Это позволяет рассчитывать все ключевые параметры в оценке
степени риска не приближенно, а на основе аналитических соотношений.
Это будет показано ниже.
представлены функции принадлежности NPV и критериального значения G .

Рис. 4.2. Соотношение NPV и критерия эффективности
Точкой пересечения этих двух функций принадлежности является точка с
ординатой
1. Выберем произвольный уровень принадлежности
и
определим соответствующие интервалы [NPV1, NPV2] и [G1, G2]. При
>
1
NPV1 > G2, интервалы не пересекаются, и уверенность в том, что проект
эффективен, стопроцентная, поэтому степень риска неэффективности


Рис. 4.3. Зона неэффективных инвестиций
На рис. 4. 3 показана заштрихованная зона неэффективных инвестиций,
ограниченная прямыми G = G1, G = G2, NPV = NPV1, NPV = NPV2 и
биссектрисой координатного угла G = NPV. Взаимные соотношения
параметров G1,2 и NPV1,2 дают следующий расчет для площади
заштрихованной плоской фигуры:



Рис. 4.4. Точечная нижняя граница эффективности
Тогда итоговое значение степени риска неэффективности проекта:

В важном частном случае (см. рис. 4.4), когда ограничение
G определено четко уровнем G, то предельный переход в (4.9) при G2 G1 = G дает:


Исследуем выражение (4.12) для трех частных случаев:

Таким образом, степень риска V&M принимает значения от 0 до 1.
Каждый инвестор, исходя из своих инвестиционных предпочтений, может
классифицировать значения V&M, выделив для себя отрезок неприемлемых
значений риска. Возможна также более подробная градация степеней риска.
Например, если ввести лингвистическую переменную "Степень риска" со
своим терм-множеством значений {Незначительная, Низкая, Средняя,
Относительно высокая, Неприемлемая}, то каждый инвестор может
произвести самостоятельное описание соответствующих нечетких
подмножеств, задав пять функций принадлежности
Описание метода анализа эффективности инвестиций в нечеткой
постановке с оценкой степени риска ошибки инвестиционного решения -
завершено. Рассмотрим простой пояснительный пример.



Рис. 4.5. Приведение функции принадлежности к треугольному виду


Видим, что за счет снижения уровня неопределенности степень риска
понизилась почти на порядок. Таким образом, у инвестора появляется
эффективный инструмент контроля эффективности инвестиционного
процесса.
Из расчетов также видно, что чем значительнее неопределенность в
исходных данных, тем выше риск. Поэтому в ряде случаев инвестор просто
обязан отказаться от принятия решения и предпринять дополнительные
меры по борьбе с неопределеннностью. Чтобы знать, когда оправдан отказ
от принятия решения, инвестору необходим измеритель неопределенности
сложившейся информационной ситуации (неустойчивости проекта).

когда неопределенность исходных данных такова, что позволяет порождать
интервально-симметричные оценки (например: минимум продаж . 5 млн.
руб, максимум продаж . 10 млн. руб, среднее . (5+10)/2 = 7.5 млн. руб).
Особенно характерна такая ситуация для эскизных бизнес- проектов, когда
исходные данные содержат максимум неопределенности.
Интервально- симметричные расплывчатые параметры можно
характеризовать уже не тремя, а двумя действительными числами: средним
значением параметра и разбросом от среднего.



Это и есть простейшее соотношение для оценки риска. На рис. 4.6
показана зависимость степени риска проекта от коэффициента устойчивости
бизнес плана (далее будем называть ее риск- функцией).

Рис. 4.6. Риск-функция
Из рис. 4. 6 можно видеть, что приемемый риск проекта составляет до
10% (риск-функция возрастает медленно, почти линейно). При риске от 10%
до 20% наблюдается пограничная ситуация, а при риске свыше 20% функция
риска растет неумеренно, а сам риск перестает быть приемлемым. Такие
субъективные оценки приемлемости риска приводят к нормативам вида

Расчетный пример. По результатам финансового анализа бизнес-плана
получена треугольная интервально-симметричная оценка NPV = (-40, 40,
120) тыс. евро, или, что то же самое, NPV = 40 80 тыс. евро. Определить
риск-статус проекта.

книги, для оценки инвестиционной привлекательности американских акций.
Мы уже предприняли подобную работу два года назад в статье [Nedosekin
2001], но с тех пор рынок изменился, и требуется некоторая ревизия
ориентиров и классификаторов, с пересмотром экспертной модели.
Мы подтверждаем, что за два прошедших года два фактора остались
ключевыми для оценки инвестиционной привлекательности акций: это
соотношение P/E (доходность вложений) и капитализация активов Cap
(косвенный фактор надежности). Анализируя в 2001 году инвестиционную
привлекательность индустрии Software & Programming сектора Technology,
мы совсем не нашли в этом секторе недооцененных компаний как точки
приложения инвестиций. Последующих ход событий оправдал наши
опасения: абсолютно все компании выбранной индустрии обесценились,
причем существенно, а кое-кто и обанкротился.
Вместе с тем за два прошедших года произошли некоторые подвижки,
связанные со значимостью тех или иных показателей в комплексной оценке
качества акций. Дополнительное внимание инвесторов стали вызывать
факторы, непосредственно связанные с собственным капиталом компании:
доходность этого капитала (ROE), защищенность, выражаемая
обременением собственного капитала долгосрочными обязательствами
(Debt/Equity Ratio), и рыночная переоценка собственного капитала
(Price/Book Ratio).
Таким образом, мы модифицировали систему показателей для
комплексной оценки, добавив в нее факторы, связанные с собственным
капиталом и эффективностью его использования корпорацией. Анализ
квазистатистики для сектора Technology, сделанный в январе 2003 года,
позволил построить соответствующие гистограммы факторов (пример одной
из них приведен на рис. 5.1) и настроить нечеткий классификатор факторов
вида таблицы 5.1. Надо отметить, что мы говорим «низкий» или «высокий»
об уровнях факторов не с количественной точки зрения, а с точки зрения
относимости к комплексной оценке инвестиционного качества акции.
Например, значение P/B = 5 является количественно высоким. Но эта оценка
является «нездоровой» и вызывает риск переоценки вниз, - и с этой точки
зрения инвестиционная привлекательность акции низкая.
Таблица 5.1. Нечеткий классификатор факторов

Ранжируя выбранные пять факторов по значимости для комплексной
оценки, мы приходим к системе предпочтений вида:

что приводит к выбору весов показателей в комплексной оценке [Nedosekin
2001]:


Рис. 5.1. Гистограмма для фактора P/E
Тогда, по аналогии с тем, как это сделано в разделе 3, получем комплексный
показатель A_N для каждой бумаги методом двойной свертки:

Получив оценку A_N, мы можем произвести ее распознавание по таблице
5.2:
Таблица 5.2. Функция принадлежности для интегрального показателя
«Оценка бумаги»

Определим лингвистическую переменную «Торговая рекомендация
для бумаги» с терм- множеством значений «Strong Buy (SB . Определенно
Покупать), Moderate Buy (MB . Покупать под вопросом), Hold (H .
Держать), Moderate Sell (MS . Продавать под вопросом), Strong Sell (SS .
Определенно продавать)». Именно такая система торговых рекомендаций
предлагается сайтом [Zaks.com].
Установим взаимно однозначное соответствие введенных нами
лингвистических переменных на уровне подмножеств: ОН . SS, Н . MS, Ср
. H, В . MB, ОВ . SB. Так мы связали качество ценной бумаги с ее
инвестиционной привлекательностью. Тогда переменная A_N является
носителем и для терм-множества лингвистической переменной «Торговая
рекомендация», с теми же функциями принадлежности носителя
подмножествам значений.
Итак, мы произвели все необходимые расчеты по формулам (5.1) .
(5.6), исследовав квазистатистику по сектору Technology в январе 2003 года
(493 корпорации, по которым имелась в наличии вся необходимая исходная
информация). Результатом нашего скоринга является сводная таблица 5.3:

Из полученных данных следует, что львиная доля предприятий
группируется в пределах 0.3 . 0.5 по фактору A_N, что характеризует
инвестиционную привлекательность сектора Technology как нечто
промежуточное между низкой и средней. Если точнее, то мы получили
показатель A_N для сектора, равный 0.431. Распознавание по таблице 5.2
дает: 80 к 20 за то, что значение фактора все же среднее. Из этого, впрочем,
не вытекает для сектора ничего хорошего. Выводы неутешительны:
Торговая рекомендация для сектора . Hold, c динамикой вниз к
Moderate Sell.
Из 493 обследованных эмитентов сектора скоринг выше 0.65
(когда вырабатывается торговый приказ Moderate Buy) имеют
всего 6 компаний. Если поставить дополнительное ограничение на капитализацию не ниже 5 млрд долл., то остается один
победитель со скорингом A_N=0.706: EDS . Electronic Data
Systems. Будем следить за этой бумагой. Мы не ждем от нее
резких падений. Более того: ей есть куда расти. У корпорации
были крупные проблемы в сентябре 2002 года (поговаривали
даже о банкротстве), но после перехода в диапазон
реалистичных цен (от 72 до 12 долл.) и после того, как Пентагон
дал EDS подряд на переоборудование электронных систем ВВС
и ВМФ США, дела пошли в гору. В воздухе пахнет войной с
Ираком (пишем эти слова 29.01.2003), и на этой беде кое-кто
может неплохо приподняться; почему не EDS? Сегодня
компания стоит 16.85$ за акцию (29.01.2003). Запомним этот
отсчет.
Но в целом рынок сектора Tech по всей видимости ждет
неприятное будущее. Мы ожидаем глубокой коррекции
NASDAQ вниз до уровня, например, 1000 . 1100. Это должно
быть второе капитальное падение рынка после июля 2002 года;
но другого пути нет. Вернуть инвестиционную
привлекательность этому рынку можно только двумя путями:
кардинально увеличив прибыли корпораций или снизить цены.
Первое малореально; остается второе.
Таблица 5.3 представляет собой нечто вроде фазового портрета
сектора, подобие карты. Из нее видно, какие проблемы для сектора являются
ключевыми. Во-первых, низкая прибыльность корпораций сектора, которая
загоняет в красный угол сразу два фактора: P/E и ROE. Во-вторых, свыше
50% корпораций сектора обладают низкой капитализацией (менее 500 млн
долл.), - а, следовательно, возникает повышенный риск инвестиций в акции
этих эмитентов (на фоне продолжающейся рецессии экономики США).
Правда, все карты может спутать специфика военного времени. Если
компании, работающие на войну, оживятся, то это оживление по традиции
почувствует весь рынок. Однако для мирных времен такая картина может
спровоцировать лишь одну реакцию . вывод капиталов.
метод, предложенный в Марковицем в [Markowitz]. Суть его в следующем.
Пусть портфель содержит N типов ценных бумаг (ЦБ), каждая из
которых характеризуется пятью параметрами:



Сам портфель характеризуется:
- суммарным объемом портфельных инвестиций S;
- долевым ценовым распределением бумаг в портфеле {xi}, причем
для исходного портфеля выполняется
Таким образом, портфель описан системой статистически связанных
случайных величин с нормальными законами распределения. Тогда,
согласно теории случайных величин, ожидаемая доходность портфеля r
находится по формуле

Замечание. В подходе Марковица к портфельному выбору под риском
понимается не риск неэффективности инвестиций, а степень колеблемости
ожидаемого дохода по портфелю, причем как в меньшую, так и в большую
сторону. Можно без труда перейти от задачи вида (6.5) к задаче, где в
качестве ограничения вместо фиксированного стандартного отклонения
выступает вероятность того, что портфельная доходность окажется ниже
заранее обусловленного уровня.

Выражение (6.6), именуемое эффективной границей портфельного
множества, в координатах «риск-доходность» является кусочно-
параболической вогнутой функцией без разрывов. Правой точкой границы
является точка, соответствующая тому случаю, когда в портфеле
оказывается одна бумага с максимальной среднеожидаемой доходностью.
Подход Марковица, получивший широчайшее распространение в
практике управления портфелями, тем не менее имеет ряд модельных
допущений, плохо согласованных с реальностью описываемого объекта -
фондового рынка. Прежде всего это отсутствие стационарности ценовых
процессов, что не позволяет описывать доходность бумаги случайной
величиной с известными параметрами. То же относится и корелляции.
Если же мы рассматриваем портфель из модельных классов, а ценовую
предысторию индексов модельных классов - как квазистатистику, то нам
следует моделировать эту квазистатистику многомерным нечетко-
вероятностным распределением с параметрами в форме нечетких чисел.
Тогда условия (6.3) . (6.4) запиываются в нечетко-множественной форме,
и задача квадратичной оптимизации также решается в этой форме.
Решением задачи является эффективная граница в виде нечеткой функции
полосового вида. Ее следует привести к треугольному виду по обычным
правилам.
Каждому отрезку на эффективной границе, отвечающей абсциссе
портфельного риска, соответствует нечеткий вектор оптимальных
портфельных долей.
И, наконец, если заданы контрольные нормативы по доходности и
риску (бенчмарк модельного портфеля), которые следует соблюсти по
результатам управления портфелем, и если бенчмарк попадает в полосу
эффективной границы, то возникает риск того, что по фактору доходности
модельный портфель «не переиграет» бенчмарк. Поскольку ожидаемая
доходность портфеля . треугольное нечеткое число, то риск
неэффективности портфеля можно оценить по той же формуле, что и риск
неэффективности инвестиций (метод оценки риска инвестиций рассмотрен в
главе 5 настоящей книги).
Итак, изложение модифицированного подхода Марковица завершено.
Далее по тексту монографии принимается, что метод имеет дело с
квазистатистикой модельных индексов в портфеле, которая моделируется посредством N-мерного нечетко-вероятностного распределения. Оценив
параметры этого распределения как нечеткие числа, мы решаем задачу
квадратичной оптимизации в нечеткой постановке, получая эффективную
границу в форме криволинейной полосы.
Рассмотрим простейший пример американского модельного портфеля
из двух модельных классов: правительственных долгосрочных облигаций
(Класс 1, характеризующийся индексом LB Govt Bond) и
Высоко капитализированных акций (Класс 2, характеризующийся индексом
S&P500). Сводные данные по обоим индексам приведены в таблице 6.1.
Таблица 6.1. Исходные данные по модельным классам

Надо сразу оговориться, что случай портфеля из двух компонент
является вырожденным с точки зрения оптимизации. Здесь полное
множество портфельных решений представляет собой участок в общем
случае кривой линии на плоскости, и он же является эффективной границей.
Так что в настоящем примере мы не сколько решаем оптимизационную
задачу, сколько ищем аналитический вид эффективной границы в
координатах «риск-доходность».
Запишем (6.3) . (6.4) в частном виде

Все «постоянные» коэффициенты в (6.7) - (6.9) являются
треугольными нечеткими числами, а операции сложения-умножения-
вычитания определены в пространстве треугольных нечетких чисел. И,

Рис. 6.1. Эффективная граница в виде полосы с линейными границами
Коэффициент пропорциональности в (6.11) есть не что иное, как
хорошо известный в портфельном менеджменте показатель Шарпа [Sharpe]
. отношение доходности индекса (за вычетом безрисковой составляющей
доходности) к волатильности индекса. Только в нашем случае он имеет
нечеткий вид, сводимый к треугольному по правилу:

В таблицу 6. 2 сведены границы для модельного класса облигаций в
структуре модельного портфеля для различных уровней риска.
Таблица 6.2. Оптимальная доля облигаций в портфеле

По краям полосы разброс портфельных границ ниже, чем в середине.
Это объясняется тем, что на краях полосы эффективной границы портфель
обладает вполне определенным стилем: большей доходности отвечает
модельный класс акций, а меньшему риску . модельный класс облигаций.
Также надо отметить, что разброс параметров доходностей и рисков
влияет на решение задачи оптимизации фондового портфеля гораздо
ощутимее, нежели разброс параметров корреляционной матрицы (это
доказано в работе [Chopra V.K., Ziemba W.T]). Поэтому основной акцент
при подготовке исходных данных для анализа портфеля следует сделать на
минимизации разброса именно параметров доходности и риска входящих в
портфель активов.
Таким образом, по результатам нечетко-множественной оптимизации,
мы получили оптимальное распределение модельных активов, но не
с фиксированными, а с расплывчатыми границами. Это максимум того, что
мы можем добиться в условиях существенной неопределенности.
исходных данных по индексам, которые являются результатом научного
прогнозирования. Прогнозирование фондовых индексов . это задача,
которая перестает быть научной при том условии, когда к теории
прогнозирования предъявляются завышенные требования предсказания
вполне точных значений тех или иных параметров в будущем. Современная
теория прогнозирования фондовых индексов базируется на том, что
предсказанию подлежат не сами индексы, а их рациональные тенденции,
обусловленные рациональным поведением коллективного инвестора в
фондовые активы.
Существует целый класс теорий прогнозирования, базирующихся на
историческом анализе данных. Ни одна из этих теорий не контролирует
состоятельность данных, поступающих на вход соответствующих методов.
Однако в том случае, когда между историческими данными и будущим
лежит парадигмальный эпистемологический разрыв, то соответствующая
предыстория индексов существенно обесценивается, а базирующиеся на
использовании этой статистики методы начинают давать ошибочные
не верифицируемые прогнозы. Нынешний кризис фондового рынка был
превосходным тестом для всех существовавших доныне методов
прогнозирования, которые этот тест не прошли.
Следовательно, перед наукой прогнозирования тенденций фондового
рынка (если она признает себя таковой) встает задача смены основ, на
которой базируется эта наука. И возможной новой основой для современной
теории прогнозирования как раз и может стать теория рационального
инвестиционного выбора. Доказательная база этой теории может быть
собрана на материале фондового рынка США.
Американский рынок, долгое время пребывавший в фазе эйфории
относительно своих экономических возможностей, в настоящий момент,
преодолевая рецессию и панические настроения инвесторов, ищет новые
экономические ориентиры. Еще несколько лет потрясений нам обеспечены,
полагаю, - но свет в конце тоннеля уже виден. Это . нарастающая
рационализация инвестиционного выбора, и под этим флагом мировой
фондовый рынок будет плавать еще не менее ближайших лет пяти. Шок от
потрясения, вызванного сдуванием мыльного пузыря «новой экономики»,
еще должен быть хорошенько пережит, переосмыслен.
Следствие: оптимальное управление фондовыми портфелями лиц и
организаций постепенно приобретает черты активного, оперативного и
алертного управления. Активное управление предполагает отказ от
пассивных стратегий ведения портфеля (например, в привязке к рыночным
индексам, по принципу балансовых фондов). Оперативное управление
осуществляется в режиме реального времени, с непрерывной переоценкой
уровня оптимальности портфеля (даже в рамках одного торгового дня,
нынешние компьютерные программы это позволяют). Алертное управление
предполагает наличие в системе установленных предупредительных
сигналов, срабатывающих на изменение уставленных макроэкономических,
финансовых, политических и иных параметров. Срабатывание алерта
вызывает автоматическое выполнение некоторой цепочки предустановленных решающих правил по ре балансингу фондового портфеля.
Оптимальное управление на основе нечетких оценок факторов
доходности и риска активов не может не брать в расчет обоснованные
прогностические модели, принципы построения которых вкратце изложены
в [Nedosekin]. Напрашивается мысль, что те группы рыночных субъектов,
кто будет успешнее прогнозировать финансовые потоки и управлять ими,
получит в условиях нового мирового порядка трудно переоцениваемые,
эксклюзивные преимущества. Неспроста сказано: кто владеет информацией,
тот владеет миром.
И главный фактор успеха здесь . это понимание того, что такое
рациональное инвестиционное поведение, плюс качественная и
количественная математическая модель такого поведения. Много сил в
науке было отдано тому, чтобы описать рациональный инвестиционный
выбор (например, через функцию инвестиционной полезности, в том числе и
в нечетком описании [Mathie-Nikot]). Однако, если исследование аспектов
рационального инвестиционного поведения не опирается на детальный
анализ фондового рынка и макроэкономической обстановки в стране, где
осуществляются инвестиции, то такой анализ рационального
инвестиционного поведения является бесполезным. А в такой постановке
задача практически не звучит. Приятным исключением является подход,
применяемый компанией Lattice Financial [Lattice Financial], где
прослеживается детальная модельная связь между макроэкономическими
факторами и количественными оценками тенденций фондового рынка. Но
здесь другая крайность: слишком велика в моделях [Lattice Financial] доля
механистического понимания связей на макро- и микро уровне, когда
возникает прямой соблазн «рекурсивного прогнозирования», где будущее с
точностью до вероятностно распределенного случайного сигнала
определяется настоящим. Фактор рационализации выбора совершенно
выпадает из моделей такого сорта.
Следует восполнить этот пробел в теории фондовых инвестиций . и
одновременно развить математическое оснащение моделей рационального
инвестиционного выбора, введя в них формализмы теории нечетких
множеств. Нечеткие описания естественны, т.к. ряд параметров моделей не
может быть определен вполне точно, - потому что речь идет о субъективных
человеческих предпочтениях, которые размыты не потому лишь, что мы не
можем набрать правдоподобной статистики, а потому, что инвестор и сам
иногда не до конца понимает, чего он хочет, и на каком основании он
отделяет «хорошие» бумаги от «плохих». Осмыслить, что для инвестора
«хорошо», а что «плохо» - это и есть цель настоящего исследования.
инвестиционного выбора: это такой выбор, который приносит доход в
среднесрочной перспективе (при наличии возможности промежуточных
убытков). Так, скажем, если рационально ожидаемая доходность по акциям
за период 2-3 года является отрицательной, то такой выбор нельзя считать
рациональным. Это означает, что инвестор чего-то не понимает в природе
рынка, на котором он работает. Вся история последних двух лет . это
история о том, как вкладчики в акции США теряли свои деньги, история
иррациональных инвестиций. Здесь и далее мы исследуем именно
рациональный инвестиционный выбор, т.е. выбор вложений в различные
фондовые инструменты с научным расчетом на повышение капитализации
вклада.
Когда в экономической игре действуют несколько агентов, не
образующих коалиций, обладающих равной информацией и действующих
по одинаковым правилам, то мы приходим к гипотетической модели
эффективного (равновесного, рационального) рынка. В реальности
рационального рынка нет, потому что всегда есть недобросовестные
инсайдеры, которые, создавая завесу информационного шума вокруг своей
деятельности, получают выигрыши на волне иррациональных поступков
других инвесторов. Это - недобросовестная деятельность, нечестная
конкуренция, которая в ряде случаев преследуется по закону. Масла в огонь
подливают те консультанты, которые, отчетливо понимая природу
макроэкономических процессов, тем не менее дают советы, генерирующие
массовый иррациональный инвестиционный выбор и приводящие к
убыткам. К таким советам я, в частности, отношу советы одного из наиболее
авторитетных консультантов США Эбби Дж. Коэн, которые она давала в
2001 году . инвесторам «сидеть ровно» (sit tight), копируя принцип
балансовых индексных фондов, ничего не покупая и не продавая (подробно
об этом в [Pundit Watch: Abby Cohen]). Убытки в сотни миллиардов
долларов явились следствием этой «консультации».
Но уже сам факт, что фондовый пузырь «новой экономики» лопнул
(хотя и не до конца) . это характеристика того, то рынок, будучи доселе
неэффективным, ищет нового равновесия, ищет новой эффективности и
рациональности. И в нашу задачу входит определить эту гипотезу новой
эффективности, сформулировать парадигму того рационального рынка, куда
стремится теперь Америка . а вместе с нею и весь мир.
Итак, рассмотрим поведение рационального инвестора (частного или
институционального), который формирует свой обобщенный модельный
инвестиционный портфель из ценностей трех базовых типов,
эмитированных в одной стране:
Государственные и около государственные обязательства
Корпоративные обязательства
Корпоративные акции
Замечание 1. Мы не относим к инвестициям денежный беспроцентный
вклад в банк в валюте страны, потому что в долгосрочной перспективе
деньги являются активом с отрицательной доходностью (вследствие
инфляции). Поэтому такой инвестиционный выбор нельзя считать
рациональным. Деньги в предпосылке рационального выбора являются не
инвестиционным ресурсом, а средством неотложных расчетов за товары.
Они становятся инвестиционным ресурсом только тогда, когда приносят
доход, будучи вложенными куда-то и приносящими доход как плату за
отложенный спрос на них в расчетах.
Замечание 2. На этом этапе моделирования мы не рассматриваем
отдельно поведение инвестора, связанное с хеджированием своих
инвестиционных рисков при помощи производных ценных бумаг. Это . тема
отдельного исследования.
В момент старта инвестиций (t=0) мы предполагаем, что инвестор
вкладывает в обобщенный инвестиционный портфель денежный капитал,
условно равный равный единице, в валюте той страны, где осуществляются
инвестиции.
Анализируя рациональный инвестиционный выбор, мы берем во
внимание макроэкономическую обстановку, сложившуюся в выбранной
стране на момент принятия инвестиционного решения. Что это за условия,
будет видно из дальнейшего.
Наша научная задача состоит в том, чтобы определить причинно-
следственную связь рационального инвестиционного выбора, т.е.
ответить на вопрос: какие внешние макроэкономические факторы в
количественном и качественном отношении заставят рационального
инвестора так или иначе (в той или иной долевой пропорции) формировать
свой обобщенный инвестиционный портфель. Понимая эту причинную связь
количественно и качественно, мы можем перейти к построению
прогностических моделей. При этом мы не ждем, что поведение реального
рынка будет стопроцентно точно вписываться в наш прогноз (мы вообще не
верим в точные прогнозы). Мы прогнозируем не само поведение рынка, а
рациональный тренд этого поведения, предполагая в то же время, что
реальный рынок ближайших пяти лет будет асимптотически приближаться к
этому тренду, а колебания рынка относительно тренда мы списываем на
иррациональный инвестиционный выбор, вызванный неверной (ненаучной)
оценкой новостей, слухов и рыночных алертов, в том числе
макроэкономических.
Заявленная выше группировка активов является оправданной, потому
что обязательства, безотносительно того, какую природу они имеют
(природу ценных бумаг или природу денежных депозитов), выражают
расчет инвестора на известный фиксированный доход в будущем. Критерии
кластеризации . это доходность инвестиций в активы, надежность эмитента
активов и характер волатильности активов (табл. 7.1):

Надежность и волатильность . это две стороны риска, связанные с
вложениями в активы. Если свести эти две меры в одну, то можно
утверждать, что риск инвестиций в гос обязательства является низким, в
корпоративные обязательства . средним, а в корпоративные акции .
высоким.
Если рассматривать выделенные типы активов как модельные
классы, то каждому из классов можно сопоставить фондовый индекс,
имеющий форму индекса кумулятивной финальной доходности в валюте
страны, как это объясняется в предыдущем разделе настоящей
диссертационной работы. Также мы считаем, что дефолтные риски реальных
активов в структуре модельного актива элиминируются, и главную долю в
рисках занимает прежде всего синхронная волатильность курсовой цены
реальных активов (в силу почти полной корреляции реальных активов
внутри одного модельного актива).
Ясно, что можно выстроить точечные оценки доходности и риска по
этим индексам, исследуя исторические данные, пользуясь экспертными
соображениями или прогностическими моделями (таблица 7.2). На этом
этапе рассмотрения, для простоты, мы считаем получаемые оценки
не размытыми.

Сумма весов в портфеле равна единице. В зависимости от типа выбора
(консервативный, промежуточный, агрессивный) инвестор увеличивает или
уменьшает долю акций в противовес облигациям.
Замечание 3. На начало исследования нам не известны точечные
проогнозные оценки доходности и риска активов (тогда бы не было смысла
ставить и решать нашу задачу). Зато нам известны отношения порядка
доходностей и рисков, которые в последующем будут нами включены в
математическую модель.
Замечание 4. Еще раз повторимся, что рациональное инвестирование
предполагает рациональные оценки доходности и риска активов. Здесь и
далее, если не оговаривается особо, мы говорим о рациональных оценках
для принятия рациональных инвестиционных решений. Как получить эти
рациональные оценки . об этом речь впереди.
Разумеется, построенный обобщенный инвестиционный портфель
является монотонным (в смысле [Nedosekin]). То есть мы знаем, что
монотонное убывание доходности от актива к активу сопровождается в
нашей модели соответствующим монотонным убыванием риска вложений.
Монотонность портфеля . это свойство, которое делает его
сбалансированным (равновесным) и отвечающим золотому правилу
инвестирования, причем в формировании эффективной границы
портфельного множества непременно участвуют все модельные активы,
входящие в монотонный портфель.
Поэтому мы утверждаем, что вложения одновременно в три
выделенных актива делают инвестиционный выбор инвестора
рациональным, безотносительно долей этих активов в портфеле. Это следует
и из тех простых соображений, что все перечисленные активы органично
дополняют друг друга, создавая полный диверсифицированный набор
фондовых инструментов. В списке из трех модельных активов нет ни одного
лишнего, потому что в пространстве рациональных значений «риск-
доходность» эти активы образуют полное перекрытие. Другое дело, что
реальные активы, наполняющие те или иные модельные компоненты
портфеля, могут превосходно вытеснять друг друга с эффективной
границы, и тогда присутствие «отсталых» реальных активов делает портфель
немонотонным.
В самом общем случае эффективная граница портфельного множества
на модельных активах является вогнутой функцией без разрывов в
координатах «риск-доходность». Если нанести на график, наряду с
эффективной границей, изолинии двумерной функции полезности
инвестиционного предпочтения ([Sharpe], рис. 7.1), имеющие с
эффективной границей общую касательную, то каждая изолиния будет
соответствовать определенному типу инвестиционного поведения.
Агрессивный рациональный инвестор соответствует изолинии с меньшими
углами наклона касательной, консервативный рациональный инвестор . с
большими углами наклона (он требует в качестве платы за прирост риска
большей доходности, нежели агрессивный инвестор).
Естественно, напрашивается традиционная или размытая классификация
инвестиционных предпочтений по виду эффективной границы. Простейший


Рис. 7.1. Эффективная граница и изолинии функции полезности
На рис. 7. 1 представлена эффективная граница портфеля самого
общего вида. Как мы далее покажем, для обобщенного инвестиционного
портфеля в нашей постановке эффективная граница вырождается к виду,
близкому прямой линии. Докажем это утверждение, воспользовавшись
результатами теории монотонного портфеля [Nedosekin]. Поскольку наш
обобщенный инвестиционный портфель монотонен, то существует
отношение порядка для доходностей и рисков активов портфеля.
Простейшие рыночные исследования дают нам такое отношение порядка:

Соотношение (4.29) является общемировым и справедливо для всех
обобщенных классов фондовых инструментов во всех странах и во все
времена. В нем выражена суть важнейшего отличия бумаг с фиксированным
доходом от бумаг с нефиксированным доходом: раз доход по бумаге заранее
неизвестен (что есть существенный риск), то за это следует заплатить
существенным приростом доходности. При этом на фоне риска и доходности
акций риск по государственным и корпоративным бумагам является
малоразличимым. Это же справедливо и для доходностей активов.
Еще раз оговоримся: мы здесь исследуем поведение модельных, а не
реальных бумаг. Например, хорошо известно, что так называемые
«мусорные облигации» могут приносить доход, сопоставимый с доходом по
акциям. Однако доля торговли такими облигациями столь мала, что ее вес в
индексе облигаций оказывается крайне низким и не производит нарушения
условия (4.29).
Чтобы продемонстрировать правильность (7.1) количественно,
построим российский портфель, в котором нечеткие экспертные оценки
параметров на перспективу 2002 года следующие (таблица 7.4):
Таблица 7.3. Данные по российскому фондовому портфелю на 2002 г.

Корреляционная матрица активов, построенная как точечная оценка за два
последних года обработки исторических данных, сведена в таблицу 7.4:

На рис. представлен результат моделирования с помощью
программы SBS Portfolio Optimization System :

Рис. 7.2. Результат моделирования обобщенного российского
инвестиционного портфеля
Видно, что эффективная граница у нас . это полоса с почти
прямолинейными границами, которую можно легко интерполировать
прямой без существенной погрешности. Это свойство полосы было
продемонстрировано на примере в гл. 5 настоящей работы: для обобщенного
портфеля из двух активов (акции и облигации), в силу выполнения (7.1)
эффективная граница асимптотически преобразуется к полосовому виду с
прямыми верхней и нижней линиями, что описывается формулой:

Поскольку доходность и риск государственных и корпоративных
обязательств близки (по сравнению с тем же для акций), и корреляция этих
обязательств близка к единице (по понятным причинам, ибо все эти
обязательства обращаются на внутри страновом рынке, в едином
макроэкономическом окружении), то все обязательства могут быть
объединены в один супер- класс активов. И тогда выполняется (7.2), и
утверждение о том, что наш обобщенный инвестиционный портфель имеет
эффективную границу полосового вида с линейными границами, доказано.
Из этого можно сделать сразу три очень важных вывода:
Вывод 1. Поскольку государственные и корпоративные обязательства
являются трудноразличимыми в обобщенном инвестиционном портфеле, то
оптимальным решением будет сделать доли этих компонент в портфеле
равными. Это рациональное требование избавит нас от эффекта «дурной
оптимизации», когда в оптимальном портфеле корпоративные облигации
вытесняют государственные именно из-за пресловутой трудно различимости
(см. рис. 7.2, где нижняя круговая диаграмма, соответствующая долевому
распределению в оптимальном портфеле, исключает государственные
облигации).
Вывод 2. Приведем уравнение прямой (7.2) к каноническому виду:

Слева в (7.3) . показатель, примерно равный показателю Шарпа по
портфелю (если бы в числителе учитывались не просто облигации, а только
государственные облигации). Видим, что на всех участках эффективной границы инвестиционный выбор инвестора, безотносительно его окраски
(консервативный, промежуточный, агрессивный) обладает одной и той же
степенью экономической эффективности (которую примерно можно оценить
показателем Шарпа для индекса акций). Т.е. плата за риск в виде
приращения доходности начисляется равномерно, и невозможно добиться
особых условий инвестирования с максимумом экономического эффекта.
Вот, например, для границы рис. 7.1 такой максимум существует, и он
ложится в диапазон промежуточного типа инвестиционного выбора;
соответственно, появляется экономическая предпочтительность этого вида
выбора перед другими. В нашем случае этого нет.
чистой современной ценности инвестиций (NPV - Net Present Value).
Возьмем один важный частный случай оценки NPV, который и будем
использовать в дальнейшем рассмотрении:
Все инвестиционные поступления приходятся на начало инвестиционного
процесса.
Оценка ликвидационной стоимости проекта производится postfactum, по
истечении срока жизни проекта.
Тогда соотношение для NPV имеет следующий вид:

где I - стартовый объем инвестиций, N - число плановых интервалов
(периодов) инвестиционного процесса, соответствующих сроку жизни
проекта, Vi - оборотное сальдо поступлений и платежей в i-ом периоде, ri -
ставка дисконтирования, выбранная для i-го периода с учетом оценок
ожидаемой стоимости используемого в проекте капитала (например,
ожидаемая ставка по долгосрочным кредитам), C - ликвидационная
стоимость чистых активов, сложившаяся в ходе инвестиционного процесса
(в том числе остаточная стоимость основных средств на балансе
предприятия).
Инвестиционный проект признается эффективным, когда NPV,
оцененная по (4.1), больше определенного проектного уровня G (в самом
распространенном случае G = 0).
Замечания
NPV оценивается по формуле (4.1) в постоянных (реальных) ценах.Ставка дисконтирования планируется такой, что период начислений
процентов на привлеченный капитал совпадает с соответствующим
периодом инвестиционного процесса.
(N+1)-ый интервал не относится к сроку жизни проекта, а выделен в
модели для фиксации момента завершения денежных взаиморасчетов
всех сторон в инвестиционном процессе (инвесторов, кредиторов и
дебиторов) по кредитам, депозитам, дивидендам и т.д., когда итоговый
финансовый результат проекта сделается однозначным.
Если все параметры в (4.1) обладают "размытостью", т.е. их точное
планируемое значение неизвестно, тогда в качестве исходных данных
уместно использовать треугольные нечеткие числа с функцией
принадлежности следующего вида (рис. 4.1). Эти числа моделируют
высказывание следующего вида: "параметр А приблизительно равен a и
однозначно находится в диапазоне [amin, amax]".

Рис. 4.1. Треугольное число
Полученное описание позволяет разработчику инвестиционного
проекта взять в качестве исходной информации интервал параметра [amin,
amax] и наиболее ожидаемое значение a , и тогда соответствующее
треугольное число A = (amin, a , amax) построено. Далее будем называть
параметры (amin, a , amax) значимыми точками треугольного нечеткого числа
A . Вообще говоря, выделение трех значимых точек исходных данных
весьма распространено в инвестиционном анализе (см., например,
[Behrens]). Часто этим точкам сопоставляются субъективные вероятности
реализации соответствующих ("пессимистического", "нормального" и
"оптимистического") сценариев исходных данных. Но мы не считаем себя
вправе оперировать вероятностями, значений которых не можем ни
определить, ни назначить (в главе 1 настоящей диссертационной работы мы
коснулись этого предмета, в частности, говоря о принципе максимума
энтропии). Поэтому в инвестиционном анализе мы замещаем понятие
случайности понятиями ожидаемости и возможности.
В том случае, если какой-либо из параметров A известен вполне точно
или однозначно задан, то нечеткое число A вырождается в
действительное число А с выполнением условия amin = a = amax. При этом
существо метода остается неизменным.
В отношении вида G . Инвестор, выбирая ожидаемую оценку G ,
руководствуется, возможно, не только тактическими, но и
стратегическими соображениями. Так, он может позволить проекту быть
даже несколько убыточным, если этот проект диверсифицирует
деятельность инвестора и повышает надежность его бизнеса. Как
вариант: инвестор реализует демпинговый проект, компенсацией за
временную убыточность станет захват рынка и сверхприбыль, но
инвестор хочет отсечь сверхнормативные убытки на той стадии, когда
рынок уже будет переделен в его пользу. Или наоборот: инвестор идет на
повышенный риск во имя прироста средневзвешенной доходности своего
бизнеса.
Таким образом, задача инвестиционного выбора в приведенной выше
постановке есть процесс принятия решения в расплывчатых условиях,
когда решение достигается слиянием целей и ограничений [Bellmann-
Zadeh].
Чтобы преобразовать формулу (4.1) к виду, пригодному для
использования нечетких исходных данных, воспользуемся сегментным
Способом
Зададимся фиксированным уровнем принадлежности
и определим
соответствующие ему интервалы достоверности по двум нечетким числам A
и B : [a1, a2] и [b1, b2], соответственно. Тогда основные операции с нечеткими
числами сводятся к операциям с их интервалами достоверности. А операции
с интервалами, в свою очередь, выражаются через операции с
действительными числами - границами интервалов:


Задавшись приемлемым уровнем дискретизации по на интервале
принадлежности [0, 1], мы можем реконструировать результирующее
нечеткое число NPV путем аппроксимации его функции и принадлежности
NPV ломаной кривой по интервальным точкам.
Часто оказывается возможным привести NPV к треугольному виду,
ограничиваясь расчетами по значимым точкам нечетких чисел исходных
данных. Это позволяет рассчитывать все ключевые параметры в оценке
степени риска не приближенно, а на основе аналитических соотношений.
Это будет показано ниже.
Оценка риска неэффективности проекта на основе нечетких описаний
Перейдем к оценке собственно риска инвестиций. На рис. 4.2представлены функции принадлежности NPV и критериального значения G .

Рис. 4.2. Соотношение NPV и критерия эффективности
Точкой пересечения этих двух функций принадлежности является точка с
ординатой
1. Выберем произвольный уровень принадлежности
и
определим соответствующие интервалы [NPV1, NPV2] и [G1, G2]. При
>
1
NPV1 > G2, интервалы не пересекаются, и уверенность в том, что проект
эффективен, стопроцентная, поэтому степень риска неэффективности


Рис. 4.3. Зона неэффективных инвестиций
На рис. 4. 3 показана заштрихованная зона неэффективных инвестиций,
ограниченная прямыми G = G1, G = G2, NPV = NPV1, NPV = NPV2 и
биссектрисой координатного угла G = NPV. Взаимные соотношения
параметров G1,2 и NPV1,2 дают следующий расчет для площади
заштрихованной плоской фигуры:



Рис. 4.4. Точечная нижняя граница эффективности
Тогда итоговое значение степени риска неэффективности проекта:

В важном частном случае (см. рис. 4.4), когда ограничение
G определено четко уровнем G, то предельный переход в (4.9) при G2 G1 = G дает:


Исследуем выражение (4.12) для трех частных случаев:

Таким образом, степень риска V&M принимает значения от 0 до 1.
Каждый инвестор, исходя из своих инвестиционных предпочтений, может
классифицировать значения V&M, выделив для себя отрезок неприемлемых
значений риска. Возможна также более подробная градация степеней риска.
Например, если ввести лингвистическую переменную "Степень риска" со
своим терм-множеством значений {Незначительная, Низкая, Средняя,
Относительно высокая, Неприемлемая}, то каждый инвестор может
произвести самостоятельное описание соответствующих нечетких
подмножеств, задав пять функций принадлежности
Описание метода анализа эффективности инвестиций в нечеткой
постановке с оценкой степени риска ошибки инвестиционного решения -
завершено. Рассмотрим простой пояснительный пример.



Рис. 4.5. Приведение функции принадлежности к треугольному виду


Видим, что за счет снижения уровня неопределенности степень риска
понизилась почти на порядок. Таким образом, у инвестора появляется
эффективный инструмент контроля эффективности инвестиционного
процесса.
Из расчетов также видно, что чем значительнее неопределенность в
исходных данных, тем выше риск. Поэтому в ряде случаев инвестор просто
обязан отказаться от принятия решения и предпринять дополнительные
меры по борьбе с неопределеннностью. Чтобы знать, когда оправдан отказ
от принятия решения, инвестору необходим измеритель неопределенности
сложившейся информационной ситуации (неустойчивости проекта).

Простейший способ оценки риска инвестиций
Рассмотрим процесс бизнес- планирования в расплывчатых условиях,когда неопределенность исходных данных такова, что позволяет порождать
интервально-симметричные оценки (например: минимум продаж . 5 млн.
руб, максимум продаж . 10 млн. руб, среднее . (5+10)/2 = 7.5 млн. руб).
Особенно характерна такая ситуация для эскизных бизнес- проектов, когда
исходные данные содержат максимум неопределенности.
Интервально- симметричные расплывчатые параметры можно
характеризовать уже не тремя, а двумя действительными числами: средним
значением параметра и разбросом от среднего.



Это и есть простейшее соотношение для оценки риска. На рис. 4.6
показана зависимость степени риска проекта от коэффициента устойчивости
бизнес плана (далее будем называть ее риск- функцией).

Рис. 4.6. Риск-функция
Из рис. 4. 6 можно видеть, что приемемый риск проекта составляет до
10% (риск-функция возрастает медленно, почти линейно). При риске от 10%
до 20% наблюдается пограничная ситуация, а при риске свыше 20% функция
риска растет неумеренно, а сам риск перестает быть приемлемым. Такие
субъективные оценки приемлемости риска приводят к нормативам вида

Расчетный пример. По результатам финансового анализа бизнес-плана
получена треугольная интервально-симметричная оценка NPV = (-40, 40,
120) тыс. евро, или, что то же самое, NPV = 40 80 тыс. евро. Определить
риск-статус проекта.

Оценка инвестиционной привлекательности акций США
Воспользуемся матричной схемой, изложенной в гл. 3 настоящейкниги, для оценки инвестиционной привлекательности американских акций.
Мы уже предприняли подобную работу два года назад в статье [Nedosekin
2001], но с тех пор рынок изменился, и требуется некоторая ревизия
ориентиров и классификаторов, с пересмотром экспертной модели.
Мы подтверждаем, что за два прошедших года два фактора остались
ключевыми для оценки инвестиционной привлекательности акций: это
соотношение P/E (доходность вложений) и капитализация активов Cap
(косвенный фактор надежности). Анализируя в 2001 году инвестиционную
привлекательность индустрии Software & Programming сектора Technology,
мы совсем не нашли в этом секторе недооцененных компаний как точки
приложения инвестиций. Последующих ход событий оправдал наши
опасения: абсолютно все компании выбранной индустрии обесценились,
причем существенно, а кое-кто и обанкротился.
Вместе с тем за два прошедших года произошли некоторые подвижки,
связанные со значимостью тех или иных показателей в комплексной оценке
качества акций. Дополнительное внимание инвесторов стали вызывать
факторы, непосредственно связанные с собственным капиталом компании:
доходность этого капитала (ROE), защищенность, выражаемая
обременением собственного капитала долгосрочными обязательствами
(Debt/Equity Ratio), и рыночная переоценка собственного капитала
(Price/Book Ratio).
Таким образом, мы модифицировали систему показателей для
комплексной оценки, добавив в нее факторы, связанные с собственным
капиталом и эффективностью его использования корпорацией. Анализ
квазистатистики для сектора Technology, сделанный в январе 2003 года,
позволил построить соответствующие гистограммы факторов (пример одной
из них приведен на рис. 5.1) и настроить нечеткий классификатор факторов
вида таблицы 5.1. Надо отметить, что мы говорим «низкий» или «высокий»
об уровнях факторов не с количественной точки зрения, а с точки зрения
относимости к комплексной оценке инвестиционного качества акции.
Например, значение P/B = 5 является количественно высоким. Но эта оценка
является «нездоровой» и вызывает риск переоценки вниз, - и с этой точки
зрения инвестиционная привлекательность акции низкая.
Таблица 5.1. Нечеткий классификатор факторов

Ранжируя выбранные пять факторов по значимости для комплексной
оценки, мы приходим к системе предпочтений вида:

что приводит к выбору весов показателей в комплексной оценке [Nedosekin
2001]:


Рис. 5.1. Гистограмма для фактора P/E
Тогда, по аналогии с тем, как это сделано в разделе 3, получем комплексный
показатель A_N для каждой бумаги методом двойной свертки:

Получив оценку A_N, мы можем произвести ее распознавание по таблице
5.2:
Таблица 5.2. Функция принадлежности для интегрального показателя
«Оценка бумаги»

Определим лингвистическую переменную «Торговая рекомендация
для бумаги» с терм- множеством значений «Strong Buy (SB . Определенно
Покупать), Moderate Buy (MB . Покупать под вопросом), Hold (H .
Держать), Moderate Sell (MS . Продавать под вопросом), Strong Sell (SS .
Определенно продавать)». Именно такая система торговых рекомендаций
предлагается сайтом [Zaks.com].
Установим взаимно однозначное соответствие введенных нами
лингвистических переменных на уровне подмножеств: ОН . SS, Н . MS, Ср
. H, В . MB, ОВ . SB. Так мы связали качество ценной бумаги с ее
инвестиционной привлекательностью. Тогда переменная A_N является
носителем и для терм-множества лингвистической переменной «Торговая
рекомендация», с теми же функциями принадлежности носителя
подмножествам значений.
Итак, мы произвели все необходимые расчеты по формулам (5.1) .
(5.6), исследовав квазистатистику по сектору Technology в январе 2003 года
(493 корпорации, по которым имелась в наличии вся необходимая исходная
информация). Результатом нашего скоринга является сводная таблица 5.3:

Из полученных данных следует, что львиная доля предприятий
группируется в пределах 0.3 . 0.5 по фактору A_N, что характеризует
инвестиционную привлекательность сектора Technology как нечто
промежуточное между низкой и средней. Если точнее, то мы получили
показатель A_N для сектора, равный 0.431. Распознавание по таблице 5.2
дает: 80 к 20 за то, что значение фактора все же среднее. Из этого, впрочем,
не вытекает для сектора ничего хорошего. Выводы неутешительны:
Торговая рекомендация для сектора . Hold, c динамикой вниз к
Moderate Sell.
Из 493 обследованных эмитентов сектора скоринг выше 0.65
(когда вырабатывается торговый приказ Moderate Buy) имеют
всего 6 компаний. Если поставить дополнительное ограничение на капитализацию не ниже 5 млрд долл., то остается один
победитель со скорингом A_N=0.706: EDS . Electronic Data
Systems. Будем следить за этой бумагой. Мы не ждем от нее
резких падений. Более того: ей есть куда расти. У корпорации
были крупные проблемы в сентябре 2002 года (поговаривали
даже о банкротстве), но после перехода в диапазон
реалистичных цен (от 72 до 12 долл.) и после того, как Пентагон
дал EDS подряд на переоборудование электронных систем ВВС
и ВМФ США, дела пошли в гору. В воздухе пахнет войной с
Ираком (пишем эти слова 29.01.2003), и на этой беде кое-кто
может неплохо приподняться; почему не EDS? Сегодня
компания стоит 16.85$ за акцию (29.01.2003). Запомним этот
отсчет.
Но в целом рынок сектора Tech по всей видимости ждет
неприятное будущее. Мы ожидаем глубокой коррекции
NASDAQ вниз до уровня, например, 1000 . 1100. Это должно
быть второе капитальное падение рынка после июля 2002 года;
но другого пути нет. Вернуть инвестиционную
привлекательность этому рынку можно только двумя путями:
кардинально увеличив прибыли корпораций или снизить цены.
Первое малореально; остается второе.
Таблица 5.3 представляет собой нечто вроде фазового портрета
сектора, подобие карты. Из нее видно, какие проблемы для сектора являются
ключевыми. Во-первых, низкая прибыльность корпораций сектора, которая
загоняет в красный угол сразу два фактора: P/E и ROE. Во-вторых, свыше
50% корпораций сектора обладают низкой капитализацией (менее 500 млн
долл.), - а, следовательно, возникает повышенный риск инвестиций в акции
этих эмитентов (на фоне продолжающейся рецессии экономики США).
Правда, все карты может спутать специфика военного времени. Если
компании, работающие на войну, оживятся, то это оживление по традиции
почувствует весь рынок. Однако для мирных времен такая картина может
спровоцировать лишь одну реакцию . вывод капиталов.
Нечеткая оптимизация фондового портфеля
Исторически первым методом оптимизации фондового портфеля былметод, предложенный в Марковицем в [Markowitz]. Суть его в следующем.
Пусть портфель содержит N типов ценных бумаг (ЦБ), каждая из
которых характеризуется пятью параметрами:



Сам портфель характеризуется:
- суммарным объемом портфельных инвестиций S;
- долевым ценовым распределением бумаг в портфеле {xi}, причем
для исходного портфеля выполняется
Таким образом, портфель описан системой статистически связанных
случайных величин с нормальными законами распределения. Тогда,
согласно теории случайных величин, ожидаемая доходность портфеля r
находится по формуле

Замечание. В подходе Марковица к портфельному выбору под риском
понимается не риск неэффективности инвестиций, а степень колеблемости
ожидаемого дохода по портфелю, причем как в меньшую, так и в большую
сторону. Можно без труда перейти от задачи вида (6.5) к задаче, где в
качестве ограничения вместо фиксированного стандартного отклонения
выступает вероятность того, что портфельная доходность окажется ниже
заранее обусловленного уровня.

Выражение (6.6), именуемое эффективной границей портфельного
множества, в координатах «риск-доходность» является кусочно-
параболической вогнутой функцией без разрывов. Правой точкой границы
является точка, соответствующая тому случаю, когда в портфеле
оказывается одна бумага с максимальной среднеожидаемой доходностью.
Подход Марковица, получивший широчайшее распространение в
практике управления портфелями, тем не менее имеет ряд модельных
допущений, плохо согласованных с реальностью описываемого объекта -
фондового рынка. Прежде всего это отсутствие стационарности ценовых
процессов, что не позволяет описывать доходность бумаги случайной
величиной с известными параметрами. То же относится и корелляции.
Если же мы рассматриваем портфель из модельных классов, а ценовую
предысторию индексов модельных классов - как квазистатистику, то нам
следует моделировать эту квазистатистику многомерным нечетко-
вероятностным распределением с параметрами в форме нечетких чисел.
Тогда условия (6.3) . (6.4) запиываются в нечетко-множественной форме,
и задача квадратичной оптимизации также решается в этой форме.
Решением задачи является эффективная граница в виде нечеткой функции
полосового вида. Ее следует привести к треугольному виду по обычным
правилам.
Каждому отрезку на эффективной границе, отвечающей абсциссе
портфельного риска, соответствует нечеткий вектор оптимальных
портфельных долей.
И, наконец, если заданы контрольные нормативы по доходности и
риску (бенчмарк модельного портфеля), которые следует соблюсти по
результатам управления портфелем, и если бенчмарк попадает в полосу
эффективной границы, то возникает риск того, что по фактору доходности
модельный портфель «не переиграет» бенчмарк. Поскольку ожидаемая
доходность портфеля . треугольное нечеткое число, то риск
неэффективности портфеля можно оценить по той же формуле, что и риск
неэффективности инвестиций (метод оценки риска инвестиций рассмотрен в
главе 5 настоящей книги).
Итак, изложение модифицированного подхода Марковица завершено.
Далее по тексту монографии принимается, что метод имеет дело с
квазистатистикой модельных индексов в портфеле, которая моделируется посредством N-мерного нечетко-вероятностного распределения. Оценив
параметры этого распределения как нечеткие числа, мы решаем задачу
квадратичной оптимизации в нечеткой постановке, получая эффективную
границу в форме криволинейной полосы.
Рассмотрим простейший пример американского модельного портфеля
из двух модельных классов: правительственных долгосрочных облигаций
(Класс 1, характеризующийся индексом LB Govt Bond) и
Высоко капитализированных акций (Класс 2, характеризующийся индексом
S&P500). Сводные данные по обоим индексам приведены в таблице 6.1.
Таблица 6.1. Исходные данные по модельным классам

Надо сразу оговориться, что случай портфеля из двух компонент
является вырожденным с точки зрения оптимизации. Здесь полное
множество портфельных решений представляет собой участок в общем
случае кривой линии на плоскости, и он же является эффективной границей.
Так что в настоящем примере мы не сколько решаем оптимизационную
задачу, сколько ищем аналитический вид эффективной границы в
координатах «риск-доходность».
Запишем (6.3) . (6.4) в частном виде

Все «постоянные» коэффициенты в (6.7) - (6.9) являются
треугольными нечеткими числами, а операции сложения-умножения-
вычитания определены в пространстве треугольных нечетких чисел. И,

Рис. 6.1. Эффективная граница в виде полосы с линейными границами
Коэффициент пропорциональности в (6.11) есть не что иное, как
хорошо известный в портфельном менеджменте показатель Шарпа [Sharpe]
. отношение доходности индекса (за вычетом безрисковой составляющей
доходности) к волатильности индекса. Только в нашем случае он имеет
нечеткий вид, сводимый к треугольному по правилу:

В таблицу 6. 2 сведены границы для модельного класса облигаций в
структуре модельного портфеля для различных уровней риска.
Таблица 6.2. Оптимальная доля облигаций в портфеле

По краям полосы разброс портфельных границ ниже, чем в середине.
Это объясняется тем, что на краях полосы эффективной границы портфель
обладает вполне определенным стилем: большей доходности отвечает
модельный класс акций, а меньшему риску . модельный класс облигаций.
Также надо отметить, что разброс параметров доходностей и рисков
влияет на решение задачи оптимизации фондового портфеля гораздо
ощутимее, нежели разброс параметров корреляционной матрицы (это
доказано в работе [Chopra V.K., Ziemba W.T]). Поэтому основной акцент
при подготовке исходных данных для анализа портфеля следует сделать на
минимизации разброса именно параметров доходности и риска входящих в
портфель активов.
Таким образом, по результатам нечетко-множественной оптимизации,
мы получили оптимальное распределение модельных активов, но не
с фиксированными, а с расплывчатыми границами. Это максимум того, что
мы можем добиться в условиях существенной неопределенности.
Прогнозирование фондовых индексов
Оптимизация модельного фондового портфеля базируется наисходных данных по индексам, которые являются результатом научного
прогнозирования. Прогнозирование фондовых индексов . это задача,
которая перестает быть научной при том условии, когда к теории
прогнозирования предъявляются завышенные требования предсказания
вполне точных значений тех или иных параметров в будущем. Современная
теория прогнозирования фондовых индексов базируется на том, что
предсказанию подлежат не сами индексы, а их рациональные тенденции,
обусловленные рациональным поведением коллективного инвестора в
фондовые активы.
Существует целый класс теорий прогнозирования, базирующихся на
историческом анализе данных. Ни одна из этих теорий не контролирует
состоятельность данных, поступающих на вход соответствующих методов.
Однако в том случае, когда между историческими данными и будущим
лежит парадигмальный эпистемологический разрыв, то соответствующая
предыстория индексов существенно обесценивается, а базирующиеся на
использовании этой статистики методы начинают давать ошибочные
не верифицируемые прогнозы. Нынешний кризис фондового рынка был
превосходным тестом для всех существовавших доныне методов
прогнозирования, которые этот тест не прошли.
Следовательно, перед наукой прогнозирования тенденций фондового
рынка (если она признает себя таковой) встает задача смены основ, на
которой базируется эта наука. И возможной новой основой для современной
теории прогнозирования как раз и может стать теория рационального
инвестиционного выбора. Доказательная база этой теории может быть
собрана на материале фондового рынка США.
Американский рынок, долгое время пребывавший в фазе эйфории
относительно своих экономических возможностей, в настоящий момент,
преодолевая рецессию и панические настроения инвесторов, ищет новые
экономические ориентиры. Еще несколько лет потрясений нам обеспечены,
полагаю, - но свет в конце тоннеля уже виден. Это . нарастающая
рационализация инвестиционного выбора, и под этим флагом мировой
фондовый рынок будет плавать еще не менее ближайших лет пяти. Шок от
потрясения, вызванного сдуванием мыльного пузыря «новой экономики»,
еще должен быть хорошенько пережит, переосмыслен.
Следствие: оптимальное управление фондовыми портфелями лиц и
организаций постепенно приобретает черты активного, оперативного и
алертного управления. Активное управление предполагает отказ от
пассивных стратегий ведения портфеля (например, в привязке к рыночным
индексам, по принципу балансовых фондов). Оперативное управление
осуществляется в режиме реального времени, с непрерывной переоценкой
уровня оптимальности портфеля (даже в рамках одного торгового дня,
нынешние компьютерные программы это позволяют). Алертное управление
предполагает наличие в системе установленных предупредительных
сигналов, срабатывающих на изменение уставленных макроэкономических,
финансовых, политических и иных параметров. Срабатывание алерта
вызывает автоматическое выполнение некоторой цепочки предустановленных решающих правил по ре балансингу фондового портфеля.
Оптимальное управление на основе нечетких оценок факторов
доходности и риска активов не может не брать в расчет обоснованные
прогностические модели, принципы построения которых вкратце изложены
в [Nedosekin]. Напрашивается мысль, что те группы рыночных субъектов,
кто будет успешнее прогнозировать финансовые потоки и управлять ими,
получит в условиях нового мирового порядка трудно переоцениваемые,
эксклюзивные преимущества. Неспроста сказано: кто владеет информацией,
тот владеет миром.
И главный фактор успеха здесь . это понимание того, что такое
рациональное инвестиционное поведение, плюс качественная и
количественная математическая модель такого поведения. Много сил в
науке было отдано тому, чтобы описать рациональный инвестиционный
выбор (например, через функцию инвестиционной полезности, в том числе и
в нечетком описании [Mathie-Nikot]). Однако, если исследование аспектов
рационального инвестиционного поведения не опирается на детальный
анализ фондового рынка и макроэкономической обстановки в стране, где
осуществляются инвестиции, то такой анализ рационального
инвестиционного поведения является бесполезным. А в такой постановке
задача практически не звучит. Приятным исключением является подход,
применяемый компанией Lattice Financial [Lattice Financial], где
прослеживается детальная модельная связь между макроэкономическими
факторами и количественными оценками тенденций фондового рынка. Но
здесь другая крайность: слишком велика в моделях [Lattice Financial] доля
механистического понимания связей на макро- и микро уровне, когда
возникает прямой соблазн «рекурсивного прогнозирования», где будущее с
точностью до вероятностно распределенного случайного сигнала
определяется настоящим. Фактор рационализации выбора совершенно
выпадает из моделей такого сорта.
Следует восполнить этот пробел в теории фондовых инвестиций . и
одновременно развить математическое оснащение моделей рационального
инвестиционного выбора, введя в них формализмы теории нечетких
множеств. Нечеткие описания естественны, т.к. ряд параметров моделей не
может быть определен вполне точно, - потому что речь идет о субъективных
человеческих предпочтениях, которые размыты не потому лишь, что мы не
можем набрать правдоподобной статистики, а потому, что инвестор и сам
иногда не до конца понимает, чего он хочет, и на каком основании он
отделяет «хорошие» бумаги от «плохих». Осмыслить, что для инвестора
«хорошо», а что «плохо» - это и есть цель настоящего исследования.
Теоретические предпосылки для рационального инвестиционного выбора
Самое простое и конструктивное определение рациональногоинвестиционного выбора: это такой выбор, который приносит доход в
среднесрочной перспективе (при наличии возможности промежуточных
убытков). Так, скажем, если рационально ожидаемая доходность по акциям
за период 2-3 года является отрицательной, то такой выбор нельзя считать
рациональным. Это означает, что инвестор чего-то не понимает в природе
рынка, на котором он работает. Вся история последних двух лет . это
история о том, как вкладчики в акции США теряли свои деньги, история
иррациональных инвестиций. Здесь и далее мы исследуем именно
рациональный инвестиционный выбор, т.е. выбор вложений в различные
фондовые инструменты с научным расчетом на повышение капитализации
вклада.
Когда в экономической игре действуют несколько агентов, не
образующих коалиций, обладающих равной информацией и действующих
по одинаковым правилам, то мы приходим к гипотетической модели
эффективного (равновесного, рационального) рынка. В реальности
рационального рынка нет, потому что всегда есть недобросовестные
инсайдеры, которые, создавая завесу информационного шума вокруг своей
деятельности, получают выигрыши на волне иррациональных поступков
других инвесторов. Это - недобросовестная деятельность, нечестная
конкуренция, которая в ряде случаев преследуется по закону. Масла в огонь
подливают те консультанты, которые, отчетливо понимая природу
макроэкономических процессов, тем не менее дают советы, генерирующие
массовый иррациональный инвестиционный выбор и приводящие к
убыткам. К таким советам я, в частности, отношу советы одного из наиболее
авторитетных консультантов США Эбби Дж. Коэн, которые она давала в
2001 году . инвесторам «сидеть ровно» (sit tight), копируя принцип
балансовых индексных фондов, ничего не покупая и не продавая (подробно
об этом в [Pundit Watch: Abby Cohen]). Убытки в сотни миллиардов
долларов явились следствием этой «консультации».
Но уже сам факт, что фондовый пузырь «новой экономики» лопнул
(хотя и не до конца) . это характеристика того, то рынок, будучи доселе
неэффективным, ищет нового равновесия, ищет новой эффективности и
рациональности. И в нашу задачу входит определить эту гипотезу новой
эффективности, сформулировать парадигму того рационального рынка, куда
стремится теперь Америка . а вместе с нею и весь мир.
Итак, рассмотрим поведение рационального инвестора (частного или
институционального), который формирует свой обобщенный модельный
инвестиционный портфель из ценностей трех базовых типов,
эмитированных в одной стране:
Государственные и около государственные обязательства
Корпоративные обязательства
Корпоративные акции
Замечание 1. Мы не относим к инвестициям денежный беспроцентный
вклад в банк в валюте страны, потому что в долгосрочной перспективе
деньги являются активом с отрицательной доходностью (вследствие
инфляции). Поэтому такой инвестиционный выбор нельзя считать
рациональным. Деньги в предпосылке рационального выбора являются не
инвестиционным ресурсом, а средством неотложных расчетов за товары.
Они становятся инвестиционным ресурсом только тогда, когда приносят
доход, будучи вложенными куда-то и приносящими доход как плату за
отложенный спрос на них в расчетах.
Замечание 2. На этом этапе моделирования мы не рассматриваем
отдельно поведение инвестора, связанное с хеджированием своих
инвестиционных рисков при помощи производных ценных бумаг. Это . тема
отдельного исследования.
В момент старта инвестиций (t=0) мы предполагаем, что инвестор
вкладывает в обобщенный инвестиционный портфель денежный капитал,
условно равный равный единице, в валюте той страны, где осуществляются
инвестиции.
Анализируя рациональный инвестиционный выбор, мы берем во
внимание макроэкономическую обстановку, сложившуюся в выбранной
стране на момент принятия инвестиционного решения. Что это за условия,
будет видно из дальнейшего.
Наша научная задача состоит в том, чтобы определить причинно-
следственную связь рационального инвестиционного выбора, т.е.
ответить на вопрос: какие внешние макроэкономические факторы в
количественном и качественном отношении заставят рационального
инвестора так или иначе (в той или иной долевой пропорции) формировать
свой обобщенный инвестиционный портфель. Понимая эту причинную связь
количественно и качественно, мы можем перейти к построению
прогностических моделей. При этом мы не ждем, что поведение реального
рынка будет стопроцентно точно вписываться в наш прогноз (мы вообще не
верим в точные прогнозы). Мы прогнозируем не само поведение рынка, а
рациональный тренд этого поведения, предполагая в то же время, что
реальный рынок ближайших пяти лет будет асимптотически приближаться к
этому тренду, а колебания рынка относительно тренда мы списываем на
иррациональный инвестиционный выбор, вызванный неверной (ненаучной)
оценкой новостей, слухов и рыночных алертов, в том числе
макроэкономических.
Заявленная выше группировка активов является оправданной, потому
что обязательства, безотносительно того, какую природу они имеют
(природу ценных бумаг или природу денежных депозитов), выражают
расчет инвестора на известный фиксированный доход в будущем. Критерии
кластеризации . это доходность инвестиций в активы, надежность эмитента
активов и характер волатильности активов (табл. 7.1):

Надежность и волатильность . это две стороны риска, связанные с
вложениями в активы. Если свести эти две меры в одну, то можно
утверждать, что риск инвестиций в гос обязательства является низким, в
корпоративные обязательства . средним, а в корпоративные акции .
высоким.
Если рассматривать выделенные типы активов как модельные
классы, то каждому из классов можно сопоставить фондовый индекс,
имеющий форму индекса кумулятивной финальной доходности в валюте
страны, как это объясняется в предыдущем разделе настоящей
диссертационной работы. Также мы считаем, что дефолтные риски реальных
активов в структуре модельного актива элиминируются, и главную долю в
рисках занимает прежде всего синхронная волатильность курсовой цены
реальных активов (в силу почти полной корреляции реальных активов
внутри одного модельного актива).
Ясно, что можно выстроить точечные оценки доходности и риска по
этим индексам, исследуя исторические данные, пользуясь экспертными
соображениями или прогностическими моделями (таблица 7.2). На этом
этапе рассмотрения, для простоты, мы считаем получаемые оценки
не размытыми.

Сумма весов в портфеле равна единице. В зависимости от типа выбора
(консервативный, промежуточный, агрессивный) инвестор увеличивает или
уменьшает долю акций в противовес облигациям.
Замечание 3. На начало исследования нам не известны точечные
проогнозные оценки доходности и риска активов (тогда бы не было смысла
ставить и решать нашу задачу). Зато нам известны отношения порядка
доходностей и рисков, которые в последующем будут нами включены в
математическую модель.
Замечание 4. Еще раз повторимся, что рациональное инвестирование
предполагает рациональные оценки доходности и риска активов. Здесь и
далее, если не оговаривается особо, мы говорим о рациональных оценках
для принятия рациональных инвестиционных решений. Как получить эти
рациональные оценки . об этом речь впереди.
Разумеется, построенный обобщенный инвестиционный портфель
является монотонным (в смысле [Nedosekin]). То есть мы знаем, что
монотонное убывание доходности от актива к активу сопровождается в
нашей модели соответствующим монотонным убыванием риска вложений.
Монотонность портфеля . это свойство, которое делает его
сбалансированным (равновесным) и отвечающим золотому правилу
инвестирования, причем в формировании эффективной границы
портфельного множества непременно участвуют все модельные активы,
входящие в монотонный портфель.
Поэтому мы утверждаем, что вложения одновременно в три
выделенных актива делают инвестиционный выбор инвестора
рациональным, безотносительно долей этих активов в портфеле. Это следует
и из тех простых соображений, что все перечисленные активы органично
дополняют друг друга, создавая полный диверсифицированный набор
фондовых инструментов. В списке из трех модельных активов нет ни одного
лишнего, потому что в пространстве рациональных значений «риск-
доходность» эти активы образуют полное перекрытие. Другое дело, что
реальные активы, наполняющие те или иные модельные компоненты
портфеля, могут превосходно вытеснять друг друга с эффективной
границы, и тогда присутствие «отсталых» реальных активов делает портфель
немонотонным.
В самом общем случае эффективная граница портфельного множества
на модельных активах является вогнутой функцией без разрывов в
координатах «риск-доходность». Если нанести на график, наряду с
эффективной границей, изолинии двумерной функции полезности
инвестиционного предпочтения ([Sharpe], рис. 7.1), имеющие с
эффективной границей общую касательную, то каждая изолиния будет
соответствовать определенному типу инвестиционного поведения.
Агрессивный рациональный инвестор соответствует изолинии с меньшими
углами наклона касательной, консервативный рациональный инвестор . с
большими углами наклона (он требует в качестве платы за прирост риска
большей доходности, нежели агрессивный инвестор).
Естественно, напрашивается традиционная или размытая классификация
инвестиционных предпочтений по виду эффективной границы. Простейший


Рис. 7.1. Эффективная граница и изолинии функции полезности
На рис. 7. 1 представлена эффективная граница портфеля самого
общего вида. Как мы далее покажем, для обобщенного инвестиционного
портфеля в нашей постановке эффективная граница вырождается к виду,
близкому прямой линии. Докажем это утверждение, воспользовавшись
результатами теории монотонного портфеля [Nedosekin]. Поскольку наш
обобщенный инвестиционный портфель монотонен, то существует
отношение порядка для доходностей и рисков активов портфеля.
Простейшие рыночные исследования дают нам такое отношение порядка:

Соотношение (4.29) является общемировым и справедливо для всех
обобщенных классов фондовых инструментов во всех странах и во все
времена. В нем выражена суть важнейшего отличия бумаг с фиксированным
доходом от бумаг с нефиксированным доходом: раз доход по бумаге заранее
неизвестен (что есть существенный риск), то за это следует заплатить
существенным приростом доходности. При этом на фоне риска и доходности
акций риск по государственным и корпоративным бумагам является
малоразличимым. Это же справедливо и для доходностей активов.
Еще раз оговоримся: мы здесь исследуем поведение модельных, а не
реальных бумаг. Например, хорошо известно, что так называемые
«мусорные облигации» могут приносить доход, сопоставимый с доходом по
акциям. Однако доля торговли такими облигациями столь мала, что ее вес в
индексе облигаций оказывается крайне низким и не производит нарушения
условия (4.29).
Чтобы продемонстрировать правильность (7.1) количественно,
построим российский портфель, в котором нечеткие экспертные оценки
параметров на перспективу 2002 года следующие (таблица 7.4):
Таблица 7.3. Данные по российскому фондовому портфелю на 2002 г.

Корреляционная матрица активов, построенная как точечная оценка за два
последних года обработки исторических данных, сведена в таблицу 7.4:

На рис. представлен результат моделирования с помощью
программы SBS Portfolio Optimization System :

Рис. 7.2. Результат моделирования обобщенного российского
инвестиционного портфеля
Видно, что эффективная граница у нас . это полоса с почти
прямолинейными границами, которую можно легко интерполировать
прямой без существенной погрешности. Это свойство полосы было
продемонстрировано на примере в гл. 5 настоящей работы: для обобщенного
портфеля из двух активов (акции и облигации), в силу выполнения (7.1)
эффективная граница асимптотически преобразуется к полосовому виду с
прямыми верхней и нижней линиями, что описывается формулой:

Поскольку доходность и риск государственных и корпоративных
обязательств близки (по сравнению с тем же для акций), и корреляция этих
обязательств близка к единице (по понятным причинам, ибо все эти
обязательства обращаются на внутри страновом рынке, в едином
макроэкономическом окружении), то все обязательства могут быть
объединены в один супер- класс активов. И тогда выполняется (7.2), и
утверждение о том, что наш обобщенный инвестиционный портфель имеет
эффективную границу полосового вида с линейными границами, доказано.
Из этого можно сделать сразу три очень важных вывода:
Вывод 1. Поскольку государственные и корпоративные обязательства
являются трудноразличимыми в обобщенном инвестиционном портфеле, то
оптимальным решением будет сделать доли этих компонент в портфеле
равными. Это рациональное требование избавит нас от эффекта «дурной
оптимизации», когда в оптимальном портфеле корпоративные облигации
вытесняют государственные именно из-за пресловутой трудно различимости
(см. рис. 7.2, где нижняя круговая диаграмма, соответствующая долевому
распределению в оптимальном портфеле, исключает государственные
облигации).
Вывод 2. Приведем уравнение прямой (7.2) к каноническому виду:

Слева в (7.3) . показатель, примерно равный показателю Шарпа по
портфелю (если бы в числителе учитывались не просто облигации, а только
государственные облигации). Видим, что на всех участках эффективной границы инвестиционный выбор инвестора, безотносительно его окраски
(консервативный, промежуточный, агрессивный) обладает одной и той же
степенью экономической эффективности (которую примерно можно оценить
показателем Шарпа для индекса акций). Т.е. плата за риск в виде
приращения доходности начисляется равномерно, и невозможно добиться
особых условий инвестирования с максимумом экономического эффекта.
Вот, например, для границы рис. 7.1 такой максимум существует, и он
ложится в диапазон промежуточного типа инвестиционного выбора;
соответственно, появляется экономическая предпочтительность этого вида
выбора перед другими. В нашем случае этого нет.
Нейросети: Нейролингвистика - Логика
- Нейросети
- Теория нейросетей
- Справочник по нейросетям
- Софт для нейросети
- ANSYS - нейросеть
- Обучение нейросети
- Классификация нейросетей
- Искуственный интелект и нейросети
- Финансы и нейросети
- Железо нейросети
- Построение нейросети
- Инструменты нейросети
- Применение нейросетей
- Нейросетевой анализ
- Нейролингвистика
- Нейролингвистика на практике
- Нейролингвистическое программирование
- Логика
- Нечеткая логика

















