Пытаясь проанализировать, как энергия возбужденого нейрона воздействует на связанные с ним нейроны, мы вновь и вновь приходим к выводу, что она распределяется обратно пропорционально сопротивлениям синапсов «принимающих» нейронов.
Однако наша попытка последовать принципу распределения энергии, кроме существенного усложнения расчетов, привела к следующему.
После частичного обучения нейросети изменение весов для последующего обучения (при демонстрации других эталонов) приводит к перераспределению энергии, к ее оттоку от уже сформировавшихся динамических путей возбуждения. С точки зрения определенного нейрона выходного слоя «рассеянная» энергия устремляется по «чужим» путям возбуждения, и тогда приходится с помощью порогов компенсировать возбуждение нужного пути, поддерживая необходимый уровень энергии.
Здесь лучше всего и проявляется известная традиция построения нейронных сетей, когда возбуждение с выхода нейрона в неизменном виде поступает на каждый вход других нейронов, не распределяясь между ними.
Ориентируясь на программную реализацию нейросети, не станем отступать от традиционных принципов, используя не «физический» подход, а информационный.
Для того чтобы сделать конкретный вывод, рассчитаем вариант той же «готовой» сети (см. рис. 2.12) с распределением энергии, увеличив веса связей, которые не приняли участие в трассировке, т.е. веса, первоначально не равные нулю. Положим их равными 0,5.
Рассмотрим эталон {A1,B2,C3}, требующий решения R2. Покажем, как рассчитывать сеть, предоставив возможность читателю установить правильность ее работы:

Операционная система QNX 4.Архитектура системы
Формализация нейросети
Тактирование работы сети, столь характерное для каждой управляющей системы, отслеживающей ее состояние в дискретные моменты времени, определяет потактовое продвижение по ней волны возбуждений от входного слоя к выходному. Волна за волной возбуждения имитируют систолическую схему вычислений
— параллельный конвейер обработки отдельных кадров, соответствующих конфигурации возбуждений входного слоя в одном такте.
На практике широко исследуются многослойные сети типа персептрон, где отсутствуют обратные связи и возможны связи между нейронами только смежных слоев. В данном разделе мы также не рассматриваем обратные связи, но снимаем ограничение на «слоистость» нейросети, что обеспечивает более общий подход. Именно такая нейросеть, допускающая связи «через слой», была построена в приведенном выше примере. Для таких сетей значительно упрощаются следующие построения.
Нейронную сеть можно изучать статически, исследуя ее структуру, и динамически, анализируя прохождение возбуждений.
Статические исследования нейросети показывают, что она представляет собой ориентированный граф G без контуров. Вершины его соответствуют нейронам, дуги — синапсическим связям. Целесообразно такой, высший, уровень представления отделить от более глубокого описания каждого нейрона и связей между ними, отображающего динамику проходящих процессов, т.е. расчет значения возбуждения нейронов в зависимости от весов синапсических связей и порогов.
Граф малопригоден для формальных исследований и компьютерных алгоритмов. Удобнее пользоваться матричным отображением нейросети. Данным способом представления можно отобразить как структуру, конфигурацию, топологию графа, так и численные значения характеристик его синапсических связей.
Составим матрицу следования S (рис.2.8), число строк (и столбцов) которой равно числу нейронов сети, включая нейроны входного и выходного слоя. Каждая строка (и столбец с тем же номером) соответствует одному нейрону. Для удобства установления порядка следования нейронов диагональные элементы матрицы отмечены черным.
Элемент


синапсической

Матрицу S можно изучать в статическом режиме, исследуя и корректируя возможные пути прохождения возбуждений. По этой же матрице в динамическом режиме (моделирования) можно исследовать действительные пути прохождения возбуждений. Такое исследование связано с потактовым расчетом величин возбуждения нейронов.
Нулевые строки (входы) матрицы S соответствуют нейронам входного слоя рецепторам, нулевые столбцы (выходы) нейронам выходного слоя.
Нейроны образуют статические цепочки длины т, если существуют синапсические связи (впредь будем опускать слово «синапсические») вида

Составляя все статические цепочки по графу G, можно выделить одну или более цепочек максимальной длины. Такие цепочки назовем критическими. (В традиционных многослойных моделях длина критической цепочки совпадает.с числом слоев сети.)
Пусть по статической цепочке i

Алгоритм дополнения матрицы S транзитивными связями весьма прост.
Для всех i = 1, 2,..., N:
Формируем новое значение строки i логическим сложением этой строки со строками, соответствующими не пустым элементам в ней. «Новые* непустые элементы заменяем на непустые элементы, обозначающие транзитивные связи.
В нашем примере матрица S, дополненная транзитивными связями (непустые клеточки), представлена на рис. 2.8.
Зафиксируем некоторое подмножество R нейронов входного слоя и единственный нейрон г выходного. Построим множество цепочек, ведущих из выделенного подмножества нейронов входного слоя в данный нейрон выходного слоя. Выделенное таким образом множество цепочек назовем статическим путем возбуждения данного нейрона выходного слоя по множеству нейронов входного слоя. Обозначим его R

Представим алгоритм формирования статического пути возбуждения

1. Вычеркиваем из матрицы следования S строки и столбцы, соответствующие нейронам, не принадлежащим R.
2. Вычеркиваем из матрицы следования S все строки и столбцы, отображающие нейроны выходного слоя, кроме нейрона r.
3. Вычеркиваем из матрицы следования S строки и столбцы, отображающие нулевые позиции строки нейрона r.
4. Вычеркиваем из матрицы следования S строки и столбцы, отображающие нейроны внутренних слоев нейросети, в том случае, если в результате предыдущего вычеркивания эти строки оказались нулевыми.
5. Выполняем п. 4, пока не прекратится образование нулевых строк.
На рис. 2.9 матрицей S [B1, A1, C1

Теперь рассмотрим фактор возбуждения и проанализируем возможные динамические пути прохождения возбуждений.
Динамической цепочкой возбуждений будем называть статическую цепочку, составленную из нейронов, первые т\ которых обладают отличной от нуля величиной возбуждения.

Динамическая цепочка возбуждений является вырожденной, если ее последний элемент обладает нулевой величиной возбуждения. Вырожденная динамическая цепочка возбуждений характеризует затухание сигнала.
Предъявим сети некоторый образ или эталон (не будет большой ошибки, если и здесь, при предъявлении, мы будем пользоваться словом «образ», ибо все есть образ чегото), приводящий к возбуждению нейроны входного слоя в некоторой конфигурации. Эти нейроны образуют множество R. В результате возбуждения сети оказался возбужденным некоторый нейрон г выходного слоя. Сформировался, таким образом, динамический путь возбуждения R

В общем случае не все нейроны, составляющие статический путь возбуждения, «работают» на возбуждение нейрона выходного слоя, поскольку возможны вырожденные динамические цепочки возбуждения, обусловленные значениями порогов передаточной функции.
Графический диспетчер движения поездов
Составление расписания — оптимизационная задача (оптимизируются известные технико экономические показатели) значительной трудоемкости, поэтому до сих пор диспетчер фактически работает вручную, хотя существуют некоторые эвристические алгоритмы.
Традиционно расписание движения поездов через перегон, контролируемый одним диспетчером, составляется графически, в виде схемы с подразумеваемой системой координат: горизонтально — время, вертикально — расстояние от одного конечного пункта до другого с указанием промежуточных расстояний. Тогда график движения каждого поезда будет представлен в виде наклонной линии с переменным углом наклона, с учетом остановок. Общий угол наклона линии соответствует направлению движения поезда. Несколько поездов, следующих через перегон, порождают сложную «картинку» их обслуживания согласно приоритетам, возможного схождения путей в один, длины поезда (с учетом длины путей станций), необходимой скорости следования, запретом остановок.
Диспетчер должен умело управлять поездами так, чтобы за время ожиданий одних поездов на пунктах перегона провести другие, выдержав приоритет: скорый, пассажирский, сквозной, сборный и т.д., по возможности избежав столкновений и остановок вне пунктов следования.
На рис. 9.11 показан график движения поездов на однопутном перегоне. Здесь кривая 1 соответствует скорому поезду, кривые 2 и 3 — двум сквозным поездам, следующим в одном направлении из пункта А. Кривая 4 соответствует сборному поезду, следующему, как и поезд, в противоположном направлении из пункта В.
Существенное Существенное возбуждение возбуждение нейрона первого нейрона второго расписания расписания

Можно представить себе мастерство, интуицию и опыт диспетчера, действительно демонстрирующего искусство!
Мы имеем дело с трудно формализуемой задачей и с необходимостью расширения интеллектуальных возможностей диспетчера. Конструируя нейросеть, необходимо выделить основные события, составляющие исходную ситуацию с четким ответом «да — нет», «10» .
Как автоматизировать решение задачи для каждого конкретного перегона на основе богатого опыта диспетчера эксперта? Прежде всего надо определить понятие «ситуация», выделив и систематизировав все показатели и характеристики: максимальное количество поездов, следующих через перегон в разных направлениях, и допустимые интервалы следования, типы поездов, различные сочетания этих типов, установленные скорости движения и допустимые отклонения, разрешенные остановки, длину состава (при известной длине резервных путей на пунктах перегона). Необходимо разработать способ отображения ситуации на входном слое нейросети.
Далее следует выделить эталонные ситуации и сопоставить им картинки, аналогично приведенным на рис. 9.11, т.е. каждой картинке эталону нужно поставить в соответствие нейрон выходного слоя сети и проложить трассу опорный путь возбуждения от эталона к соответствующему нейрону.
Нейросеть позволит нам перейти от статики экспертной системы (фактически таблицы) к динамике, позволяющей по любой случайной ситуации получать ответ на вопрос: «какая картинка в большей степени соответствует этой ситуации?».
Однако таким образом нельзя исключить аварии, т.е. на этом анализ ситуации не заканчивается. Мы не использовали всю информацию нейросети.
Во первых, сравнение величины возбуждения нейрона выходного слоя (пусть и максимальной) по предъявленной ситуации с величиной возбуждения этого нейрона по эталону может свидетельствовать о достоверности полученного ответа. Если разница лежит в пределах экспериментально установленной точности, то ответ найден. Если же точность недостаточна, то можно построить (автоматически, конечно) приоритетный ряд, выделив нейроны выходного слоя с близкими (ближайшими) величинами возбуждения. Эти величины возбуждения нейронов образуют веса, которые необходимо учесть при использовании картинок, соответствующих этим нейронам.
Во вторых, должна быть решена проблема формирования усредненной картинки по нескольким картинкам с их весами, где основные элементы сместятся в некоторое промежуточное положение. Только тщательное экспериментальное исследование даст ответ на вопрос о возможности и конкретной практической применимости такого решения проблемы.
Например, в исследуемом отрезке времени (см. рис. 9.11) поезд появляется на контролируемом перегоне. Возникают следующие вопросы:
1. Сколько поездов на обслуживании:
n = 1?
n =2 ?
n=n ?
max
2. Каков момент появления поезда:
i = 1?
i = 2?
t=t ?
max
3. Каково направление движения:
от пункта A ?
от пункта B ?
4. Каков тип поезда:
скорый? товарный? и т.д.
И так по всем поездам в планируемом отрезке времени. Таким образом, в зависимости от обстановки, которая ожидается на период планирования, составляется сложная усредненная картинка — график движения.
Однако мы говорим об ассоциативном мышлении, реализуемом нейросетью, о возможности нейросети интерполировать принимаемое решение. Что означает ее ответ: «На 60 из 100 это «картинка» А, но на 30 из 100 «картинка» В, а на 8 из 100 «картинка» С»? Непонятно, но наводит на мысль о возможности автоматического выполнения операций над «картинками». Однако получение «усредненной картинки» должно быть строго обосновано непрерывностью основных параметров, отсутствием скачков. Например, кажущаяся непринципиальной разница в один вагон может привести к тому, что на станции Пырловка поезд не впишется в длину запасного пути.

где «+» — условная операция наложения «картинок», а операция «х» использует вес данной «картинки» и определяет долю ее участия в формировании "картинки"результата.
Графически это может означать направление смещения, растяжения и сжатия, в общем, деформации основных общих элементов «картинок» А, В, С для получения результата.
Кстати, на основе такой операции преобразования "картинок" получают среднестатистические образы населения стран и регионов, производят этническое прогнозирование и т.д.
В любом случае работа нейросетевого диспетчера должна сопровождаться работой анимационной модели, наглядно имитирующей движение поездов по сформированному графику и эффектно, в деталях воспроизводящей возможную катастрофу. Модель, в свою очередь, может служить средством обучения нейросети. А потому всегда должно быть предусмотрено, что окончательное принятие решения — за человеком.
Как же вводить обратные связи?
Рассмотрим непрерывную, динамически контролируемую работу уже обученной сети в реальном времени.
Пусть дядя Рамзай своими собственными глазами видел Васю, беседующего с Оксаной близ ее палатки. И было это не более пяти минут назад. Ясно, что по крайней мере еще минут на двадцать Васю следует исключить из процесса оценки достоверности последующих ситуаций. Желательно этот процесс автоматизировать. Это значит, что на входном слое должна быть учтена информация: «Вася уже у Оксаны, следовательно, дальнейшее рассмотрение комбинаций с их участием нецелесообразно». И если вдруг появившийся Вовочка, выпрашивая пряник, сообщает, что только что видел Васю у Аполлинарии, то дядя Рамзай, корректируя текущую информацию, должен игнорировать или учесть незначительно (в случае неверия собственным глазам) заявление Вовочки.
Желательно, чтобы достоверность подобной информации (про Васю и Оксану) автоматически снижалась либо, наоборот, достоверность информации о ситуациях без их участия увеличивалась.
Напоминаем, что не стоит гоняться за достоверностью, требуя принадлежности ее величины диапазону [0, 1], а использовать более общее понятие веса информации. Очевидно, вес следует рассматривать как функцию времени. Ведь логично, что с течением времени вероятность участия Васи и Оксаны в последующих ситуациях должна восстанавливаться.
Что необходимо для работы сети подобным образом?
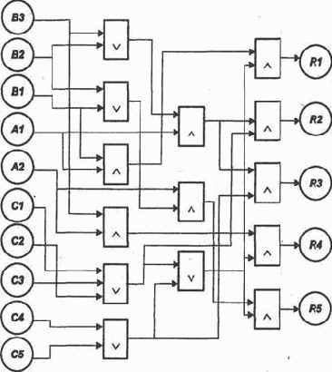
1. Надо с большей определенностью дифференцировать ситуации на выходном слое. Например, если в решениях R1 и R2 замешаны не только Вася и Оксана, но и другие участники, то это затрудняет принятие конкретного решения только по Васе и только по Оксане. Необходимо корректировать принимаемое решение по вхождению комбинации А1 &C1 в предикат, определяющий это решение, и не связывать, не объединять эту комбинацию, например, с комбинацией А\ & С1, входящей в тот же предикат. Следует расширить множество {Ri} принимаемых решений, повторяя при необходимости одно и то же решение для разных эталонных комбинаций.
2. Необходимо ввести обратную связь, влияющую на решения относительно Васи (А1) и Оксаны (С1), в части достоверности или веса информации, т. е. на величины возбуждения нейронов А\ и С1, даже вопреки попыткам искусственно задать высокие значения этих величин.
Приведем конкретные рекомендации.
1. Детализация, дифференциация эталонных ситуаций, по которым принимается не только прямое решение Ri, но и обратное, корректирующее характер использования исходных данных.
2. Установление отрицательной обратной связи, ведущей от каждого нейрона выходного слоя, отвечающего за решение с участием Васи, к нейрону А1 входного слоя.
3. Установление отрицательной обратной связи, ведущей от каждого нейрона, отвечающего за решение по Оксане, к нейрону С1 входного слоя.
4. Установление положительной обратной связи от нейронов выходного слоя, отвечающих за решения по Васе, к нейрону А2, что увеличивает достоверность участия Пети в дальнейших исследованиях дяди Рамзая.
5. Установление положительной обратной связи от нейронов выходного слоя, отвечающих за решения по Оксане, к нейронам С2,...,С5.
Строго следуя данной рекомендации, строим более подробную систему предикатов, которая воплощается нейросетью:

Заметно резкое возрастание числа нейронов выходного слоя.
Что ж, нас теперь интересуют не просто выводы, но и то, каким путем каждый из них получен. Это еще раз свидетельствует о том, что не всегда целесообразно использовать обобщенные эталоны, объединяя ситуации, ведущие к одинаковому выводу. Весьма часто, особенно при введении обратных связей, необходимо различать ситуации. Это отражает принцип мозга, где царит избыточность, обеспечивающая обилие путей и вариантов, развиваемость, резервирование, устойчивость и надежность. На рис. 5.2 представлен фрагмент начала построения возможной нейросети, которую мы вправе считать окончательным результатом своих исследований и готовы предъявить Заказчику. Во избежание путаницы положительные обратные связи не указаны. Следует обратить внимание на то, что, вводя обратные связи, мы ограничились только проблемой повышения достоверности исходных данных на основе текущего состояния событий. Модуль веса обратной связи в нашем случае должен быть убывающей функцией времени. Пользуясь допустимыми условностью и приблизительностью, преследуя цель скорее качественную, нежели количественную, можно довольно просто рассчитать величину отрицательной обратной связи. Например, если считать, что на один визит Вася расходует не менее 25 мин., то вес одного из дендритов нейрона А1 (аналогично другим нейронам входного слоя) определяем по формуле
Компьютерный человечек компи
Известно, какое значение компьютерным играм придает самый богатый человек планеты Б. Гейтс. Вволю наигравшись в холодную войну, мы тоже можем себе позволить подумать о радости и развлечениях, а также о бизнесе!..
Пора объединить все разнообразие направлений творческого применения компьютера как средства, инструмента и объекта искусства. Сказанное может быть материализовано виртуальной структурой под названием Computer Art Studio и отражать направления: трехмерная и плоская анимация, графика и живопись; туристические объекты и исторические реконструкции; нейрокомпьютерные игры и анимация; литературный и музыкальный дизайн; фантастика и др. Вот так благодаря логической цепочке «интеллект


искусство» нейросетевые технологии должны занять подобающее им место в рядах Великого Искусства...
Представим себе школьника, который не успев протереть заспанные глаза, включает компьютер. На экране появляется милая, мордашка КОМПИ, популярного (нам пока неизвестного) героя (рис. 9.10). Наш школьник не очень твердо, но вполне узнаваемо, рисует ананас. КОМПИ приходит в восторг. Все мимические мышцы компьютерной мордашки приходят в движение.

Тогда подросток стирает рисунок, и КОМПИ приходит в состояние недоуменного ожидания. И вот после некоторых размышлений художник изображает... велосипед.
«Что это такое?» — спрашивает КОМПИ.
«Это — велосипед, на нем катаются», — следует ответ.
Дальнейшая пауза свидетельствует о том, что происходит обучение нейросети. Ситуация, отразившаяся на нейронах входного слоя, образующих экран для рисования, передается нейрону выходного слоя (или коры). Этот нейрон будет теперь соответствовать «эталону» — велосипеду. Нейрон, в свою очередь, должен определить возбуждение нейрона, ведающего действием «кататься». Запускаются программы, имитирующие движения КОМПИ, и он неуклюже, конечно же, неправильно и смешно, как его учили, например, обращаться с осликом, подминает под себя копию введенного изображения велосипед.
Возникает потребность расширения (в условиях производящей компании) возможностей игры дополнением специальных программ имитации красивого велосипеда (распознанного по корявому эталону) и всех действий КОМПИ при езде на нем.
Средствами трехмерной трафики, например 3D Studio MAX, производя деформаций сокращающихся мышц, можно имитировать действия и мимику. Состав же программных процедур, включаемых в каждом такте управления для такой деформации, и их параметры определяются возбуждением нейронов выходного слоя сети при распознавании заданной ситуации — рисунка на экране. Еще не установлено точно, может ли это MАХ, однако ясно, что результат достигается средствами двумерной и трехмерной компьютерной графики, на основе управления деформацией объектов. Не исключено, что здесь потребуется разработка новых систем компьютерной графики, основанных на «мышечной» деформации.
Например, создав объект в плоской или трехмерной памяти, мы можем, дважды щелкнув мышью, задать точку начала и точку конца мышцы, зафиксировав ее в списке в качестве нового невидимого объекта. Сокращение и растягивание мышцы сопровождается вычислением адресов такой пересылки информации, при которой, видимо, отображается улыбка и другие движения.
Таким образом можно осуществлять программируемую анимацию. Ряд программ различных действий, их запуск в зависимости от решений нейросети формируют комплекс интересных игр и даже сценических постановок.
Итак, развитие игры, выпуск новых модификаций, расширяющих возможности, может в конце концов привести к весьма сложному и многообразному взаимодействию юноши, влюбленного в компьютер, и компьютерного человечка, живущего в нем.
Сетевые технологий, т.е. совместное использование многих компьютеров, обеспечивают широкие перспективы развития подобных игр. И это не только весело. Это серьезный и важный принцип управления, который может быть использован во многих производственных и зрелищных приложениях.
Кора
Понятно, что примитивная оптимизация целевой функции, принимающей только два значения: «хорошо» и «плохо», может быть использована лишь на начальной стадии изучения и применения принципов нейросети. В частности, на таких принципах строится модель собачки Павлова, демонстрирующая условный рефлекс при предъявлении этикетки «Pedigree».
Цепочки логических выводов человека содержат не одно, а много звеньев. Сделанные выводы вновь входят в конфигурацию изображений (входных векторов) для новых выводов, действий и т.д.
Буква нужна, чтобы распознать слово; слово — чтобы распознать предложение, уяснить его смысл, предпринять адекватные действия и т.д. Возникает вопрос о целесообразной структуре сети, где выводы, собираясь в различные конфигурации, как бы множась, вновь участвуют в формировании новых выводов. Здесь можно предположить как прямые, так и обратные связи, когда попутно сделанные выводы уточняют умозаключение.
При какой же концентрации выводов совмещаются понятия входного и выходного слоев? Видимо, целесообразно существование универсального слоя — коры, со связями между отдельными нейронами и целыми областями, где сформировавшиеся выводы используются для получения других выводов.
Логическое программирование нейросети
Следуя различными путями дедуктивного и индуктивного мышления, осуществляя различные парадигмы обучения, человек стремился автоматизировать логику мышления. Продуктом этой деятельности явились такие языки логического вывода, как ЛИСП и ПРОЛОГ Более того, ПРОЛОГ следует считать венцом усилий по автоматизации логического вывода, эффективно описывающего, в частности, экспертные системы.
Язык представляет базу знаний как совокупность фактов и правил вывода; процедурная структура позволяет включать конструкции любых других алгоритмических языков, т.е. ПРОЛОГ является логической надстройкой, объединяющей лишь операции вывода. Формулируется цель логического вывода, и если она не противоречива, выявляются факты, ее породившие.
Рассмотрим упрощенную задачу в виде ПРОЛОГ программы, содержащую характерные элементы проблемы достижения сложной цели на основе фрагмента базы знаний, содержащего факты и правила.
Факты — клозы (отдельные предикаты высказывания принято называть клозами), которые не содержат правых частей, правила — клозы, которые содержат правые части; одноименные факты и правила объединяются в процедуры. Пусть база знаний имеет следующий вид.
Процедура "мужчина":
мужчина (иван)
мужнина (василий)
мужчина (петр)
мужчина (федор)
мужчина (юрий)
Процедура «женщина»:
женщина (марья)
женщина (ирина)
женщина (ольга)
женщина (елена)
Процедура "родитель":
родитель (марья, иван) (читать: «Марья — родитель Ивана»)
родитель (иван, елена)
родитель (марья, василий)
родитель (федор, марья)
родитель (петр, ирина)
родитель (петр, иван)
родитель ( федор, юрий)
Процедура «мать*:

Процедура «отец*:
отец (X, Y): мужчина(Х), родитель (X, Y)
Процедура "брат":
брат (X,Y): мужчина (X), родитель (Р, X), родитель (Р, Y), XOY
Процедура «сестра»:
сестра (X, Y): женщина (X), родитель (Р, X), родитель (Р, Y),

Процедура «дядя»:
дядя (X, Y): брат (X, Р), родитель (Р, Y)
Пусть задана некоторая сложная, т.е. опирающаяся не на факт, а требующая вывода, цель (запись цели образует фрейм), с которой мы обратились к этой БЗ, например
дядя (X, Y), тогда решение (вывод) заключается в нахождении всех пар переменных (имен объектов)

Используем прием трансформации цели, заключающийся в рекурсивном переборе различных вариантов подстановки вместо предикатов, составляющих сложную цель, правых частей клозов соответствующих процедур. В результате производится фиксация варианта связывания переменных и унификация, при которой отбрасываются несовместимые варианты, т.е. противоречащие фактам и правилам. Варианты связывания всех переменных, прошедшие все этапы унификации, являются решением.
Изложим последовательность действий.
Находим первый ( и единственный) предикат цели дядя (X, Y). Заменяем найденный предикат правой частью процедуры с этим именем, записанной в БЗ. Получим трансформированную цель — фрейм:
брат (X, Р), родитель (Р, Y).
С первым предикатом этого фрейма действуем аналогично, получаем фрейм:
мужчина (X), родитель (Q, X), родитель (Q, Р), Х<>Р, родитель (Р, Y).
При этом во избежание коллизии, развивая фрейм цели, вводим новые переменные, отличные от тех, которые уже были использованы в записях БЗ.
Вновь входим в процедуру с именем первого предиката цели и начинаем первый уровень ветвления, используя первый клоз процедуры — факт мужчина (иван). С его помощью производим первое связывание переменных, т.е. подстановку конкретного значения.
Предикат цели, породивший это связывание, из трансформируемой цели исключается, т.е. заменяется своей «пустой» правой частью:
родитель (Q, иван), родитель (Q, Р), иван <>Р, родитель (P,Y).
Обращаемся к процедуре "родитель", начиная второй уровень ветвления. Первый клоз этой процедуры родитель (марья, иван) определяет дальнейшее связывание переменных:
родитель (марья, Р), иван <> Р, родитель (Р, Y).
Вновь входим в процедуру "родитель" (третий уровень ветвления), находим клоз родитель (марья, иван). Трансформируем цель, получаем новый фрейм:
иван <> иван, родитель (иван, Y).
Возникает противоречие, т.е. унификация не проходит.
Ищем на данном шаге ветвления другой вариант связывания, находим следующий клоз:
родитель (марья, василий).
Трансформируем цель:
.иван <> василий, родитель (василий, Y)

Вновь входим в процедуру "родитель", но не находим клоза, в котором василий указан как чейлибо родитель, т.е. вновь унификация не проходит.
Реализуем стратегию поиска с ветвлением и возвращением назад — backtraking. На втором уровне ветвления исследуем клоз, в котором иван указан как сын: родитель (петр, иван). Цель трансформируется в следующий фрейм:
родитель (петр, Р), иван <> Р, родитель (Р, Y).
Вновь (на третьем уровне ветвления) обращаемся к процедуре "родитель" и выбираем первый клоз, в котором петр указан как отец —родитель (петр, ирина).
Цель трансформируется:
иван <> ирина, родитель (ирина,

Входим в процедуру "родитель", но в ней нет клоза, в котором ирина указана как родитель. Унификация не проходит.
Возвращаемся на второй уровень ветвления и не находим больше клозов, где иван указан как сын. Далее на первом уровне ветвления в процедуре «мужчина» выбираем для дальнейшего испытания следующий клоз мужнина (василий).
Цель принимает вид (фрейм):
родитель (Q, василий), родитель (Q, Р), василий <>Р, родитель (Р, Y).
На втором уровне ветвления находим единственный клоз, в котором василий указан как сын. Цель трансформируется в соответствии с новым связыванием переменных, обусловленным найденным клозом родитель (марья, василий):
родитель (марья, Р), василий <>Р, родитель (Р; Y).
На третьем уровне ветвления находим первый среди клозов, где марья указана как родитель: родитель (марья, иван). Связываем тем самым переменные, цель трансформируется:
Василий родитель (иван, Y).
В процедуре «родитель» находим клоз, в котором иван указан как родитель, —родитель (иван, елена). Цель выродилась, значит:
дядя (X, Y) = дядя (василий, елена) одно из решений задачи.
Продолжив перебор так, словно на данном шаге унификация не прошла, найдем остальные решения: дядя (юрий, иван), дядя (юрий, василий).
В основе распараллеливания решения этой задачи лежит способ размножения вариантов на основе трансформации цели. Способ обеспечивает отсутствие backtracing'a (ветвление есть, а возврата нет), простоту процедуры вывода, возможность неограниченного использования ИЛИ параллелизма (одновременной независимой обработки многих вариантов связывания переменных), конвейерную реализацию И параллелизма (распараллеливания обработки одного варианта связывания переменных на конвейере, так как каждый раз обрабатывается лишь первый предикат каждого фрейма).
Однако представляется, что нейросетевая технология, основанная на естественном параллелизме, может оказаться эффективнее.
Локализация максимального возбуждения на выходном слое
Проанализировав сказанное выше, попытаемся собрать некоторую универсальную модель нейросети с входным и выходным слоями. Картина возбуждений выходного слоя при подаче изображения на входной слой после аппроксимации в непрерывную область определения из дискретной будет представлять собой непрерывную функцию, максимум которой определяет необходимое заключение. Однако на этапе обучения, а также в рабочем режиме с удовлетворительной достаточно малой вероятностью по ряду предъявляемых эталонов этот максимум не совпадает с нужным ответом. Следовательно, путь распространения возбуждений внутри сети необходимо скорректировать изменением синапсических весов задействованных нейронов.
Как было упомянуто выше, предварительная локализация максимума величины сигнала производится в результате взаимодействия нейронов в области или некоторой окрестности выходного слоя или коры. Области возбуждений «закрепляются» за типами объектов — за буквами, цифрами, продуктами питания и т.д. В развитой сети с актуальным понятием коры нейроны отдельных ее областей через нейроны внутренних слоев вновь порождают пути прохождения возбуждений в другие области коры и т.д.
Пытаясь проанализировать и воспроизвести универсальную нейросеть, видим, что отдельный нейрон может взаимодействовать с огромным числом нейронов (нейрон имеет до 10 тыс. дендритов), но это взаимодействие носит локальный характер. А именно, несмотря на случайность связей, вероятность связи с «близким» нейроном значительно выше вероятности связи с нейроном «далеким». Об этом свидетельствуют исследования длины дендритов и аксонов: длина дендрита достигает миллиметра, а длина аксона — сотни миллиметров. При этом применяется, повидимому, усредненная характеристика, вряд ли отражающая нейроны только головного мозга.
Такой принцип локальности, пронизывающий всю структуру сети, в сочетании с принципом иерархии — возможностью построения новых выводов на основе сделанных, позволяет реализовать связи «каждый с каждым». Никакой вывод не остается недоступным и неиспользованным при построении сложных умозаключений.
Принцип локальности обеспечивает минимизацию входной информации, существенное влияние лишь значимых признаков на заключение, контролируемое и диагностируемое пофункциональное разбиение областей нейросети, определение и выделение той области нейросети, в синапсические веса которой необходимо внести поправки в процессе обучения.
Данный принцип не отвергает существования маловероятных связей «каждого с каждым». Эта вероятность может быть высокой вследствие аномалий генетического характера. Например, некий уникум способен «видеть» кожей: нейроны, воспринимающие кожные ощущения, сильно связаны с нейронами выходного слоя, «отвечающими» за зрение. При слабых связях распространение возбуждения от кожных рецепторов в сторону «зрительных» нейронов гаснет. В данном же случае оно становится результативным, поскольку в целом все нейроны устроены одинаково.
Большое число связей способствует высокой надежности мозга. Ведь ежедневная гибель огромного числа нейронов, подхлестнутая алкоголем и наркотиками, а также травмы компенсируются другими путями прохождения возбуждений, иногда даже связанными с Необходимостью переобучения. Впрочем, ограниченный ресурс возможного не спасает в конце концов от деградации.
Рассмотрим теперь более подробно процесс локализации максимальной величины возбуждения на выходном слое, заключающейся в выделении того нейрона некоторой малой области, величина возбуждения которого максимальна. Он основан на подавлении тех сигналов, которые не соответствуют нейрону с максимальным возбуждением т.е. концентрация сигнала и выделение нейрона с максимальной величиной возбуждения достигаются с помощью подавляющих связей «соседних» нейронов выходного слоя.
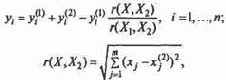
Пусть нейронам выходного слоя, условно расположенного на плоскости (х,у), соответствует непрерывная функция возбуждения Р(х,у) (рис. 1.7), обусловленная прохождением сигналов возбуждений в сети на основе предъявленного эталона. Будем считать, что эта функция имеет один или более максимум. Пусть

Каждый нейрон (i,j), действуя в своей окрестности, рассылает соседним нейронам, на их дендриты с отрицательными, не обязательно регулируемыми весами первоначальную величину возбуждения


с разными значениями величин возбуждения. Пусть


Тогда в течение очередного периода тактовой частоты на входе нейрона

Рис.1.7. Локализация возбуждения нейронов выходного слоя
При предъявлении на входном слое эталона, т.е. при существовании в некоторый период времени характера и величины возбуждений, обусловливающих возбуждение выходного слоя, между нейронами (i,j) и (i,j+1) происходит перераспределение величины возбуждения. А именно значение
Рассматривая этот процесс в рамках взаимодействия всех нейронов области выходного слоя, можно сделать вывод о постепенной концентрации высокого уровня возбуждения, присущего одному или нескольким нейронам и определяющего один или несколько локальных максимумов.
При таком взаимодействии нейронов области возбуждения выходного слоя происходит усиление сигнала наиболее возбужденного нейрона. Полное подавление сигнала возможно только на границе этой области. Если гдето внутри области возбуждение некоторого нейрона окажется подавленным полностью (сигнал не преодолевает порога), то в следующем такте этот нейрон не сможет подавить сигнал того нейрона, который прежде имел более слабый сигнал возбуждения. Тогда возможно появление в указанной области возбуждения нового локального максимума. Таким образом, веса отрицательных связей должны способствовать максимизации возбуждения того нейрона, который первоначально продемонстрировал максимальное возбуждение при затухании возбуждения нейронов в сторону периферии.
Но всегда ли следует на выходном слое локализовать величину возбуждения?
Повидимому, такое усиление возбуждения используется для того, чтобы единственный нейрон выходного слоя преодолел некоторый порог, будучи ответственным за сделанный вывод или решение.
Локализация и максимизация возбуждения на выходном слое особенно важны тогда, когда действительно необходима высокая степень определенности, например в том случае, если получаемый вывод (решение) немедленно участвует в цепочке последующих выводов.
В конце концов все обусловлено назначением сети решаемой задачей. Можно представить себе аттракцион — реакцию фантастического чудовища на изображение, как это показано на рис.
По виду изображения инициируются те или иные программы — радости, гнева, поднятия лап, виляния хвостом и т.д. Возбуждение определенных нейронов выходного слоя связывается с запуском соответствующих программ, где основным параметром является величина возбуждения. Программы не исключают друг друга и могут запускаться в одном такте. При этом предпочтителен запуск только тех программ, значение параметра которых превышает некоторый порог.
В большинстве частных случаев, когда нейросеть обучается с помощью «учителя», т.е. на основе действий извне при ее настройке, присутствует элемент принудительного закрепления нейронов выходного слоя за выводами. В процессе последующего обучения преимущественно с помощью весов синапсических связей добиваются адекватной реакции сети.
Отметим в заключение, что научный аспект проблемы развития и внедрения нейросетевых технологий базируется на философско математическом представлении задач ИИ , выражающемся в формализации процесса мышления.
В работе Д. А. Поспелов, в частности, исследует теорию Аристотеля силлогистику и предлагает принципы ее моделирования. Тем самым указывается важность формализации механизма мышления. Этим механизмом уже давно, со времен Лейбница и до появления булевой алгебры (вплоть до наших дней), является математическая логика, отображенная во многих работах выдающихся математиков.
Математическая логика, ее важный раздел «Алгебра высказываний», действительно соединили принципы мышления и их автоматизированное воплощение.
Однако для реализации мышления природа не создала ничего лучшего, чем человеческий мозг. Он является гигантской нейросетью, фиксирующей причинноследственные связи, создающей базу знаний и владеющей процедурами логического вывода.
Таким образом, нейронные сети реально являются основой формализации средств мышления. Поэтому справедливо считать, что исследование нейронных сетей опирается на достижения математической логики.
Модель механизма запоминания
Главный механизм запоминания, реализованный в природе, можно представить так. Импульс возбуждения, проходя через синапс, «нагревает» и уменьшает его сопротивление, увеличивая синапсический вес. В следующих тактах при последующих предъявлениях эталона импульс возбуждения увереннее одолевает путь возбуждения, с большей определенностью указывая соответствующий образ (как говорится: «Сложилась связь»), а используемые при этом синапсы, «подогреваясь», сохраняют, и, возможно, увеличивают вес.
Здесь работает известное правило Хебба : синапсический вес связи двух возбужденных нейронов увеличивается.
Таким способом даже достигается эффект локализации и максимизации возбуждения на выходном слое, дублирующий, а возможно, исключающий необходимость взаимодействия соседних нейронов.
По видимому, синапсы обладают свойством «остывания» со временем, если нет подтверждения их использования. Такое предположение адекватно свойству нашей памяти: ненужная, не подтверждаемая и не используемая периодически информация стирается («Связи рвутся!»). Стирается до такой степени, что приходится учиться заново.
Отметим и важную роль воображения: эталоны на входном слое поддерживаются достаточно долго, возобновляются или моделируются. Видимо, здесь большое значение имеет эпифиз, «третий глаз» — орган воображения и медитации, память и генератор видений.
При создании искусственных механизмов обучения нейросети возникают вопросы:
увеличивать ли веса всем нейронам, образующим статический путь возбуждения, для запоминания эталона?
увеличивать ли веса только вдоль некоторых (опорных) цепочек статического пути возбуждения?
увеличивать ли веса только нейронов, образующх динамический путь возбуждений, ведь выше предполагалось, что лишь само возбуждение увеличивает вес связи? Зачем возбуждать дополнительные нейроны, если и этих достаточно?
Очевидно, третий аспект в большей степени соответствует самообучению, самонастройке. Вмешательство в наш мозг на этом уровне исключено. Однако система искусственного интеллекта в более выгодном положении. Ведь она находится под нашим неусыпным контролем, реализуя обучение «с учителем», и допускает любое вторжение, корректирующее вынужденные недостатки естественного интеллекта. Поэтому, рассматривая пример (и пытаясь накопить хоть какой то опыт), мы будем увеличивать веса синапсических связей нейронов, составляющих выделенные цепочки статического пути возбуждения от эталона к образу. Назовем такой метод методом опорных путей, который выработан в процессе проведения многочисленных экспериментов. В частности, увеличение синапсических весов большого числа нейронов приводило к неудачам, связанным с корреляцией динамических цепочек возбуждения для разных эталонов и с быстрым насыщением нейросети (недостаток некоторых известных алгоритмов обучения). В процессе обучения многим эталонам рано или поздно все веса сети оказывались повышенными, и она прекращала что либо различать. Начиналась путаница согласно выражению «Ум за разум заходит»
Что же касается величины изменения синапсических весов, то вряд ли необходимо относительно каждого нейрона решать системы дифференциальных уравнений в частных производных. Природа больше рассчитывает на авось, «на глазок» и другие мудрые и практические приблизительные ориентиры, мало привлекательные теоретически. В данном случае нас более обнадеживает «прилив крови» в нужном направлении, стимулируемый информационным раздражителем или легким подзатыльником.
Введем некую переменную

выверяемую практически (а то и просто единицу), уменьшаемую или увеличиваемую при необходимости.
Таким образом, нам удалось перейти от схемотехники к нейротехнологии, от точного, определенного, к приблизительному, неопределенному. Действительно, не могла эволюция, основанная на принципе «делай все, что можно», методом «проб и ошибок» привести к производству точных электронных схем, упрятанных в черепную коробку. Да и нет в природе точной, абсолютно достоверной информации. Но общие логические принципы и зависимости должны быть воплощены и в той, и в другой технологии.
Модель мозга
Нейросеть содержит узлы — аналоги нервных клеток — нейронов (нейроподобных элементов, НПЭ) и их соединения — синапсические связи (рис.1.1).

Модель нейрона во взаимодействии с другими нейронами нейросети представлена на рис. 1.2. Здесь

В соответствии с законом распределения энергии величина

Каждый нейрон управляем или извне, или по принципу самоуправления с помощью обратных связей. Можно регулировать значения весов синапсических связей
Изображенный на рис. 1. 3 фрагмент нейросети позволяет представить следующее:
функции f бывают различны, но просты по объему вычислений. В простейшем случае f совпадает с линейной формой — указанным аргументом, т. е. по всем дендритам с учетом их весов (см. рис. 1.3) производится суммирование и сравнение с порогом:
величина превышения порога является величиной возбуждения нейрона или определяет значение величины возбуждения. Например, в некоторых моделях величина возбуждения всегда равна единице, отсутствие возбуждения соответствует нулю. В других моделях допускают и отрицательную величину возбуждения. Значение возбуждения передается через ветвящийся аксон в соответствии со связями нейрона;
в общем случае по дендритам может передаваться как возбуждающее, так и тормозящее воздействие. Первое может соответствовать положительному значению веса синапсической связи, второе — отрицательному. Аналогичный эффект достигается при передаче отрицательных значений возбуждения нейронов;
в сети распознают входной (рецепторный) слой, воспринимающий внешние возбуждения (на который, например, подается видеоизображение), и выходной спой, определяющий решение задачи. Работа сети тактируется для имитации прохождения по ней возбуждения и управления им;
сеть работает в двух режимах:режиме обучения и режиме распознавания (рабочем режиме).

Установим случайным образом начальные значения весов дендритов всей сети. Пусть нейросеть предназначена для распознавания рукописного текста. Тогда входной слой функционирует аналогично сетчатке глаза, которая воспринимает изображение. Его подача на входной слой возбуждает в некоторой конфигурации множество нейронов — рецепторов. Предположим, на входной слой подан и поддерживается некоторый эталон, например буква А. Спустя определенное время максимально возбудится некоторый нейрон выходного слоя (прохождение возбуждения отмечено на рис. 1.3 черным цветом). Закрепим этот нейрон за буквой А, т.е. его возбужденное состояние будем воспринимать как ответ: «Это буква А». Снова введем букву А, но с естественными искажениями, обусловленными почерком, дрожанием руки и т.д.
Возможно максимально возбудится тот же нейрон, а возможно — другой. Мы же хотим «научить» систему, заставить ее ответить, что это тоже буква А, т.е. добиться максимального возбуждения того же нейрона выходного слоя.
Тогда необходимо изменить веса и, возможно, пороги в сети на пути прохождения возбуждения так, чтобы заставить возбудиться нужный нейрон. Такая настройка сети является основным, наиболее важным элементом ее обучением. Применяемые для этого алгоритмы называют алгоритмами обучения.
Одним из наиболее часто применяемых алгоритмов обучения является алгоритм обратного распространения ошибки. В нем воспроизводится подход, используемый в динамическом программировании и основанный на обратном и прямом проходах. Здесь мы предлагаем новый, более простой алгоритм "трассировки", основанный на прямом проходе при прокладывании путей; возбуждения от эталонов к нейронам выходного слоя.
Предъявляя множество эталонов и регулируя параметры, производим обучение сети данному образу. Математические проблемы несовместимости управления параметрами для разных эталонов в данном случае не рассматриваются: в природе такой процесс проходит успешно, достаточно устойчиво при разумном отличии эталонов. Ясно, например, что заставлять один и тот же нейрон выходного слоя возбуждаться и на строчную, и на прописную букву А вряд ли разумно. В лучшем случае он определит, что это вообще буква, а не знак пунктуации.
Обучение заканчивается тогда, когда вероятность «узнавания» достигнет требуемого значения, т.е. необходимость корректировки параметров по предъявляемым эталонам возникает все реже. Теперь можно работать в режиме распознавания. Предъявляем сети различные буквы. Можно быть уверенным, что, если мы предъявим случайно искаженную и даже зашумленную букву А (конечно, в допустимых пределах), сеть ее с большой вероятностью распознает, т. е. максимально возбудится соответствующий нейрон выходного слоя.
Можно существенно облегчить обучение, предъявляя эталон «в полном смысле», т.е., например, показывая букву, регламентированную букварем. Тогда на вероятность распознавания этой буквы будет влиять предусмотренная степень отклонения от данного эталона, обусловленная почерком. Далее необходимо придерживаться именно такого способа обучения.
Расширим функцию входного слоя, связав его не с изображением, а в общем случае с некоторыми характеристиками исходной ситуации (входного вектора), по которой необходимо принимать решение — формировать выходной вектор. Тогда сеть обучается по эталонным ситуациям, решение которых известно, а затем в рабочем режиме выдает решение во всем диапазоне ситуаций и при этом автоматически определяет, на какую «знакомую» ситуацию более всего похожа введенная и, следовательно, какое решение надо принять.
Такая обработка входной информации при возможном использовании в сфере развлечений показана на рис. 1.4.

Отметим, что нейронная сеть выдает заключение в виде ответа на вопрос: «На какую ситуацию похожа данная и, следовательно, какое должно быть принято решение?» Это еще раз подтверждает, что нейросеть имитирует ассоциативное мышление.
Мониторинг банковской системы
Приводится пример блистательного применения самоорганизующихся карт Кохонена (SOM — SelfOrganizing Map) для исследования банковской системы России в 1999 — 2000 гг. В основе мониторинга лежит рейтинговая оценка на основе автоматического выполнения одной процедуры: по многомерному вектору параметров банков1 на экране компьютера высвечивает
1) Обращается внимание на то, что нейросетевые технологии позволяют строить наглядные функции многих переменных, как бы преобразуя многомерное пространство в одно, двух или трехмерное.
Результат кластеризации — отнесение банка к различным категориям преуспевания. Для каждого отдельно взятого исследования различных факторов необходимо строить свои SOM. Прогноз возможен лишь на основе анализа временного ряда оценок SOM. Новые SOM необходимы и для продления цепочки выводов, с подключением данных извне, например политического характера.
Такой подход, несомненно, эффективен и результативен. Но представляется, что по сравнению с потенциалом мозговых нейроструктур он сдерживает размах и смелость мысли, не позволяет «тянуть» длинные цепочки «посылка следствие», совмещать анализ с прогнозом, оперативно учитывать складывающуюся ситуацию и вводить в рассмотрение новые факторы и опыт экспертов. Следует согласиться с тем, что мозгу все это подвластно, и мы вновь обращаемся к его структурам, предлагая проект программных средств системы мониторинга.
Структура нейросети и способы обучения. Логические функции, лежащие в основе мониторинга, преимущественно основаны на конъюнкции логических значений переменных, отображающих диапазоны изменения параметров или показателей банков. В общем виде такая логическая функция имеет вид:

Представлены следующие показатели:
собственный капитал;
сальдированные активы;
ликвидные активы;
обязательства до востребования;
вклады населения;
коэффициент ликвидности;
бюджетные средства.
Можно расширить систему показателей:
объем инвестиций в эпоху бурно развивающейся экономики;
объем прибыли;
прошлый рейтинг и значение миграции;
отчисления в фонд поддержки науки и образования;
налоговые отчисления;
отчисления в пенсионный фонд;
отчисления в благотворительный и культурный фонд;
участие в программах ЮНЕСКО и т.д.
Такой простой вид логической функции при переходе в область действительных переменных говорит о достаточности однослойной нейросети (рис. 8.1), содержащей входной слой рецепторов и выходной слой, на котором формируются результаты мониторинга.

При построении входного слоя необходимо учитывать не только текущие показатели, но и динамику изменения рейтинга за прошлые периоды времени. Выходной слой должен отражать не только рейтинг, но и экспертные рекомендации, а также другие решения и выводы.
Целесообразен простейший вид обучения — построение базы знаний, который соответствует концепции создания нейросети «под задачу»: непосредственное введение связей оператором исследователем «вручную» — от рецепторов к нейронам выходного слоя в соответствии с причинно следственными связями. Тем самым сеть создается уже обученной.
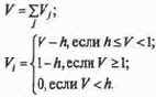
Тогда передаточная функция тоже будет простейшей и основанной на суммировании величин возбуждения на входе нейрона, умноженных на вес связи:

Задание веса связей га по сравнению с грубым заданием всех весов, равных единице, целесообразнее в связи с возможным желанием оператора или эксперта в разной степени учитывать влияние различных показателей.
Порог h отсекает заведомо неприемлемые выводы, упрощая дальнейшую обработку (например, нахождение среднего). Коэффициент приведения

Принятые выше допущения позволяют оперативно вводить изменения и уточнения оператором — экспертом — пользователем, развивать сеть, вводя новые факторы и учитывая опыт. Для этого оператору достаточно, щелкнув мышью, выделить рецептор, а затем нейрон выходного слоя и связь установлена! Осталось только приблизительно назначить вес введенной связи из диапазона (0,1).
Здесь следует сделать Очень Важное Замечание (ОВЗ), касательно всего материала книги и предназначенное очень внимательному читателю.
Ранее, рассматривая обучение, мы четко классифицировали исходные эталонные ситуации, принимая достоверность каждого компонента, равной единице. Проводя затем трассировку и прокладывая динамические пути возбуждения, мы также полагали веса связей, равными единице (или некоторому максимальному постоянному значению). Но ведь учитель сразу может получить дополнительную степень свободы, принимая во внимание факторы в той степени и с теми весами, которые он задаст! Сделаем допущение, что разные факторы в разной степени влияют на результат, и такое влияние заложим на этапе обучения принудительно.
Например, известно, что накануне войны население в огромном количестве закупает мыло, спички и соль. Значит, наблюдая за этим фактором, можно прогнозировать скорое начало войны. Создавая нейросеть для анализа исторических или социальных событий, следует выделить один или несколько рецепторов, возбуждение которых соответствует разному уровню закупок мыла, соли и спичек одновременно. Возбуждение этих рецепторов должно передаваться, влиять (наряду с другими факторами) на степень возбуждения нейрона выходного слоя, соответствующего заявлению «Скоро война!».
Тем не менее интенсивная закупка мыла, спичек и соли необходимое, но не такое уж достаточное условие наступления войны. Оно может свидетельствовать, например, о бурном возрождении туризма в район Главного хребта Кавказа. В словах «не такое уж» заключается смысл нечеткой логики, позволяющей учитывать не непреложность события, не булеву переменную «да — нет», а некоторое промежуточное, неопределенное, взвешенное состояние типа "влияет, но не так уж, прямо, что обязательно...". Поэтому связи (все или некоторые), исходящие из данного (данных) рецептора, положим равными некоторой предполагаемой величине, меньшей единицы и корректируемой впоследствии, которая отражает влияние возбуждения рецептора на вывод.
Таким образом, одновременная закупка мыла, соли и спичек учитывается дважды: уровень закупки будет отображен в степени возбуждения соответствующих рецепторов, а характер влияния закупки на вывод «Скоро война!» с помощью весов синапсических связей.
Согласитесь, что при построении одноуровневых сетей такой подход напрашивается сам собой и реализуется предельно просто.
Структура экрана рецепторов. Экран рецепторов показан на рис. 8.2. Основную часть его составляет «окно прокрутки», в котором можно просматривать и задавать состояние рецепторного слоя, несомненно, не способного поместиться на статическом экране.

В «окне прокрутки» указаны показатели и их оценочные значения в диапазоне для соответствующих рецепторов. Это вероятностные значения, основанные на достоверности, интуиции, экспертных оценках. Оценки предполагают охват нескольких рецепторов. Например, оценка того, что собственный капитал составляет не то 24, не то 34, не то 42 тыс. у. е., но скорее все таки 24, может привести к приблизительной оценке задаваемых величин возбуждения 0.6,0.2 и 0.2 рецепторов, соответствующих диапазонам (20 25], (30 35], (40 45].
На экране отображены статически задаваемые показатели, такие, как рейтинг в результате прошлых измерений, выборочные ранее найденные показатели, а также показатели политической, социальной и экономической конъюнктуры. (Их обилие и развитие могут всетаки потребовать прокрутки.)
Следует также отобразить управление прокруткой и меню основных действий:
переход на экран выходного слоя;
статистическая обработка результатов (предполагает переход к выходному экрану);
введение новой связи;
введение нового рецептора;
введение нового нейрона выходного слоя (предполагает переключение экранов);
введение нового показателя и т.д.
Структура экрана выходного слоя. Экран выходного слоя (рис. 8.3) отображает систему концентрических (вложенных) прямоугольников или других плоских фигур, отражающих распространение рейтинга по убыванию. В центре экрана яркими точками отмечены самые преуспевающие банки или предполагаемые идеальные образы. Каждому элементу экрана жестко соответствует нейрон выходного слоя. В результате мониторинга может максимально возбудиться нейрон, соответствующий эталону, однако скорее всего высветится точка экрана, не совпадающая ни с каким эталоном, являющаяся промежуточной или усредненной.
Несомненно, следует предусмотреть меню для операции усредненной оценки рейтинга, демонстрации категории преуспевания, выдачи сигналов предупреждения, текстов заключений, рекомендуемых стратегий развития, сохранения данных для дальнейшего развития и т.д.
Обучение нейросети. Для обучения нейросети на основе экспертных оценок следует задать диапазоны допустимых параметров, позволяющие считать банк идеально преуспевающим, имеющим максимальный рейтинг. Фиксируя несколько точек, координаты которых (множества значений параметров) удовлетворяют допустимым значениям рейтинга для известных или предполагаемых (с учетом возможных вариантов) банков, можно получить несколько идеальных представителей. Соответствующие им нейроны, т.е. элементы экрана выходного слоя, выделяют произвольно, рассредоточивая по области экрана. Желательно, чтобы эталоны с большим рейтингом располагались ближе к центру.

Далее переходят к подобному же заполнению охватывающего прямоугольника, на основе следующей рейтинговой категории и т.д. до банков аутсайдеров.
Для проведения подобной работы экспертами предварительно формируется таблица (табл. 8.1). Нейронам, отображающим банки, на экране соответствуют величины их возбуждения — рейтинги.
Методика мониторинга. Обученная система, которая поступает в распоряжение пользователя после высококвалифицированной экспертизы экономистов и политиков, готова к использованию.
Таблица 8.1 Экспертные оценки для обучения нейросети

При этом пользователь реализует свое право на дополнительное обучение, уточнение (например, весов связей, для усиления или ослабления влияния некоторых показателей на основе собственного опыта), введение дополнительных показателей для эксперимента на свой риск и т.д.
Предположим, пользователь исследует ситуацию, сложившуюся вокруг банка "Инвест Туда и Обратно". Естественно, он не располагает сколько нибудь удовлетворительной информацией о целесообразности собственных вложений и поэтому приступает к скрупулезному сбору данных, в результате чего получает приблизительные, вероятные, разноречивые характеристики для моделирования.
С помощью экрана рецепторов пользователь задает значения их возбуждения исходя из вполне достоверных данных, но иногда учитывая варианты «или — или» (частично возбуждая разные рецепторы), иногда по наитию, иногда просто пропуская показатели. Такие показатели, как рейтинг в прошлом и миграция, пока неизвестны, но полученный результат предполагается использовать в дальнейшем.
После ввода данных на экране выходного слоя яркая точка вблизи области аутсайдеров красноречиво свидетельствует о защите гражданского права ненасильственного выбора решения о целесообразности вложения праведно накопленного капитала.
Координаты этой точки на экране определяются по известной формуле нахождения среднего по координатам высветившихся нейронов тех банков, которым близок контролируемый банк, и по величинам их возбуждения. Но по этим же формулам на основе рейтингов высветившихся банков находится рейтинг исследуемого банка!
Пользователь может принять решение о дополнении базы знаний и, следовательно, нейросети информацией о новом банке, что целесообразно, если совет экспертов подверг существенной критике получившийся результат и указывает тем самым на ошибку нейросети.
Достаточно только воспользоваться опцией «Дополнить», в результате выполнения которой инициируется диалог компьютера с пользователем:
Вы хотите изменить рейтинг? — Да.
Новое значение рейтинга? — ...
Сохранить!
Тогда нейрон выходного слоя с найденными координатами ставится в соответствие новому банку. Формируются его связи с теми рецепторами, которым было сообщено возбуждение при вводе информации о банке. Вес каждой связи полагается равным введенной пользователем величине возбуждения соответствующего нейрона рецептора. Теперь база знаний дополнена таким же образом, как список пристрелянных установок артиллерийской батареи после поражения очередной цели.
Однако значительное принудительное изменение рейтинга может потребовать перемещения высветившейся точки в область банков с соответствующим уровнем рейтинга, т.е. необходимо за данным банком закрепить другой нейрон выходного слоя, в другой области экрана. Это также устанавливается в результате диалога компьютера с пользователем.
Корректировка и развитие. Выше мы уже упоминали о необходимости и возможности постоянного уточнения и развития нейросети. Можно изменять представление о «продвинутости» банка эталона (реального или идеального) и дополнять базу знаний, т.е. данную нейросеть. Можно корректировать веса связей как меры влияния отдельных показателей на выходной результат. Можно вводить новые показатели с их весами, рассматривать новые решения и устанавливать степень влияния на них тех же или новых показателей. Можно приспособить нейросеть для решения смежных задач с учетом влияния отдельных показателей на миграцию банков (переход с одного рейтингового уровня на другой) и т.д.
Наконец, можно, приобретя данный программный продукт с дружественным интерфейсом и прекрасным сервисом, с развитым набором функций преобразования нейросети, переделать ее для совершенно другой задачи, например для увлекательной игры в железнодорожную рулетку, на которой мы намерены остановиться ниже.
В заключение отметим, что в экономике и бизнесе, а также в управлении сложными объектами преобладают системы принятия решений, где каждая ситуация образуется на основе неизменного числа факторов. Каждый фактор представлен вариантом или значением из исчерпывающего множества, т.е. каждая ситуация представляется конъюнкцией, в которой обязательно участвуют высказывания относительно всех факторов, по которым формируется нейросеть. Тогда все конъюнкции (ситуации) имеют одинаковое число высказываний. Если в этом случае две отличные друг от друга ситуации приводят к разным решениям, соответствующая нейросеть является совершенной. Привлекательность таких нейросетей заключается в их сводимости к однослойным. Если провести «размножение» решений (см. подразд. 5.2), то получим совершенную нейросеть (без обратных связей).
К построению совершенной нейросети можно свести задачу настоящего раздела, подразд. 6.2, а также, например, задачу оценки странового риска и др.
Нейронные сети с обратными связями
В рассказе "Письмо к ученому соседу» А.П. Чехов от лица своего героя пишет: «...если бы человек, властитель мира, умнейшее из дыхательных существ, происходил от глупой и невежественной обезьяны, то у него был бы хвост и дикий голос. Если бы мы происходили от обезьян, то нас теперь водили бы по городам Цыганы на показ и мы платили бы деньги за показ друг друга, танцуя по приказу Цыгана или сидя за решеткой в зверинце... Разве мы любили бы и не презирали бы женщину, если бы от нее хоть немножко пахло бы обезьяной, которую мы каждый вторник видим у Предводителя Дворянства?»
Попробуем построить проект, эскиз, набросок фрагмента нейросети, отражающей глубину умозаключений чеховского героя и наше горячее желание поправить и дополнить его (рис. 5.1).
Посылка «человек произошел от обезьяны» обязательно должна привести к абсурдному выводу «у человека есть хвост». Диким голосом современного студента не удивить. Обучение — трассировку, приводящую к образованию динамических путей возбуждения, при которой могут быть использованы многие нейроны, обозначим пунктиром. Тогда должна существовать отрицательная обратная связь, ведущая к нейрону входного слоя, «ответственному» за указанный тезис. Значит, этот нейрон должен получать возбуждение нейрона выходного слоя с помощью дендрита с отрицательным синапсическим весом. Отрицательная связь помечена на рисунке знаком "—".
Ранее мы отличали нейроны рецепторы входного слоя от других нейронов. Рецепторы возбуждались только извне. Теперь мы видим, что это такие же нейроны, как и все другие, просто некоторые их дендриты получают возбуждение извне, а некоторые — от других нейронов сети.

Однако сделанный вывод усиливает важность посылки «человек произошел не от обезьяны». Величина возбуждения этой посылки справедливо должна быть увеличена, что достигается положительной обратной связью. То же самое относится к не менее одиозному выводу «его водит Цыган на показ».
Но одновременно действует и третий довод: «То, что дурно пахнет, недостойно любви!» Дурной запах давит, угнетает позывы любви и способствует сомнению о происхождении человека. Мы видим действенную роль отрицательной обратной связи «запах — любовь», преодолеваемую лишь с помощью крайне важной продукции фирм Ночная бабочка и Красный киллер.
Нейросетевое воплощение
Мы уже построили нейросеть для важной задачи принятия решений и вручили ее заказчику — дяде Рамзаю.
Теперь еще раз тщательно проследим за применением принципа динамического совмещения обучения системы управления с получением решений и установим в схеме на рис. 6.2 целесообразность, место и способ использования нейронной сети как основного реального средства искусственного интеллекта. Прежде всего заметим, что основным естественным и целесообразным местом применения нейросети здесь является база знаний, ранее реализованная с помощью ассоциативной памяти (см. рис. 6.1). Надо только позаботиться о том, чтобы там находились не численные значения информации, а ее вес или достоверность, т. е. не сама информация должна обрабатываться нейросетью, а ее логический эквивалент. Ведь принцип искусственного интеллекта направлен на параллельную обработку логических высказываний, а вовсе не на числовую обработку информации, как это делается при решении «нейроподобных» задач с использованием нейросети в роли спецпроцессора.
Пусть нейросеть в качестве базы знаний имеет вид, представленный на рис. 6.3.
Нейронырецепторы закреплены за значениями элементов входного вектора. Значит, в режиме обучения установилось соответствие между величиной возбуждения рго нейрона входного слоя и достоверностью того, что
Как указано выше, при обучении положим эту достоверность равной единице, а в процессе распознавания она может быть какой угодно, даже не удовлетворяющей свойству полноты событий.
После обучения с помощью различных эталонов методом трассировки можно добиться соответствия вида {Входы


Для нахождения этих значений в зависимости от исходных данных применяется моделирование наряду с экспериментом или с экспертными оценками. Таким образом, модель, эксперимент или эксперт играют роль учителя.
Первоначально обученная таким образом нейросеть используется в рабочем режиме распознавания и в режиме совместной работы с моделью. Конечно, справедливо считать, что нейросеть обучена недостаточно, и подобно «пристрелке реперов» любой удобный случай используется для того, чтобы с помощью модели испытать и в случае необходимости дополнить знания нейросети.
Для этого модель случайно или целенаправленно — по обоснованному плану, генерирует некоторую ситуацию, характеризующуюся значением компонент входного вектора X. По каждой компоненте определяется вес или достоверность того, что ее значение совпадает с подмножеством значений представленных входным слоем нейросети или с диапазонами значений.
Например, известна реакция сети на значения х = 2, х = 5, х = 6, а модель сгенерировала значение х = 5,7.
Это может означать необходимость (реализуется некоторая процедура) формирования значений возбуждения

Здесь индексы указывают нейроны входного слоя, соответствующие данному значению параметра. Такая процедура выполняется по всем компонентам, отображенным входным слоем.

Подставляем данное решение в модель и устанавливаем, удовлетворяет ли нас точность. Если удовлетворяет, делаем положительный вывод об обученности нейросети и продолжаем испытание по другим исходным данным. Если нет, сеть необходимо «доучить», продемонстрировав высокий уровень обратной связи.
Для этого придется ввести в действие новые рецепторы в соответствии с теми значениями исходных данных или их диапазонами, которые ранее не были представлены. Например, придется ввести рецептора соответствии со значением х = 5,7.
Далее, выделим нейрон выходного слоя в соответствии с правильным решением, полученным в результате моделирования. Затем выполним трассировку для того, чтобы появление нового эталона с единичной достоверностью исходных данных приводило к максимальному возбуждению выделенного нейрона выходного слоя, ответственного за получение правильного решения.
Таким образом, сеть может обучаться до тех, пор, пока не прекратятся сбои, что маловероятно. Следовательно, в таком режиме она должна работать в течение всего жизненного цикла, реализуя известную пословицу «Век живи — век учись».
Здесь наглядно представлена замечательная возможность нейросети: табличная аппроксимация функции многих переменных, дополненная процедурой интерполяции (экстраполяции) для нахождения произвольного значения вектора аргумента и приближенного значения векторной функции. При этом входной вектор возбуждений рецепторов преобразуется в максимальное или усредненное значение, возбуждения нейронов выходного слоя, указывающее на соответствующее значение вектора функции. Практически столь простым способом мы построили аппроксимацию векторной функции от векторного аргумента!
Такая аппроксимация выполняется и в более явном виде, ибо каждая

Следовательно, сеть строится и обучается так, чтобы заданное значение X =


к максимальному (или усредненному) значению возбуждения другого нейрона выходного слоя, указывающего на значение

В результате выходной слой разбивается на области, каждая из которых закреплена за своим


Следует обратить внимание не только на высокую производительность такого рода самообучающихся систем в рабочем режиме, но и на их адаптивность, развитие, живучесть и т.д.
Нейросетевые самообучающиеся системы управления
Известной основой аппаратной поддержки самообучающейся системы управления является ассоциативная вычислительная система (ВС).
Главное отличие ассоциативной ВС от обычной системы последовательной обработки информации состоит в использовании ассоциативной памяти или подобного устройства, а не памяти с адресуемыми ячейками.
Ассоциативная память (АЛ) допускает обращение к данным на основе их признака или ключевого слова: имени, набора характеристик, задания диапазона и т.д.
Распространенный вид АП — таблица с двумя столбцами: "запросное поле — ответное поле". Строка таблицы занимает регистр памяти. Запросные поля обрабатываются по ключевому слову, производится поиск на основе сравнений и выдается результат из одного (или более) ответного поля. При помощи маскирования выделяются только те поля ключевого слова, которые используются в процессе поиска для сравнения.
Типичными операциями сравнения ассоциативной памяти являются следующие: «равно не равно», «ближайшее меньше чем — ближайшее больше чем», «не больше чем — не меньше чем», «максимальная величина — минимальная величина», «между границами — вне границ», «следующая величина больше — следующая величина меньше» и др., т.е. все это — операции отношения и определения принадлежности.
Поскольку ассоциативные ВС характеризуются только активным использованием АП в вычислениях, то в целом они обладают обычными свойствами, производят сложные преобразования данных и принадлежат типу ОКМД (STARAN, РЕРЕ) или МКМД. Для параллельного обращения с целью ускорения поиска АП разбита на модули (в STARAN 32 модуля).
Когда в 1980 г. был провозглашен так называемый японский вызов относительно построения ВС сверхвысокой производительности, то в одном из важнейших пунктов предусматривалась необходимость самого широкого использования принципов самообучающихся систем — систем, способных накапливать опыт и выдавать результат решения задачи без расчетов — на основе ассоциации и интерполяции (экстраполяции). Это значит, что применение ассоциативных ВС неотделимо от проблемы искусственного интеллекта.
Покажем, что ничего существенно нового в практику человеческого мышления ассоциативные машины не вносят, это всего лишь привычный способ использования интерполяционных таблиц, например таблицы логарифмов.
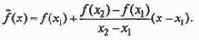
Пусть мы пользуемся значениями функции у =f(x).
Можно запрограммировать ее вычисление на персональном компьютере, и, при необходимости задавая значение х, запускать программу, получая значение у.
Предположим, та же функция довольно сложна, а ее вычисление — важный элемент алгоритма управления в реальном времени. В таком случае зададим эту функцию таблично, а для ускорения выборки включим в ВС ассоциативную память. Предусмотрим операции, позволяющие производить простейшую интерполяцию, а именно для данного значения х найти наибольшее и наименьшее


> х. Выбрать для них

В жизни очень часто приходится решать трудно формализуемые задачи, подобно предложенной дядей Рамзаем. Но в результате обучения и приобретения опыта складывающиеся в дальнейшем ситуации оцениваются на «похожесть» и принимается решение.
Как, например, определить, на сколько повернуть рулевое колесо, чтобы остаться на дороге? Ведь первый раз мы въезжали в бордюр! Видимо, в нашем сознании постепенно сложилась и зафиксировалась некая таблица.
Пожалуй, наиболее полно и с точки зрения практики решение задачи самообучения представлено в артиллерии, точнее, в правилах стрельбы.
После занятия огневой позиции подготовка установок для ведения огня занимает много времени. На рассчитанных установках по каждой цели производится пристрелка, когда цель захватывается в широкую вилку, затем по наблюдениям вилка «половинится» до тех пор, пока на середине узкой вилки не переходят на поражение. После стрельбы следует замечательная команда «Стой, записать...», по которой наводчик на щите орудия пишет номер цели и пристрелянные по ней установки. Такая работа проделывается и по фиктивным целям — реперам. Постепенно на данной местности запоминаются пристрелянные установки по многим целям и реперам. Тогда подготовка данных по вновь появляющимся целям резко упрощается, так как сводится к переносу огня от ближайшей цели или репера, т.е. к внесению поправок по дальности и направлению. Доказано, что при этом достаточно сразу назначить захват цели в узкую вилку, что сокращает время пристрелки. Правила стрельбы существуют века, однако вряд ли кто то осознавал, что речь идет о реализации самообучающейся системы, аналога которой не существует.
Для трудно формализуемых задач управления или для увеличения производительности вычислительных средств известно так называемое ситуационное управление, предложенное Д.А. Поспеловым. Оно заключается в том, что для каждого значения вектора, характеризующего сложившуюся ситуацию, известно значение вектора, описывающего то решение, которое следует принять. Если все ситуации отразить невозможно, необходимо задать правило интерполяции (аналог интерполяции, обобщенной интерполяции).
Пусть исходная ситуация характеризуется вектором
X —


..., ...,
По значению X, т.е. по его компонентам, принимается решение Y, также представляющее собой вектор
Y= {y1, ..., yп}.
Компоненты векторов X и Y могут быть целыми и вещественными числами, а также булевыми. Изначально они даже могут иметь нечисловую природу: «темнее — светлее», «правее — левее», «ласковее — суровее» и т.д. Проблема численной оценки качественных или эмоциональных категорий здесь не рассматривается.
Структура ассоциативной памяти (АП) и общий вид ее обработки показаны на рис. 6.1.
Пусть для входной ситуации X необходимо найти решение Y. В АП находятся два вектора


и


выполняется условие


=
Где


— расстояния между векторами


а также

Если точность Y достаточна, принципиально возможно дополнение АП новой строкой "X— Y", т.е. информацией о новом опыте.
Впрочем, динамика развития и уточнения АП, как базы знаний, представляется иной. Далеко не всегда целесообразно развивать базу знаний только тогда, когда принято ошибочное решение. «Учение на ошибках» может привести к трагедии (или к срыву процесса управления), особенно на этапе обучения системы.
Поэтому обучение системы целесообразно проводить на достаточно точной модели, максимально использующей точные вычисления компонент решения. Модель используется не только на специально предусмотренном этапе обучения системы, но и вне реального цикла управления, т.е. когда система работает в режиме дежурства, параллельно с функциональным контролем. Схема алгоритма работы системы представлена на рис. 6.2.
Нейросетевые технологии и нейрокомпьютеры
Итак, располагая знаниями о данных на входе управляющей системы и реакциях на каждую ситуацию, получаем таблицу. В одном столбце, так называемом запросном поле, — векторситуация, в другом, ответном поле, — принимаемое решение. Такая идея ситуационного управления высказана Д.А. Поспеловым еще в 1970х годах.
Для ее воплощения можно использовать технологии построения ассоциативной памяти, столь широко используемой в современных вычислительных системах. Если между ситуациями ввести операции отношения, то можно построить операции вида «найти ближайшую величину слева (справа)», «найти ближайшие включающие границы» и т.д. Идея ассоциативной ЭВМ давно реализована, например, в STARAN [17] в 1977 г.
На основе вышесказанного строится самообучающаяся система, в режиме обучения дополняющая базу знаний (ту самую таблицу в ассоциативной памяти) с помощью моделирования ситуаций и принимаемых решений, и выдающая решение в рабочем режиме согласно таблице на основе интерполяции.
Однако необходимость выхода на большие размерности ограничивает возможность построения «большой» ассоциативной памяти по существующей технологии. Ведь такая память даже при реализации единственной операции основана на одновременном сравнении входного вектора с запросными частями всех ее регистров и с выдачей содержимого ответного поля в случае совпадения.
Получается, что мозг не может непосредственно хранить таблицы, а моделирует их с помощью нейросетевых механизмов. Исходные предложения, например, Кохонена [13] по применению нейросетей касались именно ассоциативной памяти.
Очевидно, такая реализация не очень удобна, поэтому следует определять области разумного применения каждого средства решения задач искусственного интеллекта.
Рассмотрим, где используется принцип нейросети без расчета, анализа баз знаний и т.д. По видимому, там, где получена первичная информация для органов чувств. На этом же уровне проводим первичную классификацию и принимаем оперативное решение: убежать от стремительно приближающегося автомобиля, надеть противогаз и т.д.
Значит, в нашей жизнедеятельности существует такая ниша, где решение должно быть сверхоперативным, скорее рефлекторным, не допускающим анализа, чему и способствует высокий параллелизм сети. Именно высокий параллелизм наряду с исключением сложных расчетов обусловил взрыв интереса к системам искусственного интеллекта в начале 1980х годов, когда остро встала задача разработки вычислительных средств сверхвысокой производительности.
Здесь мы вновь затронули вопрос актуальности аппаратной реализации нейросети или нейрокомпьютеров , так как программная модель на непараллельном компьютере лишена свойства высокого параллелизма мозга и ограничивает выход на «большие» нейросети.
Указанный параллелизм выражается в том, что одновременно обрабатывается большое число цепочек нейронов. При этом каждый нейрон обрабатывается хотя и по одному алгоритму, но по разным его ветвям: один в конце концов возбудится, другой нет; связи нейрона индивидуальны и изменяются неидентично связям других нейронов и т.д.
Тогда при разработке параллельного вычислительного устройства нейрокомпьютера, способного имитировать работу нейросети высокой производительности, следует учесть нижеперечисленное:
необходимо распределять нейроны (точнее, нейроподобные элементы или соответствующие им программные процедуры) между процессорами НК, синхронизируя обработку нейронов в соответствии с матрицей следования, т.е. реализовать способ распараллеливания по информации;
одинаковые для всех процессоров программы одновременно обрабатываемых нейронов в общем случае должны выполняться по разным ветвям.
При программной реализации нейросети перечисленные требования соответствуют SPMD технологии («одна программа — много потоков данных»), привлекательность которой обоснована для многих приложений параллельного решения задач высокой сложности.
Привлекательна реализация «большой» нейросети на основе сетевых технологий.
При аппаратной реализации НК (или его аппаратной поддержке) также необходимо учесть требование: один нейроподобный элемент должен делить время между имитацией многих нейронов. Жесткая аппаратная имитация нейросети, соответствующая связи «один нейроподобный элемент — один нейрон», неэффективна, так как ограничивает возможную размерность моделируемой сети.
При применении сетевых технологий в рамках построения более сложных управляющих систем целесообразно использовать НК как сопроцессор под управлением мощного и универсального компьютера — монитора, что обусловлено разнообразными функциями «учителя» по формированию, заданию и регулировке параметров, по обучению и дальнейшему применению результатов. В рамках сегодняшних компьютерных технологий НК должен дополнять персональный компьютер (рабочую станцию) как его внешнее устройство и встраиваться в существующие ОС.
Итак, известны языки логического вывода, экспертные системы, самообучающиеся системы управления, а в природе первично воплощены лишь нейросети.
Почему же средства искусственного интеллекта, опирающиеся далеко не только на одни нейросети, не были первоначально заданы Природой, а явились плодом человеческого гения?
Да просто мозг — конструктивно целесообразен, развиваем, универсален и самодостаточен. С его помощью еще не то можно построить!
Приведем пример колеса: какова должна быть длина нерва, чувствующего обод колеса? Весьма велика. Значит, колесо должно быть отделено от живого существа. И потому человек как существо разумное колесо может сделать сам.
Обобщением «схемотехнического» подхода является подход к построению нейросетей с позиций алгебры высказываний. Логическое описание системы управления или принятия решений, в терминах алгебры высказываний, — «один в один», в результате формирования логической схемы ложится в основу нейронной сети. Остается заменить булевы переменные действительными (достоверная или другие оценки), а операции конъюнкции и дизъюнкции — единой операцией, осуществляемой передаточной функцией нейрона. Конечно, такая замена не столь безболезненна. Необходимы несложные преобразования логического описания, а также настройка порогов и весов связей, чтобы избежать неоднозначности выдаваемых решений.
Кроме того, читатель не должен считать, что каждая нейросеть сводится к однослойной. Значит, предложенный далее алгоритм трассировки нуждается в обобщении, направленном на структуризацию обучаемой нейросети.
Нейросеть для задачи логического вывода
Рассмотрим предварительно один аспект обучения нейросети методом трассировки.
Обобщив подход, изложенный в разд. 2, на логику передаточных функций, мы заявили, что нашли способ построения уже обученных нейросетей.
Впоследствии (разд. 3 и 4) при отсутствии некоторых связей в типовых сетях обосновано их принудительное введение в случае целесообразности.
Таким образом, несовершенство нейросети не стало для нас преградой. А если предположить, как при «схемотехническом» подходе, что первоначально в сети вообще никаких связей нет, ее матрица следования пуста, а нам предстоит создать эту сеть полностью? Логично, что в ней будут присутствовать только те связи, которые обеспечивают ее обучение, т. е. мы сразу можем строить обученную нейросеть, синапсические связи в которой имеют единичный (максимальный) вес.
Последуем этим путем и, рассчитав все возможные выводы, составим (рис. 7.1) нейросеть, соответствующую фрагменту беспредельной базы знаний о жителях далекого таежного села.
Для того чтобы максимально сохранить информацию о иерархии выводов, переменные — значения возбуждения рецепторов будем вводить только на первый уровень логического анализа в качестве параметров процедур фактов. Ведь как ни формализуй, а окончательных рекомендаций по формированию нейросети не получить, так как это формирование — моделирование, а моделирование — искусство. Впрочем, каждый раз это ярко демонстрирует выбор передаточной функции. Здесь мы рекомендуем использовать передаточную функцию:
Порог h подбирается экспериментально, в данном случае целесообразно положить h = 0,4.
Мы видим, что сеть отображает только факты, а где же правила? Они использованы и забыты? И да, и нет. Вот тут то и проявляется вторая парадигма обучения — парадигма ученика. Ибо правила вывода оказались использованными при обучении и скрыты. Только путь индуктивного мышления способен их восстановить, т.е. восстановить закономерность по сформированным связям.
Как же тогда работать с этой сетью? Представим себе два режима работы: для фискального органа налоговой инспекции, требующей общей картины социального состояния, и для информационно аналитической службы безопасности, интересующейся гражданами индивидуально, по выбору и привлечению.

Мужчина Иван Мужчина Василий Мужчина Петр Мужчина Федор Мужчина Юрий Женщина Марья Женщина Ирина Женщина Ольга Женщина Елена Марья родитель Ивана Иван родитель Елены Марья родитель Василия Федор родитель Марьи Петр родитель Ирины Петр родитель Ивана Федор родитель Юрия Марья мать Ивана Марья мать Василия Иван отец Елены Петр отец Ирины Петр отец Ивана Федор отец Юрия Иван брат Василия Василий брат Ивана Иван брат Ирины Юрий брат Марьи Ирина сестра Ивана Василий дядя Елены Юрий дядя Ивана Юрий дядя Василия
Рис. 7.1. База знаний антрополога исследователя
Мужчина Иван Мужчина Василий Мужчина Петр Мужчина Федор Мужчина Юрий Женщина Марья Женщина Ирина Женщина Ольга Женщина Елена Марья родитель Ивана Иван родитель Елены Марья родитель Василия Федор родитель Марьи Петр родитель Ирины Петр родитель Ивана Федор родитель Юрия Марья мать Ивана Марья мать Василия Иван отец Елены Петр отец Ирины Петр отец Ивана Федор отец Юрия Иван брат Василия Василий брат Ивана Иван брат Ирины Юрий брат Марьи Ирина сестра Ивана Василий дядя Елены Юрий дядя Ивана Юрий дядя Василия
А именно если максимально возбудить все нейроны рецепторы, то можно извлечь полную информацию о клиентах: кто из них мужчина, кто — женщина, в каком родстве они состоят.
В то же время при возбуждении на входе нейронов рецепторов, соответствующих Ивану и Василию, получим информацию о том, что они, несомненно, мужчины. Но подозрительно высокого возбуждения достигнут нейроны, отвечающие за факт, что Марья — мать Ивана и она же — мать Василия. Подозрительно возбудятся и нейроны, отвечающие за факты Иван — брат Василия и Василий — брат Ивана, Юрий — дядя Ивана и др. Тогда возбудим нейрон рецептор, соответствующий Марье, и посмотрим на реакцию сети. Сеть высоким возбуждением своих нейронов нам сообщает: "Да, действительно, Марья — мать Ивана и Василия".
Заметим, что можно подавать на вход сет и не единичные значения возбуждений. Например, установив, что в деле участвовал не то Иван, не то Василий (уж очень они похожи!), мы зададим соответствующие значения возбуждений равными 0,5 и установим высокую величину возбуждения нейрона, соответствующего дяде и того, и другого — Юрию. И тогда логично возложить На него ответственность за поведение племянников.
Таким образом, составляя нейросеть, мы руководствовались желанием сохранить причинно следственные логические связи, обусловленные правилами. Этим обусловливается возможность использования метода индуктивного мышления для установления, например, изначальных фактов, достаточных для вывода: Юрий — дядя Ивана. Мы даже назвали эту нейросеть базой знаний антрополога исследователя. Таким образом, имитируется организация коры, где все выводы равноправны и служат как формированию внутри задачных, промежуточных выводов, так и для решения некоторой внешней глобальной задачи, сверхзадачи. Равноправность и внешнее использование, в том числе для логической надстройки сети, для получения новых знаний по новым вводимым фактам и правилам, требует специального формирования величин возбуждения нейронов, что и отражено в предлагаемой передаточной функции.
С другой стороны, зачем нам знать и делать вывод о том, что Юрий — дядя Ивана, потому что он — брат Марьи! Мы можем эти факты задать независимо, предварительно вычислив на языке ПРОЛОГ
Тогда получим фрагмент базы знаний участкового уполномоченного (рис. 7.2), что в самой простой форме отражает анкетирование, не подлежащее глубокому исследованию.
Не задавайте глупых вопросов!
Мы учим сеть по обобщенным эталонам, несомненно, опираясь на здравомыслие пользователя. Так, применяя обобщенный эталон А1&В2&ВЗ&С1&С2&СЗ, мы предполагаем возникновение логичных вопросов типа «Какое решение принять, если Вася отправился в павильон "Роксана", куда накануне завезена большая партия косметики из Китая?» При А1 = ВЗ = С2 = 1 (на самом деле истинное происхождение косметики известно) задаем ясный вопрос и получаем столь же ясный ответ: «Принимай решение (или значение твоей прибыли) R2!»
Но что, если при сложившихся связях сформулировать вопрос: ВЗ=С1=С2=СЗ= 1 ? Максимального и равного возбуждения на выходе достигнет даже не один нейрон! Судить ли по неоднозначности ответа о том, что на входе произошло «объединение» вопросов? (Каков вопрос, таков ответ?) А всегда ли получается неоднозначный ответ?
Положим А2 =В1 = В2 = 1. Максимального возбуждения достигнет нейрон Вых5. Но предусматривалось ли решение R5 в ответ на такую ситуацию? Хотя завоз продукции фирм Красный киллер и Пират в палатки С\, С2 и СЗ накануне визита Пети вполне возможен.
Несомненно, для правильного ответа надо правильно ставить вопрос. Корректность использования нейросети обусловлена теми задачами и правилами, которые лежат в основе ее разработки. Если мы предположили, что события А, В, С обязательно должны участвовать в формировании вопросов, то при появлении других вопросов сеть необходимо дополнительно обучить.
Например, вопрос «Фирма ВЗ направила свою продукцию в палатки С\, С2 и СЗ. Что делать?» требует тщательной проработки нового ответа R6 на свободном нейроне Вых6 выходного слоя и трассировки пути возбуждения ВЗ, С1, С2, СЗ

Однако возможности неоднозначного ответа (получения одинаковой величины возбуждения нейронов выходного слоя) таким образом не избежать. Придется анализировать всю картину возбуждения нейронов выходного слоя и выдавать все ответы типа: «Продукция фирмы ВЗ поступила в палатки С1, С2, СЗ»; "Это впоследствии скорее всего приведет к решениям В2 и R4".
Нетрудно видеть, что такая ситуация приводит к необходимости надстройки сети вторым логическим уровнем, где выходной слой нейронов первого уровня становится возможно, в совокупности со своим входным слоем) входным слоем второго уровня. Так могут быть продолжены логические цепочки наших умозаключений.
Парк фантасмагорий
Представим себе парк развлечений, в который заходит наша группа под руководством гида и, желая отдохнуть, устремляется в тенисто прохладный уголок с причудливым ландшафтом. И вдруг изза трепещущих кустов выползают монстры — крокодилы, вздымаются головы ящеров. Лохматый неандерталец ладит каменное орудие, подымается на свои курьи ножки избушка. Гигантской головой оживает скала, покрытая нежными незабудками, деревья и кусты качают ветками. Наше замешательство и паника вызывают ответную реакцию: окружающие смеются, сердятся, радуются, угрожают.
Рассмотрим возможный принцип действия отдельного объекта (рис. 9.9), который контролирует сектор обзора. Электронно оптическое «зрение» может быть расположено не обязательно в глазах, а упрятано в любой другой части тела, например на груди.

Весь сектор обзора разбит на элементарные сегменты, образованные телесными углами в 1 — 2°. Первоначально должна быть предусмотрена реакция только на преобладающий в сегменте цвет. Например, красный цвет должен запускать комплекс программ ярости и повторный обзор строки для усиления ярости при последующем раздражении.
Желтый цвет может вызывать кокетство и эротическое возбуждение, зеленый — умиротворение, коричневый — ритмичный шаг и покачивание головой, голубой — благостное умиление с возведенными к небу глазами и т.д.
Обзор сегментов совершается по строкам, с частотой, согласующейся со скоростью обработки компьютером. Последняя, в свою очередь, обусловлена прохождением входного сигнала через нейросеть и различной степенью возбуждения нейронов выходного слоя, запуском программ движения на базе этих нейронов с параметрами, определяемыми величинами возбуждения и инерционностью такой сложной системы.
Итак, из каких элементарных движений складывается поведение объекта? Расширение — сужение глаз, открывание — закрывание рта, улыбка, покачивание головой, поднятие — опускание рук, угрожающий шаг (если вес позволяет), вертикальное — горизонтальное помахивание хвостом, призывное движение таза и др.
Как упоминалось ранее, в одном такте могут запускаться несколько программ, инициирующих движения с текущего состояния. В результате имитируется суммарная реакция на ситуацию в секторе обзора и ее изменение, обеспечивается непредсказуемость, неожиданность и восторг публики. А если представить себе, что такой реакцией наделены деревья, скалы, вода и ветры, то какой фантасмагорический получится фейерверк!..
Установка операционной системы UNIX SYSTEM V
Печать рукописи
Ясно, что восстановить рукописный текст способно только ассоциативное мышление, поэтому автоматизация воспроизведения написанного является актуальной задачей. В основе распознавания по признакам лежит все та же методика чистописания1.
В разд. 1 рассматривалось «признаковое» определение букв: а
— кружочек с палочкой справа, заканчивающейся хвостиком вправо, б— кружочек с хвостиком сверху, ц — палочка с хвостиком вправо, к нему примыкает палочка, а к ней справа внизу странный специфический крючок и т.д.
Представим себе сканирование текста через «окно просмотра» (рис. 9.12) на входном слое нейросети. Рецепторы связаны с нейронами промежуточного выходного слоя, закрепленными за признаками.

Соединение выполнено так, чтобы «захватить» букву, т.е. предусмотреть случайные, обусловленные почерком отклонения буквы от эталона и выявить ее отдельные признаки. Комбинации выявленных признаков, в виде сигналов возбуждения нейронов промежуточного выходного слоя, рассматриваемого в качестве входного слоя второго логического уровня, на выходном слое нейросети определяют распознаваемую букву.
Возможно, что при появлении очередной буквы, письма понадобится процедура разглядывания: увеличение — уменьшение, наклон влево — вправо, до тех пор, пока при некоторой фиксации образа не начнется распознавание. Поэтому в дополнение к попытке «захвата» изображение располагается в «окне просмотра» так, что его центр тяжести совмещается с центром окна. Далее изображение растягивается или сжимается, приобретает наклон влево или вправо так, чтобы получить максимальное соответствие по размеру и углу наклона с эталонами, подававшимися в процессе обучения. Впрочем, вышеуказанные манипуляции могут осуществляться динамически на основе проб в процессе распознавания буквы.
Для выявления всех признаков и их относительного положения «окно просмотра» необходимо разбить на сектора, определяющие понятия слева, справа, вверху, внизу, внизу справа и т.д.
Определенную трудность представляют пропуски и пробелы. Например, как отличить букву с от буквы о? Ведь может возбудиться «полный кружок» последней, только с меньшим значением величины возбуждения.
Необходимо наряду с позитивным изображением элементов букв анализировать их негативное изображение, тогда пустота в соответствии с эталоном будет возбуждать рецепторы, обретет активность. Наличие пустоты так же определяется посредством возбуждения нейронов, как и видимые линии.
Очевидно, что для понимания текста одного лишь распознавания букв недостаточно. Необходимо произвести распознавание слов, включив в работу контекст. Только таким комплексным методом восстанавливается смысл написанного, и это сулит неограниченные возможности развития и совершенствования нейросетевой технологии прочтения.
Построение нейросети «под задачу»
Мы построили нейросеть с экзотическими (с точки зрения психотерапевта) конъюнкторами и дизъюнкторами.
Предположим теперь (см. рис 2.4, 2.5), что все нейроны одинаковы, реализуют одну передаточную функцию, а веса и пороги реализуют равные и общие возможности.
Введем ту же, но без ограничения по величине возбуждения передаточную функцию

При

Подадим на вход, например, ситуацию {А1, В2, С3}, требующую решения R1. Величины возбуждений нейронов показаны на рис. 2.6.
На основе расчетов по полученной сети составим табл. 2.1, отображающую правильную (!) работу сети при получении различных решений. При этом связи, предыстория которых определена дизъюнкторами, требуют проверки не более чем одного «представителя»: в рассмотренном примере получаем тот же результат, если вместо C3 положим C1 или C2.
Таблица 2.1 Примеры расчета принимаемых решений Ситуация
|
Требуемое решение
|
|
|
|
|
|
{A1,B1,C3}
|
R1
|
1,144
|
0,76
|
0,28
|
0,024
|
0,248
|
{A1,B2,C2}
|
R2
|
0,504
|
1,144
|
0,664
|
0,024
|
0,248
|
{A1,B3,C3}
|
R2
|
0,504
|
1,144
|
0,664
|
0,504
|
0,024
|
{A1,B2,C4}
|
RЗ
|
0,504
|
0,664
|
1,144
|
0,024
|
0,224
|
{A1,B3,C5}
|
RЗ
|
0,504
|
0,664
|
1,144
|
0,504
|
0,024
|
{A2,B3,C1}
|
R4
|
0,024
|
0,504
|
0,024
|
1,144
|
0,504
|
|
|
|
|
|
|
|
|
Анализируя первые восемь строк таблицы, соответствующие достоверным ситуациям, видим, что по крайней мере максимум возбуждения определяется устойчиво верно.
Рассмотрим ту же неопределенную ситуацию. Она отражена в последней строке таблицы. Близка ли эта ситуация более всего ситуации, когда Петя направился к Аполлинарии, и надо принимать решение R5 ? Ситуация с Васей, устремившимся туда же, дает примерно тот же ответ.
Отметим, что по убыванию величин возбуждения нейронов выходного слоя вновь полученный результат полностью совпадает с полученным по «схемотехнической» сети (см. рис. 2.5), так что и величина средней прибыли, по видимому, будет близка найденной ранее.
Однако не проще было бы применять способ построения нейросети, близкий к табличному? Что если каждую ситуацию непосредственно «замкнуть» на соответствующее решение, избежав сложной путаницы промежуточных слоев нейронов и не рассчитывая множества вариантов для нахождения максимального возбуждения и распределения возбуждения на выходном слое?
Очень часто на практике так и поступают. Отсюда широкое распространение так называемых однослойных сетей. Построим такую сеть и для нашего примера (рис. 2.7).
Возьмем ту же передаточную функцию с теми же параметрами и рассчитаем те же примеры, отображенные в табл. 2.1. Составим для них табл. 2.2.
Таблица 2.2 Примеры расчета решений по однослойной нейросети

Продолжение
Данная нейросеть также оказывает предпочтение решению R5, хотя порядок убывания величин возбуждения выходного слоя отличен от ранее полученного. Предпочтительность решений R2 и R3 меняется местами.
Очевидно, что масштабирование порогов позволяет управлять величинами возбуждений, и при желании можно добиться аналогичных результатов расчетов по этим двум сетям. Но надо ли?
Построение современной нейросетевой технологии
Построение примитивной нейросети
Говоря о вещах несогласуемых, мы вспоминаем поговорку: «В огороде бузина, а в Киеве дядька». Как же связать объекты, между собой не совместимые, вызывающие усмешку, но, несомненно, влияющие на раздумья о смысле жизни?
Здесь мы сталкиваемся с действительно трудно формализуемой задачей, требующей мобилизации нашего ассоциативного мышления.
Существует мнение о том, что нейросеть формируется «под задачу». Однако в природе есть идеальная, универсальная, «унифицированная» нейросеть — наш мозг. И каждый из нас не испытывает серьезных технических трудностей, если становится не коммерсантом, а, скажем, блестящим специалистом по реликтовым захоронениям мезозойского периода. Более того, если человек талантлив, то он талантлив во всем.
В книге Э. Мулдашева «От кого мы произошли?» в главе «Почему мы смотрим друг другу в глаза?» автор говорит об известных ему 22 параметрах, отражающихся на глазной области лица и динамически описывающих морально психологическое состояние собеседника — партнера. Однако обсчитать на компьютере удалось лишь два. Автор удивлен той колоссальной скоростью, с которой ведет описанную обработку человеческий мозг: «Воистину велик Бог, создавший такое компьютерное совершенство мозга!»
Мы уже не удивляемся высокой скорости работы мозга. Известно, что это — процесс распараллеливания обрабатываемой информации, и без параллельных вычислительных средств заниматься моделированием работы мозга, т.е. «больших» нейросетей, — бессмысленно.
Именно особенности параллельной обработки информации наряду с возможным отсутствием формальных расчетов (только на основе ассоциативного мышления) привлекли к себе внимание проектировщиков суперЭВМ в период так называемого японского вызова, в начале 1980х годов.
Нейросетевые технологии основаны на моделировании деятельности мозга, а по классическому утверждению Р. Шеннона, «моделирование есть искусство». И как каждое искусство, модель нейросети базируется на примерах, опыте и общих рекомендациях.
Рассмотрим пример, навеянный временем перестройки.
Вася и Петя — друзья. Обозначим А — множество друзей:
А = {А1, А2} = {Вася, Петя}.
Вася и Петя создали «крышу», под которой успешно трудится ряд палаток:

заботливо опекаемые хозяйками, соответственно Оксаной и Роксаной, Мариной и Региной, а также Аполлинарией. Палатки реализуют продукцию фирм:

Фирма Красный киллер производит винноводочную продукцию отличного качества. Фирма Пират специализируется на аудио и видеопродукции и других культурных ценностях, а фирма Ночная бабочка — на французской косметике из мосластых московских дворняг.
Ситуацию контролирует дядя Рамзай из налогового ведомства, который имеет свой маленький частный бизнес. С каждой сложившейся ситуацией, определяемой тем, кто из друзей какие палатки посетил и чья продукция находилась на реализации, дядя Рамзай связывает свою долю прибыли, основанную, мягко говоря, на шантаже. Дядя Рамзай имеет свой штат осведомителей: пару бомжей жертв предыдущей амнистии, и парутройку голопузых апологетов трудного детства, которые с некоторой долей достоверности доставляют ему информацию.
Дядя Рамзай — прогрессивный бизнесмен, и оценки прибыли производит с помощью математического аппарата, обратившись за помощью к нам. А информации дяде Рамзаю приходится обрабатывать много. Он, прямо скажем, работает в условиях неопределенности и усиленных помех. Судите сами. Оксана делит любовь между Васей и Петей. Роксана — пока нет. Марина и Регина, жалея, подкармливают юных следопытов. Аполлинария заполучила покровителя в местной мэрии и разъезжает в длиннющем "линкольне". Тщетно пытаясь разрушить узы бескорыстной дружбы, фирма Пират подкупила Васю, снизив нагрузку вымогательства на свою продукцию. Петя, кажется, пошел на нарушение «закона» и вторгается в область, контролируемую конкурентами. Все такие обстоятельства прямо или косвенно влияют на долю прибыли дяди Рамзая.
А мы, принимая заказ на очень трудно формализуемую задачу, хотим уяснить, что нужно дяде Рамзаю, и устанавливаем:
он хочет, задавая исходные данные на основе неполной или недостоверной информации своих агентов, всетаки распознать с наибольшей определенностью, что это за ситуация и на какую прибыль можно рассчитывать;
он хочет, задавая исходную ситуацию с некоторой достоверностью, установить среднюю величину прибыли;
он хочет сделать вывод о частоте появления различных ситуаций, чтобы перераспределить таксу за молчание о шалостях Васи и Пети.
Итак, абстрагируемся. Пусть по стечению обстоятельств, которые мы будем называть событиями, принимаются решения R1, R2, R3, R4, R5.
События выражаются записями, например, вида {A1, B2, С3} Это означает, что Вася (А1) отправился в палатку Марины {СУ), торгующей в этот раз продукцией фирмы Пират

Решения образуют конечное множество. Каждое решение носит сугубо личностный характер и определяет тактику дальнейшего поведения, надежду на существенное приобретение, тур поездку и т.д. Одно решение соответствует некоторой, в общем случае не единственной, комбинации событий. Для изображения таких комбинаций воспользуемся записями, например, вида

Это означает, что Вася отправился в палатку то ли к Регине, то ли к Аполлинарии, торгующей продукцией то ли фирмы Пират, то ли фирмы Ночная бабочка. Однако эта же запись означает, что все составляющие ее конъюнкции и другие приводят к одному и тому же решению.

Проанализировав и перебрав все возможные ситуации, с учетом одинакового принимаемого решения получим систему логических высказываний — предикатов как основу формализации задачи при построении нейросети:

Тогда, например, первое логическое высказывание означает: «Если Вася отправился в одну из пяти палаток, и все они торгуют сегодня продукцией фирмы Красный киллер, то следует принять решение R1 (например, заказать туристическую путевку)».
Второе логическое высказывание означает: «Если Вася посетил одну из палаток С1, С2 или С3, торгующих сегодня продукцией фирм B2 и (или) B3, то следует принять решение R2» и т.д.
Познание нового основа самообучения
Мы научили сеть множеству эталонов — вплоть до сформированных в обобщенные. Теперь, подавая на вход даже искаженные образы, можно ответить на вопрос «На какой эталон в большей мере он похож?» С помощью максимально возбужденного нейрона выходного слоя ответ будет найден. Рассмотрим далее более внимательно пороги.
Что если установить ограничение на величину возбуждения нейронов выходного слоя? А именно если величина максимального возбуждения меньше порога Н, следует считать, что сеть не знает, что за образ подан на ее вход, и вправе рассматривать его как новый эталон для обучения. Тогда необходимо найти свободный нейрон выходного слоя и по вышеприведенному алгоритму произвести трассировку.
Так проводится запоминание эталона. Для последующего использования новых знаний трудно обойтись без внешнего воздействия, без учителя, ибо неизбежен вопрос «Что это, и что из этого следует?» Ведь длителен путь эволюции, основанный на самообучении, без поддержки извне. Таким образом, решение, принимаемое при предъявлении нового эталона, выбирается на основе расчетов, моделирования, опыта, цели, экспертных оценок и т.д.
Представим себе возможный диалог между нейрокомпьютером (НК) и учителем (У):
НК (Величина возбуждения ни одного нейрона выходного слоя не преодолела порог): Это чтото новенькое! Повтори вопрос, может, величины возбуждения на входе малы?
У: Повторяю вопрос.
ИК (Результат тот же): Все же это чтото новенькое. Приводит ли это к одному из известных решений или решение новое?
У (Варианты):
1. Это должно привести к решению RS.
2. Это новое решение R6.
НК (Соответствующие варианты):
1. Произвожу трассировку по уточненному обобщенному эталону для решения R5.
2. Рассматриваю твой вопрос как новый обобщенный эталон. Провожу трассировку к выходному нейрону Вых6, соответствующему решению R6.
Здесь идет самообучение системы «учитель — нейрокомпьютер». Полное или близкое к нему самостоятельное обучение нейрокомпьютера возможно тогда, когда сеть многоуровневая, т. е. одни выводы являются посылками для других. При этом сеть должна быть знакома хотя бы с понятиями «хорошо» и «плохо», т. е. учитывать критериальную функцию, необходимую для моделирования. Это высшие сферы обучения (самообучения), которые мы здесь не рассматриваем.
Любая достаточно развитая нейросетевая система должна быть многоуровневой, допускающей цепочки выводов. Иначе трудно представить себе такие диалоговые системы, с помощью которых производится постепенное уточнение при успешном продвижении к истине.
Например, диалог в процессе медицинской диагностики формируется, несомненно, на основе отработанной стратегии «допроса». Предполагается, что вопросы структурированы и даже соблюдают порядок следования, отображенный графически, так что одни вопросы исключают другие.
В то же время принцип нейросети применим и тогда, когда вопросы нелогичны, несовместимы. Возбуждения всех нейронов выходного слоя не превысят порога, и НК вступит в диалог с пользователем (П), подобный предыдущему. Если же ответ на логичный вопрос не был предусмотрен экспертами (учителем), то этот недостаток устраним трассировкой нового решения. Правда, новым решением — реакцией на вопрос может быть ответ: «Не задавай глупых вопросов!»
В общем случае диалог пользователя с нейрокомпьютером может выглядеть следующим образом:
НК (Первый вопрос после входа): Что у Вас болит?
П: Голова, живот, палец.
НК (После ввода и обработки сигналов — величин возбуждения нейронов входного слоя, соответствующих понятиям «голова», "живот", «левый указательный палец», максимально возбуждается нейрон промежуточного выходного слоя, инициирующий следующий вопрос): Молились ли Вы на сон грядущий?
Л: Да.
НК: Мыли ли Вы руки, ложась спать?
П (Варианты):
1. Я мою только ноги.
2. Нет.
НК (Варианты):
1. Не задавайте глупых вопросов!
2. (На правах рекламы) Не волнуйтесь, но Вы страдаете манией величия. Вам срочно необходимо обратиться в Пенсионный фонд Российской Федерации!
Применение типовых нейросетей
Справедливо желание построения универсальных моделей нейросетей в составе программного обеспечения компьютера, снабженных механизмами приспособления под задачу пользователя. Е1це более справедливо желание построить набор аппаратных средств — нейросетей (нейрокомпьютеров, НК), сопряженных с компьютером и, по выбору пользователя, участвующих в решении сложных задач. Такие аппаратно реализованные нейросети, как приставки или внешние устройства компьютера, например, определяют специальное направление использования ПЛИС интегральных схем с программируемой логикой.
Однослойная нейросеть. Для наглядности воспользуемся как матричным, удобным алгоритмически, так и графическим представлением нейросети.
Однослойная нейросеть, составленная по принципу «каждый с каждым», представлена на рис. 2.10. Пусть используется предложенная выше передаточная функция

Значения


положим равными нулю.
Закрепим 10 нейронов входного слоя за исходными данными, 5 выходов — за решениями. Этим мы выделим интересующую нас подсеть, которой соответствует матрица следования на рис. 2.11. Здесь отображен ее окончательный вид, так как сначала все веса связей принимаются равными нулю.
Для того чтобы сформировать решение R\ на нейроне Вых\, надо значительно увеличить веса связей этого нейрона с нейронами В1, А1, С1, С2, С3, С4, С5, т.е. построить статический путь возбуждения [B1, А1, С1, С2, С3, C4, C5]

Установим веса связей между нейронами В1, А1, С1, С2, С3, C4, C5, с одной стороны, и нейроном Вых1 — с другой, равными единице, оставив нулевыми веса связей этого нейрона с другими нейронами входного слоя. Таким образом, полностью исключается влияние других нейронов входного слоя на данный выходной нейрон. Конкретная задача может потребовать корректировки, учета взаимного влияния всех входных ситуаций в результате тщательного экспериментального исследования задачи.

Здесь вновь прослеживается преимущество нейросети, способной элементарно учитывать наблюдаемые или интуитивно предполагаемые поправки, требующие огромных исследований и расчетов.
Поступив так же со всеми выделенными нейронами выходного слоя, получим окончательный вид матрицы следования (см. рис. 2.11). Построенная нейросеть полностью соответствует специальной сети «под задачу», представленной на рис. 2.7.
Так какую же сеть предложить дяде Рамзаю? Ведь надо и подоходчивее, и попрактичнее, но и так, чтобы не казалось уж слишком просто.
Нейросеть произвольной структуры. Предположим, мы располагаем некоторым банком «красиво» изображенных графических схем, которые можно положить в основу структуры нейросети. Понравившуюся структуру интерпретируем как нейросеть, дополнив ее передаточной функцией и обучив решению задачи, поставленной дядей Рамзаем.

Пусть выбранная нейросеть имеет 12 входов (более чем достаточно), 5 выходов и реализует ту же передаточную функцию с начальными значениями весов

Однако сеть обладает специфической топологией, затрудняющей ее обучение. Сеть многослойная, что исключает связи «через слой», присутствующие, например, в сети на рис. 2.6, как результат построения нейросети «под задачу».
Применим метод опорных путей, или трассировки, расширяющий использованный выше «схемотехнический» подход. Его можно изобразить схемой рис. 2.1
Суть метода в трассировке соединений, в назначении высоких весов некоторых связей, превращающих нейросеть в законченное функциональное устройство. При такой трассировке обучение производится на эталонах в полном смысле этого слова на вполне определенных (достоверных) ситуациях, например на отсутствии события (0) или на его наступлении (1). После обучения сеть должна выдавать наиболее близкое решение при недостоверной информации, т.е. согласно вероятности наступления того или иного события. Хотя, как показано на примерах, можно выйти и за рамки теории вероятности, не требуя полноты множества событий и условия нормировки, но взвешивая события на основе какихто других принципов.
Итак, для успешной, наглядной и легко рассчитываемой трассировки решим вопрос кардинально: какие веса полагать равными нулю, а какие — единице?
Все прочие возможности, например min

введение порога h = 0,5 и т.д., будут способствовать более плавной работе сети, непрерывности перехода из состояния в состояние.
Применив принципы комбинаторики и эвристики, выполним трассировку нейросети (рис. 2.12). На рисунке наглядно показано, какая нейросеть была предоставлена, насколько она «неповоротлива», скажем, по сравнению с однослойной «каждый с каждым».

Далее рассмотрим формальный алгоритм трассировки. Однако чтобы настроиться на его понимание, необходимо проанализировать свои действия и сделать следующие выводы.
1. Мы исследовали слой за слоем, постоянно помня о цели — пять комбинаций ситуаций, каждая из которых должна возбудить один из нейронов выходного слоя. Причем решения за этими нейронами пока жестко не закреплены.
2. В каждом слое мы собирали частную комбинацию терм, который можно использовать в последующем, — из доступных термов предыдущего слоя.
3. Термы, которые пока не используются при конструировании изза их взаимной удаленности, мы запоминали без изменения на анализируемом слое, пытаясь «подтянуть» их в направлении возможного дальнейшего объединения.
4. Мы старались не «тянуть» термы «поперек» сети. В противном случае возникла бы проблема — как избежать пересечений и искажения уже сформированных термов. Все это заставило нас долго не закреплять нейроны выходного слоя за решениями, что в конце концов привело к нарушению естественного порядка следования решений.
Для автоматизации трассировки необходимо матричное представление, только и доступное компьютеру.
Матрица следования, отражающая трассировку нейросети, получается на основе рис. 2.12, если отметить элементы, соответствующие «тонким» линиям, нулевыми весами, а элементы, соответствующие «жирным» линиям, — весами, равными единице.
На рис. 2.13 отражен динамический путь возбуждения, приводящий к решению R1. Он строится по алгоритму, изложенному в подразд. 2.5. В данном случае динамические пути возбуждения совпадают со статическими. В общем случае из статического пути возбуждения необходимо исключить нейроны, которым соответствуют нулевые строки матрицы следования.
Аналогично получают динамические пути возбуждения, приводящие к другим решениям.
Поставим теперь задачу дальнейших исследований: как построить все необходимые пути возбуждения так, чтобы они, возможно, пересекались, но только для формирования общих термов? А способна ли выбранная нами «готовая» нейросеть вообще справиться с поставленной задачей или предпочтительнее принцип «нейросеть под задачу»?
Примеры применения нейросетевых технологий
Построение обученной нейросети. Рассмотрим увлекательную детскую игру «железнодорожная рулетка», основанную на известной задаче о встрече. Помните: «Из пунктов А и В двигаются навстречу друг другу..»?
Начальник станции Кукуевка (ведущий) и начальник станции Пырловка одновременно выпускают навстречу друг другу два паровоза (рис. 9.1) со скоростью либо 60, либо 80 км/ч. Длина перегона составляет 4 км. Проблема заключается в том, что пути перегона то сходятся в один на протяжении одного километра, то расходятся. И тогда в зависимости от точки встречи со станции Кукуевка надо выслать на соответствующий километр либо линейного с приветственным флажком, либо линейного с подстилочной соломкой. Ситуация усложняется помехами при передаче данных, в связи с чем достоверность сообщения о скорости паровозов меньше единицы. Кроме того, необходимо учесть ожидаемые денежные затраты на единовременную добавку к пенсии линейных.
Начальник станции Кукуевка хочет добиться определенности по принципу «если — то», а в случае недостоверных данных — «на что это похоже, и что делать?».
Ясно, что без элементов искусственного интеллекта не обойтись. Необходимо что то похожее на табличный метод, но с автоматической интерполяцией, что то связанное с ассоциативным мышлением...
Представим себе все варианты будущего поведения нашей системы принятия решений для ее обучения. Графическая структура логического функционирования создаваемой системы приведена на рис. 9.2.

1. Скорость кукуевского паровоза — 60 км/ч (событие AY). Скорость пырловского паровоза — 60 км/ч (событие В\). Одновременное выполнение этих событий обозначим А1&B1. Тогда точка встречи находится как раз посредине перегона, что скорее всего требует помощи линейного с соломкой. Но возможен и другой исход за счет неточного определения скоростей. Тогда на всякий случай потребуется линейный с флажком. Решение, согласно которому оба линейных отправляются на границу второго и третьего километров, обозначим R1. С ним связаны расходы на единовременное пособие Ml.
2. Скорость кукуевского паровоза — 60 км/ч (событие АХ), скорость пырловского — 80 км/ч (событие B2). Выполняется условие АХ&В2. Тогда точка встречи находится на втором километре пути, и, следовательно, требуется решение R2: «Отправить линейного с флажком на второй километр!» В активе указанного линейного появляется сумма М2 условных единиц.
3. Скорость кукуевского паровоза 80 км/ч (событие А2), скорость пырловского — 60 км/ч (событие В\). Выполняется условие А2&В1. Тогда точка встречи находится на третьем километре пути, что требует сочувственного вмешательства линейного с соломкой (решение R3), с оплатой труда в М3 условных единиц.
4. Скорость кукуевского и пырловского паровозов — 80 км/ч (событие А2&В2), что ввиду высокой скорости перемещения линейных требует решения R4 с затратами М4.
А теперь оживим эту структуру, заставим ее действовать так же, как, по видимому, на логическом уровне действуют структуры нашего мозга. Представим себе, что на месте каждого овала (далее кружочка, см. рис. 9.2) действует нейроподобный элемент или просто нейрон. Нейроны рецепторы приходят в возбужденное состояние (подобно сетчатке глаза) в соответствии с той ситуацией, которая задана на входе системы. Рассмотрим, например, ситуацию А1&В2. Положим величины возбуждения нейронов А1 и B2 равными единице и запишем

Подчеркнем тот факт, что возбуждение нейроноврецепторов осуществляется в результате ввода информации.
Для «принимающих» возбуждение нейронов (направление распространения сигналов возбуждения указано стрелками) в результате выполнения передаточной функции формируется величина возбуждения V.
Пусть в нашем случае эта функция имеет вид

где i индекс нейрона, передающего свое возбуждение, h — порог.
Следует учесть, что функция

Положим А = 1 и рассчитаем величины возбуждения нейронов выходного слоя R\ — R4 для ситуации А\& В2:

Таким образом, при точном знании ситуации получаем предусмотренное решение. Проверим, что наша сеть так же правильно работает и по остальным эталонам, по которым мы ее обучили, наметив направления распространения возбуждений от каждой исходной посылки к следствию.
Теперь поэкспериментируем.
Задавая события по принципу «да — нет», «1—0», мы предполагали булевский тип исходных данных. А что если обобщить тип исходных данных, допустив рассмотрение значений, интерпретируемых как достоверность? Или каких то других взаимных оценок, используемых людьми, не сведущими в теории вероятности и не знакомыми с понятием «полное множество событий»?
Например, в результате искажения информации начальник станции Кукуевка пребывает в раздумье: скорость пырловского паровоза равна не то 60 км/ч, не то 80 км/ч, но скорее всего 60 км/ч. Он по наитию набирает: А1 = 1, В1 = 0,7, В2 = 0,4. На какую ситуацию это похоже и какое решение принять?
Считаем:

Мы видим, что максимальной величины возбуждения достиг нейрон R1, определивший главное решение. Но мы вправе учесть и решение R2 с меньшим приоритетом, дав линейному с флажком дополнительные указания. По известной формуле математического ожидания оценим, на сколько облегчится карман начальника станции Кукуевка:

Таким образом, сформирована уже обученная нейросеть.
А что если объединить решения R1 и R4, отличающиеся только скоростью передвижения линейных? Следуя рассмотренному выше принципу, мы получили бы сеть на рис. 9.3.

Легко видеть, что максимальное возбуждение, соответствующее решению /И, достигается всегда, когда задана ситуация, требующая максимального возбуждения только лишь нейронов R2 или R3. Сеть дает побочный эффект, что требует корректировки решения. Она заключается в том, что если максимально и одинаково возбудились два нейрона выходного слоя и один из них R1, то верное решение соответствует второму. Если максимально возбудился только нейрон R1, то он представляет правильное решение.
В данном случае происходит коллизия при замене операций конъюнкции л и дизъюнкции v одной операцией &. Ведь логический предикат возбуждения решения R1 имеет вид

Благодаря этому справедлива гипотеза о минимальной длине статической цепочки в разд. 2.9.
Тогда легко провести коррекцию, построив обученную сеть так, как показано на рис. 9.4, введя так называемые скрытые нейроны 1 и 2.
Рис.9.4. Обученная нейросеть
Выбор нейросети, обучение, трассировка. Мы построили нейросеть, пользуясь приемами, известными специалистам схемотехникам, разрабатывающим устройства компьютера. Мы соединили элементы связями — «проволочками», произведя трассировку для правильного распространения сигнала в соответствии с желаемой функцией. Как неоднократно указывалось выше, все это относится к уже обученной сети. Причем из рассмотрения полностью исключен тот параметр, настройка которого позволяет обучить сеть, в частности, проложить нужные "проводочки" и перекусить ненужные.
Нейрон в данном случае только выполняет передаточную функцию, один из видов которой и был рассмотрен. Более полная модель нейрона заключается в следующем. Нейрон имеет несколько входов — дендритов, каждый из которых обладает весом синапсической связи. В результате выполнения передаточной функции возбуждение нейрона через ветвящийся аксон передается дендритам других, связанных с ним нейронов. Дендрит воспринимает сигнал, пропорциональный своему весу. Таким образом и формируется сеть, в которой различаются входной и выходной слои. Передаточная же функция с учетом синапсических весов для нашего простейшего случая (при компьютерном моделировании чаще всего другого и не требуется) имеет вид

В результате весь смысл построения и обучения нейросети заключается в том, что синапсические веса регулируются, обусловливая пути прохождения возбуждений в сети.
В частности, представив некоторую абстрактную сеть и построив на ее основе сеть для игры в рулетку, положим некоторые веса связей, равными единице (наличие "проводочков"), а некоторые (или все оставшиеся) — равными нулю (отсутствие «проводочков»). Но ведь допустимы и некоторые промежуточные значения весов, хотя для практических целей наш подход оправдан.
Подойдем к построению нейросети для игры в железнодорожную рулетку иначе. Ранее сеть создавалась по известным условиям игры, теперь пусть нам задана нейросеть, а мы обучим ее для игры в рулетку.
Изобразим некоторый ориентированный ациклический граф (рис.9.5) и придадим ему смысл нейросети, поставив в соответствие его вершинам — нейронам (кроме предполагаемых рецепторов) все ту же передаточную функцию. Вот только как заставить сеть так реагировать на очевидные эталоны, чтобы максимального возбуждения достигали нейроны выходного слоя, соответствующие решениям? Для этого необходимо, полагая первоначально все веса нулевыми (или минимальными), увеличить некоторые из них до максимального значения или до единицы. Проще всего именно так и действовать: сначала все веса нулевые ("проводочки" есть, но их сопротивление чрезвычайно высоко), затем выбранные нами веса положим равными единице. Вышесказанное равносильно тому, что какието "проводочки" оставлены, а какието перекушены. Описанное действие по обучению нейросети мы называем трассировкой.
Продемонстрируем алгоритм трассировки, введя упрощения по сравнению с рассмотренным в разд. 3.

Компьютерная обработка нейросети значительно облегчается, если сеть представлена матрицей следования S (рис. 9.6, а), где наличие связи обозначается ее весом.
1. Произведем трассировку возбуждений нейронов [А\,
Исключим из матрицы S строки и столбцы, соответствующие не интересующим нас нейронам входного и выходного слоев. Матрица примет вид
Присвоим нейронам, соответствующим нулевым строкам — входам матрицы


= 2. Таким образом обеспечивается возможность повторного использования нейронов при получении других решений. Исключаем из матрицы


принимает вид, приведенный на рис. 9.6, в.

Рис. 9.6. Матрица следования для игры:
а — общий вид; б для трассировки первого решения;
в — первый шаг преобразования;
г — второй шаг преобразования;
д для трассировки второго решения;
е первый шаг преобразования матрицы следования для обучения второму эталону;
ж — второй шаг преобразования матрицы следования для обучения второму эталону;
Приведение нейросети после трассировки
Рассмотрим простейшую передаточную функцию

Задавая конкретные эталоны в исследованном выше примере, будем наблюдать за изменением величины возбуждения соответствующего нейрона выходного слоя. Мы видим, что каждый эталон приводит к одинаковой величине возбуждения нейрона выходного слоя.
Однако, например, при распознавании знаков алфавита величины возбуждения нейронов выходного слоя в ответ на предъявление различных эталонов могут быть различными. Так, эталон латинской / «засветит» на входном слое (на сетчатке) меньшее число нейронов, чем, скажем, буква Q. При рассмотренной передаточной функции величины возбуждения на выходе будут существенно разными.
Возникает вопрос: не приводит ли некоторое незначительное изменение (зашумление) ситуации А, логично требующее решения


Разная величина возбуждения нейронов выходного слоя указывает на возникновение нежелательной приоритетности ситуаций или эталонов. Очевидно, это возбуждение следует както выровнять по эталонным ситуациям, привести к одной или достаточно близкой величине.
Введем постоянную величину U, например, как максимальное значение возбуждения некоторого нейрона выходного слоя или среднюю оценку, не превышающую такой максимум. Введем для каждого нейрона выходного слоя коэффициент приведения:

Значение находим не по обобщенному эталону, а по каждой конкретной эталонной ситуации, входящей в состав обобщенно


образует реальный эталон в составе обобщенного эталона {А1, В1, С1, С2, С3, С4, С5}. По нему (другие ситуации аналогичны) находим величину возбуждения

В дальнейшем в режиме распознавания будем использовать произведение каждого значения возбуждения нейрона выходного слоя на его коэффициент приведения. Таким образом, мы поставим все эталонные ситуации на входе в равное положение.
Пространство признаков
Рассмотрим подробнее процесс восприятия, например, строчной буквы а рецепторами — входным слоем нейросети. Конфигурация возбужденных рецепторов, порождая прохождение возбуждения через внутренние слои нейросети (образуя путь возбуждения), задавала возбуждение (не затухшее по пути) одного из нейронов выходного слоя, определяющего: "Это буква а".
Устойчивость подобной схемы по отношению к множеству конфигураций возбуждений рецепторов, соответствующих одной только букве а, вряд ли высока. Такое непосредственное распознавание осуществляется далеко не всегда, ибо наше образование базируется на признаках и определениях (правилах вывода).
Как характеризуется строчная буква а? Это кружок, к которому справа примыкает палочка с хвостиком вправо. А прописная буква "А"? Две палочки с перекладинкой. Но ведь буква Н тоже соответствует этому определению. Тогда следует добавить: прописная "А" — это две палочки, соединенные вверху. (Кстати, соединение вверху может быть изза небрежности лишь обозначено. Тогда о намеке на него можно судить по наклону палочек. Дальнейшая небрежность приведет к неразличимости букв А и Я.)
Значит, существует ряд признаков, лежащих в основе определений. Ясно, что такой способ распознавания гораздо устойчивее к искажениям и особенностям почерка, однозначен и надежен. Ведь при изображении буквы А возможны не только небрежность в верхнем соединении палочек, но и различный наклон буквы, длина боковых палочек, место расположения перекладины, ее наклон, и т.д. Искажение приведет к сомнениям лишь при сходстве с цифрой 4, с телеграфным столбом или с греческой буквой Л. Но даже в этом случае окончательный вывод может быть сделан на основе контекста, т.е. по использованию дополнительных признаков.
Значит, в нашем случае необходимо ввести такие признаки, как наличие кружка, палочек, хвостиков, их взаимного расположения, т.е. построить пространство признаков, преобразовать в это пространство входные изображения, и тогда получим более определенное и устойчивое к искажениям заключение.
Перевод входного изображения в пространство признаков значительно расширяет возможности обзора — масштабирования, размещения, поиска угла наклона, т.е. позволяет с более высокой достоверностью производить распознавание.
Например, изображение танка может в разных ракурсах накладываться на входной слой рецепторов и запоминаться: «и это — танк», «и это — тоже танк» и т.д. Но если ввести определение «танк — это массивный корпус на гусеничном ходу, а сверху — башня с дулом пушки и все такое зелененькое», то в любом случае при распознавании будут приняты меры предосторожности.
Подробное руководство по PPP
Рекомендации
Испытывая различные структуры нейросети и пытаясь произвести обучение рассматриваемой задаче, мы, в частности, много усилий затратили на одну нейросеть. Выяснилось, что 5 9 имеет место пересечение путей возбуждения несовместимых ситуаций, требующих максимальных возбуждений разных нейронов выходного слоя. Нам так и не удалось разнести эти пути возбуждений. Коррекция весов одного пути немедленно вызывала коррекцию возбуждения другого. Кроме того, при «случайной» топологии сети величины возбуждения нейронов входного слоя оказывали различное влияние на возбуждение нейронов выходного.
В результате предпочтительнее оказалась регулярная структура сети, принудительное навязывание структуры и контроль взаимодействия ее элементов.
Другой важный вывод касается порочности излишней «экономии» при формировании нейросети.
Почему мы эвристически решали столь трудную комбинаторную задачу согласно рекомендациям, без всякого конструктивного алгоритма?
Наверное, изза отсутствия должной избыточности. Умышленно создавая головоломку, мы теснились на маленькой сети с ограниченными связями. Таковы ли условия в живой природе, где складывающиеся связи помимо запоминания удовлетворяют требованиям устойчивости, надежности, дублирования — резервирования и хд.? Здесь уж либо жалеть и экономить, рискуя оказаться перед неразрешимостью задачи вообще, либо щедро и самым простым способом, по возможности независимо, прокладывать цепочки возбуждений от каждого нейрона входного слоя к каждому «заинтересованному» нейрону выходного слоя. Нет, ясность мышления основана на достаточности и даже избыточности мыслительной субстанции.
Снимем некоторые ограничения и рассмотрим другую типовую нейросеть. На рис. 2.14 тем же методом трассировки опорных путей показано возможное решение задачи. Здесь входной и первый внутренний слои сети связаны почти по принципу «каждый с каждым», что и позволило сформировать основные конструкции — термы, на основе комбинаций которых затем продолжается создание нужных путей возбуждения.
Все построения ведутся на основе рекурсивного подхода: сначала мы имеем термы самого низкого уровня — на входном слое, на их базе получаем конструктивные единицы первого уровня, их комбинируем в термы более высокого уровня и т.д. Конечно, это самое конструктивное решение (мышление). Ведь термы могут формироваться в коре для многократного и многоцелевого использования, так сказать, впрок.
Но возможен и другой, более «щедрый» путь: «тянуть» цепочки «сильных» возбуждений от нейронов входного слоя к нейронам выходного слоя, избегая пересечений.
Пропагандируемая нами случайнорегулярная структура связей не должна зависеть от «слоистости» сети: связи «через слой» значительно упрощают пути возбуждения нейронов.
Вместе с тем «схемотехнический» подход и последующая замена булевых функций л и v одной передаточной функцией приводят к интересной гипотезе.
Оптимальное число слоев нейросети или максимальная длина статической цепочки (если принцип «слоистости» не актуален) совпадает с максимальной длиной логической цепочки в аналогичной электронной схеме, реализующей систему булевых функций зависимости выходных сигналов — аналогов возбуждения нейронов выходного слоя от входных сигналов — аналогов возбуждения рецепторов.
Сказанное позволяет ставить задачу минимизации длины статической цепочки при формировании нейросети для максимального упрощения ее структуры. Этим определяется широкая возможность применения однослойных сетей в том случае, когда задача сводится к обработке простых таблиц с однозначным соответствием принимаемых решений совокупности исходных ситуаций.
Однако дело в том, что любая булева функция представима дизъюнктивной нормальной формой, т.е. дизъюнкцией известных специалисту в области математической логики и схемотехники конъюнкций. Значит, соответствующая электронная схема состоит из логических цепочек, длина которых равна двум. При построении таких схем условно выделяют два уровня: на первом уровне формируются конъюнкции на основе комбинаций булевых переменных и их отрицаний, а на втором уровне — их дизъюнкция.
Таким образом, при использовании «схемотехнического» подхода для построении обученных нейросетей в самом общем случае мы можем довольствоваться не более чем двухслойными нейросетями.
Действительно, в нашем примере каждое событие, требующее определенного решения, интерпретируется как конъюнкция элементарных событий (например, и в более доходчивой форме соответствует логической операции И. Комбинация событий, приводящих к одному решению, соответствует объединению дизъюнкции событий (например, к решению R1 приводит дизъ
Электронная схема на основе логических высказываний, приведенных выше, которую легко себе представить, отличается от изображенной на рис. 2.1. В ней все длины логических цепочек равны двум. Следовательно, при замене логических элементов нейронами, выполняющими пороговую передаточную функцию (при замене булевых переменных действительными), получаем статические цепочки нейросети также с длинами, равными двум.
Значит, принципиально возможно априорное ограничение: «для построения схемы обученной нейросети для заданного применения изображаем два слоя (не считая рецепторного) нейронов, причем один из них выходной. Далее, только лишь выбором конфигурации связей, возможно, через слой, достигаем требуемой функциональной ориентации нейросети».
Неужели достаточно иметь дело с одно и двухслойными нейросетями? Над этой проблемой советуем читателю подумать самостоятельно, обратив внимание на переход от схемы на рис. 2.1, преобразующей булевы переменные, к идентичной структуре нейронной сети на рис. 2.6, обрабатывающей действительные переменные.
«схемотехнический» подход к построению нейросети «под задачу»
Реализуем подход, используемый при построении схем устройств ЭВМ и другой электронной техники. Выделим функционально полную для данного применения систему булевых функций — дизъюнкцию

Нарушив принятые обозначения, построим (рис. 2.1) схему, реализующую алгоритм счета значения выражения (2.1). Предполагаем подавать на вход значения булевых переменных, обозначающих события.

Такая электронная схема могла бы нам верно служить, способствуя быстрому определению необходимой реакции на сложившуюся ситуацию, если мы предусмотрели все возможные ситуации, знаем, какое решение соответствует каждой из них, и всегда обладаем полной и точной информацией о происходящих событиях. Но ведь не зря мы обращаем внимание на те помехи и неопределенность, в условиях которых приходится жить и работать. Мы должны оперировать только достоверностями либо другими оценками событий, пытаясь определить, какой ситуации более всего соответствуют сложившиеся обстоятельства.
Значит, мы должны из точного, детерминированного представления перейти в область ассоциативного, неточного, приблизительного мышления! Но степень (частота) угадывания должна быть достаточно высока.
Именно здесь помогает нейросеть.
Прежде всего надо перейти от типа булевых переменных к типу действительных, введя в обращение не непреложность событий, а лишь вероятности или другие весовые оценки их наступления (электронной технике это не свойственно.) Затем необходимо реализовать аналоги булевых функций над этим новым типом данных, т.е. заставить нейроны с помощью весов, порогов и самой передаточной функции выполнять дизъюнкции и конъюнкции с учетом вариации и неопределенности данных. При этом абсолютно достоверные данные, несомненно, приведут к известным решениям, а по неточным данным можно определить лишь вес каждого из возможных решений. Тогда по максимальному весу определим, на что более всего похожа данная неопределенная ситуация.
Выберем передаточную функцию произвольного (/го) нейрона с числом т входов — дендритов:

Здесь как всегда, величина возбуждения. Тогда нейронконъюнктор может быть реализован с помощью существенно высокого порога (рис. 2.2), где значение

При обучении предполагается, что входные сигналы булевы переменные, принимающие значения 0, 1. Положим выберем
Тогда для преодоления порога на всех входах должны быть 1; недостаток хотя бы одной 1 приведет к тому, что взвешенная сумма будет более чем на

При переходе к действительным переменным, когда вместо событий рассматриваются, например, лишь предполагаемые вероятности их наступления, экспериментальный выбор значения 8 может обусловить ту границу, когда считаться с возможностью данной комбинации событий нецелесообразно.
Нейрон дизъюнктор реализуется, наоборот, при низком значении порога, но при высоких значениях весов. Порог выбирается так, чтобы уже при возбуждении на одном входе возникал сигнал возбуждения на выходе. При этом сигнал на выходе не превышает «1» (рис. 2.3).

Понятно, что при полной определенности в режиме обучения возбуждение поступает по единственному входу (нейрон реализует функцию «ИСКЛЮЧАЮЩЕЕ ИЛИ»). В условиях неопределенности предполагается, что нейрон имитирует выполнение функции ИЛИ, допуская возбуждение более чем на одном входе.
Итак, поменяем тип данных и заменим нейронами все элементы на схеме рис. 2.1. Получим нейросеть (рис. 2.4), где нейроны конъюнкторы заштрихованы.
Теперь позволим дяде Рамзаю поучиться, поэкспериментировать, задавая различные достоверности событий — возможных или невозможных. Например, зададим «правильную» и абсолютно достоверную ситуацию
B3=1,A1=1,C4=1 (Вася отправился к Регине, торгующей ямайским ромом).
Легко проследить, что в первом такте возбудятся нейроны 1 и 6, реализующие дизъюнкцию. Величина их возбуждения равна 1. В следующем такте возбуждение нейронов 1, 6 и A1 приведет к возбуждению (с величиной, равной 1) нейронов 7 и 9, а в следующем такте сигналы возбуждения нейронов 6 и 7 поступят на вход нейрона конъюнктора ВыхЗ. Никакой другой нейрон выходного слоя не возбудится.
Рассмотрим другую ситуацию, неопределенную и недостоверную.
Пусть то ли Вася, то ли Петя — «разведчик» не установил точно — направился то ли к Оксане, то ли к Аполлинарии, торгующим в этот день то ли тройным одеколоном, то ли золотым диском группы «Тарарам».
Дядя Рамзай по выданной нами инструкции решает использовать интуитивные оценки веса, или, на нашем языке, оценить достоверность каждой компоненты возникшей ситуации. Поскольку прогулки как Васи, так и Пети одинаково достоверны, то дядя Рамзай полагает величину возбуждения нейронов
А1 и А2, равной 0,5


=0,5).
После долгих раздумий он по наитию полагает

Напоминаем еще раз, что требовать полноты множества событий и непременного выполнения нормировочного условия не обязательно. Достоверность может выбираться по наитию, на уровне чувств. Именно эти качества неопределенности, субъективности, наличия жизненного опыта и интуиции присущи механизмам ассоциативного мышления.
Сдавая нейросеть «в эксплуатацию», мы установили веса всех конъюнкторов равными 0,5, а дизъюнкторов, — равными 1. Пороги конъюнкторов определяются значением

Важность данного примера требует повторения рисунка нейросети (рис. 2.5) с проставленными возле нейронов значениями сигналов возбуждения. В итоге ситуация скорее всего имеет решение R5 и уж никак не R4. Однако ситуация, соответствующая решению R1, требует внимания и т.д.
Пусть при вполне определенной ситуации (все достоверности принимают значение «1») каждое решение Ri приносит прибыль

Конечно, полученное решение столь же неопределенно, как и карточный расклад, что предвещает трогательную встречу в казенном доме, поэтому мы погружаемся в дальнейший поиск.
Безопасность в Дельфи
Сивилла прорицательница
В век всеобщей информатизации мы склонны ассоциативно прогнозировать: что будет с нами завтра, каковы общие тенденции и что предпринять?
Формализация обработки огромных потоков оперативной информации, в основном в средствах массовой информации, все более привлекает специалистов по прогнозу. В то же время здесь открываются огромные возможности для шарлатанов, и кажется удивительным, как остаются незамеченными несбывшиеся предсказания «авторитетных», не сходящих с телеэкрана, ясновидящих.
Поставить прогноз на научную базу — вот задача современных честных ревнителей перспективы.
Основой прогнозирования являются состав и частота появления слов и выражений, характеризующих политический этап или целый исторический период. Далее следует анализ исторического опыта, определяющий, к чему это приводило в прошлом, и к чему может привести впредь. Комбинации и частота следования слов (рис. 9.14) образовывали критическую массу для неотвратимой цепной реакции социальных катаклизмов...
Итак, появление каждого «судьбоносного» слова добавляет определенное настроение нейросети. Результирующее настроение определяется распределением возбуждений нейронов выходного слоя — его максимумом, значением среднего, предпочтительным рядом. Частота их появления меняется во времени, обязательно предопределяя знаменательные события: развал Советского Союза, путч, вехи экономического краха, социальные и региональные беспорядки...

... Наша задача — не только формально, скажем, по частоте использования тех или иных слов и выражений, но и на основе ассоциативного восприятия воспроизвести динамику социально экономического, политического и морально психологического движения общества.
В таком случае практический аппарат прогноза реализуется
нейросетью, с помощью которой запоминаются отклонения вида "если —то", фиксирующие степень влияния часто употребляемых . слов и выражений на прогноз социального, политического и экономического развития общества. Например, «безусловная победа , одной политической партии» — «увеличение веса тенденции тоталитаризма», «арест «олигарха» — «рост объема вывоза капитала», «эмиссия ценных бумаг компании» — «опасность банкротства». Указанные отношения не однозначны, так как эмиссия ценных бумаг может, наоборот, свидетельствовать об успешной
деятельности предприятия и экономики в целом.
Очевидно, что указанная задача прогнозирования относится к классу трудно формализуемых. Это говорит об универсальности нейросетевых технологий, применимости средств искусственного интеллекта там, где неприменим никакой математический метод расчета.
Служба безопасности
Охрана покоя семьи, противодействие взломщикам грабителям актуальная задача нашего бурного времени. Мы справедливо предполагаем развитие рынка средств автоматического распознавания «свой — чужой» по мере объявленного роста благосостояния народных масс, находящего все большее число покупателей. Как же устроено такое средство охраны — предупреждения (рис. 9.8)?
Основой логической деятельности устройства, конечно же, является нейросеть.
Представим себе многоуровневую нейросеть, первый логический уровень которой подбирает «словесный портрет» на основе признаков изображения, поступившего на его экран. В результате анализа, возможно, с двух точек — анфас и в профиль, установлено:
волосы черные, шевелюра пышная, на 5 баллов;
лоб высокий, залысины, поперечные морщины;
брови густые, вразлет, сросшиеся на переносице, № 8;
нос орлиный, № 4 и т.д.
Конечно, баллы и номера не выставляются, они означают только, какой нейрон промежуточного выходного слоя возбудится максимально. Да и это нам знать ни к чему. Просто произойдет распределение возбуждений между нейронами промежуточного выходного слоя той части нейросети, что обучена распознаванию признаков. Возбуждение этих нейронов как нейронов входного слоя второй части нейросети, т.е. второго логического уровня, должно в результате обучения привести к существенному отличию «папы» от «слесаря дяди Юры», приходившего днем проверить исправный кран. Иными словами, привести к идентификации кто это: «свой» или «чужой»? Можно предусмотреть и особые приметы: чрезмерно красный нос, подозрительные красные пятна на лице и др. При формировании голосового ответа (задействован третий логический уровень) учитывается и эта дополнительная информация.
Стратегии обучения и самообучения
На самом деле обучение не бывает внезапным, как мы это представили выше, рассматривая сразу обобщенные эталоны.
Можно учить по «чистым» эталонам, объединив их в обобщенные, но реально используются «частные» эталоны, приводящие к одному решению. Например, последовательно применяют эталоны В1&А1&С2, В1&A1&С1 и т.д. и получают решение R1. Можно предъявлять вперемежку разные эталоны, формируя одновременно разные решения.
Например, дядя Рамзай не мог ранее предвидеть некоторых комбинаций событий, предварительно имея ошибочное суждение о распределении работ своих клиентов. Ему даже пришлось употребить свои связи для того, чтобы осуществить вожделенную мечту: включить в орбиту своих действий восхитительную высоко прибыльную продукцию фирмы Ночная бабочка}.
Во всех случаях на этапе обучения целесообразно определять события А, В, С с максимальной достоверностью, равной единице, рассчитывая тем самым реакцию нейросети на вполне определенные ситуации. Ведь даже малая вероятность события, приводящая в рабочем режиме к малой величине возбуждения нейрона входного слоя, указывает на то, что событие возможно и, следовательно, нуждается в рассмотрении и выработке решения. Технология трассировки — «прокладывания» опорных путей в сети также предполагает максимальную достоверность событий.
Сеть, очевидно, должна эволюционировать пополняться и развиваться. Лишь на этой основе можно в дальнейшем ставить вопрос не только об обучении с учителем, но и о самообучении.
Таким образом, мы не сразу предъявляем сети, например, весь обобщенный эталон А1&В1&С1&С2&СЗ&С4&С5, приводящий к решению R1, а последовательно используем частные эталоны как единичные значения соответствующих булевых переменных или целых. Возможно, мы не все эталоны даже можем перебрать практически. Например, спустя год после успешной деятельности компании, Петя впервые направился к Марине, торгующей тибетским бальзамом. Анализ этой ситуации потребовал трассировки решения А2&ВЗ&СЗ

Конечно, проще всего по вновь появившимся частным эталонам сформировать новые обобщенные эталоны и, отвергнув все ранее проведенное обучение (положив все веса связей в нейросети равными нулю), вновь произвести обучение по всему множеству обобщенных эталонов, включая уточненные. Однако это противоречит динамике совокупного процесса обучения и распознавания, непрерывному участию сети в системе управления, увеличению трудоемкости обучения. Обучение должно быть столь же оперативным и динамичным, как и распознавание.
Другой путь учета новых эталонов заключается в "обнулении" или минимизации лишь тех весов связей, которые обусловлены предыдущим значением обобщенного эталона, приводящего к тому же решению. В результате использованные ранее нейроны выводятся в ресурс. Затем трассировка выполняется заново по уточненному обобщенному эталону, что гораздо короче, если не учитывать временных затрат на ликвидацию следов присутствия устаревшего обобщенного эталона.
Рассмотрим проблему динамического включения новых частных эталонов в состав обобщенного на фоне уже произведенного частичного обучения нейросети.
Пусть предъявление эталонов А1&B1&C2 и А1&В1&С4 (обобщенный эталон А1&В1&С2&С4), требующих решения R1, а также предъявление обобщенных эталонов А1&В2&С1&С2&СЗ; А1&В2&С4&С5, A2&B3&C1&C2&C3&C4&C5, А2&В1&С1&С2&СЗ &С4&С5, требующих соответственно решений R2, КЗ, R4, R5, привели к трассировке нейросети, представленной на рис. 4.1. Здесь выделенные связи обладают максимальным значением веса (единичным). Нейросеть получена с помощью алгоритма трассировки, изложенного выше. Матрица следования S, соответствующая получившейся сети, показана на рис. 4.2.
Указанную нейросеть весьма утяжеляют дополнительные связи. Обучение всем обобщенным эталонам сразу (см. разд. 3) выявляет термы, использующиеся при получении различных решений. Здесь же термы не складывались, нейроны почти не использовались повторно. Это и привело к формированию большого числа дополнительных связей.

Пусть в процессе эксплуатации обученной сети выяснилось, что ситуации (эталоны) А1&В1&С1 и А1&В1&СЗ в дополнение к ранее предусмотренным не только возможны, но требуют того же решения R1. Это означает, что обобщенный эталон А1&В1&С2&С4 следует расширить до эталона А1&В1&С1&С2& С5&С4, требующего решения R1, т. е. необходимо построить путь возбуждения (трассу) В\, А\, С\, С2, С3, C4
Нельзя, однако, допускать слияния, влияния строящейся трассы на пути возбуждения, ведущие к другим нейронам выходного слоя, что происходит при повторном использовании нейронов. Ведь слияние двух путей возбуждения заключается в увеличении весов синапсических связей некоторых нейронов. Таким образом, некоторые нейроны могут получать сигналы возбуждения большего, чем прежде, числа нейронов. А если эти нейроны использовались для получения других решений?
В дополнение к алгоритму трассировки заметим следующее. Целесообразно при повторном использовании нейронов в процессе последовательного анализа обобщенных эталонов проследить за тем, участвует ли данный нейрон лишь в одном пути возбуждения к единственному нейрону выходного слоя и к какому именно или к более чем одному нейрону выходного слоя. Этого вполне достаточно.
Для нового обобщенного эталона на основе матрицы S построим матрицу


Вых1] (рис. 4.3, а). В соответствии с правилом построения в ней представлены лишь те нейроны, для которых число единиц в строке равно соответствующему значению т. Для каждой строки, содержащей единичные элементы, указано использование нейрона для получения какоголибо единственного решения (признак Вых1) или не единственного (признак отсутствует).
Исключим из построенной матрицы строки и столбцы, соответствующие нейронам, участвующим в путях возбуждения, не ведущих к Вых\ (рис. 4.3, б).
В столбце, соответствующем нейрону С1, и в строке, не являющейся входом, находим первый сверху нулевой элемент. Полагаем его равным единице и отражаем введенное изменение в матрице S. Если нулевого элемента в столбце не нашлось, находим первый «пустой» или отмеченный транзитивной связью элемент и полагаем его равным единице. В результате получаем дополнительную связь С1

То же проделываем с нейроном СЗ, введя дополнительную связь с единичным весом СЗ

Отметим, что наше решение основано на эвристике, и место появления новых возбужденных связей может быть оспорено. Например, могли быть построены связи


9, или Вых1, СЗ


9, или


Вых1, и т.д.

Предлагаем читателю самостоятельно получить уточненную сеть, дополнив рис. 4.1.
Табличный метод основа искусственного интеллекта
В общем то, принципы мозговой деятельности известны и активно используются. Мы применяем незримые таблицы в нашей памяти, принудительно и вольно заполняемые за партой, за рулем, с министерским портфелем и без него, крутя головой на шумной улице, за книгой, у станка и у мольберта. Мы учимся, учимся всю жизнь: и школьник, проводящий бессонные ночи за букварем, и умудренный опытом профессор. Ибо с теми же таблицами мы связываем не только принятие решений, но и двигаемся, ходим, играем в мяч.
Если противопоставить ассоциативному мышлению математические вычисления, то каков же их вес в жизни человека? Как шло развитие человека, когда он вообще, не умел считать? Пользуясь ассоциативным мышлением, умея интерполировать и экстраполировать, человек накапливал опыт. (Кстати, вспомним тезис Д. Менделеева: «Наука начинается тогда, когда начинают считать».) Можно спросить читателя: «Сколько раз сегодня Вы считали?» Вы водили автомобиль, играли в теннис, торопились на автобус, планируя свои действия. Представляете, сколько бы Вам пришлось высчитывать (да еще где взять алгоритм?), для того чтобы поднять ногу на тротуар, минуя бордюр? Нет, мы ничего не вычисляем ежеминутно, и это, пожалуй, основное в нашей интеллектуальной жизни, даже в науке и бизнесе. Механизмы ощущений, интуиции, автоматизма, которые мы, не в силах объяснить, адресуем подкорковому мышлению, на деле являются нормальными механизмами ассоциативного мышления с помощью таблиц базы знаний.
И главное, мы делаем это быстро! Как же нам не задуматься, пытаясь постичь и воспроизвести?
Наука и техника обладают колоссальным опытом построения сложных систем только лишь на основе алгоритмических, математических методов расчета, исключая какие бы то ни было методы искусственного интеллекта. Алгоритмы вывода и наведения ракет перехватчиков, расчет и выдача команд целее указания и управления на борт по измеренным отклонениям впечатляют по объему вычислений, по частоте обновления данных и в конечном итоге по требованиям к производительности вычислительных средств. И мы все яснее понимаем, что моделирование процессов мозговой деятельности, воспроизводящих методы ассоциативного мышления, открывает самые широкие возможности, присущие живым организмам. Это и высокий универсализм, и высокое быстродействие.
Природа реализует самые простые принципы, утверждая, что «гениальное просто». Сложное обусловлено количеством и структурированием простого. Механизмы логического вывода, реализованные мозгом человека, основаны на простых логических элементах типа «если — то», «посылка — следствие», приемлемых даже для простейших. Огромное количество таких элементов в столь же простом взаимодействии, соединяясь и выстраиваясь в логические цепочки, воспроизводя иерархию и рекурсию, образуют сложные выводы, тотчас же обращенные для новых выводов.
Но, пожалуй, основное достоинство мозга — способность параллельного выполнения сложных логических предикатов и последовательного вычисления длинных логических цепочек. Такие действия достигаются, во первых, при одновременной обработке всех сигналов, поступивших на рецепторы, и, во вторых, при реализации каждым нейроном передаточной функции для поступивших сигналов. Передаточная функция является суррогатом логических функций булевых переменных для обработки действительных переменных.
Важно подчеркнуть, что информация перерабатывается в нейросети не непосредственно, а опосредствовано — на уровне оценок, на уровне ее воздействия на величину возбуждения рецепторов или нейронов входного слоя подструктур.
А как же наше формальное мышление, вторая сигнальная система по Павлову, а как конструирование алгоритмов и правил вычислений? Полагаем, что это — все более и более высокие уровни того же логического мышления, наслоение нейронной сети и продолжение логических цепочек, попутно приводящих к развитию образной памяти, продукт роста в процессе Развития. Мы полагаем это вполне материально воплощенным и потому реализуемым искусственно, подвластным моделированию и воспроизведению.
Сформулируем теперь достаточный, сегодняшний принцип построения нейросети, как элемента ИИ:
1. Следует признать, что основа имитации нейро структуры мозга — это метод табличной интерполяции.
2. Таблицы заполняются или по известным алгоритмам вычислений, или экспериментально, или экспертами.
3. Нейросеть обеспечивает высокую скорость обработки таблиц за счет возможности лавинообразного распараллеливания.
4. Кроме того, нейросеть допускает вход в таблицу с неточными и неполными данными, обеспечивая приблизительный ответ по принципу максимальной или средней похожести.
5. Задача нейросетевой имитации мозга заключается в преобразовании не самой исходной информации, а оценок этой информации, в подмене информации величинами возбуждения рецепторов, искусно распределенных между видами, типами, параметрами, диапазонами их изменения или отдельными значениями.
6. Нейроны выходного слоя каждой подструктуры своим возбуждением указывают на соответствующие решения. В то же время эти сигналы возбуждения на правах исходной опосредованной информации могут использоваться в следующем звене логической цепочки без внешнего вмешательства в рабочем режиме.
Трассировка двухслойной нейросети
В подразд. 2.9 указывалось, что любой предикат алгебры логики может быть записан в виде дизъюнктивной нормальной формы как дизъюнкция конъюнкций значений предиката и утверждений, принимающих значения ИСТИНА — ЛОЖЬ, а также их отрицаний. Поэтому будем считать, что каждый предикат системы, на основе которого строится нейронная сеть для принятия решений, представляет собой дизъюнкцию конъюнкций событий, приводящих к общему решению. Например, система предикатов (2.1) в записи на Алголе имеет вид:
Тогда трассировка нейросети заданной структуры по каждому предикату производится в два этапа. На первом этапе формируются термы — конъюнкции событий, за которыми закрепляются нейроны. Эти нейроны «собирают» возбуждение нейронов входного слоя. На втором этапе исключаются из рассмотрения нейроны входного слоя, на основе которых сформированы термы. Входным слоем нейронов становятся нейроны входного слоя сети, соответствующие событиям, не вошедшим в состав термов, а также нейроны, реализующие термы. Формируется связь этих нейронов с нейроном выходного слоя, закрепленным за решением.
Как ранее говорилось, для выполнения такой трассировки достаточно взять двухслойную сеть.

Однако в такой сети первоначально может быть недостаточно заданных связей, поэтому целесообразно дополнить сеть необходимыми связями. Ведь из сказанного выше следует, что могут понадобиться связи «через слой», т.е. возможен отход от традиционной «слоистости» сети.
На рис. 3. 14 показана трассировка двухслойной сети, реализующей систему предикатов (3.2). Связи между слоями первоначально заданы по принципу «каждый с каждым». Выделены связи с весами, равными единице.
В дополнение к сказанному отметим следующее.
Если ситуация, приводящая к некоторому решению, поглощается обобщенным эталоном, приводящим к другому решению, то нейросеть не сводится к однослойной и дает неоднозначный ответ (см. подразд. 2.9). При этом правильное логическое описание системы принятия решений состоит из описания логических функций, каждая из которых представляет собой скобочную запись с единственным вхождением переменных. Трассировка должна производиться в соответствии с вложенностью скобок.
Таким образом, необходимо обобщение предлагаемого здесь алгоритма трассировки.
Трассировка нейросети
Выберем нейросеть, отражающую все особенности, необходимые для построения алгоритма трассировки, и возьмем тот же пример, который выглядит теперь следующим образом:

Задавая обобщенный эталон на входе, например, из тех, что приведены выше, необходимо наиболее рациональным образом построить пересекающиеся пути возбуждений, ведущие от каждого возбужденного входного нейрона к соответствующему нейрону выходного слоя. Пути должны быть максимально объединены, совмещены согласно стратегии слияния и общего выхода.
Ори этом разрабатывается эвристический алгоритм, с минимальным использованием ресурсов сети — ее нейронов и связей, а также с минимальным развитием, если связей недостаточно.
Пусть выбрана нейросеть (рис. 3.1), где первоначально заданные связи обозначены тонкими стрелками. Строим соответствующую матрицу следования S и в ней транзитивные связи (рис. 3.2). Проверяем, все ли нейроны выходного слоя достижимы из любого нейрона входного слоя? Если нет, считаем, что сеть составлена некорректно.

Из нейрона В\ не исходит ни одной статической цепочки, заканчивающейся нейроном Вых5, в связи с тем, что в строке, соответствующей нейрону Вых5, нет даже транзитивной связи в столбце, соответствующем нейрону В\. Это относится и к нейрону В3.
Введем непосредственные синапсические связи В1

3.2 — весами элемента матрицы.
Сформируем (см. подразд. 2.5) статический путь возбуждения [В1,А1, С1, СЗ, С4, С5]


Вых\\ (рис. 3.3, а). Имитируя прокладываемые пути возбуждений, первоначально присваиваем нейронам входного слоя, отображенным нулевыми строками этой матрицы, признак «возбужден».
Найдем входы матрицы

Рис. 3.3. Матрица следования при обучении первому эталону:
а — общий вид; б — первый шаг преобразования матрицы следования;
в — после исключения нейронов В1,А1, и 6;
г — после исключения «невозбужденных» входов
Присвоим нейрону 6 признак «возбужден», а также значение
Исключим из матрицы
Вновь выделим столбцы, соответствующие «возбужденным» входам матрицы, т. е. нейронам В\, А\, 6. Находим строку в выделенной совокупности столбцов с максимальным числом нулей. Строка соответствует нейрону 11. Заменяем в этой строке нули единицами, т. е. максимально увеличиваем веса. Присваиваем нейрону 11 признак «возбужден» и значение
Последовательное исключение сверху вниз динамически учитывает появление таких нейронов и гарантирует полное исключение за один проход. Матрица
Теперь в первом столбце имеется единственная строка с нулем, соответствующая нейрону Вых\. Изменим нуль на единицу, окончательно получим возможный динамический путь возбуждения по заданному эталону.
Изменения отразим в матрице S.
Не будем приводить новый вид матрицы следования S, а на изображении самой сети (рис. 3.4) выделим построенную трассу (опорный или динамический путь возбуждения по предполагаемому эталону).
В результате имеем сеть, обученную реакции на эталон одной комбинации событий.

Составим обобщенный эталон ситуации {А\, В2, 53, С\, С2, СЗ}, требующий решения R2. Свяжем это решение с нейроном Вых2.


Вых2]
По сети, представленной на рис. 3.4, или по матрице (см. рис. 3.2), построим с учетом частичного обучения матрицу статического пути возбуждения(рис. 3.5).
На нейроне 6 ранее суммировалось возбуждение пяти нейронов: С1,С2, СЗ, С4, С5. Таким образом, и соответствующая строка матрицы S содержит пять единиц
Исключим из данной матрицы строки и столбцы, соответствующие нейронам 6 и 11. Матрица примет вид, приведенный на рис. 3.6.
Объединим столбцы множества входов матрицы, обладающих признаком «возбужден», в данном случае первые шесть столбцов. Найдем в них первую строку, содержащую максимальное число нулей. Это строка, соответствующая нейрону 4.

Изменим в ней все нули на единицы, положим

Исключим из матрицы

Вновь объединим столбцы множества входов, обладающих признаком «возбужден», соответствующие нейронам ВЗ, С3, 4. В совокупности столбцов выберем первую строку, содержащую максимальное число нулей, — строку, соответствующую нейрону 1.
Заменим нуль на единицу, положим

Исключим из матрицы строку и столбец, соответствующие нейрону ВЗ, передавшему энергию возбуждения нейрону 1, а также исключим строки и столбцы, соответствующие образовавшимся входам — «не возбужденным» нейронам 2 и 3.
В столбцах, соответствующих нейронам — входам с признаком «возбужден», найдем строку с наибольшим числом нулей. Такая строка соответствует нейрону 10. Заменим нули на единицы, присвоим нейрону признак «возбужден», полагаем

В матрице

Нейрон 9, не обладающий признаком «возбужден», образует вход матрицы. Исключим соответствующие ему строку и столбец.
Выделим столбцы, соответствующие нейронам С3 и 10, и в них находим строку с максимальным числом нулей. Такая строка соответствует нейрону 5. Заменяем в ней нуль единицей, полагаем

Исключим из матрицы

В совокупности выделенных столбцов, соответствующих нейронам 5 и 10, строка, соответствующая нейрону 12, имеет единственный нуль. Заменим его на единицу, присвоим нейрону 12 признак «возбужден», положим


строку истолбец, соответствующие нейрону 5. И наконец, на последнем шаге, заменив нули в строке, соответствующей нейрону Вых2, единицами, окончательно получим искомый путь возбуждения (рис. 3.7).
Обучим сеть ситуации, требующей решения R3. Пусть этому решению соответствует нейрон ВыхЗ. Матрица



изображен на рис. 3.8, б. Присвоим всем нейронам, образующим входы матрицы, признак «возбужден». Выделим и объединим столбцы, соответствующие входам матрицы Однако вследствие ранее выполненных построений — в результате частичного обучения — появляются новые особенности. Поэтому расширим последующие действия.

В выделенных столбцах найдем строку, содержащую максимальное число единиц.

Строка представляет тот нейрон, который приобрел энергию возбуждения одного или нескольких нейронов, образующих входы матрицы. Эти нейроны могут быть исключены из рассмотрения. Так, нейрон 1 возбужден единственным нейроном, принадлежащим текущему множеству входов матрицы, — нейроном В3, который может быть исключен из рассмотрения. Матрица


, уничтожив веса в его строке.
Вновь найдем множество входов матрицы и выделим соответствующие столбцы. Отыщем строку, содержащую единицы в этих и только этих столбцах. Таковых больше нет.
Рис. З.8. Шаги преобразования матрицы следования для обучения третьему эталону: а — общий вид; б — матрица следования после исключения неиспользованных нейронов.

Тогда найдем строку, содержащую максимальное число нулей. Первая такая строка соответствует нейрону 2. Заменим нули единицами, положим = 2, исключим нейроны B2 и A1 из рассмотрения, присвоим нейрону 2 признак «возбужден». Отразим сделанные изменения весов в матрице S.
Исключим входы, не обладающие признаком «возбужден», — нейроны 3 и 5.
Выделим столбцы, соответствующие входам. В них нет строк, содержащих единицы. Тогда найдем строку, содержащую максимальное число нулей. Такая строка соответствует нейрону 7. Заменим нули (в выделенной совокупности столбцов) на единицы, положим

Выделим столбцы, соответствующие «возбужденным» входам и не находим строк, содержащих единицы. Тогда найдем первую строку с максимальным числом нулей. Это строка, соответствующая нейрону 13. Заменим нуль на единицу, нейрону 13 присвоим признак «возбужден», полагаем

Выделим столбцы, соответствующие множеству «возбужденных» входов. В них нет строки с единицами, но единственная строка с максимальным числом нулей соответствует нейрону ВыхЗ. Заменим нуль на единицу. Однако статус этого нейрона особый, и значение т, как и признак «возбужден», ему не присваивается.
Исключим нейрон 13 из рассмотрения.
Выделим множество столбцов, соответствующих «возбужденным» входам, т. е. нейронам 1 и 2. Ищем в этих столбцах строку с единицами, затем с максимальным числом нулей, но таковых нет. Следовательно, необходимо ввести дополнительные связи. Для этого в каждом столбце найдем первую сверху транзитивную связь и заменим ее на единицу. Тогда данная сеть дополнится динамическими цепочками возбуждения 1


ВыхЗ.
Построение трассы решения R3 закончено, и сеть имеет вид, представленный на рис. 3.9.
Приступим к обучению следующему обобщенному эталону — решению А2 & В3 & С1 & С2 & С3 & С4 & С5


[В3, А2, С1, C2, С3, C4, C5

Исключим из рассмотрения те нейроны, для которых количество единиц в строках меньше т. Такими нейронами являются 4 и 11. Матрица

Присвоим всем нейронам входам признак «возбужден». Выделим столбцы, соответствующие входам, это первые семь столбцов. Найдем строку с максимальным числом единиц в этих столбцах при отсутствии единиц в других. Строка соответствует нейрону 6. Теперь нейрон 6 представляет нейроны С\, С2, С3, С4, С5, передавшие ему энергию возбуждения. Присвоим ему признак «возбужден», исключим из рассмотрения перечисленные нейроны, матрица
Для «невозбужденных» нейронов исключим в матрице строки (и столбцы), число единиц в которых меньше т. Они соответствуют нейронам 5 и 7. Повторим этот щаг до полного исключения таких нейронов исключаются нейроны 12 и 13. Матрица примет вид, представленный на рис. 3.10, г.


Исключим из рассмотрения множество «невозбужденных» входов. К таковым относится нейрон 8. Выделим множество столбцов, соответствующих входам матрицы. В их совокупности найдем первую строку с максимальным числом нулей (единиц нет во всей матрице). Такую строку образует нейрон 3. Нули в ней соответствуют нейронам ВЪ и А2. Исключим эти нейроны из рассмотрения, положим

Вновь выделим множество столбцов, соответствующих входам матрицы, и так как в их совокупности нет строк, содержащих единицы, найдем строку с максимальным количеством нулей, соответствующую нейрону 14. Заменим в ней нуль на единицу, положим

Выделим множество столбцов, соответствующих входам матрицы, и так как в их совокупности нет строк, содержащих единицы, найдем строку с максимальным количеством нулей. Эта строка соответствует нейрону Вых4. Заменим в ней нуль на единицу. Поскольку это нейрон выходного слоя, не станем присваивать ему признак «возбужден» и значение т. Исключим нейрон 14 из рассмотрения. Вид матрицы представлен на рис. 3.10, е.
В этой матрице множество «возбужденных» входов представлено единственным нейроном 3. Однако в соответствующем ему столбце нет ни единичных, ни нулевых элементов. Введем в сеть дополнительную связь, найдя в этом столбце первую сверху транзитивную связь и положив ее вес равным единице. Эта связь порождает динамический путь возбуждения 3

Теперь приступим к трассировке последнего пути возбуждения А2 & В1 & В2 & С1 & С2 & СЗ & С4 & С5

На основе текущей матрицы S построим матрицу


Вых5] путем исключения «ненужных» строк и столбцов с сохранением транзитивных связей. Исключим из рассмотрения нейрон 4, для которого количество единиц в строке меньше


представлена на рис. 3.12, а.

Присвоим всем входам признак «возбужден». Выделим столбцы, соответствующие «возбужденным» входам. В совокупности этих столбцов найдем строку, содержащую максимальное число единиц в этих и только этих столбцах. В данном случае такая строка соответствует нейрону 6. Присвоим ему признак «возбужден» и исключим из рассмотрения нейроны С1,..., С5.
Далее исключим из рассмотрения нейроны 5 и 7, так как в соответствующих строках отсутствуют единицы при отличных от нуля значениях т, после чего придется исключить по той же причине нейроны 12 и 13. Получившаяся матрица представлена на рис. 3.12, б.
Исключим из рассмотрения «невозбужденный» вход, соответствующий нейрону 8.
Выделим столбцы, соответствующие «возбужденным» входам, и в их совокупности найдем строку, содержащую наибольшее число единиц при отсутствии единиц в других столбцах. Строка соответствует нейрону 14. Исключим из рассмотрения нейрон 6, как передавший свое возбуждение нейрону 14, присвоим нейрону 14 признак «возбужден». Матрица примет вид, представленный на рис. 3.12, в.

Выделим столбцы входов, соответствующие «возбужденным» нейронам, и в их совокупности найдем строку, соответствующую нейрону выходного слоя Вых5, содержащую максимальное число нулей (строк с единицами больше нет). Заменим нули на единицы. Исключим нейроны В1 и 14 из рассмотрения. Отразим введенные изменения в матрице S. На рис. 3.12, г приведена полученная матрица

Выделим множество столбцов — входов матрицы. В этих столбцах не находим строк, содержащих единицы, а также строк, содержащих нули. Тогда в каждый столбец занесем единицы на места транзитивных связей, т. е. введем связи В2


Трассировка нейросети закончена. Окончательный ее вид представлен на рис. 3.13, где единичные веса соответствуют жирным стрелкам.
Устойчивость и помехозащищенность
В рассмотренном в разд. 1.1 примере относительно жесткого закрепления нейронов выходного слоя между образами принцип ассоциативности или ответ на вопрос: «На что более всего это похоже?», пока не просматривается. Как же он появляется?
Представим себе выходной слой нейросети (рис. 1.5). Рассматривая прохождение возбуждения, например, при подаче того же изображения буквы А, считаем, что в возбужденное состояние придет не один нейрон, строго соответствующий (по нашему желанию) этой букве, — в его окрестности возбудятся и другие нейроны. Причем возбуждение будет угасать по мере удаления. Нам же необходимо, чтобы максимальной величиной возбуждения в этой окрестности обладал именно отмеченный нейрон. Более того, желательно, чтобы эта величина возбуждения была существенно выше величин возбуждения других нейронов. Это обеспечит однозначность при последующем использовании полученного вывода в построении «длинных» логических цепочек для принятия решения. Такая локализация возбуждения позволяет с большой определенностью ответить на вопрос: «На что более всего похож предъявляемый образ, несмотря на случайные отличия его от эталона и помехи?»
Отметим существующую в природе (реализованную в мозге) непрерывность перерастания свойства похожести одних образов в другие. Следование этому принципу при принудительном закреплении нейронов выходного слоя способствует построению адекватных моделей. Говоря точнее, подавая первый раз букву А при случайном начальном выборе весов, не следует указывать системе, какой нейрон выходного слоя должен возбудиться. Лучше подать достаточно «правильный» эталон и посмотреть, какой нейрон возбудится. Этот нейрон и будет впредь соответствовать нашей букве. Возбуждения именно этого нейрона необходимо добиваться при предъявлении других эталонов.

Далее при построении алгоритма обучения предположим, что первоначально сеть «пуста», т.е. все веса синапсических связей равны нулю. Путь возбуждения (связь «посылка — следствие») прокладывается («трассируется») с помощью присваивания некоторым весам положительного значения.
Способы максимизации и локализации уровня возбуждения основаны на нахождении экстремума функции возбуждения, построенной в области выходного слоя. Здесь не обойтись без обмена тормозящими воздействиями между нейронами выходного слоя. Суть идеи в следующем. Все нейроны выходного слоя имеют синапсические связи, такие, что каждый нейрон связан с ближайшими нейронами тормозящими связями, по модулю пропорциональными величине собственного возбуждения. В результате взаимодействия двух нейронов (один из алгоритмов такого взаимодействия будет рассмотрен ниже) более «сильный» сохранит положительный (хотя и меньший) потенциал, сообщив более «слабому» тормозящее воздействие. Такое пошаговое «голосование» на фоне приходящего подтверждения от эталона и выделит сильнейшего.
Итак, мы видим, что обучение сети неразрывно связано с локализацией возбуждения на выходном слое.
Возбуждение входного слоя
Определим теперь возбуждение входного слоя, учитывая то, что по нейросетевым технологиям решаются сложные, чаще всего трудно формализуемые задачи. Исходная информация этих задач может быть настолько несовместима по смыслу, типам данных и единицам измерения, что приведение ее к некоторому количественному воплощению — величине возбуждения нейронов входного слоя — представляет серьезную проблему.
Например, как объединить величину превышаемой водителем скорости, тип автомобиля иностранного производства со вчерашним неудачным выступлением любимой автоинспектором футбольной команды при нахождении величины штрафа? Ведь каждый из перечисленных факторов должен определить некоторые общие, приведенные значения возбуждения.
Такое приведение также зависит от задачи. Поскольку нейроны — нечто стандартное для данной задачи или класса задач, то каждая характеристика нейрона — величина возбуждения, веса его синапсических связей, порог, передаточная функция — должны быть одинаковы или принадлежать общему (по каждой характеристике) для всех нейронов диапазону возможных значений.
Дадим рекомендации, основанные на «событийном» принципе.
В нашем новом примере о превышении скорости разобьем скорость на диапазоны штрафования, например
[90,100), [100 — ПО), [ПО 120), [120 200].
За каждым диапазоном скорости закрепим нейрон входного слоя — рецептор. Определим его среднее значение возбуждения, равное 1. Пусть отклонение к границам диапазона скорости пропорционально уменьшает эту величину возбуждения, увеличивая величину возбуждения рецептора «соседнего» диапазона. Другой вариант задания исходных данных основан на решении вопроса принадлежности скорости некоторому диапазону. Тогда величина возбуждения превратится в булеву переменную, фиксируя событие. Но более универсальный подход основан на связывании величины возбуждения рецептора с достоверностью — вероятностью того, что величина скорости принадлежит одному или нескольким диапазонам. Такой подход мы и намерены воплотить в дальнейшем.
А именно хотя бы интуитивно (ведь интуиция основана на опыте), определим достоверность того, что интересующая нас величина принадлежит данному диапазону. С какой достоверностью она принадлежит второму диапазону? А третьему? Можно даже уйти от понятия достоверности как вероятностной категории. Все ли мы знакомы с понятием полноты множества событий? Ведь часто слышим: «Даю голову на отсечение, что это так, хотя и допускаю, что все наоборот...». Главное, чтобы исходные оценки информации были относительными, отражающими принцип «больше — меньше». Это расширит популярность нейротехнологий, исключит необходимость специальных знаний. Ведь какието начальные возбуждения рецепторов при их относительном различии распространятся по нейросети, определяя предпочтительность принимаемого решения.
Тогда на этапе обучения нейросети получим возможность формирования аналога некой таблицы, в соответствии с которой будет действовать инспектор. (Однако здесь пока не рассматривается процесс обучения нейросети — формирование этой таблицы, а только принцип формирования данных для входа в нее.)
Выделим нейроны, «отвечающие» за типы автомобилей: отечественного производства, «мерседес», «вольво», джип «чероки» и т.д. Величину возбуждения этих нейронов будем полагать равной 1 (на этапе обучения) или равной достоверности события (в рабочем режиме). Аналогично выделим рецепторы, «отвечающие» за другие возможные события: степень интеллигентности водителя (так же по диапазонам изменения), выигрыш или проигрыш любимой команды и т.д.
Следовательно, на входном слое будут формироваться приведенные значения возбуждения.
В рабочем режиме мы, таким образом, получили возможность использования неопределенной, недостоверной информации. Например, инспектор не смог изза высокой скорости отличить «ниву» от джипа «чероки». Тогда он решает ввести значение 0,5 в графу «нива» (величина возбуждения рецептора, «отвечающего» за «ниву» станет равной 0,5) и 0,5 — в графу джип «чероки» (такой же станет величина возбуждения соответствующего рецептора). Однако, подумав, он на всякий случай вводит величину 0,2 в графу ВАЗ2104, что также во власти его сомнений. Так же инспектор поступает и с другими характеристиками сложившейся ситуации в поисках наиболее достоверного решения по принципу наибольшей похожести.
Введение
В моменты принятия сложных решений человек старается «заглянуть в себя» и постичь, каким образом он справляется с трудными и порой не решаемыми формальной логикой задачами. Естественное беспокойство и жажда познания обуревают его наряду со смутным сознанием того, что математический, алгоритмический подход к построению сложных кибернетических систем искусственно абсолютизирован. Все должно быть к месту, все должно быть взвешено, И обращаясь к себе, он раз за разом проводит мозговую атаку на то таинственное, созданное природой — на собственный мозг...
Итак, мы вступаем в самую сокровенную область искусственного интеллекта.
Мы смелы и безапелляционны. Долго и систематически насаждаемая духовная нищета заставила нас позабыть о превалирующем духовном начале в человеке. Все больше людей понимают, что мозг — лишь инструмент духа, души. И как любой инструмент, он производится, тупится и приходит в негодность — умирает. Бессмертной остается душа — продукт тонкого мира, мира сверхвысоких частот и, по мнению некоторых философов, настойчиво проявляющейся психической энергии.
А раз мозг — инструмент, его надо тренировать, заполнять, совершенствовать. В природе царит принцип целесообразности, полезности в борьбе за главную установку — установку на развитие. Нужное существует и утверждается, ненужное отмирает, как отмирают неиспользованные, «лишние» нейроны, порождая склеротическую ткань и разъедающую интоксикацию. И человека ленивого, праздного, недеятельного охватывает преждевременное старческое слабоумие. «Душа обязана трудиться», — сказал поэт Н. Заболоцкий. Эту истину мы открываем вновь, с другой, неожиданной стороны...
Мы принимаем сказанное и успокаиваемся. Не вторгаемся мы в то, что для нас сейчас непостижимо, что пока нам не дано. Но кто знает? И на всякий случай мы вооружаемся иронией, преодолевая «сопротивление материала». Ирония позволяет и сказать, и не сказать, предположить, но тотчас, прикрываясь шуткой, трусливо отступить. Только иронией можно защитить себя от мистических страхов, возникающих на трудном пути познания.
Внимание ученых к логическому моделированию процессов головного мозга обусловили следующие причины:
высокая скорость выполнения сложных логических конструкций — предикатов с высоким параллелизмом действий;
простота алгоритмов логических действий мозга, основанная не на численном манипулировании, а на принципах ассоциативного мышления;
возможность решения трудно формализуемых задач, в которых совместно используются данные логически несовместимой природы, противоречивые, неполные, «зашумленные», некорректные;
устойчивость работы, совместимая с расширением, трансформированием и совершенствованием знаний;
надежность, обеспечиваемая наличием многих путей логического вывода и способностью восстановления утраченных данных;
возможность построения самообучающихся и самонастраивающихся систем;
прекрасная сочетаемость с традиционными «вычислительными» алгоритмами обработки информации, позволяющая строить сложные системы управления, с максимальной надежностью, адаптивностью и с минимумом расходуемых ресурсов;
отсутствие требований к «традиционно» развиваемым вычислительным средствам. Единственный стимулируемый принцип — параллелизм. Для реализации параллельной системы — нейросети — необходима параллельная вычислительная система. Ведь для выявления параллелизма, в частности, мы и обращаемся к модели мозга! Наряду с разработкой параллельных вычислительных устройств — нейрокомпьютеров — стимул к развитию получают сети ЭВМ для реализации в них «больших» нейросетей.
Особый интерес ученых и разработчиков сложных управляющих систем к нейросетевым технологиям, как и к другим технологиям искусственного интеллекта, возник в начале 1980х годов (известный «японский вызов» ), когда остро встала проблема сверхвысокой производительности вычислительных средств.
Приняв этот вызов, многие исследователи обратили внимание на принцип самообучения. Следует отметить краткое, но полное рассмотрение этой проблемы В.В. Игнатущенко .
Благотворное влияние на развитие нейросетевых технологий оказало создание методов параллельной обработки информации .
Необходимо выразить признательность замечательному хирургу, философу и кибернетику Н.М. Амосову , вместе с учениками систематизировавшему подход к созданию средств искусственного интеллекта (ИИ). Этот подход заключается в следующем.
В основе стратегий ИИ лежит понятие парадигмы — взгляда (концептуального представления) на суть проблемы или задачи и принцип ее решения. Рассматривают две парадигмы искусственного интеллекта.
1. Парадигма эксперта предполагает следующие объекты, а также этапы разработки и функционирования системы ИИ:
формализация знаний — преобразование экспертом проблемного знания в форму, предписанную выбранной моделью представления знаний;
формирование базы знаний (БЗ) вложение формализованных знаний в программную систему;
дедукция — решение задачи логического вывода на основе БЗ.
Эта парадигма лежит в основе применения экспертных систем, систем логического вывода, в том числе на языке логического программирования ПРОЛОГ. Считается, что системы на основе этой парадигмы более изучены.
Парадигма ученика, включающая следующие положения и последовательность действий:
обработка наблюдений, изучение опыта частных примеров — формирование базы данных (БД) системы ИИ;
индуктивное обучение — превращение БД в БЗ на основе обобщения знаний, накопленных в БД, и обоснование процедуры извлечения знаний из БЗ. Это означает, что на основе данных делается вывод об общности той зависимости между объектами, которую мы наблюдаем. Основное внимание здесь уделяется изучению аппроксимирующих, вероятностных и логических механизмов получения общих выводов из частных утверждений. Затем мы можем обосновать, например, достаточность процедуры обобщенной интерполяции (экстраполяции), или процедуры ассоциативного поиска, с помощью которой будем удовлетворять запросы к БЗ;
дедукция — по обоснованной или предполагаемой процедуре мы выбираем информацию из БЗ по запросу (например, оптимальную стратегию управления по вектору, характеризующему сложившуюся ситуацию).
Исследования в рамках этой парадигмы и ее разработка проведены пока слабо, хотя они лежат в основе построения самообучающихся систем управления (ниже будет приведен замечательный пример самообучающейся системы управления — правила стрельбы в артиллерии).
Чем база знаний, общий и обязательный элемент системы ИИ, отличается от базы данных? Возможностью логического вывода!
Теперь обратимся к «естественному» интеллекту. Природа не создала ничего лучшего, чем человеческий мозг. Значит, мозг является и носителем базы знаний, и средством логического вывода на ее основе независимо от того, по какой парадигме мы организовали свое мышление, т. е. каким способом заполняем базу знаний, — учимся!
Д.А. Поспелов в замечательной, единственной в своем роде, работе освещает высшие сферы искусственного интеллекта — логику мышления. Цель данной книги — хотя бы частично препарировать нейросеть как средство мышления, тем самым привлекая внимание к низшему, начальному звену всей цепи методов искусственного интеллекта.
Отбросив мистику, мы признаем, что мозг представляет собой нейронную сеть, нейросеть, нейроны, соединенные между собой, со многими входами и единственным выходом каждый. Нейрон реализует достаточно простую передаточную функцию, позволяющую преобразовать возбуждения на входах, с учетом весов входов, в значение возбуждения на выходе нейрона. Функционально законченный фрагмент мозга имеет входной слой нейронов — рецепторов, возбуждаемых извне, и выходной слой, нейроны которого возбуждаются в зависимости от конфигурации и величины возбуждения нейронов входного слоя. Предполагается, что нейросеть, имитирующая работу мозга, обрабатывает не сами данные, а их достоверность, или, в общепринятом смысле, вес, оценку этих данных. Для большинства непрерывных или дискретных данных их задание сводится к указанию вероятности диапазонов, которым принадлежат их значения. Для большого класса дискретных данных — элементов множеств — целесообразно жесткое закрепление нейронов входного слоя.
Распределение величин возбуждения нейронов выходного слоя, а чаще всего нейрон, обладающий максимальной величиной возбуждения, позволяют установить соответствие между комбинацией и величинами возбуждений на входном слое (изображение на сетчатке глаза) и получаемым ответом (что это). Таким образом, эта зависимость и определяет возможность логического вывода вида «если — то». Управление, формирование данной зависимости осуществляются весами синапсических связей нейронов, которые влияют на направления распространения возбуждения нейронов в сети, приводящие на этапе обучения к «нужным» нейронам выходного слоя, т.е. служат связыванию и запоминанию отношений «посылка — следствие». Связь подструктур нейросети позволяет получать «длинные» логические цепочки на основе подобных отношений.
Отсюда следует, что сеть работает в двух режимах: в режиме обучения и в режиме распознавания (рабочем режиме). В режиме обучения производится формирование логических цепочек.
В режиме распознавания нейросеть по предъявляемому образу с высокой достоверностью определяет, к какому типу он относится, какие действия следует предпринять и т.д.
Считается, что в человеческом мозге до 100 млрд нейронов. Но сейчас нас не интересует, как устроен нейрон, в котором насчитывают до 240 химических реакций. Нас интересует, как работает нейрон на логическом уровне, как выполняет он логические функции. Реализация лишь этих функций должна стать основой и средством искусственного интеллекта. Воплощая эти логические функции, мы готовы нарушить основные законы физики, например закон сохранения энергии. Ведь мы рассчитываем не на физическое моделирование, а на доступное, универсальное — компьютерное.
Итак, мы сосредоточиваем внимание на «прямом» использовании нейросетей в задачах искусственного интеллекта. Однако их применение распространяется на решение и других задач. Для этого строят нейросетевые модели со структурой, ориентированной на данную задачу, используют специальную систему связей нейроподобных элементов, определенный вид передаточной функции (часто используют так называемые сигмоидные связи, основанные на участии экспоненты при формировании передаточной функции), специально подобранные и динамически уточняемые веса. При этом используют свойства сходимости величин возбуждения нейронов, самооптимизации. При подаче входного вектора возбуждений через определенное число тактов работы нейросети значения возбуждения нейронов выходного слоя (в некоторых моделях все нейроны входного слоя являются нейронами выходного слоя и других нет) сходятся к неким величинам. Они могут указывать, например, на то, какой эталон в большей степени похож на «зашумленный», недостоверный входной образ, или на то, как найти решение некоторой задачи. Например, известная сеть Хопфилда , хоть и с ограничениями, может решать задачу коммивояжера задачу экспоненциальной сложности. Сеть Хемминга успешно реализует ассоциативную память. Сети Кохонена (карты Кохонена) эффективно используют принцип кластеризации и широко применяются в экономике, финансах, бизнесе и т.д. Эффективно применяются нейросети для аппроксимации функций многих переменных в виде рекурсивного разложения в базисе передаточной функции.
В указанном выше применении нейросети выступают в роли спецпроцессоров для «быстрого» решения частных задач или классов задач. Это можно сравнить с применением аналоговых ЭВМ для решения систем дифференциальных уравнений, где программирование заключается в формировании электрической цепи из элементов заданного набора в соответствии с системой уравнений, а установившийся процесс позволяет на выходе снимать значения функций — решений.
Когда хотят подчеркнуть такие «вычислительные» применения нейросетей, то говорят о нейроподобных задачах, и это не должно отвлекать нас от действий в рамках ИИ, направленных на решение трудно формализуемых задач, на простоту и универсальность, свойственные мозгу.
Linux HOWTO
Ввод и «разглядывание» эталонов и образов
Устройства ввода информации — эталонов, входных векторов, исходных ситуаций — имеют для нейросети определяющее значение. С их помощью формируются и поддерживаются возбуждения входного слоя. Однако связь модели живого организма с внешней средой сложнее. Это настоящий конгломерат ряда частных технических и алгоритмических проблем, к которой относится успешно решаемая проблема видеоввода. Но ввести в компьютер «картинку» — это лишь поддела. «Картинку» надо обработать в целом и по частям, чтобы получить полную и достоверную информацию. В результате имеем аналог нашего восприятия действительности.
Существуют три способа обзора представляемого изображения:
сканирование сектора обзора, разбитого на элементарные сегменты;
сканирование сектора обзора со «своим окном просмотра»;
спонтанный обзор, обусловленный вниманием к цветовому или скоростному всплеску, быстрому увеличению размера (угрожающему приближению) объекта, указанию извне (целеуказанию) и т.д.
Третий способ также основан на сканировании сектора обзора, однако со значительно меньшими энергетическими затратами.
При первом и втором способах анализ сложнее, так как требует согласования виденного по сегментам, что, в свою очередь, приводит к включению высших уровней логического вывода (интеллекта).
Применив третий способ, можно добиться избирательности, чрезвычайности реакции, например, на резкие движения, на бег, на появление яркой расцветки в одежде и т.д., что может с успехом использоваться в игровых системах.
Все способы реализуются легче, если речь идет о единственном объекте единовременного распознавания букве, хозяине квартиры, подписи и т.д. В случае, если существует множество объектов, например туристская группа, любующаяся «умным» монстром, необходим не только детальный, но и совместный анализ этим монстром всех (многих) ее составляющих.
Впрочем, говоря о туристах, можно вести речь о конечной, усредненной реакции монстра на всю группу. Производя обзор, управляющая им нейросеть постепенно согласно критериям обучения «хорошо — плохо» воспринимает настроение как последовательное проявление радости и огорчения и приходит к некоторому окончательному состоянию, обусловленному количественным эквивалентом того и другого. Для разных групп туристов или экскурсантов это состояние будет разным: либо источником веселья и шутливого «поощрения» той группы, которая привела объект в радость, либо источником «осуждения» группы, ввергнувшей его в печаль.
Итак, на каждом такте обзора формируется сегмент, содержимое которого необходимо распознать. Чаще всего целесообразно допущение о том, что в элементарном сегменте (или в «окне просмотра») при дискретном сканировании находится не более чем один значимый объект. Пусть это — максимальная область текста, вмещающая единственную букву, написанную с допустимой долей небрежности. Как разглядеть эту букву? Повидимому, следует разместить ее на входном слое так, чтобы она максимально соответствовала тому размещению эталонов, с помощью которых производилось обучение. Тогда распознавание пойдет корректно (рис. 1.6). Такой процесс «разглядывания» предполагает:
поиск возможности совмещения условного центра элемента изображения и центра экрана — входного рецепторного слоя сети (фокусировку);
поиск варианта масштабирования элемента изображения (приближение — удаление);
поиск угла наклона и др. В результате таких пробных действий может вдруг начаться процесс распознавания, пусть и ошибочного.
Указанный процесс выделения и размещения в попытке инициировать распознавание сравним с концентрацией внимания и с фокусировкой: ведь зрение в каждый момент времени сконцентрировано на элементе изображения посредством фокусировки на нем глаз в процессе обзора и разглядывания всего изображения.
Заключение
Все чаще появляются научные работы, посвященных нейросетевым моделям, которые порождают все больше интересных, эффективных технологий для решения задач управления, планирования, распознавания образов и принятия решений. В этом разнообразии мы выделили лишь то направление, которое непосредственно связано с принципами человеческого интеллекта, с ассоциативным мышлением. Фактически это — построение таблиц, фиксирующих опыт и реализующих принцип «если — то», «посылка — следствие». Важным достоинством этих таблиц является то, что они позволяют наглядно воспроизводить функции многих переменных, не совместимых по типам и по физической природе. Эти функции не имеют формального математического описания и потому отображают трудно формализуемые задачи. Автоматическая интерполяция опыта является неотъемлемым свойством нейронной сети. Она позволяет делать вывод «на что больше всего это похоже и что следует предпринять», а также производить необходимое усреднение.
Важнейшее значение нейронные сети приобретают при построении систем управления и принятия решений. Технологии, основанные на применении «вычислительных» алгоритмов, приводят к тупиковой ситуации, когда традиционно развиваемая элементно конструкторская база не обеспечивает требуемой производительности компьютеров. Нейросетевые технологии, использующие нетрудоемкий принцип ассоциативного мышления и высокий параллелизм, порождают прорыв в достижении необходимой реальной производительности вычислительных средств.
Конечно, статистические исследования накопленного опыта, моделирование и обработка нужны для обучения или построения обученной нейросети. Однако эти исследования проводятся вне рабочего режима, могут быть совместимы с ним, а также допускать корректирование, модификацию и развитие нейросети в процессе и эксплуатации.
Благодаря логическому методу построения математический аппарат нейронных сетей прост и доходчив, разработка нейросети не дорога, она не требует специальных знаний пользователя. В то же время нейросеть легко допускает включение в рассмотрение новых факторов, изменение решений и т.д.
Воспроизведение принципов работы мозга позволяет создавать действительно универсальные, помехозащищенные, адаптивные, несложные и развиваемые информационные технологии в экономике, в бизнесе, в управлении сложными системами, в том числе и социальными, в искусстве, туризме и т.д.
Однако мы осознаем, что Природа действует в соответствии с законами своего развития. Для того чтобы реализовать примитивную логическую передаточную функцию, в нейроне происходит до 240 химических реакций. Создавая интеллект искусственный на принципиальном, логическом уровне, бессмысленно слепо и многотрудно воспроизводить существующие в природе методы, хотя такое моделирование может быть полезно для биологии и медицины. На пути логического создания разума мы не связаны с проблемами энергетики и надежности. Искусственная нейросеть не требует кровоснабжения и не подвергается огню на поражение. И потому мы смело идем по пути абстракции, сублимации и условной имитации, пользуясь богатыми возможностями современного компьютера и логического мышления.
Мы убеждены в необходимости создания студий Computer Art Studio, клубов по интересам и артелей, объединяющих все слои населения, всех возрастов и профессий, для реализации принципов искусственного интеллекта: это и искусство, и наука, и бизнес.
Защита информации
Мы знаем, насколько важна сегодня информация. Защита информации от несанкционированного доступа — идет ли речь о перевозке грузов или о финансовых коммерческих системах — первоочередная задача, актуальность которой все возрастает с развитием сетевых компьютерных и телекоммуникационных тех. нологий. Высокие затраты на ее решение окупаются с лихвой. Однако разнообразятся и средства «взломщика»: сегодня ему нет нужды ломать систему — он просто врывается в офис, и под дулом автомата Калашникова вы становитесь покорным исполнителем его желаний.
Впрочем, моральное состояние клиента выдает его чуткому серверу (рис. 9.13), на расстоянии выполняющему заявки в режиме «клиент — сервер». Наряду со сложной системой паролей, ограничения функций и доступа вашего терминала, успешно преодоленных насильником, предпринимателем и террористом, существует нечто непреодолимое, воплощенное в средствах идентификации пользователя и аутентификации. Это ваш образ, который характеризуется «почерком», психологическими особенностями, общей стратегией работы, т.е. индивидуальными чертами, протестированными системой защиты. Она хранит ваш образ и периодически сверяет с ним характер работы вашего терминала.

Сигнал тревоги может возникнуть не только при смене пользователя, но и в случае, когда его моральное состояние порождает серьезные отклонения от запечатленного образа. При этом могут использоваться и тайные специфические сигналы, но ряд основных характеристик обязателен. Это частота ввода символов с клавиатуры, продолжительность пауз между словами, частота использования клавиши "delete" и некоторых других и т.д. Возможно периодическое случайное анкетирование на основе единственного вопроса, требующее ответа «да — нет» и способствующее утверждению сложившегося образа.
Возникает вопрос: а причем здесь нейросеть? Ведь все эти проверки можно делать традиционными способами. Дело в том, что нейросеть — это средство параллельного выполнения сложных логических предикатов. Параллельного — значит, быстрого! А современный сервер — многопроцессорная вычислительная система, успешно выполняет роль нейрокомпьютера. Кроме того, при ассоциативном мышлении по принципу «на что это похоже» используются (конечно, в каких то пределах) неполные и неточные данные, заставляющие по крайней мере встревожиться и послать администратора или даже охрану с проверкой.