Теория нечетких множеств. Фондовый менеджмент как разновидность финансового менеджмента
Бенчмарк-риск
Инвестор, вкладывая деньги, всегда ставит перед собой определенную
инвестиционную цель (например, накопить денег на обучение детей). Процесс
такого накопления долгосрочен и требует поэтапного контроля доходности
инвестиций. Например, инвестор поставил своей целью иметь доход не хуже 8%
годовых с риском не хуже 10%. Это и есть бенчмарк.
Поглядев на эффективную границу и заглянув в таблицу 3.5, инвестор
формирует модельный портфель, заполняя его на 50% - 60% облигациями. Он
ожидает разброс доходности, оцениваемый (3.20), от 7.27% до 10.7% годовых.
Нижняя граница разброса лежит ниже бенчмарка, - значит, существуют ненулевые
шансы не выполнить инвестиционный план.
Каковы эти шансы? На этот вопрос дает ответ метод из [56], где риск срыва
плана (применительно к нашему случаю) оценивается формулой
Фазы прогнозирования
Все необходимые теоретические качественные предпосылки для построения
прогнозной модели изложены. По итогам рассмотрения, общая схема
моделирования, построенная на основе принципа инвестиционного равновесия и
соответствующего рационального инвестиционного выбора, представляется нам
следующей:
Фаза 1. Проводится стартовое модельное размещение капитала по табл. 4.5.
Фиксируются все стартовые значения прогнозируемых фондовых индексов
(эти значения известны или формируются исследователем на основе
дополнительных соображений).
Фаза 2. Анализируются экзогенные макроэкономические тенденции на всем
интервале прогнозирования: валовый внутренний продукт, инфляция,
соотношение национальной валюты к российскому рублю.
Фаза 3. Количественно определяются рациональные тенденции движения
капиталов по табл. 4.6 в текущий момент прогноза.
Фаза 4. Прогнозируется расчетный коридор доходности по кумулятивным
индексам, на основе следующих специализированных моделей:
- премии за риск для облигаций;
- эластичности доходности по фактору рентабельности капитала для
акций ипаев взаимных фондов;
- приводимости параметров . для акций второго эшелона (с низкой
капитализацией).
Фаза 5. Оценивается доходность и риск индексных активов.
Фаза 6. Моделируется прогнозное долевое соотношение в обобщенном
инвестиционном портфеле (A, B, N) на основе специализированных моделей
ребалансинга.
Фаза 7. Прогнозируется значение индекса и уровня рентабельности
инвестиционного капитала.
Фаза 8. Прогнозное дискретное время увеличивается на единицу, и процесс
прогнозирования возобновляется, начиная с этапа количественного анализа
тенденций по табл. 4.6 (фаза 3). Если прогноз завершен, переходим к
следующей фазе.
Фаза 9. Проводится перевод индексов в национальной валюте к индексам в
рублях (стандартный вид индекса)
Фаза 10. Оценивается расчетный коридор финальной доходности для
индексов стандартного вида.
Фаза 11. Строится экспертная оценка финальной доходности и риска по
индексам стандартного вида.
Вышеизложенная процедура базируется на применениии
специализированных моделей и методик, которые рассмотрены далее.
Финансовый анализ и его роль в принятии решений
1.1.3. Финансовый анализ и его роль в принятии решений Финансовый анализ в системе управления финансами хозяйствующего субъекта в наиболее общем виде представляет собой способ накопления,
трансформации и использования информации финансового характера, имеющий целью:
оценить текущее и перспективное имущественное и финансовое состояние хозяйствующего субъекта, в том числе риск его неплатежеспособности или банкротства;
оценить возможные и целесообразные темпы развития хозяйствующего субъекта с позиции финансового их обеспечения;
выявить доступные источники средств и оценить возможность и целесообразность их мобилизации;
спрогнозировать положение хозяйствующего субъекта на рынке капитала.
В общем виде укрупненная программа анализа финансово-хозяйственной деятельности предприятия (корпорации, хозяйствующего субъекта) может выглядеть следующим образом [38]:
Предварительный обзор экономического и финансового положения субъекта хозяйствования (характеристика общей направленности финансово-
хозяйственной деятельности, выявление «больных» статей отчетности).
Оценка и анализ экономического потенциала субъекта хозяйствования, в том числе:
- оценка имущественного положения (построение аналитического баланса-нетто, вертикальный анализ баланса, горизонтальный анализ баланса, анализ качественных сдвигов в имущественном положении);
- оценка финансового положения (оценка ликвидности и платежеспособности, оценка финансовой устойчивости).
Оценка и анализ результативности финансово-хозяйственной деятельности субъекта хозяйствования (оценка производственной деятельности, анализ рентабельности, оценка положения на рынке ценных бумаг).
В настоящее время в мировой учетно- аналитической практике известны десятки показателей, используемых для оценки имущественного и финансового состояния компаний. Классифицируя эти показатели, выделяют обычно шесть групп, описывающих: имущественное положение компании, ее ликвидность,
финансовую устойчивость, деловую активность, рентабельность, положение на рынке ценных бумаг.
Наиболее распространенные показатели имущественного положения компании следующие:
сумма хозяйственных средств, находящихся в собственности и распоряжении компании;
доля активной части основных средств;
коэффициент износа;
коэффициент обновления;
коэффициент выбытия.
Наиболее распространенные показатели ликвидности и платежеспособности компании следующие:
величина собственных оборотных средств;
коэффициент текущей ликвидности;
коэффициент быстрой ликвидности;
коэффициент абсолютной ликвидности;
коэффициент обеспеченности текущей деятельности собственными оборотными средствами;
коэффициент покрытия запасов.
Наиболее распространенные показатели финансовой устойчивости компании следующие:
коэффициент финансовой автономии;
коэффициент маневренности собственного капитала;
коэффициент структуры долгосрочных источников финансирования;
коэффициент структуры привлеченных средств коэффициент структуры заемных средств;
коэффициент обеспеченности процентов к уплате;
коэффициент покрытия постоянных финансовых расходов.
Наиболее распространенные показатели деловой активности компании следующие:
коэффициент устойчивости экономического роста;
коэффициент фондоотдачи;
коэффициент оборачиваемости средств в активах.
Наиболее распространенные показатели рентабельности компании следующие:
рентабельность совокупного капитала;
рентабельность собственного капитала;
рентабельность инвестиций;
валовая рентабельность реализованной продукции (валовая маржа).
Наиболее распространенные показатели положения компании на рынке ценных бумаг следующие:
доход на акцию;
ценность акции (price-to-earnings ratio);
дивидендная доходность акции;
коэффициент котировки акции (price-to-book ratio).
От частных показателей, характеризующих отдельную сторону хозяйствования компании, переходят к комплексным коэффициентам,
характеризующим положение хозяйствущего субъекта в целом. Первой попыткой в истории финансового менеджмента построить такой показатель была попытка Уолла [155], который нашел комплексный показатель как свертку исходных отдельных показателей, причем эксперт сам должен был назначать веса в формуле свертки.
Следующий шаг был предпринят Эдвардом Альтманом [104 - 106] в 1968
году, который в многомерном пространстве ряда частных коэффициентов сориентировал гиперплоскость таким образом, что фазовые точки в гиперпространстве, отвечающие эффективно работающим предприятиям,
оказались по одну сторону гиперплоскости, а фазовые точки предприятий,
движущихся к банкротству . по другую. Соответствующая Z-оценка, полученная как свертка отдельных показателей с весами, вычисленными с помощью метода дискриминантного анализа, является комплексной оценкой финансового состояния предприятия. Альтман пронормировал свою Z-оценку, введя состояния нормального финансового положения с минимальным риском банкротства,
промежуточное состояние с растущим риском банкротства и состояние, когда риск банкротства угрожающе высок.
В дальнейшем Альтман непрерывно повторял свои исследования для ряда стран мира и для США в различные годы. Стало понятно, что веса в свертке и нормировочные условия для Z-оценки сильно разнятся от года к году и от страны к стране. Центральным недостатком метода Альтмана было и остается то, что он рассматривает объект своего исследования . совокупность отчетов предприятий .
как черный ящик, не анализируя и не интерпретируя статистику по каждому отдельному фактору. Поэтому Альтман, образно говоря, не является хозяином своему методу, - его методом управляет прихотливая статистика банкротств.
Я здесь не привожу ссылки на еще ряд исследований, повторяющих идею Альтмана, потому что эти исследования проводились в русле идеи Альтмана и не вызвали качественного скачка в теории комплексной оценки финансового состояния хозяйствующего субъекта.
Следующим шагом в плане построения комплексного показателя финансового состояния хозяйствующего субъекта я считаю нашу совместную работу с О.Б.Максимовым [55, 59]. Мы ушли от попытки интерпретировать статистику по предприятиям на основе дискриминантного анализа, взамен этого мы выдвинули нормы по каждому частному параметру в нашей интегральной оценке финансового состояния предприятия. Мы заранее условились, что не можем провести классификацию уровней параметров вполне точно, потому что на вход метода поступает не статистика, а квазистатистика, поэтому аналитик затрудняется в оценке класификационных уровней. Мы выстроили нечетко-множественную класификацию параметров, ввели веса показателей в интегральной оценке и получили саму оценку финансового положения предприятия не как свертку самих факторов (как все делали до нас), а как свертку текущих уровней этих факторов.
Это позволило нам получить интегральный показатель финансового состояния на интервале от 0 до 1 и пронормироватьего, выделяя 5 состояний: очень высокий,
высокий, средний, низкий и очень низкий уровень комплексного показателя. В обратном порядке изменяется риск банкротства предприятия (очень низкий,
низкий, средний, высокий и очень высокий соответственнно).
Предлагаемая нами методика, подробно рассматриваемая в [55, 59],
позволяет уйти от схемы «черного ящика» и контролировать процесс комплексной оценки изнутри, на основе самостоятельного выбора оцениваемых параметров и их классификации. Предложенная нами методика представляет собой разновидность конструктора, который может быть настроен на специфику оцениваемого предприятия, ссоответствующим выбором перечня оцениваемых показателей и их весов в интегральной оценке финансового состояния предприятия и риска банкротства.
Метод, разработанный нами, носит матричный характер, где по столбцам матрицы откладываются частные финансовые показатели, а по столбцам .
всевозможные уровни этих показателей с точки зрения комплексной оценки финансового состояния предприятия. На пересечении столбцов и строк находятся уровни принадлежностизначений факторов тем или иным состояниям (интерпретируемым как нечеткие подмножества). Интегральный показатель строится по принципу двойной свертки параметров двумерной матрицы. Все методы комплексной оценки, построенные по этому принципу, мы назвали матричными. Такие матричные методы оказались перспективными в финансовом анализе на рынке ценных бумаг, при рейтинговании облигаций и в ходе оценки инвестиционной привлекательности (скоринга) акций. Подробно это рассматривается в главе 2 настоящей монографии.
Фондовый менеджмент как разновидность финансового менеджмента
Глава 1. Фондовый менеджмент как разновидность финансового менеджмента
1.1. Управление финансами на основе анализа, планирования и прогнозирования
С точки зрения системы финансов хозяйствующего субъекта, вся финансовая
деятельность . это генерация финансовых результатов как откликов на
суперпозицию управленческих решений лиц, эти решения принимающих (ЛПР), и
внешних рыночных сигналов, обладающих индетерминированной (стохастической
природой), см. рис. 1.1 (на рис. 1.1 толстыми стрелками с тенями отмечены
процессы управления финансами со стороны ЛПР и внешней рыночной среды, а
тонкими стрелками отмечены информационные потоки, концентрирующиеся на
ЛПР и служащие основой для принятия финансовых решений.). Так, например,
неоптимальное решение финансового менеджера о сокращении инвестиций в
запасы готовой продукции на складе, в суперпозиции с резко возросшим спросом
на товары данного вида, вызывает дефицит и соответствующую упущенную
выгоду, что может обернуться убытками отчетного периода.
Рис. 1.1. Финансы как кибернетическая система
Фундаментальный подход к оценке рейтинга облигаций
Главные риски, определяющие рейтинг облигации - это процентный и
дефолтный риски. Под процентным риском мы понимаем риск эмитента привлечь
средства под высокий процент, когда в последующем на рынке появятся более
выгодные (дешевые) источники заимствований (обычно этот риск парируется в
проспекте эмиссии облигаций правом эмитента на обратный выкуп облигаций по
заведомо известной цене - офертой). Аналогично, в категорию процентного риска
входит риск инвестора ссудить деньги под низкий процент, когда в будущем
появятся условия более выгодных ссуд. Этот риск парируется покупкой
инвестором опционов: call . на процент по облигациям, которые могут вырасти в
курсовой цене, и put . на процентную ставку по собственным облигациям. Вся эта
техника, широко распространенная в США, пока недоступна для России, которая
до сих пор не может оправиться от краха рынка производных ценных бумаг в
августе 1998 года (доверие российских инвесторов к этим инструментам не
восстановлено в полном объеме до сих пор).
Под дефолтным риском мы понимаем риск срыва исполнения эмитентом
текущих платежей по собственнымдолговым обязательствам. Крайним случаем
дефолта является фаза банкротства эмитента.
Суть рейтинга в моей разработке . в том, чтобы анализировать выбранные
фундаментальные характеристики эмитента облигаций в совокупности. При этом
все отдельные частные показатели рейтинга . ранги . сворачиваются в единую
оценку инвестиционного качества облигации, а весами в свертке служат
параметры, которые подлежат оценке на основе дополнительных соображений.
Мы также считаем, что развитый рынок заимстований вынуждает эмитентов
с худшими фундаментальными характеристиками в качестве премии за риск
выплачивать большие проценты по своим облигациям. Тем самым влияние
процентного риска на рейтинг облигаций уменьшается, и на первый план выходит
риск дефолта.
2.4.2. Источник данных для анализа
При анализе я воспользовался данными с сайта информационно-
аналитического и учебного центра НАУФОР Скрин.ру [97]. Разрешение на
использование материалов сайта в научной работе получено.
Открытой информацией для анализа, представленной на сайте, является
ежеквартальная неконсолидированная отчетность эмитентов (баланс, отчет о
прибылях и убытках на уровне разделов).
В последующем, когда методика рейтинга встанет на программную основу,
вопрос об обеспечении программы скоринга исходными данными (дейта-
провайдинга), разумеется, должна решаться в первую очередь, потому что вопрос
своевременной и полной поставки данных для рейтинга является ключевым.
Фундаментальный подход к оценке рынка акций
Отмеченные особенности российского рынка акций не позволяют проводить
его оценку и прогнозирование традиционными методами технического и
корреляционного анализа, в силу непредсказуемости рынка каждой отдельной
акции. Поэтому за основу при анализе принята методология скоринга акций,
которая подробно изложена мной в [53, 64], с поправкой на российскую
специфику. Суть скоринга в моей разработке . в том, чтобы анализировать
фундаментальные характеристики эмитента акций, с одной стороны, и
соотношение цены акций и показателей эффективности предприятия . с другой
стороны. При этом все отдельные частные показатели скоринга . ранги .
сворачиваются в единую оценку инвестиционного качества ценной бумаги, при
этом весами в свертке служат параметры, которые подлежат оценке на основе
дополнительных соображений.
Информационная неопределенность
1.2. Информационная неопределенность как фактор риска при принятии финансовых решений. Квазистатистика Как уже отмечалось, причины, определяющие уровень эффективности функционирования корпорации, частично находятся за пределами корпорации и не подлежат тотальному контролю со стороны этой корпорации. Такое положение дел вызывает феномен неопределенности. В монографии [48], посвященной нечетким множествам и их использованию в моделях принятия решений, приведена классификация видов неопределенности. Если спроектировать эту классификацию на специфику финансовых решений, то мы можем обозначить два укрупненных вида неопределенности:
неясность (отсутствие точного знания) относительно будущего состояния всех прогнозируемых параметров финансовой модели хозяйствующего субъекта;
нечеткость классификации отдельных сторон текущего финансового положения корпорации или состояния рынка ценных бумаг.
Неопределенность . это неустранимое качество рыночной среды, связанное с тем, что на рыночные условия оказывает свое одновременное воздействие неизмеримое число факторов различной природы и направленности, не подлежащих совокупной оценке. Но и даже если бы все превходящие рыночные факторы были в модели учтены (что невероятно), сохранилась бы неустранимая неопределенность относительно характера реакций рынка на те или иные воздействия.
Рыночная неопределенность законно считается «дурной», т.е. не обладающей статистической природой. Экономика непрерывно порождает изменяющиеся условия хозяйствования, она подчинена закономерностям циклического развития,
при этом хозяйственные циклы не являются стопроцентно воспроизводимыми, т.к.
циклическая динамика макроэкономических факторов находится в суперпозиции с динамикой научно-технического прогресса. Возникающая в результате этой суперпозиции рыночная парадигма является уникальной. Из всего сказанного следует, что не удается получить выборки статистически однородных событий из их генеральной совокупности, наблюдаемых в неизменных внешних условиях наблюдения. То есть классически понимаемой статистики нет.
Во всех определениях термина «статистика» (обширный перечень таких определений приведен в [51]) есть общее зерно, которое собственно, и относится к статистике в самом общем смысле слова, и это зерно в следующем. Мы имеем некий набор наблюдений по одному объекту или по совокупности объектов.
Причем мы предполагаем, что за случайной выборкой наблюдений из гипотетической их генеральной совокупности кроется некий фундаментальный закон распределения, который сохранит свою силу еще на определенный период времени в будущем, что позволит нам прогнозировать тренд будуших наблюдений и расчетный диапазон отклонений этих наблюдений от расчетных ожидаемых трендовых значений.
Если мы договорились, что все наблюдения совершались в неизменных однотипных внешних условиях и/или наблюдались объекты с одинаковыми свойствами по факту, например, их появления по одной и той же причине, то мы оцениваем и подтверждаем искомый закон распределения частотным методом.
Разбивая весь допустимый диапазон наблюдаемого параметра на ряд равных интервалов, мы можем подсчитать, сколько наблюдений попало в каждый выбранный интервал, то есть построить гистограмму. Известными методами мы можем перейти от гистограммы к плотности вероятностного распределения,
параметры которого можно оптимальным образом подобрать. Таким образом,
идентификация статистического закона завершена.
Если же мы имеем дело с «дурной» неопределенностью, когда у нас нет достаточного количества наблюдений, чтобы вполне корректно подтвердить тот или иной закон распределения, или мы наблюдаем объекты, которые, строго говоря, нельзя каждое предприятие отрасли уникально, занимает свою рыночную нишу и т.д., и поэтому классической статистики нет, даже если выборка захватывает сотни предприятий. Тем не менее, эксперт, исследуя выборку какого-то определенного параметра, подмечает, что для большинства работающих предприятий значения данного параметра группируются внутри некоторого расчетного диапазона, ближе к некоторым наиболее ожидаемым, типовым значениям факторов. И эта закономерность дает эксперту основания утверждать, что имеет место закон распределения, и далее эксперт может подыскивать этому закону вероятностную или, к примеру, нечетко-множественную форму.
Аналогичные рассуждения можно провести, если эксперт наблюдает один параметр единичного предприятия, но во времени. Ясно, что в этом случае статистическая однородность наблюдений отсутствует, поскольку со временем непрерывно меняется рыночное окружение фирмы, условия ее хозяйствования,
производственные факторы и т.д. Тем не менее, эксперт, оценивая некоторое достаточно приличное количество наблюдений, может сказать, что «вот это состояниепараметра типично для фирмы, это . из ряда вон, а вот тут я сомневаюсь в классификации». Таким образом, эксперт высказывается о законе распределения параметра таким образом, что классифицирует все наблюдения нечетким,
лингвистическим способом, и это уже само по себе есть факт генерации немаловажной для принятия решений информации. И, раз закон распределения сформулирован, то эксперт имел дело с квазистатистикой.
Понятие квазистатистики дает широкий простор для применения нечетких описаний для моделирования законов, по которым проявляется та или иная совокупность наблюдений. Строго говоря, не постулируя квазистатистики, нельзя вполне обоснованно с научной точки зрения моделировать неоднородные и ограниченные по объему наблюдения процессы, протекающие на фондовом рынке и в целом в экономике, невозможно учитывать неопределенность,
сопровождающую процесс прринятия финансовых решений.
Источник данных для анализа
Постепенно в России начинают появляться полноценные онлайн-ресурсы, на
которых сосредоточена более-менее полная информация о субъектах фондового
рынка и исторические данные о торгах по акциям российских эмитентов.
Проанализировав десяток таких ресурсов, я взял за основу сайт инвестиционной
группы «Финанс-Аналитик» [26]. Главное обоснование моего выбора следующее:
на этом сайте информация по каждому эмитенту сосредоточена по американскому
стандарту и представлена настолько полно и удобно для пользователя, что это
позволяет за ограниченное время собрать нужную информацию по сотне
эмитентов, котируемых на российских биржах. Также важно, что информация по
акциям лежит рядом с финансовой отчетностью эмитентов этих акций.
К счастью, сайт «Финанс-Аналитик» индицирует и отрицательные значения
факторов, а не замещает эти значения символом N/A, как подавляющее
большинство американских сайтов представляет фактор «цена-доход». В
противном случае эти значения пришлось бы досчитывать. Сопоставление
факторов с отраслевыми значениями . также полезная практика, но ее
эффективность в российских условиях низка, т.к. в американском понимании
отрасль . это сотни предприятий, чьи акции обращаются на биржах, а в нашем
случае это только десятки. Соответственно, и статистика теряет в
репрезентативности. Что толку анализировать статистику по транспорту, если в
перечне предприятий транспорта присутствует один лишь «Аэрофлот»? Вопрос
риторический.
В последующем, когда методика скоринга встанет на программную основу,
вопрос об обеспечении программы скоринга исходными данными (дейта-
провайдинга), разумеется, должна решаться в первую очередь, потому что вопрос
своевременной и полной поставки данных для скоринга является ключевым.
Качественное описание рынка акций
Низкая капитализация. Суммарная капитализация акционерных обществ,
чьи акции обращаются на столичных биржах, не превышает 75 млрд долларов. Для
сравнения: в США существует свыше 40 компаний, чья капитализация превышает указанную сумму. Капитализация компании Dell Computer Corp. сопоставима с
этой цифрой, а капитализация Microsoft в пять раз превыышает ее. Не более
десятка российских компаний обладают капитализацией, которая по меркам
американского рынка может быть расценена как высокая или средняя.
Большинство компаний у нас с этой точки зрения . small cap, маленькие.
Диспропорция капитала. На фондовый рынок в России вышло порядка 300
компаний (чьи акции хоть однажды торговались на московских фондовых биржах).
При этом всего 7 компаний (без учета «Норильского никеля» и Сбербанка)
обладают капитализацией, которая в сумме своей составляет свыше 90%
капитализации всего российсого рынка ценных бумаг.
Отраслевая диспропорция. В подавляющем большинстве акции, торгуемые
на биржах России . это акции энергетики и связи. Практически не представлены
все остальные отрасли: торговля, машиностроение, химия, металургия итд. Такое
положение понятно: энергетика и связь монополизированы, нефтегазовый
комплекс . экспортоориентирован. Отсюда возможность зарабатывать хорошие
прибыли, контролировать ценообразование - и таким образом обеспечивать
курсовой рост своих акций.
Техническая слабость. Российский рынок существует с оглядкой на
фондовый рынок США, и это ни для кого не секрет. Индексы RTSI и S&P500 в
рублевой котировке коррелированы на уровне 0.45 . 0.5. Прилив капитала
венчурных американских взаимных фондов на российский фондовый рынок
вызывает бурный рост котировок, уход капитала с рынка, в связи с кризисами .
столь же бурный отток. Потому что в России отсутствуют
высококапитализированные инвестиционные институты, способные занимать
противоположные позиции и поддерживать котировки. Отсюда . колоссальная
волатильность акций и фактически непрогнозируемая их доходность.
В зависимости от типа индекса,
В зависимости от типа индекса, варьируются применяемые модели и
методики прогнозирования. Изложим эти модели и методики последовательно, от
фазы к фазе процесса прогнозирования, как они перечислены в конце предыдущего
раздела книги.
В процессе изложения математических соотношений будем применять
следующие обозначения. Точка после символа ( A ) означает, что рассматривается
треугольное нечеткое число или нечеткая функция (последовательность). Во всех
прочих случаях по умолчанию предполагаются действительные числа, функции,
параметры. Для треугольного числа A Аmin, Аav, Amax . минимальное, среднее и
максимальное значения числа.
Также мы обозначаем:

Комплексная оценка инвестиционного качества ценной бумаги
В полном соответствии с тем, как это сделано в [53, 64], определим
лингвистическую переменную «Оценка бумаги» с терм-множеством
значений «Очень низкая (О), Низкая (Н), Средняя (Ср), Высокая (В), Очень
высокая (ОВ)». Чтобы конструктивно описать введенную лингвистическую
переменную «Оценка бумаги», определим носитель ее терм-множества .
действительную переменную A_N на интервале от нуля до единицы. Тогда функции принадлежности соответствующих нечетких подмножеств могут
быть заданы таблично (таблица П3.6);
Определим лингвистическую переменную «Торговая рекомендация для
бумаги» с терм-множеством значений «Strong Buy (SB . Определенно
Покупать), Moderate Buy (MB . Покупать под вопросом), Hold (H . Держать),
Moderate Sell (MS . Продавать под вопросом), Strong Sell (SS . Определенно
продавать)».
Установим взаимно однозначное соответствие введенных нами
лингвистических переменных на уровне подмножеств: ОН . SS, Н . MS, Ср .
H, В . MB, ОВ . SB. Так мы связали качество ценной бумаги с ее
инвестиционной привлекательностью. Тогда переменная A_N является
носителем и для терм-множества лингвистической переменной «Торговая
рекомендация», с теми же функциями принадлежности носителя
подмножествам значений.
Оценим веса отдельных факторов для комплесксной оценки бумаги, в
соответствии с тем, как это записано в (2.10). Согласно правилу точечных
оценок Фишберна, критерию максимума неопределенности в части наличной
информационной ситуации (по аналогии с тем, как это оценивается в [95, 98])
можно сопоставить следующую систему весов:
Если в качестве носителя лингвистической переменной «Уровень показателя
Х» выбрать единичный интервал, то трапециевидные функции
правдоподобия будут иметь вид рис. П3.9;
Тогда, по аналогии с тем, как это сделано в [53, 64], получем комплексный
показатель A_N для каждой бумаги методом двойной свертки:
где i . индекс отдельного показателя для их общего числа N=8, j . индекс
уровня показателя для общего числа уровней M=3, ранг i-го показателя
по своему j-ому уровню, определяемый таблицами П3.3 . П3.5,
абсциссы максимумов функций принадлежности терм-множества
лингвистической переменной «Уровень фактора» (см. рис. П3.9).




Тогда среднеожидаемый ранг j- го уровня, взвешенный по всем N показателям, оценивается формулой
и справедливо
И наоборот, если по каждому фактору определять средний его уровень
то справедливо
Именно формулы (2.17) и (2.18) мы берем за основу при расчетов.
Результаты расчетов по этим формулам сведены в таблицу П3.7.
2.3.7. Оценка полученных результатов Из таблицы П3.7 видно, что всего 12 акций из 91 рассматриваемой обладают инвестиционным качеством не хуже «В-СР», то есть промежуточным между средним и высоким и выше. Показатель отношения доли инвестиционно пригодных акций к полному перечню активно торгуемых акций может характеризоовать уровень инвестиционной привлекательности рынка в целом.
Такой же показатель можно построить с использованием объемных показателей по результатам торгов.
В [64] приводится пример анализа одной из отраслей американской экономики, причем по итогам оценки видно, что только две акции из нескольких десятков мало-мальски пригодны для того, чтобы в текущий момент вкладывать в них деньги. С этой точки зрения российская ситуация выглядит немного получше.
Однако ключевые причины, не позволяющие акциям получить приемлемый инвестиционный рейтинг, те же: в первую очередь, переоцененность, а, во-вторых,
низкая ликвидность (отрицательный чистый оборотный капитал).




Если даже такой гигант, как «ЮКОС», обладающий сегодня максимальной капитализацией среди российских акционерных обществ, активный оператор рынка нефти и газа,
позволяет себе по временам отрицательный чистый оборотный капитал, то чего,
казалось бы, требовать от прочих эмитентов. Тем не менее, иногда именно низкая капитализация компаниии положительно влияет на ее управляемость, в том числе на расчеты по текущим долгам. Не что иное как высокий уровень кредитного менеджмента в компаниях позволяет поддерживать неотрицательный чистый оборотный капитал. И это . еще один довод в пользу того, чтобы приобретать такие акции. И нас не должен вводить в заблуждение уверенный бурный рост акций «ЮКОСА» (до 400% годовых). Когда речь идет о долгосрочных инвестициях, рост прошлых периодов не может гарантировать роста в будущем.
Только фундаментальные факторы могут свидетельствовать о перспективах будущего роста.
Если проводить скоринг акций в автоматизированном режиме на ежесуточной основе, то можно отслеживать такие ситуации, когда тот или иной фактор бумаги эмитента сменит качество в лучшую или в худшую сторону. Это .
первый признак того, чтобы пересмотреть долю этой акции в фондовом портфеле.
Предупреждение о смене качества фактора называется алертом.
Конечно же, разумно устанавливать алерт программно, пользуясь услугами тех же финансовых порталов (на сайте [26] эта услуга предоставляется, правда, в порядке индивидуальной настройки). Целесообразно выдавать безусловный алерт,
если хотя бы один из параметров бумаги окажется больше или меньше расчетного уровня. Также, безусловно, необходимо выставлять алерт и на смену уровня инвестиционного качества ценной бумаги (такая практика называется downgradesupgrades).
Все ведущие мировые рейтинговые агентства на регулярной основе осуществляют переоценку акций, и на ряде сайтов такая переоценка вызывает безусловный алерт.
Представленная в настоящем разделе экспресс-методика финансового анализа предоставляет ее пользователю возможность оперативно принимать решение о наполнении и ребалансинге фондового портфеля, сосредоточившись прежде всего на перспективных акциях, чей курсовой рост более чем вероятен. Эта методика не гарантирует будущих прибылей . этого не умеет делать ни одна система в мире, в противном случае это бы напоминало открытие вечного двигателя. И опрометчиво было бы утверждать, что акции с низким инвестиционным качеством будут только падать в цене. В жизни все сложнее, и иногда изумляешься, глядя на 60-долларовые акции, почему они стоят именно 60
долларов, а не, скажем, 5. Но здесь . тайна , магия рынка, целый перечень тонкостей, которые данная методика не оценивает и не комментирует.
Зато как бывает приятно посмотреть, когда (взятая для примера) Cisco Systems (для справки: капитализация порядка 120 млрд долларов), едва поднявшись со дна в 10 долларов и немного поколебавшись, возвращается на уровень 12 долларов, хотя в былые времена цена на эти акции доходила до 80 долларов! Вот тогда ты понимаешь, что не все на рынке решает дешевый ажиотаж,
и, по мере того, как эйфория сменяется истерией, а на смену «рулеточной»
психологии приходит трезвая оценка, на авансцену выходит анализ фундаментальных факторов. Строить портфельный выбор на фундаментальном анализе на самом деле означает минимизировать потенциальную волатильность своих доходов. Если бы в России был сколько-нибудь развит рынок опционов на акции, то можно было бы хорошо зарабатывать, покупая опционы call или выставляя «бычьи спрэды» на потенциально растущие акции (подробнее об этих стратегиях см. в [53]). И предлагаемая методика экспресс-
анализа позволяет строить не только опционные схемы роста, но и формировать опционные стратегии хеджирования на активы, чья инвестиционная привлекательность вызывает сомнения.
Полагаю, что методика, подобная той, что здесь изложена, должна быть в обязательном порядке настроена на сайтах, осуществляющих поддержку торговли акциями. Полагаю, что для России наступает время финансовых порталов, где собственно справочное представление данных соседствует с онлайн-
калькуляторами и автоматизированными советниками портфолио-менеджера.
Комплексная оценка инвестиционного качества ценной бумаги
Определим лингвистическую переменную «Оценка бумаги» с терм-
множеством значений «Очень низкая (О), Низкая (Н), Средняя (Ср), Высокая
(В), Очень высокая (ОВ)». Чтобы конструктивно описать введенную
лингвистическую переменную «Оценка бумаги», определим носитель ее
терм-множества . действительную переменную A_N на интервале от нуля до
единицы. Тогда функции принадлежности соответствующих нечетких
подмножеств могут быть заданы таблично (таблица П4.5);
Определим лингвистическую переменную «Торговая рекомендация для
бумаги» с терм-множеством значений «Strong Buy (SB . Определенно
Покупать), Moderate Buy (MB . Покупать под вопросом), Hold (H . Держать),
Moderate Sell (MS . Продавать под вопросом), Strong Sell (SS . Определенно
продавать)».
Установим взаимно однозначное соответствие введенных нами
лингвистических переменных на уровне подмножеств: ОН . SS, Н . MS, Ср .
H, В . MB, ОВ . SB. Так мы связали качество облигации с ее
инвестиционной привлекательностью. Тогда переменная A_N является
носителем и для терм-множества лингвистической переменной «Торговая
рекомендация», с теми же функциями принадлежности носителя
подмножествам значений.
Оценим веса отдельныхфакторов для комплесксной оценки бумаги, в
соответствии с тем, как это записано в (4.20). Согласно правилу точечных
оценок Фишберна, критерию максимума неопределенности в части наличной
информационной ситуации можно сопоставить следующую систему весов:
Если в качестве носителя лингвистической переменной «Уровень показателя
Х» выбрать единичный интервал, то трапециевидные функции
правдоподобия будут иметь вид рис. П4.1;
Тогда получем комплексный показатель A_N для каждой бумаги методом
двойной свертки:


Тогда среднеожидаемый ранг j- го уровня, взвешенный по всем N показателям, оценивается формулой
и справедливо
И наоборот, если по каждому фактору определять средний его уровень
то справедливо
Именно формулы (4.27) и (4.28) мы берем за основу при расчетов.
Результаты расчетов по этим формулам сведены в таблицу П4.6.
2.4.6. Оценка полученных результатов Из таблицы П4.6 видно, что облигации всего трех эмитентов (EESR, LKOH,
SGNS) из 13 рассматриваемых стоит покупать, и то следует проводить дополнительное углубленное исследование перед покупкой.
Показателен опыт бракованных облигаций. Предельно критично положение компании «ЮКОС».
Весьма высокая доля заемных средств в пассивах (по данным неконсолидированной отчетности) наблюдается, по меньшей мере, с 1999 года, а вот отрицательный чистый оборотный капитал . пока только в 2002 году, два квартала подряд. Скачкообразное ухудшение ликвидности, одновременно с тем,
что ухудшилось соотношение краткосрочной и долгосрочной задолженностей, - все это тревожные сигналы к тому, что облигации компании обладают повышенным риском, и от них надо избавляться. И нельзя в этом случае полагаться на высокий уровень маржинальной прибыли. Ухудшение конъюнктуры продаж нефтегазопродуктов способно привести к тому, что компания может испытать затруднения с текущими расчетами. А возможности по перекредитованию долгов не очень велики, как видно из отчетности.
Не особенно радует и «Газпром». Низкая рентабельность бизнеса, вызванная колоссальным размером активов, вызывает риск повышенных затрат на поддержание инфраструктуры бизнеса. Износ основных фондов диктует потребность в техническом перевооружении и соответствующих инвестициях в основной капитал, - а взять инвестиций неоткуда, потому что доходность на инвестированный капитал в компании низка. Риск инвестиций в акции и облигации ОАО «Газпром» снизится кардинально, если компания добьется пересмотра тарифов на отпускаемый газ в сторону существенного увеличения. Но это также вряд ли возможно по социально-политическим (предвыборным, я бы сказал)
соображениям.
Зададимся целью определить, как, в соответствии с золотым правилом инвестирования, должна определяться требуемая доходность, отвечающая оцененному нами уровню риска. Пусть у нас P1 . процентная ставка по государственным краткосрочным облигациям, а Р2 . предельно возможная ставка по корпоративным облигациям, которые мы в принципе условились покупать (облигации АО «МММ» не в счет). Сегодня в Российской Федерации Р1=14%
годовых, Р2=20-21% годовых.
Ставка P, под которую мы готовы выделить деньги, должна удовлетворять следующему рациональному соотношению:
Если инвестиционная привлекательность облигаций высокая (на уровне 0.85
по комплексному показателю), то Р=Р1, и можно требовать доходности по корпоративным облигациям данного вида на уровне того же по государственным займам. Если инвестиционная привлекательность близка к критической (а мы именно это и видим), то Р стремится к Р2. Если A_N<0.55, то о покупке облигаций не может быть и речи, и формула (2.29) недействительна.
Итак, мы видим, что сегодня (конец 2002 года) по облигациям российских корпораций можно получать до 15% годовых в валюте, но риск этих вложений велик. Такие облигации в Америке недаром называют «мусорными» (junk bonds).
Из этого не следует, что нельзя в России покупать корпоративные облигации.
Очень даже можно, но следует быть предельно осмотрительным. Изложенная здесь методика позволяет таковую осмотрительность сделать предметной. Она же позволяет выработать шкалу для определения обоснованной премии за риск,
калиброванной на основе базовой процентной ставки по государственным заимствованиям.
Краткое описание программы «Система оптимизации фондового портфеля»
Назначение программы «Система оптимизации фондового портфеля» (далее СОФП), внедренной в ПФР, . это оптимизация модельного фондового портфеля на основе исторических и прогнозных данных по соответствующим фондовым индексам. Язык программирования . Java. Объем, занимаемый программой на жестком диске . 20 мегабайт.
Программа СОФП создавалась под моим научным руководством в течение 2002 . 2003 г.г., силами сотрудников отдела System Integration компании Siemens Business Services Russia. В проекте разработки программы я выполнял роли заместителя руководителя проекта и бизнес-аналитика.
Перейдем к описанию функциональности отдельных модулей программы.
5.3.1. Модуль работы с инвестиционными профайлами Один из экранов модуля программы представлен на рис. 5.1.
Рис. 5.1. Экран модуля работы с инвестиционными профайлами Инвестиционный профайл . это программная информационная конструкция,
в которой сосредоточена вся история операций с инвестиционным портфелем. Под инвестиционным профайлом может пониматься управляющая компания, которой переданы в управление инвестиции определенного размера.

В ходе модификации содержимого профайла пользователь может моделировать операции управляющей компании по управлению активами, оценивать эффективность и риск этих операций.
Функциональность модуля:
обеспечивает табличный режим сводного представления всех созданных инвестиционных профайлов с отображением наименования инвестиционного профайла, даты создания инвестиционного профайла, среднего значения планового показателя Шарпа;
обеспечивает переход к режимам и процедурам создания нового инвестиционного профайла, ребалансинга текущего модельного портфеля выделенного профайла, консолидации инвестиционных профайлов с созданием нового инвестиционного профайла, удаления профайла,
установки текущего модельного портфеля в инвестиционном профайле;
обеспечивает возможность просмотра и печати отчетовов по модельным портфелям конечного пользователя, с возможностью сохранения отчета в форматах xml, html, pdf.
5.3.2. Модуль создания инвестиционного профайла и модельных портфелей Один из экранов модуля программы представлен на рис. 5.2.
Рис. 5.2. Экран модуля работы с инвестиционными профайлами Функциональность модуля позволяет:
создавать инвестиционногопрофайла с указанием горизонта инвестирования и денежных средств, подлежащих инвестированию;
Проводить бенчмарк- разметку для инвестиционного профайла, выбирая плановые даты для контроля доходности и соответствующие значения доходности (не более 1 бенчмарка на квартал);
выбирать модельные активы, в которые будет осуществляться инвестирование, и указывать денежные объемы вложений в эти активы.
Отмечать активы, которые будут участвовать в формировании эффективной границы. Представлять распределение активов в виде круговой диаграммы;
контролировать предустановленные ограничительные условия на размер модельных классов, с выдачей предупреждения о нарушении ограничений;
обеспечить режим ребалансинга модельного портфеля;
обеспечить режим консолидации инвестиционных профайлов;
предоставлять пользователю доступ к каждому из модельных активов,
установленных в профайле, для получения оценок доходности и риска модельного индекса в треугольно-нечеткой форме;
обеспечить графическое и табличное представление перфоманса модельных индексов, гистограммы распределения доходности, плоского сечения функции правдоподобия;
предоставлять графический результат оптимизации в форме размытой эффективной границы в форме полосы;
отображать на графике как исходное распределение активов в виде трехточки, так и желаемлое распределение в виде трехточки на полосе эффективной границы;
предоставлять пользователю возможность проводить оперативный ребалансинг модельного портфеля с выставлением оптимальных значений долей (по желанию пользователю в диалоге);
обеспечивать режим изменения риска портфеля горизонтальным слайдером,
с возможностью возвращения портфельной точки к первоначальному риску;
оценивать доходность портфеля ретроспективно-точно (на основе исторических перфомансов) и перспективно-прогнозно (на основе треугольных нечетких функций) термя способами: в номинальных ценах (RUB), в реальных ценах (RUB с учетом инфляции), в предустановленной валюте (USD, GBP, EUR, JPY);
оценивать бенчмарк-риск, перерасчитывая его путем внесения изменений в данные о бенчмарке. Производить переотрисовку точки бенчмарка на графике;
обеспечить режим соспоставления перфоманса портфеля с перфомансом выбранного модельного класса, в том числе с уровнем инфляции для России;
обеспечивать сохранение созданного инвестиционного профайла/модельного портфеля;
создавать и отображать отчет при завершении создания инвестиционного профайла или при ребалансинга модельного портфеля.
Критерии, определяющие финансовое состояние региона
В эту группу критериев входят:
X1 -Отношение государственного долга к доходам бюджета. Объем
государственного долга по отношению к доходам бюджета является наиболее значимым критерием, определяющим долговую нагрузку на
бюджет и, соответственно, кредитоспособность региона. Очевидно, что чем
больше долг субъекта РФ, тем выше риск неисполнения обязательств;
X2 - Отношение объема заемных средств к доходам бюджета. Большой
объем заемных средств свидетельствует о недостатке доходной базы для
финансирования дефицита бюджета. Это является одним из наиболее
значимых факторов, влияющих на кредитоспособность, поскольку сильная
зависимость от внешних кредиторов заметно усиливает риски нехватки
средств для осуществления выплат по долгам;
X3 - Доля собственных доходов в общем объеме доходов. К собственным
доходам бюджетов субъектов РФ относятся все доходы бюджета без учета
финансовой помощи бюджетов других уровней. Уровень собственных
доходов регионального бюджета определяет степень его независимости от
федерального центра. С ростом доли финансовой помощи повышается
опасность неисполнения обязательств из-за риска ее несвоевременного
поступления. Кроме того, недостаток собственных доходов говорит о
слабости источников формирования доходной базы региона, что также
приводит к увеличению вероятности невозврата долгов;
X4 - Объем собственных доходов бюджета. Объем собственных средств в
абсолютном выражении характеризует объем собственной доходной базы
бюджета субъекта РФ, а следовательно, позволяет оценить возможности
региона выполнять свои обязательства по долгам;
X5 - Отношение профицита (дефицита) бюджета к доходам бюджета.
Бюджетный дефицит определяет уровень превышения расходов над
доходами регионального бюджета. Большой дефицит бюджета
свидетельствует о несоответствии уровня доходов инвестиционным
потребностям региона.Увеличение дефицита бюджета в настоящем рейтинге
рассматривается как повышение кредитного риска;
X6 - Доля средств, направляемых в бюджеты других уровней в расходах.
Высокая доля средств, направляемых в бюджеты других уровней
(финансовая помощь бюджетам других уровней, включая дотации,
субвенции, трансферты), свидетельствует о необходимости Администрациям
субъектов РФ оказывать финансовую помощь территориальным
образованиям в регионе. Увеличение доли таких средств снижает
возможности финансового маневра, тем самым повышая кредитный риск;
X7 - Доля выделяемых кредитов и бюджетных ссуд в расходах.
Увеличение объема выделяемых кредитов приводит к росту риска их
невозврата, что соответственно усиливает зависимость финансовой системы
региона от качества других заемщиков. В результате, увеличивается риск
невыполнения субъектом РФ своих обязательств.
В эту группу критериев входят:
X8 - Отношение задолженности по налогам к объему налоговых
платежей. Отношение задолженности по налогам к общему объему
налоговых платежей является наиболее важным фактором, определяющим
качество функционирования налоговой системы региона, что, в свою
очередь, напрямую связано с формированием налоговых доходов
регионального бюджета. Налоговые доходы - это основа всех собственных
доходов бюджета субъекта РФ (более 70%), а следовательно, рост долгов по
налогам нарушает механизм формирования денежных потоков, что, в
конечном итоге, отрицательно влияет на кредитоспособность региона;
X9 - Доля прибыльных предприятий в общем количестве
зарегистрированных на территории региона. Доля прибыльных
предприятий на территории региона качественно определяет уровень
поступления налога на прибыль в доходную часть регионального бюджета.
На долю налога на прибыль приходится около 20% суммарных доходов
бюджета. Ухудшение финансового положения предприятий неминуемо
приведет к снижению налоговых поступлений, что обусловит рост риска
кредитоспособности;
X10 - Сальдо прибылей и убытков предприятий. Как и второй критерий,
сальдо прибылей и убытков определяет уровень поступлений налога на
прибыль в региональный бюджет. Этот показатель дополняет предыдущий и
определяет абсолютную величину поступления налога на прибыль;
X11 - Денежные доходы населения в расчете на одного жителя. Денежные
доходы населения косвенно определяют уровень поступлений налога на
доходы физических лиц, которые занимают значительную долю в доходах
бюджета. В среднем эта величина составляет около 14% доходов
региональных бюджетов. Снижение денежных доходов ведет к уменьшению
поступления соответствующего налога, что, в конечном итоге, увеличивает
кредитный риск региона.
2.2.3. Результаты рейтинга по AK&M
Первое место в рейтинге AK&M занимают Москва и Санкт-Петербург,
которые по формальным показателям среди других проанализированных субъектов
федерации имеют наиболее высокую способность расплачиваться по своим
обязательствам. В основе этого лежат как благоприятные макропредпосылки,
обусловленные прочной экономической базой городов, так и сбалансированность
бюджетных показателей, что во многом связано с успешной финансовой политикой
властей. Среди успехов, которых достигла Москва в 2001 году, стоит выделить
отказ от практики привлечения краткосрочных, до года, банковских кредитов,
Методика рейтинга обязательств субъектов РФ
Этап 1. Выделим 11 факторов для анализа кредитоспособности региона,
пометив их с Х1 по Х11.
Этап 2. Воспроизведем значения факторов по состоянию на 01 января 2002
года (табл. П2.2 приложения 2).
Этап 3. Проанализируем гистограммы выбранных факторов (рис. П2.1-П2.2
приложения 2) и установим пять кластеров:
Высокое значение фактора (обозначение в);
Промежуточно средне-высокое значение фактора (обозначение св);
Среднее значение фактора (обозначение с);
Промежуточно средне-низкое значение фактора (обозначение сн);
Низкое значение фактора (обозначение н).
Интервальные границы кластеров на соответствующих областях определения
факторов (носителей) Х1 - Х11 представлены таблицей П2.3 Приложения 2.
Степень принадлежности носителя тому или иному кластеру (нечеткому
подмножеству) есть трапециевидное нечеткое число. Верхнее основание трапеции
. это уровень безусловной принадлежности значений носителя кластеру (функция
принадлежности равна единице). Нижнее основание трапеции . все подмножество
значений фактора, признанное допустимым и относимым к данномукластеру.
Этап 4. Присваиваем каждому фактору точечный вес в системе оценки
интегрального показателя кредитоспособности. За основу берем систему весов,
принятую в [86], т.к. она является непротиворечивой и согласуется с формальной
системой предпочтений, по которой на основе критерия Фишберна можно
выстроить точечные оценки весов. Отметим, что в [86] система предпочтений
двухуровневая: сначала устанавливаются предпочтения двух факторных групп,а
затем строятся две цепи предпочтений следующего вида:
Однако скорректируем соотношение предпочтений групп факторов от 2:1 к
1:1. Эта корректировка вызвана учетом печального опыта Ульяновской области.
Мы устанавливаем, что параметры экономического развития региона играют
несколько большую роль в риске кредитоспособности, чем это учитывается в
методике AK&M. Такая переоценка, в свою очередь, повышает веса показателей

В Ульяновской обл. уровень этих показателей в 2001 г.
сплошь и рядом низкий.
Значения весов сведены в таблицу П2.4 приложения 2.
Этап 5. Распознаем текущие уровни факторов по табл. П2.1 приложения 2.
Результат распознавания сведен в таблицу П2.5 приложения 2.
Этап 6. Обработаем данные табл. П2.5 для получения рейтингов на основе следующего алгоритма. Сопоставим результатам распознавания из таблицы П2.5
следующий набор значений, принадлежащий числовому отрезку [0,1]:
«в» = 0.9, «св» = 0.7, «с» = 0.5, «сн» = 0.3, «н» = 0.1. (2.3)
Это делается по аналогии с [53] и обосновывается там же.
Тогда сводный рейтинг по факторам 1 . 7 (финансовый рейтинг региона)
оценивается по формуле:
где pi . веса, оцененные по таблице 4.4, i . значения, полученные по (2.3) с учетом таблицы П2.5 приложения 2.
А сводный рейтинг по факторам 8 . 11 (экономический рейтинг региона)
оценивается по формуле:
Результирующий же интегральный рейтинг кредитоспособности имеет вид:
Все полученные рейтинги сведены в таблицу П2.6. Туда же, для сравнения,
помещено место региона по таблице П2.1, в соответствии с рейтингом AK&M.
Цветом отмечены наиболее сильные расхождения в результатах двух подходов.


Объясняются они разными весами, используемыми в методиках, и различным
отношением к одним и тем же данным (механическое агрегирование уровней
факторов в методике AK&M и дифференцированное распознавание в настоящей
методике).
Этап 7. Оценим гистограммы распределения факторов для выработки
торговых рекомендаций (рис. П2.3). Из гистограмм видно, что можно выделить три
устойчивые группы регионов: лидеры (все рейтинги высокие), перспективные
регионы (все рейтинги средние) и аутсайдеры (хотя бы один рейтинг является
низким).
На основании полученных количественных оценок рейтингов и гистограмм
рис. П2.3 приложения 2 сформулируем решающие правила для установления
торговых рекомендаций по обязательствам региона:
Определенно Покупать . когда значение финансового и экономического
рейтингов больше или равно 0.6 в нашей оценке. Это бумаги 12 эмитентов-
лидеров (первые 12 позиций по табл. П2.6);
Покупать Под Вопросом . когда значение финансового и экономического
рейтингов колеблется в диапазоне [0.4, 0.6). В этом перечне у нас 21
перспективный эмитент (с номерами 13-27, 30-32, 37, 39, 40 по таблице
П2.6).
Все прочие регионы (аутсайдеры) не имеют сейчас достаточных оснований
длятого, чтобы осуществлять займы, в силу низкой надежности этих займов.
Отдельный вопрос с Республикой Карелия, которую мы переоценили с 18-го на 29-
е место (в силу низкого уровня жизни населения и недостаточной прибыльности
предприятий этого региона).
Таким образом, на привлечение инвестиций может в сегодняшних рыночных
реалиях рассчитывать порядка половины всех регионов России. Это . очень низкий
уровень кредитоспособности страны в целом. Ясно, что небольшое количество
регионов-доноров не может без конца заниматься поддержкой регионов-
аутсайдеров, через консолидированный правительственный бюджет. И это же
показывает, что помогать надо сильным, поддерживая их кредитными
инвестициями. Это заставит отстающие регионы пересмотреть свою бюджетную
политику.
Этап 8. Оценим количество средств, подлежащее распределению по
региональным займам. Если сумма к размещению по данному модельному активу
составляет CMuni, а защищенная доля эмитентов-лидеров в модельном портфеле
составляет , то доля эмитента-лидера в модельном портфеле составляет
Тогда доля перспективного эмитента в модельном портфеле составляет
Здесь реализовано мягкое правило Фишберна, где доля инвестиций в портфеле
пропорциональна инвестиционному рейтингу.

Мы ищем симметричные квазистатистические оценки
Мы ищем симметричные квазистатистические оценки для доходности и
риска фондовых индексов, потому что в условиях существенной неопределенности
и рационального инвестиционного выбора эти оценки являются наиболее
правдоподобными (равновесными). Такие оценки говорят о том, что при
инвестиционно равновесном выборе в оценках доходности и риска отсутствуют смещения, в противном случае (например, при несимметричном риске
предполагается возможность переоценки (недооценки) индекса).
Расчетный коридор доходности в нашей модели связан с нечеткими
оценками доходности и риска следующим простым соотношением упреждения:
Упреждение здесь в том, что мы на базе расчетного коридора, полученного
на текущем интервале прогнозирования, формируем оценки уже для последующего
интервала прогнозирования. Диапазон половинного среднеквадратического
отклонения в (4.16) . это диапазон рационального доверия к тем оценкам,
которые попадают в соответствующий расчетный коридор (в предположении
нормального распределения разброса с нечеткими параметрами распределения).
Если уровень доверия ниже, то коридор шире, и им захватываются фактически
неправдоподобные сценарии развития событий. Наоборот, если доверие выше, то
коридор уже, и в него не попадают уже вполне правдоподобные оценки.
При переходе от (4.16) к записи в действительных числах возникает система
трех линейных алгебраических уравнений с тремя неизвестными (временно, для
удобства представления, снимем в формулах зависимость от времени):
Система (5.45) является вырожденной и требует дополнительного условия
для решения. Таким условием могут служить уравнения оценочной балансировки:

Соотношения (4.18) - (4.20) выражают ту суть, что соотношение доходности и
риска по индексам в максимальном и минимальном варианте зависит только от
соотношения максимума и минимума доходности в расчетном коридоре. Тогда все
параметры модели находятся по формулам: для Rmax < 0 и Rmin < 0
экономического региона нами получены. Фактически это означает, что можно
ежеквартально решать оптимизационную задачу для обобщенного
инвестиционного портфеля из акций и облигаций и определять рациональную
траекторию скольжения своей портфельной точки от границы к границе по ходу
прогнозирования (фаза 6 прогнозирования).
Рассмотрим вариант скольжения эффективной границы
Рассмотрим вариант скольжения эффективной границы обобщенного
инвестиционного портфеля (отрисовывается только средняя линия границы) от
шага к шагу прогноза в условиях ухудшения инвестиционной обстановки (рис. 4.8)
Рис. 4.8. Управление фондовым портфелем во времени
Если действовать, как посоветовала в 2001 г. Эбби Коэн, то ничего делать не
нужно, только поддерживать фиксированный баланс активов. Такая тактика на
падающем рынке вызывает только дополнительные убытки, рост риска портфеля, и
больше ничего. Наоборот: следует освобождаться от акций в несколько раз
быстрее, чем они падают, переливаясь в облигации или вообще уходя с рынка. Тем
самым достигается опережающее снижение портфельного риска и реализуется
консервативный инвестиционный выбор. Выбор Эбби Коэн в этом случае
оказывается незаконно-агрессивным, анти-оптимальным; градиент ее выбора
(приращение доходности к приращению риска) во всех точках ее инвестиционной
траектории отрицателен. Наш градиент во всех точках положителен, и более того:
он растет.

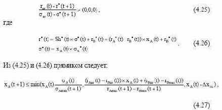
Эти соображения оперативного порядка зафиксированы нами в модели с помощью модифицированного показателя Шарпа:
Выражение (4.24) - это не классический показатель Шарпа, потому что в числителе вычитается осредненная доходность по всему классу облигаций, а не доходность одних гособлигаций. Но смысл этого показателя очень значим: он выражает экономическую эффективность инвестиций в обобщенный инвестиционный портфель из всех акций и всех облигаций в пределах данного экономического региона. Мы говорим, что по мере снижения экономической эффективности портфеля (преимущественно за счет падения доходности акций)
доля акций в портфеле должна снижаться опережающими темпами. То есть условие сохранения оптимальности при движении справа налево по границе . это условие положительного градиента (при движении слева направо градиент может быть любым):

Для сценариев вывода капитала из акций по отзывным тенденциям, и для сценариев инвестирования капитала в акции по призывным тенденциям. По выжидательным тенденциям для акций изменения доли их в портфеле не
происходит. В (4.27) и (4.28) - это плановый приток или отток капитала,
который вступает в действие, если остальные расчетные значения в формулах приобретают неоптимальные или недопустимые по граничным условиям значения.
Таким образом, мы получили целевое значение доли акций в портфеле на прогнозный период времени, определяемое по (4.27) . (4.28).
Рациональные размеры долей облигаций (B) и выводимого капитала (N)
определяются на основании данных таблицы 4.8 о рациональных перетоках
Из таблицы 4.8 видно, что когда перетока по акциям нет, то за основу при выборе очередного перетока берутся значения перетока по облигациям на предыдущем шаге моделирования. И, во избежание расходимости процесса формирования портфеля, всякий новый переток в таких случаях в два раза меньше предыдущего (поскольку доходность по облигациям низка, существенного изменения характеристик обобщенного инвестиционного портфеля ожидать не приходится). Такой способ организации перетоков обусловлен нестабильностью тенденций, связанных с выжидательным выбором по акциям, неустойчивым равновесием выжидательных состояний. А там, где нестабильность, там резкие движения недопустимы, потому что можно получить неожиданные чувствительные убытки.
Итак, фаза 5 процесса завершена, и начинается фаза 6 . прогнозирование индексов и фактора PE Ratio.
Модели и методы прогнозирования фондовых индексов
4.2.1. Классификация экономических регионов и индексов. Обозначения
Все индексы, которые нам следует прогнозировать и наблюдать,
подразделяются на три большие группы:
Индексы долговых обязательств (к ним относим государственные облигации,
облигации субъектов региона, банковские депозиты, корпоративные
обязательства и эмиссионные ипотечные ценные бумаги);
Индексы акций (к ним относим собственно акции с высокой и низкой
капитализацией (1-ый и второй эшелоны соответственно), а также паи
взаимных индексных фондов . разрешенные активы для пенсионных
инвестиций по законодательству РФ);
Индексы макроэкономических факторов (к ним относим валовый внутренний
продукт, инфлятор, кросс-курс валюты по отношению к рублю, а также PE
Ratio).
Также мы предполагаем, что существует взаимно однозначное соответствие
между индексом и экономическим регионом, который мы далее будем называть
держателем индекса. Предполагаем, что все бумаги или тенденции, участвующие в
формировании того или иного индекса, выпущены или имеют место на
географической территории региона . держателя индекса. Выделяем следующие
регионы, представляющие интерес для исследований:
США и Канада (US);
Россия (RU);
Европейский союз (EC);
Англия (GB);
Япония (JAP);
Регион развивающихся стран (EMM).
В нашей монографии приводится пример прогнозирования индеков только для
региона US.
Модели и методы управления финансами
Адекватность методов управления финансами качеству исходной Информации При переходе от плановой к рыночной экономике в России появился ряд видов деятельности, имеющих для финансового менеджера принципиально новый характер. К их числу относятся задачи эффективного вложения денежных средств в ходе ивестиционного процесса, формирования портфеля ценных бумаг, управления активами хозяйствующего субъекта в условиях отсутствия нормативов отдельных видов активов (что имели место в советский период). В.В.Ковалев [38] отмечает ряд существенных моментов, сопровождающих изменение существа методов управления финансами при переходе к рыночной экономике:
были упразднены многие ограничения, в частности, нормирование оборотных средств, что автоматически исключило один из основных регуляторов величины финансовых ресурсов на предприятии;
кардинальным образом изменился порядок исчисления финансовых результатов и распределения прибыли. С введением новых форм собственности стало невозможным изъятие прибыли в бюджет волевым методом, благодаря чему у предприятий появились свободные денежные средства;
произошла существенная переоценка роли финансовых ресурсов, т.е.
появилась необходимость грамотного управления ими, причем в различных аспектах . по видам, по назначению, во времени и т.д.;
появились принципиально новые виды финансовых ресурсов, в частности возросла роль денежных эквивалентов, в управлении которыми временной аспект имеет решающее значение;
произошли принципиальные изменения в вариантах инвестиционной политики (открылись новые возможности приложения капитала);
в условиях финансовой нестабильности переходного периода (весь конец ХХ-го века в России) и гиперинфляции появилась потребность в эффективном управлении денежными активами в целях их ускоренной оборачиваемости.
К этому перечню следует добавить еще одно важное обстоятельство:
возникшая рыночная неопределенность, связанная с нестабильностью, потребовала от финансового менеджера навыков управления активами и пассивами компании в условиях неполной, расплывчатой информации, не обладающей статистической природой. Зародилось отдельное направление российского финансового менеджмента, именуемое за рубежом и в России риск-менеджментом.
Все научно обоснованные финансовые решения применяются на основе модели финансовой системы, которую здесь и далее для краткости мы будем называть финансовой моделью хозяйствующего субъекта.
Наряду с традиционной количественной информацией о финансовом состоянии хозяйствующего субъекта, эта модель содержит прогнозные оценки о внешних по отношению к субъекту рыночных условиях, а также данные об условиях принятия решения, в том числе об уровнях неопределенности тех или иных параметров модели (варианты: точное значение фактора, статистическое распределение, квазистатистическое инвестиционной стратегии компания реализует свои возможности к предвосхищению долгосрочных тенденций экономического развития и адаптации к ним. Инвестиционные решения целесообразны, если [96]:
чистая прибыль от вложений превышает чистую прибыль от помещения средств на банковский депозит в надежном банке;
рентабельность инвестиций выше уровня инфляции;
рентабельность выбранного инвестиционного проекта с учетом временной стоимости денег выше рентабельности альтернативных проектов;
рентабельность активов компании после осуществления проекта по крайней мере не уменьшится и в любом случае превысит среднюю расчетную ставку по заемным средствам;
рассматриваемый проект соответствует генеральной стратегической линии хозяйствующего субъекта с точки зрения формирования рациональной ассортиментной структуры производства, сроков окупаемости затрат,
наличия финансовых источников покрытия издержек, оптимального бюджета движения денежных средств компании и т.д.
Ключевыми методами выбора оптимального инвестиционного проекта являются методы оценки чистой современнойценности проекта (NPV . Net Present Value) и срока окупаемости проекта по дисконтированным потокам (DPBP .
Discount Pay-Back Period). Центральная проблема использования этих методов .
неразрешимая входная неопределенность относительно проектной выручки (экономии затрат), которая может быть учтена с применением теории нечетких множеств. Метод оценки NPV в нечетко-множественной форме, с одновременной оценкой степени риска неоптимальности проекта, разработан мною совместно с К.И. Вороновым [56, 59] на базе идеи, высказанной Кофманом и Хил Алухой в [42]. Вкратце суть метода в следующем. На вход модели поступают нечетко-
множественные последовательности, соответствующие потокам затрат и выручки.
Полученный на этой основе чистый денежный поток проекта (нечетко-
множественная последовательность) дисконтируется и суммируется наростающим итогом, что дает NPV в форме треугольного нечеткого числа. Обработка этого числа по специальным формулам позволяет получить степень риска неоптимальности проекта (того, что NPV проекта окажется меньше планового значения).
К тактическому финансовому менеджменту относятся финансовые решения в области управлениячистым оборотным капиталом хозяйствующего субъекта.
Сюда относятся методы оптимизации производственных запасов, денежных средств, дебиторской задолженности и краткосрочных пассивов, методы оперативного управления портфелем ценных бумаг и т.д.
Уровень чистого оборотного капитала компании находится в обратном отношении к риску ее неплатежности. В то же самое время избыточный чистый оборотный капитал отрицательно сказывается на прибыльности компании, что заставляет ее руководство искать компромисс между риском неплатежеспособности и риском неэффективности работы. Этот компромисс может быть найден при комплексной оценке финансового положения предприятия,
куда ликвидность и деловая активность входят как отдельные составляющие оценки. Если в оценке превалирует деловая активность (входит в нее с соответствующим весом), то завышенный размер чистого оборотного капитала приведет к снижению комплексного коэффициента. Наоборот, если в оценке превалирует ликвидность, то с ростом размеров чистого оборотного капитала компании комплексная оценка также будет расти.
Методы управления каждой составляющей в структуре чистого оборотного капитала специфичны для этой составляющей, с использованием моделей Баумоля,
Миллера-Орра, Стоуна, имитационных моделей по схеме Монте-Карло и др. [14].
Общее этих методов в том, что они определяют рациональные нормативы потребности в чистом оборотном капитале, применение которых в тактическом финансовом менеджменте минимизирует риски неплатежеспособности и недопустимого снижения рентабельности операций. Часто эти нормативы связывают с периодом оборот различных типов оборотных активов.
Упомянем вкратце методы и модели фондового менеджмента. Они совмещают в себе как стратегическую (долгосрочные фондовые инвестиции) так и тактическую (оперативный ребалансинг портфеля) составляющие финансовых решений.
Исторически первым методом портфельной оптимизации является метод,
предложенный нобелевским лауреатом Гарри Марковицем, суть которого в следующем. Пусть цена актива колеблется в соответствии с винеровским двупараметрическим случайным процессом. Соответственно, логарифмическая (текущая эффективная) доходность такого актива обладает нормальным распределением с параметрами среднего и дисперсии распределения. Матожидание доходности характеризует эффективность инвестиций в актив, а дисперсия . риск.
Соответственно, можно составить задачу управления портфеля как задачу максимизации доходности портфеля при выбранном загодя фиксированном уровне его риска. Эта задача квадратической оптимизации имеет своим решением эффективную границу портфельного множества в координатах «риск портфеля .
доходность портфеля».
Критики теории Марковица утверждали, что в действительности движение активов не подчиняется модели винеровского случайного процесса. Реакцией на эту критику стала теория Шарпа-Литнера, которая в ходе оптимизации снимает допущение о нормальности распределения, однако сохраняет допущение о стационарности ценового процесса.
Шарп правильно замечает [100, 144, 146], что в условиях синхронной волатильности всех активов, принадлежащих выбранному модельному классу (очень высокая степень корреляции активов) превышение доходности актива над среднерыночным значением доходности является фактором,
характеризующим риск этого актива (так называемый бета-фактор). Однако в рамках этой теории Шарп считает, что риск актива . это условно-постоянная величина. Следовательно, снова мы имеем дело со стационарной моделью фондового актива.
Кризис 2001 года явно дал понять, что ни о какой стационарности не может быть и речи. Поэтому теория Шарпа-Литнера также не выдержала испытания на прочность. Она (равно как и теория Марковица) хорошо работает в условиях неизменной парадигмы фондового рынка. В кризисные времена смены парадигмы,
когда нестационарность ценовых процессов оказывается наиболее очевидной,
столь же очевидной оказывается необходимость отказа от описаний,
использующих стационарные случайные процессы. Эффект синхронной волатильности редуцируется, и инвесторы начинают приглядываться к возможностям роста или спада цены каждого конкретного актива, к фундаментальным параметрам эмитента. Возникает индивидуальный риск несовпадения фактической квартальной прибыли эмитента ожидаемым значениям,
который зависит от рыночных условий хозяйствования эмитента. Этот риск порождает встречный риск оценочного понижения (downgrade) с вытекающим отсюда неизбежным падением цены акций. Таким образом рыночный риск актива теряет фундаментальный базис для измерения . рыночную линию, которая в условиях кризиса перестает существовать. Сейчас (ноябрь 2002 года) мы как раз наблюдаем поиски фондовым рынком США нового положения равновесия, новой рыночной линии.
Однако эти поиски остаются тщетными, потому что еще окончательно не развеяны иллюзии инвесторов относительно справедливой цены активов, и целый ряд индустрий американской экономики по-прежнему являются переоцененными. Только при достижении окончательного дна фондовых индексов США можно говорить о формировании новой рыночной парадигмы и, соответственно . новой рыночной линии.
Модельные активы и портфели на их основе
Согласно статье 26 Закона, пенсионные накопления могут быть размещены в:
государственные ценные бумаги Российской Федерации;
государственные ценные бумаги субъектов Российской Федерации;
облигации российских корпоративных эмитентов;
акции российских эмитентов, созданных в форме открытых акционерных
обществ;
паи (акции, доли) индексных инвестиционных фондов, размещающих
средства в государственные ценные бумаги иностранных государств,
облигации и акции иных иностранных эмитентов;
ипотечные ценные бумаги, выпущенные в соответствии с законодательством
Российской Федерации об ипотечных ценных бумагах;
денежные средства в рублях на счетах в кредитных организациях;
депозиты в рублях в кредитных организациях;
иностранную валюту на счетах в кредитных организациях.
Перечисленные так называемые разрешенные активы могут и должны быть
декомпозированы, в целях детальной классификации и выделения модельных
классов, обладающих надлежащей степенью внутренней однородности. Например,
как уже отмечалось, акции российских эмитентов целесообразноразбить на классы
акций первого и второго эшелонов, как принципиально различающиеся по
доходности и риску группы активов. Такая же детализация целесообразна
применительно к отдельным странам в рамках сводной группы зарубежных
активов, а также в рамках инструментов, эмиттированных в рамках одной страны.
Все эти требования по детализации сделали возможным сформировать свыше
20 модельных классов (таблица 3.1), каждому из которых был сопоставлен
фондовый индекс. В целом ряде случаев, ввиду отсутствия разработанных
индексов, компании Siemens Business Services Russia пришлось самостоятельно
разрабатывать фондовые индексы.
Законом установлен ряд ограничений на размер инвестиций в модельные и
реальные активы. Например, доля зарубежных активов в инвестиционном
портфеле не должна превышать 20% по состоянию на 2009 год и далее. Эти
ограничения следует учитывать в ходе оптимизации модельных и реальных
портфелей, что и предусмотрено в поставленном ПФР программном обеспечении.
Модель и методика для фазы 1 (старт)
Для этой фазы мы устанавливаем начальное и конечное прогнозное время
В ходе моделирования обнаружилось, что когда на рынке доминируют
отзывные тенденции, стартовое размещение активов вырождено, и невозможно
отследить динамику портфеля, чувствительность его долей к колебаниям
экзогенных факторов. Поэтому в модели нагляднее в любом случае стартовать с
контрольной портфельной точки (по 50% акций и облигаций в портфеле). Если
отзывные тенденции перетока капитала сохранятся, то портфель быстро
выродится, и это можно будет наблюдать в динамике.
Для всех индексов, отвечающих данному экономическому региону,
устанавливается их стартовое значение P(tнач).
Привязка дискретного времени к непрерывному осушествляется таким
образом, что значения индексов и параметров для дискретного времени
соответствуют значениям последнего торгового дня соответствующего квартала.
По обобщенному инвестиционному портфелю устанавливаются текущие
значения доходностей и рисков модельных классов акций и облигаций r(tнач) и


В силу существенной нестационарности макроэкономических процессов
(допущение экспертной модели) мы не беремся прогнозировать их с помощью
известных методов авторегрессионного анализа, как, скажем, в моделях ALM [129].
Взамен мы предлагаем искать их в форме полосы с прямолинейными границами
вида.
и процесс переходит на фазу 3 . анализ ожидаемой инвестиционной динамики.
Для шага прогнозирования (t+1) мы должны на шаге (t) оценить
инвестиционные тенденции по таблице 4.6, чтобы правильно определить
направления перетока капитала за время [t, t+1]. При этом входом в таблицу
служат значения Iav(t) и (t) PEav . Таким образом, мы формируем упреждающее
воздействие на инвестиционный портфель с упреждением на один шаг
относительно плановой макроэкономической динамики.
Так, для входной ситуации №4, которую мы распознаем как призывно-
промежуточная при стартовом инвестировании и как призывную при перетоке
капиталов, мы прогнозируем увеличение размера капиталов, инвестированных в
акции и облигации, и соответствующий рост уровня кумулятивных индексов.
Сразу же отметим, что уровень индекса облигаций является низкоэластичным
фактором в отношении объемов операций, а уровень индекса акций .
высокоэластичным фактором. Это обусловлено тем, что процентные ставки по
облигациям колеблются в достаточно узких пределах; снизу они ограничены
уровнем инфляции (или предельно приближены к ней), а сверху . уровнем
прибыльности корпораций, позволяющим надежно обслуживать накопленную
кредиторскую задолженность без существенного ухудшения своего финансового
состояния (при минимальном уровне риска банкротства). Хотя для справедливости
отметим, что резкое падение курсов акций вызвало настолько мощный переток
денег в облигации США, что столь низкого уровня процентных ставок не
отмечалось с 1960 года. Но эту тенденцию здесь мы рассматриваем как временную.
Рано или поздно ставкивыровняются, потому что большая часть капиталов, сейчас
осевших в облигациях США, перетечет за рубеж.
Далее процесс прогнозирования переходит на фазу 4 . прогноз расчетного
коридора доходности по индексу.
промежуточной неопределенности при построении прогнозной
Прогноз индекса проводится по формуле
Особенностью формул (4.29) - (4.31) является элиминирование
промежуточной неопределенности при построении прогнозной оценки, так как мы
считаем, что на прогнозные величины влияют в первую очередь ожидаемые
средние значения индексов, полученные на предыдущих временных интервалах
прогнозирования. То есть в нашей экспертной модели прогнозная
неопределенность имеет период действия (и влияния на оценки) ровно один
прогнозный квартал. Если бы принцип элиминирования в оценках не соблюдался,
то тогда наш прогноз оказался бы «зашумленным» накопленными размытыми
оценками.
Также (4.31) выражает самую суть наших модельных допущений о
рациональном выборе. Рациональное значение
(t) Λ 1, при совпадении текущего
значения PE Ratio с уставочным, говорит нам о том, что система инвестиционного
выбора находится в равновесии, и весь рост доходов по акциям обеспечен
соответствующим ростом валового внутреннего регионального продукта. Если
обеспечение прироста акций реальными ценностями (прибылью корпораций) не
происходит в полном объеме, то акции начинают переоцениваться,
«перегреваться», и запускается механизм снижения текущей доходности по
индексу (через эластичность вида (4.12)).
После реализации фазы 7 процесс переходит на техническую фазу 8
(ветвление процедуры прогнозирования).
Прогнозное время увеличивается на единицу,
Прогнозное время увеличивается на единицу, и проверяется условие t > tкон .
Если условие выполняется, то процесс собственно прогнозирования завершен, и
начинается реализация фазы 9. Если прогнозирование не завершено, то оно
возобновляется, начиная с фазы 3.
4.2.12. Модель и методика для фазы 9
На этой фазе полученный прогноз по индексам претерпевает поправку на
кросс-курс национальной валюты экономического региона по отношению к
российскому рублю. Эта коррекция проводится по формуле:
4.2.13. Модель и методика для фазы 10
На этой фазе строится оценка расчетного коридора финальной доходности по
индексу, скорректированному фазой выше. Соотношение для расчетного коридора
финальной доходности:
4.2.14. Модель и методика для фазы 11
На этой фазе получается итоговая оценка доходности и риска фондового
индекса, которая может быть взята за основу в ходе портфельной оптимизации,
если горизонт инвестирования совпадает с периодом прогнозирования. Все оценки
получаются по формулам (4.18)-(4.23), с заменой расчетного коридора (t) R на
параметр


Модель и методика оценки расчетного коридора доходности по индексу
В силу низкой эластичности индекса облигаций к рыночным объемам торгов мы решаем пренебречь этой эластичностью в нашей модели и построить прогноз доходности по облигациям на базе матрицы премий за риск (таблица 4.7). Значения в матрице определяются нами на основе дополнительных макроэкономических сооброжений экспертной модели.
Таблица 4.7. Премии за инвестиционный риск по облигациям
Приведенная модель премий за риск является стационарной и действует на всем интервале прогнозирования.
И расчетный коридор доходности по j-му типу обязательств, эмиттированных в i-
ом экономическом регионе, определяется формулой:


Высокая эластичность фактора текущей доходности по акциям (на уровне торгового дня, недели итд) по фактору роста или спада объема торгов вызывает существенные ценовые колебания индекса. Однако при рассмотрении модели рационального поведения инвестора мы отмечаем, что бурная динамика котировок на уровне среднесрочной перспективе элиминируется тем, что вступает в действие фактор переоцененности/недооцененности акций. И, таки образом, индекс акций в среднесрочной перспективе формирует циклический тренд вокруг своих средних значений, обусловленных рациональным уровнем PE Ratio. Поэтому мы принимаем решение не моделировать объемную эластичность доходности индекса акций, а учесть ее в модели косвенно на уровне эластичности по фактору PE Ratio.
Упомянутая модель эластичности имеет вид:
и эти параметры определяются на основе дополнительных соображений экспертной модели.
В том, что коэффициент эластичности скачкообразно изменяется при переходе PE через уставочное значение, мы отражаем ассиметричность инвестиционного выбора в преломлении на тип инвестора.
Так, консервативный инвестор, почувствовав неладное и минимизируя риски, выводит активы быстрее,
чем если бы он вводил их при улучшении инвестиционного климата. Наоборот,
агресиивный инвестор будет быстрее покупать, чем продавать, т.е. не минимизировать риски, а максимизировать прибыль. В глазах же инвестора промежуточного типа рациональные темпы прилива-отлива капитала совпадают;
из контрольной портфельной точки он побежит влево или вправо по линии эффективной границы с одной и той же скоростью, если текущее значение PE Ratio будет симметрично ложиться справа или слева от уставки, соответственно.
Линейный вид модели (4.12) по умолчанию предполагает отсутствие глубоких колебаний текущего PE Ratio от своего уставочного значения, т.к. при наличии эффективных средств распознавания рыночной ситуации (а у нас все эти средства описаны) инвестор будет оперативно корректировать свою инвестиционную стратегию, и колебания индекса PE Ratio не будут сильноволатильными.
То есть модель предполагает детальную настройку на инвестиционную ситуацию (инвестиционную тенденцию). Потому что в реальности рациональный инвестор очень пристально следит за макроэкономической ситуацией, и его решения по управлению фондовым капиталом являются точными (дифференцированными) и оперативными (алертными), что и отражено в модели.
Модель (4.12) предполагает механизм саморегуляции рынка в режиме отрицательной обратной связи. Согласно соотношениям, переоценка индекса влечет отрицательную доходность и спад уровня, что, в свою очередь, приводит к недооценке и возникновению положительной доходности. Все вместе это порождает цикличное поведение, цикличный тренд.
На фондовых рынках наблюдается тенденция, когда акции с низкой капитализацией ориентируются на тенденции акций с высокой капитализацией.
Особенно это справедливо для технически слабых фондовых рынков, когда обращающиеся на нем акции не имеют «собственного слова», то есть отвязаны от своих фундаментальных характеристик, и не существует на рынке игроков,
которые могли бы привести в соответствие фундаментальные параметры акции и ее цену. Так, российский фондовый рынок живет и еще некоторое время будет жить с оглядкой на рынок американский, следуя в фарватере американской динамики, а акции, эмиттированные в российской глубинке, долго еще будут оглядываться на динамику акций гигантов отечественной индустрии.
Парадоксально, но в краткосрочной перспективе корреляция индексов акций первого и второго эшелона близка к нулю. Связано это с тем, что акции второго эшелона обращаются быстрее акций первого эшелона и также быстро изменяются в цене. Если рассмотреть корреляцию этих акций на долгосрочной основе,
элиминировав низкопериодические колебания индексов, то такая корреляция будет стремиться к единице по тенденции.
Поэтому справедливо будет считать, что на уровне монотонного фондового портфеля в среднесрочной перспективе существует линейная зависимость между расчетной доходностью акций первого и второго эшелона:
Косвенно наш вывод подтверждают и результаты моделирования при помощи программы «Система оптимизации фондового портфеля» (рис. 4.7).
Видно, что кривизна параболы эффективной границы невилика (даже при нулевой корреляции), а по мере роста корреляции эта парабола будет только спрямляться.
Итак мы получили прогноз расчетного коридора доходности для всех типов фондовых индексов, и теперь процесс переходит на фазу 5 . оценка доходности и риска индексов и ребалансинг портфеля.
Рис. 4.7. Модельный портфель из акций первого и второго эшелонов
Модель рациональной динамики инвестиций
Итак, моделируя рациональный инвестиционный выбор, мы устанавливаем,
что он управляется принципом инвестиционного равновесия. При нарушении
равновесия, по внутренним условиям фондового рынка или в силу изменившихся
макроэкономических условий, возникает диспаритет, и система стремится к возвращению утраченного равновесия через переток капиталов из одного вида
активов в другой.
Построим нашу модель инвестиционного равновесия как описание
динамической системы (конечного автомата, где в качестве состояний выступают
инвестиционные тенденции, о чем речь дальше), где моделируется стартовое
размещение фондовых активов и последующие перетоки между активами на
интервале дискретного прогнозного времени tнач, tнач+1, ..., t,., tкон. По умолчанию,
мы выбираем единичный интервал прогнозирования T = 0.25 года (квартал).
Для начала классифицируем тенденции, возникающие в ходе
инвестиционного выбора.
С точки зрения движения капитала можно вычленить:
призывную тенденцию (когда капитал отвлекается из других форм и
инвестируется в фондовые активы);
выжидательную тенденцию (когда прилив капитала останавливается, но
отлива из фондовых активов еще нет);
отзывную тенденцию (когда капитал перетекает с фондового рынка в другие
формы).
С точки зрения портфельного выбора можно вычленить:
агрессивную тенденцию (когда капитал предпочитает акции облигациям и
иным своим формам);
промежуточную тенденцию (когда капиталищет инвестиционного
равновесия между акциями и облигациями);
консервативную тенденцию (когда капитал предпочитает акции облигациям
и иным своим формам).
На декартовом произведении вышеизложенных классификаций образуются
комбинированные тенденции: выжидательно-агрессивная, призывно-
консервативная итд.
Стартовое рациональное размещение активов моделируется нами таблицей
4.5. Параметры аi и bij, участвующие в таблице 4.5, - свои для каждой страны и для
каждого периода прогнозирования. В пределах пятилетнего срока
прогнозирования, если на уровне экспертной модели не констатируется обратное,
мы полагаем эти параметры постоянными.
Далее мы формируем инвестиционные переходы, которые должен
осуществлять рациональный инвестор в прогнозируемой перспективе,
ребалансируя свой фондовый портфель. Схема опирается на все вышеизложенные
соображения (таблица 4.6).
Из таблиц 4.5 и 4. 6 видно, что по мере увеличения риска тех или иных
инвестиций (с ростом инфляции или с падением рентабельности капитала) капитал
в руках рационального инвестора ищет сменить форму, что немедленно
фиксируется соответствующей сменой тенденции в сторону отзывности.
Модуль данных по индексам и модельным классам
Один из экранов модуля программы представлен на рис. 5.3.
Рис. 5.3. Экран модуля данных по индексам и модельным классам
Функциональность модуля позволяет:
обеспечить руководителю программы возможность корректировать число
модельных классов и сопоставлять им новые индексы;
обеспечить руководителю программы возможность добавлять новые
индексы, обновлять данные по индексам, использую специальный
графический интерфейс пользователя;
обеспечить руководителю программы возможность добавлять новые
индексы, обновлять данные по индексам путем импорта необходимой
информации из соответствующих файлов предустановленного формата;
обеспечить руководителю программы возможность корректировать рабочие
параметры модулей программы;
обеспечить руководителю программы возможность установки и изменения
ограничений на процентное содержание модельных активов в портфеля.
5.3.4. Модуль работы с профайлами экономического региона
Один из экранов модуля программы представлен на рис. 5.4.

Рис. 5.4. Экран модуля работы с профайлами экономического региона
Профайл экономического региона . это программная информационная
конструкция, позволяющая пользователю консолидировать всю историю
прогнозирования фондовых и макроэкономических индексов по одной стране или
по группе стран.
Функциональность модуля позволяет:
обеспечить табличный режим сводного представления всех созданных
профайлов экономического региона с отображением профайлов
экономического региона и даты создания профайлов экономического
региона;
обеспечить научному руководителю программы возможность корректировать
прогноз в составе профайла экономического региона;
обеспечить конечному пользователю и научному руководителю программы
возможность просматривать результаты прогнозирования по всем профайлам
экономического региона;
обеспечить конечному пользователю и научному руководителю программы
возможность просматривать и печатать отчеты по каждому прогнозу, с
возможностью сохранения отчета в форматах xml, html, pdf;
обеспечить научному руководителю программы возможность использовать
прогнозные оценки доходностии риска по индексам в качестве экспертных
оценок;
обеспечить руководителю программы возможность ведения справочника
экономических регионов.
Модуль создания профайлов экономического региона
Один из экранов модуля программы представлен на рис. 5.5.
Рис. 5.5. Экран модуля создания профайлов экономического региона
Функциональность модуля позволяет:
создавать профайлы экономического региона с указанием региона, с
возможностью распределения индексов по группам и контролем наличия
индексов макроэкономических показателей по указанному экономическому
региону;
задавать необходимые исходные данные, требуемые для выполнения
прогноза;
выполнять прогноз в соответствии с алгоритмом прогноза;
получать результаты прогноза по индексам и обобщенному портфелю в
графическом представлении;
обеспечивать сохранение созданного профайла экономического
региона/прогноза;
создавать и отображать отчет при завершении создания профайла
экономического региона или при изменении прогноза.
Наполнение модельного портфеля реальными активами
Когда оптитмальные доли компонент модельного портфеля определены,
необходимо выполнить процедуру наполнения компонент модельного портфеля
реальными активами. Как показывает практика фондовых инвестиций, ценовое
поведение реальных активов в структуре модельного класса характеризуется
эффектом синхронной волатильности, когда цены большинства реальных активов в
рамках класса движутся в одну сторону. Эта практически полная корреляция
активов делает бессмысленной оптимизацию реального портфеля по Марковицу. К
тому же для такой оптимизации невозможно получить достоверные исходные
данные по ожидаемой доходности и риску.
Возможно провести оптимизацию реального портфеля по альтернативному
принципу, отталкиваясь от инвестиционного качества реальных активов, входящих
в портфель. Тогда можно воспользоваться комплексными оценками
инвестиционного качества, полученными в рамках рейтинга облигаций и скоринга
акций (см. предыдущую главу книги). Чем выше уровень качества актива, тем
больший вес он имеет право занять в рамках выделенной группы активов
реального портфеля. Можно определять оптимальную долю актива двумя
способами:
на пропорциональной основе, как отношение комплексного показателя к
сумме комплексных показателей активов портфеля;
по принципу Фишберна. Если уровни привлекательности N активов
проранжировать по убыванию, то соответствующие веса компонент
портфеля также расположатся по убыванию, а их веса в портфеле можно
оценить по схеме Фишберна:
Нечеткий классификатор уровня факторов
По аналогии с тем, как это сделано в предыдущем разделе работы, проведем
нечеткую классификацию параметров. Для этого введем лингвистическую
переменную «Уровень фактора Х» с терм-множеством значений «Высокий
уровень фактора», «Средний уровень фактора», «Низкий уровень фактора».
Предполагается, что определения «низкий, средний, высокий» относятся к уровню
инвестиционной привлекательности акции применительно к выбранному фактору. Тогда простой анализ гистограмм приводит нас к результатам, которые
сведены в таблицу П3.2. Применительно к нечеткой классификации данные,
пречисленные в таблице П3.2, соответствуют абсциссам трапециевидных функций
принадлежности нечетких подмножеств лингвистической переменной «Уровень
фактора». Промежуточные значения «низкий-средний» и «средний-высокий»
формируют зону неуверенности эксперта в принятой классификации, что
характеризуется линейным изменением значения функции правдоподобия при
переходе из класса в класс.
2.3.6.3. Классификация факторов с оценкой рангов
Проведем классификацию полученных значений факторов, т.е. сверим
таблицы П3.1 и П3.2. При этом ранг показателя вычисляется следующим образом:
если значения фактора точно попадают в выбранный интервал, то ранг равен
единице для данного уровня показателя и нулю для всех остальных уровней;
если значение фактора лежит в зоне неуверенности, то для двух смежных
классов формируются ранги, сумма которых равна единицы; вычисление же
рангов идет по правилу вычисления ординаты наклонного ребра
трапециевидной функции принадлежности по заданной абсциссе точки на
нижнем основании трапеции. Например, для тикера ELRO капитализация
составляет 55.8 млн долл. По данным таблицы П3.2 это значение
характеризуется как пограничное между низким и средним. Чтобы посчитать
ранги, нужно провести вычисления по формуле:
то есть значение фактора признается скорее низким, чем средним.
Оценка рангов для факторов Cap, P/S, P/E приведена в таблице П3.3.
Ранжирование для факторов P/B, ROA, ROE проведено в таблице П3.4. А
ранжирование для факторов ROIC и Liquidity проведено в таблице П3.5.
Нечетко-множественная оптимизация модельного портфеля
Исторически первым методом оптимизации фондового портфеля был метод,
предложенный Гарри Марковицем в [134]. Суть его в следующем.
Пусть портфель содержит N типов ценных бумаг (ЦБ), каждая из которых
характеризуется пятью параметрами:
- начальной ценой Wi0 одной бумаги перед помещением ее в портфель;
- числом бумаг ni в портфеле;
- начальными инвестициями Si0 в данный портфельный сегмент, причем
Сам портфель характеризуется:
- суммарным объемом портфельных инвестиций S;
- долевым ценовым распределением бумаг в портфеле {xi}, причем для
исходного портфеля выполняется

Замечание. В подходе Марковица к портфельному выбору под риском
понимается не риск неэффективности инвестиций, а степень колеблемости
ожидаемого дохода по портфелю, причем как в меньшую, так и в большую
сторону. Можно без труда перейти от задачи вида (3.14) к задаче, где в качестве
ограничения вместо фиксированного стандартного отклонения выступает
вероятность того, что портфельная доходность окажется ниже заранее
обусловленного уровня.
Выражение (3.15), именуемое эффективной границей портфельного множества, в
координатах «риск-доходность» является кусочно-параболической вогнутой
функцией без разрывов. Правой точкой границы является точка, соответствующая тому случаю, когда в портфеле оказывается одна бумага с максимальной
среднеожидаемой доходностью.
Подход Марковица, получивший широчайшее распространение в практике
управления портфелями, тем не менее имеет ряд модельных допущений, плохо
согласованных с реальностью описываемого объекта - фондового рынка. Прежде
всего это отсутствие стационарности ценовых процессов, что не позволяет
описывать доходность бумаги случайной величиной с известными параметрами. То
же относится и корелляции.
Если же мы рассматриваем портфель из модельных классов, а ценовую
предысторию индексов модельных классов - как квазистатистику, то нам следует
моделировать эту квазистатистику многомерным нечетко-вероятностным
распределением с параметрами в форме нечетких чисел. Тогда условия (3.12) .
(3.13) запиываются в нечетко-множественной форме, и задача квадратичной
оптимизации также решается в этой форме. Решением задачи является
эффективная граница в виде нечеткой функции полосового вида.
Каждому отрезку на эффективной границе, отвечающей абсциссе
портфельного риска, соответствует нечеткий вектор оптимальных портфельных
долей.
И, наконец, если нам заданы контрольные нормативы по доходности и риску
(бенчмарк модельногопортфеля), которые нам следует соблюсти в нашем
портфеле, увеличивая доходность и одновременно снижая риск. Если бенчмарк
попадает в полосу эффективной границы, то возникает дабл-риск (по факторам
доходности и волатильности), что модельный портфель «не переиграет» бенчмарк.
Этот риск можно оценить по методу из [53, 56, 59].
Итак, изложение модифицированного подхода Марковица завершено. Далее
по тексту статьи мы считаем, что имеем дело с квазистатистикой модельных
индексов в портфеле, которая моделируется нами посредством N-мерного нечетко-
вероятностного распределения. Оценив параметры этого распределения как
нечеткие числа, мы решаем задачу квадратичной оптимизации в нечеткой
постановке, получая эффективную границу в форме криволинейной полосы.
Рассмотрим простейший пример американского модельного портфеля из
двух модельных классов: правительственных долгосрочных облигаций (Класс 1,
характеризующийся индексом LB Govt Bond) и высококапитализированных акций
(Класс 2, характеризующийся индексом S&P500). Сводные данные по обоим
индексам приведены в таблице 3.4.
Таблица 3.4. Исходные данные по модельным классам
Нам следовало бы еще оценить корреляцию двух индексов. Но, как я покажу
далее, в нашем случае этого не потребуется. Пока же для общности обозначим
коэффициент корреляции .
Надо сразу оговориться, что случай портфеля из двух компонент является
вырожденным с точки зрения оптимизации. Здесь полное множество
портфельных решений представляет собой участок в общем случае кривой линии
на плоскости, и он же является эффективной границей. Так что в настоящем
примере мы не сколько решаем оптимизационную задачу, сколько ищем
аналитический вид эффективной границы в координатах «риск-доходность».
Запишем (3.12) . (3.13) в частном виде
уравнение эффективной границы в виде полосы с прямолинейными границами (см.
рис. 3.4).
Рис. 3.4. Эффективная граница в виде полосы с линейными границами
Коэффициент пропорциональности в (3.20) есть не что иное, как хорошо
известный в портфельном менеджменте показатель Шарпа [146] . отношение
доходности индекса (за вычетом безрисковой составляющей доходности) к
волатильности индекса. Только в нашем случае он имеет нечеткий вид, сводимый к
треугольному по правилу:
В таблицу 3.5 сведены границы для модельного класса облигаций в
структуре модельного портфеля для различных уровней риска.
Таблица 3.5. Оптимальная доля облигаций в портфеле
По краям полосы разброс портфельных границ ниже, чем в середине. Это
объясняется тем, что на краях полосы эффективной границы портфель обладает
вполне определенным стилем: большей доходности отвечает модельный класс
акций, а меньшему риску . модельный класс облигаций.
Нечетко-множественный подход к построению эффективных фондовых портфелей
После того, как решена задача оценки инвестиционной привлекательности
отдельных активов, можно перейти к решению задачи формирования фондовых
портфелей на этих активов. Построение фондового портфеля . эта задача
управления финансовой системой, куда финансовые подсистемы отдельных
активов входят лишь составляющей, но не исключительной частью. Помимо
исходных данных по финансовым инструментам, исследователь в ходе решения
задачи оптимизации портфеля должен принимать во внимание данные о
взаимосвязи отдельных классовых фондовых инструментов друг с другом, а также
влияние на фондовый рынок, где проводится инвестирование, возмущений,
источником которых являются макроэкономические надсистемы фондового рынка.
Таким образом, проблема научного управления портфельными инвестициями
включает в себя [67]:
А. Выбор перечня модельных классов, в рамках которых будет проводиться
инвестирование, и их конструктивное описание. Под модельными классами или
модельными активами (model assets) мы здесь понимаем совокупность ценных
бумаг, сгуппированных по определенному классификационному признаку
(функциональному, отраслевому, региональному итп). Примеры модельных
классов: бумаги с фиксированным доходом, акции иностранных государств, акции
российских нефтяных компаний, облигации зарубежных корпораций итп.
В. Определение оптимальной долевой пропорции между модельными
классами в структуре модельного портфеля (asset allocation). Под модельным
портфелем мы понимаем совокупность модельных классов, суммарная доля
которых в портфеле составляет 100%.
С. Определение состава бумаг, наполняющих каждый из выбранных
модельных классов.
D. Определение стратегии и тактики хеджирования портфеля.
Рассмотрим выделенные задачи по порядку.
Недостаточность традиционных подходов
Недостаточность традиционных подходов к оценке инвестиционной привлекательности фондовых активов В качестве аналитика фондового рынка я работаю последние четыре года.
Поэтому все мои основные научные результаты (как я их сам оцениваю) получены именно в области фондового менеджмента После августовского кризиса 1998 года спрос на научные работы в области фондового менеджмента в России исходил исключительно от западных компаний.
При этом этот спрос был целевым и подразумевал большей частью исследования практического характера, направленные на разработку специализированных программ для работы на фондовом рынке, в том числе портфолио-менеджеров.
Во время работы в компании Artificial Life Rus наше подразделение работало над портфолио-проектами для крупнейших мировых финансовых организаций, к которым относятся банк Credit Suisse First Boston, страховые компании LGT и UBS.
Демонстрационная версия разработанного нами продукта находится на сайте [108].
Это поддержанный роботом (smart bot) портфолио-менеджер с широкой функциональностью.
Работы над фондовыми компьютерными программами проходил в атмосфере того, что я склонен называть мировой NASDAQ-эйфорией, когда курсы акций высокотехнологичных компаний взлетали до заоблачных высот, акции традиционных отраслей стабильно росли до 30% в год в валюте, и ничто, казалось бы, не предвещало близкого краха. Но эта ситуация очень схожа с той, которая развивалась в России в 1994 году, во времена бурного роста акций АО «МММ».
Никто, кроме самых осторожных аналитиков, не предвещал скорого краха рынка бумаг этой компании. Казалось, что в эту игру можно играть вечно. И точно так же иногда казалось, что акции высокотехнологичного сектора, в силу их необычайной привлекательности и перспективности, могут занять место альтернативной меры стоимости, выступить чуть ли не в качестве американской резервной валюты.
Действительность быстро свела на нет эти химеры.
В тон рынку выступала и наука. Большинству фондовых аналитиков виделось, что наступила эра процветания, базирующаяся на ценностях новой экономики.
Все усматривали в неуклонном многолетнем росте фондовых индексов свидетельство особой синергии, когда новые технологии, оплодотворяя традиционные базовые отрасли и сектора экономики, вызывают в них бурный рост производительности труда, сжатие издержек и, соответственно, качественный скачок уровня прибыльности. Казалось, что прорывы в одном направлении в русле новой экономики должны будут вызвать немедленные прорывы на сопряженных фронтах этой экономики.
Однако в действительности дело обстояло таким образом, что темпы роста курсов акций в новой экономике многократно опережали темпы роста прибылей в этой экономике (большая часть баснословно высоко оцененных компаний были даже убыточными). И в то же время влияние новой экономики на старую оказалось не столь масштабным, как хотелось бы ожидать. Поэтому завышенные ожидания аналитиков не оправдались. Хуже того: аналитики просто проспали тот момент,
когда инвестор решил пересмотреть свои инвестиционные предпочтения и принялся фиксировать прибыль, уходя с рынка. Стоило здравому смыслу хоть немного возобладать над эйфорией, - и финансовая пирамида на перегретых американских акциях начала осыпаться. И она осыпалась непрерывно в течение двух последних лет. Американский рынок похудел, по разным оценкам, на 7 - 10 триллионов долларов.
Отток инвестиций вызвал большие проблемы с заимствованиями длинных денег. Многие компаниивысокотехнологичного сектора вдруг с ужасом обнаружили, что структура их баланса неудовлетворительна, а занять денег на поправку дел негде. Началась целая цепь банкротств, поглощений, сворачивания бизнеса. Так, упомянутая уже компания Artificial Life Rus вынуждена была оставить лишь один свой офис в Гонконге, последовательно закрыв офисы в Швейцарии, Германии, России и США. И какого-то промежуточного финиша эта череда банкротств и скандалов достигла в 2002 году, с банкротством крупнейших корпораций Enron и WorldCom.
Итак, финансовые аналитики просмотрели не только момент того, что мыльный пузырь новой экономики лопнул, но и момент смены целой макроэкономической парадигмы. Резкое ухудшение условий бизнеса, затяжная рецессия привели к тому, что экономика США (а вслед за ней и всего мира)
вступила в фазу перерегулирования [132, 133]. Качественно сдвинулись оптимальные пропорции между инвестициями в долговые обязательства и инвестициями в акции. Владельцы акций стали требовать дополнительной доходности по акциям как премии за риск в условиях рецессии и корпоративных скандалов. Корпорации не смогли удовлетворить эти запросы в части прибыли, -
соответственно, инвестор проголосовал ногами, обеспечив требуемый ему уровень доходности через снижение цены тех активов, в которые планируется инвестирование.
Американские финансовые аналитики беспомощно наблюдали за разаворачивающейся на их глазах драмой. Апофеозом беспомощности считается совет, выданный одним из крупнейших аналитиков США Эбби Коэн в 2001 г. . «сидеть тихо», т.е. следовать за рынком, ожидая коррекции рынка акций в сторону повышения. Со времен этого совета инвесторы потеряли еще 20% капиталов, инвестированных в акции.
Стало вдруг ясно, что наступил масштабный кризис представлений о фондовом рынке. Рынок потерял привычное обличье, картина мира обновилась,
новая непредсказуемость рынка вызвала потребность в ревизии всех ранее построенных моделей. То, что в свое время считалось приемлемым, перестало годиться куда бы то ни было. Теория оптимального портфеля Марковица [134,
135], уже попадавшая в 70-е годы в немилость у рыночных специалистов, вновь подверглась остракизму за «ложную стационарность». Зашаталась теория Шарпа-
Линтнера [144, 146]. Оказалась неработоспособной формула Блэка . Шоулза [111].
Совсем недавно возникшая теория Value-at-Risk [127] не избежала общей участи [122], попав под огонь критики с тех же позиций, что и прочие теории. Методы GARCH/ARCH [112, 119] прогнозировали только растущий рынок на данных растущего же рынка; на рынке падающем предсказательная способность этих методов себя исчерпала. И, пожалуй, главное: перестала работать стационарная модель рыночного индекса как винеровского случайного процесса [115].
Наступило время возвращаться к базовымистинам, которые сохранили себя в неприкосновенности хотя бы на уровне словесных высказываний. В первую очередь это . золотое правило инвестирования, которое устанавливает пропорциональную зависимость между доходностью инвестиций и их риском.
Рациональный фондовый портфель, построенный на по золотому правилу, я назвал монотонным [68]. В 2000 году американский монотонный фондовый портфель не существовал, потому что риск вложений в акции (ожидаемые возможные убытки)
был несоизмеримо выше ожидаемой доходности при сохранении сценария роста рынка. Рациональный портфель того времени . 100% в государственных обязательствах . не был выдержан ни в одном из пенсионных фондов, ни в одной инвестиционной компании Америки. Можно списать это только на эйфорию инвесторов, частных и институциональных, на их веру в непрерывный и бесконечный прогресс, - и одновременно на неверие простым истинам, вроде золотого правила инвестирования.
Следующая базовая истина . это равновесие инвестиционных предпочтений. Выбор осуществляется по результатам сопоставления уровней эффективности ряда инвестиционных альтернатив. Нарушение равновесия предпочтений влечет переток капитала. Если акции «перегреты», рационально выводить из них капитал, пренебрегая советами аналитиков вроде Эбби Коэн. Чем больше растут активы, находясь в противоречии с рациональными инвестиционными представлениями, тем выше риск их катастрофического падения, тем позже они могут быть включены в монотонный инвестиционный портфель.
Большое значение для рациональных инвестиций является парадигмальный
принцип. Различные исторические периоды хапрактеризуются своими
инвестиционными пропорциями. Между отдельными парадигмами пролегает
эпистемологический разрыв [45], который обесценивает для прогноза статистику,
полученную в рамках предыдущей экономической парадигмы. Поэтому
прогнозирование тенденций в рамках новой парадигмы должно опираться на
самостоятельную экспертную модель. В свою очередь, эта экспертная модель
должна содержать в своем составе классификатор состояний исследуемой
рыночной среды (например, классификацию уровней финансовых показателей
корпорации). Разумеется, такая классификация не может быть точной, и поэтому
лучше с самого начала делать ее размытой. Экспертная модель, построенная таким
образом, представляет собой фундаментальный принцип для оценки текущего и
перспективного состояния финансовых систем.
Далее по тексту монографии мы демонстрируем, как выработанные и
озвученные выше принципы научного исследования фондового рынка смогли
воплотиться в методах анализа инвестиционнойпривлекательности фондовых
активов, оптимизации фондового портфеля, прогноза фондовых индексов.
Планирование и финансовые решения в рамках плана
Если сценарии воздействия на финансовую систему являются
многоступенчатыми, процессными, то в ходе исследования финансвых результатов
строится дерево решений [15, 85]. Построение дерева решений влечет
«ращепление» исходных вероятностей возникновения сценариев на вероятности
подсценариев, вложенных в базовый. Тогда результирующее вероятностное
распределение финансовых результатов восстанавливается по известным
формулам Байеса для полной вероятности.
В финансовом менеджменте особенно широко деревья решений
используются при макроэкономическом моделировании [129] и для оценки
стоимости опционов [124].
1.1.2. Планирование и финансовые решения в рамках плана
В экономической литературе, особенно англоязычной, проводится
достаточно четкое различие между понятиями «план» и «бюджет». Так, Коласс [39]
выделяет три вида планирования: а) стратегическое; б) среднесрочное, или
оперативное; в) краткосрочное, или бюджетное. В.В.Ковалев [38], разграничивая
понятие плана и бюджета, приводит следующую таблицу ключевых различий этих
понятий:
Таблица 1.1. Ключевые различия понятий «план» и «бюджет»
С позиции количественных оценок планирование текущей деятельности
заключается в построении генерального бюджета, представляющего собой систему
систему взаимосвязанных операционных и финансовых бюджетов (рис 1.2, [38]).
рыночные (какой сегмент рынка товаров и услуг планируется охватить,
каковы приоритеты в основной производственно-коммерческой деятельности
компании);

производственные (какие структура производства и технология обеспечат
выпуск продукции необходимого объема и качества);
финансово-экономические (каковы основные источники финансирования и
прогнозируемые финансовые результаты выбираемой стратегии);
социальные ( в какой мере деятельность компании обеспечит удовлетворение
определенных социальных потребностей общества в целом или отдельных
его слоев).
Рис. 1.2. Генеральный бюджет хозяйствующего субъекта
Стратегический план может иметь следующую структуру [7, 8]:
Содержание и целевые установки деятельности фирмы (предназначение и
стратегическая цель деятельности фирмы, масштабы и сфера деятельности,
тактические цели и задачи).
Прогнозы и ориентиры (прогноз экономической ситуации на рынках
капиталов, продукции и труда, намеченные преспективные ориентиры по
основным показателям).
Специализированные планы и прогнозы (производство, маркетинг, финансы,
кадры, инновационная политика, новая продукция и рынки сбыта).
Интегральная оценка эффективности и рисков стратегического плана
(соотношение инвестиций, ожидаемых прибылей и рисков).
Интересен опыт стратегического планирования компании Siemens Business
Services [148], в которой я сейчас работаю. Компания, имея представительства в 45
странах мира, планирует свою деятельность матричным способом, выделяя
направления оказываемых работ и услуг и на пересечении страны и бизнеса
формируя соответствующие бизнес-подразделения, которые имеют двойное
подчинение: менеджменту страны и менеджменту бизнес-направления.
Соответственно, исходный стратегический план компании разверстывается по
двум направлениям: на региональные стратегические планы и на стратегические
бизнес-планы по направлениям бизнеса. Таким образом, каждое бизнес-
подразделение планирует свою деятельность на пересечении регионального
старатегического плана и плана по направлению бизнеса. Такой подход дает
руководству Siemens Business Services возможность тотального контроля за
деятельностью региональных подразделений, с одной стороны, и за
развертыванием отдельных бизнес-активностей . с другой стороны.
Уровень неопределенности исходных данных, сопровождающий
стратегический план, очень высок. Он имеет макроэкономическую природу и
связан с неточностью определения рыночных сегментов и параметров динамики
развития этих сегментов. Неопределенность в части рыночных сегментов
преобразуется в неопределенность проектной выручки, а та, в свою очередь . в
неопределенность интегральных показателей эффективности проекта, что
сопряжено с риском неэффективности планируемого бизнеса.
Говоря уже о бизнес-планировании, многие в России в первую очередь
вспоминают о методике бизнес-планирования, разработанной под эгидой Комитета
ООНпо промышленному развитию (United Nations Industrial Development
Organization, UNIDO [152]), а также о программе «Альт-Инвест», явившейся
исторически первым российским инструментом для бюджетирования
инвестиционных проектов [84] (разработчик программы К.И.Воронов).
Стандартный отчет о результатах бизнес-планирования должен содержать
следующие основные разделы:
Вводная часть отчета
Особенности и состояние выбранной сферы бизнеса
Сущность предполагаемого бизнеса (проекта)
Ожидаемая квота рынка и обоснование ее величины
План основной (производственной) деятельности
План маркетинга
Администрирование
Оценка предпринимательских рисков и их страхование
Финансовый раздел бизнес-плана
Стратегия финансирования проекта.
Разумется, бизнес- план конкретного проекта обладает меньшим количеством
плохо обусловленных данных, нежели стратегический план, но тем не менее
неустранимая неопределенность в части исходных данных и прогнозных оценок
бизнес-плана сохраняется. При этом затратная часть бизнес-плана обладает на
порядок меньшей неопределеннностью, нежели та часть бизнес-плана, которая
касается выручки. Потому что именно за рамками хозяйствующего субъекта, как
указывал Друкер [24], находится ряд источников формирования неопределенности,
что делает невозможным точное предсказание уровня продаж в принципе.
Отсюда следует, что для учета неопределенности в части ожидаемой
выручки бизнес-проекта должны применятьсяспециальные модели и методы. Один
из таких методов изложен нами в [58], где моделирование выручки от продаж
осуществляется с применением аппарата треугольных нечетких функций.
Исполнение планов и бюджетов влечет необходимость принятия ряда
финансовых решений, связанных с управлением капиталом. Так, выполнение
инвестиционного проекта требует мобилизации инвестиционного капитала путем
эмиссии ценных бумаг или привлечения кредитных ресурсов банков;
осуществление годового производственного плана предполагает резервирование
денежных средств на обеспечение потребности в чистом оборотном капитале
(запасы, расчеты с дебиторами и прочее). Примеры можно продолжать.
Успешность финансовых решений напрямую зависит от степени качества
осуществляемого планфактного контроля. Например, собственник проекта,
убеждаясь в его неэффективности в ходе планфактного контроля проекта, может
прервать финансирование инвестиционной программы и выйти из проекта, тем
самым отсекая потенциальные убытки. Менеджер производственного предприятия,
предвидя увеличение спроса на определенныйтовар, может пойти на увеличение
размера складских запасов. Управляющий негосударственного пенсионного фонда,
опасаясь падения цены некоторого фондового актива, может приобрести пут-
опцион на фьючерс по данному базовому активу. Все эти решения влекут
дополнительные затраты, эффект от которых должен быть детально обоснован.
Поэтому, чтобы принимать уверенные финансовые решения в рамках плана
или бюджета, обеспечивая их исполнение, а при необходимости . корректируя
планы и бюджеты, - финансовый менеджер должен непрерывно контролировать
риски, связанные с исполнением плана. Это возможно лишь в ходе оперативного
моделирования финансовых решений и финансового анализа их последствий, в том
числе оценки ожидаемости того, что принимаемые решения могут вызвать
немедленные или отложенные убытки.
Предпосылки для построения метода рейтинга
Как и в [53], необходимо предварить описание метода рейтинга облигаций
качественной экспертной моделью российского рынка, на основании которой будет
совершаться выбор показателей для оценки и их ранжирование.
Как мы хорошо знаем, дефолт вызывается кризисом ликвидности активов,
когда ликвидных активов недостаточно для того, чтобы обслужить неотложные
обязательства. Поэтому фактор ликвидности (Х2) эмитента мы полагаем
основным. Ликвидность может быть оценена по-разному, но по укрупненному
балансу предприятия возможен лишь анализ общей ликвидности как
обеспеченности краткосрочных обязательств оборотными активами.
Во вторую очередь следует рассматривать факторы, характеризующие
финансовую устойчивость. Соотношение собственных и заемных средств в
структуре пассивов предприятия (коэффициент автономии Х1) является
ключевым фактором для анализа. Существуют определенные проблемы в
использовании этого показателя в финансовом анализе. Они связаны с тем, что
очень часто ликвидность собственных средств предприятия низка (из-за
необоснованных переоценок стоимостиосновных средств, например). Тем не
менее в передовых компаниях ведется активная работа по техническому
перевооружению производства, со списанием устаревших фондов, и при таком
подходе коэффициент автономии является действительно содержательной
характеристикой финансовой устойчивости эмитента.
В третью очередь мы берем в рассмотрение факторы эффективности работы
эмитента. Чем прибыльнее бизнес, тем больше источников на покрытие долгов, и
тем, соответственно, ниже риск дефолта. На эффективность бизнеса мы смотрим с
трех точек зрения:
Х3 - Оборачиваемость активов. Чем быстрее оборачиваются активы, тем
меньше дефолтный риск, связанный с неэффективным использованием
основных средств (эффективное управление активами предполагает
отсечение неэффективных затрат на использование инвестированного
капитала);
Х4 - Рентабельность затрат. Чем больше маржинальная прибыль, тем
устойчивее бизнес, и тем меньше риск текущих убытков из-за оперативного
изменения конъюнктуры продаж;
Х5 - Рентабельность активов. Характеризует эффективность инвестиций,
сделанных в активы предприятия.
Далее мы выстраиваем систему предпочтения одних факторов другим, исходя
из нашего опыта анализа риска банкротства эмитентов (материал главы 3
настоящей диссертационной работы). Представляется, что шкала предпочтений
факторов должна иметь следующий вид:
Ликвидность Финансовая устойчивость Эффективность бизнеса эмитента.
(2.19)
С точки зрения факторов оценки система предпочтений (2.19) приобретает вид:
Информации, заключенной в (4.20), достаточно нам для того, чтобы перейти
непосредственно к рейтингу облигаций.
2.4.4. Исходные данные для рейтинга
В таблицу П4.1 Приложения 4 к настоящей книге сведены значения
анализируемых факторов по состоянию на конец 2 квартала 2002 года, по ряду
эмитентов первого и второго эшелонов. Названия эмитентов в табл. П4.1
представлены кодами (тикерами), принятыми в торговых системах России (РТС,
ММВБ).
Обозначения:
А . активы по балансу, млрд. руб, в том числе: а1 . внеоборотные активы; а2
. оборотные активы;
L . пассивы по балансу, млрд. руб, в том числе: l1 . капитал и резервы; l1 .
долгосрочные обязательства; l3 . краткосрочные обязательства;
S . выручка за квартал (без НДС), млрд. руб;
C . себестоимость производства за квартал, млрд. руб;
ОM . прибыль (убыток) от продаж за квартал, млрд. руб;
EBIT . балансовая прибыль (убыток) за квартал, млрд. руб;
Pr . чистая (нераспределенная) прибыль (убыток) за квартал, млрд. руб.
Порядок оценки финансовых параметров, необходимых для анализа:

2.4.5. Методика рейтинга
Исходные значения факторов по выделенному перечню облигаций сведены в
таблицу П4.2.
2.4.5.1. Нечеткий классификатор уровня факторов
Проведем нечеткую классификацию параметров. Для этого введем
лингвистическую переменную «Уровень фактора Х» с терм-множеством
значений «Высокий уровень фактора», «Средний уровень фактора», «Низкий
уровень фактора». Предполагается, что определения «низкий, средний, высокий»
относятся к уровню инвестиционной привлекательности акции применительно к
выбранному фактору.
Предшествующий опыт кластеризации на основе гистограмм распределения
факторов [69], построенных при сводном анализе широкого перечня эмитентов
ценных бумаг, приводит нас к результатам, котороые сведены в таблицу П4.3.
Поскольку все факторы по построению являются относительными
характеристиками, то они выражены в процентах.
2.4.5.2. Классификация факторов с оценкой рангов
Проведем классификацию полученных значений факторов, т.е. сверим
таблицы 2 и 3. Результат сопоставления приведен в таблице П4.4.
Предпосылки для построения метода скоринга
Как и в [64], необходимо предварить описание метода скоринга качественной экспертной моделью российского рынка, на основании которой будет совершаться выбор показателей для оценки и их ранжирование.
В первую очередь надо отметить, что, как и в случае американского рынка акций, ключевым фундаментальным индикатором оцененности акции выступает отношение цены акции к доходам по ней в годовом выражении (P/E), в долях. При этом, для повышения надежности оценки, здесь и далее используются интегральные средневзвешенные оценки факторов (ТТМ).
Во вторую очередь следует рассматривать факторы, свидетельствующие о риске дефолта эмитента. Мы для оценки выбираем два фактора: капитализацию эмитента (Cap) в миллионах долларах США и обеспеченность оборотных активов собственными средствами предприятия (Liquidity), в долях. Мы не оцениваем надежность эмитентов по факторам финансовой автономии, т.к. считаем эту оценку малоинформативной, в силу особенностей учета внеоборотных активов на балансе предприятия и существующих методов их переоценки. Именно чистый оборотный капитал (ЧОК), участвующий в расчетах коэффициента обеспеченности, представляется нам наиболее представительным фактором для анализа. Отрицательное значение ЧОК свидетельствует о повышенном риске эмитента не справиться со своими текушими финансовыми обязательствами, что чревато невыплатой дивидендов, потерей управляемости, и, наконец, повышает риск банкротства.
В третью очередь мы берем в рассмотрение факторы, соотносящие цену акций и продажи, а также собственный капитал, в расчете на одну акцию (факторы P/S и P/B соответственно, в долях). Эти факторы, хорошо известные в мировой практике финансового анализа, оценивают, насколько эффективно работает предприятие, с одной стороны, и насколько «раздут» его капитал по отношению к стоимости собственных средств предприятия, с другой стороны. На этом же шаге анализа мы рассматриваем факторы рентабельности предприятия . рентабельность активов, собственного капитала и инвестированного капиталов (факторы ROA,
ROE и ROIC соответственно, в процентах годовых).
Далее мы выстраиваем систему предпочтения одних факторов другим,
исходя из нашего опыта скоринга акций. Мне представляется, что шкала предпочтений факторов должна иметь следующий вид:
Ожидаемая доходность вложений в акции Надежность эмитента Текущая эффективность работы эмитента. (2.9)
В такой системе предпочтений учтено то, что вложения в российские акции с мировой точки зрения . это заведомо рискованные вложения, и риск дефолта (фактор надежности) большей частью учтен инвесторами уже на страновом уровне (на шаге выбора страны для инвестиций) и волнует инвесторов во вторую очередь.
Прежде всего инвестор рассчитывает на спекулятивный рост курсовой цены акций,
на их перманентную недооцененность. И с этой точки зрения фактор P/E является главным в анализе.
Тем не менее, фактор надежности не сбрасывается со счетов вовсе. Переходя от странового риска к частному риску дефолта эмитента, инвестор предпочтет иметь дело с компаниями, которые находятся на подъеме и занимают ощутимую долю на рынке. Отсюда роль капитализации и ликвидности в оценке.
Инвестор также понимает, что в долгосрочной перспективе курсовой рост может быть обеспечен только успешной устойчивой работой предприятия. И с этой точки зрения факторы эффективности занимают в анализе третье место.
С точки зрения факторов оценки система предпочтений (2.9) приобретает вид:
Информации, заключенной в (2.10), достаточно нам для того, чтобы перейти непосредственно к скорингу акций.
2.3.5. Исходные данные для скоринга В таблицу П3.1 Приложения 3 к монографии сведены значения анализируемых факторов по состоянию на 11 февраля 2002 года.
2.3.6. Методика скоринга 2.3.6.1. Построение гистограмм распределений факторов Построенные на основании данных таблицы П3.1 гистограммы распределения факторов скоринга представлены на рис П3.1. П3.8.
Построенные гистограммы не отображают статистику факторов, в силу существенной неоднороднорсти их случайных значений, а могут быть интерпретированы как квазистатистика. То есть мы не настаиваем на однородности собранных данных, но указываем на то, что в первом приближении, на уровне страны, эти данные могут рассматриваться и анализироваться совместно,
безотносительно отраслевой классификации эмитентов.
Приложение 1. Основы теории нечетких множеств
П1.1. Носитель Носитель U . это универсальное множество, к которому относятся все результаты наблюдений в рамках оцениваемой квазистатистики. Например, если мы наблюдаем возраст занятых в определенных отраслях экономики, то носитель .
это отрезок вещественной оси [16, 70], где единицей измерения выступают годы жизни человека.
П1.2. Нечеткое множество Нечеткое множество А . это множество значений носителя, такое, что каждому значению носителя сопоставлена степень принадлежности этого значения множеству А. Например: буквы латинского алфавита X, Y, Z безусловно принадлежат множеству Alphabet = {A, B, C, X, Y, Z}, и с этой точки зрения множество Alphabet . четкое. Но если анализировать множество «Оптимальный возраст работника», то возраст 50 лет принадлежит этому нечеткому множеству только с некоторой долей условности , которую называют функцией принадлежности.
П1.3. Функция принадлежности Функция принадлежности А(u) . это функция, областью определения которой является носитель U, u U, а областью значений . единичный интервал [0,1]. Чем выше А(u), тем выше оценивается степень принадлежности элемента носителя u нечеткому множеству А.
Рис. П1.1. Функция принадлежности нечеткого подмножества
«Оптимальный возраст работника»
П1.4. Лингвистическая переменная
Заде [25] определяет лингвистическую переменную так:
= M G U T , , ), ( , , (П1.1)
где - название переменной, Т . терм-множество значений, т.е. совокупность ее
лингвистических значений, U . носитель, G . синтаксическое правило,
порождающее термы множества Т, М . семантическое правило, которое каждому
лингвистическому значению ставит в соответствие его смысл М(), причем
М() обозначает нечеткое подмножество носителя U.
К примеру, зададим лингвистическую переменную = «Возраст
работника». Определим синтаксическое правило G как определение
«оптимальный», налагаемое на переменную . Тогда полное терм-множество
значений T = { T1 = Оптимальный возраст работника, T2 = Неоптимальный возраст
работника }. Носителем U выступает отрезок [20, 70], измеряемый в годах
человеческой жизни. И на этом носителе определены две функции
принадлежности: для значения T1 - T1(u), она изображена на рис. П1.1, для T1 -
T2(u), причем первая из них отвечает нечеткому подмножеству M1, а вторая . M2.
Таким образом, конструктивное описание лингвистической переменной завершено.
П1.5. Операции над нечеткими подмножествами Для классических множеств вводятся операции:
пересечение множеств . операция над множествами А и В, результатом которой является множество С = А В, которое содержит только те элементы, которые принадлежат и множеству A и множеству B;
объединение множеств - операция над множествами А и В, результатом которой является множество С = А В, которое содержит те элементы,
которые принадлежат множеству A или множеству B или обоим множествам;
отрицание множеств - операция над множеством А, результатом которой является множество С = А, которое содержит все элементы, которые принадлежат универсальному множеству, но не принадлежат множеству A.
Заде предложил набор аналогичных операций над нечеткими множествами через операции с функциями принадлежности этих множеств. Так, если множество А задано функцией А(u), а множество В задано функцией В(u), то результатом операций является множество С с функцией принадлежности С(u), причем:
если С = А В, то С(u) = min(А(u), В(u)); (П1.2)
если С = А В, то С(u) = max(А(u), В(u)); (П1.3)
если С = А, то С(u) = 1-А(u). (П1.4)
П1.6. Нечеткие числа и операции над ними Нечеткое число . это нечеткое подмножество универсального множества действительных чисел, имеющее нормальную и выпуклую функцию принадлежности, то есть такую, что а) существует такое значение носителя, в котором функция принадлежности равна единице, а также а) при отступлении от своего максимума влево или вправо функция принадлежности убывает.
Рассмотрим два типа нечетких чисел: трапециевидные и треугольные.
П1.6.1. Трапециевидные (трапезоидные) нечеткие числа Исследуем некоторую квазистатистику и зададим лингвистическую переменную = «Значение параметра U», где U . множество значений носителя квазистатистики. Выделим два терм-множества значений: T1 = «U у лежит в диапазоне примерно от a до b» с нечетким подмножеством М1 и безымянное значение T2 с нечетким подмножеством М2, причем выполняется М2 = М1.
Тогда функция принадлежности T1(u) имеет трапезоидный вид, как показано на рис.
П1.2.
Рис. П1.2. Функция принадлежности трапециевидного числа Поскольку границы интервала заданы нечетко, то разумно ввести абсциссы вершин трапеции следующим образом:
а = (а1+а2)/2, в = (в1+в2)/2, (П1.5)
при этом отстояние вершин а1, а2 и в1, в2 соответственно друг от друга обуславливается тем, что какую семантику мы вкладываем в понатие «примерно»:
чем больше разброс квазистатистики, тем боковые ребра трапеции являются более пологими. В предельном случае понятие «примерно» выраждается в понятие «где угодно».
Если мы оцениваем параметр качественно, например, высказавшись «Это значение параметра является средним», необходимо ввести уточняющее высказывание типа «Среднее значение . это примерно от a до b», которое есть предмет экспертной оценки (нечеткой классификации), и тогда можно использовать для моделирования нечетких классификаций трапезоидные числа. На самом деле, это самый естественной способ неуверенной классификации.
П1.6.2. Треугольные нечеткие числа Теперь для той же лингвистической переменной зададим терм-множество Т1={U приблизительно равно а}. Ясно, что аа, причем по мере убывания до нуля степень уверенности в оценке растет до единицы. Это, с точки зрения функции принадлежности, придает последней треугольный вид (рис. П1.3), причем степень приближения характеризуется экспертом.
Рис. П1.3. Функция принадлежности треугольного нечеткого числа
Треугольные числа . это самый часто используемый на практике тип нечетких
чисел, причем чаще всего - в качестве прогнозных значений параметра.
П1.6.3. Операции над нечеткими числами
Целый раздел теории нечетких множеств . мягкие вычисления (нечеткая
арифметика) - вводит набор операций над нечеткими числами. Эти операции
вводятся через операции над функциями принадлежности на основе так
называемого сегментного принципа.
Определим уровень принадлежности как ординату функции
принадлежности нечеткого числа. Тогда пересечение функции принадлежности с
нечетким числом дает пару значений, которые принято называть границами
интервала достоверности.
Зададимся фиксированным уровнем принадлежности и определим
соответствующие ему интервалы достоверности по двум нечетким числам A и B :
[a1, a2] и [b1, b2], соответственно. Тогда основные операции с нечеткими числами
сводятся к операциям с их интервалами достоверности. А операции с интервалами,
в свою очередь, выражаются через операции с действительными числами -
границами интервалов:
операция "сложения":
[a1, a2] (+) [b1, b2] = [a1 + b1, a2 + b2], (П1.6)
Из существа операций с трапезоидными числами можно сделать ряд важных
утверждений (без доказательства):
действительное число есть частный случай треугольного нечеткого
числа;
сумма треугольных чисел есть треугольное число;
треугольное (трапезоидное) число, умноженное на действительное
число, есть треугольное (трапезоидное) число;
сумма трапезоидных чисел есть трапезоидное число;
сумма треугольного и трапезоидного чисел есть трапезоидное число.
Анализируя свойства нелинейных операций с нечеткими числами (например,
деления), исследователи приходят к выводу, что форма функций принадлежности
результирующих нечетких чисел часто близка к треугольной. Это прозволяет
аппроксимировать результат, приводя его к треугольному виду. И, если
приводимость налицо, тогда операции с треугольными числами сводятся к
операциям с абсциссами вершин их функций принадлежности.
То есть, если мы вводим описание треугольного числа набором абсцисс
вершин (a, b, c), то можно записать:
(a1, b1, c1) + (a2, b2, c2) (a1 + a2, b1 + b2, c1 + c2) (П1.11)
Это . самое распространенное правило мягких вычислений.
П1.7. Нечеткие последовательности, нечеткие прямоугольные
матрицы, нечеткие функции и операции над ними
Нечеткая последовательность . это пронумерованное счетное множество
нечетких чисел.
Нечеткая прямоугольная матрица . это дважды индексированное конечное
множество нечетких чисел, причем первый индекс пробегает M строк, а второй - N
столбцов. При этом, как и в случае матриц действительных чисел, операции над
нечеткими прямоугольными матрицами сводятся к операциям над нечеткими
компонентами этих матриц. Например,
где все операции над нечеткими числами производятся так, как они введены
параграфом выше.
Поле нечетких чисел . это несчетное множество нечетких чисел.
Нечеткая функция . это взаимно однозначное соответствие двух полей
нечетких чисел. В наших приложениях область определения нечеткой функции
явзяется осью действительных чисел, то есть вырожденным случаем поля нечетких
чисел, когда их треугольные функции принадлежности вырождаются в точку с
координатами (а, 1).
Нечеткую функцию уместно назвать по типу тех чисел, которые
характеризуют область ее значений. Если поле значений . это поле треугольных
чисел, то и саму функцию уместно назвать треугольной.
Например [58], прогноз продаж компании (нарастающим итогом) задан тремя
функциями вещественной переменной: f1(T) . оптимистичный прогноз, f2(T) .
пессимистичный прогноз, f3(T) . среднеожидаемые значения продаж, где Т . время
прогноза. Тогда лингвистическая переменная «Прогноз продаж в момент Т» есть
треугольное число ( f1(T), f2(T), f3(T) ), а все прогнозное поле есть треугольная
нечеткая функция (рис. П1.4), имеющая вид криволинейной полосы.
Рис. П1.4. Нечеткий прогноз продаж Рассмотрим ряд операций над треугольными нечеткими функциями (утверждения приводятся без доказательства):
сложение: сумма (разность) треугольных функций есть треугольная функция;
умножение на число переводит треугольную функцию в треугольную функцию;
дифференцирование (интегрирование) треугольной нечеткой функции проводится по правилам вещественного дифференцирования (интегрирования):
функция, зависящая от нечеткого параметра, является нечеткой.
П1.8. Вероятностное распределение с нечеткими параметрами Пусть имеется квазистатистика и ее гистограмма и пусть одна из возможных плотностей вероятностной функции распределения, приближающая квазистатистику, обозначается нами как p(u, ), где u . значение носителя, u U,
= (x1,., xN) - вектор параметров распределения размерностью N.
Произведем гипотетический эксперимент. Оценим вид функции распределения p(), производя вариацию всех параметров вектора .
При этом гладкой функцией без изломов и разрывов (например, квадратичной многомерной параболой) - и пронормируем значение критерия. Например, если максимум правдоподобия имеет значение L, то вектор параметров приобретает значение,
которое мы будем называть контрольной точкой или точкой ожидания с координатами (x1L,., xNL) . Мы можем производить нормирование правдоподобия,
задавшись некоторым процентом максимума правдоподобия, ниже которого наши вероятностные гипотезы бракуются. Тогда всем правдоподобным вероятностным гипотезам отвечает множество векторов ., которое в N-мерном фазовом пространстве представляет собой выпуклую область с нелинейными границами.
Впишем в эту область N-мерный параллелепипед максимального объема,
грани которого сориентированы параллельно фазовым осям. Тогда этот параллелепипед представляет собой усечение . и может быть описан набором интервальных диапазонов по каждой компоненте
Назовем .. зоной предельного правдоподобия. Разумеется, контрольная точка попадает в эту зону , то есть выполняется
что вытекает из унимодальности и гладкости критерия правдоподобия.
Тогда мы можем рассматривать числа (xi1, xiL, xi2) как треугольные нечеткие параметры плотности распределения, которая и сама в этом случае имеет вид нечеткой функции. А зона предельного правдоподобия тогда есть не что иное, как нечеткий вектор.
Мы видим, что полученное вероятностное распределение имеет не только частотный, но и субъективный смысл, так как зона предельного правдоподобия зависит от того, как мы бракуем вероятностные гипотезы. Представляется, что такое описание всецело отвечает природе квазистатистики, как мы ее здесь вводим.
Чем хуже условия для выдвижения правдоподобных вероятностных гипотез, чем тяжелее обосновывать такое правдоподобие, - тем большее значение занимает фактор экспертной оценки. То вероятностное описание, что мы имеем в итоге, - это гибрид, который обещает быть плодотворным.
В качестве примера можно рассмотреть нормальный закон распределения с нечетким среднеквадратическим отклонением (рис. П1.5). Эта нечеткая функция не имеет полосового вида. И тут замое время заметить, что функция с треугольными нечеткими параметрамив общем случае сама не является треугольной и к треугольному виду не приводится.
Рис. П1.5. Нормальный закон распределения с нечетким среднеквадратическим отклонением Зато выполняется нормировочное условие:
где правая часть представляет собой нечеткое число с вырожденной в точку функцией принадлежности. Интеграл же, не определенный для не четких функций общего вида, представляет здесь предел сумм
Приложим все сказанное к нечеткой оценке параметров доходности и риска фондового индекса. Пусть у нас есть квазистатистика доходностей (r1, .rN)
мощности N и соответствующая ей гистограмма (1,...,M) мощности M. Для этой квазистатистики мы подбираем двупараметрическое нормальное распределение () с матожиданием и дисперсией , руководствуясь критерием правдоподобия


где ri . отвечающее i-му столбцу гистограммы расчетное значение доходности, r .
уровень дискретизации гистограммы.
Задача (П1.19) . это задача нелинейной оптимизации, которое имеет решение
причем 0, 0 . аргументы максимума F(,), представляющие собой контрольную точку.
Выберем уровень отсечения F1 < F0 и признаем все вероятностные гипотезы правдоподобными, если соответствующий критерий правдоподобия лежит в диапазоне от F1 до F0. Тогда всем правдоподобным вероятностным гипотезам отвечает множество векторов ., которое в двумерном фазовом пространстве представляет собой выпуклую область с нелинейными границами.
Впишем в эту область прямоугольник максимальной площади, грани которого сориентированы параллельно фазовым осям. Тогда этот прямоугольник .
зона предельного правдоподобия - представляет собой усечение . и может быть описан набором интервальных диапазонов по каждой компоненте
Разумеется, контрольная точка попадает в эту зону, то есть выполняется
что вытекает из унимодальности и гладкости функции правдоподобия.
Тогда мы можем рассматривать числа
треугольные нечеткие параметры плотности распределения (), которая и сама в этом случае имеет вид нечеткой функции.
П1.9. Нечеткие знания Назовем формальным знанием высказывание естественного языка, обладающее следующей структурой:

где a . определяемый объект (аргумент), - логическая связка принадлежности вида ЕСТЬ/НЕ ЕСТЬ, X . обобщение (класс объектов). Также соблюдается правило очередности в рассмотрении фразы для понимания: сначала все связки И применяются к двум смежным предикатам, а затем все связки ИЛИ применяются к результатам предшествующих операций.
Например, классический вывод «Если Сократ человек, а человек смертен, то и Сократ смертен» можно преобразовать к структуре формального знания по следующим правилам:
вводится два класса объектов X1 = «Человек (Люди)» и X2 = «Смертный (-ая, -
ое)»;
рассматриваются два аргумента: a1 = «Сократ», a2 = «Человек» = X1.
Тогда наше знание имеет формулу ЕСЛИ a1 ЕСТЬ X1 И (a2 = X1) ЕСТЬ X2
ТО a1 ЕСТЬ X2 (П1.25)
Очень часто в структуре знаний классы объектов являются нечеткими понятиями. Также высказывающиеся лица могут делать выводы, содержащие элементы неуверенности, оценочности. Это заставляет нас переходить от знаний в классическом понимании к знаниям нечетким.
Введем следующий набор лингвистических переменных со своим терм-
множеством значений:
= Отношение принадлежности = {Принадлежит, Скорее всего принадлежит, Вероятно принадлежит,...., Вероятно не принадлежит, Скорее всего не принадлежит, Не принадлежит}
(П1.26)
= Отношение следования = {Следует, Скорее всего следует, Вероятно следует,...., Вероятно не следует, Скорее всего не следует, Не следует }
(П1.27)
AND/OR = Отношение связи = {И/ИЛИ, Скорее всего И/ИЛИ, Вероятно И/ИЛИ,....}
(П1.28)
Вводя эти переменные, мы предполагаем, что они содержат произвольное
число оттеночных значений, ранжированных по силе (слабости) в определенном
порядке. Носителем этих переменных может выступать единичный интервал.
Тогда под нечетким знанием можно понимать следующий формализм:
ЕСЛИ (a11X1 1 a22X2 2... aNNXN) aN+1N+1XN+1, (П1.29)
где ai, Xi .значения своих лингвистических переменных, i .значение переменной
принадлежности из , 1 .значение переменной связи из AND/OR, - терм-
значение переменной следования из .
Характерным примером нечеткого знания является высказывание типа:
«Если ожидаемое в ближайшей перспективе отношение цены акции к доходам по
ней порядка 10, и (хотя и не обязательно) капитализация этой компании на уровне
10 млрд. долларов, то, скорее всего, эти акции следует покупать». Курсивом
обозначены все оценки, которые делают это знание нечетким.
Поскольку нечеткое знание определяется через лингвистические переменные,
то и операции нечеткого логического вывода можно количественно определить на
базе операций с соответствующими функциями принадлежности. Однако
детальное рассмотрение этого вопроса мы опускаем.
С некоторых пор нечеткие знания начали активно применяться для
выработки брокерских рекомендаций по приобретению (удержанию, продаже)
ценных бумаг. Например, монография [139] рассматривает вопрос о
целесообразности инвестирования в фондовые активы в зависимости от характера
экономического окружения, причем параметры этого окружения являются
нечеткими значениями. На сайте [140] автор вышеупомянутой монографии
поддерживает бюллетень макроэкономических индикаторов и соответствующих
условий инвестирования на тех или иных рынках.
На нечетких знаниях могут быть организованы специализированные
экспертные системы, реализующие механизм нечетко-логического вывода.
Простейший пример такого рода системы мы находим на сайте [138], где
выработка опционной стратегии сопровождается нечеткой предварительной
оценкой характера рынка. В этом смысле также представляет интерес и
заслуживает упоминания работа [151].
Приложение 2. Рейтинг относительной кредитоспособности субъектов РФ
Таблица П2.1. Рейтинг относительной кредитоспособности субъектов РФ
(AK&M)
Приложение 2. Справочные материалы для оценки реитинга долговых обязательств субъектов РФ
Приложение 3. справочные материалы для оценки скоринга акций российских эмитентов
Приложение 4. справочные материалы для оценки рейтинга корпоративных обязательств российских эмитентов
Приложение 5. Краткий терминологический словарь
Агрессивный инвестиционный выбор - тип рационального
инвестиционного выбора с повышенной долей акций в обобщенном
инвестиционном портфеле.
Активное управление портфелем - тип управления,
характеризующийся непрерывным ребалансингом портфеля, на основе алертов
(алертное управление портфелем) или на основании других соображений.
Алерт - предупредительный сигнал, свидетельствующий о качественных
изменениях макроэкономического характера (макроалерт) или о фиксированном
изменении показателей цены, доходности, отношения РЕ и т.д. (технический
алерт).
Алертное управление портфелем - активное управление портфелем на
основе алертов.
Асимметричный инвестиционный выбор - свойство иррационального
инвестиционного выбора. Асимметрия развивается сразу в двух плоскостях. Во-
первых, горечь убытков переживается интенсивнее, чем радость от прибыли. Во-
вторых, рациональный инвестор не так скоро продает временно подорожавшие
ценности, как скоро он скупает временно подешевевшие. В основе асимметрий
лежат жадность и страх.
Безразличие - свойство рационального инвестиционного выбора. При Б. не
существует ситуации, когда для рационального инвестора один тип вложений
является более предпочтительным, чем другой. Характерно для промежуточного
инвестиционного выбора. Достигается, в частности, в контрольной портфельной
точке. Синоним равнопредпочтительности.
Высокоэластичный фактор - фактор, чувствительный к изменению другого
фактора, влияющего на поведение данного. В нашем случае . существенная
зависимость расчетного коридора доходности индекса акций от отношения РЕ.
Гетероскедастия - синоним изменяющейся со временем волатильности
индекса.
Гомоскедастия - синоним постоянной во времени волатильности индекса.
Градиент портфеля - отношение приращения доходности портфеля к
соответствующему приращению риска портфеля.
Диспаритет - нарушение инвестиционного равновесия с положительным
(недооценка) или отрицательным (переоценка) оттенком.
Дно тренда - выраженный локальный или глобальный минимум индек-
са. Обычно дно ищется в форме треугольного нечеткого числа.
Доходность - см. Конечная (финальная) доходность.
Жадность - здесь: тип иррационального инвестиционного выбора,
характеризующийся немотивированной переоценкой активов индекса.
Сопровождается неврозом инвестора, возникающим в ходе оценки зоны риска
индекса. Также см. Страх.
Золотое правило инвестирования . «Большей доходности активов
соответствует больший ожидаемый риск». Отвечает критерию безразличия.
Активы, подобранные на основании ЗПИ, образуют монотонный инвестиционный
портфель.
Зона риска индекса - значения индекса в непосредственной близости от дна
или пика, характеризующиеся высокой степенью риска смены инвестиционной
тенденции.
Инвестиционное равновесие - состояние безразличия (равнопредпоч-
тительности) в ходе рационального инвестиционного выбора. Характерно при
достижении дна или пика индекса.
Инвестиционная тенденция - характеристика макроэкономического окру-
жения фондового рынка в заданном экономическом регионе. Обычно ставится в
зависимость от уровня ключевых параметров (валовый внутренний продукт,
инфляция, кросс-курсы валют), а также от уставочного отношения РЕ,
характеризующего рациональный инвестиционный выбор.
Индекс - 1) Расчетный объект, созданный по специальным правилам, обычно
- как портфель с фиксированным распределением долей; 2) Количественные
значения цены индексного портфеля. Различают фондовые и макроэкономические
индексы (индикаторы).
Иррациональный инвестиционный выбор - Инвестиции, не имеющие
разум-ного научного обоснования, предполагающие наличие расчетных убытков.
Обычно осуществляются под воздействием жадности, страха и стадности.
Характерные признаки ИИВ . эйфория и истерия.
Иррациональная диверсификация - научно необоснованное долевое
распределение инвестиционного портфеля. К примеру, неразумно
диверсифицировать портфель облигаций падающими в цене акциями.
Истерия - сопутствующий признак иррационального инвестиционного выбо-
ра, необоснованный сброс акций, вызывающий их недооценку, рыночная паника.
Консервативный инвестиционный выбор - тип рационального инвес-
тиционного выбора с повышенной долей облигаций в обобщенном
инвестиционном портфеле.
Конечная (финальная) доходность - относительное приращение цены
индекса за расчетный год (в процентах годовых).
Контрольная портфельная точка - 50% акций, 50% облигаций (50:50).
Модифицированный показатель Шарпа - см. Шарпа показатель.
Монотонный инвестиционный портфель - сформированный на основании
золотого правила инвестирования обобщенный инвестиционный портфель.
Характеризуется тем, что в нем нет активов-аутсайдеров (с одновременно худшими
показателями по доходности и риску). Существует не всегда и не везде. Например,
в США в июле-августе 2002 года не существовал, из за глобальной
переоцененности акций; тем самым сегмент высокодоходных высокорискованных
инвестиций оказался несформированным, а монотонный портфель .
незаполненным. Когда доходности и риски индексов в монотонном портфеле
определить трудно, формируются отношения порядка.
Невозможность прогнозирования - отсутствие достаточных научных осно-
ваний для формирования прогноза. Справедливо в отношении долгосрочных
прогнозов индексов.
Недооценка - состояние рынка, при котором цены активов ниже рацио-
нального, заранее оцененного уровня.
Низкоэластичный фактор - фактор, не обладающий заметной
чувствительностью к изменению другого фактора, влияющего на поведение
данного. В нашем случае . практическое отсутствие зависимости расчетного
коридора доходности индекса облигаций от объемов торгов.
Обобщенный модельный инвестиционный портфель - портфель,
сформированный в данном экономическом регионе и состоящий из акций (А),
облигаций (B) и нефондовых активов (N). Характеризуется списком
соответствующих индексов и долевым распределением (A, B, N). Абстрактная
категория, применяемая в моделях прогнозирования индексов.
Объемная эластичность фактора доходности - зависимость доходности
индекса от объемов торгов.
Оперативное управление портфелем - управление портфелем в режиме
реального времени.
Отношение РЕ (коэффициент Ц/Д), (PE Ratio) - отношение цены акции
(индекса) к чистой прибыли на одну акцию (осредненную акцию индекса) в
годовом исчислении. По индексу рассчитывается как средневзвешенное по акциям,
входящим в индекс, с учетом рыночной капитализации соответствующих акций и
их доли в индексе.
Отношение порядка - математически выраженное отношение количест-
венного предпочтения одних объектов другим. Мы рассматриваем отношения
порядка доходностей и рисков в монотонном инвестиционном портфеле.
Отрезвление - здесь: промежуточное состояние между иррациональным и
рациональным инвестиционным выбором. Характерный пример . август 2002 года,
США.
Отрицательная обратная связь - термин
эластичности фактора расчетной доходности индекса по фактору отношения РЕ
вызывает в прогностической модели такую последовательность прогнозных
событий, при которой переоцененные активы начинают падать в цене, а
недооцененные . расти в цене.
Пассивное управление портфелем - см. принцип балансирования.
Переоценка - состояние рынка, при котором цены активов выше рацио-
нального, заранее оцененного уровня.
Пик тренда - локальный или глобальный максимум тренда.
Полосовая эффективная граница - см. эффективная граница.
Премия за риск - надбавка к текущей доходности акций или облигаций к
уровню денежной инфляции. Выражает то, что в ходе инвестиций происходит
выведение денежных средств из оборота, которое может сопровождаться их
потерей (обесценением), поэтому возникает риск инвестирования, за который
инвестор вправе потребовать (и требует) компенсационную премию. Экзотический
вид ПЗР . премия к доходности акций из-за недобросовестной бухгалтерской
отчетности (при завышении размеров корпоративной прибыли).
Принцип балансирования (принцип следования за рынком, принцип
Эбби Коэн) - антинаучный принцип инвестирования, основанный на балан-
сировании своего портфеля в соответствиис тенденциями индексов. На нем
основана работа так называемых балансовых индексных фондов (терпящих сейчас
колоссальные убытки). В последний раз отстаивался американским финансовым
аналитиком Эбби Коэн в 2001 году.
Промежуточный инвестиционный выбор - тип рационального инвести-
ционного выбора с паритетной долей акций и облигаций в обобщенном
инвестиционном портфеле. Контрольная портфельная точка принадлежит этому
типу выбора.
Равнопредпочтительность - см. безразличие.
Разумная диверсификация - научно обоснованное включение в портфель
активов с различными соотношениями доходности и риска индексов. В частности,
монотонный инвестиционный портфель диверсифицирован разумно.
Ралли - термин, выражающий бурный рост активов после некоторого спада
цен. Обычно Р. провоцируется игрой на повышение.
Расчетный коридор доходности портфеля - треугольная оценка будущего
значения индекса в конце оперативного интервала прогнозирования (у нас .
квартал). Связан с доходностью и риском индекса простыми формулами.
Рациональный инвестор - инвестор, мотивирующий свой инвестиционный
выбор научными соображениями.
Рациональный инвестиционный выбор (рациональные инвестиции) -
выбор рационального инвестора, опирающийся
Ребалансинг портфеля - изменение долей портфеля на основе некоторых
входящих предпосылок (например, смена инвестиционной тенденции, алерт).
Синхронная волатильность - когда активы, входящие в один индекс,
колеблются синфазно в силу полной корреляции активов. Обычно . проявление
стадности инвесторов.
Средняя рациональная линия рынка - модель, использующаяся при
долгосрочном прогнозировании. Предполагает возможность экстраполяции
данных, полученных на среднесрочном интервале прогнозирования, для
долгосрочного интервала.
Стадность - термин Дж. Сороса. Выражает свойство массовых
инвестиционных процессов, при котором все ориентируются друг на друга и
одновременно покупают, и продают одни и те же активы. На повышающемся
рынке стадность вызывает эффект ралли. Стадность провоцирует синхронную
волатильность. Препятствует разумной диверсификации.
Страх - здесь: тип иррационального инвестиционного выбора, характе-
ризующийся немотивированной недооценкой активов индекса. Сопровождается
неврозом инвестора, возникающим в ходе оценки зоны риска индекса. Также см.
Жадность.
Технический анализ - совокупность приемов, позволяющих предсказывать
индексы на ограниченном интервале времени (от одного торгового дня до
квартала). Невозможно применять для среднесрочного прогнозирования индексов
из-за предположения о стационарности тенденций, которые обязаны проявиться и в
недалеком будущем. Противовес ТА . фундаментальный анализ.
Типы рационального инвестиционного выбора - агрессивный, консер-
вативный, промежуточный.
Тренд - средняя линия цены индекса (у нас . треугольная нечеткая функция
или последовательность). В техническом анализе тренд оценивается методом
скользящей средней (с усредненным суммированием ценовых отсчетов индекса за
определенное количество дней). В настоящем документе прогнозируется именно
тренд индекса.
Фундаментальный анализ - совокупность приемов, позволяющих оценить
качество ценной бумаги на основе фундаментальных ее характеристик, включая
соотношение цены и качества, а также данных по эмитенту ценной бумаги. Иногда
выводы ФА противоречат выводам технического анализа. Настоящий документ
написан с позиций именно фундаментального анализа.
Циклический тренд - тренд, который отражает циклическое поведение
индекса в связи с непрерывно меняющимсямакроэкономическим окружением
индекса и связанными с этим переоценками и недооценками.
Шарпа показатель - дробь: в числителе . разница доходностей индекса и
государственных облигаций (условно-безрисковый актив), в знаменателе - риск
индекса. У нас, наряду с классическим показателем Шарпа, используется
модифицированный показатель, где в числителе вычитается не доходность по
госбумагам, а доходность индекса облигаций в обобщенном инвестиционном
портфеле.
Эбби Коэн - современный американский финансовый аналитик. Одно время
успешно предсказывала рыночные тенденции, заслужив себе популярность
ведущего прогнозиста США. Однако советы Эбби Коэн, датированные 2001 годом,
о балансировании портфелей с падающими активами по принципу следования за
рынком привели к убыткам в миллиарды долларов по всей Америке. Сейчас . имя
нарицательное, синоним некомпетентного консультирования.
Экономический регион - страна или совокупность стран, индексы которых
можно оценивать автономно, на базе единой валюты, с сопоставимым уровнем
инфляции и темпами роста валового внутреннего продукта. Примеры,
рассмотренные в настоящем документе: США и Россия.
Экспертная модель - совокупность качественных описаний текущего
состояния объекта исследования (в нашем случае . фондового рынка и его
макроэкономического окружения) и предполагаемых тенденций развития объекта
исследования. Только правильно составленная экспертная модель может привести
нас к корректной математической модели и адекватным методикам. Прогнозы, не
опирающиеся на экспертную модель, бессмысленны.
Эффективная граница портфельного множества - вогнутая кривая без
разры-вов в координатах «Риск-Доходность», характеризующая максимум
доходности портфеля с неизвестными весами активов при фиксированном риске
портфеля. В нечеткой постановке задачи эффективная граница приобретает вид
полосовой эффективной границы.
Эйфория - сопутствующий признак иррационального инвестиционного
выбора, необоснованный закуп акций, вызывающий их переоценку.
Пример прогноза (USA)
Начальные условия для моделирования представлены в табл. 4.9:
Таблица 4.9. Начальные условия прогнозного моделирования
Результат моделирования в соответствии с математическими выкладками
настоящей главы представлен на рис. 4.9 (соотношение прогнозной и фактической
тенденций американского рынка акций).

Качественные предположения о переоцененности фондового рынка США,
сделанные мною в [67] ( там же определено примерное дно индекса S&P500 по
состоянию на 2 кв. 2002 года), получили свое количественное подтверждение. Бэк-
тестинг модели на первых двух кварталах 2002 года показал, что у американских
инвесторов, вследствие панической боязни убытков, существует привычка изо всех
сил поддерживать рынок, заведомо обреченный на падение (что демонстрирует
вогнутость кривой фактических значений индекса), вместо того чтобы спешно
избавляться от падающих акций и облигаций. Таким орбразом, расхождение прогноза и факта обусловлено исключительно иррациональным поведением
инвесторов, в их борьбе за заведомо проигранное дело.
Оптимальное управление нашим инвестиционным портфелем представлено
на рис. 4.10. Если бы мы действовали по схеме Эбби Коэн (балансирование в
контрольной точке), мы бы потеряли до трети капитала (рис.4.11).
Рис. 4.11 Сравнительная капитализация двух портфелей (нашего и Эбби Коэн)
Но, в результате того, что мы, наоборот, отозвали треть капитала с рынка на
полгода, при этом доведя долю акций в пределе до нуля, мы спасли от обесценения
свои активы и теперь можем вернуться на рынок при достижении им
инвестиционного равновесия (планово . 2003 год). Весь 2002 год на американском
фондовом рынке, по большому счету, нечего делать. Поэтому, кстати,
законодательно установленная [3] отсрочка разрешения инвестировать российские
пенсии в зарубежные активы (в том числе в акции США) является интуитивно
верным решением.
Принципы оценки риска принятия финансовых решений
Сделаем ряд замечаний относительно существа финансового риск-
менеджмента. Под риском мы здесь понимаем возможность финансовых потерь,
вытекающая из специфики тех или иных явлений природы и видов деятельности
человека.
Классификационная система рисков включает в себя группы, виды, подвиды
и разновидности рисков [96].
В зависимости от возможного результата (рискового события) все риски
подразделяются на чистые (с обязательно нулевым результатом) и спекулятивные
(где возможен как положительный, так и отрицателльный исход операции).
Финансовые риски (предмет собственно финансового риск-менеджмента) являются
спекулятивными. Они входят в состав коммерческих рисков (опасность потерь в
результате финансово-хозяйственной деятельности. При этом чистые риски входят
составляющей коммерческого риска на уровне прогнозных сценариев
неблагоприятного развития событий (климатические катаклизмы, забастовки,
техногенные катастрофы, криминальные факторы и т.д.).
Сугубо финансовые риски подразделяются на риски, связанные с
покупательной способностью денег (инфляционные, валютные риски и риски
ликвидности) и на инвестиционные риски (риски упущенной выгоды, риски
снижения доходности и риски прямых финансовых потерь). В свою очередь, на
низовом уровне иерархии инвестиционных рисков находятся процентные риски,
кредитные риски, биржевые риски, селективные риски и риски банкротства.
Каждый из выделенных видов финансового риска имеет свою
специфическую процедуру управления. Например, чистые риски подлежат
страхованию, а инвестиционные риски часто анализируются на основе дерева
вероятностей [15]. Но во всех случаях базовым подходом в оценке рисков в
нынешнем финансовом менеджменте является использование точечных
вероятностей и вероятностных распределений сценариев возможных событий,
влияющих на финансовый результат.
О проблемах, связанных с использованием вероятностей в риск-
менеджменте, я пишу в работе [57]. Отказ от классического понимания
вероятности и использование субъективно-аксиологической вероятности есть не
что иное как стратегическое отступление науки перед лицом дурной
неопределенности. И если раньше мы имели дело в ходе исследования только с
финансовой моделью хозяйствующего субъекта, то теперь мы должны
верифицировать вероятностную модель, предложенную экспертом, т.е. исследовать
познавательную активность и самого эксперта. Вероятности не дают никакой
информации о том, как они получены, если не предваряются дополнительными
качественными соображениями о принципе вероятностной оценки. Одним из таких
принципов, продуктивно использовавшихся до сих пор, является принцип
максимума правдоподобия Гиббса-Джейнса [90, 95], который в настоящий момент
подвергнут обоснованной критике в связи с тем, что принцип максимума энтропии
не обеспечивает автоматическимонотонности критерия ожидаемого эффекта.
Принцип генерации условных вероятностных оценок Фишберна [95, 98] выдвигает
лишь идею назначения точечных оценок вероятностей, удовлетворяющих
критерию максимума правдоподобия, однако не существует доказательств полноты
выбранного поля сценариев.
Все идет к тому, что сценарно-вероятностные методы анализа риска
начинают себя понемногу изживать. На смену им приходят нечетко-
множественные подходы, которые, с одной стороны, свободны от вероятностной
аксиоматики и от проблем с обоснованием выбора вероятностных весов, а, с
Недосекин А.О. Фондовый менеджмент в расплывчатых условиях
другой стороны, включают в себя все возможные сценарии развития событий. Так,
треугольно-нечеткое число включает в себя все числа в определенном интервале,
однако каждое значение из интервала характеризуется определенной степенью
принадлежности к подмножеству треугольного числа. Такой подход позволяет
генерировать непрерывный спектор сценариев реализации по каждому из
прогнозируемых параметров финансовой модели. Подробно об основах теории
нечетких множеств см. материал Приложения 1 к настоящей монографии.
Наконец, нечетко-множественный подход позволяет учитывать в финансовой
модели хозяйствующего субъекта качественные аспекты, не имеющие точной
числовой оценки. Оказывается возможным совмещать в оценке учет
количественных и качественых признаков, что резко повышает уровень
адекватности применяемых методик.
Несколько замечаний следует сделать относительно методов оценки риска в
фондовом менеджменте. Классическая мера риска по Марковицу . это
среднеквадратическое отклонение распределения доходности актива. Эта мера
риска была подвергнута критике за то, что она с одинаковым безразличием
учитывает риск как роста, так и падения актива, что в глазах инвестора есть два
совершенно неравнозначных события. Из этого соображения возникал мера
downside-риска, т.е. такого, который сопряжен лишь с падением цены актива ниже
требуемого уровня. Одной из разновидностей downside-риска является широко
применяемый в банковском риск-менеджменте показатель Value-at-Risk .
статистическая оценка максимальных потерь за фиксированное время при
заданном уровне доверительной субъективной вероятности [127].
Проблема, как и
везде, состоит в том, что оценка Value-at-Risk предполагает наличие достоверной
оценки параметров распределения доходности портфеля. И с этой точки зрения
оценка Value-at-Risk базируется на том же информационном контенте, что и
классическая оценка риска по Марковицу.
В то же время неопределенность, сопровождающая финансовые решения, постоянно рождает неуверенность принимающего эти решения лица, порождает риск неверной интерпретации исходной инвормации для принятия решения. И такую неуверенность уже давно следовало бы научиться количественно измерять.
Неуверенность ЛПР в своих оценках ситуации порождает качественные высказывания в терминах естественного языка. Например, рассматривая фундаментальные характеристики ценной бумаги, инвестор оценивает текущее значение показателя P/E (цена к доходам), которое равно 20. «Много» это или «мало», вот вопрос. На этом этапе инвестор может обратиться к финансовому консультанту. Точным ответом на вопрос инвестора будет гистограмма, где по оси Х отложены значения показателя P/E, а по оси Y . то, с какой относительной частотой выпадают те или иные значения показателя для предприятий той же отрасли, что и объект анализа.
Анализируя гистограмму, инвестор может задаться вопросом, почему одним компаниям позволено иметь большие значения P/E, а другим . меньшие, и какой уровень P/E следует считать объективным. Инвестор опять беспокоит своего консультанта, и тот выдает заключение. Оказывается, доходность бумаги состоит в обратном отношении к ее надежности, и зачастую люди покупают высококапитализированные компании, имея ввиду в первую очередь низкий риск дефолта, а во вторую очередь рассматривая уже соображения, связанные с доходностью. Что до объективного уровня, то все зависит от периода анализа.
Например, для высокотехнологичных компаний в 1999-2000 г.г. характерным уровнем P/E был уровень в несколько десятков единиц. Сегодня же типовое значение . 10-15, потому что произошла коррекция.
И вот инвестор созрел для того, чтобы принимать решение. Он говорит себе:
«Сегодня у компании Х цена акций $20, а соотношение P/E составляет 41. Ее капитализация . 100 млрд долларов, однако я считаю, что компания все равно переоценена, и такой уровень P/E . слишком высокий. Для этой компании я считаю приемлемым диапазон P/E порядка 30-35. И даже если сегодня цена компании растет, я тем не менее нахожу, что этот рост ненадежен и может смениться спадом.
Я буду покупать эти акции при целевой цене на уровне $15-$17, что соответствует моим ожиданиям».
Таким образом, инвестор произвел свою самостоятельную оценку ситуации и принял решение. При этом в основаниях этого решения мы можем увидеть:
ожидания . связанные с перспективами роста данных акций;
нечеткую классификацию, когда инвестор сопоставлял текущую капитализацию компании с ее P/E и производил анализ уровня показателя.
Все, что инвестор говорит на словах, он может вполне трансформировать в описания на языке математики. И тогда ожидания, предпочтения и нечеткие оценки, сделанные инвестором, явятся исходной инвформацией для моделирования предпосылок для принятия (непринятия) инвестиционного решения.
Оценивая акции, инвестор может производить и макроэкономические
оценки, например, перспектив тех или иных отраслей или даже национальной
экономики. Уже в том утверждении, что США проходят фазу рецессии,
содержится огромное количество информации, которую необходимо учитывать для
Недосекин А.О. Фондовый менеджмент в расплывчатых условиях
принятии решения. Подробно об этом говорится в главе 2 книги, а сейчас
ограничимся тем замечанием, что рецессия ставит одни отрасли в
привелегированное положение, а другие отрасли оказываются ущемленными.
Значит, идет межотраслевое перераспределение инвестиционных рисков, которое
надо иметь ввиду.
Инвестор, покупая или продавая акции, должен составить себе мнение о том,
какой рынок сейчас одерживает победу . «медвежий» или «бычий». Это дает ему
основания считать, «что на «медвежьем» рынке переоцененные активы, скорее
всего, упадут, а недооцененные, если и упадут, то неглубоко. И наоборот: на
«бычем» рынке недооцененные активы, скорее всего, возрастут, а переоцененные,
если и возрастут, то несильно». Все, что отмечено курсивом в этих закавыченных
предложениях, представляет собой предмет оценки инвестором текущего
состояния рынка и его переспектив.
Таким образом, на примере инвестиционных решений, мы заключаем, что
огромное количество информации содержится в трудноформализуемых
интуитивных предпочтениях ЛПР. Если эти предпочтения и допущения ЛПР
обретают вербальную форму, они сразу же могут получить количественную оценку
на базе формализмов теории нечетких множеств и составить обособленный
контент исходной информации в рамках финансовой модели. Мы можем назвать
этот обособленный контент экспертной моделью.
Информация экспертной модели образует информационную ситуацию
относительно уровня входной неопределенности финансовой модели. Она
выступает как фильтр для исходных оценок параметров, преобразуя их из ряда
наблюдений квазистатистики в функции принадлежности соответствующего
носителя параметра тем или иным нечетко описанным кластерам (состояниям
уровня параметра). Таким образом, от нечеткой оценки входных параметров после
ряда преобразований мы можем перейти к нечетким оценкам финансовых
результатов и оценить риск их недостижения в рамках принимаемыхв плановом
порядке финансовых решений.
Принцип инвестиционного равновесия
Инвестиционное равновесие . это основа основ рационального
инвестиционного выбора. Этот принцип берет свое начало в математической
теории игр (в частности, равновесной игрой является игра с нулевой суммой [52]).
Принцип равновесия является аналогом закона сохранения энергии и вещества.
Если капиталу где-то плохо лежится, он потечет туда, где ему будет лучше. Если
капиталу будет плохо везде в пределах заданной своей формы, он сменит форму.
Например, текущий американский фондовый кризис . кризис переоценки .
это поиск и достижение нового уровня равновесия. Капиталу плохо в перегретых
акциях, и он бежит оттуда. Куда? Куда попало. Пытается пристроиться в
облигации, но там его, по большому счету, никто не ждет. Условия
государственных займов неинтересны, условия корпоративных займов ненадежны
(все эти выводы . в пределах сложившейся конъюнктуры фондового рынка США).
И что делать капиталу? Он бежит - либо за границу, мобилизуясь на счетах в
европейских банках, при этом меняя валюту, либо понемногу оседает в менее
ликвидных формах (драгметаллы, антиквариат, недвижимость итд).
Равновесие . это равнопредпочтительность. С точки зрения инвестиционного
выбора это . безразличие. Мы только что показали, что эффективная граница
обобщенного инвестиционного портфеля имеет вид, близкий к линейному. Ни в
одной точке границы не достигается экономическое преимущество
(дополнительный выигрыш) по критерию Шарпа. Нет экономического
преимущества . следовательно, в моей игре с рынком не выигрывает никто (сумма
игры нулевая). Если я вкладываюсь в перегретые акции, я проигрываю. Если в
недооцененные . выигрываю. Но, когда все игроки действуют рационально, то
дополнительного выигрыша нет ни у кого, потому что все игроки одинаково
эффективно распределяют базовый источник дохода . валовый внутренний
продукт страны, на уровне отраслей и корпораций, куда идет инвестирование.
Соответственно, рациональному инвестору все равно, как вкладываться на
рациональном рынке. И, при отсутствии дополнительных соображений, он просто
50% размещает в акциях, а 50% - в облигациях, позиционируя свой
инвестиционный выбор как промежуточный (под дополнительными
соображениями здесь понимается, например, пожилой возраст инвестора,
склоняющий его быть более консервативным). Назовем выбор 50:50 контрольной
портфельной точкой.
Еще важные приложения принципа равновесия. Монотонный портфель
равновесен, потому что он построен по золотому правилу инвестирования, а само
это правило интерпретирует принцип равновесия как принцип разумной
диверсификации. Безотносительно типа моего выбора, я «никогда не кладу яйца в
одну корзину». Как бы беззаветно я не любил рисковать, у меня должны быть
отложены средства на черный день. И наоборот: пребывая в одних облигациях,
богатства не наживешь и на пенсию не заработаешь, поэтому приходится
рисковать. А факт неполной корреляции индексов акций и облигаций
свидетельствует о взаимном элиминировании рисков этих индексов в
диверсифицированном портфеле.
Отметим здесь же, что бывает иррациональная (неразумная)
диверсификация. Антинаучная формула «следования за рынком», незыблемая вера
в то, что рынок всегда прав, порождают эффект ошибочного балансирования по
схеме Эбби Коэн, о чем речь шла выше, - когда вместо того, чтобы стремглав
бежать с рынка акций (потому что обвал уже неминуем, и все макроэкономические
факторы говорят за это), превращать акции в доллары, а доллары . в евро (тут уж
не до диверсификации, когда все летит в тартарары), мы «балансируемся».
Построим количественную модель принципа равновесия. Для этого
скорректируем свой обобщенный инвестиционный портфель и сформируем его
следующим образом:
Модельный класс облигаций (rB - доходность по облигациям, rB - риск по
облигациям, xВ(t=0) = xВ0 . стартовая доля актива облигаций в портфеле).
Фиктивный модельный класс нефондовых активов, характеризующийся
только размером доли отзываемого капитала xN(t) из фондовых активов
акций (А) и облигаций (В). Перовначально xN(t=0) = 0, т.е. по условиям
моделирования предполагается, что инвестор сначала формирует свой
фондовый портфель.
Суть коррекции в том, что мы решили объединить все облигации, т.к. они
трудноразличимы на фоне акций, а также предусмотрели возможность увода
капитала инвестором из фондовых ценностей в нефондовые. Остается
справедливым для всех случаев уравнение баланса долей:
А в контрольной портфельной точке выполняется
Введем в модель три дополнительных экзогенных макроэкономических фактора:
доходность rI и риск I по индексу инфляции страновой валюты. Сразу
отметим, что параметры доходности и риска здесь являются близкими к тому
же для облигаций. Государственные облигации могут несколько отставать от
инфляции, а корпоративные . опережать, но все это несопоставимо с
параметрами доходности и риска акций;
доходность rGDP и риск GDP по индексу темпов роста валового внутреннего
продукта (ВВП) региона, где осуществляются инвестиции;
доходность rV и риск V по индексу кросс-курса валюты региона, где
проводятся инвестиции, по отношению к рублю.
Также в ходе прогнозирования фондовых индексов будем непрерывно
наблюдать и прогнозировать (на основе всей вышеизложенной исходной
информации) индекс PE Ratio (образованный: в числителе . ценовым индексом
акций, в знаменателе . чистой прибылью корпораций в расчете на одну
осредненную акцию, а эту прибыль по темпам роста можно оценить через темп
роста ВВП и уровень инфляции).
Рис. 4.4. Рентабельность капитала в США с 1946 по 2002 г (по фактору PE
Ratio)
Применительно к условиям США индекс инфляции (оцениваемый по
фактору текущей доходности, по данным [10]) приведен на рис. 4.3, а индекс PE
Ratio приведен на рис. 4.4 (данные из [132, 133]).
Прежде чем разрабатывать модели инвестиционного равновесия, зададимся
качественным вопросом: существует ли в целом равновесие между инфляцией и
рентабельностью капитала, и если оно нарушается, то с чем это связано?
Директор Федеральной Резервной Системы США Алан Гринспен так
высказался в 1996 году [121]: «Ясно, что длительная низкая инфляция
подразумевает меньшую неопределенность относительно будущего, и меньшие
премии за риск вызывают более высокие цены акций и иных доходных активов. Мы
можем видеть это в обратном отношении PE Ratio к уровню инфляции, что
наблюдалось в прошлом.»
Премия за риск в случае акций . это и есть уровень рентабельности
капитала, который мы исследуем. Здесь Гринспен прав. Например, в эру
стагфляции (1975 . 1982 гг) высокие темпы инфляции провоцировали низкие
значения PE Ratio. Объясняется это тем, что государственные и корпоративные
долговые обязательства всегда выравнивались по инфляции, несколько опережая ее
- и тем самым создавали привлекательную инвестиционную альтернативу для
акций (убедиться в этом можно, посмотрев исторические данные по
государственным облигациям с однолетней длительностью (maturity) [154]). И в
этом смысле рынок всегда искал инвестиционного равновесия.
Но однажды (после 1995 года) равновесие теряется, и Гринспен
предсказывает это в той же речи [121], продолжая начатое выше: «Но откуда мы
знаем, когда иррационально ведущее себя избыточное богатство чрезмерно
взинтит цены на активы, не настанет ли тогда черед неожиданным и
продолжительным финансовым стрессам, как это имеет место в Японии все
последнее десятилетие? И как мы учтем эти факторы в монетарной политике?
Нас - правительственных банкиров . не должна касаться ситуация, если коллапс
финансовых рынков не угрожает ослаблению реальной экономики, продукции,
рабочим местам и ценовой стабильности». Многие усмотрели в этом
высказывании Гриспена пророчество, и, по сути дела, это так и есть. Гринспен
указывает на то, что существует море «шальных денег», которое не хочет считаться
с макроэкономикой, и именно эти деньги, перегревая фондовые ценности, создают
инвестиционный диспаритет.
Единственное, чего не хочет брать в расчет Алан Гринспен . это социальные
последствия, вызванные кризисом масштабной переоценки фондовых ценностей.
Сжатие пенсионных капиталов вызывает у людей отчетливую тревогу, недоверие к
фондовому рынку и желание его покинуть. Трещина в пенсионной системе США в
состоянии вызвать далеко идущие последствия, вплоть до частичного свертывания
добровольной составляющей этой системы. Это . подрыв корпоративного
инвестиционного механизма, который может привести к существенному
торможению темпов экономического роста и кардинальному ухудшению
финансового состояния корпораций. Обратным образом это приводит к падению
прибылей и . как следствие . к еще большему падению котировок. Так работает
спираль сжатия корпоративного финансирования, коллапсирующая экономику.
Рассмотрим простой оценочный показатель диспаритета фондовых
инвестиций, который получается по формуле:
Показатель диспаритета приведен на рис. 4.5.
Рис. 4.5. Показатель инвестиционного диспаритета (США)
Из анализа исторических данных по рис. 4.8 . 4.10 видно, что позитивный
диспаритет достигается, когда A_N Score (t) < 0.5 (это ситуация 1994 . 1997 гг,
когда PE Ratio колеблется в диапазоне от 17 до 22 при инфляции 2.5-3% годовых).
Ясно, что облигации неинтересны, а рентабельность капитала на уровне 5%
годовых (плюс ожидаемый курсовой рост) не могут никого оставить равнодушным.
Ждут притока капиталов, роста, и рост наступает. При этом «ралли» (т.е.
устойчивая «бычья» игра) сохраняет волатильность индекса акций на уровне «до
подъема».
Равновесие достигается при 0.6 < A_N Score (t) < 0.7 ((это ситуация 1994 . 1997 гг
и 1998 . 1999 гг , когда PE Ratio колеблется в диапазоне от 24 до 28 при инфляции
2.5-3.5% годовых)
Негативный диспаритет мы наблюдаем при A_N Score (t) > 0.7 (1991 . 1992,
2000 . 2001 гг, когда PE Ratio достигает и превышает 30, а инфляция зашкаливает
за 5-6% годовых). Перестают быть интересны акции, начинают играть облигации;
однако сама инфляция повышает системный риск фондового рынка, его
ненадежность. Ждут оттока капиталов, спада, и спад настает (при этом устойчивая
«медвежья» игра возвращает волатильность индекса на уровень значений «до
подъема»). На рис. 4.6 видно, как по мере нарастания негативного диспаритета по
тенденции растет и курсовая волатильность индекса акций [132].
Рис. 4.6. Рост курсовой волатильности индекса акций
Проблема в том, что мы не можем перенести «в лоб» полученные границы
паритетного, равновесного выбора, не учтя на перспективу ряд замечаний, которые
существенно поправляют наши оценки.
Во-первых, бум корпоративных скандалов в США показывает, что оценки
прибыльности предприятий являются завышенными. Это влечет коррекцию
равновесного диапазона PE Ratio с 24-28 (исторически) до 18-22 (на период с 2003
по 2008-2010 гг). Инвестор требует дополнительной премии за риск ввиду
открывшихся новых обстоятельств манипулирования отчетностью.
Во-вторых,
долгосрочный инвестор берет в расчет потенциальный рост инфляции по
тенденции с 2 до 3-4% годовых, с восстановлением инвестиционной картины
начала 90-х годов. В пересчете на показатель инвестиционного диспаритета
равновесие оказывается на уровне 0.65 . 0.75. Если в обозримый период инфляция
не возрастет, то PE Ratio на уровне 18-22 . это уровень позитивного диспаритета,
когда можно вернуться к покупке акций.
Прогнозирование финансового состояния хозяйствующих субъектов
В финансовом менеджменте нет и не может быть ничего застывшего,
окончательного. Даже результаты, получившие в свое время нобелевскую премию в области экономики, попадают под удар сокрушительной критики. Так было,
например, с портфельной теорией Марковица [134 - 135], с теорией линии рынка капитала Шарпа-Литнера [131, 144], с теорией справедливой оценки стоимости европейского опциона Блэка-Шоулза-Мертона [111]. Оказывалось, что предпосылки, положенные в основу этих теорий (нормальность законов распределения доходности активов, монотонность инвестиционных предпочтений,
винеровский случайный процесс ценовых колебаний) существенно расходятся с реальностью фондового рынка [117, 118, 156]. Инвесторы, следовавшие «классическим» теориям фондового менеджмента, потерпели колоссальные убытки в 2001 . 2002 годах (только в США за эти годы инвесторы потеряли 7-10 трлн.
долларов), когда изменившаяся картина рынка вступила в противоречие с научной его картиной, бытующей по сию пору. Основополагающее значение перечисленных «нобелевских» теорий для финансового менеджмента никем не оспаривается. Однако из этого не следует, что невозможно развитие и появление новых теорий финансового менеджемента, оппонирующих уже существующим теориям. Такая ломка научных стереотипов, кризис экономической парадигмы, о которой писал Т.Кун в [45], воспринимается сложившимися экспертами весьма болезненно, потому что вынуждает их обновлять свое научное мировоззрение,
доучиваться. Новые теории обесценивают роль предшествующих теорий в научном процессе, равно как и вклад в науку целых поколений ученых, работавших в русле,
очерченном их предшественниками. Все это рождает латентный протест, который может в конечном счете выразиться в ошибочном экспертном заключении.
Методы обработки пространственно-временных совокупностей существенно варьируют по сложности используемых алгоритмов. Простейший вариант прогноза . это предположение регрессии прогнозируемого параметра по фактору времени:
где a,b .параметры регрессии (определяемые обычно по методу наименьших квадратов), (t) . случайная величина с нулевым математическим ожиланием и фиксированными прочими параметрами вероятностного распределения.
Предположение о линейности регрессии прямо вытекает из допущения, что прогнозируемый случайный процесс является стационарным, т.е. в каждом временном сечении этого процесса лежит случайная величина, вероятностное распределение которой содержит постоянные, неизменные во времени параметры.
Из этого же допущения о стационарности случайного процесса исходят все методы авторегрессии, когда прогнозируемое значение параметра линейным образом зависит от некоторой совокупности предыдущих значений параметров:

Авторегрессия свидетельствует об инерционности и стационарности
прогнозируемого процесса, о сохранении на всем интервале прогнозирования
исторически сложившейся экономической парадигмы. Однако это допущение
является слишком сильным и малореалистичным. Чтобы смягчить эту предпосылку
о стационарности, зарубежные исследователи Энгл и Боллерслев разработали
семейство методов ARCH и GARCH соответственно ([112, 116, 119]), допуская, что
прогнозируемый процесс перестает быть стационарным, но будущее значение
волатильности этого процесса может быть предсказано по ряду предыдущих
значений волатильности процесса (условно-непостоянная волатильность). Т.е. в
алгоритме прогнозируется не только искомый параметр, но и параметры
распределения ошибки прогноза.
Развитием методов ARCH и GARCH является технология так называемых
нейронных сетей [22], когда система прогнозирования в автоматическом режиме
осуществляет оценивание параметров регрессии, минимизируя функцию ошибки.
Любопытно, что иногда для обучения финансовых нейронных сетей используются
даже астрологические прогнозы [93] (в мире существуетряд финансовых программ
на астрологическом базисе, и мы здесь обходим стороной вопрос о том, является ли
астрология наукой или нет).
Методы ARCH и GARCH (равно как и построенные на их основе нейронные
сети) перестают работать, когда исследуемая экономическая система терпит так
называемый эпистемологический, парадигмальный разрыв [45], т.е., с резким
изменением экономических тенденций вся накопленная история оказывается
неподходящей для прогноза. Характерный пример . перелом тенденции фондового
рынка США в 2001 году. И в этом случае для прогнозирования тенденций
подсистемы необходимо пользоваться данными надсистемы, не претерпевшей
парадигмального разрыва. Так, для прогнозирования американских фондовых
индексов сегодня можно воспользоваться данными макроэкономических индексов
и обновленными предположениями о рациональных инвестиционных тенденциях,
используя идеологию треугольных нечетких функций [75].
Методы ситуационного анализа предполагают генерацию экономических
сценариев и детерминированное факторное моделирование реакции системы на
сгенерированный сценарий, измеряемое по финансовымрезультатам системы.
Всем сценариям в генеральной их совокупности присваиваются вероятностные
веса. Таким образом, итоговый ожидаемый финансовый результат
интерпретируется как матожидане случайной величины показателя,
распределенной в соответствии с исходным весовым распределением входных
сценариев.
Прогнозирование фондовых индексов
4.1. Введение в современную теорию рационального инвестиционного выбора
Оптимизация модельного фондового портфеля базируется на исходных
данных по индексам, которые являются результатом научного прогнозирования.
Прогнозирование фондовых индексов . это задача, которая перестает быть научной
при том условии, когда к теории прогнозирования предъявляются завышенные
требования предсказания вполне точных значений тех или иных параметров в
будущем. Современная теория прогнозирования фондовых индексов базируется на
том, что предсказанию подлежат не сами индексы, а их рациональные
тенденции, обусловленные рациональным поведением коллективного инвестора в
фондовые активы.
Существует целый класс теорий прогнозирования, базирующихся на
историческом анализе данных. Ни одна из этих теорий не контролирует
состоятельность данных, поступающих на вход соответствующих методов. Однако
в том случае, когда между историческими данными и будущим лежит
парадигмальный эпистемологический разрыв [45], то соответствующая
предыстория индексов существенно обесценивается, а базирующиеся на
использовании этойстатистики методы начинают давать ошибочные
неверифицируемые прогнозы. Нынешний кризис фондового рынка был
превосходным тестом для всех существовавших доныне методов прогнозирования,
которые этот тест не прошли.
Следовательно, перед наукой прогнозирования тенденций фондового рынка
(если она признает себя таковой) встает задача смены основ, на которой базируется
эта наука. И возможной новой основой для современной теории прогнозирования
как раз и может стать
В своей работе [75] я зафиксировал то понимание проблем прогнозирования
фондовых индексов в современных условиях, которое я считаю научным. Резюме
этой моей работы таково.
Американский рынок, долгое время пребывавший в фазе эйфории
относительно своих экономических возможностей, в настоящий момент,
преодолевая истерию и панику, ищет новые экономические ориентиры. Еще
несколько лет потрясений нам обеспечены, я думаю, - но свет в конце тоннеля уже
виден. Это . нарастающая рационализация инвестиционного выбора, и под
этим флагом мировой фондовый рынок будет плавать еще не менее ближайших лет
пяти. Шок от потрясения, вызванного сдуванием мыльного пузыря «новой
экономики», еще должен быть хорошенько пережит, переосмыслен.
Программная система оптимизации фондового портфеля
5.1. Постановка задачи
Буквально все научные результаты, изложенные в настоящей монографии,
получили свое внедрение в Пенсионном Фонде Российской Федерации (ПФР).
Соответствующие работы были заказаны организации Siemens Business Services
Russia в 2002-2003 г.г. и поставлены ПФР в виде научных методик и программных
средств.
Потребность ПФР в средствах автоматизации управления фондовыми
активами прямо вытекает из содержания Федерального Закона ФЗ-111 «Об
инвестировании ...» [3] (далее по тексту . Закона). Например, ст. 10 Закона
возлагает на ПФР ответственность за надежность, доходность и сохранность
аккумулированных пенсионных сбережений. При этом эта ответственность не
снимается с ПФР и в ходе передачи средств в доверительное управление
специализированным управляющим компаниям и негосударственным пенсионным
фондам (НПФ) от лица граждан.
Как следует из главы 11 Закона, граждане имеют право на выбор
управляющей компании или НПФ для инвестиций. В этом случае ПФР выполняет
функции доверенного лица гражданина, выполняющего агентские функции по
обслуживанию пенсионных накоплений. Также предусмотренавозможность отказа
гражданина от услуг негосударственных организаций по управлению активами. В
этом случае инвестиции управляются государственной специализированной
инвестиционной компанией. В этом случае ПФР прямо выступает как учредитель
траста и держатель консолидированного инвестиционного портфеля граждан.
Исполнение требований ст. 10 достигается со стороны ПФР путем тотального
контроля за процессами инвестирования пенсионных накоплений. Контроль за
инвестициями предполагает их моделирование, с определением ожидаемой
эффективности и риска фондовых инвестиций. Причем оценка должна проводиться
как на уровне модельных классов, так и реальных активов, с расчетом на
перспективу, т.е. как по фактическим данным, так и прогнозно. Все эти
возможности моделирования обоснованы мной в настоящей монографии.
Рейтинг долговых обязательств субъектов РФ
Применим то, что сделано нами в [53 - 77], к исследованию кредито-
способности субъектов Росиийской Федерации. С недавних пор этот вопрос
получил дополнительную актуальность. Дело в том, что с 2004 года накопительная
составляющая трудовой пенсии, согласно закону [3], будет инвестироваться в
разрешенные фондовые активы российских и зарубежных эмитентов, в том числе и
в долговые обязательства субъектов РФ. И, чем лучше финансово-экономическое
состояние региона, тем больше он, в принципе, может разместить своих
обязательств.
Следует ожидать, что в ближайшее время регионы, которые еще могут
рассчитывать на инвестиции (таких в РФ чуть меньше половины), будут приводить
свои бюджеты в относительный порядок, чтобы рассчитывать на дополнительные
инвестиции. И им важно знать, что в оценке параметров регионального бюджета
следует считать «хорошим», а что . «плохим», что следует поощрять, а с чем
предстоит всемерно бороться. И, как всегда, встает вопрос о выработке единого
показателя кредитоспособности региона. Все перечисленные задачи в настоящей
работе нами решены.
Для регионов, в отличие от предприятий, инвестиции имеют во многих
случаях более важное значение, поскольку от них зависит не только рост
экономического потенциала, но и состояние социальной сферы, определяющей в
том числе и политическую ситуацию. Пенсионные капиталы, оставленные для
инвестирования в регионах, - это, несомненно, фактор не только экономической, но
и политической консолидации общества.
Несмотря на то, что в стране имеется достаточно большое количество
финансовых ресурсов, инвестиционная активность находится на недостаточном
уровне. C одной стороны, регионы испытывают острую необходимость в
привлечении инвестиций, а с другой стороны, инвесторы (в том числе банки) не
готовы к активному вложению средств в регионы. И это понятно, т.к. существует
дефолтный риск, который гораздо больше, чем в случае гособязательств. Известно
уже множество примеров срыва выполнения обязательств по долгам субъектов
РФ. Беспрецендентен случай, когда целый регион (Ульяновская обл.) фактически
был объявлен банкротом в 2002 году.
Одним из ключевых факторов, препятствующих успешному развитию
процесса привлечения заимствований регионами, является их слабая
информационная прозрачность. Возможно, именно отсутствие качественной
информации о платежеспособности региона является важнейшей причиной
неразвитости рынка региональных облигаций.
Как показал анализ исполнения бюджетов субъектов РФ по итогам 2001 года,
проведенный Рйтинговым центром АК&М, 16 из них не соответствуют
требованиям Бюджетного кодекса РФ по количественным показателям. Нет
единообразного подхода в отражении показателей, что обуславливает разночтения
и затрудняет контроль. Часто не приводятся данные об обязательствах
региональной Администрации, что является ключевыми параметрами при решении
вопроса о способности расплачиваться по долгам. Согласно данным,
опубликованным на официальном сайте Минфина, по состоянию на 1.01.2002 года
23% субъектов РФ не указали объем государственного долга в отчетах об
исполнении бюджетов.
Безусловно, потенциальные инвесторы, принимающие решение о
направлении вложения средств, воспринимают низкую информационную
прозрачность как весомый фактор риска. Кроме того, анализ даже
«информационно прозрачного» региона представляет собой довольно серьезную
проблему. Обилие бюджетных и макроэкономических показателей,
неформализуемых объективных и субъективных факторов затрудняет получение
адекватных оценок надежности региона как заемщика.
Для определения надежности и качества заемщика в мировой практике
используются кредитные рейтинги. Здесь возможны два подхода: один
предполагает оценку риска невыполнения своих обязательств с присвоением
соответствующей рейтинговой категории в виде буквенно-цифрового кода для
каждого рейтингуемого региона; другой предусматривает оценку относительной
кредитоспособности, позволяющей провести сравнение различных субъектов
федерации между собой.
Сам процесс присвоения рейтинга, то есть оценки возможности и желания администраций регионов своевременно и в полном объеме расплачиваться по долгам или, другими словами, оценки вероятности неисполнения обязательств перед кредиторами, довольно сложен. Для качественной оценки вероятности неисполнения заемщиком своих финансовых обязательств необходимо изучение большого количества информационных материалов, включая анализ множества экономических показателей региона, характеризующих возможность аккумулирования денежных средств, а следовательно, возможности расплачиваться по долгам, а также изучения кредитной истории, контактов с региональными властями, кропотливого анализа множества неформальных факторов и оценки субъективных предпосылок, главнейшей из которых является желание администраций регионов выполнять свои обязательства.
Чтобы свести все факторы, необходимые для анализа, в один комплексный фактор оценки кредитоспособности (риска банкротства) региона, Рейтинговым центром АК&М была разработана хорошая методика [86], основанная на свертке частных рейтингов отдельных факторов с предустановленными весами. Мы решили адаптировать эту методику к нечетко-множественной постановке задачи,
где проводится распознавание уровня каждого фактора, а веса факторов в свертке определяются по правилу Фишберна [53].
В методике AK&M для построения формального рейтинга использовались 2
группы критериев:
Критерии, определяющие финансовое состояние региона (базируются на данных месячных отчетов об исполнении бюджетов субъектов РФ по состоянию на 1 января 2002 года, а также данные региональных Администраций об объемах государственного долга);
Критерии, определяющие уровень экономического развития региона и создающие предпосылки формирования доходной части бюджета (базируются на данных Госкомстата по состоянию на 1 января 2002 года).
Источником информации об исполнении бюджетов субъектов РФ является Министерство финансов РФ.
Рейтинг российских корпоративных облигаций
В работе [69] мы произвели финансовый экспресс-анализ рынка российских
акций (она составила содержание предыдущего раздела данной книги). Анализ
состоялся в феврале 2002 года, и приятно осознавать, что мы не ошиблись в
оценках. Все акции первого эшелона с присовенной нами оценкой «Высокое-
Среднее качество» (сюда относятся «Лукойл», «Сургутнефтегаз», «Татнефть») в 1-
2 кварталах 2002 года показали устойчивый рост (до сотни процентов годовых).
Также мы наблюдали спад в акциях второго эшелона, оцененных сравнительно
низко на тот момент (сюда относим МГТС, Мосэнерго, «Ростелеком» и др.). Есть и
исключения из правила: например, ЮКОС, имеющий пониженную оценку
«Среднее качество» из-за отрицательной обеспеченности оборотных активов
собственными средствами, рос бурно. Но здесь мы усматриваем не влияние
фундаментальных факторов, а ажиотажный рост интереса зарубежного инвестора к
российскому нефтегазовому комплексу, подогретый общемировой политической
конъюнктурой. У западных инвесторов свой порядок анализа активов, и
уставочные параметры в оценке не совпадают с тем же для методов,
применяющихся на российской почве. Тем более, надо признать, что размещение
компанией АДР за рубежом (пример ОАО «Лукойл») выводит эмитента АДР за
круг чисто российских компаний, поэтому претерпевают коррекцию и правила
анализа инвестиционной привлекательности таких акций.
Кризис американского фондового рынка потянул все российские акции вниз.
И это тоже особенность нашего рынка. Сначала мы перегреваемся до заоблачных
высот, а потом, чуть что случилось за океаном, мы принимаемся терять в весе. Это
. проявление технически слабого рынка, зависимого от рынков более финансово
мощных и устойчивых. Здесь уместен пример компании Cisco Systems (CSCO), за
которой я давно пристально наблюдаю. Компании явно не хватает прибылей,
чтобы обосновать свою текущую курсовую цену, поэтому тренд цены последний
год . строго понижательный. Тем не менее, компании не дают упасть до уровня в 5
долларов за акцию (что было бы справедливо), потому что сама компания имеет
план по выкупу своих акций назад, и этого плана обратного выкупа достаточно,
чтобы стабилизировать цену на уровне не ниже 11-12 долларов. Эта нерыночная
мера, тем не менее, характеризует техническую силу рынка акций CSCO. А у нас
даже компании с хорошими фундаментальными параметрами рискуют потерять в
весе просто из-за внешних веяний. Но сквозь все возможные веяния, на
среднесрочном интервале владения ценной бумагой, пробиваются
фундаментальныефакторы, и их значения по совокупности формируют
повышательный или понижательный тренды.
Итак: детальный анализ фундаментальных факторов ценной бумаги - и мы
продолжаем настаивать на этом - позволяет снизить инвестиционный риск.
Инвестор отчетливо видит все риски, которые проистекают из пониженного уровня
отдельных факторов на общем фоне. Действительно, если существует механизм
ранжирования акций по инвестиционной привлекательности, то почему я должен
выбирать в портфель худшие акции, а не лучшие (спрашивает себя инвестор)? Как
только механизм рейтинга (или скоринга) становится прозрачным, и все
преимущества и дефекты той или иной ценной бумаги налицо, когда
произведенный скоринг становится доступным широкому кругу игроков, - тогда
имеет смысл говорить о постепенном формировании рационального
инвестиционного выбора [75]. Ближайшая пятилетка, ее инвестиционная
парадигма как раз формируется под знаком именно этого типа выбора. Инвестор
становится аккуратнее, перестает слушать ангажированных финансовых
аналитиков, внимательнее исследует бухгалтерскую отчетность эмитента, требуя
дополнительнойпремии за риск мошенничества с бухучетом (печальные примеры
Enron, Arthur Andersen, WorldCom у всех на слуху). Словом, инвестор перестает
бросаться из крайности в крайность, от эйфории в истерию, он постепенно
отрезвляется.
Методология оценки фундаментальных факторов эмитента вызывает
намерение применить матричную схему анализа (по строкам матрицы . отдельные
показатели, по столбцам . размытые подмножества уровней этих факторов) к
рейтингу корпоративных облигаций. Как работает матричная схема оценки, мы
уже продемонстрировали на примере рейтинга риска банкротства, рейтинга
долговых обязательств субъектов РФ, скоринга акций. Белорусская научная школа
[9, 10] успешно применяет матричные методы для оценки рейтинга банков и страховых компаний. И, разумеется, нет никаких противопоказаний к тому, чтобы
воспользоваться этой схемой для рейтингования корпоративных облигаций.
Результаты рейтинга по AK&M
Первое место в рейтинге AK&M занимают Москва и Санкт-Петербург,
которые по формальным показателям среди других проанализированных субъектов федерации имеют наиболее высокую способность расплачиваться по своим обязательствам. В основе этого лежат как благоприятные макропредпосылки,
обусловленные прочной экономической базой городов, так и сбалансированность бюджетных показателей, что во многом связано с успешной финансовой политикой властей. Среди успехов, которых достигла Москва в 2001 году, стоит выделить отказ от практики привлечения краткосрочных, до года, банковских кредитов,
замещение их в структуре госдолга более управляемыми и дешевыми облигационными займами, погашение еврооблигационных займов. Поэтому не удивительно, что Москва в 2001 году стала первой, кому удалось выйти на зарубежный финансовый рынок и привлечь там два кредита, профинансированных выпуском сертификатов участия в кредите. Развитие Санкт-Петербурга в 2001 году можно было охарактеризовать тремя словами - динамичность, стабильность и перспективность. Город по-прежнему отличается хорошей управляемостью госдолга, развитым финансовым рынком и высокой инвестиционной привлекательностью.
C некоторым отрывом по итоговому рейтинговому баллу за Санкт-
Петербургом следует Тюменская область, которая даже опережает Санкт-
Петербург по макропоказателям, характеризующим уровень экономического развития, уступая по показателям исполнения бюджета. Высокие позиции Тюменской области во многом связаны с тем, что в 2001 году администрации области удалось уладить экономические разногласия со сложно подчиненными субъектами - Ханты-Мансийским АО и Ямало-Ненецким АО - и вовлечь их огромный потенциалв развитие региона. Это практически сразу сказалось на экономических показателях Тюменской области.
Четвертую позицию в рейтинге занимает Татарстан, который имеет сравнительно невысокий объем государственного долга по отношению к доходам и отличается самым высоким значением профицита бюджета среди проанализированных регионов (5.86% к объему доходов). При этом объем погашения долговых обязательств республики в 2001 году превышал объем заимствований, что свидетельствует о положительной тенденции в области исполнения правительством республики требований кредиторов.
Замыкает первую пятерку лидеров рейтинга Ханты-Мансийский автономный округ, который по экономическим показателям, рассмотренным в рейтинге,
опережает Татарстан, но отстает по финансовым параметрам, характеризующим исполнение бюджета в 2001 году. Относительно высокая оценка кредитоспособности округа обусловлена низким объемом государственного долга,
слабой зависимостью от федерального бюджета (уровень собственных доходов в общем объеме доходов среди всех рассмотренных в рейтинге субъектов РФ -
самый высокий). По итогам исполнения бюджета в 2001 году сформировался относительно большой дефицит бюджета (5.44% к объему доходов) однако по заявлению властей округа дефицит обусловлен бюджетом развития и не связан с недостатком средств на текущие социальные платежи.
Шестое место в рейтинге Липецкой области определяется ее довольно позитивными финансовыми показателями. Доля государственного долга в доходах бюджета по итогам 2001 года составила 5.92%, причем по сравнению с 2000 годом, благодаря целенаправленной политике
Администрации области по обслуживанию своих долговых обязательств, эта величина существенно сократилась. При этом регион не изменил своей практике не осуществлять крупномасштабных заимствований. Отношение объема заемных средств к доходам бюджета имеет отрицательную величину, что свидетельствует о превышении выплат по долгам над объемом привлеченных средств.
С очень небольшим отставанием по рейтинговому баллу за Липецкой областью следует Ямало-Ненецкий автономный округ, занимающий третье место среди рейтингуемых регионов по доле собственных доходов. Бюджет по итогам 2001 года исполнен с профицитом, а объем государственного долга относительно невысок.
На восьмом месте - Свердловская область. В течение 2001 года область погашала свои обязательства в большем объеме, чем занимала вновь. Об этом свидетельствует отрицательное значение отношения заемных средств к доходам бюджета. Кроме того, обращает на себя внимание большой профицит бюджета (4.4% к объему доходов). Устойчивое финансовой положение Свердловской области объясняется успешной деятельностью крупнейших металлургических предприятий. При этом следует отметить, что макропоказатели области могли бы быть лучшими, однако ухудшение мировой конъюнктуры рынка металлов несколько снизило финансовые возможности региона (на относительно высоком уровне находится задолженность по налогам предприятий). Стоит отметить осторожное отношение области к привлечению кредитных ресурсов, хотя ранее активность региона на фондовом рынке была высокой. Сегодня в области проводится консервативная заемная политика.
На девятом месте в рейтинге находится Пермская область, которая лишь незначительно по интегрированному рейтинговому баллу уступает Свердловской области. Место в первой десятке региона обусловлено невысоким уровнем долговой нагрузки (объем государственного долга к доходам бюджета составляет 2.88%), значительным объемом собственных средств в доходах и профицитностью исполнения бюджета.
Замыкает первую десятку Удмуртская республика, кредитный потенциал которой во многом определяется относительно низким объемом государственного долга, профицитом бюджета и хорошей налоговой дисциплиной предприятий (в рейтинге субъектов РФ по отношению задолженности по налогам к общему объему налоговых платежей Удмуртская республика занимает 6 место).
Интегрированный рейтинг относительной кредитоспособности субъектов РФ приведен в таблице П2.1 приложения 2 к настоящей монографии.
Скоринг российских акций на основе нечетких моделей
Под скорингом здесь и далее мы понимаем комплексную оценку инвестиционного качества акций.
Год-два отделяют нас от того момента, когда пенсионная реформа в России
выйдет на новый виток, и на российский фондовый рынок придут накопительные
инвестиции Пенсионного фонда России (ПФР), собранные на трудовых
сбережениях граждан. Первоначально это будет сравнительно небольшая сумма
(порядка 1 - 2 млрд долларов), но затем, по мере обогащения населения, роста
реальной заработной платы и соответственных отчислений, сумма накопительных
инвестиций будет расти. Примерные темпы роста могут быть оценены по аналогии
с США: за 70 лет существования государственного пенсионного обеспечения в
этой стране активы государственного пенсионного счета возросли на три порядка:
с миллиарда до триллиона долларов.
Таким образом в структуре инвестиций в российскую экономику появляется
достаточно мощный, перспективный и . главное . внутренний, независимый от
внешнерыночной конъюнктуры источник финансовых вливаний. И, в зависимости
от того, как будут инвестированы эти средства, мы будем наблюдать тот или иной
макроэкономический и социальный эффект. Если деньги будут инвестированы с
умом, по правилу «семь раз отмерь . один раз отрежь», тогда в лице этих
инвестиций мы получаем мощный генератор нового экономического роста,
катализатор развития российской экономики.
Итак, следует всерьез приступать к системным исследованиям российского
фондового рынка. Без преувеличения скажем, что российская наука в этом
направлении делает только первые шаги. Объяснить это можно молодостью
российского фондового рынка, а также и тем, что сразу после кризиса 1998 года
казалось, что на рынке акций в России можно поставить крест. Однако сейчас, в
связи с изложенным и с тем, что российская экономика делает уверенные успехи и
возвращает к себе внимание инвесторов всего мира, необходимо предварить
масштабные инвестиции на российском фондовом рынке фундаментальным
анализом этого рынка.
Сделаем несколько качественных замечаний о природе российского рынка
акций
Стратегии хеджирования модельного фондового портфеля
Под хеджированием фондового портфеля понимается деятельность
инвестора, направленная на снижение системных инвестиционных рисков и
использующая производные ценные бумаги. Базовым средством хеджирования
реальных активов (акции, облигации), именуемых в теории хеджирования
подлежащими активами, является покупка опционов put на эти активы. Целью
такой покупки является лимитирование, отсечение убытков, связанных с резким
падением цены активов на рынке.
Хеджирование . крайняя мера, вызванная недостатком информации о
тенденциях поведения подлежащего опциону актива в будущем (в противном
случае потенциально падающий актив мог быть вовремя продан, а затем куплен
обратно, но по более низкой цене). Инвестор, идя на выплату опционной премии,
заведомо снижает ожидаемую доходность своих вложений. В то же время он
снижает и риск вложений, лимитируя убытки заранее известной величиной. Таким
образом, снижается волатильность вложений.
Косвенным эффектом хеджирования является повышение ликвидности
активов инвестора. Получая опционную выплату в случае паденияцены актива,
инвестор получает поток денежных средств, которые могут быть направлены на
инвестиции.
Надо обязательно добавить, что опционы и фьючерсы в странах с
недоразвитой экономикой . это вовсе не панацея от финансовых крахов. У многих
на памяти истории августа 1998 года, когда люди, захеджировавшие свои рублевые
позиции, понесли колоссальные убытки из-за отказа проигрывающих сторон в
полном объеме исполнять свои обязательства по долларовым фьючерсам, что
вызвало принудительное закрытие позиций. Полностью эти позиции не могли быть
закрыты уже потому, что вариационная маржа в большом процентном отношении
была обеспечена государственными краткосрочными облигациями, по которым как
раз был объявлен дефолт. Таким образом, убытки хеджеров оказались
двусторонними: от вложений в ГКО по факту дефолта и от вложений во фьючерсы
по факту недовыплаченной вариационной маржи.
Тем не менее, в спокойные времена деривативы являются естественным средством управления фондовыми рисками, и именно в этом надежном качестве мы их здесь и рассматриваем.
Когда хеджируется не отдельный актив, а совокупность активов, портфель реальных бумаг (в частном случае это пай взаимного фонда), тогда хеджирование идет на индексной основе. Проводится стилевой анализ совокупности активов, по результатам которого устанавливается модельный портфель, наполненный модельными активами в той пропорции, чтобы построенный модельный портфель наилучшим образом отвечал портфелю реальному. Каждому модельному активу соответствует фондовый индекс, и, чтобы осуществить хеджирование модельного актива, необходимо приобрести соответствующее количество индексных опционов.
Например, по состоянию на 11 декабря 2001 года, американский инвестор имеет 1 миллион 26 тыс. долларов, вложенных в высококапитализированные акции американских компаний. Будем для простоты считать, что стилевой анализ показывает 100%-ое соответствие вложений индексу S&P500. Инвестор принимает решение хеджировать портфель индексными опционамисо страйком, ближайшим к котировке индекса на текущую дату (S0 = 1142). При этом он хеджируется из расчета на Т = 1 месяц = 1/12 года существования портфеля.
Результатом хеджирования является приобретение индексных опционов с тикером SPT MH-E, страйк dP = 1140, дата погашения . 18 января 2002 года.
Общее их количество определяется из того расчета, что один базисный пункт индексного опциона покрывает 100 долларов подлежащего ему актива. Чтобы захеджировать 1 млн. долларов опционами данного тикера, необходимо приобрести 1026000 : 1140 : 100 = 9 стандартных опционных контрактов.
В данном случае v = 34.5% годовых, без учета реинвестирования.
Наоборот, если индекс упадет, например, до SТ = 1072, то есть на 6 процентов
вниз, тогда put-опцион оказывается в деньгах, и доходность вложений, согласно
(3.24), становится равной v = - 33.1% годовых.
Если бы опцион не приобретался, то простейшие вычисления дают
доходность подлежащего актива 72% годовых при первом сценарии развития
событий и (-72%) годовых . при втором сценарии. Видим, что волатильность
вложений, измеренная как разбег доходности применительно к двум сценариям
развития событий, вполовину меньше для хеджированного актива.
граничный нижний уровень доходности сборки «put + актив», который известен
заранее при ее покупке,
Что касается вида , то удобно искать эту функцию в виде плотности
гауссовского распределения с нечеткими параметрами среднего и
среднеквадратического отклонения, как это обосновывается в [53]. Тогда (5.24)
имеет вид усеченной слева плотности нормального распределения с нечеткими
параметрами, с дельта-функцией на левом конце распределения, бимодальной
формы (рис. 3.5).
Рис. 3.5. Плотность распределения доходности сборки
Вводя этот обобщенный вид бимодальной функции, мы сознательно не настаиваем
на том, что непрерывная ее часть будет иметь нормальный вид.
Можем ли мы, зная распределения доходности отдельных хеджированных
активов, получить распределение доходности модельного портфеля на их основе
аналитическим путем? К величайшему сожалению, нет. Математическая теория
композиции вероятностных распределений свидетельствует о том, что сумма двух
стохастически зависимых случайных величин с усеченно-нормальным
распределением есть случайная величина, не обладающая усеченно-нормальным
распределением. В результирующем вероятностном распределении такой
величины плотность является мультимодальной функцией. Все это говорит о том,
что точному аналитическому решению задача оптимизации модельного портфеля с
хеджированными активами не поддается.
В качестве альтернативы можно предолжить для оптимизации
хеджированного модельный портфеля схему минимизации уровня предельных
потерь. Действительно, по каждому хеджированному активу известна минимальная
доходность v0i. Соответственно, минимальная доходность по портфелю составляет
нелинейной оптимизции относительно не только оптимального распределения
долей активов, но и глубины их хеджирования, а также соотношения страйков по
put-опционам и размеров опционных премий.
Оптимизация функционала (3.29) не является оптимизацией модельного
портфеля в постановке Марковица уже потому, что в качестве ограничения в
задаче оптимизации здесь не выступает риск портфеля. Чтобы учесть параметры
риска в оптимизации, можно перед решением задачи (3.29) решить классическую
задачу Марковица, а в задаче (3.29) оптимизировать уже только параметры
хеджирования, зафиксировав веса компонент. Такой компромисс позволяет
избежать применения статистического моделирования портфеля в духе Монте-
Карло, которое я лично считаю недопустимой методикой для оптимизации
фондового портфеля.
Теоретические предпосылки для рационального инвестиционного выбора
Самое простое и конструктивное определение рационального
инвестиционного выбора: это такой выбор, который приносит доход в
среднесрочной перспективе (при наличии возможности промежуточных убытков).
Так, скажем, если рационально ожидаемая доходность по акциям за период 2-3
года является отрицательной, то такой выбор нельзя считать рациональным. Это
означает, что инвестор чего-то не понимает в природе рынка, на котором он
работает. Вся история последних двух лет . это история о том, как вкладчики в
акции США теряли свои деньги, история иррациональных инвестиций. Здесь и
далее мы исследуем именно рациональный инвестиционный выбор, т.е. выбор
вложений в различные фондовые инструменты с научным расчетом на повышение
капитализации вклада.
Когда в экономической игре действуют несколько агентов, не образующих
коалиций, обладающих равной информацией и действующих по одинаковым
правилам, то мы приходим к гипотетической модели эффективного (равновесного,
рационального) рынка. В реальности рационального рынка нет, потому что всегда
есть недобросовестные инсайдеры, которые, создавая завесу информационного
шума вокруг своей деятельности, получают выигрыши на волне иррациональных
поступков других инвесторов. Это - недобросовестная деятельность, нечестная
конкуренция, которая в ряде случаев преследуется по закону. Недобросовестными
инсайдерами, по нашему мнению, надо признавать и тех «консультантов»,
которые, отчетливо понимая природу макроэкономических процессов, тем не
менее дают советы, генерирующие массовый иррациональный инвестиционный
выбор и приводящие к убыткам. К таким советам я, в частности, отношу советы
одного из наиболее авторитетных консультантов США Эбби Дж. Коэн, которые
она давала в 2001 году . инвесторам «сидеть ровно» (sit tight), копируя принцип
балансовых индексных фондов, ничего не покупая и не продавая (подробно об
этом в [141]). Убытки в сотни миллиардов долларов явились следствием этой
«консультации».
Но уже сам факт, что фондовый пузырь «новой экономики» лопнул (хотя и
не до конца) . это характеристика того, то рынок, будучи доселе неэффективным,
ищет нового равновесия, ищет новой эффективности и рациональности. И в нашу
задачу входит определить эту гипотезу новой эффективности, сформулировать
парадигму того рационального рынка, куда стремится теперь Америка . а вместе с
нею и весь мир.
Итак, рассмотрим поведение рационального инвестора (частного или институционального), который формирует свой обобщенный модельный инвестиционный портфель из ценностей трех базовых типов, эмитированных в одной стране:
Государственные и окологосударственные обязательства (сюда мы относим облигации страны и ее субъектов, а также процентные вклады в банках с существенным государственным участием, по типу Сбербанка РФ, и депозиты в иностранной валюте в этих же банках).
Корпоративные обязательства (к ним относим корпоративные облигации и векселя, а также процентные вклады в негосударственных банках и депозиты в иностранной валюте в этих же банках).
Корпоративные акции (к ним относим как просто акции, так и паи взаимных фондов на акциях, которые в России называются просто инвестиционными фондами).
Замечание 1. Мы не относим к инвестициям денежный беспроцентный вклад в банк в валюте страны, потому что в долгосрочной перспективе деньги являются активом с отрицательной доходностью (вследствие инфляции). Поэтому такой инвестиционный выбор нельзя считать рациональным. Деньги в предпосылке рационального выбора являются не инвестиционнымресурсом, а средством неотложных расчетов за товары. Они становятся инвестиционным ресурсом только тогда, когда приносят доход, будучи вложенными куда-то и приносящими доход как плату за отложенный спрос на них в расчетах.
Замечание 2. На этом этапе моделирования мы не рассматриваем отдельно поведение инвестора, связанное с хеджированием своих инвестиционных рисков при помощи производных ценных бумаг. Это . тема отдельного исследования.
В момент старта инвестиций (t=0) мы предполагаем, что инвестор вкладывает в обобщенный инвестиционный портфель денежный капитал, условно равный равный единице, в валюте той страны, где осуществляются инвестиции.
Анализируя рациональный инвестиционный выбор, мы берем во внимание макроэкономическую обстановку, сложившуюся в выбранной стране на момент принятия инвестиционного решения. Что это за условия, будет видно из дальнейшего.
Наша научная задача состоит в том, чтобы определить причинно- следственную связь рационального инвестиционного выбора, т.е. ответить на вопрос: какие внешние макроэкономические факторы в количественном и или иной долевой пропорции) формировать свой обобщенный инвестиционный портфель. Понимая эту причинную связь количественно и качественно, мы можем перейти к построению прогностических моделей. При этом мы не ждем, что поведение реального рынка будет стопроцентно точно вписываться в наш прогноз (мы вообще не верим в точные прогнозы). Мы прогнозируем не само поведение рынка, а рациональный тренд этого поведения, предполагая в то же время, что реальный рынок ближайших пяти лет будет асимптотически приближаться к этому тренду, а колебания рынка относительно тренда мы списываем на иррациональный инвестиционный выбор, вызванный неверной (ненаучной) оценкой новостей,
слухов и рыночных алертов, в том числе макроэкономических.
Заявленная выше группировка активов является оправданной, потому что обязательства, безотносительно того, какую природу они имеют (природу ценных бумаг или природу денежных депозитов), выражают расчет инвестора на известный фиксированный доход в будущем. Критерии кластеризации . это доходность инвестиций в активы, надежность эмитента активов и характер волатильности активов (табл. 4.1):
Надежность и волатильность . это две стороны риска, связанные с вложениями в активы. Если свести эти две меры в одну, то можно утверждать, что риск инвестиций в гособязательства является низким, в корпоративные обязательства . средним, а в корпоративные акции . высоким.
Если рассматривать выделенные типы активов как модельные классы, то каждому из классов можно сопоставить фондовый индекс, имеющий форму индекса кумулятивной финальной доходности в валюте страны, как это объясняется в предыдущем разделе настоящей диссертационной работы. Также мы считаем, что дефолтные риски реальных активов в структуре модельного актива элиминируются, и главную долю в рисках занимает прежде всего синхронная волатильность курсовой цены реальных активов (в силу почти полной корреляции реальных активов внутри одного модельного актива).
Управление финансами на основе анализа
Поэтому грамотный финансовый менеджмент . это управление финансами в
целях достижения планируемых финансовых результатов с учетом существенной
неопределенности относительно будущих параметров рыночного окружения
хозяйствующего субъекта. Здесь в качестве цели финансовой системы выступают
планируемые финансовые результаты хозяйствующего субъекта, и предполагается,
что существуют: а) прогнозы динамики внешних по отношению к системе
рыночных факторов; б) прогнозы финансовых результатов хозяйствующего
субъекта на основе комплексной прогнозной модели и сформированные на основе
этих прогнозов финансовые планы; б) процедуры оценки (распознавания) уровня
достигнутых финансовых результатов (процедуры финансового анализа).
Рассмотрим все вышеперечисленные аспекты по порядку.
1.1.1. Прогнозирование финансового состояния хозяйствующих
субъектов и организованных рынков
Традиционные подходы к прогнозированию, нашедшие применение в
экономической практике, можно подразделить на три основные группы [38]. Это
методы экспертных оценок, методы обработки пространственно-временных
совокупностей и ситуационные методы. Рассмотрим по порядку.
Методы экспертных оценок являются,пожалуй, самыми популярными, и
имеют древнюю историю. В частности, так называемый дельфийский метод [143]
(названный так в часть древнегреческого города Дельфы, известного своими
оракулами), базируется на многоступенчатом экспертном опросе (методом
«мозгового штурма») с проследующей обработкой данных методами
экономической статистики. Хорошо также известна практика обработки
экспертных оценок на базе теории нечетких множеств [48].
Ограниченность методов экспертных оценок в том, что в них присутствует
субъективный элемент и возможность ошибочного суждения. Часто бывает, что
эксперт формирует свое мнение на основе неосознанных субъективных
предпочтений, внутренней картины мира, сложившейся в течение всей жизни
эксперта. Эксперт, бывает, склонен даже игнорировать новые факты и гипотезы,
которые противоречат сложившемуся у эксперта взгляду на вещи и не
вписываются в его научное мировоззрение. Чем консервативнее эксперт (это часто
корреспондируется с его возрастом), тем менее он склонен непрерывно учиться.
Также случается, что экспертизлишне подвержен коллективному мнению,
расхожим, популярным теориям (например, если концепции, исповедуемые
научной школой, к которой принадлежит эксперт, подвергаются обоснованной
критике, то смене взглядов эксперта может помешать не только его косность, но и
«корпоративная солидарность»).
Введение
Написанию этой монографии предшествовало пять лет научных
исследований [79] по применению теории нечетких множеств в финансовом и
инвестиционном анализе. Вероятности как инструмент моделирования финансовых
процессов укоренились в экономическом анализе уже сравнительно давно (более
полувека назад). Нечеткие же множества . инструмент для экономических
исследований довольно непривычный и новый, причем это замечание справедливо
не только для России (где рыночная экономика существует всего 20 лет, если не
брать в расчет дореволюционную историю), но и для всего остального мира.
Следует отметить, что 80-е . 90-е годы прошлого столетия были для
экономической науки, и вообще для российской науки, весьма проблемными.
Перед учеными встал вопрос об элементарном выживании, и они часто были
вынуждены поставить меркантильные соображения по зарабатыванию денег во
главу угла, в ущерб научным исследованиям. Многие специалисты эмигрировали.
Наука о нечетких множествах не избежала общей участи. После 1985 года
исследования в этой области в России пошли на спад и практически прекратились
до середины 90-х годов.
За рубежом тем временем развитие не прерывалось. Начиная с конца 80-х
годов, нечетко-множественные приложения к экономическим исследованиям
начали обособляться от общей теории нечетких множеств, как в свое время
обособилось направление интеллектуальных компьютерных систем и систем,
основанных на нечетких знаниях. Произошло это потому, что экономика . это не
техника, это специфический объект научного исследования, включающий в себя
«развивающуюся в рамках общественно-исторической формации на базе
сложившихся производительных сил и производственных отношений стратегию и
тактику хозяйственной деятельности, что охватывают все звенья товарного
производства, распределения, товародвижения и потребления материальных благ»
[89]. Поэтому математики, развивающие методическую часть теории, вынуждены
были получать дополнительную квалификацию экономистов, чтобы научиться
детальным образом понимать процессы, протекающие в экономике и подлежащие
научному анализу.
Здесь надо сказать, что нарастающее вовлечение математиков по первому
образованию в российскую и мировую экономическую науку . это объективный
процесс, свидетельствующий о непрерывном усложнении экономики. Так, один из
моих учителей, профессор А.А.Первозванский успешно конвертировал свои
навыки математика, специалиста общей теории управления, в навыки финансового
аналитика [82]. Особенно тезис об усложнении экономики справедлив для самых
динамичных ее секторов . банковского сектора и рынка ценных бумаг, где
требуемая квалификация финансового менеджера (в части как экономической, так
и общематематической, системной подготовки) является наивысшей.
Поток публикаций по применению нечетких множеств в экономическом и
финансовом анализе за рубежом растет лавинообразно. Международная
ассоциация International Association for Fuzzy-Set Management & Economy (SIGEF)
[149] регулярно апробирует новые результаты в области нечетко-множественных
экономических исследований. Исследователями написано несколько сотен
монографий. В России этот процесс только набирает обороты. Формируется
международная научная школа на бывшем постсоветском пространстве, куда
входят исследователи из Белоруссии, Украины, Москвы, Санкт-Петербурга,
Тюмени, Казани. В октябре 2002 г. состоялась международная конференция NITE-
2002 в г. Минске [41], где целая секция была посвящена нечетко-множественным
исследованиям в экономике. На своем персональном сайте в сети Интернет [79] я
собираю работы по направлению «Нечеткие множества в экономике и финансах».
Статей пока опубликовано немного (несколько десятков, включая мои
собственные), но, как говорится, процесс пошел.
Мы наблюдаем оживление интереса к экономической науке и научным
исследованиям в России. Это не случайно, т.к. после памятного августовского
дефолта 1998 г., когда казалось, что нарыночных преобразованиях в РФ можно
ставить крест, российская экономика все же оправилась и уверенно набирает темп.
Собственники и менеджеры российских компаний получили неоценимый опыт
выживания в экстремальных рыночных условиях. И теперь, желая сохранить свой
бизнес, они учатся работать в новых условиях, при жесточайшей конкуренции, на
низких уровнях маржинальной прибыли. А, чтобы научиться работать в таких
условиях, без научной организации бизнеса не обойтись. Повсеместно на
российских предприятиях внедряется бизнес-планирование, финансовый и
инвестиционный анализ, процедуры управления проектами, с вычленением
отдельных бизнесов и производств в самостоятельные центры прибыли, маркетинг.
Возрос спрос на рыночные исследования, на финансовую и общеэкономическую
информацию, поставляемую на регулярной основе в требуемом компьютерном
формате.
Реорганизуется финансовый сектор. Банки, уцелевшие после дефолта,
сделали свои выводы из случившегося и пересмотрели свою финансовую
политику. Финансовый анализ состоятельности заемщика, анализ
привлекательности фондовыхинвестиций, кредитный менеджмент . теперь все это
неотъемлемые стороны деятельности аналитического отдела любого банка.
Оживляется деятельность инвестиционных компаний и негосударственных
пенсионных фондов. Воскрес рынок ценных бумаг, в том числе производных
финансовых инструментов.
Набирает обороты пенсионная реформа. Принят Федеральный Закон «Об
инвестировании средств для финансирования накопительной части трудовой
пенсии в РФ» [3]. Уже в 2004 на открытом фондовом рынке появится довольно
мощный источник инвестиций в фондовые активы (поток составит от 2 до 4 млрд.
Там, где этими средствами смогут по достоинству распорядиться, это будет означать расцвет социально-экономической жизни региона, повышение уровня жизни граждан. Львиная часть средств (по оценкам .
не менее 80%) будет управляться от имени и по поручению будущих пенсионеров Пенсионным Фондом РФ (ПФР) через государственную управляющую компанию.
Запущен механизм ипотечного кредитования. Долгосрочные облигации,
эмитируемые в ходе консолидации частных кредитов на покупку жилья в федеральном Агентстве по жилищному кредитованию, будут размещены, в первую очередь, на стороне ПФР и его уполномоченных инвестиционных институтов, а, во вторую очередь, наполнят долгосрочную низкорисковую составляющую кредитного портфеля банков, наравне с государственными облигациями.
И все субъекты фондового рынка . как эмитенты, так и инвесторы - в ходе принятия своих рыночных решений сталкиваются с одной общей проблемой . с неизвестностью завтрашнего дня, которая создает расплывчатые условия для инвестиций. Все стремятся сделать этотмир более предсказуемым, что вызывает потребность в планировании, прогнозировании, в оценке рыночного риска.
Генерируются сценарии перспективного развития событий, связанных с изменением уровня цен, объемов выпуска и продаж товарной продукции, с изменением макропараметров экономической среды (уровней налогообложения,
ставок по краткосрочным кредитам, темпов инфляции и т.д.), а затем проводится анализ реакции корпоративных финансов на реализуемый гипотетический сценарий. Оптимистические сценарии улучшают финансовое состояние корпорации и ее рыночное положение, а пессимистические . ухудшают, в том числе приводя корпорацию на грань банкротства.
Центральный вопрос . какова ожидаемость тех или иных сценариев в перспективной картине существования корпорации. И вот здесь исследователи начинают вводить веса сценариев в интегральной картине, причем эти веса имеют вероятностный смысл. При этом сразу возникает два вопроса:
на каком основании эти веса устанавливаются;
все ли потенциальные сценарии развития корпорации и ее окружения учтены в интегральной картине.
Честный ответ на эти два вопроса неутешителен: не хватает оснований для назначения весов в свертке сценариев, не все сценарии учтены, да и учесть их все не представляется возможным.
Можно перейти из дискретного пространства сценариев в непрерывное,
заменив дискретное весовое распределение факторов непрерывной плотностью распределения.
Имея такие распределения на входе в модель, можно точно или приближенно восстановить распределение выходных параметров модели (например, финансовых показателей). И такой путь, снимая проблему ограниченности числа сценариев, не снимает другую проблему . обоснованности модельных вероятностных распределений.
Если рассматривать классическое понимание вероятности, то прежде всего такая вероятность вводится как частота однородных событий, происходящих в неизменных внешних условиях. В реальной экономике нет ни однородности, ни неизменности условий. Даже два предприятия, принадлежащие к одной отрасли и работающие на одном и том же рынке, развиваются по-разному в силу внутренних особенностей. Так, успешный менеджмент одной такой компании приводит ее к успеху, а неуспешный менеджмент другой . к банкротству. На уровне «черных ящиков» обе компании могут выглядеть одинаково, однородно, но при раскрытии информации о компаниях, при детализации вся однородность пропадает.
Не сохраняется однородность и с течением времени. Так, российский рынок образца 2002 года (после кризиса 1998 года) . это вовсе не то же самое, что рынок образца 1992 года (до кризиса). Кардинально различны все макроэкономические параметры (темпы роста ВВП, уровень инфляции, масштаб цен, курс рубля к доллару в номинальных и реальных ценах и т.д.). Ясно, что рынку до кризиса может быть сопоставлена одна сценарно-вероятностная модель, а для послекризисного рынка она будет совсем другой: изменятся как сами сценарии, так и их веса.
Много усилий в науке было потрачено на то, чтобы отойти от классического понимания вероятностей. По мере перехода от классической вероятности к аксиологической (субъективной) [43] возрастала роль эксперта, назначающего вероятностные веса, увеличивалось влияние субъективных предпочтений эксперта на оценку. Соответственно, чем более субъективной становилась вероятность, тем менее научной она оказывалась.
Появление субъективных вероятностей в экономическом анализе далеко не случайно. Этим было ознаменовано первое стратегическое отступление науки перед лицом неопределенности, имеющей неустранимый характер. Такая неопределенность является не просто неустранимой, она является «дурной» в том смысле, что не обладает структурой, которую можно было бы один рази навсегда модельно описать вероятностями и вероятностными процессами. То, что с большим успехом используется в технике, в теории массового обслуживания, в статистике как науке о поведении большого числа однородных (принадлежащих одному модельному классу) объектов, то совершенно не проходит в моделях финансового менеджмента. Исследователь имеет дело с ограниченным набором событий, разнородных по своему происхождению, и он затрудняется в том, какие выводы сделать на основе полученной информации.
Таким образом, сам эксперт, его научная активность, его предпочтения начинают сами выступать как объект научного исследования. Уверенность (неуверенность) эксперта в оценке приобретают количественное выражение, и здесь вероятностям делать уже совершенно нечего. Аналогия может быть такой,
что если раньше врач пытался лечить больного, то теперь в лечении нуждается он сам. Объект научного исследования доопределился: если ранее в него входил только экономический объект (корпорация, отрасль, экономический регион,
страна), то в современном финансовом менеджменте объект научного исследования дополняется лицом, принимающим решения (ЛПР). Таким лицом выступает как финансовый менеджер, так и финансовый аналитик, готовящий решения для менеджера. Активность обоих этих лиц подлежит детальному исследованию.
Самое главное в такой постановке научной задачи . научиться моделировать субъектную активность. В частности, важно представлять, по каким критериям ЛПР производит распознавание текущей экономической ситуации, состояния объекта исследования, поля для принятия решений.
Информации такую же работу более тщательно, то следует описать нашу уверенность (неуверенность) в классификации. Тогда четкие множества интервалов преобразуются в нечеткие подмножества с размытыми границами, а степень принадлежности той или иной процентной ставки к данному подмножеству определяется функцией принадлежности, построенной по специальным правилам.
Таким образом, наметились пути второго стратегического отступления науки в ходе исследования неопределенности в экономике. Если раньше ученые вынуждены были отказаться от классической вероятности в пользу вероятности субъективной, то теперь и субъективная вероятность перестает устраивать исследователя. Потому что в ней оказывается слишком много субъективной экспертной оценки и слишком мало . информации о том, как эта оценка была получена.
Третьего стратегического отступления не предвидится, потому что некуда больше отступать. Мы отступаем потому, что хотим сохранить адекватность используемых моделей и требуемую степень их достоверности. Мы хотим быть честными, поэтому постепенно выводим субъективные вероятности из оборота,
заменяя их нечеткими множествами. И тут возникает возможность для перегруппировки и стратегического наступления на неопределенность. Причин к этому несколько:
нечеткие множества идеально описывают субъектную активность ЛПР;
нечеткие числа (разновидность нечетких множеств) идеально подходят для планирования факторов во времени, когда их будущая оценка затруднена (размыта, не имеет достаточных вероятностных оснований). Таки образом,
все сценарии по тем или иным отдельным факторам могут быть сведены в один сводный сценарий в форме треугольного числа, где выделяются три точки: минимально возможное, наиболее ожидаемое и максимально возможное значения фактора. При этом веса отдельных сценариев в структуре сводного сценария формализуются как треугольная функция принадлежности уровня фактора нечеткому множеству «примерного равенства среднему»;
мы можем в пределах одной модели формализовывать как особенности экономического объекта, так и познавательные особенности связанных с этим объектом субъектов менеджера и аналитика;
Собственно, вся настоящая монография как раз и посвящена обоснованию
применимости нечетко-множественных описаний в фондовом менеджменте. В ней
рассматривается комплекс вопросов, объединенных общей темой: как
инвестировать в расплывчатых, информационно скудных условиях.
Монография состоит из настоящего введения, пяти глав, заключения и пяти
приложений.
Глава 1 посвящена обзору теории финансового менеджмента. Финансовые
решения рассматриваются с системных позиций, как результат анализа,
планирования, прогнозирования и управления. Анализируется роль
неопределенности при принятии финансовых решений и сопутствующий таким
решениям риск. В качестве специализированного объекта научного исследования
рассматривается поведение лиц, принимающих финансовые решения (инвестора,
менеджера, эксперта).
В главе 2 мною рассматриваются теоретические вопросы оценки
инвестиционной привлекательности фондовых активов. В связи с тем, что
информация по эмитентам ценных бумаг является неоднородной, то
количественной статистики по фактором финансовой отчетности эмитентов нет.
Следовательно, чтобы сделать заключение об уровне факторов, необходимо
прибегать к нечетко-множественным формализмам.
В главе 3 ставится и и решается в нечетко-множественной постановке задача
оптимизации фондового портфеля, при размытых факторах доходности и риска
активов.
Глава 4 посвящена проблематике прогнозирования фондовых индексов.
Излагается подход, альтернативный хорошо известным в фондовом менеджменте
подходам к прогнозированию GARCH/ARCH.
В финальной главе 5 раскрывается существо внедрения результатов научной
работы автора в практику управления накопительной составляющей трудовых
пенсий от лица Пенсионного фонда России. Дается краткое описание
программного продукта «Система оптимизации фондового портфеля», в основу
которого легли разработанные и представленные здесь методы.
Все научные основы теории нечетких множеств, используемые мною в
монографии, составляют Приложение 1 к настоящей монографии. Приложение 1
воспроизводит главу 2 моей монографии [53]. Поэтому всегда, когда у читателя
возникает трудность в интерпретации того или иного понятия теории нечетких
множеств, я советую ему заглянуть в упомянутое приложение, где все требуемые
формализмы надлежащим образом введены.
Введение в современную теорию рационального инвестиционного выбора
Следствие: оптимальное управление фондовыми портфелями лиц и
организаций постепенно приобретает черты активного, оперативного и
алертного управления. Активное управление предполагает отказ от пассивных
стратегий ведения портфеля (например, в привязке к рыночным индексам, по
принципу балансовых фондов). Оперативное управление осуществляется в режиме
реального времени, с непрерывной переоценкой уровня оптимальности портфеля
(даже в рамках одного торгового дня, нынешние компьютерные программы это
позволяют). Алертное управление предполагает наличие в системе установленных
предупредительных сигналов, срабатывающих на изменение уставленных
макроэкономических, финансовых, политических и иных параметров.
Срабатывание алерта вызывает автоматическое выполение некоторой цепочки
предустановленных решающих правил по ребалансингу фондового протфеля.
Оптимальное управление, как мы его здесь описали, не может не брать в
расчет обоснованные прогностические модели, принципы построения которых
вкратце изложены в [72]. Напрашивается мысль, что те группы рыночных
субъектов, кто будет успешнее прогнозироватьфинансовые потоки и управлять
ими, получит в условиях нового мирового порядка труднопереоцениваемые,
эксклюзивные преимущества. Неспроста сказано: кто владеет информацией, тот
владеет миром.
И главный фактор успеха здесь . это понимание того, что такое
рациональное инвестиционное поведение, плюс качественная и количественная
математическая модель такого поведения. Много сил в науке было отдано тому,
чтобы описать рациональный инвестиционный выбор (например, через функцию
инвестиционной полезности). Однако, если исследование аспектов рационального
инвестиционного поведения не опирается на детальный анализ фондового рынка и
макроэкономической обстановки в стране, где осуществляются инвестиции, то
такой анализ рационального инвестиционного поведения является бесполезным. А
в такой постановке задача практически не звучит. Приятным исключением
является подход, применяемый компанией Lattice Financial [129], где
прослеживается детальная модельная связь между макроэкономическими
факторами и количественными оценками тенденций фондового рынка. Но здесь
другая крайность: слишком велика в моделях [129] доля механистического
понимания связей на макро- и микроуровне, когда возникает прямой соблазн
«рекурсивного прогнозирования», где будущее с точностью до вероятностно
расределенного случайного сигнала определяется настоящим. Фактор
рационализации выбора совершенно выпадает из моделей такого сорта.
Следует восполнить этот пробел в теории фондовых инвестиций . и
одновременно развить математическое оснащение моделей рационального
инвестиционного выбора, введя в них формализмы теории нечетких множеств.
Нечеткие описания естественны, т.к. ряд параметров моделей не может быть
определен вполне точно, - потому что речь идет о субъективных человеческих
предпочтениях, которые размыты не потому лишь, что мы не можем набрать
правдоподобной статистики, а потому, что инвестор и сам иногда не до конца
понимает, чего он хочет, и на каком основании он отделяет «хорошие» бумаги от
«плохих». Осмыслить, что для инвестора «хорошо», а что «плохо» - это и есть
цель настоящего исследования.
Выбор модельных классов и их индексирование
Учитывая в своей работе мировой опыт, сначала коснемся общих принципов
модельного портфолио-менеджмента, разработанных в США в середине 70-х
годов, а также американского опыта подбора модельных классов.
Прежде всего, в США все ценные бумаги подразделяются по их
региональной принадлежности на бумаги, выпущенные в США (Domestic) и
бумаги, эмиттированные за рубежом (International).
Затем в модельном классе Domestic выделяются следующие субклассы:
Взаимные фонды краткосрочных обязательств (Cash), которые наполнены
бумагами с фиксированным доходом со сроком погашения от трех месяцев до
года;
Взаимные фонды государственных средне- и долгосрочных обязательств
(Domestic Govt Bonds);
Взаимные фонды корпоративных облигаций (Domestic Corp Bonds);
Взаимные фонды на акциях с большой (от $10B, где B - миллиард)
капитализацией (Domestic Large Cap);
Взаимные фонды на акциях со средней (от $1B до $10B) капитализацией
(Domestic Middle Cap);
Взаимные фонды на акциях со небольшой, по тамошним меркам (от $0.1B до
$1B), капитализацией (Domestic Small Cap).
В классе International выделяются следующие подклассы:
Рынок ценных бумаг развитых стран (Западная Европа, Скандинавия итд).
Рынок бумаг развивающихся стран (Восточная Европа, Южная Азия, Ближний
Восток итд)
Такая первичная классификация является общеупотребительной. Далее
классификацию можно продолжать. В рамках взаимных фондов можно провести
отраслевую классификацию, в рамках госбумаг с фиксированным доходом .
разделение на правительственные и муниципальные, в рамках зарубежных стран .
классификацию на бумаги с фиксированным доходом и бумаги с
нефиксированным доходом, и так далее. Все зависит от инвестиционных
предпочтений потенциального инвестора, от его представлений о диверсификации.
Чтобы прогнозировать поведение своего модельного портфеля во времени,
необходимо сопоставить каждому модельному классу индекс, характеризующий
историческое поведение совокупности бумаг данного модельного класса.
Например, характерными соответствиями класса и индекса (для условий
США) являются:
Cash - 3 Month T-Bills Index [126]. индекс доходности трехмесячных облигаций казначейства США;
Domestic Govt Bonds - Lehman Brothers Govt Bond Index [130];
Domestic Large Cap . S&P 500 Index [157].
Индекс можно рассматривать как сконструированный специальным образом регулярно ребалансируемый фондовый портфель, который характеризуется своей текущей рыночной оценкой. Исследуя историческое поведение индекса (перфоманс), можно делать прогностические выводы об ожидаемой доходности вложений в этот портфель, и о волатильности (колеблемости) вложений. Также,
рассматривая совместно ряд индексов, можно делать оценку их взаимной ковариации, строя ковариационную матрицу.
Таким образом, делая заключение об общих закономерностях поведения сегмента рынка, можно заключить, что в некоторой части эти выводы будут касаться и отдельных бумаг, наполняющих данный модельный класс. Во всяком случае, можно с большой долей уверенности говорить, что бумаги данного класса будут по доходности распределяться вблизи модельного значения (бенчмарка) и сильно коррелировать друг с другом. То есть, совокупное поведение этого набора бумаг будет сильно походить на поведение индекса модельного класса, и вэтом суть модельного портфельного выбора.
Анализируя динамику индекса за продолжительный период, можно делать предварительные заключения о характере рынка бумаг выбранного модельного класса. Тренд индекса показывает нам характер рынка: по доходности - «бычий»
(растущий) или «медвежий» (падающий); с точки зрения риска - нейтральный (характеризующийся низкой колеблемостью) или волатильный (колеблемый). Все собранные выводы дапют определенные основания для того, чтобы инвестор мог применять те или иные деривативные стратегии для увеличения доходности или снижения риска (хеджирования) своих модельных портфелей.
Ведущими агенствами США, разработавшими в свое время популярные фондовые индексы и поддерживающими их, являются Moody.s, Standard & Poor.s,
Morgan Stanley, Salomon Smith Barney, Bloomberg и другие.
С точки зрения вида индекса различают индексы S-вида (кумулятивные) и индексы r-вида (процентные). Индексы акций все имеют кумулятивный вид (вид цены или накопленного курсового дохода), индексы облигаций . процентный (вид доходности к погашению долговых обязательств). Возможен переход от кумулятивного вида к процентному и обратно.
Важно также принимать в расчет валюту инвестирования. Если мы говорим о рублевых инвестициях, то для оценки их эффективности на американском, например, рынке, мы должны учесть транзитный фактор соотношения валют наших двух экономик. Это означает, что для оценки эффективности и риска инвестиций американские индексы, измеренные относительно долларов США,
должны быть перерасчитаны в рублевом измерении.
Все сказаное требует для анализа мирового фондового рынка единого стандартного представления индексов, например, для использования в компьютерных программах фондового менеджмента. Таким стандартным видом может быть S-вид индекса, измеренный относительно валюты, в которой проводится инвестирование.
Коснемся российской специфики анализа фондового рынка. Десять лет существования рынка ценных бумаг . это, конечно, ничтожный срок, как с точки зрения формирования рынка, так и с точки зрения анализа статистики этого рынка.
И как расценивать накопленную куцую статистику? Здесь больше вопросов, чем ответов. Поглядев на перфоманс индекса биржи РТС, можно просто растеряться (см. рис. 3.1)
Рис. 3.1. Индекс РТС за прошедшие 5 лет. Источник:РТС Однако более подробное рассмотрение показывает, что российский рынок ценных бумаг, еще не успев зародиться, попал в водоворот мирового финансового кризиса. Рынок не погиб; он прошел боевое крещение, - и следующий кризис,
вызванный американской рецессией, рынок прошел уже вполне достойно, не прогибаясь до неоправданно низких значений. Можно в связи с этим говорить, что период до августа 1998 года является статистически ничтожным для исследования динамики индексов, и его можно игнорировать.
Сегодня мы можем говорить о пяти модельных классах российских ценных бумаг, куда в основном направляются фондовые инвестиции:
Государственные ценные бумаги и облигации субъектов РФ;
Обязательства субъектов РФ (в основном эмиссии Москвы и Санкт-
Петербурга);
Корпоративные облигации и векселя;
Акции десятка наиболее продвинутых компаний («голубых фишек» местного значения).
Корпоративные акции второго эшелона.
Постепенно оживает торговля фьючерсами и опционами на акции, однако инвестиции в производные ценные бумаги мы здесь не рассматриваем как модельные. Также мы не рассматриваем в качестве фондовых инвестиции в мультивалютные портфели и в депозитные сертификаты банков, хотя в портфелях инвесторов эти инструменты могут присутствовать наряду с перечисленными выше фондовыми активами.
Что касается индексов, то здесь - непаханное поле для работы биржевых аналитиков. Только-только начинают появляться публичные индексы для ценных бумаг с фиксированным доходом [27]. В качестве индекса корпоративных акций первого эшелона можно рассматривать индексы РТС [87] (валютный и технический), индекс ММВБ-10 [50], а также композитный индекс [29] - с поправкой на то, что акции РАО «Газпром» не входят в оценку индексов РТС и ММВБ. А что до акций второго эшелона, то объем торгов по ним незначителен, и должного внимания этому сегменту рынка (его индексированию, к примеру) не уделяется (хотя в целях полноты изложения средует упомянуть индекс агентства AK&M [28]).
Вся эта скудость неприятно контрастирует с изобилием, представленном на сайте Казахстанской фондовой биржи KASE [30] . нашего южного соседа. Все фондовые индексы биржи (более двух десятков) разбиты на ряд групп, а именно:
индексы внешнего валютного долга Казахстана;
индексы внутреннего долга Казахстана;
индексы текущих ставок по сделкам «репо»;
индексы ставок межбанковского рынка депозитов;
индексы негосударственных облигаций;
индексы рынка акций.
Такое пристальное внимание к рыночным индикатором можно объяснить только одним . бурными темпами пенсионной реформы в Казахстане, когда на рынок капиталов выходят институциональные инвесторы . негосударственные пенсионные фонды, с суммарным объемом предложения денег свыше 1 млрд долл (подробно я писал об этом в [66]). Эти инвесторы, нуждаясь в полноценной информации для управления своими фондовыми портфелями, подталкивают биржу KASE к максимальному предложению аналитических материалов и инструментов для анализа рынка в рамках финансового портала биржи.
Сегодня Казахстан обгоняет Россию примерно на 3-4 года по развитости фондового рынка, хотя Россия в свое время опережала Казахстан в этих вопросах.
Так что время упущено, и необходимо в кратчайшие сроки наверстывать отставание, используя не только мировой опыт, но и опыт наши ближайших соседей.
По результатам договорного взаимодействия с Пенсионным Фондом РФ компания Siemens Business Services Russia выработала и поставила в рамках своего программного продукта более 20 индексов, описывающих поведение соответствующего числа модельных классов (таблица 3.1). Большая часть этих индексов базируется на уже существующих и признанных индексов, но ряд индексов пришлось создавать с нуля.
Комментарий. В наименовании индексов составляющая RUB отражает тот факт, что все используемые индексы имеют размерность российский рубль, т.е.
выражают стоимость российских денег, вложенных в те или иные фондовые активы или валюту. Составляющая Cum говорит о том, что исходные индексы,
имеющие процентный вид текущей доходности вложений, приведены по формуле кумулятивного дохода к S-виду, имеющему вид не доходности актива, а его цены.
Работа над выработкой индексов активов, разрешенных для инвестирования,
несомнено, будет продолжена. Она законодательно вменена уполномоченным на это органам управления фондовым рынком (в рамках Закона РФ «Об инвестировании...» [3]. Продолжится работа и над формированием индексов активов, не разрешенных для инвестирования в них накопительной составляющей трудовых пенсий.
Таблица 3.1. Индексы модельных классов
3.2. Нечетко-множественная оценка доходности и риска индексов
Традиционной вероятностной моделью поведения индекса является модель
винеровского случайного процесса c постоянными параметрами (коэффициент
сноса, по смыслу . предельная курсовая доходность) и (коэффикциент диффузии,
по смыслу . стандартное уклонение от среднего значения предельной доходности).
Аналитическое описание винеровского процесса [115]:
В приращениях запись (3.1) приобретает вид
Однако, если пронаблюдать фактическое ценовое поведение индексов, то мы увидим, что текущая доходность индексов не колеблется вокруг постоянной случайной величины, но образует динамический тренд. Очень характерным для анализа в этом смысле является интервал 1998-2002 г.г., когда тренд доходности поменял знак, и винеровская модель оказалась абсолютно неадекватной.
Чтобы повысить достоверность оценки доходности и риска индексов,
необходимо отказаться от винеровской модели и перейти к нечеткой модели финальной (конечной) доходности следующего вида:
Оценим треугольные параметры , по принципу максимума правдобия.
Пусть у нас есть квазистатистика доходностей (r1, .rN) мощности N и соответствующая ей гистограмма ( )мощности M. Для этой квазистатистики мы подбираем двупараметрическое нормальное распределение, руководствуясь критерием правдоподобия.
Задача (3.4) . это задача нелинейной оптимизации, которое имеет решение
Рассмотрим пример. Пусть по результатам наблюдений за индексом
сформирована квазистатистика мощностью N=100 отсчетов, представленная в
диапазоне .5 + +15 процентов годовых следующей гистограммой c уровнем
дискретизации 2% годовых мощностью M=10 интервалов (таблица 3.2):
Таблица 3.2. Гистограмма квазистатистики
Оценить параметры нормального распределения доходности.
Таблица 3.3. Гистограмма квазистатистики
Видно, что при данном уровне дискретизации параметров можно построить
зону предельного правдоподобия двумя путями:
причем контрольная точка попадает в оба эти прямоугольника. Точное же решение
этой задачи, разумеется, единственное:
Теперь, когда мы научились получать достоверные оценки доходности и
риска фондовых индексов, можно переходить к решению задачи оптимизации
портфеля на модельных активах.
Выводы
Мы предложили здесь совершенно новый способ решения задачи
портфельной оптимизации. При этом мы вернули в научный обиход метод
Марковица, сняв критические допущения о вероятностном распределении
доходности активов. В ходе решения задачи Марковица в нечеткой постановке мы
получаем оптимальный портфель с размытыми границами. Это означает, что мы
можем совершать перемещения в пределах этих границ, но ничто уже не позволит
нам улучшить этот результат, сузить допустимый диапазон изменений, потому что
существует неустранимая информационная неопределенность в части исходных
данных.
Сформировав модельный портфель, мы можем наполнить его реальными
активами, руководствуясь комплексными оценками инвестиционного качества
соответствующих ценных бумаг. Такой подход позволяет избежать
необоснованной оптимизации портфеля реальных активов по Марковицу, в
координатах «риск-доходность».
Хеджирование портфеля . это практика, которая ждет нового теоретического
осмысления, причем не только в России, но и во всем мире. Формула Блэка-
Шоулза оценки справедливой цены опционане устояла перед натиском
реальности, что не захотела вписываться в модель винеровского случайного
процесса. Поэтому сейчас активно разрабатываются альтернативные теории
справедливой оценки опционов. Мы тоже рассчитываем приложить руку к
разработке этой теории, тем более что уже удалось выполнить ряд важных
исследований, проясняющих базовые моменты теории оптимального хеджирования
активов. Научную работу в этом направлении мы планируем возобновить в тот
момент, когда на российском рынке появятся индексные опционы (через год-два),
и возникнет практическая потребность в разработке соответствующих методик и
программных средств.
Выводы по разделу
Мы разработали методику оценки кредитоспособности субъектов РФ,
которая учитывает все лучшее, что сделано в методике рейтингового агентства
AK&M, но идет значительно дальше в плане дифференцированного распознавания
уровней отдельных факторов. И, в связи с изменением подхода, на ряд рейтингов,
полученных по методике AK&M, можно взглянуть сравнительно.
Красноречивым примером здесь является Вологодская область (33 место в
рейтинговом списке по методике AK&M). Да, существуют определенные
проблемы в региональном бюджете, и, в частности, бюджетный дефицит. Однако
низкий уровень задолженности по налогам и высокая доля прибыльных
предприятий говорят о том, что у области есть все основания для перспективного
экономического развития. С учетом того, что в факторном анализе мы
приравниваем финансовый и экономический аспекты кредитоспособности, область
перемещается на 15-е место в рейтинге и вплотную приближается к лидерам.
Та же Ульяновская область, за счет переоценки ее экономического
положения, подвинулась на 10 пунктов вниз по рейтинговой шкале. В этом плане
очень интересно понаблюдатьза соседями этого региона по рейтингу. Не
исключено, что они столь же близки к ситуации банкротства, как и Ульяновская
область, и причины такого положения вещей . схожие. Вся полученная
информация должна заставить глав администрацией этих областей задуматься над
тем, в сколь угрожающем положении находятся их регионы.
Заключение
Моя книга посвящена исследованию операций фондового менеджмента,
осуществляющихся в расплывчатых информационных условиях. Условия фондовой деятельности были и будут расплывчатыми всегда (надеюсь, этот тезис не нуждается в каких-то специальных доказательствах). Тем не менее, фондовый рынок существовал и будет существовать, решения как принимались, так и принимаются. А вот что ложится в основу этих решений, и в какой степени интуитивная основа фондовых решений может быть рационализирована, стать предметом научного изучения, - это как раз и есть предмет моего нынешнего рассмотрения.
Иногда фондовые решения бывают вынужденными. Например,
вынужденность имеет место в случае инвестиций Пенсионного фонда РФ. Кажутся несовместимыми (не только мне, но и руководству ПФР) две вещи:
консервативный характер пенсионных накоплений, требующий повышенной сохранности, и агрессивный характер инвестиционной деятельности на фондовой рынке, сопровождающейся повышенным риском убытков. Тем более это противоречие очевидно для развивающейся страны (такой, как Россия), когда даже государственные ценные бумаги обладают риском неисполнения обязательств по ним (что и было успешно продемонстрировано в августе 1998 года).
Однако природа пенсионных сбережений такова, что они просто обязаны быть инвестированы на фондовом рынке, дабы экономика страны получила низкопроцентный источник денежных средств для развития. Результатом такого развития является добавочный валовый внутренний продукт, который впоследствии должен быть перераспределен между будущими пенсионерами. И другого долгосрочного инвестиционного механизма, обеспечивающего будущие пенсионные выплаты, гарантированные от инфляционного обесценения, в обществе капиталистического типа не существует. Поэтому пенсионные накопления все равно будут инвестированы на фондовом рынке, и задача менеджеров всех уровней . не потерять активы и не позволить им обесцениться.
Продвинутым менеджерам, их будущим . надеюсь, что успешным - решениям и адресована моя книга.
Полагаю, содержание работы доказывает, что нечеткие множества являются более предпочтительным инструментом для моделирования поведения финансовых систем в условиях неопределенности, нежели традиционные вероятности.
Субъективные вероятности, используемые в финансовом менеджменте скорее по инерции, все чаще обнаруживают свою ограниченность в информационном плане,
недостаточность и недостоверность. Вероятностным моделям, детищу ХIX-XX веков, все сложнее становится описывать реальности XXI века.
Научная парадигма финансового менеджмента изменяется у нас на глазах, и вероятностные методы не поспевают за этими изменениями.
Финансовые системы непрерывно усложняются. Причиной тому является технический прогресс, предоставляющий экономическим системам дополнительные возможности для роста и развития. Внедрение в экономическую жизнь компьютерных систем и сетей позволяет корпорациям выйти на качественно новый уровень финансовой организации. И такое объективное усложнение финансовых систем приводит к появлению для них новых, в том числе неблагоприятных, возможностей развития, которые подлежат изучению.
К сожалению, часто экономическая наука не поспевает за событиями и не может предоставить практике финансового менеджмента адекватные модели для управления финансами. Научная необеспеченность в управлении финансами приводит к порочной практике некачественного управления финансовыми активами, и через это . к банкротствам корпораций и рыночным кризисам. Именно самонадеянность финансовых аналитиков, апологетов т.н. «новой экономики»,
привела к тому, что ожидания безгранично и бесконечнорастущего фондового рынка вызвали триллионные (в долларовом выражении) убытки корпораций и домаших хозяйств по всему миру. Вызванные растиражированными неквалифицированными советами убытки порождают полномасштабное недоверие к инвестиционным консультантам и к тем модельным предпосылкам, которые они кладут в основу своего научного анализа.
Очень часто практики финансового менеджмента, не доверяясь дискредетированным теориям, управляют вверенными им активами, что называется, «на глазок», базируясь на своей интуиции, которая очень часто даже не вербализована. Эта интуитивная активность, помноженная на опыт управления финансами, образует бесценный материал для исследования. Лица, обладающие интуицией и опытом, становятся экспертами, чья активность становится объектом научного исследования. Получается, что объект научного исследования финансовых систем доопределился: если ранее в него входил только экономический объект (корпорация, отрасль, экономический регион, страна), то в современном финансовом менеджменте объект научного исследования дополняется лицом, принимающим решения. Таким лицом выступает как финансовый менеджер, так и финансовый аналитик, готовящий решения для менеджера. Активность обоих этих лиц подлежит детальному исследованию, и наилучшими формализмами для моделирования этой активности, без сомнения,
выступают нечеткие множества.
В своей предыдущей монографии [53], на примере метода комплексного финансового анализа корпорации, нам удалось показать, как экспертные представления об уровне факторов могут быть включены в модель оценки риска банкротства, каким образом перейти от качественных представлений об уровнях факторов к количественным. Там же мы использовали экспертные оценки в части параметров бизнес-плана, которые не могут не иметь размытого вида. Эксперт по продажам, как и любое другое лицо, не может ничего сказать о будущих продажах вполне точно; поэтому он склонен опираться на интервальные, размытые оценки.
Чем опытнее эксперт, тем менее размытые он дает оценки, и тем, соответственно,
ниже риск неэффективности принимаемых решений; однако есть неустранимая информационная неопределенность, которую профессиональный эксперт должен уметь чувствовать и выражать хотя бы в терминах естественного языка. В свою очередь, экспертная уверенность (неуверенность) в своих оценках может быть легко описана в количественных терминах, что мы и показали как в предыдущей книге, так и в этой монографии.
Фондовый рынок является еще более сложным объектом научного исследования, нежели отдельная корпорация, потому что на этом рынке действуют десятки тысяч корпораций и миллионы частных и институциональных инвесторов.
Совместная деятельность этих экономических агентов рынка приводит к результатам инвестирования в ценные бумаги, фиксируемым фондовыми индексами. Равно как и в случае моделирования финансовых систем корпораций,
экспертные представления и оценки могут быть формализованы и успешно применены в ходе моделирования поведения фондового рынка и отдельных его субъектов. Оценка инвестиционной привлекательности ценных бумаг (матричные методы которой изложены нами в главе 2 работы), если ее применить к большому множеству эмитентов, дает нам материал для моделирования рынка в целом, и обобщение этих результатов позволяет нам выдвинуть современные теории оптимизации фондового портфеля и прогнозирования фондовых индексов (главы 3
и 4 работы).
Полагаю, мне удалось разработать целый ряд научных теорий и методов оценки, которые имеют существенное значение для рыночных исследований и для практики финансового менеджмента в условиях существенной информационной неопределенности. Практическое внедрение разработанные теории и методы нашли в практике Пенсионного фонда Российской Федерации. Полагаю, это лучшая рекомендация моим научным исследованиям.
Мы описали процесс прогнозирования, который не получает автоматически
будущее на основе прошлого и настоящего, но учитывает всевозможную
неопределенность, связанную с рациональным инвестиционным выбором,
флуктуацией экзогенных макроэкономических параметров итд. Корректность
прогноза обуславливается следующими условиями:
корректностью предпосылок экспертной модели;
точностью определения параметров настройки прогноза на заданный
экономический регион;
своевременной верификации прогноза способами план-фактного контроля.
Если есть существенное расхождение плана и факта, то оно должно быть
объяснено с позиций отклонения фактического инвестиционного выбора,
наблюдаемого в индексах, от рациональных предпосылок. Если такое
непротиворечивое объяснение получено, то есть предпосылка для
макроалерта о недооцененности/переоцененности активов. Если разумного
объяснения нет, то необходимо корректировать экспертную модель прогноза
и параметры настройки, при необходимости корректируя и сами модели.
Главное для понимания того, что нами предложено в настоящей монографии
и в работах [72 - 75] , - в следующем. Мы прогнозируем не сколько сам индекс,
сколько его размытый тренд, сформированный на базе массовых рациональных
предпочтений. Всплески на фоне тренда, вызванные паникой или эйфорией, мы
предсказывать не можем, потому что считаем такое предсказание антинаучным.
Мы твердо уверены, что разовые инвестиционные «события» не делают погоды в
среднесрочном и долгосрочном плане, и, чем длительнее интервал
прогнозирования, тем выше корреляция индексного тренда с динамикой
макроэкономических факторов, что и прослеживается в модели. Этим мы
постулируем макроэкономическую устойчивость прогнозируемых нами тенденций.
И это утверждение будет справедливо для российского рынка акций тем более, чем
более технически сильным будет этот рынок, чем меньше он будет оглядываться на
Америку.
Когда Пенсионный Фонд России выйдет на открытый фондовый рынок с
пенсионными капиталами (ориентировочно 2004 г.), - сложится совершенно новый
рынок, качественно более мощный. И очень важно, чтобы с самого начала за
основу при инвестировании были выбраны рациональные соображения, которые
могут быть сведены в три емкие словесные формулы:
Не разгоняться на растущем рынке, ни паниковать на рынке падающем;
«Продавать, когда они покупают, и покупать, когда они продают»;
Не следовать за рынком (как Эбби Коэн), а следовать за рыночным риском.
Если ПФР через своих доверенных лиц будет играть на рынке рационально и
успешно, награждая убытками всех остальных, то рано или поздно все прочие
агенты российского рынка (в том числе и нерезиденты) будут вынуждены привести
свои стратегии в соответствие с базовой стратегией ПФР. И это позволит в
перспективе смягчить последствия кризисов, связанных с цикличным развитием
экономики и с иррациональной переоценкой фондовых активов. В конечном счете,
это послужит к отсечению текущих убытков для пенсионеров, к сохранению
пенсионных капиталов, а это важно не только для кошелька каждого из нас, но и
для сохранения социальной стабильности в России, к чему мы все должны
стремиться изо всех сил.
В самих США, кажется, уже отчетливо понимают, что есть пустые
рекомендации псевдоаналитиков, есть нетерпеливое ожидание неограниченных
доходов, - а есть макроэкономическая реальность, тотальные убытки, отсутствие
точек для приложения эффективных низкорискованных инвестиций, трудности с
ростом валового внутреннего продукта, подтасовки в отчетности и глубокое
лоббирование интересов ряда корпораций со стороны Белого Дома. В этом смысле
характерны выступления [120, 128], которые высвечивают обозначенные моменты.
Все говорит о том, что в США начинает одерживать верх осторожное разумное
инвестирование, хотя повторная масштабная коррекция американского рынка вниз
неизбежна, особенно в секторе высоких технологий (вывод сделан в ноябре 2002
года). Но, так или иначе, взгляд на паритетное соотношение темпов роста
доходности по акциям и темпов роста валового внутреннего продукта . это
фундаментальный базис, на котором должны строиться рациональные инвестиции.
И, чем больше игроков с этим согласны, тем надежнее будущий объективный рост
стоимости активов американской экономики.
Значимость нечетких описаний при принятии финансовых решений
Проанализировав состояние теории финансового менеджмента, мы находим,
что применяемые в практике финансового менеджмента методы комплексного финансового анализа, оценки эффективности и риска инвестиционного проекта,
модели и методы оптимизации фондового портфеля, методы прогнозирования параметров финансовой модели хозяйствующего субъекта являются неадекватными характеру поступающей на вход финансовой модели прогнозной информации о состоянии внешнего окружения хозяйствующего субъекта. Помимо этого, существующие методы не учитывают субъективный характер принимаемых решений, не моделируют позначательную активность лица, принимающего финансовые решения, его неполную информационную осведомленность и возникающую в связи с этим неуверенность в ходе классификации уровней анализируемых факторов и показателей. В этом и состоит существо проблемы,
которую я ставлю и разрешаю в настоящей монографии.
Применяемые для учета неопределенности субъективно-вероятностные схемы являются неудовлетворительными, так как, потеряв связь с классической основой вероятностной теории . частотной характеристикой генеральной совокупности однородных событий, возникающих при неизменных внешних условиях, - субъективно-аксиологические вероятности не нашли новой фундаментальной основы для своего существования. Вероятность, используемая в ходе оценки, ничего не говорит о субъективных предпочтениях лица, который выдвинул эту вероятностную оценку. Поэтому существует актуальная научная потребность в выработке новых принципов учета информационной неопределенности, связанной с объектом научного исследования. В объект, как мы уже отмечали, входит финансовая система хозяйствующего субъекта и лица,
принимающие финансовые решения в этой системе.
Именно поэтому я здесь и во всех предшествующих своих научных работах предлагаю в качестве новой основы для моделирования неопределенности использовать формализмы теории нечетких множеств. Преимущества такого подхода состоят в следующем:
нечеткие множества идеально описывают субъектную активность ЛПР.
Неуверенность эксперта в оценке может моделироваться функцией принадлежности, носителем которой выступает допустимое множество значений анализируемого фактора. Помимо этого, ЛПР получает возможность количественной интерпретации признаков, первоначально сформулированных качественно, в терминах естественного языка;
нечеткие числа (разновидность нечетких множеств) идеально подходят для планирования факторов во времени, когда их будущая оценка затруднена (размыта, не имеет достаточных вероятностных оснований). Таки образом,
все сценарии по тем или иным отдельным факторам могут быть сведены в один сводный сценарий в форме треугольного числа, где выделяются три точки: минимально возможное, наиболее ожидаемое и максимально возможное значения фактора. При этом весаотдельных сценариев в структуре сводного сценария формализуются как треугольная функция принадлежности уровня фактора нечеткому множеству «примерного равенства среднему»;
мы можем в пределах одной модели формализовывать как особенности экономического объекта, так и познавательные особенности связанных с этим объектом субъектов менеджера и аналитика, порождая экспертную модель в структуре обобщенной финансовой модели хозяйствующего субъекта. Таким образом возникает платформа для интеграции принципиально разнородных знаний в рамках одной количественной финансовой модели;
мы можем вернуть вероятностные описания в свой научный обиход, как вероятностные распределения с нечеткими параметрами. Нечеткость параметров распределения обусловлена тем, что классически понимаемой статистической выборки наблюдений нет, и для анализа мы пользуемся научной категорией квазистатистики. При таком подходе треугольные параметры распределения устанавливаются на основе процедуры установления степени правдоподобия. Таким образом, наметился путь для синтеза вероятностных и нечетко-множественных описаний. Без вероятностных распределений не обойтись там, где речь идет о моделировании случайных процессов (например, в фондовом менеджменте);
мы можем получить принципиально новый класс методов комплексного финансового анализа, основанных на увязывании ряда отдельных финансовых показателей в единый комплексный показатель финансового состояния хозяйствующего субъекта. Мы можем при этом отказаться от идеи Альтманадля оценки риска банкротства (как от специфически-частного метода, который не в состоянии учитывать всю необходимую специфику финансового состояния каждого отдельного хозяйствующего субъекта),
равно как и от ряда аналогичных методов (Тоффлера-Тисшоу [150], Лиса,
Чессера, Давыдовой-Беликова [23] и др.), при этом формируя перечень участвующих в оценке отдельных финансовых факторов и их весов самостоятельно, с учетом фактической специфики анализируемого хозяйствующего субъекта;
мы можем отказаться от сценарного моделирования при инвестиционном проектировании, предполагая, что все возможные сценарии развития событий, отражающиеся во входных параметрах финансовой модели (уровень затрат, выручки, фактора дисконтирования и т.д.) учтены в соответствующих треугольно.нечетких оценках, а веса вхождения соответствующего сценария в полную группу характеризуются функцией принадлежности соответствующего треугольного числа;
мы можем воспользоваться матричной схемой для оценки комплексного финансового состояния хозяйствующего субъекта для построения методов оценки качественногоуровня ценных бумаг . рейтинга облигаций и скоринга акций;
мы можем вернуться к продуктивной идее Гарри Марковица для оптимизации фондового портфеля по схеме MVA (mean-variance analysis),
записав задачу портфельной оптимизации в нечеткой постановке.
Результатом решения этой задачи яявляется эффективная граница портфельного множества в форме криволинейной полосы и оптимальный портфель с нечеткими границами, построенный для предельно допустимого уровня риска портфеля;
мы можем отказаться от применения методов ARCH/GARCH для
среднесрочного и долгосрочного прогнозирования фондовых идексов (в
связи с тем, что при смене макроэкономической парадигмы эти методы
перестают быть адекватными), предложив метод прогнозирования фондовых
индексов на основе количественного анализа рациональных инвестиционных
тенденций, Прогнозы по индексам будут иметь вид треугольных нечетких
последовательностей.
Руководствуясь изложенным, я разработал целый ряд методов оценки
инвестиционной привлекательности фондовых активов и портфелей на их основе.
К ним относятся методы рейтинга облигаций, скоринга акций, метода портфельной
оптимизации в нечеткой постановке. Также мной разработаны основы новой
теории прогнозирования фондовых индексов, с использованием результатов теории
нечетких множеств. Эта теория получила свое практическое подтверждение в
прогнозах, сделанных мною за год до второго падения фондового рынка США в
2002 году и оправдавшиеся полностью, не только качественно, но и количественно
(я сделал эти прогнозы в [67] за год до событий). Все вышеперечисленные методы
излагаются мной в главах 2 . 4 настоящей монографии.
Все изложенные в книге методы получили свое внедрение в систему
оптимизации фондового портфеля, внедренной, в частности, в Пенсионном Фонде
Российской Федерации (об этом . в главе 5 нашей книги).
Нейросети: Нейролингвистика - Логика