Проектирование и расчет автоматизированных приводов
Анализ логарифмической амплитудно-фазовой
17.2. АНАЛИЗ ЛОГАРИФМИЧЕСКОЙ АМПЛИТУДНО-ФАЗОВОЙ ЧАСТОТНОЙ ХАРАКТЕРИСТИКИ НЕСКОРРЕКТИРОВАННОГО СЛЕДЯЩЕГО ПРИВОДАДля построения ЛАФЧХ исходного привода используем выражение (330) передаточной функции разомкнутой системы, полученное на этапе статического расчета привода:

Заменой p = j? получим выражение для частотной характеристики, на основании которого строим асимптотическую ЛАЧХ и ЛФЧХ.
Асимптотическая ЛАЧХ представляет собой ломаную линию, имеющую точки излома в сопрягающих частотах, определяемых постоянными времени звеньев. Более точные ЛАЧХ строят путем введения в области сопрягающих частот поправок, соответствующих виду составляющих звеньев привода.

ЛФЧХ представляет собой плавную кривую, полученную графическим сложением фазовых характеристик отдельных звеньев привода.
Построение ЛАЧХ и ЛФЧХ выполним в следующем порядке.
1. Определяем и наносим на ось абсцисс сопрягающие частоты ?i= 1/Ti и ?j = 1/Tj.
2. Строим низкочастотную асимптоту ЛАЧХ в виде прямой линии, проходящей через точку с координатами ? = 1 рад/с, 20lg? дБ до первой частоты излома с наклоном -20? дБ/дек. Условимся наклоны +20 дБ/дек на графике обозначать цифрой 1 в кружочке, +40 дБ/дек — цифрой 2 в кружочке, + 60 дБ/дек — цифрой 3 в кружочке, —20 дБ/дек — цифрой —1 в кружочке и т. д.
3. Строим последующие участки ЛАЧХ с учетом типов динамических звеньев и соответствующих им наклонов в частотах сопряжения.
4. Строим ЛФЧХ привода в соответствии с уравнением

Для удобства построения примем масштабы: по оси ординат для ЛАЧХ 20 мм — 20 дБ; для ЛФЧХ 1 мм — 2°; по оси абсцисс для ЛАЧХ и ЛФЧХ 50 мм — 1 дек. ЛФЧХ можно строить, пользуясь выражением (341) или применяя шаблоны, представленные на рис. 168.
В некоторых случаях исследование приводов проводят методом обратных ЛАФЧХ, построение которых аналогично построению прямых характеристик.
По параметрам ЛАФЧХ исходного разомкнутого привода можно судить об устойчивости замкнутого СП. Для выполнения требований, предъявляемых к приводам, ЛАФЧХ разомкнутого привода должны обеспечивать достаточные запасы устойчивости по фазе ? и амплитуде m.
Используя номограмму Солодовникова (см. рис. 166), по заданному значению ? с помощью графика ? = f(Рmax) можно определить максимум вещественной частотной характеристики Рmax, а с помощью графика b = f (Рmax) и по найденному значению Рmax — время регулирования tp по выражению (334). По протяженности h среднечастотной асимптоты ЛАЧХ можно рассчитать показатель колебательности M = (h + 1)/(h— 1).
Параметры ЛАЧХ позволяют определить добротность привода по скорости и ускорению и рассчитать значение установившейся динамической погрешности по выражению (327) при движении исполнительной оси с постоянной скоростью и ускорением или по выражению (339) при отработке СП гармонического управляющего сигнала.
Если при этом одно из требований, предъявляемых к приводу по точности, устойчивости или показателям качества, не выполняется, возникает необходимость введения КУ и построения ЖЛАФЧХ.
Пример 9. Построить ЛАФЧХ для разомкнутого привода, передаточная функция которого имеет вид

Подставив p = j?, получим

Для построения ЛАФЧХ определим значения сопрягающих частот ?1 = 1/Тм = 75 рад/с, ?2 = l/Ta = 200 рад/с, ?3 = l/Ty = 104 рад/с и отметим их на оси частот (рис. 169). Ha частоте ? = 1 рад/с отложим значение 20lg?, равное 20lg150 = 43,5 дБ. Через полученную точку A проведем низкочастотную асимптоту AM ЛАЧХ интегрирующего звена с наклоном -20 дБ/дек до пересечения с вертикалью, проведенной через первую частоту сопряжения ?1= 75 рад/с. В точке M ЛАЧХ претерпевает излом вниз на 20 дБ/дек, определяемый апериодическим звеном с постоянной времени Тм. Результирующая ЛАЧХ с наклоном -40 дБ/дек пойдет до пересечения в точке с вертикалью, проведенной через вторую частоту сопряжения ?2 = 200 рад/с. Начиная с точки N, ЛАЧХ системы имеет наклон -60 дБ/дек, так как на этой частоте дополнительный наклон дает апериодическое звено с постоянной Та. Начиная с частоты ?3 = 1000 рад/с, результирующая ЛАЧХ претерпевает дополнительный излом вниз от вступления в точке K апериодического звена с постоянной ТУ и определяется суммарным наклоном -80 дБ/дек.
Для построения ЛФЧХ воспользуемся уравнением

Таким образом, при заданных параметрах привод имеет запас устойчивости по фазе ? = 6°, а по амплитуде m = -3 дБ (см. рис. 169) и, следовательно, не обладает необходимой устойчивостью. Поэтому его ЛАФЧХ нужно скорректировать путем введения КУ.
Назад | Содержание
| Вперед
Анализ нескорректированного привода
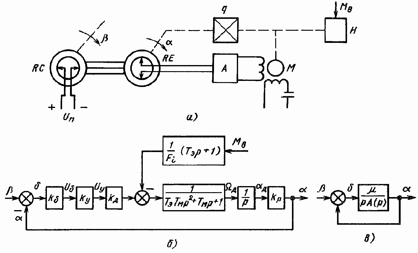
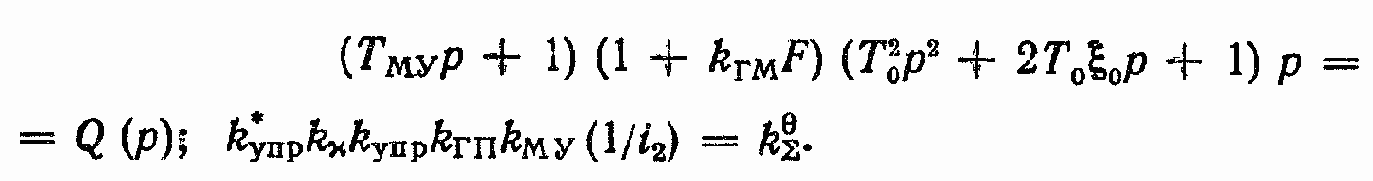
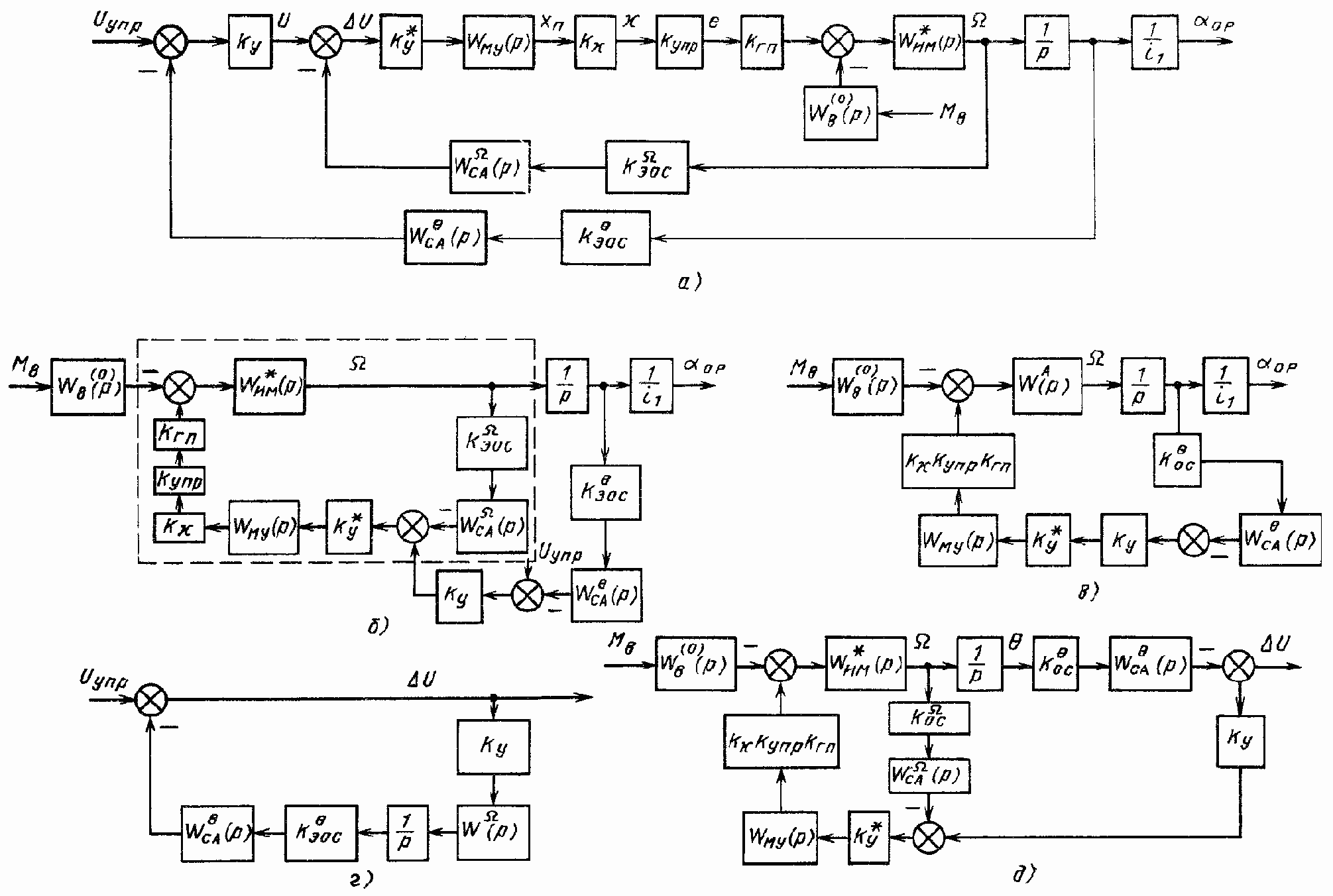
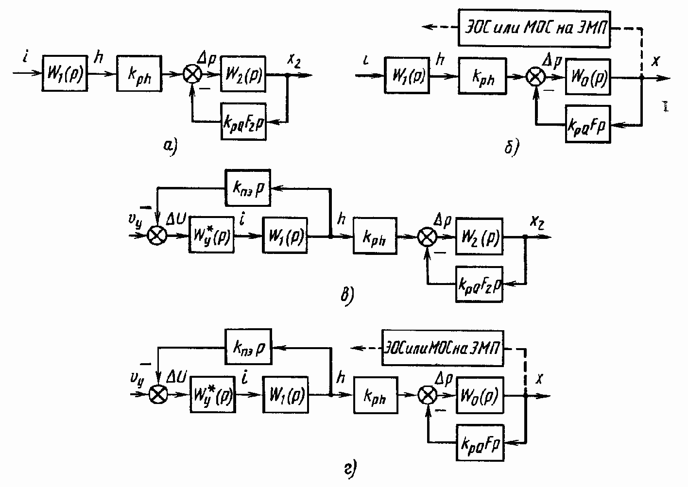
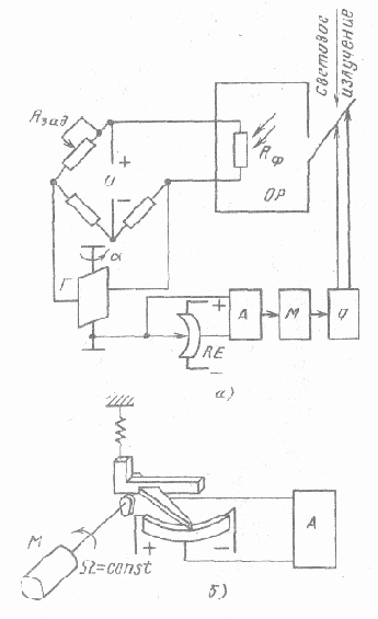
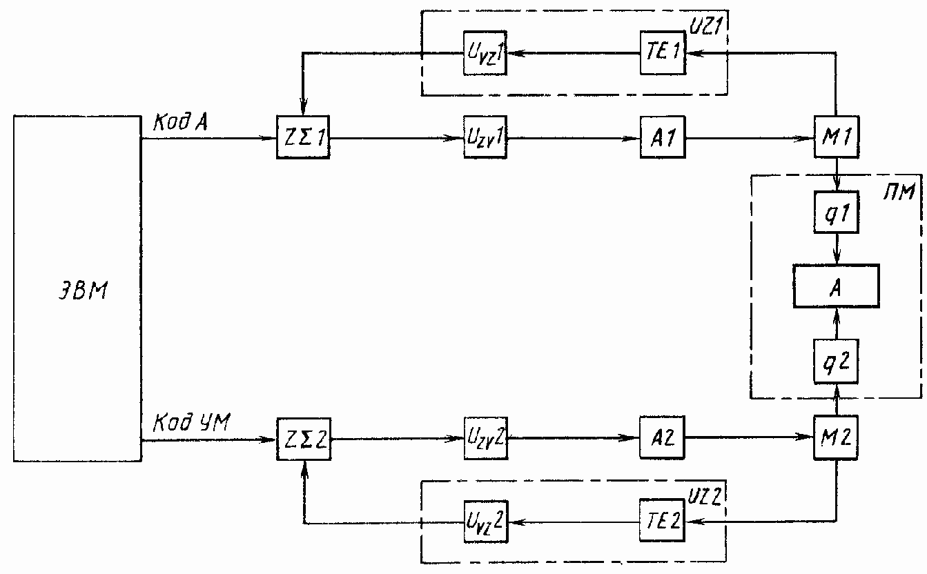
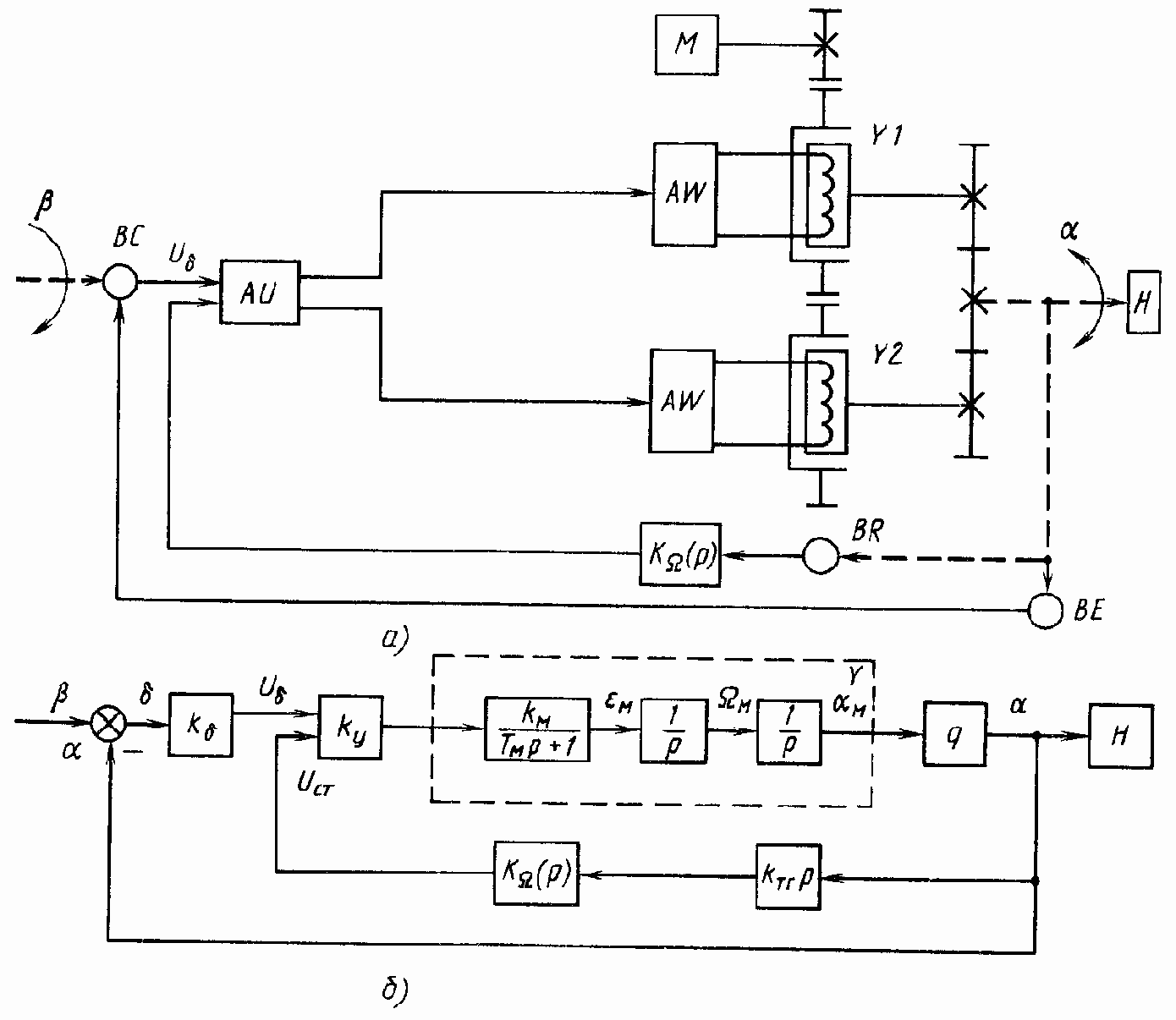
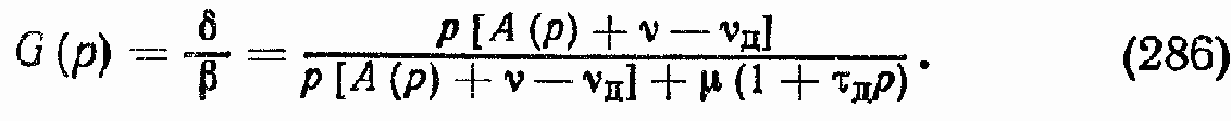
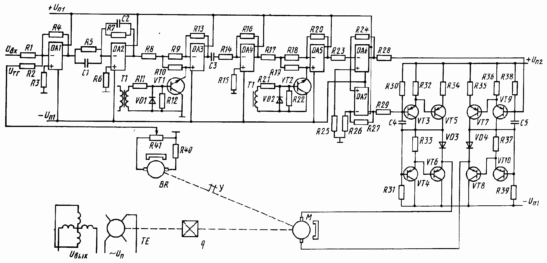
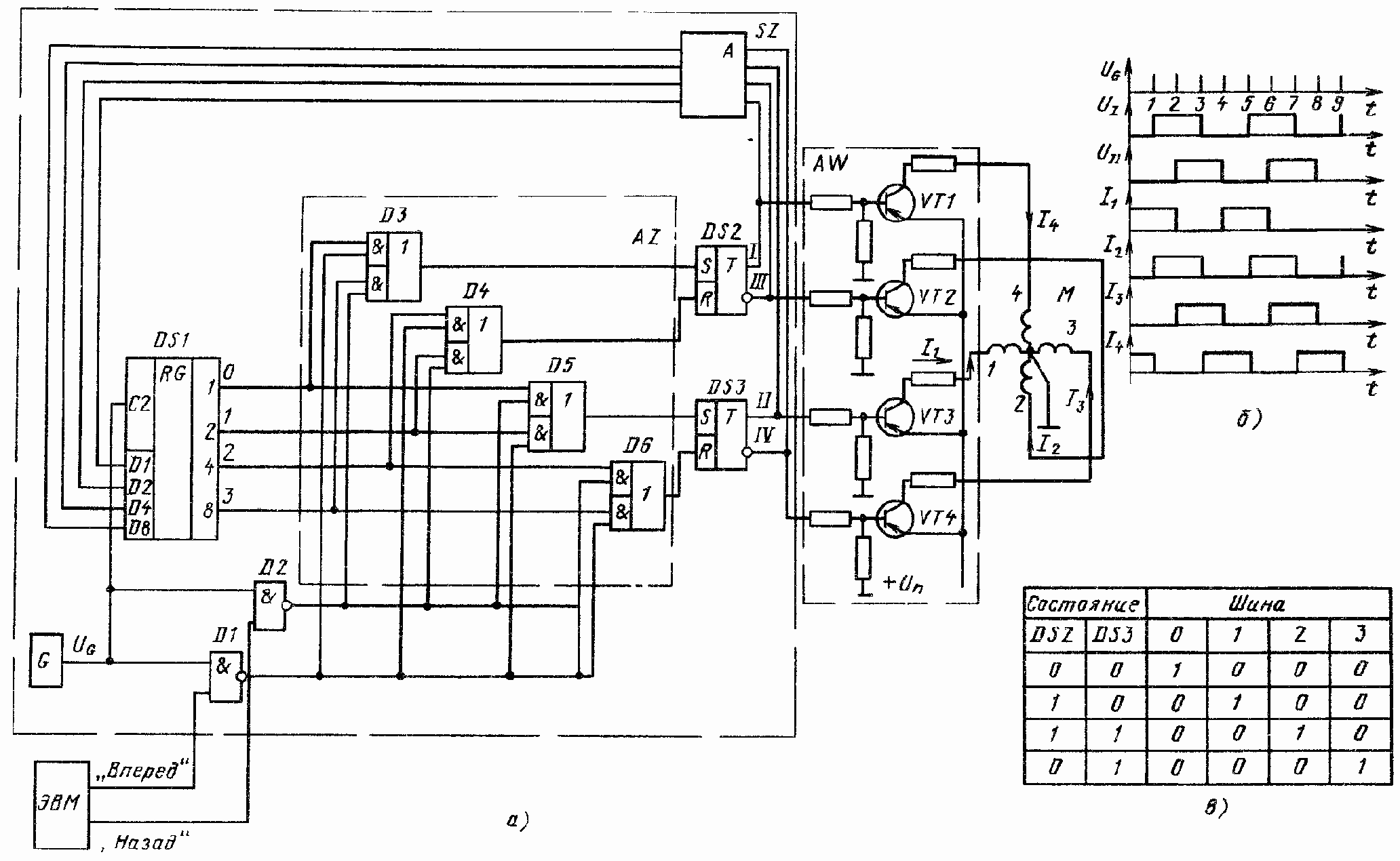
9.1. АНАЛИЗ НЕСКОРРЕКТИРОВАННОГО ПРИВОДАТеоретическое исследование СП начнем с определения зависимости между углом ? поворота выходного вала и воздействиями, прикладываемыми к СП (рис. 106, a). В общем случае эти воздействия делят на управляющие, приложенные к входу СП в виде угла поворота ? входного вала или напряжения U??, и возмущающие, воспринимаемые силовой частью привода в виде момента возмущения МВ.
Рассмотрим функциональную схему приборного СП (рис. 106, а). Отклонение исполнительной оси от задающей (? = ? — ?) воспринимается и преобразуется в электрический сигнал двумя потенциометрами RC и RE. Напряжение рассогласования U? усиливается усилителем A и подается на двигатель М. Двигатель через редуктор q вращает нагрузку H и корпус потенциометра RE до согласованного положения.
Ha основании функциональной схемы СП составим структурную схему, в которой каждый функциональный элемент представим своей передаточной функцией. Управляющее устройство, выполненное на потенциометрической трехпроводной измерительной схеме, представим в виде элемента сравнения и усилительного звена с коэффициентом передачи k?. Усилитель A сигнала рассогласования тоже может быть представлен усилительным звеном с коэффициентом передачи kУ в случае реализации его на полупроводниковых элементах.
Электродвигатель M с учетом запаздывания в изменении скорости (Тм) и момента (TЭ) согласно рис. 28 может быть представлен последовательным соединением усилительного, колебательного и интегрирующего звеньев. Кроме того, к силовой части привода прикладывается возмущающее воздействие М? через звено с передаточной функцией
W (p) = [l/(Fi)] (TЭp + 1).

Рис. 106. Схемы СП с пропорциональным управлением
Редуктор, связывающий вал двигателя с исполнительным валом СП, представим в виде усилительного звена с передаточным коэффициентом kp.
В соответствии с полученной схемой (рис. 106, б) составим систему линеаризованных дифференциальных уравнений.
1. Уравнение элемента сравнений

где ? — погрешность рассогласования.
2. Уравнение преобразователя

где U? — напряжение погрешности; k? — коэффициент пропорциональности, характеризующий крутизну преобразователя.
3. Уравнение усилителя напряжения A

где UУ — напряжение на выходе усилителя; kУ — коэффициент усиления усилителя.
4. Уравнение исполнительного двигателя M в соответствии с (40)

где kД — коэффициент передачи двигателя по скорости; ?д — угол поворота вала двигателя; TЭ, TМ — электромагнитная и механическая постоянные времени; MН — постоянная составляющая момента возмущения; F — коэффициент демпфирования двигателя; i — передаточное число редуктора.
5. Уравнение редуктора

где kp = 1/i — передаточный коэффициент редуктора.
Подстановкой ?д из (243) в (242) получаем уравнение силовой части привода (двигатель — редуктор)
или

Здесь операторный многочлен A (p) характеризует запаздывание, обусловленное инерционностью элементов силовой части привода, в изменении скорости выходного вала при скачкообразном изменении управляющего сигнала:

При наличии в СП генератора и ЭМУ, а также учете инерционности электронного усилителя вид операторного многочлена A (p) усложняется. Например, при наличии ЭМУ

где Ta, Tу — постоянные времени ЭМУ.
Операторный многочлен B (p) характеризует запаздывание в изменении скорости нарастания момента:

Bo всех случаях A (0) = 1, B (0) = 1.
При совместном решении уравнений (240), (241), (244) получаем дифференциальное уравнение СП в операторной форме

или

где
— коэффициент усиления разомкнутой системы. Как следует из уравнения (246), погрешность привода ? зависит как от управляющих, так и от возмущающих воздействий. Результирующую погрешность можно получить в виде суммы составляющих от каждого вида воздействия, так как в линейных системах реакции на различные воздействия можно рассматривать раздельно:
Полагая, что возмущающий момент отсутствует (М? == 0), получаем

Определим выражения характерных для привода передаточных функций. Передаточная функция разомкнутого СП

Соответственно обратная передаточная функция разомкнутого СП

Структурную схему СП с учетом выражения (248) можно упростить (рис. 106, б).
Передаточные функции замкнутого привода Ф(p) и погрешности G(p) могут быть определены с помощью известных из теории автоматического регулирования формул взаимосвязи для систем с единичной ОС.

Отсюда передаточная функция замкнутого привода

Передаточная функция погрешности привода

Выражение

получаемое как знаменатель передаточной функции замкнутого привода, является его характеристическим уравнением.
Для оценки устойчивости привода по критерию Гурвица напишем уравнение СП (251) в развернутом виде с учетом выражения (245):

Так как все коэффициенты уравнения положительны, устойчивость привода будет обеспечена при выполнении неравенства

Точность привода оценим значением погрешности по управляющему и возмущающему воздействиям.
Погрешность по управляющему воздействию согласно (250)

B установившемся режиме движения с постоянной скоростью [p = 0, A (0) = 1] в СП возникает погрешность, называемая скоростной:

Для оценки влияния возмущающего момента на погрешность привода положим ? = 0 и определим передаточную функцию погрешности по отношению к возмущающему воздействию, заменяя ? = - ? в выражении (246):

Передаточная функция погрешности по возмущающему моменту
Как следует из выражения (254), по отношению к моменту возмущения СП является статическим. Для определения значения установившейся погрешности ?? в уравнении (254) полагаем p = 0, A (0) = 1, B(0) = 1. Тогда

Погрешность, вызванная постоянной составляющей момента возмущения М?, называется моментной погрешностью СП.
Суммарная установившаяся погрешность привода, определяемая выражением

зависит от коэффициента усиления ? разомкнутого привода. Чем больше этот коэффициент, тем точнее привод и выше его добротность. Добротность по скорости D? определяется отношением установившейся скорости входного вала к установившейся скоростной погрешности, возникающей при этом:

Как следует из полученного соотношения, добротность СП по скорости численно равна коэффициенту усиления разомкнутого привода.
Таким образом, требования к точности СП могут быть удовлетворены путем увеличения коэффициента усиления ? разомкнутого привода, что положительно сказывается и на его быстродействии, так как расширяется полоса пропускания. Однако при этом возрастает колебательность, а, следовательно, ухудшается устойчивость СП. Разрешить это противоречие, обеспечить требуемую устойчивость и качество работы при заданной передаточной функции неизменяемой части СП позволяют корректирующие устройства.
Назад | Содержание
| Вперед
Частотные показатели качества
17.1. ЧАСТОТНЫЕ ПОКАЗАТЕЛИ КАЧЕСТВАКачество СП определяют по виду переходного процесса (рис. 164), возникающего при отработке возмущения типа единичного скачка 1. Основными показателями качества являются:

Рис. 164. График переходного процесса
1) перерегулирование ?, определяемое отношением максимального выброса Хmax — Хуст
регулируемой величины к ее установившемуся значению Хуст в процентах:

B реальных приводах перерегулирование не превышает 10 ... 50 %;
2) время переходного процесса tр, характеризующее быстроту затухания колебаний и отсчитываемое от момента подачи возмущения до момента, когда регулируемая координата станет равной допустимой погрешности, т. e. войдет в зону ±?лоп или, если погрешность неизвестна, допустимому значению, составляющему 5 % установившегося значения;
3) число колебаний n, равное числу переходов через установившееся положение за время tр. Обычно n = 2 ... 3;
4) установившаяся погрешность, которую находят как разность ординат входного воздействия и выходной величины ?у = Хуст, — X(t)t>?; эта погрешность характеризует точность СП.
Чем меньше перерегулирование ?, время переходного процесса tр, количество колебаний и выше точность, тем выше качество СП. Однако такая оценка качества связана с трудностью построения самого переходного процесса. Составить косвенную оценку реакции СП на входной сигнал можно на основании рассмотрения амплитудно-частотных характеристик (АЧХ) привода, так как практически любой входной сигнал может быть представлен в виде ряда гармонических составляющих.
По АЧХ, показанной на рис. 165, а, можно судить о том, что СП отрабатывает входной сигнал на всех частотах без искажения. Ho также идеально этот привод отрабатывает и сигнал помехи, что недопустимо. Для повышения помехозащищенности СП АЧХ видоизменяют так, чтобы на низких частотах гармонических составляющих входного сигнала модуль частотной характеристики был больше единицы, а на высоких частотах для ослабления сигнала помех |W (j?)| был меньше единицы (рис. 165, б). Эту же зависимость можно проследить и в ЛАЧХ разомкнутого привода (рис. 165, в).

Рис. 165. Частотные характеристики СП

Рис. 166. Номограмма Солодовникова
B результате АЧХ реального привода приобретает нелинейный вид и характеризуется такими параметрами, как частота среза ?с и показатель колебательности M. Частота, соответствующая амплитуде A (?с) = 1, называется частотой среза, а диапазон частот от 0 до ?0 характеризует полосу пропускания привода. Частоту среза разомкнутого привода можно также определить по ЛАФЧХ (рис. 165, в) из условия L(?с) = 20·lgW(j?с) = 1. Чем больше полоса пропускания (?с), тем в большем диапазоне частот привод реагирует на гармонические колебания и тем меньше tр.
Показатель колебательности M характеризует склонность привода к колебаниям и определяется отношением максимальной амплитуды Аmax к амплитуде A (0) = 1 на частоте ? = 0: M = Аmax/А (0).
Большинство СП рассчитывают по значению M = 1,1 ... l,5.
Выбор частотных показателей качества — сложная задача, требующая компромиссного решения. Улучшение фильтрующих свойств привода по отношению к сигналу помехи за счет ограничения ?с неблагоприятно сказывается на быстродействии СП, так как время переходного процесса находится в обратной зависимости от частоты ?с:

где b — коэффициент, определяемый по номограмме Солодовникова (рис. 166) и зависящий от перерегулирования ?. С другой стороны, повышение требований к точности отработки сигнала приводит к необходимости увеличения добротности СП, а следовательно, к увеличению полосы пропускания (?с) и росту M Увеличение коэффициента M связано с ростом колебательности и уменьшением устойчивости привода. Для того чтобы показатель M не превысил заданного значения, необходимо обеспечить достаточные запасы устойчивости привода по амплитуде т и по фазе ?. Запасы устойчивости удобно находить по ЛАФЧХ разомкнутого привода.

Рис. 167. Логарифмические характеристики разомкнутого СП
Запас устойчивости по амплитуде (- m, дБ) находят по ординате ЛАЧХ, соответствующей точке пересечения ЛФЧХ с прямой -180° (рис. 167, а). Запас устойчивости по фазе ? определяется превышением ЛФЧХ над прямой -180° при частоте среза ?с.
Рекомендуемые минимальные запасы: m = - (8 ...10) дБ, ? = 30 ... 40°.
Рекомендуемые запасы устойчивости обеспечиваются при выполнении следующих требований, предъявляемых к виду среднечастотной асимптоты ЛАЧХ: ее наклон должен быть равен - 20 дБ/дек при протяженности h этого участка, определяемой отношением h = ?3/?2 (рис. 167, б). При заданном показателе M протяженность h ограничивается интервалом

Другой способ обеспечения запасов устойчивости — выбор длины средней части ЛАЧХ (рис. 167, в), исходя из условия

Таким образом, частотными показателями качества являются частота среза ?с, показатель колебательности M и запасы устойчивости привода по амплитуде - m, дБ и по фазе ?, ? .
Ограничение полосы пропускания приводит к тому, что СП отрабатывает управляющий сигнал с некоторой погрешностью, определяемой углом рассогласования управляющей и исполнительной осей в установившемся режиме.
Согласно (322) установившаяся погрешность

Существует способ оценки коэффициентов погрешностей непосредственно по ЛАЧХ разомкнутого привода. Ha рис. 167, а изображена ЛАЧХ разомкнутого СП с астатизмом первого порядка. Пересечение низкочастотной асимптоты ЛАЧХ, имеющей наклон - 20 дБ/дек с осью абсцисс, определяет точку ??= ?, где ? — коэффициент усиления по скорости, численно равный добротности по скорости D?. Воспользовавшись выражением (325), можно установить соответствие между коэффициентами C1 и параметрами ЛАЧХ:

Аналогично коэффициент погрешности C2 по ускорению определяется добротностью привода по ускорению D? в соответствии с (326) или частотой ?? точки пересечения асимптоты ЛАЧХ, имеющей наклон - 40 дБ/дек, с осью абсцисс:

Таким образом, ожидаемая установившаяся динамическая погрешность привода с характеристикой, представленной на рис. 167, а,

При гармоническом законе движения управляющей оси с амплитудой ?0 точность привода оценивают амплитудой гармонической составляющей погрешности на рабочей частоте ?? согласно (249):

Для большинства СП справедливо условие |W(j?р)|>>1, на основании которого можно приближенно оценить гармоническую погрешность:

или с учетом (12)

Для обеспечения точности отработки управляющего сигнала СП с погрешностью не более заданной необходимо выполнить условие

Как следует из выражений (337) и (338), для увеличения точности СП необходимо повышать добротность. Однако это приводит к увеличению полосы пропускания и уменьшению запасов устойчивости. С другой стороны, полосу пропускания привода следует уменьшать для ослабления сигнала помехи, что, в свою очередь, приводит к уменьшению быстродействия СП. Выбор оптимального, с точки зрения показателей качества, решения является основной задачей синтеза СП. Известно несколько методов синтеза. Будем придерживаться частотного метода, основанного на однозначной зависимости показателей качества от параметров частотных характеристик привода.
Расчет привода с заданными показателями качества осуществляют в следующей последовательности:
анализ логарифмической амплитудно-фазовой частотной характеристики (ЛАФЧХ) исходного не скорректированного привода;
построение желаемой логарифмической амплитудно-фазовой частотной характеристики (ЖЛАФЧХ) привода с данными динамическими показателями;
построение ЛАЧХ корректирующего устройства на основе сопоставления исходной ЛАЧХ и ЖЛАЧХ привода;
техническая реализация КУ и расчет его параметров;
построение переходного процесса скорректированного привода и определение основных динамических показателей качества.
Назад | Содержание
| Вперед
Динамика гидравлических следящих приводов c дроссельным регулированием
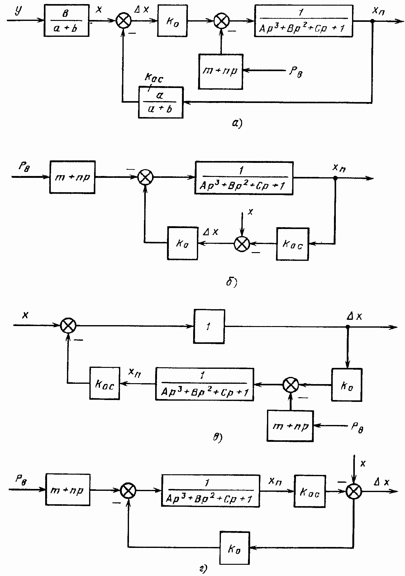
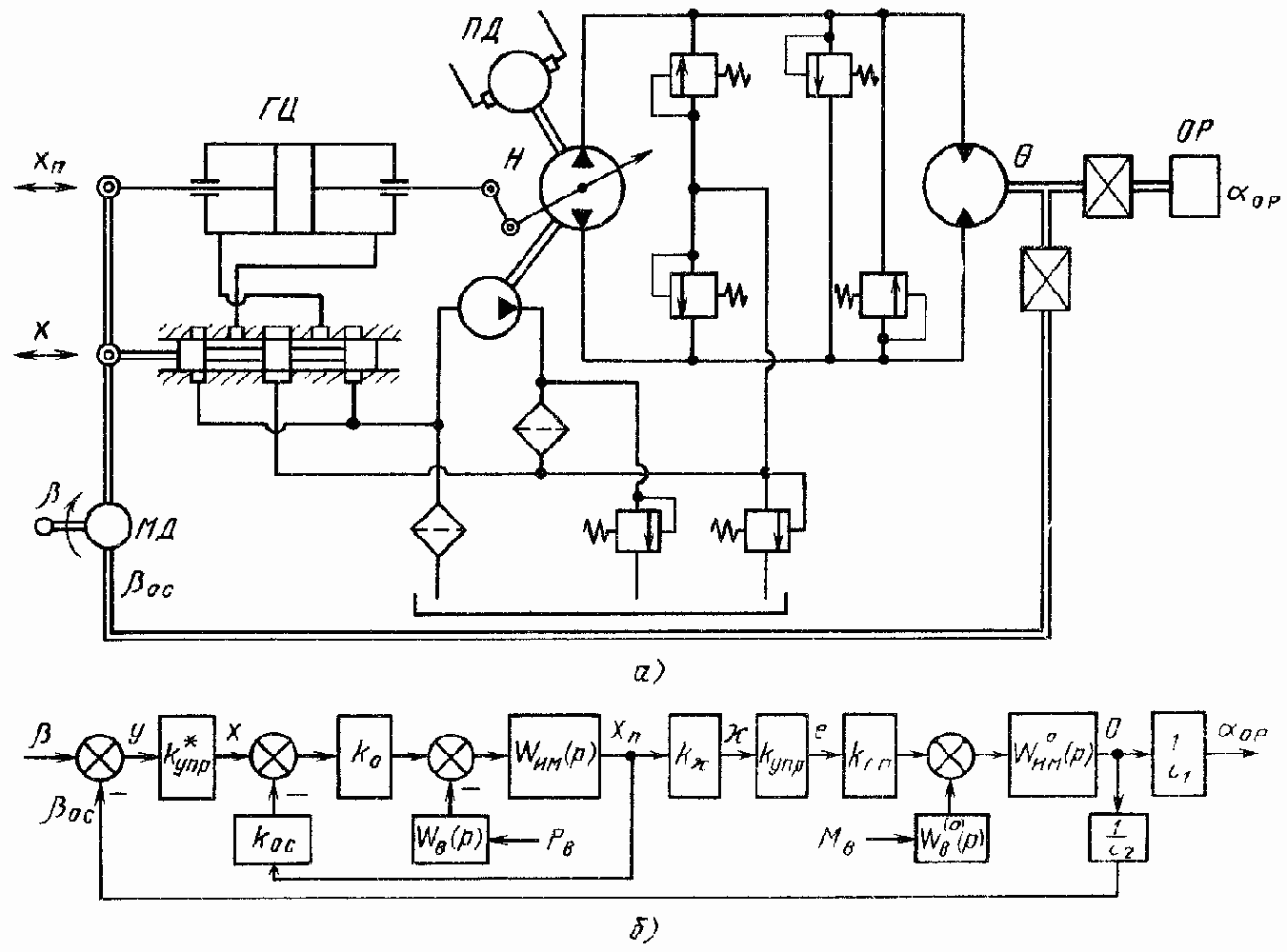
13.2. ДИНАМИКА ГИДРАВЛИЧЕСКИХ СЛЕДЯЩИХ ПРИВОДОВ C ДРОССЕЛЬНЫМ РЕГУЛИРОВАНИЕМДинамика ГСП (ДМ). Динамические характеристики и устойчивость такого привода могут быть исследованы как с помощью полной нелинейной системы уравнений или упрощенной нелинейной системы уравнений с учетом уравнения (94), так и с помощью линейных уравнений.
Примечание. Будем в дальнейшем рассматривать ГСП (ДМ) с ГИУ в виде ГЦ как более сложный и более общий случай.
Полная нелинейная система ГСП (ДМ):
1) уравнения сил (90);
2) уравнения расходов (91) и (92) (вместо координаты x используется координата ?x);
3) уравнение обратной связи ?x = x — kocxп где koc — коэффициент обратной связи; koc = a/(a +b);
4) уравнения, учитывающие ограничения по координатам ?x и xп, или уравнения, учитывающие ограничения по dxп/dt и xп;
5) уравнения, учитывающие люфт в кинематической цепи обратной связи.
Полная нелинейная система может быть исследована с помощью аналоговой или цифровой ЭВМ.
Упрощенная нелинейная система уравнений ГСП (ДМ):
Тe же уравнения, что и в случае полной нелинейной системы, но вместо уравнений расходов (91) и (92) рассматривается одно уравнение (94) для скорости выходного звена ГИУ.
Линейная система уравнений ГСП (ДМ):
B этом случае: а) пренебрегаем силами трения РГЦтр и РОРтр; б) не учитываем ограничения по координатам x, dxп/dt и xп и люфт в кинематической цепи обратной связи; в) вместо нелинейных уравнений расходов используем линейное уравнение (98) для скорости выходного звена ГИУ.
Соответствующая структурная схема линейной модели ГСП (ДМ) (для kп ? 0) изображена на рис. 145, а.
Передаточная функция xп/x при PВ= 0

Передаточная функция xп /PВ при x = 0 (см. рис. 145, б):

Общее выражение для координаты xп:


Рис. 145. Структурные схемы ГСП (Д)
Передаточная функция ?x/x при Рв = 0 (см. рис. 145, в):

Передаточная функция ?x/Рв при x = 0 (рис. 145, г)

Полное выражение для ошибки

Аналогично рассмотренному выше варианту нагружения ИУ (kп ? 0) можно записать выражение для xп и ?x для случая kп = 0:
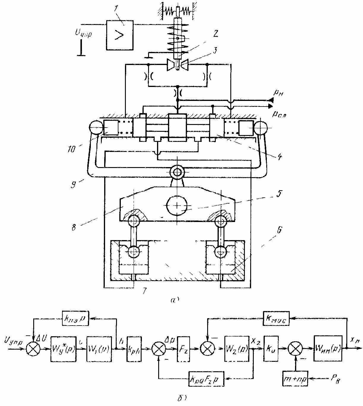
14.2. ДИНАМИКА ГИДРАВЛИЧЕСКИХ СЛЕДЯЩИХ ПРИВОДОВ C ОБЪЕМНЫМ РЕГУЛИРОВАНИЕМ
Уравнения ГСП (O). Рассмотрим вначале основные уравнения и передаточные функции ГСП (OM) без МУ как наиболее простой случай (см. рис. 147). Динамические характеристики и устойчивость такого ГСП могут быть исследованы как с помощью полной нелинейной системы уравнений, так и с помощью линейных уравнений.
Полная нелинейная система ГСП (OM):
1) уравнение (85) моментов на валу ГМ;
2) уравнение (86) моментов нагрузки;
3) уравнение (122) расходов;
4) уравнение обратной связи ?? = ? — (1/i2) ?;
5) уравнение связи координат ?? и e: e = kе ??;
6) уравнения, учитывающие ограничения по ?? и ?;
7) уравнения, учитывающие люфт в цепи управления и в цепи обратной связи.
Полная нелинейная система ГСП (OM) может быть исследована с помощью ЭВМ.
Линейная система уравнений ГСП (OM).
В этом случае: а) пренебрегаем моментами трения М??тр и МОРтр; б) не учитываем ограничение по координатам ?? и ?; в) вместо уравнения расходов (122) используется уравнение (126) при Q0 = 0; г) не учитываем люфты в кинематических механизмах.
B соответствии со структурной схемой (см. рис. 147, б) передаточная функция, связывающая координаты ? и ? (для сОР = 0 и при МВ= 0):

Введем обозначения:

Передаточная функция ?/М? при ? = 0

Общее выражение для ?:

Передаточная функция по ошибке ?? при М? = 0

Передаточная функция по ошибке ?? при ? == 0

Общее выражение для ошибки

Теперь рассмотрим уравнения ГСП (OM) с механизмом управления (см. рис. 148).
Полная нелинейная система ГСП (OM) с механизмом управления.
1. Уравнения механизма управления. B рассматриваемом случае МУ представляет собой ГСП (ДМ) (см. п. 2 гл. 13), входная координата которого x(p) определяется по уравнению: x =
у = ? — ?ОС = ? — (1/i2) ?, а выходная координата хП. Связь координат x и хП подробно описана в гл. 13.При исследовании динамики ГСП (OM) динамические характеристики МУ аппроксимируют апериодическим звеном

постоянную времени ТМу выбирают по точным ЛАФЧХ в полосе частот, в пределах которой формируется контур ГСП (OM).
Примечание. Выше мы исследовали устойчивость замкнутого контура ГСП (ДМ) без специальных КУ. Известно, что с помощью КУ можно обеспечить устойчивость замкнутого контура ГСП (ДМ) при более гибком варьировании параметров привода и нагрузки. Применение КУ в ГСП и, в частности, применение гидромеханических КУ в ГСП (ДМ) рассмотрено в гл. 8.
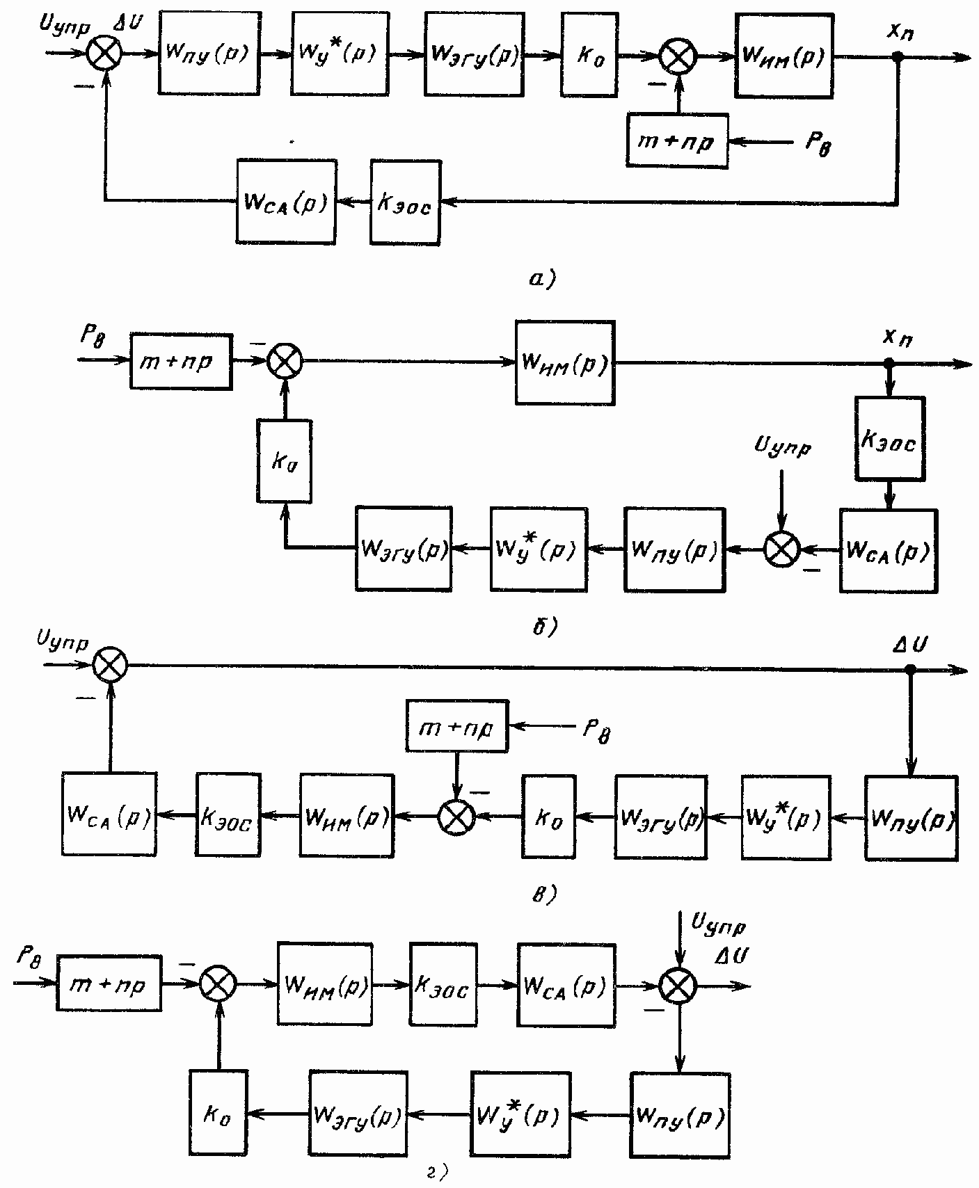
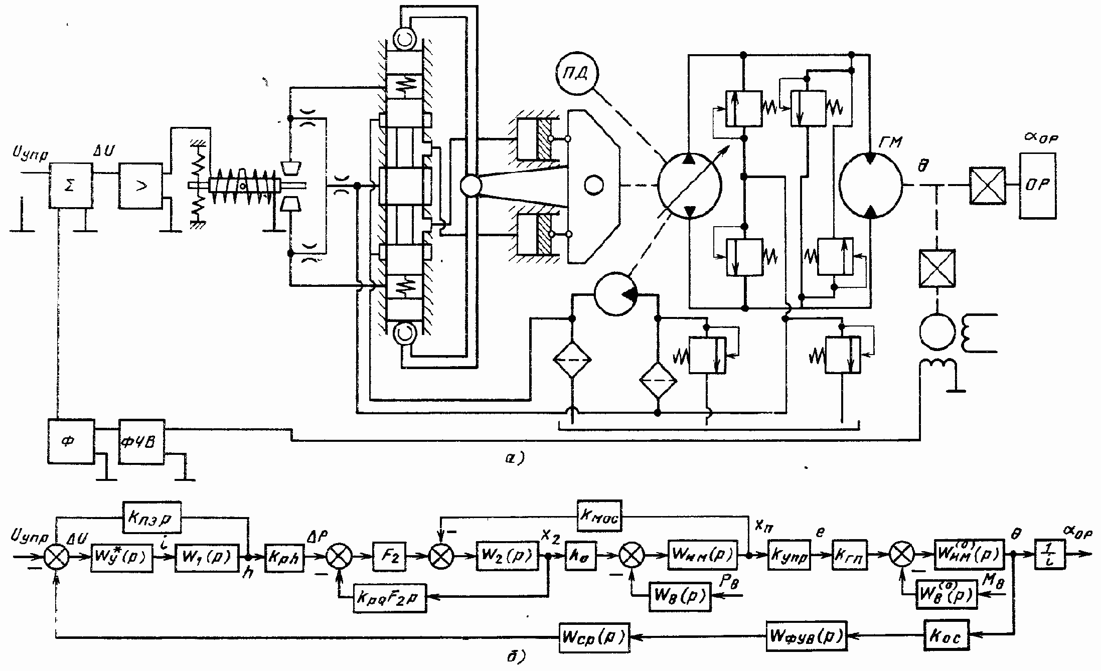
Динамика ЭГСП (Д). Нелинейные и линейные уравнения силовой части ЭГСП (Д) ничем не отличаются от соответствующих уравнений ГСП (ДМ). К уравнениям силовой части добавляются уравнения, описывающие динамику преобразующего устройства (ПУ), усилителя мощности, электрогидравлического усилителя мощности и согласующей аппаратуры (если она применяется).
Динамика ЭГУ и усилителя мощности подробно описана в гл. 7. Следует отметить, что при анализе устойчивости и динамических характеристик ЭГСП (Д) динамические характеристики ЭГУ, как правило, аппроксиммируются апериодическим звеном

где постоянная времени Тэгу определяется по точным ЛАФЧХ ЭГУ в полосе частот, в пределах которой формируется контур ЭГСП (Д). В нелинейной модели ЭГСП (Д) как основная нелинейность ЭГУ учитывается только ограничение или по выходной координате ЭГУ, или по расходу РЖ, поступающей к ГИУ.
Динамические характеристики усилителя мощности (УМ) с достаточной для инженерных расчетов точностью описываются с помощью апериодического звена (см. п. 4 гл. 6 и п. 4 гл. 7)

В нелинейной модели УМ как основная нелинейность учитывается ограничение по напряжению в цепи сигнала рассогласования контура УМ, замкнутого обратной связью по току.
Динамические характеристики преобразующего устройства описываются, как правило, линейными дифференциальными уравнениями, вид и порядок которых в основном зависят от типа корректирующего устройства, стоящего в цепи сигнала рассогласования (входящего в состав ПУ).

Рис. 146. Структурные схемы ЭГСП (Д)
Динамические характеристики согласующей аппаратуры — это характеристики фазочувствительного выпрямителя (ФЧВ) и частотного фильтра, стоящих в цепи обратной связи от выходной координаты ЭГСП (Д) до устройства вычисления ошибки в случае применения в качестве датчика обратной связи датчика на переменном токе, например индукционного датчика.
Как правило, работа ФЧВ характеризуется его коэффициентом передачи (считается, что в полосе частот формирования контура привода динамические характеристики ФЧВ намного выше динамических характеристик отдельных элементов привода и ими можно пренебречь).
Динамические характеристики частотного фильтра зависят от частоты питающего напряжения индукционного датчика и от типа и схемы фильтра. B большинстве случаев достаточно ограничиться описанием динамических свойств фильтра с помощью апериодического звена с передаточной функцией

Постоянная времени Тф выбирается по точным ЛАФЧХ фильтра в полосе частот, где формируется контур ЭГСП (Д).
Динамические характеристики ЭГСП (Д) с шаговым двигателем, как правило, исследуют при условии, что входной координатой является угол поворота шагового двигателя, закон движения которого в первом приближении (при пренебрежении динамикой в пределах одного шага) можно записать с помощью линейной функции ?шд = kшдt.
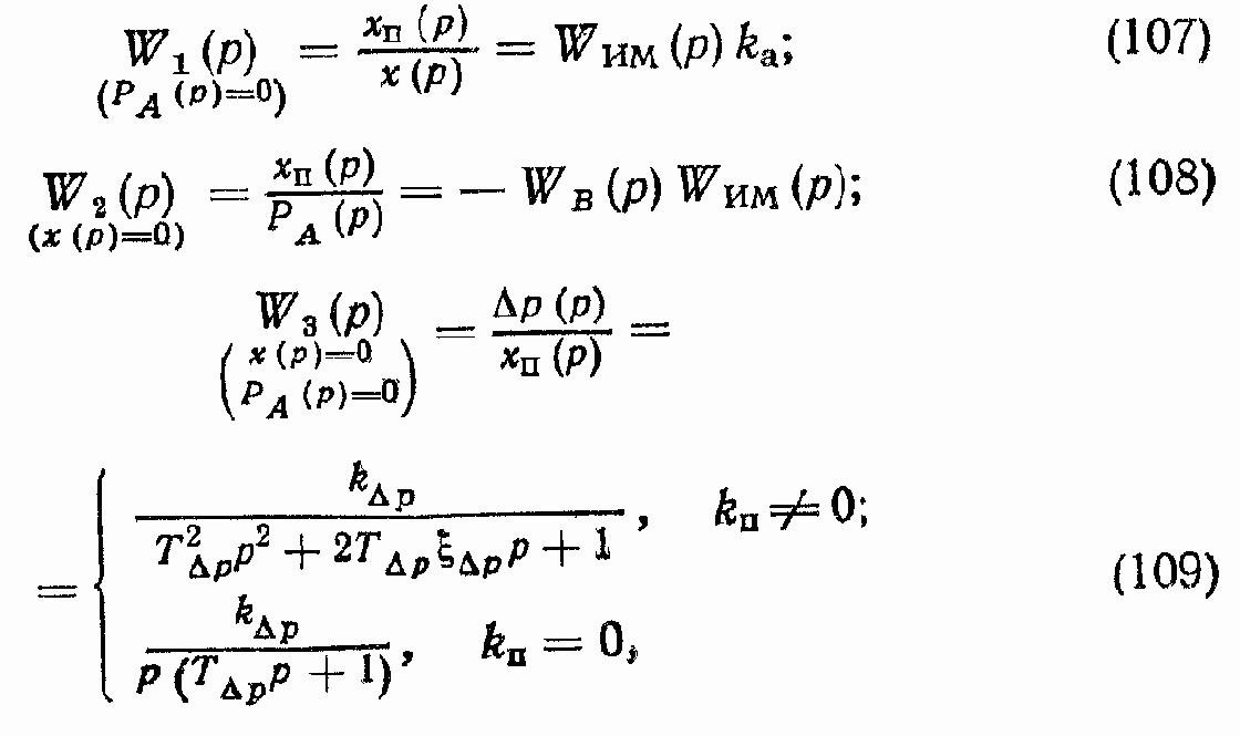
При изучении линейной модели ЭГСП (Д), так же как и при изучении ГСП (ДМ), используют передаточные функции:

Примечание. Без ущерба для изложения сути материала ограничимся в дальнейшем рассмотрением передаточных функций для ЭГСП (Д), структурная схема которого изображена на рис. 142, а.
Передаточная функция xП/Uупр при Рв = 0 (рис. 146, а).

Здесь

Передаточная функция xП/Рв при Uупр = 0 (рис. 146, б):

Объединив (308) и (309), получим

Передаточная функция для ?U(p) может быть записана аналогично передаточной функции для ?x(p) ГСП (ДМ):

Структурные схемы, соответствующие формуле (311), приведены на рис. 146, в, г.
Если в уравнении сил на ИУ kп = 0 то формулы для xП(p) и ?U(p) примут следующий вид:

где

Анализ динамических характеристик, определение необходимого коэффициента усиления контура линейной модели ЭГСП (Д) при обеспечении заданного запаса по устойчивости и исследование статической и динамической точностей проводят по структурным схемам (см. рис. 142). Нужный коэффициент усиления при выбранных элементах ЭГСП (Д) (усилителе мощности, ЭГУ, датчике обратной связи, согласующей аппаратуре) достигается за счет выбора коэффициента усиления преобразующего устройства, которое в самом простом случае представляет собой операционный усилитель.
Как правило, определение устойчивости и исследование динамических характеристик линейной математической модели ЭГСП (Д) проводят путем построения ЛАФЧХ разомкнутого и замкнутого контуров привода. При этом так же, как и в ГСП (ДМ), при определении устойчивости замкнутого контура ЭГСП (Д) в формулах для расчета коэффициентов
,
и параметров передаточных функций W0(p) и WИМ(p) коэффициент K принимается равным нулю, а при построении ЛАФЧХ замкнутого контура указанные коэффициенты и параметры W0(p) и WИМ(p) рассчитывают при
и при неизменном коэффициенте усиления управляющей части, определяемом по критериям устойчивости при K = 0.Устойчивость ЭГСП (Д). Все закономерности, выявленные при исследовании устойчивости динамических характеристик ГСП (ДМ), могут быть исследованы для ЭГСП (Д) со следующими дополнениями.
1. Для увеличения запасов устойчивости и улучшения динамических характеристик необходимо уменьшать постоянные времени Tэгу и
.2. Влияние WПУ(p) на устойчивость, статические и динамические характеристики ЭГСП (Д) в случае, когда в состав ПУ входит КУ того или иного типа, весьма существенно, поэтому эти вопросы являются предметом специального рассмотрения в гл. 7.
3. Как сказано выше, динамические характеристики согласующей аппаратуры в случае применения датчика обратной связи на переменном токе описываются с помощью апериодического звена [см. (307)]. Такое звено в цепи обратной связи ЭГСП (Д) уменьшает значение частоты разомкнутого контура, при которой фазовый сдвиг равен 180°, и, следовательно, ухудшает устойчивость. Однако это звено обеспечивает дифференцирующий эффект в замкнутом контуре, что необходимо учитывать при построении ЛАФЧХ разомкнутого и замкнутого контуров ЭГСП (Д).
Назад | Содержание
| Вперед
2. Уравнение (85) моментов на валу ГМ.
3. Уравнение (86) моментов нагрузки.
4. Уравнение (122) расходов.
5. Уравнение связи координат хП и ?: ? == k?хП,
6. Уравнение связи координат ? и e: e = kупр?.
7. Уравнения, учитывающие ограничения по координатам хП, ? и ?.
8. Уравнения, учитывающие люфт в кинематических механизмах по цепи управления и по цепи обратной связи.
Линейная система уравнений ГСП (OM) с МУ.
B этом случае: а) пренебрегаем моментами трения М??тр и МОРтр; б) не учитываем ограничения по координатам хП, ? и ?; в) вместо уравнения расходов (122) используется уравнение (126) при Q0 = 0; г) не учитываем люфты в кинематических механизмах.
Соответствующая структурная схема ГСП (OM) при сОР = 0 приведена на рис. 148, б.
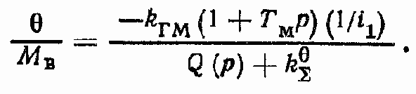
Передаточная функция ?/? при MВ = 0

Обозначим

Передаточная функция ?/М? при ? = 0

Общее выражение для координаты ?

Передаточная функция по ошибке у = ? — ?ОС при МВ = 0

Передаточная функция у/М? при ? = 0

Общее выражение для ошибки

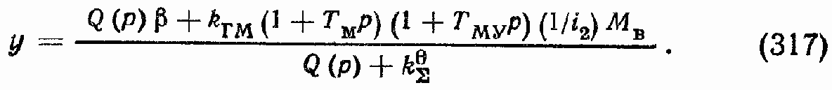
Для случая сОР ? 0 формулы (316) и (317) могут быть записаны в следующем виде:

Устойчивость замкнутого контура ГСП (OM). Для выявления принципиальных закономерностей рассмотрим простейший вариант ГСП (OM) — без МУ.
Характеристическое уравнение для сОР = 0

Критерий Гурвица может быть записан в следующем виде:

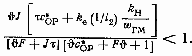
Выполнение первого условия очевидно. Рассмотрим второе условие

Если подставить в последнее неравенство значение T0, ?0, kгп, kгм (см. гл. 3), то получим

Из последнего неравенства следует, что для повышения запасов устойчивости замкнутого контура ГСП (OM) необходимо:
уменьшать коэффициенты ke, (1/i2) и kH, параметр упругости ? (уменьшать V и увеличивать ??), -инерционную нагрузку (J); увеличивать коэффициент демпфирования (F), параметр герметичности ? (увеличивать утечки и перетечки), рабочий объем ГМ (?гм).
Если рассмотреть случай сОР ? 0, то, введя обозначение
на основании формул для коэффициентов А, B, C и D получим неравенство (см. гл. 3)
Последнее неравенство, так же как и неравенство (318), позволяет оценить влияние параметров нагрузки и параметров привода на устойчивость замкнутого контура ГСП (OM).
Рассмотрим теперь нелинейные и линейные уравнения ЭГСП(О). Уравнения силовой части ЭГСП (O) ничем не отличаются от соответствующих уравнений ГСП (OM). К уравнениям силовой части добавляются уравнения, описывающие динамику преобразующего устройства, согласующей аппаратуры и уравнения механизма управления. Как и в случае ЭГСП (Д), уравнения преобразующего устройства в зависимости от типа последовательного КУ описываются дифференциальными уравнениями, вид и порядок которых определяется типом КУ. Так как мы условились в данной главе не рассматривать ни параллельные, ни последовательные КУ, то будем считать в дальнейшем преобразующее устройство ПУ простым усилительным звеном с коэффициентом усиления kу. К согласующей аппаратуре обычно относят ФЧВ и частотный фильтр. Так же как и при рассмотрении динамики ЭГСП (Д), будем считать, что динамика фильтра описывается простейшим звеном

постоянную времени которого Тф выбирают по точным ЛАФЧХ фильтра в полосе частот формирования контура привода. ФЧВ будем считать усилительным звеном. Как мы условились выше (при рассмотрении МУ с механической обратной связью), динамические характеристики МУ будем учитывать с помощью апериодического звена
.
Рис. 152. Структурные схемы ЭГСП (O)
Примечание. B данном случае (применительно к схеме ЭГСП; (O) на рис. 150, 6} под WМУ(р) подразумеваем передаточную функцию части структуры ЭГСП (O) от Uупр (p) до xп (p).
В качестве примера ЭГСП (O) рассмотрим следящий привод, принципиальная схема которого дана на рис. 151, при условии, что сОР = 0. Структурные схемы такого привода с учетом принятых упрощений могут быть представлены так, как показано на рис. 152.
Обозначим

Рассмотрим вспомогательную передаточную функцию

Передаточная функция, связывающая координаты ? и Uупр (рис. 152, а):

Рассмотрим передаточную функцию ?/М? при Uупр = 0 (рис. 152, б). Введем вспомогательную передаточную функцию

Обозначим

C учетом (319) передаточная функция ?/М? при Uупр = 0 (рис. 152, в) записывается в виде

Передаточные функции для ошибки ?U с учетом структурных схем изображенных на рис. 152,г и д, записываются в следующем виде:

Назад | Содержание
| Вперед
Гидравлические исполнительные устройства
3.6. ГИДРАВЛИЧЕСКИЕ ИСПОЛНИТЕЛЬНЫЕ УСТРОЙСТВАГидравлические исполнительные устройства (ГИУ) в сравнении с электрическими (ЭИУ) обладают следующими преимуществами:
самосмазываемость ГИУ, работающих на минеральных маслах, что повышает износостойкость и надежность работы;
способность развивать большие крутящие моменты и усилия с помощью малогабаритных и легких устройств; удельные силы ГИУ больше удельных сил ЭИУ в 10 ... 20 раз;
малая инерционность движущихся рабочих органов ГИУ, что обеспечивает высокое быстродействие и высокую точность работы следящего привода с ГИУ. При рабочем давлении 30 МПа и мощности более 1 кВт отношение крутящего момента к моменту инерции ротора ГИУ в 20 ... 30 раз больше, чем соответствующее отношение ЭИУ;
автоматическое предохранение ГИУ от перегрузки, реализуемое с помощью простых и надежных устройств (предохранительных клапанов);
простота реализации возвратно-поступательного движения без промежуточных устройств (гидроцилиндров);
высокая жесткость к нагрузке за счет существенно большей жесткости гидравлической «пружины», определяемой геометрией ГИУ и модулем упругости рабочей жидкости, по сравнению с жесткостью электромагнитной «пружины» в ЭИУ. Как недостатки ГИУ отметим следующие:
жесткие требования к точности изготовления элементов ГИУ, так как от рабочих зазоров в узлах ГИУ зависят утечки и перетечки и, следовательно, КПД ГИУ;
сложность проблемы обеспечения чистоты рабочей жидкости.

Рис. 37. Принципиальная схема ГПД
В качестве ГИУ в гидравлических следящих приводах (ГСП) применяются гидроприводы (ГП) с дроссельным и объемным регулированием скорости выходного звена.
Гидропривод с дроссельным регулированием (ГПД). В ГПД скорость выходного звена регулируется изменением площади приходного сечения дросселя. ГП этого класса отличаются простотой конструкции, малыми массами и размерами, высоким быстродействием, надежностью работы, малой стоимостью. В силу этого ГПД получил наибольшее распространение в системах управления летательными аппаратами, в транспортной технике, в станкостроении, судостроении и в целом ряде других областей техники.
Как недостатки ГПД следует отметить малый КПД, зависимость скорости выходного звена от нагрузки, зависимость основных характеристик от температуры рабочей жидкости.
ГПД состоит из исполнительного механизма (гидроцилиндр, полноповоротный или неполноповоротный гидромотор) и управляющего гидравлического дросселирующего устройства, в качестве которого наибольшее распространение в различных областях техники получил четырехщелевой (четырехдроссельный) золотниковый гидрораспределитель (ЗГР) (рис. 37). В высококачественных ГСП на основе ГПД применяются ЗГР, близкие к «идеальным» (с малыми перекрытиями A по рабочим кромкам; ? = (2 ... 5)?, где ? = (2 ... 9) мкм — радиальный зазор между золотником и гильзой). Такие ЗГР обеспечивают высокую чувствительность ГПД к управляющему сигналу и малые утечки рабочей жидкости.
Главной особенностью работы ГПД является то, что перепад давлений ?p0 — ?p, где ?p0 = рн — рсл — располагаемый (начальный) перепад давлений; ?p = р1—р2 — перепад давлений в рабочих полостях ГИУ; рн — давление нагнетания; рсл — давление слива, полностью срабатывается на гидравлических сопротивлениях ЗГР, и если, например, ГПД работает на холостом ходу (?p = 0), то вся мощность гидравлического потока превращается в теплоту. Этим объясняется низкий КПД ГПД и, как следствие, использование их в ГСП, мощность которых в большинстве случаев не превышает 5 кВт. Тем не менее, известны многочисленные примеры использования ГПД для ГСП существенно большей мощности, когда главным считается минимизация массы и размеров, надежность и быстродействие, а КПД не имеет существенного значения (летательные аппараты).
Рассмотрим расчетную схему ГПД с исполнительным механизмом в виде гидромотора (ГМ) (см. рис. 37).
Примем следующие допущения:
1) температура рабочей жидкости (РЖ) постоянная;
2) перекрытия в ЗГР равны нулю;
3) коэффициент расхода рабочих окон ЗГР постоянный;
4) гидравлические проводимости рабочих окон ЗГР при одинаковых смещениях золотника относительно нейтрального положения равны;
5) гидравлическими сопротивлениями и волновыми процессами в трубопроводе пренебрегаем ( длина трубопровода не более 15 м);
6) модуль упругости РЖ постоянный (не зависит от давления); в принципе модуль упругости РЖ зависит от давления, но при p > 0,8 ... 1 МПа и при содержании газовой фазы в РЖ менее 0,1 % его можно считать постоянным [4];
7) расходами, обусловленными компрессией и декомпрессией РЖ при прохождении рабочей камеры через разделительную перемычку распределительного узла, ГМ, пренебрегаем;
8) массой РЖ, находящейся в трубопроводе, пренебрегаем;
9) работу предохранительных клапанов не учитываем (считаем, что нагрузка на валу ГМ не превышает максимальную расчетную нагрузку);
10) вал ГМ считаем абсолютно жестким;
11) конструкция ГМ симметричная. Условимся также, что расчетная схема, изображенная на рис. 37, соответствует x > 0, где x — координата ЗГР.
Расходы Q2 и Q3 (при x > 0) будем учитывать с помощью расхода перетечек QП.3 через условный дроссель (см. рис. 37). B соответствии с расчетной схемой

Здесь QП.3 = kQp (р1 — р2) — расход перетечек, характеризующий объемные потери ЗГР;

где bщ — ширина щели ЗГР; ? — радиальный зазор ЗГР; ?Д — коэффициент динамической вязкости РЖ;

? — коэффициент расхода рабочих окон ЗГР; этот коэффициент зависит от числа Рейнольдса (Re) [4], но при Re > 260 можно считать ? = const = 0,71; g — ускорение свободного падения; ? — плотность РЖ.
Введем обозначение

Перейдем к рассмотрению уравнений ГМ. Расчетная схема ГМ как часть общей расчетной схемы ГПД приведена на рис. 37. Входными величинами для ГМ являются расходы РЖ QГМ.1 и QГМ.2. поступающей в ГМ и выходящей из него, выходной величиной — угловая скорость ? вала ГМ, а возмущением — момент нагрузки на валу ГМ.
Запишем уравнение расходов ГМ:

Здесь QГМ.г — геометрическая подача ГМ;

где WГМ = VГМ р/(2?) — характерный объем ГМ; VГМ р — рабочий объем ГМ (изменение объема рабочих камер ГМ за один оборот вала); QГМ yl и QГМ y2 — расходы утечек из приемной и отдающей полостей ГМ:

где сГМу — коэффициент утечек ГМ; для аксиально- поршневых гидромашин сГМу может быть определен по формуле

где mГМу = 0,6 ... 1,2 — коэффициент, зависящий от конструкции ГМ;
— максимальная геометрическая подача ГМ; ?ГМоб — объемный КПД ГМ; рном — номинальное давление в рабочих полостях ГМ; QГМ.п — расход перетечек ГМ;
где сГМп — коэффициент перетечек ГМ;
— перетечки холостого хода ГМ (учитывает потери на трение внутри ГМ), определяемые экспериментально;для аксиально-поршневых ГМ

где mГМ.п = 0 ... 0,4 — коэффициент, зависящий от конструктивного исполнения распределительного узла ГМ; QГМ д1 и QГМ д2 — расходы, обусловленные сжимаемостью РЖ, находящейся в отдающей (сливной) и в приемной полостях ГМ;

где VГМ1 и VГМ2 - объемы РЖ, находящейся в приемной и в отдающей полостях ГМ; в силу обычной симметричности конструкции ГМ VГМ1 = VГМ2 = VГМ.
Систему уравнений (78) с учетом уравнений (79)—(83) можно записать:

Уравнение моментов на валу ГМ

где МГМ — момент, развиваемый ГМ; JГМ — момент инерции ротора ГМ; FГМ — коэффициент вязкого трения в ГМ; МГМ тр — момент трения в ГМ; MН — момент нагрузки на валу ГМ;

где JОР — момент инерции объекта регулирования; (OP)i — передаточное число редуктора между ГМ и OP; FОР — коэффициент вязкого трения OP; сОР — жесткость пружинной (шарнирной нагрузки) OP; ? — угол поворота вала ГМ; МВ — внешний возмущающий момент, действующий на OP; MОP тр — момент трения на OP.
Рассмотрим уравнения трубопровода. При принятых допущениях трубопровод можно рассматривать как систему с сосредоточенными параметрами. Для трубопровода (при x > 0) справедливы следующие уравнения:

Здесь Vт1 и Vт2 — объемы РЖ, находящейся в трубопроводах 1 и 2,
— приведенный модуль упругости i-го трубопровода (учитывает не только упругость РЖ, но и упругость стенок материала трубопровода);
где d0i — внутренний диаметр i-го трубопровода; ?i — толщина стенок i-го трубопровода; ETi — модуль упругости материала стенок i-го трубопровода.
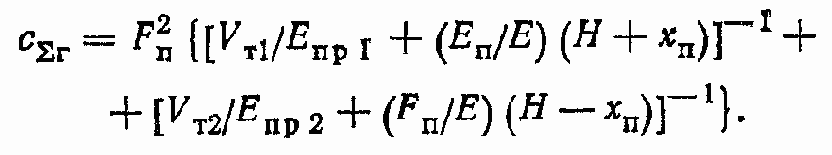
Решая совместно уравнения (75), (77), (84) и (87) для x > 0, получаем

Уравнения (88) и (89) совместно с уравнениями (85) и (86) дают связь между координатами x и ? для ГПД с исполнительным механизмом в виде ГМ при учете параметров ГП и параметров нагрузки. Если в качестве исполнительного механизма рассмотреть гидроцилиндр (ГЦ), то в уравнениях (88) и (89) необходимо ввести следующие изменения.
Геометрическая подача

где FП— площадь поршня ГЦ; dxП/dt — скорость выходного звена (штока) ГЦ.
Соответственно расходы

где Н — максимальное перемещение поршня от среднего положения,
.Для ГЦ сГМу = 0, Q0ГМ.п = 0; обозначим

Уравнение сил для ГЦ записывается в следующем виде:

где M — масса OP и подвижных частей ГЦ; kД - коэффициент вязкого демпфирования OP; kП — коэффициент пружинной (шарнирной) нагрузки OP; РОР тр — сила трения в OP; Ргц тр — сила трения в ГЦ; РВ — внешнее возмущение, действующее на OP (не зависит ни от хП, ни от dx/dt, ни от d2xП/dt2).
C учетом указанных различий уравнения (88) и (89) примут вид

Примечание. Если в ГПД ограничение по скорости обеспечивается площадью окон ЗГР, то при работе ГПД в режимах, когда | x | > хmax, где хmax— значение координаты x, при котором наступает ограничение по dxП/dt, в уравнениях (91), (92) вместо координаты x будет фигурировать хmax.
Системы уравнений (88), (89) и (91), (92) — сложные нелинейные системы, которые могут быть решены только с помощью ЭВМ.
Примечания: 1. Ограничимся в дальнейшем рассмотрением ГПД с ГЦ как наиболее часто встречающуюся в практике схему ГПД. 2. Bo многих работах по ГПД рассматривается жесткость сг гидравлической «пружины», под которой подразумевается отношение внешней силы, приложенной к штоку ГЦ, к значению «просадки» координаты хП под действием этой силы при условии, что рабочие полости ГЦ полностью герметизированы (нет перетечек через золотник и поршень и нет утечек). Приращение объема первой полости ГЦ при давлении p1 будет

Соответствующее перемещение поршня

Тогда выражение для жесткости первой полости ГЦ представим так:

Аналогично для второй полости ГЦ

Суммарная жесткость c?г = с1 + с2, т. e.

Минимальное значение c?г реализуется при хП = 0:

Если VT1 = VT2 = VT; VT= qHFП; q = const; ЕПР1= ЕПР1= ЕПР2= rЕ, где r < 1, то

где W0 = (q/r+ 1).
Минимальная жесткость

Рассмотрим частный случай: хП = 0 (поршень в среднем положении). Как правило, гидролинии делаются одинаковой длины из труб одного диаметра при одинаковой толщине стенок, поэтому можно считать, что VT1/EПР1 = VT2/EПР2.
Введем обозначение:

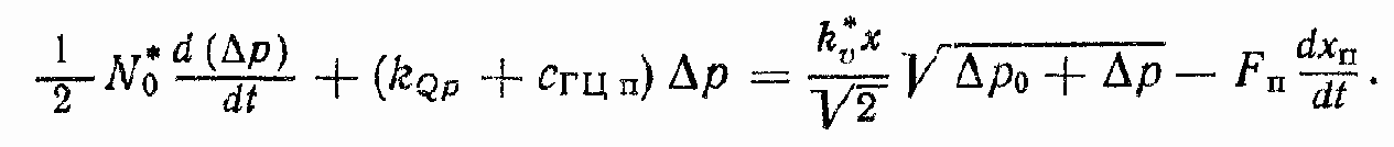
Рассмотрим уравнения (91) с учетом принятых допущений:

Вычтем из первого уравнения второе:

Рассмотрим dp1/dt + dp2/dt. Производные dp1/dt и dp2/dt характеризуют скорость изменения давлений p1 и р2. И хотя сами величины p1 и p2 могут отличаться друг от друга, в силу принципа работы ГЦ и принятых допущений (VT1/EПР1 = VT2/EПР2; хП= 0) можно заключить, что знаки этих производных противоположны, а модули равны. Следовательно, dp1/dt + dp2/dt = 0. Тогда

или

Аналогичное равенство можно получить и из системы (92) при тех же допущениях.
Решая совместно систему уравнений:

получим

Подставляя эти значения р1 и р2 в уравнения (93), а затем складывая эти уравнения и деля результат на два, получим

где ?p0 = рн — рсл.
Аналогичные операции с системой уравнений (92) дают

Последние два уравнения можно записать в виде одного уравнения

Примечания: 1. Как и при рассмотрении систем уравнений (91) и (92), зона работы ЗГР |x|> xmax может быть учтена простой подстановкой в уравнение (94) хmax вместо x. 2. Для случая, когда в ГПД используется ГМ в предположении, что сГМ.у = 0, уравнение (94) имеет тот же вид, только вместо FП фигурирует WГМ, а вместо dxП/dt — скорость ?
Решая уравнение (94) совместно с уравнением (90), получаем одно уравнение, устанавливающее связь координаты x с выходной координатой ГПД хП при учете параметров нагрузки M, kД, kП, PВ, РГЦтр, МОРтр и параметров привода
сГЦп
Уравнение (95) заменяет систему уравнений (90), (91) и (92), и хотя оно существенно проще решается на ЭВМ, для качественного анализа влияния параметров привода и нагрузки на устойчивость замкнутого контура ГСП с ГПД и для инженерного расчета динамических характеристик необходимо перейти к линейным дифференциальным уравнениям. Прежде чем перейти к рассмотрению линейной модели ГПД, сделаем следующие замечания:
1. Изменяющиеся в функции координаты хП объемы VГЦ1 (хП) и VГЦ2 (хП) рабочей жидкости в рабочих полостях ГЦ при анализе устойчивости замкнутого контура ГСП с ГПД и при расчете динамических характеристик можно не учитывать, так как при хП = 0 (VГЦ1 = VГЦ2 = FПH) динамические характеристики ГПД наихудшие, а запас устойчивости замкнутого контура ГСП с ГПД наименьший. Поэтому расчет динамических характеристик ГПД и расчет устойчивости ГСП с ГПД, проводимые при хП = 0, дают определенные запасы по сравнению с точной моделью (при хП = var).
2. При расчете статических характеристик зависимость VГЦ1 и VГЦ2 от хП можно также не учитывать, так как эта зависимость проявляется только в динамических процессах (dp1/dt ? 0; dp2/dt ? 0). Поэтому при изучении статических характеристик уравнение (95) можно использовать без всяких допущений.
Перейдем к рассмотрению линейной модели ГПД. Главной нелинейностью уравнения (95) является радикал

Специальные исследования, проведенные на цифровой ЭВМ, показали, что радикал (96) может быть заменен следующим линейным выражением:

в котором коэффициент K. выбирают по следующему правилу:
1) K = 0 при расчете устойчивости замкнутого контура ГСП с ГПД;
2)
при расчете динамических характеристик ГПД (ГСП).При этом устойчивость и динамические характеристики рассчитывают с определенными, допустимыми в инженерных расчетах, запасами.
Запишем уравнение (94) с учетом замены радикала G (х, ?р) на G1 (х, ?р):


Запишем уравнение (95) с учетом линеаризации радикала и введенных обозначений:

Последнее уравнение в операторной форме записывается в следующем виде:

где

Соответствующая уравнению (99) структурная схема ГПД приведена на рис. 38, а. Эту схему удобно представить так, как показано на рис. 38, б, т. e. с использованием простейших звеньев. Ha этой схеме основные параметры определяются по следующим формулам:


Рис. 38. Структурные схемы ГПД
Большой практический интерес представляет случай, когда в уравнении (98) kП = 0. При этом уравнение (99) принимает вид

где

Соответствующая структурная схема изображена на рис. 38, в.
Введем обозначение:


Тогда основные передаточные функции ГПД могут быть записаны в следующем виде:

где

Статические характеристики ГПД (механическую, регулировочную скоростную и регулировочную характеристику по перепаду давлений) легко получить из уравнения (94). Следует отметить, что уравнения статических характеристик для ГПД с ГМ и ГПД с ГЦ будут различаться только обозначениями: там, где для ГЦ фигурирует площадь поршня FП и скорость штока dxП/dt, для ГМ в уравнения необходимо подставить WГM и ?. Поэтому при рассмотрении статических характеристик ограничимся случаем, когда в ГПД используется ГЦ.
Механическая (нагрузочная) характеристика

определяет функциональную зависимость скорости выходного звена (штока ГЦ) в установившемся режиме от координаты x ЗГР и от перепада давлений ?р.
Уравнения механической характеристики:

График механической характеристики приведен на рис. 39, а.
Регулировочная скоростная характеристика (скоростная характеристика холостого хода) определяет функциональную зависимость скорости выходного звена ГЦ в установившемся режиме от координаты x при отсутствии нагрузки (?р = 0). Уравнение этой характеристики получается из уравнения (111) при ?р = 0:

График регулировочной характеристики по скорости приведен на рис. 39, б.
Регулировочная характеристика по перепаду давлений (силовая характеристика) определяет функциональную зависимость перепада давлений ?р при неподвижном (заторможенном) выходном звене ГЦ (dxП/dt = 0) от координаты x. Уравнение регулировочной характеристики по перепаду давлений можно получить из уравнения (111) при dxП/dt = 0:

График регулировочной характеристики по перепаду давлений, построенный для конкретных значений kv, kпер, хmax, изображен на рис. 39, в.
Полезная мощность ГПД может быть определена по механической характеристике

или

Последнее выражение кроме мощности определяет также зависимость КПД ГПД от ?р в некотором масштабе, так как

Как полезную мощность, так и КПД ГПД рассчитывают при х =хmax

Рис. 39. Статические характеристики ГПД
При kпер = 0 максимальное значение мощности и КПД ГПД реализуется при ?р = 2/3?р0.
Ha практике (при учете kпер) максимальный КПД ГПД обычно не превышает 0,3.
Гидропривод с объемным регулированием (ГПО). По сравнению с ГПД ГПО обладает более высоким КПД и более жесткой механической характеристикой Как недостатки ГПО по сравнению с ГПД отметим более сложную конструкцию и меньшее быстродействие. Основными элементами ГПО являются насос и гидродвигатель (ГД). В ГПО наибольшее распространение получили аксиально-поршневые насосы с наклонным блоком цилиндров и с наклонным диском (шайбой), хотя известны случаи использования в ГПО пластинчатых насосов однократного действия и радиально-поршневых насосов, регулирование подачи которых обеспечивается за счет изменения эксцентриситета. В качестве ГД в основном применяются ГМ (аксиально-поршневого типа и радиально-поршневого; реже шестеренные и пластинчатые) и ГЦ. Иногда в качестве ГД используются неполноповоротные ГМ и квадранты.
Примечание. Учитывая, что ГЦ подробно описан в разделе ГПД, ограничимся в дальнейшем рассмотрением ГПО с исполнительным механизмом в виде ГМ.
В ГПО скорость выходного звена можно регулировать либо путем изменения рабочего объема насоса при постоянном рабочем объеме ГМ, либо путем изменения рабочего объема ГМ при постоянном рабочем объеме насоса, либо одновременным изменением рабочих объемов насоса и ГМ (рис. 40).

Рис. 40. Принципиальные схемы ГПО
Наибольшее распространение в технике получил первый способ (рис. 40, а), при котором теоретическое значение момента Мт на валу ГМ при постоянной нагрузке (?р = const, где ?р — перепад давлений между гидролиниями ГПО) остается постоянным при росте угловой скорости ГМ.
Теоретическое значение мощности N4, на валу ГМ при ?р = const изменяется линейно в функции от ?. Второй способ регулирования скорости (рис. 40, б) применяют в системах, где необходимо изменять момент на валу ГМ в широком диапазоне при ограниченной мощности ГПО. Третий способ (рис. 40, в) реализуется в так называемых двухканальных следящих системах, в которых один канал (регулирование ГМ) обеспечивает грубое регулирование в диапазоне скоростей от максимального значения ? max до ? 1, а другой канал (регулирование насоса) позволяет точно регулировать скорость в диапазоне от ? 1 до ? = 0. Более точное регулирование во втором случае обеспечивается за счет работы следящей системы при постоянном (максимальном) моменте Мт. B дальнейшем ограничимся рассмотрением первого способа регулирования ГПО.
ГПО с регулируемым насосом H работает следующим образом (рис. 41), При поступлении на вход механизма управления МУ управляющего сигнала Uупр происходит отклонение регулирующего органа PO насоса от нейтрального положения на угол, значение которого пропорционально модулю сигнала Uупр, a знак (направление отклонения PO) — знаку этого сигнала. При отклонении PO от нейтрального положения насос подает определенный расход РЖ, пропорциональный углу ? отклонения PO, в определенный трубопровод, например в гидролинию 1, которая в этом случае называется напорной гидролинией. Одновременно всасывающая полость насоса соединяется с гидролинией 2 (гидролиния низкого давления). РЖ от насоса через гидролинию 1 поступает в приемную полость ГМ. Отдающая полость ГМ через гидролинию 2 соединена с приемной полостью насоса. При таком соединении насоса и ГМ обеспечивается определенная угловая скорость вала ГМ, пропорциональная модулю |Uупр| управляющего сигнала и соответствующая (по направлению вращения вала ГМ) знаку Uупр.

Рис. 41. Принципиальная схема ГПО первого типа
В процессе работы замкнутого гидравлического контура (насос— гидролинии — ГМ) неизбежны объемные потери РЖ, для восполнения которых предназначен вспомогательный насос Нв, приводимый в движение, как и основной насос, от приводного двигателя M.
Подпитка гидролиний осуществляется через подпиточные клапаны ???1 и ???2. Переливной клапан ПК3 поддерживает в системе подпитки определенное давление рП = (2 ... 2,5) МПа, при котором подпиточные клапаны ???1 и ???2 обеспечивают давление всасывания в гидролиниях 1 и 2 рВС = (0,7 ... 1,3)МПа.
Для предохранения системы подпитки при засорении фильтра ?1 она снабжается предохранительным клапаном ??4. Иногда кроме фильтра ?1 на линии нагнетания устанавливается фильтр ?2 на линии всасывания вспомогательного насоса. Для защиты приводного двигателя от перегрузки ГПО снабжается нуль установителем НУ, который устанавливает PO в нулевое положение при падении давления подпитки в результате аварийной ситуации (например, нарушения герметичности гидролиний ГПО). Для предохранения ГПО от перегрузок предусмотрены предохранительные клапаны ??1 и ??2, отрегулированные на максимально допустимый перепад давлений ?рmax. Гидромотор через редуктор с передаточным числом i приводит во вращение объект регулирования OP, на который действует внешний возмущающий момент Мв.
Рассмотрим основные уравнения насоса как элемента ГПО. Входной величиной для насоса является параметр регулирования e.

Рис. 42. Расчетная схема ГПО
Параметр регулирования аксиально-поршневого насоса с наклонным блоком цилиндров определяют по формуле

где ? — угол наклона блока цилиндров.
Если насос аксиально-поршневого типа с наклонным диском, то

где ? — угол наклона диска.
И, наконец, параметр регулирования радиально-поршневого насоса и регулируемого пластинчатого насоса однократного действия рассчитывают по формуле

где ? — эксцентриситет насоса. В дальнейшем ограничимся рассмотрением аксиально-поршневых машин.
Выходными величинами насоса будем считать расходы QH1 и QH2 рабочей жидкости, выходящей из насоса и поступающей в него соответственно. Перепад давлений р1—р2 в гидролиниях 1 и 2, вызванный нагрузкой на ГМ, будем рассматривать как внешнее возмущение. Расчетная схема насоса как часть расчетной схемы ГПО показана на рис. 42.
Примем следующие допущения: 1) расходами, обусловленными процессами компрессии и декомпрессии РЖ при прохождении рабочей камеры H через разделительные перемычки распределительного узла, пренебрегаем; 2) температура РЖ постоянная; 3) гидравлическими сопротивлениями и волновыми процессами в гидролиниях пренебрегаем; 4) модуль E РЖ считаем постоянным (не зависящим ни от давления, ни от температуры); 5) работу системы подпитки не учитываем (рсл = 0); 6) мощность приводного двигателя неограниченная; 7) конструкции насоса и ГМ симметричные; 8) вал ГМ абсолютно жесткий; 9) массой РЖ, находящейся в гидролиниях, пренебрегаем; 10) условимся, что расчетная схема, изображенная на рис. 42, соответствует случаю, когда e > 0.
При учете сжимаемости РЖ, находящейся в рабочих камерах насоса, а также утечек и перетечек уравнения для QH1— расхода РЖ, поступающей в гидролинию 1, и QH2 — расхода РЖ, поступающей в насос из гидролинии 2, могут быть записаны в следующем виде:

Рассмотрим составляющие этой системы уравнений:
QHг — геометрическая подача насоса;

где ?? — характерный объем насоса;

VНp — рабочий объем насоса — изменение объема рабочих камер насоса за один оборот его вала при e = 1 (при максимальном отклонении PO); ?? — угловая скорость вала насоса;
QНу1 — расход утечек из отдающей полости насоса; QНу2 — расход утечек из приемной полости насоса;

Здесь сНу — коэффициент утечек насоса; для аксиально-поршневых насосов коэффициент утечек может быть определен по формуле

где mНу = 0,6... 1,2 — коэффициент, зависящий от конструкции насоса;
— максимальная подача насоса (при e = 1); ?Н об — объемный КПД насоса; рНОМ — номинальное давление нагнетания насоса;QHп — расход перетечек (из гидролинии 1 в гидролинию 2) через распределитель;

где
— перетечки холостого хода (при ?р = 0), обусловленные неполным заполнением рабочих камер насоса при прохождении ими зоны всасывания, потерями вследствие местных гидравлических сопротивлений на входе в насос, а также кавитационных процессов;
определяется экспериментально; сНп — коэффициент перетечек насоса; для аксиально-поршневых насосов
где mНп = 0 … 0, 5 зависит от конкретного конструктивного исполнения распределительного узла насоса;
QН.д1, QН.д2— расходы РЖ, обусловленные сжимаемостью РЖ, находящейся в приемной и в отдающей камерах насоса;

где VH1, VH2 — объемы РЖ, находящейся в приемной и в отдающей камерах насоса; в силу обычной симметричности конструкции насоса VH1 = VH2 = VH; E — модуль упругости РЖ.
Запишем систему уравнений (116) с учетом уравнений (117)— (120):

Уравнения ГМ и гидролиний были рассмотрены в параграфе, посвященном ГПД (см. уравнения (78)—(87), в которых вместо QН1 фигурирует Q11и вместо QH2 — Q22)·
Уравнения (116)—(121) совместно с уравнениями расходов ГМ и гидролиний позволяют записать уравнения расходов для ГПО (система насос – гидролинии – ГМ):

где


Уравнение (122) совместно с уравнениями (85) и (86) позволяет установить зависимость ? от параметра регулирования e с учетом параметров нагрузки и параметров ГПО.
Перейдем к рассмотрению упрощенной математической модели ГПО. Примем допущение, что гидролинии выполнены из одинаковых трубопроводов (ЕПР1 = ЕПР2; VT1 = VT1 = VT). Следовательно, ??1 = ??2 = ??. B силу обычной симметричности конструкций насоса и ГМ V1 = V2 = V.
C учетом последнего допущения и принятых выше обозначений система (122) примет вид

Сложим уравнения системы (123) и результат разделим на два:

Введем обозначения (в соответствии с [1]):
— параметр упругости ГПО;
— параметр герметичности ГПО.Тогда уравнение (124) примет вид

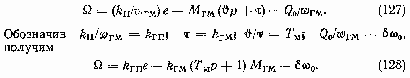
Или в операторной форме

Если воспользоваться очевидным уравнением Мгм = шгм ?p, то уравнение (126) можно представить в следующем виде:

При e < 0

Объединяя уравнения (128) и (129), получим

Последнее уравнение устанавливает связь между угловой скоростью ? вала ГМ, параметром регулирования e, моментом МГМ нагрузки на валу ГМ и параметрами kГП, kГМ, ТМ и ??0 ???.
Решая совместно уравнения (130), (85) и (86) при сОР = 0, получим

Или с учетом ? = ?p

где

Или с учетом, что kГМ = ? и ТМ = ?/?, получим

B формулах (133) и (134) J = JГМ + JОР/i2; F = FГМ + FОР/i2. Если сОР ? 0, то связь между координатой ? и параметром регулирования может быть описана с помощью следующей формулы:

В соответствии с уравнениями (132) и (135) структурные схемы ГПО могут быть представлены так, как показано на рис. 43.


Рис. 43. Структурные схемы ГПО: а – при сОР = 0; б – при сОР ? 0
Примечание. При анализе динамических характеристик ГПО при e > 0,05 в уравнениях (131), (132) и (135) принимают ??0 = 0. Эту величину учитывают только при изучении статических характеристик ГПО и при расчете динамики специальных режимов работы (на «ползучих» скоростях).
Запишем основные передаточные функции ГПО при MОP.тр = MГМ.тр = 0.


Пример 3. Рассчитать передаточные функции ГПО W1(p) и W2(p).
Основные данные ГПО (см. табл. ?5 прил.): ГПО с регулируемым насосом, параметры которого ?Н = 22,6 см3/рад; ?Н = 150 рад/с; VН1 = VН2 = VН = 45 см3; сНу= 11,8 см3/(МПа·с); сНП = 7 см3/(МПа·с).
Параметры гидромотора: ?ГМ = 11,5 см3/рад; ?max = 314 рад/с; VГМ1 = VГМ2 = VГМ = 30 см3; сГМу= 3,1 см3/(МПа·с); сГМП = 5 см3/(МПа·с); JГМ = 0,06 кг·см2; FГM = 0.
Параметры гидролиний: l = 120 см; d0 = 2,5 см; ? = 0,2 см; EТ = 2,8 ·107 Н/см2; EЖ = 105 Н/см2.
Параметры нагрузки: JОР = 0,3·107 кг·см2; FОР= 2-104 Н·см·с,
Передаточное число редуктора i = 100.
Решение
1. Определим

2. Вычислим коэффициент утечек

3. Рассчитаем коэффициент перетечек

4. Найдем

5. Определим F и J:

6. Рассчитаем

7. Определим

8. Найдем передаточную функцию W1(p) и ее параметры:

9. Вычислим передаточную функцию W2(p) и ее параметры:

Статические характеристики ГПО (регулировочная скоростная, регулировочная моментная и механическая) обычно рассматривают при сОP = 0. Эти характеристики легко получить из уравнения (130) при p = 0:

Регулировочная скоростная характеристика ? = ? (e) определяет функциональную зависимость угловой скорости вала ГМ ГПО в установившемся режиме от параметра регулирования e насоса при отсутствии нагрузки на валу ГМ (МГМ = 0).
Из уравнения (140) находим

График регулировочной скоростной характеристики ГПО приведен на рис. 44, а, где

Значение ? в реальных конструкциях ГПО обычно находится в пределах 0,05 ... 0,1. Причем в начале эксплуатации эта величина имеет наименьшее значение, а затем, в процессе эксплуатации, она увеличивается.
Примечание. Уравнение (141) записано при условии, что FГM = FОР = 0. Если эти коэффициенты не равны нулю, то уравнение (141) трансформируется к виду

Последнее уравнение показывает, что при наличии вязкого трения в ГМ и в OP наклон скоростной характеристики уменьшается.
Регулировочная моментная характеристика МГМ = МГМ(e) определяет функциональную зависимость крутящего момента ГМ в установившемся режиме от параметра регулирования e при ? = 0 (при заторможенном вале ГМ). Уравнение регулировочной моментной характеристики получается из уравнения (140) при ? = 0:


Рис. 44. Статические характеристики ГПО
где kГП = kГМ = kМ коэффициент усиления по моменту, или

При
срабатывает предохранительный клапан и уравнение (145) принимает вид
или

где kкл — характеристика предохранительного клапана.
Регулировочная моментная характеристика ГПО изображена на рис. 44, б, где

Примечание. B уравнениях (145) и (146) мы не учитывали момент трения МОРтр в OP и постоянный возмущающий момент MВ = const. Если учесть эти моменты, то уравнение (146) примет следующий вид:

Последнее уравнение показывает, что постоянный возмущающий момент и момент трения в OP увеличивают зону нечувствительности в регулировочной моментной характеристике ГПО (так же будет влиять на зону нечувствительности и момент трения МГМтр в ГМ).
Механическая характеристика ГПО определяет функциональную зависимость угловой скорости ? вала гидромотора в установившемся режиме от параметра регулирования е и от момента МГМ на валу ГМ:

Уравнение (147) записано для случая
Если
то уравнение (147) принимает вид
График механической характеристики ГПО представлен на рис. 44, в. Наклон характеристик
к оси абсцисс определяется коэффициентом kГМ, который зависит от параметра герметичности ? = ?(сП, сУ).При МГМ=1 срабатывает предохранительный клапан, и наклон механической характеристики к оси абсцисс резко увеличивается (угловая скорость
уменьшается).Следует отметить, что наклон механической характеристики неодинаков при различных значениях e, что объясняется нелинейной зависимостью проводимости предохранительного клапана от расхода протекающей через него РЖ «Помогающая» нагрузка (МВ = const) увеличивает
.Механическая характеристика определяет весь диапазон изменения скоростей и моментов ГПО и позволяет выбрать ГПО по диаграмме нагрузки (см. п. 2 гл. 1). Как правило, ГПО выбирают так, чтобы его механическая характеристика охватывала диаграмму нагрузки с определенным запасом. Ресурс работы ГПО рассчитывают для номинальных значений скорости ???? = (0,6 ... 0,8)?max и момента
. Следует отметить, что выбор механической характеристики по диаграмме нагрузки — это только необходимое условие, но не достаточное для обеспечения заданных требований по динамической и статической точности работы следящей системы с ГПО. Окончательный выбор ГПО проводится, если это потребуется, после синтеза следящей системы.Механическая характеристика позволяет определить полезную мощность ГПО

Коэффициент полезного действия ГПО определяют с учетом потерь мощности (в ваттах) при работе системы подпитки

где QП— расход насоса системы подпитки, см3/с; ?рП — перепад давлений системы подпитки, МПа; ?П — КПД насоса системы подпитки, обычно ?П = 0,6 ... 0,9.
С учетом работы системы подпитки общий КПД ГПО находится в пределах 0,8 ... 0,9.
Зная общий КПД ГПО, по известной полезной мощности N можно определить количество выделяемой ГПО теплоты в килокалориях в час (ккал/ч):

Зная Q, можно провести тепловой расчет ГПО (определить максимальную температуру ГПО)

где t0 — начальная температура (температура окружающей среды); kТП — коэффициент теплопередачи элементов конструкции ГПО, kТП = (30 ... 40) кДж/(ч·м2); FТП — площадь поверхности ГПО; Fоб — площадь поверхности теплообменника.
Назад | Содержание
| Вперед
Гидравлические корректирующие устройства
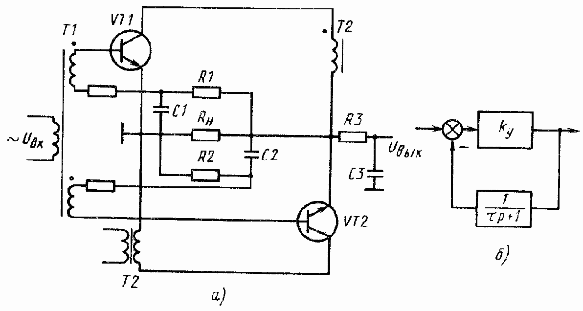
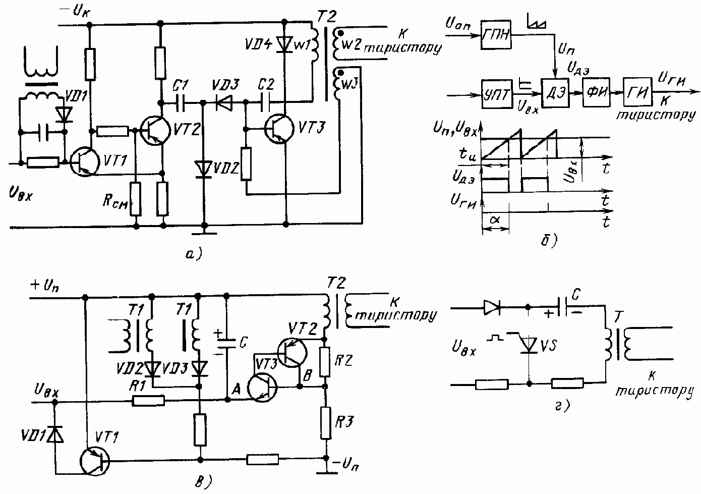
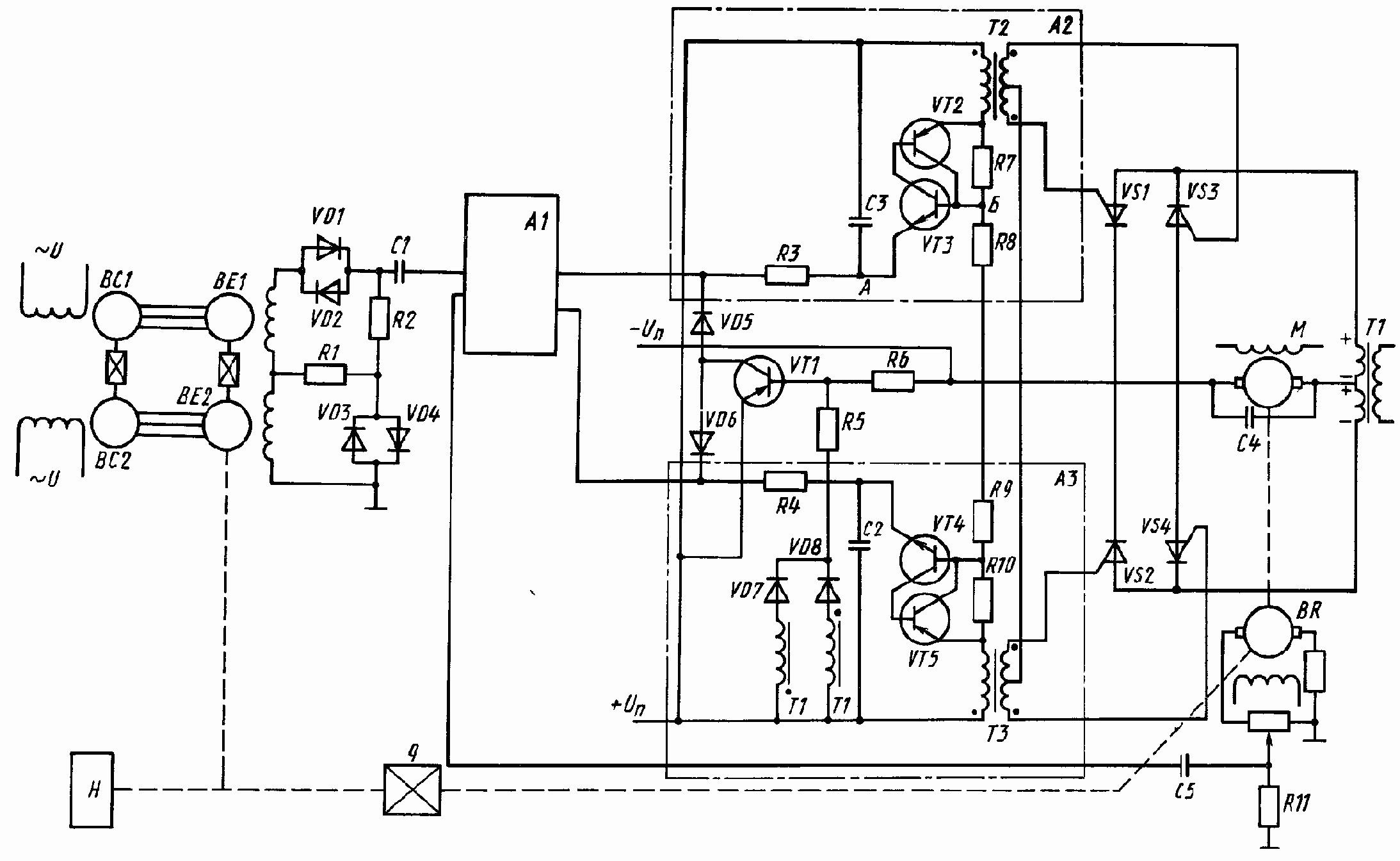
9.6. ГИДРАВЛИЧЕСКИЕ КОРРЕКТИРУЮЩИЕ УСТРОЙСТВАПри необходимости введения корректирующих OC и ГСП эти связи в некоторых случаях — ГСП (ДМ), ГСП (OM) — проще реализовать с помощью гидромеханических КУ (ГКУ). При этом существенно упрощается электрическая часть СП и, как следствие, повышается надежность его работы.
В ГСП, как и в электрических СП, реализация OC по ускорению затруднительна, так как во многих случаях (в приводах мобильных машин) трудно выделить сигнал ускорения объекта регулирования на фоне сигнала ускорения мобильной машины. Поэтому применяют косвенные методы получения информации по ускорению в виде перепада давлений в полостях ГИУ.
Известно, что для ГИУ, имеющего инерционную нагрузку, справедливы следующие уравнения:
для ГИУ в виде ГЦ

для ГИУ в виде ГМ

откуда


Рис. 117. Принципиальные схемы гидравлических КУ
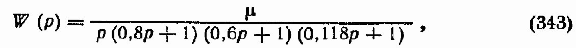
В ГСП наибольшее распространение получили ГКУ по перепаду давлений в полостях ГИУ, реализующие отрицательную или положительную жесткую или гибкую OC по ускорению. Наиболее простое ГКУ, обеспечивающее жесткую отрицательную OC по перепаду давлений на выходной каскад двухкаскадного ЭГУ, показано на рис. 117, а. Перепад давлений между рабочими полостями ГИУ подается в камеры A и Б и воздействует на торцы золотника 1, алгебраически суммируясь с управляющим перепадом давлений, подаваемым от гидравлического мостика сопло-заслонка 2 в камеры C и Д. Структурная схема гидропривода с жесткой отрицательной OC по перепаду давлений изображена на рис. 118, а.
Жесткая OC по перепаду давлений, увеличивая демпфирующие свойства ГИУ и запас устойчивости замкнутого контура ГСП, одновременно уменьшает жесткость привода к внешней нагрузке и увеличивает рассогласование. Для исключения этого недостатка применяют гибкую OC по перепаду давлений ?р.
Принципиальная схема ГКУ, реализующего такую OC на выходной каскад двухкаскадного ЭГУ, дана на рис. 117, б. Принцип работы ГКУ следующий. Дроссели 1 и 3 отрегулированы так, что в статическом режиме давления в плоскостях A и Б равны 0,5(рн + pсл). Ha малых частотах, когда изменение перепада давлений ?р происходит медленно, расходы РЖ (обусловленные движением поршней 4) в гидролиниях m и n малы по сравнению с постоянным расходом РЖ, протекающей через дроссели 1 в камеры A и Б и далее через дроссели 3 в сливную гидролинию.
рис. 117, г). Частотный фильтр в схемах ГКУ, изображенных на рис. 117, б и г, выполнен по упрощенной схеме, которая, хотя и менее точно, реализует передаточную функцию вида
, но проще по конструкции, и для ее работы не требуется дополнительный (непроизводительный) расход РЖ.B некоторых случаях необходимо менять знак корректирующей OC. Например, для исключения ошибки по выходной координате ГИУ при статической нагрузке и нежесткой связи ГИУ с объектом регулирования, а также для увеличения демпфирования ГСП на резонансных частотах применяют ГКУ (рис. 117, д), реализующее положительную OC по перепаду давлений на малых частотах и отрицательную OC по перепаду давлений на больших частотах. Корректирующее воздействие подается на ЭМП 2 в виде момента на его валу от деформации плоской пружины 5 вследствие смещения корректирующего золотника 3.
Ha малых частотах давление
в полости C равно давлению p1 в полости Б, а давление
в полости Д равно давлению р2 в полости A. Дифференциальная площадь поршня корректирующего золотника 3 (в полостях C и Д) больше площади торцов корректирующего золотника (в плоскостях A и Б).Если р1 > р2 (?р > 0), то в статическом режиме корректирующий золотник смещается вправо и создает посредством плоской пружины 5 положительную обратную связь по ?р на ЭМП, что обеспечивает компенсацию статической погрешности от постоянной нагрузки на ГИУ. При динамических процессах за счет увеличения расхода РЖ через дроссели 1, вызванного увеличением скорости движения поршня 4, давление
в камере C будет отличаться от давления р1, а давление
в камере Д — от давления р2, в то время как давления в камерах A и Б будут равны р1 и р2. Искажения давлений
и
с ростом частоты достигают таких значений, что при р1 > р2 корректирующий золотник будет совершать движение влево; знак OC по перепаду давлений изменится, и корректирующая OC обеспечит необходимое демпфирование ГСП.Назад | Содержание
| Вперед
Индукционные измерители рассогласования
4.4. ИНДУКЦИОННЫЕ ИЗМЕРИТЕЛИ РАССОГЛАСОВАНИЯВ качестве ИР переменного тока широкое применение получили устройства трансформаторной синхронной передачи на электрических индукционных микромашинах типа сельсинов и вращающихся трансформаторов (BT).
ИР на сельсинах (рис. 49, а) состоит из двух сельсинов: сельсина-датчика BC и сельсина-приемника BE. К источнику питания переменного тока подключена только обмотка возбуждения сельсина-датчика. Сельсин-приемник возбуждается переменным магнитным потоком Фв, создаваемым фазными напряжениями сельсина-датчика, передаваемыми сельсину-приемнику по трехпроводной цепи синхронизации. Однофазная обмотка сельсина-приемника служит для выработки сигнала рассогласования. Условно-графическое изображение схемы на бесконтактных сельсинах в соответствии с ГОСТ 2.722—68 дано на рис. 49, б.
B момент согласования, характеризуемого взаимно перпендикулярным расположением осей однофазных обмоток сельсинов, суммарный магнитный поток приемника перпендикулярен оси выходной обмотки сельсина-приемника и напряжение рассогласования t/? = 0. При наличии рассогласования механический поворот ротора сельсина-датчика преобразуется в поворот магнитного потока сельсина-приемника. Этот поток пронизывает однофазную управляющую обмотку, с которой снимается напряжение, характеризующее отклонение сельсинов от положения согласования:

где Umax — максимальное напряжение синхронизации.
Применение BT в качестве формирователей сигнала управления обусловлено повышением требований к точности СП, так как схемы на BT обеспечивают более точное преобразование угла рассогласования. Чаще всего измерение выполняют с помощью двух BT (TC и TE), включенных по трансформаторной схеме (рис. 49, в) и работающих аналогично ИР на сельсинах. Схема на BT вырабатывает напряжение рассогласования

где UП—напряжение питания; kТ—коэффициент трансформации между обмоткой возбуждения и вторичной обмоткой.
Сельсины и BT выпускаются в контактном и бесконтактном исполнении, корпусные и бескорпусные, с различными напряжениями возбуждения и на различные частоты.
Повышение частоты питания позволяет уменьшить размеры датчиков.

Рис. 49. Индукционный ИР
Выходное напряжение ИР на сельсинах и BT является непрерывной функцией угла рассогласования ? и содержит информацию, необходимую для управления СП. Статическая характеристика индукционного ИР, построенная по выражениям (151) и (152), носит нелинейный характер (рис. 49, г). Это противоречит общим требованиям к линейности характеристик измерительных устройств и приводит к появлению таких недостатков, как непостоянство крутизны характеристики и изменение фазы выходного напряжения не только при смене полярности, но и в зависимости от значения сигнала рассогласования. Как следует из рис. 49, г, изменение фазы, а вместе с ней и направления отработки ИД происходит в точках 0, 180 и 360°, характеризуемых нулевыми значениями выходного напряжения.
При рассогласованиях, меньших ± 180°, направление отработки ИД (на рис. 49, г показано стрелками) способствует устранению рассогласования, и привод автоматически приходит в положение устойчивого равновесия при ? = 0°. При рассогласовании ? = 180° направление отработки зависит от колебания напряжения в системе: при незначительном увеличении напряжения ИД отрабатывает сигнал рассогласования к 0°, а в случае уменьшения напряжения — к 360°. Это определяет положение неустойчивого равновесия системы, т. e. точка 180° характеризуется как неустойчивый нуль HH. При рассогласованиях, превышающих 180°, направление отработки ИД таково, что привод будет стремиться к устойчивому нулю УН, каким является угол 360°. B принципе это будет тоже положение ? = 0°, но достигается оно разворотом всего привода на 360°, что недопустимо с точки зрения начальной выставки приборов, закрутки жгутов и т. д.
Из трех рассмотренных положений согласования СП только положение ? = 0° является точкой устойчивого равновесия и истинным нулем привода.
Приводы, в которых в качестве измерителя рассогласования используются индукционные микромашины, обладают свойством самосинхронизации в пределах ? = ±180°.
Заметим, что наличие в системе таких больших рассогласований исключается самим режимом работы СП. Они возможны только в моменты включения привода, в режиме переброски или в случае, когда перемещение входного вала происходит при выключенном питании. Нормальный режим работы СП можно ограничить рабочей зоной ? = ±10°, в пределах которой характеристика линейна, обладает наибольшей крутизной и допустима замена sin ? = ?.
Заменяя в выражениях (151), (152) sin ? = ?, получаем

где k? — коэффициент преобразования, определяемый как приращение выходного напряжения при изменении угла рассогласования на 1°:
. Для сельсинов

для BT

Обычно чувствительность сельсинов составляет 50 ... 70 В/рад, а иногда может достигать 100 В/рад.
Погрешности трансформаторных схем измерения, характеризуемые остаточным напряжением на выходной обмотке при ? = 0°, так же как и погрешности потенциометрических схем, носят статический или динамический характер.
1. Как следствие несогласованности сопротивления приемника и нагрузки возникает методическая погрешность. В схемах на BT эту погрешность, вызванную поперечным потоком якоря при нагружении BT, можно уменьшить путем замыкания квадратурной обмотки накоротко (первичное симметрирование) или одинакового нагружения синусной и косинусной обмоток (вторичное симметрирование) BT. При этом поперечный поток компенсируется потоками, возникающими в квадратурной или косинусной обмотке.
При учете сопротивления нагрузки ZH выходное напряжение для ИР на сельсинах

где ZВЫХ — выходное сопротивление сельсина-приемника. Как видно из (156), крутизна измерительной схемы с уменьшением ZH падает. Влиянием нагрузки можно пренебречь, выбирая ZH >> ZВЫХ.
2. Статическая погрешность следования в дистанционной передаче зависит от технологических инструментальных погрешностей: неточности взаимного расположения обмоток и их не идентичности, асимметрии и не перпендикулярности обмоток, наличия эксцентриситета, а также от изменений внешних условий (температуры, напряжения и частоты источников питания).
Максимальную погрешность определяют по дополнительному углу поворота ротора приемника от положения согласования, необходимому для ликвидации остаточного напряжения на выходе измерительной схемы.
Для облегчения подбора пар сельсинов и BT их подразделяют на классы точности в зависимости от средней инструментальной погрешности, определяемой как полусумма максимальных погрешностей при вращении датчика по часовой стрелке и против:

Технические данные индукционных преобразователей с указанием средней максимальной погрешности для различных классов точности приведены в табл. ?7, ?8 прил. Выпускаемые промышленностью BT обеспечивают большую инструментальную точность по сравнению с сельсинами благодаря особой технологии изготовления пластин магнитопровода.
3. Скоростная (динамическая) погрешность обусловлена наличием ЭДС вращения и зависит от частоты вращения сельсинов. Эта погрешность определяется выражением

где U’max — амплитуда погрешности; ? — несущая частота; ? — угол сдвига по фазе напряжения погрешности относительно выходного напряжения сельсина-приемника и ВТ-приемника.
Совпадающая по фазе с полезным сигналом синфазная составляющая U’max sin?t·cos? может быть скомпенсирована соответствующим поворотом ротора приемника. Сдвинутая по фазе на 90° квадратурная составляющая U’max cos?t·sin? не поддается компенсации и увеличивает нагрев ИД и насыщение усилителя. Квадратурная погрешность зависит от соотношения между частотой вращения сельсинов n и несущей частотой ?. При n < ? скоростной погрешностью можно пренебречь. Ho если эти частоты соизмеримы, то погрешность значительна. Например, погрешность у сельсинов с частотой питания 50 Гц достигает 1 ... 2° при частоте вращения 300 мин-1, у сельсинов с частотой питания 500 Гц при той же частоте вращения она составляет 0,06°.
Таким образом, одним из способов снижения квадратурной погрешности является уменьшение рабочей частоты вращения сельсинов, но при учете требований ТЗ. Другой способ устранения квадратурной погрешности — применение в усилителе СП фазочувствительного каскада, обладающего свойством не пропускать сигналы, сдвинутые на 90° относительно полезной составляющей.
4. Дополнительная динамическая погрешность появляется от высших гармоник и сдвинута относительно напряжения питания также на 90°. Для уменьшения этой составляющей применяют фильтры, подавляющие гармонические составляющие сигнала рассогласования.
Назад | Содержание
| Вперед
Испытательное оборудование и аппаратура
18.3. ИСПЫТАТЕЛЬНОЕ ОБОРУДОВАНИЕ И АППАРАТУРАКомплекс испытательного оборудования и аппаратуры для проведения всех видов испытаний СП состоит из следующих основных частей: управляющей и контролирующей аппаратуры; оборудования для механических испытаний; оборудования для климатических испытаний; стендовых систем имитации нагрузки; стендовых систем гидропитания (для ГСП).
Управляющая и контролирующая аппаратура может входить в состав специализированного пульта контроля и управления СП или быть сформированной из стандартных универсальных приборов, подключаемых как к пульту СП, так и к различным датчикам привода.
В качестве примера стандартных универсальных приборов можно привести такие приборы, как задатчики стандартных управляющих сигналов, шлейфовые осциллографы, электронные осциллографы, частотные анализаторы типа «Солартрон», мегомметры, цифровые вольтметры и т. п.
Как правило, в практике используется комбинация специализированного пульта контроля СП со стандартной аппаратурой. Например, ЛАФЧ СП определяют с помощью генератора синусоидальных сигналов, подключаемого к пульту контроля СП, и шлейфового осциллографа, на который подаются управляющий сигнал и сигнал с датчика выходного звена СП.
В последние годы для определения ЛАФЧХ применяют специальные частотные анализаторы, включающие как генератор синусоидальных сигналов, так и специализированный микропроцессор, вычисляющий фазовый сдвиг и амплитудные искажения. Прибор снабжен цифровым индикатором и графопостроителем. Использование частотного анализатора позволяет существенно сократить время испытаний и повысить их точность.
Виброиспытания СП проводят на стандартных вибростендах (электродинамических, кинематических, электрогидравлических и инерционных), обеспечивающих заданные частоты и амплитуды (или ускорения) колебаний платформы, на которой крепится СП. Для измерения ускорений используют акселерометры пьезоэлектрического или индукционного типов. В качестве примера можно привести электродинамический стенд «Эртквейк» фирмы «Нортон». (Англия), работающий в диапазоне частот 5 ... 600 Гц с амплитудой до 1,2 мм и максимальным ускорением до 55g.
Масса нагрузки не более 450 кг.
Инерционный вибростенд ВС-350 фирмы «Кабель» ГДР работает в диапазоне частот 10 ... 70 Гц с амплитудой до 1 мм при ускорении до 7g. Масса нагрузки до 350 кг.
Для проведения испытаний СП на ударную прочность служат ударные стенды, создающие ударные ускорения в вертикальном направлении. Значение ударного ускорения определяется с помощью пьезоэлектрического акселерометра или датчика пиковых ускорений. Длительность импульса фиксируется и определяется либо с помощью шлейфового, либо электронного осциллографов.
В технике используются стенды, обеспечивающие ударные ускорения 15 ... 600 g с длительностью импульса 0,05 ... 100 мс и рассчитанные на грузоподъемность до 1000 кг.
Испытания на линейные перегрузки обычно проводят на центрифугах, вращающихся в горизонтальной плоскости. Для обеспечения динамической уравновешенности нагруженной центрифуги со стороны, противоположной испытываемому СП, устанавливается противовес. Центрифуги снабжены специальными коллекторами для подвода электрического питания к испытуемому СП и для снятия сигналов с различных датчиков СП. Применяемые в технике центрифуги обеспечивают линейные ускорения 25 ... 200 g для грузов с массой не более 200 кг.
Для испытаний на транспортабельность используют обычные вибростенды и ударные стенды. Иногда для этих испытаний применяют специальные установки, имитирующие транспортные нагрузки на СП. Испытание СП на теплоустойчивость и холодоустойчивость проводятся в специальных камерах, температура в которых создается с помощью специальных устройств. При испытании на теплоустойчивость ГСП иногда применяют специальные (электрические) подогревательные элементы, устанавливаемые в систему гидропитания.
Другие виды климатических испытаний проводятся в специализированных камерах.
Стендовые системы имитации нагрузки по типу нагружающего устройства подразделяются на механические, пневматические, гидравлические и комбинированные. По принципу действия системы имитации нагрузки делят на активные и пассивные.
Активные системы имеют свой источник энергии, пассивные не имеют. Активные системы создают нагрузку на выходном звене СП как при его движении, так и в покое. Пассивные системы создают нагрузку только при движении выходного звена СП.
Следует отметить, что из всех видов систем имитации нагрузки наиболее перспективной является гидравлическая активная система. Рассмотрим кратко принципиальную схему такой системы (рис. 182) применительно к ЭГСП (Д).
Суммарное усилие на штоке ГЦ описывается уравнением

Если известны законы изменения ??(t), ?н.тр(t), ?ГЦ.тр(t) и есть информация о d2xп/dt2, dx/dt и xп то для любого момента времени можно вычислить ??.

Рис. 182. Схема гидравлической системы имитации нагрузки
Ha стенде в качестве нагружателя используется ЭГСП (Д), работающий в режиме следящего привода по усилию, на вход которого подается управляющий сигнал, соответствующий значению ??, вычисленному с помощью приведенного выше уравнения с учетом

В процессе испытаний на электрический вход управляющей аппаратуры СП испытуемого ЭГСП подается сигнал управления Uупр, который сравнивается с сигналом обратной связи Uoc, снимаемым с потенциометра 1 обратной связи. В результате вырабатывается сигнал рассогласования, который усиливается в электронном усилителе мощности и подается на вход в ЭГУ СП (Uупр). В результате выходное звено 2 ГЦ СП совершает движение по заданному закону. При движении выходного звена СП с датчиков скорости 3 и ускорения 4 снимаются сигналы
и
которые совместно с сигналом
с потенциометра обратной связи и с сигналом, пропорциональным РВ (t), подаются на вход вычислителя, где определяется значение сигнала U??, пропорциональное значению ??. Сигнал с выхода вычислителя подается на вход управляющей аппаратуры ЭГСП нагружателя, где он алгебраически суммируется с сигналом
обратной связи по усилию на поршне ГЦ 6 нагружателя (например, с дифференциального датчика давлений 5).
Рис. 183. Схема стендовой системы гидропитания
Сигнал рассогласования
подается на вход ЭГУ нагружателя (ЭГУ СПН).При сформированном таким образом контуре ЭГСП нагружателя на его выходном звене реализуется заданный закон нагружения для испытуемого ЭГСП.
При всех видах рассмотренных в данной главе испытаний ГСП необходимо обеспечивать заданные параметры гидропитания, для чего служат стендовые системы гидропитания (ССГП). K ССГП помимо требований обеспечения заданного расхода рабочей жидкости и заданных давлений нагнетания и слива предъявляются следующие требования: обеспечение заданных степени очистки рабочей жидкости, интервала температуры рабочей жидкости, заданной динамики подачи рабочей жидкости при резких перекладках выходного звена ГСП (при ступенчатых управляющих сигналах). Кроме того, ССГП не должна допускать чрезмерного (сверх нормированного) содержания воздуха в рабочей жидкости. Обычно содержание нерастворенного в рабочей жидкости воздуха не должно превышать 1 %.
Принципиальная схема типичной стендовой системы гидропитания приведена на рис. 183. Насос 2 с переменной подачей с обратной связью по давлению приводится во вращение от электромотора 1. Ha выходе из насоса установлен обратный клапан 3, предназначенный для того, чтобы после выключения электромотора рабочая жидкость, находящаяся под давлением газовой полости гидроаккумулятора 4, не раскручивала бы насос. Давление зарядки в гидроаккумуляторе контролируется манометром 5.
В насос рабочая жидкость поступает из бака 17, к которому через штуцер 18 подводится азот (или воздух) под определенным давлением для обеспечения бескавитационной работы насоса (обычно 0,1 ... 0,25 МПа).
В магистрали нагнетания установлен гидроаккумулятор 4, предназначенный для сглаживания пульсаций расхода и давления и для уменьшения провалов давления при резких перекладках выходного звена испытуемого ГСП 10. После гидроаккумулятора в магистрали нагнетания устанавливается один или последовательно несколько фильтров 6 тонкой очистки рабочей жидкости. Из измерительных приборов в магистрали нагнетания размещены датчик температуры 7 (термопара) и датчик давления 8 (или манометр).В сливной магистрали на выходе из испытуемого ГСП 10 имеется предохранительный клапан 11, обеспечивающий необходимое давление слива, контролируемое с помощью манометра 12 или датчика давления. Для сброса давления из магистрали нагнетания предусмотрен перепускной кран 9. Для охлаждения рабочей жидкости на входе в бак 17 установлен водяной радиатор 16. Температура рабочей жидкости регулируется с помощью дозирующего клапана 15, который управляет соотношением расходов рабочей жидкости, идущей через радиатор и мимо него.
Дозирующий клапан 15 может управляться дистанционно или вручную. Ha линии, подводящей рабочую жидкость в бак, установлен дополнительный фильтр 13. Для контроля и измерения расхода рабочей жидкости в систему встроен датчик расхода 14.
Назад | Содержание
| Вперед
Измерители рассогласования ha потенциометрах
4.3. ИЗМЕРИТЕЛИ РАССОГЛАСОВАНИЯ HA ПОТЕНЦИОМЕТРАХПотенциометрические схемы предназначены для измерения линейного или углового рассогласования с преобразованием на постоянном или переменном токе. С этой целью используют потенциометры однооборотные с ограниченным (в пределах 350°) и неограниченным углами поворота, а также многооборотные.
Для дистанционного управления используют два потенциометра, кинематически связанных с задающей и исполнительной осями СП. Потенциометры электрически могут быть включены по мостовой (рис. 48, а) или трехпроводной (рис. 48, б) измерительной схеме. При согласованном положении задающей и исполнительной осей (? = ?) мост, образованный передающим RC и принимающим RE потенциометрами, уравновешен, и выходное напряжение U?, снимаемое с измерительной диагонали моста (со щеток), равно нулю. При перемещении щетки потенциометра RC на угол ?, а щетки потенциометра RE на угол ? = ? + ?, где ? — угол рассогласования (погрешность), мост выходит из равновесия, и на выходе схемы появляется сигнал, пропорциональный значению рассогласования.

Рис. 48. Потенциометрический ИР
Для СП применяют датчики угла поворота типа ПД, ПП, отличающиеся от ПД наличием концевых выключателей, ПТП, а также прецизионные ПЛ1-1, ПЛ1-2. Технические данные некоторых потенциометров приведены в табл. 1. Для расширения диапазона работы СП применяют круговые потенциометры типа ПК (двухщеточные) или ПКЗ (трехщеточные) с неограниченным вращением движка и тремя или четырьмя отводами.
Трехпроводная измерительная схема на потенциометрах с питанием через связанные с задающей осью СП подвижные контакты потенциометра-датчика RC показана на рис. 48, б. Благодаря равномерности намотки потенциометра диаграмма распределения потенциалов по секциям потенциометра RC симметрична (рис. 48, в), а положение максимума потенциала соответствует плюсу источника питания, если за точку с потенциалом, равным нулю, принят минус источника питания. Трехпроводная схема обеспечивает аналогичное распределение потенциалов и на потенциометре RE.
Очевидно, что снимаемое со щеток RE напряжение U? будет равно нулю только в том случае, если щетки потенциометров находятся в равнопотенциальных точках.
таблица 1
Технические данные потенциометров
| Параметр | пд, пп |
ПЛ1-1 |
ПЛ1-2 |
пк |
| Диапазон изменения рабочего угла ...° | 320 | 320 | 320 | Не ограничен |
| Сопротивление реостата, кОм | 0,1; 0,16; 0,25; 0,4; 0,63; 1; 1,6; 2,5; 3,15; 4 | 0,5; 0,75; 1,5; 2; 5; 7,5; 15 | I; 3; 10; 20 | 1,6 |
| Допустимая мощность рассеяния, Вт | 5 | 2 | — | — |
| Число витков обмотки на дуге Г | 1 ...3 | — | — | 2,63 |
| Необходимый вращающий момент, H·м х 104 | 20 | 25 | 40 | — |
При нагрузках, значительно превышающих сопротивление потенциометров, рассмотренные выше схемы ИР обеспечивают линейную зависимость выходного напряжения — сигнала рассогласования:

Статическая характеристика 1 в этом случае (режим холостого хода) является прямолинейной (рис. 48, г). Коэффициент преобразования, определяемый отношением напряжения рассогласования к углу рассогласования
, зависит от подведенного к схеме напряжения питания UП и рабочего диапазона потенциометра ?max.таблица 2
Классы точности потенциометров
| Класс точности | Допустимое отклонение по линейности, ° | Точность воспроизведения функции, % | Примечание |
| 1 | — 0,25 | — 0,2 | Для особо точных систем |
| 2 | — 0,50 | — 0,5 | Для серийных систем |
| 3 | — 1,00 | — 1,0 |
/p>
Для нормального функционирования схемы необходимо, чтобы рабочие диапазоны передающего RC и принимающего RE потенциометров были равны
.Погрешности потенциометрических ИР зависят от многих причин и их делят на статические и динамические погрешности.
1. Статическая погрешность складывается из методической и инструментальной составляющих. Методическая погрешность появляется при условии, что сопротивление нагрузки RН соизмеримо с сопротивлением потенциометров и оказывает шунтирующее действие. Для схемы, представленной на рис. 48, а, выходное напряжение в этом случае определяется соотношением

где ? — угловое положение щетки потенциометра RC; ? = RН/Rmax — коэффициент нагрузки; Rmax — максимальное сопротивление потенциометров.
Статическая характеристика (кривая 2 на рис, 48, г) носит нелинейный характер. Погрешность от несогласованности сопротивлений и нагрузки ?U растет с уменьшением ?.
Методическую погрешность можно уменьшить включением на выходе ИР элемента с высоким входным сопротивлением (эмиттерного повторителя или повторителя напряжения).
Статическая инструментальная погрешность обусловлена производственными допусками и конструктивными факторами: зазорами, неравномерностью намотки, ступенчатостью характеристики, зоной нечувствительности. По инструментальной погрешности назначаются классы точности потенциометров (табл. 2), Для получения необходимых характеристик в качестве датчика и приемника следует выбирать потенциометры одного класса точности.
2. Динамическая погрешность проявляется в виде шумов, возникающих за счет мгновенного нарушения контактов при переходе движка с витка на виток и при больших скоростях отработки управляющего воздействия.
Назад | Содержание
| Вперед
Электрические исполнительные устройства
3.4. ЭЛЕКТРИЧЕСКИЕ ИСПОЛНИТЕЛЬНЫЕ УСТРОЙСТВАВ качестве электрических ИУ используются регулируемые электродвигатели постоянного и переменного тока, а также нерегулируемые электродвигатели в сочетании с управляемыми электромагнитными муфтами. Каждый из перечисленных типов устройств обладает определенными достоинствами и недостатками, что необходимо учитывать при выборе области их применения.
Электрические двигатели постоянного тока. Рассмотрение электродвигателей как элементов системы управления проводится в предположении, что принцип их действия и конструкция известны из курсов электрических машин и элементов автоматики.
B СП применяют в основном коллекторные двигатели постоянного тока с независимым возбуждением серий МИ, ДИ, П, СЛ, СД, Д и с возбуждением от постоянного магнита серий ДПР, ДПМ, ДП, МИГ, MPM, ПЯ. Вследствие особой конструкции якоря электродвигатели серий ДПР (с полым немагнитным якорем), МИГ (с цилиндрическим гладким якорем), MPM и ПЯ (с дисковым печатным якорем), отличающиеся высоким быстродействием, находят применение в маломощных СП постоянного тока.
Особо следует выделить двигатели с дисковым якорем и печатной обмоткой серий MPM и ПЯ Как видно из рис. 23, эти двигатели выполняются не с цилиндрическим воздушным зазором, а с плоским. Ha обеих сторонах якоря 5, представляющего собой тонкий немагнитный диск, печатным способом нанесены плоские обмотки 4, соединенные между собой гальваническими заклепками 3. Поток возбуждения создается магнитами 1. Роль коллектора выполняют неизолированные участки проводников, по которым непосредственно скользят серебряно-графитовые щетки 2. Это упрощает изготовление двигателей и обеспечивает безыскровую коммутацию.

Рис. 23. Двигатель с печатной обмоткой
Получение роторных обмоток методом печатного монтажа наряду с упрощением технологии изготовления двигателей позволяет снизить момент инерции ротора. Благодаря указанному свойству эти двигатели обладают постоянными времени, на порядок меньшими, чем у двигателей обычного исполнения, и допускают ускорения до 5 · 102 м/c2.
Повышение требований к надежности и удельной мощности СП привело к созданию бесконтактных двигателей постоянного тока, характеризуемых отсутствием механических скользящих контактов. В бесконтактном двигателе (рис. 24) коммутация секций w1 — w3 обмотки, расположенной на статоре двигателя M, осуществляется транзисторными ключами VT1—VT3 коммутатора по сигналам датчика положения B ротора. В положении, указанном на рис. 24, сигнал с чувствительного элемента B1, находящегося в поле управляющего магнита (на рисунке заштрихован), жестко связанного с ротором, открывает ключ VT1. Выводы обмотки w1 оказываются подключенными к источнику питания Uу. Ток, протекающий по обмотке, создает магнитный поток, взаимодействующий с полем постоянного магнита, и ротор поворачивается по часовой стрелке. Ключ VT1 закрывается, обмотка w1 обесточивается, но одновременно появляется сигнал с элемента B2, к которому подойдет магнит, и открывается ключ VT2 и т. д.

Рис. 24. Принципиальная схема бесконтактного двигателя постоянного тока
Рассмотренный бесконтактный двигатель по принципу работы является аналогом коллекторного двигателя благодаря наличию позиционной OC, осуществляемой датчиком положения ротора. Ho применение полупроводникового коммутатора улучшает условия коммутации и открывает новые возможности построения схем управления и регулирования частоты вращения бесконтактного двигателя по сравнению с коллекторными двигателями.
Управление ИД постоянного тока осуществляется подачей регулируемого напряжения на обмотку якоря (рис. 25, а) — якорное управление или на обмотку возбуждения — полюсное управление. ИД с возбуждением от постоянного магнита имеют только якорное управление (рис. 25, б).
При полюсном управлении (рис. 25, в) на обмотку якоря постоянно подается номинальное напряжение UB от независимого источника питания. Управление частотой вращения ИД осуществляется за счет изменения напряжения управления UУ на зажимах обмотки главных полюсов. Изменение направления потока Фу в обмотке управления происходит с помощью преобразователя U, в качестве которого применяют генераторы, электромашинные усилители, реверсоры (ключевые усилители).
Ho так как при управлении по цепи возбуждения нельзя обеспечить требуемых пусковых качеств и достаточной жесткости механической характеристики в широком диапазоне регулирования, то это управление применяют редко.

Рис. 25. Схемы управления ИД постоянного тока
При управлении по цепи якоря (см. рис. 25, а) сигнал управления UУ поступает на якорную обмотку ИД с усилителя мощности, в качестве которого используют электронные, электромашинные и тиристорные усилители (рис. 26).
C помощью схемы ЭМУ—ИД (рис. 26, а) осуществляется непрерывное регулирование скорости двигателя M. Так как обмотки управления ЭМУ включены дифференциально, то при отсутствии сигнала рассогласования разностный магнитный поток управления ФУ = 0, ЭМУ не возбужден и двигатель находится в состоянии покоя. Возникновение разностного потока приводит к появлению выходного напряжения ЭМУ и вращению ИД в сторону, определяемую знаком рассогласования, со скоростью, зависящей от значения ошибки рассогласования.
Схема мостового выходного каскада на транзисторах (рис. 26, б) с включенным в диагональ ИД позволяет осуществлять как непрерывное, так и дискретное управление в зависимости от режима работы транзисторов. При непрерывном способе транзисторы работают в линейном режиме. В исходном состоянии схемы транзисторы закрыты, и якорь двигателя M обесточен. При подаче входного сигнала определенного знака открываются транзисторы противоположных плеч, например VT1 и VT4, и no цепи (+UП) — VT4 — якорь M — VT1 — (—UП) начинает протекать ток, создающий момент вращения определенного направления. При рассогласованиях противоположного знака открываются транзисторы VT2, VT3 и вращение ИД происходит в противоположную сторону. Схема применяется для управления двигателями мощностью не более 100 Вт, что обусловлено большими тепловыми потерями, связанными с непрерывным режимом работы транзисторов.

Рис 26. Схемы включения ИД постоянного тока
Импульсный метод регулирования позволяет облегчить режим работы транзисторов и повысить мощность выходного каскада до нескольких киловатт.
В этом случае рассматриваемая схема работает в режиме переключения, выдавая на ИД серию импульсов, длительность которых зависит от сигнала рассогласования. При действии импульса двигатель разгоняется, а в его отсутствие — тормозится. Вал ИД приобретает среднюю скорость, зависящую от соотношения длительностей импульса и паузы. Для устранения колебаний скорости (получения непрерывного вращения вала) частоту переключений делают как можно большей. При этом двигатель как инерционный элемент выполняет роль восстановителя непрерывного сигнала по его дискретным значениям. Импульсное регулирование обеспечивает нормальный тепловой режим работы ИД, так как он нагревается только в течение времени длительности импульса.
Мостовая схема на тиристорах (рис. 26, в) позволяет осуществлять дискретное регулирование скорости ИД при коммутации токов до нескольких сотен ампер и напряжениях до тысячи вольт.
Для обеспечения вращения ИД в одну сторону управляющие импульсы с выхода усилителя подаются на одну из тиристорных групп, например VS1 — VS6. Ток от положительной фазы напряжения питания UП замыкается через включенный в этот момент тиристор группы VS4 — VS6, якорь двигателя, тиристор группы VS1—VS3 на отрицательную фазу питающего напряжения. Регулирование частоты вращения ИД обеспечивается за счет изменения времени включения тиристоров, т. e. времени подключения двигателя к источнику питания. Реверс ИД осуществляется подачей управляющих импульсов на тиристоры VS7 — VS12 другой группы. Схемы применяют для управления ИД мощностью до 100 кВт.
Основные параметры и характеристики ИД постоянного тока. Момент, развиваемый двигателем при подаче напряжения управления, определяется током, протекающим по цепи якоря:

где сМ — коэффициент момента, Н·м/А; Iа — ток, протекающий по цепи якоря, A.
Угловую скорость якоря ИД в установившемся режиме находят из уравнения электрического равновесия

где Ra — активное сопротивление цепи якоря, Ом; E = се? — противоЭДС, B; се - коэффициент противоЭДС, В·с/рад.
Отсюда

Основными характеристиками ИД постоянного тока являются механическая M=f(U, ?) и регулировочные — по скорости ? = f(U) и по моменту M = f (U).
Выражение механической характеристики можно получить подстановкой значения Iа из (25) в (26):

Обозначив

получаем

где MП — момент пуска двигателя при ? = 0; F — коэффициент демпфирования, определяющий наклон (жесткость) механической характеристики.
Как следует из рассмотрения механических характеристик, представленных на рис. 27, с увеличением напряжения управления Uy скорость ИД возрастает (рис. 27, а), при увеличении момента нагрузки М? скорость падает (рис. 27, б), с увеличением коэффициента демпфирования F (рис. 27, в) возрастает устойчивость двигателя, так как уменьшается зависимость угловой скорости от изменения внешней нагрузки.

Рис. 27. Статические характеристики ИД постоянного тока
Механическая характеристика является обобщенной, так как зависит от двух параметров Uу и ?. Выражение регулировочной характеристики ? = f (U) может быть получено из (27):

Обозначив

и сделав замену МВР == М'Н, где М'Н = МН/i — приведенная составляющая момента нагрузки, получаем

где kД — коэффициент передачи двигателя по скорости, l/B·c. Регулировочные характеристики (рис. 27, г) смещены относительно начала координат на расстояние, определяемое моментом М?. Через начало координат характеристика проходит при отсутствии момента нагрузки на валу ИД (идеальный случай). Реально даже при отсутствии момента нагрузки всегда существует момент статического трения Мт, который определяет зону нечувствительности ИД (напряжения трогания) и оказывает влияние на статическую ошибку всего СП. Напряжение трогания

Регулировочная характеристика по моменту M = f (U) при ? = 0 представлена на рис. 27, д.
Динамические свойства двигателей. Поведение двигателя в переходных режимах, связанных с изменением угловой скорости в процессе слежения, можно описать следующей системой уравнений:
1) уравнение электрического равновесия

где L — индуктивность обмотки якоря, Гн;
2) уравнение механического равновесия в соответствии с (23), а также (19) и (20) и при учете постоянной составляющей статической нагрузки МCT = МН

3) уравнение, связывающее угол поворота вала ИД с угловой скоростью:

B оперативной форме уравнения (34)—(36) при учете выражения (24) можно представить в следующем виде:

Структурные схемы ИД постоянного тока, соответствующие полученной системе уравнений (37)—(39), изображены на рис. 28, а.
Решая совместно уравнения (37)—(39), получаем

или

где TЭ = L/Ra — электромагнитная постоянная времени, характеризующая скорость нарастания момента в заторможенном двигателе; ТМ — механическая постоянная времени, характеризующая нарастание скорости и определяемая механическими параметрами ИД:


Рис. 28. Структурные схемы ИД постоянного тока
Для двигателей с обычным зубцовым якорем ТМ = 0,03 ... 0,4 с, при полом немагнитном якоре ТМ = 0,015 ... 0,02 с, для двигателей с цилиндрическим гладким и печатным якорем ТМ = 0,005 ... 0,01 с.
Структурная схема ИД, соответствующая выражению (40), представлена на рис. 28, б.
Передаточную функцию двигателя по управляющему воздействию можно получить из выражения (40), полагая MН = 0 (рис. 29, а):

В зависимости от соотношения постоянных времени ТЭ и ТМ двигатель может быть представлен различными типовыми звеньями. C небольшой погрешностью (рис. 29, б} передаточную функцию ИД можно записать в следующем виде:

Для большинства ИД влияние индуктивности якорной обмотки на динамические свойства не является определяющим, что дает возможность пренебречь электромагнитной постоянной времени (рис. 29, в), тогда

Если в качестве выходной величины рассматривать углов ?Д поворота вала ИД, то на основании (39) двигатель можно представить последовательным соединением интегрирующего и апериодического звеньев (рис. 29, г):


Рис. 29. Представление ИД типовыми звеньями
И, наконец, при незначительных нагрузках падением напряжения можно пренебречь.
B этом случае ИД выполняет роль интегрирующего звена (рис. 29, д):

Передаточная функция двигателя по отношению к возмущающему воздействию при UУ = 0 может быть получена из (40):

Выражения передаточных функций по управляющему и возмущающему воздействиям соответствуют структурной схеме ИД (рис. 29, e), полученной эквивалентными структурными преобразованиями (см. рис. 29, б—г) исходной схемы (см. рис. 29, а).
Большой диапазон мощностей (от долей ватт до десятков киловатт), линейность статических характеристик, плавность работы наряду с высокими динамическими характеристиками послужили причиной широкого использования ИД постоянного тока в качестве исполнительных устройств СП. Главный недостаток двигателей постоянного тока обусловлен наличием коллектора и щеток, создающих момент трения, что снижает надежность работы в условиях повышенной влажности, усложняет техническое обслуживание и повышает уровень шума при работе.
Электрические двигатели переменного тока. Из числа двигателей переменного тока для работы в СП наиболее пригодны малоинерционные асинхронные двигатели с хорошими регулировочными характеристиками. Широкое применение находят двухфазные двигатели типа ДИД, АД, АДП, малогабаритные типа ДМ, а также двигатели-генераторы типа ДГ, АДТ, ДГМ.
Такие преимущества, как отсутствие коллектора и щеток, малый момент инерции, простота управления и согласования с усилителями переменного тока, делают асинхронные двигатели незаменимыми в быстродействующих СП, а также приводах, работающих во взрывоопасных условиях, в которых трудно проводить профилактические работы. Малые размеры двигателей дают возможность использовать их в устройствах, к которым предъявляются жесткие требования по размерам и массе. Кроме того, эти двигатели самые простые и экономичные.
Однако распространение асинхронных двигателей ограничено их низким КПД и малой мощностью (до 100 ... 150 Вт), так как дальнейшее увеличение мощности влечет за собой значительный рост размеров и требует интенсивного охлаждения.
Рассмотрим принцип работы асинхронного двигателя. В одну из обмоток статора включен конденсатор, создающий необходимый для работы двигателя сдвиг фаз в 90° между токами в обмотках управления и возбуждения. Образуемое при этом вращающееся магнитное поле взаимодействует с вихревыми токами, индуцируемыми в немагнитном роторе, и создает момент вращения

где k — коэффициент пропорциональности; UB, Uу — напряжения возбуждения и управления, B; ? — угол сдвига фаз между напряжениями.
При отсутствии нагрузки ротор вращается синхронно с полем. При наличии момента нагрузки появляется отставание, поэтому двигатель и называется асинхронным.
Различают методы непрерывного и дискретного управления частотой вращения асинхронного ИД. Непрерывное управление частотой достигается изменением амплитуды управляющего напряжения, дискретное — изменением времени подключения обмоток ИД к источнику питания.
Непрерывный метод управления может быть реализован с помощью схем с использованием электронных усилителей переменного тока. Схема регулирования асинхронного двигателя с помощью транзисторного усилителя, выполненного на транзисторах VT1 и VT2, показана на рис. 30, а. При отсутствии входного сигнала ,no первичным обмоткам трансформатора T2 протекают начальные коллекторные токи, создающие эффект компенсации в нагрузке, в результате чего двигатель находится в состоянии покоя. При подаче входного сигнала Uу, поступающего на базы транзисторов в противофазе, коллекторный ток одного транзистора возрастает, а другого уменьшается. В сердечнике T появляется разностный магнитный поток определенного направления, а в выходной обмотке — напряжение соответствующей фазы. Двигатель начинает вращаться с частотой, определяемой амплитудой входного сигнала. Для реверса ИД фазу входного сигнала следует изменить на 180°.
Дискретный метод управления асинхронным ИД можно пояснить с помощью схемы управления на тиристорах (рис. 30, б). В обмотку управления двигателя M включены встречно-параллельно два тиристора VS1, VS2, на управляющие электроды которых со схемы управления поступают импульсы.
При отсутствии сигнала рассогласования тиристоры закрыты и обмотка управления ИД обесточена. При наличии сигнала ошибки на тиристоры поступают импульсы, сдвинутые по фазе относительно напряжения питания UП на угол, зависящий от степени рассогласования. В результате проводящий тиристор, например VS1, будет открыт не все время, равное половине периода, а только часть его, и обмотка управления ИД на такое же время будет подключена к источнику питания. Во второй полупериод открывается тиристор VS2, и по обмотке управления протекает импульс тока обратной полярности. Средний за период ток зависит от ширины импульсов (фазового сдвига импульсов) и в конечном счете от ошибки рассогласования. Частота вращения ИД при этом будет плавно меняться. Реверс ИД осуществляется одновременной сменой фазы входного сигнала и подачей разрешающего импульса па тиристор VS2.

Рис. 30. Схемы управления асинхронным двигателем
В настоящее время разработаны силовые СП, в которых используются трехфазные асинхронные двигатели с тиристорным управлением.
Другим примером дискретного управления может служить управление с помощью мостового выходного каскада на транзисторах в ключевом режиме (рис. 30, в). Два нижних плеча моста образованы входными транзисторами VT1, VT6. Два верхних плеча образованы силовыми транзисторами VT3, VT4 и дополнительными VT2, VT5, имеющими проводимость, обратную проводимости транзисторов нижней половины моста. Коллекторная нагрузка каждого из управляющих транзисторов выполнена из резисторного делителя R1, R2 (R5, R6), к средней точке которого подключена база дополнительного транзистора VT2 (VT5). Коллектор транзистора VT2 (VT5) подключен к базе силового транзистора VT3 (VT4) непосредственно и через резистор R3 (R4) к коллектору другого силового транзистора VT4 (VT3).

Рис. 31. Статические характеристики асинхронного ИД
Источник питания UП включен в диагональ моста, в другую диагональ включены нагрузка в виде обмотки управления ИД и два диода VD1 и VD4, предназначенные для обеспечения режима работы каскада.
Управление мостом осуществляется двуполярными импульсами, поступающими в противофазе на базы транзисторов VT1, VT6, например, отрицательный импульс — на базу VT1 и положительный импульс — на базу VT6. Транзисторы VT1, VT2, VT4 на время действия импульса открыты, а транзисторы VT3, VT5 и VT6 закрыты. По цепи (+UП) — VT1-VD1 — обмотка управления — VT4 — (—UП) течет ток, и двигатель начинает вращаться в определенную сторону. В другой полупериод меняется полярность импульсов, открываются транзисторы VT3, VT5, VT6, а транзисторы VT1, VT2, VT4 закрываются. Ток через нагрузку потечет в обратном направлении по цепи ( + UП) — VT6—VD4 — обмотка управления — VT3— (—UП). При этом направление вращения ИД останется прежним, так как одновременно сменится фаза напряжения возбуждения. Частота вращения ИД будет зависеть от ширины импульсов управления или значения ошибки рассогласования. Знак сигнала рассогласования определяет фазу управляющих импульсов и направление вращения ИД.
Статическими характеристиками асинхронного двигателя, как и двигателя постоянного тока, являются механические M = f (?) (рис. 31, а) и регулировочные M = f (Uy), ? = f(Uу) (рис. 31, б, в) характеристики. B момент включения ИД благодаря применению фазосдвигающего конденсатора угол ? = 90°, и пусковой момент согласно (48) с учетом постоянства напряжения возбуждения будет

где cM.П. = kUB — коэффициент передачи по моменту, Н·м/В. Из (49) следует

Здесь МП.HOM — номинальный пусковой момент; UУ.Н.НОМ — номинальное напряжение управления.
Зависимость M = f(Uу) называется нагрузочной характеристикой. В общем виде статические характеристики асинхронного двигателя нелинейны, но с некоторыми допущениями их можно заменить приближенными линейными зависимостями. Полагая механические характеристики линейными и параллельными, зависимость между угловой скоростью ИД и моментом вращения можно выразить линейным уравнением

или

Коэффициент демпфирования определим из (52) при условии


Уравнение регулировочной характеристики может быть получено из выражения (51) при условии МВР = 0:

Обозначая kД = сМ.П./F, где kД — коэффициент передачи ИД по скорости, получаем

В динамическом режиме асинхронный двигатель с учетом допущенной линеаризации описывается теми же дифференциальными уравнениями (37)—(39), что и двигатель постоянного тока. При исследовании уравнений и выводе выражения передаточной функции член, содержащий p2, без значительных погрешностей может быть отброшен и тогда

Механическая постоянная ТМ асинхронных ИД, как правило, указывается в паспортных данных. B противном случае ее можно определить по параметрам двигателя и нагрузки:

где


Рис. 32. Электромагнитная порошковая муфта
Следует иметь в виду, что на ИД переменного тока поступает управляющий сигнал, модулированный по амплитуде и содержащий полезную информацию в огибающей, на которую и реагирует двигатель. Поэтому передаточную функцию асинхронного ИД определяют по огибающей управляющего сигнала.
Электромагнитные муфты. В отличие от электродвигателей электромагнитные муфты вращающего момента не создают и являются передаточным звеном между нерегулируемым приводным двигателем и нагрузкой. Конструктивно они состоят из ведущей части, связанной с двигателем, и ведомой, связанной с нагрузкой. По типу связи между обеими частями муфты делят на муфты с механической связью и электромагнитной (за счет поля).
Согласно ГОСТ 18306—72 муфтой с механической связью называется устройство, в котором вращающий момент, создаваемый приводным двигателем, передается от ведущей части к ведомой за счет механического трения или путем зацепления, управляемого магнитным полем электромагнита муфты.
По принципу работы электромагнитные муфты с механической связью делят на фрикционные (ЭФМ) и порошковые (ЭПМ). В ЭФМ передача момента происходит за счет механического трения дисков, которые притягиваются при подаче управляющего сигнала, в ЭПМ — за счет сцепления ферромагнитного порошка в управляемом поле.
Наибольшее применение в СП нашли порошковые муфты благодаря хорошим регулировочным свойствам и высокому быстродействию.
Они универсальны, с их помощью можно осуществлять как непрерывное, так и дискретное регулирование момента.
По исполнению муфты бывают контактные и бесконтактные. Одна из конструкций бесконтактной муфты показана на рис. 32, а. Магнитная система состоит из элемента 1, являющегося ведущей частью муфты, элемента 6, образующего ведомую часть, и обмотки 3, размещенной в кольцевом пазу неподвижного катушкодержателя 2. Двойной зазор 4 и 5 заполнен ферромагнитным порошком — исполнительным органом ЭПМ, непосредственно осуществляющим силовую связь между ведущей и ведомой частями.
Ведомая часть выполнена в виде стакана и имеет малый момент инерции. Ведущую часть, вращающуюся с постоянной скоростью вместе с валом приводного двигателя, наоборот, делают больших размеров и массы. Это способствует запасу механической энергии от двигателя, ускорению процессов разгона и торможения, т. e. безынерционности самой муфты.
При отсутствии сигнала управления магнитный порошок находится в свободном состоянии, сцепление отсутствует и вращение не передается. При подаче в обмотку электромагнита сигнала управления возникает поток управления Фу. Под действием потока порошок намагничивается и затвердевает, создавая между ведущей и ведомой частями момент сцепления M = сФФу, где сФ — коэффициент пропорциональности. Ведомая часть начинает вращаться, причем передаваемый момент зависит от тока управления.
Осуществить реверс нагрузки с помощью рассмотренной муфты нельзя, так как в качестве приводного двигателя, как было отмечено ранее, применяется нерегулируемый двигатель. Для обеспечения реверса нагрузки H служит блок двух параллельно соединенных муфт 1, 2 (рис. 32, б), связанных с приводным двигателем M с помощью зубчатой передачи 3 таким образом, что ведущие части этих муфт вращаются в противоположные стороны. Для управления обмотки обеих муфт включают по дифференциальной схеме как нагрузку выходного каскада усилителя, собранного на транзисторах VT1, VT2 и работающего в линейном или ключевом режиме в зависимости от избранного метода регулирования скорости ИУ.
При отсутствии сигнала рассогласования и непрерывном регулировании начальные (нулевые) токи, протекающие в обмотках муфт, создают равные, но противоположно направленные моменты вращения, приложенные к выходному палу ИУ. B результате
. Появление сигнала рассогласования U?? приводит к перераспределению токов Iу1 и Iу2 в обмотках муфт, появлению момента и скорости выходного звена муфты определенного знака.Свойства муфты в статическом режиме определяются моментной M = f(Uy) и механической ? = f(M) характеристиками. Моментная (регулировочная) характеристика реверсивной муфты, показанная на рис. 33, а сплошной линией, является разностью характеристик (штриховые линии) двух нереверсивных муфт. Характеристика каждой муфты нелинейна, но за счет дифференциальной схемы включения при токе управления Iу = I1 — I2 = 0 момент M = M1 — M2 тоже равен нулю, а при изменении тока управления он будет возрастать практически линейно:


Рис. 33. Моментная и механическая характеристики ЭПМ
или

где kMI и kMU = kMI /Rу— коэффициенты ЭПМ по моменту; Rу — сопротивление обмотки управления.
Ведомая часть синхронно вращается с ведущей. При нагружении ЭПМ моментом, больше момента муфты, между ведущей и ведомой частями появляется скольжение, определяемое зависимостью

где ?1 — угловая скорость ведущей части; ? 2 — угловая скорость выходного вала ведомой части.
Момент, развиваемый ЭПМ при скольжении, меньше передаваемого момента и называется моментом вращения. При ?2 ? ?1 ЭПМ является нагрузкой для приводного двигателя и источником мощности для приводимого механизма. При ?1 = ?2 муфта является пассивным соединительным механизмом. Скорость можно регулировать только путем изменения скольжения S.
Скольжение сопровождается выделением большого количества теплоты. Для повышения теплопроводности муфты и предотвращения разрушения ферромагнитного порошка в него добавляют минеральные масла, керосин, графит, увеличивающие вязкость смеси.
Как следует из рассмотрения механической характеристики ? = f (M) (рис. 33, б), угловая скорость ?2 выходного вала ЭПМ не зависит от момента нагрузки при работе муфты без скольжения.
При некотором значении момента нагрузки происходит мгновенное расцепление ведущей и ведомой частей. Чем больше сигнал управления, тем при большем значении момента нагрузки произойдет расцепление муфты.
Для вывода передаточной функции блока муфт воспользуемся уравнением механического равновесия (35), приведя все параметры к выходному валу ЭПМ:

где J' = JB + JM/i2 — приведенный к выходному валу момент инерции; JM — момент инерции муфт; M1—M2 — момент, передаваемый муфтой; i — передаточное число редуктора от ведомой части ЭПМ к нагрузке; МН — момент сил сопротивления на выходном валу муфт.
Подставляя значение передаваемого момента из (58) в (59) и принимая для упрощения МН = 0, получаем

откуда передаточная функция блока муфт

где

Передаточная функция муфт относительно угла поворота

Если учесть скорость нарастания суммарного магнитного потока Ф в рабочем зазоре, зависящую от постоянной времени Та, то передаточная функция муфты,

где TЭ = Ly/Ry, Ly, Ry — индуктивность и сопротивление обмотки управления.
K преимуществам ЭПМ следует отнести:
высокое значение отношения вращающего момента к моменту инерции ведомой части муфты, что обеспечивает большие ускорения — до 100·103 рад/с2 (у двигателей постоянного тока такой же мощности — до 20·103 рад/с2);
Недостатками муфт являются:
Назад | Содержание
| Вперед
Электродинамические преобразователи
6.2. ЭЛЕКТРОДИНАМИЧЕСКИЕ ПРЕОБРАЗОВАТЕЛИПринцип действия электродинамических ЭМП основан на взаимодействии магнитного потока, возникающего при поступлении управляющего сигнала в обмотки управления, с постоянным магнитным потоком, создаваемым постоянными магнитами или с помощью катушек возбуждения. Рассмотрим одну из возможных схем ЭМП такого типа (рис. 62, а). При отсутствии управляющего сигнала ток в обмотке подмагничивания 2, протекающий за счет электрического сигнала на контактах B и Г, создает в зазоре ? радиальные постоянные магнитные потоки ФП. При подаче через контакты А и Б управляющего сигнала на обмотку управления 4 возникает магнитный поток управления, который, взаимодействуя с радиальными потоками ФП создает осевое усилие, деформирующее плоские пружины 1 и 5.
В результате этого взаимодействия выходное звено 6 (якорь) ЭМП перемещается в осевом направлении на определенную величину хЯ, пропорциональную управляющему току. При смене знака управляющего сигнала перемещение подвижной части ЭМП происходит в противоположную сторону. Сила взаимодействия управляющей обмотки с постоянным магнитным потоком зависит от силы тока в обмотке управления. Применение двух пружин объясняется тем, что пружина 5 служит только для центрирования управляющей обмотки в зазоре 6 магнитопровода 3. Эта пружина имеет малую жесткость. Пружина 1 в основном обеспечивает пропорциональную и однозначную зависимость перемещения подвижной части ЭМП от управляющего сигнала. Жесткость этой пружины намного больше жесткости пружины 5.
Часто вместо обмотки подмагничивания используют постоянные магниты, что позволяет исключить непроизводительное потребление электроэнергии, уменьшить массогабаритные показатели ЭМП, повысить надежность его работы и исключить проблему отвода теплоты от катушки подмагничивания (рис. 62, б).

Рис. 62. Электродинамический ЭМП:
а) с обмоткой возбуждения б) с постоянным магнитом
Главной особенностью ЭМП электродинамического типа является отсутствие гистерезиса и линейность основных характеристик; возможность обеспечения большого (до 1 мм) хода якоря. В качестве недостатка можно отметить сложность конструкции, большие размеры и массу (по сравнению с ЭМП электромагнитного типа).
Назад | Содержание
| Вперед
Электрогидравлический усилитель мощности сопло-заслонка
7.4. ЭЛЕКТРОГИДРАВЛИЧЕСКИЙ УСИЛИТЕЛЬ МОЩНОСТИ СОПЛО-ЗАСЛОНКАВ технической литературе [3, 4, 15] двухщелевой ГР сопло-заслонка часто называют гидравлическим мостиком сопротивлений сопло-заслонка. Расчетная схема такого устройства приведена на рис. 74.
Примем следующие допущения: 1) давление в сливной гидролинии рсл = 0; 2) температура РЖ tрЖ = const; 3) проводимости нерегулируемых дросселей при h = 0 (z1 = z2) равны между собой; 4) потерями перепада давлений на нерегулируемой части сопла пренебрегаем; 5) сжимаемостью РЖ пренебрегаем. B соответствии с расчетной схемой (см. рис. 74)

здесь Q — расход РЖ, поступающей на второй каскад (или к ГИУ).
Расход через постоянный дроссель

где ?0 — коэффициент расхода РЖ через постоянный дроссель, согласно [3] ?0 = 0,61 ... 0,65; f0 - эффективная площадь истечения РЖ через постоянный дроссель; рк — давление на входе в постоянный дроссель.

Рис. 74. Расчетная схема ГУ сопло-заслонка
Проводимость постоянного дросселя

Расход через регулируемый дроссель

где ?с.з - коэффициент расхода РЖ через регулируемый дроссель, согласно [3] ?с.з = 0,68 ... 0,78; h0 — расстояние от заслонки до торца сопла при нейтральном положении заслонки;
; h — координата, характеризующая значение и знак отклонения заслонки от нейтрального положения; dc — диаметр сопла.Проводимость регулируемого дросселя при h = 0 (
)
Перепишем уравнение (178) с учетом выражений (180) и (181):

Аналогично уравнение (179) может быть представлено в следующем виде:

C учетом принятых допущений G2 = G4 = Gс.з = 0. Расход РЖ через одно сопло при нейтральном положении заслонки (h = 0)
, где рс—давление перед соплом при нейтральном положении заслонки. При принятых допущениях рс = р1 (h = 0) = р2 (h = 0) – рк/2.Таким образом,
. Введем обозначения:
Уравнения (182) и (183) с учетом принятых обозначений можно записать в безразмерном виде:

Разрешив последние два уравнения относительно
и
, получим
Безразмерный перепад давлений, возникающий на последующем каскаде:

Статические характеристики. К статическим характеристикам относятся обобщенная, силовая и регулировочная по расходу характеристики.
Обобщенная статическая характеристика идеального двухщелевого ГР сопло-заслонка описывается уравнением (188). Эта характеристика устанавливает зависимость между расходом Q РЖ, подаваемой на последующий каскад усиления, и перепадом давления
при различных смещениях
заслонки от нейтрального положения. Ha графике, построенном по уравнению (188), показана зона (штриховые линии на рис. 75, а), в пределах которой обобщенная характеристика близка к линейной (|
| <0,5; |
| < 0,5).При расчете динамических характеристик ЭГУ сопло-заслонка вполне допустимо использование линеаризованной характеристики, получаемой разложением правой части уравнения (188) как функции двух переменных (
) в ряд Маклорена. Если ограничиться только линейной частью ряда Маклорена, то уравнение (188) может быть представлено в виде

Рис 75. Статические характеристики ГУ сопло-заслонка
Запишем уравнение (189) в размерных величинах:

Уравнение (192) можно разрешить относительно Q:

где

Величина kQh является коэффициентом усиления по расходу гидравлического мостика сопло-заслонка в точке с координатами (h = 0; Q = 0).
Величина kQp называется коэффициентом скольжения обобщенной гидравлической характеристики гидравлического мостика сопло-заслонка. По своему физическому смыслу коэффициент kQp выражает зависимость Q от перепада давления ?р при h = const.
Кроме обобщенной статической характеристики, которую иногда называют нагрузочной или механической характеристикой, на практике часто используют силовую и регулировочную по расходу характеристики для гидравлического мостика сопло-заслонка.
Силовая характеристика (регулировочная характеристика по перепаду давлений) показывает зависимость перепада давлений ?р от координаты h при установившемся движении РЖ в каналах мостика и при неподвижном втором каскаде (если ЭГУ двухкаскадный) или при неподвижном ГИУ (если ЭГУ однокаскадный).
В качестве примера будем рассматривать электромеханический преобразователь электромагнитного типа.
Однокаскадный и двухкаскадный ЭГУ (СП). Уравнение моментов на валу ЭМП согласно результатам, полученным в гл. 6,

Если в последнем уравнении перейти к линейным величинам то получим

где PУ — усилие управления, действующее вдоль осевой линии регулируемых сопел; R0 — расстояние от оси ЭМП до осевой линии регулируемых сопел; h — координата заслонки вдоль осевой линии регулируемых сопел (см. рис. 74).
Обозначим

C учетом (205) и (206) уравнение (204) примет вид

Уравнение сил вдоль оси регулируемых сопел

или с учетом (202)

где m1 — масса подвижной системы якорь ЭМП — заслонка, приведенная к линии движения заслонки (ось регулируемых сопел); f1 — коэффициент вязкого трения подвижной системы якорь ЭМП — заслонка, приведенный к линии движения заслонки; с1 — коэффициент, характеризующий жесткость упругой нагрузки подвижной системы якорь ЭМП — заслонка, приведенную к линии движения заслонки (например, жесткость центрирующих пружин ЭМП).
Решая совместно уравнения (207) и (208), получим

Передаточная функция, связывающая координаты i и h:

где k1 — коэффициент усиления первого каскада;

T1 — постоянная времени первого каскада;

?1— относительный коэффициент демпфирования первого каскада;

Уравнение сил на втором каскаде ЭГУ

где F2 — площадь поршня второго каскада; х2 — координата, характеризующая движение второго каскада; m2 — масса подвижных частей второго каскада; f2 — коэффициент вязкого трения второго каскада; с2 — коэффициент жесткости механических пружин второго каскада; Ргд.2 - гидродинамическая сила на золотнике второго каскада, которая может быть приблизительно описана с помощью уравнения

Согласно работе [4]

где ? — коэффициент расхода; bщ — ширина щели золотника; L1 и L2 — линейные размеры золотника (см. рис. 71, a); ? = 69° — угол истечения; ?рн — перепад давлений на ГИУ; nкам — коэффициент, учитывающий изменение скорости потока РЖ в результате изменения направления движения внутри камеры K. (см.
рис. 71, a); nкам ? 0,1.
При расчете динамических характеристик по линейной модели ЭГУ обычно учитывают максимальные значения коэффициентов kгд1 и kгд2:

Необходимо заметить, что в золотниках, выполненных по схеме на рис. 71, a, L1 = L2 и соответственно kгд2 = 0. Если же золотник выполнен по схеме на рис. 71, в, то в таком золотнике L2 = 0 (kгд2 ? 0), а nкам = 0.
Уравнения (213) и (214) позволяют определить передаточную функцию, связывающую координаты х2 и ?р:

где k2 — коэффициент усиления второго каскада;

Т2 — постоянная времени второго каскада;

?2 - относительный коэффициент демпфирования второго каскада;

Если ЭГУ однокаскадный, то передаточная функция, связывающая координату хП(p), характеризующую движение ГИУ, и ?рн(р) может быть получена на основании уравнения действующих на ГИУ сил

где FП — площадь поршня ГИУ; M — масса подвижных частей, приводимых в движение ГИУ; f — коэффициент вязкого трения, преодолеваемого ГИУ; с — коэффициент жесткости, характеризующий упругую нагрузку на ГИУ:

где k0 — коэффициент усиления ГИУ:

T0 — постоянная времени ГИУ;

?0 — относительный коэффициент затухания ГИУ;

Расход РЖ, поступающей на управление ГИУ (если ЭГУ однокаскадный) или на управление вторым каскадом (если ЭГУ двухкаскадный), может быть записан в следующем виде:
если ЭГУ однокаскадный,

если ЭГУ двухкаскадный,


Рис. 76. Структурные схемы однокаскадного ЭГУ сопло-заслонка
Ha основании передаточных функций (209), (215) и (220), а также уравнений (192), (224) и (225) можно представить структурные схемы двухкаскадного ЭГУ (рис. 76, а) и однокаскадного (рис. 76, б) совместно с ГИУ. Структурные схемы на рис. 76, а, б не учитывают электрическую часть ЭМП. Структурные схемы двухкаскадного ЭГУ с синхронизирующими пружинами (ЭГУ (СП)) и однокаскадного ЭГУ с ГИУ, составленные с учетом электрической части ЭМП, представлены на рис. 76, б, г. Параметры передаточной функции W*У(p) определяют по формулам (177) на основании равенства

где kioc — коэффициент обратной связи по току (см. рис. 68, в).
Двухкаскадные ЭГУ (MOC). Рассмотрим уравнения движения ЭГУ (MOC) (см. рис. 72, б).

Параметры этой передаточной функции определяют по формулам (210)—(212) при условии, что коэффициент с1 дополнительно учитывает жесткость пружины обратной связи, приведенную к оси регулируемых сопел, а коэффициент k*Mi = 1 [см. (210)].
Особенностью математической модели ЭГУ (MOC) является также и то, что в уравнении сил (213) для второго каскада коэффициент с2 учитывает жесткость пружины обратной связи: с2 = сМОС, где сМОС — жесткость пружины механической обратной связи, приведенная к оси движения второго каскада.
С учетом последнего замечания передаточная функция второго каскада ЭГУ (MOC) и ее параметры могут быть определены по формулам (215)-(218).
Структурная схема ЭГУ сопло-заслонка с механической OC представлена на рис. 77, а.
Двухкаскадный ЭГУ (IOC). Рассмотрим схему двухкаскадного ЭГУ сопло-заслонка с гидравлической обратной связью ЭГУ (ГОС) (см. рис. 72, в).
Отличие математической модели такого ЭГУ от математической модели двухкаскадного ЭГУ (СП) состоит только в том, что коэффициент с2 не учитывает жесткость синхронизирующих пружин второго каскада, и уравнение (192) трансформируется к виду

где ?h = h — x2 при единичной гидравлической OC и ?h = h — kГОСx2, если гидравлическая обратная связь неединичная.
С учетом этого замечания параметры передаточных функций первого и второго каскадов ЭГУ (ГОС) можно определить по тем же формулам, что и параметры передаточных функций ЭГУ (СП). Структурная схема ЭГУ (ГОС) приведена на рис. 77, б.
Двухкаскадный ЭГУ (ЭОС). Структурная схема такого ЭГУ (см. рис. 72, г) приведена на рис. 77, в. Параметры передаточной функции W1(p) ЭГУ (ЭОС) определяют так же, как для ЭГУ (СП), а параметры передаточной функции W2(p) — как для двухкаскадного ЭГУ (ГОС). Структурная схема на рис. 77, в соответствует схеме ЭГУ, у которого электрическая ОС реализуется с помощью индукционного датчика.
Коэффициент kД характеризует крутизну характеристики UД = UД(x2)» где UД — напряжение, снимаемое с сигнальной обмотки индукционного датчика:

здесь UmaxД — расчетное значение напряжения на сигнальной обмотке индукционного датчика.

Рис. 77. Структурные схемы двухкаскадных ЭГУ сопло-заслонка
Коэффициент передачи фазочувствительного выпрямителя

где UmaxФВЧ — расчетное значение напряжения на выходе ФЧВ. Передаточная функция частотного фильтра W? (p) в самом общем случае может быть представлена в следующем виде;

где
— полином n-й степени от p;
— полином m-й степени от p (n > m); kф = UmaxОС /UmaxФВЧ — коэффициент передачи частотного фильтра; UmaxОС — расчетное значение напряжения обратной связи.Вид полиномов
и
зависит от рабочей частоты напряжения питания индукционного датчика обратной связи, от динамических и статических характеристик операционного усилителя.Назад | Содержание
| Вперед
Электромагнитные преобразователи
6.3. ЭЛЕКТРОМАГНИТНЫЕ ПРЕОБРАЗОВАТЕЛИРабота электромагнитного ЭМП основана на взаимодействии магнитных потоков, из которых один или несколько образуются при подаче управляющего сигнала. Результатом такого взаимодействия является возникновение усилия или момента на подвижной части (якоре) ЭМП. При наличии механической или магнитной пружины это усилие (или момент) преобразуется в линейное или угловое перемещение подвижной части ЭМП, пропорциональное управляющему сигналу.
Рассмотрим принцип работы одного из вариантов электромагнитного ЭМП поворотного движения с механической пружиной и обмотками поляризации, управляемого постоянным током по двухпроводной схеме с последовательным включением (рис. 63, а). При отсутствии управляющего сигнала (напряжение на контактах A и Б равно нулю) на якорь 1 действуют силы, создаваемые постоянным поляризованным магнитным потоком ФП. Эти силы, обусловленные наличием на контактах C, Д обмоток подмагничивания постоянного напряжения, равны по значению и противоположны по направлению.

Рис. 63. ЭМП электромагнитного типа
Якорь ЭМП находится в среднем положении также под действием равных и противоположно направленных сил центрирующих пружин 2, 3, закрепленных на статоре 4. При поступлении через контакты A и Б на обмотку управления управляющего сигнала возникает электромагнитный поток управления ФУ, который взаимодействует с постоянным потоком ФП, при этом в одном зазоре, например II, эти потоки суммируются, а в зазоре I — вычитаются. В результате нарушается равновесие сил, и якорь поворачивается по часовой стрелке на некоторый угол, который определяется соотношением возникшего на якоре усилия с жесткостью центрирующих пружин. Якорь займет новое устойчивое положение. При увеличении управляющего сигнала растет усилие на якоре и, как следствие, увеличивается угол отклонения. При изменении знака сигнала управления на противоположный магнитные потоки будут складываться в зазоре I, а в зазоре II будут вычитаться. Усилие, развиваемое ЭМП, изменит свой знак, и якорь отклонится против часовой стрелки.
В результате обеспечивается определенное соответствие между углом и направлением отклонения якоря ЭМП, а также значением и знаком управляющего сигнала.
Электромагнитный ЭМП поворотного движения, работающий по дифференциальной схеме и управляемый постоянным током (рис. 63, б), состоит из Ш-образного магнитопровода 1 (статора), поворотного якоря 3, обмоток управления 2, 5, центрирующих пружин 4. При равенстве токов в обмотках 2 и 5 (ток в каждой обмотке равен Ѕ максимального значения) магнитные потоки Ф1 и Ф2 и усилия, действующие в зазорах I и II, также будут равны. Усилия от центрирующих пружин 4 в верхней и нижней частях якоря равны. В результате якорь находится в нейтральном положении. Если, например, в обмотке 2 ток управления будет уменьшаться, а в обмотке 5 одновременно увеличиваться (дифференциальное управление), то поток Ф1 будет уменьшаться, а поток Ф2 увеличиваться. Равновесие якоря нарушится, и он повернется по часовой стрелке на некоторый угол, определяемый жесткостью центрирующих пружин и возникшим дебалансом сил. Если увеличивать ток в обмотке 2 и соответственно уменьшать ток в обмотке 5, то поворот якоря произойдет в противоположную сторону.

Рис. 64. Графин зависимостей F1(?), F2(?), F?(?).
Таким образом, угол поворота якоря и его направление зависят от значения и знака разности токов в обмотках управления.
Следует отметить, что усилия F1 и F2, развиваемые в зазорах I и II, обратно пропорциональны квадрату зазора 6 (рис. 64). Однако совместное действие этих сил на якорь ЭМП практически мало отличается от линейного закона (кривая F2). Линеаризации кривой F2 в определенной мере способствует и насыщение магнитного потока в зазоре между якорем и средней частью магнитопровода, а также ограничение площади сечения якоря.
Электромагнитные ЭМП с обмотками управления, включенными по дифференциальной схеме, применяют реже, чем ЭМП с последовательно включенными обмотками управления, так как электронные усилители, обеспечивающие дифференциальное управление обмотками ЭМП, более сложны и в них трудно обеспечить стабильность начальных токов.
Обе рассмотренные выше схемы ЭМП электромагнитного типа имеют якорь, перемещающийся вдоль магнитных силовых линий в воздушном зазоре. Линейность статических характеристик обеспечивают ЭМП, в которых якорь совершает движение поперек магнитного поля (рис. 65), хотя такое исполнение и усложняет технологию изготовления ЭМП. В этих преобразователях важное влияние на статическую характеристику M (i) (ток управления — момент на валу якоря) оказывает форма рабочего зазора. Наиболее часто используют ЭМП с рабочими зазорами трех типов (рис. 66). Зазоры первых двух типов (рис. 66, а, б) обусловливают действие так называемой магнитной пружины, когда при отклонении якоря от нейтрального положения магнитные силы действуют в противоположных направлениях, причем жесткость магнитной пружины для зазора на рис. 66, а меньше, чем для зазора на рис. 66, б. Зазор третьего типа (рис. 66. б) полностью исключает момент от действия магнитных сил (жесткость магнитной пружины равна нулю). В таком ЭМП для обеспечения пропорциональности угла поворота якоря управляющему сигналу необходимо ввести механическую центрирующую пружину.

Рис. 65. Герметичные ЭМП:
а) сопло-заслонка; б) со струйной трубкой

Рис. 66. Типы рабочих зазоров ЭМП
ЭМП электромагнитного типа, в отличие от ЭМП электродинамического типа, при одинаковом усилии, развиваемом ЭМП, имеют меньшие массу, размеры и, что особенно важно для быстродействующих ЭГСП, меньшую массу подвижных частей.
Статические характеристики ЭМП электромагнитного типа имеют гистерезис, зависящий от свойств материала магнитопроводов, однако при работе таких ЭМП в составе замкнутого контура с большим коэффициентом усиления этот недостаток становится несущественным.
Рассмотренные выше ЭМП, являясь составной частью ЭГУ, не защищены от воздействия рабочей жидкости, которая оказывает вредное влияние на материалы магнитопровода и электрических проводов. Кроме того, содержащиеся в рабочей жидкости продукты изнашивания металлических деталей могут притягиваться магнитной системой ЭМП, что вначале ухудшает характеристики ЭМП, а затем приводит к выходу его из строя.Особо остро эта проблема стоит в системах, работающих длительное время.
Поэтому в последние годы появились конструкции ЭМП так называемого «сухого» исполнения, в которых электромагнитная система полностью изолирована от рабочей жидкости РЖ (см. рис. 65),
Принцип герметизации в ЭМП на рис. 65 один и тот же — применение гибкой тонкостенной трубки, которая одним концом закреплена на основании ЭМП, а другим соединена с якорем ЭМП. В такой конструкции электромагнитная часть ЭМП надежно отделена от гидравлической, что позволяет существенно повысить надежность его работы.
Известны конструкции гибких трубок с толщиной стенки 0,05 ... 0,06 мм и длиной 25 ... 30 мм, надежно работающие при давлениях в линии слива ЭГУ не более 3 ... 8 МПа с общим числом рабочих циклов до (2 ... 6) 106.
Назад | Содержание
| Вперед
Электромашинные усилители
8.7. ЭЛЕКТРОМАШИННЫЕ УСИЛИТЕЛИЭлектромашинные усилители (ЭМУ) нашли широкое применение в качестве усилителей мощности. По числу каскадов усиления различают однокаскадные и двухкаскадные ЭМУ, по типу возбуждения (направлению потока возбуждения) — ЭМУ продольного и ЭМУ поперечного поля.
В СП для управления двигателями постоянного тока применяют двухкаскадные ЭМУ с поперечным возбуждением (рис. 105). Конструктивно ЭМУ представляет собой генератор постоянного тока с явно выраженными полюсами, имеющий на якоре дополнительную пару щеток 1—1, замкнутых накоротко. Обмотка возбуждения wУ ЭМУ используется для подачи управляющего сигнала UУ. Усиление сигнала по мощности в ЭМУ происходит за счет дополнительной механической энергии приводного двигателя M1, вращающего с большой частотой (?0 = 3000 ... 5000 мин-1) якорь генератора. От пересечения магнитным потоком Фу вращающейся обмотки якоря в последней будет наводиться небольшая ЭДС (2 ... 3 B), снимаемая с поперечных щеток 1—1. Так как цепь этих щеток замкнута накоротко и имеет малое сопротивление, то сила создаваемого тока достигает 2 ... 10 A и значительно превышает ток управления (5 ... 10 мА) — первый каскад усиления. Возникающий от тока поперечной цепи магнитный поток ФПОП в данном усилителе является основным возбуждающим потоком, давшим название ЭМУ. При пересечении этим потоком вращающихся проводников якоря наводится ЭДС, которая снимается со щеток 2—2 продольной оси якоря и является выходной величиной ненагруженного ЭМУ (второй каскад усиления).
Замыкание выходных щеток на нагрузку (обмотку якоря исполнительного двигателя M2) приводит к появлению тока нагрузки Iн и возникновению продольного потока Фпр реакции якоря, направленного навстречу управляющему потоку Фу и ослабляющего его. Для уменьшения вредной реакции якоря служит расположенная на статоре компенсационная обмотка wK, включенная последовательно с нагрузкой и создающая поток Фк, направленный встречно потоку Фпр. Путем изменения числа витков wK при изготовлении этой обмотки с последующей регулировкой резистором RK при настройке достигается определенная степень компенсации продольного потока, и обеспечиваются режимы перекомпенсации Фк > Фпр, полной компенсации потоков ФК = Фпр и недокомпенсации Фк < Фпр.
В СП допустим только режим недокомпенсации.

Рис. 105. ЭМУ:
а — схема включения б — условное графическое изображение; в, г — характеристики
Основными характеристиками ЭМУ являются статическая характеристика холостого хода и внешняя характеристика. Характеристика холостого хода идеального ЭМУ (рис. 105, e) представляет собой усредненную зависимость напряжения E на выходе при разомкнутой внешней цепи от тока управления: E = f (IУ). В реальном ЭМУ эта характеристика неоднозначна и имеет вид узкой петли гистерезиса. Нелинейность в области больших токов объясняется насыщением магнитопровода. Однако насыщение ЭМУ можно сделать пренебрежимо малым выбором рабочей зоны из условия UНОМ ? UA, где UA определяет линейную зону. В линейной зоне характеристика реверсивна и имеет крутизну, зависящую от коэффициента усиления.
B статическом режиме ЭМУ характеризуется коэффициентами усиления по току ki = Iн/Iу, по напряжению k = UН/IУRУ и по мощности kp = IнUН/IУ UУ = ki k.
Внешней характеристикой ЭМУ называется зависимость напряжения Uвых на выходе от тока Iн нагрузки при постоянном токе IУ управления. Подключение нагрузки приводит к снижению напряжения на зажимах ЭМУ за счет падения напряжения на внутреннем сопротивлении усилителя. Кроме того, выходное напряжение зависит от степени компенсации продольного потока:

где RПР — сопротивление обмотки ЭМУ по продольной оси; ? — коэффициент компенсации.
Внешние характеристики ЭМУ с возможными вариантами компенсации представлены на рис. 105, г\ 1 — полная компенсация напряжений за счет перекомпенсации потоков при ? = —RПР; 2 — полная компенсация потоков ? = 0 (Фк = Фпр); 3 — недокомпенсации ? > —RПР. Устойчивая работа системы ЭМУ— ИД достигается незначительной недокомпенсацией, так как значительная недокомпенсация приводит к уменьшению коэффициента усиления, а перекомпенсация — к самовозбуждению ЭМУ и аварии.
Динамика ЭМУ поперечного поля определяется инерционностью управляющей и поперечной цепей. B первом приближении передаточная функция ЭМУ может быть представлена двумя апериодическими звеньями:

Здесь k — коэффициент усиления ЭМУ по напряжению; ?а, Ту — постоянные времени поперечной и управляющей цепей;

где La, Ly — индуктивные сопротивления поперечной и управляющей цепей; R = RУ + Ri— суммарное активное сопротивление управляющей цепи RУ и источника входного сигнала Ri.
K преимуществам ЭМУ следует отнести: высокий коэффициент усиления по мощности (10а ... 105) и большой диапазон выходных мощностей (40 Вт ... 100 кВт); незначительную мощность возбуждения (доли ватта); высокую перегрузочную способность ЭМУ по току и напряжению, предопределяющую использование усилителей в системах с кратковременными многократными перегрузками; простоту формирования управляющего сигнала благодаря наличию нескольких обмоток управления и подаче на одну из них сигнала OC; большой ресурс работы ЭМУ (100 000 ч).
Существенным недостатком ЭМУ является наличие двух электрических машин и, как следствие, низкий КПД (0,5 ... 0,6), высокий уровень шума, обусловленный работой коллекторных контактных колец, необходимость в специальных мерах по улучшению коммутации, большие размеры. Следует также отметить значительную инерционность процессов в ЭМУ.
Назад | Содержание
| Вперед
Элементы цифровых следящих приводов
15.2. ЭЛЕМЕНТЫ ЦИФРОВЫХ СЛЕДЯЩИХ ПРИВОДОВБлок выработки кода погрешности. ЦСП относятся к приводам замкнутого цикла, работающим по принципу сравнения кода заданного угла с кодом истинного угла, вырабатываемого по цепи OC. Следовательно, в качестве блока сравнения необходимо применить схему, обеспечивающую получение разности двух чисел. Применение обратного кода вычитаемого числа позволяет заменить операцию вычитания операцией суммирования, что значительно упрощает устройство блока сравнения. При этом уменьшаемое берется в прямом коде, а вычитаемое — в обратном. В результате в виде блока выработки кода погрешности применяют многоразрядные сумматоры накапливающего и комбинационного типов.

Рис. 155. Преобразователь ПК—ШИМ
Цифроаналоговые преобразователи (ЦАП). В основу любого преобразователя положено суммирование токов, соответствующих весам разрядов преобразователя. ЦАП служит для преобразования цифровых сигналов в напряжение, используемое для непосредственного управления двигателями, ЭМП, реле и т. п.
В качестве элементной базы для построения ЦАП можно применить наиболее перспективный в настоящее время линейный ЦАП, построенный с использованием микросхемы ?572??1.
Преобразователь кода во временной интервал (ПК—ШИМ). Для преобразования кода в последовательность прямоугольных импульсов с изменяющейся скважностью служит ПК—ШИМ. Ha рис. 155, а представлена схема ПК—ШИМ, состоящего из счетчика импульсов, выполненного на микросхеме DD3, генератора импульсов G, RS-триггера и элемента И, выполненного на микросхеме DD2. Работа преобразователя синхронизируется импульсами, поступающими с блока управления. Код числа, подлежащий преобразованию, поступает на сигнальные шины установки кода (D1, D2, ...) счетчика DD3 и фиксируется в нем.
Триггер DD1 устанавливается в исходное (единичное) положение тактирующим старт импульсом с блока управления, задающим период T работы преобразователя. При этом сигнал с выхода триггера разрешает прохождение импульсов с генератора G через элемент совпадения DD2 на суммирующий вход счетчика.
Преобразование кода осуществляется суммированием поступивших импульсов. Диаграммы, изображенные на рис. 155, б, поясняют принцип преобразования.
При исходном коде, равном нулю, с приходом старт импульса, фиксирующего начало преобразования, счетчик работает на сложение (диаграмма 1). Под воздействием монотонно возрастающего кода счетчика старший разряд формирует импульс переполнения. Этот импульс переводит счетчик в нулевое положение (на диаграмме 1 состояние счетчика отображено пилообразным напряжением) и в виде стоп импульса (диаграмма 2), фиксирующего конец временного интервала, поступает на вход R триггера DD1. Триггер переключается в нулевое состояние и прекращает подачу импульсов в счетчик. С приходом нового старт импульса рабочий цикл повторяется. Поскольку триггер DD1 практически все время находится в единичном состоянии, скважность импульсов, снимаемых с его выхода, равна нулю (диаграмма 3).
При наличии в DD3 исходного кода, отличного от нуля, счетчик с приходом старт импульса начинает суммировать, но не с нуля, а с кода, зафиксированного в счетчике (диаграмма 4). Очевидно, что эта сумма будет соответствовать коду, обратному исходному. Поскольку крутизна нарастания кода счетчика осталась прежней, то момент переполнения счетчика, а следовательно, выработка стоп импульса наступит раньше окончания периода T (диаграмма 5). Чем больше будет исходный код, тем короче будет интервал времени и тем короче прямоугольные импульсы напряжения, получаемые на прямом выходе триггера DD1 (диаграмма 6).
Для получения прямоугольных импульсов, соответствующих исходному коду, выходной сигнал Uвых следует снимать с инверсного выхода триггера (диаграмма 7). Скважность импульсов определяется отношением ? = tи/T, где tи— интервал времени между стоп импульсом и следующим старт импульсом.
Цифровые преобразователи углов (ЦПУ). Эти преобразователи являются важными элементами ЦСП, так как, вырабатывая код истинного угла поворота выходного вала, они несут информацию о выполнении команды.
ЦПУ представляют собой сочетание измерительного преобразователя с электронным блоком. Назначение измерительного преобразователя — формирование связанного с углом поворота электрического сигнала в аналоговой или дискретной форме. Электронный блок обрабатывает полученную информацию и выдает ее в цифровой форме, т. e. выполняет функцию АЦП.
Широкое применение в ЦСП получили циклические преобразователи угла в код на основе CKBT.
Шаговые электродвигатели (ШД). Они относятся к дискретным ИУ и предназначены для преобразования каждого импульса команды на управляющем входе в строго фиксированное перемещение выходного вала, называемое шагом. Такой эффект получается за счет дискретного изменения состояния электромагнитного поля в воздушном зазоре между статором и ротором ШД. Принцип действия ШД можно пояснить с помощью поворотного электромагнита, изображенного на рис. 156, a и имеющего на статоре четыре явно выраженных полюса (зубца) с обмотками управления и один полюс (зубец) на роторе.

Рис. 156. Шаговый двигатель
Пусть в начальный момент времени импульс команды поступает на обмотку I и явно выраженный полюс ротора находится против полюса этой обмотки. При подаче управляющего импульса на обмотку II ротор, стремясь занять положение, при котором сопротивление магнитному потоку будет наименьшим, повернется на один шаг в 90° и будет удерживаться магнитным потоком в положении полюса обмотки II, пока по ней протекает ток. С подачей импульса на обмотку III ротор повернется еще на шаг по часовой стрелке и т. д.
Таким образом, управляющие импульсы, поступившие на обмотки в последовательности II—III—IV—I (рис. 156, б), заставят ротор за четыре такта повернуться на 360° по часовой стрелке. Реверс ШД обеспечивается изменением очередности коммутации обмоток (IV—III—II—I). Для уменьшения дискретности (шага) двигателя ротор делают с большим числом зубцов.
Так, на рис. 156, в ротор ШД имеет три зубца 1—3, расположенных под углом 120°. Если в таком ШД подать импульс на обмотку II, то ротор повернется на шаг, равный 22,5°, но против часовой стрелки, так как ближайшим к рабочей обмотке окажется зубец 2 ротора.
Полный поворот ротор сделает за 12 тактов и при коммутации обмоток II—III—IV—I.
В действительности переключение обмоток происходит с такой частотой, что ротор не успевает достигнуть состояния покоя относительно рабочей обмотки. В момент переключения обмоток он занимает определенное положение и имеет определенную скорость, зависящую от частоты переключения обмоток. Так, для обеспечения угловой скорости, нагрузки, равной 1 °/с, при статической погрешности не более 4” частота переключения обмоток должна быть f = 1·3600 : 4 = 900 Гц. Современные серийные ШД имеют частоту приемистости (переключения) до 1500 Гц и обеспечивают шаг в 1,5°.
Часто применяется одновременное коммутирование двух обмоток согласно диаграмме, представленной на рис. 156, г. Работа ШД происходит аналогично, но при повороте ротора его полюс устанавливается не под полюсом статора, а между двумя рабочими обмотками. Момент двигателя при этом возрастает в 2 раза.
Итак, переключение обмоток ШД вызывает отработку шага ротора со скоростью, зависящей от частоты переключения обмоток, и в направлении, определяемом законом коммутации. Закон коммутации обеспечивается блоком управления (коммутатором), входящим в состав электронного усилителя.
Показанный на рис. 156, в ШД имеет ротор, выполненный из магнитомягкого материала, и называется ШД с реактивным ротором. В отличие от него ШД с ротором в виде постоянного магнита называют ШД с активным ротором, так как в создании электромагнитного поля участвует и ротор. Рассмотренные ШД характеризуются большими моментами вращения, но имеют сравнительно большой шаг (не менее 22,5°) и небольшую приемистость (до 300 Гц). Кроме того, для коммутации обмоток такого ШД требуется более сложный блок управления, вырабатывающий знакопеременные импульсы напряжений.
К достоинствам ШД с активным ротором следует отнести сохранение магнитной фиксации ротора при обеспечении обмоток за счет магнитного потока ротора. Разработанный в последнее время метод электронного дробления шага позволяет расширить частотный диапазон ШД и улучшить плавность движения.
Назад | Содержание
| Вперед
Энергетический расчет
16.1. ЭНЕРГЕТИЧЕСКИЙ РАСЧЕТАнализ динамических свойств отдельных элементов СП проводился из условия неограниченных энергетических возможностей, т. e. линейности статических характеристик элементов во всем диапазоне регулирования. Ha самом деле возможности элементов ограничены. Например, двигатели обладают предельными скоростями и ускорениями. Если выбрать двигатель с малым запасом мощности, то в реальных условиях эксплуатации он не обеспечит отработку заданного закона движения, что приведет к увеличению погрешностей привода. Кроме того, завышение мощности двигателя уменьшает КПД привода, приводит к увеличению массогабаритных размеров привода и его стоимости. Поэтому выбор элементов с точки зрения энергетических возможностей важен для обеспечения работоспособности привода в целом.
Целью энергетического расчета является оценка потребности СП в энергии. А так как основным потребителем энергии является ИУ, то расчет привода начинают с выбора ИУ и связанных с ним функционально элементов, образующих силовую часть привода. Выбор силовой части влияет прежде всего на выбор источников питания, структурную схему привода и на его технико-экономические показатели.
B общем случае энергетический расчет включает следующие этапы:
анализ области применения, закона движения OP и характеристик возмущающих моментов;
определение требуемого момента и типа ИУ;
расчет мощности и выбор ИУ по требуемым максимальным значениям параметров движения и мощности, определение передаточного числа редуктора, выбор типа усилителя мощности;
сопоставление требуемых и располагаемых характеристик силовой части привода;
проверка правильности выбора ИУ по перегрузочной способности и тепловому режиму;
выбор типа источника питания;
выбор управляющего устройства.
Некоторые из перечисленных этапов энергетического расчета могут быть исключены заданием типа устройств, источников питания, характеристик нагрузки, а иногда и самого ИУ. При проверке пригодности ИУ ограничимся учетом только перегрузочной способности.
Перейдем к более подробному рассмотрению отдельных этапов энергетического расчета.
Закон движения выходного вала в общем случае зависит от функционального назначения OP и задается предельными значениями угловой скорости ?? и ускорения ?? нагрузки. Параметры эквивалентного гармонического сигнала согласно выражениям (11)—(13) могут быть определены как ?0 = ??/?р, ?0 = ?2Н/?? и ?р = ??/??.
Закон движения выходного вала и тип нагрузки определяют нагрузочные характеристики привода. Пренебрегая распределенным характером приложенной к разным точкам СП нагрузки, ее параметры приводят к валу ИУ и рассчитывают требуемый момент по формуле (63), а требуемую мощность — по формуле (62). Значение рассчитанной мощности ложится в основу выбора ИУ. При определении типа ИУ, в качестве которых могут быть электродвигатели, гидродвигатели и электромагнитные муфты, сопоставляют характеристики, преимущества и недостатки отдельных устройств и анализируют условия эксплуатации при учете специальных требований.
При выборе элементов силовой части электромашинного СП руководствуются стандартами на выпускаемые промышленностью электродвигатели и ЭМУ. При выборе гидравлических приводов на этапе энергетического расчета определяют не только требуемые расходы, перепады давлений, но и конструктивные параметры гидравлических устройств.
Следует отметить различие в исходных характеристиках, используемых при выборе и расчете исполнительных устройств: у электродвигателей базовыми являются механические характеристики, а у гидродвигателей — диаграммы нагрузки.
В первом случае стремятся обеспечить выполнение неравенства Ртр ? РНОМ, где Ртр — мощность, которая требуется на валу двигателя для управления OP; РНОМ — мощность, которой располагает двигатель. Bo втором случае необходимо обеспечить выполнение неравенства

где МТР, ?ТР — момент и скорость, которые требуется обеспечить; Мр — момент, которым располагает двигатель.
Так как левая часть выражения (320) описывает диаграмму нагрузки, а правая — механическую характеристику исполнительного устройства при максимальных значениях параметров, то для обеспечения нормальной работы привода располагаемая характеристика должна проходить выше диаграммы нагрузки или касаться ее в одной точке Мк, называемой критической.
Как видно из рис. 163, иллюстрирующего возможные случаи сопряжения диаграммы нагрузки и располагаемой характеристики, только две характеристики 2 и 3 обеспечивают движение по заданному закону, причем характеристика 3 с некоторым энергетическим запасом. Исполнительное устройство с характеристикой 1 обеспечить движение по заданному закону не может, так как на определенном участке характеристики располагаемые моменты этого устройства меньше требуемых моментов, обусловленных диаграммой нагрузки.

Рис. 163. K выбору исполнительных устройств
Выбор электродвигателя заключается в подборе по каталогу типа двигателя по рассчитанной мощности, быстроходности и напряжению питания. При определении рода тока ИД ориентировочно исходят из оценки требуемой мощности, заданного диапазона регулирования и наличия кратковременных перегрузок. При мощностях меньше 100 Вт предпочтение отдают надежным, малогабаритным и безынерционным двигателям переменного тока типа АДП, ДГ, ДИД, ЭМ. При больших мощностях выбирают двигатели постоянного тока типа МИ, ДИ, СП. При наличии больших кратковременных перегрузок и регулирования частоты вращения двигателя в широких пределах в СП малой мощности целесообразно применять двигатели постоянного тока. Двигатели серии МИГ, ПЯ, ДПР, отличающиеся малой инерционностью, плавностью работы и большим пусковым моментом, успешно конкурируют с асинхронными двигателями, несмотря на наличие коллектора и щеточного контакта.
При выборе двигателя иногда приходится принимать компромиссные решения, например по выбору частоты вращения, поскольку в каталогах при одной и той же мощности представлены двигатели с разными частотами вращения. Для обеспечения конструктивных требований целесообразно использовать более быстроходные двигатели, имеющие значительно меньшие массу и размеры и обеспечивающие более компактную конструкцию механизма, несмотря на увеличение передаточного числа редуктора. С точки зрения выполнения условия по механической перегрузке (МТР/М???<2) следует выбрать двигатель с меньшей частотой вращения, но обладающий большим номинальным моментом.
Примером могут служить двигатели МИ-12 (nном= 3000 мин -1; М??? = 0,65 H·м) и МИ-21 (nном = 2000 мин -1; М??? = 0,97 Н·м), обеспечивающие одинаковую мощность Рном = 0.2 кВт. В этом случае надо определить, какое требование важнее.
При выборе напряжения питания исходят из условий эксплуатации, оговоренных в T3 на проектирование. Как правило, используют постоянный ток напряжением 26...27 B или переменный ток напряжением 115/220 B частотой 400 Гц и 40 B частотой 1000 Гц.
Правильность выбора электродвигателя проверяют в соответствии с методикой, изложенной в п. 5 гл. 3. Выбор передаточного числа редуктора зависит от передаваемого усилия и типа ИД. Для двигателей постоянного тока, момент инерции которых превышает приведенный к оси ИД момент инерции нагрузки, в соответствии с (64) определяют оптимальное передаточное число редуктора, обеспечивающее наилучшую передачу мощности:

Заметим, что числитель подкоренного выражения характеризует нагрузку, знаменатель — момент, создаваемый двигателем. B приборных СП, работающих при незначительных перегрузках, передаточное число выбирают в первом приближении таким, чтобы двигатель имел номинальную скорость при максимальной скорости нагрузки: i = ????/??.
Тип и мощность выбранного ИД предопределяет выбор типа усилителя мощности: транзисторного в линейном или ключевом режиме, тиристорного, генераторного или электромашинного. Для двигателей серии МИ, СЛ, ДПМ, выдерживающих значительные перегрузки по моменту и скорости, используют ЭМУ, который выбирают из условия обеспечения номинального напряжения и номинального тока двигателя по методике, изложенной в гл. 8.
Назад | Содержание
| Вперед
Классификация электроприводов
1.2. КЛАССИФИКАЦИЯ ЭЛЕКТРОПРИВОДОВРазличают следующие виды электроприводов (рис. 2):
по pоду тока — ЭП постоянного тока с ЭД постоянного тока и ЭП переменного тока с ЭД переменного тока;
по структуре — разомкнутый, не имеющий OC, замкнутый и комбинированный;
по виду УПУ — транзисторный, преобразовательным устройством которого является транзисторный усилитель; тиристорный с преобразователем на тиристорах; электромашинный каскад, в котором для преобразования мощности используется электромашинный усилитель-система «управляемый выпрямитель — двигатель» (УВ — Д), преобразовательным устройством которой является регулируемый выпрямитель или регулируемый выпрямитель и инвертор; система «генератор — двигатель» (Г—Д), преобразовательным элементом которой служит электромашинный преобразовательный агрегат;

Рис. 1. Структура электропривода
по типу передаточного устройства — редукторный, передаточное устройство которого содержит редуктор; безредукторный; электрогидравлический, имеющий гидравлическое передаточное устройство, и с электромагнитной порошковой муфтой (ЭПМ), выполняющей роль передаточного механизма;
по характеру изменения параметров ЭП — нерегулируемый, параметры которого изменяются от возмущающих воздействий, и регулируемый, параметры которого изменяются только под действием управляющего устройства.
Наиболее совершенным видом регулируемого ЭП является автоматизированный ЭП, определяемый как регулируемый ЭП с автоматическим регулированием параметров. Автоматизированный ЭП строится по замкнутому циклу регулирования, основанному на сравнении информации, поступившей извне от ЗУ с информацией о регулируемом параметре. Дальнейшую классификацию ЭП будем рассматривать более подробно и только применительно к автоматизированному ЭП.
По роду задачи регулирования различают ЭП со стабилизированным параметром, программно-управляемый и следящий.
ЭП со стабилизированным параметром служит для поддержания какого-либо параметра на заданном уровне. Например, для поддержания уровня освещенности в объекте регулирования можно применить ЭП, представленный на рис. 3, а.
Регулирующим органом в объекте регулирования OP являются шторки, угловое положение которых определяет световой поток. Управляющее устройство выполнено в виде мостовой схемы, в одно из плеч которой включен фоторезистор Rф для измерения фактической освещенности. В смежное плечо включен реостат Rзад для задания уровня освещенности.
Настройка моста осуществляется по току гальванометра Г, включенного в измерительную диагональ. Если освещенность равна заданной, то ток гальванометра равен нулю. При отклонении освещенности от заданного значения по гальванометру протекает ток, создающий момент вращения и поворачивающий рамку гальванометра. Вместе с рамкой поворачивается жестко с ней связанный движок потенциометра RE, преобразующий угловое перемещение рамки в электрический сигнал. Сигнал с потенциометра, усиленный усилителем А, приведет в действие электродвигатель M. Последний с помощью редуктора q приоткроет или закроет шторки диафрагмы OP в зависимости от отклонения освещенности.

Рис. 2. Классификация электроприводов
Программно-управляемый ЭП служит для изменения того или иного параметра по заранее заданной программе. Примером может служить привод копировально-фрезерного станка (рис. 4).

Рис. 3. ЭП со стабилизированным параметром

Рис. 4. Программно-управляемый ЭП
Программа в станке задается профилем шаблона 8, выполненного по форме готовой детали. Шаблон перемещается в горизонтальном направлении со скоростью vш и поднимает щуп 7. Перемещение щупа с помощью реечной пары б и сельсина BC преобразуется в электрический сигнал и поступает в УУ, в котором этот сигнал сравнивается с сигналом сельсина BE, дающего информацию о положении фрезы 2. При наличии рассогласования сигнал ошибки усиливается усилителем A и подается на электромеханический преобразователь 5, который перемещает золотник распределителя 4. Полости гидроцилиндра 3 соединяются с источником питания таким образом, что поршень начинает двигаться в сторону уменьшения рассогласования, перемещая фрезу по заготовке 1 в вертикальном направлении.
Необходимым условием правильного технологического процесса обработки является обеспечение синхронности перемещения шаблона и заготовки в горизонтальном направлении, т. e. равенство скоростей vш = vв.
Так как фреза «следит» за положением щупа, то заготовка превращается в деталь заданной формы с некоторым допуском, определяемым погрешностью работы ЭП и точностью шаблона. Необходимость изготовления нового шаблона затрудняет переход от обработки на станке деталей одного вида к обработке деталей другого вида. Замена шаблона программой, записанной на перфо - или магнитной ленте, устранила указанный недостаток и привела к созданию станков e числовым программным управлением (ЧПУ). Станки с ЧПУ получили распространение в металлообрабатывающей промышленности, где они позволяют получать детали сложной формы при высокой точности и производительности.

Рис. 5. Функциональная схема СП
Следящий электропривод (СП) отрабатывает изменение выходного параметра в соответствии G произвольно меняющимся задающим сигналом. Ha рис. 5 показана схема СП, управляющего положением суппорта станка. Главная задача СП — согласование вращения двух валов, механически между собой не связанных. Входной вал 1, вращаемый от задающего устройства ЗУ на пульте управления, называется задающим, а закон его движения — управляющим. Выходной вал 2, повторяющий движение задающего вала и связанный с OP (суппортом станка), называется исполнительным или следящим. От разности ? — ? угловых положений задающего и исполнительного валов зависит управляющий сигнал, вырабатываемый с помощью измерителя рассогласования на двух вращающихся трансформаторах (BT). Один BT (датчик TC) связан с задающим валом, другой BT (приемник TE) связан с исполнительным валом.
Напряжение рассогласования U?, снимаемое с ВТ-приемника и пропорциональное разности ? — ?, поступает на вход усилителя A, а затем подается на исполнительный двигатель M. Двигатель через редуктор q перемещает суппорт станка и одновременно ВТ-приемник в направлении уменьшения ошибки рассогласования.
B момент, когда суппорт достигает согласованного положения (? = ?), напряжение управления Uy становится равным нулю, и двигатель останавливается.
По виду управляющего сигнала ЭП разделяют на ЭП с непрерывным управлением и ЭП с дискретным управлением.
ЭП с непрерывным управлением, характеризуется непрерывным во времени формированием и передачей управляющего сигнала и регулированием частоты вращения ЭД за счет плавного изменения напряжения, подведенного от источника питания.
Устройство и принцип работы такого привода были рассмотрены на примере регулятора освещенности (см. рис. 3, а). Существенным недостатком такого ЭП является наличие момента трения в потенциометре (между щеткой и обмоткой), соизмеримого с моментом вращения гальванометра. Момент трения понижает чувствительность гальванометра и увеличивает статическую погрешность ЭП.
Для ослабления влияния нагрузки и уменьшения погрешности вводят дискретный элемент в виде подпружиненной падающей дужки (см. рис. 3, б). Дужка жестко связана о движком потенциометра и касается нижней плоскостью поверхности вращающегося кулачка. В момент, когда кулачок занимает положение, указанное на рисунке, движок опускается на потенциометр и происходит мгновенный съем сигнала. Ha усилитель A управляющий сигнал поступает в виде импульса, а так как кулачок вращается с постоянной скоростью, то импульсы поступают периодически. Управляющий сигнал приобретает дискретный характер, а изменение частоты вращения ЭД достигается путем периодического подключения (при наличии импульса) и отключения его (при отсутствии импульса) от источника питания.
Благодаря импульсному съему сигнала потребляемая ЭП мощность понижается, а статическая точность повышается, так как в таком ЭП движок потенциометра перемещается без нагрузки и не воздействует на гальванометр.
Привод, в котором управляющий сигнал формируется и передается в дискретные моменты времени, называется приводом с дискретным управлением. Если управляющий сигнал представляет собой периодическую последовательность импульсов, то ЭП называется импульсным.
Если ширина импульса непостоянная и формирование импульса зависит от определенного уровня управляющего сигнала, то такой ЭП является релейным. И, наконец, если управляющий сигнал имеет цифровую форму, то ЭП называется цифровым.
Применением указанных методов управления можно добиться непрерывного или прерывистого движения выходного вала. По указанному признаку различают ЭП непрерывного и дискретного действия. Непрерывный метод управления обеспечивает только непрерывную отработку, а релейный — только дискретную. При импульсном методе управления возможны оба вида движения выходного вала в зависимости от частоты посылки импульсов или от типа ЭД. Если частота импульсов большая, движение вала непрерывное, так как ЭД вследствие инерционности не успевает реагировать на управляющий сигнал. При низкой частоте импульсов движение выходного вала может быть прерывистым.

Рис. 6. Статические характеристики элементов
И, наконец, применение шагового двигателя в качестве ЭД обеспечивает поворот вала на строго фиксированные углы (дискретную отработку).
Деление ЭП на линейные и нелинейные проводят в зависимости от математического описания движения привода (его дифференциального уравнения). Входящие в ЭП элементы также разделяют на линейные и нелинейные. K линейным относят те элементы, которые характеризуются непрерывной линейной зависимостью выходного сигнала от входного хвых = kхвх, где k — постоянная величина, называемая передаточным коэффициентом. Линейная статическая характеристика имеет вид прямой, проходящей через начало координат под углом ? = arctg k (рис. 6, а).
Как правило, элементы ЭП не обладают строгой линейностью, в большинстве случаев их характеристики нелинейны. При определенных условиях эти нелинейности могут сказаться на устойчивости и качестве ЭП. Однако если отклонения статических характеристик незначительны и они не оказывают влияния на поведение всего привода в целом, то для небольшого диапазона изменений входной величины ?хвх участок фактической кривой 3 можно заменить касательной 1 или секущей 2 (рис. 6, б).
Такой прием носит название линеаризации статической характеристики.
Линеаризация характеристики возможна, если описывающее ее уравнение хвых = kхвх справедливо в течение всего интервала времени регулирования, характеристика непрерывна и в ней отсутствуют резкие перегибы. Практически не все характеристики можно линеаризовать без потери каких-либо существенных свойств элемента. Например, характеристика, представленная на рис. 6, в, вследствие наличия зоны нечувствительности ? линеаризации не поддается. Про элемент с такой характеристикой говорят, что он существенно нелинеен. Источниками существенных нелинейностей в ЭП являются: трение в сочленениях, зазоры в редукторах, ограничения сигналов на входе или выходе и т. п.
Линейным называется ЭП, содержащий линейные или линеаризуемые элементы. Движение такого ЭП описывается линейными дифференциальными уравнениями с постоянными коэффициентами.
ЭП, содержащий хотя бы один нелинейный элемент, называется нелинейным, к нему не применимы линейные методы расчета.
Назад | Содержание
| Вперед
Корректирующие устройства постоянного и переменного toka
9.5. КОРРЕКТИРУЮЩИЕ УСТРОЙСТВА ПОСТОЯННОГО И ПЕРЕМЕННОГО TOKAКУ постоянного тока. К ним относят рассмотренные выше пассивные RC - контуры (см. табл. 4) и активные КУ осуществляющие интегрирование и дифференцирование медленно меняющихся сигналов постоянного тока. Коррекция цепей переменного тока не может быть осуществлена теми же пассивными контурами вследствие наличия в сигнале переменного тока несущей составляющей с частотой, намного превышающей частоту огибающей сигнала. B таких цепях RС - контур будет реагировать на скорость изменения не полезного сигнала, а несущего, поскольку для него конденсаторы имеют меньшее сопротивление XС = 1/(2?fC).
КУ переменного тока. Коррекция СП переменного тока значительно сложнее и может быть осуществлена с помощью КУ постоянного тока с двойным преобразованием сигнала (предварительной демодуляцией и последующей модуляцией), КУ, работающих на несущей частоте, и КУ синхронного типа.
Способ демодуляции — коррекция — модуляция (рис. 116) — наиболее применимый для цепей переменного тока, так как реализуется с помощью простых и надежных КУ постоянного тока. Использование демодулятора в КУ позволяет осуществить его работу на огибающей сигнала с подавлением несущей благодаря вводу информации о несущей частоте в опорное напряжение UОП. Передаточная функция КУ в этом случае имеет вид

где kдМ, kм, kK — коэффициенты передач соответственно демодулятора UR, модулятора UB и контура.
В некоторых случаях учитывают и инерционность, вносимую модулятором и демодулятором и обусловленную применением фильтров.
Достоинствами данного способа коррекции являются независимость преобразований от изменения несущей частоты и устранение квадратурной составляющей e помощью демодулятора. Недостатки заключаются в усложнении усилителя, появлении дополнительных гармонических составляющих на выходе демодулятора и запаздывании, вносимом фильтром после демодулятора.
КУ переменного тока на несущей частоте реагируют на скорость изменения огибающей сигнала рассогласования без подавления несущей.
Это достигается усложнением электрических контуров: применением одинарного и двойного Т - образного контуров или заменой в обычном RC-контуре конденсатора емкостью C эквивалентной ветвью из конденсатора емкостью С/2 и катушки с индуктивностью L = 2(?2С). В результате электрический контур преобразуется в колебательный, настроенный на несущую частоту. Использование КУ переменного тока значительно упрощает усилительные устройства, не требует стабильности несущей частоты и тщательного подбора элементов схемы. Однако сами контуры сложны по устройству и громоздки, так как содержат индуктивности, и с их помощью можно реализовать небольшое число передаточных функций. Указанные недостатки ограничивают применение КУ переменного тока.

Рис. 116. КУ с двойным преобразованием
Назад | Содержание
| Вперед
Механический дифференциал
4.2. МЕХАНИЧЕСКИЙ ДИФФЕРЕНЦИАЛВ СП с механической обратной связью в качестве УУ находят применение механические дифференциалы (МД). По конструкции МД подразделяют на конический шестеренный (рис. 47, а) и винтовой (рис. 47, б).
Как видно на рис. 47, а, конический МД состоит из двух независимых приводных конических зубчатых колес 2 и 4, связанных соответственно с задающей и исполнительной осями СП, и двух сателлитов 1, 3, жестко соединенных крестовиной, ось 5 которой свободно проходит через втулку колеса 4 и является выходной осью устройства. При вращении колес 2 и 4 в противоположные стороны с одинаковыми скоростями сателлиты и связанная с ними ось 5 будут неподвижны. При отставании или опережении одного из колес на выходной оси выделяется разность углов поворота ? = ? — ?, являющаяся углом рассогласования.
В винтовом МД (рис. 47, б), состоящем из гайки 1 и винта 2, при наличии рассогласования винт перемещается относительно закрепленной в горизонтальном направлении гайки вправо или влево в зависимости от знака рассогласования.

Рис. 47. Механический дифференциал
Конструкция МД должна полностью исключать возможность непосредственной передачи энергии и реактивных крутящих моментов со стороны выходного звена на вход МД.
Достоинствами МД являются высокая надежность и наличие вращательного и поступательного видов движения выходного элемента. Однако МД свойственны все недостатки механических редукторов: трение, низкая износоустойчивость и ограниченный ресурс работы, низкая точность, обусловленная зазорами и технологическими погрешностями изготовления зубчатых колес и несовершенством сборки (несовпадение осей вращения с геометрическими осями, отклонение от перпендикулярности). Кроме того, с помощью МД нельзя осуществить дистанционную передачу, так как для его работы требуется непосредственная близость задающей и исполнительной осей привода. Поэтому основное применение МД находят в гидравлических устройствах для создания внутренних обратных связей, например в гидроприводе, с объемным регулированием или электрогидравлическом усилителе. В остальных случаях применения МД требуется дополнительное устройство для преобразования механического сигнала в электрический.
Назад | Содержание
| Вперед
Методы повышения точности
4.5. МЕТОДЫ ПОВЫШЕНИЯ ТОЧНОСТИПогрешность СП складывается из погрешности слежения и из погрешностей, присущих отдельным элементам, в том числе сельсинам. Из всех рассмотренных выше погрешностей сельсинов (в меньшей степени BT) наиболее существенной является инструментальная, определяемая классом точности преобразователя. Уровень остаточного напряжения ?U, соответствующий погрешности (рис. 50, а), при небольших углах рассогласования превышает уровень полезного сигнала U?, и СП начального рассогласования «чувствовать» не будет. Влияние погрешности можно уменьшить, увеличивая крутизну статической характеристики ИР за счет введения редуктора в двухканальной (двухскоростной) системе измерителя (рис. 50, б). Редуктор позволяет резко увеличить снимаемое напряжение при тех же значениях погрешности и уменьшить влияние неточности изготовления сельсинов. Измерительная схема в этом случае (рис. 51, а) состоит из двух пар сельсинов. Одна пара сельсинов BC1 и BE1 связана с задающим и исполнительным валами СП непосредственно, а другая пара сельсинов BC2 и BE2 — через редуктор. Передаточное число iр редуктора выбирают таким, чтобы сельсины второй пары вращались быстрее. Они образуют канал точного отсчета (TO) в отличие от канала грубого отсчета (ГО) с передачей угла в масштабе 1 : 1.
При повороте задающего вала на угол ? датчик канала ГО повернется на тот же угол, а датчик канала TO — на угол iр?. Рассогласование между сельсинами по каналу TO вследствие этого увеличится в iр раз, что способствует повышению крутизны характеристики и чувствительности схемы (см. рис. 50, б). Напряжения на зажимах однофазных обмоток сельсинов:

где ?UГО и ?UТО — напряжения, определяемые неточностью изготовления сельсинов.

Рис. 50. График выходного напряжения ИР

Рис. 51. Двухотсчетный ИР
Оба напряжения поступают на вход синхронизирующего устройства A1 (см. рис. 51, а), подключающего один из каналов к усилителю A2 СП. Исполнительный двигатель M, отрабатывая рассогласование, будет вращать выходной вал привода и принимающие сельсины до тех пор, пока оба снимаемых напряжения не станут равными нулю.
Однако в положении согласования роторы сельсинов BE по обоим каналам будут повернуты относительно роторов сельсинов BC на углы, определяемые собственной погрешностью сельсинов. При использовании сельсинов одного класса точности (?UГО = ?UТО = ?U) погрешность передачи угла согласно (158) и (159) по каналу ГО ??? = ?U/k?, по каналу TO ?Т? = ?U/k?ip.
Из сравнения полученных выражений следует, что

Точность измерения угла рассогласования по сравнению с одноканальной трансформаторной передачей увеличилась в гр раз, Однако с повышением скорости, а следовательно, и крутизны статической характеристики период изменения выходного напряжения уменьшается, и одному периоду напряжения канала ГО будет соответствовать некоторое число периодов изменения напряжения канала TO, равное передаточному числу iр. Так, при iр = 2 (рис. 51, б) за половину периода напряжения U?? напряжение UТ? пройдет полный период изменения, Способность к самосинхронизации в пределах одного оборота по каналу TO сохраняется, но диапазон самосинхронизации в пересчете и каналу ГО сокращается в iр раз.
В результате в пределах ±180° у привода появляется iр — 1 устойчивых ложных нулей. Например, при iр = 2 привод, будучи рассогласован на угол 90° < ? < 270°, отрабатывает к положению ? = 180°, являющемуся дополнительным ложным нулем ЛН канала TO. Для устранения ложных согласований и обеспечения нормальной работы СП при больших углах рассогласования служит канал ГО. Работа двухскоростной системы ИР строится так, что при небольшой погрешности рассогласования выходной сигнал снимается с канала TO, а при большом рассогласовании — с канала ГО, обеспечивающего синхронизацию в пределах полного оборота.
Как видно из графика зависимости выходного сигнала от угла рассогласования (рис. 51, б), влияние неточности изготовления сельсинов на малых рассогласованиях уменьшено за счет увеличения крутизны характеристики. В этом преимущество двухскоростной системы измерителя. Ha графике отмечен угол переключения ?ТО, при котором происходит смена работы каналов измерителя.
Практически СП работает от канала TO, осуществляя режим слежения. Канал ГО подключается только при отработке больших рассогласований, которые могут возникнуть в моменты включения или в режиме переброски, когда задающий вал останавливается, а исполнительный вал продолжает вращаться.
При проектировании двухскоростного ИР существенное значение имеет выбор передаточного числа механического редуктора. C точки зрения повышения точности СП выгодно применять большее передаточное число редуктора Ho беспредельно его увеличивать нецелесообразно, так как при этом возрастают размеры редуктора и связанные с ними погрешности механической передачи: неточность изготовления зубчатых колес, неточности сборки, зазоры и т. п. Эти погрешности могут достигать нескольких минут. Так, при выполнении редуктора по 6-й степени точности погрешность, обусловленная неточностью их изготовления [2], ?р = 2 ... 5'. Погрешность от зазора ?З = 0,5 ... 1'. C учетом угловой погрешности механического редуктора погрешность следования системы, определяемая по (160), будет иметь вид

где ?ГО — погрешность сельсинов, определяемая классом точности; ?р (iр) — погрешность редуктора с передаточным числом iр, зависящая от степени точности изготовления колес.
Как следует из выражения (161), увеличение передаточного числа iр дает существенное уменьшение погрешности до тех пор, пока ?ТО не становится соизмеримой с погрешностями механического редуктора.

Рис. 52. Графики, поясняющие работу двуотсчетной системы
K примеру, если при заданном ?ГО = 40' выбрать редуктор с iр = 40, ?р (iр) = 4', ?З = 0,8', то ?ТО = 40 : 40 + 4 + 0,8 = 5,8'. Если применить редуктор с iр = 60, ?р (iр) = 5', ?З = 1', то ?ТО = 40 : 60 + 5 + 1 = 6,67'.
Кроме того, повышение скорости сельсинов сказывается и на динамической погрешности, поэтому для приборных редукторов, связывающих сельсины ГО и TO, рекомендуется использовать передаточные числа iр = 10 ... 40.
Существенным для ИР является также выбор четного или нечетного передаточного числа редуктора.
Для простоты пересчета углов передаточное число должно быть четным. Ho, как видно из рис. 52, а, при этом появляется вероятность ложного согласования по углу ? = 180°, так как неустойчивый нуль канала ГО совпадает с устойчивым нулем канала TO (при нечетном iр такой вероятности не существует). При рассогласованиях в СП, отвечающих условию 180° — ?П < ? < 180° + ?П и при UTO > UГO привод по точному отсчету будет обеспечивать согласование к ближайшему устойчивому нулю, т. e. к 180°. B действительности между выходным и задающим валами будет рассогласование в 180°, и в дальнейшем движение задающего вала будет отрабатываться с такой погрешностью.
Чтобы устранить ложный нуль, к выходному напряжению канала ГО добавляют напряжение смещения UCM, снимаемое с вторичной обмотки маломощного трансформатора (сплошная кривая на рис. 57, б). B этом случае при б = 180° напряжение канала ГО U’ГO = UГO + UСМ больше напряжения UТO, и привод будет согласовываться по каналу ГО к устойчивому истинному нулю. Однако смещение напряжения приводит к тому, что в согласованном положении напряжение канала ГО не равно нулю, U’ГO = UСМ. Для устранения этого явления статор передающего сельсина ГО разворачивают относительно статора принимающего сельсина на угол

где Umax— амплитуда выходного напряжения. Выходное напряжение канала ГО в этом случае

напряжения по обоим выходам при ? = 0° будут равны нулю и кривая UГО (рис. 57, в) сместится вправо на угол ?.
Назад | Содержание
| Вперед
Многокаскадные электрогидравлические усилители мощности
7.3. МНОГОКАСКАДНЫЕ ЭЛЕКТРОГИДРАВЛИЧЕСКИЕ УСИЛИТЕЛИ МОЩНОСТИС увеличением мощности гидравлического потока, управляемого однокаскадным ЭГУ, возрастает требуемая мощность ЭМП. Это обусловлено увеличением смещения подвижной части ГР для обеспечения больших площадей проходных сечений, а также увеличением массы подвижной части ГР, гидростатических и гидродинамических сил, действующих на подвижную часть ГР, и жестко связанного с ней якоря ЭМП.
Рост мощности ЭМП приводит к ухудшению его динамических характеристик, увеличению массы и размеров и повышению мощности электронного усилителя, управляющего ЭМП. В быстродействующих ЭГСП при увеличении, мощности ГИУ в ЭГУ вводится дополнительный гидравлический каскад усиления. Таким образом, вместо мощного крупногабаритного и тяжелого ЭМП с низкими динамическими характеристиками применяется комбинация маломощного быстродействующего ЭМП e гидравлическим устройством предварительного усиления, в качестве которого может быть использован один из дросселирующих ГР, рассмотренных выше. Такая комбинация помимо высоких динамических характеристик обеспечивает и существенно большую жесткость к нагрузке на распределительной части ЭГУ, чем ЭМП в случае однокаскадной схемы (так называемое детектирующее свойство ЭГУ — однонаправленность прохождения управляющего сигнала от электронной части ЭГСП к ГИУ).
Выбор однокаскадной или двухкаскадной схемы ЭГУ определяется не только мощностью управляемого ГИУ, но и полосой частот, в которой задаются динамические характеристики ЭГСП.
Принципиальные схемы наиболее распространенных типов двухкаскадных ЭГУ приведены на рис. 71—73. В дальнейшем будем рассматривать двухкаскадные ЭГУ, у которых в качестве второго каскада используется четырехщелевой дросселирующий гидрораспределитель в виде цилиндрического золотника. Принципиально в качестве второго каскада можно использовать и плоский золотник. Однако для рассмотрения принципа работы ЭГУ и анализа его статических и динамических характеристик конструктивная схема ЗГР второго каскада не имеет значения.
Многокаскадные ЭГУ по способу управления координатой ГР выходного каскада подразделяют на ЭГУ с позиционирующими (с «синхронизирующими») пружинами (ЭГУ (СП)) и ЭГУ с обратной связью (ЭГУ (OC)).
ЭГУ (СП) — это усилители, в которых значение координаты ГР выходного каскада пропорционально перепаду давлений, создаваемому управляющим каскадом.
ЭГУ (OC) — это усилители, в которых перемещение ГР выходного каскада вызывает изменение дросселирующих щелей управляющего каскада. Управляющий каскад многокаскадного ЭГУ в принципе может быть и двухкаскадным. В этом случае под дросселирующими щелями управляющего каскада будем подразумевать дросселирующие щели ГР второго каскада.
Если изменение дросселирующих щелей управляющего каскада происходит вследствие кинематической связи выходного и управляющего каскадов, то такая OC называется кинематической OC (KOC); иногда ее называют гидравлической OC (ГОС). Если изменение дросселирующих щелей управляющего каскада при движении выходного каскада происходит вследствие изменения баланса' сил (или моментов) на ЭМП, то такая OC называется механической (MOC). Если изменение дросселирующих щелей управляющего каскада при движении выходного каскада происходит вследствие изменения управляющего сигнала на обмотках ЭМП, то такую OC называют электрической OC (ЭОС).
Двухкаскадный золотниковый ЭГУ с цилиндрическим ЗГР на первом каскаде и с кинематической или гидравлической обратной связью — ЭГУ (KOC) или ЭГУ (ГОС) — работает следующим образом (рис. 71, а). При подаче управляющего сигнала на обмотки 1 ЭМП на его валу развивается момент, пропорциональный этому сигналу. Вдоль оси золотника 3 возникает усилие, которому противодействуют усилие пружин 2 и гидродинамическая сила. Смещение золотника 3 от нейтрального положения пропорционально управляющему сигналу. Пусть, например, это смещение происходит вправо. РЖ под давлением из гидролинии нагнетания через открывшееся по кромке m окно золотника 3 поступает через гидролинию Б в полость E второго каскада.
Под действием перепада давлений между полостями C и Д золотник 4 движется влево. При этом в результате деформации пружины 5 на валу ЭМП будет развиваться момент OC, по знаку противоположный управляющему моменту, а по модулю — пропорциональный деформации пружины 5. Так как деформация пружины 5 зависит от смещения золотника 4 от нейтрального положения, то момент OC будет пропорционален этому смещению. Движение золотника 4 будет продолжаться до тех пор, пока момент обратной связи на валу ЭМП не уравновесится управляющим моментом. При этом золотник 3 под действием центрирующих пружин 2, пружин своего упругого подвеса, а также под действием гидродинамической и гидростатической сил возвратится в нейтральное положение и перекроет рабочие окна золотника 3 по кромкам m и n.
Преимущество ЭГУ (MOC) по сравнению с ЭГУ (ГОС) заключается в том, что точность отработки выходного каскада (координаты х2) в функции управляющего сигнала практически не зависит от точности отработки координаты h, характеризующей движение золотника первого каскада, так как в силу принципа работы ЭГУ (MOC) координата х2 сравнивается со значением управляющего момента на валу ЭМП. Любое же отклонение координаты h от номинального значения сказывается на скорости движения второго каскада, что соответствует лишь изменению коэффициента усиления разомкнутого контура ЭГУ и практически не сказывается на коэффициенте передачи в замкнутом контуре от управляющего сигнала до координаты х2.
Принципиальная схема одной из возможных реализаций золотникового двухкаскадного ЭГУ с электрической OC — (ЭГУ (ЭОС)) — и цилиндрическим ЗГР на первом каскаде приведена на рис. 71, г. ЭГУ работает следующим образом. При подаче управляющего сигнала UУ на операционный усилитель У управляющий сигнал алгебраически суммируется с сигналом обратной связи UОС. Сигнал рассогласования ?U подается на вход усилителя мощности УМ, где он усиливается до определенного значения, необходимого для управления ЭМП 1.
Усиленный сигнал рассогласования поступает на обмотки ЭМП, на валу которого развивается управляющий момент.
Под действием этого момента золотник 4 первого каскада, преодолевая сопротивление центрирующих пружин 2 и гидродинамической силы, смещается от своего нейтрального положения (например, вправо).
РЖ из гидролинии нагнетания через золотник 4 и гидролинию A поступает в полость C второго каскада. Одновременно полость Д золотника 3 второго каскада через гидролинию Б и золотник 4 соединяется со сливной гидролинией. Под действием перепада давлений между полостями C и Д золотник 3 и жестко связанный с ним якорь 5 индукционного датчика OC смещаются вправо. Ha сигнальной обмотке датчика появляется электрический сигнал, пропорциональный смещению золотника 3 от его нейтрального положения. Этот сигнал поступает на фазочувствительный выпрямитель ФЧВ, далее на фильтр Ф, на котором происходит фильтрация высокочастотных колебаний, и затем на операционный усилитель У как сигнал OC.
При определенном смещении золотника 3 сигнал OC станет равным сигналу управления, и рассогласование на входе в усилитель мощности будет равно нулю. Будет равным нулю и момент управления на валу ЭМП 1, и золотник 4 под действием центрирующих пружин 2 и гидродинамической силы возвратится в нейтральное положение и перекроет гидролинии A и Б. Золотник 3 второго каскада остановится на определенном расстоянии от своего нейтрального положения. Преимущество такой схемы ЭГУ по сравнению с ЭГУ (MOC) заключается в том, что точность отработки выходной координаты х2 у ЭГУ (ЭОС) в основном определяется допусками на коэффициент усиления по цепи OC и практически не зависит от разбросов по коэффициентам усиления У, УМ и ЭМП. Поэтому ЭГУ (ЭОС) позволяют получить высокую точность отработки по координате х2 без применения гидравлических или механических регулирующих устройств, что существенно упрощает серийное изготовление таких усилителей. Важным преимуществом ЭГУ (ЭОС) по сравнению с ЭГУ (MOC) и ГУ (ГОС) является то, что за счет перераспределения коэффициентов усиления между отдельными элементами контура ЭГУ (при сохранении общего коэффициента усиления разомкнутого контура) можно получить большой коэффициент усиления по линии от сигнала управления до координаты h и улучшить статические характеристики ЭГУ по таким показателям, как зона нечувствительности и петля гистерезиса.
Принципиальные схемы различных вариантов двухкаскадных ЭГУ с первым каскадом в виде двухщелевого ГР сопло-заслонка приведены на рис. 72. Ha рис. 73 даны принципиальные схемы двухкаскадных струйных ЭГУ. Принцип работы этих ЭГУ ничем не отличается от принципа работы двухкаскадных золотниковых ЭГУ, которые были описаны ранее (см. рис. 71).

Рис. 72. Принципиальные схемы двухкаскадных ЭГУ сопло-заслонка

Рис. 73. Принципиальные схемы двухкаскадных струйных ЭГУ
Из рассмотрения принципа работы двухкаскадных ЭГУ следует, что при использовании OC одного и того же вида они различаются только принципом работы первого каскада. Очевидно, что и расчет таких ЭГУ будет разным только в части, связанной с ГР, управляемым ЭМП. Подробная теория и расчет таких ГР приведены в ряде работ [3, 4, 7, 8].
Назад | Содержание
| Вперед
Многополюсные преобразователи
4.6. МНОГОПОЛЮСНЫЕ ПРЕОБРАЗОВАТЕЛИУжесточение требований к точности ИР обусловило появление многополюсных преобразователей, созданных на базе индукционных микромашин путем увеличения числа пар полюсов ротора и статора. Амплитуда выходного напряжения такого преобразователя совершает полный период изменения за поворот ротора относительно статора на один полюс, а число периодов изменения за полный поворот ротора равно числу пар полюсов, т. e.

где р — число пар полюсов.
Так как эффект многопериодичности выходного сигнала создается не механическим путем (за счет редуктора), а электрическим, то устройства, реализующие этот принцип, называются преобразователями с электрической редукцией. Передаточное число такого редуктора определяется числом пар полюсов (ip = p). ИР на многополюсных преобразователях строят по принципу двухканальной системы отсчета, так как число устойчивых положений, как и при механическом редукторе, определяется передаточным отношением редуктора.
В ИР с электрической редукцией (рис. 53) в качестве датчика и приемника в канале ГО используются однополюсные преобразователи (p = 1), а в канале TO — многополюсные (p > 1). Датчики (аналогично и приемники) каналов ГО и TO связаны между собой одним валом и имеют одинаковую частоту вращения. Ho так как число пар полюсов различное, сигнал в канале TO будет изменяться в р раз чаще, чем в канале ГО. B остальном ИР работает аналогично двухканальному измерителю с механическим редуктором, но имеет явные преимущества: 1) отсутствие погрешности, обусловленной неточностью изготовления редуктора, и, как следствие, повышение точности передачи пропорционально числу пар полюсов; 2) отсутствие момента трения редуктора; 3) меньшая динамическая погрешность за счет снижения частоты вращения датчиков канала TO; 4) малое значение отношения минимального напряжения к крутизне, характеризующего уровень остаточного напряжения: для схем с однополюсными преобразователями при p = 1 UОСТ/k? = 3 ... 10, в многополюсной измерительной схеме при p > 1 UОСТ/k? = 0,3 ... 0,5.

Рис. 53. ИР с электрической редукцией Рис. 54. Многополюсной BT
В качестве многополюсных преобразователей широко применяются многополюсные BT, редуктосины, индуктосины. Эти устройства различаются конструктивно, принципом действия, технологией изготовления, но принцип электрической редукции заложен в каждом из них, что позволяет получить высокую точность преобразования.
Многополюсные BT (рис. 54, а) выполняются в виде тороидальных неявнополюсных ротора 1 и статора 2 с равномерно распределенными обмотками кольцевого типа. Сдвинутые по фазе на 90° относительно друг друга обмотки размещаются слоями: первый слой — обмотка синусная, второй — обмотка косинусная. Увеличение числа пар полюсов достигается за счет изменения направления намотки обмотки фазы (на рис. 54, б для простоты изображена только одна обмотка).
Кроме того, на практике находят применение BT, выполненные по трехобмоточной схеме: на роторе укладывается двухполюсная однофазная обмотка возбуждения, а две выходные обмотки получаются за счет специальной укладки обмотки фазы в пазах статора — так называемые синусные или косинусные распределенные обмотки.
При создании двухканальных систем ИР используют BT с различными конструктивными исполнениями: бескорпусная конструкция (рис. 54, а); крепление на одной оси однополюсного и многополюсного BT; встроенная конструкция (двухполюсной BT внутри многополюсного); размещение обмоток многополюсного BT с обмотками двухполюсного BT на одном магнитопроводе с использованием одних и тех же пазов.

Рис. 55, ИР на редуктосине
Многополюсные BT отличаются малым коэффициентом ослабления выходного сигнала, имеют погрешность не более 0,5 ... 1', но требуют наличия контактов при неограниченном угле поворота ротора. Перспективным является применение бесконтактных униполярных BT с тремя обмотками и зубцовым ротором.
Индукционные редуктосины относятся к бесконтактным синусно-косинусным поворотным трансформаторам с электрической редукцией. Конструктивно редуктосин состоит (рис. 55, а) из зубцового статора, на котором расположены как первичная 1, так и две вторичные 2, 3 выходные обмотки.
Ротор представляет собой зубчатое колесо, число зубцов которого находится в соотношении ѕ с числом зубцов статора. К первичной обмотке подводится напряжение питания. При повороте ротора на угол, равный одному зубцовому делению (один полюс), выходное напряжение на обмотке 2 пройдет полный период и будет изменяться по закону синуса, а на обмотке 3, сдвинутой на 90°, — по закону косинуса.
Редуктосины применяют в качестве измерителей рассогласования в СП, в которых вследствие требований высокой точности передачи угла не может быть использована механическая передача. В таком СП (рис. 55, б) канал TO строится на редуктосине TC2, работающем в синхронной передаче с однополюсным BT. 1 повороту редуктосина на одно зубцовое деление соответствует полный поворот ротора TE2 на 360°, что позволяет с большой точностью отсчитать угол поворота задающего вала. При повороте ротора редуктосина на 360° ротор TE2 повернется на Зб0р°, где р — передаточное отношение редуктора. Канал ГО построен на двухполюсных TC1 и TE1 и служит для обеспечения самосинхронизации. Работа двухканальной системы с редуктосином аналогична работе ИР, показанного на рис. 53, но имеет погрешность не более ± (5 ... 10)° при электрической редукции, равной 128 или 256. Дальнейшее увеличение точности ограничено погрешностью нарезания зубчатых колес и особенно колес ротора.
Следует также отметить такое преимущество редуктосинов перед BT, как отсутствие контактов.
Индуктосины — это преобразователи с многополюсными печатными проводниками (обмотками), радиально нанесенными на изоляционные диски. Благодаря отсутствию скользящих контактов повышается надежность преобразователей, а редукция до ip = 256 достигается при достаточно малых размерах за счет технологии нанесения печатных проводников. ИР на индуктосинах работают с погрешностью не более 1 ... 5", но имеют низкий выходной сигнал (2 ... 5 мВ), поэтому требования к усилителям весьма жесткие.
Дальнейшее увеличение точности может быть обеспечено с помощью магниторезистивных преобразователей, являющихся усовершенствованными индуктосинами.
Радиальные проводники в них выполнены из магниторезистивного полупроводникового состава, который меняет свою проводимость в зависимости от магнитного поля. При этом уменьшается влияние ряда технологических погрешностей, свойственных индуктосинам. Магниторезистивные преобразователи могут работать на постоянном токе, что существенно упрощает структуру их отсчетной части и приводит к повышению разрешающей способности и надежности преобразователя в целом. Магнитное поле может быть создано также с применением печатных обмоток, радиальные проводники которых выполнены в виде постоянных магнитов.
Высокоточные индуктосины и магниторезистивные преобразователи используют в основном в цифровых СП в качестве преобразователей непрерывного сигнала в дискретный. В связи с этим возникла необходимость в получении электрической редукции с передаточным отношением, кратным 2n, т. e. 32 (25), 64 (26), 128 (27), 256 (28). Основной трудностью при создании таких преобразователей является получение малых размеров, что обусловлено несовершенством технологии изготовления и сборки.
Назад | Содержание
| Вперед
Надежность следящих приводов
2.2. НАДЕЖНОСТЬ СЛЕДЯЩИХ ПРИВОДОВВ основе оценки надежности СП лежит способность привода выполнять требуемые функции в заданных режимах. Составляющими надежности являются безотказность, ремонтопригодность, долговечность и сохраняемость.
Безотказность — это свойство СП непрерывно сохранять работоспособность в течение некоторого времени. Событие, заключающееся в нарушении работоспособности СП, называется отказом. Нe все элементы СП работают непрерывно от момента включения до отказа. Большинство элементов, такие, как реле, электродвигатели, работают с перерывами. Для них удобно подсчитывать продолжительность или объем работы, определяемые как наработка. Например, реле характеризуется числом срабатываний до износа контактов.

Рис. 14. Графики показателей безотказности
Основными показателями безотказности являются вероятность безотказной работы, средняя наработка на отказ и интенсивность отказов.
Вероятность безотказной работы P(t) определяет вероятность того, что в пределах заданной наработки отказов не произойдет:

где N —число испытуемых изделий; n (t) — число изделий, отказавших во времени t.
Зависимость вероятности безотказной работы от времени представлена на рис. 14, а: при t = 0 вероятность P (0) = 1, при t = ? P (?) = 0.
Средняя наработка на отказ Тср — это математическое ожидание наработки до отказа:

численно равное площади, ограниченной кривой P(t) (рис. 14, б).
Интенсивность отказов ?(t) – это условная плотность вероятности возникновения отказа невосстанавливаемого объекта в момент времени t при условии, что отказ до этого момента времени не возник:

где P'(t) — производная функции надежности. Из соотношения (2) можно получить

Вероятность отказа Q (t) определяют по выражению

График вероятности отказа Q (t) изображен на рис. 14, в.
Долговечность определяют, как свойство СП сохранять работоспособность до наступления предельного состояния при установленной системе технического обслуживания. Под предельным состоянием понимают состояние СП, при котором его дальнейшее применение по назначению недопустимо.
Долговечность определяется сроком службы и ресурсом.
Ремонтопригодность — это свойство CTI, заключающееся в приспособленности к предупреждению и обнаружению причин возникновения отказов, повреждений и восстановлению работоспособного состояния. Знание основных неисправностей, типовых отказов, а также практических методов наладки основных элементов СП значительно облегчает обнаружение места повреждения и сокращает время поиска неисправности.

Рис. 15. Схемы для расчета надежности Рис. 16. Схемы резервирования
Сохраняемость — это свойство СП сохранять значения показателей безотказности, долговечности и ремонтопригодности в течение и после хранения и транспортирования. Хранение можно рассматривать как своего рода работу.
Для оценки показателей надежности применяют экспериментальный, аналитический методы, а также метод моделирования на цифровых ЭВМ. Для всех методов составляют надежностную схему соединений, представляющую собой математическую модель СП. При этом принимают во внимание не электрические (механические, гидравлические) связи, а связи элементов с точки зрения влияния отказов этих элементов на надежность всего привода.
Различают три вида соединений (графов): последовательное, параллельное и смешанное. Соединение элементов xi, при котором отказ любого из них приводит к отказу СП, называют логически последовательным (рис. 15, а).
Любая нерезервированная система имеет такую структуру, и ее надежность определяется выражением

где n — число последовательно соединенных элементов. Полученное выражение с учетом (3) приводится к виду

И тогда вероятность отказа согласно (4)

При достаточно высокой надежности i-гo элемента надежность всей системы получается низкой, так как число элементов велико.
Соединение элементов называют параллельным (рис. 15, б), если отказ системы наступает при одновременном отказе всех элементов. Смешанное соединение (рис, 15, в) представляет собой комбинацию первых двух соединений.
Для повышения надежности применяют общее и раздельное резервирование элементов к функциональных групп путем включения избыточных элементов 1 — n.При общем резервировании (рис. 16, а) резервируют всю систему в целом, при поэлементном (рис. 16, б) резервируют отдельные элементы, например 1, 2. Поэлементное резервирование надежнее, так как путей прохождения сигнала больше.
Назад | Содержание
| Вперед
Нагрузка и энергетические характеристики
3.3. НАГРУЗКА И ЭНЕРГЕТИЧЕСКИЕ ХАРАКТЕРИСТИКИПод нагрузкой СП понимается сумма возмущающих моментов MВ, действующих на OP:

где МСТ — статический момент нагрузки; MД — динамический момент нагрузки.
Статический момент можно представить в виде суммы внутренних и внешних составляющих, действующих в установившемся режиме:

где MН— постоянная составляющая момента нагрузки, обусловленная дебалансом, моментом трения в кинематических парах и контактных устройствах; МВ(t) — переменный момент, зависящий от параметров движения OP (угла поворота выходного вала) или внешних возмущений (силы ветра или отдачи). Под моментом M3 (t) понимают момент, возникающий в упругих элементах при закручивании, или шарнирный момент МШ, действующий на рули самолета при их отклонении и пропорциональный углу отклонения ?: МШ= сш ?, где сш — коэффициент шарнирного момента.
Динамический момент обусловлен теми составляющими нагрузки, которые появляются в режиме движения при изменении угловой скорости:

где JН — момент инерции нагрузки; ?? — ускорение выходного вала.
C учетом (16) выражение (14) возмущающего момента приобретает вид

Составляющие нагрузки, действующей на OP, приложены к валу ИУ через понижающий редуктор q (рис. 19). Зная передаточное число редуктора i, приведем указанные моменты к валу ИУ.
Приведенный момент инерции нагрузки

где i — передаточное число редуктора.
Полный момент инерции вращающихся частей нагрузки с учетом момента инерции двигателя JД

Если момент инерции редуктора Jp соизмерим с моментом инерции двигателя JД, то J' = Jр + JД + JН/i2.

Рис. 19. Объект регулирования СП
Приведенный статический момент нагрузки

где ? — КПД редуктора.
Приведенные угловые скорость и ускорение вала нагрузки

Таким образом, приведенный к валу ИУ момент нагрузки G учетом (17)-(21)

Для обеспечения заданного режима работы СП момент вращения ИУ должен быть равен моменту, определяемому выражением (22):

Полученный момент называют (в отличие от располагаемого момента) требуемым.
Его обозначают МТР и пользуются при выборе типа ИУ. O значении располагаемого момента при выборе ИУ можно судить по механической характеристике, представляющей собой зависимость ?=f(M,Uy) установившейся скорости вала ИУ от момента нагрузки и сигнала управления (рис. 20). Линейная механическая характеристика (рис. 20, а) свойственна электродвигателю постоянного тока с независимым возбуждением и гидроприводу с объемным регулированием; параболическая характеристика (рис. 20, б) присуща гидроприводу с дроссельным регулированием и нелинейная характеристика (рис. 20, e) — электромагнитной порошковой муфте.

Рис. 20. Механические характеристики ИУ

Рис. 21. Энергетические характеристики ИУ
По механическим характеристикам можно судить о регулировочных свойствах ИУ. Так как в процессе регулирования момент нагрузки непостоянен, то чем меньше скорость ИУ будет зависеть от момента, тем лучше регулировочные свойства устройства. С этой точки зрения нелинейная характеристика (см. рис. 20, в) является оптимальной и абсолютно жесткой в определенном диапазоне нагрузки. В двух других случаях с увеличением нагрузки скорость выходного вала падает.
С помощью механических характеристик можно оценить также энергетические возможности ИУ, т. e. мощность, которой они располагают. Действительно, мощность на валу ИУ

где MИУ, ?ИУ — момент и скорость ИУ.
Зная механическую характеристику (рис. 21, а), по значениям M и ? можно построить энергетическую характеристику P = f(M,?) и определить максимальную мощность (рис. 21, б). Представленные на рис. 21 характеристики имеют максимум Рmax в точках, определяющих номинальные параметры ИУ (??? M, МНОМ). Отсюда номинальная мощность ИУ РНОМ = Рmax =??? M МНОМ
При выборе ИУ руководствуются тем правилом, что ero максимальная мощность должна быть больше требуемой. Иногда при выборе ИУ для характеристики нагрузки используют диаграмму нагрузки, представляющую собой зависимость требуемых моментов МТР от скорости при заданном законе движения выходного вала.При гармоническом возмущении диаграмма нагрузки МТР (рис. 22) представляет собой эллипс с полуосями МТР МАХ, ?ТР МАХ. Основное условие при выборе ИУ заключается в том, чтобы диаграмма нагрузки располагалась внутри области моментов и скоростей, обусловленных механической характеристикой МР, касаясь последней в точке Ак с максимальным значением мощности при Мк = 2/3MП.

Рис. 22. Диаграмма нагрузки
Назад | Содержание
| Вперед
Назначение корректирующих устройств
9.2. НАЗНАЧЕНИЕ КОРРЕКТИРУЮЩИХ УСТРОЙСТВУстройства, специально вводимые в контур регулирования для обеспечения требуемых динамических свойств СП, называются корректирующими устройствами (КУ).

Рис. 107. Схема включения КУ
B СП применяют разные методы коррекции: вязким демпфированием; уменьшением нелинейностей СП; изменением частотных характеристик СП.
Первый метод коррекции связан с введением в СП дополнительного момента вязкого трения, способствующего гашению колебаний и уменьшению инерционности привода. В СП это достигается закреплением на валу двигателей специальных устройств — демпферов (воздушных или электромагнитных) или созданием в асинхронных двигателях постоянного магнитного потока, взаимодействующего с полым ротором во время ускорения или замедления движения. Вязкое демпфирование обеспечивает сравнительную простоту проектирования и изготовления СП, но применяется в основном в приводах малой мощности вследствие значительного расхода мощности на вращение демпферов в установившихся режимах и изменения вязкости жидкости при колебаниях температуры.
Уменьшить нелинейность СП, связанную с наличием зазоров, момента трения и ухудшающую качественные показатели привода, можно, используя вибрацию. Так, для снятия статического момента трения в подшипниках предусматривают промежуточную обойму, которая под действием специального устройства вибрирует с большой частотой и малой амплитудой. В электрогидравлических приводах для предупреждения зарастания щелей в золотниковых парах в конструкции ЭМП предусматривают дополнительную обмотку, на которую подают напряжение повышенной частоты, что вызывает вибрацию якоря преобразователя относительно положения равновесия.
Коррекция приводов изменением частотных характеристик наиболее применима в СП. Этот способ сводится к введению в сигнал управления помимо сигнала погрешности сигналов, пропорциональных производным и интегралам от погрешности и возмущающих воздействий.
В зависимости от формируемого закона регулирования определяют место включения КУ (рис. 107) По этому признаку КУ делят на последовательные K0(p), параллельные K(p), L(p) и корректирующие OC — Kм(p), Ka(p). По виду частотных характеристик КУ делят на дифференцирующие, интегрирующие и интегродифференцирующие. В зависимости от вида используемой энергии КУ подразделяют на электрические, электромеханические и гидромеханические.
По виду дифференциального уравнения различают линейные КУ, описываемые дифференциальными уравнениями с постоянными коэффициентами, и нелинейные КУ, описываемые нелинейными дифференциальными уравнениями. Кроме того, КУ делят на активные и пассивные в зависимости от того, выполняют ли КУ кроме основной функции преобразования еще функцию усиления преобразуемого сигнала.
Основными требованиями, предъявляемыми к КУ, являются надежность в работе, независимость преобразований от частоты источника питания, стабильность выходных параметров, особенно в приводах повышенной точности.
Назад | Содержание
| Вперед
Назначение синхронизирующих устройств
5.1. НАЗНАЧЕНИЕ СИНХРОНИЗИРУЮЩИХ УСТРОЙСТВСинхронизирующие устройства (СУ) применяются в двухскоростных системах передачи угла, они служат для автоматического переключения привода с одного канала на другой (рис. 51, a). B результате действия СУ при малых углах рассогласования используется сигнал канала TO, а при рассогласованиях, больших некоторого граничного угла ?П, называемого углом переключения, канал TO автоматически отключается и ко входу усилителя подключается канал ГО. Аналогичное переключение с канала ГО на канал TO происходит при отработке начальных (больших) углов рассогласования, когда рассогласование уменьшается до угла переключения ?П.

Рис. 57. Статические характеристики СУ
В технике известны различные по устройству и принципу действия СУ. Однако все они выполнены на основе нелинейных элементов, позволяющих изменять состояние схемы на выходе в, зависимости от значения сигнала канала ГО.
Существуют СУ с полным и неполным разделением каналов. В схемах с полным разделением на вход усилителя подается напряжение только одного канала (TO или ГО) при отключенном втором канале (рис. 57, а). Статические характеристики СУ каждого диапазона работы нелинейны, но в совокупности дают непрерывную линейную характеристику.
В схемах с неполным разделением каналов при включении канала ГО канал TO не отключается, а напряжение UТО ограничивается или несколько уменьшается, вследствие чего на входе усилителя действует сигнал ГО и ослабленный сигнал TO (рис. 57, б). Аналогично работает СУ при обратном переключении. Такие устройства проще, но в них возможно взаимное влияние одного канала на другой.
K СУ как элементам СП предъявляют следующие требования: 1) надежность переключения 2) отсутствие или минимальное влияние одного канала на другой 3) непрерывность (отсутствие разрывов) статической характеристики UВЫХ = f(UВХ) 4) простота устройства? 5) малые размеры и удобство компоновки в одном корпусе c усилителем.
В качестве нелинейных элементов в СУ используются ключевые схемы на диодах и стабилитронах, неоновые ламп, реле.
Назад | Содержание
| Вперед
Назначение устройств усиления и преобразования и требования, предъявляемые k ним
8.1. НАЗНАЧЕНИЕ УСТРОЙСТВ УСИЛЕНИЯ И ПРЕОБРАЗОВАНИЯ И ТРЕБОВАНИЯ, ПРЕДЪЯВЛЯЕМЫЕ K НИМВ контуре регулирования СП усилитель относится к изменяемой части, так как его выбирают готовым или проектируют на основе уже известных характеристик чувствительных и исполнительных элементов из условия обеспечения заданной точности работы системы. Поскольку общий коэффициент усиления разомкнутой системы обычно невелик, то для получения заданной добротности коэффициент передачи усилителя по напряжению должен быть высоким. Кроме того, для обеспечения требуемой мощности управления ИУ усилитель должен обладать высоким коэффициентом усиления по мощности.
Помимо простого усиления сигнала рассогласования усилитель современных СП дополнительно решает следующие задачи: формирование сигнала управления путем сложения сигнала рассогласования с корректирующими сигналами (параллельными и OC) или путем непосредственного преобразования (интегрирования или дифференцирования) сигнала рассогласования; преобразование рода тока сигнала; ослабление и подавление помех, поступающих на вход усилителя; ограничение сигналов на входе для защиты элементов усилителя, а на выходе — для ограничения максимальной скорости движения OP.
Усилительные устройства СП должны отвечать техническим требованиям по линейности статических характеристик, входному сопротивлению, зоне нечувствительности, стабильности нуля, линейности суммирования входных сигналов и безынерционности.
Назад | Содержание
| Вперед
Общие сведения и классификация
3.1. ОБЩИЕ СВЕДЕНИЯ И КЛАССИФИКАЦИЯИсполнительным устройством (ИУ) СП называется устройство, предназначенное для перемещения OP в соответствии с заданным законом управления. ИУ СП работают в сложных динамических режимах слежения за сигналом рассогласования. Отсюда вытекают специфические требования к этим устройствам: обеспечение необходимых выходных усилий во всех режимах работы и способность выдерживать кратковременные перегрузки, возникающие в приводе; обеспечение высоких скоростей и ускорений по перемещению OP; плавное регулирование в широких пределах и обеспечение независимости частоты вращения выходного вала от изменения нагрузки (достаточная жесткость механической характеристики); отсутствие «самохода» (продолжение вращения ротора при снятом сигнале управления); малая инерционность и способность работать в определенных температурных диапазонах без перегрева. Кроме перечисленных требований к ИУ предъявляют общетехнические требования: малые масса и размеры, высокая надежность при механических и климатических воздействиях.
В СП в качестве ИУ применяют электродвигатели постоянного и переменного тока, электромагнитные устройства (муфты, преобразователи, шаговые двигатели), гидравлические устройства (гидромоторы, гидроцилиндры). Классификация ИУ представлена на рис. 17.
Для регулирования частоты вращения ИУ используют два вида управления: непрерывное и дискретное (импульсное, релейное).
Непрерывное управление осуществляется e помощью изменяющегося по значению, но непрерывного во времени сигнала; дискретное — путем изменения времени, в течение которого к ИУ подводится номинальное напряжение.
По способу отработки выходного вала ИУ разделяют на устройства с непрерывной и дискретной отработкой. B данном учебнике ограничимся рассмотрением основных характеристик, схем и методов управления, которые обеспечивают непрерывную отработку выходного вала.

Выбор того или иного типа ИУ зависит от многих факторов и прежде всего от характера и значения нагрузки, действующей на OP, и от параметров движения выходного вала, определяемых заданным законом движения.
Назад | Содержание
| Вперед
Общие сведения классификация
4.1. ОБЩИЕ СВЕДЕНИЯ. КЛАССИФИКАЦИЯУправляющие устройства (УУ) предназначены для сравнения информации, поступающей от ЗУ с информацией о состоянии привода, передаваемой по цепи OC.
Техническое исполнение УУ зависит от вида ЗУ. Если выходной вал СП следит за изменением напряжения, поступающего с аналоговой ЭВМ, программного, оптического или радиолокационного устройства, то в качестве УУ применяют суммирующий каскад на входе усилителя. Ha структурной схеме такое УУ изображают так, как показано на рис. 45, a. В качестве преобразователя B в цепи OC в позиционном СП используют потенциометр, в скоростном — тахогенератор (см. рис. 9).
В местном СП в качестве УУ применяют один датчик (индукционный, потенциометрический), корпус которого связан с задающим валом, а ротор или соответственно движок — с валом исполнительного двигателя. Схема подключения потенциометра постоянного тока изображена на рис. 46, а. Для использования потенциометра на переменном токе (рис. 46, б) можно применить трансформатор со средней точкой.
Если в качестве ЗУ служит входной вал, расположенный на значительном расстоянии от исполнительного вала, то УУ строят на основе дистанционной потенциометрической или индукционной передачи, состоящей из идентичных датчиков, электрически включенных по мостовой или трансформаторной измерительной схеме. Ha структурной схеме такое УУ изображают так, как показано на рис. 45, б. Такие устройства чаще называют измерителями рассогласования (ИР). Как видно из рис. 45, б. ИР сравнивает углы поворота и преобразует полученную разность в электрический сигнал.
Основными характеристиками и параметрами ИР являются следующие: статическая характеристика U? = f(?), представляющая собой зависимость выходного сигнала от ошибки рассогласования; коэффициент преобразования (чувствительность) k? = U? /?; погрешности измерительного устройства; мощность выходного сигнала.

Рис. 45. Изображение УУ в структурной схеме

Рис. 46. УУ в местном СП
К основным требованиям, предъявляемым к ИР, относятся высокая точность измерения и преобразования угла рассогласования; линейность и большая крутизна статической характеристики; малая мощность потребления электрической энергии; безынерционность; надежность; минимальные размеры и масса. Оco6o жесткие требования предъявляют к чувствительности и точности измерения, так как точность СП не может быть выше точности устройства, измеряющего и преобразующего сигнал рассогласования. Основным показателем точности измерения является погрешность измерения, т. e. отклонение результата измерения от истинного значения измеряемой величины. Погрешности измерения подразделяют по способу выражения на абсолютные и относительные, а по источнику возникновения — на инструментальные, допущенные. При изготовлении собственно измерителей, и методические, возникающие вследствие несовершенства измерительной схемы или несогласованности сопротивлений.
Аналоговая часть осуществляет усиление сигнала по напряжению в усилителе AU, по мощности в усилителе AW, отработку рассогласования двигателем M с помощью редуктора q, коррекцию СП по напряжению с помощью тахогенератора BR с последовательным контуром K (p), а также измерение угла отработки с помощью датчика BC.

Рис. 153. Структурная схема ЦАСП
Являясь комбинированным, ЦАСП сочетает положительные свойства как цифровых элементов (быстродействие, точность), так и аналоговых (хорошее качество переходных процессов).
По способу связи с цифровой ЭВМ ЦАСП делят на автономные и неавтономные. В автономных ЦАСП ЭВМ не входит в контур регулирования, а играет роль задающего устройства. Функцию вычисления кода погрешности выполняет специализированное цифровое устройство, структура которого зависит от решаемой на нем задачи. Представленный на рис. 153, а привод является примером автономного ЦАСП.
В неавтономном ЦАСП (рис. 153, б) ЭВМ охвачена OC и сравнение заданного и отрабатываемого кодов происходит непосредственно в ЭВМ. Код разности затем поступает на преобразователь Uzv и далее на аналоговую часть привода, отрабатывающую рассогласование. Пример неавтономной ЦАСП в виде РСП приведен на рис. 119.
По роду задачи регулирования ЦАСП делят на позиционные и скоростные. В качестве преобразователей в цепи OC позиционных ЦАСП используют цифровые преобразователи угла, состоящие из датчика угла и АЦП, вырабатывающего двоичный код, а в скоростном — дискретные преобразователи, вырабатывающие импульсы, частота следования которых пропорциональна частоте вращения выходного вала привода.
Ha рис. 154 изображен цифровой привод антенны самолетного локатора. Антенна снабжена приводным механизмом, обеспечивающим вращение по азимуту и углу места. Задача, решаемая

Рис. 154. Привод локатора антенны.
цифровой ЭВМ, сводится к обеспечению работы привода в режиме кругового обзора и режиме слежения посредством выдачи двух цифровых кодов, соответствующих необходимым углам поворота антенны по азимуту (код A) и углу места (код УМ).
Каждый из каналов управления представляет собой замкнутый автономный ЦАСП, исполнительным устройством которого является двигатель типаАДП-263А. В состав каждого канала входит суммирующее устройство ??, ЦАП UZV, усилитель A, редуктор q, датчик угла TE и АЦП UVZ.
Цифровая команда, поступившая с цифровой ЭВМ, сравнивается в сумматоре ??1 с кодом OC, вырабатываемым АЦП UVZ 1. Причем сигналы, поступившие как с ЭВМ, так и с преобразователя, представлены в параллельном двоичном коде. Код погрешности привода с помощью преобразователя преобразуется в аналоговый сигнал и через усилитель Al поступает на двигатель M1, который с помощью редуктора q1 поворачивает антенну относительно азимутальной оси. Одновременно поворачивается ротор датчика TE1 цифрового преобразователя угла UZ1, вырабатывающего истинное значение угла поворота антенны по азимуту. Привод по каналу угла места выполнен аналогично. В результате совместной работы обоих каналов антенна разворачивается по направлению, соответствующему командам из цифровой ЭВМ.
Назад | Содержание
| Вперед
Общие сведения
6.1. ОБЩИЕ СВЕДЕНИЯЭлектромеханический преобразователь (ЭМП) является составной частью электрогидравлического усилителя мощности (ЭГУ). Через ЭМП осуществляется связь электронной части электрогидравлического следящего привода (ЭГСП) с его гидравлической частью. ЭМП воспринимает управляющий электрический сигнал и преобразует его в пропорциональное перемещение якоря (или момент на валу якоря).
Известно большое количество схемных и конструктивных решений ЭМП. ЭМП можно классифицировать по ряду признаков:
по принципу действия — электродинамические, электромагнитные, пьезоэлектрические, магнитострикционные;
по виду движения выходного элемента — поступательного движения, поворотного движения;
по типу подвижного элемента — с перемещающейся катушкой, с перемещающимся якорем;
по признаку наличия или отсутствия поляризующего поля, а также их виду — неполяризованные, поляризованные, с обмотками поляризации, поляризованные с постоянными магнитами;
по электрическим схемам включения — с обмотками, включаемыми по дифференциальной трехпроводной схеме, с обмотками, включаемыми по двухпроводной схеме (последовательно или параллельно);
по типу управляющего сигнала — управляемые непрерывным сигналом (ЭМП постоянного тока), управляемые дискретным сигналом (релейным или импульсным).
В ЭГСП в основном получили распространение ЭМП электромагнитного и электродинамического типов, управляемые постоянным током; поступательного и вращательного движения; поляризованного типа; с обмотками управления, включаемыми как по дифференциальной трехпроводной схеме, так и по двухпроводной схеме (последовательными и параллельными катушками управления).
В дальнейшем ограничимся рассмотрением ЭМП двух типов — электродинамического и электромагнитного.
7.1. ОБЩИЕ СВЕДЕНИЯ
В ЭГСП широко применяются различные электрогидравлические усилители мощности. В составе ЭГСП усилитель мощности является промежуточным звеном между маломощной электронной частью и мощным ГИУ. От статических и динамических характеристик ЭГУ зависят такие характеристики ЭГСП, как чувствительность к управляющему сигналу, жесткость механической характеристики к нагрузке на ГИУ, быстродействие.
Связь гидравлической части ЭГУ с электронной частью ЭГСП осуществляется посредством ЭМП, обмотки управления которого служат нагрузкой для электронного усилителя мощности, а подвижный якорь связан с дросселирующим гидрораспределителем (ГР). Если ЭМП и связанный с ним дросселирующий ГР управляют расходом и давлением рабочей жидкости, подаваемой к ГИУ ГСП, то такое сочетание ЭМП и управляемого им ГР определяет однокаскадный ЭГУ. Если управление ГИУ осуществляется от дросселирующего ГР (чаще всего четырехщелевого золотникового ГР), управляемого однокаскадным ЭГУ, то сочетание ЭМП и двух ГР определяет двухкаскадный ЭГУ. В этом случае ГР, управляющий расходом и давлением рабочей жидкости, подаваемой на ГИУ, называется вторым каскадом ЭГУ.
Наиболее важным звеном ЭГУ, от которого зависят его быстродействие, чувствительность к управляющему сигналу и надежность работы, является дросселирующий ГР, непосредственно управляемый ЭМП. Этот ГР должен иметь подвижные части небольшой массы, исключать воздействие на ЭМП нагрузок типа контактного трения, быть по возможности разгружен от гидростатических и гидродинамических сил. надежно работать на жидкостях с определенной степенью очистки.
Известно, что из множества ЭГУ, различающихся по типу дросселирующих ГР, управляемых ЭМП, во многих областях техники в основном находят применение ЭГУ трех типов: с двухщелевым ГР сопло-заслонка, со струйным ГР, с четырехщелевым золотниковым ГР. Соответственно они получили названия: ЭГУ сопло-заслонка, струйный ЭГУ и золотниковый ЭГУ. Следует отметить, что наибольшее распространение получили ЭГУ сопло-заслонка и струйные ЭГУ,
18.1. ОБЩИЕ СВЕДЕНИЯ
Испытание СП является важным этапом при его создании, что объясняется следующими причинами.
Математические модели лишь приближенно описывают физические процессы, происходящие в СП во время его работы. Эксперимент позволяет глубже и более четко представить эти процессы, а иногда и выявить более тонкие и малоизученные.
В процессе испытаний СП можно выявить наиболее слабые узлы и принять меры по устранению выявленных недостатков.
Только эксперимент дает возможность проверить работоспособность СП в условиях вибрации, ударных перегрузок при определенной влажности окружающей среды, отрицательной и положительной температурах, пониженном давлении окружающей среды и т. д.
В ряде случаев эксперимент может оказаться менее трудоемким, чем математическое исследование при изучении основных характеристик СП.
Назад | Содержание
| Вперед
12.1. ОБЩИЕ СВЕДЕНИЯ
Следящие приводы с ЭПМ пришли на смену традиционным электромашинным приводам в конце 50 гг., когда были созданы муфты, позволившие повысить быстродействие и снизить массу приводов. Благодаря высокому быстродействию приводы с ЭПМ нашли широкое применение в рулевых устройствах, в устройствах натяжения и тормоза лентопротяжных механизмов, а также в станках. Особое применение привод с блоком реверса на порошковых муфтах получил в приводах антенн для обеспечения в момент реверса оптимального ускорения в целях уменьшения времени обзора и исключения потерь импульсов, отраженных от цели. По своим функциональным возможностям привод с ЭПМ позволяет получить желаемые характеристики более простыми техническими средствами, так как является регулятором момента.
Способность ЭПМ передавать моменты, пропорциональные току управления, обеспечивает возможность создания на их основе СП с пропорциональным управлением. Сравнительно небольшая мощность управления муфт позволяет в качестве усилителя мощности использовать транзисторные усилители с выходом по постоянному току и с разделенной нагрузкой (рис. 136, а). Последнее требование обусловлено тем, что ЭПМ применяются в виде блока двух муфт У1, У2 с обмотками управления, включенными электрически по дифференциальной схеме. Дифференциальное включение (см. рис. 32, б) обеспечивает наличие нулевых токов Iy1 и Iy2 при сигнале управления UУ = 0. Назначение нулевых токов состоит в том, что они сдвигают рабочую точку для каждой муфты в характеристике М1, 2 = f(IУ) в линейную зону (см. рис. 33, а) и обеспечивают пропорциональную зависимость суммарного передаваемого момента от управляющего момента.
Начальный ток I0 рекомендуется выбирать в пределах 10 ... 20 % тока Imax так как большее значение существенно сказывается на тепловых потерях и на КПД всего устройства.

Рис. 136. Схемы СП с ЭПМ
Динамика приводов с ЭПМ определяется наличием двух интегрирующих звеньев и электромагнитными процессами в цепи управления и магнитопроводе муфт при механической инерционности, практически равной нулю.
11.1. ОБЩИЕ СВЕДЕНИЯ
Импульсные следящие электроприводы относятся к электроприводам с дискретным управлением и характеризуются наличием в них преобразователей непрерывного сигнала в дискретный. Процесс преобразования непрерывного сигнала в дискретный называется квантованием. Различают квантование по времени, по уровню и по времени и уровню.
Квантование по времени производится на основе трех видов модуляции: амплитудно-импульсной (АИМ), широтно-импульсной (ШИМ) и частотно-импульсной (ЧИМ). Для осуществления модуляции по амплитуде (рис. 128) в определенные моменты времени, равные периоду квантования T, производят мгновенный съем информации. При этом образуются узкие импульсы постоянной ширины с амплитудой, равной значению непрерывного сигнала в тактовые моменты времени. Очевидно, что в процессе АИМ возможна частичная потеря информации: одинаковая последовательность импульсов (рис. 128, б) может соответствовать двум различным непрерывным сигналам X1 (t) и X2 (t). Кроме того, помехозащищенность низкая, так как возможны помехи с амплитудой, равной амплитуде импульсов. Для уменьшения потери информации увеличивают частоту квантования ? == 2?/T.

Рис. 128. Виды модуляции
При ШИМ (рис. 128, в) непрерывный сигнал заменяется последовательностью импульсов одинаковой амплитуды, но разной ширины tи, зависящей от амплитуды входного сигнала в тактовые моменты T.
Для ЧИМ характерны импульсы одинаковой амплитуды и ширины. От значения непрерывного сигнала зависит период квантования (рис. 128, г).
Для реализации процесса квантования по уровню непрерывный сигнал на входе преобразователя сравнивается с сигналом определенного уровня, называемого шагом квантования ??(рис. 129, а). До тех пор, пока входной сигнал не достигнет шага квантования, сигнал на выходе изменяться не будет. При достижении шага квантования на выходе скачком фиксируется новый уровень (рис. 129, б). Типичным примером устройства, осуществляющего квантование по уровню, является электромагнитное реле, замыкающее управляемую цепь в момент, когда входной сигнал достигает напряжения срабатывания.
10.1. ОБЩИЕ СВЕДЕНИЯ
В СП с непрерывным управлением выходной вал электродвигателя в установившемся режиме находится в состоянии непрерывного движения. Как указывалось выше, СП в зависимости от типа двигателя разделяют на СП постоянного и СП переменного тока. Ho более существенным классификационным признаком является мощность электродвигателя, от которой зависят как структура и размеры неизменяемой части СП, так и сложность корректирующих средств. По этому признаку СП делят на приборные (мощностью до 100 Вт) и силовые (мощностью от 100 Вт до сотен кВт). Такое определение границ мощности условное, так как в некоторых случаях СП мощностью 500 Вт вчитается приборным.
Прежде чем перейти к изучению особенностей работы приборных и силовых СП, рассмотрим применение указанных приводов в системе управления двухзеркальным радиотелескопом [6], представленной на рис. 119. Конструктивно радиотелескоп состоит из большого 1 и малого 2 зеркал. Каждое зеркало имеет две оси вращения и снабжено двумя идентичными СП, обеспечивающими вращение по азимуту и углу места. Рассмотрим работу СП по углу места.
Разворот основного зеркала с большими размерами и массой обеспечивается с помощью силового следящего привода (ССП), состоящего из двух электромашинных агрегатов G1—M2 и G2—M3, движения которых складываются на дифференциальном редукторе q3. Применение дифференциального редуктора обеспечивает равномерную загрузку электродвигателей и позволяет путем выключения одного из агрегатов добиться бесступенчатого изменения передаточного числа редуктора.
Сигнал управления на разворот радиотелескопа поступает о цифровой ЭВМ, но не непосредственно на вход ССП, а через вспомогательный маломощный привод, называемый расшифровывающим (РСП). В задачу этого привода входит согласование ЭВМ с ССП путем преобразования цифрового сигнала в угол поворота вала. Необходимость согласования вызвана тем, что выходные устройства ЭВМ имеют ограниченную линейную зону, в пределах которой ССП вследствие большой инерционности нагрузок не успевает затормозиться.
Однокаскадные электрогидравлические усилители мощности
7.2. ОДНОКАСКАДНЫЕ ЭЛЕКТРОГИДРАВЛИЧЕСКИЕ УСИЛИТЕЛИ МОЩНОСТИРассмотрим принцип работы однокаскадного золотникового ЭГУ с цилиндрическим ЗГР (рис. 70, а). При подаче управляющего сигнала на обмотки управления 1 ЭМП на его валу развивается момент, пропорциональный этому сигналу и направленный в соответствии со знаком управляющего сигнала. Пропорционально моменту на валу ЭМП вдоль оси золотника 3 развивается усилие, которому противодействуют усилия центрирующих пружин 2 и гидродинамическая сила на золотнике 3. При этом определенному управляющему усилию (управляющему сигналу) соответствует определенное смещение h золотника от его нейтрального положения в ту или иную сторону в соответствии с направлением действия управляющего усилия (знаком управляющего сигнала). При смещении золотника 3 (например, вправо) РЖ из гидролинии нагнетания рН через кромку m золотника подается в гидролинию А, соединенную с одной из полостей (левой) ГИУ 4, а другая (правая) полость ГИУ через гидролинию Б и кромку n золотника соединяется с гидролинией слива с рСЛ. Скорость ГИУ (расход РЖ в гидролиниях A и Б) пропорциональна площади проходных сечений рабочих окон золотника по кромкам m и n.

Рис. 70. Принципиальные схемы однокаскадных ЭГУ
Положительными свойствами ЭГУ с цилиндрическим золотником являются малый расход РЖ при нейтральном положении золотника (так называемый непроизводительный расход РЖ) и способность ЭГУ работать при высоком давлении нагнетания (10 ... 30 МПа) без специальных дросселирующих устройств. Главный недостаток — наличие сил контактного трения между золотником и гильзой. Для уменьшения влияния этих сил на статические и динамические характеристики ЭГУ в некоторых случаях необходимо вводить специальное осциллирующее движение золотника (малой амплитуды и высокой частоты) за счет дополнительного электрического сигнала, подаваемого на управляющие обмотки ЭМП от специального электронного генератора.
От указанного недостатка ЭГУ с цилиндрическим ЗГР свободны некоторые другие типы ЭГУ.
Однокаскадный струйный ЭТУ (рис. 70, б) управляется ЭМП 4 и распределяет РЖ в полости ГИУ 1 при смещении h струйной трубки 2 от нейтрального положения, пропорциональном управляющему сигналу, в определенном направлении в соответствии с его знаком. Эта пропорциональность обеспечивается центрирующими пружинами 3.
Положительными свойствами струйного ЭГУ являются большие площади проходных сечений и, как следствие, возможность работы на менее чистой РЖ (по сравнению с золотниковым ЭГУ), высокая крутизна характеристики управления по перепаду давлений (силовой характеристики) вблизи нейтрального положения струйной трубки. Как недостатки следует отметить больший, чем у золотникового ЭГУ, непроизводительный расход РЖ и ограниченность давления на входе в струйную трубку (0,3 ... 0,6 МПа). Уменьшение давления на входе в струйную трубку позволяет исключить так называемые шумы (колебания струйной трубкой с заранее непредсказуемым спектром частот и амплитуд). Снижение давления обеспечивается установкой на входе в струйную трубку дросселя.
Разработаны струйные ЭГУ, в которых за счет специальных мер обеспечивается устойчивая работа струйной трубки при давлениях 15 ... 20 МПа. Известен однокаскадный ЭГУ с неподвижной струйной трубкой 2 (рис. 70, в). По принципу работы ЭГУ этого типа ничем не отличается от ЭГУ с подвижной струйной трубкой. Его преимущество — простота подвода РЖ к струйной трубке. Управление расходом РЖ и перепадом давлений обеспечивается с помощью специального разделителя-диффузора 3, жестко связанного с якорем 1 ЭМП.
Принципиальная схема однокаскадного ЭГУ с двухщелевым ГР сопло-заслонка изображена на рис. 70, в. При нейтральном положении заслонки 5, жестко связанной с якорем 2 ЭМП, площади проходных сечений в зазорах m и n равны и, следовательно, равны расходы РЖ через каждую пару дросселей (3, 4) и (3', 4'). Равны и давления в полостях ГИУ 7. При подаче управляющего сигнала на обмотки управления ЭМП якорь последнего, преодолевая усилие центрирующих пружин 1 и гидродинамическую силу от действия струи РЖ на заслонку, повернется на определенный угол, пропорциональный управляющему сигналу, и в определенном направлении в соответствии со знаком этого сигнала.
Заслонка 5 отклонится от нейтрального положения (например, вправо), проходное отверстие дросселя 4' уменьшится, а проходное отверстие дросселя 4 увеличится. Соответственно увеличится давление в гидролинии Б и в правой полости ГИУ. В гидролинии A и в левой полости ГИУ давление уменьшится. Под действием возникшего перепада давлений поршень ГИУ начнет движение влево. Скорость движения поршня ГИУ (расход РЖ в гидролиниях A и Б) будет пропорциональна смещению заслонки от нейтрального положения (управляющему сигналу),
Положительными свойствами ЭГУ сопло-заслонка являются его разгруженность от сил контактного трения, большие площади проходных сечений и, как следствие, определенная некритичность к чистоте РЖ. Как недостатки следует отметить большой по сравнению с золотниковым ЭГУ непроизводительный расход РЖ и ограниченность рабочего давления (до 0,3 ... 0,6 МПа) на входе в гидравлический мост сопротивлений (на входе в дроссели 3 и 3'), для чего в таких ЭГУ имеется специальный дроссель 6. Это связано с необходимостью ограничить гидродинамическое воздействие на заслонку струй РЖ, истекающих из сопел 4 и 4’.
В гидроусилителе с плоским золотником на упругом подвесе (рис. 77, д) за счет гарантированного зазора 6 исключен такой недостаток ЭГУ с цилиндрическим золотником, как контактное трение, хотя при этом несколько увеличивается непроизводительный расход. ГР с плоским золотником отличается от ГР других типов простотой технологии изготовления и наличием плоской пружины i, создающей дополнительную нагрузку для ЭМП 2, что необходимо учитывать при расчете статических и динамических характеристик ЭГУ.
По принципу работы ЭГУ с плоским золотником на упругом подвесе ничем не отличается от ЭГУ с цилиндрическим золотником. Для обеспечения высокой точности статических характеристик и улучшения динамических характеристик ЭГУ и управляющего ЭГУ электронного усилителя в однокаскадных ЭГУ в некоторых случаях применяют электрическую обратную связь по положению подвижной части ГР того или иного типа и жестко связанного с ней якоря ЭМП.Наиболее просто такую связь реализовать с помощью индукционного датчика угла, якорь которого кинематически связан c якорем ЭМП.
Назад | Содержание
| Вперед
Определение основных показателей качества
17.6. ОПРЕДЕЛЕНИЕ ОСНОВНЫХ ПОКАЗАТЕЛЕЙ КАЧЕСТВАСпроектированный СП должен быть не только устойчивым, но и обладать определенными показателями качества. Указанный в п. 1 способ оценки показателей качества по виду переходного процесса отличается наглядностью и точностью. Существенный недостаток способа — это трудность построения переходного процесса путем непосредственного решения дифференциального уравнения движения систем высокого порядка. Приближенно переходной процесс можно построить, пользуясь формулой

устанавливающей связь между вещественной частотной характеристикой P(?) и переходным процессом привода. По частотному методу Солодовникова построение переходного процесса сводится к графическому способу вычисления интеграла (359) и включает следующие этапы.

Рис. 178. Р-номограмма

Рис. 179. Вещественная частотная характеристика
1. Определение вещественной частотной характеристики (вещественной части АФЧХ замкнутого привода) по ЛАФЧХ разомкнутого привода с помощью Р-номограммы (рис. 178).
2. Аппроксимация кривой P(?) трапециями, вписывающимися в основной контур кривой P(?) и прилежащими к оси ординат (рис. 179, а). Определение параметров трапеций (рис. 179, б): высоты ?0i частоты равномерного пропускания ?di, частоты пропускания ?0i, коэффициента наклона ?i = ?di/?0i с занесением в таблицу.
3. Нахождение с помощью таблиц h-функций (табл. ?9 прил.) для каждой трапеции, характеризуемой определенным значением ?i, нормированного переходного процесса hi(tтабл).
4. Пересчет нормированных процессов в натуральный масштаб с помощью формул:

5. Графическое построение составляющих переходного процесса и получение общего результирующего процесса X (t).
Назад | Содержание
| Вперед
Основные характеристики электромагнитных и электродинамических преобразователей
6.4. ОСНОВНЫЕ ХАРАКТЕРИСТИКИ ЭЛЕКТРОМАГНИТНЫХ И ЭЛЕКТРОДИНАМИЧЕСКИХ ПРЕОБРАЗОВАТЕЛЕЙСтатические характеристики. Основными статическими характеристиками ЭМП являются:
зависимость перемещения (линейного или углового) якоря преобразователя от тока управления (рис. 67):

где hя — линейное перемещение якоря ЭМП от нейтрального положения; ?я — угловое перемещение якоря ЭМП от нейтрального положения; i - ток в обмотках управления;
зависимость электромагнитной силы (или момента), приложенной к якорю ЭМП, от тока управления:
для ЭМП электромагнитного типа

для ЭМП электродинамического типа

где kfi и kМi — коэффициенте силовой и моментной характеристик ЭМП; с*ЭМП и сЭМП — коэффициенты, характеризующие жесткость «магнитной пружины» для линейного и углового перемещений якоря ЭМП.
Рис. 67. Статические характеристики ЭМП:а - электромагнитного типа; б - электродинамического типа
Динамические характеристики. Обычно динамические характеристики ЭМП изучают с помощью амплитудных и фазовых частотных характеристик. Выведем основные передаточные функции для ЭМП.
Рассмотрим вначале ЭМП как механическую систему. B соответствии со вторым законом Ньютона

где J — момент инерции всех подвижных частей ЭМП, приведенный к оси вращения якоря;
- сумма моментов внешних сил, действующих на якорь ЭМП.Если пренебречь моментом «сухого трения», то уравнение (172) можно преобразовать;

где
— момент развиваемый на валу ЭМП (для электродинамического ЭМП сЭМП = 0);
— момент нагрузки от «вязкого трения» подвижных частей ЭМП;fЭМП — коэффициент «вязкого трения»; сП?Я — момент внешней пружинной нагрузки; сП — жесткость внешней (центрирующей) пружины.
Передаточная функция ЭМП, связывающая ?Я и i, на основании уравнения (172) может быть записана в следующем виде:

где

Рассмотрим ЭМП как электрическую систему. Уравнение электрической цепи ЭМП

где U — управляющее напряжение; R и L — активное сопротивление и индуктивность управляющей обмотки; kПЭ — коэффициент противоЭДС.

Рис. 68. Структурные схемы ЭМП
Ha основании уравнения (174) передаточная функция, связывающая i и U, при kПЭ = 0 может быть записана в следующем виде:

Обозначим

где

Таким образом, динамические характеристики ЭМП, если не учитывать противоЭДС, могут быть описаны двумя последовательно соединенными звеньями с передаточными функциями
WМЭМП(p) и WЭЭМП(p) (рис. 68, а). Аналогичный результат получим при рассмотрении динамических характеристик ЭМП электродинамического типа. Разница заключается только в том, что в формулах (173) в этом случае коэффициент сЭМП должен быть равен нулю.
Если учесть противоЭДС, то структурная схема ЭМП усложнится (рис. 68, б). Однако учет влияния противоЭДС на динамические характеристики ЭМП позволяет получить более точное совпадение экспериментальных и расчетных характеристик.
Примечание. В большинстве современных электронных усилителей, предназначенных для управления ЭМП, для улучшения динамических характеристик применяют дополнительную обратную связь по току (см. рис. 68, в).
Динамические характеристики ЭМП существенно зависят от его нагрузки, так как после соединения якоря ЭМП с гидрораспределителем ЭГУ увеличивается момент инерции подвижных частей, демпфирование и пружинная нагрузка от гидродинамических сил (в ЭГУ с соплами и заслонкой) или от сил упругого подвеса пружин и гидродинамической силы (в плоских золотниках). Эти факторы необходимо учитывать при расчете ЭМП.
Существенное влияние на динамические характеристики ЭМП может оказать сила контактного трения на входных устройствах ЭГУ, влияние которой можно уменьшить, увеличивая момент, развиваемый ЭМП, или подавая специальный осциллирующий сигнал на обмотку управления.
В качестве примера в табл. 3 приведены основные данные ЭМП электромагнитного типа.
Пример 6. Рассчитать ЭМП (IV типоразмер по табл. 3), предназначенный для управления заслонкой двухкаскадного ЭГУ.
Таблица 3
Основные параметры ЭМП

Расчетные данные: 1) момент инерции заслонки, приведенный к оси ЭМП, J*С.З= 1,44·10-6 Н·м·с2; 2) жесткость гидродинамической «пружины» cС.В = 88,3·102 Н/м; 3) расстояние от оси ЭМП до оси регулируемых сопел R0 = 10-2 м; 4) расчетное перемещение заслонки вдоль оси регулируемых сопел hm = 10-2 м.
Приведенная к оси ЭМП жесткость гидродинамической «пружины» с*С.З = 0,883 Н·м/рад. Жесткость центрирующей пружины сП выбираем с учетом сЭМП (см. табл. 3) и с*С.З по расчетному значению угла поворота ЭМП ?р = hm /R0 = 0,01 рад = 0,573°.
Суммарную жесткость» преодолеваемую ЭМП, определяем по формуле

Значение момента Мmax = 5,4·10-2 Н·м найдено по табл. 3. Там же находим сЭМП = 0,1719 Н·м/рад; тогда

Ha основании формул (173):
постоянная времени

где значение JЭМП = 1,7·10-6 Н·м·с2 выбрано по табл. 3;
относительный коэффициент демпфирования

(по табл. fЭМП = 17·10-4 Н·м·с/рад);
коэффициент усиления

(kMi = 7,7·10-4 Н·м/мА).
Коэффициент усиления по формуле (176)

постоянная времени ТЭ1 = L/R = 7·10-3 с, где R = 200 Ом; L = 1,4 Гн (см. табл. 3).
Назад | Содержание
| Вперед
Основные схемы синхронизирующих устройств
5.2. ОСНОВНЫЕ СХЕМЫ СИНХРОНИЗИРУЮЩИХ УСТРОЙСТВСинхронизирующее устройство с электромагнитным реле. В рассматриваемом СУ в качестве нелинейного элемента служит электромагнитное реле. Схема простейшего СУ с реле переменного тока дана на рис. 58, а. Обмотка реле включена в цепь обмотки сельсина-трансформатора канала ГО, поэтому состояние контактов реле зависит от напряжения рассогласования U?О. При углах рассогласования, меньших угла переключения ?П, напряжения, снимаемого с обмотки сельсина, недостаточно для срабатывания реле. Управление осуществляется по каналу TO подачей напряжения UTO через размыкающий контакт реле. При угле рассогласования, большем угла переключения ?П, ток в цепи ГО превышает ток срабатывания реле Д, и оно своим замыкающим контактом подключает к усилителю обмотку канала ГО. Преимущество данной схемы заключается в полном разделении каналов.
Однако применение рассмотренного СУ ограничено вследствие значительного напряжения, при котором происходит переключение управления с канала TO на канал ГО. Для уменьшения границы переключения напряжение погрешности ГО, поступающее на обмотку реле, предварительно усиливают с помощью усилителя. B схеме СУ с предварительным усилением (рис. 58, б) напряжение канала TO поступает на двухкаскадный усилитель, нагрузкой которого служит обмотка реле K. Граница переключения управления с канала TO на канал ГО регулируется подачей положительного опорного напряжения на неинвертирующий вход операционного усилителя DA1, на другой вход которого (инвертирующий) поступают отрицательные полуволны напряжения U?О, сформированные диодом VD1, конденсатором C1 (для сглаживания пульсаций) и резистором R1. Операционный усилитель DA1, включенный по схеме компаратора, сравнивает сигнал канала ГО с опорным напряжением. До тех пор, пока UОП > | U?О | с выхода компаратора снимается напряжение U -ВЫХ max отрицательной полярности. Транзистор VT, на котором построен второй каскад усиления, заперт, реле K обесточено, и СП работает от канала TO.
Таким образом, управление осуществляется с помощью напряжения, поступающего с канала TO.

Рис. 59. Бесконтактные СУ
При напряжениях рассогласования, превышающих порог включения ограничителя, вследствие резкого уменьшения прямого сопротивления диодов и их шунтирующего действия напряжение на выходе канала TO перестает изменяться и остается равным напряжению, соответствующему углу переключения. Управление переходит к каналу ГО, так как в нем также произойдет перераспределение падений напряжения и все напряжение выделится на резисторе R3. B результате на выходе СУ напряжение будет определяться суммой UВЫХ == UТО + UГО (рис.59, б).
Для нормальной работы синхронизатора важно, чтобы все диоды имели близкие по значению напряжения U0 (рис. 59, в) и чтобы они были соизмеримыми с напряжением переключения каналов.
Недостатком рассмотренного синхронизатора является зависимость напряжения U0 от температуры, разброс характеристик выпрямительных элементов и отсутствие четкого разделения каналов. С этой точки зрения особо следует остановиться на возможности применения в СУ стабилитронов, которые обладают характеристиками с двумя резкими перегибами в положительной и отрицательной областях (рис. 59, г). Благодаря этому стабилитрон действует как бесконтактный коммутатор, размыкающий цепь ГО при работе канала TO и четко ограничивающий сигнал TO при больших погрешностях рассогласования.

Рис. 60. СУ на диодах
Уменьшения взаимного влияния каналов можно добиться применением схемы на диодах с опорным напряжением (рис. 60). При малых углах рассогласования диоды VD1, VD2, образующие мостовую схему совместно с резисторами R1, R4, закрыты напряжением UОП, приложенным к диагонали моста. При этом к входу операционного усилителя D4 подается напряжение UТО с BE2, т. e. подключен канал TO. При напряжениях UГО, превышающих половину напряжения UОП, Диоды VD1, VD2 открываются, и управление переходит к каналу ГО. Напряжение с сельсина BE2 при этом не оказывает действия, так как сопротивление R2 значительно больше сопротивления R3, и все напряжение TO падает на R2.
Назад | Содержание
| Вперед
Основные виды стендовых испытаний следящих приводов
18.2. ОСНОВНЫЕ ВИДЫ СТЕНДОВЫХ ИСПЫТАНИЙ СЛЕДЯЩИХ ПРИВОДОВСтендовые испытания СП подразделяют на испытания при нормальных условиях, испытания на устойчивость и стойкость к воздействиям механических и климатических факторов и ресурсные испытания.
При нормальных условиях испытаний (ГОСТ 15150—69) основные климатические факторы внешней среды имеют следующие значения:
Температура внешней среды . . . . . . . . . . . . . . (25 ± 10) ?C
Атмосферное давление . . . . . . . . . . . . . . . . . (84 ... 106) кПа
Относительная влажность . . . . . . . . . . . . . . . . (45 ... 80) %
Дополнительно для следящих гидроприводов устанавливается нормальная температура рабочей жидкости в пределах 25 ... 45 ?C.
В нормальных условиях проверяют все характеристики, оговоренные в технической документации на СП, — статические и динамические.
Испытания на устойчивость и стойкость к воздействиям факторов внешней среды проводят для проверки работоспособности, СП и проверки основных характеристик как в процессе действия того или иного фактора внешней среды, так и после его действия.
Ресурсные испытания проводят для проверки работоспособности СП после наработки определенного ресурса в режимах, оговоренных в T3 на привод.
Различают последовательные параллельные и комбинированные методы испытаний. При последовательном методе испытуемый СП последовательно подвергают разного рода проверкам. При параллельном методе испытывают одновременно несколько СП при воздействии различных факторов. Такой метод позволяет существенно сократить время испытаний. При комбинированном методе СП подвергается одновременному воздействию нескольких факторов, что ближе соответствует реальным условиям эксплуатации. Однако комбинированный метод испытаний требует более сложной испытательной аппаратуры и оборудования и поэтому его применяют редко.
Испытания СП в нормальных условиях. Как правило, в процессе испытаний в нормальных условиях проверяют все требуемые характеристики СП (статические и динамические). Испытания проводятся на специальных испытательных стендах, содержащих систему нагружения СП типовыми нагрузками.
В состав испытательного стенда для ГСП (Д) входят дополнительно насосные станции, содержащие приводной электродвигатель, насос, холодильник, бак, гидроаккумулятор, предохранительные и переливные клапаны, фильтры и контрольно-измерительную аппаратуру.
При проверке статических и динамических характеристик последние могут быть определены как для отдельных узлов СП, так и для всего СП в целом. Проверка ведется по специальным методикам, разработанным для каждого типа СП.
В качестве примера рассмотрим некоторые проверки и их методику для ЭГСП (Д) с ГИУ в виде ГЦ.
Определение зоны нечувствительности регулировочной характеристики по скорости (PXC). Проверка этой характеристики ведется по следующей методике.
При подведенном к ЭГСП (Д) гидропитании и разомкнутом контуре по цепи обратной связи на вход ЭГУ подается электрический сигнал управления I1 и фиксируется его значение, соответствующее началу движения [(2 ... 3) мм/с] штока ГЦ. С помощью аппаратуры управления шток останавливается в любом промежуточном положении, а затем, постепенно уменьшая сигнал управления, фиксируем его значение I2, соответствующее началу движения штока ГЦ в противоположную сторону. Алгебраическая сумма сигналов I1 и I2 определяет зону нечувствительности PXC.
Примечание. При определении зоны нечувствительности для уменьшения влияния петли гистерезиса ЭМП перед замером его размагничивают. Для этого проводятся несколько перекладок (2—3) при сигналах управления, составляющих (50 ... 70) % Imax, (20 ... 30) % Imax и (8 ... 10) % Imax. А при замерах зоны нечувствительности управляющий сигнал не должен превышать 10 % Imax.

Рис. 180. Осциллограмма ЛАФЧХ
Определение несимметрии петли гистерезиса PXC и ее ширины. При подведенном к ЭГСП (Д) гидропитании и при разомкнутом контуре цепи обратной связи на вход ЭГУ вначале ступеньками подается 2—3 раза максимальный сигнал управления. Затем плавно подают электрический сигнал управления и фиксируют это значение IГ1, соответствующее началу движения штока ГЦ.
Следует отметить, что в настоящее время для определения ЛАФЧХ СП стали применять специализированные устройства на основе микропроцессорной техники, обеспечивающие автоматизированный процесс вычисления ЛАФЧХ, например, частотный анализатор фирмы «Солартрон» (Англия).
Определение переходного процесса. В этом случае на вход СП подают управляющий сигнал в виде ступеньки (скачкообразное изменение управляющего сигнала) и с помощью шлейфового осциллографа записывают графики входного b1 и выходного b2 сигналов. По виду переходного процесса (см. рис. 181) можно судить о запасах по устойчивости замкнутого контура СП и о его быстродействии.
Частота переходного процесса fп.п=?l/(l2??).
Значение перерегулирования в процентах находят по формуле

Величина (?l1/?l)?? определяет чистое запаздывание.
Испытания СП на механические воздействия. Все виды механических испытаний СП подразделяют на испытания:
на вибропрочность, виброустойчивость, ударную прочность устойчивость к воздействию центробежного ускорения и испытания на транспортабельность.

Рис. 181. Осциллограмма переходного процесса
Под вибропрочностью понимают свойство СП противостоять разрушающему воздействию вибрационных нагрузок. Испытания проводят на специальных вибростендах в различных диапазонах частот, соответствующих эксплуатационным условиям. Обычно кроме частоты оговариваются ускорение, амплитуда и время действия вибрации.
Под виброустойчивостью понимают свойство СП обеспечивать заданные характеристики в условиях вибраций заданной частоты при заданных ускорении и амплитуде и в течение определенного промежутка времени. Положение СП на вибростенде по отношению к направлению действия вибраций во время испытаний должно соответствовать эксплуатационному. Испытания проводят в каждом из заданных диапазонов частот при плавном изменении частоты от нижнего предела до верхнего.
Ударная прочность — это свойство СП противостоять ударным нагрузкам и выполнять свои функции после окончания их действия.
Оговариваются частота ударов, ускорение, длительность импульса и общее число ударов.
Узлы корабельных СП и СП летательных аппаратов во время испытаний должны находиться во включенном состоянии.
Под устойчивостью СП к воздействию центробежных ускорений понимается его способность нормально функционировать в условиях центробежных ускорений (линейных перегрузок). Испытания проводят на специальных центрифугах. Кроме значения ускорения оговаривается время его действия.
Испытания на транспортабельность заключаются в проверке работоспособности СП после того, как транспортное средство проделает определенный путь. Испытания проводят на булыжных и грунтовых проселочных дорогах со средней скоростью 20 … 40 км/ч и на заданном расстоянии, но не менее 200 км. Для проверки состояния СП и осматривают через каждые 100 км пути. Транспортные испытания могут быть имитированы с помощью вибростендов и ударных стендов. B этом случае оговариваются: частота и амплитуда вибрации, ускорение, длительность, ударное ускорение, длительность импульса и число ударов.
Во время механических испытаний проверяют надежность работы СП и его отдельных узлов (скользящих контактов, реле, гидромеханических устройств, контакторов и т. п.), а также их механическую прочность.
Правильность работы электрических и электронных узлов, входящих в состав СП, при механических испытаниях контролируют с помощью специальных электрических и электронных схем, позволяющих имитировать рабочие режимы испытуемых элементов и контролировать их работоспособность.
Испытания СП на воздействие климатических факторов. Под климатическими испытаниями СП понимается проверка СП на соответствие предъявляемым к ним техническим требованиям в условиях действия, оговоренных в T3 на СП климатических воздействий (влажности, отрицательной температуры, положительной температуры, пониженного давления, инея и росы).
Обычно испытаниям подлежат следующие свойства СП.
1. Влагоустойчивость при кратковременном воздействии. В этом случае оговариваются относительная влажность, температура, продолжительность испытаний, время выдержки в нормальных условиях.
Проверяется устойчивость параметров СП, и выявляются возможные дефекты (коррозия, нарушение покрытий и т. п.).
2. Высотность. Задаются атмосферное давление, положительная температура и продолжительность ее действия, отрицательная
температура и продолжительность ее действия. Проверяется
устойчивость параметров СП и выявляются возможные дефекты.
3. Холодоустойчивость. Оговариваются температура и продолжительность ее действия, время выдержки в нормальных условиях. Проверяются основные параметры СП.
4. Работоспособность в условиях инея и росы. Оговариваются отрицательная температура и продолжительность ее действия, время выдержки в нормальных условиях.
5. Теплоустойчивость. Задаются рабочая температура и время ее действия, предельная температура и время ее действия, время выдержки в нормальных условиях.
6. Устойчивость работы СП в условиях высоких температур. При этом выявляются различные дефекты (нарушение герметичности, покрытий и т. п.).
7. Влагоустойчивость при длительном воздействии. Оговариваются относительная влажность, температура, продолжительность и время выдержки при нормальных условиях. Во время испытаний проверяют устойчивость работы СП в условиях длительного пребывания в среде с повышенной влажностью. При этом выявляют различные дефекты (коррозия, повреждение покрытий и т. п.).
Кроме того, проводят испытания:
на брызгозащищенность. Оговариваются интенсивность и продолжительность испытаний. Bo время испытаний и после них проверяют работоспособность СП по ряду основных параметров:
на пылезащищенность. Оговариваются: скорость воздушного потока и продолжительность испытания. Обдувка СП осуществляется специальной пылевой смесью, содержащей 70 % песка, 15 % мела, 15 % каолина в количестве, равном 0,1 % от полезного объема испытательной камеры.
Проверка работоспособности СП проводится после испытания. Проверяется также состояние внешних защитных покрытий и наличие пыли во внутренних полостях приборов.
Ресурсные испытания СП. Эти испытания проводят по специальной программе, которую составляют на основе анализа режимов работы СП в условиях эксплуатации.
Обычно оговариваются несколько циклов работы СП и для каждого цикла указываются амплитуда движения выходного звена СП, частота и время работы, а в некоторых случаях и нагрузки на выходном звене СП. Иногда задается и температура окружающей среды, при этом возможны и заранее известны режимы изменения температуры (например, от нормальной до максимальной за определенное время или от заданной отрицательной до заданной положительной и т. д.). При испытании ЭГСП иногда оговаривается время выдержки привода под рабочим давлением и при неподвижном выходном звене.
Перед началом испытаний проводят проверки СП в нормальных условиях, а затем эти же проверки повторяют после выработки ресурса. Объем проверок после ресурсных испытаний обычно уменьшен по сравнению с объемом проверок при нормальных условиях, так как многие параметры привода в принципе не зависят от ресурсных испытаний (например, ход выходного звена, масса СП, динамические характеристики и т. д.).
Ресурсные испытания — самый трудоемкий вид испытаний, требующий больших затрат времени и средств, поэтому актуальным стал вопрос о замене полномасштабных ресурсных испытаний эквивалентными ускоренными испытаниями. Ускоренными ресурсными испытаниями считаются любые испытания, которые позволяют получить информацию о долговечности изделий за время, меньшее, чем время испытаний при эксплуатационных режимах [5]. Существует много методик проведения ускоренных ресурсных испытаний. Наиболее распространенной в технике является методика, при которой СП подвергается испытаниям в более интенсивном режиме, чем в эксплуатации, но за время, существенно меньшее, чем при обычных ресурсных испытаниях,
При определении режимов ускоренных ресурсных испытаний обычно исходят из предположения, что состояние СП и его основных узлов должно быть одинаковым как после обычных ресурсных испытаний, так и после ускоренных. В качестве основных — технических параметров при выборе эквивалентных режимов считаются износ, старение и суммарные усталостные повреждения наиболее ответственных узлов СП.
Назад | Содержание
| Вперед
Основы применения интегральных операционных усилителей
8.3. ОСНОВЫ ПРИМЕНЕНИЯ ИНТЕГРАЛЬНЫХ ОПЕРАЦИОННЫХ УСИЛИТЕЛЕЙИнтегральный ОУ — это конструктивно законченный усилитель, изготовляемый в едином технологическом цикле на одной подложке в виде интегральной микросхемы. По размерам микросхема ОУ не отличается от обычного транзистора. По принципу действия ОУ аналогичен обычному УПТ, но отличается повышенными качественными параметрами: большим коэффициентом усиления по напряжению k0, высоким входным сопротивлением RBХ и низким выходным сопротивлением RBЫХ.

Рис. 79. Принципиальная схема и условное графическое изображение ОУ
По схемному решению — это построенный на интегральных n-p-n-транзисторах трехкаскадный усилитель, включающий дифференциальный входной каскад, схему сдвига постоянного уровня и выходной каскад мощности в виде эмиттерного повторителя (рис. 79, а). Стабильность работы ОУ помимо специальной технологии изготовления обеспечивается применением двух дифференциальных каскадов усиления напряжения на транзисторах VT1, VT2 и VT4, VT5. Ток входного дифференциального каскада задается генератором стабильного тока (ГСТ), построенного на базе транзисторов VT3 и VT6, включенного по схеме диода. ГСТ обеспечивает постоянство суммы эмиттерных токов. Ток второго дифференциального каскада не фиксируется ГСТ.
Дифференциальные каскады в силу симметричности усиливают составляющую тока, определяемую только разностью входных сигналов, и подавляют синфазные составляющие, одинаковые для каждого транзистора и связанные с воздействием температуры, помехами, наводками. Как следствие из этого вытекает пригодность ОУ к работе в качестве усилителя постоянного тока.
C применением дифференциального каскада связано наличие двух входов усилителя: инвертирующего И-вх (знак выходного сигнала не совпадает со знаком входного сигнала) и неинвертирующего Н-вх (знаки совпадают), который иногда называют прямым входом. Указанные входы на условном графическом изображении ОУ (рис. 79, б) обозначены знаками «минус» (И-вх) и знаком «плюс» (Н-вх).
Второй каскад усиления образует транзистор VT7 и последовательно включенный резистор R, Транзистор VT7 собран по схеме эмиттерного повторителя и в качестве нагрузочного сопротивления имеет ГСТ на транзисторе VT8. Каскад служит для сдвига уровня сигнала, выделяемого на эмиттере транзистора VT7 путем сложения о постоянным напряжением, создаваемым на резисторе R током ГСТ.

Рис. 80. Схема включения ОУ с OC
Для согласования усилителя с низкоомной нагрузкой (входом мощного транзистора, обмоткой реле) выходной каскад ОУ выполнен на транзисторе VT9, включенном по схеме эмиттерного повторителя. Для обеспечения работы ОУ как с положительными, так и с отрицательными входными сигналами в цепь питания ОУ включены два разнополярных источника питания En со средней точкой. Элементы частотной коррекции RK, СК (рис. 79, б) обеспечивают необходимую устойчивость ОУ.
Различают три класса ОУ: низкого (k0 < 2·104, RВХ ? 100 кОм), среднего (k0 ? 2·106, RВХ ? 0,5 МОм, Iвх = 100 нА) и высокого (k0 > 108, RВХ > 1 МОм, Iвх ? 10 нА) качества.
Реальные ОУ обладают электрическими параметрами, отличающимися от идеальных. Однако в дальнейшем для простоты будем рассматривать идеальный ОУ с входным сопротивлением #вх ~ °°» выходным сопротивлением RВЫХ = 0, собственный коэффициент усиления которого k0 = ?.
Название операционные усилители получили благодаря способности выполнять математические операции (суммирования, интегрирования) над аналоговыми сигналами. Для реализации математических действий ОУ охватывают глубокой отрицательной OC с коэффициентом kОС (рис. 80). При этом на входе усилителя будут действовать входной управляющий сигнал и сигнал OC с выхода ОУ. За счет наличия отрицательной OC усилитель становится замкнутым контуром регулирования с коэффициентом передачи, определяемым по формуле

Пренебрегая малой величиной 1/k0, получаем

и делаем вывод, что коэффициент передачи ОУ, охваченного OC, не зависит от параметров самого усилителя, а определяется обратной связью.
Сумматор сигналов строится на ОУ в инвертирующем включении (рис. 81, в). B этом случае входные напряжения через добавочные резисторы R1, R2, ... , Rn подаются на инвертирующий вход усилителя. Чтобы определить значение выходного напряжения, запишем для узла в точке A первый закон Кирхгофа с учетом того, что в идеальном ОУ входной ток равен нулю

Выходное напряжение отсюда

При условии RОС = R1 — R2 = Rn = R напряжение на выходе будет равно искомой сумме UBЫX = —(U1 + U2 + ··· + Un).
Интегратор на основе инвертирующего ОУ получается путем замены резистора RОС на конденсатор C (рис. 81, г). Так как во входную цепь идеального ОУ ток не втекает, то при подаче входного сигнала через резистор R течет ток заряда конденсатора iR = iС. C учетом значений токов iR=UВХ/R и iС=CdUВЫХ/dt получаем равенство

из которого определяем выходное напряжение

Из выражения (232) следует, что усилитель работает как интегратор с постоянной времени T = CR. При входном сигнале типа единичного скачка выходное напряжение UВЫХ= —(UВХ/T)t изменяется по линейному закону. Это свойство используют при создании генераторов пилообразного напряжения.
Если входной сигнал изменяется по гармоническому закону UВХ= Umaxsin ?t, то на выходе ОУ будет напряжение

Таким образом, амплитуда выходного сигнала равна –Umax/(?1RC), а отношение амплитуд выходного и входного сигнала —1/(?RC) обратно пропорционально круговой частоте ?. Передаточную функцию звена W(p) = —l/(Tp) можно получить непосредственно из выражения (231) заменой d/dt = p.

Рис. 82. Неинвертирующее включение ОУ
Дифференциатор на основе ОУ изображен на рис. 81, д. Так как для идеального ОУ ток, проходящий через резистор R, является током заряда конденсатора, то

Заменяя p=d/dt в выражении (233), получаем передаточную функцию W(p)=—Tp дифференцирующего звена.
Неинвертирующее включение ОУ. При таком включении решающим входом является прямой вход (см. рис. 82, a). В цепи OC использован делитель напряжения на резисторах Roc и R2, определяющий глубину отрицательной OC: Roc= R2/(ROC + R2).
Коэффициент передачи идеального усилителя согласно выражению (229) при такой схеме включения

Как особый случай следует рассмотреть включение ОУ по прямому входу при R2 = ? и Roc = 0 (см. рис. 82, б). Согласно выражению (234) kП=1, и схема выполняет роль повторителя напряжения. Подобно эмиттерному повторителю, повторитель напряжения находит применение для согласования сопротивлений источника и входного каскада усилителя.
Нелинейные схемы включения ОУ. При таком включении используют оба входа ОУ.
Компаратор. Это устройство, построенное на основе ОУ без OC и предназначенное для сравнения непрерывного входного сигнала UBX c постоянным по значению опорным напряжением UОП (рис. 83). В зависимости от способа подачи сравниваемых сигналов компараторы делят на одновходовые и двухвходовые. Одновходовой (рис. 83, а) компаратор предназначен для сравнения разнополярных входного и опорного напряжений. Двухвходовой (рис. 83, б) сравнивает сигналы одной полярности, поданные на разные входы.
Принцип действия обоих компараторов одинаков и основан на использовании дифференциального каскада, реагирующего на разность входных сигналов. А так как ОУ, не охваченный OC, усиливает эту разность с большим коэффициентом усиления k0, то напряжение UВЫХ быстро возрастает до некоторого положительного UВЫХmax или отрицательного UВЫХmax уровня в зависимости от знака разности. Для схемы на рис. 83, а

Для схемы на рис. 83, б


Рис. 83. Компаратор
Точность сравнения компаратора характеризуется напряжением, на которое необходимо превысить уровень UОП, чтобы произошло переключение уровней. Поскольку компараторы преобразуют входной непрерывный сигнал в дискретную величину на выходе, они относятся к дискретным элементам.
Генератор прямоугольных импульсов (ГПИ). Основу ГПИ (рис. 84, а) составляет ОУ, в котором задействованы оба входа. За счет применения положительной OC по прямому входу ОУ приобретает свойства компаратора, а за счет применения отрицательной OC по инвертирующему входу, содержащему RC-элементы, создает режим генератора.
Форма напряжения на неинвертирующем входе соответствует форме выходного напряжения, а его значение ослаблено в ? раз, где ? — коэффициент передачи сигнала, определяемый ? = Roc/RВЫХ = R3/(R2 + R3). Поскольку при включении ОУ положительная ОС мгновенно вводит его в режим насыщения, то на выходе ОУ устанавливается один из уровней
U+ВЫХmax (U ЇВЫХmax). По цепи прямой связи ОС на прямой вход поступает напряжение ?U+ВЫХmax, по цепи отрицательной ОС выходной сигнал будет дифференцироваться и за счет заряда конденсатора возрастать по экспоненте. Время, в течение которого уровень на выходе ОУ остается постоянным, будет определяться временем tи заряда конденсатора C. В момент, когда напряжения на обоих входах сравняются Uc = ?U+ВЫХmax (рис. 84, б), выходное напряжение ОУ переключится на другой предельный уровень U ЇВЫХmax. С этого момента начнется перезаряд конденсатора до значения ?U ЇВЫХmax. Процесс генерации будет продолжаться до выключения ОУ. B результате на выходе ОУ вырабатываются симметричные прямоугольные импульсы, длительность которых tи = Т/2.

Рис. 84. ОУ в режиме генератора
Генератор импульсов треугольной формы (ГТИ). ГТИ можно получить на основе ГПИ, подавая напряжение с его выхода на генератор, выполненный на RC-цепочке или на ОУ,
Схема генератора, изображенная на рис. 84, в, построена на двух ОУ. Усилитель DA1 включен по схеме компаратора для формирования прямоугольных импульсов, поступающих на вход усилителя DA2, включенного по схеме интегратора. Выходное напряжение DA2 при поступлении на его инвертирующий вход прямоугольного импульса определенной полярности изменяется линейно. Это напряжение по цепи отрицательной OC через резистор R подается на инвертирующий вход DA1. В тот момент, когда оно сравняется с напряжением на неинвертирующем входе, на выходе DA1 появится импульс другой полярности. Конденсатор C начнет разряжаться до нуля, а потом перезаряжаться до нового уровня с частотой, определяемой частотой переключения ГПИ (рис. 84, г).
Назад | Содержание
| Вперед
Пассивные и активные корректирующие устройства
9.4. ПАССИВНЫЕ И АКТИВНЫЕ КОРРЕКТИРУЮЩИЕ УСТРОЙСТВАПассивные КУ применяют в виде электрических контуров, построенных на базе пассивных линейных R, С - элементов. Они не содержат источников питания, и преобразование сигнала сопровождается частичным его ослаблением. Различные сочетания K, С - элементов придают контурам интегрирующие и дифференцирующие свойства в заданном диапазоне частот. Передаточные функции и частотные характеристики типовых контуров определены заранее и сведены в специальные таблицы, облегчающие выбор КУ. Некоторые наиболее типичные контуры представлены в табл. 4 с указанием соответствующих им передаточных функций и выражений, связывающих параметры элементов контуров с коэффициентами передаточных функций.
Преимуществами пассивных контуров являются простота изготовления и широкий класс реализуемых функций. К недостаткам следует отнести чувствительность к помехам и ослабление сигнала, вносимое контурами.
Активные КУ наряду с преобразованием сигнала выполняют функцию его усиления. К активным КУ относятся активные устройства на основе пассивных RС - цепочек, тахогенераторы; гидромеханические КУ.
Активные КУ первого типа формируют путем различных комбинаций пассивных контуров с активными элементами, выполняющих роль базовых элементов КУ. КУ, состоящее из однополупериодного ФЧУ с интегрирующим контуром в цепи ОС [8], показано на рис. 115, а. Каскад ФЧУ собран по балансной мостовой схеме на транзисторах VT1, VT2 и вторичных обмотках трансформатора опорного напряжения T2. В диагональ моста включен резистор нагрузки Ra, напряжение с которого через фильтр R3, C3 подается на выход схемы. При отсутствии сигнала рассогласования мост уравновешен, начальные коллекторные токи транзисторов, протекающие по RН в противоположных направлениях, взаимно компенсируются. Выходное напряжение равно нулю. Входной сигнал, поступающий на базы транзисторов с трансформатора T1 в противофазе, вызовет протекание по нагрузке разностного тока определенного направления.

Рис. 115.
КУ на усилительном каскаде
Таблица 4 Пассивные КУ

Продолжение табл. 4

Выходное напряжение, снимаемое с RН, поступает на базу транзистора VT1 через интегрирующий контур R1C1 и на базу транзистора VT2 через интегрирующий контур R2, C2 в виде сигнала отрицательной OC. В результате ФЧУ, охваченный OC в виде интегрирующего контура, приобретает качественно новые свойства выпрямителя с преобразованием сигнала. Передаточную функцию КУ можно получить из эквивалентной схемы, представленной на рис. 115, б:

где kУ — коэффициент усиления ФЧУ; ?, ? — постоянные времени КУ; T = ? /(1 + kУ); ? = R1C1(R2С2).
В качестве активных элементов для синтеза КУ могут быть использованы операционные усилители. Обладающие большим входным сопротивлением (десятки мегаома) и низким выходным (доли ома) ОУ дают возможность путем включения во входной цепи и цепи ОС пассивных RC - элементов получить сложные передаточные функции (схема 5 табл. 5). При высоком коэффициенте усиления (kу >> 1) и глубокой отрицательной OC, охватывающей усилитель, передаточная функция будет зависеть только от параметров элементов OС и входной цепи: W (p) = ZОC (p)/ZBx(р).
Таблица 5

Это определяет простоту конструирования и большое количество функций, которые могут быть реализованы для коррекции. Усиление сигнала за счет дополнительного источника питания, сопровождающее процесс дифференцирования и интегрирования, улучшает процесс коррекции.
Назад | Содержание
| Вперед
Порядок выбора и расчета электрических исполнительных устройств
3.5. ПОРЯДОК ВЫБОРА И РАСЧЕТА ЭЛЕКТРИЧЕСКИХ ИСПОЛНИТЕЛЬНЫХ УСТРОЙСТВВыбор и расчет электродвигателей. Электродвигатели относятся к числу элементов СП, выпускаемых промышленностью в виде ряда стандартных серий с определенными номинальными данными: мощностью, частотой вращения, моментом. Соотношение пускового момента MП и угловых скоростей ?XX у двигателей различных серий различно, поэтому электродвигатель выбирают не по моменту или скорости, а по максимальной мощности. Этот выбор приближенный, так как из имеющейся серии двигателей выбирают тот, который с наименьшей погрешностью обеспечивает требуемые скорость ?? и ускорение ?Н нагрузки, а затем проверяют его на перегрузку и нагрев. Для упрощения задачи выбор ИД и оценку его пригодности с энергетической точки зрения проведем, считая, что средняя мощность двигателя не превышает мощности, допустимой по нагреву.
Требуемую мощность двигателя (в киловаттах) определяют по формуле

где МТР — требуемый момент, Н·м; согласно (23)

?? — заданная максимальная угловая скорость вращения нагрузки, рад/с; ? — КПД редуктора, ? — 0,8 ... 0,9.
Трудность расчета требуемого момента заключается в зависимости МТР от передаточного числа i редуктора, которое на данном этапе еще не рассчитано. График зависимости МТР = f (i) при постоянном значении ускорения ? = 0,34 рад/с2 и график зависимости ? = f (i) при постоянном требуемом моменте МТР = 15 Н·м, построенные согласно выражению (63) для двигателя МИ-42 при заданных параметрах нагрузки МСТ = 2500 Н·м; JH = 5000 кг·м2, представлены на рис. 34. Как видно из графиков, существует оптимальное передаточное число i0 редуктора, при котором для создания определенного ускорения требуется наименьший момент и, наоборот, при одном и том же МТР двигатель развивает на валу максимальное ускорение. Для определения i0 необходимо взять производную по i от функции (63) и, решив уравнение вида
, найти выражение оптимального передаточного числа редуктора

Рис. 34. Графики зависимостей требуемого момента и ускорения от передаточного числа редуктора
Подставив выражение МТР из (63) и i0 из (64) в формулу (62), определим мощность ИД, необходимую для перемещения нагрузки с требуемой скоростью и ускорением:

В полученном выражении мощности исключено передаточное число редуктора, что упрощает выбор электродвигателя.
B соответствии с найденным значением мощности подбираем по каталогу тип двигателя, руководствуясь следующими соображениями:
1. Если расчетная мощность меньше 100 ... 150 Вт, то двигатель выбирают из числа маломощных асинхронных двигателей типа АДП, ДИД, ДГ (см. табл. П1—П3 прил.) или двигателей постоянного тока ДПР, МЯ, ПЯ, П (см. табл. ?10 прил.).
2. При мощности больше 100 Вт следует выбирать двигатели постоянного тока МИ, СЛ, ДПМ, ДЩ см. табл. П4, П11, П12 прил.).
3. Мощность выбранного двигателя должна быть равна или несколько больше рассчитанной требуемой мощности: РНОМ ? РТР.
По каталогу находят основные номинальные данные двигателя, необходимые для расчета передаточных функций ИД и других элементов: РНОМ — номинальную мощность, кВт; nНОМ — номинальную частоту вращения двигателя, мин-1; MНОМ — номинальный момент вращения, Н·м; JД — момент инерции двигателя, кг·м; Uy — напряжение управления, B; Iа – ток якоря, A; T — постоянную времени, с.
По полученному значению момента инерции двигателя JД, подставив его в выражение (65), определяют оптимальное передаточное число редуктора i0. Этим завершается предварительный выбор ИД.
Окончательный выбор двигателя включает его проверку на выполнение требований по заданным ускорению и скорости перемещения нагрузки, так как двигатели одинаковой мощности обладают разными запасами по скорости и ускорению. Ha рис. 35 представлены механические (штрих пунктирные линии) и энергетические (сплошные линии) характеристики 1—3 трех разных двигателей, развивающих равные максимальные мощности. Учитывая, что ускорение перемещения и момент двигателя однозначно связаны зависимостью MП = JД?, об ускорении можно судить по значению пускового момента MП, а о скорости — по значению ?ХХ.
Пример 1. Выбрать ИД и определить его передаточную функцию, если момент статической нагрузки МСТ = 2500 Н·м; момент инерции нагрузки JН = 5000 кг·м; требуемая скорость нагрузки ?? = 0,16 рад/с; требуемое ускорение нагрузки ?Н = 0,34 рад/с2.
Решение 1. Принимаем ориентировочно КПД редуктора ? = 0,9,
2. Требуемая мощность согласно (65)

По полученной мощности из табл. ?4 прил. выбираем двигатель МИ-41. Технические данные ИД: РНОМ= 16 кВт; nНОМ = 2500 мин-1; МНОМ = 6,25H·м; Jn = 408·10-4 кг·м2; UНОМ = 110 B; Iа = 19,2 A; Rа = 0,147 Ом.
3. Оптимальное передаточное число согласно (64)

4. Выполняем проверку выбранного двигателя на соответствие требованиям по скорости и моменту согласно (66):
1) определим номинальную угловую скорость ИД и сравним ее с приведенной скоростью нагрузки:

так как ???? > ??, то по скорости выбранный двигатель подходит;
2) найдем значение требуемого момента вращения в соответствии с выражением (63) и сравним его с номинальным значением момента двигателя:

Проверка двигателя на перегрузку

показывает, что двигатель не проходит по мощности, так как не выполняется условие (67).
5. Выбираем более мощный двигатель МИ-42: РНОМ = 3,2 кВт; nНОМ = 2500 мин-1; UНОМ= 110 B; Мном= 12,5 Н·м; JД=662·10-4 кг·м2; Iа= = 36,3 A; Rа = 0,192 Ом.
6. Оптимальное передаточное число редуктора

7. Проверка по скорости:

Так как 235 > 69, то двигатель подходит по этому показателю,
8. Проверка на перегрузку:

Отношение МТР/МНОМ= 20,05 : 12,5 = 1,64< 2, т. e. двигатель удовлетворяет условию (67).
Приведенный к оси двигателя момент статической нагрузки

Сравнение его с МНОМ (6,45 < 12,5) говорит о выполнении для двигателя условия (68). Делаем вывод, что двигатель МИ-42 выбран правильно, так как он удовлетворяет условию обеспечения требуемых скорости и ускорения.
9. Перейдем к определению передаточной функции двигателя МИ-42, используя его технические данные и выражение (47).
Коэффициент противоЭДС определяем по формуле (26) при номинальных значениях параметров:

Коэффициент момента согласно (24)

Полный момент инерции нагрузки по формуле (19)

Механическая постоянная времени в соответствии с (41)

Коэффициент передачи двигателя по скорости на основании (31)

B результате передаточная функция двигателя

Пример 2. Выбрать ИД и определить его передаточную функцию, исходя из следующих технических условий: МСТ = 1 Н·м; JН=23 кг·м2; ?? = 0,11 рад/с; ?? = 0,4 рад/с2; ? = 0,8.
1. Требуемая мощность в соответствии с (65)

По полученной мощности выбираем двигатель из числа асинхронных типа ДИД (см. табл. III прил.). Наиболее подходящим по мощности является ДИД-3ТА: РHOM = 3 Вт; nНОМ=5800 мин-1; JД = 24·10-8кг·м2; МНОМ=56·10-4 Н·м; MП.НОМ = 160·10-4 Н·м; UHOM = 30 B.
2. Оптимальное передаточное число по (64)

3. Проверим двигатель на выполнение требования по скорости

Приведенная к оси двигателя скорость нагрузки

Выбранный двигатель не обеспечивает необходимой угловой скорости, так как ????= 607 < ?Нi0 = 1032.
4. Изменим передаточное число редуктора согласно (70)

5. Проверим двигатель на выполнение условия (67) по моменту

Условие (67) выполняется, так как

Приведенный к оси двигателя момент нагрузки

Условие (68) выполняется, так как 2,3·10-4<56·10-4.
Делаем вывод, что двигатель ДИД-3ТА выбран правильно.
6. Определим передаточную функцию ИД, используя его технические данные и выражение передаточной функции (56).
Коэффициент передачи по моменту на основании (50)


Рис. 36. Схема для расчета ЭПМ
Коэффициент демпфирования по (53)

Коэффициент передачи двигателя по скорости в соответствии с (54)

Полный момент инерции нагрузки по (19)

Механическая постоянная двигателя на основании (57)

B результате расчета получим передаточную функцию двигателя ДИД-3ТА

Выбор и расчет ЭПМ. Расчет исполнительного устройства с ЭПМ является сложной задачей и часто сводится к созданию новой конструкции муфты, определяемой специальными требованиями. В этом случае проводится расчет конструктивных параметров, магнитной системы и обмотки управления муфты.
Для повышения надежности и технологичности конструкций муфт промышленностью разработана и выпускается серия бесконтактных муфт серий БПМ и МБП с передаваемыми моментами 0,063 ... 6,3 Н·м и с частотой вращения ведущей части 2000 мин-1. Это облегчает расчет и сводит его к подбору муфты по мощности, выбору приводного двигателя и расчету передаточного числа редуктора.
При расчете ЭПМ муфту следует рассматривать как трансформатор мощности (механической) P1 = M1?1 на входе муфты в мощность P2 = M2 ?2 на ее выходе (рис. 36) при соблюдении условий P1 ? P2, M1=M2, ?1 ? ?2.
Силовой редуктор в приводе с ЭПМ, как видно из рис. 36, состоит из ступени от приводного двигателя ПД к муфте с передаточным числом

и ступени от муфты к нагрузке H с передаточным числом

Общее передаточное число

При выборе приводного двигателя следует руководствоваться следующими соображениями:
номинальная частота вращения двигателя должна быть выбрана с тем расчетом, чтобы частота вращения муфты с учетом i1 не превышала 2000 мин-1;
двигатель следует выбирать из числа нерегулируемых надежных и дешевых двигателей с жесткой характеристикой. Этим требованиям удовлетворяют асинхронные трехфазные двигатели серий 4A и ДАТ;
требуемую мощность двигателя (в киловаттах) определяют по выражению

где МТР — требуемый момент; МТР= 2Мmax/i1; Мmax находят в паспортных данных муфты;
мощность приводного двигателя должна быть больше или равна требуемой мощности.
Назад | Содержание
| Вперед
Порядок выбора и расчета усилителя
8.8. ПОРЯДОК ВЫБОРА И РАСЧЕТА УСИЛИТЕЛЯВыбор усилителя определяется типом СП (постоянного, переменного тока), конкретными условиями применения системы, режимом работы, требуемой мощностью и необходимым коэффициентом предварительного усилителя.
Требуемая мощность Ртр должна быть больше мощности Ру, необходимой для управления ИУ: Ртр = (5 ... 10)PУ. Для двигателей постоянного тока PУ = IНОМUном. Для асинхронных двигателей PУ определяют по паспортным данным. Превышение мощности необходимо для расширения зоны линейности выходного напряжения и для обеспечения кратковременного форсирования ИУ по току и по напряжению.
Исходными данными для расчета коэффициента усиления предварительного усилителя являются параметры ИР и ИУ, которые уже известны. Зная напряжение трогания Uтр двигателя, крутизну k? характеристики измерительной схемы и допустимую погрешность ?доп СП, находят

Рассчитанный по (236) коэффициент усиления является приближенным и должен быть увеличен в 2—3 раза, так как еще не выполнена коррекция системы. В ходе расчета СП этот коэффициент уточняется.
Если выходные каскады на транзисторных усилителях не обеспечивают требуемой мощности, то применяют генератор, ЭМУ или выходной каскад на силовых транзисторах или тиристорах. ЭМУ выбирают из числа унифицированной серии (см. табл. ?6 прил.) в соответствии со следующими рекомендациями:
номинальное напряжение ЭМУ должно быть равно напряжению ИД или больше, а соотношение номинальных токов должно удовлетворять условию

сопротивление управляющих обмоток ЭМУ, выпускаемых промышленностью в нескольких вариантах с разным числом витков, выбирают в соответствии с типом предварительного усилителя;
степень недокомпенсации ЭМУ выбирают в пределах ? = (15 ... 30) % при номинальном режиме работы ИД; эквивалентное выходное сопротивление ЭМУ, определяемое степенью недокомпенсации, находят как

где Ra = Uном/Iном — активное сопротивление продольной цепи ЭМУ;
тип приводного встроенного двигателя (П — постоянного тока, A — переменного) выбирают, учитывая род источника питания СП.
Для ЭМУ мощностью более 2 кВт необходим приводной нерегулируемый электродвигатель с частотой вращения, соответствующей частоте вращения ЭМУ, мощность которого

где РЭМУ, ?ЭМУ — мощность ЭМУ и его КПД.
Пример 7. Выбрать тип ЭМУ с приводным двигателем переменного тока для работы с ИД типа МИ-11 (Uном = 110 B; Iном = 1,53 A; Рном = 0,12 кВт). Определить передаточную функцию.
Решение. По табл. ?6 прил. выбираем ЭМУ-ЗА (РНОМ = 0,3 кВт; Uном = = 110 B; Iном = l,82 A; Iу = 11 мА; Rу = 3440 Ом; Tа = 0,03с; Ту = 0,043 с). ЭМУ выбран правильно, так как выполнены требования по обеспечению номинальных параметров двигателя (237):

Определяем коэффициент усиления ЭМУ по напряжению

Передаточная функция ЭМУ согласно (235)

Назад | Содержание
| Вперед
Последовательные, параллельные корректирующие устройства и корректирующие обратные связи
9.3. ПОСЛЕДОВАТЕЛЬНЫЕ, ПАРАЛЛЕЛЬНЫЕ КОРРЕКТИРУЮЩИЕ УСТРОЙСТВА И КОРРЕКТИРУЮЩИЕ ОБРАТНЫЕ СВЯЗИПоследовательные КУ. Эти устройства, описываемые передаточной функцией K0(p), включаются последовательно в цепь звеньев с неизменяемыми параметрами и служат для непосредственного преобразования сигнала рассогласования (см. рис. 107). Последовательные КУ реализуются в виде электрических R, L, С – контуров. В зависимости от схемы контура на его выходе выделяется производная или интеграл погрешности, которые суммируются с основным сигналом рассогласования. Представленный на рис. 108 СП скорректирован последовательным дифференцирующим контуром K0(p)(R, C1, R2).

Рис. 108. Последовательное КУ:
а — схема включения; б — структурная схема скорректированного СП; в - ЛАЧХ КУ

Рис. 109. Типы и частотные характеристики последовательных КУ
Так как контур включен последовательно, то при K0(0) = 1 он не изменяет погрешностей привода
и несколько их увеличивает за счет ослабления, вносимого при K0(0) < 1. Рост погрешностей в этом случае можно скомпенсировать, увеличивая добротность привода путем повышения коэффициента усиления усилителя.Устойчивость СП при введении последовательных КУ повышается за счет их воздействия на частотные свойства привода. Характер воздействия зависит от типа контура (рис. 109): интегрирующего, дифференцирующего, интегродифференцирующего. Нет необходимости в детальном рассмотрении каждого контура, так как по виду ЛАЧХ можно судить о воздействии контура на привод. Остановимся на анализе интегрирующего контура (рис. 109, а). Его передаточная функция

где k = R2/(R1 + R2); T = kR1С.
Если на вход контура поступает постоянный или медленно меняющийся сигнал (? << l/T), то контур проявляет себя как делитель напряжения с коэффициентом передачи k, так как конденсатор имеет бесконечно большое сопротивление. И только с частоты ? > 1/T конденсатор начинает разряжаться и интегрировать входной сигнал с погрешностью, определяемой наличием резисторов.
Наглядно иллюстрирует сказанное выше ЛАЧХ контура.
Как видно из ЛФЧХ данного контура, он действует как апериодическое звено и вносит запаздывание по фазе от 0 до — ?/2 при 0 < ? < ?.
Интегрирующий контур с ослаблением, передаточная функция которого K0(p) = (?p + 1)/(Tp + 1), где ? = R1C < T = (R1 + R2)C (рис. 109, б), обладает следующими характеристиками: на частотах, меньших ?1 = l/T, не вносит ослабления сигнала, а начиная с частоты ?2 = l/?, перестает интегрировать. Кроме того, этот контур вносит меньшее запаздывание по фазе, чем контур на рис. 109, а.
Введением дифференцирующего контура с передаточной функцией

где T1 = (R1 + R2)C, T2 = R2С, достигается положительный фазовый сдвиг (рис. 109, в) в существенном для качества привода диапазоне частот и повышение его устойчивости.
Контур, показанный на рис. 109, г, сформирован из двух предыдущих — интегрирующего и дифференцирующего — и дает результирующий интегродифференцирующий эффект, определяемый передаточной функцией вида

где T1 = C2 R1 + R2); T2 = C1R1; T3 = C1 (R1 + R2); T4 = - C1R2.
Такой контур позволяет получить оптимальное с точки зрения качества привода решение и поэтому находит наибольшее применение в технике корректирования СП.
Простота изготовления и компоновки контуров в едином корпусе с усилителем, возможность быстрой замены являются несомненными преимуществами последовательных КУ. Как недостатки следует отметить ослабление сигнала, вносимого контуром в цепь управления, необходимость дополнительного усиления, зависимость корректирующего эффекта от стабильности характеристик неизменяемой части и помех.
Параллельные КУ. Для придания приводу необходимых динамических свойств параллельно основным элементам с неизменяемыми параметрами включают КУ (см. рис. 107), которые служат для образования управляющего сигнала K (p) или возмущающего сигнала L (p).
Для реализации параллельного КУ в цепь управляющего сигнала' включают датчик скорости — тахогенератор BR1 кинематически связанный с входным валом СП (рис. 110, а) и вырабатывающий напряжение UД.С пропорциональное первой производной от угла поворота.
рис. 107). Эти устройства, включаемые последовательно с датчиком момента BM1, служат для снижения моментной составляющей погрешности ?? в случае гармонического закона изменения момента. При постоянной нагрузке на СП статической погрешностью можно пренебречь, если соответствующим образом выбрать коэффициент усиления привода согласно условию (255).
Корректирующие OC. Устройства, включаемые в цепь OC и вырабатывающие сигналы, пропорциональные скорости и ускорению выходного вала, образуют корректирующие обратные связи. Корректирующие OC можно разделить на жесткие, действующие как в установившемся, так и в переходном режимах, и гибкие, проявляющиеся только в переходных процессах.
Схема СП с жесткой OC по скорости выходного вала показана на рис. 111, а. Для создания OC используется напряжение UД.С, вырабатываемое датчиком скорости BR2 — принимающим тахогенератором, связанным с выходным валом через редуктор q. Если по какой-либо причине скорость выходного вала возрастет, то напряжение UД.С с тахогенератора увеличится, и на вход усилителя A в противофазе с сигналом рассогласования U?, подается напряжение OC. Суммарное напряжение U? на входе усилителя уменьшится, и скорость двигателя упадет.

Рис. 111. СП с корректирующей OC по скорости
Поступающее на вход усилителя напряжение в этом случае

где k’Д.С — приведенная к валу двигателя крутизна характеристики датчика скорости; k’Д.С = kД.С/ kД.
Подставляя (264) в уравнение (244) силовой части, получаем дифференциальное уравнение СП со стабилизацией, пропорциональной скорости выходного вала:

или

где v — коэффициент усиления связи по скорости выходного вала;

Передаточные функции разомкнутого привода по управляющему воздействию

B соответствии с выражением (267) составляем структурную упрощенную схему скорректированного СП (рис. 111, б). Передаточная функция замкнутого привода

Для анализа привода на устойчивость используем характеристическое уравнение, которым является знаменатель выражения (269):

или в развернутом виде 6 учетом выражения (245)

Из сравнения выражений (252) и (270) видно, что устойчивость привода возросла при введении датчика скорости выходного вала, так как увеличился коэффициент при p характеристического уравнения и усилилось неравенство Тм (1 + v) >?Э???.
Для оценки точности привода преобразуем дифференциальное уравнение привода (265), заменяя ? = ? — ?:

Полагая, что привод находится в покое, находим при ? = 0

Моментная составляющая погрешности, определяемая в режиме покоя, по сравнению с (255) не изменилась, так как сигнал с датчика скорости поступает только в режиме движения.
Скоростную погрешность привода определим из выражения (271), полагая Мн = 0, p = 0, A (0) = 1:

Скоростная погрешность (272) скорректированного СП по сравнению с погрешностью (253) привода без коррекции возросла. Увеличение скоростной погрешности можно объяснить тем, что напряжение OC, предназначенное для ослабления колебаний в переходных процессах, поступает на вход усилителя и в режимах движения с постоянной скоростью, уменьшая коэффициент передачи.
Компенсация потери напряжения на входе усилителя может произойти только за счет увеличения сигнала рассогласования, т. e. самой погрешности. Вo избежание уменьшения точности привода жесткую OC по скорости преобразуют в гибкую путем введения дополнительных пассивных дифференцирующих цепочек с передаточной функцией K?(p) или K?(p). Напряжение с ТГ поступает на вход усилителя A через дифференцирующий контур R1, C1 (рис. 111, в). Благодаря включению конденсатора C1 цепь OC будет разорвана в установившемся режиме, так как конденсатор заряжен. И только на время переходного процесса за счет перезаряда конденсатора цепь OC восстанавливается. Порядок дифференцирования при этом повышается, и в усилитель вводятся сигналы Uд.у, пропорциональные ускорению выходного вала.

Рис. 112. СП с корректирующей OC по ускорению
Структурная схема СП с гибкой OC по ускорению показана на рис. 112, a. C помощью датчика ускорения вырабатывается напряжение Uд.у, поступающее на вход усилителя в противофазе с сигналом рассогласования:

где
— приведенная крутизна датчика ускорения. Подставляя полученное выражение (273) в уравнение (244), получаем
Дифференциальное уравнение СП со стабилизацией, пропорциональной ускорению выходного вала, имеет вид

где r — коэффициент передачи связи по ускорению;

Передаточная функция разомкнутого привода по управляющему воздействию

Обратная передаточная функция разомкнутого привода

Структурная схема, соответствующая выражению (276), представлена на рис. 112, б.
Передаточная функция замкнутого привода

Оценим точность привода, для чего преобразуем уравнение (274), заменив ? = ? — ?:

Скоростную погрешность привода при постоянной угловой скорости входного вала ?0 определим из (278), полагая Мн = 0, p = 0, A (0) = 1:

Из сопоставления выражений (279) и (253) видно, что скоростная погрешность не изменилась по сравнению с погрешностью привода без коррекции. Обратная связь по ускорению, действующая только в переходных режимах, не оказывает влияния также и на моментную составляющую погрешности.
Анализ устойчивости скорректированного привода проведем, исследуя по критерию Гурвица характеристическое уравнение замкнутого привода, найденное из выражения (277):

С учетом выражения (245) получим

Как видно из (280), устойчивость привода возросла, так как увеличился коэффициент при второй производной характеристического уравнения по сравнению с (252), и неравенство (Тм + r) 1 > ТЭ??? усилилось.
Таким образом, корректирующая OC по ускорению выходного вала, не влияя на точность привода в установившемся режиме, повышает устойчивость СП.
Как правило, коррекция СП осуществляется комбинацией последовательных, параллельных КУ и корректирующих ОС. B случае применения OС по скорости и ускорению обратная передаточная функция скорректированного привода

При использовании одного контура, т. e. для K?(p) = K?(p) = K(p),

Соответствующая этому выражению структурная схема СП представлена на рис. 113, а.
Комбинированный способ коррекции обеспечивает получение наилучших качественных показателей и запасов устойчивости.

Рис. 113. Структурные схемы скорректированного СП
Наиболее целесообразным с этой точки зрения является совместное использование датчиков скорости задающего и исполнительного валов (рис. 113, б). Напряжения, вырабатываемые ими, подаются на вход усилителя в виде суммы

В случае применения одинаковых датчиков скорости коррекция привода осуществляется сигналом, пропорциональным производной от погрешности, так как р? — р? = р?. Тогда

Для вывода дифференциального уравнения движения привода воспользуемся уравнением (258), подставив в него (282):

или

Заменяя в уравнении (283) ? = ? + ?, получаем уравнение привода в управлением по производной

Передаточная функция разомкнутого привода по управляющему воздействию

Передаточная функция замкнутого привода после преобразований

Передаточная функция погрешности

Анализируя выражение (286) при постоянной скорости движения ?0, p = 0, A (0) = 1 и отсутствии возмущающего момента, получаем

Очевидно, что скоростная погрешность СП зависит от соотношения коэффициентов связи по скорости задающего и исполнительного валов. Погрешность получается такой же, как в приводе без коррекции: ?ск = ?0/? при выполнении условия ?Д = v. При выполнении условия полной компенсации vД = 1 + v привод работает без погрешности, так как по отношению к управляющему воздействию он становится астатическим второго порядка. Передаточная функция (284) при полной компенсации приобретает вид

где A' (p) = Тм (ТЭр + 1).
Запас устойчивости привода увеличивается по сравнению с запасом нескорректированного, но остается таким же, как при введении одного датчика скорости выходного вала, что следует из сравнения знаменателей передаточных функций (285), (269), (250).
Таким образом, за счет введения датчика скорости управляющего вала повышается точность слежения, а за счет введения датчика скорости исполнительного вала увеличивается устойчивость СП.
Существенное значение в СП имеет техническая реализация OC. Как уже отмечалось выше, в качестве датчиков скорости применяют ТГ постоянного или переменного тока, вырабатывающие напряжения Uтг = kтгр?, где kтг – крутизна характеристики ТГ.
Конструктивно ТГ могут быть встроены в единый корпус с двигателем, сидеть с ним на одном валу или кинематически быть связанными посредством редуктора.
Реализация OC по ускорению осложняется отсутствием подходящих датчиков ускорения, поэтому в электрических СП применяют косвенную OC по моменту нагрузки (на рис. 107 BM2 — датчик момента), пропорциональному ускорению.
Согласно выражениям (35) и (24)

где J' — приведенный момент инерции вращающихся масс d?/dt - ускорение нагрузки; МН — приведенный момент нагрузки; см — коэффициент двигателя по моменту» Iа — ток якоря. Если пренебречь моментом нагрузки (MН = 0), тo можно записать

Вводя в контур, состоящий из генератора G, нагруженного двигателем M (контур ЭМУ — ИД), сериесный резистор Rc

Рис. 114. Схемы реализации OC по ускорению
(рис. 114, а), на котором ток якоря создает падение напряжения UcT1, можно реализовать ОС по ускорению:

или

где kд.у — крутизна датчика ускорения;

Сопротивление сериесного резистора можно рассчитать по значению коэффициента ОС по ускорению r, решая совместно (289) и (275):

Недостатком схемы является то, что сериесный резистор должен быть рассчитан на большую силу тока, поэтому часто для реализации OC используют падение напряжения UcT2 на компенсационной обмотке wK ЭМУ (рис. 114, а).
В зависимости от вида используемого электрического сигнала (тока или напряжения) OC подразделяют на токовые и по напряжению. Рассмотренная связь с использованием резистора R0 относится к токовой.
Обратные связи по напряжению достаточно разнообразны, их выходной сигнал и реализуемые передаточные функции зависят от места отбора напряжения. Наибольшее распространение получила мостовая схема, в одно плечо которой включена якорная обмотка двигателя постоянного тока с независимым возбуждением (рис. 114, б). Питание схемы моста осуществляется напряжением UУ, поступающим с выхода усилителя СП. Напряжение стабилизации снимается с измерительной диагонали моста в виде разности напряжений:

где U2 — падение напряжения на резисторе R2 делителя R1; R2; Ua — напряжение, подведенное к якорю двигателя.
B соответствии со вторым законом Кирхгофа напряжение питания моста можно выразить как

Падение напряжения делителя

Из теории двигателей известно, что

где R4 = Ra — сопротивление якорной обмотки двигателя; се — коэффициент противоЭДС; ? — угловая скорость двигателя.
Подставляя Ua из (294) и iа из (288) в выражения (292) и (293), а затем в исходное выражение (291), после некоторых преобразований получим

Как видно из уравнения (295), ОС по напряжению позволяют осуществить коррекцию как по скорости, так и по ускорению. Раздельную стабилизацию можно реализовать, изменяя параметры мостовой схемы. Таи, при выполнении условия равновесия моста (R2R3— R1Ra =0) что обеспечивается соответствующим подбором сопротивлений резисторов, сигнал стабилизации будет определяться скоростной составляющей Uст = kд.c p?. Стабилизация по ускорению обеспечивается исключением из схемы резистора R1. Существуют мостовые схемы и для двигателей переменного тока, но их применяют реже вследствие необходимости включения индуктивностей, что усложняет настройку моста на основную гармонику и обусловливает необходимость установки фильтров высших гармоник.
Для реализации рассмотренных корректирующих OC не требуется вводить специальные устройства, что является их огромным преимуществом перед КУ других типов. Их недостаток — увеличение моментной и скоростной составляющих погрешностей. Необходимо отметить, что ОС по току кроме составляющей, пропорциональной ускорению нагрузки, вводит паразитную составляющую, пропорциональную постоянной составляющей момента, которой мы для простоты пренебрегли в выражении (287).
Назад | Содержание
| Вперед
Построение желаемых логарифмической амплитудной и фазовой частотных характеристик следящего привода
17.3. ПОСТРОЕНИЕ ЖЕЛАЕМЫХ ЛОГАРИФМИЧЕСКОЙ АМПЛИТУДНОЙ И ФАЗОВОЙ ЧАСТОТНЫХ ХАРАКТЕРИСТИК СЛЕДЯЩЕГО ПРИВОДАЖелаемая ЛАЧХ (ЖЛАЧХ) разомкнутого привода (рис. 170) имеет три характерные части, определяемые его динамическими свойствами: низкочастотную (прямая AB), среднечастотную (ломаная BCDE) и высокочастотную (прямая EF). Связь показателей качества с ЛАЧХ разомкнутого привода позволяет заранее наложить требования на параметры ЛАЧХ таким образом, чтобы получить качество СП не ниже заданного. Наклон желаемой характеристики в области низких частот (? < ?1) определяется степенью астатизма привода: нулевой — при ? = 0, -20 дБ/дек при ? = 1. Для получения погрешности привода, не превышающей допустимую, для астатических приводов (при ? = 1 и ? = 2) положение низкочастотной асимптоты задают коэффициентом усиления разомкнутого привода. Ha рис. 170, в для привода с астатизмом первого порядка и добротностью ? низкочастотная асимптота проведена через точку с координатами (20lg?, ? = 1).
При гармоническом управляющем сигнале ЖЛАЧХ строят так, чтобы низкочастотная асимптота на рабочей частоте ?р (рис. 170, б) проходила не ниже точки Ар с амплитудой 20lg?0/?? согласно условию (340).
Асимптота CD среднечастотной ЖЛАЧХ, пересекающая ось частот ?, для обеспечения необходимых запасов устойчивости и желаемой формы кривой переходного процесса должна иметь наклон -20 дБ/дек и протяженность h, рассчитываемую по показателю колебательности M в соответствии с (335) или по формуле (336).
Высокочастотная асимптота EF ЖЛАЧХ, находящаяся правее частоты ?4, определяет начало переходного процесса и фильтрующие свойства СП. Чем меньше частота ?4, тем лучше отфильтровываются высокочастотные помехи, но при этом уменьшаются запасы устойчивости привода. Наклон высокочастотной асимптоты ЖЛАЧХ определяется наклонами асимптот неизменяемой части СП (рис. 170, а).
Сопряжение среднечастотной асимптоты CD желаемой характеристики с соответствующими асимптотами AB и EF характеристики неизменяемой части привода осуществляется с помощью асимптот BC и DE, Для облегчения процесса построения ЖЛАЧХ разработаны типовые прямые и обратные ЛАЧХ, представляющие собой среднечастотную часть CD ЖЛАЧХ с двумя асимптотами сопряжения.
Построение желаемых логарифмической
Типовые прямые ЛАЧХ, представленные на рис. 170, а, характеризуются тремя частотами: частотами сопряжения ?2 и ?8 асимптоты CD с асимптотами BC и DE и частотой среза ?с. Приведенные типовые характеристики различаются наклонами асимптот сопряжения BC, которые и определяют тип среднечастотной ЛАЧХ: ЛАЧХ-1 (наклон асимптоты BC равен - 20 дБ/дек), ЛАЧХ-2 (-40 дБ/дек), ЛАЧХ-3 (-60 дБ/дек).
Рис. 170. ЖЛАЧХ разомкнутого СП
Выбор типа среднечастотной прямой ЛАЧХ зависит от требований точности отработки управляющего сигнала, добротности и наличия корректирующих средств.
ЛАЧХ-1 обеспечивает высокое быстродействие при низкой добротности по скорости. Увеличение добротности сопровождается расширением полосы пропускания привода. Эта характеристика приемлема для приводов с невысокими требованиями к точности. ЛАЧХ-2 и ЛАЧХ-3 обеспечивают более точную отработку управляющего сигнала, так как позволяют получить большую добротность при той же частоте среза ?0 по сравнению с ЛАЧХ-1. Увеличение добротности привода не оказывает влияния на полосу пропускания и происходит за счет сдвига частоты сопряжения ?1 влево. Однако с расширением частотного диапазона асимптоты сопряжения BC с ?1 до ?2 увеличивается колебательность привода. При выборе ЛАЧХ-3 увеличивается добротность СП, но с точки зрения простоты реализации предпочтительнее ЛАЧХ-2.
Обратные типовые ЛАЧХ представлены на рис. 171. Приведенные характеристики отличаются наличием двух асимптот сопряжения DE и EF на высокой частоте и характеризуются тремя частотами сопряжения ?2, ?8, ?4 и частотой ?с.
Тип обратной ЛАЧХ, так же как и прямой характеристики, определяется требованием точности и наличием корректирующих средств. Техническая реализация типовых ЛАЧХ осуществляется:
ЛАЧХ-1 (рис. 171, а) — при наличии сигнала, пропорционального первой производной регулируемой величины (с датчика скорости выходного вала);
ЛАЧХ-2 (рис. 171, б) — при использовании сигналов, пропорциональных первой и второй Производным регулируемой величины (с датчиков скорости и ускорения);

Рис. 171. Типовые обратные ЛАЧХ
ЛАЧХ-3 (рис. 171, в) — при использовании сигналов, пропорциональных первой производной управляющего воздействия (с датчика скорости задающего вала), и сигналов, пропорциональных производным от регулируемой величины.
Задача построения ЖЛАЧХ сводится к выбору типа среднечастотной ЛАЧХ, привязке ее к оси частот по заданным показателям качества и сопряжению с ней асимптот ЛАЧХ неизменяемой части на низкой и высокой частотах. Порядок построения ЖЛАЧХ зависит от исходных данных на проектирование СП. При единичном возмущении, если заданы показатели качества переходного процесса (время переходного процесса tр и перерегулирование ?), построение ЖЛАФЧХ осуществляется в следующем порядке (рис. 172, а).
1. Определяем добротность привода по скорости D? (коэффициент усиления ?.) из условия (256) заданной установившейся; погрешности воспроизведения управляющего сигнала при постоянной скорости его изменения и перемещаем ЛАЧХ неизменяемой части вдоль оси ординат до прохождения ее через точку В с координатами 20lg? и ? = 1 рад/с.
2. Выбираем тип среднечастотной ЛАЧХ.
3. Находим частоту среза ?с ЖЛАЧХ по заданным значениям tр и ? в соответствии с (334): ?с = b?/tр, где коэффициент b в зависимости от значения ? определяется с помощью графика на рис. 166.
4. Находим частоты сопряжения ?2 и ?3 из условия (336) и проводим через точку ?с асимптоту с наклоном -20 дБ/дек в частотном диапазоне ?2 - ?3.
5. Для простоты технической реализации КУ за высокочастотную асимптоту ЖЛАЧХ принимаем высокочастотную асимптоту ЛАЧХ неизменяемой части СП.
6. Для сопряжения среднечастотной асимптоты ЖЛАЧХ с высокочастотной асимптотой проводим из точки e ординатой, соответствующей частоте ?3, прямую с наклоном -40 дБ/дек до пересечения с ЛАЧХ.
7. Сопряжение среднечастотной асимптоты с низкочастотной асимптотой ЖЛАЧХ осуществляется построением из точки с ординатой на частоте ?2 прямой с наклоном -20, -40 или -60 дБ/дек в соответствии с выбранным типом ЖЛАЧХ.
Если для СП известна добротность по ускорению D?, то сопряжение можно провести, определив согласно (338) частоту
. Из точки ?? проводим прямую с наклоном -40 дБ/дек до пересечения со среднечастотной асимптотой в частоте ?2 и далее продолжаем до пересечения с низкочастотной асимптотой, определяющего частоту ?2.
Рис. 172. Построение ЖЛАЧХ разомкнутого привода
8. Строим ЖЛФЧХ в соответствии с ЖЛАЧХ.
9. Находим запасы устойчивости СП.
Во втором случае, если задан гармонический закон движения управляющего вала и заданы частотные показатели качества, ЖЛАЧХ СП строят в несколько ином порядке (рис. 172, б).
1. Выбираем тип ЖЛАЧХ.
2. Проводим низкочастотную асимптоту сопряжения ЖЛАЧХ через рабочую точку Ар с координатами ?р и 20lg(?0/??), где ?0 и ?р заданы или их рассчитывают по формулам (11)—(13).
3. По заданному значению M находим границы среднечастотной асимптоты ЖЛАЧХ по условию (335).
4. Определяем частоту сопряжения со2 по пересечению асимптоты сопряжения ЖЛАЧХ с верхней границей зоны, найденной в п. 3.
5. Строим среднечастотную асимптоту ЖЛАЧХ в виде отрезка прямой с наклоном -20 дБ/дек до пересечения с нижней границей зоны, определяющего частоту сопряжения ?3.
6. Перемещением ЛАЧХ неизменяемой части СП вдоль оси ординат до сопряжения с типовой ЖЛАЧХ в точке, соответствующей частоте ?1. При этом для обеспечения требуемой точности воспроизведения гармоничного сигнала точка пересечения низкочастотных асимптот ЛАЧХ и ЖЛАЧХ должна быть не ниже рабочей точки Ар.
7. Сопрягаем среднечастотную асимптоту ЖЛАЧХ с высокочастотной ЛАЧХ неизменяемой части, учитывая замечания, сделанные в п. 5 порядка построения ЖЛАЧХ в первом случае.
8. Строим ЖЛФЧХ привода и определяем запасы устойчивости.
Исследование СП с внутренними OC с помощью прямых ЛАФЧХ связано с использованием сложного математического аппарата и включает размыкание внутреннего контура, выбор характеристики OC, нахождение характеристики замкнутого контура с оценкой его устойчивости, определение характеристики всего привода с учетом звеньев, не охваченных OC.
Пользуясь обратными ЛАФЧХ, можно упростить построение ЖЛАФЧХ, особенно приводов, охваченных несколькими внутренними контурами, например, по току и по напряжению.
Методика построения обратных ЖЛАФЧХ аналогична методике построения прямых характеристик и сводится к выбору типовой обратной ЛАЧХ (см. рис. 171), определению ее частот сопряжения и привязке выбранной ЖЛАЧХ к оси частот по частотным показателям качества проектируемого привода. Рассмотрим конкретные примеры построения ЖЛАФЧХ.
Пример 10. Построить ЖЛАФЧХ для СП (см. рис. 169) с передаточной функцией

при условии, что привод должен обеспечивать следующие показатели: динамическую установившуюся погрешность ?у = 8’ при постоянной скорости ? = 10 °/с и ускорении ? = 14 °/с2, максимальное перерегулирование ? = 38 %, время регулирования tр = 0,74 с.
ЛАЧХ исходной характеристики (см. рис. 169) пересекает ось с наклоном -40 дБ/дек, и привод обладает недостаточными запасами устойчивости.
1. Проверим условие выполнения требования по точности, определив добротности СП по скорости и ускорению. Будем считать, что установившаяся погрешность привода согласно (327)

Полагая погрешности по скорости и по ускорению ??= ?? = 4’, определим значения добротностей

Заметим, что в заданной передаточной функции (342) коэффициент усиления по скорости ? также равен 150 с-1.
2. В соответствии с выражением (342) строим ЛАЧХ неизменяемой части в виде ломаной AD'E'F', изображенной на рис. 173.
3. Коррекцию привода проведем, используя наиболее применимую ЖЛАЧХ-2, для реализации которой сложные КУ не требуются.
4. Для ее построения определим частоту среза ?с с помощью номограммы Солодовникова (см. рис. 166). По заданному значению перерегулирования ? = 38 % находим Рmax = 1,38, коэффициент b = 5,8 и соответствующее им время переходного процесса (334): tр = 5,8?/?с. Приравнивая найденное значение заданному значению ip = 0,74 с, находим ?с = 25 рад/с.
5. Через полученную частоту среза ?с = 25 рад/с проводим среднечастотную асимптоту в виде отрезка прямой с наклоном -20 дБ/дек.

Рис. 173. ЖЛАФЧХ разомкнутого привода к примеру 10
6. Для сопряжения полученной асимптоты с ЛАЧХ определим по выражениям (326) и (338) значение частоты ??:

Из полученной точки ?? = 14,5 рад/с проводим прямую с наклоном -40 дБ/дек до пересечения в точке C со среднечастотной асимптотой, определяющего частоту ?2 = 7,5 рад/с, и далее продолжаем до пересечения в точке B с низкочастотной асимптотой, определяющего частоту ?1= 1,2 рад/с.
7. C учетом рекомендаций (336) находим продолжительность среднечастотной асимптоты, ограничив ее частотой ?3 = 10?2 = 75 рад/с.
8. Высокочастотную асимптоту ЖЛАЧХ проводим из точки D, соответствующей частоте ?3 = 75 рад/с, параллельно высокочастотной асимптоте ЛАЧХ неизменяемой части.
Таким образом, ЖЛАЧХ привода построена из условия наименьшего искажения ЛАЧХ неизменяемой части, так как низкочастотные асимптоты совпадают, а изломы асимптот высокочастотной ЖЛАЧХ определяются частотами изломов и наклонами асимптот неизменяемой части.
9. Фазовую характеристику скорректированного привода рассчитываем в соответствии с (342) и (341) по формуле

и обозначаем на графике arg Wж(j?).

Рис. 174. ЖЛАФЧХ к примеру 11
10. Как следует из построения, скорректированный привод обладает вполне удовлетворительными запасами устойчивости: m = -12 дБ, ? = 48,5°.
Пример 11. Построить ЖЛАФЧХ привода с передаточной функцией

обеспечив с погрешностью не более 6’ заданный закон движения выходного вала: максимальная скорость слежения ?? = 1 °/с; максимальное ускорение ?? = 0,1 °/с2.
Для обеспечения необходимых показателей качества привода, включающего интегрирующее и три апериодических звена, требуются достаточно сложные КУ (обратные связи), поэтому будем строить ЖЛАФЧХ с использованием обратных характеристик.
Обратная передаточная функция неизменяемой части (343)

1. Строим (рис. 174) обратную ЛАЧХ неизменяемой части при коэффициенте усиления ? = 1 с-1 — ломаная A'L'K'E'F'.
2. Определим параметры гармонического воздействия ?(t)= ?0sin?pt: рабочая частота согласно (13) ?p = ??/?? = 0,1/1 = 0,1 рад/с; амплитуда согласно (11) ?0 = ??/?p = 1/0,1 = 10°.
3. Модуль частотной характеристики на рабочей частоте

4. Нанесем координаты рабочей точки на график: ?? = 0,1 рад/c; L|W-1(j?р)| = 201g0,01= -40 дБ.
5. Для построения ЖЛАЧХ выберем обратную типовую ЛАЧХ-2 (см. рис. 171,б) из соображения обеспечения заданной точности и простоты реализации характеристики.
6. Проведем сопрягающую асимптоту MC в виде отрезка прямой с наклоном +40 дБ/дек через рабочую точку Ар до пересечения с нижней зоной -8 дБ в точке C, соответствующей частоте ?2 = 0,62 рад/с
7. Построение среднечастотной асимптоты ЖЛАЧХ начинаем с нанесения зон +10 дБ и +18 дБ. Из точки C проводим среднечастотную асимптоту CD с наклоном +20 дБ/дек до пересечения с границей зоны, определяющего частоту ?3 = 5,2 рад/с. Частоту ?4 = 8,5 рад/с найдем, проведя асимптоту сопряжения DE с наклоном +40 дБ/дек до пересечения с зоной в 18 дБ. Из полученной точки E проводим асимптоту EF с наклоном +80 дБ/дек, заканчивая построение типовой характеристики в виде ломаной MCDEF.
8. Для сопряжения ЛАЧХ неизменяемой части и ЛАЧХ-2 характеристику
перемещаем вниз до тех пор, пока она не совпадет с ЖЛАЧХ в точке E, соответствующей частоте ?4 = 8,5 рад/с. Сопряжение в этой точке позволяет получить максимальное совпадение асимптот обеих характеристик. Для обеспечения требуемой точности пересечение низкочастотных асимптот должно произойти левее рабочей точки. Как видим из графика, условие выполнено, так как ?1 = 0,033 рад/с меньше ?р = 0,1 рад/с. За высокочастотную асимптоту примем характеристику исходного привода — прямую EF.9. C помощью построенной характеристики неизменяемой части найдем необходимый коэффициент усиления привода, численно равный ординате ЛАЧХ на частоте ? = 1 рад/с: 20lg(1/?) = -29 дБ; lg(l/?) = -1,45; ? = 28,2 с-1.
В результате построения получили ЖЛАЧХ скорректированного привода в виде ломаной ABCDEF.
Запас устойчивости по фазе и амплитуде определим после построения фазовой характеристики arg W-1ж(j?р) по уравнению

Скорректированный привод обладает запасами m = -8 дБ, ? = 33,3°.
Назад | Содержание
| Вперед
Преобразующие каскады усилителей
8.4. ПРЕОБРАЗУЮЩИЕ КАСКАДЫ УСИЛИТЕЛЕЙПо характеру выходного сигнала преобразующие каскады разделяются на непрерывные и дискретные. К непрерывным относятся модуляторы и демодуляторы, преобразующие род тока сигналов. Дискретные устройства преобразуют входной непрерывный сигнал в импульсный с изменяющимся признаком: шириной, амплитудой, частотой.
Непрерывные преобразователи. Устройство, преобразующее сигнал постоянного тока в сигнал переменного тока, амплитуда и фаза которого определяются значением и полярностью входного сигнала, называется модулятором (M). Демодулятором (ДМ) называется устройство, преобразующее сигнал переменного тока в сигнал постоянного тока, сила и полярность которого определяются амплитудой и фазой сигнала переменного тока.
Преобразование сигналов осуществляется за счет применения специальных прерывателей, коммутирующих электрическую цепь нагрузки с частотой fк, равной частоте fоп опорного напряжения Uоп. Принцип модуляции и демодуляции легко понять из рассмотрения схем на рис. 85. В схеме M (рис. 85, а) ток i, образуемый от входного напряжения в цепи первичной обмотки трансформатора T, благодаря действию прерывателя S (1 — открыт, 0 — закрыт) носит импульсный характер. Во вторичной обмотке трансформатора индуцируется переменная ЭДС с частотой, определяемой частотой коммутации прерывателя и называемой несущей, в отличие от модулирующей частоты изменения входного сигнала. Для выделения первой гармонической составляющей несущей частоты обмотку трансформатора T шунтируют конденсатором C. Полученный таким образом колебательный контур настраивают на несущую частоту. Из рассмотрения графиков токов и напряжений видно, что при изменении полярности входного сигнала (см. U??1 и U??2) фаза выходного сигнала (UВЫХ1 и UВЫХ2 соответственно) изменяется на 180°.

Рис. 85 Схемы и графики, поясняющие принцип работы преобразователей
В схеме ДМ (рис. 85, б) прерыватель, замыкаясь с частотой, равной несущей частоте входного сигнала, будет пропускать либо положительные, либо отрицательные полуволны этого сигнала в зависимости от соотношения фаз входного сигнала и опорного напряжения (состояния ключа: замкнут — разомкнут).
При совпадении фаз напряжений с резистора нагрузки RН снимается положительное напряжение. При изменении фазы на 180° полярность выходного сигнала меняется на противоположную. Если соотношение фаз будет изменяться, то выходное напряжение будет уменьшаться. При сдвиге фаз 90 и 270° напряжение на выходе будет равно нулю, так как за время замыкания ключа пройдет «половина» положительной и «половина» отрицательной полуволн, а среднее за период напряжение будет равно нулю. Это свойство ДМ используется для защиты СП от сигнала помехи, вызванного квадратурной составляющей сельсинов и BT и смещенного по отношению к основному сигналу на 90°. Для сглаживания пульсации выпрямленного напряжения в схеме ДМ (рис. 85, б) параллельно резистору нагрузки RН включают конденсатор C.
Основными показателями M и ДМ являются коэффициенты передачи kмkдм входное и выходное сопротивления; дрейф нуля; коэффициент пульсации на выходе ДМ и содержание высших гармоник на выходе M; степень инерционности.
Ha практике M и ДМ классифицируют по следующим признакам:
по принципу работы — на однополупериодные и двухполупериодные; двухполупериодные преобразователи строят на базе двух идентичных прерывателей, включенных в общую схему,' они отличаются малым коэффициентом пульсации выпрямленного напряжения или малым содержанием высших гармоник в промодулированном сигнале;
по наличию процесса усиления преобразуемого сигнала по мощности — на активные и пассивные; активные ДМ называют фазочувствительными усилителями (ФЧУ), пассивные ДМ — фазочувствительными выпрямителями (ФЧВ);
по способу включения — на последовательные, параллельные и последовательно-параллельные;
по способу коммутации (типу прерывателя) — на контактные и бесконтактные.
Так как применение контактных преобразователей ограничено вследствие небольшой частоты переключений и наличия контактов, снижающих надежность системы и вызывающих появление частотных помех, остановимся на рассмотрении бесконтактных устройств.
Бесконтактные преобразователи. Для повышения надежности СП прерыватели выполняют на основе нелинейных элементов, способных изменять свое внутреннее сопротивление в определенных пределах с частотой опорного напряжения.
В качестве нелинейных элементов используют полупроводниковые диоды и триоды, интегральные прерыватели и ОУ.
Схемы преобразователей на диодах отличаются простотой реализации, но одновременно характеризуются небольшим коэффициентом передачи и значительным дрейфом нуля вследствие нестабильности характеристик диодов.
Более высокие показатели (линейность, большое входное сопротивление) имеют M и ДМ, построенные на транзисторах, работающих в ключевом режиме. В качестве прерывателя (ключа) служит эмиттерно-коллекторный переход, сопротивление которого меняется в зависимости от приложенного к одному из переходов коммутирующего (опорного) напряжения Uоп. Ключ находится в открытом состоянии, если опорное напряжение приложено минусом к базе, а плюсом к коллектору транзистора типа n-p-n. При этом транзистор обладает двусторонней проводимостью, а направление и сила тока в нагрузке определяются полярностью и амплитудой сигнала на входе схемы. Состояние ключа меняется на противоположное (закрыт) при смене полярности опорного напряжения.
Обычно используют схемы компенсирующих ключей, состоящих из двух транзисторов, включенных цепями эмиттер-коллектор последовательно-встречно (рис. 86). При отрицательных потенциалах на базах транзисторов VT1 и VT2 оба транзистора одновременно, открываются, пропуская входной сигнал на выход. Во второй полупериод опорного напряжения оба транзистора закрыты. Компенсированные ключи по отношению к нагрузке могут быть включены последовательно и параллельно. В схемах однополупериодных M (рис. 86, а) и ДМ (рис. 86, б) использовано последовательное включение ключей. Преимуществом транзисторных ключей является то, что они работают при любых значениях входного сигнала, даже больших опорного напряжения. Недостатком служит дрейф нуля за счет появления высокочастотных помех при замыкании и размыкании ключей.
Значительного снижения дрейфа нуля можно добиться применением интегральных микросхем, обладающих в силу своих технологических особенностей высокой стабильностью характеристик.
Ha рис. 86, в дана принципиальная схема интегрального прерывателя 101KT1A, представляющего собой две идентичные транзисторные структуры типа n-p-n, выполненные на одной подложке из кристалла кремния и имеющие общий коллектор. Условное графическое изображение и схема включения прерывателя представлены на рис. 86, г.

Рис. 86. Преобразователи на транзисторных ключах
Принцип работы двухполупериодного M на интегральных прерывателях DA1 и DA2, работающих в противофазе, можно рассмотреть на примере схемы, представленной на рис. 86, д. B первый полупериод опорного напряжения, создаваемого трансформатором Т1, работает ключ DA1. Ток от +U?? проходит через верхнюю первичную полуобмотку трансформатора VT2. Во второй полупериод ток протекает через замкнутый ключ DA2 через нижнюю полуобмотку трансформатора T2. В результате во вторичной обмотке выходного трансформатора индуцируется двухполупериодная ЭДС. Режим работы интегральных прерывателей близок к идеальному, что обеспечивает высокий уровень полезной мощности в нагрузке.
Поскольку в M и ДМ для улучшения качества выходного сигнала на выходе включают конденсаторы, образующие RC-, LC-контуры, то инерционность усилителя в целом возрастает, и в некоторых случаях возникает необходимость учета постоянных времени модулятора ТМ и демодулятора ТДМ.
Существенным недостатком рассмотренных выше схем преобразователей является необходимость применения (для получения двуполярного сигнала) входного либо выходного трансформатора, что увеличивает размеры усилителя. Наиболее перспективным с точки зрения уменьшения размеров, упрощения технологии сборки, унификации всего усилителя, а также повышения надежности является применение преобразователей на базе интегральных ОУ.

Рис. 87. Преобразователи на ОУ
Преобразователи на базе ОУ. Рассмотрим работу преобразователя на базе ОУ с управляемым ключом S в цепи неинвертирующего входа усилителя (рис. 87, а). Модуляция постоянного входного напряжения U?? происходит за счет периодического замыкания и размыкания ключа с частотой опорного напряжения.
B замкнутом состоянии ключ соединяет прямой вход DA с землей и схема работает как инвертор с коэффициентом передачи kП = —1 (U?Ы? = — U??) при условии, что R3 = R1. При разомкнутом ключе S сигнал поступает одновременно на оба входа ОУ. Вследствие большого входного сопротивления по неинвертирующему входу ток через резистор R2 не течет, поэтому потенциал на входе будет равен U??. 3a счет действия OC потенциал на инвертирующем входе также будет равен U??. Ток через резистор R1 не течет, и усилитель работает как повторитель напряжения с коэффициентом kП = +1, т. e. U?Ы? = U??.
Таким образом, на выходе преобразователя напряжение коммутируется от — U?? до + U??, что соответствует двухполупериодной модуляции.
Рассмотренный M по сравнению с преобразователями на транзисторных ключах и интегральных прерывателях имеет то преимущество, что обеспечивает развязку входной цепи ОУ с модулирующими ключами и имеет низкое выходное сопротивление. Недостатком схемы является нарушение баланса усилителя на время одного полупериода коммутации, так как при замкнутом и разомкнутом состояниях ключа S входное сопротивление ОУ различно.
Разбаланса избегают включением на прямом входе ОУ последовательно-параллельного коммутатора из двух ключей S1 и S2 (рис. 87, б), работающих в противофазе. Модуляция постоянного входного сигнала происходит за счет поочередного замыкания ключей S1, S2. Входное сопротивление усилителя при переходе от одного полупериода к другому не изменяется. И при условии идентичности ключей и равенстве сопротивлений резисторов R1, R2, R3 баланс усилителя не нарушается.
Рассмотренные преобразователи (см. рис. 87, а, б) универсальны и могут быть использованы в качестве ДМ.
Принципиальная схема ДМ с одним ключом на транзисторе изображена на рис. 87, в. Для формирования сигнала Uоп в цепь базы транзистора VT включены трансформатор T2, резисторы R2, R3 и диод VD, отсекающий отрицательную полуволну Uоп. В положительные полупериоды Uоп ключ замкнут, так как транзистор VT входит в режим насыщения.
Если переменное входное напряжение, поступающее на вход ОУ с трансформатора T1 через резистор R1, в первый полупериод совпадает по фазе с напряжением Uоп (ключ замкнут), то ОУ выполняет функцию выпрямителя с коэффициентом kП = —1. Bo второй полупериод меняется знак амплитуды входного сигнала, но и ОУ с разомкнутым ключом работает как повторитель с kП = +1. В результате на выходе ОУ получается двухполупериодный выпрямленный сигнал, полярность которого определяется фазой UBX. В качестве ключа можно применить более совершенный интегральный прерыватель (рис. 87, г). Работа схемы и назначение элементов аналогичны описанным к рис. 87, а.
Активные преобразователи. Общим недостатком устройств, построенных на диодных, транзисторных ключах и интегральных прерывателях, является пассивное преобразование сигналов, так как они коммутируют цепь маломощного источника входного сигнала без дополнительного усиления. Использованием ключей в сочетании с ОУ добиваются улучшения качественных показателей преобразователей. Такие устройства обеспечивают развязку цепей усилителя с ключами, не ослабляют сигнал, но и не усиливают его.
Активного преобразования сигнала добиваются применением транзисторов при таком включении, когда маломощный управляющий сигнал подводится к цепи эмиттер-база, а переход эмиттер-коллектор служит в качестве прерывателя в цепи мощного источника питания транзисторов. В двухполупериодном ФЧУ на транзисторах (рис. 88) выпрямление и усиление сигнала достигается совместной работой транзисторов VT1 и VT2 и четырех диодов VD1—VD4, образующих вместе с двумя вторичными обмотками трансформатора опорного напряжения T2 и резисторами нагрузки R1, R2 четыре смежных контура. Обмотки T2 включены так, что в каждый полупериод опорного напряжения открыты диоды противолежащих (диагональных) контуров: VD1, VD4 или VD2, VD3. За счет этого происходит поочередное подключение транзисторов VT1, VT2 к резисторам R1 и R2.

При одной полярности опорного напряжения Uоп в первый полупериод по резистору R1 протекает ток транзистора VT2, пропускаемый диодом VD4, а по резистору R2 — ток транзистора VT1, пропускаемый диодом VD1.
Во второй полупериод ток транзистора VT2 через диод VD2 потечет по резистору R2, а ток транзистора VT1 — по резистору R1 через диод VD3. При отсутствии сигнала рассогласования базы и эмиттеры обоих транзисторов оказываются закороченными. Небольшие, но равные по силе начальные коллекторные токи, протекая по резисторам R1 и R2 в противоположных направлениях, создают взаимно компенсирующие падения напряжений, и UВЫХ= 0.
При подаче входного сигнала, поступающего на базы VT1 и VT2 с трансформатора T1 в противофазе, сопротивления транзисторов изменяются, что приводит к нарушению условия компенсации в схеме и появлению выходного напряжения. Возрастающий ток открывающегося транзистора (например, VT1) будет создавать большее падение напряжения на одном из резисторов (например, R1). При этом большим окажется падение напряжения на этом резисторе и во втором полупериоде, так как со сменой фазы входного сигнала по R1 протекает увеличенный ток транзистора VT2. Благодаря включению в схему диодов обеспечивается защита коллекторных переходов транзисторов от обратных напряжений в нерабочие периоды. Питание транзисторов становится пульсирующим, что улучшает энергетические показатели каскада (повышается КПД и уменьшается мощность рассеяния транзисторов). Нагрузками рассмотренного устройства являются обмотки управления дифференциальных магнитных усилителей, ЭМП, ЭМУ, ЭПМ.
Дискретные преобразователи. Устройства, предназначенные для преобразования медленно изменяющихся непрерывных сигналов в последовательность прямоугольных импульсов с переменным параметром (частотой, амплитудой, длительностью), называются дискретными преобразователями. Наибольшее распространение получили широтно-импульсные модуляторы и фазосдвигающие устройства.

Рис. 90. ШИМ на транзисторах
Широтно-импульсные модуляторы (ШИМ) — преобразователи, формирующие импульсы переменной длительности (скважности), зависящей от входного сигнала. Под скважностью ? понимается отношение длительности периода повторения импульсов T к длительности импульса tи: ? = T/tи (рис. 89).
Преобразование сигналов осуществляется с помощью бесконтактного релейного устройства, сравнивающего непрерывный входной сигнал UBX c пилообразным опорным напряжением Uоп. В моменты равенства абсолютных значений этих напряжений (U? = 0) периодически срабатывает реле, и на его выходе появляются импульсы UВЫХ длительности tи, зависящей от уровня входного сигнала. Полярность опорного напряжения Uоп выбирают такой, чтобы при отсутствии управляющего сигнала оно не изменяло состояния реле и не приводило к самовозбуждению от незначительных помех.
В качестве релейных элементов могут быть применены компараторы, построенные на основе интегральных ОУ, пороговые элементы, триггеры с положительной ос в коллекторной и эмиттерной цепях. Примером релейного элемента может служить триггер Шмитта А, собранный на транзисторах VT1, VT2 и отличающийся от симметричного триггера отсутствием связи коллектора VT2 с базой VT1 (рис. 90, a). В исходном состоянии транзистор VT2 открыт за счет положительного смещения, созданного делителем R2, R3, Rсм, транзистор VT1 закрыт запирающим напряжением, создаваемым на резисторе R4 током насыщения транзистора VT2. C подачей входного сигнала U? положительной полярности состояние схемы лавинообразно меняется на противоположное: VT1 открывается, падение напряжения на резисторе R2 возрастает, а на резисторе R4 уменьшается, что приводит к уменьшению запирания транзистора VT1. Транзистор VT2 закрывается вследствие уменьшения напряжения смещения на резисторе Rсм. При снятии входного сигнала триггер возвращается в исходное состояние в результате действия эмиттерной положительной OC, реализованной с помощью резистора R4.
В зависимости от схемы ШИМ импульсы на выходе преобразователя могут быть однополярными или разнополярными. Однополярные импульсы формируются в виде последовательности импульсов разной скважности (рис. 90, б), полярность которых зависит от знака входного сигнала. При сигнале, равном нулю, импульсы на выходе отсутствуют. Разнополярные импульсы представляют собой последовательность импульсов чередующейся полярности (рис. 90, в).
B зависимости от знака рассогласования длительность t1 импульсов одной полярности преобладает над длительностью t2 импульсов другой полярности, а в сумме длительности этих импульсов составляют период повторения импульсов: t1 + t2 = T. При отсутствии входного сигнала с выхода ШИМ снимаются разнополярные импульсы одинаковой длительности.
ШИМ, формирующий однополярные импульсы (см. рис. 90, а), симметричен и состоит из двух триггеров Шмитта на транзисторах VT1—VT4 и двух источников пилообразного напряжения, собранных на RС - цепочках и вторичных обмотках трансформатора T. Схема включения диода VD1 (VD2) такова, что создаваемое на резисторе R1 (R5) токами перезаряда конденсатора C1 (C2) пилообразное напряжение будет прикладываться к базе VT1 (VT3) в полярности, при которой транзистор будет еще больше запираться. При отсутствии входного сигнала с выходов 1 и 2 ШИМ снимается постоянное напряжение. С приходом управляющего сигнала U?? начинает коммутироваться та половина схемы, на вход которой поступил положительный сигнал (на рис. 90, а — верхняя). Смена полярности входного сигнала приведет в действие нижнюю половину ШИМ, и на выходе 2 появятся импульсы переменной скважности.
Схема ШИМ, изображенная на рис. 91, построена по аналогичному принципу, но на ОУ. Опорное напряжение треугольной формы вырабатывается ГТИ, собранном на ОУ DA1 и DA2. Назначение элементов и работа ГТИ соответствуют описанию к рис. 84, б. В качестве релейного элемента применен одновходовый компаратор DA3, формирующий на выходе двуполярные импульсы со скважностью, зависящей от амплитуды управляющего сигнала. При соотношении UBX — Uоп < 0 на выходе ШИМ будет импульс положительной полярности, при смене знака разности на выходе формируется импульс отрицательной полярности.

Рис. 91. ШИМ на ОУ
Фазосдвигающие устройства (ФСУ) являются дискретными преобразователями, предназначенными для выработки управляющих тиристорами импульсов, фаза которых зависит от амплитуды сигнала управления.
ФСУ, связывающее выходной каскад на тиристорах с предварительным усилителем, является важнейшим элементом не только усилителя, но и всего привода, определяя надежность его работы, качественные показатели и размеры. В связи с этим к ФСУ предъявляют жесткие требования по амплитуде, ширине и крутизне фронта управляющего импульса, а также по быстродействию.
ФСУ могут быть построены на базе транзисторов, диодов, тиристоров, ОУ. Некоторые схемные решения ФСУ приведены на рис. 92.
Особенностью устройства, схема которого дана на рис. 92, а, является работа по принципу «вертикального» управления. Структурно подобного рода ФСУ состоит (рис. 92, б) из генератора пилообразного напряжения ГПН, дискретного элемента ДЭ, формирователя импульсов ФИ и генератора импульсов ГИ. Уровень напряжения управления UBX, поступающего с УПТ, меняется в зависимости от рассогласования. В дискретном элементе осуществляется сравнение UBX с пилообразным напряжением Un и преобразование непрерывного сигнала в дискретный. Импульс с ФИ вырабатывается в момент изменения знака разности указанных напряжений, а угол его сдвига ? определяется значением UBX. Генератор импульсов выдает управляющий импульс, длительность которого достаточна для нарастания тока тиристора до его удержания.
В схеме на рис. 92, а в качестве дискретного элемента ФСУ применен ШИМ, собранный на транзисторах VT1 и VT2 и работающий аналогично устройству, рассмотренному на рис. 90, а. В коллекторной цепи транзистора VT2 протекает ток, имеющий форму прямоугольных импульсов с длительностью, определяемой величиной управляющего напряжения UBX. Снимаемый с выхода ШИМ прямоугольный импульс поступает на формирователь импульса в виде цепочки C1, VD2 и дифференцируется. Образующийся по переднему фронту положительный короткий импульс отсекается диодом VD2, а по заднему фронту отрицательный импульс через диод VD3 подается на вход генератора импульсов, выполненного по схеме ждущего блокинг-генератора на транзисторе VT3, с трансформаторной обратной связью.
Транзистор VT3, нагруженный первичной обмоткой импульсного трансформатора T2, открывается с подачей на базу короткого отрицательного импульса. Протекающий по первичной обмотке w1 ток создает в обмотке w3 ЭДС, приложенную к базе транзистора VT3 и поддерживающую в ней ток после снятия короткого входного импульса. Для исключения ложных срабатываний от посторонних импульсов в цепи база—коллектор транзистора VT3 предусмотрен конденсатор C2, снижающий чувствительность блокинг-генератора к коротким импульсам. Диод VD4 служит для снятия противоЭДС, запасенной в обмотке wl трансформатора T2. Управляющий импульс снимается с вторичной обмотки w2 и поступает на управляющий электрод тиристора.

Рис. 92. Фазосдвигающие устройства
В схеме ФСУ, изображенного на рис. 92, в, исключено сравнение пилообразного опорного напряжения с управляющим [16]. Регулируемое по значению постоянное управляющее напряжение в данном устройстве является источником питания ГПН и непосредственно поступает на его вход. Основу ГПН составляет аналог двухбазового диода (АДД), выполненный на транзисторах VT2, VT3 разной проводимости. Конденсатор C служит для управления диодом путем накопления заряда. При отсутствии управляющего сигнала АДД закрыт за счет смещения, создаваемого делителем R2, R3. При поступлении отрицательного сигнала управления конденсатор начинает заряжаться через резистор R1. Отпирание АДД и разряд конденсатора через диод происходят в момент равенства напряжений в точках A и B. Ток разряда конденсатора проходит по первичной обмотке импульсного трансформатора T2 и формирует во вторичной обмотке управляющий импульс. Чем больше уровень напряжения управления, тем быстрее срабатывает АДД и появляется управляющий импульс.
Для синхронизации работы ФСУ с напряжением питания тиристора применен транзистор VTl, к базе которого приложено выпрямленное с помощью диодов VD2, VD3 опорное напряжение. Большую часть периода транзистор VT1 закрыт и не влияет на работу ГПН. В моменты перехода Uоп через нуль транзистор VT1 открывается и к нижней обмотке конденсатора C через резистор R1 и диод VD1 прикладывается положительное напряжение, и конденсатор разряжается.Этим достигается совпадение начала нового заряда конденсатора и начала нового полупериода напряжения питания тиристора.
Схема управления, изображенная на рис. 92, а, наиболее проста и содержит в качестве синхронизатора тиристор. Выходные импульсы формируются при разряде конденсатора C через первичную обмотку трансформатора T и тиристор VS в момент подачи управляющего импульса на этот тиристор.
Как недостаток данного ФСУ следует отметить высокий уровень напряжения на элементах схемы, а, как известно, максимальные значения напряжений, прикладываемых к тиристору, по техническим условиям не должны превышать половины их максимально допустимых значений.
Назад | Содержание
| Вперед
Приборные следящие приводы
10.2. ПРИБОРНЫЕ СЛЕДЯЩИЕ ПРИВОДЫПриборные СП относятся к маломощным приводам, работающим с малыми напряжениями и токами, и рассчитаны на небольшие нагрузки в виде указателей, шкал и т. п.
Название — приборные — они получили, так как их применяют в измерительных приборах, принцип работы которых основан на компенсационном методе измерения. Известно, что метод непосредственного измерения неэлектрических величин проще, чем другие, но не отличается особой точностью вследствие влияния внешних условий, например температуры. Компенсационный метод измерения точнее метода отклонения и основан на сравнении момента, пропорционального измеряемой величине, e эталонным моментом, создаваемым противодействующим элементом, например пружиной.
В высокопрецизионных приборах позиционные (противодействующие) и скоростные (демпфирующие) моменты создаются сигналами, сформированными OC приводов. Эти СП осуществляют автоматическое уравновешивание моментов или напряжений с помощью двигателей. Например, в приборе, схема которого дана на рис. 120, величина, пропорциональная разбалансу моста, через усилитель A подается на двигатель M, который с помощью редуктора q приводит систему к положению равновесия.

Рис. 120. Автокомпенсационная схема
С помощью такого прибора можно автоматически измерять сопротивления, индуктивности, емкости, а также осуществлять математические операции. Так как момент равновесия моста определяется соотношением R1R4 = R2R3 то, например, R3= R1R4/R2. Следовательно, с помощью такого прибора можно выполнять операции умножения, деления, а также вычислять различные функции. Это с успехом применяется в аналоговых ЭВМ или блоках решения централи летательных аппаратов.
Наконец, если вместо резистора R3 в схеме на рис. 120 поставить датчик, a с редуктором q связать стрелку указателя Н, то получим высокоточный прибор для измерения неэлектрической величины.
Два способа измерения барометрической высоты с применением местного СП (рис. 121, а) и дистанционного СП (рис. 121, б) иллюстрирует рис. 121.
Чувствительным элементом указателя высоты H в первой схеме является сильфон BP, реагирующий на изменение внешнего давления p относительно внутреннего p0. С помощью поводка, сектора и трубки q1 шток сильфона связан с ротором 1 индукционного датчика BC. Последний снабжен расположенными на статоре обмоткой возбуждения 2 и сигнальной обмоткой 3, состоящей из двух полуобмоток, включенных дифференциально. Ротор BC выставлен на земле в нейтральное положение, U? = 0.

Рис. 121. СП указателя высоты
Прогиб сильфона при изменении высоты полета вызывает поворот ротора BC относительно статора. Электрический сигнал рассогласования поступает на усилитель A и далее на двигатель М, нагруженный стрелочным индикатором высоты H. Двигатель через редуктор q2 поворачивает стрелку индикатора и одновременно статор датчика BC в сторону уменьшения рассогласования.
Принцип дистанционного измерения высоты применен в указателе, показанном на рис. 121, б. В качестве датчика и приемника служат индуктивные датчики B1 и B2, включенные по дифференциальной схеме. Сердечник датчика B1 жестко связан с сильфоном BP и повторяет его колебания при изменении давления p с высотой. Сердечник приемника B2 с помощью СП отслеживает положение сердечника B1, а вместе с ним перемещается и стрелка указателя H.
Рассмотренные указатели высоты устанавливают, например, на пассажирских самолетах: стрелочный индикатор размещают на приборной доске, и по перемещению стрелки указателя относительно градуированной шкалы летчик узнает высоту над землей. Точность работы дистанционного указателя выше, так как чувствительный элемент в этом приводе может располагаться не на приборной доске, испытывающей вибрацию, а в более спокойном месте, например в фюзеляже.
Приборные СП находят широкое применение:
в системах автокомпенсаторов, автоматических мостах и потенциометрах;
в интегрирующих приводах, навигационных приборах, вычисляющих путь, географические координаты; преобразователях координат;
в качестве корректирующих следящих приводов;
для индикации угловых положений летательных аппаратов и связи их с другим оборудованием; выработки и подачи в автопилот сигналов, пропорциональных отклонению самолета от заданных углов по каналам курса, крена, тангажа; в РЛС для создания круговой развертки на экране индикаторного блока и т. п.
В последнем случае широкое применение находят потенциометрические или индукционные СП с диапазоном работы в пределах 360°.
Рассмотрим особенности построения приборных СП. Сравнительно небольшая мощность управления двигателями позволяет строить усилители приборных СП на базе полупроводниковых элементов (транзисторов, микросхем). Усилитель должен иметь высокий коэффициент усиления (для обеспечения повышенной добротности) и хорошие динамические свойства. Желательно, чтобы усилитель был безынерционным или в крайнем случае инерционным звеном первого порядка по отношению к полезному сигналу. Это осложняется наличием в усилителе нескольких преобразующих каскадов, фильтров, а также требованием высоких избирательных свойств.

Рис. 122. Структурные схемы приборного СП
В качестве измерителей рассогласования могут служить как элементы на переменном токе (индукционные датчики), так и элементы на постоянном токе (потенциометры). Кроме того, на вход усилителя может поступать управляющий сигнал с аналоговой ЭВМ, постоянный по физической природе. ЭВМ обладает большим выходным сопротивлением, поэтому для согласования нагрузок применяют устройства, имеющие большое входное сопротивление (повторители напряжения).
Ha вход усилителя, как правило, наряду с полезным сигналом поступает паразитное напряжение. В случае индукционных измерителей это напряжение складывается из квадратурной составляющей первой гармоники и высших гармоник и сдвинуто относительно полезного сигнала на 90°. В случае потенциометрических датчиков это напряжение шумов, вызываемое переходом щетки с витка на виток. Паразитное напряжение приводит к насыщению усилителя, увеличению нагрева двигателя и к дополнительной погрешности СП.
Во избежание этого на входе усилителя следует применять фазовый дискриминатор, отфильтровывающий напряжения, сдвинутые на 90°.
В качестве исполнительных устройств в приборных СП применяют асинхронные двигатели переменного тока (ДИД, АДП, ДГ) и двигатели постоянного тока малой мощности (ДПР, ПЯ, МИГ).
СП переменного тока. Большое распространение получили СП переменного тока с асинхронными двигателями, так как они надежны в работе и экономичны, имеют меньшие массу и размеры, чем двигатели постоянного тока.
Простота управления и согласования с усилителями переменного тока делают асинхронные двигатели незаменимыми в быстродействующих приборных СП. Применение асинхронных двигателей обусловливает необходимость, чтобы управляющий сигнал был переменным и совпадал по частоте и фазе с напряжением сети. При использовании индукционных датчиков в самой измерительной схеме происходит преобразование измеряемого параметра в огибающую напряжения несущей частоты (модуляция). При этом структура привода проста и соответствует схеме на рис. 122, a. В случае ИР постоянного тока в усилителе всегда применяется модулятор, преобразующий постоянное напряжение в огибающую напряжения несущей частоты.

Рис, 123. Принципиальная схема СП указателя высоты
Структура приборного СП в большой степени определяется жесткостью требований к точности привода. В приводе повышенной точности для обеспечения устойчивости на вход усилителя кроме сигнала рассогласования необходимо подать его производную, для чего вводят сигналы, пропорциональные угловой скорости входного и выходного валов G датчиков скоростей BRl, BR2 (рис. 122, б).
В приводах менее ответственных устройств коррекция может быть осуществлена дешевыми и простыми последовательными RC-контурами, хорошо вписывающимися в тракт усиления, но требующими включения демодулятора UR и модулятора UB (рис. 122, в). Наиболее простыми, стабильными и дешевыми приборные СП получаются в случае, если все усиление, преобразование и коррекция сигналов осуществляются на переменном токе.
Принцип работы подобного привода рассмотрим на примере СП указателя барометрической высоты (рис. 123), функциональная схема которого была приведена на рис. 121, a. В качестве измерителя рассогласования применен индукционный датчик B, ротор которого механически связан с мембранной коробкой и перемещается относительно обмоток статора на угол ? при изменении высоты H.
Сигнал рассогласования, формируемый дифференциальной вторичной обмоткой статора, через разделительный конденсатор C1 и резистор R1 поступает на трехкаскадный усилитель. Первые два каскада, выполненные на ОУ DA1 и DA2, образуют предварительный усилитель напряжения. Усилитель DA1 с резистором R4 в цепи ОС служит для суммирования сигнала рассогласования с сигналом корректирующей ОС, поступающим через резистор R2 на тот же вход усилителя. Между входами DA1 для защиты усилителя от перегрузок при больших входных сигналах включены стабилизаторы VD1 и VD2. Выходной сигнал через фильтр C3R5 поступает на вход второго ОУ DA2, выполняющего роль усилителя напряжения с коэффициентом усиления kп = R7/R6.
Для выравнивания режимов работы внутренней схемы микросхем ОУ через резисторы R3 и R8 подсоединены к корпусу. В качестве ОУ применены микросхемы К153УД2. Конденсаторы C2 и C4 выполняют функцию частотой коррекции. Для регулирования коэффициента усиления усилителя служит переменный резистор R7. Резистор R9 определяет коэффициент передачи усилителя напряжения.
Выходной сигнал усилителя напряжения поступает на усилитель мощности, собранный по двухтактной схеме на транзисторах VT3 и VT4 и комплементарном фазоинверсном каскаде, состоящем из транзисторов VT1 и VT2. Нагрузкой усилителя является обмотка управления двигателя ДГ-0.5ТА, включенная между выходом усилителя и шиной нулевого потенциала. Сигнал усиливается попеременно транзисторами верхнего и нижнего плеч усилителя. Однако это изменение напряжения должно происходить относительно постоянного уровня.
Действительно, при UУ = 0 транзисторы VT3, VT4 находятся в одинаковом состоянии — открыты.
При условии R10 = R11 и R12 = R13 ток покоя транзистора VT3 протекающий через обмотку управления двигателя от «+UП» к средней точке, будет компенсироваться током покоя транзистора VT4, протекающим в обратном направлении через обмотку от средней точки к «—UП». При положительном входном сигнале коллекторный ток транзистора VT1 уменьшится, а транзистора VT3 возрастет в нижнем плече, наоборот, ток транзистора VT2 увеличится, а ток транзистора VT4 уменьшится. В результате по обмотке управления протекает разностный ток IК3 - IК4, фаза которого определяется фазой входного сигнала.
Конденсаторы C5, C6 являются фильтрами цепей питания.
При работе выходных транзисторов на индуктивную нагрузку (обмотку управления) появляется отрицательный импульс напряжения, который в момент открывания выходного транзистора создает на переходе база — эмиттер напряжение, превышающее допустимое. Для ограничения обратного напряжения в цепь коллектор — эмиттер каждого выходного транзистора включается ограничитель на диодах VD3, VD4.
Ток в обмотке управления двигателя создает переменный магнитный поток, от воздействия которого с потоком возбуждения появляется момент вращения. Двигатель через редуктор поворачивает статор датчика B на угол ? вслед за ротором, уменьшая сигнал рассогласования, и одновременно стрелку указателя высоты Н, расположенного на пульте управления пилота.
Целесообразно использование в этом приводе в качестве корректирующего сигнала о тахогенератора BR, встроенного в одном корпусе с двигателем и не требующего дополнительных конструктивных усложнений.
Рассмотренный приборный привод может быть использован не только как указатель высоты, но и в качестве измерителя рассогласования в канале управления высотой полета летательного аппарата. С этой целью (см. рис. 121, a) с выходным редуктором q через электромагнитную муфту YC связывают движок потенциометра RP. Муфта включается от кнопки, установленной на пульте управления, с указанием такой высоты, которую необходимо выдержать.
Движок потенциометра до включения кнопки удерживается центрирующими пружинами в нейтральном положении. После включения кнопки всякое отклонение от заданной на пульте барометрической высоты H преобразуется в отклонение движка потенциометра, и электрический сигнал, пропорциональный этому отклонению, т. e. Н, поступает в канал руля высоты автопилота.
Достоинство рассмотренного СП заключается в сравнительной простоте при проектировании и изготовлении. Кроме того, меньшее число составляющих элементов обеспечивает максимальную надежность привода. Однако включение КУ переменного тока накладывает жесткие требования к фазировке напряжений по всей схеме. Выходная мощность такого СП не превышает десятка ватт.
Для обеспечения большей мощности (до 100 и более ватт) и больших выходных токов усилитель мощности строят по схеме эмиттерного повторителя с использованием составных транзисторов разной проводимости.
Приборные СП постоянного тока. В качестве ИУ такие СП содержат двигатели постоянного тока серий ДПР с возбуждением от постоянного магнита, МИГ, MPM и ПЯ, отличающиеся высоким быстродействием. Вследствие наличия коллектора двигатели постоянного тока уступают асинхронным, но их электромеханические характеристики (КПД, развиваемый на единицу массы момент), а также пусковые качества значительно выше соответствующих показателей двигателей переменного тока. Так как у асинхронных двухфазных двигателей при неправильном согласовании сопротивлений источника и ротора может возникнуть явление «самохода» (непрерывный разгон ротора при UУ = 0), применение двигателей постоянного тока в некоторых СП является единственно возможным вариантом. Кроме того, использование двигателей с печатным якорем, обладающих высоким быстродействием, — это одно из средств повышения быстродействия.
В СП повышенной точности, в которых использование силовых редукторов вследствие наличия в них зазоров и кинематических погрешностей недопустимо, целесообразно применять тихоходные безредукторные двигатели постоянного тока с независимым возбуждением.
Такие электродвигатели соединяют непосредственно с OP. Однако эти двигатели не позволяют получить достаточных моментов при приемлемых размерах и мощностях управления.
Развитие полупроводниковой техники, появление мощных транзисторов позволяет создать СП постоянного тока e высоким КПД и высокими динамическими свойствами. В качестве усилителей, как правило, применяют операционные усилители e выходным каскадом на транзисторах. Выходные каскады выполняют по мостовой схеме при непосредственном включении якоря электродвигателя либо по дифференциальной схеме при управлении по обмотке возбуждения. Следует помнить, что управление по цепи якоря помимо большого быстродействия обеспечивает более плавное изменение частоты вращения двигателя и больший диапазон изменения скорости.
В качестве измерителей рассогласования могут служить как индукционные элементы, так и потенциометры. Кроме того, сигнал постоянного тока может поступать с аналоговой ЭВМ или вычислителя. При наличии управляющего сигнала постоянного тока предварительный усилитель строится по схеме M — ДМ.
Тип КУ, вводимого в СП, зависит от жесткости требований к точности. Однако, как правило, в таких приводах используют последовательные КУ на пассивных контурах.
Приборные СП постоянного тока применяют в качестве элементов аналоговых ЭВМ, спецвычислителей, в качестве интегрирующих приводов, в приборах и устройствах автоматического контроля и измерения, в задающих и компенсирующих устройствах.
В качестве примера рассмотрим схему интегрирующего привода (рис. 124), предназначенного для коррекции погрешности мощного СП сигналом, пропорциональным интегралу от входного воздействия. Структурно привод соответствует схеме скоростного СП, представленной на рис. 9. В качестве исполнительного применен двигатель ДПР-32 мощностью 1,8 Вт. Для получения интегрирующего эффекта главная ОС по скорости сформирована с помощью тахогенератора BR постоянного тока типа ТГП-1, соединенного с валом двигателя M с помощью фрикционной муфты Y.

Рис. 124. Принципиальная схема интегрирующего привода
Сигнал с тахогенератора поступает на вход усилителя, где сравнивается с сигналом UBХ c задающего устройства и выявляется погрешность рассогласования: U? = UBХ — UТГ. Если допустить, что привод идеальный и U? = 0, то UТГ = UBХ или kТг p? = UBХ .
Откуда

т. e. угол поворота выходного вала привода пропорционален интегралу по времени от напряжения UBХ.
Следует заметить, что в реальных приводах процесс интегрирования сопровождается погрешностью, определяемой статическими погрешностями всех составляющих элементов и в первую очередь погрешностью тахогенератора.
Выходной величиной интегрирующего СП является напряжение UBЫХ, снимаемое с вращающегося трансформатора TE типа ВТ-ЗА, связанного e валом двигателя посредством редуктора q e передаточным числом i = 7500.
В качестве предварительного усилителя напряжения служит усилитель постоянного тока e двойным преобразованием сигнала, удовлетворяющий высоким требованиям к дрейфу нуля. Первый каскад усилителя, собранный на ОУ DA1, используется как сумматор сигнала UBХ, подаваемого на вход через резистор R1, и сигнала UТГ поступающего через резистор R2. Входной сигнал и сигнал ОС подаются на инвертирующий вход DA1, соответственно неинвертирующий вход через резистор R3 соединяется с общей шиной. Отношения сопротивлений резисторов R4, R1 и R4, R2 должны быть равны 1, так как каскад выступает в роли повторителя напряжения.
Для обеспечения запасов устойчивости привода в схеме усилителя применен активный корректирующий контур, собранный на усилителе DA2 и элементах C1, C2, R5, R7 и реализующий передаточную функцию

Модуляция скорректированного постоянного сигнала осуществляется поочередным замыканием и размыканием ключа, собранного на транзисторе VT1 и элементах, формирующих опорное напряжение: трансформаторе T1, диоде VD1 и резисторах R11, R12. Входной сигнал через резисторы R8, R9 попадает на инвертирующий вход, а через резисторы R8, R10 — на неинвертирующий вход усилителя DA3. В замкнутом состоянии ключ шунтирует прямой вход DA3 на землю, и сигнал, проходя через усилитель, инвертируется в один из полупериодов; в другой полупериод, когда ключ разомкнут, сигнал не инвертируется, что соответствует двухполупериодной модуляции.
Для получения коэффициента передачи схемы kп = 1 необходимо, чтобы сопротивления резисторов входной цепи и цепи OC были равны, т. e. R13 = R9 = R10.
Сигнал с выхода модулятора через разделительный конденсатор C3 поступает на каскад усилителя напряжения, собранный на микросхеме DА4, резисторах R14—R16. Коэффициент передачи каскада определяется отношением сопротивлений резисторов R16 и R14. Усиленный сигнал поступает на вход демодулятора, собранного на усилителе DA5, резисторах R17—R20 и транзисторном ключе.
Работа ДМ аналогична работе рассмотренного ранее М, но ДМ имеет вход по переменной составляющей. Ключ ДМ собран на транзисторе VT2, диоде VD2, резисторах R21, R22 и трансформаторе T1 опорного напряжения. Если управляющий сигнал совпадает по фазе с опорным, демодулятор выполняет функцию двухполупериодного выпрямителя e коэффициентом передачи kп = - 1, если в противофазе — то с коэффициентом kп = +1.
Для преобразования выпрямленного сигнала в двуполярный использованы усилители DA6, DA7 с коэффициентами передачи, определяемыми отношениями R24/R23 и R27/R26. Резисторы R3, R6, R15, R25 обеспечивают режим работы усилителей по току. В качестве операционных усилителей можно применить микросхему 140УД1Б, для которой требуется небольшое число элементов коррекции.
С выхода усилителя напряжения двуполярный сигнал через резисторы R28, R29 подается на вход усилителя мощности, выполненного в виде четырехплечевого моста на транзисторах VT3—VT10 и резисторах R30—R39. Каждое плечо образовано параллельным включением силового и дополнительного транзистора по схеме с общим эмиттером для увеличения максимального тока нагрузки. Чтобы исключить перегрев одного из транзисторов, в цепь эмиттера каждого из транзисторов включены резисторы OC: R32—R37. В качестве эмиттерных нагрузок транзисторов VT6, VT8 включены диоды VD3, VD4. Источник питания подключен в одну диагональ, а нагрузка в виде якорной обмотки двигателя M — в другую диагональ моста. В остальном работа выходного каскада аналогична работе выходного каскада, показанного на рис. 97.
При отсутствии управляющего сигнала ток в мосте отсутствует, и двигатель M обесточен. С приходом управляющего сигнала отпирается пара диагонально противоположных плеч, и по якорю двигателя начнет протекать ток определенного напряжения. Двигатель вращает тахогенератор BR1 с выходной обмотки которого снимается напряжение, пропорциональное частоте вращения вала двигателя. Напряжение OC через делитель R40, R41 поступает на вход усилителя СП.
Для коррекции привода применен RC-контур, включенный в тракт усиления сигнала (R5, C1, C2, R7), но возможно также применение магнитоиндукционного или масляного демпфера, конструктивно закрепляемого на одном валу с двигателем.
Рассмотренный привод обеспечивает высокое быстродействие и высокую точность интегрирования как медленно меняющихся входных сигналов, так и сигналов, изменяющихся по гармоническому закону.
В заключение следует отметить, что приборные СП как постоянного, так и переменного тока отличаются малыми размерами и массами, высоким КПД и достаточно высокими динамическими свойствами. В приборных приводах существует возможность применения компактных типовых редукторов, повышающих надежность, технологичность приводов и одновременно снижающих себестоимость изготовления СП. В перспективе возможно изготовление стандартного ряда приборных СП, различающихся по мощности.
Назад | Содержание
| Вперед
Технические данные двигателей типа ДИД
ПРИЛОЖЕНИЕ?1. Технические данные двигателей типа ДИД
?2. Технические данные двигателей типа АДП
П3. Технические данные двигателей типа ДГ
?4. Технические данные двигателей типа МИ
П5. Технические параметры аксиально-поршневых насосов типа ПД и гидромоторов типа ПМ
?6. Технические данные электромашинных усилителей
?7. Технические данные сельсинов
?8. Технические данные вращающихся трансформаторов
?9.h - функций единичных трапеций
?10. Технические данные двигателей типа П
?.11. Технические данные двигателей серии ДПМ
?.12. Технические данные двигателей серии ДИ
Назад | Содержание
| Вперед
Примеры следящих приводов
1.4. ПРИМЕРЫ СЛЕДЯЩИХ ПРИВОДОВСовременные технические комплексы характеризуются наличием ряда СП, различных по назначению, но образующих единую функциональную систему управления объектом. В качестве примера рассмотрим РЛС сопровождения цели, систему автоматического управления ЛА и схему управления промышленным роботом.
РЛС сопровождения цели. Задача, решаемая РЛС, сводится к обеспечению вращения зеркала антенны 3 (рис. 11, а) в плоскостях перемещения цели. Конструктивно антенна имеет две оси вращения и снабжена двумя СП, обеспечивающими вращение по азимуту (ось 2) и перемещение по углу места (ось 1). Для автоматического сопровождения цели антенна осуществляет направленную передачу импульсов и прием импульсов, отраженных от цели. При отклонении цели от электрической оси 4 антенны на угол ? в приемное устройство A1 поступают импульсы, модулированные по амплитуде. Глубина модуляции определяется отклонением цели от оси антенны, а фаза зависит от направления отклонения. В приемном устройстве выделяется огибающая отраженных импульсов и формируются два напряжения рассогласования U?a и U?.у.м, пропорциональных отклонению цели от равносигнальной зоны по азимуту и углу места. Эти напряжения после предварительного усиления подаются на управляющие обмотки электромашинного усилителя G, возбуждающие двигатель M в соответствующем канале. Двигатели через редукторы q поворачивают зеркало антенны одновременно по азимуту и углу места до тех пор, пока электрическая ось антенны не совместится с направлением на цель и напряжения сигнала ошибки и электромашинного усилителя не станут равными нулю,
Особенности данных приводов заключаются в том, что их замыкание происходит через пространство и цель, реальные задающая и исполнительная оси отсутствуют, а ошибка рассогласования определяется в виде разности углового положения электрической оси антенны и направления на цель, поэтому напряжение рассогласования вырабатывается не обычными датчиками угла, а с помощью радиолокационных устройств,
Ручное управление антенной осуществляется с помощью дополнительного СП, включенного в канал вращения антенны по азимуту. Для этой цели используются два сельсина: BC, соединенный с ручкой управления на пульте оператора, и BE, ротор которого вращается по азимуту вместе с осью колонки антенны. Если за дающий и принимающий валы и связанные с ними сельсины находятся в согласованном положении, то напряжение на вторичной обмотке сельсина BE равно нулю. Двигатель азимутального канала обесточен, и, следовательно, привод находится в состоянии покоя. При отклонении любого из валов от положения согласования выходное напряжение сельсина BE через усилитель A2 обеспечивает включение азимутального двигателя M и вращение антенны по азимуту.

Рис. 11. РЛС сопровождения цели
Для зрительного определения координат цели служат отсчетные устройства в виде подвижных шкал Шy.м, Ша и неподвижных указателей, закрепленных непосредственно или через передаточные механизмы на соответствующих осях вращения антенны.
РЛС, устанавливаемые на самолетах или кораблях, снабжаются дополнительной системой стабилизации основания антенны для исключения влияния углового перемещения подвижного объекта, искажающего радиолокационное изображение. Для стабилизации положения основания антенны его закрепляют в двойном карданном подвесе (рис, 11, б), оси которого управляются с помощью двух СП.
Рассмотрим устройство и принцип работы РЛС, например, относительно оси X. При отклонении корпуса объекта на угол ? от горизонтального положения появляется сигнал с датчика BCx, статор которого закреплен в корпусе объекта, а ротор связан с неподвижной в пространстве осью стабилизирующего гироприбора ГП. Этот сигнал сравнивается с сигналом датчика BEx, расположенного на указанной оси стабилизатора и совершающего движение вместе с подвижным объектом. Разностный сигнал через усилитель Ax подается на приводной двигатель Mx, который, отрабатывая сигнал, сообщит оси X угловое перемещение, противоположное угловому перемещению объекта, осуществляя стабилизацию положения электрической оси антенны относительно оси X.
С помощью второго СП обеспечивается стабилизация относительно оси Y, в результате чего основание антенны остается неподвижным в плоскости горизонта.
Система автоматического управления полетом ЛА. Функциональная схема системы управления полетом ЛА по курсу дана на рис. 12, а. Структурно (рис. 12, б) система состоит из двух контуров: внутреннего — рулевого привода РП, обеспечивающего стабилизацию режима полета при неизменном курсе (?3 = const), и внешнего — автопилота АП, предназначенного для управления полетом (изменения курса).
Управляемым объектом СП внешнего контура является ЛА, выходной координатой — угол рыскания ?. Для измерения углового положения ЛА применяется гироприбор ГП, ось которого заранее выставлена вдоль продольной оси самолета. Сохраняя неизменным свое положение в течение всего полета, ось ГП служит указателем курса. В режиме стабилизации при отклонении ЛА от заданного курса с потенциометра B2, закрепленного в корпусе ЛА и перемещающегося с ним относительно движка, связанного с осью ГП, снимается сигнал U?. Этот сигнал поступает на рулевой привод РП, отклоняющий руль направления ЛА. При отклонении руля возникает аэродинамический момент относительно оси OZ, разворачивающий самолет по курсу до тех пор, пока сигнал с B2 не станет равным нулю. Разворот ЛА по курсу (управление) осуществляется путем соответствующей установки задающего потенциометра B1, расположенного в кабине летчика и электрически связанного с потенциометром B2 гироприбора. В режиме управления и при наличии ошибки рассогласования UBX обеспечивается включение рулевого привода, отклонение руля и разворот ЛА на заданный угол.
Внутренний контур является исполнительным устройством системы управления (внешнего контура) и одновременно самостоятельным СП. Управляемым объектом этого СП является руль направления, выходной координатой — положение руля ??. Для определения положения руля в OC служит потенциометр B3, сигнал UОС с которого сравнивается с управляющим сигналом U??. Разностный сигнал U? усиливается в усилителе A и подается на рулевую машину PM, отклоняющую руль самолета до исчезновения ошибки рассогласования.
В качестве PM могут быть использованы электрические, пневматические, но наибольшее применение получили электрогидравлические рулевые машины (рис. 12, б), включающие электрогидравлический усилитель ЭГУ, гидродвигатель ГД и потенциометр обратной связи B3.


Рис. 12. Схемы системы управления ЛА
СП промышленного робота. Современный этап автоматизации производственных процессов характеризуется внедрением промышленных роботов и манипуляторов, предназначенных для выполнения двигательных функций, аналогичных функциям руки человека при перемещении объектов в пространстве, и оснащенных рабочим органом. Манипуляторы находят широкое применение в машиностроении (для обслуживания станков с ЧПУ, конвейеров), в металлургии (для обслуживания печей, прессов), в атомной промышленности, а также для исследования водных глубин.
Робот, изображенный на рис. 13, а, состоит из захватного устройства 1 и звеньев 3—5, снабженных индивидуальными СП. Каждый привод обеспечивает движение звена в одной плоскости. В результате робот имеет пять степеней подвижности. Привод, расположенный в корпусе 7, осуществляет поворот руки робота вокруг вертикальной оси. Другой привод в этом же корпусе путем выдвижения штока 8 обеспечивает подъем руки в вертикальной плоскости. Привод, расположенный в звене 5, позволяет изменять ход руки за счет перемещения штока 4; другой привод, расположенный там же, посредством штока 3 закрывает и открывает захватное устройство. И, наконец, привод звена 2 осуществляет вращение захватного устройства вокруг собственной оси.
СП робота могут быть электрогидравлическими или пневматическими, но по структуре все они идентичны. Поэтому ниже рассмотрим устройство и принцип работы одного из них, предназначенного для вращения захватного устройства. Функциональная схема его приведена на рис. 13, б.
B рассматриваемом приводе можно выделить три конструктивных блока: силовой блок БС, блок управления БУ и блок задатчика БЗ. Силовой блок составляют гидравлический исполнительный механизм (гидроцилиндр Ц, распределитель P, электромеханический преобразователь Y), редуктор q и вращающийся трансформатор TE.
Блок управления, включающий преобразователь U цифрового сигнала в напряжение, элемент сравнения AW и усилитель A, служит для согласования силовых элементов привода с блоком задатчика.

Рис. 13. Робот
При числовом программном управлении роботом задание программы осуществляется в виде чисел, записанных на магнитной ленте. Ha одну дорожку ленты наносится опорный синусоидальный сигнал U0. Ha другие дорожки записываются рабочие сигналы, определяющие перемещение звеньев манипулятора в продольном, поперечном, вертикальном направлениях, вращение и зажим захватного устройства.
Манипулятор работает следующим образом. При нажатии на пульте управления 6 (см. рис. 13, а) кнопки «Пуск» двигатель M приводит в движение лентопротяжный механизм. Магнитная головка МГ начинает воспроизводить записанные сигналы: опорного U0 и рабочего U3? напряжений. Напряжение U0 поступает на вращающийся трансформатор TE, механически соединенный со штоком гидроцилиндра Ц и реализующий OC по углу поворота. Рабочее напряжение U3? с помощью преобразователя U преобразуется в аналоговый сигнал, который подается на элемент AW, где сравнивается с сигналом OC, поступившим с TE.
Полученная разность через усилитель A подается на электромеханический преобразователь Y поступательного действия и далее на распределитель P, который управляет гидроцилиндром Ц. Рабочая жидкость в зависимости от управляющего сигнала поступает в левую или правую полость гидроцилиндра, создавая перепад давления, под действием которого происходит перемещение штока поршня гидроцилиндра. С помощью редуктора это перемещение преобразуется в поворот захватного устройства манипулятора. Угол поворота определяется значением ошибки рассогласования, а направление — фазой сигнала. Применение роботов обеспечивает безопасность труда рабочих, позволяет повысить производительность труда и качество технологических процессов.
Назад | Содержание
| Вперед
Расчет статических характеристик
16.2. РАСЧЕТ СТАТИЧЕСКИХ ХАРАКТЕРИСТИКОбоснование выбора функциональной схемы и элементов следящих приводов. Выбор функциональной схемы и элементов привода начинается с анализа требований к предельным значениям угла поворота ?, скорости ?? и ускорения ?? исполнительного вала, а также точности СП.
Точность отработки СП в общем виде зависит от управляющего ?(t) и возмущающего M(t) воздействий:
? = ?? + ??, (321)
где ?? — погрешность, обусловленная управляющим воздействием (законом движения управляющего вала); ?? — моментная составляющая погрешности, обусловленная возмущающим воздействием. B установившемся режиме погрешность ?? = ?? (t) при t = ? имеет конечное значение, и ее можно представить в виде составляющих, пропорциональных углу поворота управляющего вала ? и его производным ?0 и ? 0:

где C0, C1, C2 — коэффициенты погрешности соответственно позиционный, скоростной и от ускорения.
Коэффициенты погрешности зависят от параметров и структуры СП. Статические приводы, не содержащие интегрирующих звеньев, имеют позиционную ?п = C0? (статическую) погрешность, возникающую при развороте управляющего вала на фиксированный угол.
Для астатических приводов, содержащих интегрирующие звенья, характерно отсутствие позиционной погрешности и уменьшение погрешности с повышением порядка астатизма ?. У приводов астатических первого порядка (? = 1) коэффициент погрешности C0 = 0, и при постоянной скорости управляющего вала ?0 = const они характеризуются скоростной (динамической) составляющей погрешности

Для приводов с астатизмом второго порядка (? = 2) C0 = C1 = 0, и динамическая погрешность по ускорению при постоянном ускорении ?0 = const

Сравнивая выражение скоростной погрешности (300) с полученными ранее (253) и (256), можно написать

Из (302) следует, что скоростной коэффициент зависит от значения добротности по скорости или коэффициента усиления разомкнутого привода по скорости. Аналогично другие коэффициенты погрешности можно выразить через добротность:

Установившаяся погрешность СП (299) в этом случае будет иметь вид

Моментная составляющая погрешности ?м зависит от закона изменения возмущающего момента M(t). B установившемся режиме при постоянном моменте нагрузки M(t) = MН эта погрешность определяется выражением (255):

Рассмотренные погрешности, обусловленные управляющим и возмущающим воздействиями на СП, в сумме составляют установившуюся погрешность привода ?у = ?? + ?м и в требованиях задаются как допустимая погрешность ?доп.
Из рассмотренного следует, что в СП, содержащем интегрирующие звенья, разность между заданным и действительным положением выходного вала, характеризуемая позиционной погрешностью по положению, при неизменном входном сигнале теоретически равна нулю. В действительности для любого типа СП существует погрешность, обусловленная погрешностью изготовления отдельных элементов и называемая статической погрешностью. Статическая погрешность, являясь постоянной для любого режима работы СП, имеет следующие составляющие:

где ?Т — погрешность, обусловленная моментом трения МТ; ?и — инструментальная погрешность ИР, определяемая классом точности; ?ш — погрешность изготовления шкал; ?др— погрешность СП, вызванная дрейфом нуля усилителя; ?З — погрешность СП, обусловленная зазорами передач. Если значение статической погрешности не оговорено в T3, то на основании (298) ее можно выбрать равной ?доп/2 или несколько ниже допустимой погрешности привода.
C учетом статической погрешности (306) результирующую погрешность привода можно представить в виде суммы составляющих:

Знать составляющие погрешности СП необходимо для выбора элементов привода, поскольку одни элементы определяются значением статической погрешности (ИР, редуктор), другие — требованием обеспечения динамической точности.
Как правило, СП выполняют замкнутого типа, так как разомкнутые приводы вследствие нестабильности параметров элементов обеспечивают невысокую точность отработки управляющего сигнала.
Структурная схема СП содержит характерные для большинства приводов элементы: измеритель рассогласования (элемент сравнения и преобразователь), усилитель, силовую часть СЧ.
Выбор силовой части на стадии энергетического расчета позволяет в достаточной мере конкретизировать функциональную схему СП. Практически любые заданные требования можно реализовать с помощью следующих пяти схем:
приборного СП мощностью до 100 Вт постоянного или переменного тока;
электромашинного СП мощностью от сотен ватт до сотен киловатт;
тиристорного СП мощностью до 100 кВт;
дроссельного ЭГСП мощностью не более 2 ... 3 кВт;
объемного ЭГСП мощностью 1 ... 100 кВт.
По мере расчета динамических характеристик привода структурная схема, как правило, усложняется, но на данном этапе она позволяет перейти к выбору элементов, составляющих неизменяемую часть СП. Методика выбора стандартных и расчета нестандартных элементов приведена в соответствующих главах учебника.
Построение структурной схемы неизменяемой части СП. Следующим этапом расчета статических характеристик является представление СП в виде структурной схемы, состоящей из типовых динамических звеньев. Это вызвано тем, что устойчивость и качество регулирования приводов исследуют частотными методами с использованием передаточных функций. С другой стороны, с помощью этой схемы уточняется структура неизменяемой части привода и определяется место включения элементов, улучшающих качество динамических процессов и образующих изменяемую часть СП.
Структурную схему неизменяемой части СП можно получить двумя способами.
Первый способ основан на составлении дифференциальных уравнений движения отдельных звеньев СП в направлении прохождения сигнала. При составлении уравнений исходят из предположения линейности характеристик элементов во всей рабочей зоне. Уравнения записывают в операторной форме и так, чтобы слева была выходная координата со всеми производными, а справа — входная координата. Далее уравнения преобразовывают, оставляя слева только выходную координату. В соответствии с уравнениями каждую входную величину изображают на структурной схеме в виде стрелки, поступающей на прямоугольник с передаточной функцией, равной сомножителю при входной координате.
Полученную структурную схему максимально упрощают, избавляясь от перекрестных связей и внутренних контуров. Структурная схема двигателя постоянного тока, представленная на рис. 28, а, была построена первым способом по исходным дифференциальным уравнениям (34)—(36).
Второй способ построения структурной схемы заключается в замене каждого функционального элемента привода известным выражением передаточной функции. Этот способ в силу своей простоты находит большее применение в курсовом и дипломном проектировании.
O пригодности проектируемого СП судят по динамике его поведения. Ho так как динамические свойства привода зависят от статических характеристик отдельных элементов, то для определения параметров динамических звеньев необходимо располагать этими характеристиками и учитывать следующее:
1. Статические характеристики Хвых = f(Хвх) строят по результатам эксперимента или на основании технических данных на элементы, указываемых в паспортах или справочной литературе.
2. В общем случае статические характеристики элементов нелинейны. Ho нелинейности одного рода поддаются линеаризации (характеристики двигателя), а другого — не поддаются: трение, зазоры в механических передачах, насыщение в магнитных и ограничение в гидравлических устройствах. Линеаризация таких нелинейностей, а значит, и расчет СП линейными методами возможны, если ширина зоны, обусловленной указанными нелинейностями, значительно меньше ширины линейной (рабочей) области характеристик.
3. При нахождении параметров элементов построение всей статической характеристики необязательно, иногда достаточно знать две точки или крутизну характеристики (при условии ее линейности).
4. Из всех возможных установившихся режимов работы элемента при расчете рассматривают один — номинальный. В паспортных данных и справочной литературе указываются номинальные значения параметров элементов.
5. При отсутствии некоторых справочных данных для рассматриваемого элемента их можно заменить данными для элемента, аналогичного или близкого ему по мощности и размерам, что допустимо на этапе предварительного расчета СП.
Расчет коэффициента усиления разомкнутого СП. Ha основании полученной выше структурной схемы СП можно определить передаточную функцию разомкнутого привода путем перемножения передаточных функций составляющих элементов.

где A(p) — операторный многочлен, определяемый инерционностью элементов неизменяемой части привода; ? — порядок астатизма привода, определяемый числом интегрирующих звеньев; ? = 1 для приводов астатических первого порядка; ? = 2 для приводов астатических второго порядка; ? — коэффициент усиления разомкнутого СП:

где kit kj — коэффициенты передачи звеньев, определяемые статическими характеристиками.
Для обеспечения заданной точности СП требуемый коэффициент усиления разомкнутого привода (добротность) рассчитывают:
при заданной моментной погрешности (328) — по формуле

при заданной скоростной погрешности (323) — по формуле

при заданной погрешности по ускорению (324) — по формуле

Если для привода характерно несколько режимов работы и задано несколько погрешностей, то в этом случае добротность определяют для каждого из режимов и из полученных ? выбирают наибольший. Однако чрезмерно увеличивать добротность нельзя, так как это приводит к уменьшению запасов устойчивости и помехоустойчивости СП, а также к уменьшению линейной зоны усилителя и увеличению его размеров. Для электромашинных приводов допустимой добротностью является ? = 500 ... 600 с-1, для тиристорных приводов ? = 1000 с-1.
Повышение добротности при выбранных элементах СП достигается за счет увеличения в ?тр/? раз предварительно рассчитанного коэффициента усиления kУ усилителя. Ho и это значение kУ нельзя считать окончательно принятым, так как в процессе исследования динамических характеристик привода может появиться необходимость в его изменении. Однако полученный kУ позволяет приступить к выбору предварительной схемы усилителя, расчету выходного каскада, сопряжению его с ИУ, расчету и сопряжению промежуточных каскадов. При разработке схемы усилителя необходимо предусмотреть возможность регулирования коэффициента усиления.
Пример 8. Определить коэффициент усиления усилителя СП, необходимый для обеспечения скоростной погрешности ?ск = 30” при ?0 = 5 °/с и моментной погрешности ?м= l,5’ при MН= 104 Н·м, если задано: чувствительность ИР
k? = 100 В/рад; i = 70; двигатель постоянного тока типа ДПМ-32 (JД = 0,43 кг·м2; C0= 1,62 В·с/рад; см= 1,56 Н·м/А; Rа = 0,19 Ом).
Решение.
1. Определим коэффициент демпфирования. Согласно (29)

2. Добротность СП при заданной моментной погрешности по (332)

3. Коэффициент kУ усилителя согласно (331)

4. Добротность СП при заданной скоростной погрешности по выражению (333)

5. Отсюда коэффициент усиления усилителя

Из двух найденных коэффициентов выбираем наибольший kУ = 680.
Анализ точности следящих приводов. Выбор структурной схемы неизменяемой части СП и расчет добротности ? дают возможность заранее оценить точность, которую может обеспечить проектируемый привод. Статическую погрешность ?ст определяем по инструментальным погрешностям входящих в СП элементов, используя выражение (329):

где ?и в случае двухканальной механической передачи находят по формуле (161): ? и = ?го/iр + ?р (iр) + ??.
Моментную составляющую погрешности подсчитывают по выражению (328). По виду передаточной функции (330) можно определить порядок астатизма СП и составляющие погрешности от заданного закона движения входного вала. Коэффициенты погрешности можно рассчитать, зная параметры передаточной функции погрешности, путем деления числителя функции на знаменатель.
Назад | Содержание
| Вперед
Силовые следящие приводы
10.3. СИЛОВЫЕ СЛЕДЯЩИЕ ПРИВОДЫСиловые следящие приводы (ССП) предназначены для разворота больших нагрузок и управления ими. Эти приводы применяются в системах дистанционного управления пусковых установок ракет, орудийных башен, рулей самолета; для автоматической перестановки валков в блюмингах и прокатных станах, для управления механизмами подачи металлорежущих станков (токарных, фрезерных); станков с программным управлением и т. д. Поэтому к ним предъявляют требования по обеспечению значительных выходных мощностей (от сотен ватт до сотен тысяч киловатт). Кроме того, привод должен обеспечивать плавное регулирование скорости в очень широких пределах. Расширение пределов регулирования связано с большими трудностями по обеспечению устойчивой работы двигателя на малых скоростях.
Применение в ССП двухфазных асинхронных двигателей большой мощности ограничено сложностью управления и низким КПД. В основном применяются двигатели постоянного тока о независимым возбуждением типа МИ, ДИ, П, ДП. Электродвигатели со смешанным возбуждением, отличающиеся большой перегрузочной способностью, находят применение в тех случаях, когда возмущающие моменты характеризуются резкими и значительными колебаниями.
Тип усилителя мощности зависит от уровня выходной мощности. Им может быть либо транзисторный усилитель, либо электромеханические преобразователи в виде генератора или ЭМУ поперечного поля. При использовании статического преобразователя частота вращения двигателя регулируется изменением напряжения на якоре, а при использовании электромеханического преобразователя — тока возбуждения генератора или ЭМУ.
В технике находят применение СП, построенные по схеме Г—ИД, ЭМУ—Г—ИД. В зависимости от способов достижения требуемых динамических свойств различают ССП без датчиков скорости, ССП с датчиками скорости выходного вала и ССП с датчиками скорости задающего и выходного валов.
Функциональная схема СП мощностью 0,3 ... 100 кВт, построенного по схеме Г—ИД, дана на рис. 125. В качестве ИР применены сельсины в трансформаторном режиме.
Сельсин BC связан с задающим валом, сельсин BE — с принимающим. Сигнал рассогласования U? поступает на транзисторный усилитель напряжения A, содержащий функциональные усилители прямой цепи и цепи OC. В прямом канале помимо усилителя напряжения AU1 применен каскад фазочувствительного выпрямителя UR. Сигналы суммируются на входе каскада мощности AW. Напряжение UГ на генераторе определяется результирующими ампер-витками на обмотке возбуждения, а полярность — фазой погрешности рассогласования. C частотой вращения, определяемой зависимостью n = (UГ — IaRa)/сe, двигатель M2 6 помощью редуктора q перемещает нагрузку OP и ротор BE до согласованного положения. Требуемое качество управления достигается применением ОС по направлению. Как сигнал стабилизации UСТ используется напряжение генератора, которое содержит косвенную информацию об ускорении (Ia) и о скорости (?) выходного вала:


Рис. 125. Основные схемы силового СП
При этом отпадает необходимость в применении датчика скорости выходного вала, усложняющего конструкцию и увеличивающего энергопотребление привода. Для повышения устойчивости предусмотрен дополнительный корректирующий контур K. (p), через который проходит сигнал (UСТ а затем усиливается каскадом AU2 и суммируется на предоконечном усилителе мощности AW.
В качестве генератора G могут быть использованы простые и дешевые генераторы постоянного тока. В приводах повышенной точности применяют генераторы, снабженные регулятором напряжения, подключенным к зажимам генератора. Напряжение на выходе генератора становится независимым от нагрузки генератора, частоты вращения M1 и т. д.
Система ЭМУ—ИД позволяет создавать приводы такого же порядка мощности, что и система Г—ИД. Однако для работы системы ЭМУ—ИД требуется меньшая мощность возбуждения и менее сложный усилитель, а качественные показатели, обеспечиваемые электромашинными приводами, несколько выше показателей генераторных приводов.
Функциональная схема ССП на базе ЭМУ—ИД с принимающим тахогенератором BR изображена на рис. 125, б, соответствующая ей принципиальная электрическая схема представлена на рис. 126.
Напряжение входа от ЗУ через резистор R2 поступает на каскад сумматора, выполненного на базе ОУ DA1 и предназначенного для сложения сигнала управления с сигналом главной OC, сформированной потенциометром RE, и с сигналом корректирующей OC. Суммарный сигнал через резисторы R1—R3 поступает на инверсный вход усилителя.
Сигнал, выделенный каскадом сумматора, поступает на вход предварительного усилителя напряжения A, собранного по схеме М—ДМ на ОУ.
Ha выходе усилителя получаем двухполупериодный выпрямленный сигнал. Для преобразования этого сигнала в двуполярный применен парафазный каскад на усилителях DA2, DA3 с резисторами R9 и R10 в цепях OC. Входной сигнал попадает через резистор R6 на инверсный вход DA2 и через резистор R5 на прямой вход усилителя DA3. Резисторы R4, R7, R11 выполняют функцию симметрирования операционных усилителей.

Рис. 126. Электромашинный СП
Напряжение с выхода усилителя через резисторы R12, R13 поступает на двухтактный усилитель мощности, собранный на силовых транзисторах по дифференциальной схеме с разделенной нагрузкой в виде обмоток управления ЭМУ. Каждое плечо усилителя собрано по схеме эмиттерного повторителя на сдвоенных транзисторах VT1, VT3 и VT2, VT4 для увеличения коэффициента усиления по току. Резисторы R14—R17 обеспечивают режим работы выходных транзисторов. Резисторы R18, R19 служат эмиттерной нагрузкой транзисторов VT3, VT4. Для создания токов нагрузки в смежное плечо дифференциальной схемы включен стабилизированный источник питания Uп2. Обмотки ЭМУ G зашунтированы диодами VD1, VD2 для предотвращения пробоя от ЭДС самоиндукции.
При отсутствии сигнала рассогласования токи покоя транзисторов верхнего и нижнего плеч усилителя равны по силе и создают в обмотках управления ЭМУ взаимно компенсирующие потоки. ЭМУ не возбужден. При появлении сигнала рассогласования равенство токов нарушается и на входе ЭМУ появляется разностный магнитный поток управления Фу, значение и направление которого будут определяться значением и полярностью сигнала управления.
Напряжение с выхода ЭМУ поступает на якорь двигателя M2 постоянного тока (см. рис. 125, б) и он через редуктор q поворачивает нагрузку H и движок принимающего потенциометра RE до уничтожения рассогласования (см. рис. 126).
С учетом больших инерционных нагрузок в приводе применена корректирующая OG по ускорению в виде напряжения с сериесного резистора R20 и по скорости — с тахогенератора BR с последующим дифференцированием контуром C, R27. Для правильного сложения сигналов служат делители на резисторах R21—R26.
ССП, построенный по схеме ЭМУ—Г—ИД (см. рис. 125, б), позволяет повысить диапазон мощностей до нескольких тысяч киловатт, но превосходит все приводы по сложности, количеству применяемых электрических машин и размерам. Мощность, развиваемая ЭМУ G1, должна соответствовать мощности возбуждения генератора G2, а он, в свою очередь, развивает мощность, необходимую для работы электродвигателя M3. Коррекция такого привода осуществляется суммарным сигналом с двух датчиков тока UA1, UA2 и датчика скорости BR с последующим дифференцированием контуром K (p) в цепи обратной связи.
В качестве приводных двигателей ЭМУ и генератора могут применяться как двигатели постоянного тока, так и асинхронные трехфазные двигатели переменного тока. Последние предпочтительнее, так как создают симметричную нагрузку для сети и не искажают форму питающего напряжения.
Все рассмотренные выше ССП по отношению к управляющему сигналу являются астатическими первого порядка и характеризуются наличием скоростной погрешности. Погрешности от возмущающего момента М? определяются погрешностями от внешних возмущений (действие ветра) и погрешностями от внутренних возмущений (неточность и нежесткость механизма привода). Как указывалось выше, большие размеры OP способствуют появлению значительных ветровых возмущений и создают большие моменты инерции подвижных частей. Погрешности от ветрового воздействия превышают все остальные. Они пропорциональны моменту возмущения, который, в свою очередь, пропорционален диаметру антенны в кубе.
B радиотелескопе РТ- 22 ФИАН при диаметре антенны, равном 22 м, и силе ветра 10 м/с моментная погрешность больше допустимой в 1,5—2 раза [16]. Указанную погрешность можно снизить с помощью контура компенсации ветрового возмущения с датчиками давления на антенне, а также соответствующим выбором динамических параметров привода.
Силовые редукторы в ССП характеризуются наличием зубчатых колес больших размеров, нежесткостью передач и неизбежными зазорами, которые не поддаются компенсации конструктивными способами. Влияние погрешностей механической передачи на динамические свойства привода растет пропорционально моменту инерции подвижных частей. Для ослабления воздействия упругих деформаций и уменьшения зазоров в редукторе СП охватывают жесткой ОС по скорости выходного вала, реализуемой с помощью принимающего тахогенератора. В качестве примера использования жесткой ОС может служить привод радиотелескопа, изображенный на рис. 119. Поскольку в приводе применено два исполнительных двигателя, то и ОС по скорости реализуют на основе двух принимающих тахогенераторов BR3 и BR4.
Смысл ввода жесткой ОС заключается в том, что изменение параметров звеньев, охваченных ОС, не приводит к изменению свойств привода в целом. Однако при этом возрастает скоростная составляющая погрешности привода, и для ее компенсации необходим задающий тахогенератор. В приводе радиотелескопа (см. рис. 119) в качестве дающего ТГ применен тахогенератор BR1, расположенный на выходном валу РСП.
Таким образом, для учета особенностей силовых приводов необходимо применять комбинированное управление: по отклонению и по возмущению, по углу поворота и по скорости, что существенно усложняет структуру привода. В СП с двумя датчиками скорости, в отличие от приводов с одним датчиком или вообще без них, наличие сигнала погрешности уже принципиально необязательно. Привод становится астатическим второго порядка, и, следовательно, погрешности по углу и по скорости будут равны нулю. Для обеспечения необходимой устойчивости в этом случае применяют косвенные ОС по ускорению и более высоким производным от угла поворота, реализуемые датчиками тока UA1 и UA2 (см.
рис. 119) и дифференцирующими контурами K?1(p) и K?2(p)
B электромашинном ССП (рис. 127) с двумя датчиками скорости напряжение рассогласования U? = k?? вырабатывается с помощью двух CKBT, один из которых (датчик TC) связан с задающим валом, другой TE — с исполнительным валом. Напряжение с двигателя R3 поступает на вход предварительного усилителя напряжения, выполненного на ОУ и предназначенного для усиления управляющего сигнала, а также преобразования и суммирования сигналов прямой цепи и цепи ОС.
Первый каскад, построенный на базе ОУ DА1, выполняет роль согласующего устройства и усилителя с коэффициентом передачи, равным R6/R4, резистор R5 обеспечивает режим работы каскада по току. Между входами усилителя включены диоды VD1, VD2, служащие для защиты усилителя от перегрузок при больших входных сигналах. В качестве межкаскадной связи применен конденсатор C1.
Сигнал с выхода DA1 через согласующий трансформатор T1 поступает на двухполупериодный ДМ, состоящий из двух интегральных прерывателей DA2, DA3. Для формирования сигнала опорного напряжения используются обмотки трансформатора T2 и резисторы R7 и R8. Выпрямленный и отфильтрованный цепочкой R9, C2 сигнал поступает через резистор R11 на вход ОУ DA4, выполняющего роль сумматора. Кроме сигнала рассогласования на тот же вход через резистор R12 поступает сигнал токовой OC и через R10 сигналы с тахогенераторов BR1 и BR2, расположенные соответственно на задающем и исполнительном валах СП. Для обеспечения линейного характера сложения сигналов сигналы с тахогенераторов снимаются с делителей R1, R2 и R31, R32. Резисторы R13 в цепи ОС и R14 по прямому входу обеспечивают режим работы каскада.

Рис. 127. Принципиальная схема СП с комбинированным управлением
Сформированный управляющий сигнал через резистор R15 поступает на однотактный предоконечный усилитель напряжения, который состоит из двух каскадов, собранных на транзисторе VT1 и на сдвоенном транзисторе VT2 и VT3. Высокий коэффициент усиления второго каскада обеспечивается включением транзисторов прямой и обратной проводимости по схеме с общим эмиттером.
Стабилизация рабочих точек обеспечивается установкой резисторов R16—R23. Кроме того, в цепи базы транзистора VT3 для стабилизации рабочей точки установлен диод VD3.
Выходной каскад усилителя мощности выполнен на транзисторах VT6, VT7 и действует как усилитель тока с отрицательной ОС через транзисторы VT4 и VT5 разной проводимости. Для обеспечения смещения по постоянному току и выбора рабочей точки служит резистор R26. Транзисторы VT4, VT6, образующие верхнее плечо выходного каскада, работают в режиме класса B (усиливают напряжение одной полярности и запираются при подаче напряжения другой полярности). Транзисторы VT5, VT7 образуют нижнее плечо и работают в противофазе с транзисторами верхнего плеча.
При отсутствии сигнала рассогласования вследствие равенства сопротивлений транзисторов VT6 и VT7, находящихся в режиме, близком к режиму отсечки, а также выбора равных сопротивлений резисторов R28 и R27 потенциал средней точки а близок к нулю. По управляющей обмотке ЭМУ, являющейся нагрузкой усилителя, ток не протекает, ЭМУ не возбужден и СП находится в состоянии покоя.
При поступлении на базу VT1 сигнала положительной полярности открываются транзисторы VT1—VT3. За счет падения напряжения на резисторе R22 открываются транзисторы VT5, VT7 нижнего плеча выходного каскада. Потенциал точки ? окажется ниже нулевого, и от шины нулевого потенциала через резистор R30, обмотку управления ЭМУ, резистор R29, VT7 и резистор R28 потечет ток к «—» источника питания UП. Поток обмотки ЭМУ возбудит усилитель и приведет в действие двигатель M, который через редуктор q перемещает нагрузку Н, а также ВТ-приемник в сторону согласования.
При действии сигнала рассогласования обратной полярности транзисторы VT1—VT3 закрыты. Ho за счет положительного потенциала, приложенного к базе транзистора VT4 от источника питания, открываются оба транзистора верхнего плеча. Потенциал средней точки а при этом будет выше нулевого, и через обмотку ЭМУ ток течет в другом направлении от +UП к шине нулевого потенциала.
Таким образом, этот каскад управляется изменением тока в цепях питания усилителя.
В качестве корректирующих устройств применены тахогенераторы. Напряжение с тахогенераторов BR2 используется в качестве отрицательной ОС по скорости. Напряжение с тахогенератора BR1 служит для компенсации скоростной погрешности СП. Кроме того, для обеспечения устойчивой работы СП применена отрицательная OC, пропорциональная току в обмотке ЭМУ. Сигнал токовой OC снимается с резистора R30 и вводится в усилитель с помощью сумматора DA4.
Привод обеспечивает высокую точность отработки входного воздействия при достаточных запасах устойчивости.
B качестве существенных недостатков электромашинных ССП следует отметить: большую инерционность, связанную со значительными вращающимися массами; сложность средств коррекции; наличие большого количества электрических машин; низкий КПД (0,5 ... 0,6); высокий уровень шума за счет работы контактных колец; большие размеры и массу.
Однако, несмотря на перечисленные недостатки, электромашинные ССП благодаря широкому диапазону регулируемых скоростей при значительных нагрузочных моментах, высокой перегрузочной способности (в 2 ... 4 раза), возможности форсирования скорости (в 1,5 раза) по отношению к номинальной и надежности успешно конкурируют в наземных установках с другими типами силовых СП (гидравлическими и тиристорными).
Назад | Содержание
| Вперед
Синтез корректирующих обратных связей
17.5. СИНТЕЗ КОРРЕКТИРУЮЩИХ ОБРАТНЫХ СВЯЗЕЙB случае, когда ЖЛАЧХ привода не удается реализовать с помощью последовательных КУ, применяют корректирующие OC. Синтез таких приводов удобнее проводить методом обратных ЛАЧХ

Рис. 175. Структурная схема СП с корректирующей OC
Рассмотрим некоторые соотношения, позволяющие понять методику определения параметров КУ. Передаточная функция привода с корректирующей OC (рис. 175)

где W (p) — передаточная функция прямой цепи; Z(p) — передаточная функция корректирующей OC.
Обратная передаточная функция, соответствующая (347):

Переходя к логарифмическим характеристикам, получим

B диапазоне частот, для которых Z(j?) << W-1(j?), справедливо неравенство W(j?) Z(j?)<< 1, и выражение (348) можно представить в виде

т. e. ЖЛАЧХ привода определяется прямой ЛАЧХ цепи OC. Ha основании изложенного выше можно записать

и сделать вывод, что обратная ЖЛАЧХ разомкнутого привода формируется из обратной ЛАЧХ исходного привода L|W-1(j?)| или ЛАЧХ корректирующей связи L|Z(j?)| в зависимости от того, ордината какой характеристики является преобладающей в данном диапазоне частот (рис. 176, а). Заметим, что в диапазоне частот ?1 ... ?4, существенном для качества работы привода, справедливо соотношение L|Z(j?)| > L|W-1(j?)|. Последнее означает, что частотные свойства скорректированного привода определяются в основном свойствами OC и не зависят от неизменяемой части.
Порядок построения обратной ЖЛАЧХ был рассмотрен в п. 3, а формирование ее можно проследить по рис. 176, а. Сформированная ЖЛАЧХ имеет вид ломаной ABCDEF. Так как средняя часть ЖЛАЧХ BCDE образована характеристикой OC, характеристику L|Z(j?)| во всем диапазоне частот получим, продолжив асимптоты BC и DE в область низких и высоких частот (ломаная MCDN).
Прежде чем перейти к технической реализации цепи OC по полученной ЛАЧХ, необходимо убедиться в устойчивости внутреннего контура, образованного корректирующей OC. Обратимся вновь к рис. 175 и запишем передаточную функцию разомкнутого внутреннего контура

или в обратной форме


Рис. 176. Обратные ЖЛАЧХ
Переходя к логарифмическим частотным характеристикам, получим

Запасы устойчивости внутреннего контура можно определить, если известна характеристика |L/Wв.к(j?)|. Согласно (349) ее строят путем графического вычитания L|Z(j?)| из L|W-1(j?)| (штриховая ломаная PQRST на рис. 176, a). В соответствии с критерием Михайлова - Найквиста устойчивость контура определяют по фазе в точках пересечения ЛАЧХ внутреннего контура L|W-1в.к(j?)| с осью частот. А так как эти точки находят пересечением характеристик L|W-1(j?)| и L|Z(j?)| на низкой ?1 и высокой ?4 частотах, то обычно необходимость в построении ЛАЧХ внутреннего контура отпадает. Достаточно определить разность фаз характеристик L|W-1(j?)| и L|Z(j?)| в точках сопряжения; эта разность не должна превышать 180°:

Для исключения возможности возникновения автоколебаний в системе необходимо избегать случаев пересечения характеристик L|W-1(j?)| и L|Z(j?)|, разница наклонов которых больше 20 дБ/дек. Если запас по фазе большой и разница наклонов равна 20 дБ/дек, то контур заведомо устойчив. Так как в области ?1 это условие обычно соблюдается, то для проверки устойчивости внутреннего контура достаточно найти запас по фазе только на частоте ?4. Если запас по фазе на частоте ?4 окажется недостаточным, то в районе этой частоты необходимо изменить наклон характеристики L|W-1(j?)| введением последовательного КУ в главный контур регулирования.
Проведенный анализ устойчивости позволяет перейти к определению вида и параметров корректирующих OC. По ЛАЧХ L|Z(j?)| цепи OC найдем соответствующую ей передаточную функцию, причем вид передаточной функции будет зависеть от типа ЖЛАЧХ (рис. 176, б):
для первого типа

для второго типа

для третьего типа

где a, b, с — ординаты асимптот сопряжения на частоте ? = 1 рад/с.
Реализовать полученные передаточные функции КУ можно с помощью OC по скорости, ускорению с последовательным дополнительным корректирующим контуром (см.
рис. 113, а). Обратная передаточная функция разомкнутого скорректированного привода в этом случае согласно (281) определяется выражением

где первый член представляет собой обратную передаточную функцию неизменяемой части привода, второй — передаточную функцию цепи OC.
Из сравнения выражений (351)—(353) с (354) следует

Ha основании этих равенств можно определить значения коэффициентов ?, r и выражение передаточной функции K(p) с учетом коэффициентов а, b, с и постоянных времени T2, T3, полученных в результате построения обратной ЖЛАЧХ. По найденному выражению передаточной функции K (p) по табл. 4 выбирают тип пассивного контура.
Таким образом, решение задачи синтеза корректирующих OC проводится в следующем порядке:
1) выбор типа обратной ЖЛАЧХ (см. рис. 171) и привязка ее к оси частот путем определения координат рабочей точки;

Рис. 177. ЖЛАФЧХ к примеру 13
2) построение ЛАЧХ неизменяемой части при коэффициенте усиления ? = 1 с-1;
3) формирование ЖЛАЧХ привода параллельным перемещением ЛАЧХ привода до максимального совпадения высокочастотных асимптот;
4) проверка устойчивости внутреннего контура;
5) определение коэффициента усиления разомкнутого привода;
6) определение запасов устойчивости скорректированного привода;
7) выбор структуры и параметров КУ по найденной ЛАЧХ L|Z(j?)|.
Рассмотрим на конкретных примерах порядок определения параметров корректирующих OC.
Пример 13. Синтезировать СП, ЛАЧХ которого для обеспечения заданной точности должна пройти через рабочую точку с координатами ?p = 0,5 рад/с, 20lg|W-1(j?)| = -44 дБ. Собственный оператор неизменяемой части СП имеет вид A(p) = (p + 1) (0,02p + 1). Исходными данными для синтеза являются коэффициент передачи ИД = 1 рад/(В·с); передаточное число силового редуктора i = 600; чувствительность измерителя рассогласования kд = 40 В/рад; крутизна характеристики тахогенератора, предназначенного для коррекции и имеющего цену оборота 1°, kтг = 0,1 В·с/рад
Решение 1. Зная положение рабочей точки Ар (рис. 177), строим обратную ЛАЧХ второго типа — ломаная MCDGK.
2. Далее строим обратную ЛАЧХ L|W-1(j?)| — ломаная A'N'E'F' — неизменяемой части привода при коэффициенте усиления ? = 1 с-1 и переносим ее вниз до совпадения по направлению асимптот N'E' и DG, имеющих одинаковые наклоны. Полученная характеристика ANEF соответствует обратной передаточной функции неизменяемой части СП pA(р)/?. Коэффициент усиления по скорости ? определяем из построения: l/? = -48 дБ или в натуральном масштабе ? = 250 с-1. Необходимый для его получения коэффициент усиления усилителя найдем по выражению (331):

3. Формируя ЖЛАЧХ привода, увеличим частоту сопряжения до значения ?2? = 50 рад/с для наименьшего искажения ЛАЧХ неизменяемой части. Это приведет к некоторому ухудшению фильтрующих свойств привода, но значительно упростит выбор КУ. В результате ЖЛАЧХ привода определится ломаной ABCDEF.
4. Для нахождения характеристики OC продолжаем асимптоты BC и CD в область низких и высоких частот — ломаная AC. Соответствующая ей передаточная функция имеет вид

где b и T2 определяем из построения;
20lg b = -32 дБ; b = 0,0025 с2; T2 = 1/?2 = 1/4 = 0,25 с.
5. Определим устойчивость внутреннего контура путем вычисления по (350) запаса по фазе в точке пересечения на частоте ?3 = 30 рад/с:

Полученный запас по фазе обеспечивает надежную устойчивость внутреннего контура в замкнутом состоянии.
6. Переходим к выбору корректирующих средств. Полученная передаточная функция (356) цепи OC достаточно проста, и ее можно реализовать с помощью одного тахогенератора с дополнительным корректирующим контуром. Воспользуемся соотношением (355), учитывая, что

Приравнивая числовые и операторные части полученного выражения, найдем коэффициент ? и передаточную функцию K(р):

Вычислим коэффициент OC по скорости с помощью выражения (357):

C другой стороны, согласно (266) ? = kтгkуkд. Отсюда необходимая крутизна характеристики тахогенератора

Так как крутизна тахогенератора kтг = 0,1 В·с/рад, то в цепь его сигнала необходимо ввести делитель с коэффициентом kдел= 0,0066: 0,1 = 0,066.По полученной передаточной функции (358) с помощью табл. 4 выбираем схему 1 контура и выражение постоянной времени T2 = RC. Задавшись емкостью C = = 5 мкФ, определяем R = T2/C = 0,25: 510-6 = 50 кОм. Схема включения тахогенератора с контуром дана на рис. 111, в. C учетом коэффициента делителя R2 = Rkдел = 50·0,066 = 3 кОм, R1 = 47 кОм.
Назад | Содержание
| Вперед
Синтез последовательного корректирующего устройства
17.4. СИНТЕЗ ПОСЛЕДОВАТЕЛЬНОГО КОРРЕКТИРУЮЩЕГО УСТРОЙСТВАДля коррекции частотной характеристики СП в прямую цепь звеньев с неизменяемыми параметрами включается последовательное КУ, передаточная функция которого обозначена K0(p) (см. рис. 107). Передаточная функция разомкнутого скорректированного привода в этом случае приобретает вид Wж(р) = W(p)K0(р).
От полученного выражения достаточно просто перейти к выражению для ЛАФЧХ скорректированного привода:

или

откуда

Из выражения (344) следует, что ЛАЧХ требуемого КУ можно определить путем графического вычитания ординат характеристики неизменяемой части из ординат ЖЛАЧХ.
Выделим основные этапы синтеза СП с последовательным КУ:
построение ЛАЧХ и ЛФЧХ неизменяемой части привода;
выбор типа ЖЛАЧХ и построение |L/Wж(j?)|;
построение ЛАЧХ КУ путем вычитания ординат ЛАЧХ неизменяемой части привода из ординат ЖЛАЧХ;
выбор по виду ЛАЧХ КУ типа пассивного контура по табл. 4;
определение динамических характеристик контура — постоянных времени, коэффициента усиления и необходимых номиналов элементов по найденным в табл. 4 соотношениям;
построение ЛФЧХ КУ по виду ЛАЧХ КУ:
построение ЛФЧХ скорректированного привода по выражению (342);
определение запасов устойчивости скорректированного привода.
Пример 12. Рассчитать при RH = 100 кОм параметры КУ, примененного для последовательной коррекции СП, рассмотренного на рис. 173.
Путем сопоставления характеристик L|Wж(j?)| и L|W(j?)| находим характеристику последовательного КУ L|K0(j?)|. Вид ЛАЧХ КУ позволяет определить передаточную функцию корректирующего контура № 4 по табл. 4:

и необходимые соотношения для определения номиналов RC - элементов

Указанные в соотношениях постоянные времени контура определяем из построения

Приравнивая полученные выражения (345) и (346) соответственно для T1 и T2, находим два уравнения с тремя неизвестными R1, R2, C. Задавшись значением R2 = 1,3 кОм из условия R2<
| Вперед
Следящие электроприводы
1.3 СЛЕДЯЩИЕ ЭЛЕКТРОПРИВОДЫКак было указано выше, СП являются замкнутыми динамическими системами, воспроизводящими на выходе входной сигнал, произвольно меняющийся во времени. Наибольшее применение СП получили в промышленности и военной технике для управления положением объектов e высокой степенью точности.
С их помощью обеспечивается режим работы режущего инструмента станков, выполняется автоматическая перестановка валков в блюмингах и прокатных станах, осуществляется управление работой исполнительных органов роботов и манипуляторов. B военной технике СП применяют для разворота оптических и радиотелескопов, пусковых установок ракет, рулевых агрегатов летательных аппаратов и т. д. СП являются неотъемлемой частью вычислительных устройств, предназначенных для автоматического выполнения математических операций: в автоматических мостах и потенциометрах, в навигационных приборах, в аналоговых вычислительных машинах (ЭВМ).
Управляющее воздействие в СП задается: 1) в виде угла поворота ? входного вала или 2) формируется в виде напряжения, поступающего с ЗУ (например, e аналоговой ЭВМ). B первом случае (рис. 7, а) измеритель рассогласования A1, выполняющий роль устройства управления, выявляет в элементе сравнения AW разность ? = ? — ?, где ? — угол поворота OP. Эта разность поступает на преобразователь B и в виде электрического сигнала U? подается на усилитель A2, двигатель M и редуктор q, воздействующий на OP. Главная OC в таком СП единичная.

Рис. 7. Структурные схемы СП

Рис. 8. Классификация СП
Bo втором случае (рис. 7, б} измеритель рассогласования AW выявляет разность входного сигнала U? и сигнала UBR, поступающего по цепи OC и сформированного датчиком скорости BR.
B качестве характерных особенностей СП можно отметить следующие:
1. Наличие замкнутого контура регулирования, основанного на сравнении сигнала, поступающего с ЗУ, с сигналом, поступающим по каналу OC с выхода привода.
2. Обязательное наличие ошибки рассогласования, используемой для управления исполнительным двигателем M, обеспечивающим непрерывную отработку входного воздействия.
3. Непрямое управление. Для усиления сигнала ошибки применяется усилительно-преобразовательное устройство.
4. Возможность дистанционного управления.
Точность отработки управляющего сигнала в большей степени зависит от возмущений, воздействующих на СП и вызывающих отклонение режима работы от нормального. Возмущения, вызванные изменениями условий эксплуатации и непостоянством нагрузки, должны быть учтены при расчете СП. Помехи, поступающие на вход СП вместе с управляющим сигналом или возникающие внутри (вследствие искрения щеток потенциометров, коллекторов машин и т. п.), необходимо отфильтровывать.

Рис. 9. Принципиальная схема скоростного СП
СП классифицируют по основным признакам, связанным с принципом управления, дальностью управления, назначением привода, типом применяемых устройств и т. п. (рис. 8).
По дальности управления СП разделяются на местные, сосредоточенные в одном месте и предназначенные для разгрузки управляющего вала, и дистанционные, особенностью которых является значительное расстояние между задающим устройством и OP.
По принципу управления СП разделяют на приводы e управлением по отклонению, по возмущению и с комбинированным управлением.
При управлении по отклонению сигнал управления вырабатывается независимо от причины отклонения регулируемой координаты от заданного значения, т. e. в результате изменения управляющего сигнала или под действием внешнего возмущения. Ha этом принципе основана работа, например СП, изображенного на рис. 5. Достоинством таких СП является простота, независимость процесса слежения от вида и места приложения внешних возмущений, высокая надежность. В зависимости от вида регулируемой величины СП этого класса подразделяют на позиционные и скоростные.
Позиционные СП служат для управления углом поворота исполнительного вала. Представленный на рис. 5 СП относится к этому подклассу. Высокая точность слежения, большие усилия и мощности, развиваемые на выходном валу, и малые мощности, затрачиваемые в ЗУ, обеспечили применение позиционных СП в управлении кораблями, самолетами, телескопами и т.
д.
Скоростные СП (рис. 9) предназначены для управления скоростью выходного вала. Формирование сигнала OC по скорости осуществляется с помощью датчика скорости BR. Напряжение U??, поступающее с ЗУ, сравнивается с сигналом UД.С. OC. Выделяемый сигнал ошибки U? = U?? — UД.С. поступает на усилитель A, а затем на электродвигатель М, вал которого через редуктор q соединен с валом датчика скорости BR.

Рис. 10. Одноосный гиростабилизатор
Скоростные СП находят применение, например, в промышленных установках, перемещающих фотобумагу, магнитную ленту и обеспечивающих постоянство скорости вращения вала рулона, кассеты, а также в устройствах, обеспечивающих синхронность вращения двух валов, разнесенных на некоторое расстояние.
Если за выходную величину СП взять угол поворота вала двигателя, то этот угол будет пропорционален интегралу по времени от входного напряжения
, а привод становится интегрирующим устройством. Выходной сигнал в виде напряжения снимается с линейного вращающегося трансформатора BT и может быть использован в устройствах непрерывного вычисления сигналов коррекции. Структурная схема скоростного интегрирующего СП представлена на рис. 7, б.При управлении по возмущению слежение происходит не за углом поворота, а за возмущающим воздействием. Например, одноосный гиростабилизатор (рис. 10), представляющий собой замкнутый ЭП, обеспечивает слежение за значением и направлением действия момента внешних сил Мвн. Задача гиростабилизатора состоит в разгрузке оси стабилизации (оси XX) от действия Мвн путем компенсации его направленным встречно моментом стабилизации Мст, создаваемым двигателем M.
В качестве чувствительного элемента применен двухстепенной гироскоп 2, установленный в кардановом подвесе на платформе 3 так, что плоскость его главной оси (вектора кинетического момента H) и оси 1 прецессии перпендикулярна оси стабилизации XX.
При появлении внешнего момента Мвн гироскоп начинает прецессировать, т. e. поворачивать ротор 2 гироскопа и ротор датчика B вокруг оси прецессии.
Сигнал, снимаемый с датчика, будет зависеть от угла поворота ?, а следовательно, от значения приложенного момента Мвн. Двигатель M, на который с усилителя А поступает усиленный сигнал, развивает стабилизирующий момент Мст, направленный встречно моменту Мвн и действующий через редуктор на ось платформы. При некотором угле прецессии момент стабилизации скомпенсирует внешний момент (
), и прецессия гироскопа прекратится.Таким образом, появление внешнего момента вызывает поворот гироскопа относительно оси прецессии, а ось платформы остается неподвижной. Ha платформе можно установить объект 4, поворот которого относительно оси XX нежелателен (например, телескоп).
Структурная схема такого СП приведена на рис. 7, в, на которой гироскоп представлен в виде сумматора AW и преобразователя B1.
Достоинством СП с управлением по возмущению является возможность устранения возмущающего момента еще до появления значительного рассогласования. Недостаток — ее сложность вследствие большого числа компенсирующих связей (контуров), необходимых для обеспечения независимости привода по отношению ко всем возможным видам возмущения.
В реальных СП обеспечивают компенсацию наиболее значительного воздействия, а влияние остальных возмущающих составляющих уменьшают путем управления по отклонению, т. e. применяют комбинированный принцип управления.
В комбинированных СП используют либо сочетание управления по отклонению и возмущению, либо сочетание регулирования по углу и по скорости, либо того и другого. Например, в СП, структурная схема которого показана на рис. 7, г, датчик скорости BR1 служит для компенсации ошибки от управляющего воздействия, датчик момента B2 — от возмущающего воздействия, датчик скорости BR2 осуществляет регулирование по скорости изменения выходной величины, а главная OC — позиционирование и регулирование по отклонению.
Комбинированные СП работают точнее и обеспечивают устойчивость более простыми средствами, чем остальные.
Одним из основных классификационных признаков СП является тип исполнительного механизма, в зависимости от которого выбирают необходимые усилительные элементы, структуру привода и средства стабилизации.
По этому признаку СП подразделяют на электрические, электрогидравлические и с электромагнитной муфтой.
По виду управляющего сигнала различают СП:
с непрерывным управлением, осуществляемым непрерывным изменением управляющего воздействия;
с дискретным управлением, реализуемым дискретным изменением управляющего воздействия. Дискретное управление, в свою очередь, разделяется на импульсное, релейное и цифровое.
Требования, предъявляемые к СП, и специфика их проектирования во многом зависят от условий работы и назначения этих приводов.
По назначению СП подразделяются на наземные (стационарные и подвижные), судовые (палубные и используемые в закрытых помещениях), бортовые (пилотируемых и беспилотных летательных аппаратов).
Наземные, стационарные СП находятся в наиболее легких с точки зрения механических воздействий условиях, обеспечены стационарным питанием и не имеют ограничений по массе и размерам. Для СП, работающих на открытом воздухе, важны меры защиты от климатических воздействий: влажности и перепада температуры. К этим приводам относятся СП радиолокационных станций (РЛС) автоматического сопровождения цели, радарных установок, систем слежения спутниковых камер за космическими объектами, СП оптических телескопов и радиотелескопов [6]. Динамика стационарных приводов определяется условиями обеспечения перемещения OP в соответствии e законом изменения координат цели. При определении возмущающих воздействий необходим учет опрокидывающего момента, обусловленного ветром.
Более жесткие требования по механическим воздействиям предъявляются к подвижным наземным установкам, испытывающим вибрационные и ударные нагрузки, определяемые условиями транспортирования и спецификой работы.
Аппаратура приводов такого класса должна иметь небольшие размеры и массу, обеспечить большие ускорения и скорости на выходном валу, не зависящие от нагрузки. Если учесть, что момент нагрузки носит ударный характер, то выполнение последнего требования сопряжено с большими трудностями.
Судовые СП работают в условиях повышенных механических нагрузок, создаваемых качкой. Для СП, устанавливаемых на палубах, важны меры защиты от повышенной влажности и колебаний температуры, уменьшающих эксплуатационную надежность аппаратуры. По сравнению с наземными СП ужесточаются требования по размерам, массе и энергопотреблению. Типичным входным воздействием является гармонический сигнал, определяемый качкой.
Бортовые СП подвержены действию вибраций, перегрузок, ударов, перепадов давления и температуры. К ним предъявляют самые жесткие требования по габаритным размерам, а также энергопотреблению и надежности. Ha самолетах СП применяют для изменения положения рулей (рулевой привод автопилота) и геометрии крыла, для приведения в действие антенн РЛС и установок наведения с высокой точностью слежения, для регулирования подачи воздуха в авиационные двигатели и тяги самих двигателей. Типичным входным воздействием являются гармонические колебания. При определении нагрузки следует учитывать аэродинамические силы, создающие шарнирный (упругий) момент, инерционные силы и силы трения. Требования к динамике СП определяются назначением летательного аппарата (ЛА).
Назад | Содержание
| Вперед
Стадии разработки
2.3. СТАДИИ РАЗРАБОТКИЕдиной системой конструкторской документации (ЕСКД) установлены следующие стадии разработки СП: составление технического задания (T3), технического предложения (ГОСТ 2.118—73), эскизного проектирования (ГОСТ 2.119—73), технического проектирования (ГОСТ 2.120—73), составления рабочей конструкторской документации опытного образца, установочных серий, серийного и массового производства. Каждая стадия разработки определяет номенклатуру графических и текстовых конструкторских документов.
Назад | Содержание
| Вперед
Структура автоматизированного электропривода
1.1 СТРУКТУРА АВТОМАТИЗИРОВАННОГО ЭЛЕКТРОПРИВОДАСогласно ГОСТ 16593—79 под электроприводом (ЭП) понимается электромеханическая система (рис. 1), состоящая из электродвигательного, преобразовательного, передаточного и управляющего устройств, предназначенная для приведения в движение вспомогательных органов рабочей машины и управления этим движением.
Электродвигательное устройство (ЭД) служит для преобразования электрической энергии в механическую в целях механического воздействия на объект регулирования (OP).
Преобразовательным является устройство, преобразующее род тока (напряжения), частоту и изменяющее показатели качества электрической энергии. Так как обязательной функцией этого устройства является усиление сигнала, то часто его называют усилительно-преобразовательным устройством (УПУ) или просто усилителем.
Передаточное устройство (редуктор P) предназначено для передачи механической энергии от ЭД к исполнительному органу рабочей машины и согласования вида и скоростей их движения.
Управляющее устройство (УУ) предназначено для управления преобразовательным, электродвигательным и передаточным устройствами путем сравнения информации, поступающей от задающего устройства (ЗУ), и информации о состоянии системы, поступающей по цепи обратной связи (OC).
Назад | Содержание
| Вперед
Структурные схемы усилителей
8.2. СТРУКТУРНЫЕ СХЕМЫ УСИЛИТЕЛЕЙУсилители, применяемые в СП, классифицируют по принципу действия на транзисторные, тиристорные, электромашинные; по выполняемой функции — на усилители напряжения и усилители мощности; по характеру усиливаемых сигналов — на усилители, предназначенные для усиления непрерывных электрических сигналов, и усилители импульсных сигналов различной формы.

Рис. 78. Структурные схемы усилителей
Выбор усилителя и его структуры зависит от назначения и условия работы проектируемого СП, типа источника входного сигнала и ИУ, качественных показателей и эксплуатационных требований, Ho определяющим фактором при выборе усилителя является тип ИУ, его мощность и режим работы.
В маломощных (от долей ватта до десятков ватт) СП преимущественное применение получили транзисторные усилители и усилители на основе интегральных операционных усилителей (ОУ).
В импульсных СП мощностью до 5 кВт используют усилители на транзисторах, работающих в режиме переключения. Применение тиристорных усилителей позволило увеличить мощность СП до десятков киловатт.
По мере развития техники СП усложнялась структура усилителей. Простейший усилитель переменного тока строится по схеме: усилитель напряжения УН — усилитель мощности УМ (рис. 78, a). В этом случае ИР и ИУ являются устройствами переменного тока. Структура более сложного усилителя определяется общими правилами: усиление сигнала осуществляется на переменном токе, суммирование и корректирование — на постоянном токе. Поэтому усилители СП отличаются от радиотехнических усилителей наличием специальных преобразующих каскадов; модуляторов (M) и демодуляторов (ДМ).
Так, при использовании в СП в качестве источника сигнала и нагрузки элементов постоянного тока в усилителе применяют двойное преобразование сигнала (рис. 78, б), Входной сигнал постоянного тока с помощью M преобразуется в пропорциональный ему сигнал переменного тока. Промодулированный сигнал усиливается усилителем напряжения и проходит через ДМ, в котором происходит обратное преобразование усиленного по напряжению сигнала в сигнал постоянного тока.
B усилителе мощности мощность выходного сигнала доводится до требуемого значения.
Использование в СП более простых и стабильных корректирующих устройств (КУ) постоянного тока, в свою очередь, налагает требование преобразования сигнала, но в обратной последовательности. В этом случае (рис. 78, в) входной сигнал переменного тока после его усиления в усилителе напряжения преобразуется в ДМ, а затем дифференцируется или интегрируется (в зависимости от схемы КУ) на постоянном токе. Затем M совершает обратное преобразование сигнала в переменный с последующим усилением по мощности в усилителе мощности.
Иногда двойное преобразование сигнала в усилителях переменного тока (рис. 78, г) используют для исключения квадратурной составляющей сигнала рассогласования. С этой целью на входе усилителя применяют ДМ, который помимо преобразователя сигнала ослабляет сигнал помехи. Свободный от помехи сигнал поступает на M и усиливается по напряжению и по мощности.
В том случае, когда входной сигнал постоянного тока, а на выходе усилителя требуется сигнал переменного тока, используют усилитель, схема которого представлена на рис. 78, д. При наличии стабилизирующей OC, выполненной с помощью тахогенератора (ТГ) переменного тока, суммирование сигналов осуществляется на входе усилителя постоянного тока (УПТ). Сигнал с ТГ при этом подвергается фазочувствительному выпрямлению с помощью ДМ.
Для реализации импульсного способа управления ИУ возникает необходимость преобразования непрерывного сигнала в импульсный с помощью дискретного элемента ДЭ (рис. 78, e), а для управления силовыми транзисторами или тиристорами требуются схемы управления.
В мощных СП находят применение комбинированные усилители, представляющие собой сочетание транзисторных и операционных усилителей напряжения с усилителями мощности, выполненными на основе электромашинных или гидравлических усилителей.
Назад | Содержание
| Вперед
Таблица h - функций для трапеций
h – функции единичных трапеций. Таблица П9| l t | 00 | 0,05 | 0,10 | 0,15 | 0,20 | 0,25 | 0,30 | 0,35 | 0,40 | 0,45 | 0,50 | 0,55 | 0,60 | 0,65 | 0,70 | 0,75 | 0,80 | 0,85 | 0,90 | 0,95 | 1,00 | |
| 0,0 | 0,000 | 0,000 | 0,000 | 0,000 | 0,000 | 0,000 | 0,000 | 0,000 | 0,000 | 0,000 | 0,000 | 0,000 | 0,000 | 0,000 | 0,000 | 0,000 | 0,000 | 0,000 | 0,000 | 0,000 | 0,000 | |
| 0,5 | 0,138 | 0,165 | 0,176 | 0,184 | 0,192 | 0,19 | 0,207 | 0,215 | 0,223 | 0,231 | 0,240 | 0,248 | 0,255 | 0,259 | 0,267 | 0,275 | 0,282 | 0,290 | 0,297 | 0,304 | 0,314 | |
| 1,0 | 0,310 | 0,325 | 0,340 | 0,356 | 0,371 | 0,386 | 0,402 | 0,417 | 0,432 | 0,447 | 0,461 | 0,476 | 0,490 | 0,505 | 0,519 | 0,534 | 0,547 | 0,561 | 0,575 | 0,590 | 0,602 | |
| 1,5 | 0,449 | 0,469 | 0,494 | 0,516 | 0,538 | 0,560 | 0,594 | 0,603 | 0,617 | 0,646 | 0,665 | 0,685 | 0,706 | 0,722 | 0,740 | 0,758 | 0,776 | 0,794 | 0,813 | 0,832 | 0,844 | |
| 2,0 | 0,571 | 0,560 | 0,628 | 0,655 | 0,682 | 0,709 | 0,732 | 0,761 | 0,785 | 0,810 | 0,831 | 0,866 | 0,878 | 0,899 | 0,919 | 0,938 | 0,957 | 0,974 | 0,991 | 1,008 | 1,022 | |
| 2,5 | 0,674 | 0,707 | 0,739 | 0,771 | 0,802 | 0,833 | 0,862 | 0,891 | 0,917 | 0,943 | 0,967 | 0,985 | 1,010 | 1,030 | 1,050 | 1,067 | 1,084 | 1,090 | 1,105 | 1,120 | 1,133 | |
| 3,0 | 0,755 | 0,792 | 0,828 | 0,863 | 0,895 | 0,928 | 0,958 | 0,986 | 1,013 | 1,038 | 1,061 | 1,081 | 1,100 | 1,116 | 1,131 | 1,143 | 1,154 | 1,162 | 1,169 | 1,175 | 1,177 | |
| 3,5 | 0,815 | 0,853 | 0,892 | 0,928 | O.S63 | 0,994 | 1,024 | 1,050 | 1,074 | 1,095 | 1,115 | 1,132 | 1,145 | 1,158 | 1,165 | 1,170 | 1,174 | 1,174 | 1,175 | 1,176 | 1,175 | |
| 4,0 | 0,856 | 0,898 | 0,937 | 0,974 | 1,008 | 1,039 | 1,066 | 1,090 | 1,110 | 1,127 | 1,141 | 1,151 | 1,158 | 1,162 | 1,163 | 1,161 | 1,156 | 1,150 | 1,141 | 1,132 | 1,119 | |
| 4,5 | 0,883 | 0,923 | 0,960 | 0,998 | 1,029 | 1,057 | 1,084 | 1,104 | 1,120 | 1,129 | 1,138 | 1,141 | 1,141 | 1,138 | 1,132 | 1,127 | 1,111 | 1,099 | 1,085 | 1,071 | 1,053 | |
| 5,0 | 0,895 | 0,939 | 0,977 | 1,012 | 1,042 | 1,067 | 1,087 | 1,102 | 1,112 | 1,117 | 1,117 | 1,114 | 1,107 | 1,097 | 1,084 | 1,069 | 1,053 | 1,036 | 1,019 | 1,003 | 0,987 | |
| 5,5 | 0,900 | 0,940 | 0,986 | 1,015 | 1,042 | 1,063 | 1,079 | 1,088 | 1,092 | 1,096 | 1,090 | 1,076 | 1,064 | 1,050 | 1,032 | 1,016 | 0,994 | 0,979 | 0,962 | 0,951 | 0,932 | |
| 6,0 | 0,903 | 0,945 | 0,381 | 1,013 | 1,037 | 1,054 | 1,065 | 1,070 | 1,068 | 1,062 | 1,051 | 1,036 | 1,020 | 1,001 | 0,984 | 0,956 | 0,949 | 0,934 | 0,922 | 0,914 | 0,907 | |
| 6,5 | 0,904 | 0,943 | 0,980 | 1,009 | 1,029 | 1,043 | 1,050 | 1,049 | 1,043 | 1,033 | 1,018 | 1,001 | 0,982 | 0,965 | 0,948 | 0,936 | 0,920 | 0,910 | 0,906 | 0,904 | 0,905 | |
| 7,0 | 0,904 | 0,945 | 0,978 | 1,006 | 1,024 | 1,034 | 1,037 | 1,033 | 1,023 | 1,009 | 0,992 | 0,975 | 0,957 | 0,941 | 0,927 | 0,917 | 0,911 | 0,90 | 0,911 | 0,917 | 0,926 | |
| 7,5 | 0,907 | 0,945 | 0,980 | 1,005 | 1,021 | 1,027 | 1,027 | 1,020 | 1,005 | 0,989 | 0,974 | 0,956 | 0,944 | 0,931 | 0,922 | 0,919 | 0,020 | 0,927 | 0,934 | 0,946 | 0,962 | |
| 8,0 | 0,911 | 0,951 | 0,983 | 1,007 | 1,020 | 1,024 | 1,021 | 1,011 | 0,998 | 0,982 | 0,966 | 0,952 | 0,941 | 0,934 | 0,932 | 0,936 | 0,944 | 0,955 | 0,970 | 0,986 | 1,002 | |
| 8.5 | 0,918 | 0,956 | 0,989 | 1,010 | 1,021 | 1,024 | 1,018 | 1,007 | 0,993 | 0,978 | 0,964 | 0,954 | 0,948 | 0,948 | 0,951 | 0,958 | 0,974 | 0,990 | 1,006 | 1,023 | 1,041 | |
| 9,0 | 0,925 | 0,966 | 0,996 | 1,016 | 1,025 | 1,025 | 1,017 | 1,006 | 0,992 | 0,978 | 0,968 | 0,962 | 0,961 | 0,967 | 0,976 | 0,990 | 1,006 | 1,023 | 1,038 | 1,051 | 1,060 | |
| 9,5 | 0,932 | 0,972 | 1,004 | 1,020 | 1,028 | 1,026 | 1,018 | 1,006 | 0,993 | 0,982 | 0,975 | 0,972 | 0,977 | 0,987 | 1,000 | 1,015 | 1,033 | 1,048 | 1,059 | 1,065 | 1,066 | |
| 10,0 | 0,939 | 0,980 | 1,009 | 1,025 | 1,030 | 1,027 | 1,018 | 1,005 | 0,994 | 0 985 | 0,982 | 0,984 | 0,993 | 1,006 | 1,020 | 1,036 | 1,049 | 1,059 | 1,063 | 1,062 | 1,056 | |
| 10,5 | 0,946 | 0,985 | 1,013 | 1,028 | 1,031 | 1,026 | 1,016 | 1,004 | 0,994 | 0,989 | 0,988 | 0,994 | 1,005 | 1,019 | 1,033 | 1,046 | 1,054 | 1,058 | 1,055 | 1,048 | 1,033 | |
| 11,0 | 0,947 | 0,988 | 1,015 | 1,028 | 1,030 | 1,024 | 1,013 | 1,002 | 0,993 | 0,990 | 0,993 | 1,001 | 1,014 | 1,027 | 1,039 | 1,047 | 1,048 | 1,044 | 1,034 | 1,021 | 1,005 | |
| 11,5 | 0,949 | 0,988 | 1,016 | 1,027 | 1,028 | 1,021 | 1,010 | 0,998 | 0,991 | 0,991 | 0,996 | 1,006 | 1,017 | 1,029 | 1,037 | 1,039 | 1,034 | 1,024 | 1,010 | 0,994 | 0,977 | |
| 12,0 | 0,950 | 0,990 | 1,015 | 1,025 | 1,024 | 1,015 | 1,004 | 0,994 | 0,988 | 0,990 | 0,997 | 1,007 | 1,018 | 1,026 | 1,029 | 1,025 | 1,015 | 1,000 | 0,984 | 0,970 | 0,958 | |
| 12,5 | 0,950 | 0,989 | 1,013 | 1,022 | 1,019 | 1,010 | 0,998 | 0,990 | 0,986 | 0,989 | 0,997 | 1,007 | 1,015 | 1,019 | 1,017 | 1,010 | 0,995 | 0,980 | 0,965 | 0,955 | 0,950 | |
| 13,0 | 0,950 | 0,989 | 1,012 | 1,019 | 1,015 | 1,004 | 0,993 | 0,986 | 0,984 | 0,989 | 0,997 | 1,006 | 1,012 | 1,012 | 1,005 | 0,993 | 0,980 | 0,965 | 0,955 | 0,952 | 0,955 | |
| 13,5 | 0,950 | 0,990 | 1,011 | 1,016 | 1,011 | 1,000 | 0,990 | 0,983 | 0,984 | 0,989 | 0,998 | 1,005 | 1,008 | 1,004 | 0,995 | 0,982 | 0,968 | 0,958 | 0,954 | 0,958 | 0,970 | |
| 14,0 | 0,951 | 0,990 | 1,010 | 1,015 | 1,008 | 0,997 | 0,987 | 0,983 | 0,985 | 0,991 | 0,999 | 1,005 | 1,005 | 0,998 | 0,987 | 0,975 | 0,965 | 0,961 | 0,965 | 0,976 | 0,991 | |
| 14,5 | 0,954 | 0,990 | 1,011 | 1,014 | 1,008 | 0,996 | 0,986 | 0,984 | 0,987 | 0,994 | 1,002 | 1,005 | 1,003 | 0,994 | 0,983 | 0,970 | 0,969 | 0,971 | 0,981 | 0,997 | 1,010 | |
| 15,0 | 0,956 | 0,993 | 1,012 | 1,014 | 1,006 | 0,995 | 0,987 | 0,986 | 0,991 | 0,998 | 1,005 | 1,006 | 1,002 | 0,994 | 0,983 | 0,977 | 0,978 | 0,987 | 1,001 | 1,018 | 1,032 | |
| 15,5 | 0,959 | 0,995 | 1,013 | 1,014 | 1,006 | 0,995 | 0,989 | 0,989 | 0,995 | 1,002 | 1,008 | 1,007 | 1,001 | 0,992 | 0,985 | 0,984 | 0,991 | 1,003 | 1,019 | 1,032 | 1,048 | |
| 16,0 | 0,961 | 0,998 | 1,015 | 1,014 | 1,006 | 0,995 | 0,990 | 0,992 | 0,999 | 1,007 | 1,010 | 1,008 | 1,001 | 0,994 | 0,990 | 0,993 | 1,003 | 1,018 | 1,031 | 1,040 | 1,039 | |
| 16,5 | 0,964 | 0,999 | 1,016 | 1,015 | 1,005 | 0,996 | 0,992 | 0,995 | 1,002 | 1,009 | 1,011 | 1,008 | 1,001 | 0,995 | 0,995 | 1,001 | 1,014 | 1,027 | 1,035 | 1,037 | 1,028 | |
| 17,0 | 0,965 | 1,001 | 1,016 | 1,014 | 1,005 | 0,996 | 0,993 | 0,998 | 1,005 | 1,011 | 1,012 | 1,007 | 1,000 | 0,996 | 0,999 | 1,008 | 1,020 | 1,030 | 1,032 | 1,026 | 1,012 | |
| 17,5 | 0,966 | 1,002 | 1,016 | 1,013 | 1,003 | 0,995 | 0,994 | 0,999 | 1,007 | 1,011 | 1,009 | 1,005 | 0,998 | 0,997 | 1,002 | 1,012 | 1,023 | 1,027 | 1,023 | 1,013 | 0,994 | |
| 18,0 | 0,966 | 1,002 | 1,015 | 1,012 | 1,002 | 0,994 | 0,994 | 1,000 | 1,007 | 1,010 | 1,008 | 1,001 | 0,997 | 0,997 | 1,004 | 1,014 | 1,020 | 1,018 | 1,008 | 0,993 | 0,978 | |
| 18,5 | 0,966 | 1,001 | 1,014 | 1,010 | 1,000 | 0,993 | 0,994 | 1,001 | 1,007 | 1,009 | 1,005 | 0,999 | 0,995 | 0,997 | 1,005 | 1,012 | 1,014 | 1,007 | 0,993 | 0,978 | 0,969 | |
| 19,0 | 0,966 | 1,002 | 1,013 | 1,008 | 0,998 | 0,992 | 0,994 | 1,001 | 1,006 | 1,006 | 1,001 | 0,995 | 0,993 | 0,997 | 1,004 | 1,009 | 1,006 | 0,995 | 0,981 | 0,970 | 0,967 | |
| 19,5 | 0,967 | 1,001 | 1,012 | 1,006 | 0,996 | 0,991 | 0,994 | 1,001 | 1,005 | 1,004 | 0,998 | 0,992 | 0,992 | 0,997 | 1,003 | 1,005 | 0,998 | 0,985 | 0,973 | 0,967 | 0,973 | |
| 20,0 | 0,967 | 1,001 | 1,011 | 1,004 | 0,995 | 0,991 | 0,994 | 1,001 | 1,004 | 1,001 | 0,995 | 0,991 | 0,992 | 0,998 | 1,003 | 1,001 | 0,991 | 0,980 | 0,972 | 0,975 | 0,986 | |
| 20,5 | 0,968 | 1,002 | 1,010 | 1,003 | 0,994 | 0,991 | 0,995 | 1,001 | 1,003 | 1,000 | 0,994 | 0,991 | 0,994 | 0,999 | 1,002 | 0,998 | 0,987 | 0,978 | 0,977 | 0,990 | 1,001 | |
| 21,0 | 0,968 | 1,002 | 1,010 | 1,003 | 0,994 | 0,991 | 0,996 | 1,002 | 1,003 | 0,999 | 0,993 | 0,992 | 0,996 | 1,001 | 1,002 | 0,996 | 0,987 | 0,982 | 0,989 | 1,001 | 1,015 | |
| 21,5 | 0,969 | 1,003 | 1,010 | 1,002 | 0,994 | 0,992 | 0,999 | 1,004 | 1,093 | 0,998 | 0,994 | 0,995 | 0,999 | 0,995 | 1,002 | 0,995 | 0,988 | 0,988 | 0,998 | 1,013 | 1,025 | |
| 22,0 | 0,971 | 1,004 | 1,011 | 1,002 | 0,994 | 0,994 | 1,000 | 1,005 | 1,004 | 0,998 | 0,995 | 0,997 | 1,000 | 1,004 | 1,002 | 0,995 | 0,991 | 0,997 | 1,010 | 1,024 | 1,024 | |
| 22,5 | 0,973 | 1,005 | 1,011 | 1,002 | 0,995 | 0,995 | 1,002 | 1,006 | 1,004 | 0,998 | 0,996 | 1,000 | 1.005 | 1,005 | 1,002 | 0,996 | 0,996 | 1,006 | 1,018 | 1,028 | 1,028 | |
| 23,0 | 0,973 | 1,006 | 1,011 | 1,002 | 0,995 | 0^997 | 1,003 | 1,006 | 1,004 | 0,998 | 0,997 | 1,002 | 1,007 | 1,007 | 1,002 | 0,997 | 1,001 | 1,011 | 1,022 | 1,025 | 1,016 | |
| 23,5 | 0,975 | 1,006 | 1,011 | 1,002 | 0,995 | 0,998 | 1,004 | 1,006 | 1,003 | 0,998 | 0,998 | 1,003 | 1,008 | 1,006 | 1,001 | 0,998 | 1,004 | 1,015 | 1,021 | 1,016 | 1,002 | |
| 24,0 | 0,975 | 1,006 | 1,010 | 1,001 | 0,995 | 0,998 | 1,005 | 1,006 | 1,002 | 0,998 | 0,999 | 1,004 | 1,007 | 1,004 | 1,999 | 0,999 | 1,007 | 1,015 | 1,016 | 1,006 | 0,990 | |
| 24,5 | 0,975 | 1,006 | 1,009 | 1,000 | 0,995 | 0,999 | 1,005 | 1,005 | 1,090 | 0,997 | 1,000 | 1,004 | 1,006 | 1,662 | 0,998 | 0,999 | 1,007 | 1,012 | 1,007 | 0,995 | 0,974 | |
| 25,0 | 0,975 | 1,006 | 1,008 | 0,999 | 0,995 | 0,999 | 1,004 | 1,004 | 0,999 | 0,996 | 1,000 | 1,004 | 1,004 | 0,999 | 0,996 | 1,000 | 1,007 | 1,008 | 0,998 | 0,984 | 0,975 | |
| 25,5 | 0,975 | 1,006 | 1,007 | 0,998 | 0,994 | 0,999 | 1,004 | 1,002 | 0,997 | 0,996 | 1,000 | 1,003 | 1,002 | 0,'997 | 0,995 | 1,000 | 1,005 | 1,001 | 0,989 | 0,978 | 0,977 | |
| 26,0 | 0,975 | 1,006 | 1,006 | 0,997 | 0,994 | 0,999 | 1,003 | 1,001 | 0,996 | 0,996 | 1,000 | 1,002 | 0,999 | 0,995 | 0,995 | 1,000 | 1,002 | 0,997 | 0,984 | 0,978 | 0,983 |
Содержание | Приложение
Технические данные двигателей серии дг
Таблица П3Технические данные двигателей серии ДГ (напряжение возбуждения UВ = 36 В; напряжение управления UНОМ = 30 В; напряжение трогания UТР = 0,5 В).

Содержание | Приложение
Технические данные двигателей серии ди
Технические данные двигателей серии ДИ. Таблица П12

Содержание | Приложение
Технические данные двигателей серии дпм
Таблица П11Технические данные двигателей серии ДПМ (напряжение питания UП = 220 B).

Содержание | Приложение
Технические данные двигателей типа адп
Технические данные двигателей типа АДП. Таблица П2

Содержание | Приложение
Технические данные двигателей типа дид
Таблица П1Технические данные двигателей типа ДИД. (напряжение возбуждения UВ = 36 В; напряжение управления UНОМ = 30 В; частота сети 400 Гц).

Содержание | Приложение
Технические данные двигателей типа ми
Технические данные двигателей типа МИ. Таблица П4

Продолжение табл. ?4

Содержание | Приложение
Технические данные двигателей типа п
Технические данные двигателей типа П. Таблица П10

Содержание | Приложение
Технические данные электромашинных усилителей
Технические данные электромашинных усилителей. Таблица ?6

Содержание | Приложение
Технические данные сельсинов
Технические данные сельсинов. Таблица ?7

Содержание | Приложение
Технические данные вращающихся трансформаторов
Технические данные вращающихся трансформаторов. Таблица ?8

Содержание | Приложение
Технические параметры аксиально-поршневых насосов типа пд и гидромоторов типа пм
Таблица П5Технические параметры аксиально-поршневых насосов типа ПД и гидромоторов типа ПМ.

Содержание | Приложение
Технико-экономические требования k следящим приводам
2.1. ТЕХНИКО-ЭКОНОМИЧЕСКИЕ ТРЕБОВАНИЯ K СЛЕДЯЩИМ ПРИВОДАМЭффективность использования СП, как и любого изделия машиностроения, определяется экономической эффективностью, связанной с уменьшением затрат на производство и сроков освоения новой техники, и технической эффективностью, связанной с повышением качества изделия.
Под качеством изделия понимают совокупность свойств, обеспечивающих выполнение возложенных на изделие задач, на фоне затрат, израсходованных на его изготовление. Проблема повышения качества стоит очень остро, так как в процессе эксплуатации и хранения изделий происходят их отказы по причинам наличия дефектов изготовления, влияния внешних условий и чрезмерного (не всегда оправданного) усложнения аппаратуры.
Различают следующие качественные показатели изделий: назначения, живучести, надежности, технологичности конструкции и т. п. Обеспечение показателей качества необходимо на всех стадиях изготовления изделия. Однако на практике отдельные этапы изготовления предъявляют требования к выполнению определенных показателей. Так, на этапе проектирования СП главные требования предъявляются к обеспечению показателей назначения и надежности.
Показатели назначения характеризуют свойства изделия, которые определяют основные функции и обусловливают область его применения.
K показателям назначения СП относятся:
Назад | Содержание
| Вперед
Типовые электрические схемы
11.2. ТИПОВЫЕ ЭЛЕКТРИЧЕСКИЕ СХЕМЫИСП с транзисторными усилителями мощности.
Одна из возможных принципиальных схем ИСП с транзисторным усилителем мощности и двигателем постоянного тока показана на рис. 131. Выходной каскад усилителя ИСП построен по мостовой схеме на транзисторах VT1—VT4, работающих в режиме переключения и осуществляющих управление двигателем по цепи якоря. Диоды VD5—VD8 служат для исключения инверсных токов через насыщенные транзисторы в момент их запирания. Реверс двигателя осуществляется изменением полярности напряжения за счет режима несимметричной коммутации транзисторов. Заданный режим реализуется о помощью импульсного усилителя (работа которого описана в п. 6, гл. 8), состоящего из двух идентичных ШИМ A1 и A2 и двух схем управления A3 и A4.
B рассматриваемом ИСП в качестве измерителя рассогласования применена двухотсчетная сельсинная передача: на сельсинах BC1 и BE1 грубого отсчета и на сельсинах BC2 и BE2 точного отсчета, связанных между собой редукторами q1, q2. Переключение работы ИСП с точного на грубый отсчет осуществляется синхронизирующим устройством, выполненным на диодах VD1—VD4 и резисторах R1, R2.
Выделенный схемой синхронизации сигнал рассогласования через фильтр C1, R3 поступает на вход трехкаскадного УПТ в интегральном исполнении. Первым каскадом усилителя является однополупериодный демодулятор, состоящий из интегрального прерывателя DA1, трансформатора T1 и резистора R4 Суммирование выпрямленного и отфильтрованного контуром R5, C2 сигнала рассогласования и корректирующего сигнала ОС осуществляется по схеме параллельного сложения на резисторах R6, R7, Суммарный сигнал поступает на вход усилителя напряжения, оба каскада которого выполнены на интегральных микросхемах DA2, DA3 и резисторах R8—R12. Весь каскад усиления на ОУ является фазоинверсным для получения на выходе разнополярного сигнала, необходимого для работы импульсного усилителя.
Рассмотрим работу привода. При отсутствии рассогласования сигнал управления равен нулю, широтно-импульсные модуляторы A1 и A2 не коммутируются и со схем управления A3 и A4 поступают сигналы, открывающие транзисторы VT2, VT4 и запирающие транзисторы VT1, VT3. Транзисторы VT2, VT4 совместно с диодами VD6, VD8 закорачивают якорь двигателя M, обеспечивая ему электродинамическое торможение.
При появлении в приводе рассогласования напряжение, пропорциональное погрешности, снимается со статорной обмотки сельсина BE2 при углах, меньших угла переключения ?п, и сельсина BE1 при углах, больших ?п. Полярность сигнала управления на выходе ДМ зависит от знака рассогласования. А так как состояние ШИМ определяется знаком сигнала управления, то от этого зависит, какая из пар транзисторов VT1, VT2 или VT3, VT4 начнет переключаться и, следовательно, в какую сторону будет отрабатывать двигатель M.

Рис. 131. ИСП с транзисторным усилителем
Так, если отрицательное напряжение поступит на вход A1, то он начинает коммутироваться и схема управления A3 вырабатывает последовательность однополярных импульсов — на транзистор VT2 положительных, закрывающих его, и на транзистор VT1 отрицательных, открывающих его. А так как состояние транзисторов VT3 и VT4 осталось неизменным, то ток через якорь двигателя потечет справа налево в течение длительности импульса через транзисторы VT1, VT4, разгоняя двигатель и уменьшая рассогласование в приводе.
Для получения заданных динамических свойств в ИСП применена корректирующая гибкая ОС, сформированная с помощью тахогенератора BR, делителя R14, R15 и дифференцирующего контура C4, R13. Сигнал, пропорциональный второй производной от угла поворота выходного вала, подается на вход УПТ в полярности, противоположной полярности сигнала погрешности. Суммарный сигнал уменьшается, напряжение на якоре двигателя тоже, а следовательно, перерегулирование в приводе уменьшается и устойчивость возрастает.
Рассмотренный привод отличается простотой, высоким быстродействием и хорошими энергетическими характеристиками.
Схема ИСП, в котором в качестве исполнительного устройства применен асинхронный двигатель АДП-563А, приведена на рис. 132. Для управления такого двигателя в целях уменьшения мощности рассеяния выходных транзисторов выбран усилитель с широтно-импульсной модуляцией напряжения выходного каскада. Выходной каскад усилителя выполнен на транзисторах VT4 и VT5 в режиме переключения по двухтактной схеме с согласующим трансформатором T4, напряжение с которого подается на обмотку управления двигателя М.
Сигнал рассогласования привода, выделенный измерителем рассогласования на двух CKBT (TC и TE), в виде напряжения переменного тока складывается с сигналом принимающего тахогенератора BR, конструктивно выполненного в одном корпусе с двигателем. Суммарное напряжение усиливается каскадом усилителя, построенного на DA1, резисторах R1—R4, и через фильтрующую цепочку C1, R5 подается на вход однополупериодного ДМ, в качестве которого применен интегральный прерыватель DA2 с трансформатором T1 и резистором R7. Для формирования опорного напряжения служит резистор R6 и два стабилитрона VD1и VD2, для сглаживания пульсации выпрямленного напряжения — цепь R8, C2.
Сигнал по постоянному току усиливается ОУ DA3, DA4 c передаточными коэффициентами, определяемыми отношениями R11/R9 и R12/R10. Инвертирование фазы выходного сигнала, необходимое для работы последующих ШИМ, достигается подачей управляющего сигнала на разноименные входы указанных усилителей. С выхода УПТ усиленный сигнал поступает на двухканальный ШИМ (A1 и A2), вырабатывающий последовательность однополярных импульсов со скважностью, зависящей от управляющего сигнала. По устройству ШИМ A2 аналогичен A1 (см. рис. 90), но работает в противофазе с ним, что достигается подачей на их входы разнополярных сигналов.

Рис. 132. ИСП с асинхронным двигателем
Последующее преобразование импульсного напряжения постоянного тока в импульсное напряжение переменного тока осуществляется идентичными по своему построению модуляторами A3 и A4. Раскрытый на рис. 132 модулятор A3 состоит из согласующего транзистора VT1, одновременно усиливающего прямоугольное импульсное напряжение, и двух ключевых коммутаторов, собранных на транзисторах VT2 и VT3, трансформаторе T1, резисторах R13 и R14, диодах VD3, VD4. Частота опорного прямоугольного напряжения Uоп, поступающего с T1, должна соответствовать частоте напряжения возбуждения двигателя и быть в 2 раза выше частоты пилообразного напряжения, а по фазе Uоп должно иметь сдвиг, равный ?/2 по отношению к фазе пилообразного напряжения.
В результате за один период импульса постоянного тока ключи VT2, VT3, попеременно замыкаясь, пропускают импульс тока через верхнюю, а затем через нижнюю обмотку согласующего трансформатора T2. Во вторичной обмотке трансформатора появляются знакопеременные импульсы, длительность которых определяется величиной управляющего сигнала.
Режимы работы ШИМ выбраны так, что они осуществляют принцип трехпозиционного реле. При отсутствии рассогласования в приводе на выходе трансформаторов T2 и T3 напряжения равны нулю и двигатель M обесточен. С появлением управляющего сигнала и в зависимости от его фазы коммутируется верхний или нижний канал ШИМ.
При коммутации нижнего канала импульсы тока, поступая через диоды VD5, VD6 к базам транзисторов VT4 и VT5, попеременно открывают их на время длительности импульса и пропускают коллекторный ток через диод VD11 и полуобмотки трансформатора T4. Частота вращения двигателя будет определяться скважностью импульсов. Реверс двигателя осуществляется сменой знака рассогласования, коммутацией нижнего канала ШИМ и подачей с трансформатора T3 через диоды VD7, VD8 импульсов к базе транзистора VT5, а затем VT4.
В выходном каскаде предусмотрена защита силовых транзисторов VT4, VT5 от ЭДС самоиндукции путем включения диодов VD9, VD10.
Рассмотренный привод отличается простотой конструкции, компактностью, высокой надежностью, что обеспечивается применением бесконтактных элементов и режимом работы усилителя. Однако вследствие большой скоростной погрешности, вносимой тахогенератором, осуществляющим жесткую ОС, применение привода в особо точных системах ограничено.
ИСП с тиристорными усилителями мощности. В ИСП на базе тиристорного усилителя мощности с выходом на постоянном токе (рис. 133) сигнал управления вырабатывается с помощью двухканального измерителя рассогласования на сельсинах, из которых датчики BC1 и BC2 кинематически связаны с задающим валом, а приемники BE1 и BE2 — с исполнительным валом ИСП. Напряжение, пропорциональное сигналу рассогласования, поступает на вход синхронизирующего устройства, выполненного на диодах VD1—VD4 и резисторах R1 и R2. В зависимости от значения рассогласования выделяется управляющий сигнал переменного тока по каналу ГО или TO.
Для усиления и преобразования переменного сигнала в постоянный служит усилитель A1 в интегральном исполнении. Для исключения попадания постоянного напряжения на вход прерывателя предусмотрен конденсатор C1.
Силовая часть тиристорного привода построена по схеме двухполупериодного выпрямителя и содержит трансформатор T1 со средней точкой и две группы тиристоров VS1, VS2 и VS3, VS4, включенных встречно-параллельно. Нагрузкой выходного каскада является якорная обмотка двигателя M постоянного тока с независимым возбуждением. Управление тиристорами осуществляется блоком, состоящим из двух каналов A2 и A3 фазосдвигающего устройства. Устройство каждого канала, а также назначение элементов (резисторов R3—R10, конденсаторов C2, C3, транзисторов VT1—VT5, диодов VD5—VD8) аналогичны устройству и назначению компонентов ФСУ, изображенного на рис. 92.
В целом блок управления тиристорами обладает характеристикой трехпозиционного реле. При входном сигнале, меньшем напряжения срабатывания АДД, все тиристоры выходного каскада находятся в закрытом состоянии и двигатель полностью обесточен. В случае превышения входным сигналом напряжения срабатывания АДД открывается тот канал ФСУ, на вход которого поступает отрицательный сигнал. Например, при работе A2 управляющие импульсы с трансформатора T2 поступают на тиристоры VS1, VS3. В первый полупериод из них открывается тот тиристор, на анод которого подан «+» напряжения с дифференциальной обмотки трансформатора T1, например VS1. Во второй полупериод напряжения питания открывается тиристор VS2, и по нагрузке в оба полупериода протекает ток одного направления.
Сила тока будет зависеть от угла сдвига ? управляющего импульса, а он в свою очередь — от уровня входного сигнала UУ. Чем больше этот уровень, тем меньше время перезаряда конденсатора ФСУ (рис. 134, а) и тем больше частота импульсов с выходной обмотки T2 (см. рис. 133). Это видно из диаграмм, изображенных на рис. 134, б. Тиристоры открываются первым импульсом из пачки, укладывающейся в полупериод опорного напряжения, на остальные импульсы они не реагируют.
Для синхронизации работы обоих каналов ФСУ служит транзистор VT1(см. рис. 133).

Рис. 133. ИСП с тиристорным усилителем
Со сменой полярности управляющего сигнала начинает функционировать нижний канал ФСУ. При этом вырабатываются импульсы управления с трансформатора T3 и изменяется направление тока через якорь двигателя M. С помощью редуктора q двигатель перемещает нагрузку H и ротор сельсина BE2 до положения нового согласования. В качестве корректирующего устройства применен тахогенератор BR постоянного тока, сигнал с которого дифференцируется контуром R11, C5. Конденсатор C4 применен для сглаживания пульсаций прерывистого тока, протекающего по якорю двигателя.
ИСП с трехфазными тиристорными усилителями. Эти приводы обеспечивают мощность до 300 кВт и требуемое качество управления механизмов подачи металлорежущих станков и установок для разворота больших нагрузок. К ним предъявляют жесткие требования по обеспечению высоких частот вращения нагрузки при ее изменении и изменении внешних факторов (температуры и т. д.). Принципиальная схема привода станка с программным управлением дана на рис. 135. В состав привода входят предварительный усилитель напряжения, блок управления, состоящий из шести идентичных ФСУ (Al—А2), блок пилообразного напряжения A7, электродвигатель M постоянного тока со встроенным тахогенератором BR, дроссели L1, L2.

Рис. 134. Диаграмма работы тиристорного усилителя
Питание двигателя осуществляется от трехфазной сети переменного тока через двухполупериодный выпрямитель VS1—VS6 с нулевым выводом.
Входное воздействие, поступающее в виде программы от аналоговой ЭВМ, сравнивается с сигналом UТГ ОС, реализуемой с помощью тахогенератора BR и делителя R28, R29. Сигнал рассогласования в виде разности U? = Uв — UТГ поступает на первый каскад усилителя, собранный на ОУ DA1и резисторах R1—R4. Каскад на усилителе DA2 и резисторах R5—R9 служит для суммирования сигнала рассогласования с сигналом корректирующей OC по ускорению, реализуемой с помощью сериесного резистора R24, делителя R25, R26 и дифференцирующего контура R27, C3. Усилитель DA3 совместно с резисторами R11—R13 осуществляет инвертирование по фазе управляющего сигнала.
С выхода DA3 сигнал через резистор R14 и диодный ограничитель VD3, VD4 поступает на входы ФСУ (A1—A3), открывающих тиристоры выпрямительной группы VS1—VS3. Неинвертированный управляющий сигнал с выхода DA2 подается через резистор R10 и диодный ограничитель VD1—VD2 на входы ФСУ (A4—A6), управляющих тиристорами инверторной группы VS4—VS6.

Рис. 135. Тиристорный привод станка
Блок управления предназначен для выработки и распределения управляющих импульсов между тиристорами работающей группы. Он состоит из шести ФСУ, из которых на рис. 135 раскрыт только Al. Каждый из ФСУ работает по принципу «вертикального» управления и включает ШИМ, собранный на транзисторах VT1, VT2, резисторах R15—R22, и формирователь импульсов, построенный на основе ждущего блокинг-генератора (транзистор VT3, резистор R23, конденсаторы C1, C2 и диоды VD5—VD7). Для сдвига управляющего импульса при отсутствии рассогласования на 90° относительно точки естественного зажигания тиристора к базе транзистора VT1 через резистор R17 приложено отрицательное смещение. В этом случае блок управления приобретает свойства трехпозиционного реле. При UУ = 0 угол регулирования ? = 90°. Токи, протекающие во всех тиристорах в прямом и обратном направлениях, компенсируются, и напряжение на двигателе M равно нулю.
При положительной полярности сигнала рассогласования (UУ > 0) угол регулирования управляющего импульса, вырабатываемого Al—A3, уменьшается от 90 к 0° (по мере увеличения рассогласования).
Ток через двигатель протекает через тиристоры выпрямительной группы VS1—VS3 от фаз питающего напряжения к нулевому зажиму. Переключение тиристоров внутри работающей группы происходит в порядке следования фаз A, B, C питающего напряжения и в соответствии с поступлением очередного управляющего импульса, сдвинутого на 60° относительно предыдущего (см. рис. 105). Сдвиг по фазе в 60° осуществляется специальной фазировкой пилообразного напряжения в блоке пилообразных напряжений A7 относительно синусоидального напряжения каждого тиристора.
При смене знака рассогласования (UУ < 0) угол регулирования управляющих импульсов, вырабатываемых ФСУ A4—A6, увеличивается от 90 к 180°. Для работы двигателя используется инверторная группа тиристоров VS4—VS6, определяющая направление тока через двигатель от нулевого зажима к фазам питающего напряжения и осуществляющая реверс двигателя. Дроссели L1, L2 предназначены для защиты тиристоров от сквозных токов.
Для защиты тиристоров от пробоя при подаче на управляющий электрод отрицательного по отношению к катоду напряжения последовательно с управляющим электродом включен диод VD8.
Для обеспечения качественных показателей работы привода станка использована корректирующая OC с датчика тока UA. Датчик формирует сигнал, пропорциональный току якоря двигателя (ускорению выходного вала), который после дифференцирования цепочкой C3, R27 подается на вход усилителя.
Основной проблемой при проектировании рассматриваемого привода является минимизация статических погрешностей, так как по своей структуре он является статическим. Существенного снижения суммарной погрешности можно добиться соответствующим выбором элементов схемы и в первую очередь ТГ, а также увеличением коэффициента усиления усилителя. Стабильность частоты вращения выходного звена привода станка обеспечивается в пределах 5 % от установленной.
В заключение следует отметить, что замена ЭМУ статическими тиристорными преобразователями привела к уменьшению массогабаритных характеристик, улучшению энергетических показателей, большей надежности, уменьшению стоимости привода и снижению производственного шума.
Назад | Содержание
| Вперед
Типовые схемы цифровых следящих приводов
15.3. ТИПОВЫЕ СХЕМЫ ЦИФРОВЫХ СЛЕДЯЩИХ ПРИВОДОВЦифроаналоговый следящий привод (ЦАСП). Одна из возможных схем ЦАСП дана на рис. 153, а. Привод построен по структуре подчиненного регулирования параметров, при которой основной контур — цифровой, а внутренний — аналоговый.
Аналоговый контур, образованный с помощью датчика скорости BR выходного вала и пассивного контура K (p), применен для обеспечения заданных динамических показателей.
Ha основании исходной информации или программы управляющая ЭВМ задает угол поворота исполнительному двигателю M в виде параллельного двоичного кода, который поступает на вход многоразрядного сумматора ??. Ha второй вход сумматора поступает параллельный двоичный код, вырабатываемый преобразователем UZVz в цепи OC. Ha входе сумматора формируется сигнал разности в двоичном коде, пропорциональный отклонению выходного вала от заданного ЭВМ угла. Этот сигнал с помощью АЦП Uzv преобразуется в напряжение, которое после предварительного усиления в AU поступает на вход фазосдвигающего устройства, расположенного в тиристорном усилителе мощности AW и управляющего его работой. Напряжение, снимаемое с усилителя, поступает на двигатель M, отрабатывающий рассогласование в приводе. Рассогласование отрабатывается циклически. Синхронизация работы привода осуществляется выходными сигналами с блока управления цифровой ЭВМ.
Ha рис. 157 приведена электрическая принципиальная схема восьмиразрядного ЦАСП, выполненная в соответствии со структурной схемой на рис. 153, а. По сигналу, поступающему с выхода блока управления AZ на синхронизирующие входы C выходного регистра DS1 ЭВМ, и буферного регистра DS2, в регистры заносится выходная информация ЭВМ и преобразователя OC Uvz , а с их выходов сигналы поступают на вход восьмиразрядного комбинационного сумматора SM. Сумматор выполнен на двух четырехразрядных микросхемах DD1 и DD2 (типа К155ИМЗ), соединенных последовательно так, что выход переноса P4 микросхемы DD1 соединен со входом переноса P0 микросхемы DD2. Прямые выходы регистра DS1 подключены к группе входов A1—A4 и микросхем DD1 и DD2, а инверсные выходы регистра DS2 подключены к группе входов B1—B4 этих же микросхем.
Если выходной сигнал УПТ превышает напряжение срабатывания ФСУ, то открывается один из каналов (верхний или нижний), на вход которого поступает отрицательный сигнал. По якорю двигателя M начинает протекать ток определенного направления, и двигатель перемещает нагрузку H и ротор датчика OC — вращающегося трансформатора TC. Напряжение, снимаемое с датчика, и соответствующий ему код, записанный в регистре DS2, изменяется в сторону уменьшения рассогласования по сравнению с кодом ЭВМ.
С приходом с блока управления AZ следующего тактового импульса код, соответствующий новому угловому положению выходного вала, заносится в регистр DS2, а выходная информация ЭВМ — в регистр DS1 и цикл отработки повторяется. В случае совпадения или малого расхождения кодов входного и OC выделяемое на выходе ЦАП напряжение будет меньше напряжения срабатывания ФСУ. Все тиристоры в этом случае будут закрыты, а двигатель обесточен.
В рассматриваемом приводе цифровые устройства обеспечивают высокую точность регулирования и облегчают процесс настройки и работы благодаря точному измерению и индикации угла поворота выходного вала. Аналоговые устройства, являясь выходными на исполнительную часть СП, обеспечивают требуемое качество переходных процессов за счет применения коррекции сигналом OC, пропорциональным второй производной от угла поворота вала нагрузки.
Цифровой СП с ПК—ШИМ. Структурная схема ЦАСП с преобразователем кода во временной интервал приведена на рис. 158, а. Как видно из схемы, код угла ?, задаваемый ЭВМ, и код угла ? сравниваются в вычислителе ??. Полученная разность кодов (код погрешности) преобразуется в широтно-импульсный аналоговый сигнал с помощью ПК—ШИМ Uzv и поступает на устройства непрерывного действия: усилитель A, исполнительный двигатель M, перемещающий с помощью редуктора q нагрузку H. Угол поворота выходного вала ? измеряется с помощью датчика TC и преобразуется в двоичный код ЦАП Uvz.
Принципиальная электрическая схема рассматриваемого привода приведена на рис. 158, б.
Выходные цепи блока AZ развязаны по постоянному току с элементами силового моста оптронными парами DS2—DS5. Алгоритм управления выбран таким, что при отсутствии сигнала с ПК—ШИМ (O) и наличии любого знака кода (0 или 1) насыщены транзисторы VT2, VT4 нижней половины моста, которые вместе с диодами VD2—VD4 закорачивают якорь двигателя, обеспечивая ему электродинамическое торможение. Транзисторы VT1, VT3 верхней половины моста закрыты.

Рис. 158. ЦАСП с ПК—ШИМ
При наличии указанных на рис. 158, б кодовых знаков и поступлении ШИМ - сигнала начинают коммутироваться транзисторы левой половины: схемы VT2 запирается, VT1 открывается на время длительности импульса. Состояние транзисторов правой половины схемы остается неизменным. Якорь двигателя периодически подключается к источнику питания Uп через транзисторы VT1 и VT4 и набирает среднюю за период частоту вращения, пропорциональную сигналу рассогласования, уменьшая последнюю.
При смене кодовых знаков коммутируются транзисторы VT3, VT4 правой половины моста, что приводит к изменению направления тока в якорной цепи и реверсу двигателя. С помощью редуктора q двигатель поворачивает на угол ? нагрузку и ротор датчика TC, входящего в состав ЦАП Uvz. Выходное напряжение датчика преобразуется в двоичный код и по цепи OC поступает на вход сумматора.
Основной трудностью при реализации мостового выходного каскада является защита транзисторов от сквозных токов в момент переключения. Благодаря несимметричному закону коммутации сквозные токи возможны только в одной половине моста. Полного устранения их можно добиться включением в цепь якоря сериесного резистора, напряжение e которого в виде сигнала отрицательной OC следует подать через пороговое устройство на блок логики, несколько усложнив его.
Использование ПК—ШИМ и блока логики в рассматриваемом приводе позволяет обеспечить высокую надежность, точность, быстродействие и простоту согласования с управляющей цифровой ЭВМ. Компактность отдельных устройств и всего привода в целом отвечает современным требованиям микро миниатюризации производства.
Импульсные цифровые следящие приводы (ИЦСП). Как отмечалось ранее, ИЦСП, построенные на основе ШД, являются последовательно дискретными приводами, начиная от программы и до перемещения нагрузки. Эта особенность дает такие преимущества перед ЦАСП, как повышенную помехозащищенность; структурную простоту ввиду отсутствия необходимости во внутренних цепях OC; высокие динамические свойства благодаря созданию ШД с высокой частотой приемистости и отсутствию перерегулирования при возмущениях; простоту сопряжения с цифровой ЭВМ.

Рис. 159. Импульсный ЦСП
Разомкнутая цепь регулирования ШД (рис. 159, а) состоит из программоносителя (управляющей ЭВМ), блока управления DZ, включающего коммутатор SZ и усилитель мощности AW, и шагового двигателя M, связанного с нагрузкой H посредством механического или электрического редуктора q. Штриховой линией на рис. 159, а обозначен еще один элемент Uzc — преобразователь код — импульс, предусматриваемый в цепи управления в случае задания программы в двоичном коде. При числовом задании программы необходимость в нем отпадает, и сигнал управления в виде суммы импульсов, определяющей общее перемещение нагрузки, поступает на блок управления DZ.
Блок управления служит для преобразования полученной последовательности импульсов в m-фазную комбинацию (по числу фаз ШД), определяемую способом управления ШД. Импульсы, усиленные по мощности каскадом AW, поступают на обмотки ШД. Ha каждый импульс программы ШД перемещает нагрузку на строго определенный шаг. Таким образом, в разомкнутом приводе ШД совмещает функции измерительного и исполнительного устройств.
ИЦСП, выполненные с применением ШД в виде разомкнутых систем передачи информации, находят широкое применение в периферийных устройствах ЭВМ, графопостроителях, системах числового программного управления станков. Ha рис. 159, б приведено устройство цифрового графопостроителя, с помощью которого осуществляется вывод результирующей графической информации из системы на базе ЭВМ CM-3. Система графопостроителя [1] состоит из двух разомкнутых дискретных приводов, устройство которых аналогично устройству привода, показанного на рис. 159, а.
Привод с ШД Mx кинематически связан с траверсой 4 и осуществляет перемещение ее по координате x. Привод с ШД My перемещает каретку 1 с пишущим устройством 2 относительно траверсы 3 по координате у. В результате совместного действия двух приводов на планшете графопостроителя вычерчивается контур 4, соответствующий выходным данным ЭВМ. В качестве шаговых применены двигатели типа ДШИ-368-8, работающие в режиме с полным и дробным шагом.
Точность разомкнутых систем зависит от точности отработки отдельных шагов и точности редуктора. Быстродействие привода определяется частотой приемистости ШД, а также параметрами блока управления и, в первую очередь, электронного коммутатора.
Коммутатор. Одним из основных элементов блока управления является коммутатор, который служит для распределения на обмотки управления ШД управляющих импульсов, обеспечивающих дискретное изменение состояния электромагнитного поля в воздушном зазоре машины. К коммутатору предъявляют требования простоты, надежности, экономичности и помехоустойчивости при условии обеспечения заданного закона распределения импульсов. Применение стандартных логических элементов позволяет создать простые и надежные схемы коммутаторов.
Блок управления четырехфазным ШД (рис. 160, а) реализован на логических элементах серии 155. Коммутатор SZ состоит из блока логики AZ, собранного на четырех элементах 2И—HE (D3—D6), и управляющих триггеров DS2, DS3, дешифратора A, четырехразрядного регистра DS1 и двух элементов И (D1 и D2). Для управления ШД применена четырехтактная система коммутации с парным возбуждением обмоток, работающая согласно временной диаграмме на рис. 160, б.
Сигналы с выходов I - IV триггеров DS2, DS3 через усилитель мощности AW поступают на обмотки управления ШД. Последовательность распределения их определяется сочетанием сигналов OC, формируемых на выходных шинах дешифратора Д, управляющих сигналов «Вперед», «Назад» с выхода ЭВМ и работой блока логики AZ. Блок логики формирует команды на включение следующего состояния управляющих триггеров DS2, DS3 по известному текущему состоянию.
Пусть нулевому состоянию обоих триггеров (напряжения Ui и Uii на выходах I, II равны нулю) согласно таблице истинности, приведенной на рис. 160, в, соответствует единичное состояние шины «0» дешифратора. Токи управления через открытые транзисторы VT1, VT3 протекают по обмоткам 4 и 1 ШД (см. диаграмму на рис. 160, б). C подачей управляющей команды «Вперед» триггер DS2 должен перейти к состояние «1», а триггер DS3 остаться без изменения, чтобы обеспечить прямое направление вращения ШД. Для этого по переднему фронту импульса с генератора G фиксируется состояние выходов дешифратора в регистре DS1, Одновременно через открытые элементы D1, D3 этот импульс устанавливает триггер DS2 в состояние «1». Сигналы низкого уровня, открывающие транзисторы VT2, VT3, снимаются с выходов II, III и токи будут протекать по обмоткам 1 и 2 ШД.

Рис. 160. Блок управления ШД
Новой комбинации состояний триггеров согласно таблице истинности соответствует единичное состояние шины 1. Следующий при прямом ходе импульс управления пройдет через открытые элементы Dl, D5 на установку триггера DS3 в состояние «1», сигналы низкого уровня будут сниматься с выходов III - IV, а токи потекут по обмоткам 2 и 3. Таким образом, при прямом направлении вращения будут поочередно включаться шины ДШ: 0, 1, 2, 3, 0… обеспечивая протекания токов по обмоткам: 4—1, 1—2, 2—3. 3—4, 4—1 и т. д.
При подаче команды «Назад» управляющим импульсом открывается элемент D2 (D1 закрывается), поочередно подключаются шины ДШ: 0, 3, 2, 1, 0, обеспечивая изменение порядка коммутации выходов триггеров и протекания токов по обмоткам: 1—4, 4—3, 3—2, 2—1, 1—4 и т. д. Устройство, работающее по замкнутому циклу, получило название кольцевого коммутатора.
Показанный на рис. 160, а блок управления может быть применен в приводе графопостроителя (см. рис. 159, б) для одной оси, если управляющие команды «Вперед», «Назад» подаются с выхода микроЭВМ. Парафазные выходы триггеров DS2, DS3 через соответствующие усилители на транзисторах VT1—VT4 подключены к обмоткам ШД.
В результате при любом, состоянии триггеров пара обмоток ШД находится под напряжением, фиксируя ротор двигателя в соответствующем состоянии. Для исключения сбоев ШД при отключениях питания в устройство вводится блок памяти, в котором оперативно запоминается каждое новое состояние регистра DS1. При выключении питания состояние регистра сохраняется в блоке памяти. При вновь включенном напряжении вырабатывается импульс, по которому содержимое блока памяти переписывается в регистр. В результате ШД выставляется в положение, предшествующее моменту выключения питания.
Замкнутые ИЦСП. Применение разомкнутых ИЦСП часто не обеспечивает требуемой точности при отработке входной информации, так как возможна невосполнимая ее потеря. Поэтому представляет интерес применение ШД в замкнутых приводах, в которых ШД играет роль только исполнительного элемента, а преобразователь угла в код, являющийся измерительным элементом, определяет точность передачи угла.
С помощью замкнутых ИЦСП с главной OC по положению решается задача создания надежных, компактных расшифровывающих СП (РСП), предназначенных для связи цифровой ЭВМ с объектами управления. Как пример системы сопряжения рассмотрим приведенную на рис. 161 структурную схему привода, используемого в качестве преобразователя цифра — вал. Привод состоит из цифрового сумматора ??1, преобразователей UZc код—частота и UZ угол—код, блока управления DZ, шагового двигателя M, редуктора q и нагрузки в виде вращающегося трансформатора BT-5.

Рис. 161. Расшифровывающий ЦСП
Код положения выходного вала от датчика UZ одновременно с кодом задания из ЭВМ поступает на вычислитель ??1. Вычислитель формирует управляющий сигнал в виде суммы погрешности по положению ? и скорости изменения этой погрешности d?/dt. Сигнал управления в двоичном коде одновременно с импульсом сопровождения подается на преобразователь UZc, где хранится в течение цикла сравнения. Преобразователь код— частота (ПКЧ) UZc работает по принципу интегратора. В каждом цикле ПКЧ содержимое регистра приема DS1 и регистра DS2 сумматора складывается в сумматоре ??2.
В моменты переполнения сумматора формируются импульсы частоты, зависящей от кода управляющего сигнала. Чем больше код, тем быстрее переполняется сумматор.
Импульсы рабочей частоты fр с выхода UZc и информация о знаке поступают на блок управления DZ, формирующий закон изменения токов в обмотках двигателя M. С помощью редуктора q ШД перемещает ротор BT и одновременно ротор преобразователя UZ со скоростью, зависящей от fр, и до тех пор, пока код разности, формируемый в ??1, не станет ниже порога срабатывания привода. Так как при этом угол поворота BT будет соответствовать коду, заданному в ЭВМ, то привод в целом выполняет функцию преобразователя цифра—вал. Напряжение, снимаемое с BT, можно использовать в качестве задающего сигнала в непрерывных системах управления объектами.
Отличительной особенностью рассмотренного привода является пропорциональность управления, высокое быстродействие и точность работы, высокая надежность и малая мощность потребления. Так как устойчивость привода определяется динамикой работы ШД, в котором переходной процесс заканчивается в течение времени, необходимого для отработки одного импульса, то нет необходимости в проведении динамического расчета всего привода.

Рис. 162. Дискретный привод гидропресса
В ИЦСП особый интерес представляет использование маломощного ШД в качестве промежуточного средства связи гидравлического исполнительного устройства с цифровой ЭВМ. Перспективность применения такого сочетания состоит в том, что оно обеспечивает надежность ШД в сочетании с высокими динамическими характеристиками гидропривода дроссельного типа. Структурная схема регулятора скорости гидравлического пресса [16] показана на рис. 162, a. Ha траверсе пресса установлен датчик UZ обратной связи. Сигнал, пропорциональный скорости движения пресса, в цифровой форме подается на блок ??1, где сравнивается с сигналом, определяемым скоростью движения пресса, заданной ЭВМ. Число импульсов, соответствующее коду рассогласования, и знак рассогласования через блок задания внутреннего контура AZ подается на блок DZ управления ШД.
Импульсы с генератора GZ через блок управления DZ поступают на ШД M, который одновременно выполняет функции ЭМП и ЦАП, преобразуя электрическую цифровую информацию (в виде числоимпульсного кода) в соответствующее перемещение золотника распределителя гидропривода пресса.
Привод пресса работает по принципу релейных систем за счет отработки рассогласования ШД с равным шагом. Когда код погрешности на выходе блока сравнения ??1 достигнет определенного уровня, на выходе блока AZ появится сигнал, который разрешит прохождение импульсов с генератора GZ на обмотку управления ШД через коммутатор DZ в последовательности, зависящей от знака рассогласования ?. Вал ШД вращается с постоянной частотой и с помощью редуктора q перемещает золотник распределителя, изменяя скорость гидропривода до тех пор, пока рассогласование в скоростях не станет ниже порога срабатывания AZ.
Для повышения быстродействия и точности отработки угол поворота ШД фиксируется датчиком OC (сельсином-приемником BE). Сигнал с датчика BE поступает на элемент сравнения ??2 блока управления DZ, образуя замкнутый контур. Таким образом, ШД обеспечивает перемещение золотника управляющего распределителя при отклонении скорости пресса от заданной в главном контуре регулирования и дополнительное перемещение золотника в случае неточности отработки ЩД импульсов по внутреннему контуру.
B исполнительном устройстве гидропресса (рис. 162, б) на основе ШД с равным шагом для выработки сигнала рассогласования служат расположенный в блоке задания внутреннего контура AZ сельсин-датчик BC и сельсин-приемник BE, связанный с валом ШД посредством редуктора q. Фазные обмотки сельсинов BC и BE подключены к одному источнику трехфазного питания. Напряжения с однофазных обмоток поступают на блок управления DZ. Блок управления путём постоянного сравнивания фаз напряжений датчика и приемника пропускает с генератора GZ число импульсов, пропорциональное разности фаз, и в последовательности, зависящей от знака разности.
Импульсы, усиленные по мощности усилителями AW1—AW4, коммутируют парные обмотки управления двигателя M. При коммутации обмоток в последовательности: 1—2, 2—5, 3—4, 4—1 дискретный сигнал преобразуется в поворот ротора по часовой стрелке и в перемещение золотника распределителя P вправо.
При этом верхняя полость гидроцилиндра Ц соединяется с полостью нагнетания, а нижняя полость — со сливом, увеличивая скорость траверсы при движении вниз или уменьшая при движении вверх.
При коммутации обмоток ШД в другой последовательности двигатель вращается против часовой стрелки, перемещая золотник влево со всеми вытекающими из этого последствиями. Процесс коммутации обмоток ШД происходит до тех пор, пока фаза сигнала с датчика BE не сравнится с фазой сельсина-задатчика. При равенстве фаз блок управления DZ выдает сигнал, приводящий к останову ШД. Для изменения скорости отработки ШД в исполнительном устройстве предусмотрен делитель частоты A1. Для увеличения коэффициента усиления по мощности в рассмотренном приводе можно использовать двухкаскадный гидравлический усилитель.
Замена ЭМП на ШД с контуром внутренней OC повысила стабильность работы гидропривода, так как момент на валу ШД не зависит от значения рассогласования и на порядок выше, чем у ЭМП. Другим преимуществом является возможность изменения частоты вращения ШД в широком диапазоне, что обеспечивает различную скорость перемещения траверсы пресса и, как следствие, улучшение технологии прессования, повышение производительности пресса с одновременным снижением брака.
Назад | Содержание
| Вперед
Типовые схемы гидравлических следящих приводов c дроссельным регулированием
13.1. ТИПОВЫЕ СХЕМЫ ГИДРАВЛИЧЕСКИХ СЛЕДЯЩИХ ПРИВОДОВ C ДРОССЕЛЬНЫМ РЕГУЛИРОВАНИЕМГидравлические следящие приводы с дроссельным регулированием (ГСП (Д)) широко применяются в различных областях техники, там, где требуются высокое быстродействие, малые масса и размеры (системы управления летательными аппаратами, мобильными машинами различного назначения, много степенные моделирующие стенды и т. д.). Во многих случаях применение ГСП (Д) обусловлено простотой их конструкции и сравнительно низкой стоимостью в серийном производстве (станкостроение, металлургия и т. п.). Простота конструкции и высокое быстродействие определили применение ГСП (Д) в качестве механизмов управления для гидравлических следящих приводов с объемным регулированием (ГСП (O)).

Рис. 139. Принципиальная схема ГСП (ДМ)
Современные ГСП (Д) работают при давлениях нагнетания до (20 ... 30) МПа и при выходной мощности силовой части до 150 кВт. При выходной мощности до 5 кВт ГСП (Д) могут обеспечивать частоту среза следящей системы до 200 ... 300 с-1, а при мощности до 150 кВт—до 30...40 с-1. Как правило, ЗГР в ГСП (Д) управляется электрическими сигналами, хотя в различных областях техники применяются ГСП (Д), у которых ЗГР управляется механически (ГСП (ДМ)), например, приводы копировальных станков, систем управления тяжелых транспортных машин, морских судов и самолетов. В качестве примера на рис. 139 приведена принципиальная схема ГСП (ДМ), предназначенного для управления рулями самолета. Принцип работы такого привода следующий.
Если летчик через систему механической проводки, соединяющей штурвал с золотником, переместит тягу управления в точке A (при неподвижной точке C) на отрезок у, то золотник 2 сместится вправо на отрезок x (точка B переместится в точку В1). При этом линия нагнетания соединится с полостью Д гидроцилиндра 8, а его полость E соединится с линией слива. Поршень 4 гидроцилиндра начнет перемещаться по направлению стрелки L. Перемещение поршня вызовет перемещение рычажного механизма 1 вокруг точки A1. Точка C поршня гидроцилиндра, перемещаясь по направлению стрелки L, вызовет перемещение точки B1 по направлению стрелки K. Движение поршня происходит до тех пор, пока точка B1 не совместится с точкой B. Золотник займет нейтральное положение.
14.1. ТИПОВЫЕ СХЕМЫ ГИДРАВЛИЧЕСКИХ СЛЕДЯЩИХ ПРИВОДОВ C ОБЪЕМНЫМ РЕГУЛИРОВАНИЕМ
Гидравлические следящие приводы с объемным регулированием — ГСП (O) — широко применяют в различных областях техники там, где ГСП (Д) или следящие электроприводы не удовлетворяют требованиям по основным характеристикам. ГСП (O) используют в металлорежущих станках, на судах* в качестве приводов рулей и приводов вращения лебедок, кранов, в подъемно-транспортных машинах, автомобилях, тракторах и в сельскохозяйственных машинах, авиации (приводы бортовых электрогенераторов), военно-морском флоте (приводы орудийных башен и винтовых движителей) и т. д.
По сравнению с ГСП (Д) ГСП (O) обладают следующими преимуществами: более высоким КПД и, как следствие, меньший нагрев рабочей жидкости; ГСП (O) позволяют управлять не только скоростью выходного звена ГИУ, но и ускорением.
ГСП (O) различаются и по типу гидромашин, типу механизмов управления (МУ) и по принципу управления (механическое ГСП (OM) и электрическое - ЭГСП (O)).
В качестве примера рассмотрим ГСП (OM) с ручным механическим управлением, которое применяется в системах небольшой мощности (рис. 147). С этой схеме управляющее воздействие обеспечивается с помощью ручки управления, угол ? поворота которой алгебраически суммируется с углом ?ОС отрицательной обратной связи на механическом дифференциале (МД).
B ГСП (OM) о гидравлическим усилителем в канале управления (рис. 148) рассогласование между управляющим воздействием (угол ?) и углом ?ОС отрицательной обратной связи, вырабатываемое на МД, воздействует на управляющий золотник, который управляет ГИУ в виде ГЦ, который, в свою очередь, управляет регулирующим органом насоса Н. Причем угол ? поворота регулирующего органа пропорционален смещению x золотника за счет механической обратной связи между выходным звеном ГЦ и золотником.

Рис. 147. Схема ГСП (OM) с механическим управлением: а — принципиальная; б — структурная
В ЭГСП (O) применяются и другие типы (МУ). В качестве примера рассмотрим принципиальную схему МУ с электрическим управлением, с двухкаскадным ЭГУ сопло-заслонка с синхронизирующими пружинами, которые используются и для реализации механической обратной связи от поворотного ГИУ (рис. 149).
Классификация приведена на рис. 140. Следует отметить, что в различных областях техники наибольшее распространение получили ЭГСП (Д) с непрерывным управляющим сигналом и ЭГСП (Д) с импульсным сигналом управления постоянной длительности и с постоянными амплитудой и частотой импульсов. Применение других видов дискретных управляющих сигналов ограничивается усталостной прочностью отдельных элементов конструкции (релейные, АИМ, ЧИМ, ШИМ) или чрезмерной сложностью схемы и, как следствие, снижением надежности работы (цифровые).
Учитывая изложенное выше, ограничимся рассмотрением схем ЭГСП (Д) с непрерывным управляющим сигналом и импульсным сигналом постоянной длительности и с постоянными амплитудой и частотой.
Принципиальная схема типичного ЭГСП (Д) с непрерывным управляющим сигналом с двухкаскадным ЭГУ сопло-заслонка приведена на рис. 141, а. При поступлении на вход операционного усилителя ОУ управляющего сигнала UУПР происходит алгебраическое суммирование этого сигнала с сигналом обратной связи Uoc. Сигнал рассогласования ?U поступает на вход преобразующего устройства ПУ, которое преобразует этот сигнал. Например, сигнал рассогласования переменного тока преобразуется в сигнал постоянного тока или уменьшается уровень электрических помех. Иногда ПУ обеспечивает формирование составляющих, пропорциональных производной или интегралу от ?U. Последние операции выполняются в последовательном корректирующем устройстве (ПКУ), которое входит в состав ПУ. Далее преобразованный сигнал ошибки ?U1 поступает на вход усилителя мощности УМ, в котором осуществляется усиление сигнала ?U1 по напряжению и мощности до значений, необходимых для управления ЭГУ.

Рис. 141. Принципиальные схемы ЭГСП (Д)
В соответствии со знаком и уровнем сигнала U на входе в ЭГУ его выходной каскад (золотниковый гидрораспределитель) смещается от своего нейтрального положения на определенную величину в ту или иную сторону, обеспечивая при этом движение выходного звена ГИУ со скоростью, в общем случае зависящей от нагрузки на ГИУ.
При движении выходного звена перемещается жестко соединенная с ним подвижная часть электрического датчика обратной связи (ДОС) (например, потенциометра или индукционного датчика), сигнал OC с которого через согласующую аппаратуру CA (например, фазочувствительный выпрямитель, фильтр, иногда операционный усилитель) поступает на вход ОУ. Движение выходного звена ГИУ будет происходить до тех пор, пока сигнал отрицательной ОС Uoc не сравняется по модулю с управляющим сигналом Uупр. Сигнал рассогласования ?U станет равным нулю. Выходной каскад ЭГУ займет нейтральное положение и перекроет магистрали, идущие от ЭГУ к ГИУ.
При использовании в качестве ГИУ гидромотора может быть сформирована следящая система по скорости. В этом случае в качестве датчиков угловой скорости используются тахогенераторы ТГ (рис. 141, б). Возможна и комбинированная схема, когда ЭГСП (Д) кроме обратной связи по скорости имеет обратную связь по углу поворота вала гидромотора или углу поворота объекта регулирования OP, соединенного с валом через редуктор P.
Известны ЭГСП (Д) с механической обратной связью (гидроприводы дорожно-строительных машин, некоторые уникальные приводы ракетных систем управления). Принципиальная схема такого привода, приведена на рис. 141, в. Структурные схемы рассмотренных выше ЭГСП (Д) (см. рис. 141) приведены на рис. 142.
Примечания: 1. Ha структурной схеме 142, б индексами 1 обозначены параметры передаточной функции силовой части для ГИУ в виде ГМ. Формулы для вычисления коэффициентов k01, A1, B1, C1, m1, и п1 могут быть получены по аналогии с формулами для коэффициентов k0, A, B, C, m и n [см. формулы (100)]. Угол ? — угол выходной координаты ГМ (угол поворота вала ГМ); MВ— внешний, возмущающий момент.
2. Ha структурной схеме 142, в
— коэффициент механической обратной связи от ИУ до ЭГУ;
— передаточная функция ЭГУ, у которого входной величиной является момент на валу электромеханического преобразователя, а выходной — координата x.Принцип работы ЭГСП (Д) с импульсным управляющим сигналом постоянной длительности и с постоянными амплитудой и частотой с ИУ в виде ГМ [4] заключается в следующем (рис. 143, а).

Рис. 142. Структурные схемы ЭГСП (Д)
При отработке одного управляющего импульса вал шагового двигателя 1' (ШД) через редуктор 2 повернет золотник 3 на определенный угол. Ha этот же угол переместится винт 4 в гайке 5, жестко соединенный с ротором 6 ГМ. При неподвижном роторе ГМ поворот винта 4 в гайке 5 вызывает осевое перемещение золотника 3, например, вправо от нейтрального положения, в результате чего магистраль 7, идущая от золотника к распределительному узлу ГМ, соединится с линией нагнетания, а магистраль 8 — с линией слива. Под действием крутящего момента ротор ГМ начнет поворачиваться. Одновременно начнет вращение и гайка 5, которая через винт 4 приведет в движение золотник 3 по направлению к его нейтральному положению (влево). При непрерывной подаче управляющих импульсов вал ГМ будет вращаться со скоростью, пропорциональной частоте следования импульсов.
Принципиальная схема ЭГСП (Д) с импульсным управляющим сигналом постоянной длительности и с постоянными амплитудой и частотой с ГИУ в виде ГЦ и с механической обратной связью приведена на рис. 143, б.

Рис. 143. Принципиальные схемы импульсных ЭГСП (Д)
При отработке одного управляющего импульса вал шагового двигателя 1 поворачивает зубчатое колесо 9 механического редуктора-сумматора 10. Колесо 9 через сателлиты 8 и обойму 6 приводит во вращение золотник 5, который, смещаясь от своего нейтрального положения, соединяет одну полость ГЦ 4 с линией нагнетания, а другую — с линией слива. При движении выходного звена ГЦ через рейку 3 приводится во вращение зубчатое колесо 2, которое, вращая внешнее колесо 7 редуктора-сумматора, через сателлиты 8 и обойму 6 возвращает золотник 5 в нейтральное положение. При непрерывной подаче управляющих импульсов шток ГЦ будет перемещаться со скоростью, пропорциональной частоте следования импульсов.

Рис. 144. Структурные схемы импульсных ЭГСП (Д):
а — с ГИУ в виде ГЦ (см. рис. 144, б); б — с двухкаскадным ЭГУ (см. рис. 144, в); K — коммутатор, подающий управляющий сигнал на обмотки ШД; Wшд(р) - передаточная функция ШД; ?шд— координата, характеризующая поворот вала ШД; kр — коэффициент передачи редуктора; kМОС — коэффициент обратной связи; W2(p) — передаточная функция второго каскада ЭГУ сопло-заслонка.
Принципиальная схема ЭГСП (Д) с двухкаскадным ЭГУ с импульсным управляющим сигналом приведена на рис. 143, в. При отработке одного управляющего импульса вал шагового двигателя 7 через редуктор-сумматор 5 поворачивает заслонку 4. При смещении заслонки от нейтрального положения в рабочих полостях A и Б второго каскада возникает перепад давлений, под действием которого золотник второго каскада 2 поворачивается в том же направлении, что и заслонка. При отклонении золотника 2 от его нейтрального положения начинает движение выходное звено ГЦ 1, которое через рейку 9 и зубчатое колесо 8 приводит в движение механизм главной обратной связи (от ГЦ на редуктор-сумматор), аналогичный по принципу действия механизму обратной связи (см. рис. 143, б).
Структурные схемы ЭГСПД (Д) с импульсным управлением приведены на рис. 144.
Назад | Содержание
| Вперед
Механизм работает следующим образом. При поступлении управляющего сигнала на вход усилителя мощности 1 этот сигнал усиливается до определенной величины и подается на ЭМП, якорь 2 которого жестко связан с заслонкой 3 гидравлического мостика «сопло-заслонка». Под действием управляющего момента, развиваемого ЭМП, его якорь отклоняется на угол, пропорциональный величине тока в управляющих обмотках в ту или иную сторону в зависимости от знака управляющего сигнала. Ha управляющих торцах золотника 4 развивается управляющий перепад давлений, который смещает этот золотник, например, налево. При этом поршень 7 поворотного ГИУ соединяется с линией нагнетания вспомогательного насоса, а поршень 6 соединяется с линией слива. Под действием возникшего перепада давлений (пропорционального нагрузке на регулирующем органе 8 гидромашины) поворотный ГИУ поворачивает регулирующий орган вокруг оси 5 по часовой стрелке. При движении регулирующего органа гидромашины через тягу 9 обеспечивается движение поршней 10 направо. При таком движении синхронизирующие пружины ЭГУ будут деформироваться так, что вдоль оси золотника будет создаваться усилие обратной связи, направленное в противоположную сторону по сравнению с усилием от управляющего перепада давлений. Движение поворотного ГИУ и, следовательно, поворот регулирующего органа гидромашины будут продолжаться до тех пор, пока указанные усилия (усилие управления и усилие обратной связи) не сравняются, и золотник не займет нейтральное положение.

Рис. 148. Схемы ГСП (OM) с гидравлическим усилителем:
а - принципиальная; б - структурная
Принципиальная и структурная схемы ЭГСП (O) с рассмотренным выше МУ изображены на рис. 150, а, б соответственно.
Для обеспечения высокой точности управления ЭГСП (O) по угловой скорости OP в ЭГСП вводится дополнительный (внутренний) контур обратной связи по скорости, реализуемый с помощью датчика угловой скорости (рис. 151). Чаще всего в качестве такого датчика применяется тахогенератор. Тахогенератор ТГ приводится во вращение от вала ГМ через редуктор P1, а датчик угла через редуктор P2. Электрическая обратная связь от выходного каскада ЭГУ обеспечивается с помощью индукционного датчика линейного движения ИД1, якорь которого кинематически связан с золотниковым гидрораспределителем.
Электрическая обратная связь от ГИУ МУ реализуется с помощью индукционного датчика ИД2 поворотного движения, якорь которого кинематически связан с осью вращения регулирующего органа насоса H.

Рис. 149. Схемы МУ с электрическим управлением: а — принципиальная; б — структурная
Следует отметить, что кроме рассмотренных выше принципиальных схем ЭГСП (O) в технике известны ЭГСП (O), включающие и обратную связь по скорости ГИУ МУ, что позволяет управлять ускорением объекта регулирования; для компенсации влияния внешнего возмущения применяются обратная связь (положительная) по перепаду давлений в трубопроводах ГПО, действующая в полосе малых частот и изменяющая свой знак на высоких частотах для обеспечения необходимых запасов устойчивости (за счет увеличения относительного коэффициента демпфирования ?0 передаточной функции силовой части ГПО), и целый ряд других устройств, которые описаны в специальных работах по ЭГСП (О) (см., например [8, 15]). Здесь ограничимся только теми схемами ЭГСП (O), которые были рассмотрены выше.

Рис. 150. Схемы ЭГСП (O)

Рис. 151. Схемы ЭГСП (О) с дополнительной ОС по скорости: а – принципиальная; б – структурная.
Назад | Содержание
| Вперед
Требования k выполнению электрических cxem
2.4. ТРЕБОВАНИЯ K ВЫПОЛНЕНИЮ ЭЛЕКТРИЧЕСКИХ CXEMСхемой называют конструкторский документ, на котором в виде условных изображений или обозначений показаны составные части СП и связи между ними. B зависимости от видов элементов и связей, входящих в состав изделия, ГОСТ 2.701—84 устанавливает следующие виды схем: электрические (Э), гидравлические (Г), пневматические (П), кинематические (K), комбинированные (C) и др. В учебнике рассматриваются в основном электрические и комбинированные схемы. Последний вид схем связан с использованием в качестве исполнительных механизмов гидроприводов.
По основному назначению электрические схемы СП подразделяют на структурные (Э1), функциональные (Э2), принципиальные (ЭЗ), соединений (Э4) и подключений (Э5) и др. Комбинированные схемы ЭГСП обозначаются буквенным шифром C с соответствующей цифрой.
Структурная схема определяет основные функциональные части СП, их назначение и взаимодействие. Ее разрабатывают на стадии расчета статических характеристик. Элементы СП изображают в виде прямоугольников, соединенных линиями связи с указанием на них направления хода процесса. В прямоугольниках следует помещать наименование каждого функционального элемента или его передаточную функцию. Примером структурной схемы могут служить схемы СП, приведенные на рис. 7.
Функциональная схема СП предназначена для изучения принципов работы элементов и всего привода в целом. Допускается на схеме одни элементы изображать в виде условных графических обозначений, другие — прямоугольниками. Пример функциональной схемы СП приведен на рис. 9.
Принципиальная схема (см. рис. 124, 157) определяет полный состав элементов СП и связей между ними и, как правило, дает детальное представление о принципе работы привода.
Изображают элементы в виде условных графических обозначений, установленных ГОСТ 2 721—74, ГОСТ 2.722—68, ГОСТ 2.723—68 для электрических элементов и ГОСТ 2.780—68, ГОСТ 2.781—68, ГОСТ 2.782—68 для гидравлических элементов. Все элементы в принципиальных схемах дают в отключенном состоянии.
Каждый элемент (устройство) должен иметь буквенно-цифровое обозначение. Согласно ГОСТ 2.710— 81 электрические элементы имеют код, состоящий из трех частей, указывающих вид элемента, его порядковый номер и функцию. Например,
С1I — конденсатор, используемый как интегрирующий. Вид и номер являются обязательными, указание функции — необязательно. Для уточнения вида элемента применяют двухбуквенный код, состоящий из кода вида и кода данного элемента. Например, BC1 — сельсин-датчик,
BE2 — сельсин-приемник.
Согласно ГОСТ 2.704—76 гидравлические элементы обозначают кодом, состоящим из прописной буквы русского алфавита и порядкового номера. Например, Ц1 — гидроцилиндр.
Данные об элементах, изображенных на схеме, вносят в перечень элементов в алфавитном порядке. Перечень помещают на первом листе схемы или выполняют отдельным документом.
Схема соединений показывает электрические соединения составных частей устройств СП и определяет провода, жгуты, которыми осуществляются эти соединения.
Схема подключений используется для подключения составных частей СП между собой или с устройствами и элементами, расположенными на промышленной установке.
Назад | Содержание
| Вперед
Требования k выполнению курсовых и дипломных проектов
2.5. ТРЕБОВАНИЯ K ВЫПОЛНЕНИЮ КУРСОВЫХ И ДИПЛОМНЫХ ПРОЕКТОВТиповой темой курсового или дипломного проекта является разработка СП. Методика проектирования должна соответствовать руководящим материалам, рассмотренным в п. 3 гл. 2. Ho задачи курсового и дипломного проектирования ограничиваются аналитической проработкой СП, исключающей разработку конструкции, макетирования и испытания СП. Глубина и объем разработки проекта определяются T3 на курсовой и дипломный проект.
При такой постановке задачи проектирование СП сводится к проведению следующих этапов: 1) анализ T3; 2) энергетический расчет; 3) расчет статических характеристик; 4) расчет динамических характеристик; 5) составление полной структурной и принципиальной электрических схем СП; 6) оценка точности СП.
Перейдем к краткой характеристике каждого этапа проектирования.
1. Ha этапе анализа T3 определяют показатели назначения СП, рассмотренные в п. 1 данной главы и необходимые для проектирования.
2. Ha основании анализа T3 приступают к энергетическому расчету СП, целью которого является определение количества энергии, потребляемой приводом. Так как основным потребителем энергии является силовой агрегат, включающий ЭД и усилитель мощности, то энергетический расчет начинают с расчета мощности и выбора ЭД, способного развить на управляющем валу СП момент, превышающий момент нагрузки, при скоростях и ускорениях, не меньших соответствующих параметров движения управляющего вала. Энергетический расчет завершается выбором редуктора и усилителя мощности.
3. Ha этапе расчета статических характеристик СП определяют принцип управления, проводят предварительный выбор варианта схемы неизменяемой части СП, а также выбор функционально необходимых элементов. По существу энергетический расчет является частью статического расчета, так как он также связан с выбором элементов СП. Ho этот выбор настолько важен с точки зрения определения структуры, энергетики и конструкции всего привода, что его выделяют как самостоятельный этап.
4.
Этап расчета динамических характеристик заключается в анализе устойчивости СП, определении корректирующих устройств (КУ), которые при заданной передаточной функции неизменяемой части придают системе требуемые динамические свойства. Ha этом этапе определяют также параметры качества СП.
5. Этап составления принципиальной схемы завершает окончательный выбор и расчет усилителя, дополненного преобразовательными каскадами, элементами КУ, элементами защиты.
6. Расчетом погрешностей отработки управляющего воздействия и общим заключением о качестве спроектированного привода заканчивается процесс проектирования.
В случае реального курсового проекта, предусматривающего изготовление действующего макета, объем работ сокращают за счет уменьшения графической или расчетной части проекта.
Действующей инструкцией по курсовому и дипломному проектированию в средних специальных учебных заведениях установлен следующий объем: пояснительная записка (ПЗ) — 15 ... 20 страниц рукописного текста для курсового Проекта, 50 ... 70 страниц для дипломного проекта, графическая часть в объеме двух листов формата A1 (ГОСТ 2.301—68), для курсового и двух-шести листов формата A1 для дипломного проекта.
Назад | Содержание
| Вперед
Усилители импульсных следящих приводов
8.6. УСИЛИТЕЛИ ИМПУЛЬСНЫХ СЛЕДЯЩИХ ПРИВОДОВУсилители импульсных СП предназначены для усиления электрических импульсных сигналов, содержащих информацию о сигнале рассогласования. B общем случае структурная схема такого усилителя (см. рис. 78, e) состоит из следующих функциональных элементов: УПТ, дискретного элемента, схемы управления, выходного каскада. Выходной каскад является самым важным и определяющим с точки зрения структуры всего усилителя и получения регулировочных характеристик управляемого двигателя. Для реализации импульсного режима работы усилителя выходной каскад строят на базе силовых транзисторов и тиристоров, управляемых импульсами, поступающими с выхода схемы управления.

Рис. 100. Транзисторный усилитель импульсного СП
Назначение дискретного элемента заключается в преобразовании непрерывного сигнала в последовательность импульсов, промодулированных сигналом рассогласования по амплитуде, частоте, длительности, сдвигу фаз. В усилителях с транзисторным выходным каскадом находит применение широтно-импульсная модуляция, осуществляемая с помощью ШИМ. В усилителях с тиристорным выходным каскадом наряду с ШИМ применяют устройства, вырабатывающие импульсы с переменной фазой для регулирования угла отпирания тиристоров.
Для усиления входного сигнала по амплитуде, суммирования сигналов рассогласования и корректирующих связей, а также для развязывания цепей ИР и каскадов усилителя на входе предусматривается УПТ с непосредственным усилением. Следует отметить, что различные по функциональному назначению элементы усилителя могут быть объединены в одном устройстве. Например, ШИМ может выполнять роль схемы управления.
Транзисторные усилители в импульсном режиме. Для пояснения сущности импульсного способа регулирования мощности рассмотрим работу мостового выходного каскада усилителя (рис. 100). В исходном состоянии, когда отсутствует управляющий импульс, транзисторы VT5, VT7 заперты, а транзисторы VT6, VT8 насыщены и совместно с диодами VD5, VD7 закорачивают обмотку двигателя M.
При поступлении управляющего импульса на базу VT7 транзистор открывается на время, равное длительности импульса. Для предотвращения сквозных токов транзистор VT6 запирается инвертирующим импульсом. Источник напряжения, подключенный к нагрузке на это время, через насыщенные транзисторы VT5, VT8 создает максимальный импульс тока. Во время паузы источник отключается, ток спадает через транзистор VT8 и диод VD7. В результате на нагрузке создается ток, среднее значение которого зависит от соотношения длительностей импульса и паузы.
Таким образом, отличие импульсного метода управления транзисторами от непрерывного заключается в способе регулирования энергией источника питания. При непрерывном способе транзисторы в цепи источника питания выполняют роль управляющих элементов, сопротивление которых зависит от значения входного сигнала, и регулируют силу тока через нагрузку. При импульсном методе транзисторы, открываясь, подключают к нагрузке все напряжение источника питания, но регулируют время его подключения в соответствии с длительностью импульсов, зависящей от значения входного сигнала.
Преимущества импульсного метода перед непрерывным заключаются в возможности работы транзисторов без специального подбора, обеспечении минимальной мощности рассеяния транзисторов и больших мощностей (несколько киловатт). При одной и той же схеме выходного каскада источник питания можно подключать к нагрузке или отключать его, используя различные законы коммутации транзисторов· диагональный, симметричный, несимметричный. Законы коммутации формируются схемами управления, представляющими собой транзисторные релейные устройства. Схемы управления содержат запирающие (UЗ) и насыщающие (UOT) источники, поочередно подключаемые к переходам эмиттер—база силовых транзисторов. Основными требованиями, предъявляемыми к схемам управления, являются формирование прямоугольных импульсов и минимизация мощности рассеяния в цепях управления силовыми транзисторами.
Для обеспечения импульсного режима работы выходного каскада в усилитель включают УПТ, два ШИМ, две схемы управления (см.
рис. 100). В качестве УПТ могут быть использованы ОУ, дифференциальный эмиттерный повторитель или ФЧВ. Сигнал с УПТ суммируется с пилообразным напряжением и поступает на входы ШИМ1 и ШИМ2, выполненных на тех же элементах, что и ШИМ, представленный на рис. 90, но с применением транзисторов другой проводимости. Сигнал с выхода ШИМ1 подается на схему управления СУ1, собранную на транзисторах VT3, VT4, работающих в противофазе, и содержащую источники UOT и UЗ. Состояние транзисторов VT5, VT6 определяется состоянием транзисторов VT3 и VT4, которые в режиме насыщения подключают к базам VT5, VT6 цепь источника UЗ.
В исходном состоянии (при отсутствии входного сигнала) относительная продолжительность импульсов на выходе ШИМ1 равна нулю, и транзистор VT3 схемы управления закрыт запирающим напряжением, создаваемым делителем R5—R7. Напряжение насыщающего источника UOT через делители R8, R9 и R8, R10 открывает транзисторы VT4 и VT6. Транзистор VT5 запирается напряжением UЗ через насыщающий транзистор VT4. Состояние ШИМ2, аналогичное состоянию ШИМ1, определяет закрытое состояние VT7 и открытое состояние VT8. В результате якорь двигателя M оказывается закороченным через открытые транзисторы нижних плеч моста, диоды VD5, VD7 и шину +UП источника питания.

Рис. 101. Тиристорный усилитель
С подачей входного сигнала напряжение выхода УПТ при указанной на схеме полярности складывается с пилообразным напряжением и ШИМ1 переключается. Это приведет к смене состояний транзисторов СУ1 и транзисторов выходного каскада: транзистор VT5 откроется, VT6 закроется. Состояние ШИМ2 не изменяется так же, как не изменяется состояние транзисторов VT7, VT8. Ток, замыкаясь по цепи +UП—VT8—M—VT5— UП, потечет через обмотку ИД. Изменение напряжения на выходе УПТ вызовет изменение длительности импульсов и изменение частоты вращения ИД.
Смена полярности напряжения на выходе УПТ вернет ШИМ1 в исходное состояние и приведет к коммутации ШИМ2. В результате транзистор VT5 закроется, VT6 откроется, и их коммутация приведет к реверсу ИД.
Тиристорные усилители мощности. Тиристоры благодаря высокой надежности, большому КПД и коэффициенту усиления по мощности нашли применение как усилители мощности. Аналогично транзисторным выходным каскадам в режиме переключения, тиристорный усилитель выполняет роль регулятора мощности источника питания путем изменения времени его подключения к нагрузке. Ha рис. 101, а представлены схема простейшего усилителя на тиристоре VS и поясняющие его работу диаграммы токов и напряжений. B силу многослойности структуры тиристора (рис. 101, б) он обладает односторонней проводимостью в течение времени, корда к его аноду 1 относительно катода 2 приложено положительное напряжение, и открывается при подаче импульса на управляющий электрод 3. Действие управляющего сигнала после того, как тиристор откроется, прекращается.
Отключают тиристор снятием напряжения питания или пропусканием тока противоположного направления. Для выключения тиристора часто используется естественное снижение напряжения до нуля при питании от сети переменного тока. При отсутствии управляющего импульса или подаче его в отрицательный полупериод анодного напряжения со схемы управления A тиристор закрыт, и ток в цепи нагрузки отсутствует. С приходом в положительный полу период управляющего импульса тиристор открывается, подключая все напряжение источника питания к нагрузке и отключая его в конце полу периода. В результате коммутации цепи осуществляется однополупериодное выпрямление, и по нагрузке протекает прерывистый ток. Средняя сила тока Icp нагрузки (рис. 101, в) зависит не только от напряжения UП источника питания и сопротивления нагрузки Rн, но и от угла отпирания тиристора, регулируемого фазой угла смещения ? управляющего импульса: ?2 > ?1, Iср2 < Iср1.
Для уменьшения пульсации тока в нагрузке тиристорные усилители мощности, как правило, строят по двухполупериодной схеме с питанием от однофазной или многофазной сети. Нагрузкой при этом может быть ИД как постоянного, так и переменного тока.
Реверс ИД трудно осуществить с помощью одного тиристора (в силу его односторонней проводимости).
Для этого используют два тиристора или две группы тиристоров, каждая из которых управляется от своей схемы.
Дифференциальная схема включения ИД с трансформатором T и двумя парами встречно-параллельных тиристоров VS1— VS4 представлена на рис. 102, а. Выходной каскад имеет четыре раздельных цепи управления. Вращения двигателя M в одном направлении добиваются подачей импульсов управления на вход тиристора VS1 в один полупериод и на вход тиристора VS2 — в другой полупериод. Для осуществления реверса изменяют порядок формирования импульсов; в первый полупериод управляющие импульсы подают на вход тиристора VS4, во второй — на VS3 (тиристоры VS1, VS2 закрыты).
Сила тока через якорь двигателя определяется углом сдвига фазы управляющего импульса, а в конечном счете — значением сигнала управления. Как видно из схемы, аноды тиристоров VS1-VS4 гальванически связаны и могут быть установлены без изоляции на общий тепло отвод. Аноды тиристоров VS1, VS2 необходимо изолировать от общего тепло отвода.
Как недостаток схемы следует отметить то, что тиристоры в закрытом состоянии подвергаются воздействию обратного напряжения, наводимого во вторичной обмотке трансформатора T.

Рис. 102. Выходные каскады на тиристорах
В выходном каскаде, схема которого дана на рис. 102, б, тиристоры, зашунтированные диодами VDl—VD4, находятся в лучших условиях работы, так как они не подвергаются воздействию обратного напряжения. Кроме того, каждая пара тиристоров (VS1 и VS2, VS3 и VS4) имеет общие катоды, что позволяет упростить схему управления, сделать ее с четырьмя гальванически связанными попарно выходами. В остальном порядок формирования импульсов и работа схемы аналогична первой.
Схемы выходных каскадов для управления ИД переменного тока показаны на рис. 102, в, г. Каскад на рис. 102, в выполнен по дифференциальной схеме на двух тиристорах VS1, VS2, и его двухполупериодная работа обеспечивается разрядом соответственно конденсатора C1 или C2.
До момента подачи управляющего импульса тиристоры закрыты, а каждый из конденсаторов заряжен до амплитудного значения напряжения вторичной обмотки трансформатора T (разряду препятствуют диоды VD1, VD2). При подаче управляющего импульса в соответствующий полупериод на один из тиристоров (например, VS1) по обмотке управления ИД потечет ток. Одновременно через открытый тиристор происходит перезарядка конденсатора C1. В следующий полупериод тиристор VS1 закрыт, но за счет разряда конденсатора C1 через обмотку управления протекает ток другого направления.
Реверс двигателя обеспечивается подачей импульса управления на тиристор VS2. Ток через VS2 протекает по обмотке управления в том же направлении, что и через VS1, но со сдвигом в 180°, так как тиристоры VS1 и VS2 работают в разные полу периоды. Преимущество такого выходного каскада — простота схемы управления, имеющей два раздельных выхода.

Рис. 103. Трехфазный тиристорный усилитель
Схема выходного каскада, представленная на рис. 102, г, по элементной базе, числу входов и порядку формирования импульсов аналогична схеме на рис. 102, б, но отличается от нее расположением нагрузки и источника питания. При указанной на рис. 102, г мгновенной полярности источника питания и подаче импульса на тиристор VS1 ток течет по пути «+UП» — T1 VS1— VD2—«-UП»; во второй полупериод «+UП»—VS2—VD1—T— «—UП». В магнитопроводе трансформатора T создается переменный магнитный поток, а во вторичной обмотке — переменная ЭДС. Элементы VS3, VS4, VD3, VD4 нижней половины каскада обеспечивают реверс схемы.
Для уменьшения пульсации тока в нагрузке применяют также многофазные схемы питания тиристоров. В трехфазной схеме с нулевым выводом (рис. 103, а) ток нагрузки формируется переключением тиристоров VS1—VS3 в порядке следования фаз A, B, C напряжения питания и в соответствии с законом распределения управляющих импульсов, вырабатываемых фазосдвигающим устройством (рис. 103, б). При угле регулирования ? = 0° в течение положительной полуволны фазы A напряжения питания к работе подготовлен тиристор VS1.
С приходом первого разрешающего импульса тиристор открывается в точке а — точке естественной коммутации вентилей. Ток протекает по цепи фаза A—VS1—L1—M — нулевой зажим. В точке б произойдет переключение тиристоров, так как со схемы управления придет второй разрешающий импульс на тиристор VS2 и т. д. При этом к ИД будет приложено максимальное выпрямленное напряжение, способствующее получению наибольшей частоты вращения.

Рис. 104. Диаграммы, поясняющие работу тиристорного усилителя
Смещение управляющего импульса на угол ? = 0 задерживает включение очередного тиристора и его отключение даже при смене полярности напряжения на аноде. Это видно из диаграмм, представленных на рис. 104, где заштрихованные области соответствуют падению напряжения на нагрузке. При ? = 60° через тиристоры в течение некоторого времени протекает обратный ток от противоЭДС, возникающей на обмотке ИД, и источнику питания возвращается часть запасенной энергии. Результирующий средний ток тиристора становится меньше, напряжение UУ и частота вращения ИД также уменьшаются. При ? = 90° токи, протекающие через тиристор в прямом и обратном направлениях, компенсируются, напряжение UУ = 0 и ИД находится в покое.
Режим работы тиристоров, используемый при углах регулирования 0°=?=90°, называется выпрямительным в отличие от инверторного, получаемого при 90°=?=180°. Выпрямительные свойства тиристоров при этом сохраняются, но они работают в моменты времени, когда к катоду подводится отрицательное по отношению к аноду напряжение. Инверторный режим работы используется для реверса ИД и реализуется применением дополнительных тиристоров VS4—VS6 (см. рис. 103). Ток при реверсе протекает от нулевого зажима через открываемые тиристоры. Таким образом, при отсутствии рассогласования схема управления выдает импульсы со сдвигом в 90°. При рассогласованиях одного знака угол регулирования уменьшается, при рассогласованиях другого знака — увеличивается.
При многофазных источниках питания для каждого тиристора предусматривается свой блок ФСУ и необходимое временное распределение управляющих импульсов.
B динамике тиристорный усилитель может быть представлен апериодическим звеном с передаточной функцией

где kт.у — коэффициент усиления; T — постоянная времени, определяемая как T ?2/?; ? — частота входного сигнала.
Инерционность усилителя обусловлена индуктивностями дросселей и влиянием индуктивности якорной обмотки ИД.
В силовых СП мощностью до десятков киловатт тиристорные усилители успешно конкурируют с ЭМУ, обладая такими преимуществами, как отсутствие коллекторных устройств, вращающихся частей, бесшумность и высокое быстродействие. Как недостаток следует отметить сложность схемы управления и необходимость в источнике питания с мощностью, во много превышающей мощность ИД.
Назад | Содержание
| Вперед
Усилители непрерывных следящих приводов
8.5. УСИЛИТЕЛИ НЕПРЕРЫВНЫХ СЛЕДЯЩИХ ПРИВОДОВНаиболее перспективными являются усилители, выполненные на базе интегральных микросхем. При этом не только существенно сокращаются размеры усилителя, упрощается схемотехника, но и существенно повышается надежность, а также упрощается технология сборки и наладки схемы. Поэтому рассматриваемые ниже примеры усилителей рассчитаны на использование современных интегральных микросхем.
Усилители переменного тока. В простейшем случае усилитель переменного тока состоит из предварительного усилителя напряжения, выполненного на ОУ, и транзисторного двухтактного усилителя мощности. Источниками входного сигнала являются сигнальные обмотки сельсинов и BT, имеющие достаточно низкое внутреннее сопротивление. Если источником этого сигнала служит потенциометрический датчик со сравнительно большим внутренним сопротивлением, то для согласования нагрузки применяют каскады с большим входным сопротивлением, например в виде повторителя напряжения.

Рис. 93. Схемы защиты входного каскада усилителя
При выборе схемы входного устройства особое внимание уделяют уменьшению влияния помех и защите усилителя от входных электрических перегрузок при больших рассогласованиях. Помехи возникают вследствие нестабильности источников питания, наличия гармоник в выходных сигналах преобразовательных каскадов и квадратурных составляющих в управляющих сигналах, поступающих с ИР. Помехи уменьшают коэффициент передачи усилителя. Для снижения уровня помех на входе усилителя или после предварительного каскада включают фазовый дискриминатор, который с помощью ДМ выпрямляет напряжение и отфильтровывает квадратурную составляющую с последующим преобразованием этого сигнала в переменный сигнал модуляторным каскадом. Если фазовый дискриминатор расположен в промежуточном каскаде, то тракт усиления от ДМ к M используется для включения КУ постоянного тока.
Большой диапазон изменения входных сигналов СП и малые допустимые входные напряжения ОУ обусловливают необходимость применения элементов защиты входных каскадов.
Наиболее распространенной является схема защиты на диодном ограничителе (рис. 93, а). При небольших сигналах рассогласования (доли вольта) сопротивление диодов VD1, VD2 достаточно велико, и все напряжение поступает на вход ОУ. При больших сигналах (десятки вольт) входной сигнал вследствие резкого уменьшения сопротивлений диодов будет ограничен падением напряжения на диодах в прямом направлении (0,3 ... 0,7 B), а остальное напряжение будет падать на резисторе R и внутреннем сопротивлении источника.

Рис. 94. Выходные каскады усилителя переменного тока
Двустороннего ограничения можно добиться также с помощью двух стабилитронов, включенных встречно друг другу и параллельно нагрузке (рис. 93, б). При воздействии положительного входного сигнала, превышающего падение напряжения на стабилитроне в прямом направлении, стабилитрон VD1 резко открывается, шунтируя вход усилителя. При воздействии отрицательного входного сигнала ограничение достигается за счет отпирания стабилитрона VD2.
К выбору и расчету выходного каскада усилителя предъявляются требования по обеспечению заданной мощности в нагрузке и наибольшего КПД как основного показателя экономичности, с точки зрения соотношения между отдаваемой каскадом мощностью и потребляемой от источника энергией. Нагрузкой выходного каскада служат обмотки управления асинхронных двигателей (АДП, ДИД и др.) с потребляемой мощностью до 100 Вт, сопротивлением 100 ... 300 Ом и напряжением 24; 110 B. Нагрузка в виде обмоток управления двигателей имеет низкое сопротивление, поэтому выходные каскады усилителей мощности строят по схеме эмиттерного повторителя (рис. 94, а), позволяющего согласовывать высокоомные каскады с низкоомной нагрузкой RН. Если в рассмотренной схеме резистор RЭ заменить дополнительным эмиттерным повторителем, собранным на транзисторе VT2 с проводимостью, обратной проводимости VT1 (рис. 94, б), то получим двухтактный каскад с существенно большей мощностью в нагрузке и более высоким КПД. Такая схема носит название комплементарного1 (1Комплементарными называют схемы, построенные на транзисторах разной проводимости) эмиттерного повторителя.
Другой особенностью усилительных каскадов на транзисторах, которую необходимо учитывать при построении выходных каскадов, является наличие паразитных внутренних емкостей транзистора и монтажа, образующих с внешними резисторами фильтры низких частот. Эти емкости можно уменьшить путем включения транзистора по схеме с общей базой, но при этом уменьшается входное сопротивление каскадов. Устранить оба недостатка, т. e. уменьшить паразитные емкости и увеличить входное сопротивление, позволяет включение транзисторов по каскадной схеме (рис. 94, в). В этой схеме сигнал управления поступает на входной транзистор VT2, включенный по схеме с общим эмиттером, с большим входным сопротивлением, а выходной сигнал снимается с коллектора транзистора VT1, включенного по схеме с общей базой.

Рис. 95. Усилитель переменного тока
Усилитель переменного тока (рис. 95) состоит из предварительного усилителя, собранного на интегральной микросхеме DA, и двухкаскадного двухтактного усилителя мощности, работающего в режиме класса B. Входной сигнал U?? подается между общей точкой входа, которая образована делителем напряжения источника питания, делящим его пополам, и внешним добавочным резистором R1. Для ограничения больших уровней входных сигналов применен диодный ограничитель входа на VD1 и VD2. Усилитель питается стабилизированным напряжением UП, снимаемым со стабилитронов VD3, VD4. Для питания микросхемы DA использованы ограничительные цепочки, состоящие из параллельно соединенных резисторов R3, R4 и R6, R7. Для фильтрации переменной составляющей к общей точке входа относительно источника питания подключены конденсаторы C2, C3. Нагрузка (обмотка управления двигателя) подключается между выходом усилителя и средней точкой.
В качестве усилителя мощности применен двухкаскадный усилитель на транзисторах VT1—VT4 с симметричным входом и выходом. Выходной каскад построен по схеме двухтактного комплементарного эмиттерного повторителя на транзисторах VT3 и VT4, работающих в режиме AB и позволяющих получить токи порядка 10 мА.
При условии симметрии схемы (R10 = R11) ток покоя транзистора VT3, протекающий через нагрузку от +?/? к средней точке, будет компенсироваться током покоя транзистора VT4, протекающего через нагрузку в обратном направлении от средней точки к — UП, т. e. при нулевом входном сигнале UВЫХ также равно нулю. Стабилизация тока покоя транзисторов осуществляется G помощью отрицательной OC, реализуемой на резисторах R10, R11.
Для обеспечения режима работы транзисторов выходного каскада применен комплементарный каскад на транзисторах VT1, VT2, включенных по схеме однотактного эмиттерного повторителя для лучшего согласования сопротивлений. Сопротивления резисторов R8 и R9, задающих силу эмиттерных токов входных транзисторов и базовых токов выходных, выбираются небольшими для ограничения базовых токов транзисторов VT3, VT4.
При поступлении входного сигнала, отличного от нуля, в положительные полупериоды ток транзистора VT1 уменьшается, а ток VT3 возрастает; в нижнем плече, наоборот, возрастает ток транзистора VT2, а ток VT4 уменьшается. В результате через нагрузку будет протекать разностный ток, определяемый большим током транзистора VT3. Нижнее плечо усилителя определяет соответственно направление тока в нагрузке в отрицательные полупериоды. Таким образом, фаза и сила тока в нагрузке зависят от фазы и значения входного сигнала. Конденсатор C1 служит для увеличения крутизны фронтов выходного сигнала.
Чтобы повысить коэффициент усиления по переменному току, использован ОУ DA, не охваченный OC. Однако для обеспечения устойчивости весь усилитель с помощью резистора R12 охвачен отрицательной OC по напряжению. B результате усилитель ведет себя как инвертирующий ОУ с отрицательной OC и имеет коэффициент kп = —R12/R1. Резистор R2 служит для симметрирования ОУ, резистор R5 определяет коэффициент передачи усилителя напряжения.
При работе выходных транзисторов на индуктивную нагрузку (обмотку управления) появляется отрицательный импульс напряжения, который в момент открывания выходных транзисторов создает на переходе база—эмиттер напряжение, превышающее допустимое.
Для ограничения обратного напряжения в цепь коллектор— эмиттер каждого выходного транзистора включен ограничитель на диодах VD5, VD6.
Более сложный по своему функциональному назначению усилитель, построенный по схеме УН—ДМ—КУ—M—УМ, показан на рис. 96. Особенностью данного усилителя является то, что вместо источника двуполярного питающего напряжения применен один источник, имеющий суммарное напряжение. Это допустимо, так как при усилении сигнала переменного тока нет необходимости в нулевом потенциале на выходе интегрального ОУ относительно общей шины [7]. Для обеспечения режима питания микросхем служат ограничительные резисторы R21, R22. Для фильтрации переменной составляющей включен конденсатор C10. Входной сигнал через разделительный конденсатор C1 и резистор R1 поступает на инвертирующий вход ОУ DA1. Коэффициент усиления этого каскада определяется отношением R3/R1. Усиленный сигнал подается на двухполупериодный ДМ, выполненный на базе ОУ DA2 с управляемым ключом в цепи прямого входа. В качестве ключа служит полевой n-канальный транзистор VT1 с элементами, формирующими опорное напряжение Uоп, трансформатором T1, диодом VD1 и резистором R6.
В полупериод UОП, когда диод VD1 открыт, напряжение U3. и (затвор-исток) транзистора равно нулю, транзистор VT1 открыт, т. e. ключ замкнут. Так как неинвертирующий (прямой) вход ОУ соединен с землей, управляющий сигнал через инвертирующий вход ОУ поступает на выход с коэффициентом передачи kП = —1 (при условии R4 = R1).

Рис. 96. Усилитель с преобразованием
В другой полупериод UОП диод VD1 закрыт, транзистор также, а ключ разомкнут, и управляющий сигнал через прямой вход ОУ поступает на выход с коэффициентом передачи kП = 1 (при условии R5 = R7).
Выпрямленный сигнал фильтруется цепочкой R8, C2 и поступает на КУ, которое выполнено на ОУ DA3, резисторах R9, R10 и конденсаторах C3, C4.
Модуляция скорректированного сигнала осуществляется поочередным замыканием и размыканием ключа, собранного на полевом транзисторе VT2 в цепи прямого входа усилителя DA4.
Назначение резисторов R12—R15, диода VD2, трансформатора T аналогично назначению элементов рассмотренного выше ДМ.
Входной сигнал через резистор R12 попадает на инвертирующий вход, а через резистор R13 — на прямой вход ОУ DA4. В замкнутом состоянии ключ шунтирует прямой вход DA4, и сигнал, проходя через ОУ, инвертируется, при разомкнутом ключе — не инвертируется, что соответствует двухполупериодной модуляции. Сигнал с выхода модулятора фильтруется конденсатором C5 и через разделительный конденсатор C6 поступает на каскад промежуточного усиления напряжения, собранный на ОУ DA5, резисторах R17—R20. Ha резисторах R17, R18 сигнал прямой цепи суммируется с сигналом внутренней OC. Резисторы R2, R11, R19 обеспечивают режим работы ОУ по току.
Далее сигнал по мощности усиливается транзисторами VT3 — VT6. Выходной каскад усилителя выполнен на транзисторах VT5, VT6 по двухтактной схеме в режиме B с последовательным управлением транзисторов. Здесь входным является составной транзистор VT4, VT5, включенный по схеме с общим эмиттером, а выходным — транзистор VT6. Для исключения паразитных OC применен развязывающий фильтр C9, C11, ограничивающий помехи по питанию.
Нагрузка (обмотка управления M) подключается к выходу усилителя и общей шине. Транзистор VT3 служит для управления токами транзисторов VT4, VT5. При отсутствии сигнала рассогласования транзистор VT6 открыт за счет смещения, создаваемого на резисторе R27. Конденсатор CIl заряжается до напряжения источника питания, и ток через обмотку управления не течет.
При появлении сигнала рассогласования в положительный полупериод открываются транзисторы VT3, VT4 (за счет смещения на резисторе R26) и VT5. Конденсатор C11 начинает разряжаться по цепи VD3, VT5, «—UП», обмотка управления M. За счет падения напряжения на диоде VD3 транзистор VT6 подзапирается. Во второй полупериод управляющего сигнала транзисторы нижней половины схемы VT3—VT5 закрыты, открыт транзистор VT6.
Начинается подзаряд конденсатора C11 по пути «+UП», VT6, C11, обмотка управления M, «—UП».
Ток через обмотку управления протекает сверху вниз. Фаза и амплитуда тока управления будут зависеть от фазы и амплитуды входного сигнала.
Для уменьшения нелинейных искажений и коррекции частотной характеристики введена отрицательная ОС — цепочка R16, C7.
Резистор R26 предназначен для выбора начальной рабочей точки составного транзистора, резисторы R23—R25 определяют режим работы транзистора VT3. Конденсатор C8 пропускает только переменную составляющую сигнала.
Усилители постоянного тока. В СП, в которых ИР и ИУ работают на постоянном токе, необходим усилитель медленно меняющихся сигналов. В таких системах УПТ прямого усиления не применяют вследствие большого дрейфа нуля, обусловленного нестабильностью работы транзисторов и отсутствием реактивных элементов в межкаскадных связях. Снижение дрейфа нуля достигается применением в качестве предварительных усилителей напряжения интегральных ОУ, обладающих высокой термостабильностью, и УПТ с двойным преобразованием сигнала, собранных по схеме M—ДМ.
Структурная схема УПТ с двойным преобразованием сигнала изображена на рис. 78, б (см. штриховую линию). Усиление на постоянном токе в этом случае заменяется усилением на переменном токе с предварительной модуляцией и последующей демодуляцией усиленного сигнала. Схема усилителя удовлетворяет высоким требованиям к дрейфу нуля, который в основном будет определяться дрейфом M и ДМ. Стабильность работы преобразующих каскадов становится главной проблемой и разрешается путем применения интегральных прерывателей.
Примером может служить схема УПТ с двойным преобразованием сигнала, собранная на базе интегральных ОУ (рис. 97). Входной сигнал постоянного тока поступает на вход микросхемы DA1, которая используется для суммирования сигнала рассогласования с сигналом тахометрической OC, а также служит в качестве повторителя напряжения (R1 = R2) для согласования сопротивлений цепи источника сигнала и модулятора. Модуляция суммарного сигнала осуществляется поочередным замыканием двух интегральных прерывателей DA2 и DA3.
В первый полупериод опорного напряжения, создаваемого трансформатором T1, конденсатор C2 заряжается через замкнутый ключ DA2, во второй — разряжается через замкнутый ключ DA3. С выхода модулятора сигнал поступает на вход усилителя переменного тока, построенного на ОУ DA4, DA5.
Сигнал переменного тока усиливается с помощью интегральных ОУ с емкостной связью между каскадами. Конденсаторы C1, C3, C4 позволяют осуществлять ОС по постоянному току без передачи дрейфа рабочей точки от каскада к каскаду, благодаря чему достигается высокая стабильность режима работы усилителя. Каскады собраны на одинаковых элементах. Коэффициент усиления определяется соотношением сопротивлений резисторов R4 и R3, R6 и R5. Для настройки коэффициента усиления служит резистор R4. Усиленный сигнал через согласующий трансформатор T2 поступает на двухполупериодный ДМ из двух интегральных прерывателей DA6, DA7 и фильтра R7, R8, C5.

Рис. 97. УПТ с мостовым выходным каскадом
Для получения разнополярного сигнала выходной сигнал с ДМ подается на парафазный каскад, состоящий из ОУ DA8, DA9 с резисторами R11, R12 в цепях OG. Управляющий сигнал подается на инвертирующий вход усилителя DA8 и на прямой вход усилителя DA9. Два других входа ОУ с помощью резисторов R9, R10 подключены к общей точке.
Для лучшего согласования предварительного усилителя с выходным каскадом в УПТ введены комплементарные эмиттерные повторители на транзисторах VT1, VT2 и VT3, VT4. Они работают в режиме класса B без дополнительного смещения.
Усилитель мощности собран по мостовой схеме на транзисторах VT5—VT8 и предназначен для непосредственного управления якорем двигателя M постоянного тока. Через резисторы R13 и R14 осуществляется подача разнополярных сигналов на базы транзисторов VT5, VT7. При отсутствии входного сигнала транзисторы VT5, VT7 закрыты вследствие равенства потенциалов
базы и эмиттера. При этом через резисторы R15, R16 токи не протекают, и транзисторы VT6, VT8 моста закрыты, так как между базой и эмиттером нет отпирающего потенциала.
Цепь якоря M оказывается обесточенной.
С появлением входного сигнала отпирается один из транзисторов, на базу которого поступает отрицательный сигнал, например VT5. Другой транзистор (VT7) остается закрытым. При этом диод VD1 открывается, и на эмиттере транзистора VT8 появляется положительное по отношению к базе напряжение, что приводит к отпиранию транзистора VT8. Ток от источника питания через открытые транзисторы VT5, VT8 протекает по якорю двигателя, создавая момент вращения. При этом входной сигнал и коэффициент усиления каскада должны быть достаточными для обеспечения необходимого тока нагрузки. Смена полярности входного сигнала приводит к отпиранию транзисторов VT7, VT6 и изменению направления тока через нагрузку.
Включение диодов VD1, VD2 препятствует возникновению в УПТ сквозных токов через смежные транзисторы благодаря запирающему напряжению, создаваемому на диодах при протекании по ним тока нагрузки. Например, диод VD1 запирает транзистор VT6 при наличии тока в транзисторе VT5 и, наоборот, открывает транзистор VT6 при отсутствии тока в VT5. Для обеспечения режима работы силовых транзисторов выходного каскада часто применяют параллельное включение двух-трех транзисторов.
Другой тип УПТ прямого усиления представлен на рис. 98. Предварительный усилитель напряжения выполнен на DA1 и DA2, усилитель мощности — на транзисторах VT1 - VT4.
Ha входе усилителя включены стабилитроны VD1 и VD2 для защиты первого каскада от больших входных сигналов. Этот каскад выполнен на ОУ DA1 по схеме повторителя напряжения: выходной сигнал с резистора R5 через делитель R6, R7 поступает на инверсный вход усилителя. Этот каскад служит для согласования входного и выходного сопротивлений элементов усилителя, а также для суммирования по Н-входу на резисторах R1—R4 сигналов с потенциометра-датчика RC, приемника RE и корректирующих сигналов Uд.с и Uд.у с датчика скорости и датчика ускорения. Второй каскад на ОУ DA2 служит для усиления сигнала по напряжению с коэффициентом передачи kП = R11/R8.
Выбор синхронизирующего устройства
5.3. ВЫБОР СИНХРОНИЗИРУЮЩЕГО УСТРОЙСТВАПри выборе СУ руководствуются в основном требованиями надежности, простоты изготовления и возможности компоновки его в одном корпусе с усилителем сигнала рассогласования. Предпочтение отдается бесконтактным устройствам. Заметим, что область применения СУ на неоновых лампах ограничена вследствие возможности ложного срабатывания от общего уровня радиации.
Расчет СУ сводится к следующему: 1) определение границы переключения; 2) проверка соотношения напряжений ГО и TO в критических точках СУ с неполным разделением каналов; 3) расчет параметров элементов схемы СУ; 4) поверочный расчет.
Зону переключения каналов управления рекомендуется выбирать в пределах 0,08 ... 0,22 диапазона работы канала TO:

Для надежной работы СУ необходимо, чтобы при малых углах рассогласования (рис. 61, а) напряжение UТО канала TO превышало напряжение UГО канала ГО. Это условие может быть нарушено вследствие смещения напряжения ГО (штриховые линии), обусловленного инструментальной погрешностью ?И сельсина. При отрицательной погрешности ?И и угле переключения | ?’П | < ?И СП будет согласовываться по каналу ГО, так как U' ТО > U‘ГО. Чтобы исключить возможность согласования СП с большой погрешностью по каналу ГО, необходимо выполнить условие


Рис. 61. Графики статические характеристик двухканального ИР
Углу переключения ?”П, выбранному согласно (165), соответствует правильное соотношение напряжений U ”ТО > U ”ГО.
Синхронизаторы выполняют свои функции тем лучше, чем выше линейность зависимости их выходного напряжения от входного внутри пределов переключения. Это свойство определяется как свойствами основных нелинейных элементов (диодов, реле, неоновых ламп), так и правильным выбором резисторов схем.
Тип основного элемента выбирают с учетом значений характерных напряжений (напряжений запирания диодов, срабатывания реле, зажигания неоновой лампы), которые должны быть соразмерны с напряжением сельсинов TO в точке переключения. При значительном расхождении этих напряжений применяют повышающий трансформатор или усилитель с коэффициентом усиления, равным отношению напряжений.
Ниже приведена примерная последовательность расчета синхронизатора на диодах (см. рис. 61, а).
1. При заданной погрешности канала ГО выбираем границу переключения из условия (165).
2. Для исключения возможности переключения привода на TO и согласования по ложному нулю необходимо выполнить условие — напряжение ГО должно в l,5...2 раза превышать максимальное напряжение TO после ограничения U ТО в точке ? = (180/ip) — ?П (рис. 61, б), т. e.

где

Из двух углов переключения ?’П и ?”П (см. рис. 61, б) соотношение (166) выполняется только для угла ?’П, так как в точке ? = (180/ip) — ?’П напряжение U ГО превышает U’ ТО более чем в 2 раза. Угол ?”П выбран неправильно, так как в точке ? = (180/ip) — ?”П напряжение U” ТО > U ГО.
Если условие (166) не выполняется, необходимо уменьшить предел переключения, выбрав более точные сельсины.
3. Выбор элементов схемы начинаем с выбора диодов, исходя из требования соизмеримости значений нулевого прямого напряжения U диодов и напряжения ограничения канала TO. Сопротивление выбранного диода определяем по вольтамперной характеристике как RД = dU/dI.
При выборе резисторов руководствуются следующими соображениями: ограничительное сопротивление резистора R1 должно быть больше внутреннего сопротивления открытого диода RД, но меньше сопротивления нагрузки R2 (R2 > R1> RД). Сопротивление резисторов R2, R3 выбирают равным или несколько большим, чем допустимое по техническим условиям на сельсины-приемники сопротивление нагрузки. При отсутствии этого параметра в паспортных данных сопротивление резистора R2 берут на порядок больше, чем сопротивление резистора R1, которое находят из условия ограничения максимального напряжения канала TO, когда диоды шунтируют нагрузку.
Выходное напряжение СУ по каналу TO определяется, с одной стороны, делителем R1, RД.

C другой стороны, уровень выходного напряжения равен уровню ограничения, определяемому значением прямого напряжения диодов:

Сопротивление резистора R1 находим, приравняв правые части (169) и (170):

4. Поверочный расчет цепей каналов TO и ГО проводим по току в соответствии с выбранными значениями сопротивлений:

где RС - сопротивление обмотки сельсина.
Расчет проведен правильно, если выполняется условие Iпр > Imax.
Пример 5. Рассчитать схему переключения управления каналов TO и ГО при выходном напряжении точного сельсина-трансформатора, равном 0,75 B, для системы с двухскоростной сельсинной связью при ip = 30. В качестве задающего выбран сельсин типа СБ-20-1ВД (UП= 110 B, Umax = 25 B), в качестве принимающего — типа СБ-32-1ВП (UП = 110 B, Umax = 21 B, R0 = 360 Ом; оптимальное сопротивление нагрузки RН = 3 кОм).
Решение. 1. Найдем угол переключения привода. Если по условию задачи UТО = 0,75 B, то согласно (167) Umaxsin?П= 0,75. Отсюда 21 sin?П = 0,75; ?П = 2°. При таком угле переключения согласно (165) сельсины могут быть выбраны первого класса точности с погрешностью ?И = 10', так как ?П = 2° > 2 ?И = 20'.
2. Определим по (167) напряжение ГО при угле рассогласования ? = (180/ip) — ?П:

Условие (166) выполнено, так как UГО / UТО = 1,46/0,75= 1,94 > 1,5.
3. Для обеспечения ограничения выбираем диоды Д-226 (U0 = 1 B, Iпр = 0,3 A) и по характеристике определяем сопротивление

4. Сопротивление резистора R1 по выражению (171)

По стандарту выбираем R1 = 51 Ом.
5. Сопротивления резисторов R2, R3 принимаем равными сопротивлению номинальной нагрузки: R2 = R3 = 3 кОм. Соотношение R2 > R1 >> RД выдержано, так как 3000 > 51 >> 2,5.
6. Проверим выбранный диод по току:

Диоды выбраны правильно, так как максимальный ток в цепях ГО и TO не превышает допустимого значения Iпр прямого тока диода: 0,05 < 0,3; 0,006 < 0,3.
Назад | Содержание
| Вперед
Выбор управляющего устройства пример расчета
4.7. ВЫБОР УПРАВЛЯЮЩЕГО. УСТРОЙСТВА. ПРИМЕР РАСЧЕТАПри выборе УУ необходимо учитывать следующие факторы: 1) физическую природу регулируемой величины; 2) диапазон работы и характер изменения задающего и выходного сигналов (поступательное или угловое); 3) требуемые точность преобразования, чувствительность, зону нечувствительности; 4) быстродействие; 5) влияние на работу УУ внешних условий эксплуатации: температуры, давления, влажности, вибраций; 6) допустимые размеры, массу, срок службы, надежность и т. д. Учесть при выборе конкретного УУ все перечисленные факторы явно невозможно, так как некоторые из них противоречивы. Так, при удовлетворении требования повышенной надежности пренебрегают технологическими и экономическими факторами, предпочитая более сложный по технологии изготовления бесконтактный сельсин контактному. А так как точностные параметры бесконтактных сельсинов ниже, то точность преобразования сигнала при этом также уменьшается. Следуя общей тенденции микроминиатюризации аппаратуры, повышают требования к размерам датчиков. Однако e уменьшением размеров элементов точность индукционных микромашин понижается.
Из всей совокупности факторов и требований при выборе УУ в виде ИР на потенциометрах или индукционных микромашинах основным критерием является точность, определяемая инструментальной погрешностью изготовления элементов. Эта погрешность не поддается компенсации и непосредственно входит в статическую погрешность всего СП. При проектировании полагают, что на долю ИР приходится 30 ... 50 % результирующей статической погрешности привода, т. e.

Если одноканальные схемы на потенциометрах, имеющих собственную инструментальную погрешность ± (0,25 ... 1)°, не удовлетворяют заданной точности, применяют трансформаторные дистанционные передачи на сельсинах и BT. Предпочтение при этом отдается прецизионным BT, позволяющим снизить погрешность передачи угла до ± (2 ... 10)' по сравнению с погрешностью ±(20 ... 30)', характерной для сельсинов. Применением двухканальной передачи угла на сельсинах и BT и механическом редукторе можно добиться снижения погрешности до ± (2 ... 6)'.
Условие (162) в этом случае можно записать в следующем виде:

Дальнейшее увеличение точности передачи угла обеспечивается применением многополюсных преобразователей с электрической редукцией. Электрическая редукция исключает погрешности зубчатой передачи и доводит точность до 1".
После предварительного определения типа ИР (индукционного, потенциометрического) приступают к выбору датчика и приемника из числа рекомендуемых для применения. Технические данные некоторых типов потенциометров приведены в табл. 1, технические данные рекомендуемых сельсинов и BT — в табл. ?7, ?8 прил.
Поскольку погрешность ИР складывается из погрешностей датчика и приемника, то для повышения точности передачи угла рассогласования оба элемента выбирают одного класса точности, так чтобы инструментальная погрешность была меньше или равна допустимой погрешности, рассчитываемой по (162): ?ИР ? ?ИР доп.
Пары подбирают в соответствии e рекомендациями, приводимыми в паспорте, либо по указанному назначению: буквой Д обозначим датчики (СД, ВТДП – Д), буквами П или ПТ — приемники (СПТ, ВТДП — П).

Рис. 56. Суммирующий каскад
Кроме того, пары подбирают e учетом параметров сопряжения. Для ВТ такими параметрами являются напряжение питания (127, 60, 40, 27, 12, 6 B), частота (400, 1000, 2000, 4000 Гц), коэффициент трансформации (0,25; 0,56; 1); для сельсинов — напряжение питания (127, 40, 27, 12, 6 B), частота (50, 400, 1000 Гц), максимальное напряжение синхронизации Umax — наибольшее напряжение, снимаемое с двух фаз обмотки синхронизации. Например, сельсину-датчику НД-404П (UП = 110 B, f 400 Гц, Umax = 100 B) соответствует сельсин-приемник БС-155А с такими же параметрами, а ВТДП—Д типа СКТ-225-2Д соответствует ВТДП—П типа СКТ-225-2П с одинаковыми параметрами (UП = 36 B, kТ=1,0).
Параметрами для потенциометров являются напряжение питания UП, крутизна статической характеристики, зависящая от диапазона изменения рабочего угла. Если диапазоны работы потенциометров неодинаковы, то идентичности характеристик добиваются введением в цепь потенциометров добавочных резисторов.
Передаточное отношение редуктора согласно (163)

Выбираем iр = 10.
4. Погрешность преобразования угла определяем по выражению (161), полагая ?р (ip) = l,5', ?З = 0,5':

Передаточное отношение редуктора рассчитано правильно, так как погрешность преобразования угла не превышает допустимую погрешность, равную 5,4'.
5. Коэффициент преобразования (чувствительность) для канала ГО согласно (154)

6. Чувствительность по каналу TO с учетом приборного редуктора

Назад | Содержание
| Вперед
При выборе потенциометров особое внимание уделяют подбору их сопротивления для согласования с нагрузкой и уменьшения методической погрешности. Для облегчения согласования потенциометры каждой серии выпускают с разными номиналами сопротивлений. Номинал сопротивления выбирают по погрешности, обусловленной нелинейностью характеристики и определяемой классом точности потенциометра.
Для двухканальной системы передачи угла на сельсинах и BT передаточное отношение редуктора ip рассчитывают по формуле

где ?ГО = ?ИР — погрешность, определяемая классом точности сельсинов и BT.
Необходимым условием применения суммирующего каскада (рис. 56) в качестве УУ является линейность сложения входных сигналов.
Сложение сигналов реализуют с помощью схем последовательного и параллельного суммирования. Так как схема последовательного суммирования — суммирования напряжений — имеет меньшую помехозащищенность, предпочтение отдают схеме параллельного суммирования (см. рис. 56) — суммированию токов. Параметры схемы сложения сигналов определяются входным сопротивлением суммирующего усилителя и сопротивлением нагрузки. Если схема сложения не удовлетворяет требованию высокоомной нагрузки (например, при поступлении входного сигнала с аналоговой ЭВМ), то последовательно с источниками входных сигналов ставят добавочные резисторы R1 и R2, сопротивление которых будет зависеть от внутреннего сопротивления источника входного сигнала. Суммирование сигналов (каждого со своим коэффициентом) осуществляется согласно выражению (пояснение дано в п. 3 гл. 8)

Пример 4. Подобрать пару сельсинов для привода, статическая погрешность которого не должна превышать 18', Рассчитать точность передачи угла и чувствительность измерительной схемы.
Решение 1, Полагая, что ?ИР доп составляет 30% заданной погрешности привода, находим ?ИР доп= 18·0,3= 5,4'.
2. Из табл., ?7 прил., выбираем пару сельсинов типа БС-3 3-го класса точности, погрешность следования которых составляет 30', Umax= 5 B, f = 400 Гц,
3. Так как погрешность сельсинов превышает допустимую, выбираем двухканальную систему с механическим редуктором.
Законы движения объектов регулирования
3.2. ЗАКОНЫ ДВИЖЕНИЯ ОБЪЕКТОВ РЕГУЛИРОВАНИЯЗакон движения выходного вала или OP определяется законом изменения управляющего воздействия, который может носить заданный или случайный характер. Для проведения расчетов используют один из типовых законов движения OP (рис. 18): гармонический; с постоянной скоростью; с постоянным ускорением.
Гармоническое воздействие (рис. 18, а) может быть задано в виде гармонической функции

где ?0 — амплитуда изменения входного сигнала; ?р — рабочая частота изменения сигнала с периодом T;

Взяв первую и вторую производные выражения (7):


Рис. 18. Графики изменения параметров движения
определим соотношения, связывающие амплитудные значения угла, скорости и ускорения выходного вала:

Чаще в исходных данных на проектирование содержатся сведения о предельных значениях угловой скорости ?? и ускорения ?? выходного вала. B этом случае эквивалентный гармонический сигнал задают параметрами, которые должны быть выбраны в соответствии с параметрами движения OP и могут быть определены на основании выражений (9), (10):

где ?0 и ?р — параметры, соответствующие режиму работы СП с максимальными значениями скорости и ускорения.
Гармоническое воздействие характерно для систем стабилизации (см. рис. 11, б), устанавливаемых на подвижном основании (корабле, самолете), подверженном качке; для систем управления рулями самолета и т. п.
Движение с постоянной скоростью ?0 = const (рис. 18, б) обусловливает линейное изменение угла поворота ?(t) = ?0t и характерно, например, для привода телескопа.
Движение с постоянным ускорением ?0 = const (рис. 18, б), типичное для режимов разгона и торможения, определяет следующие законы изменения угла поворота и скорости: ?(t) = ?0t; ?(t) = ?0t2/2.
Заданные законы движения могут быть воспроизведены СП только в случае, когда энергетические возможности ИУ будут больше мощности, требуемой для перемещения OP.
Назад | Содержание
| Вперед
Инновации: Менеджмент - Моделирование - Софт
- Инновационный менеджмент
- Разработка программного обеспечения
- Россия и инновации
- Управление инновационным менеджментом
- Моделирование
- Финансовое моделирование
- Системы моделирования
- Виды моделирования
- Практическое моделирование
- Пакет Mechanical Desktop
- Моделирование программ
- Софт для моделирования
- Пакет Simulink
- Моделирование в IBM
- MSC Nastran Моделирование -
- AutoCAD
- Unigraphics
- P-CAD