Эффект Пигу в кейнсианской теории
Автор - Бусыгин В.П.
История возникновения теории эффекта Пигу.
Одной из важнейших проблем макроэкономики является вопрос о том, существуют ли в конкурентной денежной экономики достаточно мощные внутренние механизмы, способные устранять избыточные спрос и предложение путем установления некоторой равновесной системы цен.
Дебаты по этому поводу разгорелись после опубликования "Общей теории" Кейнса в 1936 году. Кейнс отрицал, в полном противоречии с господствовавшей тогда доктриной, что гибкость цен и заработной платы буде обеспечивать равновесие рынков. Он утверждал, что даже в условиях конкурентной экономики может устанавливаться равновесие при неполной занятости.
Дебаты породили множество контраргументов. Первое весомое возражение Кейнсу было выражено в 1943 году и принадлежало английскому экономисту Артуру Пигу (Arthur Pigou, 1877-1959). Он доказал существование такого регулирующего механизма, как эффект богатства, или эффект реальных денежных (кассовых) остатков, который имеет автоматическую тенденцию движения экономики к равновесию при полной занятости несмотря на "ликвидные ловушки" и прочие препятствия (до Пигу эффектом богатства также занимался Харберлер (Harberler) в 1941 году). Модификация эффекта богатства была названа в честь исследователя эффектом Пигу (отличия эффекта Пигу описаны ниже).
"Словарь современной экономической теории" определяет эффект Пигу следующим образом: это "непосредственный эффект реальных денежных остатков, представляющий собой рост спроса на потребительские товары в результате пересмотра индивидами инвестиционного портфеля в соответствии с изменениями реальных денежных остатков".
Реальные денежные остатки - это стоимость находящихся в распоряжении экономических агентов денег, измеренная количеством товаров и услуг, которые за них можно получить.
Теорию эффекта Пигу развили такие известные экономисты, как Патинкин (Patinkin), Фридман (Friedman), Джонсон (Johnson), а также ряд других.
2.. Корректировка кейнсианской модели с учетом эффекта Пигу.
Как известно, Кейнс утверждал, что в экономике может устанавливаться равновесие при любом уровне безработицы. Артур Пигу развил теорию потребительской функции таким образом, что в его модели потребление зависело не только от дохода, но и от реального богатства, и тем самым показал, что утверждения Кейнса носят ограничительный характер. Теория эффекта Пигу говорит о том, что изменение реального чистого богатства частного сектора влияет на совокупные планируемые потребительские расходы. Важно отметить тот факт, что Пигу определял свой эффект для рынка, где есть несколько форм богатства, и поэтому эффект Пигу несколько отличен от эффекта реальных денежных (кассовых) остатков, где единственной формой богатства являются деньги. Это различие будет играть важную роль в анализе, однако, оба эффекта в прочем сходны, описывают один и тот же механизм, и автор, описывая общие теоретические соображения, будет считать названия взаимозаменяемыми там, где это не представляет ущерба для смысла.
Микроэкономический уровень.
Каковы же предпосылки включения эффекта Пигу в кейнсианскую теорию? Для ответа на этот вопрос вспомним некоторые положения кейнсианской теории. Кейнсианская модель предполагает, что кривая IS может пересекать горизонтальную ось при нулевой ставке процента, то есть Кейнс не отрицал существования положительных значений сбережений даже при нулевой ставке процента. А раз это так, то, по утверждениям Пигу, непременно должен действовать эффект Пигу. Чтобы понять его рассуждения, рассмотрим двухпериодную модель потребления индивида, максимизирующего полезность при распределении расходов на потребление между настоящим и будущим. Упрощенные условия модели таковы: абсолютный уровень цен будущего периода равен уровню цен данного периода, индивид имеет перед началом первого периода какие-то активы, имеет доходы в первом периоде, а во втором периоде доходов не получает, а живет на процент от имеющихся у него активов. Если известны реальная стоимость активов перед началом периода, получаемый реальный доход в первом периоде и ставка процента r, то бюджетная линия определяется однозначно (рисунок 1):
Тангенс угла наклона бюджетной линии равен (1+r), реальный доход в первом периоде представлен отрезком OC, реальная стоимость имеющихся активов в начале первого периода - отрезком CB. Максимальная сумма товаров, которые могут быть потреблены в первом периоде, составляет, таким образом, OB. Очевидно, что для любого r эта стратегия не является оптимальной для индивида, иначе во втором периоде его потребление будет равно нулю. При наличии бюджетной линии, которая соответствует положительному значению нормы процента, индивид в течение первого периода потребит G11 из полученного дохода и сбережет (OC-OG11). Согласно проведенной кривой безразличия, максимум полезности будет достигаться в точке касания E1. В этой точке норма процента уравнивается с предельной нормой временных предпочтений данного лица.
Теперь рассмотрим ситуацию, изображенную на рисунке 2, когда норма процента

, тангенс угла наклона равен 1. Равновесие устанавливается в точке E2, потребляется G21 (что, естественно, больше, чем G11), сберегается ненулевое (OC-OG21). Как было отмечено выше, это не противоречит утверждениям Кейнса - он не отрицал существования точек равновесия типа E2. Но коль скоро это так, то можно легко показать, что изменение реального богатства влияет на потребление индивида, то есть действует эффект Пигу.
Допустим, что процентная ставка равна нулю, и что абсолютный уровень цен перед началом первого периода снизился. Это значит, что реальная стоимость активов (денег, облигаций) в начале первого периода увеличивается. Это ведет к параллельному сдвигу бюджетной линии вправо, хотя доход в первом периоде не меняется. Устанавливается новое равновесие - E3, как показано на рисунке 3.
Максимальная сумма потребления возросла до OB . Новая точка равновесия E3 характеризуется тем, что потребление первого периода G31 больше, чем G21, сбережения (OC-G31) соответственно меньше (OC-G21). То, что это действительно так, доказал в своих работах Патинкин, который утверждал, что потребительские товары не являются худшими товарами по сравнению с богатством: при прочих равных условиях увеличение реального богатства всегда ведет к увеличению реального потребления (легко убедиться в правоте Патинкина, если принять во внимание то, что удовлетворение, получаемое от сбережений, подчиняется правилу убывающей предельной полезности). Именно этот факт, продемонстрированный на рисунке 3, и носит название эффекта Пигу (или эффекта реальных денежных остатков - если в активы не включать облигации).
Макроэкономические корректировки и последствия эффекта Пигу.
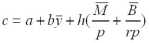
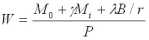
Итак, Пигу настаивал на включении в потребительскую функцию Кейнса, имеющую вид

, где на потребительские расходы влияют только

- реальный доход и

- некоторое "автономное" потребление. Если же в явной форме учесть эффект Пигу, то необходимо включить в качестве особой переменной фактическое реальное богатство

(

характеризует склонность к потреблению богатства). Положим, что богатство состоит из денег и облигаций:

, где

- номинальная нарицательная стоимость облигаций,

- их номинальная рыночная стоимость. Соответственно, потребительская функция примет вид

Итак, эффект Пигу аддитивно включен в функцию потребления. Утверждается, что потребительские расходы и реальное богатство функционально зависимы. Какие же последствия вызывает это для экономики? Оказывается, ставится под сомнение вся модель Кейнса и, в частности, его выводы о том, что равновесие при наличии безработицы может присутствовать даже в случае, когда заработная плата и цены достаточно гибки. Из эффекта Пигу следует, что пока существует подобная гибкость, кейнсианская модель таит в себе автоматическую тенденцию к равновесию при полной занятости.
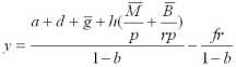
Рассмотрим сначала состояние рынка товаров с учетом действия эффекта Пигу. Рассмотрим функцию планируемых расходов при допущениях, что потребительская и инвестиционная функции линейны, а государственные расходы задаются экзогенно. Расходы складываются из планируемого потребления

, планируемых инвестиций

и правительственных расходов

Представим функцию графически (рисунок 4). Пусть

- начальное положение функции. При наличии таковой возможно установление равновесия в точке Z1 при достижении уровня производства при полной занятости (y).
Предположим теперь, что по какой-то причине ожидания владельцев капитала стали более пессимистичными, в результате чего инвестиции i (точнее, их составляющая d) падают и инвестиционная функция сдвигается вниз. Так как инвестиции - положительный элемент функции общих расходов, то и она сдвигается вниз в положение

, а хозяйство достигает точки Z2, которой соответствует доход y2, что меньше дохода полной занятости.

Рисунок 4
Пока цены и заработная плата являются гибкими, наличие избыточного предложения на рынках товаров и рабочей силы будут толкать заработную плату в денежном выражении и абсолютный уровень цен p в сторону понижения. Следствием этого будет повышение стоимости реального богатства

, так как номинальный запас денег и облигаций остается неизменным. Это приведет к росту планируемых расходов на потребление, что в свою очередь увеличит общие расходы. Таким образом, благодаря эффекту Пигу, функция планируемых расходов вновь возрастет и будет расти до тех пор, пока не вернется в положение

и не будет восстановлена полная занятость.
Вообще, Кейнс не отрицал существования механизма, толкающего экономику к равновесию при полной занятости - падение нормы процента при падении цен вследствие высвобождения денег из трансакционных фондов и образования избыточного предложения денег и избыточного спроса на облигации. Падение ставки процента r повлекло бы за собой увеличение потребительских расходов. Однако, Кейнс указывал, что этот непрямой механизм работает не всегда - "ликвидная ловушка" может предотвратить падение процентной ставки, иначе говоря, инвестиции могут оказаться неэластичными в отношении нормы процента. Суть же эффекта Пигу состоит в том, что он дает модель с прямым механизмом, работающего и в условиях "ликвидной ловушки".
Рисунок 5
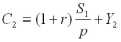
То, что это действительно так, можно продемонстрировать с помощью аппарата кривых IS-LM. Крутое положение кривой IS и форма кривой LM на рисунке 5 говорят о наличии "ликвидной ловушки". Пусть IS1 и LM1 пересекаются в точке, соответствующей уровню дохода

при неполной занятости. Падение цен приведет к тому, что под воздействием эффекта Пигу кривая IS1 будет передвигаться вправо до положения IS2, соответствующему доходу при полной занятости. Сдвиг кривой IS обусловлен учетом эффекта Пигу в ее уравнении (полученного из условия товарного рынка

Приведем упрощенный пример того, что эффект богатства Пигу, будучи включенным в кейнсианскую функцию потребления, ведет экономику к полной занятости при условии гибкости цен и заработной платы и сохраняет прежнее значение процентной ставки.
Рассмотрим двухсекторную экономику, без государства и внешнего мира. Опишем сначала ситуацию с потребительской функцией без учета эффекта Пигу. Экзогенные данные таковы:
Предложение денег
|
M = 150
|
Уровень цен
|
P = 1
|
Номинальная зарплата
|
W = 1
|
Ф-ция потребления
|
C = 150+0,5Y
|
Инвестиции
|
I = 200-25r
|
Спрос на реальные денежные остатки
|
M/P = 0,5Y-25r
|
Производственная функция
|
Y = 40N1/2
|
Для определения спроса на труд приравняем предельный продукт труда к реальной заработной плате:

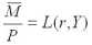
. Предполагая, что предложение труда абсолютно эластично, получиаем уровень полной занятости NF=400 и соответствующий выпуск YF=40*20=800. Реальные же показатели N и Y могут быть получены из модели IS-LM. Из условия равенства потребления инвестициям (150+0,5Y=200-25r) находим уравнение прямой IS1: Y=700-50r, уравнение LM1 находим из соотношения 150/1=0,5Y-25r и получаем Y=300+50r. Отсюда Y=500, N=156, r=4%. То есть равновесный уровень выпуска примерно на 40% ниже максимального, и безработица имеет большие масштабы.
Теперь учтем в потребительской функции эффект Пигу - введем реальное богатство в виде реальных денежных остатков: C = M/P+0,5Y = 150+0,5Y. Теперь предположим, что одновременно все цены и заработная плата упали в два раза: P = W = 0,5. Реальная заработная плата и максимальный выпуск не изменятся, однако возрастет потребление: С=300+0,5Y, и прямые IS и LM сдвинутся вправо: IS2 примет вид Y=1000-50r, LM2 - Y=600+50r, из чего следует, что N=NF=400, Y=YF=800, r=4%. То есть установилось равновесие при полной занятости и прежней ставке процента.
Из проведенного анализа Пигу сделал вывод, что единственной причиной сохранения равновесия при безработице может быть только наличие негибких цен и заработной платы. Однако ниже будут рассмотрены факторы, ограничивающие значение этого вывода.
3. Возможность включения эффекта Пигу в различные функции потребления.
Для анализа вопроса о возможности включения эффекта Пигу в функции потребления автор выбрал четыре функции:
- Фишера
- Модильяни
- Фридмана
- Холла
Ирвинг Фишер (Irving Fisher) разработал модель межвременного выбора. Простейший случай - это модель с двумя периодами (молодость и старость). В первом периоде потребитель имеет доход Y1 и уровень потребления C1, во второй - доход Y2 и потребление C2. Понятно, что богатство индивида - это сбережения первого периода S1=Y1-C1. Для перехода к реальным показателям необходимо сбережения S1 разделить на уровень цен p:

. В данной модели эффект Пигу действует напрямую - падение цен в n раз однозначно увеличивает потребление на (n-1)(1+r)S1, так как условием модели является то, что за два периода должен потребиться весь доход. Иллюстрация включения эффекта Пигу в функцию потребления Фишера аналогична рисунку 3.
Для многопериодной функции потребление последнего периода будет выглядеть следующим образом:

, где i - доля сбережений i-того периода, оставшихся на потребление в последнем периоде.
Более сложной и интересной модель стала бы при включении возможности займа денег и дачи в долг. Однако, как будет показано в следующей главе, займы не должны будут отражаться как чистые активы дебитора, поэтому эффект Пигу не будет играть какой-либо роли для потребителя. Вследствие этого, возможность включения эффекта в модель Фишера с займами не рассматривается.
Франко Модильяни (Franco Modigliani), удостоенный Нобелевской премии по экономике, и его коллеги в 50-е годы посвятили себя серии работ о модели жизненного цикла. Модильяни обратил внимание на то, что уровень дохода колеблется на протяжении жизни человека и что сбережения позволяют потребителям перераспределять доход с периодов, когда его уровень высок, на периоды, когда он низок. Такое толкование поведения потребителей и заложило основу гипотезы жизненного цикла. Предлагаемая автором модификация проста:

. Учет реального богатства в потребительской функции Модильяни хоть несколько и усложняет модель Модильяни, но позволяет рассматривать прямое воздействие цен на потребление.
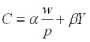
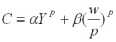
Теория потребления с постоянным доходом была разработана Нобелевским лауреатом Милтоном Фридманом (Milton Friedman) в 50-х годах. Его теория основывалась на положении, что потребление в каждом году должно зависеть от среднего уровня дохода, ожидаемого в этом году и в следующих годах. Для включения эффекта Пигу в функцию Фридмана надо также предположить, что потребление будет зависеть и от реального чистого богатства:

, где - склонность к потреблению среднего реального богатства. Аддитивное включение реального богатства позволяет расширить анализ модели и включить в него механизмы ожидания цен. Действительно, в первоначальном виде трудно было как-то учесть, например, инфляционные ожидания индивида (только неявно при помощи коэффициентов ). С помощью же коэффициента можно легко судить о них. Например, увеличение при неизменном уровне цен может говорить о том, что индивид ожидает инфляцию и старается потратить больше сейчас. Эффект Пигу выражается в увеличении при падении цен.
Разновидность модели перманентного дохода - функция потребления, описываемая процессом случайных блужданий, предложенная Робертом Холлом (Robert Hall) из Стэнфорда. Он показал, что при некоторых условиях оценка домашним хозяйством своего перманентного дохода в этом году является также лучшей оценкой перманентного дохода в будущем году. То есть потребление следующего года Ct+1 должно быть равно сумме Ct и и случайной величины et+1, отражающей непредвиденные шоки будущего года, которые могут повлиять на оценку домохозяйством своего перманентного дохода.
Автор считает невозможным включение эффекта Пигу в функцию Холла без изменения смысла всей его модели, так как сама идея теории Холла основывается не на зависимости от каких-то внешних числовых факторов (дохода, богатства - все это учитывается в детерминированном значении C0), а единственно от потребления предыдущего периода. В шоки будущего года будут включаться и неожиданное падение или повышение цен (в первом случае et+1 примет положительное значение, во втором - отрицательное). То есть о силе эффекта Пигу при прочих равных условиях можно судить по знаку и значению случайной величины et+1.
4. Ограничения эффекта Пигу.
Эффект Пигу в теории представляет собой мощное средство установления равновесия при полной занятости. В реальности же этого не происходит. Пигу объяснял это тем, что заработная плата и цены недостаточно гибки, чтобы движение к равновесию при полной занятости было ощутимым. Однако, есть еще ряд серьезных ограничений, описанных некоторыми исследователями.
Первое ограничение действия эффекта Пигу - не все активы могут быть включены в компоненту чистого богатства, от которого зависят потребительские расходы. Как было указано выше, эффект Пигу зависит от величины чистых активов частного сектора, к которым Пигу относил деньги (M).Оказалось, однако, что не все деньги можно отнести к чистым активам.
Первая серьезная попытка рассмотреть вопрос о том, являются ли деньги активами, принадлежит Герли и Шоу (Gurley and Shaw, 1960).
Концепция внешних и внутренних денег
Авторы провели разграничительную черту между внутренними деньгами, которые не могут считаться активом (т.е. частью совокупного чистого богатства частного сектора), и внешними деньгами, которые могут. Внутренние деньги они определили как часть суммы банковских депозитов частного сектора, уравновешенную банковскими ссудами, выданными частному сектору. Так как внутренние деньги представляют собой обязательства частного сектора самому себе, то увеличение или уменьшение их не влияет на величину собственного богатства и на поведение частного сектора. Напротив, внешние деньги влияют на величину богатства частного сектора, потому что внешние деньги - это актив, которому не противостоят прямые или косвенные обязательства частного сектора самому себе. Поэтому при расчете влияния эффекта Пигу в качестве реального богатства частного сектора мы можем рассматривать только внешние деньги.
Концепция внешних и внутренних денег как таковых больших споров не вызвала. Гораздо больше дебатов разгорелось вокруг того, что же конкретно отнести к внешним деньгам, а что - к внутренним. Мнения на этот счет высказывались полярные - одни считали, что доля внешних денег в денежной массе мала и складывается только за счет наличных денег, выпущенных правительством, части банковских депозитов, обеспеченных кассовыми остатками, принадлежащих банковскому сектору, и процентных платежей по государственным облигациям, уплачиваемые не из налогов, а из доходов правительства от принадлежащих ему физических акитвах и из поступлений из активов, являющихся обязательствами иностранных государств. Другие исследователи, как например Пешек и Сэйвинг (Pesek and Saving), а также Джонсон (Johnson) заявляли, что все деньги представляют собой актив для всего общества, так как деньги - это капитализированная стоимость доходов, которые они приносят в виде услуг, причем они не являются обязательством эмитента (банка, правительства). Таким образом, если верить Пешеку и Сэйвингу, все деньги - внешние и внутренние можно считать чистым богатством всего общества.
Мнение первых исследователей представляется более правильным. Однако даже если принять некоторые положения Пешека и Сэйвинга, сила эффекта Пигу все равно будет мала. Ниже приведен пример расчета влияния эффекта Пигу для Великобритании в 1930 году с учетом внешних и внутренних денег. На тот момент количество внешних денег было примерно равно 320 млн фунтов стерлингов, внутренних денег - 1750 млн фунтов, на руках у частного сектора находилось гособлигаций на сумму 3000 млн фунтов. Таким образом, чистое богатство можно рассчитать с помощью формулы:

, где

- внешние деньги,

- внутренние деньги,

- доля внутренних денег, которая рассматривается обществом (частным и банковскими секторами) как актив. Эта доля появляется из-за того, что текущие обязательства банков меньше их текущих активов. Таким образом, с введением этого коэффициента мы учли некоторые положения Пешека и Сэйвинга. Коэффициент

представляет собой среднюю склонность рассматривать государственные облигации как чистый актив. По подсчетам, он не превышает 0.5.
Предположим в нашем примере, что

и

равны 0.4, ставка процента

. Неожиданное падение всех цен вдвое увеличит богатство общества на величину

. На столько миллионов фунтов увеличилось бы чистое богатство общества от двухкратного падения цен. Теперь посчитаем, на сколько увеличатся потребительские расходы при предельной склонности к потреблению, равной 0.8: 660*0.8*0.33=165 млн фунтов, где 0.33 - доля изменений в реальном богатстве, влияющая на текущее потребление (получается из теории ожиданий, где утверждается, что изменение потребления в результате одномоментного изменения цен будет происходить равномерно в среднем в течение трех лет - таким образом, берем 33% на каждый год). Потребительские расходы в 1930 году составляли 4000 млн фунтов, то есть падение цен в два раза увеличило бы потребительские расходы примерно на 4%. Конечно, такой рост расходов вряд ли смог бы серьезно способствовать установлению полной занятости в Великобритании.
Второе ограничение. Некоторые последователи Кейнса утверждали, что эффект перераспределения ограничивает действие эффекта Пигу, и приводили простой пример. Общеизвестен факт, что от падения цен и увеличения реального богатства больше всех выигрывают самые богатые члены общества, но их предельная склонность к потреблению, вероятно, будет меньше, чем у тех членов общества, на которых падение цен отразилось отрицательно (например, должники). Таким образом, чистый эффект от падения цен может быть даже отрицательным - богатые увеличат свое потребление на меньшую величину, чем ту, на которую уменьшат свое потребление должники. Эффект перераспределения в данном случае косвенно связан с внешними и внутренними деньгами - богатство должников, состоящее из внутренних денег, по утверждениям Герли и Шоу, не должно относиться к их чистым активам и потому не должно было произойти сокращение потребления должников.
Третье ограничение. Пока мы рассмтривали только изменение спроса вследствие изменения уровня цен, однако надо учитывать, что изменение реального богатства влияет и на предложение. На это указывал Бейли (Bailey), основываясь на том, что кассовые остатки являются фактором производства. Производство товаров основано на взаимодействии капитала и труда, однако комбинация этих двух факторов для производственного процесса возможна только через использование денег, обеспечивающих трансакции. Таким образом, вполне возможно, что чем больше будут реальные кассовые остатки, тем выше будет реальный выпуск, и тем больше будет уровень дохода, соответствующего полной занятости. Этот факт может быть отражен путем включения кассовых остатков в производственную функцию:

. Поэтому, утверждал Бейли, тезис об автоматической тенденции к полной занятости имеет свои ограничения - эффект Пигу в этом смысле будет слабее.
Четвертое и последнее возражение основано на теории ожиданий. Предполагается, что падение цен будет формировать ожидания дальнейшего падения, и поэтому потребители будут предпочитать будущее потребление нынешнему в надежде, что цены упадут еще больше. Это возражение не отрицает эффекта Пигу как такового, оно ставит под сомнение силу его действия на определенный период.
В заключение главы несколько слов о макроэкономической модели неоклассического синтеза, которая была предложена в связи с дебатами вокруг эффекта Пигу. Товарный рынок описывался как

, денежный -

, рынок труда -

, производственная функция

. Описанная система имеет автоматическую тенденцию к полной занятости при следующих предположениях: 1) все цены и заработная плата гибкие; 2) эластичность функции ожидания цен равна единице; 3) нет "денежной иллюзии" (трансакции производятся на основе реальных показателей).
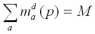
5. Дальнейшие разработки теории эффекта Пигу.
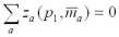
Теория эффекта Пигу и родственного с ним эффекта реальных денежных остатков получила свое дальнейшее развитие в 50-х и 60-х годах в работах Патинкина, Фишера и Самюэльсона. Они рассматривали денежный рынок с позиций классической дихотомии с помощью следующей модели: на рынке доступно l товаров, продаваемых в каждом периоде по номинальным ценам p=(p1,... pl), значения которых определяется рынком. Рассматривается некоторый агент a. Он характеризуется тем, что имеет в каждом периоде некоторый избыток спроса: za(p)=[za1(p),...zal(p)]. Равновесие на рынке товаров накладывает ограничение

для всех p (функция однородная нулевой степени). Пусть mda(p) - спрос агента a на деньги (номинальные) при ценовой системе p. Равновесие на денежном рынке, в свою очередь, накладывает ограничение

(функция однородная первой степени), где M - общая масса денег в обращении. Однако, по утверждениям Патинкина, подобная модель не может описать краткосрочного установления равновесных цен и эффекта реальных денежных остатков. В краткосрочном периоде экономическая система должна удовлетворять закону Вальраса:

для всех p, где

- реальные денежные остатки на конец периода. Далее, чтобы учесть влияние этих самых денежных остатков, надо включить их в функции спроса агентов. Таким образом, новая модель с учетом эффекта денежных остатков в текущем периоде 1 при некоторых прочих предположениях (инфляционные ожидания экзогенны и т.д.) будет выглядеть как

,

, ограничение закона Вальраса будет иметь вид

для всех p1.
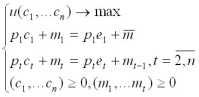
Дальнейшее развитие и модифицирование модели предложил Самюэльсон в 1958 году. Он предложил т.н. overlapping generation model without bequest (модель поколений без наследства), где рассмотрел различные типы потребителей, характеризующихся продолжительностью жизни (количество периодов), долей потребления товаров в каждом периоде и их предпочтениями в межвременном потреблении. Важной чертой модели является то, что в любом периоде могут добавляться "новорожденные" агенты, то есть для каждого агента всегда есть более молодой агент, который заинтересован в сбережениях. Простейшая модель Самюэльсона имеет вид:

Здесь u - непрерыно возрастающая монотонная функция полезности, e - доля потребления товаров агентом. Анализ данной модели и ее модификаций позволяет учесть эффект реальных денежных остатков.
6. Заключение.
В данной работе описан регулирующий механизм, носящий название эффекта Пигу, теория которого говорит о том, что потребительские расходы частного сектора зависят от реального богатства этого сектора. Механизм этот при некоторых условиях дает автоматическую тенденцию к равновесию экономики при полной занятости. Однако, ограничения эффекта Пигу настолько сильны, что сила его влияния на экономику очень мала (как показано в примере в главе 4). Важность эффекта Пигу состоит в том, что его появление ознаменовало начало дискуссий вокруг таких важных вопросов, как структура денежной массы, внешние и внутренние деньги, проблемы государственного сектора, теории ожиданий. Кейнсианская теория и множество поправок к ней (включая и эффект Пигу) образовали новую теорию - т.н. неоклассического синтеза.
Как показал анализ потребительских функций в главе 3, автор счел целесообразным включение реального богатства в функции Фишера, Модильяни и Фридмана. Функция потребления Холла осталась без изменений, так как идея самой модели не позволяет включить в рассмотрение количественные показатели.
Список литературы:
- Л.Харрис "Денежная теория". М.:"Прогресс", 1990.
- Дж.Сакс, Ф.Ларрен Б. "Макроэкономика. Глобальный подход". М.: "Дело", 1996.
- Н.Грегори Мэнкью "Макроэкономика". М.: изд-во МГУ, 1994.
- J.-M.Grandmont "Money and Value", 1982.
- B.Morgan "Monetarists and Keynesians. Their Contribution to Monetary Theory".
- Словарь современной экономической теории. М.:"Инфра-М", 1997.
История: Деньги - Экономика