Бенчмарк-риск
Инвестор, вкладывая деньги, всегда ставит перед собой определеннуюинвестиционную цель (например, накопить денег на обучение детей). Процесс
такого накопления долгосрочен и требует поэтапного контроля доходности
инвестиций. Например, инвестор поставил своей целью иметь доход не хуже 8%
годовых с риском не хуже 10%. Это и есть бенчмарк.
Поглядев на эффективную границу и заглянув в таблицу 3.5, инвестор
формирует модельный портфель, заполняя его на 50% - 60% облигациями. Он
ожидает разброс доходности, оцениваемый (3.20), от 7.27% до 10.7% годовых.
Нижняя граница разброса лежит ниже бенчмарка, - значит, существуют ненулевые
шансы не выполнить инвестиционный план.
Каковы эти шансы? На этот вопрос дает ответ метод из [56], где риск срыва
плана (применительно к нашему случаю) оценивается формулой

Фазы прогнозирования
Все необходимые теоретические качественные предпосылки для построенияпрогнозной модели изложены. По итогам рассмотрения, общая схема
моделирования, построенная на основе принципа инвестиционного равновесия и
соответствующего рационального инвестиционного выбора, представляется нам
следующей:
Фаза 1. Проводится стартовое модельное размещение капитала по табл. 4.5.
Фиксируются все стартовые значения прогнозируемых фондовых индексов
(эти значения известны или формируются исследователем на основе
дополнительных соображений).
Фаза 2. Анализируются экзогенные макроэкономические тенденции на всем
интервале прогнозирования: валовый внутренний продукт, инфляция,
соотношение национальной валюты к российскому рублю.
Фаза 3. Количественно определяются рациональные тенденции движения
капиталов по табл. 4.6 в текущий момент прогноза.
Фаза 4. Прогнозируется расчетный коридор доходности по кумулятивным
индексам, на основе следующих специализированных моделей:
- премии за риск для облигаций;
- эластичности доходности по фактору рентабельности капитала для
акций ипаев взаимных фондов;
- приводимости параметров . для акций второго эшелона (с низкой
капитализацией).
Фаза 5. Оценивается доходность и риск индексных активов.
Фаза 6. Моделируется прогнозное долевое соотношение в обобщенном
инвестиционном портфеле (A, B, N) на основе специализированных моделей
ребалансинга.
Фаза 7. Прогнозируется значение индекса и уровня рентабельности
инвестиционного капитала.
Фаза 8. Прогнозное дискретное время увеличивается на единицу, и процесс
прогнозирования возобновляется, начиная с этапа количественного анализа
тенденций по табл. 4.6 (фаза 3). Если прогноз завершен, переходим к
следующей фазе.
Фаза 9. Проводится перевод индексов в национальной валюте к индексам в
рублях (стандартный вид индекса)
Фаза 10. Оценивается расчетный коридор финальной доходности для
индексов стандартного вида.
Фаза 11. Строится экспертная оценка финальной доходности и риска по
индексам стандартного вида.
Вышеизложенная процедура базируется на применениии
специализированных моделей и методик, которые рассмотрены далее.
Финансовый анализ и его роль в принятии решений
1.1.3. Финансовый анализ и его роль в принятии решений Финансовый анализ в системе управления финансами хозяйствующего субъекта в наиболее общем виде представляет собой способ накопления,трансформации и использования информации финансового характера, имеющий целью:
оценить текущее и перспективное имущественное и финансовое состояние хозяйствующего субъекта, в том числе риск его неплатежеспособности или банкротства;
оценить возможные и целесообразные темпы развития хозяйствующего субъекта с позиции финансового их обеспечения;
выявить доступные источники средств и оценить возможность и целесообразность их мобилизации;
спрогнозировать положение хозяйствующего субъекта на рынке капитала.
В общем виде укрупненная программа анализа финансово-хозяйственной деятельности предприятия (корпорации, хозяйствующего субъекта) может выглядеть следующим образом [38]:
Предварительный обзор экономического и финансового положения субъекта хозяйствования (характеристика общей направленности финансово-
хозяйственной деятельности, выявление "больных" статей отчетности).
Оценка и анализ экономического потенциала субъекта хозяйствования, в том числе:
- оценка имущественного положения (построение аналитического баланса-нетто, вертикальный анализ баланса, горизонтальный анализ баланса, анализ качественных сдвигов в имущественном положении);
- оценка финансового положения (оценка ликвидности и платежеспособности, оценка финансовой устойчивости).
Оценка и анализ результативности финансово-хозяйственной деятельности субъекта хозяйствования (оценка производственной деятельности, анализ рентабельности, оценка положения на рынке ценных бумаг).
аналитической практике известны десятки показателей,
В настоящее время в мировой учетно- аналитической практике известны десятки показателей, используемых для оценки имущественного и финансовогосостояния компаний. Классифицируя эти показатели, выделяют обычно шесть групп, описывающих: имущественное положение компании, ее ликвидность,
финансовую устойчивость, деловую активность, рентабельность, положение на рынке ценных бумаг.
Наиболее распространенные показатели имущественного положения компании следующие:
сумма хозяйственных средств, находящихся в собственности и распоряжении компании;
доля активной части основных средств;
коэффициент износа;
коэффициент обновления;
коэффициент выбытия.
Наиболее распространенные показатели ликвидности и платежеспособности компании следующие:
величина собственных оборотных средств;
коэффициент текущей ликвидности;
коэффициент быстрой ликвидности;
коэффициент абсолютной ликвидности;
коэффициент обеспеченности текущей деятельности собственными оборотными средствами;
коэффициент покрытия запасов.
Наиболее распространенные показатели финансовой устойчивости компании следующие:
коэффициент финансовой автономии;
коэффициент маневренности собственного капитала;
коэффициент структуры долгосрочных источников финансирования;
коэффициент структуры привлеченных средств коэффициент структуры заемных средств;
коэффициент обеспеченности процентов к уплате;
коэффициент покрытия постоянных финансовых расходов.
Наиболее распространенные показатели деловой активности компании следующие:
коэффициент устойчивости экономического роста;
коэффициент фондоотдачи;
коэффициент оборачиваемости средств в активах.
Наиболее распространенные показатели рентабельности компании следующие:
рентабельность совокупного капитала;
Наиболее распространенные показатели положения компании
рентабельность собственного капитала;рентабельность инвестиций;
валовая рентабельность реализованной продукции (валовая маржа).
Наиболее распространенные показатели положения компании на рынке ценных бумаг следующие:
доход на акцию;
ценность акции (price-to-earnings ratio);
дивидендная доходность акции;
коэффициент котировки акции (price-to-book ratio).
От частных показателей, характеризующих отдельную сторону хозяйствования компании, переходят к комплексным коэффициентам,
характеризующим положение хозяйствущего субъекта в целом. Первой попыткой в истории финансового менеджмента построить такой показатель была попытка Уолла [155], который нашел комплексный показатель как свертку исходных отдельных показателей, причем эксперт сам должен был назначать веса в формуле свертки.
Следующий шаг был предпринят Эдвардом Альтманом [104 - 106] в 1968
году, который в многомерном пространстве ряда частных коэффициентов сориентировал гиперплоскость таким образом, что фазовые точки в гиперпространстве, отвечающие эффективно работающим предприятиям,
оказались по одну сторону гиперплоскости, а фазовые точки предприятий,
движущихся к банкротству . по другую. Соответствующая Z-оценка, полученная как свертка отдельных показателей с весами, вычисленными с помощью метода дискриминантного анализа, является комплексной оценкой финансового состояния предприятия. Альтман пронормировал свою Z-оценку, введя состояния нормального финансового положения с минимальным риском банкротства,
промежуточное состояние с растущим риском банкротства и состояние, когда риск банкротства угрожающе высок.
В дальнейшем Альтман непрерывно повторял свои исследования для ряда стран мира и для США в различные годы. Стало понятно, что веса в свертке и нормировочные условия для Z-оценки сильно разнятся от года к году и от страны к стране. Центральным недостатком метода Альтмана было и остается то, что он рассматривает объект своего исследования . совокупность отчетов предприятий .
как черный ящик, не анализируя и не интерпретируя статистику по каждому отдельному фактору. Поэтому Альтман, образно говоря, не является хозяином своему методу, - его методом управляет прихотливая статистика банкротств.
Я здесь не привожу ссылки
Я здесь не привожу ссылки на еще ряд исследований, повторяющих идею Альтмана, потому что эти исследования проводились в русле идеи Альтмана и невызвали качественного скачка в теории комплексной оценки финансового состояния хозяйствующего субъекта.
Следующим шагом в плане построения комплексного показателя финансового состояния хозяйствующего субъекта я считаю нашу совместную работу с О.Б.Максимовым [55, 59]. Мы ушли от попытки интерпретировать статистику по предприятиям на основе дискриминантного анализа, взамен этого мы выдвинули нормы по каждому частному параметру в нашей интегральной оценке финансового состояния предприятия. Мы заранее условились, что не можем провести классификацию уровней параметров вполне точно, потому что на вход метода поступает не статистика, а квазистатистика, поэтому аналитик затрудняется в оценке класификационных уровней. Мы выстроили нечетко-множественную класификацию параметров, ввели веса показателей в интегральной оценке и получили саму оценку финансового положения предприятия не как свертку самих факторов (как все делали до нас), а как свертку текущих уровней этих факторов.
Это позволило нам получить интегральный показатель финансового состояния на интервале от 0 до 1 и пронормироватьего, выделяя 5 состояний: очень высокий,
высокий, средний, низкий и очень низкий уровень комплексного показателя. В обратном порядке изменяется риск банкротства предприятия (очень низкий,
низкий, средний, высокий и очень высокий соответственнно).
Предлагаемая нами методика, подробно рассматриваемая в [55, 59],
позволяет уйти от схемы "черного ящика" и контролировать процесс комплексной оценки изнутри, на основе самостоятельного выбора оцениваемых параметров и их классификации. Предложенная нами методика представляет собой разновидность конструктора, который может быть настроен на специфику оцениваемого предприятия, ссоответствующим выбором перечня оцениваемых показателей и их весов в интегральной оценке финансового состояния предприятия и риска банкротства.
Метод, разработанный нами, носит матричный характер, где по столбцам матрицы откладываются частные финансовые показатели, а по столбцам .
всевозможные уровни этих показателей с точки зрения комплексной оценки финансового состояния предприятия. На пересечении столбцов и строк находятся уровни принадлежностизначений факторов тем или иным состояниям (интерпретируемым как нечеткие подмножества). Интегральный показатель строится по принципу двойной свертки параметров двумерной матрицы. Все методы комплексной оценки, построенные по этому принципу, мы назвали матричными. Такие матричные методы оказались перспективными в финансовом анализе на рынке ценных бумаг, при рейтинговании облигаций и в ходе оценки инвестиционной привлекательности (скоринга) акций. Подробно это рассматривается в главе 2 настоящей монографии.
Фондовый менеджмент как разновидность финансового менеджмента
Глава 1. Фондовый менеджмент как разновидность финансового менеджмента1.1. Управление финансами на основе анализа, планирования и прогнозирования
С точки зрения системы финансов хозяйствующего субъекта, вся финансовая
деятельность . это генерация финансовых результатов как откликов на
суперпозицию управленческих решений лиц, эти решения принимающих (ЛПР), и
внешних рыночных сигналов, обладающих индетерминированной (стохастической
природой), см. рис. 1.1 (на рис. 1.1 толстыми стрелками с тенями отмечены
процессы управления финансами со стороны ЛПР и внешней рыночной среды, а
тонкими стрелками отмечены информационные потоки, концентрирующиеся на
ЛПР и служащие основой для принятия финансовых решений.). Так, например,
неоптимальное решение финансового менеджера о сокращении инвестиций в
запасы готовой продукции на складе, в суперпозиции с резко возросшим спросом
на товары данного вида, вызывает дефицит и соответствующую упущенную
выгоду, что может обернуться убытками отчетного периода.
Рис. 1.1. Финансы как кибернетическая система

Фундаментальный подход к оценке рейтинга облигаций
Главные риски, определяющие рейтинг облигации - это процентный идефолтный риски. Под процентным риском мы понимаем риск эмитента привлечь
средства под высокий процент, когда в последующем на рынке появятся более
выгодные (дешевые) источники заимствований (обычно этот риск парируется в
проспекте эмиссии облигаций правом эмитента на обратный выкуп облигаций по
заведомо известной цене - офертой). Аналогично, в категорию процентного риска
входит риск инвестора ссудить деньги под низкий процент, когда в будущем
появятся условия более выгодных ссуд. Этот риск парируется покупкой
инвестором опционов: call . на процент по облигациям, которые могут вырасти в
курсовой цене, и put . на процентную ставку по собственным облигациям. Вся эта
техника, широко распространенная в США, пока недоступна для России, которая
до сих пор не может оправиться от краха рынка производных ценных бумаг в
августе 1998 года (доверие российских инвесторов к этим инструментам не
восстановлено в полном объеме до сих пор).
Под дефолтным риском мы понимаем риск срыва исполнения эмитентом
текущих платежей по собственнымдолговым обязательствам. Крайним случаем
дефолта является фаза банкротства эмитента.
Суть рейтинга в моей разработке . в том, чтобы анализировать выбранные
фундаментальные характеристики эмитента облигаций в совокупности. При этом
все отдельные частные показатели рейтинга . ранги . сворачиваются в единую
оценку инвестиционного качества облигации, а весами в свертке служат
параметры, которые подлежат оценке на основе дополнительных соображений.
Мы также считаем, что развитый рынок заимстований вынуждает эмитентов
с худшими фундаментальными характеристиками в качестве премии за риск
выплачивать большие проценты по своим облигациям. Тем самым влияние
процентного риска на рейтинг облигаций уменьшается, и на первый план выходит
риск дефолта.
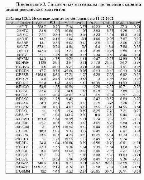
2.4.2. Источник данных для анализа
При анализе я воспользовался данными с сайта информационно-
аналитического и учебного центра НАУФОР Скрин.ру [97]. Разрешение на
использование материалов сайта в научной работе получено.
Открытой информацией для анализа, представленной на сайте, является
ежеквартальная неконсолидированная отчетность эмитентов (баланс, отчет о
прибылях и убытках на уровне разделов).
В последующем, когда методика рейтинга встанет на программную основу,
вопрос об обеспечении программы скоринга исходными данными (дейта-
провайдинга), разумеется, должна решаться в первую очередь, потому что вопрос
своевременной и полной поставки данных для рейтинга является ключевым.
Фундаментальный подход к оценке рынка акций
Отмеченные особенности российского рынка акций не позволяют проводитьего оценку и прогнозирование традиционными методами технического и
корреляционного анализа, в силу непредсказуемости рынка каждой отдельной
акции. Поэтому за основу при анализе принята методология скоринга акций,
которая подробно изложена мной в [53, 64], с поправкой на российскую
специфику. Суть скоринга в моей разработке . в том, чтобы анализировать
фундаментальные характеристики эмитента акций, с одной стороны, и
соотношение цены акций и показателей эффективности предприятия . с другой
стороны. При этом все отдельные частные показатели скоринга . ранги .
сворачиваются в единую оценку инвестиционного качества ценной бумаги, при
этом весами в свертке служат параметры, которые подлежат оценке на основе
дополнительных соображений.
Информационная неопределенность
1.2. Информационная неопределенность как фактор риска при принятии финансовых решений. Квазистатистика Как уже отмечалось, причины, определяющие уровень эффективности функционирования корпорации, частично находятся за пределами корпорации и не подлежат тотальному контролю со стороны этой корпорации. Такое положение дел вызывает феномен неопределенности. В монографии [48], посвященной нечетким множествам и их использованию в моделях принятия решений, приведена классификация видов неопределенности. Если спроектировать эту классификацию на специфику финансовых решений, то мы можем обозначить два укрупненных вида неопределенности:неясность (отсутствие точного знания) относительно будущего состояния всех прогнозируемых параметров финансовой модели хозяйствующего субъекта;
нечеткость классификации отдельных сторон текущего финансового положения корпорации или состояния рынка ценных бумаг.
Неопределенность . это неустранимое качество рыночной среды, связанное с тем, что на рыночные условия оказывает свое одновременное воздействие неизмеримое число факторов различной природы и направленности, не подлежащих совокупной оценке. Но и даже если бы все превходящие рыночные факторы были в модели учтены (что невероятно), сохранилась бы неустранимая неопределенность относительно характера реакций рынка на те или иные воздействия.
Рыночная неопределенность законно считается "дурной", т.е. не обладающей статистической природой. Экономика непрерывно порождает изменяющиеся условия хозяйствования, она подчинена закономерностям циклического развития,
при этом хозяйственные циклы не являются стопроцентно воспроизводимыми, т.к.
циклическая динамика макроэкономических факторов находится в суперпозиции с динамикой научно-технического прогресса. Возникающая в результате этой суперпозиции рыночная парадигма является уникальной. Из всего сказанного следует, что не удается получить выборки статистически однородных событий из их генеральной совокупности, наблюдаемых в неизменных внешних условиях наблюдения. То есть классически понимаемой статистики нет.
Во всех определениях термина "статистика" (обширный перечень таких определений приведен в [51]) есть общее зерно, которое собственно, и относится к статистике в самом общем смысле слова, и это зерно в следующем. Мы имеем некий набор наблюдений по одному объекту или по совокупности объектов.
Причем мы предполагаем, что за
Причем мы предполагаем, что за случайной выборкой наблюдений из гипотетической их генеральной совокупности кроется некий фундаментальный закон распределения, который сохранит свою силу еще на определенный периодвремени в будущем, что позволит нам прогнозировать тренд будуших наблюдений и расчетный диапазон отклонений этих наблюдений от расчетных ожидаемых трендовых значений.
Если мы договорились, что все наблюдения совершались в неизменных однотипных внешних условиях и/или наблюдались объекты с одинаковыми свойствами по факту, например, их появления по одной и той же причине, то мы оцениваем и подтверждаем искомый закон распределения частотным методом.
Разбивая весь допустимый диапазон наблюдаемого параметра на ряд равных интервалов, мы можем подсчитать, сколько наблюдений попало в каждый выбранный интервал, то есть построить гистограмму. Известными методами мы можем перейти от гистограммы к плотности вероятностного распределения,
параметры которого можно оптимальным образом подобрать. Таким образом,
идентификация статистического закона завершена.
Если же мы имеем дело
Если же мы имеем дело с "дурной" неопределенностью, когда у нас нет достаточного количества наблюдений, чтобы вполне корректно подтвердить тот или иной закон распределения, или мы наблюдаем объекты, которые, строго говоря, нельзякаждое предприятие отрасли уникально, занимает свою рыночную нишу и т.д., и поэтому классической статистики нет, даже если выборка захватывает сотни предприятий. Тем не менее, эксперт, исследуя выборку какого-то определенного параметра, подмечает, что для большинства работающих предприятий значения данного параметра группируются внутри некоторого расчетного диапазона, ближе к некоторым наиболее ожидаемым, типовым значениям факторов. И эта закономерность дает эксперту основания утверждать, что имеет место закон распределения, и далее эксперт может подыскивать этому закону вероятностную или, к примеру, нечетко-множественную форму.
Аналогичные рассуждения можно провести, если эксперт наблюдает один параметр единичного предприятия, но во времени. Ясно, что в этом случае статистическая однородность наблюдений отсутствует, поскольку со временем непрерывно меняется рыночное окружение фирмы, условия ее хозяйствования,
производственные факторы и т.д. Тем не менее, эксперт, оценивая некоторое достаточно приличное количество наблюдений, может сказать, что "вот это состояниепараметра типично для фирмы, это . из ряда вон, а вот тут я сомневаюсь в классификации". Таким образом, эксперт высказывается о законе распределения параметра таким образом, что классифицирует все наблюдения нечетким,
лингвистическим способом, и это уже само по себе есть факт генерации немаловажной для принятия решений информации. И, раз закон распределения сформулирован, то эксперт имел дело с квазистатистикой.
Понятие квазистатистики дает широкий простор для применения нечетких описаний для моделирования законов, по которым проявляется та или иная совокупность наблюдений. Строго говоря, не постулируя квазистатистики, нельзя вполне обоснованно с научной точки зрения моделировать неоднородные и ограниченные по объему наблюдения процессы, протекающие на фондовом рынке и в целом в экономике, невозможно учитывать неопределенность,
сопровождающую процесс прринятия финансовых решений.
Источник данных для анализа
Постепенно в России начинают появляться полноценные онлайн-ресурсы, накоторых сосредоточена более-менее полная информация о субъектах фондового
рынка и исторические данные о торгах по акциям российских эмитентов.
Проанализировав десяток таких ресурсов, я взял за основу сайт инвестиционной
группы «Финанс-Аналитик» [26]. Главное обоснование моего выбора следующее:
на этом сайте информация по каждому эмитенту сосредоточена по американскому
стандарту и представлена настолько полно и удобно для пользователя, что это
позволяет за ограниченное время собрать нужную информацию по сотне
эмитентов, котируемых на российских биржах. Также важно, что информация по
акциям лежит рядом с финансовой отчетностью эмитентов этих акций.
К счастью, сайт «Финанс-Аналитик» индицирует и отрицательные значения
факторов, а не замещает эти значения символом N/A, как подавляющее
большинство американских сайтов представляет фактор «цена-доход». В
противном случае эти значения пришлось бы досчитывать. Сопоставление
факторов с отраслевыми значениями . также полезная практика, но ее
эффективность в российских условиях низка, т.к. в американском понимании
отрасль . это сотни предприятий, чьи акции обращаются на биржах, а в нашем
случае это только десятки. Соответственно, и статистика теряет в
репрезентативности. Что толку анализировать статистику по транспорту, если в
перечне предприятий транспорта присутствует один лишь «Аэрофлот»? Вопрос
риторический.
В последующем, когда методика скоринга встанет на программную основу,
вопрос об обеспечении программы скоринга исходными данными (дейта-
провайдинга), разумеется, должна решаться в первую очередь, потому что вопрос
своевременной и полной поставки данных для скоринга является ключевым.
Качественное описание рынка акций
Низкая капитализация. Суммарная капитализация акционерных обществ,чьи акции обращаются на столичных биржах, не превышает 75 млрд долларов. Для
сравнения: в США существует свыше 40 компаний, чья капитализация превышает указанную сумму. Капитализация компании Dell Computer Corp. сопоставима с
этой цифрой, а капитализация Microsoft в пять раз превыышает ее. Не более
десятка российских компаний обладают капитализацией, которая по меркам
американского рынка может быть расценена как высокая или средняя.
Большинство компаний у нас с этой точки зрения . small cap, маленькие.
Диспропорция капитала. На фондовый рынок в России вышло порядка 300
компаний (чьи акции хоть однажды торговались на московских фондовых биржах).
При этом всего 7 компаний (без учета «Норильского никеля» и Сбербанка)
обладают капитализацией, которая в сумме своей составляет свыше 90%
капитализации всего российсого рынка ценных бумаг.
Отраслевая диспропорция. В подавляющем большинстве акции, торгуемые
на биржах России . это акции энергетики и связи. Практически не представлены
все остальные отрасли: торговля, машиностроение, химия, металургия итд. Такое
положение понятно: энергетика и связь монополизированы, нефтегазовый
комплекс . экспортоориентирован. Отсюда возможность зарабатывать хорошие
прибыли, контролировать ценообразование - и таким образом обеспечивать
курсовой рост своих акций.
Техническая слабость. Российский рынок существует с оглядкой на
фондовый рынок США, и это ни для кого не секрет. Индексы RTSI и S&P500 в
рублевой котировке коррелированы на уровне 0.45 . 0.5. Прилив капитала
венчурных американских взаимных фондов на российский фондовый рынок
вызывает бурный рост котировок, уход капитала с рынка, в связи с кризисами .
столь же бурный отток. Потому что в России отсутствуют
высококапитализированные инвестиционные институты, способные занимать
противоположные позиции и поддерживать котировки. Отсюда . колоссальная
волатильность акций и фактически непрогнозируемая их доходность.
В зависимости от типа индекса,
В зависимости от типа индекса, варьируются применяемые модели иметодики прогнозирования. Изложим эти модели и методики последовательно, от
фазы к фазе процесса прогнозирования, как они перечислены в конце предыдущего
раздела книги.
В процессе изложения математических соотношений будем применять
следующие обозначения. Точка после символа ( A ) означает, что рассматривается
треугольное нечеткое число или нечеткая функция (последовательность). Во всех
прочих случаях по умолчанию предполагаются действительные числа, функции,
параметры. Для треугольного числа A Аmin, Аav, Amax . минимальное, среднее и
максимальное значения числа.
Также мы обозначаем:


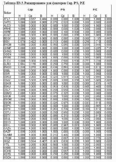
Комплексная оценка инвестиционного качества ценной бумаги
В полном соответствии с тем, как это сделано в [53, 64], определимлингвистическую переменную «Оценка бумаги» с терм-множеством
значений «Очень низкая (О), Низкая (Н), Средняя (Ср), Высокая (В), Очень
высокая (ОВ)». Чтобы конструктивно описать введенную лингвистическую
переменную «Оценка бумаги», определим носитель ее терм-множества .
действительную переменную A_N на интервале от нуля до единицы. Тогда функции принадлежности соответствующих нечетких подмножеств могут
быть заданы таблично (таблица П3.6);
Определим лингвистическую переменную «Торговая рекомендация для
бумаги» с терм-множеством значений «Strong Buy (SB . Определенно
Покупать), Moderate Buy (MB . Покупать под вопросом), Hold (H . Держать),
Moderate Sell (MS . Продавать под вопросом), Strong Sell (SS . Определенно
продавать)».
Установим взаимно однозначное соответствие введенных нами
лингвистических переменных на уровне подмножеств: ОН . SS, Н . MS, Ср .
H, В . MB, ОВ . SB. Так мы связали качество ценной бумаги с ее
инвестиционной привлекательностью. Тогда переменная A_N является
носителем и для терм-множества лингвистической переменной «Торговая
рекомендация», с теми же функциями принадлежности носителя
подмножествам значений.
Оценим веса отдельных факторов для комплесксной оценки бумаги, в
соответствии с тем, как это записано в (2.10). Согласно правилу точечных
оценок Фишберна, критерию максимума неопределенности в части наличной
информационной ситуации (по аналогии с тем, как это оценивается в [95, 98])
можно сопоставить следующую систему весов:
Если в качестве носителя лингвистической переменной «Уровень показателя
Х» выбрать единичный интервал, то трапециевидные функции
правдоподобия будут иметь вид рис. П3.9;
Тогда, по аналогии с тем, как это сделано в [53, 64], получем комплексный
показатель A_N для каждой бумаги методом двойной свертки:
где i . индекс отдельного показателя для их общего числа N=8, j . индекс
уровня показателя для общего числа уровней M=3, ранг i-го показателя
по своему j-ому уровню, определяемый таблицами П3.3 . П3.5,
абсциссы максимумов функций принадлежности терм-множества
лингвистической переменной «Уровень фактора» (см. рис. П3.9).




го уровня, взвешенный по всем
Тогда среднеожидаемый ранг j- го уровня, взвешенный по всем N показателям, оценивается формулойи справедливо
И наоборот, если по каждому фактору определять средний его уровень
то справедливо
Именно формулы (2.17) и (2.18) мы берем за основу при расчетов.
Результаты расчетов по этим формулам сведены в таблицу П3.7.
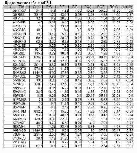
2.3.7. Оценка полученных результатов Из таблицы П3.7 видно, что всего 12 акций из 91 рассматриваемой обладают инвестиционным качеством не хуже "В-СР", то есть промежуточным между средним и высоким и выше. Показатель отношения доли инвестиционно пригодных акций к полному перечню активно торгуемых акций может характеризоовать уровень инвестиционной привлекательности рынка в целом.
Такой же показатель можно построить с использованием объемных показателей по результатам торгов.
В [64] приводится пример анализа одной из отраслей американской экономики, причем по итогам оценки видно, что только две акции из нескольких десятков мало-мальски пригодны для того, чтобы в текущий момент вкладывать в них деньги. С этой точки зрения российская ситуация выглядит немного получше.
Однако ключевые причины, не позволяющие акциям получить приемлемый инвестиционный рейтинг, те же: в первую очередь, переоцененность, а, во-вторых,
низкая ликвидность (отрицательный чистый оборотный капитал).



го уровня, взвешенный по всем
Тогда среднеожидаемый ранг j- го уровня, взвешенный по всем N показателям, оценивается формулой
и справедливо
И наоборот, если по каждому фактору определять средний его уровень
то справедливо
Именно формулы (4.27) и (4.28) мы берем за основу при расчетов.
Результаты расчетов по этим формулам сведены в таблицу П4.6.
2.4.6. Оценка полученных результатов Из таблицы П4.6 видно, что облигации всего трех эмитентов (EESR, LKOH,
SGNS) из 13 рассматриваемых стоит покупать, и то следует проводить дополнительное углубленное исследование перед покупкой.
Показателен опыт бракованных облигаций. Предельно критично положение компании "ЮКОС".




Если даже такой гигант, как
Если даже такой гигант, как "ЮКОС", обладающий сегодня максимальной капитализацией среди российских акционерных обществ, активный оператор рынка нефти и газа,позволяет себе по временам отрицательный чистый оборотный капитал, то чего,
казалось бы, требовать от прочих эмитентов. Тем не менее, иногда именно низкая капитализация компаниии положительно влияет на ее управляемость, в том числе на расчеты по текущим долгам. Не что иное как высокий уровень кредитного менеджмента в компаниях позволяет поддерживать неотрицательный чистый оборотный капитал. И это . еще один довод в пользу того, чтобы приобретать такие акции. И нас не должен вводить в заблуждение уверенный бурный рост акций "ЮКОСА" (до 400% годовых). Когда речь идет о долгосрочных инвестициях, рост прошлых периодов не может гарантировать роста в будущем.
Только фундаментальные факторы могут свидетельствовать о перспективах будущего роста.
Если проводить скоринг акций в автоматизированном режиме на ежесуточной основе, то можно отслеживать такие ситуации, когда тот или иной фактор бумаги эмитента сменит качество в лучшую или в худшую сторону. Это .
первый признак того, чтобы пересмотреть долю этой акции в фондовом портфеле.
Предупреждение о смене качества фактора называется алертом.
Конечно же, разумно устанавливать алерт программно, пользуясь услугами тех же финансовых порталов (на сайте [26] эта услуга предоставляется, правда, в порядке индивидуальной настройки). Целесообразно выдавать безусловный алерт,
если хотя бы один из параметров бумаги окажется больше или меньше расчетного уровня. Также, безусловно, необходимо выставлять алерт и на смену уровня инвестиционного качества ценной бумаги (такая практика называется downgradesupgrades).
Все ведущие мировые рейтинговые агентства на регулярной основе осуществляют переоценку акций, и на ряде сайтов такая переоценка вызывает безусловный алерт.
Представленная в настоящем разделе экспресс-методика финансового анализа предоставляет ее пользователю возможность оперативно принимать решение о наполнении и ребалансинге фондового портфеля, сосредоточившись прежде всего на перспективных акциях, чей курсовой рост более чем вероятен. Эта методика не гарантирует будущих прибылей . этого не умеет делать ни одна система в мире, в противном случае это бы напоминало открытие вечного двигателя. И опрометчиво было бы утверждать, что акции с низким инвестиционным качеством будут только падать в цене. В жизни все сложнее, и иногда изумляешься, глядя на 60-долларовые акции, почему они стоят именно 60
долларов, а не, скажем, 5. Но здесь . тайна , магия рынка, целый перечень тонкостей, которые данная методика не оценивает и не комментирует.
Весьма высокая доля заемных средств
Весьма высокая доля заемных средств в пассивах (по данным неконсолидированной отчетности) наблюдается, по меньшей мере, с 1999 года, а вот отрицательный чистый оборотный капитал . пока только в 2002 году, два квартала подряд. Скачкообразное ухудшение ликвидности, одновременно с тем,что ухудшилось соотношение краткосрочной и долгосрочной задолженностей, - все это тревожные сигналы к тому, что облигации компании обладают повышенным риском, и от них надо избавляться. И нельзя в этом случае полагаться на высокий уровень маржинальной прибыли. Ухудшение конъюнктуры продаж нефтегазопродуктов способно привести к тому, что компания может испытать затруднения с текущими расчетами. А возможности по перекредитованию долгов не очень велики, как видно из отчетности.
Не особенно радует и "Газпром". Низкая рентабельность бизнеса, вызванная колоссальным размером активов, вызывает риск повышенных затрат на поддержание инфраструктуры бизнеса. Износ основных фондов диктует потребность в техническом перевооружении и соответствующих инвестициях в основной капитал, - а взять инвестиций неоткуда, потому что доходность на инвестированный капитал в компании низка. Риск инвестиций в акции и облигации ОАО "Газпром" снизится кардинально, если компания добьется пересмотра тарифов на отпускаемый газ в сторону существенного увеличения. Но это также вряд ли возможно по социально-политическим (предвыборным, я бы сказал)
соображениям.
Зададимся целью определить, как, в соответствии с золотым правилом инвестирования, должна определяться требуемая доходность, отвечающая оцененному нами уровню риска. Пусть у нас P1 . процентная ставка по государственным краткосрочным облигациям, а Р2 . предельно возможная ставка по корпоративным облигациям, которые мы в принципе условились покупать (облигации АО "МММ" не в счет). Сегодня в Российской Федерации Р1=14%
годовых, Р2=20-21% годовых.
Ставка P, под которую мы готовы выделить деньги, должна удовлетворять следующему рациональному соотношению:
Если инвестиционная привлекательность облигаций высокая (на уровне 0.85
по комплексному показателю), то Р=Р1, и можно требовать доходности по корпоративным облигациям данного вида на уровне того же по государственным займам. Если инвестиционная привлекательность близка к критической (а мы именно это и видим), то Р стремится к Р2. Если A_N<0.55, то о покупке облигаций не может быть и речи, и формула (2.29) недействительна.
Итак, мы видим, что сегодня (конец 2002 года) по облигациям российских корпораций можно получать до 15% годовых в валюте, но риск этих вложений велик. Такие облигации в Америке недаром называют "мусорными" (junk bonds).
Из этого не следует, что нельзя в России покупать корпоративные облигации.
Очень даже можно, но следует быть предельно осмотрительным. Изложенная здесь методика позволяет таковую осмотрительность сделать предметной. Она же позволяет выработать шкалу для определения обоснованной премии за риск,
калиброванной на основе базовой процентной ставки по государственным заимствованиям.
Зато как бывает приятно посмотреть,
Зато как бывает приятно посмотреть, когда (взятая для примера) Cisco Systems (для справки: капитализация порядка 120 млрд долларов), едва поднявшись со дна в 10 долларов и немного поколебавшись, возвращается на уровень 12 долларов, хотя в былые времена цена на эти акции доходила до 80 долларов! Вот тогда ты понимаешь, что не все на рынке решает дешевый ажиотаж,и, по мере того, как эйфория сменяется истерией, а на смену "рулеточной"
психологии приходит трезвая оценка, на авансцену выходит анализ фундаментальных факторов. Строить портфельный выбор на фундаментальном анализе на самом деле означает минимизировать потенциальную волатильность своих доходов. Если бы в России был сколько-нибудь развит рынок опционов на акции, то можно было бы хорошо зарабатывать, покупая опционы call или выставляя "бычьи спрэды" на потенциально растущие акции (подробнее об этих стратегиях см. в [53]). И предлагаемая методика экспресс-
анализа позволяет строить не только опционные схемы роста, но и формировать опционные стратегии хеджирования на активы, чья инвестиционная привлекательность вызывает сомнения.
Полагаю, что методика, подобная той, что здесь изложена, должна быть в обязательном порядке настроена на сайтах, осуществляющих поддержку торговли акциями. Полагаю, что для России наступает время финансовых порталов, где собственно справочное представление данных соседствует с онлайн-
калькуляторами и автоматизированными советниками портфолио-менеджера.
Комплексная оценка инвестиционного качества ценной бумаги
Определим лингвистическую переменную «Оценка бумаги» с терм-множеством значений «Очень низкая (О), Низкая (Н), Средняя (Ср), Высокая
(В), Очень высокая (ОВ)». Чтобы конструктивно описать введенную
лингвистическую переменную «Оценка бумаги», определим носитель ее
терм-множества . действительную переменную A_N на интервале от нуля до
единицы. Тогда функции принадлежности соответствующих нечетких
подмножеств могут быть заданы таблично (таблица П4.5);
Определим лингвистическую переменную «Торговая рекомендация для
бумаги» с терм-множеством значений «Strong Buy (SB . Определенно
Покупать), Moderate Buy (MB . Покупать под вопросом), Hold (H . Держать),
Moderate Sell (MS . Продавать под вопросом), Strong Sell (SS . Определенно
продавать)».
Установим взаимно однозначное соответствие введенных нами
лингвистических переменных на уровне подмножеств: ОН . SS, Н . MS, Ср .
H, В . MB, ОВ . SB. Так мы связали качество облигации с ее
инвестиционной привлекательностью. Тогда переменная A_N является
носителем и для терм-множества лингвистической переменной «Торговая
рекомендация», с теми же функциями принадлежности носителя
подмножествам значений.
Оценим веса отдельныхфакторов для комплесксной оценки бумаги, в
соответствии с тем, как это записано в (4.20). Согласно правилу точечных
оценок Фишберна, критерию максимума неопределенности в части наличной
информационной ситуации можно сопоставить следующую систему весов:
Если в качестве носителя лингвистической переменной «Уровень показателя
Х» выбрать единичный интервал, то трапециевидные функции
правдоподобия будут иметь вид рис. П4.1;
Тогда получем комплексный показатель A_N для каждой бумаги методом
двойной свертки:


Краткое описание программы «Система оптимизации фондового портфеля»
Назначение программы "Система оптимизации фондового портфеля" (далее СОФП), внедренной в ПФР, . это оптимизация модельного фондового портфеля на основе исторических и прогнозных данных по соответствующим фондовым индексам. Язык программирования . Java. Объем, занимаемый программой на жестком диске . 20 мегабайт.Программа СОФП создавалась под моим научным руководством в течение 2002 . 2003 г.г., силами сотрудников отдела System Integration компании Siemens Business Services Russia. В проекте разработки программы я выполнял роли заместителя руководителя проекта и бизнес-аналитика.
Перейдем к описанию функциональности отдельных модулей программы.
5.3.1. Модуль работы с инвестиционными профайлами Один из экранов модуля программы представлен на рис. 5.1.
Рис. 5.1. Экран модуля работы с инвестиционными профайлами Инвестиционный профайл . это программная информационная конструкция,
в которой сосредоточена вся история операций с инвестиционным портфелем. Под инвестиционным профайлом может пониматься управляющая компания, которой переданы в управление инвестиции определенного размера.
В ходе модификации содержимого профайла
В ходе модификации содержимого профайла пользователь может моделировать операции управляющей компании по управлению активами, оценивать эффективность и риск этих операций.Функциональность модуля:
обеспечивает табличный режим сводного представления всех созданных инвестиционных профайлов с отображением наименования инвестиционного профайла, даты создания инвестиционного профайла, среднего значения планового показателя Шарпа;
обеспечивает переход к режимам и процедурам создания нового инвестиционного профайла, ребалансинга текущего модельного портфеля выделенного профайла, консолидации инвестиционных профайлов с созданием нового инвестиционного профайла, удаления профайла,
установки текущего модельного портфеля в инвестиционном профайле;
обеспечивает возможность просмотра и печати отчетовов по модельным портфелям конечного пользователя, с возможностью сохранения отчета в форматах xml, html, pdf.
5.3.2. Модуль создания инвестиционного профайла и модельных портфелей Один из экранов модуля программы представлен на рис. 5.2.
Рис. 5.2. Экран модуля работы с инвестиционными профайлами Функциональность модуля позволяет:
создавать инвестиционногопрофайла с указанием горизонта инвестирования и денежных средств, подлежащих инвестированию;
разметку для инвестиционного профайла, выбирая
Проводить бенчмарк- разметку для инвестиционного профайла, выбирая плановые даты для контроля доходности и соответствующие значения доходности (не более 1 бенчмарка на квартал);выбирать модельные активы, в которые будет осуществляться инвестирование, и указывать денежные объемы вложений в эти активы.
Отмечать активы, которые будут участвовать в формировании эффективной границы. Представлять распределение активов в виде круговой диаграммы;
контролировать предустановленные ограничительные условия на размер модельных классов, с выдачей предупреждения о нарушении ограничений;
обеспечить режим ребалансинга модельного портфеля;
обеспечить режим консолидации инвестиционных профайлов;
предоставлять пользователю доступ к каждому из модельных активов,
установленных в профайле, для получения оценок доходности и риска модельного индекса в треугольно-нечеткой форме;
обеспечить графическое и табличное представление перфоманса модельных индексов, гистограммы распределения доходности, плоского сечения функции правдоподобия;
предоставлять графический результат оптимизации в форме размытой эффективной границы в форме полосы;
отображать на графике как исходное распределение активов в виде трехточки, так и желаемлое распределение в виде трехточки на полосе эффективной границы;
предоставлять пользователю возможность проводить оперативный ребалансинг модельного портфеля с выставлением оптимальных значений долей (по желанию пользователю в диалоге);
обеспечивать режим изменения риска портфеля горизонтальным слайдером,
с возможностью возвращения портфельной точки к первоначальному риску;
оценивать доходность портфеля ретроспективно-точно (на основе исторических перфомансов) и перспективно-прогнозно (на основе треугольных нечетких функций) термя способами: в номинальных ценах (RUB), в реальных ценах (RUB с учетом инфляции), в предустановленной валюте (USD, GBP, EUR, JPY);
оценивать бенчмарк-риск, перерасчитывая его путем внесения изменений в данные о бенчмарке. Производить переотрисовку точки бенчмарка на графике;
обеспечить режим соспоставления перфоманса портфеля с перфомансом выбранного модельного класса, в том числе с уровнем инфляции для России;
обеспечивать сохранение созданного инвестиционного профайла/модельного портфеля;
создавать и отображать отчет при завершении создания инвестиционного профайла или при ребалансинга модельного портфеля.
Критерии, определяющие финансовое состояние региона
В эту группу критериев входят:X1 -Отношение государственного долга к доходам бюджета. Объем
государственного долга по отношению к доходам бюджета является наиболее значимым критерием, определяющим долговую нагрузку на
бюджет и, соответственно, кредитоспособность региона. Очевидно, что чем
больше долг субъекта РФ, тем выше риск неисполнения обязательств;
X2 - Отношение объема заемных средств к доходам бюджета. Большой
объем заемных средств свидетельствует о недостатке доходной базы для
финансирования дефицита бюджета. Это является одним из наиболее
значимых факторов, влияющих на кредитоспособность, поскольку сильная
зависимость от внешних кредиторов заметно усиливает риски нехватки
средств для осуществления выплат по долгам;
X3 - Доля собственных доходов в общем объеме доходов. К собственным
доходам бюджетов субъектов РФ относятся все доходы бюджета без учета
финансовой помощи бюджетов других уровней. Уровень собственных
доходов регионального бюджета определяет степень его независимости от
федерального центра. С ростом доли финансовой помощи повышается
опасность неисполнения обязательств из-за риска ее несвоевременного
поступления. Кроме того, недостаток собственных доходов говорит о
слабости источников формирования доходной базы региона, что также
приводит к увеличению вероятности невозврата долгов;
X4 - Объем собственных доходов бюджета. Объем собственных средств в
абсолютном выражении характеризует объем собственной доходной базы
бюджета субъекта РФ, а следовательно, позволяет оценить возможности
региона выполнять свои обязательства по долгам;
X5 - Отношение профицита (дефицита) бюджета к доходам бюджета.
Бюджетный дефицит определяет уровень превышения расходов над
доходами регионального бюджета. Большой дефицит бюджета
свидетельствует о несоответствии уровня доходов инвестиционным
потребностям региона.Увеличение дефицита бюджета в настоящем рейтинге
рассматривается как повышение кредитного риска;
X6 - Доля средств, направляемых в бюджеты других уровней в расходах.
Высокая доля средств, направляемых в бюджеты других уровней
(финансовая помощь бюджетам других уровней, включая дотации,
субвенции, трансферты), свидетельствует о необходимости Администрациям
субъектов РФ оказывать финансовую помощь территориальным
образованиям в регионе. Увеличение доли таких средств снижает
возможности финансового маневра, тем самым повышая кредитный риск;
X7 - Доля выделяемых кредитов и бюджетных ссуд в расходах.
Увеличение объема выделяемых кредитов приводит к росту риска их
невозврата, что соответственно усиливает зависимость финансовой системы
региона от качества других заемщиков. В результате, увеличивается риск
невыполнения субъектом РФ своих обязательств.
налоговых платежей является наиболее важным
В эту группу критериев входят:X8 - Отношение задолженности по налогам к объему налоговых
платежей. Отношение задолженности по налогам к общему объему
налоговых платежей является наиболее важным фактором, определяющим
качество функционирования налоговой системы региона, что, в свою
очередь, напрямую связано с формированием налоговых доходов
регионального бюджета. Налоговые доходы - это основа всех собственных
доходов бюджета субъекта РФ (более 70%), а следовательно, рост долгов по
налогам нарушает механизм формирования денежных потоков, что, в
конечном итоге, отрицательно влияет на кредитоспособность региона;
X9 - Доля прибыльных предприятий в общем количестве
зарегистрированных на территории региона. Доля прибыльных
предприятий на территории региона качественно определяет уровень
поступления налога на прибыль в доходную часть регионального бюджета.
На долю налога на прибыль приходится около 20% суммарных доходов
бюджета. Ухудшение финансового положения предприятий неминуемо
приведет к снижению налоговых поступлений, что обусловит рост риска
кредитоспособности;
X10 - Сальдо прибылей и убытков предприятий. Как и второй критерий,
сальдо прибылей и убытков определяет уровень поступлений налога на
прибыль в региональный бюджет. Этот показатель дополняет предыдущий и
определяет абсолютную величину поступления налога на прибыль;
X11 - Денежные доходы населения в расчете на одного жителя. Денежные
доходы населения косвенно определяют уровень поступлений налога на
доходы физических лиц, которые занимают значительную долю в доходах
бюджета. В среднем эта величина составляет около 14% доходов
региональных бюджетов. Снижение денежных доходов ведет к уменьшению
поступления соответствующего налога, что, в конечном итоге, увеличивает
кредитный риск региона.
2.2.3. Результаты рейтинга по AK&M
Первое место в рейтинге AK&M занимают Москва и Санкт-Петербург,
которые по формальным показателям среди других проанализированных субъектов
федерации имеют наиболее высокую способность расплачиваться по своим
обязательствам. В основе этого лежат как благоприятные макропредпосылки,
обусловленные прочной экономической базой городов, так и сбалансированность
бюджетных показателей, что во многом связано с успешной финансовой политикой
властей. Среди успехов, которых достигла Москва в 2001 году, стоит выделить
отказ от практики привлечения краткосрочных, до года, банковских кредитов,
Методика рейтинга обязательств субъектов РФ
Этап 1. Выделим 11 факторов для анализа кредитоспособности региона,пометив их с Х1 по Х11.
Этап 2. Воспроизведем значения факторов по состоянию на 01 января 2002
года (табл. П2.2 приложения 2).
Этап 3. Проанализируем гистограммы выбранных факторов (рис. П2.1-П2.2
приложения 2) и установим пять кластеров:
Высокое значение фактора (обозначение в);
Промежуточно средне-высокое значение фактора (обозначение св);
Среднее значение фактора (обозначение с);
Промежуточно средне-низкое значение фактора (обозначение сн);
Низкое значение фактора (обозначение н).
Интервальные границы кластеров на соответствующих областях определения
факторов (носителей) Х1 - Х11 представлены таблицей П2.3 Приложения 2.
Степень принадлежности носителя тому или иному кластеру (нечеткому
подмножеству) есть трапециевидное нечеткое число. Верхнее основание трапеции
. это уровень безусловной принадлежности значений носителя кластеру (функция
принадлежности равна единице). Нижнее основание трапеции . все подмножество
значений фактора, признанное допустимым и относимым к данномукластеру.
Этап 4. Присваиваем каждому фактору точечный вес в системе оценки
интегрального показателя кредитоспособности. За основу берем систему весов,
принятую в [86], т.к. она является непротиворечивой и согласуется с формальной
системой предпочтений, по которой на основе критерия Фишберна можно
выстроить точечные оценки весов. Отметим, что в [86] система предпочтений
двухуровневая: сначала устанавливаются предпочтения двух факторных групп,а
затем строятся две цепи предпочтений следующего вида:
Однако скорректируем соотношение предпочтений групп факторов от 2:1 к
1:1. Эта корректировка вызвана учетом печального опыта Ульяновской области.
Мы устанавливаем, что параметры экономического развития региона играют
несколько большую роль в риске кредитоспособности, чем это учитывается в
методике AK&M. Такая переоценка, в свою очередь, повышает веса показателей

В Ульяновской обл. уровень этих
В Ульяновской обл. уровень этих показателей в 2001 г.сплошь и рядом низкий.
Значения весов сведены в таблицу П2.4 приложения 2.
Этап 5. Распознаем текущие уровни факторов по табл. П2.1 приложения 2.
Результат распознавания сведен в таблицу П2.5 приложения 2.
Этап 6. Обработаем данные табл. П2.5 для получения рейтингов на основе следующего алгоритма. Сопоставим результатам распознавания из таблицы П2.5
следующий набор значений, принадлежащий числовому отрезку [0,1]:
"в" = 0.9, "св" = 0.7, "с" = 0.5, "сн" = 0.3, "н" = 0.1. (2.3)
Это делается по аналогии с [53] и обосновывается там же.
Тогда сводный рейтинг по факторам 1 . 7 (финансовый рейтинг региона)
оценивается по формуле:
где pi . веса, оцененные по таблице 4.4, i . значения, полученные по (2.3) с учетом таблицы П2.5 приложения 2.
А сводный рейтинг по факторам 8 . 11 (экономический рейтинг региона)
оценивается по формуле:
Результирующий же интегральный рейтинг кредитоспособности имеет вид:
Все полученные рейтинги сведены в таблицу П2.6. Туда же, для сравнения,
помещено место региона по таблице П2.1, в соответствии с рейтингом AK&M.
Цветом отмечены наиболее сильные расхождения в результатах двух подходов.


Объясняются они разными весами, используемыми
Объясняются они разными весами, используемыми в методиках, и различнымотношением к одним и тем же данным (механическое агрегирование уровней
факторов в методике AK&M и дифференцированное распознавание в настоящей
методике).
Этап 7. Оценим гистограммы распределения факторов для выработки
торговых рекомендаций (рис. П2.3). Из гистограмм видно, что можно выделить три
устойчивые группы регионов: лидеры (все рейтинги высокие), перспективные
регионы (все рейтинги средние) и аутсайдеры (хотя бы один рейтинг является
низким).
На основании полученных количественных оценок рейтингов и гистограмм
рис. П2.3 приложения 2 сформулируем решающие правила для установления
торговых рекомендаций по обязательствам региона:
Определенно Покупать . когда значение финансового и экономического
рейтингов больше или равно 0.6 в нашей оценке. Это бумаги 12 эмитентов-
лидеров (первые 12 позиций по табл. П2.6);
Покупать Под Вопросом . когда значение финансового и экономического
рейтингов колеблется в диапазоне [0.4, 0.6). В этом перечне у нас 21
перспективный эмитент (с номерами 13-27, 30-32, 37, 39, 40 по таблице
П2.6).
Все прочие регионы (аутсайдеры) не имеют сейчас достаточных оснований
длятого, чтобы осуществлять займы, в силу низкой надежности этих займов.
Отдельный вопрос с Республикой Карелия, которую мы переоценили с 18-го на 29-
е место (в силу низкого уровня жизни населения и недостаточной прибыльности
предприятий этого региона).
Таким образом, на привлечение инвестиций может в сегодняшних рыночных
реалиях рассчитывать порядка половины всех регионов России. Это . очень низкий
уровень кредитоспособности страны в целом. Ясно, что небольшое количество
регионов-доноров не может без конца заниматься поддержкой регионов-
аутсайдеров, через консолидированный правительственный бюджет. И это же
показывает, что помогать надо сильным, поддерживая их кредитными
инвестициями. Это заставит отстающие регионы пересмотреть свою бюджетную
политику.
Этап 8. Оценим количество средств, подлежащее распределению по
региональным займам. Если сумма к размещению по данному модельному активу
составляет CMuni, а защищенная доля эмитентов-лидеров в модельном портфеле
составляет , то доля эмитента-лидера в модельном портфеле составляет
Здесь реализовано мягкое правило Фишберна,
Тогда доля перспективного эмитента в модельном портфеле составляетЗдесь реализовано мягкое правило Фишберна, где доля инвестиций в портфеле
пропорциональна инвестиционному рейтингу.


Мы ищем симметричные квазистатистические оценки
Мы ищем симметричные квазистатистические оценки для доходности ириска фондовых индексов, потому что в условиях существенной неопределенности
и рационального инвестиционного выбора эти оценки являются наиболее
правдоподобными (равновесными). Такие оценки говорят о том, что при
инвестиционно равновесном выборе в оценках доходности и риска отсутствуют смещения, в противном случае (например, при несимметричном риске
предполагается возможность переоценки (недооценки) индекса).
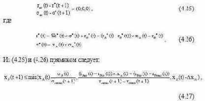
Расчетный коридор доходности в нашей модели связан с нечеткими
оценками доходности и риска следующим простым соотношением упреждения:
Упреждение здесь в том, что мы на базе расчетного коридора, полученного
на текущем интервале прогнозирования, формируем оценки уже для последующего
интервала прогнозирования. Диапазон половинного среднеквадратического
отклонения в (4.16) . это диапазон рационального доверия к тем оценкам,
которые попадают в соответствующий расчетный коридор (в предположении
нормального распределения разброса с нечеткими параметрами распределения).
Если уровень доверия ниже, то коридор шире, и им захватываются фактически
неправдоподобные сценарии развития событий. Наоборот, если доверие выше, то
коридор уже, и в него не попадают уже вполне правдоподобные оценки.
При переходе от (4.16) к записи в действительных числах возникает система
трех линейных алгебраических уравнений с тремя неизвестными (временно, для
удобства представления, снимем в формулах зависимость от времени):
Система (5.45) является вырожденной и требует дополнительного условия
для решения. Таким условием могут служить уравнения оценочной балансировки:




Модели и методики для фазы 5 (2)
Соотношения (4.18) - (4.20) выражают ту суть, что соотношение доходности ириска по индексам в максимальном и минимальном варианте зависит только от
соотношения максимума и минимума доходности в расчетном коридоре. Тогда все
параметры модели находятся по формулам: для Rmax < 0 и Rmin < 0
экономического региона нами получены. Фактически это означает, что можно
ежеквартально решать оптимизационную задачу для обобщенного
инвестиционного портфеля из акций и облигаций и определять рациональную
траекторию скольжения своей портфельной точки от границы к границе по ходу
прогнозирования (фаза 6 прогнозирования).



Рассмотрим вариант скольжения эффективной границы
Рассмотрим вариант скольжения эффективной границы обобщенногоинвестиционного портфеля (отрисовывается только средняя линия границы) от
шага к шагу прогноза в условиях ухудшения инвестиционной обстановки (рис. 4.8)
Рис. 4.8. Управление фондовым портфелем во времени
Если действовать, как посоветовала в 2001 г. Эбби Коэн, то ничего делать не
нужно, только поддерживать фиксированный баланс активов. Такая тактика на
падающем рынке вызывает только дополнительные убытки, рост риска портфеля, и
больше ничего. Наоборот: следует освобождаться от акций в несколько раз
быстрее, чем они падают, переливаясь в облигации или вообще уходя с рынка. Тем
самым достигается опережающее снижение портфельного риска и реализуется
консервативный инвестиционный выбор. Выбор Эбби Коэн в этом случае
оказывается незаконно-агрессивным, анти-оптимальным; градиент ее выбора
(приращение доходности к приращению риска) во всех точках ее инвестиционной
траектории отрицателен. Наш градиент во всех точках положителен, и более того:
он растет.

Модели и методики для фазы 6 (2)
Эти соображения оперативного порядка зафиксированы нами в модели с помощью модифицированного показателя Шарпа:
Выражение (4.24) - это не классический показатель Шарпа, потому что в числителе вычитается осредненная доходность по всему классу облигаций, а не доходность одних гособлигаций. Но смысл этого показателя очень значим: он выражает экономическую эффективность инвестиций в обобщенный инвестиционный портфель из всех акций и всех облигаций в пределах данного экономического региона. Мы говорим, что по мере снижения экономической эффективности портфеля (преимущественно за счет падения доходности акций)
доля акций в портфеле должна снижаться опережающими темпами. То есть условие сохранения оптимальности при движении справа налево по границе . это условие положительного градиента (при движении слева направо градиент может быть любым):

Модели и методики для фазы 6 (3)
Для сценариев вывода капитала из акций по отзывным тенденциям, и для сценариев инвестирования капитала в акции по призывным тенденциям. По выжидательным тенденциям для акций изменения доли их в портфеле не
происходит. В (4.27) и (4.28) - это плановый приток или отток капитала,
который вступает в действие, если остальные расчетные значения в формулах приобретают неоптимальные или недопустимые по граничным условиям значения.
Таким образом, мы получили целевое значение доли акций в портфеле на прогнозный период времени, определяемое по (4.27) . (4.28).
Рациональные размеры долей облигаций (B) и выводимого капитала (N)
определяются на основании данных таблицы 4.8 о рациональных перетоках
Из таблицы 4.8 видно, что когда перетока по акциям нет, то за основу при выборе очередного перетока берутся значения перетока по облигациям на предыдущем шаге моделирования. И, во избежание расходимости процесса формирования портфеля, всякий новый переток в таких случаях в два раза меньше предыдущего (поскольку доходность по облигациям низка, существенного изменения характеристик обобщенного инвестиционного портфеля ожидать не приходится). Такой способ организации перетоков обусловлен нестабильностью тенденций, связанных с выжидательным выбором по акциям, неустойчивым равновесием выжидательных состояний. А там, где нестабильность, там резкие движения недопустимы, потому что можно получить неожиданные чувствительные убытки.
Итак, фаза 5 процесса завершена, и начинается фаза 6 . прогнозирование индексов и фактора PE Ratio.



Модели и методы прогнозирования фондовых индексов
4.2.1. Классификация экономических регионов и индексов. ОбозначенияВсе индексы, которые нам следует прогнозировать и наблюдать,
подразделяются на три большие группы:
Индексы долговых обязательств (к ним относим государственные облигации,
облигации субъектов региона, банковские депозиты, корпоративные
обязательства и эмиссионные ипотечные ценные бумаги);
Индексы акций (к ним относим собственно акции с высокой и низкой
капитализацией (1-ый и второй эшелоны соответственно), а также паи
взаимных индексных фондов . разрешенные активы для пенсионных
инвестиций по законодательству РФ);
Индексы макроэкономических факторов (к ним относим валовый внутренний
продукт, инфлятор, кросс-курс валюты по отношению к рублю, а также PE
Ratio).
Также мы предполагаем, что существует взаимно однозначное соответствие
между индексом и экономическим регионом, который мы далее будем называть
держателем индекса. Предполагаем, что все бумаги или тенденции, участвующие в
формировании того или иного индекса, выпущены или имеют место на
географической территории региона . держателя индекса. Выделяем следующие
регионы, представляющие интерес для исследований:
США и Канада (US);
Россия (RU);
Европейский союз (EC);
Англия (GB);
Япония (JAP);
Регион развивающихся стран (EMM).
В нашей монографии приводится пример прогнозирования индеков только для
региона US.
Модели и методы управления финансами
Адекватность методов управления финансами качеству исходной Информации При переходе от плановой к рыночной экономике в России появился ряд видов деятельности, имеющих для финансового менеджера принципиально новый характер. К их числу относятся задачи эффективного вложения денежных средств в ходе ивестиционного процесса, формирования портфеля ценных бумаг, управления активами хозяйствующего субъекта в условиях отсутствия нормативов отдельных видов активов (что имели место в советский период). В.В.Ковалев [38] отмечает ряд существенных моментов, сопровождающих изменение существа методов управления финансами при переходе к рыночной экономике:были упразднены многие ограничения, в частности, нормирование оборотных средств, что автоматически исключило один из основных регуляторов величины финансовых ресурсов на предприятии;
кардинальным образом изменился порядок исчисления финансовых результатов и распределения прибыли. С введением новых форм собственности стало невозможным изъятие прибыли в бюджет волевым методом, благодаря чему у предприятий появились свободные денежные средства;
произошла существенная переоценка роли финансовых ресурсов, т.е.
появилась необходимость грамотного управления ими, причем в различных аспектах . по видам, по назначению, во времени и т.д.;
появились принципиально новые виды финансовых ресурсов, в частности возросла роль денежных эквивалентов, в управлении которыми временной аспект имеет решающее значение;
произошли принципиальные изменения в вариантах инвестиционной политики (открылись новые возможности приложения капитала);
в условиях финансовой нестабильности переходного периода (весь конец ХХ-го века в России) и гиперинфляции появилась потребность в эффективном управлении денежными активами в целях их ускоренной оборачиваемости.
К этому перечню следует добавить еще одно важное обстоятельство:
возникшая рыночная неопределенность, связанная с нестабильностью, потребовала от финансового менеджера навыков управления активами и пассивами компании в условиях неполной, расплывчатой информации, не обладающей статистической природой. Зародилось отдельное направление российского финансового менеджмента, именуемое за рубежом и в России риск-менеджментом.
Все научно обоснованные финансовые решения применяются на основе модели финансовой системы, которую здесь и далее для краткости мы будем называть финансовой моделью хозяйствующего субъекта.
о финансовом состоянии хозяйствующего субъекта,
Наряду с традиционной количественной информацией о финансовом состоянии хозяйствующего субъекта, эта модель содержит прогнозные оценки о внешних по отношению к субъекту рыночных условиях, а также данные об условиях принятия решения, в том числе об уровнях неопределенности тех или иных параметров модели (варианты: точное значение фактора, статистическое распределение, квазистатистическоеинвестиционной стратегии компания реализует свои возможности к предвосхищению долгосрочных тенденций экономического развития и адаптации к ним. Инвестиционные решения целесообразны, если [96]:
чистая прибыль от вложений превышает чистую прибыль от помещения средств на банковский депозит в надежном банке;
рентабельность инвестиций выше уровня инфляции;
рентабельность выбранного инвестиционного проекта с учетом временной стоимости денег выше рентабельности альтернативных проектов;
рентабельность активов компании после осуществления проекта по крайней мере не уменьшится и в любом случае превысит среднюю расчетную ставку по заемным средствам;
рассматриваемый проект соответствует генеральной стратегической линии хозяйствующего субъекта с точки зрения формирования рациональной ассортиментной структуры производства, сроков окупаемости затрат,
наличия финансовых источников покрытия издержек, оптимального бюджета движения денежных средств компании и т.д.
Ключевыми методами выбора оптимального инвестиционного проекта являются методы оценки чистой современнойценности проекта (NPV . Net Present Value) и срока окупаемости проекта по дисконтированным потокам (DPBP .
Discount Pay-Back Period). Центральная проблема использования этих методов .
неразрешимая входная неопределенность относительно проектной выручки (экономии затрат), которая может быть учтена с применением теории нечетких множеств. Метод оценки NPV в нечетко-множественной форме, с одновременной оценкой степени риска неоптимальности проекта, разработан мною совместно с К.И. Вороновым [56, 59] на базе идеи, высказанной Кофманом и Хил Алухой в [42]. Вкратце суть метода в следующем. На вход модели поступают нечетко-
множественные последовательности, соответствующие потокам затрат и выручки.
Полученный на этой основе чистый денежный поток проекта (нечетко-
множественная последовательность) дисконтируется и суммируется наростающим итогом, что дает NPV в форме треугольного нечеткого числа. Обработка этого числа по специальным формулам позволяет получить степень риска неоптимальности проекта (того, что NPV проекта окажется меньше планового значения).
К тактическому финансовому менеджменту относятся финансовые решения в области управлениячистым оборотным капиталом хозяйствующего субъекта.
Сюда относятся методы оптимизации производственных запасов, денежных средств, дебиторской задолженности и краткосрочных пассивов, методы оперативного управления портфелем ценных бумаг и т.д.
Уровень чистого оборотного капитала компании
Уровень чистого оборотного капитала компании находится в обратном отношении к риску ее неплатежности. В то же самое время избыточный чистый оборотный капитал отрицательно сказывается на прибыльности компании, чтозаставляет ее руководство искать компромисс между риском неплатежеспособности и риском неэффективности работы. Этот компромисс может быть найден при комплексной оценке финансового положения предприятия,
куда ликвидность и деловая активность входят как отдельные составляющие оценки. Если в оценке превалирует деловая активность (входит в нее с соответствующим весом), то завышенный размер чистого оборотного капитала приведет к снижению комплексного коэффициента. Наоборот, если в оценке превалирует ликвидность, то с ростом размеров чистого оборотного капитала компании комплексная оценка также будет расти.
Методы управления каждой составляющей в структуре чистого оборотного капитала специфичны для этой составляющей, с использованием моделей Баумоля,
Миллера-Орра, Стоуна, имитационных моделей по схеме Монте-Карло и др. [14].
Общее этих методов в том, что они определяют рациональные нормативы потребности в чистом оборотном капитале, применение которых в тактическом финансовом менеджменте минимизирует риски неплатежеспособности и недопустимого снижения рентабельности операций. Часто эти нормативы связывают с периодом оборот различных типов оборотных активов.
Упомянем вкратце методы и модели фондового менеджмента. Они совмещают в себе как стратегическую (долгосрочные фондовые инвестиции) так и тактическую (оперативный ребалансинг портфеля) составляющие финансовых решений.
Исторически первым методом портфельной оптимизации является метод,
предложенный нобелевским лауреатом Гарри Марковицем, суть которого в следующем. Пусть цена актива колеблется в соответствии с винеровским двупараметрическим случайным процессом. Соответственно, логарифмическая (текущая эффективная) доходность такого актива обладает нормальным распределением с параметрами среднего и дисперсии распределения. Матожидание доходности характеризует эффективность инвестиций в актив, а дисперсия . риск.
Соответственно, можно составить задачу управления портфеля как задачу максимизации доходности портфеля при выбранном загодя фиксированном уровне его риска. Эта задача квадратической оптимизации имеет своим решением эффективную границу портфельного множества в координатах "риск портфеля .
доходность портфеля".
Критики теории Марковица утверждали, что в действительности движение активов не подчиняется модели винеровского случайного процесса. Реакцией на эту критику стала теория Шарпа-Литнера, которая в ходе оптимизации снимает допущение о нормальности распределения, однако сохраняет допущение о стационарности ценового процесса.
в условиях синхронной волатильности всех
Шарп правильно замечает [100, 144, 146], что в условиях синхронной волатильности всех активов, принадлежащих выбранному модельному классу (очень высокая степень корреляции активов) превышение доходности актива над среднерыночным значением доходности является фактором,характеризующим риск этого актива (так называемый бета-фактор). Однако в рамках этой теории Шарп считает, что риск актива . это условно-постоянная величина. Следовательно, снова мы имеем дело со стационарной моделью фондового актива.
Кризис 2001 года явно дал понять, что ни о какой стационарности не может быть и речи. Поэтому теория Шарпа-Литнера также не выдержала испытания на прочность. Она (равно как и теория Марковица) хорошо работает в условиях неизменной парадигмы фондового рынка. В кризисные времена смены парадигмы,
когда нестационарность ценовых процессов оказывается наиболее очевидной,
столь же очевидной оказывается необходимость отказа от описаний,
использующих стационарные случайные процессы. Эффект синхронной волатильности редуцируется, и инвесторы начинают приглядываться к возможностям роста или спада цены каждого конкретного актива, к фундаментальным параметрам эмитента. Возникает индивидуальный риск несовпадения фактической квартальной прибыли эмитента ожидаемым значениям,
который зависит от рыночных условий хозяйствования эмитента. Этот риск порождает встречный риск оценочного понижения (downgrade) с вытекающим отсюда неизбежным падением цены акций. Таким образом рыночный риск актива теряет фундаментальный базис для измерения . рыночную линию, которая в условиях кризиса перестает существовать. Сейчас (ноябрь 2002 года) мы как раз наблюдаем поиски фондовым рынком США нового положения равновесия, новой рыночной линии. Однако эти поиски остаются тщетными, потому что еще окончательно не развеяны иллюзии инвесторов относительно справедливой цены активов, и целый ряд индустрий американской экономики по-прежнему являются переоцененными. Только при достижении окончательного дна фондовых индексов США можно говорить о формировании новой рыночной парадигмы и, соответственно . новой рыночной линии.
Модельные активы и портфели на их основе
Согласно статье 26 Закона, пенсионные накопления могут быть размещены в:государственные ценные бумаги Российской Федерации;
государственные ценные бумаги субъектов Российской Федерации;
облигации российских корпоративных эмитентов;
акции российских эмитентов, созданных в форме открытых акционерных
обществ;
паи (акции, доли) индексных инвестиционных фондов, размещающих
средства в государственные ценные бумаги иностранных государств,
облигации и акции иных иностранных эмитентов;
ипотечные ценные бумаги, выпущенные в соответствии с законодательством
Российской Федерации об ипотечных ценных бумагах;
денежные средства в рублях на счетах в кредитных организациях;
депозиты в рублях в кредитных организациях;
иностранную валюту на счетах в кредитных организациях.
Перечисленные так называемые разрешенные активы могут и должны быть
декомпозированы, в целях детальной классификации и выделения модельных
классов, обладающих надлежащей степенью внутренней однородности. Например,
как уже отмечалось, акции российских эмитентов целесообразноразбить на классы
акций первого и второго эшелонов, как принципиально различающиеся по
доходности и риску группы активов. Такая же детализация целесообразна
применительно к отдельным странам в рамках сводной группы зарубежных
активов, а также в рамках инструментов, эмиттированных в рамках одной страны.
Все эти требования по детализации сделали возможным сформировать свыше
20 модельных классов (таблица 3.1), каждому из которых был сопоставлен
фондовый индекс. В целом ряде случаев, ввиду отсутствия разработанных
индексов, компании Siemens Business Services Russia пришлось самостоятельно
разрабатывать фондовые индексы.
Законом установлен ряд ограничений на размер инвестиций в модельные и
реальные активы. Например, доля зарубежных активов в инвестиционном
портфеле не должна превышать 20% по состоянию на 2009 год и далее. Эти
ограничения следует учитывать в ходе оптимизации модельных и реальных
портфелей, что и предусмотрено в поставленном ПФР программном обеспечении.
Модель и методика для фазы 1 (старт)
Для этой фазы мы устанавливаем начальное и конечное прогнозное времяВ ходе моделирования обнаружилось, что когда на рынке доминируют
отзывные тенденции, стартовое размещение активов вырождено, и невозможно
отследить динамику портфеля, чувствительность его долей к колебаниям
экзогенных факторов. Поэтому в модели нагляднее в любом случае стартовать с
контрольной портфельной точки (по 50% акций и облигаций в портфеле). Если
отзывные тенденции перетока капитала сохранятся, то портфель быстро
выродится, и это можно будет наблюдать в динамике.
Для всех индексов, отвечающих данному экономическому региону,
устанавливается их стартовое значение P(tнач).
Привязка дискретного времени к непрерывному осушествляется таким
образом, что значения индексов и параметров для дискретного времени
соответствуют значениям последнего торгового дня соответствующего квартала.
По обобщенному инвестиционному портфелю устанавливаются текущие
значения доходностей и рисков модельных классов акций и облигаций r(tнач) и


В силу существенной нестационарности макроэкономических
В силу существенной нестационарности макроэкономических процессов(допущение экспертной модели) мы не беремся прогнозировать их с помощью
известных методов авторегрессионного анализа, как, скажем, в моделях ALM [129].
Взамен мы предлагаем искать их в форме полосы с прямолинейными границами
вида.
и процесс переходит на фазу 3 . анализ ожидаемой инвестиционной динамики.

направления перетока капитала за время
Для шага прогнозирования (t+1) мы должны на шаге (t) оценитьинвестиционные тенденции по таблице 4.6, чтобы правильно определить
направления перетока капитала за время [t, t+1]. При этом входом в таблицу
служат значения Iav(t) и (t) PEav . Таким образом, мы формируем упреждающее
воздействие на инвестиционный портфель с упреждением на один шаг
относительно плановой макроэкономической динамики.
Так, для входной ситуации №4, которую мы распознаем как призывно-
промежуточная при стартовом инвестировании и как призывную при перетоке
капиталов, мы прогнозируем увеличение размера капиталов, инвестированных в
акции и облигации, и соответствующий рост уровня кумулятивных индексов.
Сразу же отметим, что уровень индекса облигаций является низкоэластичным
фактором в отношении объемов операций, а уровень индекса акций .
высокоэластичным фактором. Это обусловлено тем, что процентные ставки по
облигациям колеблются в достаточно узких пределах; снизу они ограничены
уровнем инфляции (или предельно приближены к ней), а сверху . уровнем
прибыльности корпораций, позволяющим надежно обслуживать накопленную
кредиторскую задолженность без существенного ухудшения своего финансового
состояния (при минимальном уровне риска банкротства). Хотя для справедливости
отметим, что резкое падение курсов акций вызвало настолько мощный переток
денег в облигации США, что столь низкого уровня процентных ставок не
отмечалось с 1960 года. Но эту тенденцию здесь мы рассматриваем как временную.
Рано или поздно ставкивыровняются, потому что большая часть капиталов, сейчас
осевших в облигациях США, перетечет за рубеж.
Далее процесс прогнозирования переходит на фазу 4 . прогноз расчетного
коридора доходности по индексу.
промежуточной неопределенности при построении прогнозной
Прогноз индекса проводится по формулеОсобенностью формул (4.29) - (4.31) является элиминирование
промежуточной неопределенности при построении прогнозной оценки, так как мы
считаем, что на прогнозные величины влияют в первую очередь ожидаемые
средние значения индексов, полученные на предыдущих временных интервалах
прогнозирования. То есть в нашей экспертной модели прогнозная
неопределенность имеет период действия (и влияния на оценки) ровно один
прогнозный квартал. Если бы принцип элиминирования в оценках не соблюдался,
то тогда наш прогноз оказался бы «зашумленным» накопленными размытыми
оценками.
Также (4.31) выражает самую суть наших модельных допущений о
рациональном выборе. Рациональное значение
(t) Λ 1, при совпадении текущего
значения PE Ratio с уставочным, говорит нам о том, что система инвестиционного
выбора находится в равновесии, и весь рост доходов по акциям обеспечен
соответствующим ростом валового внутреннего регионального продукта. Если
обеспечение прироста акций реальными ценностями (прибылью корпораций) не
происходит в полном объеме, то акции начинают переоцениваться,
«перегреваться», и запускается механизм снижения текущей доходности по
индексу (через эластичность вида (4.12)).
После реализации фазы 7 процесс переходит на техническую фазу 8
(ветвление процедуры прогнозирования).

Прогнозное время увеличивается на единицу,
Прогнозное время увеличивается на единицу, и проверяется условие t > tкон .Если условие выполняется, то процесс собственно прогнозирования завершен, и
начинается реализация фазы 9. Если прогнозирование не завершено, то оно
возобновляется, начиная с фазы 3.
4.2.12. Модель и методика для фазы 9
На этой фазе полученный прогноз по индексам претерпевает поправку на
кросс-курс национальной валюты экономического региона по отношению к
российскому рублю. Эта коррекция проводится по формуле:
4.2.13. Модель и методика для фазы 10
На этой фазе строится оценка расчетного коридора финальной доходности по
индексу, скорректированному фазой выше. Соотношение для расчетного коридора
финальной доходности:
4.2.14. Модель и методика для фазы 11
На этой фазе получается итоговая оценка доходности и риска фондового
индекса, которая может быть взята за основу в ходе портфельной оптимизации,
если горизонт инвестирования совпадает с периодом прогнозирования. Все оценки
получаются по формулам (4.18)-(4.23), с заменой расчетного коридора (t) R на
параметр



Модель и методика оценки расчетного коридора доходности по индексу
В силу низкой эластичности индекса облигаций к рыночным объемам торгов мы решаем пренебречь этой эластичностью в нашей модели и построить прогноз доходности по облигациям на базе матрицы премий за риск (таблица 4.7). Значения в матрице определяются нами на основе дополнительных макроэкономических сооброжений экспертной модели.Таблица 4.7. Премии за инвестиционный риск по облигациям
Приведенная модель премий за риск является стационарной и действует на всем интервале прогнозирования.
И расчетный коридор доходности по j-му типу обязательств, эмиттированных в i-
ом экономическом регионе, определяется формулой:

Высокая эластичность фактора текущей доходности
Высокая эластичность фактора текущей доходности по акциям (на уровне торгового дня, недели итд) по фактору роста или спада объема торгов вызывает существенные ценовые колебания индекса. Однако при рассмотрении модели рационального поведения инвестора мы отмечаем, что бурная динамика котировок на уровне среднесрочной перспективе элиминируется тем, что вступает в действие фактор переоцененности/недооцененности акций. И, таки образом, индекс акций в среднесрочной перспективе формирует циклический тренд вокруг своих средних значений, обусловленных рациональным уровнем PE Ratio. Поэтому мы принимаем решение не моделировать объемную эластичность доходности индекса акций, а учесть ее в модели косвенно на уровне эластичности по фактору PE Ratio.Упомянутая модель эластичности имеет вид:
и эти параметры определяются на основе дополнительных соображений экспертной модели.
В том, что коэффициент эластичности скачкообразно изменяется при переходе PE через уставочное значение, мы отражаем ассиметричность инвестиционного выбора в преломлении на тип инвестора.
и минимизируя риски, выводит активы
Так, консервативный инвестор, почувствовав неладное и минимизируя риски, выводит активы быстрее,чем если бы он вводил их при улучшении инвестиционного климата. Наоборот,
агресиивный инвестор будет быстрее покупать, чем продавать, т.е. не минимизировать риски, а максимизировать прибыль. В глазах же инвестора промежуточного типа рациональные темпы прилива-отлива капитала совпадают;
из контрольной портфельной точки он побежит влево или вправо по линии эффективной границы с одной и той же скоростью, если текущее значение PE Ratio будет симметрично ложиться справа или слева от уставки, соответственно.
Линейный вид модели (4.12) по умолчанию предполагает отсутствие глубоких колебаний текущего PE Ratio от своего уставочного значения, т.к. при наличии эффективных средств распознавания рыночной ситуации (а у нас все эти средства описаны) инвестор будет оперативно корректировать свою инвестиционную стратегию, и колебания индекса PE Ratio не будут сильноволатильными.
То есть модель предполагает детальную настройку на инвестиционную ситуацию (инвестиционную тенденцию). Потому что в реальности рациональный инвестор очень пристально следит за макроэкономической ситуацией, и его решения по управлению фондовым капиталом являются точными (дифференцированными) и оперативными (алертными), что и отражено в модели.
Модель (4.12) предполагает механизм саморегуляции рынка в режиме отрицательной обратной связи. Согласно соотношениям, переоценка индекса влечет отрицательную доходность и спад уровня, что, в свою очередь, приводит к недооценке и возникновению положительной доходности. Все вместе это порождает цикличное поведение, цикличный тренд.
На фондовых рынках наблюдается тенденция,
На фондовых рынках наблюдается тенденция, когда акции с низкой капитализацией ориентируются на тенденции акций с высокой капитализацией.Особенно это справедливо для технически слабых фондовых рынков, когда обращающиеся на нем акции не имеют "собственного слова", то есть отвязаны от своих фундаментальных характеристик, и не существует на рынке игроков,
которые могли бы привести в соответствие фундаментальные параметры акции и ее цену. Так, российский фондовый рынок живет и еще некоторое время будет жить с оглядкой на рынок американский, следуя в фарватере американской динамики, а акции, эмиттированные в российской глубинке, долго еще будут оглядываться на динамику акций гигантов отечественной индустрии.
Парадоксально, но в краткосрочной перспективе корреляция индексов акций первого и второго эшелона близка к нулю. Связано это с тем, что акции второго эшелона обращаются быстрее акций первого эшелона и также быстро изменяются в цене. Если рассмотреть корреляцию этих акций на долгосрочной основе,
элиминировав низкопериодические колебания индексов, то такая корреляция будет стремиться к единице по тенденции.
Поэтому справедливо будет считать, что на уровне монотонного фондового портфеля в среднесрочной перспективе существует линейная зависимость между расчетной доходностью акций первого и второго эшелона:
Косвенно наш вывод подтверждают и результаты моделирования при помощи программы "Система оптимизации фондового портфеля" (рис. 4.7).
Видно, что кривизна параболы эффективной границы невилика (даже при нулевой корреляции), а по мере роста корреляции эта парабола будет только спрямляться.
Итак мы получили прогноз расчетного коридора доходности для всех типов фондовых индексов, и теперь процесс переходит на фазу 5 . оценка доходности и риска индексов и ребалансинг портфеля.
Рис. 4.7. Модельный портфель из акций первого и второго эшелонов

Модель рациональной динамики инвестиций
Итак, моделируя рациональный инвестиционный выбор, мы устанавливаем,что он управляется принципом инвестиционного равновесия. При нарушении
равновесия, по внутренним условиям фондового рынка или в силу изменившихся
макроэкономических условий, возникает диспаритет, и система стремится к возвращению утраченного равновесия через переток капиталов из одного вида
активов в другой.
Построим нашу модель инвестиционного равновесия как описание
динамической системы (конечного автомата, где в качестве состояний выступают
инвестиционные тенденции, о чем речь дальше), где моделируется стартовое
размещение фондовых активов и последующие перетоки между активами на
интервале дискретного прогнозного времени tнач, tнач+1, ..., t,., tкон. По умолчанию,
мы выбираем единичный интервал прогнозирования T = 0.25 года (квартал).
Для начала классифицируем тенденции, возникающие в ходе
инвестиционного выбора.
С точки зрения движения капитала можно вычленить:
призывную тенденцию (когда капитал отвлекается из других форм и
инвестируется в фондовые активы);
выжидательную тенденцию (когда прилив капитала останавливается, но
отлива из фондовых активов еще нет);
отзывную тенденцию (когда капитал перетекает с фондового рынка в другие
формы).
С точки зрения портфельного выбора можно вычленить:
агрессивную тенденцию (когда капитал предпочитает акции облигациям и
иным своим формам);
промежуточную тенденцию (когда капиталищет инвестиционного
равновесия между акциями и облигациями);
консервативную тенденцию (когда капитал предпочитает акции облигациям
и иным своим формам).
На декартовом произведении вышеизложенных классификаций образуются
комбинированные тенденции: выжидательно-агрессивная, призывно-
консервативная итд.
Стартовое рациональное размещение активов моделируется нами таблицей
4.5. Параметры аi и bij, участвующие в таблице 4.5, - свои для каждой страны и для
каждого периода прогнозирования. В пределах пятилетнего срока
прогнозирования, если на уровне экспертной модели не констатируется обратное,
мы полагаем эти параметры постоянными.
Далее мы формируем инвестиционные переходы, которые должен
осуществлять рациональный инвестор в прогнозируемой перспективе,
ребалансируя свой фондовый портфель. Схема опирается на все вышеизложенные
соображения (таблица 4.6).
видно, что по мере
Из таблиц 4.5 и 4. 6 видно, что по мере увеличения риска тех или иныхинвестиций (с ростом инфляции или с падением рентабельности капитала) капитал
в руках рационального инвестора ищет сменить форму, что немедленно
фиксируется соответствующей сменой тенденции в сторону отзывности.


Модуль данных по индексам и модельным классам
Один из экранов модуля программы представлен на рис. 5.3.Рис. 5.3. Экран модуля данных по индексам и модельным классам
Функциональность модуля позволяет:
обеспечить руководителю программы возможность корректировать число
модельных классов и сопоставлять им новые индексы;
обеспечить руководителю программы возможность добавлять новые
индексы, обновлять данные по индексам, использую специальный
графический интерфейс пользователя;
обеспечить руководителю программы возможность добавлять новые
индексы, обновлять данные по индексам путем импорта необходимой
информации из соответствующих файлов предустановленного формата;
обеспечить руководителю программы возможность корректировать рабочие
параметры модулей программы;
обеспечить руководителю программы возможность установки и изменения
ограничений на процентное содержание модельных активов в портфеля.
5.3.4. Модуль работы с профайлами экономического региона
Один из экранов модуля программы представлен на рис. 5.4.


и макроэкономических индексов по одной
Рис. 5.4. Экран модуля работы с профайлами экономического регионаПрофайл экономического региона . это программная информационная
конструкция, позволяющая пользователю консолидировать всю историю
прогнозирования фондовых и макроэкономических индексов по одной стране или
по группе стран.
Функциональность модуля позволяет:
обеспечить табличный режим сводного представления всех созданных
профайлов экономического региона с отображением профайлов
экономического региона и даты создания профайлов экономического
региона;
обеспечить научному руководителю программы возможность корректировать
прогноз в составе профайла экономического региона;
обеспечить конечному пользователю и научному руководителю программы
возможность просматривать результаты прогнозирования по всем профайлам
экономического региона;
обеспечить конечному пользователю и научному руководителю программы
возможность просматривать и печатать отчеты по каждому прогнозу, с
возможностью сохранения отчета в форматах xml, html, pdf;
обеспечить научному руководителю программы возможность использовать
прогнозные оценки доходностии риска по индексам в качестве экспертных
оценок;
обеспечить руководителю программы возможность ведения справочника
экономических регионов.
Модуль создания профайлов экономического региона
Один из экранов модуля программы представлен на рис. 5.5.Рис. 5.5. Экран модуля создания профайлов экономического региона
Функциональность модуля позволяет:
создавать профайлы экономического региона с указанием региона, с
возможностью распределения индексов по группам и контролем наличия
индексов макроэкономических показателей по указанному экономическому
региону;
задавать необходимые исходные данные, требуемые для выполнения
прогноза;
выполнять прогноз в соответствии с алгоритмом прогноза;
получать результаты прогноза по индексам и обобщенному портфелю в
графическом представлении;
обеспечивать сохранение созданного профайла экономического
региона/прогноза;
создавать и отображать отчет при завершении создания профайла
экономического региона или при изменении прогноза.

Наполнение модельного портфеля реальными активами
Когда оптитмальные доли компонент модельного портфеля определены,необходимо выполнить процедуру наполнения компонент модельного портфеля
реальными активами. Как показывает практика фондовых инвестиций, ценовое
поведение реальных активов в структуре модельного класса характеризуется
эффектом синхронной волатильности, когда цены большинства реальных активов в
рамках класса движутся в одну сторону. Эта практически полная корреляция
активов делает бессмысленной оптимизацию реального портфеля по Марковицу. К
тому же для такой оптимизации невозможно получить достоверные исходные
данные по ожидаемой доходности и риску.
Возможно провести оптимизацию реального портфеля по альтернативному
принципу, отталкиваясь от инвестиционного качества реальных активов, входящих
в портфель. Тогда можно воспользоваться комплексными оценками
инвестиционного качества, полученными в рамках рейтинга облигаций и скоринга
акций (см. предыдущую главу книги). Чем выше уровень качества актива, тем
больший вес он имеет право занять в рамках выделенной группы активов
реального портфеля. Можно определять оптимальную долю актива двумя
способами:
на пропорциональной основе, как отношение комплексного показателя к
сумме комплексных показателей активов портфеля;
по принципу Фишберна. Если уровни привлекательности N активов
проранжировать по убыванию, то соответствующие веса компонент
портфеля также расположатся по убыванию, а их веса в портфеле можно
оценить по схеме Фишберна:

Нечеткий классификатор уровня факторов
По аналогии с тем, как это сделано в предыдущем разделе работы, проведемнечеткую классификацию параметров. Для этого введем лингвистическую
переменную «Уровень фактора Х» с терм-множеством значений «Высокий
уровень фактора», «Средний уровень фактора», «Низкий уровень фактора».
Предполагается, что определения «низкий, средний, высокий» относятся к уровню
инвестиционной привлекательности акции применительно к выбранному фактору. Тогда простой анализ гистограмм приводит нас к результатам, которые
сведены в таблицу П3.2. Применительно к нечеткой классификации данные,
пречисленные в таблице П3.2, соответствуют абсциссам трапециевидных функций
принадлежности нечетких подмножеств лингвистической переменной «Уровень
фактора». Промежуточные значения «низкий-средний» и «средний-высокий»
формируют зону неуверенности эксперта в принятой классификации, что
характеризуется линейным изменением значения функции правдоподобия при
переходе из класса в класс.
2.3.6.3. Классификация факторов с оценкой рангов
Проведем классификацию полученных значений факторов, т.е. сверим
таблицы П3.1 и П3.2. При этом ранг показателя вычисляется следующим образом:
если значения фактора точно попадают в выбранный интервал, то ранг равен
единице для данного уровня показателя и нулю для всех остальных уровней;
если значение фактора лежит в зоне неуверенности, то для двух смежных
классов формируются ранги, сумма которых равна единицы; вычисление же
рангов идет по правилу вычисления ординаты наклонного ребра
трапециевидной функции принадлежности по заданной абсциссе точки на
нижнем основании трапеции. Например, для тикера ELRO капитализация
составляет 55.8 млн долл. По данным таблицы П3.2 это значение
характеризуется как пограничное между низким и средним. Чтобы посчитать
ранги, нужно провести вычисления по формуле:
то есть значение фактора признается скорее низким, чем средним.
Оценка рангов для факторов Cap, P/S, P/E приведена в таблице П3.3.
Ранжирование для факторов P/B, ROA, ROE проведено в таблице П3.4. А
ранжирование для факторов ROIC и Liquidity проведено в таблице П3.5.

Нечетко-множественная оптимизация модельного портфеля
Исторически первым методом оптимизации фондового портфеля был метод,предложенный Гарри Марковицем в [134]. Суть его в следующем.
Пусть портфель содержит N типов ценных бумаг (ЦБ), каждая из которых
характеризуется пятью параметрами:
- начальной ценой Wi0 одной бумаги перед помещением ее в портфель;
- числом бумаг ni в портфеле;
- начальными инвестициями Si0 в данный портфельный сегмент, причем
Сам портфель характеризуется:
- суммарным объемом портфельных инвестиций S;
- долевым ценовым распределением бумаг в портфеле {xi}, причем для
исходного портфеля выполняется


понимается не риск неэффективности инвестиций,
Замечание. В подходе Марковица к портфельному выбору под рискомпонимается не риск неэффективности инвестиций, а степень колеблемости
ожидаемого дохода по портфелю, причем как в меньшую, так и в большую
сторону. Можно без труда перейти от задачи вида (3.14) к задаче, где в качестве
ограничения вместо фиксированного стандартного отклонения выступает
вероятность того, что портфельная доходность окажется ниже заранее
обусловленного уровня.
Выражение (3.15), именуемое эффективной границей портфельного множества, в
координатах «риск-доходность» является кусочно-параболической вогнутой
функцией без разрывов. Правой точкой границы является точка, соответствующая тому случаю, когда в портфеле оказывается одна бумага с максимальной
среднеожидаемой доходностью.


Подход Марковица, получивший широчайшее распространение
Подход Марковица, получивший широчайшее распространение в практикеуправления портфелями, тем не менее имеет ряд модельных допущений, плохо
согласованных с реальностью описываемого объекта - фондового рынка. Прежде
всего это отсутствие стационарности ценовых процессов, что не позволяет
описывать доходность бумаги случайной величиной с известными параметрами. То
же относится и корелляции.
Если же мы рассматриваем портфель из модельных классов, а ценовую
предысторию индексов модельных классов - как квазистатистику, то нам следует
моделировать эту квазистатистику многомерным нечетко-вероятностным
распределением с параметрами в форме нечетких чисел. Тогда условия (3.12) .
(3.13) запиываются в нечетко-множественной форме, и задача квадратичной
оптимизации также решается в этой форме. Решением задачи является
эффективная граница в виде нечеткой функции полосового вида.
Каждому отрезку на эффективной границе, отвечающей абсциссе
портфельного риска, соответствует нечеткий вектор оптимальных портфельных
долей.
И, наконец, если нам заданы контрольные нормативы по доходности и риску
(бенчмарк модельногопортфеля), которые нам следует соблюсти в нашем
портфеле, увеличивая доходность и одновременно снижая риск. Если бенчмарк
попадает в полосу эффективной границы, то возникает дабл-риск (по факторам
доходности и волатильности), что модельный портфель «не переиграет» бенчмарк.
Этот риск можно оценить по методу из [53, 56, 59].
Итак, изложение модифицированного подхода Марковица завершено. Далее
по тексту статьи мы считаем, что имеем дело с квазистатистикой модельных
индексов в портфеле, которая моделируется нами посредством N-мерного нечетко-
вероятностного распределения. Оценив параметры этого распределения как
нечеткие числа, мы решаем задачу квадратичной оптимизации в нечеткой
постановке, получая эффективную границу в форме криволинейной полосы.
Рассмотрим простейший пример американского модельного портфеля из
двух модельных классов: правительственных долгосрочных облигаций (Класс 1,
характеризующийся индексом LB Govt Bond) и высококапитализированных акций
(Класс 2, характеризующийся индексом S&P500). Сводные данные по обоим
индексам приведены в таблице 3.4.
Нам следовало бы еще оценить
Таблица 3.4. Исходные данные по модельным классамНам следовало бы еще оценить корреляцию двух индексов. Но, как я покажу
далее, в нашем случае этого не потребуется. Пока же для общности обозначим
коэффициент корреляции .
Надо сразу оговориться, что случай портфеля из двух компонент является
вырожденным с точки зрения оптимизации. Здесь полное множество
портфельных решений представляет собой участок в общем случае кривой линии
на плоскости, и он же является эффективной границей. Так что в настоящем
примере мы не сколько решаем оптимизационную задачу, сколько ищем
аналитический вид эффективной границы в координатах «риск-доходность».
Запишем (3.12) . (3.13) в частном виде
уравнение эффективной границы в виде полосы с прямолинейными границами (см.
рис. 3.4).



есть не что иное, как
Рис. 3.4. Эффективная граница в виде полосы с линейными границамиКоэффициент пропорциональности в (3.20) есть не что иное, как хорошо
известный в портфельном менеджменте показатель Шарпа [146] . отношение
доходности индекса (за вычетом безрисковой составляющей доходности) к
волатильности индекса. Только в нашем случае он имеет нечеткий вид, сводимый к
треугольному по правилу:
В таблицу 3.5 сведены границы для модельного класса облигаций в
структуре модельного портфеля для различных уровней риска.
Таблица 3.5. Оптимальная доля облигаций в портфеле
По краям полосы разброс портфельных границ ниже, чем в середине. Это
объясняется тем, что на краях полосы эффективной границы портфель обладает
вполне определенным стилем: большей доходности отвечает модельный класс
акций, а меньшему риску . модельный класс облигаций.



Нечетко-множественный подход к построению эффективных фондовых портфелей
После того, как решена задача оценки инвестиционной привлекательностиотдельных активов, можно перейти к решению задачи формирования фондовых
портфелей на этих активов. Построение фондового портфеля . эта задача
управления финансовой системой, куда финансовые подсистемы отдельных
активов входят лишь составляющей, но не исключительной частью. Помимо
исходных данных по финансовым инструментам, исследователь в ходе решения
задачи оптимизации портфеля должен принимать во внимание данные о
взаимосвязи отдельных классовых фондовых инструментов друг с другом, а также
влияние на фондовый рынок, где проводится инвестирование, возмущений,
источником которых являются макроэкономические надсистемы фондового рынка.
Таким образом, проблема научного управления портфельными инвестициями
включает в себя [67]:
А. Выбор перечня модельных классов, в рамках которых будет проводиться
инвестирование, и их конструктивное описание. Под модельными классами или
модельными активами (model assets) мы здесь понимаем совокупность ценных
бумаг, сгуппированных по определенному классификационному признаку
(функциональному, отраслевому, региональному итп). Примеры модельных
классов: бумаги с фиксированным доходом, акции иностранных государств, акции
российских нефтяных компаний, облигации зарубежных корпораций итп.
В. Определение оптимальной долевой пропорции между модельными
классами в структуре модельного портфеля (asset allocation). Под модельным
портфелем мы понимаем совокупность модельных классов, суммарная доля
которых в портфеле составляет 100%.
С. Определение состава бумаг, наполняющих каждый из выбранных
модельных классов.
D. Определение стратегии и тактики хеджирования портфеля.
Рассмотрим выделенные задачи по порядку.
Недостаточность традиционных подходов
Недостаточность традиционных подходов к оценке инвестиционной привлекательности фондовых активов В качестве аналитика фондового рынка я работаю последние четыре года.Поэтому все мои основные научные результаты (как я их сам оцениваю) получены именно в области фондового менеджмента После августовского кризиса 1998 года спрос на научные работы в области фондового менеджмента в России исходил исключительно от западных компаний.
При этом этот спрос был целевым и подразумевал большей частью исследования практического характера, направленные на разработку специализированных программ для работы на фондовом рынке, в том числе портфолио-менеджеров.
Во время работы в компании Artificial Life Rus наше подразделение работало над портфолио-проектами для крупнейших мировых финансовых организаций, к которым относятся банк Credit Suisse First Boston, страховые компании LGT и UBS.
Демонстрационная версия разработанного нами продукта находится на сайте [108].
Это поддержанный роботом (smart bot) портфолио-менеджер с широкой функциональностью.
Работы над фондовыми компьютерными программами проходил в атмосфере того, что я склонен называть мировой NASDAQ-эйфорией, когда курсы акций высокотехнологичных компаний взлетали до заоблачных высот, акции традиционных отраслей стабильно росли до 30% в год в валюте, и ничто, казалось бы, не предвещало близкого краха. Но эта ситуация очень схожа с той, которая развивалась в России в 1994 году, во времена бурного роста акций АО "МММ".
Никто, кроме самых осторожных аналитиков, не предвещал скорого краха рынка бумаг этой компании. Казалось, что в эту игру можно играть вечно. И точно так же иногда казалось, что акции высокотехнологичного сектора, в силу их необычайной привлекательности и перспективности, могут занять место альтернативной меры стоимости, выступить чуть ли не в качестве американской резервной валюты.
Действительность быстро свела на нет эти химеры.
В тон рынку выступала и наука. Большинству фондовых аналитиков виделось, что наступила эра процветания, базирующаяся на ценностях новой экономики.
в неуклонном многолетнем росте фондовых
Все усматривали в неуклонном многолетнем росте фондовых индексов свидетельство особой синергии, когда новые технологии, оплодотворяя традиционные базовые отрасли и сектора экономики, вызывают в них бурный рост производительности труда, сжатие издержек и, соответственно, качественный скачок уровня прибыльности. Казалось, что прорывы в одном направлении в русле новой экономики должны будут вызвать немедленные прорывы на сопряженных фронтах этой экономики.Однако в действительности дело обстояло таким образом, что темпы роста курсов акций в новой экономике многократно опережали темпы роста прибылей в этой экономике (большая часть баснословно высоко оцененных компаний были даже убыточными). И в то же время влияние новой экономики на старую оказалось не столь масштабным, как хотелось бы ожидать. Поэтому завышенные ожидания аналитиков не оправдались. Хуже того: аналитики просто проспали тот момент,
когда инвестор решил пересмотреть свои инвестиционные предпочтения и принялся фиксировать прибыль, уходя с рынка. Стоило здравому смыслу хоть немного возобладать над эйфорией, - и финансовая пирамида на перегретых американских акциях начала осыпаться. И она осыпалась непрерывно в течение двух последних лет. Американский рынок похудел, по разным оценкам, на 7 - 10 триллионов долларов.
Отток инвестиций вызвал большие проблемы с заимствованиями длинных денег. Многие компаниивысокотехнологичного сектора вдруг с ужасом обнаружили, что структура их баланса неудовлетворительна, а занять денег на поправку дел негде. Началась целая цепь банкротств, поглощений, сворачивания бизнеса. Так, упомянутая уже компания Artificial Life Rus вынуждена была оставить лишь один свой офис в Гонконге, последовательно закрыв офисы в Швейцарии, Германии, России и США. И какого-то промежуточного финиша эта череда банкротств и скандалов достигла в 2002 году, с банкротством крупнейших корпораций Enron и WorldCom.
Итак, финансовые аналитики просмотрели не только момент того, что мыльный пузырь новой экономики лопнул, но и момент смены целой макроэкономической парадигмы. Резкое ухудшение условий бизнеса, затяжная рецессия привели к тому, что экономика США (а вслед за ней и всего мира)
вступила в фазу перерегулирования [132, 133]. Качественно сдвинулись оптимальные пропорции между инвестициями в долговые обязательства и инвестициями в акции. Владельцы акций стали требовать дополнительной доходности по акциям как премии за риск в условиях рецессии и корпоративных скандалов. Корпорации не смогли удовлетворить эти запросы в части прибыли, -
соответственно, инвестор проголосовал ногами, обеспечив требуемый ему уровень доходности через снижение цены тех активов, в которые планируется инвестирование.
Американские финансовые аналитики беспомощно наблюдали
Американские финансовые аналитики беспомощно наблюдали за разаворачивающейся на их глазах драмой. Апофеозом беспомощности считается совет, выданный одним из крупнейших аналитиков США Эбби Коэн в 2001 г. . "сидеть тихо", т.е. следовать за рынком, ожидая коррекции рынка акций в сторону повышения. Со времен этого совета инвесторы потеряли еще 20% капиталов, инвестированных в акции.Стало вдруг ясно, что наступил масштабный кризис представлений о фондовом рынке. Рынок потерял привычное обличье, картина мира обновилась,
новая непредсказуемость рынка вызвала потребность в ревизии всех ранее построенных моделей. То, что в свое время считалось приемлемым, перестало годиться куда бы то ни было. Теория оптимального портфеля Марковица [134,
135], уже попадавшая в 70-е годы в немилость у рыночных специалистов, вновь подверглась остракизму за "ложную стационарность". Зашаталась теория Шарпа-
Линтнера [144, 146]. Оказалась неработоспособной формула Блэка . Шоулза [111].
Совсем недавно возникшая теория Value-at-Risk [127] не избежала общей участи [122], попав под огонь критики с тех же позиций, что и прочие теории. Методы GARCH/ARCH [112, 119] прогнозировали только растущий рынок на данных растущего же рынка; на рынке падающем предсказательная способность этих методов себя исчерпала. И, пожалуй, главное: перестала работать стационарная модель рыночного индекса как винеровского случайного процесса [115].
Наступило время возвращаться к базовымистинам, которые сохранили себя в неприкосновенности хотя бы на уровне словесных высказываний. В первую очередь это . золотое правило инвестирования, которое устанавливает пропорциональную зависимость между доходностью инвестиций и их риском.
Рациональный фондовый портфель, построенный на по золотому правилу, я назвал монотонным [68]. В 2000 году американский монотонный фондовый портфель не существовал, потому что риск вложений в акции (ожидаемые возможные убытки)
был несоизмеримо выше ожидаемой доходности при сохранении сценария роста рынка. Рациональный портфель того времени . 100% в государственных обязательствах . не был выдержан ни в одном из пенсионных фондов, ни в одной инвестиционной компании Америки. Можно списать это только на эйфорию инвесторов, частных и институциональных, на их веру в непрерывный и бесконечный прогресс, - и одновременно на неверие простым истинам, вроде золотого правила инвестирования.
Следующая базовая истина . это равновесие инвестиционных предпочтений. Выбор осуществляется по результатам сопоставления уровней эффективности ряда инвестиционных альтернатив. Нарушение равновесия предпочтений влечет переток капитала. Если акции "перегреты", рационально выводить из них капитал, пренебрегая советами аналитиков вроде Эбби Коэн. Чем больше растут активы, находясь в противоречии с рациональными инвестиционными представлениями, тем выше риск их катастрофического падения, тем позже они могут быть включены в монотонный инвестиционный портфель.
Большое значение для рациональных инвестиций
Большое значение для рациональных инвестиций является парадигмальныйпринцип. Различные исторические периоды хапрактеризуются своими
инвестиционными пропорциями. Между отдельными парадигмами пролегает
эпистемологический разрыв [45], который обесценивает для прогноза статистику,
полученную в рамках предыдущей экономической парадигмы. Поэтому
прогнозирование тенденций в рамках новой парадигмы должно опираться на
самостоятельную экспертную модель. В свою очередь, эта экспертная модель
должна содержать в своем составе классификатор состояний исследуемой
рыночной среды (например, классификацию уровней финансовых показателей
корпорации). Разумеется, такая классификация не может быть точной, и поэтому
лучше с самого начала делать ее размытой. Экспертная модель, построенная таким
образом, представляет собой фундаментальный принцип для оценки текущего и
перспективного состояния финансовых систем.
Далее по тексту монографии мы демонстрируем, как выработанные и
озвученные выше принципы научного исследования фондового рынка смогли
воплотиться в методах анализа инвестиционнойпривлекательности фондовых
активов, оптимизации фондового портфеля, прогноза фондовых индексов.
Планирование и финансовые решения в рамках плана
Если сценарии воздействия на финансовую систему являютсямногоступенчатыми, процессными, то в ходе исследования финансвых результатов
строится дерево решений [15, 85]. Построение дерева решений влечет
«ращепление» исходных вероятностей возникновения сценариев на вероятности
подсценариев, вложенных в базовый. Тогда результирующее вероятностное
распределение финансовых результатов восстанавливается по известным
формулам Байеса для полной вероятности.
В финансовом менеджменте особенно широко деревья решений
используются при макроэкономическом моделировании [129] и для оценки
стоимости опционов [124].
1.1.2. Планирование и финансовые решения в рамках плана
В экономической литературе, особенно англоязычной, проводится
достаточно четкое различие между понятиями «план» и «бюджет». Так, Коласс [39]
выделяет три вида планирования: а) стратегическое; б) среднесрочное, или
оперативное; в) краткосрочное, или бюджетное. В.В.Ковалев [38], разграничивая
понятие плана и бюджета, приводит следующую таблицу ключевых различий этих
понятий:
Таблица 1.1. Ключевые различия понятий «план» и «бюджет»
С позиции количественных оценок планирование текущей деятельности
заключается в построении генерального бюджета, представляющего собой систему
систему взаимосвязанных операционных и финансовых бюджетов (рис 1.2, [38]).
рыночные (какой сегмент рынка товаров и услуг планируется охватить,
каковы приоритеты в основной производственно-коммерческой деятельности
компании);

в какой мере деятельность компании
производственные (какие структура производства и технология обеспечатвыпуск продукции необходимого объема и качества);
финансово-экономические (каковы основные источники финансирования и
прогнозируемые финансовые результаты выбираемой стратегии);
социальные ( в какой мере деятельность компании обеспечит удовлетворение
определенных социальных потребностей общества в целом или отдельных
его слоев).
Рис. 1.2. Генеральный бюджет хозяйствующего субъекта
Стратегический план может иметь следующую структуру [7, 8]:

и целевые установки деятельности фирмы
Содержание и целевые установки деятельности фирмы (предназначение истратегическая цель деятельности фирмы, масштабы и сфера деятельности,
тактические цели и задачи).
Прогнозы и ориентиры (прогноз экономической ситуации на рынках
капиталов, продукции и труда, намеченные преспективные ориентиры по
основным показателям).
Специализированные планы и прогнозы (производство, маркетинг, финансы,
кадры, инновационная политика, новая продукция и рынки сбыта).
Интегральная оценка эффективности и рисков стратегического плана
(соотношение инвестиций, ожидаемых прибылей и рисков).
Интересен опыт стратегического планирования компании Siemens Business
Services [148], в которой я сейчас работаю. Компания, имея представительства в 45
странах мира, планирует свою деятельность матричным способом, выделяя
направления оказываемых работ и услуг и на пересечении страны и бизнеса
формируя соответствующие бизнес-подразделения, которые имеют двойное
подчинение: менеджменту страны и менеджменту бизнес-направления.
Соответственно, исходный стратегический план компании разверстывается по
двум направлениям: на региональные стратегические планы и на стратегические
бизнес-планы по направлениям бизнеса. Таким образом, каждое бизнес-
подразделение планирует свою деятельность на пересечении регионального
старатегического плана и плана по направлению бизнеса. Такой подход дает
руководству Siemens Business Services возможность тотального контроля за
деятельностью региональных подразделений, с одной стороны, и за
развертыванием отдельных бизнес-активностей . с другой стороны.
Уровень неопределенности исходных данных, сопровождающий
стратегический план, очень высок. Он имеет макроэкономическую природу и
связан с неточностью определения рыночных сегментов и параметров динамики
развития этих сегментов. Неопределенность в части рыночных сегментов
преобразуется в неопределенность проектной выручки, а та, в свою очередь . в
неопределенность интегральных показателей эффективности проекта, что
сопряжено с риском неэффективности планируемого бизнеса.
Говоря уже о бизнес-планировании, многие в России в первую очередь
вспоминают о методике бизнес-планирования, разработанной под эгидой Комитета
ООНпо промышленному развитию (United Nations Industrial Development
Organization, UNIDO [152]), а также о программе «Альт-Инвест», явившейся
исторически первым российским инструментом для бюджетирования
инвестиционных проектов [84] (разработчик программы К.И.Воронов).
Стандартный отчет о результатах бизнес-планирования должен содержать
следующие основные разделы:
план конкретного проекта обладает меньшим
Вводная часть отчетаОсобенности и состояние выбранной сферы бизнеса
Сущность предполагаемого бизнеса (проекта)
Ожидаемая квота рынка и обоснование ее величины
План основной (производственной) деятельности
План маркетинга
Администрирование
Оценка предпринимательских рисков и их страхование
Финансовый раздел бизнес-плана
Стратегия финансирования проекта.
Разумется, бизнес- план конкретного проекта обладает меньшим количеством
плохо обусловленных данных, нежели стратегический план, но тем не менее
неустранимая неопределенность в части исходных данных и прогнозных оценок
бизнес-плана сохраняется. При этом затратная часть бизнес-плана обладает на
порядок меньшей неопределеннностью, нежели та часть бизнес-плана, которая
касается выручки. Потому что именно за рамками хозяйствующего субъекта, как
указывал Друкер [24], находится ряд источников формирования неопределенности,
что делает невозможным точное предсказание уровня продаж в принципе.
Отсюда следует, что для учета неопределенности в части ожидаемой
выручки бизнес-проекта должны применятьсяспециальные модели и методы. Один
из таких методов изложен нами в [58], где моделирование выручки от продаж
осуществляется с применением аппарата треугольных нечетких функций.
Исполнение планов и бюджетов влечет необходимость принятия ряда
финансовых решений, связанных с управлением капиталом. Так, выполнение
инвестиционного проекта требует мобилизации инвестиционного капитала путем
эмиссии ценных бумаг или привлечения кредитных ресурсов банков;
осуществление годового производственного плана предполагает резервирование
денежных средств на обеспечение потребности в чистом оборотном капитале
(запасы, расчеты с дебиторами и прочее). Примеры можно продолжать.
Успешность финансовых решений напрямую зависит от степени качества
осуществляемого планфактного контроля. Например, собственник проекта,
убеждаясь в его неэффективности в ходе планфактного контроля проекта, может
прервать финансирование инвестиционной программы и выйти из проекта, тем
самым отсекая потенциальные убытки. Менеджер производственного предприятия,
предвидя увеличение спроса на определенныйтовар, может пойти на увеличение
размера складских запасов. Управляющий негосударственного пенсионного фонда,
опасаясь падения цены некоторого фондового актива, может приобрести пут-
опцион на фьючерс по данному базовому активу. Все эти решения влекут
дополнительные затраты, эффект от которых должен быть детально обоснован.
Поэтому, чтобы принимать уверенные финансовые решения в рамках плана
или бюджета, обеспечивая их исполнение, а при необходимости . корректируя
планы и бюджеты, - финансовый менеджер должен непрерывно контролировать
риски, связанные с исполнением плана. Это возможно лишь в ходе оперативного
моделирования финансовых решений и финансового анализа их последствий, в том
числе оценки ожидаемости того, что принимаемые решения могут вызвать
немедленные или отложенные убытки.
Предпосылки для построения метода рейтинга
Как и в [53], необходимо предварить описание метода рейтинга облигацийкачественной экспертной моделью российского рынка, на основании которой будет
совершаться выбор показателей для оценки и их ранжирование.
Как мы хорошо знаем, дефолт вызывается кризисом ликвидности активов,
когда ликвидных активов недостаточно для того, чтобы обслужить неотложные
обязательства. Поэтому фактор ликвидности (Х2) эмитента мы полагаем
основным. Ликвидность может быть оценена по-разному, но по укрупненному
балансу предприятия возможен лишь анализ общей ликвидности как
обеспеченности краткосрочных обязательств оборотными активами.
Во вторую очередь следует рассматривать факторы, характеризующие
финансовую устойчивость. Соотношение собственных и заемных средств в
структуре пассивов предприятия (коэффициент автономии Х1) является
ключевым фактором для анализа. Существуют определенные проблемы в
использовании этого показателя в финансовом анализе. Они связаны с тем, что
очень часто ликвидность собственных средств предприятия низка (из-за
необоснованных переоценок стоимостиосновных средств, например). Тем не
менее в передовых компаниях ведется активная работа по техническому
перевооружению производства, со списанием устаревших фондов, и при таком
подходе коэффициент автономии является действительно содержательной
характеристикой финансовой устойчивости эмитента.
В третью очередь мы берем в рассмотрение факторы эффективности работы
эмитента. Чем прибыльнее бизнес, тем больше источников на покрытие долгов, и
тем, соответственно, ниже риск дефолта. На эффективность бизнеса мы смотрим с
трех точек зрения:
Х3 - Оборачиваемость активов. Чем быстрее оборачиваются активы, тем
меньше дефолтный риск, связанный с неэффективным использованием
основных средств (эффективное управление активами предполагает
отсечение неэффективных затрат на использование инвестированного
капитала);
Рентабельность затрат. Чем больше маржинальная
Х4 - Рентабельность затрат. Чем больше маржинальная прибыль, темустойчивее бизнес, и тем меньше риск текущих убытков из-за оперативного
изменения конъюнктуры продаж;
Х5 - Рентабельность активов. Характеризует эффективность инвестиций,
сделанных в активы предприятия.
Далее мы выстраиваем систему предпочтения одних факторов другим, исходя
из нашего опыта анализа риска банкротства эмитентов (материал главы 3
настоящей диссертационной работы). Представляется, что шкала предпочтений
факторов должна иметь следующий вид:
Ликвидность Финансовая устойчивость Эффективность бизнеса эмитента.
(2.19)
С точки зрения факторов оценки система предпочтений (2.19) приобретает вид:
Информации, заключенной в (4.20), достаточно нам для того, чтобы перейти
непосредственно к рейтингу облигаций.
2.4.4. Исходные данные для рейтинга
В таблицу П4.1 Приложения 4 к настоящей книге сведены значения
анализируемых факторов по состоянию на конец 2 квартала 2002 года, по ряду
эмитентов первого и второго эшелонов. Названия эмитентов в табл. П4.1
представлены кодами (тикерами), принятыми в торговых системах России (РТС,
ММВБ).
Обозначения:
А . активы по балансу, млрд. руб, в том числе: а1 . внеоборотные активы; а2
. оборотные активы;
L . пассивы по балансу, млрд. руб, в том числе: l1 . капитал и резервы; l1 .
долгосрочные обязательства; l3 . краткосрочные обязательства;
S . выручка за квартал (без НДС), млрд. руб;
C . себестоимость производства за квартал, млрд. руб;
ОM . прибыль (убыток) от продаж за квартал, млрд. руб;
EBIT . балансовая прибыль (убыток) за квартал, млрд. руб;
Pr . чистая (нераспределенная) прибыль (убыток) за квартал, млрд. руб.
Порядок оценки финансовых параметров, необходимых для анализа:

Исходные значения факторов по выделенному
2.4.5. Методика рейтингаИсходные значения факторов по выделенному перечню облигаций сведены в
таблицу П4.2.
2.4.5.1. Нечеткий классификатор уровня факторов
Проведем нечеткую классификацию параметров. Для этого введем
лингвистическую переменную «Уровень фактора Х» с терм-множеством
значений «Высокий уровень фактора», «Средний уровень фактора», «Низкий
уровень фактора». Предполагается, что определения «низкий, средний, высокий»
относятся к уровню инвестиционной привлекательности акции применительно к
выбранному фактору.
Предшествующий опыт кластеризации на основе гистограмм распределения
факторов [69], построенных при сводном анализе широкого перечня эмитентов
ценных бумаг, приводит нас к результатам, котороые сведены в таблицу П4.3.
Поскольку все факторы по построению являются относительными
характеристиками, то они выражены в процентах.
2.4.5.2. Классификация факторов с оценкой рангов
Проведем классификацию полученных значений факторов, т.е. сверим
таблицы 2 и 3. Результат сопоставления приведен в таблице П4.4.

Предпосылки для построения метода скоринга
Как и в [64], необходимо предварить описание метода скоринга качественной экспертной моделью российского рынка, на основании которой будет совершаться выбор показателей для оценки и их ранжирование.В первую очередь надо отметить, что, как и в случае американского рынка акций, ключевым фундаментальным индикатором оцененности акции выступает отношение цены акции к доходам по ней в годовом выражении (P/E), в долях. При этом, для повышения надежности оценки, здесь и далее используются интегральные средневзвешенные оценки факторов (ТТМ).
Во вторую очередь следует рассматривать факторы, свидетельствующие о риске дефолта эмитента. Мы для оценки выбираем два фактора: капитализацию эмитента (Cap) в миллионах долларах США и обеспеченность оборотных активов собственными средствами предприятия (Liquidity), в долях. Мы не оцениваем надежность эмитентов по факторам финансовой автономии, т.к. считаем эту оценку малоинформативной, в силу особенностей учета внеоборотных активов на балансе предприятия и существующих методов их переоценки. Именно чистый оборотный капитал (ЧОК), участвующий в расчетах коэффициента обеспеченности, представляется нам наиболее представительным фактором для анализа. Отрицательное значение ЧОК свидетельствует о повышенном риске эмитента не справиться со своими текушими финансовыми обязательствами, что чревато невыплатой дивидендов, потерей управляемости, и, наконец, повышает риск банкротства.
В третью очередь мы берем в рассмотрение факторы, соотносящие цену акций и продажи, а также собственный капитал, в расчете на одну акцию (факторы P/S и P/B соответственно, в долях). Эти факторы, хорошо известные в мировой практике финансового анализа, оценивают, насколько эффективно работает предприятие, с одной стороны, и насколько "раздут" его капитал по отношению к стоимости собственных средств предприятия, с другой стороны. На этом же шаге анализа мы рассматриваем факторы рентабельности предприятия . рентабельность активов, собственного капитала и инвестированного капиталов (факторы ROA,
ROE и ROIC соответственно, в процентах годовых).
Далее мы выстраиваем систему предпочтения одних факторов другим,
исходя из нашего опыта скоринга акций. Мне представляется, что шкала предпочтений факторов должна иметь следующий вид:
Ожидаемая доходность вложений в акции Надежность эмитента Текущая эффективность работы эмитента. (2.9)
В такой системе предпочтений учтено то, что вложения в российские акции с мировой точки зрения . это заведомо рискованные вложения, и риск дефолта (фактор надежности) большей частью учтен инвесторами уже на страновом уровне (на шаге выбора страны для инвестиций) и волнует инвесторов во вторую очередь.
Прежде всего инвестор рассчитывает на спекулятивный рост курсовой цены акций,
на их перманентную недооцененность. И с этой точки зрения фактор P/E является главным в анализе.
Тем не менее, фактор надежности
Тем не менее, фактор надежности не сбрасывается со счетов вовсе. Переходя от странового риска к частному риску дефолта эмитента, инвестор предпочтетиметь дело с компаниями, которые находятся на подъеме и занимают ощутимую долю на рынке. Отсюда роль капитализации и ликвидности в оценке.
Инвестор также понимает, что в долгосрочной перспективе курсовой рост может быть обеспечен только успешной устойчивой работой предприятия. И с этой точки зрения факторы эффективности занимают в анализе третье место.
С точки зрения факторов оценки система предпочтений (2.9) приобретает вид:
Информации, заключенной в (2.10), достаточно нам для того, чтобы перейти непосредственно к скорингу акций.
2.3.5. Исходные данные для скоринга В таблицу П3.1 Приложения 3 к монографии сведены значения анализируемых факторов по состоянию на 11 февраля 2002 года.
2.3.6. Методика скоринга 2.3.6.1. Построение гистограмм распределений факторов Построенные на основании данных таблицы П3.1 гистограммы распределения факторов скоринга представлены на рис П3.1. П3.8.
Построенные гистограммы не отображают статистику факторов, в силу существенной неоднороднорсти их случайных значений, а могут быть интерпретированы как квазистатистика. То есть мы не настаиваем на однородности собранных данных, но указываем на то, что в первом приближении, на уровне страны, эти данные могут рассматриваться и анализироваться совместно,
безотносительно отраслевой классификации эмитентов.
Основы теории нечетких множеств
П1.1. Носитель Носитель U . это универсальное множество, к которому относятся все результаты наблюдений в рамках оцениваемой квазистатистики. Например, если мы наблюдаем возраст занятых в определенных отраслях экономики, то носитель .это отрезок вещественной оси [16, 70], где единицей измерения выступают годы жизни человека.
П1.2. Нечеткое множество Нечеткое множество А . это множество значений носителя, такое, что каждому значению носителя сопоставлена степень принадлежности этого значения множеству А. Например: буквы латинского алфавита X, Y, Z безусловно принадлежат множеству Alphabet = {A, B, C, X, Y, Z}, и с этой точки зрения множество Alphabet . четкое. Но если анализировать множество "Оптимальный возраст работника", то возраст 50 лет принадлежит этому нечеткому множеству только с некоторой долей условности , которую называют функцией принадлежности.
П1.3. Функция принадлежности Функция принадлежности А(u) . это функция, областью определения которой является носитель U, u U, а областью значений . единичный интервал [0,1]. Чем выше А(u), тем выше оценивается степень принадлежности элемента носителя u нечеткому множеству А.
Организация: Управление - Планирование - Cтатистика
- Теория организации
- Управление организацией
- Культура организации
- Управление системой
- Методы управления системой
- Процесс планирования
- Финансы при планировании
- Планирование производства
- Теория планирования
- Structure CAD и планирование
- Планирование в Data Mining
- Статистика
- Статистический анализ
- Виды статистики
- Статистические данные
- Статистические измерения
- Статистические графики
- Российская статистика
- Статистика в SPSS
- Программирование статистики