Бандурин - Финансовая стратегия корпорации
Сложившаяся в настоящее время в России экономическая ситуация стала благоприятной основой для зарождения и функционирования новых организационных форм хозяйствования, основой деятельности которых является четкое законодательное и экономическое распределение функций между хозяином и управляющим. В то же время реальная ситуация такова, что без слияния производства и финансовых капиталов предприятиям все труднее выдержать требования постоянно усиливающейся конкурентной борьбы.
Поэтому объективно складывается тенденция укрупнения хозяйствующих субъектов и их естественного отбора с целью приспособления к окружающей среде [1].
Одним из реальных воплощений данной тенденции являются финансово-промышленные объединения корпорации. Формирование этих сложных по своей структуре новообразований, которые за рубежом давно превратились в становой хребет общехозяйственного устройства, объясняется глубоким взаимопроникновением различных видов хозяйственной деятельности, объединенных воспроизводственными процессами.
Таким образом, корпорации являются в нашей экономике адаптационной реакцией горизонтально и вертикально взаимосвязанных подразделений на введение рыночных отношений [28].
Руководящие органы корпорации имеют возможность компетентно и, что самое главное, оперативно осуществлять прямые управляющие воздействия на целые блоки взаимосвязанных производств, адекватно реагируя на изменение потребностей и перемены в окружающей среде, и, таким образом увеличивая гибкость управления народным хозяйством в целом.
Концентрация в корпорациях значительных организационных, технологических и интеллектуальных ресурсов, а также научно-производственного потенциала должна создать предпосылки для наращивания объемов инвестиций в разработку и производство высокоэффективной и конкурентоспособной продукции [30].
Однако, сложившаяся в настоящее время экономическая ситуация [7] обнаруживает ряд проблем при создании благоприятного финансового, инвестиционного и кредитного климата в рамках корпораций, а именно:
♦ограниченные бюджетные возможности государства по поддержке новых экономических структур;
♦отсутствие в России достаточного объема свободных финансовых ресурсов, необходимых для создания насыщенного рынка капиталов;
♦нежелание абсолютного большинства коммерческих банков финансировать долгосрочные проекты.
С другой стороны в настоящее время в России создан и быстро развивается рынок краткосрочных ссудных капиталов. Основными субъектами этого рынка являются банки, которые выполняют исключительно важные функции для экономики страны: аккумулирование временно свободных денежных средств и предоставление их в кредит.
В этой обстановке возникает необходимость определения целей и долгосрочного планирования поведения корпораций на финансовом рынке, чему и посвящена настоящая работа.
Проблемы формирования финансовой стратегии корпорации
Основополагающие аспекты деятельности корпорации
В период реформирования советской, а затем российской экономики термины корпорация, корпоративное управление стали все чаще использоваться в средствах массовой информации и в литературе, постепенно формируя представление о системе управления, принятой корпорациями, как об одном из магических способов эффективного управления и вывода российских предприятий из кризиса. Наряду с этим, активное взаимодействие с зарубежными партнерами заставило российских управленцев изучать опыт корпораций передовых стран, а разрабатываемое российское законодательство породило много вопросов и сомнений по этому поводу.
Прежде всего рассмотрим определение корпорации. Наиболее полное определение можно найти в Большом коммерческом словаре: Корпорация широко распространенная в странах с развитой рыночной экономикой форма организации предпринимательской деятельности, предусматривающая долевую собственность, юридический статус и сосредоточение функций управления в руках верхнего эшелона профессиональных управляющих (менеджеров), работающих по найму.
Из этого определения вытекает обязательность наличия как минимум нескольких принципиальных условий для успешного функционирования корпорации [17]: развитость экономики, освоенное населением предпринимательство, сосуществование различных форм собственности (защищаемых государством и уважаемых населением), достаточное количество профессиональных управляющих (менеджеров). Поэтому без выполнения этих условий и до тех пор, пока в масштабах государства (отдельного региона) или в отдельной отрасли не будут созданы необходимые нормативные и экономические предпосылки для успешной деятельности корпораций, говорить об эффективной реализации принципов корпоративного управления преждевременно.
В этой связи, обобщение накопленного за годы экономических реформ опыта поможет, на наш взгляд, понять суть происходящего в российской корпоративной среде. Несмотря на относительную непродолжительность процесса перераспределения собственности в России уже можно выделить определенные этапы формирования структур корпоративного управления, выявить истоки ошибок и заблуждений и предложить пути их преодоления.
Этапы становления корпоративного управления
На различных этапах развития экономики России закладывались предпосылки создания эффективной корпоративной среды, но в то же время возникали определенные противоречия в системах корпоративного управления, с которыми приходится иметь дело на практике и в настоящее время. Каждый этап олицетворяет новую стадию понимания руководством страны экономических проблем и выработки путей их решения, поэтому границы этапов условны и могут быть сдвинуты в любую сторону в соответствии с применяемыми критериями.
На наш взгляд временные рамки и ключевые проблемы каждого из этапов могут быть описаны следующим образом.
Период до 1987 года: экономические методы централизованного управления показали свою несостоятельность; отчуждение большинства работников от реального участия в управлении побудило многих попробовать себя в зарождающемся мелком кооперативном бизнесе или индивидуальном предпринимательстве, а отсутствие четкой законодательной базы и знаний практической экономики быстро привело многих к краху иллюзий быстрого обогащения; корпоративность как система управления производством все больше отождествлялась с клановостью партийно-номенклатурной элиты и вызывала противоречивое отношение начинающих предпринимателей.
Корпоративная среда в этот период была похожа на систему партийно-хозяйственных активов: все ключевые посты на предприятиях распределялись не в соответствии с профессионализмом управляющих, а по старым партийно-номенклатурным связям. Это было вызвано, на наш взгляд, тремя причинами [21]:
♦отсутствие отечественных высококвалифицированных независимых управляющих на рынке труда;
♦неготовность предприятий высоко оплачивать квалифицированный труд зарубежных управляющих;
♦остатки тоталитарного мировоззрения в обеих системах и, в связи с этим, низкое желание взаимопроникновения накопленного опыта между странами с развитой рыночной экономикой и странами бывшего социалистического лагеря.
Период с 1987 года по 1991 год: центробежные силы уверенно вели к распаду монополизированной и централизованной организации хозяйства; поощряемая самостоятельность и разрешенная аренда предприятий побудили директорский корпус к поэтапному подчинению предприятий группам работников, разделявшим позицию первых руководителей, то есть корпоративность приобретала оттенок лояльности власти; предусмотренное законодательными нормами участие коллективов в управлении предприятиями через советы трудовых коллективов не получило развития в силу неподготовленности работников к эффективному участию в управлении и нежелания руководителей делиться властью. В этот период закладывались основы корпоративности директорского корпуса и структур, приближенных к партийно-номенклатурным органам управления, но уже появились ростки нарождающейся корпоративной среды. Помимо промышленности в России появился и начал развиваться банковский и страховой капитал.
Появились источники и первые инструменты накопления капитала.
Период с 1991 года по 1994 год: активная чековая приватизация, в ходе которой произошло первичное перераспределение собственности среди директорского корпуса и сформированных финансово-банковских структур; участие в приватизации было возможно прежде всего через открытое и скрытое сотрудничество с администрацией регионов и Госкомимущества; создаваемые в ходе приватизации на базе крупных государственных предприятий акционерные общества уже можно было относить к корпорациям, но неразработанность акционерного права, недооцененность имущества, а также неподготовленность персонала предприятий сводили корпоративное управление к традиционным методам управления, которые в исполнении непрофессиональных менеджеров приводили к дальнейшему развалу предприятий и банкротству. В то же время начал складываться определенный корпоративный стиль взаимоотношений отдельных структур, таких, как банковский капитал, нефтегазовые предприятия и другие, когда на смену государственным органам управления приходят самоуправляемые компании.
Отчужденность же большинства населения от активных процессов участия в управлении собственностью, потеря рабочих мест и экономическая безграмотность сформировали негативное отношение ко всем процессам реформирования экономики.
Но именно в этот период были заложены основы настоящей корпоративности среди новых предпринимательских структур, созданных молодыми (образованными, честолюбивыми) предпринимателями, у которых было только два пути: или войти в кооперацию с бывшими государственными структурами, или противопоставить им цивилизованный бизнес, основанный на опыте зарубежных корпораций. К тому же на принимаемые в корпорациях решения начало влиять уже полученное качественное зарубежное образование в новых для российской экономики сферах: на финансовом и фондовом рынке, на рынке обязательств, в маркетинге, менеджменте.
Активное взаимопроникновение западных и российских корпораций, совместная работа на российском фондовом рынке неизбежно подталкивали российские корпорации к пониманию особенностей корпоративного управления.
Период с 1994 года по настоящее время: денежная приватизация в условиях принятия законов об акционерных обществах, о рынке ценных бумаг, Гражданского кодекса РФ, уточнения законодательства о приватизации. Активно формируется инфраструктура рынка: инвестиционные компании и фонды, депозитарии и регистраторы, паевые инвестиционные фонды, страховые компании, аудиторские и консалтинговые компании, пенсионные фонды и др.
Крупные зарубежные компании открывают в России свои филиалы, представительства или создают совместные фирмы.
Основная тяжесть проблемы привлечения инвестиций перемещается с федерального центра на регионы. Региональные власти принимают местные законы об образовании страховых фондов для привлечения инвестиций, а объектом купли-продажи в соответствии с принятыми региональными законами становится земля и другие объекты недвижимости.
На этом фоне проявляется слабая подготовленность российских менеджеров, особенно высшего эшелона управления, к выбору стратегии развития, привлечению капиталов и инвестиций, удержанию и завоеванию рынков сбыта, учету истинной мотивации партнеров по бизнесу. Все это приводит к дальнейшему перераспределению собственности, но уже на фоне понимающих свои права акционеров.
Коррупция и беспредел теневого капитала заставляют высший менеджмент выбирать одно из двух направлений: либо входить в контакт с мафиозными структурами и постепенно терять управление, либо строить такую систему корпоративных отношений, которая позволяла бы сохранить и себя, и собственность.
Корпоративное управление строится на базисе отработанных и действенных норм в сфере финансов, ценных бумаг, управления, трудовых взаимоотношений, контрактных обязательств, договорной деятельности, организационных структур, маркетинга. При наличии базовых государственных документов и накопленного опыта можно строить систему корпоративных отношений на уровне конкретной корпорации, задавая таким образом ориентиры для всей российской экономики.
В каждом конкретном случае корпорация в лице ее высшего менеджмента (а в условиях России это пока сами собственники) делает выбор в пользу постепенного включения работников в систему деловых взаимоотношений в сфере собственности вместо жесткого управления наемным персоналом. Это представляет важнейшую тенденцию в становлении и формировании нормальных корпоративных отношений.
Баланс интересов
Многолетняя противоречивая практика работы корпораций дала аналитическим и консалтинговым фирмам очень большой материал для обобщения и выработки единых норм и рекомендаций по корпоративному управлению. Так, в США в 1992 году подготовлены Американским институтом права Принципы управления корпорациями. Регулярно готовит предложения Круглый стол по вопросам бизнеса.
Все это создает определенную упорядоченность в понимании сути корпоративных отношений и интересов самых разнообразных структурных категорий общества. В процессе функционирования корпораций в ее корпоративную среду вовлекаются тем или иным способом различные категории людей, поэтому руководство корпорации в процессе принятия решений должно учитывать интересы таких экономических составляющих общества как:
Потребители, которые требуют к себе самого пристального внимания со стороны корпорации. Без потребителей она просто не сможет существовать. Потребители хотят получить от нее качественные товары и услуги, приемлемые цены, хорошее обслуживание и правдивую рекламу. Если корпорация не стремится направить силы на удовлетворение потребностей потребителей, то это можно назвать главным стратегическим просчетом корпорации, из-за которого ее может постичь неудача как в долгосрочном, так и в краткосрочном периоде.
Это обусловлено тем, что отношение общества к корпорации в значительной степени формируется в точках продажи товаров и услуг.
Служащие, суть отношений которых с корпорацией переходит от обычных требований справедливой оплаты труда и к другим аспектам взаимоотношений работодателя с работником: равенство возможностей, защита здоровья на рабочем месте, финансовая безопасность, невмешательство в личную жизнь, свобода самовыражения и обеспечение соответствующего уровня жизни.
Местное население, на которое корпорации оказывают наибольшее воздействие в процессе производства. Именно здесь от них ждут непосредственного участия в решении местных проблем: образование, организация транспорта, условия для отдыха, система здравоохранения, решение проблем окружающей среды.
В России где много градообразующих предприятий эта проблема особенно актуальна, поэтому именно здесь корпорации прежде всего должны объяснять суть и характер своей деятельности.
Общество в целом, на которое корпорации оказывают воздействие на национальном и международном уровне. Их деятельность оказывается объектом пристального внимания различных групп и организаций, включая академические круги, правительственные структуры и средства массовой информации. От корпораций ждут участия в решении проблем национального и международного масштаба.
В то же время их первой и главной обязанностью перед обществом является забота о поддержании собственной экономической жизнеспособности в качестве производителя товаров и услуг, в качестве нанимателя и создателя рабочих мест. Одной из главных мировых проблем, особенно в настоящее время, является проблема экологической безопасности производства.
Поставщики, большую часть которых составляют, как правило, малые предприятия, ожидающие от сотрудничества с крупными компаниями справедливых торговых отношений и своевременных платежей. Взаимоотношения крупных корпораций и их поставщиков являют собой важное звено любой экономической системы, так как само существование малого бизнеса зависит от честного отношения к нему со стороны корпораций.
Акционеры вступают с корпорацией в особые отношения: они делают возможным само существование корпорации как поставщики рискового капитала, необходимого для ее возникновения, развития и роста. Интересы акционеров должны учитываться во всех важнейших действиях общества. То есть, корпоративная среда представляет собой область взаимодействия корпорации как объекта с теми, на кого она может в силу своих возможностей оказывать влияние (рис.
1.1).
Во всех принципиальных решениях корпорации должен быть достигнут баланс интересов участников корпоративных отношений, что повышает их важность и значимость. В этих целях крупные корпорации, как правило, разрабатывают и утверждают следующий примерный перечень документов, регламентирующих правила взаимоотношений и устанавливающих структуру в рамках корпоративной среды [17]:
♦кодекс поведения;
♦рекомендации по оплате и вознаграждениям служащим, обеспечению равных прав для служащих, невмешательство в их частную жизнь, свободу самовыражения;
♦нормы и правила, касающиеся охраны окружающей среды, обеспечения здоровья и безопасности на рабочем месте;
♦нормы и правила, предписывающие постоянную заботу о повышении качества производимых товаров и услуг, проведение приемлемой политики ценообразования, а также соблюдение этических аспектов рекламной деятельности;
♦нормы и правила, определяющие приоритеты благотворительной деятельности корпорации;
♦программы информирования, подготовки и обучения менеджеров проблемам корпоративных отношений.
Все это составляет весьма важную часть корпоративного права, представляющую интерес и для формирующейся системы корпоративных взаимоотношений, складывающихся в России. Естественно, что западный опыт не панацея от всех наших проблем. Применительно к российским условиям необходимо учитывать особенности как экономического, так и социального развития общества, мировоззрение большинства обывателей, уровень готовности наших граждан к восприятию норм корпоративной культуры.
Без таких поправок западные рекомендации по корпоративному управлению могут показаться изысками пресыщенных бизнесменов, неприменимыми к нашей реальности. С другой стороны, в этих рекомендациях просматривается очень сильный коллективистский дух социализма, что также мало способствует восприятию лучших и эффективных методов и систем.
Цели и структура
Прежде чем рассматривать тенденции развития российского корпоративного управления на ближайшую перспективу начало ХХI века рассмотрим пути возможного безболезненного вхождения корпораций в систему нормального корпоративного управления. Для этого высшему менеджменту корпораций предстоит выполнить большой объем разносторонней, многоплановой работы, основанной на требованиях современного менеджмента, маркетинга, бизнеса. Эта работа состоит из следующих основных этапов [3]:
♦строгое определение целей деятельности корпорации и способов мотивации ее собственников;
♦реструктуризация корпорации до уровня самоуправляемых структур под контролем собственников;
♦выбор организационной структуры, адекватной поставленным целям: сбыт продукции, производство, инновации, маркетинг;
♦разработка единых принципов работы корпорации в виде миссии, философии или иного основополагающего документа;
♦изменение философии оплаты труда персонала, особенно высших менеджеров.
Переходя от марксистского принципа справедливой оплаты по труду к оплате труда, учитывающей реальный вклад каждого работника как в получение текущей прибыли, так и в формирование капитализированной прибыли корпорации, мы сталкиваемся с проблемой личной заинтересованности акционеров. Если пакет акций значителен, то и влияние акционера весомо в принятии решений и доля прибыли, распределяемая по итогам финансового года, значительна.
Если же пакет акций незначителен, то мотивация сдвигается в область получения высокой оплаты за итоги работы. Поэтому реальная система оплаты труда в корпорациях должна учитывать три компонента [8]:
♦прямая оплата труда за выполняемую работу на основе контракта;
♦доход от доли акций по итогам финансового года;
♦дополнительные выплаты и льготы (бонусы), определяемые в каждой корпорации внутренними документами.
При такой схеме оплаты труда высшие менеджеры должны получать суммарно высокий доход, стимулирующий к интенсивному труду, к увеличению доли принадлежащей им капитализированной прибыли, к расширению социальных выплат и гарантий в корпорации. Этот путь естественным образом снимет имеющиеся в России противоречия между высокой оплатой труда высших менеджеров корпораций и результатами работы самих корпораций.
Организация единой финансовой, инвестиционной и кредитной деятельности
Развитие корпораций сегодня напрямую зависит от правильно организованной финансовой деятельности и в ее рамках кредитной и инвестиционной деятельности. Поскольку реструктуризация корпораций и создание самоуправляемых структур приводит к взаимодействию большого количества юридических лиц, высший менеджмент корпорации должен спроектировать принципы финансовой и инвестиционной и кредитной стратегии на основе следующих крупных целей [42]:
♦консолидация структурных подразделений корпорации в отношении налогов;
♦создание дополнительных производственных мощностей в результате слияния предприятий;
♦проникновение через посредничество корпорации в производство и сбыт различных товаров;
♦проведение единой политики и осуществление единого контроля за соблюдением общих интересов корпорации;
♦ускорение процесса диверсификации;
♦организация внутренних инвестиционных потоков;
♦централизация участия в капитале других предприятий и др.
Кредитная стратегия корпорации должна быть ориентирована прежде всего на оптимизацию мобилизуемых ресурсов за счет привлечения капиталов путем выпуска и работы с ценными бумагами, активного взаимодействия с зарубежными фондами и организациями, использования оффшорных и свободных экономических зон, аккумулирования средств работников корпораций в негосударственных (может быть и учрежденных в рамках корпорации) пенсионных фондах, страховых компаниях, в депозитах банков и финансовых компаний, а также в капитале предприятий-участников корпорации. Таким образом, успешная финансовая деятельность корпорации обусловлена как своевременными и правильными решениями высшего менеджмента в текущей работе, так и в вопросах стратегии, которая должна разрабатываться не только на основе внутренних условий корпорации, но и с учетом влияния существующей финансовой системы, сложившейся в России на данном этапе.
Место финансовой стратегии в общей стратегии корпорации
Выработка стратегии развития корпорации обеспечивает эффективное распределение и использование всех ресурсов: материальных, финансовых, трудовых ресурсов, земли и технологий и на этой основе устойчивое положение на рынке в конкурентной среде.
В этой связи, в первую очередь необходим переход от реактивной формы управления (принятие управленческих решений как реакции на текущие проблемы) к управлению на основе анализа и прогнозов.
Выработка стратегии корпорации осуществляется на основе проведенных прогнозов развития рынков выпускаемой продукции, оценки потенциальных рисков, проведенного анализа финансово-хозяйственного состояния и эффективности управления корпорацией, а также анализа сильных и слабых сторон корпорации (рис. 1.2) [4, 26].
Поведение на рынке
Формирование стратегии поведения на рынке включает определение следующих параметров [18]:
♦регион или территория, на которую направлен сбыт, степень географической дифференциации сбыта;
♦доля рынка, которую предполагается занять;
♦группа потребителей, на которую направлен сбыт;
♦определение связи продукт - рынок в качестве основы концепции маркетинга (выбор между дифференциальным и нишевым маркетингом);
♦базовая ценовая стратегия (лидерства по издержкам, дифференциации, ниши и т.д.);
Финансирование за счет выпуска акций
На практике применяют 4 метода финансирования портфеля [16]:
♦финансирование за счет выпуска акций;
♦ссудное финансирование;
♦финансирование за счет собственных фондов;
♦правительственная помощь;
♦комбинированный.
Как правило, на практике финансирование осуществляется на основе оптимального, минимизирующего затраты сочетания перечисленных методов, то есть комбинированного.
Финансирование за счет выпуска акций
Привлечение инвестиционных ресурсов через выпуск ценных бумаг может осуществляться в форме денежных вкладов, оборудования, технологий, а также в форме экономического обоснования проекта или права использования национальных ресурсов, если акционером является правительственная организация.
Основной объем акционерных инвестиций поступает от участников инвесторов в ходе первоначального наполнения инвестиционного портфеля, хотя могут производиться вклады в форме подчиненных кредитов уже в ходе функционирования портфеля.
Потенциальными покупателями выпускаемых акций могут стать:
♦внешние инвесторы, заинтересованные в окупаемости вложенных средств, получении налоговых выигрышей, приросте стоимости вложенного капитала, а также в получении фиксированного инвестиционного дохода;
♦спекулянты, заинтересованные в перепродаже акций эмитента после повышения их курсовой стоимости при условии успешной инвестиционной деятельности эмитента;
♦заказчики, заинтересованные в продукции, производимой в результате реализации реального инвестиционного проекта и ввода в эксплуатацию мощностей.
Для привлечения крупных объемов финансовых ресурсов, необходимых для осуществления крупномасштабных инвестиций (приобретение крупного пакета акций, строительство недвижимости), могут быть использованы средства частных лиц и общественности. При этом выпуск акций совмещается с выпуском долговых обязательств.
Акционерные инвестиции являются предпочтительным источником финансирования, так как это дает возможность перенести на более поздние сроки выплату основных сумм погашения задолженности, когда возрастает способность портфеля генерировать доходы. Кроме того, в этом случае появляется возможность маневрирования временно свободными инвестиционными ресурсами.
Ссудное финансирование
Источниками ссудного финансирования могут быть [40]:
♦долгосрочные кредиты у самостоятельных или входящих в группы банков;
♦кредиты в государственных учреждениях;
♦долговые обязательства общественности;
♦частное размещение долговых обязательств.
Выбор варианта ссудного финансирования основывается на результатах анализа финансового рынка и условий функционирования инвестиционного портфеля: оптимальной структуре финансирования, возможностях портфеля и входящих в него инвестиционных ценностей обеспечивать погашение кредитов и выплату процентных ставок.
При этом процентные ставки могут быть фиксированные или скользящие, т.е. изменяющиеся в зависимости от периода кредитования.
Альтернативный выбор скользящих или фиксированных процентных ставок определяется чувствительностью макроэкономических показателей финансового рынка к изменению этой ставки, а также получаемой потенциальной экономией (если рынок характеризуется нормальной, повышающейся кривой процентных доходов).
Потенциальная экономия рассчитывается как разность между текущими повышенными суммарными затратами на выплату фиксированных процентных ставок долгосрочного кредита и текущими пониженными суммарными затратами на выплату скользящих процентных ставок.
Сроки истечения долговых обязательств также могут быть определяющим фактором, поскольку при скользящих процентных ставках они часто бывают короче, чем при фиксированных или при изменяющихся процентных ставках до истечения срока долгового обязательства.
Привлекательным источником кредитов с фиксированной процентной ставкой могут быть общественные фонды.
Правительственная помощь
Правительство может предоставлять двухстороннюю финансовую помощь или экспортное кредитное финансирование в реализации проектов с участием иностранных фирм (подрядчиков и поставщиков) или заинтересованных третьих сторон.
Государственные учреждения могут осуществлять эту помощь непосредственно за счет инвестиционных программ через субсидирование или гарантии ссуд либо косвенно, за счет гарантий цен и расширения налоговых преимуществ.
Инвестиционная привлекательность корпорации
Конкуренция как неотъемлемый элемент рыночных отношений предполагает не только определенный экономический динамизм, но и его обратную, негативную сторону стагнацию производства [43]. Условия функционирования любого субъекта рыночных отношений таковы, что ему самому приходится решать проблему привлечения оборотных средств для возобновления нормального процесса функционирования.
В этом случае субъект рыночных отношений становится заемщиком и обращается к другой стороне кредитору.
При размещении денежных средств их владелец всегда стремится обезопасить себя от возможных потерь, которые могут быть вызваны невозвратом вложенных сумм. Возможность потери вложенных средств или их части называется риском невозврата.
Задача кредитора минимизировать вероятные потери (риски). В этой связи для кредитора возникает задача тщательного отбора потенциальных контрагентов.
Известно, что кредитный риск связан с возможностью невыполнения заемщиком своих финансовых обязательств. Наиболее распространенными в практике зарубежных банков мероприятиями, направленными на снижение кредитного риска являются [35]:
1. Оценка инвестиционной привлекательности заемщика.
В практике зарубежных банков все большее распространение получает метод, основанный на балльной оценке ссудополучателя. Этот метод предполагает определение рейтинга клиента.
Критерии, по которым производится оценка заемщика, строго индивидуальны для каждого банка, базируются на его практическом опыте и периодически пересматриваются.
2. Уменьшение размеров выдаваемых кредитов одному заемщику.
Этот способ применяется, когда банк не полностью уверен в достаточной инвестиционной привлекательности клиента.
3. Страхование кредитов.
Страхование кредита предполагает полную передачу риска его невозврата организации, занимающейся страхованием. Все расходы, связанные со страхованием, как привило, относятся на ссудополучателей.
4. Привлечение достаточного обеспечения.
Такой метод практически гарантирует банку возврат выданной суммы и получение процентов. Приоритет при защите от кредитного риска отдается не привлечению достаточного обеспечения, предназначенного для покрытия убытков, а анализу инвестиционной привлекательности заемщика, направленному на недопущение этих убытков, поскольку ссуда выдается в расчете на то, что она будет возвращена в соответствии с кредитным договором.
5. Выдача дисконтных ссуд.
Дисконтные ссуды лишь в небольшой степени позволяют снизить кредитный риск. Такой способ предоставления кредитов гарантирует как минимум получение платы за кредит, а вопрос о ее возврате остается открытым, если не используются другие методы защиты от кредитного риска.
Для характеристики надежности заемщика используется понятие инвестиционной привлекательности, с помощью которой можно классифицировать заемщиков и разбивать их на группы, в зависимости от целей кредитора. Таким образом, инвестиционная привлекательность это совокупность значений определенных показателей формальной и неформальной оценки различных аспектов деятельности заемщика.
Совокупность показателей, выбираемая для оценки инвестиционной привлектельности, зависит от многих условий, среди которых можно выделить несколько основных:
♦кредитная и коммерческая репутация заемщика;
♦характер деятельности заемщика;
♦сумма кредита;
♦цель кредита.
Репутация заемщика может характеризоваться, прежде всего, его кредитной историей. Кредитная история это автобиография заемщика, характеризующая его предыдущие взаимоотношения с кредиторами. При изучении кредитной истории, основное внимание уделяется репутации предыдущих кредиторов, поскольку народная мудрость гласит: Скажи мне, кто твой друг, и я скажу, кто ты. Если предыдущими кредиторами были солидные банки, активно действующие на кредитном рынке, это говорит в пользу заемщика.
Если кредитором являлся преимущественно один банк, это может насторожить и потребует дополнительной информации. Зачастую, при оценке кредитной репутации заемщика у кредитора складывается определенное мнение о заемщике.
Цель оценки инвестиционной привлекательности не определить положение дел у заемщика, а оценить риск возможного вложения средств. Для решения этой цели в практике кредитора всегда существует система принципов, с помощью которых оценивается инвестиционная привлекательность заемщика.
В связи в вышесказанным, общий порядок оценки инвестиционной привлекательности можно изобразить в виде принципиальной схемы (рис. 3.1), представляющей собой последовательность этапов, выполнение которых способствует снижению риска вложения денежных средств [6].
На первом этапе, независимо от характера предстоящей кредитной сделки, заемщик идентифицируется. Идентификация позволяет четко определить характер деятельности заемщика (коммерческая фирма, банк, частное лицо) и наметить примерный набор показателей для оценки инвестиционной привлекательности.
На втором этапе оценивается кредитная история заемщика и его коммерческая репутация.
Формальные показатели получившие такое название из-за того, что они могут быть рассчитаны по определенным формулам, и имеющие числовое значение рассчитываются на основании данных финансовой отчетности заемщика - юридического лица. Для расчета формальных показателей заемщика - физического лица исходными являются данные о финансовых операциях заемщика. Неформальные показатели могут быть оценены только экспертами, они не имеют формул для расчета и четкого набора исходных данных. Комплексная оценка финансовой отчетности представляет собой структурный анализ деятельности заемщика.
Оценка коммерческой репутации это комплексное экспертное заключение, которое является своего рода рекомендацией о продолжении сотрудничества с заемщиком.
Таким образом, после идентификации заемщика и определения набора формальных и неформальных показателей кредитор переходит к непосредственному расчету и получению экспертного заключения.
Алгоритм расчета и оценки формальных показателей субъектов рынка представлен на рис. 3.2.
С помощью формальных показателей оценивается финансовое состояние субъекта, его финансовые результаты, а также эффективность затрат и ресурсов.
Расчет формальных показателей проводится на основании финансовой отчетности субъекта рынка ссудных капиталов юридического лица. В этой связи, при общем подходе, существуют некоторые особенности расчета формальных показателей, обусловленные, прежде всего, различиями во внешней отчетности.
Поэтому в работе рассмотрены подходы к расчету формальных показателей для юридического лица банка (иного юридического лица, отчетность которого идентична банковской), а также коммерческой фирмы (иного юридического лица с идентичной внешней отчетностью).
Таким образом, под субъектом рынка ссудных капиталов (заемщиком) юридическим лицом в работе понимается такое юридическое лицо, внешняя отчетность которого идентична либо банковской, либо отчетности коммерческой фирмы.
Эмиссионная политика корпорации
В настоящее время российский и международный фондовые рынки открывают большие возможности для привлечения капитала. Множество российских корпораций приступило к размещению своих акций среди международных портфельных инвесторов, ориентированных на получение дохода в долгосрочной перспективе и не претендующих на участие в управлении производством. При этом основными целями формирования вторичного рынка и условий для привлечения капитала являются следующие:
♦создание инструментов регулирования рынка акций корпорации;
♦управление портфелем акций, контролируемым предприятием, для обеспечения финансового дохода;
♦повышение инвестиционной привлекательности акций среди потенциальных российских и зарубежных инвесторов и расширение возможностей по привлечению инвестиций;
♦создание благоприятных условий для размещения ценных бумаг с целью привлечения финансовых ресурсов;
♦завоевание устойчивых позиций на международных рынках капитала;
♦внедрение современных методов стратегического планирования, управления и развития предприятия;
♦получение дополнительных финансовых средств за счет инвестирования в отдельные проекты и от продажи части пакетов акций.
Эффективное использование выгод, вытекающих из статуса открытого акционерного общества, стало возможным в момент появления инвестиционного спроса на акции предприятий разных отраслей [12]. С ростом фондового индекса и увеличением емкости фондового рынка в России инвестиционно-финансовая деятельность предприятия может способствовать модернизации устаревающих основных средств, осуществлению ряда инвестиционных программ, пополнению оборотных средств живыми деньгами. Однако, работа с собственными акциями на фондовом рынке, получение миксимально возможной фининсовой отдачи от этой деятельности будут возможны только после проведения комплекса мероприятий, направленных на создание и развитие вторичного рынки акций. Эти действия будут способствовать повышению интереса инвесторов к ценным бумагам предприятия, и, как следствие, росту их ликвидности и значительному увеличению их стоимости на рынке.
В этой связи может быть сформирована эмиссионная стратегия предприятия на фондовом рынке. Одной из основных задач разработки инвестиционной политики предприятия является определение корпоративных целей и задач с целью выявления долгосрочных производственных и финансовых проблем.
На этом этапе определяется уровень потребностей во внешних инвестициях, разрабатывается стратегия вывода ценных бумаг эмитента на фондовые рынки с учетом корпоративных интересов корпорации.
Итогом вышеуказанных мероприятий может стать Концепция развития ликвидного рынки акций корпорации с учетом долгосрочных и краткосрочных перспектив, утверждаемая Советом директоров.
Проведение предварительной работы
Обязательным условием повышения инвестиционной привлекательности предприятия является комплекс мер, включающий подробное и детальное изучение финансового состояния предприятия, анализ бухгалтерской отчетности, выработку рекомендаций по оптимизации структуры пассивов.
Это также предполагает проведение экспертизы учредительных документов с целью приведения их в соответствие с требованиями законодательства к акционерным обществам.
Ключевым моментом при отработке Концепции развития ликвидного рынка акций является формирование необходимых пакетов акций для выполнения той или иной задачи в процессе вывода ценных бумаг на внутренний и внешний фондовые рынки.
С учетом имеющихся временных и законодательных ограничений комбинированная и согласованная по срокам стратегия формирования рынка акций, как правило, включает в себя следующее основные блоки (рис. 3.3):
Управление пакетами акций и отладка рыночной инфраструктуры
Первым этапом является консолидация пакета акций, целью которой является сохранение контроля над управлением корпорацией и привлечение денежных средств для финансирования проектов. В этой связи возможны следующие варианты:
♦затратный (скупка акций);
♦требующий незначительных затрат (коммандитное товарищество).
Основные характеристики данной организационно-правовой формы следующие:
♦товарищество состоит из полных товарищей и вкладчиков;
♦полные товарищи (юридические лица) организуют товарищество и управляют всеми делами и активами товарищества;
♦вкладчики могут вносить свои вклады как деньгами, так и другим имуществом (например, акциями);
♦вкладчики получают доход по своим вкладам и не принимают участия в управлении делами и активами товарищества;
♦вкладчики могут получить назад свои вклады по окончании финансового года. Форма возврата вклада определяется по соглашению с полными товарищами в соответствии с условиями договора: путем возврата акций или оговоренных денежных средств;
♦в случае внесения вкладов акциями право голоса по ним переходит к товариществу. Оно может заложить данные акции или продать их;
♦доход по вкладам может выплачиваться периодически (например, один раз в квартал);
♦размер вклада не фигурирует в регистрационных документах, а содержится только во внутренних документах товарищества;
♦вкладчики могут вносить свои вклады в течение неограниченного периода времени;
♦количество вкладчиков не ограничено.
Особенностью коммандитного товарищества является то, что с использованием этого инструмента возможно наиболее безболезненно и эффективно перераспределить определенный пакет акций корпорации.
В дальнейшем корпорация осуществляет операции на вторичном рынке в рамках согласованной политики с целью воздействия на курсовую стоимость акций, обращающихся на вторичном рынке, для максимизации прибыли от операций с собственными ценными бумагами (купля/продажа) и создания благоприятных условий размещения дополнительных пакетов акций.
Купля/продажа ценных бумаг на биржевом и внебиржевом рынках в целях его стабилизации и регулирования включает в том числе и консолидацию крупных пакетов акций для их последующего размещения среди инвесторов.
Возможной альтернативой продажи акций является предоставление акций в залог с получением кредита для последующего эффективного управления денежными ресурсами. А также поручение брокерским конторам осуществлять сделки с ценными бумагами предприятия на вторичном рынке в качестве уполномоченного дилера. В этом случае предоставляемые услуги включают:
1. Вхождение в листинг Российской Торговой Системы.
2. Осуществление операций купли-продажи акций предприятия.
3. Проведение согласованной политики по регулированию курсовой стоимости акций.
4. Содействие в консолидации крупных пакетов для последующей его продажи российским и иностранным инвесторам.
Введение акций в листинг Российской Торговой Системы (РТС)
Введение акций предприятия в листинг РТС делает их более известными на российском фондовом рынке, так как листинг РТС включает в себя всех эмитентов с развитым рынком акций.
Обеспечение начала торгов в РТС с участием держателей государственной доли акций
Начало торгов в РТС в рамках второго этапа помимо создания ликвидного рынка акций решит задачу повышения котировок в преддверии размещения пятипроцентного пакета (из госдоли или скупленного у населения за собственные средства). В ходе этого этапа инвестиционная компания может выкупить пакеты крупных держателей акций по заключенным ранее договорам-поручениям, когда рыночная цена достигнет предела, определенного поручителями в указанных договорах.
После укрепления позиций корпорации на российском фондовом рынке как правило следует информационное обеспечение и создание условий для выпусков АДР. В настоящее время одним из основных требований рынка к корпорациям-эмитентам является информационная открытость и доступность.
В частности, необходимы ежеквартальные публикации в специализированных изданиях финансовой отчетности и производственных показателей предприятия, новостей корпорации. Упоминания о производственной и инвестиционной деятельности должны регулярно печататься в ведущих центральных периодических изданиях.
При этом появляется необходимость создавать требуемый имидж корпорации для инвесторов, а также корректировать неблагоприятную конъюнктуру, что приносит средне- и долгосрочные выгоды эмитенту и акционерам в виде повышения курсовой стоимости данных ценных бумаг.
Для инвесторов также необходима подготовка Информационного (аналитического) Обзора предприятия, соответствующего международным стандартам с целью широкого распространения среди операторов фондового рынка, заинтересованных российских и зарубежных финансовых и инвестиционных институтов.
Воздействие на общественное восприятие корпорации может быть эффективным только при регулярном взаимодействии со СМИ. В этой связи необходимо разработать примерный план мероприятий, например:
| Проведение пресс-конференций |
2 раза в год |
| Проведение брифингов по текущим вопросам |
1 раз в квартал |
| Выпуск и распространение пресс-релизов |
1 раза в месяц |
| Выступление на радио и телевидении |
6 раз в год |
| Выпуск и распространение информационного бюллетеня |
1 раз в квартал |
| Интервью представителей высшего руководства корпорации |
не реже 3 раз в год |
Информационное обеспечение инвесторов и проведение маркетинговых мероприятий проводится с целью максимального информирования потенциальных инвесторов о ближайших планах корпорации, ее инвестиционных программах, а также для создания благоприятного имиджа корпорации и ее руководства.
Программа информационного обеспечения инвесторов и маркетинговые мероприятия включают:
♦проведение специальных мероприятий презентаций среди институциональных инвесторов в России и за рубежом;
♦взаимодействие со средствами массовой информации на регулярной основе.
Проведение специальных мероприятий презентаций, приуроченных либо к определенным событиям (размещение нового выпуска акций), либо к маркетинговой политике корпорации, в целом является исключительно важным и действенным инструментом повышения привлекательности корпорации-эмитента и авторитета ее руководства в глазах потенциальных инвесторов. В этой связи одним из важнейших этапов является подготовка Информационного Обзора корпорации с целью информирования инвесторов о финансовом состоянии корпорации и перспективах ее развития.
Информационный Обзор включает в себя следующее:
♦общая информация о корпорации (история, месторасположение...);
♦характеристика производственной деятельности и производственный потенциал (в том числе сравнение с конкурентами);
♦структура управления (в том числе информация о высшем руководстве);
♦структура акционерного капитала;
♦финансовая отчетность и анализ финансового положения;
♦стратегия развития корпорации;
♦стратегия привлечения капитала (новые эмиссии, облигационные займы...);
♦финансовый прогноз.
Для обеспечения инвесторов необходимой финансовой информацией в соответствии с международными стандартами проводится Финансовый аудит и приведение финансовой отчетности в соответствие с международным стандартами. Результаты работы аудиторской компании используются для:
♦подготовки Информационного меморандума, который будет представлен российским и международным инвесторам;
♦пакета документов, необходимых для выпуска депозитарных расписок или получения листинга на международных фондовых рынках.
В этой связи необходимо обеспечить:
♦подготовку информационных материалов:
♦годовые, квартальные отчеты о деятельности корпорации;
♦пресс-релизы, информационные бюллетени, пресс-дайджесты;
♦мониторинг прессы по вопросам, касающимся интересов корпорации;
♦отслеживание материалов по корпорации, появляющихся как в российской, так и в зарубежной прессе, их анализ;
♦начало работ по составлению Обзора с учетом сроков получения и подтверждения финансовой информации;
♦заключение договора с авторитетной рекламной фирмой по разработке и реализации долгосрочной рекламно-информационной программы;
♦обязательное планирование ряда презентаций в Лондоне (Нью-Йорке) для тщательно отобранной аудитории крупнейших институциональных инвесторов, имеющих интерес к России.
Методический подход к оценке эффективности инвестиционного портфеля
ЧД = Д Р,
где
ЧД чистый доход;
Д доходы от инвестиционных ценностей, находящихся в портфеле;
Р расходы, произведенные для получения дохода.
Оценка эффективности осуществляется с помощью вычисления совокупности прямых расчетных показателей или критериев эффективности инвестиционного портфеля. Эти показатели и методы их расчета будут рассмотрены ниже.
Все они имеют одну важную особенность.
Расходы и доходы, разнесенные по времени, приводятся к одному (базовому) моменту времени. Базовым моментом времени обычно является дата, определяемая исходя из характеристик инвестиционной ценности (для финансовых инвестиций дата покупки финансового актива, для реальных дата начала производства продукции, а для интеллектуальных дата начала научной деятельности).
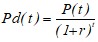
Процедура приведения разновременных платежей к базовой дате называется дисконтированием. Экономический смысл этой процедуры состоит в следующем.
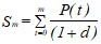
Пусть задана некоторая ставка ссудного процента r и поток платежей (положительных или отрицательных) Р(t), начало которого совпадает с базовым моментом времени приведения. Тогда дисконтированная величина платежа Р(t), выполненного в момент, отстоящий от базового на величину t интервалов (месяцев, лет), равна некоторой величине Рd(t), которая, будучи выданной под ссудный процент r, даст в момент t величину Р(t). Таким образом, дисконтированная величина платежа Р(t) равна [2, 25]:

.
Величина ссудного процента r называется нормой дисконтирования (приведения) или трактуется как норма (или степень) предпочтения доходов, полученных в настоящий момент, доходам, которые будут получены в будущем
При выборе ставки дисконтирования ориентируются на существующий или ожидаемый усредненный уровень ссудного процента. Ставка дисконтирования, используемая в рыночной экономике, в значительной мере зависит от хозяйственной конъюнктуры, перспектив экономического развития страны, мирового хозяйства и является предметом серьезных исследований и прогнозов.
Методический подход к оценке эффективности инвестиционного портфеля
Оценка эффективности инвестиционного портфеля представляет собой определение и вычисление показателей, значения которых позволяют руководству корпорации с определенной вероятностью определить привлекательность той или иной инвестиционной ценности.
Набор показателей зависит от следующих характеристик проекта:
♦совокупная стоимость;
♦срок реализации;
♦планируемое количество элементов инвестиционного портфеля.
Чем выше значение каждой характеристики, тем больше показателей рассчитываются для принятия решения об инвестировании.
Для расчета основных показателей, без которых оценить эффективность инвестирования не представляется возможным, в качестве базового момента приведения разновременных платежей, как правило, берется начальная дата формирования инвестиционного портфеля.
Для оценки эффективности производственных инвестиций в основном применяются следующие показатели [25, 41]: чистый приведенный доход, внутренняя норма доходности, срок окупаемости капитальных вложений, рентабельность проекта и точка безубыточности. Для фондовых инвестиций: доходность к погашению, дивидендная ставка, ликвидность, динамика курсовой стоимости.
Перечисленные показатели являются результатами сопоставлений распределенных во времени доходов с инвестициями и затратами на производство.
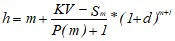
Чистый приведенный доход
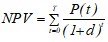
В основе большинства методов определения экономической эффективности инвестиционных проектов в рыночной экономике лежит вычисление чистого приведенного дохода (net present value).
Чистый приведенный доход (NPV) представляет собой разность дисконтированных на один момент времени (обычно на год начала реализации проекта) показателей доходов и расходов (капитальных вложений)
Потоки доходов и капитальных вложений обычно представляются в виде единого потока чистого потока платежей, равного разности текущих доходов и расходов. Ориентиром при установлении нормы дисконтирования является ставка банковского процента или доходность вложений средств в ценные бумаги
Чистый приведенный доход NPV вычисляется при заданной норме дисконтирования (приведения) по формуле:

, (2.1)
где:
t годы реализации инвестиционного проекта (t = 1, 2, 3, , T);
P(t) чистый поток платежей (наличности) в году t;
d ставка дисконтирования.
Экономический смысл ставки дисконтирования следующий: ее величина соответствует минимально приемлемой для инвестора норме дохода на капитал (как правило, ставка привлечения депозитов в коммерческих банках).
Чистый поток платежей включает в качестве доходов прибыль от производственной деятельности и амортизационные отчисления, а в качестве расходов инвестиции в капитальное строительство, воспроизводство выбывающих в период производства основных фондов, а также на создание и накопление оборотных средств.
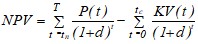
Влияние инвестиционных затрат и доходов от них на NPV можно представить в более наглядном виде, записав формулу (2.1) следующим образом:

, (2)
где:
tn год начала производства продукции;
tc год окончания капитального строительства;
KV(t) инвестиционные расходы (капитальные вложения) в году t.
Отметим, что вместо годового интервала в этих формулах могут использоваться и меньшие временные интервалы месяц, квартал, полугодие
Год начала производства продукции tn может не совпадать с годом окончания строительства
Случай t=tntc означает временную задержку производства продукции после завершения строительства, а случай t=tntc означает запуск производства до завершения строительства.
Внутренняя норма доходности
Внутренняя норма доходности (англ. internal rate of return IRR) показатель, позволяющий оценить степень привлекательности альтернативного размещения ресурсов. Экономический смысл этого показателя можно пояснить следующим образом.
В качестве альтернативы вложениям финансовых средств в инвестиционный проект рассматривается помещение тех же средств (так же распределенных по времени вложения) под некоторый банковский процент. Распределенные во времени доходы, получаемые от реализации инвестиционного проекта, также помещаются на депозитный счет в банке под тот же процент.
При ставке ссудного процента, равной внутренней норме доходности, инвестирование финансовых средств в проект даст в итоге тот же суммарный доход, что и помещение их в банк на депозитный счет.
Таким образом, при этой ставке ссудного процента обе альтернативы помещения финансовых средств экономически эквивалентны. Если реальная ставка ссудного процента меньше внутренней нормы доходности проекта, то инвестирование средств в него выгодно, и наоборот.
Следовательно, IRR является граничной ставкой ссудного процента, разделяющей эффективные и неэффективные инвестиционные проекты.
Из сказанного следует, что уровень IRR полностью определяется внутренними данными, характеризующими инвестиционный проект.
Никакие предположения об использовании чистого дохода за пределами проекта не рассматриваются.
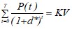
Методика определения внутренней нормы доходности зависит от конкретных особенностей распределения доходов от инвестиций и самих инвестиций. В общем случае, когда инвестиции и отдача от них задаются в виде потока платежей, IRR определяется как решение следующего уравнения относительно неизвестной величины d*:

, (2.3)
где
d* = IRR внутренняя норма доходности, соответствующая потоку платежей Р(t).
Уравнение (2.3) эквивалентно алгебраическому уравнению степени Т и обычно решается методом итераций.
Ясно, что величина IRR зависит не только от соотношения суммарных капитальных вложений и доходов от реализации проекта, но и от их распределения во времени. Чем больше растянут во времени процесс получения доходов в результате сделанных вложений, тем ниже значение внутренней нормы доходности.
Как правило существует единственное значение IRR. Однако на практике могут встречаться более сложные случаи, когда это уравнение имеет несколько положительных корней.
Это может, например, произойти, когда уже после первоначальных инвестиций в производство возникает необходимость крупной модернизации или замены оборудования на действующем производстве. В последнем случае следует руководствоваться наименьшим значением из полученных решений.
Срок окупаемости инвестиций
Срок окупаемости (payback method) это один из наиболее часто применяемых показателей, особенно для предварительной оценки эффективности инвестиций.
Срок окупаемости определяется как период времени, в течение которого инвестиции будут возвращены за счет доходов, полученных от реализации инвестиционного проекта. Более точно под сроком окупаемости понимается продолжительность периода, в течение которого сумма чистых доходов, дисконтированных на момент завершения инвестиций, равна сумме инвестиций.
Для определения срока окупаемости можно воспользоваться формулой (2.2), видоизменив ее соответствующим образом. Левую часть этой формулы приравняем нулю и будем полагать, что все инвестиции сделаны в момент окончания строительства.
Тогда неизвестная величина h периода с момента окончания строительства, удовлетворяющая этим условиям, и будет сроком окупаемости инвестиций.
Уравнение для определения срока окупаемости можно записать в виде:

, (2.4)
где
KV суммарные капиталовложения в инвестиционный проект.
Заметим, что в этом уравнении t=0 соответствует моменту окончания строительства. Величина h, рассматриваемая как номер интервала срока окупаемости, определяется путем последовательного суммирования членов ряда дисконтированных доходов до тех пор, пока не будет получена сумма, равная объему инвестиций или превышающая его.
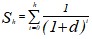
Обозначим совокупный доход на момент времени m через Sm, тогда

,
причем, момент времени m выбран таким образом, что
Sm КV Sm+1.
Тогда срок окупаемости приблизительно равен

. (2.5)
Очевидно, что на величину срока окупаемости, помимо интенсивности поступления доходов, существенное влияние оказывает используемая норма дисконтирования доходов. Естественно, что наименьший срок окупаемости соответствует отсутствию дисконтирования доходов, монотонно возрастая по мере увеличения ставки процента.
На практике могут встретиться случаи, когда срок окупаемости инвестиций не существует (или равен бесконечности). При отсутствии дисконтирования эта ситуация возникает, только если срок окупаемости больше периода получения доходов от производственной деятельности.
При дисконтировании доходов срок окупаемости может просто не существовать (стремиться к бесконечности) при определенных соотношениях между инвестициями, доходами и нормой дисконтирования.
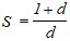
Определим срок окупаемости инвестиционного проекта для случая, когда поток платежей является постоянной величиной.
Для этого положим в формуле (2.4) Р(t) = P = const.
Тогда сумма

является суммой членов геометрической прогрессии.
При

→

, эта сумма равна

.
Очевидно, при любом конечном h, ShS. Отсюда следует, что необходимым условием существования конечного срока окупаемости h является выполнение неравенства:

,
что эквивалентно:

. (2.6)
Неравенство (2.6) можно использовать для оценки существования срока окупаемости реальных проектов, если интенсивность поступления доходов можно аппроксимировать некоторой средней величиной, постоянной в течение всего производственного периода.
Заметим, что при определении срока окупаемости инвестиций последние не подвергались дисконтированию, а просто суммировались. Иногда полезно определять срок окупаемости инвестиций, осуществляя их приведение к моменту окончания строительства, наряду с доходами по той же процентной ставке.
В этом случае при норме дисконтирования, равной внутренней норме доходности, срок окупаемости инвестиций равен производственному периоду, в течение которого доходы от производственной деятельности положительны. Таким образом, IRR является предельной нормой дисконтирования, при которой срок окупаемости существует.
Она может быть также ориентиром при оценке предельного значения нормы дисконтирования, соответствующей существованию срока окупаемости и в случае отсутствия дисконтирования инвестиций.
Основной недостаток срока окупаемости как показателя эффективности капитальных вложений заключается в том, что он не учитывает весь период функционирования производства и, следовательно, на него не влияют доходы, которые будут получены за пределами срока окупаемости.
Такая мера, как срок окупаемости, должна использоваться не в качестве критерия выбора инвестиционного проекта, а лишь в виде ограничения при принятии решения. Это означает, что если срок окупаемости больше некоторого принятого граничного значения, то инвестиционный проект исключается из состава рассматриваемых.
Рентабельность проекта
Показатель рентабельности (benefit-cost ratio), или индекс доходности (profitability index) инвестиционного проекта, представляет собой отношение приведенных доходов к приведенным на ту же дату инвестиционным расходам.
Используя те же обозначения, что и в формуле (2.2), получим формулу рентабельности (R) в виде:

. (2.7)
Как видно из этой формулы, в ней сравниваются две части приведенного чистого дохода доходная и инвестиционная.
Если при некоторой норме дисконтирования d* рентабельность проекта равна единице, это означает, что приведенные доходы равны приведенным инвестиционным расходам и чистый приведенный доход равен нулю. Следовательно, d* является внутренней нормой доходности проекта.
При норме дисконтирования, меньшей IRR, рентабельность больше1.
Таким образом, превышение над единицей рентабельности проекта означает некоторую его дополнительную доходность при рассматриваемой ставке процента. Случай, когда рентабельность проекта меньше единицы, означает его неэффективность при данной ставке процента.
Доходность к погашению
Доходность к погашению один из основных показателей для оценки привлекательности той или иной ценной бумаги. Расчет его состоит в исчислении суммы дохода, приходящего на рубль вложенных средств.
Это позволяет оценить эффективность инвестиций и сравнить различные бумаги между собой [29].
Доходность к погашению рассчитывается как отношение дохода выплачиваемого по ценной бумаге к стоимости ее приобретения

, (2.8)
где
R доходность к погашению;
Pr price of return цена погашения ценной бумаги;
Pb price of buying цена приобретения ценной бумаги.
Если необходимо рассчитать текущую доходность то в формуле (2.8) цена погашения заменяется текущей рыночной стоимостью ценной бумаги. Таким образом, в любой момент времени можно измерить текущую стоимость и доходность инвестиционного портфеля.
Дивидендная ставка
Дивидендная ставка используется для оценки привлекательности акций корпораций на финансовом рынке, обычно рассматривается в динамике и позволяет судить об объемах получаемой корпорацией эмитентом прибыли.
Ликвидность
Как и любая инвестиционная ценность каждая ценная бумага имеет определенную цену в каждый момент времени, то есть текущую стоимость. Эта стоимость зависит от многих параметров, но практически всегда она опосредованно отражает ситуацию в корпорации-эмитенте. В такой ситуации в связи с понятием стоимости и текущей цены бумаг возникло понятие ликвидности. Ликвидность ценной бумаги отражает уровень потерь при реализации ценной бумаги немедленно.
Поэтому ликвидность может быть измерена как соотношение цены спроса и цены предложения, причем чем меньше эта разница, тем ликвиднее бумага и наоборот.
В этом случае ликвидность равна

где
ЛЦБ ликвидность ценной бумаги;
Pd demand price текущая цена спроса;
Pof offer price текущая цена предложения.
Вполне закономерно, что могут существовать и другие формулы для определения ликвидности, но экономический смысл ликвидности от этого не изменится.
Динамика курсовой стоимости.
Каждая ценная бумага имеет определенную курсовую стоимость на биржевом или внебиржевом рынке. Курсовая стоимость отражает реальную стоимость ценной бумаги, поэтому она может отличаться от номинальной во много раз.
Динамика курсовой стоимости показывает как меняются предпочтения участников рынка ценных бумаг по отношению к конкретной бумаге. Если курсовая стоимость колеблется вместе с колебаниями фондовых индексов, то бумага имеет среднюю надежность, в случае понижательной тенденции в изменении курсовой стоимости следует ожидать неблагоприятных известий.
В случае, если курсовая стоимость бумаги растет, то можно сделать вывод о ее инвестиционной привлекательности.
Существуют различные модели прогноза курсовой стоимости, в соответствии с которыми можно с определенной степенью уверенности прогнозировать изменения курсовой стоимости. Однако как и любой прогноз, результаты прогноза курсовой стоимости могут быть недостоверными, потому что на рынок оказывает влияние слишком много факторов.
Сравнение показателей эффективности
Все рассмотренные показатели эффективности инвестиционного проекта тесно связаны между собой. Это объясняется тем, что все они строятся на основе дисконтирования потока платежей.
Но не всегда инвестиционный проект, предпочтительный по одному показателю, будет также предпочтительным и по другим показателям, так, как предпосылки и особенности расчета каждого показателя различаются.
Вследствие различий в оценках инвестиционного проекта, которые могут наблюдаться при использовании различных показателей эффективности, возникает вопрос о предпочтительности тех или иных измерителей эффективности.
Наиболее часто используемым показателем эффективности инвестиций является внутренняя норма доходности, а вторым по частоте применения чистый приведенный доход.
Все другие показатели эффективности инвестиций используются значительно реже. Следует при этом отметить, что оба указанных выше показателя целесообразно применять одновременно, так как внутреннюю норму доходности можно рассматривать как качественный показатель, характеризующий доходность единицы вложенного капитала, а чистый приведенный доход является абсолютным показателем, отражающим масштабы инвестиционного проекта и получаемого дохода.
Помимо формализованных критериев оценки эффективности при принятии решения о целесообразности финансирования инвестиционного проекта учитываются различные ограничения и неформальные критерии. В качестве ограничений могут выступать предельный срок окупаемости инвестиций, требования по охране окружающей среды, безопасности персонала и др.
Неформальными критериями могут выступать: проникновение на перспективный рынок сбыта продукции, вытеснение с рынка конкурирующих компаний, политические мотивы и т.п.
Определение стоимости пакета акций.Стратегия поглощения
Как и во всех остальных отраслях человеческой жизни в инвестиционном процессе очень редко можно встретить чистые инвестиции определенного вида (будь то реальные, финансовые или интеллектуальные). Одним из наиболее характерных примеров может служить инвестирование ресурсов на приобретение или поглощение компании, когда приобретая определенный пакет акций инвестор получает в собственность реальные активы.
В этой связи стратегический подход к вопросу инвестирования может быть основан на пяти основных положениях:
♦культура деятельности, направленная на всемерное поддержание долгосрочных партнерских отношений с контрагентами корпорации;
♦концентрация усилий на наиболее эффективных секторах экономики и инвестиционных ценностях, с которыми имеется опыт работы;
♦мощное распределение активов и пассивов;
♦эффективная интеграция различных элементов инвестиционного портфеля;
♦финансовые возможности, сочетающие новаторские методы структуризации с устойчивым балансом;
♦глобальный охват.
Данные стратегические посылки позволяют с большой долей уверенности говорить о наличии у корпорации эффективных инструментов инвестирования, особенно в сфере приобретения пакетов акций. В рамках стратегии необходима четкая методологическая основа принимаемых решений.
В этой связи, для определения стоимости пакета акций инвесторами как правило используются следующие методы:
♦анализ дисконтных потоков средств;
♦сравнительный анализ компаний;
♦сравнительный анализ операций;
♦анализ заменяемой стоимости.
В случае с анализом дисконтных потоков средств, в частности, важнейшую роль обычно играет качество информации, как вклад в оценочную модель для обеспечения качества конечного результата.
Кроме формальных на цену влияют и другие факторы:
♦уровень конкурентного напряжения между группами участников торгов при проведении тендера;
♦структура процесса продажи, в частности, объем покупаемых акций, а также возможность разъединения частей приобретаемой корпорации после приобретения;
♦проблема обеспечения финансовых условий приобретения.
Оценка приобретаемой корпорации обычно рассматривается с двух позиций:
♦стоимость корпорации как единой организации (совокупная стоимость);
♦стоимость основных составных частей корпорации (пообъектная стоимость).
Оценка дисконтного потока средств (ДПС)
Данная оценочная технология является общей методологией, используемой при оценке компаний. При наличии соответствующего качества информации данный метод обычно является приоритетным для использования потенциальными покупателями.
Для проведения оценки ДПС нам потребуется, как минимум, следующая информация:
1. Общая информация о приобретаемой компании:
♦наличие и характеристика пакетов акций в основных дочерних предприятиях с правом голоса и общего капитала;
♦социальные затраты текущие и будущие обязательства;
♦уровень задолженности дочерние предприятия.
2. Объем производства (определяется по каждому виду производимой продукции):
Затраты структура затрат, информация по которой предоставляется в формате учета начисления (российский стандарт бухучета), однако, для зарубежных инвесторов необходимо предоставлять структуру затрат в формате учета наличных:
♦прямые затраты по на производство;
♦понесенные затраты на обслуживание;
♦транспортные затраты (подтвердить);
Программа капитальных затрат:
♦понесенные затраты на введение в эксплуатацию основных средств;
♦понесенные затраты на маркетинг и продвижение продукции.
3. Прогнозы / планы сбыта
Расчеты, пропорции и тенденции по внутреннему рынку, бывшего СССР и экспортному рынку:
♦неплатежи;
♦просроченные платежи;
♦бартерные расчеты.
Экспортные доли
Данные прошлых периодов по объемам производства
Характеристики качества производимой продукции (экологическая безопасность, патенты, лицензии, товарные знаки);
Данные по структурным подразделениям:
♦объем производства;
♦программа по модернизации производства;
♦программа освоения новых видов продукции.
4. Переработка и транспортировка (определяется по каждому дочернему предприятию):
♦мощности по переработке сырья и полуфабрикатов;
♦объемы давальческого сырья;
♦инвестиционная программа, изменения в рентабельности производства;
♦источники сырья, программа логистики;
♦сбыт продукции, доля оптовой, розничной. Данные за прошлые периоды;
♦активы материально-технического обеспечения;
♦торговые представительства количество, месторасположение, тенденции.
5. Расчеты, пропорции и тенденции:
♦неплатежи;
♦просроченные платежи;
♦бартерные расчеты
Расчет стоимости компании при использовании метода ДПС включает:
♦прогнозирование свободных операционных потоков средств, которые компания намеревается накопить за определенный период времени (прогнозируемый период);
♦оценку стоимости компании по окончании прогнозируемого периода (конечная стоимость);
♦определение соответствующей степени дохода, отражающей рисковый профиль компании и страны в целом (дисконтная ставка).
Вычисление свободного потока средств
Свободный операционный поток средств представляет собой средства, накопленные компанией до стоимости долговых обязательств(выплаченных процентов и амортизации) и акций (дивидендов).
Структура портфеля
Отдаленность возврата вложенных средств классификатор, позволяющий с определенной вероятностью прогнозировать срок возврата средств и, как следствие, формировать план финансовых потоков корпорации.
Степень риска позволяет инвестору устанавливать приемлемую плату за риск или определенный уровень дохода при вложении в конкретную инвестиционную ценность. Причем, высокорискованные инвестиции как правило называются венчурами; инвестиции среднего риска это наиболее распространенная и многочисленная группа, к которой относятся практически все корпоративные ценные бумаги, типовые инвестиционные проекты, а также инвестиции в переподготовку персонала; низкорискованные инвестиционные ценности: государственные ценные бумаги, объекты тезаврации и др.
Расчет объема требуемых инвестиционных ресурсов производится на этапе оценки инвестиционных возможностей инвестора. Он позволяет на предварительном этапе разделить объекты на приемлемые для инвестиций и неприемлемые по объемам требуемых ресурсов для конкретного инвестора.
Целевое использование инвестиционных ценностей может быть охарактеризовано следующим образом. Спекулятивные инвестиционные ценности используются для перепродажи. В этом случае приобретается инвестиционная ценность и удерживается в руках инвестора сколь угодно долгий срок, по истечении которого она может быть продана по цене, более высокой, чем цена приобретения (например, акции предприятий - голубых фишек).
При этом инвестор не принимает непосредственного участия в изменении рыночной стоимости данной инвестиционной ценности. С другой стороны, инвестиционные ценности прямого участия позволяют инвестору оказывать влияние на изменение их рыночной стоимости (собственный инвестиционный проект, акции дочерних предприятий и т. д.).
Предложенная классификация является общей для всех видов инвестиций, поэтому использование ее для целей управления инвестиционным портфелем корпорации является целесообразным.
В то же время, помимо большого разнообразия самих инвестиционных инструментов, на рынке присутствуют разновидности инвестиционных возможностей и по видам инвестиций.
Объекты реальных инвестиций (капиталовложений) могут быть разными по характеру. Типичным объектом капиталовложений могут быть затраты на земельные участки, здания, оборудование.
Помимо затрат на разного рода приобретения инвестору приходится также производить другие многочисленные затраты, которые дают прибыль лишь через длительный период времени. Такими реальными затратами являются, например, инвестиции в совершенствование продукции, долгосрочную рекламу, сбытовую сеть, реорганизацию предприятия.
Основной задачей при выборе направления инвестирования является определение экономической эффективности вложения средств в инвестиционную ценность (объект инвестиций). По каждому объекту целесообразно составлять отдельный инвестиционный план.
Итак, объектами реальных инвестиций являются [2]:
1. Строящиеся, реконструируемые или расширяемые предприятия, здания, сооружения (основные фонды).
2. Программы федерального, регионального или иного уровня.
Реальные инвестиции могут охватывать как полный научно-технический и производственный цикл создания продукции (ресурса, услуги), так и его элементы (стадии): расширение или реконструкция действующего производства, организация нового производства или выпуск новой продукции, утилизация ит.д.
Объекты реальных инвестиций классифицируются по:
♦объемам инвестиций;
♦направленности проекта;
♦характеру и содержанию инвестиционного цикла;
♦характеру и степени участия государства;
♦эффективности использования вложенных средств.
Выделяют следующие формы реальных инвестиций:
1. Денежные средства и их эквиваленты.
2. Земля.
3.Здания, сооружения, машины и оборудование, измерительные и испытательные средства, оснастка и инструмент, любое другое имущество, используемое в производстве и обладающее ликвидностью.
Объекты финансовых инвестиций могут быть классифицированы следующим образом.
Ценные бумаги, к которым в соответствии со ст. 143 ГК РФ относятся: государственная облигация, облигация, вексель, чек, депозитный и сберегательный сертификаты, банковская сберегательная книжка на предъявителя, коносамент, акция, приватизационные и другие документы, которые Федеральными законами или в соответствии с ними отнесены к числу ценных бумаг.
Также к объектам финансовых инвестиций относятся объекты тезаврации, то есть, бумажные деньги или золото, накапливаемые населением в целях страхования сбережений от инфляционного обесценения, а также под угрозой потерь в периоды политических и экономических кризисов.
Объекты финансовых инвестиций можно классифицировать по нескольким признакам:
♦по виду имущественных требований: долговые (облигации, векселя и т. д.), имущественные (акции, объекты тезаврации и т.д.);
♦по способу передачи прав: именные (именные векселя, именные акции и т. д.), на предъявителя (сберегательные книжки на предъявителя, денежные средства);
♦по степени овеществления: материальные (золото, денежные средства и т. д.), нематериальные (бездокументарные ценные бумаги и т. д.).
К объектам интеллектуальных инвестиций относятся: технологии, квалификация сотрудников, результаты научных исследований.
Инвестиции в технологии можно охарактеризовать как затраты на совершенствование действующих, а также на разработку и внедрение новых производственных процессов, причем производственный процесс в данном разрезе понимается как описание совокупности действий по переделу сырья в готовую продукцию.
Инвестиции в квалификацию сотрудников могут осуществляться в виде затрат на обучение, повышение квалификации, переквалификацию работников [27].
Инвестиции в результаты научных исследований представляют собой затраты на проведение исследований в интересах инвестора, то есть затраты на оплату научного отчета, представляемого по заказу инвестора.
В этой связи, объекты интеллектуальных инвестиций можно классифицировать следующим образом:
♦по срочности оплаты: оплачиваемые единовременно и периодически;
♦по значению: прикладные и фундаментальные.
Таким образом, помимо общей классификации инвестиционных ценностей, можно классифицировать и каждый их вид.
Структура портфеля
Главная цель инвестиционной стратегии корпорации, заключается в формировании инвестиционного портфеля, который представляет собой диверсифицированную совокупность вложений в различные виды активов (рис. 2.1). Портфель собранные воедино различные инвестиционные ценности, служащие инструментом для достижения конкретной инвестиционной цели инвестора.
Формируя портфель, инвестор исходит из своих портфельных соображений, которые представляю собой желание владельца средств иметь их в такой форме и в таком месте, чтобы они были безопасными, ликвидными и высокодоходными [11].
Поэтому, основными принципами формирования инвестиционного портфеля являются безопасность и доходность вложений, их стабильный рост, высокая ликвидность. Под безопасностью понимаются неуязвимость инвестиций от потрясений на рынке инвестиционного капитала и стабильность получения дохода.
Ликвидность инвестиционных ценностей это их способность быстро и без потерь в цене превращаться в наличные деньги. Как правило, наиболее низкой ликвидностью обладает недвижимость.
Ни одна из инвестиционных ценностей не обладает всеми перечисленными выше свойствами. Поэтому неизбежен компромисс. Если ценная бумага надежна, то доходность будет низкой, так как те, кто предпочитает надежность, будут предлагать высокую цену.
Главная цель при формировании портфеля состоит в достижении наиболее оптимального сочетания между риском и доходом для инвестора. Иными словами, соответствующий набор инвестиционных инструментов призван снизить риск потерь вкладчика до минимума и одновременно увеличить его доход до максимума.
Методом снижения риска серьезных потерь служит диверсификация портфеля, т. е. вложение средств в проекты и ценные бумаги с различными уровнями надежности и доходности. Риск снижается, когда вкладываемые средства распределяются между множеством разных видов вложений. Диверсификация уменьшает риск за счет того, что возможные невысокие доходы по одному элементу портфеля будут компенсироваться высокими доходами по другому.
Минимизация риска достигается за счет включения в портфель множества различных элементов, не связанных тесно между собой, чтобы избежать синхронности циклических колебаний их деловой активности [8].
Оптимальное количество элементов портфеля зависит от возможностей инвестора, наиболее распространенная величина от 8 до 20 различных элементов инвестиционного портфеля.
Функции корпорации по управлению инвестиционным портфелем
Для целей управления инвестиционный портфель это совокупность как связанных, так и не связанных между собой элементов. К несвязанным элементам относятся инвестиционные ценности, происхождение которых не представляет собой связанных событий (например, золото и переподготовка кадров).
С другой стороны, к связанным элементам относятся инвестиционные ценности, о которых можно сказать, что они происходят из одного источника (акции и облигации одного эмитента, государственные ценные бумаги различных видов).
Управление портфелем представляет собой процесс реализации определенных связей между всеми его элементами. С этих позиций понятие управления портфелем можно описать следующим образом: управление портфелем определение, установление, регулирование и развитие соотношений между элементами портфеля, обеспечивающих достижение поставленных перед портфелем целей [32].
На практике успешность управления портфелем зависит от того, насколько велики ресурсы, позволяющие достичь поставленной перед портфелем цели, и как они используются. Как следствие возникает проблема оптимального размещения ограниченного объема ресурсов.
Однако в общем случае проблема оптимального распределения ресурсов между инвестиционными ценностями является частью инвестиционной стратегии корпорации.
Управление является чрезвычайно сложным видом деятельности в любой области народного хозяйства. Управление инвестиционным портфелем в этом смысле не исключение.
Поскольку процесс формирования и последующей реструктуризации портфеля представляет не одномоментную, а растянутую во времени деятельность, то, по нашему мнению, управление портфелем представляет собой инвестиционный процесс. В этой связи принцип системности по отношению к управлению инвестиционным процессом, т. е. взгляд на него как на систему, вполне естественен.
Отсюда вытекает возможность декомпозиции и структуризации процесса управления инвестиционным портфелем.
При рассмотрении или изучении любых процессов можно выделить ряд аспектов (подходов) к изучаемому явлению. Наиболее распространенные из них: функциональный, динамический, предметный.
Функциональный аспект отражает общий подход к проблеме управления и предполагает рассмотрение основных функций управления (видов управленческой деятельности):
АНАЛИЗ ВОЗМОЖНОСТЕЙ, ПЛАНИРОВАНИЕ, ОРГАНИЗАЦИЯ, МОТИВАЦИЯ, ДИСПЕТЧИРОВАНИЕ, КОНТРОЛЬ, РЕГУЛИРОВАНИЕ.
Функции управления считаются центральным понятием: они выполняются на всех уровнях управленческой деятельности, в каждой фазе реализации проекта, для всех его процессов и управляемых объектов (элементов).
Последовательность функций управления образует своеобразный цикл:
Анализ состояния портфеля требуется, если появляется необходимость вмешаться в инвестиционный цикл. С анализа начинается вся работа над портфелем, в дальнейшем анализируются все характеристики портфеля: степень материализации, отдаленность возврата вложенных средств, степень риска, объем требуемых инвестиционных ресурсов, целевое использование.
Динамический подход к управлению портфелем предполагает рассмотрение основной деятельности по реализации инвестиционной стратегии как продолжительного процесса. Этот подход связан с логикой осуществления мероприятий в рамках управления инвестиционным портфелем. Укрупнено эти процессы таковы:
АНАЛИЗ ПРОБЛЕМЫ, РАЗРАБОТКА КОНЦЕПЦИИ ПОРТФЕЛЯ, БАЗОВОЕ и ДЕТАЛЬНОЕ ПЛАНИРОВАНИЕ, ФОРМИРОВАНИЕ ПОРТФЕЛЯ, РЕСТРУКТУРИЗАЦИЯ, ЛИКВИДАЦИЯ ПОРТФЕЛЯ.
Следует отметить, что деятельность по осуществлению мероприятий в рамках инвестиционной стратегии реализуется на разных организационных уровнях и в различных подразделениях корпорации, поэтому она сама нуждается в управлении. В этом также проявляются свойства управления инвестиционным портфелем как системы.
Система управления реализацией стратегии это процесс, который, как и сама реструктуризация портфеля, нуждается в руководстве. Следует подчеркнуть, что одним из факторов, определяющих успех управления портфелем, является использование системного подхода и специально разработанной методологии.
Обобщая сказанное о функциях управления, можно кратко резюмировать особенности их выполнения, которые должны обеспечить высокую эффективность при управлении портфелем:
♦всеобъемлемость, то есть максимальный охват всех уровней и всех элементов процесса управления портфелем;
♦непрерывность выполнения мероприятий на всех этапах управления инвестиционным портфелем.
Выполнение этих требований сопряжено со значительными усилиями и финансовыми затратами. Поэтому на практике приходится ограничивать управленческую деятельность, чтобы она не превратилась в самоцель и не разорила инвестора.
Обеспечение рационального выполнения функций управления портфелем задача как методологии управления инвестиционным процессом, так и управляющих корпорации.
Рассматривая вопрос о формировании портфеля, инвестор должен определить для себя значения основных параметров, которыми он будет руководствоваться. К ним относятся:
♦тип портфеля;
♦сочетание риска и доходности портфеля;
♦состав портфеля;
♦схема управления портфелем.
1. Существует два типа портфелей:
а) портфель, ориентированный на преимущественное получение дохода за счет высокого уровня прибыли от инвестиционных проектов, а также процентов и дивидендов по ценным бумагам;
б) портфель, направленный на увеличение объемов производства по видам продукции, а также на преимущественный прирост курсовой стоимости входящих в него ценных бумаг.
2. В портфель обязательно должны входить различные по риску и доходности элементы. Причем, в зависимости от намерений инвестора, доли разнодоходных элементов могут варьироваться.
Эта задача вытекает из общего принципа, который действует на инвестиционном рынке: чем более высокий потенциальный риск несет инструмент, тем более высокий потенциальный доход он должен иметь, и, наоборот, чем ниже риск, тем ниже ставка дохода.
3. Первоначальный состав портфеля определяется в зависимости от инвестиционных целей вкладчика возможно формирование портфеля, обуславливающего больший или меньший риск. Исходя из этого инвестор может быть агрессивным или консервативным. Агрессивный инвестор склонен к высокой степени риска. В своей инвестиционной деятельности он делает акцент на вложения в рискованные бумаги и проекты.
Консервативный инвестор склонен к меньшей степени риска. Он вкладывает средства в стабильно работающие предприятия, а также в облигации и краткосрочные ценные бумаги.
4. На практике существует несколько схем управления портфелем, каждая из которых определяет поведение инвестора в той или иной ситуации.
Первая схема. Инвестор заранее определяет границы, в рамках которых происходит разделение инструментов по риску, сроку и доходности, таким образом формируются корзины с определенными характеристиками.
Каждой корзине отводится определенный фиксированный вес (доля) в инвестиционном портфеле. Эта доля остается постоянной с течением времени. Состав корзин может меняться под воздействием различных факторов:
♦макроэкономической ситуации;
♦изменения критериев инвестора;
♦изменений, произошедших с проектом или ценной бумагой.
Вторая схема. Инвестор придерживается гибкой шкалы весов корзин в инвестиционном портфеле.
Первоначально портфель формируется исходя из определенных весовых соотношений между корзинами и их элементами. В дальнейшем они пересматриваются в зависимости от результатов анализа финансовой ситуации на рынке и ожидаемых изменений конъюнктуры товарного и финансового спроса.
И та, и другая схема управления портфелем подразумевает иерархический подход к анализу и отбору как элементов корзин, так и элементов портфеля. Суть иерархического подхода показана на рис.
2.4. Он позволяет четко распределить полномочия и обязанности в группе инвестиционного менеджмента фирмы.
Руководитель группы или инвестиционного отдела выполняет функцию управления составом портфеля: определяет критерии распределения инструментов по корзинам, определяет веса корзин в портфеле, осуществляет координацию действий в случае перераспределения инструментов между корзинами. Каждый подчиненный, как правило, занимается или ведет одну или несколько корзин.
Управление портфелем инвестиционных проектов включает, как и управление любым сложным объектом с переменным составом, планирование, анализ и регулирование состава портфеля. Кроме того, управление любым портфелем включает в себя осуществление деятельности по его формированию и поддержанию с целью достижения поставленных инвестором перед портфелем целей при сохранении необходимого уровня его ликвидности и минимизации расходов, связанных с ним.
Существуют два варианта организации управления портфелем инвестиционных проектов. Первый это выполнение всех управленческих функций, связанных с портфелем, его держателем на самостоятельной основе.
Второй вариант это передача большей части функций по управлению портфелем другому лицу в форме траста.
В первом случае инвестор должен решить следующие задачи по организации управления:
1. Определить цели и тип портфеля.
2.Разработать стратегию и текущую программу управления портфелем.
3.Реализовать операции, относящиеся к управлению портфелем.
4.Провести анализ и выявить проблемы.
5.Принять и реализовать корректирующие решения.
Во втором случае основная задача инвестора правильно определить объект траста (инвестиционные, общественные фонды, специализируемые инвестиционные институты и т.д.) для управления портфелем.
Стандартные цели портфеля инвестиционных проектов приведены на рис.2.6.
Инвестиционная стратегия
Цели портфеля могут быть альтернативными и соответствовать различным типам портфелей. Например, если ставится цель получения процента, то предпочтение при формировании портфеля отдается высокорискованным, низколиквидным, но обещающим высокую прибыль проектам.
Если же основная цель инвестора сохранение капитала, то предпочтение отдается хорошо разработанным проектам, с небольшим риском, высокой ликвидностью, но с заранее известной небольшой доходностью.
Понятие ликвидности портфеля может рассматриваться как способность:
♦быстрого превращения всего портфеля или его части в денежные средства (с небольшими расходами на реализацию);
♦своевременного погашения обязательств перед кредиторами, возврата им заимствованных денежных ресурсов, за счет которых был сформирован портфель или его часть. В данном случае на первый план выходит вопрос о соответствии сроков привлечения источников, с одной стороны, и формировании на их основе вложений средств, с другой.
Управление инвестиционным портфелем осуществляется в рамках общей финансовой стратегии корпорации, в соответствии с портфельными стратегиями, сформулированными в рамках инвестиционной стратегии корпорации:
♦низкого риска и высокой ликвидности;
♦высокой доходности и высокого риска;
♦долгосрочных вложений;
♦спекулятивная и др.
Конкретные инвестиционные стратегии определяются:
1. Финансовой стратегией корпорации.
2. Типом и целями портфеля.
3. Состоянием рынка (его наполненностью и ликвидностью, динамикой процентной ставки, легкостью или затрудненностью привлечения заемных средств, уровнем инфляции).
4. Наличием законодательных льгот или, наоборот, ограничений на инвестирование.
5. Общеэкономическими факторами (фаза хозяйственного цикла ит.д.).
6. Необходимостью поддержания заданного уровня ликвидности и доходности при минимизации риска.
7.Типом стратегии (краткосрочная, среднесрочная и долгосрочная).
Естественно, различные факторы, а следовательно, и различные стратегии комбинируются между собой, накладываются друг на друга, и вследствие этого появляются сложные комбинированные варианты портфельной стратегии.
Определение экономической эффективности инвестиционного портфеля
Помимо затрат на разного рода приобретения управляющей компании корпорации приходится также производить другие многочисленные затраты, которые дают прибыль лишь через длительный период времени. Такими затратами являются, например, инвестиции в исследования, совершенствование продукции, долгосрочную рекламу, развитие сбытовой сети по видам продукции, реорганизацию предприятий и обучение персонала.
Основной задачей при выборе направления инвестирования является определение экономической эффективности вложения средств в ту или иную инвестиционную ценность как элемент инвестиционного портфеля. По каждому элементу целесообразно составлять отдельный инвестиционный план.
Определение показателей эффективности инвестиционного портфеля
Оценка экономической эффективности инвестиционного портфеля является одним из наиболее ответственных этапов предынвестиционных исследований. Она включает расчет и оценку прямых и косвенных показателей (рис. 2.7) [2, 22].
В частности, для реальных инвестиций проводится детальный анализ и интегральная оценка всей технико-экономической и финансовой информации.
Методы оценки эффективности инвестиционного портфеля основаны преимущественно на сравнении эффективности (прибыльности) инвестиций в различные инвестиционные ценности в зависимости от их весов. При этом в качестве возможных альтернатив вложениям средств в рассматриваемую инвестиционную ценность выступают инвестиции в наиболее надежные и наиболее ликвидные инвестиционные ценности.
С позиций управляющей компании корпорации реализация инвестиционного проекта может быть представлена в виде двух взаимосвязанных процессов:
♦вложение средств инвестиционную ценность;
♦получение доходов от вложенных средств.
Эти два процесса протекают последовательно (с разрывом между ними или без него) или на некотором временном отрезке параллельно. В последнем случае предполагается, что отдача от инвестиций начинается еще до момента завершения процесса вложений.
Оба процесса имеют разные распределения интенсивности во времени, что в значительной степени определяет эффективность инвестиций.
При этом непосредственным объектом финансового анализа и определения экономической эффективности инвестиционного портфеля являются прямые финансовые потоки (т.н. саsh flow потоки наличности), характеризующие оба эти процесса в виде суперпозиции (наложения), то есть перед потенциальным инвестором имеется картина совокупных денежных потоков. В случае производственных инвестиций интенсивность результирующего потока платежей формируется как разность между интенсивностью (расходами в единицу времени) инвестиций и интенсивностью чистого дохода.
Под чистым доходом понимается доход, полученный в каждом временном интервале, за вычетом всех платежей, связанных с его получением (текущими затратами на управление портфелем, налоги и т.д.).
Внутренняя структура корпорации
♦выбор вида стратегии деятельности корпорации (стратегия конкуренции, стратегия расширения рынка и т.п.);
♦квалификация и практический опыт персонала, необходимый для успешной конкурентной борьбы;
♦необходимость кооперации.
Внутренняя структура корпорации
В соответствии с выбранной стратегией рыночного поведения определяется взаимоувязанная система принципов внутренней структуры корпорации, которая состоит из [14]:
♦снабженческо-сбытовой политики (выбор маркетинговой стратегии и тактики на всем протяжении от появления продукции до ее продажи, послепродажного обслуживания, мониторинге оперативной информации о рынке, переход на прямые поставки продукции, создание сбытовой сети);
♦производственно-технологической и инновационной политики (минимизация издержек производства, приведение качества продукции в соответствие с запросами потребителей, создание оптимальной системы обеспечения сервисных служб, повышение конкурентоспособности на базе усовершенствования производимой продукции и действующей технологии производства, создание принципиально новых продуктов и производств);
♦ценовой политики (установление цен в рамках политики управления сбытом с целью достижения наиболее выгодных объемов продаж, средних затрат на производство и наивысшего возможного уровня прибыльности операций);
♦кадровой политики и управления персоналом (формирование идеологии и принципов кадровой работы, планирование, привлечение, отбор и высвобождение персонала, организация работ и руководство персоналом, повышение квалификации и подготовка персонала, внедрение системы стимулирования его деятельности, развитие социального партнерства).
♦финансовой политики (стратегии), которая состоит из [31]:
♦кредитной стратегии (анализ и планирование денежных потоков, выбор стратегии привлечения внешних ресурсов (кредиты, эмиссионная форма привлечения капитала), управление дебиторской и кредиторской задолженностью, разработка учетной и налоговой политики, контроль и управление издержками);
♦инвестиционной стратегии (определение общего объема инвестиций корпорации, способов рационального использования накоплений, сочетания различных направлений финансирования, размещение мобилизованных средств);
Разрабатывается программа мер по снижению издержек, снижению энергоемкости, материалоемкости продукции, ее сертификации, решению проблем экологии.
Разрабатываются меры по обеспечению прозрачности финансового состояния корпорации (на основе совершенствования управленческого учета, перехода на международные стандарты бухгалтерского учета), а также меры по обеспечению контроля за финансовыми потоками.
Определение механизмов и направлений инвестирования, возможных источников привлеченных средств, кредитных ресурсов, гарантий (в том числе за счет средств и механизмов Бюджета развития).
Разработка стратегии вывода ценных бумаг корпорации на фондовый рынок с определением издержек использования различных фондовых инструментов (определение вида ценных бумаг (акции, векселя, облигации), выбор первичного дилера ценных бумаг или портфельного инвестора и согласование с ним условий продажи и торговой площадки для первичных торгов, сопутствующей рекламной кампании и т.д.).
Подготовка предложений по продаже, сдаче в аренду и залогу части активов, ликвидации или консервации отдельных мощностей и объектов (в том числе нерентабельных, мобилизационных) [5].
Организационно-управленческая структура
В соответствии с основными направлениями деятельности и избранной стратегией рекомендуется изменить организационно-управленческую структуру корпорации с учетом следующих принципов:
♦обеспечение гибкого реагирования на изменения рынка;
♦обеспечение оптимального уровня децентрализации управленческих решений;
♦организацию и выполнение каждой функции, реализуемой корпорациям, предлагается закрепить за каким-либо его структурным подразделением, причем дублирование выполнения одних и тех же функций указанными подразделениями недопустимо;
♦ответственность за организацию и выполнение функции, реализуемой корпорациям, целесообразно персонифицировать.
Вышеуказанные изменения предлагается закрепить в положении об организационной структуре, определяющего:
♦основные направления деятельности корпорации;
♦основные функции управления корпорации (маркетинг, организация производства, финансы, экономика, бухгалтерский учет, персонал, информационная служба);
♦обслуживающие функции деятельности корпорации;
♦определение типа структуры (линейная, линейно-функциональная, дивизиональная, матричная, комбинированная);
♦организационные звенья корпорации и закрепляемые за ними функции по осуществлению направлений деятельности корпорации с определением порядка работы по их выполнению (права, обязанности, сроки, меры поощрения и наказания);
♦выделение самостоятельных подразделений (вспомогательных, обслуживающих), формирование центров прибыли;
♦определение порядка контроля соответствия организационной структуры направлениям деятельности корпорации и персонификация ответственности за выполнение указанной функции контроля.
Стратегия управления финансами корпорации
Структура системы управления корпоративными финансами
Управление процесс выработки и осуществления управляющих воздействий субъектом управления [24].
Управляющее воздействие воздействие на объект управления, направленное на достижение поставленной цели управления. Выработка управляющих воздействий включает сбор, обработку, передачу необходимой информации, принятие решений.
Специфика корпоративного управления состоит в том, что объектом управления является совокупность независимых друг от друга предприятий, которые взаимодействуют между собой.
Особенность данного взаимодействия заключается в том, что каждое предприятие совокупности является неотъемлемой ее частью, что позволяет рассматривать совокупность как единое целое при осуществлении процесса управления. Поскольку операции распределены между предприятиями, предприятия можно расположить в порядке выполнения операций по переработке сырья таким образом, что продукция предыдущего является сырьем для последующего.
Упорядоченные таким образом предприятия представляют собой технологическую цепочку.
Таким образом, технологическая цепочка (ТЦ) упорядоченная в порядке выполнения операций по переработке сырья совокупность хозяйствующих объектов, осуществляющих производственную деятельность по изготовлению конечного продукта ТЦ в рамках полного технологического цикла.
Цели объединения предприятий в корпорации:
1.Повышение эффективности функционирования корпорации за счет того, что каждый из ее участников заинтересован в конечном результате.
2.Возможность более быстрого получения средств для осуществления производственной программы. Поскольку процесс контроля со стороны финансовых институтов (кредиторов) заключается только в контроле за деятельностью управляющей компании.
Для государства создание финансово-промышленных групп выгодно тем, что позволяет повысить бюджетную эффективность, за счет повышения собираемости налогов [36]. Также создание ТЦ позволяет избавиться от кризиса неплатежей, поскольку затраты предприятий-участников ТЦ объединяются и в конечном итоге гасятся за счет потребителя конечного продукта ТЦ.
Таким образом, ТЦ и корпорация это объединения предприятий, для которых в настоящее время очень остро стоит проблема управления. Для осуществления процесса управления руководству корпорации, во-первых, необходимо четко представлять себе, насколько эффективно взаимодействуют предприятия в рамках корпорации, во-вторых, необходимо на каждом этапе отслеживать и выявлять узкие места в технологическом цикле. Структура управления корпорацией представлена на рис.
1.3 [34].
Каждый из департаментов имеет собственные функции в корпорации:
Производственный департамент выполняет функции управления производством, а коммерческий департамент функции управления сбытом в рамках, отведенных производственным планом, составленным в соответствии со стратегией функционирования корпорации.
Юридический департамент разрабатывает нормативные документы и дополнительные изменения в уставе корпорации, контролирует выполнение уставных положений, занимается составлением договоров (о совместной деятельности, о выдаче кредита и т.д.).
В процессе управления бульшее внимание следует уделять финансовому департаменту, который является основным департаментом в управляющей компании.
В финансовый департамент входят:
♦отдел статистики, который выполняет работу по накоплению и анализу статистической информации, оказанию информационно-справочных услуг;
♦экономический отдел, который занимается подготовкой отчетов о деятельности корпорации, анализом финансового состояния предприятий-участников;
♦отдел планирования, осуществляющий планирование производства в соответствии со стратегией функционирования корпорации, планирование эффективности деятельности предприятий-участников корпорации, а также корпорации в целом, составление инвестиционных проектов.
♦отдел денежного регулирования, занимающийся распределением прибыли в рамках совместной деятельности предприятий-участников корпорации, распределением кредитных ресурсов;
♦внешнеэкономический отдел, отвечающий за установление внешнеэкономических связей, составление внешнеторговых контрактов.
Объединив функции вышеперечисленных департаментов можно сказать, что в обязанности управляющей компании входит: планирование производства, мотивация, контроль, определение стратегии, сбор информации о функционировании остальных предприятий, взаимодействие с фискальными органами, распределение прибыли в рамках технологической цепочки.
Система управления представляет собой замкнутый процесс (рис. 1.4) [24].
Управление корпорацией построено по принципу федеративного устройства. Руководитель группы определяет политику корпорации в целом, а руководители предприятий политику деятельности своего предприятия в соответствии с политикой и интересами группы.
Группа в свою очередь выступает единым юридическим лицом перед государством, (например, единым налогоплательщиком).
Поскольку каждая группа имеет определенные цели функционирования, управление группой должно вестись в соответствии с этими целями. Этапы управления по целям представлены на рис.
1.5 [23].
В то же время управление группой предприятий затруднено тем, что информация, которая необходима для контроля за деятельностью всех предприятий, зачастую неоднородна, а также тем, что порой невозможно получить полную информацию о функционировании всех предприятий в конкретный момент времени.
Для эффективного осуществления процесса управления управляющая компания должна определить и согласовать с подчиненными предприятиями перечень и объем информации о функционировании каждого предприятия, предоставляемый предприятиями-участниками управляющей компании.
Перечень должен содержать достаточное количество информации для получения полной и достоверной картины о ситуации на предприятии, и в то же время быть кратким.
Финансовая стратегия корпорации
В рамках финансовой деятельности любого хозяйствующего субъекта непременно возникают две равноважные задачи:
1. Задача привлечения ресурсов для осуществления хозяйственной деятельности.
Привлекаемые ресурсы состоят из [37, 39]:
♦акционерного капитала (ресурсов, получаемых на относительно неопределенный срок с условием выплаты вознаграждения инвестору в виде дивидендов);
♦ссудного капитала (ресурсов, получаемых у специализированных кредитно-финансовых институтов на основе срочности, возвратности и платности);
♦кредиторской задолженности (ресурсов, получаемых у партнеров по бизнесу и государства в виде отсрочек по платежам и авансов);
♦реинвестируемой прибыли и фондов (ресурсов, получаемых в результате успешной коммерческой деятельности самого хозяйствующего общества, амортизационных отчислений).
Хозяйствующий субъект для привлечения ресурсов выходит на ссудный рынок капиталов, на котором происходит кругооборот предлагаемых к размещению ресурсов. Поскольку объем предлагаемых ресурсов существенно меньше чем объем спроса на них, неизбежно возникает конкурентная борьба за наиболее дешевые ресурсы.
Потенциальные вкладчики сравнивают потенциальные объекты вложения средств, изучают их инвестиционную привлекательность ит.д.
Таким образом, инвестиционная привлекательность хозяйствующего субъекта совокупность характеристик, позволяющая инвестору оценить насколько тот или иной объект инвестиций привлекательнее других.
В результате перед субъектом возникает задача улучшения своей инвестиционной привлекательности как в краткосрочном так и в долгосрочном периоде. В этой связи, руководству хозяйствующего субъекта необходимо сформировать кредитную стратегию, основной задачей которой стала бы оптимизация показателей инвестиционной привлекательности.
С другой стороны в непосредственной связи с первой задачей перед обществом неизменно возникает вторая.
2. Задача распределения полученных ресурсов (инвестирования).
Инвестиции делятся на [10]:
♦реальные (ресурсы направляются в производственные процессы);
♦финансовые (ресурсы направляются на приобретение финансовых инструментов: эмиссионных и производных ценных бумаг, объектов тезаврации, банковских депозитов);
♦интеллектуальные инвестиции (подготовка специалистов на курсах, передача опыта, вложения в разработку технологий).
Для оценки инвестиционных возможностей необходимо исследовать кредитоспособность, которая представляет собой совокупность характеристик, позволяющих оценить его инвестиционный потенциал.
Инвестиционную привлекательность и кредитоспособность предприятий корпорации можно представить как основные составляющие финансового потенциала группы (рис. 1.6) [9, 20].
Поскольку объем инвестиционных ресурсов субъекта ограничен, а потенциальные объекты инвестиций обладают различной инвестиционной привлекательностью, обществу необходимо оптимально распределять свои инвестиционные ресурсы. В этой связи возникает необходимость формирования инвестиционной стратегии хозяйствующего общества.
В совокупности инвестиционная стратегия и кредитная стратегия составляют финансовую стратегию корпорации (рис. 1.7) [15].
Стратегия представляет собой детальный всесторонний комплексный план, предназначенный для того, чтобы обеспечить осуществление миссии общества и достижение его целей [24].
Поскольку корпорация представляет собой совокупность хозяйствующих субъектов, функционирующих в различных сферах экономики, представляется целесообразным структурировать подразделения по целям и задачам, выполняемым ими в рамках группы [33].
На основании такого распределения функций разработка финансовой стратегии основывается на совокупности финансовых функций подразделений корпорации (рис. 1.8).
Разработки стратегии включает осуществление нескольких этапов [3, 19]:
1. Оценка долгосрочных перспектив.
2. Прогноз развития.
3. Осознание цели.
4. Анализ сильных и слабых сторон.
5. Обобщение стратегических альтернатив.
6. Разработка критериев оптимизации.
7. Выбор оптимальной стратегии.
8. Планирование мероприятий.
После выработки общей финансовой стратегии корпорации специальные подразделения в соответствии со стратегией корпорации, а также в соответствии с состоянием финансового рынка разрабатывают инвестиционную и кредитную стратегии корпорации. Такой подход позволяет, с одной стороны, директировать деятельность подразделений, то есть направить различные аспекты деятельности корпорации в единое русло (директриссу или вектор) в соответствии с миссией корпорации, а с другой стороны, гибкая и продуманная финансовая стратегия позволяет высшему менеджменту корпорации планировать развитие прочих направлений деятельности.
Выводы
Можно сформулировать как минимум несколько обязательных условий для успешного функционирования корпорации:
♦развитость экономики;
♦освоенное населением предпринимательство;
♦различные формы собственности (защищаемые государством и уважаемые населением);
♦профессиональные управляющие (менеджеры).
И до тех пор, пока в масштабах государства (отдельного региона) или в отдельной подотрасли не будут созданы минимальные условия функционирования корпораций, говорить о корпоративном управлении преждевременно.
Можно выделить несколько этапов становления рыночных отношений в экономике России, каждый из которых характеризуется своими специфическими проблемами.
Период до 1987 года:
♦экономические методы централизованного управления показали свою несостоятельность;
♦партийно-номенклатурная элита вызывала противоречивое отношение начинающих предпринимателей.
Период с 1987 года по 1991 год:
♦центробежные силы уверенно вели к распаду монополизированного хозяйства;
♦закладываются основы корпоративности директорского корпуса и структур, приближенных к партийно-номенклатурным органам управления.
Период с 1991 года по 1994 год:
♦активная чековая приватизация;
♦начинает складываться определенный корпоративный стиль взаимоотношений отдельных структур.
Период с 1994 года по настоящее время:
♦денежная приватизация в условиях принятия нового законодательства;
♦крупные зарубежные компании открывают в России свои филиалы, представительства или создают совместные фирмы.
Развитие корпораций сегодня напрямую зависит от правильно организованной финансовой и особенно инвестиционной деятельности. Поскольку реструктуризация корпораций и создание самоуправляемых структур приводит к взаимодействию большого количества юридических лиц, высший менеджмент корпорации должен спроектировать принципы финансовой, инвестиционной и кредитной стратегии.
В период перехода к рынку финансовая деятельность государства приобретает большое значение. Поскольку большинство процессов перераспределения и накопления осуществляется посредством перетока финансовых ресурсов, контроль и наблюдение за деятельностью по аккумулированию, перераспределению и использованию денежных фондов играют все большую роль.
Главным кредитным учреждением страны является Центральный банк Российской Федерации, который осуществляет руководство в области кредитно-денежных отношений и контролирует всю сеть кредитных органов. Кредитная система позволяет сформировать рынок ссудного капитала посредством аккумуляции финансовых ресурсов хозяйствующих субъектов. Она характеризуется совокупностью банковских и иных финансово-кредитных учреждений.
Соответственно образуются два основных звена кредитной системы: банковские и парабанковские учреждения.
Корпоративные финансы это денежные отношения, связанные с формированием и распределением денежных ресурсов у предприятий-участников, входящих в корпорацию, и их использованием на выполнение обязательств перед предприятиями-участниками корпорации, финансово-кредитной системой и государством, а также на обеспечение функционирования как отдельных предприятий, так и корпорации в целом.
Финансовая система корпорации это обособленная финансовая система, в которой имеется свое государство (управляющая компания), кредитная система (банки, страховые компании, инвестиционные фонды и т.п.), и субъекты финансовой системы (коммерческие и производственные предприятия), через которые идет формирование и использование финансовых ресурсов корпорации.
Выработка стратегии развития корпорации обеспечивает эффективное распределение и использование всех ресурсов: материальных, финансовых, трудовых ресурсов, земли и технологий и на этой основе устойчивое положение на рынке в конкурентной среде.
Формирование стратегии поведения на рынке включает определение следующих параметров:
♦регион или территория, на которую направлен сбыт, степень географической дифференциации сбыта;
♦доля рынка, которую предполагается занять;
♦группа потребителей, на которую направлен сбыт;
♦определение связи продукт - рынок в качестве основы концепции маркетинга (выбор между дифференциальным и нишевым маркетингом);
♦базовая ценовая стратегия (лидерства по издержкам, дифференциации, ниши и т.д.);
♦выбор вида стратегии деятельности корпорации (стратегия конкуренции, стратегия расширения рынка и т.п.);
♦квалификация и практический опыт персонала, необходимый для успешной конкурентной борьбы;
♦необходимость кооперации.
Для эффективного осуществления процесса управления управляющая компания должна определить и согласовать с подчиненными предприятиями перечень и объем информации о функционировании каждого предприятия, предоставляемый предприятиями-участниками управляющей компании.
В рамках финансовой деятельности любого хозяйствующего субъекта непременно возникают две равноважные задачи:
1. Задача привлечения ресурсов для осуществления хозяйственной деятельности.
2. Задача распределения полученных ресурсов (инвестирования).
В совокупности инвестиционная стратегия и кредитная стратегия составляют финансовую стратегию корпорации.
Стратегия представляет собой детальный всесторонний комплексный план, предназначенный для того, чтобы обеспечить осуществление миссии общества и достижение его целей.
Поскольку корпорация представляет собой совокупность хозяйствующих субъектов, функционирующих в различных сферах экономики, представляется целесообразным структурировать подразделения по целям и задачам, выполняемым ими в рамках группы. На основании такого распределения функций разработка финансовой стратегии основывается на совокупности финансовых функций подразделений корпорации.
Разработки стратегии включает осуществление нескольких этапов:
1. Оценка долгосрочных перспектив.
2. Прогноз развития.
3. Осознание цели.
4. Анализ сильных и слабых сторон.
5. Обобщение стратегических альтернатив.
6. Разработка критериев оптимизации.
7. Выбор оптимальной стратегии.
8. Планирование мероприятий.
После выработки общей финансовой стратегии корпорации специальные подразделения в соответствии со стратегией корпорации, а также в соответствии с состоянием финансового рынка разрабатывают инвестиционную и кредитную стратегии корпорации. В рамках этих стратегий осуществляются мероприятия по привлечению и размещению средств.
Проблемам реализации инвестиционной и кредитной стратегии корпорации посвящены вторая и третья главы.
Инвестиционная стратегия корпорации
Инвестиционный портфель.Составляющие инвестиционного портфеля
В соответствии с принятыми в мировой практике положениями любая совокупность инвестиционных ценностей, находящихся в собственности одного инвестора называется инвестиционным портфелем [38]. Составляющими инвестиционного портфеля являются так называемые элементы инвестиционного портфеля, представляющие собой инвестиционные ценности различных видов. Каждый вид инвестиционных ценностей имеет собственные отличительные черты, но перед тем, как охарактеризовать виды инвестиций в целом, по нашему мнению, необходимо классифицировать инвестиционные ценности в соответствии с видами инвестиций следующим образом:
♦по степени материализации: материальные, нематериальные;
♦по отдаленности возврата вложенных средств: краткосрочные, среднесрочные и долгосрочные;
♦по степени риска: высокого риска, среднего риска, низкого риска;
♦по объему требуемых инвестиционных ресурсов: дорогостоящие, средней стоимости, дешевые;
♦по целевому использованию: спекулятивные, прямого участия;
Рассмотрим виды классификации более подробно.
Степень материализации как явствует из ее названия позволяет различать такие инвестиционные ценности как права, технологии, интеллектуальный потенциал персонала как нематериальные инвестиционные ценности с одной стороны, и недвижимость, оборудование как материальные инвестиционные ценности с другой.
Вычисление дисконтной ставки
Свободный поток средств затем прогнозируется на будущее, обычно на период до 10 лет.
Вычисление дисконтной ставки
Прибыль, получаемая держателями акций и долговых обязательств, представляет собой стоимость долгового обязательства. зависящую от рыночной стоимости этого обязательства, а также стоимость акции, зависящую от рыночной стоимости этих акций. Среднее значение, определенное в соответствии с рыночной стоимостью, называется Средневзвешенной Стоимостью Капитала (ССК).
Прогнозируемые свободные потоки средств дисконтируются в соответствии с ССК.
Основная формула для определения ССК выглядит следующим образом

где
Rd стоимость долгового обязательства до уплаты налогов;
Tc маргинальные налоговые ставки для компании;
D рыночная стоимость долгового обязательства;
E рыночная стоимость акций;
Re стоимость акций до налогов.
Стоимость акций может определяться при помощи Модели Оценки Капитальных Активов (МОКА). Данная модель строится на том основании, что разница в прибыли представляет собой необходимую степень риска, однако вознаграждению подлежит лишь та часть этой разницы, которая не подвержена диверсификации.
Модель определяет разницу, не подверженную диверсификации, и связывает ожидаемую прибыль с данной степенью риска. Основную формулу модели МОКА можно представить так:

В данном случае Rf представляет ставку, свободную от риска (обычно это государственные облигации или другие виды правительственных долговых инструментов на развивающихся рынках); β степень риска, не подверженного диверсификации; а Rm рыночный риск. Премия по рыночному риску представлена разницей между значениями Rf и Rm.
Риск, не подверженный диверсификации, то есть β, может быть определен путем деления коварианта компании с рынком на общую вариацию самого рынка.

Вычисление конечной стоимости
Конечная стоимость обычно определяется с использованием формулы роста до бесконечности или терминальной кратности.
Формула роста до бесконечности является следующей:

.
FcFn представляет потоки средств по окончании прогнозируемого периода, а g ожидаемую степень роста этих потоков. Данная формула должна быть нормализована для использования в полных циклах деятельности в тех отраслях промышленности, которые имеют цикличную структуру.
Основной недостаток оценки конечной стоимости заключается в предположении того, что компания достигла стадии устойчивого функционирования.
Метод сравнительного анализа компаний
Также необходимо проводить оценку компании с использованием анализа некоторых показателей компаний, которые могут сравниться с анализируемой. Например, при анализе пакета нефтяной корпорации можно воспользоваться данными по нескольким гипотетическим корпорациям: Корпорация 1, Корпорация 2, Корпорация 3, Корпорация 4, Корпорация 5.
Показатели, которые будут рассматриваться:
1. Стоимость компании к запасам.
2. Рыночная капитализация к запасам.
3. Цена / поток средств.
Опять-таки, анализ цены / потока средств будет зависеть в основном от качества полученной информации.
Соотношения стоимости / запасов и рыночной капитализации/ запасов предприятия будут рассчитываться в отношении общих запасов и тех, на которые у нее имеются права (то есть, после поправки на мелкие пакеты акций в производственных объединениях. Запасы, на которые у компании имеются права, рассчитываются на основании коммерческого (без права голоса) пакета акций.
Техника предварительного сравнительного анализа компаний
Перед проведением анализа стоимости пакета акций необходимо установить исходные данные отношении изучаемой компании. Для анализа можно предположить следующее:
а) общие запасы изучаемой корпорации (то есть, 100% всех дочерних предприятий) 6,600 млн. баррелей;
б) запасы, на которые у нее есть права 2,500 млн. баррелей.
Сравнения делаются на основании запасов АВС1 (табл. 2.1).
Таблица 2.1
Стоимость компании / запасы общие
| Наименование компании |
Общие запасы, млн. баррелей |
Стоимость компании, млн. $ |
Отношение, $/баррель |
| Корпорация 1 |
18 677 |
15 009 |
0,80 |
| Корпорация 2 |
8 796 |
2 824 |
0,32 |
| Корпорация 3 |
2 519 |
605 |
0,24 |
| Корпорация 4 |
4 611 |
2 529 |
0,55 |
| Корпорация 5 |
17 515 |
5 431 |
0,31 |
| Среднее |
|
|
0,44 |
Нижний предел (Корпорация 3 $0,24 / баррель);
Подразумеваемая стоимость изучаемой компании
0,24 * 6,600 = $1,6 млрд.
Верхний предел (среднее всех компаний $0,44 / баррель);
Подразумеваемая стоимость изучаемой компании
0,44 * 6,600 = $2,9 млрд.
Таблица 2.2
Стоимость компании / предоставленные запасы
| Наименование компании |
Предоставленные запасы, млн. баррелей |
Стоимость компании, млн. $ |
Отношение, $ / баррель |
| Корпорация 1 |
18 210 |
15 009 |
0,82 |
| Корпорация 2 |
8 796 |
2 824 |
0,32 |
| Корпорация 3 |
1 146 |
605 |
0,53 |
| Корпорация 4 |
2 306 |
2 529 |
1,10 |
| Корпорация 5 |
6 092 |
5 431 |
0,89 |
| Среднее |
|
|
0,73 |
При расчете нижнего предела исключаются Корпорация 1 и Корпорация 2, так как предоставленные им запасы равны их общим запасам. В качестве нижнего предела используются параметры Корпорации 3.
Используя ту же методику, что и в предыдущем вычислении (по 100% запасов) подразумеваемая стоимость изучаемой корпорации является следующей:
Нижний предел $1,3 млрд.
Верхний предел $1,8 млрд.
Естественно, имеются определенные ограничения в отношении таких показателей как стоимость предприятия/запасы. Например, они не различают качественную разницу по активам, а также не различают разницу между компаниями с различными этапами разработки активов.
Однако, она должна рассматриваться как сопутствующая методу ДПС.
Сравнительный анализ операции
В ходе дальнейших исследований также является целесообразным анализ схожих случаев приобретения акций на российском рынке. Основанием к использованию данного метода является то, что он обеспечивает надлежащую степень реализма в отношении случаев приобретения акций российских компаний российскими компаниями.
Другие методики оценки могут привести к получению определенных показателей стоимости акций. Однако, эти показатели могут оказаться нереальными в контексте:
а) текущей ситуации на российском рынке;
б) цен, которые потенциальные покупатели (среди которых, наверняка, окажется много российских) могут или хотят предложить в обычных условиях.
Анализ заменяемой стоимости
Наиболее лучшим методом оценки перерабатывающих активов является метод ДПС, который для расчета точной стоимости полностью принимает в учет цену за сырую нефть, которую платит НПЗ, ассортимент продукции и операционные затраты. Другой метод относится к сравнимым операциям.
Однако, данный метод не полностью учитывает разницу в рентабельности продукции из-за географического положения НПЗ (например, далеко или близко от побережья), разницу в технологической оснащенности НПЗ, операционных затратах и экономических показателях завода.
Третьим методом является метод оценки заменяемой стоимости завода. Он учитывает стоимость строительства завода заново по сегодняшней стоимости денег и с применением скидки с такой стоимости для расчета стоимости такого нефтеперабатывающего актива.
Обычно скидка в отношении заменяемой стоимости западноевропейского НПЗ составляет 30-40% или выше с поправкой на месторасположение завода (если далеко от побережья выше, и ниже, если близко к побережью).
В российских условиях обычно используется 10-20% заменяемая стоимость в связи с низкой задействованностью заводов, необходимостью значительной модернизации из-за низкой технологической оснащенности и низкого платежеспособного спроса.
Российская специфика оценки пакетов акций
Также, учитывая специфику российского рынка, можно предложить еще два метода, позволяющих существенно приблизить начальную цену пакета акций к рыночным котировкам:
1. Метод расчетной капитализации.
2. Метод группировок.
Суть методов следующая:
Если акции предприятия не котируются на фондовом рынке, то определение рыночной стоимости можно проводить с использованием следующих исходных данных:
♦бухгалтерская отчетность анализируемого предприятия;
♦бухгалтерская отчетность предприятий отрасли, акции которых имеют рыночную стоимость (котируются на рынке);
♦значения рыночных котировок по акциям этих предприятий.
Тогда прогнозируемая стоимость акций анализируемого предприятия может быть рассчитана по следующему алгоритму:
1. Рассчитывается совокупная балансовая стоимость (S) предприятий, акции которых котируются:

.
2. Для каждого предприятия рассчитывается удельный вес (q) его валюты баланса в общей корзине [13]:

.
3. Для каждого предприятия рассчитывается коэффициент превышения (k) расчетной капитализации над рыночной:

,
где
КапРЫН рыночная капитализация предприятия;
КапРАС расчетная капитализация предприятия, равная стоимости собственных средств предприятия.
4. Рассчитывается генеральный коэффициент превышения (К):

.
5. Рассчитывается прогнозная рыночная капитализация (s) анализируемого предприятия:

.
Выводы
1. Под инвестициями понимают единовременные затраты на осуществление мероприятий научно-технического прогресса: НИОКР, капиталовложения и прочие затраты необходимые для реализации проекта. В качестве отдачи от инвестиций принимается разность между доходами в период производства (эксплуатации) и затратами денежных средств в том же периоде (издержки производства, налоги и т.д.).
Эта разность складывается в основном из прибыли (убытков) и амортизационных отчислений, остающихся в распоряжении предприятия.
В условиях рыночной экономики возможностей для инвестирования много. Вместе с тем любая корпорация имеет ограниченные свободные финансовые ресурсы, доступные для инвестирования. Принятие решений управляющей компанией корпорации по инвестированию предприятий осложняется следующими факторами:
♦множественность доступных проектов;
♦ограниченность финансовых ресурсов для инвестирования;
♦риск, связанный с принятием того или иного решения по инвестированию, и т.п.
2. Формирование инвестиционных проектов является одной из основных составляющих перестройки руководства работой ОПК. Цикл разработки проекта состоит из трех фаз: предынвестиционной, инвестиционной, и эксплуатационной. При этом инвестиционный проект должен включать:
♦сопоставительный анализ альтернативных технических и организационных решений, преимущество предлагаемого проекта в данной области применения, возможности расширения области использования и др.;
♦рассмотрение зарубежных аналогов и сопоставление их комплексных критериев;
♦закрепление права интеллектуального собственника с указанием реквизитов патента зарубежной страны или России;
♦коммерческий прогноз, позволяющий определить рынок продукции (технологии), выпускаемой по данному проекту;
♦эффективность проекта с учетом прибыли, получаемой в результате реализации проекта (поэтапное получение выгод);
♦анализ различных форм инвестирования и выбор наиболее оптимальной с точки зрения наличия производственных фондов и их состояния.
3. Исходные данные для разработки конкретного проекта должны обеспечить возможность реконструкции развернутого во времени потока платежей, включающего инвестиции, текущие расходы и доходы от производственной деятельности, и должны включать:
♦развернутую во времени производственную программу;
♦цены на продукцию;
♦прямые производственные издержки (зависящие от масштабов производства);
♦накладные расходы и другие платежи (в том числе затраты, не зависящие от масштабов производства);
♦развернутый во времени процесс финансирования капитального строительства;
♦структуру инвестиционных затрат и издержек;
♦источники поступления инвестиционных средств (акции, кредиты ит.д.).
4. Управление портфелем инвестиционных проектов включает, как и управление любым сложным объектом с переменным составом, планирование, анализ и регулирование состава портфеля. Кроме того, управление любым портфелем включает в себя осуществление деятельности по его формированию и поддержанию с целью достижения поставленных инвестором перед портфелем целей при сохранении необходимого уровня его ликвидности и минимизации расходов, связанных с ним.
Существуют два варианта организации управления портфелем инвестиционных проектов: выполнение всех управленческих функций, связанных с портфелем, его держателем на самостоятельной основе; передача в форме траста всех или большей части функций по управлению портфелем другому лицу.
Управление портфелем осуществляется в рамках общей стратегии функционирования корпорации, в соответствии с портфельными стратегиями:
♦низкого риска и высокой ликвидности;
♦высокой доходности и высокого риска;
♦долгосрочных вложений и др.
5. Оценка экономической эффективности инвестиционного проекта является одним из наиболее ответственных этапов предынвестиционных исследований. Она включает детальный анализ и интегральную оценку всей технико-экономической и финансовой информации, собранной и подготовленной для анализа в результате работ на предыдущих этапах предынвестиционных исследований.
Методы оценки эффективности инвестиционных проектов основаны преимущественно на сравнении эффективности (прибыльности) инвестиций в различные проекты. При этом в качестве альтернативы вложениям средств в рассматриваемый проект выступают финансовые вложения в другие производственные объекты, помещение финансовых средств в банк под проценты или их обращение в ценные бумаги.
Для оценки эффективности производственных инвестиций в основном применяются следующие показатели: чистый приведенный доход, внутренняя норма доходности, срок окупаемости капитальных вложений, рентабельность проекта и точка безубыточности. Перечисленные показатели являются результатами сопоставлений распределенных во времени доходов с инвестициями и затратами на производство.
Наиболее часто используемым показателем эффективности инвестиций является внутренняя норма доходности, а вторым по частоте применения чистый приведенный доход.
При этом оба указанных показателя целесообразно применять одновременно, так как внутреннюю норму доходности можно рассматривать как качественный показатель, характеризующий доходность единицы вложенного капитала, а чистый приведенный доход является абсолютным показателем, отражающим масштабы инвестиционного проекта и получаемого дохода.
6. Определение объемов и сроков инвестирования это главная задача при формировании финансовых потоков в рамках корпорации. Распределить ограниченный объем ресурсов по нескольким направлениям, вовремя и в достаточном количестве можно только при тщательном планировании деятельности корпорации.
Поэтому управляющей компании необходимо выполнять задачу планирования на всех этапах реализации инвестиционного проекта (или пакета инвестиционных проектов).
Исходными предпосылками для планирования реализации проектов являются стратегические плановые решения управляющей компании корпорации, заложенные в концепцию функционирования группы, а именно:
♦основные цели группы;
♦базовые сроки и максимальные уровни издержек осуществления проекта;
♦потенциальные участники;
♦принципы нейтрализации факторов риска;
♦месторасположение строительства и т.д.
Содержание плана реализации проекта (плана проекта) в значительной степени зависит от характера самого проекта, в том числе, от типа создаваемых объектов и месторасположения строительства. Например, план проекта может включать следующие разделы:
♦основные цели проекта;
♦финансовый план проекта;
♦план заключения субконтрактов;
♦функциональный план проекта;
♦анализ факторов выполнения проекта;
♦приложения к плану проекта.
7. Функциональный план проекта является стержнем предынвестиционной фазы и определяет структуру функциональных комплексов работ, сроки и особенности их выполнения.
Функциональные комплексы работ (как составные части инвестиционной фазы) включают:
♦проектно-конструкторские работы;
♦материально-техническое снабжение;
♦строительство;
♦контроль качества;
♦сдача проекта в эксплуатацию и его освоение.
В зависимости от особенностей проекта эти комплексы работ могут быть разделены, исходя из условий контрактов, на проектные узлы, комплексы и виды работ, комплексы сдаваемых в эксплуатацию отдельных систем проекта.
Кредитная стратегия корпорации
Разработка плана финансирования инвестиционного портфеля
Поиск и оптимизация финансирования портфеля является одним из наиболее важных условий обеспечения эффективности его функционирования. Финансирование должно быть нацелено на решение двух основных задач:
♦обеспечение потока инвестиций, необходимого для своевременной реструктуризации портфеля;
♦снижение затрат и риска портфеля за счет оптимизации структуры инвестиционных ценностей и получения финансовых (налоговых, процентных) преимуществ.
Больший доступ к широкому кругу инвесторов (коммерческим банкам, общественным инвестиционным фондам, государственным фондовым источникам) открывает для корпорации возможности для использования различных вариантов финансирования.
В этих случаях кредитные учреждения рассматривают совершаемые операции как предоставление кредита под определенную структуру портфеля как совокупность инвестиционных ценностей.
Диверсификация источников финансирования портфеля создает возможность получить максимальный размер кредита, больший, чем возможная сумма кредита при вложении в отдельную инвестиционную ценность. Это обеспечивает требуемый уровень и объем финансовых потоков и дает возможность финансирования портфеля с наименьшими затратами.
Работы по обеспечению финансирования портфеля начинаются с планирования этой деятельности и отражаются в финансовом плане, который является элементом стратегического плана управления инвестиционным портфелем.
В инвестиционном плане конкретного портфеля закрепляются предварительные оптимальные значения финансовых показателей: доходности, риска, структуры инвестиционного портфеля, а также долей по каждому элементу инвестиционного портфеля, условий финансирования, и критериев реструктуризации. Эти параметры создают заинтересованность в финансировании инвестиций, снижают совокупные затраты инвестора, создают предпосылки для прироста стоимости инвестиционного портфеля и минимизации финансового риска инвестора.
Получение финансовых преимуществ достигается благодаря гибкости распоряжения финансовыми ресурсами и своевременным перераспределением их между различными элементами инвестиционного портфеля в рамках корпорации, то есть своевременной передачи прав собственности на инвестиционные ценности, с помощью которых можно в данный конкретный момент времени получить налоговые преимущества, что может существенно снизить финансовые выплаты в процессе жизненного цикла инвестиционного портфеля.
Потенциальный объем и количество элементов инвестиционного портфеля в значительной степени зависит от структуры финансирования, возможностей погашения задолженности и чувствительности портфеля к изменениям макроэкономических параметров. Добиться эффективного решения этих вопросов невозможно без грамотного планирования процесса финансирования портфеля на всех стадиях его жизненного цикла.
План финансирования портфеля предназначен для упорядочения всего процесса финансирования и базируется на стратегии маркетинга корпорации, которая требует выяснения следующих вопросов [16]:
♦деловая заинтересованность конкретного инвестора в приобретении конкретной инвестиционной ценности;
♦степень риска, которую может принять на себя инвестор;
♦объем прав собственности, которые желает получить инвестор в результате осуществления инвестиций;
♦достаточность и определенный уровень финансовых потоков в процессе функционирования портфеля и налоговых преимуществ для обеспечения заинтересованности инвестора.
Необходимо тщательно рассмотреть возможности эмиссии различных типов и объемов долговых обязательств, а также график покрытия потребностей, выходящих за рамки долговых обязательств и акций.
Разработка плана финансирования в процессе функционирования портфеля предусматривает выбор реальных альтернативных источников финансирования портфеля, сформированных в результате проведения переговоров с инвесторами. Для этого все возможные альтернативные источники финансирования (эмиссионные, кредитные ресурсы, а также фонды корпорации) вносятся в модель движения денежных средств (с учетом долгового финансирования).
Альтернатива финансирования портфеля, обеспечивающая минимальные затраты на возрастание стоимости капитала и наименее чувствительная к колебаниям ключевых экономических показателей портфеля, используется для согласования графиков и подписания соглашений с выбранными для финансирования инвесторами.
Одна из проблем, которую приходится решать при разработке плана финансирования портфеля, это учет совокупного риска инвестиционных ценностей. При этом, основное назначение плана финансирования рациональное распределение возможных финансовых рисков между элементами инвестиционного портфеля.
План финансирования, надлежащим образом разделяющий риск и доходность портфеля между элементами в процессе его функционирования, может натолкнуться на требование инвесторов предоставить дополнительные гарантии, снижающие отдельные виды риска. Все возможные виды рисков, которые удается выявить, оценить и учесть при анализе рисков, в финансовом плане портфеля оформляются в специальном инвестиционном меморандуме инвестиционного портфеля.
Помимо достаточности предполагаемых доходов часто рекомендуется, чтобы план финансирования включал в себя резервный фонд (мобильный капитал) для поддержания ликвидности портфеля, который должен поддерживаться на определенном уровне, например, на уровне максимальных ежегодных выплат по задолженностям.
Финансовые соглашения должны быть составлены таким образом, чтобы в любом году, когда приходится пользоваться резервным фондом выплат по задолженностям, прибыль после выплат на управление и обслуживание распределялась бы вначале на выплату по задолженностям, затем на компенсацию резервного фонда и, наконец, по участникам и третьим сторонам.
В некоторых портфелях вместо резервного фонда для выплат по задолженностям может использоваться принцип реализации элементов инвестиционного портфеля. В портфелях, обеспеченных доходами, управляющий портфелем обязуется осуществлять выплаты по задолженностям, гарантируя на эти цели определенный процент доходов, получаемых при осуществлении инвестиционного процесса в рамках функционирования портфеля.
При этом недостаточность поступающих из этого источника сумм для оплаты задолженностей не рассматривается как невыполнение долговых обязательств. Возникающий при этом дефицит ликвидности суммируется и выносится на срок окончательной выплаты задолженности.
План финансовых потоков должен предусматривать возможности дополнительного финансирования, необходимость в котором может возникнуть из-за задержки, значительного увеличения стоимости портфеля или проблем, связанных с его функционированием. Необходимо установить контакт с отдельными кредиторами для обеспечения приемлемости непредвиденных моментов в плане финансирования.
После осуществления участниками проекта надежных мер по снижению и страхованию риска по всем элементам инвестиционного портфеля, инвестор может сформировать соответствующие виды гарантий частичных или полных выплат задолженностей на определенных стадиях функционирования портфеля или при его ликвидации.
Риск промежуточной ликвидности
Как правило, инвесторов беспокоит влияние на текущую стоимость управления портфелем непредусмотренных повышений затрат, возникающих из-за различных причин: инфляции, технических сложностей, макроэкономических проблем, правительственных постановлений или колебания курсов валют. Поэтому перед началом функционирования портфеля управляющий и инвесторы должны прийти к соглашению относительно минимизации риска потери его совокупной стоимости.
Для этого осуществляют несколько мероприятий.
Финансовый план и его составляющие план-график финансовых интервенций, график погашения задолженностей, финансовые соглашения между управляющим портфелем и инвесторами должны учитывать все меры, принимаемые участниками инвестиционного процесса к снижению финансового риска, а также финансовые гарантии инвесторам.
Вывод акций на международные рынки
В координации с западными банками, отобранными корпорацией и представляющими ее интересы на международных рынках, финансовый консультант может обеспечить организацию такого рода мероприятий;
♦заключение договора с международной аудиторской фирмой, входящей в большую шестерку.
Вывод акций на международные рынки
После проведения необходимой информационной подготовки корпорация может переходить к продвижению акций на зарубежные рынки. Наиболее распространенными и приемлемыми в настоящее время являются Американские Депозитарные Расписки. АДР появились как основной способ, с помощью которого неамериканские эмитенты могут получить доступ на американский рынок акций.
Зарубежная компания, стремящаяся получить листинг на биржах США, должна осуществить это через процесс листинга АДР.
Все более растущее число компаний, в особенности в странах с развивающейся или переходной экономикой, выбирают в качестве способа привлечения средств иностранных инвесторов выпуск депозитарных расписок (АДР), которые обеспечивают выход на наиболее емкий фондовый рынок мира с незначительными издержками. Процесс глобализации рынков акций и потребность в капитале, которую испытывают компании в странах с развивающимися рынками, ускорили рост рынка АДР, которые являются свидетельствами, подтверждающими владение акциями компаний, то есть право собственности инвесторов США на акции иностранной компании.
АДР подразумевают непосредственное право голосования по акциям, лежащим в основе данных расписок, позволяют облегчить решение проблем (с расчетами, валютным курсом и непосредственным владением акциями), существующими на внутреннем рынке.
Механизм АДР расширяет возможности инвесторов, предоставляя им право осуществлять вложения не только в те ценные бумаги, которые прошли процедуру листинга (зарегистрированы) на известных фондовых биржах.
АДР снижают риски вложений в акции для иностранных инвесторов; повышают ликвидность рынка акций эмитента, позволяют обойти ограничения, накладываемые на покупку ценных бумаг нерезидентами. Поэтому программа выпуска АДР реальная возможность серьезно заявить корпорации о себе международным финансовым и инвестиционным кругам.
АДР уровня 1 позволяет американским инвесторам вкладывать средства на вторичном рынке в акции большинства компаний, имеющих листинг на биржах всех стран, кроме США. Торги проводятся на внебиржевых площадках США и на нескольких биржах за пределами США.
Подача финансовой отчетности предприятия, которая должна отвечать международным стандартам бухгалтерского учета и финансовой отчетности, в Комиссию по ценным бумагам и биржам США необязательна.
Уровни 2 и 3 применимы для прохождения и получения полного листинга ценных бумаг на фондовых биржах в США. Каждый уровень имеет различный порядок регистрации и отчетности в Комиссии по ценным бумагам и биржам и обязательное соответствие требованиям по соблюдению норм US GAAP и GAAS.
Необходимо соответствие нормам получения листинга на национальных фондовых биржах или в системе NASDAQ (Автоматизированные котировки Национальной Ассоциации дилеров по ценным бумагам).
Размещение по правилу 144А позволяет размещать АДР среди институциональных инвесторов, при этом отсутствует необходимость регистрации в Комиссии по ценным бумагам и биржам США, а также появляется возможность реализовывать АДР неамериканским инвесторам по Правилу S.
Данная форма размещения предполагает подготовку Информационного Меморандума международной компанией-андеррайтером, которая непосредственно осуществляет размещение, проведение роад-шоу и ряда подготовительных мероприятий.
Одним из основных этапов создания ликвидного рынка акций является размещение 5-10% пакета акций среди зарубежных институциональных инвесторов. Продажа акций создаст первоначальный рынок ценных бумаг за рубежом, на несколько порядков повысит доверие к акциям эмитента и позволит значительно повысить котировки на внутреннем рынке.
Само размещение осуществляется путем тщательно подготовленной кампании Road-Show (презентация) с участием представителей государственных ведомств РФ и руководства корпорации, по завершении которой проводятся торги с определенно высокой продажной ценой акций. Особенностью этого размещения является то, что оно проводится без больших финансовых затрат на международный аудит, финансовых и юридически международных консультантов и подготовку международного меморандума, которые необходимы при размещении через систему АДР по правилу 144А (американских депозитарных расписок).
В целях финансирования своего развития и формирования устойчивого зарубежного рынка сбыта ряд крупных российских эмитентов привлекает стратегических инвесторов путем продажи определенных пакетов своих акций. Выбор стратегического инвестора должен осуществляться не ранее появления устойчивого спроса на акции эмитента, то есть тогда, когда возникает возможность выбора инвестора на условиях партнерства, более выгодных для эмитента.
Выводы
На современном этапе становления и развития рынка ссудных капиталов, в условиях нестабильной экономической обстановки в России проблема определения инвестиционной привлекательности заемщика субъекта данного рынка является одной из наиболее практически важных задач.
Инвестиционная привлекательность заемщика это фундаментальное свойство кредитных отношений и, поскольку экономическую основу инвестиционной привлекательности составляет кругооборот и оборот фондов участников воспроизводственного процесса, то можно сказать, что именно инвестиционная привлекательность заемщика и выступает необходимым условием функционирования всей кредитной системы.
В общебанковском масштабе для любого банка очень важно умелое проведение кредитной стратегии и управление собственными активами. При этом необходимо соблюдать принцип диверсификации деятельности банка, который выражается, во-первых, в развитии других активных операций, помимо кредитования; во-вторых, в рамках самого кредитования важно предоставлять кредиты как предприятиям и населению, так и другим банкам, что позволяет выбирать оптимальное соотношение доходности и надежности кредитования; в-третьих, необходимо распределять кредитный риск между несколькими заемщиками, тогда крах одного из заемщиков не повлечет за собой банкротство банка.
На уровне конкретного заемщика банку важно определить его инвестиционная привлекательность. Для этого необходимо провести анализ финансового состояния заемщика. Существует ряд показателей, позволяющих на базе периодической отчетности предприятия определить его платежеспособность и финансовую устойчивость.
Это коэффициенты ликвидности, показатель обеспеченности собственными средствами и другие. Для комплексной оценки инвестиционной привлекательности заемщика можно воспользоваться балльной системой, где каждый показатель имеет свой рейтинг в зависимости от его значимости для анализа.
Перемножая рейтинг показателя на класс инвестиционной привлекательности по данному показателю можно по сумме полученных баллов определить общий класс инвестиционной привлекательности заемщика. Данную методику необходимо совершенствовать, дабы она наиболее точно отражала реальное состояние дел субъекта рынка.
Помимо предприятий и индивидуальных заемщиков банки активно кредитуют другие коммерческие банки. Сейчас это направление работы является менее рискованным по сравнению с кредитованием предприятий и граждан.
О деятельности коммерческого банка можно собрать больше информации, и вообще, банки сейчас являются наиболее надежными заемщиками. Этому способствует и ужесточение требований к созданию коммерческих банков, к размеру их уставного капитала.
Также для банка очень важно сохранять свою репутацию, поскольку он зависит от привлекаемых им депозитов и межбанковских кредитов, а случаи невозврата МБК подорвут доверие к банку со стороны его кредиторов и вкладчиков.
Эти причины во многом определяют меньшую рискованность межбанковских кредитов. Однако даже самый крупный банк может попасть в затруднительное финансовое положение и не вернуть кредит. Поэтому при предоставлении межбанковских кредитов проводится тщательный анализ баланса банка-заемщика.
Здесь важен не только показатель валюты баланса (то есть абсолютный размер банка), но и структура активов и пассивов банка, показывающая, насколько рискованную политику проводит банк.
Существенную роль при принятии решения о выдаче межбанковской ссуды имеют также: опыт работы с данным банком, наличие у него прибыли, присутствие его в официальных рейтингах, наличие валютной лицензии (особенно генеральной) и так далее.
Подробный анализ по всем этим пунктам позволяет снизить риск невозврата межбанковских ссуд.
Другая часть работы, проводимой перед принятием решения о выдаче кредита, анализ сделки, на осуществление которой он испрашивается. Банк должен правильно оценить, насколько выгодна данная сделка, на основе контрактов, договоров и товарораспорядительных документов, а также на основе внешней информации о состоянии рынка.
Однако анализ отчетности и документов, относящихся к сделке, не дает полной информации о кредитоспособности заемщика. Эти источники информации часто бывают неполными, неточными и неактуальными.
Поэтому для банка важно собрать всю возможную информацию о заемщике из прессы, от деловых партнеров заемщика, от других банков, кредитовавших данное предприятие, и так далее.
И все же в современных условиях трудно быть до конца уверенным, что заемщик вернет кредит и уплатит проценты по нему, даже если его финансовое состояние стабильно и направления вложения средств являются выгодными. Поэтому очень важен вопрос о твердом обеспечении кредита, то есть о дополнительных гарантиях его возвратности.
Наиболее распространенными формами обеспечения возвратности кредитов являются залог, гарантии банков, страхование кредитов. В настоящий момент наиболее надежным обеспечением являются гарантии банков. К тому же их оформление не связано с дополнительными трудностями.
Если банк-гарант является надежным, то принять решение о выдаче кредита значительно легче.
Вместо банка гарантом погашения кредита могут выступать страховые компании. Здесь также важно оценить надежность страховой компании, и ее готовность в кратчайшие сроки отвечать по своим обязательствам при непогашении заемщиком кредита.
Но страхование кредита также стоит дорого.
Видимо, в дальнейшем, самым распространенным видом обеспечения будет являться залог, поскольку финансово устойчивое предприятие обычно имеет большие запасы товаров или недвижимость в своей собственности. Использование залога дает наиболее широкие возможности для кредитования (как предприятий, так и населения, для которого почти недоступны другие виды обеспечения), однако сейчас недостаточно отработано залоговое законодательство и на практике возникает много трудноразрешимых вопросов.
Помимо залога товаров очень интересны залог недвижимости, получающий сейчас все большее распространение, залог транспортных средств и другого имущества, а также залог ценных бумаг. Эти виды залога позволяют осуществлять кредитование как юридических лиц, так и населения.
Существуют также и другие формы обеспечения возвратности: передача права собственности, переуступка требований.
С целью повышения эффективности кредитной стратегии субъектов рынка ссудных капиталов необходимо разрабатывать прогнозы будущего развития заемщиков. Объективную оценку надежности партнеров коммерческих банков могут дать независимые организации, сеть которых уже достаточно развита.
Дальнейшее улучшение кредитной стратегии субъектов рынка безусловно требует преодоления такого существенного недостатка, как слабое развитие компьютеризации их деятельности во всех направлениях. Только некоторые из них используют новые совершенные системы автоматизированной обработки информации. Унифицированных программных средств по анализу кредитной стратегии поведения субъектов рынка нет.
Они создаются самими субъектами под каждый вид своей деятельности.
ЗАКЛЮЧЕНИЕ
Экономические и политические изменения, происходящие в России в последние годы обусловили необходимость организационно-структурных преобразований как в экономике так и в стране в целом. Как показывает практика развитых стран и небольшой отечественный опыт одним из путей решения этой задачи является формирование корпораций в различных отраслях промышленности.
Наряду с общим реформированием экономики одной из насущных необходимостей сегодняшнего дня является создание и развитие цивилизованных отношений между собственниками и наемными работниками.
Такое развитие экономических отношений в народном хозяйстве и различных отраслях промышленности, включая и оборонные, даст возможность:
♦построения законченных технологических цепочек с учетом особенностей корпоративных отношений;
♦экономии средств на торговых операциях;
♦диверсификации производства;
♦дотирования предприятий группы, ведущих разработку и освоение новой продукции, либо выходящих на новый рынок;
♦укрепления конкурентных позиций, создания олигополий на рынке конкретного вида продукции и услуг;
♦осуществления инвестиционных проектов по разработке и производству высокоэффективной и конкурентоспособной продукции;
♦создания эффективной корпоративной среды с учетом интересов всех заинтересованных сторон.
С точки зрения привлечения инвестиций в промышленность от коммерческих банков и иностранных источников корпорации являются предпочтительнее по сравнению с другими формами собственности. Это объясняется тем, что отечественные финансово-кредитные структуры и зарубежные инвесторы проявляют крайнюю осторожность во вхождении в какие-либо альянсы с отдельными предприятиями, а предпочитают сотрудничество с надежными и рентабельными акционерными обществами, в том числе и с поддерживаемыми государством, иначе говоря, с корпорациями.
В целях избежания финансирования неперспективных и слабо обоснованных инвестиционных проектов целесообразно организовать их тщательный отбор по общепринятым критериям и показателям экономической эффективности. А это станет возможным только при проведении политики информационной открытости и доступности корпораций для инвесторов и заемщиков.
В этих условиях формирование финансовой стратегии корпорации позволяет предусмотреть перспективы развития отношений с контрагентами, сформулировать основные положения кредитной и инвестиционной политики, разработать инвестиционную и кредитную стратегию. Владельцы акций получают возможность оценить возможности получения доходов и сделать выводы о перспективности путей развития корпорации, долевыми владельцами которой они являются.
Таким образом, финансовая стратегия корпорации охватывает широкий спектр вопросов, а ее принятие оказывает влияние на все элементы корпоративной среды.
Список литературы
1. Абалкин Л. И., Аганбегян А. Г. и др. Политическая экономия.
М.: Политиздат, 1990.
2. Авдеев А.М., Павловец В.И. Экономические показатели инвестиционных проектов в условиях инфляции.
Экономика и коммерция. 3, 1994.
3. Акофф Р. Планирование в больших экономических системах. М.: Мир, 1972. 228 с.
4. Баканов М. И., Шеремет А. Д. Теория экономического анализа. М.: Финансы и статистика.
1994. 288 с.: ил.
5. Балабанов И. Т. Основы финансового менеджмента. Как управлять капиталом? М.: Финансы и статистика, 1995.
384 с.: ил.
6. Банковское дело: Справочное пособие / под ред. Ю.А. Бабичевой.
М.: Экономика, 1994. 397 с.
7. Бессмертный С., Садовой Л. Анализ существующего положения и пути развития финансово-промышленных групп. Деловой экспресс, 11, 26.03.1996.
8.Ван Хорн ДЖ.К. Основы управления финансами.
М., Финансы и статистика, 1996.
9. Волосов И. Иностранные инвестиции и реформирование экономики. Деловой мир, 26.05.1994.
10. Вольнина М. Внутренний анализ внешних инвестиций.
Деловой экспресс, 26.03.1996.
11. Гончаров А. Инвестиционный климат для иностранцев начинает улучшаться.
Известия, 18.05.1995.
12. Грачева Е.Ю., Куфанова Н.А., Пепеляев С.Г.
Финансовое право России. Учебник.
М.: ТЕИС, 1995. 232 с.
13. Ефимова М.Р., Петрова Е.В., Румянцев В.Н.
Общая теория статистики: Учебник. М.: ИНФРА-М, 1996 416с.
14. Институциональные преобразования основа реформирования экономики. Деловой экспресс, 15.03.95 г.
15. Клиланд Д., Кинг У. Системный анализ и целевое управление.
М., 1974.
16. Коган М.Л. Предприятие и банк. М..
ПТФ, Аркаюр, 1993.
17. Корпоративное управление. Владельцы, директора и наемные работники акционерного общества.
Пер. с англ. М.: Джон Уайли энд Санз, 1996 г., 240 с.
18. Котлер Ф. Основы маркетинга.
Пер. с англ. М., Прогресс, 1992.
19. Кохно П. А. и др.
Менеджмент. М. Финансы и статистика, 1993.
20. Лаврушин О.И.
Организация и планирование кредита. М., Финансы и статистика, 1991.
21. Мамаев В., Балотин В. Финансово-промышленные группы: от государственной помощи к самофинансированию.
Экономика и жизнь. Ваш партнер, 1994, 18. 15 с.
22. Маркова О.М. Сахарова Л.С.
Сидоров В.Н. Коммерческие банки и их операции.
М., Банки и биржи, ЮНИТИ, 1995.
23. Менеджмент организации. / Под ред. З. П. Румянцевой, Н. А. Соломатина.
М.: ИНФРА-М, 1995.
24. Мескон М. Х., Альберт М., Хедоури Ф. Основы менеджмента: Пер. с англ.
М.: Дело, 1992. 702 с.
25. Методические рекомендации по оценке эффективности инвестиционных проектов и их отбору для финансирования (официальное издание).
М.: НПКВЦ Теринвест. 1994.
26. Моисеева Н. Х., Анискин Ю. П. Современное предприятие: конкурентоспособность, маркетинг, обновление.
Т. 1 и 2. М.: Внешторгиздат, 1993.
27. Основы управления персоналом / Под ред.
Б. М. Генкина. М.: Высшая школа, 1996.
28. Постановление Правительства РФ от 13.10.1995 г. 1016 О комплексной программе стимулирования отечественных и иностранных инвестиций в экономику Российской Федерации.
29. Постановление Правительства РФ от 15 апреля 1995 г. 336 О мерах по развитию рынка ценных бумаг в Российской Федерации. Рынок ценных бумаг.
8. М.: 1995.
30. Постановление Правительства РФ от 16.01.1995 г. 48 О программе содействия формированию финансово-промышленных групп.
31. Промыслов Б.Д., Жученко И.А. Логистические основы управления материальными и денежными потоками. (Проблемы, поиски, решения).
М.: Нефть и газ, 1994. 103 с.
32. Рейтлян Я.Р. Аналитическая основа принятия управленческих решений.
М., Финансы и статистика, 1989.
33. Саати Т. Принятие решений. Метод анализа иерархий.
М., Радио и связь, 1993.
34. Управление по результатам: Пер. с финск. / Общ. ред. и предисл.
Я.А. Леймана.
М.: Издательская группа Прогресс, 1993. 320 с.
35. Усоскин В.М.
Современный коммерческий банк. Управление и операции. М.: Все для вас, 1993 г.
36. Федеральный Закон от 30.11.1995 г. 190-ФЗ О финансово-промышленных группах".
37. Финансово-кредитный словарь в 3 т. М., Финансы и статистика, 1994.
38. Финансы и банки России.
Информационно-издательское агентство Обозреватель, 1995.
39. Финансы: Учебник / В.М. Родионова, Ю.Я. Вавилов, Л.И.
Гончаренко и др.; Под ред. В.М. Родионовой. М.: Финансы и статистика, 1993.
400 с.: ил.
40. Черкасов В.Е.
Плотицына П.А. Банковские операции: материалы, анализ, расчеты.
М., Метаинформ, 1995.
41. Четыркин Е.М. Методы финансовых и коммерческих расчетов.
М.: Дело, 1992. 320 с.
42. Шумпетер И. Теория экономическом развития.
М.: Прогресс, 1982.
43. Юдинов А. Ю. Конкуренция: теория и практика. Учебно-практическое пособие.
М.: АКаЛиС, 1996.
Менеджмент: Стратегии - Виды - Организация