Беляевский И. К. - МАРКЕТИНГОВОЕ ИССЛЕДОВАНИЕ- ИНФОРМАЦИЯ АНАЛИЗ ПРОГНОЗ
Учебное пособие разработано на основе материалов обучения по курсу Маркетинг в МЭСИ. Изложены методы анализа рыночной ситуации, состояния и тенденций развития рынка, его колеблемости, степени сбалансированности, потенциала собственного предприятия и потенциала рынка в целом, а также способы анализа конкурентной борьбы.
Охарактеризованы методология оценки и прогнозирование спроса, реакции рынка на влияние комплекса факторов и маркетинговую деятельность предприятия.
Для преподавателей, студентов и аспирантов экономических, торговых и технических вузов и колледжей, работников маркетинговых служб, а также предпринимателей.
Знание рынка и рыночных процессов изначально было заботой предпринимателей. Оно позволяло им обоснованно принимать решения, загодя готовиться к борьбе с конкурентами, снижать степень неизбежного риска, планировать на перспективу. Как известно, знание - сила.
Однако, как говорят, за удовольствие надо платить. Разработки и внедрение в практику системы изучения рынка обходится недешево, не говоря уже о том, что требует значительных интеллектуальных усилий.
И все же во все времена дальновидные коммерсанты понимали, что игра стоит свеч, и не скупились, когда требовалось иметь нужную информацию.
Методология исследования рынка своими корнями уходит в глубину веков. Русский купец XVII в., посылавший своего приказчика на Нижегородскую ярмарку, давал ему инструкции, которые в переводе с архаичного на современный русский язык содержали указания изучать и сравнивать с прошлым годом цены, высматривать товары, которые более других спрашивают, и т.д. Голландские купцы того времени располагали учебниками по коммерции, значительная часть содержания которых была посвящена оценке и характеристике рынка.
К XVII в. в Италии и во Франции начали складываться основы социально-экономической статистики, и в первую очередь индексы цен. Конечно, рынок конца XX - начала XXI в. - явление во много раз более сложное, многоструктурное, динамичное и по своим масштабам далеко превосходящее торги прошлого.
Естественно, многократно усложнились и методы изучения рыночной ситуации, органично впитывая достижения математического, статистического и социально-экономического анализа, но любопытно то, что триада исследования рынка - оценка состояния рынка, собственных возможностей и поведения конкурента - прошла сквозь века неизменной.
С появлением и укреплением маркетинга как основы рыночной деятельности анализ рынка вписывается в его рамки и становится неотъемлемой составной частью, обогащаясь методологией маркетинга и превращаясь в его информационно-аналитическое обеспечение. Современное маркетинговое исследование невозможно без использования современной компьютерной технологии. Большинство специалистов по управлению маркетинговыми процессами -маркетинг-менеджеров - одновременно являются и маркетологами, т.е. специалистами по маркетинговому исследованию.
Маркетинговое исследование, оставаясь неотъемлемой частью маркетинга, в то же время входит в более широкую отрасль науки - информатику, впитывает ее принципы и цели, является составным элементом единого информационного поля.
Для любого потребителя и коммерсанта, приступающего к выпуску и продаже нового товара, жизненно важными являются вопросы: в каких товарах нуждается потребитель; сколько он купит таких товаров; какую цену он согласен заплатить за них; какие услуги ему нужно предложить, чтобы он выбрал вашу фирму, а не фирму конкурента? Информационно-аналитический материал, отвечающий на эти вопросы, призван обеспечить конкурентное преимущество вашего бизнеса.
Чем крупнее фирма, чем шире масштабы ее рыночной деятельности, тем настоятельнее необходимость знания рыночной ситуации, тенденции ее развития, сложной системы взаимосвязей и взаимоотношений, складывающихся на рынке. Конечно, малая фирма тоже испытывает необходимость в информации, которая знакомила бы с состоянием рынка и предупреждала о неблагоприятных изменениях в рыночной конъюнктуре.
Именно поэтому отцы-основатели маркетинга как научно-практической дисциплины, еще в начале XX в. среди других тезисов выдвигали принципиальное требование обеспечения прозрачности и предсказуемости* рынка.
Во всех экономически развитых и во многих развивающихся странах университеты и другие учебные заведения выпускают тысячи специалистов по маркетингу, обладающих умением исследовать рыночные явления и процессы. Во всех экономических и во многих технических вузах России имеются факультеты и кафедры маркетинга, так как потребность в специалистах для отечественного развивающегося рынка достаточно высока. Имеется такая кафедра и в Московском государственном университете экономики, статистики и информатики (МЭСИ), которую возглавляет автор.
Многие выпускники кафедры работают в рыночных структурах, а некоторые - в специализированных фирмах, которые занимаются маркетинговыми исследованиями по заказам других фирм, промышленных или торговых.
Проблемы маркетингового исследования рассматриваются в трудах классика маркетинга - Филиппа Котлера, французского ученого Фернана Букереля, американского специалиста Питера Диксона и многих других зарубежных ученых. Много внимания уделено проблемам маркетингового исследования в базовых учебниках по маркетингу под редакцией Г.Л.
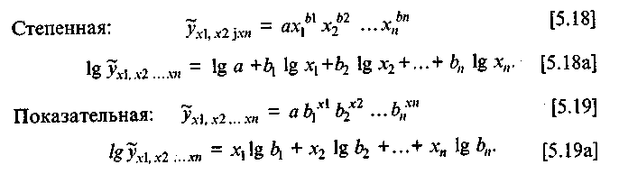
Багиева и А.Н. Романова, Статистические аспекты маркетингового исследования были рассмотрены в учебнике Статистика рынка товаров и услуг под редакцией И.К. Беляевского. Вопросам анализа рынка была посвящена работа А.И.
Ковалева и В.В. Войленко.
Наиболее полная и интересная монография по маркетинговому исследованию принадлежит отечественному маркетологу Е.П. Голубкову.
Проблемы анализа конкуренции рассматриваются в работе известного специалиста Г.Л. Азоева.
Предлагаемое читателю учебное пособие по маркетинговому анализу ставит задачу познакомить учащихся и работников маркетинговых служб с теоретическими положениями и целями исследования рынка и рыночных процессов, привить им навыки практической деятельности по сбору и обработке информации, проведения различных расчетов и формированию выводов, характеризующих состояние и развитие рыночной ситуации.
Мы рекомендуем изучать курс маркетингового исследования после того, как будет пройден материал по теории маркетинга и прикладному маркетингу. Усвоив терминологию маркетинга, организацию маркетинга, основные проблемы и методы маркетинг-менеджмента, учащемуся легче понять, какое информационно-аналитическое обеспечение требуется маркетингу, какие процессы и закономерности выявляет маркетинговый анализ. Методология маркетингового исследования имеет свою специфику, тесно связана с рядом других наук, что тоже говорит в пользу выделения курса маркетингового исследования в конец учебного маркетингового цикла.
В свою очередь учебный предмет стратегический анализ (если он предусмотрен учебным планом), в котором разработка стратегии сливается со стратегическим анализом, нужно излагать после маркетингового исследования.
Структура предлагаемого учебника состоит из пяти глав:
в 1-й главе рассматриваются общие проблемы и принципы маркетингового исследования;
2-я глава посвящена теории и практике маркетинговой информации, где освещены вопросы ее целей и принципов, типологии и методики сбора; особое внимание уделено разделу, посвященному источникам формирования информации (особо выделяются такие эффективные способы получения информации, как опросы и экспертные методы получения информации);
3-я глава рассматривает общие вопросы маркетингового анализа, его сущность и формы, цели и методологию;
4-я глава объединяет вопросы оперативного опроса, включая конъюнктурный анализ рынка: проблемы оценки потенциала и сбалансированности рынка, выявления тенденций и цикличности его развития;
в 5-й главе объединены вопросы стратегического анализа, в частности влияния макросреды маркетинга, оценки и прогнозирования покупательского спроса, характеристики его эластичности, выявление и моделирование покупательского поведения; особо выделены две стратегические проблемы - анализ собственного потенциала и изучение конкурентов.
Каждый раздел завершается контрольными вопросами и тестами. Контрольные вопросы помогают закрепить в памяти основные проблемы соответствующего раздела, а тесты - проверить себя, правильно ли учащиеся усвоили изучаемый курс. В тестах из трех вариантов ответов следует выбрать один - правильный.
Обязательно следует аргументировать свой выбор.
Учащиеся, которым предстоит изучать данную дисциплину, должны иметь определенную подготовку, в частности быть знакомыми с разделами цурса экономической теории/политической экономии, теории экономике. Необходимо познакомиться с основами теории статистики, так как подавляющая часть методов маркетингового исследования использует статистическую методологию. Обязательно надо прослушать полный курс маркетинга.
Было бы полезно изучить курс стратегического маркетинга и совершенно необходимо - овладеть компьютерной технологией.
Анализ поведения покупателей на рынке товаров
Прирост факторного признака: х = 400 - 200 = 200 (гр. 1);
отношение результативного признака к факторному:
по продуктам питания 122 : 200 = 0,61 (гр.2);
по непродовольственным товарам 30 : 200 = 0,15 (гр. 3);
прирост результативного признака:
по продуктам питания 400 - 200 =200 (гр. 4);
по непродовольственным товарам 96 - 32 = 64 (гр. 5);
групповой коэффициент эластичности:
по продуктам питания (200 : 200): 0,61 = 1,64 (гр. 6);
по непродовольственным товарам (66 : 200): 0,15 = 2,2 (гр. 7);
взвешивание группового коэффициента эластичности:
по продуктам питания 1,6 18 = 29,52 (гр. 8);
по непродовольственным товарам 2,2 18 = 39,60 (гр. 9).
В формуле эмпирического коэффициента эластичности заложено одно существенное противоречие: данный показатель отражает воздействие только одного фактора и к тому же предполагает, что это единственное влияние. Коэффициент эластичности от цен демонстрирует реакцию спроса на их изменение и полностью абстрагируется от влияния всех остальных факторов, в том числе и от дохода.
В свою очередь коэффициент эластичности от дохода игнорирует роль цены в реакции спроса. Это противоречие усиливается в период инфляции, когда спад спроса, вызванный ростом цен, в какой-то мере компенсируется увеличением дохода.
Выйти из положения можно с помощью расчетного показателя покупательной способности дохода, представляющего собой отношение цены к доходу на душу населения (показатель можно дифференцировать по социальным группам). Он интерпретируется как количество данного товара, которое можно купить на душевой доход при определенном уровне цены. Его формула имеет следующий вид:
где Кп.с.д. - показатель покупательной способности дохода;
Дна душу - доход на душу населения;
Рi - цена i-го товара.
Тогда коэффициент эластичности спроса от дохода и цены можно рассчитать как отношение двух темпов прироста - продажи и покупательной способности дохода:

Например, покупательная способность дохода при покупке масла животного с 1995 по 1997 г. выросла в 1,5 раза; темп прироста составляет 0,5. Продажа масла животного сократилась на 7%. Темп прироста составляет - 0,07.
Коэффициент эластичности инфраэластичен: Э = 0,14.
Такой же результат мы получим, если используем классическую формулу 5.36а:


Расчет показывает, что в изучаемом периоде (в некоторой степени стабильном) рост дохода нейтрализует действие роста цен, поэтому все коэффициенты эластичности отражают значительную инфраэластичность спроса.
Мы уже упоминали, что существует явление эластичности структуры спроса, которое проявляется в форме вытеснения одного товара другим под воздействием ценового фактора. Ученые давно заметили, что в определенных условиях изменение цены перестает влиять на спрос данного товара, но зато (часто, чтобы компенсировать рост затрат) изменяется спрос на какой-то другой товар.
Это явление названо именем английского исследователя 30-х годов XX в. Дж. Хикса. Влияние изменения цены одного товара на спрос другого (или других) получило название перекрестной эластичности.
Существуют различные методы ее анализа. Одним из наиболее распространенных является эмпирический коэффициент перекрестной эластичности, который исчисляется по следующей формуле:
где ЭA,B - коэффициент перекрестной эластичности спроса;
qA - прирост спроса на товар А;
pB - прирост цены на товар В;
qB - спрос на товар В;
рB - цена товара В.
Пример (цифры условные). В базисном периоде было продано 800 штук товара А и 400 штук товара В; в текущем - соответственно 500 и 400 штук.
Прирост продажи товара А составил 300 штук. Цены товара В выросли с 40 до 60 руб./шт., т.е. прирост составил 20 руб./кг.
Это означает, что рост цены товара В на 1% привел к сокращению спроса на товар А на 1,5%.
Эмпирический коэффициент эластичности широко используется в маркетинговом анализе, так как он весьма информативен и в то же время прост и доступен любому аналитику, однако у него имеется существенный недостаток, который мы уже отмечали. Расчет коэффициента эластичности по относительному показателю которым является покупательная способность дохода по существу паллиативное решение.
Аналитику необходима информация, в какой мере каждый фактор в отдельности влияет на спрос при устранении воздействия всех остальных.
Английские ученые Р. Аллен и А. Боули в 50-х годах преобразовали формулу Маршалла, привязав ее к уравнению регрессии Новый показатель получил название теоретического коэффициента эластичности, или формулы Аллена - Боули. В основе преобразования лежит исследование связей массовых явлении, при дифференцировании формула принимает вид
(5.31)
поскольку преобразование
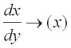
есть
, т.е. первая производная у по х (ее обозначают через у'), то теоретический коэффициент эластичности приобретает следующий вид:
(5.32)
где у' - первая производная соответствующей функции (табл. 5.4);
x факторный признак;
ух выровненное значение результативного фактора, т.е. выражение корреляционной
зависимости:
у = f (x). (см. формулу 5.14)
Ясно что для расчета теоретического коэффициента эластичности необходимо предварительно построить парное: ил.(много факторное уравнение регрессии, характеризующее связь между факторными признаками (ценой, доходом и т.д.) и результативным признаком (спросом). Эта проблема рассматривалась в гл.4.
Формула теоретического коэффициента эластичности (см. формулу 5.33) позволяет определить реакцию спроса для каждой точки регрессионной кривой. Ее экономическая интерпретация, в частности, заключается в характеристике эластичности спроса отдельных контингентов (групп) потребителей.
Если же брать совокупность в целом, то в формуле значения результативного и факторного признаков следует заменить на средние характеристики, т.е. будет определена средняя эластичность. При этом на практике обычно заменяют среднюю величину выровненного результативного признака (yx) средней величиной эмпирического значения результативного признака (у), поскольку суммы значений уx и у практически должны совпадать (незначительное расхождение может быть вызвано только округлением величин): ух = у. Тогда формула коэффициента эластичности примет следующий вид:
(5.33)
где хi - среднее значение признака i-го фактора.
Данной формулой можно пользоваться при парных и множественной связях. В последнем случае строится многофакторная модель спроса (табл. 5.5).
Тогда теоретический коэффициент эластичности определяется по каждому г'-му факторному признаку и считается чистым, т.е. освобожденным от влияния других факторов.
Первая производная в практике маркетинговых исследований, как правило, не рассчитывается, а заимствуется из математических справочников. В табл.
5.12 приводятся производные наиболее употребительных функций.
Таблица 5.12Производные ряда функций
|
Вид функции |
Производная |
|
Линейная |
b |
|
Парабола 2-го порядка |
a + 2bx |
|
Парабола n-го порядка |
b1 + 2b2x ++ nbnxn-1 |
|
Гипербола |
- bx2 |
|
Полулогарифмическая |
b/x ln10 |
|
Показательная |
ab2 lnb |
|
Степенная |
abxn-1 |
|
Логистическая |
Kabebx/(1 + a-bx)2 |
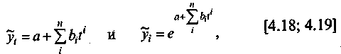
Однако, как показывает опыт, чаще всего строятся линейные многофакторные модели (см. формулу 5.17), в которых первая производная равна коэффициенту регрессии - b. В этом случае теоретический коэффициент эластичности принимает следующий вид:

, (5.34)
где bi - коэффициент множественной регрессии при i-м факторе;
xi - среднее значение i-го факторного признака;
у - среднее значение результативного признака.
Пример (цифры условные). Зависимость спроса (продажи товара 0 от денежных доходов населения и цены товара выражается следующим многофакторным уравнением регрессии:

,
где x1 - доход (средний доход - 450 руб./чел.);
x2 - цена товара (средняя цена - 40 руб./ед.).
Среднее значение результативного признака равно:
7 = 300+1,3450 - 1440 = 300 + 585 - 560 = 325.
Отсюда чистые коэффициенты эластичности от дохода (Эx1) и цен (Эx2) составляют:

Таким образом, при увеличении дохода на 1% спрос увеличивается на 1,8%, а при возрастании цены на 1% спрос сокращается на 1,72%, т.е. разновекторное влияние обоих факторов как бы уравновешивается.
Эластичность спроса от цены можно изучать не только по статистическим данным, самостоятельно собранным или приобретенным фирмой на коммерческих началах. Имеется объективная возможность непосредственно судить о реакции потребителей на основе опросов.
Важно правильно и доступно сформулировать вопрос, чтобы выявить реакцию потребителя на конкретные цены. Не каждый потребитель в состоянии ответить, сколько он собирается купить товара по данной цене, зато ему, может быть, легче ответить на другой вопрос: сколько он купит товара по цене ниже данного уровня? Если потребителям предложить ряд цен, то они, естественно, выберут минимальную.
Если же предложенные цены назвать предельно допустимыми, то мнения покупателей, скорее всего, разделятся, из чего следует, что этот процесс подчиняется закону спроса.
Существуют различные способы выявления реакции покупателей на предложенный уровень цен, отражающей эластичность спроса.
Первый способ - использование Дельфи-метода, когда группе экспертов задается вопрос о количестве товара, приобретаемого по цене не выше данного уровня; вопрос повторяется для различных уровней предельной цены. Результат отражает спрос, соответствующий каждой цене.
Второй способ - использование панели или единовременного выборочного обследования, когда опрашивается определенное количество потребителей, каждый респондент называет предельную цену, по которой он готов купить единицу товара (уровни могут быть подготовлены заранее, тогда респондент указывает соответствующий), в результате составляется ряд распределения потребителей по уровню цен (частота - число человек, назвавших одну и ту же цену).
Третий способ. Он отличается от второго тем, что респондент указывает не только цену приобретения одной единицы товара, но и цены, по которым он приобрел бы две и более единицы этого товара.
По каждому полученному распределению строится регрессионная модель и исчисляется коэффициент эластичности.
КОНТРОЛЬНЫЕ ВОПРОСЫ
1. В чем проявляется реакция рынка па изменения цеп и дохода?
2. Назовите достоинства и недостатки эмпирического коэффициента эластичности.
3. Можно ли использовать коэффициент эластичности в качестве прогнозной модели?
4. Какой показатель в линейной модели спроса соответствует первой производной функции в формуле теоретического коэффициента эластичности?
5. В чем проявляется важное преимущество теоретического коэффициента эластичности?
ТЕСТЫ
1. Если коэффициент эластичности дает результат, превышающий единицу, то такое явление называется:
а) ультраэластичностью;
б) инфраэластичностыо;
в) унитарным спросом.
2. Может ли коэффициент эластичности спроса отразить реакцию рынка в динамическом развитии?

Если да, то определите коэффициент эластичности по данным динамического рада: темп роста товарооборота составил 82%, темп роста цены - 105%.
3. Может ли измениться спрос на товар А, если выросла цена на товао Б?

Если да, то как называется показатель, с помощью которого можно измерить это явление?
4. Средний коэффициент эластичности исчисляется как:
а) отношение средней величины товарооборота к средней цене;
б) деление коэффициента эластичности на число товаров, на которые изменились цены;
в) средняя арифметическая из частных (групповых) коэффициентов эластичности, взвешенных по показателям размерности каждой группы.
5. Уравнение регрессии, выявившее связь между спросом (у) и ценой (х), составило: уЮх = 1100-0,4x, х =250руб./шт. Можно ли по имеющимся данным построить теоретический коэффициент эластичности спроса?
Чему он равен, является ли он инфраэлас-тичным или ультраэластичным?
Анализ поведения покупателей на рынке товаров
Концепция современного маркетинга базируется на принципе суверенитета потребителя. Важнейший признак маркетинга заключается в ориентации на потребителя. На потребительском рынке развитых рыночных стран сложился механизм (в России.он еще только формируется) зависимости получения прибыли от степени удовлетворения потребностей покупателей.
Максимизация прибыли - коммерческая цель маркетинга, которая достигается расширением и качественным улучшением продажи товаров (в расчет не принимаются внерыночные и криминальные способы получения доходов). На рынке покупателя существует единственный способ получения прибыли: продажа определенного количества товаров по конкурентоспособной цене.
Продавая товар, предприниматель тем самым и удовлетворяет потребности покупателя. Только на основе изучения этих потребностей, выявления закономерностей поведения потребителя на рынке, выяснения, какие товары и в каком количестве ему требуется, у предпринимателя появляется шанс продать все, что он произвел; производить ему выгодно столько, сколько необходимо потребителю. Частично эти проблемы мы рассматривали в процессе анализа и прогнозирования спроса (см.
5.2) и в рамках анализа реакции рынка на определенные маркетинговые действия. Однако остается еще одна сторона изучения рынка: анализ поведения, мнений и предпочтений потребителей.
Для разработки маркетинговой стратегии и конкретных маркетинговых операций, в частности товаров, сегментации рынка и т.д., огромное значение имеет характеристика и моделирование покупательского поведения (англ, consumer buying), выявление мнений и предпочтений потребителей, мотивации покупок. Это необходимая предпосылка формирования системы стимулирования спроса и управления качеством товаров и торгового сервиса. Информационной базой этого анализа служат опросы потребителей и предпринимателей, информация торговых корреспондентов, материалы, полученные в процессе пробного маркетинга, и т.п.
Например, бельгийская компания Веlgacom поместила в газетах анкету с вопросами о качестве предоставляемых услуг. Было получено 65 тыс. ответов, позволивших выявить ее слабые стороны деятельности.
На основе анализа негативного отношения к компании был разработан ряд мер по перестройке работы с клиентами53.
Можно выдвинуть следующие задачи анализа покупательского поведения:
характеристика удовлетворенности покупкой и торговым обслуживанием;
определение отношения покупателей к товару и сервису (рейтинг нового товара);
выделение групп покупателей по времени признания нового
товара;
анализ частоты и повторяемости покупок;
исследование намерений покупателей;
психографическое моделирование потребителей;
оценка прибыльности покупателя.
Главная идея анализа покупательского поведения -установить, отдаст ли предпочтение потребитель товару данной фирмы, когда и сколько он его купит.
Производственная или торговая фирма, заинтересованная в изучении реакции покупателей на товарное предложение и определенные маркетинговые мероприятия, устанавливает побудительные причины покупки, степень удовлетворенности покупателей свойствами товара, в том числе его ценой, проводит анализ психологического отождествления качества товара и его цены.
В анализе поведения потребителей используются, как правило, три статистических метода: ряды распределения потребителей по одному из признаков (например, по времени признания товара); структурные и аналитические группировки, в том числе комбинированные, позволяющие охарактеризовать состав покупателей и зависимость выбора товара от каких-либо причин, например от социального статуса семьи и ее типа, психологических факторов и т.п.; многофакторные регрессионные модели, которые выявляют обусловленность покупки набором каких-либо факторов, например демографических, экономических и т.д.
Важной составной частью анализа мнений потребителей является определение их отношения к качеству товара. Для этого используются три методики54.
Метод простого рейтинга. Потребитель называет ассортиментные виды товара в порядке от наиболее до наименее предпочтительного:
А В С.
Обычно больше 3-5 вариантов не рассматривается, и в этом один из недостатков этого метода; другой недостаток в том, что остается неизвестной степень предпочтения.
Метод парного сравнения. Составляются пары товарных вариантов: АВ, АС, ВС.
Покупателю предлагается выбрать из каждой пары наиболее привлекательный товар. Этот метод, кроме того, что он облегчает выбор наиболее предпочтительного товара, позволяет выяснить, в чем сходство, а в чем различие вариантов.
Метод монадического рейтинга. Потребитель должен, пользуясь шкалой оценок, выразить свое отношение к товару. Тем самым четко выявляется и количественно измеряется его отношение к товару.
Выстраивается иерархия предпочтений.
Формой анализа поведения покупателей являются некоторые виды рыночного тестирования, которые нельзя считать чистой формой маркетингового исследования, так как их основная задача - управление рыночными процессами (marketing mnagement). Рассмотрим опыт американского маркетинга55.
Волновое исследование продаж. Потребителям предлагается бесплатно опробовать товар, а затем приобрести или его, или аналогичный товар конкурента (по слегка сниженной цене), причем предложение повторяется от трех до пяти раз (волны продаж).
Отмечается, сколько потребителей вновь выбрали нашу продукцию и в какой мере они ею удовлетворены.
Другой формой рыночных испытаний товара является имитационное рыночное тестирование. Отбирают 30-40 покупателей (лучше из числа постоянных клиентов), которых спрашивают о марках товаров, им известных. Им выдают определенную сумму денег и предлагают купить любой товар по их выбору. Соотношение в покупке собственного товара и конкурирующего фиксируется.
У потребителей выясняют причины и побуждения, заставившие их купить наш товар или отказаться от него. Тем, кто не купил новый товар нашей фирмы, вручается бесплатный образец. Несколько недель спустя проводится телефонный опрос об отношении потребителей к этому товару, о его свойствах и качестве, степени удовлетворенности пользователя.
Обязательно задается вопрос о намерении совершить повторную покупку.
В американском маркетинге сложилось мнение, что имитационное тестирование выгоднее реального, хотя затраты на него достигают 250 тыс. долл.
В процессе пробного маркетинга осуществляется масштабное тестирование, которое носит название пробного рынка. Определяется несколько представительных городов, где организуется продажа и реклама товара с использованием различных вариантов и сочетаний маркетинговых действий. Иногда анализ результатов совмещают с опросом покупателей. Результат - оценка спроса, реакция потребителей на маркетинговые мероприятия и прогноз прибыли.
Мероприятие это дорогостоящее, так как подсчитано, что полномасштабные испытания потребуют затрат в 1 млн долл.
Хорошие результаты дает метод определения нужд и проблем потребителей. Организуется опрос потребителей, в котором они должны были перечислить достоинства и недостатки товаров, а также условия их продажи.
Анкеты группируются по доходам, полу и возрасту покупателей. Обнаруженные недостатки ранжируются по степени их серьезности, распространенности и стоимости устранения.
Выявить недовольство покупателей и вовремя погасить его - задача первостепенной важности, если фирма не хочет получить мощной антирекламы. Подсчитано, что 13% покупателей, недовольных фирмой, сообщает о своем неудачном контакте с фирмой более чем 20 людям56.
Существует понятие покупательских ожиданий, т.е. покупатель как бы рассчитывает, что новый товар, о выпуске которого фирма объявила заранее, соответствует его требованиям. В ходе тестирования товара проводятся блиц-опросы потребителей или специалистов с целью оценить процесс признания товара, рассчитываются темпы признания (показатели нарастания числа покупок), уровень диффузии целевого рынка (изменения в распределении покупателей, признавших и не признавших товар).
Следует всегда помнить, что высокое качество товара - условие высокого уровня спроса.
В процессе продвижения товара при организации пробных продаж, выставок и покупательских конференций необходимо установить, в какой мере он соответствует ожиданиям потребителей. Организуются опросы (интервью и анкеты), которые позволят разработать модель следующего вида (табл.
5.13).
Средние баллы параметров и товара по каждой группе респондентов определялись по формуле простой среднеарифметической, а соответствующие показатели по всей совокупности - по формуле среднеарифметической взвешенной (см. формулу 4.41). В качестве весов использовались частости распределения респондентов (по группе, ответивших не могу решить за балл принимался 0).
Разброс мнений оценивался по формуле коэффициента вариации (см. формулу 4.39) баллов; он составил 26%, что представляет собой значительную величину.
Таблица 5.13Модель соответствия качества товара ожиданиям покупателей
Группы покупателей, оценивших новый товар как
|
Число ответивших, % к
итогу
|
Средние баллы параметров |
Средний балл товара
|
функциональные
свой-
|
дизайн
|
эргономические свойства (удобство в
использовании и уходе) |
соответствие цены качеству
товара
|
|
Очень хороший |
21 |
4,8 |
4,9 |
4,6 |
4,2 |
4,6 |
|
Хороший |
51 |
4,4 |
4,7 |
4,0 |
3,8 |
4,2 |
|
Средний |
17 |
3,9 |
3,7 |
4,1 |
3,6 |
3,8 |
|
Плохой |
8 |
2,7 |
2,3 |
з,з |
2,5 |
2,7 |
|
Очень плохой |
2 |
1,4 |
1,8 |
2,0 |
Ы |
1,6 |
|
Не могу решить |
2 |
- |
- |
- |
_ |
_ |
В целом по
совокупности
опрошенных |
100 |
4,16 |
4,27 |
4,01 |
3,65 |
4,00 |
максимальных
ожиданий
покупателей
(от 5 баллов) |
- |
- 0,84 |
- 0,73 |
- 0,99 |
- 1,35 |
- 1,00 |
Модель сформирована по итогам разработки анкеты ( 5.6), в которой к каждому вопросу приводилась шкала (пятибалльная), где надо проставить баллы в соответствии с оценкой, которую выставляет респондент.
Поведение покупателей может быть охарактеризовано комбинированной группировкой, что позволяет увязывать между собой взгляды и желания потребителей. Приведем в качестве примера такую группировку (табл.
5.14), в которой время признания товара связывается с отношением покупателя к цене и которая составлена по итогам опроса во время пробного маркетинга.
Таблица 5.14Модель покупательских предпочтений (цифры условные)
|
Группы покупателей с денежным доходом |
Число опрошенных, % к итогу |
Цена товара |
Распределение покупателей, % |
|
по цене покупки |
по времени признания товара |
|
раннее |
среднее |
позднее |
итого |
|
Низкий
|
26
|
Низкая |
90 |
12 |
60 |
28 |
100 |
|
Высокая |
10 |
- |
10 |
90 |
100 |
|
Итого |
100 |
- |
- |
- |
- |
|
Средний
|
53
|
Низкая |
38 |
18 |
49 |
33 |
100 |
|
Высокая |
62 |
50 |
40 |
10 |
100 |
|
Итого |
100 |
- |
- |
- |
- |
|
Высокий
|
32
|
Низкая |
5 |
92 |
8 |
0 |
100 |
|
Высокая |
95 |
74 |
26. |
0 |
100 |
|
Итого |
100 |
100 |
100 |
100 |
- |
|
Всего |
100 |
|
|
|
|
|
|
Анализ реакции рынка на изменение ситуации
Также прибегают к имитационным моделям., когда вместо реальных данных используются построения, созданные по специальной программе с помощью ЭВМ на основе полевых исследований или пробного маркетинга. Данный метод применяется, когда фирма обладает апробированными имитационными моделями.
Редко используются нормативные или рационализированные прогнозные расчеты, например проистекающие из рационального бюджета или рациональных рекомендуемых норм потребления. Во-первых, не всегда существуют достаточно надежные, устойчивые нормативы. Например, в России на пороге XXI в. не решен окончательно вопрос о потребительской корзине и прожиточном минимуме.
Часто этот метод субъективен, он мало подходит для рыночной экономики, его скорее можно рекомендовать для рынка товаров производственного назначения, где большую роль играют производственно-технические нормативы и прочие детерминанты, чем для изменяющегося стохастически потребительского рынка, где потребности проявляются в форме статистических закономерностей.
Наиболее простым статистическим способом прогноза является экстраполяция, т.е. распространение тенденций, сложившихся в прошлом, на будущее. Для этой цели используются трендовые модели (см. формулы 3.18 и 3.19).
Однако применение этого способа ограничено краткосрочными прогнозами, преимущественно в конъюнктурном анализе. Он дает хорошие результаты, когда можно утверждать, что нет резких изменений в рыночной ситуации и инерционность развития весьма вероятна.
Надо всегда помнить, что любой прогноз на будущее опирается на закономерности развития, выявленные в прошлом. Это закон гносеологии.
Более глубокий прогноз, особенно на отдаленный период, должен максимально принимать во внимание вероятность изменения условий, в которых будет функционировать рынок. Искусство прогноза как раз и заключается в умении предвидеть изменение социально-экономической и демографической обстановки.
Этой цели отвечают многофакторные регрессионные модели, которые позволяют не только оценить тенденцию развития (для чего в них включают дополнительно фактор г - время), но и определить характер изменения спроса под воздействием совокупности факторов. Конечно, самое сложное в этом методе - подобрать необходимые данные для построения модели, а также необходимость предварительного прогноза или хотя бы предположения об изменении всех факторов.
Сам прогноз заключается в подстановке в модель данных, отражающих значение факторных признаков в прогнозируемом будущем.
На практике иногда строят сложные многоступенчатые модели, скрещивая модели, разработанные в статике с динамическими моделями.
При этом не исключается многовариантность прогноза в заданных границах достоверности. В современном маркетинге распространен метод разработки сценария развития рынка, включающих все основные параметры. Здесь сочетаются описательный метод (что было бы, если бы...) и моделирование основных процессов.
При этом исходят из различных вариантов изменения условий. Может быть поставлена несколько иная цель: разработать определенные ориентиры развития рынка, которых нужно достичь к определенному сроку. В этом случае прогноз представляет своеобразную ожидаемую траекторию развития.
Непременным требованием к прогнозированию рыночных процессов является комплексность: одновременное составление прогнозов всего блока основных параметров рынка, хотя не исключается углубленная разработка прогноза только одного из них, наиболее значимого для маркетинговых целей, в частности прогнозирование спроса.
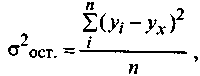
Важным моментом прогнозирования является проверка надежности и точности прогноза. Рассчитывается ошибка прогноза, т.е. его отклонение от фактического уровня. Мерой качества прогноза служит показатель

Так проверяется достоверность прогноза, т.е. верификация прогнозов спроса. Очень важно осуществлять ее не по окончании прогнозного срока, а при составлении самого прогноза.
Существует, например, метод инверсной верификации путем ретроспективного прогнозирования. Это означает, что правильность прогнозной модели проверяется составлением прогноза на уже истекший период и сопоставлением его с фактическими данными.
Существует также метод Тейла, который позволяет оценить ошибку прогноза до наступления прогнозного срока. Расчет ведется по формуле

(5.21)
где рt - прогноз изучаемого показателя;
Аt - фактическое изменение того же показателя;
V - показатель надежности прогноза.
Сравнение осуществляется на любой достижимой точке траектории прогноза: при V = 0 прогноз будет абсолютно точным; если V = 1, то это означает, что он вырождается в простую экстраполяцию; если же V 1 - прогноз даст ненадежный результат.
КОНТРОЛЬНЫЕ ВОПРОСЫ
1. Зачем фирме нужны оценки и прогнозы покупательского спроса?
2. Существует ли связь между оперативным и долгосрочным прогнозами спроса?
3. В чем суть сценарного способа прогнозирования спроса?
4. Нужен ли фирме дифференцированный прогноз спроса: по территории, группам потребителей, субрынкам и т.п.
5. В чем преимущество прогнозирования с помощью многофакторного регрессионного метода перед экстраполированием по трен-довой модели?
ТЕСТЫ
1. Верно ли, что среднесрочный прогноз спроса охватывает:
а) декаду, месяц, квартал;
б) один-два года;
в) пять лет и более.
2. Установлено, что в течение последнего времени (3 месяца ежедекадно) цена товара (2 растет с некоторым замедлением, что отражено следующим уравнением полулогарифмической кривой:
y%i = 120 + 20lg t (в руб., в сопоставимых ценах).
Модель отражает тенденцию изменения цен за 9 декад. Возможен ли прогноз на 10-ю декаду при условии, что ситуация на рынке серьезно не изменилась?

Если да, выполните экстраполяцию.
3. Можно ли оценить точность прогноза спроса до наступления срока прогнозирования?
а) оценить точность прогноза предварительно невозможно;
б) по использованным для прогнозной модели данным и выбранной функции осуществить прогноз на известную дату;
в) оценить прогнозную модель экспертным путем.
4. Соответствует ли товарооборот/продажа товара по своему размеру покупательскому спросу?

Если да, то сравните состав товарооборота и составные элементы покупательского спроса. Если нет, укажите, на какую величину (элемент) спрос отличается от товарооборота.
5. В чем проявляется в процессе анализа структуры спроса закон Энгеля?
а) в постоянном росте покупательского спроса, пропорциональном росту денежных доходов;
б) в том, что спрос обеспеченных слоев населения резко отличается от спроса населения с низким уровнем дохода.
Анализ реакции рынка на изменение ситуации
Ранее уже говорилось о влиянии на рыночные процессы и явления целого комплекса факторов, как социально-экономических и демографических, так и естественно-природных,.
Рынок чутко реагирует на внешние воздействия. Благоприятное влияние заставляет рынок оживляться и расширяться, действие негативных сил приводит к сокращению деловой активности, сжатию рынка, вплоть до коллапса. Особенно подвержены влияниям такие рыночные категории, как спрос и предложение, т.е. основные элементы рыночного механизма.
В качестве их раздражителей на первый план выдвигаются цены и денежный доход потребителей, причем если предложение детерминировано волей и интересами производителей/поставщиков, то спрос складывается как результат множества составляющих, имеющих вероятностный, стохастический характер. Конечно, изменения и колебания предложения находят отражение в коммерческих документах, контрактах, а изменения и колебания спроса проявляются непосредственно на рынке в форме тенденций в результате действия закона больших чисел. Спрос и предложение изменчивы и реактивны.
Это явление принято называть эластичностью.
Таким образом, эластичность спроса и предложения - явление специфически рыночное, обусловленное проявлением действия рыночных законов, эластичность которых проявляется в чрезвычайной гибкости и изменчивости, зависимости от влияния различных социально-экономических факторов, в первую очередь таких, как цена и денежный доход. Некоторые исследователи49 делят эластичность на:
кратковременную, когда покупатели временно сокращают покупки, реагируя тем самым на шок, вызванный скачком цен (в этом случае спрос довольно быстро восстанавливается под влиянием компенсирующих факторов);
долговременную, когда изменение спроса происходит длительный период. Следует отметить, что векторы действия факторов на спрос и предложение противоположны, полярны.
Рост цен, например, приводит к сокращению спроса, но к увеличению предложения, что является проявлением действия закона стоимости.
Спрос на потребительском рынке реагирует на изменения цен и дохода практически мгновенно, а на оптовом - с определенным лагом, поскольку он в какой-то мере детерминирован направленной деятельностью оптовых коммерсантов, основанной на той или иной маркетинговой стратегии, использующей различные методы стимулирования спроса. То же можно сказать и о предложении, эластичность которого проявляется в организованных формах контрактных (договорных) связей поставщиков и оптовых покупателей.
Здесь существенным элементом эластичности является время, в течение которого оптовый продавец приспосабливается к изменению цен.. Конечно, время реакции на изменения цен зависит от целого ряда условий, в частности от развитости систем информации.
На феномен чувствительности (иногда говорят: чуткости) спроса и предложения от воздействия внешних факторов исследователи социально-экономических процессов обратили внимание еще в начале XIX в. Французский экономист О. Курно высказал мнение, что в определенном смысле спрос есть функция цены. Эту идею впоследствии развил английский исследователь А. Маршалл, выразивший ее в виде формулы

(5.22)
где В - спрос (англ, demand);
р - цена (англ. рriсе).
Многие исследователи, занимаясь оценкой влияния цен на спрос, заметили, что спрос на каждый товар зависит не только от цены этого товара, но и от цен на другие товары. В 80-х годах прошлого века швейцарский экономист Л. Вальра, представитель так называемой лозаннской школы, на основе первичного уравнения, предложенного О. Курно, представил свой вариант эластичности спроса в виде формулы

(5.23)
где dx - спрос товара X;
рx - цена товара X;
р1, p2,, pn - цены других товаров.
На этой идее базируется теория перекрестной эластичности, получившая развитие впоследствии. Мы в дальнейшем вернемся к ней.
Взгляды Курно - Маршалла в последующие годы были развиты другими видными исследователями (в частности, В. Парето, Е. Слуцким, Д. Хиксом и др.), которые ввели в понятие эластичности фактор дохода. Об эластичности спроса от факторов цены и дохода писал также К. Маркс в Капитале50.
Известный создатель теории экономике П. Самуэльсон рассматривает эластичность спроса от цен как степень реакции покупаемого количества товара от колебаний рыночных цен51.
Следует обратить внимание, что у цены и дохода обратные векторы влияния на спрос: при увеличении цены спрос, как правило, падает, а при увеличении дохода спрос, опять-таки как правило, растет (хотя из этого правила есть исключения).
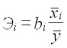
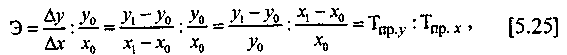
Меру эластичности определяет количественный показатель - коэффициент эластичности, предложенный А. Маршаллом в виде следующего отношения:

(5.24)
где Э - коэффициент эластичности, выраженный в процентах;
y - прирост результативного признака, в частности спроса или предложения;
x - прирост факторного признака, в частности цены или дохода;
у - базовое значение результативного признака (спроса);
x - базовое значение факторного признака (цены, дохода).
Довольно часто эту формулу используют в преобразованном виде:

. (5.24a)
Результат, т.е. значение коэффициента эластичности, может быть равен 1, а также больше или меньше ее.
Если Э 1 обнаруживается явление инфраэластичности, товар мало эластичен или полностью неэластичен, т.е. практически не реагирует на изменение факторного признака.
При Э 1 отмечается явление ультраэластичности, товар является эластичным или сильно эластичным, т.е. он заметно реагирует на внешние воздействия.
При Э = 1 товар является слабоэластичным (обнаруживается так называемый унитарный спрос), в этом случае, как правило, спрос нейтрально относится к попыткам влиять на него, он изменяется пропорционально изменениям факторного признака.
Следует учитывать знаки коэффициента эластичности. Его положительное значение свидетельствует, что при увеличении факторного признака спрос растет, т.е. связь прямая (обычно такая зависимость проявляется от дохода); отрицательное значение - что при увеличении факторного признака спрос сокращается, т.е. связь обратная; такая зависимость спроса характерна при воздействии цен ( 5.7).
Расчет коэффициента эластичности спроса - необходимый этап как в стратегическом, так и в конъюнктурном анализе, обеспечивающий информационно-аналитические потребности формирования системы регулирования спроса (иногда ее называют системой ФОССТИС52), регулирование этапов жизненного цикла товаров, плановых расчетов и т.д.
Пример 1. За месяц до изменения цен в среднем за день продавалось 50 кг товара А, по новым ценам продавалось 30 кг товара. Цена выросла с 10 ло 15 т/б./кг:

рост цены на 1% приводит к сокращению спроса на 0,8%, т.е. имеет место инфраэластичность.
Пример 2. Средний доход определенной группы населения в расчете на одного члена семьи вырос с 400 до 600 руб., расходы на покупку увеличились с 250 до 375 руб.:

т.е. имеет место унитарный спрос.
Пример 3. Цена товара Б в нашем магазине - составляет 30 руб. за штуку. В магазине конкурента цена на аналогичный товар - 50 руб. За сопоставимый период наш магазин продал 320 штук товара Б, а конкуренту удалось реализовать всего 200 штук:
у = 320 - 200 = + 120; х = 30 - 50 = -20; у = 200; х = 50.
В третьем примере мы показали, что расчет коэффициента эластичности может вестись не только по динамическим показателям, но и по статичным, когда идет сравнение по двум предприятиям, регионам и т.д. Один из них принимается за базу сравнения, а понятие прироста (А) трактуется как разность, отклонение и т.п.

Это означает, что спрос ультраэластичен и нашей фирме имеет смысл продолжать ценовую конкурентную борьбу.
Надо иметь в виду, что существуют товары, которые иначе реагируют на изменение цен и дохода. Во-первых, рост дохода приводит к падению спроса на товары невысокой потребительной ценности. Во-вторых, утверждение, что вектор влияния цен на спрос находится в обратном отношении к вектору влияния дохода, не носит характера императива.
Из этого правила имеется несколько исключений. Прежде всего на эластичность влияет степень полезности товара (т.е. его ранг в иерархии потребностей).
Чем важнее товар для потребления, тем он обычно менее эластичен.
Существует явление, называемое парадоксом Джиффена: чем дороже хлеб, тем больше его покупают. Инфляция снижает спрос в первую очередь на высококачественные, дорогостоящие товары, не фигурирующие в шкале потребностей на первых местах. В условиях роста цен их покупают меньше, чем диктуют требования эластичности, а взамен покупают товары первой необходимости. Это означает, что один товар в спросе замещается другим.
Эффект замещаемости проявляется в том, что снижение цены делает его более, а рост цены - менее конкурентоспособным. Это приводит к тому, что в первом случае он теснит другой товар (становится его субститутом), а во втором - сам вытесняется более дешевым товаром.
Данный случай вписывается в известную в маркетинге матрицу конкуренции Портера, которая будет приведена в 5.6, где речь идет о конкуренции товаров.
Из экономической истории известен также факт роста спроса на картофель при повышении спроса на него. В конце прошлого века во время голода в Ирландии росли цены на все продукты, но по сравнению с другими продуктами питания цены на картофель были доступнее беднякам. Тогда же родилось выражение: картофель - хлеб бедных.
Явление это называют эффектом Гриф-фина, по имени английского ученого, который дал его описание.
Одновременно проявляется действие другого парадокса - парадокса Вебелена. Он заключается в том, что предметы роскоши покупаются не столько ради их потребительских свойств, сколько ради их социального значения, в частности престижности, моды и т.п.
Это вполне согласуется с теорией мотивации потребностей, разработанной известным американским экономистом и социологом и известной под названием пирамиды Маслоу. Потребность в самоутверждении и самовыражении находится на вершине этой пирамиды.
Представьте себе богатого российского предпринимателя, который покупает роскошный мерседес. Он делает это не только потому, что этот автомобиль действительно удобен и надежен, но прежде всего потому, чтобы поддержать свой престиж.
Положение обязывает, как говорят французы. Французский экономист Р. Бадуэн указывал, что эффект Джиффена порожден бедностью, а эффект Вебелена - богатством.
Из приведенных выше примеров видно, что коэффициент эластичности отражает реакцию потребителей на изменение факторов как во времени (динамическая эластичность), так и в пространстве (сравнительная эластичность). В первом случае мы рассматриваем прирост результативного и факторного признаков как разность уровней текущего и базисного периодов:

(5.24б)
Во втором случае прирост - это отклонение уровня одной территориальной или социальной единицы от другой. Например, различия в товарообороте и ценах двух конкурирующих фирм; при сравнении двух регионов; уровня покупок и дохода двух социальных групп населения (подобный пример будет рассмотрен в дальнейшем):

(5.24в)
Это открывает некоторые возможности расширения границ анализа. Попробуем преобразовать формулу коэффициента эластичности спроса (динамического):

где Тпр. у - темп прироста результативного признака;
Тпр. х - темп прироста факторного признака.
Пример. В базисном периоде было продано 20 т продукта по цене 25 руб. за 1 кг, в отчетном периоде - 14 т по цене 30 руб./кг.
Это означает, что темп роста продажи продукта составляет 0,7 (темп прироста равен 0,7 - 1 = -0,3), а темп роста цены -1,2 (темп прироста равен 1,2 - 1 = 0,2).
Традиционный расчет коэффициента эластичности:

,
т.е. при увеличении цены на 1% спрос на продукт снизился на 1,5% (спрос ультраэластичен).
Упрощенный расчет коэффициента эластичности:
Э = -0,3: 0,2 = -1,5,
таким образом, получен тот же результат.
Традиционный коэффициент эластичности позволяет оценивать зависимость спроса от маркетинговых воздействий в динамике только для одного товара. Однако после замены исходных показателей отношением темпов прироста мы вправе осуществить одну подстановку: заменить однотоварные темпы прироста многотоварными общими индексами минус 1. В результате, с некоторой степенью условности, мы сможем выявить глобальное влияние цен на общую динамику спроса.
Исчисленный в статике по ряду единиц (например, регионов) коэффициент эластичности может в зависимости от условий значительно варьировать по территории. Имеется возможность рассчитать средний коэффициент эластичности по всей совокупности единиц:

(5.26)
где Э - средняя эластичность по всей совокупности i-х единиц;
Эi - эластичность спроса, определенная в i-м регионе (или социальной группе
населения);
М- вес i-й группы (товарооборот, численность населения, число семей и т.п.);
n - число i-х единиц (регионов, групп и т.п.).
Расчет частных (групповых, региональных) коэффициентов эластичности имеет очень большое значение. Спрос различных социально-экономических групп потребителей по-разному реагирует на одни и те же факторы.
Так, для потребителей с низким 1 уровнем дохода рост цен на 1% вызовет значительное снижение спроса, в то время как спрос потребителей с высоким уровнем дохода может не среагировать на этот ценовой раздражитель. Или другой пример. По мере перехода из одной доходной группы в более высокую спрос на некоторые товары может возрастать не пропорционально, а с определенным ускорением или, наоборот, с замедлением - в зависимости от иерархии потребности, которую удовлетворяет данный товар.
Эти закономерности эластичности спроса должны быть использованы в маркетинге в процессе сегментации рынка и в регулировании спроса.
Известный немецкий экономист и социолог 80-х годов прошлого столетия Э. Энгель сформулировал закон, названный его именем: с увеличением дохода семьи ее расходы на питание растут абсолютно, но уменьшаются относительно. Аналогичный закон, связанный с эластичностью расходов на жилье, сформулировал немецкий статистик второй половины XIX в. А. Швабе: с ростом доходов семьи ее расходы на жилье растут абсолютно, но уменьшаются относительно.
Следует также обратить внимание на то обстоятельство, что эластичность спроса проявляется не только в изменении его объема, но и в пропорциях и сдвигах его структуры.
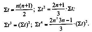
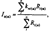
Рассмотрим методику расчета частных и среднего коэффициентов эластичности на условном примере группировки домохо-зяйств по душевому доходу. Для каждой социальной группы населения будет рассчитан коэффициент эластичности от дохода, а затем - средний коэффициент по всей совокупности домохозяйств. Исходные данные приведены в табл.
5.9.
Показатели, необходимые для расчета среднего коэффициента эластичности, приведены в табл. 5.10.
По итогам гр. 8 и 9 табл.
5.10 рассчитаны средние коэффициенты эластичности спроса от дохода. В качестве весов использованы частости распределения домохозяйств по уровню дохода без 1-й группы (гр. 1):

Таблица 5.9Группировка домохозяйств по доходу (на одного человека за месяц)
пп
|
Группы
домохозяйств
по доходу на
одного члена
домохозяйства,
руб./чел. |
Число
домохо-
зяиств,
%
к итогу
(Wi) |
Средний
по группе
доход на
одного
члена домо-
хозяйства, руб./чел.
(x) |
Средние по группе
расходы на покупку
(в расчете на одного члена
домохозяйства)
руб./чел. |
|
У продуктов питания |
Унепродовольственных товаров |
|
А |
Б |
1 |
2 |
3 |
4 |
|
1 |
До 300 |
42 |
200 |
122 |
30 |
|
2 |
От 300 до 500 |
18 |
400 |
322 |
96 |
|
3
|
От 500 до
1000 |
10 |
750 |
425 |
330 |
|
4
|
От 1000 до
3000 |
7 |
1500 |
705 |
776 |
|
5
|
От 3000
и выше |
3 |
5000 |
1056 |
2832 |
|
Всего |
100 |
- |
- |
- |
Данные свидетельствуют о том, что влияние дохода в среднем в процессе перехода от малообеспеченных групп к высокообеспеченным в меньшей степени сказывается на спросе на продукты питания, чем на непродовольственные товары. Это согласуется с теорией мотивации потребностей, так как основная часть продуктов питания относится к группе предметов первой жизненной необходимости.
Показательно, что 1% роста доходов в группах недостаточно обеспеченного населения вызывает более сильную реакцию потребителей, чем тот же процент в группах высокообеспеченного населения.
Рассмотрим методику расчета. В табл. 5.9 приводятся исходные данные, табл.
5.10 является рабочей. В ней расчет начинается со 2-й строки, так как первая группа домохозяйств выступает для нее в качестве базы сравнения. Графа 1 представляет собой результат разности каждой последующей и предыдущей строк в табл. 5.9 (гр.
3). Графа 2 и графа 3 - результат деления в каждой предыдущей строке соответственно гр. 3 и гр.
4 в табл. 5.10 на гр. 2. Гр.
4 и гр. 5 представляют собой разность предыдущей и последующих строк соответственно гр.
3 и гр. 4 табл. 5.10. Графа 6 - результат последовательного деления отношения гр.
4 к гр. 1 на гр.
2, а гр. 7 - соответственно результат деления отношения гр. 5 к гр.
1 на гр. 3. В гр.
6 и гр. 7 представлены групповые коэффициенты эластичности спроса от дохода. В гр. 8 и гр.
9 производится взвешивание групповых коэффициентов эластичности по частостям распределения домохозяйств, гр. 6 и гр. 7 табл.
5.10 последовательно умножаются на гр. 1 табл.
5.9.
Анализ сбалансированности рынка
В ходе маркетинговой разработки товара решается ключевой для формирования инновационной политики фирмы вопрос - вопрос о том, какое количество товаров способен поглотить рынок, т.е. сколько товаров купят потребители. Определение потребительского потенциала рынка необходимо и для разработки стратегических и оперативных планов маркетинга и является составным элементом оценки рыночной конъюнктуры.
Потребительский потенциал рынка обусловлен покупательским спросом и характеризуется показателем емкости рынка.
Емкость рынка - количество товаров, которое рынок способен поглотить (приобрести) за определенный срок и при данных условиях.
Некоторые исследователи упрощенно подходят к проблеме определения емкости рынка. Так, в Методических рекомендациях по маркетинговым исследованиям33 емкость рынка приравнивается к объему реализации, исчисляемому по балансовой формуле (символика авторов сохранена):

(4.5)
где V - емкость рынка;
Q - производство товара;
Z - остаток товарных запасов;
Е - экспорт;
I - импорт.
На наш взгляд, это очень грубый и неточный расчет, мало приспособленный для определения емкости рынка отдельных товаров. Производство - функция маркетинга, так как объем производства должен базироваться на оценке емкости рынка, а не наоборот. Данный способ предлагают А.И.
Ковалев и В.В. Войленко34. Практически с этих же позиций подходят к расчету емкости рынка И.И.
Кретов и А.П. Дурович35.
Эти авторы по существу определяют не емкость рынка, а количество товаров, которое может быть предложено рынку.
Наш расчет базируется на потребительском принципе: на определении численности потребителей и прогнозе среднего уровня потребления. Это обеспечивает соответствие рассматриваемого показателя сущности явления, которая очень проста и состоит в ответе на вопрос: Сколько желающих смогут купить данный товар?.
Расчет емкости рынка j-го товара производственного потребления базируется на нормативах производственного потребления (использования сырья, материалов, оборудования на единицу г-го изготавливаемого изделия). В ходе расчета необходимо делать поправки на технологические преобразования (экономия материалов, использование ресурсов заменителей и т.п.), которые приводят к изменению нормативов:

(4.6)
где Епр - емкость рынка j-го товара производственного назначения;
Ni - число производственных или иных предприятий, потребляющих (использующих)
i-й товар производственного назначения;
Qi - количество изготавливаемых i-х изделий (объем деятельности), для которого
необходим j-й товар;
Wi - норматив удельного расхода j-го товара на изготовление i-й единицы изделия;
Kитп - коэффициент поправки на технологические изменения;
Зj - средний размер изменения товарных запасов j-го товара;
Пi - потери j-го товара в пределах норматива;
С - часть рынка, приходящаяся на долю конкурента, в том числе импортера.
Пример. Завод выпускает 1000 станков в год; по нормативам металлоемкость данного типа станка составляет 800 кг/ед. Потери металла составляют 5% на 1 кг.
Новая технология позволяет уменьшить металлоемкость на 25%. Запасы металла увеличились на 10 т. Заводу понадобится:
Епр = (1000 800 0,75 0,95) - 10 000 = 570 000 кг = 570 т.
Расчет емкости потребительского рынка следует дифференцировать по каждой социальной или возрастной группе населения (или в их сочетании). Развернутая формула емкости потребительского рынка приведена ниже:

(4.7)
где Епотреб - емкость потребительского рынка;
Si - численность потребителей i-й социальной или возрастной группы;
пi - потребление на душу в i-й группе потребителей в базисном периоде;
Тпр.цен и Тпр.дохода - темпы прироста, соответственно цен и дохода;
Эip - эластичность спроса i-й группы населения от изменения цен;
Эiд - эластичность спроса i-й группы населения от изменения дохода;
Dстим - искусственно стимулированный прирост спроса, в частности за счет
продажи товаров в рассрочку;
Н насыщенность рынка (наличие товаров у потребителей);
Иф и Иь - износ товара, соответственно физический и моральный;
А - альтернативные нерыночные формы потребления (например, потребление
продуктов собственного производства), а также потребление товаров-заменителей;
С - часть рынка, захваченная конкурентами, в том числе импортерами;
n - число i-х групп потребителей.
В основе формулы лежит зависимость объема потребления от числа потребителей (при прочих равных условиях):

(4.8)
Необходимость выделения групп потребителей связана с дифференциацией спроса по социальному и половозрастному признакам. Эти различия определяются с помощью специальных обследований (в частности, по данным панельных обследований или государственной статистики бюджетов домохозяйств).
Данные о социально-демографической дифференциации спроса будут рассмотрены в 5.1.
Показатель насыщенности рынка играет самостоятельную роль в анализе рыночной ситуации. Он указывает на степень обеспеченности населения товарами потребительского назначения. Насыщенность рынка ограничивает его емкость.
Можно стимулировать различными способами моральный износ товара, в частности предлагая кредит на приобретаемые товары. В приведенную выше формулу следует включить как дополнительный показатель, объем продажи товаров в рассрочку.
Моральный износ трактуется как прекращение использования годного еще к употреблению изделия по причине выхода его из моды, появления нового, более совершенного и более привлекательного для потребителя товара. Ясно, что моральный износ непосредственно зависит от фактора дохода (D):

(4.9)
Определить степень насыщения рынка товарами сложно. Для этой цели используются данные специальных выборочных обследований домашнего имущества, в том числе на основе панели статистики бюджетов домашних хозяйств. Для расчета наличия товаров длительного пользования используют балансовую формулу:

(4.10)
где Нк и Нн - наличие товаров соответственно на конец и на начало периода;
П - поступление товаров за период;
B - выбытие за период.
Выбытие рассчитывается по нормативам среднего срока службы изделия, физический износ - по технологическим нормативам (надо заметить, что здесь тоже сказывается фактор уровня жизни, поскольку малообеспеченные семьи стремятся полностью выработать ресурс изделия).
Не следует путать насыщенность рынка как наличие товаров у потребителей с понятием насыщенности торговли как наличием товаров в торговле в свободной продаже.
Пример. Необходимо определить общую емкость рынка товара Q по следующим условным данным (табл.
4.4).
Согласно прогнозу цены могут вырасти на 20%. Предполагается, что доходы (в расчете на одну семью) у высокообеспеченного населения вырастут на 30%, у среднеобеспеченного - на 10, а у малообеспеченного населения - на 2%.
Пересчет базисного душевого потребления в текущий:
I группа: 8,2 ед./семью - (8,20,20,006) + (8,20,30,012) = = 8,2 - 0,0098 + 0,0295 = 8,2197 ед./семью;
II группа: 3,4 ед./семью - (3,40,20,014) + (3,40,10,025) = = 3,4 - 0,0952 + 0,0085 = 3,3133 ед./семью;
III группа: 1,5 ед./семью - (1,50,20,03) + (1,50,020,034) = = 1,5 - 0,0090 + 0,0010 = 1,492 ед./семью.
Полный расчет по группам:
I группа: (1008,2197) - 90 + (900,1 + 900,25) - (1008,21970,05) = 821,97 - 90 + 9 + 22,5 - 41,0985 = 702,15 тыс. ед, 700 тыс. ед.
II группа: (4003,3133) - 24 + (240,08 + 240,12) - (4003,31330,15) = 1325,32-24 + 1,92 + 2,88 - 198,798 = 1107,322 тыс. ед. 1100 тыс. ед.
III группа: (5001,492) - 16 + (160,06 + 160,05) - (5001,4920,3) = 746,0 -16 + 0,96 + 0,8 - 223,8 = 507,96 тыс. ед. 500 тыс. ед.
Таблица 4.4Факторы емкости рынка

Округленные данные следует суммировать; итог представляет собой общую емкость рынка:

Одновременно можно установить место (долю) каждой группы потребителей в общем объеме емкости рынка, что будет способствовать более обоснованному выбору сегмента рынка:
I группа - 30,5%; II группа - 47,8%; III группа - 21,7%.
Дифференциация рынка по ряду признаков может заставить прибегнуть к двух- и более ступенчатой процедуре расчета. С другой стороны, имеется возможность использовать упрощенную формулу, отказавшись от дифференцированной оценки структуры рынка. В этом случае необходимо рассчитать средний размер потребления по всем категориям потребителей, а емкость рынка будет представлена следующей формулой:

(4.11)
где Si - общая численность потребителей (населения, семей и т.п.);
пi - средний размер потребления на душу населения (на одну семью и т.п.),
экстраполированный на текущий период.
Оценка потенциала рынка может быть дополнена результатами опросов оптовых и розничных предпринимателей. В них дается характеристика экономического положения, состояния финансовых и товарных ресурсов, связей с поставщиками и клиентами.
В частности, о самооценке положения розничных предприятий можно судить по следующим данным (табл. 3.7).
Таблица 4.5Оценка руководителями (владельцами) экономического положения своих предприятий/организаций розничной торговли
|
Оценки |
Ответы, в % к числу обследованных предприятий |
|
Благоприятное |
2 |
|
Удовлетворительное |
58 |
|
Неблагоприятное |
39 |
|
Нет ответа |
1 |
|
Источник. Торговля в России: Статистический сборник/ Госкомстат России. - М., 1998. - С. 65. |
Положительную оценку (благоприятное и удовлетворительное положение) дали 60% респондентов, причем вполне удовлетворены своим положением только 2%. Более 1/3 опрошенных оценивают свое положение как неблагоприятное.
Общую ситуацию на потребительском рынке в 1998 г. нельзя назвать благоприятной. Она скорее находилась на грани, отделяющей приемлемые условия от совершенно неудовлетворительных.
У руководителей предприятий сложилось определенное мнение о перспективах изменения рыночной ситуации (табл. 4.6).
Таблица 4.6Оценка изменения рыночной ситуации
|
Оценки |
Ответы, % к числу обследованных предприятий |
|
II квартал 1998 г. по сравнению с 1 кварталом 1998 г. |
прогноз изменения в III квартале 1998 г. по сравнению со II кварталом 1998 г. |
|
Улучшение |
9 |
20 |
|
Без изменений |
54 |
55 |
|
Ухудшение |
36 |
22 |
|
Нет ответа |
1 |
3 |
|
Источник. Торговля в России. - С. 65. |
Большинство респондентов считали ситуацию стабильной и ожидали стабильности в будущем. Значительная часть респондентов отмечала ухудшение ситуации и предсказывала, что такая тенденция сохранится, но '^руководителей ожидала улучшения конъюнктуры.
Все это свидетельствует о неустойчивости и неоднородности рынка. Ситуация действительно изменилась к худшему, но произошло это в результате глобального финансового кризиса.
КОНТРОЛЬНЫЕ ВОПРОСЫ
1. Какими факторами определяется величина доли рынка?
2. Что собой представляет доля рынка, занимаемая фирмой?
3. Раскройте классификацию рынков.
4. Из каких элементов складывается производственный потенциал рынка (товарное предложение) ?
5. Какие могут быть оценки портфеля заказов фирмы?
ТЕСТЫ
1. Что лежит в основе емкости потребительского рынка?
а) производственный потенциал предприятий, производящих товары потребительского назначения;
б) численность, состав и потребности населения;
в) торговая инфраструктура (численность торговых предприятий).
2. Что такое моральный износ товаров?
а) товар, выработавший свой ресурс;
б) отказ от использования товара в результате появления на рынке нового, более совершенного;
в) товар, от потребления которого отказываются по моральным причинам.
3. Насыщенность рынка товарами - это:
а) сверхнормативные товарные запасы в торговле;
б) наличие товаров в магазинах и у населения.
4. В чем заключается существенная разница между оптовым и потребительским (розничным) рынками?
а) на оптовом рынке в качестве покупателей выступают предприятия, а на потребительском - население;
б) на оптовом рынке цены выше, чем на потребительском;
в) на оптовом рынке товары продаются крупными партиями, в то время как на потребительском - в небольшом количестве.
5. Что такое товарное предложение?
а) объем производства фирмы за определенный промежуток времени;
б) количество товаров, поставленных на рынок, и количество товаров, которое может быть поставлено на него за определенный период;
в) коммерческий документ, содержащий предложения о поставке товаров.
Анализ сбалансированности рынка
Рыночный механизм формирует рыночную ситуацию. Важнейший признак конъюнктуры рынка - основная его пропорция: соотношение спроса и предложения. Баланс, или равенство этих двух главных категорий, встречается не так уж часто. Соотношение между ними постоянно колеблется, напоминая закон маятника.
В этом, в частности, заключается одно из проявлений стихийности рынка. Баланс или дисбаланс спроса и предложения определяет тип рынка (рынок продавца при превышении спроса над предложением и рынок покупателя - при соответствии предложения спросу или при превышении предложения над спросом).
Сбалансированность или разбалансированность рынка - процесс динамический, ситуация может постоянно изменяться, ее необходимо изучать.
Однако и предложение, и спрос поддаются маркетинговому воздействию, их необходимо регулировать с помощью экономических рычагов, имеющихся в распоряжении как рыночных, так и государственных структур. Это в свою очередь обусловливает необходимость анализа степени сбалансированности или разба-лансированности рынка.
Для этого используются различные методы: балансовый, соотношения показателей динамики, косвенный - с помощью индикаторов, неформальных и экспертных оценок. Сложность анализа заключается в том, что если товарное предложение - показатель документируемый, то спрос непосредственно оценить нельзя (напомним, что спрос - категория потенциальная, существующая в представлении покупателя и в его кошельке). Конечно, об основных закономерностях и тенденциях спроса можно судить по товарообороту (реализованному спросу) или покупательным фондам населения, но фактический спрос в силу ряда причин может существенно не совпадать с ними. И все же условные расчеты приходится принимать во внимание.
В статике соотношение спроса и предложения (с некоторой степенью точности) устанавливается с помощью баланса спроса-предложения. Однако такой расчет можно осуществить только в границах всего товарного рынка в целом.
Поэтому его ценность для маркетинга фирмы незначительна. Он чаще используется в макромаркетинге.
Суть расчета в следующем: определяется объем товарного предложения (по данным о поступлении или фактической продаже, с необходимыми дорасчетами) и покупательные фонды населения (доходы с корректировкой на прирост сбережений минус обязательные платежи), представляющие совокупный спрос населения (табл. 4.7):
Таблица 4.7Баланс спроса-предложения
|
Предложение |
Спрос |
|
1 . Объем отечественного производства товаров потребительского назначения 2. Объем импорта 3. Изменение стоимости товарного поступления за счет роста цен |
1 . Денежные доходы населения (за вычетом прироста сбережений, инвестиций в покупку ценных бумаг и недвижимости, а также обязательных платежей) 2. Покупка производственными предприятиями товаров для производственного потребления и промышленной переработки 3. Покупка товаров учреждениями и предприятиями для собственных нужд 4. Изменение стоимости купленных товаров за счет снижения цен |
|
ИТОГО |
ИТОГО |
|
Сокращение товарных запасов |
Рост товарных запасов |
|
БАЛАНС |
БАЛАНС |
|
ДЕФИЦИТ (П С) |
ДЕФИЦИТ (П С) |
Итоговая строка отражает степень сбалансированности спроса и предложения. Превышение предложения над спросом проявляется в росте товарных запасов, а превышение спроса над предложением - в их сокращении. Этот факт используют для косвенной оценки пропорциональности рынка. Дело в том, что количественно оценить покупательский спрос на локальном рынке какого-то товара практически не представляется возможным.
Исключение составляют биржевые рынки, где предложение и спрос регистрируются.
Можно, конечно, сопоставлять производственный потенциал (как объем предложения) и емкость рынка (как отражение объема спроса). Такой расчет, хотя и не без трудностей, может быть выполнен на микроуровне отдельной фирмы.
Однако фирме проще осуществить косвенную оценку соотношения спроса и предложения на основе наблюдения за некоторыми параметрами рынка, в частности за изменением товарных запасов. Дело в том, что товарные запасы чутко реагируют на любые изменения соотношения спроса и предложения. Превышение спроса над предложением вызывает сокращение товарных запасов, а превышение предложения над спросом (или их качественное несоответствие) тут же сопровождается ростом товарных запасов (затовариванием). Сбалансированность спроса и предложения обусловливает стабильность товарных запасов.
На ум приходит сравнение с весами, где роль стрелки выполняют товарные запасы. Товарные запасы в данном случае выполняют функцию индикатора конъюнктуры рынка.
Можно использовать абсолютный показатель объема товарных запасов, но более точным будет относительный показатель запасов товарооборота (в днях).
В формализованном виде данные пропорции будут выражены следующим образом:
Iз =1 П = С
(рынок - сбалансирован); (4.12)
Iз 1 П С
(диспропорция: предложение превышает спрос); (4.12а)
Iз 1 П С
(диспропорция: спрос превышает предложение), (4.12б)
где Iз - индекс товарных запасов;
П - предложение;
С - спрос.
Однако следует принять во внимание, что в некоторых таких оценках состояния рынка отчасти содержится элемент субъективизма.
Приведем пример неформальной оценки рыночной конъюнктуры на основе анализа как формализованных, так и неформализованных (качественных) оценок, полученных от торговых корреспондентов (табл. 4.8).
Таблица 4.8Карта оценки конъюнктуры рынка
|
Индикаторы рынка |
Характеристика рынка
|
|
поставка |
продажа |
запасы |
|
рост
|
стабильность
|
спад
|
рост
|
стабильность
|
спад
|
рост
|
стабильность |
спад
|
|
+
|
|
|
|
|
+
|
+
|
|
|
Спад спроса:
коллапсирующий рынок |
|
|
+
|
|
|
+
|
|
|
+
|
|
Стабильный спрос:
стабильный рынок |
|
+
|
|
|
+
|
|
|
|
|
+
|
Рост спроса:
развивающийся рынок |
Существует ряд других приемов конъюнктурного анализа, но их суть неизменна - сопоставление между собой индикаторов рынка и индексов деловой активности, оценка спроса и предложения. Например, в зарубежном маркетинге популярен метод построения системы индексов деловой активности: показателей показателей динамики основных характеристик рынка производства (или поставки) товаров, товарных запасов, цен, а в ряде случаев показателей общей экономической ситуации-уровня занятости, учетной ставки центрального банка, объема инвестиций и т.п.
В качестве дополнительных индикаторов привлекаются такие характеристики рынка, как численность потребителей (в одних странах - население старше 5 лет, в других - число семей с детьми); уровень дохода; территориальная структура розничных продаж и т.д, В некоторых специальных расчетах оценивается готовность населения к расходам (по числу отелей, ресторанов и кафе).
Важной составляющей конъюнктурного анализа является система рыночных индикаторов. С некоторыми из них мы уже познакомились, рассматривая индексы деловой активности и индикаторы сбалансированности рынка.
Если приведенные ранее индикаторы являлись статистическими показателями или результатом информации, полученной от торговых корреспондентов, то индикаторы, которые нам предстоит рассмотреть, выводятся на базе специальных конъюнктурных торговых и социологических опросов. Главная особенность этих индикаторов заключается в том, что они опираются на мнение заинтересованных лиц: потребителей, с одной стороны, и производителей и торговцев - с другой.
Методология построения подобных индикаторов является смешанной: в организации опросов используются приемы социометрии, выборка респондентов и группировка анкет опираются на статистические методы, конструирование самих индикаторов использует принципы маркетинга и т.д. Находит применение система балльных оценок, ранжирования и взвешивания по оценкам важности.
Некоторые из подобных индикаторов разрабатываются Российским агентством статистики, другими правительственными и неправительственными учреждениями.
Для изучения перспектив рыночного бизнеса определяется коэффициент заполненности портфеля заказов. Он исчисляется на основе ответов предпринимателей об уровне и тенденции заполненности портфеля. В табл.
4.9 представлена модель этой характеристики.
Таблица 4.9Модель оценки перспективности бизнеса
|
Удельный вес давших оценку в общем числе ответивших респондентов, % |
|
уровень заполненности портфеля в текущем периоде: |
тенденция ожидаемого изменения заполненности портфеля |
|
характеристика |
% ответов |
характеристика |
% ответов |
|
1) выше нормы |
|
1) увеличение |
|
|
2) нормальный |
|
2) без изменения |
|
|
3) ниже нормы |
|
3) уменьшение |
|
|
Баланс ответов |
Баланс ответов |
В качестве индикатора используется не доля ответивших, а баланс положительных и негативных оценок (стр. 1 + стр. 2 - стр.
3). Если баланс положительный, то дополнительно определяется степень положительных перспектив как соотношение стр. 1 и стр.
2. Если оно близко к 0, то перспективы можно считать удовлетворительными, когда же оно составляет '/3, то перспективы хорошие, и, наконец, если оно близко к единице, перспективы выглядят блестящими.
В принципе блок прогноза заполняемости портфеля можно заменить или дополнить ретроспективным блоком оценки изменений за предшествующий период. В результате могут быть получены три характеристики изучаемого явления: за предшествующий период, который объясняет сложившуюся конъюнктуру; в настоящее время, отражающее реальную ситуацию; на будущий период, представляющий собой прогнозную оценку.
От них можно перейти к интегральной характеристике, к своего рода коэффициенту благополучия предприятия, исчисляемому как простая среднеарифметическая трех показателей.
Полученные индикаторы полезно дополнить данными оценки экономического положения предприятия, которые тоже могут быть получены на основании опроса руководителей производственно-сбытовых и торговых предприятий. В модели сочетаются оценки как нынешней ситуации, так и прогнозные. Как и в предыдущей, данную модель можно дополнить ретроспективным блоком, иллюстрирующим то, как предприятие достигло нынешней ситуации (табл.
4.10).
Таблица 4.10Модель самооценки экономического состояния предприятия
|
Удельный вес давших оценки в общем числе ответивших респондентов, % |
|
об экономическом положении предприятия в данное время |
о тенденциях изменения экономического положения на перспективу |
|
характеристика |
оценка, % |
характер |
оценка, % |
|
1) благоприятное |
|
1) улучшилось |
|
|
2) удовлетворительное |
|
2) без изменения |
|
|
3) неблагоприятное |
|
3) ухудшилось |
|
|
Баланс оценок |
Баланс оценок |
Анализ тенденций и устойчивости развития рыночной конъюнктуры
Характеристика индикаторов экономического положения за три динамических момента: прошлое, настоящее, будущее, а также интеграционная оценка осуществляются таким же образом, что и в предыдущей модели.
Решая главную маркетинговую задачу, предприниматель сам оценивает степень удовлетворенности покупателей. Этому предшествует тщательный анализ внутрифирменных статистических показателей продажи и остатков товаров, цен и ассортимента.
Успех коммерческой деятельности предпринимателя зависит от того, насколько объективно он определяет степень удовлетворенности потребителей. Следовательно, изучение мнений самих потребителей не является альтернативой данному исследованию, а служит дополнением при корректировке оценки, полученной на основе мнений торговых корреспондентов и самих предпринимателей.
Результат итогового опроса предпринимателей, выражающийся в удельном весе положительных ответов, рассматривается как индекс удовлетворенности покупателей. Ответы дифференцированы по четырем характеристикам.
Общая конъюнктурная оценка складывается как средняя арифметическая из четырех частных оценок. Вопросы можно сформулировать таким образом, чтобы располагать ретроспективой данного явления.
По каждой из характеристик приводятся три дополнительных ответа, показывающие, каким образом достигнута настоящая ситуация (табл. 4.11).
Таблица 4.11Модель удовлетворенности покупателей
|
Показатели удовлетворенности покупателей |
Тенденции |
Удельный вес ответов да |
|
по оценке удовлетворенности |
по оценке тенденций |
Насыщенность рынка
и ассортимент товаров
|
улучшение |
|
|
|
без изменений |
|
|
ухудшение |
|
|
Качество предлагаемых товаров |
улучшение |
|
|
|
без изменений |
|
|
ухудшение |
|
|
Цена товаров |
улучшение |
|
|
|
без изменений |
|
|
ухудшение |
|
|
Уровень сервиса |
улучшение |
|
|
|
без изменений |
|
|
ухудшение |
|
В ряде стран, а с 1993 г. и в России определяется один из важнейших конъюнктурных индикаторов рынка - индекс потребительских намерений (ИПН), который базируется на социологических опросах, систематически проводящихся Всероссийским центром исследования общественного мнения (ВЦИОМ).
Покупательские настроения складываются как из личных наблюдений, проецированных на потребности семьи, так и из комплекса связей ее членов с широким кругом родных, знакомых, сослуживцев и т.п. На оценке покупательского настроения сказываются также интуитивные ощущения, влияние общественного мнения в социальной среде обитания респондентов и средств массовой информации.
Таким образом, настроение потребителей - явление сложное и не всегда строго последовательное. Например, покупатели могут положительно оценивать перспективы экономического развития страны и в то же время пессимистически высказаться относительно перемен собственного материального положения. Парадокс? Нет!
Плановая экономика приучила к мысли об отсутствии взаимосвязи между успехами экономики страны и повышением уровня жизни отдельного человека. Скорее наоборот, диспропорциональное развитие экономики разоряло отдельного человека.
Формирование рыночной экономики еще не завершилось созданием механизма, который бы обусловливал рост благосостояния населения успехами макроэкономики, что свидетельствует о противоречивости ИПН.
Полученные в результате опроса данные (в виде процентного распределения ответов) обобщаются, ранжируются и взвешиваются по специальной шкале важности характеристик. В результате осреднения показателей определяются шесть частных индексов и один интегральный, который и рассматривается как индекс покупательских настроений. Частные индексы являются результатами обработки ответов респондентов на следующие вопросы:
о текущем личном материальном положении;
об ожидаемых изменениях личного материального положения;
об ожидаемых изменениях в экономике страны в ближайший год;
об ожидаемых изменениях в экономике страны в ближайшие пять лет;
о целесообразности крупных покупок;
о целесообразности делать сбережения.
Обобщением ответов и расчетами частных и интегрального индекса занимается группа ИПН - Россия при Министерстве Финансов РФ Система индексов представлена на 4.3.

4.3. Индекс покупательских намерений
Каждый из частных индексов самостоятелен и грает важную роль Одни индексы описывают текущую ситуацию, другие - ее прогнозируют, третьи - непосредственно отражают покупательские намерения.
Интеграция частных показателей в общий индекс осуществляется с помощью системы весов, разработанных в США примерно полвека назад. Теоретически индекс может принимать значения от 200 (максимум) до 0 (минимум), 100 - разделительный уровень, выше которого складываются положительные оценки ситуации, ниже - негативные оценки.
Уровни, тяготеющие к 100, указывают на нейтральное отношение респондентов. Однако в практике деятельности группы ИПН-Россия, отмечает известный российский экономист и политолог Отто Лацис36, этот индекс редко выходит за пределы между 60 и 70, лишь в экстремальных условиях падая до 40 и поднимаясь почти до 80. Кризисное состояние Российской экономики объясняет, почему этот индекс находится ниже 100.
В нем важно не абсолютное значение, а тенденция, изменение.
Показательно, что перед кризисом августа 1998 г. ИПН резко упал на 6,1 пункта. Противоречивость общего индекса, частные индексы которого могут иметь разнонаправленные векторы, его колеблемость в небольших пределах свидетельствуют о неустойчивости развития российской экономики в целом и товарного рынка в частности.
Внимательный анализ тенденций ИПН, оценка его колебаний позволяют получить предупреждающую информацию о приближении как отрицательных, так и положительных изменений в рыночной экономике.
Сравнительно простым способом оценки состояния и развития рынка является специфический конъюнктурный метод тестирования. В конъюнктурном тесте, разрабатываемом на основе данных тендещиалъных опросов, используются три группы; величин (переменных):
инструментальные переменные, зависящие от деятельности предприятий и планируемые самими предприятиями;
переменные ожидания, зависящие не от предприятий, а от внешних факторов;
совокупные переменные, зависящие как от действий предприятий, так и от внешних факторов.
Конъюнктурный тест представляет собой среднюю арифметическую трех возможных оценок сложившейся тенденции развития рынка: рост (подъем), стабильность, понижение (спад), каждой из которых присваивается соответствующий балл.
В дальнейшем исследовательская мысль пошла по иному пути: создания многомерной количественной (балльной) оценки основных параметров состояния рынка. Каждому параметру (безразлично, охарактеризованному ли количественными, качественными, атрибутивными или альтернативными показателями) в соответствии с данной характеристикой экспертным путем присваивается балл (В), а также вес (Ж), который отражает роль 1-го параметра в формировании рыночной ситуации.
Затем по формуле средней арифметической взвешенной рассчитывается средний балл, который служит интегрированной оценкой состояния и развития рынка. Иногда его называют стратегическим индексом или индексом рыночной ситуации37:

(4.13)
где В - средний балл (обобщенная, многомерная) характеристика состояния рынка;
Вi - балл, характеризующий состояние рынка по i-му параметру (фактору);
Wi - вес (ранг), отражающий роль i-го параметра (фактора) в формировании
рыночной ситуации (определяется экспертным путем;
n - число параметров (факторов).
В зависимости от того, какая система баллов была использована, строится шкала рыночной ситуации. Например, при 9-балльной системе (где цифра 9 - максимальная положительная оценка) строится следующая шкала (табл.
4.12).
Таблица 4.12Шкала балльных оценок рыночной ситуации
|
Рыночная ситуация |
Неблагоприятная |
Неустойчивая |
Благоприятная |
|
Параметрический индекс (в баллах) |
от 1 до 4 |
от 4 до 6 |
от 6 до 9 |
Чем больше этот индекс, тем благоприятнее конъюнктура, перспективнее данный рынок.
Пример. На основании данных мониторинга были получены следующие оценки факторов рыночной ситуации (экспертным путем каждому фактору присвоены баллы и ранги (табл.
4.13).
Таблица 4.13Оценки факторов рыночной ситуации
|
Показатели и факторы рынка |
Экспертные оценки |
Баллы,
Bi |
Ранги, Wi |
BiWi |
|
Емкость рынка |
Очень большая |
9 |
3 |
27 |
|
Вектор и скорость продажи |
Рост. Высокая |
8 |
2 |
16 |
|
Устойчивость развития рынка |
Заметная колеблемость цен |
6 |
2 |
12 |
|
Деловая активность (число сделок) |
Достаточно высокая |
7 |
1,5 |
10,5 |
|
Интенсивность конкуренции |
Умеренная |
6 |
1 |
6 |
|
Норма прибыли |
Близкая к средней |
6 |
0,5 |
3 |
|
Итого |
- |
10 |
74,5 |
Средний балл равен:

т.е. рынок, достаточно благоприятный для реализации товара.
Наряду с анализом соотношения спроса и предложения как важнейшим направлением конъюнктурного анализа существует еще ряд показателей пропорциональности товарного рынка. Как уже отмечалось, рынок товаров и услуг - сложное, многоструктурное явление. Его развитие происходит в связи и в координации с другими компонентами рыночной экономики и социальной жизни.
Пропорциональность, т.е. оптимальное соотношение между различными элементами рынка, - важнейшее условие здоровья рынка и его нормального поступательного развития. Наоборот, всякого рода диспропорции, деформации отдельных составных частей рынка, как убедительно показал отечественный опыт, ведут к кризисным формам развития, затрудняют и искажают рыночные отношения, делают рынок недостаточно эффективным.
Из сказанного можно сделать вывод, что изучение макро- и микропропорций рынка представляет собой важную и всегда актуальную задачу статистики рыночной конъюнктуры. Наряду с констатацией и оценкой сложившихся пропорций необходима характеристика тенденций динамических изменений в пропорциях, анализ структурных сдвигов и региональных различий пропорций рынка.
В исследованиях пропорциональности рынка целесообразно использовать такие инструменты анализа, как баланс, относительные величины структуры и координации, компаративные (сравнительные) индексы и т.д. В структурном анализе можно использовать методы анализа колеблемости показателей пропорциональности, их трендовые и регрессионные модели и т.д.
В некоторых случаях может найти применение спектральный анализ.
В анализе пропорциональности рынка используются главным образом два основных относительных показателя структуры: доля (удельный вес), т.е. характеристика части в целом, и коэффициент соотношения, т.е. непосредственное сопоставление двух явлений или частей одной совокупности. Показатель доли отражает место, которое данная часть занимает во всей совокупности. Как правило, доля исчисляется в процентах, т.е. на 100 единиц явления, но иногда -в коэффициентах, т.е. на одну единицу явления.
Анализ пропорций рынка должен осуществляться как в статике, так и в динамике.
В валовом внутреннем продукте России доля отраслей, занимающихся торгово-сбытовой деятельностью, выросла с 6,1% в 1990 г. до 16% в 1997 г., т. е. в 2,6 раза.
Важнейшей пропорцией рынка, после сбалансированности спроса и предложения, выступает соотношение рынков товаров производственного и потребительского назначения. Длительное время промышленное производство товаров потребительского назначения составляло 1/4 общего объема производимой товарной массы. Подобная диспропорция на долгие годы подорвала потребительский потенциал и привела к тому, что по уровню жизни Россию вполне можно отнести к группе развивающихся стран.
Рыночный механизм начал работать по устранению этой диспропорции, но глубокий экономический кризис, в котором пребывает Россия, не позволяет стране выйти на оптимальное соотношение.
Серьезный дисбаланс был между продажей потребительских продуктов и услуг. Россия серьезно отставала от развитых стран как по объему, так и по пропорциональности продажи услуг.
После того как в начале 90-х гг. резко расширился круг платных ус-, луг, повысилась их доля в общих потребительских расходах. Следующая диаграмма отражает основные сдвиги в макроструктуре потребительских расходов домашних хозяйств (в фактических ценах) с 1993 по 1997 г. ( 4.4).
Рие. 4.4.
Макроструктура потребительских расходов в 1993 и в 1997 гг.
Доля услуг выросла за эти годы почти на 7 пунктов, а доля непродовольственных товаров сократилась на 6 пунктов. Правда, подобные расчеты надо производить не только в фактических, но и в сопоставимых ценах.
Тогда бы мы увидели, что рост доли услуг увеличился не только в результате увеличения объема оказываемых услуг, но и за счет значительного роста цен. Сокращение удельного веса непродовольственных товаров объясняется обнищанием значительной массы населения, о чем пойдет речь в 5.1. Обедневшие потребители резко сократили покупки непродовольственных товаров. В этой группе произошли серьезные структурные сдвиги, которые характеризуют важные качественные тенденции пропорциональности потребительского рынка.
В табл. 4.14 отражена структура расходов на приобретение непродовольственных товаров.
Таблица 4.14Макроструктура расходов домохозяйств на покупку непродовольственных товаров в 1993 и в 1997 гг.
|
Непродовольственные товары
|
Потребительские расходы, % к общему обьему покупки непродовольственных товаров |
Отклонения
+, - |
|
1993 г. |
1997 г. |
|
Одежда, обувь, белье и ткани |
51,4 |
40,5 |
- 11,1 |
|
Телерадиоаппаратура, предметы для отдыха и увлечений |
10,1 |
11,2 |
+ 1,1 |
|
Транспортные средства |
4,7 |
15,3 |
+ 10,6 |
|
Мебель, домашнее оборудование, предметы для ухода за домом |
18,9 |
13,4 |
- 5,5 |
|
Другие товары |
14,9 |
19,6 |
+ 4,7 |
|
Итого |
100,0 |
100,0 |
- |
Характер структурных сдвигов нетрудно объяснить: бедное население экономит на предметах гардероба и мебели, обеспеченное население увеличивает расходы на товары, обеспечивающие комфортность быта.
Для характеристики интенсивности изменения пропорций можно использовать коэффициент линейных структурных сдвигов:

(4.14)
где i0 и i1- доля i-и товарной группы в общем объеме товаров (в нашем примере - непродовольственных товаров) соответственно в базисном и текущем периодах;
n - число i-х товарных групп.
Чем больше размер коэффициента, тем интенсивнее структурные сдвиги. В нашем примере он составил 33 процентных пункта по шести макрогруппам непродовольственных товаров.
Аналогичным образом изучаются и другие пропорции рынка.
КОНТРОЛЬНЫЕ ВОПРОСЫ
1. Какие основные пропорции рынка Вы знаете?
2. Что понимается под степенью сбалансированности рынка?
3. Как выявить диспропорциональность развития рынка?
4. Что входит в систему индикаторов сбалансированности рынка?
5. Какие показатели могут охарактеризовать пропорции рынка?
ТЕСТЫ
1. В качестве индикатора соотношения спроса и предложения можно использовать:
а) продажу товара;
б) товарный запас;
в) прибыль.
2. Пропорциональность рынка определяется:
а) оптимальным соотношением основных его элементов, сложившимся в результате комплексного действия рыночных факторов;
б) плановыми заданиями;
в) наличием покупательных фондов у потребителей.
3. Баланс спроса-предложения - это:
а) балансовая таблица, где выявляются расхождения спроса и предложения;
б) расчет покупательных фондов населения;
в) оценка влияния спроса на предложение.
4. Рыночный индикатор - это:
а) статистический показатель, чутко реагирующий на изме-не-ния рыночной ситуации;
б) опытный работник торговли, интуитивно оценивающий рыночную ситуацию;
в) специальный прибор.
5. Товарная структура - это:
а) перечень товаров и товарных групп;
б) система, отражающая удельный вес каждого товара в общем объеме продаж;
в) набор видов и подвидов каждого товара, расположенных в определенной последовательности.
Анализ тенденций и устойчивости развитиярыночной конъюнктуры
Важным элементом конъюнктурного анализа служит характеристика динамики исследуемого явления. Рынок, как мы уже указывали, - явление динамическое, он непрерывно изменяется, и время выступает в качестве абсциссы экономической кривой, отражающей тенденции развития рынка.
Общее направление (вектор) развития и средняя скорость изменения погашают случайные отклонения от общего курса. Термин тенденция происходит от лат. tendere - направляться, стремиться.
На основе количественных оценок и моделей динамики рынка даются качественные характеристики изменения рыночной ситуации: растущий/развивающийся рынок, стабильный рынок, сокращающийся рынок и т.д.
Для определения вектора и скорости развития рынка строятся динамические ряды показателей, характеризующих основные параметры рынка, а затем исчисляются темпы роста или прироста (базисные и цепные):

(4.15)
где у0 и у1 - уровни динамического ряда соответственно базисного
и текущего периодов.
В табл. 4.15 приведены данные, характеризующие развитие рынка товара Q (цифры условные).
Таблица 4.15Динамика основных параметров рынка товара Q
|
периоды |
Поставка,
Тыс.т. |
Продажа в
розницу,
тыс.т. |
Цена, руб. кг |
Товарный запас, дней |
% к базисному периоду |
|
поставка
|
продажа
|
цена
|
Товарный запас
|
|
1-й |
50 |
44 |
12 |
5 |
100 |
100 |
100 |
100 |
|
2-й |
60 |
46 |
16 |
8 |
120 |
104,5 |
133,3 |
160 |
|
3-й |
70 |
49 |
20 |
14 |
140 |
111,4 |
166,7 |
280 |
|
4-й |
66 |
36 |
40 |
21 |
132 |
81,8 |
333,3 |
420 |
|
5-й |
55 |
31 |
45 |
12 |
110 |
70,5 |
375,0 |
240 |
|
6-й |
46 |
30 |
45 |
12 |
92 |
68,2 |
375,0 |
240 |
Картина весьма противоречивая. Вероятно, рыночными структурами не было учтено повышение цен и его влияние на спрос. В результате до 3-го периода наращивалась поставка товаров.
В результате росли запасы, что явилось индикацией усиления разбалансированности рынка. На основании данной информации можно более обоснованно судить о развитии ситуации на рынке, чем по неформальным данным торговых корреспондентов.
В тех случаях, когда изучаемое явление рынка представляет собой сложную агрегированную величину (например, товарооборот, состоящий из совокупности разнородных товаров), характеристика динамики количественных показателей достигается с помощью агрегатных или средних индексов, в частности, индекса физического объема товарооборота (т.е. оценки изменения стоимости товаров в сопоставимых ценах) и общего индекса цен38:

(4.16)
где qi0 и qi1 - количество проданного i-го товара соответственно в базисном
и текущем периодах;
рi0 - цена i-го товара в базисном периоде.
Существует ряд способов исчисления индекса физического объема товарооборота. Они описаны в учебнике, на который мы ссылаемся.
В данном пособии приводится наиболее простой и доступный метод, который может быть использован в том случае, когда исследователь располагает данными о продаже товаров в натуральном выражении и о ценах на них.
Пример. Данные о продаже и ценах трех товаров за два периода приведены в табл.
4.16 (цифры условные).
Таблица 4.16Расчет индекса физического объема товарооборота
Товар
|
Базисный период |
Текущий период |
Количество текущего периода в ценах базисного, тыс.руб. |
количество,
т |
Цена, руб. за 1 кг |
Товарооборот, тыс. руб. |
количество,
т |
Цена, руб. за 1 кг |
Товарооборот, тыс. руб |
|
qi0 |
рi0 |
qi0 рi0 |
qi1 |
рi1 |
qi1 рi1 |
qi1 рi0 |
|
А |
1 |
2 |
3
(гр.1 х гр.2) |
4 |
5 |
6
(гр.1 х гр.5) |
7
(гр.5 х гр.2) |
|
1-й |
500 |
12 |
600 |
300 |
24 |
7200 |
3600 |
|
2-й |
200 |
10 |
2000 |
200 |
10 |
2000 |
2000 |
|
3-й |
300 |
25 |
7500 |
600 |
15 |
9000 |
15 000 |
|
|
- |
- |
15 500 |
- |
- |
18 200 |
20 600 |
Индекс товарооборота (в фактических ценах) исчисляется как отношение итога гр. 6 к итогу гр. 3:

т.е. денежная выручка продавца увеличилась на 17,4%. Индекс физического объема товарооборота исчисляется как отношение итога гр.
7 к итогу гр. 3:

т.е. объем продажи товаров (в сопоставимых ценах) вырос на 32,9%.
Тенденции развития рынка определяются на основе анализа изменения основных своих параметров (поставки, продажи, цен, товарных запасов). Визуально рассматриваются динамические ряды темпов роста или их графические изображения (диаграммы), и на этой основе дается описательная характеристика тенденций. Иногда используется так называемый метод технического сглаживания уровней динамического ряда.
Фактические данные (эмпирические уровни) наносятся на график, а после этого проводится линия, на глаз осредняющая все колебания. Такой метод широко применяется в анализе биржевой конъюнктуры, когда требуются моментальные выводы о тенденции развития рынка.
Применяется еще достаточно простой, но не очень точный метод, известный в теории статистики как метод механического сглаживания, к которому мы еще вернемся в анализе сезонных колебаний.
Более надежный способ выявления основной тенденции развития рынка заключается в построении и графическом изображении трендовых моделей (так называемый метод статистического, или аналитического, выравнивания).
Данный метод имеет то преимущество, что определяет не только вектор, но и скорость развития, а также отражает его характер: ускорение (степенная и показательная кривая, парабола и-го порядка), рост с замедлением (полулогарифмическая кривая), спад с замедлением (гипербола), равномерное развитие (прямая) и т.д. Сущность данного метода заключается в том, что изменение явления (например, продажи товара) рассматривается как функция времени:

(4.17)
где t- номер уровня (периода, даты) динамического ряда.
Более подробно об этом методе вы можете прочесть в любом учебнике по теории статистики39.
Для построения трендовых моделей используются уравнения, отбираемые по минимуму остаточной дисперсии. Ниже приводятся общие формулы соответствующих уравнений:

где уi - выровненное (сглаженное) значение уровней динамического ряда;
а - свободный член уравнения, экономически не интерпретируемый;
bi - i-е параметры уравнения, характеризующие скорость или ускорение развития рынка;
е - основание натурального логарифма;
t - номер уровня динамического ряда (периода, даты);
n - число i-х параметров в уравнении.
Для расчета параметров трендовых моделей используются стандартные программы ПЭВМ, а для линейных и линеаризированных моделей можно использовать систему нормальных уравнений, которая в общем виде имеет следующий вид:

(4.20)
Однако практически использовать систему нормальных уравнений можно только ограниченно: для моделей, построенных по функции не более чем второго порядка. В противном случае придется решать больше трех уравнений. Расчет можно упростить, если использовать следующие формулы сумм значений t с первой по четвертую степень:

(4.21, 4.22, 4.23, 4.24)
К числу наиболее употребительных трендовых моделей относятся следующие:
1. Линейная (прямая):

(4.25)
Данное уравнение позволяет определить вектор развития: параметр b с плюсом - рост, b с минусом - спад. Он указывает на то, что рынок развивался равномерно, без ускорения или замедления.
Модель тренда по линейной функции отражена на 4.5.

4.5. Трендовая модель тенденции развития рынка по прямой
2. Парабола 2-го порядка

(4.26)
Данная модель позволяет выявить не только скорость развития b1, но и его ускорение (b2).
Экспертные методы получения и оценки маркетинговой информации
Иногда анкета вкладывается в виде отрывного ярлыка в какое-либо популярное издание. Если вы имеете хорошие связи с руководством некоего предприятия или учреждения, то оно может содействовать вам в распространении анкеты среди своих работников.

2.5. Схема организации анкетирования
Широко используемый способ раскладка анкет по почтовым ящикам (возможно, по договоренности с почтальоном). Обычно в этом случае применяется или механическая выборка (например, каждый десятый адресат), или серийная (отбираются дома, в которых осуществляется сплошная раздача анкет). В любом случае надо предусмотреть возможность невозвращения анкет (до 50% от общего числа).
Возврат анкет по почте заранее оплачивается.
Учитывая, что разработка анкет - творческая задача, ее план составляется заранее и обсуждается, увязывается с общими задачами и целями маркетингового исследования. Следующая схема отражает определенную последовательность действий в процессе анкетирования (2.5).
Затраты на анкетирование достаточно высоки. Так, по данным консалтинговой фирмы МсКшзеу апй Сотрапу, эти затраты зависят от числа респондентов (табл.
2.7).
Таблица 2.7 Затраты на анкетирование
|
Число респондентов
|
Общие затраты в среднем, долл. |
|
всего
|
в расчете на одного респондента |
|
30 человек |
5000 |
167 |
|
50 -- |
7000 |
140 |
|
100 -- |
12 000 |
120 |
|
200 -- |
20 000 |
100 |
|
500 -- |
45 000 |
90 |
С финансовой точки зрения более эффективны большие массивы респондентов, и это подтверждает расчет расходов на одного респондента.
КОНТРОЛЬНЫЕ ВОПРОСЫ
1. Что называется опросом? Какие виды опросов Вам известны?
2. Для каких целей образуются фокус-группы?
3. Каковы критерии привлечения участников в фокус-группы?
4. Какие требования предъявляются к интервьюеру?
5. Как строится анкета? Назовите ее структуры.
ТЕСТЫ
1. Панель-это:
а) деревянная обшивка кабинета менеджера фирмы;.
б) часть улицы;
в) постоянная выборочная совокупность лиц/предприятий.
2. Омнибус - это:
а) двухэтажный автобус в Англии;
б) панель с изменяющейся программой опроса;
в) панель с постоянной программой опроса.
3. Анкетирование - это:
а) опрос в форме письменных ответов на вопросы, приведенные в виде таблицы;
б) изучение биографических данных респондента;
в) составление перечня вопросов.
4. Контент-анализ - это:
а) количественные методы анализа документов;
б) библиографическая справка;
в) поиск источника сведений в каталоге.
5. Веер вопросов/ответов имеет целью:
а) дать перечень открытых вопросов, расположенных в логической последовательности;
б) выбрать один или несколько вариантов из перечня закрытых вопросов с подсказанными ответами;
в) дать перечень вопросов, на которые даются ответы в виде цифр.
Экспертные методы получения и оценкимаркетинговой информации и методикагенерации идей
Как уже было сказано, получить информацию непосредственно от ее носителей путем непосредственного наблюдения или опроса часто бывает сложно и дорого. Второй путь - статистическая оценка деятельности носителей информации в тот момент, когда она превращается в определенные действия. Например, спрос реализуется в форме товарооборота, этот процесс фиксируется в отчетности, а затем анализируется. Однако и этот способ получения информации трудоемок и не дешев.
В то же время в мудрых головах некоторых специалистов складывается картина происходящих рыночных процессов, формируются оценки и характеристики рыночной ситуации (часто в подсознании), иногда человеческий мозг способен экстраполировать дальнейшее развитие процесса, т.е. предсказывать будущее. Человеческий разум пока еще способен соперничать с компьютером, и если не в скорости мышления, то в наличии множества ассоциативных связей и в возможности принимать интуитивные решения.
Это позволяет получать информацию экспертным путем, на основе эвристического использования знаний, опыта и интуиции. Специальные математические способы обработки тех оценок, которые получены экспертным путем, повышают их надежность и точность. Собственно говоря, экспертные оценки не только и не столько инструмент получения информации, но и орудие глубокого анализа и прогноза (подробнее см. гл.
3 данного пособия). Часто для характеристики связей между различными экспертными оценками используют непараметрические показатели связи, в частности коэффициенты ранговой корреляции Спирмена и Кендэла.
Суть любого экспертного исследования заключается в подборе и формировании группы независимых, достаточно компетентных в изучаемой проблеме специалистов, высказывающих свое согласованное мнение, которое рассматривается как экспертная оценка.
Экспертные оценки могут быть количественными (представлять собой абсолютные, относительные и средние величины) и качественными. В первом случае экспертиза базируется на применении статистических и эконометрических методов, во втором -на эвристических процедурах, опирающихся на опыт и интуицию, знание предмета исследования и граничащих с искусством.
Совершенно бесспорно, что некоторые идеи и оценки рождаются в подсознании и не требуют длительного и трудоемкого, последовательного хода рассуждений.
Экспертные методы получения информации используются при изучении рыночной ситуации, в прогнозировании рыночных параметров и составлении сценариев развития рынка, в принятии стратегических решений, в характеристике качества продукции, в оценках потенциала конкурентов и т.д.
Дельфи-метод экспертных оценок
Одним из наиболее распространенных и результативных методов получения достоверной информации от узкого круга лиц, авторитетных специалистов в различных областях считается Дельфи-метод. Его название происходит от античного города Дельфы, известного своим оракулом, изрекавшим пророчества и предсказания будущего. Создание, математическое обоснование этого метода и первое применение относятся к концу 40-х годов.
Сущность Дельфи-метода заключается в следующем. Исходной предпосылкой для него является гипотеза, т.е. соответствующим образом обработанное коллективное мнение экспертов, обладающих соответствующими знаниями, обобщающее их индивидуальные оценки и имеющее необходимую степень надежности и достоверности.
При этом истинная величина характеристик лежит в пределах диапазона оценок данной группы экспертов.
Надежность полученных оценок в значительной степени зависит от правильного подбора экспертов, их квалификации, эрудиции, информированности в изучаемых вопросах. Знание ими предмета и их аналитические способности проверяются путем тестирования.
Точность результата зависит от статистической обработки результатов исследования.
Дельфи-метод часто используется в прогнозах и оценках процессов, о которых нельзя или трудно собрать информацию, например дать оценки и прогнозы теневого рынка.
Создается рабочая группа, которая разрабатывает комплекс задач, выдвигаемых перед экспертами (проект дерева целей). Используются методы логического обоснования, строятся гипотезы относительно результатов исследования. На этой основе составляется анкета/вопросник.
Количество вопросов не должно быть чрезмерным, так как численность экспертов находится в пропорциональной зависимости от него.
На первом этапе формируется представительная группа экспертов, в состав которой входят специалисты различного профиля. Требование одно: чтобы эксперт был достаточно знаком с проблемой и имел по ней собственное суждение.
Конечно, учитывается известность кандидата в научном мире или в соответствующей сфере практической деятельности. Численность группы должна быть оптимальной и исходить из потенциально возможных кандидатур: слишком большая группа затруднит обработку данных, может усилить степень разброса мнений в ответах, повысит стоимость исследования; крайне малое число экспертов увеличивает влияние индивидуальных оценок и повышает вероятность случайных ошибок. Следует опираться на принцип разумной достаточности, согласно которому увеличение числа экспертов на единицу (N + 1) практически не повлияет на степень колебания дисперсии их ответов. Разумеется, категорически запрещено включать в коллектив экспертов лиц, лично заинтересованных в результатах исследования.
Это противоречит требованиям достоверности и объективности информации. Кибернетика утверждает, что число экспертов не должно быть меньше числа исследуемых проблем.
Считается, что число экспертов, как правило, может варьировать в пределах от 15 до 50 человек28. Когда формируется группа экспертов, иногда используется следующий метод отбора. Каждому из случайно отобранных пяти специалистов предлагают назвать по пять наиболее авторитетных, с их точки зрения, специалистов, к которым в свою очередь обращаются с подобным предложением.
Из образовавшегося списка отбирают тех, чьи фамилии встречаются чаще.
Могут быть получены оценки компетенции экспертов. Разрабатывается тест, на основе ответов на который каждому эксперту выставляется балл компетентности (bj). Обобщенная характеристика компетентности экспертов отражается средней величиной:

(2.1)
где bi - балл компетентности /-го эксперта;
В - средний балл компетентности группы экспертов;
n - число экспертов в группе.
Компетентность оценивается по критерию степени участия в решении изучаемой проблемы или знакомства с нею. Должна быть разработана шкала балльных оценок, соответствующих уровню компетенции.
Иногда вводятся ранги важности эксперта, соответствующие его имиджу, известности в ученом мире или в практической области, опыту в изучаемой сфере, занимаемой должности, ученому званию или ученой степени и т.д. Обычно стараются приравнять сумму рангов к 100 или к 1, что упрощает расчет. Формула среднего уровня компетентности принимает вид

(2.2)
где Ri - ранг важности эксперта.
Показатель компетентности, определенный независимыми наблюдателями, целесообразно сопоставить с аналогичными оценками, данными себе самими экспертами. Имеются свидетельства наличия прямой связи между уровнем оценки или самооценки компетенции экспертов и точностью экспертных оценок.
Иногда в соответствии с анализом компетентности, организаторы исследования вводят в расчет средней оценки, получаемой из мнений экспертов, вес каждого эксперта, т.е. общая оценка является средней арифметической взвешенной.
После того как сформирована группа экспертов, им выдается задание в форме заранее подготовленной анкеты. При этом должна быть обеспечена анонимность опроса, исключающего личный контакт экспертов между собой.
На первом этапе исследования каждый эксперт не должен знать об ответах других экспертов. По ответам экспертов строится ряд распределения и исчисляются основные его характеристики: средняя арифметическая, медиана и квартили.
Чем меньше колеблемость, тем больше согласованность ответов и, следовательно, их надежность. Распределение ответов ранжируется по атрибутивным, или количественным, признакам.
Исчисляются статистические характеристики ответов: средние величины, показатели колеблемости, медиана и квартили (первый и третий).
Напомним, что средняя величина (х) рассчитывается как отношение суммы всех оценок к общему числу экспертов, т.е. как простая средняя арифметическая:

(2.3)
где хi - оценка, данная i-м экспертом;
n - число экспертов, давших ответы.
Однако в тех случаях, когда вводится ранг (вес) компетентности, используется формула средней арифметической взвешенной:

(2.4)
Медиана (Ме) - значение варьирующего признака (ответа эксперта), приходящееся на середину ранжированной совокупности (медиана делит ряд распределения пополам):

(2.5)
где х0 - нижняя граница медианного интервала;
k - величина интервала;
fm - частота медианного интервала;
Sm-1 - сумма накопленных частот в интервалах,
предшествовавших медианному.
Медиана рассматривается как групповое мнение экспертов, а межквартильное расстояние является показателем согласованности их мнений.
Квартили (1-й и 3-й) - варианты, отделяющие в порядке возрастания с левой и с правой стороны по 1/4 совокупности:

(2.6)

(2.7)
где Q1 и Q3 - соответственно 1-й и 3-й квартили;
k - величина интервала;
SQ1-1 - накопленная частота интервала, предшествующего
интервалу, содержащему нижний квартиль;
SQ3-1 - то же для верхнего квартиля.
Ответы, попавшие за пределы квартилей, отбрасываются как экстремальные. Ответы же, вписавшиеся в межквартильное расстояние, считаются достаточно согласованными. Для проверки степени их согласованности исчисляется дисперсия ответов по следующей формуле:

(2.8)
т.е. средняя квадратов значений ответов минус квадрат средней из ответов:

Чем ближе степень колебания дисперсий ответов экспертов к нулю, тем выше репрезентативность согласованной оценки. После выявления преобладающих суждений экспертов проводится работа по сближению их точек зрения. На втором этапе всех экспертов, оценки которых находятся в границах межквартильного расстояния (от Q1 до Q3) знакомят с обоснованиями причин расхождений мнений тех экспертов, оценки которых вышли за пределы межквартильного расстояния. Каждому эксперту, оставшемуся в группе, предоставляется право изменить свою оценку.
После этого вся процедура повторяется заново, в случае необходимости - несколько раз, пока оценки не сблизятся настолько, что средняя из них сможет считаться достаточно надежной, а показатели разброса мнений (их вариация) не снизятся до минимума. Перед очередным туром в анкету могут быть внесены некоторые изменения с учетом ответов отдельных специалистов.
На практике часто эту процедуру проводят упрощенно и в случае малого разброса мнений ограничивпаются одним туром анкетирования. Показатель степени надежности эксперта исчисляется по формуле:
где n - общее число оценок, произведенных данным экспертом;
N - общее число правильных оценок.
В случае необходимости процедура повторятся еще несколько раз, пока не добивается такое сближение оценок, чтобы дисперсия соответствовала минимальному значению. Только после этого исчисляется средняя величина оценок, которая и считается экспертной оценкой.
Другие методы экспертных оценок и генерацииидей
Метод мозгового штурма (storm brain) считается более оперативным и достаточно надежным для получения оценок, прежде всего конъюнктурных. Он возник в сфере рекламы в 1953 г. Данный метод был предложен американским маркетологом А. Осборном. Метод мозгового штурма применяется также в целях прогнозирования развития рынка или отдельных его параметров.
Его использование целесообразно в процессе разработки товара, когда решается вопрос о стратегическом выборе товарно-сбытовой политики фирмы. Имеет смысл применять его при значительном разбросе мнений специалистов о каком-то явлении либо изучаемая проблема относится к числу остродискуссионных.
В данном случае также отбирается группа квалифицированных специалистов, но оценки и выводы делаются в ходе обсуждения. Решение считается результатом совместных усилий.
Имеется несколько вариантов его проведения. Формируются две группы: в первую приглашаются специалисты с творческим, новаторским складом ума, во вторую - с критическим складом ума, подвергающие все и вся сомнению. Первая группа концентрирует или генерирует идеи и оценки; вторая - их анализирует и критикует, старается обнаружить их слабые места.
Поощряется свободный обмен мнениями, при этом не допускается высказывание любых критических замечаний относительно ценности идеи или характеристики. Руководитель должен быть беспристрастным и выстраивать дискуссию в нужном направлении.
Чем больше вариантов, тем выше вероятность появления действительно ценной идеи или надежной характеристики и прогноза, с которыми согласится большинство участников. Идея или оценка, которая устоит против критики и с которой соглашается большинство участников, принимается в качестве экспертной оценки.
Второй вариант заключается в том, что заранее не выделяется группа критиков (иногда их называют - по аналогии со средневековыми судебными процессами - адвокатами дьявола). Происходит свободное обсуждение, которое направляется руководителем. Постепенно мнения сближаются, и в результате принимается согласованная версия оценки.
К такому варианту близки широко практикуемые на торгово-сбытовых предприятиях конъюнктурные совещания, представляющие собой упрощенный вариант мозгового штурма. Участники такого совещания под руководством главы предприятия (или главы маркетинговой службы) вырабатывают согласованные оценки состояния и развития рынка.
Чаще всего для участия в мозговом штурме приглашается группа экспертов из 10-15 человек, иногда 6-10 человек, хотя известны случаи формирования групп из 100 и даже из 200 человек. Вариантом мозгового штурма служит метод 635. Группа состоит из 6 человек. Каждому из участников вручают в письменном виде изложение проблемы.
Им нужно представить (также письменно) как минимум 3 собственных предложения, позволяющих решить проблему. На это отводится 5 минут.
Затем каждый член группы передает лист со своими предложениями следующему. Теперь ему предлагается развить высказанные идеи (каждый лист идет по кругу, пока не побывает у всех участников).
Пять раз рассматриваются 18 исходных предложений, дополненных и усовершенствованных участниками обсуждения, затем отбирается оптимальный вариант.
Иногда в практике маркетинговых исследований используется метод синектики (соединения различных и заведомо не соответствующих друг другу элементов), предложенный американским ученым У. Гордоном. Собираются специалисты из разных сфер деятельности. Каждый из участников воспринимает совещание как состязание и вносит задуманную заранее идею или практике часто эту процедуру проводят упрощенно и в случае малого разброса мнений ограничиваются одним туром анкетирования.
Показатель степени надежности эксперта исчисляется по формуле характеристику. Происходит селекция идей и отсев идей, не выдержавших проверки и критики.
Иногда обсуждение начинается с общей формулировки идеи, которая конкретизируется и струк-туризуется в ходе обсуждения. Принимается наиболее реальная идея, получившая поддержку большинства.
Для оценки идей используются балльные оценки и шкалирование.
Применяется также морфологический метод, сущность которого заключается в разложении рассматриваемой проблемы на структурные компоненты, или параметры. На первом этапе проблема описывается в целом и никакие решения не принимаются.
На втором - проблема разбивается на частные компоненты, влияющие на общее решение проблемы. На третьем этапе для каждого компонента подбираются альтернативные решения.
Они вводятся в специальную матрицу (морфологический ящик), и с ее помощью вычленяется наиболее оптимальное решение.
Рассмотрим морфологический ящик на примере матрицы для часов, приведенной в работе немецких маркетологов Е. Дихтля и X. Хершгена ( 2.6)29.

2.6. Морфологический ящик для часов
Четвертый этап заключается в комбинации альтернативных решений компонент. Итог - альтернативные общие решения, например от часов с обычным заводом перейти к часам, аккумулирующим колебания.
На пятом этапе наиболее оптимальная альтернатива выбирается как возможное решение.
В зарубежной практике распространен метод логико-смыслового моделирования проблем. На совещание приглашаются руководители и ведущие специалисты маркетинговой службы, которым предстоит выдвинуть и оценить основные проблемы (как стимулирующие, так и сдерживающие маркетинг фирмы), составить каталог проблем, которые затем ранжируются, выявляется их приоритетность и важность, т.е. определяется их рейтинг.
К методам генерации идей относится также метод перечисления признаков, суть которого заключается в том, что составляется перечень всех свойств и качеств уже существующего товара. Затем делается попытка усовершенствовать и реконструировать каждый из них, или заменить новым, более ценным, или скомбинировать с целью получения лучшего эффекта.
В итоге обсуждения можно прийти к идее нового или усовершенствованного товара.
Метод принудительного сочетания предусматривает совместное изучение двух товаров в целях выявления взаимосвязи между ними, что позволило бы создать новое многофункциональное изделие.
КОНТРОЛЬНЫЕ ВОПРОСЫ
1. В чем заключается сущность экспертного метода сбора и оценки информации?
2. Чем обеспечивается достоверность и надежность экспертных оценок?
3. Как определить компетентность эксперта и экспертной
группы в целом?
4. В анкете, разработанной для экспертов, содержится 25 вопросов. Организаторы исследования типа Дельфи планируют пригласить 12 специалистов в качестве экспертов.
Согласны ли Вы с этим?
5. Какие задачи могут быть поставлены перед экспертный исследованием (любого типа) ?
ТЕСТЫ
1. Мозговой штурм - это:
а) метод экспертных оценок и прогнозов, основанный на дискуссии экспертов;
б) метод прогнозирования, основанный на экстраполяции известных данных;
в) активное осмысление полученной информации.
2. Дельфи-метод позволяет:
а) достоверно оценить процессы, о которых нельзя или трудно собрать информацию, например дать оценки теневого рынка, а также осуществить как краткосрочный, так и долгосрочный прогноз;
б) провести экспертизу технологических параметров нового товара при разработке инновационной политики фирмы на стратегическую перспективу;
в) осуществить селекцию идей при организации системы стимулирования сбыта.
3. В ходе первого этапа проведения экспертного исследования типа Дельфи:
а) проводится гласное обсуждение идей, заложенных в программу исследования;
б) членами экспертной группы осуществляется анонимное заполнение заранее разработанной анкеты;
в) проводится оценка компетентности экспертов.
4. Сущность морфологического метода заключается:
а) в разложении рассматриваемой проблемы на структурные компоненты и их объяснении;
б) в шкалировании селекции выдвинутых идей;
в) в расчете средней величины исходя из оценок экспертов.
5. Конъюнктурное совещание:
а) вырабатывает оперативные оценки маркетинговой деятельности;
б) приходит к экспертной оценке рыночной ситуации аналогично методу мозгового штурма;
в) представляет собой метод сбора оперативной информации.
Комплексный анализ рыночных возможностей и опасностей
Таким образом, в процессе изучения деятельности и потенциала конкурентов собираются и анализируются следующие сведения:
о направлениях их товарной политики (технология производства, инновация, ассортимент, ноу-хау);
о политике цен (на новые товары, цены распродаж, динамика и структура цен);
об организации торгово-сбытовой деятельности (каналы товародвижения, дистрибьюторы, инфраструктура, формы торгового обслуживания, сервис, реклама и т.п.);
о финансовом положении конкурентов.
Кроме того, дается характеристика человеческого фактора конкуренции: имидж руководства конкурирующих предприятий, психологические особенности лиц, принимающих решения, квалификация работников маркетинговой службы. Важную роль играет мнение потребителей об их отношении к товарам и марке конкурента.
Составной частью анализа конкурентоспособности является анализ возможностей и опасностей фирмы в конкурентной среде. С учетом информации, собранной нами о конкурентах, и объективной оценки собственных возможностей разрабатывается таблица рыночных возможностей и опасностей.
Цель - выявить привлекательные направления маркетинговых усилий фирмы, на которых она может добиться конкурентных преимуществ. Этот метод носит название SWОТ-анализа (по первым буквам: strench - сила, сильные стороны; weakness - слабость, слабые стороны; opporunity - возможность).
В табл. 5.30 перечисляются различные варианты условий, которые могут сложиться на рынке, особенности организации нашей фирмы и фирмы конкурентов.
Таблица 5.30 составлена на основе данных изучения рынка, собственных возможностей и анализа конкуренции. Необходимо сопоставить сильные и слабые стороны, избегая опасностей и акцентируя внимание на привлекательных возможностях. Разбор такой таблицы позволяет выбрать наиболее оптимальный курс конкурентной борьбы, дальнейший анализ которой осуществляется с помощью матрицы SWОТ.
Она образует 4 поля (квадранта): СИВ (сила и возможности), СИУ (сила и угрозы), СИВ (слабость и возможности), СЛУ (слабость и угрозы) ( 5.21).
Таблица 5.30Комплексный анализ рыночных возможностей и опасностей
|
Сильные стороны |
Слабые стороны |
Возможности |
Угрозы |
Адекватные
финансовые
ресурсы
|
Слабый финансо-
вый потенциал
|
Перспективы
выхода на новые
рынки или сегмен-
ты рынка, рыноч-
ные ниши |
Возможность
появления новых
конкурентов
|
|
Компетентность
|
Недостаток управ-
ленческого талан-
та, поверхностное
понимание про-
блемы |
Расширение
производства
|
Появление
и рост товаров-
заменителей
|
Высокая квалифи-
кация маркетинго-
вой службы |
Низкие маркетин-
говые способности
|
Расширение
ассортимента
|
Замедление роста
рынка, спад
|
Изобретательный
стратег
|
Слабый контрол-
линг
|
Производство
сопутствующих
товаров |
Финансовый
кризис
|
Продолжение табл. 5.30
|
Сильные стороны |
Слабые стороны |
Возможности |
Угрозы |
Известный лидер
рынка
|
Слабое представ-
ление о ситуации
на рынке |
Недооценка наших
возможностей
конкурентами |
Затухание деловой
активности
|
Эффективность,
связанная с раз-
мером рынка
|
Уязвимость по
отношению к кон-
курентному давле-
нию |
Возможности
стимулирования
спроса
|
Неблагоприятная
политика правительства
|
Защищенность
от сильного кон-
курентного давле-
ния |
Отставание в
области НИОКР
|
|
Уссиление давле-
ния со стороны
покупателей и
поставщиков |
Прогрессивная
технология произ-
водства
|
Слабые производ-
ственные возмож-
ности
|
|
Изменение
потребностей и
вкусов покупате-
лей |
Инновационные
возможности
|
Устаревшее
оборудование
|
|
Неблагоприятные
демографические
изменения |
Преимущество в
области издержек |
внутренние про-
блемы |
|
|
Преимущество
в области конку-
ренции
|
Конку рентные
недостатки
Недооценка кон-
курентной угрозы |
|
|
5.21. Матрица 5УЮТ
Позиционирование фирмы в квадранте А ориентирует ее на использование сильных сторон предприятия, для того чтобы получить отдачу от возможностей, которые появились в окружающей среде маркетинга. Квадрант В показывает, что налицо новые возможности, за счет которых можно попытаться преодолеть слабости фирмы.
Квадрант С дает рекомендацию использовать сильные стороны предприятия для устранения угроз со стороны конкурента. Наибольшую опасность представляет попадание в квадрант D - слабые позиции фирмы не могут воспрепятствовать надвигающейся конкурентной угрозе.
Для того чтобы успешно справиться с конкурентной опасностью, фирма должна обладать определенным антиконкурентным потенциалом. Капитал и производственно-сбытовые или торговые мощности должны быть рассчитаны не только на нормальный процесс товародвижения, но и на экстремальные условия, когда фирме противостоят конкуренты.
Реальность конкурентной угрозы оценивается на основе анализа рыночной ситуации, когда выявляются действующие конкуренты или определяется вероятность их появления. Фирма и ее товар должны быть конкурентоспособными (см.
5.4).
Известный американский экономист И. Ансофф ввел в научный оборот понятие конкурентный статус фирмы (КСФ). Он предложил следующую формулу для определения конкурентного статуса77:

(5.58)
где If - уровень стратегических капитальных вложений фирмы;
Ik - критическая точка капитальных вложений, выше которой образуется прибыль,
ниже - убыток;
I0 - оптимальный объем капитальных вложений;
Sf - действующая стратегия (оценивается в баллах экспертным путем);
S0 - оптимальная стратегия (так же);
Cf - фактический потенциал (так же);
С0- оптимальный потенциал (так же).
Если КСФ = 1, имеет место наивысшая эффективность;
КСФ = 0, нет прибыли, предприятие убыточно.
При 0 КСФ 0,4 - слабая конкурентная позиция;
0,5 КСФ 0,7 - средняя конкурентная'позиция;
0,8 КСФ 1,0 - сильная конкурентная позиция.
Обобщающая оценка конкурентоспособности товаров может быть выведена на основе опросов представителей/руководителей производственных и торговых предприятий, которые, например, ежеквартально организует Центр экономической конъюнктуры при Правительстве РФ. Обследуется около 800 промышленных и свыше 4000 розничных торговых предприятий.
На внутреннем рынке в 1998 г. конкурентоспособность продукции легкой промышленности как высокую оценили всего 11-17% респондентов, в пищевой промышленности - немного больше - 18 - 24%; как среднюю - соответственно от 53 до 59% и от 51 до 68%; как низкую -соответственно от 10 до 20% и от 9 до 16%; как неконкурентоспособную оценили продукцию этих отраслей соответственно до 3 и 5%78.
Эти данные отражают мнение предпринимательского корпуса о конкурентоспособности отечественных товаров на потребительском рынке. Вероятно, эти ответы соответствуют фактическому распределению товаров по уровню конкурентоспособности.
КОНТРОЛЬНЫЕ ВОПРОСЫ
1. Каковы основные цели конкурентного анализа?
2. Назовите основные методы диагностики конкурентной среды.
3. Как определить и оценить долю, занимаемую фирмой на рынке?
4. В чем заключаются цели модели конкуренции и конкурентной матрицы М.Портера?
5.В чем суть SWОТ-анализа?
ТЕСТЫ
1. Фирма заявила, что она постоянно устанавливает свои цены на уровне 5% ниже цен конкурента:
а) это объявление ценовой войны;
б) попытка компенсировать различия в затратах;
в) нормальная торговая практика.
2. Анализ деятельности конкурента показал, что его производственные возможности превышают наши как минимум на 30%. Каковы наши действия?
а) продавать товар на 30% дороже конкурентного;
б) инвестировать средства в расширение собственной производственной базы;
в) улучшить потребительские свойства товара и одновременно расширить сервис, не повышая цены товара.
3. На чем основывается наш прогноз действий конкурента?
а) на предсказаниях астролога;
б) на изучении поведения конкурента, характеристике его менеджера и полученных конфиденциальных сведениях о подготовке к испытаниям нового товара;
в) на предположениях.
4. На рынок выпущен новый синтетический материал, который представляет конкурентную угрозу нашему товару. Какие меры следует принять нашей фирме?
а) обратиться с жалобой в Антимонопольный комитет;
б) организовать в авторитетной газете статью специалиста о вреде синтетики для здоровья;
в) срочно приступить к разработке нового товара с лучшими свойствами по старой цене.
5. Какой должна быть доля рынка, чтобы фирма считалась
лидером рынка?
а) 10-20%;
б) 20-40%;
в) 40% и выше.
ОСНОВНЫЕ ПОНЯТИЯ
АНКЕТА - таблица с перечнем вопросов, на которые должен ответить респондент.
АНКЕТИРОВАНИЕ - форма опроса с помощью анкеты; проводится по двум формам: саморегистрации, когда респондент самостоятельно заполняет анкету, и корреспондентский способ, когда анкета заполняется регистратором со слов респондента.
БЕНЧ-МАРКИНГ (англ. ЬепсЬ-тагкт) - оценки вероятности успеха предпринимательской деятельности, разработка мероприятий для обеспечения превосходства над конкурентом за счет высокого качества товаров и сервиса.
БИХЕВИОРИЗМ - наука о поведении людей; выводы и методы бихевиоризма широко используются в маркетинговом исследовании.
ВЕБЕЛЕНА ПАРАДОКС - предметы роскоши покупаются не столько ради их потребительских свойств, сколько ради их социального значения.
ВНЕШНЯЯ ИНФОРМАЦИЯ - информация, собранная за пределами фирмы, но используемая ею в своих целях.
ВНУТРЕННЯЯ ИНФОРМАЦИЯ - любая информация, собранная фирмой.
ВТОРИЧНАЯ ИНФОРМАЦИЯ - информация, собранная не специально для маркетинговых целей, но используемая в маркетинге.
ВЫБОРКА - совокупность статистических приемов, обеспечивающих возможность судить обо всей совокупности по некоторому числу отобранных из нее единиц, при строгом соблюдении всех научных принципов отбора.
ДЕЛЬФИ-МЕТОД - метод экспертных оценок и прогнозов, где сближение и согласование взглядов экспертов обеспечиваются многоступенчатой процедурой опроса: на первом этапе - анонимно, затем - открыто. Строится ранжированный ряд распределения ответов; ответы, находящиеся в межквартильном поле, считаются согласованными, ответы за пределами 1-го и 3-го квартилей в расчет не принимаются.
ДЕСКРИПТИВНОЕ ИССЛЕДОВАНИЕ - описательная конста-тационная характеристика реальных фактов, событий и показателей, собранных в процессе исследования.
ДЖИФФЕНА ПАРАДОКС - чем дороже хлеб (в условиях инфляции), тем больше его покупают.
ДИАГНОСТИКА КОНКУРЕНТНОЙ СРЕДЫ - составная часть конкурентного анализа, оценка уровня и интенсивности конкуренции; к ней относятся бесконтактные методы оценки (аналитическая диагностика), экспертные оценки, построение гипотез (экспертная диагностика), компьютеризованные имитационные модели.
ЕМКОСТЬ РЫНКА - показатель, характеризующий способность рынка (совокупности потребителей) поглотить (приобрести) некоторый объем товаров при определенных условиях за определенный отрезок времени.
ИМИТАЦИОННАЯ МОДЕЛЬ - модель рынка, введенная в компьютер, позволяющая имитировать различные условия сбыта/продажи товара; требует значительных предварительных усилий по сбору информации о пропорциях, взаимосвязях и изменениях различных показателей.
ИНДЕКС ИНФЛЯЦИОННЫХ ОЖИДАНИЙ - интегральный показатель мнений потребителей и предпринимателей относительно вероятности изменения цен на перспективу; исчисляется на основе социометрических опросов.
ИНДЕКС КАЧЕСТВА - интегральный показатель, характеризующий уровень качества товара; используется квалиметрический метод оценки параметров товара с помощью баллов.
ИНДЕКС ПОКУПАТЕЛЬСКИХ НАСТРОЕНИЙ - интегральный показатель, обобщающий мнения потребителей относительно состояния и перспектив развития экономики и собственного жизненного уровня; строится на основе данных социометрических опросов населения.
ИНДЕКС РЫНОЧНОЙ СИТУАЦИИ - интегральный оценочный показатель состояния рынка, обобщающий характеристику состояния и развития основных параметров рынка; исчисляется как средняя арифметическая из балльных оценок параметров и факторов рынка, взвешенных по рангам роли каждого параметра в формировании рыночной ситуации (определяются экспертным путем).
ИНДЕКС СЕЗОННОСТИ - отношение фактических параметров рынка (обычно продажи и цен), сложившихся за сезонный период (чаще всего месяц, иногда - квартал), исчисленных в среднем за 2 - 3 или более лет (это делается для исключения случайных колебаний), к средней за все периоды, принимаемой за 100. При наличии определенной тенденции за 100 принимают линию тренда.
ИНДЕКС ФИЗИЧЕСКОГО ОБЪЕМА ТОВАРООБОРОТА - статистический показатель, характеризующий изменение стоимости объема проданной товарной массы в сопоставимых/неизменных ценах.
ИНДЕКС ЦЕН - статистический показатель, отражающий общее изменение цен.
ИНДЕКСНАЯ ФАКТОРНАЯ МОДЕЛЬ ТОВАРООБОРОТА - система индексов (мультипликативная модель) и абсолютных приростов (аддитивная модель), позволяющая выявить влияние потребительских, ценностных и демографических факторов на развитие товарооборота.
ИНДЕКСЫ ДЕЛОВОЙ АКТИВНОСТИ - показатели, характеризующие изменение основных параметров рынка (экономики в целом).
ИНТЕРВЬЮ (в маркетинговом исследовании) - форма устного опроса, беседа с респондентом, обычно по заранее подготовленной программе.
ИНТЕРВЬЮ ДИАГНОСТИЧЕСКОЕ - проводится на предприятии с согласия или по просьбе руководства для выявления внутрифирменных проблем.
ИНТЕРВЬЮИРОВАНИЕ (в маркетинговом исследовании) - форма устного опроса, сбор информации в ходе беседы с респондентом; различаются устное и групповое интервью.
ИНФОРМАТИКА - отрасль науки, изучающая структуру и общие закономерности формирования и потребления информации, а также проблемы, связанные с ее сбором, хранением, поиском, переработкой и использованием.
ИНФОРМАЦИОННАЯ КУЛЬТУРА - знания, умение и навыки эффективного использования информации в условиях компьютеризации.
ИНФОРМАЦИОННОЕ ПОЛЕ - совокупность информации, обращающейся в человеческом обществе.
ИНФОРМАЦИЯ (в маркетинговом исследовании) - цифры, факты, сведения, слухи, оценки и другие данные, необходимые для анализа и прогнозирования маркетинговой деятельности.
ИНФРАЭЛАСТИЧНОСТЬ - ситуация, при которой коэффициент эластичности меньше единицы, что свидетельствует о слабой реакции рынка на изменение цены (или дохода).
КАБИНЕТНОЕ ИССЛЕДОВАНИЕ (англ. йевЬ гекеагсЬ) - обработка вторичной информации.
КАЗУАЛЬНЫЕ ИССЛЕДОВАНИЯ - выявление причинно-следственных связей в рыночной деятельности, моделирование закономерностей и тенденций развития рынка.
КВАЛИМЕТРИЯ - отрасль знаний, изучающая качественные явления количественными методами; методология К., особенно способ балльных оценок, широко применяется в маркетинговом исследовании.
КОММЕРЧЕСКИЙ РИСК - опасность потерпеть поражение на рынке.
КОНКУРЕНТНЫЙ АНАЛИЗ - изучение и прогнозирование действий конкурентов, выявление их потенциальных возможностей, оценка конкурентоспособности товаров-конкурентов.
КОНКУРЕНТНЫЙ СТАТУС ФИРМЫ - расчетный показатель, в котором сравниваются уровень и оптимум инвестиций с их критической точкой, фактический потенциал сопоставляется с оптимальным, а действующая стратегия - с оптимальной; разработана шкала оценки результата расчета показателя.
КОНКУРЕНТОСПОСОБНОСТЬ ТОВАРА - вероятность продать товар в определенные сроки при наличии на рынке аналогичных товаров-конкурентов.
КОНТЕНТ-АНАЛИЗ - форма сбора информации, количественные методы анализа документов.
КОНТРОЛЛИНГ (в маркетинге) - составная часть маркетингового планирования; предусматривает отслеживание параметров рынка с целью внесения коррективов в планы при изменениях рыночной ситуации.
КОНЪЮНКТУРА РЫНКА - конкретная ситуация, сложившаяся на рынке на данный момент или определенный промежуток времени под воздействием комплекса факторов.
КОНЪЮНКТУРНОЕ СОВЕЩАНИЕ - проводится руководством торгового или производственно-сбытового предприятия с целью дать согласованную оценку рыночной ситуации, зачастую напоминая мозговой штурм.
КОНЪЮНКТУРНЫЙ АНАЛИЗ - изучение состояния рынка: масштаба и сбалансированности, тенденций и устойчивости его развития, деловой активности и степени благоприятствования для определенной рыночной деятельности.
КОНЪЮНКТУРНЫЙ ОБЗОР - документ, характеризующий рыночную конъюнктуру; составляется по данным соответствующих наблюдений.
КОРРЕЛЯЦИОННЫЙ АНАЛИЗ - статистический метод выявления связи между изучаемыми рыночными явлениями и процессами.
КОЭФФИЦИЕНТ АППРОКСИМАЦИИ - статистический показатель, характеризующий среднее отклонение эмпирических данных от тренда, выраженное в процентах к среднему уровню динамического ряда; используется как мера выбора функции, по которой строится трендовая модель, а также характеризует устойчивость/неустойчивость развития явления.
КОЭФФИЦИЕНТ ВАРИАЦИИ - статистический показатель, с помощью которого исчисляется колеблемость/равномерность состояния рынка в географическом и экономическом пространстве; исчисляется как среднее квадратическое отклонение варьирующих признаков от средней, выраженное в процентах к среднему уровню ряда распределения.
КОЭФФИЦИЕНТ БАНКРОТСТВА - отношение финансовых обязательств предприятия к общей стоимости его имущества.
КОЭФФИЦИЕНТ ЛИКВИДНОСТИ - отношение текущих активов к краткосрочным обязательствам предприятия.
КОЭФФИЦИЕНТ ЭЛАСТИЧНОСТИ СПРОСА - мера реакции рынка на маркетинговые раздражители (цену, доход и т.п.).
ТЕОРЕТИЧЕСКИЙ - строится на основе уравнения регрессии; отличается от эмпирического заменой отношения приростов первой производной - соответствующей функции;
ЭМПИРИЧЕСКИЙ - показатель, характеризующий процентное изменение результативного признака при увеличении факторного признака на 1%; исчисляется как произведение отношения прироста результативного признака к приросту факторного и отношения объема факторного признака к объему результативного (как правило, базисного периода).
ЛИДЕРСТВО НА РЫНКЕ (шкалирование позиции фирмы) -позиция фирмы, зависящая от ее доли на рынке (от 40% и выше -лидер рынка, от 20 до 40% - претендент на лидерство и т.д.).
МАРКЕТИНГ (англ. тагке(ш§) - деятельность по доведению товара до потребителей, ориентированная на потребности рынка, а также иерархически организованная система управления рыночной деятельностью, регулирования некоторых рыночных процессов и изучения рынка.
МАРКЕТИНГОВАЯ ИНФОРМАЦИОННАЯ СИСТЕМА - состоит из трех элементов: специалистов по сбору, обработке и хранению информации, методологических приемов сбора, обработки и хранения информации и оборудования, предназначенного для сбора, обработки, хранения и передачи информации.
МАРКЕТИНГОВОЕ ИССЛЕДОВАНИЕ -любая исследовательская деятельность, направленная на удовлетворение информационно-аналитических потребностей маркетинга; теория маркетингового исследования базируется на принципах информатики, методология представляет собой сложный сплав статистики, эконометрики, социометрии, квалиметрии и специфических маркетинговых методов.
МАРКЕТИНГОВОЕ НАБЛЮДЕНИЕ - научно организованный сбор информации о рыночных процессах и явлениях, а также о факторах, влияющих на них.
МАРКЕТИНГОВЫЙ АНАЛИЗ - вторая часть маркетингового исследования, т.е. выводы, следующие из соответствующей обработки маркетинговой информации: оценка, объяснение, моделирование и прогноз рыночных явлений и процессов.
МАТРИЦА ПОРТЕРА (модель движущих сил конкурентов) - пространственная модель, отражающая варианты конкурентного давления на фирму.
МАТРИЦА СТРАТЕГИЧЕСКАЯ (РЕШЕТКА) - пространственная модель определения конкурентной позиции фирмы на рынке и выбора соответствующей стратегии маркетинга; строится с помощью графических координат, отражающих рыночную ситуацию и потенциал фирмы.
МАТРИЦА SWОТ - пространственная модель позиционирования фирмы, раскрывающая ее слабые и сильные стороны, потенциальные возможности и угрозы со стороны конкурента.
МОДЕЛИРОВАНИЕ ВЛИЯНИЯ ДЕМОГРАФИЧЕСКОЙ СРЕДЫ - процесс построения комплекса индексных, регрессионных моделей, отражающих воздействие демографических факторов на основные параметры рынка.
МОДЕЛЬ (в маркетинговом исследовании) - математическая, логическая или графическая имитация/отражение сущности или за^ кономерности состояния/развития рыночных явлений и процессов.
МОДЕЛЬ СЕЗОННОСТИ - уравнение тренда, построенное по функции, адекватно отражающей сезонные колебания.
МОДЕЛЬ СЕЗОННОЙ ВОЛНЫ - строится по формуле гармоники Фурье.
МОЗГОВОЙ ШТУРМ (англ. Ъгат-з1огт) - один из методов экспертных оценок, при котором сближение оценок достигается путем заранее подготовленной и направляемой координатором открытой дискуссии специалистов.
МОНИТОРИНГ - систематическое исследование, постоянное отслеживание данных о состоянии и развитии рынка.
МОРФОЛОГИЧЕСКИЙ МЕТОД- один из методов экспертных оценок, сущность которого заключается в разложении рассматриваемых проблем на компоненты; наиболее оптимальный элемент отбирается с помощью специальной матрицы (морфологического ящика).
МУЛЬТИЭЛАСТИЧНОСТЬ - ситуация, при которой значение коэффициента эластичности превышает единицу, это означает существенную реакцию рынка на изменение цен (или дохода).
НЕПОСРЕДСТВЕННОЕ НАБЛЮДЕНИЕ - визуальный сбор информации о некоторых рыночных процессах (например, различия цен на разных предприятиях, насыщенность ассортимента в магазине, покупательские потоки и т.п.); часто применяется при определении привозов и колеблемости цен на сельскохозяйственных рынках, а также в конкурентном анализе.
НЕФОРМАЛЬНЫЕ ОЦЕНКИ РЫНОЧНОЙ СИТУАЦИИ - одно из направлений маркетингового исследования, когда используются описательные и качественные, а также альтернативные характеристики, оценки, опирающиеся на визуальное и интуитивное восприятие.
ОКРУЖАЮЩАЯ СРЕДА МАРКЕТИНГА - совокупность сил и факторов, постоянно оказывающая влияние на маркетинг фирмы и его результаты.
ОПЕРАТИВНАЯ МАРКЕТИНГОВАЯ ИНФОРМАЦИЯ - информация, предназначенная для немедленного использования.
ОПРОС - основная форма сбора информации, основанная на принципе вопрос - ответ.
ОЦЕНКИ - информация, базирующаяся на умозаключениях, подсчетах и статистических расчетах.
ПАНЕЛЬ - выборочная совокупность потребителей (предпринимателей, предприятий), участники которой за определенную плату регулярно предоставляют необходимую информацию.
ПАРАМЕТРИЧЕСКИЙ ИНДЕКС - показатель, характеризующий степень отклонения фактического параметра товара от эталонного (стандарта, иногда - от соответствующего параметра конкурирующего товара).
ПЕРВИЧНАЯ ИНФОРМАЦИЯ - информация, собранная специально для определенного маркетингового исследования.
ПЛАН МАРКЕТИНГОВОГО ИССЛЕДОВАНИЯ - основной документ, определяющий порядок и последовательность операций по сбору и анализу информации. Как правило, включает пять этапов: выбор цели исследования; разработку методики его проведения; организацию сбора информации; анализ и прогноз, разработку рекомендаций и, наконец, оценку эффективности исследования.
ПОЛЕВОЕ ИССЛЕДОВАНИЕ (англ. ЯеМ гезеагсЬ) - первичный сбор маркетинговых материалов, проведение специального обследования и т.п.
ПОТЕНЦИАЛ ФИРМЫ - комплекс возможностей и достижений, обеспечивающих фирме конкурентное преимущество на рынке и выполнение стратегических целей.
ПРЕДЛОЖЕНИЕ - объем товарной массы, поставленной на рынок для продажи, или потенциал ее производства.
ПРОБНЫЙ МАРКЕТИНГ (ПОЛЕВОЙ ЭКСПЕРИМЕНТ) -
продажа (иногда - бесплатная раздача) образцов нового товара; одновременно собирается информация о мнениях потребителей.
РАЗВЕДОЧНОЕ ИССЛЕДОВАНИЕ (в маркетинге) - поисковое исследование малых масштабов, предшествующее разработке программы основного исследования и предназначенное для обоснования и уточнения целей и методов исследования.
РЕГРЕССИОННЫЙ АНАЛИЗ - статистический способ моделирования зависимости результативного признака от факторного признака/признаков.
РЕЛЕВАНТНОСТЬ ИНФОРМАЦИИ -уместность информации, степень ее отношения к делу.
РЕСПОНДЕНТ - лицо, отвечающее на вопросы в ходе устного (интервьюирование) или письменного (анкетирование) опроса.
РЫНОЧНАЯ СИТУАЦИЯ - сочетание условий и обстоятельств, создающих конкретную обстановку и расстановку сил и ресурсов на рынке.
РЫНОЧНАЯ КОНЪЮНКТУРА - см. Конъюнктура рынка.
РЫНОЧНЫЙ ИНДИКАТОР - показатель, с помощью которого или в сочетании с другими показателями можно отражать состояние рынка или реагировать на его изменения.
СВЕДЕНИЯ - разновидность факторов, представленных в систематизированной, обобщенной форме.
СЕЗОННОСТЬ РЫНКА - одна из форм цикличности рынка, внут-ригодовые, постоянно повторяющиеся колебания его сбалансированности.
СИГНАЛЬНАЯ (ПРЕДУПРЕЖДАЮЩАЯ) ИНФОРМАЦИЯ - оперативные сведения о происшедших и/или предстоящих изменениях в рыночной ситуации.
СИНЕКТИКА - один из методов экспертных оценок, когда создается группа специалистов из разных сфер деятельности, каждый из участников которой вносит на обсуждение заранее подготовленную идею. В процессе обсуждения происходит селекция идей.
Принимается та идея/оценка, которая получила поддержку большинства.
СИТУАЦИЯ, СЛОЖИВШАЯСЯ НА РЫНКЕ - см. Рыночная ситуация.
СЛУХИ - непроверенные факты.
СОЦИОМЕТРИЯ - отрасль знаний, изучающая социальные явления количественными методами; методология социометрии и ее выводы широко используются в маркетинговом исследовании.
СПРОС - потребность, представленная на рынке деньгами.
СТАТИСТИКА - наука, изучающая массовые социально-экономические явления и процессы, которые могут быть выражены цифрами; статистические методы широко используются в маркетинговом исследовании.
СТАТИСТИКА ТОВАРНОГО РЫНКА - сфера научно-практической исследовательской деятельности, изучающая закономерности и тенденции товарного рынка при помощи специфических статистических методов и приемов; методология статистики товарного рынка широко используется в маркетинговом исследовании.
СТРАТЕГИЧЕСКАЯ ИНФОРМАЦИЯ - информация о глубинных рыночных процессах, ориентированных на перспективу, данные о закономерностях развития рынка.
СТРАТЕГИЧЕСКИЙ АНАЛИЗ РЫНКА - изучение закономерностей и тенденций развития рынка, выявление его взаимосвязей с окружающей средой маркетинга, а также конкурентной борьбы в целях прогнозирования долгосрочных перспектив развития рыночной ситуации для принятия стратегических решений.
СТРАТЕГИЧЕСКИЙ МАРКЕТИНГ - современная концепция маркетинга, предполагающая достижение устойчивого конкурентного преимущества с ориентацией на потребности рынка; стратегический маркетинг предполагает углубленный анализ рыночных процессов и явлений.
СТРАТЕГИЯ МАРКЕТИНГА - выбор оптимального направления развития фирмы на перспективу, базирующийся на глубоком анализе рыночной ситуации, изучении поведения и намерений конкурента и объективной оценке собственных возможностей.
СЦЕНАРИИ РАЗВИТИЯ - современная форма прогнозирования, сочетающая описательный метод, построение гипотез, статистическое моделирование, экспертные оценки.
ТЕСТИРОВАНИЕ РЫНКА - оценка качества товара путем опроса потребителей.
ТОРГОВЫЕ КОРРЕСПОНДЕНТЫ - опытные торговые работники, которые за отдельную плату ведут постоянные наблюдения за спросом и другими показателями рынка и в определенные сроки и по установленной форме предоставляют информацию руководству.
ТРЕНД - графическая или математическая характеристика основной тенденции динамического ряда.
ТРЕНДОВАЯ МОДЕЛЬ (аналитическое выравнивание уровней динамического ряда) - статистическая модель, выражающая в математической форме динамические закономерности развития изучаемого явления или процесса.
ФАКТ - простейший вид информации: событие или условие, непосредственно наблюдаемые.
ФОКУС-ГРУППА - созданная для опроса небольшая, объединенная по определенным критериям группа людей, способности и интеллект которых сконцентрированы лидером на заданной теме.
ЦИКЛИЧНОСТЬ РАЗВИТИЯ РЫНКА - регулярно повторяющиеся по времени изменения уровня, вектора, скорости и характера развития параметров рынка.
ЦИФРА - форма отображения количественной информации.
ЭКОНОМЕТРИКА - сфера применения математических методов в экономике.
ЭКСПЕРТНЫЕ ОЦЕНКИ/ПРОГНОЗЫ - мнения, оценки и прогнозы, которые высказываются специально подобранными группами высококвалифицированных и авторитетных специалистов; при соблюдении соответствующей процедуры, согласованные/средние оценки, как правило, адекватны изучаемому явлению или процессу.
ЭНГЕЛЯ ЗАКОН - с увеличением дохода семьи ее расходы на питание растут абсолютно, но уменьшаются относительно.
ЛИТЕРАТУРА
1. Азоев Г.Л. Конкуренция: анализ, стратегия и практика. - М.: Центр экономики и маркетинга, 1996.
2. Ансофф И. Стратегическое управление / Пер. с англ. - М.: Экономика, 1989.
3. Багиев Г.Л., Тарасевич В.М., Анн X. Маркетинг: Учебник / Под ред. Г.Л.
Багиева. - М.: Экономика, 1999.
4. Базен Р.С., КоксД.Ф., Браун Р.В. Информация и риск в маркетинге /Пер. с англ.- М.: Финстатинформ, 1993.
5. Беляевский И.К Маркетинг: Курс лекций. Вып.
1-6 / Моск. гос. ун-т экономики, статистики и информатики. - М., 1996, 1997.
6. Березин И.С. Маркетинг и исследования рынков. - М.: Русская деловая литература, 1999.
7. Березин И.С. Проведение массовых опросов // Маркетинг и мар- , кетинговые исследования в России. - 1996. - 5. - С. 32.
8. Бешелев С.Д., Гуревич Ф.Г. Математико-статистические методы экспертных оценок. - М.: Статистика, 1980.
9. Браверман А.А. Маркетинг в российской экономике переходного периода: Методология и практика. - М.: Экономика, 1997.
10. Брыскин В. В. Математические модели маркетинга. - Новосибирск: Наука.
Сиб. изд. фирма, 1992.
11. Букерель Ф. Изучение рынков / Академия рынка: Маркетинг / Пер. с франц. - М.: Экономика, 1993.
12. Все о маркетинге: Сб. материалов. - М.: Азимут-центр, 1992.
13. Голубков Е.П.
Маркетинговые исследования: теория, практика и методология. -М.: Финпресс, 1998.
14. Голубков Е.П. Маркетинг.
Словарь. - М.: Экономика; Дело Лтд., 1994.
15. Голубков Е.П., Голубкова Е.Н., Секерин В.Д. Маркетинг.
Выбор лучшего решения. - М.: Экономика, 1993.
16. Гольцов А.В.
Стратегический маркетинг. - М.: МАРТ, 1998.
17. Дайан А. Маркетинг / Академия рынка: Маркетинг / Пер. с фр. - М.: Экономика, 1993.
18. Диксон Питер Р. Управление маркетингом/ Пер. с англ. - М.: ЗАО Изд-во БИНОМ, 1998.
19. Дихтль Е., Хершген X. Практический маркетинг: Учебное пособие / Пер. с нем. - М.: Высшая школа, 1995.
20. Дурович А.П.
Маркетинг предпринимательской деятельности. -Минск: НПЖ Финансы, учет, аудит.
21. Егоров А.Ю.
Комплексный анализ в системе маркетинговой деятельности. - М.: СП Вся Москва, 1994.
22. Закутин Г.П., Кедровская Л.Г., Шумов Ю.А.
Информационное обеспечение конкурентоспособности продукции и услуг. - М., 1992.
23. Исследование рынка /МсКтзеу Сотрапу, 1пс/- М.: Дело, 1996.
24. Капустина Н.Е.
Теория и практика маркетинга в США.- М.: Экономика, 1981.
25. Ковалев А.И., Войленко В.В.
Маркетинговый анализ. - М.: Центр экономики и маркетинга, 1996.
26. Котлер Ф. Основы маркетинга / Пер. с англ. - М., Прогресс, 1991.
27. Котлер Ф., Армстронг Г., Сондерс Д., Вонг В. Основы маркетинга/Пер, с англ. - 2-е европейское изд. - К.; М.; СПб.: Издат. дом Вильяме, 1998.
28. Котлер Ф. Маркетинг-менеджмент / Пер. с англ. - 9-е международное изд. - Спб.: Питер Ком., 1998.
29. Кретов И.И.
Маркетинг на предприятии. - М.: Финстатинформ, 1994.
30. Крутиков Ф.А.
Теоретические основы определения емкости рынка. - М.: Экономика, 1965.
31. Крутиков Ф.А.
Конъюнктура рынка при социализме М.: Экономика, 1968.
32. Ламбен Ж.-Ж.
Стратегический маркетинг / Пер. с фр. - СПб.: Наука, 1996.
33. Левшин Ф.М.
Мировой рынок: конъюнктура, цены, маркетинг. -М.: Международные отношения, 1993.
34. Литвак Б.Г.
Экспертные оценки и принятие решений. - М.: Патент, 1996.
35. Лобанова Е. Прогнозирование с учетом цикличности экономического роста // Экономические науки. - 1991. - 1.
36. Маркс К., Энгельс Ф. Соч. - Т. 25. - Ч. 1.
37. Маркетинг: Учебник / Под ред.
А.Н.Романова. - М.: ЮНИТИ, 1995.
38. Маркетинг: Учебно-практическое пособие / Под ред. И.К.
Беля-евского. - Моск. гос. ун-т экономики, статистики и информатики. Ин-т дистанционного обучения. - М., 1999.
39. Маркетинг // Информационно-статистический журнал. - 1992 -1998.
40. Маркетинговые исследования / МсКлшеу Сотрапу. - М.: Дело, 1996.
41. Мачадо Р. Маркетинг для малых предприятий / Пер. с англ. -СПб.: Питер паблишинг, 1998.
42. Методические рекомендации по маркетинговым исследованиям. - М.:ИНФРА-М., 1993.
43. Моррис Р. Маркетинг: ситуации и примеры / Пер. с англ. - М.: Изд-во Банки и биржи, 1994.
44. Основы предпринимательской деятельности: Экономическая теория. Маркетинг. Финансовый менеджмент / Под ред.
В.М. Власовой.- М.: Финансы и статистика, 1995, 1997.
45. Организация маркетинга / МсКтзеу Сотрапу. - М.: Дело, 1996.
46. Пешкова Е.П.
Маркетинговый анализ в деятельности фирмы. -М.: Ось, 1997.
47. Поведение потребителей / Энджелл Дж.
Ф., Блэкуэлл Р.Д., Миниард П.У. - Пер. с англ. - СПб: Питер Ком., 1999.
48. Риски в современном бизнесе / Грабовый П.Г. и др. - М.: Алане, 1994.
49. Самуэлъсон П. Экономика / Пер. с англ. - Т. 1 - 2. - М.: АЛГОН, 1993.
50. Статистика рынка: Учебник / Под ред.
И.К.Беляевского. - М., Финансы и статистика, 1995, 1997.
51. Теория статистики: Учебник. 2-е изд., доп. и перераб. / Под ред.
Р.А. Шмойловой. - М.: Финансы и статистика, 1998.
52. Тихомиров Н.Г.
Модели и методы прогнозирования рынка / МИНХ им. Г.В.
Плеханова. - М., 1991.
53. Швалъбе X. Практика .маркетинга для малых и средних предприятий / Пер. с нем. - М.: Республика, 1995.
54. Швырков В.В.
Экономико-математический анализ потребительского спроса. - М.: Изд-во МГУ, 1966.
55. Швырков В.В., Швыркова Т.С.
Моделирование внутригодичных колебаний спроса. - М.: Статистика, 1973.
56. ЭвансДж., Берман Б. Маркетинг / Пер. с англ. - М., Экономика, 1990.
57. Яковенко Е.Г., Басе М.И., Махров Н.В.
Циклы жизни экономических процессов, объектов и систем. - М.: Наука, 1991.
КОНЪЮНКТУРНЫЙ АНАЛИЗ РЫНКА
Понятие рыночной конъюнктуры, цели иметоды ее анализа
Любая маркетинговая операция (разработка стратегии и планирование, выбор сегмента рынка, принятие решения о выпуске нового товара, заключение контракта на сбыт, уход с рынка, изменение цены и т.д.) осуществляется с учетом рыночной ситуации и позиции фирмы на рынке. Термин ситуация происходит от позднелатинского situacio - положение.
Понятия рыночной ситуации и рыночной конъюнктуры тесно связаны. Конъюнктура - это по существу рыночная ситуация, сложившаяся на какой-то момент или короткий промежуток времени.
Предлагается следующее определение рыночной конъюнктуры.
Встречается точка зрения, что конъюнктура рынка - это точка соответствующего рыночного цикла, и, следовательно, исследование конъюнктуры сводится к поиску этой точки, отражающей реальное положение рынка в экономическом пространстве и времени. Однако подобные Оценки относятся скорее к характеристике макропроцессов конъюнктуры и мало пригодны для оперативного анализа и управления.
Некоторые исследователи вообще рассматривают конъюнктуру как отклонение от нормального развития, от общей тенденции, но нам это представляется неправильным. Нахождение рынка в точке, соответствующей временной позиции общей тенденции или цикла развития, можно считать одним из моментов сложившейся ситуации, т.е. фактом конъюнктуры.
Необходимость изучения рыночной конъюнктуры определяется сущностью современного маркетинга, его четко выраженной ориентацией на интересы рынка. Поэтому конъюнктурный анализ представляет собой важную составную часть маркетингового анализа и маркетингового исследования в целом. Он оказывает сильное влияние на все этапы маркетингового цикла. Позиция фирмы на рынке, ее шансы на коммерческий успех, выбор стратегии ее маркетинговой деятельности и т.д. в значительной мере зависят от внешних условий и, в частности, от рыночной конъюнктуры.
Благоприятные условия, сложившиеся на рынке, создают потенциальную возможность коммерческого выигрыша даже для той фирмы, которая обладает ограниченным потенциалом, и, наоборот, неблагоприятная ситуация на рынке может не оправдать те надежды, которые руководство фирмы возлагало на будущее.
Конъюнктура - сложное и быстро меняющееся явление. Она складывается из множества единичных элементов и действий, развитие которых подчиняется вероятностным законам, и характеризуется определенным кругом качественных и количественных признаков, поддающихся измерению и оценке.
Эти особенности конъюнктуры делают результативным широкое использование статистических методов сбора и анализа информации о состоянии рынка.
Рынок изменчив и капризен в том смысле, что его конъюнктура может меняться неожиданно и под воздействием разнообразных причин, даже таких вроде бы невесомых как слухи.
Пример. В течение некоторого времени рынок проявляет признаки устойчивости; цены стабилизировались, высокий спрос создает благоприятные условия для продавцов. Внезапно распространяется слух (вполне возможно, кем-то инспирированный) о неминуемом падении курса рубля в ближайшие дни. Резко меняется индекс инфляционных ожиданий.
Рынок немедленно реагирует на новость. Предложение падает до нуля, торговля замирает.
Конъюнктура рынка имеет четыре принципиальные отличительные черты (или свойства): динамичность, пропорциональность, вариабельность и цикличность. Следовательно, и конъюнктурный анализ должен отразить эти четыре характеристики. Соответственно выдвигаются четыре концептуальные задачи конъюнктурного анализа:
анализ динамических закономерностей, тенденций;
пропорциональность развития;
анализ устойчивости рынка, его колеблемости и в статике, и в динамике;
анализ повторяемости развития рынка, выделение циклов.
Рынок, масштабы которого складываются в пространстве, развивается во времени. Динамичность - важнейшее свойство рынка, его способность обновляться, расти или сокращаться либо оставаться стабильным. Философ сказал: нельзя дважды войти в одну и ту же реку.
Но ведь нельзя дважды попасть на один и тот же рынок: завтра он будет другим (другие участники, другие товары, новые сделки и т.д.). Следовательно, характеристика изменения параметров рынка, выявление тенденций его развития, перспектив расширения - первая задача конъюнктурного анализа.
Пространственное ограничение рынка проявляется, во-первых, в числе его участников; во-вторых, в объеме сделок (оборот рынка); в-третьих, в его иерархической структуре. Различаются четыре уровня иерархической структуры рынков: международный; федеральный; региональный; муниципальный, или местный.
Стихийность рынка, хотя и ограниченная в определенных пределах маркетингом, остается его главным признаком. Она как бы заложена в рыночный механизм. Изменения основных параметров рынка на некоторых отрезках времени происходят с различной скоростью и интенсивностью, что и приводит к кратковременным или к более долгосрочным нарушениям в пропорциональности рыночного процесса, к отклонениям от основной тенденции развития.
Стремление спроса и предложения к сбалансированности проявляется всего лишь как тенденция, преодоление возникающих диспропорций, постоянные колебания во времени и пространстве (как географическом, так и экономическом). Поскольку рынок по своей сути склонен к стихийности, следовательно, его параметры подвержены колебаниям, как случайным, так и постоянно проявляющимся (цикличным и сезонным), очень гибок в своем развитии, чутко реагирует на многие социально-экономические воздействия, более того, весьма зависим от политических и психологических влияний, слухов, паники и т.п.
Размах и длительность этих колебаний обусловлены комплексом и сочетанием разнообразных факторов и сил окружающей среды маркетинга.
Поэтому оценки динамики, колеблемости и характеристики цикла развития, градуирование состояния рынка представляют со-бой необходимое условие маркетинговой деятельности, принятля коммерческих решений. Под градуированием мы понимаем шкалирование количественных и качественных (атрибутивных) оценок состояния рынка, которое должно быть разработано на основе статистических и маркетинговых характеристик.
Состояние рынка можно охарактеризовать через систему количественных и качественных показателей, каждый из которых отражает определенную сторону рыночной ситуации. Перечислим основные показатели конъюнктуры рынка:
масштаб рынка - его емкость, объем операций по купле-про- даже товара (товарооборот), число предприятий различных типов, выступающих на рынке;
степень сбалансированности рынка - соотношение спроса и предложения;
тип рынка (конкурентный, монополистический и т.д.);
динамика рынка (изменения основных параметров рынка, их вектора, скорость и интенсивность, основные тенденции);
степень деловой активности (заполненность хозяйственного портфеля фирмы, число и размер заказов, объем и динамика сделок и т.п.);
уровень устойчивости/колеблемости основных параметров рынка в динамике и пространстве (географическом и экономическом - показатели вариации);
уровень рыночного риска (оценка вероятности потерпеть поражение на рынке);
сила и размах конкурентной борьбы (число конкурентов, их активность);
цикличность рынка, т.е. положение рынка в определенной точке/стадии экономического или сезонного цикла;
средняя норма прибыли (сумма валовой и чистой прибыли и показатели рентабельности).
Подобно тому как товарный рынок представляет собой составной элемент рыночной экономики, конъюнктура товарного рынка является частью общеэкономической конъюнктуры. Ситуация на товарном рынке в значительной степени зависит от положения на других рынках. Поэтому глубокое изучение товарного рынка должно быть комплексным, увязанным с оценками разных типов рынков: ценных бумаг, услуг, инвестиций, недвижимости, труда и т.д. Многие процессы на товарном рынке объясняются или обусловлены ситуацией, сложившейся на других рынках.
Рынок ценных бумаг чутко реагирует на конъюнктурные колебания товарного рынка. Такие комплексные оценки служили основой попыток построить интегральную модель конъюнктуры - экономический барометр.
На следующей схеме отражена связь товарного рынка с другими рынками ( 4.1).

4.1. Система рынков
Пользуясь приведенной системой показателей, конъюнктурный анализ должен всесторонне проанализировать рыночную ситуацию и дать комплексную оценку состояния рынка прежде всего с позиции маркетинговых действий фирмы, т.е. благоприятна ли конъюнктура для осуществления поставленных целей.
Конъюнктурный, или ситуационный, анализ представляет собой комплексную оценку состояния рынка по его основным параметрам на данный момент или отрезок времени с последующим выявлением причинно-следственных связей, обусловивших определенную рыночную ситуацию.
Следующая схема иллюстрирует набор показателей и характеристик оценок рыночной конъюнктуры, а также факторов, ее обусловивших ( 4.2).
|
Ситуация на товарном рынке |
|
Предложение: национальное производство, импорт |
Цикличность |
Масштаб и структура рынка |
Конкуренция |
Спрос: уровень и структура доходов |
|
Устойчивость и равномерность развития рынка |
Емкость рынка |
Вектор, тенденция и скорость развития рынка |
|
Цены и инфляционные процессы |
СООТНОШЕНИЕ ПРЕДЛОЖЕНИЯ И СПРОСА |
Демографическая ситуация |
|
Занятость |
Политическая ситуация |
|
Ситуация на рынке ценных бумаг |
Деловая активность |
Ценовая эластичность спроса |
Риск на рынке |
|
Денежное обращение и финансы |
Мнения, предпочтения и поведение потребителей (покупателей) |
Случайные факторы |
|
Ситуация на рынке сырья |
Инвестиции |
4.2. Характеристики и факторы конъюнктурного анализа
Конъюнктура товарного рынка является составным компонентом общеэкономической конъюнктуры страны и в известной мере мировой конъюнктуры. Однако отдельные (локальные) рынки в рамках общей конъюнктуры могут иметь значительные особенности в своем развитии. Товарный рынок в своем развитии тесно связан с финансовым рынком, рынком инвестиций, рынком труда и т.п. Биржевой рынок (как товарный, так и рынок ценных бумаг) выступает в качестве одного из индикаторов конъюнктуры товарного рынка, но в то же время биржевая игра оказывает сильное влияние на рыночную ситуацию.
Конъюнктуру можно изучать как с позиции состояния всего товарного рынка, так и различая федеральный рынок, региональные и муниципальные рынки. Исследуется также состояние отдельного сегмента рынка (или рыночной ниши), на который ориентируется конкретная фирма.
Следует учитывать, что, находясь в зависимости от рынка более высокого ранга, каждый рынок нижнего уровня в силу своей специфики в состоянии развиваться по собственному пути, и его конъюнктура может значительно отличаться от общеэкономической конъюнктуры.
Оценки рыночной конъюнктуры выставляются на основе комбинирования рыночных индикаторов. Индикатором рынка счи-та-ется показатель, позволяющий единолично или в комбинации с другими показателями отразить рыночную ситуацию.
К рыночным индикаторам относятся: поступление товаров (поставка или в качестве альтернативы объем производства), продажа товара (товарооборот, в стоимостных или натуральных единицах), товарные запасы (в стоимостном выражении или в днях оборота), цены (в денежных единицах или в отношении к доходу), прибыль (или рентабельность). Часто рыночными индикаторами являются не статичные показатели, а их темпы роста (динамические индексы).
Неформальными конъюнктурными оценками являются характеристики покупательских настроений, отражающие тенденции оживленности рынка, и инфляционных ожиданий, предсказывающих изменения цен. Обе эти характеристики базируются на основе опросов как самих потребителей, так и предпринимателей, выступающих на рынке в качестве продавцов.
Каждая фирма, готовясь к выходу на рынок, сталкивается с необходимостью дать оценку сложившейся рыночной ситуации. Она разрабатывает конъюнктурный обзор - комплексную оценку рыночной конъюнктуры, выполненную по результатам специальных исследований, о которых будет сказано далее.
Альтернативным вариантом может быть обзор описательного характера, составленный по информации, полученной от торговых корреспондентов, а также на основе тенденциалъных опросов специалистов (гл. 2).
Общие и частные оценки рыночной ситуации и состояния параметров рынка рассматриваются и принимаются на конъюнктурных совещаниях (простая разновидность мозгового штурма), куда приглашается руководящий состав фирмы и ряд специалистов. В процессе обсуждения точки зрения участников совещания сближаются, и они приходят к единому мнению о ситуации на рынке.
Известный бельгийский исследователь Ж.-Ж. Ламбен отмечает, что центральные банки стран ЕС проводят ежемесячные конъюнктурные опросы среди предприятий основных секторов промышленности, посредством которых выявляются ожидания предприятий относительно развития конъюнктуры. К задаваемым вопросам относятся:
состояние портфеля заказов и поставок;
уровень загрузки производственных мощностей;
уровень занятости;
инвестиционные намерения и т.д.
На их основании строится сводный индикатор конъюнктуры. Ж.-Ж. Ламбен пишет, что он может служить надежным ранним индикатором наступающего спада или подъема экономики31.
Аналогичные опросы периодически проводятся и в России.
КОНТРОЛЬНЫЕ ВОПРОСЫ
1. В чем состоят цели конъюнктурного анализа товарного рынка?
2. Какие методы применяются в конъюнктурном анализе?
3. Можете ли Вы раскрыть содержание четырех направлений конъюнктурного анализа?
4. Что собой представляют конъюнктурные индикаторы рынка?
5. Что такое неформальные оценки конъюнктуры рынка?
ТЕСТЫ
1. Преследует ли конъюнктурный анализ оперативные цели?

2. Состоит ли анализ рыночной ситуации в оценке и изучении скорости и направления развития рынка, в оценке и объяснении степени сбалансированности рынка, в характеристике устойчивости рынка, в изучении цикличности рынка?

3. Конъюнктурный обзор - это:
а) описание всех параметров рынка;
б) комплексная оценка рыночной конъюнктуры;
в) проект оперативных маркетинговых мероприятий.
4. Масштаб рынка - это:
а) площадь, занимаемая торговыми предприятиями;
б) число предприятий, выступающих на рынке;
в) единица измерения рыночных операций.
5. Стихийность рынка проявляется:
а) в колебаниях его параметров, чуткой реакции на любые воздействия;
б) в непредсказуемости развития рынка, нереальности оценить его колебания;
в) в невозможности планирования рыночной деятельности.
Анализ масштаба и потенциала рынка
Анализ рыночной конъюнктуры следует начинать с характеристики масштаба и типа рынка. Масштаб рынка определяется объемом продажи товаров, а также числом и размером фирм, выступающих на нем в качестве продавцов, как производителей, выводящих свой товар на рынок, так и торговых посредников. При этом характеризуется функциональная специализация предприятий: вид товара, его ассортимент, основные свойства.
Объем продаж определяется размером сбыта произведенной продукции, оптово-посредническим товарооборотом, оптово-по-требительским товарооборотом, розничным товарооборотом. Фирмы ранжируются по размеру и формам собственности, а так-.же по доле, занимаемой ими на рынке. Доля фирмы на рынке определяется как отношение товарооборота фирмы (Т) к общему объему продаж на рынке (Е Т.):

(4.1)
Качественная характеристика доли (большая, средняя, небольшая и т.п.) выводится из сопоставления доли, принадлежащей нашей фирме, и доли наиболее крупных конкурентов. Часто характеристику продаж рынка определяют по данным соответствующей отрасли.
Тип рынка определяется степенью его сбалансированности, назначением конечного использования товара, интенсивностью конкуренции, организационной структурой, территориальными характеристиками, маркетинговой деятельностью и т.п.
В табл. 4.1 приводится примерная классификация рынков.
Таблица 4.1Классификация товарных рынков
|
Признаки классификации |
Тип рынка |
|
Степень и характер сбалансированности рынка |
Рынок продавца - рынок покупателя |
|
Степень и виды конкуренции |
Рынок чистой конкуренции;
рынок монополистической конкуренции.
Олигополистический рынок
Рынок олигополистической конкуренции |
|
Территориальный уровень |
Локальный (местный) рынок
Региональный рынок
Федеральный рынок
Мировой рынок |
|
Классификация товара, представленного на рынке |
Рынок товаров производственного назначения Рынок услуг производственного назначения Рынок товаров потребительского назначения Рынок услуг потребительского назначения |
|
Место рынка в системе товародвижения |
Оптовый рынок
Мелкооптовый рынок
Потребительский (розничный) рынок
Мелкорозничный рынок |
|
Качественная оценка рынка |
Потенциальный рынок
Фактически функционирующий рынок
Квалифицированный рынок
Освоенный рынок |
|
Организационная оценка рынка |
Открытый рынок Закрытый рынок |
|
Позиция маркетинга по отношению к рынку |
Целевой рынок
Неперспективный рынок
Основной рынок
Дополнительный рынок |
|
Конъюнктурная оценка рынка |
Развивающийся рынок
Сокращающийся (коллапсирующий) рынок Стабильный рынок
Нестабильный рынок
Стагнирующий рынок |
Характеристика рынка по уровню конкуренции позволяет, во-первых, решить проблему сегментации и, во-вторых, выбрать стратегию конкурентной борьбы. На рынке покупателя необходимость изучения покупательского спроса и поведения потребителей возрастает многократно по сравнению с рынком продавца. От конъюнктурной оценки рынка зависит оперативная товарная политика фирмы, выбор политики использования финансовых ресурсов и краткосрочных инвестиций.
При благоприятной ситуации фирма проводит стратегию атаки, вкладывает средства в расширение ассортимента продукции и наращивает ее выпуск. Неблагоприятная конъюнктура заставляет фирму использовать оборонительную тактику ресурсосбережения и выжидания, а иногда и ухода с данного рынка.
Конъюнктурная оценка состояния рынка органично сочетается с качественной и организационной. В итоге фирма занимает определенную позицию по отношению к рынку.
Выбор товарного рынка по классификации изделий определяется номенклатурой производимых и продаваемых товаров. Здесь сталкиваются две альтернативные возможности: узкая специализация и универсализация (в определенных пределах), которая является проявлением стратегии диверсификации. Каждое предприятие делает свой выбор в зависимости от конкретных условий и своего потенциала.
Нет единого решения о преимуществах того или другого пути.
Фирма решает для себя проблему, на каком рынке выступать -оптовом или розничном. Конечно, в известной степени это предопределено ее отраслевой принадлежностью, но производственная фирма, выбравшая нулевой канал товародвижения, может выступать на розничном потребительском рынке.
Оптовые и розничные торговые предприятия с успехом проникают на чужой рынок: оптовые предприятия - на розничный, а розничные фирмы - на оптовый. В известном смысле это проявление политики диверсификации.
Проблема территориального уровня рынка решается фирмой в зависимости от товара, который ею производится/продается, и от ее финансового потенциала. Немаловажное значение имеет наличие инфраструктуры.
Переход с одного уровня рынка на другой является формой диверсификации и обычно осуществляется в процессе ожесточенной конкурентной борьбы.
Оценка масштаба и типа рынка дополняется характеристикой потенциала рынка, определяющего возможности товарного предложения и покупательского спроса. Выявление потенциала рынка позволяет установить, сколько товаров при определенных условиях может быть выставлено на рынок и сколько товаров рынок сможет поглотить.
Потенциал рынка подразделяется на производственный и потребительский. Производственный потенциал определяет предельные возможности товарного предложения.
Принципиальная формула, по которой рассчитывается производственный потенциал рынка, имеет следующий вид:

(4.2)
где Ni - единица производства;
Wi - удельная мощность производственной единицы;
Fj - прочие факторы и элементы потенциала;
n - число i-х единиц производства или потребления.
Производственный потенциал должен отразить два явления: а) производство товаров при полном использовании мощностей (предельный потенциал) и б) реальное предложение товаров с учетом требований рынка. В развернутом виде формула производственного потенциала (потенциала товарного предложения) на определенный период имеет следующий вид:

(4.3)
- производственное предприятие или группа предприятий, выпускающих i-й товар;
- средняя мощность предприятия (группы предприятий) по выпуску г'-го товара;
- средняя степень загрузки производственных мощностей;
- степень обеспечения производства ресурсами, необходимыми для реализации производственной программы;
- поправка на изменение оптовых цен, где Тпр.цен - темп прироста цены, а Эр - коэффициент эластичности предложения от цен на сырье и готовые изделия;
- поправка на конкурентоспособность товара;
- внутреннее производственное потребление (по нормативу);
- конкурирующий импорт;
- число i-х производственных предприятий.
В процессе формирования каналов товародвижения можно использовать более простую (частную) модель производственного потенциала:
где qij - объем i-й продукции, запланированной к выпуску на j-м производственном
предприятии в соответствии с портфелем заказов;
n - число j-x предприятий, с которыми заключен (или предполагается заключить)
контракт на поставку i-го товара.
Пример. На заводе N запланированы выпуск и поставка 1000 ед. продукции (за вычетом внутреннего потребления).
Цены на продукцию снизились на 10%. Коэффициент эластичности предложения равен + 3, т.е. при увеличении цен на 1% предложение вырастет на 3% (при снижении цен, естественно, сократится на 3%). Поправка на изменение цен составит:
10(прирост цены)3% = 30%.
Это означает, что продавец (производитель) может сократить поставку на 30% и отгрузить всего 700 ед. продукции.
На основании конъюнктурных опросов менеджеров/владельцев предприятий можно оценить состояние и тенденции портфеля заказов и охарактеризовать структуру поставщиков (табл. 4.2).
Таблица 4.2Уровень и динамика формирования портфеля заказов - производителя (макет таблицы)
|
Ответы в процентах к числу обследованных предприятий |
|
Уровень заполненности портфеля заказов |
Тенденция изменения |
|
1. 2. 3. |
Выше нормального
Нормальный
Ниже нормального |
1 . Увеличение
2. Без изменений
3. Уменьшение |
Ответы на поставленные вопросы позволяют оценить потенциал развития рыночной ситуации. Если степень заполненности портфеля заказов нормальная или выше нормального уровня и к тому же ожидается рост или хотя бы стабильность заказов, то перспективы потенциала рынка можно считать радужными. Одновременно следует охарактеризовать структуру поставщиков.
Для этой цели можно использовать итоги опроса менеджеров/ владельцев оптовых и розничных торговых предприятий, являющихся покупателями товаров (табл. 4.3).
Таблица 4.3Структура поставщиков товаров (макет таблицы)
|
Поставщики |
Структура,
в %
к общему числу поставщиков |
Региональная структура, в % к- числу поставщиков каждого вида |
|
данного региона |
других регионов России |
государств -участников СНГ |
других государств |
Всего
в том числе: |
|
|
|
|
|
|
предприятия-изготовители |
|
|
|
|
|
|
предприятия оптовой торговли |
|
|
|
|
|
|
физические лица |
|
|
|
|
|
Данные табл. 4.3 позволяют оценить процесс формирования товарного потенциала рынка как в экономическом (доля поставщиков-производителей и поставщиков-дистрибьюторов), так и в географическом пространстве (доля поставщиков из различных отечественных и зарубежных регионов).
Конкурентный анализ
Для каждого показателя, опять-таки экспертным путем, определяется ранг важности (с точки зрения конкурентоспособности). Этот интеграционный сводный показатель исчисляется как средняя арифметическая взвешенная по следующей формуле:

(5.51)
где В - интегрированный показатель потенциала фирмы;
Вi - уровень отдельного i-го показателя потенциала;
Fi - вес (ранг) значимости i-го показателя (его роли в формировании потенциала).
Чем ближе средний балл к 10, тем мощнее потенциал фирмы и выше ее конкурентоспособность.
В аналитическом обеспечении разработки маркетинговой стратегии фирмы широко применяются методы портфолио-анализа, в частности построение стратегических матриц (решеток), которые позволяют охарактеризовать позицию (рейтинг) фирмы на рынке, отражающую комбинацию сложившейся рыночной ситуации и достигнутого потенциала фирмы.
Разрабатывается соответствующая модель поведения (маркетинговая матрица).
Матрица, или стратегическая решетка, составляется по двум признакам (факторам) пересечением координат, которые выражают количественные или качественные характеристики признаков. В результате образуются поля (квадранты, стратегические сектора), отражающие положение фирмы на рынке и позволяющие адекватно выбрать стратегию.
Матричный метод, получивший впоследствии широкое развитие, был предложен в 50-х годах американским экономистом И. Ан-соффом. Особой известностью пользуется матрица БКГ (Бостонская консалтинговая группа), построенная по двум факторам: темпам развития рынка (отрасли) и доле рынка, занимаемой фирмой.
Фирма, имеющая значительную долю рынка и выступающая на перспективном, быстроразвивающемся рынке, занимает позицию под шифром звезда, которая обеспечивает возможность наступательных операций на рынке; эта же фирма, попавшая в условия неперспективного рынка, старается сберечь свои ресурсы, сохранить место на рынке (позиция дойная корова); фирма, обладающая небольшой долей рынка, попадая на перспективный рынок (позиция трудный ребенок), имеет возможность сохранить свои позиции и обеспечить себя прибылью, а получив дополнительные ресурсы - перейти в позицию звезды; такая же фирма, попав на малоперспективный рынок (позиция собака), вынуждена будет уйти с него.
Матрица БКГ была принята за образец многими маркетологами. Она постоянно совершенствовалась и видоизменялась (в том числе и самой Бостонской консалтинговой группой).
В модель вводились другие факторы, наконец, была осуществлена идея построения матрицы не по отдельным, нередко не самым важным, а по комплексу факторов. Чаще всего выводится средняя балльная оценка (см. формулу 5.51).
Примерно такая же методика использовалась консалтинговыми фирмами Шелл и Мак-Кинси (Shell McKinsey). На 5.16 приведен алгоритм (схема) построения стратегической матрицы.
Комплекс факторов рыночной ситуации обозначим символом А, а комплекс факторов собственных возможностей фирмы - символом В, стратегию атаки - символом С1, стратегию обороны - символом С2, стратегию отступления - символом СЗ. Ограничимся двумя качественными характеристиками факторов: благоприятная/сильная (1) и неблагоприятная/ слабая (2).

Собственные возможности фирмы
5.16. Алгоритм построения стратегической матрицы
Фирмы, попавшие по комбинации факторов в квадрант а, могут использовать наступательную стратегию с низким уровнем риска (РН); в квадранты b и с - придерживаться оборонительной стратегии; в квадрант d - остановиться на стратегии отступления, так как продолжение операции связано с высоким уровнем риска (РВ).
Маркетинг призван уменьшить степень риска, который обусловлен неопределенностью достижения желаемого результата в условиях действия множества факторов, в том числе и случайных. Задача маркетингового исследования - определить вероятность риска и измерить его интенсивность, выделить факторы риска, поддающиеся и не поддающиеся воздействию.
Устранить риск совершенно, застраховав себя на 100%, практически невозможно. Однако следует установить, является ли риск допустимым или чрезмерным, недопустимым.
Известно несколько методов прогнозирования риска: экспертные оценки (иногда, особенно в малом бизнесе, используются интуитивные оценки риска, основанные на опыте и таланте коммерсанта); оценки вероятности риска с помощью статистических и вероятностных методов, базирующихся на теории принятия решений; балльные оценки риска.
Суть балльного метода в следующем: коммерческий риск описывается определенным числом n i-х факторов (критериев риска). Значения каждого из них экспертным путем ранжируются по вероятности наступления риска и нормируются, т.е. каждому присваивается определенный ранг (R), как правило, от 1 до 10.
Экспертным путем определяется вклад каждого фактора в совокупный риск (Wi). Он используется в качестве веса при расчете совокупного риска (R) по формуле средней арифметической взвешенной:

(5.52)
Чем ближе R к 1, тем меньше риск, а чем ближе к 10, тем он выше.
Пример. Необходимо определить риск выпуска нового товара по данным следующих экспертных оценок (табл.
5.22).
Таблица 5.22 Оценка факторов риска
|
п/п |
Факторы риска |
Баллы |
Ранги |
|
1 |
Емкость рынка сбыта - большая |
2 |
0,10 |
|
2 |
Тенденции спроса - рост с некоторым ускорением |
3 |
0,10 |
|
3 |
Устойчивость цен - цены неустойчивы |
7 |
0,10 |
|
4 |
Конкурентоспособность товара - достаточная |
3 |
0,20 |
|
5 |
Финансово-кредитный потенциал фирмы -значительный, но есть большая дебиторская задолженность |
6 |
0,10 |
|
6 |
Надежность и привлекательность дистрибьютора |
5 |
0,05 |
|
7 |
Эффективность маркетинговой службы -большой опыт по изучению рынка |
1 |
0,05 |
|
8 |
Уровень сервиса - высокий |
3 |
0,05 |
|
9 |
Интенсивность конкуренции - высокая |
9 |
0,20 |
|
10 |
Имидж фирмы - высокий |
3 |
0,05 |
Охарактеризуйте общий уровень риска в соответствии со следующей шкалой границ рынка (табл. 5.23).
Таблица 5.23Шкала границ риска
|
Границы зон риска |
0 - 2,5 |
2,6 - 5,0 |
5,1 - 7,5 |
7,6 - 10,0 |
|
Зоны риска |
Минимального |
Повышенного |
Критического |
Недопустимого |
Расчет.
Вывод. По шкале это соответствует повышенному риску.
Одним из важных современных направлений стратегического анализа является бенч-маркинг (англ. bench-marking). Главная его цель - на основе исследования надежно установить вероятность успеха предпринимательской деятельности. При этом задается вопрос: почему наше предприятие не является лучшим?
Естественно стратегия фирмы сопоставляется с первоклассными предприятиями, которые принимаются как эталон.
Выделяются две группы факторов успеха:
жесткие (объективные):
определение четких границ проекта нового товара;
точное соблюдение заданных временных параметров реализации проекта;
строгое соблюдение стандартов качества;
бюджетные ограничения;
мягкие (субъективные):
четкая ориентация на результат;
понимание важности запланированных действий;
сотрудничество.
Основное содержание бенч-маркинга сводится к анализу (или прогнозу) превосходства над конкурентом. Действия и примерная роль каждого процесса в достижении успеха приведены в табл.
5.24.
Таблица 5.24Действия бенч-маркинга
|
Операции бенч-маркинга |
Роль в результате, %
|
|
Улучшить позицию по отношению к конкурентам |
28 |
|
Снизить затраты |
26 |
|
Укрепить конкурентную позицию |
12 |
|
Повысить степень удовлетворения покупателей |
12 |
|
Увеличить эффективность производства и торговли |
9 |
|
Определить слабые места процесса |
7 |
|
Разработать новые идеи |
6 |
Бенч-маркинг логично переходит в конкурентный анализ.
КОНТРОЛЬНЫЕ ВОПРОСЫ
1. Из каких элементов складывается потенциал фирмы, какую роль он играет в обеспечении ее конкурентоспособности?
2. Каков основной принцип построения системы индексов качества и конкурентоспособности товаров?
3. В чем заключаются цели тестирования продукта? Какие виды тестирования Вам известны?
4. В чем заключается риск на рынке? Как оценить его силу?
5. Что такое бенч-маркинг? Какие цели стратегического анализа он преследует?
ТЕСТЫ
1. В чем заключается разница в оценке жестких и мягких параметров качества товара?
а) жесткие параметры оцениваются количественно на основе технологических и иных стандартов, мягкие - потребителями или экспертами;
б) жесткие параметры неизменны, поскольку они базируются на единых стандартах и не нуждаются в измерениях;
в) жесткие параметры связаны с технологией и не имеют отношения к анализу качества товара.
2. Что собой представляет инновационный капитал?
а) денежные средства, предназначенные на производство нового товара;
б) ноу-хау, патенты, лицензии, инвестиционный резерв, новое оборудование;
в) эталон нового товара.
3. Какова цель АВС-анализа диверсификации?
а) выявить перспективность ассортиментной политики;
б) определить ассортиментную структуру производства;
в) выявить преимущество одного ассортиментного вида перед другим.
4. Из каких критериев выводится степень новизны товара?
а) появление новых или существенное улучшение старых потребительских свойств товара;
б) новое наименование изделия;
в) новая технология изготовления товара.
5. Позиции звезда в стратегической БКГ-матрице соответствует сочетание:
а) неблагоприятной рыночной ситуации и высокого потенциала фирмы;
б) благоприятной ситуации на рынке и низкого потенциала
фирмы;
в) благоприятной рыночной ситуации и высокого потенциала
фирмы.
Конкурентный анализ
Выступая на рынке, фирма обычно сталкивается с соперничеством других фирм, выпускающих и продающих аналогичные товары. Каждая из них, как правило, стремится занять лидирующее положение, продать как можно больше товаров, захватить максимально возможную долю рынка. Именно на этой идее базируется маркетинговая стратегия как производственно-сбытовой, так и торговой фирмы.
Интенсивность конкуренции и формы соперничества зависят от типа рынка, степени его насыщенности, числа и мощности конкурирующих фирм, технологических, финансовых и торгово-организационных возможностей как самой фирмы, так и ее конкурентов.
Упорядоченная, введенная в определенные законом рамки, справедливая конкуренция встроена в механизм маркетинга. Конкурентная борьба - составная часть маркетинговой деятельности.
Присутствие конкурента на рынке создает элемент состязательности: продавцы борются за право лучше удовлетворить потребности покупателя, сделать его своим постоянным клиентом. Конкуренция оживляет рынок, благотворно действует на цены, вызывает к жизни новые формы сервиса, заставляет производителей осуществлять активную инновационную политику. В известном смысле конкуренция - двигатель прогресса.
Парадоксально, но факт: злейший враг предпринимателя - конкурент оказывается его лучшим другом. Поистине права русская пословица: на то и щука в море, чтобы карась не дремал.
Монополизм ведет к стагнации, застою, способствует развитию диктаторских тенденций в экономике, подчинению потребителей эгоистичным интересам бизнеса. Существование независимых конкурентов заставляет предпринимателя с большим уважением относиться к запросам потребителей из опасения, что они станут клиентами конкурентов. Конкуренция - свойство, присущее развитой рыночной экономике. Она выступает в роли своеобразного раздражителя, побуждающего участников рынка совершенствовать и обновлять свои товары, повышать их качество, снижать цены, улучшать систему торгово-сбытового обслуживания.
Естественно, речь идет о добросовестной конкуренции, уважающей право потребителя на выбор и соблюдающей установленные обществом принципы и правила.
Фирма осуществляет свои функции, пребывая, как правило, в конкурентной среде, которая характеризуется наличием некоторого числа независимых покупателей и продавцов, обладающих правом и возможностью свободно выступать на рынке и покидать его. Естественно, они соперничают между собой в праве продать свой товар потребителю.
Покупатели тоже могут вести между собой спор за право купить определенный товар у определенной фирмы. Чем больше участников рынка при данной емкости рынка, тем острее соперничество между ними.
Единственным арбитром между честно конкурирующими предпринимателями является потребитель. Он голосует своим кошельком, выбирая наиболее устраивающий его товар.
На рынке развертывается конкурентная борьба между фирмами, выпускающими или продающими аналогичную продукцию (со схожими свойствами) одним и тем же категориям покупателей. Каждая фирма стремится создать товар с лучшими свойствами, чем у конкурента.
В известном смысле конкурентная борьба - это спор старого с новым, своего рода война технологий.
Формы конкурентной борьбы зависят от сложившихся условий, времени и места, но ее суть всегда одна и та же: стремление продать товаров больше, чем конкурент, отобрав у него часть потенциальных клиентов, и в конечном счете получить ту прибыль (или часть ее), на которую рассчитывал конкурент. Иначе говоря, захватить большую, чем у конкурента, долю рынка или, по возможности, вытеснить его с рынка.
Цель конкурентной борьбы -достигнуть конкурентного преимущества, т.е. занять более прочную конкурентную позицию на рынке. По некоторым расчетам, каждые 10% прироста доли фирмы на рынке позволяют увеличить рентабельность продукта тоже на 10%67.
Определение собственной конкурентной позиции представляет собой первое исходное действие конкурентного анализа. Американский маркетолог А. Литтл выделил несколько ступеней конкурентной позиции: доминирующая, сильная, благоприятная, надежная, слабая, нежизнеспособная. Отечественный экономист Г.Л.
Азоев считает, что если доля, занимаемая предприятием на рынке, равна или превышает 65%, то его позиция однозначно признается доминирующей; если эта доля меньше 35%, то предприятие не доминирует на данном товарном рынке, но если его доля колеблется между 35 и 65%, то доминирующее положение предприятия должно быть доказано Антимонопольным комитетом68.
В свое время знаменитая Бостонская консалтинговая группа (Boston Cosallting Croup), разрабатывая стратегическую матрицу маркетинга, исходила из предпосылки, что эффективность фирмы находится в прямой корреляционной зависимости от доли, занимаемой ею на рынке. Она назвала такую модель кривой обучения.
По существу речь идет о зависимости рентабельности от размера предприятия, которая отмечалась и отечественными статистиками.
Надо заметить, что Майкл Портер в своей 11-образной модели показывает, что и малые предприятия (занимающие небольшую долю на рынке) могут рассчитывать на высокий уровень эффективности, если они осуществляют сконцентрированную стратегию (в частности, на получение конкурентного преимущества путем разработки уникального товара или уникального метода организации продажи товара и обслуживания потребителей)69.
Потребитель, как правило, согласен платить дороже за высококачественный, подходящий ему по своим свойствам товар, но есть некоторый предел удорожания, за которым круг покупателей начинает сужаться, объем продажи проявляет тенденцию к падению, а рост прибыли соответственно замедляется.
Американский специалист Б. Хендерсон сформулировал ряд закономерностей конкурентной борьбы70.
если конкуренты равномощны, а их стратегии по существу идентичны, то равновесие на рынке неустойчивое, а конфликты постоянны (даже по малозначимым поводам);
если существенный, наиболее значимый фактор приблизился к критическому состоянию, то равновесие также неустойчивое;
если критическими в потенциале могут стать несколько факторов, то возможна ситуация, когда каждый конкурент найдет для себя определенную долю успеха у потребителей, и тогда несколько конкурентов смогут сосуществовать каждый в своем профессиональном сегменте;
при одном критическом факторе конкурентов бывает не более двух-трех;
соотношение два к одному между любыми двумя конкурентами - это та точка равновесия, когда стремление к изменению соотношения затихает.
Методы конкурентной борьбы чрезвычайно разнообразны и редко повторяются, но из множества приемов, используемых в этой борьбе, выкристаллизовываются три главных методологических направления:
1) получение и использование исчерпывающей информации о конкуренте;
2) маневрирование ценами, с тем чтобы получить конкурентное преимущество на важнейшем участке формирования спроса (в развитых странах с рыночной экономикой ценовая конкуренция/ценовая война уже в прошлом);
3) получение конкурентного преимущества за счет лучшего по качеству товара или за счет лучшей организации его продвижения (неценовая конкуренция).
Выступая на рынке, каждая фирма вынуждена увязывать свою деятельность с фактической или прогнозируемой деятельностью конкурента/конкурентов. Хозяйственный портфель фирмы ориентируется на емкость рынка, поделенную на всех участников.
Разработка товара строится таким образом, чтобы по главным параметрам превзойти продукцию конкурента. В своей основе стратегия фирмы - это стратегия конкурентной борьбы, все ее задачи подчинены идее достижения конкурентного преимущества.
Необходимо принять во внимание, что, если большинство сил и факторов окружающей среды открыто проявляет свое действие, то конкурент до последней минуты скрывает и маскирует свои поступки, используя фактор внезапности. Благородство князя Святослава, предупреждавшего врагов: Иду на вы, на конкурентном рынке было бы по крайней мере наивным.
Именно поэтому в арсенале конкурентного анализа так много заимствований из базы данных тайных спецслужб.
Этим определяется важность и необходимость изучения конкуренции. Для фирмы существенно важно оценить потенциальные возможности конкурентов, предугадать их действия и степень конкурентной угрозы.
В соответствии с этим маркетинговый анализ конкуренции выдвигает следующие цели и задачи:
определить тип конкурентного рынка;
выявить фактических и потенциальных конкурентов, определить число, вид и размер конкурирующих фирм;
произвести расчет доли рынка, занимаемой конкурентами;
охарактеризовать интенсивность и направленность конкуренции (оценить конкурентное преимущество);
выявить возможности и конкурентоспособность основных соперников на рынке (их сильные и слабые стороны, стратегию, оценить конкурентоспособность их товаров);
проанализировать и спрогнозировать поведение конкурента на рынке, его реакцию на те или иные маркетинговые действия. Оценка уровня и интенсивности конкуренции, выявление намерений конкурентов, характеристика их потенциала и т.п. носят название диагностики конкурентной среды, а определение и описание конкурентной среды называются диагнозом конкуренции. В диагностике конкурентной среды существуют три направления:
аналитическая диагностика, к ней относятся бесконтактные методы оценки (статистические характеристики деятельности конкурентных предприятий на рынке, маркетинговые матрицы, отражающие конкурентные позиции фирмы и ее товара, методы экономического шпионажа);
экспертная диагностика - методы экспертных оценок, построение гипотез и вариантов прогноза о поведении конкурентов на рынке, их тактике и стратегии;
имитационная диагностика - использование имитационных моделей, которые разработаны на основе маркетингового наблюдения и позволяют проигрывать на компьютере различные варианты конкурентной борьбы.
Исходная задача конкурентного анализа заключается в констатации наличия или отсутствия конкурентов на данном рынке (сегменте, нише) и в характеристике модели конкуренции (монополистическая, олигополистическая, истая и т.п.). Данный анализ (диагностика конкуренции) должен включать оценку возможности появления новых конкурентов, угрозы со стороны товаров-заменителей, конкурентные проявления деятельности поставщиков и клиентов.
Для диагностики конкуренции используется матрица конкуренции, которая должна содержать факты и статистические данные. Она позволяет отнести конкретный рынок, на котором выступает фирма, к определенному виду по признаку типа конкуренции (табл.
5.25).
Таблица 5.25Матрица типологии рынков по уровню конкуренции или монополии
|
Характеристика рынков |
Типы рынков |
|
число фирм на рынке |
вид товара |
наличие контроля цен |
неценовая конкуренция |
|
Очень много |
Стандартизованный |
Нет |
Нет |
Чистая конкуренция |
|
Много |
Дифференцированный |
В узких рамках |
Реклама, сервис и т.д. |
Монополистическая конкуренция |
|
Несколько |
Стандартизованный или дифференцированный |
Ограниченный |
Различные формы |
Олигополия |
|
Одна |
Уникальный |
Значительный |
Консьюмеризм |
Чистая монополия |
Первый столбец матрицы заполняется на базе статистического наблюдения, в частности по данным регистров, второй - по квалиметрическим оценкам товаров, третий - в соответствии с наличием ценовой конкуренции и соответствующими решениями государственных органов, наконец, четвертый - на основе экспертных оценок и опросов.
В условиях чистой конкуренции наиболее четко проявляется закон спроса: обратная зависимость спроса от цены. Примером чистой конкуренции служит современный потребительский рынок основных продуктов питания. Для рынков одежды и обуви, радио- и телеаппаратуры, бытовой электротехники и т.д. более характерна монополистическая конкуренция. Российская экономика имеет одну особенность: главным конкурентом являются зарубежные поставщики, осуществляющие импорт.
Ценовая конкуренция по ряду причин здесь развита слабо. В роли основного фактора конкуренции выступает качество товара и очень часто - его дизайн.
В олигополии, когда основная масса товаров сосредоточена у немногих фирм, конкурентная ситуация зависит от силы реакции конкурентов на действия фирмы:
немедленная реакция:

; (5.53)
реакция с некоторым лагом (k):

, (5.54)
где Мi - маркетинговое действие i-й фирмы;
Мr - ответная реакция конкурирующей фирмы R;
t - время;
k - лаг.
Реакция может выразиться в изменении цены или в виде наценки на товар, изменении затрат, себестоимости и качественных признаков товара. При этом сила реакции, или эластичность ответных действий конкурента измеряется не классическим коэффициентом эластичности, а отношением

(5.55)
где Мr - процентное изменение реакции конкурирующей фирмы;
Мi - процентное изменение действий i-й фирмы.
Отсюда следуют выводы:
эластичность ответной реакции конкурента, близкая к 0, означает практическое отсутствие ответных действий, векторы и сила поведения конкурентов независимы;
эластичность в пределах от 0,2 до 0,8 свидетельствует о частичной адаптации конкурентов;
эластичность в пределах от 0,8 до 1,0 выявляет почти полную адекватность действий конкурентов;
эластичность, превышающая 1,0, отражает эскалацию, возрастающий отпор конкурентов71.
Ярким примером олигополии служит автомобильная промышленность. Каждый из производителей старается захватить свою нишу, специализирующуюся на определенном виде автомобилей. Впрочем, это не исключает прямой конкуренции в одном классе машин. Каждый производитель заинтересован в том, чтобы привлечь большинство приверженцев собственной марки.
Но даже внутри этой ниши осуществляется широчайшая дифференциация (более характерная для зарубежного автомобилестроения), что приводит к своеобразной внутренней конкуренции.
Монопольный рынок в России представлен прежде всего естественными монополиями, которые, чувствуя слабость антимонопольной службы, систематически поднимают цены.
МАРКЕТИНГОВАЯ ИНФОРМАЦИЯ
Понятие и признаки маркетинговой информации
Сбор, обработка и сводка информации представляют собой составную часть общего информационно-аналитического процесса маркетинга. Получение информации подчинено задачам управления и имеет целью обеспечить оценку и анализ рыночных процессов для принятия правильных маркетинговых решений. Процесс управления неосуществим без осмысления ретроспективы развития фирмы, оценки ее настоящего и прогноза будущего.
Регулирование некоторых рыночных процессов также требует информации о самом этом процессе и факторах, влияющих на него. Информация - средство уменьшения неопределенности, свойственной стохастическим процессам рынка. По словам отца кибернетики Н. Винера, управление фирмой есть процесс преобразования информации в действия.
Информация -инструмент маркетинг-менеджмента.
Американский маркетолог П. Тернер высказывает мнение, что информация не только основа для принятия оптимальных решений, но и ресурс, обеспечивающий стратегически важное преимущество перед конкурентами. Информация - орудие конкурентной борьбы.
Информация - это форма общения, средство получения знаний о каком-либо явлении или процессе, юридических и физических лицах.
Факт представляет собой простейший вид информации: событие или условие, непосредственно наблюдаемое;
сведения - разновидность фактов, представленных в систематизированной, обобщенной форме;
слухи - неподтвержденные, непроверенные факты;
оценки - информация, базирующаяся на умозаключениях, подсчетах и статистических расчетах (форма оценки - прогноз, т.е. научное предвидение);
цифры - форма отображения количественной информации.
В чем заключаются цели формирования маркетинговой информации?22 Конечная цель - обеспечить характеристику рыночных процессов и явлений, выявление тенденций и закономерностей развития рынка, оценку места фирмы на рынке и т.п., что необходимо для принятия управленческих решений на уровне руководства фирмы. Непосредственная цель - систематизировать и структуризовать собранную информацию таким образом, чтобы она была пригодна для анализа и прогнозирования и позволяла аналитикам делать правильные выводы и рекомендации, а они в свою очередь легли бы в основу разработки тактики и стратегии фирмы.
Однако имеется и промежуточная цель: сводка и группировка собранных данных, доступных для визуального просмотра и оценки со стороны руководства фирмы для возникновения интуитивных выводов и безотлагательного принятия маркетингового решения. В этом смысле информация - черный ящик, обеспечивающий на выходе готовые решения. Напомним, что маркетинг -это не только наука, но и искусство. Подобный укороченный цикл движения информации привлекателен прежде всего для малых предприятий, стремящихся сэкономить на маркетинговом анализе.
Хотя он и соответствует второму направлению в маркетинговом исследовании (см. гл. 1), так как базируется на качественных, описательных оценках, широкое его использование не рекомендуется.
Во-первых, он доступен только предпринимателям/менеджерам с большим опытом и коммерческим талантом, а во-вторых, он годится только для узкооперационного маркетинга и не может быть использован для сколько-нибудь длительного стратегического маркетинга. Иногда все три названные цели комбинируются для выигрыша во времени: собранная и подвергшаяся сводке информация оперативно оценивается и интерпретируется и одновременно передается для глубокого стратегического анализа.
К маркетинговой информации предъявляется ряд принципиальных требований, вытекающих из основополагающих принципов теории и практики маркетингового исследования (табл. 2.1).
Таблица 2.1Схема содержания принципов маркетинговой информации
|
Принципы |
Обеспечение их соблюдения |
|
Актуальность |
Представление реальных сведений в нужный момент времени |
|
Достоверность |
Адекватность сведений, обеспечиваемая соблюдением научных принципов сбора и обработки информации, борьбой с любой тенденциозностью |
|
Релевантность' |
Обеспечивается получением информации в соответствии с поставленными задачами |
|
Полнота отображения |
Обеспечивается составлением плана исследования, выявлением сущности явления, его иерархической структуры и связей |
|
Целенаправленность |
Соответствие информации генеральной цели исследования |
|
Информационное единство |
Подчинение методологии обработки данных требованиям теории информатики и статистической теории наблюдений |
|
1 От англ. геlevant - уместный, относящийся к делу. |
Маркетинговая информационная система
Многосторонняя, отличающаяся сложной иерархической структурой и взаимосвязями информация в маркетинге образует единую систему. Она слагается из трех взаимосвязанных компонентов: а) специалистов по сбору и обработке информации; б) методологических приемов сбора и обработки информации (в том числе компьютерной технологии); в) оборудования по сбору, обработке и хранению информации ( 2.1).

2.1. Маркетинговая система информации
Таким образом, в маркетинговую систему информации входят работники, обладающие соответствующей квалификацией (как минимум, владеющие экономической, статистической и компьютерной технологиями), знанием методологии информатики (как минимум, в области сбора информации) и оснащенные определенным набором оргтехники и вычислительных средств.
Информационная система маркетингового исследования отличается определенной сложностью и многообразием. Сбор, обработка и анализ информации требуют от сотрудников маркетинговых служб не только специальной квалификации, но и высокой информационной культуры.
Если на входе маркетинговая информация представляет собой неупорядоченный массив данных с высокой степенью неопределенности, то на выходе она, уже подвергнутая обработке, выглядит как систематизированная и сгруппированная по определенным признакам и критериям система, приспособленная к целям оценки и анализа. Информация, как правило, компонуется в статистические ряды и таблицы; она может быть преобразована в графики, схемы и диаграммы или выражена в форме логично изложенного текста.
Процесс получения первичной (полевой) информации осуществляется в форме маркетингового наблюдения.
В ходе наблюдения регистратор (лицо, собирающее информацию) регистрирует/фиксирует факты, статистические данные и другие сведения об изучаемом объекте. Методология маркетингового наблюдения использует и сочетает приемы и методы статистического и социологического наблюдения.
Некоторые авторы, в частности Ф. Котлер, рассматривают маркетинговое наблюдение как систему, т.е. упорядоченную совокупность источников информации и процедур ее получения. На наш взгляд, это процесс получения информации, этап информационной системы маркетинга.
Различаются несколько форм маркетингового наблюдения.
Непосредственное (прямое) наблюдение - это, как правило, визуальное слежение за объектом наблюдения (например, подсчет (хронометраж) времени, затрачиваемого на покупку). Оно может быть открытым, когда объект наблюдения знает, что за ним наблюдают, в частности при опросах покупателей, и скрытым, когда изучаемый объект не ставится в известность о том, что за ним наблюдают.
Например, проводится скрытое изучение умения продавцов общаться с покупателем.
Непрямое наблюдение заключается в изучении каких-либо материалов: статистических данных, печатных работ, документов и т.д.
Фиксация/регистрация данных осуществляется с помощью записей в блокноте или на аудио- или видиопленке, с последующей их систематизацией и упорядочением, выделением главного, наиболее важного. Для этого используются разработочные таблицы и группировки, карточки, компьютерные файлы и банки данных.
Порядок проведения наблюдения определяется заранее разработанной инструкцией, которая представляет собой совокупность разъяснений, подсказок, примеров и указаний. Срок наблюдения представляет собой время, в течение которого осуществляется сбор информации. Для вторичной информации он неограничен, а для первичной должен стремиться к минимуму.
При этом нельзя допускать спешки, которая неизбежно негативно отразится на качестве наблюдения.
Надежность наблюдения обеспечивается различными способами:
контролем (часто выборочным) достоверности полученных данных (коэффициент надежности);
использованием двух и более наблюдателей, регистрирующих одно и то же событие (коэффициент согласия);
проведением повторного наблюдения объекта (коэффициент устойчивости).
Информация, собранная в результате маркетингового наблюдения, может быть представлена в виде:
текста, излагающего факты или описывающего какое-то явление/процесс;
таблиц и матриц, обобщающих и систематизирующих потоки информации, в том числе числовые;
графиков/диаграмм, рисованных геометрических форм отображения состояния и развития явлений, их размеров, динамики, структуры и взаимосвязей;
статистических рядов (динамических и распределения), систематизирующих во времени и пространстве числовые характеристики изучаемых явлений и процессов.
Все перечисленные виды упаковки информации пользователю являются результатом обработки и сводки собранных в ходе наблюдения данных. Они могут быть направлены пользователю в форме письменного отчета или же вводятся в компьютер и записываются на дискету.
Компьютерная технология обработки и хранения маркетинговой информации рассматривается в соответствующих учебных курсах.
КОНТРОЛЬНЫЕ ВОПРОСЫ
1. Согласны ли Вы с утверждением, что информация - инструмент маркетинга? Дайте развернутое определение понятия маркетинговая информация.
2. Из какцх компонентов слагается маркетинговая информационная система?
3. Какие требования к исследователю предъявляет маркетинговая культура?
4. Чем прямое (непосредственное) наблюдение отличается от непрямого?
5. Какими тремя условиями обеспечивается надежность наблюдения?
ТЕСТЫ
1. Какую роль играет маркетинговая информация в управлении фирмой?
а) она собирается для отчета в налоговой инспекции;
б) она обеспечивает надежность принимаемых маркетинговых решений;
в) она вообще не нужна фирме, успешно выступающей со своим товаром на рынке.
2. Ограничивается ли маркетинговая информация сбором фактов?
Да. Нет.
Если нет, то какие еще виды информации Вам известны?
3. Прошел слух, что на валютной бирже произойдет падение рубля. Руководство фирмы адекватно изменило политику закупок.
Относится ли данный слух к категории маркетинговой информации?
Да. Нет.
Аргументируйте свою позицию.
4. В чем заключается достоверность информации?
а) в том, что использованы только официальные данные Российского статистического агентства;
б) в том, что были соблюдены научные принципы сбора информации и исключена тенденциозность в ее оценке;
в) в том, что она устраивает руководство фирмы.
5. Для чего иногда проводится повторное контрольное обследование?
44
а) для сбора дополнительных данных;
б) чтобы учесть возможные изменения в совокупности;
в) для выявления ошибок и повышения степени надежности информации.
Структура маркетинговой информации.Типология маркетинговой информации
Единство принципов маркетинговой информации не противоречит возможной ее дифференциации в соответствии с объективными условиями маркетинга. Различаются следующие типы маркетинговой информации.
По форме планирования маркетинга.
Оперативная - срочная информация, используемая в оперативном (операционном) планировании для неотложного использования; ее разновидностью является предупреждающая, или сигнальная, информация, вид краткосрочного прогноза.
Стратегическая - используемая в стратегическом планировании (отличается от оперативной глубиной и охваченным периодом; ее разновидностью является среднесрочный и долгосрочный прогноз).
Потребность в оперативной информации, характеризующей положение на рынке на какой-то момент времени или за краткий временной промежуток, очень велика. По некоторым данным, в ней нуждаются 85% российских рыночных структур, а в информации о действиях конкурентов, об изменениях в спросе и реакции потребителей на новый товар и т.п. - 70%.
Подавляющая часть отечественных коммерсантов нуждается в еженедельной и ежедекадной оперативной информации.
По месту сбора информация делится на внутреннюю и внешнюю. К внутренней относится любая информация, собираемая самой фирмой или по ее заказу; к внешней - информация, собираемая за пределами фирмы, но используемая ею в маркетинговых целях. К внешней относятся:
информация, собираемая и разрабатываемая Российским статистическим агентством и его местными органами, а также другими государственными и общественными организациями, в том числе официальные публикации;
информация, собираемая и разрабатываемая научными учреждениями и учебными заведениями;
информация, публикуемая в СМИ;
информация рекламного и коммерческого характера других фирм, в том числе бюллетени, регистры, справочники и т.п. В свою очередь внутренняя информация по времени использования делится на первичную и вторичную.
К первичной информации относятся организуемые фирмой или по ее заказу различные обследования, опросы, панели и т.п. До этого момента она не существует.
Данная информация собирается фирмой не для маркетинговых, а для других целей (например, бухгалтерский учет, оперативная информация, обязательная отчетность для органов государственной статистики, налоговой службы и т.д.). Однако эти данные могут быть использованы маркетинговой службой. Вся внешняя информация для маркетинга фирмы является вторичной.
Иногда информация в маркетинге делится на кабинетные исследования (desk research), т.е. работа с уже кем-то собранными материалами, и на полевые исследования (field research), т.е. первичный сбор материала для конкретного маркетингового исследования. Вся первичная информация собирается в форме полевого исследования.
На 2.2 показано разделение маркетинговой информации на внешнюю и внутреннюю, а также на первичную и вторичную.

2.2. Типология маркетинговой информации
Большое значение имеет классификация информации по ее назначению. Часть информации представляет собой объект анализа: оценки рыночной ситуации, выявление закономерностей и тенденций, разработка прогнозных моделей и т.п.
Ее можно назвать аналитической. К ней примыкает рекомендательная информация, в частности предложенная консалтинговыми фирмами. Сюда же относятся собранные и разработанные фирмой или внешними информационными службами базы данных, прогнозы и сценарии. Особое место занимает сигнальная информация.
Она по своему характеру предупреждает о возможных сдвигах и изменениях. Создаваемый на основе такой информации мониторинг позволяет гибко реагировать на ожидаемые смены курса рынка и регулировать некоторые рыночные процессы.
С ней связана регулирующая информация. Как известно, часть информации предприятия заказывают специализированным маркетинговым и консалтинговым фирмам.
Информация такого рода называется рекомендательной. Вспомогательным и служебным целям, а также целям маркетинг-менеджмента служит справочная и нормативная информация.
Классификация информации по этим признакам дана в табл. 2.2.
Таблица 2.2Группировка маркетинговой информации по назначению
|
Тип информации |
Назначение информации |
Где представлена информация |
|
СПРАВОЧНАЯ |
Вспомогательные, служебные цели |
Справочники, регистры, бюллетени, учебная литература |
|
НОРМАТИВНАЯ |
Различные нормы и нормативные акты, управление |
Нормативные справочники, сборники законов и постановлений |
|
АНАЛИТИЧЕСКАЯ |
Выявление и моделирование закономерностей, тенденций, взаимосвязей |
Динамические ряды, ряды распределения, группировки и т.п. |
|
РЕКОМЕНДАТЕЛЬНАЯ |
Консалтинговые цели, базы данных |
Рекомендации на основе заказных или спонтанных исследований, прогнозы и сценарии |
|
СИГНАЛЬНАЯ |
Мониторинг |
Расчеты и факты, краткосрочные прогнозы и экстраполяция |
|
РЕГУЛИРУЮЩАЯ |
Контроллинг |
Информация об отклонениях от плана |
Информация различается по регулярности ее поступления/сбора. Постоянная информация отражает неизменный характер некоторых рыночных явлений и процессов (например, параметры рыночной ситуации или основные параметры деятельности предприятия и т.п.).
Часть постоянной информации поступает непрерывно, без существенных промежутков. Так, например, денежная выручка собирается ежедневно. Другая часть - дискретная информация - собирается с определенными промежутками во времени (например, товарные запасы регистрируются один раз в месяц). Переменная информация поступает от источников, функционирующих нерегулярно.
Некоторые виды информации собираются спорадически, по мере возникновения потребности в ней.
Иногда непрерывная информация собирается в форме мониторинга.
Мониторинг в конъюнктурном анализе - система постоянных (периодических) замеров/отслеживания параметров рынка с помощью набора индикаторов, имеющих целью отразить конъюнктуру рынка и обеспечить базу для непрерывного прогнозирования рыночной ситуации. Мониторинг может быть оперативным, ориентированным на потребности конъюнктурного анализа, и стратегическим, отслеживающим основные экономические показатели в стратегической перспективе.
Другая часть информации собирается периодически, с равными промежутками времени. Например, данные о товарных запасах учитываются один раз в месяц или в декаду; данные, характеризующие инфраструктуру, - один раз в год или один раз в два года.
Третья часть информации относится к числу спорадической, или эпизодической, собираемой по мере необходимости, от случая к случаю. Например, назрела необходимость провести обследование потребителей на предмет их отношения к новому товару фирмы, который готовится к выведению на рынок.
Виды информации
Подразделения крупной фирмы, или ее самостоятельные единицы, обязаны представлять внутрифирменную отчетность, которая широко используется в управлении маркетинговой деятельностью и в маркетинговом планировании. Такая отчетность, включающая данные о продаже/сбыте товаров, затратах, ценах и т.п., относится к категории вторичной внутренней. Ее представляют бухгалтерия, плановый отдел, отдел сбыта и другие подразделения фирмы. Часть этих данных предназначается для органов государственной статистики, часть - для налоговой службы, часть - для руководства фирмы.
Все они могут быть использованы маркетинговой службой. Часто при этом требуется дополнительная разработка данных в соответствии с конкретными потребностями маркетинга.
Специально организованные обследования. Значительная часть маркетинговой информации может быть получена в результате организации и проведения специальных наблюдений (сплошных или выборочных), к которым можно отнести следующие: непосредственное наблюдение за действиями и характеристиками определенного контингента (например, регистрация привозов продуктов и цен на сельскохозяйственные продукты питания на рынках/ базарах); сплошные и выборочные устные и письменные опросы некоторых контингентов потребителей и ответственных лиц.
Особое место в маркетинговом исследовании занимает маркетинговая разведка (marketing intelligence) - сбор текущей информации о микросреде маркетинга (поставщиках, клиентах, торговых посредниках и конкурентах). Здесь существуют два направления: первое - использование информации, которую эти силы окружающей среды маркетинга предоставляют сами (легальная информация). К ней относятся: обмен информацией между участниками интегрированного канала товародвижения (конвенционального канала, вертикальной и горизонтальной маркетинговой систем); информация о себе рекламного характера, предназначенная для акционеров, потенциальных инвесторов или клиентов и т.п.); информация, базирующаяся на непосредственном наблюдении (например, регистрация цен в магазинах конкурента, хронометраж покупателей и т.д.).
К информации второго типа относится получение конфиденциальной или полуконфиденциальной информации, иногда с применением методов экономического шпионажа, сбора слухов, отслеживания внутренних публикаций.
Конъюнктурная информация может быть выделена особо. В нее входят оценки, осуществляемые с помощью конъюнктурных индикаторов, т.е. показателей, характеризующих основные параметры рынка, их состояние и изменения (такие, как объем продаж, цены, товарные запасы, степень сбалансированности спроса и предложения).
Часто для получения такой непрерывной информации организуется мониторинг.
Наблюдение в маркетинге по признаку охвата единиц совокупности подразделяется на сплошное и несплошное. Например, руководство фирмы приняло решение узнать мнение всех работников фирмы на перспективы ее развития. В несплошном наблюдении выделяются:
частичное, когда обследуется какая-то определенная часть совокупности (например, дети определенного возраста, проживающие в данном районе);
метод основного массива, когда обследуется большая часть совокупности и полученные выводы подходят для совокупности в целом;
выборочный метод, когда данные, полученные по некоторой части совокупности, при условии соблюдения специфических правил отбора единиц, распространяются на совокупность в целом (возможная ошибка заранее рассчитывается).
Выборочный метод, или выборка, известный статистический прием, который базируется на некоторых положениях теории вероятности (предельных теоремах закона больших чисел). Он представляет собой важнейшее направление в системе маркетинговой информации:
во-первых, позволяет экономить значительные средства (расходы на сбор данных по части совокупности всегда меньше, чем по совокупности в целом);
во-вторых, дает возможность ускорить получение нужных сведений (обследование части единиц совокупности, происходит пропорционально быстрее, чем сбор и обработка данных по всем без исключения единицам совокупности);
в-третьих, обеспечивает сбор сведений, которые иным способом получить невозможно (в частности, при оценке качества изделий, связанной с повреждением или уничтожением самого изделия).
Французы говорят: не нужна целая бочка вина, чтобы судить о его качестве. Однако применение выборки требует строгого соблюдения нескольких требований:
отбор не должен быть преднамеренным, т.е. всем единицам совокупности должна быть обеспечена равная возможность быть отобранными (попасть в выборочную совокупность);
совокупность, из которой ведется отбор (генеральная совокупность), должна быть достаточно большой;
совокупность должна быть однородной, т.е. по какому-либо признаку (если вы изучаете предпринимателей, то в генеральную совокупность не должны попадать наемные работники). Поэтому отбор данных часто сочетается с группировками.
При проведении устных опросов целесообразно использовать метод случайной бесповторной выборки (его суть заключается в том, что респондент отбирается случайно и второй раз уже не опрашивается; этот способ очень подходит для уличных интервью). Формула численности отбора при этом такова:

(2.1)
где n - число единиц, которые следует отобрать для обследования (опроса);
t - коэффициент доверия, вычисляемый по таблицам в зависимости от вероятности, с которой можно гарантировать, что предельная ошибка не превысит t-кратную среднюю ошибку (при вероятности 0,990 он равен 3, а при вероятности 0,999 - 3,28; чаще всего опираются на вероятность 0,954, при которой t составляет 2);
2 - выборочная дисперсия (ее обычно определяют на основе эксперимента, пробного обследования или же по аналогам);
- предельная (задаваемая) ошибка выборки;
N - численность генеральной (изучаемой) совокупности.
Пример. Предположим, что магазин обслуживает за определенный период около 100 000 чел. По данным предыдущих опросов установлено, что дисперсия составляет ± 25 руб./чел.
Коэффициент доверия равен 2. Предельную ошибку мы приняли равной 1 руб. Тогда численность выборки составит

С округлением численность выборки составит 100 чел. Следовательно, для получения надежных представительных данных надо опросить 100 чел.
Матрица конкурентного преимущества
Конкурентная борьба происходит в маркетинговой среде, в конкретных условиях времени и места. Это означает, во-первых, что ее исход зависит не только от усилий и умения/опыта обоих предприятий, но и от воздействия определенных сил и факторов.
Во-вторых, результат конкурентной схватки зависит от рыночной ситуации, причем, чем она сложнее, чем меньше возможностей она предоставляет участникам рынка, тем ожесточеннее и бескомпромисснее становится конкурентная борьба.
На основе государственных регистров и собственных наблюдений составляется конкурентный лист - список конкурентов, т.е. фирм, выпускающих или продающих товары, аналогичные товарам нашей фирмы. Выявленные конкурирующие предприятия могут быть сгруппированы по нескольким признакам (размеру, типу, виду рынка и товарной специализации).
Результаты группировки отражены в матрице первичных характеристик конкурента ( 5.17).

5.17. Матрица первичных характеристик конкурента
Фирма, выступающая на рынке, должна изучить свое конкурентное окружение, т.е. конкурентные силы, воздействующие на нее, которые характеризуются известной моделью движущих сил конкуренции выдающегося американского маркетолога Майкла Е. Портера. Данная модель базируется на разработанной им в 1975-1980 гг. (период стагнации в ряде отраслей экономики США) концепции конкурентной стратегии.
Модель, имеющая форму пространственной матрицы, представлена на 5.18.
Цель модели Портера - обеспечение оптимального управления портфелем фирмы и ее финансами, причем в качестве главного фактора рассматриваются конкурентные силы рынка. Модель рентабельности учитывает наличие конкурентной угрозы со стороны потенциальных (новых) конкурентов, в частности импорта более конкурентоспособных товаров.
Конкуренты имеются и внутри собственной отрасли, в зависимости от ситуации на рынке конкурирующей силой могут стать поставщики и покупатели. Конкурентную угрозу могут представлять товары-субституты, т.е. заменители.
Мало определить силы, которые будут соперничать на рынке, и пытаться навязывать фирме свои условия рыночной деятельности. Существует еще определенный набор рыночных категорий (процессов и явлений), которые влияют на ход конкурентной борьбы и часто предопределяют ее результат.
На некоторые из таких факторов можно влиять - непосредственно или косвенно; к другим можно только адаптироваться, с тем чтобы усугубить их позитивное действие или ослабить негативное влияние, К решающим факторам, оказывающим влияние на конкурентную борьбу, можно отнести качество и различные свойства товара, включая его внешний вид, эстетику, дизайн, эргономику (потребитель, как правило, предпочитает красивый и удобный в обращении товар). Следовательно, необходимо отслеживать патентную и лицензионную политику конкурирующего предприятия.

5.18. Модель движущих сил конкурентов М. Портера
Однако не меньшее значение как фактор, влияющий на конкурентную борьбу, имеет и продажная цена, а следовательно, и себестоимость, издержки обращения, наценки и т.п. Значительное число потребителей, особенно в условиях российских кризисов, ориентируются прежде всего, на соответствие цены возможностям своего кошелька.
Многих покупателей привлекает не только сам товар, но и условия, в которых он продается, время, которое надо затратить, чтобы его купить, и т.д. Следовательно, фактором конкурентной борьбы является сервис (в широком смысле этого слова, включая формы торгового обслуживания, месторасположение торгового предприятия, его архитектурную привлекательность и транспортные пути к нему).
Элементом конкурентной борьбы может быть внедрение конкурирующей фирмой новых, более эффективных, методов дистрибьюции и торгового обслуживания.
Немаловажным фактором конкурентной борьбы является эффективность маркетинговой службы, ее умение разгадать планы противника и его потенциал, противопоставить действенную стратегию и тактику.
Выявление этих факторов, оценка силы их влияния, поиск инструментов для нейтрализации - важная задача маркетингового анализа.
Существует ли какой-то объективный показатель, способный обобщенно отразить результаты конкурентной борьбы? Многие маркетологи называют таким показателем долю, которую предприятия (и наше, и конкурирующее) занимают на рынке. Обычно доля определяется в общем объеме продаж данного товара на рынке (в отрасли, регионе и т.п.), учитываемых в натуральных или стоимостных единицах:

(5.56)
где j доля j-й фирмы в общей продаже i-го товара;
Qij продажа j-й фирмой i-го товара;
Qi - сумма всех продаж i-го товара на рынке;
n - число j-х фирм, выступающих на данном рынке.
Можно представить себе следующую шкалу, отражающую роль фирмы на рынке в зависимости от ее доли на нем (табл. 5.26).
Известный отечественный исследователь конкуренции, Г.Л. Азо-ев, изучая распределение числа предприятий по доле рынка, пришел к выводу, что оно статистически подчиняется закону нормального распределения72.
Таблица 5.26Шкалирование позиции фирмы в зависимости от принадлежащейей доли рынка
|
Доля на рынке, % |
От 40 и выше |
От 40 до 20 |
От 20 до 10 |
Менее 10 |
|
Роль в конкуренции
|
Лидер рынка
|
Претендент
на лидерство
(предприятие
с сильной
конкурентной
позицией)
|
Последова-
тель (ведо-
мый, пред-
приятие
со слабой
конкурентной
позицией) |
Занявший
рыночную
нишу и избе-
гающий кон-
куренции
(аутсайдер
рынка) |
Однако ситуация на рынке меняется. Некоторые фирмы упрочили или расширили свою позицию, другие ее сохранили, а третьи - утратили. Для того чтобы отразить процесс перераспределения рынка во времени, Г.Л. Азоев рекомендует использовать матрицу формирования конкурентной карты рынка73.
Мы приводим ее с некоторыми изменениями (табл. 5.27).
Заполненная матрица позволяет определить статут предприятия, внести соответствующие характеристики в досье конкурента и соответственно разработать собственную конкурентную стратегию.
Следует ожидать следующих действий предприятий: лидер в 1-й и 2-й позициях скорее всего будет склонен продолжать наступление (при наличии ресурсов) и усилить конфронтацию с конкурентами. В 3-й и частично 4-й позициях лидер будет озабочен тем, чтобы сохранить лидирующие позиции. На 5-й позиции он может не удержаться в лидирующей группе и отступить во 2-ю группу. Предприятие, имеющее сильную конкурентную позицию, в квадранте А-1 имеет шансы занять место лидера и проводить соответствующую стратегию.
Позиции В-2 и В-3 дают ему возможность проводить стратегию атаки (создать новый товар с лучшими характеристиками найти более выгодный сегмент, поглотить небольшие конкурирующие фирмы). Позиции В-4 и В-5 заставят его позаботиться о собственном положении на рынке.
Таблица 5.27Матрица формирования конкурентной карты рынка
По доле
на рынке
Изменения
доли на рынке |
Классификационные группы (по состоянию на начало периода) |
|
лидеры рынка |
предприятия с сильной конкурентной позицией |
предприятия со слабой конкурентной позицией |
аутсайдеры рынка |
|
Предприятия с быстро улучшающейся конкурентной позицией |
А-1 |
В-1 |
С-1 |
0-1 |
Предприятия
с улучшающейся
конкурентной позицией |
А-2 |
В-2 |
С-2 |
0-2 |
|
Предприятия с не изменившейся конкурентной позицией |
А-3 |
В-3 |
С-3 |
0-3 |
|
Предприятия с ухудшающейся конкурентной позицией |
А-4 |
В-4 |
С-4 |
0-4 |
|
Предприятия с быстро ухудшающейся конкурентной позицией |
А-5 |
В-5 |
С-5 |
0-5 |
Предприятие, занимающее слабую конкурентную позицию, в квадрантах С-1, С-2 и С-3 будет скорее всего вести активную оборонительную стратегию, переходя в контратаки, а в последних квадрантах осуществит диверсификацию, или же займется поиском более выгодного сегмента или даже ниши. Предприятиям со слабой конкурентной позицией, желающим улучшить или сохранить конкурентную позицию, рекомендуется организовать выпуск недорогой продукции, осуществить реинвестиции с целью получить прибыль и укрепить конкурентную позицию.
Предприятие-аутсайдер постарается избегать конкуренции, может быть, покинет рынок, но в позиции первых трех квадрантов будет ожесточенно защищать свою нишу. Здесь полезно осуществить радикальную реорганизацию предприятия или пересмотреть конкурентную стратегию.
Естественно, доля рынка, которую фирма собирается завоевать, не является самоцелью. Оттесняя конкурентов, мы получаем прибыль, на которую те рассчитывали.
Размер доли (д) зависит от объема продажи (0, а прибыль (Р) в свою очередь зависит (при прочих равных условиях) от объема продажи. Статистически это выражается следующей цепочкой:

(5.57)
Не только доля рынка является характеристикой конкурентной роли фирмы на рынке. Некоторые фирмы стремятся завоевать лидерство по качеству товаров или по максимуму текущей прибыли.
Успех фирмы на конкурентном рынке во многом зависит от того, удалось ли разгадать маркетинговую политику конкурента, предвидеть его действия на рынке. Маркетинговая деятельность немыслима без оценки конкурирующих предприятий, формы и интенсивности конкуренции.
Обычно проводят аналогию с военной стратегией, где принятие решений в значительной степени базируется на разведке позиций, занимаемых противником, и на прогнозе его вероятных действий. В комплексе контролируемых сил и факторов микросреды маркетинга конкуренты занимают особое место, так как контроль проявляется в форме конкурентной борьбы.
Мы уже указывали, что в методах конкурентной борьбы можно выделить два основных направления:
1) ценовая конкуренция, когда цены на товар фирмы устанавливаются ниже, чем на товар конкурента с примерно одинаковыми свойствами и того же качества (вариант: скрытая ценовая конкуренция, когда товар фирмы, обладающий лучшими, чем у конкурента, свойствами и качеством, продается по цене, одинаковой с конкурирующим товаром);
2) неценовая конкуренция, осуществляемая за счет более высокого качества товара или лучшей организации сбыта и торговли, сервиса, рекламы, имиджа фирмы и других методов продвижения товара.
Вариантом ценовой конкуренции является ценовая война (война цен), т.е. повторяющееся и долговременное снижение цены на товар данной фирмы по отношению к цене товара конкурирующих предприятий. Ценовая война по существу представляет собой форму демпинговой стратегии.
Она может иметь место на олигополистическом рынке. В некоторых странах с ней борются с помощью антидемпингового законодательства, так как она обладает потенциальной разрушительной силой для экономики, хотя и выгодна потребителям.
В странах с развитой рыночной экономикой ценовая конкуренция уступает место неценовой. Ценовые войны уходят в прошлое: слишком разрушительны они по своим макро- и микроэкономическим последствиям. Однако в России цены продолжают в ряде случаев оставаться орудием обеспечения конкурентоспособности товара.
Например, цена товара, выводимого на новый рынок, снижается примерно на 10%, а иногда -до уровня, близкого к себестоимости; это повсеместная и достаточно распространенная практика. Этот способ конкуренции нуждается в интенсивной рекламе.
Сохранилась также такая разновидность ценовой конкуренции, как скрытая, когда новый товар, превосходящий по своим качественным характеристикам и себестоимости товар конкурента, продается по цене конкурирующей фирмы.
Следовательно, в процессе маркетингового анализа необходимо определить форму конкуренции, для чего целесообразно отслеживать все изменения цен на товары, выпускаемые и продаваемые конкурентами.
Каждая фирма, выступающая на конкурентном рынке, ставит целью добиться конкурентного преимущества, т.е. превосходства над своими потенциальными соперниками. Обычно выделяют наиболее опасного или наиболее сильного приоритетного конкурента и стремятся прежде всего обеспечить превосходство по отношению к нему.
Выявляются две стороны конкурентного преимущества: внешнее, базирующееся на тех свойствах товара, которые представляют особую ценность для потребителей (при этом издержки не должны превышать уровень конкурента), и внутреннее - за счет снижения себестоимости. Внешнее конкурентное преимущество позволяет иметь цену, более высокую, чем у конкурента без ущерба для спроса, внутреннее преимущество дает возможность снизить цену по сравнению с конкурентной и обеспечить дополнительный спрос.
Конкурентное преимущество целесообразно определять на основе объективного показателя конкурентоспособности. Конкурентоспособность товара характеризуется его способностью быть проданным на рынке в присутствии аналогичных товаров-конкурентов. Она рассчитывается на основе методов квалиметрии с помощью балльной системы оценок (аналогично интегрированному показателю качества товара).
Устанавливается перечень параметров качества товара, включая и экономические. Каждому параметру присваивается балл, который тем выше, чем больше параметр соответствует нормативам или требованиям потребителей (выявленным в результате специального обследования). Осуществляется сравнение баллов параметров товаров нашей фирмы и фирмы конкурента. Разность баллов по каждому i-му параметру (di) взвешивается по рангу важности данного параметра (Ri), который определяется экспертным путем.
Уровень конкурентоспособности рассчитывается как средняя арифметическая взвешенная и отражает степень отклонения качества товара нашей фирмы от качества товара конкурирующей фирмы. Чем больше отклонение от единицы со знаком +, тем сильнее конкурентное преимущество нашей фирмы, и наоборот, чем больше отклонение со знаком - тем сильнее конкурентное преимущество конкурента.
Могут быть сделаны и неформальные оценки уровня конкуренции. Каждый предприниматель сам решает, насколько ощутима конкурентная угроза. Так, например, по данным опроса руководителей розничных торговых предприятий, в 1998 г. 14% опрошенных ответили, что считают уровень конкуренции очень высоким 43% -высоким, 33% - умеренным; 2% респондентов заявили, что конкуренция отсутствует, и 8% затруднились с ответом74 ( 5.19)

5.19. Оценки предпринимателями уровня конкуренции врозничной торговле в 1998 г.
Некоторые исследователи предлагают набор индикаторов конкурентоспособности. Приведем наиболее интересный, разработанный известным бельгийским маркетологом Ж.-Ж.
Ламбеном75 (таол. 5.28, которая приводится с некоторыми изменениями)
Автор предостерегает против механического использования данной системы. Каждая фирма с учетом своей специфики и особенностей рынка может вносить необходимые изменения и дополнения.
При обобщенной оценке с помощью баллов по формуле средней арифметической желательно вводить систему весов (рангов важности) каждого критерия.
Таблица 5.28Индикаторы конкурентоспособности
|
Критерии |
Диапазон оценок |
|
низкая (1-2 балла) |
средняя (3-4 балла) |
высокая (5 баллов) |
|
Относительная доля рынка |
Менее '/з лидера |
Более '/з лидера |
Лидер |
|
Издержки |
Выше, чем у прямого конкурента |
Такие же, как у прямого конкурента |
Ниже, чем у прямого конкурента |
|
Отличительные свойства товара |
Товар не дифференцирован |
Товар дифференцирован |
Уникальный товар |
|
Степень освоения технологии |
Осваивается с трудом |
Осваивается легко |
Освоена полностью |
|
Каналы товародвижения |
Посредники не контролируются |
Посредники контролируются |
Прямые продажи (канал нулевого уровня) |
|
Имидж |
Отсутствует |
Развит |
Сильный имидж |
По оценкам, полученным на основании собранной информации, можно выявить конкурентное преимущество или конкурентные опасности. Для этой цели Ж.-Ж. Ламбен предлагает использовать матрицу конкурентного преимущества76.
Рассмотрим методику построения и анализа матрицы ( 5.20).
1 Самый опасный конкурент.
5.20. Матрица конкурентного преимущества
В матрице осуществляется позиционирование товара собственной фирмы по данным, собранным в процессе анализа товара (характеристик имиджа марки): определяется рыночная сила товара как соотношение нашей максимальной цены к цене приоритетного конкурента (при этом учитывается ценовая эластичность спроса) и анализа затрат: соотношение издержек на единицу продукции у нашей фирмы и у приоритетного конкурента. Позиция фирмы в квадранте D может считаться идеальной, а квадранте А - провальной. Попадание в квадрант В заставляет фирму выбрать стратегию лидерства по издержкам, а в квадрант С - стратегию дифференциации, т.е. выпуска товаров, превосходящих по своим свойствам товары конкурентов (продуктовая дифференциация), или разработки лучших способов продвижения товара, чем у конкурента (сервисная дифференциация).
С помощью биссектрисы, которая делит матрицу на две части по диагонали, выделяются благоприятные (справа) и неблагоприятные (слева) зоны конкуренции.
Наблюдения за поведением конкурента на рынке (возможно, по отношению к другим конкурентам) и за его реакцией на маркетинговые действия нашей фирмы позволяют делать выводы о стратегии, применяемой им. Составляются динамические ряды объемов продажи, цен, финансовых характеристик.
Эти наблюдения дополняются информацией о менеджменте фирмы, склонности руководителя к тем или иным приемам конкурентной борьбы. Как правило, используются следующие варианты стратегии:
экспансионистская стратегия, направленная на расширение рыночной доли (агрессивный маркетинг);
инновационная технологическая стратегия: выпуск новых товаров высокого качества;
ценовая стратегия: методы ценовой конкуренции;
коммерческая стратегия: совершенствование методов продажи;
стратегия диверсификации фирм, традиционно выступающих на других рынках, но пытающихся проникнуть на наш рынок (конгломератная диверсификация).
В анализ деятельности конкурентов входят: проработка направлений товарной политики конкурентов (производство и инновационный процесс, ассортимент продукции); изучение уровня и динамики цен конкурентов; анализ организации сбыта и продажи товаров (торгово-сбытовой инфраструктуры, ее развития и размещения, форм товародвижения и т.п.); оценки финансового состояния конкурентов. Одновременно дается характеристика человеческого фактора: имидж руководства, квалификация работников маркетинговой службы.
Важную роль имеет опрос потребителей об их отношении к товарам и Марке конкурента. Непосредственное наблюдение позволяет оценить нагрузку на конкурирующее предприятие, частоту покупок, характер сервиса.
Систематизировать полученную информацию помогает таблица анализа конкуренции и конкурентов (табл. 5.29).
В ней дается оценка фактического состояния и развития деятельности конкурента, а также экстраполяционно-прогнозные оценки возможного развития деятельности конкурента на ближайшее будущее (предупреждающая информация) или на отдаленную перспективу.
Таблица 5.29Анализ конкуренции и конкурентов
|
Объект исследования |
Оценки |
Инструменты
исследования |
|
фактического состояния |
прогнозные |
|
Конкуренты фирмы и их первичная характеристика |
Названия, количество конкурентов |
|
Регистры, непосредственное наблюдение, опросы |
|
Стратегии и методы конкурентной борьбы |
Оценки тенденции цен и продажи товаров, сервиса, рекламы |
|
Наблюдение, интервью, публикации |
|
Доля рынка, занимаемая каждым конкурентом |
Доля предыдущего периода, расчеты |
|
Статистическая информация |
Продолжение
|
Объект исследования
|
Оценки |
Инструменты
исследования |
|
фактического состояния |
прогнозные |
|
Интенсивность и тенденции развития конкуренции |
Частота выпуска новых товаров, изменение доли, характер рекламы |
|
Наблюдения, статистическая информация, обзор СМИ |
|
Ценовая политика конкурентов |
Цены на предприятиях конкурентов |
|
Наблюдения, опросы, статистическая информация |
|
Инновационная товарная политика конкурентов |
Индексы новизны, качества и конкурентоспособности |
|
Приобретение конкурентных товаров, опросы покупателей, экспертиза |
|
Оценка сильных и слабых сторон конкурентов |
Перечень и комплексная оценка |
|
SWOT-анализ |
Отвечают ли товары
конкурентов требовани-
ям потребителей по
перечню параметров:
цене;
внешнему виду;
надежности;
функциональным параметрам и т.д. |
Да, нет;
комплексная
оценка
|
|
Опросы, балльные эценки
|
|
Реакция конкурента на:
а) выведение нового товара нашей фирмы на рынок;
б) изменение цены нашего товара;
в) увеличение доли рынка нашей фирмы;
г) изменение способов дистрибьюции и реализации/сбыта товаров нашей фирмы;
д) интенсификацию нашей рекламы и совершенствование сервиса |
Констатация
действий кон-
курента, рас-
чет коэффициентов реакции и
эластичности,
определение
лага
|
|
Наблюдение, опросы
покупателей
|
|
|
Какие методы стимулирования спроса применяют конкуренты?
|
Снижение цен,
поощрение потребителей, интенсивная реклама, сервис |
|
Наблюдение, опрос
покупателей, СМИ
|
|
Что известно о НИОКР
конкурентов?
|
Экспертные
оценки НИОКР
|
|
СМИ, информация с выставок-презентаций, ярмарок, промышленный шпионаж |
|
Продолжение
|
Объект исследования
|
Оценки |
Инструменты
исследования |
|
фактического состояния |
прогнозные |
|
Что известно о технологии производства конкурентов? |
Экспертные
оценки технологии |
|
СМИ, информация
с выставок-презентаций, ярмарок, промышленный шпионаж |
|
|
Какова патентная защита товаров конкурентов? |
Патенты, коэффициенты изобретательской активности |
|
Отслеживание патентов и патентных заявок, проверка патентной чистоты |
|
|
|
Результаты коммерческой деятельности конкурирующих предприятий |
Прибыль, рентабельность, издержки |
|
Справочники, информация для акционеров и инвесторов, экономический шпионаж |
|
|
|
Численность работающих у конкурентов |
Число работников |
|
Регистры, публикации фирм, наблюдение |
|
|
|
Оценка рекламы конкурентов |
Экспертные оценки эффективности рекламы |
|
Наблюдение за рекламой конкурентов в СМИ, на транспорте, предприятиях и т.п. |
|
|
|
Ситуация со снабжением конкурентов сырьем |
Обеспеченность сырьем |
|
Наблюдение за завозом сырья, промышленный шпионаж |
|
|
|
Качество сервиса на торговых предприятиях конкурентов |
Экспертные оценки качества обслуживания |
|
Непосредственное наблюдение, опросы покупателей |
|
|
|
Нагрузка на торговые предприятия конкурента, организация торгового процесса, уровень сервиса |
Число покупателей за данный период |
|
Непосредственное наблюдение, хронометраж, пробные покупки |
|
|
|
Оценка организации маркетинга конкурентов. Психологический портрет менеджеров конкурирующих фирм |
Экспертные оценки маркетинговой деятельности конкурента |
|
Наблюдение за деятельностью конкурента, его реакцией на окружающую среду |
|
|
|
Результаты участия конкурентов на выставках, ярмарках |
Оценки выставляемых товаров и заключенных сделок |
|
Наблюдение, опросы |
|
|
|
Изучение психологии руководителей конкурирующих фирм |
Психологический портрет менеджеров конкурирующих фирм |
|
Наблюдения психологов |
|
|
Носители и источники маркетингоюй информации
В целях повышения однородности изучаемой совокупности и большей точности расчета совокупность стратифицируют, разбивают на ряд групп по какому-то признаку. В маркетинговом исследовании наиболее распространено деление по социальным группам (в частности, по уровню дохода).
Формула численности выборки отличается от предыдущей только тем, что выборочная дисперсия заменяется средней из внутригрупповых дисперсий (-2). Однако в этом случае целесообразно вести отбор по каждой группе пропорционально дифференциации признака (n.). Тогда формула численности выборки (по каждой группе) значительно упрощается:

(2.2)
где k число i-х групп населения;
Ni - численность i-й группы населения;
i - среднеквадратическое отклонение признака в i-й группе.
При телефонных интервью или при анкетировании очень часто используется способ механического отбора. Например, по телефонной книге или по спискам жильцов отбирается каждый десятый телефон или каждая седьмая квартира.
При использовании этого метода численность выборки определяется по формуле 3.1.
В механической выборке численность выборки определяется путем установления пропорции отбора: делением совокупности на объем выборки; если пропорция отбора дробная величина, то надо взять ближайшее целое число. Затем по списку единиц отбирается каждая единица, взятая через промежуток, равный пропорции отбора.
Пример. Для обследования, ставящего целью выявить мнение потребителей о новом товаре в регионе, насчитывающем
50 тыс. семей, необходимо провести анкетирование. Условно принимается, что в каждой квартире проживает одна семья и на нее будет выделена одна анкета.
Предварительные исследования установили, что дисперсия среднего размера покупки составляет ± 25 руб.; t = 2; предельная ошибка не должна превышать 0,01 тыс. руб. Отсюда численность выборки (n) составила

Эта величина округляется до 1000 семей, т.е. установлена 2%-ная выборка. Однако практика показывает, что некоторая часть анкет не возвращается (предположим, каждая третья), поэтому увеличиваем число анкет до 500.
Следовательно, необходимо включить в выборку 1500 семей, т.е. увеличить ее до 3%.
В целях ускорения процесса исследования и удешевления сбора материалов целесообразно использовать методы малой выборки. Малой выборкой считается отбор единиц численностью менее 20, т. е. n 20.
Средняя ошибка малой выборки исчисляется по формуле

(2.3)
где мв - среднее квадратическое отклонение малой выборки, которое
исчисляется по формуле:

(2.4)
где мв - среднее квадратическое отклонение малой выборки;
- среднее квадратическое отклонение обычной выборки;
х - независимые случайные величины (характеристики изучаемых
величин);
x м.в. - средняя величина малой выборки;
n - численность выборки.
Предельная ошибка выборки определяется по следующей формуле:

(2.5)
где t - нормированное отклонение, или коэффициент доверия,
который определяется по таблице вероятностей Стьюдента :

(2.6)
Носители и источники маркетингоюйинформации
Где возникает информация? По-видимому, информация о товаре начинает свой путь с производства, информация о потреблении, о желаниях и взглядах покупателя - в среде потребителей и т.д. Информация собирается среди ее носителей, т.е. юридических и физических лиц, обладающих некоторыми сведениями и занимающихся определенной рыночной деятельностью (как активной, так и пассивной).
Кто же на потребительском рынке выступает в качестве носителя, обладателя информации? Во-первых, индивидуальные потребители (население), у которых собираются сведения, характеризующие их спрос, поведение на рынке, принадлежность к социальным и демографическим группам, и другая информация, необходимая для маркетинга; во-вторых, производители, обладающие сведениями о качественных и количественных характеристиках товара, потенциале производства и возможностях НТП, перспективах модернизации товара и создании качественно новых образцов, их себестоимости и т.д.; в-третьих, дистрибьюторы (торговые посредники), располагающие информацией о спросе потребителей, конъюнктуре потребительского рынка, торговых конкурентах, эффективности рекламы и т.д. Как правило, участники канала товародвижения, особенно конвенционального, или вертикальной маркетинговой системы охотно обмениваются информацией, имеющей взаимный интерес.
Нередко ими проводятся совместные маркетинговые исследования.
Заложенная информация может находиться в подсознании носителя (физического лица) и проявляться в форме действий на рынке или же ответов на вопросы исследователя; она может обнаруживаться в виде определенных закономерностей и находить выражение в рыночной деятельности предприятий, и, наконец, потенциальная информация может храниться в форме знаний у своих носителей, которые предоставляются при определенных условиях.
Не следует смешивать понятия носители информации и источники информации. Первые - юридические и физические лица, в силу своих служебных функций или присущих им свойств, образа и стиля жизни, сложившегося менталитета обладают потенциальной информацией, которая проявляется или в их действиях, или в их высказываниях. Источник информации - это концентрированный и специализированный проводник, канал информации, откуда ее черпнот заинтересованны-0 пользе! атели (в частности, маркетологи).
Правда, как всякий инструмент, канал информации оказывает на нее некоторое воздействие (и по форме, и по существу), и пользователю надо быть готовым к соответствующей коррекции.
Существуют два канала получения информации от ее носителя: первый, когда носитель информации сам сообщает необходимые сведения (через разные источники); второй, когда статистически оцениваются (как абсолютная, относительная или средняя величина, тенденция и т.п.) действия массы носителей информации. В различных странах предприятия в добровольном или обязательном порядке публикуют определенный набор сведений о себе (естественно, не нарушая коммерческой тайны, но достаточный, чтобы составить представление о конкуренте).
В некоторых странах регулярно издаются регистры предприятий и справочные бюллетени по определенному кругу показателей. Нередко предприятия издают материалы о своей деятельности.
Действует так называемый закон цветка. На какой цветок охотнее летят пчелы, бабочки? Правильно, на яркий. В информации о предприятии заинтересованы потенциальный инвестор, банкир, поставщик, клиент.
В зарубежных странах давно сложилось убеждение: если предприятие проводит политику информационной закрытости, то оно скорее всего находится на пути к банкротству. К сожалению, в среде российских предпринимателей еще силен синдром закрытости, секретности, что, наверняка, наносит ущерб их собственным интересам.
Самостоятельной формой движения информации следует считать коммуникативные каналы, когда предприятие-контрагент в ходе коммерческих переговоров сообщает информацию о себе как условие и побудительный мотив заключения сделки.
В табл. 2.3 перечислены основные каналы (источники), отражено содержание и указываются способы получения маркетинговой информации.
Таблица 2.3Схема источников маркетинговой информации
|
Канал/источник информации |
Содержание информации |
Доступность информации |
Способ получения информации получателем |
|
Публикации в официальных, научных, публицистических, рекламных изданиях; бюллетенях; справочниках, регистрах; СМИ, Интернет и т.д. |
Статистическая информация, методики, научные исследования и учебники, информация о предприятиях, конъюнктурная и рекламная информация |
Общедоступна |
Через библиотеки; рассылка подписчикам; покупка в магазинах и др.; посредством радио, телевидения; бюро вырезок, сети Интернет |
Продолжение табл. 2.3
|
Канал/источник информации |
Содержание информации |
Доступность информации |
Способ получения информации получателем |
|
Информация, приобретаемая на коммерческой основе у органов государственной статистики, консалтинговых и других фирм (синдикативная) |
Статистическая информация, методики, факты, модели, рекомендации |
Недоступна для неспециалистов |
Покупка у владельца информации |
|
Информация, извлекаемая из публикаций, так называемое бюро вырезок по тематике заказчика |
Контент-анализ (количественные методы анализа документов), группировка источников по какому-либо признаку |
Заказная, целенаправленная |
Заказ на подбор определенной информации из разных публикаций |
|
Внутрифирменные бухгалтерский и статистический учет и отчетность |
Всесторонняя экономическая и финансовая характеристика производственного / торгового потенциала фирмы |
Доступна для маркетинговой службы фирмы |
Поступает по распоряжению руководства фирмы |
|
Обмен информацией между участниками интегрированного канала товародвижения |
Производитель информирует о товаре, дистрибьютор - о рынке и т.д. |
Доступна только для участников канала |
Обмен информацией осуществляется в соответствии с договоренностью |
|
Специальные обследования, мони-торинги, опросы |
Единовременные и систематические оценки рыночной ситуации и характеристика поведения потребителей |
Доступна для организаторов обследований |
Обследования проводятся по решению руководства фирмы |
|
|
Панели потребителей или специалистов |
Всесторонняя характеристика доходов и расходов потребителей, оценка факторов, влияющих на спрос |
Доступная для организаторов панели |
Постоянная выборочная совокупность; информация поступает руководству фирмы - организатору панели |
|
|
Сеть торговых корреспондентов |
Неформальные оценки рыночной конъюнктуры и потребительского поведения |
Доступна для службы маркетинга фирмы |
Формируется решением руководства фирмы |
|
|
Экспертные оценки |
Оценки, выводы, прогнозы |
Доступна для заказчика |
Группа экспертов приглашается руководством фирмы |
|
|
Эксперимент |
Позволяет выявить пропорции и взаимосвязи, в частности эластичность спроса |
Доступна для службы маркетинга |
Проводится службой маркетинга одновременно с пробным маркетингом |
|
Как видно, в источники, или каналы, маркетинговой информации входят:
публикации (цифровые, фактографические, теоретические) в средствах массовой информации, официальных справочных изданиях, сообщениях бирж, объявлениях банков и АО (для акционеров), сообщениях союзов предпринимателей, в регистрах и отраслевых бюллетенях, в научной или публицистической литературе (в некоторых странах существуют специальные бюро вырезок, на коммерческой основе собирающие досье по интересующему фирму вопросу в соответствии с заказом маркетинговой службы);
информация, приобретаемая фирмой на коммерческих началах, например у Российского статистического агентства или у альтернативных статистических служб (демографические данные, данные о ценах, доходах и расходах населения, другие социально-экономические показатели);
внутрифирменные учет и отчетность, в том числе бухгалтерская (данные о производстве и сбыте товара, ассортименте поставки и отгрузки, оптовом и розничном товарообороте, себестоимости и цене, инвестициях, затратах и прибылях, материально-технической базе и т.д.);
обмен информацией между участниками интегрированного канала товародвижения, а также между участниками коммерческих переговоров;
данные специальных обследований, проводимых самой фирмой или по ее заказу, в частности замеры параметров рынка в опорных пунктах (обычно в фирменных магазинах производственного предприятия, иногда в форме мониторинга, т.е. постоянно ведущегося наблюдения по заранее разработанной программе);
информация торговых корреспондентов - торговых работников (обычно продавцов), за особую плату регулярно сообщающих о своих наблюдениях за спросом и торговой конъюнктурой, а также информация, собираемая коммивояжерами и торговыми агентами;
различного рода экспертные оценки и прогнозы (дельфи-метод, метод мозгового штурма и др.);
непосредственное наблюдение (например, регистрация времени, затрачиваемого на покупку, и т.д.);
включенное наблюдение - наблюдатель негласно внедряется в коллектив (применяется при изучении конкурентов, а также для исследований производительности труда, морального климата и т.п. контингента работников собственной фирмы);
опросы потребителей, предпринимателей, специалистов (в том числе интервьюирование и анкетирование);
панели потребителей - разовые или постоянные выборочные обследования семей/домохозяйств потребителей;
эксперимент (пробный маркетинг): полевой - оценка и моделирование результатов продажи небольших партий товаров, изучение реакции потребителей на изменение факторов (условий продажи); лабораторный - построение по данным полевых наблюдений имитационной модели типа
Е=f(хi; yi),
где Е - результат действия системы, в которой хi - управляемые параметры (последовательно изменяемые исследователем);
уi - неуправляемые параметры.
В качестве дополнительного источника данных для конъюнктурного анализа используется статистика производства, товарооборота и товарных запасов, цен, финансов, социально-демографическая статистика и другие источники. Часто сбор информации организуется во время проведения выставок-продаж, ярмарок.
Источниками конъюнктурной информации служат также справки о конъюнктурной обстановке, представляемые торговыми корреспондентами (продавцами, товароведами, административными работниками предприятий и т.п.). Руководству фирмы поступает сигнальная информация от подчиненных подразделений и предприятий.
Проводятся также так называемые тенденциальные опросы специалистов. Они отличаются от обычных опросов программой вопросника, ориентированного на оценку рыночной ситуации, в частности о положении и перспективах соответствующей отрасли на рынке и в отдельных его сегментах, о склонности потребителей к покупкам и т.п.
При организации тенденциального опроса в состав опрашиваемых лиц включают руководителей фирмы и специалистов промышленных и торговых (оптовых и розничных) предприятий, их маркетинговых служб; опрашиваются также владельцы (главы) домашних хозяйств, входящих в выборочную панель.
Опрошенные лица представляют конъюнктурные справки, где содержатся ответы на поставленные вопросы, которые затем сводятся, статистически обрабатываются и анализируются. Вся конъюнктурная информация входит в систему маркетинговой информации.
Методы экспертных оценок, базирующиеся на мнениях и оценках высококвалифицированных специалистов-экспертов, в частности Дельфи-метод, метод мозгового штурма, синектики и др., а также методы генерации идей.
Известный маркетолог Питер Р. Диксон приводит мнения менеджеров 300 компаний о наиболее ценных источниках информации, используемых для характеристики рынков. На первом месте - контингент продавцов (по нашей терминологии, торговых корреспондентов), на втором - публикации и базы данных, на третьем - потребители (имеются в виду опросы), и только на четвертом месте находятся маркетинговые исследования, службы отслеживания23.
КОНТРОЛЬНЫЕ ВОПРОСЫ
1. Маркетинговое подразделение торговой фирмы по поручению ее руководства провело опрос покупателей об удовлетворенности качеством обслуживания. К какому типу относится собранная информация?
2. Для принятия решения о сегментации рынка по географическому признаку была привлечена информация о доходах населения в региональном разрезе, содержавшаяся в очередном издании статистического ежегодника. К какому типу относится использованная информация?
3. Может ли пробный маркетинг сочетаться с маркетинговым исследованием? Если да, то каким образом?
4. Чем отличается экспертная оценка от выборочного обследования потребителей?
5. В чем сходство и различие интервьюирования и анкетирования?
ТЕСТЫ
1. Полевое исследование - это:
а) исследование, которое проводится маркетинговой службой фирмы в сельской местности;
б) сбор первичных данных у носителей информации;
в) обработка данных, полученных на коммерческой основе у официальных источников.
2. Мониторинг в маркетинге - это:
а) скачивание информации с монитора компьютера;
б) система постоянного отслеживания параметров рынка;
в) модель, описывающая рыночную ситуацию.
3. Торговые корреспонденты - это:
а) торговые специалисты, обязанные за особую плату представлять информацию в соответствии с программой;
б) торговые предприятия, ведущие коммерческую переписку с поставщиками;
в) юридические и физические лица, которым рассылается анкета и от которых ожидают ответа.
4. Непосредственное наблюдение - это:
а) опросы покупателей;
б) данные, предоставленные дистрибьютором производителю;
в) данные, которые получены в результате визуального осмотра/оценки изучаемого объекта или процесса. 5. Контент-анализ - это:
а) количественные методы анализа документов;
б) библиографическая справка;
в) работа с библиотечным каталогом.
Методика опросов.Устные опросы
Опросы считаются основным методом получения маркетинговой информации о потребителях, их поведении на рынке, мнениях и предпочтениях.
В зарубежной практике маркетинга примерно 9/10 информации получается путем устного опроса, т.е. интервью. Существуют различные виды опроса, которые применяются в зависимости от замысла и складывающихся условий:
по кругу опрашиваемых: покупатели/потребители, предприниматели, специалисты, эксперты и др.;
по количеству одновременно опрашиваемых: единичное и групповое интервью;
по количеству вопросов/тем, включенных в опросный лист: одна или несколько (последний вариант носит название омнибус);
по уровню стандартизации: свободная схема опроса или жестко структурированная, полностью стандартизованная;
по частоте опроса: одноразовый или многоразовый опрос. Обычно используются следующие типы интервью:
А. Индивидуальное интервью ( 2.3).
2.3. Схема индивидуального интервью
Встреча происходит: на улице, в магазине, на дому у респондента, на работе. Встреча может быть случайной (случайная выборка, в соответствии с законом больших чисел), заранее оговоренной/запланированной. Беседа может длиться от нескольких минут (кратковременное интервью) до нескольких часов (долговременное интервью).
В любом случае необходимо создать атмосферу доверия и благожелательности. Вариантом индивидуального интервью следует считать беседу/опрос по телефону.
Б. Групповое интервью.
Для интервью приглашается не один человек, а целая группа (например, договариваются об интервью с одним респондентом в его квартире, а он в свою очередь приглашает несколько соседей, 6 - 10 человек). Заранее подготавливается вопросник по одной из маркетинговых проблем. В некоторых странах за участие в групповой беседе участникам выплачивают вознаграждение.
Интервьюер направляет беседу: В .ходе свободного и непринужденного обмена мнениями ведущий должен выявить истинные мнения и взгляды опрашиваемых.
В. Особые виды интервью.
1) Глубинное, или направленное, интервью (самостоятельная форма группового интервью). Беседа проводится с группой респондентов (как правило, на дому или на работе).
Чаще всего собирается 10-15 человек, хотя некоторые специалисты считают, что число респондентов может достигать 50 человек. Цель интервью - получение информации, отвечающей задачам маркетинга.
Форма беседы - неформальная, без обязательного жесткого перечня вопросов. Задача интервьюера - создать непринужденную обстановку.
Психологи утверждают, что это позволяет инициировать подсознание респондентов и побуждает их высказывать такие идеи, которые вряд ли бы возникли в ходе обычного группового интервью. Люди более расположены к искреннему выражению своих мыслей и чувств, если видят, что и другие поступают аналогичным образом. Интервьюер до начала беседы составляет сценарий (или план интервью), которому и следует.
Для этой цели предлагаются наводящие и зондирующие вопросы, на которые респонденты отвечают в произвольной форме. При этом может быть получена не только заранее запланированная, но и непредвиденная информация.
2) Неформализованное интервью используется, когда его тема затрагивает личные взгляды респонденты или относится к сфере индивидуальных решений, связанных с личностью респондента, или предмет беседы касается интимных проблем. Кроме того, оно используется в беседе с некоторыми категориями опрашиваемых (редких специальностей, выдающихся личностей и т.п.).
Как уже отмечалось, его элементы применяются в групповом интервью. Неформальное интервью может быть сфокусированным на какой-либо теме (свободное, ненаправленное), с точной или неточной формулировкой вопроса.
3) Диагностическое (исследовательское) интервью проводится для выявления внутрифирменных проблем. В роли интервьюера выступает специально приглашаемый консультант.
Готовится вопросник с опорными вопросами, ориентированными на выявление интересующих фирму проблем. Его виды - ознакомительное (осваивающее) и развивающее.
Консультант должен активно взаимодействовать с респондентом, может сам ставить проблемы и даже полемизировать с респондентом (если суждения последнего выглядят поверхностными, стереотипными, непонятными).
Исследовательские интервью часто сочетаются с тестированием, суть которого заключается в том, чтобы в ходе интервью с помощью какого-либо теста побудить респондента высказать определенную точку зрения. Используются два типа тестирования в интервью:
ассоциативные интервью: интервьюер, используя определенные ассоциации, выводит собеседника на интересующую его проблему;
проецирующие и экстенсивные тесты: респондентам предлагаются листы со специально подготовленными изображениями (рисунками, фотографиями, схемами, знаками, пиктограммами, символами) без всякого текста. Изображение призвано вызвать у респондента определенные ассоциации и ответную реакцию, связанную с изучаемой проблемой, занять конкретную позицию.
4) Фокус-группы. Формируется гомогенная, т.е. однородная, (по полу, возрасту, сфере деятельности и т.п.) группа людей оптимальной численностью 7-8 человек, имеющих общие взгляды или опыт в области изучаемой проблемы. Численность фокус-группы (n) определяется в соответствии с формулой
5 n 10.
В фокус-группу могут быть вовлечены активные потребители различных товаров или, наоборот, лица - носители негативного спроса (не желающие приобретать данный товар); покупатели-новаторы и, наоборот, покупатели-консерваторы; приверженцы марки данной фирмы или сторонники конкурентов и т.п. Этот принцип подбора позволит уяснить позиции различных потребительских групп, играющих важную роль в формировании жизненного цикла товара, заложить надежный фундамент при принятии решения о его выводе на рынок.
Критерии отбора в фокус-группу следующие:
социально-демографические характеристики (пол, возраст, социальное положение, место проживания и т.д.);
общие для участников события и воспоминания (турпоход, учеба в одном вузе, общее место работы, просмотренный фильм, испробованный продукт и т.д.);
рефлексирующая группа (одинаковая реакция на события, новые товары и т.п.).
Лидер группы (модератор/интервьюер) должен быть специалистом в области обсуждаемых вопросов. Беседа носит непринужденный характер и обычно длится не более одного-двух часов.
Считается, что рассуждения одного участника стимулируют мысленную деятельность других. Перед интервьюером, работающим с фокус-группой, обычно ставятся пять главных целей:
1) обеспечение генерации новых идей (относительно свойств или дизайна тестируемого товара, степени его привлекательности, соответствия цены качеству товара, необходимости его модернизации, форм торгового обслуживания и т.д.);
2) выявление мотивации конкретных потребностей, особенностей восприятия продукта и его марки, отношения к методам продвижения товара и т.п.;
3) изучение эмоциональной и поведенческой реакции на различные типы рекламы;
4) уточнение и расстановка правильных акцентов на результатах проведенного исследования (иногда - качественные оценки количественных показателей);
Оценка собственного потенциала фирмы и ее конкурентоспособности
Выборка респондентов - репрезентативная. Были представлены два варианта товара - дешевый, с низкими оценками свойств и качества, и дорогостоящий, высококачественный товар.
Модель покупательских предпочтений показывает распределение потребителей по трем признакам: доходу, отношению к цене и времени признания товара в соответствии с его жизненным циклом. Интерпретация модели сводится к следующим выводам:
среди покупателей преобладают представители среднего класса (более половины), высшие классы представлены почти 73 респондентов, на долю низших классов приходится 74 купивших товар и ответивших на вопросы;
выбор товара по признаку цены связан с фактором дохода; в общей сложности более 60% потребителей отдали предпочтение дорогостоящему товару, но среди бедных покупателей таких абсолютное меньшинство, в среднем классе - почти 2/3, а в высших классах - подавляющее большинство;
время признания товара, вероятно, связано с психологическими факторами и возрастом57, но импульсом покупки послужили факторы дохода и цены товара: об этом свидетельствует, во-первых, относительно высокий процент ранних покупок дешевого товара во всех группах и, во-вторых, преобладание ранних покупок в группе с высоким доходом. Некоторые исследователи (Ф. Котлер, Питер Р. Диксон, Дж.Ф.
Эйнджел, Е.П. Голубков и др.) приводят модели, характеризующие время признания товара в соответствии с жизненным циклом товара, возрастом семьи и т.п.
Использовав их опыт, мы построили модель, увязывающую время признания товара (конкретно - одежды) с факторами дохода и возраста покупателя (табл. 5.15).
Таблица 5.15Модель времени признания товара
|
Показатели |
Распределение покупателей по времени признания нового товара |
|
раннее меньшинство |
ранние последователи |
раннее большинство |
запоздалое большинство |
отстающие |
итого |
|
Средний доход, руб. за месяц |
2023 |
1648 |
1248 |
616 |
325 |
_ |
|
Средний возраст, лет |
31 |
35 |
38 |
42 |
57 |
- |
|
Число респондентов, % к итогу |
4 |
12 |
39 |
35 |
11 |
100 |
Модель не только охарактеризовала распределение покупателей по времени совершения первой покупки (оно, как и в примере Ф. Котлера58, близко к нормальному распределению), но и показала, что среди ранних покупателей преобладают молодые люди с туго набитым кошельком, а поздние покупатели - это преимущественно лица старшего возраста с незначительными доходами.
Поведение покупателя среднего и низшего классов всегда в значительной мере обусловлено факторами дохода и цены. Отечественным предпринимателям, только начавшим по существу практику установления скидок и распродаж по сниженным ценам, будет поучительно познакомиться с моделью, приведенной Питером Р. Диксоном59 (табл.
5.16, с сокращениями).
Таблица 5.16Отношение покупателей к практике торговых скидок(% к общему числу опрошенных)
Регулярно
покупают по скидкам магазина |
Каждую
неделю сравнивают цены |
Никогда
не сравнивают цен
|
Обследуют
полки
магазинов в поисках товаров
со скидкой |
Покупают
большее
количество товара, если предлагается
скидка |
|
18,6 |
29,6 |
36,0 |
78,0 |
67,3 |
Подавляющее большинство покупателей предпочитают экономить, покупая товар со скидками, и выбирают магазины, где цены ниже. Аналогичная форма поведения покупателей характерна и для отечественного потребительского рынка, где потребители среднего и низших классов часто обходят несколько магазинов в поисках более дешевого товара и не менее часто отдают предпочтение вещевым и продуктовым рынкам.
Так, при обследовании сельскохозяйственных рынков в одном из районов Москвы 1/5 опрошенных назвали доступные цены. Частота покупок зависит от дохода, емкости домашнего холодильника, удаленности места покупки от места жительства или работы потребителя. В ходе упомянутого обследования был задан вопрос: как часто Вы посещаете сельскохозяйственные рынки? Результаты опроса представлены в табл.
5.17.
Таблица 5.17Модель частоты посещения рынков покупателями
|
Частота посещений рынков |
Ответы, % к числу опрошенных |
|
Ежедневно |
12 |
|
2-3 раза в неделю |
30 |
|
1 раз в неделю |
27 |
|
1 раз в месяц |
27 |
|
Реже |
4 |
Почти 70% опрошенных посещают рынки не реже одного раза в неделю, причем большая их часть пользуются услугами рынков еще чаще. Основной контингент посетителей рынков - лица с низкими доходами (более 70%) и представители среднего класса (1/4 опрошенных); 2/3 покупателей - женщины.
Распределение покупателей по возрасту - нормальное, больше половины из них - лица в зрелом возрасте (30-49 лет) и всего 1/10 опрошенных - лица пожилого возраста (60 лет и старше) ( 5.7).
5.7. Распределение покупателей по возрасту
Анализ возрастного состава покупателей играет заметную роль в исследованиях покупательского поведения. У каждого возраста - свои приоритеты покупок и степень влияния на общие семейные расходы, один американский ученый приводит очень показательный в этом отношении факт: в США дети в возрасте от 4 до 12 лет потратили на удовлетворение своих желаний и потребностей 11,4 млрд долл., стоимость же сделанных под их влиянием покупок составила 154 млрд долл.
Потребительские расходы в группе детей растут на 20% быстрее, чем в каждой из остальных возрастных групп60.
В процессе сегментирования рынка имеет смысл обратить внимание на такое понятие, как прибыльность покупателя. Необходимо подсчитать доходы от продажи товаров одному покупателю; лучше дифференцировать этот расчет по представительным группам покупателей:

, (5.39)
где qi и рi - соответственно количество и цена купленного товара одним покупателем из i-й группы потребителей;
n - число покупателей из i-й группы.
Доход, получаемый от одного покупателя, следует сравнить со средними затратами на обслуживание покупателей и реализацию товара:

(5.36)
где Z - затраты в расчете на одного покупателя;
Zj - j-й вид затрат/издержек;
n - число покупателей.
Для рентабельной торговли необходимо обеспечить соотношение
P Z . (5.37)
Ф. Котлер предлагает использовать матричный метод анализа прибыльности клиентов61. Предположим, что имеется три заказчика продукции:
С1, который закупает рентабельные продукты и тем самым приносит нашей фирме высокую прибыль;
С2 закупает один рентабельный, другой убыточный продукт. Его рентабельность неоднородна;
С3 - невыгодный заказчик: ему нужны один прибыльный и два убыточных продукта.
Фирма может использовать два варианта действий:
1. Поднять цену на убыточные товары или вообще прекратить их производство.
2. Предпринять усилия по продаже невыгодным заказчикам рентабельных продуктов; если они откажутся от такой покупки, целесообразно отказаться от таких клиентов. Мы только выиграем, если они уйдут к конкурентам, считает Ф. Котлер. Прибыль тем выше, чем выше конкурентные преимущества, которые во многом зависят от способности фирмы снижать удельные затраты, не жертвуя при этом качеством продукции.
Прибыль фирмы зависит от трех элементов, приведенных в матрице ( 5.8).
Потребители
П р о д у к т ы
р
о |
|
С1 |
С2 |
С3 |
|
|
Р, |
+ |
+ |
+ |
Высокоприбыльный продукт |
|
?2 |
+ |
|
|
Прибыльный продукт |
|
РЗ |
|
|
|
Убыточный продукт |
|
V |
+ |
|
|
Смешанный продукт |
|
|
Высокоприбыльный потребитель |
Потребитель, приносящий и прибыль, и убытки |
Невыгодный потребитель |
|
5.8. Матрица прибыльности покупателей
Одним из направлений исследований мнений и предпочтений покупателей является выявление оценки покупателями качества и выбор определенной марки товара. В жизни анализ свойств товара и сравнение преимуществ и недостатков различных марок происходят чаще всего неосознанно, на уровне подсознания - покупатель просто принимает решение. Задача исследователя -заставить его мотивировать выбор марки товара, разумно оценить все его качества, а затем, по возможности, формализовать результаты опроса.
Широко применяется балльная система оценок. Безусловно, при этом сказываются психологические особенности самого покупателя, степень его заинтересованности в товаре. В маркетинге выделяются три типа покупателей по степени приверженности к той или иной марке:
покупатели, лояльные к определенной марке товара;
покупатели, безразличные к марке (покупающие, где придется и что придется);
случайные покупатели.
Считается, что при первой покупке фактор случайности проявляется значительно сильнее, чем при второй и последующих, когда по совокупности факторов покупатель становится приверженцем не только данного товара, но и фабричной марки в целом. Однако цель выявления и моделирования покупательских оценок заключается не только в том, чтобы уяснить причины, по которым покупатель приобретает данный товар, но и в том, чтобы выявить недовольство какими-либо его свойствами. По существу это форма реализации главной цели маркетинга - ориентации на потребности потребителя. Обратная связь позволяет оперативно совершенствовать товар, делать его максимально привлекательным для потребителя.
Такие исследования необходимо регулярно возобновлять. Потребителям свойственно менять свои предпочтения и вкусы - один из постулатов бихевиоризма.
В связи с этим сам товар или отдельные его элементы могут морально устареть и перестать удовлетворять покупателя.
Примером формализации отношения (валентности} потребителей (положительного, отрицательного, нейтрального) служит формула Фишбейна:

(5.38)
где А0 - отношение покупателя к объекту исследования, выраженное в баллах;
bi - сила мнения, что объект имеет i-ю характеристику;
сi - оценка i-й характеристики с помощью баллов;
n - число покупателей, давших оценки.
Источником информации является опрос покупателей, в ходе которого они оценивают товар и дают ответ, чем они при этом руководствуются.
Предположим, что дается характеристика мужской обуви фирмы X по следующим параметрам:
1) соответствует ли обувь сегодняшней моде;
2) не вредит ли ноге материал, из которого изготовлена обувь;
3) цвет;
4) долговечность;
5) степень комфортности;
6) стоит ли покупать обувь для повседневной носки, если цена превышает 300 руб. за штуку.
Величина сi - определяется по семибалльной шкале с оценками от 1 (очень хорошо) до 7 (очень плохо). Такая шкала приведена на 5.9.
Подобные шкалы строятся по всем 6 признакам товара.
Величина bi показывает, в какой мере потребители уверены, что данная марка товара обладает указанным свойством ( 5.10)

Число таких шкал (S) должно составлять:
S = nm, (5.38а)
где n - число показателей; m - число марок.
В нашем примере - 6 показателей и 3 марки; следовательно, покупатели должны заполнить 18 шкал. Предположим, что данный опрос охватил представителей низшего и среднего классов, для которых обувь, цена которой 300 руб. и выше, представляется высокой (табл.
5.18).
Таблица 5.18Расчет многофакторной модели потребительских мненийпо Фишбейну
|
Показатели |
Оценка,
сi |
Мнения о марках,
bi |
Расчет для марок, bi сi |
|
А |
Б |
В |
А |
Б |
В |
|
1 |
+2 |
-4-2 |
+ 1 |
-1 |
+4 |
+2 |
-2 |
|
2 |
+2 |
+3 |
+ 1 |
-2 |
+6 |
+2 |
-2 |
|
3 |
+3 |
+3 |
+2 |
+ 1 |
+9 |
+6 |
+3 |
|
4 |
+3 |
+3 |
+3 |
+2 |
+9 |
+9 |
+9 |
|
5 |
+3 |
+3 |
+ 1 |
-2 |
+9 |
+3 |
-6 |
|
6 |
-1 |
-3 |
-1 |
-2 |
+3 |
+ 1 |
+2 |
|
Итого |
- |
- |
- |
- |
+49 |
+23 |
+4 |
Расчет показал, что в целом отношение к марке А вляется положительным и у нее очень высокий показатель. Покупатели отдают предпочтение этому товару; товар В оценивается слишком низко.
Другой способ диагностики покупательского поведения называется методом идеальной точки. Его использование дает возможность выявить взгляды потребителей на различные марки товаров и осуществить поиск идеальной точки, где сходятся все пожелания потребителей. Далее приводится формула, на которой базируется применение данного метода:

(5.39)
где Аb - отношение покупателей к марке товара;
Wi - показатель важности i-го качества/свойства товара;
Ii - идеальное значение i-го качества/свойства товара;
Хi - мнение о фактической величине i-го качества/свойства товара;
n - число i-х качеств/свойств товара.
Покупателей в ходе опроса просят указать на соответствующей шкале, каким образом, по их мнению, следует разместить данную марку товара. Там же должна быть помещена идеальная марка.
Чем ближе показатели изучаемой марки к идеальной, тем благоприятнее отношение к ней потребителей.
Пример. Проведем опрос покупателей по маркам телевизоров. Для этого нужно указать такие важные характеристики, как:
цвет и четкость изображения;
дизайн корпуса;
громкость и тембр звука;
энергоемкость (затраты энергии в единицу времени);
цена.
В опросных листах для каждого показателя имеется своя шкала следующего вида ( 5.11).

Качества товара различаются по важности. Имеются жизненно важные свойства, на которые особенно обращается внимание покупателя, а также второ- и третьестепенные, интерес к которым со стороны потребителя соответственно незначителен. В связи с этим в расчет идеальной точки вводится характеристика важности (по существу это ранг важности, вес каждого качества).
Для этой цели в опрос вводится шкала, с помощью которой потребители дают знать, насколько важен для них данный показатель качества. Шкала важности строится по пятибалльной схеме, чтобы соответствовать пяти показателям качеств товара ( 5.12).
Таблица 5.19Результаты обследования для модели идеальная точка
|
Показатели качеств товара
|
Важность
(Wi) |
Идеальная
точка (Ii) |
Убеждения (Ii) |
|
марка А |
марка Б |
ЦВЕТ:
яркий (1) - тусклый (7) |
6 |
2 |
2 |
4 |
ДИЗАЙН:
современный (1) -
старомодный (7) |
4 |
1 |
2 |
5 |
ЗВУК:
хороший (1) - плохой (7) |
5 |
2 |
2 |
3 |
ЭНЕРГОЕМКОСТЬ:
высокая (1) - низкая (7) |
3 |
3 |
4 |
6 |
ЦЕНА:
высокая (1) - низкая (7) |
6 |
3 |
4 |
5 |
Из расчета видно, что предпочтения покупателей отданы марке А.
Диагностика поведения покупателей с помощью многофакторных моделей позволяет раскрыть глубинные мотивы действий покупателей, учесть их пожелания и сдвиги в мнениях и предпочтениях.
В определении намерений потребителей используется индекс уверенности покупателей в возможности совершить покупку. Он базируется на изучении покупательских настроений и уверенности покупателей в стабильности/нестабильности экономики. Такие расчеты, например, ежеквартально проводятся в странах Европейского сообщества (ЕС). Периодически оценки покупательских намерений проводятся и в России.
Ряд зарубежных фирм регулярно организует опросы покупателей, в ходе которых выявляется вероятность совершения той или иной покупки, особенно нового товара. Познакомимся с примером вопросника, приведенного в известной книге Ж.-Ж.Ламбена Стратегический маркетинг62.
Таблица приведена с небольшим изменением, конкретный товар - автомобиль заменен на товар вообще (табл. 5.20):
Таблица 5.20Вопросник о намерении совершить покупку (баллы)
|
Собираетесь ли Вы приобрести данный товар в течение ближайших шести месяцев? |
|
Ни в коем случае |
Маловероятно |
Небольшая вероятность |
Большая вероятность |
Весьма вероятно |
Уверен |
|
(0) |
(0,20) |
(0,40) |
(0,60) |
(0,80) |
(1,00) |
На основе данных подобного обследования можно строить прогнозы покупок, делать расчеты емкости рынка. Представим себе, что в ходе обследования 15% респондентов заявили, что ни при каких условиях товар не купят, 30% сказали, что вероятность покупки небольшая, у 25% респондентов, по их словам, неплохая вероятность покупки, у 15% - большая вероятность, 10% сообщили, что вероятность покупки весьма высокая и, наконец, 5% уверенно заявили, что обязательно купят товар. Проиллюстрируем полученные результаты гистограммой ( 5.13):

5.13. Распределение покупателей по вероятности покупки товара X
В первой группе товар не купит никто, во второй группе - 5% (25% 0,2), в третьей - 12% (30% 0,4), в четвертой - 9% (15% 0,6), в пятой - 8% (10% 0,8), в шестой все 5% потребителей приобретут товар, а всего 39%. Если предположить, что предельная ошибка выборки составляет 1% от общей численности потребителей, то по данным опроса можно определить, что от 38 до 40% покупателей собираются купить товар X.
КОНТРОЛЬНЫЕ ВОПРОСЫ
1. В каких формах проявляется поведение покупателей на рынке товаров?
2. Каковы цели стратегического анализа поведения, мнений и предпочтений покупателей?
3. Известны ли Вам методики выявления отношения покупателей к товару? Перечислите и охарактеризуйте их.
4. Какие категории покупателей исходят, принимая решение о покупке, из качества товара, а какие - из его цены?
5. Какие методы маркетингового исследования применяются при анализе выбора предпочтений покупателями товаров?
ТЕСТЫ
1. Можно ли построить поведенческую модель, если известно, что на вопрос анкеты 540 респондентов ответили, что уже покупали предлагаемый товар, из них 260 сообщили, что совершат вторую покупку, так как товар их устраивает по всем параметрам, а 180 - что купили бы, если снизить цену на треть; 120 человек заявили, что они приобретают товар только другой, определенной, марки; 40 человек еще не приняли решения.
Определите структуру покупателей по признаку мотива покупки и примите решение, которое привлекло бы значительную часть покупателей.
2. Фирма исследовала отношение потребителей к марке товара, выпускаемого конкретной фирмой:
10% из совокупности покупателей высказались критически о качестве товара, 60% не понравилась упаковка, 12% считают, что цена завышена, и 18% требуют улучшить сервис.
Как, по Вашему мнению, должна прореагировать фирма?
а) продолжать выпуск товара, снизив цену;
б) полностью заменить упаковку;
в) поднять уровень сервиса;
г) другие меры______________________________________.
(укажите какие)
3. Что такое прибыльность покупателя?
а) отношение дохода, полученного от продажи товаров в расчете на одного покупателя, к средним затратам, связанным с обслуживанием покупателей и реализацией товаров;
б) расходы покупателей на покупку товаров в расчете на 1 м2 торговой площади;
в) размер товарооборота на душу населения.
4. Кого из покупателей можно отнести к приверженцам определенной марки товара?
а) лиц, которые покупают только товары определенной марки;
б) покупателей, первыми покупающих новый товар;
в) покупателей, совершающих вторую покупку.
5. Каких покупателей можно отнести к категории экономный покупатель?
а) приобретающих товар в небольшом количестве;
б) откладывающих покупку, чтобы накопить денег;
в) ориентирующихся на дешевые товары.
Оценка собственного потенциала фирмыи ее конкурентоспособности
Стоит напомнить, что условием разработки стратегии маркетинга является оценка и анализ собственных возможностей фирмы, ее конкурентоспособности и производственно-сбытового или торгового потенциала. Фирма должна иметь возможность противостоять конкуренции со стороны других предприятий, т.е. быть конкурентоспособной.
Без этого не может быть понятным, в состоянии ли фирма выполнить те задачи, которые вытекают из глобальных стратегических целей. Объективность и сопоставление с возможностями конкурирующей фирмы - непременное условие анализа собственного потенциала.
Если некритически подойти к оценке своих возможностей, завысив их, то на рынке можно неожиданно столкнуться с более сильным противником и не быть подготовленным к активной оборонной стратегии. Такая ошибка, переоценка собственных сил и недооценка противника, может очень дорого обойтись предприятию.
Потенциал фирмы - комплекс ее возможностей и достижений, обеспечивающих конкурентное преимущество на рынке и достижение поставленных стратегических целей.
Потенциал фирмы складывается из следующих элементов:
доли, занимаемой фирмой на рынке;
производственных и торгово-сбытовых мощностей;
товарных ресурсов, качества и конкурентоспособности товара;
инновационной деятельности и инвестиционного потенциала, времени проектирования нового товара и окупаемости инвестиций;
научно-технического потенциала (ноу-хау), состояния НИОКР;
финансово-кредитных ресурсов;
трудового потенциала и эффективности труда;
средней длительности жизненного цикла товаров фирмы;
товарооборота и его ассортимента за определенный период;
прибыли и рентабельности за определенный период;
уровня сервиса;
наличия известных дистрибьюторов;
имиджа, марки или репутации фирмы.
Элементы, составляющие потенциал фирмы, представлены в виде следующей схемы ( 5.14).
|
Производственный или торгово-сбытовой потенциал |
Финансово-кредитный потенциал |
Имидж фирмы |
|
Товарные ресурсы и качество товаров |
Научно-технический потенциал (ноу-хау) |
Инвестиционный потенциал |
|
Трудовые ресурсы |
Управленческий и информационно-аналитический потенциал |
Бенч-маркинг |
5.14. Блок элементов потенциала фирмы
Первый элемент блока характеризуется производственной мощностью предприятия (объемом продукции, производимой за единицу времени), или объемом товаров, продаваемых торговым предприятием за единицу времени, или объемом услуг, оказываемых предприятием услуг при данном состоянии собственной или арендованной производственной/торговой инфраструктуры. При этом надо указывать степень использования/загрузки производственных мощностей. Учитывается наличие портфеля заказов, наполненность которого определяет загрузку производственных мощностей на ближайший и отдаленные периоды.
В торговле использование мощностей характеризуется показателем товарооборота на 1 м2 торгового зала в сопоставлении с нормативами.
Второй элемент потенциала - это капитал предприятия, его состав (доля собственного и заемного капитала), кредитные возможности, ликвидность и скорость оборота капитала, и в первую очередь оборотных средств.
Оборачиваемость оборотного капитала характеризуется числом полных оборотов за определенный период или временем, которое оборотные средства находятся на предприятии торговли. Исчисляется она как отношение товарооборота предприятия за данный период к среднему остатку оборотных средств или как отношение среднего размера оборотных средств к однодневному товарообороту.
Некоторая часть капитала кредитуется банками или другими кредитными учреждениями. Основная часть заемного капитала, как правило, образуется из нереализованных остатков товаров, материалов, сырья и других ликвидов (акций, иных ценных бумаг, золота, депозитов и т.п.). Степень легкости реализации активов (т.е. превращения их в наличные деньги), их мобильность, способность предприятия оплачивать в срок кредитно-финансовые обязательства называются ликвидностью, уровень которой определяется как отношение суммы активов к текущим краткосрочным обязательствам:

, (5.40)
где Кликв - коэффициент ликвидности;
Атек - текущие активы;
КО - краткосрочные обязательства.
В том случае, когда Кликв О, фирма относится к категории ликвидных. Если же Кликв 1, то предприятие некредитоспособно и считается рискованным объектом кредитования.
Превышение кредиторской задолженности более чем в 2 раза над дебиторской говорит о том, что предприятие находится в критическом финансовом положении. Отношение общей суммы финансовых обязательств (ФО) к общей стоимости имущества предприятия (ИП) служит своеобразным барометром банкротства:
Оценки и анализ цикличности и сезонности рынка
В зависимости от знаков параметров определяется вектор развития (рост, спад, ускорение, замедление). Поэтому возможно применение данной модели в широком диапазоне примеров.
Не следует забывать, что криволинейную тенденцию часто хорошо аппроксимирует парабола более высокого, чем второй, порядка:

Параболический рост, а затем спад отражены на 4.6

4.6. Модель тенденции развития рынка по параболе 2-го порядка
3. Экспонента
В тех случаях, когда прирост зависит от величины основания функции, обычно используют сглаживание по экспоненциальной кривой (экспоненте). Она обычно отражает нарастание приростов. Ее формула:
УЮt = аеbt, а в линеаризированном виде: lg yt = lg a + bt (4.28; 4.29)
Моделирование тренда по экспоненте в графической форме представлено на 4.7.

4.7. Трендовая модель тенденции развития рынка по экспоненте
4. Степенная и показательная функции
На практике чаще встречаются тенденции, которые можно отразить уравнениями степенной и показательной функций:

(4.30, 4.31)
(уравнения могут быть представлены в линейном виде):

(4.32, 4.33)
В частности, показательная функция используется для сглаживания, когда цепные темпы роста динамического ряда более или менее постоянны.
Модель тренда по показательной функции в графической форме отражена на 4.8.

4.8. Трендовая модель тенденции развития рынка по
показательной функции
5. Логарифмическая (полулогарифмическая) функция
Если равномерный или даже ускоренный рост параметров рынка сменяется замедлением или затуханием развития, то такую тенденцию достаточно надежно отражает логарифмическая функция типа

(.34)
В графической форме подобная трендовая модель показана на 4.9.

4.9. Трендовая модель тенденции развития рынка по логарифмической функции
6. Гипербола
Тенденция к сокращению параметров рынка (спад) отражается каждой из рассмотренных функций в зависимости от характера изменения. При этом меняются знаки в уравнениях - с плюса на минус. Однако моделирование процесса сжатия рынка, если происходит спад с нарастающим замедлением к концу периода, хорошо отражается функцией гиперболы:

(4.35)
Графическая форма модели тренда показана на 4.10.
Трендовые модели используются также для краткосрочных прогнозов, когда есть вероятность инерционного развития рынка. Исходят из того, что сложившиеся в прошлом тенденции при соответствующих условиях можно распространить (экстраполировать) на прогнозируемый период.
В формулу уравнения подставляется номер последующего периода (прогнозируемого: / + 1 и т.д.). Для долгосрочного периода, когда существенно меняются рыночные условия и окружающая среда, этот метод мало подходит.
Несколько позже мы рассмотрим проблему составления прогноза.

4.10. Трендовая модель тенденции развития рынка по гиперболе
Пример. Оценка тенденции равномерного развития рынка. Данные об изменении цены товара X приведены в табл.
4.17.
Несмотря на значительные колебания цены в отдельные месяцы, в целом за все изучаемое время она выросла в 3 раза. В среднем за месяц она увеличивалась на 10,6% (за базу принят 1-й месяц). Расчет среднего темпа роста ведется по следующей формуле40:

(4.36)
где ТЮ - средний за все периоды темп роста (чаще его называют среднегодовым темпом), в нашем примере исчислен корень 11-й степени.
Таблица 4.17Динамика цены товара X
|
Месяцы, t |
Цена товара, X, yi |
Произведение, yt |
Темпы роста, % |
|
базисные |
цепные |
|
1 |
20 |
20 |
100 |
- |
|
2 |
8 |
16 |
40 |
40 |
|
3 |
30 |
90 |
150 |
375 |
|
4 |
12 |
48 |
60 |
40 |
|
5 |
40 |
200 |
200 |
333 |
|
6 |
22 |
132 |
110 |
55 |
|
7 |
48 |
336 |
240 |
218 |
|
8 |
31 |
248 |
155 |
65 |
|
9 |
58 |
522 |
290 |
187 |
|
10 |
50 |
500 |
250 |
. 86 |
|
11 |
70 |
770 |
350 |
140 |
|
12 |
61 |
732 |
305 |
87 |
|
I |
450 |
3614 |
- |
- |
Расчет также может быть выполнен по формуле:

(4.36а)
где Тn- темп роста за весь период:

(4.36б)
где уn и у0 - соответственно уровни динамического ряда за последний
и начальный (базисный) периоды;
n - число периодов (дат, уровней), не считая базисного.
Средний абсолютный прирост цены за весь период равен

Однако, эта формула игнорирует все уровни ряда, за исключением начального и конечного. Используем одну из моделей тренда, наилучшим образом аппроксимирующую эмпирические значения уровней динамического ряда. В данном случае нет основания считать, что товарооборот растет с ускорением. Поэтому мы выбираем для отражения основной тенденции линейную модель тренда.
Результат ее расчета на ПЭВМ был приведен на 4.11, где показаны эмпирические данные и их трендовая линия, выражающая общую тенденцию развития.

4.11. Тенденция роста цены
Данные, приведенные в таблице, указывают на отсутствие ускорения или замедления роста цены. Поэтому мы вправе воспользоваться линейной функцией для выявления основной тенденции развития. Расчет на ЭВМ позволил построить следующую модель:
yЮt = 6,18 + 4,82/ (руб./кг) .
Это означает, что средний прирост цены за период с учетом всех колебаний составлял 4,8 руб./кг.
К этому же результату мы придем, если выполним расчет вручную, не используя компьютер, а опираясь на формулы 4.20- 4.22. В этом случае суммы номеров месяцев и их квадратов составят:

Система нормальных уравнений будет выглядеть следующим образом:

Решив ее, получим, что b = 4,82, а = 6,18, т.е. параметры модели те же, что и вычисленные ЭВМ.
Стихийность рынка, действие случайных, непредсказуемых факторов проявляется в колебаниях его параметров, в их отклонениях от линии нормального развития. Рыночные колебания имеют два вектора: динамический (колебания во времени) и пространственный (колебания по предприятиям, по территории). В первом случае наблюдаются рассмотренные ранее отклонения от основной тенденции развития, во втором - от среднего уровня состояния рынка. Чем меньше размах колебаний, т.е. чем устойчивее рынок и его развитие, тем надежнее его оценки и прогнозы, тем ниже риск маркетинговых мероприятий.
Характеристика устойчивости развития рынка является важным этапом конъюнктурного анализа.
Как выявить колебания основных параметров рынка, каким образом измерить их интенсивность и тем самым определить степень устойчивости рынка? Техническая (графическая) характеристика способна визуально обратить наше внимание на неравномерное или, наоборот, на равномерное развитие рынка.
В первом случае график покажет ломаную линию динамики, а во втором - линию, близкую к прямой. Рисунок отразит и размах колебаний.
Однако это неформальная оценка, не позволяющая смоделировать процесс, выразить его количественно, сравнить с базисным периодом или с другим рынком.
Напомним, что линия тренда как бы осредняет колебания, равно удалена (в идеале) от точек, характеризующих эмпирические уровни динамического ряда. Это дает возможность использовать трендовую модель в целях измерения устойчивости развития рынка во времени.
Определяется средний размер отклонений от тенденции развития, выраженной линией тренда.
В процессе анализа динамической устойчивости рынка нельзя использовать обычный коэффициент вариации, поскольку, чем выше скорость развития и больше угол возвышения тренда, тем больше будет отклонение от средней и соответственно больше коэффициент вариации, даже при полной равномерности развития. Посмотрите следующие два графика, которые иллюстрируют данное положение и доказывают неприемлемость определения отклонения от среднего уровня при оценке динамической устойчивости развития рынка ( 4.12):

А. Высокие темпы роста Б. Низкие темпы роста
4.12. Отклонение тренда от среднего уровня
И в том и в другом случае развитие было равномерным: оно выражено прямой линией. Однако в первом случае (А) темпы роста были высокими, соответственно отклонение от средней оказывается большим.
Во втором случае (Б) темпы были невысокими, соответственно отклонение от среднего уровня незначительно.
Устойчивость (или как ее антипод - колеблемость) развития рынка во времени проявляется в характере отклонений фактических уровней развития от основной тенденции, т.е. от тренда. Это позволяет измерять устойчивость развития рынка известным в анализе динамики показателем - коэффициентом аппроксимации. Исчисляется среднеквадратическое отклонение эмпирических уровней от тренда (yi-yt):

(4.37)
где yi-yt - среднеквадратическое отклонение эмпирических уровней динамического
ряда от тренда;
уi - i-й уровень динамического ряда;
уt - сглаженный i-й уровень динамического ряда (тренд);
n - число i-х уровней динамического ряда.
Все же нельзя забывать, что среднеквадратическое отклонение выражено в именованных числах, и его результат зависит от размерности уровней динамического ряда. Поэтому следует выразить его в процентах к среднему уровню. Такой показатель называется коэффициентом аппроксимации (от лат. арргохтаге -приближаться):

(4.38)
Именно этот показатель, варьирующий в диапазоне между 100% и 0, отражает степень устойчивости развития рынка.
Продолжим пример. Данные о динамике продажи товара за 6 месяцев из табл.
4.17 перенесены в табл. 4.18. В нее же включены данные, полученные после подстановки в уравнение тренда значений времени (t):

По отклонениям от тренда была исчислена остаточная дисперсия, а затем среднеквадратическое отклонение эмпирических данных от тренда. Для того чтобы стандартизовать эту величину, было исчислено ее процентное отношение к среднему уровню ряда (коэффициент аппроксимации).
Он составил почти 26%. Это означает, что рынок развивался неустойчиво, в своем развитии цены колебались в значительной степени.
Однако чаще развитие рынка приобретает нелинейный характер. Рассмотрим пример, когда динамика товарооборота аппроксимирована уравнением параболы 2-го порядка ( 4.13):

4.13. Устойчивость нелинейного развития рынка
Диаграмма показывает, что развитие рынка происходило недостаточно устойчиво. Расчет коэффициента аппроксимации подтвердил этот вывод.
Его значение составило 42,3%.
Как видно, анализ тенденций и колеблемости рынка - это достаточно трудоемкий процесс, требующий сбора соответствующей информации, построения динамических рядов, статистических расчетов (как правило, с использованием электронно-вычислительной техники). Для оперативных целей наряду с графическим (техническим) методом характеристики тенденций и устойчивости рынка и методами механического сглаживания, также не требующими сложных расчетов, рекомендуется использовать уже упоминавшийся специфический конъюнктурный метод тестирования.
В практике конъюнктурного анализа получили большое распространение тенденциальные опросы, являющиеся по существу вариантом экспертного исследования (см. 2.4).
Именно на их основе разрабатываются конъюнктурные тесты, которые представляют собой средние арифметические из трех возможных оценок сложившейся тенденции развития рынка: рост (подъем), стабильность, понижение (спад), каждой из которых присваивается соответствующий балл. В результате дается обобщающая оценка тенденций развития рынка.
Конечно, любые качественные характеристики рынка носят отпечаток субъективности, но в них можно включать и объективные показатели: темп роста товарооборота (Т), уровень устойчивости (Ка), степень деловой активности. На 4.14. показаны варианты оценки состояния рынка и перехода из одной ситуации в другую.
Не менее важна характеристика колеблемости рынка в статике, в территориально-экономическом пространстве, например вариация цен по предприятиям, выступающим со своими товарами на рынке. Сильные колебания, в частности, могут указывать на проявления ценовой конкуренции или на неустойчивость рыночной ситуации, часто обусловленную дифференциацией спроса.
Так, в пределах одного и того же города наиболее высокие цены обычно отмечаются в центре; в спальных районах цены, как правило, ниже; самые низкие цены складываются в производственных зонах (табл. 4.19).
4.14. Варианты оценки рыночной ситуации
Таблица 4.19Группировка предприятий по уровню цен на товар
Группы
с уровнем цен |
В них предприятий |
|
единиц |
% к итогу |
|
Низким |
22 |
5 |
|
Средним |
387 |
86 |
|
Высоким |
41 |
9 |
|
Итого |
450 |
100 |
В зависимости от распределения предприятий дается оценка степени различий рыночных параметров: чем больше доля средней группы, тем устойчивее рынок. Например, низкие цены были отмечены всего на 5% предприятий, высокие - на 9%, а на остальных предприятиях цены были на среднем уровне.
Проиллюстрируем пример диаграммой ( 4.15).

4.15. Структура торговых предприятий по уровню цен на товар
Секторная диаграмма наглядно показала, что по параметру цен рынок находится в устойчивом состоянии. Другое дело, если каждая группа занимает в совокупности значительное место.
Например, низкий уровень цен отмечался на 20% предприятий, средний - на 32% и высокий - на 48%.
Если в первом случае всего на 14% предприятий цены отклонялись от среднего уровня, то во втором примере средняя по ценам группа предприятий уже не преобладает над другими, которые занимают значительное место в совокупности. Это указывает на существенную неравномерность в состоянии рынка (по данному параметру).
Существует еще одна возможность наглядной характеристики колеблемости параметров рынка в экономическом пространстве на определенную дату, т.е. в статике: отложить на графике фактические значения параметров и изобразить линию, характеризующую средний уровень. Рассмотрим соответствующий пример ( 4.16).

4.16. Вариация цен по магазинам
Формализованные оценки колеблемости показателей рынка в статике, в частности в географическом или экономическом пространстве (или по регионам, или по конкурирующим фирмам, или по собственным предприятиям - торговым единицам и т.п.), осуществляются с помощью следующей формулы:

(4.39)
где V - коэффициент вариации (стандартизованный в процентах к среднему уровню
по территории или по предприятиям);
- среднеквадратическое отклонение, исчисляемое по формуле

(4.40)
где n - число i-х единиц (предприятий, регионов);
Fi - вес, характеризующий размер i-й единицы (товарооборот, численность
населения и т.п.);
yi - параметр рынка i-го предприятия (или региона);
y - среднее значение параметра (средний уровень), исчисляемое по формуле
средней арифметической взвешенной:

(4.41)
В тех случаях, когда взвешивание невозможно осуществить или когда структура более или менее однородна, допустимо прибегать к косвенным характеристикам (например, использовать показатели размерности, в регионах - численность населения, на предприятиях -торговую площадь, число работающих и т.п.) или в крайнем случае использовать невзвешенные средние.
Приведем в качестве примера таблицу, на основе данных которой была построена диаграмма вариации цен по предприятиям (табл. 4.20, цифры условные).
Таблица 4.20Данные о ценах на 1 апреля 1999 г. и о товарообороте за апрельпо 10 магазинам
п/п |
Цена
товара X,
руб./ед. - y |
Продано,
тыс. ед.
F |
Произведение,
yF |
(уi y)2
|
|
А |
1 |
2 |
3 |
4 |
|
1 |
8 |
250 |
2000 |
3802,5 |
|
2 |
16 |
520 |
5120 |
13784,2 |
|
3 |
10 |
480 |
4810 |
1732,8 |
|
4 |
7 |
200 |
1400 |
4802,0 |
|
5 |
16 |
500 |
8000 |
1 805,0 |
|
6 |
6 |
180 |
1080 |
6265,8 |
|
7 |
4 |
50 |
200 |
3120,5 |
|
8 |
16 |
600 |
9000 |
5766,0 |
|
9 |
8 |
250 |
1760 |
3346,2 |
|
2 |
- |
3000 |
33 370 |
44425,0 |
Предварительно было рассчитано как отношение итога гр. 3 таблицы на итог гр. 2 среднее по всем магазинам значение варьирующей цены:

(руб./ед.)
Затем исчисляются дисперсия (отношение итога гр. 4 к итогу гр. 2), а из нее - среднеквадратическое отклонение:

(руб./ед.)
В стандартизованном виде вариацию цен отражает коэффициент вариации:

,
а это означает, что имеет место высокая колеблемость цен по предприятиям, выступающим на рынке.
КОНТРОЛЬНЫЕ ВОПРОСЫ
1. В чем заключается цель изучения тенденций развития рынка?
2. Какими показателями можно охарактеризовать устойчивость/неустойчивость развития рынка в динамике и статике (по территории, по предприятиям и т.п.)?
3. Что собой представляет трендовая модель развития рынка?
4. Каковы различия экономической интерпретации прямолинейной и криволинейной трендовых моделей развития рынка?
5. Можно ли охарактеризовать изменение товарооборота фирмы, исключив влияние динамики цен?
ТЕСТЫ
1. Основная тенденция развития рынка - это:
а) закономерность изменения его параметров во времени;
б) развитие товарооборота в соответствии с ранее намеченным планом;
в) динамика товарооборота, цен и товарных запасов.
2. Индекс физического объема товарооборота может быть использован в конъюнктурном анализе:
а) для измерения скорости продажи объема многоструктурной товарной массы;
б) для оценки сбалансированности рынка;
в) для оценки устойчивости рынка.
3. Техническое сглаживание уровней динамического ряда является:
а) сглаживанием эмпирических данных с помощью специальной техники;
б) оценка тенденции развития на глазок без использования эмпирических данных;
в) проведение трендовой линии визуально, таким образом, чтобы она была равноудалена от всех точек эмпирических данных.
4. Какая модель тренда отражает сокращение продажи с постепенным замедлением падения:
а) уравнения прямой линии;
б) уравнения степенной кривой;
в) гиперболы.
5. Экстраполяция - это:
а) логический вывод о дальнейшем развитии параметров
рынка;
б) балансовый способ определения неизвестных данных;
в) подстановка в уравнение тренда номера следующего периода/даты.
Оценки и анализ цикличности и сезонностирынка
Для динамического развития рынка характерно явление цикличности, т.е. повторяемости тенденций и интенсивности развития. Это явление обусловлено как внешними факторами, так и глубинными внутренними свойствами рынка.
Различаются внутригодовая, сезонная цикличность, или сезонность, и экономическая цикличность, охватывающая несколько лет и отражающая закономерности действия рыночного механизма. Строго говоря, анализ и прогноз цикличности, особенно длительных циклов, относятся к стратегическому анализу.
Однако оперативные, конъюнктурного типа характеристики неразрывно связаны с пребыванием рынка в определенной точке экономического цикла.
Малая, или внутригодовая, цикличность обычно носит сезонный характер, более или менее совпадая с климатическими изменениями. Сезонные колебания рынка обусловлены сезонностью сельскохозяйственного производства, сезонно-климатическими изменениями потребностей, вакационными сезонами и т.п.
Сезонность - явление сложное и по своим последствиям противоречивое. Появление на рынке продуктов питания, овощей и фруктов нового урожая обусловливает пик сезонных колебаний продажи и цен (с противоположными векторами изменений) в осенне-летний период. Ему соответствует и сезонный подъем спроса. Однако современные сельскохозяйственные и складские технологии позволяют выращивать и хранить овощи и фрукты в течение всего года.
Это несколько сглаживает сезонные колебания (естественно, цена таких продуктов значительно выше, чем в период массового урожая). Сглаживает размах сезонности еще и импортная политика, в частности завоз в зимние месяцы из стран с благоприятным климатом овощей и фруктов.
Таким образом, в значительной мере сезонность - проявление действия рыночного механизма, сбалансированности спроса и предложения.
Сезонные изменения спроса и предложения охватывают далеко не все товары, но для многих из них характерен значительный размах сезонных колебаний. Следует иметь в виду, что сезонность различных товаров (и сельскохозяйственного, и промышленного происхождения) имеет свои особенности.
Это создает ряд организационно-технологических и экономических проблем: образования сезонных товарных запасов, неравномерности нагрузки на работников торговли и торговое оборудование, простои транспортных средств и т.д. Повторяемость таких колебаний проиллюстрирована графиком ( 4.17):

4.17. Сезонные колебания
В целях упрощения мы использовали не месячные, а менее точные квартальные данные и допустили примерно одинаковый размах колебаний. Как видно, спады чередуются с подъемами, и этот процесс происходит каждый год.
Для выявления и отображения сезонных колебаний используются различные приемы. Прежде всего необходимо (по возможности) исключить случайные колебания.
Чаще всего в этих целях используют среднемесячные или среднеквартальные данные за несколько лет, обычно за 3-5 лет. Приведем формулу, где показан средний месячный уровень (i-го месяца) за три года:

(4.42)
где уi1, уi2, уi3 - месячные уровни (например, майские) за три года (например
за 1997,1998, 1999 гг.)
Простейшим способом выявления сезонных колебаний служит расчет индекса сезонности (г^), отношение каждого уровня (месячного или квартального) к соответствующей средней величине, исчисленной за год, или за несколько лет:

(4.43)
где у - средний уровень, исчисленный за п периодов (месяцев, кварталов)
всех включенных в расчет лет;
yi - уровень i-го периода;
n - число i-х периодов.
В табл. 4.21 приведен пример расчета индекса сезонности по квартальным данным за три года.
Таблица 4.21Индексы сезонности продажи товара Z
|
Кварталы
|
Годы |
Сумма за три
года |
Средне-квартальная |
Индекс сезонности,
% |
1-й |
2-й |
3-й |
|
| |
152 |
158 |
160 |
470 |
157 |
139 |
|
|| |
126 |
180 |
136 |
392 |
131 |
116 |
|
111 |
46 |
52 |
60 |
158 |
53 |
47 |
|
IV |
105 |
108 |
120 |
333 |
111 |
98 |
|
|
429 |
448 |
476 |
1353 |
|
- |
По сумме квартальных данных за три года исчислена среднемесячная продажа, которая послужила базой расчета индексов сезонности (с небольшими округлениями):

Отобразим индексы сезонности на графике ( 4.18).

4.18. Индексы сезонности
Индексы сезонности показывают фактические колебания параметров рынка, соответствующие определенным сезонам, но они не полностью исключают влияние случайных и второстепенных факторов. Для того чтобы выявить закономерности сезонности, тенденции сезонной волны, необходимо сгладить эмпирические данные, ввести сезонную линию тренда.
Наиболее простым способом выявления сезонной линии тренда служит механическое выравнивание динамического ряда, или, как его еще называют, метод скользящей средней. Его суть заключена в расчете средней величины из трех (пяти и более) уровней ряда, образованных последовательным исключением начального члена ряда и замещения его следующим по порядку:

где уI, уII ... - уровни динамического ряда, сглаженные по трехмесячной скользящей
средней;
y1, у2... - эмпирические уровни динамического ряда (месячные).
Рассмотрим пример расчета скользящей средней для моделирования сезонности продажи товара (табл. 4.22).
Таблица 4.22Расчет трехмесячной скользящей средней
|
Месяц |
Продажа, yi |
yi за три месяца |
Скользящая средняя |
Месяц |
Продажа, yi |
yi
за три месяца |
Скользящая средняя |
|
1 |
19 |
_ |
_ |
7 |
20 |
60 |
20,0 |
|
2 |
17 |
52 |
17,3 |
8 |
25 |
77 |
25,7 |
|
3 |
16 |
45 |
15,0 |
9 |
32 |
78 |
26,0 |
|
4 |
12 |
35 |
11,7 |
10 |
21 |
73 |
24,3 |
|
5 |
7 |
34 |
11,3 |
11 |
20 |
59 |
19,7 |
|
6 |
15 |
42 |
14,0 |
12 |
18 |
- |
- |
Расчет трехмесячной скользящей средней в какой-то мере сглаживают острые пики и провалы сезонных колебаний, и, следовательно, они отражают закономерности сезонности. Это подтверждает и график на 4.19.

4.19. Механическое сглаживание сезонных колебаний продажи товара
Пятимесячная скользящая средняя более точно отразила бы сезонные тенденции, но она еще больше бы сузила охват уровней динамического ряда: вместо двух - начального и последнего - вне поля зрения остались бы четыре уровня (треть годового динамического ряда).
Хотя скользящая средняя в роли сезонной волны достаточно доступна в силу простоты расчета, она не может решить все проблемы моделирования сезонности. Иногда целесообразно использовать более сложные методы моделирования, в частности аналитическое выравнивание, или уравнение (модель) тренда.
Не всякая функция может быть положена в основу трендовой модели сезонности. Нужна гибкая кривая, повторяющая сезонные колебания, но исключающая случайные колебания.
Таким требованиям, например, отвечает полином л-й степени. Перебор функций позволил остановиться на полиноме 3-й степени:

На следующем графике (см. 4.20) показано, как полином аппроксимирует сезонную волну.
Для моделирования повторяемости сезонных волн более целесообразно использовать формулу гармоники Фурье:

(4.45)
где t - номер гармоники Фурье;
a0, ak, bt - параметры, определяемые методом наименьших квадратов;
k - число гармоник, равное 1,2 и т.д.
4.20. Модель сезонности
В качестве примера приведем графическую модель сезонной волны, построенную по гармонике Фурье по месячным данным за два года. Общая тенденция продажи к сокращению ее объема отражена линией тренда уравнения прямой ( 4.21).

4.21. Моделирование сезонности по гармонике Фурье
Интенсивность сезонных колебаний измеряется с помощью коэффициентов вариации. Иногда при этом приходится исключать тренд (способом, аналогичным расчету коэффициента аппроксимации), т.е. относить уровни сезонного ряда не к средней величине, а к выровненным уровням тренда.
Цикличность рынка - неотъемлемый компонент рыночного механизма. Экономика никогда не находится в состоянии покоя, - пишет создатель теории Экономикс Питер Самуэльсон. Экономический цикл - общая черта почти для всех областей экономической жизни и для всех капиталистических стран41. Опыт рыночной экономики учит, что в своем развитии рынок проходит ряд циклов, сменяющих друг друга по принципу: подъем -спад - подъем и т.д.
Подъем рынка приводит к его перенасыщению, кризису сбыта, его сменяет депрессия, деловой застой, который постепенно переходит в оживление деловой активности. Эта смена циклов повторяется многократно.
В российских условиях, когда переход к рыночной экономике начал осуществляться сравнительно недавно, трудно определить последовательность циклов. Большинство экономистов отмечают кризисные явления, присущие отечественному товарному рынку. Многие проявления состояния и развития рынка противоречивы.
Последовательность и продолжительность циклов различных рынков не обязательно совпадают, на них оказывают сильное влияние социально-экономические условия, а также политическая ситуация. Надо принимать во внимание, что вообще циклы редко проявляются в чистом виде, во всей полноте и последовательности.
Проблема классификации рыночных циклов относится к числу остро дискуссионных. Взгляды различных научных школ сильно различаются. Широко известна классификация Гарвардской экономической школы (мы приводим только признаки классификации товарного рынка, хотя на практике цикличность всех рынков теснейшим образом связана):
депрессия: активность товарного рынка ослабевает, цены имеют тенденцию к снижению;
оживление: в товарном производстве и торговле начинается рост;
подъем: темпы деловой активности на товарном рынке повышаются, цены продолжают расти;
инфляция: рост производства и торговли приостанавливается, цены на товары замедляют рост;
кризис: промышленная и торговая деятельность замирает, договоры не менее чем на 50% не реализуются, поставка не оплачивается, растут товарные запасы, цены падают.
Известны и другие классификации, в частности:
денежная теория Хоутри, объясняющая циклы экспансией и сжатием банковского кредита;
теория нововведений Хансена, увязывающая циклы с этапами НТП;
психологическая теория Лигу, объясняющая циклы оптимистическим и пессимистическим настроением масс;
теория недопотребления Фостера, из которой следует, что причины цикличности в диспропорции доходов предпринимателей и инвестиций и т.д.
Рассматривая эти и другие теории циклов, П.Самуэльсон делит их на две категории: экстерналъных (внешних) колебаний факторов, лежащих за пределами экономической системы, таких, как войны, социальные и политические потрясения, изменения демографической ситуации, проявления НТР и НТП; интерналъных (внутренних) факторов, связанных с функционированием рынка42.
Широкой известностью пользуется классификация У. Митчела. Ее разделяют П. Самуэльсон и многие другие экономисты. В ней четыре фазы цикла: оживление, подъем, кризис, ликвидация.
Периоды роста, именуемые экспансией, сменяются на высшей точке (вершине) спадом, который Митчел именует сжатием. Вершина цикла обеспечивает процветание нации, но, по мнению Национального бюро экономических исследований, низшая поворотная точка может не означать кризис.
Циклы могут иметь различную продолжительность в зависимости от конкретной экономической обстановки и действия комплекса других факторов. Выделяются длинные волны, измеряемые десятилетиями. Самуэльсон упоминает цикл XIX в. длительностью в полстолетия. Отечественный исследователь Е. Лобанова описывает двадцатилетние циклы, обусловленные сдвигами в воспроизводственной структуре и сменами экономической политики43.
Известны так называемые циклы Джанглера (7-10 лет), проявляющиеся в результате взаимодействия разнообразных денежно-кредитных факторов, и циклы Катчина (3-5 лет), генерируемые динамикой оборачиваемости запасов, а также частные хозяйственные циклы (от 1 до 12 лет), обусловленные колебаниями инвестиционной активности.
Продолжительность каждого цикла локального рынка отдельного товара зависит от общей рыночной ситуации и от конкретных условий. Говоря о товарном рынке в целом, следует иметь в виду, что он унаследовал от советской торговли тенденцию к спаду, усугубленную известными деформациями на раннем этапе формирования рынка. В 1998 г. товарный рынок проявил некоторые признаки стабилизации, однако его тесная зависимость от уровня экономического развития страны привела к тому, что финансовый кризис августа 1998 г. привел товарный рынок к новому, более глубокому спаду.
Некоторые признаки оживления и подъема, наблюдавшиеся в середине 1999 г., носили скорее конъюнктурный, чем стратегический характер.
Методика выявления цикличности рынка включает следующие принципиальные операции: На первом этапе отбираются параметры рынка, проявляющие наибольшие колебания. Строятся их динамические ряды, по возможности - за длительный период. В каждом из них исключается тренд, отражающий единую тенденцию к росту или снижению (так называемое вековое движение), а также сезонные колебания. Остаточные ряды, отражающие только конъюнктурные или чисто случайные колебания, стандартизуются, т.е. приводятся к единому знаменателю, обеспечивающему их сравнимость.
Затем определяется синхронность и взаимосвязь показателей с помощью расчета коэффициентов корреляции. Многомерность связи обеспечивается разбивкой показателей на однородные кластерные группы.
Нанесенные на график кластерные оценки должны показать последовательность (лаг) изменений основных рыночных процессов и их движение по фазам конъюнктурных циклов.
КОНТРОЛЬНЫЕ ВОПРОСЫ
1. В чем суть цикличности рынка?
2. Связана ли цикличность рынка с колебаниями экономики в
целом?
3. В чем причина внутригодичных сезонных колебаний?
4. Зачем изучать цикличные колебания и можно ли влиять на их
силу?
5. Каковы методы выявления и моделирования сезонных колебаний?
ТЕСТЫ
1. Как измерить сезонные колебания?
а) определить число сезонных периодов;
б) исчислить коэффициент вариации;
в) установить экспертным путем.
2. Индекс сезонности отражает:
а) интенсивность сезонных колебаний;
б) отношение фактического уровня к многолетней средней;
в) тенденцию сезонных колебаний.
3. Гармоника Фурье:
а) музыкальный механизм;
б) модель сезонных волн;
в) модель динамических сдвигов.
4. Рыночный цикл:
а) хозяйственный год;
б) колеблемость параметров рынка;
в) повторяющиеся и сменяющие друг друга изменения состояния рынка.
Определение конкурентоспособности фирмы.

(5.41)
Если коэффициент превышает 0,5, то это свидетельство того, что предприятие находится на грани банкротства.
Третий элемент - это моральный капитал, накопленный предприятием, его имидж:. Отношение покупателей и торговых посредников к марке и товарам предприятия, убеждение, сложившееся за годы, что качество товаров фирмы и ее обслуживание всегда на высоте, уверенность в том, что она при любых условиях выполнит свои обязательства в срок и полностью, формируют имидж, который сказывается на цене марки и доброго имени (goodwill) фирмы. Это, во-первых, является частью рекламы, а во-вторых, определяет стоимость контракта при франчайзинге (лицензировании торговой марки, ноу-хау, производственного или торгового процесса)
Четвертый элемент - товар, объем и ассортиментная структура продажи, товарные запасы, качество товара. Это важнейший элемент определения конкурентоспособности фирмы.
Формой оценки возможностей нового товара является характеристика уровня его качества и конкурентоспособности. Чаще других используются квалиметрические балльные оценки отдельных свойств товара. В целях оценки уровня его качества и конкурентоспособности осуществляется тестирование продукта, т.е. исследование и измерение всех его параметров, которое может быть:
лабораторным - для проверки технологического качества товара с использованием соответствующего оборудования;
экспертным - для оценки потребительских свойств товара, не поддающихся непосредственному измерению;
опросным - для выявления соответствия качества товара запросам потребителей.
Тестирование может быть скрытым и явным и проводится в целях сертификации товара.
Государственный сертификат качества является единственным документом, подтверждающим право выпуска товара на рынок. Общественные консьюмеристскйе организации также проводят экспертизу и сертификацию товаров в случаях сомнения в их качестве или появления жалоб со стороны покупателей.
В процессе разработки товара фирма проводит самосертификацию собственного продукта, для того чтобы иметь представление о его конкурентоспособности.
К факторам конкурентоспособности можно отнести:
качество товара и его соответствие спросу;
экологическую чистоту товара;
себестоимость товара и его цену;
дизайн и рекламные мероприятия;
формы продвижения товара и обслуживания потребителей. Качество товара, зависит от набора потребительских параметров, т.е. признаков, характеризующих важнейшие потребительские функции товара и его свойства, удовлетворяющие какие-либо потребности потенциальных покупателей. Различаются два типа параметров качества:
жесткие параметры, которые должны соответствовать государственным стандартам (ГОСТам) по конструктивным и технологическим признакам, а также некоторые потребительские свойства и функции (вес, форма, гарантированное время использования, экологичность и т.п.), также четко определяемые стандартами и нормативами;
мягкие потребительские параметры, которые отражают требования покупателей; к ним относятся эстетические и психологические свойства товара.
Эстетические свойства товара (иногда их называют органо-лептическими) в известной мере субъективны и во многом зависят от уровня потребительской культуры, исторических, национальных, религиозных, возрастных особенностей и условий. К эстетическим параметрам относятся:
дизайн, т.е. оформление, внешний облик продукта, цветовая гамма, красота, изящество, привлекательность, оригинальность и т.п.;
стайлинг, т.е. художественное конструирование, определенный стиль, соответствие моде, вкусам и пристрастиям большинства или какой-то влиятельной группы населения и т.п.;
эргономичность, т.е. практичность и безопасность использования товара, удобство в уходе и хранении.
Психологические факторы отражают социальное и психологическое отношение к товару: его социально-культурный статус, престижность его использования, доступность для других и т.п.
Особое место в системе оценок качества занимают экономические свойства товара. Главное место в них отводится отношению покупателей к цене; сообразна ли она рыночной ситуации и соответствует ли предлагаемым свойствам и качеству товара.
Кто-то из теоретиков маркетинга очень метко заметил, что собственно потребителю продается не товар как таковой, а та польза, которую он сулит. Налицо сложный психологический процесс мысленного сравнения пользы и связанных с ее приобретением затрат (мерой сопоставления являются покупательские возможности), завершающийся либо согласием, либо отказом купить товар.
К экономическим факторам причисляется производительность изделия, его энергоемкость. Это относится как к потребительским товарам, так и к товарам производственного назначения.
Именно на экономический потенциал товара ориентируются определенные группы потребителей при решении о его покупке.
Некоторые из них готовы пожертвовать другими свойствами в пользу экономических факторов, поэтому в маркетинге часто практикуется параллельный выпуск и продажа эталонного товара, один вариант которого имеет полный набор свойств, но дорого стоит, и последующих упрощенных вариантов с меньшим набором свойств и значительно уступающих в цене.
Жесткие параметры поддаются количественному измерению, сведения об их стандартах содержатся в справочниках и т.д. Часть экономических факторов также фиксируется в протоколах производственных испытаний.
Цена зарегистрирована в прайс-листах и бухгалтерских документах. Отношение покупателей к цене и мягким параметрам выявляется путем блиц-тестов и экспертных оценок.
Обычно на рынке имеет место разнообразие товарных/ассортиментных видов. Комплекс товаров одного и того же потребительского назначения, но с разными потребительскими параметрами, например мощностью, производительностью, уровнем потребляемой энергии, внешним оформлением и т.д., образует параметрический ряд. Его размах (число подобных товаров) обусловлен многими причинами и не в последнюю очередь, конкуренцией. Место каждого такого товара в параметрическом ряду характеризуется параметрическим индексом, который представляет собой процентное отношение фактического потребительского параметра к эталонной величине.
За эталон принимаются или лучшие образцы собственного товара, или образцы товара конкурента.
Жесткие параметрические индексы строятся по объективным технико-экономическим показателям, сравниваемым с нормативами и стандартами, а мягкие параметрические индексы базируются на экспертных квалиметрических моделях. Жесткий параметрический индекс (кпЦж)) /-го параметра рассчитывается как отношение

(5.42)
где Пфi.(ж) - величина фактического i-го жесткого параметра;
Пстi(ж) - величина данного i-го жесткого параметра по стандарту (нормативу, проекту).
Иногда этот показатель называют уровнем конформности, т.е. соответствия фактических характеристик параметров ранее заявленным.
Общий индекс жестких параметров (Iп(ж)) рассчитывается как средняя арифметическая из параметрических индексов, взвешенных по рангам важности (Ri(ж)), определяемым экспертным путем:

(5.43)
где n - число i-х жестких параметров.
Такой индекс строится отдельно по технологическим и потребительским жестким параметрам.
Мягкий параметрический индекс имеет следующий вид:

(5.44)
где Вjф(м) - фактический балл, присвоенный экспертами j-му мягкому параметру товара;
Вjэт.(м) - эталонный балл данного мягкого параметра.
Учитывая, что и мягкие параметры товара различаются по степени важности для потребителя, то в целях расчета объективного сводного параметрического индекса каждому частному параметрическому индексу присваивается вес (ранг значимости, определяемый экспертным ранжированием признаков товара по степени их важности - Wi(м)). Сводный индекс мягких параметров (Iп(м)) также исчисляется как средняя арифметическая взвешенная из частных параметрических индексов:

(5.45)
где m число j-х мягких параметров.
По этой же схеме исчисляется индекс экономических факторов, хотя там имеются некоторые особенности, в частности показатели производительности, энергоемкости и т.п. ближе к жестким параметрам.
В число мягких параметрических индексов можно включить и параметрический индекс экономических факторов, хотя в принципе он исчисляется отдельно и лишь потом включается в общий индекс качества/конкурентоспособности (Iкач). Этот индекс строится по формуле простой арифметической средней, так как предполагается, что мягкие, жесткие и экономические параметры одинаково важны для потребителя.
На самом деле это не совсем так: практика показывает, что значительная часть покупателей склонна выбирать товар прежде всего по внешнему виду. В таком случае можно вводить коэффициенты предпочтения, определяемые экспертным путем:

(5.46)
На практике применяются методики построения показателей конкурентоспособности товара, различающиеся в деталях. Один из вариантов - отношение полезного эффекта от реализации товара (Э) к затратам на его создание и использование (3):

(5.47)
т.е. определяется удельный полезный эффект. Если он максимален по сравнению с другими товарами аналогичного потребительского назначения, то этот товар конкурентоспособен.
Однако следует предупредить, что расчет такого показателя по большинству потребительских товаров практически невозможен. Анализ с помощью формулы 5.66 ограничивается преимущественно средствами производства.
Одним из вариантов расчета удельного эффекта является коэффициент привлекательности товара, который рассчитывается по формуле

(5.48)
где В - чистая выручка от продажи товара;
Z - полные затраты на производство и транспортировку товара.
Расчет данного показателя более сложен, когда учитываются все потребительские параметры товара, а также экономические факторы конкурентоспособности. Сначала составляется набор потребительских параметров и перечень экономических факторов.
Экспертным путем (методом полевых испытаний) определяются веса этих параметров, основанные на оценке их значимости для потребителей. Затем формируются наборы технических и эстетических параметров, а также и экономических факторов, по которым рассчитываются частные параметрические индексы.
Следующий этап - расчет сводных параметрических индексов: технических, эстетических и экономических.
В некоторых случаях обобщающую характеристику конкурентоспособности товара дает интегральный индекс (/ ^), построенный как отношение сводного индекса жестких и мягких параметров (/п(ж + м)) к индексу экономических параметров (/п(эк)). Формула такого индекса выглядит следующим образом:

(5.49)
Товар конкурентоспособен, если Iк/с 1.
Пример. Имеются следующие характеристики товара, в частности электронных часов (табл.
5.21).
Таблица 5.21Расчет параметрических индексов
|
Показатели |
Характеристики |
Параметрический индекс, 1с, |
Ранг, К, |
*Л |
|
Жесткие технологические параметры |
|
Материал корпуса |
Синтетика - штамповка, с упрощениями |
0,7 |
1 |
0,7 |
|
Дисплей на жидких кристаллах |
Соответствует ГОСТу |
1,0 |
1 |
1,0 |
|
Электроника |
Соответствует ГОСТу |
1,0 |
2 |
1,8 . |
|
Надежность (время службы) |
Три года (соответствует ГОСТу) |
1,0 |
3 |
3,0 |
|
Дополнительные функции -календарь, будильник |
По ГОСТу |
1,0 |
2 |
2,0 |
|
Срок службы батарейки |
Один год |
0,5 |
1 |
0,5 |
|
Итого |
- |
- |
10 |
9,0 |
|
Жесткие потребительские параметры |
|
Вес |
На 10% больше ГОСТа |
0,7 |
7 |
4,9 |
|
Ремешок |
Матерчатый вместо синтетического по ГОСТу |
0,3 |
3 |
0,9 |
|
Итого |
- |
- |
10 |
5,8 |
|
Мягкие потребительские параметры |
|
Дизайн |
Опрос |
0,8 |
5 |
4,0 ! |
|
Стиль молодежный |
Опрос |
0,7 |
3 |
2,1 1
1 |
|
Эргономичность |
Опрос |
0,9 |
2 |
1,8 |
|
Итого |
- |
- |
10 |
7,9 | |
|
Экономические факторы |
|
Энергоемкость |
Расчет |
0,4 |
2 |
0,8 ! |
|
Цена |
Опрос |
0,8 |
8 |
6,4 ! |
|
Итого |
- |
- |
10 |
7,2 |
Решение. Общий индекс жестких технологических параметров:
Общий индекс жестких и мягких параметров:

Вывод: товар конкурентоспособен.
Параллельно проводилось сравнение с конкурентным товаром по иному принципу: оценка его технологических параметров дала почти одинаковый с нашим товаром результат - 0,91, однако потребительские оценки были ниже: по жестким параметрам - 0,55, по мягким - 0,70. Оценки экономических факторов почти совпали - 0,76.
Общий уровень качества конкурентного товара составил:

т.е. конкурентоспособность нашего товара на 12% выше.
Проблема характеристики конкурентоспособности товара решается также с помощью экспертной оценки перспективности продукта. Выдвигаются следующие критерии перспективности:
потенциал рынка данного товара;
резервы его модификации;
возможности совершенствования его продвижения;
альтернативные виды товара;
полезные свойства товара, привлекающие потребителей, и т.д. Экспертным путем определяется рейтинг (Ri) каждого i-го критерия: от 0 (низкий) до 1 (очень высокий), а также их веса значимости (Wi). Коэффициент перспективности (Кперсп), который в известной мере характеризует и конкурентоспособность товара, определяется по следующей формуле:

(5.50)
где n - число i-х критериев перспективности.
Чем ближе Кперсп к 1, тем выше уровень перспективности и конкурентоспособности товара.
Вариантом рассмотренной модели служат оценки товара потребителями, которые рассматриваются как индикаторы предпочтений последних, а также характеристика важности отдельных свойств товара с точки зрения потребителей. Они выводятся по результатам опроса (анкетирования) покупателей.
Некоторые из них рассматривались в 5.3.
На основе опроса потребителей или экспертов строятся модели восприятия товара: продукт - рынок. Используется метод многомерного шкалирования, суть которого заключается в том, что потребитель определяет место продукта (одной из марок) на шкале, отражающей определенную характеристику.
Впоследствии они статистически обрабатываются (исчисляются средние, модальные величины и т.д.).
.Аналогичным образом можно оценить факторы и критерии положения фирмы (как собственной, так и конкурирующей), определить имидж торговой марки, охарактеризовать конкурентоспособность товаров и т.д.
Менее формализован экспертный метод качественной оценки перспективности продвижения нового товара, для чего разрабатывается набор характеристик (прогнозируемый объем продажи, тип и число конкурентов, технические возможности товара, патентная чистота товара, обеспеченность ресурсами и т.д.). Экспертным путем по каждой позиции устанавливается рейтинг но-
вого товара и товаров-аналогов (очець высокий, высокий, приемлемый, низкий, очень низкий). Тот товар, рейтинг которого по большинству позиций выше, может быть рекомендован к массовому производству и продаже, поскольку имеет хорошие перспективы спроса.
Положение фирмы на рынке и потенциальная возможность завоевания новых в значительной степени зависят от выхода на рынок модернизированных и качественно новых товаров. Однако создание новой версии товара требует предварительных научт ных и конструкторских разработок (НИОКР). Размер затрат на НИОКР, их доля в общей стоимости товара, срок разработки проекта и создания эталонного образца - все это показатели научного потенциала фирмы. К научно-техническому потенциалу следует также отнести наличие и стоимость патентов и ноу-хау.
Перспективной является ситуация, когда предложение создает спрос. Это следует понимать как одну из форм маркетингового воздействия на сферу потребления, когда новый или модернизированный товар вытесняет старый за счет своих ранее неизвестных, привлекательных для потребителя свойств или вообще вызывает к жизни качественно новую потребность.
Данный процесс многообразен и непрерывен, он находится в неразрывной связи с научно-техническим прогрессом. Не менее часто новая потребность вызывает к жизни новое средство ее удовлетворения.
Инновационные процессы - в значительной степени проявление конкуренции и ее логическое последствие. Хорошо известно, что отсутствие конкуренции ведет к научно-технической стагнации, к потере интереса, как у производителей, так и у торговых посредников, к обновлению и совершенствованию товаров. Создание новых и модернизированных товаров часто дает фирме конкурентное преимущество.
Однако инвестиции в их разработку сопряжены с риском.
Выход на рынок нового товара - это событие и для фирмы-изготовителя, и для конкурентов. Его успех благотворно отражается на рыночной позиции и имидже фирмы, он выводит фирму в число лидеров, обеспечивает ей устойчивую прибыль, в то время как неуспех, провал нового товара может оттеснить фирму в ряды рыночных аутсайдеров и принести ей значительные убытки. Принципиально новый товар открывает перед потребителем возможность удовлетворить новую потребность (такой товар в маркетинге называется пионерным). Он поднимает на качественно новую ступень уровень потребления, ведет к повышению уровня жизни, часто расширяет круг потребителей.
Для продавца (и производителя, и торгового посредника) новый товар -потенциальная возможность завоевать лидерство на рынке, захватить сегмент или нишу целиком, вытеснить конкурентов.
Крайне важно ускорить процесс создания, сократить временной разрыв между появлением идеи и промышленным выпуском товара. Это позволяет опередить конкурента и уменьшить срок окупаемости инвестиций. Так, если в Японии в середине 70-х годов цикл внедрения телевизора от ОКР до серийного производства занимал в среднем 3 года, то в начале 90-х годов он сократился до 4,5 месяца.
Правда, при этом значительно увеличились асходы в единицу времени, но это компенсируется более ранним этапом превышения доходов над расходами и получением прибыли за счет ускоренного выхода изделия на рынок63.
Многие фирмы терпят миллионные убытки при провале попытки вывести на рынок новые товары. По словам Ф.Котлера, на этапе запуска в производство терпит неудачу около 75% новинок64. Но чем обоснованнее товарная политика, чем лучше она использует информационно-аналитические и прогнозные возможности маркетингового исследования, тем выше шансы на успех. Многие зарубежные предприятия выдвигают жесткие критерии отбора новых идей.
Например, товар можно вывести на рынок за ограниченное число лет. Его рыночный потенциал (будущий доход) должен составлять определенную сумму, а темпы роста - не менее 10-20%.
При этом норма рентабельности планируется, например, не менее 30%, а норма возврата инвестиций - не менее 40%.
Сам рынок проводит естественный отбор товаров. Этот процесс необходимо тщательно изучать.
По некоторым оценкам, из 10 представленных на рынке товаров 8 снимаются по следующим причинам: ошибочность определения спроса - 45, недостаточная реклама - 25, высокая цена - 20, неправильно выбрано время выведения товара на рынок - 14, производственные проблемы - 12, сопротивление конкурентов - 17%65.
В зависимости от конкретных условий и от собственного потенциала фирма решает вопрос о степени новизны проектируемого товара. Далеко не всегда выгодно осуществлять значительные вложения для создания совершенно нового продукта, когда не исчерпаны ресурсы выпускаемого товара, а желаемого экономического эффекта можно достичь с помощью более скромных затрат по его обновлению.
В маркетинге принята следующая классификация степени новизны товара, разработанная с позиции товарной (ассортиментной) политики фирмы:
принципиально новый товар: не имеющий аналогов на рынке, созданный в результате качественно новых открытий и изобретений с использованием достижений НТР (например, появление на рынке персональных компьютеров);
кардинально усовершенствованный товар: имеющий качественные отличия от аналогов, представленных на рынке (например, вывод на рынок мини-компьютеров, note-books);
модифицированный товар: представленный на рынке, подвергнувшийся не принципиальному, косметическому усовершенствованию (например, появление на рынке магнитофонов одного и того же класса, но по-разному оформленных). Степень новизны товара определяется при его разработке и оценивается как путем выявления покупательских мнений, так и методами тестирования и экспертных оценок.
Не следует забывать, что встречаются предприятия, пытающиеся сфальсифицировать новизну товара с корыстной целью.
Основным критерием новизны является наличие или отсутствие аналогов, а в случае если они имеются, - степень отклонения, обычно измеряемая в баллах. Важным признаком инновации является появление новых или существенное улучшение старых потребительских свойств товара.
В стратегии маркетинга важное место отводится принципу диверсификации, т.е. одновременному производству товаров с различными качественными характеристиками и отказу от одного доминирующего продукта, что соответствует принципам теории риска.
Разработка нового товара происходит параллельно: технологическая цепочка операций по его созданию (начиная с выдвижения идеи и заканчивая массовым производством) и маркетинговая цепочка исследований (начиная с прогноза спроса, расчета емкости рынка, планирования затрат и прибыли и до формирования канала товародвижения и организации рекламы).
Известны три модели диверсификации:
концентрическая, т.е. выпуск улучшенных, модернизированных ассортиментных видов (в качестве обязательной предпосылки маркетинговое исследование должно установить, что потребность в товаре не исчерпана, емкость рынка достаточно велика, но потребителям приелся облик товара, его дизайн, упаковка и т.п.);
горизонтальная, т.е. осуществляется выпуск качественно новых изделий, удовлетворяющих более высокий уровень потребностей (исследование должно прийти к выводу, что существует такая потребность, и емкость нового рынка обеспечит сбыт и продажу товара в размерах, соответствующих прогнозу прибыли);
конгломератная, когда фирма переходит на принципиально иную технологию, меняет профиль и инвестирует средства в другую отрасль (для обоснования этого типа диверсификации надо убедиться в бесперспективности старого рынка, определить емкость нового и сопоставить расходы, связанные с освоением нового рынка и потенциальным экономическим эффектом).
В маркетинговом анализе диверсификации часто используется так называемый АВС-анализ. Его цель - выявить перспективность ассортиментной политики.
В продукции фирмы выделяются блоки А, В, С, соответствующие определенным ассортиментным позициям, которые позволяют довести долю покрытия фиксированных затрат и доходов производителя соответственно до 80, 90 и 100%. После того как выявлены подобные ассортиментные блоки, производитель проводит политику сокращения блока С, чтобы уменьшить малопроизводительные затраты и диверсифицировать блок А, уменьшая тем самым опасность оказаться в зависимости от результатов продвижения одного-двух товаров.
В процессе анализа строится кривая концентрации Лоренца. По оси абсцисс располагаются ассортиментные группы, расположенные в порядке убывания их доли в общем объеме продаж, а по оси ординат - размер товарооборота. Ассортиментные группы подразделяются на три блока по выбранным критериям (продажа, прибыль, издержки). Блоки А, В, С соответствуют большому вкладу в общий сбыт (ассортиментные группы 1-4), среднему (5-7) и небольшому вкладу (8-20).
Выявив подобные ассортиментные блоки, фирма должна проводить политику сокращения или исключения блока С, чтобы уменьшить малопроизводительные затраты и диверсифицировать блок А, уменьшая риск оказаться в зависимости от результатов продвижения небольшого числа товаров ( 5.1566).

5.15. Пример АВС-анализа
Таким образом, потенциал фирмы должен характеризоваться комплексом показателей, измеряемых абсолютными, относительными и даже качественными величинами. Общая интегральная характеристика потенциала может опираться на квалимет-рический метод балльных оценок.
Каждому показателю, в зависимости от его уровня, экспертным путем присваивается балл (от 0 до 10; 0 - отсутствие данного признака, 10 - максимально высокий/благоприятный уровень).
ОСНОВНЫЕ ПРИНЦИПЫ МАРКЕТИНГОВОГО ИССЛЕДОВАНИЯ
Предмет маркетингового исследования
Разнообразие функций маркетинга отражает разносторонность маркетинговой деятельности, направленной в конечном счете на доведение товара до сферы потребления и на удовлетворение потребностей покупателей.
Одним из базовых требований маркетинга является обеспечение прозрачности рынка и предсказуемости его развития. Задолго до вывода товара на рынок, планируя продать определенное его количество и захватить некоторую долю потребительского рынка, коммерсант должен располагать развернутой характеристикой рынка или его сегмента, на котором он намерен выступать в роли продавца. Предпринимателю как минимум необходимо знать емкость рынка, наличие и тип покупательского спроса, интенсивность конкуренции, конкурентоспособность своего товара, уровень и тенденции цен, реакцию покупателей на те или иные маркетинговые действия, норму прибыли и т.д.
Без этого, не учитывая реальной рыночной ситуации, предприниматель рискует потерпеть фиаско.
Без сбора достоверной информации и последующего ее анализа маркетинг не сможет в полной мере выполнить свое предназначение, которое заключается в удовлетворении потребностей покупателей. Сбор информации, ее интерпретацию, оценочные и прогнозные расчеты, выполняемые для маркетинговых служб и руководства фирмы по их заказу, принято называть маркетинговым исследованием (англ. marceting research).
Маркетинговое исследование - это инструмент маркетинга, или его информационно-аналитическое обеспечение, которое является неотъемлемой частью маркетинговой деятельности. Любая попытка оторвать информацию и ее анализ от маркетинга или даже противопоставить их чистому маркетингу (под которым иногда понимают только управление действиями фирмы на рынке) абсурдна.
Единство маркетинга как раз в том и заключается, что маркетинг-менеджмент, как управленческая деятельность на рынке, и система регулирования спроса и предложения практически неосуществимы, а изучение рынка без учета практических результатов бессмысленно.
Маркетинговое исследование включает сбор, обработку, а также хранение информации о явлениях и процессах, представляющих интерес для маркетинга, анализ собранных материалов, получение теоретически обоснованных адекватных действительности выводов и, наконец, прогнозирование.
Маркетинг ориентирован на интересы рынка и исходит из приоритета потребительских желаний и предпочтений. Он как бы подсказывает предпринимателю, что в его собственных интересах наиболее полно удовлетворить запросы покупателей.
Только тогда производитель и его торговый посредник вправе рассчитывать на максимальную прибыль. Напомним, что лозунг маркетинга звучит следующим образом: производить и продавать то, что требуется потребителям.
Отсюда совершенно логично делается бесспорный вывод о необходимости изучения потребностей и покупательского спроса, их мотивации, размера, структуры, динамики, эластичности и т.д. Нельзя осуществлять маркетинговую управленческую деятельность, не зная сложившейся рыночной ситуации, расстановки там сил, желаний и возможностей потребителей, намерений и действий конкурентов и т.д. Без выявления тенденций и закономерностей функционирования рыночного механизма немыслимо регулирование рыночных процессов или адаптация к действию рыночного механизма.
Держать руку на пульсе рынка - лозунг маркетингового исследования.
Каждая фирма самостоятельно ставит себе задачи маркетингового исследования, исходя из собственных интересов. Охват широкого спектра направлений маркетинговых исследований зависит от конкретных условий: ситуации на товарном рынке, маркетинговой стратегии фирмы и, разумеется, от ее специализации.
Значительная часть отечественных производственно-сбытовых и торговых предприятий проводит маркетинговые исследования по следующим направлениям: оценка рыночной ситуации, краткосрочные и среднесрочные прогнозы основных параметров рынка, изучение поведения покупателей и конкурентов, характеристика уровня и динамики цен и т.п., а также оценка собственного потенциала.
К сожалению, атмосфера закрытости, которая характерна для отечественного бизнеса, не позволяет более точно показать, в какой мере российские предприниматели пользуются инструментом маркетингового исследования. О масштабах и направлениях зарубежных изысканий можно косвенно судить по данным, приведенным авторитетнейшим американским маркетологом Ф. Котлером в его широко известном труде Основы маркетинга, где он обобщил сведения исследовательской деятельности по почти 800 американским фирмам. Около 9/10 фирм осуществляют замеры потенциальных возможностей и других параметров рынка, анализируют распределение долей рынка между фирмами; 70-80% фирм занимаются анализом сбыта и цен, процессами логистики, тестированием товаров, прогнозированием рыночных параметров, анализом реакции рынка на новые товары, делают конъюнктурные оценки, осуществляют изучение деловой активности, дают характеристику конкурентных товаров; более половины фирм изучают эффективность рекламной деятельности, а также потребительские мотивации, каналы товародвижения и т.д.1
Довольно часто маркетинговое исследование образно сравнивают с работой штурмана, прокладывающего курс кораблю бизнеса в бушующем океане рынка, полном подводных течений и рифов. Его также можно уподобить страховке, снижающей уровень коммерческого риска. Бабочкой-однодневкой будет выглядеть фирма, не имеющая представления о векторе и скорости развития рынка во времени, о том, что ждет ее в ближайшем и отдаленном будущем, какие силы и с какой интенсивностью будут влиять на ее деятельность. Окружающая среда маркетинга, особенно неконтролируемая (макросреда), на различных этапах по-разному сказывается на рыночной деятельности фирмы.
Идти к астрологу, который объяснит судьбу фирмы влиянием звезд или ведьминым сглазом, недостойно предпринимателя XXI в., разумнее обратиться к маркетологу, который владеет научной методологией оценки и прогноза рыночной ситуации, и т.п.
Да, маркетинговое исследование, как правило, обходится недешево. Ф. Котлер, например, утверждает, что бюджет маркетингового исследования составляет 1-2% объема продаж фирмы2.
Значительные убытки понесет тот предприниматель, который пожелает сэкономить на маркетинговом исследовании. Верно говорится, что скупой платит дважды. В литературе по проблемам маркетинга при анализе банкротств некоторых фирм на рынке, как правило, одной из серьезных причин называют неумение маркетинговых служб адекватно оценить ситуацию на рынке и составить обоснованные прогнозы.
Так, 66 промышленных фирм Канады при исследовании причин неудачи при выводе на рынок нового товара назвали неэффективную маркетинговую деятельность (77,9%), отсутствие детального изучения рынка (74%) и его слабое тестирование (58,1%)3.
Плановая деятельность по организации торгово-сбытового процесса, формирование стратегии поведения фирмы на рынке целиком базируется на оценке и анализе конъюнктуры рынка, характеристике собственных возможностей фирмы, ее конкурентоспособности и т.д. Маркетинговый контроллинг, представляющий собой часть планового процесса, включает элементы маркетингового исследования, отслеживает параметры рынка и осуществляет оперативную оценку уровня выполнения плана и бюджета маркетинга, определяет его эффективность. Эти примеры можно продолжить, но вывод ясен: маркетинговая деятельность по доведению товара от сферы производства до сферы потребления с ориентацией на интересы потребителя нуждается в информационно-аналитическом обеспечении.
Маркетинговое исследование, которое призвано решать эти задачи, - неотъемлемая составная часть маркетинга, оно проводится в интересах маркетинга и по требованию маркетинговой службы.
Кем осуществляется маркетинговое исследование? Крупное производственное или торговое предприятие может позволить себе иметь в составе маркетинговой службы подразделение, функцией которого будет организация и проведение маркетинговых исследований. Ф. Котлер, например, отмечает тот факт, что в США более 73% крупных компаний имеют собственные отделы маркетинговых исследований, насчитывающих несколько десятков сотрудников4.
Средние и тем более малые предприятия не располагают такими возможностями и либо ограничиваются небольшими подразделениями в несколько человек, либо прибегают к совмещению профессий, поручая одному из сотрудников, выполняющему какие-либо функции маркетинга, проведение исследовательской работы.
Французский исследователь Ф. Букерель5 считает, что маркетинговые исследования должны проводиться общими усилиями аппарата фирмы, распределяя разделы исследования по отделам сбыта, финансовому, техническому, бухгалтерскому, административному и т.д. Отдел маркетинговых исследований (или, по терминологии Ф. Букереля, информационный отдел) должен координировать эту работу и обобщать деятельность всех других отделов.
В условиях интеграции товародвижения (например, вертикальной маркетинговой системы) один из участников канала товародвижения проводит исследование в расчете на других, а те в свою очередь предоставляют информацию, которой располагают.
Однако в ряде случаев даже крупным предприятиям невыгодно самостоятельно проводить масштабное исследование, требующее участия высококвалифицированных специалистов, специальной вычислительной техники (программ для ЭВМ), проведения больших опросов и т.п. Зарубежный и отечественный опыт показывает, что в большинстве случаев сложные маркетинговые исследования проводятся специализированными маркетинговыми или консалтинговыми фирмами, работающими на коммерческих началах (иногда такие фирмы по совместительству занимаются рекламной деятельностью).
Кроме того, к проведению маркетинговых исследований привлекаются научные учреждения и высшие учебные заведения, а также некоторые государственные и общественные организации.
Преимущества передачи функции маркетингового исследования специализированным фирмам заключаются в следующем: во-первых, нет необходимости создавать многочисленный коллектив специалистов, владеющих приемами сбора информации и эконо-метрического и статистического анализа, обеспечивать их соответствующим оборудованием; во-вторых, специализированные фирмы имеют опыт исследовательской деятельности в конкретной области маркетинга, необходимые связи и т.п.; в-третьих, многие такие фирмы располагают панелями опроса, а также специалистами-интервьюерами, банками программ (моделей) и т.д.
Маркетинговые исследования подобного рода могут выполняться по заказу и по программе предприятия-заказчика на коммерческих условиях или же самостоятельно маркетинговой фирмой по стандартной программе, рассчитанной на определенные категории предприятий. Результаты таких исследований продаются всем желающим. Иногда маркетинговая фирма продает методологию исследования, алгоритмы и прикладные программы.
Итоги исследования, его методология, рекомендации и т.п., продаваемые пользователям, представляют собой товар - интеллектуальный продукт, пользующийся определенным спросом. Сфера подобной деятельности представляет собой специализированный сегмент рынка информационного продукта.
Существуют различные взгляды на роль и значение маркетингового исследования. Отдельные исследователи (например, А. Дайан, Е. Дихтль, X. Хершген и в какой-то мере Ф. Котлер) рассматривают маркетинговое исследование как составную часть соответствующих функций маркетингового управленческого процесса (англ. marketing, management), как бы растворяя его в конкретных стратегических и оперативных действиях.
Так, немецкие ученые Е. Дихтль и X. Хершген считают, что анализ ситуации является в маркетинге основой для принятия решений6. К функциональному направлению по существу примыкает известный бельгийский ученый Ж.-Ж.
Ламбен, который увязывает необходимость постоянного и систематического изучения потребностей рынка в целях обеспечения устойчивого конкурентного преимущества с понятием стратегического маркетинга7. Об исследовании рынка как орудии конкурентной борьбы пишет известный американский маркетолог Питер Р. Диксон8.
Некоторые авторы вообще в своих определениях ограничиваются понятием информации, которую должны использовать управленческие структуры маркетинга. Например, Р.Д. Базел, Д.Ф. Кокс, Р. В. Браун9 высказывают мнение, что термин маркетинговое исследование используется для обозначения различных видов деятельности по сбору информации и организационных единиц, ответственных за эту деятельность.
Немецкий маркетолог X. Швальбе рассматривает информацию как фундамент маркетинга10.
Ряд специалистов подходит к понятию маркетинговое исследование путем перечисления основных его функций, не выявляя его сущности. К ним относится Ф. Котлер, который трактует маркетинговое исследование как систематическое определение круга данных, необходимых в связи со стоящей перед фирмой маркетинговой ситуацией, их сбор, анализ, отчет о результатах11. Многие отечественные авторы повторяют подобную формулировку.
Например, ее используют известный российский маркетолог Е.П. Голубков12, а также А.И.
Ковалев и В.В. Войленко13.
Близка к ней позиция известного отечественного ученого Б.А. Соловьева, который добавляет к этому определению цель - уменьшение неопределенности, сопутствующее принятию маркетинговых решений.
На наш взгляд, более правильна точка зрения, согласно которой маркетинговое исследование, продолжая быть составной частью маркетинга, сложилось в самостоятельное научно-практическое направление. У него есть свой предмет, сформировалась синтетическая методология.
Маркетинговое исследование можно рассматривать как отрасль информатики, поскольку оно подчиняется общим законам и принципам этой науки, а результаты ее деятельности органично вливаются в общее информационное поле дисциплин, изучающих рынок.
К этой позиции близка точка зрения известных американских ученых Дж. Р. Эванса и Б. Бермана, которые четко формулируют понятие маркетингового исследования как деятельности по сбору и анализу данных о проблемах, связанных с маркетингом, и уточняют, что это - комплексное понятие, включающее все виды исследовательской деятельности, связанные с управленческими функциями маркетинга14.
Белорусский ученый А.П. Дурович перечисляет элементы маркетингового исследования и высказывает мнение, что они имеют целью уменьшение неопределенности, сопутствующей принятию маркетинговых решений15.
Уже упоминавшиеся отечественные авторы А.И. Ковалев и В.В. Войленко называют маркетинговые исследования глобальной функцией управления предприятием в условиях рынка16. Тот же Е.П.
Голубков считает маркетинговые исследования частью информационной системы управления предприятием17.
Таким образом, предметом маркетингового исследования следует считать маркетинговую деятельность на рынке, а также рыночные процессы и явления, каким-либо образом с ней связанные.
Серьезную проблему представляет выбор объекта маркетингового исследования. Им может быть само предприятие и силы, входящие в микросреду его маркетинга, в частности конкуренты, поставщики и предприятия-конкуренты, потребители/покупатели - клиенты; федеральный или региональный рынок, включая его сегменты, а также население или отдельная его группа, как носитель демографических и социально-экономических факторов макросреды маркетинга.
Принципы и методология маркетинговогоисследования
Маркетинговое исследование является составной частью общей информационной системы. Сведения, факты, данные, собираемые для маркетинговых целей, образуют самостоятельный сектор единого информационного поля. Поэтому маркетинговое исследование базируется на обидах требованиях и Принципах информатики и при его проведении необходимо соблюдать следующие принципы:
научность, т.е. объяснение и предсказание изучаемых рыночных явлений и процессов на основе научных положений и объективно полученных данных, а также выявление закономерностей развития этих явлений и процессов;
системность, т.е. выделение отдельных структурных элементов, составляющих явление, обнаружение иерархической связи и взаимоподчиненности;
комплексность, т.е. изучение явлений и процессов во всей их полноте, взаимосвязи и развитии;
достоверность, т.е. получение адекватных данных за счет обеспечения научных принципов их сбора и обработки, исключение тенденциозности в оценках, тщательный контроль, использование ЭВМ и созданных наукой инструментов исследования;
объективность, т.е. требование учитывать возможные погрешности измерителя того или иного явления, не подгонять факты под заранее определенную схему и соблюдать осторожность в их интерпретации;
эффективность, т.е. достижение выдвинутых целей, соизмерение результатов с затратами.
В маркетинговом исследовании лучших результатов добивается тот, кто осуществляет творческий подход, проявляет инициативу, находит новые, нетрадиционные пути исследования.
В теории маркетингового исследования существуют две школы (два генеральных направления): сторонники формализации исследования и его результатов, т.е. использования количественных оценок, применения статистических и эконометрических моделей и т.д., и сторонники неформального анализа, качественных оценок. У каждого из этих направлений есть свои достоинства и свои недостатки.
Так, формализация дает точные и достоверные оценки, обеспечивает учет множества факторов, позволяет прогнозировать развитие на перспективу и т.д., но предполагает достаточно трудоемкий исследовательский процесс, требующий определенных знаний, использования ПЭВМ и специальных прикладных программ, нуждается в сборе статистической информации. Неформальный подход оперативен, нередко дает вполне надежные оценки, не нуждается в использовании математического аппарата, однако не обладает высокой степенью точности, не всегда объективен, требует большого опыта и высокой квалификации работников.
Наиболее оптимальным, на наш взгляд, представляется сочетание этих направлений в зависимости от целей и конкретной обстановки.
Для конкретных маркетинговых исследований характерно соединение высокой степени формализации исследовательского процесса (использования математического аппарата, методов статистического моделирования и т.п.) с неформализованной, описательной характеристикой изучаемых явлений и процессов, качественными (атрибутивными) оценками, т.е. своего рода рыночной диагностикой.
Необходимо отметить, что взгляды различных школ маркетологов на методологию маркетингового исследования диаметрально расходятся. Одни являются сторонниками применения методов количественного, формализованного анализа (школы Ф. Котлера, Д.Ф. Кокса, Р.Д.
Базела, Ф. Букереля и др.), другие придерживаются мнения, что маркетингу, где редко складываются одинаковые ситуации и ничего никогда не повторяется, свойственны неформальные методы исследования (школа К. Симмондса и др.). Ряд исследователей считает, что специфика маркетинга позволяет успешно сочетать оба этих направления.
Мы, как уже говорилось выше, полностью разделяем это мнение.
Маркетинговое исследование представляет собой обособившееся научное направление, сложившееся на стыке ряда наук. Оно имеет достаточно сложную методологию, представляющую собой сложный сплав статистических, эконометрических, социометрических, квалиметрических, бихевиористических и собственно маркетинговых методов.
Сбор информации целиком подчиняется правилам статистического наблюдения, статистические методы используются в оценках динамики, вариации, структуры рыночных явлений, выявления тенденций и закономерностей; эко-нометрические приемы применяются при моделировании, имитации и прогнозировании рыночных процессов, оценке риске и т.п. Без знания социометрии и бихевиоризма трудно изучать поведение потребителей, проводить их анкетирование; необходимость комплексной оценки качества и конкурентоспособности заставляет использовать методы квалиметрии.
Статистика - наука, изучающая массовые явления и процессы, поддающиеся количественному измерению, позволяющая выявлять тенденции и закономерности общественного развития, определять пропорции и оценивать колеблемость. Эконометрия - применение экономико-математических методов анализа, измерение параметров математических выражений, характеризующих определенную социально-экономическую концепцию, моделирование сложных, многомерных процессов и явлений. Достаточно широко в маркетинге используются методы линейного и динамического программирования, приемы теории массового обслуживания (теории очередей), теории принятия решений (теории риска), теории связей (сигнальной информации о процессах, выходящих за пределы установленных параметров).
Социометрия - характеристика структуры и функционирования определенных человеческих групп с помощью количественных оценок. Квалиметрия - методология количественных оценок качества товаров.
Бихевиоризм - наука о вкусах и предпочтениях людей, которая помогает разобраться в процессах формирования и изменения отношения потребителей к товару, в реакциях спроса на процессы старения и обновления товара и его свойств.
Маркетинговое исследование - сложный, иерархически структурированный процесс, последовательно развертывающийся во времени и связанный со всеми стадиями (этапами) маркетинга. На 1.1 показано место маркетингового исследования в процессе маркетинговой деятельности.

1.1. Последовательность этапов маркетингового исследования
Тот факт, что маркетинговому исследованию отводится первый этап, не означает, что оно проводится только на подготовительной ступени маркетинговой деятельности. Именно с него начинается любая маркетинговая операция, во время проведения которой на всех этапах осуществляется непрерывная информационно-аналитическая поддержка и обеспечение.
Наконец, по завершении операции на основе маркетингового исследования даётся оценка эффективности маркетинга.
Маркетинговое исследование, опирающееся на определенный объем информации, подчиняется требованиям информатики - науки об управлении потоками информации.
Методология формализованного маркетингового исследования включает:
1) статистические методы наблюдения, в частности выборку, формирование рядов (динамических и распределения), отчетность и торговые переписи, опросы, экспертные оценки;
2) статистические и эконометрические методы анализа рынка: абсолютные, средние и относительные величины, группировки, индексные, трендовые и регрессионные факторные модели, методы вариационного, дисперсионного, корреляционного и циклического анализа, методы многомерного анализа (факторного, кластерного и др.) и т.д.;
3) модели риска, основанные на теориях вероятности и теории принятии решений; модели товаропотоков и потоков покупателей, базирующейся на теории массового обслуживания (теории очередей); модели реакции рынка на маркетинговые раздражители, логистические модели;
4) методы эвристических оценок и гибридные, позволяющие комбинировать детерминированные и вероятностные оценки;
5) методы коммерческого анализа финансово-экономического потенциала предприятия (коммерческие расчеты, скоринговый анализ и т.п.);
6) методы количественной оценки качественных явлений (ква-лиметрический анализ).
Уже упоминавшийся видный отечественный маркетолог Е.П. Голубков, которого можно отнести к сторонникам формализованного направления, выдвигает 7 групп количественных методов, из которых некоторые включены в наш перечень, а другие, по нашему мнению, относятся к моделированию управленческих процессов в маркетинговой деятельности (планировании, логистике, маркетинг-менеджменте и т.п.), Он считает, что число количественных методов, применяемых в маркетинговых исследованиях, превышает 6018.
Результаты исследования, изложенные в форме научного отчета, как правило, строятся по следующей схеме:
четко излагается цель исследования;
характеризуются предмет и объекты исследования, определяется период, за который собираются данные, и дата (время)
обследования;
описываются источники информации и раскрывается методология исследования (сбор информации и ее анализ);
составляется перечень наиболее важных результатов;
Панели (панельные обследования)
5) изучение разговорного словаря (иногда - сленга) потребителей, что может принести пользу при составлении вопросников, проведении рекламной кампании и т.п.
По американским оценкам, стоимость одной фокус-группы составляет около 400 долл. На практике редко ограничиваются одной группой.
При масштабных исследованиях создают 4-5 групп.
Г. Интервьюер.
Интервьюер - профессия достаточно сложная, требующая специального обучения и предрасположенности. Как правило, человек должен пройти специальную подготовку.
От него требуется высокая квалификация, профессионализм, тактичность, знание психологии, контактность, наблюдательность. К интервьюеру предъявляется ряд требований:
а) теоретический потенциал интервьюера складывается из следующих элементов:
индивидуальные возможности: располагающая внешность, уме-ние одеваться соответствующим образом, коммуникабельность, хорошая память, личностный склад общительного педанта, достаточно высокий культурный уровень;
владение методикой и техническими средствами интервьюирования;
общая социологическая и специальная маркетинговая подготовка;
подготовка в той предметной области, которая изучается;
б) практический аспект потенциала интервьюера проявляется в следующем:
горячее желание работать и наличие свободного времени для этого;
здоровое любопытство, желание узнать что-то новое;
наличие коммуникативных навыков;
опыт общения в рыночной среде;
некоторые зачатки аналитических способностей;
обязательность и пунктуальность.
Интервьюер обязан терпеливо и доброжелательно выслушивать высказывания респондентов (особенно при групповом интервью), избегать критических замечаний, он не должен оказывать давление на опрашиваемых или дискутировать с ними.
Интервьюер использует некоторые технические средства для фиксации своей беседы с опрашиваемым, простейшим из которых является заранее подготовленный вопросник, где интервьюер отмечает тот или иной вариант ответа. При свободной беседе используется блокнот или аудио- и видеотехника (последние особенно важны при различных типах групповых интервью).
Запись может быть изучена и интерпретирована.
Место проведения устных опросов выбирается в зависимости от обстоятельств и, в частности, от принадлежности респондента к той или иной социальной или профессиональной группе. С потребителями можно встречаться на улице, в торговом или выставочном зале. Место, на котором часто останавливают свой выбор зарубежные исследователи - жилая квартира, - в современных российских условиях вряд ли широко доступно интервьюеру.
Интервью с предпринимателем или чиновником чаще происходит в офисе.
Интервьюеру порой приходится преодолевать нежелание или боязнь отвечать на вопросы, сочетать убеждение с разъяснением, что ответ на вопрос не грозит респонденту никакими неприятностями и что интервью - строго конфиденциально, а его результаты, суммируясь со множеством других, только в обобщенной форме могут быть преданы гласности.
Метод устного опроса достаточно дорогостоящ. Количество опрошенных одним интервьюером весьма ограниченно. Считается, что оптимальное время индивидуального интервью - 10-30 минут. За это время интервьюер должен представиться, кратко объяснить цель опроса, убедить опрашиваемого, что он проводится в его же интересах, задать вопросы, зафиксировать ответы и сделать уточняющие замечания.
Групповое интервью может длиться несколько часов и требует сложной предварительной подготовки.
По данным консалтинговой фирмы МсКinsеу аnd Соmраnу, стоимость интенсивного интервью выражается в следующих цифрах (табл. 2.4).
Таблица 2.4Затраты на интервьюирование
|
Число респондентов |
Общие затраты а среднем, долл. |
|
10 человек |
3000 |
|
20 -- |
5000 |
|
30 -- |
7000 |
|
50 -- |
1 1 000 |
|
100 -- |
45000 |
Панели (панельные обследования)
Опросы типа единовременного интервью или разовой анкеты имеют один существенный недостаток. Во-первых, они не позволяют достаточно надежно изучать динамические процессы. Второй недостаток - фрагментарность, так как с помощью одного опроса решается, как правило, одна проблема, а для того, чтобы перейти к другой, приходится опрашивать другую совокупность респондентов.
В-третьих, опросы редко дают материал, позволяющий отразить полную картину взаимосвязей и закономерностей рынка.
Этих недостатков в значительной мере лишен панельный метод получения информации. Его суть заключается в том, что группе лиц или предприятий, отобранных с помощью выборочного метода, предлагается на платной основе систематически или периодически в определенное время и по установленной форме давать ответы на вопросы заказчика.
Естественно, опрос является анонимным; сохранение ответов в тайне гарантируется законом.
Панель24, как выборочная совокупность людей (домохозяйств, предприятий), формируется по методу случайной или механической типологической выборки. Важно обеспечить не только достаточную численность совокупности, но и представительность в ней всех типов респондентов. Это означает, что в процессе выборки генеральная совокупность должна быть стратифицирована по важнейшим ее признакам. Следует стремиться, чтобы в панели потребителей были пропорционально представлены все социальные и демографические группы населения.
На практике редко удается включить в панель представителей как наиболее обеспеченных, так и наименее обеспеченных слоев населения, поэтому при оценке полученной информации и ее сводке необходимо вносить поправки и делать различные дорасчеты.
В зависимости от вида панели единицами ее совокупности могут быть отдельные лица, семьи/домохозяйства, предприятия промышленности и торговли. Иногда панелью называются группы специалистов или экспертов, сформированные на постоянной основе.
В табл. 2.5 представлены основные типы панелей.
Таблица 2.5
Типология панелей
|
Типы панелей |
Единицы совокупности |
Цели формирования панели |
|
Потребительские |
Отдельные лица или семьи/домохозяйства |
Систематически или периодически получать информацию о спросе и его факторах, о поведении, мнениях и предпочтениях потребителей |
|
Торговые |
Индивидуальные продавцы и торговые предприятия |
Получать непрерывную информацию о рыночной ситуации, эффективности рекламы, ценах |
|
Производственные |
Производственные предприятия (промышленные, аграрные и т.д.) |
Получать информацию о товаре, товарной политике и конкуренции, политике дистрибьюции и т.д. |
|
Сферы услуг |
Предприятия сферы услуг |
Получать информацию о ситуации на рынке услуг, об их видах, качестве и ценах на них |
|
Специалистов |
Группы специалистов/ экспертов |
Получать информацию о состоянии какой-либо проблемы, а также информацию о поведении потребителей в определенной ситуации |
Примером панели в государственном масштабе может служить статистика семейных бюджетов, насчитывающая в настоящее время около 60 тыс. домохозяйств. Материалы этой панели также могут быть использованы для маркетинга. Они относятся к категории информации, приобретаемой на коммерческих началах. Собственные панели стремятся иметь крупные маркетинговые и консалтинговые фирмы, научно-исследовательские институты, а также большие производственные и торговые предприятия.
Известный отечественный маркетолог Е.П. Голубков указывает на тот факт, что в США фирмой NFО Rеsеаrch создана потребительская панель, включающая 450 тыс. домохозяйств25. В ряде стран свои панели имеют профсоюзы, чтобы иметь возможность отслеживать жизненный уровень населения с целью индексации доходов. Респонденты заключают договор с заказчиком и за определенное денежное вознаграждение предоставляют информацию.
В некоторых странах принято не денежное, а моральное поощрение (сувениры, оглашение имен респондентов в печати, памятные значки и т.п.). Во Франции одной из форм опроса, носящего постоянный характер, являются контрольные группы потребителей, представляющие собой по существу потребительскую панель.
Французский маркетолог Ф. Букерель подчеркивает, что такая группа регулярного анкетирования особенно удобна при изучении эволюции спроса товаров с быстрой оборачиваемостью запасов. В качестве примера он приводит две контрольные группы потребителей по 4560 семей в каждой, сформированные фирмой Секодип.
Полученные материалы позволили выявить объем клиентуры, покупок и потраченные на покупку денежные суммы26.
По времени существования панели делятся на краткосрочные (не более года) и долгосрочные (до пяти лет). Практика знает Также постоянные панели, когда время их существования не ограничено и осуществляется процесс ротации (включение новых членов панели взамен выбывших).
Обычно репрезентативность панели во времени снижается в результате демографических и им подобных изменений. Поэтому необходимо периодически вносить коррективы в состав панели, поддерживая ее численность на заданном уровне.
Типовой набор опросных листов потребительской панели позволяет дать следующие итоговые характеристики (табл. 2.6).
Таблица 2.6
Схема статистической информации, получаемой
от потребительской панели
|
Факторы |
Потребительские расходы |
|
Социально-профессиональная характеристика членов семьи |
Общая сумма потребительских расходов |
|
Число членов семьи и ее половозрастная структура |
Их доля в общем объеме расходов |
|
Совокупный денежный и натуральный доход семьи; источники доходов |
Размер и ассортиментная структура потребления и покупки продуктов и услуг (в денежных и натуральных единицах) |
|
Чистый денежный доход семьи (за вычетом обязательных платежей) |
Средние цены покупки |
|
Чистый денежный доход в расчете на одного члена семьи |
Обеспеченность жильем |
|
Прирост денежных сбережений |
Наличие товаров длительного пользо вания |
|
Жилищные условия семьи |
|
Точность и надежность панельной информации отслеживаются институтом контролеров/счетчиков, обеспечивающих сводку первичных записей респондентов с помощью балансовой формы записей и корреспонденции некоторых взаимосвязанных показателей, а также выборочной проверки правильности заполнения формуляров/дневников обследования. В некоторых случаях применяется корреспондентский способ получения информации путем интервьюирования респондента.
В разных странах респонденты посылают свои записи/дневники по почте в установленные сроки.
Наряду с данными о размере и структуре доходов и расходов домохозяйства, позволяющими судить о спросе и его удовлетворении, половозрастных различиях спроса, ценовых предпочтениях и т.п., а также о факторах потребления, респондентов часто просят ответить на вопросы, представляющие оперативный интерес для маркетинга фирмы.
В традиционных формах панели респондентам предлагается постоянно отвечать на одни и те же вопросы. Это обеспечивает сопоставимость информации при анализе динамики.
В другой форме панели - омнибусе (omnibus panels) цели исследования меняются и задаются разные вопросы (обычно небольшое число вопросов для большого массива опрашиваемых). Это ускоряет получение результата для разового полевого исследования, но не позволяет судить о тенденциях.
Целесообразно сочетать традиционную методику и методику типа омнибус.
Методы анкетирования
Самостоятельной и очень распространенной формой опроса является анкетирование, т.е. заполнение заранее подготовленных бланков с перечнем вопросов.
.
Анкета представляет собой список вопросов, на которые должен ответить опрашиваемый (респондент). Составлению анкеты предшествует большая исследовательская работа, описанная в трудах по социометрии, имеющая целью учесть психологию респондента, предугадать его реакцию на ту или иную форму вопроса, степень его искренности и возможность сформулировать недвусмысленный ответ.
Совокупность ответов должна дать характеристику изучаемой проблемы. Анкетирование является распространенным способом опроса в маркетинге.
Его преимущество заключается в том, что в результате обработки ответов может быть получена количественная, статистическая характеристика изучаемого явления, выявлены и смоделированы причинно-следственные связи.
Перечень возможных вопросов не поддается жесткой регламентации. Каждый составитель, в зависимости от целей, объекта исследования и собственных возможностей, предлагает свои набор и формулировки вопросов.
Однако при кажущейся анархии существуют определенные правила и нормативы, следовать которым обязан каждый исследователь.
Анкета - это не просто список вопросов. Это весьма тонкий и гибкий инструмент. Она требует тщательной проработки.
Все важно: типы и формулировки вопросов, их последовательность и количество, корректность и уместность. На разработку грамотной анкеты может уйти от одной до нескольких недель работы.
Перед запуском исследования необходимо провести пробное анкетирование - пилотаж, целью которого является доведение анкеты до кондиции, устранение ошибок, неточностей, двусмысленностей и наводящих элементов. Объем пилотажного исследования затрагивает, как правило, 5% от предполагаемой численности респондентов.
Составление анкеты - сложный исследовательский процесс, включающий постановку целей, выдвижение гипотез, формулирование вопросов, разработку выборки, определение способа анкетирования и т.д. Анкетный опрос может быть осуществлен в устной форме, т.е. регистратор сам заполняет бланк со слов респондента (экспедиционный способ). Другая форма - письменная (метод саморегистрации), когда респондент заполняет собственноручно анкету, которая рассылается по почте (корреспондентский способ). Недостатком этого (более дешевого) метода является определенный процент неправильно заполненных анкет.
Кроме того, часть анкет вообще не возвращается. Иногда даже проводятся контрольные выборочные обходы опрашиваемых.
Метод анкетирования применяется также при организации панелей, работе с торговыми корреспондентами. Анкеты заполняются экспертами, специалистами и т.д.
Обычно анкета имеет форму таблицы с напечатанными вопросами и свободным местом для ответа (анкета может быть многостраничной). Традиционная схема включает три блока:
введение (цель опроса, сведения об опрашивающих: название, характеристика, адрес, гарантия анонимности опроса и доверительность ответов);
перечень вопросов, характеризующих предмет опроса (основная часть);
сведения об опрашиваемых (реквизитная часть, или паспор-тичка).
В введении (преамбуле) ъ краткой форме сообщается о том, кто и зачем проводит исследование, о фирме, ее репутации и целях, которые преследует данное обследование. Было бы неплохо сделать акцент на том, что ответы респондентов будут использованы .в их же интересах, и заверить в абсолютной анонимности опроса.
Введение дает инструкцию по заполнению анкеты и ее возврату. Здесь же выражается благодарность за время, любезно уделенное респондентом исследователям.
Если опрос проводится по почте, введение может быть написано в виде сопроводительного письма.
При разработке основной части анкеты следует обратить внимание на содержание вопросов, их тип, число, последовательность представления, наличие контрольных вопросов. Содержание вопросов должно характеризовать предмет опроса.
Но здесь необходимо найти разумный компромисс между желанием сделать анкету максимально полной и реальной возможностью получить ответы. Основную часть анкеты можно условно разделить на два блока, иногда их называют рыба и детектор.
Рыба - это часть, содержащая вопросы, ради которых, собственно говоря, и затевалось исследование.
Детектор состоит из контрольных вопросов, призванных проверить внимательность, серьезность и откровенность респондентов при заполнении анкеты, а также порядочность и профессионализм интервьюеров. Здесь могут быть предусмотрены дублирующие вопросы, противоречивые позиции, последовательность вопросов с известными заранее ответами. Только в случае полнейшего доверия между заказчиками, исследователями и интервьюерами и при относительной простоте и толерантности темы исследования можно обойтись без детектора.
Верным способом повысить достоверность исследования является включение в текст анкеты просьбы оставить контактный телефон. Как показывает практика, на нее откликается от 30 до 60% столичных респондентов и от 15 до 25% провинциальных.
А этого более чем достаточно для проверки27.
В реквизитной части (паспортичке) приводится информация, касающаяся респондентов: возраст, пол, принадлежность к определенному классу, род занятий, семейное положение, имя и адрес - для частных лиц, а для организаций: размер, месторасположение, направление производственно-хозяйственной деятельности, положение респондента в организации, его имя. Кроме того, необходимо идентифицировать сам вопросник, т.е. дать ему название, указать дату, время и место проведения опроса, фамилию интервьюера.
Количество вопросов должно быть оптимальным, т.е. обеспечивающим полноту информации, но не чрезмерным, что удорожает обследование (необходим разумный компромисс). Вопросы должны быть составлены в тактичной форме, чтобы не обидеть или не встревожить респондентов, не вызвать негативную реакцию с их стороны.
Вопросы анкеты классифицируются по степени свободы, характеру ответов и форме вопросов. Они подразделяются на открытые, когда ответ дается в свободной форме, без ограничений, и закрытые, когда предлагается перечень вариантов ответов, из которых выбирается один или несколько (веер ответов).
Часто ставятся альтернативные вопросы, на которые отвечают: да, нет, не знаю. Важную роль в опросе играют вопросы о намерениях и мнениях, в ответах на которые допускается большая степень свободы, чем в вопросах о фактах и действиях. Иногда задаются фильтрующие вопросы, имеющие целью отсечь часть опрашиваемых. Например, если на вопрос имеется ли у Вас какое-то изделие? - респондент отвечает нет, то вопросы об оценке его свойств излишни.
И наконец, в любой анкете содержатся контрольные вопросы, используемые для оценки достоверности ответов. Формулировка вопросов - трудоемкая исследовательская работа, требующая высокой квалификации и эрудиции, знания основ социометрии.
Это творческая деятельность, не допускающая механического копирования. Вопросник должен быть увязан с планом разработки анкеты, макетами таблиц, вариантами моделей.
В разработке анкет используются статистические методы (группировки, корреляционно-регрессионный анализ и т.д.).
Открытый вопрос - вопрос анкеты, с помощью которого собирается первичная маркетинговая информация; он дает возможность опрашиваемому отвечать своими словами, что позволяет последнему чувствовать себя при ответе достаточно свободно, приводить примеры. Открытые вопросы часто даются в начале анкеты для разминки респондентов.
Однако следует иметь в виду, что они сложны для обработки.
Выделяются пять вариантов открытых вопросов:
простой открытый вопрос (Что Вы думаете о ...?);
словесная ассоциация;
завершение предложения;
завершение рассказа, рисунка;
тематический апперцепционный тест (опрашиваемому показывают картинку и просят придумать рассказ о том, что, по его мнению, на ней происходит или может происходить).
В таких вопросах отсутствует предвзятость, стремление навязать определенный ответ. Однако ответы на данный тип вопросов требуют достаточно больших затрат времени, так как обычно вызывают новые, дополнительные вопросы.
Кроме того, полученные ответы могут быть интерпретированы по-разному. Поэтому их не часто используют при анкетировании.
Закрытый вопрос - вопрос анкеты, с помощью которого со- бирается первичная маркетинговая информация; он включает все возможные варианты ответов, из которых опрашиваемый выбирает свой. Существует три типа закрытых вопросов:
альтернативный (дихотомический). Предполагает ответ типа да или нет, третьего не дано (простой, закрытый, альтернативный вопрос).
Альтернативные вопросы очень просты в применении. Их интерпретация проста и однозначна;
многовариантного выбора, например: Где Вы храните свои сбережения?, где существуют следующие варианты ответов: в банке; в страховой компании; в строительной компании; дома, из которых можно выбрать (зачеркнуть, оставить, обвести в кружок). Основным недостатком вопросов с многовариантным выбором являются трудности формулирования всех возможных вариантов ответов, характеристик или факторов;
шкальный вопрос. Предполагает наличие какой-либо шкалы: оценочной (отлично, хорошо, удовлетворительно, плохо, ужасно); важности (исключительное, важное, среднее, небольшое, ничтожное); шкалы Лейкерта (абсолютно согласен, не уверен, не согласен, неправда).
По форме вопросов выделяются две группы: 1) о фактах или действиях; 2) о мнениях и намерениях. В частности, к первым относятся вопросы, характеризующие сделанную покупку (ее вид и размер), наличия товара в пользовании респондента, расходов на покупки, цен, по которым приобретен товар, и т.п.
Очень сложно формулировать вопросы о намерениях и мнениях покупателей, которые могут и меняться, и не быть жестко сформулированными.
Важная роль в анкете отводится так называемым фильтрующим вопросам, которые задаются, если часть вопросов относится не ко всем опрашиваемым. Например: Имеется ли у Вас данный товар? Если нет, то Собираетесь ли Вы его приобретать?
Ясно, что второй вопрос и все последующие адресуются лишь тем, кто отрицательно ответил на первый.
Иногда вводятся так называемые табличные вопросы - соединение различных вопросов, оформление их в виде таблицы.
В качестве иллюстрации на 2.4 представлен макет анкеты, цель которой - получить информацию от потребителей о рынке одежды.
Продолжение
Что касается последовательности представления вопросов в анкете, то не рекомендуется начинать вопросник с трудных или персональных вопросов или с вопросов, не интересных для респондентов; такие вопросы рекомендуется ставить в середине или в конце анкеты. Первый вопрос должен заинтересовать опрашиваемых. Желательно, чтобы вопросы излагались в определенной логической последовательности, позволяющей как можно полнее рассматривать отдельные темы.
Переход к следующей теме следует начинать с некоторой вступительной фразы. Вопросник не должен содержать вопросы, на которые не захотят отвечать, невозможно ответить или не требуют ответа. Иногда можно получить желаемую информацию с помощью косвенных вопросов.
Так, вместо того чтобы задать прямой вопрос о доходах респондента, спрашивают, к какой социальной группе он себя относит (к высокообеспеченному населению, обеспеченному, среднеобеспеченному, низкообеспеченному и т. п.).
Формулировка вопросов - сложная и трудоемкая работа, требующая высокой квалификации, знания экономики, статистики и социометрии, определенных литературных способностей. Несмотря на то что существуют единые принципы анкетирования, невозможно механически копировать имеющиеся образцы.
Особое внимание следует обращать на оформление анкеты, которое иногда оказывается неудачным, неудобным: смысловые блоки не отделены друг от друга, выбран плохо читаемый шрифт, не предусмотрено место для кодов и т.п. Если вовремя не обратить внимание на эти факторы, работа интервьюера, а затем кодировщика, оператора будет затруднена и может даже привести к ошибкам.
Серьезной проблемой может оказаться рассылка/раздача анкет. Во время выставок-продаж, в зале магазина, на улице и т.п. анкеты раздаются всем желающим с просьбой заполнить их на месте и вернуть любому из служащих. По существу это случайная, бесповторная выборка, характеристики которой будут определены после возвращения анкет.
Естественно, эти анкеты должны включать минимум вопросов и быть простыми по содержанию. Очень часто анкетирование проводят во время пробного маркетинга.
ПРОБЛЕМЫ И ЦЕЛИ МАРКЕТИНГОВОГО АНАЛИЗА
Понятие и предмет маркетингового анализа
Как было рассмотрено ранее, маркетинговый анализ является составным элементом и определенным этапом маркетингового исследования. Цели маркетингового анализа вытекают из целей маркетингового исследования, принципы которого в свою очередь распространяются на теорию и практику маркетингового анализа. Маркетинговый анализ представляет собой сложный научно обоснованный процесс получения выводов из собранной и надлежащим образом сгруппированной и обработанной информации. Без него невозможно достичь приемлемого уровня риска маркетинговых действий, затруднены управленческие действия, практически неосуществимо регулирование рыночных процессов.
Маркетинговый анализ неразрывно связан с разработкой стратегии фирмы. Известный бельгийский маркетолог Жан-Жак Ламбен считает, что стратегический маркетинг по существу представляет собой постоянный и систематический анализ потребностей рынка и в свою очередь обеспечивает эффективность операционного маркетинга - коммерческого инструмента фирмы30.
В маркетинговом анализе можно выделить два главных направления, связанных между собой и частично переходящих друг в друга: оперативный (или операционный) и стратегический анализ ( 3.1).
На оперативном уровне анализ начинается с конъюнктурных оценок состояния рынка:
- Сбалансированности;
- Масштаба, пропорциональноти развития и емкости рынка;
- Тенденций развития;
- Устойчивости развития;
- Цикличности развития.

3.1. Схема направлений маркетингового анализа
На стратегическом уровне осуществляется более глубокий анализ рынка, охватывающий довольно длительный период, достаточный для выявления основных закономерностей и перспективных прогнозов. В рамках стратегического анализа выделяются четыре самостоятельных направления анализа:
анализ макросреды маркетинга фирмы;
прогноз покупательского спроса;
анализ и моделирование покупательского поведения на рынке, изучение мнений и предпочтений потребителей;
анализ потенциала собственной фирмы;
конкурентный анализ.
Стратегический анализ товарного рынка фирмы выявляет комплекс взаимосвязей фирмы с окружающей средой, в частности дает оценку реакции рынка на маркетинговые мероприятия фирмы. В стратегический анализ деятельности производственной фирмы входит изучение инновационных процессов, качества и конкурентоспособности товара.
Предпринимателю необходимо знать общую ситуацию на рынке, для того чтобы объективно оценивать собственные возможности, силу противодействия конкурентов, выделять наиболее перспективные направления своего развития. Маркетинговый анализ служит целям формирования инновационной политики, разработки долгосрочной маркетинговой стратегии, принятия конкретных оперативных маркетинговых решений и обеспечения эффективности маркетинговой деятельности фирмы.
Его результаты позволяют оценить опасность конкурентной угрозы, определить сильные и слабые стороны конкурента, предвидеть стратегию конкуренции. Разработка стратегии маркетинга базируется на оценках и выводах, полученных в ходе анализа.
Стратегия есть рассчитанное соотношение целей и средств, - сказал знаменитый военный теоретик XIX в. Карл фон Клаузевиц.
Таким образом, предметом маркетингового анализа является деятельность фирмы, процессы и явления, имеющие место на рынке, рассматриваемые на какой-то момент времени, а также в динамике.
Рисунок 3.2 наглядно иллюстрирует понятие предмета маркетингового анализа.
Объектом маркетингового анализа являются как отдельные предприятия, индивидуумы, домохозяйства/семьи, так и совокупность каждого из них, а также отрасль хозяйства в целом.
Любой анализ, в том числе и маркетинговый, имеет две ступени: первая - констатационные оценки состояния и развития рынка и самой фирмы; вторая, более сложная - объяснение сложившейся ситуации, выявление и моделирование причинно-следственных связей, научное прогнозирование дальнейшего развития. К маркетинговому анализу предъявляются жесткие требования: он должен быть проведен в сжатые сроки, достоверен и достаточно полон. Результаты анализа могут быть представлены в виде:
упрощенных качественных оценок;
точных количественных характеристик;
различного рода схем и диаграмм;
статистических и эконометрических моделей.
Анализ не должен быть абстрактным, он всегда служит обеспечением той или иной маркетинговой операции. Поэтому его выводы должны быть четкими и недвусмысленными, обязательно сопровождаться практическими рекомендациями.

3.2. Предмет маркетингового анализа рынка
Цели и задачи маркетингового анализа
Ранее отмечалось, что маркетинговое исследование, а следовательно, и маркетинговый анализ выполняют заказ маркетинговой службы (или непосредственно руководства фирмы^-на информационно-аналитическое обеспечение тех или иных маркетинговых операций. Для этого осуществляется изучение определенных процессов и явлений как на рынке, так и за его пределами. В целом перед маркетинговым анализом стоят следующие цели:
1) дать оценку и прогноз состояния и развития рынка, определить позицию фирмы на данном рынке (или его сегменте);
2) выявить реакцию рынка на маркетинговые действия и смоделировать закономерности спроса;
3) охарактеризовать экономический и финансово-кредитный потенциал фирмы, определить ее конкурентоспособность;
4) обеспечить маркетинговое обоснование разработки товара, организовать его тестирование и оценку конкурентоспособности;
5) охарактеризовать потенциальных дистрибьюторов в соответствии с критериями выбора;
6) оценить поведение и потенциальные возможности конкурентов, спрогнозировать их действия;
7) выявить и спрогнозировать мнения, поведение и предпочтения потребителей;
8) оценить вероятность и силу коммерческого риска.
На 3.3 представлены в виде древа целей цели анализа маркетинга.

3.3. Древо целей маркетингового анализа
Исходя из этих целей, маркетинговая служба фирмы формулирует конкретные задачи маркетингового анализа. Например, охарактеризовать ситуацию на рыночном сегменте, где планируются операции фирмы; провести в порядке самосертификации оценку конкурентоспособности нового товара, который фирма собирается выводить на рынок; оценить риск, связанный с инвестициями в расширение сети торговых единиц; проанализировать эффективность различных вариантов формирования канала товародвижения и т.д.
Методология маркетингового анализа
Методология маркетингового анализа подчинена целям исследования, определяется предметом анализа и в известной мере обусловлена характером имеющейся информации. В гл. 1 настоящего издания говорилось о многоструктурности и многосторонности маркетингового исследования, это полностью относится и к маркетинговому анализу.
Следует сразу сказать, что в нем наиболее широко представлены методы статистики и эконометрики, но могут быть использованы более простые приемы неформальных качественных оценок.
Как уже отмечалось, в маркетинговом исследовании существуют два направления: формализованное, которое базируется на количественных оценках и моделировании изучаемых явлений и процессов, и неформальное, качественное, основанное на визуальных, а иногда и интуитивных оценках и прогнозах.
Анализ может быть оперативным, охватывающим ограниченные аспекты рыночной деятельности и сравнительно небольшой отрезок времени, и сочетать в себе неформальные оценки с констатирующими статистическими оценками. Анализ стратегический (фундаментальный), который ставит своей целью выявление и моделирование закономерностей и тенденций, взаимосвязей и пропорций и т.п., неизбежно должен опираться на точные количественные оценки, получаемые в результате статистических расчетов.
В свою очередь статистические расчеты могут считаться достаточно надежными, если они базируются на наблюдении определенного количества единиц, т.е. совокупность должна быть массовой.
Наиболее широко в перечне методов маркетингового анализа представлена статистика. Методология маркетингового анализа использует следующие статистические методы: абсолютные, средние, относительные величины, динамические ряды и ряды распределения, группировки, индексы, вариационный и дисперсионный анализ, корреляционно-регрессионный и многомерный анализ, графический метод, трендовые модели, методы экспертных оценок.
Эконометрика в маркетинге представлена методами линейного и нелинейного моделирования, а также динамического программирования, моделями, базирующимися на теории массового обслуживания (теория очередей) и теории принятия решений (теория риска), имитационными моделями. Самостоятельное значение придается логистическим моделям управления потоками товаров и денег и оптимизации товарных запасов. В маркетинговом анализе широко используются квалиметрические методы, а также методы социометрии. Стратегические матрицы (решетки), используемые в маркетинговом планировании для целей разработки оптимальной стратегии, могут найти применение и в маркетинговом анализе - для определения рейтинга фирмы и ее позиции на рынке, для прогноза риска и т.п.
Немаловажное значение придается также неформальному описательному и качественному анализу, сценариям развития и т.п.
Выбор тех или иных методов анализа обусловлен рядом факторов: степенью срочности получения выводов, наличием и широтой собранной или доступной информации, характером изучаемых процессов и явлений, наличием или отсутствием ЭВМ, прикладных программ и специалистов, знающих существо проблемы и в то же время владеющих статистической и эконометри-ческой методологией. Так, ограничения во времени для анализа подталкивают к использованию неформального способа оценок.
Не следует думать, что анализ подобного рода доступен любому, даже малоопытному работнику. Наоборот, качественные оценки базируются на опыте и деловой интуиции исследователя, на его всестороннем практическом знакомстве с рынком и деятельностью фирмы.
Например, торговый корреспондент на основе своего участия в процессе продажи товара делает пометки в специальной карточке или в журнале ( 3.4).

3.4. Карточка торгового корреспондента: состояние спроса
Иногда формальный и неформальный анализ сочетаются. Например, констатационная стадия анализа (определение объема, уровня, темпов, структуры и т.п.) базируется на статистических расчетах, а причинно-следственные связи оцениваются с помощью интуитивно-экспертных мнений специалистов.
Пример. После снижения цены на один товар увеличился объем продаж другого (снижение цены и рост объема продаж статистически зарегистрированы).
Делается вывод о перекрестной зависимости спроса от изменения цены, который нуждается в дальнейшем подтверждении путем статистического расчета коэффициента перекрестной эластичности спроса.
Анализ динамических процессов также может опираться на неформальные методы, например на информацию от торгового корреспондента ( 3.5).
На основе наблюдений торгового корреспондента дается заключение о тенденции продажи товара к медленному снижению. Отсюда вывод: спрос падает, но еще есть время принять меры для его стабилизации.

3.5. Карточка торгового корреспондента:тенденция продажи товара
Однако, как правило, динамика рынка изучается с помощью статистических методов обработки динамических рядов, позволяющих не только точно определить скорость и вектор развития, но и с помощью трендовых моделей выявить его основную тенденцию (тренд). Важную роль в анализе динамики рыночных процессов играет индексный метод, который обеспечивает возможность интегрированной оценки общего изменения сложных многоструктурных явлений (например, товарооборота) и позволяет выявить некоторые факторы развития (например, количественный и ценностный).
Для анализа причинно-следственных связей в динамике целесообразно применять многофакторные статистические модели, которые могут быть использованы еще и для прогнозирования. В некоторых случаях используются методы многомерного анализа.
Динамические процессы, структурные сдвиги, соотношения и т.п. легко проиллюстрировать методами графического анализа.
Для анализа структуры рынка и его отдельных элементов и характеристики структурных сдвигов могут частично использоваться описательные методы и визуальные оценки (обычно - по ранее выполненным диаграммам), но чаще это осуществляется с помощью статистических методов и способов моделирования. Распределение рынков по регионам, их иерархия по территориально-административному признаку, межрегиональные и межотраслевые рыночные связи заставляют прибегать к методологии регионального анализа и моделирования, применять методы линейного и динамического программирования, кластерного анализа и т.п.
В региональном анализе часто используются картограммы.
Стихийность рынка проявляется в различных формах колеблемости и цикличности. Эти явления изучаются комплексно с помощью статистического вариационного и дисперсионного анализа, гармонических моделей, индексов сезонности, а также рядов распределения и различных группировок. Применяются также методы механического и аналитического сглаживания (выравнивания). Аналитик должен уметь читать и интерпретировать цифры, таблицы, расчеты.
Необходимо выявлять закономерности и тенденции, видеть структурные сдвиги, находить взаимосвязи. Очень часто таблицы и ряды, построенные на базе полученной информации, приходится дополнительно обрабатывать с помощью методологии более высокого порядка.
Пример. Классическая стратегическая матрица Бостон Консалтинг Групп (БКГ) базируется на так называемой кривой обучения - модели, отражающей связь между долей рынка и уровнем эффективности предприятия (например, удельным уровнем затрат).
Для доказательства или опровержения этого тезиса следует выразить данную зависимость графической моделью или уравнением регрессии, возможно, по функции гиперболы.
Таблица 3.1Зависимость уровня издержек от доли рынка, занимаемой предприятием
|
Предприятия |
|
с уровнем издержек, в % к объему сбыта |
с долей рынка, % |
|
20,0 |
10 |
|
15,0 |
20 |
|
12,5 |
30 |
|
11,0 |
40 |
|
10,0 |
50 |
|
9,5 |
60 |
|
9,0 |
70 |
В примере использован обратный показатель эффективности -удельные издержки, зависимость которых от доли рынка выражается уравнением гиперболы:

(3.1)
где уЮх - теоретическое значение результативного фактора - уровня
издержек;
х - факторный признак - доля рынка (в процентах);
b - коэффициент регрессии, отражающий зависимость у от х.
Модель приняла следующий вид:

Обратная зависимость данного показателя от доли рынка, отраженная на 3.6, показывает, что крупные предприятия, захватившие значительную долю рынка, более эффективны, чем предприятия, занимающие незначительную его долю.
КОНТРОЛЬНЫЕ ВОПРОСЫ
1. В чем состоят цели маркетингового анализа?
2. Что является предметом маркетингового анализа?
3. В чем Вы видите разницу между оперативным и стратегическим маркетинговым анализом?
4. Какова роль статистики в маркетинговом анализе?
5. Какие виды моделирования применяются в маркетинговом анализе?
ТЕСТЫ
1. Маркетинговый анализ - это:
а) разложение маркетингового цикла по отдельным элементам в соответствии со структурой маркетинга;
б) описание действия каких-либо рыночных процессов и явлений;
в) оценка, объяснение, моделирование и прогноз рыночных явлений и процессов на базе собранной информации.
2. Статистический анализ в маркетинговом исследовании представляет собой:
а) получение выводов на основе количественного исследования массовых рыночных процессов и явлений, осуществленного с помощью специфических статистических методов;
б) сбор и обработка цифровых данных по соответствующим алгоритмам в целях получения маркетинговых характеристик;
в) использование корреляционно-регрессионного метода для выявления причинно-следственных связей.
3. Объектом маркетингового анализа является:
а) продажа отдельных товаров, товарооборот рыночных предприятий;
б) отдельное предприятие, отрасль, совокупность отраслей, а также физические лица, семьи, социальные группы населения, население в целом, участвующие в рыночной деятельности;
в) район, город, регион, вся территория страны.
4. Древо целей - это:
а) взаимосвязанный комплекс, состоящий из главной (генеральной) цели исследования и целей первой, второй и последующих очередей;
б) цикл задач, выстроенных в логической последовательности;
в) схема разработки маркетинговых мероприятий, изображенная в виде дерева.
5. Модель (кривая) обучения в стратегическом анализе маркетинга:
а) характеристика численности лиц, обучающихся маркетингу в учебных заведениях различного типа;
б) имитация зависимости уровня эффективности предприятия от доли рынка, им занимаемой;
в) оценка зависимости доли рынка от уровня эффективности маркетинга предприятия.
Схема блок-факторов, оказывающих влияние на
Если в конъюнктурном анализе оценки состояния или изменения спроса использовались главным образом для характеристики степени сбалансированности рынка, а также в качестве предупреждающей информации, то в стратегическом анализе оценки спроса и прогнозы его дальнейшего развития рассматриваются как основа плановых/стратегических моделей перспектив сбыта/ продажи товаров и получения прибыли. Естественно, прогнозы спроса являются важнейшим критерием целесообразности инвестиций в производство товаров.
Напомним, что спрос до момента обмена товара на деньги существует лишь в представлении потребителей, в виде идеи покупки товара, подкрепленной сознательным или подсознательным подсчетом обеспеченности своих потребностей располагаемыми или ожидаемыми денежными средствами. Этот сложный экономико-психологический процесс находит свое завершение и воплощение на рынке: покупатель спрашивает товар и предлагает деньги, а продавец или отпускает товар, принимая взамен деньги, или отказывает по причине отсутствия товара (сделка купли-продажи может не состояться и в том случае, когда покупателя не устраивает качество предлагаемого товара).
В результате возникают две экономические категории: товарооборот (объем проданных/купленных товаров) и неудовлетворенный спрос. Товарооборот (продажа товаров потребителям) можно рассматривать как удовлетворенный спрос. Оценка неудовлетворенного спроса начинается в ходе конъюнктурного анализа на основе отчетов торговых корреспондентов. Причины, по которым спрос не удовлетворен, выявляются путем опросов потребителей.
Соотношение удовлетворенного и неудовлетворённого спроса оценивается экспертным путем. На рынке покупателя, где отсутствует само понятие дефицита, размер неудовлетворенного спроса обычно сводится к минимуму.
Из этого можно сделать очень важный для стратегического анализа вывод: по данным о товарообороте можно судить о закономерностях спроса.
Источником информации о товарообороте всей торговли являются статистическая отчетность и другие данные статистических органов. Параллельно каждое торговое предприятие должно вести строгий учет количества проданных товаров и в соответствии с продажными ценами - учет продажи в стоимостных единицах. В целях анализа полезно собрать данные, отражающие влияние различных факторов на спрос.
Такую информацию, в частности, как правило, содержат панели потребителей или предпринимателей/менеджеров. Определенную пользу могут принести опросы руководителей предприятий, В ряде случаев целесообразно прибегать к экспертным исследованиям.
В стратегическом маркетинговом анализе выдвигаются три основные задачи:
определение долговременных (стратегических) тенденций изменения покупательского спроса/товарооборота;
выявление и моделирование влияния комплекса факторов на динамику покупательского спроса/товарооборота;
прогнозирование покупательского спроса.
Разработка стратегических трендовых моделей имеет ряд особенностей. Во-первых, должна быть обеспечена надежная долговременная информационная база расчета; во-вторых, необходимо исключить внутригодовые сезонные и другие малые цикличные колебания, а также нерегулярные колебания; в-третьих, допускается осуществление экстраполяции, которая при соблюдении определенных правил может рассматриваться как предварительный прогноз.
Выбор функции для трендовой модели обусловлен характером динамического ряда, т.е. вектором развития спроса, скоростью его развития и колеблемостью эмпирических данных. В 3.2.4 приведены формулы основных функций, по которым строятся модели тренда.
Однако в стратегическом анализе важно не столько определить тенденцию спроса, сколько оценить степень и характер влияния тех факторов, которые обусловливают его изменение. На 5.4 перечислены лишь наиболее важные и поддающиеся формализации факторы.
5.4. Схема блок-факторов, оказывающих влияние напокупательский спрос
В блок социально-демографических факторов входят: численность населения (в целом и по территории страны, уровень урбанизации, сальдо миграции, плотность и прогнозы численности населения);
половозрастная структура населения (группировка населения по полу и возрасту);
социальная структура населения (распределение по классам и социальным группам, денежному доходу и сбережениям, национальному признаку, образованию, конфессиональной принадлежности и т.п.);
число и состав семей (их общее число, средний размер семьи, распределение по количеству детей, число браков и разводов, показатели жизненного цикла семей);
жилищные условия населения (обеспеченность жилой площадью и доля семей, имеющих отдельные квартиры, в целом и по социальным группам населения, качественные признаки структуры жилищ).
Рост численности населения при прочих равных условиях приводит к возрастанию спроса за счет увеличения числа потребителей. Оценить его роль в динамике спроса позволяет факторная динамическая модель товарооборота, аддитивная форма которой рассмотрена в 5.1 (см. формулы 5.3-5.5). Мультипликативная форма этой модели приведена ниже (стоимостные показатели уже пересчитаны в сопоставимые цены):

(5.7)
Данная модель позволяет определить, какую роль в динамике спроса/товарооборота играет скорость изменения численности населения (этот фактор можно считать экстенсивным в отличие от фактора увеличения покупок на душу, являющегося интенсивным). Оба этих фактора могут иметь противоположные векторы изменения, т.е. товарооборот на душу населения может расти, а численность населения - сокращаться. И наоборот, сокращение интенсивного фактора не исключает увеличения экстенсивного.
В нашем примере (см. исходные данные в табл. 3.20; расчет в сопоставимых ценах) оба вектора имеют одно и то же напоавление:

(5.8)
Эта модель интерпретируется следующим образом: рост объема проданных товаров (общий объем удовлетворенного спроса) на 45,5% обусловлен ростом покупок на душу населения на 36,9% (индивидуальный уровень удовлетворенного спроса, определяющий уровень потребления) и увеличением численности населения (числа потребителей) на 6,3%.
Одновременно на спрос влияют сдвиги в демографической структуре, особенно в распределении населения по доходу. Это влияние может быть выявлено с помощью индексной модели переменного и фиксированного состава, в которую входит индекс структурных сдвигов46. В окончательном виде данная модель принимает следующий вид:

(5.9)
где D0 и D1 - средний по всем группам населения товарооборот на душу (соответственно
в базисном и текущем периодах);
Di0 и Di1 - товарооборот/покупки на душу i-й группы населения (соответственно в
базисном и текущем периодах);
Si0 и Si1 - структура населения (возрастная, социальная и т.п.), удельный вес i-й
группы населения в общей численности (в процентах) соответственно
в базисном и текущем периодах;
n - число i-х групп населения;
ID - индекс товарооборота на душу населения (в среднем по всей совокупности
населения);
IDi - чистый индекс товарооборота на душу населения в неизменной структуре
товарооборота;
Iстр.S - индекс влияния структуры населения на динамику товарооборота на душу
населения (индекс демографической структуры).
Пример. В табл.
5.4 приведены данные о социальной структуре населения и покупках на душу населения в каждой группе (цифры условные).
Таблица 5.4Социальная структура населения и покупка товаров на душунаселения (в среднем за месяц)
|
Группы населения по уровню дохода |
Численность населения, % к итогу |
Товарооборот/ покупка на душу населения, руб. на 100 чел. |
Расчетные показатели товарооборота, руб, на 100 чел. |
|
в базисном периоде |
в текущем периоде |
в базисном периоде |
в текущем периоде |
Di0 Si0 |
Di1 Si1 |
Di0 Si1 |
|
Si0 |
Si1 |
Di0 |
Di1 |
|
1 |
2 |
3 |
4 |
5 |
6 |
7 |
|
Высокообеспеченные |
6 |
7 |
2500 |
2500 |
15000 |
17500 |
15000 |
|
Среднеобеспеченные |
40 |
17 |
540 |
500 |
21600 |
13500 |
20000 |
|
Низкообеспеченные |
54 |
66 |
200 |
170 |
10800 |
11220 |
9180 |
|
По всей совокупности |
100 |
100 |
474 |
422 |
47400 |
42220 |
44180 |

Проверка правильности расчета:
1,0010,932 = 0,933.
В данном примере средний товарооборот на душу населения сократился на 6,7%. Однако это сокращение вызвано сдвигами в социальной структуре населения (на 6,8%). Если бы структурных изменений не было, то в неизменной демографической структуре товарооборот на душу населения не уменьшился, а, наоборот, увеличился.
Правда, прирост крайне незначительный: всего на 1%.
Другим эффективным методом выявления влияния факторов на динамику спроса являются группировки. Этот статистический метод, состоящий в расчленении совокупности на однородные группы по какому-либо признаку, в маркетинге встречается в форме сегментации рынка., В 5.1 мы использовали группировку для того, чтобы обнаружить зависимость уровня и структуры спроса от социальной структуры населения (табл. 5.2).
Такая группировка относится к классу аналитических и широко используется в анализе факторов.
В качестве группировочного признака можно взять не только статичные величины (на какой-то момент или за какой-то период), но и динамические показатели. Так, чтобы выяснить, каким образом темпы продажи/покупки товаров зависят от изменения численности населения, следует сгруппировать регионы по данному признаку и рассчитать для каждой группы средний темп роста продажи товара ( 5.5).
Данные свидетельствуют: рост численности населения представляет собой фактор динамики спроса.
Наиболее результативными с точки зрения изучения и прогнозирования спроса являются методы корреляции и регрессии. Существует ряд условий и ограничений применения корреляционно-регрессионных методов. Прежде всего, необходимо удостовериться, что исследуемая совокупность однородна, ее объем должен быть достаточно велик, вариация изучаемых признаков должна носить стохастической, вероятностной характер, а не быть детерминированной.
Имеется еще ряд ограничений, не всегда соблюдаемых на практике47.
Таблица 5.5Группировка регионов по темпам роста численности населенияза пятилетие (цифры условные)
|
Группы регионов по темпам роста численности населения, % к базисному уровню |
Число регионов, % к итогу |
Средний по группе темп роста продажи продуктов питания, % к базисному уровню |
|
До 90 |
7 |
82 |
|
90,0 - 99,9 |
18 |
89 |
|
100,0 - 109,9 |
42 |
97 |
|
110,0- 119,9 |
19 |
106 |
|
120,0 - 129,9 |
9 |
114 |
|
130,0 и выше |
5 |
128 |
|
По всем регионам |
100 |
99 |
Корреляция (англ. correlation - соотношение, взаимосвязь) - зависимость результативного признака от одного или нескольких факторных (экзогенных) признаков, тесноту связи между которыми позволяет выявить корреляционный анализ. Для этой цели используется ряд показателей.
При линейной форме связи целесообразно использовать линейный коэффициент корреляции, который рассчитывается по следующей формуле:

(5.10)
где ху - среднее значение произведения факторного признака на результативный;
х и y - среднее значение соответственно факторного и результативного признаков:
x и y - среднеквадратические отклонения соответственно для факторного и
результативного признаков.
При нелинейной форме связи используют корреляционное отношение, или индекс корреляции:

(5.11)
где 2ост - остатостаточная дисперсия, определяемая по формуле

(5.12)
где уi - значение i-го признака;
ух - значение выровненного результативного признака;
n - число i-х единиц в совокупности.
В множественной корреляции, когда на результативный признак влияет несколько факторных признаков, показатель тесноты связи, индекс корреляции (Ryx1, x2,xn) строится по аналогичной формуле. Только в остаточной дисперсии отражено влияние всех факторов:

(5.13)
Теснота связи тем меньше, чем ближе ее показатель к 0, и тем сильнее, чем ближе ее показатель к 1.
Регрессионный анализ - способ моделирования характера и силы влияния факторного признака/признаков на результативный признак:

(5.14)
Форма зависимости в соответствии с характером изменения результативного признака может быть линейной или нелинейной. Нелинейная функция может быть линеаризована (приведена к линейному виду с помощью логарифмирования). Чаще других в маркетинге используются следующие уравнения регрессии (табл.
5.6).
В практике статистического исследования и прогнозирования покупательского спроса по различным видам продуктов и услуг используются различные типы моделей, наиболее соответствующие характеру и закономерностям развития данного рынка. Выбор функции зависит от результата предварительных исследований (в частности от разведочного исследования и конкретной рыночной ситуации).
У каждого вида товара свои особенности развития спроса, его реакции на маркетинговые действия и влияние макросреды.
Таблица 5.6Функции, используемые при моделировании влияния факторовна покупательский спрос

В.мировой практике довольно широко используют формулы Торнквиста, причем 1-го типа - для моделирования спроса на продукты питания, а 3-го типа - для моделирования спроса на предметы роскоши. Спрос ряда непродовольственных товаров аппроксимируется степенной функцией, или экспонентой (особенно на активных этапах жизненного цикла товаров).
Общие закономерности спроса нередко отражаются кривой Гомперца. При изучении влияния фактора дохода на спрос может быть использована логистическая (сигмоидальная) кривая.
Процесс затухания роста спроса по мере перехода к группам населения с высоким доходом удачно отражается полулогарифмической функцией.
Рассмотрим пример (условный) зависимости доли непродовольственных товаров в покупках семьи от дохода на душу населения. В соответствии с законом Энгеля, чем больше доход в семье, тем больше доля покупок непродовольственных товаров.
При этом рост доли не пропорционален увеличению дохода, а отстает от него. Предположим, что это замедление можно смоделировать уравнением регрессии полулогарифмической функции (см формулу 5.16).
Прежде всего построим таблицу для расчета параметров уравнения и корреляционного отношения. Сложные модели строят с помощью ПЭВМ и пакетов прикладных программ, более простые - используя систему нормальных уравнений (для линейных и линеаризованных уравнений, а также для полиномов любой степени).
Как правило, вручную больше трех нормальных уравнении для параболы 2-го порядка не строят. Нам потребуется система из двух уравнений:

(5.15)
По данным, приведенным в табл. 5.7 (итоги гр. 2-6), построена система нормальных уравнений:

Решив данную систему, определяем параметры следующего уравнения регрессии, отражающего зависимость доли непродовольственных товаров в общем объеме покупок товаров семьей от дохода в расчете на одного члена семьи:

Подставляя значения логарифма факторного признака, заполняем гр. 8 таблицы (равенство ее итога с итогом гр.
3 свидетельствует о точности расчета). После этого производится последовательный расчет гр. 9 (разность гр.З и гр.
8 возводится в квадрат). Итог гр.
9 делится на число групп в таблице, в результате получена остаточная дисперсия: 2ост = 1,55488. Общая дисперсия результативного признака определяется по формуле (средняя квадрата результативного признака минус квадрат его средней):

Это означает очень высокую степень тесноты связи. Квадрат корреляционного отношения (коэффициент детерминации), равный в нашем примере 0,970, показывает, что 97% вариации результативного признака объясняется изучаемым фактором (доходом) и только 3% остается на долю случайных воздействий.
Рассчитанные данные позволяют определить правильность выбора функции для построения модели. Рассчитывается среднеквад-ратическое отклонение эмпирических данных от теоретической линии как корень квадратный из остаточной дисперсии.
В нашем примере оно составляет 1,247. Исчислив его процентное отношение к среднему значению результативного признака, получим коэффициент аппроксимации:

Коэффициент аппроксимации очень близок к 0, что подтверждает правильность выбора функции. На 5.5 графически отражена зависимость структуры покупок от дохода.

5.5. Зависимость структуры покупок от дохода
Мы получили очень эффективный инструмент анализа закономерностей спроса. Однако в реальности на спрос оказывает влияние одновременно не один, а комплекс факторов ( 5.5), что выявляется с помощью множественной корреляции и регрессии.
Чаще всего применяют линейную форму множественной регрессии:

(5.17)
Если же характер множественной связи явно нелинейный, то чаще всего прибегают к использованию линеаризованных форм степенной и показательной функций.

Модели множественной регрессии определяются на компьютерах с помощью пакетов прикладных программ. Одновременно рассчитываются коэффициенты множественной корреляции и детерминации. Большинство программ позволяют также рассчитать частные коэффициенты корреляции, отражающие чистое влияние только одного выбранного фактора и исключающие влияние всех остальных.
Кроме того, рассчитываются так называемые бета-коэффициенты, дающие возможность сравнивать между собой силу влияния каждого фактора.
Очень интересные результаты в маркетинговом исследовании может дать один из методов многомерной статистики - кластерный анализ. В результате применения достаточно сложных действий (выполняемых на компьютере с использованием пакета прикладных программ) образуются группы качественно однородных единиц - кластеров, сформированные не по одному, а по совокупности факторов. В частности, этот метод применяется в региональном анализе и в процессе сегментации рынка. Приведем пример кластеризации регионов России за 1995 г. по признаку валового регионального продукта на душу населения, выполненный Н.В.
Хорошиловой в своей кандидатской диссертации48 (таблица 5.8 дана с некоторыми изменениями).
Таблица 5.8Кластеризация регионов России
Группы регионов по уровню валового
регионального продукта
(ВРК) |
Регионы,
вошедшие в группу*
|
Средний уровень доходов на душу населения,
тыс оуб |
Средний товарооборот
на душу насе-
ления,
тыс. руб. |
Средняя рентабельность розничных торговых
предприя-
тий, % |
|
С высоким
ВРК
|
Тюменская обл., Респ. Саха,
гг. Москва, С.-Петербург,
Респ. Коми, Вологодская обл.,
Красноярский кр., Чукотский авт. окр., Самарская, Мурманская, Камчатская, Магаданская, Свердловская, Пермская, Иркутская, Томская, Кемеровская, Липецкая, Сахалинская, Ярославская, Омская, Нижегородская обл., Хабаровский кр., Респ. Татарстан и Башкорстан. |
979 |
421 |
19,9 |
|
Со средним ВРК
|
Архангельская, Челябинская, Белгородская, Новосибирская, Оренбургская, Амурская, Рязанская, Читинская, Ленинградская, Саратовская, Калужская, Костромская,
Волгоградская, Московская, Кировская, Ульяновская, Курская, Тверская, Тульская, Смоленская обл., Ставропольский и Приморский кр., Респ. Хакасия, Бурятия, Удмуртская Респ. |
547 |
282 |
19,6 |
Продолжение табл. 5.8
Группы регионов по уровню валового
регионального продукта
(ВРК) |
Регионы,
вошедшие в группу*
|
Средний уровень доходов на душу населения,
тыс оуб |
Средний товарооборот
на душу насе-
ления,
тыс. руб. |
Средняя рентабельность розничных торговых
предприя-
тий, % |
С низким
ВРК
|
Орловская, Владимирская, Ростовская, Новгородская, Курганская, Калининградская, Астраханская, Псковская, Брянская, Ивановская, Тамбовская, Пензенская обл., Краснодарский и Алтайский кр., Еврейская авт. обл., Чувашская респ., Респ. Мордовия,
Марий-Эл, Алтай, Адыгея, Кар.-Черкесская, Северная Осетия - Алания, Тыва, Кабардино-Балкарская, Калмыкия, Дагестан,
Ингушетия. |
436 |
205 |
19,3 |
|
* Ввиду отсутствия данных не включена Чеченская Республика. |
При всей важности определения факторов, влияющих на рынок, эта задача стратегического анализа не является основной. Она скорее служебная, обеспечивающая главную цель стратегического анализа - прогнозирование развития рынка как на ближайшую, так и на отдаленную перспективу. Прогнозирование спроса закладывается в основу оперативного и стратегического планов маркетинга, представляя собой первый, исходный этап разработки товара, планирования сбыта и продажи товаров. В процессе прогнозирования смыкаются оперативные, конъюнктурные прогнозы и прогнозы стратегического характера.
Они должны быть увязаны и вытекать один из другого. Поэтому вопросы прогнозирования рассматриваются в данной главе, а не в гл.
4, посвященной конъюнктурному анализу.
В зависимости от охвата объектов исследования прогноз может быть глобальным, региональным, локальным (системным), т.е. охватывать весь рынок страны, осуществляться в границах определенного региона, а также охватывать локальный рынок отдельной фирмы. Он в состоянии рассматривать рыночную ситуацию в целом, или же его предметом явится рынок отдельного товара.
Каждая из этих задач может быть самостоятельной и выполняться на разных уровнях: фирмы, региональной администрации, федерального правительства.
Прогнозы рыночного развития различаются по протяженности сроков предсказания. В теории прогнозирования принято деление на следующие виды прогноза:
предупреждающий (конъюнктурный) - на неделю, декаду, половину месяца;
оперативный - месяц, квартал, полугодие;
краткосрочный - на год;
среднесрочный - до пяти лет;
долгосрочный, или перспективный, - от пяти лет и более, как правило, не более 10 - 15 лет.
Прогнозы могут быть точечными (когда результат выражается в виде одного уровня), интервальными (результат варьирует в определенных пределах) и многовариантными (результат предлагается в виде нескольких вариантов развития). Точность прогноза зависит от:
надежности и полноты информации о рыночных процессах и факторах, определяющих их уровень и развитие;
степени устойчивости рынка и экономики в целом (чем устойчивее рынок, тем меньше степень надежности прогноза);
адекватности прогнозной модели (т.е. от выбора вида функции, по которой строятся модели, от степени аппроксимации ею эмпирических данных);
технической вооруженности прогноза (от применяемой компьютерной технологии, качества прикладных программ, алгоритмов и т.п.).
Существуют различные приемы и методы прогнозирования. В маркетинге нередко находят применение аналоговые модели, когда в качестве прогноза рассматриваются благоприятные показатели рыночной ситуации в том или ином регионе (стране), или опыт какой-либо процветающей фирмы, которую берут в качестве образца.
Этот метод обычно используется, когда фирма следует стратегии гонки за лидером.
СТРАТЕГИЧЕСКИЙ АНАЛИЗ РЫНКА
Анализ влияния макросреды на маркетингфирмы и рыночную ситуацию в целом
Стратегический анализ является логическим продолжением конъюнктурного, но отличается от него более широким кругом охватываемых проблем и более глубоким изучением взаимосвязей и закономерностей товарно-денежного обращения. Стратегический прогноз в отличие от конъюнктурного, преимущественно предупреждающего, носит характер перспективного, долгосрочного.
Разработка стратегии маркетинга предприятия начинается с оценки ситуации на рынке и попытки предсказать ее развитие на будущий, достаточно длительный период, а также анализа влияния сил и факторов макросреды. После этого оцениваются собственный потенциал и перспективы позиции фирмы на рынке.
Из сил микросреды к стратегическому анализу следует отнести изучение конкурентов и их потенциальных возможностей и намерений.
Макросреда маркетинга, как известно, носит глобальный характер и потому влияет и на деятельность фирмы, и на рыночную ситуацию в целом. Поэтому мы приступаем к рассмотрению стратегического анализа, начиная с оценки влияния макросреды.
К ней относятся: социально-демографические и экономические факторы, факторы правовой и политической среды, достижения научно-технического прогресса, природно-географические и климатические условия, воздействие СМИ.
По своей сущности эти силы таковы, что не поддаются контролю со стороны рыночных структур; к ним можно только приспособиться. Каждая фирма самостоятельно решает проблему адаптации, стараясь усилить позитивное воздействие и нейтрализовать или хотя бы уменьшить последствия негативного влияния. Но, для того чтобы создать барьер на пути сил и неблагоприятных факторов макросреды, необходимо выявить механизм их действия, проанализировать последствия их влияния.
На следующем рисунке ( 5.1) показана структура макросреды маркетинга.

5.1. Схема влияния сил и факторов макросреды на маркетинг фирмы
Окружающая среда маркетинга оказывает серьезное и ощутимое воздействие на различные стороны маркетинговой деятельности фирмы. Если силы микросреды поддаются контролю со стороны фирмы, то силы макросреды, как уже было сказано ранее, не могут контролироваться фирмой, к ним она вынуждена приспосабливаться.
Надеемся, читатель простит наше образное сравнение микросреды с душем, сила которого регулируется вами и предназначается только вам, а макросреды - с дождем, который поливает и вас, и других прохожих. И если прекратить дождь не в ваших силах, то, раскрыв зонт, вы можете приспособиться к нему, защититься.
Для того чтобы держать силы микросреды под контролем и иметь возможность адаптироваться к факторам макросреды, необходимо их изучать и моделировать их действие, измерять силу и вектор их влияния. Многие силы и факторы макросреды постоянно оказывают воздействие на деятельность маркетинга фирмы.
По-видимому, некоторые из них, в частности политическая среда, деятельность СМИ, преимущественно область неформального описательного анализа (хотя некоторые исследователи формализовали и включали политические решения в экономико-математические оценочные и прогнозные модели). Оценки влияния научно-технической среды требуются для анализа качества товаров; здесь, в частности, используются приемы квалиметрических исследований.
Влияние географической среды должно отражаться в моделях логистики, описывающих территориальное перемещение товарной массы. Проявления действия сил и факторов социально-демографической и экономической среды могут быть охарактеризованы с помощью методов статистического и эконо-метрического анализа.
Вероятно, все или почти все формы бизнеса испытывают влияние демографических факторов. Во-первых, численность населения и его территориальное распределение, а также миграционные процессы характеризуют масштабы федерального и региональных рынков. Многие маркетологи определяют рынок как совокупность потребителей.
В бизнесе, - пишет Ф. Котлер, - термин рынок используется для обозначения группы потребителей, объединенных по какому-то признаку44.
Влияние демографического фактора на динамику товарооборота легко выявить с помощью индексной факторной модели (разложение прироста товарооборота по факторам).
Товарооборот на душу населения (D) представляет собой частное от деления общего объема товарооборота (Т) (в фактических или сопоставимых ценах) на среднегодовую численность населения (S):

(5.1)
Отсюда объем товарооборота можно представить в виде произведения:

(5.2)
Исходные данные представлены в табл. 5.1.
Таблица 5.1.Динамика численности населения и товарооборота(в масштабе цен 1998 г.; цифры условные)
|
Показатели |
Единицы измерения |
Товарооборот |
Индекс цен |
Товарооборот текущего периода, в базисных ценах |
|
базисного периода |
текущего периода |
|
Товарооборот |
млрд руб. |
422,4 |
909,9 |
1,48 |
614,8 |
|
Среднегодовая численность населения |
млн чел. |
143 |
152 |
- |
- |
|
Товарооборот на душу населения |
тыс. руб./чел. |
2954 |
5986 |
- |
4045 |

Расчет показал, что абсолютный прирост товарооборота только на 13,8% обусловлен демографическим фактором (ростом численности населения) и на 86,2% - увеличением среднего уровня покупок:

Во-первых, отсюда вывод, что при маркетинговом анализе должны приниматься во внимание выводы демографического анализа, в частности показатели коэффициента рождаемости (число родившихся на 1 тыс. чел. населения), коэффициента смертности (число умерших на 1 тыс. чел.) и коэффициента естественного прироста населения (абсолютный прирост населения на 1 чел.). Эти и другие показатели отражают демографическую ситуацию и позволяют рассчитывать прогнозы численности населения, среднюю продолжительность жизни людей и сдвиги в половозрастной структуре населения.
Во-вторых, повозрастная структура населения в значительной мере определяет размер и структуру спроса на продукты питания, одежду и обувь. Существует общее понятие повозрастной потребности, связанное с циклом жизни человека; потребности которого с момента его рождения и по мере взросления растут и качественно расширяются. Процесс этот имеет свою точку насыщения, после которой потребности стареющего населения постепенно снова снижаются.
С помощью данных специальных исследований, а также материалов статистики бюджетов домохозяйств периодически рассчитываются так называемые потребительские коэффициенты, т.е. возрастные уровни потребления, приведенные к уровню потребления взрослого населения. Рисунок 5.2 представляет собой графическую модель повозрастных потребностей (данные условные).
Демографический фактор размера и состава семьи оказывает влияние на товары, обеспечивающие условия жизни, эксплуатацию жилища, степень комфорта и т.п. Конечно, параллельно действует фактор размера и структуры жилищ, но первичным все-таки является демографический фактор. Некоторые товары - телевизоры, холодильники, стиральные машины, часть предметов интерьера -приобретаются в расчете на коллективное семейное пользование (вне зависимости от размера семьи), но их количество может зависеть от ее состава.
Еще есть семьи, объединяющие несколько поколений. Естественно, некоторые предметы интерьера и комфорта в таких семьях имеются не в единственном экземпляре.
5.2. Повозрастные коэффициенты потребленияпродуктов питания
Одновременно проявляется влияние фактора дохода, связанного с составом и размером семьи. Число иждивенцев (прежде всего - дети) находится в обратной пропорции с покупательной способностью семьи.
Это может быть отражено регрессионной моделью, построенной по гиперболической функции (см. формулу 3.35), где у - расходы на приобретение товаров в расчете на одного члена семьи; х - число детей в семье (или их удельный вес в численности семьи).
Графическая модель данной зависимости представлена на 5.3.

5.3. Зависимость потребительских расходов на одного членасемьи (в среднем за месяц) от количества детей в семье
Сокращение денежных затрат в расчете на одного члена семьи, наблюдаемое на графике, объясняется несколькими причинами: дотациями на детей, льготами налоговой системы для многодетных семей и, наконец, экономией, которая соблюдается в многодетных семьях (например, переход одежды, обуви, мебели, игрушек от старшего поколения к младшему).
Для швейной промышленности и торговли очень важно изучать структуру населения. Естественно, покупка мужской, женской и детской одежды зависит от соотношения этих групп населения, а распределение спроса на одежду по размерам и ростам -от антропометрических особенностей.
Таким образом, данный фактор может считаться решающим критерием сегментации рынка одежды.
В-третьих, процесс урбанизации (соотношение городского и сельского населения) также значительно сказывается на уровне и структуре спроса. Здесь налицо не только разница в уровне денежных доходов и структуре населения, но и фактор натурального потребления, который преобладает в сельской местности.
На стыке демографической и экономической среды действует фактор социального расслоения населения. Информация о распределении населения по уровню доходов не только дает маркетологам ориентир, на потребности какой группы им равняться, но и позволяет выявить специфику спроса.
Проблема социальной стратификации населения относится к числу наиболее сложных. Существуют различные и достаточно расходящиеся оценки распределения населения по уровню доходов и сбережений.
Приведем в качестве примера данные о структуре потребительских расходов домохозяйств по 10%-ным группам обследуемого населения выборочного обследования домашних хозяйств (табл. 5.2).
Таблица 5.2Структура расходов домохозяйств с различным уровнем дохода на душу населения в 1995 г.
|
Группы домохозяйств по уровню среднемесячного душевого дохода |
Душевой потребительский расход за месяц, тыс. руб. |
В том числе в процентах на: |
|
продукты питания |
непродовольственные товары |
оплату услуг |
алкогольные напитки |
|
Первая (с наименьшим доходом) |
101,4 |
57,3 |
18,6 |
12,2 |
1,9 |
|
Вторая |
135,5 |
53,8 |
20,9 |
12,1 |
2,0 |
|
Третья |
157,2 |
51,3 |
22,3 |
12,1 |
2,0 |
|
Четвертая |
179,1 |
50,1 |
23,3 |
П,9 |
2,0 |
|
Пятая |
200,5 |
48,1 |
24,6 |
11,9 |
2,2 |
|
Шестая |
221,4 |
46,5 |
25,5 |
11,7 |
2,2 |
|
Седьмая |
229,3 |
44,9 |
26,6 |
П,6 |
2,3 |
|
Восьмая |
278,4 |
43,0 |
27,8 |
11,4 |
2,2 |
|
Девятая |
325,8 |
40,3 |
29,5 |
11,3 |
2,3 |
|
Десятая (с наибольшим доходом) |
455,2 |
34,3 |
32,1 |
11,1 |
2,1 |
Для торговли данные табл. 5.2 представляют значительный интерес.
Во-первых, путем несложных расчетов (умножением среднедушевых показателей на численность населения) можно получить общую сумму потребительских расходов, а отсюда рассчитать структуру расходов по социальным группам. Это обеспечивает возможность выбора наиболее привлекательного сегмента рынка.
Из-за ограниченности места в таблице мы не привели данные об удельном весе потребительских расходов в общей сумме расходов по каждой группе, а он сокращается по мере увеличения дохода. Спорить не о чем: малообеспеченные граждане вынуждены все свободные деньги (за вычетом налогов) тратить на пищу, одежду, бытовые услуги, а обеспеченные слои делают сбережения, расходуют деньги на удовлетворение высших потребностей.
В низшей группе удельный вес покупательных фондов в общей сумме расходов составляет 90%, а в высшей - 79,6% (разрыв больше 10 пунктов). Возможность обеспеченных семей тратить денег больше, чем у менее обеспеченных, реализуется за счет концентрации денежных средств в такой группе. Оценка данному явлению дается в виде процентного распределения дохода по группам семей (в нашем примере он отсутствует) и коэффициента Джини (С), формула которого для дбцильных распределений (когда совокупность разделена на 10 равновеликих групп) выглядит следующим образом:

(5.6)
где dнyi - накопленная доля i-й группы в общем объеме изучаемого признака
(в нашем примере - дохода в процентах к итогу). По расчетам
Госкомстата РФ в 1991 г. коэффициент Джини составлял 0,280, а в
1995 г. - 0,381, т.е. степень концентрации доходов увеличилась примерно
в 1,4 раза. Это означает, что группа населения с высокими доходами является
привлекательным сегментом для продавца; для маркетинга важно знать,
что в таких условиях часто действует правило тяжелой половины Твелъда,
когда меньшая часть населения покупает непропорционально большую часть
товаров.
По некоторым данным, 5% богатых людей с доходом выше 1,5 тыс. долл. в месяц распоряжаются 3/4 денежных сбережений населения, в то время как 20% населения, относимые к среднему классу, имеют право примерно на 8% сбережений. На долю бедного и беднейшего большинства приходится около 3% средств.
Во-вторых, в структуре расходов на покупки четко прослеживается действие закона Энгеля: по мере роста дохода сокращение удельного веса продуктов питания и рост удельного веса непродовольственных товаров. В период кризиса это расхождение усиливается: в первую очередь удовлетворяются важнейшие, жизненно важные потребности, а уж то, что остается, тратится на остальные нужды.
Блок экономических факторов, или экономическая среда, оказывает непосредственное влияние на маркетинг, формируя покупательные фонды населения, а через них - спрос на продукты и услуги. В 1997 г. в экономике России было занято 64,6 млн чел. Это почти на 11 млн чел., или на 14,2%, меньше, чем в 1990 г. На этом фоне выделяется тот факт, что доля занятых в торговле и общественном питании значительно выросла: с 7,8% в 1990 г. до 13,5% в 1997 г. Место отраслей товарного обращения в валовом внутреннем продукте за названные годы выросло на 10 процентных пунктов и составляет 16%.
На покупательском спросе сильно сказывается уровень безработицы, причем, фактором ограничения спроса является не только неизбежный в таких условиях коллапс дохода, но и психологический стресс, заставляющий ограничить потребление, удовлетворяя минимум потребностей. Влияние безработицы на спрос можно выявить с помощью статистических данных (коррелируя рост безработных и изменения продажи основных товаров), а также путем опроса/анкетирования неработающих и работающих лиц.
Важную информацию на этот счет можно получить из панелей.
В кризисных условиях влияние роста дохода сдерживается инфляционными процессами. Серьезной особенностью изменения доходов является их дифференциация по социальным признакам, о которой говорилось выше.
Методика оценки влияния дохода и цен на покупательский спрос будет еще раз рассматриваться в 5.3.
Природно-географическая и климатическая среда определяет состояние и размещение сырьевого потенциала, доступность сырьевой базы, протяженность транспортных артерий, влияет на развитие сельского хозяйства, имеет косвенную связь с демографическими данными (расселение населения, его плотность, миграционные процессы). Расходы на сохранение и восстановление экологической среды влекут за собой удорожание товаров, но являются необходимым компонентом современного маркетинга.
В маркетинге продовольственных товаров часто проявляется влияние природно-климатических условий: в районах с климатом, благоприятным для развития сельского хозяйства, как правило, выше уровень натурального потребления продуктов питания, спрос на потребительском рынке за счет этого ощутимо меньше.
Совокупность региональных факторов приводит к значительным различиям в уровне предъявляемого покупательского спроса. Для их выявления используют разнообразные статистические методы: группировки, коэффициенты вариации, кластерный анализ, показатели географической ассоциации, территориальные индексы и т.д.45
В качестве примера приведем группировку регионов по размеру товарооборота на душу населения (в ценах 1997 г.).
Таблица 5.3Группировка регионов Российской Федерации* по размерутоварооборота на душу населения в 1997 г.
|
Товарооборот на душу населения, руб. |
Число регионов,
% к итогу |
|
До 2000 |
3,8 |
|
2001 - 3000 |
11,5 |
|
3001 - 4000 |
32,1 |
|
4001 - 5000 |
29,5 |
|
5001 - 6000 |
10,3 |
|
Свыше 6000 |
12,8 |
|
Итого |
100,0 |
* Без Москвы, С.-Петербурга, Чеченской Республики.
Из таблицы видно, что различия по регионам между товарооборотом на душу населения велики. Коэффициент региональной вариации составил 32,7%.
Эта неравномерность обусловлена двумя главными территориально-экономическими факторами: региональными различиями дохода и территориальной вариацией розничных цен.
Часто используется метод картограмм, характеризующий закономерности территориального распределения товарооборота на душу населения.
Многие стороны маркетинговой деятельности зависят от политической среды: законодательной деятельности государства в рыночной сфере, от принципов и методов налогообложения, порядка ценообразования, государственной политики в области регулирования рыночных процессов, от развития системы государственной стандартизации и сертификации, контроля за качеством товаров и порядком торговли, а также юридической защищенности бизнеса и потребителей.
Действие политико-правовой среды крайне неоднозначно. Политические решения - сильнейший раздражитель экономики. Биржа, например, не только на каждый указ, на каждый слух реагирует колебаниями курса.
Цены на товарном рынке менее чувствительны, но тоже напоминают график колебаний сейсмической станции. Положение с налогами, меры по сдерживанию импорта, смена правительства - причины, достаточные для серьезного изменения ситуации на рынке.
Конечно, этот блок факторов весьма трудно поддается анализу и тем более прогнозу. Однако некоторые исследователи строили модели, увязывающие политические акции (например, принятие законов, затрагивающих интересы предпринимательства, смены правительства и т.п.) с курсом рубля по отношению к доллару, инфляционными скачками и т.д.
Научно-техническая среда создает предпосылки для совершенствования производства и распределения товаров, обновления их потребительских свойств и появления качественно новых образцов. Кроме того, она влияет на теорию и практику маркетинга, позволяет внедрять прогрессивные методы сбыта и торговли, способствует полной компьютеризации маркетинговой деятельности, использованию экономико-математических методов моделирования и управления перемещением и складированием товаров (торгово-сбытовая логистика) и т.д.
Использование достижений НТП, научно-технической среды является составным элементом инновационной политики фирмы. Их воздействие на маркетинг проявляется в различных формах: моральное старение товара или способа обслуживания, вызывающее необходимость их замены или модернизации; потенциальная возможность создания качественно нового или кардинально усовершенствованного товара; совершенствование технологии, позволяющее резко сократить время на изготовление товара и обеспечивающее экономию производственных затрат, что ведет к снижению себестоимости.
С другой стороны, НТП может стать фактором обострения конкурентной борьбы, если его результатами воспользуется конкурирующее предприятие.
Культурно-образовательная среда оказывает определенное влияние на структуру спроса. К его приоритетам можно отнести, во-первых, спрос на образование; во-вторых, социальные услуги и услуги культурно-просветительского характера; в-третьих, спрос на различные духовные ценности, книги, компьютеры и т.п. Кроме того, в этой среде формируется понятие потребительской культуры.
В зависимости от реалий данной среды сильно различаются шкала моральных и материальных ценностей потребителей и иерархия потребностей. Иногда подлинная культура отодвигается на задний план широким распространением суррогатов вроде массовой, или поп-культуры.
В сфере искусства и дизайна быта, к сожалению, спрос на продукцию квазикультуры особенно велик.
Маркетинговые мероприятия должны учитывать исторические, религиозные, этнические традиции, а также культурно-образовательный уровень потребителей. В конечном счете эти факторы определяют степень потребительской культуры населения и поведенческую роль различных социальных групп на потребительском рынке. В свою очередь под влиянием потребительской культуры складывается структура покупательского спроса.
Для оценки и анализа культурно-образовательной среды можно использовать данные переписей населения, охватывающие вопросы образования и культуры, а также проводить специальные обследования, увязывая социологические проблемы с интересами маркетинга.
Информационная среда, СМИ оказывают влияние на маркетинг, которое трудно уловить и конкретизировать. Конечно, данная среда формирует общественное мнение и отношение потребителей как к производителям, так и к торговле. Кроме того, СМИ - важнейший проводник рекламы. Зачастую пресса публикует материалы, оценивающие или критикующие качество и полезность тех или иных товаров.
Кстати, иногда это замаскированная конкурентная кампания, инспирированная какими-либо соперниками.
КОНТРОЛЬНЫЕ ВОПРОСЫ
1. В чем Вы видите цели стратегического маркетингового анализа, связан ли он с оперативным, конъюнктурным анализом?
2. Каковы цели маркетингового исследования макросреды фирмы?
3. Каким образом демографическая среда влияет на маркетинговую деятельность фирмы? С помощью каких методов такое влияние выявляется?
4. Можно ли оценить влияние инфляционных процессов на сбыт и продажу товаров?
5. На каких показателях маркетинговой деятельности производственно-сбытовой или торговой фирмы сильнее всего сказывается безработица?
ТЕСТЫ
1. Позволяет ли факторная индексная модель выявить или исключить влияние демографических факторов на товарооборот?

Если да, то постройте и интерпретируйте такую модель по следующим данным:
|
Товарооборот, млн руб. |
Численность населения, тыс. чел. |
|
прошлого года |
данного года |
прошлого года |
данного года |
|
500 |
720 |
250 |
300 |
2. Влияют ли различия в доходах социальных групп населения не только на размер, но и на структуру покупок товаров?
Если да, то докажите это, используя следующие данные:
|
Среднемесячные доходы населения, руб. |
Расходы на покупку, руб. |
|
продовольственных товаров |
непродовольственных товаров |
|
2000 |
600 |
1000 |
|
1000 |
400 |
400 |
|
500 |
250 |
150 |
3. В популярной газете опубликована статья известного врача о вреде, который товар X, выпускаемый вашей фирмой и имеющий государственный сертификат качества, причиняет здоровью человека:
а) повлияет ли данная публикация на спрос этого товара?

5. Научно-техническая среда может проявиться:
а) только в изобретениях, обеспечивающих появление новых товаров;
б) НТП представляет собой чисто эволюционный процесс, не имеющий отношения к рынку;
в) НТП способствует созданию новых товаров, изыскивает более совершенные способы продажи и прогрессивные формы сервиса.
Изучение и прогнозирование покупательскогоспроса
Основной проблемой стратегического анализа рынка является исследование закономерностей состояния и развития рынка, и прежде всего покупательского спроса. Разработка маркетинговой стратегии товарного производства и сбыта товара остро нуждается в научно обоснованных предсказаниях перспектив развития рынка. Каким будет спрос?
Будет ли он расти или падать? Эти вопросы задают себе все предприниматели.
Сухой язык статистики бесстрастно переводит их: каковы были объем, структура и уровень спроса в истекшем периоде, какие факторы определили данное состояние спроса, каковы вектор и скорость их изменения в последующие годы?
Как в оперативной маркетинговой деятельности, так и в разработке стратегии маркетинга на длительную перспективу предприятие, занимающееся производством или продажей товаров, ориентируется на потребности рынка, т.е.
Задачи маркетингового исследования
делаются выводы и даются рекомендации.
Отчет должен быть написан четко и недвусмысленно, а его выводы тщательно аргументированы.
Известно несколько типов маркетинговых исследований:
разведочные (поисковые) исследования, предшествующие разработке программы основного исследования; они предпринимаются для сбора предварительной информации, освещающей проблему и позволяющей выдвинуть гипотезы и выбрать соответствующую методику анализа (иногда их совмещают с пробным маркетингом); описательное (дескриптивное) исследование, имеющее целью констатацию реальных фактов, событий, показателей, полученных в результате сбора информации (оно дает руководству материал для размышления и неформальных оценок, позволяющих безотлагательно принять решение);
экспериментальное исследование, которое проводится с целью проверки выдвинутой гипотезы (например, о наличии причинно-следственной связи каких-либо показателей);
казуальное, или аналитическое, исследование, проводимое для выявления и моделирования связей деятельности фирмы с факторами окружающей среды, и т.д.
Задачи маркетингового исследования
Перечень задач маркетингового исследования трудно составить, потому что меняющаяся ситуация, влияние разного набора факторов, различный потенциал фирм, человеческий фактор и т.д. приводят к большому разнообразию конкретных исследовательских задач, выдвигаемых перед маркетинговой службой фирмы. Можно выделить лишь основные направления исследований. Поэтому перед маркетинговым исследованием стоят следующие задачи:
сбор, обработка, сводка и хранение информации;
анализ влияния глобальных сил и факторов макросреды маркетинга на деятельность фирмы и ее результаты;
оценка и анализ конъюнктуры рынка, расчет емкости рынка, характеристика и прогнозирование спроса, анализ его эластичности;
оценка собственных возможностей фирмы, ее потенциала и конкурентоспособности;
оценка возможностей и поведения конкурента;
анализ воздействия макросреды маркетинга;
анализ раздела рынка сбыта, оценка его доли, занимаемой фирмой, территориальный анализ рынка сбыта;
сертификация и тестирование качества товара и его конкурентоспособности, изучение реакции потребителей на новый или модифицированный товар;
изучение товарной номенклатуры и ассортимента, сдвигов в их структуре;
информационно-аналитическое обоснование сегментации рынка (группировка и структуризация потребителей);
информационно-аналитическое обеспечение разработки товара и регулирование его жизненного цикла;
информационно-аналитическое обеспечение разработки стратегии маркетинга;
информационно-аналитическое обеспечение стратегического и оперативного маркетингового планирования;
информационно-аналитическое обеспечение контроллинга;
информационно-аналитическое обеспечение ценообразования и регулирования цен;
учет и анализ товарооборота, товарных запасов, издержек обращения и прибыли в целом и по этапам жизненного цикла товара;
характеристика эффективности маркетинга и маркетингового исследования, оценка вклада фирмы в решение экологических проблем.
Важным этапом исследовательской работы является план маркетингового исследования, который базируется на принятой концепции и представляет собой конкретный документ, направляющий деятельность маркетинговой службы (см. схему плана на 1.2).

1.2. Схема разделов плана маркетингового исследования
Он состоит из пяти основных разделов. В первом излагается задание руководства фирмы маркетинговой службе, вытекающее из цели и предмета исследования. Во втором разделе определяется и подробно конкретизируется объект исследования. Третий раздел представляет собой изложение методик сбора информации и перечень конкретных мероприятий по проведению соответствующего обследования.
Четвертый раздел состоит из разработочных таблиц и макетов группировок, алгоритмов обработки собранного материала. Пятый раздел - план аналитической обработки: варианты расчетов и моделей, исходящих из выдвинутой гипотезы.
В нем указываются время, затрачиваемое на данную исследовательскую операцию, или период, в течение которого она проводится, а также примерная ее стоимость.
Понятно, что маркетинговое исследование как единый процесс, с единой целью и общим материальным обеспечением, на определенной стадии распадается на два последовательных самостоятельных процесса: сбор информации и ее анализ. В гл.
2 будут изложены проблемы, связанные со сбором информации и ее первичной обработкой.
Основные принципы организации службымаркетингового исследования
Успех маркетингового исследования в известной мере обусловливается организацией маркетинговой службы, по существу человеческим фактором. Квалификация работников, их опыт, знание ими рынка во многом предопределяют качество исследования, но в не меньшей степени эти результаты зависят от технической оснащенности маркетинговой службы, степени ее компьютеризации, наличия средств связи и т.п.
Наконец, на них влияют отношения внутри группы: иерархия, коммуникативные связи, микроклимат в коллективе, взаимовыручка, поддержка и сотрудничество или подсиживание, интриги, доносительство. Важная роль в обеспечении результативности деятельности маркетинговой службы во многом предопределяется теми, кто ее возглавляет, - менеджером и координатором.
Возможны три варианта организации информационно-аналитической деятельности.
Первый вариант. Маркетинговая служба не создана. Сбором информации и ее оценкой занимаются все подразделения фирмы, к сфере деятельности которых относится маркетинг.
Условие: маркетинг играет второстепенную роль в деятельности фирмы.
Второй вариант. На фирме существует локализованная служба маркетинга, организованная по матричному или по функциональному принципу.
Каждое подразделение в рамках своей компетенции собирает и анализирует информацию, а выводы и рекомендации представляют руководителю/координатору. Условие: маркетинг играет важную роль в деятельности фирмы.
Рыночная ситуация стабильна и достаточно проста.
Третий вариант. Большой объем исследовательской работы обусловил создание в рамках маркетинговой службы подразделения маркетинговых исследований. Оно комплектуется специалистами, оснащается компьютерной и прочей оргтехникой и строится таким образом, чтобы обеспечить все пять этапов маркетингового исследования. С выводами и рекомендациями информационно-аналитического подразделения считаются и учитывают их при разработке маркетинговой стратегии, товарной политики, составлении и осуществлении стратегических и операционных планов маркетинга.
Условие: маркетинг играет ведущую роль в деятельности фирмы. Ситуация на рынке сложная и неустойчивая.
Масштабы рынка достаточно велики.
Широкий диапазон функций, выполняемых службой маркетинга, сложные прямые и обратные связи и т.п. предъявляют серьезные требования к организации управленческого аппарата информационно-аналитических подразделений маркетинговой службы, т.е. требует создания определенных властно-иерархических структур, находящихся в отношениях соподчиненности и координации, разделения маркетинг-менеджмента и информационно-аналитических функций. Деятельность маркетинговой службы базируется на принципах менеджмента, к которым относятся:
научность, т.е. соблюдение требований теории менеджмента;
мобильность, т.е. неотложное исполнение принятых решений, проведение исследований в строго установленные сроки;
гибкость, т.е. способность в случаях необходимости оперативно изменять сферу изучения, расставлять акценты на разных направлениях исследования в соответствии с изменением рыночной ситуации;
маневренность, т.е. умение адекватно реагировать на неопределенность внешней среды, адаптироваться к постоянной изменчивости условий, действию случайных факторов, находить слабые места конкурента, определять приоритеты исследования и т.д.;
настойчивость, т.е. неуклонное проведение в жизнь намеченных планов, получение во что бы то ни стало необходимой информации;
демократичность, т.е. сочетание дружеских, благосклонных отношений между начальниками и подчиненными информационно-аналитического подразделения службы маркетинга с жесткой требовательностью и контролем исполнительской дисциплины, выработка у работников чувства ответственности и гордости за свое предприятие, обеспечение благоприятного делового климата. Фирма ВМ\У, например, считает, что нельзя жалеть инвестиций в человеческий фактор.
Необходимо постоянно совершенствовать систему материального и морального поощрения, работников, воспитывать у них чувство лояльности к своему предприятию.
Многочисленные примеры подтверждают, что коммерческий успех или, наоборот, неудача фирмы на рынке в значительной мере зависит от эффективности маркетинговых исследований, которая в свою очередь в значительной мере обусловлена квалификацией и опытностью персонала. Принятие решений, последовательное и умелое претворение их в жизнь требуют информационно-аналитического обеспечения.
Для этой цели может понадобиться формирование в рамках маркетинговой службы особой организационной структуры, до некоторой степени даже автономной. Речь идет о разделении труда, специализации, которая обеспечила бы наиболее полное и эффективное использование персонала. Не следует забывать, что специалисты, занимающиеся информационно-аналитической деятельностью, должны обладать высокой квалификацией, т.е. обязаны:
досконально знать теорию и практику маркетинга, все его приемы и формы деятельности;
постоянно быть в курсе рыночной ситуации;
уметь собирать информацию и владеть приемами ее обработки;
работать на компьютере с прикладными пакетами программ;
знать статистику, эконометрику, основы социометрии и квали-метрии;
уметь делать и излагать выводы, полученные ^результате анализа данных, и составлять обоснованные рекомендации;
отвечать за свои оценки и прогнозы.
Численность и состав маркетинговой службы, набор ее функций, степень самостоятельности и т.п. во многом зависят от типа и размера самой фирмы, от ее финансово-экономического и трудового потенциала.
Крупные корпорации, с широким ассортиментом и большим объемом продукции, наличием множественных связей с поставщиками, посредниками, клиентами, финансовыми структурами и т.д., не могут обойтись без многочисленной и глубоко структурированной, иерархически построенной службы маркетинга, с разветвленной информационно-аналитической системой. Их финансовые возможности позволяют привлечь квалифицированный, высокооплачиваемый персонал, обеспечить глубокое разделение труда, создать, если потребуется, филиалы.
Средние предприятия ограничиваются более скромными по численности, но тоже достаточно жестко структурированными службами маркетинга. Естественно, здесь уровень специализации ниже, допускается совмещение обязанностей, в том числе операционных, с информационно-аналитическими функциями (чем слабее фирма, тем чаще это практикуется).
Малые фирмы редко создают самостоятельную маркетинговую службу. 3 лучшем случае маркетинговые обязанности возлагаются по совместительству на одного из работников фирмы.
В нашей стране пока еще мало используются возможности объединения малых фирм в ассоциации, в то время как во многих странах такие ассоциации принимают на себя функции по организации закупок и сбыта, разрабатывают стратегию маркетинга, занимаются изучением и прогнозированием рынка, осуществляют совместную рекламную деятельность и т.д.
В некоторых странах маркетинговой информационно-аналитической и консалтинговой деятельностью занимаются государственные учреждения: министерства промышленности, сельского хозяйства, торговли, статистические службы и т.д., которые выдают среднему и малому бизнесу, фермерам и ремесленникам прогнозы и рекомендации, естественно, с учетом общенациональных интересов.
Однако далеко не всегда фирме, даже крупной, выгодно выполнять полный цикл маркетинговых действий, особенно единовременных или повторяющихся со значительным интервалом. Довольно редко фирма обладает необходимым потенциалом, чтобы самостоятельно провести рекламную кампанию, тем более с использованием специальных средств. Разработка стратегии маркетинга и инструментов маркетингового управления и регулирования часто требует привлечения специалистов самого высокого класса, использование которых для повседневных рутинных операций обошлось бы недешево.
Проведение выборочных обследований, моделирование рыночных процессов, прогнозирование развития рынка и т.п. требуют специфических знаний статистики, эконометрии, социометрии и т.д. Держать в штате для постоянной работы высококвалифицированных специалистов может позволить себе далеко не всякая фирма. Есть еще одно обстоятельство: ряд исследований рынка требует создания панели потребителей, содержание которой обходится чрезвычайно дорого, а формирование ее является исключительно сложным процессом.
Поэтому за рубежом давно уже сложилась практика создания специализированных, самостоятельных, работающих на коммерческой основе маркетинговых, консалтинговых и рекламных фирм, или агентств маркетинговых услуг, к которым обращаются производственные и торгово-сбытовые фирмы разного размера и типа. Начиная с 1992 г. в ряде городов России (преимущественно крупных) начали активно создаваться фирмы такого рода. Некоторые из них входят в отечественные и зарубежные ассоциации, такие, например, как Global Market Research, ЕSОМАК, Российская ассоциация маркетинга, Гильдия исследователей общественного мнения и рынка, и т.д.
Сложился и функционирует российский рынок маркетинговых услуг. Маркетинговое исследование стало интеллектуальным товаром, спрос на который имеет тенденцию к постоянному росту.
По заказу частной корпорации или государственного учреждения маркетинговая фирма разрабатывает стратегию маркетинга, составляет план, проводит различные исследования, дает рекомендации, оказывает услуги по выбору целевого рынка и выполняет многие другие маркетинговые услуги.
В США насчитывается большое количество маркетинговых фирм. Методические разработки некоторых из них стали классическими и вошли в учебники.
Широко известны методологические разработки, проведенные для ряда компаний консалтинговыми службами Бостонской группы, фирм Шелл и Мак-Кинси (Boston Consulting Group, Shell Corporation, Мс Kinsey соmpanу). Например, самой крупной в мире исследовательской компанией считается Dun Bradstreet, имеющая филиалы в 40 странах, которая продает целый ряд сведений, в том числе о розничных ценах. Система Info Act Station позволяет компаниям-пользователям использовать для анализа один из трех источников на персональных компьютерах: Retail Index, характеризующий продажи потребительских товаров и условия их хранения; Кеу Ассоunt Scantrak, предоставляющий еженедельный анализ продаж, эластичности цен и эффективности продвижения товаров; Ноmescan, который дает перечень новых потребительских товаров. В Германии компания СоmpuServe Соmраnу предоставляет информацию о финансовом состоянии и товарах по более 48 тыс. немецких фирм19.
В американском маркетинге, по некоторым оценкам, от 20 до 50% маркетингового бюджета компаний идет на оплату услуг специализированных маркетинговых и консалтиновых компаний20.
Часто к проведению маркетинговых исследований и прогнозов привлекаются университеты и научные учреждения. В России уже функционируют десятки рекламных и консалтинговых маркетинговых фирм. Их численность приближается к 300.
По некоторым данным, в России примерно четверть компаний самостоятельно осуществляют маркетинговые исследования по полной программе, примерно столько же фирм обращается в коммерческие маркетинговые и консалтинговые фирмы, а остальные делают и то и другое.
Специализированные маркетинговые компании делятся на три типа:
фирмы, которые работают самостоятельно и независимо от пользователей их информационного продукта; они собирают сведения о рынках, потребителях, товарах, предприятиях еt сеtега, после чего продают эту информацию любому клиенту по коммерческим расценкам;
фирмы, выполняющие конкретные исследования или разрабатывающие методологию исследования по заказу клиентов (клиент может участвовать в разработке собранных материалов; результаты исследования становятся собственностью клиента);
узкоспециализированные фирмы, которые выполняют определенную часть исследования, например проводят опросы или пробный маркетинг по поручению клиентов.
Надо признать, что большинству фирм практически недоступны исследования рынка в целом, т.е. на макроуровне, самостоятельные оценки демографической ситуации, характеристик дохода, инфляции и других факторов макросреды. Однако статистическая информация об экономических и социально-демографических процессах и явлениях регулярно собирается и обрабатывается в целом по стране, регионам и в отраслевом и социальном разрезе органами государственной статистики.
Собственной информацией располагает Министерство экономического развития и торговли Российской Федерации. Кроме того, в центре и в регионах действуют альтернативные статистические и конъюнктурные службы, обычно коммерческие, иногда принадлежащие средствам массовой информации, которые предлагают свои оценки различных экономических и общественных процессов и явлений, занимаются анализом и прогнозом конъюнктуры рынка.
Во всем мире существует практика покупки информации у тех организаций, которые ею владеют.
Отечественные и зарубежные маркетинговые фирмы выполняют для своих клиентов следующие виды работ: анализ тенденций деловой активности; оценку емкости рынка; анализ сегментов рынков; оценку распределения долей рынка между фирмами, товаров конкурентов, позиционирования товаров; разработку стратегии маркетинга фирмы; анализ эффективности рекламы и т.д.
Таким образом, информационно-аналитическое управление службы маркетинга предприятия вынужденo налаживать две системы коммуникативных связей: внутреннюю, с подразделениями собственной фирмы, и внешнюю, с учреждениями и предприятиями, которые готовы на условиях, которые устраивают обе стороны, к обмену информацией или к ее продаже. Эти связи можно классифицировать следующим образом:
связь с собственным руководством (распоряжения, планы, отчеты, рекомендации и т.п.);
связь с другими подразделениями фирмы (обмен информацией, координация действий, увязка разделов плана и т.п.);
связи и отношения с производственными и торгово-сбытовы-ми подразделениями (предприятиями) собственной фирмы (участие в разработке и выведении товара на рынок, т.е. информационно-аналитическое обеспечение составления производственной и торгово-сбытовой программ, ценообразования, торгового процесса);
связи и отношения с поставщиками, дистрибьюторами и клиентами (информационно-аналитическое обеспечение заключения сделок, действий по отгрузке, поставке и продаже товаров, рекламной деятельности, взаимный обмен информацией между производителями и торговыми посредниками и т.п.);
покупка информации у Российского статистического агентства, других организаций, а также заказная информация от маркетинговых и консалтинговых фирм. Организационные структуры маркетинга фирм могут иметь любое название: служба маркетинга, отдел маркетинга и т.п. В отечественной промышленности службы маркетинга часто создавались на базе отделов сбыта.
Степень структуризации службы маркетинга, в частности выделение самостоятельного информационно-аналитического подразделения, зависит от ряда условий: типа и размера предприятия, его ресурсов и возможностей, намеченных целей, формы собственности, сложившихся традиций и т.п.
Возглавляет маркетинговую службу сотрудник, ответственный за ее деятельность перед руководством фирмы. На него возлагается комплектация службы специалистами, повышение их квалификации, поддержание благоприятного морального климата, планирование деятельности службы и маркетинга в целом, ее контроль и коррекция, координация действий подразделений службы между собой и другими подразделениями фирмы, организация внутренних и внешних связей.
Поэтому очень важно, чтобы он обладал достаточным количеством знаний, которые позволили бы ему контролировать выполнение информационно-аналитических функций.
Обычно руководитель службы маркетинга обладает высокой степенью самостоятельности и ответственности. Как правило, он входит в состав высшего руководства фирмы и подчиняется непосредственно ее главе.
В некоторых фирмах он занимает пост вице-президента по маркетингу, в других - директора по маркетингу (маркетинг-директора) или заместителя генерального директора. Это способствует авторитету маркетинговой службы и выводит ее на одно из первых мест в административной иерархии по влиянию на принятие управленческих решений, так как обладание информацией повышает статус руководителя. Значительно реже руководитель маркетинговой службы занимает пост заведующего отделом маркетинга.
И уж совсем редко встречаются факты дезинтеграции маркетинговой службы, когда единый руководитель отсутствует, а начальники отдельных подразделений подчиняются непосредственно главе фирмы. При этом каждое маркетинговое подразделение работает изолированно, что грозит противоречиями, отсутствием координации маркетинговой деятельности и в конечном счете ее дезорганизацией.
Более распространенной является практика создания маркетинговых служб (секторов) в так называемых стратегических хозяйственных подразделениях крупной фирмы, т.е. создание независимых хозяйственных единиц (отделений) предприятия, обладающих полной самостоятельностью в принятии решений и использовании ресурсов и несущих за них полную ответственность. Обычно они отвечают за производственно-сбытовую деятельность по определенному товару (товарной группе или продуктовой линии).
Их иначе еще называют стратегическими хозяйственными единицами (англ. strategic businnes unit), а иногда - стратегическим центром (strategic centre).
При централизованной схеме организации маркетинговой службы связи (в том числе информационные) одного подразделения маркетинга с другим или с другими подразделениями фирмы могут осуществляться напрямую или через руководителя. Необходимо обеспечить координацию действий, единую линию поведения, но в то же время избегать бюрократических перегородок, мешающих гибкому оперативному руководству.
Одновременно следует остерегаться дублирования действий разными подразделениями.
В основу деятельности служб маркетинга положены три принципа менеджмента:
разграничение функций (разделение обязанностей) в пределах собственной компетенции;
инициатива каждого работника и подразделения в целом наряду с ответственностью за исполнение своих обязанностей;
обладание средствами выполнения своих функций (рабочее место, инструментарий, ресурсы и т.п.).
Внутренняя организация маркетинговой службы подчиняется интересам фирмы, зависит от ее возможностей и не имеет жесткой структуры. Теория маркетинг-менеджмента предлагает три варианта организации службы маркетинга: матричный, функциональный и смешанный.
Матричный, или дивизиональный, принцип организации службы маркетинга заключается в создании блоков (подразделений) по одному или в комбинации из трех признаков:
географического, когда каждое из подразделений осуществляет полный маркетинговый цикл в одном из регионов (географических зон), информационно-аналитическая группа обеспечивает полную характеристику данного региона;
рыночного, когда каждое из подразделений отвечает за маркетинговую деятельность среди определенного контингента потребителей, информационно-аналитическая группа определяет численность и состав данного контингента и изучает его спрос;
товарного, когда число подразделений маркетинга соответствует числу товаров, продаваемых фирмой, и в каждой из них выделяется информационно-аналитическая группа, которая собирает и анализирует все сведения по данному товару, включая и спрос.
Далее проиллюстрируем различные схемы организации подразделений маркетингового исследования в составе маркетинговых служб производственных или других фирм ( 1.3-1.5).
Другим принципом организации маркетинга является функциональный. В соответствии с ним создается ряд подразделений единой службы маркетинга, каждое из которых отвечает за осуществление одной или нескольких функций маркетинга.Соответственно формируются подразделения, отвечающие за сбор и анализ информации.
Структура маркетинговой службы такой фирмы показана на 1.6.

1.4. Рыночный/матричный принцип организациимаркетингового исследования
1.5. Товарный/матричный принцип организациимаркетингового исследования

1.6. Функциональный принцип организациимаркетингового исследования
Часто имеет место комбинация функционального и матричного принципов. Например, выделяются подразделения по товарному принципу, а структура каждого из них строится по функциональному.
Число функциональных подразделений (отделов, секторов, групп) зависит от возможностей фирмы, допускается объединение нескольких функций или всего блока в одном подразделении. Например, отдел инновационной политики может включать в свой состав аналитическую группу.
Организационные структуры имеют два типа: жесткие (механистические) и мягкие (организмические). Круг обязанностей работников структуры жесткого типа четко определен контрактом, в мягких структурах обязанности работников определяются примерно и подчинены обстоятельствам.
Для организационной структуры мягкого типа характерна децентрализация руководства. Она, как правило, дает лучшие результаты, когда внешняя среда изменчива, непостоянна.
Очевидна большая отдача и при совмещении обязанностей, когда работник имеет и экономическое/маркетинговое образование и хорошо знает статистику/эконометрику и к тому же владеет новейшими компьютерными технологиями.
При организации маркетинговой службы необходимо учитывать отраслевую специализацию предприятия. На производственных предприятиях в процессе разработки товаров и создания инновационной политики необходима всесторонняя оценка емкости рынка, постоянное отслеживание поведения конкурентов, поиск рынка сбыта, критериальная оценка дистрибьюторов и т.д., на торговых предприятиях должен быть налажен мониторинг рынка, изучение спроса, найдены характеристики поведения, мнений и предпочтений потребителей и т.д.
Строгих стандартов организации маркетингового исследования не существует. Каждая фирма самостоятельно выбирает схему структуризации маркетинга, используя накопленный опыт.
Одним из требований к организации маркетингового исследования является его эффективность. Во-первых, маркетинговая деятельность предприятия, обеспечиваемая подразделением информации и анализа, в целом должна давать нужный результат (например, завоевана необходимая доля рынка, с успехом осуществлен сбыт нового товара и т.п.).
Во-вторых, расходы на исследования не должны быть обременительными для фирмы и выходить за рамки бюджета. Американский маркетинг выявил обратную зависимость между объемом оборота фирмы и относительным уровнем затрат на маркетинговые исследования. В США при производстве средств производства в среднем на 10 тыс. долл. оборота приходится 12 долл. затрат на маркетинговые исследования, а при производстве продукции потребительского назначения - 30 долл.21
КОНТРОЛЬНЫЕ ВОПРОСЫ
1. Как Вы истолковываете понятие маркетинговое исследование, в чем его сущность?
2. Каковы цели и задачи маркетингового исследования?
3. В чем заключается роль маркетингового исследования в бизнесе?
4. Знаете ли Вы этапы маркетингового исследования? Перечислите и охарактеризуйте их.
5. В чем Вы видите различия между двумя направлениями маркетингового исследования: формализованным и качественным?
3. Кто испытывает потребность в маркетинговой информации?
а) руководство фирмы;
б) налоговая служба;
в) статистические органы.
4. В чем проявляется эффективность маркетингового исследования?
а) в экономном расходовании службой маркетинга финансовых средств фирмы;
б) в достижении цели, поставленной маркетингом фирмы;
в) в проведении маркетингового исследования в соответствии с планом и в установленные сроки.
5. В чем заключается роль статистики в маркетинговом исследовании?
а) в возможности использования компьютерной техники;
б) в возможности использования графиков и диаграмм;
в) в обеспечении точности оценок и прогнозов, выявлении взаимосвязей.
ТЕСТЫ
(здесь и далее выбрать из трех вариантов один правильный ответ)
1. Маркетинговое исследование - это:
а) глубокое изучение теории и практики маркетинга;
б) исследовательская деятельность, направленная на удовлетворение информационно-аналитических потребностей маркетинга;
в) научная разработка типовых программ управления некоторыми рыночными явлениями и процессами.
2. Разведочное маркетинговое исследование предпринимается с целью:
а) собрать информацию о предприятиях с закрытым режимом деятельности;
б) собрать информацию о внерыночных организациях;
в) собрать предварительную информацию для разработки методологии основного исследования.
Инфляция: Кризис - Экономика