A.Определение гаммы
Имеются три способа получения значения для гамма-коррекции монитора:1. Прямое измерение калибровочного серого клина с использованием экспонометра или спектрорадиометра.
2. Запрашивать это значение у изготовителя монитора или электронно-лучевой трубки.
3. Визуальная калибровка.
Первый метод можно улучшить, измеряя значения для каждого прожектора отдельно.
Некоторые мониторы имеют встроенную гамма-коррекцию и не нуждаются ни в каком дальнейшем регулировании. Чтобы определить такой монитор, обратитесь к справочнику или проведите быструю визуальную калибровку. Однако большинство мониторов, требуют гамма-коррекции.
A.Прямое измерение
Для простоты мы примем, что все три прожектора калибруются вместе. Метод состоит в следующем: формируется ряд тестовых пятен известных значений RGB, измеряется фактически испускаемый свет, наносится тестовое значение напротив измеренной величины.Использование большого количества образцов и проведение повторных испытаний помогает уменьшить случайные ошибки и дает более точный результат. Каждое пятно должно измеряться в одной и той же части экрана, традиционно в центре, чтобы минимизировать эффект неправильного схождения лучей. Если необходимо, пятно возле одного угла может быть измерено в отдельной серии, а результат усреднен.
Если люминофоры не приводятся в насыщение, измеряемое значение гаммы должно быть почти одним и тем же, независимо от установки регулятора яркости. Хотя глаз может адаптироваться к уровню окружающего света, измерительный прибор не может адаптироваться, поэтому экран и измерительный прибор должны быть хорошо окутаны тяжелой тканью типа завесы, чтобы устранить паразитный свет.
Помня, что гамма-функция является степенным законом, входное RGB значение и выходной уровень света должны наноситься на логарифмическую шкалу. Интервал выборок должен быть выбран таким, чтобы образцы равномерно расположились на логарифмической оси.
Если точки данных скапливаются вблизи прямой линии, то крутизна этой линии есть значение гаммы. При значительных отклонениях от прямой линии нужно использовать табличный поиск.
A.Визуальная калибровка
Преимущество этого метода заключается в том, что он не требует никакого оборудования. Он полагается на визуальное сравнение двух серых пятен. Визуальное сравнение может быть сделано аккуратно и точно и может служить основой CIE стандартного наблюдателя.Метод полагается на тот факт, что, независимо от значения гаммы, белое и черное являются фиксированными точками. Это показано на рисунке 60; изменение значения гаммы воздействует только на степень кривизны, а не позицию конечных точек.
![]() |
Рисунок 60: Три кривых гаммы
Если отображается заливка типа шахматной доски с черно-белыми клетками, то результат выглядит серым, если сетка достаточно мелкая. Уровень света будет 50 % от максимального уровня белого света из-за аддитивности (полагая, что черный является действительно нулем). Это соответствует серому, который был бы получен с R, G и B равными 0.5, если бы монитор имел гамму единица.
Серый цвет получается, например, с помощью графического редактора, сохраняющего значения R, G и B равными. Если доступна цветовая HLS модель, цвет после смешения с нулевой насыщенностью будет получен. Назовем значение RGB, которое соответствует заливке шахматной доски V.
Значение гаммы получается:
Гамма= log(0.5)/log(V)
Например, если V=0.73, гамма=2.2. Как показано на рисунке 61.
![]() |
Рисунок 61: Согласование серого по клеткам.
B. Калибровка Монитора
Для точной работы каждый монитор должен быть рассчитан непосредственным измерением координат цвета при помощи спектрорадиометра. Чтобы компенсировать отклонение в электронных компонентах и люминесцентное старение, эта калибровка выполняется ежемесячно, еженедельно или даже (в очень ответственных применениях, таких как получение цветных оттисков или контроль качества красителя) ежедневно. Те мониторы являются перспективными, которые могут калиброваться автоматически.
Однако для общей работы достаточно получить от изготовителя координаты цвета(значения координат стандартной системы цветовых измерений) монитора, которые являются типичными для этой модели монитора.
Требуемые данные это - значения цветности красного, зеленого и синего люминофоров и цветность нормальной белой точки мониторов, где красный, зеленый и синий - все в максимальной интенсивности.
Значения цветности обычно представлены как x, y пары. Сначала следует вычислить z компоненты:
z = 1 - x - y
Цветности Люминофора помещаются в таблицу A, где:
![]() |



A = yr yg yb
zr zg zb
![]() |
![]() |
B = A-1
Значения цветности белой точки монитора преобразуются в относительные значения координат цвета (XYZ). Абсолютный сигнал яркости обычно не требуется, Y может быть установлен равным единице:
Xw = xw /yw
Yw = 1.0
Zw = zw /yw
Эти значения используются, чтобы вычислить вектор столбца C:
![]() |
|||
![]() |
|||
C = B Yw
Zw
![]() |
|||
![]() |
|||
![]() |
![]() |
D = 0.0 C2 0.0
0.0 0.0 C3
![]() |
![]() |
E = A D
Она инвертируется для преобразования в обратном направлении. Любая точка, определенная в RGB, может затем быть преобразована в CIE 1931 XYZ:
![]() |
![]() |
![]() |
![]() |
Y = E G
Z B
![]() |
![]() |
![]() |
![]() |
Этот глоссарий не представлен как набор формальных или точных определений Он
преднамеренно сохраняется неофициальным и разговорным. Он предназначен освежить память, когда встречаются
специфические слова.
Адаптация Реакция на общее изменение интенсивности света. "Момент" одновременной восприимчивости света и темноты, которые повышаются или понижаются полным диапазоном яркости. Лист белой бумаги виден как белый, независимо от уровня света.
Ахроматический Не имеющий сигнала цветности или насыщенности; чистый не оттеняемый серый, белый или черный.
Ширина полосы частот (ширина спектра)
Диапазон частот, используемых видеосигналом, от нуля и выше. Например, сигнал PAL имеет ширину полосы частот 5.5 MHz.
Яркость Количество излучаемого или отраженного света от чего-нибудь в абсолютных единицах. Пятно серого на белом листе бумаги обычно бывает более ярким в сильном солнечном свете, чем в тени. См. Lightness (Светлота).
ЭЛТ Устройство для создания цветного или черно-белого (монохромного) изображения путем возбуждения атомов вещества люминофоров, в результате чего наблюдается свечение.
Цветовая разница Еще одно название для двух сигналов цветности, используемых в видео кодировании
Насыщенность цвета (цветность/сигнал цветности)
(1) характеристика полноцветности, подобная насыщению, но выраженная относительно области белого подобно освещенной области белого.
(2) В Munsell цветовом пространстве уход цвета от серого; цветовая интенсивность.
Хроматическая аберрация
Неспособность сосредотачиваться на обоих концах видимого спектра одновременно, вызванная показателем преломления внутриглазной жидкости, зависящим от длины волны.
Ведет к явлению chromostereopsis.
Цветная адаптация Реакция на полное изменение в цвете источника света. Лист белой бумаги имеет тенденцию быть замеченным как белый, вплоть до точки, независимо от цвета источника света.
Цветная индукция Нейтральное окружения цветов (по отношению к цветам) уменьшает воспринимаемую полноцветность. Темное окружение увеличивает воспринимаемую полноцветность. Цвета высокого уровня сигнала цветности стимулируют (вызывают) оттенок того же самого цвета в темном окружении, а дополнительного цвета в светлом окружении.
Цветность Способ описания оттенка и полноцветности образца независимо от светлоты образца.
Цветность (сигнал цветности/вектор цветности/информация о цвете, яркости и насыщенности изображения)
Первоначально связанный с разницей между сигналом видео составляющей и системным белым; теперь просто имя, закрепленное за двумя видео компонентами C1
и C2, которые несут основную цветовую информацию.
Chromostereopsis Явление, когда кажется, что синие удаляются, а красные приближаются. Явление, вызванное
обратной связью мышечных изменений, чтобы перефокусировать глаза, интерпретируемое как дистанционная фокусировка.
Цветовое постоянство Эволюционная тактика выживания. Глаз и мозг постоянно пытаются владеть воспринимаемым
цветом объектов независимо от медленных изменений в уровне или цвете дневного света. Только частично успешно, а относительно не дневного освещения менее успешно.
Система управления цветом
Фрагмент программного обеспечения, который помогает достигать цветового соответствия между экраном и принтером, часто отображая гаммы двух устройств.
Цветовая температура Температура излучения теоретического черного тела, который произвел бы свет той же самой или подобной цветности.
Дополнительный цвет Цвет, точно противоположный по оттенку
к данному цвету
Плотность Логарифм единицы по коэффициенту отражения. Белый и светлый цвета имеют низкую плотность, черный и темный цвета имеет высокую плотность.
Имитация градаций серого (сглаживание/передача полутонов)
Моделирование большего количества цветов путем печати двух ли большего количества цветов близких
друг к другу
Доминирующая длина волны
( Цвета). Одиночная спектральная длина волны, которая, когда смешана с белым, даст
эквивалентное цветовое ощущение.
Увеличение размера (растровой) точки
Нелинейное увеличение размера полутоновых точек. По ряду
причин, эта поправка
измеряется и вносится для высокого качества
коммерческой цветной печати.
Возгонка красителя Техника печати (способ печати), которая сублимирует (преобразовывает сухое вещество в пар)
чернила, позволяя изменять количества
каждых чернил, которые будут осаждаться, эффективно формируя
смешанный цвет для каждого пиксела. Это даст непрерывное изображение тона без необходимости
в обработке полутонов.
Электромагнитная энергия
Форма энергии, которая может быть передана через вакуум. Перемещается со
скоростью света. Может рассматриваться как волна или как материальная точка. Характеризуется
длиной волны.
Чистота возбуждения Процентное расстояние точки на диаграмме цветности от белой точки
до спектрального местоположения. Очень приблизительно соответствует полноцветности, но имеются лучшие критерии.
Центральная ямка Малая центральная область сетчатки, содержащая много колбочек,
но мало палочек, с нервами и кровеносными сосудами, направленными в
стороны. Имеет самое лучшее цветовое выделение и пространственную разрешающую способность.
Гамма Диапазон цветов отображаемых устройством; подмножество диапазона различаемых
цветов
Отображение (преобразование) гаммы
Приведение в соответствие и корректировка гаммы цветов
одного устройства
для отображения на втором, отличном устройстве, так, что это выглядит так близко к оригиналу, насколько это возможно
Замена серой компоненты
Удаление общей пропорции голубого, сиреневого и желтого в цвете, который произвел бы серый, и замена равным
количеством черных чернил
Сетка Часть ЭЛТ, которая электростатически ускоряет электронные лучи посредством прикладываемого напряжения.
Обработка полутонов (формирование растрового изображения/передача полутонов)
Моделирование разности интенсивности путем изменения размера точек на регулярной сетке.
Оттенок Степень сходства образца с красным, или желтым, или зеленым, или синим; независимо от того, каким является образец светлым или ярким.
Угол оттенка Единый
числовой критерий
оттенка; обычно красный рассматривают равным 0°.
ISO Организация Международных эталонов; организация, которая производит международные стандарты во многих сферах деятельности.
Лазерный принтер Устройство печати, использующее световой луч лазера, чтобы управлять электростатическим напылением красящего порошка на бумагу. Красящий порошок соединяется с
бумагой под действием тепла
или давления.
Светлота Количество света, испускаемого или отраженного от
чего-нибудь, относительно белого. Пятно серого
на белом листе бумаги обычно имеет ту
же самую светлоту
в сильном солнечном свете и в тени. См. яркость. Светлота принимает
во внимание адаптацию.
Сигнал яркости (светимость/свечение)
Мера того, насколько свет является
интенсивным в изоляции.
Чтобы выяснить как ярко он будет выглядеть, должна быть рассмотрена интенсивность других источников света рядом. Сигнал яркости - способ измерения
интенсивности света, который учитывает кривую относительной спектральной световой эфективности.
Световая отдача (относительная световая эфективность)
Воспринимаемая яркость фиксированной интенсивности специфической длины волны источника света. Для того же самого уровня источника света зеленый кажется намного более ярким, чем красный или синий
Метамеризм (1)Факт, что
два спектрально различных образца
могут давать одинаковое
цветовое ощущение. Это свойство допускает имитацию многих
цветов только тремя основными цветами.
(2)Следствие информационной потери при вычислении координат цвета. Два спектрально
различные образца могут дать одни и те же значения (и следовательно выглядеть идентичным) под одним
источником света, давая различные
значения (и казаться разными) под другим источником света.
Пртивоположные цвета
Три пары цветов: красный/зеленый, синий/желтый, черный/белый. При условии, что цвет может иметь характеристики только одного цвета из каждой пары. Например, красновато-желтый (оранжевый) возможен, в то время как красновато-зеленый не возможен.
Офсетная Литография
Процесс печати, где каждая часть созданного цветного узора печатается при помощи цилиндрической металлической пластины. Назван офсетной потому, что краска с печатной формы передается на резиновый ролик, а с него на бумагу, чтобы было одинаковое давление.
Перцептивно однородный
Свойство цветового пространства, которое заключается в том, что равные расстояния представляют равные наблюдаемые цветовые различия
Идеальный рассеяный рефлектор
Белая мишень, которая вообще не изменяет свет, но отражает 100 % его во всех длинах волн.
Дневное зрение
Зрение адаптируется к свету от низкого до высокого уровней света, где палочки насыщаются, а колбочки обеспечивают цветовую информацию
Пиксел Самая маленькая индивидуально адресуемая часть устройства отображения.
Форпресс (электронная система подготовки полос)
Стадия в коммерческой цветовой печати, где изображения сканируются, разделяются, выверяется цветовой баланс и выполняется пробный отпечаток перед запуском в печать
Создание цвета
Метод печати, который использует три субтрактивных цвета (голубой, сиреневый и желтый), чтобы воспроизвести все цвета; обычно добавляет черный для контраста.
Эффект Пуркинье
Сдвиг в длине волны максимальной чувствительности к свету при перемещении зрения от ночного до дневного.
Квантование Отображение большого диапазона цветов к меньшему диапазону цветов.
Коэффициент отражения
Количество падающего света, который отражается
некоторым объектом, в процентах.
Сетчатка Фоточувствительный слой рецепторов в глазе, который преобразовывает свет в нервные импульсы.
Насыщенность цвета Мера полноцветности. Унылый серый имеет низкую насыщенность, яркий красный имеет высокую насыщенность. Насыщенность - полноцветность образца относительно того, насколько светлым он является.
Ночное зрение
Зрение адаптируется к темноте при низкой освещенности, при этом используются только палочки.
Разделение Создание четырех растровых изображений из одного цветного изображения, готового для печати (печатания). Требует определения экранных частот и углов для каждого используемого цвета, и компенсации характеристик печатной машины.
Дополнительные пятна разделения могут также быть сделаны.
Граничная поверхность цветов спектра
Расположение максимально насыщенных спектрально чистых цветов в одном из цветовых пространств МКО, представляет границы видимого света. Иначе, гамма человеческого глаза. Концы этой поверхности соединены пурпурной линией.
Спектрофотометр Устройство для измерения координат цвета МКО отражающего образца; содержит источник освещения.
Спектрорадиометр Устройство для измерения координат цвета МКО источника освещения.
Цвет точки Одиночный цвет чернил без смешивания. Многие сотни цветов точки доступны, которые охватывают огромную гамму. Обычно только несколько цветов точки используется при одной печати.
Стандартный наблюдатель
Таблица экспериментальных данных, предсказывающих количество основных цветов МКО, требуемых для согласования света любой длины волны. Имеются два стандартных наблюдателя, но чаще всего используется на практике1931 20 наблюдатель.
Субдискретизация (прореживание/децимация)
Способ уменьшения ширины полосы частот видеосигнала фильтрацией быстродействующих изменений в цвете или интенсивности. Уменьшает эффективную разрешающую способность.
Координата цвета Величина каждого из трех основных цветов МКО, которые при смешивании дали бы тоже самое цветовое ощущение как и образец данного цвета.
UCS (система координат пользователя)
Равноконтрастный цветовой график МКО 1976 - попытка в перцептивно однородном представлении полноцветности и оттенка.
При цветовом удалении
Добавление черного к темным цветам, чтобы увеличить контраст.
Видео ОЗУ Память, используемая рабочей станцией, чтобы сохранять описание отображаемого изображения
Видео сигнал яркости Первоначально мера светлоты составляющей видеосигнала, теперь просто имя составляющей, которая несет основную информацию по светлоте в закодированном видеосигнале. Не путать с сигналом яркости, хотя по историческим причинам они оба описываются символом Y.
Кабинет просмотра Простой фрагмент установки, используемой для цветового соответствия отражающих образцов (ткань, фотографии, и т.д.), состоящий из большого шкафа, окрашенного нейтральным серым, со стандартным источником освещения, D50 или D65, внутри него.
Длина волны Расстояние между двумя последовательными пиками в регулярной волне. Измеренное в каких бы ни было единицах измерения - годится. Видимый свет имеет длины волн между 380 и 730 нм.
Waxjet Устройство печати, которое распыляет окрашенный, расплавленный, жидкий воск на бумагу через большое количество очень тонких наконечников.
Центр сетчатки
Это маленькое желтое пятно на сетчатке, расположенное непосредственно на оптической оси глаза, показанной на рисунке 3. Центр сетчатки - область наиболее чувствительная к тонкому изменению в цвете, и, также, наиболее чувствительная к малым деталям освещенности и формы. Она содержит очень мало палочек, в отличие от внешнего края сетчатки, который далеко от оптической оси, и, который богат палочками и оптимизирован для обнаружения движения - для выживания. Так как глаз может быть сфокусирован на любом объекте, представляющем интерес, небольшой размер центра сетчатки не является недостатком. Нервы и кровеносные сосуды, которые пересекают большую часть сетчатки, и через которую должен пройти свет, чтобы достичь зрительных рецепторов, находятся в стороне от центра сетчатки, чтобы уменьшить размывание изображения. Дополнительные (т.е. лишние) большие М и L колбочки содержатся в центре сетчатки в шестиугольной плиточной модели (гексагональном шаблоне), чтобы давать максимальное пространственное разрешение для светлоты (М + L) и оранжевого/сине-зеленого (L - M) каналов второй стадии. Меньше, чем два процента рецепторов центра сетчатки - S колбочки, поскольку они не дают никакой вклад в канал светлоты. Следствием этой низкой S плотности является то, что пространственное разрешение (количество мелких деталей изображения, которые могут быть видны) является намного ниже для синих и фиолетовых, чем для других цветов.3. Измерение цвета
Цветная фотосъемка
Фотосъемка - непрерывный цветовой процесс, способный на прекрасные градации цвета и очень прекрасную разрешающую способность. Цветная пленка после проявления может выводиться на печать, прозрачную подложку или может быть сохранена на компакт-диске.В фотографической печати цвет производится смешиванием отраженного света от трех тонких полупрозрачных слоев, наложенных на бумагу. Гамма определяется цветностями красителей в этих слоях. Так как цвет производится субстрактивным смешиванием, то гамма не является правильной формой и может быть точно определена только измерением многих образцов.
Фотографирование изображения на графическом мониторе дает хорошие результаты, особенно, если участок комнаты затемнен, чтобы исключить отражения на стекле, и используется штатив. Гамма цветной пленки обычно большая и включает большую часть из гаммы многих компьютерных мониторов. Таким образом экранная фотосъемка часто обеспечивает более приятный и точный результат, чем использование цветного принтера. Диапозитивная пленка (слайд) имеет более широкую цветовую гамму и лучшую цветовую точность, чем пленка печати. По этой причине периодические издания и журналы имеют тенденцию к тому, чтобы предпочесть печатным изданиям изображения на прозрачной пленке.
![]() |
Рисунок 55: Сравнение гамм монитора и диапозитивной пленки.
Цветность
3.7.1 МКО 1931 (двухкоординатная) диаграммаЕсли данный цвет увеличивается в яркости, то количество света, требуемого от каждого основного цвета, чтобы согласовать цвет, возрастает. Увеличения будут пропорциональны, поэтому соотношение X:Y:Z остатков будет постоянное по мере того, как цвет отдаляется от оригинала. Часто полезно исследовать цвет образца независимо от его яркости. Чтобы сделать это, координаты цвета нормализуются:
x = X / (X + Y + Z)
y = Y / (X + Y + Z)
z = Z / (X + Y + Z)
Ясно, x + y + z = 1 во всех случаях. Следовательно обычно, чтобы понизить z координату и делают 2-ой график x от y. Это эквивалентно проектированию XYZ цветового геометрического тела на X + Y + Z = 1 плоскость, которая показана на рисунке 18.
![]() |
Рисунок 18: X + Y + Z = 1 плоскость на МКО 1931 XYZ диаграмме.
Возникающий в результате график называется МКО 1931 цветовым графиком и показан на рисунке 19 и на иллюстрации 29. Он представляет воспринимаемые атрибуты оттенка и насыщенности, отделенные от сигнала яркости.
Значения цветности (x, y) иногда встречаются вместе с Y значением (xyY), чтобы допускать преобразование обратно к XYZ.
![]() |
Рисунок 19: МКО 1931 цветовой график
Вспомним, что в разделе 3.1 эксперименты цветового согласования использовали определенные калиброванные длины волн для желтых/зеленых и синих/фиолетовых огней, но красный свет был выбран, чтобы быть в диапазоне длины волны, где разрегулировка не будет затрагивать цвет. При просмотре рисунка 19, обратите внимание, что цвета от 660нм (красный) вправо вверх до 780нм, где предел видимого цвета граничит с инфракрасной областью спектра, находятся в одном и том же месте на цветовом графике; все они имеют один и тот же оттенок. Подобное же группирование длин волн встречается на границе фиолетового и ультрафиолетового (380нм).
Еще одна проблема с этим графиком состоит в том, что он не воспринимается однородным. Другими словами, расстояние между двумя цветами, которые являются как раз заметно различными, изменяется вдоль поверхности графика.
3.7. 2 МКО 1976 однородная шкала цветности (UCS)
Изыскания однородности при восприятии цветового графика 1931 при помощи вычерчивания величин значимых цветовых изменений в различных частях графика показали, что верхняя часть кривой (в зеленой области) дает небольшие изменения в цвете по сравнению с синей и фиолетовой частями. Это воспринимаемое расхождение было уподоблено искажениям на плоских картах мира, в которых оно не может быть удалено полностью линейной проекцией цветового графика 1931. Однако, некоторые проекции будут лучше, чем другие. Одна такая проекция, однородная шкала цветности(UCS), была рекомендована МКО в 1976. Также известный под именем u¢v¢ график, по меткам на его осях, есть проекция изображения МКО 1931 XYZ пространства, разработанная, чтобы произвести намного меньше искажений, чем двухмерный график. (Любопытная запись! "Черточки" предназначены, чтобы отличить его от подобного (uv) графика, который использовался до 1976). Оси рассчитаны следующим образом:
u¢=4X/(X+15Y+3Z)=4x/(2x+12y+3)
v¢=9Y/(X+15Y+3Z)=9y/(2x+12y+3)
Возникающий в результате график, показанный ниже на рисунке 20, имеет ту же самую общую форму, как 1931 цветовой график, но вытянутую, чтобы дать большее количество равномерного распределения цветов.
![]() |
3.7.3 Практическое использование цветовых графиков
Цветовые графики имеют ряд применений. Они все имеют общее свойство которое заключается в том, что аддитивная смесь двух цветов может быть найдена по линии, соединяющей их. Это может использоваться, чтобы вычислить колориметрические данные типа доминирующей длины волны и чистоты возбуждения цвета.
Доминирующая длина волны определяется созданием линии от белой точки через обсуждаемый цвет, к спектральному местоположению и выражающему длину волны. Это показано на рисунке 21. Независимо от спектрального состава первоначального цвета, эквивалентное цветовое ощущение будет получено смешиванием монохроматического света доминирующей длины волны с определенным белым.
Чистота возбуждения дает пропорции(соотношения) этой смеси. В этом примере, чистота возбуждения - 40 %.
![]() |
Другими словами, цвет образца сделан из аддитивной смеси 40% спектрального света с длиной волны 540нм, и 60% D65 белого, в той же самой яркости. Цветовые графики могут использоваться для того, чтобы подобрать дополнительные (комплиментарные) цвета выбором точек напротив друг друга через белую точку и, чтобы нарисовать непрерывную цветовую шкалу вычерчиванием прямого или изогнутого пути поперек диаграммы. Вообще, однако, трехмерная модель цвета используется для этой задачи так, чтобы яркость цветов могла также быть изменена. Цветовые модели обсуждены в следующем разделе.
Цветные объекты
Имеются два широких класса цветных объектов, показанных на рисунке 13 и на иллюстрации 27. Излучающие объекты производят собственный свет. Отражающие объекты, с другой стороны, полностью зависят от внешнего источника света; они обеспечивают изменение цвета источника света, поглощая различные количества света в различных длинах волн. Флуоресцентные объекты - частный случай, в котором они берут световое излучение одной длинны волны и заново испускают часть его дольше, с более низкой энергетической длиной волны.![]() |
Рисунок 13: Отражающие и эмиссионные объекты.
Цветопередача
Система телевидения, используемая в Западной Европе, PAL, является развитием Американской NTSC системы. Те же самые соображения, данные в разделе видео, также можно применить к кодированию телепередачи. Однако имеются дополнительные ограничения, которые должны быть приняты во внимание, если должны быть произведены картинки приемлемого качества.Видео сигнал яркости объединен со сложным (составным) сигналом цветности (который модулирован на цветовую несущую частоту), сигналом цветовой синхронизации и сигналом синхронизации, чтобы формировать единый сложный видео сигнал, готовый к телепередаче. Подробности этого процесса не касаются нас, но после того, как видео сигнал яркости и цветности были смешаны вместе, они не могут никогда быть полностью отделены снова, даже самыми лучшими, качественными декодерами. Неизбежна некоторая интерференция между каналами цветности и яркости. Это вызывает много типов цветовых искажений.
Сложные видеомагнитофоны записывают телевизионный сигнал (или некоторую промежуточную стадию) и таким образом подчиняются тем же самым ограничениям, как если бы сигнал должен был быть передан по телевидению.
5.3.1 UV кодирование
Формирование (образование) U и V составляющих - первый шаг к подготовке видеосигнала для телевещания. Сигналы цветности масштабируются так, что сумма видео сигнала яркости и составного сигнала цветности - меньше чем 1.34:
U = 0·493 C2
V = 0·877 C1
Это выполнено таким образом, что конечный сложный сигнал оставался внутри допустимых пределов модуляции несущей. Затем U и V компоненты субдискретизируются с коэффициентом два, чтобы уменьшить ширину полосы частот.
Некоторые компьютерные графические системы, разработанные специально для телевизионного использования, допускают цветовую спецификацию непосредственно в YUV. В то время как не являясь особенно легким в использовании, оно имеет преимущество в том, что не воспроизводимые цвета не обрабатываются.
5.3.2 Комбинированный сигнал цветности
Комбинированный сигнал цветности производится путем модуляции U и V сигналов на 4.43 MHz цветовой несущей частоте, t:
C = U cos(t) + V sin (t)
Рисунок 46 показывает как фаза и амплитуда этого сигнала соответствует первоначальным U и V составляющим.
![]() |
5.3.3 S Видео
S видео - компромисс между полной раздельной записью и составной записью. Видео сигнал яркости и составной сигнал цветности записываются как два отдельных сигнала; хотя имеется ухудшение в качестве цвета, вызванное использованием цветовой поднесущей частоты, нет интерференции между видео сигналом яркости и составным сигналом цветности.
Наиболее общим примером S видео системы является S-VHS. Входные соединительные кабели помечены Y/C, чтобы показать, что видео сигнал яркости (Y) и комбинированный сигнал цветности (C) разделены. Другие форматы, которые записывают раздельно Y и C сигналы, это U-Matic и Hi-8 видео.
5.3.4 Система PAL
Составной сигнал цветности объединяется с видео сигналом яркости, синхронизацией и другой информацией управления, чтобы формировать единый, составной сигнал. В результате смешивания сигнала яркости и сигнала цветности некоторые очень яркие, насыщенные RGB цвета преобразуются в сигналы, которые не могут быть переданы по телевидению; или потому что они перегружают передающее оборудование, или потому что они дают мерцающие, неустойчивые цвета. Хотя такие высоко насыщенные цвета обычно не встречаются при съемке реального мира, они являются проблемой в изображениях, генерируемых компьютером, и эти цвета должны быть преобразованы к цветам, которые можно транслировать по телевидению, уменьшением яркости или насыщенности.
Ограничения на допустимые цвета имеют место во-первых потому, что амплитуда составного сигнала цветности должна быть меньше чем 53, и во-вторых, что сумма видео сигнала яркости и составного сигнала цветности должна быть меньше чем 1.2.
При передаче телевизионные сигналы чувствительны к ошибкам фазы, которые изменяют фазу цветности f и, таким образом, изменяют оттенок. Чтобы исправить при малых ошибках, система PAL инвертирует Фазу V на дополнительных строках развертки, отсюда и название. Путем усреднения последовательных строк развертки ошибка фазы сбрасывается за счет дальнейшего уменьшения в вертикальном разрешении.
Другим следствием смешивания сигнала цветности и видео сигнала яркости является то, что два сигнала взаимодействуют. Информация высокочастотного видео сигнала яркости декодируется как цветность, давая мерцающие радуги цвета на фрагментах типа параллельных линий. Цветовая поднесущая частота не полностью удаляется из информации видео сигнала яркости, давая периодическое изменение в яркости по растровой строке. Быстродействующие переходы в цвете создают мерцающий край, действие которого может быть уменьшено путем сглаживания изображения до его кодирования.
Домашнее VHS видео записывает составной видео сигнал, и таким образом переносит все дефекты качества цвета, которые были отмечены для телевидения. Это должно приниматься во внимание при планировании видео анимации, которая должна быть показана на конференции или презентации. Наиболее общим форматом для использования является VHS; поэтому, хотя отснятый материал не является телепередачей, он подвергается всем ограничениям телепередающей среды.
5.3.5 NTSC телепередача
Это система телепередачи используется в США и Японии. Поскольку она явилась основой для PAL, большинство комментариев в предыдущем разделе также касаются NTSC. Некоторые отличия от PAL:
- 525 строк, а не 625 строк вертикальная разрешающая способность;
- частота смены кадров - 30, а не 25 раз в секунду;
- нет чередования фазы, поэтому есть ошибки оттенка;
- используется меньшая ширина полосы частот, чем в Европе.
Как первоначально определено, NTSC использует I и Q, а не U и V, определяемые:
I = V cos(33°) -- U sin(33°)
Q = V sin(33°) + U cos(33°)
Это - простой поворот и смещение осей, таким образом Q содержит синие и фиолетовые цвета; как было замечено в разделе 2.7, это цвета, для которых пространственная разрешающая способность глаза является беднейшей. Чтобы справиться с узко-доступной шириной полосы частот (шириной спектра), сигнал Q транслируется при намного более низкой разрешающей способности, чем Y или I. Принимая во внимание, что полоса пропускания Y сигнала - 100%, I использует 25%, а Q только 10%. Современное производственное оборудование использует U и V, а не I и Q; декодер не обнаруживает различие.
Цветовое соответствие
Поскольку мы увидели, что явление цвета есть субъективное понятие, то модель цвета должна принять во внимание наше знание относительно механизма цветового зрительного восприятия, если она должна иметь какую-нибудь полезность. Наиболее очевидный способ сравнивать два цвета на сходство является такой, чтобы смотреть на них рядом. Это как раз то, что было сделано на ранних стадиях цветовой науки3.1.1 Tristimulus (трехцветное) цветовое соответствие
Чтобы точно воспроизвести цвет данного объекта, сначала, казалось бы, необходимо иметь множество источников света, соответствующих всем различным спектральным цветам, и корректировать интенсивность каждого цвета отдельно, пока спектр объектов не был бы точно дублирован.
На практике, однако, эквивалентные цветовые ощущения могут быть созданы смесью только трех цветов. Это потому, что аналитическая разрешающая способность глаза для цвета недостаточна, по сравнению с разрешающей способностью других органов чувств типа уха или носа; комплексный световой раздражитель воспринимается как единое ощущение. Например, данный комплексный звуковой раздражитель, типа концертного оркестра, имеет возможность разрешить индивидуальные инструменты, а слышать только скрипки. Невозможно, давая смешанный зрительный раздражитель, такой как белый свет, “обращать внимание” только на красные составляющие. (Хотя пространственная разрешающая способность глаза намного лучше, чем уха).
![]() |
Рисунок 11 - Trichromatic (трехцветное) цветовое соответствие
Рисунок 11 показывает экспериментальную схему для проведения опытов цветового соответствия. Лампы направлены на диффузор (показанный как серый прямоугольник на рисунке 11) так, чтобы наблюдатель видел однородный единый цвет. Неизвестный свет, который должен быть согласован, отмечен "?", просматривается рядом с тремя стандартными (эталонными) источниками света, интенсивности которых индивидуально изменяются до тех пор, пока цвета не будут согласованы.
Три источника света, часто выбираемые для экспериментов цветового соответствия, это монохроматические (одиночная длина волны) источники при 700нм (ало-красные), 546.1нм (желтовато-зеленые) и 435.8нм (синевато-фиолетовые).
Они представлены на рисунке 11 и иллюстрации 26. Зеленые и сине-фиолетовые огни соответствуют острым пикам в спектре из ртутной паросветной лампы; это допускает калибровку и обмен экспериментальных данных между различными сериями измерений. Красный свет находится в зоне спектра, где изменения в длине волны производят мало изменений в воспринимаемом цвете, минимизируя эффект разрегулировки.
В некоторых случаях выравнивание может быть получено только регулированием неизвестного цвета; это выполняется добавлением правильного соотношения одного или большего количества стандартных источников света с использованием второго набора эталонных ламп, показанных серым на рисунке 11. Это эквивалентно отрицательной величине одного или большего количества требуемых источников света. Задание цвета в терминах количеств энергии, требуемой от каждого из трех источников света, чтобы согласовать цвет, названо координатой цвета.
3.1.2 Аддитивность
Цвет, получающийся в результате смешивания двух цветных источников света, может быть точно предсказан; это есть сумма координат цвета для двух источников света. Координата цвета из смеси 50 на 50 двух источников света есть таким образом средняя координата цвета.
Это важное свойство, названное аддитивностью, позволяет предсказать цвет смеси произвольного числа источников света. Рассмотрение спектра цвета, который будет получен из большого количества диапазонов длин волн, допускает координату цвета любого объекта, которая будет вычислена как аддитивная смесь этих диапазонов. Если предсказанная координата цвета смеси положительна, она может быть смешана с цветом, согласующим описанную установку. Это истинно, даже если один из компонентов смеси имеет отрицательные координаты цвета.
Цветовое видео
Видео оборудование имеет некоторые сходства с компьютерными графическими мониторами в том смысле, что изображение является таблицей пикселов на RGB мониторе. Однако, имеются различия, касающиеся механизмов кодирования сигнала и методов работы в этой отрасли промышленности. Привычное звучание терминов может иметь новые, отличные значения в контексте для видео оборудования.Потому что анимационные последовательности компьютерной графики часто хранятся как видео, полезно иметь некоторое представление о технологии видео, поскольку это касается использования цвета. В то время как компьютерная графика может быть разработана со свойственными ограничениями передачи информации в памяти. Следует помнить, что самое лучшее профессиональное видео оборудование даст намного худшую разрешающую способность и точность воспроизведения цвета, чем даже скромная графическая рабочая станция.
5.2.1 Телевизионные мониторы.
Цвета определены в RGB пространстве стандартизированных телевизионных мониторов, цветности люминофоров, белая точка, и значение гаммы которых жестко закреплены соответствующей организацией стандартов. Это дает возможность инженеру надежно проверить качество в любой студии. Это также дает возможность создавать компьютерную графику по этим стандартам так, что она будет выглядеть правильной при просмотре. Таблица 3 показывает характеристики для трех популярных стандартов.
| | Red x,y | Green x,y | Blue x,y | ||||
| NTSC | 0-670 0-330 | 0-210 0-710 | 0-140 0-080 | ||||
| SMPTE | 0-630 0-340 | 0-310 0-595 | 0-155 0-070 | ||||
| EBU | 0-640 0-330 | 0-290 0-060 | 0-150 0-060 |
Таблица 3: Цветности стандартных телевизионных мониторов
Стандарты телевещания в Соединенных Штатах Америки определены Национальным Комитетом Телевизионных Систем (NTSC). NTSC стандарт также используется в других странах, типа Японии. Он определяет источник света C для белой точки и значение гаммы 2.2.
Великобритания и Европа используют стандарты, установленные Европейским Телевещательным Союзом (ПАЛ).
Они используют белую точку D65 и гамму 2.2. Цветовая коррекция в современных студиях выполняется на студийном мониторе, который соответствует требованиям Общества Кино и Телевизионных Инженеров (SMPTE).
Гаммы этих трех мониторов показаны на рисунке 45. Чтобы обеспечивать правильный цвет при высоком качестве компьютерной графики, МКО XYZ значения должны быть преобразованы к RGB с использованием цветностей монитора SMPTE.
![]() |
5.2.2 Гамма-коррекция (коррекция цветового диапазона)
В отличие от общей практики в компьютерной графике, где гамма-коррекция осуществляется непосредственно перед отображением, RGB сигналы, которые должны быть записаны на видео, подвергаются гамма-коррекции перед кодированием. Альтернативный вариант требовал бы схему гамма-коррекции в каждом воспроизводящем мониторе и, если бы сигнал должен был бы передаваться по телевидению, в каждом телевизоре. Проще и эффективнее производить отдельную устойчивую, точную коррекцию в студии.
Поэтому важно то, что компьютерные графические изображения, которые должны записываться на видео, предварительно будут гамма-корректироваться. Гамма-коррекция в контексте компьютерной графики обсуждается в Приложении A. В то время как любое произвольное преобразование может применяться к компьютерному графическому изображению, стандарты для видео принимают те входные сигналы, которые исходят от телевизионной камеры, и ту гамма-коррекцию, которая будет выполнена электронной схемой. График идеального степенного закона в начале координат вертикальный, что соответствует бесконечному усилению в схеме. Ясно, что этого невозможно достичь, и это вызвало бы серьезные проблемы с усилением шума, поэтому гамма-коррекция в контексте видео использует модифицированный степенной закон с линейным участком в начале. Чтобы сохранять совместимость, то же самое преобразование должно использоваться для компьютерной графики, которая должна быть сохранена на видео.
Формулы, приведенные ниже, определены CCIR Rec. 709, международным эталоном для телевидения высокой четкости (HDTV). Более ранние стандарты видео имеют менее точные определения для гамма-коррекции, игнорирующие проблему бесконечного усиления.
CCIR Rec. 709 формализует диапазон сходных значений, используемых в современном студийном оборудовании, и эти уравнения подходят для использования в компьютерной графике. Для значений в диапазоне от 0.018 до 1.0:
Rg= 1.099 R0.45
0.099
Gg= 1.099 G0.45
0.099
Bg= 1.099 B0.45
0.099
Для значений в диапазоне от 0.0 до 0.017, наклон кривой ограничен до 4.5:
Rg= 4·5 R
Gg= 4·5 G
Bg= 4·5 B
5.2.3 Ширина полосы пропускания
В компьютерной графике об изображении думают как о двумерном массиве пикселов, каждый из которых может быть любого цвета. Это просто и наглядно, и, благодаря быстрому обновлению данных, мы визуально не замечаем смены кадра. В видеозаписи об изображении думают как о форме сигнала, которая характеризует то, как интенсивность или цвет изображения изменяется, когда электронный луч пробегает по экрану дисплея. Поскольку строки на экране отслеживаются последовательно, об изображении в видео терминах думают как о одномерной форме волны.
Медленно изменяющееся изображение соответствует низкочастотной форме волны. Чем большие изменения между одним пикселом и следующим, тем выше требуемая частота, чтобы кодировать его, и, тем самым, большая общая полоса пропускания. Это фундаментальное различие между компьютерной графикой и видео; смежные пикселы в каждой горизонтальной растровой строке связаны между собой. Нет однако никакой специальной связи между пикселом и пикселом выше или ниже его. Они находятся на различных растровых строках.
Типичное компьютерное графическое изображение, где смежные пикселы могут быть полностью различны, требует чрезвычайно высокой пропускной способности, чтобы отображать это. В видеозаписи доступная пропускная способность строго ограничена и поэтому величина, на которую один пиксел может измениться относительно того, который предшествовал ему, ограничена.
Максимальное число пикселов в растровой строке 768, а эффективность горизонтальной разрешающей способности будет таким образом меньше.
5.2.4 Частота обновления
Типичный компьютерный графический монитор может иметь вертикальную разрешающую способность 1024 строки и обновляться 72 раза в секунду или больше. Это означает, что 1024*72 = 73728 растровых строк обновляются каждую секунду. Видеомагнитофон имеет 625 линий, из которых 50 используются для других целей, и регенерируется(обновляется) 25 раз в секунду; другими словами он может отводить только (625 - 50)*25 = 14375 растровых строки в секунду.
Чтобы уменьшать нежелательное мерцание, сначала выводятся четные строки развертки, затем следует вывод нечетных строк развертки. Это увеличивает эффективную скорость регенерации изображения до 50 раз в секунду при условии, что имеется некоторая корреляция между одной растровой строкой и следующей. Это часто имеет место, когда изображение получено из камеры, но менее вероятно в компьютерном графическом изображении. Горизонтальные линии, которые имеют ширину одного пиксела, будут заметно мерцать. Эффективность горизонтальной разрешающей способности таким образом уменьшается от 575 до 200 - 300.
5.2.5 Видео сигнал яркости
Цвета преобразуются из
RGB в видео сигнал яркости и два разностные
цветовые сигнала. Это подобно кодированию трех цветовых сигналов в сигнал яркости и разностные сигналы цвета
в глазе, которые были
описаны в разделе
2.6, и выполняется по той же самой причине: максимально использовать
доступную информационную пропускную способность.
Как первоначально рассчитано в 1950-ых, кодирование сигнала яркости соответствует сумме яркостного сигнала от каждого люминофора, использующего соотношения цветов исходного NTSC телепередающего монитора.
Это дает формулу для видео сигнала яркости, который есть:
Y = 0·299 Rg+ 0·587 Gg+ 0·114 Bg
Это теперь стандартизовано (CCIR Rec. 601-1), и декодеры, выполняющие эту операцию, встраиваются во все видеомагнитофоны и телевизоры.
За последние годы люминофоры, используемые в цветных телевизорах, изменились, таким образом современные телевизоры полностью отличаются от первоначальных NTSC (Национальный комитет телевизионных систем). Чтобы обеспечивать более успешный цветовой мониторинг, Общество Кино и Телевизионных инженеров (SMPTE) издало стандартное практическое руководство, которое определило новые цветности, показанные в таблице 3. Цветовая балансировка теперь выполняется с использованием SMPTE телевизионного монитора. Т.к. монитор NTSC не является представителем современных телепередающих мониторов или телевизоров, видео сигнал "яркости" больше не имеет правильной формулы, чтобы вычислять сигнал яркости, который будет измерен у монитора. Кроме создания лишь оптимального использования информационной пропускной способности системы, это больше никак не используется. Более важно, что кодер и декодер работают правильно в комплекте друг с другом.
Используйте выше упомянутую формулу, чтобы вычислить видео сигнал яркости, который будет записываться на ленту. Это не зависит от монитора, который используют для цветовой балансировки.
Чтобы вычислить фактический измеряемый сигнал яркости, например, чтобы преобразовать полное цветовое изображение к шкале градаций серого, вычисляйте его непосредственно из цветностей обсуждаемого монитора, используя процедуру в Приложении B. Например, для SMPTE монитора формула была бы:
Y = 0·2122 R + 0·7013 G + 0·0865 B
Заметьте, что значения RGB в этой формуле не требуют гамма-коррекции. Неудачно, что символ Y имеет эти два связанных, но различных (различимых) значения. Цветность видео сигнала яркости Y является в системе белой точкой (обычно D65), в то время как МКО Y основной цвет является мнимым цветом с цветностью u¢ = 0, v¢ = 0 6.
Как дополнительная ловушка для неосторожного, HDTV будет использовать различную формулу для видео сигнала яркости. Новый стандарт (SMPTE 240M) для высококачественного видео и системы телевидения не требует поддерживать совместимость с установленной базовой системой прежних декодеров.
Так что кодирование видео сигнала яркости было рассчитано из множества мониторов SMPTE:
Y = 0·2122 Rg + 0·7013 Gg + 0·0865 Bg
5.2.6 Сигналы цветности в видео
Имея яркостной видео сигнал, другие два канала требуются, чтобы нести достаточную информацию для восстановления первоначальных значений RGB. Они называются цветоразностными сигналами, т.к. они были первоначально связаны цветовым различием между кодируемым цветом и белой точкой. Это больше не имеет место потому, что видео сигнал яркости больше не равен сигналу яркости МКО. Сигналы цветности производятся вычитанием видео сигнала яркости из любых двух из трех (RGB) каналов. Зеленый делает наибольший вклад в видео сигнал яркости, поэтому именно красный и синий каналы используются, чтобы формировать сигналы цветности.
C1 = Rg Y
C2 = Bg Y
Из-за этих формул, цветоразностный сигнал также иногда называется цветовым контрастом.
Ясно, сигналы цветности могут быть положительные или отрицательные. Подстановка значений RGB основных (красный, зеленый, синий) и вторичных (голубой, сиреневый, желтый) цветов в эти уравнения показывает, что C1 изменяется между ±0 866 и C2 между ±0 701.
Преобразование RGB сигнала к сигналу яркости (Y) и двум сигналам цветности (C1 C2) является линейным обратимым процессом и является точкой отсчета для всего видео кодирования. Cамо по себе это не создает ограничений или искажений цветового качества, хотя более поздние стадии конечно делают это.
5.2.7 Аналоговое видео
Эти видео системы записывают раздельно три составляющие сигнала - видео сигнал яркости и две видео цветности, таким образом при воспроизведении изображение выглядит очень похожим на первоначальный RGB сигнал. Основными ограничениями являются: отношение полезного сигнала к уровню шума, стабильность и линейность аналоговой системы записи. Более дорогостоящее профессиональное телевизионное оборудование дает лучшее изображение, чем оборудование промышленного типа.
Этот тип системы используется для профессионального видео оборудования. Примеры - система Sony Betacam, широко используемая для электронного сбора новостей и создания записей студийного
качества, и Panasonic MII система.
В аналоговой составляющей записи, составляющие сигнала цветности масштабируются так, чтобы несколько некорректный минимум и максимум значений стал ± 0,5:
Pb = 0,5 / (1 0,114) C1
Pr = 0,5 / (1 0,299) C2
Дополнительно Pb
и Pr компоненты субдискретизируются с коэффициентом два, давая сжатие сигнала. Это ограничение полосы пропускания подобно замене пар пикселов их средними цветами. Однако, видимый результат ухудшения качества от этого меньше, чем казалось бы, поскольку видео сигнал яркости остается нетронутым. Субдискретизация выполняется только на составляющих сигнала цветности. Человеческий глаз слаб при идентификации чрезвычайно малых областей цвета и может видеть только различие в яркости. В том значении, в каком видео сигнал яркости определяет яркость видео сигнала (степень светлоты и темноты изображения), эта оптимизация успешная. Результат - очень небольшое замазывание малых деталей в изображении.
5.2.8 Цифровое видео
Подобно аналоговому видео, три компоненты хранятся раздельно и составляющие цветности субдискретизируются с коэффициентом два. Разрешающая способность фиксирована числом используемых битов, чтобы закодировать каждую компоненту. Имеются два определенных метода, 8 битов или 10 битов на компоненту; в настоящее время используются только 8 разрядные формы.
Видео сигнал яркости записывается как 8 разрядное число без знака, а составляющие цветности - как 8 разрядные числа со знаком. Однако не все 256 кодов используются; стандарты для цифровой видео составляющей CCIR Rec. 601-1 и CCIR Rec. 656 точно определяют то, что некоторые коды в верхнем и нижнем диапазонах остаются неиспользованными для начального и конечного блока данных.
Y = 219 Y + 16
Cr = 224 C1 + 128
Cb = 224 C2 + 128
Большим преимуществом цифрового видео является отсутствие шума и возможность копирования много раз без ухудшения качества. Записывающее оборудование цифрового видео, однако, значительно дороже, чем аналоговое оборудование.
Если компьютерную графику делают специально для записи цифрового видео, значения R G и B должны быть гамма-корректированными как значения с плавающей запятой, затем преобразованы непосредственно в диапазон от 16 до 226, а не обычный от 0 до 255. Это исключает появление ошибок от двукратного округления.
Три составляющие могут затем быть рассчитаны непосредственно:
Y = (77Rg + 150Gg + 29Bg ) / 256
Cb = (131Rg 110Gg 21Bg + 128) / 256
Cr = (44Rg 87Gg + 131Bg + 128) / 256
Другие системы, которые используют YCbCr, или производные этого, включают JFIF формат изображения из JPEG и формат PhotoCD из Kodak.
Цветовые модели МКО
4.3.1 CIE 1931 XYZЭто цветовое пространство уже рассматривалось; оно является основным цветовым пространством для колориметрического измерения и базисом для других цветовых пространств МКО. Оно имеет преимущество строго определенного и международного эталона. Между тем, являясь удобным для представления описания существующих измеряемых цветов, его не особенно легко использовать для определения новых цветов. Это потому, что основные цвета являются невидимыми цветами; в то время как они всегда положительны, оси находятся вне амплитуды видимого цвета, как может быть замечено на рисунке 29.
![]() |
Рисунок 29: МКО 1931 XYZ цветовое пространство
4.3.2 1976 CIELUV
Если яркость цвета градуирована относительно некоторого белого цвета, то получается относительная шкала яркости от 0 до 100 % (черный к белому). Измеряемая яркость, однако, не соответствует полностью воспринимаемой светлоте; шкала выглядит заметно не однородной, со всеми темными цветами, скопившимися в одном конце. МКО рекомендовал нелинейную формулу для светлоты L*, которая соответствует более близко воспринимаемому ощущению. В среднем 50% серого встречается в L*=50. Внешний вид шкал яркости, построенных из яркости и светлоты, показан на графике ниже.
![]() |
Рисунок 30: Светлота (выше) и яркость (ниже).
L* = 116 (Y/Yw)1/3- 16 для большинства значений Y (Y/Yw > 0.008856) или
L* = 903.3 (Y/Yw) для очень темных цветов (Y/Yw Ј 0.008856)
Yw является Y координатой цвета для белого эталона, другими словами того белого, к которому глаз адаптируется. Для большинства целей стандартный источник света типа D65 используется как эталон белого.
МКО рекомендовал однородное, 3-х мерное пространство цвета, включающее и UCS, и этот параметр светлоты, названное МКО 1976 (L* u* v*) пространством цвета. Показанное на рисунке 31 и на иллюстрации 30, оно обычно упоминается как CIELUV и может считаться однородной версией МКО 1931 XYZ пространства.
Формулы:
u* = 13 L* (u' - u'w)
v* = 13 L* (v' - v'w)
Где u'w и v'w
- UCS координаты выбранного эталона белого. Эти формулы соответствуют приведению начала графика UCS к белой точке и маштабированию относительных координат цветности через светлоту так, что геометрическое расстояние между двумя цветами сокращается, поскольку они делаются более темными. Это учитывает тот факт, что темные цвета выглядят более одинаково, чем светлые цвета, даже когда цветности те же самые. Результирующее пространство цвета, следовательно, формирует конусообразное сплошное тело. Черный, при L* = 0, таким образом единственный цвет в верхушке этого конуса.
CIELUV пространство могло бы также рассматриваться как набор масштабированных UCS графиков, как показывает Рисунок 31.
![]() |
Поскольку спектральные цвета формируют круг вокруг начала координат, возможно определить угол оттенка huv, который определяет оттенок с единственным численным значением. Положительная u* ось определяется, чтобы иметь 0°, и углы измеряются против часовой стрелки.
huv = arctan(v*/u*)
Преимущество этого состоит в том, что оттенок есть легко представляемое понятие. Цвета радуги располагаются в круге. Расстояние от ахроматической L* оси может затем использоваться как критерий цветности или насыщенности:
C*uv = (u*2+v*2)1/2
Светлота, цветность и угол оттенка определяют альтернативу - полярную форму CIELUV, показанную на рисунке 32. Ее проще использовать для смешивания цветов, чем не полярную форму CIELUV.
![]() |
Насыщенность рассчитана из:
S* = C*/L*
Рисунок 33 показывает плоскости постоянной цветности и постоянной насыщенности в LCH пространстве МКО. Цветность, ясно видно, не зависит от светлоты.
![]() |
Модель CIELUV, из-за большей воспринимаемой однородности, чем другие модели, используется в телевизионной и кинопромышленности и находит увеличивающееся использование в компьютерной графике.
Она вообще используется для излучающих цветов типа источников света или мониторов компьютера. Соответствие PHIGS и PHIGS PLUS реализациям требуется, чтобы поддержать эту модель.
4.3.3 1976 CIELAB
Альтернативная цветовая модель рекомендуется МКО для отражающих цветов, типа красок или окрашенных тканей. Она оптимизирована для определения количества цветового различия между двумя образцами почти идентичных цветов, как например между двумя пакетами красителя, и получения подобных численных результатов с другими существующими формулами цветового различия. Светлота, параметр тот же самый L*, как в CIELUV, но есть два других:
a* = 500 [ (X/Xw)1/3 (Y/Yw)1/3
]
b* = 500 [ (Y/Yw)1/3 (Z/Zw)1/3 ]
Из-за кубических корней в этих уравнениях нет цветового графика для CIELAB. Прямые линии в МКО 1931 двухмерном пространстве XY остаются прямыми в UCS, но не прямые в графике цветности, основанном на CIELAB. Он следовательно не представляет аддитивное смешивание.
Начиная с 1976, более сложные не Евклидовы формулы были изобретены для цветового различия в CIELAB, которые дополняют изменяющиеся веса светлоты, угла оттенка и цветности, в зависимости от области цветового пространства, в котором образцы находятся. Эти формулы используются в высокоточных индустриальных применениях
Так как отражающие цвета определяют или измеряют, используемый источник света также должен быть заявлен. Вообще, D65 используется, если нет какой-нибудь специальной причины выбрать другой источник света. И CIELUV и CIELAB принимают, что источник света, или эталон белого, находится близко к естественному дневному свету.
CIELAB имеет полярную форму по имени L* C*ab hab, подстрочные
индексы используются, чтобы различить ее с
полярной формой CIELUV. Формулы идентичны.
CIELAB иногда встречается в спецификации цветовых принтеров. Используя данный эталонный источник света, просто преобразовать эти значения к XYZ или LUV. Вторая редакция Метафайла Компьютерной Графики (ISO/IEC 8632: 1992) разрешает, чтобы цвета были определены или в CIELUV или в CIELAB.Архитектура стандарта открытого документа (ISO стандарт) для составных документов использует CIELAB для цветовой спецификации, которая определяет стандарт на обработку изображения и обмен(IPI).
Цветовые схемы
Диапазон связанных цветов, используемых вместе, дает единый вид без помех. Плохой выбор цветов может сбить с толку или быть слишком резким и вызвать зрительное напряжение, если смотреть на него длительное время. Выбор связанных цветов это, скорее, субъективный процесс; однако можно использовать высокопрофессиональные художественные советы и цветовую науку. Во многих случаях эмпирические принципы высокопрофессионального художественного искусства можно объяснить в терминах цветовой науки.6.3.1 Использование художественных советов
Дополнительные цвета являются цветами, которые находятся на противоположных сторонах цветового круга. Использование дополнительных цветов позволяет создать сочное, привлекающее зрителей изображение. Чтобы изображение не выглядело очень ярким, цветность должна быть уменьшена для больших областей. Часто для больших областей полезно использовать один цвет или группу подобных цветов так, чтобы их дополнительные цвета выделялись, когда они используются в малых количествах как наиболее яркие участки изображения или акценты. Различные цветовые модели используют различные размещения цветов по цветовому кругу, поэтому точное размещение дополнительного цвета изменяется с цветовой моделью. Подлинно перцептивно однородная шкала дала бы правильный цвет. Определение дополнительных цветов может быть легко сделано на глаз. Просто смотрите пристально на маленькое цветовое пятно на черном фоне в течение минуты или около этого. Затем, переведя взгляд на хорошо освещенную белую поверхность, вы увидите изображение в дополнительном цвете. Иллюстрация 43 может быть использована, чтобы попытаться сделать это. Обратите внимание на то, что точность полученного цвета зависит от используемого источника света.
Вследствие просмотра фоточувствительный пигмент в конусах становится обесцвеченными, так как существует непрерывный цветной раздражитель от яркого цвета. Смотрящий в одну точку, без движения глаз сохраняет изображение в одних и тех же клетках в сетчатке.
В отдыхающей клетке пигмент насыщается. Чтобы это не происходило, пигмент в каждом типе конуса истощается пропорционально величине, до которой этот цвет возбуждает каждый тип конуса. Например, зеленый раздражитель обесцветит конусы М больше других. Взгляд на белую поверхность дает иллюзию розового цвета, пока пигмент не восполнится.
Изображение, в котором много ярких несвязанных цветов, будет выглядеть хаотичным и бессмысленным; нет единой точки фокуса. Использование групп связанных цветов и расчетливое использование ярких цветов предотвращает этот эффект и создает профессиональное изображение.
Если отдельные цвета должны иметь индивидуальные обозначения, они должны быть ясно объяснены, а цвета должны быть легко различимы. Некоторые цвета имеют общепринятый смысл, который является широко, если не универсально, понятным. Например, красный ассоциируется с действием, волнением, опасностью, высокой температурой и запрещением. Такие обозначения многообразны и противоречивы. Они также могут иметь разный смысл в разных культурах.
Когда должен использоваться сглаженный диапазон цветов, полезно объединять существующие обозначения цветов, особенно те, которые понимаются однозначно благодаря ясно определенной группе. Например, в медицине красный обозначает здоровую ткань, а синий - зараженную ткань. В картографии диапазон от темно-синего до светло-синего и белого определяет глубину морей; желтые, зеленые и коричневые задают увеличение высоты суши, которая достигает максимума в фиолетовом и белом для высоких гор.
6.3.2 Использование цветовой науки
Не используйте синий и красный вместе. Не используйте синий как цвет букв, когда важна форма; однако он создает хороший фон. Почему? Хроматическая аберрация глаза не дает возможность полностью сосредоточиться на красном и синем одновременно, как показано на иллюстрации 44. Глаз будет утомляться от непрерывной перефокусировки, и хрусталик окажется в положении, где ни один цвет полностью не будет в фокусе. При использовании синего в качестве фона нет четкого очертания, поэтому мягкое размывание изображения является ненавязчивым.
Явление стереограмм дает видимость глубины.
Не используйте мелкие детали изображения в синем или красном цвете на темных цветных фонах. Почему? Кривая спектральной чувствительности имеет пики в желтой и зеленой части спектра. Цвета в экстремумах (на краях) спектра будут казаться более темными, чем желтые и зеленые, при том же самом измеряемом уровне силы света. Точно так же желтые и зеленые на светлом фоне будут иметь низкую контрастность и таким образом будут плохо видны.
Не используйте синий или фиолетовый для небольших перемещающихся изображений типа курсоров мыши. Почему? S конусы имеют более медленную реакцию, чем М или L конусы. Следовательно, они плохо реагируют на быстродействующие изменения в позиции синих и фиолетовых объектов. Плотность S конусов в центральной ямке намного меньше, чем плотность М и L конусов. Следовательно, пространственная разрешающая способность для синих объектов намного меньше, чем для других цветов (явление, которое, как мы уже видели, используется субдискретизацией при кодировании видео).
Не полагайтесь на различие красного и зеленого цветов, чтобы передать важную информацию. Почему? Часть вашей аудитории слабо различает или вовсе не будет чувствительна к различиям красного и зеленого.
Используйте перцептивно однородные цветовые пространства, чтобы создать цветовые шкалы. Почему? Цветовые шкалы с перцептивными скачками могут давать ложное впечатление от неверной детали изображения. Области небольшого цветового изменения могут маскировать детали изображения. Перцептивно линейная цветовая шкала облегчает оценки отображаемого параметра.
Другие цветовые модели
Имеется широкое многообразие цветовых моделей, с которыми можно иногда встретиться в компьютерной графике и работе визуализации(визуализация - представление физического явления или процесса в форме, удобной для зрительного восприятия - прим. перев.). Некоторые из них используются в частной прикладной области, типа архитектуры или текстиля. Ряд моделей определены как национальные эталоны в отдельных странах и будут встречаться при выполнении работы для тех стран. Другие включены здесь, потому что они поясняют особый взгляд (точку зрения) на цветовую науку.4.5.1 Munsell система
Это - однородно воспринимаемая система для отражающих цветов, используемых в графических искусствах, текстильной промышленности и в производстве краски, особенно в США. Она рекомендована ANSI, Американской Национальной Стандартной Ассоциацией. Она состоит из книги окрашенных цветовых образцов, классифицированных тремя параметрами - Munsell оттенок, значение и цветность. Имеются пять основных оттенков: красный, желтый, зеленый, синий и фиолетовый. Следующие пять оттенков имеют смеси из них: зеленый/синий, синий/фиолетовый. Оттенки упоминаются их начальным символом, например R, YG. Каждый из этих десяти оттенков далее подразделяется десятичным числом. Имеются четыре раздела, воспроизведенные в Munsell Книге Цвета (2.5, 5, 7.5, 10), дающие 40 оттенков всего, которые расходятся от центра, подобно радиусам в круге, от ахроматической оси значения(ахроматический - неокрашенный - прим. перев.), как показано на рисунке 37 и на иллюстрации 35.
![]() |
Рисунок 37: Munsell оттеночный круг
Значение определяется целым числом, больше, чем 0 (черный) и меньше, чем 10 (белый). Цветность - расстояние по радиусу от ахроматической оси, и изменяется в диапазоне от 2 до 14 или больше; книга имеет образцы через шаг. Все цвета с цветностью 0 находятся на ахроматической оси и не имеют оттенка. Пример цвета, определенного в Munsell системе, 5.0PB/4/10, который означает фиолетово-синий со значением 4 (более темный, чем середина серого) и цветностью 10 (очень красочный, близкий максимальному пределу достижимости пигмента для того цвета).
МКО значения для всех образцов, измеренные с использованием источника света C, были опубликованы; например: этот конкретный цвет имеет значения цветности x=0.1773, y=0.1659, и Y=0.1200.
Разработанная художником Альбертом Мунселлом, эта система полагается на субъективный отбор оттенков по перцептивной однородности, а не по колориметрической аппроксимации. Первоначальный отбор цветов был полностью "глазом". Сравнение Munsell системы с CIELUV и CIELAB показывает то, что в то время как ни одна из этих систем не является полностью перцептивно однородной, соглашения между ними удивительно близки.
Цвета в Munsell системе правильно разделяют цветность и значение. Например, средний желтый, такой как 5.0Y, имеет максимальную цветность при высоком значении; это соответствует наблюдению, что самый чистый интенсивный желтый является светлым цветом. Диаграмма ниже предназначена, чтобы показать идею относительно Munsell системы, и описывает два сечения, расположенные вокруг ахроматической оси. Это также показано на цветной иллюстрации 34.
![]() |
Рисунок 38: пара страниц из Munsell системы
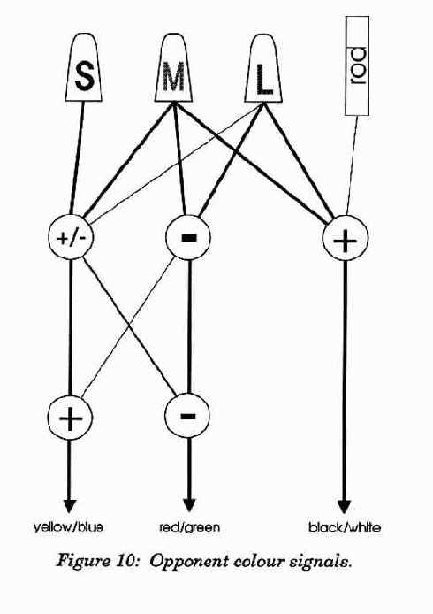
4.5.2 Естественная Цветовая Система
Естественная цветовая система (NCS) является противоположной цветовой системой и рекомендована Шведским Институтом Стандартов. Она использует теорию противоположных цветов, выдвинутую Herring, который заявляет, что имеются две пары цветов (красный/зеленый и желтый/синий). Ни один из этих цветов не имеет сходство с любым из других, и любой цвет может иметь вклад только одного из каждой пары. Например, цвет может быть зеленовато-синий, но не может быть красновато-зеленый или голубовато-желтый. Имеется третья пара - черный/белый, и цвета могут содержать смесь обоих, чтобы формировать серые.
Первоначально теория оппонентов была обсуждена сторонниками трехцветной теории, которые подчеркнули, что желтое ощущение может быть получено с красным и зеленым светом. Теперь общепринято, что оппонентные цвета, которые как концепция относятся к временам четырех визуальных основных цветов Леонардо да Винчи, не в конфликте с трехцветной теорией и, действительно, могут быть связаны с оппонентным устройством сетчатки.
Дело не в том, что желтый может быть произведен смесью, а в том, что он имеет внешний вид различного цвета, не имея никакого красноватого или зеленоватый оттенка.
Три параметра в пространстве NCS - оттенок (f), чернота (s), от Немецкого Schwarz, и цветность (c). Оттенки определяются как процент от двух из четырех цветов. Например, известняковая зелень могла бы состоять из смеси 65% желтого и 35% зеленого. Это было бы написано как Y35G. Соотношение всех цветов данного оттенка f с ахроматической осью может быть изображено в виде равностороннего треугольника. Расстояние конкретного цвета до каждого края может быть выражено в процентах; проценты белого (W), черного (S) и оттенка (F) будут всегда составлять 100, поэтому обычно пренебрегают процентом белого. NCS показан на рисунке 39 и на иллюстрации 36.
![]() |
Построение графиков цветов NCS на UCS МКО показывает, что цветность довольно однородна, но оттенок - нет; имеется большее количество цветов в синем к красному квадранту, чем в других. Это означает, что дополняющие цвета, выбираемые с NCS, не будут такими же, как выбираемые с CIELUV или Munsell цветовыми моделями.
NCS используется в некоторых цветных каталогах для торговли украшениями и косметикой. Соответственно, с этим можно иногда сталкиваться в архитектурной работе визуализации.
4.5.3 DIN система
Немецкая система национальных эталонов, Deutsches Institut fûr Normung (DIN), разработала модель цвета (DIN 6164), которая снова имеет круглую характеристику оттенка. Цвета той же самой доминирующей длины волны имеют тот же самый оттенок (T), который располагается с 1, для желтого через красный, фиолетовый, синий и зеленый, до 24, для зеленовато-желтого. Другие две переменные - насыщенность (S) и темнота (D). Полная форма почти соответствует круглому не усеченному конусу, с черным в верхней точке. Однако, максимальная насыщенность отличается для различных оттенков. Из-за использования насыщенности, а не цветности, имеется меньшее различие между темными цветами, чем светлыми цветами.
Совместно с другими моделями, которые имеют "разрезы" постоянного оттенка, типа Munsell и NCS, цвета низкой цветности возле ахроматической оси находятся ближе друг к другу, чем яркие цвета высокой цветности. Источник света стандарта МКО D65 использовался, чтобы выбрать образцы, и их МКО координаты цвета опубликованы.
4.5.4 Coloroid система
Эта система используется прежде всего архитекторами и проектировщиками интерьера в Европе. Как с DIN системой, критерий оттенка связывается с доминирующей длиной волны. Расстояние между оттенками было определено из ряда субъективных оценок. Цветность измеряется в масштабе от 0, для D65 эталона белого, до 100, для спектрально чистых цветов. Светлота связывается с сигналом яркости МКО, Y, через квадратный корень веса, чтобы дать перцептивно равномерный масштаб. Формулы были изданы, чтобы преобразовать между Coloroid техническими данными и xyY значениями МКО.
4.5.5 OSA кубовидный восьмигранник
Оптическое Объединение Америки разработало пространство цвета, которое избегает неравного размещения оттеночных круговых систем. Оно основано на ромбоэдрической (тригональной) структуре кристаллической решетки, где каждая точка имеет двенадцать самых близких соседей в 3D. Единичное сплошное тело, которое образовывает пучок, таким образом является кубовидным восьмигранником (куб со всеми восьмью углами, отрезанными). Эта пространственная решетка обеспечивает даже точные образцы пространства цвета и позволяет образцам быть легко упорядоченными в плоскостях, которые не параллельны к осям. Это предназначается, чтобы помочь проектировщикам видеть новые масштабы и размещения цвета.
Три параметра в модели OSA - светлота (L), желтизна (j, Французский jaune) и зелень (g). Отбор цветов для точек явился результатом более чем тридцатилетних экспериментов цветового согласования. D65 используется как источник света, и необычно то, что используется МКО 1964 дополнительный наблюдатель. Это порождает проблемы в использовании OSA в системе компьютерной графики, потому что цветности монитора измеряются для 1931 стандартного наблюдателя.
4.5.6 TekHVC
Это относительно новая система разработана в полярных координатах L*C*Huv
формы CIELUV. Она имеет три параметра:
H = Huv смещение
V = L*
C = 7.50725 C*,
где смещение есть угол в CIE UCS между u' осью и линией, соединяющей выбранную белую точку с отдельным "самым чистым" красным. Это означает что угол оттенка 0°всегда указывает на этот красный, независимо от белой точки. Однако угол оттенка 90° будет все же указывать на различные цвета, поскольку белая точка изменяется. Коэффициент масштабирования предназначается, чтобы делать визуальный результат изменения в C аналогичным подобному изменению в V или H.
4.5.7 Схема наименования цветов (CNS)
Эта не геометрическая модель дает Английские названия для цветов. Имеется ахроматическая ось с семью точками на ней: черный, очень темный серый, темно-серый, серый, светло-серый, очень светло-серый и белый. Шесть оттенков именованы: красный, оранжевый, желтый, зеленый, синий и фиолетовый. Между каждым оттенком есть три промежуточные точки, например между желтым и зеленым есть, по порядку: зеленовато-желтый, желто-зеленый, желтовато-зеленый. Оттенки меняются согласно насыщенности (сероватый, умеренный, сильный или яркий) и светлоте (очень светлый, светлый, средний, темный, очень темный). Так примером определяемого цвета, используя эту схему, был бы "серовато светлый оранжевато красный'.
Имеются проблемы выполнения этой модели в системе компьютерной графики, в которой цвета определены как Munsell цвета, которые должны быть преобразованы к МКО XYZ с поиском по таблице. Также она может описывать очень немного цветов (приблизительно 340).
4.5.8 X11 наименование цветов
Это другое название схемы, хотя не такое правильное/профессиональное как CNS. Предназначенная для описания таких элементов как границы окна и курсоры мыши в Системе X Window, это по существу схема перечисления с цветами, описанными как `Dodger Blue' или `Wheat' например. Спецификация каждого цвета дана в терминах модели цвета RGB.
Она имеет неустранимую проблему, которая заключается в том, что цвета выглядят по разному на различных мониторах, такими, что они не соответствуют привычным названиям. Ряд "альтернативных" описаний был предложен, каждое из которых выглядит правильно на отдельном мониторе человека, кто разработал его.
X11, именованный цветовой список, в значительной степени был заменен из X11R5 далее намного более широкими услугами управления цветом (Xcms). Это допускает спецификацию цвета как RGB, HLS, CIEXYZ, CIExyY, CIELUV, CIELAB, CIEu'v'Y или TekHVC и обеспечивает взаимное программное преобразование между ними. Координаты цветности люминофоров монитора и белой точки стали свойством корневого окна (исходного окна), унаследованным всеми другими окнами.
4.5.9 Pantone
Это патентованная система для определения цвета, широко используемая в коммерческом мире графического дизайна. Первоначально она определила большой ряд пигментов для цветовых пятен. Теперь она расширена на область Pantone цвета процесса, которая связывает цвета с процентами от стандартизированного; Pantone сертифицировала голубые, сиреневые, желтые и черные чернила процесса, используемые со стандартизированными углами экрана. Цвета процесса могут изменяться заметно у "эквивалентного" цвета пятна.
Pantone вообще используется с книгой напечатанных образцов; некоторые приложения имеют лицензию Pantone и могут производить экранный цвет, но это только приблизительная аппроксимация, поскольку цвета определяются в модели цвета RGB. Pantone является методом получения точных результатов, особенно для цвета пятна, но утомительным для использования. Координаты цвета МКО для образцов являются доступными. Другие подобные системы включают Focoltone и TrueMatch.
4.5.10 SML пространство
Это трехцветное пространство подобно МКО XYZ за исключением того, что человеческие спектры пигмента конуса используются как функции согласования. Цвета таким образом определены в терминах степени возбуждения, произведенного в каждом из трех типов конусов прежде, чем любая визуальная обработка выполнена нервной системой.SML пространство использовалось в исследовании системы технического зрения, особенно в проекте тестов цветовой слепоты и в визуализации результатов зрительных дефектов. Используя данную спецификацию частных спектров пигмента конуса, возможно осуществить преобразование между SML и МКО 1931 XYZ.
4.5.11 HuntACAM model
Развиваемая, чтобы предсказать внешний вид цветов независимо от условий, эта сложная модель требует двух наборов измерений с различными источниками света. Используя модель МКО XYZ как базу, она (HuntACAM) пробует принимать во внимание такие факторы, как адаптация, цветная индукция, и одновременная контрастность. Модель Hunt-ACAM дает численные предсказания для полноцветности, насыщенности, интенсивности, светлоты и яркости.
5 Цветовой вывод
Глаз
Функция глаза состоит в том, чтобы фиксировать визуальное изображение и преобразовывать световую энергию в нервные импульсы, которые интерпретируются мозгом. Общая структура человеческого глаза, показанная на рисунке 3, является аналогом камеры. Таблица 2 сравнивает функции глаза и видео камеры.![]() |
Рисунок 3 - Человеческий глаз
conjunctiva - слизистая оболочка глаза;
zonula -мышца изменяющая кривизну хрусталика и фокусирующая его на ближние и дальние предметы;
aqueonus humour - водянистая влага(внутриглазная жидкость);
lens - хрусталик;
pupil -зрачок;
cornea - роговица;
iris - радужка;
retina - сетчатка;
fovea - центральная ямка, область наиболее острого зрения;
optic nerve - оптический нерв
corpus vitreum - стекловидное тело
Таблица 2
Сравнение функций глаза и видеокамеры
| Глаз | Видео Камера | Функция | |||
| Роговица и водянистая влага | Первичная фокусирующая линза | Преломление света для формирования изображения | |||
| Хрусталик | Вторичная линза | Точная фокусировка | |||
| Радужка | Апертура | Резкость и регулировка освещенности | |||
| Zonula | Автофокус | Перемещение хрусталика | |||
| Конъюнктива | Фильтр дневного света | Защищает оптику от пыли | |||
| Склера | Кожух | Механическая защита | |||
| Сетчатка | Фотоэлектрическая поверхность | Преобразование света в электрической сигнал | |||
| Кровеносные сосуды сетчатки | Силовые кабели | Поставка энергии в сетчатку | |||
| Зрительный нерв | Сигнал видеовыхода | Передача данных |
Основной поток световой энергии попадает в глаз через роговицу, которая преломляет свет из-за большой разницы между коэффициентом преломления воздуха снаружи и коэффициентом преломления внутриглазной жидкости. Эта тонкая компонента закрыта конъюнктивой(слизистой оболочкой глаза), чтобы предотвратить царапанье мелкими частицами типа песка, пыли и дыма; слезы непрерывно выделяются, чтобы увлажнять конъюнктиву, а ресницы, веки и структура черепа защищают глаз от более серьезных повреждений.
Радужная оболочка(радужка) - мышца, которая, когда сокращена, закрывает все, кроме маленькой центральной области хрусталика глаза, блокируя большую часть света и увеличивая глубину резкости. Это обеспечивает больший диапазон просмотра, от очень тусклого к очень яркому. Процесс реагирования на большое изменение световой интенсивности назван адаптацией.
Фокусировка на объекты на различных расстояниях выполняется хрусталиком, который перемещается мышцей, названной zonula. Часть этого перемещения подобно перемещению камеры: вперед и назад. Также эта мышца может меняет выпуклость самого хрусталика, например, сжимать его для улучшения фокусировки при просмотре дальних предметов. Часть линзы, не покрытая радужкой, выглядит черной снаружи и названа зрачком.
Поскольку коэффициент преломления линзы и внутриглазной жидкости изменяется с длиной волны, восприятие различных цветов требует различных положений хрусталика для четкого фокуса. Это названо хроматической аберрацией и проявляется в размытии фокуса, когда цвета с разной длиной волны находятся рядом.
Интерполяция
Выбранное цветовое пространство влияет на то, как цвета интерполируются. Это находит отражение в производстве цветовых шкал для визуализации. Следует предпочесть перцептивно равномерные пространства, чтобы избежать разрывов или искажений шкал. С полярной системой координат часто работать проще, чем с декартовой системой координат.В дополнение к прямой линейной интерполяции может быть полезно создать цветовую шкалу по кривой через некоторое цветовое пространство. Некоторые системы визуализации разрешают, чтобы в этом случае использовались кривые. Примеры создания цветовой шкалы, использующие этот метод, показаны с использованием AVS (иллюстрация 45) и Explorer(иллюстрации 46 и 47). Оба примера используют пространство HSV, называемое "HSB" в AVS. Иллюстрация 45 также ясно показывает недостаток перцептивной линейности оттенка HSV. Хотя кривая через пространство HSV гладкая, имеются внезапные перцептивные скачки; например между желтым и оранжевым.
На иллюстрации 47: красная кривая - оттенок, идет от красного (0°) в нижней части к фиолетовому (360°) в верхней, зеленая кривая - насыщенность, голубая кривая - значение. Мелкие закрашенные квадратики представляют точки, которые могут перемещаться, и через которые проходит кривая. Они названы узлами и будут встречаться в модулях Curves и Surfaces. Незакрашенный квадрат на зеленой кривой представляет касательную к кривой в редактируемой точке.
Эта цветовая шкала была выбрана для того, чтобы иллюстрировать метод, а не быть примером хорошей практики.
Не линейная цветовая интерполяция может использоваться как форма пространственного упорядочения. Например, при изображении наружных сцен отдаленные объекты могут быть сделаны более синими и менее насыщенными. Это подобно эффекту атмосферного тумана. Псевдоцвет может использоваться, чтобы увеличить детали или визуализировать небольшие изменения. Примерами этого типа применений являются формирование медицинского изображения, географические информационные системы, заключительная обработка изображений.
A. Гамма-коррекция
Источники света
Многие объекты, которые самостоятельно не испускают свет, имеют цвет. Цвет имеется благодаря отражению света от других световых источников. Объект поглощает изменяющееся количество света каждой длины волны, а не поглощенная часть отражается обратно к глазу, чтобы дать ощущение цвета. Ясно, качество света, освещающего объект, будет влиять на воспринятый цвет.3.5.1 Белый свет
То, что видится как белый свет, обычно не имеет плоской спектральной чувствительности. Человеческие глаза развились, чтобы рассмотреть дневной "нормальный" источник света. В течение столетий художники предпочитают использовать пасмурный северный дневной свет при смешивании цветов; это особенно важно, когда над картиной работают длительное время, и цвета должны соответствовать использованным ранее в работе. Качество дневного света очень переменно, оно зависит от расположения, сезона и степени затемнения в числе других факторов. Ясно, желательно иметь стандартизированный источник света, представляющий дневной свет. Не удивительно то, что МКО рекомендовал использовать источники подобные дневному свету для согласования.
3.5.2 Источник света C
МКО ввел стандарт, названный Источник света C. Он состоит из двух частей:
1. Вольфрамовый
свет, электрическая нить накала которого
эксплуатируется при определенной
температуре, при которой получается очень теплый, оранжевый свет. (Этот свет стандарт, Источник света
A, но мало используется сам по себе).)
2. Фильтр, состоящий из бака синей жидкости, химический состав которой определен МКО, чтобы производить моделирование нейтрального дневного света. Пока это устройство является подходящим для лабораторного использования; довольно низкая светоотдача и жидкий неудобный бак. Кроме того, Источник света C отсутствует в ближней ультрафиолетовой области, что делает его менее полезным для флуоресцентных материалов. При распознавании этого, МКО определила другой класс дневных источников света, которые исправляют эти неточности.
3.5.3 D последовательные источники света
Они различаются соответственно их цветовой температуре, которая является одномерной характеристикой для цвета, аппроксимирующего белый свет; цвет произведен теоретическим черным телом (полным излучателем) при нагревании до индивидуальной, раскаляющей добела температуры. Наиболее общий D источник света соответствует температуре 6500°Кельвина, и таким образом назван D65. Другие источники света в D ряде иногда встречаются, особенно D50 (5000°K), в полиграфической промышленности. Спектр источников света A, C и D65 показан на рисунке 16. Обратите внимание что в ультрафиолетовой области (ниже 400 нм) кривая источника света C располагается намного ниже, чем кривая источника света D65.
![]() |
Спектр D65 является сложным и трудным, чтобы точно воспроизводить его с искусственным светом. Нет никакого фактического прибора, определенного как часть стандарта. Вместо этого имеется процедура, чтобы определить насколько хороший специфический свет есть, дающий те же самые результаты цветового соответствия, как D65.
Ряд выбранных окрашенных образцов измеряются под светом, о котором идет речь, и их координаты цвета сравниваются с теоретическими величинами, рассчитанными из спектра отражательной способности каждого окрашенного кристалла и спектра D65. Результаты от каждого кристалла объединены, чтобы получить полный индекс качества воспроизведения цветового соответствия. Более чем 90% - хороший результат, ниже 60% даст значительные ошибки (погрешности).
Явление согласования двух выборок в цвете под одним источником света, но не другим называется метамеризм (т.е. когда цвета под разными источниками света отличаются - прим. технического. редактора). Процедура МКО разработана, чтобы минимизировать метамеризм между теоретическим D65 и практическими реализациями этого.
3.5.4 Другие источники света
Флуоресцентные лампы дневного света часто встречаются как внутреннее освещение.
Они обычно производят метамеризм с цветами, которые были определены с использованием дневного источника света. Рисунок 17 сравнивает спектр типичного флуоресцентного источника света с D65. Разногласия значительны.
![]() |
Обычные домашние лампы накаливания имеют спектральное распределение подобное в полной форме источнику света A, показанному на рисунке 16. Поскольку это значительно отличается от D65, проблемы метамеризма могут ожидаться также с лампами накаливания. Неудачно, что два наиболее общих источника внутреннего освещения очень отличаются от дневного света (естественного освещения). Вот почему, когда точная оценка цветового качества или цветового равновесия должна быть выполнена визуально, используется специальный шкаф согласования. Это просто бокс, содержащий стандартный (эталонный) источник света, в который помещаются образцы для просмотра. Он окрашен серым внутри, чтобы обеспечить нейтральный фон.
Электромагнитный спектр
Свет - форма энергии. Видимый свет - только одна форма электромагнитной энергии; другие формы включают инфракрасную область спектра(инфракрасное излучение), ультрафиолетовую, радиоволны, электромагнитные волны длиной от дециметров до миллиметров и X лучи. Электромагнитная энергия может рассматриваться как энергия, которая ведет себя подобно волне, а показателем, который различает эти многие типы энергии, является длина волны. Это иллюстрируется на рисунке 1, который использует логарифмический масштаб, чтобы охватить широкий диапазон длин волн. Видимые длины волн наиболее удобно измерять в нанометрах (нм, 10-9м).
![]() |
Рисунок 1 - Электромагнитный спектр
Диапазоны длин волн, которые примерно соответствуют цветам спектра, показаны в таблице, 1 и на иллюстрации 25.
Таблица 1
Приблизительные длины волн спектральных цветов.
| Диапазон (нм) | Цвет | ||
| 380 - 450 | Фиолетовый | ||
| 450 - 490 | Синий | ||
| 490 - 560 | Зеленый | ||
| 560 - 590 | Желтый | ||
| 590 - 640 | Оранжевый | ||
| 640 - 730 | Красный |
Белый свет состоит из смеси всех видимых длин волн, как было впервые описано Сэром Айзеком Ньютоном в “Оптике” (1704). Он нашел, что белый свет расщепляется стеклянной призмой в радугу цветов и объединяется снова в белый. Он также нашел, что индивидуальные цвета не могут далее подразделяться.
Эмиссионный(излучающий) цвет
3.4.1 Вычисление координат цветаЦвет источника света определен количествами X, Y и Z основных цветов, которые требовались бы, чтобы согласовать его. Для вычисления этих количеств видимый спектр от 380нм до 730нм разделяется на ряд интервалов длин волн, и интенсивность выборки измеряется для каждого интервала, чтобы произвести спектр. Обычно используется 10нм интервал. Затем для каждого основного цвета, по очереди, высота типового спектра умножается на высоту согласующей функции того же основного цвета. Эти результаты суммируются поперек всех интервалов длин волн, чтобы вычислить полную величину того основного цвета, который требуется для согласования. Это иллюстрируется на рисунке 14.
![]() |
Рисунок 14: Вычисление CIE координат цвета.
3.4.2 XYZ диаграмма.
Возникающая в результате величина (X, Y, Z) может быть нарисована в трехмерном виде и будет строиться в положительном (XYZ) квадранте внутри конуса, показанного на рисунке 15 и в цветном изображении на иллюстрации 28. Обратите внимание, что координатные оси не внутри этой фигуры; XYZ основные цвета являются мнимыми цветами. Черный, соответствующий отсутствию света, находится вначале. Изогнутая граница представляет координаты цвета чистых спектральных цветов. Потому что они имеют одиночную длину волны, они представляют максимальное достижимое насыщение. Эта граница называется спектральным годографом; все видимые цвета находятся внутри или на ней.
Длины волн от 400нм (фиолетовый) до 700нм (красный) показаны; обратите внимание, что интервал длины волны не совсем одинаковый. Прямая линия, соединяющая концы спектрального годографа, соответствует аддитивным смесям красного (самого близкого инфракрасной области спектра) и фиолетового (самого близкого ультрафиолетовой области спектра,) чтобы произвести пурпурный (темно-красный/багряный).
![]() |
Рисунок 15: CIE 1931 XYZ диаграмма.
3.4.3 Автоматическое измерение
Практически процесс измерения спектра источника света и получения координат цвета автоматизирован. Инструмент, названный спектрорадиометром, измеряет яркость в каждом интервале длины волны фотоэлементом, и имеет, заключенные внутри, величины стандартного наблюдателя согласующих функций в каждом интервале длины волны. Микропроцессор выполняет вычисления и снятие показаний непосредственно в форме X Y и Z координат цвета. Измерение яркости подобно, но более дешево, поскольку необходимо снятие показания только Y измерения.
Клетки Рецептора
Имеются два класса клеток рецептора: палочки и колбочки, названные так из-за их формы. Они показаны на рисунке 6. Они имеют одинаковую структуру: центральное ядро, много митохондрии, чтобы обеспечить химическую энергию, и стек дисков, содержащих фоточувствительный пигмент.![]() |
Рисунок 6 - Принципиальная схема человеческой палочки и колбочки клеток рецептора.
Палочки чувствительны к очень низким световым уровням, но достигают своего наибольшего выхода только при умеренной световой интенсивности. Поэтому они дают постоянный выход независимо от увеличений в световом уровне. Колбочки менее чувствительны, но могут обрабатывать большие интенсивности света.
Световой чувствительный пигмент в палочках, названный родопсин, является белковой связью в форме витамина A. Поглощение одиночного фотона света заставляет молекулу родопсина изменяться от низкой энергии до высокоэнергетической формы. Это малое изменение энергии значительно усиливается каскадом химических реакций для производства сигнала возбуждения. В отличие от большинства нервных клеток, которые передают импульсы в цифровом виде (вкл\выкл), клетки рецептора выдают аналоговый сигнал о световой интенсивности подобно экспонометру.
На рисунке 7 показан ISO график стандартной люминисцентной эффективности статистически нормального наблюдателя (около 96 % населения; остальные имеют различные формы атипичной цветовой системы технического зрения, часто неправильно называемые "слепота цвета"). Здесь показано как воспринимается яркость света в зависимости от длины волны при неизменной константе освещенности.
На низких световых интенсивностях, когда глаз адаптирован к темноте, только палочки активны. Это называется ночной системой зрения, и палочки наиболее чувствительны в зеленой области, в 510нм. В более ярком свете палочки не работают, и активны колбочки; максимальная люминесцентная эффективность для этой дневной системы зрения сдвигается в желтую/зеленую область в 555нм. Этот эффект назван сдвигом Пуркинье.
![]() |
Рисунок 7 - Светоотдача.
Когда использовать цвет
Правильно использованный цвет может значительно увеличить значимость, ясность и воздействиеграфики. Однако использованный неправильно, он может запутать затруднить восприятие. Цвет может использоваться для того, чтобы:
- различать объекты;
- показывать взаимоотношение и связи между объектами;
- отображать дополнительную информацию без увеличения размерности;
- создавать ясную трехмерную форму объекта;
- создавать более привлекательную графику для пользователя;
- приковывать внимание к разным частям изображения.
Если цвет задается некоторым определенным значением, например, в дисплеях состояния или в дизайне пользовательского интерфейса, то число цветов должно быть строго ограничено. Многие исследования показали, что не более, чем шесть или семь цветов должны использоваться для этого, и они должны быть четко различимы. Кроме того предпочтительно добавить избыточную информацию такую, как размер или форма, чтобы усилить различие, как показано на иллюстрации 42.
Если непрерывная цветовая шкала используется, чтобы отобразить значение некоторой переменной (такой как температура или напряжение) на фоне, то использование большего количества цветов дает более мелкую градацию и позволяет различать мелкие детали. В этом случае 256 цветов 8 битного дисплея будет не достаточно.
Копирование с неполными цветами
Иногда графическое изображение, содержащее много цветов, должно быть выведено на устройство с меньшим количеством цветов. Например, 24 разрядное изображение, возможно, необходимо отобразить на 8 разрядном дисплее. Или 8 разрядное изображение, вероятно, придется выводить на принтер, имеющий только восемь цветов. Имеются три класса методик, которые могут использоваться: квантование, кластеризация (т.е. передача градаций оттенков) и растрирование (передача полутонов).5.4.1 Квантование
Каждый первоначальный цвет отображается самым близким из подмножества новых цветов. Понятие "самый близкий" подразумевает, что расстояния между цветами измеряются и сравниваются; таким образом цвета должны квантоваться в цветовом пространстве, где расстояние между точками находятся в соответствии с их воспринимаемым цветовым различием. МКО LUV - подходящее цветовое пространство, хотя другие могут использоваться. Расстояние также может быть умножено на весовой коэффициент, чтобы воспользоваться преимуществом перцептивных результатов. Например, сохранение сигнала яркости может быть больше, чем сохранение оттенка.
Имеются четыре основных метода квантования:
5.4.1.1 Однородное Квантование
Каждый первоначальный цвет отображается самым близким из стандартного, равномерно распределенного диапазона цветов. Это, с точки зрения вычислений, простой и, может быть, единственно возможный метод, если палитра цветов фиксирована. Он также применяется в анимационной графике; каждый кадр должен использовать ту же самую палитру цветов, чтобы избежать видимого мерцания. Однако это дает плохие результаты, когда первоначальные цвета не равномерно распределены в цветовом пространстве.
Чтобы вычислить стандартную карту цветов, выбирается пространство цвета и производится выборка при равномерных интервалах. Проблема с использованием независимых от устройств цветовых пространств, когда разрешающая способность ограничена, состоит в том, что некоторые из образцов представляют цвета вне гаммы цветов.
Поэтому является обычным делом производить непосредственный отбор образцов устройств естественного цветового пространства типа RGB. Это имеет недостаток, который заключается в том, что равноотстоящие (равнопространственные) образцы не находятся в равных перцептивных интервалах.
Осуществляя выборку в RGB пространстве, следует использовать равную разрешающую способность для каждой оси. Например, в 8 разрядной системе с 256 доступными цветами можно использовать 6 уровней красного, зеленого и синего, чтобы дать 216 различных цветов. Это гарантирует, что серые не будут иметь нежелательных оттенков. Распределенные цвета вероятно являются преимуществом, когда карта цветов совместно используется между действующими одновременно приложениями.
5.4.1.2 Срединное деление
Этот алгоритм имеет две различных фазы. Во-первых, цвета делятся на группы. Во-вторых, каждой группе назначается новый цвет. Чтобы группировать цвета, вычисляется самое маленькое прямоугольное, выровненное по осям пространство, которое полностью включает все цвета. Это показано на рисунке 47a, использующем только две оси для ясности. Прямоугольник разрезан на два, поперек самой длинной оси, так, чтобы возникающие в результате прямоугольники содержали равные количества цветов (рисунок 47b). Сжимая каждый новый прямоугольник до самого маленького его объема (рисунок 47c) и разрезая больший на два (рисунок 47d), процесс повторяется до тех пор, пока не будет произведено достаточное количество прямоугольников. Чтобы назначить новый цвет для группы, может использоваться центр прямоугольника или середина группы.
![]() |
5.4.1.3 Построение гистограммы
Наиболее часто используемые первоначальные цвета сохраняются нетронутыми. Остальные цвета соотносятся к самому близкому из этих популярных цветов. Потеря некоторой точности при построении гистограммы частоты является обычным делом, так что группы цветов, которые считаются близкими (как один цвет) и задаются серединой группы.
Это позволяет другим, менее популярным, но значительно различным цветам сохраняться нетронутыми. Другая оптимизация заключается в том, чтобы оставить некоторый участок памяти в карте цветов для редких цветов, которые не соответствует никакому из новых цветов.
Хотя возможно создать гистограмму всего цветового пространства, это требует много памяти. Чаще всего создают отдельные гистограммы для каждой оси. Например, чтобы квантовать 256 цветов в CIELUV пространстве можно использовать гистограмму на 50 элементов дискретизации по L* и 25 элементов дискретизации по u*
и v*. Это дало бы 2 % шаги по яркости, которая является наиболее значимой. Из них будут использованы 10 из L* и 5 из u* и v*, чтобы создать новую цветовую карту с 10*5*5=250 цветами, оставляя 6 для тех резко выделяющихся цветов, наиболее отдаленных от новых цветов.
5.4.1.4 Минимизация дисперсии
Статистическая аппроксимация подобна приближению строки к набору точек методом наименьших квадратов. Для каждой группы подобных первоначальных цветов вычисляется дисперсия в расстоянии к новому цвету. Цель состоит в том, чтобы минимизировать сумму этих дисперсий. Минимизацией дисперсии, а не среднего расстояния, исключается ситуация, где некоторые группы цветов широко отделяются, в то время как другие плотно группируются.
![]() |
Есть несомненно много возможных способов разбиения (разделения) цветового пространства, и было бы невозможно проверить их исчерпывающе. Поэтому некоторые эвристические методы дисперсии выбирают маленькую, а не оптимальную дисперсию. Возможно вычислить оптимальное решение методом подобным алгоритму срединного деления.
Плоскость перемещается по каждой из трех осей цветового пространства, и в каждой позиции на каждом шаге вычисляется дисперсия на каждой стороне плоскости. Точка, которая минимизирует дисперсию с обеих сторон, отмечается. Цветовое пространство затем рассекается через любую из трех осей, которая дает самый низкий результат.
Это повторяется на стороне с самой большой дисперсией до тех пор, пока достаточное разбиение не будет выполнено.
5.4.2 Кластеризация (передача градаций оттенков)
Кластеризация чаще всего встречается как способ имитирования шкал оттенков серого на одноцветном устройстве черно-белой печати. Однако это может также использоваться в аналогичном способе имитировать большее количество цветов, отображая два или больше цветов близко друг к другу; на расстоянии глаз смешает их, давая эффект большего количества цветов.
Чтобы кластеризовать пространство в данном цвете, подбираются доступные цвета, которые наиболее близко походят для этого, и рассчитывается смесь процентов. Предположим, например, что недоступная известковая зелень должна моделироваться 70% бледно-зеленого, 20% лимонно-желтого, и 10% темно-зеленого. Для каждого пиксела случайное число генерируется в диапазоне от 1 до 100. Если оно ниже 70, пиксел окрашивается бледно-зеленым; если от 70 до 90 - лимонно-желтым, а если более чем 90 - темно-зеленым.
Ясно, что эта методика даст самые лучшие результаты тогда, когда цвета, которые будут смешаны, находятся довольно близко, и кластеризуются большие области. Точное цветовое выделение в любом случае сложнее на малых областях.
Методика может быть заимствована из монохромной кластеризации: рассеивания ошибки. Для каждого пиксела ошибка, между предполагаемым и фактическим цветом, вычисляется и используется, чтобы скорректировать предполагаемый цвет пикселов вблизи к нему (фактическому). Степень ошибки умножается на весовой коэффициент согласно тому, как далеко пикселы находятся, таким образом ошибка "рассеивается". Чтобы хранить методику простой, только те пикселы корректируются, которые еще не были кластеризованы. Это показано на рисунке 49. Затененные пикселы кластеризованы, а пиксел, содержащий звезду, в настоящее время обрабатывается. Факторы умножения на весовой коэффициент уменьшаются с расстоянием от текущего пиксела.
![]() |
Так как ошибки имеют и знак, и величину, чистая ошибка не распространяется поперек изображения. В монохромной кластеризации ошибка является (по количеству) единственной, в то время как цветная кластеризация производит три ошибки - по одной для каждой оси цветового пространства. Имеется ряд схем умножения на весовой коэффициент для рассеивания ошибок. Рисунок 49 использует умножение на весовой коэффициент Stucki, например.
Другие усовершенствования включают добавление шумовой функции в ошибку, и обработку дополнительных строк в противоположном направлении; оба метода сокращают формирование изображения.
5.4.3 Растровые полутона (узоры из черных и цветных точек, используемых для передачи изображения)
Коммерческие печатающие издательства неспособны смешивать чернила в различных пропорциях, чтобы получить различные цвета. Вместо этого они устанавливают сеточный шаблон точек для каждых чернил; размер каждой точки меняется, и на расстоянии кажется, что цвета смешиваются. Точечный вид газетных фотографий является знакомым примером того, как использовать единственный цвет. Различие между растрированием и кластеризацией в том, что последний сохраняет ту же самую пространственную разрешающую способность, в то время как при растрировании уменьшается пространственная разрешающая способность для увеличения числа видимых цветов. В то время как растрирование может в принципе применяться на любом устройстве, практически оно дает самые лучшие результаты на устройстве с высокой пространственной разрешающей способностью, но недостаточной цветовой разрешающей способностью и таким образом прежде всего встречается в контексте четырехцветного процесса печати, использующего голубые, сиреневые, желтые и черные чернила.
5.4.3.1 Экранирование (трафаретная печать)
Процесс преобразования изображения непрерывного тона к изображению полутоновому называется экранированием. Это потому, что в подобной первоначальной оптической процедуре перфорированный металлический экран помещался на или немного дальше от фотографической пленки, и изображение заново фотографировалось.
Этот процесс теперь вообще выполняется компьютером.
Если сетки для каждого цвета были бы совмещены, то все чернила были бы затенены следующими чернилами, которые были бы напечатаны, поскольку большинство чернил непрозрачны. Сетки следовательно чередуются относительно друг друга. Некоторые углы дают явные муаровые интерференционные картины. Стало обычным использовать циклические сдвиги: 0° - для желтого, 15° - для голубого, 45° - для черного и 75° - для сиреневого, чтобы избежать этого муара (комбинационных искажений), как показано на рисунке 50 и на иллюстрации 37. Эти углы дают малые узоры розетки. Другие углы также используются, часто вместе с различными экранными частотами для каждого цвета.
![]() |
Растрированное полутоновое изображение характеризуется экранными углами и частотой или числом строк на дюйм (lpi). Частота 133 строки на дюйм общая для основных назначений печати. Высокого качества книжные иллюстрации используют более высокую частоту, как например 175; цветные ежедневные газеты имеют частоту около 85 строк на дюйм, а некоторые цветные лазерные принтеры имеют только 60 строк на дюйм.
5.4.3.2 Матрицирование
Обычно называемая матрицируемым размыванием, это более правильная форма растрирования (передачи полутонов). В этом методе физические пикселы сгруппированы в кластеры, например, 2*2 или 3*3 пиксела. Каждому пикселу в кластере может быть назначен разный цвет из доступных цветов. На расстоянии глаз будет воспринимать это как аддитивно смешанный цвет. Это работает лучше всего тогда, когда доступная пространственная разрешающая способность высока, и цвета, которые смешиваются, не являются слишком подобными. Если используется большая матрица, то большее количество цветов может быть произведено, но изображение становится явно грубым, поскольку действительный размер пиксела увеличивается. Нежелательный текстурируемый эффект является проблемой метода, вызванный повторяющимся шаблоном матрицы; глаз особенно чувствителен к таким правильным шаблонам и усиливает их.Текстурирование может быть уменьшено случайным выбором между многообразием различных шаблонов. Например, в матрице 2*2, содержащей три пиксела в желтом и один в красном, имеются четыре возможных позиции для красного пиксела, как показано на рисунке 51.
![]() |
Модели зависимые от устройств
Иногда удобно или привычно точно определить цвет непосредственно в естественном цветовом пространстве отдельного устройства. В случае с устройствами, которые используют испускаемый свет, типа цветовых мониторов, аддитивное геометрическое пространство может быть произведено объектом до некоторых ограничений, обсуждаемых позже (раздел 5). Устройства, которые используют отраженный свет, такие как все формы печатающих устройств, не аддитивные, и геометрическое пространство не может быть сформировано. В то время как в такой системе отдельные цвета могут быть определены, связь между цветами или результат смешивания двух цветов может быть определен только на эмпирической основе.4.4.1 Красный, зеленый, синий (RGB)
Это цветовое пространство обычно используется и соответствует входным данным для определенного цветового CRT монитора компьютера. Три основных цвета являются отдельными цветами, излучаемыми тремя люминофорами. Это следовательно высокоточный прибор; тот же самый цвет будет определен как два различных набора чисел на двух различных мониторах. Эти три параметра имеют количества красного, зеленого и синего света, чтобы излучать, обычно в амплитуде от 0 до 1. Цветовое пространство RGB показано на рисунке 34 и на иллюстрации 31.
Главное преимущество цветового пространства RGB состоит в том, что оно является единичным кубом, и таким образом все возможные значения R, G, B соответствуют реальным цветам. Это делает его удобным с точки зрения программирования, в этом диапазоне проверка является простой.
![]() |
Рисунок 34: RGB цветовое пространство.
Главный недостаток состоит в том, что цвета, определяемые в пространстве RGB, не совсем восприимчиво однородны, и это не заметно, чтобы измерить цветовые различия в пространстве RGB. Эта цветовая модель далее будет обсуждена в разделе 5.1, (Отображение цвета). Если координаты цветности люминофоров монитора известны, а также и цветность, и яркость белого, произведенного равными количествами красного, зеленого и синего, то возможно взаимопреобразовать между RGB и МКО цветовыми пространствами.
Это преобразование описано в Приложении B.
RGB пространство цвета широко используется в компьютерной графике и поддерживается GKS PHIGS и большинством других графических систем. Оно адекватно для использования в ситуациях, где создание различных цветов более важно, чем переносимость или точность воспроизведения. Определение цвета в RGB пространстве, более удобно, если оттенок, цветность и светлота - отдельные параметры. Чтобы достигнуть этого, используются два преобразования RGB пространства в HLS и HSV. Они будут рассматриваться позже.
4.4.2 Оттенок, насыщенность, значение (HSV)
Главная диагональ куба RGB, от черного в (0,0,0) к белому в (1,1,1) образовывает ахроматическую ось или шкалу яркости. Если куб повернут так, что белый угол перед зрителем, а черный угол вдали от него, как на рисунке 34, то виден шестиугольник с оттенками, распространяющимися от ахроматической оси. Цветовое HSV пространство использует эту концепцию, чтобы определить угол оттенка, насыщенность и третий параметр - значение, который вполне соответствует светлоте. HSV является таким образом полярной системой координат, и эти термины аналогичны, но не идентичны с подобно именованными терминами в полярной форме координат L*C*Huv
модели CIELUV.
Пространство, показанное на рисунке 35 и на иллюстрации 32, является цилиндром, центрированным по ахроматической оси. Значение (v) есть расстояние на этой оси, насыщенность есть радиальное расстояние от нее. Оттенок - угол в 0°, отображающий красный, а при 180° отображает голубой (зеленовато-синий).
Так как HSV использует насыщенность, а не цветность, воспринимаемое изменение в цвете, поскольку насыщенность изменяется между 0 и 1, меньше для темных (нижние значения) цветов, чем для светлых (верхние значения) цветов. Чтобы компенсировать это, цветовое HSV пространство часто показывают изображенным в форме конуса, а не цилиндра. На других диаграммах HSV показывают как шестиугольник, чтобы укрепить связь с RGB. Однако насыщенность все еще в диапазоне от 0 до 1 независимо от значения или оттенка, так что эти изменения не изображают геометрическое пространство точно.
![]() |
Будучи преобразованием RGB пространства, HSV разделяет преимущество того, что все возможные значения H, S и V соответствуют воспроизводимым цветам. Кроме того в нем проще смешивать цвета, чем в RGB, потому что три параметра соответствуют более близко перцептивным (воспринимаемым) атрибутам. С другой стороны, HSV также является зависящим от устройств как RGB, так что описания цветов в HSV не переносимые. Подобно RGB, только воспроизводимые цвета могут быть определены.
В отличие от CIELUV, HSV пространство не перцептивно однородное. Равные приращения угла оттенка не производят сглаженные изменения воспринимаемого оттенка. Также, три параметра не независимы. Например, чистый желтый и чистый синий оба имеют S = 1, V = 1 однако желтый будет иметь значительно более высокую яркость и воспринимается светлее, чем синий.
4.4.3 Оттенок, светлота, насыщенность (HLS)
Подобная HSV, эта цветовая модель имеет ось светлоты, а не ось значения (в HLS). Чистые цвета, показанные на рисунке 36 и на иллюстрации 33, в HSV имеют насыщенность 0.5, а не 1.0. HLS может рассматриваться простой деформацией HSV, произведенной вытягиванием белой точки так далеко над чистыми цветами, как черной точки - ниже их. Подобно HSV, это - цилиндрическое цветовое пространство, но часто рисуется как конус - в этом случае двойной, не усеченный конус.
![]() |
HLS, подобно HSV, является просто другим представлением RGB пространства. Эти 2 цветовых модели необязательно могут поддерживаться в реализации PHIGS - они определяются, но соответствующая реализация не должна поддерживать их.
4.4.4 Голубой, Сиреневый и Желтый (CMY)
CMY иногда представляют как пространство цвета, и оно соответствует входным данным для цветовой печати. Однако оно имеет дело с соотношениями реальных пигментов, а не с абстрактными цветами. Кроме того смесь двух цветов является не аддитивной, которая дает представление о CMY как о геометрическом сплошном теле небольшой величины.Характеристика цветов в CMY, даже когда координаты цвета МКО чернил известны, усложняется большим количеством факторов, как будет отмечено в разделе 5.5. Разновидность CMY добавляет черные чернила, и называется CMYK. (Черный упомянут как K, а не B, чтобы избежать путаницы с синим в RGB).
4.4.5 Видео и телепередаваемые цветовые модели
Они являются источниками индивидуально калибруемых RGB цветовых пространств, использующих основные цвета монитора, чьи цветности хорошо определяются. В контексте графики компьютера, они присутствуют, когда анимационные последовательности записываются на видеоленту или транслируются по телевидению. Эти технические средства цветовых моделей, которые оптимизированы для того, чтобы лучше всего использовать информационную емкость канала передачи, будут обсуждаться более детально в разделе 5.1.
Нетипичный цветовой отклик
Больше чем 95% мирового населения имеют статистически нормальную цветовую систему технического зрения. Есть люди, чьи способности цветового соответствия представлены математически стандартом МКО и дополнительными наблюдателями.Хотя люди с нетипичным цветовым откликом часто называются "цвето-слепыми", есть фактически очень немного людей, кто не имеет абсолютно никакого цветового восприятия. Пропорция населения с приведенным цветовым различием, однако, удивительно большая. Нетипичный цветовой отклик связан с полом; он встречается у 8% кавказских мужчин, в то время как в кавказских представительницах женского пола встречается совершенно редко.
Люди с нормальной цветовой системой технического зрения названы трихроматами потому, что они имеют три функциональных конических типа. С ослабленным функционированием одного конического типа называются аномальными трихроматами.
У некоторых людей один конический тип отсутствует или полностью не функциональный. Так как они имеют два функционирующих конических типа, они названы двухроматами. В заключение, те, очень редкие люди только с одним функциональным коническим типом, кто видит только в оттенках серых, называются однохроматами.
Двухроматы будут видеть некоторые цвета как одинаковые, которые являются ясно различными трихроматам. Эти спутанные (создающие путаницу) цвета находятся по прямым линиям на цветовом графике, сходящиеся в одной точке на одноточечном.
Как можно было бы ожидать, имеются три типа дихроматизма в зависимости от того, какой один из трех конических типов поражен. Каждый тип имеет различную точку беспорядка (замешательства). Конфизм?
Протанопия имеется благодаря отсутствию или дисфункции L конусов. Протанопы значительно сократили различие от красных до зеленых, и красные выглядят более тускло, чем нормально. Точка беспорядка P, показанная на рисунке 22, находится в или около u¢ = 0.61, v¢ = 0.51, очень близко к дальнему красному углу цветового графика.
![]() |
Рисунок 22: Protanopic строки беспорядка.
Слепота на зеленый цвет существует благодаря отсутствию или дисфункции М конусов. Это может также быть вызвано недостатком сигнала различия цвета L-M, показанного на рисунке 10. Deuteranopes также сократили различие от красных до зеленых, но без каких-либо оттенков, кажущихся более тусклыми, чем нормально. Dueteranopic точка беспорядка (замешательства) лежит полностью налево от (на левой стороне) графика цветности, в или около u¢=-4.75, v¢=1.31. Как может быть замечено из Рисунка 23, это означает, что строки спутанных цветов почти параллельны.
![]() |
Tritanopia вызван недостатком или отсутствием в S конусах. Так как они не принимают никакого участия в канале светлоты, все оттенки имеют ту же самую яркость, как нормальные. Однако имеется значительно пониженная разрешающая способность между желтыми и синими. Точка беспорядка (замешательства), показанная на рисунке 24 находится в или около u¢=0.26, v¢=0.003, очень близко к фиолетовому углу на графике цветности.
![]() |
В каждом случае заболевания перепутанные (спутанные) цвета находятся на сходящихся линиях; они могут быть использованы для выбора цветовых схем, которые могут использоваться субъектами с цветовыми недостатками.
4. Цветовые модели
Основные цвета
Выбор "основных" цветов зависит от ряда факторов:- Могут ли они иметь отрицательные значения?
- Являются ли они аппаратно-зависимыми?
Если основные цвета могут быть отрицательными и не привязаны аппаратными средствами, то любые основные цвета могут использоваться. Единственный основной цвет представлен точкой на графике цветности; он может производить только этот один цвет с различными интенсивностями. Два основных цвета производят линейный сегмент на графике цветности, как показано на рисунке 25. Любой цвет на том сегменте может быть произведен неотрицательной смесью из двух основных цветов. Если отрицательные значения для основных цветов разрешены, то линейный сегмент может быть расширен вне каждого основного цвета до линии спектральных цветностей, как показано пунктирной линией на рисунке 25; любой цвет на этой линии может быть определен.
![]() |
Рисунок 25: Два основных цвета определяют линию.
Рисунок 26 показывает, как третий основной цвет C может использоваться, чтобы охватить всю видимую область; на линии, соединяющей А и B, вклад от C - ноль; по направлению к C, значение C положительно, а с другой стороны оно отрицательно.
![]() |
Рисунок 26: Отрицательные и положительные вклады от одного основного цвета.
Три основных цвета определяют плоскость, и поэтому любой видимый цвет может быть определен с любым произвольным выбором основных цветов при условии, что допустимы отрицательные значения. Рисунок 27 показывает три случайных основных цвета - желтый (A), фиолетовый (B) и бирюзовый (C), которые могут использоваться таким образом. Заметьте большие области, которые определяют один или больше основных цветов отрицательными.
![]() |
Рисунок 27: Три основные цвета определяют плоскость
Если основные цвета не могут принимать отрицательные значения, то только цвета внутри центрального треугольника могут быть произведены. В этом случае имеет смысл максимизировать область этого треугольника, выравнивая его в общих чертах с треугольной формой графика цветности. Это дает один основной цвет где-нибудь около дальнего красного угла, один - в зеленом углу и один - около дальнего фиолетового угла.
Другой способ увеличить диапазон цветов состоит в том, чтобы использовать большее количество основных цветов. Рисунок 28 показывает систему с пятью основными цветами. Все цвета внутри пятиугольника могут быть произведены больше, чем одним способом. Удаление любого основного цвета сокращает число цветов, которое может быть произведено.
![]() |
Рисунок 28: система, использующая пять основных цветов.
Отображение цвета
Интерактивная компьютерная графика отображается на цветном мониторе. Сигналы для управления монитором генерируются видео схемой графического терминала. Внимательное рассмотрение процессов помогает объяснить ограничения, с которыми встречаются при воспроизведении цвета, и как минимизировать их или работать с этими ограничениями.5.1.1 Цветные мониторы
Большая часть цветных мониторов, применяемых сегодня в компьютерной графике, использует электронную лучевую трубку (ЭЛT), подобную той, которая применяется в телевидении, чтобы генерировать изображение. Другие технологии, типа активных матричных цветных жидкокристаллических экранов (LCD), в настоящее время не дают высокого качества цвета, необходимого для компьютерной графики, хотя они широко используются для менее требовательных переносных компьютеров.
Принцип действия ЭЛT заключается в том, что один или большее количество электронных прожекторов испускают различное число электронов в зависимости от прикладываемого напряжения. Электроны ускоряются к лицевой стороне трубки под действием большого положительного напряжения на сетке.
![]() |
Рисунок 40: Анатомия ЭЛT
Лицевая сторона цветной трубки покрыта тремя типами люминофора, которые испускают красный, зеленый и синий свет под ударами электронов. Черно-белый (монохромный) и в градациях серого мониторы имеют только один цвет люминофора. Электронные лучи из прожекторов охвачены сверху донизу и слева направо отклоняющими пластинами, чтобы попадать в область экрана, а
напряжения прикладываемые к трем прожекторам, меняются, чтобы регулировать
интенсивность электронного луча и,
следовательно, яркость испускаемого света. Маска используется, чтобы гарантировать, что электронный луч из каждого прожектора попадет только на соответствующий тип люминофора
5.1.2 Гамма монитора
Создание различных цветов изменяющейся смесью света от трех цветных люминофоров, очень похоже на эксперименты цветового согласования, описанные в разделе 3.1 за исключением того, что свет из люминофоров не такой насыщенный, поскольку отрицательные значения чистых спектральных цветов не могут быть приложены к прожекторам.
Эти различия означают, что некоторые видимые цвета не могут быть воспроизведены на ЭЛT. Диапазон отображаемого цвета назван гаммой и изменяется для разных сборок и моделей монитора. Это описано в документах стандарта МКО 1976 в виде UCS диаграммы, на которой отражен треугольник основных цветов монитора. Каждая составляющая располагается на линии, соединяющей соответствующие основные цвета, потому что цвета аддитивные. Белая точка должна соответствовать равной максимальной мощности от трех прожекторов. Пример ниже (рисунок 41) показывает гамму монитора на VAXstation 3540 рабочей станции.
![]() |
Выбор основных цветов монитора является компромиссом между получением большой гаммы и созданием достаточно яркого изображения. Как показывает функция светоотдачи ISO (рисунок 7), экстремумы видимых длин волн смотрятся как очень тусклые. Поэтому основной цвет в длинноволновой области имеет тенденцию быть ярким, оранжевато-красным, а не тусклым, глубоко-красным; аналогично, основной цвет в коротковолновой области имеет тенденцию быть довольно ярко-синим, а не очень тускло-фиолетовым.
Гамма монитора сокращается с увеличением уровня отраженного света; факт, который будет знаком любому, кто пробовал использовать монитор при ярком солнечном свете. Окружающий свет отражается обратно от монитора, добавляя белый ко всем цветам. Это означает, что черный становится темно-серым. Все цвета перемещаются к белой точке, самые темные цвета перемещаются в наибольшей степени. Так как уровень отраженного света увеличивается, то обычно сначала теряются глубокие синие, и только самые светлые цвета типа желтого и белого могут все еще быть замечены при высоких уровнях отраженного света.
Приложение B описывает в деталях, как калибровать цветной монитор в соответствии с цветами МКО.
5.1.3 Факторы, влияющие на качество монитора
Точность передачи цветов и эргономические характеристики цветного монитора могут быть неприятно нарушены рядом факторов:
· Нарушение сходимости: электронный луч не выбивает правильный пиксел. Это приводит к нечеткости форм граней и ухудшает цветовой баланс; если например зеленый прожектор также зажигает красные пикселы, то все зеленые будут с оттенком желтого (вторичный цвет, получающийся в результате смеси зеленого и красного). Гамма будет уменьшена, причем позиция зеленого угла треугольника гаммы перемещается к красному углу в этом примере. Нарушение сходимости имеет тенденцию более проявляться на краях изображения экрана и в более старых мониторах. Решение:
многие из мониторов имеют внутренние регуляторы, чтобы улучшить сходимость. Отрегулировать их сможет компетентный инженер. Регулярно используйте кнопку размагничивания, если такая кнопка имеется. Не располагайте мониторы рядом с излучателями магнитных полей, типа силового кабеля или громкоговорителей.
· Мерцание: вызвано низкой частотой обновления экрана или использованием чересстрочной развертки изображения (где электронный луч прослеживает все четные линии, затем все нечетные линии). Решение: не используйте видео режим более высокого разрешения чем тот, с которым монитор может справиться. Не используйте режимы чересстрочной развертки.
· Старение люминофора: в течение года, или около этого, яркость люминофоров может падать. Синий поражается быстрее, чем красный или зеленый. Решение: не полагайтесь на данные изготовителей для старых мониторов; пользуйтесь измеренными значениями. Для точной работы используйте автокалибратор монитора.
· Взаимодействие прожектора: интенсивность электронного луча зависит от мощности двух других прожекторов. Также интенсивность белого пиксела будет различна, если остальная часть экрана вся белая или вся черная, из-за нехватки мощности. Решение:
избегайте дешевых мониторов с маломощными источниками питания.
5.1.4 Видео-плата
Изображение, представленное на компьютерном
графическом мониторе,
составлено из двухмерного массива
точек, называемых пикселами. Это минимальные
адресуемые области на экране, чей цвет может быть отдельно изменен. Видео изображение задается областью памяти в компьютере, видео ОЗУ (запоминающее устройство с произвольным порядком выборки), в которое в большинстве терминалов может быть введена информация одновременно с чтением
из него. Графические терминалы обычно вводят информацию в
эту память, используя
программное обеспечение
и специализированные аппаратные средства, которые решают стандартные задачи (такие как рисование
многоугольников). Видео ОЗУ
читается непрерывно видео-платой, которая просматривает каждый пиксел по очереди и посылает значения,
как последовательный поток, который будет преобразован в сигналы монитора.
Принимая во внимание, что видео ОЗУ является двухмерной таблицей, дисплеи отличаются, и по размеру этой таблицы и по цветовому разрешению (число битов на пиксел). Вместе с физическим размером монитора, это определяет пространственную разрешающую способность (в пикселах на дюйм) и общее число одновременно отображаемых цветов. Черно-белые (монохромные) устройства используют один бит на пиксел, так что каждый пиксел может быть вкл. или выкл., белый или черный. Устройства с градациями серого используют большее количество битов на пиксел, общее число отображаемых серых - 2n, где n - число битов на пиксел, обычно 8. Двоичное число, хранимое в видео ОЗУ для каждого пиксела, по очереди выбирается видео картой и преобразуется в аналоговое напряжение, используя быстродействующий аналоговый преобразователь (ЦАП) как показано на рисунке 42. Полученное значение напряжения используется, чтобы модулировать интенсивность электронного луча в мониторе и, таким образом получать различные яркости.
![]() |
Цветные устройства, используемые в компьютерной графике, обычно используют 24 бита, чтобы представить каждый пиксел. Они организованы как три группы из восьми, дающие 28=256 уровней интенсивности для каждого из прожекторов: красного, зеленого и синего; 16.7 миллионов цветов всего.
Имеются таким образом три ЦАП. Это, плюс стоимость дополнительной памяти и цветного монитора, как раз то, почему цветные дисплеи более дороги, чем черно-белые или дисплеи с градацией серого. Чертеж 24 разрядного цветного дисплея показан на рисунке 43.
![]() |
Некоторые дисплеи, используемые для менее требовательных приложений компьютерной графики, используют только восемь бит, чтобы представить каждый пиксел. Очень мало устройств организуют это в три группы, подобно 24 разрядным дисплеям; это дало бы в дальнейшем слишком мало цветов для большинства приложений. Вместо этого каждая ячейка в видео ОЗУ хранит 8 разрядное значение, которое используется для индексации по таблице из 256 цветов. Эти цвета определяются с большей точностью, чем 8 битовые; 18 или 24 бит обычно. Общее число цветов названо палитрой; таблица выборки из этой палитры называется поисковой таблицей цветов, или CLUT. Имеются микросхемы которые содержат CLUT и три DACs, называются RAMDAC.
Хотя общее число цветов в палитре может быть большим, также как общее число цветов в 24 разрядном дисплее, только 256 из них могут использоваться в каком-то одном конкретном отображении. Эта структура - пример индексируемого цвета, в то время как 24 разрядный дисплей, описанный выше - пример прямой цветовой системы. Чертеж 8 разрядного индексируемого дисплея показан на рисунке 44.
![]() |
индексируемый дисплей
Значительно быстрее перезаписать данные в поисковой таблице цветов (256 входов, 3*8 битов, таким образом 768 байтов), чем изменить цвет каждого пиксела в видео RAM (обычно 1280*1024 входа, 8 битов, так около 1.3 миллиона байтов). Перезапись CLUT может использоваться, чтобы обеспечить быструю анимацию изображения с очень небольшим количеством цветов.
Улучшенные 24 разрядные дисплеи используют этот метод индексации для каждой группы по 8 бит, чтобы сформировать индекс в таблице (обычно 12 бит) значений цветов. Имеются таким образом три таких таблицы, по одной для каждого прожектора, и используются три 12 разрядных ЦАП.
В то время как входы в CLUT 8 разрядного индексируемого дисплея не зависят друга от друга, входы в этой системе обычно назначаются, чтобы формировать диапазон цвета. Это позволяет изменить предельное значение и динамическую характеристику каждого ЦАП, чтобы при калибровке монитора компенсировать отклонение или старение.
5.1.5 Гамма-коррекция
Одним из допущений, сделанных при преобразовании между XYZ и RGB, является то, что цвета являются линейно аддитивными. Это допущение недействительно по ряду причин, прежде всего потому, что линейные увеличения напряжения, прикладываемые к прожекторам, не производят линейного увеличения яркости. Свет, произведенный люминофором, пропорционален мощности электронного луча, а не напряжению прожектора.
Мощность = напряжение умноженное на ток
Ток пропорционален напряжению на сетке 1.5
Поэтому Яркость пропорциональна напряжению 2.5
Практически, яркость пропорциональна напряжениюg на ЦАП, где g находится в диапазоне от 1.5 до 3.0. Таким образом значения в видео ОЗУ или в CLUT должны быть отрегулированы, чтобы компенсировать это. В некоторые дисплеи эта коррекция встроена. Поскольку интервал значений имеет тот же самый минимум (0) и максимум (255) значений, но не линеен, единственным результатом гамма-корректируемых значений в видео ОЗУ является уменьшение числа доступных цветов. Вот почему некоторые системы используют 24 бита, чтобы представить каждый пиксел, но затем используют три 12 разрядные поисковые таблицы, чтобы производить гамма-коррекцию и управлять ЦАП, сохраняя полную амплитуду цветов. Пример гамма-коррекции дан в Приложении A.
5.1.6 Представление не RGB моделей
Некоторому программному обеспечению для дисплеев необходимо, чтобы цвет был определен в стандарте приборо-независимого формата, как например формат стандарта МКО. Например, PHIGS, GKS 9x, и ODA требуют дисплеи, которые бы обеспечивали эту возможность. Текущая версия (X11R5) X Window System дает способ, чтобы выполнить это, поскольку она признает цветовые требования МКО XYZ, CIELUV, CIELAB и TekHVC среди других; преобразование к RGB обрабатывается очевидно.Это позволяет приложениям точно определять одинаковые цвета на различных мониторах.
Проблема с использованием не-RGB модели заключается в том, что не показываемые, находящиеся вне гаммы цвета, могут быть определены. С ними нужно решать проблему в зависимости от устройства. Для этого может использоваться система управления цветом. Задача отображения гаммы и обработки цветов, находящихся вне гаммы, рассмотрена в главе 5.7
Отображение Гаммы
Все физические устройства могут только воспроизводить подмножество из диапазона видимых цветов. Мы увидели, что это подмножество - устройство зависимое. Имеется таким образом проблема при отображении изображения, чья гамма не является подмножеством устройства отображения. С этим чаще всего сталкиваются, когда изображение произведено на одном устройстве, а отображается на втором. Например, когда объект, отображаемый на компьютерном графическом мониторе, должен быть напечатан. Для сравнения, гамма типичного принтера (Tektronix Устройство кадровой синхронизации IIIPXi) показана на рисунке 56 вместе с таковой типичного графического монитора (VAXstation 3540 24 разрядных дисплей). Большая часть синего блока гаммы монитора лежит вне гаммы принтера. С другой стороны, принтер может воспроизводить зелено-синие и сиренево-красные области, которые не могут отображаться на мониторе.![]() |
Рисунок 56: Сравнение гамм принтера и монитора.
Имеется ряд cтратегий для преобразования цветов между двумя устройствами.
Одно простое решение состоит в том, чтобы использовать прямое отображение RGB к RGB или CMY. Преимущество этого состоит в том, что каждый уникальный цвет в гамме источника отображается к уникальному цвету в гамме адресата. Однако ни один из цветов не будет правилен. Например, при использовании пары гамм на рисунке 56, синий цвет монитора отобразился бы в синий цвет принтера. В этом примере синий цвет принтера очень близок к строке, соединяющей синий цвет монитора с красным цветом монитора. Таким образом он будет казаться фиолетовым, как смесь этих двух цветов.
Хотя это прямое отображение может быть полезно, когда цвета просто требуются, чтобы их можно было различить, общее требование состоит в том, что следует воспроизводить первоначальный цвет с самой большой воспринимаемой (а не измеряемой) точностью.
Один из вариантов состоит в том, чтобы использовать полную гамму первого устройства и аппроксимировать вне гаммовые цвета, которые получаются в результате.
Это показано на рисунке 57a.
Другой вариант, показанный на рисунке 57b, состоит в том, чтобы использовать только те цвета, которые находятся на пересечении гамм двух устройств. Это требует точного осуществления выборки и измерения гаммы в случае не аддитивных устройств, таких как принтеры. Это также представляет проблемы, когда цвета должны быть сгенерированы автоматически, например в затененных изображениях.
Компромиссное решение (рисунок 57c) состоит в том, чтобы ограничивать гамму первого устройства некоторой правильной формой, которая аппроксимирует гамму второго устройства. Это ограничивает число цветов вне гаммы, которое производится, позволяя в тоже время выбирать простые вычисления из определенного диапазона цветов. Однако такое решение строго ограничило бы диапазон возможных цветов, и все еще довольно сложное, чтобы его реализовать.
![]() |
5.7.1 Борьба с цветами вне гаммы
При условии, что специфическое изображение содержит цвета вне гаммы, должна быть разработана стратегия, чтобы иметь дело с ними. Возникающее в результате изображение будет содержать цвета, которые не являются полностью корректными. Цель состоит в том, чтобы уменьшить визуальное влияние таких изменений. Явление цветового постоянства помогает уменьшить сложность этой задачи. В любом преобразовании отображения такого характера наименее значимое изменение - сдвиг насыщенности. Сдвиги по шкале оттенков серого (светлее/темнее) также не слишком плохо реализуются, и при этом нет никаких внезапных разрывов. Всегда сдвиг по светлоте изображения допускается из-за цветового постоянства и адаптации глаза к различным уровням освещения, белое остается белым.
Сдвиги оттенка вообще нежелательны, особенно если цвет перемещается к цвету другого названия. Например, при перемещении цвет, который был первоначально синим, выглядит постепенно дальше от истины до тех пор, пока внезапно не начинает классифицироваться как зеленый или фиолетовый; воспринимаемый скачок в этой точке очень заметен.
Это психологический эффект, а не физический. Это соответствует третьей стадии визуальной обработки на рисунке 10. Ясно, цвета возле названной границы наиболее чувствительны к сдвигам оттенка.
Один метод состоит в том, чтобы отсечь все цвета вне гаммы к границам гаммы. Это имеет преимущество, которое заключается в том, что все цвета внутри гаммы не изменяются и будут казаться точными. Однако, как показано на рисунке 58, многие вне гаммовые цвета отобразятся к одному и тому же цвету. Это испортит калиброванные диапазоны цвета типа гладко затененных эффектов освещения. Разрывы в цветовом отношении визуально навязчивые.
![]() |
Другой способ состоит в том, чтобы равномерно масштабировать все цвета по направлению к серой оси, как показано на рисунке 59, чтобы преобразованный набор цветов входил в пределы внутри гаммы. Это обеспечивает плавные изменения цвета, хотя цвета могут потерять большую часть насыщенности. Однако оттенки останутся постоянными, так что изображение будет выглядеть узнаваемо подобным. Здесь может помочь нелинейное масштабирование, где цвета перемещаются тем прогрессивнее, чем дальше они от серой оси.
![]() |
Хороший метод практически состоит в том, чтобы масштабировать так, чтобы большинство - от 90 до 95 % - цветов попали внутрь гаммы. Затем выбросы отсекаются по границе. Это позволяет не подвергать большую часть цветов реальному цветовому сдвигу, только согласовать несколько выбросов.
Хотя это преобразование может быть выполнено один раз, чтобы отобразить всю гамму монитора к гамме принтера, дополнительная эффективность может достигаться путем вычисления преобразований для каждого изображения. Гамма изображения, являющаяся подмножеством гаммы монитора, будет скорее всего иметь меньшее количество выбросов. Потеря насыщенности может таким образом быть минимизирована. Конечно это требует более интенсивных вычислений.
6 Использование цвета
Отражающий цвет
Измерение координаты цвета источника света включает умножение излучаемого спектра выборки со спектрами трех согласующих функции стандартного (эталонного) наблюдателя. Для отражающего света процедура та же самая за исключением того, что излучаемый спектр источника света сначала умножается на процент отражательной способности выборки (образцов) для каждого интервала длин волн. Это преобразовывает спектр падающего источника света к спектру отраженного света. По этой причине характеристика (описание) цвета отражающего объекта координатами цвета также бессмысленна без определения того, какой источник света использовался для измерения.3.6.1 Адаптация
Видимый внешний вид белой поверхности, типа куска бумаги, изменяется слегка при наблюдении под различными потоками света, но по-прежнему выглядит белым. Напротив, измеряемый спектр и координаты цвета изменятся значительно. Это явление названо цветовым постоянством и существует благодаря комплексной оптической обработке в мозге, который пробует исправлять при медленных изменениях в общей световой интенсивности и чистоте тона. Это зависит от полного состояния приспосабливаемости глаза. Например, белый лист бумаги будет выглядеть белым под оранжеватым свечением вольфрамового светового излучения лампы накаливания или под голубоватым яркого света флуоресцентным striplight (узкополосным освещением). Это потому, что свет заполняет все поле зрения и обеспечивает доминирующий адаптивный стимул. Если фотография экспонируется на бумаге под вольфрамовым световым излучением, то после проявления отпечатка будет отмечен оранжевый оттенок на белой бумаге. Это потому, что количество света, отраженного от фотографии (фотоснимка), есть малая доля от общего (результирующего) света, входящего в глаз, который, следовательно, не приспосабливается к этому.
3.6.2 Белая точка
Чтобы объяснить это явление, достаточно определить белую точку, которая берется, чтобы быть цветом, условно принятым как белый. Для излучающего цвета это один из стандартных (эталонных) "белых" источников света.
Чтобы стать белой точкой для отражающего цвета, теоретический объект, называемый точным рассеянным отражателем, определяется наличием свойства 100 % отражательной способности во всех длинах волн, какие позволяет этот источник света.
Координаты цвета отражающей выборки могут измеряться спектрофотометром, который является подобным спектрорадиометру за исключением того, что он также содержит свет. Спектрофотометр калиброван простым измерением чистой белой поверхности, чтобы отражать источник света обратно в детектор.
3.6.3 Флуоресцентные цвета
Они имеют свойство поглощать свет в одной длине волны и заново отражать его в более длинной длине волны (которая будет иметь меньшее количество энергии). Во многих случаях, поглощенный свет будет в ультрафиолетовом диапазоне, но испускаемый свет будет видим. Поскольку это воздействует на измеряемые координаты цвета, важно, что используется дневной источник света, который имеет интенсивности ультрафиолетовой области спектра подобные реальному солнечному свету, недостаток первоначального источника света C.
Вещества, которые поглощают ультрафиолетовый и испускают синий свет, используются в некоторых стиральных порошках; синий нейтрализует желтоватый оттенок остаточного загрязнения, чтобы дать иллюзию белого. Такие вещества названы оптическими отбеливателями.
Печать в цвете
5.5.1 ТерминологияПечать может означать одну из двух вещей:
1. Посылка файла на материальное устройство типа лазерного принтера, струйного или сублимационного принтера, который производит твердую копию.
2. Посылка некоторых данных типа файла или фотографии в типографию, чтобы получить растровые полутоновые пластины для печати. Большое количество печатных изданий может быть сделано с этих пластин при помощи офсетной литографии.
Эти две процедуры, хотя различаются в деталях, имеют общее в том, что цветная печать производится смешиванием чернил, воска или других красителей. Обычно они равнозначны, за исключением тех случаев, где это оговорено отдельно.
Технологии печати могут быть разделены на два типа. В первом, более общем типе, количество нанесенных чернил на отдельное пятно имеет два значения - некоторое количество или никакого. С тремя цветами чернил это означает, что только восемь цветов доступно.
Растрирование, обсужденное в предыдущем разделе, используется, чтобы увеличить этот малый диапазон. Офсетная литография и большинство лазерных принтеров, waxjets
и inkjets принтеры - примеры этого типа. Во втором типе количество нанесенных чернил может меняться, позволяя широкому диапазону цветов быть произведенными без растрирования. Они таким образом названы принтерами непрерывного тона и имеют хорошее качество близкое к фотографическому. Сублимационные принтеры являются примером этого типа.
5.5.2 Смешивание чернил
Печать с цветными чернилами является субтрактивным процессом, в отличие от аддитивного процесса, когда смешивается свет. Чернила - отражающие цвета и вычитают из источника света, чтобы произвести цвет, как показано на рисунке 52 и на иллюстрации 27.
![]() |
Рисунок 52: Аддитивные и субтрактивные цвета.
Это означает, что в трехцветной системе основные цвета чернил широко соответствует вторичным цветам трехцветного аддитивного смешения - голубому, сиреневому и желтому, и что смесь из всех трех основных цветов дает черный, а не белый.
Также возможно печатать пятнистыми цветами в дополнение к, или вместо обрабатываемых цветов. Это вероятно сделано для того, чтобы производить цвета вне обрабатываемой цветовой гаммы с целью гарантировать то, что отдельный специфический цвет будет выглядеть тем же самым на различных принтерах, или, чтобы получать специальные эффекты.
5.5.3 Гаммы Принтера
Потому что печать использует субтрактивное смешивание, теоретическая гамма принтера определена на диаграмме цветности шестью точками: три основных цвета и три вторичных. Это то, что отличает ее от гаммы монитора, которая определена тремя точками, поскольку аддитивность гарантирует, что каждый производный цвет лежит на линии, соединяющей ее составляющие основные цвета. Форма типичной гаммы принтера, в данном случае Tektronix Устройства кадровой синхронизации, IIIPXi, показана на рисунке 53.
![]() |
Хороший набор чернил печати будет иметь высоконасыщенные цвета, давая широкую гамму. Изменения в цветных чернилах, используемых в различных принтерах, по крайней мере столь же широки, как разные люминофоры монитора.
Хотя цветовое смешивание субстрактивное, плотность чернил может рассматриваться аддитивной. Печать полного количества голубого, сиреневого и желтого дает плотность 300 % и коричневато-черный цвет. Добавление черных чернил дало бы общую достижимую плотность 400 % (и лучший черный цвет). На практике плотность отклоняется от аддитивности в некоторых способах, которые не только изменяют гамму, но также и значительно усложняют процесс цветового деления.
Из-за этого вид гаммы, показанной на рисунке 53, хотя полезен как руководство, не полностью точный. Профессиональные принтеры и цветные допечатные
агентства создают более точную гамму, измеряя образцы многих комбинаций чернил. Создается тестовый лист, содержащий образцы с известной пропорцией CMY или CMYK, и измеряются МКО координаты цвета каждого пятна. Иллюстрация 38 показывает часть такого листа.
Возникающие в результате данные используются для создания гаммы и, размещенные как 3х или 4х-мерная поисковая таблица, используются для того, чтобы предсказать пропорции чернил, требуемых, чтобы смешать данный цвет на том устройстве.
5.5.4 Факторы, влияющие на качество
Число переменных, влияющих на качество законченной печати, огромно; только небольшая часть может быть рассмотрена здесь. Вот почему используются специалисты цветных допечатных агентств, когда требуется высокое качество, такое как в книге и журнальной продукции.
Было установлено ранее, что плотность чернил может рассматриваться аддитивной. Многие из этих переменных должны исправить это предположение, являющееся только приблизительно истинным. Есть некоторые более важные факторы:
· Прилипание (налипание) чернил. Чернила наслаиваются сверху друг на друга, и имеется различие в сцеплении между печатью на чистой бумаге и на бумаге покрытой чернилами. Этот эффект, который изменяется в зависимости от порядка нанесения чернил на бумагу, уменьшает аддитивность.
· Максимальная плотность. Плотность 400%, соответствующая максимальному количеству каждых чернил, ослабила бы большинство документов и в результате вызвала бы вспучивание, разрыв и смазывание. Так как равные количества трех основных цветов произведут нейтральный серый, то некоторые или все пропорции смеси чернил удаляются и заменяются черными. Например, цвет C = 20, М = 30, Y = 40 мог бы быть заменен на C = 0, М = 10, Y = 20, K = 20 или C = 10, М = 20, Y = 30, K = 10. Это называется заменой серой компоненты (GCR). Иллюстрация 39 показывает 70% GCR.
· Баланс серого. Практически равные количества каждого основного цвета не производят чистый ахроматический серый. Пропорции должны немного корректироваться, чтобы удалить цветовые оттенки, которые получились бы в результате, и к которым глаз является особенно чувствительным. Эта проблема, показанная на иллюстрации 40, уменьшена заменой серой компоненты.
· Удаление цвета. Черные чернила используются, чтобы увеличить плотность чернил при высоких уровнях чернил, чтобы исправить недостаток аддитивности. Это усиливает контраст, и выполняется в дополнение к замене серой компоненты.
![]() |
· Требования совмещения. Это касается и печати пластин, и множественных проходов бумаги внутри принтера. Смещение изменяет цвет смеси чернил от измеренного, калиброванного значения и может вводить цветовые оттенки в серые. Очень небольшое смещение может влиять на конечный результат потому, что изменяется степень перекрытия растровых полутоновых точек и рабочих экранных углов.
· Эффективность точечного размера. Измеряемая плотность чернил не полностью пропорциональна определенной области точек на полутоновом экране. Факторы, типа вязкости чернил и рассеивания через бумагу, имеют результатом увеличение размера (растровой) точки, увеличение фактической точечной области. В некоторых случаях может происходить увеличение размера (растровой) точки более чем на 25 %. Кроме того, на той стадии, где индивидуальные точки становятся достаточно большими, они начинают касаться друг друга, что создает эффект белых точек на цветном фоне, а не цветных точек на белом фоне.
· Изменчивость чернил. Необходимо принимать во внимание изменения от картриджа к картриджу, поскольку, в отличие от люминофоров, чернила являются расходным материалом.
· Точные (четкие) экранные углы и частоты, физическая разрешающая способность устройства определяют число цветов, которые могут быть напечатаны.
5.5.5 Печать с использованием не-CMYK моделей
Некоторые принтеры разрешают, чтобы цвет был определен в стандарте формата не зависящего от внешних устройств, типа одной из моделей МКО. Например, текущая версия (Level 2) языка описания страниц Postscript, который широко используется в принтерах и фотонаборных устройствах, обеспечивает данную возможность.
В Postscript основная структура для цветовых моделей, основанных на МКО, параметризована, чтобы определить искомую цветовую модель. Графические примитивы затем описываются, используя эту модель. Примеры возможных Postscript моделей цвета включают МКО 1931 XYZ, МКО 1976 LUV, или SMPTE RGB. Вспомните, что RGB, в контексте телепередачи, имеет отношение к конкретному набору люминофоров.
Одна проблема с использованием не-CMYK модели заключается в том, что могут быть определены цвета, которые не могут быть напечатаны на конкретном устройстве. Эту проблему нужно решать в зависимости от устройства. При использовании программы графического подбора цвета или системы управления цветом таких цветов можно избежать. Например, на иллюстрации 41 показано такое средство, отображающее различие между гаммой монитора (Tektronix XP29P терминал PEX, сплошная линия) и принтера (Tektronix 4396DX, пунктирная линия). Выбранный цвет показан и в RGB, и в TekHVC моделях цвета. Проблема отображения гаммы и обработка цветов вне гаммы обсуждается в разделе 5.7
Почему используют цветовые модели?
При условии сложностей цветового восприятия, полезно определить упрощенный, абстрактный метод, кратко определяющий цвет с малым числом параметров. Обычно теория координат цвета используется так, что имеются три параметра. Могут быть другие, лежащие также в основе допущения. Часто цветовые модели определены в терминах трех основных цветов, из которых все другие получены смешиванием. В других случаях три параметра представляют более легко понятые атрибуты типа светлота или насыщенность.Рассмотрение трех параметров как ортогональных осей, создает геометрическое пространство цвета. Геометрическое положение цвета в этом пространстве может быть использовано для наблюдения его связи с другими цветами. 48 показывает программу, которая может использоваться для смешивания цветов в ряде различных цветовых пространствах.
Распознавание цвета
В дополнение к ощущению более яркого света, колбочки также обеспечивают цветовое распознавание. Имеются три типа колбочек, отличающихся по белковой компоненте визуального пигмента и таким образом по диапазону длин волн света, на который они наиболее чувствительны. Называемые как S, М и L конусы (для коротких, средних и длинных длин волн) имеют максимальную чувствительность в 445нм (фиолетовый), 535нм (зеленый) и 570нм (желтый). Некоторыми авторами они также названы b, g и r конусами.В отличие от измерения полной светоотдачи человека, определить отклик одного типа клетки колбочки более сложно, и точные результаты зависят от методов и используемых предположений. Два подхода обычно использовались: эксперименты на субъектах, у которых недостаток одного из трех типов колбочек (остальные два нормальны) и измерения извлеченных пигментов колбочек (при этом остальные колбочки и сетчатка остаются без изменения).
Пример одного набора измерений спектральной чувствительности для трех типов колбочек показан ниже на рисунке 8. Из него очевидно, что чувствительность S и М колбочек значительно совпадает и они имеют подобные максимумы длин волн; L колбочки имеют чувствительность значительно меньше.
![]() |
Рисунок 8 - Кривые чувствительности для трех типов колбочек.
Исследование данных в логарифмической шкале на рисунке 9 показывает, что все три типа колбочек фактически подобны, с низкой чувствительностью в синей и фиолетовой области, но L колбочки не имеют большого диапазона, S и М колбочки имеют пик чувствительности в коротких длинах волн.
![]() |
Рисунок 9: Чувствительность колбочек в логарифмической шкале.
Один вывод отмеченного совпадения между М и L колбочками заключается в том, что их реакции на данный цвет будут сильно совпадать. Следовательно, передача сигналов от каждого типа колбочек непосредственно к зрительной зоне коры головного мозга была бы неэффективна, кроме того, это потребовало бы четыре отдельных сигнала - S, М, L и яркость.
То, что происходит вместо этого является текущей темой исследования и дебатов. Однако, все исследователи, кажется, соглашаются с тем, что производится цветовое вычитание сигналов.
Большинство исследователей соглашается с тем, что во второй стадии цветового обнаружения используется разница между М и L конусами, чтобы получить сигнал, который позволяет обнаружить различие между оранжевым и голубовато-зеленым.
Сумма М и L конусов также передается, обеспечивая канал яркости. Палочки, которые насыщаются при (световых) уровнях дневного света, обеспечивают небольшой и эффективный постоянный сигнал на этот канал, но, кажется, нет никакого сигнала от S колбочек.
Второй цветовой канал разности обеспечивается взвешенной комбинацией S, М и L конусов, чтобы помочь выделению зеленовато-желтого из лиловато-синего. Точные задания весов и комбинаций колбочек, и возможное мультиплексирование разности сигналов для передачи в мозг еще точно не известны.
Вероятно, что имеется третья стадия цветовой обработки где-нибудь в мозге, на которой генерируется три противостоящих пары цветов: черный/белый. красный/зеленый и синий/желтый. Обычно, каждый из этих цветов видится некоторым образом уникальным или отличным от других. Эта идея относительно противостоящих цветов имеет длинную историю, описываемую Леонардо Да Винчи, Гетте и другими.
Эти три стадии: обнаружение благодаря палочкам и конусам, начальная комбинация, конечная комбинация показаны на рисунке 10. Толщина каждой линии дает возможность понять вклад каждого фактора. Например, вклады S и М колбочек во второй стадии (зеленовато-желтый/лиловато-синий канал) приблизительно равные, с меньшим вкладом L колбочек.
![]() |
Сетчатка
Световая энергия преобразуется в электрические импульсы сетчаткой - это тонкая сеть клеток, которые тянутся вдоль задней и боковых стенок глаза. Они похожи на приборы с зарядовой связью, которые являются светочувствительными элементами в видеокамерах. Это однако более сложное устройство, и необходимо понять некоторую идею относительно того, как цвет воспринимается.Клетки, составляющие сетчатку, это специализированные нервные клетки, и они связаны эволюционно и морфологически с возбуждаемой тканью в мозге. Таким образом, некоторые из нервных клеток сетчатки выполняют визуальную обработку прежде, чем сигналы уходят из глаза. Другое любопытное последствие эмбриологического развития глаза из мозговой ткани в том, что сетчатка кажется "лицевой стороной внутрь”; как показано на рисунке 4, свет должен проходить сквозь "схему" нервных клеток, чтобы достигнуть фоточувствительных клеток, которые располагаются на невидимой поверхности сетчатки.
choroid - хороидея
ganglion cell - клетка нервного узла
rod - стержень
cone - конус
bipolar - биполярная ячейка
horizontal cell - горизонтальная ячейка
![]() |
Рисунок 4 - Человеческая сетчатка (принципиальная схема).
Светочувствительные клетки рецептора на задней части поверхности сетчатки находятся перед черной хориоидеей (сосудистой оболочкой), которая увеличивает контраст, устраняя внутреннее отражение и препятствуя прохождению света через переднюю сторону глазного яблока. Рецепторы соединены через биполярные клетки (называемые так из-за их двусторонней формы) с ganglion слоями нерва, которые проходят вне глаза, чтобы формировать продвижение зрительного нерва к мозгу.
Сетчатка также содержит горизонтальные клетки, которые соединяют малые кластеры рецепторов. Когда рецептор освещен, смежные рецепторы делаются менее чувствительными из-за горизонтальных клеток, увеличивая местный контраст. Это предварительная форма обнаружения края, она вызывает оптический эффект, известный как эффект Маха. Это показано на рисунке 5, на котором изображен ряд серых прямоугольников.
Каждый прямоугольник содержит однородный оттенок серого, но край, расположенный возле более темного прямоугольника, выглядит светлее. Точно так же край, расположенный возле более светлого прямоугольника, выглядит темнее. Эффект Маха может вызвать проблемы в компьютерной графике; если нужна гладкая градация переходов, моделируемая малым числом оттенков, обеспечьте, чтобы не было резких переходов для уменьшения данного эффекта.

Рисунок 5 - Эффект Маха.
Содержание и область применения
Этот документ разделен на пять разделов.Во-первых, мы рассматриваем, как люди видят цвет. Это объединение информации из таких наук как физика, оптика, физиология, нейрология и психология, чтобы показать, что цвет является скорее внутренним, субъективным ощущением, чем внешним, целевым объектом. Это помогает объяснить что такое цвет.
Так как цвет имеет биологическую основу, то встает вопрос, как он может быть измерен и стандартизован? Второй раздел объясняет, как цвет измеряется и представляется CIE международным эталоном, используемым для определения цвета. Это обеспечивает насущную связь между биологическим ощущением и физическим измерением. Также даются примеры того, как цветовые измерения могут использоваться и изменяться, например, для предсказания результата цветовой смеси или проектирования дисплеев для людей с дефектной цветовой системой технического зрения.
Абстракция, названная цветовой моделью, используется, чтобы задавать цвет. Третий раздел объясняет понятие основных цветов и затем исследует многообразие цветовых моделей, которые являются доступными и, особенно, достоинства и недостатки каждой. Цвет, описанный в одной цветовой модели, может часто быть преобразован в другую цветовую модель. CIE стандартные функции, как универсальная точка отсчета в этом процессе.
В предыдущих разделах фокусировалось внимание на определении цвета, при этом не учитывалось то, как цвета физически создаются в компьютерной графике. Четвертый раздел исследует, как различные типы аппаратных средств работают, подчеркивая, какое влияние, это имеет на отображение цвета. Приведена наиболее эффективная система управления на основе доступных аппаратных средств для переносимой и эффективной цветовой графики.
Заключительный раздел дает руководящие принципы для использования цвета. Вместо того, чтобы представлять произвольный ряд правил, предпринято усилие, чтобы показать, как руководящие принципы следуют непосредственно из материала, представленного в предыдущих разделах.
Есть три приложения, связанных с отображением стандартизированных цветов на компьютерном графическом экране, и глоссарий терминов. Все слова в полужирном шрифте подобно этому:
Технический термин
Следует искать в глоссарии.
2 Наблюдение в цвете
Спектры
Можно предположить, что измерение интенсивности света, испускаемого или отраженного от объекта, во всех видимых длинах волн, полностью определит цвет. Такое измерение действительно определит те оптические свойства, которые влияют на наблюдаемый цвет. Пример такого измерения дан на рисунке 2. Исходя из этой информации, нет никакого простого способа предсказать визуальное проявление. Доминирующая длина волны может легко быть идентифицирована, но каков вклад остальной части спектра?. Каким будет цвет в общем?.![]() |
Рисунок 2 - Типичный спектр отражения травы
Диапазон длин волн, которые являются видимыми, меняется для разных обитателей фауны; некоторые змеи могут видеть часть инфракрасного спектра, а многие насекомые могут видеть в ультрафиолетовом спектре. Когда белый свет расщеплен призмой, длины волн отделяются, но именно глаз и мозг производят ощущение, которые мы называем цветом.
Стандартизированный наблюдатель
Базируясь на ряде соответствующих экспериментов, стандартный(эталонный) наблюдатель был определен в 1931 Международной комиссией по освещению МКО. Это набор данных, который определяет три основных цвета для цветовых измерений и состояний для каждого интервала длин волн, и количество этих основных цветов, которое требовалось бы, чтобы согласовать (подобрать) спектрально чистый цвет для статистически нормального (различающего цвета') наблюдателя. Граф согласующих функций показан на рисунке 12.![]() |
Рисунок 12 - CIE функции цветового соответствия.
Три основных цвета называются X, Y и Z. График количеств каждого основного цвета МКО, требуемого для подбора любого чистого спектрального цвета, называется функцией согласования и показан на рисунке 12. Чтобы подобрать отдельный цвет, вертикальная линия рисуется в длине волны этого цвета, а величины считывают из точек пересечений с каждой функцией согласования. Например, чтобы согласовать синий/фиолетовый цвет с длиной волны 450нм, требуется 0.33 единиц X, 0.04 единиц Y и 1.77 единиц Z.
В математике многие проблемы решаются проще благодаря применению комплексных чисел, которые содержат квадратный корень из -1. Точно так же X, Y и Z основные цвета, которые используются для определения стандартного (эталонного) наблюдателя являются "мнимыми" ("воображаемыми") цветами, в этом смысле они не соответствуют видимым (визуальным) цветам. Они имеют свойство быть значительно более насыщенными, чем реальные цвета, так что подбор реального цвета не требует отрицательного вклада от любого из основных цветов для цветового согласования. X - перенасыщено-пурпурновато-красен; Y - перенасыщенная форма реального спектрального зеленого с длинной волны 520нм, а Z - перенасыщенная форма реального спектрального синего с длинной волны 477нм. Также, спектральная функция согласования Y основного цвета была выбрана, чтобы точно согласовать МКО стандарт photopic функции светоотдачи, показанная на рисунке 7. Она следовательно несет всю информацию яркости относительно цвета.
Предположения, сделанные при определении этого наблюдателя, следующие: угол просмотра цвета до 2° или меньше; источник света подобный дневному свету. Это все есть простые условия, которые встречаются на практике. Ограничение на угловой размер является таким, чтобы изображение пятна цвета на сетчатке падало на ямку, площадку наиболее чувствительную к изменениям в цвете. Это обычное местоположение при просмотре цветного объекта. Для тех случаев, редких в практике, где требуется определение широкого поля цвета, должен использоваться МКО 1964 Дополнительный Наблюдатель. Эксперименты, которые выполнялись, чтобы определить 1964 наблюдателя, использовали 10° поле, поэтому возникающие в результате CIE величины обозначены X10, Y10
и Z10. Форма согласующих функций в общих чертах подобна 1931 Стандартному Наблюдателю, хотя координаты цвета, рассчитанные от двух наблюдателей, различны и не должны быть смешаны.
Так как стандартный наблюдатель математически определен набором функций, результаты экспериментов цветового соответствия могут быть просто вычислены без необходимости фактически делать эксперимент. Цветовое измерение может таким образом стать автоматизированным процессом.
Выбор цветовой модели
Для того, чтобы не зависеть от устройств, используйте цветовую модель МКО типа L*C*Huvили модель типа Munsell, для которой координаты цвета МКО являются доступными. Если выбранное устройство вывода непосредственно не поддерживает спецификацию цвета МКО, цвета могут часто быть преобразованы в естественное цветовое пространство устройства. Приложение B показывает, как это выполняется для аддитивного RGB устройства.
Для точной работы, где важно безошибочное цветовое согласование, используйте калиброванный монитор и кабинет просмотра с CIELUV или более специализированными моделями типа Hunt ACAM.
Для специфических приложений (текстиль, архитектура, изобразительное искусство) используйте соответствующую специализированную цветовую модель, которая традиционно используется в этой прикладной области. Например, CIELAB, Coloroid или Pantone соответственно.
Для смешения цветов в пространстве цветов, не зависящем от устройства, используйте цветовую модель с полярной системой координат, чтобы получить оттеночный круг. Например, L*C*Huv
или TekHVC.
Чтобы смешивать различимый цвет, но в пространстве цветов, зависящем от устройства, используйте полярную модель типа HSV или HLS.
Используйте RGB, если это все, что доступно, но рассмотрите выбор из HSV и преобразование к RGB.
Не используйте непосредственно CMY. Число переменных, которые должны быть изменены, слишком велико.
Цвет в компьютерной графике
A.Определение гаммы
Имеются три способа получения значения для гамма-коррекции монитора:1. Прямое измерение калибровочного серого клина с использованием экспонометра или спектрорадиометра.
2. Запрашивать это значение у изготовителя монитора или электронно-лучевой трубки.
3. Визуальная калибровка.
Первый метод можно улучшить, измеряя значения для каждого прожектора отдельно.
Некоторые мониторы имеют встроенную гамма-коррекцию и не нуждаются ни в каком дальнейшем регулировании. Чтобы определить такой монитор, обратитесь к справочнику или проведите быструю визуальную калибровку. Однако большинство мониторов, требуют гамма-коррекции.
A.Прямое измерение
Для простоты мы примем, что все три прожектора калибруются вместе. Метод состоит в следующем: формируется ряд тестовых пятен известных значений RGB, измеряется фактически испускаемый свет, наносится тестовое значение напротив измеренной величины.Использование большого количества образцов и проведение повторных испытаний помогает уменьшить случайные ошибки и дает более точный результат. Каждое пятно должно измеряться в одной и той же части экрана, традиционно в центре, чтобы минимизировать эффект неправильного схождения лучей. Если необходимо, пятно возле одного угла может быть измерено в отдельной серии, а результат усреднен.
Если люминофоры не приводятся в насыщение, измеряемое значение гаммы должно быть почти одним и тем же, независимо от установки регулятора яркости. Хотя глаз может адаптироваться к уровню окружающего света, измерительный прибор не может адаптироваться, поэтому экран и измерительный прибор должны быть хорошо окутаны тяжелой тканью типа завесы, чтобы устранить паразитный свет.
Помня, что гамма-функция является степенным законом, входное RGB значение и выходной уровень света должны наноситься на логарифмическую шкалу. Интервал выборок должен быть выбран таким, чтобы образцы равномерно расположились на логарифмической оси.
Если точки данных скапливаются вблизи прямой линии, то крутизна этой линии есть значение гаммы. При значительных отклонениях от прямой линии нужно использовать табличный поиск.
A.Визуальная калибровка
Преимущество этого метода заключается в том, что он не требует никакого оборудования. Он полагается на визуальное сравнение двух серых пятен. Визуальное сравнение может быть сделано аккуратно и точно и может служить основой CIE стандартного наблюдателя.Метод полагается на тот факт, что, независимо от значения гаммы, белое и черное являются фиксированными точками. Это показано на рисунке 60; изменение значения гаммы воздействует только на степень кривизны, а не позицию конечных точек.
![]() |
Рисунок 60: Три кривых гаммы
Если отображается заливка типа шахматной доски с черно-белыми клетками, то результат выглядит серым, если сетка достаточно мелкая. Уровень света будет 50 % от максимального уровня белого света из-за аддитивности (полагая, что черный является действительно нулем). Это соответствует серому, который был бы получен с R, G и B равными 0.5, если бы монитор имел гамму единица.
Серый цвет получается, например, с помощью графического редактора, сохраняющего значения R, G и B равными. Если доступна цветовая HLS модель, цвет после смешения с нулевой насыщенностью будет получен. Назовем значение RGB, которое соответствует заливке шахматной доски V.
Значение гаммы получается:
Гамма= log(0.5)/log(V)
Например, если V=0.73, гамма=2.2. Как показано на рисунке 61.
![]() |
Рисунок 61: Согласование серого по клеткам.
B. Калибровка Монитора
Для точной работы каждый монитор должен быть рассчитан непосредственным измерением координат цвета при помощи спектрорадиометра. Чтобы компенсировать отклонение в электронных компонентах и люминесцентное старение, эта калибровка выполняется ежемесячно, еженедельно или даже (в очень ответственных применениях, таких как получение цветных оттисков или контроль качества красителя) ежедневно. Те мониторы являются перспективными, которые могут калиброваться автоматически.
Однако для общей работы достаточно получить от изготовителя координаты цвета(значения координат стандартной системы цветовых измерений) монитора, которые являются типичными для этой модели монитора.
Требуемые данные это - значения цветности красного, зеленого и синего люминофоров и цветность нормальной белой точки мониторов, где красный, зеленый и синий - все в максимальной интенсивности.
Значения цветности обычно представлены как x, y пары. Сначала следует вычислить z компоненты:
z = 1 - x - y
Цветности Люминофора помещаются в таблицу A, где:
![]() |



A = yr yg yb
zr zg zb
![]() |
![]() |
B = A-1
Значения цветности белой точки монитора преобразуются в относительные значения координат цвета (XYZ). Абсолютный сигнал яркости обычно не требуется, Y может быть установлен равным единице:
Xw = xw /yw
Yw = 1.0
Zw = zw /yw
Эти значения используются, чтобы вычислить вектор столбца C:
![]() |
|||
![]() |
|||
C = B Yw
Zw
![]() |
|||
![]() |
|||
![]() |
![]() |
D = 0.0 C2 0.0
0.0 0.0 C3
![]() |
![]() |
E = A D
Она инвертируется для преобразования в обратном направлении. Любая точка, определенная в RGB, может затем быть преобразована в CIE 1931 XYZ:
![]() |
![]() |
![]() |
![]() |
Y = E G
Z B
![]() |
![]() |
![]() |
![]() |
Этот глоссарий не представлен как набор формальных или точных определений Он
преднамеренно сохраняется неофициальным и разговорным. Он предназначен освежить память, когда встречаются
специфические слова.
Адаптация Реакция на общее изменение интенсивности света. "Момент" одновременной восприимчивости света и темноты, которые повышаются или понижаются полным диапазоном яркости. Лист белой бумаги виден как белый, независимо от уровня света.
Ахроматический Не имеющий сигнала цветности или насыщенности; чистый не оттеняемый серый, белый или черный.
Ширина полосы частот (ширина спектра)
Диапазон частот, используемых видеосигналом, от нуля и выше. Например, сигнал PAL имеет ширину полосы частот 5.5 MHz.
Яркость Количество излучаемого или отраженного света от чего-нибудь в абсолютных единицах. Пятно серого на белом листе бумаги обычно бывает более ярким в сильном солнечном свете, чем в тени. См. Lightness (Светлота).
ЭЛТ Устройство для создания цветного или черно-белого (монохромного) изображения путем возбуждения атомов вещества люминофоров, в результате чего наблюдается свечение.
Цветовая разница Еще одно название для двух сигналов цветности, используемых в видео кодировании
Насыщенность цвета (цветность/сигнал цветности)
(1) характеристика полноцветности, подобная насыщению, но выраженная относительно области белого подобно освещенной области белого.
(2) В Munsell цветовом пространстве уход цвета от серого; цветовая интенсивность.
Хроматическая аберрация
Неспособность сосредотачиваться на обоих концах видимого спектра одновременно, вызванная показателем преломления внутриглазной жидкости, зависящим от длины волны.
Ведет к явлению chromostereopsis.
Цветная адаптация Реакция на полное изменение в цвете источника света. Лист белой бумаги имеет тенденцию быть замеченным как белый, вплоть до точки, независимо от цвета источника света.
Цветная индукция Нейтральное окружения цветов (по отношению к цветам) уменьшает воспринимаемую полноцветность. Темное окружение увеличивает воспринимаемую полноцветность. Цвета высокого уровня сигнала цветности стимулируют (вызывают) оттенок того же самого цвета в темном окружении, а дополнительного цвета в светлом окружении.
Цветность Способ описания оттенка и полноцветности образца независимо от светлоты образца.
Цветность (сигнал цветности/вектор цветности/информация о цвете, яркости и насыщенности изображения)
Первоначально связанный с разницей между сигналом видео составляющей и системным белым; теперь просто имя, закрепленное за двумя видео компонентами C1
и C2, которые несут основную цветовую информацию.
Chromostereopsis Явление, когда кажется, что синие удаляются, а красные приближаются. Явление, вызванное
обратной связью мышечных изменений, чтобы перефокусировать глаза, интерпретируемое как дистанционная фокусировка.
Цветовое постоянство Эволюционная тактика выживания. Глаз и мозг постоянно пытаются владеть воспринимаемым
цветом объектов независимо от медленных изменений в уровне или цвете дневного света. Только частично успешно, а относительно не дневного освещения менее успешно.
Система управления цветом
Фрагмент программного обеспечения, который помогает достигать цветового соответствия между экраном и принтером, часто отображая гаммы двух устройств.
Цветовая температура Температура излучения теоретического черного тела, который произвел бы свет той же самой или подобной цветности.
Дополнительный цвет Цвет, точно противоположный по оттенку
к данному цвету
Плотность Логарифм единицы по коэффициенту отражения. Белый и светлый цвета имеют низкую плотность, черный и темный цвета имеет высокую плотность.
Имитация градаций серого (сглаживание/передача полутонов)
Моделирование большего количества цветов путем печати двух ли большего количества цветов близких
друг к другу
Доминирующая длина волны
( Цвета). Одиночная спектральная длина волны, которая, когда смешана с белым, даст
эквивалентное цветовое ощущение.
Увеличение размера (растровой) точки
Нелинейное увеличение размера полутоновых точек. По ряду
причин, эта поправка
измеряется и вносится для высокого качества
коммерческой цветной печати.
Возгонка красителя Техника печати (способ печати), которая сублимирует (преобразовывает сухое вещество в пар)
чернила, позволяя изменять количества
каждых чернил, которые будут осаждаться, эффективно формируя
смешанный цвет для каждого пиксела. Это даст непрерывное изображение тона без необходимости
в обработке полутонов.
Электромагнитная энергия
Форма энергии, которая может быть передана через вакуум. Перемещается со
скоростью света. Может рассматриваться как волна или как материальная точка. Характеризуется
длиной волны.
Чистота возбуждения Процентное расстояние точки на диаграмме цветности от белой точки
до спектрального местоположения. Очень приблизительно соответствует полноцветности, но имеются лучшие критерии.
Центральная ямка Малая центральная область сетчатки, содержащая много колбочек,
но мало палочек, с нервами и кровеносными сосудами, направленными в
стороны. Имеет самое лучшее цветовое выделение и пространственную разрешающую способность.
Гамма Диапазон цветов отображаемых устройством; подмножество диапазона различаемых
цветов
Отображение (преобразование) гаммы
Приведение в соответствие и корректировка гаммы цветов
одного устройства
для отображения на втором, отличном устройстве, так, что это выглядит так близко к оригиналу, насколько это возможно
Замена серой компоненты
Удаление общей пропорции голубого, сиреневого и желтого в цвете, который произвел бы серый, и замена равным
количеством черных чернил
Сетка Часть ЭЛТ, которая электростатически ускоряет электронные лучи посредством прикладываемого напряжения.
Обработка полутонов (формирование растрового изображения/передача полутонов)
Моделирование разности интенсивности путем изменения размера точек на регулярной сетке.
Оттенок Степень сходства образца с красным, или желтым, или зеленым, или синим; независимо от того, каким является образец светлым или ярким.
Угол оттенка Единый
числовой критерий
оттенка; обычно красный рассматривают равным 0°.
ISO Организация Международных эталонов; организация, которая производит международные стандарты во многих сферах деятельности.
Лазерный принтер Устройство печати, использующее световой луч лазера, чтобы управлять электростатическим напылением красящего порошка на бумагу. Красящий порошок соединяется с
бумагой под действием тепла
или давления.
Светлота Количество света, испускаемого или отраженного от
чего-нибудь, относительно белого. Пятно серого
на белом листе бумаги обычно имеет ту
же самую светлоту
в сильном солнечном свете и в тени. См. яркость. Светлота принимает
во внимание адаптацию.
Сигнал яркости (светимость/свечение)
Мера того, насколько свет является
интенсивным в изоляции.
Чтобы выяснить как ярко он будет выглядеть, должна быть рассмотрена интенсивность других источников света рядом. Сигнал яркости - способ измерения
интенсивности света, который учитывает кривую относительной спектральной световой эфективности.
Световая отдача (относительная световая эфективность)
Воспринимаемая яркость фиксированной интенсивности специфической длины волны источника света. Для того же самого уровня источника света зеленый кажется намного более ярким, чем красный или синий
Метамеризм (1)Факт, что
два спектрально различных образца
могут давать одинаковое
цветовое ощущение. Это свойство допускает имитацию многих
цветов только тремя основными цветами.
(2)Следствие информационной потери при вычислении координат цвета. Два спектрально
различные образца могут дать одни и те же значения (и следовательно выглядеть идентичным) под одним
источником света, давая различные
значения (и казаться разными) под другим источником света.
Пртивоположные цвета
Три пары цветов: красный/зеленый, синий/желтый, черный/белый. При условии, что цвет может иметь характеристики только одного цвета из каждой пары. Например, красновато-желтый (оранжевый) возможен, в то время как красновато-зеленый не возможен.
Офсетная Литография
Процесс печати, где каждая часть созданного цветного узора печатается при помощи цилиндрической металлической пластины. Назван офсетной потому, что краска с печатной формы передается на резиновый ролик, а с него на бумагу, чтобы было одинаковое давление.
Перцептивно однородный
Свойство цветового пространства, которое заключается в том, что равные расстояния представляют равные наблюдаемые цветовые различия
Идеальный рассеяный рефлектор
Белая мишень, которая вообще не изменяет свет, но отражает 100 % его во всех длинах волн.
Дневное зрение
Зрение адаптируется к свету от низкого до высокого уровней света, где палочки насыщаются, а колбочки обеспечивают цветовую информацию
Пиксел Самая маленькая индивидуально адресуемая часть устройства отображения.
Форпресс (электронная система подготовки полос)
Стадия в коммерческой цветовой печати, где изображения сканируются, разделяются, выверяется цветовой баланс и выполняется пробный отпечаток перед запуском в печать
Создание цвета
Метод печати, который использует три субтрактивных цвета (голубой, сиреневый и желтый), чтобы воспроизвести все цвета; обычно добавляет черный для контраста.
Эффект Пуркинье
Сдвиг в длине волны максимальной чувствительности к свету при перемещении зрения от ночного до дневного.
Квантование Отображение большого диапазона цветов к меньшему диапазону цветов.
Коэффициент отражения
Количество падающего света, который отражается
некоторым объектом, в процентах.
Сетчатка Фоточувствительный слой рецепторов в глазе, который преобразовывает свет в нервные импульсы.
Насыщенность цвета Мера полноцветности. Унылый серый имеет низкую насыщенность, яркий красный имеет высокую насыщенность. Насыщенность - полноцветность образца относительно того, насколько светлым он является.
Ночное зрение
Зрение адаптируется к темноте при низкой освещенности, при этом используются только палочки.
Разделение Создание четырех растровых изображений из одного цветного изображения, готового для печати (печатания). Требует определения экранных частот и углов для каждого используемого цвета, и компенсации характеристик печатной машины.
Дополнительные пятна разделения могут также быть сделаны.
Граничная поверхность цветов спектра
Расположение максимально насыщенных спектрально чистых цветов в одном из цветовых пространств МКО, представляет границы видимого света. Иначе, гамма человеческого глаза. Концы этой поверхности соединены пурпурной линией.
Спектрофотометр Устройство для измерения координат цвета МКО отражающего образца; содержит источник освещения.
Спектрорадиометр Устройство для измерения координат цвета МКО источника освещения.
Цвет точки Одиночный цвет чернил без смешивания. Многие сотни цветов точки доступны, которые охватывают огромную гамму. Обычно только несколько цветов точки используется при одной печати.
Стандартный наблюдатель
Таблица экспериментальных данных, предсказывающих количество основных цветов МКО, требуемых для согласования света любой длины волны. Имеются два стандартных наблюдателя, но чаще всего используется на практике1931 20 наблюдатель.
Субдискретизация (прореживание/децимация)
Способ уменьшения ширины полосы частот видеосигнала фильтрацией быстродействующих изменений в цвете или интенсивности. Уменьшает эффективную разрешающую способность.
Координата цвета Величина каждого из трех основных цветов МКО, которые при смешивании дали бы тоже самое цветовое ощущение как и образец данного цвета.
UCS (система координат пользователя)
Равноконтрастный цветовой график МКО 1976 - попытка в перцептивно однородном представлении полноцветности и оттенка.
При цветовом удалении
Добавление черного к темным цветам, чтобы увеличить контраст.
Видео ОЗУ Память, используемая рабочей станцией, чтобы сохранять описание отображаемого изображения
Видео сигнал яркости Первоначально мера светлоты составляющей видеосигнала, теперь просто имя составляющей, которая несет основную информацию по светлоте в закодированном видеосигнале. Не путать с сигналом яркости, хотя по историческим причинам они оба описываются символом Y.
Кабинет просмотра Простой фрагмент установки, используемой для цветового соответствия отражающих образцов (ткань, фотографии, и т.д.), состоящий из большого шкафа, окрашенного нейтральным серым, со стандартным источником освещения, D50 или D65, внутри него.
Длина волны Расстояние между двумя последовательными пиками в регулярной волне. Измеренное в каких бы ни было единицах измерения - годится. Видимый свет имеет длины волн между 380 и 730 нм.
Waxjet Устройство печати, которое распыляет окрашенный, расплавленный, жидкий воск на бумагу через большое количество очень тонких наконечников.
Центр сетчатки
Это маленькое желтое пятно на сетчатке, расположенное непосредственно на оптической оси глаза, показанной на рисунке 3. Центр сетчатки - область наиболее чувствительная к тонкому изменению в цвете, и, также, наиболее чувствительная к малым деталям освещенности и формы. Она содержит очень мало палочек, в отличие от внешнего края сетчатки, который далеко от оптической оси, и, который богат палочками и оптимизирован для обнаружения движения - для выживания. Так как глаз может быть сфокусирован на любом объекте, представляющем интерес, небольшой размер центра сетчатки не является недостатком. Нервы и кровеносные сосуды, которые пересекают большую часть сетчатки, и через которую должен пройти свет, чтобы достичь зрительных рецепторов, находятся в стороне от центра сетчатки, чтобы уменьшить размывание изображения. Дополнительные (т.е. лишние) большие М и L колбочки содержатся в центре сетчатки в шестиугольной плиточной модели (гексагональном шаблоне), чтобы давать максимальное пространственное разрешение для светлоты (М + L) и оранжевого/сине-зеленого (L - M) каналов второй стадии. Меньше, чем два процента рецепторов центра сетчатки - S колбочки, поскольку они не дают никакой вклад в канал светлоты. Следствием этой низкой S плотности является то, что пространственное разрешение (количество мелких деталей изображения, которые могут быть видны) является намного ниже для синих и фиолетовых, чем для других цветов.3. Измерение цвета
Цветная фотосъемка
Фотосъемка - непрерывный цветовой процесс, способный на прекрасные градации цвета и очень прекрасную разрешающую способность. Цветная пленка после проявления может выводиться на печать, прозрачную подложку или может быть сохранена на компакт-диске.В фотографической печати цвет производится смешиванием отраженного света от трех тонких полупрозрачных слоев, наложенных на бумагу. Гамма определяется цветностями красителей в этих слоях. Так как цвет производится субстрактивным смешиванием, то гамма не является правильной формой и может быть точно определена только измерением многих образцов.
Фотографирование изображения на графическом мониторе дает хорошие результаты, особенно, если участок комнаты затемнен, чтобы исключить отражения на стекле, и используется штатив. Гамма цветной пленки обычно большая и включает большую часть из гаммы многих компьютерных мониторов. Таким образом экранная фотосъемка часто обеспечивает более приятный и точный результат, чем использование цветного принтера. Диапозитивная пленка (слайд) имеет более широкую цветовую гамму и лучшую цветовую точность, чем пленка печати. По этой причине периодические издания и журналы имеют тенденцию к тому, чтобы предпочесть печатным изданиям изображения на прозрачной пленке.
![]() |
Рисунок 55: Сравнение гамм монитора и диапозитивной пленки.
Цветность
3.7.1 МКО 1931 (двухкоординатная) диаграммаЕсли данный цвет увеличивается в яркости, то количество света, требуемого от каждого основного цвета, чтобы согласовать цвет, возрастает. Увеличения будут пропорциональны, поэтому соотношение X:Y:Z остатков будет постоянное по мере того, как цвет отдаляется от оригинала. Часто полезно исследовать цвет образца независимо от его яркости. Чтобы сделать это, координаты цвета нормализуются:
x = X / (X + Y + Z)
y = Y / (X + Y + Z)
z = Z / (X + Y + Z)
Ясно, x + y + z = 1 во всех случаях. Следовательно обычно, чтобы понизить z координату и делают 2-ой график x от y. Это эквивалентно проектированию XYZ цветового геометрического тела на X + Y + Z = 1 плоскость, которая показана на рисунке 18.
![]() |
Рисунок 18: X + Y + Z = 1 плоскость на МКО 1931 XYZ диаграмме.
Возникающий в результате график называется МКО 1931 цветовым графиком и показан на рисунке 19 и на иллюстрации 29. Он представляет воспринимаемые атрибуты оттенка и насыщенности, отделенные от сигнала яркости.
Значения цветности (x, y) иногда встречаются вместе с Y значением (xyY), чтобы допускать преобразование обратно к XYZ.
![]() |
Рисунок 19: МКО 1931 цветовой график
Вспомним, что в разделе 3.1 эксперименты цветового согласования использовали определенные калиброванные длины волн для желтых/зеленых и синих/фиолетовых огней, но красный свет был выбран, чтобы быть в диапазоне длины волны, где разрегулировка не будет затрагивать цвет. При просмотре рисунка 19, обратите внимание, что цвета от 660нм (красный) вправо вверх до 780нм, где предел видимого цвета граничит с инфракрасной областью спектра, находятся в одном и том же месте на цветовом графике; все они имеют один и тот же оттенок. Подобное же группирование длин волн встречается на границе фиолетового и ультрафиолетового (380нм).
Еще одна проблема с этим графиком состоит в том, что он не воспринимается однородным. Другими словами, расстояние между двумя цветами, которые являются как раз заметно различными, изменяется вдоль поверхности графика.
3.7. 2 МКО 1976 однородная шкала цветности (UCS)
Изыскания однородности при восприятии цветового графика 1931 при помощи вычерчивания величин значимых цветовых изменений в различных частях графика показали, что верхняя часть кривой (в зеленой области) дает небольшие изменения в цвете по сравнению с синей и фиолетовой частями. Это воспринимаемое расхождение было уподоблено искажениям на плоских картах мира, в которых оно не может быть удалено полностью линейной проекцией цветового графика 1931. Однако, некоторые проекции будут лучше, чем другие. Одна такая проекция, однородная шкала цветности(UCS), была рекомендована МКО в 1976. Также известный под именем u¢v¢ график, по меткам на его осях, есть проекция изображения МКО 1931 XYZ пространства, разработанная, чтобы произвести намного меньше искажений, чем двухмерный график. (Любопытная запись! "Черточки" предназначены, чтобы отличить его от подобного (uv) графика, который использовался до 1976). Оси рассчитаны следующим образом:
u¢=4X/(X+15Y+3Z)=4x/(2x+12y+3)
v¢=9Y/(X+15Y+3Z)=9y/(2x+12y+3)
Возникающий в результате график, показанный ниже на рисунке 20, имеет ту же самую общую форму, как 1931 цветовой график, но вытянутую, чтобы дать большее количество равномерного распределения цветов.
![]() |
3.7.3 Практическое использование цветовых графиков
Цветовые графики имеют ряд применений. Они все имеют общее свойство которое заключается в том, что аддитивная смесь двух цветов может быть найдена по линии, соединяющей их. Это может использоваться, чтобы вычислить колориметрические данные типа доминирующей длины волны и чистоты возбуждения цвета.
Доминирующая длина волны определяется созданием линии от белой точки через обсуждаемый цвет, к спектральному местоположению и выражающему длину волны. Это показано на рисунке 21. Независимо от спектрального состава первоначального цвета, эквивалентное цветовое ощущение будет получено смешиванием монохроматического света доминирующей длины волны с определенным белым.
Чистота возбуждения дает пропорции(соотношения) этой смеси. В этом примере, чистота возбуждения - 40 %.
![]() |
Другими словами, цвет образца сделан из аддитивной смеси 40% спектрального света с длиной волны 540нм, и 60% D65 белого, в той же самой яркости. Цветовые графики могут использоваться для того, чтобы подобрать дополнительные (комплиментарные) цвета выбором точек напротив друг друга через белую точку и, чтобы нарисовать непрерывную цветовую шкалу вычерчиванием прямого или изогнутого пути поперек диаграммы. Вообще, однако, трехмерная модель цвета используется для этой задачи так, чтобы яркость цветов могла также быть изменена. Цветовые модели обсуждены в следующем разделе.
Цветные объекты
Имеются два широких класса цветных объектов, показанных на рисунке 13 и на иллюстрации 27. Излучающие объекты производят собственный свет. Отражающие объекты, с другой стороны, полностью зависят от внешнего источника света; они обеспечивают изменение цвета источника света, поглощая различные количества света в различных длинах волн. Флуоресцентные объекты - частный случай, в котором они берут световое излучение одной длинны волны и заново испускают часть его дольше, с более низкой энергетической длиной волны.![]() |
Рисунок 13: Отражающие и эмиссионные объекты.
Цветопередача
Система телевидения, используемая в Западной Европе, PAL, является развитием Американской NTSC системы. Те же самые соображения, данные в разделе видео, также можно применить к кодированию телепередачи. Однако имеются дополнительные ограничения, которые должны быть приняты во внимание, если должны быть произведены картинки приемлемого качества.Видео сигнал яркости объединен со сложным (составным) сигналом цветности (который модулирован на цветовую несущую частоту), сигналом цветовой синхронизации и сигналом синхронизации, чтобы формировать единый сложный видео сигнал, готовый к телепередаче. Подробности этого процесса не касаются нас, но после того, как видео сигнал яркости и цветности были смешаны вместе, они не могут никогда быть полностью отделены снова, даже самыми лучшими, качественными декодерами. Неизбежна некоторая интерференция между каналами цветности и яркости. Это вызывает много типов цветовых искажений.
Сложные видеомагнитофоны записывают телевизионный сигнал (или некоторую промежуточную стадию) и таким образом подчиняются тем же самым ограничениям, как если бы сигнал должен был быть передан по телевидению.
5.3.1 UV кодирование
Формирование (образование) U и V составляющих - первый шаг к подготовке видеосигнала для телевещания. Сигналы цветности масштабируются так, что сумма видео сигнала яркости и составного сигнала цветности - меньше чем 1.34:
U = 0·493 C2
V = 0·877 C1
Это выполнено таким образом, что конечный сложный сигнал оставался внутри допустимых пределов модуляции несущей. Затем U и V компоненты субдискретизируются с коэффициентом два, чтобы уменьшить ширину полосы частот.
Некоторые компьютерные графические системы, разработанные специально для телевизионного использования, допускают цветовую спецификацию непосредственно в YUV. В то время как не являясь особенно легким в использовании, оно имеет преимущество в том, что не воспроизводимые цвета не обрабатываются.
5.3.2 Комбинированный сигнал цветности
Комбинированный сигнал цветности производится путем модуляции U и V сигналов на 4.43 MHz цветовой несущей частоте, t:
C = U cos(t) + V sin (t)
Рисунок 46 показывает как фаза и амплитуда этого сигнала соответствует первоначальным U и V составляющим.
![]() |
5.3.3 S Видео
S видео - компромисс между полной раздельной записью и составной записью. Видео сигнал яркости и составной сигнал цветности записываются как два отдельных сигнала; хотя имеется ухудшение в качестве цвета, вызванное использованием цветовой поднесущей частоты, нет интерференции между видео сигналом яркости и составным сигналом цветности.
Наиболее общим примером S видео системы является S-VHS. Входные соединительные кабели помечены Y/C, чтобы показать, что видео сигнал яркости (Y) и комбинированный сигнал цветности (C) разделены. Другие форматы, которые записывают раздельно Y и C сигналы, это U-Matic и Hi-8 видео.
5.3.4 Система PAL
Составной сигнал цветности объединяется с видео сигналом яркости, синхронизацией и другой информацией управления, чтобы формировать единый, составной сигнал. В результате смешивания сигнала яркости и сигнала цветности некоторые очень яркие, насыщенные RGB цвета преобразуются в сигналы, которые не могут быть переданы по телевидению; или потому что они перегружают передающее оборудование, или потому что они дают мерцающие, неустойчивые цвета. Хотя такие высоко насыщенные цвета обычно не встречаются при съемке реального мира, они являются проблемой в изображениях, генерируемых компьютером, и эти цвета должны быть преобразованы к цветам, которые можно транслировать по телевидению, уменьшением яркости или насыщенности.
Ограничения на допустимые цвета имеют место во-первых потому, что амплитуда составного сигнала цветности должна быть меньше чем 53, и во-вторых, что сумма видео сигнала яркости и составного сигнала цветности должна быть меньше чем 1.2.
При передаче телевизионные сигналы чувствительны к ошибкам фазы, которые изменяют фазу цветности f и, таким образом, изменяют оттенок. Чтобы исправить при малых ошибках, система PAL инвертирует Фазу V на дополнительных строках развертки, отсюда и название. Путем усреднения последовательных строк развертки ошибка фазы сбрасывается за счет дальнейшего уменьшения в вертикальном разрешении.
Другим следствием смешивания сигнала цветности и видео сигнала яркости является то, что два сигнала взаимодействуют. Информация высокочастотного видео сигнала яркости декодируется как цветность, давая мерцающие радуги цвета на фрагментах типа параллельных линий. Цветовая поднесущая частота не полностью удаляется из информации видео сигнала яркости, давая периодическое изменение в яркости по растровой строке. Быстродействующие переходы в цвете создают мерцающий край, действие которого может быть уменьшено путем сглаживания изображения до его кодирования.
Домашнее VHS видео записывает составной видео сигнал, и таким образом переносит все дефекты качества цвета, которые были отмечены для телевидения. Это должно приниматься во внимание при планировании видео анимации, которая должна быть показана на конференции или презентации. Наиболее общим форматом для использования является VHS; поэтому, хотя отснятый материал не является телепередачей, он подвергается всем ограничениям телепередающей среды.
5.3.5 NTSC телепередача
Это система телепередачи используется в США и Японии. Поскольку она явилась основой для PAL, большинство комментариев в предыдущем разделе также касаются NTSC. Некоторые отличия от PAL:
- 525 строк, а не 625 строк вертикальная разрешающая способность;
- частота смены кадров - 30, а не 25 раз в секунду;
- нет чередования фазы, поэтому есть ошибки оттенка;
- используется меньшая ширина полосы частот, чем в Европе.
Как первоначально определено, NTSC использует I и Q, а не U и V, определяемые:
I = V cos(33°) -- U sin(33°)
Q = V sin(33°) + U cos(33°)
Это - простой поворот и смещение осей, таким образом Q содержит синие и фиолетовые цвета; как было замечено в разделе 2.7, это цвета, для которых пространственная разрешающая способность глаза является беднейшей. Чтобы справиться с узко-доступной шириной полосы частот (шириной спектра), сигнал Q транслируется при намного более низкой разрешающей способности, чем Y или I. Принимая во внимание, что полоса пропускания Y сигнала - 100%, I использует 25%, а Q только 10%. Современное производственное оборудование использует U и V, а не I и Q; декодер не обнаруживает различие.
Цветовое соответствие
Поскольку мы увидели, что явление цвета есть субъективное понятие, то модель цвета должна принять во внимание наше знание относительно механизма цветового зрительного восприятия, если она должна иметь какую-нибудь полезность. Наиболее очевидный способ сравнивать два цвета на сходство является такой, чтобы смотреть на них рядом. Это как раз то, что было сделано на ранних стадиях цветовой науки3.1.1 Tristimulus (трехцветное) цветовое соответствие
Чтобы точно воспроизвести цвет данного объекта, сначала, казалось бы, необходимо иметь множество источников света, соответствующих всем различным спектральным цветам, и корректировать интенсивность каждого цвета отдельно, пока спектр объектов не был бы точно дублирован.
На практике, однако, эквивалентные цветовые ощущения могут быть созданы смесью только трех цветов. Это потому, что аналитическая разрешающая способность глаза для цвета недостаточна, по сравнению с разрешающей способностью других органов чувств типа уха или носа; комплексный световой раздражитель воспринимается как единое ощущение. Например, данный комплексный звуковой раздражитель, типа концертного оркестра, имеет возможность разрешить индивидуальные инструменты, а слышать только скрипки. Невозможно, давая смешанный зрительный раздражитель, такой как белый свет, “обращать внимание” только на красные составляющие. (Хотя пространственная разрешающая способность глаза намного лучше, чем уха).
![]() |
Рисунок 11 - Trichromatic (трехцветное) цветовое соответствие
Рисунок 11 показывает экспериментальную схему для проведения опытов цветового соответствия. Лампы направлены на диффузор (показанный как серый прямоугольник на рисунке 11) так, чтобы наблюдатель видел однородный единый цвет. Неизвестный свет, который должен быть согласован, отмечен "?", просматривается рядом с тремя стандартными (эталонными) источниками света, интенсивности которых индивидуально изменяются до тех пор, пока цвета не будут согласованы.
Три источника света, часто выбираемые для экспериментов цветового соответствия, это монохроматические (одиночная длина волны) источники при 700нм (ало-красные), 546.1нм (желтовато-зеленые) и 435.8нм (синевато-фиолетовые).
Они представлены на рисунке 11 и иллюстрации 26. Зеленые и сине-фиолетовые огни соответствуют острым пикам в спектре из ртутной паросветной лампы; это допускает калибровку и обмен экспериментальных данных между различными сериями измерений. Красный свет находится в зоне спектра, где изменения в длине волны производят мало изменений в воспринимаемом цвете, минимизируя эффект разрегулировки.
В некоторых случаях выравнивание может быть получено только регулированием неизвестного цвета; это выполняется добавлением правильного соотношения одного или большего количества стандартных источников света с использованием второго набора эталонных ламп, показанных серым на рисунке 11. Это эквивалентно отрицательной величине одного или большего количества требуемых источников света. Задание цвета в терминах количеств энергии, требуемой от каждого из трех источников света, чтобы согласовать цвет, названо координатой цвета.
3.1.2 Аддитивность
Цвет, получающийся в результате смешивания двух цветных источников света, может быть точно предсказан; это есть сумма координат цвета для двух источников света. Координата цвета из смеси 50 на 50 двух источников света есть таким образом средняя координата цвета.
Это важное свойство, названное аддитивностью, позволяет предсказать цвет смеси произвольного числа источников света. Рассмотрение спектра цвета, который будет получен из большого количества диапазонов длин волн, допускает координату цвета любого объекта, которая будет вычислена как аддитивная смесь этих диапазонов. Если предсказанная координата цвета смеси положительна, она может быть смешана с цветом, согласующим описанную установку. Это истинно, даже если один из компонентов смеси имеет отрицательные координаты цвета.
Цветовое видео
Видео оборудование имеет некоторые сходства с компьютерными графическими мониторами в том смысле, что изображение является таблицей пикселов на RGB мониторе. Однако, имеются различия, касающиеся механизмов кодирования сигнала и методов работы в этой отрасли промышленности. Привычное звучание терминов может иметь новые, отличные значения в контексте для видео оборудования.Потому что анимационные последовательности компьютерной графики часто хранятся как видео, полезно иметь некоторое представление о технологии видео, поскольку это касается использования цвета. В то время как компьютерная графика может быть разработана со свойственными ограничениями передачи информации в памяти. Следует помнить, что самое лучшее профессиональное видео оборудование даст намного худшую разрешающую способность и точность воспроизведения цвета, чем даже скромная графическая рабочая станция.
5.2.1 Телевизионные мониторы.
Цвета определены в RGB пространстве стандартизированных телевизионных мониторов, цветности люминофоров, белая точка, и значение гаммы которых жестко закреплены соответствующей организацией стандартов. Это дает возможность инженеру надежно проверить качество в любой студии. Это также дает возможность создавать компьютерную графику по этим стандартам так, что она будет выглядеть правильной при просмотре. Таблица 3 показывает характеристики для трех популярных стандартов.
| | Red x,y | Green x,y | Blue x,y | ||||
| NTSC | 0-670 0-330 | 0-210 0-710 | 0-140 0-080 | ||||
| SMPTE | 0-630 0-340 | 0-310 0-595 | 0-155 0-070 | ||||
| EBU | 0-640 0-330 | 0-290 0-060 | 0-150 0-060 |
Таблица 3: Цветности стандартных телевизионных мониторов
Стандарты телевещания в Соединенных Штатах Америки определены Национальным Комитетом Телевизионных Систем (NTSC). NTSC стандарт также используется в других странах, типа Японии. Он определяет источник света C для белой точки и значение гаммы 2.2.
Великобритания и Европа используют стандарты, установленные Европейским Телевещательным Союзом (ПАЛ).
Они используют белую точку D65 и гамму 2.2. Цветовая коррекция в современных студиях выполняется на студийном мониторе, который соответствует требованиям Общества Кино и Телевизионных Инженеров (SMPTE).
Гаммы этих трех мониторов показаны на рисунке 45. Чтобы обеспечивать правильный цвет при высоком качестве компьютерной графики, МКО XYZ значения должны быть преобразованы к RGB с использованием цветностей монитора SMPTE.
![]() |
5.2.2 Гамма-коррекция (коррекция цветового диапазона)
В отличие от общей практики в компьютерной графике, где гамма-коррекция осуществляется непосредственно перед отображением, RGB сигналы, которые должны быть записаны на видео, подвергаются гамма-коррекции перед кодированием. Альтернативный вариант требовал бы схему гамма-коррекции в каждом воспроизводящем мониторе и, если бы сигнал должен был бы передаваться по телевидению, в каждом телевизоре. Проще и эффективнее производить отдельную устойчивую, точную коррекцию в студии.
Поэтому важно то, что компьютерные графические изображения, которые должны записываться на видео, предварительно будут гамма-корректироваться. Гамма-коррекция в контексте компьютерной графики обсуждается в Приложении A. В то время как любое произвольное преобразование может применяться к компьютерному графическому изображению, стандарты для видео принимают те входные сигналы, которые исходят от телевизионной камеры, и ту гамма-коррекцию, которая будет выполнена электронной схемой. График идеального степенного закона в начале координат вертикальный, что соответствует бесконечному усилению в схеме. Ясно, что этого невозможно достичь, и это вызвало бы серьезные проблемы с усилением шума, поэтому гамма-коррекция в контексте видео использует модифицированный степенной закон с линейным участком в начале. Чтобы сохранять совместимость, то же самое преобразование должно использоваться для компьютерной графики, которая должна быть сохранена на видео.
Формулы, приведенные ниже, определены CCIR Rec. 709, международным эталоном для телевидения высокой четкости (HDTV). Более ранние стандарты видео имеют менее точные определения для гамма-коррекции, игнорирующие проблему бесконечного усиления.
CCIR Rec. 709 формализует диапазон сходных значений, используемых в современном студийном оборудовании, и эти уравнения подходят для использования в компьютерной графике. Для значений в диапазоне от 0.018 до 1.0:
Rg= 1.099 R0.45
0.099
Gg= 1.099 G0.45
0.099
Bg= 1.099 B0.45
0.099
Для значений в диапазоне от 0.0 до 0.017, наклон кривой ограничен до 4.5:
Rg= 4·5 R
Gg= 4·5 G
Bg= 4·5 B
5.2.3 Ширина полосы пропускания
В компьютерной графике об изображении думают как о двумерном массиве пикселов, каждый из которых может быть любого цвета. Это просто и наглядно, и, благодаря быстрому обновлению данных, мы визуально не замечаем смены кадра. В видеозаписи об изображении думают как о форме сигнала, которая характеризует то, как интенсивность или цвет изображения изменяется, когда электронный луч пробегает по экрану дисплея. Поскольку строки на экране отслеживаются последовательно, об изображении в видео терминах думают как о одномерной форме волны.
Медленно изменяющееся изображение соответствует низкочастотной форме волны. Чем большие изменения между одним пикселом и следующим, тем выше требуемая частота, чтобы кодировать его, и, тем самым, большая общая полоса пропускания. Это фундаментальное различие между компьютерной графикой и видео; смежные пикселы в каждой горизонтальной растровой строке связаны между собой. Нет однако никакой специальной связи между пикселом и пикселом выше или ниже его. Они находятся на различных растровых строках.
Типичное компьютерное графическое изображение, где смежные пикселы могут быть полностью различны, требует чрезвычайно высокой пропускной способности, чтобы отображать это. В видеозаписи доступная пропускная способность строго ограничена и поэтому величина, на которую один пиксел может измениться относительно того, который предшествовал ему, ограничена.
Максимальное число пикселов в растровой строке 768, а эффективность горизонтальной разрешающей способности будет таким образом меньше.
5.2.4 Частота обновления
Типичный компьютерный графический монитор может иметь вертикальную разрешающую способность 1024 строки и обновляться 72 раза в секунду или больше. Это означает, что 1024*72 = 73728 растровых строк обновляются каждую секунду. Видеомагнитофон имеет 625 линий, из которых 50 используются для других целей, и регенерируется(обновляется) 25 раз в секунду; другими словами он может отводить только (625 - 50)*25 = 14375 растровых строки в секунду.
Чтобы уменьшать нежелательное мерцание, сначала выводятся четные строки развертки, затем следует вывод нечетных строк развертки. Это увеличивает эффективную скорость регенерации изображения до 50 раз в секунду при условии, что имеется некоторая корреляция между одной растровой строкой и следующей. Это часто имеет место, когда изображение получено из камеры, но менее вероятно в компьютерном графическом изображении. Горизонтальные линии, которые имеют ширину одного пиксела, будут заметно мерцать. Эффективность горизонтальной разрешающей способности таким образом уменьшается от 575 до 200 - 300.
5.2.5 Видео сигнал яркости
Цвета преобразуются из
RGB в видео сигнал яркости и два разностные
цветовые сигнала. Это подобно кодированию трех цветовых сигналов в сигнал яркости и разностные сигналы цвета
в глазе, которые были
описаны в разделе
2.6, и выполняется по той же самой причине: максимально использовать
доступную информационную пропускную способность.
Как первоначально рассчитано в 1950-ых, кодирование сигнала яркости соответствует сумме яркостного сигнала от каждого люминофора, использующего соотношения цветов исходного NTSC телепередающего монитора.
Это дает формулу для видео сигнала яркости, который есть:
Y = 0·299 Rg+ 0·587 Gg+ 0·114 Bg
Это теперь стандартизовано (CCIR Rec. 601-1), и декодеры, выполняющие эту операцию, встраиваются во все видеомагнитофоны и телевизоры.
За последние годы люминофоры, используемые в цветных телевизорах, изменились, таким образом современные телевизоры полностью отличаются от первоначальных NTSC (Национальный комитет телевизионных систем). Чтобы обеспечивать более успешный цветовой мониторинг, Общество Кино и Телевизионных инженеров (SMPTE) издало стандартное практическое руководство, которое определило новые цветности, показанные в таблице 3. Цветовая балансировка теперь выполняется с использованием SMPTE телевизионного монитора. Т.к. монитор NTSC не является представителем современных телепередающих мониторов или телевизоров, видео сигнал "яркости" больше не имеет правильной формулы, чтобы вычислять сигнал яркости, который будет измерен у монитора. Кроме создания лишь оптимального использования информационной пропускной способности системы, это больше никак не используется. Более важно, что кодер и декодер работают правильно в комплекте друг с другом.
Используйте выше упомянутую формулу, чтобы вычислить видео сигнал яркости, который будет записываться на ленту. Это не зависит от монитора, который используют для цветовой балансировки.
Чтобы вычислить фактический измеряемый сигнал яркости, например, чтобы преобразовать полное цветовое изображение к шкале градаций серого, вычисляйте его непосредственно из цветностей обсуждаемого монитора, используя процедуру в Приложении B. Например, для SMPTE монитора формула была бы:
Y = 0·2122 R + 0·7013 G + 0·0865 B
Заметьте, что значения RGB в этой формуле не требуют гамма-коррекции. Неудачно, что символ Y имеет эти два связанных, но различных (различимых) значения. Цветность видео сигнала яркости Y является в системе белой точкой (обычно D65), в то время как МКО Y основной цвет является мнимым цветом с цветностью u¢ = 0, v¢ = 0 6.
Как дополнительная ловушка для неосторожного, HDTV будет использовать различную формулу для видео сигнала яркости. Новый стандарт (SMPTE 240M) для высококачественного видео и системы телевидения не требует поддерживать совместимость с установленной базовой системой прежних декодеров.
Так что кодирование видео сигнала яркости было рассчитано из множества мониторов SMPTE:
Y = 0·2122 Rg + 0·7013 Gg + 0·0865 Bg
5.2.6 Сигналы цветности в видео
Имея яркостной видео сигнал, другие два канала требуются, чтобы нести достаточную информацию для восстановления первоначальных значений RGB. Они называются цветоразностными сигналами, т.к. они были первоначально связаны цветовым различием между кодируемым цветом и белой точкой. Это больше не имеет место потому, что видео сигнал яркости больше не равен сигналу яркости МКО. Сигналы цветности производятся вычитанием видео сигнала яркости из любых двух из трех (RGB) каналов. Зеленый делает наибольший вклад в видео сигнал яркости, поэтому именно красный и синий каналы используются, чтобы формировать сигналы цветности.
C1 = Rg Y
C2 = Bg Y
Из-за этих формул, цветоразностный сигнал также иногда называется цветовым контрастом.
Ясно, сигналы цветности могут быть положительные или отрицательные. Подстановка значений RGB основных (красный, зеленый, синий) и вторичных (голубой, сиреневый, желтый) цветов в эти уравнения показывает, что C1 изменяется между ±0 866 и C2 между ±0 701.
Преобразование RGB сигнала к сигналу яркости (Y) и двум сигналам цветности (C1 C2) является линейным обратимым процессом и является точкой отсчета для всего видео кодирования. Cамо по себе это не создает ограничений или искажений цветового качества, хотя более поздние стадии конечно делают это.
5.2.7 Аналоговое видео
Эти видео системы записывают раздельно три составляющие сигнала - видео сигнал яркости и две видео цветности, таким образом при воспроизведении изображение выглядит очень похожим на первоначальный RGB сигнал. Основными ограничениями являются: отношение полезного сигнала к уровню шума, стабильность и линейность аналоговой системы записи. Более дорогостоящее профессиональное телевизионное оборудование дает лучшее изображение, чем оборудование промышленного типа.
Этот тип системы используется для профессионального видео оборудования. Примеры - система Sony Betacam, широко используемая для электронного сбора новостей и создания записей студийного
качества, и Panasonic MII система.
В аналоговой составляющей записи, составляющие сигнала цветности масштабируются так, чтобы несколько некорректный минимум и максимум значений стал ± 0,5:
Pb = 0,5 / (1 0,114) C1
Pr = 0,5 / (1 0,299) C2
Дополнительно Pb
и Pr компоненты субдискретизируются с коэффициентом два, давая сжатие сигнала. Это ограничение полосы пропускания подобно замене пар пикселов их средними цветами. Однако, видимый результат ухудшения качества от этого меньше, чем казалось бы, поскольку видео сигнал яркости остается нетронутым. Субдискретизация выполняется только на составляющих сигнала цветности. Человеческий глаз слаб при идентификации чрезвычайно малых областей цвета и может видеть только различие в яркости. В том значении, в каком видео сигнал яркости определяет яркость видео сигнала (степень светлоты и темноты изображения), эта оптимизация успешная. Результат - очень небольшое замазывание малых деталей в изображении.
5.2.8 Цифровое видео
Подобно аналоговому видео, три компоненты хранятся раздельно и составляющие цветности субдискретизируются с коэффициентом два. Разрешающая способность фиксирована числом используемых битов, чтобы закодировать каждую компоненту. Имеются два определенных метода, 8 битов или 10 битов на компоненту; в настоящее время используются только 8 разрядные формы.
Видео сигнал яркости записывается как 8 разрядное число без знака, а составляющие цветности - как 8 разрядные числа со знаком. Однако не все 256 кодов используются; стандарты для цифровой видео составляющей CCIR Rec. 601-1 и CCIR Rec. 656 точно определяют то, что некоторые коды в верхнем и нижнем диапазонах остаются неиспользованными для начального и конечного блока данных.
Y = 219 Y + 16
Cr = 224 C1 + 128
Cb = 224 C2 + 128
Большим преимуществом цифрового видео является отсутствие шума и возможность копирования много раз без ухудшения качества. Записывающее оборудование цифрового видео, однако, значительно дороже, чем аналоговое оборудование.
Если компьютерную графику делают специально для записи цифрового видео, значения R G и B должны быть гамма-корректированными как значения с плавающей запятой, затем преобразованы непосредственно в диапазон от 16 до 226, а не обычный от 0 до 255. Это исключает появление ошибок от двукратного округления.
Три составляющие могут затем быть рассчитаны непосредственно:
Y = (77Rg + 150Gg + 29Bg ) / 256
Cb = (131Rg 110Gg 21Bg + 128) / 256
Cr = (44Rg 87Gg + 131Bg + 128) / 256
Другие системы, которые используют YCbCr, или производные этого, включают JFIF формат изображения из JPEG и формат PhotoCD из Kodak.
Цветовые модели МКО
4.3.1 CIE 1931 XYZЭто цветовое пространство уже рассматривалось; оно является основным цветовым пространством для колориметрического измерения и базисом для других цветовых пространств МКО. Оно имеет преимущество строго определенного и международного эталона. Между тем, являясь удобным для представления описания существующих измеряемых цветов, его не особенно легко использовать для определения новых цветов. Это потому, что основные цвета являются невидимыми цветами; в то время как они всегда положительны, оси находятся вне амплитуды видимого цвета, как может быть замечено на рисунке 29.
![]() |
Рисунок 29: МКО 1931 XYZ цветовое пространство
4.3.2 1976 CIELUV
Если яркость цвета градуирована относительно некоторого белого цвета, то получается относительная шкала яркости от 0 до 100 % (черный к белому). Измеряемая яркость, однако, не соответствует полностью воспринимаемой светлоте; шкала выглядит заметно не однородной, со всеми темными цветами, скопившимися в одном конце. МКО рекомендовал нелинейную формулу для светлоты L*, которая соответствует более близко воспринимаемому ощущению. В среднем 50% серого встречается в L*=50. Внешний вид шкал яркости, построенных из яркости и светлоты, показан на графике ниже.
![]() |
Рисунок 30: Светлота (выше) и яркость (ниже).
L* = 116 (Y/Yw)1/3- 16 для большинства значений Y (Y/Yw > 0.008856) или
L* = 903.3 (Y/Yw) для очень темных цветов (Y/Yw Ј 0.008856)
Yw является Y координатой цвета для белого эталона, другими словами того белого, к которому глаз адаптируется. Для большинства целей стандартный источник света типа D65 используется как эталон белого.
МКО рекомендовал однородное, 3-х мерное пространство цвета, включающее и UCS, и этот параметр светлоты, названное МКО 1976 (L* u* v*) пространством цвета. Показанное на рисунке 31 и на иллюстрации 30, оно обычно упоминается как CIELUV и может считаться однородной версией МКО 1931 XYZ пространства.
Формулы:
u* = 13 L* (u' - u'w)
v* = 13 L* (v' - v'w)
Где u'w и v'w
- UCS координаты выбранного эталона белого. Эти формулы соответствуют приведению начала графика UCS к белой точке и маштабированию относительных координат цветности через светлоту так, что геометрическое расстояние между двумя цветами сокращается, поскольку они делаются более темными. Это учитывает тот факт, что темные цвета выглядят более одинаково, чем светлые цвета, даже когда цветности те же самые. Результирующее пространство цвета, следовательно, формирует конусообразное сплошное тело. Черный, при L* = 0, таким образом единственный цвет в верхушке этого конуса.
CIELUV пространство могло бы также рассматриваться как набор масштабированных UCS графиков, как показывает Рисунок 31.
![]() |
Поскольку спектральные цвета формируют круг вокруг начала координат, возможно определить угол оттенка huv, который определяет оттенок с единственным численным значением. Положительная u* ось определяется, чтобы иметь 0°, и углы измеряются против часовой стрелки.
huv = arctan(v*/u*)
Преимущество этого состоит в том, что оттенок есть легко представляемое понятие. Цвета радуги располагаются в круге. Расстояние от ахроматической L* оси может затем использоваться как критерий цветности или насыщенности:
C*uv = (u*2+v*2)1/2
Светлота, цветность и угол оттенка определяют альтернативу - полярную форму CIELUV, показанную на рисунке 32. Ее проще использовать для смешивания цветов, чем не полярную форму CIELUV.
![]() |
Насыщенность рассчитана из:
S* = C*/L*
Рисунок 33 показывает плоскости постоянной цветности и постоянной насыщенности в LCH пространстве МКО. Цветность, ясно видно, не зависит от светлоты.
![]() |
Модель CIELUV, из-за большей воспринимаемой однородности, чем другие модели, используется в телевизионной и кинопромышленности и находит увеличивающееся использование в компьютерной графике.
Она вообще используется для излучающих цветов типа источников света или мониторов компьютера. Соответствие PHIGS и PHIGS PLUS реализациям требуется, чтобы поддержать эту модель.
4.3.3 1976 CIELAB
Альтернативная цветовая модель рекомендуется МКО для отражающих цветов, типа красок или окрашенных тканей. Она оптимизирована для определения количества цветового различия между двумя образцами почти идентичных цветов, как например между двумя пакетами красителя, и получения подобных численных результатов с другими существующими формулами цветового различия. Светлота, параметр тот же самый L*, как в CIELUV, но есть два других:
a* = 500 [ (X/Xw)1/3 (Y/Yw)1/3
]
b* = 500 [ (Y/Yw)1/3 (Z/Zw)1/3 ]
Из-за кубических корней в этих уравнениях нет цветового графика для CIELAB. Прямые линии в МКО 1931 двухмерном пространстве XY остаются прямыми в UCS, но не прямые в графике цветности, основанном на CIELAB. Он следовательно не представляет аддитивное смешивание.
Начиная с 1976, более сложные не Евклидовы формулы были изобретены для цветового различия в CIELAB, которые дополняют изменяющиеся веса светлоты, угла оттенка и цветности, в зависимости от области цветового пространства, в котором образцы находятся. Эти формулы используются в высокоточных индустриальных применениях
Так как отражающие цвета определяют или измеряют, используемый источник света также должен быть заявлен. Вообще, D65 используется, если нет какой-нибудь специальной причины выбрать другой источник света. И CIELUV и CIELAB принимают, что источник света, или эталон белого, находится близко к естественному дневному свету.
CIELAB имеет полярную форму по имени L* C*ab hab, подстрочные
индексы используются, чтобы различить ее с
полярной формой CIELUV. Формулы идентичны.
CIELAB иногда встречается в спецификации цветовых принтеров. Используя данный эталонный источник света, просто преобразовать эти значения к XYZ или LUV. Вторая редакция Метафайла Компьютерной Графики (ISO/IEC 8632: 1992) разрешает, чтобы цвета были определены или в CIELUV или в CIELAB.Архитектура стандарта открытого документа (ISO стандарт) для составных документов использует CIELAB для цветовой спецификации, которая определяет стандарт на обработку изображения и обмен(IPI).
Цветовые схемы
Диапазон связанных цветов, используемых вместе, дает единый вид без помех. Плохой выбор цветов может сбить с толку или быть слишком резким и вызвать зрительное напряжение, если смотреть на него длительное время. Выбор связанных цветов это, скорее, субъективный процесс; однако можно использовать высокопрофессиональные художественные советы и цветовую науку. Во многих случаях эмпирические принципы высокопрофессионального художественного искусства можно объяснить в терминах цветовой науки.6.3.1 Использование художественных советов
Дополнительные цвета являются цветами, которые находятся на противоположных сторонах цветового круга. Использование дополнительных цветов позволяет создать сочное, привлекающее зрителей изображение. Чтобы изображение не выглядело очень ярким, цветность должна быть уменьшена для больших областей. Часто для больших областей полезно использовать один цвет или группу подобных цветов так, чтобы их дополнительные цвета выделялись, когда они используются в малых количествах как наиболее яркие участки изображения или акценты. Различные цветовые модели используют различные размещения цветов по цветовому кругу, поэтому точное размещение дополнительного цвета изменяется с цветовой моделью. Подлинно перцептивно однородная шкала дала бы правильный цвет. Определение дополнительных цветов может быть легко сделано на глаз. Просто смотрите пристально на маленькое цветовое пятно на черном фоне в течение минуты или около этого. Затем, переведя взгляд на хорошо освещенную белую поверхность, вы увидите изображение в дополнительном цвете. Иллюстрация 43 может быть использована, чтобы попытаться сделать это. Обратите внимание на то, что точность полученного цвета зависит от используемого источника света.
Вследствие просмотра фоточувствительный пигмент в конусах становится обесцвеченными, так как существует непрерывный цветной раздражитель от яркого цвета. Смотрящий в одну точку, без движения глаз сохраняет изображение в одних и тех же клетках в сетчатке.
В отдыхающей клетке пигмент насыщается. Чтобы это не происходило, пигмент в каждом типе конуса истощается пропорционально величине, до которой этот цвет возбуждает каждый тип конуса. Например, зеленый раздражитель обесцветит конусы М больше других. Взгляд на белую поверхность дает иллюзию розового цвета, пока пигмент не восполнится.
Изображение, в котором много ярких несвязанных цветов, будет выглядеть хаотичным и бессмысленным; нет единой точки фокуса. Использование групп связанных цветов и расчетливое использование ярких цветов предотвращает этот эффект и создает профессиональное изображение.
Если отдельные цвета должны иметь индивидуальные обозначения, они должны быть ясно объяснены, а цвета должны быть легко различимы. Некоторые цвета имеют общепринятый смысл, который является широко, если не универсально, понятным. Например, красный ассоциируется с действием, волнением, опасностью, высокой температурой и запрещением. Такие обозначения многообразны и противоречивы. Они также могут иметь разный смысл в разных культурах.
Когда должен использоваться сглаженный диапазон цветов, полезно объединять существующие обозначения цветов, особенно те, которые понимаются однозначно благодаря ясно определенной группе. Например, в медицине красный обозначает здоровую ткань, а синий - зараженную ткань. В картографии диапазон от темно-синего до светло-синего и белого определяет глубину морей; желтые, зеленые и коричневые задают увеличение высоты суши, которая достигает максимума в фиолетовом и белом для высоких гор.
6.3.2 Использование цветовой науки
Не используйте синий и красный вместе. Не используйте синий как цвет букв, когда важна форма; однако он создает хороший фон. Почему? Хроматическая аберрация глаза не дает возможность полностью сосредоточиться на красном и синем одновременно, как показано на иллюстрации 44. Глаз будет утомляться от непрерывной перефокусировки, и хрусталик окажется в положении, где ни один цвет полностью не будет в фокусе. При использовании синего в качестве фона нет четкого очертания, поэтому мягкое размывание изображения является ненавязчивым.
Явление стереограмм дает видимость глубины.
Не используйте мелкие детали изображения в синем или красном цвете на темных цветных фонах. Почему? Кривая спектральной чувствительности имеет пики в желтой и зеленой части спектра. Цвета в экстремумах (на краях) спектра будут казаться более темными, чем желтые и зеленые, при том же самом измеряемом уровне силы света. Точно так же желтые и зеленые на светлом фоне будут иметь низкую контрастность и таким образом будут плохо видны.
Не используйте синий или фиолетовый для небольших перемещающихся изображений типа курсоров мыши. Почему? S конусы имеют более медленную реакцию, чем М или L конусы. Следовательно, они плохо реагируют на быстродействующие изменения в позиции синих и фиолетовых объектов. Плотность S конусов в центральной ямке намного меньше, чем плотность М и L конусов. Следовательно, пространственная разрешающая способность для синих объектов намного меньше, чем для других цветов (явление, которое, как мы уже видели, используется субдискретизацией при кодировании видео).
Не полагайтесь на различие красного и зеленого цветов, чтобы передать важную информацию. Почему? Часть вашей аудитории слабо различает или вовсе не будет чувствительна к различиям красного и зеленого.
Используйте перцептивно однородные цветовые пространства, чтобы создать цветовые шкалы. Почему? Цветовые шкалы с перцептивными скачками могут давать ложное впечатление от неверной детали изображения. Области небольшого цветового изменения могут маскировать детали изображения. Перцептивно линейная цветовая шкала облегчает оценки отображаемого параметра.
Другие цветовые модели
Имеется широкое многообразие цветовых моделей, с которыми можно иногда встретиться в компьютерной графике и работе визуализации(визуализация - представление физического явления или процесса в форме, удобной для зрительного восприятия - прим. перев.). Некоторые из них используются в частной прикладной области, типа архитектуры или текстиля. Ряд моделей определены как национальные эталоны в отдельных странах и будут встречаться при выполнении работы для тех стран. Другие включены здесь, потому что они поясняют особый взгляд (точку зрения) на цветовую науку.4.5.1 Munsell система
Это - однородно воспринимаемая система для отражающих цветов, используемых в графических искусствах, текстильной промышленности и в производстве краски, особенно в США. Она рекомендована ANSI, Американской Национальной Стандартной Ассоциацией. Она состоит из книги окрашенных цветовых образцов, классифицированных тремя параметрами - Munsell оттенок, значение и цветность. Имеются пять основных оттенков: красный, желтый, зеленый, синий и фиолетовый. Следующие пять оттенков имеют смеси из них: зеленый/синий, синий/фиолетовый. Оттенки упоминаются их начальным символом, например R, YG. Каждый из этих десяти оттенков далее подразделяется десятичным числом. Имеются четыре раздела, воспроизведенные в Munsell Книге Цвета (2.5, 5, 7.5, 10), дающие 40 оттенков всего, которые расходятся от центра, подобно радиусам в круге, от ахроматической оси значения(ахроматический - неокрашенный - прим. перев.), как показано на рисунке 37 и на иллюстрации 35.
![]() |
Рисунок 37: Munsell оттеночный круг
Значение определяется целым числом, больше, чем 0 (черный) и меньше, чем 10 (белый). Цветность - расстояние по радиусу от ахроматической оси, и изменяется в диапазоне от 2 до 14 или больше; книга имеет образцы через шаг. Все цвета с цветностью 0 находятся на ахроматической оси и не имеют оттенка. Пример цвета, определенного в Munsell системе, 5.0PB/4/10, который означает фиолетово-синий со значением 4 (более темный, чем середина серого) и цветностью 10 (очень красочный, близкий максимальному пределу достижимости пигмента для того цвета).
МКО значения для всех образцов, измеренные с использованием источника света C, были опубликованы; например: этот конкретный цвет имеет значения цветности x=0.1773, y=0.1659, и Y=0.1200.
Разработанная художником Альбертом Мунселлом, эта система полагается на субъективный отбор оттенков по перцептивной однородности, а не по колориметрической аппроксимации. Первоначальный отбор цветов был полностью "глазом". Сравнение Munsell системы с CIELUV и CIELAB показывает то, что в то время как ни одна из этих систем не является полностью перцептивно однородной, соглашения между ними удивительно близки.
Цвета в Munsell системе правильно разделяют цветность и значение. Например, средний желтый, такой как 5.0Y, имеет максимальную цветность при высоком значении; это соответствует наблюдению, что самый чистый интенсивный желтый является светлым цветом. Диаграмма ниже предназначена, чтобы показать идею относительно Munsell системы, и описывает два сечения, расположенные вокруг ахроматической оси. Это также показано на цветной иллюстрации 34.
![]() |
Рисунок 38: пара страниц из Munsell системы
4.5.2 Естественная Цветовая Система
Естественная цветовая система (NCS) является противоположной цветовой системой и рекомендована Шведским Институтом Стандартов. Она использует теорию противоположных цветов, выдвинутую Herring, который заявляет, что имеются две пары цветов (красный/зеленый и желтый/синий). Ни один из этих цветов не имеет сходство с любым из других, и любой цвет может иметь вклад только одного из каждой пары. Например, цвет может быть зеленовато-синий, но не может быть красновато-зеленый или голубовато-желтый. Имеется третья пара - черный/белый, и цвета могут содержать смесь обоих, чтобы формировать серые.
Первоначально теория оппонентов была обсуждена сторонниками трехцветной теории, которые подчеркнули, что желтое ощущение может быть получено с красным и зеленым светом. Теперь общепринято, что оппонентные цвета, которые как концепция относятся к временам четырех визуальных основных цветов Леонардо да Винчи, не в конфликте с трехцветной теорией и, действительно, могут быть связаны с оппонентным устройством сетчатки.
Дело не в том, что желтый может быть произведен смесью, а в том, что он имеет внешний вид различного цвета, не имея никакого красноватого или зеленоватый оттенка.
Три параметра в пространстве NCS - оттенок (f), чернота (s), от Немецкого Schwarz, и цветность (c). Оттенки определяются как процент от двух из четырех цветов. Например, известняковая зелень могла бы состоять из смеси 65% желтого и 35% зеленого. Это было бы написано как Y35G. Соотношение всех цветов данного оттенка f с ахроматической осью может быть изображено в виде равностороннего треугольника. Расстояние конкретного цвета до каждого края может быть выражено в процентах; проценты белого (W), черного (S) и оттенка (F) будут всегда составлять 100, поэтому обычно пренебрегают процентом белого. NCS показан на рисунке 39 и на иллюстрации 36.
![]() |
Построение графиков цветов NCS на UCS МКО показывает, что цветность довольно однородна, но оттенок - нет; имеется большее количество цветов в синем к красному квадранту, чем в других. Это означает, что дополняющие цвета, выбираемые с NCS, не будут такими же, как выбираемые с CIELUV или Munsell цветовыми моделями.
NCS используется в некоторых цветных каталогах для торговли украшениями и косметикой. Соответственно, с этим можно иногда сталкиваться в архитектурной работе визуализации.
4.5.3 DIN система
Немецкая система национальных эталонов, Deutsches Institut fûr Normung (DIN), разработала модель цвета (DIN 6164), которая снова имеет круглую характеристику оттенка. Цвета той же самой доминирующей длины волны имеют тот же самый оттенок (T), который располагается с 1, для желтого через красный, фиолетовый, синий и зеленый, до 24, для зеленовато-желтого. Другие две переменные - насыщенность (S) и темнота (D). Полная форма почти соответствует круглому не усеченному конусу, с черным в верхней точке. Однако, максимальная насыщенность отличается для различных оттенков. Из-за использования насыщенности, а не цветности, имеется меньшее различие между темными цветами, чем светлыми цветами.
Совместно с другими моделями, которые имеют "разрезы" постоянного оттенка, типа Munsell и NCS, цвета низкой цветности возле ахроматической оси находятся ближе друг к другу, чем яркие цвета высокой цветности. Источник света стандарта МКО D65 использовался, чтобы выбрать образцы, и их МКО координаты цвета опубликованы.
4.5.4 Coloroid система
Эта система используется прежде всего архитекторами и проектировщиками интерьера в Европе. Как с DIN системой, критерий оттенка связывается с доминирующей длиной волны. Расстояние между оттенками было определено из ряда субъективных оценок. Цветность измеряется в масштабе от 0, для D65 эталона белого, до 100, для спектрально чистых цветов. Светлота связывается с сигналом яркости МКО, Y, через квадратный корень веса, чтобы дать перцептивно равномерный масштаб. Формулы были изданы, чтобы преобразовать между Coloroid техническими данными и xyY значениями МКО.
4.5.5 OSA кубовидный восьмигранник
Оптическое Объединение Америки разработало пространство цвета, которое избегает неравного размещения оттеночных круговых систем. Оно основано на ромбоэдрической (тригональной) структуре кристаллической решетки, где каждая точка имеет двенадцать самых близких соседей в 3D. Единичное сплошное тело, которое образовывает пучок, таким образом является кубовидным восьмигранником (куб со всеми восьмью углами, отрезанными). Эта пространственная решетка обеспечивает даже точные образцы пространства цвета и позволяет образцам быть легко упорядоченными в плоскостях, которые не параллельны к осям. Это предназначается, чтобы помочь проектировщикам видеть новые масштабы и размещения цвета.
Три параметра в модели OSA - светлота (L), желтизна (j, Французский jaune) и зелень (g). Отбор цветов для точек явился результатом более чем тридцатилетних экспериментов цветового согласования. D65 используется как источник света, и необычно то, что используется МКО 1964 дополнительный наблюдатель. Это порождает проблемы в использовании OSA в системе компьютерной графики, потому что цветности монитора измеряются для 1931 стандартного наблюдателя.
4.5.6 TekHVC
Это относительно новая система разработана в полярных координатах L*C*Huv
формы CIELUV. Она имеет три параметра:
H = Huv смещение
V = L*
C = 7.50725 C*,
где смещение есть угол в CIE UCS между u' осью и линией, соединяющей выбранную белую точку с отдельным "самым чистым" красным. Это означает что угол оттенка 0°всегда указывает на этот красный, независимо от белой точки. Однако угол оттенка 90° будет все же указывать на различные цвета, поскольку белая точка изменяется. Коэффициент масштабирования предназначается, чтобы делать визуальный результат изменения в C аналогичным подобному изменению в V или H.
4.5.7 Схема наименования цветов (CNS)
Эта не геометрическая модель дает Английские названия для цветов. Имеется ахроматическая ось с семью точками на ней: черный, очень темный серый, темно-серый, серый, светло-серый, очень светло-серый и белый. Шесть оттенков именованы: красный, оранжевый, желтый, зеленый, синий и фиолетовый. Между каждым оттенком есть три промежуточные точки, например между желтым и зеленым есть, по порядку: зеленовато-желтый, желто-зеленый, желтовато-зеленый. Оттенки меняются согласно насыщенности (сероватый, умеренный, сильный или яркий) и светлоте (очень светлый, светлый, средний, темный, очень темный). Так примером определяемого цвета, используя эту схему, был бы "серовато светлый оранжевато красный'.
Имеются проблемы выполнения этой модели в системе компьютерной графики, в которой цвета определены как Munsell цвета, которые должны быть преобразованы к МКО XYZ с поиском по таблице. Также она может описывать очень немного цветов (приблизительно 340).
4.5.8 X11 наименование цветов
Это другое название схемы, хотя не такое правильное/профессиональное как CNS. Предназначенная для описания таких элементов как границы окна и курсоры мыши в Системе X Window, это по существу схема перечисления с цветами, описанными как `Dodger Blue' или `Wheat' например. Спецификация каждого цвета дана в терминах модели цвета RGB.
Она имеет неустранимую проблему, которая заключается в том, что цвета выглядят по разному на различных мониторах, такими, что они не соответствуют привычным названиям. Ряд "альтернативных" описаний был предложен, каждое из которых выглядит правильно на отдельном мониторе человека, кто разработал его.
X11, именованный цветовой список, в значительной степени был заменен из X11R5 далее намного более широкими услугами управления цветом (Xcms). Это допускает спецификацию цвета как RGB, HLS, CIEXYZ, CIExyY, CIELUV, CIELAB, CIEu'v'Y или TekHVC и обеспечивает взаимное программное преобразование между ними. Координаты цветности люминофоров монитора и белой точки стали свойством корневого окна (исходного окна), унаследованным всеми другими окнами.
4.5.9 Pantone
Это патентованная система для определения цвета, широко используемая в коммерческом мире графического дизайна. Первоначально она определила большой ряд пигментов для цветовых пятен. Теперь она расширена на область Pantone цвета процесса, которая связывает цвета с процентами от стандартизированного; Pantone сертифицировала голубые, сиреневые, желтые и черные чернила процесса, используемые со стандартизированными углами экрана. Цвета процесса могут изменяться заметно у "эквивалентного" цвета пятна.
Pantone вообще используется с книгой напечатанных образцов; некоторые приложения имеют лицензию Pantone и могут производить экранный цвет, но это только приблизительная аппроксимация, поскольку цвета определяются в модели цвета RGB. Pantone является методом получения точных результатов, особенно для цвета пятна, но утомительным для использования. Координаты цвета МКО для образцов являются доступными. Другие подобные системы включают Focoltone и TrueMatch.
4.5.10 SML пространство
Это трехцветное пространство подобно МКО XYZ за исключением того, что человеческие спектры пигмента конуса используются как функции согласования. Цвета таким образом определены в терминах степени возбуждения, произведенного в каждом из трех типов конусов прежде, чем любая визуальная обработка выполнена нервной системой.SML пространство использовалось в исследовании системы технического зрения, особенно в проекте тестов цветовой слепоты и в визуализации результатов зрительных дефектов. Используя данную спецификацию частных спектров пигмента конуса, возможно осуществить преобразование между SML и МКО 1931 XYZ.
4.5.11 HuntACAM model
Развиваемая, чтобы предсказать внешний вид цветов независимо от условий, эта сложная модель требует двух наборов измерений с различными источниками света. Используя модель МКО XYZ как базу, она (HuntACAM) пробует принимать во внимание такие факторы, как адаптация, цветная индукция, и одновременная контрастность. Модель Hunt-ACAM дает численные предсказания для полноцветности, насыщенности, интенсивности, светлоты и яркости.
5 Цветовой вывод
Глаз
Функция глаза состоит в том, чтобы фиксировать визуальное изображение и преобразовывать световую энергию в нервные импульсы, которые интерпретируются мозгом. Общая структура человеческого глаза, показанная на рисунке 3, является аналогом камеры. Таблица 2 сравнивает функции глаза и видео камеры.![]() |
Рисунок 3 - Человеческий глаз
conjunctiva - слизистая оболочка глаза;
zonula -мышца изменяющая кривизну хрусталика и фокусирующая его на ближние и дальние предметы;
aqueonus humour - водянистая влага(внутриглазная жидкость);
lens - хрусталик;
pupil -зрачок;
cornea - роговица;
iris - радужка;
retina - сетчатка;
fovea - центральная ямка, область наиболее острого зрения;
optic nerve - оптический нерв
corpus vitreum - стекловидное тело
Таблица 2
Сравнение функций глаза и видеокамеры
| Глаз | Видео Камера | Функция | |||
| Роговица и водянистая влага | Первичная фокусирующая линза | Преломление света для формирования изображения | |||
| Хрусталик | Вторичная линза | Точная фокусировка | |||
| Радужка | Апертура | Резкость и регулировка освещенности | |||
| Zonula | Автофокус | Перемещение хрусталика | |||
| Конъюнктива | Фильтр дневного света | Защищает оптику от пыли | |||
| Склера | Кожух | Механическая защита | |||
| Сетчатка | Фотоэлектрическая поверхность | Преобразование света в электрической сигнал | |||
| Кровеносные сосуды сетчатки | Силовые кабели | Поставка энергии в сетчатку | |||
| Зрительный нерв | Сигнал видеовыхода | Передача данных |
Основной поток световой энергии попадает в глаз через роговицу, которая преломляет свет из-за большой разницы между коэффициентом преломления воздуха снаружи и коэффициентом преломления внутриглазной жидкости. Эта тонкая компонента закрыта конъюнктивой(слизистой оболочкой глаза), чтобы предотвратить царапанье мелкими частицами типа песка, пыли и дыма; слезы непрерывно выделяются, чтобы увлажнять конъюнктиву, а ресницы, веки и структура черепа защищают глаз от более серьезных повреждений.
Радужная оболочка(радужка) - мышца, которая, когда сокращена, закрывает все, кроме маленькой центральной области хрусталика глаза, блокируя большую часть света и увеличивая глубину резкости. Это обеспечивает больший диапазон просмотра, от очень тусклого к очень яркому. Процесс реагирования на большое изменение световой интенсивности назван адаптацией.
Фокусировка на объекты на различных расстояниях выполняется хрусталиком, который перемещается мышцей, названной zonula. Часть этого перемещения подобно перемещению камеры: вперед и назад. Также эта мышца может меняет выпуклость самого хрусталика, например, сжимать его для улучшения фокусировки при просмотре дальних предметов. Часть линзы, не покрытая радужкой, выглядит черной снаружи и названа зрачком.
Поскольку коэффициент преломления линзы и внутриглазной жидкости изменяется с длиной волны, восприятие различных цветов требует различных положений хрусталика для четкого фокуса. Это названо хроматической аберрацией и проявляется в размытии фокуса, когда цвета с разной длиной волны находятся рядом.
Интерполяция
Выбранное цветовое пространство влияет на то, как цвета интерполируются. Это находит отражение в производстве цветовых шкал для визуализации. Следует предпочесть перцептивно равномерные пространства, чтобы избежать разрывов или искажений шкал. С полярной системой координат часто работать проще, чем с декартовой системой координат.В дополнение к прямой линейной интерполяции может быть полезно создать цветовую шкалу по кривой через некоторое цветовое пространство. Некоторые системы визуализации разрешают, чтобы в этом случае использовались кривые. Примеры создания цветовой шкалы, использующие этот метод, показаны с использованием AVS (иллюстрация 45) и Explorer(иллюстрации 46 и 47). Оба примера используют пространство HSV, называемое "HSB" в AVS. Иллюстрация 45 также ясно показывает недостаток перцептивной линейности оттенка HSV. Хотя кривая через пространство HSV гладкая, имеются внезапные перцептивные скачки; например между желтым и оранжевым.
На иллюстрации 47: красная кривая - оттенок, идет от красного (0°) в нижней части к фиолетовому (360°) в верхней, зеленая кривая - насыщенность, голубая кривая - значение. Мелкие закрашенные квадратики представляют точки, которые могут перемещаться, и через которые проходит кривая. Они названы узлами и будут встречаться в модулях Curves и Surfaces. Незакрашенный квадрат на зеленой кривой представляет касательную к кривой в редактируемой точке.
Эта цветовая шкала была выбрана для того, чтобы иллюстрировать метод, а не быть примером хорошей практики.
Не линейная цветовая интерполяция может использоваться как форма пространственного упорядочения. Например, при изображении наружных сцен отдаленные объекты могут быть сделаны более синими и менее насыщенными. Это подобно эффекту атмосферного тумана. Псевдоцвет может использоваться, чтобы увеличить детали или визуализировать небольшие изменения. Примерами этого типа применений являются формирование медицинского изображения, географические информационные системы, заключительная обработка изображений.
A. Гамма-коррекция
Источники света
Многие объекты, которые самостоятельно не испускают свет, имеют цвет. Цвет имеется благодаря отражению света от других световых источников. Объект поглощает изменяющееся количество света каждой длины волны, а не поглощенная часть отражается обратно к глазу, чтобы дать ощущение цвета. Ясно, качество света, освещающего объект, будет влиять на воспринятый цвет.3.5.1 Белый свет
То, что видится как белый свет, обычно не имеет плоской спектральной чувствительности. Человеческие глаза развились, чтобы рассмотреть дневной "нормальный" источник света. В течение столетий художники предпочитают использовать пасмурный северный дневной свет при смешивании цветов; это особенно важно, когда над картиной работают длительное время, и цвета должны соответствовать использованным ранее в работе. Качество дневного света очень переменно, оно зависит от расположения, сезона и степени затемнения в числе других факторов. Ясно, желательно иметь стандартизированный источник света, представляющий дневной свет. Не удивительно то, что МКО рекомендовал использовать источники подобные дневному свету для согласования.
3.5.2 Источник света C
МКО ввел стандарт, названный Источник света C. Он состоит из двух частей:
1. Вольфрамовый
свет, электрическая нить накала которого
эксплуатируется при определенной
температуре, при которой получается очень теплый, оранжевый свет. (Этот свет стандарт, Источник света
A, но мало используется сам по себе).)
2. Фильтр, состоящий из бака синей жидкости, химический состав которой определен МКО, чтобы производить моделирование нейтрального дневного света. Пока это устройство является подходящим для лабораторного использования; довольно низкая светоотдача и жидкий неудобный бак. Кроме того, Источник света C отсутствует в ближней ультрафиолетовой области, что делает его менее полезным для флуоресцентных материалов. При распознавании этого, МКО определила другой класс дневных источников света, которые исправляют эти неточности.
3.5.3 D последовательные источники света
Они различаются соответственно их цветовой температуре, которая является одномерной характеристикой для цвета, аппроксимирующего белый свет; цвет произведен теоретическим черным телом (полным излучателем) при нагревании до индивидуальной, раскаляющей добела температуры. Наиболее общий D источник света соответствует температуре 6500°Кельвина, и таким образом назван D65. Другие источники света в D ряде иногда встречаются, особенно D50 (5000°K), в полиграфической промышленности. Спектр источников света A, C и D65 показан на рисунке 16. Обратите внимание что в ультрафиолетовой области (ниже 400 нм) кривая источника света C располагается намного ниже, чем кривая источника света D65.
![]() |
Спектр D65 является сложным и трудным, чтобы точно воспроизводить его с искусственным светом. Нет никакого фактического прибора, определенного как часть стандарта. Вместо этого имеется процедура, чтобы определить насколько хороший специфический свет есть, дающий те же самые результаты цветового соответствия, как D65.
Ряд выбранных окрашенных образцов измеряются под светом, о котором идет речь, и их координаты цвета сравниваются с теоретическими величинами, рассчитанными из спектра отражательной способности каждого окрашенного кристалла и спектра D65. Результаты от каждого кристалла объединены, чтобы получить полный индекс качества воспроизведения цветового соответствия. Более чем 90% - хороший результат, ниже 60% даст значительные ошибки (погрешности).
Явление согласования двух выборок в цвете под одним источником света, но не другим называется метамеризм (т.е. когда цвета под разными источниками света отличаются - прим. технического. редактора). Процедура МКО разработана, чтобы минимизировать метамеризм между теоретическим D65 и практическими реализациями этого.
3.5.4 Другие источники света
Флуоресцентные лампы дневного света часто встречаются как внутреннее освещение.
Они обычно производят метамеризм с цветами, которые были определены с использованием дневного источника света. Рисунок 17 сравнивает спектр типичного флуоресцентного источника света с D65. Разногласия значительны.
![]() |
Обычные домашние лампы накаливания имеют спектральное распределение подобное в полной форме источнику света A, показанному на рисунке 16. Поскольку это значительно отличается от D65, проблемы метамеризма могут ожидаться также с лампами накаливания. Неудачно, что два наиболее общих источника внутреннего освещения очень отличаются от дневного света (естественного освещения). Вот почему, когда точная оценка цветового качества или цветового равновесия должна быть выполнена визуально, используется специальный шкаф согласования. Это просто бокс, содержащий стандартный (эталонный) источник света, в который помещаются образцы для просмотра. Он окрашен серым внутри, чтобы обеспечить нейтральный фон.
Электромагнитный спектр
Свет - форма энергии. Видимый свет - только одна форма электромагнитной энергии; другие формы включают инфракрасную область спектра(инфракрасное излучение), ультрафиолетовую, радиоволны, электромагнитные волны длиной от дециметров до миллиметров и X лучи. Электромагнитная энергия может рассматриваться как энергия, которая ведет себя подобно волне, а показателем, который различает эти многие типы энергии, является длина волны. Это иллюстрируется на рисунке 1, который использует логарифмический масштаб, чтобы охватить широкий диапазон длин волн. Видимые длины волн наиболее удобно измерять в нанометрах (нм, 10-9м).
![]() |
Рисунок 1 - Электромагнитный спектр
Диапазоны длин волн, которые примерно соответствуют цветам спектра, показаны в таблице, 1 и на иллюстрации 25.
Таблица 1
Приблизительные длины волн спектральных цветов.
| Диапазон (нм) | Цвет | ||
| 380 - 450 | Фиолетовый | ||
| 450 - 490 | Синий | ||
| 490 - 560 | Зеленый | ||
| 560 - 590 | Желтый | ||
| 590 - 640 | Оранжевый | ||
| 640 - 730 | Красный |
Белый свет состоит из смеси всех видимых длин волн, как было впервые описано Сэром Айзеком Ньютоном в “Оптике” (1704). Он нашел, что белый свет расщепляется стеклянной призмой в радугу цветов и объединяется снова в белый. Он также нашел, что индивидуальные цвета не могут далее подразделяться.
Эмиссионный(излучающий) цвет
3.4.1 Вычисление координат цветаЦвет источника света определен количествами X, Y и Z основных цветов, которые требовались бы, чтобы согласовать его. Для вычисления этих количеств видимый спектр от 380нм до 730нм разделяется на ряд интервалов длин волн, и интенсивность выборки измеряется для каждого интервала, чтобы произвести спектр. Обычно используется 10нм интервал. Затем для каждого основного цвета, по очереди, высота типового спектра умножается на высоту согласующей функции того же основного цвета. Эти результаты суммируются поперек всех интервалов длин волн, чтобы вычислить полную величину того основного цвета, который требуется для согласования. Это иллюстрируется на рисунке 14.
![]() |
Рисунок 14: Вычисление CIE координат цвета.
3.4.2 XYZ диаграмма.
Возникающая в результате величина (X, Y, Z) может быть нарисована в трехмерном виде и будет строиться в положительном (XYZ) квадранте внутри конуса, показанного на рисунке 15 и в цветном изображении на иллюстрации 28. Обратите внимание, что координатные оси не внутри этой фигуры; XYZ основные цвета являются мнимыми цветами. Черный, соответствующий отсутствию света, находится вначале. Изогнутая граница представляет координаты цвета чистых спектральных цветов. Потому что они имеют одиночную длину волны, они представляют максимальное достижимое насыщение. Эта граница называется спектральным годографом; все видимые цвета находятся внутри или на ней.
Длины волн от 400нм (фиолетовый) до 700нм (красный) показаны; обратите внимание, что интервал длины волны не совсем одинаковый. Прямая линия, соединяющая концы спектрального годографа, соответствует аддитивным смесям красного (самого близкого инфракрасной области спектра) и фиолетового (самого близкого ультрафиолетовой области спектра,) чтобы произвести пурпурный (темно-красный/багряный).
![]() |
Рисунок 15: CIE 1931 XYZ диаграмма.
3.4.3 Автоматическое измерение
Практически процесс измерения спектра источника света и получения координат цвета автоматизирован. Инструмент, названный спектрорадиометром, измеряет яркость в каждом интервале длины волны фотоэлементом, и имеет, заключенные внутри, величины стандартного наблюдателя согласующих функций в каждом интервале длины волны. Микропроцессор выполняет вычисления и снятие показаний непосредственно в форме X Y и Z координат цвета. Измерение яркости подобно, но более дешево, поскольку необходимо снятие показания только Y измерения.
Клетки Рецептора
Имеются два класса клеток рецептора: палочки и колбочки, названные так из-за их формы. Они показаны на рисунке 6. Они имеют одинаковую структуру: центральное ядро, много митохондрии, чтобы обеспечить химическую энергию, и стек дисков, содержащих фоточувствительный пигмент.![]() |
Рисунок 6 - Принципиальная схема человеческой палочки и колбочки клеток рецептора.
Палочки чувствительны к очень низким световым уровням, но достигают своего наибольшего выхода только при умеренной световой интенсивности. Поэтому они дают постоянный выход независимо от увеличений в световом уровне. Колбочки менее чувствительны, но могут обрабатывать большие интенсивности света.
Световой чувствительный пигмент в палочках, названный родопсин, является белковой связью в форме витамина A. Поглощение одиночного фотона света заставляет молекулу родопсина изменяться от низкой энергии до высокоэнергетической формы. Это малое изменение энергии значительно усиливается каскадом химических реакций для производства сигнала возбуждения. В отличие от большинства нервных клеток, которые передают импульсы в цифровом виде (вкл\выкл), клетки рецептора выдают аналоговый сигнал о световой интенсивности подобно экспонометру.
На рисунке 7 показан ISO график стандартной люминисцентной эффективности статистически нормального наблюдателя (около 96 % населения; остальные имеют различные формы атипичной цветовой системы технического зрения, часто неправильно называемые "слепота цвета"). Здесь показано как воспринимается яркость света в зависимости от длины волны при неизменной константе освещенности.
На низких световых интенсивностях, когда глаз адаптирован к темноте, только палочки активны. Это называется ночной системой зрения, и палочки наиболее чувствительны в зеленой области, в 510нм. В более ярком свете палочки не работают, и активны колбочки; максимальная люминесцентная эффективность для этой дневной системы зрения сдвигается в желтую/зеленую область в 555нм. Этот эффект назван сдвигом Пуркинье.
![]() |
Рисунок 7 - Светоотдача.
Когда использовать цвет
Правильно использованный цвет может значительно увеличить значимость, ясность и воздействиеграфики. Однако использованный неправильно, он может запутать затруднить восприятие. Цвет может использоваться для того, чтобы:
- различать объекты;
- показывать взаимоотношение и связи между объектами;
- отображать дополнительную информацию без увеличения размерности;
- создавать ясную трехмерную форму объекта;
- создавать более привлекательную графику для пользователя;
- приковывать внимание к разным частям изображения.
Если цвет задается некоторым определенным значением, например, в дисплеях состояния или в дизайне пользовательского интерфейса, то число цветов должно быть строго ограничено. Многие исследования показали, что не более, чем шесть или семь цветов должны использоваться для этого, и они должны быть четко различимы. Кроме того предпочтительно добавить избыточную информацию такую, как размер или форма, чтобы усилить различие, как показано на иллюстрации 42.
Если непрерывная цветовая шкала используется, чтобы отобразить значение некоторой переменной (такой как температура или напряжение) на фоне, то использование большего количества цветов дает более мелкую градацию и позволяет различать мелкие детали. В этом случае 256 цветов 8 битного дисплея будет не достаточно.
Копирование с неполными цветами
Иногда графическое изображение, содержащее много цветов, должно быть выведено на устройство с меньшим количеством цветов. Например, 24 разрядное изображение, возможно, необходимо отобразить на 8 разрядном дисплее. Или 8 разрядное изображение, вероятно, придется выводить на принтер, имеющий только восемь цветов. Имеются три класса методик, которые могут использоваться: квантование, кластеризация (т.е. передача градаций оттенков) и растрирование (передача полутонов).5.4.1 Квантование
Каждый первоначальный цвет отображается самым близким из подмножества новых цветов. Понятие "самый близкий" подразумевает, что расстояния между цветами измеряются и сравниваются; таким образом цвета должны квантоваться в цветовом пространстве, где расстояние между точками находятся в соответствии с их воспринимаемым цветовым различием. МКО LUV - подходящее цветовое пространство, хотя другие могут использоваться. Расстояние также может быть умножено на весовой коэффициент, чтобы воспользоваться преимуществом перцептивных результатов. Например, сохранение сигнала яркости может быть больше, чем сохранение оттенка.
Имеются четыре основных метода квантования:
5.4.1.1 Однородное Квантование
Каждый первоначальный цвет отображается самым близким из стандартного, равномерно распределенного диапазона цветов. Это, с точки зрения вычислений, простой и, может быть, единственно возможный метод, если палитра цветов фиксирована. Он также применяется в анимационной графике; каждый кадр должен использовать ту же самую палитру цветов, чтобы избежать видимого мерцания. Однако это дает плохие результаты, когда первоначальные цвета не равномерно распределены в цветовом пространстве.
Чтобы вычислить стандартную карту цветов, выбирается пространство цвета и производится выборка при равномерных интервалах. Проблема с использованием независимых от устройств цветовых пространств, когда разрешающая способность ограничена, состоит в том, что некоторые из образцов представляют цвета вне гаммы цветов.
Поэтому является обычным делом производить непосредственный отбор образцов устройств естественного цветового пространства типа RGB. Это имеет недостаток, который заключается в том, что равноотстоящие (равнопространственные) образцы не находятся в равных перцептивных интервалах.
Осуществляя выборку в RGB пространстве, следует использовать равную разрешающую способность для каждой оси. Например, в 8 разрядной системе с 256 доступными цветами можно использовать 6 уровней красного, зеленого и синего, чтобы дать 216 различных цветов. Это гарантирует, что серые не будут иметь нежелательных оттенков. Распределенные цвета вероятно являются преимуществом, когда карта цветов совместно используется между действующими одновременно приложениями.
5.4.1.2 Срединное деление
Этот алгоритм имеет две различных фазы. Во-первых, цвета делятся на группы. Во-вторых, каждой группе назначается новый цвет. Чтобы группировать цвета, вычисляется самое маленькое прямоугольное, выровненное по осям пространство, которое полностью включает все цвета. Это показано на рисунке 47a, использующем только две оси для ясности. Прямоугольник разрезан на два, поперек самой длинной оси, так, чтобы возникающие в результате прямоугольники содержали равные количества цветов (рисунок 47b). Сжимая каждый новый прямоугольник до самого маленького его объема (рисунок 47c) и разрезая больший на два (рисунок 47d), процесс повторяется до тех пор, пока не будет произведено достаточное количество прямоугольников. Чтобы назначить новый цвет для группы, может использоваться центр прямоугольника или середина группы.
![]() |
5.4.1.3 Построение гистограммы
Наиболее часто используемые первоначальные цвета сохраняются нетронутыми. Остальные цвета соотносятся к самому близкому из этих популярных цветов. Потеря некоторой точности при построении гистограммы частоты является обычным делом, так что группы цветов, которые считаются близкими (как один цвет) и задаются серединой группы.
Это позволяет другим, менее популярным, но значительно различным цветам сохраняться нетронутыми. Другая оптимизация заключается в том, чтобы оставить некоторый участок памяти в карте цветов для редких цветов, которые не соответствует никакому из новых цветов.
Хотя возможно создать гистограмму всего цветового пространства, это требует много памяти. Чаще всего создают отдельные гистограммы для каждой оси. Например, чтобы квантовать 256 цветов в CIELUV пространстве можно использовать гистограмму на 50 элементов дискретизации по L* и 25 элементов дискретизации по u*
и v*. Это дало бы 2 % шаги по яркости, которая является наиболее значимой. Из них будут использованы 10 из L* и 5 из u* и v*, чтобы создать новую цветовую карту с 10*5*5=250 цветами, оставляя 6 для тех резко выделяющихся цветов, наиболее отдаленных от новых цветов.
5.4.1.4 Минимизация дисперсии
Статистическая аппроксимация подобна приближению строки к набору точек методом наименьших квадратов. Для каждой группы подобных первоначальных цветов вычисляется дисперсия в расстоянии к новому цвету. Цель состоит в том, чтобы минимизировать сумму этих дисперсий. Минимизацией дисперсии, а не среднего расстояния, исключается ситуация, где некоторые группы цветов широко отделяются, в то время как другие плотно группируются.
![]() |
Есть несомненно много возможных способов разбиения (разделения) цветового пространства, и было бы невозможно проверить их исчерпывающе. Поэтому некоторые эвристические методы дисперсии выбирают маленькую, а не оптимальную дисперсию. Возможно вычислить оптимальное решение методом подобным алгоритму срединного деления.
Плоскость перемещается по каждой из трех осей цветового пространства, и в каждой позиции на каждом шаге вычисляется дисперсия на каждой стороне плоскости. Точка, которая минимизирует дисперсию с обеих сторон, отмечается. Цветовое пространство затем рассекается через любую из трех осей, которая дает самый низкий результат.
Это повторяется на стороне с самой большой дисперсией до тех пор, пока достаточное разбиение не будет выполнено.
5.4.2 Кластеризация (передача градаций оттенков)
Кластеризация чаще всего встречается как способ имитирования шкал оттенков серого на одноцветном устройстве черно-белой печати. Однако это может также использоваться в аналогичном способе имитировать большее количество цветов, отображая два или больше цветов близко друг к другу; на расстоянии глаз смешает их, давая эффект большего количества цветов.
Чтобы кластеризовать пространство в данном цвете, подбираются доступные цвета, которые наиболее близко походят для этого, и рассчитывается смесь процентов. Предположим, например, что недоступная известковая зелень должна моделироваться 70% бледно-зеленого, 20% лимонно-желтого, и 10% темно-зеленого. Для каждого пиксела случайное число генерируется в диапазоне от 1 до 100. Если оно ниже 70, пиксел окрашивается бледно-зеленым; если от 70 до 90 - лимонно-желтым, а если более чем 90 - темно-зеленым.
Ясно, что эта методика даст самые лучшие результаты тогда, когда цвета, которые будут смешаны, находятся довольно близко, и кластеризуются большие области. Точное цветовое выделение в любом случае сложнее на малых областях.
Методика может быть заимствована из монохромной кластеризации: рассеивания ошибки. Для каждого пиксела ошибка, между предполагаемым и фактическим цветом, вычисляется и используется, чтобы скорректировать предполагаемый цвет пикселов вблизи к нему (фактическому). Степень ошибки умножается на весовой коэффициент согласно тому, как далеко пикселы находятся, таким образом ошибка "рассеивается". Чтобы хранить методику простой, только те пикселы корректируются, которые еще не были кластеризованы. Это показано на рисунке 49. Затененные пикселы кластеризованы, а пиксел, содержащий звезду, в настоящее время обрабатывается. Факторы умножения на весовой коэффициент уменьшаются с расстоянием от текущего пиксела.
![]() |
Так как ошибки имеют и знак, и величину, чистая ошибка не распространяется поперек изображения. В монохромной кластеризации ошибка является (по количеству) единственной, в то время как цветная кластеризация производит три ошибки - по одной для каждой оси цветового пространства. Имеется ряд схем умножения на весовой коэффициент для рассеивания ошибок. Рисунок 49 использует умножение на весовой коэффициент Stucki, например.
Другие усовершенствования включают добавление шумовой функции в ошибку, и обработку дополнительных строк в противоположном направлении; оба метода сокращают формирование изображения.
5.4.3 Растровые полутона (узоры из черных и цветных точек, используемых для передачи изображения)
Коммерческие печатающие издательства неспособны смешивать чернила в различных пропорциях, чтобы получить различные цвета. Вместо этого они устанавливают сеточный шаблон точек для каждых чернил; размер каждой точки меняется, и на расстоянии кажется, что цвета смешиваются. Точечный вид газетных фотографий является знакомым примером того, как использовать единственный цвет. Различие между растрированием и кластеризацией в том, что последний сохраняет ту же самую пространственную разрешающую способность, в то время как при растрировании уменьшается пространственная разрешающая способность для увеличения числа видимых цветов. В то время как растрирование может в принципе применяться на любом устройстве, практически оно дает самые лучшие результаты на устройстве с высокой пространственной разрешающей способностью, но недостаточной цветовой разрешающей способностью и таким образом прежде всего встречается в контексте четырехцветного процесса печати, использующего голубые, сиреневые, желтые и черные чернила.
5.4.3.1 Экранирование (трафаретная печать)
Процесс преобразования изображения непрерывного тона к изображению полутоновому называется экранированием. Это потому, что в подобной первоначальной оптической процедуре перфорированный металлический экран помещался на или немного дальше от фотографической пленки, и изображение заново фотографировалось.
Этот процесс теперь вообще выполняется компьютером.
Если сетки для каждого цвета были бы совмещены, то все чернила были бы затенены следующими чернилами, которые были бы напечатаны, поскольку большинство чернил непрозрачны. Сетки следовательно чередуются относительно друг друга. Некоторые углы дают явные муаровые интерференционные картины. Стало обычным использовать циклические сдвиги: 0° - для желтого, 15° - для голубого, 45° - для черного и 75° - для сиреневого, чтобы избежать этого муара (комбинационных искажений), как показано на рисунке 50 и на иллюстрации 37. Эти углы дают малые узоры розетки. Другие углы также используются, часто вместе с различными экранными частотами для каждого цвета.
![]() |
Растрированное полутоновое изображение характеризуется экранными углами и частотой или числом строк на дюйм (lpi). Частота 133 строки на дюйм общая для основных назначений печати. Высокого качества книжные иллюстрации используют более высокую частоту, как например 175; цветные ежедневные газеты имеют частоту около 85 строк на дюйм, а некоторые цветные лазерные принтеры имеют только 60 строк на дюйм.
5.4.3.2 Матрицирование
Обычно называемая матрицируемым размыванием, это более правильная форма растрирования (передачи полутонов). В этом методе физические пикселы сгруппированы в кластеры, например, 2*2 или 3*3 пиксела. Каждому пикселу в кластере может быть назначен разный цвет из доступных цветов. На расстоянии глаз будет воспринимать это как аддитивно смешанный цвет. Это работает лучше всего тогда, когда доступная пространственная разрешающая способность высока, и цвета, которые смешиваются, не являются слишком подобными. Если используется большая матрица, то большее количество цветов может быть произведено, но изображение становится явно грубым, поскольку действительный размер пиксела увеличивается. Нежелательный текстурируемый эффект является проблемой метода, вызванный повторяющимся шаблоном матрицы; глаз особенно чувствителен к таким правильным шаблонам и усиливает их.Текстурирование может быть уменьшено случайным выбором между многообразием различных шаблонов. Например, в матрице 2*2, содержащей три пиксела в желтом и один в красном, имеются четыре возможных позиции для красного пиксела, как показано на рисунке 51.
![]() |
Модели зависимые от устройств
Иногда удобно или привычно точно определить цвет непосредственно в естественном цветовом пространстве отдельного устройства. В случае с устройствами, которые используют испускаемый свет, типа цветовых мониторов, аддитивное геометрическое пространство может быть произведено объектом до некоторых ограничений, обсуждаемых позже (раздел 5). Устройства, которые используют отраженный свет, такие как все формы печатающих устройств, не аддитивные, и геометрическое пространство не может быть сформировано. В то время как в такой системе отдельные цвета могут быть определены, связь между цветами или результат смешивания двух цветов может быть определен только на эмпирической основе.4.4.1 Красный, зеленый, синий (RGB)
Это цветовое пространство обычно используется и соответствует входным данным для определенного цветового CRT монитора компьютера. Три основных цвета являются отдельными цветами, излучаемыми тремя люминофорами. Это следовательно высокоточный прибор; тот же самый цвет будет определен как два различных набора чисел на двух различных мониторах. Эти три параметра имеют количества красного, зеленого и синего света, чтобы излучать, обычно в амплитуде от 0 до 1. Цветовое пространство RGB показано на рисунке 34 и на иллюстрации 31.
Главное преимущество цветового пространства RGB состоит в том, что оно является единичным кубом, и таким образом все возможные значения R, G, B соответствуют реальным цветам. Это делает его удобным с точки зрения программирования, в этом диапазоне проверка является простой.
![]() |
Рисунок 34: RGB цветовое пространство.
Главный недостаток состоит в том, что цвета, определяемые в пространстве RGB, не совсем восприимчиво однородны, и это не заметно, чтобы измерить цветовые различия в пространстве RGB. Эта цветовая модель далее будет обсуждена в разделе 5.1, (Отображение цвета). Если координаты цветности люминофоров монитора известны, а также и цветность, и яркость белого, произведенного равными количествами красного, зеленого и синего, то возможно взаимопреобразовать между RGB и МКО цветовыми пространствами.
Это преобразование описано в Приложении B.
RGB пространство цвета широко используется в компьютерной графике и поддерживается GKS PHIGS и большинством других графических систем. Оно адекватно для использования в ситуациях, где создание различных цветов более важно, чем переносимость или точность воспроизведения. Определение цвета в RGB пространстве, более удобно, если оттенок, цветность и светлота - отдельные параметры. Чтобы достигнуть этого, используются два преобразования RGB пространства в HLS и HSV. Они будут рассматриваться позже.
4.4.2 Оттенок, насыщенность, значение (HSV)
Главная диагональ куба RGB, от черного в (0,0,0) к белому в (1,1,1) образовывает ахроматическую ось или шкалу яркости. Если куб повернут так, что белый угол перед зрителем, а черный угол вдали от него, как на рисунке 34, то виден шестиугольник с оттенками, распространяющимися от ахроматической оси. Цветовое HSV пространство использует эту концепцию, чтобы определить угол оттенка, насыщенность и третий параметр - значение, который вполне соответствует светлоте. HSV является таким образом полярной системой координат, и эти термины аналогичны, но не идентичны с подобно именованными терминами в полярной форме координат L*C*Huv
модели CIELUV.
Пространство, показанное на рисунке 35 и на иллюстрации 32, является цилиндром, центрированным по ахроматической оси. Значение (v) есть расстояние на этой оси, насыщенность есть радиальное расстояние от нее. Оттенок - угол в 0°, отображающий красный, а при 180° отображает голубой (зеленовато-синий).
Так как HSV использует насыщенность, а не цветность, воспринимаемое изменение в цвете, поскольку насыщенность изменяется между 0 и 1, меньше для темных (нижние значения) цветов, чем для светлых (верхние значения) цветов. Чтобы компенсировать это, цветовое HSV пространство часто показывают изображенным в форме конуса, а не цилиндра. На других диаграммах HSV показывают как шестиугольник, чтобы укрепить связь с RGB. Однако насыщенность все еще в диапазоне от 0 до 1 независимо от значения или оттенка, так что эти изменения не изображают геометрическое пространство точно.
![]() |
Будучи преобразованием RGB пространства, HSV разделяет преимущество того, что все возможные значения H, S и V соответствуют воспроизводимым цветам. Кроме того в нем проще смешивать цвета, чем в RGB, потому что три параметра соответствуют более близко перцептивным (воспринимаемым) атрибутам. С другой стороны, HSV также является зависящим от устройств как RGB, так что описания цветов в HSV не переносимые. Подобно RGB, только воспроизводимые цвета могут быть определены.
В отличие от CIELUV, HSV пространство не перцептивно однородное. Равные приращения угла оттенка не производят сглаженные изменения воспринимаемого оттенка. Также, три параметра не независимы. Например, чистый желтый и чистый синий оба имеют S = 1, V = 1 однако желтый будет иметь значительно более высокую яркость и воспринимается светлее, чем синий.
4.4.3 Оттенок, светлота, насыщенность (HLS)
Подобная HSV, эта цветовая модель имеет ось светлоты, а не ось значения (в HLS). Чистые цвета, показанные на рисунке 36 и на иллюстрации 33, в HSV имеют насыщенность 0.5, а не 1.0. HLS может рассматриваться простой деформацией HSV, произведенной вытягиванием белой точки так далеко над чистыми цветами, как черной точки - ниже их. Подобно HSV, это - цилиндрическое цветовое пространство, но часто рисуется как конус - в этом случае двойной, не усеченный конус.
![]() |
HLS, подобно HSV, является просто другим представлением RGB пространства. Эти 2 цветовых модели необязательно могут поддерживаться в реализации PHIGS - они определяются, но соответствующая реализация не должна поддерживать их.
4.4.4 Голубой, Сиреневый и Желтый (CMY)
CMY иногда представляют как пространство цвета, и оно соответствует входным данным для цветовой печати. Однако оно имеет дело с соотношениями реальных пигментов, а не с абстрактными цветами. Кроме того смесь двух цветов является не аддитивной, которая дает представление о CMY как о геометрическом сплошном теле небольшой величины.Характеристика цветов в CMY, даже когда координаты цвета МКО чернил известны, усложняется большим количеством факторов, как будет отмечено в разделе 5.5. Разновидность CMY добавляет черные чернила, и называется CMYK. (Черный упомянут как K, а не B, чтобы избежать путаницы с синим в RGB).
4.4.5 Видео и телепередаваемые цветовые модели
Они являются источниками индивидуально калибруемых RGB цветовых пространств, использующих основные цвета монитора, чьи цветности хорошо определяются. В контексте графики компьютера, они присутствуют, когда анимационные последовательности записываются на видеоленту или транслируются по телевидению. Эти технические средства цветовых моделей, которые оптимизированы для того, чтобы лучше всего использовать информационную емкость канала передачи, будут обсуждаться более детально в разделе 5.1.
Нетипичный цветовой отклик
Больше чем 95% мирового населения имеют статистически нормальную цветовую систему технического зрения. Есть люди, чьи способности цветового соответствия представлены математически стандартом МКО и дополнительными наблюдателями.Хотя люди с нетипичным цветовым откликом часто называются "цвето-слепыми", есть фактически очень немного людей, кто не имеет абсолютно никакого цветового восприятия. Пропорция населения с приведенным цветовым различием, однако, удивительно большая. Нетипичный цветовой отклик связан с полом; он встречается у 8% кавказских мужчин, в то время как в кавказских представительницах женского пола встречается совершенно редко.
Люди с нормальной цветовой системой технического зрения названы трихроматами потому, что они имеют три функциональных конических типа. С ослабленным функционированием одного конического типа называются аномальными трихроматами.
У некоторых людей один конический тип отсутствует или полностью не функциональный. Так как они имеют два функционирующих конических типа, они названы двухроматами. В заключение, те, очень редкие люди только с одним функциональным коническим типом, кто видит только в оттенках серых, называются однохроматами.
Двухроматы будут видеть некоторые цвета как одинаковые, которые являются ясно различными трихроматам. Эти спутанные (создающие путаницу) цвета находятся по прямым линиям на цветовом графике, сходящиеся в одной точке на одноточечном.
Как можно было бы ожидать, имеются три типа дихроматизма в зависимости от того, какой один из трех конических типов поражен. Каждый тип имеет различную точку беспорядка (замешательства). Конфизм?
Протанопия имеется благодаря отсутствию или дисфункции L конусов. Протанопы значительно сократили различие от красных до зеленых, и красные выглядят более тускло, чем нормально. Точка беспорядка P, показанная на рисунке 22, находится в или около u¢ = 0.61, v¢ = 0.51, очень близко к дальнему красному углу цветового графика.
![]() |
Рисунок 22: Protanopic строки беспорядка.
Слепота на зеленый цвет существует благодаря отсутствию или дисфункции М конусов. Это может также быть вызвано недостатком сигнала различия цвета L-M, показанного на рисунке 10. Deuteranopes также сократили различие от красных до зеленых, но без каких-либо оттенков, кажущихся более тусклыми, чем нормально. Dueteranopic точка беспорядка (замешательства) лежит полностью налево от (на левой стороне) графика цветности, в или около u¢=-4.75, v¢=1.31. Как может быть замечено из Рисунка 23, это означает, что строки спутанных цветов почти параллельны.
![]() |
Tritanopia вызван недостатком или отсутствием в S конусах. Так как они не принимают никакого участия в канале светлоты, все оттенки имеют ту же самую яркость, как нормальные. Однако имеется значительно пониженная разрешающая способность между желтыми и синими. Точка беспорядка (замешательства), показанная на рисунке 24 находится в или около u¢=0.26, v¢=0.003, очень близко к фиолетовому углу на графике цветности.
![]() |
В каждом случае заболевания перепутанные (спутанные) цвета находятся на сходящихся линиях; они могут быть использованы для выбора цветовых схем, которые могут использоваться субъектами с цветовыми недостатками.
4. Цветовые модели
Основные цвета
Выбор "основных" цветов зависит от ряда факторов:- Могут ли они иметь отрицательные значения?
- Являются ли они аппаратно-зависимыми?
Если основные цвета могут быть отрицательными и не привязаны аппаратными средствами, то любые основные цвета могут использоваться. Единственный основной цвет представлен точкой на графике цветности; он может производить только этот один цвет с различными интенсивностями. Два основных цвета производят линейный сегмент на графике цветности, как показано на рисунке 25. Любой цвет на том сегменте может быть произведен неотрицательной смесью из двух основных цветов. Если отрицательные значения для основных цветов разрешены, то линейный сегмент может быть расширен вне каждого основного цвета до линии спектральных цветностей, как показано пунктирной линией на рисунке 25; любой цвет на этой линии может быть определен.
![]() |
Рисунок 25: Два основных цвета определяют линию.
Рисунок 26 показывает, как третий основной цвет C может использоваться, чтобы охватить всю видимую область; на линии, соединяющей А и B, вклад от C - ноль; по направлению к C, значение C положительно, а с другой стороны оно отрицательно.
![]() |
Рисунок 26: Отрицательные и положительные вклады от одного основного цвета.
Три основных цвета определяют плоскость, и поэтому любой видимый цвет может быть определен с любым произвольным выбором основных цветов при условии, что допустимы отрицательные значения. Рисунок 27 показывает три случайных основных цвета - желтый (A), фиолетовый (B) и бирюзовый (C), которые могут использоваться таким образом. Заметьте большие области, которые определяют один или больше основных цветов отрицательными.
![]() |
Рисунок 27: Три основные цвета определяют плоскость
Если основные цвета не могут принимать отрицательные значения, то только цвета внутри центрального треугольника могут быть произведены. В этом случае имеет смысл максимизировать область этого треугольника, выравнивая его в общих чертах с треугольной формой графика цветности. Это дает один основной цвет где-нибудь около дальнего красного угла, один - в зеленом углу и один - около дальнего фиолетового угла.
Другой способ увеличить диапазон цветов состоит в том, чтобы использовать большее количество основных цветов. Рисунок 28 показывает систему с пятью основными цветами. Все цвета внутри пятиугольника могут быть произведены больше, чем одним способом. Удаление любого основного цвета сокращает число цветов, которое может быть произведено.
![]() |
Рисунок 28: система, использующая пять основных цветов.
Отображение цвета
Интерактивная компьютерная графика отображается на цветном мониторе. Сигналы для управления монитором генерируются видео схемой графического терминала. Внимательное рассмотрение процессов помогает объяснить ограничения, с которыми встречаются при воспроизведении цвета, и как минимизировать их или работать с этими ограничениями.5.1.1 Цветные мониторы
Большая часть цветных мониторов, применяемых сегодня в компьютерной графике, использует электронную лучевую трубку (ЭЛT), подобную той, которая применяется в телевидении, чтобы генерировать изображение. Другие технологии, типа активных матричных цветных жидкокристаллических экранов (LCD), в настоящее время не дают высокого качества цвета, необходимого для компьютерной графики, хотя они широко используются для менее требовательных переносных компьютеров.
Принцип действия ЭЛT заключается в том, что один или большее количество электронных прожекторов испускают различное число электронов в зависимости от прикладываемого напряжения. Электроны ускоряются к лицевой стороне трубки под действием большого положительного напряжения на сетке.
![]() |
Рисунок 40: Анатомия ЭЛT
Лицевая сторона цветной трубки покрыта тремя типами люминофора, которые испускают красный, зеленый и синий свет под ударами электронов. Черно-белый (монохромный) и в градациях серого мониторы имеют только один цвет люминофора. Электронные лучи из прожекторов охвачены сверху донизу и слева направо отклоняющими пластинами, чтобы попадать в область экрана, а
напряжения прикладываемые к трем прожекторам, меняются, чтобы регулировать
интенсивность электронного луча и,
следовательно, яркость испускаемого света. Маска используется, чтобы гарантировать, что электронный луч из каждого прожектора попадет только на соответствующий тип люминофора
5.1.2 Гамма монитора
Создание различных цветов изменяющейся смесью света от трех цветных люминофоров, очень похоже на эксперименты цветового согласования, описанные в разделе 3.1 за исключением того, что свет из люминофоров не такой насыщенный, поскольку отрицательные значения чистых спектральных цветов не могут быть приложены к прожекторам.
Эти различия означают, что некоторые видимые цвета не могут быть воспроизведены на ЭЛT. Диапазон отображаемого цвета назван гаммой и изменяется для разных сборок и моделей монитора. Это описано в документах стандарта МКО 1976 в виде UCS диаграммы, на которой отражен треугольник основных цветов монитора. Каждая составляющая располагается на линии, соединяющей соответствующие основные цвета, потому что цвета аддитивные. Белая точка должна соответствовать равной максимальной мощности от трех прожекторов. Пример ниже (рисунок 41) показывает гамму монитора на VAXstation 3540 рабочей станции.
![]() |
Выбор основных цветов монитора является компромиссом между получением большой гаммы и созданием достаточно яркого изображения. Как показывает функция светоотдачи ISO (рисунок 7), экстремумы видимых длин волн смотрятся как очень тусклые. Поэтому основной цвет в длинноволновой области имеет тенденцию быть ярким, оранжевато-красным, а не тусклым, глубоко-красным; аналогично, основной цвет в коротковолновой области имеет тенденцию быть довольно ярко-синим, а не очень тускло-фиолетовым.
Гамма монитора сокращается с увеличением уровня отраженного света; факт, который будет знаком любому, кто пробовал использовать монитор при ярком солнечном свете. Окружающий свет отражается обратно от монитора, добавляя белый ко всем цветам. Это означает, что черный становится темно-серым. Все цвета перемещаются к белой точке, самые темные цвета перемещаются в наибольшей степени. Так как уровень отраженного света увеличивается, то обычно сначала теряются глубокие синие, и только самые светлые цвета типа желтого и белого могут все еще быть замечены при высоких уровнях отраженного света.
Приложение B описывает в деталях, как калибровать цветной монитор в соответствии с цветами МКО.
5.1.3 Факторы, влияющие на качество монитора
Точность передачи цветов и эргономические характеристики цветного монитора могут быть неприятно нарушены рядом факторов:
· Нарушение сходимости: электронный луч не выбивает правильный пиксел. Это приводит к нечеткости форм граней и ухудшает цветовой баланс; если например зеленый прожектор также зажигает красные пикселы, то все зеленые будут с оттенком желтого (вторичный цвет, получающийся в результате смеси зеленого и красного). Гамма будет уменьшена, причем позиция зеленого угла треугольника гаммы перемещается к красному углу в этом примере. Нарушение сходимости имеет тенденцию более проявляться на краях изображения экрана и в более старых мониторах. Решение:
многие из мониторов имеют внутренние регуляторы, чтобы улучшить сходимость. Отрегулировать их сможет компетентный инженер. Регулярно используйте кнопку размагничивания, если такая кнопка имеется. Не располагайте мониторы рядом с излучателями магнитных полей, типа силового кабеля или громкоговорителей.
· Мерцание: вызвано низкой частотой обновления экрана или использованием чересстрочной развертки изображения (где электронный луч прослеживает все четные линии, затем все нечетные линии). Решение: не используйте видео режим более высокого разрешения чем тот, с которым монитор может справиться. Не используйте режимы чересстрочной развертки.
· Старение люминофора: в течение года, или около этого, яркость люминофоров может падать. Синий поражается быстрее, чем красный или зеленый. Решение: не полагайтесь на данные изготовителей для старых мониторов; пользуйтесь измеренными значениями. Для точной работы используйте автокалибратор монитора.
· Взаимодействие прожектора: интенсивность электронного луча зависит от мощности двух других прожекторов. Также интенсивность белого пиксела будет различна, если остальная часть экрана вся белая или вся черная, из-за нехватки мощности. Решение:
избегайте дешевых мониторов с маломощными источниками питания.
5.1.4 Видео-плата
Изображение, представленное на компьютерном
графическом мониторе,
составлено из двухмерного массива
точек, называемых пикселами. Это минимальные
адресуемые области на экране, чей цвет может быть отдельно изменен. Видео изображение задается областью памяти в компьютере, видео ОЗУ (запоминающее устройство с произвольным порядком выборки), в которое в большинстве терминалов может быть введена информация одновременно с чтением
из него. Графические терминалы обычно вводят информацию в
эту память, используя
программное обеспечение
и специализированные аппаратные средства, которые решают стандартные задачи (такие как рисование
многоугольников). Видео ОЗУ
читается непрерывно видео-платой, которая просматривает каждый пиксел по очереди и посылает значения,
как последовательный поток, который будет преобразован в сигналы монитора.
Принимая во внимание, что видео ОЗУ является двухмерной таблицей, дисплеи отличаются, и по размеру этой таблицы и по цветовому разрешению (число битов на пиксел). Вместе с физическим размером монитора, это определяет пространственную разрешающую способность (в пикселах на дюйм) и общее число одновременно отображаемых цветов. Черно-белые (монохромные) устройства используют один бит на пиксел, так что каждый пиксел может быть вкл. или выкл., белый или черный. Устройства с градациями серого используют большее количество битов на пиксел, общее число отображаемых серых - 2n, где n - число битов на пиксел, обычно 8. Двоичное число, хранимое в видео ОЗУ для каждого пиксела, по очереди выбирается видео картой и преобразуется в аналоговое напряжение, используя быстродействующий аналоговый преобразователь (ЦАП) как показано на рисунке 42. Полученное значение напряжения используется, чтобы модулировать интенсивность электронного луча в мониторе и, таким образом получать различные яркости.
![]() |
Цветные устройства, используемые в компьютерной графике, обычно используют 24 бита, чтобы представить каждый пиксел. Они организованы как три группы из восьми, дающие 28=256 уровней интенсивности для каждого из прожекторов: красного, зеленого и синего; 16.7 миллионов цветов всего.
Имеются таким образом три ЦАП. Это, плюс стоимость дополнительной памяти и цветного монитора, как раз то, почему цветные дисплеи более дороги, чем черно-белые или дисплеи с градацией серого. Чертеж 24 разрядного цветного дисплея показан на рисунке 43.
![]() |
Некоторые дисплеи, используемые для менее требовательных приложений компьютерной графики, используют только восемь бит, чтобы представить каждый пиксел. Очень мало устройств организуют это в три группы, подобно 24 разрядным дисплеям; это дало бы в дальнейшем слишком мало цветов для большинства приложений. Вместо этого каждая ячейка в видео ОЗУ хранит 8 разрядное значение, которое используется для индексации по таблице из 256 цветов. Эти цвета определяются с большей точностью, чем 8 битовые; 18 или 24 бит обычно. Общее число цветов названо палитрой; таблица выборки из этой палитры называется поисковой таблицей цветов, или CLUT. Имеются микросхемы которые содержат CLUT и три DACs, называются RAMDAC.
Хотя общее число цветов в палитре может быть большим, также как общее число цветов в 24 разрядном дисплее, только 256 из них могут использоваться в каком-то одном конкретном отображении. Эта структура - пример индексируемого цвета, в то время как 24 разрядный дисплей, описанный выше - пример прямой цветовой системы. Чертеж 8 разрядного индексируемого дисплея показан на рисунке 44.
![]() |
индексируемый дисплей
Значительно быстрее перезаписать данные в поисковой таблице цветов (256 входов, 3*8 битов, таким образом 768 байтов), чем изменить цвет каждого пиксела в видео RAM (обычно 1280*1024 входа, 8 битов, так около 1.3 миллиона байтов). Перезапись CLUT может использоваться, чтобы обеспечить быструю анимацию изображения с очень небольшим количеством цветов.
Улучшенные 24 разрядные дисплеи используют этот метод индексации для каждой группы по 8 бит, чтобы сформировать индекс в таблице (обычно 12 бит) значений цветов. Имеются таким образом три таких таблицы, по одной для каждого прожектора, и используются три 12 разрядных ЦАП.
В то время как входы в CLUT 8 разрядного индексируемого дисплея не зависят друга от друга, входы в этой системе обычно назначаются, чтобы формировать диапазон цвета. Это позволяет изменить предельное значение и динамическую характеристику каждого ЦАП, чтобы при калибровке монитора компенсировать отклонение или старение.
5.1.5 Гамма-коррекция
Одним из допущений, сделанных при преобразовании между XYZ и RGB, является то, что цвета являются линейно аддитивными. Это допущение недействительно по ряду причин, прежде всего потому, что линейные увеличения напряжения, прикладываемые к прожекторам, не производят линейного увеличения яркости. Свет, произведенный люминофором, пропорционален мощности электронного луча, а не напряжению прожектора.
Мощность = напряжение умноженное на ток
Ток пропорционален напряжению на сетке 1.5
Поэтому Яркость пропорциональна напряжению 2.5
Практически, яркость пропорциональна напряжениюg на ЦАП, где g находится в диапазоне от 1.5 до 3.0. Таким образом значения в видео ОЗУ или в CLUT должны быть отрегулированы, чтобы компенсировать это. В некоторые дисплеи эта коррекция встроена. Поскольку интервал значений имеет тот же самый минимум (0) и максимум (255) значений, но не линеен, единственным результатом гамма-корректируемых значений в видео ОЗУ является уменьшение числа доступных цветов. Вот почему некоторые системы используют 24 бита, чтобы представить каждый пиксел, но затем используют три 12 разрядные поисковые таблицы, чтобы производить гамма-коррекцию и управлять ЦАП, сохраняя полную амплитуду цветов. Пример гамма-коррекции дан в Приложении A.
5.1.6 Представление не RGB моделей
Некоторому программному обеспечению для дисплеев необходимо, чтобы цвет был определен в стандарте приборо-независимого формата, как например формат стандарта МКО. Например, PHIGS, GKS 9x, и ODA требуют дисплеи, которые бы обеспечивали эту возможность. Текущая версия (X11R5) X Window System дает способ, чтобы выполнить это, поскольку она признает цветовые требования МКО XYZ, CIELUV, CIELAB и TekHVC среди других; преобразование к RGB обрабатывается очевидно.Это позволяет приложениям точно определять одинаковые цвета на различных мониторах.
Проблема с использованием не-RGB модели заключается в том, что не показываемые, находящиеся вне гаммы цвета, могут быть определены. С ними нужно решать проблему в зависимости от устройства. Для этого может использоваться система управления цветом. Задача отображения гаммы и обработки цветов, находящихся вне гаммы, рассмотрена в главе 5.7
Отображение Гаммы
Все физические устройства могут только воспроизводить подмножество из диапазона видимых цветов. Мы увидели, что это подмножество - устройство зависимое. Имеется таким образом проблема при отображении изображения, чья гамма не является подмножеством устройства отображения. С этим чаще всего сталкиваются, когда изображение произведено на одном устройстве, а отображается на втором. Например, когда объект, отображаемый на компьютерном графическом мониторе, должен быть напечатан. Для сравнения, гамма типичного принтера (Tektronix Устройство кадровой синхронизации IIIPXi) показана на рисунке 56 вместе с таковой типичного графического монитора (VAXstation 3540 24 разрядных дисплей). Большая часть синего блока гаммы монитора лежит вне гаммы принтера. С другой стороны, принтер может воспроизводить зелено-синие и сиренево-красные области, которые не могут отображаться на мониторе.![]() |
Рисунок 56: Сравнение гамм принтера и монитора.
Имеется ряд cтратегий для преобразования цветов между двумя устройствами.
Одно простое решение состоит в том, чтобы использовать прямое отображение RGB к RGB или CMY. Преимущество этого состоит в том, что каждый уникальный цвет в гамме источника отображается к уникальному цвету в гамме адресата. Однако ни один из цветов не будет правилен. Например, при использовании пары гамм на рисунке 56, синий цвет монитора отобразился бы в синий цвет принтера. В этом примере синий цвет принтера очень близок к строке, соединяющей синий цвет монитора с красным цветом монитора. Таким образом он будет казаться фиолетовым, как смесь этих двух цветов.
Хотя это прямое отображение может быть полезно, когда цвета просто требуются, чтобы их можно было различить, общее требование состоит в том, что следует воспроизводить первоначальный цвет с самой большой воспринимаемой (а не измеряемой) точностью.
Один из вариантов состоит в том, чтобы использовать полную гамму первого устройства и аппроксимировать вне гаммовые цвета, которые получаются в результате.
Это показано на рисунке 57a.
Другой вариант, показанный на рисунке 57b, состоит в том, чтобы использовать только те цвета, которые находятся на пересечении гамм двух устройств. Это требует точного осуществления выборки и измерения гаммы в случае не аддитивных устройств, таких как принтеры. Это также представляет проблемы, когда цвета должны быть сгенерированы автоматически, например в затененных изображениях.
Компромиссное решение (рисунок 57c) состоит в том, чтобы ограничивать гамму первого устройства некоторой правильной формой, которая аппроксимирует гамму второго устройства. Это ограничивает число цветов вне гаммы, которое производится, позволяя в тоже время выбирать простые вычисления из определенного диапазона цветов. Однако такое решение строго ограничило бы диапазон возможных цветов, и все еще довольно сложное, чтобы его реализовать.
![]() |
5.7.1 Борьба с цветами вне гаммы
При условии, что специфическое изображение содержит цвета вне гаммы, должна быть разработана стратегия, чтобы иметь дело с ними. Возникающее в результате изображение будет содержать цвета, которые не являются полностью корректными. Цель состоит в том, чтобы уменьшить визуальное влияние таких изменений. Явление цветового постоянства помогает уменьшить сложность этой задачи. В любом преобразовании отображения такого характера наименее значимое изменение - сдвиг насыщенности. Сдвиги по шкале оттенков серого (светлее/темнее) также не слишком плохо реализуются, и при этом нет никаких внезапных разрывов. Всегда сдвиг по светлоте изображения допускается из-за цветового постоянства и адаптации глаза к различным уровням освещения, белое остается белым.
Сдвиги оттенка вообще нежелательны, особенно если цвет перемещается к цвету другого названия. Например, при перемещении цвет, который был первоначально синим, выглядит постепенно дальше от истины до тех пор, пока внезапно не начинает классифицироваться как зеленый или фиолетовый; воспринимаемый скачок в этой точке очень заметен.
Это психологический эффект, а не физический. Это соответствует третьей стадии визуальной обработки на рисунке 10. Ясно, цвета возле названной границы наиболее чувствительны к сдвигам оттенка.
Один метод состоит в том, чтобы отсечь все цвета вне гаммы к границам гаммы. Это имеет преимущество, которое заключается в том, что все цвета внутри гаммы не изменяются и будут казаться точными. Однако, как показано на рисунке 58, многие вне гаммовые цвета отобразятся к одному и тому же цвету. Это испортит калиброванные диапазоны цвета типа гладко затененных эффектов освещения. Разрывы в цветовом отношении визуально навязчивые.
![]() |
Другой способ состоит в том, чтобы равномерно масштабировать все цвета по направлению к серой оси, как показано на рисунке 59, чтобы преобразованный набор цветов входил в пределы внутри гаммы. Это обеспечивает плавные изменения цвета, хотя цвета могут потерять большую часть насыщенности. Однако оттенки останутся постоянными, так что изображение будет выглядеть узнаваемо подобным. Здесь может помочь нелинейное масштабирование, где цвета перемещаются тем прогрессивнее, чем дальше они от серой оси.
![]() |
Хороший метод практически состоит в том, чтобы масштабировать так, чтобы большинство - от 90 до 95 % - цветов попали внутрь гаммы. Затем выбросы отсекаются по границе. Это позволяет не подвергать большую часть цветов реальному цветовому сдвигу, только согласовать несколько выбросов.
Хотя это преобразование может быть выполнено один раз, чтобы отобразить всю гамму монитора к гамме принтера, дополнительная эффективность может достигаться путем вычисления преобразований для каждого изображения. Гамма изображения, являющаяся подмножеством гаммы монитора, будет скорее всего иметь меньшее количество выбросов. Потеря насыщенности может таким образом быть минимизирована. Конечно это требует более интенсивных вычислений.
6 Использование цвета
Отражающий цвет
Измерение координаты цвета источника света включает умножение излучаемого спектра выборки со спектрами трех согласующих функции стандартного (эталонного) наблюдателя. Для отражающего света процедура та же самая за исключением того, что излучаемый спектр источника света сначала умножается на процент отражательной способности выборки (образцов) для каждого интервала длин волн. Это преобразовывает спектр падающего источника света к спектру отраженного света. По этой причине характеристика (описание) цвета отражающего объекта координатами цвета также бессмысленна без определения того, какой источник света использовался для измерения.3.6.1 Адаптация
Видимый внешний вид белой поверхности, типа куска бумаги, изменяется слегка при наблюдении под различными потоками света, но по-прежнему выглядит белым. Напротив, измеряемый спектр и координаты цвета изменятся значительно. Это явление названо цветовым постоянством и существует благодаря комплексной оптической обработке в мозге, который пробует исправлять при медленных изменениях в общей световой интенсивности и чистоте тона. Это зависит от полного состояния приспосабливаемости глаза. Например, белый лист бумаги будет выглядеть белым под оранжеватым свечением вольфрамового светового излучения лампы накаливания или под голубоватым яркого света флуоресцентным striplight (узкополосным освещением). Это потому, что свет заполняет все поле зрения и обеспечивает доминирующий адаптивный стимул. Если фотография экспонируется на бумаге под вольфрамовым световым излучением, то после проявления отпечатка будет отмечен оранжевый оттенок на белой бумаге. Это потому, что количество света, отраженного от фотографии (фотоснимка), есть малая доля от общего (результирующего) света, входящего в глаз, который, следовательно, не приспосабливается к этому.
3.6.2 Белая точка
Чтобы объяснить это явление, достаточно определить белую точку, которая берется, чтобы быть цветом, условно принятым как белый. Для излучающего цвета это один из стандартных (эталонных) "белых" источников света.
Чтобы стать белой точкой для отражающего цвета, теоретический объект, называемый точным рассеянным отражателем, определяется наличием свойства 100 % отражательной способности во всех длинах волн, какие позволяет этот источник света.
Координаты цвета отражающей выборки могут измеряться спектрофотометром, который является подобным спектрорадиометру за исключением того, что он также содержит свет. Спектрофотометр калиброван простым измерением чистой белой поверхности, чтобы отражать источник света обратно в детектор.
3.6.3 Флуоресцентные цвета
Они имеют свойство поглощать свет в одной длине волны и заново отражать его в более длинной длине волны (которая будет иметь меньшее количество энергии). Во многих случаях, поглощенный свет будет в ультрафиолетовом диапазоне, но испускаемый свет будет видим. Поскольку это воздействует на измеряемые координаты цвета, важно, что используется дневной источник света, который имеет интенсивности ультрафиолетовой области спектра подобные реальному солнечному свету, недостаток первоначального источника света C.
Вещества, которые поглощают ультрафиолетовый и испускают синий свет, используются в некоторых стиральных порошках; синий нейтрализует желтоватый оттенок остаточного загрязнения, чтобы дать иллюзию белого. Такие вещества названы оптическими отбеливателями.
Печать в цвете
5.5.1 ТерминологияПечать может означать одну из двух вещей:
1. Посылка файла на материальное устройство типа лазерного принтера, струйного или сублимационного принтера, который производит твердую копию.
2. Посылка некоторых данных типа файла или фотографии в типографию, чтобы получить растровые полутоновые пластины для печати. Большое количество печатных изданий может быть сделано с этих пластин при помощи офсетной литографии.
Эти две процедуры, хотя различаются в деталях, имеют общее в том, что цветная печать производится смешиванием чернил, воска или других красителей. Обычно они равнозначны, за исключением тех случаев, где это оговорено отдельно.
Технологии печати могут быть разделены на два типа. В первом, более общем типе, количество нанесенных чернил на отдельное пятно имеет два значения - некоторое количество или никакого. С тремя цветами чернил это означает, что только восемь цветов доступно.
Растрирование, обсужденное в предыдущем разделе, используется, чтобы увеличить этот малый диапазон. Офсетная литография и большинство лазерных принтеров, waxjets
и inkjets принтеры - примеры этого типа. Во втором типе количество нанесенных чернил может меняться, позволяя широкому диапазону цветов быть произведенными без растрирования. Они таким образом названы принтерами непрерывного тона и имеют хорошее качество близкое к фотографическому. Сублимационные принтеры являются примером этого типа.
5.5.2 Смешивание чернил
Печать с цветными чернилами является субтрактивным процессом, в отличие от аддитивного процесса, когда смешивается свет. Чернила - отражающие цвета и вычитают из источника света, чтобы произвести цвет, как показано на рисунке 52 и на иллюстрации 27.
![]() |
Рисунок 52: Аддитивные и субтрактивные цвета.
Это означает, что в трехцветной системе основные цвета чернил широко соответствует вторичным цветам трехцветного аддитивного смешения - голубому, сиреневому и желтому, и что смесь из всех трех основных цветов дает черный, а не белый.
Также возможно печатать пятнистыми цветами в дополнение к, или вместо обрабатываемых цветов. Это вероятно сделано для того, чтобы производить цвета вне обрабатываемой цветовой гаммы с целью гарантировать то, что отдельный специфический цвет будет выглядеть тем же самым на различных принтерах, или, чтобы получать специальные эффекты.
5.5.3 Гаммы Принтера
Потому что печать использует субтрактивное смешивание, теоретическая гамма принтера определена на диаграмме цветности шестью точками: три основных цвета и три вторичных. Это то, что отличает ее от гаммы монитора, которая определена тремя точками, поскольку аддитивность гарантирует, что каждый производный цвет лежит на линии, соединяющей ее составляющие основные цвета. Форма типичной гаммы принтера, в данном случае Tektronix Устройства кадровой синхронизации, IIIPXi, показана на рисунке 53.
![]() |
Хороший набор чернил печати будет иметь высоконасыщенные цвета, давая широкую гамму. Изменения в цветных чернилах, используемых в различных принтерах, по крайней мере столь же широки, как разные люминофоры монитора.
Хотя цветовое смешивание субстрактивное, плотность чернил может рассматриваться аддитивной. Печать полного количества голубого, сиреневого и желтого дает плотность 300 % и коричневато-черный цвет. Добавление черных чернил дало бы общую достижимую плотность 400 % (и лучший черный цвет). На практике плотность отклоняется от аддитивности в некоторых способах, которые не только изменяют гамму, но также и значительно усложняют процесс цветового деления.
Из-за этого вид гаммы, показанной на рисунке 53, хотя полезен как руководство, не полностью точный. Профессиональные принтеры и цветные допечатные
агентства создают более точную гамму, измеряя образцы многих комбинаций чернил. Создается тестовый лист, содержащий образцы с известной пропорцией CMY или CMYK, и измеряются МКО координаты цвета каждого пятна. Иллюстрация 38 показывает часть такого листа.
Возникающие в результате данные используются для создания гаммы и, размещенные как 3х или 4х-мерная поисковая таблица, используются для того, чтобы предсказать пропорции чернил, требуемых, чтобы смешать данный цвет на том устройстве.
5.5.4 Факторы, влияющие на качество
Число переменных, влияющих на качество законченной печати, огромно; только небольшая часть может быть рассмотрена здесь. Вот почему используются специалисты цветных допечатных агентств, когда требуется высокое качество, такое как в книге и журнальной продукции.
Было установлено ранее, что плотность чернил может рассматриваться аддитивной. Многие из этих переменных должны исправить это предположение, являющееся только приблизительно истинным. Есть некоторые более важные факторы:
· Прилипание (налипание) чернил. Чернила наслаиваются сверху друг на друга, и имеется различие в сцеплении между печатью на чистой бумаге и на бумаге покрытой чернилами. Этот эффект, который изменяется в зависимости от порядка нанесения чернил на бумагу, уменьшает аддитивность.
· Максимальная плотность. Плотность 400%, соответствующая максимальному количеству каждых чернил, ослабила бы большинство документов и в результате вызвала бы вспучивание, разрыв и смазывание. Так как равные количества трех основных цветов произведут нейтральный серый, то некоторые или все пропорции смеси чернил удаляются и заменяются черными. Например, цвет C = 20, М = 30, Y = 40 мог бы быть заменен на C = 0, М = 10, Y = 20, K = 20 или C = 10, М = 20, Y = 30, K = 10. Это называется заменой серой компоненты (GCR). Иллюстрация 39 показывает 70% GCR.
· Баланс серого. Практически равные количества каждого основного цвета не производят чистый ахроматический серый. Пропорции должны немного корректироваться, чтобы удалить цветовые оттенки, которые получились бы в результате, и к которым глаз является особенно чувствительным. Эта проблема, показанная на иллюстрации 40, уменьшена заменой серой компоненты.
· Удаление цвета. Черные чернила используются, чтобы увеличить плотность чернил при высоких уровнях чернил, чтобы исправить недостаток аддитивности. Это усиливает контраст, и выполняется в дополнение к замене серой компоненты.
![]() |
· Требования совмещения. Это касается и печати пластин, и множественных проходов бумаги внутри принтера. Смещение изменяет цвет смеси чернил от измеренного, калиброванного значения и может вводить цветовые оттенки в серые. Очень небольшое смещение может влиять на конечный результат потому, что изменяется степень перекрытия растровых полутоновых точек и рабочих экранных углов.
· Эффективность точечного размера. Измеряемая плотность чернил не полностью пропорциональна определенной области точек на полутоновом экране. Факторы, типа вязкости чернил и рассеивания через бумагу, имеют результатом увеличение размера (растровой) точки, увеличение фактической точечной области. В некоторых случаях может происходить увеличение размера (растровой) точки более чем на 25 %. Кроме того, на той стадии, где индивидуальные точки становятся достаточно большими, они начинают касаться друг друга, что создает эффект белых точек на цветном фоне, а не цветных точек на белом фоне.
· Изменчивость чернил. Необходимо принимать во внимание изменения от картриджа к картриджу, поскольку, в отличие от люминофоров, чернила являются расходным материалом.
· Точные (четкие) экранные углы и частоты, физическая разрешающая способность устройства определяют число цветов, которые могут быть напечатаны.
5.5.5 Печать с использованием не-CMYK моделей
Некоторые принтеры разрешают, чтобы цвет был определен в стандарте формата не зависящего от внешних устройств, типа одной из моделей МКО. Например, текущая версия (Level 2) языка описания страниц Postscript, который широко используется в принтерах и фотонаборных устройствах, обеспечивает данную возможность.
В Postscript основная структура для цветовых моделей, основанных на МКО, параметризована, чтобы определить искомую цветовую модель. Графические примитивы затем описываются, используя эту модель. Примеры возможных Postscript моделей цвета включают МКО 1931 XYZ, МКО 1976 LUV, или SMPTE RGB. Вспомните, что RGB, в контексте телепередачи, имеет отношение к конкретному набору люминофоров.
Одна проблема с использованием не-CMYK модели заключается в том, что могут быть определены цвета, которые не могут быть напечатаны на конкретном устройстве. Эту проблему нужно решать в зависимости от устройства. При использовании программы графического подбора цвета или системы управления цветом таких цветов можно избежать. Например, на иллюстрации 41 показано такое средство, отображающее различие между гаммой монитора (Tektronix XP29P терминал PEX, сплошная линия) и принтера (Tektronix 4396DX, пунктирная линия). Выбранный цвет показан и в RGB, и в TekHVC моделях цвета. Проблема отображения гаммы и обработка цветов вне гаммы обсуждается в разделе 5.7
Почему используют цветовые модели?
При условии сложностей цветового восприятия, полезно определить упрощенный, абстрактный метод, кратко определяющий цвет с малым числом параметров. Обычно теория координат цвета используется так, что имеются три параметра. Могут быть другие, лежащие также в основе допущения. Часто цветовые модели определены в терминах трех основных цветов, из которых все другие получены смешиванием. В других случаях три параметра представляют более легко понятые атрибуты типа светлота или насыщенность.Рассмотрение трех параметров как ортогональных осей, создает геометрическое пространство цвета. Геометрическое положение цвета в этом пространстве может быть использовано для наблюдения его связи с другими цветами. 48 показывает программу, которая может использоваться для смешивания цветов в ряде различных цветовых пространствах.
Распознавание цвета
В дополнение к ощущению более яркого света, колбочки также обеспечивают цветовое распознавание. Имеются три типа колбочек, отличающихся по белковой компоненте визуального пигмента и таким образом по диапазону длин волн света, на который они наиболее чувствительны. Называемые как S, М и L конусы (для коротких, средних и длинных длин волн) имеют максимальную чувствительность в 445нм (фиолетовый), 535нм (зеленый) и 570нм (желтый). Некоторыми авторами они также названы b, g и r конусами.В отличие от измерения полной светоотдачи человека, определить отклик одного типа клетки колбочки более сложно, и точные результаты зависят от методов и используемых предположений. Два подхода обычно использовались: эксперименты на субъектах, у которых недостаток одного из трех типов колбочек (остальные два нормальны) и измерения извлеченных пигментов колбочек (при этом остальные колбочки и сетчатка остаются без изменения).
Пример одного набора измерений спектральной чувствительности для трех типов колбочек показан ниже на рисунке 8. Из него очевидно, что чувствительность S и М колбочек значительно совпадает и они имеют подобные максимумы длин волн; L колбочки имеют чувствительность значительно меньше.
![]() |
Рисунок 8 - Кривые чувствительности для трех типов колбочек.
Исследование данных в логарифмической шкале на рисунке 9 показывает, что все три типа колбочек фактически подобны, с низкой чувствительностью в синей и фиолетовой области, но L колбочки не имеют большого диапазона, S и М колбочки имеют пик чувствительности в коротких длинах волн.
![]() |
Рисунок 9: Чувствительность колбочек в логарифмической шкале.
Один вывод отмеченного совпадения между М и L колбочками заключается в том, что их реакции на данный цвет будут сильно совпадать. Следовательно, передача сигналов от каждого типа колбочек непосредственно к зрительной зоне коры головного мозга была бы неэффективна, кроме того, это потребовало бы четыре отдельных сигнала - S, М, L и яркость.
То, что происходит вместо этого является текущей темой исследования и дебатов. Однако, все исследователи, кажется, соглашаются с тем, что производится цветовое вычитание сигналов.
Большинство исследователей соглашается с тем, что во второй стадии цветового обнаружения используется разница между М и L конусами, чтобы получить сигнал, который позволяет обнаружить различие между оранжевым и голубовато-зеленым.
Сумма М и L конусов также передается, обеспечивая канал яркости. Палочки, которые насыщаются при (световых) уровнях дневного света, обеспечивают небольшой и эффективный постоянный сигнал на этот канал, но, кажется, нет никакого сигнала от S колбочек.
Второй цветовой канал разности обеспечивается взвешенной комбинацией S, М и L конусов, чтобы помочь выделению зеленовато-желтого из лиловато-синего. Точные задания весов и комбинаций колбочек, и возможное мультиплексирование разности сигналов для передачи в мозг еще точно не известны.
Вероятно, что имеется третья стадия цветовой обработки где-нибудь в мозге, на которой генерируется три противостоящих пары цветов: черный/белый. красный/зеленый и синий/желтый. Обычно, каждый из этих цветов видится некоторым образом уникальным или отличным от других. Эта идея относительно противостоящих цветов имеет длинную историю, описываемую Леонардо Да Винчи, Гетте и другими.
Эти три стадии: обнаружение благодаря палочкам и конусам, начальная комбинация, конечная комбинация показаны на рисунке 10. Толщина каждой линии дает возможность понять вклад каждого фактора. Например, вклады S и М колбочек во второй стадии (зеленовато-желтый/лиловато-синий канал) приблизительно равные, с меньшим вкладом L колбочек.
![]() |
Сетчатка
Световая энергия преобразуется в электрические импульсы сетчаткой - это тонкая сеть клеток, которые тянутся вдоль задней и боковых стенок глаза. Они похожи на приборы с зарядовой связью, которые являются светочувствительными элементами в видеокамерах. Это однако более сложное устройство, и необходимо понять некоторую идею относительно того, как цвет воспринимается.Клетки, составляющие сетчатку, это специализированные нервные клетки, и они связаны эволюционно и морфологически с возбуждаемой тканью в мозге. Таким образом, некоторые из нервных клеток сетчатки выполняют визуальную обработку прежде, чем сигналы уходят из глаза. Другое любопытное последствие эмбриологического развития глаза из мозговой ткани в том, что сетчатка кажется "лицевой стороной внутрь”; как показано на рисунке 4, свет должен проходить сквозь "схему" нервных клеток, чтобы достигнуть фоточувствительных клеток, которые располагаются на невидимой поверхности сетчатки.
choroid - хороидея
ganglion cell - клетка нервного узла
rod - стержень
cone - конус
bipolar - биполярная ячейка
horizontal cell - горизонтальная ячейка
![]() |
Рисунок 4 - Человеческая сетчатка (принципиальная схема).
Светочувствительные клетки рецептора на задней части поверхности сетчатки находятся перед черной хориоидеей (сосудистой оболочкой), которая увеличивает контраст, устраняя внутреннее отражение и препятствуя прохождению света через переднюю сторону глазного яблока. Рецепторы соединены через биполярные клетки (называемые так из-за их двусторонней формы) с ganglion слоями нерва, которые проходят вне глаза, чтобы формировать продвижение зрительного нерва к мозгу.
Сетчатка также содержит горизонтальные клетки, которые соединяют малые кластеры рецепторов. Когда рецептор освещен, смежные рецепторы делаются менее чувствительными из-за горизонтальных клеток, увеличивая местный контраст. Это предварительная форма обнаружения края, она вызывает оптический эффект, известный как эффект Маха. Это показано на рисунке 5, на котором изображен ряд серых прямоугольников.
Каждый прямоугольник содержит однородный оттенок серого, но край, расположенный возле более темного прямоугольника, выглядит светлее. Точно так же край, расположенный возле более светлого прямоугольника, выглядит темнее. Эффект Маха может вызвать проблемы в компьютерной графике; если нужна гладкая градация переходов, моделируемая малым числом оттенков, обеспечьте, чтобы не было резких переходов для уменьшения данного эффекта.

Рисунок 5 - Эффект Маха.
Содержание и область применения
Этот документ разделен на пять разделов.Во-первых, мы рассматриваем, как люди видят цвет. Это объединение информации из таких наук как физика, оптика, физиология, нейрология и психология, чтобы показать, что цвет является скорее внутренним, субъективным ощущением, чем внешним, целевым объектом. Это помогает объяснить что такое цвет.
Так как цвет имеет биологическую основу, то встает вопрос, как он может быть измерен и стандартизован? Второй раздел объясняет, как цвет измеряется и представляется CIE международным эталоном, используемым для определения цвета. Это обеспечивает насущную связь между биологическим ощущением и физическим измерением. Также даются примеры того, как цветовые измерения могут использоваться и изменяться, например, для предсказания результата цветовой смеси или проектирования дисплеев для людей с дефектной цветовой системой технического зрения.
Абстракция, названная цветовой моделью, используется, чтобы задавать цвет. Третий раздел объясняет понятие основных цветов и затем исследует многообразие цветовых моделей, которые являются доступными и, особенно, достоинства и недостатки каждой. Цвет, описанный в одной цветовой модели, может часто быть преобразован в другую цветовую модель. CIE стандартные функции, как универсальная точка отсчета в этом процессе.
В предыдущих разделах фокусировалось внимание на определении цвета, при этом не учитывалось то, как цвета физически создаются в компьютерной графике. Четвертый раздел исследует, как различные типы аппаратных средств работают, подчеркивая, какое влияние, это имеет на отображение цвета. Приведена наиболее эффективная система управления на основе доступных аппаратных средств для переносимой и эффективной цветовой графики.
Заключительный раздел дает руководящие принципы для использования цвета. Вместо того, чтобы представлять произвольный ряд правил, предпринято усилие, чтобы показать, как руководящие принципы следуют непосредственно из материала, представленного в предыдущих разделах.
Есть три приложения, связанных с отображением стандартизированных цветов на компьютерном графическом экране, и глоссарий терминов. Все слова в полужирном шрифте подобно этому:
Технический термин
Следует искать в глоссарии.
2 Наблюдение в цвете
Спектры
Можно предположить, что измерение интенсивности света, испускаемого или отраженного от объекта, во всех видимых длинах волн, полностью определит цвет. Такое измерение действительно определит те оптические свойства, которые влияют на наблюдаемый цвет. Пример такого измерения дан на рисунке 2. Исходя из этой информации, нет никакого простого способа предсказать визуальное проявление. Доминирующая длина волны может легко быть идентифицирована, но каков вклад остальной части спектра?. Каким будет цвет в общем?.![]() |
Рисунок 2 - Типичный спектр отражения травы
Диапазон длин волн, которые являются видимыми, меняется для разных обитателей фауны; некоторые змеи могут видеть часть инфракрасного спектра, а многие насекомые могут видеть в ультрафиолетовом спектре. Когда белый свет расщеплен призмой, длины волн отделяются, но именно глаз и мозг производят ощущение, которые мы называем цветом.
Стандартизированный наблюдатель
Базируясь на ряде соответствующих экспериментов, стандартный(эталонный) наблюдатель был определен в 1931 Международной комиссией по освещению МКО. Это набор данных, который определяет три основных цвета для цветовых измерений и состояний для каждого интервала длин волн, и количество этих основных цветов, которое требовалось бы, чтобы согласовать (подобрать) спектрально чистый цвет для статистически нормального (различающего цвета') наблюдателя. Граф согласующих функций показан на рисунке 12.![]() |
Рисунок 12 - CIE функции цветового соответствия.
Три основных цвета называются X, Y и Z. График количеств каждого основного цвета МКО, требуемого для подбора любого чистого спектрального цвета, называется функцией согласования и показан на рисунке 12. Чтобы подобрать отдельный цвет, вертикальная линия рисуется в длине волны этого цвета, а величины считывают из точек пересечений с каждой функцией согласования. Например, чтобы согласовать синий/фиолетовый цвет с длиной волны 450нм, требуется 0.33 единиц X, 0.04 единиц Y и 1.77 единиц Z.
В математике многие проблемы решаются проще благодаря применению комплексных чисел, которые содержат квадратный корень из -1. Точно так же X, Y и Z основные цвета, которые используются для определения стандартного (эталонного) наблюдателя являются "мнимыми" ("воображаемыми") цветами, в этом смысле они не соответствуют видимым (визуальным) цветам. Они имеют свойство быть значительно более насыщенными, чем реальные цвета, так что подбор реального цвета не требует отрицательного вклада от любого из основных цветов для цветового согласования. X - перенасыщено-пурпурновато-красен; Y - перенасыщенная форма реального спектрального зеленого с длинной волны 520нм, а Z - перенасыщенная форма реального спектрального синего с длинной волны 477нм. Также, спектральная функция согласования Y основного цвета была выбрана, чтобы точно согласовать МКО стандарт photopic функции светоотдачи, показанная на рисунке 7. Она следовательно несет всю информацию яркости относительно цвета.
Предположения, сделанные при определении этого наблюдателя, следующие: угол просмотра цвета до 2° или меньше; источник света подобный дневному свету. Это все есть простые условия, которые встречаются на практике. Ограничение на угловой размер является таким, чтобы изображение пятна цвета на сетчатке падало на ямку, площадку наиболее чувствительную к изменениям в цвете. Это обычное местоположение при просмотре цветного объекта. Для тех случаев, редких в практике, где требуется определение широкого поля цвета, должен использоваться МКО 1964 Дополнительный Наблюдатель. Эксперименты, которые выполнялись, чтобы определить 1964 наблюдателя, использовали 10° поле, поэтому возникающие в результате CIE величины обозначены X10, Y10
и Z10. Форма согласующих функций в общих чертах подобна 1931 Стандартному Наблюдателю, хотя координаты цвета, рассчитанные от двух наблюдателей, различны и не должны быть смешаны.
Так как стандартный наблюдатель математически определен набором функций, результаты экспериментов цветового соответствия могут быть просто вычислены без необходимости фактически делать эксперимент. Цветовое измерение может таким образом стать автоматизированным процессом.
Выбор цветовой модели
Для того, чтобы не зависеть от устройств, используйте цветовую модель МКО типа L*C*Huvили модель типа Munsell, для которой координаты цвета МКО являются доступными. Если выбранное устройство вывода непосредственно не поддерживает спецификацию цвета МКО, цвета могут часто быть преобразованы в естественное цветовое пространство устройства. Приложение B показывает, как это выполняется для аддитивного RGB устройства.
Для точной работы, где важно безошибочное цветовое согласование, используйте калиброванный монитор и кабинет просмотра с CIELUV или более специализированными моделями типа Hunt ACAM.
Для специфических приложений (текстиль, архитектура, изобразительное искусство) используйте соответствующую специализированную цветовую модель, которая традиционно используется в этой прикладной области. Например, CIELAB, Coloroid или Pantone соответственно.
Для смешения цветов в пространстве цветов, не зависящем от устройства, используйте цветовую модель с полярной системой координат, чтобы получить оттеночный круг. Например, L*C*Huv
или TekHVC.
Чтобы смешивать различимый цвет, но в пространстве цветов, зависящем от устройства, используйте полярную модель типа HSV или HLS.
Используйте RGB, если это все, что доступно, но рассмотрите выбор из HSV и преобразование к RGB.
Не используйте непосредственно CMY. Число переменных, которые должны быть изменены, слишком велико.
Управление: Предприятие - Качество - Производство
- Управление качеством
- Категории управления качеством
- Управление предприятием
- Стратегии управления предприятием
- Анализ в управлении предприятием
- Виды управления предприятием
- Основы управления предприятием
- Групповое управление предприятием
- Экономика управления предприятием
- Управление производством
- Финансы при управленим производством
- Производство металла
- Производство пластмассы
- Производство электричества
- Производство графических изделий
- Производство чертежей
- Софт для управление производством
- ProjectStudio помощь в управление





































































