Адамова Н. - Материально-техническое обеспечение
Для того чтобы обеспечить предприятие (объединение) необходимыми ему материалами в соответствии с выявленной потребностью, организуется материально-техническое снабжение предприятия. Его задача заключается в определении потребности предприятия в материалах и технических ресурсах, изыскании возможностей покрытия этой потребности, организации хранения материалов и выдачи их в цехи, а также в проведении контроля за правильным использованием материально-технических ресурсов и содействия в их экономии.
Решая эту задачу, работники органов снабжения должны изучать и учитывать спрос и предложение на все потребляемые предприятием материальные ресурсы, уровень и изменение цен на них и на услуги посреднических организаций, выбирать наиболее экономичную форму товародвижения, оптимизировать запасы, снижать транспортно-заготовительные и складские расходы.
Материальные ресурсы представляют собой часть оборотных фондов предприятия. Оборотные фонды это те средства производства, которые полностью потребляются в каждом производственном цикле, целиком переносят свою стоимость на готовую продукцию и в процессе производства меняют или теряют свои потребительные свойства.
В состав оборотных фондов включаются:
- основные и вспомогательные материалы, топливо, энергия и полуфабрикаты, получаемые со стороны;
- малоценные и быстроизнашивающиеся инструменты и запасные части для ремонта оборудования;
- незавершенное производство и полуфабрикаты собственного изготовления;
- тара.
Оборотные фонды, за исключением малоценных инструментов и инвентаря, незавершенного производства и полуфабрикатов собственного изготовления, а также энергии, относятся к материальным ресурсам.
Нужно отметить, что при делении средств производства на основные и оборотные в практике допускаются некоторые вполне оправданные условности. Инструмент и инвентарь делятся на две части.
В первую из них входят малоценные и быстроизнашивающиеся (со сроком службы менее одного года) инструменты и инвентарь. Они относятся к оборотным фондам.
Другая же часть, в которую включается весь остальной инструмент и инвентарь, относится к основным фондам.
Для бесперебойного функционирования производства необходимо хорошо налаженное материально-техническое обеспечение (МТО), которое на предприятиях осуществляется через органы материально-технического снабжения.
Главной задачей органов снабжения предприятия является своевременное и оптимальное обеспечение производства необходимыми материальными ресурсами соответствующей комплектности и качества.
Решая эту задачу, работники органов снабжения должны изучать и учитывать спрос и предложение на все потребляемые предприятием материальные ресурсы, уровень и изменение цен на них и на услуги посреднических организаций, выбирать наиболее экономичную форму товародвижения, оптимизировать запасы, снижать транспортно-заготовительные и складские расходы.
В условиях рынка у предприятий возникает право выбора поставщика, а значит, и право закупки более эффективных материальных ресурсов. Это заставляет снабженческий персонал предприятия внимательно изучать качественные характеристики продукции, изготовляемой различными поставщиками.
Сырье, материалы, полуфабрикаты, топливо и прочие материальные ценности на заводах и фабриках хранятся на складах. Состав, число и размеры последних зависят от номенклатуры и количества потребляемых материальных ценностей.
На крупных предприятиях количество складов нередко достигает нескольких десятков.
Количество, состав, емкость и специализация складов образуют структуру складского хозяйства предприятия. Организация складов, их техническое оснащение и размещение на территории завода и фабрики имеют существенное значение для работы и экономики предприятия. Организация складского хозяйства оказывает влияние на пропускную способность складов, трудоемкость и себестоимость складских работ, на величину внутризаводских транспортных расходов и т. д.
Материально-техническое обеспечение складского хозяйства.
Материальные ресурсы представляют собой часть оборотных фондов предприятия. Оборотные фонды это те средства производства, которые полностью потребляются в каждом производственном цикле, целиком переносят свою стоимость на готовую продукцию и в процессе производства меняют или теряют свои потребительные свойства.
В состав оборотных фондов включаются:
- основные и вспомогательные материалы, топливо, энергия и полуфабрикаты, получаемые со стороны;
- малоценные и быстроизнашивающиеся инструменты и запасные части для ремонта оборудования;
- незавершенное производство и полуфабрикаты собственного изготовления;
- тара.
Оборотные фонды, за исключением малоценных инструментов и инвентаря, незавершенного производства и полуфабрикатов собственного изготовления, а также энергии, относятся к материальным ресурсам.
Нужно отметить, что при делении средств производства на основные и оборотные в практике допускаются некоторые вполне оправданные условности. Инструмент и инвентарь делятся на две части. В первую из них входят малоценные и быстроизнашивающиеся (со сроком службы менее одного года) инструменты и инвентарь. Они относятся к оборотным фондам.
Другая же часть, в которую включается весь остальной инструмент и инвентарь, относится к основным фондам.
Наибольшую долю материальных ресурсов предприятия составляют основные материалы. К ним относятся предметы труда, идущие на изготовление продукции и образующие основное ее содержание. Основными материалами при изготовлении, например, автомобиля являются металл, стекло, ткань и т. п.
К вспомогательным относятся материалы, потребляемые в процессе обслуживания производства или добавляемые к основным материалам с целью изменения их внешнего вида и некоторых других свойств (смазочные, обтирочные, упаковочные материалы, красители и т. д.).
В металлургическом производстве выделяются обычно еще и добавочные материалы, которые присоединяются к основным в качестве реагентов металлургического процесса. К числу таких материалов относятся: в доменном производстве известняк и другие флюсующие материалы; в мартеновском окислители, например железная руда, марганцевая руда, и флюсующие материалы (известняк, известь, бокситы), а также заправочные материалы (доломит и магнезит).
К этой же группе материалов относятся кислоты для травления металлов, масла для термической обработки металла, цинк и олово цинковального и лудильного производства. В практике работы металлургических заводов эти материалы объединяют с основными в общую статью Сырье и основные материалы.
По существу же, часть добавочных материалов может быть отнесена к основным, а часть к вспомогательным материалам.
В зависимости от характера использования различают: топливо технологическое, т. е. непосредственно участвующее в процессе изготовления продукции (при плавке, термической обработке и т. п.), двигательное и используемое для обслуживания процесса производства.
Эта классификация материальных ресурсов исходит из различного характера потребления указанных групп и, следовательно, определяет неодинаковый подход к установлению норм их расхода, к определению потребности в них и выявлению путей более экономного их использования.
Организация и планирование использования материальных ресурсов является одним из важнейших разделов деятельности промышленных предприятий. Вся работа по организации и планированию использования материальных ресурсов проводится в направлении создания условий для их максимальной экономии при одновременном повышении качества продукции.
Выявление резервов экономии материалов.
В целях наиболее экономного расходования материальных ресусов, планирования их использования, выявления потребности предприятия в них и улучшения организации материально-технического снабжения проводится анализ использования основных и вспомогательных материалов, топлива в текущем и в предшествующем периодах.
Обычно этот анализ начинают с установления обобщающих показателей, к числу которых относятся следующие:
а) вес изделия на единицу продукции или ее полезного свойства (вес мотора на 1 л. с. мощности, вес грузовой автомашины на 1 т. грузоподъемности и т. п.). Этот показатель характеризует прогрессивность конструкции выпускаемого изделия;
б) коэффициент использования материалов (отношение веса готовой продукции к весу материалов, идущих на ее изготовление). В некоторых отраслях промышленности этот показатель заменяется выходом продукции из единицы использованного сырья (например, выход сахара из тонны свеклы). Данный показатель характеризует рациональность процесса производства с точки зрения эффективности использования материалов и величины отходов, получающихся в процессе производства;
в) расход топлива на единицу продукции. На предприятиях, изготовляющих однотипные изделия, этот показатель устанавливается в расчете на единицу выпускаемой продукции в натуральном выражении (на 1 т. чугуна, извести, на 1000 шт. кирпича и т. п.).
На фабриках и заводах с широкой номенклатурой изделий он устанавливается не по всей номенклатуре продукции, а по изделиям представителям по укрупненной номенклатуре продукции. Во многих случаях показатели расхода сырья и топлива устанавливаются по отдельным стадиям производственного процесса (по переходам);
г) отношение фактического расхода материалов к плановому, которое характеризует соблюдение установленных норм; это отношение может быть рассчитано с помощью следующей формулы1:

где Іп сводный индекс выполнения норм расхода материалов;
рфі, рПі удельные расходы материалов, соответственно фактический и плановый, в течение анализируемого периода на і-ю продукцию;
Вф фактический выпуск продукции і-го вида в том же периоде;
Цф фактические цены на материалы;
д) процент снижения норм расхода материалов, установленных на анализируемый период, по сравнению с нормами, действовавшими в прошлом периоде. Этот показатель характеризует прогрессивность самих плановых заданий по расходу материалов и динамичность норм их использования.
Он устанавливается как средневзвешенная величина из удельных норм расхода материальных ресурсов в базисном и анализируемом периодах с учетом цен на материалы, принимаемых одинаковыми для обоих периодов и количества фактически выпущенной в анализируемом периоде продукции. Метод расчета этого показателя аналогичен предыдущему;
е) удельный вес отходов, возникающих в процессе производства, с выделением возвратных и безвозвратных отходов. Количество возвратных отходов в свою очередь делится в зависимости от направления их использования.
Все перечисленные выше показатели определяются в целом по предприятию, объединению и по отдельным стадиям производства. Они рассматриваются в сопоставлении с аналогичными показателями за предшествующие периоды, с заданиями плана, с проектируемыми нормами, а также в сравнении с достижениями аналогичных передовых предприятий и лучших рабочих бригад того же предприятия.
Приступая к анализу использования материалов, прежде всего, определяют относительную их экономию или перерасход. С этой целью подсчитывают, сколько материалов следовало израсходовать предприятию в условиях достигнутого фактически объема выпуска и ассортимента продукции при соблюдении плановых норм, и сравнивают это количество с фактическим расходом.
Плановый расход пересчитывается в соответствии с фактическим выпуском продукции только по основным материалам, технологическому топливу и тем видам вспомогательных материалов, потребление которых непосредственно связано с производством основной продукции предприятия. Расход прочих материалов не зависит непосредственно от объема выпуска продукции, а поэтому и не подлежит перерасчету. Относительная экономия или перерасход материалов Эм определяются по формуле2:

где Рф фактический расход материалов;
Рпплановый расход материалов;
Вп план выпуска продукции;
Вф фактический выпуск продукции.
Так как подобные вычисления по всем видам продукции и по всей номенклатуре материалов слишком трудоемки, то для упрощения они нередко выполняются в суммарном выражении по стоимости затраченных материалов либо по групповой номенклатуре материалов, исходя из выпуска продукции в денежном выражении. В ряде случаев при необходимости проанализировать использование наиболее дефицитных или дорогостоящих материалов указанный пересчет производится по отдельным их видам.
Однако сводные показатели создают только исходную базу для анализа, так как они позволяют определить лишь общие результаты работы и оценить степень выполнения норм. Сопоставление же данных о чистом весе изделий и коэффициентов использования материалов показывает, где следует искать источники экономии.
Более точные данные об использовании материалов получают путем установления показателей выхода продукции по переходам (выход жидкого металла в литейном цехе, выход годного металла в целом по литейному цеху, вес отходов при раскрое).
На предприятиях, где применяется нормативный учет, имеется возможность значительно углубить анализ использования материалов путем рассмотрения дополнительных требований на выдачу материалов сверх установленных норм. Наличие таких документов само по себе свидетельствует о перерасходе материалов, а причины излишнего расхода, указанные в требованиях, подсказывают пути устранения перерасхода.
В случае значительных расхождений фактического удельного расхода материалов или топлива на различных участках производства или в разные периоды времени проводится углубленное изучение причин этих отклонений. При этом изучают работу передовиков производства, сопоставляют показатели работы различных передовых рабочих, выявляют особенности использования материалов на передовых, средних и отстающих участках.
Одной из причин нарушения норм расхода материалов являются перебои в системе материального снабжения, нарушение комплектности и сроков поставки материалов. Для уточнения действительного положения в выполнении плана материально-технического снабжения проверяют комплектность и своевременность поставок.
Комплектность снабжения определяется следующим путем: подсчитывается общая стоимость материалов, которые должны быть получены по плану, и стоимость фактических поступлений в пределах планового ассортимента. При этом сверхплановые или внеплановые поступления в объем фактических поставок не засчитываются.
Для проверки соблюдения плановых сроков поставок из данных о поступлении материалов выписывают случаи опозданий с указанием, на сколько дней задержана данная поставка материалов.
Соблюдение сроков поставок тесно связано с состоянием складских запасов. Для оценки изменения запасов специально фиксируют все случаи, когда фактический запас был ниже нормального уровня, и определяют причины каждого из этих случаев.
Часто анализ движения запасов может заменить проверку соблюдения плановых сроков поставок, так как эти показатели тесно связаны Tежду собой.
Анализ использования топлива выявляет потери тепла в сети, позволяет установить, насколько фактический коэффициент полезного действия тепловых агрегатов соответствует их паспортным данным, и т. п.
К работе по анализу использования материалов привлекаются конструкторы, технологи, инженерно-технические работники цехов и рабочие, которые вносят много ценных рационализаторских предложений по экономии материалов и топлива.
Выявленные в процессе анализа резервы экономии материалов определяют содержание разработки плана организационных и технических мероприятий, направленных на использование этих резервов.
Факторы экономии материалов.
Все факторы, определяющие, экономию материалов, можно свести к следующим основным группам: материальные, технологические, проектно-конструктивные и организационно-экономические.
Первая группа факторов материальных определяет выбор оптимальных видов материалов, которые позволили бы сократить их расход, уменьшить потребление особо дефицитных материалов и снизить размер материальных затрат в себестоимости продукции. К числу материальных факторов относится также подготовка материалов (обогащение, агломерация и др.).
Использование технологических факторов экономии материалов означает выбор таких вариантов технологических процессов, которые сокращают отходы, получаемые в процессе производства. К ним относятся точные методы литья, штамповка, сварка, улучшение раскроя материалов и др.
Проектно-конструктивные факторы приводят к экономии материалов путём выбора оптимальных проектов (конструкций) готовой продукции, ликвидации чрезмерных запасов прочности и излишеств в продукции.
Сокращение удельного веса материалов в готовой продукции ни в коей мере не должно ухудшать ее качество. Более того, повышение потребительских свойств продукции, ее надежности и долговечности приводит к сокращению расхода материалов в народном хозяйстве, так как потребность в данном виде продукции при улучшении его качества может сократиться.
К числу организационно-экономических факторов относятся: рациональное использование отходов, сокращение потерь материалов при хранении и транспортировании. Каждое организационное мероприятие должно быть тщательно продумано, экономически обосновано и включено в соответствующий раздел плана развития техники и организации производства.
Результаты проведенной работы учитываются при совершенствовании норм расхода материалов.
Завершением анализа является разработка практических мер, позволяющих улучшить использование материальных ресурсов, на их основе установить новые, прогрессивные нормы, отражающие передовой производственный опыт и научно-технические достижения, которые должны быть реализованы в предстоящем плановом периоде.
По мере развития техники и организации производства выявляются новые возможности экономии материальных ресурсов, и тем самым создается возможность разработки прогрессивных норм и пересмотра ранее действовавших.
В работе по организации и планированию использования материальных ресурсов важнейшее место занимает установление прогрессивных норм расхода материалов и топлива. Технико-экономические нормы расхода материалов и топлива это планово-уста-новленные величины, определяющие максимально допустимые затраты соответствующих материальных ресурсов на производство единицы конкретного вида продукции.
Уровень прогрессивных норм должен быть выше достигнутых средних показателей. Нормы должны ориентировать коллектив работников на планомерное внедрение новой техники, отражать передовой производственный опыт и изменяться по мере совершенствования техники и организации производства, роста квалификации кадров.
Наиболее прогрессивным методом установления технико-экономических норм расхода материалов и топлива является аналитически-расчетный.
Сущность аналитически-расчетного метода нормирования расхода материалов.
Норма расхода материалов состоит, как правило, из трех частей: полезного содержания материалов в готовой продукции, отходов, получаемых в процессе производства, и потерь, связанных с хранением и транспортированием материалов. Удельный вес каждой из этих частей характеризует структуру нормы.
Опыт работы предприятий показывает, что на разных участках, потребляющих одинаковые материалы или топливо и выполняющих аналогичную работу, а также на родственных участках других предприятии той же отрасли промышленности расходуется разное количество материалов и топлива при изготовлении одной и той же или аналогичных видов продукции. В целях выявления возможности экономии материальных ресурсов и установления прогрессивных норм проводят анализ фактических затрат на разных участках.
На основе анализа передового производственного опыта и разработки мероприятий по широкому его распространению устанавливают оптимальный в данных условиях метод работы и минимальный расход материальных ресурсов на изготовление продукции. Эти величины и берутся в основу расчета норм расхода материалов и топлива.
В дополнение к материалам анализа проводится технический расчет потребности в материалах и топливе на изготовление единицы продукции или выполнение единицы различных работ. Эти расчеты проводятся применительно к отдельным видам материальных ресурсов.
На каждом предприятии потребляется большое количество самых различных видов материальных ресурсов. Их номенклатура доходит нередко до десятков тысяч наименований.
К тому же следует учесть многообразие производимой продукции и ее частей, а также инструментов, запасных частей и других объектов, на которые устанавливаются нормы расхода материальных ресурсов. Все это в значительной мере увеличивает объем нормировочной работы.
Проведение в каждом отдельном случае анализа влияния всех факторов на расход материалов и детальный расчет норм оказываются в этих условиях весьма трудоемким делом.
Это обстоятельство побуждает отдельные предприятия на установление норм укрупненным путем, по аналогии с другими объектами, по отчетным данным и т. д., что совершенно неприемлемо.
Устранение указанной трудности достигается путем разработки общеотраслевых норм расхода материальных ресурсов на те объекты производства, которые изготовляются на многих предприятиях данной отрасли, и на типовые элементы продукции, входящие во многие виды работ.
Установленные отраслевые нормы позволяют более обоснованно разрабатывать планы и показатели оценки деятельности предприятии. Они должны иметь характер рекомендаций, с тем, чтобы в зависимости от условий работы каждое предприятие могло корректировать их при условии тщательного обоснования отклонения от среднеотраслевых норм.
Нормы комплексных затрат.
Выше мы рассматривали нормы расхода материальных ресурсов, затрачиваемых непосредственно на изготовление единицы того или иного вида продукции, например, расход стали, меди и других материалов на одну автомашину; хлопка, синтетического волокна на тонну пряжи и т. п. Они называются нормами или коэффициентами прямых затрат.
Четкая организация материально-технического снабжения, планирования и контроля использования материальных ресурсов, особенно в производствах со сложным взаимодействием различных частей, требует учета не только прямых затрат ресурсов на единицу продукции, но и расходов, косвенно связанных с производством данного изделия. Это достигается разработкой норм или коэффициентов комплексных затрат, которые определяют общий суммарный расход определенного вида ресурсов на всех стадиях производства, на изготовление единицы конечной продукции.
Нормирование расхода основных материалов.
Примером такой комплексной нормы может быть расход топлива на производство одного автомобиля. В эту комплексную норму включаются: расход топлива на автомобильном заводе, расход топлива на производство металла с учётом нормы потребления металла в автомобильной промышленности, затраты топлива в текстильной и других отраслях промышленности, поставляющих автомобилистам свою продукцию, а также затраты топлива в тех отраслях, которые снабжают своей продукцией всех смежников автомобильной промышленности. При установлении комплексной нормы расхода электроэнергии нужно знать не только прямые нормы по каждому виду производств, но и коэффициенты выхода годного продукта по каждой стадии производства.
Комплексные нормы затрат существенно изменяются под влиянием изменений прямых норм на отдельных стадиях производства и коэффициентов выхода на разных стадиях. Таким образом, комплексные нормы представляют собой довольно динамичные величины.
Нормирование расхода основных материалов.
Норма расхода основных материалов может устанавливаться в различных видах. Наиболее распространенными являются нормы, определяющие удельную величину расхода материалов на единицу конкретного вида продукции, например расход стали определенной марки и профиля в весовых единицах, затрачиваемой на производство конкретной машины. Но нередко норма выражается в количестве продукции, которое может быть получено из единицы затрачиваемого сырья, например выход меди в весовых единицах из тонны руды, объем пиломатериалов, получаемых из кубического метра древесины. В некоторых отраслях промышленности нормы расхода материалов устанавливаются по отдельным стадиям производственного процесса.
Так, в текстильной промышленности определяется расход смески по составным ее частям на тонну пряжи и отдельно устанавливается расход пряжи на метр ткани; в металлургии определяется удельный расход всех видов материалов на тонну чугуна, затем норма расхода чугуна на тонну стали и, наконец, расход стали на тонну проката.
Нормирование расхода листового или пруткового материала (металла, фанеры, древесины, ткани и т. п.) производится на основании рабочих чертежей и карт раскроя. В машиностроении с помощью чертежа определяют чистый вес детали, учитывая её объем и удельный вес материала, из которого она должна быть изготовлена.
Если данный вид детали уже изготовлялся ранее, то чистый вес устанавливается как средняя величина, полученная путем выборочного взвешивания небольшой партии готовых деталей.
Суммируя чистые веса по всем деталям, входящим в данное изделие и изготовляемым из того же сорторазмера материалов (с учетом полного числа деталей каждого наименования, комплектующих готовое изделие), получаем сводную норму расхода данного материала на изделие по чистому весу, или, как принято ее называть, норму - нетто. Как уже указывалось, каждое предприятие располагает резервами для снижения этой нормы а счет облегчения конструкции, внедрения экономичных материалов и других методов.
Норма чистого веса не определяет еще полного удельного расхода материалов на изготовление единицы изделия. Рассматривая технологический процесс изготовления каждой детали, можно видеть, что в зависимости от принятого метода получения заготовки и от характера дальнейшей обработки детали в процессе производства образуется различное количество отходов.
Так, если деталь будет изготовляться путем механической обработки на металлорежущих станках, то размеры заготовки должны отличаться от размеров готовой детали на величину припуска, которая соответствует поверхностному слою металла, снимаемого в процессе обработки. Размер припуска на обработку должен быть принят минимальным, и тогда он обеспечит наиболее экономное использование материалов.
Для определения полной нормы расхода материалов необходимо учесть кроме уже названных затрат некоторое количество безвозвратных отходов (угара) и дополнительный расход при производстве заготовок. При нагреве поковок, при плавке металла в вагранке и при других высокотемпературных процессах небольшая часть металла выгорает, образуя безвозвратные отходы (угар). Кроме того, часть металла теряется в кузнечных цехах в виде немерных концов, клещевины и пр.
Доля этих отходов определяется технологами исходя из опыта работы передовых производственных участков.
В числе мер, обеспечивающих сокращение потерь материалов при раскрое, следует назвать применение математического метода расчета рационального раскроя с помощью метода разрешающих множителей, предложенного акад. Л. В. Канторовичем.
Суть этого метода заключается в том, что с помощью математического расчета определяется наиболее рациональное сочетание вариантов раскроя, обеспечивающее заготовку нужных комплектов деталей при минимальных отходах.
В некоторых отраслях промышленности в норму расхода материалов включается резерв на возмещение брака. Однако такая практика нормирования не может быть признана правильной, поскольку брак нельзя считать необходимым или неизбежным элементом расхода материалов.
В некоторых цехах, где брак составляет еще сравнительно высокий процент (например, в литейных цехах машиностроительных заводов), он подвергается исправлению или материал, израсходованный на его изготовление, повторно используется. В этом случае приходится, конечно, считаться с некоторым увеличением угара и других технологических потерь из-за поворотной переработки, но нет надобности при установлении нормы включать затраты на возмещение брака.
В случае, если на предприятии приходится иметь дело с временно возрастающим браком продукции (например, при освоении новых производств), то соответствующие дополнительные ресурсы следует предусматривать в плане материально-технического снабжения отдельной статьей, как дополнительные затраты, связанные с освоением новой продукции или новых технологических процессов, ни в коем случае не включая их в нормы расхода материалов.
В отношении отдельных видов материалов при установлении норм предусматриваются минимальные потери при транспортировании и хранении. В частности, это относится к материалам повышенной хрупкости (например, к стеклянным колбам), к сыпучим материалам и жидкостям, подверженным распылению и разбрызгиванию.
В самом общем виде состав нормы расхода основных материалов может быть выражен следующей формулой3:

где Нм норма расхода материала на единицу продукции;
Пмполезное содержание материала в готовой продукции;
От отходы технологические;
От.и используемая часть технологических отходов;
Оо отходы и потери организационно-технического характера;
Оо.п используемая часть организационно-технических отходов и потерь.
Имеются некоторые особенности при нормировании расхода шихтовых материалов для работы металлургических агрегатов, химикатов для производства химических продуктов, состава смески для изготовления пряжи и т. п. Эти нормы базируются на технической рецептуре производства и на прогрессивных показателях выхода годной продукции из единицы затрачиваемых материалов.
Например, при нормировании расхода металлургических шихтовых материалов, идущих на производство тонны годного литья, надо, прежде всего, определить нормальный выход годной продукции литейного цеха в процентах к весу металлозавалок. Для этого проводятся неоднократные специальные наблюдения, на основе которых составляется нормальный баланс выхода годной продукции по цеху.
Вместе с тем учитывают разнообразные отходы в виде литников, прибылей, брака, сливов, которые могут подвергаться повторному использованию, и безвозвратные отходы в виде угара, мелких сплесков и пр.
В целом ряде случаев возможно применение различной рецептуры, исходя из которой может быть определен состав шихты в металлургии, смески в текстильной или рецептура в химической промышленности. Задачей экономистов в этих случаях является определение совместно с технологами оптимального состава материалов, которые будут включены в плановую норму расхода.
При определении оптимального состава материалов приходится сталкиваться с необходимостью сокращения расхода остродефицитных материалов, снижения издержек производства, соблюдения установленного лимита расхода определенных видов материалов и т. п.
Решение этой задачи проводится часто с помощью математических методов, при этом критерием оптимальности данного варианта шихты или рецептуры может быть избран тот показатель, который в данных условиях является решающим, экономия дефицитных материалов, сокращение затрат на производство или соблюдение установленного лимита расхода.
В ряде случаев выбор вариантов применяемых материалов может быть произведен без больших математических расчетов. Для этого достаточно определить соотношение материальных затрат при различных вариантах марок применяемых материалов.
Сопоставление этих данных покажет, насколько целесообразно применение тех или иных материалов в данном случае. Выбирая оптимальный вариант раскроя или состав материалов, следует учитывать, что в зависимости от выбранного варианта могут измениться не только материальные затраты, но и расходы, связанные с обработкой.
Поэтому окончательно вопрос решается с учетом степени дефицитности материала, загрузки оборудования, на котором выполняется данная работа, различий затрат, связанных с обработкой материалов, эксплуатационных свойств продукции и других производственных условий.
Нормирование расхода вспомогательных материалов и топлива.
Методика нормирования вспомогательных материалов устанавливается в зависимости от их назначения. Вспомогательные материалы могут быть разбиты в этом отношении на следующие группы:
а) материалы, расходуемые непосредственно на выпуск продукции (красители, упаковочные материалы и др.). Расход их нормируется на единицу готовой продукции
б) материалы, затрачиваемые на изготовление инструментов, приспособлений и другого технологического оснащения, подлежат нормированию в расчете на единицу соответствующих инструментов или приспособлений;
в) материалы, расходуемые на ремонт оборудования, зданий и сооружений, обычно нормируются на условную ремонтную единицу;
г) материалы, используемые для содержания оборудования и помещения в чистоте (смазочные, обтирочные и др.), нормируются на единицу времени работы оборудования или на единицу площади помещения цеха.
Нормирование расхода топлива производится следующим образом:
- технологическое топливо потребляется совершенно так же, как и основные материалы (например, кокс в доменном производстве). Поэтому и нормирование его производится аналогично нормированию основных материалов;
- энергетическое топливо используется для приведения в движение паровых молотов и других подобных видов оборудования, для сушки леса и других материалов и т. д. Расход его нормируется в условных единицах, а величина нормы определяется в зависимости от мощности агрегата и его энергетической характеристики. При наличии на предприятии собственной теплоэлектроцентрали расход топлива нормируется на киловатт-час производимой электроэнергии и мегакалорию тепла;
- расход топлива на отопление помещений устанавливается в расчете на кубометр помещения, исходя из длительности отопительного сезона, средней разности наружной и внутренней температур за время отопительного сезона, теплопроводности стенового, материала и степени охлаждения помещения, связанной с назначением данного помещения.
В связи с тем, что при нормировании расхода многих видов материалов и топлива теоретический расчет затруднен ввиду разнообразия факторов, от которых зависит их потребление, значительно повышается роль анализа передового производственного опыта. Так, нормируя средний расход смазочных материалов на определенное время работы оборудования, производят систематические замеры фактического расхода материалов и фиксируют при этом условия работы машин.
По данным таких наблюдений и их анализа проектируют рациональные условия и режимы работы оборудования, а на этой основе устанавливают норму расхода, смазочных материалов. Эта работа проводится обычно для установления норм расхода таких материалов по отрасли в целом.
Определение потребности в материальных ресурсов.
Потребность в основных, вспомогательных материалах и топливе определяется на основе норм их расхода.
В связи с различным характером потребления неодинаковых материалов методика определения потребности в них имеет некоторые особенности.
Потребность в основных материалах определяется на основании производственной программы предприятия или цеха, норм расхода материалов и планируемого изменения запасов.
На некоторых предприятиях планируется изменение остатка незавершенного производства. Увеличение его вызывает дополнительную потребность в материалах. Поэтому рассчитанную выше потребность в материалах корректируют на изменение остатка незавершенного производства.
Этот корректив вносится исходя из соотношения между стоимостью изменения остатка незавершенного производства и стоимостью товарной продукции с учетом разной материалоемкости незавершенного производства и готовой продукции.
На предприятиях с длительным производственным циклом изготовления продукции время начала производства изделий намного отличается от времени их выпуска в готовом виде. В этих условиях план материально-технического снабжения должен строиться в зависимости не от производственной программы выпуска продукции, а от программы, определяющей сроки начала производства продукции, или, как ее называют на предприятиях, от программы запуска.
Расчет потребности в материалах методически прост, но трудоемок. Трудоемкость расчета возрастает и по той причине, что в процессе разработки плана возникает ряд вариантов производственной программы и по каждому из них приходится производить новый расчет потребности в материалах.
Эта работа значительно облегчается при использовании электронно-вычислитель-ных или счетно-аналитических машин. Нормативы расхода материалов заносятся на перфокарты, перфоленты или магнитные ленты, что позволяет легко рассчитывать потребности в материалах при любых вариантах производственной программы.
Помимо непосредственной потребности в материалах предприятие для своей текущей деятельности должно постоянно иметь некоторое количество их в виде запасов.
Запас материалов, находящийся на предприятии, состоит из трех частей: текущего запаса, за счет которого достигается бесперебойное обеспечение производства материалами в период между очередными поставками; материалов, находящихся в стадии их подготовки к производству (раскрой, сушка и т. п.), и гарантийного (страхового) запаса, создаваемого на предприятии на случай нарушения нормальных сроков поставки. Кроме того, в отдельных случаях создаются сезонные запасы.
В целях определения размера текущего запаса все материалы делятся на четыре группы: 1) материалы, постоянно и систематически потребляемые в значительных количествах, получаемые транзитом, со среднемесячным потреблением, превышающим заказную или транзитную норму, вследствие чего возникает необходимость в регулярных крупных поставках; 2) материалы, получаемые транзитом, поставка которых по условиям работы поставщиков производится один раз в квартал, полугодие или год и приурочена к определенному месяцу этого периода; 3) материалы, получаемые транзитом, среднемесячный расход которых меньше заказной или транзитной нормы; 4) материалы, получаемые со сбытовых и снабженческих баз. Для каждой из этих групп по-разному определяется интервал между двумя очередными поставками.
Для материалов, отнесенных к первой группе, интервал устанавливается на основе типовых договорных сроков поставки за прошлый период с учетом намечающихся изменений в организации снабжения.
Для материалов второй группы интервалы поставок принимаются исходя из условий работы поставщиков в 90, 180 или даже 360 дней. По материалам третьей группы интервал поставки определяется делением их транзитной нормы на среднесуточную потребность в материалах.
По материалам четвертой группы интервал поставки определяется целесообразным размером партии материалов, доставляемой предприятию. На величину запаса материалов оказывают влияние не только условия поставки, но и условия потребления материалов.
Учитывая это, норму запаса устанавливают различно для предприятий с массовым производством, где равномерно потребляются материалы, для предприятий с партионной организацией производства и периодическим запуском материалов и для единичного производства.
В первом случае средний остаток материалов равняется половине срока поставки, и коэффициент задержки материалов в запасе Кз будет составлять 0,5.
Во втором случае средний запас зависит от сроков потребления материалов. Если периодичность потребления материалов определена в 10 дней, равными долями, то коэффициент задержки материалов в запасе составит4:

В третьем случае средний запас зависит от срока единовременного запуска материалов в производство. Чем длительнее этот срок, тем выше коэффициент задержки материалов в запасе. Если, например, данная партия материалов поступает в производство ежемесячно 25-го числа, то коэффициент задержки будет равен5:

Таким образом, текущий запас материалов Зтек равен интервалу поставок Ип, умноженному на среднесуточную потребность в материалах Мс и на величину Кз:6

Запас материалов на подготовку их к производству устанавливается для тех видов материалов, интервал поставки которых не превышает 90 дней. Величина этого запаса Зподг определяется периодом времени подготовки материалов к производственному потреблению Пп и среднесуточной потребности в материалах Мс7
Зподг = Пп. Мс,
Величина Пп включает также время на разгрузку, сортировку и приемку материалов.
Размер гарантийного запаса Згар устанавливается исходя из времени, необходимого для срочной поставки материалов, и должен быть ниже обычного срока поставки. На предприятиях некоторых отраслей промышленности, где особенно важно обеспечить бесперебойную работу (металлургические заводы, электростанции, некоторые химические предприятия), устанавливается неснижаемый гарантийный запас в более значительных размерах.
Запас материалов в момент их поставки (максимальный запас) Змакс определяется следующей формулой8:
Змакс =(Ип + Пп + Згар) Мс.
По этой формуле устанавливается нормальный запас материалов, включаемый в план материально-технического снабжения. По мере потребления запас сокращается, и накануне для получения новой партии материалов он должен быть равен гарантийному запасу.
Таким образом, средний запас Зср, который должен находиться на складе предприятия, равен среднему запасу между максимальным и гарантийным. Он может быть определен по следующей формуле9:

т. е. средний запас равен дневной потребности в материалах, умноженной на сумму количества дней гарантийного запаса и половины срока возобновления текущего запаса в днях.
Однако эта формула приемлема только в тех случаях, когда поставки и потребление данного вида материалов происходят равномерно. В более общем виде расчет нормального запаса материалов определяется по следующей формуле10:
Зср=[(Ип+Пп). Ко + Зср]. Мс,
где Кокоэффициент одновременности потреблении материалов.
Эта формула отличается от предыдущей тем, что вместо общего коэффициента, равного 1/2 (в первой формуле), коэффициент в ней устанавливается в каждом отдельном случае.
Опытная проверка состава текущих запасов на многих предприятиях показывает, что Ко может быть принят равным 0,66, т. е. 2/3 интервала поставки и периода подготовки материалов к потреблению.
В ряде отраслей промышленности создаются еще и сезонные запасы. Они образуются на предприятиях, где сырье поступает главным образом в отдельные периоды года (поступление рыбы в период путины, сахарной свеклы в период сбора урожая, леса в период сплава и т.д.).
Размер сезонного запаса определяется в зависимости от периода времени, на который должен быть создан запас, и среднесуточного потребления материалов в период сезона.
Таблица 1.1. План материально-технического снабжения на 200__ г. 11
|
п/п |
Виды материалов и изделий |
Единица измерения |
Средняя цена франко-завод-потребитель |
Потребность |
Источники покрытия потребности (в натуральном выражении) |
|
На производство |
На ремонтно-эксплуатационные нужды |
На изготовление технологической оснастки |
На опытные и экспериментальные работы |
На непромышленные нужды |
Кроме того, на капитальное строительство |
На производственный склалской запас на 1-1 200__г. |
Всего потребность в натуральном выражении |
|
Ожидаемый остаток на 1-1 200__ г. |
Собственное производство |
Децентрализованные заготовки предприятия и поступления по прямым |
Подлежит завозу по фондам на 200__г. |
|
В натуральном выражении |
В тыс. руб. |
В натуральном выражении |
В тыс. руб. |
В натуральном выражении |
В тыс. руб. |
В днях |
В натуральном выражении |
В тыс. руб. |
|
А |
Б |
В |
1 |
2 |
3 |
4 |
5 |
6 |
7 |
8 |
9 |
10 |
11 |
12 |
13 |
14 |
15 |
16 |
17 |
18 |
19 |
|
|
|
|
|
|
|
|
|
|
|
|
|
|
|
|
|
|
|
|
|
|
Помимо расчета потребности в материалах на нужды основного производства при составлении плана материально-технического снабжения учитывается расход материалов на эксплуатационные нужды (уход за оборудованием, зданиями и сооружениями), на ремонт оборудования, зданий и сооружений, на выполнение опытных и других работ, связанных с освоением новой продукции, на работы по внедрению в производство новой техники, на научно-исследовательские работы, проводимые на предприятии, и на капитальные работы. Полный учет потребности в материалах для удовлетворения всех перечисленных нужд является обязательным требованием, предъявляемым к планированию материально-технического снабжения, так как недоучет этих потребностей может привести к нехватке материальных ресурсов, что может вызвать перебои в производстве, нарушение плана внедрения новой техники или плана ремонтных и других работ.
Сводный план материально-технического снабжения, учитывающий общую потребность в материалах для всех нужд предприятия, включая образование запасов, а также источники покрытия потребности предприятия в материалах, приобретает обычно следующий вид (см.
Организация складского хозяйства.
К числу показателей МТО относятся количественные и качественные показатели плана завоза материальных ресурсов (номенклатура, количество и стоимость материальных ресурсов); транспортно-заготовительные расходы (стоимость перевозки материалов до станции примыкания расходы на доставку материалов до склада предприятия; наценки снабженческих и сбытовых организаций; расходы на тару и т.п.); расходы на хранение, выдачу в производство и отгрузку потребителю материальных ресурсов; административно-хозяйственные расходы (расходы на содержание аппарата отдела МТО) и т.п.
Основанием для положительной оценки деятельности органов МТО служат: отсутствие перебоев в снабжении производства, сверхнормативных запасов и неликвидов, своевременное заключение договоров, снижение снабженческих затрат и т.д.
Своевременное обеспечение производства материальными ресурсами зависит от величины и комплектности производственных запасов на складах предприятия.
Производственные запасы это средства производства, поступившие на склады предприятия, но еще не вовлеченные в производственный процесс. Создание таких запасов позволяет обеспечивать отпуск материалов в цехи и на рабочие места в соответствии с требованиями технологического процесса.
Следует отметить, что на создание запасов отвлекается значительное количество материальных ресурсов.
Уменьшение запасов сокращает расходы по их содержанию, снижает издержки, ускоряет оборачиваемость оборотных средств, что, в конечном счете, повышает прибыль и рентабельность производства. Поэтому очень важно оптимизировать величину запасов.
Управление производственными запасами на предприятии предполагает выполнение следующих функций:
- разработку норм запасов по всей номенклатуре потребляемых предприятием материалов;
- правильное размещение запасов на складах предприятия;
- организацию действенного оперативного контроля за уровнем запасов и принятие необходимых мер для поддержания нормального их состояния;
- создание необходимой материальной базы для размещения запасов и обеспечения количественной и качественной их сохранности.
Нормирование производственных запасов это определение их минимального размера по видам материальных ресурсов для бесперебойного обеспечения производства. При нормировании производственных запасов сначала определяются нормы производственных запасов в днях, а затем в натуральном и денежном выражении.
Норма запаса в днях устанавливается на основе следующих данных.
1. Нахождение материалов в пути (транспортный запас Нтр). Определяется как разница между временем пробега груза от поставщика к потребителю и временем оборота платежных документов.
2. Приемка, разгрузка, складирование и анализ качества поступающих материалов (подготовительный запас Нп). Определяется на основе расчетного или фактического времени за отчетный период, скорректированного с учетом организационно-технических мероприятий по механизации погрузо-разгрузочных работ.
3. Технологическая подготовка материалов к производству (технологический запас Нт). Образуется в том случае, если до начала производства требуется предварительная обработка материалов (сушка древесины на мебельных фабриках).
Определяется на основе нормативов времени для данных операций.
4. Пребывание материалов на складе (текущий запас Нтек). Удовлетворяет текущую потребность производства, обеспечивает ритмичную работу между очередными поставками материалов.
Определяется умножением среднесуточной нормы потребления материала на плановый кратный интервал между двумя очередными поставками.
5. Резерв на случай перебоев в снабжении и увеличения выпуска продукции (страховой или гарантийный запас Нс). Характеризуется относительно постоянной величиной и восстанавливается после получения очередной партии материалов.
Норматив страхового запаса материалов определяется по интервалу отставания поставок или по фактическим данным о поступлении материалов.
Общая норма производственных запасов по видам материальных ресурсов в днях определяется суммированием указанных видов запасов16:
Ндн = Нтр + Нп + Нт + Нтек + Нс.
Норматив производственных запасов в натуральном выражении по каждому виду материальных ресурсов Ннат определяет произведение норматива в днях на их однодневный расход Мдн в натуральном выражении17:
Ннат = Ндн. Мдн
Норматив в денежном выражении Нст, т.е. норматив собственных оборотных средств на сырье, основные материалы, покупные полуфабрикаты, определяется произведением стоимости однодневного расхода сырья, основных материалов и полуфабрикатов (См) на норматив в днях.18
Нст = Ндн. См = Ндн.
Мдн. Ц
Стоимость однодневного расхода См определяется путем умножения среднедневного расхода в натуральном выражении на цену материальных ресурсов, включая заготовительные расходы и стоимость отходов Ц по плановым нормам.
Организация складского хозяйства.
Сырье, материалы, полуфабрикаты, топливо и прочие материальные ценности на заводах и фабриках хранятся на складах. Состав, число и размеры последних зависят от номенклатуры и количества потребляемых материальных ценностей.
На крупных предприятиях количество складов нередко достигает нескольких десятков.
Виды складов.
Фабрично-заводские склады подразделяются на материальные, производственные, сбытовые и др. Материальные, или снабженческие склHды предназначены для хранения поступающих извне сырья, материалов, топлива и полуфабрикатов.
В производственных складах хранятся полуфабрикаты собственного производства, инструменты, запасные части для оборудования.
Сбытовые склады предназначены для хранения готовой продукции и отходов производства. Прочие склады используются для хранения резервного оборудования и для других надобностей.
Количество, состав, емкость и специализация складов образуют структуру складского хозяйства предприятия. Организация складов, их техническое оснащение и размещение на территории завода и фабрики имеют существенное значение для работы и экономики предприятия. Организация складского хозяйства оказывает влияние на пропускную способность складов, трудоемкость и себестоимость складских работ, на величину внутризаводских транспортных расходов и т. д.
По уровне специализации материальные склады подразделяются на специализированные и универсальные. Обычно склады оснащаются стеллажами, которые размещаются таким образом, чтобы эффективно использовать всю их кубатуру.
Материалы хранятся в стандартной таре, которая удобно размещается на стеллажах и легко перевозится с помощью транспортеров и штабелеукладчиков.
Организация складских работ.
Осуществляемые на материальных складах работы можно свести к следующим основным операциям: приемка материалов, размещение их, хранение, подготовка к производственному потреблению, отпуск производственным и другим участкам предприятия и учет материальных ценностей.
Поступающие на склад материалы проходят количественную и качественную приемку. Количественная приемка заключается в проверке соответствия фактического наличия материалов указанному в сопроводительных документах. Первоначальная проверка поступающих извне грузов производится представителем предприятия на железнодорожной станции.
Здесь проверяется число прибывших мест, целость упаковки, иногда вес груза. Если устанавливается расхождение между фактическим наличием и тем, которое указано в сопроводительных документах, то на железнодорожной станции составляется так называемой коммерческий акт для предъявления претензий виновнику недостачи поставщику или транспортной организации.
Если же количество поступившего материала по наружному осмотру не вызывает сомнения, то вес его на станции прибытия обычно не проверяется. Такой материал выборочным путем проверяется на складе предприятия.
При обнаружении в результате проверки расхождения между количеством по документам и фактическим наличием составляется акт для предъявления его поставщику.
Наряду с количественной проверкой на складах проводится качественная приемка. Она осуществляется органами технического контроля с привлечением в необходимых случаях лабораторий. Качественной проверкой устанавливается соответствие полученных материалов стандартам или техническим условиям.
При несоответствии материала стандарту или техническим условиям вызывается представитель поставщика и составляется акт о непригодности материала. Если же партия непригодного материала невелика или представитель поставщика не может прибыть, то акт о непригодности составляется комиссией предприятия с привлечением представителя незаинтересованной организации. Акт направляется поставщику с одновременным запросом, как поступить с забракованным материалом. Последний, до указания владельца находится у потребителя на ответственном хранении в особо отведенном месте.
Как правило, качественная проверка материалов и полуфабрикатов проводится только по особо ответственным их видам, так как громадное большинство поставщиков само проверяет качество своей продукции перед ее отправкой.
Принятые на склад материалы размещаются с соблюдением определенных требований учета и хранения. При этом каждый материал должен размещаться на складе с учетом того, чтобы обеспечить сохранение количества и качества материалов.
Материалы одинакового наименования размещаются на одном участке, материалы тяжелые и громоздкие должны размещаться ближе к месту выдачи.
На большинстве промышленных предприятий при материальных складах существуют специальные участки подготовки материалов к производству. Так, в централизованном порядке на многих заводах и фабриках организован раскрой черных металлов, леса и других материалов. Это дает возможность более экономно использовать материал, применяя методы комбинированного раскроя, используя отходы для производства более мелких деталей и т. д.
Одним из видов подготовки материалов к производству является комплектование материалов и полуфабрикатов перед отпуском их производственным цехам. Отпуск материала цехам осуществляется на основании установленных лимитов для каждого цеха.
В зависимости от типа производства и характера материалов применяется разный порядок отпуска материалов.
Основные материалы в массовом и крупносерийном производстве отпускаются по планкартам. Планкарта представляет документ, составляемый отделом снабжения или планово-производственным отделом, в котором указывается установленный цеху месячный лимит по каждому виду материала, а также сроки и партии подачи. В соответствии с планкартами склад своими транспортными средствами доставляет каждому цеху в установленные сроки партии материалов и полуфабрикатов.
Отпуск материалов оформляется приемо-сдаточными накладными.
На предприятиях серийного и единичного производства основные и вспомогательные материалы, а также вспомогательные материалы в массовом и крупносерийном производстве отпускаются по разовым требованиям в соответствии с лимитными картами и ведомостями. Отпуск оформляется накладными или расписками получателя в лимитных картах или ведомостях.
Для обеспечения нормальной работы предприятия очень важно организовать оперативное регулирование запасов. С этой целью устанавливается контроль за состоянием гарантийных запасов на складах.
Если часть гарантийных запасов начинает выдаваться в цехи, то это служит сигналом того, что нормальный ход производства может быть нарушен. Об этом ставятся в известность органы материально-технического снабжения.
Такую же реакцию должны вызывать факты превышения размеров запасов, установленных по категориям материальных ресурсов. Таким образом, склады не только выполняют функции хранения и подготовки материалов к выдаче их в производство, но и помогают оперативно регулировать их потребление.
Методы линейного программирования для рационального использования ресурсов.
При планировании материально-технического снабжения на промышленных предприятиях возникает задача обеспечения производства исходными сырьем и материалами (необходимой номенклатуры и качества) и более рационального их использования тем, что отдельные детали нужно изготавливать из материалов определенной толщины, а каждая их единица характеризуется неодинаковым размером на разных участках. Кроме того, ресурсы сырья и материалов каждого вида ограничены, что предопределяет использование их для производства одной и той же продукции. Например, в кожевенной промышленности при изготовлении жестких кож одного вида (чепраков подошвенных для обуви винтового метода крепления) используется взаимозаменяемое сырье: яловка средняя, яловка тяжелая, бычина тяжелая, бычина средняя и т.п.
Каждый вид исходных сырья и материалов характеризуется определенной ценой, влияющей на величину затрат по статье Сырье и материалы.
Задача формулируется так: необходимо составить такой план использования исходных сырья и материалов, который, гарантируя высокое качество конечной продукции, обеспечивал бы наибольшую эффективность производства.
Целевая функция этой задачи может быть построена по тому или иному критерию, в том числе и по наиболее общему максимуму рентабельности производства, максимуму прибыли, минимуму издержек производства (себестоимости), расхода исходных сырья и материалов и т.д. Выбор её критерия зависит от конкретных условий деятельности предприятия.
Целевая функция задачи выбора номенклатуры и определения необходимого количества каждого вида взаимозаменяемого исходного сырья для выполнения плана выпуска продукции в заданном ассортименте (в определенных соотношениях её видов) при минимальных издержках производства (при минимальной себестоимости продукции) имеет такой вид:

(1)19
где аj цена единицы сырья вида j;
xji количество сырья вида j для изготовления планового количества продукции вида i;
bij стоимость обработки единицы продукции вида i при выработке её из сырья вида j;
- коэффициент выхода готовой продукции вида i, которое будет выработано из сырья вида j.
Целевая функция рассматриваемой задачи по критерию минимальной стоимости сырья имеет следующий вид:

(2)20
(при ранее принятых обозначениях).
Целевая функция этой же задачи по критерию минимального расхода исходного сырья имеет вид:

(3)21
(при ранее принятых обозначениях).
Характер и количество ограничительных уравнений и неравенств зависит, прежде всего, от критерия целевой функции и факторов, определяющих специфику деятельности предприятий разных отраслей легкой промышленности.
При постановке задачи выбора оптимального ассортимента исходных сырья и материалов для производства определенных видов продукции известны (заданы) следующие данные:
а) планируемый выпуск готовой продукции в установленном ассортименте;
б) виды (номенклатуры) и ассортимент исходных сырья и материалов, которые могут быть использованы при выработке определенных видов готовой продукции;
в) условия заменяемости одних видов сырья и материалов другими (соотношения заменяемости);
г) нормы расхода каждого вида исходных сырья и материалов на единицу определенного вида готовой продукции;
д) предельные количества тех или иных видов исходного сырья и материалов, на получение которых может ориентироваться предприятие.
В соответствии с характером целевой функции и заданными (известными) условиями строят систему ограничительных уравнений и неравенств.
При целевой функции, построенной по критерию минимальных издержек производства, ограничительными уравнениями и неравенствами могут быть следующие, которые отражают:
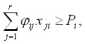
а) прямое (планируемое) ограничение количества некоторых видов исходных сырья и материалов

(4)22
где Мj предельное количество определенного вида исходных сырья и материалов, которое может быть выделено предприятию;
б) прямое (планируемое) ограничение количества некоторых всей вырабатываемой продукции

(5)23
где Pi количество определенного вида готовой продукции, которое должно быть выработано предприятием в планируемом периоде;
- коэффициент выхода готовой продукции вида i из сырья вида j;
в) прямое (планируемое) ограничение количества вырабатываемой продукции только определенного вида

(6)24
(при ранее принятых обозначениях).
г) условия взаимозаменяемости одних видов сырья (материалов) другими при выработке определенных видов готовой продукции:

(7)25

и т.д.
(i = 1, 2, 3, , n),
где

- коэффициент заменяемости сырья (материала) второго вида сырьем первого вида и сырья (материалов) третьего вида сырьем второго вида и т.д. при выработке продукции вида i;
д) возможное образование некоторого количества сырья (материалов) определенного вида, которое не может быть использовано в данном производстве (будет передано другим предприятиям или переработано в дополнительный вид готовой продукции)

(8)26
где Wi неиспользуемый остаток сырья (материала) вида j;
е) баланс расхода разных видов сырья (материала) на каждый вид вырабатываемой продукции

(9)27
где k индекс сырья (материала), заменяющего сырья (материал) вида j;
d количество видов сырья (материалов), используемого при изготовлении продукции вида i;
- коэффициент выхода готовой продукции вида i из сырья (материала) вида k;
xki количество сырья вида k, расходуемого на выпуск готовой продукции вида i.
Используя показательусловий взаимозаменяемости исходного сырья (материала) вида j сырьем (материалом) вида k, т.е. показатель , получим

(10)28
где - коэффициент заменяемости сырья (материала) вида j сырьем (материалом) вида k при выработке готовой продукции вида i;
ж) неотрицательность переменных:
при j = 1, 2, 3, , r;
при k = 1, 2, 3, , d;
Чтоб проследить эти все уравнения на примерах, то можно взять условное предприятие, например швейную фабрику, и произвести все расчёты, основываясь на её данные.
Для расчёта целевой функции задачи выбора номенклатуры и определения необходимого количества каждого вида взаимозаменяемого исходного сырья для выполнения плана выпуска продукции в заданном ассортименте (в определенных соотношениях её видов) при минимальных издержках производства (при минимальной себестоимости продукции) нам необходимо аj, xji, bij и
где аj цена единицы сырья вида j;
xji количество сырья вида j для изготовления планового количества продукции вида i;
bij стоимость обработки единицы продукции вида i при выработке её из сырья вида j;
- коэффициент выхода готовой продукции вида i, которое будет выработано из сырья вида j.
Возьмём три вида товара: спецодежду рубашки и юбки.
Цена единицы сырья для этих видов товаров будет соответственно 12 руб., 10 руб., 10 руб., а значит а1 = 12 руб., а2 = 10 руб., а3 =10 руб..
Соответственно распределим x11 = 100 м., x22 = 70 м., x33 = 50 м.,
b11 = 7 руб., b22 = 4 руб., b33 = 3 руб.,
Имея все данные подставим их в формулу (1):
12*100 + 10*70 + 10*50 + 7*0,5*100 + 4*1,43*70 + 3*2*50 = 3450
2. Для определения целевой функции рассматриваемой задачи по критерию минимальной стоимости применим формулу (2):
12*100 + 10*70 + 10*50 + 7*0,5*100 = 2400.
3. Для определения целевой функции этой же задачи по критерию минимального расхода исходного сырья воспользуемся формулой (3):
100 + 70 + 50 = 220.
4. Как уже выше говорилось при целевой функции, построенной по критерию минимальных издержек производства, ограничительными уравнениями и неравенствами могут быть следующие, которые отражают:
а) прямое (планируемое) ограничение количества некоторых видов исходных сырья и материалов для которого мы используем уравнение (4):
100+70+50=220 245.
где 245 предельное количество определенного вида исходных сырья и материалов, которое может быть выделено предприятию;
б) прямое (планируемое) ограничение количества вырабатываемой продукции только определенного вида (уравнение 6):
0,5*100+1,43*70+2*50=250 = 250
где 250 количество определенного вида готовой продукции, которое должно быть выработано предприятием в планируемом периоде;
в) возможное образование некоторого количества сырья (материалов) определенного вида, которое не может быть использовано в данном производстве (будет передано другим предприятиям или переработано в дополнительный вид готовой продукции) (формула 8 и 9):
100 + 70 + 50 = 245 - 25.
100 + 70 + 50 + 25 = 245.
где 25 неиспользуемый остаток сырья (материала) вида;
Заключение.
Процесс изготовления изделий на предприятии невозможен без поступления материалов и орудий труда. Перебои в снабжении приводят, особенно в поточном производстве, к нарушению ритмичной работы. Поэтому основными задачами материально-технического обеспечения являются:
а) четкая организация комплексного снабжения всеми материальными средствами предприятий;
б) рациональное использование средств и предметов труда, контроль за соблюдение установленных норм;
в) рациональная организация складского хранения всех материальных ценностей.
Организация и планирование материально-технического обеспечения должны способствовать выполнению задач, стоящих перед ним. Поэтому необходимо:
а) определить потребность предприятия в предметах материально-технического обеспечения в планируемом периоде;
б) мобилизовать внутренние резервы, заменить дефицитные и дорогостоящие материалы другими (без ухудшения качества продукции);
в) экономно использовать материальные ресурсы;
г) обеспечить своевременное поступление сырья, материалов и металлов в производство;
д) способствовать внедрению передовых, прогрессивных норм расхода материальных средств на единицу продукции, основанных на передовом опыте и разработке плана организационно-технических мероприятий по внедрению этих прогрессивных норм;
и) определить размер потребных предприятию складских запасов товарно-материальных ценностей в планируемом периоде.
Для составления плана материально-технического снабжения большое значение имеет своевременное проведение подготовительных работ, в том числе выявление номенклатуры материальных средств, потребных предприятию в планируемом периоде; разработка плановых цен (с учетом расходов по заготовке и доставке) и ценников на предметы материально-технического снабжения; установление норм расхода исходных материалов на единицу готовой продукции; анализ отчетных данных по материально-техническому снабжению и разработка исходного первоначального варианта плана организационно-технических мероприятий по повышению эффективности производства, направленных на улучшение использования средств на предприятии и рациональную организацию материально-технического снабжения.
Номенклатура материальных средств, которые необходимы предприятию для нормального функционирования и выполнения производственного задания в планируемом периоде, зависит от номенклатуры и ассортимента выпускаемой продукции и принятой методики её производства.
Ассортимент и номенклатура выпускаемой продукции, а также методика производства могут подвергаться изменениям в различные отрезки планируемого периода под влиянием тех или иных организационных и технических мероприятий. Поэтому номенклатура предметов материально-технического снабжения на предприятиях может изменяться и обычно изменяется в отдельные отрезки планируемого периода в соответствии с изменением номенклатуры и ассортимента продукции, а также и технологии ее производства.
Перечень потребных предприятию в планируемом периоде и в отдельных его частях материальных средств должен быть точным и исчерпывающим, отражающим возможность замены одних материалов другими.
Учитывая целесообразность обособленного хранения, все потребные для работы материальные ресурсы разбивают на следующие группы: сырье и основные материалы; вспомогательные материалы; топливо (твердое, жидкое, газообразное); запасные детали машин, малоценный инвентарь и инструменты; тара и упаковочные материалы; смазочные материалы; конторские и хозяйственные материалы; спецодежда; ремонтно-строительные материалы.
Большое значение имеет разграничение всех материалов в пределах указанных групп на фондируемые, централизованно планируемые, получаемые по предварительным заявкам и приобретаемые в порядке самозаготовок. Такое деление позволяет руководству предприятия наметить план конкретных действий по обеспечению своевременного поступления материалов на склады предприятия и рганизовать контроль работы отдела снабжения.
Деление всех исходных материалов на основные и вспомогательные приведено в отраслевых инструкциях, которыми и надлежит руководствоваться.
На основании работ, проведенных в подготовительном периоде разработки плана материально-технического снабжения, составляется проект контрольных показателей по материально-техническому снабжению предприятия, представляемый в вышестоящую хозяйственную организацию.
После проведения подготовительной работы и получения контрольных показателей по материально-техническому снабжению приступают к составлению плана снабжения. Для этого определяют количество материальных ресурсов, которое должно быть предоставлено в распоряжение производственных цехов в планируемом периоде (расходное количество); рассчитывают ожидаемые остатки материальных ценностей на складах предприятия на начало, а находящиеся в пути на начало и конец планируемого периода; определяют количество материальных средств, которое должно быть заготовлено в планируемом периоде (заготовительное количество); составляют окончательный вариант плана организационно-технических мероприятий, направленных на улучшение организации снабжения и использования материальных ресурсов на предприятии.
Расчет расходного количества основных материалов, необходимого для выполнения производственного задания в планируемом периоде и обеспечения нормального течения производственного процесса, является наиболее важным этапом в планировании материально-технического снабжения предприятия.
Структура и функции обеспечения на предприятии.
Структура и функции обеспечения на предприятии.
Для бесперебойного функционирования производства необходимо хорошо налаженное материально-техническое обеспечение (МТО), которое на предприятиях осуществляется через органы материально-технического снабжения.
Главной задачей органов снабжения предприятия является своевременное и оптимальное обеспечение производства необходимыми материальными ресурсами соответствующей комплектности и качества.
Решая эту задачу, работники органов снабжения должны изучать и учитывать спрос и предложение на все потребляемые предприятием материальные ресурсы, уровень и изменение цен на них и на услуги посреднических организаций, выбирать наиболее экономичную форму товародвижения, оптимизировать запасы, снижать транспортно-заготовительные и складские расходы.
Содержание функций органов снабжения предприятия включает три направления.
1. Планирование, которое предполагает:
- изучение внешней и внутренней среды предприятия, а также рынка отдельных товаров;
- прогнозирование и определение потребности всех видов материальных ресурсов, планирование оптимальных хозяйственных связей;
- оптимизацию производственных запасов;
- планирование потребности материалов и установление их лимита на отпуск цехам;
- оперативное планирование снабжения.
2. Организация, которая включает:
- сбор информации о потребной продукции, участие в ярмарках, выставках-продажах, аукционах и т. п.;
- анализ всех источников удовлетворения потребности в материальных ресурсах с целью выбора наиболее оптимального;
- заключение с поставщиками хозяйственных договоров на поставку продукции;
- получение и организацию завоза реальных ресурсов;
- организацию складского хозяйства, входящего в состав органов снабжения;
- обеспечение цехов, участков, рабочих мест необходимыми материальными ресурсами;
3. Контроль и координация работы, в состав которых входят:
- контроль за выполнением договорных обязательств поставщиков, выполнение ими сроков поставки продукции;
- контроль за расходованием материальных ресурсов в производстве;
- входной контроль за качеством и комплектностью поступающих материальных ресурсов;
- контроль за производственными запасами;
- выдвижение претензий поставщикам и транспортным организациям;
- анализ действенности снабженческой службы, разработка мероприятий по координации снабженческой деятельностью и повышение её эффективности.
В условиях рынка у предприятий возникает право выбора поставщика, а значит, и право закупки более эффективных материальных ресурсов. Это заставляет снабженческий персонал предприятия внимательно изучать качественные характеристики продукции, изготовляемой различными поставщиками.
Критериями выбора поставщика могут быть надежность поставки, возможность выбора способа доставки, время на осуществление заказа, возможность предоставления кредита, уровень сервиса и др. Причем соотношение значимости отдельных критериев с течением временем может меняться.
Организационное построение, характер и методы работы служб снабжения на предприятиях отмечаются своеобразием. В зависимости от объемов, типов и специализации производства, материалоемкости продукции, и территориального размещения предприятия складываются различные условия, требующие соответствующего разграничения функций и выбора типа структуры органов снабжения.
На небольших предприятиях, потребляющих малые объемы материальных ресурсов в ограниченной номенклатуре, функции снабжения возлагаются на небольшие группы или отдельных работников хозяйственного отдела предприятия.
На большинстве средних и крупных предприятий эту функцию выполняют специальные отделы материально-технического снабжения (ОМТС), которые построены по функциональному или материальному признаку. В первом случае каждая функция снабжения (планирование, заготовка, хранение, отпуск материалов) выполняется отдельной группой работников.
При построении снабженческих органов по материальному признаку определенные группы работников выполняют все функции снабжения по конкретному виду материалов.
Характерный тип структуры службы снабжения смешанный, когда товарные отделы, группы, бюро специализированы на снабжении конкретными видами сырья, материалов, оборудования. Однако наряду с товарными в состав отдела снабжения входят функциональные подразделения: плановое, диспетчерское.
Смешанный тип структуры отдела снабжения наиболее рациональный метод строения, который способствует повышению ответственности работников, улучшению МТО производства.
Плановое бюро (группа) выполняет функции по анализу окружающей среды и рыночным исследованиям, определению потребности в материальных ресурсах, оптимизации рыночного поведения по наиболее выгодному обеспечению, формированию нормативной базы, разработке планов снабжения и анализу их выполнения, контролю за выполнением поставщиками договорных обязательств.
Товарное бюро (группа) выполняет комплекс планово-оперативных функций по обеспечению производства конкретными видами материальных ресурсов: планированию, учету, завозу, хранению и отпуску материала в производство, т.е. регулирует работу материальных складов.
Диспетчерское бюро (группа) выполняет оперативное регулирование и контроль за выполнением плана снабжения предприятия и цехов сырьем и материалами; устраняет неполадки, возникающие в ходе снабжения производства; контролирует и регулирует ход поставок материалов на предприятие.
На предприятиях машиностроения служба снабжения кроме отдела МТС включает и отдел внешней кооперации (или бюро, группу), который может входить в состав ОМТС.
Отделы (бюро, группы) внешней кооперации обеспечивают производство полуфабрикатами (заготовками, деталями, узлами). Они также могут строиться по функциональному или товарному признаку.
Для осуществления технического перевооружения и реконструкции производства предприятие создает отделы оборудования, которые обычно входят в состав капитального строительства.
Особенностью этого типа структуры является то, что подразделения имеют свои службы снабжения с функциями по планированию и оперативному регулированию снабжения производственных цехов и участков материальными ресурсами, а также по контролю за их исполнением.
Формирование нормативной базы, прогнозирование и разработка планов МТС, установление хозяйственных связей, и координация работы служб снабжения, входящих в предприятие, сконцентрированы на базе службы снабжения предприятия. Взаимодействие подразделений службы снабжения предприятия осуществляется на основе функциональных связей, а не административного подчинения.
Одним из звеньев организации МТС является складское хозяйство, основная задача которого заключается в приеме и хранении материалов, их подготовке к производственному потреблению, непосредственном снабжении цехов необходимыми материальными ресурсами. Склады в зависимости от связи с производственным процессом подразделяются на материальные, производственные, сбытовые.
Принятые материалы хранятся на складах по номенклатурным группам; сортам, размерам. Стеллажи нумеруются с указанием индексов материалов.
Завоз материалов и работа складов организуются на основе оперативно-заготовительных планов.
Поставки материальных ресурсов на предприятие осуществляются через хозяйственные связи. Хозяйственные связи представляют собой совокупность экономических, организационных и правовых взаимоотношений, которые возникают между поставщиками и потребителями средств производства.
Рациональная система хозяйственных связей предполагает минимизацию издержек производства и обращения, полное соответствие количества, качества и ассортимента поставляемой продукции потребностям производства, своевременность и комплектность ее поступления.
Хозяйственные связи между предприятиями могут быть прямыми и опосредованными (косвенными), длительными, и краткосрочными.
Прямые представляют собой связи, при которых отношения по поставкам продукции устанавливаются между предприятиями-изготовителями и предприятиями-поставщиками прямо, непосредственно.
Опосредованными считаются связи, когда между этими предприятиями имеется хотя бы один посредник. Поставки продукции потребителю могут осуществляться смешанным путем, т.е. как напрямую, так и через посредников (дистрибьюторов, джобберов, агентов, брокеров).
Дистрибьюторы и джобберы это фирмы, осуществляющие сбыт на основе оптовых закупок у крупных промышленных предприятий производителей готовой продукции. Дистрибьюторы в отличие от джобберов относительно крупные фирмы, располагающие собственными складами и устанавливающие длительные контрактные отношения с промышленными предприятиями.
Джобберы, напротив, скупают отдельные крупные партии товаров для быстрой перепродажи.
Агенты и брокеры это фирмы или отдельные предприниматели, осуществляющие сбыт продукции промышленного предприятия на основе комиссионного вознаграждения.
Прямые хозяйственные связи для предприятий являются наиболее экономичными и прогрессивными по сравнению с косвенными, так как они, исключая посредников, уменьшают издержки обращения, документооборот, укрепляют взаимоотношения между поставщиками и потребителями. Поставки продукции становятся более регулярными и стабильными.
Опосредованные хозяйственные связи менее экономичны. Они требуют дополнительных затрат на покрытие расходов деятельности посредников между предприятиями-потребителями и предприятиями-изготовителями.
Потребность в косвенных связях объясняется тем, что прямые связи выгодны и целесообразны в условиях потребления материальных ресурсов в крупных масштабах. Если же предприятия потребляют сырье и материалы в незначительных количествах, не достигающих транзитной формы отгрузки, то, чтобы не создавать на предприятиях излишние запасы материальных ценностей, целесообразны связи и через услуги посредников.
Как прямые, так и опосредованные связи могут носить длительный и краткосрочный характер. Длительные хозяйственные связи прогрессивная форма материально-технического снабжения.
В этом случае предприятия имеют возможность развивать на долгосрочной основе сотрудничество по совершенствованию выпускаемой продукции, снижению ее материалоемкости, доведению до мировых стандартов.
С классификацией связей на прямые и косвенные тесно связано деление их по формам организации поставок продукции. С этой точки зрения различают транзитную и складскую формы поставок.
При транзитной форме снабжения материальные ресурсы перемещаются от поставщика к потребителю прямо, минуя промежуточные базы и склады посреднических организаций. Кроме того, предприятие, получая материал непосредственно от поставщика, ускоряет доставку и сокращает транспортно-заготовительные расходы.
Однако ее использование ограничено транзитными нормами отпуска, меньше которых поставщик не принимает к исполнению. Использование этой формы снабжения для материалов с небольшой потребностью приводит к увеличению запасов и связанных с этим расходов.
При складской форме материальные ресурсы завозятся на склады и базы посреднических организаций, а затем с них отгружаются непосредственно потребителям.
Транзитную форму целесообразно применять в тех случаях, когда потребителям требуются материальные ресурсы в больших количествах, что дает возможность отгружать их полногрузными вагонами или другими средствами транспорта.
При транзитной форме завоза значительно снижаются издержки, и повышается скорость обращения, улучшается использование транспортных средств.
Складская форма снабжения играет большую роль в обеспечении мелких потребителей. Она позволяет им заказывать необходимые материалы в количествах меньше установленной транзитной нормы, под которой понимается минимально допустимое общее количество продукции, отгружаемое предприятием изготовителем потребителю по одному заказу. При складской форме снабжения продукция со складов посреднических организаций может завозиться малыми партиями и с большей частотой, что способствует сокращению запасов материальных ресурсов у потребителей.
Однако в этом случае последние несут дополнительные расходы за складскую переработку, хранение и транспортировку с баз посреднических организаций. Поэтому в каждом конкретном случае требуется экономическое обоснование выбора форм снабжения.
Для технико-экономического обоснования выбора формы снабжения используется формула12
Рmax K (Птр Пскл) / (Сскл Стр),
где Рmax максимальное количество материала, которое экономически целесообразно получить от складских организаций, натур, ед. измерения;
К коэффициент использования производственных фондов и содержания производственных запасов,.%;
Птр и Пскл средняя величина партии поставки соответственно при транзитной и складской формах снабжения, натур, ед. измерения;
Стр и Сскл величина расходов по доставке и хранению материалов соответственно при транзитной и складской формах снабжения, % к цене.
Важные этапы в организации материально-технического снабжения промышленности специфицирование ресурсов и заключение хозяйственных договоров по поставкам продукции.
Под специфицированием ресурсов понимается расшифровка укрупненной номенклатуры по конкретным видам, маркам, профилям, сортам, типам, размерам и прочим признакам. От того, насколько правильно составлена спецификация материальных ресурсов, во многом зависит материальное обеспечение производства. Если в спецификации допущена неточность, то это может привести к тому, что фактические поставки не будут соответствовать действительной потребности.
Тем самым предприятие будет поставлено под угрозу невыполнения производственной программы и сбыта своей продукции. Поставляется продукция по договорам, которые служат документом, определяющим права и обязанности сторон.
В договорах указываются наименование продукции, количество, ассортимент, комплектность, качество и сортность продукции с указанием стандартов и технических условий, требования к упаковке и таре, сроки поставки продукции, общий срок действия договора, цена на поставляемую продукцию и общая ее стоимость, условия оплаты, предусматривается ответственность сторон за соблюдение условий договоров. После заключения договоров отделы снабжения предприятий должны обеспечить своевременное и комплектное получение материалов, их количественную и качественную приемку, правильное хранение на складах предприятия. Оперативная работа по завозу материалов осуществляется на основе месячных планов, в которых указываются календарные сроки и объемы поставок по важнейшим видам материальных ресурсов.
Копии таких планов передаются на соответствующие склады и используются ими для организации подготовительных работ.
Существует два варианта организации завоза материальных ресурсов: самовывоз и централизованная доставка.
Самовывоз характеризуется отсутствием единого органа, обеспечивающего оптимальное использование транспорта. Предприятие самостоятельно договаривается с транспортными организациями, не предъявляет жестких требований к типам используемого транспорта главное вывезти материальные ресурсы.
При этом применяются исторически сложившиеся технологические процессы грузопереработки, как правило, не согласованные между собой. Отсутствует необходимость использования строго определенных видов тары, часто отсутствуют условия для беспрепятственного подъезда транспорта, быстрой разгрузки и приемки материальных ресурсов.
При централизованной доставке предприятие-поставщик и предприятие-получатель создают единый орган, цель которого оптимизировать совокупный материальный поток. Для этого разрабатываются схемы завоза продукции, определяются рациональные размеры партий поставок и частота завоза; разрабатываются оптимальные маршруты и графики завоза продукции; создается парк специализированных автомобилей и выполняется ряд других мероприятий.
Таким образом, централизованная доставка позволяет:
- повысить степень использования транспорта и складских площадей;
- оптимизировать товарные запасы, как у производителя, так и у потребителя продукции;
- повысить качество и уровень материально-технического обеспечения производства;
- оптимизировать размеры партии поставок продукции.
Обеспечение материальными ресурсами производственных цехов, участков и других подразделений предприятия предполагает выполнение следующих функций:
- установление количественных и качественных заданий по снабжению (лимитирование);
- подготовка материальных ресурсов к производственному потреблению;
- отпуск и доставку материальных ресурсов со склада службы снабжения на место ее непосредственного потребления или на склад цеха, участка;
- оперативное регулирование снабжения;
- учет и контроль за использованием материальных ресурсов в подразделениях предприятия.
Снабжение цехов материалами осуществляется в полном соответствии с установленными лимитами и конкретными особенностями производства. Последние учитываются при разработке графиков подач, на основе которых материалы доставляются в цехи.
Лимит устанавливается исходя из производственной программы цеха и специфицированных норм расхода.
Расчет лимита осуществляется по формуле13
Л = Р Рнз. п + Нз О,
где Л лимит данной номенклатуры продукции;
Р потребность цеха в материалах для выполнения производственной программы;
Рнз п потребность цеха в материалах для изменения незавершенного производства (+ увеличение, уменьшение);
Нз норматив цехового запаса данной продукции;
О расчетный ожидаемый остаток данной продукции в цехе на начало планового периода.
Расчет выполняется в натуральных показателях. Потребность в материалах для выполнения производственного задания определяется путем умножения программы производства на нормы расхода по соответствующим изделиям.
Таким же образом рассчитывается потребность в материалах для изменения незавершенного производства, т.е. путем умножения поиздельных норм расхода на изменение программы незавершенного производства в плановом периоде.
Цеховой запас определяется в необходимых случаях и зависит от величины партии продукции, доставляемой в цех, среднесуточного ее расхода, а также от цикличности производства.
Расчетный ожидаемый остаток материальных ресурсов в цехе определяется по результатам работы цеха в периоде, предшествующем плановому14:
О = Оф + Вф (Ро.п + Рэ.н + Рнз. п + Рбр),
где Оф фактический остаток на первое число по данным инвентаризации или бухгалтерского учета;
Вф количество отпущенных цеху материалов за весь период;
Ро.п фактический расход на основное производство;
Рэ.н фактический расход на ремонтно-эксплуатационные нужды;
Рнз. п фактический расход на изменение незавершенного производства;
Рбр расход на брак (оформленный актом списания).
Фактический расход на основное производство и ремонтно-эксплуатационные нужды рассчитывается путем умножения фактических объемов работ на действующие в данном периоде нормы расхода материальных ресурсов.
Установленный лимит фиксируется в планкарте, лимитной карте, лимитной или заборной ведомости, которые направляются складу и цеху-потребителю.
Планкарта обычно применяется в массовом и крупносерийном производстве, т.е. в условиях стабильной потребности и четкой регламентации производства. В ней указываются установленный цеху лимит по каждому виду материалов, сроки и величина подачи партии. В соответствии с планкартами склад своими транспортными средствами доставляет партии материалов каждому цеху в установленные сроки. Отпуск их оформляется приемно-сдаточными накладными.
В бланке планкарты ведется текущий учет выполнения плана поставок.
Лимитная карта используется в тех случаях, когда жесткая регламентация поставок внутри месяца по срокам и объемам затруднительна (серийное и индивидуальное производство). В лимитной карте указываются месячная потребность в материале, величина запаса и месячный лимит расхода (табл.
2.1).
В случаях появления необходимости принятия решений по изменению лимита службой снабжения оформляется разовое требование или требование на замену, которое согласовывается с технической службой и подписывается ответственным лицом (главным инженером, главным конструктором, главным механиком и т.д.).
В лимитную ведомость включаются обычно группа однородных материалов или все получаемые с данного склада материалы.
Заборные ведомости (карты) вводятся при лимитировании расхода вспомогательных материалов, обычно в случаях, когда потребность в них неравномерная и отсутствуют достаточно точные нормы расхода. Отпуск материалов по заборным картам (ведомостям) регламентируются заранее установленными сроками (обычно раз в месяц или квартал).
В заборной карте указываются количество материала, который может расходовать цех, и сроки его получения.
Таблица 2. 1.15 Форма 1 Лимитная карта
|
Предприятие |
Отдел снабжения |
Со склада |
Цеху (участку) |
Заказ |
Лимитная карта на |
Номенклатурный 199__ г. |
|
Наименование материала |
Марка |
Размер |
Единица измерения |
Предварительный лимит |
Окончательный лимит |
Плановая цена |
|
руб. |
|
|
|
|
|
|
|
|
Начальник цеха (участка)
Руководитель группы
Бухгалтер
|
Затребовано |
Отпущено со склада |
Виза
ОТК |
|
Дата |
Количество |
Подпись |
Количество |
Расписка получателя |
Зачет лимита по замене |
Остаток |
|
|
|
|
|
|
|
|
Всего отпущено Зав. складом
Служба снабжения отвечает за своевременную и качественную подготовку материальных ресурсов к производственному потреблению, для чего выполняет работы по распаковке, расконсервации, комплектовке, которые согласовываются с технологической службой предприятия.
Целенаправленный и экономный расход материальных ресурсов в цехах находится под постоянным контролем службы снабжения и периодически проверяется путем ревизии материального учета. По результатам проверки принимаются конкретные меры по устранению вскрытых недостатков.
Работа органов МТО прямо или косвенно влияет на уровнь основных технико-экономических показателей предприятия.
Управление: Предприятие - Качество - Производство