Шеремет А. - Сравнительная оценка методов финансового анализа на предприятии
В современных экономических условиях деятельность каждого хозяйствующего субъекта является предметом внимания обширного круга участников рыночных отношений (организаций и лиц), заинтересованных в результатах его функционирования. На основании доступной им отчетно-учетной информации указанные лица стремятся оценить финансовое положение предприятия.
Основным инструментом для этого служит финансовый анализ, основной целью финансового анализа является получение небольшого числа ключевых параметров, дающие объективную и точную картину финансового состояния предприятия, при помощи которого можно объективно оценить внутренние и внешние отношения анализируемого объекта: охарактеризовать его платежеспособность, эффективность и доходность деятельности, перспективы развития, а затем по его результатам принять обоснованные решения.
Анализ финансового состояния дает возможность оценить: имущественное состояние предприятия; степень предпринимательского риска, в частности возможность погашения обязательств перед третьими лицами; достаточность капитала для текущей деятельности и долгосрочных инвестиций; потребность в дополнительных источниках финансирования; способность к наращению капитала; рациональность привлечения заемных средств; обоснованность политики распределения и использования прибыли и т. д .
Следует отметить, что наличие большого числа оригинальных и интересных изданий по различным аспектам финансового анализа не снижает потребности на специальную методическую литературу, в которой последовательно шаг за шагом воспроизводилось бы комплексная логически целостная процедура финансового анализа применительно к Российским экономическим условиям.
В рыночной экономике предприятия несут полную материальную ответственность за свои действия. Это определяет другую особенность финансового управления: требуется глубокий анализ финансового состояния не только своего предприятия, но и предприятий-конкурентов и деловых партнеров.
Дело в том, что для целей управления деятельностью, и в частности финансовой, собственно учетной информации недостаточно. Значение отвлеченных данных баланса или отчета о финансовых результатах, хотя и представляющих самостоятельный интерес, весьма невелико, если рассматривать их в отрыве друг от друга.
Так, цифры, характеризующие объем реализации, чистую прибыль, становятся нагляднее в сравнении с размером затраченного капитала, а величина затрат, безусловно, важная сама по себе. в сопоставлении с полученной прибылью или объемом продаж.
Главная цель данной работы - исследовать финансовое состояние предприятия ПКФ Бейсуг, выявить основные проблемы финансовой деятельности и дать рекомендации по управлению финансами..
Исходя из поставленных целей, можно сформировать задачи:
- предварительный обзор баланса и анализ его ликвидности;
- характеристика имущества предприятия: основных и оборотных средств и их оборачиваемости, выявление проблем;
- характеристика источников средств предприятия: собственных и заемных;
- оценка финансовой устойчивости;
- расчет коэффициентов ликвидности;
- анализ прибыли и рентабельности;
- разработка мероприятий по улучшению финансово - хозяйственной деятельности.
Результаты финансового анализа позволяют выявить уязвимые места, требующие особого внимания. Нередко оказывается достаточным обнаружить эти места, чтобы разработать мероприятия по их ликвидации.
ОСНОВНЫЕ ПРИНЦИПЫ И ПОСЛЕДОВАТЕЛЬНОСТЬ АНАЛИЗА ФИНАНСОВОГО СОСТОЯНИЯ ПРЕДПРИЯТИЯ
1.1. Сущность финансового анализа.
Основные понятия. Роль финансового анализа в процессе принятия управленческих решений
Финансовое состояние предприятия можно оценивать с точки зрения краткосрочной и долгосрочной перспектив. В первом случае критерии оценки финансового состояния ликвидность и платежеспособность предприятия, т.е. способность своевременно и в полном объеме произвести расчеты по краткосрочным обязательствам.
Под ликвидностью какого-либо актива понимают способность его трансформироваться в денежные средства, а степень ликвидности определяется продолжительностью временного периода, в течение которого эта трансформация может быть осуществлена. Чем короче период, тем выше ликвидность данного вида активов.
Говоря о ликвидности предприятия, имеют в виду наличие у него оборотных средств в размере, теоретически достаточном для погашения краткосрочных обязательств хотя бы и с нарушением сроков погашения, предусмотренных контрактами. Платежеспособность означает наличие у предприятия денежных средств и их эквивалентов, достаточных для расчетов по кредиторской задолженности, требующей немедленного погашения.
Таким образом, основными признаками платежеспособности являются: а) наличие в достаточном объеме средств на расчетном счете; б) отсутствие просроченной кредиторской задолженности.
Очевидно, что ликвидность и платежеспособность не тождественны друг другу. Так, коэффициенты ликвидности могут характеризовать финансовое положение как удовлетворительное, однако по существу эта оценка может быть ошибочной, если в текущих активах значительный удельный вес приходится на неликвиды и просроченную дебиторскую задолженность.
Оценка ликвидности и платежеспособности может быть выполнена с определенной степенью точности. В частности, в рамках экспресс-анализа платежеспособности обращают внимание на статьи, характеризующие наличные деньги в кассе и на расчетных счетах в банке.
Это и понятно: они выражают совокупность наличных денежных средств, т. е. имущества, которое имеет абсолютную ценность, в отличие от любого иного имущества, имеющего ценность лишь относительную. Эти ресурсы наиболее мобильны, они могут быть включены в финансово-хозяйственную деятельность в любой момент, тогда как другие виды активов нередко могут включаться лишь с определенным временным шагом.
Искусство финансового управления как раз и состоит в том, чтобы держать на счетах лишь минимально необходимую сумму средств, а остальную часть, которая может понадобиться для текущей оперативной деятельности, в быстрореализуемых активах.
Таким образом, чем значительнее размер денежных средств на расчетном счете, тем с большей вероятностью можно утверждать, что предприятие располагает достаточными средствами для текущих расчетов и платежей. Вместе с тем наличие незначительных остатков на расчетном счете вовсе не означает, что предприятие неплатежеспособно средства могут поступить на расчетный счет в течение ближайших дней, некоторые виды активов при необходимости легко превращаются в денежную наличность и пр.
О неплатежеспособности свидетельствует, как правило, наличие больных) статей в отчетности (Убытки, Кредиты и займы, не погашенные в срок, "(Просроченная дебиторская и кредиторская задолженность), Векселя выданные просроченные". Следует отметить, что последнее утверждение верно не всегда. Во-первых, фирмы-монополисты могут сознательно идти на нестрогое соблюдение контрактов со своими поставщиками и подрядчиками.
Во-вторых, в условиях инфляции непродуманно составленный договор на предоставление кратко- или долгосрочной ссуды может вызывать искушение нарушить его и уплачивать штрафы обесценивающимися деньгами.
В наиболее акцентированном виде степень ликвидности предприятия может быть выражена коэффициентом покрытия, показывающим, сколько рублей текущих активов (оборотных средств) приходится на один рубль текущих обязательств (текущая краткосрочная задолженность). При условии выполнения предприятием обязательств перед кредиторами его платежеспособность с известной степенью точности характеризуется наличием средств на расчетном счете.
С позиции долгосрочной перспективы финансовое состояние предприятия характеризуется структурой источников средств, степенью зависимости предприятия от внешних инвесторов и кредиторов. Каких-либо единых нормативов соотношения собственного и привлеченного капитала не существует. Тем не менее распространено мнение, что доля собственного капитала должна быть достаточно велика не менее 60%.
Условность этого лимита очевидна; например, высокорентабельное предприятие или предприятие, имеющее высокую оборачиваемость оборотных средств, может позволить себе относительно высокий уровень заемного капитала.
Результативность и экономическая целесообразность функционирования предприятия измеряются абсолютными и относительными показателями. Различают показатели экономического эффекта и экономической эффективности.
Экономический эффект показатель, характеризующий результат деятельности. Это абсолютный, объемный показатель.
В зависимости от уровня управления, отраслевой принадлежности предприятия в качестве показателей эффекта используют показатели валового национального продукта, национального дохода, валового дохода от реализации, прибыли.
Основным показателем безубыточности работы предприятия является прибыль. Однако по этому показателю, взятому изолированно, нельзя сделать обоснованные выводы об уровне рентабельности. Прибыль в 1 млн. руб. может быть прибылью разновеликих по масштабам деятельности и размерам вложенного капитала предприятий. Соответственно и степень относительной весомости этой суммы будет неодинаковой.
Поэтому в анализе используют различные коэффициенты рентабельности.
Экономическая эффективность относительный показатель, соизмеряющий полученный эффект с затратами или ресурсами, использованными для достижения этого эффекта. Такой показатель уже можно использовать в пространственно-временных сопоставлениях.
Наиболее общую оценку уровня экономической эффективности деятельности предприятия дают показатели рентабельности авансированного и собственного капитала, а рост их в динамике рассматривается как положительная тенденция.
Сравнительная оценка существующих методик анализа финансового состояния промышленного предприятия
Большинство существующих в настоящее время методик анализа деятельности предприятия, его финансового состояния повторяют и дополняют друг друга, они могут быть использованы комплексно или раздельно в зависимости от конкретных целей и задач анализа, информационной базы, имеющейся в распоряжении аналитика.
Так, согласно методике анализа А. Д. Шеремета и А. И. Бужинского1 финансовое положение предприятий характеризуется размещением его средств и состоянием источников их формирования.
Основными показателями для оценки финансового состояния являются:
- уровень обеспеченности собственными оборотными средствами;
- степень соответствия фактических запасов активов нормативным и величине, предназначенной для их формирования;
- величина иммобилизации оборотных средств;
- оборачиваемость оборотных средств и платежеспособность.
По мнению авторов данной методики, важнейшим этапом анализа финансового состояния является определение наличия собственных и приравненных к ним средств, выявление факторов, повлиявших на их изменение в изучаемом периоде. Для расчета наличия собственных и приравненных к ним оборотных средств применяются следующие показатели:
а) источники собственных средств;
б) источники средств, приравненных к собственным;
в) вложение средств в основные фонды и внеоборотные активы
На их основе рассчитывается наличие собственных и приравненных к ним средств (а + б в).
Отдельно проводится анализ основных составляющих собственных и приравненных к ним средств оборотной части уставного фонда и средств, являющихся непосредственной собственностью предприятия. Прибыль, находящаяся в обороте, исчисляется как разница между балансовой прибылью и суммой использованной и отвлеченной прибыли.
Далее проводится анализ обеспеченности предприятия собственными оборотными средствами. При этом сопоставляется фактическое их наличие с нормативом, который также утратил свое значение в настоящее время.
Предприятие частной собственности само решает вопрос об объеме денежных средств и имущества в обороте. Единственным регулятором государства в данном вопросе является соблюдение условия выплаты пайщикам не должны влиять на величину Уставного фонда, т. е. Уставный фонд не может быть источником платежей участникам, выплата производятся непосредственно из прибыли.
Авторы данной методики также включают в анализ финансового состояния понятие иммобилизации (отвлечения) оборотных средств. Иммобилизацией считается:
- превышение средств и затрат на капитальное строительство над источниками финансирования;
- задолженности;
- расходы, не перекрытые средствами специальных фондов и целевого финансирования.
Приведенное понятие иммобилизации в рыночной экономике утрачивает свое значение. Предприятие должно использовать точные расчеты для финансирования своих стратегических программ, а также самостоятельно решать строить или модернизироваться. Это касается капитального ремонта, капитальных вложений.
К тому же в настоящее время предприятие с негосударственной формой собственности практически не использует специальные ссуды банка. Учитывая все это, задолженность практически отсутствует и понятие иммобилизации сводится к узкому кругу хозяйственных просчетов.
Анализ состояния нормированных оборотных средств применим в условиях планового ведения хозяйства. В связи с переходом к рынку он преобразуется в анализ сырья, полуфабрикатов, материалов, готовой продукции и имеет иное экономическое значение: запасы сырья должны сохраняться для обеспечения необходимого технологического процесса, а остатки готовой продукции должны быть сведены к минимуму.
Поскольку понятия нормируемые оборотные, средства и ненормированные оборотные средства утратили смысл, то целесообразно оборотные средства подразделить на запасы и затраты, денежные средства и прочие активы. Авторы рассматриваемой методики предлагают также проводить анализ заемных средств по видам кредитов и ссуд.
Анализ платежеспособности рассматривается в данной методике очень узко. Определяется только сальдо дебиторской и кредиторской задолженности.
Положительным считается превышение дебиторской задолженности над кредиторской (активное сальдо). Оптимальным вариантом считается формула: отсутствие задолженности как самому предприятию так и другим.
Обобщение результатов анализа финансового состояния проводится с помощью сальдового приема. Составляется расчет внеплановых вложений оборотных средств и источников их покрытия.
В этом расчете отражается влияние двух групп взаимосвязанных финансовых показателей.
Предлагается также рассматривать показатель оборачиваемости оборотных средств. Его составляющие полностью отвечают требованиям плановой экономики: твердое материально-техническое снабжение, заданные сверху покупатели и заказчики.
В современных условиях понятие оборачиваемости оборотных средств сохраняется, но используются иные, диктуемые рыночной экономикой подходы к его формированию.
Таким образом, указанная методика анализа финансового состояния предприятия основана на принципах планового ведения хозяйства. В настоящее время она может быть применена лишь на ограниченном круге предприятий государственной формы собственности и в бюджетных организациях, но не в полном объеме. Это связано с тем, что существенно изменилась информационная база анализа, которая не обеспечит аналитика-исследователя необходимыми исходными данными (например, в современной бухгалтерской отчетности отсутствуют нормативы устойчивых пассивов).
Ряд ключевых моментов анализа потеряли значение в условиях перехода к рыночным отношениям (иммобилизация, оборачиваемость оборотных средств), методика не адаптирована к высоким темпам инфляции.
В методике анализа финансового состояния под редакцией С.Б.Барнгольц и Б.И. Майданчика2 подход к анализу несколько глубже.
Во главе исследования ставится непосредственное изучение баланса предприятия. Этому предшествует установление степени достоверности информации, содержащейся в балансе, путем ее сопоставления с другими источниками информации.
Основными критериями устойчивости финансового состояния являются:
- платежеспособность хозяйствующего субъекта,
- соблюдение финансовой дисциплины,
- обеспечение собственными оборотными средствами.
По мнению авторов, основными признаками неплатежеспособности и неудовлетворительного финансового состояния являются: просроченная задолженность и длительное непрерывное пользование платежными кредитами. Конечно, эти факторы можно отнести и к показателям неудовлетворительного финансового состояния предприятия, но их недостаточно для такого однозначного вывода.
Особенностью данной методики является изучение причин, вызвавших изменение суммы собственных оборотных средств. Причины изменений изучаются по каждому источнику (Уставный фонд в части оборотных средств, остаток нераспределенной прибыли и другие). Анализ всех оборотных, средств предприятия проводится во взаимосвязи с их источниками.
Интересен также подход к способу выявления излишних у предприятия материалов: сопоставление их остатков на несколько месячных дат с расходом за эти же месяцы. Отсутствие расходов остатков материалов как незначительное его изменение свидетельствует о наличии ненужных материалов.
При анализе использования кредитов под оборотные средства важными являются моменты:
- обеспеченность кредита,
- своевременность погашения кредита,
- недопустимость иммобилизации кредитов в неполноценные запасы и убытки.
Что касается анализа денежных средств и расчетов, акцентируется внимание на задолженности по истечению сроков иска.
Следующая группировка задолженности по причинам образования. Различается допустимая и недопустимая задолженность. Прежде всего, дебиторская задолженность возникает в связи с операциями по сбыту и поставке.
Она называется задолженностью по товарным операциям. Недопустимая ее часть возникает вследствие задержки платежей покупателями, нарушения поставщиками договоров.
Для обобщения анализа финансового состояния в рассматриваемой методике используется также баланс внеплановых вложений оборотных средств и их источников. Приводится целая система общих и частных показателей оборачиваемости оборотных средств. Методика анализа включает также составление плана мероприятий по мобилизации резервов и укреплению платежеспособности предприятий.
В качестве мероприятий рекомендуется, например, ликвидация остатков ненужных материалов и полуфабрикатов, снижение объемов незавершенного производства, взыскание сумм по претензиям.
Данная методика является более логичной и применима для крупных материалоемких производств с участием государственного капитала. Однако, как и предыдущей, ей присущи недостатки: ограниченность информативной базы, ориентация преимущественно на плановую систему хозяйствования, отсутствие поправок на инфляцию.
B настоящее время наиболее широко используются методика В. Ф. Палия3, а также методика А. Д. Шеремета, Р. С. Сейфулина, Е. В. Негашева4.
Методика В. Ф. Палия широко известна, издана массовым тиражом, ею пользуются значительное число предприятий, консультационным и инвестиционных фирм. Однако на сегодняшний день эта методика не удовлетворяет всем требованиям, предъявляемым к анализу. Во-первых, с 1992 года, существенно изменена информационная основа анализа, т. к. изменена форма баланса. Последний сочетает в себе баланс-брутто и баланс-нетто.
Методика же В. Ф. Палия ориентирована на поэтапное преобразование баланса-брутто в баланс-нетто.
Во-вторых, нормативная база, заложенная в методике В. Ф. Палия, уже не удовлетворяет новым экономическим условиям и прежде всего высоким темпам инфляции.
В-третьих, она слабо формализована и в недостаточной степени удобна для компьютерной обработки, имеет негибкий характер.
Анализ содержания методики В. Ф. Палия показывает, что в ней содержится ряд спорных моментов. Например, В. Ф. Палий указывает на то, что если в структуре оборотных средств увеличивается удельный вес денежных средств и краткосрочной дебиторской задолженности при соответствующем уменьшении доли материальных оборотных средств, то это изменение можно признать положительным, если не уменьшаются возможности нормальной производственной деятельности предприятия.
Автор делает вывод, что с финансовой точки зрения структура оборотных средств значительно улучшалась, повысилась их возможная ликвидность.
Действительно, этот вывод совершенно справедлив, но только для определенных условий, когда темпы инфляции очень низкие и высока сбалансированность экономики: В условиях же высоких темпов инфляции, разбалансированности экономики, разрыва хозяйственных связей, предприятия вынуждены значительно увеличивать запасы товарно-материальных ценностей, т. к. во-первых, цены на них растут постоянно, во-вторых, разрываются существующие хозяйственные связи и поступление ТМЦ может прекратиться или значительно снизиться, в-третьих, сами денежные средства значительно быстрее обесцениваются, чем ТМЦ и основные средства. Поэтому, чем выше темп инфляции, тем меньше в структуре имущества должно быть активов, обесценивающихся в первую очередь, т. е. денег.
При этом структура имущества становится менее гибкой с финансовой течки зрения, но зато более устойчивой к инфляции.
В связи со сказанным необходимо отметить, что одним из первых признаков, улучшения финансового состояния предприятий, повышения уровня сбалансированности экономики, снижения темпов инфляции будут такие изменения в структуре активов предприятий (валюте баланса), при которых доля денежных средств начнет повышаться до оптимальной величины, а доля материальных оборотных средств снижается до оптимальной величины. При этом не будет происходить уменьшение объемов выпуска продукции.
Следует также заметить что, чем выше будет уровень структурной перестройки производства, чем больше уровень развития фондового рынка в стране, тем больший сдвиг в структуре активов предприятий происходит в сторону денежных средств, так как для игры на фондовом рынке, своевременной и быстрой перестройки высока потребность в денежных средствах.
Общий вывод таков, анализ имущества предприятий необходимо проводить в связи с объективно сложившейся экономической ситуацией в стране, так как структурные сдвиги в имуществе предприятий четко ее отражают. К сожалению, В. Ф. Палий проводит анализ имущества очень абстрактно, без связи с макроэкономическими процессами, происходящими в России.
В методике В. Ф. Палия недостаточное внимание уделено роли и значению основных средств при анализе имущества предприятий, особенно в связи с инфляцией.
Например. В. Ф. Палий справедливо отмечает, что если снижается удельный вес затрат в производственный потенциал, т. е. в основные средства и производственные запасы (реальные активы), то это снижает производственные возможности предприятия. Данный вывод справедлив для экстенсивного типа производства и для высоких темпов инфляции, а для интенсивного типа производства, сбалансированной экономики он не совсем корректен. Если предприятие не уменьшает выпуска и качества продукции, при уменьшении реальных активов, это положительное явление.
Оно характеризует процесс снижения фондоемкости и материалоемкости продукции при тех же ее потребительских свойствах.
Кроме того, необходимо при анализе имущества учитывать обстоятельство, что при высоких темпах инфляции особый интерес для инвесторов представляют те предприятия, которые, во-первых, имеют более высокий удельный вес основных средств в активах, которые в наименьшей степени подвержены инфляции, и, во-вторых, имеют низкую степень износа этих средств (т. е. коэффициент накопления амортизации наименьший).
При анализе имущества необходимо обратить внимание и на следующее обстоятельство. Причиной значительного увеличения доли материальных средств в составе имущества может быть то, что стоимость материальных средств в балансе отражается по текущим ценам, а стоимость основных средств по ценам принятым в момент переоценки.
В условиях очень высоких темпов инфляции текущие цены быстро увеличиваются и, поэтому стоимостная структура имущества на большинстве предприятий искажена. Методика В. Ф. Палия не учитывает это обстоятельство.
Вот почему при анализе имущества оценку ТМЦ необходимо проводить в ценах, принятых по состоянию на дату оценки основных средств.
Анализ источников средств предприятия
е. имеет значительный вес. Это говорит о том, что у предприятия слишком много запасов. Причиной такого положения являются затруднения со сбытом продукции, которые обусловлены тем что на рынке пиломатериалов жесткая конкуренция.
Готовые изделия при длительном хранении теряют свои качества, после чего цена их реализации значительно снижается. Кроме того фирма затрачивает значительные средства на их хранения.
Кроме того, на ПКФ Бейсуг не отлажены каналы поставок изделий, нет постоянных заказчиков.
ПКФ Бейсуг необходимо наиболее эффективно управлять запасами: рассчитать оптимальный объем запасов необходимый для удовлетворения потребностей рынка и нормального обеспечения производственного процесса.
С финансовой точки зрения структура оборотных средств улучшилось по сравнению с предыдущим годом, т. к. доля наиболее ликвидных средств возросла (денежные средства и краткосрочные финансовые вложения), а доля менее ликвидных активов (дебиторская задолженность) уменьшилась. Это повысило их возможную ликвидность.
Эффективность использования оборотных средств характеризуется прежде всего их оборачиваемостью.
Таким образом, перейдем к анализу оборачивае мости всех оборотных средств и их составляющих. Оценка оборачиваемости производится путём сопоставления её показателей за несколько хронологических периодов по анализируемому предприятию. Показателями оборачиваемости являются:
- Коэффициент оборачиваемости, показывающий число оборотов анализируемых средств за отчётный период и равный отношению выручки от реализации без НДС к средней стоимости оборотных средств.
- Время оборота, показывающее среднюю продолжительность одного оборота в днях и определяемое отношением средней стоимости к выручке от реализации и умноженное на число календарных дней в анализируемом периоде.
Рассчитанные показатели оборачиваемости оборотных средств приведены в таблице 3.4.
Таблица 3.4
Показатели оборачиваемости оборотных средств
за 1997- 1 998г.г.
|
|
Показатели |
1997 |
1998 |
В % к 1997 |
|
1 |
Средняя стоимость материальных оборотных средств, руб. |
713 313 |
1 656 596 |
232,2 |
|
2 |
Средняя дебиторская задолженность, руб. |
131 401 |
206 795 |
154,7 |
|
3 |
Средняя стоимость оборотных средств, руб. |
902 829 |
2 037 628 |
225,6 |
|
4 |
Выручка от реализации без НДС, руб. |
7 459 444 |
5 649 432 |
132,8 |
|
Расчетные показатели |
|
5 |
Коэффициент оборачиваемости материальных оборотных средств. |
7,9 |
4,5 |
56,96 |
|
6 |
Время оборота матер. обор. Средств, дни |
46 |
80,6 |
175,2 |
|
7 |
Коэффициент оборачиваемости дебиторской задолженности |
42,9 |
36,3 |
84,6 |
|
8 |
Время оборота дебиторской задолженности, дней |
8,5 |
10 |
117,6 |
|
9 |
Коэф-нт оборачиваемости оборотных средств |
6,25 |
3,7 |
59,2 |
|
10 |
Время оборота оборотных средств, дней. |
5,8 |
99 |
170,6 |
Из данных таблицы 3.4 видно, что произошло снижение оборачиваемости всех приведённых показателей. Оборачиваемость дебиторской задолженности уменьшилась по сравнению с 1997 годом с 42,9 оборотов в год до 36,3 оборотов, то есть по сравнению с предыдущим годом погашение дебиторской задолженности происходило более медленными темпами. Время оборота дебиторской задолженности составляет 8,5 дней в 1997 и 10 дней в 1998 году.
Это говорит о том что дебиторская задолженность погашается достаточно быстро. Изменение времени оборота по годам представлено на 2.
Более существенно уменьшилась оборачиваемость материальных оборотных средств с 7,9 оборотов в 1997 году до 4,5 оборотов в 1998 году. Соответственно время оборота увеличилось до 86,5 дней. Уменьшение оборачиваемости в 1998 году произошло за счёт затруднений со сбытом
2. Динамика оборота материальных оборотных средств, дебиторской задолженности, оборотных средств
продукции, которые в свою очередь вызваны неэффективностью управления запасами; недостаточным исследованием фирмой рынков сбыта своей продукции и возможностей расширения каналов сбыта.
Оценим изменение внеоборотных активов.
Величина внеоборотных активов в течение 2-х лет непрерывно снижалась. В 1997г. это уменьшение составило 619 414 руб., а в 1998 году 293 691 руб. или 9,2%. Их доля в имуществе также снижалась. Так в 1998 она упала с 75,8 до 44,5%.
В то же время, как уже отмечалось, оборотные средства выросли в 4 раза. Таким образом темп прироста оборотных средств был в 4,74 раза выше, чем внеоборотных средств (430% / 90,8%). Такую тенденцию можно было бы охарактеризовать положительно , если бы не факторы повлиявшие на их рост, а именно , резкое увеличение количества запасов, которые заморозили часть оборотных средств.
Данные приведены в таблице 3.5.
Снижение стоимости внеоборотных активов обусловлено сокращением такого элемента, как "Основные средства", которые за год уменьшились на 342 453 руб.(см. табл. 3.2), или на 12,4% при их удельном весе во внеоборотных активах на конец года 83,5%. Снижение внеоборотных активов в 1997 году также связано с уменьшением статьи "Основные средства" за год на 669 419 руб. или на 19,6 % , их удельный вес за 1997 год сократился на 3,4 % (с 90 до 86,6 %). Статья "Незавершенное строительство" на протяжение двух лет постепенно растет.
В 1997 году она возросла на 50 000 рублей или 13,9%, ее доля в внеоборотных активах увеличилась с 9,4% до 12,8% (+3,4%). В 1998 году "Незавершенное строительство" увеличилось на 48 762 рублей или 12%, при ее росте в доле внеоборотных активов с 12,8% до 15,7% (+2,9%).
Поскольку эта статья не участвует в производственном обороте и, следовательно, увеличение ее доли в структуре вне оборотных активов отрицательно сказывалось на результативности финансово-хозяйственной деятельности предприятия.
Долгосрочные финансовые вложения в составе внеоборотных активов составляют незначительную долю, к началу 1997 года они составляли 0,59%, в начале 1998 года- 0,63%, а в начале 1999 года 0,7%. Их удельный вес незначительно увеличивается (при неизменной абсолютной величине равной 20 142 рублей) за счет изменения доли других статей внеоборотных активов.
Это указывает на не инвестиционную направленность вложений предприятия.
В структуре внеоборотных активов наибольшую долю составляют основные средства, наименьшую долю составляют основные средства, наименьшую долю долгосрочные финансовые вложения.
Рассмотрим изменение р еальных активов, характеризующих производственную мощность предприятия. К реальным активам относятся средства предприятия, которые принимают непосредственное участие в производственном процессе:
основные средства (строка 120);
сырьё, материалы и другие аналогичные ценности (строка 2 11);
МБП (строка 213);
затраты в незавершённом производстве (издержках обращения) (строка 214). Рассчитаем стоимость реальных активов и долю их в имуществе:
1 .На начало года:
Р.А. на начало года. = 2 761 869 + 128 502 = 2 890 371 рублей
Доля Р.А. на начало года =2 890 371 рублей / 4 208 747 х 100% = 68,68%
2.На конец года:
Р.А. на конец года = 2 419 416 + 222 040 = 2 641 456 рублей
Доля Р.А. на конец го да =2 641456 руб. / 6 514 241 х 100% = 40,5%
В абсолюте сумма реальных активов уменьшилась с 2 890 371 руб. на 248 915 руб. или на 8,6%, что произошло в основном за счёт уменьшения стоимости ОС. В структуре имущества доля реальных активов упала (значительно) на 28,18%.
В целом можно отметить достаточно высокий уровень реальных а ктивов на начало года ( более 50%), и достаточно низкий уровень на конец года, что говорит о низких производственных возможностях предприятия.
В целом по активу можно отметить некоторое улучшение финансового состояния ПКФ "Бейсуг", увеличение доли оборотных средств, сокращение доли дебиторской задолженности, и в то же ухудшение коэффициентов обора чиваемости, отвлекающих денежные средства из оборота. Существенным негативным моментом является наличие непокрытого убытка прошлого года в сумме 249 912 рублей и непокрытого убытка отчетного года в сумме 60 400 рублей.
Анализ источников средств предприятия
Предприятие может приобретать основные, оборотные средства и нематери альные активы за счёт собственных и заёмн ых (привлечённых) источников (собст венного и заёмного капитала). Необходимо отметить, что уменьшение итога баланса сам по ce6e не всегда является показателем негативного положения дел на предпри ятии.
Так, например, при росте активов необходимо анализировать источники в пассиве, послужившие их росту. Если рост активов происходил за счёт собственных источников (нераспределённая прибыль, уставный капитал, резервы и т.д.), то это оптимальный вариант. Если же рост активов произошёл за счёт заёмных средств под высокие проценты годовых и при низкой рентабельности, а также при наличии убытков прошлых лет, то сложившееся положение дел должно настораживать.
Наоборот, уменьшение стоимости активов может происходить в частности за счет снижения или полного покрытия убытков прошлых отчетных периодов.
Данные таблицы 3.5 показывают, что общее увеличение источников составило 2 305 494 руб. или 54,7%. Этот рост получен за счёт увеличения заемных средств предприятия (на 2 305 494 или на 58,4%) , в основном в результате роста кредиторской задолженности.
В то же время доля собственных средств сократилась на 30,7 % , при неизменной ее абсолютной величине (3 667 076). За аналогичный период прошлого года заёмные средства сократились на 761 203 рублей или на 58,4% , что в основном и повлияло на уменьшение пассивов на 638 689 руб. или на 13,2 % .
3.4.1. Анализ собственных средств ПКФ "Бейсуг"
Удельный вес собственных средств предприятия в 1997 году увеличился на 14 %, а в 1998 году их удельный вес резко сократился на 30,7 % и составил к концу анализируемого периода 56,3 % от средств предприятия, что вызвано (как уже было отмечено) резким ростом доли заемных средств. Несмотря на это собственные средства составляют более 50%, т.е. у предприятия собственных средств больше, чем заёмных.
Необходимо отметить, что если удельный вес соб ственных средств составляет более 50%, то можно считать что, продав принадле жащую предприятию часть активов оно сможет полностью погасить свою задолженность разным кредиторам.
Для оценки данных пассива баланса составляется аналитическая таблица 3.5.
Таблица 3.5
Собственные и заёмные средства
|
Показатели |
1997 год |
1998 год |
Отклонения |
На начало
года |
На конец
года |
На начало
года |
На конец
года |
|
Абсолютное |
% |
|
1997 |
1998 |
1997 |
1998 |
|
1 |
2 |
3 |
4 |
5 |
6 |
7 |
8 |
9 |
|
1.Всего средств предприятия, тыс. руб. (стр.699); - в том числе: |
4847367 |
4208747 |
4208 747 |
6 514 241 |
-638 689 |
2305494 |
86,8 |
154,7 |
|
2.Собственные средства предприятия, тыс. руб. (строка 490); |
3544 562 |
3 667 076 |
3 667 076 |
3 667 076 |
122 514 |
0 |
103,5 |
100 |
|
-то же в % к имуществу |
73 |
87 |
87 |
56,3 |
14 |
-30,7 |
|
|
|
из них: |
|
|
|
|
|
|
|
|
|
2.1.Наличие собственных оборотных средств, тыс. руб. (490-190-390) |
-265 451 |
226 565 |
226 565 |
459 856 |
492 016 |
233 291 |
-88,3 |
202,9 |
|
-то же в % к собственным средствам. |
- |
6,18 |
6,18 |
12,5 |
6,18 |
6,32 |
|
|
|
3.Заёмные средства, тыс. руб.(590+690) |
1302 874 |
541 671 |
541 671 |
2 847 165 |
-761 203 |
2 305 494 |
41,6 |
5 р. |
|
-то же в % к имуществу; |
26,87 |
12,8 |
12,8 |
43,7 |
-14,07 |
30,9 |
|
|
|
из них: |
|
|
|
|
|
|
|
|
|
3.1.Долгосрочные займы, тыс. руб.(строка 590); |
|
|
|
|
|
|
|
|
|
- в % к заёмным средствам. |
|
|
|
|
|
|
|
|
|
3.2.Краткосрочные кредиты и займы, тыс. руб.(610); |
200 000 |
|
|
929 760 |
-200 000 |
929 760 |
|
|
|
- в % к заёмным средствам. |
15,35 |
|
|
32,65 |
-15,35 |
32,65 |
|
|
|
3.3.Кредиторская задолженность, руб. (620); |
1102 874 |
541 671 |
541 671 |
1 917 405 |
-561 203 |
1 375 734 |
49 |
3,75 раза |
|
- в % к заёмным средствам. |
84,6 |
100 |
100 |
67,35 |
15,4 |
-32,65 |
|
|
3. Соотношение собственных и заемных средств в 1997-1998г.г.
Анализ собственных оборотных средств
На начало отчётного периода наличие собственных оборотных средств составило 226 565 руб. и за счёт этого источника покрывалось 34,4 % (226565/658324х100%) материальных оборотных средств, при нормативе в 50 % и более. На конец же года стоимость собственных оборотных средств составила 459859 руб., что покрывает лишь 17,3% (459859/2654868х100%) материальных оборотных средств, что значительно ниже норматива и говорит о недостатке собственных оборотных средств и излишней доли заемных.
Поскольку большое значение для устойчивости финансового положения имеет наличие собственных оборотных средств и их изменение, целесообразно изучить образующие его факторы.
Рассмотрим изменение собственных оборотных средств (таблица3.6).
Таблица 3.6
Расчёт собственных оборотных средств
|
Показатели |
1997 |
1998 |
Отклонения |
Уровень |
|
|
|
На начало
года |
На конец
года |
На начало
года |
На конец
года |
+ |
% |
Влияния на изм. |
|
1997 |
1998 |
1997 |
1998 |
СОС,% |
|
1 |
2 |
3 |
4 |
5 |
6 |
7 |
8 |
9 |
10 |
|
1.Уставный капитал |
5 500 |
5 500 |
5 500 |
5 500 |
|
|
|
100 |
0 |
|
2. Добавочный капитал. |
1 739 351 |
1739 351 |
1 739 351 |
1 739 351 |
|
0 |
|
100 |
0 |
|
3.Резервный капитал |
- |
- |
- |
- |
- |
- |
- |
- |
- |
|
4.Фонды накопления |
1 799 711 |
1 922 225 |
1 922 225 |
1 922 225 |
22 514 |
0 |
106,8 |
100 |
- |
|
5. Фонд социальной сферы |
- |
- |
- |
- |
- |
|
- |
- |
- |
|
- |
- |
|
6.Нераспределённая прибыль прошлых лет |
- |
- |
- |
- |
- |
- |
- |
- |
- |
|
|
|
|
7.Нераспределённая прибыль отч. года |
- |
- |
- |
- |
- |
- |
- |
- |
- |
|
|
|
|
Итого собственных средств (раздел 4) |
3 544 562 |
3 667 076 |
3 667 076 |
3 667 076 |
122 514 |
0 |
103,5 |
100 |
|
|
|
|
|
Исключается: |
|
|
|
|
|
|
|
|
|
|
|
|
|
1. Нематериальные активы |
|
|
|
|
|
|
|
|
|
|
|
|
|
2.0сновные средства |
3 431 283 |
2 761 869 |
2 761 869 |
2 419 416 |
-669 414 |
-342453 |
80,5 |
87,6 |
146,8 |
|
|
|
|
3.Незавершённое строительство |
358 588 |
408 588 |
408 588 |
457 350 |
50 000 |
48 762 |
113,9 |
111,9 |
+20,9 |
|
|
|
|
4. Долгосрочные финансовые вложения |
20 142 |
20 142 |
20 142 |
20 142 |
0 |
0 |
100 |
100 |
|
|
|
|
|
Итого внеоборотных активов (раздел 1) |
3 810 013 |
3 190 599 |
3 190 599 |
2 896 908 |
-619 414 |
-293 691 |
83,7 |
90,8 |
-125,9 |
|
|
|
|
5. Убыток отчётного года |
0 |
249 912 |
249 912 |
310 312 |
249 912 |
60 400 |
|
124,1 |
+25,9 |
|
|
|
|
Итого исключается: |
3 810 013 |
3 440 511 |
3 440 511 |
3 207 220 |
-396 502 |
-233 291 |
90,3 |
93,2 |
-100 |
|
|
|
|
Итого собственных оборотных средств |
-265 45 |
226 565 |
226 565 |
459 856 |
492 016 |
233 291 |
|
202,9 |
100 |
|
|
|
Из данных таблицы 3.6 видно, что на увеличение собственных оборотных средств более чем в 2 раза в наибольшей степени повлияло уменьшение стоимости основных средств на 342453 руб. или на 12,4%. Данное снижение составляет наибольший уровень влияния на общее изменение собственных оборотных средств (146,8%).
Из приведённых данных можно сделать вывод о том, что несмотря на кажущееся значительное увеличение собственных оборотных средств (в 2 раза) изменение произошло за счёт уменьшения статей, которые при расчёте исключаются из стоимости собственных средств предприятия при одновременном уменьшении последних. Хотя в идеале рост собственных оборотных средств должен происходить за счёт увеличения собственных средств, а не за счёт уменьшения основных средств, нематериальных активов и долгосрочных финансовых вложений.
3.4.2. Анализ заёмных средств ПКФ "Бейсуг"
Поскольку заемные средства выросли за отчётный год, а доля собственных сократилась, то необходимо более детально рассмотреть влияние каждой статьи на прирост заемных средств.
Долгосрочные займы в отчетном и в предыдущем периодах отсутствуют. Краткосрочные кредиты и займы составили 929760 руб. на конец отчетного периода или 32,65% от всех заемных средств, при их отсутствии на начало периода.
В 3,5 раза возросла кредиторская задолженность, которая составляет наибольший удельный вес в заемных средствах 67,35 % на конец года. Причем ее увеличение с 541 671 руб. до 1 917 405 руб. (на 1 375 734 руб.) не перекрывается увеличением денежных средств и краткосрочных финансовых вложений (см. табл.
3.5 показатель 3.2). Это влечет за собой ухудшение платежеспособности предприятия.
Поэтому необходимо более детально изучить состав кредиторской задолженности. Рассмотрим таблицу 3.7.
Анализируя изменения в составе и структуре кредиторской задолженности, приведённые в таблице 3.7, можно отметить что произошли существенные изменения в следующих статьях:
- задолженность поставщикам и подрядчикам увеличилась за отчетный период в 4,5 раза или на 967 605 руб., при удельном весе во всей кредиторской задолженности в 64,7%. В 1997 году данная статья сократилась на 340 176 руб. (с удельным весом в 50,4% на конец года).
Таблица 3.7
Анализ состава и структуры кредиторской задолженности.
|
1 9 9 7 г о д. |
|
Расчёты с кредиторами |
На начало года |
На конец отчётного периода. |
Изменение за отчётный период |
| |
Сумма, руб. |
Удельный вес, % |
Сумма, руб. |
Удельный вес, % |
Сумма, руб. |
% |
|
1.С поставщиками и подрядчиками |
613 305 |
55,6 |
273 129 |
50,4 |
-340 176 |
44,5 |
|
2.По оплате труда |
152 210 |
13,8 |
119 374 |
22 |
-32 836 |
78,4 |
|
3.По социальному страхованию и обеспечению |
143 155 |
12,9 |
86 710 |
16 |
-53 445 |
61,87 |
|
4. Задолженность перед бюджетом |
194 204 |
17,6 |
62 458 |
11,5 |
-101 746 |
32,2 |
|
Итого кредиторская задолженность |
1102874 |
100 |
541 671 |
100 |
-561 203 |
49,1 |
|
1 9 9 8 г о д. |
|
Расчёты с кредиторами |
На начало года |
На конец отчётного периода. |
Изменение за отчётный период |
| |
Сумма, руб. |
Удельный вес, % |
Сумма, руб. |
Удельный вес, % |
Сумма, руб. |
% |
|
1.С поставщиками и подрядчиками |
273 129 |
50,4 |
1 240734 |
64,7 |
967 605 |
В 4,5 раза |
|
2.По оплате труда |
119 374 |
22 |
280 915 |
14,6 |
161 541 |
235 |
|
3.По социальному страхованию и обеспечению |
86 710 |
16 |
109 059 |
5,7 |
22 349 |
125,7 |
|
4. Задолженность перед бюджетом |
62 458 |
11,5 |
150 019 |
7,8 |
87 561 |
240 |
|
5.Авансы полученные |
|
|
134 116 |
7 |
+134116 |
|
|
6.Прочие кредиторы |
|
|
2 562 |
0,13 |
+2 562 |
|
|
Итого кредиторская задолженность |
541 671 |
100 |
1 917405 |
100 |
1375734 |
353,9 |
Изменение структуры кредиторской задолженности проиллюстрировано на 4 (см. приложение).
- возросла практически в 2,5 раза задолженность по оплате труда в 1998 году с одновременным сокращением ее доли в структуре кредиторской задолженности на 7,4 %. Причем в 1997 году по данной статье произошло уменьшение на 21,6% , что говорит о том, что начавшееся в 1997 году улучшение по выдаче заработной платы не имело продолжения в 1998 году.
- произошло увеличение задолженности перед бюджетом на 87 561 руб. или почти в 2,5 раза. Надо отметить негативную тенденцию ее увеличения. Так к концу 1997 года произошло уменьшение задолженности перед бюджетом на 101 746 руб., что дало уменьшение в кредиторской задолженности на 18% (-101 746 / -561 203 х100%).
- менее значительными темпами произошло увеличение по остальным статьям: так задолженность по социальному страхованию и обеспечению выросла к концу отчетного периода на 25,7% (+22 349 рублей). Следует также отметить, что в конце 1998 года появилась такая статья как "Авансы полученные" в размере 134 116 рублей и "Прочие кредиторы" в размере 2 562 рублей, при их отсутствии в 1997 году и на начало 1998 года.
В целом можно отметить некоторое улучшение структуры кредиторской задолженности связанное с сокращением доли "больных" статей (задолженность перед бюджетом, задолженность по оплате труда). Негативным моментом является рост задолженности сторонним предприятиям (ее доли), что связано с взаимными не платежами.
В то же время в 1997 году произошло сокращение доли кредиторской задолженности в итоге баланса предприятия до 12,8%, а в 1998 году произошел рост ее доли до 29%, что свидетельствует об ухудшении структуры пассивов предприятия в 1998 году.
К концу отчетного периода кредиторская задолженность резко увеличилась. С одной стороны, кредиторская задолженность - наиболее привлекательный способ финансирования, так как проценты здесь обычно не взимаются.
С другой стороны, из-за больших отсрочек по платежам у предприятия могут возникнуть проблемы с поставками, ущерб репутации фирмы из-за неблагоприятных отзывов кредиторов, судебные издержки по делам, возбужденным поставщиками.
Снижению задолженности способствует эффективное управление ею посредством анализа давности сроков. Такой анализ выявляет кто из кредиторов, долго ждет оплаты и, скорее всего, начнет проявлять нетерпение. ПКФ Бейсуг необходимо, прежде всего, рассчитаться с долгами перед бюджетом, по социальному страхованию и обеспечению, так как отсрочки по этим платежам, обычно влекут за собой выплату штрафов (пени). Затем необходимо четко структурировать долги перед поставщиками и подрядчиками, и выявить какие из них требуют безотлагательного погашения.
На ПКФ Бейсуг рекомендуется прибегнуть к механизму взаимозачетов.
Для более детального анализа структуры всей задолженности, целесообразно рассмотреть соотношение дебиторской и кредиторской задолженности, представленный в таблице 3.8.
Таблица 3.8
Сравнительный анализ дебиторской и кредиторской
задолженности на конец года. ( руб.)
|
Расчёты |
Дебиторская
Задолженность |
Кредиторская
Задолженность |
Превышение задолженности |
| |
|
|
|
|
Дебиторской |
Кредиторской |
| |
1997 |
1998 |
1997 |
1998 |
1997 |
1998 |
1997 |
1998 |
|
1.С покупателями или поставщиками за товары и услуги |
|
|
273 129 |
1 240 734 |
|
|
273 129 |
1 240 734 |
|
2.По векселям |
|
|
|
|
|
|
|
|
|
3. По авансам |
|
|
|
134 116 |
|
|
|
134 116 |
|
4. По отчислениям на социальные нужды |
|
|
86 710 |
109 059 |
|
|
86 710 |
109 059 |
|
5. С бюджетом |
|
|
62 458 |
150 019 |
|
|
62 458 |
150 019 |
|
6. По оплате труда |
|
|
119 374 |
280 915 |
|
|
1 119 374 |
280 915 |
|
7. С прочими |
87 036 |
326 555 |
|
2 562 |
87 036 |
323 993 |
|
|
|
Итого |
87 036 |
326 555 |
541 671 |
1 917 405 |
|
|
454 635 |
1 590 850 |
Анализ ликвидности баланса
Анализ ликвидности баланса в 1998 г.
|
АКТИВ |
Расчет |
На начало
года |
На конец
года |
ПАССИВ |
Расчет |
На начало
года |
На конец
года |
Платежный излишек или
Недостаток |
| |
|
|
|
|
|
|
|
на начало
года |
На конец
Года |
|
1 |
2 |
3 |
4 |
5 |
6 |
7 |
8 |
9=3-7 |
10=4-8 |
1.Наиболее ликвидные
активы(А1) |
стр.250+
стр.260 |
22 876 |
184 488 |
1.Наиболее срочные
обязательства(П1) |
стр.620 |
541 671 |
1 917 405 |
-518 795 |
-1 732 917 |
2.Быстрореализуемые
активы(А2) |
стр.240 |
87 036 |
326 555 |
2.Краткосрочные пассивы(П2) |
стр.610+670 |
0 |
929 760 |
+87 036 |
-603 205 |
3.Медленнореализуемые
активы(А3) |
стр.210+
220+230
+270 |
668 193 |
2 795 978 |
3.Долгосрочные
пассивы(П3) |
стр.590+630+640+650 +660 |
0 |
0 |
+668 193 |
+2 795 978 |
4.Труднореализуемые
активы(А4) |
стр.190 |
1 190 599 |
2 896 908 |
4.Постоянные пас-
сивы(П4) |
стр.490 |
3 667 076 |
3 667 076 |
-476 477 |
-770 168 |
|
БАЛАНС |
стр.399 |
4 208 747 |
6 514 241 |
БАЛАНС |
стр.699 |
4 208 747 |
6 514 241 |
- |
- |
Таблица 3.11
Коэффициенты, характеризующие платежеспособность
|
Показатели |
Способ расчёта |
Норма |
Пояснения |
На начало года |
На конец года |
Отклонения |
На начало года |
На конец года |
Отклонения |
|
Общий показатель ликвидности |
 |
l |
Осуществляется оценка изменения финансовой ситуации в организации |
0,36 |
0,49 |
+0,13 |
0,49 |
0,498 |
+0,008 |
|
Коэффициент абсолютной ликвидности |
 |
0,20,7 |
Показывает какую часть краткосрочной задолженности предприятие может реально погасить в ближайшее время за счёт денежных средств. |
0,07 |
0,04 |
-0,03 |
0,04 |
0,06 |
+0,02 |
|
Промежуточный коэффициент покрытия |
 |
0,7 |
Отражает прогнозируемые платёжные возможности предприятия при условии своевременного проведения расчётов с дебиторами. |
0,2 |
0,.2 |
0 |
0,.2 |
0,18 |
-0,02 |
|
Общий текущий коэффициент покрытия |
 |
2 |
Показывает платёжные возможности предприятия, не только при условии своевременных расчётов с дебиторами, но и продажей, в случае необходимости, прочих элементов материальных оборотных средств. |
0,796 |
1,4 |
+0,6 |
1,4 |
1,1 |
-0,28 |
|
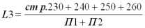
Коэффициент текущей ликвидности |
 |
2 |
Характеризует общую обеспеченность предприятия оборотными средствами. |
0,796 |
1,4 |
+0,6 |
1,4 |
1,16 |
-0,24 |
|
Коэффициент обеспеченности собственными оборотными средствами |
 |
0,1 |
Характеризует наличие собственных оборотных средств у предприятия, необходимых для его финансовой устойчивости. |
0 |
0,29 |
- |
0,29 |
0,14 |
-0,15 |
|
Коэффициент восстановления платежеспособности. |
 |
l |
Характеризует возможность предприятия восстановить свою платежеспособность через 6 месяцев. Он рассчитывается в случае, если хотя бы один из коэффициентов L4 или L5 принимает значение меньше критического. |
- |
0,85 |
- |
- |
0,585 |
- |
ЛИТЕРАТУРА
- Баканов М. И., Шеремет А. Д. Теория экономического анализа. М.: Финансы и статистика, 1993
- .Барногльц С. Б., Экономический анализ хозяйственной деятельности предприятий и объединений, М.:1986
- Бухгалтерский анализ / Под ред. Гольдберга М. А Киев.: 1993
- Бухгалтерская отчетность: составление и анализ / Под ред. Новодворского В. Д. М.:1994
- Друри К. Введение в управленческий и производственный учет -М. : 1994
- Ефимова 0. В. Как анализировать финансовое положение предприятия. М. :1993
- Ефимова 0. В. Анализ оборачиваемости средств коммерческого предприятия. -Бухгалтерский' учет 1994 (10)
- Ефимова О. В. Финансовый анализ М.: Бухгалтерский учет, 1996
- Закон Российской Федерации " О несостоятельности (банкротства) предприятий", 3929-1 от 19.11.92.
- Закон Российской Федерации "О бухгалтерском учете", 129 3 от 21.11.96.
- Ковалев К. В. Финансовый анализ: Управление капиталом. Выбор инвестиций. Анализ отчетности. -М. :1995
- Ковалев В. В. Как читать баланс. -М. : 1993
- Крейнина М. Н. Анализ финансового состояния и инвестиционной привлекательности акционерных обществ в промышленности, строительстве и торговле. -М. :1994
- Методика экономического анализа деятельности промышленного предприятия / Под. Ред. А. И. Бужинского, А. Д. Шеремета М.: Финансы и статистика, 1988.
- Мишин Ю. А. , Долгов В. П. , Долгов А. П. Учет и анализ:проблемы качественной обработки учетной информации. -Краснодар 1995
- Нидлз Б. , Андерсон X. , Колдуэлл Д. Принципы бухгалтерского учета. -М. : 1993
- Новодворский В. Д. , Хорин А. Н. Балансовое обобщение как метод бухгалтерского учета /Бухгалтерский учет. 1995
- В.Ф.Палий Новая бухгалтерская отчетность. Содержание. Методика анализа-М.: библиотека журнала "Контроллинг", 1991.
- Родионова В. М. , Федотова М. А. Финансовая устойчивость предприятия в условиях инфляции. -М.: 1995
- Хонгрен Т. , Фостер Дж. Бухгалтерский учет: управленческий аспект. -М. :1995
- Четыркин Е. М. Методы финансовых и коммерческих расчетов. -М. : 1992
- Шеремет А. Д., Сейфулин Р. С. Методика финансового анализа. М.: 1995
- Шеремет А. Д., Суйц В. П. Аудит. М.: 1995
- Шеремет А. Д., Сейфулин Р. С., Негашев Е. В.. Методика финансового анализа предприятия М.: 1992
БУХГАЛТЕРСКИЙ УЧЕТ И АНАЛИЗ ФИНАНСОВОГО СОСТОЯНИЯ НА ПРОМЫШЛЕННОМ ПРЕДПРИЯТИИ
Однако в последнее время получает развитие система залоговых банков, и коммерческие банки в условиях жесткой конкуренции, наконец-то, начинают понимать, что им более выгодно и надежно выдавать кредиты под залог имущества. Кроме того, в России уже имеется очень широкая сеть специализированных чековых инвестиционных фондов, создаются и другие финансовые институты, работающие с чеками, акциями и другими ценными бумагами. В этих условиях речь идет о реальной ценности ценных бумаг, то есть об их реальной обеспеченности имуществом.
Поэтому анализ имущества организации, совершенствование методики его проведения, объективная оценка имущества выходят на первый план.
Во-вторых за рубежом большое Значение уделяется учету воздействия информации на финансовое положение организации. В нашей стране этот вопрос недостаточно разработан в теоретическом и практическом планах.
В-третьих для России огромное значение имеет компьютеризация расчетов по анализу , финансового состояния, в отличие от стран Европы и США, в которых этот процесс достиг высокого уровня. Для российской науки и практики автоматизация экономического анализа является одним из самостоятельных актуальных направлений развития.
У нас это может являться одним из основных, самостоятельных и важных направлений.
БУХГАЛТЕРСКИЙ УЧЕТ И АНАЛИЗ ФИНАНСОВОГО СОСТОЯНИЯ НА ПРОМЫШЛЕННОМ ПРЕДПРИЯТИИ
2. 1. Взаимосвязь бухгалтерского учета, аудита и анализа финансового состояния
Детализация процедурной стороны методики анализа финансового состояния зависит от поставленных целей, а также различных факторов информационного, временного, методического, кадрового и технического обеспечения. Логика аналитической работы предполагает ее организацию в виде двухмодульной структуры:
- экспресс-анализ финансового состояния;
- детализированный анализ финансового состояния.
2. 1. 1. Экспресс-анализ финансового состояния. Бухгалтерская отчетность информационная база для проведения финансового анализа
Его целью является наглядная и простая оценка финансового благополучия и динамики развития хозяйствующего субъекта. В процессе анализа В.В.Ковалев6, предлогает расчет различных показателей и дополнить его методами, основанными на опыте и квалификации специалиста.
Экспресс-анализ целесообразно выполнять в три этапа:
подготовительный этап, предварительный обзор бухгалтерской отчетности, экономическое чтение и анализ отчетности.
Цель первого этапа принять решение о целесообразности анализа финансовой отчетности и убедиться в ее готовности к чтению.
Первая задача решается путем ознакомления с аудиторским заключением. Существуют два основных типа аудиторских заключений: стандартное (unqualified opinion) и нестандартное (qualified opinion). Первое представляет собой подготовленный в достаточно унифицированном и кратком изложении документ, содержащий положительную оценку аудитора (аудиторской фирмы) о достоверности представленной в отчете информации и ее соответствии действующим нормативным документам. Нестандартное аудиторское заключение обычно более объемно и, как правило, содержит некоторую дополнительную информацию, которая может быть полезной пользователям отчетности и рассматривается аудитором как целесообразная к опубликованию исходя из принятой технологии аудиторской проверки.
Нестандартное аудиторское заключение может содержать либо безоговорочно положительную оценку представленной отчетности и финансового положения, подтверждаемого ею, либо положительную оценку, но с оговорками. Причинами нестандартного аудиторского заключения могут быть: использование мнения другой аудиторской фирмы (например, в случае аудирования отчетности разных самостоятельных подразделений одной корпорации разными аудиторскими компаниями); изменение аудируемой фирмой учетной политики; некоторые неопределенности финансового или организационного характера (например, участие компаний в незавершенном судебном процессе с непредсказуемым исходом) и др.
В случае нестандартного аудиторского заключения целесообразность заключения контракта с данным потенциальным контрагентом должна определяться финансовым менеджером или другим лицом, участвующим в переговорах, после более тщательного анализа представленного отчета и другой информации формального и неформального характера.
Проверка готовности отчетности к чтению носит менее ответственный и в определенной степени технический характер. Эту работу часто приходится делать, работая с отчетностью небольших предприятий, где нет достаточной культуры и традиций подготовки годового отчета.
Здесь проводится визуальная и простейшая счетная проверка отчетности по формальным признакам и по существу: определяется наличие всех необходимых форм и приложений, реквизитов и подписей; выверяется правильность и ясность заполнения отчетных форм; проверяются валюта баланса и все промежуточные итоги; проверяются взаимная увязка показателей отчетных форм и основные контрольные соотношения между ними и т. п.
Бухгалтерская отчетность представляет собой комплекс взаимоувязанных показателей финансово-хозяйственной Деятельности за отчетный период. Отчетным формам присуща как логическая, так и информационная взаимосвязь. Суть логической связи состоит во взаимодополнении и взаимной корреспонденции отчетных форм, их разделов и статей. . Некоторые наиболее важные балансовые статьи расшифровываются в сопутствующих формах.
Расшифровку других показателей при необходимости можно найти в аналитическом учете.
Логические связи дополняются информационными, выражающимися в прямых и косвенных контрольных соотношениях между отдельными показателями отчетных форм. Прямое контрольное соотношение означает, что один и тот же показатель приведен одновременно в нескольких отчетных формах. Так, фонды потребления на начало (конец) года приводятся в формах 1 и 5. Косвенное контрольное соотношение означает, что несколько показателей одной или ряда отчетных форм связаны между собой несложными арифметическими расчетами.
Например; показатель Использование прибыли, приводимый в балансе, общей суммой, в форме 2 расшифровывается по направлениям использования.
Знание этих контрольных соотношений, важное не только с позиции анализа, но и контроля, помогает лучше разобраться в структуре отчетности, проверить правильность ее составления путем визуальной проверки отдельных показателей и арифметических соотношений между ними.
Цель второго этапа ознакомление с пояснительной запиской к балансу. Это необходимо для того, чтобы оценить условия работы в отчетном периоде, определить тенденции основных показателей деятельности, а также качественные изменения в имущественном и финансовом положении хозяйствующего субъекта. Составляя первое представление о динамике приведенных в отчетности и пояснительной записке данных, необходимо обращать внимание на алгоритмы расчета основных показателей. , Поскольку расчет некоторых аналитических показателей (например, рентабельность, доход на акцию, доля собственных оборотных средств и т. п. ) может сопровождаться осознанным или неосознанным разночтением, многие западные фирмы приводят в соответствующем разделе годового отчета алгоритмы для некоторых указателей.
Такую практику целесообразно использовать и в России.
Анализируя тенденции основных показателей, необходимо принимать во внимание влияние некоторых искажающих факторов, в частности инфляции. Кроме того, не стоит забывать, что и сам баланс, являясь основной отчетной и аналитической формой, не свободен от некоторых ограничений.
Ниже указаны наиболее существенные из них.
1. Баланс историчен по своей природе: он фиксирует сложившиеся к моменту его составления итоги финансово-хозяйственных операций.
2. Баланс отражает статус-кво в средствах и обязательствах предприятия, т. е. отвечает на вопрос, что представляет собой предприятие на данный момент согласно используемой учетной политике, но не отвечает на вопрос, в результате чего сложилось такое положение. Ответ на последний вопрос не может быть дан только по данным баланса.
Для этого требуется гораздо более глубокий анализ, основанный не только на привлечении дополнительных источников информации, но и на осмыслении многих факторов, которые не находят отражения в отчетности (инфляция, научно-технический прогресс, финансовые затруднения у смежников и др.).
3. По данным отчетности можно рассчитать целый ряд аналитических показателей, однако, все они будут бесполезны, если их не с чем сравнить. Баланс, рассматриваемый изолированно, не обеспечивает пространственной и временной сопоставимости.
Поэтому его анализ должен проводиться в динамике и по возможности дополняться обзором аналогичных показателей по родственным предприятиям, их среднеотраслевыми и среднепрогрессивными значениями.
4. Интерпретация балансовых показателей возможна лишь с привлечением данных об оборотах. Сделать вывод о том, велики или малы суммы по той или иной статье, можно лишь после сопоставления балансовых данных с соответствующими суммами оборотов.
5. Баланс есть свод моментных данных на конец отчетного периода и в силу этого не отражает адекватно состояние средств предприятия в течение отчетного периода. Это относится, прежде всего, к наиболее динамичным статьям баланса.
Так, наличие на конец года больших по удельному весу запасов готовой продукции вовсе не означает, что это положение было в течение года постоянным, хотя сама по себе такая возможность не исключается.
6. Финансовое положение предприятия и перспективы его изменения находятся под влиянием не только факторов финансового характера, но и многих факторов, вообще не имеющих стоимостной оценки. В их числе: возможные политические и общеэкономические изменения, перестройка организационной структуры управления отраслью или предприятием, смена форм собственности, профессиональная и общеобразовательная подготовка персонала и т. п. Поэтому анализ бухгалтерской отчетности является лишь одним из разделов комплексного экономического анализа, использующего не только формализованные критерии, но и неформальные оценки.
7. Одно из существенных ограничений, баланса заложенный в нем принцип использования цен приобретения. В условиях инфляции, роста цен на используемые на предприятии сырье и оборудование, низкой обновляемости основных средств многие статьи отражают совокупность одинаковых по функциональному назначению, но разных по стоимости учетных объектов.
Естественно, существенно искажаются результаты деятельности предприятия, реальная оценка его хозяйственных средств. цены предприятия в целом.
8. Одна из главных целей функционирования любого предприятия получение прибыли. Однако именно этот показатель отражен в балансе недостаточно полно. Представленная в нем абсолютная величина накопленной прибыли в отрыве от затрат и объема реализации не показывает, в результате чего сложилась именно такая сумма.
Представленная, к примеру, в балансе прибыль может в принципе быть прибылью совершенно разно великих по размеру оборота и используемых ресурсов предприятий.
9. Необходимо еще раз подчеркнуть, что итог баланса вовсе не отражает той суммы средств, которой реально располагает предприятие, его стоимостной оценки. Основная причина состоит в возможном несоответствии балансовой оценки хозяйственных средств реальным условиям вследствие инфляции, конъюнктуры рынка, используемых методов учета и др. Во-первых, баланс дает лишь учетную оценку активов предприятия и источников их покрытия; текущая рыночная оценка этих активов может быть абсолютно другой, причем, чем длительнее срок эксплуатации и отражения на балансе данного актива, тем больше разница между его учетной и текущей ценами.
Во-вторых, даже если предположить, что активы приведены в балансе по их текущей стоимости, валюта баланса тем не менее не будет отражать точной стоимостной оценки Предприятия, поскольку цена предприятия в целом, как правило, выше суммарной оценки его активов. Эта разница характеризует цену репутации предприятия и может быть выявлена лишь в процессе его продажи.
Не случайно в ряде стран дискутировался вопрос о возможности и целесообразности периодической стоимостной оценки имиджа фирмы и отражения его в активе баланса.
Кроме того, в балансе все еще остались статьи, носящие по сути характер регуляторов, завышающих валюту баланса. Прежде всего это относится к статьям Убытки (регулятив к источникам собственных средств) и Резервы по сомнительным долгам (регулятив к статье "Расчеты с дебиторами".
В балансе имеются также статьи, завышающие его валюту в силу существующей методологии формирования уставного капитала. Согласно нормативным документам сумма задолженности учредителей по вкладам в уставный капитал отражается по дебету субсчета 75-1 Расчеты по вкладам в уставный капитал.
С момента возникновения этой задолженности и до момента ее погашения (а этот период может быть достаточно протяженным при первичной эмиссии акций половина уставного капитала должна быть оплачена на момент регистрации общества, а вторая половина в течение года) валюта баланса оказывается завышенной на величину непогашенной задолженности учредителей.
Собственные акции, выкупленные акционерным обществом у акционеров для их последующей перепродажи или аннулирования, отражаются на счете 56 Денежные документы" субсчет.
(Собственные акции, выкупленные у акционеров). В этой части счет 56 завышает валюту баланса. Не случайно в некоторых экономически развитых странах (например, ФРГ) введены очень жесткие ограничения на скупку собственных акций; одна из причин
- желание воспрепятствовать появлению дутых балансов.
10. Весьма актуален и для учета, и для анализа вопрос о Допустимой и возможной степени унификации баланса. С технологической точки зрения функционирование системы бухгалтерского учета на предприятии представляет собой процесс непрерывного агрегирования данных. Важно найти оптимум в этом процессе.
Малая степень -агрегированности приводит к бессистемности и неуправляемости огромными циркулирующими в системе сведениями. Напротив, слишком большая агрегированность данных, в том числе отчетных, может привести к резаному сокращению их информативности и аналитичности.
В полной мере этот тезис относится и к бухгалтерской отчетности.
Уровень агрегированности данных определяет степень аналитичности баланса. Причем связь здесь обратно пропорциональная: чем выше уровень агрегированности, тем меньше аналитичен баланс.
Поэтому извечен вопрос о целесообразности и необходимой степени сложности баланса, необходимости расширения состава статей, введении дополнительных группировок. Как следствие исключительный динамизм структуры баланса.
Дело доходило до того, что в некоторых отраслях народного хозяйства структура бухгалтерского баланса менялась несколько раз в год.
В западной учетно-аналитической практике проблема агрегированности отчетных данных также широко обсуждается специалистами. При этом мнения высказываются нередко самые различные. По мнению Р. Фокса, бухгалтерский отчет должен быть кратким и умещаться на визитной карточке.
Напротив. В.Бивер считает, что финансовая отчетность не должна упрощаться исходя из уровня ее понимания наивным инвестором.
Как всегда, истина находится посередине. Целесообразно заполнять несколько форм балансов, ориентированных на различных пользователей. Именно такой подход принят в экономически развитых странах.
Структура бухгалтерской отчетности не регламентируется. В учетных стандартах описываются лишь перечень и экономическое содержание основных статей; степень детализации определяется бухгалтером предприятия самостоятельно.
Основной тенденцией развития баланса в нашей стране было его постоянное усложнение. В последние годы происходит обратный процесс упрощение структуры баланса. Так. за последние два десятилетия число статей баланса промышленного предприятия уменьшилось примерно в два раза.
Кроме того, баланс унифицирован для всех отраслей.
Третий этап основной в экспресс-анализе; его цель - обобщенная оценка результатов хозяйственной деятельности и Финансового состояния объекта. Такой анализ проводится с той или иной степенью детализации в интересах различных пользователей.
Одним из основных элементов экспресс-анализа является умение работать с годовым отчетом и финансовой отчетностью. В частности, финансовый менеджер. которому часто приходится участвовать в процессе заключения контрактов с потенциальными контрагентами, должен четко представлять структуру отчета, содержание основных его разделов.
Положением о бухгалтерском учете и отчетности в РФ предусмотрены периодическое составление бухгалтерской отчетности и представление ее в соответствующие адреса. Отчетность должна, как правило, сопровождаться пояснительной запиской. В наиболее подробном виде пояснительная записка составляется в процессе подготовки годовой отчетности.
В этом случае данный набор документов в комплексе представляет собой годовой отчет.
Составление годового отчета является вполне обычной практикой для большинства компаний экономически развитых стран. В наиболее детализированном виде составляется отчет для акционерных обществ. Не случайно с 1 января 1977 г. введен в действие международный учетный стандарт IAS N 5, регламентирующий состав и структуру годового отчета, перечень статей и показателей, рекомендованных к включению в отчетность.
Согласно этому стандарту основными компонентами годового отчета являются: подготовленная согласно нормативным документам отчетность, аналитические расшифровки и примечания к ней, прочая аналитическая информация, полезная для получения более полной и объективной картины об имущественном и финансовом положении предприятия.
Детальная структура годового отчета не регламентируется, однако при его подготовке необходимо учитывать требования других учетных стандартов, что в определенной степени оказывает косвенное влияние на состав и последовательность включаемых в отчет материалов.
Анализ западной учетно-аналитической практики показывает, что проблеме структурирования годового бухгалтерского отчета уделяют большое внимание не только международные, но и национальные, бухгалтерские институты. В качестве примера можно привести практику регулирования этого раздела - бухгалтерского учета в Бельгии.
Так рекомендованная национальными учетными стандартами этой страны аналитическая записка, содержащая расшифровки и примечания к отчетности, весьма детализирована, и содержит 19 разделов. Также детализированы рекомендуемые стандартные форматы отчетности около 100 показателей на отчетную дату в балансе и около 70 статей в отчете о прибылях и убытках.
Культура составления отчета немаловажный фактор успешного ведения бизнеса как с позиции самой компании, подготовивши отчет, так и с позиции ее внешних контрагентов. Во-первых, хорошо структурированный отчет позволяет руководству предприятия и его владельцам по-новому взглянуть на состояние дел на предприятии, достигнутые результаты финансово-хозяйственной деятельности, определиться с перспективами ее развития.
Во-вторых, для контрагентов предприятия бухгалтерский отчет все в большей степени становится основным информационным документом, подтверждающим возможность и экономическую целесообразность взаимодействия с данным предприятием. В-третьих, отчет это своеобразный способ рекламы деятельности (нередко первым шагом фирмы-контрагента при установлении производственных контактов является запрос о возможности ознакомления с годовым бухгалтерским отчетом потенциального партнера), поэтому от того, насколько грамотно и привлекательно составлен отчет, может в значительной степени зависеть результат предстоящих переговоров о сотрудничестве.
Правило прежде чем подписывать контракт, ознакомься с годовым отчетом контрагента непреложная истина для любого бизнесмена.
В западной учетно-аналитической практике накоплен значительный опыт в подготовке годового отчета, его структурировании и оформлении. В частности, типовая структура отчета может содержать следующие разделы:
- краткая характеристика деятельности предприятия (основное содержание раздела составляют некоторые основные показатели, наиболее выгодно характеризующие предприятие, виды и географические сферы деятельности и др. )
- обращение главы предприятия (президент, директор);
- отчет администрации (характеристика производственной, коммерческой и инвестиционной деятельности, оценка финансового положения, характеристика научно-технического уровня предприятия, его природоохранная деятельность и др.);
- бухгалтерская отчетность;
- пояснения к бухгалтерской отчетности (характеристика Учетной политики, структуры и вида основных средств и нематериальных активов, финансовых вложений, дебиторской и кредиторской задолженности, издержек производства и обращения, ликвидности и финансовой устойчивости и т. д.)
- аудиторское заключение;
- данные о котировке ценных бумаг предприятия;
- прочая информация (состав высшего выборного органа управления, состав администрации, информация о наиболее существенных инвесторах и т. д.)
Амортизация представляет собой процесс распределения на готовую продукцию единовременных затрат в основные средства. Поэтому коэффициент износа, зависящий от принятой методики производства амортизационных отчислений, строго говоря, не отражает фактического износа основных средств, равно, как коэффициент годности не дает точной оценки их текущей стоимости. Это происходит по ряду причин.
В частности, на законсервированные-, оборудование и транспортные -средства начисляется амортизация на полное восстановление, т. е. физически эти средства не снашиваются, но общая оценка изношенности основных средств меняется. Что касается текущий стоимостной оценки технических средств и степени ее соответствия расчетной величине остаточной стоимости, то в принципе они зависят от таких факторов, как темп инфляции, состояние конъюнктуры и спроса, правильность определения полезного срока эксплуатации основных средств и т. п. Несмотря на всю условность показателя изношенности основных средств, он имеет определенное аналитическое значение.
По некоторым оценкам, значение коэффициента износа более чем 50% считается нежелательным.
В рамках экспресс-анализа в дополнение к приведенной выше системе показателей целесообразно использовать следующую последовательность взаимосвязанных и несложных по структуре и количеству показателей таблиц:
хозяйственные средства предприятия и их структура (содержит такие показатели, как величина хозяйственных средств в оценке нетто, основные средства, нематериальные активы, оборотные средства, собственные оборотные средства);
основные средства предприятия (приводятся стоимостная оценка основных средств в том числе активной их части по первоначальной и остаточной стоимости, доля арендованных основных средств, коэффициенты износа и обновления): структура и динамика оборотных средств предприятия (приводится укрупненная группировка статей второго и третьего разделов баланса, а также ряд специфических показателей, таких,как величина собственных оборотных средств, их доля в покрытии товарных запасов и др. )
основные результаты финансово-хозяйственной деятельности предприятия (объем товарооборота, прибыль, рентабельность, уровень валового дохода, уровень издержек обращения, фондоотдача, выработка, показатели оборачиваемости);
эффективность использования финансовых ресурсов (содержит показатели: всего финансовых ресурсов, в том числе собственных, привлеченных ресурсов, рентабельность авансированного капитала, рентабельность собственного капитала и др.).
Экспресс-анализ может завершаться выводом о целесообразности или необходимости более углубленного и детального анализа финансовых результатов и финансового положения.
Детализированный анализ финансового состояния промышленного предприятия
Его цель более подробная характеристика имущественного и финансового положения хозяйствующего субъекта, результатов его деятельности в истекшем отчетном периоде, а также возможностей развития субъекта на перспективу. Он конкретизирует, дополняет и расширяет отдельные процедуры экспресс-анализа.
При этом степень детализации зависит от желания аналитика.
В общем виде программа углубленного анализа финансово-хозяйственной деятельности предприятия выглядит следующим образом.
Методика анализа финансового состояния предприятия О. В. Ефимовой
При анализе собственных и заемных средств, вложенных в имущество предприятий, необходимо более подробно рассмотреть роль долгосрочных займов. Данному вопросу в методике В. Ф. Палия Уделяется недостаточное внимание. Дело в том, что, В. Ф. Палий не совсем верно отождествляет долгосрочные кредиты и займы с собственными средствами.
Это происходит при расчете коэффициентов маневренности собственных средств, когда в числителе берется сумма источников собственных средств (Итог 1 раздела пассива баланса) и долгосрочных кредитов (2 раздел пассива баланса) за минусом основных средств и вложений (итог 1 раздела баланса), а в знаменателе вся сумма источников собственных средств (итог 1 раздела пассива баланса). Вероятно автор считает, что долгосрочные кредиты и займы находятся в пользовании предприятия длительный срок, и, следовательно, они как бы принимают форму собственных оборотных средств. Это не совсем верно, т. к. за процессом их целевого использования должен быть установлен контроль со стороны банков и других инвесторов.
Долгосрочные кредиты должны направляться в первую очередь на увеличение основных средств и на совершенствование их структуры (в частности на модернизацию„и обновление).
Общий недостаток методики В. Ф. Палия заключается в том, что в ней не рассмотрен подход к анализу финансового состояния предприятий с учетом инфляции .
Поэтому многие экономисты не ограничиваются применением только данной методики. На практике широко используются и другие методики, несколько отличавшиеся от названной. К их числу относится, например, методика финансового состояния А. Д. Шеремета, Р. С. Сейфулина, Е. В. Негашева . Анализ ее содержания показывает ряд существенных отличий от методики В.Ф.Палия, которые сводятся к следующим моментам:
- имеет более формализованный, алгоритмизированный, структурированный характер и в большей степени приспособлена к компьютеризации всех расчетов;
- применяется несколько иная нормативная база при оценке платежеспособности (ликвидности) предприятия;
- частично используются оптимизационные и экспертные методы;
- ориентирована на широкий круг пользователей;
- частично применяются подходы, используемые в практике работы капиталистических фирм, что позволяет установить обоснованные взаимосвязи между показателями финансового состояния отечественных предприятий и фирм капиталистических стран;
- методика позволяет выделить четыре уровня финансовой устойчивости предприятия;
- позволяет в рамках внутреннего анализа осуществить углубленное исследование финансовой устойчивости предприятия на основе построения баланса платежеспособности;
- используется модель взаимосвязи различных финансовых коэффициентов, что позволяет при наличии динамики различных финансовых показателей (факторов) исследовать характер изменения результирующего показателя коэффициента ликвидности;
- изложен известный в экономической литературе способ определения оптимального размера объема производства, предпринята попытка связать анализ финансового состояния с производственной программой предприятия.
Кроме всего указанного отличие этой рассматриваемой методики от методики В. Ф. Палия заключается еще и в следующем. Во-первых, она предлагает деление всех активов на четыре группы по степени ликвидности: наиболее ликвидные, быстро реализуемые, медленно реализуемые трудно реализуемые. К первой группе относятся все статьи денежных средств предприятия и краткосрочные финансовые вложения (ценные бумаги).
Ко второй группе относятся дебиторская задолженность и прочие активы. К третьей группе относятся статьи второго раздела актива баланса Запасы и затраты за исключением расходов будущих периодов, а также долгосрочные финансовые вложения. К четвертой группе относятся статьи первого раздела актива Основные средства и вложения.
Кроме того, эти авторы рекомендуют сгруппировать все пассивы баланса по степени срочности их оплаты. А. Шеремет, Е. Негашев, Р. Сейфулин несколько по-иному подходят к установлению нормативной базы показателей. Если В. Палий считает, что нормативной величиной коэффициента абсолютной ликвидности является 0,20 0,25, то названные авторы рекомендуют установить его нормативную величину в пределах 0,20 0,70.
Для промежуточного коэффициента покрытия норматив установлен на уровне 0,80 1,00, тогда как у В. Палия 0,70 0,80. Нормативы общего коэффициента покрытия в методиках В. Палия и А. Шеремета одинаковы и составляют 2,0 2,5.
Отличие анализируемой методики от методики В. Ф. Палия заключается также в том, что в ней более подробно рассмотрен анализ балансовой прибыли, и прибыли от реализации продукции. Кроме анализа финансового состояния авторы ввели и методику анализа деловой активности. Под деловой активностью предприятия в финансовом аспекте авторы понимают, прежде всего, скорость оборота его средств. В.Ф.
Палий тоже анализирует оборачиваемость оборотных средств, но он не включает ее в понятие деловой активности. Особенностью данной методики является также то, что в ней вводится понятие кризисного финансового состояния, под которым понимается ситуация, при которой предприятие находится на грани банкротства, так как денежные средства, краткосрочные ценные бумаги и дебиторская задолженность не покрывают кредиторской задолженности и просроченных ссуд.
Авторы также выделяют четыре типа финансового состояния. Первый тип абсолютная устойчивость. Этому типу соответствуют минимальные величины запасов и затрат.
Второй тип нормальная устойчивость. Для данного типа характерны нормативные величины запасов и затрат.
Третий тип неустойчивое состояние, которому соответствуют убыточные величины запасов и затрат. Четвертый тип кризисное состояние.
Для него характерны неподвижные и малоподвижные запасы и затоваренность готовой продукцией в связи со снижением спроса.
В целом методика анализа финансового состояния предприятия А. Д. Шеремета, Р. С. СейФулина и Е. В. Негашева представляет собой дальнейшее развитие предыдущих методик. Однако, несмотря на ряд преимуществ по сравнению с методикой В. Ф. Палия она также не учитывает всех особенностей экономического анализа в условиях различных уровней инфляции.
Внедрение в практику анализа названных мероприятий позволит существенно повысить эффективность экономического анализа и, следовательно, эффективность производства в целом. Это потребует роста объема исходной информации, так как не все данные для проведения анализа по предлагаемой методике имеются в современной бухгалтерской и статистической отчетности.
Поэтому необходимо привлечение в практику анализа данных внутрипроизводственного учета (нормативы, показатели работы, характеризующие все стороны деятельности предприятия для проведения комплексного анализа) и статистического (коэффициенты инфляции и др.). Однако компьютеризация существенно снизит трудоемкость анализа, что в целом также повисит эффективность производства.
В настоящее время предлагается множество и других методик, основанных, как правило, на применении аналогичного зарубежного опыта оценки финансового состояния предприятий. При этом некоторые авторы предлагаемых методик, пытаются напрямую перенести его в условия России. Далеко не всегда это правомерно.
Например, во многих случаях неверно в качестве нормативной базы финансовых коэффициентов принимать критические значения, используемые на Западе.
Для достижения сопоставимости финансовых показателей Запада и России авторами одной из методик предлагается ранжированный подход к выбору их критических значений с учетом реальных условий нашей экономики. Авторы такого подхода, однако, не указывают сам способ ранжирования, а излагают лишь общие положения.
Принципиально новым в данной методике является то, что наряду с системой показателей финансового состояния авторы вводят блок показателей доходности, акций и блок оценки уровня менеджмента. Блок оценки уровня менеджмента включает показатели, характеризующие отраслевую принадлежность предприятия, состав учредителей; наличие дочерних фирм, объекты долевого участия, популярность в регионе, состояние фондов.
Отдельные специалисты, даже не экономисты, предлагают свои специфические подходы к анализу финансового состояния предприятий. Например, Л.Философов, профессор, доктор технических наук предлагает в процессе приватизации использовать методику анализа финансового состояния, во многом основанную на методах, используемых для аналогичных целей американскими и западноевропейскими аналитиками.
Всего он предлагает рассчитывать восемь показателей.
Первые пять являются основными и влияют на прогноз возможного банкротства акционерных обществ:
1. Отношение мобильного капитала к общим активам характеризует долю в активах акционерных обществ средств, находящихся в мобильной форме;
2. Отношение накопленного капитала к общим активам характеризует эффективность работы АО в прошлом; для всех АО это отношение можно представить равным 0, поскольку деятельность их в качестве АО только начинается;
3. Отношение прибыли к общим активам характеризует прибыльностьАО;
4. Отношение капитала к общему долгу характеризует качество активов АО (долю в них заемных средств);
5. Отношение объема продаж к общим активам характеризует эффективность использования активов для производства, пользующейся спросом продукции. Кроме того, Л. Философов предлагает использовать еще три показателя, характеризующие отдельные стороны финансового положения предприятий:
6. Отношение текущих активов к текущим обязательствам отражает ликвидность баланса (способность предприятия оплачивать текущие долги);
7. Отношение общего долга к общим активам показатель являющийся дополнительной характеристикой качества активов;
8. Отношение прибыли к капиталу характеризует прибыльность предприятия.
В работе рассмотрены основные действующие Методики анализа финансового состояния предприятия, выявлены их положительные и отрицательные стороны. Необходимо отметить. что с точки зрения информационного обеспечения все они ориентированы главным образом на данные бухгалтерского баланса. Подобный подход представляется несколько упрощенным, а данные, полученные на его основе, не вполне корректными, поскольку информация бухгалтерского баланса дает весьма приблизительную характеристику финансового состояния предприятия. Это связано с тем, что бухгалтерская отчетность, в том числе баланс, составляется с определенной периодичностью и является фотографией состояния на определенную дату.
Следовательно, рассчитанные на его основе показатели также приблизительно характеризуют финансовое состояние предприятия. Кроме того, информация баланса представляет не качество имущества предприятия, а лишь его стоимостную оценку.
Все вышеперечисленное может существенно затруднить управление эффективностью производства и даже направить его в неправильное русло.
В отличие от них методика анализа финансового состояния О. В. Ефимовой5 значительно расширяет рамки информационной базы, что позволяет углубить и качественно улучшить сам финансовый анализ. Согласно методике О. В. Ефимовой, анализ баланса и рассчитанных на его основе коэффициентов следует рассматривать в качестве предварительного ознакомления с финансовым положением предприятия.
В дальнейшем при внутреннем анализе должны широко привлекаться данные аналитического учета.
Методика анализа финансового состояния предприятия О. В. Ефимовой
Предварительная оценка Финансового положения предприятия осуществляется на основе данных бухгалтерского баланса ф. 1 и ф. 2, а также формы 5. На этой стадии формируется первоначальное представление о деятельности предприятия, выявляются изменения в составе имущества и его источников, устанавливаются взаимосвязи между показателями. Предварительная оценка имеет три этапа:
1. Визуальная и счетная проверка показателей бухгалтерского баланса;
2. Построение уплотненного аналитического баланса-нетто путем агрегирования однородных по своему составу балансовых статей.
С помощью уплотненного аналитического баланса оценивают тенденции изменения имущественного и финансового положения предприятия.
3. Расчет и оценка динамики ряда аналитических коэффициентов, характеризующих финансовую устойчивость, в том числе ликвидность, и факторов, повлиявших на ее изменение. Ликвидность по методике О. В. Ефимовой выступает одним из важных критериев финансовой устойчивости, под которой понимается способность предприятия платить по своим краткосрочным обязательствам. Оценка ликвидности предполагает расчет следующих коэффициентов:
- абсолютной ликвидности,
- уточненный коэффициент ликвидности,
- общий коэффициент ликвидности.
Нормативные значения соответственно 0,2, 1. 0 и 2,0 3,0. Все три показателя рассчитываются аналогично коэффициентам платежеспособности в методиках В. Ф. Палия и А. Д. Шеремета. Необходимо отметить, что данные показатели ликвидности (платежеспособности) не учитывают фактор времени.
А это необходимо, так как различные виды оборотных средств и различные виды кредитов имеют разный период оборачиваемости.
Для устранения этого недостатка можно рассчитывать платежеспособность предприятия по следующей формуле:
где Кп коэффициент платежеспособности,
ОБС конкретный вид оборотных средств,
ПРС просроченные ссуды и проценты по ним,
КСК конкретный вид краткосрочных ссуд (кредитов),
Д денежные средства,
К1 коэффициент оборачиваемости конкретного вида оборотных средств,
К2 коэффициент оборачиваемости конкретного вида краткосрочных кредитов.
Аналогичный переход к оценке платежеспособности использовался в аналитической практике еще в 20-е годы и назывался методом нормативных скидок. Посредством данного метода осуществлялось перераспределение активов и пассивов в соответствии со среднестатистическими оценками ликвидности активов и сроками погашения обязательств.
В настоящее время в определенных, очень редких случаях, предприятия имеют большую долгосрочную задолженность. В этих условиях коэффициент покрытия всей задолженности принимает вид:
Кп=(ОПС*К1-ПРС)*ПРС*КЗ/((КСК*К2-Д)*ДСК*К4)
где ОПС основные средства;
ДСК долгосрочные займы (кредиты);
КЗ коэффициент оборачиваемости конкретного вида основных средств;
К4 коэффициент оборачиваемости конкретного вида долгосрочных средств (кредитов).
По мере финансовой стабилизации, подъема экономики предприятия все в большей степени будут использовать различные виды долгосрочных заемных средств и фактическое значение предлагаемой формулы возрастет.
Другим показателем, характеризующим ликвидность предприятия, согласно методике О. В. Ефимовой, является оборотный капитал.
Оборотный = Текущие Краткосрочные
капитал активы обязательства
Предприятие имеет оборотный капитал до тех пор, пока текущие активы превышают краткосрочные обязательства. Однако, следует отметить, что в современных условиях высоких темпов инфляции рост величины оборотного капитала нельзя однозначно оценить как повышение ликвидности предприятия.
Целесообразно рассчитывать относительный показатель, например, удельный вес оборотного капитала в общей сумме активов. Это нивелирует влияние инфляции на рассматриваемый показатель ликвидности.
На этапе предварительной оценки финансового состояния автор предлагает также определять коэффициент маневренности, показывающий какая часть собственных источников средств вложена в наиболее маневренные (оборотный капитал) активы. Данный показатель, наряду с коэффициентом ликвидности, является критерием финансовой устойчивости хозяйствующего субъекта.
Его оптимальное значение равно 0,5.
На втором этапе анализа финансового состояния 0. В. Ефимова предлагает группировку всех оборотных средств по категориям риска, что дает оценку качества оборотных средств с точки зрения их ликвидности. Выделяются следующие четыре группы оборотных средств:
1. Минимальный риск наличные денежные средства, легко реализуемые краткосрочные ценные бумаги.
2. Малый риск дебиторская задолженность предприятий с устойчивым финансовым положением, запасы товарно-материальных ценностей (исключая заемные), готовая продукция, пользующаяся спросом.
3. Средний риск продукция производственно-технического назначения, незавершенное производство, расходы будущих периодов.
4. Высокий риск дебиторская задолженность предприятий, находящихся в тяжелом финансовою положении, запасы готовой продукции, залежалые запасы.
Для построения такой группировки уже недостаточно данных, содержащихся в бухгалтерской и статистической отчетности, необходимо использовать показатели внутреннего учета.
Чем больше средств вложено в активы, попавшие в категорию высокого риска тем ниже финансовая устойчивость предприятия', в частности, его ликвидность. В развитие анализа целесообразно оценить тенденцию изменения соотношений труднореализуемых активов и их общей величины, а также соотношение между труднореализуемыми и легко реализуемыми активами. Тенденция к росту названных соотношений указывает на снижение ликвидности. При проведении такого анализа следует помнить, что классификация оборотных средств на трудно- и легкореализуемые не может быть постоянной, она меняется с изменением конкретных экономических условий.
Так, в условиях нестабильного снабжения и нарастающей инфляции предприятия заинтересованы вкладывать денежные средства в производственные запасы и другие виды товарно-материальных ценностей, что дает основание причислить указанную группу активов к легкореализуемым.
Ежемесячное ведение подобной ведомости позволяет отслеживать состояние дебиторской задолженности на предприятии.
Аналогично ведется учет и анализируется состояние задолженности предприятия по полученным ссудам банка, займам прочим кредиторам.
Третьим этапом методики анализа О. В. Ефимовой является оценка структуры источников средств на основе следующих финансовых коэффициентов:
1. Коэффициент независимости. Он показывает долю средств, вложенных собственниками предприятия, в общей стоимости имущества.
Нормальное значение этого показателя 0,5. Этот показатель важен как для инвесторов, так и для кредиторов предприятия.
2. Коэффициент финансовой устойчивости (стабильности). Показывает удельный вес источников финансирования, которые предприятие может использовать длительное время (источники собственных средств и долгосрочные заемные средства), в общей сумме имущества.
3. Коэффициент финансирования, который показывает, какая часть деятельности предприятия финансируется за счет собственных средств и какая за счет заемных. Ситуации, при которой величина данного коэффициента меньше 1, свидетельствует об опасности неплатежеспособности и затрудняет возможность получения кредита.
Финансовое положение предприятия находится в непосредственной зависимости от того, насколько быстро средства, вложенные в активы, превращаются в реальные деньги. Поэтому четвертым этапом анализа в рассматриваемой методике является расчет коэффициентов оборачиваемости: текущих активов, дебиторской задолженности, товарно-материальных запасов по каждому виду (производственные запасы, топливо, готовая продукция и т. д. ) Вместе с этим, определяются такие показатели как продолжительность одного оборота текущих активов, средний срок погашения дебиторской задолженности, срок хранения товарно-материальных запасов, а также удельный вес дебиторской задолженности в общей сумме текущих активов и доля сомнительной дебиторской задолженности в суммарной дебиторской задолженности предприятия.
Для расчета и анализа всех названных показателей должны быть использованы данные бухгалтерской отчетности, внутрипроизводственного учета.
О. В. Ефимова показывает, что одним из важнейших критериев оценки деятельности любого предприятия, имеющего своей целью получение прибыли, является эффективность использования имущества и раскрывает основные подходы к проведению такого анализа.
Финансовое положение предприятия во многом зависит от его способности приносить необходимую прибыль. Для характеристики и анализа прибыльности автор рассматриваемой методики предлагает использовать систему показателей рентабельности, которая включает:
1. Рентабельность активов (имущества). Показывает, какую прибыль получает предприятие с каждого рубля, вложенного в активы.
В аналитических целях рекомендуется также определять рентабельность текущих активов.
2. Рентабельность инвестиций. Характеризует эффективность использования средств, инвестируемых в предприятие.
Данный показатель в зарубежной практике финансового анализа рассматривается как способ оценки мастерства управления инвестициями. В странах с развитыми рыночными отношениями информация о нормальных значениях показателей рентабельности ежегодно публикуется торговой палатой, промышленными ассоциациями или правительством.
Сопоставление своих показателей со сложившимися позволяет сделать вывод о состоянии финансового положения предприятия.
3. Рентабельность собственного капитала. Показывает прибыль, приходящуюся на 1 рубль источников собственных средств. (Этот показатель особенно важен для инвесторов капитала акционеров).
4. Рентабельность реализованной продукции. Характеризует прибыль, получаемую с 1 рубля реализованной продукции.
Тенденция снижения этого показателя свидетельствует, чаще всего, о снижении спроса на продукцию предприятия.
О. В. Ефимова отмечает, что анализ коэффициентов рентабельности имеет практическую значимость лишь в том случае, если полученные показатели сопоставляются с данными предыдущих лет или аналогичными показателями других предприятий той же отрасли.
Такова сущность методики анализа финансового состояния, предложенная О. В. Ефимовой. На сегодняшний день, она отвечает требованиям переходного периода к рыночным отношениям, так как:
- дает нужную информацию об эффективности работы предприятия для внутренних и внешних пользователей,
- позволяет определить главные причины сложившегося финансового состояния,
- определить уровень ликвидности (платежеспособности) предприятия в целом и его оборотных средств,
- дает анализ качественного состава имущества хозяйствующего субъекта,
- предусматривает ведение учета и анализа состояния дебиторской и кредиторской задолженности.
Все это позволяет экономисту-аналитику на предприятии выявить важные резервы повышения эффективности производства, а внешним пользователям объективно оценить сложившуюся финансовую ситуацию потенциального партнера.
Такой глубокий финансовый анализ может быть проведен на основе богатой информационной базы. О. В. Ефимова существенно раздвинула ее границы, широко привлекая, кроме бухгалтерской отчетности, данные внутрипроизводственного учета.
По-видимому, это только первый шаг по пути постепенного перевода всей информационной основы финансового и экономического анализа в Целом от форм статистической и бухгалтерской отчетности к данным бухгалтерских счетов и других форм внутрипроизводственного учета. Статистическая и бухгалтерская отчетность в силу существенного сокращения, будет давать дополнительный материал для проведения анализа.
Для внешних пользователей единственным источником информации, как принято в мировой практике, остается бухгалтерский баланс.
Наряду с неоспоримыми достоинствами методика О. В. Ефимовой имеет ряд недостатков. Наиболее существенным из них является слабая приспособленность к инфляционным процессам, особенно в тех разделах, где анализируются в динамике абсолютные показатели.
В последующих разделах данной работы на основе методики О. В. Ефимовой проведен ряд исследований предприятия и сделан ряд выводов и рекомендаций по анализу финансового состояния субъекта исследования.
Анализ методов оценки уровня платежеспособности предприятий, применяемых в Европе и США и сравнение этих методик с отечественными, показывает, что основные методические положения обоих подходов в основном совпадают. Различия и особенности проявляются в следующем. Во-первых, в России в ходе анализа баланса основной акцент делается на расчет коэффициентов платежеспособности.
Явно недостаточное внимание уделяется анализу структуры и особенно динамики имущества предприятий и его реальной стоимости. Это вызвано тем, что до настоящего времени современным банковским законодательством предусматривается возможность предоставления кредита без его обеспечения имуществом.
Оценка платежеспособности предприятия
Вывод: налицо превышение кредиторской задолженности над дебиторской в сумме 1 590 850 руб. или почти в 6раз. То есть, если все дебиторы погасят свои обязательства, то ПКФ "Бейсуг" сможет погасить лишь 1/6 часть обязательств перед кредиторами.
Но в то же время превышение кредиторской задолженности над дебиторской даёт предприятию возможность использовать эти средства, как привлечён ные источники (например полученные авансы израсходованы; полученное сырьё пущено в переработку и т.д.).
Оценка финансовой устойчивости ПКФ "Бейсуг"
В рыночных условиях, когда хозяйственная деятельность предприятия и его развитие осуществляется за счёт самофинансирования, а при недостаточности собственных финансовых ресурсов - за счёт заёмных средств, важной аналитической характеристикой является финансовая устойчивость предприятия.
Финансовая устойчивость- это определённое состояние счетов предприятия, гарантирующее его постоянную платежеспособность. В результате осуществления какой-либо хозяйственной операции финансовое состояние предприятия может остаться неизменным, либо улучшиться, либо ухудшиться.
Поток хозяйственных операций, совершаемых ежедневно, является как бы "возмутителем" определённого состояния финансовой устойчивости, причиной перехода из одного типа устойчивости в другой. Знание предельных границ изменения источников средств для покрытия вложения капитала в основные фонды или производственные запасы позво ляет генерировать такие потоки хозяйственных операций, которые ведут к улучшению финансового состояния предприятия, к повышению его устойчивости.
Задачей анализа финансовой устойчивости является оценка величины и структуры активов и пассивов. Это необходимо, чтобы ответить на вопросы: насколько организация независима с финансовой точки зрения, раст ет или снижается уровень этой независимости и отвечает ли состояние его активов и пассивов зада чам её финансово-хозяйственной деятельности.
На практике применяют разные методики анализа финансовой устойчивости. Проанализируем финансовую устойчивость предприятия с помощью абсолютных показателей.
Обобщающим показателем финансовой устойчивости является излишек или недостаток источников средств для формирования запасов и затрат, который определяется в виде разницы величины источников средств и величины запасов и затрат.
Общая величина запасов и затрат равна сумме строк 210и 220 актива баланса .
Для характеристики источников формирования запасов и затрат используется несколько показателей, которые отражают различные виды источников:
- Наличие собственных оборотных средств (490-190-3 90);
- Наличие собственных и долгосрочных заёмных источников формирования запасов и затрат или функционирующий капитал (490+590-190);
- Общая величина основных источников формирования запасов и затрат (490+590+610-190). В виду отсутствия краткосрочных заёмных средств(610) дан ный показатель суммарно равен второму.
Рассчитанные показатели приведены в таблице 3.9
Таблица 3.9
Определение типа финансового состояния предприятия
|
Показатели |
1997 |
1998 |
|
На начало года |
На конец года |
На начало года |
На конец года |
|
Общая величина запасов и затрат (ЗЗ) |
768302 |
658324 |
658324 |
2795978 |
|
Наличие собственных оборотных средств (СОС) |
-265451 |
226565 |
226565 |
459856 |
|
Функционирующий капитал (КФ) |
-265451 |
476477 |
476477 |
770168 |
|
Общая величина источников (ВИ) |
-65451 |
476477 |
476477 |
1699928 |
Трём показателям наличия источников формирования запасов
и затрат соот ветствуют три показателя обеспеченности запасов и затрат источниками формирования:
|
1.Излишек (+) или недостаток (-) СОС (Фс= СОС-ЗЗ) |
-1 033 753 |
-431 759 |
-431 759 |
-2 336 122 |
2.Излишек (+) или недостаток (-) собственных и долгосрочных заёмных источников
(Фт=КФ-33) |
-1 033 753 |
-181 847 |
-181 847 |
-2 025 810 |
|
3.Излишек (+) или недостаток (-) общей величины основных источников (Фо=ВИ-ЗЗ) |
-833 753 |
-181 847 |
-181 847 |
-1 096 050 |
То есть не одного из вышеперечисленных источников не хватало ни на начало, ни на конец года.
С помощью этих показателей определяется трёхкомпонентный показатель типа финансовой ситуации8

Возможно выделение 4х типов финансовых ситуаций:
1. Абсолютная устойчивость финансового состояния. Этот тип ситуации вс треча ется крайне редко, представляет собой крайний тип финансовой устойчиво сти и отвечает следующим условиям: Фс О ; Фт О ; Фо 0 ; т.е. S = {1,1,1 };
2..Нормальная устойчивость финансового состояния, которая гарантирует платежеспособность: Фс 0; Фт0; Фо0; т.е. S ={0,1,1 };
3.Неустойчивое финансовое состояние , сопряженное с нарушением платежеспособности, но при котором всё же сохраняется возможность восстановления равновесия за счет пополнения источников собственных средств за счет сокращения дебиторской задолженности, ускорения оборачиваемости запасов: Фс0 ; Фт0 ;Фо0 ;т.е. S ={0,0, 1};
4. Кризисное финансовое состояние, при котором предприятие на грани банкротства, поскольку в данной ситуации денежные средства, краткосрочные ценные бумаги и дебиторская задолженность не покрывают даже его кредиторской задолженности: Фс0; Ф т0 ; Фо0 ; т.е. S ={0,0,0 }.
На ПКФ "Бейсуг" трёхкомпонентный показатель финансовой ситуации S={0;0 ;0 } как в 1997, так и в 1998 году. Таким образом финансовую устойчивость в начале и в конце отчётного периода можно считать критической.
Исходя из целей, поставленных в данной работе, более приемлемо использовать для анализа финансовой устойчивости ПКФ Бейсуг относительные показатели. Эти коэффициенты, рассчитанные в таблице 3.10 (см..приложение).
Из данных таблицы можно сделать выводы о состоянии каждого коэффициента и о финансовой устойчивости предприятия в целом.
- Коэффициент независимости на ПКФ "Бейсуг" на конец 1998 года составляет 0,56, что близко к рекомендуемой норме, следовательно, предприятие имеет собственных средств больше, чем заемных и что говорит о его финансовой независимости. Но нужно отметить снижения данного коэффициента по сравнению с 1997 года на 0,31.
- Значение коэффициента соотношения заёмных и собственных средств свидетельствует, что в начале отчётного периода предприятие привлекало на каждый 1руб. собственных средств, вложенных в активы 1,5 коп. заёмных средств. В течение отчётного периода заёмные средства выросли до 7,8коп. на каждый 1руб. собственных вложений. Тенденция резкого увеличения заёмных средств может в будущем усилить зависимость предприятия от привлечённых средств. На ПКФ "Бейсуг" это выражается в постоянном росте кредиторской задолженности с одновременным падением доли собственных средств.
- Коэффициент манёвренности собственных средств и коэффициент обеспеченности собственными средствами на начало 1997 года имели отрицательное значение так, как у предприятия не было собственных оборотных средств. В течение 2-х лет данные показатели росли и к концу 1998 года эти коэффициенты приобрели значения соответственно 0,13 и 0,14 при норме не менее 0,1. Это связано с появлением собственных оборотных средств на ПКФ "Бейсуг". Но так как в абсолютном выражении сумма увеличения собственных оборотных средств была довольно значительной, то при продолжении данной тен денции предприятие будет иметь возможность улучшения финансовой автономно сти в будущем.
- Коэффициент реальной стоимости основных и материальных оборотных средств начиная с конца 1997 года постепенно снижается, так на конец 1997 года он составлял 0,7, а к концу 1998 года составил лишь 0,4. Такое резкое снижение негативно влияет на финансовое положение предприятия, т. к. имущество произвольного назначения составило лишь 40% в имуществе предприятия.
- Коэффициент реальной стоимости основных средств на конец периода также ниже нормативного и составляет 0,37%, что свидетельствует о слишком малой доли основных средств в имуществе предприятия.
Оценка платежеспособности предприятия
Ликвидность предприятия - это способность возвратить в срок полученные в кредит денежные средства, или способность оборотных средств превращаться в денежную наличность, необходимую для нормальной финансово-хозяйственной деятельности предприятия.
Для комплексной оценки ликвидности баланса в целом следует использовать общий показатель ликвидности (LI), вычисляемый по формуле, приведённой в таб лице 3.11. С помощью данного показателя осуществляется оценка изменения финансовой ситуации в организации с точки зрения ликвидности.
Данный показатель применяется также при выборе наиболее надёжного партнёра из множества потенциальных партнёров на основе отчётности.
Различные показатели ликвидности не только дают характеристику устойчивости финансового состояния организации при разной степени учёта ликвидности средств, но и отвечают интересам различных внешних пользователей аналитической информации. Например, для поставщиков сырья и материалов наиболее интересен коэффициент абсолютной ликвидности.
Покупатели и держатели акций предприятия в большей мере оценивают платежеспособность по коэффициенту текущей ликвидности.
Исходя из данных баланса на ПКФ "Бейсуг" коэффициенты, характеризующие платежеспособность, имеют следующие значения (см. таблицу 3.11).
Проанализируем коэффициенты L2, L3, L4 и их изменение.
- Коэффициент абсолютной ликвидности на конец 1998 года составил 0,06, при его значении на начало года 0,04. Это значит, что только 6% (из необходимых 20%) краткосрочных обязательств предприятия, может быть немедленно погашено за счёт денежных средств и краткосрочных финансовых вложений. Этот показатель практически в 3 раза ниже нормативного, что может вызывать недоверие к данной организации со стороны поставщиков (сумма задолженности поставщикам составляет 65% от общей суммы кредиторской задолженности). Хотя можно отметить рост данного показателя за отчётный период в 1,5 раза, что является позитивным моментом.
- Значение промежуточного коэффициента покрытия с 0,2 на начало 1998 года уменьшилось до 0,18 на конец года и стало ниже нормативного значения на 0,052. To есть за счёт дебиторской задолженности, в случае её выплаты, ПКФ "Бейсуг" сможет погасить 18% кредиторской задолженности. Но в целом значение данного коэффициента можно назвать прогнозным, так как предприятие не может точно знать когда и в каком количестве дебиторы погасят свои обязательства. То есть практически соотношение можно считать на конец 1998 года не удовлетворительным, и в действительности может ещё более ухудшиться вследствие зависимости от таких факторов, как: скорости платёжного документооборота банков; сроков дебиторской задолженности; платежеспособности дебиторов.
- Общий текущий коэффициент покрытия L4 сократился за отчетный период на 0,3 и составил на конец года 1,1 (при норме2). Смысл этого показателя состоит в том, что если предприятие направит все свои оборотные активы на погашение долгов, то оно ликвидирует краткосрочную кредиторскую задолженность на 100% и у него останется после данного погашения задолженности для продолжения деятельности 10% от суммы оборотных активов.
Таким образом, все показатели кроме (L6), характеризующие платежеспособность предприятия на ПКФ "Бейсуг" находятся на уровне ниже нормы, кроме того, при этом наблюдается их незначительное снижение. В целом вывод о платежеспособности можно сделать по общему коэффициенту ликвидности (LI). Его значение на конец года составляло 0,498, то есть в среднем (при условии реализации абсолютно ликвидных средств, 50% быстрореализуемых активов и 30% медленно реализуемых активов) предприятие не сможет покрыть ещё 50,2% обязательств в порядке их срочности.
По сравнению с 1997 годом общая ликвидность средств предприятия несколько улучшилась. Так в прошлом году ПКФ "Бейсуг" не могло погасить в порядке срочности 51% обязательств.
Анализ и оценка реальных возможностей восстановления платежеспособности
Система критериев для оценки удовлетворительности структуры бухгалтер ского баланса организации была определена в постановлении Правительства РФ 498 от 20 мая 1994года "О некоторых мерах по реализации законодательных актов о несостоятельности (банкротстве) предприятий", принятом в связи с Указом Президента РФ 2264 от 22.12.1993г.
В соответствии с данным постановлением Федеральное управление по делам о несостоятельности (банкротстве) при Госкомимуществе РФ распоряжением 31-р от 12.08.1994г. утвердило Методические положения по оценке финансового состояния предприятий и установлению неудовлетворительной структуры баланса.
Согласно этому Методическому положению анализ и оценка структуры баланса организации проводится на основе показателей:
- коэффициента текущей ликвидности (L5);
- коэффициента обеспеченности собственными средствам и (L6) ;
- коэффициентов восстановления (утраты) платежеспособность (L7).
Чтобы организация была признана платежеспособной, значения этих коэффи циентов должны соответствовать нормативным, указанным в таблице 13.
Согласно статье 1 Закона РФ "О несостоятельности (банкротстве) предприятий", внешним признаком несостоятельности является приостановление текущих платежей, неспособности погашать обязательства кредиторам в течение 3-х месяцев со дня наступления сроков их исполнения.
На ПКФ "Бейсуг" коэффициент текущей ликвидности на конец отчётного периода равен 1,16, при его значении на начало года 1,4. То есть это значение свидетельствует о недостаточной общей обеспеченности предприятия оборотными средствами (ниже предельного практически в 2 раза.).
Коэффициент обеспеченности собственными оборотными средствами, необходимыми для его финансовой устойчивости, на начало1997 года отсутствовал, а на конец 1998 года составил 0,14, и достиг нормативного значения (0,1). В тоже время нужно отметить сокращение данного коэффициента по сравнению с началом 1998 года, когда он составлял 0,29 (практически в 2 раза).
Согласно Методическим положениям, если хотя бы один из этих коэффициентов имеет значение меньше нормативного, то рассчитывается коэффициент восстановления платежеспособности. На анализируемом предприятии коэффициент текущей ликвидности находится на уровне ниже нормы, следовательно, представляется необходимым определить сможет ли данное предприятие восстановить свою платежеспособность в течение ближайших 6 месяцев (расчёт L7 представлен в таблице 3.11).
В соответствии с расчётом, данный показатель принимает значение в 1998 году 0,585, при нормативе 1. Это свидетельствует о том, что у предприятия в ближайшие 6 месяцев нет реальной возможности восстановить свою платежеспособность.
На основе проведенного анализа финансовой деятельности ПКФ "Бейсуг" были сделаны следующие выводы.
Не смотря на увеличение стоимости имущества предприятия в 1998 году, его финансовая устойчивость ухудшилась по ряду показателей. Имея на балансе значительную по величине стоимость оборотных активов, предприятие нуждается в большей величине собственных оборотных средств, а также в долгосрочных заемных средствах, т.е. более мобильных средствах.
Все показатели, характеризующие платежеспособность, находятся на уровне ниже нормы, что объясняется, в основном, наличием у предприятия значительной суммы кредиторской задолженности, которая увеличилась в 1998 году почти в 4 раза. Это говорит о том, что на предприятии плохо организовано управление кредиторской задолженностью, скорость оборота которой составляет почти 60 дней, что свидетельствует о том, что ее погашение происходит слишком медленными темпами.
Для решения сложившейся ситуации, предприятию необходимо четко структурировать все долги по срокам выплаты и стараться выплачивать их в порядке очередности.
Доля оборотных средств в составе имущества достаточно высокая (50,7%). Не смотря на это, предприятие испытывает острую потребность в оборотных средствах.
Такое положение на предприятии сложилось из-за замораживания значительной части оборотных средств в виде материальных запасов (80,3%). За отчетный период предприятие не только на смогло уменьшить остатки готовой продукции на складах, но и за счет превышения темпов роста выпуска продукции над темпами реализации, произошло их увеличение почти в 4 раза.
Причинами такого положения являются проблемы со сбытом, которые обусловлены жесткой конкуренцией на рынке данного товара в Краснодарском крае.
Для решения сложившейся ситуации необходимо четко изучить рынок своего товара, возможности создания новых каналов сбыта продукции, повышения конкурентоспособности продукции за счет увеличения качества или снижения цены.
Анализ прибыли и рентабельности
Анализ формирования и распределения прибыли.
Различные стороны производственной, сбытовой, снабженческой и финансовой деятельности предприятия получают законченную денежную оценку в системе показателей финансовых результатов. Обобщённо наиболее важные показатели финансовых результатов деятельности предприятия представлены в форме 2 "Отчёт о финансовых результатах и их использовании". К ним относятся:
прибыль ( убыток) от реализации продукции;
прибыль (убыток) от прочей реализации;
доходы и расходы от внереализационных операций;
балансовая прибыль;
налогооблагаемая прибыль;
чистая прибыль и др.
Показатели финансовых результатов характеризуют абсолютную эффективность хозяйствования предприятия. Важнейшими среди них являются показатели прибыли, которая в условиях перехода к рыночной экономике составляет основу экономического развития предприятия. Рост прибыли создаёт финансовую базу для самофинансирования, расширенного производства, решение проблем социальных и материальных потребности трудового коллектива. За счёт прибыли выполняются также часть обязательств предприятия перед бюджетом, банками и другими предприятиями и организациями.
Таким образом, показатели прибыли становятся важнейшими для оценки производственной и финансовой деятельности предприятия. Они характеризуют степень его деловой активности и финансового благополучия.
Конечный финансовый результат деятельности предприятия - это балансовая прибыль или убыток, который представляет собой сумму результата от реализации продукции (работ, услуг); результата от прочей реализации; сальдо доходов и расходов от внереализационных операций.
Анализ финансовых результатов деятельности предприятия включает в качестве обязательных элементов исследование:
- Изменений каждого показателя за текущий анализируемый период ("горизонтальный анализ" показателей финансовых результатов за отчётный период).
- Исследование структуры соответствующих показателей и их изменений ("вертикальный анализ" показателей).
- Исследование влияние факторов на прибыль ("факторный анализ").
- Изучение в обобщённом виде динамики изменения показателей финансовых показателей за ряд отчётных периодов (то есть "трендовый анализ" показателей). Для проведения вертикального и горизонтального анализа рассчитаем таблицу 3.12, используя данные отчётности предприятия из формы 2 (см.приложение).
Таблица 3.12
Анализ прибыли отчётного года
|
Наименование показателя |
Код
Стр. |
За отчётный
Год |
За предыдущий
Год |
Отклонения |
|
+ / - |
% |
|
1 |
2 |
3 |
4 |
5 |
6 |
|
1. Выручка от реализации товаров, работ услуг (за минусом НДС, акцизов и аналогичных обязательных платежей (В). |
010 |
7 504 492 |
5 649 432 |
+1 855060 |
132,8 |
|
2.Себестоимость реализации товров, продукции, работ, услуг (С). |
020 |
6 396 664 |
4 341 500 |
2 055 164 |
147,3 |
|
3. Коммерческие расходы (КР). |
030 |
300 612 |
441 138 |
-140 526 |
68,1 |
|
4. Управленческие расходы (УР). |
040 |
607 712 |
665 264 |
-57 552 |
91,3 |
|
5.Прибыль ( убыток) от реализации (стр. 010-020-030-040) (Пр) |
050 |
199 504 |
201 530 |
-2 026 |
99 |
|
6. Проценты к получению. |
060 |
7 966 |
|
7966 |
|
|
7.Проценты к уплате. |
070 |
|
|
|
|
|
8.Доходы от участия в других организациях (ДрД). |
080 |
|
|
|
|
|
9.Прочие операционные доходы (ПрД). |
090 |
150 170 |
20 689 |
129 481 |
В 7,2 раз |
|
10.Прочие операционные расходы (ПрР). |
100 |
256 997 |
165 224 |
91 773 |
155,5 |
|
11.Прибыль ( убыток) от финансово- хозяйственной деятельности( стр. 050 + 060-070+080+090-100) (Пфхд). |
110 |
100 643 |
56 995 |
43 648 |
176,5 |
|
12.Прочие внереализационные доходы . |
120 |
|
|
|
|
|
13. Прочие внереализационные расходы (ВнР). |
130 |
27 409 |
46 135 |
-18 726 |
59,4 |
|
14.Прибыль (убыток) отчётного периода (стр. 110+120-130) (Пб). |
140 |
73 234 |
10 860 |
62 374 |
В 6 раз |
|
15.Налог на прибыль (НП). |
150 |
12 587 |
2 759 |
9 792 |
В 4,5р. |
|
16.Отвлечённые средства (ОтС). |
160 |
121 047 |
258 013 |
-136 966 |
46,9 |
|
17.Нераспределённая прибыль (убыток) отчётного периода (стр. 140-150-160) (Пн). |
170 |
-60 400 |
-249 912 |
-310 312 |
24,2 |
Из данных таблицы видно, что балансовая прибыль в 1998 году существенно увеличилась по сравнению с 1997 годом на 62 374 руб. или в 6 раз. В 1997 году прибыль по сравнению с 1996 годом наоборот резко снизилась на 1 726 460 руб. (см. табл.
3.15) или в 159 раз. Таким образом наметилась положительная тенденция изменения величины балансовой прибыли.
Увеличению балансовой прибыли способствовало:
- Увеличение прибыли от финансово-хозяйственной деятельности на 43 648 руб. или на 76,5%.
На вышеуказанное увеличение повлияло:
- Появившаяся статья доходов - "Проценты к получению" в сумме 7 966 руб., что увеличило балансовую прибыль на 10,8%.
- Превышение абсолютного изменения операционных доходов над абсолютным изменением операционных расходов на 37 707 руб. (129 481 91 783).
Снижению балансовой прибыли способствовало:
- Убыток от внереализационных операций в сумме 27 409 руб., снизивший балансовую прибыль на 37,4%. Нужно отметить, что по сравнению с 1997 годом в отчётном году произошло снижение данного убытка на 18 726 руб. или почти в 3раза;
- Незначительное влияние оказало сокращение прибыли от реализации на 2 026 руб. или на 1%, что привело к снижению балансовой прибыли на 2,8%.
Таким образом факторы, уменьшающие балансовую прибыль по сумме были перекрыты действием увеличивающих её факторов, что в итоге и обусловило рост балансовой прибыли в отчетном году по сравнению с предыдущим почти в 6 раз.
Анализ рентабельности.
В условиях рыночных отношений велика роль показателей рентабельности продукции, характеризующих уровень прибыльности (убыточности) её производства. Показатели рентабельности являются относительными характеристиками финансовых результатов и эффективности деятельности предприятия.
Они характеризуют относительную доходность предприятия, измеряемую в процентах к затратам средств или капитала с различных позиций.
Показатели рентабельности - это важнейшие характеристики фактической среды формирования прибыли и дохода предприятий. По этой причине они являются обязательными элементами сравнительного анализа и оценки финансового состояния предприятия.
При анализе производства показатели рентабельности используются как инструмент инвестиционной политики и ценообразования. Основные показатели рентабельности можно объединить в следующие группы:
- Рентабельность продукции, продаж (показатели оценки эффективности управления);
- Рентабельность производственных фондов;
- Рентабельность вложений в предприятия (прибыльность хозяйственной деятельности).
1.Рентабельность продукции.
Влияние инфляции на состояние бухгалтерской отчетности
1. Предварительный обзор экономического и финансового . положения субъекта хозяйствования
1.1. Характеристика общей направленности финансово-хозяйственной деятельности
1.2. Выявление больных статей отчетности
2. Оценка и анализ экономического потенциала субъекта хозяйствования
2.1. Оценка имущественного положения
2.1.1. Построение аналитического баланса-нетто
2.1.2. Вертикальный анализ баланса
2.1.3. Горизонтальный анализ баланса
2.1.4. Анализ качественных сдвигов в имущественном положении
2.2. Оценка финансового положения
2 2.1. Оценка ликвидности
2.2.2. Оценка финансовой устойчивости
Оценка и анализ результативности финансово-хозяйственной деятельности субъекта хозяйствования
3.1. Оценка производственной (основной) деятельности
3.2. Анализ рентабельности
3.3. Оценка положения на рынке ценных бумаг Анализ по рассмотренной схеме завершается сводом основных, по мнению аналитика (бухгалтера, финансового менеджера), аналитических показателей.
Эффективное развитие горизонтальных связей между предприятиями невозможно без доступа к аналитическим материалам, позволяющим получить определенное представление о направлениях деятельности потенциального контрагента, его финансовом состоянии, динамике и перспективах развития. Одна из первоочередных задач данной проблематики разработка нормативных значений основных аналитических показателей и коэффициентов, дифференцированных по предприятиям. различных форм собственности, товарного профиля, состава материальнотехнической базы и др.
Периодическая публикация таких нормативов, имеющих ориентирующую направленность, широко практикуется в экономически развитых странах.
Влияние инфляции на состояние бухгалтерской отчетности
В условиях инфляции, т. е. снижения покупательной способности денег, финансовые отчеты предприятий о результатах хозяйственной деятельности, финансовом состоянии и использовании прибыли могут оказаться источником необъективной информации. В условиях инфляции различные элементы баланса теряют свою ценность с различной интенсивностью. Например, денежная наличность и дебиторская задолженность, представляющие собой требования о выплате фиксированной суммы в будущем, в связи с инфляцией приводят к убыткам предприятия на сумму снижения покупательной способности долговых денег.
И наоборот, предприятия увеличивающие свою кредиторскую задолженность, т. е. придерживающие оплату счетов поставщиков и других обязательств (по оплате труда, с бюджетом, по соцстраху и пр.) извлекают из этого выгоду, потому что могут расплатиться по своим обязательствам деньгами со сниженной покупательной способностью.
Инфляция ведет к развитию феномена затухания инвестиционной активности предприятий, к проеданию источников средств для расширенного воспроизводства. Высокая инфляция затрудняет процесс не только расширенного, но и простого воспроизводства капитала предприятия.
Основные средства предприятий (здания, сооружения, машины и оборудование), а также производственные запасы (сырье и материалы, малоценные предметы и т. п. ) приобретаются в предшествующие периоды, когда покупательная способность денег была выше. Перенос стоимости этих активов на готовый продукт (амортизация и текущие затраты на производство) осуществляется в текущем периоде, т. е. запаздывает во времени и, таким образом, в оценке и заведомо заниженной стоимости.
Чем продолжительней длительность производственного цикла, тем ниже перенесенная стоимость, тем более иссякает источник накоплений предприятия на финансирование развития производства (инвестиций) за счет амортизации. Наряду с этим текущие затраты и амортизация основных средств, исчисленные в оценке по более высокой покупательной способности, для определения финансовых результатов вычитаются из поступлений (выручки от реализации) завышение финансовых результатов деятельности, увеличение налогооблагаемой прибыли, а следовательно, увеличение уплачиваемых налогов и (опять) уменьшение источников финансирования развития производства.
В качестве иллюстрации может послужить переоценка основных средств, проведенная в Российской Федерации в 1992 г. Результатом такой переоценки стали увеличенные от 3 до 46 раз основные фонды и фонды специального назначения. В действительности таких средств у предприятий не появилось, но при анализе такого предприятия мы получаем картину абсолютной платежеспособности и высокой ликвидности.
Мировой опыт в области методов учета влияния изменения цен
В условиях инфляции в связи с искажением информации отчетов пользователи могут принимать решения, неадекватные реальным процессам. Объективно оценить финансовое состояние и финансовые результаты деятельности предприятия без коррекции на инфляцию данных отчетности невозможно. Мировая учетная практика накопила определенный опыт устранения искажающего влияния инфляции на данные бухгалтерской отчетности.
Существуют два основных метода учета влияния изменения цен: оценка объекта бухгалтерского учета в денежных единицах одинаковой покупательной способности и переоценка объектов бухгалтерского учета в текущую стоимость. Первый метод основан, на трактовке капитала как вложенных в фирму денежных средств как пассив), второй трактует капитал как имущественную массу, т. е. набор материальных и нематериальных ценностей (как актив).
Первый метод пропагандируется сторонниками концепции финансовой природы капитала, вложенного в тот или иной вид бизнеса. Сторонники этой концепции абстрагируются от предметно-вещественной структуры активов предприятия.
Упор делается на общую оценку капитала фирмы в целом с учетом покупательной способности денежной единицы, ее колебаний во времени, характеризующихся изменением индекса среднего уровня цен.
Смысл первого метода учета влияния изменения цен заключается в периодическом пересчете по индексу цен активов и обязательств предприятия с учетом изменения покупательной способности денежной единицы. Все операции должны отражаться в текущем учете по ценам свершения, но при составлении отчетности данные корректируются с помощью индекса общего уровня цен.
В результате достигается временная упорядоченность элементов каждой статьи баланса или отчета о финансовых результатах. В итоге относящиеся к различным периодам времени затраты выражаются в одних и тех же сопоставимы ценах.
Второй метод пропагандируется сторонниками предметно-вещественной природы капитала, вложенного в тот или иной вид бизнеса. Суть второго метода заключается в пересчете всех статей отчетности исходя из продажных цен.
Основная проблема состоит в достаточной сложности и субъективности формирования текущих оценок статей, в связи с чем этот метод подвергается наибольшей критике.
Вместе с тем, надо заметить, что первый метод основан на применении общего индекса цен, который не отражает динамику цен по отдельным товарам. В частности, цены на вычислительную технику, телевизионную аппаратуру, часы имеют тенденцию к понижению даже в условиях инфляции.
Существует еще один метод учета инфляции: переоценка активов, выраженных в национальной денежной единице, по курсу более стабильной валюты. Несмотря на то, что любая денежная единица подвержена влиянию инфляции, определяемой условиями экономики в данном государстве, этот метод эффективен при гиперинфляции, одним из условий которой является темп инфляции на протяжении 3 лет не менее 100%.
Преимущество метода заключается в простоте пересчета. Единственная проблема выбор твердой валюты.
АНАЛИЗ ФИНАНСОВОГО СОСТОЯНИЯ ПРЕДПРИЯТИЯ
3.1. Предварительный обзор баланса
Сравнительный аналитический баланс можно получить из исходного баланса путём сложения однородных по своему составу и экономическому содержанию статей баланса и дополнения его показателями структуры, динамики и структурной динамики. Аналитический баланс охватывает много важных показателей, характеризующих статику и динамику финансового состояния организации.
Этот баланс включает показатели как горизонтального, так и вертикального анализа7.
Непосредственно из аналитического баланса можно получить ряд важнейших характеристик финансового состояния организации. К ним относятся:
- Общая стоимость имущества организации, равная итогу баланса (строка 399 или 699),
- Стоимость иммоб илизованн ых (внеоборотных) средств (активов) или недвижимого имущества, равная итогу раздела 1 актива баланса (строка 190);
- Стоимость мобильных (оборотных) средств, равная итогу раздела 2 актива баланса (строка 290);
- Стоимость материальных оборотных средств (строка 210);
- Величина собственных средств организации, равная итогу раздела 4 пассива баланса (строка 490);
- Величина заёмных средств равная сумме итогов разделов 5 и 6 пассива баланса (строка 590+690);
- Величина собственных средств в обороте, равная разнице итогов раздела 4, 1 и 3 баланса (строка 490-190-390).
Анализ актива
Из данных таблицы 3.2 видим, что за отчётный период имущество предприятия увеличилось на 2 305 494 руб. или на 54,7%. Данное увеличение произошло в основном за счет увеличения в оборотных активах почти по всем статьям, в том числе материально оборотные средства (запасы) увеличились на 1 996 544 руб. или в 4 раза; денежные средства и краткосрочные финансовые вложения на 161 612 руб. (в 8 раз), дебиторская задолженность возросла на 239 519 руб. или в 3,75 раз.
В то же время недвижимое имущество уменьшилось на 293 691 руб., что составляет 9,2 % от величины на начало года.
После оценки изменения имущества предприятия необходимо выявить так называемые "больные" статьи баланса. Их можно подразделить на две группы:
- Сразу свидетельствующие о крайне неудовлетворительной работе предприятия в отчётном периоде и сложившимся в результате этого плохом финансовом положении. К таким статьям относится "Непокрытый убыток отчётного года" (стр. 320). На ПКФ "Бейсуг" к концу 1998 года она увеличилась и составила 60 400 руб., что свидетельствует о неудовлетворительной работе предприятия за 1998 год. Так же на рассматриваемом предприятии присутствует "Непокрытый убыток прошлых лет" в размере 249 912 руб., составляющий 3,8 % от стоимости имущества, что также говорит о неудовлетворительной работе предприятия в 1997 году.
- Статьи, говорящие об определённых недостатках в работе предприятия:
*наличие сумм плохих долгов в статьях: "Дебиторская задолженность (платежи по которой ожидаются более чем через 12 месяцев после отчётной дат ы)" (с трока 230) и "Дебиторская задолженность (платежи по которой ожидаются в течение 12 месяцев после отчётной даты) (строка240).
На ПКФ "Бейсуг" отсутствует долгосрочная дебиторская задолженность, что снижает долю медленно реализуемых активов. Но на предприятии имеет место краткосрочная дебиторская задолженность в сумме 326 555 руб. на конец года , увеличившаяся за год на 239 519 руб. (+ 275 %), что увеличило итог баланса на 10%.
Несмотря на то, что дебиторская задолженность краткосрочная, наличие её в такой значительной сумме характеризует иммоб илизацию (отвлечение) оборотных средств предприятия из производственно-хозяйственного оборота.
*наличие в строке 246 "Прочие дебиторы" сумм, отражающих:
а) расчёты по возмещению материального ущерба;
б) недостачи и потери от порчи ТМЦ, несписанные с баланса в установленном порядке.
На ПКФ "Бейсуг" данные суммы отсутствуют.
Анализ пассива
Пассивная часть баланса увеличилась за счет роста заемных средств на 2 305 494 руб. (см. табл. 3.5), в том числе за счет увеличения по следующим статьям:
- "Кредиторская задолженность" увеличилась на 1 375 734 руб. (в 3,5 раза),
- "Краткосрочные кредиты и займы" на начало периода равные 0 , а концу 1998 года составили 929 760 руб.
Удельный вес собственных средств довольно значительный в структуре баланса на начало года и составляет 87,1%; к концу периода произошло значительное уменьшение их доли до 56,3%. Причиной такого снижения доли собственных средств явился рост кредиторской задолженности с 541 671 руб. до 1 917 405 руб. или на 354% и как следствие увеличение ее доли в валюте баланса на 16,5%.
Также значительное влияние на снижение доли собственных средств оказало появление к концу периода такой статьи как "Краткосрочные кредиты и займы", которая к концу отчетного периода стала равна 929 760 руб. и составила 14,27% к валюте баланса. Данную направленность увеличения заемных средств, даже при не уменьшаемой стоимости собственных средств, нужно назвать негативной.
Одно из самых "больных" статей в ПКФ "Бейсуг" является кредиторская задолженность. Наибольший вес в ней имеет задолженность поставщикам и подрядчикам (64,7% (см. табл.
3.7)от суммы кредиторской задолженности) по неоплаченным в срок расчетным документам, и не отгруженной продукции в счет полученных авансов. Это свидетельствует о финансовых затруднениях.
Таким образом, на основании проведенного предварительного обзора баланса ПКФ "Бейсуг" за 1997-1998 год, можно сделать вывод о неудовлетворительной работе предприятия и росте больных статей в 1998 году. В связи с этим необходимо дать оценку кредитоспособности предприятия, которая производится на основе анализа ликвидности баланса.
Оценка ликвидности баланса
Задача анализа ликвидности баланса возникает в связи с необходимостью давать оценку кредитоспособности предприятия, то есть его способности своевременно и полностью рассчитываться по всем своим обязательствам.
Ликвидность баланса определяется как степень покрытия обязательств организации её активами, срок превращения которых в деньги соответствует сроку погашения обязательств. От ликвидности баланса следует отличать ликвидность активов, которая определяется как величина, обратная времени, необходимому для превращения их в денежные средства.
Чем меньше время, которое потребуется, чтобы данный вид активов превратился в деньги, тем выше их ликвидность.
Анализ ликвидности баланса заключается в сравнении средств по активу, сгруппированных по степени их ликвидности и расположенных в порядке убывания ликвидности, с обязательствами по пассиву, сгруппированными по срокам их погашения и расположенными в порядке возрастания сроков. Анализ ликвидности баланса приведён в таблице 3.3.
Баланс считается абсолютно ликвидным, если имеет место следующие соотношения, приведенные в таблице 3.1.
Таблица 3.1
Соотношение активов и пассивов баланса ПКФ "Бейсуг"
Абсолютно
Ликвидный
баланс |
1997 год |
1998 год |
На начало
года |
На конец
года |
На начало
года |
На конец
года |
А1 П1;
А2 П2;
А3 П3;
А4 П4. |
А1 П1;
А2 П2;
А3 П3;
А4 П4. |
А1 П1;
А2 П2;
А3 П3;
А4 П4. |
А1 П1;
А2 П2;
А3 П3;
А4 П4. |
А1 П1;
А2 П2;
А3 П3;
А4 П4. |
Исходя из этого, можно охарактеризовать ликвидность баланса ПКФ "Бейсуг" как недостаточную. Сопоставление итогов А 1 и П1(сроки до 3-х месяцев) отражает соотношение текущих платежей и поступлений.
На анализируемом предприятии это соотношение не удовлетворяет условию абсолютно ликвидного баланса, что свидетельствует о том, что в ближайший к рассматриваемому моменту промежуток времени организации не удастся поправить свою платежеспособность. Причём, за отчётный год возрос платёжный недостаток наиболее ликвидных активов для покрытия наиболее срочных обязательств с 518 795 руб. до 1 732 917 руб.
В начале анализируемого года соотношение А1 и П 1 было 0,042:1 (22 876 руб ./ 541 671 руб .), а на конец года 0,096:1. Хотя теоретиче ски значение данного соотношения должно быть 0,2:1.
Таким образом в конце года предприятие могло оплатить абсолютно ликвидными средства ми лишь 9,6% своих краткосрочных обязательств, что свидетельствует о существенном недостатке абсолютно ликвидных средств.
Сравнение итогов А2 и П2 в сроки до 6 месяцев показывает тенденцию изменения текущей ликвидности в недалёком будущем. Текущая ликвидность свидетельствует о платежеспособности (+) или неплатежеспособности (-) организации на ближайший к рассматриваемому моменту промежуток времени.
ТЛ на конец года .=(А1+А2)-(П1+П2) =(184 488 +326 555) - (1 917 405 +929 760) = -2 336 122 рублей.
То есть на конец года текущая ликвидность предприятия отрицательна. Так как второе неравенство не соответствует условию абсолютной ликвидности баланса (А2П2), то даже при погашении ПКФ "Бейсуг" краткосрочной дебиторской задолженности, предприятие не сможет, погасит свои краткосрочные обязательства, и ликвидность не будет положительной . Можно отметить, что по сравнению с 1997 годом ситуация кардинально изменилась, т. е. В конце 1997 года при условии погашения краткосрочной дебиторской задолженности, предприятие смогло бы погасить свои краткосрочные обязательства.
Проводимый по изложенной схеме анализ ликвидности баланса является приближенным. Более детальным является анализ платежеспособности при помощи финансовых коэффициентов, который будет проведен чуть позже.
нализ имущества предприятия
Актив баланса позволяет дать общую оценку имущества, находящегося в распоряжении предприятия, а также выделить в составе имущества оборотные (мобильные) и внеоборотные (иммобилизованные) средства. Имущество это основные фонды, оборотные средства и другие ценности, стоимость которых отражена в балансе.
Данные аналитических расчётов приведены в таблице 3.2.
Анализируя в динамике показатели таблицы 3.5 можно отметить, что общая стоимость имущества предприятия увеличилась за отчетный год на 2305 494 руб. или на 54,7%, в то время как за предыдущий год
Таблица 3.2
Структура имущества (средств) предприятия
|
Показатели |
1997 |
1998 |
Отклонения 1997 |
Отклонения 1998 |
На начало
года |
На конец
года |
На начало
года |
На конец
года |
Абсолют |
% |
Абсолют |
% |
|
1 |
2 |
3 |
4 |
5 |
6 |
7 |
8 |
9 |
1.Всего имущества (строка 399)
в том числе: |
4847 436 |
4208 747 |
4208 747 |
6514 241 |
-638 689 |
86.8 |
2305 494 |
154.7 |
| |
|
|
|
|
|
|
|
|
Внеоборотные активы |
|
2.ОС и прочие внеоборотные. Активы (строка 190) |
3810 013 |
3190 599 |
3190599 |
2896 908 |
-619 414 |
83.7 |
-293691 |
90.8 |
|
- то же в % к имуществу |
78.6 |
75.8 |
75.8 |
44.5 |
-2.8 |
|
-31.3 |
|
|
2.1.Нематериальные активы (строка 110) |
|
|
|
|
|
|
|
|
|
-то же в % к внеоборотным активам |
|
|
|
|
|
|
|
|
|
2.2.Основные средства (строка 120) |
3431 283 |
2761 869 |
2761 869 |
2419 416 |
-669 414 |
80.4 |
-342453 |
87.6 |
|
-то же в % к внеоборотным активам |
90 |
86.6 |
86.6 |
83.5 |
-3.4 |
|
-3.1 |
|
|
2.3.Незавершённое строительство (стр. 130) |
358 588 |
408 588 |
408 588 |
457 350 |
50 000 |
113.9 |
48 762 |
112 |
|
-то же в % к внеоборотным активам |
9.4 |
12.8 |
12.8 |
15.7 |
3.4 |
|
2.9 |
|
|
2.4.Долгосрочные финансовые вложения (строка 140) |
20 142 |
20 142 |
20 142 |
20 142 |
0 |
100 |
0 |
100 |
|
-то же в % к внеоборотным активам |
0,59 |
0,63 |
0,63 |
0,7 |
0,04 |
|
0,07 |
|
|
Оборотные активы |
|
3.Оборотные (мобильные ср-ва) (строка 290) |
1037 423 |
768 236 |
768 236 |
3307 021 |
-269 187 |
74 |
2538 785 |
430 |
|
- то же в % к имуществу |
21.4 |
18.25 |
18,25 |
50.7 |
-3.15 |
|
32.45 |
|
|
3.1.Материальные оборотные средства (с. 210) |
768 302 |
658 324 |
658 324 |
2654 868 |
-109 978 |
85.7 |
1996 544 |
403 |
|
-то же в % к оборотным средствам |
74 |
85.6 |
85.6 |
80.3 |
11.6 |
|
-5.3 |
|
|
3.2.Денежн. средства и краткосрочные финансовые вложения (250+260) |
93 355 |
22 876 |
22 876 |
184 488 |
-70 479 |
в 24.5р. |
161 612 |
В 8р. |
|
-то же в % к оборотным средствам |
8.9 |
3 |
3 |
5.6 |
-5.9 |
|
2.6 |
|
|
3.3.Дебиторская задолженность (230+240) |
175 766 |
87 036 |
87 036 |
326 555 |
-88 730 |
49.5 |
239 519 |
3.75 р |
|
Окончание таблицы 3.2 |
|
1 |
2 |
3 |
4 |
5 |
6 |
7 |
8 |
9 |
|
-то же в % к оборотным средствам |
16.9 |
11.3 |
11.3 |
9.9 |
-5.6 |
|
-1.4 |
|
|
3.4.НДС по приобретенным ценностям (ст. 220) |
|
|
|
141 110 |
|
|
141 110 |
|
|
-то же в % к оборотным средствам |
|
|
|
4.3 |
|
|
4.3 |
|
4.Убытки
(строка 390) |
|
249 912 |
249 912 |
310 312 |
249 912 |
-- |
60 400 |
124 |
|
- то же в % к имуществу |
0,00 |
5.9 |
5.9 |
4.76 |
5.9 |
|
-1,14 |
|
данный показатель уменьшился на 638 689 руб., или на 13,2%. Увеличение имущества предприятия в 1997 году можно охарактеризовать как негативное, т. к. их рост произошел не за счет роста собственных средств, а за счет роста заемных средств.
Изменение структуры имущества представлено на 1. (см. в приложении).
Рассмотрим изменения в оборотных средствах.
В составе имущества к началу отчетного года оборотные средства составляли 18,25%. За прошедший период они возросли на 2 538 785 рублей (см. табл.
3.2), а их удельный вес в стоимости активов предприятия поднялся до 50,7%.
Доля наиболее мобильных денежных средств и краткосрочных финансовых вложений возросла на 2,6% (выросли на 161 612 рублей) в структуре оборотных средств. Но несмотря рост в 8 раз, доля их в структуре оборотных средств составила лишь 5,6% на конец отчетного года, и 3% на конец 1997 года. В то же время менее ликвидные средства дебиторская задолженность составила на начало года 11,3% оборотных средств, а на конец года 9,9%, такое снижение можно охарактеризовать позитивно. Ее абсолютное увеличение на 239 519 рублей (в 3,75 раз), способствовало росту оборотных средств лишь на 9,4% (239 519 / 2 538 785 х 100%).
На ПКФ "Бейсуг" данная задолженность является краткосрочной (платежи по которой ожидаются в течение 12 месяцев после отчетной даты), что уменьшает риск не возврата долгов. Но наличие непогашенной дебиторской задолженности на конец года в сумме 326 555 рублей свидетельствует об отвлечении части текущих активов на кредитовании потребителей готовой продукции (работ, услуг) и прочих дебиторов, фактически происходит иммобилизация этой части оборотных средств из производственного процесса.
Большими темпами росли материальные оборотные средства, которые увеличились на 1 996 544 рублей в 1998 году или в 4 раза, при их уменьшении в 1997 году на 109 978 рублей или 14,3%. Доля их в общей стоимости оборотных средств в 1997 году возросла с 74% до 85,6%, а 1998 году доля материальных оборотных средств, несмотря на их абсолютный рост упала с 85,6% до 80,3% (-5,3%). Необходимо отметить, что доля запасов в составе имущества на конец 1998 года составила 40,7%, т.
ВЫВОДЫ И ПРЕДЛОЖЕНИЯ ПО РЕЗУЛЬТАТАМ ИССЛЕДОВАНИЯ
Рентабельность продукции показывает, сколько прибыли приходится на единицу реализованной продукции. Рост данного показателя является следствием роста цен при постоянных затратах на производство реализованной продукции (работ, услуг) или снижения затрат на производство при постоянных ценах, то есть о снижении спроса на продукцию предприятия, а также более быстрым ростом цен чем затрат.
Показатель рентабельности продукции включает в себя следующие показатели:
- Рентабельность всей реализованной продукции, представляющую собой отношение прибыли от реализации продукции на выручку от её реализации ( без НДС );
- Общая рентабельность, равная отношению балансовой прибыли к выручке от реализации про дукции (без НДС);
- Рентабельность продаж по чистой пробыли, определяемая как отношение чистой прибыли к выручке от реализации (без НДС);
- Рентабельность отдельных видов продукции. Отношение прибыли от реализации данного вида продукта к его продажной цене.
Расчёт данных показателей по ПКФ "Бейсуг" представлен в таблице3.13.
Таблица 3.13.
Показатели рентабельности продукции ПКФ "Бейсуг"
|
Показатели |
Расчет
Стр. |
1996 |
1997 |
1998 |
Отклонения + /- |
|
1997 от 1996 |
1998 от 1997 |
|
1 |
2 |
3 |
4 |
5 |
6 |
7 |
|
1.Выручка от реализации товаров, работ, услуг (без НДС, акцизов и аналогичных обязательных платежей). |
010 |
7 459444 |
5 649432 |
7 504 492 |
-1810012 |
1855 060 |
|
2.Прибыль от реализации. |
050 |
1 622552 |
201 530 |
199 504 |
-1421022 |
-2 026 |
|
3. Балансовая прибыль. |
140 |
1 737320 |
10 860 |
73 234 |
-1726460 |
62 374 |
|
4. Чистая прибыль. |
140-150 |
1 142091 |
8 1014 |
60 647 |
-1133990 |
52 546 |
|
Расчетные показатели (%) |
|
1.Рентабельность всей реализованной продукции. |
050
010 |
21,7 |
3,6 |
2,6 |
-18,1 |
-1 |
|
2.Общая рентабельность. |
140
010 |
23,3 |
0,19 |
0,97 |
-23,11 |
0,78 |
|
3. Рентабельность продаж по чистой прибыли. |
140-150 010 |
15,3 |
0,14 |
0,8 |
-15,16 |
0,66 |
На основе данных таблицы построим диаграмму.

5. Изменение показателей рентабельности продукции за 1996-1998 г.
На основе расчётов можно сделать следующие выводы.
Показатель общей рентабельности за отчетный период вырос с 1,19 в 1997 до 0,97 в 1998 году, то есть увеличился в 5 раз. Это говорит о том, что в 1998 году каждый рубль реализации приносил в среднем около 1 копейки балансовой прибыли.
Надо отметить резкое снижение данного показателя по сравнению с 1996 годом, когда он составлял 23,3% и упал за 1997 год до 0,19 (т.е. на 23,11%).
Показатель рентабельности продаж от чистой прибыли также вырос в 1997 году с 0,14 на начало года до 0,8 на конец отчетного периода. Это говорит о том, что спрос на продукцию несколько возрос.
Таким образом в 1998 году на 1 руб. реализованной продукции предприятие имело лишь 0,8 копеек чистой прибыли.
Рентабельность всей реализованной продукции снизилась за отчетный период на 1% и составила к концу 1998 года 2,6%. Это значит, что в конце отчетного периода каждый рубль реализации стал приносить на 1 копейку меньше прибыли от реализации.
Как видно из выше сказанного, все показатели рентабельности продукции очень низкие.
В 1997г. вследствие снижения спроса на продукцию из-за неплатежеспособности большинства потребителей, а также вследствие получения убытков от внереализационных операций показатели рентабельности продукции существенно снизились.
2.Рентабельность вложений предприятия.
Рентабельность вложений предприятия- это следующий показатель рентабельности, который показывает эффективность использования всего имущества предприятия.
Среди показателей рентабельности предприятия выделяют 5 основных:
1 .Общая рентабельность вложений, показывающая какая часть балансовой прибыли приходится на 1руб. имущества предприятия, то есть насколько эффективно оно используется.
2.Рентабельность вложений по чистой прибыли;
3.Рентабельность собственных средств, позволяющий установить зависимость между величиной инвестируемых собственных ресурсов и размером прибыли, полученной от их использования.
4.Рентабельность долгосрочных финансовых вложений, показывающая эффективность вложений предприятия в деятельность других организаций.
5 .Рентабельность перманентного капитала. Показывает эффективн ость использования капитала, вложенного в деятельность данного предприятия на длительный срок.
Необходимая информация для расчёта представлена в таблице3.14.
Таблица 3.14
Показатели для расчёта рентабельности
|
Показатели |
Код стр. |
1996 |
1997 |
1998 |
|
1 |
2 |
3 |
4 |
5 |
|
1 .Прибыль балансовая |
140
(Ф 2) |
1 737 320 |
10 860 |
73 234 |
|
2. Приб ыль чистая |
140-150 (Ф 2) |
1 142 091 |
8 101 |
60 647 |
|
3.Среднегодовая стоимость имущества |
399
(Ф 1) |
4 847 436 |
4 208 746 |
6 514 241 |
|
4. Собственные средства |
490
(Ф 1) |
3 544 562 |
3 667 076 |
3 667 076 |
|
5. Доходы от участия в других организациях |
0 80
(Ф 2) |
- |
- |
- |
|
6.Долгосрочные финансовые вложения |
140
(Ф 1) |
20 142 |
20 142 |
20142 |
|
7 .Долгосрочные заёмные средства |
590
(Ф 1) |
- |
- |
- |
На основе данных таблицы 3.14, можно сделать вывод о том, что если за 199 7г. все показатели рентабельности вложений ПКФ "Бейсуг" упали по сравнению с 1996г ., то в 1998 году произошла противоположная ситуация. Все показатели рентабельности вложений увеличились.
Общая рентабельность вложений в 1996г упала с 35,8% в 1997г. до 0,26%, в 1998 году возросла до 1,12%. То есть на 1руб. стоимости имущества предприятия в отчётном году приходилось 1,12 коп. балансовой прибыли.
Значение данного показателя достаточно невелико для такого предприятия, что свидетельствует о недостаточно эффективном исполь зовании активов предприятия в 1997г-1998г.
На основе данных показателей рассчитываются показатели рентабельности вложений, которые представлены в таблице 3.15.
Таблица 3.15
Показатели рентабельности вложений
|
Показатели |
Расчет
(код стр.) |
1996 год |
1997 год |
1998 год |
Отклонение +\- |
|
1997 от 1996 |
1998 от 1997 |
|
1 |
2 |
3 |
4 |
5 |
6 |
7 |
|
1.Общая рентабельность вложений |
140(Ф2)/399 |
35,8 |
0,26 |
1,12 |
+35,5 |
+0,86 |
|
2.Рентабельность вложений по чистой прибыли |
140-150(Ф2) 399 |
23,6 |
0,002 |
0,93 |
23,6 |
+0,928 |
|
3.Рентабельность собственных средств |
140-150(Ф2) 399 |
32,2 |
0,22 |
1,65 |
+31,9 |
+1,43 |
|
4.Рентабельность долгосрочных финансовых вложений |
080(Ф2) 140(Ф1) |
- |
- |
- |
- |
- |
|
5.Рентабельность перманентного капитала |
140-150(Ф2) 490+590 |
32,2 |
0,22 |
1,65 |
31,9 |
+1,43 |
6 Показатели рентабельности вложений
Рентабельность собственных средств также невысока и в течении 1997 года упала с 32,2% до 0,22, то есть в 146 раз и в 1998 году увеличилась лишь на 1,43%. Динамика этого показателя за последние годы позволяют сделать вывод о том, что инвестиции собственных средств в производство дали недостаточно хороший результат.
Рентабельность перманентного капитала и его динамика аналогичны рентабельности собственных средств, в виду отсутствия долгосрочных заёмных средств.
В целом можно отметить, что все показатели рентабельности вложений предприятия находятся на низком уровне, что говорит о недостаточно эффективном вложении средств ПКФ "Бейсуг".
Для повышения рентабельности собственных средств, предприятие может использовать эффект финансового рычага.
ЭФР=2/3(ЭР-СРСП)*ЗС/СС
ЭР=НРЭИ/Активы,
где НРЭИ - прибыль до выплаты налогов и процентов.
СРСП = 20%.
|
Активы |
6 514 241 руб. |
|
СС |
3 667 076 руб. |
|
ЗС |
929 760 руб. |
|
ЗС/СС (плечо рычага) |
0,253 |
|
НРЭИ |
73 234 руб. |
|
ЭР |
1,12% |
|
Дифференциал |
-0,58 |
|
ЭФР |
-0,15 |
Из приведенных выше расчетов видно, что в 1998 году на ПКФ Бейсуг ЭФР отрицательный, так как дифференциал меньше нуля. Такой эффект дает не приращение, а вычет из рентабельности собственных средств. Для того, чтобы ЭФР стал положительным, а дифференциал больше нуля, необходимо увеличивать экономическую рентабельность.
Добиться этого предприятие может либо сдерживая рост активов, либо увеличивая массу прибыли, путем снижения себестоимости продукции; либо стремится ускорить оборачиваемость оборотных средств, что также даст увеличение массы прибыли. Предприятие не использует ЭФР для регулирования (повышения) рентабельности собственных средств, хотя такая необходимость существует.
ВЫВОДЫ И ПРЕДЛОЖЕНИЯ ПО РЕЗУЛЬТАТАМ ИССЛЕДОВАНИЯ ПКФ "БЕЙСУГ"
Проведенная работа представляет собой комплексную оценку финансового состояния предприятия, путем анализа структуры актива и пассива баланса, анализа дебиторской и кредиторской задолженности, анализа ликвидности баланса, показателей оборачимваемости рентабельности, платежеспособности.
Балансовая прибыль на ПКФ "Бейсуг" в 1998 году существенно увеличилась по сравнению с 1997 годом на 62 374 руб. или в 6 раз. Её увеличению способствовало: увеличение прибыли от финансово-хозяйственной деятельности, в основном за счёт появления статьи дохода "Проценты к получению" и превышения абсолютного изменения операционных доходов над абсолютным превышением операционных расходов, что увеличило балансовую прибыль на 60,5%.
Снижению балансовой прибыли способствовал убыток от внереализационных операций в сумме 27 409 руб., снизивший балансовую прибыль на 37,4%.
Таким образом факторы, уменьшающие балансовую прибыль по сумме были перекрыты действием увеличивающих её факторов, что в итоге и обусловило рост балансовой прибыли в отчетном году по сравнению с предыдущим в 6 раз.
Результатом от прочей финансово-хозяйственной деятельности в 1998 году стала убыток в размере 98 863 руб., в то время как в предыдущем году наблюдался убыток в размере 144 535, который уменьшился за отчетный период на 54 674 руб.
В отчётном году результат от прочих внереализационных операций представляет собой убыток, который уменьшился по сравнению с 1997 годом на 68%.
После уплаты налога на прибыль в распоряжении предприятия осталось 60 647 руб. Этих средств оказалось не достаточно для покрытия всех расходов.
В 1998 году убыток отчетного периода составил 60 400 руб.
За 1998год показатели общей рентабельности продукции и рентабельность продаж по чистой прибыли увеличились, по сравнению с 1997 годом, хотя за аналогичный период прошлого года наблюдался резкий спад всех показателей рентабельности продукции.
Если за 1997 год все показатели рентабельности вложений ПКФ "Бейсуг" упали по сравнению с 1996г., то в 1998 году произошла противоположная ситуация. Общая рентабельность вложений находится на низком уровне, так на 1 рубль имущества предприятия в отчётном году приходилось 1,12 коп. балансовой прибыли.
В целом все показатели прибыли и рентабельности в отчётном году возросли, что положительно характеризует деятельность ПКФ "Бейсуг" в 1998 году (относительно 1997года).
В результате проведенного исследования выявлены следующие тенденции в финансово-хозяйственной деятельности:
1. Деятельность предприятия в части формирования имущества в течении года была направлена на увеличение оборотных средств, в первую очередь запасов товарно-материальных ценностей. Можно сделать следующие рекомендации :
- Необходимо провести инвентаризацию состояния имущества с целью выявления активов "низкого" качества (изношенного оборудования, залежалых запасов, материалов, дебиторской задолженности нереальной к взысканию), и уточнить реальную величину стоимости имущества. Эта мера способствует сокращению оттока денежных средств, направленных на уплату налога на имущества, а также средств необходимых для хранения труднореализуемых активов, изношенного оборудования.
- Следует пересмотреть экономические отношения со своими покупателями и заказчиками и уменьшение объемов дебиторской задолженности; в этой же сфере необходимо пересмотреть организацию сбыта в целом, так как в условиях инфляции предприятию будет выгоднее продавать продукцию дешевле и быстрее, чем ожидать более выгодных условий ее реализации;
- Оптимизация товарно-материальных ценностей;
Так как финансовая политика анализируемого предприятия характеризуется накапливанием запасов товарно-материальных ценностей, увеличение объема дебиторской задолженности, то прибыль стала основным источником финансирования и покрытие данного отвлечения средств.
В этом состоит причина дефицита денежных средств; суммы превышения доходов от реализации над расходами зафиксированны в виде возросших запасов.
Анализируя положения предприятия в отношении финансовой устойчивости и платежеспособности, можно выделить следующие рекомендации. Во-первых для повышения платежеспособности предприятия необходимо прибыль полученную от основной деятельности, направлять на увеличения наиболее ликвидной части оборотного капитала, т. е. денежных средств.
Хотя этот шаг может рассматриваться как не эффективное использование ресурсов предприятия, но в настоящей ситуации необходимо: Во-вторых произвести расчеты по определению оптимального запаса товарно-материальных ценностей, а необоснованную сумму запасов следует или реализовать или использовать не увеличивать запасов в изучаемом периоде; в третьих, наладить отношения с покупателями и заказчиками, т.к. именно из-за того, что в отчетном периоде произошло увеличение дебиторской задолженности предприятия не смогли рассчитаться с кредиторами.
Руководству предприятия в будущем отчетном периоде не следует наращивать произаодственные запасы, а свободные денежные средства направить на погашение кредиторской задолженности иначе существует вероятность уменьшения уровня платежеспособности.
2. Значительный объем средств предприятия отвлечен в расчеты. При этом темп прироста предоставляемого покупателям и заказчикам выше темпа прироста кредиторской задолженности.
Очевидно, что результатом такой динамики становится резкий дефицит денежных средств, т. к. дебиторская задолженность выступает, как отвлечение средств из оборота, а кредиторская наоборот.
Исходя из изложенного, следует изменить политику в области сбыта, с целью увеличения оборачиваемости готовой продукции и высвобождение денежных средств.
3. Предприятие осуществило инвестиции в строительство, при этом за отчетный период произошло снижение стоимости основных фондов.
Аналитические данные свидетельствуют о том, что продукция предприятия не пользующая спросом предприятию следует внедрять в производство более совершенное оборудование и технологии, путем осуществления капитальных вложений.
Эта мера во-первых способствует к увеличению производительности труда, во-вторых снижению затрат на сырье, материалы, брак в производстве, ремонт и обслуживания оборудования, следствием этих изменений выступает реальная возможность увеличения качества продукции, ее конкурентноспособность, снижение себестоимости
Таким образом в результате единовременных капитальных вложений предприятие может обеспечить себе высокоэффективную деятельность в будущем.
Анализ финансовых коэффициентов позволил выявить тот факт, что в настоящее время текущая платежеспособность предприятия полностью зависит от надежности дебиторов. Поэтому экономистам предприятия следует четко отслеживать сроки погашения дебиторской задолженности, а по результатам оценки на выявленную просроченную или имеющую высокую вероятность не погашения задолженности создавать резервы по сомнительным долгам, в составе оценочных резервов.
На предприятии следует рассмотреть возможность организации полуфабрикатов и вспомогательных изделий, т.к. их удельный вес значителен в структуре затрат, а собственное производство возможно будет дешевле, что позволит снижению себестоимости.
Руководству следует обратить внимание на необоснованое увеличение расходов на оплату труда, в то время как на предприятии существует дефицит денежных средств.
В условиях жесточайшей нехватки денежной массы в обращении, современный покупатель любого товара старается приобрести то, что могло бы максимально соответствовать его вкусам и потребностям. При огромном выборе товаров и малом числе покупателей именно последнее, (а не продавец) диктуют общее поведение на рынке.
И производителям приходится в условиях растущей конкуренции, подстраиваться под спрос.
Однако, для производства высококачественной и конкурентноспособной продукции не достаточно использовать старое и не технологичное оборудование. Необходимо применять совершенные линии производства, которые помогут закрепить успех на рынке.
Но дорогостоящее оборудование не всегда под силу приобрести производителю, поэтому в целях получения максимальной отдачи, а также вспомнить теорию "Финансового рычага", производителям рекомендуется, в соизмеренных пределах увеличить привле чение кредита.
Заключение
В дипломной работе были рассмотрены вопросы учета и анализа финансовых результатов деятельности предприятия.
Первая глава рассматриваются теоретические аспекты анализа финансового состояния предприятия.
Во второй главе показана взаимосвязь бухгалтерского учета и анализа финансового состояния на предприятии, роль бухгалтерской отчетности в проведении финансового анализа.
Все практические расчеты приведены в третьей главе. Практические рекомендации и выводы, представлены в четвертой главе, в которой определены направления совершенствования анализа, и улучшения финансового состояния.
На основе проведенного анализа финансовой деятельности ПКФ Бейсуг были сделаны следующие выводы. Не смотря на увеличение стоимости имущества предприятие в 1997 году, его финансовая устойчивость ухудшилась по ряду показателей. Имея на балансе значительную по величине стоимость оборотных активов, предприятие нуждается в большей величине оборотных средств, несмотря на значительный удельный вес в составе имущества.
Все показатели, характеризующие платежеспособность находятся на уровне ниже нормы, что объясняется, в основном, наличием у предприятия значительной суммы кредиторской задолженность.
Балансовая прибыль в 1997 году увеличилась почти в 6 раз. Не смотря на это после уплаты налога на прибыль, фирме не хватило средств на покрытие всех расходов, в результате чего убыток фирмы в отчетном периоде составил 60.400 тыс. руб., был сделан вывод о не эффективности использования имущества предприятия.
Показатели рентабельности производственных фондов и вложений несколько увеличились, но находятся на очень низком уровне.
С точки зрения надежности "приемлемым" считается предприятие у которого объем выданных кредитов не превышает собственного капитала; средства на счетах клиентов полностью обеспечены ликвидными активами, совокупные обязательства полностью обеспечены ликвидными активами, ценностями, недвижимостью, капитал полностью инвестирован в недвижимость и ценности.
Предложениями по работе предприятия являются; поиск дешевых кредитных ресурсов, грамотное распределение прибыли; увеличение доходной части активов, компьютеризация. Необходимо соблюдать "золотое правило предприятия", принцип "финансового состояния сроков": получение и использование средств должно происходить в точно установленные сроки, капитальные вложения с длительным сроком окупаемости должны финансироваться за счет долгосрочных средств.
В целом на основе проведенного анализа, были сделаны выводы, свидетельствующие о проблемах, связанных, прежде всего, с текущим оперативным управлением финансами на ПКФ Бейсуг. Управлению финансами на предприятии отводится, слишком, малая роль.
Это связано с тем, что предприятие существует, сравнительно недавно, формы внутрифирменных отчетов еще не отработаны. По существу, управление финансами происходит на уровне бухгалтерской службы и руководителя предприятия.
Поэтому необходимо организовать службу управления финансами и провести ряд мероприятий по улучшению финансового состояния в соответствии с данными рекомендациями.
Таблица 3.10
Показатели рыночной устойчивости
|
Показатели |
Способ расчета |
Норма |
Пояснения |
На начало 1997 года |
На конец 1997 года |
Отклонения 1997 |
На начало 1998 года |
На конец 1998 года |
Отклонения 1998 |
|
1.Коэффициент независимости. |
 |
0,5 |
Показывает долю собственных средств в общей сумме средств предприятия. |
0,73 |
0,87 |
+0,14 |
0,87 |
0,56 |
-0,31 |
|
2.Коэффициент соотношения собственных и заемных средств. |
 |
1 |
Показывает сколько заемных средств привлекало предприятие на 1руб.вложенных в активы собственных средств |
0,37 |
0,15 |
-0,22 |
0,15 |
0,78 |
+0,63 |
|
3.Коэффициент долгосрочного привлечения заемных средств. |
 |
|
Показывает сколько долгосрочных займов привлечено для финансирования активов наряду с собственными средствами |
|
|
|
|
|
|
|
4.Коэффициент маневренности собственных средств. |
 |
0,1 |
Характеризует степень мобильности использования собственных средств |
0 |
0,06 |
- |
0,06 |
0,13 |
+0,07 |
|
5.Коэффициент обеспечения собственными средствами. |
 |
0,1 |
Показывает долю СОС, приобретенных за счет собственных средств. |
0 |
0,29 |
- |
0,29 |
0,14 |
-0,15 |
|
6.Коэффициент реальной стоимости ОС и материальных оборотных средств в имуществе предприятия. |
 |
0,5 |
Показывает долю имущества производственного назначения (реальных активов) в общей сумме имущества предприятия. |
0,7 |
0,68 |
-0,02 |
0,68 |
0,4 |
-0,28 |
|
7.Коэффициент реальной стоимости ОС в имуществе предприятия. |
 |
0,5 |
Показывает удельных вес основных средств в имуществе предприятия. |
0,7 |
0,66 |
-0,04 |
0,66 |
0,37 |
-0,29 |
Таблица 3.3
Анализ ликвидности баланса в 1997г.
|
АКТИВ |
Расчет |
На начало
года |
На конец
года |
ПАССИВ |
Расчет |
На начало
года |
На конец
года |
Платежный излишек или
Недостаток |
| |
|
|
|
|
|
|
|
на начало
года |
на конец
года |
|
1 |
2 |
3 |
4 |
5 |
6 |
7 |
8 |
9=3-7 |
10=4-8 |
1.Наиболее ликвидные
активы(А1) |
стр.250+
стр.260 |
93 355 |
22 876 |
1.Наиболее срочные
обязательства(П1) |
стр.620 |
1 102 874 |
541 671 |
-1 009 519 |
-518 795 |
2.Быстрореализуемые
активы(А2) |
стр.240 |
175 766 |
87 036 |
2.Краткосрочные пассивы(П2) |
стр.610+
670 |
200 000 |
0 |
- 24 234 |
+87 036 |
3.Медленнореализуемые
активы(А3) |
стр.210+
220+230
+270 |
850 033 |
668 193 |
3.Долгосрочные
пассивы(П3) |
стр.590+630+640+650 +660 |
0 |
0 |
+850 033 |
+668 193 |
4.Труднореализуемые
активы(А4) |
стр.190 |
3 810 013 |
1 190 599 |
4.Постоянные пас-
сивы(П4) |
стр.490 |
3 544 562 |
3 667 076 |
+265 451 |
-476 477 |
|
БАЛАНС |
стр.399 |
4 847 436 |
4 208 747 |
БАЛАНС |
стр.699 |
4 847 436 |
4 208 747 |
- |
- |
Маркетинг: Практика - Рынок - Анализ - Финансы