Грамотенко Т. - Выработка рекомендаций по улучшению финансового состояния предприятия
Развитие российской экономики на современном этапе характеризуется неоднозначной и динамично меняющейся экономической средой, наличием сложных управленческих проблем. Многие предприятия испытывают трудности и находятся в кризисной ситуации, сформировавшейся под влиянием рыночной экономики переходного периода.
В условиях спада производства и постоянно растущего уровня инфляции сложился финансово-долговой тип предпринимательства, характеризующийся замещением производственных активов финансовыми, собственных средств привлеченными, что проявляется, прежде всего, в недостатке собственных оборотных средств предприятий и доступных источников их формирования. Проблемы укрепления платежной дисциплины, вывода экономики из кризиса платежей и стабилизации уровня промышленного производства являются наиболее актуальными для российской экономики, а значит и для конкретного субъекта предприятия.
В современных условиях экономической и социально-политической нестабильности в России возможность попасть в число неплатежеспособных предприятий весьма велика, поэтому правительство в специальном постановлении отменило необходимость принятия системы антикризисных мероприятий, чтобы изменить ситуацию к лучшему. Введение в действие Закона РФ О несостоятельности (банкротстве) предприятий от 19. 11. 1992 г. положило начало созданию правовой базы банкротства.
В настоящее время опубликовано большое количество постановлений, распоряжений, указов по вопросам несостоятельности (банкротства) предприятий, антикризисному управлению. Под руководством Федерального управления по делам о несостоятельности (банкротстве) при Госкомимуществе РФ проводится обучение в экономических и юридических вузах страны специалистов по антикризисному управлению.
По данной проблематике с каждым годом выходит большое количество теоретического материала: учебников, статей. Однако до настоящего времени не создан механизм управления, который обеспечил бы не только выход из кризиса и состояния банкротства российских предприятий, но и их финансовое оздоровление и дальнейшее развитие.
Целью данной работы является выработка рекомендаций по улучшению финансового состояния предприятия, находящегося в кризисном положении. Следовательно, задачи дипломной работы включают в себя:
1.Изучение теоретических вопросов управления предприятием в условиях кризиса;
2.Анализ финансового состояния предприятия и констатация факта кризисного положения;
3.Выяснение причин и факторов, обусловивших появление кризисного состояния;
4.Определение путей улучшения финансового состояния предприятия;
5.Определение содержания и обоснование стратегии выхода предприятия из кризиса.
Объектом исследования выбрано государственное унитарное предприятие дорожное ремонтно-строительное управление 4.
Обследуемое предприятие находится в кризисной ситуации, которая вызвана снижением платежеспособного спроса на производимые ДРСУ- 4 работы и услуги, большой зависимостью предприятия от бюджетных дотаций и госзаказов. Поэтому решение проблемы антикризисного управления предприятием позволит повысить результативность работы, выявить резервы для совершенствования системы управления.
В ходе дипломного проектирования применялись методы сравнения, статистического и финансового анализа.
Понятие кризиса и кризисной систуации на предприятии
1. 1 Понятие кризиса и кризисной ситуации на предприятии
Кризис (от греч. krisis решение, поворотный пункт, исход), резкий крутой перелом в чем-либо, тяжелое переходное состояние; острое затруднение в чем-либо преимущественно с предметами потребления; тяжелое положение.
Кризисы бывают разные: от медицинских и духовных до производственных и экономических, которые в свою очередь делятся на: валютные, биржевые, денежно-кредитные, финансовые. Они объединены общими проявлениями в виде абсолютного падения производства, недогрузки производственных мощностей, рост безработицы, нарушения в денежно-кредитных и валютно-финансовых сферах. [41]
Развитие российской экономики на современном этапе характеризуется неоднозначной и динамично меняющейся экономической средой, наличием сложных управленческих проблем. Многие предприятия испытывают трудности и находятся в кризисной ситуации, сформировавшейся под влиянием рыночной экономики переходного периода. [18]
Процесс неравномерного развития экономики и тем более отдельных ее частей, колебание объемов производства и сбыта, возникновения значительных спадов производства, что характеризуется как кризисная ситуация, следует рассматривать не как стечение неблагоприятных ситуаций (хотя для отдельного предприятия это может быть и так), а как некую общую закономерность, свойственную рыночной экономике.
Кризисные ситуации, для преодоления которых не было принято соответствующих профилактических мер, могут привести к чрезмерному разбалансированию экономического организма предприятия с соответствующей неспособностью продолжения финансового обеспечения производственного процесса, что квалифицируется как банкротство предприятия. [2]
Изменения, происходящие во внешней среде бизнеса, закономерно вызывают появления новых принципов управления (рис. 1. 1).
Чем больше проявилось воздействие внешней среды, тем больше внимания высшее руководство должно было уделять изучению процессов, происходящих в окружении организации, и разработке адекватных реакций на возможные внешние воздействия, способов долгосрочного развития.
Тяжелое положение предприятий наблюдается сегодня повсеместно.
В чем причины кризисного состояния предприятия? Почему благополучные ранее предприятия оказались в состоянии неплатежеспособности?
Любое коммерческое предприятие имеет смысл, если оно приносит прибыль. Успешно функционирующие предприятия, как правило, имеют определенные конкурентные преимущества.
Такие предприятия занимают прочное положение на рынке товаров и услуг, их продукция конкурентоспособна и пользуется постоянным спросом.
Рис. 1. 1 Эволюция организации и принципов управления.
Малоподвижная внешняя среда
Подвижная внешняя среда, изменения незначительны, но узнаваемые

Быстроизменяющаяся внешняя среда, неожиданные и неузнаваемые изменения

Они следят за изменениями конъюнктуры рынка, своевременно и эффективно отвечая на изменения внешней среды. Производя прибыль, такие предприятия увеличивают собственный капитал и, по определению, всегда способны исполнить свои финансовые обязательства, а потребности в финансовых ресурсах для своего развития удовлетворяются, главным образом, за счет собственных средств.
Вместе с тем, любой продукт (услуга) имеет определенный жизненный цикл в силу того, что обладает предельными возможностями, ограничивающими его дальнейшее существование в первоначальном виде определенным периодом времени.
Характерной особенностью рыночной экономики является то, что кризисные ситуации возникают на всех стадиях жизненного цикла предприятия: в какие-то моменты оно может не производить прибыли, либо производить убытки. Но это краткосрочные, эпизодические ситуации, которые не меняют сущности предприятия как производители прибыли.
Они могут быть устранены с помощью оперативных мероприятий. Если же предприятие неэффективно в целом, экономический кризис приобретает затяжной характер и может закончиться процедурой ликвидации, продажи имущества для расчетов к кредиторами, которая называется банкротством предприятия (рис. 1.2). чтобы этого не произошло, необходимо вовремя понять причины, по которым экономика предприятия оказалось в кризисе, и разработать соответствующие меры по их устранению. [9]
Рис. 1. 2 Жизненный цикл предприятия и его кризисные ситуации.
С экономической точки зрения кризисы следует различать по тому, в каких областях они представляют опасность для достижения фирменных целей. Так, кризис ликвидности означает реальную потерю платежеспособности.
Поэтому необходимы срочные меры, иначе предприятие будет вынуждено уйти с рынка (например, в результате его продажи с торгов или других ликвидационных процедур).
Кризис успеха характеризуется явным негативным отклонением фактического состояния от запланированного (например, по показателям продаж, денежных поступлений, прибыли, рентабельности и пр.). Причинами возникновения такого кризиса могут быть ошибки в исследовании рынка, производстве, капиталовложениях, кадровой политике.
Менее заметным и не столь непосредственным является стратегический кризис. Хотя положение фирмы в данный момент (ситуация успеха) может казаться вполне удовлетворительным, его наступление необходимо диагностировать, если происходят сбои в развитии предприятия, снижается потенциал успеха, ослабевают защитные возможности и в конкурентной борьбе.
Начинающийся разрыв между вероятными и желаемыми результатами может быть ликвидирован лишь путем изменения прежней или принятия новой ориентации (например, выход на новые рынки, продуктовые или технологические инновации). Как правило, такие изменения рассчитаны на многие годы. [27]
Причины возникновения кризисной ситуации на предприятии
Всю совокупность факторов, которые способны привести предприятие к экономическому кризису, можно разделить на две группы:
Внешние по отношению к предприятиям, на которые оно не в состоянии влиять или его влияние ограничено;
Внутренние, возникающие в результате деятельности самого предприятия.
Внешние факторы
Причинами кризисного состояния российских предприятий являются неблагоприятные внешние условия: нарушение традиционных хозяйственных связей; спад спроса; резкое, трудно прогнозируемое изменение экономической политики правительства; инфляция; разбалансированность рынка; политическая нестабильность.
Состояние национальной экономики может также сильно повлиять на возможность получения организацией капитала для своих нужд. Это, в основном, обусловлено тем, что правительство может пытаться сгладить последствия ухудшения экономической обстановки, регулируя налоги, денежную массу и ставку банковского процента.
Ужесточение налогообложения не способствует стимулированию предпринимательской деятельности, а удорожание кредита приводит к росту издержек.
Среди политических факторов, способных спровоцировать кризисное состояние предприятия, можно выделить отношение государства к предпринимательской деятельности запретительного или ограничительного характера; политическую нестабильность деятельности правительства; национализацию собственности и т. д. Все это ухудшает инвестиционный климат, способствует вывозу капитала из страны.
Такие факторы правовой сферы как недостаточное антимонопольное регулирование, ограниченное регулирование ВЭД, неразвитость законодательной базы по вопросам предпринимательства также могут способствовать наступлению экономического кризиса деятельности предприятия.
Социокультурные факторы, в числе которых преобладают установки, жизненные ценности и традиции, также влияют на организацию.
Дополнительные социальные факторы, способствующие возникновению и развитию кризиса экономической деятельности предприятия, - приобретают в современной России все больший вес и становятся для многих предприятий непреодолимым барьером в бизнесе.
Технологические нововведения влияют на эффективность, с которой продукты можно изготавливать и продавать, на скорость устаревания продукта, а то, как можно собирать, хранить и распределять информацию, а также на то, какого рода услуги и новые продукты ожидают потребители от организации. Низкие расходы государства на науку и технику ведут к технологическому застою, предприятия для производства товаров и услуг используют устаревшую технологию, неудовлетворительная патентная защита не стимулирует предпринимателей приобретать новейшие технологии. Все это снижает конкурентоспособность продукции и ведет предприятие к экономическому кризису. [9]
Основные причины потери управляемости государственным сектором экономики носят институциональный характер и связаны с тем, что:
?дезорганизованы системы заказов и закупок продукции, работ и услуг государственных нужд; не налажена система государственных контрактов;
?существует нормативная база, определяющая требования к управлению государственными предприятиями;
?не выработаны учредительные документы унитарных предприятий, в которых должны быть отраслевые и региональные особенности, а также интересы экономической безопасности страны;
?отсутствуют нормативно-правовые рамки поведения представителей государства при регулировании таких процессов, как распределение прибыли предприятия с государственным участием, обеспечение федеральных гарантий для получения внебюджетных кредитов и инвестиций;
?раздроблены функции управления и распоряжения государственным имуществом между многочисленными федеральными органами исполнительной власти. [25]
При рассмотрении внешних факторов, способных привести предприятие к экономическому кризису, следует отметить, что организация может оказывать существенное влияние на них и предотвратить их возникновение. Эти факторы связаны с конкурентной средой предприятия и определяют формы конкуренции.
Среди них: высокий уровень цен на производимую продукцию, низкий уровень применяемых технологий, неудовлетворительное качество.
Уровень применяемой технологии определяет все составляющие процесса производства товара и его конкурентоспособность. Изменение в технологии производства, производимые предприятием в целях обеспечения конкурентных преимуществ, требует значительных капиталовложений и могут в течение продолжительного периода времени отрицательно отразиться на прибыльности предприятия, ч том числе и вследствие неудач при внедрении новой технологии. Может негативно сказаться на прибыльности и уменьшение объема продаж продукции предприятия вследствие появления на рынке по более низким ценам продукции фирм.
В производстве которых используется более прогрессивная технология, повышающая качество товаров.
Не менее важны среди внешних факторов и взаимоотношение с покупателями и поставщиками. Замедление темпов роста выручки, либо ее абсолютное снижение наблюдается при растущем невозврате платежей за отгруженную продукцию, когда предприятие работает с ненадлежащим покупателем или не свободно в его выборе.
Задержки поставок сырья и материалов, либо их низкое качество могут снизить объем производства и качество готовой продукции.
Внутренние факторы
Внешние условия одинаковы для всех предприятий. Почему же, как показывает опыт последних лет, далеко не все отечественные предприятия о успешно конкурировать в условиях рынка? И даже обладание конкурентоспособной продукцией не позволяет многим из них эффективно реализовать это преимущество.
Утрата конкурентного преимущества неизбежно ведет предприятие к кризису.
Следовательно, многие причины экономического кризиса российских предприятий кроются в них самих.
Логическая схема поиска внутренних причин, приведших предприятие к кризису (рис. 1. 3), связана с выбранным из двух альтернативных ответов:
?объем продаж увеличивается;
?объем продаж уменьшается.
Если проблем с продажей продукции нет, значит причины в другом. Поэтому далее следует выяснить оборачиваемость оборотных средств. Если оборачиваемость малая, то проблемы связаны с большой длительностью производственного цикла. Это может быть, например, длительность оплаты отпущенных товаров, услуг.
Тогда причины кризиса связаны с ценовой политикой и контролем цен, с условиями договора на продажу товара (например, поставки товара осуществляются без предоплаты).
Высокие цены могут быть с издержками производства. Тогда следует выяснить динамику изменения затрат на производство товара и причины роста издержек.
Рис. 1. 3 Логическая схема поиска внутренних причин экономического кризиса деятельности предприятия.

Если оборачиваемость средств большая, причины экономического кризиса связаны с рентабельностью товара.
Если объем продаж уменьшается, то существует проблема с реализацией продукции. Дальнейшие вопросы должны уточнить наличие запасов готовой нереализованной продукции, потребительские свойства товара, ценовую политику и систему распределения и продвижения товара, ответы на которые могут дать представление о причинах сложившегося экономического кризиса деятельности предприятия.
К внутренним факторам, усиливающим кризисную ситуацию предприятия, также можно отнести:
?утрата уровня культуры производства и культуры предприятия вообще, которая включает квалифицированный состав персонала, технический уровень производства, психологическую атмосферу управляющего персонала и всего коллектива предприятия, его уверенность в эффективной работе;
?наличие стимулов труда у персонала предприятия.
Итак, сотни факторов, действующих в разных направлениях, приводят к разрушению организационного, экономического и производственного механизма функционирования предприятия.
В классической рыночной экономике, как отмечают зарубежные исследователи [2], 1/3 вины за банкротство падает на внешние факторы и 2/3 на внутренние. Отечественные исследователи еще не провели подобной оценки, однако можно не без основания предполагать, что для современной России характерна обратная пропорция влияния этих факторов.
Политическую и экономическую нестабильность, разрегулирование финансового механизма и инфляционные процессы следует отнести к наиболее значительным факторам, ухудшающим кризисную ситуацию российских государственных и частных предприятий.
Важным является система контроля и раннего обнаружения признаков предстоящей кризисной ситуации. Серьезным предупреждением грядущего неблагополучия предприятия является отрицательная реакция партнеров по бизнесу, поставщиков, кредиторов, банков, потребителей продукции на те же или иные мероприятия, проводимые предприятием, и их предположения. В этом смысле показательными являются всевозможные реорганизации предприятия (организационные, структурные, открытие или закрытие подразделений предприятий, филиалов, дочерних фирм, их слияние), частая и необоснованная смена поставщиков, выход на новые рынки, рискованная закупка сырья и материалов и другие изменения в стратегии предприятия. Другим существенным признаком, также контролируемым кредиторами, является изменение в структуре управления и атмосфере, царящей в верхних слоях управления.
Крах предприятий, как правило, начинается с конфликтов в высшем руководстве предприятием.
Другой блок ранних признаков кризиса включает в себя характер изменений финансовых показателей деятельности предприятия, своевременность и качество представления финансовой отчетности и проведения аудиторских проверок. [3]
Выявление причин, привлекших предприятие к кризисному состоянию, - это первый шаг к управлению кризисом, следующим моментом в данном направлении является поиск путей выхода из сложившейся неблагоприятной ситуации.
Пути выхода предприятия из кризисной ситуации
1. 3. 1 Роль финансового анализа в диагностике кризисного состояния
Управление предприятием в условиях кризиса (общий кризис экономики или кризис отдельной отрасли и предприятия) является предметом заботы не только его руководителей и собственников, а множества взаимодействующих с ним предприятий и организаций. Кризисное управление по своей природе управление, возлагающее дополнительные риски на множество экономических структур, без участия которых предприятие не может выжить.
В первую очередь это коммерческие банки, обслуживающие предприятие.
До последнего времени коммерческие банки были более всех вовлечены в финансовый анализ предприятий своих клиентов и были, в известной мере, вершителями их судеб. И за банками основными регуляторами денежных потоков сохранится ведущая роль в финансовом анализе предприятий на всех стадиях их жизни, от рождения до ликвидации.
Банк осуществляет расчетное и кассовое обслуживание предприятий. В этом случае ему необходимо знать о каждом обслуживаемом предприятии:
?среднюю величину денежных средств, ожидаемых на счетах предприятия;
?вероятные отклонения величины денежных средств;
?ожидаемое количество сделок в единицу времени.
Эти данные позволяют банкам предопределить минимальные и средние денежные средства, которым он может располагать, и объем работы по обслуживанию клиента. Анализ баланса предприятия за несколько периодов позволяет получить представление об остатках денежных средств на счетах предприятия.
Для получения других данных необходим анализ первичной бухгалтерской отчетности.
Банку может потребоваться принять решение о выдаче краткосрочного кредита потребителю. При решении вопроса о кредитовании под оборот необходимо оценить абсолютную ликвидность баланса предприятия и другие показатели покрытия.
При выдаче кредита под конкретную сделку необходимо определить ее надежность и эффективность.
Методы, глубина анализа состояния клиента банка, его заемщика могут варьироваться в зависимости от намечаемой цели анализа. Такими целями могут быть:
?предварительный материал для переговоров с потенциальным клиентом, заемщиком;
?помощь заемщику, например в выборе вариантов инвестиций;
?плановый анализ состояния клиентской сети банка и ее тенденции;
?решение об участии в сложных проектах покупки или продажи предприятий, их санации.
Аналогично должны быть предусмотрены цели анализа, если его делают, например, собственники предприятия или вышестоящие органы, налоговые службы, фондовые биржи, потенциальные покупатели данного предприятия.
Специфические аналитические задачи возникают в связи с введением института банкротства в России. У собственников предприятия, его кредиторов финансовых и коммерческих, прокуратуры и Федерального управления по банкротству с введением в действие Закона о банкротстве и сопутствующих нормативных документов появился новый инструмент регулирования судеб предприятий.
Оценка текущей и перспективной платежеспособности предприятия, затрат, необходимых для поддержки предприятия, его санации внутренних резервов, могущих обеспечивать успешное внешнее управление; оценка общего финансового положения вот те задачи, которые придется решать на различных стадиях внесудебной или судебной процедуры банкротства.
Финансовый анализ может выявить резервы, а также ошибки руководителей или даже преднамеренные искажения отчетности. [9]
Стратегическое планирование
Поиск путей выхода из кризиса связан с устранением причин, способствующих его возникновению, а процесс планирования этого выхода можно разделить на две основные стадии:
?разработка антикризисной стратегии деятельности фирмы (антикризисное стратегическое планирование);
?определение тактики реализации выбранной стратегии (оперативное планирование).
Тактические (оперативные) мероприятия по выходу из кризиса могут быть защитными (сокращение расходов, закрытие подразделений, сокращение персонала, уменьшение объемов производства и сбыта) и наступательными (активные маркетинговые исследования, высокие цены на продукцию, использование внутренних резервов, модернизация, совершенствование управления). Оперативные мероприятия по выходу из кризиса состоят в установлении текущих убытков, выявлении внутренних резервов, привлечении специалистов, кадровых изменениях, получении кредитов, укреплении дисциплины и т. п.
Именно позволяет устранить отрицательный эффект неопределенности и изменчивости внешней среды функционирования фирмы, сосредоточить внимание на главных задачах выхода из кризиса с минимальными потерями.
В процессе антикризисного стратегического планирования разрабатываются стратегии выхода организации из экономического кризиса.
Тактическое планирование должно осуществляться в рамках выбранных стратегий. Оно имеет дело с решениями о том, как должны быть распределены ресурсы организации для достижения стратегических целей.
Осуществление запланированных оперативных мероприятий по выходу из экономического кризиса, не связанных со стратегическими целями, может привести к кратковременному улучшению финансового положения, но не позволит устранить глубинные причины кризисных явлений.
Модель антикризисного стратегического управления предприятием представлена на рисунке 1. 4.
Рис. 1. 4 Модель антикризисного стратегического управления предприятием

Процесс антикризисного стратегического планирования, первого этапа стратегического управления, начинается с определения текущей миссии организации.
Анализ ликвидности баланса предприятия
Таблица 2. 9
Аналитическая группировка статей пассива баланса за 1997 год
| Группировка статей пассива баланса |
Условные обозначе- ния |
Строка баланса |
На начало года |
На конец года |
Горизон-тальный анализ |
Абсолют- ные отклонения, % |
Вертикальный анализ |
| На начало года |
На конец года |
| Источники формирования
|
ВБ |
699 |
111100469 |
101140879 |
995959 |
9,13 |
100 |
100 |
| 1. 1 Собственный капитал |
СК |
490 + 640 + 650 |
95782595 |
86745101 |
9037494 |
90,56457 |
86,2 |
85,8 |
| 1. 2 Заемный капитал |
ЗК |
690 + 640 + 650 |
15317874 |
14395778 |
922096 |
93,98026 |
13,8 |
14,2 |
| 1. 2. 1 Долгосрочные пассивы |
ДСП |
590 |
- |
- |
- |
- |
- |
- |
| 1. 2. 2 Краткосрочные пассивы |
КСП |
610 |
6223649 |
2604511 |
3619138 |
41,84861 |
5,6 |
2,58 |
| 1. 2. 3 Кредиторская задолженность |
КЗ |
620 |
9094225 |
11791267 |
2697042 |
12965664 |
8,2 |
11,62 |
Горизонтальный, или динамический, анализ этих показателей позволяет установить их абсолютное приращение и темпы роста, что важно для характеристики финансового состояния предприятия. Не меньшее значение для оценки финансового состояния имеет и вертикальный анализ актива и пассива баланса.
Наряду с построением сравнительного аналитического баланса для получения общей оценки динамики финансового состояния за отчетный период производится сопоставление изменения итога баланса с изменением финансовых результатов хозяйственной деятельности за отчетный период, например, с изменением выручки от реализации продукции. Сопоставление осуществляется путем сравнения коэффициентов КN и КВ, которые показывают прирост соответственно выручки от реализации продукции и среднего значения итога баланса за отчетный период.
Если КN больше, то в отчетном периоде использование финансовых ресурсов предприятия было более эффективным, чем в предшествующем периоде; если КN меньше КB менее эффективным. В нашем случае КN меньше КB, то есть использование финансовых ресурсов было менее эффективным.
Таблица 2. 10
Аналитическая группировка статей актива баланса за 1998 год
| Группировка статей актива баланса |
Условные обоз наче ния |
Строка баланса |
На начало года |
На конец года |
Горизонталь ный анализ |
Абсолютные отклонения, % |
Вертикальный анализ |
| На начало года |
На конец года |
| 1. Имущество предприятия |
ВБ |
399 |
94957 |
111827 |
16870 |
117,8 |
100 |
100 |
| 1. 1 Иммобилизованные активы |
ИА |
190 + 390 |
89176 |
102704 |
13528 |
115,17 |
93,91 |
91,84 |
| 1. 2 Оборотный капитал (мобильный капитал) |
ОК |
290 |
5781 |
9123 |
3342 |
157,81 |
6,09 |
8,16 |
| 1. 2. 1 Запасы |
|
210 |
2243 |
2491 |
248 |
11,06 |
2,36 |
2,23
|
| 1. 2. 2 Дебиторская задолженность |
ДЗ |
230 + 240 |
3350 |
6616 |
3266 |
197,5 |
3,53 |
5,92 |
| 1. 2. 3 Денежные средства и краткосрочные ценные бумаги |
ДС |
250 + 260 |
- |
16 |
16 |
- |
- |
0,014 |
Таблица 2. 11
Аналитическая группировка статей пассива баланса за 1998 год
| Группировка статей пассива баланса |
Условные обоз наче ния |
Строка баланса |
На начало года |
На конец года |
Горизонталь ный анализ |
Абсолютные отклонения, % |
Вертикальный анализ |
| На начало года |
На конец года |
| 1 |
2 |
3 |
4 |
5 |
6 |
7 |
8 |
9 |
| Источники формирования
|
ВБ |
699 |
94957 |
111827 |
-16870 |
117,8 |
100 |
100 |
| 1. 1 Собственный капитал |
СК |
490 + 640 + 650 |
80562 |
93313 |
-12751 |
115,83 |
84,84 |
83,44 |
| 2 Заемный капитал
|
ЗК |
690 + 640 + 650 |
14395 |
15952 |
-1557 |
110,82 |
15,16 |
16,56 |
| 1 |
2 |
3 |
4 |
5 |
6 |
7 |
8 |
9 |
| 1. 2. 1 Долгосрочные пассивы |
ДСП |
590 |
- |
2562 |
-2562 |
- |
- |
2,29 |
| 1. 2. 2 Краткосрочные пассивы |
КСП |
610 |
2605 |
- |
2605 |
- |
2,74 |
- |
| 1. 2. 3 Кредиторская задолженность |
КЗ |
620 |
11790 |
15952 |
-4162 |
135,3 |
12,42 |
14,265 |
Горизонтальный и вертикальный анализ актива и пассива позволил установить следующее:
1. основную часть актива предприятия составляет основной капитал более 90 %.
2. незначительным изменениям подвергся оборотный капитал, возросший на конец года на 2,07 %, в основном за счет дебиторской задолженности, темпы роста которой наиболее высоки из составляющих оборотного капитала 197,5 %.
3. источником формирования имущества по-прежнему как и в 1997 году остается собственный капитал, его доля в валюте баланса более 80 %.
4. большой процент в заемном капитале составляет кредиторская задолженность.
5. доля долгосрочных и краткосрочных пассивов не велика имеет место только на конец и периода соответственно, в 1997 году долгосрочные пассивы отсутствуют.
Анализ ликвидности баланса предприятия
Показатели ликвидности позволяют определить способность предприятия оплачивать свои краткосрочные обязательства, реализуя свои текущие активы.
В зависимости от степени ликвидности, то есть скорости превращения в денежные средства, активы предприятия разделяются на следующие группы:
А1 наиболее ликвидные активы
А2 быстро реализуемые активы
А3 медленно реализуемые активы
А4 труднореализуемые активы.
Пассивы баланса группируются по степени срочности их оплаты:
П1 наиболее срочные обязательства
П2 краткосрочные пассивы
П3 долгосрочные пассивы
П4 постоянные пассивы.
Анализ ликвидности баланса оформляется в виде таблицы 2. 12.
Таблица 2. 12
Анализ ликвидности баланса за 1997 год
|
Актив |
На начало года, т. р. |
На конец года, т. р. |
Пассив |
На начало года, т. р. |
На конец года, т. р. |
Платежный излишек или недостаток |
| На начало года, т. р. |
На конец года, т. р. |
| 1. Наиболее ликвидные активы (А1) |
324 |
227 |
1. Наиболее срочные обязательства (П1) |
9094225 |
11791267 |
-9093901 |
-11791040 |
| 2. Быстро реализуемые активы (А2) |
- |
- |
2. Краткосрочные пассивы (П2) |
6223649 |
2604511 |
6223649 |
-2604511 |
| 3. Медленно реализуемые активы (А3) |
5512390 |
6419148 |
3. Долгосрочные пассивы (П3) |
- |
- |
5512390 |
64191148 |
| 4. Трудно реализуемые активы (А4) |
96201424 |
78282065 |
4. Постоянные пассивы (П4) |
95782595 |
86745101 |
418829 |
-8463036 |
| Баланс |
111100469 |
10140879 |
Баланс |
111100469 |
10140879 |
Х |
Х |
Сопоставление наиболее ликвидных средств и быстро реализуемых активов с наиболее срочными обязательствами и краткосрочными пассивами позволяет выяснить текущую ликвидность. Здесь наблюдается большой недостаток в ликвидных активах, это видно из последних двух колонок в первой строке.
Сравнение же медленно реализуемых активов с долгосрочными и среднесрочными пассивами отражает перспективную ликвидность. Текущая ликвидность свидетельствует о неплатежеспособности предприятия на ближайший к рассматриваемому моменту промежуток времени.
Перспективная ликвидность предприятия представляет собой прогноз платежеспособности на основе сравнения будущих поступлений и платежей.
В практике существуют показатели, которые характеризуют ликвидность:
коэффициент текущей ликвидности:
?на начало года равняется 0,58;
?на конец года равняется 0,4.
То есть платежные возможности предприятия, оцениваемые при условии не только своевременных расчетов с дебиторами и благоприятной реализации готовой продукции, но и продажи в случае нужды прочих элементов материальных оборотных средств, весьма ограничены.
2. коэффициент быстрой ликвидности:
?на начало года равен 0,5036;
?на конец года равен 0,245.
Ниже нормативного значение (меньше единицы), то есть также наблюдается нехватка ликвидных активов.
3. коэффициент абсолютной ликвидности:
?на начало года равен 0,000021;
?на конец года равен 0,0000157,
Показывает какую часть краткосрочной задолженности предприятие может погасить в ближайшее время.
Анализ ликвидности баланса за 1998 год представлен в таблице 2. 13.
Таблица 2. 13
Анализ ликвидности баланса за 1998 год
|
Актив |
На начало года, т. р. |
На конец года, т. р. |
Пассив |
На начало года, т. р. |
На конец года, т. р. |
Платежный излишек или недостаток |
| На начало года, т. р. |
На конец года, т. р. |
| 1. Наиболее ликвидные активы (А1) |
- |
16 |
1. Наиболее срочные обязательства (П1) |
11790 |
15952 |
-11790 |
-15936 |
| 2. Быстро реализуемые активы (А2) |
- |
- |
2. Краткосрочные пассивы (П2) |
2605 |
- |
2605 |
- |
| 3. Медленно реализуемые активы (А3) |
5337 |
5397 |
3. Долгосрочные пассивы (П3) |
- |
2562 |
5337 |
2835 |
| 4. Трудно реализуемые активы (А4) |
89620 |
28187 |
4. Постоянные пассивы (П4) |
80562 |
93313 |
9058 |
-65126 |
| Баланс |
94957 |
111827 |
Баланс |
94957 |
111827 |
Х |
Х |
Наблюдается большой недостаток в ликвидных активах: 11790 на начало года и 15936 т. р. на конец года.
Наличие долгосрочных пассивов на конец периода дает шанс предприятию улучшить перспективную ликвидность за счет будущих поступлений и платежей.
Коэффициенты ликвидности для 1998 года примут значения:
?коэффициент текущей ликвидности
?на начало года = 0,4
?на конец года = 0, 57,
?показывает недостаточность оборотных средств предприятия, которые могут быть использованы им для погашения своих краткосрочных обязательств.
2. коэффициент быстрой ликвидности
?на начало года = 0,25
?на конец года = 0, 42
3. коэффициент абсолютной ликвидности
?на начало года = -
?на конец года = 0,001,
то есть предприятие практически не сможет погасить в ближайшее время краткосрочную задолженность.
Финансовое положение предприятия дополняется второй группой показателей показатели финансовой устойчивости.
Анализ финансовой устойчивости предприятия
Для определения финансовой устойчивости предприятия используются показатели, приведенные в таблице 2. 14.
Таблица 2. 14
Анализ финансовой устойчивости
| Показатель |
Значение коэффициента |
Вывод |
| 1997 год |
1998 год |
| 1. коэффициент автономии |
0,86 |
0,83 |
Предприятие считается автономным, так как показатель больше установленной нормы (больше 0,5) |
| 2. коэффициент финансовой зависимости |
1,16 |
1,2 |
Происходит незначительное увеличение доля заемных средств |
| 3. коэффициент соотношения собственных и заемных средств |
0,17 |
0,171 |
Предприятие не зависит от заемных средств |
| 1 |
2 |
3 |
4 |
| 4. коэффициент обеспеченности текущих активов |
1,35 |
7,5 |
Оборотные средства сформированы за счет собственных источников |
| 5. коэффициент маневренности капитала |
0,000029 |
0,000023 |
В абсолютно ликвидной форме находится незначительная часть собственного оборотного капитала |
| 6. индекс постоянного актива |
0,86 |
0,23 |
В 1998 году коэффициент меньше нормы, то есть меньше 0,5, поэтому целесообразно привлечение долгосрочных заемных средств для увеличения имущества производственного назначения |
| 7. коэффициент рентабельной стоимости имущества |
0,74 |
0,19 |
В 1998 году наблюдается резкое снижение коэффициента ниже нормы (0,5), то есть средства производства составляют небольшую долю в стоимости имущества |
Оценка и анализ результативности финансово-хозяйственной деятельности предприятия
На сколько эффективно предприятие ДРСУ 4 использует свои средства позволяют выявить показатели деловой активности, к которым относятся коэффициенты оборачиваемости и рентабельности.
Таблица 2. 15
Показатели деловой активности
| Показатель |
Значение |
| 1997 год |
1998 год |
| 1. Показатели оборачиваемости |
| 1. Выручка от реализации, т. р. |
9940 |
12757 |
| 2. Балансовая прибыль, т. р. |
-1091 |
2713 |
| 3. Производительность труда, руб |
73,6 |
94,5 |
| 4. Фондоотдача, руб. |
0,115 |
0,59 |
| 5. Оборачиваемость средств в расчетах, руб. |
2,967 |
1,928 |
| 6. Период оборота средств в расчетах, дн. |
121,33 |
186,72 |
| 7. Оборачиваемость производственных запасов, руб. |
4,43 |
5,12 |
| 8. Период оборота производственных запасов, дн. |
81,26 |
70,31 |
| 1 |
2 |
3 |
| 9. Оборачиваемость кредиторской задолженности, руб. |
0,194 |
0,142 |
| 10. Период оборота кредиторской задолженности, дн. |
1855,67 |
2535,2 |
| 11. Продолжительность операционного цикла, дн. |
202,59 |
257,03 |
| 12. Коэффициент погашаемости дебиторской задолженности |
0,337 |
0,5186 |
| 13. Оборачиваемость собственного капитала, руб. |
0,123 |
0,1367 |
| 14. Оборачиваемость основного капитала |
0,1046 |
0,114 |
| 15. Коэффициент устойчивости экономического роста, руб. |
-0,0147 |
0,024 |
| 16. Период окупаемости собственного капитала, дн. |
-67,9 |
41,88 |
| 17. Коэффициент оборачиваемости оборотного капитала |
1,72 |
1,398 |
| 18. Длительность одного оборота оборотного капитала, дн. |
209,37 |
257,4 |
| 19. Коэффициент закрепления оборотных средств |
0,582 |
0,715 |
| 2. Экономическая характеристика показателей рентабельности |
| 1. Рентабельность активов имущества |
-0,01 |
0,02 |
| 2. Рентабельность текущих активов |
-0,2 |
0,244 |
| 3. Рентабельность инвестиций |
-0,01 |
0,028 |
| 4. Рентабельность собственного капитала |
-0,014 |
0,024 |
| 5. Рентабельность основной деятельности |
0,115 |
0,32 |
| 6. Рентабельность производства |
-0,014 |
0,113 |
| 7. Рентабельность реализованной продукции |
0,103 |
0,24 |
Проведенный анализ финансово-хозяйственной деятельности выявил, что предприятие использует свои средства неэффективно: низкая оборачиваемость средств при больших периодах оборота, экономический рост практически отсутствует, показатели рентабельности также низкие, однако есть их рост в 1998 году по сравнению с предыдущим годом.
Для выявления причин низкой рентабельности проводится факторный анализ рентабельности.
На уровень и динамику показателей рентабельности оказывает влияние вся совокупность производственно-хозяйственных факторов: уровень организации производства и управления; структура капитала и его источников; степень использования производственных ресурсов; объем, качество и структура продукции; затраты на производство и себестоимость изделий; прибыль по видам деятельности и направления ее использования.
Методология факторного анализа показателей рентабельности предусматривает разложение исходных формул расчета показателя по всем качественным и количественным характеристикам интенсификации производства и повышения эффективности хозяйственной деятельности.
Таблица 2. 16
Факторный анализ рентабельности
| Показатель |
Услов ные обозначения |
1997 год |
1998 год |
Отклонения |
| абсолютные |
относительные |
| Исходные данные |
| 1. Продукция |
N |
9940 |
12757 |
2817 |
28,34 |
2. Трудовые ресурсы
а) промышленно-производственный персонал, чел.
б) оплата труда с начислениями, т. р. |
T
И |
135
3901 |
135
6262 |
-
2361 |
-
60,52 |
| 3. Материальные затраты |
М |
1577 |
2299 |
722 |
45,78 |
4.Фонды
а) основные производственные фонды
б) амортизация |
F
А |
86270
1858 |
21543
1060 |
-64727
-798 |
-75,03
-42,9 |
| 5. Оборотные средства |
Е |
5782,063 |
9123 |
3340,937 |
57,78 |
| Расчетные показатели |
| 1. Себестоимость продукции, т. р. |
С = И + М + А |
7336 |
9621 |
2285 |
31,15 |
| 2. Прибыль, т. р. |
Р N С |
2604 |
3136 |
532 |
20,4301 |
| 3. Рентабельность капитала |
R = Р/ F + Е |
0,028 |
0,102 |
0,0739 |
261,5028 |
| Расчеты для трехфакторной модели |
Фактор 1
Прибыльность продукции |
Р/ N |
0,262 |
0,2458 |
-0,0162 |
-6,1832 |
Фактор 2
Фондоемкость продукции |
F/ N |
8,79 |
1,6887199 |
-7,1 |
-80,8 |
Фактор 3
Оборачиваемость оборотных средств |
Е/ N |
0,582 |
0,715 |
0,133 |
22,85 |
| Расчеты для пятифакторной модели |
Фактор 1
Материалоемкость продукции |
М/ N |
0,159 |
0,1802 |
0,021 |
13,3 |
Фактор 2
Трудоемкость продукции |
И/ N |
0,392 |
0,49 |
0,098 |
25,2 |
Фактор 3
Амортизациеемкость продукции |
А/ N |
0,187 |
0,083 |
-0,104 |
-55,6 |
Фактор 4
Скорость оборачиваемости основного капитала |
А/ F |
0,021 |
0,049 |
0,0276 |
128,458 |
Фактор 5
Скорость оборачиваемости оборотного капитала |
Е/ N |
0,582 |
0,715 |
0,133 |
22,85 |
Трехфакторная модель анализа рентабельности:
R (97 г.) = 0,0279556
R (98 г.) = 0,1022581
Таким образом, прирост рентабельности за отчетный год составил:
Д R = 0,0743025 руб.
Рассмотрим, какое влияние на эти изменения оказали различные факторы.
Фактор прибыльности продукции:
А) рассчитываем условную рентабельность по прибыльности продукции при условии, что изменилась только прибыльность продукции, а значения всех остальных факторов остались на уровне базисных;
R = 0,026227 или 2,6 %
Б) выделяем влияние фактора прибыльности продукции:
Д R = -0,0017286 (-0,17 %)
Исследование влияния изменения фондоемкости:
А) рассчитываем условную рентабельность по фондоемкости при условии, что изменилось два фактора прибыльность продукции и фондоемкость, а значение всех остальных факторов остались на уровне базисных.
R = 0, 1082476 (10,8 %)
Б) выделяем влияние фактора фондоемкости:
Д R = 0,0820206 (8,2 %)
3. Исследование влияния оборачиваемости оборотных средств:
А) рассчитываем рентабельность для отчетного периода. Ее можно рассматривать как условную рентабельность при условии, что изменились значения всех трех факторов рентабельности продукции:
R = 0,1022581
Б) выделяем влияние фактора оборачиваемости оборотных средств:
Д R = -0,0059895 (-0,59 %)
Итак,
Д R = 0,743025, то есть
На рентабельность отрицательно оказала влияние прибыльность продукции, снизив ее на 0,17 % и оборачиваемость оборотных средств, снизив на 0,59 %.
Пятифакторная модель анализа рентабельности:
1. Исследование влияния изменения фактора материалоемкости продукции:
А) рассчитываем условную рентабельность по материалоемкости продукции при условии, что изменилась только материалоемкость продукции, а значения всех остальных факторов остались на уровне базисных:
R (М) = 0,0260015 (2,6 %)
Б) выделяем влияние фактора материалоемкости продукции:
Д R = -0,0022891 (-0,23 %)
Исследование влияния изменения фактора трудоемкости продукции:
А) рассчитываем условную рентабельность по трудоемкости при условии, что изменилась как материалоемкость, так и трудоемкость продукции, а значения всех остальных факторов остались на уровне базисных:
R (И) = 0,0153258 (1,5 %)
Б) выделяем влияние факторов трудоемкости продукции:
Д R = -0,0106757 (-1,06 %)
Исследование влияния фактора амортизациеемкости продукции:
А) рассчитываем условную рентабельность по амортизациеемкости при условии, что изменились метериалоемкость, трудоемкость, амортизациеемкость, а значения остальных факторов остались на уровне базисных:
R (А) = 0,0553686 (5,5 %)
Б) выделяем влияние фактора мортизациеемкости:
Д R = 0,0400428 (4 %)
4. Исследование влияния изменения фактора скорости оборачиваемости основного капитала:
R (N) = 0,5486473 (54,8 %)
Д R = 0,4932787
5. Исследование влияния изменения фактора скорости оборачиваемости оборотного капитала:
Д R = -0,4463571 (44,6 %)
Итак,
Д R = -0,0022891 0,0106757 + 0,0400428 + 0,49322787 0,4463571 = 0,0739996.
Общее изменение рентабельности составило примерно 7,4 %.
На изменение рентабельности отрицательно оказали влияние следующие факторы:
Материалоемкость продукции, снизив рентабельность примерно на 0,23 %;
Трудоемкость продукции, снизив на 1,06 %;
Скорость оборачиваемости оборотного капитала, снизив рентабельность на 44,6 %.
Увеличение рентабельности вызвали амортизациеемкость и скорость оборачиваемости основного капитала.
Интенсификация производства.
Из проведенного факторного анализа рентабельности, выявилось, что на рентабельность повлияла материалоемкость продукции, снизив R на 0,23 %, трудоемкость продукции, снизив на 1,06 %. Прибыльность продукции 0,17 %, ликвидность оборотного капитала, следовательно, - все эти факторы являются резервами роста рентабельности и прибыли предприятия.
Возможность обеспечить неуклонный рост и достаточно высокие темпы экономической эффективности производства дает только переход к преимущественно к интенсивному типу развития.
Методика анализа интенсификации производства включает систему расчетов.
Расчет 1. Динамика качественных показателей использования ресурсов.
Исходные данные и сам расчет показателей интенсификации использования ресурсов представлены в таблице 2. 17; а свободный анализ показателей интенсификации производства в таблице 2. 18.
Таблица 2. 17
Расчет показателей интенсификации по предприятию ДРСУ 4
| Показатели |
1997 г. |
1998 г. |
Отклонения, в % |
| 1. Продукция, т. р. |
9940 |
12757 |
128,34 |
2. а) промышленно-производственный персонал, чел.
б) ОТ с начислениями, т. р. |
135
3901 |
135
6262 |
100
160,52 |
| 3. Материальные затраты, т. р. |
1577 |
2299 |
145,78 |
4.а) ОПФ, т. р.
б) амортизация, т. р. |
86270
1858 |
21543
1060 |
24,97
57,05 |
| 5. Оборотные средства, т. р. |
5782 |
9123 |
157,78 |
6. а) производительность труда, руб
б) продукция на 1 руб. ОТ, руб. |
73630
2548 |
94500
2037 |
128,3
79,95 |
| 7. Материалоотдача, руб |
6300 |
5550 |
88,09 |
8. а) фондоотдача, руб.
б) амортизациоотдача |
120
5350 |
590
12030 |
491,7
224,86 |
| 9. Оборачиваемость оборотных средств |
1,72 |
1,4 |
81,4 |
Таблица 2. 18
Сводный анализ показателей интенсификации
| Виды ресурсов |
Динамика качественных показателей, коэффициент |
Прирост ресурса на 1 % прироста продукции, % |
Доля влияния 100 % прироста продукции |
Относительная экономия ресурсов, т. р. |
| экстенсивности |
интенсивности |
а) ППП
б) оплата труда |
1,28
0,7995 |
0
2,135 |
0
213,5 |
100
-113,5 |
-
1268,72 |
| Материальные затраты |
0,8809 |
1,615 |
161,5 |
-61,5 |
280,44 |
а) ОПФ
б) амортизация |
49,17
2,25 |
-2,65
-1,52 |
-265
-152 |
365
252 |
-88882,6
-1318,24 |
| Оборотные средства |
0,81 |
2,0388 |
203,88 |
-103,88 |
1722,04 |
По таблице в 1998 году по сравнению с предшествующим производительность труда составила 128.3 %; зарплатоотдача, то есть выпуск продукции на 1 рубль оплаты труда вместе с начислениями, - 79,95 %; материалоотдача 88,09 %; фондоотдача основных производственных фондов 491,7 %; оборачиваемость оборотных средств 81,4 %.
Приведенные данные показывают, что качественный уровень использования ресурсов снизился, кроме производительности труда и фондоотдачи основных производственных фондов.
Расчет 2. Соотношение прироста ресурса в расчете на 1 % прироста объема производства.
На каждый процент прироста продукции требовалось увеличить потребление материальных ресурсов на 1, 615 % и материальных оборотных средств на 2, 0388 %.
Эти данные свидетельствуют, что использование основных производственных фондов и амортизации носит интенсивный характер, использование других ресурсов экстенсивный.
Перерасход по заработной плате составил 1268,72 тыс. руб., материальным затратам 280,44 тыс. руб., оборотным средствам 1722, 04 тыс. руб.
В результате проведенного финансового анализа работы ГУП ДРСУ 4 выявились, что оно находится в неблагоприятном положении. Картину состояния предприятия довершает диагностика кризисного состояния.
Диагностика кризисного состояния
Диагностика кризисного состояния предприятия строится на инструктивно-методических материалах Федерального управления по делам о несостоятельности (банкротстве) предприятий РФ.
Таблица 2. 19
Диагностика кризисного состояния
|
Показатель |
Значение |
Вывод |
| 1997 г. |
1998 г. |
| На начало года |
На конец года |
На начало года |
На конец года |
| 1. Коэффициент текущей ликвидности |
0,58 |
0,4 |
0,4 |
0,57 |
Значение меньше нормативного, предприятие неплатежеспособно по первому признаку |
| 2. Коэффициент обеспеченности собственными оборотными средствами |
0,34 |
1,35 |
-1,49 |
7,54 |
Доля оборотных средств сформирована за счет источников собственных средств; значения больше нормативного (0,1), за исключением на начало 1998 года |
| 3. Коэффициент восстановления платежеспособности |
|
0,31 |
|
0,33 |
Меньше нормативного (1), следовательно у предприятия восстановление платежеспособности в ближайшие 6 месяцев невозможно |
На основании анализа возможно сделать вывод о вероятности банкротства. Для более точной оценки можно воспользоваться коэффициентом, рассчитываемым при помощи z счета Е. Альтмана:
Вероятность банкротства может быть определена по таблице 2. 20:
Таблица 2. 20
Определение вероятности банкротства
Анализ затрат и рентабельность вспомогательного производства
Объем реализации в 1998 году составил 12757 т. руб.
Увеличение объема реализации:
Доход предприятия составит:
1275,7 736,8 = 538,9 т. руб.
Срок окупаемости затрат:
538,9 : 1275,7 = 0,58 года
Таким образом, можно сделать вывод о том, что введение в структуру организации специалиста по маркетингу и рекламе, и использования им новых методов управления сбытом, может принести заметные результаты повышения эффективности работы предприятия, улучшение его положения на рынке и общего финансового состояния организации, а также увеличение прибыли от реализации производимой продукции.
Реструктуризация производства
Объемы производства и реализации продукции, работ, услуг, выполняемых ДРСУ 4, могут быть увеличены также через реструктуризацию, то есть через консервацию, закрытие или сдачу в аренду нерентабельных производств.
В структуре общих затрат предприятия более 30 % составляют затраты на вспомогательное производство, поэтому решение о консервации незадействованных цехов и участков достаточно эффективно и позволяет снизить общие издержки.
Для того, чтобы оценить эффективность каждого цеха и участка, надо определить, какие издержки на это требуются.
Затраты на производство и расчет рентабельности по вспомогательному производству представлен в таблице 3. 5.
Таблица 3. 5
Анализ затрат и рентабельность вспомогательного производства
| Вспомогательные цехи и участки |
Затраты на производство |
Затраты в % к общим затратам на вспомогательное производство |
Рентабельность цеха (участка), % |
| 1. Приготовление щебня |
14,729 |
0,3087 |
-0,027 |
| 2. Лесопильный цех |
81,360 |
1,7 |
-1,31 |
| 3. Дробление щебня |
225,267 |
4,72 |
0,478 |
| 4. Прочее подсобное хозяйство |
73,408 |
1,54 |
-2,5 |
| 5. Автотранспорт грузовой |
2172,420 |
45,54 |
13,26 |
| 6. Ремонтные мастерские |
892,594 |
18,72 |
4,672 |
| 7. Котельная |
1291,967 |
27,08 |
0,55 |
| 8. Электроэнергия |
18,886 |
0,39 |
0,99 |
| Итого |
4770,631 |
100 |
16% |
Из таблицы 3. 5 видно, что из 8 участков рассматриваемого предприятия только два высокорентабельны, поэтому в целом рентабельность производства низкая. Очевидно, что остальные цехи надо закрывать, а необходимую для производственного цикла продукции (или услуги) закупать в порядке кооперации, что уменьшит издержки на внутреннюю продукцию.
Это позволит не иметь излишков производственных мощностей и в результате увеличить эффективность производства.
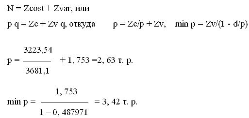
Таким образом, если предприятие закроет нерентабельные производства (приготовление щебня, подсобное хозяйство, дробление щебня), то совокупные затраты по предприятию снизятся на 169,497 т. руб. На эту величину можно увеличить объем производства.
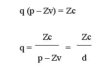
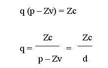
Исходя из того, что цена 1 квм равна 3,46 т. руб. (см. табл. 3. 1), объем производства может быть увеличен на величину, равную:
Рентабельность основной деятельности составит:
То есть увеличится на 6,4 %.
В результате проведенных мероприятий произошло сокращение подразделений; расходов; сокращение персонала не считается целесообразным в виду его интенсивного использования (см. табл. 2. 2); увеличение объемов производства за счет проведения маркетинговых мероприятий, то есть управление предприятием предполагается с помощью защитной и частично наступательной стратегии.
Сравнительный анализ показателей деятельности предприятия до и после внедрения мероприятий по увеличению объема реализации представлен в таблице 3. 6.
Таблица 3. 6
Показатели работы предприятия
|
Показатели |
1998 год |
После внедрения мероприятий |
Абсолютное отклонение |
Относительное отклонение, % |
| 1. Объем реализации в натуральном выражении (кв. м.) |
3686,1 |
4103,697 |
417,597 |
-11,33 |
| 2. Выручка от реализации, т. р. |
12757 |
14202,197 |
1445,197 |
11,328 |
| 3. Затраты по предприятию, т. р. |
9687 |
10254,303 |
567,303 |
5,86 |
| 4. Прибыль, т. р. |
3070 |
3947,894 |
877,894 |
28,6 |
| 5. Рентабельность основной деятельности |
0,32 |
0,385 |
0,065 |
20,31 |
| 6. Производительность труда |
94,5 |
105,2 |
10,7 |
11,3 |
| 7.рентабельность продукции |
0,24 |
0,28 |
0,04 |
16,7 |
Таким образом, внедрение мероприятий целесообразно и ведет к увеличению прибыли от реализации на 28,6 %; производительности труда на 11,3 %; рентабельности основной деятельности (20,31 %) и продукции (16,7 %).
Заключение
Кризис предприятия, кризис управления довольно частое явление в наши дни. Перед многими руководителями встает проблема: как выйти из сложившегося положения, как улучшить свое состояние.
Этой проблеме и была посвящена дипломная работа Управление предприятием в условиях кризиса.
В первой главе рассмотрены теоретические вопросы по данной проблематике. Кризис случайность или закономерность? Почему благополучные ранее предприятия оказались в состоянии неплатежеспособности? На и финансовое, и экономическое многих организаций оказали воздействия внешние факторы.
То есть состояние экономики с ее непредсказуемостью, изменчивостью, неопределенностью. Но также многие причины экономического кризиса российских предприятий кроются в них самих.
Это неэффективное управление предприятием, и неудовлетворительный маркетинг, высокие издержки производства, устаревшая технология и другие. После выявления причин и факторов появления неблагоприятной ситуации целесообразна разработка путей выхода из нее через систему финансового анализа или стратегическое планирование, возможно через реструктуризацию или наиболее эффективную систему банкротства, а если это инвестиционный кризис, то это может быть и выработка комплекса мер по созданию реального и долговременного хозяина предприятия. и выявление резервов основного и оборотного капитала и многие другие мероприятия, которые бы, по мнению руководства, считались бы эффективными и необходимые для данного предприятия, так как каждая кризисная ситуация специфична и требует своего подхода.
Вторая глава дипломной работы посвящена объекту исследования это Государственное унитарное предприятие Дорожное ремонтно-строительное предприятие 4. Сейчас многие государственные предприятия испытывают трудности (ДРСУ 4 не является исключением), связанные с зависимостью от госкапвложений, отсутствием государственного субсидирования, платежеспособного спроса. Выживаемость предприятия в тяжелых рыночных условиях зависит в большей мере от самого предприятия, оно предоставлено самому себе. Для детализации причин возникновения кризиса неплатежеспособности проведен финансовый анализ деятельности предприятия, который показал, что на текущей момент ГУП ДРСУ 4 неликвидно; неплатежеспособно, о чем говорят показатели ликвидности; коэффициент текущей ликвидности составил 0, 57 на коней 1998 г., коэффициент быстрой ликвидности 0, 42; коэффициент абсолютной ликвидности 0,001, и находится в финансово-экономическом кризисе о чем свидетельствуют показатели рентабельности, оборачиваемости.
Вследствие этого встает необходимость в выработке мер по выводу предприятия из кризиса, которые были представлены в третьей главе.
В качестве мер улучшения финансового и экономического состояния предприятия была предложена антикризисная стратегия деятельности предприятия и ее обоснования, которое предполагало выявление критического объема производства, выручки от реализации, постоянных затрат, цены реализации, то есть анализ безубыточности производства, а также оптимизацию прибыли, издержек и объема производства. На основе выбранной стратегии строился план маркетинговых мероприятий и реструктуризация производства с расчетом их результативности.
План маркетинга включает следующие разделы:
1.Свод контрольных показателей (были выбраны на уровне оптимальных);
2.Изложение текущей маркетинговой ситуации;
3.Перечень опасностей и возможностей;
4.Перечень задач и проблем;
5.Стратегии маркетинга;
6.Программу действий; бюджет маркетинга;
7.Контроль за исполнением намеченного.
Основная цель выработки плана маркетинга это увеличение объема сбытовой деятельности, которая бы увеличила объем собственных оборотных средств и, как следствие, ликвидность и платежеспособность предприятия. В результате проведенных маркетинговых мероприятий (маркетинговых исследований, рекламы, стимулирования сбыта) был увеличен объем производства не менее, чем на 10 % от уровня 1998 года, доход предприятия составил 538, 9 т. руб., срок окупаемости затрат 0, 58 года.
В качестве защитных мер в антикризисной стратегии предприятия была выбрана реструктуризация производства, а именно: сокращение нерентабельных цехов и участков вспомогательного хозяйства, что привело к снижению издержек на внутреннюю продукцию на 169, 497 т. руб. и позволило увеличить объем производства на 48, 987 кв.м. при этом рентабельность основной деятельности возросла на 6, 4 %.
В целом мероприятия позволили увеличить прибыль предприятия на 28, 6 %, рентабельность основной деятельности на 20, 31 %, рентабельность продукции на 16, 7 %, производительность труда на 11, 3 %, то есть внедрение данного комплекса мер целесообразно и эффективно.
Библиографический список
1.О несостоятельности (банкротстве): Федеральный закон от 8. 01. 98.
6 ФЗ // Новое налогообложение в бухучете в России. 1998. - 9. с. 2 62.
2.Акопов В. С., Анишин Ю. А., Павлов И. А., Мошенин В. Л. О реструктуризации управления на российских предприятиях в современных условиях // Менеджмент в Росси и за рубежом. 1998. - 1, - с. 25 30.
3.Антикризисное управление: от банкротства к финансовому оздоровлению / Под ред. Г. П. Иванова.
М.: Закон и право, ЮНИТИ, 1995. 320 с.
4.Базаров Т., Аксенова Е. Кризисная ситуация в организации. Норма или патология? // Психология в бизнесе.
1998. - 1. с. 65 69.
5.Банкротство предприятий: формирование механизма управления // Финансовая газета. 1994. Инф. Вып.
К 30, - с. 19 21.
6.Банкротство: проблемы. Нормативные акты. Методические материалы и комментарии.
Разбор практики. Ответы на вопросы.
М.: Начала Пресс, 1995. 192 с.
7.Голубев М. Реструктуризация главная дорога к росту прибыли // Рынок ценных бумаг. 1999.
1. с. 39 43.
8.Городецкий А., Городецкий Д. Управление государственными предприятиями // Экономист, - 1997. - 10, - с. 17 27.
9.Грамотенко Т. А., Мясоедова Л. В., Любанова Т. П. Банкротство предприятий: экономические аспекты. М.: Издательство ПРИОР, 1998. 176 с.
10.Грушенко В. И., Фомеченкова Л. В. Кризисное состояние предприятия: поиск причин и способов его преодоления // Менеджмент в России и за рубежом. 1998. - 1. с. 31 38.
11.Евстегнеева Л., Евстигнеев Р. Кризис: траектория преодоления // МЭМО. 1999. - 1. с. 35 38.
12.Забелин Л. В., Мошеева Н. К. Основы стратегического управления: Учебное пособие М.: Маркетинг, 1997. 195.
13.Зикунова И. В., Кравцов Д. Г., Чернова Т. В. Антикризисное управление: Оценка финансового состояния и оздоровления предприятия: Учебное пособие / Под науч. ред. к. э. н. Т. В. Черновой. Хабаровск: РИЦ ХГАЭП, 1997. 140 с.
14.Ильдеменов С., Ильдеменов А. Как преодолеть кризис предприятиям // Финансовая газета. 1997. - 36. с. 14.
15.Карпова Т. П. Основы управленческого учета: учебное пособие М.: ИНФРА М. 1997. 392 с.
16.Карпова Т. П. Управленческий учет: учебник. М.: Аудит, 1998. 350 с.
17.Ковалев А. И., Привалов В. П. Анализ финансового состояния предприятия. М.: Центр экономики и маркетинга, 1995. 192 с.
18.Козаков В. Н. Специальные экономические предпосылки подготовки специалистов по антикризисному управлению // Юридический мир. 1998. - 5. с. 46 48.
19.Кононков Д., Рыжков К. Как выйти из кризиса крупным предприятиям // Проблемы теории и практики управления. - 4. с. 88 93.
20.Красовский Ю. Д. Формирование службы маркетинга // Маркетинг в России и за рубежом. 1998. - 5. с. 126 142.
21.Кузнецова Л. Г. Организация и планирование маркетинга: учебное пособие: Хабаровск: ХПИ, 1992. 84 с.
22.Логинов В., Курнышева И. Реструктуризация промышленности в условиях экономического кризиса // Вопросы экономики. 1996. - 11. с. 33 48.
23.Маркова В. Методические вопросы планирования производства на основе маркетинга // Маркетинг. 1998. - 5. с. 43 50.
24.Менеджмент на автомобильном транспорте в условиях рынка: учебное пособие / Под ред. Мирожина Л. Б. М.: ЭКМИ, 1995. 120 с.
25.Мильнер Б. Управление: пути преодоления кризиса // Вопросы экономики. 1997. - 6. с. 36 48.
26.Нещадин А. и др. Преодоление кризиса в российской промышленности.
Финансовое оздоровление и реструктуризация предприятия // Вопросы экономики. 1997. - 4. с. 57 67.
27.Норберб Том Управление изменениями // Проблемы теории и практики управления. 1998, - 1. с. 68 75.
28.Основы предпринимательского дела: учебник. 2-е изд., перераб. и доп. / Под ред. Ю. М. Осипова, Е. Е. Смирновой.
М.: Издательство БЕК, 1996. 496 с.
29.Попов Е. Маркетинговые пути выхода из кризиса // Маркетинг, - 1998. - 6. с. 75 82.
30.Постышев В. Финансовое оздоровление по рыночным рецептам: неплатежи предприятий // Экономика и жизнь. 1997. - 43. с. 3.
31.Предприятие: стратегия эффективного хозяйствования // РИСК, - 1996. - 10 12, - С. 20 21.
32.Промышленность предприятия России: проблемы преодоления экономического кризиса // Социальные и гуманитарные науки. Сер.
2.: Экономика, - 1998. - 2. с. 3 12.
33.Ребров С. Реструктуризация управления промышленностью как один из путей выхода из кризиса // Проблемы теории и практики управления. 1998. - 2. с. 30 34.
34.Риполь-Сарагоси Ф. Б. Санация предприятия банкрота // Бухгалтерский учет. 1996. - 7. с. 64 68.
35.Розов Н. А., Розов Ю. Н. Управление производством в дорожном хозяйстве, М.: Транспорт, 1978. с. 88.
36.Смирнов С., Леднев В. Антикризисное управление: проблемы подготовки кадров // Экономика и жизнь. 1995. - 17. приложение Ваш партнер консультант. с. 24.
37.Томпсон А., Формби Д. Т. Экономика фирмы: учебное пособие. Пер. с англ. М.: БИНОМ, 1998.
544 с..
38.Тренев Н. Н. Механизмы управления предприятием // Аудит и финансовый анализ. 1998. - 3. с. 5 35.
39.Турчихин Э. Л. Экономика строительства и эксплуатации городских дорог. М.: Высшая школа, - 1971, - с. 312.
40.Управление финансами предприятия // Журналъ для акционеровъ. - 2. 1998. с. 33 35.
41.Шабарова Е. А. Управление персоналом в кризисной ситуации // Управление персоналом. 1998. - 11, - с. 28 29.
42.Шеремет А. Д., Сайфулин Р. С. Методика финансового анализа. М.: ИНФРА М, 1996. с. 176.
43.Шеремет А. Д., Сайфулин Р. С. Финансы предприятий. М.: ИНФРА М, 1997. с. 343.
44.Экономика, организация и планирование промышленного производства: учебное пособие для ВУЗов / Н. А. Лисицин, Ф. П. Висюлин, В. И. Выборнов и др.; под общ. ред. Н. А. Лисицина. 2-е изд., перераб. и доп.
Мн.: Высшая школа, 1990.
45.Экономическая стратегия фирмы: учебное пособие / Под ред. проф. Градова А. П. СПб.: Специальная Литература, - 1995.
46.Менеджмент. Методические указания по написанию и оформлению дипломных работ для студентов специальности 061100 Менеджмент дневной и заочной форм обучения.
Хабаровск: ХГАЭП, 1998. с. 32.
47.Сквозная программа практики для студентов специальности 061100 Менеджмент 4 5 курсов дневной и заочной форм обучения. Хабаровск: ХГАЭП, 1997. с. 40.
48.Бухгалтерский баланс (форма 1) ГУП ДРСУ 4 за 1996 год.
49.Бухгалтерский баланс (форма 1) ГУП ДРСУ 4 за 1997 год.
50.Бухгалтерский баланс (форма 1) ГУП ДРСУ 4 за 1998 год.
51.Отчет о прибылях и убытках ГУП ДРСУ 4 за 1997 год.
52.Отчет о прибылях и убытках ГУП ДРСУ 4 за 1998 год.
53.Планово-экономическая документация (сметы, накопительные ведомости, планы и др.) ГУП ДРСУ 4.
54.Устав ГУП ДРСУ 4.
Пути выхода из инвестиционного кризиса предприятия
?расшифровка дебиторской задолженности;
?реестр требований кредиторов.
Отчет утверждается в арбитражном суде. Если кредиторы обращаются с решением о прекращении внешнего управления и переходят к расчетам, то отчет утверждается. После утверждения отчета производство по делу о банкротстве прекращается. [8]
Пути выхода из инвестиционного кризиса предприятия
Совокупное и взаимосвязанное воздействие тенденций на макро- и микроуровнях неотвратимо ведет к исчезновению финансовой базы инвестиций и предпосылок промышленного подъема. Проблему инвестиций следует признать одной из самых болезненных в российской экономике.
Нормальному процессу воспроизводства капитала был нанесен серьезный удар процессами либерализации цен, внешней торговли, приватизации. Процентная политика оторвала процент от нормы прибыли и сделала бессмысленным вложение капитала в реальный сектор экономики.
Острый дефицит денежной массы вызвал цепную реакцию платежного кризиса, превратившего предприятия в должников друг друга и бюджета.
Анализ финансово-хозяйственной деятельности предприятий заставляет сделать вывод, что оздоровление их финансов и принятие решительных мер по активизации инвестиционных устремлений должны составить краеугольный фундамент финансовой политики государственной власти. Исследования, проведенные в ИЭ РАН, позволили очертить ряд ключевых направлений в решении этой задачи.
В политике оздоровления финансов предприятий и повышения их инвестиционной активности должны быть реализованы следующие меры.
Во-первых, необходимо осуществить комплекс мер по созданию реального и долговременного хозяина предприятия, заинтересованного в эффективной работе, реконструкции, модернизации и и укреплении его позиций на рынке не только в текущей конъюнктуре, но и в перспективе. Прежде всего, нуждается в восстановлении реальный контроль собственника под финансово-хозяйственной деятельностью предприятия.
Это в корне изменит методы и результативность управления ими, переход к менеджменту, соответствующему рыночным условиям.
Во-вторых, необходимо изменить экономический менталитет, образы экономического поведения в среде руководства предприятий и их объединений, создавать маркетинговые службы, изучать конъюнктуру и перспективу рынка, научиться планировать ликвидность и так далее. Речь идет о переходе с производственно-технологического на маркетинговый, рыночный подход, не технология должна определять затраты, цены, и финансовые результаты.
Требуется искать такую технологию, ориентироваться на выпуск такой продукции, которая может быть реализована по выгодным ценам, с наименьшими затратами и наилучшими финансовыми результатами.
В-третьих, для инвестиционной активности важное значение может иметь наведение порядка в использовании амортизационного фонда. В настоящее время крупные суммы амортизационных отчислений используются не по назначению вопреки порядку, установленному законодательством.
Направляются они на цели потребления, помещаются под высокие проценты в коммерческие банки и прочее. Между тем это крупный источник инвестиций в реальное производство.
В-четвертых, на предприятиях имеются большие неиспользуемые резервы по вовлечению в оборот иммобилизованного, омертвленного основного и оборотного капитала. Целесообразно предпринять меры по инициированию предприятий, акционерных обществ к их мобилизации.
Формы могут быть разные: продажа через аукционы предприятий, находящихся в государственной собственности или в составе акционерного общества, холдинга; реализация части неиспользуемого имущества; сдача в аренду неиспользуемых производственных площадей или их продажа; реализация незавершенного строительства; эффективное использование части земельных участков, занимаемых предприятием, но не используемых им, и другие.
В-пятых, предстоит разработать систему мер по более полному привлечению предприятиями кредитных ресурсов на техническое перевооружение предприятий и организацию выпуска продукции, способной конкурировать с лучшими мировыми фирмами. В этом направлении целесообразно предусмотреть механизмы и условия кредитования под залог: имущества предприятия, нематериальных активов и акций, земельных участков. Важную роль могут сыграть кредиты банков под гарантийные обязательства правительства и администрации областей. [6]
Таким образом, в первой главе даны понятия кризиса и кризисной ситуации. Рассмотрены причины возникновения кризиса на предприятии.
Изложены основные пути выхода из сложившейся ситуации.
Анализ кризисной ситуации на предприятии
2. 1 Общая характеристика предприятия
Государственное унитарное предприятие Дорожное Ремонтно-Строительное Управление 4 является правопреемником Дорожного Ремонтно-Строительного Управления 4, образовано 25 февраля 1995 года. Оно относится к федеральной форме собственности.
ГУП ДРСУ 4 выполняет работы и оказывает услуги с целью удовлетворения общественных потребностей и извлечения прибыли за счет:
?содержания и ремонта автомобильных дорог и сооружений;
?строительства, ремонта, реконструкции и сооружения других автомобильных дорог и сооружений.
Предприятие вправе осуществлять также:
?посредническую деятельность;
?коммерческую деятельность;
?лесозаготовку и переработку;
?маркетинговую деятельность;
?снабженческо-сбытовую деятельность.
Предприятие имеет право самостоятельно осуществлять внешнеэкономическую деятельность в соответствии с законодательством Российской Федерации.
Местонахождение предприятия: Россия, Республика Саха (Якутия), Алданский улус, г. Томмонт, ул. Семенова, б/н.
Учредительным документом ГУП ДРСУ - 4 является Устав.
Устав состоит из следующих разделов:
1. Общие положения.
2. Цель и предмет деятельности предприятия.
3. Имущество предприятия.
4. Организация деятельности предприятия.
5. Управление предприятием.
6. Трудовой коллектив предприятия.
7. Прекращение предприятия.
Учредителем предприятия является Министерство транспорта РФ.
Предприятие ДРСУ - 4 является хозяйствующим субъектом, обладает правами юридического лица, имеет самостоятельный баланс, расчетный и иные счета в банках, печать со своим наименованием, бланки.
Координацию и регулирование деятельности предприятия осуществляет Федеральный дорожный департамент Министерства транспорта Российской Федерации и в рамках, делегированных Департаментом полномочий, Федеральная дирекция Амуро-Якутской автомобильной дороги.
Взаимоотношения с трудовым коллективом, возникшие на основе трудовых договоров, регулируются законодательством Российской Федерации о труде. На основе полученной прибыли предприятие реализует социальный и экономические интересы членов трудового коллектива и интересы собственника имущества.
Предприятие состоит из производственных звеньев, занятых изготовлением продукции, органов управления, обслуживающих организаций.
Состав подразделений, их взаимосвязь в процессе выпуска продукции и обслуживания коллектива, количество, состав, соотношение по численности работников, занимаемые площади и территориальное их расположение образуют структуру предприятия.
Общая численность предприятия 130 человек, в том числе управленческий персонал (аппарат управления) составил 27 человек. Организационная структура предприятия представлена на рисунке 2. 1.
Высшим должностным лицом предприятия является его руководитель (директор). Руководитель предприятия назначается на должность и освобождается от должности директором Дирекции и осуществляет свою деятельность на основании и в соответствии с условиями контракта, заключенного с Дирекцией.
У ГУП ДРСУ 4 на сегодняшний момент два основных вида деятельности: содержание дороги и реконструкция.
ГУП ДРСУ 4 поручено обслуживать участок Амуро-Якутской автомобильной дороги от 630 км до 826 км протяженностью 195 км, проходящему по территории республики Саха (Якутия). На всем протяжении участок относится к дороге технической категории. Из общей протяженности, участки дороги с усовершенствованным (асфальтированным и чернощебеночным) покрытием составляет 109 км, дорога с переходным (гравийным и щебеночным) типом покрытия составляет 86 км.
Дорога на всем протяжении находится в удовлетворительном состоянии. На протяжении указанного участка дороги имеется три участка с незавершенной реконструкцией дороги общей протяженностью 23 км (757 767 км, 803 816 км).
Базовое предприятие ГУП ДРСУ 4, обслуживающее данный участок дороги дислоцируется в г. Томмоте на 720 км автодороги.
Предприятие имеет два дорожно-эксплуатационных участка с дислокацией в г. Алдане (644 км) и в г. Томмоте (721 км).
Дорожно-эксплуатационные участки специализируются на содержании автодороги с выполнением полного комплекса дорожных работ по элементам:
?земляное полотно;
?полоса отвода;
?дорожная одежда;
?водопропускные трубы;
?уход за мостами и путепроводами.
ГУП ДРСУ 4 выполняет содержание и ремонт дорог по всем видам работ за исключением ремонта железобетонных и металлических мостов.
Так, за 1998 год были выполнены следующие виды работ, указанные в таблице 2. 1.
Все крупные работы (по строительству и реконструкции дорог) осуществляются в порядке поступления средств госкапвложений.
Также при поступлении заказа и при наличии необходимой лицензии, предприятие может выполнить строительные работы согласно примерному классификатору:
1. производство по переработке нерудных (щебня, песка, гравия, песчано-гравийной смеси);
2. производство конструкций и изделий из бетона и сборного железобетона (сваи, балки, прогоны, ленты перекрытий, балконные плиты и др.);
3. производство асфальта;
4. производство деревянных строительных конструкций и изделий (оконные и дверные блоки, встроенные шкафы и их элементы, погонажная продукция);
5. функции инподрядчика;
6. земляные работы (планирование площадей, разработка грунта бульдозером, экскаватором, укрепление и уплотнение грунтов);
7. возведение несущих и ограждающих конструкций зданий и сооружений.
Предприятие специализированное, поэтому четкой кооперации нет. Партнерские связи налажены с МК (механизированная колонна) 74, Сахатрансмеханизацией, кооперативом Гранит.
Предприятие строит свои отношения с другими юридическими и физическими лицами во всех сферах деятельности исключительно на основе договоров.
На своем балансе ГУП ДРСУ 4 имеет два асфальтобетонных завода (эксплуатируется один), одну камнедробильную установку, 11 карьеров грунта камня.
Таблица 2. 1
Производимые работы за 1998 год
| Вид работ |
Объем работ, кв. м. |
Стоимость работ, т. р. |
| 1. Строительство участка автодороги 639 646 км Обход Алдана |
2255,22 |
7880,64 |
| 2. Устройство дорожной одежды из щебня толщиной 20 см на мосту через р. Джамнах |
343,8 |
56,450 |
| 3. Содержание дороги (очистка проезжей части, удаление снежного наката, россыпь противогололедного материала и др.) |
- |
7767,8 |
| 4. Реконструкция участка 719 721 км |
167,1 |
1848,7 |
| 5. Реконструкция участка 639 643 км |
334,2 |
3409,4 |
| 6. Содержание дороги (очистка от грязи проезжей части и тротуаров, ремонт железобетонных ограждений, мытье мостов поливалочной машиной) |
|
58873 |
Асфальтобетонный завод (АБЗ) расположен на 719 + 4 км вправо от автодороги. На АБЗ выпускаются горячие асфальтированные смеси и черный щебень в общем объеме 16 тыс. тонн в год.
Камнедробильная установка расположена на 723 км автодороги, выпускает дробленый щебень в объеме 40 тыс. мі в год.
Карьеры грунта и каменных материалов расположены на 723, 728, 734, 749, 771, 765, 779, 792, 801, 807, 813 км автодороги. Возможный объем добычи грунта составляет 200 тыс. мі в год.
Потребность в дорожных машинах и механизмах определена на основании норм, утвержденных Федеральной дорожной дирекцией на 1000 км обслуживаемых автодорог с учетом местных условий эксплуатации. Все это представлено в следующей таблице (2.
2).
Таблица 2. 2
Потребность в дорожных машинах и механизмах
| Наименование машин и оборудования |
Потребное количество |
Фактическое наличие |
Обеспечение в % |
| 1 |
2 |
3 |
4 |
| 1. Автомобили бортовые |
2 |
- |
0 |
| 2. Седельные тягачи |
1 |
- |
0 |
| 3. Автомобили самосвалы |
9 |
9 |
100 |
| 4. Автомобили с роспуском (лесовозы) |
1 |
- |
0 |
| 5. Автомобили бензовозы |
1 |
- |
0 |
| 6. Автомобили легковые |
3 |
3 |
100 |
| 7. Автомобили водовозы |
3 |
- |
0 |
| 8. Автобусы, автомобиль Вахта |
3 |
3 |
100 |
| 9. Машина для разметки дорог |
1 |
1 |
100 |
| 10. Машина для текущего ремонта дорог |
2 |
- |
0 |
| 11. Автомобиль КДМ |
8 |
11 |
100 |
| 12. Автомобиль Дорожная служба |
3 |
2 |
67 |
| 13. Станция ТО дорожная машина |
1 |
- |
0 |
| 14. Автотопливозаправщики |
1 |
1 |
100 |
| 15. Ассенизационная машина |
|
1 |
50 |
| 16. Мусоровозы |
1 |
- |
0 |
| 17. Автокраны |
1 |
1 |
100 |
| 18. Автогрейдеры |
5 |
5 |
100 |
| 19. Грейдеры прицепные |
3 |
3 |
100 |
| 20. Тракторы |
3 |
3 |
100 |
| 21. Бульдозеры |
4 |
4 |
100 |
| 22. Погрузчики ковшевые |
3 |
2 |
67 |
| 23. Погрузчики вилочные |
1 |
- |
0 |
| 24. Экскаваторы емкостью ковша 0,25 мі |
2 |
1 |
50 |
| 25. Экскаваторы емкостью ковша до 1 мі |
2 |
1 |
50 |
| 1 |
2 |
3 |
4 |
| 27. Катки легкие и средние |
2 |
- |
0 |
| 28. Прицепы тяжеловозы |
1 |
1 |
100 |
| 29. Оборудование для бурения ям |
1 |
- |
0 |
| 30. Компрессор передвижной |
1 |
- |
0 |
| 31. Передвижной котел для разогрева битума |
1 |
- |
0 |
| 32. Дробильно-установочные обстановки |
1 |
1 |
100 |
| 33. Асфальтосмесители |
1 |
1 |
100 |
Обобщенную картину процесса движения и обновления основных средств в разрезе стандартных классификационных групп можно получить из данных формы 5 приложения к балансу предприятия Амортизируемое имущество. (См. таблица 2. 3)
Таблица 2. 3
Выписка из формы 5 приложения к балансу Амортизируемое имущество за 1998 год
|
Наименование |
Код строки |
Остаток на начало года |
Поступило |
Выбыло |
Остаток на конец года |
| Здания |
361 |
18724 |
- |
193 |
18531 |
| Сооружения |
362 |
1665 |
- |
- |
1665 |
| Машины и оборудование |
363 |
8409 |
1902 |
368 |
9943 |
| Транспортные средства |
364 |
2660 |
1363 |
228 |
3795 |
| Другие виды основных средств |
369 |
80719 |
- |
75693 |
5026 |
Итого,
в том числе:
производственные
непроизводственные |
370
371
372
|
1121177
31854
80323 |
3265
3265
- |
76482
789
75693 |
38960
34330
4630 |
В таблице 2. 4 приведен горизонтальный анализ показателей движения основных средств.
В динамике изменений отрицательной тенденции является определяющий рост непроизводственных фондов в сравнении с производственными.
Таблица 2. 4
Анализ движения основных средств (горизонтальный анализ)
|
Наименование |
Изменения за год |
| Абсолютное |
В % на начало года |
В % к изменению по строке |
| Здания |
-193 |
103 |
0,264 |
| Сооружения |
- |
- |
- |
| Машины и оборудование |
1534 |
18,2 |
-2,1 |
| Транспортные средства |
1135 |
42,67 |
-1,55 |
| Другие виды основных средств |
-75693 |
-95,01 |
103,38 |
Итого,
в том числе:
производственные
непроизводственные |
-73217
2476
-75693 |
62,27
7,77
-94,23
|
100
-3,38
103,38 |
При анализе состава и движения основных фондов отчетные данные рассматриваются в динамике по сравнению с прошлым годом.
Анализ движения основных фондов проводится по следующим коэффициентам:
При анализе рассчитываются обратные коэффициенты:
?коэффициент интенсивности обновления = 11,9 лет
?темпы интенсивности выбытия = 1,47 год
Расчеты показывают высокую долю выбывших средств и низкую поступивших, не наблюдается в течении года прирост основных фондов и обновление их последует только примерно через 12 лет.
Еще более содержательной является информация, полученная в результате проведения методики вертикального анализа отчетности о движении основных средств (таблица 2. 5).
Вертикальный анализ представляет собой расчет и оценку структуры и структурных изменений в составе основных средств.
Таблица 2. 5
Анализ изменений в структуре основных средств
(вертикальный анализ)
| Показатели |
На начало года |
На конец года |
Изменение за год |
| Всего |
В % к строке |
Всего |
В % к строке |
В % к началу года |
В % к итогу |
| Здания |
18724 |
16,691 |
18531 |
47,56 |
-103 |
30,87 |
| Сооружения |
1665 |
1,482 |
1665 |
4,27 |
- |
2,788 |
| Машины и оборудование |
8409 |
7,496 |
9945 |
25,52 |
18,2 |
18,024 |
| Транспортные средства |
2660 |
2,371 |
3795 |
9,74 |
42,67 |
7,361 |
| Другие виды основных средств |
80719 |
71,96 |
5026 |
12,91 |
-95,01 |
-59,05 |
Итого,
в том числе:
производственные
непроизводственные |
112177
31854
80323 |
100
28,4
71,6 |
38960
34330
4630 |
100
88,12
11,88 |
62,27
7,77
-94,23 |
-
59,72
-59,72 |
Как следует из таблицы 2. 5 доля производственных фондов за отчетный период возросла почти на 60 %, в том числе машин и оборудования на 18,024 %. Активная часть основных средств возросла с 28,4 % до 88,12 %. Все это является положительной тенденцией для повышения эффективности производства и использования основных средств.
В повышении эффективности производства важную роль играют вспомогательные цехи и хозяйства.
Вспомогательное хозяйство ГУП ДРСУ 4 включает:
?камнедробильный участок;
?лесопильный цех;
?дробление щебня;
?прочее подсобное хозяйство;
?автотранспорт грузовой;
?прочий автотранспорт;
?ремонтно-машинная мастерская;
?котельная;
?электростанция.
Основной задачей вспомогательных цехов и участков является современное и качественное обслуживание основного производства, создание условий для бесперебойной работы с наименьшими затратами.
Доля затрат на основное и вспомогательное производство в 1998 году составила соответственно 66,02 % и 33,98 %.
Экономическая характеристика предприятия ДРСУ 4 представлена в таблице 2. 6.
Таблица 2. 6
Показатели деятельности предприятия
|
Показатели |
Значения |
| 1997 год |
1998 год |
| 1. Выручка от реализации, тыс. руб |
9940 |
12757 |
| 2. Себестоимость работ, т. р. |
8916 |
9687 |
| 3. Прибыль (убыток) от реализации, т. р. |
1024 |
3070 |
| 4. Чистая прибыль |
-1186 |
2229 |
| 5. Нераспределенная прибыль (убыток), т. р. |
-16439 |
-76865 |
| 6. Численность занятых, чел. |
135 |
135 |
| 7. Производительность труда, р. |
73,63 |
94,5 |
| 8. Трудоемкость, р. |
0,4 |
0,5 |
| 9. Стоимость ОПФ, т. р. |
86270 |
21543 |
| 10. Фондоотдача, р. |
0,115 |
0,59 |
| 11. Объем производства, т. р. |
9439,9 |
12655,3 |
| 12. Рентабельность основной деятельности |
0,115 |
0,32 |
| 13. Рентабельность продукции |
0,103 |
0,24 |
Более подробная характеристика экономического и финансового положения ГУП ДРСУ 4 будет рассмотрена в следующем пункте данной главы.
Финансовый анализ деятельности предприятия
Анализ финансового состояния предприятия проводится поэтапно с экспресс-анализом, который позволяет выявить узкие места в работе предприятия. На основе результатов экспресс-анализа осуществляется более углубленный анализ работы предприятия.
Таблица 2. 7
Экспресс-анализ финансового состояния предприятия
| Направление анализа |
Показатели |
Расчет по предприятию |
| 1996 |
1997 |
1998 |
| I. Оценка экономического потенциала субъекта хозяйствования |
| 1. Оценка имущественного потенциала |
Величина основных фондов и их доля в общей сумме активов
Коэффициент износа
Общая сумма хоз. средств, находящихся в распоряжении предприятия |
88785,381
0,799
0,78
112857,552 |
74931,258
0,74
0,77
97602,757 |
21543
0,19
0,55
39004 |
| 2. Оценка финансового положения |
Величина собственных средств и их доля в общей сумме источников
Коэффициент покрытия
Доля собственных оборотных средств
Доля долгосрочных заемных средств в общей сумме источников
Коэффициент покрытия запасов |
95782,595
0,86
0,584
0,34
-
11,75 |
86745,101
0,85
0,4
1,35
-
4,28 |
93313
0,83
0,57
7,83
0,02
5,37
|
| 3. Наличие больных статей в отчетности |
Убытки
Ссуды и займы, не погашенные в срок
Просроченная дебиторская и кредиторская задолженность
Векселя, выданные, полученные, просроченные |
9386,331
-
-
- |
16439,439
-
-
- |
78226
-
-
- |
| II. Оценка результативности финансово-хозяйственной деятельности |
| 1. Оценка прибыльности |
Прибыль от реализации
Балансовая прибыль
Чистая прибыль
Рентабельность общая
Рентабельность основной деятельности |
-3084,320
-3084,320
-3084,320
-0,54
-0,35 |
1023,539
-1091,439
-1186826
0,1
0,115 |
3070
2713
1119
0,24
0317 |
| 2. Оценка динамичности |
Темп роста выручки
Темп роста балансовой прибыли
Темп роста активов
Оборачиваемость активов
Продолжительность операционного и финансового цикла (дн.)
Коэффициент погашения дебиторской задолженности |
0,63
571
0,76 |
0,754
-0,64
-0,35
1,72
209
2,97 |
0,28
-3,48
0,58
1,4
257
1,93 |
| 3. Оценка эффективности использования экономического потенциала |
Рентабельность авансированного капитала
Рентабельность собственного капитала |
-0,5
- |
-0,46
- |
0,87
- |
На основе проведенного анализа выявились следующие положительные и отрицательные моменты:
1. снижение величины основных фондов и их доли в общей сумме активов, вызванное переоценкой основных средств в 1998 году;
2. значительно уменьшалась общая сумма хозяйственных средств, находящихся в распоряжении предприятия, по сравнению с 1996 годом более, чем в 4 раза;
3. отрицательным моментом также является низкий коэффициент покрытия, установленная норма которого должна быть более либо равна 2, в данном случае коэффициенты меньше более, чем в 4 раза, то есть предприятие имеет очень малую вероятность рассчитаться по своим долгам текущими активами;
4. постепенно увеличивающаяся доля собственных оборотных средств накопительное явление в работе предприятия;
5. наиболее отрицательный момент это увеличивающиеся с каждым годом убытки;
6. что же касается результативности финансово-хозяйственной деятельности, то здесь к 1998 году имеются положительные сдвиги: это и увеличивающаяся прибыль от реализации, и балансовая прибыль, и чистая прибыль, и рентабельность общая и от основной деятельности;
7. в то же время идет полное несоблюдение золотого правила, где темпы роста балансовой прибыли должны быть больше темпов роста выручки, она в свою очередь, больше темпов роста активов, которые составляют более 100 %;
8. наблюдается низкая оборачиваемость активов, то есть текущие активы совершили только 1,72 и 1,4 раза оборот в 1997 и 1998 годах соответственно и практически ни разу в 1996 году, эти обороты продлились в 1996 571 день (0,63 оборота), 209 дней в 1997 году и 257 дней в 1998 году;
9. рентабельность авансированного капитала имеет положительную тенденцию к увеличению;
10. рентабельность собственного капитала не наблюдается в связи с отсутствием средств на счетах 640, 650, 660 Доходы будущих периодов, Фонды потребления, Резервы предстоящих расходов и платежей соответственно.
Таким образом, на предприятии сложилась неблагоприятная ситуация, значения большинства показателей намного ниже нормы. Более детальный анализ возникшего положения будет проведен в следующих пунктах главы.
Анализ и оценка состава и динамика имущества и источников его формирования
Финансовое состояние предприятия характеризуется размещением и использованием средств (активов) и источников их формирования (собственного капитала и обязательств, то есть пассивов). Эти сведения представлены в балансе предприятия.
Для детализации общей картины изменения финансового состояния может быть построена таблица для каждого раздела актива и пассива баланса.
Таблица 2. 8
Аналитическая группировка статей актива баланса за 1997 год
| Группировка статей актива баланса |
Условные обоз наче ния |
Строка баланса |
На начало года |
На конец года |
Горизонталь ный анализ |
Абсолют ные отклонения, % |
Вертикальный анализ |
| На начало года |
На конец года |
| 1. Имущество предприятия |
ВБ |
399 |
111100469 |
101140879 |
995959 |
9,13 |
100 |
100 |
| 1. 1 Иммобилизованные активы |
А1 + У = ИА |
190 + 390 |
102159831 |
95358816 |
-6801014 |
-7,1 |
91,95 |
94,3 |
| 1. 2 Оборотный капитал (мобильный капитал) |
ОК = А2 |
290 |
8940638 |
5782063 |
3158575 |
64,6717 |
8,05 |
5,7 |
| 1. 2. 1 Запасы |
|
210 |
1226460 |
2243808 |
-1017348 |
182,94995 |
1,1 |
2,2 |
| 1. 2. 2 Дебиторская задолженность |
ДЗ |
230 + 240 |
7415543ё |
3350307 |
4065236 |
45,17952 |
6,67 |
3,31 |
| 1. 2. 3 Денежные средства и краткосрочные ценные бумаги |
|
250 + 260 |
324 |
227 |
97 |
0,7006172 |
0,003 |
0,0022 |
Разработка и внедрение мероприятий по выходу предприятия из кризисной ситуации
| z-счет |
Вероятность банкротства |
1, 8 и менее
от 1, 81 до 2, 7
от 2, 8 до 2, 9
3, 0 и выше |
Очень высокая
Высокая
Возможная
Очень низкая |
z-счет для предприятия ДРСУ 4 на конец 1998 года составляет:
z-счет = 0,098 + 0 + 0,91 +0,85 + 0,1141 = 1, 1531,
то есть вероятность банкротства очень высокая.
Проблемная область предприятия
Деятельность ГУП ДРСУ 4 в 1997 году не принесла прибыли от финансово-хозяйственной деятельности. Низкая обеспеченность ликвидными средствами, увеличение отвлеченных средств, снижение платежеспособного спроса послужили основными причинами, привлекшими к этому. В 1998 году предприятие незначительно улучшает свои показатели, наращивает оборачиваемость используемого капитала, привлекает долгосрочные заемные средства, но все возрастающее значение отвлеченных средств не только начисто съедает полученную в 1998 году чистую прибыль, но и приводит к убытку, в итоге финансовая зависимость, снижается финансовая устойчивость.
Предприятие испытывает нехватку ликвидных средств и не в состоянии рассчитаться по всем своим обязательствам, не реализуя постоянные активы, то есть на текущий момент ГУП ДРСУ 4 неликвидно и не платежеспособно, находится в финансово-экономическом кризисе.
В нынешних сложных финансово-экономических условиях, при падении платежеспособного спроса на работы, оказываемые ДРСУ 4, большой зависимости предприятия от бюджетных дотаций и госзаказов, год от года сокращающихся, встает необходимость в выработке мер по поводу предприятия из кризиса, которые будут рассмотрены в третьей главе.
Разработка и внедрение мероприятий по выходу предприятия из кризисной ситуации
3. 1 Выбор и обоснование стратегии управления предприятием в кризисной ситуации
Оздоровление финансового положения предприятия как составная часть управления кризисными состояниями и банкротством предполагает целевой выбор наиболее эффективных средств стратегии и тактики.
По характеру мероприятий можно выделить два наиболее распространенных вида тактики, позволяющих преодолеть кризисную ситуацию. Первая из применяемых тактических программ, получила название защитной (рис. 3.1), поскольку она основана на проведении сберегательных мероприятий, основой которых является сокращение всех расходов, связанных с производством и сбытом, содержанием основных фондов и персонала, что ведет к сокращению производства в целом.
Такая тактика применяется, как правило, при очень неблагоприятном стечении внешних для предприятия обстоятельств. Защитная тактика предприятия ограничивается, как правило, применением соответствующих оперативных мероприятий среди которых следует отметить: устранение убытков, сокращение расходов, выявление внутренних резервов, кадровые перестановки, укрепление дисциплины, попытку улаживания дел с кредиторами (отсрочку долгов) и с поставщиками и другие мероприятия.
Для наступательной тактики характерно применение не столько оперативных, сколько стратегических мероприятий. В этом случае не ряду с экономными, ресурсосберегающими мероприятиями проводятся активный маркетинг, изучение и завоевание новых рынков сбыта, политика более высоких цен, увеличение расходов на совершенствование производства за счет его модернизации, обновления основных фондов, внедрения перспективных технологий [13].
Рис. 3. 1. Управление кризисными ситуациями предприятия
Для выбора той или иной стратегии управления необходимо ознакомиться с экономическим потенциалом предприятия. он характеризуется несколькими основными чертами.
Черта первая. Экономический потенциал предприятия оценивается его реальными возможностями в избранной сфере деятельности.
Черта вторая. Возможности каждого предприятия (ГУП ДРСУ в том числе) в сильной мере зависят от наличия у него ресурсов и резервов как вовлеченных, так и не вовлеченных в производство.
Черта третья. Экономический потенциал предприятия определяется не только имеющимися ресурсами и возможностями, но и деловыми качествами работающего на нем персонала.
И, прежде всего профессиональные способности менеджеров, их умение организовать выпуск продукции, приносящий максимальный доход.
Сегодня модель экономического потенциала предприятия можно представить так:
Человеческий Основной Оборотный
капитал = + капитал + капитал
Модель экономического потенциала любого предприятия, в том числе и ГУП ДРСУ 4, определяется:
Объемом и качеством имеющихся резервов (численность занятых и их профессиональные способности; основные производственные и непроизводственные фонды; оборотные фонды; материальные запасы; финансовые и нематериальные ресурсы лицензии, патенты, технологии информация);
Инновационными и другими способностями (то есть способностями предприятия к обновлению производства, смене технологии, структуры управления и тому подобное).
К основным показателям, характеризующим использование ресурсного потенциала предприятия, можно отнести ресурсоемкость и ресурсоотдачу.
В общем виде стратегия эффективного хозяйствования может быть выражена следующим образом:

где Дс и Рс соответственно совокупные доходы, остающиеся в распоряжении предприятия после уплаты налогов и добровольных отчислений, и совокупные ресурсы (человеческий капитал и оборотный капитал) предприятия в стоимостной оценке [31].
Стратегия хозяйствования на ДРСУ 4 неэффективна и требует совершенствования безубыточности производства.
Для выбора стратегии, приносящей эффективность предприятию ДРСУ 4, какой она будет оборонительной (защитной), наступательной или смешанной, необходимо провести анализ безубыточности производства.
В целях изучения зависимости между изменениями объема производства, совокупного дохода от продаж, расходов и чистой прибыли проводят анализ безубыточности производства. При этом особое внимание уделяется анализу выпуска продукции, что позволяет руководству предприятия определить (мертвые) точки объема производства.
Критической является такая точка объема продаж, при которой предприятие имеет затраты, равные выручке от реализации всей продукции. В этой системе нет ни прибыли, ни убытков.
Анализ безубыточности производства определяет зависимости между объемом продаж, расходами и прибылью в течении короткого промежутка времени. Период, в течении которого по результатам анализа даются рекомендации, ограничен имеющимися в данное время производственными мощностями.
В международной практике используют три метода определения критической точки: управление, маржинальный доход, графическое изображение.
Метод управления основан на исчислении чистой прибыли по формулам:
Выручка от Переменные затраты Постоянные Чистая прибыль
реализации - за этот же объем - затраты = от реализации
продукции реализации общей суммы продукции
Детализируя порядок расчета показателей формулы, ее можно представить в следующем виде:
Таблица 3. 1
Показатели работы предприятия ДРСУ 4 за 1998 год
| Показатель |
Величина |
| 1 |
2 |
| 1. Объем реализации, кв. м. |
3686,1 |
| 2. Цена за кв. м., т. руб. |
3,46 |
| 3. Переменные расходы на кв. м., т. руб. |
1,753 |
| 1 |
2 |
| 4. Переменные расходы на весь объем реализации, т. руб. |
6463,46 |
| 5. Постоянные расходы, т. руб. |
3223,54 |
| 6. Маржинальный доход, т. руб. |
6223,54 |
| 7. Выручка от реализации, т. руб. |
12757 |
| 8. Чистая прибыль, т. руб. |
3070 |
Чистая прибыль = 3686, 1 * 3, 46 3686,1 * 1, 753 3223, 54 = 3070 т. р.
Если через Х обозначить какой-то объем производства (количество квадратных метров), при котором предприятие имеет затраты, равные выручке, получим уравнение:
3,46 Х 1,753 Х = 3223,54
Х (3,46 1,753) = 3,223,54
Х = 1888,4 КВ. м.,
То есть критический объем производства для ДРСУ 4 равен 1888,4 кв. метра.
Метод маржинального дохода разновидность метода управления основывается на формуле:
Графический метод выявляет теоретическую зависимость совокупного дохода от реализации, издержек и прибыли от объема производства на основе построения графиков безубыточности это график линейной зависимости совокупного дохода и совокупных издержек от изменения объема производства.
Основанием для анализа служит расчет точки безубыточности (критической точки). Зона прибыли и зона убытков распространяется направо и налево от критической точки (рис.
3. 2).
На графике представлена одна точка безубыточности В и приемлемый диапазон объем производства. При этом линия АК показывает постоянные затраты, АД совокупные издержки, отрезок КД характеризует величину переменных затрат, ОС выручка от реализации продукции [15].
Рис. 3.2 график безубыточности производства
Если выручку представить как произведение цены продаж единицы продукции (Р) и количества проданных единиц (q), а затраты пересчитать на единицу продукта, то получим развернутое уравнение:
Р * q = Zc + Zv * q
где с постоянные расходы на весь объем производства продукции;
q - переменные расходы в расчете на единицу изделия.
Это уравнение является основным для получения необходимых оценок.
расчет критического объема производства:
где: q - объем производства продукции;
d - маржинальный доход на единицу изделия, т. р.
q = 1888, 4 т. руб.
расчет критического объема выручки (реализации). Для определения критического объема реализации используются уравнения критического объема производства. Умножив левую и правую части этого уравнения на цену (Р), получим необходимую формулу:
где условные обозначения соответствуют принятым ранее.
3. расчет критического уровня постоянных затрат.
Для расчета используется исходная формула выручки.
N = Zcost + Zvar
Отсюда имеем
Zc = N Zvar = p q Zv q = q (1 Zv), то есть Zcost = q d
Zcost = 6223,54 т. руб.
4. расчет критической цены реализации. Цена реализации определяется исходя из заданного объема реализации и уровня постоянных и переменных затрат в расчете на 1 мІ.
Имеем
5. расчет уровня минимального маржинального дохода. Если известны величина постоянных расходов и ожидаемая величина выручки, то уровень минимального маржинального дохода в процентах к выручке определяется из формулы:
Таким образом, для того, чтобы предприятие не несло убытков критический объем производства должен составить не выше 1888,4 кв. м., объем выручки от реализации при этом 6606, 007 т. р., объем критического уровня постоянных затрат не превышать должен маржинального дохода, то есть 6223,54 т. руб., критическая цена реализации 2, 63 т. руб. за квадратный метр, уровень маржинального дохода критический не должен превышать 25, 3 % от выручки.
Предприятие ДРСУ 4 выполняет объем производства работ выше критического, но, тем не менее, находится в критической ситуации, поэтому необходимо проверить издержки, прибыль и объем производства на оптимальность [42].
Оптимизация прибыли, издержек и объема производства.
Объем производства продукции, цена продаж и издержки находятся в определенной функциональной зависимости друг от друга. Поэтому получение максимальной прибыли возможно при определенных сочетаниях между этими величинами. При принятии решений, нацеленных на увеличение прибыли предприятия, необходимо учитывать предполагаемые величины предельного дохода и предельных издержек. Предельный доход это прирост выручки от реализации на единицу прироста количества производимого продукта.
Соответственно предельные издержки равны приросту затрат на производство продукции, приходящемуся на единицу прироста количества продукта. Чтобы прибыль была максимальной, необходимо равенство предельных издержек и предельного дохода.
Введем следующие условные обозначения:
Q -количество товара;
Р цена единицы товара;
Q * Р - доход (выручка) от реализации товара;
С издержки производства (затраты);
R прибыль от реализации.
Тогда стремление получить максимальную прибыль может быть представлено в формальном виде следующей функцией:
R (Р * Q) С = max
Применение предельного дохода к этой функции дает следующее соотношение:
Отсюда следует, чтобы прибыль была максимальной необходимо равенство предельных издержек и предельных доходов. Это соотношение позволяет найти оптимальный размер объема производства при известных функциях спроса Р = f (Q) и издержек С = q (С) [16].
Проведем анализ на оптимальность объема производства по предприятию ДРСУ 4. Предварительно сделаем необходимые выписки исходных данных для последующих расчетов (таблица 3. 2).
Таблица 3. 2
Исходные данные для анализа
| Показатель |
Значение по годам |
| 1996 г. |
1997 г. |
1998 г. |
| 1. Производство продукции в натуральном выражении (Q), кв. м. |
1935,12 |
3394,2 |
3686,1 |
| 2. Цена единицы продукта (Р), т. руб. |
2,93 |
2,93 |
3,46 |
| 3. Затраты (издержки производства) по полной себестоимости (С), т. руб. |
8751 |
8916 |
9687 |
| 4. Выручка от реализации (Р * Q),т. руб. |
5667 |
9940 |
12757 |
| 5. Прибыль (R), т. руб. |
-3084 |
1024 |
3070 |
Анализ зависимости между ценой продукта и его количеством в динамике позволяет выбрать для функции спроса линейную форму вида P = a0 + a1Q. По методу наименьших квадратов определяются неизвестные параметры a0 и a1 на основе составления и решения системы нормальных уравнений вида
где n - число наблюдений (лет),
Рi цена единицы продукта,
Qi - количество продукции в натуральном выражении.
При подстановки данных получим:
Тогда, функция спроса примет вид
Р = 2,4987268 + 0,0002023Q
Для функции издержек выбрана так же линейная форма вида С = в0 + в1Q. Неизвестные параметры в1 и в0 также находятся по методу наименьших квадратов на основе составления и решения системы уравнения вида
Тогда функция издержек примет вид
Таблица 3. 3
Анализ оптимальности показателей
| Показатель |
Фактически 1998 г. |
Оптимум |
Отклонение |
| 1. Показатель продукции в натуральном выражении, кв. м. |
3686,1 |
5190,582 |
1504,482 |
| 2. Цена единицы продукции, т. руб. |
3,46 |
3,54878 |
0,08878 |
| 3. Затраты по полной себестоимости, т. руб. |
9687 |
9989,155 |
302,155 |
| 4. выручка от реализации, т. руб. |
12757 |
18420,233 |
5663,233 |
| 5. прибыль, т. руб. |
3070 |
8431,078 |
5361,078 |
Применение предельного анализа показывает, что у предприятия имеются возможности увеличить прибыль на 5361, 078 т. руб. (40,815 %) за счет увеличения объемов производства и реализации продукции. При этом затраты предприятия возрастут всего на 302, 155 т. руб., или примерно на 3,1 %. Оптимальная цена продукта составит 3, 54878 т. руб, что выше фактической цены на 2, 6 %.
Предприятие может в перспективе придерживаться стратегии, направленной на рост объемов производства, однако необходимо при этом сохранить достигнутый уровень затрат на производство или увеличить его лишь до оптимального уровня.
Таким образом, на основе проведенного анализа во второй главе, анализа безубыточности производства и оптимизации в третьей главе пришли к выводу, что для предприятия ДРСУ 4 приемлема смешанная стратегия управления кризисной ситуацией, то есть защитные мероприятия сопровождаются наступательными: ростом объема производства до оптимального, разработка маркетинговых программ и др. защитные мероприятия включают сокращение затрат.
Активизация сбытовой деятельности предприятия
Для большинства российских предприятий и ГУП ДРСУ 4 не является исключением, характерны общие проблемы, связанные с наследием прошлых лет. Однако главной проблемой этих предприятий является практически полное отсутствие планов маркетинга и развития предприятия, преимущественно из-за существовавшего ранее и частично сохраненного госзаказа.
Поэтому для предприятия ДРСУ 4 необходимо совершенствовать систему планирования и контроля посредством использования маркетинговых элементов и методов прогнозирования объемов сбыта (реализации) продукции, работ, услуг.
План реализации продукции должен разрабатываться на основе плана маркетинга.
План маркетинга включает в себя следующие разделы:
1.Свод контрольных показателей;
2.Изложение текущей маркетинговой ситуации;
3.Перечень опасностей и возможностей;
4.Перечень задач и проблем;
5.Стратегия маркетинга;
6.Программа действий;
7.Бюджет маркетинга;
8.Контроль за исполнением намеченного.
В сводке контрольных показателей дается краткая характеристика основных целей и рекомендаций, о которых пойдет речь в плане.
Изучение текущей маркетинговой ситуации представляет описание характера целевого рынка и положение предприятия на этом рынке.
Перечень опасностей и возможностей должен включать все опасности и возможности, которые могут возникнуть перед товаром, все важные события, которые могут сильно сказаться на предприятии.
Перечень задач и проблем должен разрабатываться после изучения опасностей и возможностей и формироваться в виде целей, которых предприятие стремится достичь за период действия плана.
Стратегия маркетинга предполагает разработку конкретных стратегий по целевым рынкам, комплексу маркетинга и уровню затрат на маркетинг.
Программа действий означает превращение стратегии маркетинга в конкретные программы действий.
Бюджет маркетинга разрабатывается на основе вышеперечисленных пунктов плана маркетинга, по сути они являются прогнозом прибылей и убытков.
В последующем разделе плана должен излагаться порядок контроля за ходом выполнения всего намеченного [21].
Исходя из необходимости введения в работу отдела сбыта вышеперечисленных мероприятий по повышению объема производства и сбыта целесообразно провести разработку плана маркетинга ГУП ДРСУ 4 следующим образом.
План маркетинга.
сводка контрольных показателей: маркетинговый план призван обеспечить значительный рост продаж и прибыли предприятия по сравнению с прошлым годом, контрольный показатель продаж определен в размере 5190, 582 кв. м. или 18 420, 233 тыс. руб., это будет оптимальная величина объема реализации (см. табл. 3. 3), что равняется приросту в 44, 39 %. Этот рост представляется возможным благодаря наметившейся стабильной тенденции роста прибыли от реализации (см. табл. 3. 2 ). Планируемый размер текущей прибыли 8 431, 078 т. руб.
Эти цели должны быть достигнуты с помощью бюджета в размере 368, 4 т. руб., выделяемого на стимулирование сбыта, что составляет 2 % от запланированной суммы продаж. Размер бюджета на рекламу 552, 6 т. руб., что составляет 3 % от запланированной суммы продаж.
Текущая маркетинговая ситуация. Рынок, на котором работает ДРСУ 4, охватывает три участка дороги.
Основными потребителями являются организации, население и администрация городов Алдана и Таммота. Конкурентами ДРСУ 4 являются МК 74, Сахатрансмеханизация, кооператив гранит и другие организации занимающиеся содержанием дорог.
Опасности и возможности.
Наиболее вероятной опасностью является то, что на современном этапе основные потребители, оказываемых ДРСУ 4 услуг, переживают кризисное состояние, то есть платежеспособного спроса, что в свою очередь ведет к сокращению объемов потребления. Но предприятие имеет возможность расширения рынка за счет привлечения новой клиентуры.
задачи и проблемы.
Таким образом, главной задачей по реализации данного вида продукции является завоевание высокой доли рынка, 40 % прибыльности и 40 % уплаты налогов.
Здесь возникает ключевая проблема; каким образом можно добиться увеличения доли рынка? Данная проблема должна решаться с помощью применения определенной стратегии маркетинга.
Стратегия маркетинга.
Для реализации своих услуг (строительство и реконструкция дорог, приготовления и дробления щебня, столярные услуги в лесопильном цехе и другие) наиболее подходящей является стратегия глубокого внедрения на рынок за счет стимулирующих сбыт мероприятий. Данные мероприятия должны включать:
Организацию рекламы на телевидении и в прессе;
Стимулирование собственного специалиста путем выплаты премий за активную работу по поиску новых потребителей.
программа действий.
В 1999 году необходимо усилить стимулирование сбыта путем проведения следующих мероприятий:
1). Установить скидки постоянным клиентам в размере 5 % от стоимости работ;
2). Организовать рекламные мероприятия:
провести рекламную компанию в прессе: дать объявление об оказании своих услуг населению и организациям в местной газете Маркет и районной газете Алданский рабочий с периодичностью один раз в месяц;
сделать рекламные объявления по томмотскому телевидению ЭРЭЛ бегущей строкой.
3). В качестве стимулирования специалисту по сбыту установить ежемесячную премию в размере 20 % от заработной платы работника для улучшения качества сбытовой работы.
Бюджет маркетинга.
Бюджет маркетинга представлен в таблице 3. 4.
Таблица 3. 4
Бюджет маркетинга
| Показатель |
Сумма, т. р. |
| 1. Объем продаж |
18420 |
| 2. Затраты на маркетинг: |
|
| 2. 1 Стимулирование сбыта |
184,2 |
| 2. 2 Реклама |
368,4 |
| 2. 3 Маркетинговые исследования |
184,2 |
| 3. Заработная плата специалиста по сбыту (месячная) |
2,5872 |
| Годовая |
31,0464 |
| Отчисления (38,5 %) |
11,95 |
| 4. Покупка компьютера |
17 |
| 5. Стоимость 1 квт/часа электроэнергии |
0,7 |
| 6. Затраты на электроэнергию |
0,37191 |
| 7. Амортизация |
1,7 |
| 8. Затраты в год (3 + 4 + 5 + 6 + 7) |
62,06831 |
| Итого затрат |
736,8 |
Данная таблица строится на основе следующих вычислений. Как уже указывалось, предполагаемый объем производственных работ и продукции составит 18 420 т. руб. Из объема продаж необходимо вычесть издержки производства, которые предположительно составят 9989 т. руб., получим предполагаемый размер прибыли 8 431 т. руб.
Расходы на стимулирование сбыта, рекламу и маркетинговые исследования желательно распределить 1 %, 2 %, 1 % от предполагаемого объема продаж соответственно.
Расходы по заработной плате рассчитываются по формуле:
районный северная процент
ЗП = оклад + коэффициент + надбавка + премии подоходный налог
ЗП = 980 + 686 + 784 + 490 352,8 = 2587,2 руб.
ЗП годовая = 12 * 2587,2 = 31,0464 т. руб.
Отчисления соответственно составят 11,95 т. руб.
Для функционирования специалиста по сбыту (маркетингу) необходимо приобретение одного компьютера.
Потребляемую электроэнергию можно рассчитывать по формуле:
Э = Сэч * Т Р
где: Э потребляемая электроэнергия;
Т календарный фонд времени (час.);
Сэч стоимость 1 кВт/часа электроэнергии;
Р мощность, потребляемая ЭВМ (0,3 кВт).
Календарный фонд времени составит:
Т = 246дн * 8ч * 1смена = 1968 час.
На профилактические работы отводится 10 % от всей работы, то есть 197 час.
Тогда
Т = 1968 197 = 1771 час.
Потребление элекроэнергии составит:
Э = 0,7 * 1771 * 0,3 = 371,91 руб
Амортизационные отчисления составят 10 % от первоначальной стоимости ЭВМ:
Суммарные затраты в год внедрения мероприятий по увеличению объема сбыта и приглашения специалиста будут:
З = 184,2 + 368,4 + 184,2 + 31,0464 + 11,95 + 17 + 0,37191 + 1,7
З = 736,8 т. руб.
Таким образом, общий бюджет по маркетингу составит 4 % от предлагаемого объема реализации.
8. Порядок контроля намеченных мероприятий.
Средства на маркетинг целесообразно разбить по кварталам, что позволит оценить результаты, которые будут достигнуты в рамках отдельного отрезка времени и выявить производства, которые не могут достичь поставленных перед ними целей.
На основе плана маркетинга специалист по организации сбыта сможет разрабатывать более конкретные планы реализации услуг, работ и продукции.
Проведем расчет экономического эффекта от введения в организационную структуру специалиста по маркетингу и рекламе.
Доход от внедрения предложений будет выражаться предположительно в увеличении объема продаж (реализации) работ ДРСУ 4. Основываясь на расчете объемов продаж, можно предположить, что работа нового специалиста приведет к увеличению объема реализации не менее 10 %.
Реструктуризация
Миссия формирует главные предпосылки успеха деятельности фирмы при различных воздействиях на нее со стороны внешней среды и определенных характеристиках ее внутренней природы и организации.
Следующим, не менее важным, этапом стратегического антикризисного планирования является анализ среды бизнеса и выяснения причин экономического кризиса деятельности предприятия. Правильность выбора стратегий выхода из кризиса и устранение его причин и последствий зависит от точности и комплексности диагностики состояния предприятия.
На этом этапе фирма проводит исследования внешней и внутренней среды бизнеса, выделяет те из них, которые действительно имеют значение для организации, проводит сбор и отслеживание информации об этих компонентах, проводит оценку реального положения фирмы, выясняет причины кризисного состояния.
На следующем этапе проводится стратегический анализ. Фирма сравнивает цели (желаемые показатели) и результаты исследований факторов внешней и внутренней среды, которые ограничивают достижение желаемых показателей, определяет разрыв между ними.
За тем при помощи методов стратегического анализа и планирования формулируются стратегические альтернативы выхода предприятия из экономического кризиса.
Очередной этап связан с выбором одной из альтернативных стратегий и ее проработкой. На этом заканчивается процесс стратегического планирования и начинается процесс оперативного планирования.
Следующие этапы стратегического управления связаны с реализацией планов и контролем результатов.
В целом процесс стратегического антикризисного управления представляет собой замкнутый цикл с прямой (от разработки стратегии к составлению оперативных планов до реализации и контроля) и обратной (от учета результатов выполнения к пересмотру миссии) связью, важнейшим этапом которого является стратегическое планирование. [9]
Реструктуризация
Вывод промышленности из финансового кризиса через ее реструктуризацию еще один из способов преодоления финансового кризиса. ЕЕ предприятия могут осуществлять во многом по собственной инициативе в порядке рыночной адаптации и выработки новых правил и моделей экономического поведения. [22]
Однако резервы чисто эволюционного приспособления в данном случае ограничены, поскольку речь идет о качественных ( революционных) сдвигах в институциональных и организационно-управленческих структурах. Здесь решающее слово должно сказать государство, поддерживая инициативные процессы с низу.
Но главная его цель утверждение новой, рыночной управленческой культуры, ее институтов и инфраструктуры.
Государственная активность в указанном направлении могла бы развиваться в следующих направлениях:
1.Освоение и внедрение достижений лучших образцов зарубежной управленческой практики, стимулирование управленческих инноваций в российской промышленности;
2.Проведение активной государственной политики импорта передовых технологий в Россию, обеспечение защиты отечественных открытий и изобретений;
3.Для предотвращения монополизма в научно-технической сфере внедрение новых идей, открытий, изобретений не на одном, а на нескольких предприятиях с помощью соответствующих направлений лицензионной работы;
4.Обеспечение необходимых правовых и экономических условий для межотраслевой интеграции промышленных предприятий, вертикальной интеграции предприятий и венчурных фирм;
5.Инициирование создания инновационных фондов на государственной, муниципальной и частной основе, способных оказывать реальную поддержку пионерным научным исследованиям и разработкам;
6.Создание соответствующей информационной среды, поощрение патриотизма в средствах массовой информации и рекламном бизнесе в отношении отечественных производителей и товаров.
Для реструктуризации предприятий решающая роль отводится организационно-управленческим преобразованиям. Есть два пути в этой области. Первый, известный по опыту западных корпораций, - это так называемые дезинвестиции, когда в рамках корпораций происходит поиск наиболее гибких и приспособленных к ситуации организационно-управленческих структур, децентрализация производства и управления, поиск новых прибыльных сфер хозяйствования и рыночных ниш.
Возникают новые сочетания крупных, средних и малых форм, складываются специфические формы контрактных отношений. Это в конечном счете дает новые импульсы производству и рыночной активности.
Такой путь вполне приемлем для крупной отечественной индустрии, ФПГ.
Другой путь, по которому пошли многие российские предприятия, - стихийная хаотическая коммерциализация, распадение единых производственных и имущественных комплексов на ряд коммерческих сообществ, акционерных структур, арендаторов имущества. Это вынужденная реакция на необходимость выживания в непривычной и агрессивной рыночной среде.
Она позволяет поддерживать структуру на плову, сохранять персонал. Но чем сильнее будут предприятия тяготеть к этому варианту, тем менее будут вписываться в общемировые тенденции и, следовательно, неизбежно отставание. [6]
При решении задачи реструктуризации предприятия важное значение имеет процедура установления целей. Она заключается в четком формулировании и определении методов и средств достижения поставленных целей в виде конкретных планов, задач и критериев оценки.
Выявленные проблемы предприятия позволяют установить ряд целей, главная из которых, то есть цель первого уровня функциональная выживаемость предприятия (рис. 1. 5). Иначе говоря, при сохранении способности выполнять свои функции, доходы фирмы должны покрывать переменные издержки и, по возможности, накладные расходы.
Покрытие последних расходов позволяет сохранить потенциал фирмы для ее дальнейшего роста при преодолении кризисной ситуации. Причины кризиса достаточно типичны для всей промышленности России резкое снижение платежеспособности заказчиков, сужение существующих рынков сбыта.
Причем кризис затронул заказчиков предприятия в разной степени. Одни из них сохранили платежеспособность и обслуживающие их подразделения получают хорошую прибыль и перекачивают ее через независимые структуры.
В данном случае целью более низкого уровня является сохранение контроля головных структур предприятия над прибыльными подразделениями.
Некоторые клиенты не имеют средств в настоящее время, но в будущем будут закупать продукцию и услуги предприятия. необходимо сохранить работоспособность перспективных подразделений, централизованно обеспечивая их заказами или выплачивая деньги за вынужденный простой. Таким образом, следующая цель второго уровня сохранение работоспособности перспективных подразделений.
Если часть клиентуры необратимо утрачена, то обслуживающие ее подразделения нужно расформировать или перепрофилировать. Третья цель сокращение неперспективных подразделений.
Рис. 1. 5 Цели реструктуризации фирмы.

Для достижения данных целей собственно и необходимо изменение организационной структуры предприятия, причем наиболее сложной задачей является приведение существующей актуальной структуры (рис. 1. 6) к конгломеративной (рис.
1. 7).
На рисунке 1. 6 в виде окружности представлена вся деятельность предприятия. Ближе к центру, условно, располагаются функции, требующие большей степени централизованного управления планирование, перераспределение ресурсов, бухгалтерия и т. д. Чем дальше от центра тем меньше может быть влияние головных структур предприятия, эти функции связаны с производством товаров и услуг.
В виде секторов изображены отдельные тематические подразделения, часть из которых имеет дочерние фирмы, формально не связанные с материнским предприятием (представлены малыми окружностями). Штриховка на рисунках 1. 6 и 1. 7 показывает области централизованно выполняемых функций, отсутствие штриховки означает децентрализацию.
Рис. 1. 6 Актуальная структура предприятия.

Рис. 1. 7 Структура конгломеративного предприятия.

После реструктуризации предприятие должно соответствовать структуре, представленной на рисунке 1. 7. На предприятии образуются тематические подразделения трех типов. Деятельность подразделений первого типа полностью контролируется материнским предприятием (заштрихованные сектора окружности). Для того, чтобы привести к этой форме подразделения, обладающие неформальными дочерними структурами, требуется жесткое административное воздействие на его руководителя.
Дочернее предприятие ликвидируется, его функции передаются материнскому. Эта ситуация чревата конфликтами, но, возможно в ряде случаев это окажется единственным реальным выходом.
В подразделениях второго типа часть функций выполняют головные подразделения материнского предприятия, которое при этом должно быть связано с материнскими формальными отношениями учредительства, собственности и т. п. Так как очевидно, что без ресурсов материнского предприятия дочернее функционировать не сможет, то в качестве вложения в уставный капитал при создании дочернего АО могут выступать как материальные, так и нематериальные активы. При этом без дополнительных затрат материнское предприятие приобретает формальный (пакет акций) и реальный (централизованная бухгалтерия) контроль за дочерним, что приводит к восстановлению нормальной управляемости системы.
Данный подход может оказаться хорошим выходом из не совсем корректной исходной ситуации.
Подразделений третьего типа в реальности не существует. Данное направление деятельности полностью передается дочерней фирме, а соответствующее подразделение материнского предприятия ликвидируется. Дочерняя фирма может выступать только арендатором помещений и оборудования.
Контроль за этим видом бизнеса утрачивается, но и прекращается утечка ресурсов из головного предприятия.
Существование актуальных структур рассмотренного типа негативно отражается на экономическом положении предприятий любых форм собственности и при выявлении данной проблемы необходимо провести реструктуризацию в кратчайшие сроки. [1]
Реструктуризация является одним из реальных путей выхода из кризиса и для крупных предприятий. Здесь существует несколько вариантов реструктуризации. Это:
?передача прав собственности на неиспользуемые основные фонды;
?продажа неиспользуемых основных фондов малому предприятию;
?передача малому предприятию части основных фондов на основании договора аренды;
?проведение взаимозачетов между крупной структурой, предприятиями-кредиторами и региональным бюджетом;
?вычленение каких-либо подразделений из общей структуры в самостоятельные предприятия;
?дробление крупных предприятий на ряд мелких.
В результате проведения реструктуризации крупных предприятий возможно достижение сразу двух целей развитие малого производства и выхода из кризиса крупных российских производителей.
Реструктуризация крупных предприятий создаст, можно надеяться, необходимые предпосылки для притока и повышения эффективности капиталовложений, что исключительно важно при ограниченности источников и объемов инвестирования. [19]
Система банкротства
В настоящее время одной из самых острейших проблем является финансовый кризис предприятий. В этой связи особое значение приобретает вопрос об экономических и правовых механизмах банкротства и санации несостоятельных предприятий, отрегулировании процедуры банкротства. [6]
Сегодня многие российские предприятия, 80 % из которых попадают под формальные критерии банкротства, разработали программы финансового оздоровления и выхода из кризиса. Необходимыми условиями преодоления кризиса являются:
1. наличие лидера, занимающего рынок, умеющего предвидеть его динамику. В отличии от классического менеджера, умеющего планировать, контролировать и управлять финансами, производством и так далее, лидер преобразует и обновляет, предвидит возможности, которые не видят другие. Лидер формирует стратегию и команду, ее реализующую, высвобождая энергию творчества работников, заинтересованных и воодушевленных лидером, его примером, они делают все возможное и невозможное;
2. выработанная стратегия, программа выхода из кризиса, должна быть не декларацией, которую многие работники и не видели, и не слышали, и не понимают. Она должна стать шансом для каждого, стать сущностью предприятия через подбор нужных людей, реализаторов.
3. новая оргструктура должна отражать стратегию выхода из кризиса и комплектоваться способными, независимыми специалистами, в конкретную работу которых лидер не вмешивается. Он отслеживает процесс через систему управленческого учета.
4. делегирование полномочий, в рамках которого работники разворачивают мероприятия антикризисной программы, чем обеспечивается отдача на вложенные ресурсы.
5. децентрализация, при которой каждое подразделение, центр финансовой ответственности, вносит свой существенный вклад в результаты реализации программы за счет многофункционального командного подхода.
6. анализ, сегментирование и моделирование рынка, позиционирование товара.
7. выбор приоритетов распределения средств с учетом интересов предприятия в целом и оценка последствий принимаемых решений. [14]
Ранние признаки банкротства, которые выявляются непосредственно:
А) задержки с предоставлением отчетности. Они свидетельствуют о возможно плохой работе финансовых служб предприятия;
Б) резкие изменения в структуре баланса и отчета о финансовых результатах.
Нежелательными являются резкие изменения любых статей баланса в любом направлении. Однако особую тревогу должны вызывать:
?резкое уменьшение денег на счетах (кстати, и увеличение денег может свидетельствовать о невозможности дальнейших капиталовложений);
?увеличение дебиторской задолженности (резкое снижение также свидетельствует о затруднениях со сбытом, если сопровождается ростом запасов готовой продукции);
?старение дебиторской задолженности;
?разбалансирование дебиторской и кредиторской задолженности;
?увеличение кредиторской задолженности (неблагоприятным может оказаться и резкое увеличение объемов продаж, так как в этом случае банкротство может наступить в результате последующего разбалансирования долгов, если последует непродуманное увеличение закупок, капитальных затрат; кроме того, рост объемов продаж может свидетельствовать о сбросе продукции перед ликвидацией предприятия);
В) конфликты на предприятии, увольнение кого-либо из руководства, резкое увеличение числа принимаемых решений и т. д.
Банкротство проходит 3 отделимыми друг от друга стадиями.
На первой стадии происходит скрытое снижение цены предприятия. на этой стадии руководство часто прибегает к косметическим мерам (продолжает выплачивать акционерам высокие дивиденды, увеличивая заемный капитал, продавая часть активов), чтобы снять подозрения вкладчиков и банков.
На второй стадии начинаются трудности с наличностью. Руководители склонны уже к авантюрным способам зарабатывания денег.
Если не принимаются меры, то банкротство становится юридически очевидным. Предприятие не может своевременно оплачивать долги.
К первоочередным пожарным мерам можно отнести:
?смена руководства, если банкротство произошло по внутренним причинам;
?изменение организационной структуры предприятия, сокращение аппарата управления, централизация контрольно-плановых функций;
?установление жесткого контроля затрат;
?изменение культуры работы (переподготовка персонала, психологическая переориентация);
?сокращение номенклатуры продукции и услуг;
?усиленный маркетинг.
Одновременно необходимо разрабатывать стратегические меры. Внешними признаками несостоятельности предприятий является приостановление его текущих платежей, если предприятие не обеспечивает или заведомо не способно обеспечивать выполнение требования кредиторов в течении трех месяцев со дня наступления сроков их исполнения.
В новом Законе РФ от 01. 03.
98 г. несостоятельность (банкротство) трактуется как признанная арбитражным судом или объявленная должником неспособность должника в полном объеме удовлетворить требования кредиторов по денежным обязательствам и (или) исполнить обязанность по уплате обязательных платежей.
Таким образом, определяющую роль для признания арбитражным судом факта банкротства предприятия играют экономические аспекты его деятельности; поэтому при возбуждении в арбитражном суде производства по делу о несостоятельности (банкротстве) предприятия необходимо проведение анализа его экономического и финансового состояния.
Подзаконными актами и инструктивно-методическими материалами Федерального управления по делам о несостоятельности (банкротстве) РФ был установлен порядок проведения такого анализа и выработаны критериальное признаки неудовлетворительной структуры баланса, к числу которых отнесены коэффициент текущей ликвидности (Кл), коэффициент обеспеченности собственными средствами (Косс) и коэффициент восстановления (утраты) платежеспособности (К вп/(уп)).
Их расчет производится по следующим формулам:

Оборотные средства в запасах, затратах и прочих активах определяются итогом раздела II Актива баланса (стр. 290). Наиболее срочные обязательства рассчитываются вычитанием из итога раздела VI Пассива баланса (стр. 690) доходов будущих периодов (стр.
640), фондов потребления (стр. 650) и резервов предстоящих расходов и платежей (стр. 660). Собственные оборотные средства определяются как разность итогов по разделу IV Пассива баланса (стр.
490) и раздела I Актива баланса (стр. 190).
Коэффициент текущей ликвидности (Кл) характеризует общую обеспеченность предприятия оборотными средствами для ведения хозяйственной деятельности и своевременного погашения срочных обязательств предприятия (установленный норматив Кл ≥ 2).
Коэффициент обеспеченности собственными средствами (Косс) характеризует наличие у предприятия собственных оборотных средств, необходимых для его финансовой устойчивости, и показывает долю собственных оборотных средств в общей их сумме (установленный норматив Косс ≥ 0, 1).
Коэффициент восстановления (утраты) платежеспособности (Квп(уп)) показывает наличие реальной возможности у предприятия восстановить либо утратить свою платежеспособность в течение определенного периода (установленный норматив (Квп(уп) ≥ 1). [8]
Для более точной оценки финансового состояния можно воспользоваться коэффициентом, рассчитываемым при помощи z-счета Е. Альтмана:
Вероятность банкротства может быть определена по таблице1. 1. [45]
Таблица 1. 1
Определение вероятности банкротства
| z-счет |
Вероятность банкротства |
1, 8 и менее
от 1, 81 до 2, 7
от 2, 8 до 2, 9
3, 0 и выше |
Очень высокая
Высокая
Возможная
Очень низкая |
Международный опыт показывает возможность проведения комплекса экономико-правовых мероприятий (с общим названием санация оздоровление) на фирмах, предприятиях, испытывающих не только серьезные трудности, но и финансовое банкротство. В Российской Федерации с 1 марта 1993 г. вступил в силу Закон О несостоятельности (банкротстве) предприятий.
В соответствии с Законом в целях улучшения экономического, финансового положения на некоторых предприятиях может проводиться комплекс мероприятий, которые комплектуются в реорганизационные процедуры, когда собственникам предприятия-банкрота, кредиторами предприятию оказывается помощь финансового или иного характера. Такие процедуры называются санацией, оздоровлением, внешним управлением предприятием-банкротом.
Санация позволяет предотвратить полное банкротство и ликвидацию предприятия путем:
?восстановления финансовой устойчивости фирмы, предприятия;
?пополнение собственных оборотных средств за счет оказываемой заинтересованности лицами помощи.
Мероприятия, включаемые в бизнес-план санации, должны учитывать отраслевые особенности предприятия. Санация в зависимости от комплекса и направленности мероприятий может быть: экономической, структурной, финансовой, технологической, экспортно-импортной, юридической, маркетинговой и др.
К структурной санации могут быть отнесены следующие мероприятия: выделение филиалов, организация и открытие дочерних фирм, выделение с баланса предприятия некоторых объектов и др. К экономической санации: освоение новой продукции, консервация отдельных производств; сокращение общезаводских, цеховых накладных расходов, организация и внедрение контроллинга и другими мероприятиями. Маркетинговая санация может включать: создание системы маркетингового управления с определением затрат, реализации и результатов; разработка контрактов и другое. Техническая санация: замена технологического оборудования; внедрение ноу-хау; экономия энергоносителей в соответствии с имеющимся перечнем мероприятий.
Технологическая санация: внедрение новых элементов в технологическом процессе; внедрение новых видов материалов. Экспортно-импортная санация: участие в международных ярмарках и другое.
Мотивационная санация: создание системы участия работающих в прибылях; выделение руководителями определяющих структурных подразделений предприятия пакетов, акций и так далее. Налоговая санация: ликвидация обязательств перед бюджетом, по внебюджетным фондам, перед пенсионным фондом, по социальному страхованию, перед фондом занятости и другие мероприятия. [34]
В законе от 01. 03.
98 г. санация предусмотрена как досудебная процедура для предупреждения банкротства и доказательства ее возможности необходимости проводится не в суде, а перед кредиторами. Наиболее мягкой и экономически целесообразной в условиях современной российской экономики является процедура внешнего управления имуществом предприятия-должника, учитывая, что она призвана решать двуединую задачу удовлетворение требований кредиторов и продолжение функционирования предприятия. [4]
Успех внешнего управления во многом зависит от следующих организационно-экономических предпосылок:
?понимания со стороны предприятия-должника необходимости проведения реорганизационных процедур;
?грамотного финансового менеджмента со стороны внешнего управляющего и наличия производства финансовых структур, оказывающих ему собственную поддержку;
?наличия на предприятии команды единомышленников, готовых поддерживать действия внешнего управляющего;
?существования платежеспособного спроса на традиционную или альтернативную конкурентоспособную продукцию;
?наличия у предприятия стратегии развития;
?наличия у предприятия имущества в размерах, достаточных для продажи части для удовлетворения требований кредиторов без нарушения целостности производственно-технологического комплекса.
Внешнее управление вводится на срок 12 месяцев и может быть продлено на 6 месяцев. При введении внешнего управления производятся следующие процедуры: отстранение руководителя, передача документов и реквизитов внешнему управляющему, снятие принятых мер по обеспечению требований кредиторов; могут быть наложены аресты на имущество должника; вводится мораторий на удовлетворение требований кредиторов по денежным обязательствам и обязательным платежам.
План внешнего управления разрабатывается внешним управляющим и представляется собранию кредиторов не позднее чем через 1 месяц после назначения внешнего управляющего.
Внешний управляющий может осуществлять следующие меры по восстановлению платежной способности должника:
?перепрофилирование производства;
?закрытие нерентабельных производств;
?ликвидация дебиторской задолженности;
?продажа части имущества должника;
?исполнение обязательств должника собственником имущества должника унитарного предприятия или третьим лицом;
?продажа предприятия (бизнеса должника);
?иные способы восстановления платежеспособности должника.
План проведения внешнего управления, утвержденный собранием кредиторов и доведенный до сведения арбитражного суда не является догмой и требует соответствующих корректировок при возникновении новых, не учтенных ранее обстоятельств. Изменения и дополнения к нему обосновываются с экономических позиций, в соответствующие разделы планы вносятся коррективы, которые обсуждаются и утверждаются собранием кредиторов.
По результатам внешнего управления за 15 дней до истечения его срока внешний управляющий представляет собранию кредиторов свой отчет. К нему прилагается:
?бухгалтерский баланс;
?счет прибылей и убытков;
?отчет о движении денежных средств;
Маркетинг: Практика - Рынок - Анализ - Финансы