Капица - Население Земли И Предвидимое Будущее Цивилизации
КАПИЦА Сергей Петрович - доктор физико-математических наук, профессор (Институт физических проблем РАН).
ВВЕДЕНИЕ
Цель работы состоит в количественном и междисциплинарном исследовании роста населения Земли как эволюционирующей динамической системы. Развитая феноменологическая теория, опираясь на данные демографии и методы физики, в сочетании с представлениями антропологии и социологии, экономики и истории, открывает возможность для опыта построения общей теории развития человечества и ставит ряд методологических вопросов о природе человека и роли его разума и сознания в развитии общества.
В демографии рост населения Земли обычно описывается как суммарный рост регионов или стран мира. Однако, эту же проблему можно рассматривать, исходя из представлений о росте и развитии населения нашей планеты как самоорганизующейся системы. На основе такого подхода оказалось возможным предложить математическую модель для описания мирового демографического процесса, основанную на идеях синергетики. Такое моделирование позволяет описать рост человечества на протяжении практически всей длительности нашей истории, дать оценки времени начала развития ≅ 4 - 5 млн. лет тому назад и числа людей когда-либо живших ≅ 100 млрд. В рамках модели также описываются крупные периоды, выделенные историей и антропологией структуры, социально-экономические и технологические циклы роста. На основе развитых представлений сделаны выводы о предвидимом будущем, когда численность населения мира стабилизируется на уровне ≅ 10 - 12 миллиардов, для которых и следует обсуждать условия устойчивого развития.
В настоящее время образ все возрастающего и безудержного роста населения, если его наивно экстраполировать в будущее, приводит к тревожным прогнозам и даже апокалиптическим сценариям глобального будущего человечества. Однако, существенно то, что ныне человечество переживает демографический переход. Этот общий для всех стран исторический переворот состоит в начальном резком возрастании скорости роста популяции страны, сменяющегося затем столь же стремительным ее уменьшением, после чего население стабилизируется в своей численности. Результатом этой революции станет новый режим развития человечества. Демографический переход уже пройден так называемыми развитыми странами, и теперь, всего на 50 лет позднее, он произойдет в развивающихся странах. Переход сопровождается ростом производительных сил и перемещением значительных масс населения из сел в города, а при его завершении наступает глубокое изменение возрастного состава населения.
В этом исследовании представления демографии, в первую очередь демографический переход, будут интерпретироваться с помощью понятий современной нелинейной механики и синергетики. Методы последней - науки о сложных системах - предоставляют такую возможность и могут ввести в традиционные гуманитарные области новые понятия для наук о человеке и обществе, имеющие практическое значение для политики и истории.
НАСЕЛЕНИЕ МИРА КАК СИСТЕМА
Населения мира рассматривается как система, как единый и замкнутый объект, характеризуемый полным числом людей, и свойства которого определяются внутренними взаимодействиями. Взаимосвязанность и взаимозависимость современного человечества, обусловленная транспортными и торговыми связями, миграционными и информационными потоками дает возможность рассматривать сегодня мир, как глобальную систему. Для населения Земли как замкнутой системы не следует учитывать миграцию, вносящую свой вклад в баланс населения отдельной страны или региона, поскольку в масштабе планеты эмигрировать пока просто некуда.
Биологически все люди принадлежат одному виду Homo sapiens, у них одинаковое число хромосом - 46, отличное от всех других приматов, а все расы способны к смешению и социальному обмену. Местом обитания человечества служат все удобные для этого части Земли, однако по своей численности мы превышаем сравнимых с нами по размерам и питанию животных на пять порядков - в сто тысяч раз. На протяжении последних сотен тысяч лет человек биологически мало изменился, и развитие и самоорганизация человечества происходили в социальной сфере при сапиентации человека, обязанное его высокоразвитому мозгу и сознанию. Теперь, когда деятельность человека приобрела планетарный масштаб, со всей остротой стал вопрос о нашем влиянии на окружающую природу, и именно поэтому очень существенно понять, какими факторами определяется рост числа людей на нашей планете.
МАТЕМАТИЧЕСКАЯ МОДЕЛЬ РОСТА НАСЕЛЕНИЯ ЗЕМЛИ
В основе модели лежит предположение об автомодельности развития, что выражается в масштабной инвариантности этого процесса, когда рост с большой точностью и на значительном отрезке времени описываться степенным законом:

млрд. (1)
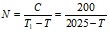
где С = 200 миллиардов - постоянная с размерностью [человек х годы], а время Т выражено в годах от н.э. Эта формула математически и физически корректно описывающая процесс самоподобного развития, следующий гиперболическому закону, рост, известный в физике как режим с обострением..
Фактор, который не учтен в (1), есть время, характеризующее жизнь человека - его репродуктивную способность и продолжительность жизни. Если ввести, как микроскопический параметр феноменологии характерное для жизни человека время τ можно исключить особенность при T1:

(2)
Интегрируя (2), решение (1) может быть продолжено в предвидимое будущее, за пределы особенности при T1, которое сдвинется в прошлое на 25 лет:

(3)
Значения новых постоянных, определенные с точностью нескольких процентов,
C = 172 млрд, T1 = 2000 г, τ = 45 лет и K =

= 62 000
получаются на основе сравнения (3) с демографическими данными. Полученные асимптотические решения описывают рост человечества в течении трех эпох. Первая - наиболее продолжительная эпоха А антропогенеза, начинается с линейного роста, переходящего затем в гиперболический режим эпохи В. В эту эпоху до перехода рост пропорционален квадрату населения мира и она завершается взрывным развитием и режимом с обострением - эпохой С демографического перехода с последующей стабилизации населения мира. В теории основной динамической характеристикой системы становится безразмерная константа К = 62 000 для численности группы людей, определяющей коллективный характер того взаимодействия, которым описывается рост на всем протяжении развития человечества.
Взаимозависимость и нелинейность сильно связанных событий и механизмов заставляет искать - интегративные - принципы для описания поведения системы. В феноменологическом уравнении скорость роста приравнивается выражению, определяющему развитие, которое дает меру сетевой сложности динамической системы или некое эффективное поле, действующее в системе человечества. Квадратичный рост не аддитивен и не линеен, и его нельзя применять для отдельного региона, а только для всего населения планеты.
При квадратичном росте развитие опирается на всю ранее накопленную человечеством информацию, которая играет основную роль в развитии. При обмене и распространении информации, в отличие от эквивалентного обмена в экономике происходит ее необратимое умножение. Распространение и передача путем цепной реакции информации - технологий и знаний, обычаев и культуры, религии и, наконец, науки есть то, что качественно отличает человека и человечество в эволюции. Долгое детство человека, овладение речью, его обучение, образование и воспитание, когда размножение задерживается на 20, а теперь и на 30 лет для формирования личности, ума и сознания, определяют специфический для человечества способ развития и самоорганизации.
Механизм культурного наследования, с помощью которого происходит передача следующим поколениям приобретенных признаков, качественно отличает социальное наследование у человека от генетической эволюции у всего остального животного мира. Скорость гиперболического роста не зависит явно от внешних условий и определена только собственными системными характеристиками - параметрами K и τ. Когда скорость прироста на протяжении поколения становится сравнимой с самой численностью населения мира, то возникает критический переход к стабилизации численности населения Земли.
СРАВНЕНИЕ ТЕОРИИ С ДАННЫМИ АНТРОПОЛОГИИ И ДЕМОГРАФИИ
Эпоха B гиперболического роста охватывает палеолит, неолит и исторический период. За этот важнейший отрезок времени длительностью 1,6 миллиона лет, число людей еще раз выросло в K раз. Ко времени наступления демографического перехода при T1 - τ = 1955 г., население Земли составило уже 3 млрд., а к 2000 г - середине демографического перехода, население достигнет 6 млрд., половину от

= 12 млрд. В таблице

1млрд и

1млн.
Таблица 1
Рост населения мира (в миллионах)
| Год |
N |
N Mодель |
Год |
N |
N Mодель |
| -4,4⋅106 |
(0) |
0 |
1920 |
1911 |
1998 |
| -1,6⋅106 |
0,1 |
0,1 |
1950 |
2515 |
2816 |
| -35000 |
1 - 5 |
2 |
1970 |
3698 |
3737 |
| -15000 |
3 - 10 |
8 |
1990 |
5328 |
5132 |
| -7000 |
10 - 15 |
17 |
2000 |
6261 |
6000 |
| -2000 |
47 |
43 |
2025 |
8504 |
8174 |
| 0 |
100 - 230 |
90 |
2050 |
10019 |
9683 |
| 1000 |
275 - 345 |
185 |
2075 |
10841 |
10563 |
| 1500 |
450 - 540 |
362 |
2100 |
11185 |
11094 |
| 1650 |
550 |
515 |
2125 |
11390 |
11437 |
| 1750 |
735 - 805 |
715 |
2150 |
11543 |
11675 |
| 1800 |
907 |
885 |
2200 |
11600 |
11980 |
| 1850 |
1170 |
1150 |
2500 |
UN ↑ |
12500 |
| 1900 |
1650 - 1710 |
1660 |
|
|
|
Таблица 2
Развитие человечества в логарифмическом масштабе
| Эпоха |
Период |
Дата годы |
Число людей |
Культурный период |
ΔT
лет |
История, культура,
технология |
|
|
2150 |
11×109 |
Стабилизация
|
|
Переход к пределу 12×109
Изменение возрастного |
| С |
|
2050 |
10×109 |
Населения земли |
125 |
Распределения
Глобализация |
|
T1 |
2000 |
6×109 |
Мировой демографич. |
45 |
Урбанизация |
|
11 |
1955 |
|
Переход |
45 |
Настоящее время
Компьютеры |
|
10 |
1840 |
109 |
Новейшая |
125 |
Мировые войны
Электричество |
|
9 |
1500 |
|
Новая История |
340 |
Промышленная революция
Книгопечать |
|
8 |
500 нэ |
|
Средние Века |
1000 |
Географические открытия
Падение Рима |
|
7 |
2000 днэ |
108 |
Древний
Мир |
2500 |
Рождество Христово
Греческая цивилизация
Индия, Китай, Будда |
| В |
6 |
9000 |
|
Неолит |
7000 |
Междуречье, Египет
Письменность, Города
Одомашнивание, Сел.хоз. |
|
5 |
29000 |
107 |
Мезолит |
20000 |
Керамика, Бронза
Микролиты |
|
4 |
80000 |
|
Мустье |
51000 |
Заселение Америки
|
|
3 |
0,22 мл |
106 |
Ашель |
1,4×105 |
Homo Sapiens
Речь, Огонь |
|
2 |
0,60 мл |
|
Шелль |
3,8×105 |
Заселение Европы и Азии
Рубила |
|
1 |
1,6 мл |
105 |
Олдувай |
1,0×106 |
Галечная культура, Чоппер
Homo Habilis |
| А |
T0 |
4,4 мл |
(1) |
Антропогенез |
2,8×106 |
Отделение Гоминидов от Гоминоидов |
В Каменном веке человечество расселилось по всему земному шару, причем во время плейстоцена происходило до пяти оледенений, а уровень мирового океана изменялся на сотню метров. При этом перекраивалась и география Земли, соединялись и вновь разъединялись материки и острова, а человек, гонимый изменениями климата занимал все новые и новые земли, когда его численность сначала медленно, но затем с нарастающей скоростью росла. В тех случаях, когда наступал длительный разрыв в популяциях, в мировом сообществе происходило замедление развития в тех анклавах, которые надолго отделялись от основной массы человечества. Задержка произошла и с доколумбовой Америкой, длительное время развивавшейся самостоятельно: будучи надолго оторванной от Евразийского массива, она неминуемо отстала от процесса развития мировой цивилизации. Систематический и неизменный рост происходил в Евразийском пространстве, по которому кочевали племена и мигрировали народы, формировались этносы и языки. Во время неолита взаимодействие и обмен происходил по Степному пути. Существенную роль играли торговые связи, и наибольшее значение имел Великий шелковый путь соединявший Китай и Европу, а также Индию. По этому пути, шел интенсивный межконтинентальный обмен, распространялись технологии и мировые религии. На всем пространстве ойкумены существенным индикатором взаимодействий и миграций служат связи языков народов мира.
Данные о населении мира во всем диапазоне времен с достаточной достоверностью укладываются в предложенную модель, а сравнение модели с прогнозами демографии на 2100 год дает (в миллиардах):
IIASA 12,6 ±3,4; ООН 11,2 - 5,2+7,9; Мировой банк 11,7 и Модель 12 +0 -1.
ГЛОБАЛЬНЫЙ ДЕМОГРАФИЧЕСКИЙ ПЕРЕХОД
Демографический переход, представляет собой самое существенное событие в истории человечества с момента появления наших далеких предков 1 - 2 миллиона лет тому назад. Именно разум, речь и сознание привели к исключительному, взрывному, росту числа людей на Земле. Теперь же, в результате глобального ограничения механизма развития, рост внезапно прекратился, принципиально изменяя все аспекты нашей жизни.
Продолжительность перехода, при котором население Земли утроится, занимает всего 2τ = 90 лет, однако за это время, составляющее 1/50 000 всей истории человечества, произойдет коренное изменение характера его развития.
Острота перехода обязана синхронизации процессов развития, и тому сильному взаимодействию, которое осуществляется в мировой демографической системе, что служит примером и ярким проявлением глобализации. Наконец, при завершении демографического перехода коренным образом меняется соотношение между молодыми и старшими поколениями.
Подводя итог, изложенный подход позволил охватить все развитие человечества, рассматривая рост его численности как процесс самоорганизации. Этот подход стал возможен благодаря переходу на следующий уровень интеграции по сравнению с уровнем, принятым в демографии
ТРАНСФОРМАЦИЯ ТЕМПОВ РАЗВИТИЯ ВО ВРЕМЕНИ
Существенным результатом теории роста стало представление об изменении течения времени - его сокращения по мере развития системы и давно известное историкам и философам. Изменение масштаба времени, происходящее по мере роста человечества можно представить, если ввести мгновенное время Te экспоненциального роста, которое равно удалению в прошлое. Так, 100 лет тому назад Te =100 лет, а относительный рост составлял 1 % в год. При начале нашей эры, 2000 лет тому назад рост был 0,05% в год, а 100 тысяч лет тому назад рост 0, 001% в год был так мал, что общество считали статичным. При наступлении эпохи B 1,6 миллиона лет тому назад в начале палеолита заметное изменение могло произойти только за миллион лет. Такой крайне медленный рост в те далекие времена хорошо известен в антропологии, однако удовлетворительного объяснения он не имел. Из-за сжатия времени, время от конца цикла до перехода равно половине длительности каждого цикла. По мере приближения к критической дате T1 , Te уже отступает от линейной зависимости и проходит через свое минимальное значение, соответствующее росту в 1,7 %. После 2000 г. при стабилизации численности населения Te станет быстро расти.
Наблюдения антропологов и традиции историков четко намечают рубежи эпох, равномерно разделяющие в логарифмическом масштабе время от T0 = 4 - 5 миллиона лет тому назад до T1 = 2000. Эта периодизация соответствует тому, что каждый демографическими цикл короче предшествующего в 2,5 - 3 раза и ведет к увеличению численности во столько же раз. В масштабе глобальной истории видна синхронность развития - вопрос, который издавна находится в центре внимания исторической науки, а периодизация указывает на устойчивость роста и тем самым на детерминированность глобального исторического процесса.
ОКРУЖАЮЩАЯ СРЕДА И УСТОЙЧИВОСТЬ РАЗВИТИЯ
Демографический переход, как следствие сжатия исторического времени до предела, определяемого природой человека, следует рассматривать как важнейший рубеж во всей истории человечества. Принимая закон развития неизменным, следует полагать, что не исчерпание ресурсов, перенаселение или развитие науки и медицины станут определяющим в изменении алгоритма роста. Заключение, к которому приводит теория, состоит в общей независимости глобального роста от внешних условий - вывод, находящийся в противоречии с традиционными и общепринятыми мальтузианскими представлениями. По утверждению экспертов Международной организации питания и в настоящее время также есть достаточно пространства и ресурсов на планете для принципиальной возможности обеспечить питанием 20-25 миллиардов человек.
Голод же во многих регионах связан не с общим недостатком продовольствия, а со способами его распределения, которые имеют социальное и экономическое происхождение. Если в прошлом все выражалось в количественном росте, то в новых условиях при стабилизации численности населения критерием развития станет качество населения. Так, за изменением возрастной структуры населения последует глубокая перестройка ценностных ориентаций в обществе, большая нагрузка на здравоохранение, систему социальной защиты, образования и науки, будет вырабатываться новое, ответственное отношение к окружающей среде. Эти фундаментальные изменения ценностных установок общества, несомненно, представляют основную проблему на новом этапе эволюции человечества, который наступит в предвидимом будущем при стабилизации населения нашей планеты после демографического перехода. Именно в этом контексте следует рассматривать концепцию устойчивого развития и само качество жизни.
С исторической и социальной точек зрения исключительное значение имеет системная устойчивость развития человечества как в процессе роста, так и, особенно, во время переходного периода. Если в канун Первой мировой войны Европа развивалась темпами никогда в будущем уже непревзойденными, то Мировые войны привели к общим потерям около 250 миллионов или 10 % населения мира. В прошлом следует обратить внимание на потери от Черной Смерти - страшной пандемии чумы в XIV веке, возникшей вследствие развязанной тогда бактериологической войны и приведшей к значительным нарушениям роста населения мира. Тем не менее, как и в случае мировых войн XX века, человечество очень быстро восполнило эти потери
В настоящее время возможна потеря системной устойчивости при прохождении развивающихся стран через демографический переход - переход, который произойдет в два раза быстрее, чем в Европе и охватит в десять раз больше людей. Так, в течение последних десяти лет экономика Китая растет более чем на 10% в год, тогда как население, превышающее 1,2 млрд, растет на 1,1%. Население же Индии в 2001 году превысило 1 млрд и растет на 1,7%, а экономика - на 6% в год. Вместе с аналогичными цифрами, характеризующими стремительное развитие стран Азиатско-Тихоокеанского региона, возникают все увеличивающиеся градиенты роста населения и экономического неравенства, разрушительный потенциал которых может угрожать глобальной безопасности, особенно при наличии ядерного оружия в этом регионе.
Демографический фактор, несомненно, важен для ряда мусульманских стран. Взрывное появление поколения неприкаянной молодежи и ее миграция в города дестабилизирует эти страны. Причем следует иметь в виду, что по культурологическим причинам Ислам мало способствует развитию. Поэтому результирующее “столкновение цивилизаций” связано не столько с религиозным фактором, сколько с последующим отставанием социального и экономического развития. Сравнивая динамику роста Европы и Азии видно, как в ближайшее время центр мирового развития переместится в Азиатско-Тихоокеанский регион. Тихий океан станет последним глобальным “средиземноморьем” планеты, где Атлантика была вторым, а в Древнем мире Средиземное море - первым.
Таблица 3
Динамика населения мира, Азии и Европы
| Год |
1950 |
2000 |
2050 |
| Регион |
Мир |
Азия |
Европа |
Мир |
Азия |
Европа |
Мир |
Азия |
Европа |
| Население (млн.) |
2500 |
1400 |
590 |
6170 |
3740 |
730 |
9800 |
5700 |
700 |
| Рост % в год |
1,78 |
1,90 |
0,96 |
1,49 |
1,55 |
0,08 |
0,54 |
0,44 |
-0,2 |
Детск. смер.
(на 1000) |
156 |
180 |
72 |
57 |
57 |
12 |
17 |
17 |
6 |
Нарастающие неравномерности развития могут стать потенциальной причиной потери устойчивости роста и, как следствие, привести к войнам. Такие возможные неустойчивости принципиально нельзя предсказать, однако указать на их вероятность не только возможно, но и следует сделать. Именно в сохранении устойчивости развития состоит главная ответственность мирового сообщества: сохранить мир в эпоху крутых перемен и не дать местным конфликтам разгореться в пожар, подобный тому, что возник в Европе в начале ХХ века. Без такой глобальной устойчивости невозможно решение никаких других глобальных проблем, какими бы значимыми они ни казались. Поэтому при обсуждении глобальных вопросов безопасности, наряду с военной, экономической и экологической безопасностью, следует включить в анализ, причем далеко не на последнем месте, демографический фактор безопасности и стабильности мира, который должен учитывать не только количественные параметры роста населения, но качественные, в том числе этнические, факторы.
ЗАКЛЮЧЕНИЕ И ВЫВОДЫ
Для населения мира, если рассматривать его как единую, развивающуюся путем самоорганизации систему, то предложенная модель позволяет охватить громадный диапазон времени и круг явлений, в которые входит вся история человечества как информационного общества. Наша модель парадоксально указывает на глобальную независимость развития в течение всей истории от внешних ресурсов, что позволяет сформулировать, в отличие от популяционного принцип Мальтуса, принцип демографического императива.
В силу указанных причин и тех острых дискуссий и выводов, которые делаются на основе представлений о предвидимом будущем, следует считать целесообразной постановку междисциплинарных комплексных исследований этих проблем, где математическое моделирование, вместе с другими методами, должно участвовать в анализе роста численности населения мира и тех последствий, которые это будет иметь во время демографической революции.
Справедливость принципов моделирования следует видеть не только и не столько в том, насколько близко расчет совпадает с наблюдаемыми данными, сколько в следствиях тех основных предположений о системности и статистической стационарности процесса автомодельного роста, которые положены в ее основу. Модель предлагает феноменологическое, макроскопическое описание явлений, в основе которого лежит представление о кооперативном взаимодействии, включающем все процессы культурной, экономической, технологической, социальной, и биологической природы, и приводящем к гиперболическому росту. Существенным выводом теории стало представление о кинематическом преобразовании эффективной продолжительности исторического времени по мере роста человечества.
Некоторые историки провозгласили конец Истории. Однако анализ показывает, что человечество ныне проходит критическую эпоху смены парадигм развития, никогда прежде им не переживавшуюся. Эти представления имеют большое значение для понимания экономики развития, перехода от парадигмы баланса и равновесия к неравновесной эволюции. В настоящее время именно неравновесные процессы приводят не только к быстрому росту, но и нарастанию неравномерностей развития. Поэтому модель квадратичного роста, неравновесная и необратимая, в основе которой лежит обобщенная информация, являющаяся главным фактором роста на всем протяжении всего роста человечества, приобретает особое значение для понимания статистических законов экономического развития. Недаром к этому подходу привлечено внимание экономистов в итоговом выпуске журнала “Вопросы экономики”.
В понятиях теории, в частности нелинейных явлений, следует видеть источник образов и аналогий, которые помогут расширить круг представлений в тех областях науки, где строгие понятия точных наук не могут быть формализованы в той степени, так как этого хотелось бы. В этом ряду демография занимает особое место, поскольку при всей ограниченности числа как характеристики сообщества, его значение имеет четкий и универсальный смысл. Теперь в демографической проблеме можно получить результаты и новый объект для теоретических исследований физика и математика.
В целом, переход после демографической революции к новой парадигме развития приведет к глубоким изменениям, предвидение которых должно привлечь внимание всех, кто всерьез задумывается о судьбах мира. Удлинение продолжительности жизни и сокращение рождаемости, при которых возрастает численность пожилых граждан и уменьшается численность молодежи, ведет к увеличению нагрузки на систему социального обеспечения и медицинского обслуживания пенсионеров. Изменение возрастного состава и увеличение числа городских жителей приводит к изменениям структуры и устойчивости семьи, новым критериям роста и успеха, приоритетов и ценностей общества. Это происходит столь стремительно, что ни отдельные лица, ни общество в целом и его институты не успевают адаптироваться к новым обстоятельствам и, соответственно, придти в результате перехода к новому режиму развития.
Времени, когда количественный рост сменяется либо качественным развитием, либо стагнацией. Эта дилемма стоит как перед человечеством, так с особой остротой перед Россией при переходе от индустриального развития к постиндустриальному обществу знаний, связанной с развитием культуры, науки и образования, когда происходят существенные структурные изменения в странах, завершающих переход. Так происходит смена приоритетов в экономике и ценностей в обществе, изменение взаимоотношений между поколениями и моральных установок при воспроизводстве населения и его неизбежном старении и при значительной миграции и этнических изменениях.
В итоге демографический анализ мирового развития дает глобальную перспективу видения - картину, которую можно считать метаисторической, находящейся над историей по широте и времени охвата. Достигнутые таким образом обобщения имеют свое место и ценность, как дающие достаточно полную и объективную картину развития реального мира. Таким путем, быть может впервые, возможно обратиться к количественному исследованию исторических процессов, имеющие особое значение для понимания качественных перемен и их интерпретации с позиции представлений конкретных социологических представлений в эпоху глобализации экономики.
Трудно думать, что в обозримом будущем станет возможным сознательно воздействовать на глобальный процесс роста в силу масштаба происходящего и темпов этих событий, само понимание которых еще неполно и при отсутствии должной политической воли. В тоже время, проводимая правительствами региональная демографическая политика, в частности в области образования и здравоохранения является частью системного поведения той или иной страны или региона. Наконец, современные открытия в области молекулярной биологии и генома человека открывают принципиальные возможности измерения самой природы человека, а следовательно темпов развития и самих предпосылок модели. Но развитые выше представления уже дают возможность предложить новую, общую для человечества, канву развития и перспективу времени - картину, пригодную для антропологии и социологии, истории и экономики.
Если же мировое сообщество - от политиков до врачей - увидят в переходном периоде не только источник стрессов для отдельного человека и критического состояния для всего человечества, но и системные предпосылки перехода к новой парадигме развития качества жизни, то автор будет считать этот опыт междисциплинарного исследования оправданным. Более того, возникающее понимание поможет в преодолении страхов перед будущим, возникающие при крушении прежнего порядка вещей в эпоху стремительных перемен, имеющих глобальный масштаб, и зарождении нового мира.
Подрис.подпись к ст. Капицы
Население мира от 2000 до Р.Х. до 3000 г. Предел роста

миллиардов: 1 - население мира с 2000 г. д.н.э. 2 - гиперболический рост и режим с обострением, характеризующий демографический взрыв (1), 3 - демографический переход, 4 - стабилизация населения, 5 - Древний мир, 6 - Средние века, 7 - Новая и 8 - Новейшая история. ↑ - чума 1348 года.

- 2000 г. Заметим, что на полулогарифмической сетке экспоненциальный рост изображается прямой. На графике роста по мере приближения к демографическому переходу в 2000 году видно сжатие исторического времени развития
1 Капица С.П. Феноменологическая теория роста населения Земли, "Успехи физических наук", 1996. Т.166. N1. С 63-80. Он же. Общая теория роста населения Земли. “Наука”, М. 1999.
2 Капица С.П. Модель развития человечества и проблемы экономики. “Вопросы экономики”. N12. 2000