Мероприятия маркетинга
Метод полных издержек имеет три слабые стороны:
- показатели относительной рентабельности различных маркетинговых объектов резко изменяются при использовании различных баз распределения общих косвенных затрат;
- произвольность выбора баз распределения негативно действует на менеджеров. Они чувствуют, что их работа может быть оценена не самым справедливым образом;
- включение общих косвенных затрат может ослабить усилия по контролю за реальными издержками. Оперативное управление наиболее эффективно справляется с прямыми и косвенными издержками, а необходимость распределять, к тому же произвольно, общие косвенные расходы приводит только к потере времени и ослабляет контроль за распределяемыми затратами.
Похоже, что компании все больше интересуются использованием анализа маркетинговой прибыльности и его расширенной версии, учета издержек по видам деятельности, для определения истинной прибыльности различных объектов и мероприятий. Для того чтобы повысить прибыльность, можно заняться поисками путей сокращения объемов ресурсов, необходимых для выполнения различных действий, или повысить эффективность их использования, или найти новые источники их приобретения по более низким ценам.
Мероприятия маркетинга
2.2.1. Реклама
Реклама любая платная форма неличного представления и продвижения идей, товаров и услуг конкретного заказчика.
Программа рекламной кампании для целевого рынка включает такие вопросы, как цели и задачи рекламной кампании, выбор вида рекламы и канала ее распространения, разработка рекламного обращения, определение рекламного бюджета, методы оценки эффективности рекламы.
Специфика рекламной программы определяется особенностями разрабатывающей ее организации. В небольших фирмах за рекламу отвечает один из сотрудников отдела продаж или отдела маркетинга, поддерживающий контакты с рекламным агентством. Основная функция рекламных агентств, к услугам которых обращаются большинство коммерческих предприятий, организация рекламных кампаний и установление и поддержание отношений со средствами массовой информации.
В крупных компаниях создаются собственные рекламные отделы, менеджеры которых подчиняются вице-президенту по маркетингу. Функции рекламного отдела заключаются в организации разработки рекламной стратегии; планировании рекламных кампаний; осуществлении рекламы товаров по почте, демонстрации товаров для дилеров и других видов рекламы, обычно не входящих в круг услуг, предоставляемых рекламными агентствами.
Начиная работу над рекламной программой, менеджеры по маркетингу прежде всего определяют целевой рынок и мотивы покупателей. Содержание рекламной программы раскрывает ответы на пять основных вопросов.
1. Цели. Какие цели преследует данная реклама?
2. Расходы. Каковы источники финансирования и бюджет рекламной кампании?
3. Обращение. Какое рекламное обращение необходимо донести до потребителя?
4. Средства информации. Какие средства массовой информации следует задействовать?
5. Итоги. Как оценить результаты рекламной кампании?
2.2.1.1. Цели рекламы
Первый шаг в разработке рекламной программы это определение ее целей, которые детерминируются предварительно принятыми решениями, характеристиками целевого рынка, его конъюнктурой и маркетинговой стратегией компании. Роль рекламы в маркетинговой программе в целом определяется составляющими маркетинга (цена, товар, реклама и размещение) и конъюнктурой рынка.
Ниже перечислены примеры рекламных целей.
Сообщение: проинформировать рынок о новом продукте; предложить новые способы использования известного продукта; сообщить об изменении цен; объяснить принцип работы изделия; описать предоставляемые услуги; исправить ложные впечатления; уменьшить опасения покупателей; создать имидж компании.
Убеждение: убедить покупать определенную торговую марку; переключить внимание на другую торговую марку; изменить представление покупателей о качестве продукта; убедить покупателей не откладывать покупку; убедить потребителей о выгоде заказа товара по телефону.
Напоминание: напомнить покупателям о том, что тот или иной продукт может понадобиться в ближайшем будущем; напомнить покупателям, где именно можно купить продукт; напомнить о своей компании в период межсезонья; постоянно держать покупателей в курсе событий.
Информативная реклама играет важную роль на начальной стадии продвижения товара, когда ее цель заключается в создании первичного спроса.
Реклама как убеждение приобретает особое значение на стадии конкурентной борьбы, когда компания стремится создать устойчивый спрос на определенную марку товара. Подавляющая часть рекламы относится именно к этой категории.
Иногда реклама-убеждение превращается в сравнительную рекламу, цель которой - установление превосходства определенной марки товара посредством сравнения одного или нескольких ее признаков с одной или несколькими марками аналогичных товаров. Сравнительная реклама используется для таких категорий товаров, как дезодоранты, зубные пасты, одежда, автомобили. Приняв решение об использовании сравнительной рекламы, компания должна быть уверена, что она обладает всеми необходимыми аргументами для подтверждения заявленного превосходства и адекватного ответа на претензии владельцев конкурирующей марки.
Использование сравнительной рекламы оправдано в тех случаях, когда она воздействует как на рациональные, так и эмоциональные мотивы потребителей.
Реклама как напоминание особенно эффективна для хорошо известных на рынке товаров. Цель красочных (и очень дорогих) страниц в журналах с рекламой Соса-Со1а не информация о товаре или призыв к покупке напитка, а именно напоминание.
Схожая форма рекламы реклама как поддержка, цель которой заключается в попытке устранения последних сомнений потребителя в том, что он сделал правильный выбор. В рекламе автомобилей часто используются изображения довольных покупателей, наслаждающихся новой моделью.
В выборе рекламной цели следует исходить из анализа текущей рыночной ситуации. Например, если производитель достаточно известен, а товар, который она предлагает, получил признание, но уровень его продаж невысок, цель рекламной кампании стимулирование спроса.
Если же поставщик пользуется популярностью лишь в узком кругу знатоков, а товар появился на рынке совсем недавно, но отличается наилучшим качеством, компания ставит целью убеждение рынка в превосходстве данной торговой марки.
Стимулирование сбыта
Стимулирование сбыта это разнообразные побудительные средства (главным образом, краткосрочные), призванные ускорить и/или увеличить продажи отдельных товаров потребителям или дилерам.
В то время как реклама вызывает желание приобрести товар, стимулирование сбыта поощряет покупку. Стимулирование сбыта включает в себя средства:
- поощрения потребителей (распространение образцов, купонов, предложения компенсации, снижение цен, премии, призы, вознаграждение клиентов, бесплатные пробы, гарантии, продажа на определенных условиях, перекрестное (совместное) стимулирование, демонстрации в местах покупки);
- поощрения розничных продавцов (снижение цен, рекламные и демонстрационные скидки, беспошлинные товары);
- поощрения деловых партнеров и торговых агентов (коммерческие выставки и съезды, соревнования коммерческих представителей и специальная реклама);
К средствам стимулирования сбыта прибегает большинство организаций, в том числе производители, дистрибьюторы, розничные торговцы, торговые ассоциации и некоммерческие организации. Так, в США церковные организации финансируют клубы игры в бPнго, театральные вечера, обеды по подписке и вещевые лотереи.
Десять лет назад соотношение рекламы и мероприятий по стимулированию сбыта составляло примерно 60:40. Сегодня во многих компаниях по продаже потребительских товаров на стимулирование сбыта приходится 65-75 % рекламного бюджета.
Расходы на стимулирование сбыта в 1976-1996 гг. постоянно возрастали, ожидается что эта тенденция сохранится. Компания McDonald’s активно использует в кампаниях по стимулированию сбыта сюжеты и персонажи популярных кинофильмов, что способствовало росту объема ее продаж компании в 1994 г. до 5 14,2 млрд., что на 7,1 % больше, чем в 1993 г. (рост объема продаж во всей сфере быстрого питания составил 6,6 %). Компания MasterCard уделяет основное внимание стимулирующей стратегии скидок, что позволило ей преодолеть пятилетний период стагнации и увеличить доходы сразу на 28,9 %.5
Быстрому развитию мероприятий по стимулированию сбыта, особенно на потребительском рынке, способствовали внутренние и внешние факторы. Внутренние факторы: руководство компаний охотнее воспринимает поощрение покупателей в качестве одного их эффективных инструментов сбыта; все больше менеджеров обретают умение пользоваться средствами стимулирования сбыта; менеджеры обязаны добиваться увеличения объема продаж.
Внешние факторы: увеличилось количество разнообразных торговых марок; поощрение покупателей практикуют конкурирующие фирмы; многие марки товаров похожи друг на друга; потребители лучше ориентируются в ценах; продавцы требуют от производителей все больше уступок; эффективность рекламы снижается из-за растущих издержек, насыщенности рекламой средств информации и законодательных ограничений.
Подобно перебору в рекламе, развитие средств стимулирования сбыта (купоны, соревнования и т. п.) привело к перенасыщению и мероприятиями по продвижению товаров. Высока вероятность того, что купоны и другие формы поощрения будут утрачивать привлекательность и способность инициировать покупку.
Производителям и продавцам придется искать новые приемы например, повышая выкупную стоимость купонов или придумывая все более эффектные идеи для рекламы в местах покупки.
Средства стимулирования сбыта различаются в зависимости от их специфических задач. Например, распространение бесплатных образцов поощряет апробирование товара потребителем, в то время как практика консультационного обслуживания обусловлена стремлением к укреплению долгосрочных отношений с розничным продавцом.
Продавцы используют мероприятия по стимулированию для привлечения новых покупателей, поощрения постоянных клиентов и побуждения случайных потребителей сделать еще одну покупку. Новые потребители, решившие купить товар на пробу, делятся на три группы: те, кто обычно пользуются товарами той же категории, но иной марки; те, кто предпочитают другую категорию товара; и те, кто часто меняют свои предпочтения. Стимулы часто привлекают именно последний тип покупателей, ибо потребители иной марки или иной категории товаров в меньшей степени поддаются влиянию стимулирования.
Те же, кто часто меняют предпочтения, в первую очередь обращают внимание на низкую цену товара, его полезность или премии, однако поощрение едва ли способно превратить этих покупателей в постоянных клиентов. Стимулирование сбыта на рынке сходных товаров вызывает кратковременный рост продаж, но почти не влияет на показатели доли рынка компании.
На рынке различающихся торговых марок стимулирование сбыта приводит к постоянным изменениям показателей доли рынка компаний.
Таким образом, можно сделать следующие выводы:
- в сравнении с рекламой стимулирование сбыта вызывает более устойчивую и поддающуюся измерению реакция объема продаж;
- стимулирование сбыта на стабильном рынке не ведет к привлечению новых покупателей главным образом, потому, что распродажи привлекают падких на скидки покупателей, которые изменяют свои предпочтения, как только появляется возможность приобрести другую марку по более низкой цене;
- постоянные покупатели обычно не реагируют на на знаки внимания со стороны поставщиков-конкурентов и устойчивы в своих предпочтениях;
- реклама повышает степень лояльности потребителей определенной марки товара.
Очевидно также, что стимулирование в форме снижения цены на товар имеет лишь кратковременный эффект.
Использование средств стимулирования сбыта рекомендуется компаниям имеющим небольшую долю рынка, поскольку их рекламные бюджеты несопоставимы с расходами на рекламу лидеров. Не предлагая льгот продавцам и не поощряя потребителя, производителям с небольшой долей рынка трудно бороться за место в розничной сети.
Ценовая конкуренция часто используется ими в попытках расширения доли рынка, но для лидеров такая политика неэффективна, потому что их рост основывается на расширении товарной категории в целом.
Паблик рилейшнз
Связи с общественностью наряду с рекламой и стимулированием сбыта один из важнейших инструментов маркетинга. Компания должна иметь конструктивные отношения не только с клиентами, поставщиками и дилерами, но и с широкими кругами заинтересованной общественности.
Общественность, или публика, это любая группа населения, фактически или потенциально заинтересованная в успехах или неудачах той или иной компании либо имеющая влияние на ее деятельность.
Паблик рилейшнз (связи с общественностью) включают в себя спектр программ, целью которых является продвижение и/или защита образа (имиджа, престижа) компании или отдельных изделий.
Публика способствует или препятствует компании в достижении поставленных перед нею целей. Часто к работе по установлению положительных связей с общественностью относятся как к пасынку маркетинга, не считая ПР серьезной стратегией в ряду мер по планированию товародвижения.
С другой стороны, многие руководители компании постоянно контролируют отношения с общественностью и осуществляют координацию ПР мероприятий. В большинстве компаний созданы отделы по связям с общественностью. Отдел ПР контролирует отношения с общественными организациями, распределяет информацию и сообщения в СМИ, направляя усилия на создание и поддержание положительного имиджа фирмы. Если нежелательную огласку получают негативные сведения о компании, действия отдела ПР направлены на исправление ситуации и улаживание конфликтов.
Основная задача отдела по связям с общественностью заключается в том, чтобы рекомендовать руководству позитивные программы действий и вовремя предостеречь менеджеров от сомнительных предприятий во избежание распространения дурной славы о компании.
2.2.3.1. Функции паблик рилейшнз
Отделы ПР выполняют пять функций, причем некоторые из них совпадают с непосредственными целями маркетинга.
- связи с прессой. представление новостей и информации о фирме в наиболее выгодном для нее свете;
- реклама изделия, осуществление различных мероприятий, обеспечивающих известность определенной продукции;
- корпоративные связи, популяризация политики организации;
- лоббирование, сотрудничество с членами законодательных органов и правительственными чиновниками с целью содействия или противостояния принятию определенных законодательных актов;
- рекомендации руководству в случае возникновения вопросов со стороны общественности относительно позиции и репутации компании. консультации и предложения менеджменту компании по созданию и развитию положительного имиджа торговой марки.
Специалисты по ПР не всегда находят общий язык с менеджерами по сбыту. Главное различие между ними состоит в том, что менеджеры по сбыту заинтересованы, как правило, только в прибылях, в то время как специалисты ПР видят свою задачу в подготовке и распространении сообщений. В настоящее время эти различия стираются. Многие компании стремятся к созданию маркетинговой службы по связям с общественностью (МПР), которая поддерживала бы положительный образ фирмы в глазах потребителя и одновременно содействовала увеличению объемов продаж.
Такой отдел, являясь одним из направлений маркетинговой службы, занял бы собственную нишу в работе компании (до появления понятия МПР обычно использовался термин паблисити. Функции МПР заключаются в обеспечении опосредованных рекламных мероприятий, пробуждение интереса публики к деятельности и продукции компании с помощью невинных, казалось бы, с коммерческой точки зрения, статьях или выступлениях в средствах вещания.
Но МПР, в сравнении с размещением простой рекламы, выполняет более сложные функции, играя важную роль в выполнении следующих задач.
В результате ослабления возможностей массовой рекламы руководители все чаще обращаются к услугам МПР. Три четверти из 286 опрошенных менеджеров по сбыту американских компаний сообщили, что они используют МПР и полагают, что маркетинговая служба по связям с общественностью особенно эффективна в повышении осведомленности аудитории как о новых, так и об известных торговых марках6. Очень высоки результаты службы МПР в работе с местными общинами, этническими и другими группами населения.
В некоторых случаях МПР показала себ экономически более эффективной, чем прямая реклама. Однако планирование тех и других мер должно быть совместным. МПР обычно испытывает недостаток средств, и ее бюджет может быть пополнен за счет рекламы.
Кроме того, используя возможности ПР, менеджеры по сбыту повышают свой профессиональный уровень.
Очевидно, что организация общественного мнения потенциально может повлиять на степень осведомленности публики о торговой марке. Компания не оплачивает место или время, полученное в средствах информации с помощью ПР.
Она платит заработную плату своим специалистам по связям с общественностью, которые распространяют информацию о компании и ее торговых марках и управляют определенными ситуациями. Если в основе рекламной программы какой-то компании лежит увлекательная история, ее подхватывают средства массовой информации, что в ином случае стоило бы миллионы долларов.
Информация МПР пользуется значительно большим доверием, чем реклама. Некоторые эксперты утверждают, что вероятность того, что потребители скорее поверят редакционной статье, чем рекламным обращениям, составляет 5:1.7
Маркетинговые исследования
Под маркетинговыми исследованиями понимается систематический сбор, отображение и анализ данных по разным аспектам маркетинговой деятельности.
Процесс маркетинговых исследований включает следующие этапы и процедуры:
1. Определение проблемы и целей исследования
1.1. Определение потребности в проведении маркетингового исследования
1.2. Определение проблемы
1.3. Формулировка целей маркетинговых исследований
2. Разработка плана исследований
2.1. Выбор методов проведения маркетинговых исследований
2.2. Определение типа требуемой информации и источников ее получения
2.3. Определение методов сбора необходимых данных
2.4. Разработка выборочного плана и определение объема выборки
3. Реализация плана исследований
3.1. Сбор данных
3.2. Анализ данных
4. Интерпретация полученных результатов и их доведение до руководства (подготовка и презентация заключительного отчета)
Определение потребности в проведении маркетингового исследования.
Потребность в проведении маркетинговых исследований возникает в том, случае, когда у руководителей организации или сотрудников различных отделов не хватает информации для принятия обоснованного решения. Но проводить маркетинговые исследования каждый раз при отсутствии информации, по крайней мере, расточительно. На проведение даже одного исследования уходят большие деньги и время. Поэтому перед проведением исследования необходимо оценить потери/выгоды, в случае, если исследование будет проводиться, и если нет.
И в случае, если выгоды превышают потери - стоит проводить исследование.
2.2.4.1. Определение проблемы
Ясное и четкое изложение проблемы является ключом к проведению успешного маркетингового исследования. Классической ситуацией является, когда маркетинговое исследование не адресовано реальной проблеме.
Часто в этих целях проводят разведочное исследование.
Определение проблемы включает:
- выявление симптомов;
- четкое изложение возможных причин, или базовых проблем, лежащих в основе симптомов;
- выявление полного списка альтернативных действий, которые можно предпринять для решения проблем.
При проведении маркетинговых исследований обычно сталкиваются с двумя типами проблем: проблемы управления маркетингом и проблемы маркетинговых исследований. Первые появляются в двух случаях. Во-первых, когда возникают симптомы не достижения целей маркетинговой деятельности.
Во-вторых, существует вероятность достижения целей, однако менеджеру надо выбрать такой курс действий, который даст возможность в полной мере воспользоваться благоприятными обстоятельствами.
Проблемы маркетинговых исследований определяются требованиями предоставления руководителям и специалистам по маркетингу точной и непредвзятой информации, необходимой для решения проблем управления маркетинговой деятельностью.
Основной причиной возникновения ошибок и неточностей на этом этапе, будет являться некомпетентность лиц выполняющих работу по постановке проблем(ы).
2.2.4.2. Формулировка целей маркетинговых исследований
Цели маркетинговых исследований вытекают из выявленных проблем. Достижение целей исследований позволяет получить информацию, необходимую для решения существующих проблем.
Они характеризуют тот информационный вакуум, который должен быть ликвидирован для предоставления менеджерам возможности решать маркетинговые проблемы.
При постановке целей маркетингового исследования задается вопрос: Какая информация необходима для решения данной проблемы?. Ответ на этот вопрос определяет содержание целей исследования.
Цели маркетинговых исследований могут носить следующий характер:
- разведочный, то есть быть направлены на сбор предварительной информации, предназначенной для более точного определения проблемы и проверки гипотез;
- описательный (дескриптивный), то есть заключаться в простом описании тех или иных аспектов реальной маркетинговой ситуации;
- казуальный, то есть быть направленными на обоснование гипотез, определяющих содержание выявленных причинно-следственных связей.
2.2.4.3. Выбор методов проведения маркетинговых исследований
Первой задачей выбора методов проведения маркетинговых исследований, что является начальным этапом разработки плана маркетинговых исследований, является ознакомление с отдельными методами, которые могут использоваться на отдельных его этапах. Затем с учетом ресурсных возможностей выбирается наиболее подходящий набор этих методов.
Методы сбора данных при проведении маркетинговых исследований можно классифицировать на две группы: количественные и качественные.
Количественные исследования обычно отождествляют с проведение различных опросов, основанных на использовании структурированных вопросов закрытого типа, на которые отвечает большое число респондентов. Характерными особенностями таких исследований являются: четко определенный формат собираемых данных и источники их получения.
Обработка данных осуществляется с помощью упорядоченных процедур, в основном количественных по своей природе.
Качественные исследования включают сбор, анализ и интерпретацию данных путем наблюдения за тем, что люди делают и говорят. Наблюдения и выводы носят качественный характер и осуществляются в не стандартизированной форме.
Качественные данные могут быть переведены в количественную форму, но только после проведения специальных процедур.
Методы оценки эффективности мероприятий маркетинга
2.3.1. Оценка эффективности рекламы и стимулирования сбыта
Формально контроль над рекламной кампанией не является обязательной процедурой. В большинстве случаев (опять же, формально) кампании ее не контролируют. Взамен менеджеры анализируют показатели сбыта до и в течении рекламной кампании и затем делают вывод, работает реклама или нет.
Однако около Wоловины всех рекламных кампаний не приводят к явному (измеримому) увеличению объемов сбыта. Более того, 3 кампании из 10 в конечном итоге вызывают падение продаж марки.8 Если не следить за ходом рекламной кампании, то можно неожиданно для себя оказаться перед очень неприятным фактом, что принимать меры для исправления уже слишком поздно.
Отслеживание рекламы обходиться дорого. Прежде всего, нужно провести предварительное, или контрольное исследование.
Затем, уже во время кампании проводятся одна или несколько волн исследований, результаты которых, сравниваются с контрольными.
Оценка эффективности маркетинговых исследований
Так осуществляется слежение за эффективностью рекламы.
2.3.1.1. Измерения при отслеживании рекламной кампании
Процесс контроля над рекламной кампанией включает в себя измерение всех последовательных этапов рекламной коммуникации:
- контакта с рекламой;
- усвоения информации;
- эффектов коммуникации и позиционирования марки;
- действий целевых покупателей;
- объема сбыта или доли рынка;
- прибыли.
2.3.1.1.1. Исследование числа контактов с рекламой
Контакт это возможность увидеть или услышать рекламное обращение. Это значит, что контакт происходит, когда объявление размещается в одном или нескольких средствах рекламы, достигающих целевых потребителей.
Заметят потребители рекламу или нет зависит от внимания, которое оценивается на следующем этапе этапе усвоения информации.
Таким образом, исследование числа контактов с рекламой связано с измерением информационной мощности средства рекламы. Измерить мощность средства рекламы можно по-разному: от общей оценки затрат на размещение рекламы в денежном выражении и совокупного количества рекламных объявлений, необходимого для достижения желаемого уровня осведомленности, до более точной оценки охвата при минимальной частоте повтора рекламы (эффективный охват).
В любом случае медиа-измерения рассчитываются на определенный период времени. Это может быть неделя, месяц или более длительный период.
Соотношение уровня затрат на рекламу и уровня увеличения сбыта позволяет оценить ситуацию в общих чертах. Данная оценка имеет важный финансовый смысл, но в то же время это общий причинно-следственный показатель.
GRP количество рекламных объявлений, необходимое для достижения желаемого уровня ознакомления с рекламным объявлением на рынке, другими словами вес рекламы. GRP медиа-графика равно сумме охватов (в %) каждого рекламного объявления в пределах рекламного цикла. Один GRP означает, что 1 объявление охватило 1% целевой аудитории; 10 GRP 1 объявление охватило 10% аудитории и т. д. Обычно GRP определяется как сумма процентных показателей всех средств рекламы, используемых за один рекламный цикл, помноженный на количество объявлений, размещаемых в них.
Так, три объявления в одном средстве рекламы с показателем 10 дадут 30 GRP, как и три объявления в трех разных средствах с тем же показателем.
Количество объявлений, размещенных за определенный период времени, также является валовой оценкой контакта с рекламой.
Во-первых, показатель GRP можно сопоставить с общим объемом затрат на рекламу (GRP на денежную единицу за данный период). Их соотношение показывает, эффективно ли тратятся деньги.
Чем выше значение, тем дешевле обходится каждый контакт с рекламным сообщением.
Во-вторых, GRP можно также напрямую связать с объемами сбыта. В этом случае получим грубую оценку эффективности плана использования средств рекламы.
Грубую потому что сам показатель можно оценивать разными способами, на основе разных схем и уровней частоты контактов с рекламой.
Охват целевой аудитории при минимальной эффективной частоте выхода рекламы называется эффективным охватом и является самой точной оценкой контактов с рекламой.
Чтобы измерить эффективный охват, нужно либо напрямую оценить число контактов с различными средствами рекламы (прямое совмещение), включив данный вопрос в анкеты, либо, что гораздо быстрее и надежнее, оценить частоту узнавания рекламы. Минимальная эффективная частота рассчитывается для каждого рекламного цикла (МЭЧ/ц), однако охват при данной МЭЧ (эффективный охват) это показатель, который можно пересчитать для любого периода, который использовался для других контрольных измерений.
Это могут быть 4 недели, а не 3, составляющие рекламный цикл.
Если окажется, что эффективный охват (уровень охвата целевой аудитории при минимальной эффективной частоте) не связан с объемами сбыта, значит что-то сделано не так, как надо. Дело, скорее всего не в плане использования средств рекламы, а в рекламной стратегии, либо в ее творческом исполнении.
К счастью, отслеживание рекламной кампании, поскольку оно последовательно охватывает все этапы рекламной коммуникации, обычно позволяет обнаружить источник проблемы.
2.3.1.1.2. Исследование качества усвояемости информации
Обработка информации состоит из немедленных реакций потребителя на рекламу (внимания, запоминания, эмоциональных реакций и приятия). Измерить обработку информации напрямую в ходе контрольного исследования нельзя, так как провести опрос в момент контакта респондентов с рекламой не представляется возможным. В лабораторных же условиях тестирование объявлений лишено информационного окружения, их демонстрируют по отдельности.
Это гарантирует, что они привлекут к себе внимание, но не позволяют дать оценку усвояемости рекламы в реальном, конкурентном окружении.
Поэтому в процессе отслеживания рекламной кампании внимание измеряется косвенными способами (при этом оценивается, хотя бы частично, процесс усвоения информации, поскольку, чтобы ответить на вопросы интервьюера, респондент должен запомнить что-то из рекламы). Чаще всего проводятся оценки узнаваемости и вспоминаемости рекламы по маркам и по товарным категориям.
Оценка узнаваемости это, во-первых, проверка плана использования средств рекламы (было ли рекламное объявление увидено или услышано людьми, которым оно предназначалось), а во-вторых, проверка способности объявления привлекать внимание целевой аудитории. Существует несколько вариантов измерения узнаваемости рекламы: простое узнавание, замаскированное узнавание и частота узнавания рекламы.
Простое узнавание. Респондентам показывают (для радиорекламы - проигрывают) рекламные объявления или ролики и спрашивают, видели они их раньше. Варианты ответа: да, не уверен, нет.
При этом только ответы да указывают на то, что объявление или ролик были узнаны. Причем респонденты должны узнать именно объявление, а не рекламируемую марку.
Замаскированное узнавание. При демонстрации рекламного объявления или ролика упаковку товара или имя марки можно скрыть (замаскировать), а потом попросить респондента вспомнить марку, поэтому название метода не совсем корректно.
Замаскированная оценка предпочтительней обычной, так как позволяет выяснить, насколько запоминается сама реклама, а не рекламируемый объект (большинство людей запоминает именно объявление, а не марку). Если узнаваемость и запоминаемость марки низкие, замаскированная оценка позволит установить, что проблема в исполнении рекламы.
Частота узнавания рекламы. Респондентов, узнавших рекламу, следует также спросить о частоте узнавания, о том, сколько раз они видели или слышали объявление. Обычно оговаривается некоторый промежуток времени, например, за последние несколько недель, за последнее время, или даже когда-либо.
Это заявленная частота узнавания, которая используется для оценки эффективного охвата.
Узнаваемость рекламы можно сравнить с охватом умов. Если получена информация, что средство рекламы охватывает целевых потребителей в нужном объеме, а случаев узнавания рекламы меньше показателя эффективного охвата, то проблема, скорее всего, кроется в творческой идее или способе ее воплощения. Если у рекламной кампании есть проблемы с охватом умов, притом, что обеспечивается должная частота контактов, то рекламодателю следует оценивать внимание методом показать и сказать
Это простой и в месте с тем достаточно надежный способ оценки внимания. Суть метода состоит в следующем. нИз выборки отбирается примерно 30 человек, каждому из которых еще раз показывают рекламное объявление.
Чтобы оценить визуальное внимание, респонденту повторно показываются печатное объявление или телевизионный ролик (в последнем случае ему позволительно с помощью пульта дистанционного управления самому останавливать запись в любом месте). Затем человека просят описать, что он увидел, то есть на что обратил внимание при предыдущем показе или показах.
Чтобы оценить слуховое внимание, нужно предложение за предложением прокрутить радио рекламу или фонограмму к телевизионному объявлению, после чего спросить респондента, что он запомнил из предыдущего просмотра/прослушивания.
Недостаток этого метода в том, что он не позволяет оценить естественный ход обработки информации, то есть нормальное, обычное внимание. Тем не менее, он достаточно дешев и должен использоваться в первую очередь.
Если проблема лежит на поверхности она будет выявлена.
2.3.1.1.3. Измерение эффектов коммуникации
Эффекты коммуникации это относительно прочные мысленные ассоциации будущего покупателя, связанные с данной торговой маркой. С их помощью создается позиция марки на рынке, а потребитель склоняется к мысли о покупке.
Частично или полностью они могут быть следствием любой формы маркетинговой коммуникации рекламных объявлений, рекламных акций, мер по стимулированию сбыта и презентаций. Можно выделить пять эффектов коммуникаций.
- Потребность в товарной категории.
Принятие покупателем, что приобретение изделия или услуги необходимо для снятия ощущаемого несоответствия между текущим и желаемым мотивационным состоянием.
- Осведомленность о торговой марке.
Способность покупателя идентифицировать (узнать или вспомнить) торговую марку данной товарной категории в объеме, достаточном для совершения покупки
- Отношение к торговой марке.
Оценка покупателем способности торговой марки соответствовать его текущему побуждению (в основе этой оценки лежит убежденность в материальной и эмоциональной выгоде от приобретения)
- Намерение купить продукт определенной торговой марки.
Решение покупателя приобрести данную торговую марку или предпринять иные действия, связанные с покупкой
- Содействие покупке.
Уверенность покупателя в том, что факторы маркетинга (сам продукт, цена, реклама и каналы реализации) не затруднят покупку
Коммуникативный эффект, который подлежит измерению в первую очередь, - это потребность в категории (если, конечно перед рекламной кампанией стоят цели создания потребности в категории или напоминания о ней)
Когда цель коммуникации заключается в напоминании потенциальному покупателю о существовавшей ранее или скрытой потребности в категории, измерять нужно намерение совершить покупку марки из данной категории. Например, цель напомнить владельцам персональных компьютеров о потребности купить новые ПК.
Возможный вопрос для теста: Какова вероятность того, что вы купите новый персональный компьютер для дома в ближайшие 6 месяцев?
Создание потребности в категории требует не одного, а целых трех измерений: намерения купить марку данной категории, мнения о выгодах данной категории и осведомленности о категориях (проводится позже). Знать, какое мнение респондентов о выгодах, необходимых для того, чтобы понять, выполнила ли реклама поставленные перед ней цели. Знание об осведомленности о категории позволяет рекламодателю быть в курсе, что у покупателя есть потребность.
Осведомленность возникает в процессе рассмотрения вариантов покупки различных конкурирующих между собой категорий. Например, вопрос для теста: Какие вещи вы думаете приобрести для дома в ближайшие 6 месяцев?
Столь многочисленные измерения действительно необходимы, потому что, пытаясь создать (продать) потребность в категории, мы относимся к этой категории как к обычной марке. Потенциальный покупатель должен сначала узнать о существовании категории, принять ее (выработать к ней отношение), затем у него должно сформироваться намерение совершить покупку (марки из данной категории).
И только потом начинают действовать коммуникационные эффекты отдельных марок.
Для проведения измерения намерения совершить покупку необходимо определить следующее: 1) формулировку вопросов относительно намерения (попробовать, купить или использовать), 2) временные рамки намерения, При оценке отношения к марке, главное, о чем следует помнить, - это ситуация (мотивация), в которой будет оцениваться марка. Отметим, что ситуацию необходимо оговорить и при измерении намерения купить (например, намерение купить домашние персональные компьютеры).
Любая оценка бессмысленна без учета мотивации покупки.
Многие исследователи советуют оценивать отношения по методу постоянной суммы (при использовании метода постоянной суммы респондента просят распределить по 11 бальной шкале разные марки в соответствии с общим отношением к каждой из них).
Оценка мнений респондентов о выгодах марки является диагностической процедурой для общей оценки отношения.
Шкала по которой будет оцениваться мнение о выгодах, зависит от модели рекламных коммуникаций.
Низковолеченная/информационная модель в этом случае потребители полагают, что марка имеет какие-то выгоды, либо считают, что таковых нет. Они не оценивают эти выгоды, а даже если и оценивают, то выбор марки происходит по принципу проходит не проходит, хорошо плохо. Поэтому для измерения мнений о выгодах используется простейшая шкала: 1 и 0.
Высокововлеченная/информационная модель. Когда потребители довольно высоко вовлечены в процесс выбора марки, характеристика каждой выгоды оказывает влияние на решение. Для градации выгод исследователи обычно прибегают к так называемым шкалам Ликерта. Например: Насколько вы согласны, что персональные компьютеры IBM дорогие: полностью согласны; в общем согласны; ни да ни нет; в общем не согласны или полностью не согласны?
Однако не нужно навязывать градации. Лучше спросить так: Как вы считаете, компьютеры IBM относятся к дорогим, очень дорогим, умеренно дорогим или вовсе дешевым?
Ответы на такой вопрос к тому же проще интерпретировать.
Низкововлеченная/трансформационная модель. В данном случае оценка мнений о выгодах является единственным средством измерения отношения к марке.
А также подменяет собой оценку намерения совершить покупку.
Для тестирования низкововлеченных/трансформационных объявлений рекомендуется применять более мягкие измерения выгод, известные как шкалы семантического дифференциала. Чтобы повысить надежность таких измерений, для каждой выгоды применяется не одна, а несколько шкал.
Шкала представляет собой два противоположных значения, разделенных семью интервалами интенсивности.
Высокововлеченная/трансформационная модель. Данный случай самый сложный.
С одной стороны, высокая вовлеченность допускает градации выгод, то есть использование тех шкал , что и в высокововлеченной информационной модели. Однако если тип продукта таков, что отношение к нему более мягкое (например, человек в первые совершает покупку дорогих дизайнерских джинсов), то лучше использовать семантические шкалы, благо они также допускают градацию.
2.3.1.1.4. Измерение объемов продаж и доли рынка
Методы измерения объемов продаж в различных отраслях имеют определенную специфику. Некоторые компании пользуются не одним, а несколькими методами оценки. Методы измерения принято разделять на четыре категории
1. По счетам. Самый точный метод оценки сбыта продукции. Однако счета довольно медленно доходят до фирмы.
Оценка же эффективности рекламы и стимулирования должна производиться как можно раньше, поэтому используются другие методы.
2. Предпродажная оценка
2.1. По объемам производства.
Это самый быстрый метод. Однако возникает проблема учета возвратов, оценить которые очень сложно. Если товар новый, то метод работает очень медленно
2.2. По объемам поставок со склада. Данный способ предпочтительнее, чем прямое измерение объемов производства, так как поставки со склада отражают реальный спрос со стороны потребителей.
Опять же существует проблема возвратов.
3. Данные сканирующих устройств
3.1. На уровне магазинов.
3.2. На уровне домохозяйств.
4. Прочие методы. Объемы сбыта можно измерять при помощи записей, специальных тестов и исследований.
Все эти методы неизбежно порождают ошибки и неточности. Более всего они подходят для прогнозирования уровня пробных или повторных покупок.
Доля рынка представляет собой продажи в относительном выражении, поэтому практически все перечисленные выше методы могут использоваться и в этом случае.
Долю рынка, как и объем сбыта, можно измерить в натуральном или в денежном выражении. Измерение в натуральном выражении показывает, как идут продажи марки по сравнению с конкурентами. Это основной способ определения доли рынка.
Факторный анализ стоимостной величины товарооборота позволит определить влияние различных факторов на его динамику.
Оценка эффективности маркетинговых исследований
2.3.2.1. Метод экспертных оценок
Зачастую из-за отсутствия статистической и отчетной информации (особенно касающейся деятельности фирм конкурентов) трудно получить количественные оценки таких показателей, например, как показатели рыночной доли и динамики изменения объема продаж. В этом случае могут использоваться экспертные оценки, формирующие качественные значения этих показателей (в терминах выше, на том же уровне, ниже и т. п.)
Экспертные оценки имеют недостатки. С одной стороны, нет гарантий, что полученные оценки в действительности достоверны, а с другой имеются определенные трудности в проведении опроса экспертов и обработке полученных данных. Если второй недостаток относиться к числу преодолимых трудностей, то первый имеет принципиальное значение. Существующие способы определение достоверности экспертных оценок основаны на предположении, что в случае согласованных действий экспертов достоверность оценок гарантируется.
Это на самом деле не всегда верно, и можно привести случаи, когда отдельные эксперты, не согласные с мнением большинства, давали правильные оценки.
Следовательно, единодушие большинства экспертов не всегда является критерием достоверности оценок. Отсюда вытекает необходимость тщательного отбора экспертов. Дело в том, что при обсуждении многих вопросов, особенно нестандартных (например, связанных с прогнозированием рыночной ситуации в нестабильных политико-экономических условиях) должны участвовать эксперты высокой квалификации.
Прогнозы, составленные средними экспертами, будут основаны в лучшем случае на традиционных, привычных оценках, тогда как высококвалифицированные специалисты обнаружат и оценят скрытые факторы.
Используя экспертные оценки, предполагают, что при решении проблем в условиях неопределенности мнение группы экспертов надежнее, чем мнение отдельного эксперта, то есть что две группы одинаково компетентных экспертов с большей вероятностью дадут аналогичные ответы, чем два эксперта. Предполагается также, что совокупность индивидуальных ответов экспертов должна включать истинный ответ.
Достоверность экспертных оценок можно повысить следующим образом. Нужно проанализировать данные о расхождении экспертных оценок и их действительных значений, найденных в процессе реализации событий, и сделать соответствующие переоценки компетентности экспертов.
При нахождении оценок экспертным путем помимо погрешности, вносимой недостатком информации о событиях и недостаточной компетентностью экспертов, возможна и погрешность совсем иного рода, обусловленная заинтересованностью экспертов в результатах оценки, что обязательно скажется на их достоверности. Наличие такого рода погрешности может значительно искажать оценки, вследствие чего необходимо предусмотреть соответствующие меры для устранения погрешности.
Одним из показателей, характеризующих пригодность эксперта, является степень его надежности. Под степенью надежности понимается относительная частота случаев, когда он приписывал более высокую вероятность тем событиям, которые впоследствии реализовывались.
На этом основании считается, что чем чаше эксперт оказывался прав, тем выше его авторитет. Однако необходимо иметь в виду, что могут существовать обстоятельства, когда эксперт, несведущий в данном вопросе, дает правильные ответ с высокой степенью вероятности.
Например, на стабильных рынках можно успешно прогнозировать ситуацию на ближайшее будущее, принимая ее такой же, как и сегодня.
Применяются как индивидуальные так и групповые (коллегиальные) экспертные опросы.
Основными целями использования индивидуальных экспертных оценок являются:
- прогнозирование хода развития событий и явлений в будущем, а также оценка их в настоящем (количественная и качественная оценка вероятности реализации определенного события в будущем, прогнозирование характеристик рынка и направления его развития, определение целей и стратегий маркетинговой деятельности, ранжирование различных объектов и т. д.);
- анализ и обобщение результатов, представленных другими экспертами;
- составление сценариев;
- выдача заключений на работу других специалистов или организаций (рецензии, отзывы, экспертизы и т. д.)
Отдельный эксперт в ряде случаев может быть очень полезен как источник информации и как советник руководителей, принимающих решения.
Даже в том случае, если работа выполнена одним экспертом, она может по существу обобщить мнения многих людей и дать крайне полезные исходные данные для анализа.
К числу групповых опросов относятся:
- открытое обсуждение поставленных вопросов с последующим открытым или закрытым голосованием;
- закрытое обсуждение с последующим закрытым голосованием или заполнением анкет экспертного опроса;
- свободные высказывания без обсуждения и голосования.
Групповые экспертные оценки могут быть получены при опросе экспертов как одной специальности, так и разных. В последнем случае экспертная оценка часто носит характер деловой игры.
Традиционные методы обсуждения поставленных перед группой экспертов вопросов, относящихся к первому типу экспертных опросов, до достижения определенного согласия между ними или до выработки общей позиции не являются наилучшими методами использования группы экспертов. Эти методы обсуждения страдают рядом недостатков, таких, как взаимное влияние мнений экспертов и не желание участников обсуждения отказываться от своих точек зрения ранее высказанных публично.
Поэтому на практике при подготовке решения по широкому кругу вопросов находят все большее распространение второй и третий типы групповых оценок.
Второй тип групповых экспертных оценок можно подразделить на две категории: экспертный опрос, проводимый в один тур путем одноразового заполнения анкет, и проводимый в несколько туров путем многократного заполнения анкет экспертами с целью последовательного уточнения оценок.
2.3.2.2. Метод Дельфи
Одним из лучших методов использования суждений экспертов является метод Дельфи, предусматривающий проведение экспертного опроса в несколько туров.9
В методе Дельфи делается попытка усовершенствовать групповой подход к решению разработки прогноза или оценки путем критики взаимных взглядов, высказываемых отдельными специалистами без непосредственных контактов между ними и при сохранении анонимности мнений или аргументации в защиту этих мнений.
В одном из вариантов этого метода прямое обсуждение заменяется обменом информации и мнениями с помощью тщательно разработанных вопросников. К участникам обращаются с просьбой не только высказать свои мнения, но и привести их обоснование, а в каждом из последующих туров опроса им выдается новая и уточненная информация по высказанным мнениям, которая образуется в результате расчета совпадения точек по ранее выполненным этапам работы.
Этот процесс продолжается до тех пор, пока продвижение в направлении совпадения точек зрения не становиться незначительным. После этого фиксируются расходящиеся точки зрения.
2.3.2.3. Порядок проведения экспертных опросов
Можно выделить следующие основные этапы экспертных опросов.
1. Подбор экспертов и формирование экспертных групп.
2. Формирование вопросов и составление анкет.
3. Формирование правил определения суммарных оценок на основании оценок отдельных экспертов.
4. Работа с экспертами
5. Анализ и обработка экспертных оценок.
На первом этапе, исходя из целей экспертного опроса, решаются вопросы относительно структуры экспертной группы, количества экспертов и их индивидуальных качеств, иными словами, определяются направления (разработка нового продукта, ценообразование, сбыт и т.п.), по которым необходимо или желательно привлечь экспертов (устанавливается специализация экспертов).
Работа с экспертами
Далее по каждому направлению выделяются подгруппы экспертов, и устанавливается количество экспертов в каждой подгруппе, которое зависит от конкретной постановки задачи и должно обеспечивать необходимый охват и полноту аспектов по каждому конкретному вопросу. Затем определяются требования к квалификации экспертов, стажу их работы в данной области опроса и общему стажу.
Зачастую расчеты по формулам математической статистики дают слишком высокие значения численности экспертной группы (порой больше 100 экспертов), поэтому на практике можно рекомендовать использовать прагматический подход, который не является столь теоретически обоснованным, как первый подход, но зато легко реализуемым.
Оценки численности группы экспертов в этом случае можно произвести, руководствуясь следующими соображениями. Ясно, что численность группы не должна быть малой, так как в этом случае был бы потерян смысл формирования экспертных оценок, определяемых группой специалистов. Кроме того, на групповые экспертные оценки в значительной степени влияла бы оценка каждого эксперта. При увеличении группы экспертов хотя и устраняются эти недостатки, но зато появляется опасность возникновения новых.
Так, при очень большом числе экспертов оценка каждого из них в отдельности почти не влияет на групповую оценку. Причем рост численности экспертной группы далеко не всегда приносит повышение достоверности оценок. Часто расширение группы экспертов возможно лишь за счет привлечения малоквалифицированных специалистов, что в свою очередь может привести лишь к уменьшению достоверности групповых оценок. Одновременно с ростом числа экспертов увеличиваются трудности, связанные с обработкой результатов опроса и координацией работы группы.
Следовательно, существуют некоторые граничные оценки численности группы экспертов Nmin и Nmax которые определяются следующим образом.
Нижняя оценка численности Nmin должна зависеть от числа оцениваемых событий. Данное предположение основано на существовании правила, которое обычно соблюдается при работе ученых советов, комиссий специалистов и т.д., а именно требований представительности группы, состоящей из N экспертов, для принятия решений по множеству m событий, которое можно представить как N = m. Поэтому принимаем Nmin = m.
Верхней границей численности экспертной группы является потенциально возможное число экспертов:
Nmax = Nn (2)
откуда действительное значение численности группы N находится в пределах
Mmax= Nmin = Nmax = Nn (3)
После того как найдена численность группы, определяется ее структура и состав, т.е. подбираются в группу эксперты требуемой специализации и квалификации. Для того чтобы экспертная группа могла всесторонне произвести оценку событий, число экспертов NL каждого L-го направления желательно выбрать одинаковым:
NL = N / r (4)
где L = 1, 2, ..., r;
где r число направлений.
Далее должно быть учтено одно ограничение, касающееся соответствия целей экспертов целям экспертного опроса, т.е. необходимо установить, имеется ли тенденция у отдельных экспертов необъективно оценивать рассматриваемые события. Для этого желательно выявить потенциальные возможные цели экспертов, противоречащие целям получения объективных результатов.
Анализируя предшествующую деятельность экспертов, необходимо выяснить наличие причин, которые приводят к стремлению завышать или занижать оценки так, чтобы повлиять на групповые в желательном для себя либо для других лиц направлении.
На основе сформулированных выше условий последовательность формирования группы экспертов может быть следующей. Сначала определяется потенциально возможное число экспертов Nn а также минимально допустимая численность группы Nmin. После этого среди потенциально возможных экспертов выделяют группу специалистов Nk (Nk = Nn) требуемой квалификации для оцениваемого класса событий. Затем из Nk исключают тех экспертов, чьи потенциально возможные цели могут противоречить целям получения объективных результатов.
Из оставшихся экспертов Nц (Nц Nk) формируют группу так, чтобы в ней обеспечивалось равночисленное представительство разных направлений. Для этого вначале определяют максимально возможное число представителей каждого направления как
NLmax = Nц / r (5)
Потом находят направление с наименьшим числом экспертов NLmax, которое входит в группу Nц. Тогда общая численность группы будет определяться по формуле
N = NLmin r (6)
После этого проверяют соотношение N = Nmin. Если оно не удовлетворяется, то необходимо выяснить возможность ослабления приведенных выше ограничений либо допустимость нарушения условия N = Nmin, что связано с важностью принимаемых решений на основе экспертных оценок.
2.3.2.4. Формирование вопросов и составление анкет
Правила опроса экспертов содержат ряд положений, обязательных к выполнению всеми. Эти правила должны обеспечивать соблюдение условий, благоприятствующих формированию экспертами объективного мнения. В число таких условий входит:
- независимость формирования экспертами собственного мнения об оцениваемых событиях;
- удобство работы с предполагаемыми анкетами (вопросы формулируются в общепринятых терминах и должны исключать всякую смысловую неоднозначность и др.);
- логическое соответствие вопросов структуре объекта опроса;
- приемлемые затраты времени на ответы по вопросам анкеты, удобное время получения вопросов и выдачи ответов;
- сохранение анонимности ответов для членов экспертной группы;
- проведение коллективных обсуждений оцениваемых событий;
- предоставление экспертам требуемой информации. Для обеспечения выполнения этих условий должны быть разработаны правила проведения опроса и организации работы экспертной группы. Причем в них должна быть учтена специфика оцениваемых событий, а также особенности организаций, из которых приглашаются эксперты.
2.3.2.5. Формирование правил определения суммарных оценок на основе оценок отдельных экспертов
Если имеются оценки aij событий (факторов) Ci определенные каждым nj N экспертом, то возникает вопрос о том, каким образом могут быть получены групповые оценки событий.
В общем случае групповая оценка аi, каждого Сi события зависит от оценок экспертами этого события и степени компетентности hj экспертов. Степень компетентности hj эксперта учитывает его опыт и квалификацию и является основной характеристикой эксперта, которая используется при определении групповых оценок- Поэтому
ai = f(aij,hj) (7)
где i = 1, 2, ..., m;
j = 1, 2, , p.
Следовательно, задание способа формирования групповых экспертных оценок состоит в определении этой функции. Причем необходимо, чтобы она была строго монотонно возрастающей по aij и hj
Этому условию удовлетворяет множество функций. Обычно полагают, что функцию (5) можно представить как
ai =

(8)
При равной компетентности экспертов эта формула принимает вид средней оценки
ai =

(9)
В зависимости от специфики экспертного опроса, объекта исследования и используемой методики обработки экспертных данных оценки аij могут иметь различную шкалу измерения: от 0 до 1, от 0 до 10 и от 0 до 100. Принципиальной разницы в данных шкалах нет, выбор той или иной из них во многом определяется удобством получения и обработки оценок, а также вкусом исследователя, проводящего экспертный опрос.
Для того чтобы учитывать различие в компетентности экспертов, им могут быть приписаны различные веса, которые учитываются при определении групповых оценок. Причем значения этих коэффициентов интерпретируются как вероятность задания экспертом достоверной оценки.
Тогда 0 hj, = 1. Значения весовых коэффициентов могут быть использованы при построении системы стимулирования работы группы экспертов. Например, дополнительная оплата за работу по оценке событий определится пропорционально весовому коэффициенту эксперта.
Существуют различные приемы оценки компетентности эксперта, выбор которых определяется как характером решаемой задачи, так и возможностями проведения конкретного экспертного опроса.
Оценку следует строить на основе определенной шкалы, каждый балл которой определяется с помощью выбора соответствующих характеристик, оценивающих квалификацию эксперта10. При этом должен быть учтен уровень квалификации эксперта в узкой области специализации, уровень теоретической подготовки, его практический опыт и широта кругозора. Перечисленные характеристики лучше всего оценивать по десятибалльной шкале, разработанной специально к конкретному экспертному опросу.
Полученные характеристики следует свести в один показатель, характеризующий объективную оценку компетентности эксперта, hjo.
Кроме того, целесообразно определить показатель относительной самооценки эксперта (субъективный показатель hсj). Этот показатель получается следующим образом: для каждого вопроса или группы вопросов, по которым считается необходимым оценить компетентность эксперта, в таблице экспертных оценок предусматривается шкала под названием относительная самооценка эксперта. В ней эксперту предлагается проставить себе балл по десятибалльной шкале, ориентируясь, например, на следующие значения баллов:
10 эксперт специализируется по данному вопросу, имеет по нему законченные теоретические или практические разработки (научные исследования, запущенные в производство технические разработки, данный вопрос непосредственно относится к области его узкой служебной деятельности);
8 в практическом решении данного вопроса эксперт участвует, но этот вопрос не входит в сферу его узкой специализации;
5 вопрос входит в сферу, тесно связанную с его узкой специализацией направления (смежная прикладная дисциплина, смежная область практической деятельности);
3 вопрос не входит в сферу, тесно связанную с его узкой специализацией направления (например, знакомство с проблемой по литературным источникам, по работе на другом предприятии и т. п.).
В целом показатель относительная самооценка эксперта направлен на то, чтобы эксперт сам оценил уровень своей компетентности по заданному вопросу.
Для того чтобы шкала баллов не оказывала влияния на самооценку, в графе относительная самооценка эксперта можно привести перечень характеристик компетентности экспертов без проставления баллов. В этом случае эксперт должен подчеркнуть те характеристики, которые, по его мнению определяют уровень его личной компетентности.
Баллы проставляются рабочей группой при анализе собранных анкет. Анкета для определения компетентности приводиться в приложении 3
Произведение объективного и субъективного показателей, деленное на сто, будет характеризовать компетентность эксперта по данному вопросу, то есть
hj = hjo hjc /100 (10)
Деление на 100 необходимо для приведения диапазона изменения hj к виду 0hj=1. Тогда показатель компетентности эксперта можно трактовать как вероятность задания им достоверной оценки.
При неоднократном повторении опроса одним и тем же коллективом экспертов (либо устойчивым большинством) по сходным вопросам можно и необходимо на каждом новом опросе пользоваться уже накопленными результатами для уточнения характеристик компетентности экспертов.
Кроме того, компетентность экспертов может быть определена самими экспертами. Для этого каждый эксперт, входящий в группу, задает весовые коэффициенты всем остальным экспертам, кроме себя.
Далее определяется среднеарифметическая оценка компетентности каждого эксперта.
Если экспертиза проводится неоднократно одной и той же группой (или устойчивым большинством) экспертов по сходным вопросам, следует при каждом новом опросе воспользоваться уже полученными результатами для уточнения характеристик компетентности экспертов.
Практика экспертных опросов показывает, что, хотя методы самооценки недостаточны для того, чтобы служить единственным критерием оценки компетентности экспертов, использование этих методов способствует более обоснованным выбору и оценке экспертов.11
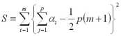
Таким образом, получены данные, подтверждающие связь между средней групповой самооценкой (частное от деления суммы индивидуальных на число экспертов в группе) и точностью экспертизы. На рис 3 изображена кривая, показывающая зависимость между средней групповой самооценкой (у) и средней групповой ошибкой (х).
Между этими величинами существует обратная связь, заключающаяся в том, что средняя групповая ошибка монотонно убывает с возрастанием средней самооценки. Из этого вытекает следующий вывод. Пусть, например, группа кандидатов в эксперты со средней оценкой С разделена на две подгруппы, из которых подгруппа А имеет более высокую самооценку, чем группа в целом, а подгруппа В более низкую.
Тогда подгруппа А будет в среднем более точной, чем вся группа, а подгруппа В менее точной.
С другой стороны, различные подходы к оценке компетентности экспертов можно рассмотреть и с иных позиций. Экспертные оценки носят субъективный характер, оценка компетентности экспертов также.
Возникает вопрос: повышает ли точность результатов экспертизы наложение субъективных оценок компетентности экспертов? Может быть, проще определять окончательные оценки без формализованного учета компетентности экспертов?
Только при этом следует на этапе отбора экспертов уделить больше внимания неформальной оценке уровня их квалификации, а затем, при подведении результатов экспертизы, считать их всех равнокомпетентными, и в качестве интегральной оценки рассматривать среднеарифметическое их отдельных оценок. Часто на практике поступают именно таким образом.
Работа с экспертами
В зависимости от характера исследуемого объекта, от степени его формализации и возможности привлечения необходимых экспертов порядок работы с ними может быть различным, но в основном он содержит следующие три этапа.
На первом этапе эксперты привлекаются в индивидуальном порядке с целью уточнить модель объекта, ее параметры и показатели, подлежащие экспертной оценке; уточнить формулировки вопросов и терминологию в анкетах; согласовать целесообразность представления таблиц экспертных оценок в той или иной форме; уточнить состав группы экспертов.
На втором этапе экспертам направляются анкеты с пояснительным письмом, в котором описывается цель работы, структура и порядок заполнения анкет с примерами.
Когда имеется возможность собрать экспертов вместе, особенно если удается их сгруппировать в соответствии с какими-либо признаками, существенно важными для данного опроса, например эксперты из одной организации, только сотрудники сбытовых служб, то цели и задачи анкетирования, а также все вопросы, связанные с анкетированием, могут быть доложены устно. Обязательное условие такой формы экспертного опроса последующее самостоятельное заполнение анкет при соблюдении всех правил анкетирования.
Третий этап работы с экспертами осуществляется после получения результатов опроса и изучения исследуемого объекта другими методами в процессе обработки и анализа полученных результатов. На этом этапе от экспертов в форме консультаций обычно получают всю недостающую информацию, которая требуется для уточнения полученных данных и их окончательного анализа.
2.3.2.7. Анализ и обработка экспертных оценок
При проведении анализа собранных экспертных данных в соответствии с целями исследования и принятыми моделями необходимо определить согласованность действий экспертов и достоверность экспертных оценок.
Пусть для каждого события Сi на основании оценок aij, заданных группой из Р экспертов, образована матрица рангов важности ||ij||, где i = 1, 2, ..., m число событий, j = 1, 2, ..., р число экспертов. Матрица ||ij|| получается из матрицы ||aij|| путем определения, исходя из коэффициентов относительной важности событий aij рангов важности этих событий, т.е. событиям присваиваются номера 1, 2, 3,,.., m натурального ряда чисел.
Таким образом, при ранжировании события располагаются в порядке возрастания или убывания какого-либо признака X, количественно неизмеримого. Ранг аi указывает то место, которое занимает i-е событие среди других m событий, ранжированных в соответствии с признаком X.
Ранжирование применяется, когда события располагаются согласно неизмеримому и не подсчитываемому качеству или рассматриваются только относительно взаимного расположения во времени или пространстве. Ранжирование может являться менее точным выражением упорядоченной связи событий относительно какого-либо измеримого или подсчитываемого качества как замена переменной порядковым номером в прикидочных расчетах в целях экономии времени и уменьшения трудоемкости вычислений.
При использовании рангов важности для сравнения результатов (событий) нельзя установить, насколько один результат лучше другого, можно только определить ряд предпочтения рассматриваемых результатов. Иными словами, числа, характеризующие порядковую меру предпочтительности результатов, при сравнении, предположим, событий А и Б нельзя делить или вычитать, пытаясь узнать, насколько первый результат лучше второго.
Будем рассматривать упорядоченную последовательность суммарных рангов m событий, которую представим в виде
2i m (11)
где i находится из матрицы ||ij||по формуле
ai=

(12)
В таблице 2.1 приводится условный пример определения рангов важности событий исходя из их коэффициентов относительной важности. (Более важное событие имеет меньший ранг важности.)
Таблица 2.1
Определение рангов важности
|
События С |
|
1 |
2 |
3 |
|
Эксперт j = 1 |
0,5 |
0,2 |
0,3 |
|
Оценки |
|
|
|
|
|
Экспертов aij |
|
|
|
|
|
Эксперт j = 2 |
0,3 |
0,6 |
0,1 |
|
Эксперт j = 1 |
1 |
3 |
2 |
|
Ранги |
|
|
|
|
|
Важности ij |
|
|
|
|
|
Эксперт j = 2 |
2 |
1 |
3 |
|
Суммарный |
3 |
4 |
5 |
|
ранг важности i |
|
|
|
Среднее значение рангов рассматриваемого ряда

(13)
равно
= 1/2p(m+1) (14)
Суммарное квадратическое отклонение 8 суммарных событий от среднего значения есть

(15)
Величина S достигает максимального значения в случае, если все р экспертов дадут одинаковые оценки каждому Сi событию.
Тогда рассматриваемый ряд суммарных рангов будет иметь вид р, 2р,..., mр.
Вычтем из этого ряда среднее значение:
= 1/2p(m+1); 1/2h(1-m);1/2p(3-m)1/2p(m-1) (16)
Сумма квадратов этого ряда равняется
Smax =1/12p2(m3-m) (17)
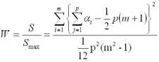
Очевидно, что в качестве меры согласованности экспертов можно принять отношение

(18)
называемое коэффициентом конкордации. Величина W изменяется в пределах от 0 до 1. При W = 0 согласованности совершенно нет, т.е. связь между оценками различных экспертов отсутствует.
Наоборот, при W = 1 согласованность мнений экспертов полная.
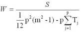
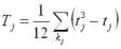
В том случае, если последовательность (2) кроме строгих неравенств имеет равенства, т.е. существует совпадение рангов, то формула для вычисления коэффициента конкордации имеет вид

(19)
Где

(20)
tj число повторений каждого ранга в j-м ряду;
kj число повторяющихся рангов в j-м ряду.
Когда ранги повторяются, то для получения нормальной ранжировки, имеющей среднее значение ранга, равное 1/2p(m+1), необходимо приписать событиям, имеющим одинаковые ранги, ранг, равный среднему значению мест, которые эти события поделили между собой.
Например, получена ранжировка событий, представленная в таблице 2.2.
Таблица 2.2
Эмпирическая ранжировка событий
|
События i |
1 |
2 |
3 |
4 |
5 |
6 |
|
Ранги i |
1 |
2 |
3 |
3 |
2 |
3 |
События 2 и 5 поделили между собой второе и третье места. Значит, им приписывается ранг
(2+3)/2=2.5
события 3, 4 и 6 поделили между собой четвертое, пятое, шестое места, и им приписывается ранг
(4+5+6)/3=5
Таким образом, получаем нормальную ранжировку (табл. 2.3)
Таблица 2.3
Нормальная ранжировка событий
|
События i |
1 |
2 |
3 |
4 |
5 |
6 |
|
Ранги i |
1 |
2.5 |
5 |
5 |
2.5 |
5 |
Для крайних значений коэффициента конкордации могут быть высказаны следующие предположения. Если W = 0, то согласованности в оценках нет, поэтому для получения достоверных оценок следует уточнить исходные данные о событиях и (либо) изменить состав группы экспертов.
При W = 1 далеко не всегда можно считать полученные оценки объективными, поскольку иногда оказывается, что все члены экспертной группы заранее сговорились, защищая свои общие интересы.
Необходимо, чтобы найденное значение W было больше заданного значения W3(W W3). Можно принять W3 = 0,5, т.е. при W 0,5 действия экспертов в большей степени согласованы, чем не согласованы. При W 0,5 полученные оценки нельзя считать достоверными, и поэтому следует повторить опрос заново.
Жесткость данного утверждения определяется важностью проводимого исследования и возможностью повторной экспертизы. Очень часто этим требованием пренебрегают.
3. Разработка системы оценки эффективности работы отдела маркетинга на примере ООО Тандем Трэйд
Описание мероприятий, необходимых для создания и функционирования системы оценки эффективности работы отдела маркетинга будет изложено по принципу уровня контроля, то есть первоначально описываются показатели и мероприятия, необходимые для сбора информации по показателям на уровне итогового контроля, затем на уровне текущего контроля и в конце на уровне предварительного контроля.
Итоговый контроль
На уровне итогового контроля и оценки эффективности определяются следующие показатели:
- доля рынка;
- объем продаж;
- полученная прибыль по различным направлениям деятельности ГКТ, и прибыль, полученная по определенным позициям товаров;
- оценивается степень достижения поставленных перед предприятием стратегических целей.
Кроме перечисленных необходимо на данном уровне контроля анализировать различные показатели маркетинговой активности, после чего фирма должна выработать схему решений, которые помогут ей поддерживать уже достигнутые высокие показатели или улучшить текущие. Возможные направления маркетинговых решений представлены в приложении 5, где:
Q отклонение реального объема продаж от планового значения;
ТС общие издержки производства;
Dрынка отклонение реального значения доли рынка от запланированного;
См затраты на маркетинг;
ТR валовая выручка;
Nн.з. количество новых заказов;
Nи.з. количество имеющихся заказов;
рекламаций общая сумма рекламаций;
CV коэффициент вариации доходов;
SD среднеквадратичное отклонение в доходах;
I индекс нестабильности доходов;
изменение рентабельности;
Пк. т-д прибыль канала товародвижения;
Ск. т-д суммарные затраты на данный канал товародвижения;
TRТОиЗ прибыли от краткосрочных проектов;
Пкр. пр. выручка от технического обслуживания и замены продукции;
Nпотреб. -количество потребителей;
Nпродав. количество продавцов;
Qсклада объем склада.
Все организационно-экономические решения можно классифицировать, используя функциональный маркетинговый подход:
1. Решения по активизации ассортиментной политики.
1.1. Расширение ассортимента.
1.2. Пересмотр ассортимента (изменение, диверсификация, анализ структуры).
1.3. Повышение качества продукции.
2. Решения по активизации ценовой политики.
2.1. Снижение издержек.
2.2. Активизация стратегии ценообразования.
2.3. Установление нормы прибыли в зависимости от риска на различных стадиях ЖЦТ.
3. Решения в области активизации товародвижения.
3.1. Разработка системы стимулирования торговых агентов.
Решения в области активизации продвижения.
3.2. Оптимизация каналов распределения.
3.3. Поиск новых поставщиков.
4. Решения в области активизации продвижения.
4.1. Организация товародвижения через более эффективные каналы.
4.2. Пересмотр бюджета.
5. Решения в области кадровых вопросов.
5.1. Активизация стимулирования.
5.2. Сокращение расходов на персонал.
5.3. Активизация системы мотивации.
6. Стратегические решения.
6.1. Пересмотр стратегии развития.
6.2. Разработка нового плана маркетинга.
6.3. Активизация конкурентной борьбы.
Доля рынка предприятия
На сегодняшний день единственным методом определения доли рынка предприятия является приобретение в Мурманском комитете статистики балансов предприятий-конкурентов и сравнение их по показателю объем продаж. Но данный метод имеет очень большой недостаток: бухгалтерский баланс, не позволяет выделить суммы, полученные по различным товарным группам (например, продажа компьютерной или оргтехники). К тому же, некоторые компании кроме продажи компьютерной и оргтехники ведут еще какое-либо направление.и Например компания ООО Стакс использующая торговую марку ПяZь океанов, занимается продажей бытовой техники, поэтому необходимо будет предпринять меры по выделению из общего объема продаж предприятия-конкурента денежных средств полученных подобным образом.
Для подобной очистки можно использовать метод экспертных оценок, при котором эксперты дают оценку объема оборота полученным конкурентами от направлений деятельности, не пересекающихся с направлениями деятельности ГКТ.
Вторым методом определения доли рынка является метод экспертных оценок. В качестве экспертов выступают руководители предприятий-конкурентов. Им задается вопрос примерно следующего содержания Какой по вашему мнению оборот у ваших конкурентов?. Эксперт дает оценку, и затем интервьюер обращается с подобным вопросом в конкурирующую фирму.
Цикл продолжается, пока не будет получена информация от всех предприятий-конкурентов, действующих на рынке.
До сих пор данный метод отделом маркетинга ГКТ не использовался в силу того что можно с большой долей вероятности утверждать, что эксперты дадут свое согласие на участие только при условии, что они получат результаты данного опроса. А передавать информацию, полученную в результате исследования, представляется нецелесообразным.
3.1.2. Определение прибыльности
Для того чтобы определить прибыльность направлений деятельности ГКТ или прибыльность определенной позиции товара, необходимо решить проблему с упорядочиванием информации по продажам. Для этого необходимо будет сделать следующее.
Необходимо разработать форму, в которую сотрудники отдела продаж будут заносить информацию о каждой проданной позиции товара.
В форме должны быть указаны следующие данные:
1. Дата продажи конкретной позиции товара
2. Наименование позиции
3. Цена реализации позиции
4. Сведения о покупателе.
5. Серийный номер проданной позиции товара
На сегодняшний день данные о поступивших и проданных товарах находятся в разных отделах ГКТ, так информация по поступившим товарам и их входной цене существует только в отделе закупок, а по проданным в отделе продаж. Поэтому для того, чтобы сделать анализ продаж определенных позиций товаров необходимо совместить информацию полученную из отдела продаж с информацией полученной из отдела закупок.
Для чего придется создавать форму учета поступивших товаров для отдела закупок.
Особенности принятия решений и передачи распоряжений в ГКТ, требуют того, чтобы ведение предложенных отделом форм учета товара, было закреплено в приказном порядке.
После этого можно надеяться, что в течение 1, 2 месяцев распоряжение будет выполнено.
Существует еще одна проблема, которую необходимо решить перед началом введения подобной формы учета. Дело в том, что в своем большинстве комплектующие для ПК и расходные материалы не имеют серийных номеров, а учитывать их необходимо.
Для учета подобных товаров необходимо ввести внутреннюю нумерацию.
В течение периода внедрения данной системы учета необходимо каждые две недели собирать и анализировать данные, такая периодичность необходима для выявления и ликвидации трудностей с ведением данных, которые обязательно возникнут.
После перехода на данную систему учета движения товаров анализ прибыльности будет проводиться каждый календарный месяц, в случаи необходимости чаще. Затем каждые третий, шестой, девятый и венадцатый месяца подводятся промежуточные итоги продаж товаров ГКТ.
Контроль достижения стратегических целей.
Осенью 1999 года руководством ГКТ были установлены стратегические цели в отношении объемов продаж, уровне информированности потенциальных покупателей о деятельности ГКТ, отношении покупателей к деятельности и продукции ГКТ и сейчас существует потребность определить были ли данные цели достигнуты.
Для того, чтобы это выяснить, необходимо собрать информацию по рынку, проведя маркетинговое исследование, перед которым будут стоять следующие цели.
1. Определить степень известности ГКТ на потребительском рынке.
2. Выявить отношение потребителей к деятельности и продукции ГКТ.
3. Определить отношение потребителей рекламным акциям ГКТ.
4. Выявить популярность СМИ среди потенциальных потребителей ГКТ.
Данный список целей не является исчерпывающим, так как до момента проведения маркетингового исследования еще около 4 месяцев и достаточно высока вероятность возникновения потребности в еще какой-либо информации.
Исследование подобного уровня будет проводиться не чаще одного раза в год в силу того, что подготовка, проведение и обработка результатов подобного исследования требует больших временных затрат. Так, например, для реализации исследования, проводившегося в форме анкетирования (использовались три анкеты, содержащие в общей сложности 32 вопроса) осенью 1999 года потребовалось около 2 месяцев.
Но в течение года возникает потребность узнать, насколько отдел маркетинга достигает поставленных перед ним целей, достижение которых влияет на изменение измеряемых показателей.
3.1.4. Мотивация сотрудников
Введение системы учета маркетинговой информации обязательно потребует создания дополнений к системе вознаграждения действующей в ГКТ на сегодняшний момент. Это необходимо по нескольким причинам.
Дело в том, что в ГКТ уже были попытки создать базы данных клиентов, вести учет продаж, для чего издавался приказ, и на этом дело затихало. На мой взгляд, проблема заключается в том, что этой информацией никто не пользовался, а раз никто не пользовался, то не возникало недовольства сложившейся ситуацией, и, соответственно, некому было сказать, почему не заполняются формы в базе данных и их продолжали не заполнять.
Отдел маркетинга на сегодняшний момент не располагает полномочиями выделять ресурсы для вознаграждения сотрудников, своевременно и грамотно заполняющих формы отчетности. Поэтому отделом предполагается разработать рекомендации по вознаграждению и наказанию персонала, отвечающего за ведение отчетности по продажам, для руководства ГКТ.
Текущий контроль
К мероприятиям, которые подвергаются оценки эффективности на данном уровне контроля относятся, все виды маркетинговых мероприятий, за исключением тех, реализация которых проходит в период не меньший, чем 1 месяц. Причина этого заключается в том, что за более короткий срок сложно собрать данные, на основе которых можно будет принять решение о внесении изменений в проведение данного маркетингового мероприятия.
Предварительный контроль
К мероприятиям, эффективность которых необходимо контролировать на данном этапе, безусловно, относятся мероприятия рекламы и стимулирования сбыта. Но отдел маркетинга не располагает временем и финансовыми средствами для предварительной оценки каждой реализуемой акции.
Для сокращения этих затрат предлагается разбить предварительный контроль на два этапа: первичный и основной. Цель первичного этапа оценки определить, является ли целесообразной подробная оценка, проводимая на основном этапе.
При оценке на первичном этапе используется ряд критериев, и в зависимости от того, отвечает или не отвечает объявление данным критериям, будет приниматься решение о целесообразности подробной оценки.
Такими критериями являются:
- Срок реализации акции рекламы или стимулирования.
- Стоимость реализации.
- Упущенная выгода, если акция окажется менее эффективней, чем планировалось отделом.
- Наличие рабочего времени на проведение подробной оценки.
- Стоимость проведения подробной оценки.
Если в результаты первичной оценки укажут на необходимость проведения подробной оценки, акция подвергается анализу на втором этапе.
Основной этап оценки эффективности предусматривает проведения подробного финансового анализа затрат (на проведение акции, оценку ее эффективности) и прибыли, которую можно получить в ходе реализации. Так же на этом этапе проводится оценка эффективности конкретных решений предусмотренных мероприятием ФОСТИС, например, тестирование рекламных сообщений по параметрам: привлечение внимания, способность сообщения передать необходимую информацию и т. п.
Для предварительного контроля и предварительной оценки эффективности работы отдела маркетинга, так же необходимо использовать контроль планов. Для ликвидации проблем планирования существующих, на сегодняшний момент, предлагается следующее решение12.
Планирование мероприятий необходимо проводить в последовательности:
- Четкое описание выполняемой работы (необходимо для недопущения неверного понимания сути работы).
- Определение срока начала и окончания выполнения работы (необходимо для выявления резервов времени).
- Определение ресурсов необходимых для выполнения работы.
- Распределение ответственности за выполнение работы.
При планировании мероприятий, кроме действий, которые выполняются на сегодняшний день (описание выполняемого события, определение срока, к которому данное событие должно быть выполнено, определение ответственного) необходимо добавить следующие: определение срока начала работы, определение ресурсов необходимых для осуществления мероприятия (выполнения работы).
К выше названному стоит добавить, что для ликвидации проблем планирования, необходимо изменить подход к проектированию и реализации мероприятий маркетинга. Он должен быть более скрупулезным и тщательным.
В отделе маркетинга ГКТ такое отношение можно выработать, повесив в рабочем помещении сотрудников отдела плакат с призывом лучше относиться к процессу планирования и регулярно его обновлять.
Расчетная часть
4.1 Расчет коэффициента рентабельности реализации к пункту 1.1.
Коэффициент рентабельности реализации рассчитывается посредством деления прибыли на объем реализованной продукции. Расчет данного показателя позволяет определить, сколько денежных единиц чистой прибыли принесла каждая денежная единица реализованной продукции.
Таблица 4.1
Расчет коэффициента рентабельности реализации
|
Показатель |
Год |
|
1998 |
1999 |
|
Выручка (нетто) от реализации продукции, работ, услуг (за вычетом НДС, акцизов и аналогичных обязательных платежей) в долларах США |
755000 |
1500000 |
|
Чистая прибыль |
52850 |
180000 |
|
Рентабельность реализации |
52850/755000*100=7% |
180000/1500000*100=12% |
|
Изменение товарооборота |
|
1500000/755000*100= 199% |
Заключение
Маркетинг как глобальная функция управления предприятием в условиях рынка дает предпринимателю, любому руководителю обширную базу вариантов выхода на положительные коммерческие результаты. Руководство организаций и предприятий, своевременно понявших необходимость познания в области маркетинга, подготовили для себя специалистов и руководителей данного профиля, и значительно эффективнее работают в условиях современного бизнеса.
Однако возникает проблема измерения степени эффективности деятельности.
В ходе выполнения дипломного проекта была спроектирована система оценки эффективности работы отдела маркетинга группы предприятий "Тандем". В связи с этим были решены следующие задачи: проанализирована маркетинговая среда организации и выявлены проблемы, мешавшие немедленному внедрению системы оценки эффективности работы отдела маркетинга на предприятии.
Ими являлись неполнота в ГКТ информации, на основе которой можно сделать выводы об эффективности работы отдела маркетинга, недостатки в организации работы самого отдела. Для ликвидации этих проблем и недостатков были разработаны способы их устранения: предложен вариант усовершенствования системы планирования работы отдела маркетинга, созданы формы учета движения товаров через ГКТ, предложены способы мотивации персонала.
В ходе дипломного проекта были проанализированы современные подходы к проблеме оценки эффективности работы маркетинговых служб. Отобраны методы, характеристики которых позволяют применить их в ГКТ.
Среди них метод экспертных оценок (в частности метод Дельфи), измерение объемов продаж, доли рынка, прибыльности товарных групп, оценка эффективности мероприятий маркетинга.
В дипломном проекте определены показатели, анализ динамики которых позволит определить результаты работы ГКТ и отдела маркетинга как ее составной части. Описаны методы сбора маркетинговой информации, необходимой для оценки эффективности работы отдела, определена периодичность сбора и анализа маркетинговой информации, необходимой для нормального функционирования системы оценки эффективности работы отдела маркетинга.
В результате внедрения разработанной системы оценки эффективности ожидается экономия времени, необходимого для планирования и оценки результатов деятельности отдела. Так же система оценки позволит оперативно выявлять допущенные ошибки и исправлять их.
В конечном итоге это приведет к повышению конкурентоспособности предприятия.
Список литературы
1. Голубков Е. П. Маркетинговые исследования: теория, методология и практика. М.: Издательство Финпресс, 1998. 416 с.
2. Котлер Ф. Маркетинг менеджмент. СПб.: Питер Ком, 1999. 896 с.
3. Росситер Дж. Р., Перси Л. Реклама и продвижение товаров.
СПб.: Издательство Питер, 2000. 656 с.
4. Хруцкий В. Е., Корнеева И. В. Современный маркетинг: настольная книга по исследованию рынка: Учебное пособие. М.: Финансы и статистика, 1999. 528 с.
5. Ассэль Генри. Маркетинг: принципы и стратегия: Учебник для вузов.
М.: ИНФРА-М, 1999. 804 с.
6. Финансовый менеджмент: теория и практика: Учебник. /Под ред. Е. С. Стоянова.
2-е изд., перераб. и доп. М.: Перспектива, 1997. 574 с.
7. Амблер Т. Практический маркетинг /Пер. с англ. под общей ред. Каптурецкого Ю. Н. СПб: Питер, 1999. 400 с.
8. Мескон М. У., Альберт М., Хедоури Ф. Основы менеджмента: - М.: Дело, 1997. 704 с.
9. Н. Чечеткина. Анализ и оценка конкурентоспособности услуг розничных предприятий торговли // Маркетинг.
1999. 2. С. 37-46
10. Е. Голубков.
Контроль маркетинга // Маркетинг. 1997. 1. С. 111-120
11. Н. Моисеева, М. Конышева. Маркетинговая активность как фактор конкурентоспособности фирмы // Маркетинг.
1999. 6. С. 22-34
12. Е. П. Голубков.
Маркетинговые исследования рекламной деятельности // Маркетинг в России и за рубежом. 1999. 3. С. 20-36
13. Облакова С. В., Мартынова С. Э. Психологическая эффективность печатного рекламного текста: понятия и проблемы измерения // Маркетинг и маркетинговые исследования в России.
1999. 4. С. 23-26
14 Матанцев А. Н. Сравнение различных способов определения эффективности рекламы // Маркетинг и маркетинговые исследования в России. 1998. 3. С. 24-28
Маркетинг: Практика - Рынок - Анализ - Финансы