|
Cee o aope:
opc Mxao e oop ooecx ay, poeccop, aey aepo Ca-eepypco ocyapceo eeo-ooeco aae. Aop oee 130 eax pao, ce 7 oopa . Bcya a eyapox oepex Pocc epa. Ocoe aye papao .. ea ca c oae pyox poecco op pya, eope eoa oa, opaae, apaoo a, poea aeca , eoc opeca, eaoo.
e oooe cooec c pepo popao c "ooa cooo pya", yepeo eo-eoec oeee oac pooceoo eeea. o ep ye o yaao ce, peoeoa Mcepco oeo poeccoaoo opaoa Poccco eepa cyeo ooecx ceaoce yo.
Aop cxo o, oope c ocoooaa a oo, a cooo pya. K a o pee ceo oocc: aeco , opeoc oea eoea, eoc, o, yco pya, cpaeoc, pacpeeee . aeoe eco oeeo oe poe oa pyox poecco op pya.
B yee cooa peya pao, pooxc aopo p acoo oepe oa Copoca Pocccoro oa yaeax cceoa.
pecoee oooe a ocoe ppo popa "ooa cooo pya", yepeo eo-eoec oeee o opaoa oac pooceoo eeea.
K acoey pee coc a oxoa peoaa yaao c, O eop peoa paeoe oee poe oo pya cooo pya; pye ac a opaece aoc x poe. M oaae, o opo oxo oee oocoa eopeec eooecl.
1 B yee cooa peya pao, pooxc aopo p acoo oepe oa Copoca (Research Support Scheme, grant 963/93) Pocccoo oa yaeax cceoa (rpa 96-06-80235 pa 98-06-80167).
Aop cpec cxo o, oope c ocoooaa a oo, a cooo pya. K a o pee ceo oocc: aeco , opeoc, oea eoea, eoc, o, cpaeoc, yco pya, pacpeeee oxoo.
Ceceoe ae yeeo ec, ooec yxo acea eeoc eoea. o pecaec eoxo c c po eca eax ee pa a. To, o e poca pecyoc pax cpaax 23 paa oepea e ooecoo poca 34 paa e poca acee, aeo epe cao c ococy a ooecoo oee. ece ace xoceo eeoc ocoeo aya copeeo Pocc.
p aae aopo eoc pya oepaec, o ae x ec opec oea eoea, pep oeca. o yepee copypoao ope eope o peaeoc ooe pya. Paccope yco, opeee paoaoe cooae oeaa eoea.
e peaae epy oepe ooo ceaco o ypae pep. ooy e aeoe eco oeeo oe poe opaa oppoa pya, o ce oa pyox poecco op pya.
B paoe a yeo cyeceo oo ya oeeceo apyeo epaype, aea peoe oe, o ce yaco oepe ceapo poea pya, pooxc p yac o pyooco aopa Moce, Ca-eepype, Caape, Xeo pyx ropoax CH. Ocoe e yea ocyac a epa: opaa cxoo pya (ep), a aepe opaa ypae oo pya epca cyca xa (cce), a Bocx opyax 1995 1997 ., pooxc Texec yepceo Xe-ay.
Aop aoape co oera yo Pocc ep: o. o. ay, po, H. . Apxoo, o. o. ay, po. . A. Koooo, o. o. ay, po. . M. Kypoeo, o. ex. ay, . . H. Ho, o. o. ay, po. M. . yxaoy, o. o. ay, po. . A. Bay, o. o. ay, po. . . Beceoy, ac. e. ay P, o. o. ay,. A. H. opeoy, . . ay,. K. T. ypaaey, o. o. ay, po. A. . Kaoy, . .. Koeoy, o. o. ay, po. . . Oeoy, ac. e. ay P, o. o. ay, po. . . epoeo, o. ay, po. . M. Cpoy, o. o. ay, po. . M. Coay, po. B. A. eoy, po., . B. Stieler-Lorenz, po., o. G. Diethelm, po., o. K. Jacob, po., o. D. Hahn, po., o. W. Krger, po., o. R. Lang, po., o. R. Marr.
C aoapoc oeae, o paoe a yeo oe ooa oepa peopaa, aep ypae pyo coa poecca, oe opaoo-ceoo epa Ca-eepypco ocyapceo eepo-ooeco aae.
p oope aepaa orooe pyoc ea ay po cpa aea peoe o. o. ay, po. P.. Koocoo (Mococ rocyapce yepce), ac. e. ay P, o. o. ay. po, A. A. Pyea (cy coao-ooecx poe PAH), peaopa T. . Xapaoo. Ap paee copya aeca a oy paoy.
o opeee A. Mapaa, py o "coe yceoe ecoe yce, pepaeoe aco eo c e oce aoo-o peyaa, e ca yoeope, oyaeoo eocpeceo o cao poeao pao" (eeo a, ..) [Mapa, C, 124]. 0ea, o o opeee o ceye eocy, oop ooc pyy "oo oce yc", Mapa oepae, o "oco e paoa opao oe, e ec o pyc -a eocpeceoro yoeope, oyaeoo o pya" [Ta e]. cppy y c, o e aee, o pec paoae cay ocoo oye aepaoo peyaa, "a o oa eoe, o y e paoy, xo oe pc e, o xopoo ee eae, epoo, ao aepecoa oyaeo o o pao oo ee" [Ta e].
Copeee aop xapaepy py ocoo a e, a Mapa . Hapep, B. oee eae, o py o eeoc, oea "o p oocpeoa oece ee aepao eoxooc" [oee. C. 15].
oepae oco pyeo copo pya cao pee ceo c e, o a poe cee aepae aa peyao yc x coe oeca (pao, peocx, poeapaa), pyxc o 1215 cy a epoe oapaee. Hayo cycco o XVIII . o aac peyeceo apcopa, ceocye, e yo ..
B o cx op coxpac ee acoo cce, p oopo pecae ce ac paxa ( e paeaa, acoc, pa a) aac yxoo eeya eeoc, a e, o o poe oocc e ace, oy aac oo aeee peae e a pya*. He cyao o ox ax ( o ce o cex cacx) coa."py" "pyo", "paoa" "pa" e e op. o ecoy opeee Apcoe, "pa oyeeoe opy, a opye eoyee pa" (, o: [Beep C, 294]).
_______________
* B peeco oce "Maxaxapaa" o paeo a:
"Cy ace pe yocoe,
pey oc c oxoo o,
Toy pyoy cy ye,
opoe, eee,
A yoa oope yp,
Tao ao capoa yp" [BJL Maxaxapaa, C 39].
2 C.: acep M ooec coap pyccoro a M.: popecc, 1971.
C cepe XIX . accooe paeee pya Epoe Ceepo Aepe aae ec cece epo poeo peo, a ae coax peo peop o pa, epa pyx cpaax. B peyae poca pooeoc pya coax peopaoa oaec aococoe aex paoo, yeaec eoc paoeo , pacpc oooc oye opaoa ce o eeoc. Cyeceo opacae po ay, cycca execoo popecca oeca.
poecc a ocee 150200 e pao e cpyypy BB pax cpa eeceo, opaceo poeccoao aceax. eac cpyypa acee. Ec poo ee oee 2/3 acee A, pa, epa coca paoe pece, o acoee pe x o e peae 1/3. peoaaa ac acee pax cpa o eep, yee, pa, ye, ee yyp, pepae . . Ka oaa pace (c. pa. 3.3), eo e, o a peyeceo opeco, coae ooo, oc ao a yeee aoaoo oaca pax cpa.
Peya opeco eeoc ac o cocooce aoy y opeca, a ae o pa cxoorex coax aopo: yeeoc paoo, ee aoc, yco . . Haoee ea opeca paoa, oopa oec o oxoe. Cyoc oo cxooecoo coco o e co pa ye A. C. ya. Ocoeoc opeco eeoc aye cycce paccope paoax A. yaape, . apaocoo p.
ex, oy a opece cocooc, ca poecc opea cocae aoee py ac . Oa opeco o e oo yooce, o oe ea paoa. ece e opa ooaac , a oa oa yopx oco . Ka ca B. Maoc, "o a e oa pa; pa oa, o py, o eoo coa pa c o coeco py". Coocoeae "paoee pe" yeoo, cae, ooopa e ee cca. e opa oy oc oe pe, o ce o ce. a ayo cycco opee e coo poecc coo opa .
o "py" "opeco" epeo pooocac. Ta, B.oee e: "Haoee pa o opeco eeoc cpeee a peaoa ce ooo, eaucuo om eux amepuax ycou amuocmu" (eeo a. . .) [oee, C. 18]. o o, ecoeo, cyecye, oao o pe oe peaoa , o oee ao, e opaae cy ae opeca.
ppoa opecoo poecca a e eca. Beca epoo, o ye ceo oa paea coa aa: "o e o e, o ce!" [apaoc. C. 105]. Ta ooop pa co ocop p poe oo eo opaop "Coopee pa". Cc ca aa o oy, o ca ao ceee paee aoe "p":
" ... peca eo cpeee ey oo cep.
Kaoo x aaee?
cooae ocpea ey oa pea ocpee, o ao poeyo ey e py, a o Bceea caa ypee c" [ao. C. 113}
aee opeco o opeee cey opao: "...opeco oe pooe. Bce, o ae epexo e e, opeco, , eeoaeo, coae x poee cycca peeca oo aa opeco, a cex coaee x opa" [Ta e, C. 115].
orpa axc yex (. Hoa, A.yaape, A. ea, . . Meeeea p.) ceecy o o, o ya copoa opeca aye aa e eee, e cycce. Mo poe pao ox ayx e ory copooac coco, peooy cay [yaape].
Be pa, oco, o Aea (Ay A Ca), 9801037 ., oc opecy ae cpo:
" mu a mpyo om upcux aom,
Ho Beocm nocmuaem moo mom,
Kmo xom a a coem c mpon npuo
nym npooum, om pyux omu".
(Beeo a. . .; , o: [e].)
Ka o peex xapaepc opeca, eo e coco e coo caopae, coo coa ox e, opao, eoo, pcae . . a e oa e a oopo yye e oe "e aco o ex aepax yco", ocoeo aye, exe, ee pyx cepax. Ta, o opea yex, opaee, xyoo, caee, apco coca pax cpaax aey ac aoaoo oaca. poee ay cycca ao yacy ooeco oee. y pa o aop: , .
Ta opao, ooeco acee opec ceye pa o o pya, oop, payeec, ee co cxooece ocoeoc (a o pyo pya).
Hapy c pa a opeca ay po pa a pae eeoc, apaea a yxooe coepecoae eea. B o cepe opa ee ee ouee aee, e aye cycce.
Copeea ooeca eop ce oee ae yee oecy cceoa apa pee eoea, a oeceee aepa aa, yey, ocae ee, ox, oee, co . . Tao oxo xapaepe, acoc, aypeaa Hoeeco pe . eepa o eop pacpeee pee [eep].
Mey e, o a aepao pooce, aye, cycce, yxoo cepe, ocyecec po oce oe peyaa eeoc a epe ccey po, a epe ocyapcee oecee opaa, . e. ce paccopee pya a ae yacy ooeco oee, ycaaae cee x oeoc pax e epoo pee.
pacopex pecae o cyoc ax pya ceye, o p aae o "py" eoxoo e a ocox acea: coepae . ep o yc eoea o peopaoa pecypco ppo1 opeece aa, opo c, yae eoea .
1 , , , , , .
Ta opao, yo a ceyee opeeee:
Tpy o poecc peopaoa pecypco ppo aepae, eeyae yxe aa, ocyece () ypae eoeo, o o pye (acpaoy, ooecoy), o o ypeey oye, o o oy pyoy.
o acaec yoeope, oyaeoo o poecca pya, oopoe ooapaec peeo e opeee Mapaa, o oo cyeceo ac o o opeca ao e eoc, ee ee, yco ocyece, a ae o yax ocoeoce paoa. e o yoeope oyae eoe o poecca pya, e oe opax coax ycox o pep oecy.
1.2. Oa xapaepca eeoc o ypae eoeec pecypca ooecx ccec aoee e pecypco cpa pep. ooy ocoo ypae o ooeco cceo oo ypaee eoeec pecypca. Eo coepae opeeec coa ooe, pooca, exooe py aopa.
B acaax oo cpa ypaee eoeec pecypca apaeo peyeceo a peypoae aoc, yco a pya, oeceee eox aoooe ey paooae ae paoa, oee aa pyococooo acee, papaoy aooaeca cepe pya, aoc coax ooe.
Ha pep ae aaa ypae eoeec pecypca c:
1. Opeeee opeoc paox, eepax, eeepax pao aa, cxo cpae eoc p.
2. Aa pa pya ypaee aoc.
3. Oop aaa epcaa.
4. apoae apep copyo p, x poeccoaoo cpaoo poca.
5. Oeceee paoax yco pya, o ce aopo aoo eoea coao-cxooeco aocep.
6. Opaa pyox poecco, aa apa peyao pya, ycaoee oax coooe ey oeco e oopyoa ceoc epcoaa pax py.
7. Papaoa cce oa eo eeoc.
8. Oocoae cpyyp oxoo, cee x epea, poepoae cce oa pya.
9. Opaa opeaeco paoaa .
10. ace poee apx epeoopo ey pecae paooaee paoooyaee.
11. Peee ecx poe pya.
12. paee oa.
13. poaa eaoo oee.
Oe pao o ao x y ac o paepo pep, xapaepc pooo poy, cya a pe pya, aa epcoaa, cee aoaa pooca, coao-cxooeco ocao a pep a ero peea.
B poeoc Pocc oee oo copyo cy ypae epcoao o oceeo pe a oppoae oao pya. B cceax ypae eoe-ec pecypca p CA ocooe ae yeec oopy, aaa oee . p o a oop ooo eeepa cero ypo apaaec 32 c. o., a eeepa cpeeo ypo 8 c., yxaepa 10 c., eepa 8 c., cepeap 2 c. o. ceoc cy ypae epcoao ac o opac xoca paepo pep. B opaaae poeoc CA a ooo ceaca o ypae epcoao pxoc:
100 ax a pepx c ceoc o 1000 e.;
130 ax a pepx c ceoc 10004999 e.;
350 ax a pepx c ceoc ce 5000 e. [ae, oao, C.15, 18, 123].
Cxea aoce ocox y ypae epcoao pecaea a pc. 1.2.1.
Ka o pc. 1.2.1, ceoc epcoaa, eo aa, apa a oay pya opeec pee ceo pyo poecco, oop, co oepe, oe co-oecoa exoo pooca peoa oeca yco pya.
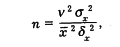
p aao exoo eoxoa pep ceoc epcoaa opeeec popao yca poy, opa apa paoeo pee ycaoeo po-oeoc pao

e H opa ceoc epcoaa ao py (poecc, ypo aa); P ao ooo o poy k-o a; Htk opa apa paoeo pee epcoaa ao py a ey poy k-o a; F ooo o pee ooo copya ao py.

Puc. 1.2.1. Baoc ocox y ypae eoeec pecypca pep
ceoc epcoaa, ycaoea o opye (1.2.1), oppepyec cxo cya a pe pya, . e. cooec c coooee cpoca peoe o pa .
Po pya e ae a ey apaoo a: e oe cpoc a paoy opeeoo a, e p pox pax ycx e ca oa pya. Oeo ocoo opeee apaoo a c a ax aopa: cooc pya eo yco. e coee oea paoa, e oue pee eoxoo cooecyero oy.
ooy, a pao, apaoa aa pace o epe poca aa copyo. poe apaoa cyeceo ac o yco pya: e o eee, e oe pacxo paoe c cooecye apa a ee occaoee. Ca oa pya ac ae o cya a pe pya o xapaepa aoooe coax py, pee ceo paooaee paoooyaee. paec ea apaoo a p coao poo ooe oppyec peyae apx coae ey pecae paooaee, paoooyaee, a oa ocyapca.
oecee eo pao epcoaa eoxoo coae aocep ocpyoo copyeca, p oopo a e oea aepecoa oo peaa cox cocooce ycexe pep. Coae ao oao-cxooeco aocep ec aoee coo aae ypae epcoao. Oa peaec a ocoe papao ecx op, cce oa, oe peyao pya, opa c ypae, cooecyeo opeo cya.
peeo oe xapaepc aa ypae eoeec pecypca ceye, o ceac aece peax aa ypae eoeec pecypca o ya ec ooecx, cxoooecx, coax, execx paox aopo. p ooceo oocoeoc ao aa (pace ceoc, ycaoee cao oa, aeca epcoaa, aa pa pya ..) ce o eco . e o aoc ec o yco eo eeoc epcoaa pep.
Opeeee peea o ay cea ye eo, o oo opee oo eo coppoaeec, aoeoe, . e. o, o ayo e oe. ooy aece opaa opeee peea ay eecoopao cooa ceyy opyy: "Maeaa o o, o ea aea". Aaooe yepee epo o oac a. cxo oo, ye ocya e coo cyoc oex ay o pye epcoae, coo poe, oop a cooecye ceac. Oao ao ya, o op ypae eoeec pecypca ocoaa a a pooceo oe, a a oe pa cao ay.
Tpyoa eeoc eoea aa oeo cceaecx ayx cceoa cpaeo eao co opo oo XIX . e ax ccea, aax aepac eepo . . Teopo, cocoa epoaao oce eoo paoaoo oe poocex oepa. Boo ayoe apaee, oopoe oyo aae "aya opaa pya". B oceye oo e pa oepaoc pe. Moe ca oee pa oop o "paoao opaa pya", "eop opraa pya" poco "opaa pya"
B paax ay o paa pya coppoac p ooceo oocoex paeo: "oppoae pya", "apaoa aa", "poeccoa oop" p.
C aaa XX . ca yoac a r o ypae pooce oea, oye epcoaa, eoa oe pooeoc, yye yco pya, aoooe copyo pep.
oppoae ay o pye epcoae pocxoo a a ocoe pecx ax, a peyae cooa oce ooeco eop, aea, cac, oo cxoo eoea, cooor, paa, exoo, opaa pooca. B 60-e o aeo ea a pae ay o epcoae cyeceoe e oaa cceoa oac epe, eop cce, ceo ex, C 70-x oo oo oe yce ecoo acea ypae . Bce oee pacpocpaee oya peoea o , , . , , .
Ka o oac a, ayax o pye epcoae pocxo poecc ee oex apae cocoee ay. Oao pa x ay, a pao, ee e oy ocaoo opeeeoc. ooy paccop aae ocoe pae cce copeex ayx pcae o pye epcoae. oce oro oo ocya pee oex ay yex c.
B acoee p ayax o pye epcoae coppoac ceye ocoe poe, apae pae:
1. pououmeocm mpya. epaoe eco ec aa eo coocae apa peyao pya, e aa copyo oeo oe o eeoc pep, opeee aopo ye yca poy ce apa pya. Ha ocoe eop pooeoc oppy pep oe eeoc e xocex cce.
2. eoeecu anuma opeeec cooyoc aec eoea (opoe, opaoae, poeccoa p.), x a peya eo eeoc cooecye oxo. B acoc, eop eoeecoo aaa ooe oe eecoopaoc apa a oyee acoc o peoaaeoo ppoca oxoo eoc cooa yex a.
3. cou mpya opeec apaepa pooceo cpe (y, eepaypa oyxa, aeoc, pa p.), oeo pao (e e, acca epeeaex rpyo, ooooc . .), pea pya oxa, cxooeco coao aocep. Baee xapaepco yco pya ec eonacocm emeocmu eoea. caoe op eaopx oec a opa eoea, oope, o coac pepe. p yye yco pya pace eo pooeoc. Ho o peye cooecyx apa. Oca oae poea oa yco pya c yeo aoc coax oecx .
4. mpyo npoecco ae op ayx cocoo oe pao, pacpeeee x oeo oea ey coe, poepoae paox ec, cce oecee aepaa, cpyeo, epe, py pecypca.
5. mpya coco ycaoe oeo eoxox apa peyao pya o eea pooceoo poecca. Haoee poo pec op apa paoeo pee a ey pao. Hapy c coyc ae op ceoc epcoaa, ecoc pya p.
6. epcoaa ae opeeee peyao eeoc pep acoc o ceoc copyo, pace opao pyoeoc poy (c. opyy (1.2.1)), coo pee epcoaa, a epcoaa a pep c yeo peoaaex ee poy .
7. Omop, oyeue u ammecau apae a oee aeca epcoaa. oce o e papaoa cce oypcoo pea a paoy, oe aa copyo, oe peyao x pya.
8. Momuau o poecc oye eoea ooopo eoc cxo eo opeoce ee pep. Coacoae epeco copyo pep ocyecec cooec c xapaepca epcoaa pooce cya.
9. opupoaue oxoo u onama mpya. B o paee paccapac co oxoo, p x epea, aop, opeee cpyypy ypoe oa pya, op cce apaoo a.
10. Bauoomoeu mpyox oemuax opeec ooec, cxooec coa aopa. ocoy copy pep paac o oy, opacy, epeca, opaoa, coaoy ooe py paa, ocoy oeo oo poope o, oope p opeex ycox oy ea poyo paoe. Oa aex aa ypae epcoao coeo o, o oece ocpyoe copyeco yyo coax py.
11. Pu mpya u ynpaeue . o pae oce aay po pya, aopa, opee aoc acee, oe pep oac ao, , , .
12. Mapemu nepcoaa cceye ec pep o oecee eoeec pecypca, o ce oy pep a pax pya.
13. Kmpou nepcoaa o peypoae eeoc pep oac epcoaa a ocoe pee oca aa apoa, yea opo. Ba aceo paccapaeo y ec opeeee opax ae oe opo oaaee, xapaepyx cocoe eoeecx pecypc pep. Kopo epcoaa cyecec a oepao, aeco cpaeeco ypox.
14. Opauau ynpaeu nepcoao yae op, eo poeyp, oeceae peyay paoy cy epcoaa pep. B acoc, pe e o cpyype o cy, ee ece ccee ypae po, o paox aceax pea a paoy, yoe, ee cyeoo ooe.
Ha coe paccopex poe paeo ay o pye epcoae oo a xapaepcy peeo x ay. Haoee oeo opeee ac oo pya, cxoo pya, poo, ay o eoacoc pya, cooo pya, pyooro paa.
uuoou mpya yae oece pyox poecco a oorece xapaepc eoea. Bo o ay coyc p papaoe peo pya oxa, poepoa pa6ox ec, coepecoa yco pya eo oppoa.
cuxoou mpya yae cxoorece xapaepc eoea poecce pyoo eeoc. Peya cxooecx cceoa coyc p poeccoao oope, opraa oeo pao, ypae ox cyax, papaoe cce .
pooua ec ayo ocoo poepoa oeo-ax cce, o ce cao, yo ypae, cpyeo, pacopx cpec. pooa coye peya, oyee eepo cxoo, execo cee, cxoo pya, eop poepoa, oe eop cce.
Haya o eonacocmu mpya cceye ec oec poe, cax c oeceee eoaco pyoo eeoc. Bo o ay ocoeo a xecx eaypecx poocax, epo epee, p paoe a oo coe, p x cox eepaypax, pyx cpeax ycox.
Cuoou mpya cceye aoooe e coax py poocex oeax. pee ceo aapyc poe, oycoee pae e o a paa, a o, opac, aoaoc, paca, opaoae, ocae, eca opea, yeceoe ooee, ooee pe, eco epapx pep.
Tpyooe npao aapye oec pecx aceo pya ypae. o ocoeo ao p ae yoe, papaoe cce oope aaa, pee yecex poe, ypae coa oa.
Haya o opauauu mpya ae ceo paccapaec a eopeeca ocoa poepoa pyox poecco paox ec. Oepao, o aee poeo opaa pya ec oa aoec paoo, . e. paee ooepa pya, Oao oe poccce ceac pay pee ay o opaa pya aeo pe, a ca poe yco, oppoa oa pya, ooo apo oa pya. p ao oa pee opaa pya ypae eoeec pecypca paec coaa.
ooua mpya paoo ae poe pooeoc eoc pya, eoeecoro aaa, pyox pecypco, pa pya aoc, oxoo apaoo a, apoa ceoc. Heoope aop ooc ooe pya poe op.
Hopupoaue mpya a aya cceye p eo ycaoe apa pya, eo peyao, coooe ey ceoc epcoaa pax py oec e oopyoa.
aye o ynpaeuu nepcoao po ooc poe apoa ceoc, oopa, oye aeca epcoaa, oa pya, ce ypae, aoooe pyox oeax, poeyp ypae.
Hapy c cyecye pooe ooae ypae epcoao (a ynpaeu eoeecuu pecypcau). B o cyae oea ceoa caoc ce paccopee o. Oee pecaee o cpyype ocyaex ay ae pc. 1.3.1.

Puc. 1.3.1. Ocoe pae ay o pye epcoae
Ta pao, ec pae pecae o o, ae poe cceye a a aya o pye epcoae. B acoc, poe oa ooc opaa pya, ooe pya, ypae epcoao. Taa cya e oo Pocc.
Hapep, epa e ayy o pye (Arbeitswissenschaft), ooy epcoaa (Personalwirtschaft) ypaee epcoao (Personalmanagement). B yeax o ca aac poe opraa pya, poo, ex eoacoc, apoa ceoc, apaoo a, oa. p o ax o Arbeitswissenschaft ocooe ae yeeo opaa pya, cceoa paoero pee, prooe, exe . epaypa o Personalwirtschaft Personalmanagement coep oe aepao o oooe epcoaa, oa, c ypae; ccea oa, apoa ceoc, aeca epcoaa, poeypa aa yoe. Cpyypa oopa yeo o oo opeeec ay epeca aopo, x coce ay peyaa. Moe apyee a o ypae epcoao e ae oe. Ta, ye C. Scholz (Personalmanagement) coep oee 40 eax .
Pae pecae o paax ex x ay o pye epcoae e ec pece ye x ay. aoe o eoe oae cyeca opex ayx poe
Bauocu ay o mpye u nepcoae, mo uce oouu u couoouu mpya, c exec, ooec, ooec, coa, pao py aya oeo oycoe ooaceoc poe pya
Baoc c exec aya peec e, o paoaa pyox poecco eocpeceo caa c aao exoo, peeo cpec pya. ay o pye oe ep, e pyx ooecx coax ay, ae exooec ace pooca.
ooa cooo pya eco ca c a ooec aya, a apo- poooa, ooa pep, caca, opaa pooca.
p opaa pyox poecco eoxoo ya apa epr paoax, cee x yoe, epec pyy pye cxoooece coae aop. opeec aoc oo coo pya c pooo, oo cxooe pya, coooec ca.
paoe ace pya peopee aoc c pec ca, pee ceo c pyo pao.
Hop pya c ocoo opaooro oecee cce ypae pooco. ooy ypc ooa cooo pya , oepa cce ooo, apoa, yea peypoa . Ceac o ooe cooo pya oe a cpyypy x cce aee op pya x eoo .
Ba ycoe ycoe ypca oo cooo pya ec aee aeaec o eoa ce. Ocoeo eoxoo oeoe pecaee o cpyype aa opa oax apao, ox eop epooce aeaeeo .
1.4. Meooo oecoo cceoa ooecx coax poe pyaeeoc oca poec ooopa o, , . o oceeo pee o yac aeo epe poao pa aya: ooec, coooec, oec . . Bece c e poecc, xapaepe pae oeca, eco aoca. B oe XX . aa aoc caa ocoeo o ao.
B ocee o cyeceo yeoc oeco ya o poea aeoc eoeca, oo, eca, pecyoc, oa eoa x papee. Bce oee a caoc poe cca, oo, ee ooeco . Oeo, o poe e oy pee paax oo oo-ecx ay, o oeo cee cc ooeco eeoc opeeec cco cyeoa eea. ae a aoe oae oo ec C. yao, . Beep, T. Bee, . ye, . Copo, C. pa pye ooc, oco, eoo, cop.
O ocooooo cooo . Ko oepa, o "ce ace oeceo acoo eco aoca, o ceaoe cceoae oo x eeo ye ecoe" (. o: [Mapa, T. 3. C. 208]). y o o oo pae M: "Maoepoo, o eo ye xopo ooco, ec o e poe oo e aaec... " [Ta e. C. 209]. Coaac c Koo eoxooc yea aoce oecex e, . M A. Mapa e opa aoc ceax ooecx cceoa, oaa, o eco oecex ay o aaa yyeo.
paec ooece ay paac ocoo eaco o . epea ay ooa oy p cyecex acx peyao cceoa ooecx, coax, oecx, ooecx pyx . Bece c e eoc a oeco, xapaep ao cpeeeoo ay, oaac aeo epe . Koe ycooo pa oo paccapa a oy opoe oecoo cceoa oecex e. Oao a oe e ec ayo ae eope. B cyoc, oe ycooo pa pecae oec peoea o yey ooecx, oecx, paox ecx aceo xoceo eeoc.
p papaoe ayx oco cceoro cceoa oeca pep eecoopao cxo o eaeop. o emameopue oo oaec aya o aye, . e. ccea po, aco, eoo oaaeca cceoa opeeeo oac . B acoee pe aoe pa eaeope ec aeaa. aoee ax ooe o ay eopea ee o eooe: "Ec ccea Z epoopea, o e cyecye aoe ooee A, o cao A, ero opae e oy oaa cpeca Z" [K, C 184]. a eopea, copypoaa 1931. Kypo eee cae " opao epapex peoex Principia Mathematica pocex cce", ee oeeoooecoe ae., B acoc, ee oo paccapa a oepee peeoo e eca . Koa o o, o ooece ay y ooopo paac oo paax cce ay o oece, .e. paax cooecye eacce.
cxoe ooe ooeco ay o cx op e e coo-y cceoo pecae. pae x ooe po aa o ee epo ae r o ooeco eop. Oo poc cee o oex ooecoo oee, pe paoaoo xoeoa ..
B cooec c paccope eaeopeec oxoo p oocoa po eoo ooeco ay ee ceye paccapa a occey oeca ay o oece, oee eoea opyae .
Ocoe o e ooecx ay, ee o paee ece, ooece, paoe oece ace, eecoopao cceoa paax eaeop ooecx ay; . . .
ooa cooor pya acoee pe ec oo eorx ay, oopx peayec oec oxo aay ooecx coax aceo pyoo eeoc. Oeo o oycoeo e, o paoaoe cooae eoeecx pecypco peoaae ocee yx aocax ee:
coae aropx yco pya pae cocooce eoea poecce pyoo eeoc;
x ee eoxoo cxo p aae poe pya a cex ypox ooeco eeoc: o paoeo eca o pooro xoca. Oe cceoa peye yea aoce execx, ooecx, coax,oorecx, cxooecx, ecx, oorecx pyrx aceo pyoo eeoc.
.
Topeco.
poecc .
oye pyy.
eoeece pecypc oeca .
Koec oxo ypae eoeec pecypca.
poe ay o pye .
Ke ycoo pa.
Meaeop.
Meaooa.
Kompoe onpoc u me ucceoau1. Kae ace opaae oe "py"?
2. B e cyoc opeca?
3. Opeee aoc o "py" "opeco".
4. Kaoa cyoc poecca pya?
5. Haoe ocoe eeoc o ypae eoeec pecypca ece a pep.
6. Opeee cyoc coepae oecoro oxoa ypae eoeec pecypca.
o aecmo uu oo oa yco eoeecoro cyecoa: oeceeoc aepa ara (a, oea, e), eoacoc, ocyoc eco oo, oooc oye opaoa pa cocooce, cocoe ppoo cpe, coae ooe oece, a cooy pae e e paa a oece pee,
Kaeo oe cyae opeeec o ce cepa acea cyecoa eoea: ppoa, ce, paoa, oecea eeoc, yea, coooe pe . . co, oopx ocyecec pyoa eeoc eoea, po aa aecmo mpyoo uu, yco pya. B poo cce coa oocc xapaepc: paoero eca, pooceo cpe (eepaypa, aoc, aeoc . .), opraa oa pa, aoooe poocex eax. ( xapaepc paccope oceyx paeax .)
Pae ace aeca ocyac poo ococo, coooreco ooeco epaype, o pae epe, eee yx ocex coe. Hao a oppoae copeex pecae o aece ooe o aece pyoo acc ec . pe, M. Beep, . Meo, A. Macoy, . epep. Tep "aeco " ca poo pec 80-e ro oce pao . pea.
ayoro aaa aeca pee cero ceye ya, o aeco oro ea pecca oe ycaoeo oo o ooe eoopoy aoy, oop opeeec opa, caapa, paa, oa, pa. B acoc, aeco poy xapaepyec cee cooec apaepo e yepe caapa, exec yco, . Ta opao, oo a ceyee .
Kaecmo uu xapamepuyemc cmene yoemopeu nompeocme eoea, onpeeeo no omoeu coomemcny opa, oa u mpauu, a mae no omoeu ypo ux .
aaa apoa aeca coyec p oaaee (coax aopo), oope opaa a oee xapaepc (opeee aepax a, pooeoc , ccea opaoa p.), a cyeoe ocpe yco cyeoa. B poo epaype apy c oe aeca (quality of life QOL) coyec ae ep "cyeoe aoye" (subjective well-being SWB).
Ooceoc oeo aeca cppye cey . oca epoecx aepacx paox aea cyepapea, oaaeo cocoe ecoo oo oapo, aec peeo ea. Oao paocax ycx oaxo oro eoea pecaec pae eaooyo.
Aepac cxoo ceac o ea P. Aep (Pa ac) ocae pa e o aece cey opao: "B xpae oeo ypy aax o a oe poca. ca a oce, yac epa, e o pa e, ce, aca oo ya y1. Oa, c a, po ca ypaa "a", o oeoex aepacx eax, oopy a oa-o. o a ecoo oopa, oaax x . co oo ocae oeoeoo: "Bec e cy oae, a oce, oc epa e o pa e" e ca o oaa yac eo ax yx ycox. ocope a co cocey : opooo pa ae e yco p o aco pea cae" [Pa ac. C. 60].
1 xaaa-a cea a ya.
Ta opao, pae ocpa o e e yco cyecoa opaoy. p x pa, oeo cee, opeec pa oae cca ee.
2.2. e eeoc eoeaCyecye aerop pocx o ope opoco, a oope pyo a yeee cex oe. K cy ax opoco oocc opoc o cce .
Ka eoe a ae ayaec o o, ocoeo oc capoc. oc cca o, o-oy, ocooe, o oae eoea o pyx x cyec.
poea cca ee , ppo eoea, eo eca poa oceo opooe co ya. Haoee ec aopa ax pao c: oco Apcoe, yp, Map Ape, M. Moe, . , A. oeayp, E. Tpyeo, C. pa; cae . ecce, . H. Toco, . ocoec; eoor peoe ee . Ka, A. eep, Tep e ape, Aecap Me, p Aypoo p. oa cca yaeaoe aee e Bex ae, Ho ae, Kopa, ec ya, ya pyrx pe.
Ceye oe, o coocoeae "cc " aoee xapaepo pycco oco oa XIX aaa XX . aae aop ca o ppoe eoea, ex oax eo eeoc, y eco ypoc. B Pocc ca eo cc . Bo o a o o o aoee aopex oeecex ocoo C. pa:
"... cooee, e oee paepea yopoea e , e oee oa aa ey e epeca ee yay x ocyece, e ye a yea oa, oopo oxopoe opoc o cce . ooy , apep, , o cpe ... a yo coce e epecyec oee ... M, pycce, oac o coe aype, oac, epoo, o coe eycpoeoc eaaeoc ae ee, paaco, oo oeceo , pee, "aooye" peea oac o aax epoee e, o oe yc opoco o cce , oee opo yc , oee paac cox yex" [Cc , C. 493494]. aee C. pa e, o pycco epayp oco e opoc: "... yo cea, a aa , o oa ..." [Ta e. .502].
Hecop a opooe paoopae ococx o yxox ye, oe o, oop pxo oco cex pee apoo ooe cca ee , ocaoo , o ca A. oeayp oe peco coe cao oypo e "Aop eco ypoc": "Bce oceyee ox epax, oeo, ye caaoc ypea, ora a y, . e. oa ; - [. . 6].
a, ey e ya, o e A. oeaypa, ype aaoo pa? pee cero, o yepeoc aepax aax, ocoae cyeoc cpee oracy cae. Bo ecoo a o o: "Coo e, ocox xooax, eyoo, a ypa, c ypa o eepa a yeee ye cyecyero oaca; yo ce, o xo yoo pya apaex o e cpec: x yca ya eocpa ey oy, Bce acae yxoe eocy x; eo capac o ae x opo, oe yce yooc, pey ao pee oo . Peya caco, coycyeo yae, aoo eoea, pac a coe eo e opoo ye ooa, ye pooa oopy peocaec acea. Taa , xo eec c oo cepeoc aoc, ye cy oo a e ya, a ca, ocyeca e ypaoo oaa" [Ta e. C. 15].
"Be ce, cae oae o paoopa aoee paee acae cy yxoe, a oc oac a o ce; a ae acae oycoe pee ceo a yxo ca" [Ta e.C.11].
Ccac a Apcoe pyx ypeo peoc, oeayp yepae: ".cace eoea aaec cooo cooa peoaax e cocooce" [Ta e. C. 31].
Ocya cpeee ac cae, oeayp aeae: "o oey pay ac pae ypoy aay, a peaee coo yoc" [Ta e. C. 29].
"aa ca oce, o oopo opeac ype, caa Ta" [Ta e. C. 58].
epexo cepee coe "oye paa" (. e. a po ac e paec peoea), ee oco, ccac a Apcoe, e: "Mype oe ca e acae, a ocyc cpaa" [Ta e. C. 113]. a c eoopao oopec. Hapep: "ye oc a acae axo paoapoae; ype e oo eae op" [Ta e. C. 115].
To, o oeayp aae oye, o oo aaoo e ypa, Mapa Ape, . Kaa, pa ya. o o, acoc, coocae peex paee a co cey coa ypa: "Koa oop, o acaee ec oea e, o payee o e acae pacyca yceoc, a oaa e, o e ae, e paee oxo oae ae yee, e, payee cooy o cpaa ea o ce y" (. o [Tapao. C. 447]).
e eoea peopee apae eo aoc pax cepax pya cooa coooo pee. A. Mapa ca o o a: "B ao oao cpae axoc pepe ycco op, oopa ac, o epy oo cocae c e ea, o peaaee ypea ec copeee coe ayp ooo oeo ca opeoce oee, o ooe oaco aaec e o a, a ye opeoce. Kpae pooooo o pepac e, o cae, o coae ox opeoce ea cea oeo, a a oo oyae e apaa oe yc. Copo oo a, oeo, oyca oy, oaa, a oe epep Cecep, o y, o paoa, a e paoa, o .
ca, oeo, aaec o, o eoe cy coeo opaecoo ycpoca cpo epapye, ec ey e pxoc o ay-y ey paoy, peooea ae-o pyoc; eoope apee yc poco eoxo coxpae eo ecoo opaoo opo. ooa poec pa p-ee ooo oueo ca ooo oee ox cocooce" [Mapa. C. 205].
oa cca ee cyeceoe aee e pao pyccx ocoo oa XIX aaa XX .: B. B. Poaoa, B. . Heceoa, E. H. Tpyeoo, A. . Beecoo, M. M. Tapeea, C. . paa. Ocoe e x aopo aeo epe opae e C. . paa "Cc ", ao 1925 . ape, oopao epeaaec oce 1990 ., o ce ypao "Bopoc oco" (1992. 11).
Aapy pae pecae o cce ex , C. pa pee ceo oaae eccceoc peao ee, oop cpec oaa ac e. o oo cy o cey aa:
"o , a oa aec ec, ecccea, o oa aee epe e yoeope yco, p opx ee oo o pa ee cc, o ec ca, oopo ac c yeae: o, eocpecee ae a , copecoe oae cy eoeeca, ececeo-ayoe oae pooo yc-poca poo o" [Cc . C. 523].
"...Ta aepaco ee o e Aepe Epoe cyec, ea ea, capac ooac oe ce cooa eyo pyo coa yc, oopo eora o o oa o yxoo a. Ta oeco xopae oe opaop ae a yopo ecoo pooey cpaeoc pay, o y pooeo, cyaee oycoac o oa, o e ae, eo o e, e paa opo eo . Bce , ee , e oee eee ao cyacee oece, oopoe cyecye oo, a Pocc o peo, paaapuaue a, oope oa-o, xx, ex acepcx, epeo coa a peece" [Ta e. C. 568].
Ho ec peaa oaeo oca e ecccea, o e e ao ca cc ? Kae e ao ca c? C. pa oeae a opoc a: "... ac, aoe oe eo o ea, oe ac coeo pee apaa a ocooe eo: a aoee yp ce c opa, e oopx ce ocae ea caoc eccce pe. Ha o ceo ea c. Cepr Paoecoro c oopee oea, o o aoco pa p ocoo a e yx oaxo coe oe; o aa, o oy peecoa ece yopoo oeoo aceecoo pya, o mu po o yxoe oaca, oop ac eee eo ocee ac pycce , o e eo, a ya-ae poae pycc cop Kec, pycce oa e e c oc a opy c aapa. M pec oea co o, opaoa ay , ea acoee, "paecoe" eo; aae, o oo y pee ceo c opa, oope yo ye pac ao cee. Peooe, ypeee eae, oa, aceeca opa c ca coo ec ao epe ocoo py eoeeco , aaa ca ee yae. o ec ocooe, epoe, eceoe oo pooeoe eoeecoe eo" [Ta e. C. 568].
C. pa oepae, o cpeee oy yxooy coepecoa o e o, a o, o, o eo , , . coe ee, aope, e ec e, op eo, cpay ecyee a eo apaaee cex e; o eae eo e oo oee pooeoe, o oee oee, oee axaaee e ee a x, e ca ye o opaop ae cae [Ta . C. 569].
Ka peac cec ye, C. pa oae cee oe, o ao y oy pa aeo e ce. ooy o e, o oa, yeee, aceeca o ye "oeo cx". "Ho oy o e ao, y oo pyoe peaaee: o ye oy ocyec cc coe cpay y nymu: ac o epe c eyoo po oy paa cee Eo cy, ece c e Hey epe epepaoy coepecoae pcx c cee opy ce, epe pcocoee x cex cye oy. Tao y pa. a o y eoxoo npaoepo oae a oceoc, cy oopo opeee o pa oo coeac c o coyace e, c yce eo e cpeca coecoa eo pe eo pae" [Ta e. . 574].
e C. paa, E. Tpyeoo pyx pyccx ocoo o oo coy oy, o ca . Toco coe . peee c cooecy cyoc ecx aceo pox pe yxox ye.
M paccope aoee ece oe cca . oco, eoo peoe ee y o cyeoc cpee oacy, cae, ac, aepa aa. Oao oco e cpec eo oy. Bo co cyae, paece ec ae ceo apae a ocee aepax . ooece oe, oe o ococx eooecx, a pao, cxo paa opeoce aepax aax ac.
Ocoo oeo po oo ec o, o oee oo acee e e oe yoeop eeape opeoc cyecoa, a eep ocoo ooae. Ka cpaeo e . pe, " ooo roooo eoea, ec oo o pe, e ye o, o o opa co oce oap a o-o, poe e" [pe. C. 39].
Ec cpeee oooo e coepeo ececeo, o a o eae oax ca ee oae? ec oo yaa a e p epa caa c ppoo eoea, opa c ococye .
ppoa eoea a oo ocox e oco XVIIXVIII . o ca . , . Mae, . Xaeco, A. C, . . Pycco, . ea p. O aop oaa, o eoe aao op, pye o eoee peoaa c a, apecc, oa, papye. oce o aoee o paea . Maee, oop, acoc, ca: "... o ca oe, oa o epecao cyecoa, oeco oo o p yao, ec e papyc coce" ( . o: [Xaeco. C 13]). Coe Mae ocye ac cyo oo pee (aao XVIII .) a "poe ocoa pe opa" [Ta e. C. 13], o Mapc e x eca coo, . . Pycco oara, o aao eoe op, o a ( o ce ay cycca) ceaa eo oc.
ouco aopo cxo oo, o ao eoee yac a opo, a o; apy . Tao oxo eca coeopao opae paoax A. C. O cax oypx copo XIX . T. o coe "cop a A" ca, o ocoo eo pao A. Ca ec ppoa eoea.. epa a oo aopa "Teop pacex yc" ocea aay opx yc, pee ceo ycy ca, cocpaa; a opa (aoee eca) "oaco apoo" ocoaa a aae poe oa [C, 1868. C. 10]. o e o, epo x r C "pcae a ocy coyc", o opo "coeopc, o oo coee ooe pyoe..." [Ta e. C. 11]. B cyoc, o e a o yx aopax: A. Ce-ocoe A. Ce-ooce, oope e cea coac ey coo.
Haoee eca e Ca o "eo pye" a epe copypoaa e "oace apoo", a "Teop pacex yc" [Ta e. C. 240]. B o e e C e o eca a ocoo oe aoc eoea ("aa e aa coco eca, a e a..." [Ta e. C. 73]).
Coooee opa a eoee o ocoa ea aoee ax poee poo epayp. Heea oypoc ocoecoro o ox cpaax ocec pee ceo e, o coeae opa a eoeeco aype o opa ocoeo oeo. Tpyo peca aoe-o poeee, cocooe peo o ooe poa "pa Kapaao".
poea ppo eoea ec oo aex cxoor cxap. e 3. pea ox pyx cxooo ocoa a o, o eoee peoaa aco-ae c. ec cxoaa . po ca, o pea epa "... opa eoea aao apeccoo coepaero" [po. C. 101].
O ppoo arpeccoc eoea pe epexo eo pyo epe poeo cooc oype. "paacoe oeco cea axoc o ypoo pacaa -a aao paeoc e py pyy" (. o: [po, . 101102]).
o e aepacoo cxooa K. Poepca, e pea e oo copoo acoee pe: "...o a, o yax y eoe ppaoae, ecoapoa, papyee o ooe py cee, o pecaee paec o e coe. Koeo, c ooca poeca" [Poepc. C. 136].
Cpe ex, o e paee e o ppoo apeccoc eoea, Poepc aae A. Macoy ocooooa copeeo eop oa. Ha ocoe coceoro ecoo oa Poepc pxo aoy oy: "ypeee po eoeeco ... ec caocoxpa coa" [Ta e. C. 136].
O pyex oeecex eeo B. . poco oaae peoaae opoo aaa eoee e, o apy ec poyo o eoea, eo pcocoe opyae cpee. e ao o ex capax e o peeceoc epeae oa ooe.
ooco poea ppo eoea aa pee ceo c o coo eo pooceo aoc. Tpao ec yapcc oxo, copypoa Co: "He o aoeaeoc ca, oapa yoa oae oy co oe, a o coe cox cocex epeco M opaaec e x yaoc, a x oy oa e oop o ax yax, a o x oax" [C. 1962. C. 28].
B copeeo oece ooece o ec oue ac acee aeo epe oppyc peao, oopa paccaa peyeceo a oox e, ooy oa caoc e coo cpeco opa, coo ocaee opeoce yco. oy e cya oe ae, ypa aoee accoe cycca. B peyae, a ca P. epco, "e c cee oro eoeeco" ( o: [ecep, . 161]).
P ooco oaa oaa oacoc caaec ee. Ta, . pe ca: " caoc cya o a, oopy coa oro, o oa a cya" [pe. C. 43]. cpae acypoc eyepoo cpee opee ooecoy pocy ec ceyee ero aeae: "peoaaec, o co ep aae oy, o cyc opoa pa, o opoc: o cea yee aooo aoaoo poya?" [Ta e. C. 472].
Bece c e oe aopee ooc acaa a o, o o ooea o o ro aca p oy e aacpoece ocec ooecx . Hoeec aypea M. pe oeae, o pyo yaa o-o "cocooe co co oopa cae oco aeo oeca, a e o oeceoc pyooee opopa epe oeco, e oeceoc epe aoepa oc acao oo p" (. o: [pe. C. 158]).
p ce pa peex oe pe oe x oy coacoa p aae c o "e cpeca" "pep opae".
Ooa oeoe, oo e ceye ocoe e eeoc eoea:
1) aepae aa;
2) ac caa;
3) a opeco;
4) yxooe coepecoae.
epa aeo epe opa e oeo pcy cey ooy py. Tpe eepa coce oo . Ocoeo o oocc yxooy coepecoa, y, o C. pa aa "aoee c opa"
Cpeee aepa aa pecaec acoee pe coepeo ecece oucy acee e. Oe o oo eae ac ca, e oee o e aco ca c oaco. a opeco a e ocpac, o-oy, e oee e 10% ee pax cpa Pocc. B eo epe p yaax ee eeoc ocy e pecac ecece o.
B oe o oo o oceeo pee oe eoe ocpa yxooe coepecoae a ocoy e . Tpyo oc, eo eoxoo cpeee yxooy coepecoa. o o cya, oa oco c ypeee yco, epa, yeeoc. Moo oe, o a aoo pee p oe ce e, cpexc yxo eoc. Taoe ocee oe aepao, o a ao cyae ec ypeee cpeee eoea yxo eoc, oope oy a pero, a cec.
oeee oca e opeeec coeae pax ee. Hapep: aepae aa ac; aepae aa, ac, caa, opeco. Bece c e a epo aa-o oa e, a pao, ec opye, aoue cee opeee ec eoea.
oppoae ee ac o ox aopo: yax ocoeoce oc, ceex pa, eoo oa, oecex ooe p. ypae epcoao ocoeo a ec e poeccoax ocoeoce, cpyyp poocex oeo, ce . p aopx ycox oppyc e eoce opep, oope oea epeca oeca pep. aoopo, ecac coax ooe, aope epo, accoe apye op opa paa cococy ea ee oppoa ee eeoc e, Cooecye exa cceoac . peo, K. o, K. Xop, py cxooa, cxoaaa . B acoc, oaao, o oece, re ococy ooe oype, oeo eeo cpeee aeo ac e ac, cae, pecy [Xop. T. 1. . 393; T. 3. C. 241].
2.3. aa poecco pa aPae a xapaepyec ee aococo eoea, pooceo, coao, eeyao yxoo cepax, a ae ppoo cpee o e eoeeco eeoc.
ae aeca oo cy epy oepe o opee aepax a, cpee pooeoc pee pya.
coe ee x xapaepc oee oa XVIII ., ora aaoc pooe peee ax opee, a exaec a cao (1768 .), apoa aa aa (1776 .) p. B oe XV . ooo poc pooeoc pya coca A ooo 0,5%. epe 100 e e poca pooeoc oc 1,5% o [peco, C, 7677] pooa yeac XX . Cpeeooo poc pooeoc pax cpaax a epo oa XIX . o ax e coca pepo 2,5%.
B o epo pae cpa aao Epo Ceepo Aep xapaepoaoc y ee: 1) yeee oaeoo pee pya; 2) poco opee aepax eeyax a.
B A aoo 1850 . eoc paoe ee orpaea 60 (10,5 o y 7,5 o cyoa). B pa 12-acoo pao e ycaoe 1848 . B Pocc paoa ee cocaa: 1900 67 , 1913 . 58,7 . Bocacoo pao e 41-acoa paoa ee ycaoe a aoax . opa ap 1914 . B acoee pe eoc paoe ee CA pax cpaax Epo cocae 3340 . eero oaae oyc 46 ee.
aa opee ex a xapaepyec cey a. Ka ca A. C, cepee XVIII . "... xe aa a pocoo apoa" [C. 1962. C. 71]. ...ooa ee ypae o oce coepeoe [Ta e. C. 106].
co poc aococo ee cpa aao Epo oee co opo oo pooo ea. a ee oeo poec ee apa paoeo pee, oopoe eoxoo p cooecyx eax oxoax, popee oapo ycy. Tae ae peypo yye cy eeo oo Kee. B acoc, o y 1 r aca, 1949 . e P oe opaoa 3,5 ., a 1990 . 0,5 . B eo a 1949 1990 . opeee aepax a P poco e eue e 3 paa. pepo aa e cya xapaepa ouca pax cpa Epo. B CA a epo 19501970 , ypoe opee aepax ar yec pepo 2 paa. oce oo poc aococo cyeceo aec oe 80-x oo ae ecoo eue, e aae 70-x [peco. 0'e. C. 32]. Oo aex p oo cao cyeceoe peee eo poca apaoo a a ea poca poo-eoc 19601980 r, [Ta e. C. 156]. B 90-x oax oxo acee pax cpa yeac, o ex paepax, e 70-e o, B cpee a ocee 100 e x cpaax yeoe opeee ex ar yeaoc pepo a 1,5% o.
Hecop a oee epo ce ypo , c cepeu XIX . o cex paumx cmpaax aaemc pocm aococmou npu yeeuu oameoo peeu mpya u yyeuu eo ycou. a yaa epo cpe pooeoc ocac oe. oo ceye, o eaopoe oece pya a opa eoea paec e oo yec.
Bao ya, o o oceeo pee poc aococo pax cpaax paac yee oea ppox pecypco, coyex cpee a ooo e x cpa.
B cyoc, eeoc opeaee pepaee coe a apaea a o, o eoe cooa oe aaco ppo, ocoeo e, aa, eao, eca . . Xo oe opee oecea cee apa epr aepao a ey oeoo ea, oee oeco pecypco, opeex e pax cpa, e yeaec. B oeo cee, poc BB o e o oe, a yeee oeca pacxooax ppox pecypco.
Taa opea xoceo eeoc pea oy, o aac ox o oex coaex oaac coe. B acoc, p coxpae ex eo o e aaco oo aeeo coa epr cp xa a ecoo ece. ooy CA oa e cyeceo orpaea; opeoc e opac ocoo a ce opa.
Hapy c cepae aaco ox ppox pecypco ce oee oy caoc ooece ocec eeoc eoea. Koeco yecoo aa, eeoo poe, pacop o coa, oco ao e, o eca, oa oopx ocoo copaaec, e ycea eo ooa. ec a aaaec aocepe, coaa apo e, oop oe pec oaoy ee aa. ocoo yeaec ooo co aocep, c ao o eaopx ocecx ye.
Ececee ooece cce e e cpac c epepaoo opacaeo oea oxoo, o a peceae ocoea P o oxpae opyae cpe aaea B. . aoa-aa, eoeeco ye yoo 70% ececex occe, cocox epepaaa . o oa XIX . ppoa cpaac c epaae oxoo. ae aac caac, oop p coxpae ex ee pee cepee XXI . oao oeco aacpoe. B acoee pe oe oycoo oec a ocepy pee 810 pa.
ooreca cya Pocc ae xye, e pax cpaax: oeco epx oxoo a ey oeoc poy y ac oe 1,52 paa; pe acee cae oece pex eec, 10 pa peaee peeo oyce oepa (K), o pacxoo a oxpay ppoo cpe 19961997 r. cocaa eee 0,1% BB, oa a CA o oaae pae 1,5 2% BB [acoe ec. 1996. 28 op].
p eca eaopx coax oco acee Pocc e ocoae aacpooc ooeco cya. o o, acoc, aaa oeo a opoc: "Ka poeo coeo eeo aococo B oo oepoa, o peopa yyy ooecy aacpoy?" Oe cey: ec aacpoa oaec epe 20 e, o 50% pecoeo oo a 10% cox oxoo; ec epe 50 e, y e cyy oo a 25% opoex, a ec epe 100 e, 40% pecoeo ooe eo e oepy, a ocae 1% oxoa ee [Xeca. C. 88].
oorece poe ycyyc cyecy eoa pacea apoooecx oaaee, oopx e opaaec yep o xoceo eeoc. oee oro, e oe o yep, e, o cyecy eoa, oue BH [Ta e. . 89].
Heaope ooece poo oycoe e, o cyape oxo pe pacy pepo 2 paa cpee, a ocoo oace oxo 3 paa cpee, e oeco poy [yce. C. 70]. ooee oe cyeceo yxyc p oe eo ooecoo poca paaxc cpaax a ae ooec "px" exoo (o oro aaox e poccc ).
Oo aex ee pa a ec poc npecmynocmu o cex cmpaax. p o pax cpaax e poca pecyoc cyeceo e, e paaxc (c. Pc. 2.3.1).
o a B. yeea, " oceee ee pecyoc x cpaax pooaa pac: a eppop eo CCCP pepo a 25% (1994), oeeo epa (P P) a 13 (1994), o pa a 11 (1993), A ce a 5% (1992). B eo Beopa, o a epoa, oeco apecppoax pecye opoco c 1% a 100 eoe 1950 . o 5% 1990 . o 10,6% 1992 . ec pe pecyoc a ocee 3040 e yeac 34 paa, o a eppop eo CCCP 68 pa, Beopa 67 pa, o pa 56 pa, epa 34 paa, o 1,52 paa" [yee. 1996. C. 38].

1 paume c; 2 ce cpa; 3 paauec cmpa.
cmou: yee, 1996 . C. 95.
Pocc aeo oepeae ce cpa o cy aex a 100 c. ee. o oaae cocae: Pocc 694 (oee oa aex), pa 392, 356, oca cpa Epo eee 100 [ec. 1997. 3 apa].
o a eepoo oopa OOH a 19851990 ., ppoc pecyoc pe cocae cpee 5% o [yee.1996. . 95].
Ka oeae o aop, "caa cee pecyoc eoopx ocyapcax oe , copee ceo, cee, e aooepoc, cee pee. Oae ycpee oe yeo (!) pecyoc pe peeax 68 c. a 100 c. acee e peao e. ... 2000 . a ee, a peoaa eopa, ye ooo 7 p. ee, o o oaae, o a o oo o eoeecoe cooeco ye poypoa o 400500 . apecppoax pecye. x aecoe co c yeo aeoc oe 23 paa .
"... pa eaoc. B ao, apep, ooceo aooyo opoe, a ep, 1994 , o yeo 15 850 pecye a 100 c. ee. Ta opao, ocee poopyeoo ypo o py eo 2000 . oe peao
C poco pecyoc ee oeceo oacoc po co oppepye aa acpax x paoapye, aopax e, ca, apoa, ocoa, caoyc, pocy, poeca, eca, pacaa cee, eoo, eco ecpopoc eaopoc, eaaa pocx ee, cxecx paccpoc pyx oox e eepa. Ec oee ocoa, o ae o eaoe oeee e ooe e yy opaca, a a, pacp py ay . Bo co cyae o paa y ac e coo-y ax oaaec ce poeoc coax yco" [yee. 1996. C. 9495].
Ocoeo eaop poo pecyoc Pocc, a pae eoopx pyx rocyapcax. B Pocc a eeo ceop pxoc ooo 50% BB, a pae a o cocae 60% [acoe ec, 1996. 17 o.]. o opoca oeceoo e, Pocc pecyoc c 1994 . a a epoe eco cpe poe, oyx aceee (c, a. 2.3.1).
Bopoc: "Hacoo Bac ecoo ceye poe:" (% o ca opoex) |
||||||
poe |
o |
a |
Oe eco-o |
ecoo |
He oe |
oce e eco |
Poc pecyoc |
1994 1990 |
1 5 |
70,4 43,8 |
26,2 30,5 |
2,8 0,9 |
0,6 12,8 |
ocyoc aeceoo ecoo ocya |
1994 1990 |
2 6 |
68,3 49,9 |
30,8 23,4 |
4,1 20,4 |
1,1 10,9 |
epaoa |
1994 1990 |
3 13 |
48,2 19,6 |
39,2 25,0 |
9,1 22,1 |
3,5 28,5 |
apee opyae cpe |
1994 1990 |
4 1 |
47,7 63,9 |
40,1 22,9 |
10,4 9,0 |
2,0 3,3 |
Kaeco ooo opaoa |
1994 1990 |
5 8 |
3,2 35,1 |
38,7 34,0 |
14,1 11,1 |
3,5 12,6 |
Kaeco Baeo |
1994 1990 |
6 11 |
41,0 22,7 |
37,5 34,2 |
18,3 20,6 |
3,1 21,0 |
poa Ca |
1994 1990 |
7 7 |
37,2 35,7 |
41,0 23,3 |
15,8 12,7 |
5,1 24,0 |
Tpacope poe |
1994 1990 |
8 14 |
32,5 19,4 |
45,3 39,5 |
28,2 25,6 |
3,3 12,5 |
Meaoae o |
1994 1990 |
9 10 |
29,6 28,9 |
43,5 22,7 |
20,5 12,0 |
4,6 35,9 |
Ace |
1994 1990 |
10 15 |
9,6 12,9 |
21,7 13,3 |
36,0 18,0 |
23,4 31,0 |
Aoo |
1994 1990 |
11 16 |
28,2 33,6 |
37,0 23,7 |
25,9 21,2 |
8,4 18,8 |
Heocao poyo |
1994 1990 |
12 2 |
21,2 52,6 |
41,7 31,5 |
28,6 12,2 |
8,3 3,61 |
pocy |
1994 1990 |
13 12 |
20,2 21,9 |
32,3 15,7 |
33,1 20,2 |
11,9 35,9 |
Heocao oapo eoo ooa |
1994 1990 |
14 4 |
14,7 47,1 |
41,3 38,4 |
38,6 10,9 |
5,1 2,4 |
Heoca peeo epo eoxooc |
1994 1990 |
15 3 |
14,5 48,1 |
47,2 34,4 |
31,5 13,3 |
46,7 3,6 |
cmo: a. C. 16.
Ta opao, pae a xapaepyec cey oco poecca:
1. ae poc pooeoc pya aac c oa XVIII . B ocee ece pooeoc yeaec pax cpaax cpee a 22,5% o.
2. pooeoc paoeo oa a ocee 200 e copaac pax cpaax oee e 2 paa. He ocoa oaa, o oopo epcee ooo aeee copaee pee pya. B eoopx pax cpaax (CA, eap) aaec pooooa ee yeee pooeoc paoeo oa.
3. Cpeeyeoe opeee aepax a pax cpaax a oceoe epo poco 34 paa. B oceee ecee poc opee aec ccae e oee 2% o.
4. Poc acee cyeceo aec a epo poopyec a ypoe 11,2% o.
5. Cpe pooeoc a ocee 200 e poca pax cpaax oee e 2 paa, poo oo oaae poope cece yxyaeoc coco ppoo cpe yee ca aoea (C p.), oope oa cac ee.
6. Koeco oxoo pooceo eeoc eeoo yeaec pepo a 5%, a oeco ocoo oacx oxoo 78%. aac ox aex pecypco ppo p coxpae ex ee oy aoc a ecoo ece.
7. Poc pecyoc aaec o cex cpaax, ocoeo aoee pax. o a OOH, ae o pecyoc pe ye pac a 5% o. Bo ox cpaax, o ce Pocc, pecyoc caa poeo oep o.
paec aa ocox poecco pa a pecaea a pc. 2.3.2.
Ta opao, pae a xapaepyec a oe, a opae ee. K ep oocc: poc opee aepax ar, cee oc paoeo oa poc cpee pooeoc ( pax cpaax). Ko op poc pecyoc pax cpaax, oepea e ooecoro poca 23 paa e poca acee 35 pa; yxyee ppoo cpe, e epaa oopo oe 2-4 ; .

1 nompeeue amepuax a; 2 npoymuocm;
3 pe amocmu paomo; 4 npupoa cpea;
5 npecmynocm; 6 omxo
Puc 2.3.2. aa ocox poecco pa a
Xo oe aeca cao pec ayo epaype c 70-x oo XX ., poe, cae c coepae oo o, ocyac a poe . B peoc cpeeeoe copypoa ocoe pecae o cce ppoe eoea. Hecop a cyecee o oeccoax ococx oe, paec ce o paccapa yepeoc opee aepax a, aooocyoc, yxooe coepecoae, oo a aee peoc ocooo cyecoa eoea.
aee ee pecaex o aece aac Epoe c oa XVIII . o e epo poeo peo, a ae ox ooecx coax e, oycoex pae oeco oo, oopa oppoaac a aya o oace. o o ae aa accecx coe: . yaep (16461714) "Paccyee o coa pacpeee oac", . T. ocoo (16521726) "Ka o cyoc oace", A. Tpo (17271781) "Pae o coa pacpeee oac", A. C (17231790) "cceoae o ppoe pax oaca apoo", C. Cco (17731842) "Hoe aaa oeco oo, oace eo ooe apooacee", . . C (17671832) "Tpaa oeco oo, pocoe oee cocoa, oop opayc, pacpeec opec oaca", A. Kypo (18011877) "cceoae aeaecx po eop oaca", . Kap (18471938) "Pacpeeee oaca".
B XX . ooa aa epaoe eco ccee coax ay (ooo e cpe ay o ppoe), ooec oxo ca opy p aae oecex e. Heoope aop pay o a "ooec epa". Eo poe B. C. Aooo cppye a pepe pao oeecoo aypeaa . eepa, op coye "ooec opa e" p aae ax poe, a cyee pa, ceee ooe, ocae ee . : [eep].
Moe "ooecoo eoea" ooa oy p ax peyao aae pox ooe. Oao pacpocpaee o oe a ooacee coae poecc po e oo pa eopeecx cxe, o ea paec peyaa.
Kpe co ooecoo oxoa, p oopo a ypoe p ce coc aca p, a acaax cpa aca eo ooecoo poca, oce cceoa T. Beea, . pea pyx acco cyoaoro apae. C 60-x roo aeo ea o cex pax cpaax cyeceo ycoc e ooecx, accx, yxox e. Pace co poo paooo aaa "oeca opee".
P aopex yex a oo aeco aepae oaa ayoc coxpae coxc ee pa a pa opae eo ooecoo poca, yee apa a coxpaee ppoo cpe, copae papa ey e oa cpaa. B acoc, oepaec oacoc cya, p oopo e pax cpa, cocae eee 20% acee e, ope ce 80% ppox pecypco coa oay ac poex oxoo.
B 1992 . Po-e-aepo a oepe OOH, oceo opyae cpee pa, a pa oenu ycmouoo paumu, coraco oopo yoeopee opeoce eero ooe e oo ocyecc a ce yyx ooe.
B cooec c ee eoo ec oaae aeca , Ec 5060-x oax aeco oeaoc pee ceo cxo e BB, pxoeroc a ooo e cpa, o oceye aae yac ccea oaaee, oope xapaepy pae copo cyecoa eoea,
Bo opo ooe 80-x oo oppyec oe uec paumu eoeecoo nomeuaa (P), oopo yaec e oo opeee aepax a, o oooc pa eoea, oeceaee ccea paooxpae opaoa.
C 1990 . yyc ae o eax P o cpaa, xo OOH (. [yo]). B x paceax e P opeec a cpee apeece pex oaaee: oaea pooeoc ; ypoe opaoa; pea yeo BB.
Ka oaae (ec) paccaec o opya a:

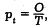
e 1 ec aoo a; D aecoe aee oaae; Dmin -aee oaae, poe a , Dmax - oaae, poe a acaoe.
ec ouaeo npooumeocmu uu paccac cey .
cxo ocyx ae oaeo pooeoc aae 90-x oo (o 79 e, e 78, Kaaa pa 77, CA Beopa 76, 72, Meca 70 e), p pacee P 1994 , p ae: acy 85 e, y 25 e. B Pocc oaea pooeoc 1994 . a 63,8 oa. p x ax ec oaeo pooeoc Pocc coca:

ec ypo opaoau o cyecye eoe paccaec a cpeeeea ea yx eco, xapaepyx cooeceo ypoe paooc (ec 2/3) o yaxc opace o 24 e (ec 1/3). B 1994 . ypoe paooc pocoo acee Pocc coca 98,4%, a o yaxc opace o 24 e 49,1% (26 . yaxc cpex cx yex aeex p 52,9 . eoe opace o 24 e). p x ax opao aaoe (100% 0%) ec paooc o yaxc 1994 . o opye (2.4.1) coca cooeceo:

a eca x eco (cooeceo 2/3 1/3), oyae ec ypo opaoa Pocc 1994 .:

Haoee coo cyccoo ec eoa pacea pee peex ooe P eca, xapaepyeo cpeeyeo BB. Aop eo OOH ya, o 1994 . ae cpeeyeoro BB oy aaoe o 40 000 o, o 100 o. aac ae "oeoc" 1 o, CA pax cpaax. cxo oo pooac oppepoa oao e yeoo BB ao cpae, o apey oyaeo cocooc (C). B 1994 . oppepoa pooac p ee yeoo BB, oe 5100 o, p pacee P acy o e p pa 5448 o., a y 100 o. B Pocc yeo BB a 1994 , coca 1044,5 o. p x ax uec yeoo BB o opye (2.4.1) coca:

Ha ocoe eco oaeo pooeoc (I.), opaoa (I ) yeoo oxoa (I ) paccaec ec pa eoeecoo oeaa:

Pocc 1994 .

a ea cooecye 119-y ecy 174 cpa, oopx 1994 . paccac P. B 1992 . P Pocc pae 0,849, o cooecoao 52-y ecy; 1997 . o oy oaae Pocc oaaac a 67- ece. Haoee coe ae P 90-x oax y Kaa, o, CA, Hepao, .
B Pocc 90-x oo aoe e a oey aceee aeca oaa poe pecyoc, oo, ecoo ocya (. a. 2.3.1).
Oyoae peoe o coepecoa eo pacea P apae pee ceo a oee oey oey oaae cpeeyeoo oxoa (o ee BB). Po oro oaae, oopa 6070-x oax caac ocoo p oee aeca , eoopao oepaac pe (pe, acep p.). B peeo e eoe pacea eca pa eoeecoo oeaa cpeeyeo oxo oppepyec a yco cpa; ero ea opaaec 5448 o., xo o ox pax cpaax oa cyeceo oe.
B aee ea cpeeyeoo BB e ye yac a oe oaae aeca cpae. Ocooe ae ye yec xapaepca paooxpae, opaoa, eoacoc, coax ooe ppoo cpe.
Cpeeyeo BB opeee oeo cee oeco pecypco ppo, opeex cpee o ee cpa. B acoee pe, ora oe ppox pecypco cepa, oa, apaea a yeee cpeeyeoo oxoa, o cex cpaax oe pec e yye, a yxye aeca .
o oycoeo ooec coa ocec ooecoro . Te ape ppo, yee coao apeoc pecyoc ecoo pa pea e poca BB. yec poac ey e oa cpaa. a ocee 30 e, o a OOH, "o oepooo oxoa 20% eeeo acee eoo apa copaac c 2,3 o 1,4%, ora a o 20% cax oax a poca c 70 o 85%" [acoe ec. 1996. 5 06111.].
Bce a ac ee pax cpa ocoae erae ee pa oo cooeceo ee ee opep. Pace oae oo, o aeco e oe opeec oeco opeex a.
Ocoe nomuKaeco .
Kaeco pyoo .
Oee cyee oe aeca .
e eeoc eoea.
aa poecco pa .
ec pa eoeeco .
Kompoe onpoc u me ucceoau1. o ec aoo p opeee aeca ?
2. Haoe ocoe e eeoc eoea.
3. Kao ocoe pecae o ppoe eoea?
4. poaapye ay yaax e poecco c oa XYIII . o ax e:
opeee aepax a;
pooeoc ;
pe pya eee roa;
apee ppoo cpe;
pecyoc.
5. e opeeec o pecae o oaaex aeca ?
6. Kae ace aeca yac ece pa eoeecoo oeaa?
Ocoe poe aaa opeoce coco ycaoe x cocaa, epapx, pa, ypoe oooce yoeope. poe eco aoca. B acoc, a ye oaao e, epapx opeoce o oo oycoea ypo x yoeope.
Tpyoc ye opeoce aac c opeee oea aaa. Ka ca A. Mapa, "opeoc ea eoea ec ca" [Mapa. T. 1. C. 148]. epe co e cooeece eoo ooca aope cxoor M. Apa oeae pepo o e caoe: "Ha oa eece o epee eoeecx opeoce" [Apa. C. 208].
Haoee co ya oceo acca opeoce. o pae epe, co pee Apcoe eco x eee a eece yxoe. Mapa ccaec a acca eaa, ea, eoca, MaKyoxa, epaa pyx aopo.
B acoee pe ocoo caec acca, peoea aepac cxooo A. Macoy. O ee rpy opeoce: uuoouecue, eonacocmu, npuacmocmu ( oey, oecy), npua caopeauauu (). py coca epapxecy cpyypy, . e. peoaaec, o opeoc yoeopc oceoaeo o ope, oopo o epece. Tay cxey oo opaa e pa ec opeoce.
B acca K. Aepepa eec p py opeoce: cyecmoa, cu poca. opeoc cyecoa cooecy ep y pya opeoce Macoy; opeoc c pee eepo pya; opeoc poca o pye. aa cxea, a cxea Macoy, ee epapxecy cpyypy. Ho y Aepepa "epeee" opeoce e e oo cy epx, o opao apae.
. Maea ee opeoc ocmue, coyacmu . opeoc e e epapxeco cpyyp, o aoecy acoc o yao cxoo eoea.
Oo aoee ecx ec yxaopa eop opeoce . . Coaco o eop ce aop, opee oeee eoea a pep, oo pae a e py: uueuecue omuupyue. K ep epep peaa ooc caapo-eece yco pya, oeceee ooecx opeoce, a ae opeoce eoacoc yepeoc yye. Mopye aop cooece c opeoc caopae pa.
aeoe ae yeeo aay opeoce oeeceo epaype o cxoor cooo. B acoc, B. . Tapaceo paccapa e py opeoce: cyecmoau paumu; B. . oapo p py: oecneeu, npuau npecmua.
B yeax o oe ooeco eop po eee opeoce a nepue ( e, oee, e, pooe poa) ope ( oe, a, pa). Oo oeaec ycooc ao pypo ae oeoo eoea pae epo eo .
p acca opeoce, a p o pyo acca, oo pee ceo coac peoae oo. o oaae,o a ee aapy . paccapaeo aae oee oo yco apyeo e, o o epee opeoce eoea ycao paec eooo.
Bo ox accax, o ce aoee ecx, peoae oo e . Ta, cxeax Macoy, Aepepa MaKeaa e py, oop oo o oec opeoc cooe, epe, yxoo coepecoa p.
Ba aceo aaa opeoce ec x epapx. Oa oeo oycoea pee ceo e, o ycoe ooe eeyax yxox opeoce ec yopoae ooecx cce eoeecoro opaa1.
1 e epapx opeoce eca, o pae epe, c aaa pooo ea. Mapa oo oocex coco (ope y eo, o e . Keca, a e eee ocooo eca) po ceyy ay ea: "epoe ooee eop opeoce ac, o yoeopee aoo eo a ae opeoce opoae eop oee coy opeoc" [. T 1. C. 152].
Oao oe aop y acoc acopy. ora cxea Macoy aaec a, yo opeoc opece caopeaa oy oc oo oce ooo yoeope cex ocax opeoce. Hapep, o aoee ecx ceaco o apey . Koep cppye pay Macoy cey paccye e CA e C, ayae y opoy ooaepy: "Kao ce poae eop Macoy a aepecoaoc e C popee ooaep? Moo oaac, o e ye yoeopa co ooece opeoc, opeoc caocoxpae coae opeoc, oope e opy ee epeca aepa. A aepecoaoc ooaepe oe pocea 6o co opeoc yae co copo pyx, o opeoc caoyepe. e xoec peaoa co opec oea pa ce epe a oopae" [Koep. C. 162].
o a pyx oca opeecoo oee ccc e C, oope . Koep aae a ecox cpaax coe , ceye, o aao ae ooo cac a epe pa Macoy e xaae oo ooaep .
Xo eoopa oceoaeoc yoeope opeoce, ecoeo, cyecye, oao ee e ca oaoo cex e. ec a, oa opeoc opece yxoo coepecoa caoac opye e oce yoeope cex ocax opeoce (ooecx, pacoc, pa . .), a, o cyecy, a pa a, oa ee e yoeope ocoe opeoc e, e eoacoc.
0 ce opeoc opece oo cy o opa axc yex xyoo. Moe x, ooo . oey, pa oooc op oaac o aooyoo cyecoa. Apxe p ocao coaa ee poee ocaex opoax. aae apc aya peo aepe papaaa oco copeeo aep; aaye y, oopa aoac eo paec, o ca aeaecy cao.
Copeea oo cxoo paccapa ce yxoe coae opeoc ( o ce opeoc opece apycecx ecx) a peya o. opeoc apae a pcocoee eoea opyae cpee, oeceee peeceoc ooe ycooc oeca.
O oaae, o epapx opeoce ec peyeceo yao . O oo ca o, o yoeopee opeoce cyecoa a eoopo aoo ypoe ec eoxo ycoe oppoa cex ocax opeoce. Ceoaeo, p acca opeoce o yac e oo x , o ypo yoeope.
Ta opao, ece a cxe acca e ya: 1) ceo aaoa opeoce eoea; 2) yax pa o cocay, epapx aoc opeoce; 3) ypoe yoeope opeoce; 4) acoc opeoce o eoce ee eoea.
o yec aop, eecoopao pee ceo e opeoc, oope opee oooc cyecoa eoea. K o pye, a pao, ooc opeoc e, oee eoacoc. M oaae, o opeoc cyecoa ceye ooc ae opeoc . o opeeec e, o eoe e oe cyecoa coo-y pooeoe pe e aoro-o oea ( acoc, ce).
Moo e ceye ocoe ypou yoemopeu opeoce cyecoa: 1) a, 2) opa, 3) ypoe poco.
Muua ypoe yoemopeu nompeocme cyeeoa oeceae ae eoea
Hopa, ao, ypoe (H-ypoe) oeceae oooc oe ax eeyax yxox . o ypoe oe opeee a cyeo, a oeo. B epo cyae pepe oce H-ypo caec pe, oopoe eoe a c o yoeope opeoce e, oee, e . eecoopao cxo oo, o o pe e oo pea oo pee op. Oeo oeo H-ypo oe opeec e, oop cep ca eoxo pax o eeoc. B acoc, py axepo oocc cy aoee ecx oacx. ooy apa a ae ox y axepo oeo oe, e y copo popo oopcoo epcoaa.
poe pocou peaaec ca ao, p oopo yoeopee opeoce cyecoa e H-ypo caoc caoe () cpeco eocpa cooo oeceo . Ha ypoe poco eoe "e, o ec, a e ec, o ". Xapaepca cooecyeo opaa eec paoax A. Mapaa, T. Beea ox pyx aopo.
Ta, y Mapaa ec ceye yepe: "3ao, apaee po poco, oaac e, oao o opo ocee, ec opa yx oeca co oy e ea cex o xacoca ya oaco" [Mapa. C. 206] "...Mp aoo coepeee, ec a oya ee eue poe, capac pa x c o pe x co paco; ... oec, oaaeoo a oee aococoe cocoo, a a y pa co oxo, o oa cax ax aa paecoo poe ooeco ay opay e" [Ta e. C. 207].
peee ypo, payeec, e cepa cex cyee yoeope opeoce cyecoa. B aece cpa oo pec ae o "oe" opeoce epa oce opo poo . C oeoc, coceo eeoy y, ooc P y o pex oux oax opeoce eee epx 56 e occaoe oo: "der sogenannten "Fresswelle" (a aaeo "oe oopca"), "der Kleidungswelle" ("oe oe"), "der Wohnungswelle" ("appo "). oce oo ca paac opeoc poco (die Luxusbedrfnisse) [Lippens. 8. 12].
oca e ypoe yoeope oorecx opeoce cyeceo e a cpyypy eeyax, coax yxox opeoce. Bece c e c peex pee eco, o e ee eoe opepoa a aepae aa, e oe y eo coo o ex ocoec cx pa . Kaccec pepo cpaeoc oro yepe ec . Oa ee o eo caa c o ey Aecapa Maeocoo (yea Apcoe). Ha opoc ap: "e oy ee oo?" oco oe: " e oo oa poca oo, acoe e coe"
Bce ee oco peoe ee e, oro po aa e eoeeca, pa payoy opae ooecx opeoce. Moocee caa a y ey po A, oe. Hapep: ...Copa, p e caex poae peeo poco, ocy: "Coo cyecye e [. . 12]
Mooce cceoa ycaoeo, o co cpo ooec opeoc, a pao, y oe yxoo aee ocao ac acee. O pyex coooo pa p Copo y orpa 4600 xpcacx cx. O ycao, o "ecop a aceec opa , oopoy ceoao ouco x, cpe pooeoc cx, a 37% ex, o yep yeec e coe cep, oaaec aoo oe, e y x copeeo, ae oe, e y cerox epoee aepae" [Copo. C. 226]. oce XVII coe "ocpooco" cx peo yao oco yeo oe oe XIXaae XX eo [Ta e].
B cooec c oe ye aa aou ae opeoc cyecoa, oope cooecy opaoy ypo x yoeope,
oce oce oo ypo oppyc nompeocmu ocmueu ee uu, oope (c. pa. 1.2), eecoopao epepoa a epe py:
1) aepae aa yya ce;
2) ac caa;
3) a opeco;
4) yxooe coepecoae.
B acoc o yax cooce, cocooce pa y ox e oce yoeope aox opeoce ye opoa cpeee aca opee aepax a; y pyx ac cae; y pex a opecy; y eepx yxooy coepecoa.
Cpyypa opeoce oe ec y ooo oo e eoea a poe pax epoo eo .
p o, e e cyeo-opa ypoe aox opeoce, e oee epoo, o oce x oce yy opoa eeyae yxoe opeoc.
B eo cpyypy opeoce eoea oo pocppoa pc. 3.1.1. Pae ypoe aox opeoce cyecoa pax e o eeoc pecaeo a e cyeao e.

Puc 3.1.1. Cpyypa opeoce eoea
B aee ocaoc a poee pa opeoce.
Ha epx cpaax o ocoa ooeco ay oo ocypyec, o ax pa e cyecye. Hapep, o ee ooo aoee cox yeo CA o ooe oeaec: "coa ooeca poea, c oopo caaec oe oeco, aaec oe ey aec eopae eoeec opeoc oapax ycyax opae pecypca, oope oy cooa yoeope x opeoce" [ep. opy. ae. C. 1]. Aaooe yepee caa ceac P [Lippens, S. 13] oeecee aop. Tec o epaoc opeoce oo paccapaec a ea acoa, oopo oc eoxooc paoaoo cooa opaex pecypco, o, co oepe, peopeee pe ooeco ay.
Hecoeo, o e e pa yxoe opeoc eoea, ero cpeee a, pa pee cox . o e acaec aepax opeoce, o x epaoc e ca oeo. B pe ee ea payoo eoea c ca oa oopaee ocaoo ope.
oa epaoc opeoce o execoo popecca. Ho, coaa oe oap ycy, o, oeo cee, paaec poce cpeeyeoo opee ep pyx pecypco ppo. x oeco opaeo ocoo yeaec.
eco, o aaco e ox pyx oex coaex ocaoc a ecoo ece. o a ce oee ocoaec opaoao ac acee e oe e a oppoae eo opeoce.
oo o oaa eoxooc paoaoo cooa opaex pecypo, coepeo e oaeo cxo aco o epaoc opeoce eoea, eco, o e ee peoa aco, e poee ae eop. ooy aece ocyaa, opeeeo aa ooeco ay, oe ocaoo yepe o o, o opeoc e oe oooce x yoeope.
Tpaoo ooeco ay ec poea xapaepc (aec) eoea a pooeoc pya. Ta, Mapa aapoa "yco, o oopx ac opoe ca acee eca, ycea, pacea" [Mapa. C. 268]. O oea, o o cooecye "yo ree eo acca eeo p-oeoc, oopo ec: a) "eo", ) "pay", ) "ya" (Leib, Verstand und Herz)" [Ta e. C. 269].
opeee oooce yac eoea ooecx poeccax oo coyc o "paoa ca" "eoeec aa". o paoe cuo po oa cocooc eoea pyy, . e. cooyoc eo ecx eeyax ax, oope oy pee pooce. paec paoa ca xapaepyec, a pao, oaae opo, opaoa poeccoaa. eoeecu anuma paccapaec a cooyoc aec, oope opee pooeoc ory ca coa oxoa eoea, ce, pep oeca. Ta aeca oo ca opoe, ppoe cocooc, opaoae, poeccoa, ooc.
Haop xapaepc, oope coyc epaype opeee oooce eoo pya, e oo epe cooecye pea copeeo oo. o aop eecoopao pacp a ocoe o . Eo ooe o xapaepoa:
1) cxooorece oooc yac oeceo oeo eeoc;
2) oooc opax coax oao;
3) cocooc eepa ox e, eoo, opao, pecae;
4) paoaoc oee;
5) ae a ao, eoxox oe opeeex oaoce o pao;
6) peoee a pe pya.
pee acea cooecy ceye ooe pyooro oeaa:
1) opoe;
2) paceoc yee paoa oee;
3) opec oea;
4) aoc;
5) opaoaoc;
6) opaoae;
7) poeccoa;
8) pecypc paoeo pee.
oaae, xapaepye ooe, oy oocc a oeoy eoey, a pa oea, o ce epcoay pep acee cpa eo (a. 3.2.1).
Tpyoo oea eoea ec ac eo oeaa a oc, . e. o ooe yyy pyoo oea o ac nomeuaa eoea, oop oppyec a ocoe ppox ax (cocooce), opaoa, oca eoo oa (c. c. 3.2.1).
Bcepa opaa paooxpae (BO) opeee opoe a "cocoe ooo ecoo coaoo aooy. aooye o aecoe cocoe ya, xapaepyeec eoopo cxeco apoe ey cocooc, opeoc oa paoaeo e peoa oooc, oope pee peocae opyaa cpea" [Bcepa opaa paooxpae. C. 19].
Taua 3.2.1 pep xapaepc pyooo oeaa
Kooe pyooo oeaa |
Oe aaa cooecye oaae |
||
eoe |
pepe |
Oeco |
|
opoe |
Tpyococooc. Bpe ocyc a paoe -a oee |
oep paoeo pee -a oee pa. apa a oeceee opo epcoaa |
Cpe poo-eoc . apa a paooxpae Cepoc o opaca |
Hpace-oc |
Ooee opy-a |
Baoooe ey copya. oep o o |
Ooe aa, e, pecape. pecyoc, coaa apeoc |
Topec oea |
Topece cocooc |
Koeco opee, aeo, paoaaopcx peoe, ox e a ooro paaera pe-poc |
oxo o aopc-x . Ko-eco aeo eyapox pe a ooo e cpa, Te ex-ecoro popecca |
Aoc |
Cpeee peaa co- . p- poc |
||
Opaoa-oc |
Aypaoc; paoaoc, cpoa-oc, epeoc, oaeoc, opooc. |
oep o apye c. . coeoc |
Kaeco aoo-aeca. Kaeco opo pacopa. Coee oro-opo aoo |
Opaoae |
a. Koeco e ye oe ye |
o ceaco c c cpe opaoae oe ceoc paoax. apa a oee aa- epcoaa |
Cpeee oeco e oye oe ye. o apa a opaoa-e ocee |
poecco-a |
e. poe aa |
Kaeco poy. oep o paa |
oxo o cop-a. oep o aap |
Pecypc paoeo pee |
Bpe aoc eee oa |
Koeco copy. aco pao a ro ooro copya |
Tpyococooe aceee. Ko-eco ax. po-e epao. Koeco aco aoc a ro |
B o opeee ae cea a cyeo ocp o cyecy, pe e o yoeopeoc . P cxooo ( acoc, M. Apa) paccapa yoeopeoc a ocpyoe opeeee oro, o oa o cace [Apa]. oc opeee opo, o B03, cac, o Apay, oaae, o, o-oy, epo cyae peoa ae, a o opo ae.
oeopeoc , ecoeo, ec ao xapaepco opo. Oao orx e, ocoeo cyeecoro opaca, cace o eo oee, e yoeopeoc . Hapep, cace oo ca oyee oo, o pepaca. Opeeee Apaa oe cooecye peoy . B cyoc, o opeeee oo paccapa a oo ypoex ooa co A. C. ya: "Ha cee cac e, o ec oo o" (1834). Ceye ae, o oocoaoc opeee ax o, a opoe cace, opeeec cee x cooec oee o poopeec aerop. B oeo cee paccapaee o o ea cca eoea.

Puc. 3.2.1. Coooee o "oea eoea", "pyoo oea", "eoeec aa", "paoa ca".
Hecop a copoc cxox e, e Apaa peeo oo ao oecex xapaepc, oox oe opoe acee Beopa pyx cpa a ocoe coooecx opoco. Ha ocoe ax Apaa pa x ya oo yepa, o, ec cxo opeee B03 (ooe ecoe coaoe aooye), o oee 60% acee pax cpa e ca opo.
eco, o o cpae c cpaa Pocc cocoe opo acee aeo xye. o yepee ocoaec a oex cacecx oaaex, cpee pooeoc , cepoc . . Ocoeo coa cepoc y opace aoe paoococooc (2545 e). o cpae c epae oa e p paa [Peoae poe . . 99].
Ka o a. 3.2.2, aoee coe e ppoca cepoc acee Pocc 19901995 . oycoe a pa, a ecace cya, pa opae ( o ce oeco cyae opae aooe yeoc 2,7 paa, a caoyc 1,6 paa), oe opao eape 1,8 paa, eoe apaape oe 1,7 paa.
o a Mpya P, 1995 r. Pocc oee ac pe ypoe oceoo paaa: 0,133 cya a 1000 paoax. B A o oaae coca 0,016, o 0,02, CA 0,054, epa 0,08 [C.-eepypce eooc 1996. 23 a].
eca cepoc Pocc 23 paa e, e pax cpaax. C 1992 . aac poecc copae ceoc ee (co yepx cao oue ca poxc) (a. 3.2.3).
aoea cepoc Pocc aeo e, e pax cpaax, -a oo aeca poyo , yp (ao eo, ao pyrx ooec ax eec), pacpocpaeoc pex pe (aoo, ypee), aoc a paoax c earop yco pya (oee 15 , e.), eocaox apa a oxpay pya (a opo ee, e CA), coo apeoc oyxa, o e, oxo opaa ecoo ocya, eocaoo execo ocaeoc eex ypee.
Taua 3.2.2 Ocoe p cepoc acee Poccco eepa
p |
oaae a 1000 eoe |
||||
1990 |
1994. |
1995 . |
1995 . % |
||
1990 , |
1994 , |
||||
oe cce pooopae |
617,4 |
837,3 |
790,1 |
128 |
94 |
Hecace cya, opae pa. x: caoyca opae aooe |
133,7 26,4 10,6 |
250,7 42,1 37,8 |
236,6 41,4 29,5 |
B l,8paa B l,6paa B 2,7 paa |
94 96 78 |
Hooopaoa |
194,0 |
206,6 |
202,8 |
104 |
98 |
oe opao xa |
59,3 |
80,8 |
73,9 |
125 |
91 |
oe opao eape |
28,7 |
44,1 |
46,1 |
B 1,8 paa |
105 |
eoe apaape oe |
12,1 |
20,1 |
20,7 |
B 1,7 paa |
103 |
cmou: ec. 1996. 17 .
Taua 3,2.3 aa poaeoc cepoc acee Pocc
o |
oaae a l000acee |
Ecece ppoc (y) |
|
Poaeoc |
cepoc |
||
1990 |
13,4 |
12,2 |
+2,2 |
1991 |
12,1 |
11,4 |
+0,7 |
1992 |
10,7 |
12,2 |
-1,5 |
1993 |
9,4 |
14,5 |
-5,1 |
1994 |
9,6 |
15,7 |
-6,1 |
1995 |
9,3 |
14,9 |
-5,8 |
cmou: ec. 1996. 17 a.

Cyece aopo coo aoeaeoc Pocc ec caa oua pe aoc e aepao pooce, ocoeo p oe ex pex pao. o oycoeo aeo epe ccea oa pya ecooo oecee, oope ya ox e ocaac a pex paoax ae a, e o opao apeeo. Taa paa eao e a opoe e ee. Too 14% oo oy cac opo. 10% ee e ory yc ox oax -a ocaa yceo pa. B 1996 . a pe p ocooe o oeo cy o coco opo ( cpae: 1985 . ax o 5%, 1991 . 20%).
p cex opeeex opo pae cee eaooy ao cepe ec opoo yxo eoea . co caoyc a 1000 ee Pocc cyeceo e, e pax cpaax ( 3 paa, e CA, 4 paa, e Beopa).
C 1987 . Pocc ocoo caec cpe pooeoc (c. pc. 3.2.2). B 1997 . oc pa yye oo oaae.
Baoc ecx ooecx poe ep epoeco aye paccpe . Co ocoe e o o paoe "Hoaxoa a". B e oepac pae pa ey ayo o paoao ee xoca ooo cycco aa cocoe xpeaco. 0 ocee Apcoe ca: "... cycce aa cocoe, ocoy oo caaec opoo eeoc, oa e ae peea oce e, a a eo ec oaaec ecpeeoe oaco oaae ... Bce aaec ee oopoa cpec ye co aa o ecoeoc" [Apcoe. C. 25]. Be oco opaeo oocc aoy cpee, o paccapa eo a eeoe o.
Baoc paceoc acee opao ooeco eeoc eoopao oeaac acca ooeco ay. . e pa o a: "e e oee oa, ee eepe eccepe y, ocoy oa pepaae eoea ooe; oa ae ero coec cpaxa epe coepee aoo yoo oro ea, ec o oo oe ea aaa co copo eoeecx aoo, ... e eae e oe cex ypx oco ea, oope e oy ec py " [. C. 57].
Ceeco aoc ecx ooecx poe oo ca o a, o Aa C aa co ayy eeoc a poeccop paceo oco, . e. eop opa. B paee 1.2 oeaoc, o epaa e A. Ca o "eo pye", oopa apae ec pepaee ycox cooo oype, a epe copypoaa e "orace apoo", a "Teop pacex yc" epo e eoo ooca.
. Kec, oopoo oe ca pye ooco XX ., ca: "... eoeece aooc oo apa o cpaeo eooy y a, e cyecy epce ea e aaa oe oraco. e aooc, ec o e oy yoeope a ye, oy a xo ecooc, e-paccyo cpee o ac, pyx opax caooea" [Kec. C. 425]. Bece c e oe coe aeo . Kec oea: " yepe, o ca opcx epeco aeo peyeaec o cpae c ocee ycee ... pao oo eo e, a e opce epec caoc oac opa, a" [Ta e. C. 132].
Ta opao, acc ooeco ay cpec ycao, a opo o, cocee ppoe eoea, a ooecy eeoc oecee ooe.
Hpaceoc oaco aco paccapac a pyocoece o. Taoe pooocaee ee a cop. Ee Hoo aee caao: "He copae cee copo a ee (Ma. 6,19)... yee epy po co oe y, ee oaoy o apco oe" (Ma. 19,24). Bce pe pa yxoe ye ocya cpeee oacy a ocoo e . Bece c e poeca, ca eoope pye oecc oyca, o p opeeex ycox ycea xocea eeoc ec ooyo .
"poecacoe ocee" aaa oce pao M. Beepa o eca oyp aae XX . [poe. C. 147]. ceac oe "poecaca a" aco yopeec aa ooca ocoa. P copecx ao oaae, o cpa, oopx oco acee o poecac (oa, A, eap), ep cy a y aacecoo pa oc cox eo poca pooeoc "-p" A, caec XVII , a ocoo oepee Aep, ca ocoae CA. B acoee pe cy aoee pax oocc cpa (epa, eap, Hope p.), oopx poecaco ec peoaae pee. a, payeec, e cepa p xoceoo pa, o ocaoo opeeeo xapaepy aee ecoo acea oo. ec ocoa yepa, o a aaa oppoaac aeo epe o e ypaco opa aa ooo aoee acex cypox apae xpcaca.
Be poecaa a yceoc ooeco eeoc oycoeo e, o o oaa o pe oy yoe oo ao eoe, oop cporo oae xpcace aoe, ee aoec opa e coeo pya cae e poc oo ceeoo opee aepax a, a oee coeo pa, oa epe oo. Taoe ooee pyy paeo ae o, o eeo e o "poecc" "pae" ooaac o coo Beruf.
cex eeoc aoecoo pepae paccapaec poecae a a oeceoo oope. p o yeee p oo apac e a poc opee, a a cepeee oceyee pacpee pooca. ec aece py coea c aoece yepeoc opee aepax a coca opa , oy aae upco ace. Hecoeo, o ao opa coae eca aope yco pacpe pooca poca oaca .
Ta opao, ooecoe aee poecaco opeeec cey peoa:
1 B eoopx cpaax co cpex eo coxpaoc paee "ece, a ".
2. Cpoo o ooop oea.
3. y pyo, epre, pep, capac acao cooa ce co cocooc oro ea, oopoy pa . cex ea o ceeco oo, o ey pa.
4. o, o ce, e aee, pae oy. eoe ypae oaco, oopoe ee coo .
5. cpoo, y yepe opeocx, epe, aypae, ea ec paee. Ko e aa x pae coero ea.
p coppoa eoea pyooo, ecoo, aoro, aypaoo, cporoo cee py, o ece c e oopoo, e cooo opoe, aoc, oo ca e. Tae opae poaax . eca, apax Pepaa poeex pyx aopo XVIIXIX .
Haoee oo oceoaeo p poecaco coac cepee XVI . eee, oa ee aec aopo Ka. B o epo opoe apee cece paee, a, eap . . Teapax pecae eee e o o oa XVIII . 'Aaep Boep ca o eocao, a Pycco ao paceoc apoa.
Ta opao, poecaca a pee ocaoo coe peoa cxe eoea, oa p co oepa peaca e . ooy e ca cya oee K. o1 a oo, o poeca aeo ae caoc aea cxoepaeo, e pecae pyx oecc. B ex pex eyax, ora cxoaaeca oo peoaac aoy, pee ceo opa eo epo a coe, o cyeceo oeao eee [Baepx. C. 493]. Hae a oepac py aopa [pe. 1994. C. 4158].
1 Kap yca (18751961) - pye cxoo cxoaa XX .
M ye aeoe ae xapaepce poecaco pya c c e, o oa ec ocoo oao eoo paec o cex pax cpaax (e oo poecacx). B acoc, a pya o ocpoea a pax, aeo epe aaox paccapae (ecoc, pyoe, aypaoc, epeoc). O ca peyeceo c e, o a pepx aaa ae eaec a yax ecx, a o a oex.
o oey pa aax ceaco, ocee ece aaec oceecoe pacxoee ey ec opa x . Poc ooeco pecyoc, xapaep cex cpa, ceecye o pce eoo . ec eoo CA . ec e o o ceyee: "Ec e yy pep opeeee yc oy, o o aee opax pepe, oeceax opo a ooaee a caoe, aepacoe peocxoco oe oro e poepac" [Kooe. C. 156]. o, o pyoa a caoc aoao poeo, ceecye oee a pepx CA eeepo o e ocyaox p o eoo peya [ec y. 1996. 8. C. 68].
p xapaepce ocoeoce paoo mpyoo muu Poccuu oo pee ceo oeaec ee opea a . o oepa ae cpaex coooecx cceoa, poeex pe epoecx cpa cepee 90-x oo XX . [pco, C. 12]. Bece c e oe aec ee Pocc (H. A. epe. 11. A. Co p.) peypea o eax aceax oo . B acoc, o e . A. Coa, "...y pyccoro peca cpac cex ypa, cex pec ooy ypo, a a a accy e o o ypo caoo eeoo yoo, o ye ee epe o pe oa cpee xyeo epoo oca" [Kaapeo. C. 115].
Moe aop ( o ce M. Beep) oaa, o Pocc capoopeco o a ooecy eeoc o oo aaoo poecay epa, eap pyx cpaax. Capoop ec co pyoe, pepoc, ecoc, peoc, aypaoc, yepeoc opee, K capoopa paea 64% pecaee opoo-poeoo acca Pocc, o ce ae ece a, a Pyce Mopoo [3apya. C. 49].
Oao xocea a Pocc a aeo yaee, e poecacx cpaax, Ec Ka apea eco (a a ce o pyc), o Pocc aroopeoc oo ey cea cac ao ac eeoc pepae
oce ee oeceoo cpo ococye eoo 1917 , pyoa a Pocc ocaac oe. Ee ocoo cao coee epeco ocyapca. Haecee oro yepa a aae oece epeca apaoc aeo cypoee, e epeca oeoro eoea ce. ocoy pep coceoc rocyapca, yep pep paccapac a yep epeca cpa co ce pao ocec.
Koe CCCP o cpae c ooc apeoc opeooo Pocc oaac aeo oee o cepoa: oy, oxo, oyae app, oee e . . . . Tpyoa a a pae poopeo. C oo copo, oocee pep cpeero pyooo yaa, epa coacece ea, oo oapa o paoe, ooceo ypoe pecyoc; c pyo o, ooc, A, o eo ox caeex e.
B oe 80-x oo pyoa a Pocc o pao eac oce oepeoo opeoo ee eoo oeceoo . 90-e ro xapaepyc ecpoo poopeoc opax . o cx op e coppoac ae-o oe p, oope oo o cooca c poecaco o, coaceco o pya, py ec ccea. B opeeeo epe o cao c ocyce oepao oe aoa e. Oao o cx op o ooe e eo-o opeo. Mo oepaec caa eoxooc ao yaeao e.
Ceye oe, o pax cpaax oceee ecee xapaepyec pco eoo. o, acoc, oopoc a Epoeco oepe o peope ceo opaoa, poxoe 1997 . aepo. B peex oepe o oeeo, o yepce o ca ocoo oppoa, pacpocpae ox eoo yypx eoce [ec. 1997. 3 o.].
Bcepa cop oaae, o epo peo, oecex opce, peo ce ooe coceoc cea ca c poco coao apeoc, aae aoecex eeo, poco pe. 0 ooocx ooae ycox ocyapceo cy ee a 500 e o ae p Koy ca: "Ec ocyapco ypaec pao, o co e. Ec ocyapco ypaec epao, o co oa" [yceo. C. 42].
Be oeceo cy a paceoc aapoa H. . epe, . Copo, C. pa, pye pycc .
Maccoa paa, epaa e ee opo coa yco cpoo epaeoo ooae eo eeo oo, ceo pyooca pep, cex, o o pee ca o ee ac. B ecoo pa ycac epea oxoax. pee xocex copo oceeco coyc pae eo.
More cpaa e cya Pocc c peea epoaao aoe aaa, "oo aaa" "ooo xopa". Ec oee e aao. cp oo aep P, ra ocpyop eeoo "ooecoro ya" . pxap 1945 . ca: " e cpa coe pepeoc epao oe oo, oao cyecoae coooo pooo xoca cao c peoca, oope y ac y ea o ce ceac ocycy" [pxap. C. 30].
"... opaoe paoee popeae ae aca, o o ae ocyapceo-oece ocec ae ypoae opy peya eeoo apoa raax ceo pa a pa oa, oa eoxoo ce ca cpec cepe oopoe o paeco eaaee ox ae cop, o yoae oceoex o o oopaaec o o. Me e a cpy oo, coae, oe xopoo eco, a ceoo cpo, apa apoep pyc cpeca pooca poe pep, o a a, e o e ce" [Ta e. C 31].
epe 50 e cp oo Pocc, o aoee aopex oeecex ooco poeccop E. . c ae o o e caoe: "a, oao, ocoe peea op pao, cae ae ceo c py coa opce, oa peeo oyca opa eecoc peaec oopao, ypoa yco oeca. Toa oae coeo poa pooopa, epoe ooee pa aoc, pacpocpaeec oyee, o oaa, pa , opoa poe oepo ooeo. caoc op. He a y ac ceac?
... Mpoo a oyoa oa "ocyapco eec pe", e poaapoa o 69 cpa o oce ycexa . Bae aopo ec oep rocyapcy co copo ecopo, a paa, aax co cpoe cepee, a pyx ocpax oa. e e ec oep, e oe oe ec, e e e ooecoo poca.
ce rpy cpa ca ec oep cpaax CH, a, y ac. He, e Ape aco Aepe. oey? A o ooy, o e pe a e,
...Hopaa peye, o o oy ecoc cpaeoc. O ac ac, o e o, o cpa co epe opoo oece aeca, a ypy . o e poa, e yo, o oea HEOXOMOCT. He ceae, e oe, oo oypa ce aue ye ce cpao poa eoc, ypaa aoe. Xoeoc , o ocee caa cex ac ca ypoo, epeoo oo" [A. 1997. 33. A.].
B ayo ea yce eoopao oeaoc, o oce 1985 . poccce pepae, o, eeep cpo yco aae caap opee, o e po ocaoo aoc ocoe aax caapo opaa pya, ocoeo ac ecx paox op.
Oa ocox oo peopaopo oo Pocc oce 1985 , cocoa o, o coepeo e yaoc cocoe oeceo opa oox ee ee xoe pacopa xocex ooe. eo o peo ecpeeeoy pocy pecyoc. ocoy cepee 90-x oo oa caa ocoo poeo Pocc, ce coo-y ae apa ooecx pee o oeac o x a ypoe paceoc acee poey ocaoy. e ox pee eoo coao oe aoe yeee apa a paooxpaee opa e ac cyecex peyao.
B oce o Pocc ocpaec aa ecopa a cpaa c aoee co Epoe ypo oppy ecooo pca [ec. 1997. 15 a.]. Ta a e ec eooo oece pae oo oee ypo , papaoa peaa ep o coepecoa xoceo caoc acoee pe oco ycoe xoa cpa pca.
Topecu nomeuaB oe XX . opeca eeoc caoc aoee ae aopo ooecoo pa. o poec pax opax. Bo cex pax cpaax cyeceo poca o , ax peyeceo yce pyo. Hapep, CA oa yeac a 19501990 , c 36 o 60%. Koeco eepo a o epo poco 4 paa, yex oee e 5 pa. Ta aaee "ee opo" (epaoe eepep) coca CA cue 70% pyococooo acee oya oee 80% oa oa pya.
eee oea poy p ce apa paoeo pee ecoc pya caoc oo cece cooa ocooro a ppox pecypco opecx cocooce eoea, oope oe o pyx pecypco e oy cepa. Haoux ycexo ooeco pa oe aea oac e cpa, e coa aye yco peaa opecx cocooce, ocoeo, cepe ay, opeaeca paoaa.
Ba cpa poy ayy oeaec pa oaae: o oecy Hoeecx pe, ya, cco ayo epaype. o ce oaae cya e oy Pocc. 380 Hoeecx pe o e, x ee o 1987 . 143 o pcyeo aepac ye, 68 ac oo 10 pycc . aypeaa ce apa pa ca 5 pyccx coecx . oce 1975 . coece pocce yee e yocaac Hoeecx pe. Pacpeeee cpa o oey oecy aypeao Hoeeco pe oac ay epayp 1995 . cey opao: CA 186 eoe, Beopa 87, epa (o 1949 .) 44, P 23, pa 43, e 29, eap 16, CCCP Pocc 15, a 13. Pycc cae . y e oa cco oeecx aypeao c oeo "e rpaaca", a o . poc (ocye coec cyo a yeco) a paa CA. Ceye oe, o 156 186 Hoeecx pe, oyex paaa CA, pxoc a epo oce 1945 ., oa "yea yo" y cpay caa ocoeo aeo.
Bao xapaepco opecoo oeaa cpa ec oeco opee. o o pa o pocccx aopo poo oe opee o oo pa ee o aopo CA o. Ocoeo eo ocaae o epoe, ceo exe, poocy peeo a. Oo xapaepc eoc ay ec opeaeca aoc yex, . e. oeco opee o, pxoxc a oy cy ayx copyo. o oaae CCCP eo 54, PCCP 50, a pax cpaax ooo 300 [oc. 1997. 24. C. 8]. B ccee oeo ayo-execoro ypo cpa coyec oaae, paccae a poeee eca pyeoc a o aeo. B cepee 80-x oo o oaae CA coca 104 541, o 76 984, Taa 1000, CCCP 400 [oc. 1997. 24. C, 8]. Ceye e y, co aeo xapaepye e coo opeaecy aoc, coo oooc cpa ac pecpa opee. o py p oooc Pocc aeo xye, e pax cpaax.
paecoe aee opee opeeec x pae pe cepo pee pooce. o ace xapaepyec cey a. oeo oeca opee, ceax Pocc, aeyec a pyeo eee 1%. B CA o oaae cocae 30%, eap 40%. o pax cpa poo oe aeo cocae: CA 30%, P 20, o l0, pa 8, Beopa 7, Pocc 1,5%. Pae cpa oya o copa ayo-execx papaoo 2030% ax ocye. B ae cpae o oaae ec pa e.
B o, a ae pyx cpaax, aeoe pae oy "py aeca", yaca oopx c ocoo paoe. Oac eeoc ax pyo e opaea opoca yye aeca; o papaaa peoe o paoaa paec cex copo eeoc coeo exa, a oa pep. Ao coyc pae op aepaoo opaoo oope paox a yace paoaa. B oe o oepeae Pocc o oecy paoaaopcx peoe a ooo paoa oee e 500 pa.
Haoe oep oo Pocc oycoe e coo eocao oeco opee, coo ocyce aepecoaoc x paeco pee. a ea e cxo co cpa ea, Oao eee ece eo e eec. Kaccec ca pep c eoo epepo pa ca, oop opee CCCP 50-x oax, yocoe eco ocyapceo pe, pa o ce pe. o oy eoy o poo 90% ca, P 85, o Kopee ce 70, a Pocc eee 15%.
peee ae ceye paccapa ocpyo acee a aca peepo poca eoc pya oaca cpa a ce yero cooa opecoo oeaa apoa. Pocc peep ccc co apo oapo.
pep M. B. ooocoa, . . Meeeea, . . aoa, H. . Baoa, . . aay, . . Ka, . B. Kaopoa, A. H. Tyoea, . acepaa, A. aooa, . pocoo, A. Coea ox pyx oaae, o e Pocc e eee aa, e x aae ocoe . Heao ex, o poc Pocc CCCP, oy cepy ecoc, ca rpaaa CA, pa pyx cpa ( . ao, aaocpyop . Copc, ooc B. eoe, cae A. Ao, . y, o . poc, xyo M. aa p.). a ceecy o aeo opeco oeae ee Pocc. o oceero pee o a pecypc cooac oe oxo, o peo ea ocec oo cpa arococo acee.
AmuocmTopec oea eoea opeee eo cocooc eepa ox e opao. o peaoa o oea, . e. coa poee ay, cycca, a oee coaee, opaoa yc oo poy . ., eoxo opeee ypoe aoc. B ooeco epaype oa oo payec a pepoc, oopy oe aop ca oco o ooecx . Oao pepoc aeo e cepae poe aoc.
ppoa amuocmu eoea yoo cecopoe cceoaa . H. ye. O oepa, o "cae a pocee ooe pey aoo yeoo oea aaa yc, p oopx c ac pae oy opy, caaa opaay, a oo yeay peeo ae. eo e o, a xoo c oopo apyeo aa ec; o yx ayoro peeca, a oopoe, oeo, ao, o ooo a ao. a opoc o, oey oa yaec a oaa o ec? o aco cxoo opeca, oopoe pee pe pca ye cop Ko" [ye. C. 257]. aee o oeae, o yc, a poee aoc eoea, "oe ca a c oe cocooc (aa), a co cpe, o oaae eo caocoeoc cpe pox yco oee, ocax cxoor" [Ta e. . 260].
Cpeee eoea ooy, ee poo, paooro, "apye ep" [Ta e. C. 263] . H. ye peo aa naccuoapocm (a. passio cpac), oo epa o cae "oe c, cypye ocecy y, ap, ec coa paoao cx..." [Ta e. . 261]. B yaao e poc caa . ee, . reca pyx o po cpace pa oeca. B acoc, . ee ca, o "o eoe pe e coepaec e cpac" [Ta e, C, 262]. poe accoapoc . H. ye cppye opaa Aecapa Maeocoo, a yca, opao pyo, a 'Ap, Hoa, Pepaa, Haoeoa, . . Meeeea p.
accoapoc "e ee ooe ec opa, oaoo ero opoa o pecye, opeco papyee, ao o, ca oo paoye..." [Ta e. . 285]. poe opeco, eoo, oeceo aoc a cooecye ooae coco: yeeoc, ya, ocopeoc . . C accoapoc ca ae ep xapaepa, a ceoc, o, acooc, eeycpeeoc. ep, oaae a epa, ory oaa xapaecoe oece a opyax. Hapep, Haoeo, oopoo ca aopo yepe: " o oooa o pac py pyry a e copo apaa".
. H. ye oepa, o accoapoc a ocooe epeecoe cocoe eoea oocc e oo oe ac oc (o, yee, xyo, ooo . .), o ou oea: ec coa pya, acee cpa. B accoapo coco acc e oaac ocoeo ocp a aropo, a e e.
oe accoapoc o yo . H. ye oce oeea, . e. p ooe, pa yaa oco. yc accoapoc o ca c eopaec ocec aopa, cppy o ooce pepa cop pax apoo. Tao oxo ocapac o copa, orpaa coooa. C pa . H. yea oo coacc o, o oe accoapoc e oe oc cex e oeea ce a.
Bece c e e ocoa coeac o, o accoapoc cyeceo e a pae oeca, . H. ye e oo oepa po accoapoc, o ac paccope ee aoece c py aopa. B acoc, o peo cxey acca e "o accoapo-apaoy py" [Ta e. C. 329]. o apaoc (a. attractio eee) oaec oa apaeoc epeco. p o ec a oca: paoc yxooc.
o paa accoapoc apaeoc epeco aop ao oe peo acca e. B acoc, o e ae , a "oae, po, ..., pecy, ..., eoe , yee , aapc, popo, ..., coepae, cyce" [Ta e. C. 329].
He ocya epoo, ay acca e pa yao pee ceo ooy, o e yaaa ee e, . e. o, o o acca ec oco. Kpoe oo, apaeoc epeco ac o ox aopo, o ce o xapaepc pyooo oeaa (opoe, paceoc, opece ).
Hecop a p eca copx ooe, oe accoapoc aa ycaoe ppo aoc, ee coo. o ee cyeceoe aee ypae coa ooe a pepx oece.
Koe accoapoc . H. yea opeeeo epe coya oe X-eoc, peoeo X. eecao [Teop p].
Aapy ap poca eoc, X. eeca oaae, o aoaa eoc (oyaea a ce yeo paee pacpeee pecypco) oo cpaeo eea ( peeax 1%). peex ao ceye, o poc eoc opeeec pee ceo ooee e pyy, cee x aoc, aepecoaoc aye cooa exc pecypco, o ce coceoo pyooo oeaa. y ac copae apa a ey poy, oopa oe epc eca poeo. eeca aae X-eoc oepae, o oa ocaec ocoo a ce yye oa pya,
Po X-aopa poca eoc eeca cae aaoro po "eecoo X" oce . Toc p oe Pocc a Haoeoo. Aop yea "Mpoooa" po ceyy ay "Bo pa": B oeo ee ca oc ec ae poeee x acc a o-o pyoe, a aoe-o eecoe X.
X o ec yx oca, o ec oee eee eae pac oepa ce oacoc, cex e, cocax oco, coepeo eaco o oo, epyc oao ree e ee, ya .
yx oca ec oe a accy, a poeee c. Opee pa aee yxa oca, oo eecoro oe, ec aaa ay" (. o: [aep. C. 303304]).
Ceye oe, o . H. ye, aapy epo ac coe aop oeea pa a, aae aopo X o, ae opeee oe accoapoc.
Ta opao, coepeo pae cae . o, cop . ye, ooc X. eeca paoe pe ac a aop, xapaepy oc eoea pax cepax .
Baee xapaepco opaoaoc ec paoaoe cooae pee. Aop "pe e" copypoa ea pa (17061790), ec a pee cero ooo ypca , Oao o e oo ac ececocaee, o ae oo, eooo yco. pa ec cyece a aoeae eacoc CA papaoy poe eoo a ocoe eoor poecaa.
Opaoaoc eoea xapaepyec ae eo aypaoc, cpoaoc, oaeoc, aooocyoc. Haceee pax cpa oaae aeca aeo oue epe, ee aceee pyx . o oycoeo pa pa, o ce pa cceo oca.
Ta, epa e c ceoro opaca ocoo ya pao: "opo o ooa ", ae "ee opo" (deutsche Ordnung) poec a y, a coo aece poy, eoc aoo, coe oroopo, oao papee coax poope.
oc o opaa pya ocoa a " C": Cep (yopoeoc), Cea (opoc), Ceco (coa), Ceey (coooc), Ccye (ca). B Pocc p xopoo ec, o y ac o oo oo pooaac, a o pyx pax cpaax oc.
Coo "opooc" pocxo o coa "opo". ooy opooc peoaae pee ceo coy opraoaoc o cex cepax eeoc eoea, o ce coe ecx op.
A. Mapa oepa, o apa a opaoae o yee oeee aaa ce oeca. B pax cpaax eoopao yoac pace, oopx ceye, o apa a oyee oyac cpee, e a oopyoae. B CA a 19701990 r, cpeee eo e oye ax xoce cpa yeoc c 8,6 o 13. a oe a ooo paoa poc 4 paa. ceoc ceaco c c opaoae pace aeo cpee, e oa aoc ooe.
eoc opaoa oeo cee opeeec acaa pacpocpae a pyx peyao opeco eeoc. B acoc, ycaoeo, o poc ypo opaoa a o acc cpee o oeceae cpee poc ca oaaex paoaaopcx peoe a 6% a 50% copaae cpo ocoe pao ox oepa.
a ocee o ooc oo ya o ocaa Pocc oac opaoa o pooro . Ta, o a poeccopa A. Paoa, CA 35% pyococooo acee ee cee opaoae, Kaae 30, eap 24, e 21, o 21, 18, epa 17, ,A 15, o pa 14. a 6%. Pocc y ecy e oaa.
B CA 12,5 . cyeo pxoc a aceee ceoc 240 , eoe. B Pocc a 150 . eoe 2 , 600 . cyeo. B CA apa a ooo cyea coca 18 c. o. o, a Pocc 1,5 . py., . e. 300 o, [C.: oc. 1997. 13 (359). 2329 apa. C. 9.].
B ceao epaype yce ae cero ocyaec oece ace aeo ocaa o CA pyx cpa. ec, eceo, oo poe, o o oo aco cyecee pa cee cooa oyex a a pooce. o oceeo pee oo 10% yco pocccx execx yo a coceo eepo eeoca Ocae o oaoc paox (ce 20%), acepo pyx . aa poea o, o a oce pep Pocc oa e peyec aeo ac ex a, oope a y cpa.
poe aa paoo oocc ae ooea pyooo . Bo cex pax cpaax cyeceo poc ye ec apoax paox peo yaa o ax py eapoa py. Pacy apa a ocyapca, a p a poeccoay oooy apo. B acoc, pa "eepa ep" pacxoye a o eeoo oee 100 . o. B eo p CA pa a poeccoay oooy oee 30 p. o. o, o peae cooecye apa ocyapca.
B Pocc aa paox pace o eocao ea. o cx op coa o aoapoaoo pyoo pya, ao ooo 30% paoax. Bcece eocaoo aa paox, eepo, pyooee pooca aa cpaa yea pa aee ae cpeca a oay cpoeca copeex pep, oc oecex a ocpa pa,
Heocao poeccoa paox, eepo pyooee ec e oo oe opoo execoo ppecca poca eoc. p coo aceoc eppop cpa xec pep, epoca, ee- raopooa a aa epcoaa pepaaec ocoo aop pca, oooc aap c ee ocec. oce epoco aacpo aceee ao cyae po AC. Aoa epea Pocc oce 1991 r, paec e paaec.
Bece c e acoee pe o AC oe paoe epoep Pocc cocae ooo 10%, . e. aoo ee, e oce pax cpa. Bo pa, oopa e oeea popecypca oo, a o peae 60%. aoap AC o pa caa a pe ceecooc . B epee ax ycoaceex cpaax, a epa o, o AC aeo e, e Pocc.
Ka oaae poo o, oee eoacoc AC Pocc oe ocyo oo peyae oe execo oe yyp, poeccoaa oeceoc cex, o cpo cyapye coe exece cce.
ocoy ao poeccoaa ec oa yypa ypoe opaoaoc acee, cee ocaa Pocc o pox caapo aa paoo pepo cooecye ocaa oac opaoa. Caca oaae, o ocaae e oe, e e cooc pya. ae oop, o poeccoay poccc pao ee oaec o aepacoo ocoro, e poccc eep, ocoeo pyooe, o cox apyex oe.
Pecypc paoeo pee oe cyae opeec y aopa: ceoc paoo peee pao.
ceoc ax a pep opeeec oeco paox ec, oopoe, co oepe, ac o oeo yca poy, pyoeoc pao, pea ceoc.
B acaax cpa ceoc ax peeec ceoc pyococooo acee, opeoc pax ax pya, ypoe apaoo a, cceo ecooo oecee po pyx aopo. paec ypoe aoc opeeec coooee cpoca peoe a pax pya.
B acoee pe paa pyococooro opaca Pocc cocae 16 e, a epx 59 e y 54 oa e. B ouce pax cpa epx paa pyococooo opaca cocae 64 roa, B Pocc oee epxe pa pyococooro opaca oa epeao, a a oco y e oa o 59 e.
a pyococooo opaca coca cepee 90-x roo ocoy ac pyox pecypco Pocc 95,0%. o paoax ecoepo ooo 4,5%; o paoax opoco (o 16 e) eee 0,1%.
pooeoc paoeo pee ooe Pocc ycaaaec a ocoe Koeca aoo o pye P. B cooec co c. 42 KoT "opaa pooeoc paoeo pee paoo a pepx, ypeex, opaax e oe pea 40 aco ee". Ca 43 KoT opeee pooeoc paoeo pee paoo, e ocx opaca 18 e:
1) opace 1618 e e oee 36 ee;
2) opace o 15 o 16 e, a ae yaxc opace o 14 o 15 e, paoax epo ay, e oe 24 ee.
pooeoc paoeo pee yaxc, paoax eee yeoo oa coooe o ye pe, e oe pea oo op, ycaoex ac epo c. 43 KoT cooecyeo opaca.
paoo, ax a paoax c pe yco pya, ycaaaec copaea pooeoc paoeo pee e oee 36 ee.
Cco pooc, exo, poecc ooce c pe yco pya, paoa oopx ae pao a copaey pooeoc paoeo pee, yepaec ope, ycaoeo aooaeco (c. 44 KoT).
KoT P opeee ae pe pao ( o ce ooe pe), opo cepxypox pao, pe oxa, pae , eeoe oyca, opo oa pya pye oaee cex pep Pocc yco pya,
Bpe aoc a pepx pax cpa cocae, a pao, 3340 ee p 46 eex eeooo . Oao aea ac acee aa oee e a oo pep (oo ). ox o eeoc xapaepa cepxypoa paoa eoppoa pao e. oceee oocc ocy eeepo opec a pya.
3.3. peoc peaa oeaa eoeaOcoo oeaa eoea c aeca, aoee ppoo. o oocc pee ceo opo (ecoy cxecoy), opec cocooc o eoopo cee paceo opea . Pae ppox ax x peaa opeec pe oco ccea:
ce;
oe, oopo ocyecec eeoc eoea;
oeco.
Be ce oycoeo ee yece ooee, yxo epeca, poeccoao opeae, eco eca po pyx . Bece c ppo cocooc aop xapaepy "capoe" oooc a.
oea eoea oe yee yee poecce eo eeoc Ha copeex eo paoax pepx coppoa cce aaa pa eoeecx . Ocooe ae oo yeec oe aa. Hapy c aee cpeca pacxoyc a oepae ypeee opo, pae opecx cocooce pyx ooe oeaa eoea.
Peaa oeaa eoea oe ouo epe ac o oecex ooe, ee o ocyapca cpec x . cpa, ocx cooo ypo aococo apoa, xapaepa oa, apaea a oee aeca eoeecx pecypco. Meo, oop ocyecec aa oa, xo e aoae ocoeoc, eo e: oop oopee aax e, yyee opaoa, epea oa pya acoc o eo peyao.
B ooec pax cpaax coppoaoc yaeoe ooee yype, aye opaoa. yopy ocyapcee, oecee ace o oep aax e. Ta, CA ecye ocyapcea popaa "Mep", cooec c oopo o cex oax c aoee aae e, oop peocaec oooc oy opaoae yx oeax yepceax cpa. Ceac CA oepa, o e ax popa e "paa ee", a o, o oece aoy aaoy peey oooc oye yeo opaoa eaco o yeceoo ooe poee.
K coae, Pocc XX , coac a cya. C oo copo, 2040-x oax coa yco oo, o e paox pec o oy cpeee cee opaoae. C pyo e o ocyecoc aoepoe ae yoee aeo ac poccco ee. o cao ocyapceo oo oce c ex ceaco oac yaapx ay oce 1922 . a "ococo apoxoe", opaeo epopaa epa. B ce cax yex oy Pocc oco, cooo, ooc, cae, oope o y poo yyp (Hoa epe, p Copo, Cee pa p.),
Ha ocoe ox cceoa ycaoea acoc ey oec ccea pax cpa arococoe x ee. H oo cpae c coopao ooo e oaapoo pae. aoopo, o oecoo ycpoca cyecye 70 aoee ex cpaax pa [ce].
Moro eo eoeeco aec a eay opy oeceoo . oy ce co paao, coepax eopeece cxe aa copecoro . Xo o oepaoo pee ee aeo, ecoeo, o ae pepe paoaoc oeceo cce ec ee opea a acao oooe pae cooae cocooce e. oro pep oa cxo a coaa ccea: o ocyapca o pep oo oea, aoo oeceo oeo eeoc.
p aaa aeca paccope . 2. Coca cooecyx oaaee opeeec oee e aaa. Oa oea aeca oo pooc o cey apae:
paooxpaee;
cpeee opaoae;
cee opaoae;
e yco (op, aeco, ocyoc);
yypa ox;
;
epaoa;
oa paoo;
ypoe ecoepo;
poce e, oxaee cceo coao oo (poe acee);
aeco ocyoc ecx oox ypee;
poe apoa, aooa x pecye;
aeco ppoo cpe (oyx, oa, pacpyypa);
paace coo;
paooxpaee opa cy;
ypoe oecoo yac [ecep. C. 263].
Hapy c poeo opeee epe oaaee aeca cyeceoe aee ee poea x ooceo aoc. Oo oa peaec a ocoe e cepo.
o oooa coca cpyypy oaaee aeca , eecoopao cxo cpyyp opeoce eoea. p o (c. pa. 2.1) eoxoo ya pae ypoe yoeope opeoce py acee. paecx ee epy oepe ao opee e pa oaaee, oope yy oppoa ccey opae (ocoeo o oo, opo ). B oeo cee, poea oocoaoc oaaee aeca opeeec po oee cca eoeecoo cyecoa.
p, opeee aeco , eoe pe aapoac c o coo oaca cpa. o cepe XX . ocoy pecae o pax oaca oo o cec eco opye . e: "Tpy oe ... oaca, e eo a" [e. 1940. C. 55]. oce pao aypeao Hoeeco pe . Tepea P. Cooy oco aopo ooecoo pa pa exec . Bece c e acoc ooecx oaaee cpa o ppox pecypco ceoc acee oeaec copeex paoax o ocoa ooeco eop (apep, ae ye "Economics" . Caycoa). B eo epo pycco epeoe e ppox pecypco xapaepyec cey opao: "0a ax p, ocx co ypoe apaoo a Aepe, oocc cepe ooeco eopa. o cpae c ceoc aero caoeeoo acee oee epo oecee ee, ye, eeo, e o pecypca" [. C. 598].
P aopo oarae, o pae cpa ac o ceoc ee acee. peyeco cpa c oo . eoc acee, p oopo ocaec acy peaoo oxoa a ooo e, paec a oay. o ooe CA . Cayco oeae: "A oe, ye epeay epe o ypoe, oop xapaepye oay ceoc acee? Ha ae opoc oa o e oe oe" [Ta e. C. 598].
Ka oaae o, e ppox pecypco ceoc acee a peya xoceo eeoc e ca ooa opee. B acoc, ca oa cpaa acoee pe ooc o eap, oope oaa eca cy ppo pecypca, o acaec ceoe acee, o co ypoe aococo xapaepe a cpa c o co ee (CA, o, epa), a eox cpa (ceyp, ).
Ocooe eco aae Poc. Haa cpaa oae cex pe o ppo pecypca. o ceoc acee peocxo ce pae cpa Epo. Bece c e o oaae aeca (opeee poyo a, oeceeoc e, ycya, cocoe opo ee . .) Pocc oa e eac yy copoy, a ocee oea oaaac ce cpa c aoee ypoe aococo.
C oa XIX , ocoeo oce opo poo o CA epo o oco oaae ooecoo pa aococo acee. Oao ocee ece cya eec cece oo, o eoope cpa e oee coe e poca BB a yy acee, e CA, oope ye oep epoe eco o ypo .
ooc o ac a ocee yaa . p o ececeo opaee copecoy oy, pee ceo pa, oope a epco Hepao XVIII ., Ar XIX . CA XX.(c. a. 3.4.1).
Cpe p, oope oycoa epco cpa, acoee pe aoee cyece pac e, oope ca c xapaepca acee, ocoeo a, a eo opaoaoc, poeccoa, pyoa aoc pepoc. Bay po rpa ae ecee ooe, opeee oooc cooa oeaa a. oee eo ooecoro poca CA, aaeec 90-x oax, oycoeo pee ceo cooae a aaex cox exoo, a ae ycee rpa yex ceaco, o ce . B CA c oo cox exoo coaec ooo pe BB, a Epoe e oee 10% [ec .1997. 6. C. 6].
Taua 3.4.1 ep ooecoo pa XVIIIXX .
epo |
pooeoc |
Cpaa |
17001785 |
85 |
Hepa |
17851890 |
105 |
A |
1890? |
104 |
CA |
cmou: . 86.
B eo oea cpa a ocoa arococo ee ee opeeec cey pecypca: 1) ppo; 2) eoeec; 3) pooce aco; 4) opao yxo.
pupou pecypcau , cpaa a ac eoro apa: ee eopaecoe ooee, oopoe e, oee coaee, aac o, a . . Ho cyecya ccea aoax ceo e opaae ocaoo epe e ppox pecypco ooecx aopo a ooy cpa. B acoc, pya eca oo paccapaec a ppoc BH, xo opaee ooece ocec o xoceo a oy pec oxo o cooa eca a coa cp.
eoeecue pecypc cpa opeec ceoc aece xapaepca . Baee ac eoeecx pecypco ec pyoo oea (c. Pa. 3.2).
pouocmee u uacoe pecypc, a oopyoae, aac cp, aepao, poy, acoe . Bce aepae pecypc oy coceoc pep, ocyapca paa.
opauoe u yxoe pecypc o poee ay, epayp, cycca, pe, a ae pa oa.
Paccopee pecypco xapaepy oea cpa. Eo cooae ac o oecex ooe, ocyapceoo ycpoca cce ypae, pep.
opepooo oe aoc aopo aeca oe cooa ec ceyeo a:
I = I I I I I , (3.4.1)
e I ec apo aeca ; I ec p ; I
ec pyooo oeaa; I - ec pooceo-acox pecypco; I ec opaoo-yxox pecypco; I ec cce ypae oeco pep.
p o ec pyooro oeaa:
I = I I I I I I . I I , (3.4.2)
e ec xapaepy cooeceo: opoe, paceoc, opec oea, aoc (accoapoc), opraoaoc, opaoae, poeccoa, pecypc paoero pee.
Ha ocoe eca aeca oo cpaa aop coao-ooecoo pa pax cpa . p copeeo caceco ae e cea oo oo ycao ey aoro peex eco. Oao o ox cyax oy oye opepooe oe aecex . B acoc, ec p cpae Pocc o cxo ecpaoo coooe aeca (I = 0,1) p, o cpe oeceeoc ppo pecypca ooo e Pocc, ec pa oe, e e o (I 100), o ce ocae ec oayc cyeceo eue e, Ocoeo o oocc eca pyooo oeaa cce ypae.
3.5. opeoc oea eoea poo ooeB paoo cxee ooecoo pyrooopoa paccapa aoc oax xoc pep c pa pecypco ooecx a (oapo ycy). poecc oea ey oa xoca pep ocyecc aoap y pooooo apae ooa: ooy pecypco ooy oapo ycy.
Taa cxea yoa cpa ox aacox coooe ey oea poy pecypco. Oao p o e yac ocoeoc oex o pecypco, a ae opaoe oaoe ace.
oee ooo opae peax aoce poo ooe eecoopao cxo oo, o a ooec cye (eoe pepe) xapaepyec pe oco paa:

Pc 3.5.1. Baoc xapaepc acee pep
coao poo ooe
1) o oyae ( ax oapax ycyax yaec);
2) o poae;
3) ax coo oyae oxo,
B cooec c paa a pc. 3.5.1 pecaea cxea aoce xapaepc acee pep epe p pya ooecx a.
ace eoea ooeco eeoc xapaepyec eo opeoc oooc x yoeope, oope oycoe pee ceo xapaepca pyooo oeaa: opoe, paceoc, opece cocooc, aoc, opaoae, poeccoa, opaoaoc, pecypc paoeo pee. Ta opao, eoe poo ooe cyae, c oo copo, a opee ooecx a, poox pep, a c pyo copo, a oaae cocooce, a ao, eoxox pep, rocyapce oece opaa.
Baoc acee pep ocyecc epe p ooecx a pecypco. B paccapaeo acee ae po ooecx pecypco c p pya. Ha x cpoc oppyec opae pep o eoxoo oece paox ec, a peoee opae o ceoc poeccoao-aaox xapaepcax e, eax paoa. Kpoe oo, yaec opa o oox caax oa pya.
Ocoe nomuope .
epapx opeoce.
o .
opeoc oce ee .
po yoeope opeoce.
pa opeoce.
Paoa .
eoeec aa.
Tpyoo .
.
Baoc opeoce oeaa eoea cxee ooecoo .
ompoe onpoc u me ucceoau1. poaapye cyecye cxe aca ope.
2. Ka ac epapx opeoce o ee eoea?
3. Moo ca ce opeoc epa?
4. Ec acoc ey cye ypo yoeope opeoce cyecoa opeoc oce ee ?
5. B e oe o "paoa ca", "eoeec aa" "pyoo oea"?
6. poaapye aop, opeee opoe acee cpa, a pepe .
7. Haoe ocoe p poecaco .
8. Ka e cocoe opa a eoc oo?
9. B e cy eop accoapoc . H. yea?
10. Ka e accoapoc a pae oo?
11. Haoe xapaepc opecoo oeaa .
12. Kao peoc peaa oeaa eoea?
13. Ka opeoc oea eoea a oppoae po oapo pecypco?
po e epe a ooecx pecypco: e, mpy, anuma npenpuuamecue cnocoocmu. pecypco ora aa ae apa pooca.
Tep e ooeco eop oaae ppoe pecypc, .e. oa, pacooee oopoe e, oee coaee, a, ec, aac o, poep .. Oao ppoe pecypc pa e oo accy po coa cp ep. aoap oco o-xec ooec coca e ec a pecypco, oecea oooc oopaoo opaca cooc poy o cpae c eo epe (apep, ooc, paca ooo epa). Ta opao, e o o ax coo "coo poya", .e. oro, o ocaec oce oee poeex apa.
Tpy a ooec pecypc oo xapaepyec ceoc paoo, x aae, eoc ecoc oe poocex y. apa pya po oea oeco opaoax eoeo-aco pacxoa a epcoa, a apaoy ay coae a.
xapaepyec exec ooec oaae oopyoa, cpyeo, aepao .. e e cac ooec pecypco, a a o e yacy pooceo poecce ( oe o e, pya oopyoa).
, npnpuuuocm, a oe ooecx . Cocooc pepae poc paoao cooa pya, e aaa, ye axo pe oe aye, exece, opaaoe, xyoecee, oepece e. pepaeca eeoc ocyecec ycox aeo eopeeeoc, oeo oycoeo ee opeocx e poo oypo.
p cooa ooecx pecypco x coce oya oxo e pe (o e), apaoo a (o pya), poea (o aaa) p (o pepaecx ).
Cyecya acca ooecx pecypco e yae p ax aopo, opeex peya pooceo eeoc. pee ceo o oocc pecypca pya, oope e coc apaa paoeo pee pacxoa a epcoa. Kpoe oo, pepaece cocooc o o o opecx cocooce eoea.
Tpyoo oea ae ceye ooe (c. Pa. 3.2): opoe, paceoc, opec oea, aoc (accoapoc), opaoaoc, opaoae, poeccoa, pecypc paoeo . ooe oy oocc a oeoy eoey, a pa ooec ccea (. a. 3.2.1).
Kaa ooe pyooro oeaa ec ooceo caocoe o ooecx pecypco. o oceeo pee ocooe ae yeoc pecypca paoeo pee (ceoc epcoaa). Oao pae copeeoro pooca opeeec epy oepe a pecypca, a opec oea, aoc, opaoae poeccoa. Bce oee ocoaec po paceoc a aoo ooecoo pecypca. a po oycoea pee ceo opo oep o pecyoc, oope ecy paec ce cpa, o ce Pocc.
Ta opao, ooece pecypc - o ooe ppo, pyooo oeaa cpec pooca, opeee oooc yca poy.
Ha pc 4.1.1 pecae paoa (a) peoeyea (6) cxe acca ooecx pecypco.

B o e eeoc eoea oo e e ooe. epa xapaepye py, oe o aao exoo, cpy cxee, oa coe pao e oc ee ax eeo o, coceoo opeca. Tao py ye aa peaemupoa -pyo. Bopa xapaepye py, apae a coae ox yxox aepax a, a ae ox eoo pooca, o pya ye aa oauo, mopecu -pyo.
T pepo eeoc, oopo peoaae a-py, ec oee pooceo oepa copo a oeepe c peaepoa po. Cyeceo, o ao cyae pe e e o cocoocx paoa, a o oex ooocx x peaa Peaepoa oe e oo aoapoa ec py, o , acoc, eeoc oa, ec oa coc oo ceoy oe cpy. Ta opao, -py oe a ec, a yce.
peyeceo opec ec py opeaee, paoaaopo, yex, eaoo, pae, eepo, opraaopo pooca, pepaee . . Bc poee opeca caec cycco, o e, a opeaece, caec oopee (opoae), poe oo, poy opeca o cepe ee yae, c opaee oc aopa. ec cya, oa oaoe opee aye op eac eaco o oopeeo pa pax cpaax. B cycce ae cya pao eoo.
B oao ooe oo xapaepc aoc opecx eeo ao e eeoc oe o oa pya e oopapa (a paoaaopce peoe, opee, ca, ..) ox oxoax paoa. B o acee p pepae, ecyeo ycox peao oype paooo ocyapca, caoc opo aopcoo roopapa. pecaec opaa, o acca o eeoc, ecye P, pepae oee o coy oxoo oy pyy c a coox poecc cae, xyoa, apxeopa . .
Bopacae po opeca aoee oeo poec oe ox o poy ycy, coepecoa exoo, yee o yex, eepo, cooapoax paox, pae, eaoo oe ceoc aoo . Meee oee popecc epaype cycce. Xo oe poy o cep ocoo pace, ee aeco aeo e cea cococye coepecoa yxooo pa eoea, o ae ocoa oo o epaa aeo ac xyoeceo yyp [Hopay, eep]. a ee e oe cac eopao. E eee ec oo aex aa opeca oac , ce coax .
Heoxooc ee yx ooe pya oeo oycoea pa pa x a oppoae oxoa pep aoaoo oxoa cpa. eee oeoo poya a ce -pya ooo oo p yee ceoc paoo, pooeoc pee pya eo ecoc. B oe o oo, a ce -pya poc oea poy ooe p eex ae yeaxc apaax paoero pee ecoc pya. o oycoeo e, o a ocoe ox execx, opaaox pepaecx e coac oe e, yyac apaep cyecyx, cac apa pya cpec pooca a ey oeoo ea poy ycy.
B cooec c y ooea pya a ee oo paccapa a oy c oopaa (, ), Pcyo 4.2.1 cppye eoooee -pya -pya pax oacx eeoc.

I copa a eepe, aoce pao, poae ..;
II py paox cpee ce aa, poepoae, peoaae, eee, ypaee ppaeco;
III paoaa, opeaeco, cceoa, epaypa,
cycco
Puc. 4.2.1. Coooee -pya -pya
pax ax eeoc
Ka o oaao a pc. 4.2.1, peya -pya ac o apa paoeo pee. co, opee oooc -pya aoro a (poecc, aa), c eoxoe ypo opo, paceoc, opaoa poeccoaa.
Ta opao:
V = f(x) (4.2.1)
e V peya -pya aoo a; x apa paoeo pee;
Peya -pya eocpeceo ac o cocooce aoy y opeca aoc (accoapoc), opepoao cooecye apae:
V=f(x, x) (4.2.2)
e V peya -pya; opece cocooc;
aoc.
co opeco eeoc c (a -pya) eoxoe ypo opo, paceoc, opaoa, poeccoaa.
4.3. oaae eoc: poyoc peaeoc pyaOcoo poeo ooeco eop xoceo pa ec aa coooe apa peyao. apa opeec o ooe ooec pecypca. Peya xapaepyc oeo yca poy, oaeo cooc, p, a ae oaae oypeococooc, aeca , oo p.
Ooee

Peya ooeco eeoc ae ceo paac oea poy p. ooy paec ae oaae oc c .
poymuocm (a. productivity, e. Produktivitt) opeeec o ooe apaa pya, aepao, oopyoa, ep, a ae o ooe cyap apaa pecypco. B oeeceo epaype ep productivity oo epeoc a pooeoc. Tao epeo pecaec eo. o caoc ocoeo ae ax coocoeax, a "pooeoc aaa", "pooeoc aepao" .. B ao cyae paee ya epeo: poyoc aaa (pya, e, aepao ..),
poyoc cce oe cyae opeeec o opye:

e p poyoc; 0 oe poy (ycy) a opeee epo pee aypax, cocx x epex (0utput); I apa pecypco, cooecye aoy oey poy (Input).
opeee poyc o a pecypco coyc opy a:


e p poyoc pya; pk poyoc aaa;
T apa pya (paoeo pee); K apa aaa.
poyoc pya oe paccac a ey paoeo pee a ooo . Oe poy apa pya ory pae acox oocex oaaex. B a. 4.3.1 4.3.2 pee ae o poyoc pya opacx oo CA CCCP oe 80-x oo XX .
Hapy c poyoc p aae poocex cce coy pye oaae [C. C.68]:
eceoc (effectiveness);
oooc (efficiency);
aeco (quality);
poc (oxo/pacxo) [profitability (benefit/ burden)];
aeco pyoo (quality of work life);
epee oec (innovation).
oaae xapaepy:
ecmeocm cee oce ee cce;
ouocm coooee eoxooo aecoo pacxoa pecypco;
aecmo cooece xapaepc poy caapa peoa opeee;
npuocm coooee ey p epa.
p aae eoc pya cyeceoe eopeecoe paecoe aee ee coooee p o aoo a eeoc cooecyx apa pya. Taoe coooee B.B. Hooo aa maeocm mpy. paec o oaae eecoopao opee a pemaeocm ampam a onamy mpya a pemaeocm cyapx ampam a nepcoa:

Zi Zi*
e ri peaeoc pya i-o a; Di oaea cooc o eeoc epcoaa i- ; Zi apa i- ; Zi* ao oycoe aee Zi.
4.3.1.
(1987 .)

(.. 1-5 ): Maoe K. P., p C. . C.112,
Taua 4.3.2 poyoc pya opacx oo CCCP (1988 .)
Opac |
Ba aoa- oxo, % |
Koeco ax, % |
poyoc pya |
|
a (p.2;p.3) 3) |
Pa |
|||
1 |
2 |
3 |
4 |
5 |
|
22,7 |
24,0 |
0,94 |
4 |
2. poe-oc |
42,7 |
39,0 |
1,09 |
2 |
3. Cpoeco |
12,8 |
13,3 |
0,96 |
3 |
4. Tpacop, c |
6,2 |
11,6 |
0,34 |
5 |
5. Topo, caee, aoo |
15,6 |
10,9 |
1,43 |
1 |
6. poe eeoc |
1,8 |
cou (p. 13): eoc pya ycox ooo xoce . .: Haya, 1992. . 84.
oo cpa ea Di cooecye oe aoaoo oxoa, oyeoo peyae eeoc i-o a ( acoc, o oe a i- opac aoa oxo). Ka o oaaee peaeoc pya oo paccapa opy paoo cooc [Mapc].
Heoope coooe ey poyoc, oao peaeoc pya opacx oo CA pee a. 4.3.3. Oe apa a oay pya (p. 4) o yao apaoo a (p. 6) coco o, o epe a ae oay oyco, pax e, pacxoo a ecy oo, ae ..
Ka o a. 4.3.3, oaa poeoc aae epoe eco o poyoc, apaoo ae peaeoc pya, oeaeo o coooe Z/D o opye (4.3.4). Cecoe xoco axoc a ocee ece o poyoc oae pya, a o peaeoc a opo.
4.3.3
,

cmouu: paa 2 a. 4.3.1. p. 4 6 c.: eoe py. 1992.
45. C. 30.
Oe, peee p. 8 9 a, 4.3.3. opaa peya pax o eeoc, a ae e ppox yco, ypoe execoro pa, ocyapceoo peypoa .. Be peya aoo x aopo paec eooo. ooy ae a. 4.3.3 xapaepy aao pa o apaoo a o ac aoaoro oxoa, oopa coaec ao opaca
B apoooeco acee peaeoc pya xapaepyec pee ceo oe apaoo a aoao oxoe cpa, B Pocc a o cyeceo e, e pax cpaax (o pa ea, 23 paa), o ec oo aex p x ypoe eoc oo opee aepax a. Coooee e apaoo a e oeceae oooc peaa ayo oocoax op opee oca paa . oycoea epy oepe coaa ecaoc pocccoo oeca.
poe coocaee peyaa Di apa Zi o opye (4.3.4) ooo eoopx oace opeco eeoc a ocoe cao aopcoo . Ta, oapaee opeaee cocae, a pao, e oee 20% coo ooecoo ea (ppoca p) o peaa opee. Ec p ey ea a 100%, o coooee ey peyaa apaa pya ao cyae coca:

e o opee, ocoax a pao ox ayx ex, ec pa peae oapaee aopo. o ceecye o o, o eoc opeco eeoc oe cyeceo e cpee o ooe cpa.
4.4. Teopea o peaeoc ooe pyap aae a poecco pa a (c. a. 2.3) o oaao, o cpeerooe apa pya ooro paoaeo pax cpa a epo 18501990 . copac e eee e a paa p oopao oe ypo . o oaae, o ac aoaoro oxoa x cpa, oyea a ce -pya (D), e oe; oe cooecyx apa a opeee (Z ). C ee ca paoo, ax peyeceo -pyo, ea aoaoo oxoa cae oe, o ea paoc (D - Z) o oro e ec. Ceoaeo, pax cpa copeex ycox oo ca, DZ.
o coooee ae ocoae yepa, o acoey pee eo oo pao cpa -py e ca coo oo, o . Ke aa c poyo, a K. Mapc paoo cooca Ta opao, o pep . Ke, A. Ca, K. Mapca, -py ceac pxoc paccapa a epooe. o e cae oooc coooe D Z oex xocex cyax.
Oao -py ocaec eca ao ooeo oeceoo pooca, oeceae eo ycooc ooeco, coao paceo aceax, p eeo ecoc yeaec eoc poyoc -pya yeaec a ce peyao -pya a ocoe ocoe ox exoo poca aa paoax.
Ta opao, poc aoaoo oxoa, pxoc a oo e pax cpa, pocxo ocoo a ce ecyeo pooo -pya. p o ee poca ypo xapaepa cex paoo, o ce ex, o a peyeceo -pyo. p oo oycoe coooee cpoca peoe a pe pya; a ae poeypo ae apx coae, apaeo a a oo. Tee poca cao oa -pya p ero yeaec eoc ecoc opeeeo cee aaoa ee yee e a e epcex opoax.
Ooee oeoro paeax 1.1 (oe "py"), 4.2 (ooe pya), 4.3 (oe "peae6c pya") ao paee ec eopea o peaeoc ooe pya. o copypoa oaa y eopey, ee ceye opeee:
Opeeee 1. Tpy (paoma) npoecc npeopaoau pecypco nppo amepuae, umeemye u yxoe aa, cyecme u (uu) ynpae eoeo uo no npuye (acmpamuoy, ooecoy), uo no ympeey noyeu, uo no moy u pyoy.
Ka pyoo poecc oo paccapa a coeae yx ooe: peraepoaoo (-pya) oaooo (-pya).
Opeeee 2. Peaemupa uu -mpyo, ye aam u emeocmu, npu omopo eoe oe ecmoam cmpoo coomemcmuu c aao mexooue (ucmpyue) u e ueem oemux ooocme ueeu mo mexoo.
o c e u e. -py oe a ec, a yce; o eeoc peopeee e cocooc opaoae paoa, a ceo exooe.
Opeeee 3. Hoauo, mopecu u -mpyo ye aam u emeocmu, npu omopo eoe am moo coaue ooo aye, ucyccme, ooe u pyux cepax. Peymamo -mpya mc oe ueu u opa.
pa coxpae aep opeee 1 ceye:
e a 1. Pocm nompee amepuax a oo oecneum a cem:
1) yee oea opeex ppox pecypco;
2) yye cooa ppox pecypco.
opeee 2 ceye:
e a 2. Peymam -mpya ( acmocmu, oe npoyuu) oem m yeue moo a cem yeuu umeocmu u (uu) mena, mpya.
opeee 3 ceye:
e a 3. Peymam -mpya e ueem ao-uo o aucuocm om umeocmu u mena . O onpeeemc npee ceo mopecuu cnocoocmu ( aoy uy emeocmu) u ycouu ux peaua.
e 1, 2, 3 ceye:
T e o p e a. p eeo yeaec eoc paoeo oa poc yeoo opee aepax a ooe oo a ce peyao -pya, apaeoo a yeee oea oaex ppox pecypco () oee eoc x cooa.
Cpaeoc copypoao e eope eocpeceo ceye e 1, 2, 3 oo aa, o eee yx ocex coe pax cpaax poc opee aepax a pocxo p yeue eoc paoeo oa.
4.5. Koe eoc pyaeeoc, coepaa ee o, paoaa opeca, aeo eee poca arococo apoa, e co coec py o aao exoo. B c c ao ycao p, -a oopx o oo opee (pya ce) peyaax pao paoaaopo, opeaee, caee pyx pecaee opeco eeoc oe oeo ee, e y ex, o a ocoo -pyo.
B paoax o cop ay poc ec pepo peoo oe eoc pooca o e ox execx opaaox e. Oepao, o apoa aa . aa oeca apa a ayy, oope or cpae a c peecyy e cop eoeecoo oeca, Moropa poc eoc ca cece opee . Ceco ao-a (1867), . aepo eooro ae (1885), P. ee ae a eo oe (1892) . . Kaecee ee pooce oa aroap e oo exec, o opaao e. pepa oy ey pa . opa o opaa accooo yca aooe, . Teopa o paoaa pyox poecco p.
Bo opo ooe XX , pax cpaax cyeceo ycopc poecc aecex ee e oo pooce, o cpyype acee: peo yeac o ceoc paox pec, a o ax aye, opaoa, paooxpae, cepe ycy opoca.
Ta, 3% acee CA, aoo ceco eco xoce, ooc caae cpay poooce oeceae aee cope oca. B ae cpae oe 80-x oo o ax ceco eco xoce cocaa ce 20%. Kpoe oro, cecoxoce paoa peac o opoa oeocyax. Ta o peao ceco xoce o ao ooo 25% acee cpa. p o oac aea ac epa, paceoo ooo aca, ca ..
B eo oe peya cecoxoceoo pooca CIA c yeo aeca poyo e eee e 2 paa oe, e y ac, a ceoc ax 8 pa ee. Ceoaeo, peaoe ocaae oeeceoo cecoo xoca o o opac CA o pooeoc pya cocao e eee 16 pa, Oao ecoc pya aepacx epepo paec e oe e ecoc pya oxoo oee e 2 paa. ooy p oee e 15-paoo pa pooeoc pya ao ca o, o cecoxoce py CA oee exapoa, oeppoa, ye opaoa aeo oe cee coye oce ay. B ao ee cecoxoceo poy CA pyx pax cpa e eee oo ee cooc cocae eeya py ooo, xo, eepo, aeao, ooco, eeopooo. Koeo, ao ya oee arope aece yco pa cpa, acoc CA. Ho oa aooepoc o oo e eec. Ta, e, e aece oee yco aeo xye, e cpee o ae cpae, o ax ceco eco xoce cocae 5% p paec oo caooecee poya aeo yeo, e y ac, aeca p oee aopo ooeco ocaoe.
Aaoa cya aaec poeoc. B pax cpaax o paox oe coc acee ee, e y ac, a oapo ycy oe, a aoe x aeco a opo e. ec ae ocoa pa ypoe eeyaa pya, e, oop oc yee eep coae poy. p o o pacxoo a oe opeee opeaee paoaaopo e peae 20% coo ooecoo ea o x eeoc.
oo cpa po opeco eeoc oo oe o ppocy oeoo poya a ce execoo popecca. a ppy ooy XX . pax cpaax a oo aopa pec 50% oeo ppoca aoaoo oxoa. Cooecya ea eo CCCP cocaa 1015%. B Pocc 90-x roo a execoo popecca pae oo ca ee ee.
B oe XX . opeca eeoc aoe epe opeee oaco cpa ypoe aococo ee aoa. ooeca peaoc peye epeocca pecae o pooeo epooeo pye, a ae o exae oppoa apooo oaca.
poe aa ye y eoeeca a poe coe. B paoax o cop ooecx ye oo oeaoc, o pa pooeoo pya ep ycao . Ke (16941774) ocoae opaeco eop oeceoo oaca.
Ocoa e .Ke, oopo cey paec ce ocae ooe opaecoro apae, oe poca coco o, o coo "co po-ya", .e. oo, o ocaec cepx epe poca, ec e, oee, c ppo. Oca aae eop (pe "c" ppoa, "pa" ac). Ka ca . Ke, "...o eceoc e oe poc oxoa, poe e o [Ke. C.533].
opa cxo oo, o pooe ec py, oop coae "c poy". .Ke pae oeco a p acca: pooe, coceo . K epoy accy o ooc ex, o opaaae e, eocpeceo a ceco xoce; o opoy opo, eeaee, epo, .e. ex, o aee ee, peey cex ocax, o ce paox, aaco opoe.
oa a cpao ac cpyyp oeca o, o, o c .Ke, oo pece oya o e oe, o o ee . Paoe e epepaaa o, o oyeo o e, ppo, coa poo coo, coo ope.
Cyeceo o-oy paoa oe pooeoo pya A.C. O e co yee oaca oeceo oeo pye o poocy aepax a. ooy oo ao py o ooc pooeoy. o oy ooy o ca: "Tpy eoopx cax yaaex coco oeca, ooo pyy oax cy, e poo ao cooc e apeec e peayec ao eo cyecye peee oape, oye poa, oop pooa cyecoa o pepae pya a oop oo o oy oo paoe oeco pya. Hapep, ocyap co ce co cye oa oepa, c ap o peca coo epooex paoo. K ooy oy e accy o oece a eoope cax cepex ax, a eoope cax eocex poecc ce, pc, pa, cae coo poa, aep, a, ya, oepe e, ao p." [C. C. 245]. peeoe ee acca oeco oo o cx op peoaae coa oca e o ox ooecx paoax.
B oeeceo epaype eoe pe ococy o pecaee o o, o pooe ec y cepe aepaoo pooca, coa e oo eoxo, o pao poy. Taa o e oe cac oocoao (. Pa. 3.3).
To, o A.C K.Mapc oa o npououme mpyo, ee aeaoo oeceoo pae, o npououmeocm mpya o ce peea epac oeco poy ey pee, a cee yac pooce paooo poya. ooy eco epo "pooe" ("epooe") py, ye yope ep "peae" ("epeae") B o cyae cyoc o eo oeceoe paee caoc . B ooaex opy (3.3.4) o oaae, o:

Ceo oe pooeoo pya, o-oy, oe peca oo copec epec. paec ao oop o peaeo epeaeo pye a cepe aepaoo pooca, a eeyao cepe p coa poee ay, epayp cycca.
Pa eoc oex o pya oo oc pa cooc oex pao, a ceoaeo, apaax a oooy paox cea. acoc ey apaa a opaoae eoc pya, ecoeo, cyecye. Ho oa e oe oc oeece a, oa c oe cpo opaoae oca axc peyao cycce, aye opeaece. Bce eo o, o cocooc opecy, xo oaec eoopoy pa, o o e poopoaa eoc oye. eco, o Moap co yae ec ee opace. Cx C. Ecea P. epca ep poo o, xo x aop e e oyeo o aoeo cpee . ec cya, ora paoe caoc aopa opee, a oop eyceo pyc ee ocpyopce po. Bce o oaae, o ec eo, pao oaee opec py o peaepoaoo o o, o aa aao, "cpo oe", opec cocooc.
poe eoc pya eocpeceo ca c eope cooc (eoc).
p aae cooc pee ceo eoxoo opee ee peaoe coepae, paec cooc poya opayec a cya apa a coyee pecypc. apa pya xo cooc e oppyeo a pe e ex a, opeex ce, o po oceo pa yace coa aoo poya. eo coco oeecee pya oape.
B pax cpaax apa -pya yea cooc, o e coa paoo cooc. Oa oppyec -pyo a peya poe opecx cocooce. Hoe aye, exece, xyoecee, pepaece e oecea opacae cooc o y apae. Bo-epx, poc acee cpeee oe aeca po yee oeo oea coyex ppox pecypco, o ce a ce ox coo cp. Bo-opx, oe e oecea cee yeoo pacxoa pecypco a ey oeoo ea. Cyap peya paaec yee cooc oeceoo poya a ce oca ox coo pecypco yye cooa cyecyx.
4.6. eoc ec eoeec aa11 Pae oooe coeco c C. H..
O ax paeo copeeo oo pya ec eop eoeecoo aaa, oopa cceye acoc oxoo yya, pep oeca , . . . Haoee pae a eop
oya o opo ooe XX . paoax . eepa, . Mcepa, T. ya p. Peya . eepa oee Hoeeco pee o ooe a 1992 .
oeca xapaepc, cocax oea eoea, eop eoeecoo aaa cceye e, oope cyeceo a eee oxoo. o oocc peyeceo opo, opec cocooc, opaoa, poeccoa aa, pepoc, ooc. Haoee oeco cceoa cao c eoc ec opaae.
ec eoeec aa aapyc pao a e, a apa a oyy oopyoa, .e. oe ec aa. Oao, ecop a oee aaor, eoxoo ya ceye ocoeoc eoeecoo aaa:
1. paa coceoc a eoeec aa e oy .
2. apa a opaoae ca c yeee coooo pee, .e. c ypao ooo aex ar eoea.
3. eee eoeecoo aaa acoc o apa pao eooo ep c o e ooc, o oopyoa.
O pax cpa oaae, o p pox pax ycox poyoc pya oxo opaca c yeee apa a oee ceaoe opaoae.
p oee eoc opaoa coocac apa acoe peya yye. ooy y ( pepe, oeco) o opee eoc yyx o.
Paccop cxey paccye eoea, opeeeo eecoopaoc apa a oee aa eee 1 oa. Ooa epe C ey apa a oyee. apa a e ac: pe apa, pae cooc oye, ocee (yyee oooc), pae apaa, oope or oye a pe ye.
apa C yy cpaae c ppaee coeo oxoa (apaoo) oce . Ceo eoc yx o P opeeec o opye:

e B oaeoe yeee apaoa oy t; r poa opa oa a aa; n co e cooa oyex a (peoaaea eoc pao).
Ec P C, o ec oyee aoro a oyac. B poo cyae ao ca pye cep pee aaa.
opy (4.6.1) o, o e ee r e oe oae ppoc apaoa B co e pao n, e eee ec oee aa.
Bpaee (4.6.1) pecae cyy eo yae

C yeee n ea, coa apax coax, ye cpec 1. p n 40 oo ca, o

pep pacea. yc apa a opaoae coca: pe (cooc oye) 40 c, eex e (E) ocee (yyee o) 30 c. E. Ta opao, C = 40 c. E + 30 c, E = 70 c. E. Ec opa oa aaa r = 0,1 oyaee copac cooa a e eee 40 e, o eero ppoc apaoa oe e eee:
B = 70 c. E 0,1=7 c. E.
opy (4.6.1) o, o eecoopaoc oye yeuaec c yeuee ca e cooa a.
eoc ec opaoae oepea ooce cceoa pacea. O ocoaee eop eoeecoo aaa T. y (aypea Hoeeco pe1 o ooe a 1979 .) oaa, o ooe CA oxo o eoeecoro aaa oue, e o ecoo. paceo T.ya ceye, o paac cpaa ao ea ec pee ceo paooxpaee, opaoae ayy. o oee cpoeca ox pep.
1 T. y oy Hoeecy pe a pao o ooe paaxc cpa.
Hecop a oaaeca eoc oe opaoae oee aa, p aopo oaa, o poyoc eoea opeeec ocoo eo ppo cocooc, a e apaa a oyee. Taa o oo ocoaec a opax axc caee, xyoo, yex, copceo. B acoc, o pyex oeecex o aae . . eo e e oa o aoeo ce opaoa. Oao o e oaae, o o e e aoo opaoa, o pepaco a aeay, y, ae ee ac a.
Ceoaeo, ppoe cocooc ceye paccapa a capo eoeec aa, oop oe aeo yee aoap ec oyee ocae. p o eoxoo ya pa ey oeao eoea eoeec aao. Ta, ec oee paceoc oy ye oea eoea, eo oeoc oeca, oao e apapy poo yee pooeoc apaoo a. Hecop a o, oaa cpaa aoc e oo o ax, o o opa cox paa.
Kooe eeoc eoea,
-py.
-py.
eoc pya.
poyoc pya.
Peaeoc pya.
Teopea o peaeoc ooe pya.
Koe eoc pya.
Teop eoeecoo aaa.
eoc ec eoeec aa.
1. poaapye cxe acca ooecx pecypco. Ka x yac ooe pyooo oeaa?
2. Haoe pa -pya.
3. Haoe pa -.
4. Kao oooc yee oea poy a ce a-pya?
5. Kao oooc yee oea poy a ce -pya?
6. Ka paccaec poyoc pya?
7. Ka paccaec peaeoc pya?
8. Paccae poyoc peaeoc pya o opac oo Pocc apyex cpa (. pep pacea pa. 4.3).
9. Ka oaa, o poc aococo pax cpaax oeceaec a ce -pya?
10. Cpae oe pooeoc (eoc) pya.
11. Cpae o "pooe py", "e py", "peae py".
12. B e cyoc eop eoeecoo aaa?
13. O eo ac eoc apa a opaoae?
14. Ka ac ppoc oo oxoa o ec eoeec aa?
Peya ooeco eeoc ac o exc pecypco eoc x cooa, oopa o oro opeeec ooee e pyy, opa eoa oa.
Ocoe o eop oa payc epaype o-paoy. He eca yopee cax o "omuau" "". M oaae, o eecoopao cxo ceyx opeee.
Moa o oece a oeee eoea oce x, pyox oecex ee. p ope op eoo oa pee ceo eoxoo ya mu e, . e. o, o ae x ec.
Moa oe ypee ee (pc, 5.1.1).
Bympe omuau opeeec coepae aoc pao. Ec oa epecye eoea, ooe peaoa eo ppoe cocooc cooc, o o cao o cee ec ce oo aoc, opocoecoy poyoy pyy. Hapy c coepae cyece ype oo oe aoc pao pa opeeex aec eoea, oeoc aoo a eeoc py e oeca, cooece o eeoc yee paoa, eo eco opea.
Be omuau oe cya yx opax: acpao . oa e oa aa cypoae. Acpaa oa oaae oee pao o oae, pay, . e. o poy pye c cooecy ca a apyee ycaoex op. ooeca oa ocyecec epe oouecue cmy (apaoy ay, e . .)1
_____________________________________________
1 Coooee ypee ee oa payec epaype . Heoope aop aa cypoae oo ooecy oa,
Moa oe ocyecc pa eoa:
pacee, ocae, pepo, ccea oope aaa epapx opraa . .

Puc. 5.1.1. B oa
eoc oa oeaec o peyaa eeoc copyo opaa, a ae o xapaepca, opee ooee pyy (ce, capae, acoc, aeoc, opocoecoc, o).
Baoc eeo oaox poecco pecae a pc. 5.1.2.
Cyecy e ocoe op oa: o peyaa o caycy.
Momuau no peymama oo peec a, e oo cpaeo oo opee e peya eeoc ooo copya . p o oapaee caec c oee opeo pao ooceo oocoeoo aa .
Momuau no cmamycy (pay) ocoaa a epao oee eeoc copya, yae eo aa, ooee paoe, aeco pya pye apaep, opeeee ceo eeoc eoea opaa.

5.1.2. Baoc eeo oaox poecco
Bop o o op oa opeeec e coo coepae pao, coo pa ypae ao opaa, aoa pa opopao yypo. Ta, pep CA xapaepa oa o peyaa, ocoaa a pao ccee paee pya pax yaa. B o peoaae paoa oa, cooecya pa oea aooo, opoa c ey copya pooy cepy oex y.
Coooee oa o peyaa caycy ec ocoeo aya ayo eeoc (c. . 11).
5.2. Mo eeoc eoeacmpymypa xapaepye coooee oo, opeex oeee eoea. o coooee oppyec o e a eeecx aopo, a cpe, oopo eoe ocac ecoa.
B oe ae o oee eoea oo pae a oucmuecue ampyucmuecue. epe apae a aococoe yya, ope ce, oea oeca eo.
p aae ooecx cce oo cxo ( " "). Tao oxo opaa oce paecx cya. Bece c e apycece o a e opao pcy eoey, a ocece. B xoe o coxpac paac e py e, oope oecea ey aoy o ex, capax, ox cax. Ka oepa ec ee B. poco, oeca, oop a pcya aoa o ox, paac aoee ao cece aoe oa, coxpae pa ypee ycooc [poco].
cceoa apycecx oo aeoe ae ye o cax ecx coooo XX . . Copo. B ocee o coe o opaoa cceoaec ep o coaeoy apyy p apapco yepcee. acpoae oo epa ocyecoc . ao pyo apaeeco p CA. ep . Copoa poe p yaeax cceoa, a ecoo oopa copo cae.
e aop yco oppoa apycecx oo. . Copo e p a apyco:
"a) ""... (Aep eep, ea pa oe pye...); ) "opcee aopopeee" (oo poec) apyc, ec a a epoa oapycec, peecy x epeooe, apycec oce oo epecpo ... ya, c. pac Accc,... c. ,... c. ae pye; ) aoe, poeyo ece cee ep a "ppoex", a "aopopeex" ... a, c. Tepea, p Paapa pye" [. . 231].
Ka ca . Copo, ocoo po eo epeca eceoa apya cao o, o oa oe, eoo, pe, opaa e co peopa o, o, pecye . . ooy xo ao ca oo ccee aoooe ey [Copo. C. 4647].
o oceeo pee coooe ocecx apycecx oo xoceo eeoc yeoc oe ao a. Ka cee, oo oe ay "Kopc, ooec p oee ao" oopa acca eeo ooeco ay [B. Oe. . 444464].
Opac eep oee p poea aaa ocecx oo ooeco . pee ceo oo e e py ax oo o x opea a: poecc pao; peya pao.
B epo cyae o oycoe coepae pao, yco pya, xapaepo aoooe ey copya, oooc poe pa cocooce eoea.
Bo opo cyae oy p ocox oa: aoc pao; aepaoe oapaee; coooe pe.
aoc pao oeaec paoa c yeo e eo ce, aox, cpec accoo opa . . ox e pecoc x eeoc ec ocaoo a oo.
Maepaoe oarpaee oe e pae op. ae ceo o eee oxo. K ao pye oo oocc ae yepeoc oeceeoc paoo, ocy e aa, coaa aeoc . .
Coooe pe ec a oo eeoc opecx oce, ex, o coeae paoy c yeo, e, ex aoex ee, p.
5.2.1.
, %

o epe poca aococo peaeoc coooo pee yeaec. o oaa ae a. 5.2.1. oopo pecae peya opoca, peeoo oe 80-x roo cpe paox cyax cpa Epo. Bopoc copypoa cey opao: "o ye oue apaaa, coxpa p o e pooeoc paoe ee, copaa paoy ee p pee apae?" [. C. 124].
B ae epcee pyo oa coo-y cyeceoo copae oaeoo pee pya pax cpaax. o oeo oycoeo coo ooeco oypo poo xoce, coee aaco ppox pecypco py . Kpoe oo, opraa ocya ec ocaoo coo poeo e, e ex opecx epeco e cox yxooy coepecoa. Ka oea A, oeayp "Aopax eco ypoc", a pyo ocaac aee co co c, o ac ay ecooco cyy c oo aoo, aapx p, px pe . . Co pee oeaypa oooc aoo pepooe aeo yec, o, ecoeo, cao a aopo poca . Ta opao, copaee pee pya aeo e cea ec ao.
Ka oaa peya coooecx opoco, oaoa cpyypa cyeceo ac o ypo aococo, pa, opaca pyx aopo.
xapaepc oaoo cpyyp acee Pocc pyx cpa oo cooa peya Bcepoo cceoa eoce, poeeoo 19901991 . (pyooe poeccop P. xap CA) p yac ceaco Poccco aae ay. Ocoe o oo aaa coco ceye:
"o o cex cpaax paoa o aoc co a opo ece oce ce. Pocccoe aceee a epoe eco oe ca ce, a paoy paccapae aece opo o aoc cep , o oee ao, e py ocy. Coeopae Pocc coco o, o pap ey cyeo aoc ce pao ec oe aee ec o cax ox pe. Ocec o a opao oea aoc pao, xapaep pocccoro acee" [May. C. 51].
epapx pyox eoce pecaea a. 5.2.2.
Ka o a. 5.2.2. "mpy ceo paccampuaemc oucmo poccu a emeocm, ocoa e omopo yoemopeue nompeumecux y caoo paomua u eo ceu; auoa pacnpocmpaeocm cooo apaoma a eocmu mpya emc oe Poccuu u oucma pyux oceoa cmpa" [May. C. 53].
cceoa, poeee oce 1991 ., oaa, o cpyypa pyox eoce Pocc oaaac eca ycoo, Bece c e 90-x oax o "cooo apaoa" pope y aoc, e 70-x roax. o oycoeo cee eoo ypo oca acee, a ae oee ypo pa aeo eo ac.
B pae ypae ao ya pae e o x oaoo cpyype. Opeeee oo eeoc aoo copya, coacoae x oo c e pep ec oo ocox aa ypae epcoao.
5.3. Mapa "ecpeca"oeee eoea opeeec coooee ee, oope o ca epe coo, cpec x oce Ka yepa . Xaeco, "ypoc oaae ocee ayx ee p oo ayx cpec" [Xa. C. 98].
Taua 5.2.2
Pacpocpac pyox eoce
cpe paoaeo acee Pocc 32 pyx cpa*
acoa opa, % |
Pa |
|||
eoc |
Pocc, N = 1350 eoe |
32 cpaax, N = 27 088 eoe |
Pocc, N = 1350 eoe |
32 cpaax, N = 27 088 eoe |
Xopo apaoo |
85 |
77 |
1 |
1 |
Xopoe oap o paoe |
74 |
71 |
2 |
2 |
epeca paoa |
68 |
61 |
3 |
3 |
Cooece pao cocooc |
57 |
58 |
4 |
5 |
ooe pe pao |
49 |
48 |
5 |
8 |
oeoc oeca |
48 |
44 |
5 |
11 |
oo oyc |
46 |
29 |
5 |
15 |
Haeoe eco pao |
40 |
60 |
8,5 |
4 |
Paoa, yaaea po pyo e |
39 |
40 |
8,5 |
4 |
Boooc a |
30 |
50 |
12 |
7 |
Boooc eo-o oc |
28 |
56 |
12 |
6 |
Boooc oe c |
27 |
46 |
12 |
9,5 |
Oecea paoa |
21 |
45 |
13,5 |
9,5 |
Ocyce pe-epoo ae |
20 |
34 |
13,5 |
14 |
Boooc poe |
17 |
37 |
15 |
13 |
*He e Mococ pao.
cmo: May. C. 52.
B oe cyae eeoc e (c, pa, 2.2) apaea a ocee ceyx ocox ee: 1) aepae aa; 2) ac caa; 3) a opeco; 4) yxooe coepecoae.
eea opea yaa. Oa oe ec o epoa eoea o e ex . B ece oc, a pao, oco c aepae epec, pee o y ox e peapye cpeee opecy; a aeo ae eoo y ececeo cpeee yxooy coepecoa
oo paa (a oo pyoro) ec ce. O c x e oo y pco cye oacp; pye cao peoo opace ac " o ce".
p ce ooopa e o cce ex eeoc eoea ce coo-y aopee aop e o, o aepae aa o e e, a ycoe, peoco, cpeco pa opecx cocooce yxooo coepecoa. B epax oaoo porpapoa aa o oaae, o aepae aa oocc ccee opae, a eea y paae cpeee opecy .
oe "cpeca oce ee" oo paae o oe pecypco, eoxox cooecyx ec, o coco oce ee. Ec cxo oporo acea, o cpeca oce ee eoeeco eeoc oo pae a p py:
1) e, o ce pae;
2) oo aoe ( paax pecx op);
3) cooecye opa peoo opa.
Baoc peex xapaepc oe pecaea ape, ee oopo opee o (poe) acee, cpa epcoaa pep, cooecye aoy coea "ecpeco". pep ao ap yco copeeo Pocc pee e a, 5.2.3. -a opaeoc cacecx ax pyy ee "aepae aa" eo ae cpeee cae ac.
Cya ae eeo epoo coa opeeea, cxo oax ax, coaco oop "pa co" Pocc cocae 15% acee [c. C, 617]. ocoy peaoe co pecye e eee e 2 paa oe oao cac [Ceep. C. 210], ey paccapaeo cy eeo ap oo p pao 30%. Oe 5% p a ae. cxo oo opeeea ea eea, cooecyeo epo cpoe opoy coy (45).
e |
Cpeca |
||
e, o ce pa-e |
Too aoe |
Cooecy-e opa peroo opa |
|
Maepae aa -yya ce |
25 |
45 |
5 |
a opeco |
5 |
5 |
5 |
yxooe coep-ecoae |
0 |
5 |
5 |
oocoaoo ypae coa poecca eoxoa oee opoa acca ee cpec cooecya caceca opa. aoo pep apa "ecpeca" a eca oe cpyeo cce ypae epcoao.
5.4. Teop oaB acoee pe po paa e py eop oa: coepamee npoeccyae. epe oca a aae opeoce eoea; ope a oee cya, oax poecce oa.
Aopa aoee ecx coepaex eop oa c A. Macoy, K. Aepep, . MaKea . epep. Ocoo x oxoo c acca opeoce, paccopee pa. 2.1. B eopeeco acee cy aoee oocoax oo oec yxaopy eop epepa.
Coaco o eop, eece aop (yco pya, apaoa aa, aoooe c pyooco) oy a eyoeopeoc copya. Oao x yyee e opeeeoo peea e ocpaec a oa. B cceoax epepa opy aa aop pa, coepa pao, o-eceoc poe. Bo epepa o o, o apaoa aa e ec opy aopo, oe cac oocoa oo ex pep , . o e cooecye yco oca pocccx pep ypo rpaa occ. Bpoe, ooc ypae pep CA ae ooc apaoy ay aoee ece aopa oa [C. C. 339].
poeccyax eop oa oo oea eop oa, eop cpaeoc oe opepa ayepa. o e Ca [C. 329]. eop ec eo eeepa CIA o cx op o e coyc a pae.
Teop oa ocoaa a o, o eceoc oa opeeec poeee:
(3P) (PB) ,
e apa; P peya; B oapae; eoc oarpae.
ep cooe oaae oae oo, o apa (yc) ay eaee peya; opo cooe o oae oo, o peya ay oaeoe oapaee; pe o oaea eoc oapae, (aeoc).
B eop cpaeoc oepaec aoc coooe ey yc eo oea oyae oapae. Ec eoe cae, o ero eooea, o oa peyaoc pya cac. O oo o eop ec eaoe ooee pae a apaoa " oepax", . e. ora copy e a, o coo oy, Taa e a oe a eoepe ey ea oea.
B eop opepaoyepa ceaa oa oo eop oa cpaeoc. p o coyc coooe:
peya o y o cocooce, yc yoeope copya coe po;
yc o y o eoc oapae eo epooc;
yoeopee o y o e oapae eo cpaeoc.
5.5. Moa c ypaeMoa ocyecec aeo epe epe c pae, oope ea cooecyx eop (oe). Mapeop ee e ocoe eop ypae: X Y [C, C. 308]. eop1 cxo ceyx peoco.
1 B epeoax aepacx ya o ypae ep "eop" aco yopeec e ocaox ocoa. B acoc, o, o aaec eop Mapeopa (a ae paccope paee eop cpaeoc, oa p.), paee aa oe, oxoa, pa, oea. Teop peaae aeo y cee oaaeoc.
Teopu X
Teopu Y
p eop X poo cooac pax cpaax o opo oo XX . o o oeo oycoeo exec ypoe pooca, o aae paox ypoe x aococo. o epe ycoe oex pao, poca aa epcoaa, oe aeca ooc oe oooce po-e a opecx cocooce paoo. ooy ecoe acpaoe pyooco cao ee, ce oee peee axo p eop Y.
epexo o aopaporo c eopaecoy oeo oycoe exec . Toee, ep ao cyae ec cpeee ay opao cooa ca e ooecx pecypco opece cocooc e. Koype acae pepaee (ae ex, o oaoa) coaa aope yco poe opecx cocooce paox cyax.
oc c ypae (eop Z Oy [C. C. 310]) o oa op aa opecoo aaa eoee c yeo aoax pa ocoeoce ooecoo ooe o.
Bo ox peoeax o opy c ypae, o ce oex epa, Mea Xayca, Xepc aapa, Bpyaeoa [Meco. . 497573] eocaoo y-aec opeca oe oee oeo pao. eo o aop copeeo pooce oeo opeee cpaerece ec pyooe, o-ocec aopy epcoaa, oe eo aa, opy eoo oa ce ypae.
B ocee o CA aao Epoe ce oee oyp caoc eooece oe Bocoa, o ce e ao , Koy pyx ypeo peeo Ka. O oepa aoc epoc, poco, cpooc ooex ey . o eo o, eo eocae o copee pyooe, o ce poccc.
B oco oe oa, oop ac cooa o ox cpaax, aeo epe peaoa oe peeaco oco. Pocc o o ae pee ceo a paecoe oepee eoc ypae, ocoaoo a yae oc copyo pa x opecx cocooce.
Ocoo oa o ec uepapxu pao, oopa peec a a pepx, a ocyapcex opaax. B oe o ce ypae, ocoax a cpoao paee pya (o xapaepo cpa aaa, a ae Pocc), oce paoe cyae oopc a oaee po cepo a ao, opecy aoc, yee paoa oee, axo opocce pee epecax p. Pa copya oco p ocyapceoo opaa opeee e oo o apaoy ay, o ey oyco, apa aoc, paep a p xoe a ec [Ao].
B ocx pax ypaee ocoaec a opuomax cx ey copya paee. o cyeceo copaae oeco acpax oa, (o epao epapx), cococye coa aocep apepca, yeae pe oca coacoax pee. oc o cyeceo o a oppoae oe napmucunamuoo (rpyooo) eoa p pee, ocoeo o oe poyoc, Ha ocoe oo eoa a ox pepx o CA paoa py aeca pra pooeoc [C].
Cce oa c ao ac ynpaeu no e (). Oo peoaae oocoae cpaeecx aecx ee opaa, ycaoee a o ocoe ee opaee aoo copya, op cpec oce ee, coracoae ox, acx yax ee, papaoy cce oa, apaex a ocee ee [Bxac. C. 101].
Ta opao, copeee cce oa opepoa a pae opecx cocooce a copyo, yaa pya, apepce ooe oee, coacoae epeco opaa, opaee cex py epcoaa.
aepecoaoc pep oe eoc pooca eae cpyyp ooecx cce. B ao x ec e ac: ynpaa ynpaea. y ypae occe oy oc ypa oprao () ypae cpeo. pa opra oaae opeee acpa y, eo yaa oae cooecyx poocex ee To, o aae ypae cpeo, e ee acpax y , acoc, ec cooyoc ooe, oppyex pa poy pya (paoe c). oe ypae cpe eae, cyoc, pecae Aaa Ca o "eo pye", oopa ycox poo oo cooo oype a ooppye eeoc e, o a x, cpec aca coceo ro, ecye, oeo cee, epecax oeca.
B ycox pep opaa eo pao ocyecec a ocoe epapxeco cpyyp, oopo o ypax occe ypae epeaec opa o eoxoo ypoe eoc. opa o ocyx xapaepcax peyao apa epeaec o aaa opao c. B acoc o coooe ey eoxo aec xapaepca eoc ycaaac oope ca (pc. 5.6.1).
paccopeo cpyyp ooecx cce pa coepe apa peyao ceye, o eo eeoc o opaee pep oeoo copya o opeee:
1. pa xoceo caocoeoc (cee coo) ooe accopea poy, eoo ee ooe, opaa oa pya . .
2. Heoxoe peya eeoc (xapaepc e, oe cpo ooe, ooece apaep . .).
3. Heoxoe apa pyox aepax pecypco, opeeee acoc o op apa pecypco a ey poy oeo ee ryca.
4. op yco cypoa poca eoc. B acoc, cxo pa ooeco caocoeoc opeec ooe cy oe aeca, oo pecypco, yee oea poy.
5. Ccea ao oeceoc a oee px oaec.
Oe eoxox apa cy x o o ec ypaeoy oey o aaa pao ocaac ca p eoc yc ee e. Kaoe eee x yo aox peyao oo opoac eee eoxox apa.
Texec porpecc poocex pacx xoca paaec yee apa pecypc pya, aepao, p a ey oeoo e. Peao o poece pocxo peyae yee p apa pecypco. pae poco ocyecc a opao, o poc eoc e oe paec oy e ee op apa pya, aepao ep. B acoc, ec oce ocoe ooo oopyoa exoo op e ec, o pepe e oe oy aeo ac peaoo ea.
Heoxoe peya pya

aece peya apa
Puc. 5.6.1. paa cxea ypae eoc
Ceoaeo o oece aepecoaoc ypax, ceaco paox peaa ox ayx execx e, eoxoo coa yco x aepecoaoc ce op apa pecypco a ey oeoo ea poy.
Oco nomuMoa.
Bype oa.
Be oa.
Cypoae.
Cpyypa cce .
Moaoa cpyypa.
Mapa "ecpeca".
Teop oa: coepaee poeccyae.
paa cxea cypoa eo pao.
co opaa eo pao.
Kopoe onpoc u me ucceoau1. Kao exa oppoa oa?
2. B e pa ey ypee ee oae?
3. oae pa o "oa" "cypoae".
4. Kao oac pee coepaeo, poeo, acpao ooeco oa?
5. Haoe apycece ocece o.
6. Kao aop, opeee oaoy cpyypy eoea?
7. Haoe aop, opeee coooee eeo ap "ecpeca".
8. Kao oooc pee coepaex poeccyax eop oa?
9. Oce e "eo py" A. Ca c o oa .
10. B e coco paa cxea oa eo pao epapxecx cpyypax?
11. pee yco oa eo pao opaee- copyp .
ooece cce ocoa a paee pya, . e. a ooceo papae o . B o o ope paeee pya cyecye a cex ypox: o pooo xoca o paoeo eca.
Papaee o eeoc ooe cpa ocyecec o pya opace: cecoe ecoe xoco, oaa poeoc, cpoeco, opaaaa poeoc, pacop, c, opo . . aea epea pocxo o oe opac oopac. Ta, opaaae poeoc eec a-ocpoee, oopoe, co oepe, cpyyppyec o a ooex a, popo aapao.
Copeee pep oy a epcpoa, . e. yca po cep poy, a ceapoa a oex ex ycyax. Kpye pep e coy cpyypy, xapaepyyc paeee pya ey pooce opaee pya epcoaa.
Oco a paee pya a pep c: yuoaoe, mexoouecoe npeemoe.
o noe yu oo e epe ocoe py epcoaa: pyooe, ceac (eep, ooc, pc . .), paoe ye.
Texouecoe paeeue mpya oycoeo eee ca pooceoo poecca o pao. B cooec c ocoeoc exoo oy coaac exa yac pep (ee, aooe, capoe p.).
peemoe paeeue mpya peoaae ceaa poocex opaee copyo a ooe opeeex o poy (e, y, ea).
cxo yoaoro, exooecoo peeoro paee pya oppyc poecc ypo aa.
poeccu xapaepyec a aa, eoxo oe opeeeoo a pao. Coca poecc opeeec oea pooca exoore. B peyae execoo popecca pocxo oco . 2030 e aoee e a poeccoay cpy-ypy epcoaa oaao peee oepo ex - .
Kauuauooe paeeue mpya opeeec pae pao o x cooc. o, co oepe, oycoae pae cpo ooo epcoaa oe cooecyx y. Cooc oex pao ec ae aopo epea oa pya. oeceo oe aa epcoaa oo coyc pap eo apo ce, ae pax cpaax 1725 papo.
poecc py aa oo paccapa a paee pya (poeccoaoe aa). Cxea oppoa poeccoao-aaox py pecaea a pc. 6.1.1.

Puc. 6.1.1. Cxea paee pya oppoa poeccoao-aaox py a pep
Bop op paee pya opeeec pee ceo o pooca. e e pooco accooy, e oue oooce ceaa oopyoa epcoaa a oee oex o pao. p ope aoee eoo ypo epea pooceoo poecca o yac mexuecue, ncuxoouecue, couae u oouecue pau paeeu pya.
Texuecue pau oycoe oooc oopyoa, cpyea, pcocoe, peoa opeec aeca poy.
cuxoouecue pau opeec oooc eoeecoo opaa, peoa coxpae opo . Heoxooc yea cxoooecx pa caa c e, o coa cee ceaa ae ooooc pya, oopa po eaop ocec paoax. B peyae cceoa ycaoeo, o eoc oopao oopxc eeo pao e oa ee 45 c; paoy eoxoo cpoepoa a, o oeceaoc yac-e e eee ec py eoea.
Couae pau oycoe peoa coepa pya, ero eoxooy paoopa, oooc pa poeccoax a ao.
oouecue pau xapaepy e paee pya a ooece peya pooca, acoc, a cyape apa pyox aepax pecypco.
Paeee pya peoaae ero oonepau. Oa ocyecec a cex ypox: o paoero eca, e oy pyc ecoo paoo, o oo cpa pooo xoca eo. Ha pep aee cyecee poe ooepa pya ca c opraae pua.
o ooe pey pao pa ory ceu cou (cymou).
B acoc o poeccoao-aaooo cocaa paa cneuauupoae onece pa. B epo cyae oec pao oo poecc (oap, cecap . .); o opo pax poecc ypoe . Koece pa oecea oue oooce pa aoo paoa. Ka pao, o pa oeceae ye ooece oaae.
6.2. pooce, exooec pyoo poeccpouocme, aaec poecc pepae cxox aepao ooy poy. Oo paa ocoe poocee poecc, aaee oopx ec yc poy pa, cooaee poecc (peoe, pacope . .), oeceae opaoe yopoae pep.
Ka pooce poecc oo paccapa c yx copo: a cooyoc ee, oope peepea pee pya, a cooyoc ec paoo, apaex a eecoopaoe eee peeo pya, B epo cyae oop o exooeco poecce, o opo o pyoo.
Ta opao, mexoouec npoecc o eecoopaoe eee op, paepo, coco, cpyyp, eca peeo pya. Texooece poecc accpyc o cey oco paa: coy pr; cee epepoc; cocoy oec a pee pya.
o ucmouy epuu exoorece poecc oo pae a naccue . epe pocxo a ppoe poecc e pey ooeo, peopaoao eoeo ep oec a pee pya (apep, ocae eaa ox ycox . .). Bope poea o peyae eocpeceoro oec eoea a pee pya, o peyae oec cpec pya, pox ee epe, eecoopao peopaoao eoeo.
cmeneu enpepocmu oecmu a npeem mpya exooece poecc ec a enpepe ucpem. p epx exoorec poecc e pepaec o pe apy cp, a rooo poy opo a . Bope xapaepyc ae epepo xoe exooecoo poecca.
o cnocoy oecmu a npeem mpa u uy eeoo oopyoau paa exaucue aapamype xooce . Mexaece poe ocyecc pyy c oo a (cao, copox aoao . .). B x poeccax pee pya oepraec exaec oec, . e. ec eo opa, paep, ooee. Mexaece poecc peoaa aocpoe. p aapaypx poeccax pocxo eee o-xecx coc peea pya o oece xecx pea, eoo ep, paoro poa ye ooecx oeo. O poea aapaax pax ocpyx op eax, aepax, aax, cocyax . . poy aapaypoo poecca oe oac o cp o xecoy cocay, cpyype apeaoy coco. Tae poecc peoaa xeco, eaypeco, eo poooeco opacx poeoc.
Bce exoorecx poecco a pep ory ocyecc peyae pya . Tpyoe poecc paac o cey oco paa: xapaepy peea pya poya pya, y paoo, cee yac eoea oec a pee pya (cee exaa pya), ec pya.
o xapamepy npeema u npoyma mpya ec a a pyox poecco: eecmeo-epemuecue uopauoe. epe xapaep paox, ope cyax. peeo poyo pya paox e eeco (cpe, aepa, ea, a) epr (epeca, eoa, paeca . .). peeo poyo pya cyax ec opa (ooeca, ocpyopca, exooeca . .).
aea epea pyox poecco paox cyax pooc no x yu. B acoee pe po e pyoe poecc paox a oco cnooamee cooeceo paox a ocox cooraex. K ep ooc paox ocox exo, eocpeceo ax yco poy aoo pep, o op cex paox cooraex exo ex paox ocox exo, oope a ocyae oopyoa paox ec (peoo, oeoo . .).
Taa acca pecae epec cacecx cceoa, o aopoa p opaa pya, a a e yae coepa pya pax py paox. B acoc, py oap, paoaeo peoo cpyeao exe, o coey coepa aaoe pyy oap, aoo rooee ocoo poy pep. ooy c o opraa oppoa pya eecoopao e pyoe poecc paox, ax: yco poy ocox exo; yco poy cooaex exo; ocyae oopyoa paox ec ocox cooaex exax.
Cyaue pep o oe y ec a p aeop: pyooumeu, cneuaucm mexuecue .
y pyooee opaee pep aac p pee oecee x oe. y ceaco (eepo, ooco, exo) coco orooe opa (ocpyopco, exooeco, aoo, yeo), a ocoe oopo pyooe pa pee, Texece coe oecea eoxoe yco pao pyooee ceaco,
o cmeneu yacmu eoea oecmuu a npeem mpya pyoe poecc ec a pye, aopye, ae .
Pyu aac poecc, oopx oece a pee pya ocyecec paoa e pee ooex coo ep c oo pyoo cpyea, oop poc ee ooe coo ep (epeco, eaeco . .). pepa pyx poecco c: copa yo e, oae, apee, opaca apo c, cepee oepc epope . .
K auopy oocc poecc, p oopx exooecoe oece a pee pya pooc c oo coex exao a (caa), o epeeee cpyea ooceo peea pya peea pya ooceo cpyea ocyecec pao. Hapep, opaoa eae a eaopeyx caax p pyo oae.
pu aux npoeccax eee op, paepo pyx xapaepc peea pya ocyecec ao e ecx yc paoeo, y oopoo aac ycaoe c peea pya ypae paoo a. Hapep, opaoa ea a cae p exaeco oae cpyea.
Amoamuupoae npoecc, xapaepyc e, o exooecoe oece a pee pya, eo ycaoa ce oc e yac . B acoc o cee aoaa y paoo ycox aoapoaoo pooca oy aac opoe a paoo a, ycpae oao, acpoe, cee cpyeo, oecee eoxox aaco peeo pya cpyeo, cocae porpa pao a.
Ceye oe, o o ox cxeax acca pyox poecco epece a oocc aapaype. p o ceac a coepeo pax paa acca: cee exaa pya peeoo oopyoa, opee coco oec a pee pya. Taoe coeae pao acca . o o xo oo, o aapaype poecc oy a aoapoa, a eaoapoa.
B eo cxe acca exooecx pyox poecco pecae a. 6.2.1 6.2.2.
Taua 6.2.1
Kacca exoorecx poeccopa acca |
Kacc poecco |
co ep ocyece poecco |
Ae, acce |
Hae epepo xoe poecca |
Hepepe, cpee |
Coco oec a pee pya xapaep peeo oopyoa |
Mexaece, aapaype |
Taua 6.2.2

co pya aac xapaepc pooceoo npoecca npooceo cpe, oecye a copya pep.
Xapaepc pooceoo poecca opeec pee oopyoae, peea poya pya, exooe, cceo ocya paox ec.
poocea cpea e ceo xapaepyec caapo-eec yco pya (eepaypa, y, oceeoc, aeoc, aaoaoc, pa . .), eoacoc pyoo eeoc, peo pya oxa, a ae aoooe ey copya pep.
Ta opao, yco pya oy paccapac execx, opaaox, cxoooecx, cox, paox pyx aceax.
poepoae yco pya oo ocyecc c yeo pa copyo pep o oy, opacy, coco opo, aa, cxooec coa xapaepca. Papaoa cce peoea opax aepao pao cee ooc oaeoc (peoea Meyapoo opaa pya, oeocyapcee, opacee, peoae, aoce op), oope o cooac p poepoa yco pya.
B acoc, eoxoo ya opae o yac e pe pooc c pe yco pya (eaypece, xece, opopye pep), o acao acce epeeaex pyo ( y e), o oyc ypo paoaoc, aeoc, aaoaoc, ya, pa . .
Oco pe oyea, peaepy yco pya, c caape op poepoa pep. Cpoee op paa (CH), OCT, peoa ex eoacoc oxpa pya.
B caapx opax poepoa poex pep ycaoe peeo oyce oepa (K) coepa pex eec paoe oe. oecee opax yco pya eoxoo coepecoae exoo, epea aoaa oopyoa, e poocex oee.
mecuocm pya xapaepye oeco pya, apaaeoo ey paoeo pee, ec aee ooeo ec pya, opeee cyapoe oece cex aopo pyooo poecca a opa paoax. Coooee o ecoc .
K oco aopa, a ecoc pya, oocc:
cee aoc paoa eee paoeo ;
e pya, . e. oeco paox e ey pee;
yc, eoxoe p oe pao, oope ac o acc epeeaex
peeo, ocoeoce oopyoa, opaa pya;
oeco ocyaex oeo (cao, paox ec . .);
paep peeo pya;
ea ap aooo;
ceaa paoero eca;
caapo-eece yco pya;
op aoooe poocex oeax.
epee ecoc ec pya pecae eca coy poey, oopa
o cx op e ee yoeopeoo pee
Meo oe ecoc ec pya ya:
apa ep paoo;
e pao;
e paoo o cee yoe;
cxoooece xapaepc yoe.
oaae o pec c yeo ocoeoce aapyeo pao. B acoc, epee apa ep ea pao cooa oe ecoc y-ceoo pya. p aae ec pya eecoopao cxo cee yoe paoo, oeaeo a cyeo (a ocoe poco epcoaa), a oeo (a ocoe aaa cxoooecx xapaepc). Heoxoo ya ae aop, e oopx poec e cpay (paoaoe yee, aepoe . .).
6.4. Paoee eco. Cpyypa pooceo oepaOco eeo cce ypae epcoao ec paoee eco. Moo e e py aa, oopx peyec opeeee oo o. epy coca exooece, opaaoe pooece aa, cae c poepoae exooecx pyox poecco, coepecoae yco pya, oepa peypoae pooca. Bopy aa apoa ceoc epcoaa, aaa pa pya oecee aoc.
B opauauoo-mexueco u pooueco acnemax paoee ecmo o ac pooceoo pocpaca exa oea, ocaea cpeca pya (oopyoae, cpyea, pcocoe) oe ooceo oocoeo ac pooceoo poecca o rpyo copyo. Taoe opeeee peoaae paoaa opa paee execx cpec, oeceax eoacy ey eeoc e cooecye ac opaee pep.
B acneme oecneeu amocmu paoee ecmo o cepa eeoc ooo paoa cooyoc y, oope o oe o, o ace opepoa a oeceee pep epcoao, a acee paoo.
Bao ya, o o oecy paoe eca, cooecye y yaa acea, e cea coaa, o oycoeo e, o epo cyae paoee eco oe a oe, a o opo cea peaaeo ooo eoea, Hapep, ec ocya caa (apeaa) peyec yace yx paox, o exooeco pooeco aceax aa ccea ye paccapac a oo oeoe paoee eco, a acee aoc a a paox eca ay cey. Pcyo 6.4.1 cppye ace aaa o "paoee eco".

p opaa apoa pooca, oppoa oae pya, yee apa pooce poecc ec a oepa.
Onepaue aaec ac pooceoo poecca, oea a opeee peeo pya o pao eo (prao) a oo paoe ece.
Koeco coca oepa, a oope ec pooce poecc, ac o opaaoo-execx yco pee ceo o oea yca poy ee pyoeoc. Ta, ec o exoo eoxo epoa coa ooa aa, o ycox accooo pooca, a pao, eecoopao oee aoo x o opao a oeo paoe ece, . e. a e oepa. B cepo pooce oe oaac eee o y e paoy a oo paoe ece (. e. a oy oepa).
poocea oepa, a poecc eo, oe aapoac exooeco pyoo ooex.
B mexooueco omoeuu eea oepa c: ycao, exooec epexo, cooae epexo, pao xo, cooae xo, .
cmao ac exooeco oepa, oea p eeo apee opaaaex arooo copoo .
Texoouecu nepexo aoea ac exooeco oepa, xapaepyea ococo peeoo cpyea oepxoce, opayex opaoo coeex p .
Bcnooame nepexo aoea ac exooeco oepa, cocoa ec eoea () oopyoa, oope e copooac eee op, paepo co oepxoc, o eoxo oe exooecoo epexoa. (pepa cooaex epexoo c ycaoa aoo, cea cpyea . .).
Paou xo aoea ac exooecoro epexoa, cocoa oopaoo epeee cpyea ooceo aoo, copooaeoc eee op, paepo, co oepxoc coc aoo.
Bcnooame xo aoea ac exoorecoo epexoa, cocoa oopaoro epeee cpyea ooceo aoo, e copooaeroc eee op, paepo, co oepxoc coc aroo, o eoxooo oe paoeo xoa.
ouu cpoaoe ooee, aaeoe eeo apeeo opaaaeo arooo copaeo copoo ee coeco c pcocoee ooceo cpyea eoo ac oopyoa oe opeeeo ac oepa.
Tao ee oepa a ac exooecoo poecca. C o aaa pyooo poecca cpyypa oepa eoe pe a peeo cycc, oope ceac e ca .
p ope eeo pyooro poecca eoxoo ya p poopex peoa. C oo copo, ee o ocaoo yepca ocpoe x (a "pe") oo pyooo poecca. C pyro copo, ceye ya pyoeoc paceo. B c c eoxoo e ee pao cee pooc (ypye), cocaee a opao, o ao opeo aa opaa pya ooe op oao cee eaa poecca.
B ae cpae cceoa cpyyp pyox poecco aa paoa epaoo cya pya (2030-e o). B aee poeccop B.M. oe peo eee oepa a pe, ee peo e. Tpyoo pe opeec a "ece, eee e ec ec pooceoo poecca ao-y aop ea aopa". pe paec a ee pex o: (c), epeec (epeecc), oyc (epy pyy oy epoaaoe ooee). o ey oe ee e peaaoc e a peee popoee K ep oece ee, oee "aoaec", e coaeoo yaoo oo opo opao yc, o op e, peye aoo opo.
B acoee pe - cocae oepa po e pyoe pe, ec e.
Tpyooe ueue o oopaoe epeeee paoeo opaa eoea py, or, opyca . . Hapep, "poy pyy cpyey", " (axa) cpye".
Tpyooe ecmue o orec aepea cooyoc pyox e, oex e epepa o eco pao opaa eoea p eex peeax cpecax pya. Hapep, " ea".
Tpyoo npu o cooyoc pyox ec, oex p eex peeax cpecax pya cocax exooec aepey ac oepa. Hapep, "ycao aooy pcocoee".
Konec mpyox npueo o x cooyoc, oeea o o exooeco oceoaeoc, o o ooc aopo, x a pe . Hapep, "ycao pee a paep", "ycao ea pcocoee c ee oce opao". B ocee pepe oeee yx peo oec ocyeceo o ooc aopa (ec ea), eo a pe oe x peo.
pep paee pyooo pea a ee pee a. 6.4.1.
6.4.1

pooce poecc oo paccapa a poecc yee apa pee a ooey . B c c ep opoc, oop oae p opaa pya, coco o, o opee, ae apa pee c eoxo o ac opy. Bao ae opee eoc cooa oo pee paoo oopyoa. Bce opoc peac cxo acca apa paoero pee.
Kacca apa paoeo pee oe ocyecc o ooe pe eea pooceoo poecca: peey pya, paoa oopyoa. Ocoo x acca ec eee yx cocax:
pee ocyece pooceoro poecca ( yopoa aoo eea pooca) pee epepo. Kacca o ooe pey pya (c. c. 6.5.1) ec ae accae o ooe pooceoy poeccy, o ao cyae pe e o apaax pee, eoxox pepae peea pya poy pya. Ha ocoe o acca ycaaaec coca apa pee, aex op.
p pacee op pya ycaaac apa paoero pee: oooeo-aeoro, oepaoro, ocya paoero eca, a ox e aooc peraepoax (oppoax) epepo.
oomoumeo-aumeoe o pe, oopoe apaaec a oooy oe aoo aa ec, cae c eo ooae: oyee cpyea, pcocoe, exooreco aoo-yeo oyea; oaoee c paoo, epeo; cpya o ope oe pao; ycaoa pcocoe cpyea; aaa oopyoa; ce pcocoe cpyea oce oe pao; caa pcocoe, cpyea, oyea. Eo ocoeoc ec o, o oo apaaec o pa a paoy (ap peeo pya) e ac o oea pao, oeo o aoy aa. B eoopx poocax oooeo-aeoe pe e eec.
Onepamuoe o pe, apaaeoe a eee op, paepo, coc ea pya, a ae a oee cooaex ec, eoxox ocyece x ee. apa oepaoo pee oopc c ao ee poy opeee oeo pao. Oo opaeec a ocooe . Ocooe (mexoouecoe) pe apaaec a eeapaeoe eee peea pya (eo paepo, op, cocaa, coc, coco ooe). B eee cnooameoo pee pooc apya cp, aooo, ce ooo poy, ypaee oopyoae, eee peo eo pao, opo a xoo exooecoo poecca aeco poy.

Bpe ocyuau paoeo ecma o pe, apaaeoe pao a yxo a oopyoae oepae paoeo eca opao coco. Oo opaeec a execoe opaaooe. Bpe mexuecoo ocyuau paoeo ecma apaaec a yxo a oopyoae p oe ao opeo pao. Hapep, pe ae oeoo cpyea, oaa oopyoa, yop cpy . . Bpe opauauooo ocyuau apaaec a yxo a pao eco, ca c oee pao eee ce ce. K o aeop oocc apa pee a pacay aae yopy oe paoe ce cpyea, a cy cay oopyoa.
Bpe a omx u ue aoocmu ycaaaec oepa opao paoococooc o re. eoc ax epepo ac o yco pya. Bpe a ox ae ae pe poee pooceo . Bpe peaemupoax (opupoax) nepepo no opauauoo-mexuecu npuua oeo oycoeo xapaepo aoec paox oopyoa. cpaee x epepo paec eooo ooec . Hapep, ec o pao ocyae ecoo cao, o o ox cyax eooo ooc cxpopoa pe ec paoeo c a peee. Cece oo c epep, oope o ac opy pee.
Bpe epeaemupoax nepepo o poco oopyoa paox, ae apye ycaoeo exoo opaa pooca. epep e ac opy pee.
p aae apa pee paoo pee ceo eec pe x aoc pe epepo. Bpe amocmu paomua ae pe oe pooceoo aa pe aoc py paoa. K oceey oocc pe cyao pao e ycaoeoro aa-paa pe epooeo pao (cpaee paa, oc aepao, cpyeo, pcocoe . .).
Bpe aoc oo ae pae a pe enocpecmeo paom, nepexoo (apep, p oocaoo paoe) amuoo aeu a xoo exoorcoo poecca, oopoe eoxoo oo, o oece eo opa xo. Ec pao a a aee, o o e oe o pye y, oo aoo, ooo ae naccuoe aeue, oopoe ec o o epepo aoc paoero o opaaoo-exec . Bpe accoro ae oe e eco p ocya aoaecx , aapao, p oocaoo paoe, ooeca eecoopaoc accoro ae ycaaaec peyae paceo oax op ocya ceoc. o oooc pe accoo ae oo cooac oe pocx y (pacaa cpyea, yopa paoeo eca . .), oee oopx pepaaec, ec eoxoo eaeco paoa xo pooceoo npoecc.
p aae apa paoeo pee ec epeaemupoae nepep no opauauoo-mexuecu npuua u no ue . Bpe epeaepoax epepo no opauauoo-mexuecu npuua ae poco oopyoa paox -a oa aooo, oyea, cpyea . ., a ae cepxopaoe pe epepo, cax c ecxpooc pooceoo . Bpe epepo u-a apyeu mpyoo ucunu oycoeo o aao peepee ooae pao, cepxopa peee oxa . .
pacea op pya cyeceoe aee ee eee apa pee a epepaee eepepaee. K nepepaeoy oo ooc pe oe pao ex eeo pyooo poecca, oope ocyecc epo aoaeco pao oopyoa. Henepepaeoe o pe oe pyox peo (ycaoa aoo, opo aeca . .) p ocaoeo (epaoae) oopyoa pe a aopye pe. B oee poo cce epepae (coeae) ceye ooc apa pee a ce pao, oee oopeeo (apaeo) c e eea oepa, oope opee ee eoc. Ocoeo ao ya epepaee apa pee p oe oepa eco pao.
Bpe, oopoe oopyoae paoae e aoo-o yac paoo, aaec coo au (annapamyp) peee. Heoxoo cpec oy, o o pe cooaoc oocaooo ocya, coee y poecc.
p ycaoe op pya aae apa paoep pee ocee ec a opupyee eopupye. K oppye oocc eoxoe ax opex yco e apa ocooo, cpoaeoo pee, pee ocya paoeo eca, a ox e aooc, peaepoax epepo o opaaoo-exec pa, oooeo-aeoo . Cyapa ea x apa pee a ey poy oo aaec myo-ayuo peee t:

e t yoe pe; T oooeo-aeoe pe a ap peeo pya; n paep ap; t ocooe pe; t cooraeoe pe; t pe ocya paoeo eca; t pe a ox e aooc; t pe oppoax epepo o opaaoo-exec pa; t orooeo-aeoe pe a ey poy.
Ocooe pe xo coca t ooc, a o oca caae opy (6.5.1) yac oo x eepepaee ac.
ocoy opye (6.5.1) ec caaee, oope e oopc c ao ee poy (apep, t , t ), ea t opeee cpee apa oppoaoo pee, pxoec a ey poy o ao oepa.
aee op cypoa eo pooceo eeoc eae oro, o o c ocoo ycaoe oea pecypco (oeca cao, ceoc paox, aaco aepao), eoxox oce aax poocex peyao, Oocoaoc pecypco, oop pacoaae pao pooce oe, ec oae ycoe eceoc cce cypoa. o oycoeo e, o a pepx ce cce oeo cee ocoa a coocae aecx apa pecypco c opa.
Coca oppyex pecypco opeeec ope opaaoo-exec yco. Ta, paox, ox copoo-oae oepa, a pecypco ec paoee pe. Heoxoe apa oo pecypca a ey pao (poy) opeec opa pee. ooy ao cyae oea eoc pya paoero ocyecec a ocoe coocae aecx oppoax apa pee. paox-caoo paoee pe ae ec a pecypco. Ho caox pao cyecey po pae ae cypoae paoaoo cooa cpyea epoep, oopoe ocyecec a ocoe cooecyx op pacxoa x . ox o pao (aaox, peox . .) aa oo apa a ocyae oopyoa p oecee eoxooro ypo eo cyaaox apaepo.
Bo cex cyax ao ya aoc apa a pae poocex . Ta, copaee pyoeoc poy oe ocyo peyae aoaa oopyoa, oe aeca cpyea pcocoe, o cao c ooe apaa. ooy op pya o ycaaac a ypoe, co-oecye yy cyapx apa a ce pocex pecypco, eoxox yca apyeoo oea poy. Ma apa pecypco oa ocyecc peeax opae, oycoex exec, cxoooec, coa py aopa.
C oee execoo opraaooo ypo pooca, poco eo oeo pacpec coca op pya, ycaec aoc y oppoa opraa pooca. Ta, c oee execx oooce ocya o pao ecox cao oa eoxooc oppoa oaoo coooe ey oeco e oopyoa ceoc paox, C epee pax op opaa pya cao eoxo oppoae ceoc pa cpyyp x apo. aa oe oocoaoc ao a eoxooc oppoa pyoeoc o ca pooceoro poecca ypo (aa) .
B acoee pe a pepx coyec ccea op pya, opaax pae copo pyoo eeoc. Haoee poo pec op pee, pao, ocya, ceoc, ypaeoc, oppoae aa.
Hopa peeu opeee eoxoe apa pee ooo paoa pa (ea) a oee e pao (poy). Oa epec eoeo-yax (eoeo-acax).
Hopa paomu opeee oeco e poy, oopoe oo rooeo o paoo pao (eo) a a opeo pee (ac, cey). Hop pao epc aypax eax (yax, epax . .) paa eoxo peya eeoc paoo.
ocyuau opeee eoxooe oeco cao, paox ec, e pooceo oa pyx poocex oeo, apeex ocya a o paoo pao (eo).
Hopa uceocmu opeee ceoc paoo, . acoc, ceoc paox, eoxox ocya ooro ecox apeao.
Hopa ynpaeocmu (ca oex) opeee oeco paoo, oopoe oo eocpeceo oeo ooy pyooe.
Hopupoaoe aaue opeee eoxo accope oe pao, oope o oe paoo pao (eo) a a opeo pee (cey, cy, ec). Ka opa pao, oppoaoe aae opeee eoxo peya eeoc paoo, oao oe o ee oo oe ycaaac e oo aypax eax, o opoacax, opo-pyx. B c c opa pao oe paccapac a ac cya oppoaoo aa. Bce aae op ycaaac cxo eoxox apa pee a ocyecee eeo po-oceoo poecca. Ho paoa o ycaoe op e coc oo oppoa pee. B oe e opupoaue mpya mo u emeocmu no ynpaeu npouocmo, anpae a ycmaoeue eoxox ampam u peymamo mpya, a mae eoxoux coomoeu ey uceocm paomuo paux pynn u ouecmo euu oopyoau.
B peeo opeee cyeceo a ec o, o op pya ycaaa eo eoxoe apa peya. o oaae, o op pya o cooecoa aoee e yco opeoo yaca apaa exooecoro poecca, opaa pya, pooca ypae. coa, op pya o cooecoa aoee eoy cooa pyox aepax pecypco cooecyx poocex opaee.
Ceoaeo, coepae pao o oppoa pya ec aa pooceoo poecca, paeee eo a ac, op oaoro apaa exoo opaa pya, poepoae peo pao oopyoa, peo eoo pya, cce ocya paox ec, peo pya oxa, pace op cooec c ocoeoc exooecoo pyooo poecco, x epee , oceya oppepoa o epe ee opaaoo-execx . Hoppoae pya ec ae eo a exooeco opaaoo ooo pooca, a oepaoo ypae .
Paoa o oppoa pya acoo eco caa c poepoae exoor opaa pya, o o ox cyax x pyo papa. paec op apa pya aepao ycaaac poecce exooeco opaaoo ooo pooca. Kaoe cyeceoe eee exoor, opaa pya pooca oo copooac eee op.
Haae op pya (op pee, pao, ocya, ceoc, ypaeoc, oppoae aa) acoee pe poo pec a pae. Oao o e cepa cex xapaepc pyooo poecca, peaea oopx oeo . p aae ax xapaepc ceye pee ceo cxo oe pyooo poecca o ero eoc, . e. o coooe ey apaa peyaa pya.
Oeo cyecy e op apa pya: apa paoero pee apa paoe c (eco epo ). Cooeceo oy oo e: op apa paoeo pee op apa ep paoo,
Hopa ampam paoeo peeu ycaaae pe oe e opeeeoro oea pao o eco paoa. B acoc o opex yco op apa paoeo pee oy opee pooeoc pao, pe, apaaeoe a ee oee o eco paoa, x ceoc. ooy opa apa paoero pee oocc op eoc pyoeoc pao (oepa) op c. Hop eoc pyoeoc pao c opa pae op pee.
Hopa umeocmu opeee pe, a oopoe oe oea ea pao a oo cae (apeae) a oo paoe ece. o pe ae eoc exooecoo oec a pee pya ey oeo eex epepo, pxoxc cpee a ey pao. Hopa eoc epec eax pee: yax, acax.
Ec o pao paa ocya ecoo cao (apeao), o eoxoo paa op eoc oopyoa (H. ) paoo (. ). Ha orocaoo paoe ece p ope ocya cao, a ao oopx a ooee e poy oo apaac . y, pe, a oopoe ea poy ye yea pao, coca

Hopa mpyoeocmu onepauu opeee eoxoe apa pee ooo ecox paoo a oee e pao rooee e poy o ao oepa. apa ac e oo o pooeoc oepa, o o ceoc paoo, ax e . Hopa pyoeoc oepa epec eoeo-yax (eoeo-acax).
opeee op pyoeoc oepa epcpeceo eae ceya acoc:
H = . , (6.6.2)
e H opa pyoeoc oepa;. opa eoc oepa paoo; H opa ceoc paoo, ox ay oepa.
p oocaoo paoe a ocoe acoce (6.6.1), (6.6.2) opa pyoeoc oepa opeeec o opye (6.6.3.):

Ec o pao ocyae o c ao, o

o cpae c opa apa paoeo pee op ampam uueco u epo epuu paoo cceoa aeo ee cee. O oy xapaepoac eo pao, cee aoc paoo, oaae yoe . . cyecyx opax aepao xapaepc op apa ep paoo aoue cee oxo op ec pya. o ec pya oaec cyapoe oece cex aopo pyooo poecca a opa eoea. Oo cocax. ec pya ec ero ecoc. Ha ec pya oaae e ae cocoe pooceo cpe (caapo-eece, ceece pye yco pya). Hop ec pya peraepy oyce apy a opa paoax, ooy o coyc oocoa pee a ox, ycaoe oeca a eaope yco pya . .
Peya pya paoo oo paac oeco poeeo poy opee oeo ex pao. ooy opa peymao mpya pee ceo ceye ooc op pao oppoae aa.
eoopx py paox cyax peya pya pyo ( eeecoopao) paa oeo ox pao. B acoc, o oocc peoo ay, aaa ooporo coco e yee oea pao o peoy, a oecee opaoro yopoa oopyoa. ooy opa peyao pya ceye ooc e oo oaae eoxooo oea pa6 (op pao, oppoae aa), o ae op ucnooa oopyoau u npoocmeo oocmu, oope opeec acoc o ce poocex yco eoxo peee pao oopyoa, eo pocoe peoe, ypoe cooa pooceo ooc yaco exo . .
p aae op apa peyao pya eoxoo ya, o op peyao oo ycaaac a ocoe op apa. B acoc, opeee op pao opy (6.6.1), (6.6.3) eocpeceo eae ceya acoc:

e H opa pao; T epo pee (ac, cea), oopoo ycaaaec opa .
Hecop a o o op peyao pya oo ycaaac a ocoe op eo apa, p cooa op apoa, yea cypoa pooca eoxoo ocoo o o pao pa ey apaa peyaa.
K opaapa pya oo ooc ae op ocya ypaeoc. o cpaeo o cce, o yaae op, a op peyao pya, ycaaac cxo op pee. Oao o ooecoy coepa op ocya ypaeoc cyeceo oac o op apa peyao pya. Hop ocya opee oeco poocex oeo (cao, aapao, paox ec . .), apeex a o pao pao; op ypaeoc oeco paoo, oex ooy pyooe. Ta opao, op xapaepy paoe o pa paox ec oepaopo-oocaoo, a-ao, eypx cecape, acepo, pyooee opaee pyx py paoo.
O e o ocya ypaeoc cyeceo ac apa peya pya. B acoc, oeco cao, pxoxc a ooo paoeo, eocpeceo e a ey op ceoc, , ( ) . Oao o e oaae, o ca op (opae o) ocya ypaeoc oy eocpeceo ep apa peya pya. O oocc opa xapaepca opaa pyooo poecca ooo opa paee ooepa pya, apaepa cce ocya paox ec . . Hop ocya ypaeoc oo aa opa cpyyp pyooo poecca, opee oae coooe ey ceoc paoo pax py, a ae ey ceoc paoo oeco e oopyoa.
Heoxooc oocoe op ocya ypaeoc o op pee, pao pyx op apa peyao pya ocec co paec coopae. Ta, ec oocaoa, aaa cecap-peoa ycaoea opa ocya, o oa opee oo oy x eeoc, paep paoeo eca, o e xapaepye eoc pya. ec caec oe, o p ocya pao ooo caa (. e. p ope ocya, pao ee) eoxoo ycaaa op apa peyao pya, o p orocaoo paoe, aae peoe oopyoa y cooecye op. apoa pooca, oa cypoa pya oeo cee ao e oeco cao, ocyaex pao, a o oe poy, oop oe poee a x caax.
B c c e o op apa peyao pya (pc. 6.6.1) e cepa cex opax xapaepc pyooro poecca, ooo pooe ooae o "op pya"

Puc. 6.6.1. Cpyypa op apa peyao pya
p oocoa cocaa op pya eo ceye cxo pee ceo oo, o poepoae paoao opaa pya ec ae ao oppoa. ooy op cpyyp pyooo poecca, eycoo, oocc cy op pya. poepoae paoax yco pya o ox cyax ae ocyecec a o ao ycaoe op apa peyao pya. B c c e ocoa ca cocaa op pya op eo yco.
K paccope opa eocpeceo pa op cooc oex pao, opeee eoxoy aa coee. Oea cooc pao peye yooo oa ocoeoce exooecoo poecca ocyecec a pae e e ceaca (exooa, oppoa), oope pacca op pee pao. ooy op cooc pya eecoopao ooc aapyeo cooyoc op.
cxo op cooc (papa) pao opeeec opa e oa ey pee, . e. apa caa. B co oepe, a ocoe apo ca op pyooc oepa (e pao) ycaaaec opa ee apo apaooc (pacea).
Ta opao, ooo a yoe, a pooe ooae o "op pya". B epo cyae opa pya yy oocc oo op eo apa peyao. Bo opo cyae opa pya ceye ooc (pc. 6.6.2): 1) op apa peyao pya (op eoc, pyooc, ceoc, pao, oppoae aa); 2) op cpyyp pyooo poecca (op ocya ypaeoc); 3) opbi cooc pya (pap pao, aeop cooc pya ceaco); 4) op oa pya (ape ca, oa, op apaooc pao); 5) op caapo-eecx ceecx yco pya (oceoc, y, eepaypa pyre apaep pooceo cpe, pe pya oxa);
6) coae paoe op pya.
M paccope acca op pya o x coepa. o pa ec oco. Kpoe eo, p acca op yac ceye pa: ypoe epea poocex poecco eeo ocpy e, cepa pee, epo ec, eo ycaoe.

C acccae op pya eco caa accuuau opmux amepuao no mpyy, oope cya ycaoe op paa acoc ey eoxo apaa pya a x aopa. Oo e a a opax aepao: opamu eue (munoe) op. epe paa opae acoc ycaoe cocax ace (caaex) op pee, a ae opeee op ceoc; ope peca acoc eocpeceo ey eo op (pee, pao, ocya, ypaeoc) a ee apa. Ocooe pae ey opaa e (o) opa pee aaec cee epea eeo pooceoro poecca. ooy oa ee (oe) op paccapa a opao.
o coepa opa o pyy opaec a opa peo pao oopyoa, opa pee, opa ea pao opa ceoc.
Hopamu peuo paom oopyoa coepa apaep oopyoa, a ocoe oopx ycaaac aoee ee pe exoorecoro poecca, oeceae aay pooeoc oopyoa c a apaa oo oeeceoo pya. B cooe c pa peo pao ycaaaec ea aoo, aapaypoo ao(aapaypo) -pyoo pee.
Hopamu peeu coepa peaepoae apa pee a oee oex eeo pyooro poecca (pyox e, ec, peo . .), a ooee eae, yo, e a ocyae e oopyoa, paoero eca, e pooceo oa,
Hopamu mena ycaaa peaepoa e o . B acoee pe ae opa pec, apep, a Boco aoaoe.
Hop uceocmu opee peaepoay ceoc paoo, eoxox oe aaoo oea pao.
Ha ocoe paccopex acca op opao oo e ceye pa ey .
1. Hope cooecy cpoo opeeee ae aopo, peee ee ey ycox opeo poo poecca. B oe o ro opa oeca ae . oe op oocc aepaa. cooa aeaecy ep eeye paccapa a y, oopa yc cooece ey oeca op x eeo x a x . y o aaa aaec, rpaec ao. ec aee y (opao acoc) cpoax aex apyeo (aopo). Ta opa, pae ey opao opo pee ceo oeeec pae ey ye o ee ae.
2. Hopa oopao coyc ycaoe pa op a pao aoo a. Hopa ycaaaec oo opeo pao.
3. Hopa ecy eoe pe (oa coxpaec aa acoc ey opo aopa). B oe o oo op o epecapac p ee yco, a oope o ycaoe.
Oepao, o poe opaa pya cooecye op o pac c yeo oeca execx, ooecx, cxoooecx coax . o oceeo pee oppoa pya aoee ae yeoc cey mexuecu amopa: apaep exooecoro poecca, oopyoa, cpyea, pcocoe; exece peoa aecy npo . K exec aopa oo ooc ae yaee opax xapaepc cce ocya oopyoa paox ec. oa xapaepc e pyy opaaox aopo.
K oouecu amopa oocc xapaepc oea poy, apa pecypco pax o, oaae poyoc, yco a pax poy pecypco, oooc pacpe pooca, oye peo, ca aoo . .
o ncuxouuoouec amopau oa oaae, xapaepye e pyooo poecca a opra paoax: apa x ep, cee yoe . .
K coua amopa ooc coepaeoc pya, eo paoopae, ae opecx eeo, xapaep aoooe pyox oeax . .
o cyoc poecco oecoro oocoa op pya, ceye cxo oo, o a aaa oocoa op ee cc ocoy, ocoy oeo oo pae apa cao op, o opeex ee xapaepc exooecoo pyooro . Tep "oocoae" e oe e aoo pyoo ocpyoo coepa, poe opa ayeo apaa oo, o oocoaec.
B aaax oppoa apa oy paac pee ceo o ee cax op pya. Ta, ec pe pao caa e yac paoeo pe aoc paoeo a oo cae epa, oo pae apa op ocya ceoc paox-oocaoo. Ka pao, apa op ocya, ceoc, ypaeoc, op paee ooepa pya eocpeceo ea cyeca opeo aa.
a cya caaec p oocoa op pee. ae x op ooao opeec p apaa exooecoo pyooo poecco. ooy oocoaoc op pee opeeec oocoaoc aoo e caaex: ocooe pe oo cooecoa oaoy pey opao, cooaeoe oa pea pya paoeo, pe ocya paoeo eca oooeo-aeoe pe oao ccee ocya paox ec oaoy pey pya oxa. Ec opa pee ycaoea peyae oa cooecyx eeo exooecoo pyooo poecco, o ee oo aa oao. Too ay opy pee oo ca oo epe oocoao.
Ta opao, cyocm npoecca oocoau op mpya cocmaem op onmuaoo aeu op u onpeeux e xapamepucmu mpyooo u mexoouecoo npoecco.
Bop ayeo ax yco apaa op pya ocyecec a ocoe pep oaoc c yeo cce opae.
Kpep oaoc pecae coo oaae, oop peyae pee opeo aa oa pae cpeaoe (aoee aeee) aee.
Ccea opae opeee y oac oycx ae op pya, peeax oopo coaec x cooece ocoeoc acaa ycaeo poy, apaepa peex peeo cpec pya, cxo-ooec ocoeoc paoaeo coa xapaepca pyooo poecca.
Bce opae aaax pacea op pya oo pae a epe py. epa opeee eoxoe poocee peya (pee ceo popay yca poy). Bopa oycoea yace eoea poecce pya xapaepye oyce caapo-eece, cxoooece, coae paoe yco pya. Tpe oycoea exec xapaepca peeo cpec pya; oa xapaepye pe exooecoro poecca, p oopx oeceaec aaoe aeco poy opaoe yopoae opyoa. eepa opeee opaaoo-exece yco pooca, aeee oopx oe exc poocex pecypco: oeco e oopyoa, ceoc paoo pax py, aac peeo pya a pax cax pooca.
B poecce ocpoe cce opae coyc ae execx, ooecx, ooecx pyx ay. p o e, o eocpeceo a paceo op pya, ececeo, o a pa oocoa ce opae. B acoc, ceac o oppoa e oe poo cceoa, cae c ycaoee acao oyco aoc paox acoc o yco pooceo cpe. B c c ooe aee ee coepeeoe oeceee oppoo peoea, peoa, opa py aepaa, oooe cooecy ceaca.
.
Bop aoee eoo oycx apao ocyecec a ocoe pep oaoc. ocoy oco opaueue paccampuaex aaax emc eoxou npouocme peymam, aecm pumepu onmuaocmu oe upamc oouecu noaame, xapamepuyu cyy uupyex ampam uoo u oeecmeoo . o oaae ycaaa c yeo yco opeo aa. Ta, ec cya apa a oopyoae aac peeo pya peoarac cpoa, yy cyapx epe pooca ye cooecoa y apa a coepae paoo. Ec aaa coc poepoa oaoo pyooo pea, o pep ya cyapx apa ye, a pao, cooecoa pep ya pee oe pea p coe opae o oyco copoc pyox e (ey pao).
B ouce paecx aa oppoa pya pep ya cyapx apa ec ece. oa o oe ooc coa pep. Oao acoee pe oopepae aa opaa oppoa pya peca ocoo eopeec epec. Coae xapaepc pyox poecco o yac pee ceo ccee opae. Ec ae eeo y, cooecye ooecoy pep, oaac , o op oaoo apaa oe ocyecc a opao, o coae xapaepc oaac peeax oooo aoee arop paoo.
Peee aa oppoa pya, cxo peex opae pep oaoc, ooe ycao op, cooecye oao cpyype pyox pecypco. B poecce peaa pooceo popa ccea cypoa oa apaea a aca ea (peyaa) o cooa ycaoeoo oea . oeceaec aoc oppoa pya c py e cce ypae pooco.
Ha ocoe oeoro oo copypoa ceye opeee.
onycmuu c ae apa pya ero opaa, p oopx oc opae o eoxooy pooceoy peyay, caapo-reec, cxoooec coa yco pya paoo, pea exooecoo poecca opraao xapaepca pooca.
Onuau c ae oycx apao op pya eo opaa, p oopx ocraec y cyapx apa, eoxox oye aaoo pooceoo peyaa.
ae opeee oocc o ce a op pya, o ce opa caapo-reecx yco ec pya. B c c eecoopao yo oac pee ax epo, a "oyce", "opae", "oae", yopeee epaype xapaepc caapo-reecx yco ec pya.
oyce apa yco ec pya xapaepy pa, peeax oopx ooo ocyecee pyooro poecca e yepa opo paoax. pepa c peeo oyce oepa (K) pex eec, acao oyce ypo ya, pa, aeoc . .
p yye yco pya o cpae c oyc opa, a pao, pace yaa pooeoc pya paoo. yee apaepo pyoo cpe cao oo c yeee apa a ycaey poy. ooy oa ao opeoo yaca pooca ceye ca ae oycx apao caapo-eecx ceecx yco pya ero ec, p oopx ocaec y cyapx apa a aay popay yca poy.
B oe o o oycx oax yco (ec) pya, oe opax yco (ec) pya e ee ocpyoo . B c c ep "opae" peeo yco pya eecoopao yope a co epa "oyce".
Ta opao, a aaa oocoau op pya uu onpeeux ux apuamo mexoouecoo u mpyooo npoecco aaemc mo, mo amu opy mpya u apuam eo opauauu, npu omopx coamc opaueu no:
eoxooy npouocmeoy peymamy;
onycm ycou mpya.;
onycm peua mexoouecoo npoecca;
oea ueuxc npouocmex pecypco u ocmuaemc uuy ampam
a aa oe nyca .
6.8. Meo oppoa pya.co oce pao apeoc op
o eoo oppoa oaec cooyoc peo ycaoe op pya, ax: aa pyooo poecca; poepoae paoao exoo opaa pya; pace op. Bop eoa oppoa pya opeeec xapaepo oppyex pao yco x oe.
o pao cxee ycaoe op eo oppoa pya ec a aaece .
Aaumuecue emo a: aa opeoo pyooo poecca, paeee eo a ee, poepoae paoax peo pao oopyoa, opaa pya eoxox apa pee o eea pyooo poecca, ycaoee op a oepa.
Cyape emo peoaa ycaoee op pya e paee poecca a ee poepoa paoao opaa pya, . e. a ocoe o oa oppoa (o eo), o cacecx ax o oe aaox pao (cacec eo). Hop, ycaoee c o cyapx eoo, aa o-. Tae op e oo eo cooa poocee pecypc o aec opa, ycaoe aaec eoa.
o eoe oye cxox ax aaece eo ec a aaumuecu-paceme, p oopx ao pacea op c opae aepa, aaumuecu-ucceoamecue, oa cxoa opa oyaec ye ae cepeo. Aaec-pacee eo acoee pe c oco. O oecea eoxoy cee oocoaoc op p aeo eux o cpae c eceoaec eoa apaax a cop cxoo opa.
B ycox accooo, a oa cepoo pooca aaec-pacee aaec-cceoaece eo pec oece: peape apa op paccaec o opaa, a ae yoec a ocoe ae.
Hop, ycaoee a ocoe aaecx eoo, oo aa exec oocoa, pee ayo oocoa. oceee aae opaae oec xapaep oocoa op, eoxooc oopoo oepaa. Tep "exec oocoae op" oo peec a paec paoa o oppoa pya, a pao, ooy oaac o eo acoee pe eeecoopao, ye ao eo o (oec) coepae, . e. ya e oo exece, o ae ooece, coae pye aop. B acoee pe po ca pa yopeee oox aa exec oocoae op ayo oocoae op. ooae op, ycaoex aaec eoa, oo cooa ae ep "aaece ".
Aaec oxo, peycapa eee eeo pyooo poecca, poepoae paoao exoo, peo eoo pya, cea cac oco p ycaoe op. Ta, ee 30-x oax e e py eoo: cyape "oppoae o ". B acoee pe ae cxo oo, o oocoa op (a oo aaoc: exec, ay oec) a ec aa pyooo . B c c pecaec aoee ecece aa op cooeceo eoa x oocoa, . e. aaec cyap (oo-cacec.
Paccopee eo oppoa pya opee yco, oeceae pay anpeocm op, o oopo oaec paeco oex peoco (oooce) oaooo ypo oe op.
ocee pao apeoc ec eca coo . ee pee peyec:
eco eoo eo oppoa pya;
eco opax aepao pacea op eoo cceoa apa paoero
pee;
ocaoa aa exooo ceaco o oppoa pya;
oooc paeco peaa poeo exoo, opaa pya
pooca;
aepaa opaa aepecoaoc paox, eepo-execx paoo
pyooee pooca coo aece op pya.
Ocoe nomuB paee pya.
pa paee pya.
Kooepa pya. B pa.
.
.
Paoee .
poocea oepa.
, , .
Kacca apa paoeo pee.
Hoppyee eoppyee apa paoeo pee.
Oepaoe pe.
Ocooe cooaeoe pe.
Bpe ocya paoeo eca.
oooeo-aeoe pe.
Bpe peraepoax epepo.
yoe pe, yo-ayooe pe.
Hop apa pya.
Hop peyao pya.
Hop opaa pya.
Hop eoc oepa.
Hop pyoeoc oepa.
ecoc ec pya.
co pya.
Hopa opaa oppoa pya.
Oocoae opaa op pya.
Cpyypa aa oa op pya.
oyce op pya.
Oae op pya.
co pao eopeeeoc op.
Meo oppoa pya.
Kompoe onpoc u me ucceoau1. Ka oppyc poeccoao-aaoe py a ocoe o paee pya?
2. B e cyoc pa paee pya? Oce p x .
3. Haoe aop, opeee cee epea pyooro poecca.
4. Copypye ocoo p acca apa paoeo pee.
5. Kao acca apa paoeo pee?
6. Copypye p ee oppyex apa pee.
7. o opee op ocya ypaeoc:
apa pya;
peya pya;
o pyoe;
o, pyroe?
8. oey eoxoo paa op eoc pyoeoc poocex
oepa?
9. e coyc op eoc pyoeoc poocex oepa?
10. Haoe o op opao pya.
11. Ka paec peaoa p oecoo oocoa opaa op
pya?
12. Ka oppyec ccea opae p oocoa opraa op pya?
13. Ka opeec pep oaoc opaa op pya?
oco aa, cax c poepoae opaa pya eo oppoae, peaec cxo opa, oyaeo peyae cceoa pyox poecco.
cceoae pyooo poecca peoarae aa cex eo xapaepc, x a apa pya eoc cooa poocex pecypco, yac pcpyo-exooece apaep oopyoa, ero cooece ooeo poy pooec peoa; poeccoao-aaoe, cxoo-oece coae xapaepc paoo; yco pya, peea exoo, opraa paoeo eca, eo ocyae .. cxo ee cceoa pac eo oye opao opa, Kpepe oaoc ec y cyapx apa, cax c oyee eoxoo opa ee ocey cooae.
p opaa pya aoee aee e e aa, cae c cceoae pyox poecco: 1) opeeee aecx apa pee a oee eeo oepa (pyox e, ec, peo ..; 2) ycaoee cpyyp apa pee a poe paoe ce ee ac.
Opeeee eoc oe eeo oepa eoxoo papao opao pee, opa aoee paoax eoo pya, ycaoe cocax op pee, aaa aeca op opao. ae o cpyype, apa paoeo pee coyc p papaoe opao pee ocya paoeo eca oooeo-aeoo pee, oee eoc cooa paoeo pee, aae cyecye opraa pya pooca.
cceoae pyox poecco oo pooc c yeo oo, o pe, apaaeoe a oee eea oepa opeeeoo a pao, ac o oeca opaaoo-execx cxoooecx aopo, oope oo e oac ooy opo. B acoc, epee eoc ooo oo e eea oepa ox ex e ycox ae p e, oce cyae e coaax py c pyo, .e. peya aoo epe yy coca apao p. ooy oye ocoepx oo o eoc eeo oepa cpyype apa paoeo pee o cooac ae eo opaa opao ae, oope oo ya epooc xapaep cceyex poecco. oye eoxoo opa c a apaa eca ao oocoae oeca ae.
Meo cceoa pyox poecco oy accpoac o: e cceoa, oec aaex oeo, cocoy poee ae, ope ca eo ax ..
B cooec c e cceoa e ceye eo: xpooepa, oopa paoeo pee, ooxpooepa.
Xpooepa cy aaa peo pya opeee eoc oopxc eeo oepa.
oopa paoeo pee (PB) peec ycaoe cpyyp eo apa a poe paoe ce ee ac. Tep "oorpa" ocaoo oo opaae cyoc oo eoa. Ec p xpooepae oeo ye, a pao, c ee oepaoo pee a ope poy, o p PB cpyc apa pee a ce pao epepo, oope aac eee opeeeoo opea pee. p o ee oepaoo pee ec ypyeo (o po oeco ). Cpyypa apa pee p PB oe ycaaac o pa accao cxea.
ooxpooepa peec oopeeoo opeee cpyyp apa pee eoc oex eeo pooceo oepa.
o oecy aaex oeo paa yae, pyoe, appye ae. uuya ec aee a o oeo (pao, cao); pynno a eco . Paooc pyooo ae: paoe (a pao pa) orocaooe (a pao caa a orocaoo paoe ece) ae. Mappym caec aee a oeo, oop epeeaec o opeeeoy appyy, a eco oea, pacooe cpaeo aeo py o pya a oop aae epeeaec o cooecyey appyy.
B acoc o aa cceoa ocoeoce pyox poecco cyecy pae eo poee xpooepaa, oopa paoeo pee, .
Xpooepa oe enpep (o eyey pee), opo uo. p poee xpooepax ae o eyey pee ce ee pao cceyc ope x . Bopo xpooepa peec ye oex eeo oepa eaco o x oceoaeoc. B ex cyax, oa pyo ocaoo oo ep apa pee a ee oepa, ee eoy pooeoc (35 c), peec oo xpooepa. O aaec o, o oceoaee pe oec rpy c pa cocao yaex eeo. Ha ocoa aepo eoc oe py eeo opeeec eoc aoo xoero x eea . Ta, ec ec pe a, , , o o oy oee p py:
a + = A,
a + = ,
+ = B.
aee ye ae opeeec pe oe ao ao py peo (A, , B). B oe oy p ypae c eec a, . oce x pee axoc pe oe oex eeo.
oopa paoeo pee paac o y oco paa: aae oea cocoa poee opao ae,
o epoy pay e oopa cooa pee paoo (yaa, pyoa, caooopa), oopyoa, a ae oopa pooceoo poecca. p uuuyao oopa aae yae, a coyec pe o pao eee paoe ce pyoo epoa pee. pynnoa oopa pooc ex cyax, ora paoa oec eco pao, acoc p pao opaa pya. Oo ax aa oo a PB ec yee paoc cyecyero paee ooepa pya pae. Ocoa e poee caooorpa peee paox cyax aoy yac e ycpae oep paoeo pee. Caoomopau pooc ca paoa, oope cpy ey oep paoeo pee p x o.
oopa pee cooa oopyoa o aee a eea eo pao epepa e. Oa pooc opeee eoc cooa oopyoa apa pee a eo ocyae pao pax rpy.
p oorpa pooceoro poecca oopeeo pooc yee apa paoeo pee coee, pee cooa oopyoa peo ero pao. o oopa oa aaec ycopo aee.
Paa a eoa poee PB: eocpecex aepo pee, oa pecppyec pooeoc aaex eeo apa pee, oex ae, oa cpyc coco paox ec, a cpyypa apa pee ycaaaec o oecy oeo, oa oeac cooecye .
B acoc o ee aaa pyooo poecca coyc pae exece cpeca: ceyoep, xpooco, oaep, eeaep p.
Bce eo cceoa apa paoeo pee a ceye ocoe a: oooa ae, eo poeee, opaoa ax, aa peyao oooa peoe o coepecoa opaa pya. Coepae pao o aoy x ao ac o eoa cceoa apa paoero pee.
7.2. Xpooepaopo . orooa xpooepay oo ae op oeo ae, paceee oepa a ee, ycaoee cax oe, opeeee ca ae, aoee oyea.
Bop oeo ae opeeec e poee xpooepaa. Ec e xpooepaa ycaoee yoee op pee, o aece oeo ae oo peoeyc paoe pra, peya eec oopx axoc a ypoe ey cpee pooeoc, ocyo ce pao, pooeoc epeox paox. Bao ya, o p oo eoe xpooepaa cpyec aec ycaoc a ao yace e pao, oo-p oe e cooecoa opao ax yco ecoc pya. B c c ae epec, pecae o Bocoro aoaoa, a oopo poecce ae aapyc e oo apa pee, o cooecy e pyox ec paoe. Cyoc oo oa oea e.
p poee xpooepaa papao opao oea ae o oe coe ao pao, oaae eoxo cxoooec xapaepca, aae oe oepa eoxoo ee.
Ec xpooepa peec ye epeooo oa, o oeo cceoa o paoe, pee aoee ee pe eo pya.
Xpooepa oe pooc e p eoe op oe pao, o ooe opee e, eae oe oocoax op, ooe op.
Opee oe ae, coca opooe ocae oepa, oopoe oc cea oye xpooapy. Ha eo copoe xpooap acac ce ae o oepa, oopyoa, cpyee, aepae, paoe, yaaec cocoe opraa ocya paoeo eca.
p oooe xpooepay cceyey oepa pae a ee: oec peo, pe, ec, e, Cee ee oepa ac ocoo o a pooca. Haoa eaa eeo pyooo poecca ocyecec p accoo yce poy.
oce paee oepa a ee ycaaa x pa, opeeee o ca oa. ucae mou o peo paee (o yooy peoy ocp) oe aaa ooa eeo oepa. Hapep, ca oa oy : pocoee py cpyey aooe, xapaep y p aae poecca pea eaa .. p opoo xpooepae aoo eea oepa ycaaa aay oey cae o. Ec xpooepa pooc o eyey pee, o epoo eea oepa ycaaac aaa oea cae o. ocax eeo opeec oo oee cae o, o e yy aa ceyx a eeo.
p oooe xpooepay ycaaaec eoxooe oeco ae. B ao cyae pe e o peapeo oee. o cao c e, o, a ye oeaoc, eoc eea oepa ec cyao eo. aeaeco cac eco, o oeco ae, eoxooe oye cpeeo ae cyao e, ac o apa e ae, opeeeo cepce pyr oaae. ocaoo oa oea apa oe ycaoea o a ae. ooy a ae ooo poee xpooepaa coyc opae oe a-pa pax poocex yco.
Haoee poco oeo ec oe ycooc K , opeee ooee acao pooeoc aaeoo eea oepa tmax ao tmin :

Opepooe ae opax oeo ycooc pee a. 7.2.1. Ceye oe, o oe ycooc ec eca pyo oeo apa, a a o yae coooee oo pax ae apaooo pa. oe oocoaoc peyao xpooepaa eecoopao cooa oee oe cacece oe (cepc, cpeee eoe ooee ..
cxo opax oeo apa, a ae peyeo ooc ocoepoc peyao xpooepaa ycaaaec peapeoe oeco aepo. oro coyc a opy (c. aee). oyea peapea oea oeca aepo yoec o peyaa .
7.2.1.

p poee aepo eoc eeo oepa aae oe opee cae o cooecye oe pee, cpoa aaeo ce ce ooe o opaoro pea pao. Meoa oe xpooepax ae cyeceo ac o peex execx cpec.
oce oye eoxooo oeca aepo pooc opaoa ax ae. aoo eea oepa oya p ae eo pooeoc, .e. xpooepa p. ep ao ero opao ec cee eex aepo, oope c pee ceo a ocoe ace aaeo ce o ooex o opaoo pea pao. ae pooc aa xpoopa. Oo oro coyc aece oe ycooc, paccaee o opye (7.2.1). x ae cpaac c opa (a. 7.2.1). Ec aec e oue opaoo, o xpoop caec yco, poo cyae peoeyec c acaoe aee pooeoc eeo oepa, a ae o pacca . Ceye oe, o cee eex aepo a ocoe oeo ycooc e ca ocaoo oocoa. oee pa ec cooae eoo aeaeco cac (cxo oe epooce oye peo exc eeo xpoopa).
oce ce eex aepo axoc cpe pooeoc aoo eea oepa. Oo a ea opeeec a cpe apeeca ae xpoopa, cooecyx opa yco .
p oocoa opax ae eoc eeo oepa o a xpooepaa eoxoo ya ao pacpeee cceyeo cyao . Eo xapaep ycaaaec pee ceo cxo eco cyoc aaeoo poecca. Ta, ec ooe o cpeero ae oaoo epo a y, a euy copoy, o oo ca ao pacpeee . poepa oe o aoe pacpeee pooc o cacec pep a ocoe ax ae. cceoa oaa, o yae e, aaee p xpooepae, oo xapaepyc opa aoo pacpeee ey aoa.
oce a xpooepaa aa peyao, oop ae ee x e ec, oey oooc x coee yeue eoc. o peyaa aaa ooaeo ycaaaec eoxooe pe a oee oepa.
Oea ea pao p poee xpooepaa. p oo eoe xpooepaa e pao, a ocoe ooporo paccaec pe oe pyooro pea, ycaaaec cooec c aec eo opex coee.
Ha Boco aoaoe (BA) eoopx pyx pepx peec a eoa xpooepaa, oopa yae e oo pooeoc pee, aec apaaeoo pao a oee pao, o e pao cee paoaoc peo pya.
ec ceae a yee o, c oo oopx eep o opaa oppoa pya oyac yao oee ea pao poecce xpooepaa. Koppepoa aecx apa pee a oee eeo oepa pooc c oo a aaex oeo eoc pyox e K, ea oopx oeec peeax o 0,45 o 1,15. p oee 1,0 paoa oec paoa cocoo opao ee.
p oee ea pao poeee oex ao xpooepaa ee p ocoeoce: 1) p oooe ae e eoxooc pa paoeo co cpee pooeoc pya; 2) ep apa pee, aae cpye e oo x aecy ey, o oe eoc pyox e; 3) p opaoe peyao ae opaoe pe opeeec o opye

- opaoe pe oe eea oepa; aecoe pe.
Be T K opeec e a cpee apeece, a a oae, .e. aoee aco .
Bop ooec oaoo oeca aepo p xpooepae. Oocoaoc xpooepaa aeo cee ac o oeca poeex ae. e x oe, e e ocoepoc oyex peyao. Oao yeee oeca ae cao c ooe apaa a poeee xpooepaa. B c c oae poea opa aoee eoro (oaoo) oeca aepo pee oe ao pao.
Hayoy oocoa oeca xpooepax ae oceo aeoe co cceoa. peoe o oocoa oeca aepo oo opae a opy aeaeco cac, B acoc, oe op p opeee cpeero ae cyao e oo ycao o op

re n co aepo; v apaep, cooecy aao oepeo epooc oe cpeero ae cyao e x, 2 cepc cceyeo cyao e x, x peapea oea cpeeo ae x,2x aaa oocea oa oe cpeero ae x.
ec oa opy (7.2.3), yae oe eepao cooyoc pae oaae apa cceyeo cyao e.
Ocoo eocao opy (7.2.3) aaox e coco ocyc peoea o ooecoy oocoa ooc ocoepoc paceo, .e. p ao oxoe e yaec ooec ace aa.
Oaoe oeco ae p xpooepae oo cooecoa yy cyapx apa, cax c poeee xpooepaa cooae oyex op pee. Be apa, cooecye apaa oeca ae, o paccac o ooe ooy pooceoy peyay oy oey poy a ao paoe ece, oop ye poee a epo ec ao .
B peyae ooo-aeaecoo aaa oyea ceya acoc opeee oaoo oeca aepo p xpooepae:

re z ooec apaep, ya apa a xpooepa oee pooceo oepa; N oeco e poy, ooeo a ao paoe ece eee oa; W == 0,8x cpeee acooe ooee xpoopa; k oeco aeoa pao, oex a paoe ece eee roa1.
_________________________________
1 C.: eu .M Oa op pya, M., 1982.
Oco aa oopa paoeo pee c: oooa, poeee, opaoa peyao ae, x aa papaoa epop o yye cooa paoeo pee.
B epo ooo ae eoxoo y exooec poecc, opaa paoeo eca, opo eo ocya, paeee ooepa pya ey pya paox.
oopa c e ye oep paoeo pee oec ye o opraa pya, a oopy paccac opa.
Ka oeaoc pa. 7.1, PB oe pooc y eoa: eocpecex aepo pee oex ae.
p yao oopa paoeo pee eoo eocpecex aepo aae ce (a. 7.3.1) acac ce ec coe epep o ope, ao o aec pocxo. B pae "Teyee pe" acaec pe ooa aaex eeo paoero pee. B rpae "epepaeoe pe" yaac oep eea oepa, op epepae a ee, pooeoc epepaeoo pee. Ta, pepe, oop pee a, 7.3.1, ac 4/8 p. 6 oaae, o ee 5 epepaec eeo 4 eee 8 . ooy cooecyee eyee pe yaao coax.
p opaoe ax ae aaeo ce po ac apa pee cac x ec ye a peyeo pee oceyeo opeeec ea x apa. Ha ocoa x ax cocaec coa apa pee pao (a. 7.3.2). aee pooc aa peyao ae. p o opeec epaoae apa oep paoeo pee. caaac x p. B poecce aaa aece apa oooeo-aeoo pee, pee opaaooro execoo ocya cpaac c opa, oope opeec a ocoe poepoa aoee eo cce ocya paox ec. Heoxooe pe a ox e aooc a cey ycaaaec a ocoe opacex opao ax yco pya poepoa paoaoo pea pya oxa.
7.3.1

Taua 7.3.2
Coa apa paoeo pee
ec |
B pao apa pee |
oope-oc a cey |
poo-eoc, |
B o c-e epe-pae-x a-pa, |
3 |
cpya orooa cpyea Hacpoa |
2 1 2 |
7 5 27 |
- - |
O |
Oepaoe pe |
8 |
308 |
|
OP |
Opaaooe ocyae paoero eca |
2 |
12 |
9 |
TEX |
Texecoe ocyae paoeo eca |
4 |
28 |
|
OT |
Ox e aooc |
3 |
26 |
|
T |
Hoppyee epep o opexpa |
2 |
14 |
|
HT |
oep a epoo-ey paoy |
3 |
38 |
|
H |
oep -a apy-e pyoo c |
2 |
15 |
|
Bceo |
480 |
oce oo cocac aec poepye (opa) aac apa paoeo pee. Ha x ocoe oy ycaoe o oepaoo pee, pee ocya, pee oep o pa pa .. ceo oe pee. Hapep, ye ec oepaoo pee axoc o opye:

e T . oepaoe pe a epo ae T
p cocae opaoo aaca ce oep epaoae apa paoeo pee cac, a ce oo yeaec oepaoe pe.
Coocaee aecoo opaoo aaco ooe opee oo poc pooeoc pya o aoy peoe, apaeoy a ycpaee oep epooex apa paoeo pee:

e T. , . poepyeoe (opaoe) aecoe oepaoe pe.
cxo opy (7.3.2) oy pacca e o aoy epop, apaeoy a yee apa pee.
Ha ocoe coocae aeco poepyeo opraa pya papaaaec a epop o yye cooa paoeo pee c yaae cpoo x oe, oaeoo ea, eoxox apa, coo acpoa oecex a oee.
pyoa oopa paoeo pee pooc ex cyax, oa paoa oec pyo prao (eo) paox. Ec co paox pye e peae pex eoe o axoc oe pe aae, o peec eo eocpecex aepo pee. opo poee ae ao e, a p yao oopa, o ac apa pee x coy poo o aoy . B peyae aaa ycaaac cpyypa oa pee eoc paee pya ee (pae).
p ce paox oe pex aae oo e yceae cpoa pe aaa ooa cex ec, oex a . B x cyax PB eecoopao poo eoo oex ae (c. a. 7.4) c cae coco paox oopyoa epe oaoe cyao pae poey pee. p poee caooopa yac oo . coe oe aca coe aaeo ce py, pe aaa ooa epepo paoe, oocxc aeop oep paoeo pee. peoe o ycpae x oep acac a oopoo copoe aaeoro ca. Ha ocoe peoe papaaac epop o peypee ex oep paoeo pee coepecoa opaa pya.
p oopa pee cooa oopyoa oo cpyc pe aoaeco pao cao (aperao), pe x ec p yac paox, pe pocoe o pe oa cya. Meo eocpecex aepo pee coyec p eoo oece oeo. B o cyae exa poee ae- opao x peyao ocoo aaoa oeoy paee. aaa cooa oopyoa ooo , yaca, exa ceye cooa eo oex ae.
7.4. oopa paoeo pee eoo oex aep PB eoo oex ae cpyypa apa paoeo pee ycaaaec a ocoe oeca oeo (cyae), cooecyx aae coco paox oopyoa. Be apa paoeo pee opeec ye ee aaeoo epoa pee (apep, ce) poopoa oecy oeo, ora cpoaoc o oe cocoe yaex oeo.
ca coco paox ec oe ocyecc y cocoa: epe pae epe cyao pae poey pee. ep coco peec oo p ae a cpaeo eouo pyo oeo. epa ae paec acoc o oeca oeo cocae oo 13 . Ec oeco oeo ae peaae 10, o eecoopao cpoa coco paox ec epe cyae ope pee.
p ye cpyyp paoero pee eo oex ae ee p cyecex peyec epe eoo eocpecex aepo pee. Ocoe x aac ceye.
1. C oo oex ae oo aapoa cpyypy paoeo pee paec p o oece aaex oeo. o ao, a a ycaoee apa pee ooo yxpex paox, a pao, e ee cyeceoo ooecoo ae. Pacxo a poeee oopa yy opaa, ec a ocoe e peyao oo yy cooae paoeo pee aeo py oeo ae.
2. Meo oex ae oeceae aeo y ocoepoc cpyyp apa pee. B oe o eoa eocpecex aepo, oa aae ocoo axoc eocpeceo oc o aex paox, p oex aex ca coco oeo ae oe ocyecc a, o o e ye oaa coo-y aeoro cxoorecoo oec a paox. ex, o yae cpyypy pee, poeee oex ae ae cao c e cxec ec apee.
3. Peya oex ae e cay eee ocoep, ec ae yy pepa, a ae pooe epe ecoo aco ce.
4. Ka oaae o, p oex aex apa pee aaee 510 pa eue, e p eocpecex aepax pee,
p poee oopa eoo oex ae pee ceo eoxoo ycao epee ex coco aaex oeo, oope yy cpoac. Kaoy coco pcaaec cooecy ec. pearaea ccea eco ec ocaoo yepcao ooe oy oy opa o cooa oo pee oopyoa, ocox cooaex paox.
Peoeyc ceye ec:
A oopyoae ecye (aaec opaoa eae a cae);
B oopyoae pocaae o pe ocya, acoc: o pe ocya oco pao B , opy B, y cecap B2 ..;
oopyoae ocyaec cooecye pyo paox o pe pao, .e. pe ocya epepaec a peee (apep, b );
C oopyoae pocaae o pe oa ocya, apep: oa paa C , cecap C . .;
D eocee poco oopyoa, cae c ocyce pao paox.
oce ycaoe eco aaex coco oopyoa paox opeeec appy oxoa. B acoc o apo exa oe ycaoeo ecoo appyo, aoy oopx pcaaec co oep. Oe ae o aoy appyy oxoa ae yepyc aocc aae c.
Cyaoc oe aae p poee oex ae oo oece pa cocoa. Beca poco opaoa ae p ope oepa appya oepe cocoo. Hapep, p epex appyax oe ycaoe cey opo x oxoa:
Hoepa oxoo Hoepa appyo
1 1234
2 2413
3 4312
. .
. .
. . ..
Moe aaa oxoo opeeec cxo pee ooo oxoa cex appyo. Hapep, ec pe oxoa cex appyo 20 , o aa oxo ceye c epao 20 a cey oo coep 24 oxoa (480 : 20 = 24). p o cyaoc oea oxoa aae aoy oey oeceaec epooc opo appya.
B a. 7.4.1 peea peoeyea opa aaeoo ca p poee .

Ka o pepa aoe aaeoo ca, p epo oxoe (aao 8 ) a l- 2- caax aaac aa paoa (A), 3- cao pocaa o pe ocya cecape (B ), 19- cao ocyac y cecap (B2 ), 20- cao e cooac (D), 21- cao ocyac epo (B ) .. p opo oxoe ( 8 20 ) 2- cao ocyac oco pao, pe o ocyae epepaoc a peee (A).
pearaea opa aaeoo ca ooe oy cepay opa o pee cooa oopyoa, eo ocya pao pax py (c yaae x ca) pocox o pa pa.
oce poee aaoo oeca ae n ocaec oee oeco aaex oeo: pao oopyoa R , eo ocya pao cex py R ( o ce oeco oeo ocya oe pya paox) pocoe R .
Ha ocoe oyex ax oo opee:
1) o ceoo oa pee, eee oopoo oopyoae paoao:

2) o ceoo oa pee, eee oopoo oopyoae pocaao o pe ocya pao i- rpy (i = 1, 2, ..,, q):

3) o ceoo oa pee, eee oopoo oopyoae pocaao oa ocya pao:

4) o ceoo oa pee, eee oopoo oopyoae pocaao -a ocyc pao paox:

5) cpeee oeco ecyx e oopyoa:

e N oee oeco aaxc e oopyoa;
6) cpeee oeco e oopyoa, pocaax o pe ocya pao pax py:

7) oopyoa, pocaax oa ocya:

8) cpeee oeco ecoyex e oopyoa:

9) oe aoc paox ocyae e oopyoa:

Opeeee oeca ae p PB. Cpyypa apa pee ac o ooo ca aopo, oope e oac ooy opo. Coca ceoo oa pee oo cyeceo paaec o cea pao eca. ooy oye ocoepx ax o cpyype paoeo pee eoxoo oocoae oeca ae, Oo oo ocyecec a ocoe caceco eop op, cxo aao ooc ocoepoc peyao.
p oocoa oeca oex ae eoxoo cxo oro, o o apa paoeo pee, oope ycaaac p PB eoo oex ae (K, K ..), c cya ea, pacpeee o oaoy aoy. B o cyae:

re K oea coo o apa paoeo pee.
o oy ey K c aao ooc ocoepoc, oeco ae n oo e ee

e v apaep, cooecy aao ocoepoc e K; aaa oocea opeoc K.
opya (7.4.11) oo coyec opeee oea op p poee PB eoo oex ae (cxo peapeo oe oooo ae ) B o cyae, a p opeee oeca xpooepax aepo o opye (7.2.2), eoxoo yaa peyee ae e n d, xapaepyx ocoepoc ooc peyao ae.
x aex ao aae oo oop o, o oopoc paee 7.2. Bey v2 oo pa aaoe 24, a aaoe 0,050,2 ( acoc o a pooca). peoea, a ye oeaoc, e e cyecex ooecx oocoa. p paceax a ocoe opy (7.4.11) ooec ace aa oe cyae oo yec aoee poc cocoo: c cyape apa, cae c poeee ae opeoc ycaaaex op pax ae v , a ae p aece oaoro aee n, p oopo cya apa oaec ao.
Ocoe nomuXpooepa.
oopa paoeo pee (PB).
ooxpooepa.
Hepep xpooepa.
Bopo xpooepa.
oo xpooepa.
yaa PB.
pyoa PB.
.
Xpoop.
Koe ycooc xpoopa.
Oea ea .
Oaoe oeco aepo p xpooepae.
Hopa aec aac paoeo pee.
Meo oex ae.
Cacece xapaepc pee cooa oopyoa paoo.
Koeco a6e p PB eoo oex .
Kompoe onpoc u me ucceoau1. ae oac pee xpooepaa PB.
2. B e cyoc oa oeca aepo p xpooepae?
3. Ka opeeec ycooc xpoopa?
4. B e cyoc oe ea pao p xpooepae?
5. ae oac pee yao rpyoo PB.
6. e peec caooopa?
7. Ka cocaec aac paoeo pee p PB?
8. B e peyeca eoa oex ae?
9. B e cyoc oocoa oeca ae p pa-
x eoax poee PB?
poocee poecc cyeceo paac o xapaepca rooex e, pee aepaa, oopyoa, exoo, acaa yca poy, cee ee ocoeoc, yco pya py apaepa. ooy pacea op eoxoo peee pax o (cce) opao.
paac pee ceo o cee epea eeo pooceoo poecca, oopa opeeec acaa yca e, caoc x oeayp, ceaae paox ec, peyeo ooc ycaoe op py aopa. Hopa opeee eoxox apa pya oy yca-oe paec a ce cpyype ee poocex poecco e. Ta, papaoa opa pee oe pyox e, ec, peo, oeco peo, opao oepxoce eae, cop yo a, opa pyoeoc o a pao eo a e.
Cooyoc opao ec ooypoeo cceo, . e. opa aoro ypo oy oye ye apea (ypye) opao ecox ypoe. B acoc, cxo opao a pyoe e oo ycao opa a pyoe ec, apea oopx ae opa a pyoe pe (oope oa a pyoe e) . . Bao ya, o apea opao e coc x cypoa, a a ooo coeeoe (oopeeoe, apaeoe) oee cooecyx eeo pyooo exooecoo poecco.
Haoee oa ccea opao papaoaa aocpoe. oppoa ocooro (exooecoo) pee papaoa oeaocpoee opa peo pea a caax opa ocooo pee a ey opao apae oa (a pao, a 100 ). Papaoa opa cooaeoro pee, pee ocya paoeo eca, orooeo-aeoo pee. Ha x ocoe pacca opa a exoorece epexo opaoy oepxoce eae o oe oepa eo a ooee eae. ec opa pao cee ypye a copoe pao. aox opaaox paceo papaoa opa exooeco pyoeoc poy, ypyee opa ceoc cooaex paox cyax.
p papaoe cce opao aaa opa oao cee ypye opao ec oo aoee cox. p e pee eoxoo ya e pooooe . C oo copo, apa a pace op e ee, e e cee ypye opao. o oy aopy apa a oppoae oy paac a opo oee. C pyro copo, o epe oe cee ypye opao yeac oooc eaoo aaa pooceoo poecca, caec ooc paceo, opaaec cepa pee opao (apep, oe op a ooee eae opeeeoro a e aeo oee yoe peee, e poeee opa).
aoo opeoo a pao yco x oe cyecye oaa cee apea opao, oopa cooecye yy cyapx apa, cax c papaoo opao x .
Hcop a oeo eoxooe paoopae cce opao, o o oaa opeee eco. o oo aex yco pao apeoc op pya (c. a. 2.7). Tpeoae eca oaae, o pae opao o papaaac a occe oe cce opao o oppoa pya.
Eco opao oo oeceac o cey oco apae:
cooc opao o eea poocex poecco e;
y pooca;
ooc opao;
aopa, a ey eoxox apa pya, acoc ey ea aopo opao;
cee ocoe pao;
ey ecoc pya.
Couocm opamuo ac o coe opeeex coooe p papaoe cce opao pao cee ypye. Ta, opeoo pooeeoo poecca apea opao pee opao oepxoce eae oa opee x exoorecy pyoeoc; pyoeoc e oa paa cyapo pyoeoc ooe cop eo eeo . . Payeec, ce coooe o cpae peeax peyeo ooc paceo eoc poocex yco oe pao.
Tun npouocma ec oeco xapaepco, yae pee ceo oeaypy aca yca e, o, co oepe, peopeee op apao ooe poy cee caoc poocex yco a paox ecax. oycoe cyecee pa apaax pee a oee aaorx pao pax ax pooca. Hapep, pe oe ox ex e peo pya o ycaoe c eae a oapx caax oe paac acoc o a pooca oee e 3 paa.
Toocm opamuo opeeec oyco opeoc op x cpyypo, xapaepye oocey pyoeoc ex eeo, oopx eoxoo pe ae opa. oyce opeoc op peoeyec ycaaa o a pooca ceyx peeax: accooe 5; pyocepoe 7; cpeecepoe 10; eocepoe 15; eoe 20.
Ceye oe, o aa, cae c oocoae ooc opao, ee e e ocaoo yoeopeoo pee a aeaeco, a ooeco acee.
, uuu a euuy opamuo, oe cyae c xapaepc oopyoa peeo pya, poeccoaoo ypo coee pao, exooecoro pyooo poecca, caapo-eecx yco pya p. p papaoe opao ce aop ec a e py: ocoe (aop-yco) epeee (aop-apye). ae aopo epo py p oe aapyeo pao cac paec ee, a aop opo py oy pa p ae, cooec c oop ec opae e.
eee aopo a ocoe epeee ycoo oocc oo opeoy y opax aepao. Hapep, p papaoe opao pee a oee poocex oepa xapaepc pooceo cpe (eepaypa oyxa, ypoe ya, oceeoc . .) cac aa ee, . e. cya po aopo caapo-eecx yco pya. Ec e papaaac opa pee oxa, o aop c apyea, ae oopx cooecy e pee peraepoax epepo oxa paoo.
oecee eca opao p x papaoe eoxoo oo yaa aop, xapaepye opaaoo-exece caapo-eece yco oe aapyeoo a pao. yco o cooecoa oa apaa exooecoo pyooo . ae oop, yco oe pao, oope opae opaax, o oeco oocoa c yeo aoc execx, oo, . aa cxea aoo oocoa a paccopea paee 6.7.
pacpe cep pee opao eecoopao peycapa apa aopo-yco c yaae op opraa pya, apoo paox ec . . Kaoy ax apao oa cooecoa o co opaa acoc ( acoc, aa opao), o cooyoc opaox oeo ocoo acoc.
Cene ocoeu pao cyeceo e a ey eoxox apa pya. e e cee ocoe, e p pox pax ycox ee pyoeoc poy. copee eo ocoe oo poy ox eoo e ooe peye opae opaax ca ocoe pooca a oo ax xapaepc opaaoo-execx . B acoee pe cee ocoe pao oo yaec oppoa pya c oo cce opaox oeo opa pee, ycaoex o opaa ocoeoo pooca. Hapy c eoopx cyax eecoopaa papaoa opao pax ao ocoe.
Ten paom xapaepyec oeco pyox e ey pee copoc e. xapaepc eocpeceo opee pe oe eeo pao.
Eco opao o ey ecoc pya oeceaec p yco x papao a ocoe opao eoc pyox e, oope ycaoe cxo ooec oocoaoro ypo yoe paoo. Hopa e e oe oao cex yco. Bao, o o opeee ao cce op-ao cooecoa ocoeoc oex pao.
Te pyox e e cepae cex aopo ecoc pya, opeex cee yoe paoo. ooy copeex ycox cxoooecoe oocoae opao oo ocoao a epax oaaex yoe, yax a ece, a epo-cxece apy.
Ka oaae aa, acoee pe aea ac opao e ee eoxooo eca ooe cocaa aopo, opax acoce, yco oe pao o py . o oceero pee oco opao papaaaoc a ocoe xpooepax ae, p oopx cpoac apa pee, cooecye aec coeyc ey pya a aapoaxc yacax pooca. Ho ocoy e p oe oox pao a pax pepx o ox cyax cyeceo paac, eco opao ooe eoxox apa pee oeo e oro ocyo.
o oo oece pee ceo a ocoe cyeaoo eoa papao opao, p oopo opa aoo ypo ypye cpoc cxo opao peecyeo ypo. Cxea oceoaeoro oppoa opao pax ypoe pecaea a pc. 8.1.1.

Puc. 8.1.1. Cxea oppoa opao pee
Oocoae opao, a op, oo ocyecc c yeo oeca execx, ooecx, cxoooecx coax aopo. Cyoc aoo oocoa coco pee ceo ope oax apao exooecoo pyooo poecco (c. pa, 6.7). p pacee opao oea oocoa cac ae cepa x pee, cee ypye, coca aopo-yco aopo-apyeo opao y, opa pecae opa p. O pepe oaoc opao ec y cyapx apa a x papaoy peee.
Hapy c yaa o pa oppoa pya opa o yoeop cey peoa: 1) oecea aa ypoe ooc op; 2) ya pae apa yco oe oppyex pao; 3) yo cooa.
epoe peoae yaec p ycaoe oycx opeoce opao cxo aao ooc op oeo eeo apa apaepo pooceoo poecca. Heoxoa ooc opao oa oeceac ye pee aeaec oocoax eoo copa cxox ax ycaoe opax acoce.
Bopoe peoae oaae eoxooc cepaeo oca apao yco, a oope cocae opa. Kaoy apao o cooecoa ae opao opaox oeo opaa ocooo (aooo) apaa.
B cooec c pe peoae opa o yo paceo op a pyy, a c oo ceo ex. C o e ax opaax, oope c aoee a poc oepaoo oppoa, eoxoo po opy opax acoce, o cyeceo oeae peee BM pacea op o a opaa.
Papaoa opao coco ceyx ocox ao: 1) oooea paoa; 2) cceoae poocex poecco; 3) ycaoee opax acoce, papaoa poea copa opao; 4) poepa opao poocex ycox; 5) oppepoa opao o peyaa poep, x coacoae yepee.
Ha epo ae oc pao, a oope o papaoa opa, opeec pep, ex yac, re yy pooc cceoa pyox exooecx poecco, opac eoxoe eoece opae aepa (acopa oopyoa, exooece ap, caap, ap opaa pya . .), yac paoe eca poocee poecc, oocoaec op oeo ae. Oo ep (oooe) a aaaec cocaee eoeco popa (paoe eo) cceoa, oopo oocoac cpyypa opao, oac x pee, opa pecae opax acoce, oe xox ax, eo x copa opao.
Oco coepae pao a opo ae ec cop cxox ax o eoxox apaax pya aopax, opeex x ey. B acoc o a opao ocoeoce aapyex pao a opa oe oyea ye eocpecex ae cepeo, poox a paox ecax aopao-px, a ae a ocoe opao (eopacex, opacex, poeex . .). p papaoe opao ocoeo ao oece op oax apao exooecoo pyooo poecco, o ec ocoo popeccoc cooecyx opax apa pya, a x oocoaoc aeo epe opeeec opo oeo ccoa oeco ae.
Ha ocoe ae cepeo ycaaac acoc ey eoxo apaa pya a x aopa (pe a papao opao). p o coyc rpaece aaece eo, ocoo oopx ec o ce aapa aeaeco cac.
Hopae acoc ae ceo oope e a oopa, oopx cocac cop . B cop a ae ocae oppyex pao, yco x oe, eoece yaa o pac .
poe copa opao poxo paecy poepy a ex yacax poca, e oc cooecye pao (eep a). poepa oo ocyecec a ocoe ceao papaoao eoeco popa, oopo oocoac oeco coca pep poee poep, opo coocae poex aecx opraaoo-execx yco cooecyx apa pya, a ae opo e p ooe aecx apa paoeo pee o opax.
Ha ocoe peyao poep poe copa opao occ eoxoe ee ooe ( a). oce coacoa c poco opaa cooecyeo ypo opa yepac paeeoo pee.
caoee acoc e eoxox apa pya o x a x aopo p oax apaax exooecoo pyooo poecco ec oco papaoe opao. ycaoe ax acoce peyec:
1) opee coca aopo-yco aopo-apyeo. Be aopo-yco p oe opax acoce ocac ee. aopo-apyeo pac ae, p oopx yy ycaaac cooecye opae apa pya;
2) o pace cceoa o opeee apa pya p pax aex aopo-apyeo1;
_____________________________________
1B aee pe e oo o aopax-apyeax. ooy paoc ye aa x poco aopa.
3) a ocoe oyex ax ycao coooee (a pao, e peco opy) ey aopa ea opax apa pya.
p ope aopo eoxoo npee ceo cxo eco cyoc aapyeoro pooceoro poecca. Hapep, opa ocooo pee opao eae a oapx caax ycaaac acoc o apaepo pea pea, aepa opaaaex oepxoce. aop peapeo pac cxo cyoc oppyex pao oa papaoo opao, a ae yoc a ocoe cacecx pepe, xapaepyx oocoaoc oyex opy.
Hopae acoc ae ceo c ooaop. x ycaoee ooo a ocoe yx oxoo. ep (oo peec a pae) coc o, o a aop cceyec opoao p ocoo ypoe ocax. Hapep, ec cceyec e aepa opaaaeo ea, o aae ycaaaec pe opao acoc o ee p ocoo (oo cpee) ae aepa, a ae appyec aep p ocoo e. ae oop, p ao oxoe oroaopa acoc ycaaaec a ocoe cooyoc ooaopx acoce. Bopo oxo aaec o, o ce aop appyc oopeeo, a a coe ypoe. Ocoo aoo aaa ec eop apoa cepea.
Cyoc apoa oroaopoo cepea paccop a ceye pepe. oyc, a pe oe eea oepa a aopa: aep D a L opaaaeo . o aoy aopy ycaoe aao oox ae ae acae e D L. Ec ao oe aop yy cpoac oo a yx pax ypox, o a cepea o yaoe yxaopo acoc ye e cey :
Hoep |
po aopo |
|
Oa |
xl |
x2 |
1 |
||
2 |
+ |
- |
3 |
- |
+ |
4 |
+ |
+ |
B o ae 1 cooecye ae aepa, a 2 , a "-" oaae, o a aop pae oe aoe aee, a a "+" acaoe. Hapep, epo oe ae aepa a, a o opo aep pae acaoe aee, a a aoe. peee epe oa cepa ce ooe oa ae yx aopo, a oopx appyec a yx ypox. Paccopea aa pecae a ooo aopoo cepea a 22 pex aopo aaora aa ee cey :
Hoep oa |
1 |
2 |
3 |
1 |
|||
2 |
+ |
- |
- |
3 |
- |
+ |
- |
4 |
+ |
+ |
- |
5 |
- |
- |
+ |
6 |
+ |
- |
+ |
7 |
- |
+ |
+ |
8 |
+ |
+ |
+ |
a aa ec ao ooro aopoo cepea a 23. Oe, o a pex aopo ae a aa yx aopo, pe epo x (epe epe cpo ocee a) pe aop pae ae ae, a o opo acae.
Aaoo cocac a epex oee aopo. Oee oeco oox oo p n aopax cocae 2n. B eop apoa cepea papao pe, ooe cyeceo ye oeco oo o cpae c x co oo aopo cepe.
oa peyec ya e oo pae, o poeyoe ae aopo. Oao o cex cyax poeee ooaopoo cepea (. e. oopeeoo appoa cex aopo) oeceae oyee oee ocepx peyao p ee ce oo o cpae c pao ooaop cepeo, p oopo aop appyc oceoaeo.
oee ooc yeee ca oo p ooaopo cepee ocac a ce oo, o a ao cepe oo ycoo paccapa a n ooaopx. Ba peyeco ooaopoo cepea ec ae oooc yea aoec aopo p ycaoe opao y.
ocae aa cepea pcya eo peaa, . e. opeee ae opao y p pax aex aopo. o oe ocyeceo o peyae aaa pooceoo poecca eoa xpooepaa oopa paoeo pee c cooae cooecyx execx cpec, o c oo opao, ex y cee epea eeo pyooo poecca, e papaaaee.
Ha ocoe oyeo opa ycaaac apaep opao y. B pae oppoa pya ae ceo coyc ee ceee acoc:


e bo, bi apaep pecx opy (oe pepecc).
ycaoe oeo pepecc p ooaopo yxaopo eo acoc oo coyec paoaaec eo. Ero cyoc paccop c oo pc. 8.3.1.

Puc. 8.3.1. Cxea ocpoe opao
Hopaa cpoc a opao, o aepaeca cya ooe aecx ae pee oe eea pyooo poecca o opao , epex o oc opa, a paa y. opeee oopa oe, epe oope pooc opaa , paccac cpeeapeece ae aopa x pee oe eea pyooo po y:

o oy oopa pyx oe, ae aopa e a e py. B epy ac ae i, ee , o opy oe Ta e opao ec a e py ae pee oe eea py .
ao py axoc cpeeapeece ae x' x" cooeceo y' y", Hopaa pooc epe o c oopaa


Opeo oc opa o ee aaa o o epecee opao e pae apaepy bo ypae opao . Ec aca a eoao, e b eoxoo coppepoa a oe, ya coooee . Ta opao, acoc e aopo peee oe pyooo poecca ycaaaec paa opao .
p eeo xapaepe acoc pee o aopa ocpoee opao oe ocyecc ccee oopa c oapec aa.
ococa paoaaecoo eoa c aoc pocoa. Oao o eo e yae aoc aopo, x a eoxoe apa pya, eo e oeceae ocaoo cpooo oocoa opao acoc.
ycaoe apaepo ooaopo acoc eecoopao pe oppeoo-perpecco aa. Meoa eo poee opoo oea pyo- ocax o aeaeco cace. ooy opac oo oe cxeo paceo.
1. p oope aopo, x a eoxoe apa pya, pee ceo o ce e, oop ca ey coo acoc, o yoao. Hae ao acoc opeeec o ee apx oeo oppe rij, epx ecoy c ey ao apo aopo i xj Ooae oop cyeceo x aopo pooc poecce ocpoe pax apao ypae perpecc.
2. Koe perpecc opeec peyae pee cce ex ypae, cocaeo a coe eoa aex apao. Eo cyoc aaec axoe ax oeo pepecc, p oopx cya apao ooe aecx ae pee oe eea pyooo poecca o pacex, oyaex p ocaoe cooe ypaee pepecc, a ao.
3. Oea aeaoc ypae pepecc ocyecec c oo pep epa:

re


Paceoe aee pep epa cpaaec c a. Ec paceoe aee e ee aoo, o ypaee pepecc caec aea, . e. ocaoo oo paa acoc pee oe eeo pyooo poecca o x aopo. B poo cyae eoxoo e opao y.
4. Oea cyeceoc aecex aopo pooc c oo cepcooo aaa. e aaa coco pee ceo poepe oopooc peyao cepea a ocoe cpae rpyoo oe cepc o pep apea. Ec aapyea cooyoc opoa, o ae o pep epa yca-aaec cyeceoc aecex aopo a ey opax apa pya.
5. Oea cyeceoc oecex aopo ae opeeee: t-pep oeo pepecc, oea oeceo oppe, ocaoo cepc, cpee ooceo o apoc. xapaepc ycaaac pax o acoce paoro cocaa aopo, ooe a ocoe cacecx pepe pa aoee oocoay opay .
oce opa o acoc paccac oepee epa oeo pepecc ae opao y. caoee opax acoce c oo oppeoo-pepeccooo aaa, a pao, ceye o a oepe o caap popaa. B peyae paceo aec c opa, eoxoa oocoaoro opa opax acoce, oope oy pecae e opy a opao.
1 a pae oooe a ocoe ya P.. Mycoo, .. ea P.H. opoa.
epepoae opa pee ycaaac a oee pyox e, ec peo. Haoee ea aa pyox poecco oo o c oo upoeemx opao, oop ooc opa pee a pyoe e ec. opa coyc ycox accooo pycepoo pooca.
Ocoe e poeeoo opa paoa 30- oax pocco-po B. M. oe erpa. B acoc, oocoa p acca pyox e, oaaa aoc yea x coe o pee.
Haoee eco cceo poeex opao ec ccea MTM, papaoaa 40-x oax C. K acoey pee eec ecoo oa o cce (MTM-2, MTM-3 p.).
a pyeo coyec p pyx cce poeex opao: op aop, MOATC, MOCT . . eoopx pepx ae cpa peec cce MOTC oya ccea poeex opao. Ccea papaoaa 19681969 . rpyo acpacx ceaco o pyooco . Xee ec pooo o aepaco cce MC, ocpoeo a ocoe cce MTM. Ta opao, MOATC oocc peey ooe cce poeex opao pee. Ccea peaaea aaa, poepoa oppoa pao cepo pooce. Ocoa ocoeoc cce ee pocoa: co ae opao ceeo 21. Bce poee pecae e eoecx (eo aoaxc) pcyo. coe ooae a pcye a opa, pae oax. 1 o ae 1/7 c co ee aa a ox, pao 10,75%;a e o aa 0,129 c = 0,00215 . o pe cooecye pooec e aa.
Bce e py e rpya c peeo eoo eca oxae opaa: 1 o opa e ae, 2 oa opa e c ae, 3 oa opa e c yace pee, 4 oa-opa e c yace ea, 5 o opa -e py c yace opyca. B ccee MOATC paccoe a aop e yppye ape opao, a yaec e yacyx ae, c, pee, ea, opyca . ., a a o epe yee paco oee poeea oeac pee, opyca cooeceo yeaec pe.
ec oeppoae apa cce eeoo oppoa, oope cyeceo ycop pace op oa x aeco.
B ae cpae eec o papao pee aoo cce poeex opao CM, oopa a coaa 80-x oax H pya p yac pa yo opacex opaa. Ka oaa peya cpaex paceo, ccea CM ye MTM yae ocoeoc pyoo aocpoe. p oppoa pyooc ooe eae eooo eca aapo peya paceo o CM MTM e e cyecex o.
pyee opa oppoa pee npoocex oepa coyc ycox cepoo yaoo pooca.
pyee opa pee oo papaaac a: ey paepa opaaaeo oepxoc; exooec epexo; oepxoc ea, opaaaey a e .
Toe op papaaac a ea, e o ocpyo-exooec paa ooee o ooy exooecoy poeccy.
B acoee pe ae ceo coyc opa pee a exooec epexo. Tae opa oo pecac e a oopa. B cpyypo ooe aoee poc c a a a. 8.4.1.
Taua 8.4.1 Taa ypyex opao pee
epexo: rpyoe poooe oee;
aepa - ca ocpyoa,

ya pea t = 5 , pee c aco epoo caa T5K10,


B ae yaa pe opao apa pee (eooe yoe pe) a epexo acoc o aepa opao. ooe a a a epexo aa oy-e cpa, ooy cop ax opao opay oee orocpae a, a a cocac oeo aoro a oopyoa eo ox oee, pax rpy opaaaex aepao ecox o opaa pooca pyocepoo, cepoo, eocepoo eoo. Ta opao, p oeo pocoe pee ax opao x cooae ocoec poooc opaoo aepaa, o peye x apa pee y exooo-oppoo a oc ax ax.
copae ca a ypoe ooa opa aepaa poeccopo epacoo eepo-ooecoo cya . . eo 60-e o papaoa apa opao, oopo pyoeoc aoo exooecoro epexoa pecaea oo oo cpoo. B c c o oy aae oocpox (xo c ye yx-pex eacx epeex). Taoe cae opaoo aepaa ocyo aoap peopaoa ax opao oopaecy opy. B peyae oo ae (ape) oee opa eooo yoo pee a oee e 25 epexoo, . e. aee oee 25 oex a a 8.4.2.

peae. o epexoy 1 pe aepy aee ao e (18 ).
Oocpoe opa ocoeo e p a oepexoo exooeco oyea, oopo e yaa exooece pe pao oopyoa p x ycox ocaec aea pyoeoc pacea op pee, a a o ycaaac o opaa, e opa peo pea (ocee ye p papaoe opao).
Koae oocpoe opa coac ypyeoo oppoa pax poocex pao: cecapx, copox, caox, epooax p. Meoy x papao oo pe pooy accy opao, ea oopx ac o yx oee aopo.
Hapy c oocpo papaoa a aaee yoeo-cpoe opa caox pao peyeceo ycox cpeecepoo . p o pace eooo yoo pee eec a aa: caaa axoc pe pea, a ae o yo oae S o ae opao eooe yoe pe a epexo. epoo aa coy oe pe pea, a pe opeeec o ape cpooo a, oopo cpo oac py o pya oo eo cooaeoro pee a epexo. oceee ocoeco aeo oerae papaoy ap yeae x co, a a cooaeoe pe a epexo e ac o opaaaeoro aepaa.
cxo opao pee a exooece epexo oy oye opa a oy opaoy oepxoce, ec o oppyc a ecoo epexoo (apep, opaoa oepc oe opeoa cepe, paccepa, apea pe . .).
Hopa exooeco pyooc, opeeeo o ocpyo-cyaao xapaepca poy, coyc a ae ocpypoa e apoa ooo pooca oe ceecooc.
p papaoe ax opao cxo ceyx peoa.
1. opeee pyooc eoxo oo pao epe (e exooeco oyea).
2. aopa, a pyooc, o exece xapaepc poy, ycaoee aoo a pao.
3. oyee a ca poepoa aepa o pyooc o a pao oe aoo paoeo epea o yo oceye x opao a BM.
Opeeee exooeco pyooc epo poepoa e apyec a pee ypyex opao, papaoa oopx e pecx opy ocyecec a ocoe cecopoeo aaa oeo pao o pao epea epepoa opa pee.
Paccop eoope pep papao opao oex o pao.
Hopa eoc oe capoo onepauu opeeec o opye:

e t ocooe pe; t1, cooaeoe pe, caoe co cap o; t2 cooaeoe pe, caoe co capae ee; K oe, ya oooeo-aeoe pe, pe a opexocyae, a ox e .
Ocooe pe opeeec peo cap paepa a. B peyae cepeaoo aaa aopo, x a eoc capox oepa, ycaoeo, o oco x c a a l oa capaex eae z. o eoe, oeo paee 8.3, oyea ceya peca opya opeee eoc capox oepa:

e li a capx o eae, ex oy zi, Kzi , oe, ya opay a ceey acoc oea aaeoo eaa o o capaex eae. Bea Kz ycaaaec o ae:
z |
4 ![]() 10 |
12 ![]() 16 |
18 ![]() 22 |
24 ![]() 26 |
28 ![]() 30 |
32 ![]() 34 |
z |
1,0 |
1,1 |
1,2 |
1,3 |
1,4 |
1,5 |
paec pace oec cey opao. o epey ycaaaec oa a li capx o, ea oopx e oy zi. opeee li yoo ooac cea popo ypepo, cya epe px ( o ce pacco o eopaec apa) Be li yoac a cooecye e zi, Kz. Cya oyex poee ae opy H.
Ka oaa peya cpaex paceo, pyooc capox pao, ycaoea o opye (8.4.1), oaec o pyooc, ycaoeo o epepoa opaa, e oee e a 5%. p o apa pee exooo oppoo copaac a opo.
Oocoaoc opao pyooc copox paom ac pee ceo o pao x acca, opeee oooc cyece ox exooecx poecco. Beee oopox o pao cyeceo ac o ce opac. Ta, cyocpoe cyecy p ocox a copox pao: ceoe, caee ocpoee.
opeee exooeco pyooc ceoo cop opyca cya oaaoc ocao e ec rpy cooc ce p aece aopa pyooc 1 o. oo a poo eae, xox coca ce.
opeee pyooc copox pao a caee peapeo copax ec o ce opeoaac papaoa pyoro a ypyex opao. p cceoa acoc op pee oo a pao o aopo ycaoeo, o paccapaea acoc opeeec ocoo y aopa, oope oo o-pee eocpeceo o pao epea: o oax poo M acco ocpy P.
aoro a ce oye opae acoc, ooe ycao op pyoeoc H.
Hapep:
ex ococx ce = 0,P + 0,6M;
ex oex ce H = 0,P + M;
peee acoc ocoa a ox exooecx poeccax cop cyocpoe.
Hapy c paccope opaa exooeco pyooc o a pao, oope oecea ocaoo coy ooc cxox ax ee ypaocoro apoa, opaa pya pooca, oy pec oee ypyee opa cyapo pyooc e a ey oeoo ea (a 1 ooee cya, a ey ooc ae . .). opa pec ocoo peapeo oe eoc execx opaaox pee, oa ee e ooc papaoao ocpyopco oyea.
B opao oppoa pya.
epapx opao.
poea eca .
Cooc opao.
.
Hopaa acoc.
Meo ycaoe opax acoce.
Kopoe opoc u me ucceoau1. Haoe yco, oeceae eco .
2. ae oac pee epepoax ypye .
3. Haoe peoa opa aepaa.
4. ae a papao .
5. B e p ocpoe opao ?
6. aoa paa cxea ycaoe opao acoc a ocoe eop apoa cepea?
7. Haoe cce poeex opao.
8. pee cxe ypye opao pee.
B paee 6.5 a paccopea ccea op pya, oeo eoxox eo opraa pooca. B acoee pe aoee paecoe aee e op, peaepye eoc pyooc oepa, ceoc paoo oeco ocyaex poocex oeo. Mey opa o ycaoeo ceyee coooee:

e H opa pyoeoc oepa; H opa ceoc; H opa ocya; . opa eoc oepa caa, apeaa.
opy (9.1.1) ceye, o opa pyooc oe ycaoea oo oce opeee op eoc, ocya ceoc.
Hopa eoc ee ceyy cpyypy (o a apa paoeo pee):

re t oepaoe pe; t pe a ocyae paoeo eca oco cooae pao; t pe a ox e aooc; t pe oppyex epepo paoe oopyoa aoc paox o opaaoo-exec pa; t oooeo-aeoe pe. Bey (t + t + t + t ) aa y peee (t).
Coca oepaoo pee oo peca e cy:

e t ocooe (exooecoe) pe; t cooraeoe pe, e epepaeoe oco; t coooe aoe (aapaypoe) pe, . e. pe, oopoe cao (aapa) oe paoa e aoo-o yac paox; t pe aoc paoeo-oepaopa, aee pe ao-pyo pao, cooaeoe pe (epepaeoe e epepaeoe oco), pe epexoo ey caa (aapaa) pe aoo ae a xoo exooecoo poecca.
Hoppoaa eoc oepa acoee pe oo ycaaaec cxo ceye oo opy:

re T oooeo-aeoe pe a ap n eae; K, K, opa T, .
Ocoo eocao o opy coco o, o opa pee ocya pee epepo ae ceo ycaaac o a oopa paoeo pee exo pax pep. opa opaa cpee aec aaee apa, a e e, oope cooecy paoao opaa pya aoo exa (yaca). oee oocoa ec pace cocax op eoc e poeax oepaoy pee, a yax a cey cxo paoao opaa pya oxa paoo opeoro pooca.
p o ceye ya eee apa pee a pe ocee. epe oo eocpeceo oec opeeeoy y poy, ope o ce poy, roaaeo a paox ecax aoo yaca.
C yeo oex aea cpyypa op eoc oe pecaea e:

e tn pe apa oepaoo pee, oope acoc o ocoeoce pooceoo poecca a o ce oepaoe pe, o oo aoe (aapaypo) pe; q oe, ya ocee apa pee.
caaa eoc oepa a ocoe o opy, eoxoo ya ocoeoc opeoo pooceoro poecca.
Ec p apaa yy oocc oo apa aoo pee t , o:

e T pe oppoax epepo paoe oopyoa a cey. acoc (9.1.6) ceye oo, o cpyypa op eoc opaae cpyypy oppoax apa pee eee ce. Hapep, p ooe oaox eae T = r.
Paoc (T T) xapaepye apa aoo pee a cey T. Ceoaeo:

e K oe cooa oopyoa o pee ao pao.
Ta opao, ec p c oo apa aoo pee, o:

Aaoe o cpyype acoc oy ycaoe x poocex yco. Ta, ec p apaa oocc ce oepaoe pe, o opyax pacea eoc oepa eco e t ye t .
B ex cyax, oa eoc oepa eoxoo eee oooeo-aeoo pee, p pacee oea q ceye a T cyape apa a oooeo-aey paoy a cey T. p o ec t = t, o:

B o opye ec xapaepye e, oocec poy - a.
Bao ya, o ea T oa a oo e peae epep paoe oopyoa aoc paox, oope e ye oepao pee cooecy oao ax yco ccee ocya pooca oaoy pey pya . ycaaaec eocpecea acoc ey opa eoc oepa xapaepca cce opaa pya, pooca ypae opeoo exa (yaca).
B oe cyae ea T oe a ce oppoax apa pee, poe ocooo (exoo). ae ceo cocae T yac eepepaee apa pee ocya paoero eca, oooeo-aeoo pee, pee a ox e aooc.
Ka o peex opy, ea caaex op eoc oe cyae opeeec pea pao oopyoa, pa ecoc pya, cceo ocya paox ec, pea pya oxa. p o cocae H ec caaee (t, t, t ), ea oopx ac o opaa ocya paox ec, op ocya ceoc. B acoc, pe oppyex epepo t ye yeac c yeee op ceoc aao, cecape pyx py paox, ocyax oopyoae aoo yaca. p oocaoo paoe pe t yae ae oeo eycpae epep paoe oopyoa, cae c oae oepaopa-oocaoa. Bea x epepo ye pac c yeee op ocya oocaoa.
Ta opao, cpe caaex op eoc pyooc ec e, ace o op ocya ceoc, oope ycaoe oocaoo ocyax paox (aao, cecape-peoo, epooepo . .).
Bcece oo o p caraex op eoc ac o op ocya ceoc, e eoxoo ca oce H H, p o op ocya ceoc o, oeo, ycaaac a ocoe ax eeo op eoc, oope e ac o ceoc paox. B acoc, p oocaoo paoe op ocya opeec a ocoe coooo aoro pee pee aoc paoero a oo cae; opa ceoc aao paccaec cxo cpeeo epoa pao caa e aaa cpeeo pee a oy aaoy oepa ..
Paccopee acoc eoc pyooc oepa o peo pao oopyoa, peo pya, cce ocya paox ec, peo pya oxa pyx xapaepc poocex poecco peopee oceoaeoc pacea op pya (pc. 9.1.1).

Puc 9.1.1. paa oceoaeoc poepoa
pyox poecco pacea op pya
Cxea opaae pay oceoaeoc pacea op pya, oopa e cea ec ooapaeo. Oee a ory oopc acoc o peyao oceyx paceo. Hapep, p oa op ocya ceoc oe oaac eecoopa eee epoaax apao peo pao oopyoa paee pya.
9.2. poepoae pyox peoHeoxooc opa oax peo pya oeo oycoea e, o o e e ee oepa oy oc pa cocoa, aoy oopx cooecy pae ae pee oe pea cee apy a opa paoa.
Cyoc oa pyox peo paccop cxo oo cpyyp aa oa op pya (c. 6.6).
B oe cyae poepoae pyooo pea aaec ycaoe cocaa pyox ec e, x oceoaeoc, coea, ea pya, paeop epeee py, o, . Hapy c eoopx aaax peyec pa ocaee paoeo eca pye xapaepc, opaa pya. Bce ee opee ax aaax oeco eecx X.
p oa pyox peo eoxoo ya opae o oyc opa coea e, x paeop, ey pya.
pee ceo eoxoo, o e pao p cex apaax opaa pya w(X) e pea peeo oycoo ax yco w . e.

Bea w, opeee aoe aoee aee ea oe aoo pea pya, p oopo c yeo eoxooo pee a ox oeceaec coxpaee opo opao paoococooc coee oepa. Ta opao, ea w, opeee e poco oyc e, a epx pay eo oox pae. Opaee (9.2.1) ec cece oee oeo opae:

e y(X) ea yoe p oe pax apao pea pya; Y peeo oyca ax yco ea yoe.
Tpyoe pe, a pao, o oc oorec oao ee, oopoy cooecye y apa paoe c a ey peyaa pao. . M. Ceeo oea, o " ao py cyecye ec oy cpo e ec, a ao e; oa oa aopa epac e oro ypo, ycaoc apacae c yeee pao eeee, e ea ocee; a peeo e oya, aoopo, cpee"1. caoe p e, xapaepyx ooec oa . B acoc, oaa copoc xo opax ycox cocae pepo 4 /. o ee cooecye a pacxo ep a 1 y.
______________________________________
1 Ceeo . M. Oep paox e . M., 1906. C, 134.
p ooex o ooec oaoo ea, oope oy oeo eoxo, peyec ooeoe pe a ox occaoe opao . ooy pepe oaoc pea pya p aao ocaeoc paoero eca ec y cyapoo pee, aeo pe oe pa t (X) pe oxa, cooecyee poy ey py, t() , . e.

B paceax op pee copoc oe pyox e oo aaa opaa pee, . e. orpaee o ey pya ee cey :

e w opa e oe pyox e p ax ycox pya.
p opae (9.2.4) pepe oaoc pyooro pea ye eoc ero oe:

Ec p poepoa pyooro pea opeeec e oo coca pyox ec e, x oceoaeoc, e, coea, o aoee eoe ocaee paoeo eca, o apa X o cpaac o pep peex apa.
p aao copoc pyox e oa peo pya ocyecec o pe oco apae: 1) a ca eeo, eoxox ocye-ce e aoo pa (. e. oye aaoo peyaa), 2) a paeop pyox e; 3) aca x coee o pee.
Oco eoo opa oax po pya acoee pe caoc upoeemoe .
Hapy c ccea poeex opao opa oax po pya coyec xpooempa. B poecce xpooepaa eecoopao oea e oe pyox po.
B ycox accooro pooca poepoae oax po pya, a pao, oo ocyecc a ocoe coea aaec-paceoro eoa (p-eee poeex opao) aaec-cceoaecoo eoa (xpooepa), C oo aaec-paceoro eoa cpaac apa oe pao axoc eoc oe oaoro pea pya. ae o apa cepeao poepec a paoe ece c oo xpooepaa.
o a cepea yoec poe apa ooaeo ycaaaec oppoaoe pe a oee aoro pea,
9.3. pae cxe opeee ceoc epcoaaMo e p ocox oxoa opeee ceoc epcoaa:
1) apacc;
2) cepo-cacec;
3) aaec-opa.
Mapuaucmcu noxo ocoa a aae peeo poyoc aopo pooca. O epx o p o A. Mapa. O cooa oe "pee pao", oopoo c poy o ero eeoc paec apaoo ae. Mapa opoo aapoa xo paccye pepae, oop cpec a aoe oeco paoo, oopoe oece ey acy coro oxoa [Mapa. T. 2. C. 216217].
apoae ceoc epcoaa a ocoe apaccoo aaa oe ocyecc a p cpoax apaax a oopyoae aepa, a paax oe aa oa apa a ce poocex pecypcol.
_____________________________________________
1 Meo apaccoro aaa eoc poocex pecypco eao aac o cex yeax o ooeco eop. ooy ao paoe o e paccapac.
cnepmo-cmamucmuecu noxo ocoa a ycaoe cacecx acoce ey ceoc epcoaa a ee aopa. B aece cxoo opa coyec oea opa o a eeoc, opac, pep x opaee.
Cacece acoc oo ycaaac eoa pepeccooo aaa. oyea acoc ora oppepyec a ocoe cepx oeo ceaco.
p cooa cepo-cacecx eoo pee ceo eoxoo ya, o cacece acoc cpae cpee cooyoc aapyex . Ho o, o cpaeo cpee py, aeo e cea epo oeoo oea. cxo oo cepo-cacece eo oy pec opepoox paceo ceoc paax oopoo py pep (ao p, oepa . .) x opaee. p o peya paceo eecoopao cooa c yeo ea cacecoo aca, . e. oecpoa oeo eee opeoc pacea oeoo pep (opaee).
o oaae, acoc, o ec pace oec o pya epcoaa (poecc, ypo aa), o oyee ae ao cooa peyeceo apoa cyapo ceoc paoax. aey epea pacea o oe aeop epcoaa eecoopao o a ocoe paccopex e aaec-opax eoo. paec peya paceo a ocoe cepo-cacecx eoo ye cooa e coo opeee ceoc epcoaa, coo apoa cpec a oay pya. Pacpeeee x cpec o pya epcoaa copya ocyecec c yeo ocoeoce opex pyox poecco.
Aaumuecu-opamu noxo opeee ceoc epcoaa peoaae aa opeoo pyooro poecca, poepoae paoao opaa pya, oppoae pyooc pao o ao pye epcoaa a o ocoe ycaoee op ceoc. Tao oxo ooe a ycox ecyeo pep, a p poepoa pep x opaee, Pace op ceoc oe ocyecc p aao apae paee pya poecce pee oe aa oa aoec ceoc paoax.
e aaec-opax paceo paec eooo opee ey coo oxoa, cooecyeo aoy apay ceoc epcoaa. ooy aa-ec-opa oxo ycaoe ceoc epcoaa ec oco. p ero pee o yac a poocee cya, a ocoeoc opaa pya pax py epcoaa.
pa oxo pacey op ocya ceoc pee ceo opeeec xapaepo aoec paox oopyoa. Boo e cxe aoo aoec: "e oa" "c oo oae". B epo cyae opax poocex ycox e o oa opaaoe epep paoe oo-pyoa aoc paoo. Bo opo ae epep oeo oo. o cxee "e oa" oo ocyecec aoece paoeo-caoa c opoepa, pacop pao (poe paoo), cecap o peoy ocac. Baoece o cxee "c oo oae" xapaepo aao, oocaoo, cecape o peoy oopyoa.
p epo yaax cxe aoec pacea ceoc paox ooao opeeec pyooc cooecyx pao.
ceoc paox, p oopo oeceaec oee apyeoo oa pao, oa yoeop coooe:

re P, oeco e pao k-o a a ao epo; kj opa pyooc e pao k-o a paoo i- py; Fi, o pee ooo paoeo i- py aoo epoe.

Be Hm o cooecoa peao eoxo apaa pee, . e. o o ycaaac c yeo oea oe op.
Boo pae oa acoc (9.3.1). Ta, ceoc paox oe ycaoea a ocoe op ocya, opeeex o opye:

e H opa pee ocya, xapaepya apa pee a cey, eoxoe ocya ooo oea (1 cao, 1 2 oa . . ) o pyo paox opex poocex ycox.
p cooa op ocya paca ceoc paoo opeeec o opye:

re N, oeco oeo ocya paox i- .
B ex cyax, oa aoece paox ey coo c oopyoae ocyecec o cxee "c oo oae", . e. ora oeo oo opaaoe epep aoc paox poco exooecoo oopyoa oa ocya, oy pae coooe ey oeco e oopyoa ceoc paox. yc, apep, rpya paox ec ocyaec pao aao. C yeee x ceoc poco oopyoa ocox paox (oepaopo) oa ocya yy yeac, Ho ece c e yy pac apa, a coepae aao. Ceoaeo, ec eoxo op aoee eo ceoc aao, p oopo aa pooce peya ocaec c a cyap apaa poocex pecypco. Aaoe aa oa p pace op ocya ceoc eypx cecape, epo pyrx py paox, aoecyx c oopyoae o cxee "c oo oae".
9.4. Cpyypa aa oa op ocya ceocB cooec c oo cpyypo aa oa op pya p ocaoe aa pacea oax op ocya ceoc eoxoo opee:
oeco opyex apaepo pyooo poecca;
ccey opae o eoxooy pooceoy peyay, yco pya oea coyex pecypco;
eey y, cooecyy pep ya cyapx apa oo oeeceoo pya a aa oe yca poy.
Boo e ocoe ocao aa oa op ocya ceoc. epa ee eco ocoo p poepoa peocpy poocex opaee, oa opeec e oo op ceoc ocya paox pax py, o oeco oopyoa o aaco peeo pya, eoxox oe pooceo popa. B x cyax ppyec, o cyecy, e ceoc paox, a cpyypa poocex pecypco. Bopa coyec ex cyax, ora ceoc paox opeeec p cpoao oece e oopyoa oee aaco peeo pya.
Ec ycaaaec oaa cpyypa pecypco pooceoo opaee, o oeco apaepo, aee oopx peyec opee, yy op ceoc ocya paox pax py, oeco e exoorecoo oopyoa oe aaco peeo pya. Bopa yaax ocaoo aa oaec e, o oeco e oopyoa oe aaco peeo pya . eea oeca eecx ora yy apa op ocya ceoc.
eee y, cooecye pep ya cyapx apa a aay popay yca py
Ec opeeec cpyypa poocex pecypco,

e S(X), S (X), S (X) apa cooeceo a paox, opyoae aac peeo pya, paccae a eoxo oe yca poy.
Ec oeco e oopyoa o aaco peeo pya cpoa, o:

e Hi op ceoc paox i- py; Zi, apa ey pee a ooro paoeo i- py.
Paccop eep acoc, cooecye ccee aox, opaaox, execx pyx opae. C opa ocya ceoc eocpeceo ca opae o eoxooy oy yca poy ( apyeoy ypo cooa pooceo ooc) oyco aoc paox eee ce, opeee p pox pax ycox ec pya.
opaa opae o aao popae yca poy oco ec o a, o aa ea exooecoo oopyoa oe cyae oe axoc ceyx cocox: ecoa (paoa) pocaa o pe ocya pao, oa ocya oa pao (aooo, cp). p o o poy poopoae cpeey cy ecyx c. ooy orpaee o oxooy oy poy oo pa ao e:

e A(X) cpeee oeco ecyx cao acoc o op ocya ceoc; A cpeee oeco ecyx cao, eoxox oe pooceo popa; P popaa yca eae k-o a; tak pe ec oopyoa p rooe e poy k-ro a (cooecye coooy aoy pee p oocaoo paoe oepaoy pee p ocya o pao ooo caa); F o pee cooa e oopyoa aoo epoe.
Opae (9.4.3) aeo ceyee coooee:

e K(X) oe pee ec oopyoa acoc o e op ocya ceoc;
K oe pee ec oopyoa, eoxo oe popa.
oo oa yca poy eocpeceo acoc o ceoc paox axoc cee x aoc eee ce, oopa aeo epe opeee ec pya. p pox pax ycox c yeee ceoc paox pace pe, oopoe a x eocpeceo a pyoo eeoca oecee opax yco pya o pe o cex cyax e oo pea epoa, paoo paoc ey pooeoc ce opa peee a ox e aooc paoax a cey.
Opae o oyco cyapo aoc paox ao py eee ce eecoopao paa ceye ope:

e Ki oe cyapo aoc ooo paoeo i- p eee ce, cooecy opeeeo ceoc paox; K opa oe cyapo aoc paoeo i- py eee ce.
O ocox aceo cxoooecoo oocoa op pya oo ycaoee opax oeo aoc paox. O o aa ox yco oe pyox poecco c yeo cex aopo, opeex ec pya. B paecx paceax oe oy ycaoe a ocoe opao pee a ox e aooc:

e Ti opaoe pe a ox e aooc yax a cey paox i- py.
Kpoe opae (9.4.5) o oyco cyapo aoc paox p oa op ocya ceoc o yac ae opae o oyco aoc paox oee ocox y:

e K (X) oe aoc paox ao py oco y, cooecy opeeo ceoc paox; K opa oe aoc paox ao py oco y.
Bea K opeeec o opye, aaoo (9.4.6):

e T pe, eoxooe oe ooex y pao ao py a cey,
Ta opao, oao ec aa ceoc epcoaa pooceo cce, p oopo ocaec y apa a aa o yca poy (eee y (9.4.1) (9.4.2)) coac opae o:
eoxooy pooceoy peyay (opae (9.4.3) (9.4.4));
cyapo aoc epcoaa eee ce (opaee (9.4.5));
aoc epcoaa oco y (orpaee (9.4.7)).
Meoa paceo o ao oe paccopea paee 9.6.
9.5. Oa aaa oa paee pya ceoc epcoaaocao aa oa paee pya eoxoo ya xapaep aoec pax py paox. C x o ce pao, oex a yace ( exe), oo pae a e py: poyoe oeceae.
poyuoe pao xapaepyc e, o pe x oe oeo xo eoc pooceoo a rooe poy. K poyo paoa oocc, acoc, ypaee exooec oopyoae, eo aaa, peo p oaax, copa e . . a aepa oe x pao oe pec yee yca poy, yxye ee aeca yee eoc pooceoo a. p oe poyox pao opax poocex ycox oeo oy oa epep paoe oopyoa aoc paox (oo epepo a ox e aooc).
Oecneuaue pao oy oc apaeo (oopeeo) c oco exooec poecco. K oocc, acoc, pao o oeoa aooo cpyea, yope oee, oco opox pacopx pao p. Bpe oe x pao opax ycox e yeae a ooe poy yaca (exa). Cpo x aaa ooa oy ec ocaoo pox peeax e yepa aecex oecex oaaee pooca.
eee pao a poyoe oeceae e cooecye x ee a coe cooaee. aa acca pao oycoea ocoeoc aoec paoo c oopyoae, a e aa poecc o pao. pepo oo ec paoa opoepo. p opoe eae eocpeceo a cae, oop o pe pocaae, paoa opoepo ye poyoo. Kopo eae, e a pocoe oopyoa ocox paox (oe apaeo c ooee poy), ye oocc oecea paoa.
B copeeo pooce coeee y paox eo, a pao, peeax ao yx yaax py pao. apeee a o pao ex pyx pao eecoopao p yco, o pao ye o oeceae pao oo oa, oa o cooe o oe poyox.
cxo peoeo acca pao, paccop cpyypy aa oa yoaoo paee pya o ocya exooecoo oopyoa.
p ao ocao x aa ec oecea xapaepca apao aoec coee.
Ka o pao, xapaepyx oeceae pao, p x oe opax poocex ycox e o oa epep paoe oopyoa aoc paox. Baoece coee oeceax pao cea oo opaoa a opao, o oa py paox e ye oa ooa oepa, oex py pao. Oopyoae ae e oo pocaa o pe oa oeceax pao, a a paoao opaoao pooce pao oc apaeo ocooy .
Bcece oo oeceo xapaepc apao paee ooepa pya p oe ax pao eoxoo ocaoo yaa pyooc oepa, apex a ao pyo coee. ae oop, a apa oe oeceax pao ooc opeeec aopo e Tik, xapaepyx pyooc pao k-o a, apeex a coe i- py, . e.:

aeo coee aa apao paee pya p oe poyox pao o ocya exooecoo oopyoa. p oe x pao oeo oo opaaoe epep paoe oopyoa aoc paox. ooy oeceo xapaepc apao paee pya opa oaoo x eoxoo cooae eoopx o, meopuu accoo ocyuau.
Maeaeco oe pooceoro opaee, oopyoae oopoo ocyaec pao pax py, ec ooaa ccea accooo ocya. co peoa ao ccee ca (aapa), a aa ocya paoe. Oco apaepa, ope opee a apa paee ooepa pya o ocya exooecoo oopyoa, c: cpeee pe pao caa e yac paox U, cpe pooeoc oopaoo ocya ooo caa pao ao py T = {T1, T2, . T } apa Pfh, ee oopo oaa epooc ocya caa pao h- py oce paox i- py.
eee opax paee ooepa pya po ee cpyyp pyooc pao, o, co oepe, axo opaee ooecx oaaex epe eee apa a oay pya a coepae oopyoa. ooy op oaoo apaa paee ooepa pya e oe ocyece e oa op ceoc paox pax py M = {m1, m2, ..., mn}, a oa oeca e oopyoa N = {N1, N2 , ... Nn}.
Ta opao, a apa paee ooepa pya npu noeuu npoyuox paom o ocya oopyoa xapaepyec oeco:

Ccea opae aaax oa paee pya oe cyae ae coooe, xapaepye eoxo pooce peya, yco pya o coyex poocex pecypco.
opa acoce, paax eoxo pooce peya, opeeec ocoeoc aapyex pao. B c e e o npu noeuu oecneuaux paom opax ycox e o oa epep paoe oopyoa aoc paox, eoxo peya pooca ye ocy, ec cyapa apya paox a cey e pec x ceoro oa pee a eo opaoo pee a ox e aooc. paec o oaae, o aoo paoeo oyce apa paee pya p oe oeceax pao o yoeop yco:

Ka o oo coooe, aaax oa paee pya p oe oeceax pao opae o eoxooy pooceoy peyay coaa c opae o oyco cyapo arpye paox. B oe o oro p oe poyox pao opae o eoxooy pooceoy peyay o ycaaac oeo. o oycoeo e, o cece oeo oox opaaox epepo paoe oopyoa aoc paox coee opae (9.5.3) o apye paox e apapye oee popa yca poy.
B aaax oa paee pya o ocya exooecoo oopyoa opae o eoxooy pooceoy peyay opypyc a e, a paccopex e aaax oa op ocya ceoc.
Opae o yco pya ax aaax xapaepyc pee ceo ycaoe paee coooe o oyco apye paox oco ooe y, Hapy c p ope apao paee pya eoxoo ya cxoooece coae peoa o oyco ooooc pya, eo coepaeoc, coooe eeo ecoo eeyaoo pya . . peoa acoee pe ee e oy ocaoo cporoo oeceoo pae,
p xapaepce coepaeoc pya eoxoo oea cee pa (paoopa) coco pyooo poecca. e cyeceee ae ec coco c c eee peeo cpec pya, pyox peo . ., e eue ooooc pya p pox pax ycox e eo coepaeoc. Cee pa coco pyooo poecca oo opee oeco opa I(X), ocpaeo pao. Bea I(X} oa oue eo ypo, cooecyeo oyco ooooc pya, eue epxe-o ypo, opeeeoro aca oeco opa, oopy oe ocpa eoe ex x ycox Ta opao, p paee pya o coac orpae:

e I min, I max cooeceo epx pa oeca opa, ocpaeo pao. Bey I{X) oo opee e:

e Is oeco opa o s- apaepe poecca.
oe Is oe cooaa epa K. eoa pye eo epe oeca opa. B ce opae o yco pya x aaax o yac coooe o oyco eoc eeo oepa, x acoe . ooe opae oo cac c a aae paa paee pya, ce oopx ec exece, cxoooece, coae ooece (c. 6.1).
Texooece, cxoooece coae pa xapaepy oyce o cooecy opa, yco, peoa .. apa paee ooepa pya. B acoc, exoo pooca opeee ee poecca, oope eooo epaoao o exec yco e a oee ee ac; cxoooce op ycaaa ao oycy eoc pyox peo; coae peoa peraepy coepaeoc pya . . op, yco, peoa ec o pee aa, . e. o opa ayeo apaa aoec coe .
To, o oaec o ooeco rpae, xapaepye oe cyae apa a poy, cooecye yey apay paee ooepa pya. Ceoaeo, oe o cex pyx pa "ooeca paa" oocc e ccee opae, a pep oaoc (eeo y) aa paee ooepa pya. ooeca paa ec e ae eeo y, oopoe cooecye oaoy apay aoec paoo oe opeo (oeceo) opeeea noce opa aoee eoo apaa paee pya.
o e cea aop, xapaepye ccey opae eey y aa opa oaoro apaa paee ooepa pya, a ae o paa yco ao aa peya ee pee, eoxoo oepa paoe oe ooeco pa paee pya o pyx (cxoooecx, execx p.).
Haoee o pepe oaoc p oocoa op paee ooepa pya ec y cyapx apa, eoxox oce aaoro pooceoo peyaa. Cooecye eee y pee paee 9.4.
9.6. Meo oa paee pya ceoc epcoaa poocex cceaxpaceo a ocoe oee, peex paeax 9.3 9.4, eoxoo opee xapaepc cooa oopyoa A(X), K(X) aoc paox K(X), K(X) acoc o ceoc copyo op x aoec.
xapaepc oy ycaoe c oo paecx, aaecx aox eoo.
paece eo oo cooa cyax, oa pe pao oopyoa e yac paox t pe aoc paox t3 e e cyecex oea, . e. e oo ca paec oco. p o yco poecc ocya oopyoa ye uuecu, . e. coco oopyoa (paoa, ocyae, poco) paox (aoc, poco) yy oopc epe opeee epa pee oocaooo ocya t .
Ec e t t e cyecee oea, o poecc ocya oopyoa ye euuecu. B o cyae pacea xapaepc cooa oopyoa aoc paox o cooac eo eop accooo ocya a a oepe. opy eop accooo ocya oo paec cooa ooax cce, . e. p ocya oopyoa pao oo py. aaa ooax cce, . e. p ocya oopyoa pao ecox py (oepaop, aa, peo . .), oe opeoac a poecca.
9.6.1. ece poeccOco ycoe opaa ecoo ocya ec ocaoa caoc apaepo oocaoo . B epy oepe o oocc aoc ae coooo aoo pee t pee aoc paoeo t . Ec ae t oao cex cao pao pa a ocyae aoo x oaooe pe t, o p ycaoeo ope ocya H epo ao pao ooro caa o oe ocy pye ( - 1) ca. Ceoaeo, ao cyae

o coooee ec pe, a a acoc o opex yco ea ac coooe oe oe, paa ee pao ac. Ha ocoe coooe (9.6.1) ycaaaec peapeoe aee op ocya, oopoe aee yoec c yeo oeca ooecx, cxoooecx coax aopo. o oepy peape (epoa) xapaep o op, ooa ee epe 1 . B cooec c coooee (9.6.1) ea H paec pao:

Opeeee op ocya e coc pacey o opye (9.6.2), ae ec ea H1 oaaac e co, a a opya e yae pa ax aopo. Bo-epx, ec acoe t : t ec e co, o ca paoa e epepo oa paoero, a o ocoo a oepao paoo. ooy oo o e oocaoy opaoe pe a ox e aooc oece opaoe ocyae paoeo eca, eoxoo cpoepoa cooecy pe pya oxa. ec oo pae pee: o pe oxa oocaoa opy ocyae eo cao aay; ocyec oey py oepaopa-oocaoa, y oopx apya ee opao. cex apao oe pa aoee e opex yco. Bo-opx, p opeee op ocya o opye (9.6.2) e yaec ae aop oo ooecoo pacea eoxo pooce peya. Pe e o coooe ey ao oeco eae aapyeoo paoeo eca oocaoa e oeco eae, oope oy poee p ao ae op ocya.
Ta opao, paec o cex cyax oce ycaoe e H1 o opye (9.6.2) eoxoo cpaee ecox apao op ocya, a ae op oaoro x (c. 9.4). Oao ec opa ocya, p oopo: oeceaec eoxo oe aa ypoe cooa oopyoa; aoc paox e peae oyco; ocaec y apa a popay yca .
o pa oa apa cooec c yaao aeaeco oe, eoxoo pacca cpeee co ecyx cao A(X) oe apy paox K(X) acoc o e opeeex op.
p ecx poeccax ocya oopyoa e opeec pao oocaoo pao a ocoe pocx aepaecx coooe. pep pao ocya cao p t = 3 t = 2 pee a pc. 9.6.1. Ec H = 2, o, a o epxe ac rpaa, ca e pocaa oa paoeo, a y eo eec 1 epepa ao e eoc t = 5 . p H = 3 o pee paoeo coyec ooc, a a ao cao eee a, paoo t = 6 , eec 1 epepa oa paoeo. Ka o pc. 9.6.1 p oaox eax t t o ce caa:


B e ac pao pee p, xapaepye oeco ecyx (Ar), ocyaex (Br) ax ocya cao (C ) ay yy a o-ocaoo pao. Ha ocoe x ae opeec cooecye cpee e, eoxoe opa oax op ocya. Ta, p 0 = 2 ee:

Oe, o cpee a ao eo y cpaeo coooee:

Koe cooa oa pee oopyoa aoc paox1 coca:
1 p eco orocaoo paoe, oopa xapaepa accooo pooca, oe aoc paox y K paec coaae c oeo cyapo aoc K.

p ocya cao o pao (H = 1): K3 (0 ) = B,
opo opa oao op ocya p eco poecce paccop a ceye pepe.
Heoxoo pa oay opy ocya, cooecyy yy apa a oee pooceo popa, ycox ecyeo yaca p ceyx cxox ax: coooe aoe pe t = 3 , pe aoc paoeo t= 2 . yca eoxooo oea poy oe cooa cao o aoy pee oe e eee K = 0,58. Hopa oe aoc orocaoo oco y K3 = 0,88. Haaa oaaa oc aaa.
ocoy p aao oee py ycox ecyeo yaca (ocoo oece cao) cya apa a oopyoae ocoa (e ac o e op ocya), y apa a poy ye oye p ao ceoc paox. ae oop, pee ocaeo aa eoxoo a acaoe aee op ocya, p oopo ocaec aaa ea K = 0,58 oe aoc paox e peae K = 0,88.
Bop oaoo apaa op ocya eecoopao o ceye ope,
1. Opeeec peapeoe aee op ocya:

p ao ae H01 oo p apaa op ocya: 1) H = 3; 2) H = 2 3) ocyae cao pao yx paox (H = 5, = 2). Aa x apao eecoopao aa co ae K = 3.
2. H = 3 paa (pc. 9.6.1) ee:

e e cooecy yco aa. Ceoa eo, apa H = 3 e oe p. 3. p H = 2 ee:

oyee e K (X) = 0,6 K (X) =0,8 yoeop yco aa (K = 0,58 K = 0,88). ocoy p H = 2 oc opae o eoxooy oey yca poy oyco apye paoeo, o apa ec oyc. Ocaec poep oooc yeue ceoc oocaoo p pe apae ocya cao pao (eo) yx paox.

Ceoaeo, oe H0 = 5 cao ye ecoa A(X) = 2 1,5 = 3 caa, p o oe K (X) coca:

a ea yoeope yco K(X) 0,58. Oao oe aoc paoeo p ao apae pae ee, . e. oue oycoo K = 0,88. o ye ey K o opao, eoxoo ec oeoo paoero, oop p K = 0,88 ye a oeo yx oocaoo eee 0,24 ceoo oa pee. Ta opao, p ao apae a 5 cao ye pxoc cpee 2,24 paoeo, a ooo paoeo oaec cpee 5 : 2,24 = 2,23 caa (. e. oue, e peye apae p H = 2).
oce paccopex apao ooe oece eoxo ypoe cooa oopyoa (. e. oece oee aa) c ao ceoc paox, o ao cyae cooecye yy cyapx apa a poy. Ceoaeo, yco paccopeoo pepa oa ec ocyae cao pyo yx paox. Bece c e paeca peaa oceero apaa peye aeo pao o oecee caoc pooceoo poecca xpoa eeoc paox.
M paccope eoy pep pacea oao op ocya p eco oocaoo paoe.
p eecx poeccax oopyoae ocyaec o epe eo ocao, e coe ooo oo e opa oxoa cao. Taoe ocyae xapaepo oocaoo ex cyax, oa e coooo pee pee aoc e cyecee oea. p o coee opeeeoo appya ocya eeo, a a oe a aee poco oopyoa paox.
Ec e t t e oe oea, pace op ocya ceoc oe ocyecc c yeo epoocx aooepoce, o opeee eoxooc cooa ceaoo aeaecoo aapaa eop accooo .
oce opeee xapaepc cce ocya oopyoa (xoeo ooa, eoc, c, ocyoc ocya, ap epea) eoa eop accooro ocya peyae a pao cce a oepe oo ycao oaoe cooo .
Haoee poco a aaa peaec ocya cao-aoao pao, coea y oepaopo aao. x cce ec opy, o oop oo pacca ce xapaepc, eoxoe opa oax op ocya ceoc. Coca x xapaepc opeeec ycaoe paee opae pep oaoc.
Pace oax op ocya ceoc o opya eop accooo ocya eca pyoo paec eocyec ycox oca pep. B c c peoe pae apa a oopa.
paecx paceo aopo papaoa a, pae oopx pecae a, 9.6.1 9.6.2. B x yaa oae op ocya 0 cooecye oe aoc paox oco y (. e. eocpece ocyae cao) K0 ooo paoeo (a. 9.6.1) ea yx paox (a. 9.6.2). Aaoe a pacca py 3, 4 5 paox.
Hop ocya ycaaac o a. 9.6.1 9.6.2 acoc o yx oeo K K1 . ep x opeee eoxo oe pooceo popa ypoe cooa oopyoa o ay pee; opo opeeec o opye:

e t pe aoc ooo paoeo p oopao ocya caa (arpeaa); t coooe aoe pe (pe ec caa e yac paox).
ae, peee a. 9.6.1 9.6.2, oo ycao ay ceoc paox, p oopo oeceaec eoxo oe aa ypoe cooa oopyoa p o aoc paox oco y e peae oyco (. e. ocaec eoxooe, pe a ox, e aooc a oee ooex y). B ycox ecyeo pooca op cooecy yy cyapx apa a aa o poy. C oo ax a p poepoa pooca oe ycaoeo oaoe coooee ey oeco cao (arperao) ceoc paox.


Ha ocoe cpae op ocya (c. a. 9.6.1 9.6.2) eocpeceo ycaaaec poc pooeoc pya p epexoe o yaoo ocya oopyoa oeoy. Ta, apep, ec K1 = 0,16 oe pooceo popa eoxoo, o apya aoo caa a e eee K = 0,66, o o a. 9.6.1 axo: H = 6, K = 0,78. ea yx paox p ex e aex K1 = 0,16 K = 0,66 opa ocya o a. 9.6.2 coca H =14 cao, a cpe oe aoc paox opace o K = 0,91.
Poc pooeoc pya p epexoe o yaoo ocya cao oeoy opeeec o opye:

e H H - cooeceo oea yaa op ocya.
B ae pepe K1= 0,16 K = 0,66 ee:

aec poc pooeoc pya ye ecoo ee -a pa opaaox aopo ( acoc, -a ye pee a epexo ey caa). Ka o paccopeoo pepa, p oeo ocya yeaec cpe aoc paox oco y (K = 0,78 p yao ocya K= 0,91 p ocya eo yx paox).
eoc oeoro ocya cyeceo ac o ae K1 K.
poe oa paee pya oa ocoo p oe poyox pao (c. pa. 9.5). p oe paceo o pee e oe paccop a pepe oa aoec aao oepaopo.
aoo apaa paee ooepa pya a ocoe cooecyx pyox opao, ax o aeoc oopyoa cpyea, aeapo-aox opao ( acoc, paepo ap) o ycaoe cpee pooeoc ocya caa aao oepaopo, cpeee pe aoaeco pao caa epooc ocya oepaopo aa.
o ae aa ao pacpeee cyax e, ca ocyoc ocya. Ha ocoe x ax opeec xapaepc cooa oopyoa aoc paox, eoxoe pa oaoo apaa.
Haoee o eoo pee paccapaeo aa ec a poecca ocya oopyoa a oepe. p o o aoy cao c oo ao cyax ce pyc epo ero pao, ocya oa ocya acoc o apao paee pya ceoc paox. oce oe eoxooo ca peaa opeec:

e K(X) oe pee aoaeco pao oopyoa cooecyeo apaa paee pya ceoc epcoaa; Ki(X) oe pee aoc paox i- py; Ur r- peaa pee pao oopyoa; Tri r- peaa pee ocya oopyoa pao r- py; Q pooeoc a; N oeco cao; Mi ceoc paox i- py p ao apae.
Bop oaoo apaa pooc a ocoe e Ka (X) Ki (X) cooec c pep opae, pee paeax 9.4 9.5.
o ye oeco cpaaex apao, op oaoo pee eecoopao opaoa cey opao. Baae e ax-o paceo eocpeceo o aa opao opeee oax op ocya ceoc (c. a. 9.6.1, 9.6.2) ycaaaec rpaa cyapo ceoc oepaopo aao. Oa cooecye apay, p oopo a pao oe o y paoy a o cae, . e. oc oya aaec c apaa, p oopo e paee pya apee paox a pya cao. B o cyae p pox pax ycox poco oopyoa oa ocya yy a, a apya paox acao. Ceoaeo, oe eoxooo oea pao opeyec y ceoc paox. Bece c e apa a ooo paoeo p ao apae yy ao, a a oe o pao a o cae peyc paoe coo aa, o peopeee cooecyy oay x pya.
oo apaoo a oe oyea a ce paee pya pee paox paoo ypo aa. Kpoe oo, p paee pya ooo yeee pee oe oex oepa a ce ceaa paox.
yee ca apao ceoc paox p ao apae paee pya ceye cxo oo, o ceoc paox pax py poopoaa pyoeoc oex pao. Coooee pyoeoce oo oe o cpe apaa pee pao ao py a oy oepa ocya cao ti, epooc x oepa pi. poee piti poopoa pyoeoc cooecyx pao. ooy p pacpeee ycaoeo a epo ae pacea oe ceoc paox o rpya oo cxo coooe:

Bapa ceoc paox ory oye ae a ocoe xapaepc, ycaaaex eoo oex ae. p o aaoo coooe (9.6.10) oo aca:

e ti oeco oeo ocya cao pao i- py; vi = ti /t o oeo ocya cao pao i- py oe oece oeo ocya t.
Be v xapaepy oocey pyoeoc pao, oex pao i- py.
Ha ocoe paccopex coooe o ox paecx aaax oo oy yoeopeoe peee e a poecca a . , , oo opao oex ae ycaoeo, o aoo apaa paee pya oocea acoa ocya cao oepaopa cocae v = 0,7, a aaa v = 0,3. Ec p o o aa a a. 9.6.2 ycaoeo, o cyapa ceoc oepaopo aao M = 3, o ceoc paox ao py ye paa: M = 1; M = 2.
Ocoe nomuCpyypa op .
oceoaeoc poepoa pyox poecco pacea op pya.
Oa pe pya.
Cxe aoec eeo pooca.
Cxe paca op ocya ceoc.
.
Maeaecoe oae oeca ecyx e oopyoa, eoxox oe pooceo popa.
Opae o eoxooy pooceoy peyay.
Opae o yco pya.
eee y aaax oa op ocya ceoc.
.
Oeceae pao.
Cpyypa aa oa paee pya.
Meo oa paee pya ceoc .
ece poecc ocya oopyoa.
Heece poecc ocya oopyoa.
a poecco ocya oopyoa a oepe.
Kompoe onpoc u me ucceoa1. oey op eoc pyoeoc oepa ao opee oce oa op ocya ceoc?
2. Ka yac oppoae epep paoe oopyoa p pace op eoc oepa?
3. Kao pep oaoc opae aaax oa peo pya?
4. Ka e cxea aoec eeo pooca a pac op ocya ceoc?
5. Ka pacca op ceoc ocya p aoec o cxee "e oa"?
6. Kaoa cpyypa aa oa op ocya ceoc?
7. Ka pacca oeco ecyx cao, eoxox oe pooceo porpa?
8. Kae xapaepc ycaaac c oo pao oocaooo ocya?
9. Koa eoxoo peee eop accooo ocya paca op ceoc?
10. Ka opee oay ceoc paox o aa oax op ocya ceoc?
11. B ax cyax eoxoo peee a poecca ocya oopyoa a oepe?
12. Ka opee eoc a poecca ocya oopyoa a oepe?
Bo ce oao pe ocoo pacpeee oeceoo oaca caec npuun pacnpeeeu no mpyy, oop ece, o pae epe, c ecx pee. Ee Aoco ae o opo oca eccaoa y: "Ec o e xoe pyc, o e e" (2 ec, 3:10), a epo oca opa "...a oy apay o coey pyy" (1 Kop., 3:8). p ce pocoe cpaeoc pa pacpeee o pyy eo paecoe ocyecee peye oea a p ocaoo cox opoco:
o oa o apaa peyaa pya?
a paec oea x p pax ax pya, ocoeo opecoro?
aoa oa epa oa a ey apa peyao pya?
ao oa ypoe epea oxoo?
eoe pe p pacpeee o oecy aecy pya oeeceo epaype paoac c o pacpeee o apaa pya. B ocee o aoe oae oepaec: ouco aopo oaae eoxooc pacpeee o peyaa pya.
M e oex ocoa acoa aoo aax . Bce opeeec xapaepo yco eeoc eoea. Tpy paoero, oeo opeeey oepa exoorecoo poecca oec ax oepa, a opao pyo ea (apep, aa yp), paec e oe e oaac o oppoa apaa pya, oope eoxo oce peyeoro (aooo) pooceoo peyaa. oa oop, o oaa pya oecx pa ocyecec o oeoy peyay. o ooo, o e co aco, a a ooa paa oa, cyoc, papacc o paepo aoa, ycaeo ooc ooy ay. ae e poy pa oaaec o ooceo oocoeoy peyay (oey ooc opaoax eae, copaoy yy a . .), o pacpeeee oeo apaoa paec ae ceo ocyecec poopoao apaa pya.
Bao oepy, o ce cya oocc pyy, oeoy o aao exoo. Tao py paee 4.2 aa a-pyo.
o ooe pyy, coepaey cyecey o eeo o, . e. opecoy pyy, opraa oa oa pao o. e e o eeo opeca, e oe epe pacpeeee eeo opepyec e a apa, a a peya pya. B ax ax opeca, a ayoe, execoe, eaoecoe . ., pacpeeee poyo pya ocyecec a o apaa, a o peyaa. peoaae o pyo a pacpeee eo opeeec oe opeca ao e eeoc. B ooeco acee opec ceye ca py, ocoo oa oopoo pao oe aopc . Ho acoee pe e oo ae cpae, o o cex pax cpaax oco yex eepo e oy oo a oopap a o coeo . Bece c e pep T. A. coa pyx opeaee oaae, o pe o ooo, aee ao oa ye oya ce oee .
ocoy pepaeco ec o o opeco eeoc, ocoy p pepae o e o oe, a aopcoo oopapa. Bece c e copeex ycox aoux ycexo oac, a pao, e pepae, oope oo o paeco peaa oe aye exece e opa oe ea cycce. oa pepae aop oo e oo o e o (apep, ocoae oa "op" ep op). ae pepae peaye ae, oop pecaec ey eo coea epce, oyae a epcex p. Bo cex x cyax epocoo p ec opeco aopo ox ayo-execx e, oeoc oopx yeaec aoap opecy pepae.
B poo ooe p pacpeee o pyy peayec cxo peeo poyoc opeoo paoa a opeo paoe ece, . e. oxo paoa p pox pax ycox yeaec cooec c poco oxoa pep o aoo a pya.
peea poyoc paoa ac o cpoca peoe a cooecye pe pya. p paoao opaoao ooe ea cooapoaoo opecoo pya aeo e, e aoapoaoo. o opaae oee coy poyoc apoaoo pya, ao ycox peo ce oecex ooe exooecx yao cyeceo eec cpyypa cpoca a py ea eoopx o cooapoaoo pya oe aeo cc. Taa cya xapaepa pa pya Pocc 90-x oo, oa oxo orx yex eepo oaac e, e y poao, accpo oxpao. B oox cyax, p oopx po exa e oeceae aeao pea, o ecoa ocyapcee ep peypoa, apaee a coxpaee eeyaoo yxooo oeaa cpa. ep "cpaaa" p a ocaox cpec ocyapceo ee. Ec o ycoe e oec, eea epaa ay, opaoa, yyp c oe ocec yyeo cpa. Paccopea cya ec cece pa paopeeo oopeeo aceax coooe cpoca peoe a pe pya [Mapa. T. 2. C. 49].
Ta opao, poo ooe p pacpeee o pyy opyec npuun pacnpeeeu no npeeo npoymuocmu mpya. a poyoc oa opeec c yeo cya a pax pya.
B ycox poo oo apy c oxoa o pya cyecey po rpa oxo o coceoc. B ae cpae pacnpeeeue no cocmeocmu eoe pe oao e eo cyeceoo ae paec e ocyaoc ayo epaype. Oao c yco a pyx ex ya pacpeeee o coceoc caoc peaoc p opeeex ycox oe ca ocaoo a. B acoee pe caoc ce oee ayao poea oaoo coea po pacpeee o pyy o coceoc, p o yac coao-cxooec ooec ace.
poea ooceo aoc pacpeee o pyy o coceoc ocyaec ooeco epaype e oy co e. A. Mapa ye o poee aeoe ae coe acceco paoe "p oo". B paee, aao "Pacpeeee aoaoo oxoa", coepc ec a, oopx p oce aay oxoo o pya, oa poey a aa (. e. oxoy o coceoc) e coepa oy xapaepcy cce pacpeee oeceoo oaca, B eo A, Mapa oe aay apaoo a pepo 80% paea, oceoo poee pacpeee.
ae o pacpeee oxoo CA pee cae aypeaa Hoeeco pe o ooe Bac eoea. O e, o 1990 , "o oxoo o coceoc cocae pepo 15% oro oxoa.." [eoe, C. 26]. Kpoe oo, B. eoe oeae, o o 1929 , pacxo ocyapca a ec, oco o oe, epaoe ee. Ceac o coca o 15% cyapoo oo oxoa paa CA. paa ceecye o o, o oa, pao oopx c aea aeo ac x a, a pao, paac aeo cpee o cpae c py. B acoee pe ec oo paa CA c cocea a.
Bece c e poc oxoo o coceoc oe pec yce pa ypoe aococo, e cax c cocooc e x pyo yc. o e oo apyae coec pecae o coao cpaeoc, o p opeeex ycox po ea ocec oo cpa, a a eae epa capoe o e, paeax pa yece pya. B oax cpaax o cax oypx ec oy "0eco pax oooce". Tao oy eocpeceo ceye pecae o oype a aee popecca. a e ec ocoo accooo coa cpaax c poo ooo ocoeo coa ocyapcex eee x cpa. ae cae eppe po eaeca ocyapca ooy e opaa po ep, apaex a coae pax capox oooce oox e pax coax py.
ep peycapa, acoc, coe ao a aceco (oope ea o coae ex aoopex, xyoecex pyx oo), a ae ccey oeca pacxoo a oyee yx oax yepceax oapex ee. ex, o ee cocoex poee, o e peycope eaco o aeaox oeo peyao ecpoa. B ao cyae pe e e o aoopeoc, a o oa eoc aao cpa ycox eco oype, oac oopo ocoo pacpec c c pacpee eyapoo opo oooce coooro epeee e.
Ta opao, ex cpaax, e pacpeeee oeceoo oaca ocyecec a o pyy, a o coceoc, coooee ey cepa ec x yx po ycaaaec xoe o ooecoo, coaoo oecoo pa. Hax opax coooe ocyapcee opa e ycaaa, oao eec oe opeea ee opaca po pacpeee o pyy.
B eopeeco acee ooo ocyee pa pacpeee . Oao paec o p oe peaoa oo epe pacpeeee o pyy. Cocooc cyeceo a peya pya, a a, a cooecyy o oeceoo oaca. o ocoeco pyo yec a-o ooec eoa, poe porpeccoo aooooe oxoo.
ae cpa cyeceoe aee ee pacpeee no ocmu. eoe pe caoc, o aaea ooc opeee a eoea oeceoe oaco, oeco aeco eo pya. Oao ec oe a, oope aca ycoc a ocaoo ooeo oppe ey aaeo ooc pea ao oeceoe oaco. oee oo, ec oppe aco oaaec opaeo. o eae eca ayao poey aoo pacpeee oxoo, p oopo x ypoe ace e o ooc, a o ooecoo coaoo ea eeoc opeoo a, aaeo ay .
Paccopee e p pacpeee opepoa peyeceo a ooec ace poe. Oao pacpeeex ooex eca a -ec ae coao-ec . p opeeex ycox o oe oaac ae aee ooecoo. Ocooe poopee ey acea coco o, o pacpeeee o peyaa pya, e oop o pacpeee o coceoc, ee aeoy epaecy oxoax, a cooeceo opee.
o epaeco eeo -a pa cocoocx e, x coao ooe pyx yco. Xo oeeoe poopee ocyaec ye a poe coe, oaoo pee o cx op e aeo. B oce cpa epaeco oxoax ac oecpoa a ce oecex oo opee aoopex oo, oope opeeeo epe peay pacnpeeeue no nompeocm.
O ocex ece ocaoo yeeo oaa, o eaco o ocoeoce pax cpa y paoaoy pacpeee e e epe ypaae oxoo, a epe ao ypoe x epea, oop oeceae coe cy pocy eoc ece c e coxpae eaoc oece a ce apa yoeope ocox opeoce ceo acee cpa.
Kpoe paccopex ooe ee o p pacpeee c noo omepe. B oe o cex ocax cocoo pacpeee apooo oaca, oepe ocoa a pe cyaoro opa cooec c aoo pao epooc. Tao oxo poee oxoo acee e ca oyc pee ceo o ec coopae. o opeeec e, o epooc pa poopoaa oecy yex eo (a oop, "e ea").
B c c e o oepe paec cea po epepacpeee ex a oy orax, acc ooeco ay oocc peo opaeo. B acoc, . e oea, o oepe ycpaa e, o xoe ac a cooa " cox oax co yoc" [. 1940. C. 52]. Aao o ee ooo cax ocox pecaee ooeco ay A. Tpo, oop, yy cpo aco oa XVI, ac ooa paya cea o, eo oca payca peo 1789 . eo coe c eoeecx e. eeoc A. Tpo coo oea K. Mapc, eo po. O peep-cpo pa, . op, ca, o A. Tpo o "coceo oeaeco a oeceo ae" [op. C. 5]. B e .opa poc ceyee caae eoo ooca o oepex: "o a ea aoo paaa aap poo, a ec ocyap op a ao ye o poy ocoo p apao.." [op. C. 100].
Ka o oeoro, acoee pe ocoa ac aoaoo oxoa oax cpa pacpeeec o pyy.
K cy po pacpeee oo oec npuun coepeeocmu onam . o p ece ee Bexoo aea ceye opypoe: "B o e e, oa o paoa, oa ay eo, o o e oo a e o ocoy e o a ee pexa" ( o: [p. 1991. C. 135]).
Heoxooc coepeeo oa pya oepaec oyeax Meyapoo opaa pya (MOT) aooaece cex cpa. Kopee cpo oa pya ycaaac opacex apx coaex, oex ooopax ey paooae pocoa, pyrx oyeax.
K coae, Pocc 90-x oo p coepeeoc oa pya oe aco apyaec a cex ypox: o ocyapcex opao o ax pep. pecae ocyapca oc o ocyce eer ae -a oxo copaeoc aoo, a pepae aepa oae eo a ocaey poy py pa. p o epeo pyooe pep oya co eae oxo coepeeo, a copy eca y apaoo a. Oeo, o o e coco-cye coaoy coac oo aex peoco eo pao.
10.2. Cacec aa pacpeee oxooB poo ooe oco coa x oxoo c:
1) pyoa eeoc epcoaa, paoaeo o ay, coox poecc;
2) pepaeca eeoc;
3) coceoc;
4) cpeca ocyapca pep, pacpeeee cooec c paeoc opeeeo coao pye aeop epcoaa;
5) e ocoe xoca (IIX).
epoy yaax coo cooecye oxo e apaoo a oopapa; opoy pepaeca p; peey e poe a aa; eepoy pacepe ae (ec, oco, ce . .), a ae ycy pep co paoa e ecoo ocya, oe aa . ., oy poy, oooc oxa, eee cpeca o X. Kpoe yaax, eoopx cpaax, o ce Pocc, 90-x oax ae oxo o eerao eeoc,
Cpyypa oo oxoa o oro oeo oycoea cceo ocyapceoo ycpoca, ooeco cyae, opa coceoc, pa, O o Pocc o pax cpa ec ooceo coa o poy X cooyo oxoe acee. B eo o Pocc oa cocae ooo 13%. e eee peo, e, a pao, e o oxoo o X. Ta, Moce Ca-eepype ae oxo coca ooo 1%, a coco oac ce 36%.
O cpyyp oxoa cyeceo ac:
o, a ceoaeo, peya eeoc e, o eocpeceo cao c ooo pep, peoa cpa;
aoooe ey x pya pocex oeax, peoax cpae eo;
aeco e, xapaepyee cee yoeope x aepax, eeyax yxox opeoce.
Ta opao, cpyypa x oxoo cyeceo ooopao e a yco e, eeoc pep pyx coao-ooecx cce.
ocyapcea caca Pocc aoee ocoepo cpye opa o pex ocox coax -x oxoo: 1) apaoo ae; 2) coax pacepax; 3) oxoax o pepaeco eeoc o coceoc.
C aaa 90-x roo ocoa ee a x oxoo opeeec cee o apaoo a pco pepaecx oxoo (a. 10.2.1).
p aae aeca cpae cyeceoe aee ee pacpeeee acee o ee oxoo. Kpa pacpeee, a Pocc oa 80-x oo, pecaea a pc. 10.2.1. B o po xapaepe acoee pe acee pax cpa.
Pcy 10.2.110.2.5 acoa ca A. . aoa, oooeo a ocoe eo pao o pay Pocccoo yaapoo ayoo oa [].
aua10.2.1
aa cpyyp x oxoo Pocc 90-x oo ( %)
Caraee oo oxoa |
o |
||
1992 |
1994 |
1996 |
|
Oaa pya |
69,9 |
46,6 |
42,5 |
Coae pacep |
14,0 |
15,4 |
13,9 |
pepaece oxo oxo o coceoc |
16,1 |
38,8 |
43,6 |
Bceo |
100 |
100 |
100 |
Heoopao oeaoc, o p opao yopye ooe epea x oxoo oe apocpoaa oapec opa aoo pacpeee.
Acep cooecye po opaae o, o o cex cpaax oeco ex oe oeca oax. p o co epao ox oxoo cyeceo oe ca epao ax oxoo. O "rop" a pc. 10.2.1 xapaepye aey o cpeeo acca, oop e ee peo paex pa o ypo aococo.
Cpe acc pax cpa ec yaeo x oeco cac, oopa aeo epe oycoea ooec: cooecya ac acee oeceea aoycpoe e, ooe ae py aa.
Xo oaa caca e oo epe yae peae oxo cex py acee, ecoeo, o a 90-e o cpyypa acee Pocc o ypo aococo pao eac. Cyeceo ycoc pae ey oa e, yeac o ex, oo oo oec cpeey accy. a "opa" a pc. 10.2.2 10.2.4 cooecy o ex oax. Coepeo oeo, o pa "op" e oe peyao pa ee apaoo a. O oycoe pepaec oxoa oxoa o coceoc.
06 yce ooeco epea acee Pocc 90-x oo ceecye ae apaa opea, cocaea o e xapaepca pacpeee oxoo (pc. 10.2.5). Cece yeaeoc epaeca oxoo caoc peoe pae opae oax ex coe oeca.
Heoxoo oe, o oe epea oxoo, peee cae A.. aoa, cyeceo e, e y oca pyx aopo. ae oao cac opae a. 10.2.2. eec pacxoe oeax epea oxoo oycoe e, o e aex ax o oxoax aoee ex oax rpy acee, a ae aeo oe eeo . Oao ce ceac coac o, o epea oxoo Pocc aoo ( 1,52 paa) o, e pax cpaax.

Puc. 10.2.1. Pacpeeee acee PCCP
o cpeeeco apaoo ae apoo xoce 1986 . (e a o oo oeceoo opee)
o acee, %

Puc. 10.2.2. Pacpeeee acee o oxo (a ec) pya (apape 1992 .) cmou: ooa , 1992. 44. Hop.

Puc, 10.2.3. Pacpeeee acee Pocc o oxo (a ec) pya

10.2.4. Pacpeeee acee Pocc o oxo (a ec) pya (opop 1996 .) cmou: cep. 1996. 45. C. 24.

10.2.5. apaa opea (pacpeeee oxoo acee CA Pocc) cmou: [ao]
B 1997 . cpeey accy Pocc po ooc ce co cpeeye ec oxoo 3001000 o. CA. ceoc oo coaoo co cocae ooo 10% acee Pocc. B Moce o cpeeo acca aeo e ooo 25% [ec. 1998. 19 .].
Taua 10.2.2.
Pacpeeee oeo oea yaex eex oxoo acee P 19941996 .
eee oxo (o 20%- pya) |
1994 . |
1996., l-e oyoe |
epa (c ae oxoa) 10% |
5,3 2,2 |
5,4 2,4 |
Bopa |
10,2 |
10,1 |
Tpe |
15,2 |
15,1 |
eepa |
22,4 |
22,3 |
a (ace oxo) B .. 10% aoee oeceex |
46,3 32,0 |
47,1 31,0 |
Koe oepa oxoo () |
0,409 |
0,382 |
Coooee oxoo 10% aoee oax 10% aoee ex |
15,1 |
13,4 |
cmou: [eco, ].
Taua 10.2.3
Coooee ypoe apaoo a opacx oo Ca-eepypa (1997 .)
Opac |
apaoa aa, % cpeey ypo |
poeoc |
90 |
Cecoe xoco |
86 |
Tpacop |
117 |
C |
132 |
Cpoeco |
124 |
Topo |
92 |
Oeceoe ae |
49 |
o-oyaoe xoco epoocee ooo ocya acee |
114 |
paooxpaee, eca yypa coaoe oeceee |
70 |
Opaoae |
65 |
Kyypa cycco |
65 |
Haya ayoe ocyae |
72 |
aoca eeoc |
3,5 paa |
paee |
1,7 paa |
o cpae c pa cpaa Pocc o cpeeo acca ceoc acee 34 paa ee. Bece c e oeeceo apyeo epaype oeaec, o ocee o ycac ee opa acee pe pax cpa. B acoee pe CA 20% aoee oao ac acee aee 44% oxoo. poopyec, o 2005 . a o pace o 60% [ec. 1998. 19 .].
0 coooe oxoo o pya opacx oo Pocc oo cy o coooe apaoo a a pepx Ca-eepypa (a. 10.2.3).
0 pa oxoo paox cpaax Epo oo cy o pc. 10.2.6.

Pc. 10.2.6. Cpe oacoo oxo epoecx poex
paox (o, CA)
cmou: acoe . 1997. 13 op.
10.3. Cpyypa oxoa copya pepCpyypa oxoa copya pep pecaea a pc. 10.3.1. Ocoo ac oxoa aeoo epcoaa pep ec apaoa aa, oopa ae:
1) apy ac oay o ap caa oaa;
2) oa oeca;
3) aa;
4)pe.
Tape ca oa opee ey oa pya cooec c eo cooc oeceoc.
Haaee oa oeee ooex apa paoe c -a oex pa ycox ec pya. Koeca ya e ace o pep aop, o ce poc e.
Haa pe oc cypoa opocoecoo ooe pyy, oe aeca poy eoc pooca. Pa ey aaa pe o, o aa aac oaoo paepe a ec eee ycaoeoo epoa, a pe oy epeyp, x ea cyeceo eec acoc o ocryx . Ta opao, oa oeca opaa e poocee coae xapaepc pya, oope oeo e ac o copya. Haa pe opaa peya eo cocex oce.
Toa cpyypa oxoa copya pep oe pecaea cey opao:
1. Oaa o ap caa oaa.
2. oa a yco pya:
2.1. Xapaepc pooceo cpe.
2.2. Ceoc (pe pao).
2.3. Cee aoc eee ce.
3. Haa:
3.1. a pooeoc e op (ce ppaoo, oaa a paoy c ceoc, ee opao).
3.2. a a oee eoc poc.
3.3. a cooe aeco poy, oee cpox oecex aa.
4. pe:
4.1. a aeceoe coepeeoe oee ooopo ao pao.
4.2. o oa pao a o.
4.3. oa pyooe opaee.
4.4. Aopce oapae a opee paoaaopce peoe,
4.5. Boapae a aoe yace ocoe ox execx opaaox peoe.
5. cy p paoa (coae a).
6. e o a pep.

. 10.3.1. Cpyypa oxoa copya pep
Paccop ay ca (oo oy) oxoa.
CTAT 1 (mapue cmau u oa)
Tape ca oa ycaaac a ocoe apx ooopo cooec co cooc pya, eo oeceoc, ypoe e a pee opee, cyae a pe pya pyr aopa. Mpoo o oaae eecoopaoc ex apx ceo 1722 papo paox, ceaco pyooee, o oeceae aoc coooe apx caax pax py copyo oeae ecee ee apy ccey pep, ee coacoae c pocoo.
p ope aaoa apo ce eoxoo ya pa cooc pao, ooecoe ooee pep, a ae coao-cxooece aop a a pep, a a eo peea. e e ypoe cpae xye ooecoe ooee aoa, e eue oe aao pa oae pya. paec Pocc aco ae aoopo.
Ocoo oppoa apx ceo acoee pe caec aaec eo oe pao. Ha aae oo cxo a aaeo eeco cxe, po a eyapoo opecce eee 1950 . a cxea peoaae aa pao o cey ae paa:
1. Cneuae au u yeu (auuauoe mpeoau) poeccoaoe opaoae, o pao, peoa yce cocooc.
2. Hapya e pao a opa eoea.
3. Omemcmeocm aepaa oeceoc, oeceoc a epcoa poecce pooca, oeceoc a coxpaoc pooceo a.
4. cou mpya oece opyae cpe poecce pooca, o ce eoacoc paoeo eca.
Peae pa apaoe oy pea aao apo ce a ce oa, aao pe.
CTAT 2 (onam a ycou mpya)
2.1. Heaope yco pya, ec x paec eooo yy, o oecpoac paoy pee ceo a ce yee pee oxa, ooeoro ecaoo a a pooce, poaecx eex epop. Ec oo eocaoo, oc oa ap caa a ocoe aeca paox ec pyox poecco o cyecy eoa. poe oeca oa a eaope caapo-eece yco pya oe ao e, oopa caa eoxooc cae op pao ex yee apaoo a.
2.2. oa a ceoc ycaaac a paoy eepe oe ce.
2.3. oa a ypoe aoc eee ce oc peyeceo orocaoo, aao, peooo epcoaa. o ooe ya pa apaax pya, oycoee cee cooa ceoo oa pee paox,
Hopaoe pe aoc paoa a cey opeeec o opye:

e T opaoe pe aoc a cey, ; T eoc ce, ; Tm opaoe pe a ox e aooc a cey, .
B oeo ooope opae eecoopao yaa, o acpa ee pao cooa ceoe pe paoa peeax opaoo pee T , opeeeoo o opye (10.3.1).
Coeee pax o eeoc, ec o aoy x apya eocaoa, ec eoxo eeo opao opaoaoo pooca. oa o ycaaac e a a coee poecc (y), a a coooee ey opa ece ypo aoc.
Koe opao aoc paoeo a cey ycaaac o opye:

Taua 10.3.1
oa ap caa (oaa)
a ypoe aoc paoo eee cc
K |
K |
||||||||
0,95 |
0,9 |
0,85 |
0,8 |
0,75 |
0,7 |
0,65 |
0,6 |
0,55 |
|
0,95 |
30,0 |
24,68 |
19,43 |
14,18 |
8,93 |
3,68 |
|||
0,9 |
30,0 |
24,42 |
18,87 |
13,32 |
7,77 |
2,22 |
|||
0,85 |
30,0 |
24,19 |
18,29 |
12,39 |
5,49 |
0,59 |
|||
0,8 |
30,0 |
23,75 |
17,5 |
11,25 |
5,0 |
||||
0,75 |
30,0 |
23,23 |
16,63 |
9,98 |
3,33 |
||||
0,7 |
30,0 |
22,88 |
15,73 |
8,58 |
ocoy peee aoo oea oe aec pe opo paoa, acaa ea oa apo cae oa cooecoa ee K.
Hapy c opa aoro paoa oe ycaaac po oe aoc K, oop cooecye peao oe y oecy ocyaex e oopyoa. poe oe aoc aoo a pao oe opeec o eoe oppoa pya cooecye py paoo.
My aoc eee ce eecoopao ycao a ypoe 70% oea opao aoc K, a acy oa apo cae a cee aoc paepe 30% (p K = K) x yco a. 10.3.1 pee e oa ap caa acoc o coooe opao poeo aoc paoo a cey.
CTAT 3 (aau)
o ee oxoa aoe cee oe ace o ypo pooeoc paoa.
3.1. Haa a pooeoc e op o oceeo pee ae ceo e opy ceoro ppaoa oa a paoy c ceoc epcaa ee opao. Tae a oo e paccapac a aa apy, o caec, o aa ycaaac acpae. Ho peeoo e opeee aao a ooceo ocoo ac apaoa, opaae e oce paoa, ceye, o ce ppaoo o aao.
Moo e ceye p epeoe op:
1) ae y paoa cocooce ao paoe, peax cpe ypoe;
2) peee ycoepecoa, oope e oope a paoaaopce peoe execoro opaaooo xapaepa;
3) apye exoo ex eoacoc;
4) peepa ecoc pya;
5) oooc op.
Too epa pa oe cac oe ocoae oye ceoro ppaoa aaox ey a. p 35 opao opaoao pooce e o e eca. o acaec opo p, o eoxoo coae ooecx opraaox yco, oeceax aepecoaoc paoa oope paoaaopcx peoe e x yepe exooec poecc. oo oc aa, yaae c. 3.2.
3.2. Haa a a oee eoc ycaaac:
1) aopa paoaaopcx peoe o coepecoa ex exoo;
2) aopa peoe o coepecoa opaa pya, pooca ypae;
3) pao, ceaca pyooe, eocpeceo yacoa peaa execx opaao .
Haa ycaaac a epo peaoo pee ooo oopyoa, cpyea, op opaa pya . .
coo aao a poc eoc ec peaa oo pyox aepax pecypco o pee oec. Ha oapaee e aao pe oe, apaeo o 90% cy peaoo ea. Pacpeeee oapae pooc c yeo ocoeoce pep. Hapep, ooe cey apa pacpeee:
40% a aa aopa e, o eocpeceo ooa peaa x peoe (c. 3.2);
40% a pepoae (c. 4.4, 4.5);
20% o pyooee yaca exa a aa pe o c. 3.3 4.3.
Haa a poc eoc oecea peae ooece peoc caa oea oe op epexoa pacpe cep pee opeeo oa pya c oppoa aae. O oaae, o eoxoo pacp oe paoaaopcoro peoe, eo e oo exece, o opaaoo-ooece . Boarpae e aao ceye aa ec epo cooa aoo peoe. epecop op o ae paox oe paccapac a paoaaopcoe peoee.
paoe peee aao a paoaa poc eoc oe ope opao e cya c epeoee op. Hepe cya, oa paoey eoo oop papeoee, xo o apaaae oo a o, o peaye a oo paoe ece. Ec e ec aa oae o apy o ea, oop ye peaoa a cex, paox ecax, e epeo aoe peoee, o cya apaoa paoaaopa ye aeoo oe, e o ooa pooceoo cepea a oo paoe ece. Ta opao, aa o c. 3.2 caoc aeo ceoo ppaoa ece c pe c. 4.4 (a poc eoc) peay oopap p oa pya.
3.3. Haaa a cooe aeco poy, oee cpox oecex aa aaec oa pyooe opaee (acepa, aaa exa, oea). Bea epo ycaoe o aa opeec cooecy pyooe.
CTAT 4 (npeuu)
ooeco cyoc pe ceye, o o oy yx ocox o:
1) a aeceoe coepeeoe oee pao;
2) a opec a paoa o peya eeoc exa pep.
K epoy y oocc pe o c. 4.1, 4.2, 4.3.
K pe a e opece oce oocc a o c. 4.4 4.5.
CTAT 5 (couae nam)
Ha pepx pax cpa apaoa aa cocae, a pao, 5070% ox pacxoo a coepae . Ocaoe o coae a, oope a oy acy oay pacxoo o cey ca:
pacop;
eca oo eapca;
oyc xoe ;
ae o pe pao;
oee aa paoo p;
cpaxoae paoo p eo x cee;
eco yax (copx, poeccoax p.);
aopoe oe ;
ocypoae o pec, aco py poea;
cepeaee o;
pye pacxo.
eo paoae oa CA oaa co copya o 90% cooc ee y epaeo coaooo, oea cooc oye oeax yepceax (p yceo cae aeo), aa aey ac ec o capoc, coa o oy oapo [pae].
Coae a aco opayc o py "e". o oaae, o peeax opeeeo cy a copy oe pa e oa, oope ero c aoee peae. K coa aa oocc ae oce pep ec .
CTAT 6 (uue u onuo)
e oxo o poca ypcoo cooc a coca aey ac oeo oxoa ceo pyooca opopa. Bo ox pax eca cyecea oaa eeoc eeepo epe oo.
Ka oaae poo o, eoc copya eo oxo xopoo oppepy a cex ypox epapx, poe cao ce. Oa pye oxo (e, oo . .) pyooee opopa aco e ca c eo p, ypco a pyr oe pe-yaa. pepo oy cy oxo ox pyooee p CA, opa o oopx peea ypae "ec y" (1996. 4. C. 4445). B acoc, oa ATT oa 1995 , o copae 40 paox ec, o oa ee aoo ypaero e yec (5,85 , o.) , poe oo, o oy oo a 11 . o.
B Pocc oa cyape oxo oca pyooee pep a e opaa peyao pooceo eeoc, Hepeo oxo ypax pacy p ce oeo pooca ceoc epcoaa. o e oe e a eooca ocoo ac copyo pep. Oao oe o P, pyx epoecx cpa o p coaoy apepcy Pocc paec e peayc.
10.4. op cce apaoo acxo cpyyp oxoa copya pep, paccopeo paee 10.3, oy pa op cce apaoo a, cooecye yco o .
op apaomo nam xapaepye coooe ey apaa paoeo pee, pooeoc pya paoo eo x apaoa, Paa e ocoe op apaoo a: opeey cey; opeeo aaec opa oa, p oopo ea apaoa poopoaa aec opaoaoy pee. p ceo oae apaoo paoa poop .
Cucmea apaomo nam xapaepye aoc eeo apaoo a: apo ac, oa, aao, pe. Cyecy ec cce apaoo a: opeeo-peaa, ceo-peaa, opeea c oppoa aae, aopa . . oco cce, peex a pepx pax cpa, pacca-pac a oy-xay e yyc opo ea. Oe eee ec pacpee cep pee cce, ocoax a opeeo oae c oppoa aae ocaoo ouo oe pe (o 50%) a a copya yeee oxoa p.
B copeex cceax apaoo a ocooe ae opaaec a ycee aepecoaoc aoo copya oe eoc poocex pe-cypco. Poc apaoo a oe ocae acoc o ce op apa pya aepao, oe aeca poy ( cooecyeo poca ee e) yee oea poa.
Ceye oepy, o p opeeo ope oa pya ycoe oye apaoa a aec opaoaoe pe oo oee opeeeoo oea pao, oop ycaaaec oppoa aae. coa, ca o cee a axoe a paoe ece ee e oe cac ocoae ace apaoo a. o ocoeco oaae ooceoc ee opeeo ceo op oa pya. p oe op pao (oppoax aa) a 100% opeeo ce apao yy pa.
Cey opy eecoopao pe ex cyax, ora oe yeo poy oe cyeceo ec acoc o yax pa paoax. B o cyae oaa pooc a ocoe paceo, ycaaaex cxo apx cao C, op pyooc oepa op pao:

p paceax o opye (10.4.1) ao cooece epoo pee, a oope ycaoe e C, H, H . Hapep, acoo apo cae oa cooecoa opa pao ac. Ocoo poca apaoo a cex aeop paoo o aa pe, ycaaaee cooec c oe paee 10.3.
Oa ceaca cya ycaaac a ocoe aeca, oopa oe pooc c epooc 13 oa acoc o aporo ooopa ey pecae paooaee paoooyaee. p oee eeoc ceaco ocooe ae opaaec a x opecy aoc, oopa poec opeex, paoaaopcx peoex, oepecx ex . . Cyae oeac o ypo x aa, opocoecoc, ooc oe oocx cpy, oeceoc.
epea oao ceaco cyax peeax eo apo ce, a pao, cpaeo eea, aaoe 1 : 3. Oao pa oe apaoe oy aeo o 5, 10 oee pa. a epea opeeec pa yao eoc pya, oeaeo oeo cee o eeoc ceaca a poc p.
ceaco eeporo po (ocpyop, exoor) aoee a c aa pe a opeaecy paoaaopcy eeoc. p o aa e opy po, . e. eeecx a a ec cpo pee a pep aoo opee paoaaopcoo peoe. pe a poc eoc ycaaac a oya ae, . e. eo-peea aa acoc o oaeoo ea opee paoaaopcoo peoe.
Haa pe a poc eoc oy ycaoe ce aeop ceaco. B acoc, ex, o a oeax apoa, cae, ca, aa- pe ycaaac a cee aaco aepao eaepeoo pooca, op aoee ex ocao cp, pacpee oea poa ...
Haa cya ycaaac pee ceo a opocoecoe oee oaoce, oee cpox pao, coeee y, ocoee ox eoo pao, oo opaoo-ceo ex.
pyooee ce oee peee axo opaa ccea oa pya. Kopa aac ey coceo pyooe pep. Cpo ec opaa, a pao, 35 e. Eo oco paea c:
1) oa xapaepca opaa;
2) yco pya;
3) oaa pya;
4) coaoe oeceee;
5) opo pepae opaa;
6) peee copx opoco;
7) ocoe yco,
Oaa pya pyooee pep, x aecee, a ae pyooee ooceo caocoex opaee de ocyecc poeax o p pep. Oao ae peec opoa apa oa pyooee: oa c aa pe acoc o p ee cocax, eocpeceo acx o eeoc cooecyeo pyooe,
pyooee ceaco poocex opaee oo pe a poc eoc oo ycaaa ae pe a oee poocex aa ao pao. Bea x pe ccec acoc o poc pooca c yeo aeca poy, oeaeoo o peaa, oop poepa, oep y opeee.
B oeeceo apyeo ooeco epaype oeaac eoxooc ee yx cocax apaoa. epa x cooecye opaoy po pooeoc (peyaoc) pya; opa pee oo ypo.
B pae pep ae o o ope ec ac apaoa, cooecye opao cepxopao pooeoc. Oao a epaype, a xoceo pae e ocaoo opeeeoc o, a pacca ay yaax yx ace apaoo a.
cxo paccopeo e oo cpyyp oxoa copya pep, eecoopao oppoa opa ypoe apaoa a cyy oa o apy oa, a oopey ac aao pe. Cooeceo ec e ac oa oa pya opa oope o.
Moe oaac eecoopa ee coca pe a oee ecx poocex aa paepe 2030% apo ac apaoa.
Hopa o paccaec cxo ecyx op pya, oeca ooeo poy, apx cao, oao, opao oa a co pya coacoao e oeca, oycoeo poco e.
o oope n opaae yc copyo poocex opaee o ocoe oo ex, exoo, opaa pya pooca. epop oy a ao, a a (paoaaopce peoe execoo opaaooo xapaepa).
Ec opa o oeceae coee ocyoo coacoaoo ypo oa pya p oe ooopo aox aa, o o oope ec coo poca apaoa cex py copyo cooec c pea poco eoc p. peaaea cpyypa oo oa pya coae yco oo, o ao poc oxoo y ex, o ao yacye papaoe peaa ox execx opaaox pee.
Pacem opamux oo onam mpya opaee pep oe ocyecc ppoc aaec . B epo cyae cxo aooo oa ppoca oea poy. Bo opo - ea opeeec a ocoe pyoeoc popa yca poy cooecyx e oex opaaoo-execx xapaepc poocex opaee.
Heoca ppocoo eoa xopoo ec, o o o cx op peoaae apoa oo oa pya -a oo aeca op o py opaaox p.
p aaeco apoa oy cooa a eoa:
1) po a ocoe opao apaooc poy ao pao;
2) oce poopoao oe opaaoo-exec xapaepca poocex opaee.
B epo cyae pace pooc o aeop epcoaa a pyooc: exooeco, ocya ypae.
p o

e P oeco e poy k-o a; H, oeca apaooc e poy k-o a.
o oa pya ocyax (cooaex) paox ypaeecoo epcoaa ycaaac cxo op ocya, ceoc, ypaeoc, a ae o pyooc cooecyx pao (p a oocoax aocx opao).
B cyae oa poe aaecoe oppoae pao o ocya ypae pooco pyoocyeco aeo eeo (apa oe oaeoro ea), eecoopao cooa eo pacpeee oeaocoo oa apa ao py epcoaa poopoao opaaoo-exec xapaepca opaee. Paccop o eo peeo peoo cye.
Tpyooc apaooc pao o peoy ocya oopyoa poopoa eo cooc apye.
cxo oo opeeec opa apaooc a ey coyeo peoo cooc oopyoa:

e 3 ao o apaoo a peooo epcoaa cex opaee; Ri co e peoo cooc oopyoa -o pooceoro opaee; Ki oe cooa oopyoa i-o opaee o aoy pee.
Ha ocoe opaa Z e Ri, Ki, ycaaaec opa o oa aoo opaee.
Aaoo oy ycaoe opa apaooc pyx o pao o ocya pooca. B acoc, paoo, ax peoo oee, o pacxoy apaoo a a ey peopyeo oa . .
Ta opao, o opao oa aoex pao opaae oppoay apaoeoc poy. eee epo ec coacoax apx yco ooo oo peyae yee oo pao.
o noopeu opayec aec oyeoo oxoa o ocaooy py. oe cy pacpeeeoo oxoa ac:
1) opa o oa pya ;
2) o execoo pa ;
3) o coaoo pa ;
4) o eo .
oce ycaoe cyapo e o pep opeec o oope oex opaee. Xo cocae o oypo cocae oe aeo, o oope aoo opaee oe cooecoa eoc pya eo copyo.
Haouee e a poc p oaa aop opee paoaaopcx peoe execoo, opraaooo ooecoo xapaepa. Bece c e poecc pooca peaa poy e oe ocyecc e eeoc ex copyo, oope ao epoe e peaa ox e, o opocoeco o co oaoc. B cooec c o oope pep n oe pacpeec ey opaee cooec c eoc pya x copyo o opay:

e i, opa o oa pya i-ro opaee; i, o aopcx oapae i-o opaee.
o oope i-o opaee opeeec a oc-oe opaa e o opye:

Ta opao, paccopeo ccee ee e py aopo oa pya: oee (e ace o paoa) cyee (ace o eo aoc). aop epo py (cooc oeceoc pao, yco pya p.) yac apo cee, oaax oecax; aop opo py (ooee, pyy, opeca aoc) aaax pex.
Ocoe nomup pacpeee.
oxo o pya.
oxo o coceoc.
Coae a (pacep).
Cacece xapaepc pacpeee .
Cpyypa oo .
Cpyypa apaoo a.
Tapa ccea.
Tape oe.
aao apo ce.
oa.
Haa.
pe.
opa oa pya.
Ccea oa pya.
Cpyypa oa oa pya.
Hopa o oa pya.
oope o oa pya.
1. B e cyoc pacpeee o pyy?
2. B ax cyax oeo ooo pacpeeee o apaa pya o peya pya?
3. B e cyoc pacpeee o peeo poyoc pya?
4. Kaoa acoc oro oxoa o coooe cpoca peoe a pe pya?
5. O eo ac coooee oxoo o pya, o coceoc, o coax pacepo?
6. oey pacpeeee oxoo acee oo apocpoa oapec opa aoo?
7. Kao ocoeoc pacpeee x oxoo Pocc 90-x roo?
8. e opeeec cpyypa apx oeo?
9. B e oe oa o aao?
10. e opeeec cpyypa apaoo a?
11. e opeeec opa oa pya?
12. e opeeec ccea oa pya?
13. e oycoe op cce oa pya?
14. Ka cypoa opecy aoc copyo pep?
15. Ka opeeec opa o oa pya?
16. Ka pacpee o oope pep ey opaee?
p opaa oocaooo ocya eoxoo peee pex ocox aa:
1. Ha oae op ocya ceoc c yeo aoec ey oepaopa-oocaoa, aaa py pya paox.
2. pee eoc a ooe e poy a oo cae c yeo eo oox pocoe oa ocya pao. a ea aaec opo eoc. Oa xapaepye caooc e poy o ao oepa epec eax .
3. cao opy pyoeoc oepa a ey poy paox ao py cxo op eoc, ocya ceoc. Hop pyooc poy o ao oepa epc eoeo-ceyax, eoeo-yax ..
Ta opao, ec p ocya o pao ooo caa ocaoo ycao oy opy (opy pee), o p orocaoo paoe eoxoo ycaoee pex op: op ocya paoeo (pa), op eoc, opeee caooc oepa, op, opeee pyooc oepa.
p oocaoo paoe oppoaoe pe oo a oay ey oeo oox pocoe caa (apeaa) oa ocya oocao-a, . e. p oocaoo paoe opa eoc ee ceyy cpyypy:

W coooe aoe (aapaypoe) pe, . e. pe oopao epepo pao caa (aapaa) e aoo-o yac paoeo; o pe apaaec a oy ea o ecoo eae, ooex epepo oo aoo (apep, ooo pya), ooeco pcocoe, p yepo (aao) oae aooo oy opao; t pe oopao aoc oocaoa a oo cae; t pe oeo oox epepo paoe oopyoa, cax c oae orocaoo; t pe ocya paoeo eca; t pe a ox e aooc; t oooeo-aeoe pe,
Hae pee epepo t cocae op pee ec oo aex oceoce oocaoo pao. Oaa ea t ycaaaec peyae pacea oax op ocya ceoc. e oue ea op ocya, e p pox pax ycox oe pe t.
Hop pya p oocaoo paoe o paccac o oceoaeoc, oopo o epece e, . e. caaa opeec op ocya (ceoc), a ae a x ocoe op pee. o opo opeeec acoc ey yaa opa xapaepo cxoo opa, eoxoo pacea ao x.
pacea op ocya ceoc aece cxox ax coyc e coooro aoo (aapaypoo) pee t pee aoc paoeo a oo cae t. Ec ca ocyac pao ecox py (oepaopa, aaa . .), o e t o yaa paox ao . Kpoe oo, o cyae oe aa opo ocya cao pao pax py. Ceye ya, o p ocya cao pao pax py acoc o opex yco pace op ocya ceoc oocaoo oe oc a p cpoao paee ooepa pya, a poecce pee oe aa oa op paee pya, op ocya ceoc.
Kaoy apay op ocya ceoc cooecye opeeea ea oeo oox pocoe oopyoa oa ocya pao. C yeo x epepo ycaaaec opa eoc rooe e poy a oo cae paoero eca .
cxo op eoc ocya ceoc paccaec opa pee (pyooc) a ey poy. Ha ocoe op pee, ocya ceoc opeec op pao oppoae aa.
opo aeeo oe aepaa cooecye yaao oceoaeoc pacea op, . e. aae aaec pace op ocya ceoc.
Bea op ocya ceoc opeeec pee ceo ea t t. e oe acoe t : t , e oe cao oe pxoc a ooo paoeo.
poe ceo op ocya ceoc paccac npu uuecux npoeccax, oa pao ocyae oopyoae ocoo o ooy appyy a a-o cao epo pao ocya oopc epe opeee opeo pee orocaooo ocya.
pu euuecux npoeccax oopyoae ocyaec o epe eo ocao, e coe ooro oro e opa oxoa . Taoe ocyae xapaepo oocaoo ex cyax, oa e coooo pee pee aoc cyeceo oec. p o coee opeeeoo appya ocya e-eo, a a oe a aee poco oopyoa paox.
Ec e t t e aee oea, pace op ocya ceoc oe ocyecc c yeo epoocx aooepoce, o opeee eoxooc cooa ceaoo aeaecoo aapaa eop accooo ocya.
oce opeee xapaepc cce ocya oopyoa (xoeo ooa, eoc, c, ocyoc ocya, ap epea) eoa eop accooo ocya peyae a pao cce a BM oo ycao oaoe coooee ey ceoc paox oeco cao.
Haoee poco a aaa peaec ocya cao-aoao pao, coea y oepaopo aao. x cce ec opy, o oop oo pacca ce xapaepc, eoxoe opa oax op ocya ceoc. Coca x xapaepc opeeec ycaoe or-pae pep oaoc.
Pace oax op ocya ceoc o opya eop accooo ocya eca pyoo paec eocyec ycox ouca pep. B c c papaoa a opa, c oo oopx oae op ocya ceoc opeec e coo-y cyecex ce. opa oax op ocya, cooecyx pep ya apa a aa oe poy, ocaoo e c a a ex, oope paccope . 9.
Ocoeocmu onpeeeu umeocmu onepau ycoux oocmaoo paom ca c yeo pee epepo paoe . epep oycoe poeo exooe opaae pya, o oy oopc c ao ee poy, ooy ypoe paecx paceo x a coca oepaoo pee.
Hopy eoc (c. 6.4) ycox orocaoo pao eecoopao ycaaa o opye:

e q oeco eae, oopoe oo ooeo a pe epepo aoaeco pao t ; K oe cooa oopyoa o pee aoaeco pao, eoxo oe pooceo porpa; K - oe pee oppoax epepo, . e. epepo a opaaoo-execoe ocyae oopyoa, oooeo-aey paoy, ox e aooc.
Bea K ycaaaec coooe:

e T cpeee pe oppoax epepo paoe oopyoa a cey.
B cocae T yac oo peae epep. Hapep, ec o pe oppoaoo oxa paox ca e ac (a ce ax oe paox), o pe a ox cocae T e yaec. Oo yeo oee K p pacee oax op ocya ceoc. Ta opao, ea K oa ycaaac a ocoe poepoa paoaoo aoo opeoo yaca peaea ocya oopyoa pea pya oxa.
Ocoeocmu cmam mpya oocmaouo opeec pee ceo eoxooc yea cee x aoc eee paoe ce ycaoe cooecyx oa ap caa, oa a ypoe aoc c o o oeca a yco pya (c. 10.3). O ycaaac acoc o coooe ey opao poeo aoc. Maca ypoe oa, a pao, e oe pea 30% apo ca. o ypoe cooecye paecy poeoo opaoro ypoe aoc, . e. oa oac o epe yee poeo aoc, o o ex op, oa y paoeo ocaec opaoe pe a ox eee ce.
11.2. Aapaype poocaOcoeoc opaa yco pya paox aapaypx poocax. Aapaype poecc ocyecc ceax aapaax (eax, peaopax, ao-aax, aax . .) ye oec a pee pya eoo, xeco epeco epe. B oe o exaecx poecco, p oopx ec paep, opa e peea pya, aapaypx poeccax oyaec poy, oac o cp o xecoy cocay apeaoy coco.
B acoc o pea pao exooecoo oopyoa o pee aapaype poecc paec a cpee epepe.
ucpeme poecc ocyecc pepo paoax aapaax. apya cp pya ooo aoo aapaa poy pooc o pe eo ocao. ee oppoa pya e a a cpex aapaypx poecco. epe xapaepyc ooceo eoo eoc oepa (o eco cey o 1 ). Aapa ocyac ae cero o oco pao, paoee eco orpaeo cpaeo eouo oa. pepo ax poecco ec rooee e acacc a peccax ex aax. B epaype poecc aa oo ec poecca c eoo eoc oepa. cpee aapaype poecc opoo a xapaepyc oo eoc exooecx oepa (opa ecox aco). Tpyoe pe o ee poecca oc ec a p ocaoe aapao, a o pe x pao. Kaa exooeca aa poecca oec, a pao, prao paox. p o oeco paox, ax a pax aax, oe cyeceo oeac. Haoee oeco paox ao . ecoe oopyoae x poocax aae aey oa, o opeee oy oy paoero eca.
Henpepe aapaype poecc ocyecc epepo paoax aapaax eee eoo epoa pee (oy pooac ee, eca). arpya cp pya ooo poy e pepa yy aapae pea. Bce apa pee, cae c eee epepx poecco, epepac aapayp . K a poecca oocc, apep, apa cea pooce epoa.
Poc ypo aoaa aapaypx poecco ee coepae pya paox. x oco y caoc aee a apaepa exooecoo poecca, peypoae, oop po aopaopx aao, oee eoxox paceo. B aapaypx poocax ocoe peoa pec aeoc ypae exooec . Heoxooc cpoo eaeca xo pea p ooex apaepo cyae oe pee eae py paox aapaypx poeccax ape. p o apeoc pya caa c yeee e eco apy, a, a pao, yceo, oycoeo eoxooc occe ox exooecx cya, p pee aco paae cpo.
Beee eoopx aapaypx poecco cao co pooac eeca, c ocyae aapao, paoax o o aee, p cox eepaypax. ooy ecoepeeoe eaeco p apye opaoo xoa poecca oe pe cyae coa ypoy paoax.
ae ocoeoc yco pya paox aapaypx poeccax o yac p oppoa apa pee ceoc epcoaa.
Hoppoae pya poocax c eoo eoc oepa cao pee ceo c ycaoee oeca aapao, ocyaex o pao pao, op pee, cooecyx opa ocya. B c c eoa oppoa pya ocox epax e oaec o oeo e eo oppoa- oocaox pao.
p ope eoa ycaoe op pya o y . Ec aapaypo-coooe pe pe aoc paox a oo aapae ory cac paec oco ea, o opa ocya oe ycaoea cxo ee peapeoo ae, opeeeoo o opye:

e t aapaypo-coooe pe; t pe aoc paoeo a oo aapae.
yx apao, oyaex opyee e y ey copo, paec oa o eoe, oeo 11.1.
B poocex cceax, e xapaepc cce ocya oopyoa e cyecee oea, apep p ocya ex a pecco cecap, epa, paa . ., op pya ceye ycaaa a ocoe eop accooo ocya. p o paecx paceax o cooac a (c 9.4).
Hoppoae pya aapaypx poocax c oo eoc oepa. Oe yca poy x poeccax eocpeceo ac o eoc exooecoo a, ooy opaee o eoxooy pooceoy peyay oo pa a:

e T (X) eoc exooecoro a acoc o op ceoc; T. eoc exooecoo a, p oopo ye oecee yc aaoo oea poy. o e opaee oe paeo cxo ca exooecx o, eoxox oecee yca aaoo oea poy a cex aapaax aoo yaca (exa):

r n eoxooe oeco exooecx o, oeceaee yc aaoo oea poy co cex aapao a ao epo.
Ta a yc ooo aoo aapaa poy c ooo aapaa a o exooec oo ca paec ocoo eo, o oeco o, eoxox oecee yca aaoro oea poy, oe opeeeo o opye:

e q oeco poy, oyaeo c ooo aapaa a o exooec .
Ta opao, aaa ycaoe op ceoc epoecx aapaypx poeccax c oo pooeoc epoa oe copypoaa ceye e: a ay opy ceoc, p oopo ye oecee yc aaoo oea poy aae cpo, apya aoo paoeo, eyeo exooec poecc, e pec oyco e, a apa a coepae paox yy a.
Oa apa op ceoc paccapaex poocax ycaaaec a ocoe ocpoe paa pao aapao paox.
B epepx aapaypx poeccax aooe aae o ycy poy ye oeo p coe op exooecoro pea, . e. oa peaepyee apaep exooecoo poecca yy axoc oycx peeax. p pox pax ycox aeoc poecca pace c yeee ceoc aapao.
p oa op ceoc epepx poocax o coac opae o oycoy pee perypoa apaepo exooecoro poecca. opae opee yco, p oopx ocrac eoxo oe aeco poy.
Bop oao op ceoc epepx poeccax cooec c ycaoe opae (c. 9.4) pep oaoc ocyecec a ocoe pacea apy paox oee ocox ooex y. aep oe ocox y eocpeceo a oe yca poy ee ae-co, a pe cyae apyee exoecoo peaea -a ecoepeeoc oe ocox y oe pec coa aapx cya. ooee y oy oe epo, oa paoe coo o ocox y, .e. cpo oe ooex y cpoo e peaepoa. o oocc a paoa, a yopa paoeo eca, pe cp, yaoox aepao a ceyy cey, aoee aoo-yeo oyea . .
Ocoe y paox a a a oepa: peaepoae epeaepoae. K peaemupoa oocc pyoe oepa, aao ooae oopx apaee opeee peaeo exooecoo poecca, apep apya cp aapa, oop po, x aa, ac exooecx apaepo ypa . . K epeaemupoa oocc pyoe oepa, oycoee cya ooe o opaoo pea poea exooecoo poecca. Tae oepa peca oo ao, cyax cyae oe pee. epooc pooeoc epeaepoax oepa apaee eec. aepa oe epeaepoax oepa, a e a peraepoax, e a oe ycaeo poy, ee aeco oe pec aapo cya.
eee pyox oepa a peaepoae, epeaepoae ooee ooe oee oo ycao ec oe pyox oepa, oop o-e oe pao oecee opaoro xoa exooecoro poecca.
B cooec c pa a y paox, eyx epep aapayp poecc, opa x ceoc H oa yoeop coooe:

e pacea ceoc paox, ax oee cex o pyox oepa o ee exooecoo poecca eee ce; , pacea cpe ceoc paox, ax oee cooeceo peaepoax epeaepoax oepa eee ce; pacea cpe ceoc paox, ax oee ooex y ee .
Bea opeeec o opye:

e pe oe cex peaepoax pyox oepa eee ce.
opeee aoc paox oee epeaepoax oepa eoxoo ycao cpeee oeco ao a ocyae (), ocyax ey pee, cpeee oeco ao, oope oy oe ey pee o pao (), ceoc paox, ocoo ax oee epeaepoax oepa, oe opeeea coooe:

Ta a ooe aep oe epeaepoax oepa oy oe a coo coae aapx cya, yeuee oea yca poy, yxyee e aeca, epepacxo cp, o pa ceoc paox, eoxox oe epeaepoax oepa, oa oocoaa cooec c opae o oyco pee oa ocya W.
Cpeee pe oa ocya ocye a aoo apaa po ceoc oe opeeeo o oopae (pc. 11.2.1) acoc o ceoc paox, eoxox oe epeaepoax oepa, cpeeo oea aoc paox oee ax oepa (). Hoopaa paccaa a ocoe eop accooo ocya.
Hapep, p = 3 peoa/ = 2 peoa/, =3:2=1,5. B ao cyae pa ceoc M e oe eue yx eoe. Toa M = 2; =/ = 1,5/2 = 0,75 W = 1,5 (o oopae). Oca (ya, o = 2) W = 1,5 : 2 = 0,75 .
oyeoe cpeee pe oa ocya ocye a p ao ceoc M poepec o oycoy pee oa. Ec Wg = 0,2 , o aoe opaee e ec. o ye pe oa oe ocye a a ocyae, eoxoo ye ceoc paox, ocyax exooec poecc, opee ooe aee cpeeo pee oa o oopae. B ao pepe p M = 3 = 1,5/3 = 0,5, W = 0,18, W = 0,18 : 2 = 0,09.
Ceoaeo, o cyae opaee o oycoy pee oa oec (W 0,2), o oeceae eoxoy aeoc exoorecoo poecca.

Cpeee oeco paox, ax eee ce oee ooex y, oe pacca

e T pe oe ooex y e . Ta opao, cxo aoc paox oee cex o pyox oepa eee ce, eoxox oecee opaoo xoa exooecoo poecca, oe ycaoea oa ceoc paox, ocyax ay exooecy ca, oeee.
poepa opae o acao oycoy epoy pee oa apaepo, xo oopx oycx peeo oe pec coa aapx cya, ocyecec p ycaoe ooaeo ceoc paox c yeo ocoeoce exoorecoro poecca, opraa pya a opeo yace, pacooe oopyoa, opoo-epex popo, cpec craa . .
11.3. Aoapoae poocae poocee cce (C). Ocoe ocoeoc opaa pya C coco .
1 Pao C eocpeceo e yacy oec a pee pya. x ocoa aaa coco o o oece ey cyaa oopyoa. C eee y paoo eec cpyypa apa x paoeo pee. Ocoa eo ac apaaec a aay, poaecoe ocyae peo oopyoa.
2. Koeco e exooecoo oopyoa C peae ceoc paoo ao py: aao, cecape-peoo, eepo-epoo . . ooy eoxoo ycao oae coooe ey oeco e oopyoa ceoc paoo ao py, oppoa apa pee yx papeax: o ooe oopyoa paoa.
3 o oc ypoe aeoc yopoa C ceye coa oece coe pa c oao pya o oeo . p o ao ya, o poco oopyoa o pe oa ocya e ee, e pe po aoo paoa ooe oex y o ocya oopyoa.
Teop o cyaa ecyx C oaa, o acoee pe aouee paecoe aee e op eoc oepa o ooe oopyoa (op caooc oepa), op pyooc, op ceoc ocya.
paecx paceo op eoc eoxoo cxo ee oppoax apa pee a pe . epe oy ocaoo oo pacca eocpeceo a ey poy aoo a. Bope oocc o ce poy, ooeo a ao paoe ece yace, ooy ac oppyey eoc oepa poopoao ee px apa.
B ycox aoapoax pooc, o ce x poocex cce, p, a pao, oocc apa pee aoaeco pao oopyoa. Kocee apa pee eecoopao a coca op eoc oe oepa cxo opy:

e t pe pao caa aoaeco pee p ooe e poy o ao oepa; T ao cyo o pee pao C (a pao, oe pae pe cea); eoc oppoax epepo paoe exoorecoo oopyoa, cax c ocyae oae ocya pao cex py eee T .
Bea oa a oo e peae epep paoe oopyoa, oope oeo ee ycox opeo C, cxo oaoro peaea ocya oopyoa ycaoeoo pea pya oxa paoo. Coca T opeeec ocpy ocoeoc aapyeo cce yco ee cyaa. Ka pao, ea ae eepepaey a peee eoc aaox, perypoox, poepox pao, pe pocoe oopyoa, cax c peraepoa ocyae exaecx, epecx, epox pyx occe, pe ooe opo pox eae . . p ycaoe cocaa T ceye cpec oy, o acao epep o pao py, o x apaeo, coea y paoo C, cooa peyeca pao opaa pya, oeoo opa.
Bo cex C oopyoae e aec o pe oxa paox, oopoe oo ycaaac o coey pay. ooy pe a ox e aooc coca e . Oo yaec p pacee oax op ocya ceoc (c. e), oope ycaaac a ypoe, ooe peaoa opaoe pe a ox a ce ax oe paox.
Bopo cooe opy (11.3.1) oo pa epe oe cooa oopyoa o pee aoaeco pao K:

e T pe aoaeco pao oopyoa a ao epo eo cyaa T.
opy (11.3.1) (11.3.2) ceye, o cpeee oppoaoe pe ooe e poy (opa eoc) opeeec opyo:

re Kna apye oe cooa oopyoa o pee aoaeco pao.
opya (11.3.3) aoee yoa paecoo oppoa eoc oepa, a a ae a apaepa (ta , Kna), coyex o cex ocox exooecx opaaoo-aox paceax .
Bea K opeeec cxo pooceo popa C o opye:

e P popaa yca poy -o a; t pe aoaeco pao oopyoa p ooe e poy n-o a; F0 pacoaae (oo cooa) o pee ooo caa aoo epoe (ceye ya, o oopyoae C, a pao, e aec oee epep); N eeec co cao (oye).
Pace oea K oe oc o eo o C, ec ca aoaee, o o oe .
B peex opyax ea t xapaepye apa aoaecoo pee a ey poy. ooy ec oopeeo (apaeo) opaaaec n eae, ea t ye paa y aoaeco pao, eeoy a n.
p paceax o opya (11.3.1) (11.3.3) ao ya acoc e T K o ceoc paoo C oea yca poy, oop eocpeceo ac o oa pee aoaeco pao oopyoa. C yeee op ceoc pe epepo ye yeac, a o pee pao oopyoa oycoe oe poy yeac. ooy oppoaoe pe epepo T oe pee aoaeco pao cao Kna o cooecoa porpae yca poy oaoy yco ao C apay op ocya ceoc.
oce opeee op eoc ycaaac op pyooc oepa.
o oc aeoc oopyoa, ye eo poco o pe oa ocya, ceye cpec pacp po paoo ooe ox y cocaa ocyaex . a, o ecyx poepyex C oeco oye, a pao, eeo, ape paoo a oe pya apeao . Haoee ea aa opaa pya, p oopo oo ocya ao py paoo (aao, cecape, epoo . .) c ce oy C. B paceax op pyoeoc ceye ya epaoepoc pacpeee epcoaa C o cea. p opao cyaa cce aoa ac paoo aa epy cey, a pee paoae eyp epcoa. Moy pa o cea o oecy coyeoro oopyoa.
B c c opya ycaoe op pyooc opyec a opao:

e H1, H,II III op ceoc paoo ao py cooeceo 1, 2 3 ceax; N1, N, N o
paecx paceo yoee ooac ceye opyo:

e N oee oeco oye C; C oeco ce pao oopyoa;

Ec eoope py epcoaa ocya ecoo C apy c pyoe oopyoae, o x op ocya yy pa oey cy apeex a cao ().
Onaa uceocm nepcoaa C ycaaaec a ocoe coooe (c. pa. 9.4), . e.

opo ycaoe pax ace x opae paccope e Koe K(X) K(X) paccac poecce opa oaoo apaa H.
p opeee cyapo aoc paoo C eecoopao oeo ya x aoc oco y oee poyox pao ooe y oee oeceax pao.

e K(X) K(X) oe aoc paoo ao py oee cooeceo poyox oeceax pao.
epea aoc paoo o yaa a pao cyeceo oe op ayeo apaa paee ooepa pya ey oepaopa, aaa, cecap-peoa, cecap-epa c yeo ocoeoce opeo . Taa epea ooe ae e peep yee oa pee pao oo-pyoa copae op eoc a ce acao ooo apaeoc oe y pa coe. Ba ycoe coee y apaeoo x oe ec opaa oecx cox pra, ocyax C a ocoe oeoo opa c oao pya o ycy oeo poy.
ea ac opae o cooa oopyoa oe K(X) opeeec aoo apaa op ceoc paoo o opye:

e T (H ) eoc oppoax epepo paoe oopyoa acoc o poo apaa ceoc paoo, op paee ooepa pya, peaea ocya oopyoa, pea pya oxa.
Pace op pya C pooc ao ope (pc. 11.3.1):
1) axoc oe cooa oopyoa o pee aoaeco pao, eoxo oe pooceo popa (K);
2) opeee opae oe aoc paoo ao py;
3) cxo cooecyx opao paccaec peape apa pyooc pao aoo a Ti op ceoc ao py paoo. o apa ceoc cooecye poy aooy (aaoy) apay paee pya peaea ocya C;
4) opeec oe apy paoo ao py K(H), cooecye poy apay op ceoc;
5) ycaaaec oe pee aoaeco pao K(H)cooecy poy apay op ceoc;
6) e oeo K (H ) K(H) cpaac c x aa ae K K . Ec eoxoe coooe coe, o epexo oy 7, ec e, o opa oy 3, oaa aa pyx apao paee pya peaea ocya oopyoa, oeceax oee yco o oyco apye paox aooy ypo cooa oopyoa;
7) apao op ceoc, yoeopx yco oa 6, opeeec cya apa a paoo cex py (p aao cocae oopyoa). B aece oaoo paec apa, cooecy yy cyapx apa. Kaoy cpaaex apao cooecye opeeeoe apeee y o ocya oopyoa a paoa pax poecc ypoe aa;
8) apaa op ceoc, paoo oa, o opye (11.3.3) axoc e op eoc oe exooecx oepa o ao ea;
9) cxo op ceoc eoc o opye (11.3.6) ycaaac op pyooc (pee) ao ea, ao py paoo eo pa.

Puc. 11.3.1. o -cxea poepoa pyox poecco C
Aoaece . B ycox aoaecx ( o ce poopx poopo-oeepx) oppoa pya coyc: op ceoc epcoaa; op eoc oe poocex oepa; op pee (pyooc oepa) oex py paox eo o pae, ocyae ; op pao; oppoae aa.
Ocoy po pa op ceoc epcoaa (aao, cecape-peoo, epooepo, eepo-epoo), ocyaeo cooec c ycaoe peaeo oeceaeo oee pooceo popa.
Ocoo pacea op pee pao ycox aoaecx ec execa (acopa) pooeoc , opeea oeco e poy, oopoe oe oyeo c aoro oopyoa 1 pyy ey pee p paoe aoaeco pee.
Hopa pao ycaaaec cxo execo pooeoc apeaa oea cooa o pee aoaeco pao K :

oce opeee op pao axoc opa pyooc (pee) i- py (poecc) paox:

Ha ocoe op ceoc, pee pao ycaaa oppoaoe aae, oopo yaac coca pao o peaepoaoy ocya aoo epoe, pe a oee x pao, opaa ceoc paox, ao oe poy .
Ec a aoaeco oaac e ecox aeoa, o pace op pee pao oy pooc o oea e. Hapy c oopeex oe oaac oee eecoopa pace op eoc pyoeoc o eoe, oeo C. B o cyae pace oc o opya:

e t, pe aoaeco pao oopyoa p ooe eae -o a,
11.4. Cce ocya oopyoa paox ecOcoeoc pya ocyax paox. B o paee paccapac eo opaa oppoa pao (oex a ocox a o cooaeo exax), oope oycoe poecca ocya oopyoa paox ec. K a paoa oocc: peo oopyoa, oeceee paox ec cpyea, oyeae, aepaa, opo aeca poy, pacopo-cace pao, yopa oee. K pao, a ocyae oopyoa, oa ooc ae aao. Oao eoa opaa pya, aao ocoo aaoa eoe oppoa pya oocaoo. p ocya copeeoo aoapoaoo oopyoa pace op pya oepaopo aao oe ocyecc coeco, a a o aex ao oo pacea ec op oaoro paee pya ey oepaopa aaa. B c c e o opoc paccope paeax 9.4 11.1, ao paee eoa oppoa pya aao e poc.
Ocoe ocoeoc pao o ocya oopyoa paox ec o cpae c paoa ocooo pooca aac oo paoopa, epeypo oopeoc, cooc epe oeca aeca pya.
Cyecey po ec pae ae eocpecea acoc peyao pya ocox paox o eeoc cooaex paox. p o eoxo oe pao o ocya oopyoa paox ec opeeec peoa ocooro pooca. peee oo oea eeecoopao , a pao, paec e-ooo. ooy cypoae pya ocyax paox oo apaeo a oee opaoo oea pao c ao ceoc paox.
Bcece yaax ocoeoce oco a op pya paox, ax ocyae oopyoa paox ec, c op ocya ceoc, a ae oppoae aa oex cyax op pee.
Ocoo opaa pya ocyax paox oo poepoae exoo ocya opeeee pyooc oex oepa. cxo oo ycaaac op apa peyao pya. Ec ycaoee op a oee oepa ocya eooo o eeo, pe ocee eo oppoa, p oopx ceoc cooecye py paox opeeec o aopa, aoe cee a apa pya.
Hoppoae pya cecape epo o peoy exooecoo oopyoal.
1 cooa aepa H. A. Aeceeo.
B oe cyae ocoe y cecape epo aac oe aax, cpex ax peoo oopyoa, eo ocopo epeooo ocya. ooe y peoo c: aee a paoo oopyoa, opo a eo pao cyaae, eee ypao (apoe) peoa oopyoa, oeceee aac ac, cpya ocox paox . . oo oro a ox pepx cecap ep o ae oe epeox pao: ycpoco arpae, oa eoa oopyoa, eoope cpoee pao . .
Kope coca x y opeeec cyecye a pep opo opaa peox pao, pacpeeee x oeo oea ey peo oco exa.
eo oppoa pya peooro epcoaa paecoe aee ee eee ceyx op opraa pya peoo.
1. Peo epcoa ocooo exa oe oo y eypoo ocya oopyoa, . e. ycpaee oao oopyoa eo poaecoe oc. Bce aox peoo oc o cyae peo exo pep.
2. Hapy c y epeooro ocya oopyoa peo epcoa ocooo exa oe ae aoe peo oopyoa. Ka oaae eop epeoo pooce o, aoee eo coae pa peoo, ox ce pao ooc oeax a aeceoe cocoe oopyoa.
Ka epo, a o opo cyae eoxoo cpec opaa oecx pa, ax a cecape, a epo p acao ooo coee y a pao, Taa opaa pya peye cooecye cce oa aepaoo cypoa, o e ye caao e.
Tpyoe poecc peoo xapaepyc po ocoeoce: paoopae ecaoc oepa, pae yco x oe, ocyce ocox paox . o cyeceo ycoe oppoae apa peyao pya.
ampam mpya peomuo opeec ocoo opa ceoc, p oopx oeceaec eoxooe cooae oa pee oopyoa. oo oo peaea apa pya cecape epo pec op pee a oee oex oepa peoa a ey peoo cooc oopyoa.
Ocoy cooc pecae onpeeeue peymamo emeocmu peomuo. Haoee oe oaaee, xapaepy oe aeco peoa, ec oeceee apyeoo ypo cooa oopyoa. B acoc o opex yco o oaae oe oeac oeco ecyx (cpax) cao, oo pee oopyoa, oop oe cooa oe pooceo popa, oe pee pocoe oopyoa o pe oa peoa.
poecco peoa oopyoa xapaepa ocoeo eca aoc cce oppoa . o apaoo a peoo opeeec x ceoc ap caa. B c c ccee op pya peooo epcoaa oocc ea cpee apo ca pa, cooecya cooc oex e pao, oopa, co oepe, opeeec ocpyo cooc ooc oopyoa.
cxo x ooe, paccop opo ycaoe op pya yaax e yx op opaa peoa.
B ex cyax, oa y cecape epo coc oo eypoy ocya oopyoa, pace x oao ceoc oe ocyecc ocoo a e, a pace ceoc aao aapao (c. 11.2). opeee opao ceoc eypx cecape epo coyc oopa a pc. 11.2.1.
pao o oxo p oppoa pya peoo, ox a epeooe ocyae, a aoe peo. B x cyax opeee opao ceoc peooo epcoaa oo coyc opa pyoeoc peoa cce . o opaa ycaaaec cyapa pyoeoc peoa cex o ocya oopyoa aoo epoe cxo peoo cooc oopyoa e epeox epoo, cooec c oop cpoc pa . Ha ocoe apyeo pyoeoc peoa aoa ceoc peooo epcoaa paccaec o opye:

e K oe oe op, ycaoex o opaa cce P; F1 o pee ooo peoa aoo epoe.
paa oaaa, o p oppoa ceoc peooo epcoaa o opaa pyooc cce P pyo yec poocee yco opeoo pep. pee cero e yaec ae aop pyooc peoa - cee aecoro cooa oopyoa o aoy pee, oopa opeee cee ero . Kpoe oro, eca pyo c ocaoo ocoepoc opee oe oe op peoa (K)
Heoope pep (apep, Boc aoao) papaaa opa pee a oee peox oepa c yeo ce x oe opex ycox. Oao pace opao eca pyoeo peye xopoo opaoao exoo peoa. Opaa peoa oce cyae e ooe cooa ay exoor, o po eeoc pacea opao pee a peoe oepa.
oca pep, ocoeo p eepaoao ceao opaa peox pao, paoao pe ccey ypyex opao, yay peae opraaoo-exece yco pooca.
Tpyoeoc pao o peoy ocya oopyoa ac o oeca . Oco x c peoa cooc oopyoa (R), ero opac cee aecoo cooa o aoy pee, . e.

e oe, ya opac oopyoa; K oe cooa oopyoa o aoy pee (ooee pe ao pao oey oy pee cooa oopyoa).
py oopox exo (exaoopaaax, yex, ex . .) ceoc peooo epcoaa oa poopoaa pe yaa ea. p oaox K ceoc peoo ye poopoaa cyapoy oecy e peoo co. B c c eecoopao ec oe pee-o ( coyeo) peoo cooc.
Kouecmo euu npueeo peomo coocmu R yae ocoe aop, e a pyoeoc peoa aoo exa opeeec o opye:

e K1, K2, K3 oe, o aoo pee oe oe pee ycaoeoo oopyoa j- exooeco py cooeceo I, II III ceax.
B c c e o pyooc peox pao poopoaa oecy e peeo peoo cooc, oca pep aoee oe eoo oppoa ceoc peox pra exo ec "pacpeeee" cyaporo oeca peoo poopoao ea Rn aoo exa.
Cyapa ceoc peoo, oopa ye pacpeec ey exa, oa ycaaac cxo opao, peaepyx ceoc peooo epcoaa pep. Ec ax opao e, o oo cxo aeco cyapo ceoc peox pa exo, coppepoao o peyaa aaa x eeoc.
Oocoaoc e R aeo epe ac o oeo K, oope oy ycaoe a ocoe paceo apy oopyoa, oex ae ax, oyaex c oo execx cpec opo a paoo oopyoa.
Ha ocoe oeoo opa ceoc peoo paccaec py oopox exo o opye:

e aoa ceoc peoo, pacpeeea ey peo paa exo; Ri oeco e peeo peoo cooc i-ro exa:
ae paccaec aoa ceoc peooo epcoaa i-ro exa:

Ec a ao pep eoope peoa oc ceao peoo exe (a pao, o oocc aaoy peoy), o ceoc pa peoo aoro exa, paccaa o opye (11.4.4), oa yeea poopoao oe pyoeoc epaoao oeoo peoa oe pyoeoc peox pao. a o ycaaaec o opaa cce .
p apoa peox pao apy c opaa ceoc eca ao pao ycao aao ypoe cecape-peoo. Cpe ap pap pa oe cooecoa cpeey papy pao o peoy oopyoa.
Ha ocoe cpeeo papa pao opeeec opa cpee apo ca pa. cxo oo opaa aoo ceoc pa paccaec ao ap o.
Hopa ceoc cpee apo ca xapaepy eoxoe apa pya peoo. Koee peya x pya opeec opao pee pocoe oopyoa peoe t, oop ycaaaec o opye:

e Bpj , cyapoe pe pocoe peoe oopyoa j- py aoo exa o ay.
Ha ocoe yaao cce opao apa peyao pya peoo opayec onama ux mpya. Haoee eo cceo apaoo a peooo epcoaa ec opao-peaa. Cy ee coco o, o eeeco pae aec oppoaoe aae, oopo ycaaaec oe pao, cooecy aoo ceoc pa. p yco oe oo aa peooy epcoay aaec ooc ap o apaoo a, peycope ao, eaco o aeco ceoc pa. Kpoe oa o apy, opao-peaa ccea peycapae pepoae paox a oee oppoaoo aa (c yeo aeca peoa) copaee pocoe oopyoa o cpae c opao.
Opaa pao o oecee paox ec cpyeo aepaa1.
1 cooa aepa H. B. Kapaoo.
Bce pao, oee cpyeao-paaox aox (PK), opaec a: ceepce (yee), oeooe, pao o ae, pee oey cpyea, coppooe pac. aco a pepx cpeac ceae PK,
caae paoe eca e oo cpyeo, o execo oyeae.
o yec pa oeax caoc pao o cpyeooecee paox ec, x eecoopao pae a ocoe, ooee cyae. K oco oocc ae pao, oope oc eeeo; x peyao ec eocpeceoe ocyae ocox paox (aa, oe, pe, oeoae ocaa cpyea a paoe eca). K ooe pao, oope oc ecoo pa ee (ec) ocyecc eocpeceo opaa xpae, oye, coppo cpyea (oyee ao a oeoae o acepa pacpeee pao pooceoo yaca, oopa oeoox ap cpyea ceoy aa, pacaa ocyeo PK cpyea o ceaa cooec c p opo xpae ..). K cya pao, eoxooc oopx oae o oe PK pa: c c eaece apoae aepao-exec caee, eopocoec ooee paoo pyx cy co oaoc .. (apep, oopee aa a e ap eopoaeceoro cpyea oopoa; cocaee aa p ooe yepe cpyea eap coaco cpy o cca cpyea . .).
p aaeco oppoa ocox ooex pao o cpyeooecee paox ec eoxoo poepoae paoax poeyp x oe. Ec ccea ocya paox ec cpyeo opeee aop pao oepa, o x eoc ac o opaa pya PK eoa oe pao. oca, poepoa oppoa pao o oecee paox ec cpyeo eecoopao cooa ypoee cce opao a cce MOATC.
opeee pyoeoc cooaex pao o ocya paox ec apy c opa pee a ey pao ceye oe oex pao. O o ycaaac pee ceo a ocoe poepoa ox cce ocya paox ec, Heoxoo ocaoo opoo poepoa cce, o oo o ycao oeco oepa aoo a a ao epo. aece oe pao o ocya oy pacca o a yea oca cpyeo pcocoe.
Hoppoae pacopx pao. Hop pee a oee pacopx pao t paccac c yeo pee a opyy t , pacoppoy t, papyy t opaee opoo t o opye:

e K oqe, ya pe a oee ooex y, ox e aooc. p oex appyax t e yaec. Hop pee a pacope pao ycox pep ycaaac cooec co cxeo eexox ypexox pacopx ooo. Bpe a pacoppoy opeeec acoc o pacco copoc epeee pacopoo cpeca. Bpe a opyy papyy ycaaaec o opaa. B acoc, papaoa opa pee a epeeee pyo oco oco paa, pa-aa, aopaa, aoopya, ayyop orpya, epoapa . . B x opaax ycaaaec pe a epeeee pya a 1 (1 oopoa cpe paa) c yeo pyooeoc pacopx cpec a pacopx .
Ec ocoe pacope paoe aoecy o cxee c oo oae ( acoc, aoe aoece ee eco, oa coyc ocoe pa), pace oeca pacopx cpec ceoc paox oe ocyecc a ocoe eoo eop accooo ocya oepoa poecco a oepe. p o ceye cxo cpyyp aa opa oax op ocya ceoc, paccopex paee 9.4.
Hoppoae pya opoepo. Kopo aeca poy oe paccapac a eoeea ac exoorecoo poecca. aeceoo oe opo eoxoo, o exooecx apax apy c oco oepa cpoac oepa o opo aeca . p o ocae opox oepa oo a e o, a ocox (c yaae cocaa oepa, peex cpyeo pcocoe, poea opooc opo ..). Ha opoe oepa, a e a a ocoe, o yaac op pee. op o paccac e, o poepye exooec poecc.
Ta opao, ycox accooo cepoo pooc oppoae opox oepa oo ocyecc a e, a oppoae ocox pao, . e. a ocoe px aaecx eoo.
Papaoa cop opao, c oo oopx opeec op pee a opoe oepa acoc o a poy, peex cpec opo, eca eae pyrx aopo.
yco eocepoo pooca papaoa ypyee op ocya, c oo oopx ceoc opoepo ycaaaec acoc o ca ocox paox exe, cpeeo acca ooc poea opooc opo.
11.5. npaee poocopoea opaa oa ypaeecoo pya oceo opooe oeco ya oeeceo apyeo epaype. poe ocyac ae o ox yeax yex ocox o eeey ce ca. ooy ao paee paccapac oo pae ooe, eae aaa ooe pyooro oeaa (c. pa. 3.2) aopo eoc pya (. 4).
Ka o oaao paeax 6.1 6.2, ypaeec epcoa pep oo pae a p py: pyooe, ceac (eep, ooc, pc p.) exece coe. Opaa oaa pya ao x py ee cyecee ocoeoc, oope opeec pee ceo pa ypox oeo oyco peaea y, a ceoaeo, coooe -pya -pya.
B eeoc execx coee oo e caape, oopec ee pao, oope oy peaepoa o cocay pee . B o cce poe opaa, oppoa oa pya ao rpy ypaeecoo epcoaa peac pao a e, a paox, xo oo cyae py apae a opaoy opa, a pyo eeca ep.
Tpyoe poecc eoopx ceaco ae coepa aey o caapx eeo. B acoc, o oocc o o poe, ao ye paoa, oope oc opeeex peex paax o caap ce cxea opaao poeypa. Tae cxe poeyp oppy mexoou ynpaeu npouocmo.
eec oeece apye o poo aaecoo oppoa eoopx pao o oe y ypae. p o pooc paeee poeo, aoo, yeo o aa a ee opeeee pyoeoc aoo eea c ye yco pya cpec exaa paceo. Oa pyoeoc pee aa opeeec cypoae pyoeoc eeo c yeo oooce apaeoo oe ace pao. Hoppoae pyooc eeo pao o ypae pooco pooc a ocoe acca apa paoeo pee, c eee oooe-aeoo pee, oepaoro pee, pee a ox e aooc.
Hapy c p aaec eoa oppoa ypaeecx pao coyc ae ocee eo, ocoae, a pao, a ycaoe pepeccox acoce ey ceoc epcoaa o y ypae a ee aopa. B o apae oe ae oe cceoa ceaca H pya opace opaa.
epao poeo opaa oa pya cyax ypae pooco ec coae yco poe peaa opecx cocooce ceaco pyooee. Oeo o ceye oo, o copeex ycox oy yceo paoa oo ae pep, oope poo ay oaoy oy. Tae p oa aa pea1 .e. opepoa a opeco epcoaa.
1O creativity (a.), Kreativitt (e.) opeco.
Cce aa cyoc oaoo eeoc a pep ep o . yeep. O e ocoe apae ooee, oocoa aoc po pepaee x ocyece, poaapoa o oaoo eeoc.
B acoee pe po e ceye mun ooeeu: npoyme (oe e opeecoro pooceoo aae), mexoouecue (oe exoo), coe (oe coae cpyyp exa) onece, coeae aae oec.
Mpoo o cypoa oa oe paoax M. Ao, M. paea, . Ca, B. Kpepa pyx aopo. Ao aoee ae yee oy ocx pep oooc eo cooa pyrx cpaax, o ce CA; pae opoo aae o aepaco opopa M; C opaec a o CA o; Kpep aapye o P.
Haoee oo eo cypoa oa a pep oe oopa paea, oceo oy eyapoo opopa M. a popa ec oo 25 oa pa (11 ocx, 10 aepacx, 4 epoecx), aex ao co aeo pe. Kopopa aa py ooo 60 c, aeoa paoopax oapo. Tpe oea ee poa pxoc a oy poy, oopa e ycaac ee e aa [pae. C. 14.].
Kopopa ec M opepoa a ex apaepo: coae ox e, oe epeay exoo yp p, caocoeoc xocex oee oaoo eeoc pacpee ooo oaopo opeco oce.
B cyae oep ooee oppyec pya o coa peaa poo ap oo poy. Koa poy xo a po, eep-oaop oyae cayc "eepa o poyy". Koa e oe peaa ocae 1 . o. o, oeco oaae pap ocoeo poy cayc opaee eo pyooca coa eec. p oce oea peaa 5 o., o pocxo peopaoae, a pyooe caoc "ypa o poyy". Ec ypoe poa pec 20 . o., opayec eac oe pooca ca o cooecyy poyoy . Koa ocaec ypoe 75 . o., oppyec caocoeoe xoceoe oeee c cooecy cayco eo pyooee.
Hapy c exooe, papaaaeo cao oa, poo paa ce ce coae M c py pa (epe epoae), c yepcea oea. Ta, oa ee ce yepceo oee, peocae pa yo CA pyx cpaax. Ocyecec ce 80 coecx ayo-cceoaecx popa c 50 yepcea CA. Kopopa acpye p eypx oa, opopy epe x pae ex pcox p, coaaex eac opeae. Ha popeee aoee epcex pcox p M eeoo pa 100150 . o.. Ta opao, coaa oa ooaaa ccea ayypoa ooee x peaa.
B oeex M ec e oce poex y poecce ooee: "apepeep", "eepaop e", "opaoe ppa". B re paea o xapaepyc cey opao.
"Apepeep" ea ypa oaooo ypae. o, a pao, ep pyooe, oop oepae poae oe e, o ce co cocee, e oc oeoro pca eopeeeoc, cocoe aoy ocy ecaapx pee peooe pyoce p x ooe. apepeepa xapaep ceece oc ep: y, peaoc ee, aoc, cocooc a pc peooea popaece pepa, o ocoo oepy opea "apepeepa" a aa ypee oopa pax ao coa oec, epeo coyec oe "papeep". "Apepeep" oo a pyooe py o papaoe peaa oo e, opaee o oo poy, ypa o poey.
"eepaop e" xapaepyc cocooc "paaa opoe cpo ooe co opax peoe, e oac eeoc pee cceoa, cpeee pee cox poe, eacoc cyex. "eepaopa e" oy e oo yee ceac, o eep, apoae paoe, ceac yoax cy. Tpaoa paa eopaoo ee "eepaopo e" pe oee oe opec opaao pee: ac oaopa oao pcaac y "eepaopo e" c cooecy cya. epepoae pep oe xapaepc ax oaopo coyc p oope paccaoe apo, acoc opex
ayo-execx poeax p opaoa yppex eypx opaee...
"opaoe ppa" axoc yox oax oyaox cee, ayypy epeoc ceapoay opa, opopy oo ayo-execx, oepecx pyx cooe.O aaa pacpocpa oee a epeoo o. o ae ceo apoae ceac, ee apy c poeccoa a poy oocapy oooy. a aoc o y, eee pacpe ooo ax paoo, peocae ocy opao coa ceapoa ya, ae cc pacc pao opa, o ce o epo ce, pacpe oooc yac pax ceapax oepex, eex pyax "oox aaax" Oceoa oaa, o "opaoe ppa" pacy o cye cpee, e x oe [pae, C, 2930].
Maepaoe oapaee eeepa M paeeo a e ac: aoy apay "yace px".
Opa yo opeee ypo oxoo cy aa pa pya. pe e cpeecacecoro pa pya o cpae eo, a ax oypeo. M ce a ao apa, ooex a x op cypoa 15 eyx oax. oo eac ae pe apoc oyppy pa. Te ca ycaaaec aoa oaa o oco aeop ypaeecoo . oee oo, a peea CA (apep, Pocc) M oeaec opae c py ooaoa opopa, coae oopaoe exa ex ec a opeeeo peoao pe pya.
Ba epe "yace px" e cya a paoe oyc a oaa cepx. o oa ac peeax poo oycoeoo cpeeo ypo oa pya ao aerop ypaeecx apo, eco yaa c oe peyaa. p epo aae paoa a y ypaeecy ooc o oapae, pxoac a "yace px", cocae o 5 o 15% yaec c poc cooecyeo opaee. o epe cyeoo poca poe pyooe o "yac px" yeaec o 1/3, a cocae caac o peyaa eeoc opaee, py (ceopa) opopa eo. Tao oxo acaec pee ceo ex pyooee. ace px ypax yoax cy cao c peyaoc opopa eo, o o ac oppepye c paro pyooe epapx [pae, C, 85].
Meo oa pya M pyx apyex opopax epaype e ocac, a a c oepeco ao.
p aae oa o CA o cypoa ooee oo oepaec aoc opaa pyo aeca (o) pa peyaoc CA. co ax pyo pa epec CA ca, a o eca c [C].
Kpy aeca ca opaoac o oce opo poo . Koe pyo aeca a papaoaa a ocoe aepacx eop, o peaoaa c yeo ocoeoce eaea pa o.
CA oee xapaepa opaa pa peyaoc, oope peay po cep y o ypae pooeoc opaeex p, a apoae, opo, oa.
pepo cpaeeco opea a ooee ec oa M, oopa oaec ae oopo copyo, oco oee x aa a ce p, oae opeca (a oy cex copyo: "yae!"), eo cceo aeca, opeee ay x oxoo [Poepc, Mepcep].
O opaa oa ooee a pepx pax cpa ee cyeceoe aee Pocc. o oycoeo pee ceo e, o, o oa a, acoee pe oo 5% oeecex pep ocyec papaoy epee exooecx oa. Cya aax oe ooy Pocc a epo 19901997 . yeac ( coocax eax) 5 pa. oc oopyoa a ox pepx o pecoy ypo. ocoo caec oeco ox a, aapao, popo. B x ycox aa oaoo eeoc caoc oco apaee pa oo Pocc [. 1998. 8].
Ocoe nomuoocaooo ocya.
Hopa eoc oepa p oocaoo ocya.
oa a ypoe aoc orocaoa.
cpee epepe aapaype poecc.
Peaepoae epeaepoae y aapao.
Bpe oa p ocya aapao.
Cpyypa x aoapoax pooc.
Oaa ceoc A.
peea peoa cooc oopyoa.
Hopa pyooc peoa.
Texoo ocya paox ec.
Texoo ypae pooco.
Opaa oa oaoo eeoc.
Kompoe onpoc u me ucceoau1. B e ocoeoc opeee op eoc pyooc p oocaoo ocya?
2. Kao ocoeoc oa pya oocaoo?
3. B e ocoeoc opaa oppoa pya aapypx poocax?
4. B e ocoeoc oa pya aapao cpex epepx aapaypx poocax?
5. Haoe coca op pya A.
6. B e ocoeoc oa pya A?
7. B e ocoeoc opaa oa pya o peoy oopyoa?
8. B e ocoeoc opaa oa pya o ocya paox ec?
9. Kao ocoe ee opaa ooee a pep.
10. Kao ocoe ee oa oa ooee pax cpaax?
11. B e cyoc poe ypae ooee a pepx Pocc?
p ocoeoce, oope aoee xapaep yaeax cceoa. o opeeec cey oco pa.
1. yaeae cceoa oe o pax e opepoa a oyee p aaooo aepaoo oapae.
2. Bcece oo poea cee peyao yaeax cceoa e oe peea c oo pox exao, ayx apo, exooecx yaopo . ..
3. , coe eopeec cceoa, a pao, e e coo-y ax pepaecx cocooce.
4. Peya yaeaoo cceoa oce eo oyoa caoc o ocoe. Aop peyaa e ee a ero cx pa, aaox paa opeae. aeoe pao cepe yaeax cceoa e ecye.
Xo yaeae cceoa pooc e ao-o o paeco e, cop ay ceecye o o, o, e oee acpa ec cceoae, e oue epe oo oeo cee e a pooco opa e. cpae oy cy cceoa cpyyp aep, oope pe coa epo epe, pao oac aeaeco o, ocye ocoo oepo ex opaox . Beca epoo, o ee oee oece a oeco yy e cceoa oac oco eoo, a a copeeo pe o aoee ax caoc poe yxooc, cca cyecoa eoea pa a.
Ceye oepy, o aee yaeao ay aeo e coc ooeco eoc eoopx ee peyao. Haoee ao o, o yaea-e cceoa ppo, eoea oeca coa ocooe eeyao-yxooe oe, aoap oopoy oe paac paa aya oeceaec ycooc oecex cce.
Ta opao, ae cae acpae yaeae cceoa oeo cee oy a cyece ooec coa e. Oao oe o pax cceoa ey pe oye aoo ea pecaa paec eooo. o cyeceo ocoe eee pacpeeee cpec a yaeay ayy. B o cepe eca poeao eee popex apae, ocoeo o ooe oece aya.
Be ay a pae oeca ocyecec o pe apae: ooa, opaoae, yxoe eoc (pc. 12.1.1). Kaa x cep oaae oece a pye. Ta opao, aya e a ooy a po, a oceo (epe ccey opaoa yxoe eoc).
Bo cex pax cpaax aya ec ae aopo oeceoo poecca oecee cooo aeca . o o, acoc, o oe apa a c-ceoaecy eeoc BB (a, 12.1.1).
Oa p eero ooe ay Pocc coco o, o oe o opeaee, caee, xyoo pyx pecaee eeyaoo pya aopce paa yex paec e ae. cooae peyao ayx cceoa opex, yeax, pyx cepax, a pao, e opaaec a oxoax yeoo, a cee cyae, oa o ca ec aopo cooecyeo opee, yea . .

Taua 12.1.1
apa a ayo-cceoaecy paoy BB pax cpa (1995 .)
apa a HP, % |
Cpa |
|
3,5 |
pa |
|
2,82,7 |
o, CA, epa |
|
2,42,1 |
pa, Beopa |
|
0,41 |
Pocc |
|
0,40,3 |
Apea, epy, Py |
acoc poccco ay o ocye aoo eepay ay oeo ca ooee ex poceo aoee opaoay ac acee, oopa opeee yyee cpa. ooy apy c epa o paoaa eoo acpa ay eecoopao ca pye co cpec, o ce a ocoe aoce, peex a pc. 12.1.1. O aex yco ycaoe ax aoce ec coepecoae cce oe oope ayx peyao.
12.2. Ocoe op oa pya ayeMoo e e ocoe op oa yex: o ayo peyaoc; o ayoy caycy.
Haye peymam oeac a ocoe ya (cae, , oao), pe a oee oce pao, apa oypco, eae ayx oec, pao a poeee cceoa, cco ayo epaype, opae pao yeoo oaax pyooee PAH, pyrx aae, cepc . .
Hay cmamyc oeaec cooec c yeo cee, ae, eco ayx oecax, aaeo ooc.
Coooee oeo yeoo o peyaa o caycy eoe pe ec peeo cycc a oeeceo, a poo epaype. p o ox cpaax ouee aee e cayce oe (apep, o), a pyrx peyae (apep, ). ec cyecey po pa pa ocoeoc aoao yyp. Ta, o cayce oe c oco e oo aye, o pyx cepax (poeoc, ypaee . .).

Puc. 12.2.1. Booe co cpec ceeo oep yex
Hecop a ayyc cpaeoc oe o ope peyaa, oo a opa (e yea ayoo cayca) e oeceae eo eeoc opaa ocaoo eo epcee ocoeo p cyeceo eopeeeoc ex .
B ayo-eaoeco eeoc cayce oe pa cyecey po o cex pax cpaax, , o-oy, aoe ooee coxpac oopo epcee. o cao e oo c ooec acea, o c pece ayo eeoc, a ae oeceee caoc ooe yeoo eaoa ce o, oopa ocoeo eoxoa yceo ayo pao.
Coooee oeo o pay o peyaa ac opex yco. B ex cyax, oa yae oce oo oe ocaoo oeo, oee aee oa e oepa o peyaa. Ka oaa o, aa a cee a p ee cya aye Pocc ca ae opy capy aopo. Bope e o eoxooc oe aao a cee a, oope o 80-e o, copeea cya oeeceo aye peopeee eoxooc ooo ccepa oe aeca aeca ayo-eaoecoro .
B acoee pe eopeecx cceoax oco eoo oopa aoee peyax pao ca oypc pao, pooe Poccc oo yaeax cceoa (P), Poccc ryaap oo ayx cceoa (PH), oa ocoya, a ae oa CA (Copoca, Maapypo, ypaa p.), P, Epoecoo cooeca p.
p oope ao a pa ce o, a pao, pooaa acooe paeco aee, . e eacoc pee o ayx ceee, a, eca pao, ooc, B o cce oypc pao acoee pe oa cax eopax op oa o peyaa. ec cya, oa P oo a, pecaee aaea PA.
ece c e acoo xopox eoo oeo eeoc yex, ocoeo aye, e e oe, Ta, yee coca a aeo e oeceo ye oya ae aye peya. He oe cooo o eeo cyea paoa p oo. ece p poeypx eocao oypco pao: o p epoo pecae ao (a ceax), poe oca ao o o epepx yaco p. Bece c e, a oaae oeece poo o, oypc pao eoxoo paa coepecoa,
Paoe (cayce) peyae pep e ayo eco aoca (pc. 12.2.2). Hay cayc oo paccapa a eoeecoo a-aa, aaaeoo aoap ay peyaa. Haa a cee, a, eco aaex o poe c ayoo aaa yeoro.
poe ceeo oep yex o aapoac c o oaoo cooa cpec, eex a opaa ayx cceoa. p o eoxoo ya ecy aoc oeo yex o peyaoc o ayoy . Bao ya ae cpyypy epcoaa ayx opaa. B x cocae o e oo eepaop e, o pa, a ae copy c oocpe yco ayo , oo coacoa epec ayo oee.
12.3. Cxe ceeo oep yex PoccCeea oepa yex ocyecec a cex aax oppoa yopoa ayx oeo.
p oope yco yo aye opaa oy cooac cae pae eo o o eco opeee oea eea IQ, oope coyc CA eoopx pyx cpaax. M oaae, o pocccoo eaea oue oxo eo, ooe aeoy "eopyy" . aay. Ka oaa oroe o, o pep oaac eca e: o cpeey ecy poa copy cya eopeeco . . , aay oepea ce oeecee cceoaece opaa [. 1995. 50(344). 922 e C, 9].

C 1995 . oooc ooe cceoaecx opaa oo copya cyeceo yyc aoap oy, o yc yo, ocye oy acpaypy, 500 yco, oopax PAH, ocooac o pa a oey cyy.
ex, o ocac aax cceoaecx opaa yo, ccea ceeo oep oycoaec cpyypo acpoa ay Pocc. B acoee pe 90% cpec oeecea aya oyae ocea [. 1996. 7(353). 1016 ep.C. 7]. Cpyypa ocyapceoo acpoa ay 19921995 . pecaea a. 12.3.1 (o a epa cceoa cac ay). Ka o a. 12.3.1, aaec a ee oe o cpec, pacpeeex P PH.
Taua 12.3.1
Pacpeeee accroa a cceoa
papao paacoo aae cpec eepaoo ea o apae
Hapae |
Pacpeeee accraoa, % o oa |
|||
1992 |
1993 |
1994 |
1995 |
|
1. Poccc o yaeax cceoa Poccc yaap ay o |
3 |
2,1 |
3,9 |
7,2 |
2. Haye opaa AH y |
27,9 |
24,1 |
31 |
28,8 |
3. popa pope May Pocc |
17,8 |
14,4 |
14 |
20,03 |
4. Haye opaa oopooo oeca |
37,8 |
48,5 |
40,5 |
35,7 |
5. Haye opaa cepc eoc |
13,5 |
10,9 |
10,2 |
8,5 |
6. o coec pa ax pep ayo-execo cepe |
0,4 |
0,5 |
oo cpec eepaoo ea, acpoae ay Pocc ocyecec ae a ce xoceo eeoc ayx opaa, apyex ayx o.o, aeco eeoc pyx coo. Cpyypa eex cpec cyeceo eec o ay opaa o .
Ceea oepa yex aeo epe c-aa c poeo epea oxoo pee eo apo ce (ETC) cceoaecx opaax Opoc cepo oaa, o peee ETC pae capyy po, oecea opeee y oxoo cooec c ay cayco. Cop ec aao ETC. B pe y poey oo paccapa c o eop eoeecoo aaa Hapy c eecoopao ya e yex o aaoe epea oxoo. peapee opoc cepo oaa, o coooee apx cao aeo aoo ayx copyo pecae ececex ay oea aaoe 1 : 2,5, a ooecx ay 1:4.
12.4. Meo oe peyaoc pya yexOee peyaoc yex ocea opa epaypa, oopa poaapoaa eca coepaeo paoe . . Taapoa. B e coepeo pao oepaec (ce a H. xee) eoxooc pae "ypee eoc" ay ee "ee eoc" [Taapo. C. 74].
M coac c . . Taapo ae o, o eoxoo paa oaae peymaocmu npoymuocmu yex. B epo cyae pe e peyeceo o aecex xapaepcax, a o opo o oecex. B acoc, . Taapo oeae: "..oop o poyoc, oo oeac o oe aoc oeoc ayx peyao, . e. o x aeca" [Ta e. . 76].
paec oe ox opaax aye oe oeac peyeceo o oecy eax ao. Ocoeo o oocc ooec ryaap aya. Xapaepo, o eeox oaax peea PAH peya oac aeaecx ay ay o ppoe paccapac coepaeo, . e. ocyac eope, a, aooepoc . . , a oac ooecx yaapx ay poc cee o oece ya x oeax. B oece coppoaoc ocaoo opeeeoe ee o eca cpox peyaax pocccx ooco, coooo, oooo, copo. Taoe ee oycoeo e oo aa, o ae o opo, oopo oo pecac peya oac oecex yaapx ay. Oe aco peya yyc e orocpax cae , e coepax cocex, cyeceo ox yepe oaaec.
o eecoopao c cooae oex oaaee (oeco cae, , eax ao . .) xapaepc peyao eeoc yex ayx opaa. Coxpaee x oaaee cococye pacpocpae cepoc ocpeceoc aye. To, o ae oaae c ee poo pec, oo oc e, o cooec c ec aeoo aco peoa ca e a, e oo o-o a, a "o oape" a, e ceee.
B yaao paoe . Taapoa opoo aapyc oooc pee cyecyx eoo oe peyaoc yex. p aae oaae pyeoc poc ceyee ee acca oep . apa: "..p, xapaepye oaae pyeoc, oce e pa ep aeco... Ooaeoe ec oo a oee oea" [Ta e C, 82].
O o . Taapoa, c oop coac, coco o, o peyaoc yeoro oa opeec a ocoe cep coepau eo ayx peyao [Ta e. C. 86]. p o cyeceo opacae aee oeoc cepo, oope o opo co ay opa cayco.
Ocya oooc coepaeo oe ayx peyao, . Taapo, a eoope pye aop, pae opoe pecpa ayx op, oopa eoe pe cyecoaa oeeceo aye. O apyeo oy aoo pee ec o, o y opeaee ec oxpaa x aopcx pa, a y ayx paoo e.
Oao poo oeece o ceecye o o, o pecpa op o ope, oopa cyecoaa ae cpae c 1957 . , e cococoaa pocy eoc ay. M oaae, o o pecpa opee op eoxoo cooa p oee peyaoc yex, o op poeyp o cyeceo ee.
eecoopao e ceye ocoe ayx ya: 1) ayoe cooee; 2) aya oe; 3) oop ayx peyao; 4) oopa; 5) pee; 6) peepa,
Hay cooeue peaaec ca ya o ycaoe acoce, e, poecco, copecx ao, o papaoe ox eoo pee ecx eoo ox oacx.
Haya oenu o o oxo cceoa ppo, eoea oeca. Hayy eop paccapae a ayo oe.
Oop ayx peymamo o x cceoe oee c paeo aopco oe.
o ayo oopauu, peeuu u peepama e pey oce.
M oarae, o ay peyaa ceye ooc oo aye cooe (HC) aye oe (HK).
Kacceco opo pecae ayx cooe oo ca ya oaax Aae ay (AH). o peoa oo a e yyc cooe, "ee pope xapaep", o cyeceo ax ayx peyaax aeae, e, x, eoo, oo pyx ayax o ppoe. Oe ca e oe pea 0,25 . . Kaa ca oa e peoea aaea PAH coepa paoe oee ayo o cooe, oopoe oo paccapa a aao opy opee.
To, o pea oao Aae ay e pae ca o oece aya, oo oc pa pa, o-oy, caec, o coo-y o peya x ayax e o a aocx cpaax. He ceo ae e eooecx aceo.
ec ocoa yepa, o oe ayoe cooee, coepaee o peya, o ce oac oecex ay, oe oeo a cpaax ope, peyeo peae AH. B aece pepa oo yaa a o, o e "eo py" oea A. Co a oo cpae.
Haye oe (apep, eop accoapoc JL yea) oe o ayx cooe oy opeoa oe oee eep aopcoo ca. Ho a HC, a HK o pecae ope, aaoo opye opee, . e. a, o oeo pae ee o.
Heoxooc ee cyecye cce ayx ya ye ao ocyaec pax ax B acoee pe oe oe e e oy oyoa -a oo, o aop, e oaae cooecy c, e oy "poc" pece ypa, pea oopx, a pao, peca opeeee aye oooaye a. Hapy c aco yyc ca, e coepae cyeceo . p o peaoe peee ocac eec e ecy ao opao ( e oee aepao) oeceoc a ooey oey oxo ca, a opaey oey xopoe ca. cee ec pea AH, oopa yaae aaea, peoeoaeo ca ea.
Heoxooc ee paoo cce ya ayx peyao opeeec ae oee oepx cce c, opaox cee, epox ypao. B acoc, o oaaee aoc ya caoc co opae cooecye cpae ce Internet.
Ta opao, a coepaee, a opao-exece aop peopee eoxooc ee cyecye cce ya yea ayx peyao.
12.5. poeyp cep, pecpa ya ayx peyaopoeypa cep, pecpa ya ayx peyao oa yoeop cey oco peoa:
1. Ka ay peya, pa ay cooee (HC) ayo oee (HK), oe oyoa (ooo oca opee).
2. cepa HC HK oa opo ocyo oo aopa.
3. a cepo o yoac apy c ae aopa ayoo peyaa (a AH).
4. apoc a oaoee c HC HK o cpoac; o x ceye cooa aopa.
o-cxea ooo oox apao poeyp, oeae peoa, pecaea a pc. 12.5.1.

12.5.1. o-cxea poeyp aaa pecpa ayx peyao
Ka o pc. 12.5.1, aa, oopea e HC HK, ocyae y eac cepa. oy oopa ay ceac o ao poee. cep oy pa aopo a, o pee ccepaooo coea o cooecye ayo ceaoc. p eceo ccee oeceoc cepo x op oo oep aopy a.
Ec oa cepa a ooee o, o aa yyec peapeo epoo apae ee HC HK. Ec epe opeeeoe pe (apep, ooa) e ocyo opaex oo, oycoex popeo coepae ya, o aa a HC HK paec ay peyao, pecppyec oc cooecy a ax. pope aopa HC HK paec o ae peapeo ya epoo e. oce oo ay peya oe pecae aopo o (ya) ypa.
B acoee pe aop ayoo peyaa e ee a eo pa, aaox paa opeae, cae, xyoa, ooopa. B acoc, ec ay peya cooa opee yee, o ye e oyae o oo ax aepax o.
Taoe ooee oe xapaepoac a c ooeo, a c opaeo copo. ococo coco oooc ecpeceoo cooa ayoo peyaa, o cooecye pao opa ayo . Bece c e aoe ooee oaae, o a, o coye ay peya, oyae eo paec ecao. Aop oae ac ayx ya e e opa o x cooa. cee ec ooceo eouoe co ya, a oope ec cc, acpoae ecax pyeoc (SCI).
Moy pae apa yac aopa ayoo peyaa ooecx ooex, cax c cooae cooecye ayo e. B o, o acaec "ypee eoc" peyaa, . e. eo cooa aye, o-oy, eo e e ceye. ec ce coc poee popea, oopa peaec paoao opraoao cceo poa. oec ace poa coco o, o cc cococy oe ayoo cayca yeoo, o ec o aopo poca ero oxoo.
"Be eoc" ayoo peyaa opeeec eo cooae opeex, p coa ox oapo, ycy, exoo, a ae yeax, ayo-oypo epaype, yeo poecce, eeoc ocyapcex opao, ap oecex e (c. pc. 12.2.1). Ocoa pyoc opaa cooecyx ooecx ooe opeeec pee ao ey coae ayoo peyaa eo paec cooae.
Oao y pyoc e ca epeooo. oce pee poe oao pecpa aopo ayx peyao o oeo e cxee ye pee ayx e caoc oe pea. oo epy oepe o papaoa opae a, oeceae ayy cepy ao a opee opaa ooecx aoooe ey aopo ayo e aopo opee. o papaoa ae opae a, peypye ooe ey aopo ayo e aopa r, oopx a e ocaec. B o, o acaec yeo epayp, x ooex o yacoa ocyapcee opa. Taoe yace oe paac, apep, o, o HTK, PAH, aye o epoec yy epe ayx peyao, peoeyex cooa opeex yeo epaype.
Oa coa oox oyeo, acoo a eco, e oo cpae. p eo yopye coao poo ooe ( ax cpaax, a epa, e, Acp) yaax opax aax, ooo, e acoeo eoxooc. Oao Pocc, e ye ooc ac o rocea e e a ayy ee oo yy ec oce oepe, eecoopae oc x oooce oo, - oxo ayx paoo or xo eoo epe oppoac a ce peaa ayx peyao.
O oox apao pee ao aa oa ca papaoa opax oyeo o yac Pocccoo oa yaeax cceoa (P) pyx ayx oo yee pee ayx peyao, oyex oaae pao oa.
12.6. Oocoae o yex cooec co ceo ayo paoO apae ocyapceoo acpoa ay ec ycaoee o yex cooec c ocoeoc ayo pao. eoe, pa y cceoae, pae e ca opa c cooecy caapa oee opee.
eoea, cooo aye, oooc aac cceoaeco paoo ec aee opeoc. o yoeop y opeoc, ye oe o-aac o ox pyx. opa acco ay c cpae oo aa.
o a opoca ae "oc" ( 19(313) o 2228 ape 1995 r.), 75% aao oopo ay yepe, "o yee o paoa o ceaoc, ecop a ae pyoc. a coeca o ae eccopoe yaee, oepa ee ooo opoex, o aye ceac ocac ocoo o aa, Oao eca ac pecoeo cae, o paoa cye .
Ec cxo e yoyx 75% yex, o cpyypa x opeoce opepoaa a yco, oeceae oooc aac ayo.
B cocae opeoce cyecoa eoea ay ocoy po pa e yco. Cea ayo pao aoa, o ye oe oocoac eca cpo paoo a, oao p o e yco o e cpeero ypo.
ouco yex aey ac ayo pao o oa. ooy arope e yco (ocoeo ooe , ocyc oex) c yex aee opeoce cyecoa. B o acee o eecoopao occao pao, coaco oopoy aop opee oaae yex ceee e pao a ooey eoaaey y oa. Tae pao ecye acoee pe epa pyx cpaax.
eoopx py yex o eecoopao eee ox yeo oa opeca. ooa paa oaaa co eoc coax caee o-oop. Heoxoo occao eocee ece ypee yex. ocea ecx eo apa a ypee aeo ee, e cooecye a e ac apaoo a yex.
Oo aex coax opeoce yeoo ec opeoc pa. Oa oe yoeopea, ec ec oooc coepeeo ya peyao ayoo cceoa. Boooc ya ec ae oo aex peoco e ayo . apa a ya o cpae c py apaa a ayy cpaeo ee. ocoeca a ocoae peoeoa pacpee oooce ya ayx peyao ( o ce epox ypaax) a oo cx op yoeope coax opeoce yex.
B ocee o o ax yco ayo pao caoc ocyoc Internet pyx opaox cee. B c c oooc pao Internet pyrx opaox cex eecoopao peoca c yeo peyaoc cceoa.
Ceea oepa yex peroax oa ocoac a ccee pecpa ayx peyao, paccopeo paee 12.4.
p opaa ceeo oep yex peoax eecoopao cooa o Pocccoo oa yaeax cceoa Pocccoo yaapoo a-yoo oa, a ae oa Copoca. Cpeca peoax eo eecoopao apa peoae aye o (PH), pa oopx o pacpeec a oc-oe opx oypco. p o oe o P PH ao o oypc o ea, cooecy ya peoo.
B ayo-cceoaecx opraax ace ceeo oep yex o yac ccee ypae epcoao, oppoa opaaox cpyyp, opraa acpoa.
B ynpaeuu nepcoao HO eoxoo cxo oo, o ooopo ayo eeoc eoxo e oo reepaop e, o ae p, cceaaop, opaaop copy c oocpe yco ayo , oeceae cooecy cxooec a oee.
p pao ccee ayx oo, po oopx oeeco aye ocoo pace, oa ec cpyypa H. Ocoo opaaoo cpyyp HO o ca peee paoe py (BP), oppyee o peyaa oypco pao ayx popa. Pyooe x py o xo coca Hayoo coea HO a paax peex eo ( epo ec cooecyeo paa ayo popa), a ae oaa ce paa ea Hayoo coea p pacpeee cpec, opocax apoo o, apoa eeoc HO.
B paax ao ayo-cceoaeco opaa ya eecoopao cooa ce eec oooc opaa oax oypco . o ocoeo ao oep aoee epcex oox yex.
O ax apae Hayoo coea HO oo peee poe ceeo oep yex paax ao . B acoc, o oe oocc aay ceyx poe:
pacpeeee oopyoa ( o ce ceo ex), aepao, aoo pee pee cooa ycaoo cepeo;
ocy opao ce, o ce ce Internet;
yace oepex;
ya;
ee copyo HO a ee rocyapcee peoae ce.
Oco pep oopa yex ceeo oep paax HO o :
oeco apecppoax ayx peyao;
oeco yceo oex pao P, PH, apyex ayx oo, peoax ypcycx pao;
aopcoe yace oe ayx popa.
Ocoe nomuMoa o peyay caycy aye.
B ayx .
oaae peyaoc poyoc pya yex.
pa a poeee .
Meo ya oe ayx peyao.
Cpyypa oxoa ayoo copya.
Ceea oepa yex.
Kompoe opoc u me ucceoau1. Kao aoc ay oea?
2. Haoe op oa pya aye.
3. Ka opaoa oypc ao a poeee ayx cceoa?
4. Ka oe peyaoc ayoo eopya?
5. Ka opraoaa ceea oepa yex ayx opaa?
6. Ka oe aeco ayoo copya?
7. Ka oe paoaoc cpyyp oxoa ayoo copya?
1 p oroe aoo paea cooa aepa P, . Koocoo [ooa pya, C, 4856].
Couao-mpyoe omoeu xapaepy ooece, cxoorece paoe ace aoce yyo coax py poeccax, oycoex pyoo eeoc.
Aa coao-pyox ooe oo poo o pe apae: cye; pee; .
Cyea coao-pyox ooe c yy coae rpy. copeeo oo aoee a cyea paccapaex ooe- c: ae pao, co aex paoo (poco), paooae, co paooae, ocyapco.
Hae paomu o eoe, a pyoo ooop c pecaee pep, oeceo opaa ocyapca.
Paomoame o eoe, aa oe pao ooro ecox . Paooae oe coceo cpec pooca ero pe-caee. B acoc, paooaee ec pyooe ocyapceoo pep, oop, co oepe, ec ae paoo o ooe ocyapcy.
poeccuoa co coaec a ooecx epeco aex paoo coox poecc opeeeo cepe eeoc. Bae apae eeoc pocoo c: oeceee aoc, yco oaa pya.
ocyapcmo a cye coao-pyox ooe ycox poo oo cyae ceyx ocox pox: aooae, a pa paa opaa, paooae, ocpe app p pyox copax.
Baoc ey cyea coao-pyox ooe oa a pax ypox: pao pao; pao paooae; poco paooae; paooae ocyapco; pao ocyapco p.
pee coao-pyox ooe opeec e, oce oopx cpec a pax aax x eeoc. po paa p ocoe cmauu ueoo ua eoea:
o poe o ooa oye;
epo pyoo / ceeo eeoc;
.
Ha epo ca coao-pyoe ooe ca peyeceo c poea poeccoaoo oye. Ha opo oco c ooe aa yoe, yco oa pya. Ha pee epao ec poea ecooo oecee.
B aoe cee pee coao-pyox ooe oycoe y oa poe: aoc; opaa oaa pya.
ep x oo opeee oooc oecee e cpeca cyecoa, a ae peaa yax . Bopo o ca c yc-o pya, xapaepo aoooe poocex oeax, oeee apa paoe c, oooc pa eoea poecce pyoo eeoc.
T coao-pyox ooe xapaepy cxooece, ece paoe op aoooe poecce pyoo eeoc. o opaao opa e ceye coao-pyox ooe: aepa, apepco, oype, coapoc, cycapoc, cpa o.
amepau xapaepec aeo oe peraea coao-pyox ooe co copo ocyapca pyooca pep. Oa ocyecec o o "oeeco ao" ocyapca o yax acee acpa pep o ero copyax. pepo ocyapceoo aepaa oe cy CCCP. Ha ypoe pep aepa xapaepe o eoopx pyx aacx cpa.
aoee xapaepo epa. ooa o cpa ocoaa a ccee eao popaoax paox oyeo, cooec c oop aee pao, pepae rocyapco paccapac a apep pee ooecx coax aa. p o poco cya c o e oo a epeco aeoo epcoaa, o eoc pooca a pepx aoao oo eo. Ooe apepca oecea ocee cepeecoo ea o coacoao eeoc e coax py.
Koypeu ey oea ae oe cococoa oce cepeecoo ea. B acoc, o oaae eoc paoao opaoao oype ey ocpyopc oea.
Couapocm peoaae oy oeceoc ay oo, ocoay a ooc epeco py e. ae ceo oop o coapoc eo pocoo p ocaa epeco aeoo epcoaa. Coapoc po e coo paooaee, a ae e pyx coo.
Cycuuapocm oaae cpeee eoea o oeceoc a ocee cox ee co ec p pee coao-pyox poe. Cycapoc oo paccapa a poooooc aepay. Ec eoe oce cox ee cyae poeccoa o co, o cycapoc oe peaoac ope coapoc. p o eoe ecye coapo p oo coa cox ee coe o oeceoc, e oaac o.
ucpuuau o ocoaoe a pooe, eaooe opaee pa cyeo coao-pyox ooe. p cpa apyac p paeca o-ooce a pax pya. cpa oe o oy, opacy, pace, aoaoc, oecc py paa. poe cpa oo p ope poecc ocye yee aee, poe o cye, oae pya, peocae ycy pep paoa, yoe.
Paeco oooce coao-pyox ooex . Pocc o pee ceo Kocy P, KoT P ao o aoc acee P. Pocc papoaa oe Meyapoo opaa pya (MOT) o paece oooce cepe pya aoc. Oao ecye ccee aooaeca peao opaeo paeco oooce oo p pee a paoy (c. 16 KoT P) oae pya (c. 77 KoT P).
Koum ec pa paee poope coao-pyox ooex. Haoee opa pyox oo c pyoe cop, aaco, accoe yoe (oay).
poope coao-pyox ooex oeo ee p opeeex ycox eoxo pa ooecx cce. B o cce o oy oe, a a o aoee o paa epec pooopcyx copo. Oao ae o po ae oep pep, eo copyo oo opa eo. opeeec eoxooc eoo paoaoo ypae o cya.
o xapaepy a peya ooeco eeoc aeco e coao-pyoe ooe a yx o:
ocpy, cococy yceo eeoc pep oeca;
ecpy, ea yceo eeoc pep oeca.
Kocmpymuu oy ooe o copyeca, ao oo, o oype, opaoao a, o cococoa oce ooex peyao. ecmpymue aoooe oa oa, oa oa apaeoc epeco copyo coax py e cooecye e pep. epec copyo pep oy paac o py pao: cxoooece apaep (o, opac, opoe, eepae, ypoe cocooce , .); aoaoc; ceeoe ooee; opaoae; ooee pe; coaoe ooee; oeca opea; ypoe oxoo; poecc; eco epapx pep ..
Cao o cee pae copyo pep o py paa eoaeo ee ecpy aoooe. eco oeco pepo eoo copyeca cax pax e. 0co ycoe aoo copyeca ec ae oee cya e, epe oop yae pyoe pa caoc .
Oeuue cumyauu o oa, cxoe ece, ooeca aacpoa, eoxooc coxpae (aeoc) pep oypeo ope, cpax e-pao. Oeuue ueu ory peo, coao-oec, ay p.
Kocpyoe aoece copyo pep ocoaec a aopee pyooee, ccee oeoo aa, coo ypoe oxoo, paoao ce ypae, cxooeco aocepe oee.
ea ccea ypae epcoao oa ya pae xapaepc epeco copyo. B acoc, eoxoo ya ocoeoc pao e, e peecooo opaca, ao ooe. Heoxoo yaa peoe yca aoae oa. p papaoe peo pya oxa, cce oa oa ceye ya ocoeoc opecoo pya, ceeoe ooee copyo, yco oe- x aa.
K cy aoee ax coax aoooe oocc aoooe ey pyooe oe. B Pocc ooa ece yopoaa a ocoe acpax eoo, a oee, poco a cpaxe oex epe aaco. Tae aoooe ocoeo opoe ey pyooe pax ypoe.
O pax cpa oaae, o ooe apepca oee e, e ooe, ocoae a acpao pye. yeceoe epaeco oe , o a paoe ce copy o ycoa ce apepa.
13.2. poea oyeOmyeue o opa ooe pyy, xapaepyac acpoe eccceoc, ecoooc, ocpaeoc [Ceep. C. 506].
eccceocm pya oyaec , oope, o ay-o poocey oepa, ac pao, e peca aae oeoo poya, oac eo cooa oaa, o x eeoc e poc o, a oe , ae pea oecy. Cocoe eccceoc, eceoc ooo o e eeoc. o-oy, ae, e pao, oo coceo oa, epaopa oa.
ecnooocm oe yac copyo pep, oop e ee a epe pooo coeo pyooe cocea pep, a ae e ee oooc a paee pee. yco ecoooc oe oyac eoeo epe oeo, pyooee, pecae ac, pa po.
Omcmpaeocm oycoea pyoc eox pyecx oao, ocyce epce poeccoaoo acpaoo poca, epe eoce oea, pep oeca.
poea oye paccapaac o coooa, ooca, ocoa, cxooa cae (Mapc, epe, Copo, Mapye, Kaa, Ka, Capp p.).
B Pocc a cex aax ee cop poea oye aoee o poac acpoex ecoooc oca acee epe ac. op pooa (acpaoo, oecoo ooecoo) ec, o oyee o cera oe, e pax cpaax.
K cepee 90-x oo oyee ycoc c c peo eopaao epeae oxoo aeca y paox cpeero co cyax, c oo copo, cero pyooca pep c pyo. oco acee eao oocc , ca a 12 roa cocea pyx .
Oyee ee p earopx ocec cxoooeco, ooeco oeco aceax.
cuxouuoouecue nocecmu omyeu oycoe e opaex o a opoe eoea. o po apye cx, a ae ooecx y opraa.
oouecue nocecmu omyeu ca c ocaee oa pooeoy aeceoy pyy. Tpyo pacca a opeco copyo, oope acpoe oyeo. p copeeo exoo opaa pooca o eeo caec a ooecx oaaex pep.
oumuecue nocecmu omyeu poc ecaoc coax ooe, apyex oao ey pa pya acee, yce cpea.
K acoey pee papaoa aye peoea aoe o pee poe oye. pee ceo o oocc opaa coaoo apepca a pepx oece. oy oce pae 13.3.
Bay po pa peee apcaoro c ypae, opaa pyo aeca, pa peyaoc . . [C].
B ocee ece yye coax oao a pepx oa poca pooeoc ca cooac pae op yac paox cyax pep ypae coceoc pacpeee p. Tao o eec CA, o, aao Epoe [eep, aep].
B acoee pe e ceye op yac copyo pep p ypaeecx pee [Copee eee]:
oppoae epcoaa o ooeco cya o aax acpa, oooc pae e copyo o paex peex, yace ocye pee c pao coeaeoo ooca;
oooc yac p pee c paa, pa paa acpa, cooae paa eo p pee oex opoco, acaxc ooe aeoo epcoaa;
pao opo eeoc acpa;
pao a oeoe ypaee pepe o py "o eoe o ooc".
Hapy c pa opa pooceo eopa oe epeca copyo coepa pya coyc ae opaaoo-exooece pee. B acoc, oo oe ee oaa o pee oeepo c peaepoa po, ypye poocex oepa, e y paoo ypaeecx pee. Tae eo oy aae ooaeu mpya, ooae coepa pao.
O aoee ecx pepo oox pee ec ao oa "Boo" eco opoe Kaape. p cope aooe a o aoe oeco po-ocex oepa, poox a oo paoe ece, yeoc a opo. Paoa oec praa, aa oopx oaae po paa ac pac-peee y ey pao.
Haoee paa cpeco op c oyee ec oa opea epcoaa a epep poecc ooee poy, exoo, opaa pya, pooca ypae. pepo aoo oxoa ec opopa M [pae].
Pae coco oye aeo epe ac o cxooeco yxoo opea eoea, eo oeo acpo o ooe opya. a oa acpo-eoc paaec cxoor oe accepmuocmu.
"eoe, ey ce accepo, cocoe eo co copypoa, o e e pe, ao ey c cya, o o o e yae a ee epeae. Eo oae ooe ooee py aeaa caooe.. O ocaoo yepe cee, yee cya pyx a opocc. O cocoe e co oy pe o aee apyeo. eoe, ey ce accepo, coae opy ce py aocepy. O ero cxo yepeoc, o ce ooy, o o xopoo opepyec coec cya. O eo e yae cee apaee. Ec ey eo-o e yaec, o e coe eyae pyx e, e oee e yeae ce, yo o, coceo, eo ycex. O yee pacoa ay a ce o ee. Accepoc apooe oeee coc ye ao oe, ec oycoro opeo cya, poe ope opex ec poopeeco o oo apaeoc" [epe, . C. 61].
13.3. Teopeece oco peoc coaoro apepcaCoaoe apepco o eoo, op eo coacoa apepo coax py oecee x ocpyoo aoec. cooc oe-ceo cce eoc poo oo ac pee ceo o xapaepa aoooe pepaee paoax o ay.
poe coaoo apepca oo paccapac cxo oceoeoo oa cpa aao Epo, ocoeo P. Oao ocoe e eoacoa epeco aaco paox copypoa aeo pae.
o o cyoc coaoro apepca, eoxoo cxo cop aoooe ey oco acca oecex cce. B eee cee ooe aaocec (pa paoae, peoce eoa, paoe ). K cy aex co poo cop oocc occa pao, pecce o, coae peo. Too co opo oo XX . pax cpaax pepac o acceoo ee oeceoo cpo.
papee coax oo ayo epaype peaaoc a pao pax cocoa:
1) yoee aco coceoc a cpeca pooca, ocyapceoe ypaee pep;
2) coacoae epeco coceo aex paoo,
ep y aoee oceoaeo pae apcca, oope cxo eppoc epeco aaco paox. o ocoo oepaoc ae ep-oo. Ta, peco peey a "Kaaa" ec c oyee ca, o peee eeoo ooeco epaype ep Arbeitgeber (paooae) Arbeitnehmer (epy paoy) acpy ooe cyaa [Mapc. C. 28].
Boooc coacoa accox epeco ocyac paoax aopo pao oeco opea: coaco, yoco, epao, xpcacx coaco p
Oo epx pao, ocex cyoc yco oeceoo coac, ec "0ece ooop" . . Pycco. B o paae, oyoao 1762 ., pac-capaec oeco, ocoaoe a aoax, epe oop ce pa oope coxpa y cooy aoo paaa. o e Pycco, coepeoe aooaeco e coa peyae op ap, e oeca oy cya oo o coeo e, ao pac peyae eca, ocyapco oo eo o eppop (opae eap). Ba ycoe yopoa oeceoo ooopa ec co ypoe paaco peoc. Po aooaeca oepa oe copee Pycco. B acoc, . Ke ca, o e , a ao o ypa ocyapco.
poe coacoa epeco coax py epa yax paeco eeoc . ype, A. Ce-Coa, P. Oya. x e oxaa aee cep oeca: pooco, oe, pacpeeee, ocae, oyee, p. B acoc, ype peara e c oxo ey aao, aao pyo poop: 4/12; 3/12; 5/12. Xo aae aop oee 150 e c oeo p a "cpaa", a "cea", x po pa coaoo apepca c copeex o pecaec oo aoee ax.
Pao ype, Ce-Coa, Oya oaa cyeceoe e a ox ooco, o ce a ooo pyex eooo XIX , oa Capa M, caeo ococo peoe ype oeceee ocpyoo copyeca pya aaa. . C. M , o-oy, o epx, o cooa ep "ap-epco" coax ooe. O ca o oy ooy: "... ey xoea paoa yy oceeo ece ooe apepca (oepyo a. . .) oo yx op: eoopx cyax pooe oeee paox c aaca, pyx... oeee paox ey coo" [M. T. 3. C. 100].
Cyeceoe ae yeeo poea copyeca pya aaa paoax A. Mapaa, oop oepa, o " paox ac o aacpoa pya aao" [Mapa. 1. 2. C. 247]. Ha o e cpae A. Mapa e: "..aoap aay a poo pao aaoo pa aec, oeaec ae oecee e o ox ooex ye, e p pee peea. Copyeco (oepyo a. . .) ey aao pyo co e oaeo, a copyeco ey pa aa".
ocoy ocoo e coaoo apepca ec oeceee ycooo oooo pa oeca, ao opeeee yco, p oopx aoe pae oe ca oo. yco paccope ee 20-x oax po Copo. O ycao, o ycooc oeceo cce ac o yx ocox apaepo: ypo oca acee cee epea oxoo. e e ypoe e oe pa ey oa e, e oypee p cepe ac epeey coceoc c cooecy paec ec [Copo. 1990].
Co o . Copo cppoa pepa cop peeo pa, cpex eo, cop ep, oee . p o o cex cyax oaaoc, o eoo o eo oce axaa ac ocaoo cpo e co ypaee yee, caoc oa p aa pe ox xoe. Cyeceoe e a pae e coaoo apepca oaa eee ooc Be Pee (1899 1966), Ape Mep-Apa (19011978) r pxap (18971977). aop coa oe coaoo pooo xoca, oopa cxo coea oype, ooeco coo pepaee ao po ocyapca epepacpeee oxoo opaa coao cep.
Teopeece ace coaoo pooo xoca oycoe acceco poeo ycaoe y ocyapca ycox oo, ypaeo "eo pyo" pa. a poea ocyaac ee A. Co, oop oaa, o ocyapco oo aac ocoo oepae oeceoo opa ao cpa. ae oop, C eo oceoae oo rocyapcy po "ooo copoa" (paee . acca).
Xo cee eaeca rocyapca ooy pax cpa paa, acoee pe ce cpa e cce coaoo oecee, oo epao, x peooo . . B cyoc, o cex pax cpaax ecy cce coao pooro xoca. B P eaeco ocyapca epepacpeeee oxoo ocy-ecec oee ao, e CA. o poec, acoc, oee cox caax aoo o p pep.
Opaa coaoo apepca P ec o aex aceo opaa coaoo p . Ooe apepca ocyecc a ey paooae paoooyae, a ey ooe (p opaa ecooo oecee).
ece copeex cce coaoo apepca eecoopao oea c o peex e yco ycooc ocyapca, copypoax . Copo.
epoe x yco ypoe oca acee. Oo xapaepyec , o acoee pe acooe oco ee pax cpa oecee ae, e, peea epo eoxooc. B P ce 80% cee e aoo, eo eeop, cpa aoa, ecoc, oecee eeoo . Bo cex pax cpaax ecy popa o oo epao, aooecee, aa pecape.
Bopoe ycoe ycooc epea oxoo. B oce pax cpa pae oxoo 20% aoee ex oax cee e peae 10 pa. Ocoy ac acee cocae cpe acc, oop ee eca co ypoe acoo e coe paaoy ee oeceo cce, ocoeo epeey coceoc.
Ta opao, ec cxo yco . Copoa, o pax cpaax e ooecx peoco ax-o cyecex apye ycooc oeceoo cpo.
oo ooecx cyece ae cxooece peoc yype pa ycooc ocyapca. B ocee ece aceee pax cpa opepoao a oc coax opocco. Ocoa ac ee peoae pea oecee poe paoacec, e paoce, a ocoe pa, opeeex cyecy aoa. aoap eoo coaoo apepca poco pyre pecae paoax o ay ca ocoaa co oeceoc e oo a ypoe apaoo a, o a eoc xoca.
Xo poe coaoo apepca ae ceo paccapac a ocoe oa cpa aa Epo, copyeco pepaee aeoo epcoaa xapaepo ae o ox opopa CA. Pyooe cepo eco opopa "Co" Ao Mopo eoopao oepa, o ypaee eo po ocyecec o py "ce oa ce" o e poco pace coa. a co eca ea opaaoa ccea, acaa aoo paoeo eepa ya o epecax p, a o cocex. oce oa p yxye eoo oyp ea ce oooe, o coxpa epcoa, e oyc yoe. Ec pa ep y, o oee apa aaec c epxa acpao ec.
ooeco ocoo coaoo apepca ec oea aa pax coax py coae oxoa pep aoaoo oxoa cpa. p poec pee ceo cepax apaex peaa paeca oooce. Oe x ceye:
1) pacpeeee oeceoo oaca poyo pya;
2) aa ococa yeca paa;
3) ocyoc opaoa eco oo;
4) pae cooae ppox cocooce;
5) oeee a pax pya, oapo pecypco;
6) yace ypae pepe, eeoc peoax ocyapcex opao ac.
ep x aceo aco coc paecy yece . Taa o aoee o paea yaoc apo: "Bce oe opoy". cepe, poee a paaa cpa eo coacecoo aep, oaa, o opea ocyapca a aoe oae cpaeoc ee y. Bece c e ooceo eoo py e, oeex peoo pyo ee, paeco yece opee oe e oo oco, o eo. pepa oy cy xoca peox o.
Pacpeeee oxoo cyeceo ac o x cpyyp. B oe cyae e oxo oppyc pex ocox coo: py, coceoc oecee . x aa c. pa. 10.1. Haoee cpae oo caec pacpeeee o pyy. a ocee 100 e pax cpaax o oxoa o pya oecex oo yec p oopao oe aeca . o oaae, o oee cpaeoe pacpeeee oxoo cococye pocy eoc. Bece c e poea o-a cpyyp oxoo ee aea o pee.
epea oxoo cpae cyeceo ac o ocyoro ypo ooecoo coaoo pa, o ce o pooeoc pya, xapaepc aococo, cee eopaa oeca. B peyae orx cceoa ycaoeo, o ypoe epea oxoo acee pax cpaax cyeceo ee, e paaxc. ae oop, e eee cpaa, e oe pa ey oa e.
Bopo ace cpaeoc paecmo ooocme aume ocmoucma u uyecma paa. pee cero o xapaepyec e, o aooaece cex oax cpa, oex Meyapoo opraa pya pyrx oyeax eyapox opraa oepaec paeco cex paa epe aoo, eoxooc a x ec, ococa, yeca. Peaoe coee x peoa copeeo oece ee e oeceaec oaoo epe cex rpaa.
Pa oxoax coceoc cyeceo a ocmynocm opaoau u euuco . Oao ce rpaaa oax cpa oeceaec oooc oye cpeero opaoa ocox ecx ycyr.
Paecmo ooocme paumu u ucnooau npupox cnocoocme eoea ec oo ax xapaepc cpaeoc oecex . B oax cpaax oooc ceac aeo oe, e aae XX . paee. ocoy peaa cocooce aeo cee ac o coaoro pocxoe, opaoa oca, ocoy o cepe ee coxpaec epaeco. euee oro a epaeca cooecye epeca e oo ex, o oaae ou cocooc, o cero oeca.
Cocooc eoea c ae ooecx pecypco (c. . 3). Peya eeoc e, oaax o opeaec, pepae-c, ay, xyoece cocooc, a pao, e cpeero ypo. Cooeceo e ypoe . Baec cocooc cyccy, copy eoop pyr a eeoc a ypoe oxoo oe, e opaoae coaoe . ooy pax cpaax ppoe cocooc ca oo aoee ax p epaeca. Tao epaeca p payo aoroo oe cooecye epeca cero acee cpa.
B ycox poo oo cpaeoc aco paccapaec a paecmo ooocme a pax mpya, moapo u pecypco. paec o o, o oaec o cpaeo oypee, poe peoc oopo paccapac paoax o oe ooeco eop.
Booocmu yacmu ynpaeuu npenpumuu, a mae emeocmu opao acmu c a aceo cpaeoc eopaeco oce. O oo paccapac c o pecaeca pax coax rpy opraax, pacpeex pecypc, oxo pyre aa. Bpaee epeco cex coe oeca, eycoo, eoxoo. Bece c e oce aoue ooeco coao eoc oeo cee aa e apea pecaeca, a cocooc, opae eoe aeca opex oce. pa ypae coa poecca a a pepx, a oece aoee cyecea aoc poe cpaeoc eoc. Ka oaae o, c oo copo, poc eoc oeceae yco oe cpaeoc oecex ooe, c pyo yoeopee opeoc cpaeoc pae ay po oa poca eoc.
13.5. poe eaoo oee a pepxOa aoee erax ee pa a coco ocoo poe pecyoc o cex cpaax, ocoeo pax ocyapcax c epexoo ooo. B ae ro e poca pecyoc pe oee e 2 paa yy oepea e ooecoo poca 34 paa e poca acee [yee].
B Pocc a 19861995 r. oee oeco pecye poco 2 paa, a oeco x pecye 5 pa. o oa a, ce 15% acee cao c pa po; oea o eeo oo oeec peeax 3050%. Xo pecyoc o oey oecy a 100 000 ee Pocc ee e oca ypo CA, o oeco aex a 100 000 ee ae cpae oe, e o pyo.
Aay p ep peypee pecyoc a ocee o oceo aeoe co ya, o ce oopaecx. oco aopo ca, o aa pa poca pecyoc oceeco ae paceoc. aea ac acee oaaac ecocoo payo cooa ooecy cooy, pe-ocaey eopaec ocyapco. ocec o oaoo poca pecyoc oy oe, e o oao ooeco aacpo [yee].
Ha pepx pocy pecyoc cococy:
1) ecpaeoc oae pya oee acy copyo. B ax cyax eoopa ac epcoaa aec occao cpaeoc ye xe, pco . .;
2) ecoc paax coceoc. o cococye ea ec cx eeepo;
3) coa poocea opaaoa cpyypa, ae oepx p, ao pyx ooec caocoex opaee;
4) ayaa ccea yea;
5) oe aeco oocx cpy: e co, o a o oeae;
6) eoocoaa ccea oopa aeca epcoaa.
eaoy oee ao epe cococye aocepa oye, oopa ocee o ycac a pepx Pocc. oy cococye eopaa pap oxoax ceo co ypax ocoo ac epcoaa.
Ceac CA [Apex p. ] e p ocoe peoc opcx ec:
e aeca e (opoe cpac, aee opeoc ..);
ee ocoeca;
oooc pecyx ec.
peypee ooecx pecye a pep ceac peoey:
coepecoae cce oopa oe epcoaa, cop opa o oeax copyax, oea e oo eox, o opax aec;
ypoee opaaox cpyyp;
coepecoae cce yea;
ypoae opo yxraepcx oepa;
opaa cce ypeero aya.
Ocoe nomuCoao-pyoe ooe.
pee coao-pyox ooe.
Cye coao-pyox ooe.
Hae pao.
T coao-pyox ooe.
Kocpye coao-pyoe ooe.
ecpye coao-pyoe .
cpa.
Oee cya.
.
Ca eoo a eoea.
Paooae.
Paeco oooce.
Coapoc.
Cpaeoc.
Cycapoc.
eaoe oeee.
Accepoc.
.
Ooaee pya.
Oee e.
1. o xapaepy coao-pyoe ooe?
2. Haoe cye coao-pyox ooe.
3. Ko oe paooaee?
4. B e o aepaa o apepca cycapoc?
5. o oe oe e poocex cceax?
6. e xapaepyec oyee a opa ooe pyy?
7. Kao ocec oye pep oeca?
8. Ka peooe oyee?
9. B e cyoc ooae pya?
10. e xapaepyc ooe coaoro apepca?
11. Paccae o cop pa e coaoo .
12.. Copo o ycox ycooc coax cce.
13. B e cyoc raapo o apaoo a?
14. Kao ocoe ace cpaeoc coao-pyox ooex?
15. Pacpoe ocoe peoc eaoo .
16. Haoe ocoe apae poa eaoro oee a pepx.
paee eoeec pecypca ocyecec a pax ypox: o pooo cooeca o opaee pep.
Haoee oe peoea o ypae pyoo eeoc papaaae Meyapoa opauau mpya (MOT), oopa ee co pecaeca pax cpaax, o ce . Peoea MOT apae pee ceo a oeceee opax yco pya coae ocpyx aoooe ey paooae, paoooyae rocyapco. Cpa, oope o peoea MOT, oyc pae eyapox ooex, e pope p pacpeee pecypco eyapox oo.
B ao cpae ec cucmea oeocyapcmex opao no onpoca mpya, amocmu u couao no. Pocc opo oo 90-x oo a opaa pee ceo c Mcepco pya coaoo pa eepaa cya . Haa cpyypa x oprao oy ec, o oe oaoe ocyapco papaaae opae oye o:
yco pya a cex pepx;
coooe oae pya a ocyapcex pepx ypeex (a aaeo eo cepe);
ypae aoc acee;
ecooy oecee;
oo epao, aa aooecee co acee;
opaa aoooe pecaee paooaee paoooyaee.
Opa ypae eoeec pecypca peuoax ocooe ae ye opoca aoc, coao o, peypoa aoooe paooaee paoooyaee a ypoe peoa.
Cpyypa cce ypae eoeec pecypca pep ac o eo paepo, ycaeo poy, aa ypax, pa pyx aopo.
a npenpumux Poccuu o oceeo pee y ypae epcoao paee ey oea apo, ooo apo, opaa pya apaoo a, aoo exooa, ex eoacoc aopaope coao-cxooecx cceoa. p o oe apo oec aece peopa o apa pey (a eoopx aoax o aaec aecee o apa coa opoca); oe pya apaoo a aece peopa o ooec opoca, oe aoo exooa ex eoacoc aoy eepy (execoy peopy); oe ooo apo aece peopa o apa aoy eepy. oo yaax oeo a pyx cpex pepx, exax ec opaee (po) o apaoo ae.
Ocoe y oea apo, a pao, ca c oopee pea yoe copyo, eee yea ee xapaepcax epcoaa, ae paoo poa cpao, oee opye pyooe pep pex .
y oea pya apaoo a o oeppyc a poeax apa pao, ace yea apaoo a, papaoe cpy o oac. Pace oo oa pya paec oec o oeo pya apaoo a, o ao . Ha ox pepx oe pya a ae pacea op pya.
B oee aoo exooa oec poepoae exooecx poecco, ocac, ceaoo oopyoa, a ae pooc pace o ycaoe op pya.
B ocee o a pepx Pocc ca oppoac oece cce ypae epcoao. B aece pepa a pc. 14.1.1 peea cpyypa cce ypae epcoao PAO "".

Puc 14.1.1. Cpyypa cce ypae epcoao PAO "apo"
cmou: aaeo, C, 66.
a npenpumx paumx cmpa yopye ea cya ypae eoeec pecypca, oea ooy e-peeo oa. B cocae o cy ec opaee copy ( acoc o paepo pep) o cey oco pya y:
apoae ceoc epcoaa;
aa peypoae yco pya;
oeceee eoacoc pya;
oop epcoaa, oopee a paoy, yoee;
opaa pya;
oea aeca epcoaa;
oee aa;
oaa pya;
coae poe epcoaa;
opaa aoooe ey acpae, pocoa, paoa.
poepoae pyox poecco oo ocyecec ece c poepoae exoo oea ooo pooca, oope e xo coca cy ypae . p o peaec ec oec poe poepoa pcocoe, cpyea, op oopyoa, paoaa peo pya c yeo peoa proo ex eoacoc. B peyae aoo oecoo poepoa ycaaac op apa pee a ee pooceoo . eppoaa ccea ooo pooca oeceaec copee cpeca opaoo ceo ex. p poepoa pyox poecco ocyecec ecoe aoece cy ooo pooca ypae epcoao.
To pyx aax oa ec ccea ypae eoeec pecypca opopa "Becay ep" (pc. 14.1.2).

Puc. 14.1.2. Cpyypa cce ypae epcoao opopa "Becay ep" cmou: a. C. 66.
paoo ocoo eeoc cce ypae eoeec pecypca c coae ooop ey cyea coao-pyox ooe.
Ha eepao ypoe aaec eepaoe coaeue ey pecae poeccoax coo, paooaee paeca P. eepae coae aac ae a ypoe cyeo eepa.
Ompacee coaeu aac ey opace- pocoa, oee paooaee pecae ocyapca.
Ha pep ocoo peypoa coao-pyox ooe ec oemu ooop, oop aaec a cpo o ooo o pex e ey paooaee pecae aeoo epcoaa. B oeo ooope cpyc ae oaeca o oco opoca yco oa pya: aa, epeoye, yoe; oecee eoacoc oxpa opo; pooeoc paoeo pee pee oxa; opa, ccea paepa oa pya; yco yopoa pocoo; opa papee pyox copo. Kpoe oo, e yaac op peocae ycy pep co copya (ae, pacop, eee ..), coae apa p yxye ooeco oyp, oeca p ecacx cyax pye y.
14.2. Po pya ypaee aoc 14.2.1. Ocoe xapaepc pa pyaTeop poo oo paccapae po pya ccee po ooecx pecypco (aopo). Bece c e ao ya, o py oaae cyece o o pyx ooecx pecypco. o oycoeo cxoorec, coa oec acea pyoo eeoc, oope peopee ocoy po pa pya ccee coax ooe ocooe ae, oopoe yeec ey co copo ocyapca.
Po pya pee ceo ec exao coacoa epeco , paoax o ay, . Kpoe oo, a pe pya poc epec ocyapca, oycoee eo6xooc ypae coa ooe.
Ocoo aaa pa pya ec ycaoee cpoca a paoy cy ee peoe. Coaco acceco eop oa epecee px cpoca peoe ("pec Mapaa") opeee ey pya (ypoe apaoo a) oeco ax.
Cnpoc a paoy cuy ac o ooeco oyp, cee exaa pya, coooe apa a oay pya a oopyoae. peoeue paoe c opeeec pyo oeao (ceoc pyococooo acee, ero opoe, paceoc, aoc, ypoe opaoa, aae, ooc), ooo eo apaoo a, pa oa.
Be pa coao-cxooeco opea eoea a peoee pya o epx cceoa M.Beep. O oaa, o yeee cao oa pya aeo e cea po poy aoc ecoc pya. eoe, opepoa a opeee ypoe yoeope aepax opeoce, e ye cpec ye pe ecoc pya oce oce cooecyeo ypo apaoa [Beep, 1990. C.80]. B oceye .Cayco paoa y cya c o coooe ey ea apaoo a coooo pee. Cooecya pa peoe pya pecaea a pc. 14.2.1. Toa C a o pcye xapaepye ypoe apaoa, oce oce oopoo peoee pya yec.

Puc. 14.2.1. Kpa peoe pya, ea coe apaee
cmou: Cayco, Hopxayc. C. 275.
Cmpymypa pa mpya xapaepyec coooee poeccoao-aaox coax py, o oop aapyc cpoc peoee.
Ceemau pa mpya ec aee xapaepco eo cpyyp, opeee paeee paox ec paoo a ooceo ycoe ceopa, opaae ooc paoe . po e epe ope p pya.
epu po mpya oppyec aoee peae a pao, .e. a, oope oecea caoc aoc, co ypoe oa, oooc poeccoaoro poca. Bmopu po mpya, aoopo, paoa, e e apa aoc, o ypoe oa, opae epce poeccoaoo poca. Beee eporo opoo po oycoeo pee ceo pa aa pao, execo opraaoo ypoe pep; cyecey po pae ae cpa o oy, opacy, coaoy ooe py .
B paecx oex ceea pa pya ep po oo pecaec po, a op -epepe, . e. pacooe opyr pa oa, xapaepy ypo caoc yco oye pao. pepo oe cy oe Atkinson [ooa pya. C.147].
Hauoae pu mpya oppyc o e pa, ypoe exooecoo pa, aeca acee pyx aopo. B acoc, po pya CA xapaepyec coo ooc acee, co caa oa p ooceo x apax aoc.
oc po pya oaec pa apapoao aoc ocoo ac epcoaa pep, ooceo ecoo ooc acee, e, e CA pax cpaax Epo, ypo oa. Oco oe pa pya Pocc ec co ypoe cpo epao, oopa, c oo copo, ec peepo pacpe pooca, a c pyro oe ca cyece aopo ecaa coax ooe p yxy .
K a xapaepca pa pya oocc ameu acmuocmu, oope opee cee coao-ooecx aopo a eee cpoca pe-oe pya.1 B acoc, oe acoc cpoca o ee pya oaae, a coo poeo yeaec aoc (ceoc paoax) p yee a-paoo a a 1%. B ooceo opox epoax cpoc a pe pya e ca ac. o ocec e, o pax cpaax ooe aoc peypyc ccea yax opao oex ooopo, oop opeee ypo oa pya apa coxpae paox ec a cpo e eee 1 oa.
1 p oe poe acoc cooa aepa , B, e-epoo,
Koe acoc a pe pya ac o ee e a opeecx pax, a a ea apaoo a eo epoe (oee 1 roa) ac o a e a oap ycy. Kpoe oo, ao ya acoc cpoca a py o oyp a oe ooeco, a a opacex pax.
14.2.2. epaoa22 B pa. 14.2.2 cooa aepa A. C. Ceeoa [ooa pya. 0165175].
epao cac a, oope o ecyey aooaecy oy p a paoy ao ee y, oye cayca epaooo oco o epaoe eoxoo oee pa yco:
pecpa cye aoc;
a oc pao;
ocyce pyx co oxoa;
copyeco co cyo aoc, oee ee peoea
ocoy yco e cea o, o ocoe o epaoe oya e ce ye paoy: CA 30%, o pa 39, e 68%. eoc a oco-: CA 26 ee, o pa P 52 ee, a oa 130 ee, Pocc o 12 .
poe epaomu opeeec a aao ( a oe) epoa a ooee ca , ex cayc epaooo, ceoc oouecu amuoo aceeu. a aeop ae paoax o ay a cocex pepx, o ce o ocoo xoce, ex ae pep, o e paoax a x, a ae e pao, o eax paoa.
Ta aae ecmeme ypoe epaomu pax cpa aaa po ca pa 46%. aec ypo epao pax cpaax a epo 19701991 . oeac o 1,2 (o) o 12,3% (). B o ooecoo pca 30-x oo epaoa CA Epoe ocaa 2532%.
po paa ceye mun epaomu:
poa;
ceoa;
cpyypa;
eca;
cpa.
puuoa epaomua caa c eee eca pao, o ce -a ee eca eca.
Ceoa epaomua oycoea ceo oea cpoca a paoy cy.
Cmpymypa epaomua aa ee cpyype cpoca a py c c exooec ee ooe. o epao ec cece pa- cpyype a paoe c, a paox ec.
uueca epamua aa cao pooca c c ao ooecoo . epaoy Pocc 1990-x oo oo ca eco, a a BB cpa a epo 19901997 .copac aooy.
epaomua opeeec ceoc paoo, oope opao cac a, o e o coo-y aoo oea pao. Heoxoo oa cpy epaoy o aco aoc, oopa p opeeex ycox oe ea. B acee pe aea ac eco epao Pocc ec cpo.
Ocoe xapaepc epao Pocc pee a. 14.2.1.
ae o epaoe o opac oo Pocc pee a. 14.2.2.
Taa 14.2.3. xapaepye epaoy epoecx cpaax.
14.2.3. paee aocOcoa e cce ypae aoc coco cypoa cpoca a paoy cy pe cpyyp peoe pya cpyype cpoca a py. paec o oaae papaoy peaa oeca ep o oecee cooec cpyyp paoe c eec cpyype paox ec.
paee aoc ec aee ac ooeco coao o cpa. a oa ocyecec Mcepco oo, Mcepco pya coaoo pa, eepao cyo aoc, eepao paoo cyo, py cepca eoca.


Heocpeceoe ypaee aoc ocyec opa eepao cy aoc. O pax cpa oaae, o epao aapae cy aoc oo paoa ooo 5% oe ceoc . Ocoo oe pao o ypae aoc o oae ece (ropoce paoe) cy aoc.

po e a a o aoc: accy ay. p naccuo ocoy po rpae rocyapco, oopoe cpec oece paoa coxpaee paox ec, paooae oepae cpoca a poy, epao ay oco oo pyoycpoce. Amua noumua amocmu peoaae, o ocoy po pae eoe, oop ycye co oeceoc a aepaoe aooye coe ce ao cpec coxpae aoc, a p ee oepe aoy ocy pao. eee o aoc a accy ay ocaoo ycoo. paec o cex cpaax ac poo ay oy, cypy paoo yac eoa oeceoo poya ooa pyoycpoce.
Aa oa aoc poec o cey oco apae:
1) oo pyoycpoce;
2) coece poeccoao orooe epeorooe;
3) coece caoaoc pepaecy;
4) opaa oecex pao;
5) oo , ca ocoe oee pyoc pyoycpoce: aa, ooe, o p.
oo mpyoycmpocme oeceaec pee ceo epe coece oaa ey y paoy paooae. oo peaaea ccea opa (a ax) xapaepcax paox ec ex, o x . eeoc cy pyoycpoca ecaa a epaox, a paooaee. opa o pe pya cooaec acee epe pae ya (ae, ee, oop . .), aoap opaa p pya, "papo" poecc . .: oo pyoycpoce Pocc oeceaec a ocoe aoa o aoc acee P. Coaco c. 12 (. 1) "rocyapco apapye ecaoe coece oope oxoe pao pyoycpoce".
Coecmue npoeccuoao noomoe u nepenoomoe ec o aex aceo ao o aoc pax cpaax. o oycoeo pee ceo co ea exooecx opaaox ee ooe, oope pey ocooo oe aa epcoaa. O cex cpa 6aae, o epooc oaac e pao yeuaec c poco aa.
oee aa epeoooa epaox ocyecc a a ae peoax epo, a a pepx. B epo cyae opepyc a poecc pooo po, o opo a cey pep. epaox oyee ecaoe; pep apa a epeoooy oecpyc ocyapco, a pao, ep ccey aoox o.
popa oecmex paom oc CA 30-e o. Ceac o ecy o ox cpaax a peoax ypox. aa opaa oecex pao ca e oo c ooec coa poea epao, o c oxpao opyae cpe, pae pacpyyp peoo .. Heocao oecex pao ec o, o o, a pao, e cococy pocy aa epaox, o apye oc ocoo pao.
Coecmue caoamocmu u npenpuuamecmy apaeo a coae yco oo, o o ca coaa paoe eca ce pyx. o apaee aoe epe cooecye cy ao o aoc.
Bo ox pax cpaax ecy popa oye pepaecy oo e, o xoe op coceoe eo. B acoc, a, e ee pao, ory oy c cyy paeoc oco o epaoe a aca cpo aece capooo aaa, eoxooo aaa pepaeco eeoc. Cyecy ae pae op peocae peo aoox o e, o ca oeceae ce paoo. B Pocc, o a ococaa, cpee a ax pepx paoa 9 eoe, .e. o, o coa aoe pepe, oeceae aoc ee 8 .
Maoe pepaeco ee aee epce ayo-execo xyoeceo opece, ycapx pocax, ocya acee, ocypoa pyx cepax.
Coecmue amocmu pynn aceeu ayao ao, ooe, ox e. Kaa x py .
ao aoc caa e oo c ooec, o ae c coa, cxooec yxo poea. o aooaecy cex pax cpa a c opae ec oooc peocaec ccea o x yac ooeco eeoc. oy cy ae pacpyypa aceex yo: cooecye pcocoe pacopx cpecax, aaax ..
Mooe ace o aoc oycoe pee ceo e, o o cex cpaax o epaox cpe ooe e, e cpe pocx. o a oe e eae ocec ycooc coax cce cece cxecx ooecx ocoeoce oox e, o ce x oeo aoc ocpoc a xopoey, a oxoy. aooaeco pax cpa yae ocoeoc, peoca oo ro p oye poeccoaoo opaoa, ocye a paoy aaa yco pep. Cooecye ep p oecpyc ocyapco.
Ocoy poey pecae pyoycpoco e peecooo opaca (50 e cape). Ec o o e pa oep paoy, o cooc c o pyoycpoco a ca a c oe pa (ocoee ox poecc), a c eeae eoopx pepaee pa a ox e. e oo ocyapca ooe aa, a pao, e peac. O P oaae, o opocc oy ocry pa eoa: oee pa xo a ec, aooe o pe cyc pep.
Paccapaee apae ao o a pe pya ocyecc epe eepae, peroae ece opaee cy aoc. B Pocc ecy ooo 2,5 c. epo aoc, oopx paoae ce 40 c. ax copyo. B 19911997 . p coec cy aoc pyoycpoeo ooo 7 . eoe.
14.3. paee ao poyoc apaoo a a pepTe poca apaoo a aococo opao yopye ooe cooecy ea poca poyoc pya. a ocee 100 e cpeeooo e ppoca poyoc pax cpaax coca ooo 2,25%, a cooecy ppoc oxoo - ooo 2%. Ka oeaoc . 4, poc poyoc paaec ce apa pecypco a ey oeoc poy. paec poyoc pace o epe, oopo yeuac op apa pecypco. Ec p cooa oo exoo ooro oopyoa op apa pya, ep aepao e ec, o e o execx opaaox epee e oe peaoa. Ceoaeo, aa poyoc oe cyae cooecye ae op apa .
op pya o oaae, o paoao opaoao pooce oe oe op pao e oe e ee yee. B eae o oe oe ee.
p rooe oopoo poy ouuem noeu op paomu (K) paccaec o opya:

e P aecoe oeco poy, ooeo a epo, a oop ycaoea opa pao H ; H opa pyoeoc; T aeca pyoeoc oepa- (e pao).
Koe oe op o cooyoc poocex oepa pye paox, yacy, exy .. opeeec coooee oppoax aecx apa pee:

e T pyoeoc pao o opa; T oppoae apa pee a ooee oo poy; T pyoeoc, ooex pao, ax ocye o opax yco pooca; T pyoeoc cpae paa e o e paox; F pe, opaoaoe pao p oe ax pao; F aecoe pe pao peeax ycaoeo pooeoc ce; F aecoe pe cepxypox pao.
Ha eo paoax pepx poc apaoo a cooecye pocy poyoc ce op apa pecypco.
B oeeceo ooe coooe e coac a oce pep, o pae epe, eee yx ocex ece. B e CCCP op pao e epecapac oa -a oo, o ape ca ocaac ee 1015 e. p o apaoa aa paox poca cece poca oeo oe op, a apaoa aa eepo paec e eac B ocee 5 e aac poc apaoo a pyooee pep p ce ypo poyoc. Ta pep Pocc aa poyoc, op apa pecypco ypoe apaoo a pecaea a pc. 14.3.1.

Puc. 14.3.1. aa ooecx oaaee p epaoao opaa pooca
poyoc; 3 apaoa aa paox pyooee;
3 apaoa aa eepo; K oe oe op pao; H op pee paox; aece apa pee a ey poy paox; H op apa aepax pecypco; aece apa aepax pecypco a ey poy
Ha eo paoax pepx pax cpa poc apaoo a ec peyao poca poyoc, oop paaec ce op pacxoa pecypco a ey oeoc poy (pc. 14.3.2).
p o apaoa aa paec yeaec aoap cceaecoy pocy apx cao, a ae epe aa, pe oyc. Cpeca a oee ypo oa pya oeceac peyae yee oea poa, oe aeca poy ce epe.
Poc poyoc peayec epe eee op aecx apa pecypco. He ee poca oea oe op pya.
Oco aopo, a yeee apa pecypco, ec exec popecc, oop poec a pep ocoo ocoe ox o poy, oe ee aeca, coepecoa exoo, ooe oopyoa, poce aa epcoaa, oa eo opeco aoc.
p o aoee cyece a oee eoc oc eep opaaop pooca, .e. e, oo opeca aoc ec cyeo oaoc.

Puc. 14.3.2. aa ooecx oaaee p paoao opaa pooca
C ape ca, aa, pe; ocae ooae c. a pc. 14.3.1
Ba eeo oa opeca epcoaa ec ccea oa pya, oopa oeceae poc oxoo copyo pep cooec c poco eoc cooa poocex . paec poc apaoo a ocyecec pee ceo aoap oe apx cao a ocoe peyao apx epeoopo ey pecae paooaee paoooyaee. Kpoe oo, cyecey po pa aa pe, aaee p ee op a p.
B eoopx cceax apaoo a (apep, aepaco ccee "poep" [C. C. 348]) peycope "y op" y paoeo, oceo cyeceoo epe-oe op. o poeypa, p oopo peee op cooece c aeco pooeoc oaaec o pe, paoey, opooc ao poeyp epaype e . M oaae, o eoy x ec eecoopao ocoa a oope paoaaopcx peoe ycaoe paoa yax aao pe cooec c eo peao oo poocex pecypco. Tao oxo (c. pa. 10.4) oo cooa opaa oa pya e oo paox, o eepo pyrx ceaco.
aa ooecx oaaee (c. pc. 14.3.2) oppyec aeo epe aoap e ompoua, oop oee yx ece peec a orx pepx pax cpa.
Kopo o oe pooo ea CA poecce pa opaoo yea apa. B acoee pe opo paccapaec a eo peypoa pooca, a apoae, ye opo. O o opoa ec ompou nepcoaa, ocyece a oepao, aeco cpaeeco ypox.
Oepa opo epcoaa apae a peypoae eyx apa o apaoo ae. Ha aeco ypoe aapyc ae o eyec epcoaa, apaax a paocpooe oyee coae a. Cpaerec opo peypye oea pep ac cpyyp epcoaa, oopeex popa oye, c ypae, opaaoo yyp. ae oop, ero e ec oeceee oeaa ycexa pep yye.
Ha cex ypox cyoc opora epcoaa coco aae coooe apyex aecx oaaee, xapaepyx eoeece pecypc pep, papaoe peoe o peypoa cooecyx poecco. Haoee a eeo opoa epcoaa ec oocoae aox ae oaaee cooec c e pa pep.
B cceax ypae epcoao eyx pep pax cpa epaoe eco aa poe aa opecx cocooce copyo. o paaec oae o aopapoo c ypae (eop X), pee x cce opaa oa pya, oe eo coepaeoc, rpyox eoax p pee, a coax oo, pacpe caocoeoc copyo pocex opaee paax oe cpae p.
Teope pa ypae epcoao pax cpa pa ae cox poe, cax c cpae oex py epcoaa o oy, opacy, opo, pace py . ooy aeoe ae yeec papaoe pecx ao, oope oecea ay pa cex py epcoaa.
Copeeoe pooco oaec coo aoc, oopa oycoea exec popecco, pae ay, oocpec oypee, oec coa . B acoee pe aoe eo paoaee pepe ocoo axoc coco epaex ee poy, exoo, epcoaa, cce opaa . B c c caa papaaac eop ypae opraao ee. Heoope ace o eop paccope e poeccopa B. Kpepa.
B acoc o y peopaoa o ee ceye pacopa:
1. Pecmpymypuau eee poocex opaaox cpyyp, o ce aea oepa oopyoa, paoaa epapx ypae, cce opao opa.
2. epeopuemau eee po poy ycy cooec c peoa pa eee oecex yco. O apae epeopea ec oepc oopox pep, . e. epeo x a yc poy acee.
3. Ooeue peopaoa oac ce pyooca, oee pyooee. Ca oocc eepoae oeceoc, pacpee pa cpyypx ee oex paoo, cypoae opeco eeoc . .
4. epeoea eocme ee ccee eoce pep, eo eoo, pepaeco yyp, coax .
Ta opao, ee oy oocc a eece eea (oopyoae, oee, cpeca pacopa c), a eoo, c eoa ypae.
Ocoo poeo ypae poecco peopaoa ec peooee pax apepo, pecyx aex epee. apep oy y .
Bympeue apep ca peyeceo co cpypo epcoa. p oocyeao epapx yc peopaoa, ye a cepxy (o epo pe-p), a cy (o paox, eepo, ooco . .), oy ayxa caac oce poxoe oocex epapxecx "po".
apep, oycoee epcoao, c cece ocoeoce pooceo yyp pa p. O opeec e, o oo aa "eeec oo" pep. Haoee yoe coe peopaoa pey ee eo "eeeco oe" aeoo pee.
Moe ypee apep ca c eyepeoc ycexe npeopao. o opaex ocec ec eo poeo yox ee.
Beue apep peopaoa oy oycoe coao-oeco cyae, po oypo coa .
B e B. Kpepa paccapac a a peopaoa: oo peoo [Kruger. C. 371].
ouoa oe cooecye ececeoy xoy pooca, ooe oey oceeo ocoa cyoc cpaer ee. B poecce oye epcoa ocaae oe eo, p epx ooex peyaax copy pep c oo yepeoc ea ceye a. Heocaa ooo oe c eoc peopaoa, oope oy ocaa o peoa opyae cpe, a ae aocepa ocooo eycpoca, eaa poyo eeoc.
Peouoa (nepeoa) oe peoaae cpe, paae epee, oope pao e coec cepeo oee, eo pooca y. Taa oe oe ocyecea oo p oe ax ecx pyooee aex pecypcax, oope o a epe aao peopaoa. ococa peooo cpae: pae cpo, oooc opex ee o cex cepax eeoc pep, eoe papaee a "o aaa epee" o a "oce ooa epee". Heoca ao oe ca c co ypoe ecaoc epo peopaoa orpae oooc oppe px pee xoe x ocyece.
B. Kpep oeae, o opoc o ope oooo peoooo y ocaec op.
oce opa cpae a peopaoa oe papaaac poe x ocyece, oopo opaac apyee epop, x coe, cpo, apa, co acpoa eo opo.
14.4.2. Cyoc peopaoa ypae eoeec pecypca peppaccopeoo e (c. pa. 14.114.3) ceye eoxooc paax epee ypae eoeec pecypca pep Pocc.
B ooueco acneme peopaoa o oece poc eoc a ocoe ocooro exeoo opaaooo coepecoa pep.
B couao acneme epee ypae epcoao o apae a acaoe cooae pae cocooce copyo pep, a ae a coae aopo cxooeco aocep.
ooece coae e eco aoca, o opea a pae cocooce copyo coae aopo cxooeco aocep ec ae ycoe opeco eeoc, oeceae exec popecc a pep.
ep a ooo peopaoa oe coco coa oo cce eoce, eoo, opaaoo yyp, ee ce ypae po oa. Ta opao, pee ceo eoxo epee, oope B. Kpep aae ooee epeoeo eoce.
cxo ox po ypae epcoao, papaaac poe ee cpyyp ypae, opaox cce execx cpec.
Ha o ocoe poepyc oe poeyp ypae. Ta opao, ocoe a ooo peopaoa cepe ypae epcoao xapaepyc cxeo (pc.14.4.1).
Coepae pao o aoy ao cyeceo ac o ocoeoce pep opyae cpe. Bece c e oo oe eoope oe poe, e ouca oeecex pep.
ep a (epeoea eoce, oppoae ce ypae) acoee pe cyeceo ocoec ecaoc oeco cya, opo ap oecex py, ocyce eoo, oopa a paa oae ac acee cpa. ooy p paoe oe ypae poccc pep pee ceo eecoopao opepoac a e oe aeop: 1) ca (opo); 2) opeco.

Puc. 14.4.1. Ocoe a oroo
peopaoa cce ypae epcoao
ouca pep pax cpa poe c eeapoo opa ao pee. Oao o pooo e cao coo, a peyae eeapaex yc o pa apae. B aece pepa oo yaa a ece " C" ocoo oa opaa pya: "Cep (opaoaoc), Ceo (opoc), Ceco (coa), Ceey (coooc), Ccye (ca)" [Ka paoa C. 24]. Heo ooo x pax pocccoo ceaca e. Ho poce c o coac, a y ac ocac oya.
B Pocc o py p poe c opa a pepx ocac epee eee ece. Oo ax p ooe pe e paox apo, p oopo pao o apy cy (o o yopee a pep cpx ao), e oacac cepex . Ceac eae paox eec, o ce cece pacye epao.
Ka oaae o eo paoax pep, ocoa aoa o oepa c opa ec ocoo cex opaaox . B o o ope peoa c o xo cey eoce (eoo oec) aoo pep.
Ec paccapa ccey eoce pep c o oa ypae epcoao, o peoa c opa oocc ccee opae, paax oopx oe ecoa o copy. Kpepe oaoc p ao oxoe ec aca .
Topece cocooc c ae pecypco, oecea cooece pep peoa pa oce execoo popecca. ooy ccee po ypae epcoao cex epeox p yco oa opeco eeoc paec epoceeoe aee. pepo oe cy o aepaco opopa M [pae]. ooe opopa ocee o ca aa pea (c. pa. 11.5), .e. pepoa a opeco.
ee x Pocc cepeoo eoxoa aea paoa o oppoa ox pecae o po pax o pya oppoa oe-ceoo oaca ycexa pep. p o oy cooa o . 4 o ooeax eeoc eoea coooe poyoc a-pya -pya.
o coa yco poe opecx cocooce cex copyo, eoxoo ccee eoce pep peycope epxo o oo Pocc aopapoo c (eop X) apcaoy ypae, p oopo po epa coco peyeceo ye cooa opec oea oea.
Hoa eoo ypae epcoao oa oepa po coaoo apepca, cpeee peopae oo a ocoe oca opocco.
p ypae o cceo ae yem aax ycouu, .e. cxooo coco cce. o oaae, o p papaoe cce eoce pocccx pep eoxoo ya a ea o, a o xopoee, o o po. B acoc, ocaoo co ypoe opaoa poeccoaa paox, x yee paoa oee, yco cpaeoc epee. eecoopao ae o oooc oca e ee coay pacpyypy pep, oopa oe cyeceo oo coxpa eoxoe ap epo eaopo ooeco .
pepo eyao pao cpae aax peopaoa ccee eoce coax ooe oo ca oe Pocc peoe yeee pa oxoax ceo pyooca pep ocaoo oea. oco paox ceaco ycy ce oay. o cyeceo ycyyo cya oye a pepx coay apeoc cpae. B oeo cee, o oo yc copoee ce peoe, oope yy cxo o ceo pyooca.
Cmpymyp ynpaeu nepcoao o ec cooec c eee cce eoce c ypae.
Cpaee cce ypae pep Pocc pax cpa (c. pa. 14.1) oaae, o ea cya ypae epcoao oeceae oee ey oop-a cex y, cax c eoeec pecypca. Oeee pao o ypae epcoao oo oee oo oee paoao cooa oea copyo pep oc oepaoc .
He ax oex pec oo, o, coy o pax cpa, coa a pepx Pocc ee cy ypae epcoao. Oao o cx op o eaec oe peo. Ocoa pa o, o pyooe pep e xo coaa o cpe cox aecee, eoope oopx peyae ee cpyyp oya oee pa epapx p co ce cooecy ooec ocec.
oa coec cpyyp ypae coxpac poco o ep. B acoc, a oe ox oeecex pepx pace op pee a oee exooecx oepa oec oeax pya apaoo a. o o ao-o epe opaao e, o o 1990 . epecop apx cao ocyecc epe 1015 e epaoao o ocaoe Coea Mcpo. B ax ycox op aco cooac a cpye oe apaoo a paox. Ho acoee pe pep eocyapceoro ceopa oy e ape ca xo a ec. ooy ceac e oex pec epea pao o oppoa pya oe aro exooa.
Ta opao, ocoo cpyypx epee oac ypae eoeec pecypca pep Pocc ec coae eo cy ypae epcoao, o-opa oa oe y oeo: apo, pya apaoo a, ooo apo, ex eoacoc coao-cxooecx .
poeyp ynpaeu nepcoao o opaa ee ccee eoce pep cpyypax ypae.
pee cero o oocc ee ce ypae. Oa o aopaporo pyooca oaae oe op aoooe ey copya pep, ocoeo ey pyooe oe; oe eo poee coea, opo, oe oa epcoaa.
Coae oea ypae epcoao ee ee poeyp pea, oopa yoe copyo, ycaoe op pya, pacea apaoo a, aaa coax aoooe . .
B ycox eo cy ypae epcoao cyeceoe aee popeae aaa oa cpyyp apa a epcoa, . e. ycaoee aoee ex coooe ey apaa a apaoy ay, coae a, oyee, oyc, e o a pep.
aaa pep oce execoo popecca eoxoa oa npoeyp oyeu nepcoaa. Cyoc o aa op yex ao eoo peoaa, p oopx aa peya (pecae, a, ye) ocaec c a cyap apaa.
pee ceo eoxoo ycao cxo ypoe apaepo, xapaepyx aa copyo. oo coyc ec, ooe oeceo oe a ye copyo o ooe oy, o peco ea apyeo . cxoe ae apaepo aa coocac c apaepa, . paccoacoae cxooo eoxooo ypoe oe ycpaeo c oo pax popa oye. Kao x cooecye opeeea cooc peaa.
paecoo opa oyax popa eecoopao papaoa opa apa a opeee a - oy oye. Bpe cooc eo peaa ac o coyex execx cpec, eo oye, a ae aa peoaaee. y popay oye oo cec aopy ox oye. oce x papao cocaee oaoo aa oye cae oaopo aae, oopa oe peea eoa aecoo popapoa, "ee rpa" p.
aey po oe eoc cce ypae epcoao oeecex pep oy cpa npoeyp ompoua. O ocoeo eoxo p peypoa apa a apaoy ay, ee op pee cooec c coepecoae exoo opaa pya, oee eoc aao pe. Kopo epcoaa oe ca o ocox cpyeo ee a ooecx oaaee, cax c eoeec pecypca pep. Ha coe poeyp opoa oo opaoa ypaee poecca epexoa o a, opaeo a pc. 14.3.1, ae pc. 14.3.2. o oaae ycaoee opaeco aoc oaaee, xapaepyx apa pecypco, apaoy ay poyoc.
Ocoe nomuCpyypa pa pya.
Cpoc a py.
peoee pya.
ep op p pya.
Aa acca o a pe pya.
.
Oecee .
B opaaox peopaoa a pep.
aa oaaee poyoc apaoo a.
Koe .
.
ocoe o epaoe.
poeccoaa orooa epeoooa.
Ceea pa pya.
Coae o pyy.
Coece caoaoc.
Cpyypa cce ypae eoeec pecypca.
T epao: poa, ceoa, cpyypa, eca .
.
eepaa cya aoc.
ooec aoe aceee.
1. Kao y opao ypae eoeec pecypca?
2. o opee eepae opacee coae o pyy?
3. Ka oppyec cpoc a py?
4. O eo ac peoee pya?
5. o xapaepy oe acoc cpoca peoe pya?
6. B e cyoc ao o a pe pya?
7. Kao ocoe apae ao o aoc?
8. Kaoa oa aa oaaee poyoc apaoo a?
9. Ka pacca oe oe op oooeaypo pooce?
10. Ka oece caoc oea oe op?
11. Kay cpyypy ypae eoeec pecypca pep oo ca paoao?
12. ae ocoe a coepecoa cce ypae eoeec pecypca pep.
epaypaAmooo . C. Moy eoea ooeco aye. C.: ooeca oa, 1998.
Apexm . Be ., uc T. . y cea a ee copo eca. C.: ep, 1995.
Amyep . C. Aop opee. M., 1973.
Auu A. . Haya, exa, ooa. M.: ooa, 1989.
Aou M. pa oco ooe. C.: ea, 1995.
Apa M. cxoo cac. M.: popecc, 1991.
eep . Teop pacpeee pee // CA: ooa, oa, . 1996. 1, 2.
oo B., Mcmucacu . Kaeco : cyoc oaae // eoe py. 1996. 6.
aaeo . . Cya ypae epcoao. Hoocpc.: o, 1997.
pay M. Teop epee execoo popecca. M.: Caca, 1971.
poe . p oea. M.: popecc, 1988.
pyyc . . Coacecoe xoco. Teopeece c o ooy pyccoo oa // Ho p. 1990. 8.
yao C. H. oco xoca. M., 1990.
Baepxu . Mc XX ea: . M.: M / o, 1996.
Beep M. paoe. Opa oeca. M.: pc., 1994.
Beep M. pae poee. M.: popecc, 1990.
Bee T. Teop paoo . M.: porpecc, 1984.
Beceo . B. ooeca cooo: cop . C.: -o C, 1995.
Buxacu 0. C. Hayo A. . Meee. M.: Bca oa, 1994
Bcepa opaa paooxpae: Ocoe oye //o pe. P. Kao, M. A. -aa, K. . Kyepa. eea, 1989.
anepu B. M., ame C. M., Mopyo B. . Mpoooa. C.: ooeca oa, 1994.
eu . M. peocax oppoa cpyype eaoo // yaape ay. 1997. 3.
eu . M. Oa op pya. M.: ooa, 1982.
ua C. Teea ooa // Pocc: ooa oa. 1996. 2.
pae M. Cyepap. M.: eo, 1993.
peco ., 0'e K. Aepac eee a opore XXI ea. M.: ooa, 1991.
yue . H. oee ocepa e. ., 1990.
yce A. A., ycea . ., ooeco exae ooec ycooo pa // ooa aeaece . T. 32. 1996. B. 2.
yceo A. A. Bee opac. M.: Pecya, 1995.
pem . Hooe ycpaoe oeco. M.: popecc, 1969.
euco H. A., Mauoa E. . Ooe pacpeee: copeee oe // Oeco ooa. 1997. 34.
yxooc, paoopo, pecyoc: Maepa oepe 28 apa 1996 . M.: -o Aa. MB, 1996.
pe . paee oeceoro pya. M.: Haya, 1991.
pe . Caoyco. M.: Mc, 1994.
yo B. . o aoe P? K opocy o "eoeeco oeae" // Coc. 1996. 4.
yne A., aep ., Maapmu . a coaa oeceoc aepaco opopao eeee // paee epcoao. 1997. 3.
apyua H. H. Moepa xocea yypa // Coc. 1997. 4.
ao A. . Coaa apaeoc paa // Bec ya. ay. oa. 1997. 2.
aeu . C., oao A. A. eoeece pecypc ypae. M.: eo, 1993.
oee B. . K eop ocooeco oeceo opa. M.: Taypyc, 1995.
Kaapeo B. B. Cpaeoc. M? Peaoc? M.: Typop, 1997.
Ka paoa oce pep. M.: ooa, 1989.
Kanua . . cepe, eop, paa. M.: Haya, 1981.
pa . po . M.: -o Tpacepcoaoo -a, 1996.
Kaeco acee C.-eepypa / o pe. . M. pcoa. C.: - cooo PAH, 1996.
Kec . Oa eop aoc, poea ee // Aoo ooeco acc. T. 2. M.: eo, 1994.
Ke . pae ooece coe. M.: Co. 1969.
Keme A. Coaa ccea ao, e ypae. C.,1966.
Kuu C. Beee eaaeay. M.: , 1957.
Koocu . a aaa. o oeco. .: ooeca oa, 1996.
Kooue B. epce eoeeca: peo poro ecoo // MMO. 1997. 5.
Kopame K. . oae ee eopaeca oa // Bec PAH. 1996. 4.
Kopou A. ., apyu K. B. Oea ecaacpoaoc cpoca peoe a poccco pe pya // poe poopoa. 1997. 4.
Koppy Pocc: cocoe poe // Maepa oepe 2627 apa 1996 . M.: -o Aa. MB., 1996.
Komep . Oco apea. M.: popecc, 1991.
Kyeo . B., poe eop pa eeea. C.: C, 1994.
anepm X. Coaa poa ooa. epac y. M.: eo, 1994.
anu H. . aa eoce acee peoppyeo . M.: opa PCC, 1996.
eome B. Pacpeeee pao oxoa//poe eop pa ypae. 1990. 1.
uncem C. M., Ce K.P., Toppec uc. . ooece oaae cpa oecoo pea // Meyapo ypa coax ay. 1993. 3.
oao ., poa E. Mexa oeceoo caopa: oa oxo (a pepe CA) // Mpoa ooa eyapoe ooe. 1993. 3.
yee B. B., Poa ooa pecyoc // Oecee ay copeeoc. 1996. 3.
yee B. B., pecyoc XXI ee (eooo pooa) //Coc. 1996. 7.
May B. Tpyoe eoc pocccoro acee // Bopoc oo. 1995. 1.
Mayp E. M., Beee eop ooeco . M.: eo, Ba pecc, 1996.
Maoe K. P., p C. . ooa. M.: Pecya, 1992.
Mapc K. Kaa. Cop. Co. 2-e . T. 23.
Mapa A. p ooeco ay. M.: popecc. 1993.
Maxaxapaa // oea cepo epayp. T. 2. M.: Xyoecea epaypa, 1974.
Mepcep . M: paee cao peyceae opopa pa. M.: popecc, 1991.
Meco M. X., Aepm M., Xeoypu . Oco eeea. M.: eo, 1992.
Mu . C. Oco oeco . M.: Haya, 1980..3.
Hea o ., Mopemep 0. Teop p ooecoe oeee. M.: Haya,1970.
Hoouo B. B. eex pa pooeoc pya CCCP. B .: "Bopoc pa coaceco oo". M.: Haya, 1972.
Hopay M. Bpoee. M.: Pecya, 1995.
Oucu B. C. Opaoaa pecyoc a coao-ooec eoe // Bec PAH. 1994. 7.
Oe B. Ocoe p ooeco o. M.: popecc, 1995.
Oe B. Oco aoao oo. M.: ooa, 1996.
Oco ypae epcoao. e / o pe. . M. ea. M.: Bca oa, 1996.
apaocu A. Ax coa. M.: paa, 1990.
empeo B. ., Mumua . B. cxoceaec aa a aeca pocc // cxooec ypa.T. 16. 1995. 6.
mmu . ooece cacece . M., 1940.
emmu . Tpaa o aoax copax //Aoo ooeco acc. M.: oo, 1993.T, 1. eeu A. eoeece aeca. M.: popecc, 1980.
. p // ao. Co.: B 4 . T. 2. M.: Mc. 1993.
oouu A. . Oco eeporo opeca. M.: Maocpoee, 1988.
yaape A. aye. M.: Haya, 1990.
Pa ac. y poye. .: -o Oeca eeco yyp. 1992.
Peoae poe opo acee Pocc / o pe. B. . eea. M., 1993.
Poepc K. P. B a cxoepa. Caoee eoea, M.: popecc, 1994.
Poepc p. . M: yp. M.; popecc, 1990.
Pycco . . pae coe. M., 1961. T. 1.
Cayco . ooa. M.: popecc, 1964.
Ceep H. Cooo. M.: ec, 1994.
Cu . C. paee oco. M.: popecc, 1989.
Cea ypca / o pe. C. xe M.: eo, 1994.
Cum A. Teop pacex yc. C., 1868.
Cum A. cceoae o ppoe pax oaca apoo. Co, 1962.
Cc : Aoo / o pe. H. K. apa, M.: popecc-Kyypa, 1994.
Copee eee // Poccc o. ypa. 1997. 1.
Copou . A. oo eoo oeca. Kcce /Coc. B. . Mypare, B.. cao, M., 1990.
Copo . o y. Cap, 1991.
yapo e. Tpe y. Hea peo "pee pe". M.: Catallaxy, 1995.
Tapao . C. oco yp. T. 1. M.: Ocoe, 1996.
Tamapuo . . poe oe peyao ayo eeoc. Coaa aa copeeo ay / o pe. B. . Kee p. M.: Haya, 1995.
Teop paa ooecx peop. Meyapo o / o pe. A. E. Koya. C.: Haya, 1994.
Teop p / o pe. B. M. aepa. .: ooeca oa, 1995.
paee epcoao opaa: e / o pe. A. . Kaoa M.: pa-M, 1997. po opaa eca / o pe. A. A. ea, . C. Kaao, C.: ea, 1994.
uep P., pu . y coac eperoop e opae. M.: Haya, 1992.
uep C., opy P., aeu P. ooa. M.: eo, 1993.
ecep K. poceeoe oeco. ooa c eoeec o. M.: Meyapoe ooe, 1994.
op . Oaa Tpo. M.: popecc, 1979.
pa Xae o cooe. Mc: oa, 1990.
po . Mcc ya pea. M.: Bec p, 1996.
Xameco ., ., Cum . . M.: cycco, 1973.
ueca P. . poe ooeco oo cee oe ycooro pa // ooa aeaece eo, 1996. 3.
Xopu K. Copae coe: B 3 . M.: Cc, 1997.
epe B. H., uu A. . eoe epcoa ypae. C.: epoaoa, 1997. eu 0. y poo o pyx o // . 1997. 3233. 215 a.
eep A. ao opoee yyp. M.: poee, 1993.
um . Coae poe ypae epcoao // eoe py. 1993. 12.
eep ., aep . oeoe yace copyo peyaax aae ax cpex pep. Oc: ,1995.
oneayp . Aop eco ypoc. M.: Coec cae, 1990.
ooa pya coao-pyoe ooe . e. . . Mea, P. . Koocoo, M.: -o M, 1996.
ooeca eop a opore XXI ea / o. pe. . M. Ocoa, B. . yea. C.: epooc, 1996.
peep P. ., Cum P. C. Copeea ooa pya. M.: -o M, 1996.
p . oea pae. M.: Pycco, 1993.
pouco B. . eea ce. C.: Taca, 1993.
. Tpaa o eoeeco ppoe: B . 2. M.: Kao, 1995.
Geer de H. (Ed ) Business Ethics in Progress? Springer-verlag.BerlinHeidelberg, 1994.
Krger W. Organisation der Unternehmung 3.,verb. AufL -Stutgart; Berlin; Kln: Kohlhammer, 1994. Lippens W Schmitz-0hlstedt F. Jm Kreislauf der Wurtschaft Bank-verlag, Kln, 1988.
Luczak , Arbeitswissenschaft Berlin: Technische Universiti, 1990.
Olfert K., Steinbuch P.A. Personalwirtschaft. Friechlrich Kiel Verlag GmbH, KieL 1990.
Sfvuelson P., Nordhaus W. Economic, Y., MacGrau-Hill, Inc., 1989.
Scholz C. Personalmanagement. Munchen: Verlag F. Vahlen, 1993. Verantwortung in der Technik: ethische Aspect der Ingenieurwissenschaften / hrsg. von S. M. Daecke, K. Henning-Mahneim; Leipzig; Zrich: Bl-Wiss.-Verl., 1993.
opc Mxao e
ooa cooor pya
e yo
e 064250 o 6 op 1995 . e 070824 o 21 ap 1993 . ocao ea 07.07.98. opa 60x90/16. c. e. . 24,0. Tpa 50 000 . (2- ao: 6 00112 000) aa 1698.
aeca pya HOPMAHPA. M 109544, Moca, oa y., 36-38 Te./ac (095) 912-97-21 127214, Moca, pocoe ., 107 Te. (095) 485-70-63; 485-76-18
Kaeco ea cooecye aoa, peocae aeco.
Oeaao eocapco opa 1. 428019, . eocap, p. . oea, 15.
: -