Информационная сфера играет все возрастающую роль в обеспечении безопасности всех сфер жизнедеятельности общества. Через эту сферу реализуется значительная часть угроз национальной безопасности
государства.
Одними из основных источников угроз информационной безопасности являются деятельность иностранных разведывательных и специальных служб, преступных сообществ, организаций, групп, формирований и противозаконная деятельность отдельных лиц, направленная на сбор или хищение ценной информации, закрытой для доступа посторонних лиц. Причем в последние годы приоритет в данной сфере деятельности смещается в экономическую область.
При сборе разведывательной информации на территории России широко используются портативные технические средства разведки. Поэтому в последние годы защите информации от утечки по техническим каналам уделяется все большее внимание.
Основными направлениями защиты информации от утечки по техническим каналам являются:
- предотвращение утечки обрабатываемой информации за счет побочных электромагнитных излучений и наводок, создаваемых функционирующими техническими средствами, а также за счет электроакустических преобразований;
- выявление внедренных на объекты и в технические средства
электронных устройств перехвата информации (закладных устройств);
- предотвращение перехвата с помощью технических средств речевой информации из помещений и объектов.
Рассмотрению способов, методов и средств защиты информации по данным направлениям и посвящено учебное пособие.
Учебное пособие состоит из трех частей и девяти глав. В первой части "Методы и средства защиты информации от утечки по техническим каналам" рассмотрены классификация и характеристика технических каналов утечки информации, методов и - средств защиты информации, методы и средства защиты информации, обрабатываемой ТСПИ, а также методы и средства защиты речевой информации.
Вторая часть "Методы и средства поиска электронных устройств перехвата информации"
посвящена рассмотрению средств и методов поиска электронных устройств перехвата информации.
В третьей части "Организация защиты информации от утечки по техническим каналам"
рассмотрены государственное лицензирование деятельности в области защиты информации, сертификация средств защиты информации и аттестование объектов информатизации. Коротко рассмотрены рекомендации по организации защиты информации от утечки по техническим каналам на объектах ТСПИ.
Пособие предназначено для руководителей и специалистов подразделений по защите информации.
Аттестование объектов информатизации.
Под объектами информатизации, аттестуемыми по требованиям безопасности информации, понимают автоматизированные системы различного уровня и назначения, системы связи, отображения и размножения, предназначенные для обработки и передачи информации, подлежащей защите, вместе с помещениями, в которых они установлены, а также помещения, предназначенные для ведения конфиденциальных переговоров [62]. То есть к объектами информатизации относятся объекты ТСПИ (см. п. 1.1).Основные принципы, организационную структуру системы аттестации объектов информатизации по требованиям безопасности информации, порядок проведения аттестации, а также контроля и надзора за аттестацией и эксплуатацией аттестуемых объектов информатизации устанавливает Положение по аттестации объектов информации по требованиям безопасности информации (далее - Положение), утвержденное Председателем Гостехкомиссии России 25.11. 1994 г. [62].
Система аттестации объектов информации по требованиям безопасности информации (далее - система аттестации)
является составной частью единой системы обязательной системы сертификации средств защиты информации и аттестации объектов информатизации по требованиям безопасности информации и подлежит государственной регистрации в установленном Госстандартом России порядке [62].
Деятельность системы аттестации организует федеральный орган по сертификации продукции и аттестации объектов информатизации по требованиям безопасности информации (далее - федеральный орган по сертификации и аттестации), которым является Государственная техническая комиссия при Президенте Российской Федерации (Гостехкомиссии России) в пределах ее компетенции, определяемой законодательными актами Российской Федерации [62].
Под аттестацией объектов информатизации понимается комплекс организационно-технических мероприятий, в результате которых посредством специального документа - "Аттестата соответствия"
подтверждается, что объект соответствует требованиям стандартов иных нормативно-технических документов по безопасности информации, утвержденных федеральным органом по сертификации и аттестации в пределах его компетенции [62].
Наличие на объекте информатизации действующего "Аттестата соответствия" дает право обработки информации с уровнем секретности (конфиденциальности) на период времени, установленными в "Аттестате соответствия" [62].
Обязательной аттестации подлежат объекты информатизации, предназначенные для обработки информации, составляющей государственную тайну, управления экологически опасными объектами, ведения секретных переговоров [62]. В остальных случаях аттестация носит добровольный характер (добровольная аттестация) и может осуществляться по желанию заказчика или владельца объекта информатизации при наличии юридически закрепленного его согласия выполнять требования Положения [62].
Аттестация по требованиям безопасности информации предшествует началу обработки подлежащей защите информации и необходимостью официального подтверждения эффективности комплекса используемых на конкретном объекте информатизации мер и средств защиты информации [62].
При аттестации объекта информатизации подтверждается его соответствие требованиям по защите информации [62]:
• от несанкционированного доступа, в том числе от компьютерных вирусов;
• от утечки за счет побочных электромагнитных излучений и наводок при специальных воздействиях на объект (высокочастотное и облучение, электромагнитное и радиационное воздействие);
• от утечки или воздействия на нее за счет специальных устройств, встроенных в объекты информатизации.
Аттестация предусматривает комплексную проверку (аттестационные испытания) защищаемого объекта информатизации в реальных условиях эксплуатации с целью оценки соответствия использованного комплекса мер и средств защиты информации требуемому уровню безопасности информации [62].
Аттестация проводится органом по аттестации в установленном Положением порядке в соответствии со схемой, выбираемой этим органом на этапе подготовки к аттестации из следующего основного перечня работ [62]:
• анализ исходных данных по аттестуемому объекту информатизации;
• предварительное ознакомление с аттестуемым объектом информатизации;
• проведение экспертного обследования объекта информатизации и анализ разработанной документации по информации на этом объекте с точки зрения ее соответствия требованиям нормативной и методической документации;
• проведение испытаний отдельных средств и систем защиты информации на аттестуемом объекте информатизации с помощью специальной контрольной аппаратуры и тестовых средств;
• проведение испытаний отдельных средств и систем информации в испытательных центрах (лабораториях) по сертификации средств защиты информации по требованиям безопасности информации;
• проведение комплексных аттестационных испытаний объекта информатизации в реальных условиях эксплуатации;
• анализ результатов экспертного обследования и комплексных аттестационных испытаний объекта и утверждение заключения по результатам аттестации.
Органы по аттестации аккредитуются федеральным органом по сертификации и аттестации. Правила аккредитации определяются действующим в системе "Положением об аккредитации испытательных лабораторий и органов по сертификации средств информации по требованиям безопасности информации" для органов по сертификации [62]. Федеральный орган по и аттестации может передавать на аккредитацию отраслевых (ведомственных) органов по аттестации другим органам государственной власти [62].
Расходы по проведению всех работ и услуг по обязательной и добровольной аттестации объектов информатизации оплачивают заявители
[62].
Оплата работ по обязательной аттестации производится в соответствии с договором по утвержденным расценкам в порядке, установленном федеральным органом по сертификации и аттестации в пределах его компетенции, по согласованию с Министерством финансов Российской Федерации, а при их отсутствии - по договорной цене [62].
Расходы по проведению всех видов работ и услуг по аттестации объектов информатизации оплачивают заявители за счет средств, выделенных на разработку (доработку) и введение в действие защищаемого объекта информатизации [62].
Органы по аттестации объектов информатизации несут ответственность за выполнение возложенных на них функций, обеспечение сохранности государственных и коммерческих секретов, а также за соблюдение авторских прав разработчиков аттестуемых объектов информатизации и их компонент [62].
Организационную структуру системы аттестации объектов информатизации образуют [62]:
• федеральный орган по сертификации средств и аттестации объектов информатизации по требованиям безопасности информации;
• органы по аттестации объектов информатизации по требованиям безопасности информации;
• испытательные центры (лаборатории) по сертификации продукции по требованиям безопасности информации;
• заявители (заказчики, владельцы, разработчики аттестуемых объектов информатизации).
Федеральный орган по сертификации я аттестации осуществляет следующие функции [62]:
• организует обязательную аттестацию объектов информатизации;
• создает системы аттестации объектов информатизации и устанавливает правила для проведения аттестации в этих системах;
• устанавливает правила аккредитации и выдачи лицензий на проведение работ по обязательной аттестации;
• организует, финансирует разработку и утверждает нормативные и методические документы по аттестации объектов информатизации;
• аккредитует органы по аттестации объектов информатизации и выдает им лицензии на проведение определенных видов работ;
• осуществляет государственный контроль и надзор за соблюдением правил аттестации и эксплуатацией аттестованных объектов информатизации;
• рассматривает апелляции, возникающие в процессе аттестации объектов информатизации и контроля за эксплуатацией аттестованных объектов информатизации;
• организует периодическую публикацию информации по функционированию системы аттестации объектов по требованиям безопасности информации.
Органы по аттестации объектов аккредитуются федеральным органом по сертификации и аттестации и получают от него лицензию на проведение аттестации объектов информатизации [62].
Такими органами могут быть отраслевые и региональные учреждения, предприятия и организации по защите информации, специальные центры Гостехкомиссии России.
Органы по аттестации [62]:
• аттестуют объекты информатизации и выдают "Аттестаты соответствия";
• осуществляют контроль за эксплуатацией аттестованных объектов информатизации и безопасностью информации, циркулирующей на них;
• отменяют и приостанавливают действие выданных этим органом "Аттестатов соответствия";
• формируют фонд нормативной и методической документации, необходимой для аттестации конкретных типов объектов информатизации, участвуют в их разработке;
• ведут информационную базу аттестованных этим органом объектов информатизации;
• осуществляют взаимодействие с органом по сертификации и аттестации и ежеквартально информируют его о своей деятельности в области аттестации.
Испытательные центры (лаборатории) по сертификации продукции по требованиям безопасности информации по заказам заявителей проводят испытания не сертифицированной продукции, используемой на объекте информатизации, подлежащем обязательной аттестации, в соответствии с "Положением о сертификации средств защиты информации по требованиям безопасности информации" [62].
Заявители [62]:
• проводят подготовку объекта информатизации аттестации путем необходимых организационно-технических мероприятий по защите информации;
• привлекают на договорной основе органы по аттестации для организации и проведения аттестации объекта информатизации;
• предоставляют органам по аттестации необходимые документы и условия проведения аттестации;
• привлекают, в необходимых случаях для проведения испытаний, не сертифицированных средств защиты информации, используемых на аттестуемом объекте информатизации, испытательные центры (лаборатории) по сертификации;
• осуществляют эксплуатацию объекта информатизации в соответствии с условиями и требованиями, установленными в "Аттестате соответствия";
• извещают орган по аттестации, выдавший "Аттестат соответствия", обо всех изменениях в информационных технологиях, составе и размещении средств и систем информатизации, условиях их эксплуатации, которые могут повлиять на эффективность мер и средств информации (перечень характеристик, определяющих безопасность информации, об изменениях которых требуется обязательно извещать орган по аттестации, приводится в "Аттестате соответствия");
• предоставляют необходимые документы и условия дня осуществления контроля и надзора за эксплуатацией объекта информатизации, прошедшего обязательную аттестацию.
Порядок проведения аттестации объектов информатизации требованиям безопасности информации включает следующие действия [62]:
• подачу и рассмотрение на аттестацию;
• предварительное ознакомление с аттестуемым объектом;
• испытание не сертифицированных средств и систем защиты информации, используемых на аттестуемом объекте (при необходимости);
• разработку программы и методики аттестационных испытаний;
• заключение договоров на аттестацию;
• проведение аттестационных испытаний объекта информатизации;
• оформление, регистрацию и выдачу "Аттестата соответствия";
• осуществление государственного контроля и надзора, инспекционного контроля за проведением аттестации и эксплуатацией аттестованных объектов информатизации;
• рассмотрение апелляций.
Заявитель для получения "Аттестата соответствия" заблаговременно направляет в орган по аттестации заявку на проведение аттестации с исходными данными по аттестуемому объекту информатизации [62].
Орган по аттестации в месячный срок рассматривает заявку и на основании исходных данных выбирает схему аттестации, согласовывает ее с заявителем и принимает решение о проведении аттестации объекта информатизации [62].
При недостаточности исходных данных по аттестуемому объекту информатизации в схему аттестации включаются работы по предварительному ознакомлению с аттестуемым объектом, проводимые до этапа аттестационных испытаний [62].
При использовании на аттестуемом объекте информатизации не сертифицированных средств и систем защиты информации в схему аттестации могут быть включены работы по их испытаниям в испытательных центрах (лабораториях) по сертификации средств защиты информации по требованиям безопасности информации или непосредственно на аттестуемом объекте информатизации с помощью специальной контрольной аппаратуры и тестовых средств [62].
При проведении испытаний отдельных не сертифицированных средств и систем защиты информации в испытательных центрах (лабораториях) по сертификации эти испытания проводятся до аттестационных испытаний объектов информатизации. В этом случае заявителем к началу аттестационных испытаний должны быть представлены заключения органов по сертификации средств защиты информации по требованиям безопасности информации и сертификаты [62].
По результатам рассмотрения заявки и анализа исходных данных, а также предварительного ознакомления с аттестуемым объектом органом по аттестации разрабатываются программа аттестационных испытаний, предусматривающая перечень работ и их продолжительность, методики испытаний (или используются типовые методики), определяются количественный и профессиональный состав аттестационной комиссии, назначаемой органом по аттестации объектов информатизации, необходимость использования контрольной аппаратуры и тестовых средств на аттестуемом объекте информатизации или привлечения испытательных центров (лабораторий) по сертификации средств защиты информации по требованиям безопасности информации [62].
Порядок, содержание, условия и методы испытаний для оценки характеристик и показателей, проверяемых при аттестации, соответствия их установленным требованиям, а также применяемые в этих целях контрольная аппаратура и тестовые средства определяются в методиках испытаний различных объектов информатизации [62].
Программа аттестационных испытаний согласовывается с заявителем [62].
Этап подготовки завершается заключением договора между заявителем и органом по аттестации на проведение аттестации, заключением договоров (контрактов) органа по аттестации с привлекаемыми экспертами и оформлением предписания о допуске аттестационной комиссии к проведению аттестации [62].
Оплата работы членов аттестационной комиссии производится органом по аттестации в соответствии с заключенными трудовыми договорами (контрактами) за счет финансовых средств от заключаемых договоров на аттестацию объектов информатизации.
На этапе аттестационных испытаний объекта информатизации [62]:
• осуществляется анализ организационной структуры объекта информатизации, информационных потоков, состава и структуры комплекса технических средств и программного обеспечения, системы защиты информации на объекте, разработанной документации и ее соответствия требованиях нормативной документации по защите информации;
• определяется правильность категорирования объектов ЭВТ и классификации АС (при аттестации автоматизированных систем), выбора и применения, сертифицированных и не сертифицированных средств и систем защиты информации;
• проводятся испытания не сертифицированных средств и систем защиты информации на аттестуемом объекте или анализ результатов их испытаний в испытательных центрах (лабораториях) по сертификации;
• проверяется уровень подготовки кадров и распределение ответственности персонала за обеспечение выполнения требований по безопасности информации;
• проводятся комплексные аттестационные испытания объекта информатизации в реальных условиях эксплуатации путем проверки фактического выполнения установленных требований на различных этапах технологического процесса обработки защищаемой информации;
• оформляются протоколы испытаний и заключение по результатам аттестации с конкретными рекомендациями по устранению допущенных нарушений, приведению системы защиты объекта информатизации в соответствие с установленными требованиями и совершенствованию этой системы, а также рекомендациями по контролю за функционированием объекта информатизации.
Заключение по результатам аттестации с краткой оценкой соответствия объекта информатизации требованиям по безопасности информации, выводом о возможности выдачи "Аттестата соответствия" и необходимыми рекомендациями подписывается членами аттестационной комиссии и доводится до сведения заявителя [62].
К заключению прилагаются протоколы испытаний, подтверждающие полученные при испытаниях результаты и обосновывающие приведенный в заключении вывод [62].
Протоколы испытаний подписываются экспертами - членами аттестационной комиссии, проводившими испытания [62].
Заключение и протоколы испытаний подлежат утверждению органом по аттестации [62].
"Аттестат соответствия" на объект информатизации, отвечающий требованиям по безопасности информации, оформляется и выдается органом по аттестации по установленной форме заявителю после утверждения заключения по результатам аттестации [62].
Регистрация "Аттестатов соответствия" осуществляется по отраслевому или территориальному признакам органами по аттестации с целью ведения информационной базы аттестованных объектов информатизации и планирования мероприятий по контролю и надзору [62].
Ведение сводных информационных баз аттестованных объектов информатизации осуществляется федеральным органом по сертификации и аттестации или по его поручению одним из органов надзора за аттестацией и эксплуатацией аттестованных объектов [62].
"Аттестат соответствия" выдается владельцу аттестованного объекта информатизации органом по аттестации на период, в течение которого обеспечивается неизменность условий функционирования объекта информатизации и технологии обработки защищаемой информации, могущих повлиять на характеристики, определяющие безопасность информации (состав и структура технических средств, условия размещения, используемое программное обеспечение, режимы обработки информации, средства и меры защиты), но не более чем на 3 года [62].
Владелец аттестованного объекта информатизации несет ответственность за выполнение установленных условий функционирования объекта информатизации, технологии обработки информации и требований по безопасности информации [62].
В случае изменения условий и технологии обработки защищаемой информации владельцы аттестованных объектов обязаны известить об этом орган по аттестации, который принимает решение о необходимости проведения дополнительной проверки эффективности системы защиты объекта информатизации [62].
При несоответствии аттестуемого объекта требованиям по безопасности информации и невозможности оперативно устранить отмеченные аттестационной комиссией недостатки орган по аттестации принимает решение об отказе в выдаче "Аттестата соответствия" [62].
При этом может быть предложен срок повторной аттестации при условии устранения недостатков.
При наличии непринципиального характера "Аттестат соответствия" может быть выдан после проверки устранения этих замечаний [62].
В случае несогласия заявителя с отказом в выдаче "Аттестата соответствия" он имеет право обратиться в вышестоящий орган по аттестации или непосредственно в государственный орган по аттестации с апелляцией для дополнительного рассмотрения полученных при испытаниях результатов, где она в месячный срок рассматривается с привлечением заинтересованных сторон [62]. Податель апелляции извещается о принятом решении.
Государственный контроль и надзор, инспекционный контроль за проведением аттестации объектов информатизации проводится федеральным органом по сертификации и аттестации, как в процессе, так и по завершении аттестации, а за эксплуатацией аттестованных объектов информатизации - периодически в соответствии с планом работы по
контролю и надзору [62].
Федеральный орган по сертификации и аттестации может передавать некоторые из своих функций государственного контроля и надзора по аттестации и за эксплуатацией аттестованных объектов информатизации аккредитованным органам по аттестации [62].
Объем, содержание и порядок государственного контроля и надзора устанавливаются в нормативной и методической документации по аттестации объектов информатизации [62].
Государственный контроль и надзор за соблюдением правил аттестации включает проверку правильности и полноты проводимых мероприятий по аттестации объектов информатизации, оформления и рассмотрения органами по аттестации отчетных документов и протоколов испытаний, своевременное внесение изменений в нормативную и методическую документацию по безопасности информации, инспекционный контроль за эксплуатацией аттестованных объектов информатизации [62].
В случае грубых нарушений органом по аттестации требований стандартов или иных нормативных и методических документов по безопасности информации, выявленных при контроле и надзоре, орган по аттестации может быть лишен лицензии на право проведения аттестации объектов информатизации по ходатайству вышестоящего органа, проводящего контроль и надзор, перед федеральным органом по сертификации и аттестации [62].
По результатам контроля и надзора за эксплуатацией аттестованных объектов в случае нарушения их владельцами условий функционирования объектов информатизации, технологии обработки защищаемой информации и требований по безопасности информации органом, проводившим контроль и надзор, может быть приостановлено или аннулировано действие "Аттестата соответствия", оформив это решение в "Аттестате соответствия" и проинформировав орган, ведущий сводную информационную базу аттестованных объектов информатизации, и федеральный орган по сертификации и аттестации [62].
Решение о приостановлении или аннулировании действия "Аттестата соответствия" принимается в случае, когда в результате оперативного принятия организационно-технических мер не может быть восстановлен требуемый уровень безопасности информации [62].
В случае грубых нарушений органом по аттестации требований стандартов или нормативных документов по безопасности информации, утвержденных федеральным органом по сертификации и аттестации в пределах его компетенции, выявленных при контроле и надзоре и приведших к повторной аттестации, расходы по осуществлению контроля и надзора могут быть по решению Госарбитража взысканы с органа по аттестации [62]. Кроме того, и повторная аттестация может быть осуществлена за счет этого органа по аттестации.
Расходы по осуществлению надзора за обязательной аттестацией и эксплуатацией объектов, прошедших обязательную аттестацию, оплачиваются органом надзора из средств госбюджета, выделенных ему в этих целях [62].
Объекты информатизации, вне зависимости от используемых отечественных или зарубежных технических и программных средств, аттестуются на соответствие требованиям государственных стандартов России или нормативных и методических документов по безопасности информации, утвержденных федеральным органом по сертификации и аттестации в пределах его компетенции [62].
Состав нормативной и методической документации для аттестации конкретных объектов информатизации определяется органом по аттестации в зависимости от условий функционирования объектов информатизации на основании анализа исходных данных по аттестуемому объекту [62].
В нормативную и методическую документацию включаются только те показатели, характеристики и требования, которые могут быть объективно проверены [62].
В нормативной и методической документации на методы испытаний должны быть ссылки на условия, содержание и порядок проведения испытаний, используемые при испытаниях контрольную аппаратуру и тестовые средства, сводящие к минимуму погрешности результатов испытаний и позволяющие воспроизвести эти результаты
[62].
Тексты нормативных и методических документов, используемых при аттестации объектов информатизации, должны быть сформулированы ясно и четко, обеспечивая их точное и единообразное толкование, в них должно содержаться указание о возможности использования документа для аттестации определенных типов объектов информатизации по требованиям безопасности информации или направлений защиты информации [62].
Демаскирующие признаки электронных устройств перехвата информации.
Обнаружение электронных устройств перехвата информации (закладных устройств), так же как и любых других объектов, производится по их демаскирующим признакам.Каждый вид электронных устройств перехвата информации имеет свои демаскирующие признаки, позволяющие обнаружить закладку.
Наиболее информативными признаками проводной микрофонной системы
являются [93, 114, 133, 142,152]:
- тонкий провод неизвестного назначения, подключенный к малогабаритному микрофону (часто закамуфлированному и скрытно установленному) и выходящий в другое помещение;
- наличие в линии (проводе) неизвестного назначения постоянного (в несколько вольт) напряжения и низкочастотного информационного сигнала.
Демаскирующие признаки автономных некамуфлированных акустических закладок включают [93,114, 133, 142, 152]:
- признаки внешнего вида - малогабаритный предмет (часто в форме параллелепипеда) неизвестного назначения;
- одно или несколько отверстий малого диаметра в корпусе;
- наличие автономных источников питания (например, аккумуляторных батарей);
- наличие полупроводниковых элементов, выявляемых при облучении обследуемого устройства нелинейным радиолокатором;
- наличие в устройстве проводников или других деталей, определяемых при просвечивании его рентгеновскими лучами.
Камуфлированные акустические закладки по внешнему виду, на первый взгляд, не отличаются от объекта имитации, особенно если закладка устанавливается в корпус бытового предмета без изменения его внешнего вида [152]. Такие закладки можно выявить путем разборки предмета.
Закладки, устанавливаемые в малогабаритные предметы, ограничивают возможности последних. Эти ограничения могут служить косвенными признаками закладных устройств. Чтобы исключить возможность выявления закладки путем ее разборки, места соединения разбираемых частей склеивают.
Некоторые камуфлированные закладные устройства не отличаются от оригиналов даже при тщательном внешнем осмотре. Их можно обнаружить только при просвечивании предметов рентгеновскими лучами.
В ряде случаев закамуфлированное закладное устройство обнаруживается по наличию в обследуемом предмете не свойственных ему полупроводниковых элементов (выявляемых при облучении его нелинейным радиолокатором). Например, обнаружение полупроводниковых элементов в пепельнице или в папке для бумаг может указать на наличие в них закладных устройств.
Наличие портативных звукозаписывающих и видеозаписывающих устройств
в момент записи можно обнаружить по наличию их побочных электромагнитных излучений (излучений генераторов подмагничивания и электродвигателей) [1].
Дополнительные демаскирующие признаки акустических радиозакладок:
- радиоизлучения (как правило, источник излучения находится в ближней зоне) с модуляцией радиосигнала информационным сигналом;
- наличие (как правило) небольшого отрезка провода (антенны), выходящего из корпуса закладки.
Вследствие того, что при поиске радиозакладок последние находятся в ближней зоне излучения и уровень сигналов о них, как правило, превышает уровень сигналов от других РЭС, у большинства радиозакладок обнаруживаются побочные излучения и, в частности, излучения на второй и третьей гармониках, субгармониках и т.д.
Дополнительные демаскирующие признаки сетевых акустических закладок:
- наличие в линии электропитания высокочастотного сигнала (как правило, несущая частота от 40 до 600 кГц, но возможно наличие сигнала на частотах до 7 МГц), модулированного информационным низкочастотным сигналом;
- наличие тока утечки (от единиц до нескольких десятков мА) в линии электропитания при всех отключенных потребителях;
- отличие емкости линии электропитания от типовых значений при отключении линии от источника питания (на распределительном щитке электропитания) и отключении всех потребителей.
Дополнительные демаскирующие признаки акустических и телефонных закладок с передачей информации по телефонной линии на высокой частоте
[133]:
- наличие в линии высокочастотного сигнала (как правило, несущая частота до 7 МГц) с модуляцией его информационным сигналом.
Дополнительные демаскирующие признаки телефонных радиозакладок [1, 41, 54, 56, 59,103,124,125]:
- радиоизлучения с модуляцией радиосигнала информационным сигналом, передаваемым по телефонной линии;
- отличие сопротивления телефонной линии от " µ " при отключении телефонного аппарата и отключении линии (отсоединении телефонных проводов) на распределительной коробке (щитке);
- отличие сопротивления телефонной линии от типового значения (для данной линии) при отключении телефонного аппарата, отключении и закорачивании линии на распределительной коробке (щитке);
- падение напряжения (от нескольких десятых до 1,5...2 В) в телефонной линии (по отношению к другим телефонным линиям, подключенным к данной распределительной коробке) при положенной и поднятой телефонной трубке;
- наличие тока утечки (от единиц до нескольких десятков мА) в телефонной линии при отключенном телефоне.
Дополнительные демаскирующие признаки акустических закладок типа "телефонного уха" [1,43, 59, 103]:
- отличие сопротивления телефонной линии от " µ "при отключении телефонного аппарата и отключении линии (отсоединении телефонных проводов) на распределительной коробке (щитке);
- падение напряжения (от нескольких десятых до 1,5...2 В) в телефонной линии (по отношению к другим телефонным линиям, подключенным к данной распределительной коробке) при положенной телефонной трубке;
- наличие тока утечки (от единиц до нескольких десятков мА) в телефонной линии при отключенном телефоне;
- подавление (не прохождение) одного-двух вызывных звонков при наборе номера телефонного аппарата.
Дополнительные демаскирующие признаки полуактивных акустических радиозакладок [113, 120, 142]:
- облучение помещения направленным (зондирующим) мощным излучением (как правило, гармоническим);
- наличие в помещении переизлученного зондирующего излучения с амплитудной или частотной модуляцией информационным акустическим сигналом.
Фильтрация информационных сигналов.
Одним из методов локализации опасных сигналов, циркулирующих в технических средствах и системах обработки информации, является фильтрация [22, 114, 128]. В источниках электромагнитных полей и наводок фильтрация осуществляется с целью предотвращения распространения нежелательных электромагнитных колебаний за пределы устройства - источника опасного сигнала. Фильтрация в устройствах - рецепторах электромагнитных полей и наводок должна исключить их воздействие на рецептор.Для фильтрации сигналов в цепях питания ТСПИ используются разделительные трансформаторы и помехоподавляющие фильтры.
Разделительные трансформаторы. Такие трансформаторы должны обеспечивать развязку первичной и вторичной цепей по сигналам наводки. Это означает, что во вторичную цепь трансформатора не должны проникать наводки, появляющиеся в цепи первичной обмотки. Проникновение наводок во вторичную обмотку объясняется наличием нежелательных резистивных и емкостных цепей связи между обмотками.
Для уменьшения связи обмоток по сигналам наводок часто применяется внутренний экран, выполняемый в виде заземленной прокладки или фольги, укладываемой между первичной и вторичной обмотками. С помощью этого экрана наводка, действующая в первичной обмотке, замыкается на землю. Однако электростатическое поле вокруг экрана также может служить причиной проникновения наводок во вторичную цепь.
Разделительные трансформаторы используются с целью решения ряда задач [128], в том числе для:
- разделения по цепям питания источников и рецепторов наводки, если они подключаются к одним и тем же шинам переменного тока;
- устранения асимметричных наводок;
- ослабления симметричных наводок в цепи вторичной обмотки, обусловленных наличием асимметричных наводок в цепи первичной обмотки.
Средства развязки и экранирования, применяемые в разделительных трансформаторах, обеспечивают максимальное значение сопротивления между обмотками и создают для наводок путь с малым сопротивлением из первичной обмотки на землю. Это достигается обеспечением высокого сопротивления изоляции соответствующих элементов конструкции (~104 МОм) и незначительной емкости между обмотками.
Указанные особенности трансформаторов для цепей питания обеспечивают более высокую степень подавления наводок, чем обычные трансформаторы [128].
Разделительный трансформатор со специальными средствами экранирования и развязки обеспечивает ослабление информационного сигнала наводки в нагрузке на 126 дБ при емкости между обмотками 0,005 пФ и на 140 дБ при емкости между обмотками 0,001 пф [128].
Средства экранирования, применяемые в разделительных трансформаторах, должны не только устранять влияние асимметричных наводок на защищаемое устройство, но и не допустить на выходе трансформатора симметричных наводок, обусловленных асимметричными наводками на его входе. Применяя в разделительных трансформаторах
специальные средства экранирования, можно существенно (более чем на 40 дБ) уменьшить уровень таких наводок [128].
Помехоподавляющие фильтры.
В настоящее время существует большое количество различных типов фильтров, обеспечивающих ослабление нежелательных сигналов в разных участках частотного диапазона. Это фильтры нижних и верхних частот, полосовые и заграждающие фильтры и т.д. [128]. Основное назначение фильтров - пропускать без значительного ослабления сигналы с частотами, лежащими в рабочей полосе частот, и подавлять (ослаблять) сигналы с частотами, лежащими за пределами этой полосы.
Для исключения просачивания информационных сигналов в цепи электропитания используются фильтры нижних частот .
Фильтр нижних частот (ФНЧ) пропускает сигналы с частотами
ниже граничной частоты (f < fгр) и подавляет- с частотами выше граничной частоты [128].
Последовательная ветвь ФНЧ должна иметь малое сопротивление для постоянного тока и нижних частот. Вместе с тем для того, чтобы высшие частоты задерживались фильтром, последовательное сопротивление должно расти с частотой. Этим требованиям удовлетворяет индуктивность L [I28].
Параллельная ветвь ФНЧ, наоборот, должна иметь малую проводимость для низких частот с тем, чтобы токи этих частот не шунтировались параллельным плечом.
Для высоких частот параллельная ветвь должна иметь большую проводимость, тогда колебания этих частот будут ею шунтироваться, и их ток на выходе фильтра будет ослабляться. Таким требованиям отвечает емкость С [128].
Более сложные многозвенные ФНЧ (Чебышева, Баттерворта, Бесселя и т.д.) конструируют на основе сочетаний различных единичных звеньев [128].
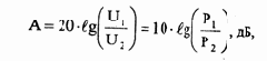
Количественно величина ослабления (фильтрации) нежелательных том числе и опасных) сигналов защитным фильтром оценивается в соответствии с выражением [128]:

где u1 (p1) - напряжение (мощность) опасного сигнала на входе
фильтра;
U2 (р2) - напряжение (мощность) опасного сигнала на выходе
фильтра при включенной нагрузке Zн.
Основные требования, предъявляемые к защитным фильтрам, заключаются в следующем [22, 128]:
- величины рабочего напряжения и тока фильтра должны соответствовать напряжению и току фильтруемой цепи;
- величина ослабления нежелательных сигналов в диапазоне рабочих частот должна быть не менее требуемой;
- ослабление полезного сигнала в полосе прозрачности фильтра должно быть незначительным;
- габариты и масса фильтров должны быть минимальными;
- фильтры должны обеспечивать функционирование при определенных условиях эксплуатации (температура, влажность, давление) и механических нагрузках (удары, вибрация и т.д.);
- конструкции фильтров должны соответствовать требованиям техники безопасности.
К фильтрам цепей питания наряду с общими предъявляются следующие дополнительные требования [128]:
- затухание, вносимое такими фильтрами в цепи постоянного тока или переменного тока основной частоты, должно быть минимальным (например, 0,2 дБ и менее) и иметь большое значение (более 60 дБ) в полосе подавления, которая в зависимости от конкретных условий может быть достаточно широкой (до 10 ГГц) [128];
- сетевые фильтры должны эффективно работать при сильных проходящих токах, высоких напряжениях и высоких уровнях мощности проходящих и задерживаемых электромагнитных колебаний;
- ограничения, накладываемые на допустимые уровни нелинейных искажений формы напряжения питания при максимальной нагрузке, должны быть достаточно жесткими (например, уровни гармонических составляющих напряжения питания с частотами выше 10 кГц должны быть на 80 дБ ниже уровня основной гармоники) [128].
Рассмотрим влияние этих параметров более подробно. Напряжение,
приложенное к фильтру, должно быть таким, чтобы оно не вызывало пробоя конденсаторов фильтра при различных скачках питающего напряжения, включая скачки, обусловленные переходными процессами в цепях питания. Чтобы при заданных массе и объеме фильтр обеспечивал наилучшее подавление наводок в требуемом диапазоне частот, его конденсаторы должны обладать максимальной емкостью на единицу объема или массы. Кроме того, номинальное значение рабочего напряжения конденсаторов выбирают исходя из максимальных значений допускаемых скачков напряжения цепи питания, но не более их [22].
Ток через фильтр должен быть таким, чтобы не возникало насыщения сердечников катушек фильтра. Кроме того, следует учитывать, что с увеличением тока через катушку увеличивается реактивное падение напряжения на ней. Это может привести к тому, что [22]:
- ухудшается эквивалентный коэффициент стабилизации напряжения в цепи питания, содержащей фильтр;
- возникает взаимозависимость переходных процессов в различных нагрузках цепи питания.
Наибольшие скачки напряжения при этом возникают во время отключения нагрузок, так как большинство из них имеет индуктивный характер.
Характеристики фильтров зависят от числа использованных реактивных элементов. Так, например, фильтр из одного параллельного конденсатора или одной последовательной индуктивной катушки может обеспечить затухание лишь 20 дБ/декада вне полосы пропускания, а LC-фильтр из десяти или более элементов - более 200 дБ/декада [128].
Из-за паразитной связи между входом и выходом фильтра на практике трудно получить затухание более 100 дБ. Если фильтр неэкранированный и сигнал подается на него и снимается с помощью неэкранированных соединений (проводов), то развязка между входом и выходом обычно не превышает 40 ... 60 дБ. Для обеспечения развязки более 60 дБ необходимо использовать экранированные фильтры с разъемами и использовать для соединения экранированные провода [128].
Фильтры с гарантируемым затуханием 100 дБ выполняют в виде узла с электромагнитным экранированием, который помещается в корпус, изготовленный из материала с высокой магнитной проницаемостью магнитного экрана.
Этим существенно уменьшается возможность возникновения внутри корпуса паразитной связи между входом и выходом фильтра из-за магнитных электрических или электромагнитных полей.
Из-за влияния паразитных емкостей и индуктивностей фильтр зачастую не обеспечивает требуемого затухания на частотах, превышающих граничную частоту (fгр) на две декады, и полностью может потерять работоспособность на частотах, превышающих граничную частоту на несколько декад [128].
Ориентировочные значения максимального затухания для сетевых фильтров, приведены в табл. 2.5 [128].
Таблица 2.5
Значения максимального затухания для сетевых фильтров.
|
Диапазон частот |
Максимальное затухание фильтра вне полосы пропускания, дБ |
||||
|
экранированный |
неэкранированный |
||||
|
с разъемами |
без разъемов |
||||
|
Фильтры в цепях питания на токи не более 10 А |
|||||
|
fc £ f £ l0 fc |
80 |
— |
— |
||
|
10 fc £ f £ l00 fc |
80 |
— |
— |
||
|
f ³ l00 fc |
70 |
— |
— |
||
|
Фильтры в цепях питания на токи более 10 А |
|||||
|
fc £ f £ l0 fc |
100 |
— |
— |
||
|
10 fc £ f £ l00 fc |
100 |
— |
— |
||
|
f ³ l00 fc |
90 |
— |
— |
||
- фильтры на элементах с сосредоточенными параметрами (LC-фильтры) - обычно предназначены для работы на частотах до 300 МГц;
- фильтры с распределенными параметрами (полосковые, коаксиальные или волноводные) - применяются на частотах свыше 1 ГГц;
- комбинированные - применяются на частотах 300 МГц ... 1 ГГц. В настоящее время промышленностью выпускаются несколько серий защитных фильтров (ФП, ФБ, ФПС и др.). На рис. 2.7 ... 2.9 представлены принципиальные электрические схемы фильтров типа ФП, обеспечивающих эффективность фильтрации не менее 60 дБ, 80 дБ и 100 дБ соответственно [117]. Основные характеристики защитных фильтров различных серий приведены в табл. 2.6, а внешний вид - на рис. 2.10 [95, 117].
Фильтры серии ФП обеспечивают затухание от 60 до 100 дБ.
Они рассчитаны на номинальное напряжение переменного тока от 60 до 500 В и ток - от 2,5 до 70 А. Размеры фильтров составляют от 350х100х60 до 560х210х80 мм, а вес - от 2,5 до 25 кг [117].

а)

б)
Рис. 2.7. Принципиальные схемы помехоподавляющих фильтров, обеспечивающих эффективность фильтрации не менее 60 дБ (а) и 80 дБ (б)


Рис. 2.8. Принципиальные схемы помехоподавляющих фильтров» обеспечивающих эффективность фильтрации не менее 100 дБ.

Рис. 2.9. Принципиальная схема помехоподавляющего фильтра ФП-15, обеспечивающего эффективность фильтрации не менее 100 дБ.


Рис. 2.10. Внешний вид помехоподавляющих фильтров ФП:
1 - патрубок; 2 - винт заземления.
Таблица 2.6
Основные характеристики помехоподавляющих фильтров
|
Наименование характеристик |
Тип фильтра |
|||||||
|
ФП-1 |
ФП-2 |
ФП-3 |
ФП-4 |
ФП-5 |
ФП-6 |
|||
|
Количество проводов |
2 |
2 |
2 |
2 |
2 |
2 |
||
|
Номинальный ток, А |
2,5 |
4,0 |
4,0 |
4,0 |
10,0 |
20,0 |
||
|
Номинальное напряжение (фаза-земля), В |
||||||||
|
- постоянного тока |
500 |
250 |
500 |
1000 |
500 |
500 |
||
|
- переменного тока 50 Гц |
220 |
110 |
220 |
500 |
220 |
220 |
||
|
- переменного тока 400 Гц |
110 |
60 |
110 |
220 |
110 |
110 |
||
|
Вносимое затухание, дБ |
60 |
|||||||
|
Масса, кг |
2,5 |
2,5 |
4,5 |
4,5 |
4,5 |
4,5 |
||
|
Габаритные размеры, мм |
||||||||
|
- длина |
350 |
350 |
430 |
430 |
430 |
430 |
||
|
- ширина |
100 |
100 |
150 |
150 |
150 |
150 |
||
|
- высота (толщина) |
60 |
60 |
60 |
80 |
80 |
80 |
||
|
Резьба трубы патрубка, дюйм |
1/2 |
1/2 |
3/4 |
3/4 |
3/4 |
3/4 |
||
|
Наименование характеристик |
Тип фильтра |
|||||||
|
ФП-7 |
ФП-8 |
ФП-9 |
ФП-10 |
|||||
|
Количество проводов |
2 |
2 |
2 |
2 |
||||
|
Номинальный ток, А |
1,0 |
2,5 |
4,0 |
10,0 |
||||
|
Номинальное напряжение (фаза-земля),В |
||||||||
|
- постоянного тока |
250 |
1000 |
1000 |
500 |
||||
|
- переменного тока 50 Гц |
110 |
500 |
380 |
220 |
||||
|
- переменного тока 400 Гц |
60 |
220 |
110 |
110 |
||||
|
Вносимое затухание, дБ |
80 |
|||||||
|
Масса, кг |
4,5 |
5,0 |
6,0 |
6,0 |
||||
|
Габаритные размеры, мм |
||||||||
|
-длина |
430 |
470 |
470 |
470 |
||||
|
-ширина |
150 |
170 |
170 |
170 |
||||
|
- высота (толщина) |
80 |
80 |
80 |
80 |
||||
|
Резьба трубы патрубка, дюйм |
3/4 |
3/4 |
3/4 |
3/4 |
||||
Продолжение табл. 2.6
|
Наименование характеристик |
Тип фильтра |
|||||||||
|
ФП-11 |
ФП-12 |
ФП-13 |
ФП-14 |
ФП-15 |
||||||
|
Количество проводов |
2 |
2 |
2 |
2 |
4 |
|||||
|
Номинальный ток, А |
16,0 |
20,0 |
20,0 |
40,0 |
70,0 |
|||||
|
Номинальное напряжение (фаза-земля), В |
||||||||||
|
- постоянного тока |
1000 |
500 |
1000 |
1000 |
500 |
|||||
|
- переменного тока 50 Гц. |
380 |
220 |
500 |
500 |
220 |
|||||
|
- переменного тока 400 Гц |
110 |
110 |
220 |
220 |
110 |
|||||
|
Вносимое затухание, дБ |
100 |
|||||||||
|
Масса, кг |
8,5 |
9,5 |
9,5 |
10,0 |
25,0 |
|||||
|
Габаритные размеры, мм |
||||||||||
|
-длина |
560 |
560 |
560 |
560 |
800 |
|||||
|
-ширина |
210 |
210 |
210 |
210 |
210 |
|||||
|
- высота (толщина) |
80 |
80 |
80 |
80 |
150 |
|||||
|
Резьба трубы патрубка, дюйм |
1 |
1 |
1 |
1 |
1 1/2 |
|||||
|
Наименование характеристик |
Тип фильтра |
|
|
ФСПК-100 |
ФСПК-200 |
|
|
Число фильтруемых двухпроводных линий |
2 |
|
|
Номинальный ток, А |
100 |
200 |
|
Номинальное напряжение питающей сети 50 Гц, В |
220/380 |
|
|
Частотный диапазон подавления помех, МГц |
0,02... 1000 |
|
|
Вносимое затухание, Дб |
не менее 60 |
|
|
Величина падения напряжения на фильтре при номинальном рабочем токе, В |
не более 5 |
|
|
Масса двух корпусов, кг |
36 |
|
|
Габаритные размеры одного двухпроводного корпуса, мм |
||
|
-длина |
800 |
|
|
-ширина |
320 |
|
|
- высота (толщина) |
92 |
Конструктивно фильтры ФСПК выполнены в виде двух корпусов (полукомплектов), каждый из которых обеспечивает фильтрацию двухпроводной линии. Размеры одного корпуса составляют 800х320х92 мм, а вес - 18 кг [95].
Государственное лицензирование деятельности в области защиты информации.
Основные принципы, организационную структуру системы государственного лицензирования деятельности юридических лиц - предприятий, организаций и учреждений независимо от их организационно-правовой формы по защите информации, циркулирующей в технических средствах и помещениях, а также порядок лицензирования и контроля за деятельностью предприятий, получивших лицензию, устанавливает Положение о государственном лицензировании деятельности в области защиты информации от 27 апреля 1994г. № 10 [63].В Положении используются следующие основные понятия [63]:
лицензирование в области защиты информации - деятельность, заключающаяся в передаче или получении прав на проведение работ в области защиты информации;
лицензия в области защиты информации - оформленное соответствующим образом разрешение на право проведения тех или иных работ в области защиты информации;
лицензиат в области защиты информации - сторона, получившая право на проведение работ в области защиты информации;
защита информации - комплекс мероприятий, проводимых с целью предотвращения утечки, хищения, утраты, несанкционированного уничтожения, искажения, модификации (подделки), несанкционированного копирования, блокирования информации и т.п.;
эффективность защиты информации - степень соответствия достигнутых результатов действий по защите информации поставленной цели защиты;
контроль эффективности защиты информации - проверка соответствия эффективности мероприятий по защите информации установленным требованиям или нормам эффективности защиты;
безопасность информации -
состояние информации, информационных ресурсов и информационных систем, при котором с требуемой вероятностью обеспечивается защита информации (данных) от утечки, хищения, утраты, несанкционированного уничтожения, искажения, модификации (подделки), копирования, блокирования и т.п.;
шифровальные средства:
реализующие криптографические алгоритмы преобразования информации аппаратные, программные и аппаратно-программные средства, системы и комплексы, предназначенные для защиты информации (в т.ч.
и входящие в системы и комплексы защиты информации от НСД), циркулирующей в технических средствах, при ее обработке, хранении и передаче по каналам связи, включая шифровальную технику;
реализующие криптографические алгоритмы преобразования информации аппаратные, программные и аппаратно-программные средства, системы и комплексы защиты от навязывания ложной информации, включая средства имитозащиты и "электронной подписи";
аппаратные, программные и аппаратно-программные средства, системы и комплексы, предназначенные для изготовления и распределения ключевых документов, используемых в шифровальных средствах, независимо от вида носителя ключевой информации;
охраняемые сведения -
сведения, составляющие государственную и иную охраняемую законом тайны;
аттестование объекта в защищенном исполнении - официальное подтверждение наличия на объекте защиты необходимых и достаточных условий, обеспечивающих выполнение установленных требований руководящих документов и норм эффективности защиты информации;
техническое средство обработки информации (ТСОИ) - техническое средство, предназначенное для приема, накопления, хранения, поиска, преобразования, отображения и передачи информации по каналам связи.
Система государственного лицензирования деятельности предприятий в области защиты информации является составной частью государственной системы защиты информации.
Деятельность системы лицензирования организуют государственные органы по лицензированию, которыми являются Государственная техническая комиссия при Президенте Российской Федерации (Гостехкомиссия России) и Федеральное агентство правительственной связи и информации при Президенте Российской Федерации (ФАПСИ).
Государственные органы по лицензированию в пределах их компетенции, установленной законодательством Российской Федерации, осуществляют лицензирование деятельности в области защиты информации в соответствии с перечнями видов деятельности, приведенными в табл. 7.1 и 7.2 [63].
Лицензия на право деятельности по защите информации (далее - лицензия) выдается предприятию государственным органом по лицензированию по представлению органа государственной власти Российской Федерации на конкретные виды деятельности на три года, по истечении которых осуществляется ее перерегистрация в порядке, установленном для выдачи лицензии [63].
Лицензия выдается подавшему заявку на ее получение предприятию - заявителю, располагающему производственной и испытательной базой, нормативной и методической документацией, научным и инженерно-техническим персоналом, при условии их соответствия требованиям государственного органа по лицензированию на основании результатов экспертизы деятельности предприятия по заявленному направлению работ [63]. С этими требованиями заявитель имеет право ознакомиться в государственном органе по лицензированию.
Для получения лицензии представляются [63]: заявление; представление органа государственной власти Российской Федерации; материалы экспертизы, подтверждающие наличие необходимых условий для проведения работ по заявленным видам деятельности, а также профессиональную пригодность руководителя предприятия-заявителя или лиц, уполномоченных им для руководства лицензируемой деятельностью; копии документов о государственной регистрации предпринимательской деятельности и устава предприятия.
Отказ в выдаче лицензии производится в случаях, если:
• отсутствуют необходимые условия для проведения работ по заявленному виду деятельности;
• профессиональная подготовка руководителя предприятия-заявителя или лиц, уполномоченных им для руководства лицензируемой деятельностью, не соответствует установленным требованиям;
• в представленных для получения лицензии документах указаны недостоверные сведения;
• заявитель в установленном законом порядке признан виновным в недобросовестной конкуренции в лицензируемой деятельности [63].
Таблица 7.1.
Перечень видов деятельности предприятий в области защиты информации, подлежащих лицензированию Гостехкомиссией России.
|
№ п/п |
Наименование видов деятельности предприятий в области защиты |
|
1. |
Сертификация, сертификационные испытания защищенных ТСОИ, технических средств защиты информации, технических средств контроля эффективности мер защиты информации, защищенных программных средств обработки информации, программных средств по требованиям безопасности, программных средств защиты информации, программных средств контроля защищенности информации. |
|
2. |
Аттестование систем информатизации, автоматизированных систем управления, систем связи и передачи данных, технических средств приема, передачи и обработке, подлежащей защите информации, технических средств и систем, не обрабатывающих эту информацию, но размещенных в помещениях, где она обрабатывается (циркулирует), а также помещений, предназначенных для ведения переговоров, содержащих охраняемые сведения, на соответствие требованиям руководящих и нормативных документов по безопасности информации и контроль защищенности информации в этих системах, технических средствах и помещениях. |
|
3. |
Разработка, производство, реализация, монтаж, наладка, установка, ремонт, сервисное обслуживание защищенных ТСОИ, технических средств защиты информации, технических средств контроля эффективности мер защиты информации, защищенных программных средств обработки информации, программных средств защиты информации, программных средств контроля защищенности информации. |
|
4. |
Проведение специсследований на побочные электромагнитные излучения и наводки (ПЭМИН) ТСОИ. |
|
5. |
Проектирование объектов в защищенном исполнении. |
|
6. |
Подготовка и переподготовка кадров в области защиты информации по видам деятельности, перечисленным в данном перечне. |
Таблица 7.2.
Перечень видов деятельности предприятий в области защиты информации, подлежащих лицензированию ФАПСИ.
|
№п/п |
Наименование видов деятельности предприятий в области защиты |
|
1 |
Разработка, производство, проведение сертификационных испытаний, реализация, монтаж, наладка, установка и ремонт шифровальных средств, предназначенных для криптографической защиты информации при ее обработке, хранении и передаче по каналам связи, а также предоставление услуг по шифрованию информации. |
|
2 |
Эксплуатация негосударственными предприятиями шифровальных средств, предназначенных для криптографической защиты информации, не содержащей сведений, составляющих государственную тайну. |
|
3 |
Разработка, производство, проведение сертификационных испытаний, реализация, монтаж, наладка, установка и ремонт систем и комплексов телекоммуникаций высших органов государственной власти Российской Федерации, а также закрытых (с помощью шифровальных средств) систем и комплексов телекоммуникаций органов государственной власти субъектов Российской Федерации, центральных органов федеральной исполнительной власти, организаций, предприятий, банков и иных учреждений, расположенных на территории Российской Федерации, независимо от их ведомственной принадлежности и форм собственности. |
|
4 |
Разработка, производство, проведение сертификационных испытаний, реализация, монтаж, наладка, установка, ремонт, сервисное обслуживание специализированных защищенных ТСОИ, технических средств защиты информации, технических средств контроля эффективности мер защиты информации, защищенных программных средств обработки информации, программных средств защиты информации, программных средств контроля защищенности информации, предназначенных для использования в высших органах государственной власти РФ. |
|
5 |
Проведение работ по выявлению электронных устройств перехвата информации в помещениях государственных структур на территории Российской Федерации. |
|
6 |
Проведение работ по выявлению электронных устройств перехвата информации в технических средствах государственных структур на территории Российской Федерации. |
|
7 |
Проведение специсследований на ПЭМИН специализированных защищенных ТСОИ, предназначенных для использования в высших органах государственной власти Российской Федерации. |
|
8 |
Проектирование в защищенном исполнении объектов высших органов государственной власти Российской Федерации. |
|
9. |
Подготовка и переподготовка кадров в области защиты информации по видам деятельности, перечисленным в данном перечне. |
Предприятия, осуществляющие деятельность по защите информации, виды которой указаны в табл. 7.1 и 7.2, без лицензии, несут ответственность, предусмотренную законодательством Российской Федерации.
Организационную структуру системы государственного лицензирования деятельности предприятий в области защиты информации образуют: государственные органы по лицензированию; лицензионные центры; предприятия-заявители [63].
Государственные органы по лицензированию в пределах своей компетенции осуществляют следующие функции [63]:
• организуют обязательное государственное лицензирование деятельности предприятий;
• выдают государственные лицензии предприятиям-заявителям;
• осуществляют научно-методическое руководство лицензионной деятельностью;
• утверждают перечни лицензионных центров;
• согласовывают составы экспертных комиссий, представляемые лицензионными центрами;
• осуществляют контроль и надзор за полнотой и качеством проводимых лицензиатами работ в области защиты информации;
• обеспечивают публикацию необходимых сведений о лицензионной деятельности;
• рассматривают спорные вопросы, возникающие в хода экспертизы предприятия-заявителя.
Лицензионные центры осуществляют следующие функции [63]:
• формируют экспертные комиссии и представляют их состав на согласование с руководителями соответствующих государственных органов по лицензированию и отраслей промышленности;
• планируют и проводят работы по экспертизе заявителей;
• контролируют полноту и качество выполненных лицензиатами работ;
• систематизируют отчеты лицензиатов и ежегодно представляют сводный отчет в соответствующие государственные органы по лицензированию;
• принимают участие в работе соответствующих государственных органов по лицензированию при рассмотрении спорных вопросов, возникающих в процессе экспертизы предприятия-заявителя, и фактов некачественной работы лицензиатов.
Лицензионные центры могут создаваться при государственных органах по лицензированию, в регионах и отраслях промышленности (ведомствах) Российской Федерации [63].
Лицензионные центры при государственных органах по лицензированию создаются приказами руководителей этих органов. Отраслевые лицензионные центры создаются совместными решениями руководителей комитетов (министерств) и соответствующих государственных органов по лицензированию. Региональные лицензионные центры создаются совместными решениями органов регионального управления и соответствующих государственных органов по лицензированию. Организация взаимодействия отраслевых, региональных лицензионных центров с соответствующими органами управления отражается в указанных решениях.
Лицензионные центры могут формироваться из состава специальных центров Гостехкомиссии России, центров правительственной связи ФАПСИ, отраслевых и региональных учреждений, предприятий и организаций по защите информации.
Для всестороннего обследования предприятий-заявителей с целью оценки их возможностей проводить работы по защите информации в избранном направлении при лицензионных центрах создаются экспертные комиссии [63]. Они формируются из числа компетентных в соответствующей области защиты информации специалистов отраслей промышленности, Вооруженных Сил, органов государственного управления, других организаций и учреждений. Экспертные комиссии создаются по одному или нескольким направлениям защиты информации.
Лицензиаты обязаны [63]:
• осуществлять свою деятельность в строгом соответствии с требованиями нормативных документов по защите информации;
• обеспечивать тайну переписки, телефонных переговоров, документальных и иных сообщений физических и юридических лиц, пользующихся их услугами;
• ежегодно представлять непосредственно в государственный орган по лицензированию или в лицензионный центр сведения о количестве выполненных работ по конкретным видам указанной в лицензии деятельности.
Лицензиаты имеют право пользоваться нормативно-методическими документами соответствующих государственных органов по лицензированию, обращаться к ним за необходимыми консультациями и содействием, а также ссылаться в официальных документах и рекламных материалах на полученную лицензию [63].
Лицензиаты несут юридическую и финансовую ответственность за полноту и качество выполнения работ, и обеспечение сохранности государственных и коммерческих секретов, доверенных им в ходе практической деятельности [63].
Предприятия-потребители имеют право обращаться [63]:
• в государственный орган по лицензированию или в лицензионный центр с рекламациями на некачественно выполненные лицензиатами работы по защите информации;
• в судебные органы в установленном порядке. Порядок проведения лицензирования предприятий-заявителей в области защиты информации включает следующие действия [63]:
• проведение экспертизы заявителя;
• подачу, рассмотрение заявления на лицензирование, оформление и выдачу лицензий;
• продление срока действия лицензий;
• учет лицензиатов и информирование в сфере лицензирования.
Экспертиза предприятия-заявителя осуществляется экспертной комиссией соответствующего лицензионного центра на основании заявки предприятия, содержащей лицензируемые виды деятельности и перечни необходимых для их обеспечения производственного и испытательного оборудования, нормативной и методической документации, имеющейся на предприятии. Результатом работы комиссии является экспертное заключение, в котором дается оценка возможности заявителя осуществлять работы в избранном виде деятельности по защите информации. Заключение утверждается руководителем соответствующего лицензионного центра и действует в течение трех месяцев со дня его выдачи [63].
Экспертиза проводится на основе хозяйственного договора между лицензионным центром и предприятием-заявителем [63]. Оплата работы членов экспертной комиссии проводится лицензионным центром.
Заявление на получение лицензии подается в государственный орган по лицензированию и принимается к рассмотрению только при наличии всех требуемых документов [63].
Орган, выдающий лицензию, вправе провести проверку достоверности представляемых сведений.
Оформление лицензии и ее выдача (уведомление об отказе в выдаче) производится в тридцатидневный срок со дня подачи заявления со всеми необходимыми документами [63].
Для рассмотрения спорных вопросов, возникающих при экспертизе предприятия-заявителя, может проводиться дополнительная независимая экспертиза. Состав экспертной комиссии формируется государственным органом по лицензированию по согласованию с предприятием-заявителем. Заключение экспертной комиссии является определяющим для принятия соответствующего решения в связи с заявлением о выдаче лицензии [63].
Время, затраченное на экспертизу, в срок, установленный для выдачи лицензии, не включается.
Финансирование издержек за проведение дополнительной независимой экспертизы несет сторона, признанная виновной в конфликте.
Действия органов, осуществляющих лицензирование, могут быть обжалованы в судебных органах в установленном порядке. Органы, выдавшие лицензию, приостанавливают или прекращают действие лицензии досрочно в случаях [63]:
• по заявлению владельца лицензии;
• ликвидации юридического лица или прекращения действия документа об индивидуальной трудовой деятельности;
• несоблюдения владельцем лицензии условий по поддержанию нормативной базы и технической оснащенности на уровне требований по обеспечению безопасности информации;
• несообщения в установленные сроки органу, выдавшему лицензию, информации, предусмотренной Положением.
О приостановлении или прекращении действия лицензии ее владелец информируется в письменном виде органом, выдавшим лицензию, не позднее пяти дней со дня принятия решения. В десятидневный срок после получения уведомления владелец лицензии обязан сдать ее в орган, выдавший лицензию [63].
Учет лицензиатов ведется государственными органами по лицензированию на основании сведений, поступающих от лицензионных центров [63].
Контроль и надзор за полнотой и качеством проводимых лицензиатами работ в области защиты информации осуществляется [63]:
• Гостехкомиссией России, ФАПСИ и отраслевыми органами контроля в пределах их компетенции в ходе плановых проверок состояния защиты информации на предприятиях-потребителях, воспользовавшихся услугами лицензиатов;
• при контроле государственными органами по лицензированию и лицензионными центрами качества выполненных лицензиатами работ по рекламациям предприятий-потребителей.
Индикаторы электромагнитного поля, радиочастотомеры и интерсепторы.
Индикаторы электромагнитного поля (далее индикаторы поля) позволяют обнаруживать излучающие закладные устройства, использующие для передачи информации практически все виды сигналов, включая широкополосные шумоподобные и сигналы с псевдослучайной скачкообразной перестройкой несущей частоты.В качестве индикаторов электромагнитного поля используются отечественные приборы: ИПФ-Ч (РТ025), D-006, D-008, РТ022, RM-10, "Оса", ДИ-04, ИП-3, ИП-4, ИПАР-01, "Гамма-2" и др., а также импортные - VL-5000P, HKG GD 4120, Delta V/2, TRD-800, CPM-700 и т.д. [1, 54, 61, 73, 91, 93, 98, 108, 110, 123, 158, 159].
Внешний вид некоторых индикаторов поля представлен на рис. 5.1 ... 5.3, а характеристики - в табл. 5.1.
Отечественные индикаторы поля работают в диапазоне от 20 ... 60 МГц до 1000 ... 1500 МГц, импортные - от 10 ... 20 МГц до 2 ... 4,2 ГГц.
Принцип действия приборов основан на интегральном методе измерения уровня электромагнитного поля в точке их расположения [61, 73]. Наведенный в антенне и продектированный сигнал усиливается и в случае превышения им установленного порога срабатывает звуковая или световая сигнализация.
Коэффициент усиления в большинстве известных индикаторов поля регулируется с помощью переменного резистора, изменение сопротивления которого обеспечивается регулятором чувствительности на кожухе прибора. Индикаторы оповещают оператора о наличии электромагнитного поля с уровнем напряженности выше некоторого порогового значения, устанавливаемого регулятором чувствительности. Ряд индикаторов поля позволяют определять относительный уровень сигнала по стрелочному, жидкокристаллическому или световому индикаторам. Световые индикаторы, как правило, выполняют в виде линейки из 4...10 светодиодов, каждый последующий из которых загорается при повышении уровня сигнала в соответствии с линейной или логарифмической шкалой [73].



Рис 5.1. Индикаторы электромагнитного поля: a) D 008; б) ДИ-04; в) ИПФ-Ч


Рис 5.2.
Индикаторы электромагнитного поля: a) Delta V/2;
б) VL-5000P

Рис 5.3. Поисковый прибор СРМ-700
Таблица 5.1
Характеристики индикаторов поля
|
Наименование характеристик |
Индекс (тип) |
||
|
D006 |
ДИ-04 |
ИП-3 |
|
|
Страна |
Россия |
||
|
Диапазон частот, МГц |
50... 1 000 |
20... 1 000 |
50...1200 |
|
Тип детектора |
AM |
AM |
AM |
|
Чувствительность, мВ |
1,5... 3 |
1...З |
|
|
Динамический диапазон, дБ |
40 |
55 |
|
|
Индикация |
светодиодная, звуковая (отключаемая) |
светодиодная, звуковая (отключаемая) |
светодиодная, звуковая |
|
Акустическая завязка |
есть |
есть |
есть |
|
Питание, В |
Батарея 9 В |
Батарея 9 В |
DC 7... 9 |
|
Размеры, мм |
128х63х20 |
162х73х32 |
140х 65х25 |
|
Примечание |
Сертификат Гостехкомиссии РФ |
Тестовый звуковой генератор. Вес 400 г |
Динамический диапазон световой и звуковой сигнализации 35 дБ |
|
Наименование характеристик |
Индекс (тип) |
||
|
РИЧ-2 |
ИПФ-Ч |
РТ 022 |
|
|
Страна |
Россия |
||
|
Диапазон частот, МГц |
50... 1300 |
30... 1500 |
30... 1500 |
|
Тип детектора |
AM |
AM |
AM |
|
Чувствительность, мВ |
1 ... 3 |
0,5 ... 1,5 |
0,5... 1,5 |
|
Динамический диапазон, дБ |
40 |
||
|
Индикация |
ЖКИ уровня сигнала |
стрелочный индикатор, звуковая |
стрелочный индикатор, звуковая |
|
Акустическая завязка |
есть |
есть |
есть |
|
Питание, В |
DC 7... 9 (батарея) |
DC 9 ("Корунд") |
DC 9 ("Корунд") |
|
Размеры, мм |
156х55х40 |
||
|
Примечание |
Встроенный частотомер |
Пять полосовых и пять режекторных фильтров. Встроенный частотомер. Точность определения частоты ± 2 кГц |
Встроенные полосовые и режекторные фильтры |
Продолжение таблицы 5.1.
|
Наименование характеристик |
Индекс (тип) |
|||
|
ИПАР-01 |
D008 |
СРМ-700 |
||
|
Страна |
Россия |
США |
||
|
Диапазон частот, МГц |
50... 1200 |
50... 1 500 |
0,050 ... 3000 |
|
|
Тип детектора |
AM |
AM, FM |
AM, FM |
|
|
Чувствительность, мВ |
1,5 ...б |
- 62 дБ |
||
|
Динамический диапазон, дБ |
26 |
20 |
||
|
Индикация |
светодиодная, звуковая |
светодиодная, звуковая (отключаемая) |
Относительный уровень сигнала отображается на ЖКИ, звуковая |
|
|
Акустическая завязка |
есть |
есть |
есть |
|
|
Питание, В |
Батарея 9 В |
Батарея 9 В |
DC 12 (NiCd батарея) |
|
|
Размеры, мм |
65х130х25 |
148х68х24 |
232х156х44 |
|
|
Примечание |
Дальность обнаружения радиозакладки мощностью 1 мВт- 1,5 м |
Активная антенна (400... 1500 МГц). Проверка проводных линий (диапазон частот 0,05 ... 7 МГц, напряжение- до 500 В) |
Выносная антенна. Проверка проводных линий. ИК - зонд |
|
|
Наименование характеристик |
Индекс (тип) |
||
|
VL5000-P |
Delta V/2 |
HGS4120 |
|
|
Страна |
США |
Англия |
Германия |
|
Диапазон частот, МГц |
2 ... 1500МГц |
20... 4200 |
10... 2000 |
|
Тип детектора |
AM, FM |
AM, FM |
|
|
Чувствительность, мВ |
10 мкВ |
- 53 дБ |
|
|
Динамический диапазон, дБ |
50 |
||
|
Индикация |
Относительный уровень сигнала отображается на ЖКИ, звуковая |
Акустическая. Внутренний динамик и головные телефоны |
Стрелочный индикатор, звуковая |
|
Акустическая завязка |
есть |
есть |
есть |
|
Питание, В |
Две батареи 9 В |
DC 5,8 |
Батарея 9 В |
|
Размеры, мм |
140х77х34 |
122х61х22 |
145х80х35 |
|
Примечание |
Вес 373 г |
Две антенны. Селекция сигналов в ближней зоне. Вес 245 г |
Селекция сигналов в ближней зоне. Дальность обнаружения - 5 м. Вес 260 г |
Некоторые индикаторы поля дополняются специальным блоком, включающим амплитудный детектор (АД), усилитель низкой частоты (УНЧ) и громкоговоритель (динамик), что позволяет прослушивать детектированный сигнал. Так как у ряда радиозакладок, использующих частотную модуляцию сигнала, имеется и паразитная амплитудная модуляция сигнала, наличие данного блока позволяет отселектировать сигнал закладки на фоне других радиосигналов при прослушивании через динамик информационного (тестового) акустического сигнала [61, 73].
Использование в обнаружителе амплитудного детектора, усилителя низкой частоты и динамика позволяет реализовать эффект так называемой акустической «завязки» [61, 73, 123]. Суть акустической "завязки" состоит в следующем.
При подаче продетектированного и усиленного сигнала на громкоговоритель между ним и микрофоном закладки образуется положительная обратная акустическая связь. При приближении индикатора поля к закладке на близкое расстояние возникает режим самовозбуждения низкочастотного усилителя индикатора, аналогичный режиму самовозбуждения в обычных системах звукоусиления, когда микрофон близко подносят к звуковым колонкам. При этом появляется характерный акустический сигнал, похожий на свист, информирующий оператора о наличии вблизи индикатора поля акустической закладки. Чем выше громкость сигнала громкоговорителя, тем на большем расстоянии от закладки наблюдается режим самовозбуждения усилителя. С уменьшением громкости это расстояние уменьшается. Необходимо отметить, что у профессиональных радиозакладок с частотной модуляцией сигнала практически отсутствует паразитная амплитудная модуляция и эффект акустической «завязки» не наблюдается.
Некоторые современные радиочастотные детекторы позволяют осуществлять детектирование амплитудно- и частотно-модулированных сигналов, а также селектировать сигналы в ближней зоне. К таким приборам относится, например, детектор HKG GD 4120 [141]. Он позволяет детектировать сигналы в диапазоне частот от 10 МГц до 2 ГГц и определять, где находится источник сигнала - в ближней или дальней зонах.
Уровень сигналов определяется по стрелочному индикатору. Радиочастотный детектор Delta V/2 также позволяет селектировать сигналы ближней зоны в диапазоне частот от 20 МГц до 4,2 ГГц [134]. Это достигается за счет измерения не абсолютного значения, а интенсивности изменения уровня электромагнитного поля.
Для повышения обнаружительной способности индикаторов при их эксплуатации в зоне действия мощных вещательных станций используются полосовые и режекторные фильтры. Например, в индикаторе поля ИПФ-Ч применяются пять полосовых фильтров (УП1 - от 30 до 60 МГц; УП2 - от 60 до 120 МГц; УП3 - от 120 до 250 МГц; УП4 - от 250 до 500 МГц и УП5- от 500 до 1500 МГц), а также пять режекторных фильтров (1 ... 49 МГц; 2 ... 77 МГц; 3 ... 172 МГц; 4 ... 191 МГц; 5 ... 215 МГц) [61].
Индикаторы поля выпускаются как в обычном, так и в камуфлированном виде. Например, индикатор поля RM-10 встроен в портмоне, а ДИ-К - в настольные часы [94].
В результате дальнейшего развития индикаторов поля созданы широкополосные радиоприемные устройства - интерсепторы. Приборы автоматически настраиваются на частоту наиболее мощного радиосигнала (как правило, уровень этого сигнала на 15 ... 20 дБ превышает все остальные) и осуществляют его детектирование.
Например, интерсептор "R11" позволяет осуществлять прием и детектирование сигналов с частотной модуляцией (девиация частоты < 100 кГц) в диапазоне частот от 30 до 2000 МГц. Система преобразования частоты позволяет "просматривать" весь диапазон за время менее чем 1 секунду. Чувствительность интерсептора выше чувствительности детекторных индикаторов поля и составляет порядка 100 мкВ (на частоте 500 МГц). Приемник имеет память LOCKOUT на 1000 частот, которые нужно исключить из рабочего диапазона (это, как правило, частоты сигналов радиовещательных и телевизионных станций). При приеме сигнала оператор может либо оставить его в рабочем диапазоне, либо удалить из процесса дальнейшего контроля. Хотя интерсептор не позволяет точно измерить частоту принимаемого сигнала, с помощью светодиодных индикаторов можно приблизительно установить поддиапазон частот, в который он попадает.
Всего имеется десять поддиапазонов (30...88, 88...108, 108...144, 144...174, 174...420, 420... 470, 470... 800, 800...920, 920...1300, 1300...2000 МГц). Интерсептор выполнен в металлическом корпусе с защитным покрытием и имеет размеры 108х63х32 мм [143].
Для приема сигналов с амплитудной модуляцией в диапазоне от 5 до 2500 МГц используется интерсептор "R20" [92].
Принцип «захвата» частоты радиосигнала с максимальным уровнем и последующим анализом его характеристик микропроцессором положен в основу работы современных портативных радиочастотомеров. Микропроцессор производит запись сигнала во внутреннюю память, цифровую фильтрацию, проверку на стабильность и когерентность
сигнала и измерение его частоты с точностью от единиц Гц до 10 кГц. Значение частоты в цифровой форме отображается на жидкокристаллическом экране. Кроме частоты сигнала многие радиочастотомеры позволяют определить его относительный уровень.
Наиболее широко применяются частотомеры фирмы "Optoelectronics" - "М I", "Scout", "Cub", "ОЕ-3000А" и т.д. Они позволяют практически мгновенно определять частоту сигналов в диапазоне частот от 10 Гц ...10 МГц до 1,4 ... 3,0 ГГц. Чувствительность радиочастотомеров составляет от 0,5 до 12 мВ на частотах до 1 ГГц и от 1 до 100 мВ -на частотах от 1 ГГц до 3 ГГц [143].
Так, например, радиочастотомер "Scout" работает в диапазоне частот от 10 до 1400 МГц. Частотомер осуществляет цифровую фильтрацию и проверку принятых сигналов на стабильность и когерентность, имеет режим автозахвата частоты и режим непрерывного измерения. Он позволяет запоминать до 400 различных частот, а также фиксировать до 255 периодов активности на каждой из них. Встроенный интерфейс позволяет использовать частотомер для управления сканерными приемниками IC-7000, IC-7100, IC-9000, AR-2700 и AR-8000. Чувствительность частотомера в диапазоне от 30 до 900 МГц составляет 1 мВ. Радиочастотомер имеет небольшие габариты (94-70-30 мм) и вес (240 г) [143].
Частотомеры "М I", "Scout", "ОЕ-3000А" и некоторые другие имеют 16-ти сегментные (3 дБ на 1 сегмент) индикаторы уровня сигнала.
Ряд частотомеров, например, "М Г" и "ОЕ-3000А", имеют возможность совместной работы с персональным компьютером.
Наиболее совершенным из данного типа приборов является специальный приемник "Xplorer". Он позволяет производить автоматический или ручной захват радиосигнала в диапазоне частот от 30 до 2000 МГц и осуществлять его детектирование и прослушивание через динамик. Дисплей показывает частоту обнаруженного сигнала, его относительный Уровень и вид модуляции, а также широту и долготу места расположения прибора в системе GPS. Приемник имеет функции блокировки (пропуска) до 1000 частот и записи в память до 500 частот с дополнительной информацией о дате и времени записи. Чувствительность приемника минус 59 ... 25 дБ. Приемник имеет размеры 140х70х40 мм и вес - 250 г [143].
Внешний вид некоторых интерсепторов и частотомеров представлен на рис. 5.4 ... 5.5, а характеристики - в табл. 5.2 и 5.3 соответственно.




Рис. 5.4. Портативные радиочастотомеры фирмы Optoelectronics:
а) "М-1"; б) "ОЕ-3000А"; в) "Cub"; г) "Scout".

Рис. 5.5. Подключение портативного радиочастотомера "ОЕ - 3000А" к персональному компьютеру через интерфейс" Optolinx "


Рис. 5.6. Портативные интерсепторы фирмы Optoelectronics:
a) R11; б)"Хрlorer"
Таблица 5.2
Характеристики портативных интерсепторов фирмы "Optoelectronics"
|
Наименование характеристик |
Индекс (тип) |
||
|
ОЕ R11 |
ОЕ R20 |
"Xplorer" |
|
|
Диапазон частот, МГц |
30... 2000 |
5 ... 2500 |
30... 2000 |
|
Чувствительность |
100 мкВ (500 МГц) |
- 20 дБ |
100 мкВ (500 МГц) |
|
Тип детектора |
FM |
AM |
FM |
|
Девиации частоты сигнала |
< 100 кГц |
< 100 кГц |
|
|
Индикатор уровня измеряемого сигнала |
10 сегментов (3 дБ) |
50 сегментов |
|
|
Время автонастройки, с |
1 |
0,5 |
1 |
|
Питание, В |
DC 7,2 (Ni-Cad батарея) |
DC 9 (батарея) |
DC 7,2 (Ni-Cad батарея) |
|
Время работы, ч |
5 |
3 |
5 |
|
Размеры (без антенны), мм |
108х63х32 |
107х71х23 |
140х76х41 |
|
Масса, г |
100 |
250 |
|
|
Примечание |
Индикация частоты: 30-88, 88-108, 108-144, 144-174, 174-420, 420-470, 470-800, 800-920, 920-1300, 1300-2000 МГц. Память Lockout на 1000 частот (частоты исключаемые из диапазона сканирования) |
Выход для подключения наушников |
Индикация частоты сигнала на 16 разрядном LCD дисплее. Запись в память до 500 частот с информацией о дате, времени записи и параметрах сигналов, широты и долготы места. Подключение к ПЭВМ |
Таблица 5.3
Характеристики портативных частотомеров фирмы "Optoelectronics".
|
Наименование характеристик |
Индекс (тип) |
||
|
"Scout" |
M-l |
3000А+ |
|
|
Диапазон частот |
от 10 МГц до 1,4 ГГц |
20 Гц...2.8 ГГц |
20 Гц... 3 ГГц |
|
Чувствительность |
5мВ (30 ...900 МГц) |
10 мВ (10 МГц) 1 мВ (150 МГц) 12 мВ (1 ГГц) 100 мВ (2,4 ГГц) |
5 мВ (10 МГц) 0,6 мВ (150 МГц) 1 мВ (1 ГГц) 5 мВ (2 ГГц) |
|
Период измерений |
10 мс |
от 10 мкс до 10 с |
200 нс |
|
Тип дисплея |
10 разрядный LCD |
||
|
Индикатор уровня измеряемого сигнала |
16 сегментный индикатор (сегмент - 3 дБ) |
16 сегментный индикатор |
16 сегментный индикатор |
|
Питание, В |
DC 6 (4 АА) DC 6;12 (внешнее) |
DC 9 (аккумулятор) |
DC 9 (6 АА); DC 9 (внешнее) |
|
Время работы, ч |
8 |
4...5 |
5...6 |
|
Размеры, мм |
94х70х30 (без антенны) |
120х70х34 (без антенны) |
135х99х36 (без антенны) |
|
Масса, г |
240 |
425 |
|
|
Примечание |
Цифровая фильтрация и автозахват сигнала. Запись в память до 400 частот . Встроенный интерфейс OptoScan для управления приемниками Icom R7000, R7100, R9000 и AOR AR 8000 |
Цифровая фильтрация сигнала, запись частот в память. Запись в компьютер (через интерфейс RS-232) частоты и времени записи сигнала с использованием программы Optolog |
Два входа для подключения антенн. Цифровая фильтрация сигнала. Запись частот в память. Запись в компьютер (через интерфейс RS-232) частоты и времени записи сигнала с использованием программы Optolog |
К таким приборам относятся, например, индикаторы поля ИПФ-Ч (РТ025) и РИЧ-2. Точность измерения частоты сигнала составляет ± 2 кГц [61].
Для обнаружения работающих диктофонов применяются так называемые
детекторы диктофонов, которые, по сути, являются детекторными приемниками магнитного поля. Принцип действия приборов основан на обнаружении слабого магнитного поля, создаваемого генератором подмагничивания или работающим двигателем диктофона в режиме записи. Электродвижущая сила (ЭДС), наводимая этим полем в датчике сигналов (магнитной антенне), усиливается и выделяется из шума специальным блоком обработки сигналов. При превышении уровня принятого сигнала некоторого установленного порогового значения срабатывает световая или звуковая сигнализация. Во избежание ложных срабатываний порог обнаружения необходимо корректировать практически перед каждым сеансом работы, что является недостатком подобных приборов.
Ввиду слабого уровня магнитного поля, создаваемого работающими диктофонами (особенно в экранированных корпусах), дальность их обнаружения детекторами незначительна. Например, дальность обнаружения диктофона L- 400 в режиме записи в условиях офиса не превышает 20 см при использовании портативного детектора RM-10 и 45 ... 65 см при использовании стационарного детектора PTRD-018 [95].
Детекторы диктофонов выпускаются в переносном и стационарном вариантах. К переносным относятся детекторы "Сова", RM-100, TRD-800, а к стационарным - PTRD-14, PTRD-16, PTRD-18 и т.д. В отличие от переносных детекторов, имеющих один датчик сигналов, стационарные детекторы диктофонов оборудованы несколькими датчиками. Например, детектор PTRD-18 имеет возможность подключения до 16 датчиков одновременно.
Аналогично детекторам диктофонов работают и детекторы видеокамер.
Наряду с рассмотренными выше индикаторами и интерсепторами, для поиска закладных устройств используются и универсальные устройства детекторного типа, позволяющие решать целый ряд задач. К ним относится, например, прибор СРМ-700.
Поисковый прибор СРМ-700
имеет в комплекте различные зонды, позволяющие определять устройства, использующие для передачи информации различные каналы [159]:
- радиочастотный зонд предназначен для обнаружения радиозакладок (диапазон частот - от 50 кГц до 3 ГГц, чувствительность - 62 дБм);
- низкочастотный зонд позволяет обнаруживать подслушивающие устройства, использующие проводные линии для передачи информации на высокой частоте (диапазон частот - от 15 кГц до 1 МГц, чувствительность - 38 дБм);
- низкочастотный усилитель на дополнительном входе позволяет исследовать проводные коммуникации на наличие в них информационных низкочастотных сигналов (диапазон частот - от 200 Гц до 15 кГц , чувствительность - 1,7 мкВ);
- электромагнитный зонд предназначен для выявления скрытых диктофонов и видеокамер;
- инфракрасный зонд позволяет обнаруживать передатчики с инфракрасным каналом;
- акустический зонд предназначен для выявления утечки акустической информации по вибрационному каналу.
Прибор имеет жидкокристаллический дисплей. Уровень принимаемого сигнала отражается на 18-ти сегментном индикаторе.
Питание прибора осуществляется от внутреннего Ni-Cd аккумулятора или сети 220 В.
Прибор имеет небольшие размеры (232»156»76 мм) и весит 1,1 кг. Все оборудование размещается в кейсе [159].
Экранирование технических средств
Функционирование любого технического средства информации связано с протеканием по его токоведущим элементам электрических токов различных частот и образованием разности потенциалов между различными точками его электрической схемы, которые порождают магнитные и электрические поля, называемыепобочными электромагнитными излучениями.
Узлы и элементы электронной аппаратуры, в которых имеют место большие напряжения и протекают малые токи, создают в ближней зоне электромагнитные поля с преобладанием электрической составляющей. Преимущественное влияние электрических полей на элементы электронной аппаратуры наблюдается и в тех случаях, когда эти элементы малочувствительны к магнитной составляющей электромагнитного поля.
Узлы и элементы электронной аппаратуры, в которых протекают большие токи и имеют место малые перепады напряжения, создают в ближней зоне электромагнитные поля с преобладанием магнитной составляющей. Преимущественное влияние магнитных полей на аппаратуру наблюдается также в случае, если рассматриваемое устройство малочувствительно к электрической составляющей или последняя много меньше магнитной за счет свойств излучателя.
Переменные электрическое и магнитное поля создаются также в пространстве, окружающем соединительные линии (провода, кабели) ТСПИ.
Побочные электромагнитные излучения ТСПИ являются причиной возникновения электромагнитных и параметрических каналов утечки информации, а также могут оказаться причиной возникновения наводки информационных сигналов в посторонних токоведущих линиях и конструкциях. Поэтому снижению уровня побочных электромагнитных излучений уделяется большое внимание.
Эффективным методом снижения уровня ПЭМИ является экранирование их источников.
Различают следующие способы экранирования [22, 128]:
- электростатическое;
- магнитостатическое;
- электромагнитное.
Электростатическое и магнитостатическое экранирование основаны на замыкании экраном (обладающим в первом случае высокой электропроводностью, а во втором - магнитопроводностью) соответственно электрического и магнитного полей.
Электростатическое экранирование по существу сводится к замыканию электростатического поля на поверхность металлического экрана и отводу электрических зарядов на землю (на корпус прибора) [22]. Заземление электростатического экрана является необходимым элементом при реализации электростатического экранирования. Применение металлических экранов позволяет полностью устранить влияние электростатического поля. При использовании диэлектрических экранов, плотно прилегающих к экранируемому элементу, можно ослабить поле источника наводки в e раз, где e - относительная диэлектрическая проницаемость материала экрана [128].
Основной задачей экранирования электрических полей является снижение емкости связи между экранируемыми элементами конструкции. Следовательно, эффективность экранирования определяется в основном отношением емкостей связи между источником и рецептором наводки до и после установки заземленного экрана. Поэтому любые действия, приводящие к снижению емкости связи, увеличивают эффективность экранирования.
Экранирующее действие металлического листа существенно зависит от качества соединения экрана с корпусом прибора и частей экрана друг с другом. Особенно важно не иметь соединительных проводов между частями экрана и корпусом.
В диапазонах метровых и более коротких длин волн соединительные проводники длиной в несколько сантиметров могут резко ухудшить эффективность экранирования. На еще более коротких волнах дециметрового и сантиметрового диапазонов соединительные проводники и шины между экранами недопустимы. Для получения высокой эффективности экранирования электрического поля здесь необходимо применять непосредственное сплошное соединение отдельных частей экрана друг с другом [128].
Узкие щели и отверстия в металлическом экране, размеры которых малы по сравнению с длиной волны, практически не ухудшают экранирование электрического поля.
С увеличением частоты эффективность экранирования снижается. Основные требования, которые предъявляются к электрическим экранам, можно сформулировать следующим образом [22, 128]:
- конструкция экрана должна выбираться такой, чтобы силовые линии электрического поля замыкались на стенки экрана, не выходя за его пределы;
- в области низких частот (при глубине проникновения (d) больше толщины (d), т.е. при d>d) эффективность электростатического экранирования практически определяется качеством электрического контакта металлического экрана с корпусом устройства и мало зависит от материала экрана и его толщины;
- в области высоких частот (при d
Магнитостатическое экранирование используется при необходимости подавить наводки на низких частотах от 0 до 3...10 кГц [128].
Основные требования, предъявляемые к магнитостатическим экранам, можно свести к следующим [128]:
- магнитная проницаемость mа материала экрана должна быть возможно более высокой. Для изготовления экранов желательно применять магнитомягкие материалы с высокой магнитной проницаемостью (например, пермаллой);
- увеличение толщины стенок экрана приводит к повышению эффективности экранирования, однако при этом следует принимать во внимание возможные конструктивные ограничения по массе и габаритам экрана;
- стыки, разрезы и швы в экране должны размещаться параллельно линиям магнитной индукции магнитного поля. Их число должно быть минимальным;
- заземление экрана не влияет на эффективность магнитостатического экранирования.
Эффективность магнитостатического экранирования повышается при применении многослойных экранов.
Экранирование высокочастотного магнитного поля основано на использовании магнитной индукции, создающей в экране переменные индукционные вихревые токи (токи Фуко) [114]. Магнитное поле этих токов внутри экрана будет направлено навстречу возбуждающему полю, а за его пределами - в ту же сторону, что и возбуждающее поле. Результирующее поле оказывается ослабленным внутри экрана и усиленным вне его. Вихревые токи в экране распределяются неравномерно по его сечению (толщине).
Это вызывается явлением поверхностного эффекта, сущность которого заключается в том, что переменное магнитное поле ослабевает по мере проникновения в глубь металла, так как внутренние слои экранируются вихревыми токами, циркулирующими в поверхностных слоях.
Благодаря поверхностному эффекту плотность вихревых токов и напряженность переменного магнитного поля по мере углубления в металл падает по экспоненциальному закону [114].
Эффективность магнитного экранирования зависит от частоты и электрических свойств материала экрана. Чем ниже частота, тем слабее действует экран, тем большей толщины приходится его делать для достижения одного и того же экранирующего эффекта. Для высоких частот, начиная с диапазона средних волн, экран из любого металла толщиной 0,5 ... 1,5 мм действует весьма эффективно. При выборе толщины и материала экрана следует учитывать механическую прочность, жесткость, стойкость против коррозии, удобство стыковки отдельных деталей и осуществления между ними переходных контактов с малым сопротивлением, удобство пайки, сварки и пр. [114].
Для частот выше 10 МГц медная и тем более серебряная пленка толщиной более 0,1 мм дает значительный экранирующий эффект. Поэтому на частотах выше 10 МГц вполне допустимо применение экранов из фольгированного гетинакса или другого изоляционного материала с нанесенным на него медным или серебряным покрытием [114].
При экранировании магнитного поля заземление экрана не изменяет величины возбуждаемых в экране токов и, следовательно, на эффективность магнитного экранирования не влияет.
На высоких частотах применяется исключительно электромагнитное экранирование. Действие электромагнитного экрана основано на том, что высокочастотное электромагнитное поле ослабляется им же созданным (благодаря образующимся в толще экрана вихревым токам) полем обратного направления [22, 114, 128].
Теория и практика показывают, что с точки зрения стоимости материала и простоты изготовления преимущества на стороне экранированного помещения из листовой стали.
Однако при применении сетчатого экрана могут значительно упроститься вопросы вентиляции и освещения помещения. В связи с этим сетчатые экраны также находят широкое применение [22].
Для изготовления экрана целесообразно использовать следующие материалы [22]:
сталь листовая декапированная ГОСТ 1386-47 толщиной (мм)
0,35; 0,50; 0,60; 0,70; 0,80; 1,00; 1,25; 1,50; 1,75; 2,00;
сталь тонколистовая оцинкованная ГОСТ 7118-54 толщиной (мм)
0,35; 0,50; 0,60; 0,70; 0,80; 1,00; 1,25; 1,50; 1,75; 2,00;
сталь тонколистовая оцинкованная ГОСТ 7118-54 толщиной (мм)
0,51; 0,63; 0,76; 0,82; 1,00; 1,25; 1,50;
сетка стальная тканая ГОСТ 3826-47 номер 0,4; 0,5; 0,7; 1,0; 1,4;
1,6; 1,8; 2,0; 2,5;
сетка стальная плетеная ГОСТ 5336-50 номер 3; 4; 5; 6;
сетка из латунной проволоки марки Л-80 ГОСТ 6613-53 0,25; 0,5;
1,0; 1,6; 2,0; 2,5; 2,6.
Металлические листы или полотнища сетки должны быть между собой электрически соединены по всему периметру. Для сплошных экранов это может быть осуществлено электросваркой или пайкой. Шов электросварки или пайки должен быть непрерывным с тем, чтобы получить цельносварную конструкцию экрана [22, 128].
Для сетчатых экранов пригодна любая конструкция шва, обеспечивающая хороший электрический контакт между соседними полотнищами сетки не реже чем через 10 ... 15 мм. Для этой цели может применяться пайка или точечная сварка [22, 114, 128].
Экран, изготовленный из луженой низкоуглеродистой стальной сетки с ячейкой 2,5 ... 3 мм, дает ослабление порядка 55 ... 60 дБ, а из такой же двойной (с расстоянием между наружной и внутренней сетками 100 мм) - около 90 дБ. Экран, изготовленный из одинарной медной сетки с ячейкой 2,5 мм, имеет ослабление порядка 65 ... 70 дБ [22, 114].
Необходимая эффективность экрана в зависимости от его назначения и величины уровня излучения ПЭМИН обычно находится в пределах 60... 120 дБ [22].
Наряду блоками аппаратуры экранированию подлежат и монтажные провода и соединительные линии.
Чтобы уменьшить уровень ПЭМИ, необходимо особенно тщательно выполнять соединение оболочки провода (экрана) с корпусом аппаратуры.
Подключение оболочки должно осуществляться путем непосредственного контакта (лучше всего путем пайки или сварки) с корпусом [128].
Вместе с тем соединение оболочки провода с корпусом в одной точке не ослабляет в окружающем пространстве магнитное поле, создаваемое протекающим по проводу током. Для экранирования магнитного поля необходимо создать поле такой же величины и обратного направления. С этой целью необходимо весь обратный ток экранируемой цепи направить через экранирующую оплетку провода. Для полного осуществления этого принципа необходимо, чтобы экранирующая оболочка была единственным путем для протекания обратного тока.
Высокая эффективность экранирования обеспечивается при использовании витой пары, защищенной экранирующей оболочкой [128].
На низких частотах приходится использовать более сложные схемы экранирования - коаксиальные кабели с двойной оплеткой (триаксиальные кабели) [128].
На более высоких частотах, когда толщина экрана значительно превышает глубину проникновения поля, необходимость в двойном экранировании отпадает. В этом случае внешняя поверхность играет роль электрического экрана, а по внутренней поверхности протекают обратные токи.
Применение экранирующей оболочки существенно увеличивает емкость между проводом и корпусом, что в большинстве случаев нежелательно. Экранированные провода более громоздки и неудобны при монтаже, требуют предохранения от случайных соединений с посторонними элементами и конструкциями.
Длина экранированного монтажного провода должна быть меньше четверти длины самой короткой волны передаваемого по проводу спектра сигнала. При использовании более длинных участков экранированных проводов необходимо иметь в виду, что в этом случае экранированный провод следует рассматривать как длинную линию, которая во избежании искажений формы передаваемого сигнала должна быть нагружена на сопротивление, равное волновому [128].
Для уменьшения взаимного влияния монтажных цепей следует выбирать длину монтажных высокочастотных проводов наименьшей, для чего элементы высокочастотных схем, связанные между собой, следует располагать в непосредственной близости, а неэкранированные провода высокочастотных цепей - при пересечении под прямым углом [128].
При параллельном расположении такие провода должны быть максимально удалены друг от друга или разделены экранами, в качестве которых могут быть использованы несущие конструкции электронной аппаратуры (кожух, панель и т.д.).
Экранированные провода и кабели следует применять в основном для соединения отдельных блоков и узлов друг с другом.
Кабельные экраны выполняются в форме цилиндра из сплошных оболочек, в виде спирально намотанной на кабель плоской ленты или в виде оплетки из тонкой проволоки. Экраны при этом могут быть одно-. елейными и многослойными комбинированными, изготовленными из свинца, меди, стали, алюминия и их сочетаний (алюминий-свинец, алюминий-сталь, медь-сталь-медь и т.д.).
В кабелях с наружными пластмассовыми оболочками применяют экраны ленточного типа в основном из алюминиевых, медных и стальных лент, накладываемых спирально или продольно вдоль кабеля [128].
В области низких частот корпуса применяемых многоштырьковых низкочастотных разъемов являются экранами и должны иметь надежный электрический контакт с общей шиной или землей прибора, а зазоры между разъемом и корпусом должны быть закрыты электромагнитными уплотняющими прокладками [128].
В области высоких частот коаксиальные кабели должны быть согласованы по волновому сопротивлению с используемыми высокочастотными разъемами. При заделке коаксиального кабеля в высокочастотные разъемы жила кабеля не должна иметь натяжения в месте соединения с контактом разъема, а сам кабель должен быть жестко прикреплен к шасси аппаратуры вблизи разъема [128].
Для эффективного экранирования низкочастотных полей применяются экраны, изготовленные из ферромагнитных материалов с большой относительной магнитной проницаемостью. При наличии такого экрана линии магнитной индукции проходят в основном по его стенкам, которые обладают малым сопротивлением по сравнению с воздушным пространством внутри экрана [128].
Качество экранирования таких полей зависит от магнитной проницаемости экрана и сопротивления магнитопровода, которое будет тем меньше, чем толще экран и меньше в нем стыков и швов, идущих поперек направления линий магнитной индукции.
Наиболее экономичным способом экранирования информационных линий связи между устройствами ТСПИ считается групповое размещение их информационных кабелей в экранирующий распределительный короб. Когда такого короба не имеется, то приходится экранировать отдельные линии связи [128].
Для защиты линий связи от наводок необходимо разместить линию в экранирующую оплетку или фольгу, заземленную в одном месте, чтобы избежать протекания по экрану токов, вызванных неэквипотенциальностью точек заземления [128].
Для защиты линии связи от наводок необходимо минимизировать площадь контура, образованного прямым и обратным проводами линии. Если линия представляет собой одиночный провод, а возвратный ток течет по некоторой заземляющей поверхности, то необходимо максимально приблизить провод к поверхности. Если линия образована двумя проводами, то их необходимо скрутить, образовав бифиляр (витую пару). Линии, выполненные из экранированного провода или коаксиального кабеля, в которых по оплетке протекает возвратный ток, также отвечают требованию минимизации площади контура линии.
Наилучшую защиту как от электрического, так и от магнитного полей обеспечивают информационные линии связи типа экранированного бифиляра, трифиляра (трех скрученных вместе проводов, из которых один используется в качестве электрического экрана), триаксильного кабеля (изолированного коаксильального кабеля, помещенного в электрический экран), экранированного плоского кабеля (плоского многопроводного кабеля, покрытого с одной или обеих сторон медной фольгой) [128].
Приведем несколько схем [128], используемых на частотах порядка 100 кГц. Цепь, показанная на рис. 2.1, а, имеет большую площадь петли, образованной «прямым» проводом и «землей». Эта цепь подвержена прежде всего магнитному влиянию. Экран заземлен на одном конце и не защищает от магнитного влияния. Переходное затухание для этой схемы примем равным О дБ для сравнения с затуханием схем на рис. 2.1,6 - и.
Схема на рис. 2.1, б практически не уменьшает магнитную связь, так как обратный провод заземлен с обоих концов, и этом смысле она аналогична схеме на рис. 2.1, а.
Степень улучшения соизмерима с погрешностью расчета (измерения).
Схема на рис. 2.1, в отличается от схемы на рис. 2.1, а наличием обратного провода- коаксиального экрана, однако экранирование магнитного поля ухудшено, так как цепь заземлена на обоих концах, в результате чего с «землей» образуется петля большой площади.
Схема на рис. 2.1, г позволяет существенно повысить защищенность цепи (- 49 дБ) благодаря скрутке проводов. В этом случае (по сравнению со схемой на рис. 2.1, б) петли нет, поскольку правый конец цепи не заземлен.
Дальнейшее повышение защищенности цепи достигается применением схемы на рис. 2.1, с, коаксиальная цепь которой обеспечивает лучшее магнитное экранирование, чем скрученная пара на рис. 2.1, г.
Площадь петли в схеме на рис. 3.1, д) не больше, чем в схеме на рис. 2.1, г), так как продольная ось экрана коаксиального кабеля совпадает с его центральным проводом.
Схема на рис. 2.1, е) позволяет повысить защищенность цепи благодаря тому, что скрученная пара заземлена лишь на одном конце. Кроме того, в этой схеме используется независимый экран.
Схема на рис. 2.1, ж имеет ту же защищенность, что и схема на рис. 2.1, е): эффект тот же, что и при заземлении на обоих концах, поскольку длина цепи и экрана существенно меньше рабочей длины волны.
Причины улучшения защищенности схемы на рис. 2.1, з) по сравнению с рис. 2.1, ж объяснить трудно. Возможной причиной может быть уменьшение площади эквивалентной петли.
Более плотная скрутка проводов (схема рис. 2.1, и) позволяет дополнительно уменьшить магнитную связь. Кроме того, при этом уменьшается и электрическая связь (в обоих проводах токи наводятся одинаково).
Для уменьшения магнитной и электрической связи между проводами необходимо уменьшить площадь петли, максимально разнести цепи и максимально уменьшить длину параллельного пробега линий ТСПИ и посторонними проводниками [128].
При нулевых уровнях сигналов (0 dB) в соединительных линиях ТСПИ между ними и посторонними проводниками должно обеспечиваться переходное затухание не менее 114 dB (13 Нп) [22].
Данное переходное затухание обеспечивается, как правило, при прокладке кабелей ТСПИ на расстоянии не менее 0,1 м от посторонних проводников. При этом допускается прокладка кабелей ТСПИ вплотную с посторонними проводниками при суммарной длине их совместного пробега не более
70 м [22].
Экранироваться могут не только отдельные блоки (узлы) аппаратуры и их соединительные линии, но и помещения в целом.
В обычных (неэкранированных) помещениях основной экранирующий эффект обеспечивают железобетонные стены домов. Экранирующие свойства дверей и окон хуже. Для повышения экранирующих свойств стен применяются дополнительные средства, в том числе [114]:
- токопроводящие лакокрасочные покрытия или токопроводящие обои;
- шторы из металлизированной ткани;
- металлизированные стекла (например, из двуокиси олова), устанавливаемые в металлические или металлизированные рамы.
В помещении экранируются стены, двери и окна.
При закрытии двери должен обеспечиваться надежный электрический контакт со стенками помещения (с дверной рамой) по всему периметру не реже чем через 10 ... 15 мм. Для этого может быть применена пружинная гребенка из фосфористой бронзы, которую укрепляют по всему внутреннему периметру дверной рамы [114].
Окна должны быть затянуты одним или двумя слоями медной сетки с ячейкой не более 2х2 мм, причем расстояние между слоями сетки должно быть не менее 50
мм. Оба слоя сетки должны иметь хороший электрический контакт со стенками помещения (с рамой)по всему периметру. Сетки удобнее делать съемными и металлическое обрамление съемной части также должно иметь пружинящие контакты в виде гребенки из фосфористой бронзы [114].
При проведении работ по тщательному экранированию подобных помещений необходимо одновременно обеспечить нормальные условия для работающего в нем человека, прежде всего вентиляцию воздуха и освещение [114].
Конструкция экрана для вентиляционных отверстий зависит от диапазона частот. Для частот менее 1000 МГц применяются сотовые конструкции, закрывающие вентиляционное отверстие, с прямоугольными, круглыми, шестигранными ячейками.
Для достижения эффективного экранирования размеры ячеек должны быть менее одной десятой от длины волны. При повышении частоты необходимые размеры ячеек могут быть столь малыми, что ухудшается вентиляция [114].
Величины затуханий экранированных помещений в зависимости от конструкции приведены в табл. 2.1 [49].
Экранировку электромагнитных волн более 100 дБ можно обеспечить только в специальных экранированных камерах (см. табл. 2.2.), в которых электромагнитный экран выполнен в виде электрогерметичного стального корпуса, а для ввода электрических коммуникаций используются специальные фильтры [49].
Размеры экранированного помещения выбирают исходя из его назначения и стоимости. Обычно экранированные помещения строят площадью 6 ... 8 м2
при высоте 2,5 ... 3 м [114].

Рис. 2.1. Сравнение защищенности различных цепей от влияния внешних магнитных и электрических полей:
а) - 0 дБ; б) - 2 дБ; в) - 5 дБ; г) - 49 дБ, скрученная пара, 18 витков на метр; д) -57 дБ; е) - 64 дБ, схема предпочтительна на высоких частотах; ж) - 64 дБ; з) - 71 дБ; и) - 79 дБ, скрученная пара (54 витка на метр)
Таблица 2.1
Степень экранирующего действия различных типов зданий
|
Тип здания |
Степень экранирования, дБ |
||
|
100 МГц |
500 МГц |
1000 МГц |
|
|
Оконный проем 30 % от площади стены |
|||
|
Деревянное здание с толщиной стен 20 см |
5...7 |
7...9 |
9...11 |
|
Кирпичное здание с толщиной стен 1,5 кирпича |
13 ... 15 |
15... 17 |
16 ...19 |
|
Железобетонное здание с ячейкой арматуры 15х15 см и толщиной стен 160 см |
20... 25 |
18... 19 |
15 ...17 |
|
Оконный проем 30 % от площади стены, закрытый металлической решеткой с ячейкой 5х5 см. |
|||
|
Деревянное здание с толщиной стен 20 см |
6...8 |
10 ... 12 |
12 ...14 |
|
Кирпичное здание с толщиной стен 1,5 кирпича |
17 ...19 |
20 ...22, |
22... 25 |
|
Железобетонное здание с ячейкой арматуры 15х15 см и толщиной стен 160 см |
28... 32 |
23 ... 27 |
20 ...25 |
Таблица 2.2.
Предельно достижимые величины затухания электромагнитных волн для различных типов экранирующих помещений
|
Тип конструкции экранированного помещения |
Степень экранирования, Дб |
|
Одиночный экран из сетки с одиночной дверью, оборудованной зажимными устройствами |
40 |
|
Двойной экран из сетки с двойной дверью-тамбуром и зажимными устройствами |
80 |
|
Сплошной стальной экран с двойной дверью-тамбуром и зажимными устройствами |
100 |
Классификация и краткая характеристика технических каналов утечки информации.
Информационная сфера играет все возрастающую роль в обеспечении безопасности всех сфер жизнедеятельности общества, поэтому защита информации является одним из важных направлений деятельности государства.Информация может быть представлена в различной форме и на различных физических носителях. Основными формами информации, представляющими интерес с точки зрения защиты, являются:
- документальная;
- акустическая (речевая);
- телекоммуникационная и т.п.
Документальная информация
содержится в графическом или буквенно-цифровом виде на бумаге, а также в электронном виде на магнитных и других носителях. Особенность документальной информации в том, что она в сжатом виде содержит сведения, подлежащие защите.
Речевая информация
возникает в ходе ведения в помещениях разговоров, а также при работе систем звукоусиления и звуковоспроизведения.
Носителем речевой информации являются акустические колебания (механические колебания частиц упругой среды, распространяющиеся от источника колебаний в окружающее пространство в виде волн различной длины).
Речевой сигнал является сложным акустическим сигналом в диапазоне частот от 200...300 Гц до 4...6 кГц.
Телекоммуникационная информация циркулирует в технических средствах обработки и хранения информации, а также в каналах связи при ее передаче. Носителем информации при ее обработке техническими средствами и передаче по проводным каналам связи является электрический ток, а при передаче по радио и оптическому каналам -электромагнитные волны.
Основными объектами защиты информации являются [39, 64]:
- информационные ресурсы, содержащие сведения, отнесенные к государственной тайне, и конфиденциальную информацию;
- средства и системы информатизации (средства вычислительной техники, информационно-вычислительные комплексы, сети и системы), программные средства (операционные системы, системы управления базами данных, другое общесистемное и прикладное программное обеспечение), автоматизированные системы управления, системы связи и передачи данных, технические средства приема, передачи и обработки информации ограниченного доступа (звукозапись, звукоусиление, звукосопровождение, переговорные и телевизионные устройства, средства изготовления, тиражирования документов и другие технические средства обработки графической, смысловой и буквенно-цифровой информации), их информативные физические поля.
То есть системы и средства, непосредственно обрабатывающие информацию, отнесенную к государственной тайне, а также конфиденциальную информацию. Эти средства и системы часто называют техническими средствами приема, обработки, хранения и передачи информации (ТСПИ);
- технические средства и системы, не относящиеся к средствам и системам информатизации (ТСПИ), но размещенные в помещениях, в которых обрабатывается секретная и конфиденциальная информация. Такие технические средства и системы называются вспомогательными техническими средствами и системами (ВТСС).
К ним относятся [104]: технические средства открытой телефонной, громкоговорящей связи, системы пожарной и охранной сигнализации, радиотрансляции, часофикации, электробытовые приборы и т.д., а также сами помещения, предназначенные для обработки информации ограниченного распространения.
При организации защиты информации ТСПИ необходимо рассматривать как систему, включающую основное (стационарное) оборудование, оконечные устройства, соединительные линии (совокупность проводов и кабелей, прокладываемых между отдельными ТСПИ и их элементами), распределительные и коммутационные устройства, системы электропитания, системы заземления.
Отдельные технические средства или группа технических средств, предназначенных для обработки конфиденциальной информации, вместе с помещениями, в которых они размещаются, составляют объект ТСПИ. Под объектами ТСПИ понимают также выделенные помещения, предназначенные для проведения закрытых мероприятий.
В качестве элементов каналов утечки информации наибольший интерес представляют ТСПИ и ВТСС, имеющие выход за пределы контролируемой зоны
(КЗ), т.е. зоны, в которой исключено появление лиц и транспортных средств, не имеющих постоянных или временных пропусков [104].
Кроме соединительных линий ТСПИ и ВТСС за пределы контролируемой зоны могут выходить провода и кабели, к ним не относящиеся, но проходящие через помещения, где установлены технические средства, а также металлические трубы систем отопления, водоснабжения и другие токопроводящие металлоконструкции.
Такие провода, кабели и токопроводящие элементы называются посторонними проводниками.
Зона, в которой возможны перехват ( с помощью разведывательного приемника) побочных электромагнитных излучений и последующая расшифровка содержащейся в них информации (т.е. зона, в пределах которой отношение "информационный сигнал/помеха" превышает допустимое нормированное значение), называется (опасной) зоной 2 [104].
Пространство вокруг ТСПИ, в пределах которого на случайных антеннах наводится информационный сигнал выше допустимого (нормированного) уровня, называется (опасной) зоной 1 [104].
Случайной антенной является цепь ВТСС или посторонние проводники, способные принимать побочные электромагнитные излучения. Случайные антенны могут быть сосредоточенными и распределенными.
Сосредоточенная случайная антенна представляет собой компактное техническое средство, например, телефонный аппарат, громкоговоритель радиотрансляционной сети и т.д. К распределенным случайным антеннам относятся случайные антенны с распределенными параметрами: кабели, провода, металлические трубы и другие токопроводящие коммуникации [104].
Перехват информации, обрабатываемой на объектах ТСПИ, осуществляется по техническим каналам.
Под техническим каналом утечки информации (ТКУИ) понимают совокупность объекта разведки, технического средства разведки (TCP), с помощью которого добывается информация об этом объекте, и физической среды, в которой распространяется информационный сигнал. По сути, под ТКУИ понимают способ получения с помощью TCP разведывательной информации об объекте. Причем под
разведывательной информацией обычно понимаются сведения или совокупность данных об объектах разведки независимо от формы их представления.
Сигналы являются материальными носителями информации. По своей физической природе сигналы могут быть электрическими, электромагнитными, акустическими и т.д. То есть сигналами, как правило, являются электромагнитные, механические и другие виды колебаний (волн), причем информация содержится в их изменяющихся параметрах.
В зависимости от природы сигналы распространяются в определенных физических средах. В общем случае средой распространения могут быть газовые (воздушные), жидкостные (водные) и твердые среды. Например, воздушное пространство, конструкции зданий, соединительные линии и токопроводящие элементы, грунт (земля) и т.п.
Для приема и измерения параметров сигналов служат технические средства разведки (TCP).
В зависимости от физической природы возникновения информационных сигналов, а также среды их распространения и способов перехвата TCP технические каналы утечки можно разделить на [120]:
электромагнитные, электрические и параметрический - для телекоммуникационной информации;
воздушные (прямые акустические), вибрационные (виброакустические), электроакустические, оптико-электронный и параметрические - для речевой информации.
К электромагнитным каналам утечки информации относятся:
- перехват побочных электромагнитных излучений (ПЭМИ) элементов ТСПИ;
- перехват ПЭМИ на частотах работы высокочастотных (ВЧ) генераторов в ТСПИ и ВТСС;
- перехват ПЭМИ на частотах самовозбуждения усилителей низкой частоты (УНЧ) ТСПИ.
Перехват побочных электромагнитных излучений ТСПИ осуществляется средствами радио-, радиотехнической разведки, размещенными вне контролируемой зоны.
Электрические каналы утечки информации включают:
- съем наводок ПЭМИ ТСПИ с соединительных линий ВТСС и посторонних проводников;
- съем информационных сигналов с линий электропитания ТСПИ;
- съем информационных сигналов с цепей заземления ТСПИ и ВТСС;
- съем информации путем установки в ТСПИ электронных устройств перехвата информации.
Перехват информационных сигналов по электрическим каналам утечки возможен путем непосредственного подключения к соединительным линиям ВТСС и посторонним проводникам, проходящим через помещения, где установлены ТСПИ, а также к системам электропитания и заземления ТСПИ. Для этих целей используются специальные средства радио- и радиотехнической разведки, а также специальная измерительная аппаратура.
Электронные устройства перехвата информации, устанавливаемые в ТСПИ, часто называют аппаратными закладками. Они представляют собой мини-передатчики, излучение которых модулируется информационным сигналом. Наиболее часто закладки устанавливаются в ТСПИ иностранного производства, однако возможна их установка и в отечественных средствах.
Перехваченная с помощью закладных устройств информация или непосредственно передается по радиоканалу, или сначала записывается на специальное запоминающее устройство, а уже затем по команде передается на запросивший ее объект.
Параметрический канал утечки информации образуется путем
"высокочастотного облучения" ТСПИ.
Для перехвата информации по данному каналу необходимы специальные высокочастотные генераторы с антеннами, имеющими узкие диаграммы направленности, и специальные радиоприемные устройства.
В воздушных (прямых акустических) технических каналах утечки информации средой распространения акустических сигналов является воздух. Для перехвата акустических сигналов в качестве датчиков средств разведки используются микрофоны. Сигналы, поступающие с микрофонов или непосредственно записываются на специальные портативные устройства звукозаписи, или передаются с использованием специальных передатчиков в пункт приема, где осуществляется их запись.
Для перехвата акустической (речевой) информации используются:
- портативные диктофоны и проводные микрофонные системы
скрытой звукозаписи;
- направленные микрофоны;
- акустические радиозакладки (передача информации по радиоканалу);
- акустические сетевые закладки (передача информации по сети электропитания 220 В);
- акустические ИК - закладки (передача информации по оптическому каналу в ИК - диапазоне длин волн);
- акустические телефонные закладки (передача информации по телефонной линии на высокой частоте);
- акустические телефонные закладки типа "телефонное ухо"
(передача информации по телефонной линии "телефону-наблюдателю" на низкой частоте).
В вибрационных (виброакустических) технических каналах утечки информации средой распространения акустических сигналов являются ограждения конструкций зданий, сооружений (стены, потолки, полы), трубы водоснабжения, канализации и другие твердые тела.
Для перехвата акустических колебаний в этом случае используются средства разведки с контактными микрофонами:
- электронные стетоскопы;
- радиостетоскопы (передача информации по радиоканалу).
Электроакустические технические каналы утечки информации возникают за счет преобразований акустических сигналов в электрические (электроакустических преобразований) и включают перехват акустических колебаний через ВТСС, обладающие "микрофонным эффектом", а также путем "высокочастотного навязывания". Перехват акустических колебаний в данном канале утечки информации осуществляется путем
непосредственного подключения к соединительным линиям ВТСС, обладающих "микрофонным эффектом", специальных высокочувствительных
низкочастотных усилителей. Например, подключая такие средства к соединительным линиям телефонных аппаратов с электромеханическими вызывными звонками, можно прослушивать разговоры, ведущиеся в помещениях, где установлены эти аппараты.
Технический канал утечки информации путем "высокочастотного навязывания" может быть осуществлен путем несанкционированного контактного введения токов высокой частоты от генератора, подключенного в линию (цепь), имеющую функциональную связь с нелинейными или параметрическими элементами ВТСС, на которых происходит модуляция высокочастотного сигнала информационным. Информационный сигнал в данных элементах ВТСС появляется вследствие электроакустического преобразования акустических сигналов в электрические. В силу того, что нелинейные или параметрические элементы ВТСС для высокочастотного сигнала, как правило, представляют собой несогласованную нагрузку, промодулированный высокочастотный сигнал будет отражаться от нее и распространяться в обратном направлении по линии или излучаться. Для приема излученных или отраженных высокочастотных сигналов используется специальные приемники с достаточно высокой чувствительностью.
Оптико-электронный (лазерный) канал утечки акустической информации образуется при облучении лазерным лучом вибрирующих в акустическом поле тонких отражающих поверхностей (стекол окон, картин, зеркал и т.д.).Для перехвата речевой информации по данному каналу используются сложные лазерные акустические локационные системы (ЛАЛС), иногда называемые "лазерными микрофонами".
Параметрические технические каналы утечки информации могут быть реализованы путем
"высокочастотного облучения" помещения, где установлены полуактивные закладные устройства или технические средства, имеющие элементы, некоторые параметры которых изменяются по закону изменения акустического (речевого) сигнала. Для перехвата информации по данному каналу необходимы специальный передатчик с направленным излучением и приемник.
Классификация методов и средств поиска электронных устройств перехвата информации.
Поиск и обнаружение закладных устройств может осуществляться визуально, а также с использованием специальной аппаратуры: детекторов диктофонов и видеокамер, индикаторов поля, радиочастотомеров и интерсепторов, сканерных приемников и анализаторов спектра, программно-аппаратных комплексов контроля, нелинейных локаторов, рентгеновских комплексов, обычных тестеров, а также специальной аппаратуры для проверки проводных линий и т.д.Метод поиска закладных устройств во многом определяется использованием той или иной аппаратуры контроля. К основным методам поиска закладных устройств можно отнести [1, 3, 20, 41, 54, 84, 107, 123]:
- специальное обследование выделенных помещений;
- поиск радиозакладок с использованием индикаторов поля, радиочастотомеров и интерсепторов;
- поиск радиозакладок с использованием сканерных приемников и анализаторов спектра;
- поиск радиозакладок с использованием программно-аппаратных комплексов контроля;
- поиск портативных звукозаписывающих устройств с использованием детекторов диктофонов (по наличию их побочных электромагнитных излучений генераторов подмагничивания и электродвигателей);
- поиск портативных видеозаписывающих устройств с использованием детекторов видеокамер (по наличию побочных электромагнитных излучений генераторов подмагничивания и электродвигателей видеокамер);
- поиск закладок с использованием нелинейных локаторов;
- поиск закладок с использованием рентгеновских комплексов;
- проверка с использованием ВЧ-пробника (зонда) линий электропитания, радиотрансляции и телефонной связи;
- измерение параметров линий электропитания, телефонных линий
связи и т.д.;
- проведение тестового "прозвона" всех телефонных аппаратов, установленных в проверяемом помещении,, с контролем (на слух) прохождения всех вызывных сигналов АТС.
Простейшими и наиболее дешевыми обнаружителями радиоизлучений закладных устройств являются индикаторы электромагнитного поля, которые световым или звуковым сигналом сигнализируют о наличии в точке расположения антенны электромагнитного поля с напряженностью выше пороговой (фоновой).
Более сложные из них - частотомеры обеспечивают, кроме того, измерение несущей частоты наиболее "сильного" в точке приема сигнала.
Для обнаружения излучений закладных устройств в ближней зоне могут использоваться и специальные приборы, называемые интерсепторами.
Интерсептор автоматически настраивается на частоту наиболее мощного сигнала и осуществляет его детектирование. Некоторые интерсепторы позволяют не только производить автоматический или ручной захват радиосигнала, осуществлять его детектирование и прослушивание через динамик, но и определять частоту обнаруженного сигнала и вид модуляции.
Чувствительность обнаружителей поля мала, поэтому они позволяют обнаруживать излучения радиозакладок в непосредственной близости от них.
Существенно лучшую чувствительность имеют специальные (профессиональные) радиоприемники с автоматизированным сканированием радиодиапазона (сканерные приемники или сканеры). Они обеспечивают поиск в диапазоне частот, перекрывающем частоты почти всех применяемых радиозакладок - от десятков кГц до единиц ГГц. Лучшими возможностями по поиску радиозакладок обладают
анализаторы спектра. Кроме перехвата излучений закладных устройств они позволяют анализировать и их характеристики, что немаловажно при обнаружении радиозакладок, использующих для передачи информации сложные виды сигналов.
Возможность сопряжения сканирующих приемников с переносными компьютерами послужило основой для создания автоматизированных комплексов для поиска радиозакладок (так называемых программно-аппаратных комплексов контроля).
Кроме программно-аппаратных комплексов, построенных на базе сканирующих приемников и переносных компьютеров, для поиска закладных устройств используются и специально разработанные многофункциональные комплексы, такие, например, как "OSCOR-5000".
Специальные комплексы и аппаратура для контроля проводных линий позволяют проводить измерение параметров (напряжений. токов, сопротивлений и т.п.) телефонных, слаботочных линий и линий электропитания, а также выявлять в них сигналы закладных устройств.
Обнаружители пустот
позволяют обнаруживать возможные места установки закладных устройств в пустотах стен или других деревянных или кирпичных конструкциях.
Большую группу образуют средства обнаружения или локализации закладных устройств по физическим свойствам элементов электрической схемы или конструкции. Такими элементами являются: полупроводниковые приборы, которые применяются в любых закладных устройствах, электропроводящие металлические детали конструкции и т.д. Из этих средств наиболее достоверные результаты обеспечивают средства для обнаружения полупроводниковых элементов по их нелинейным свойствам - нелинейные радиолокаторы.
Принципы работы нелинейных радиолокаторов близки к принципам работы радиолокационных станций, широко применяемых для радиолокационной разведки объектов. Существенное отличие заключается в том, что если приемник радиолокационной станции принимает отраженный от объекта зондирующий сигнал (эхо-сигнал) на частоте излучаемого сигнала, то приемник нелинейного локатора принимает 2-ю и 3-ю гармоники отраженного сигнала. Появление в отраженном сигнале этих гармоник обусловлено нелинейностью характеристик полупроводников.
Металлоискатели (металлодетекторы) реагируют на наличие в зоне поиска электропроводных материалов, прежде всего металлов, и позволяют обнаруживать корпуса или другие металлические элементы закладки.
Переносные рентгеновские установки применяются для просвечивания предметов, назначения которых не удается выявить без их разборки прежде всего тогда, когда она невозможна без разрушения найденного предмета.
Классификация методов и средств защиты информации от у течки по техническим каналам.
Защита информации от утечки по техническим каналам достигается проектно-архитектурными решениями, проведением организационных и технических мероприятий, а также выявлением портативных электронных устройств перехвата информации (закладных устройств) [39,64].Организационное мероприятие - это мероприятие по защите информации, проведение которого не требует применения специально разработанных технических средств.
К основным организационным и режимным мероприятиям относятся [1, 39, 54, 64, 114 ]:
- привлечение к проведению работ по защите информации организаций, имеющих лицензию на деятельность в области защиты информации, выданную соответствующими органами;
- категорирование и аттестация объектов ТСПИ и выделенных для проведения закрытых мероприятий помещений (далее выделенных помещений) по выполнению требований обеспечения защиты информации при проведении работ со сведениями соответствующей степени секретности;
- использование на объекте сертифицированных ТСПИ и ВТСС;
- установление контролируемой зоны вокруг объекта;
- привлечение к работам по строительству, реконструкции объектов ТСПИ, монтажу аппаратуры организаций, имеющих лицензию на деятельность в области защиты информации по соответствующим пунктам;
- организация контроля и ограничение доступа на объекты ТСПИ и в выделенные помещения;
- введение территориальных, частотных, энергетических, пространственных и временных ограничений в режимах использования технических средств, подлежащих защите;
- отключение на период закрытых мероприятий технических средств, имеющих элементы, выполняющие роль электроакустических преобразователей, от линий связи и т.д.
Техническое мероприятие -
это мероприятие по защите информации, предусматривающее применение специальных технических средств, а также реализацию технических решений.
Технические мероприятия направлены на закрытие каналов утечки информации путем ослабления уровня информационных сигналов или уменьшением отношения сигнал/шум в местах возможного размещения портативных средств разведки или их датчиков до величин, обеспечивающих невозможность выделения информационного сигнала средством разведки, и проводятся с использованием активных и пассивных средств.
К техническим мероприятиям
с использованием пассивных средств относятся [1, 14, 39, 54, 64, 114]:
- контроль и ограничение доступа на объекты ТСПИ и в выделенные помещения:
- установка на объектах ТСПИ и в выделенных помещениях технических средств и систем ограничения и контроля доступа.
- локализация излучений:
- экранирование ТСПИ и их соединительных линий;
- заземление ТСПИ и экранов их соединительных линий;
- звукоизоляция выделенных помещений.
- развязывание информационных сигналов:
- установка специальных средств защиты типа "Гранит" во вспомогательных технических средствах и системах, обладающих «микрофонным эффектом» и имеющих выход за пределы контролируемой зоны (см. рис. 1.1);
- установка специальных диэлектрических вставок в оплетки кабелей электропитания, труб систем отопления, водоснабжения и канализации, имеющих выход за пределы контролируемой зоны (см. рис. 1.2);
- установка автономных или стабилизированных источников электропитания ТСПИ;
- установка устройств гарантированного питания ТСПИ (например, мотор-генераторов);
- установка в цепях электропитания ТСПИ, а также в линиях осветительной и розеточной сетей выделенных помещений помехоподавляющих фильтров типа ФП (см. рис. 1.3 и 1.4).
К техническим мероприятиям
с использованием активных средств относятся [1, 39, 54, 64, 114 ]:
- пространственное зашумление:
- пространственное электромагнитное зашумление с использованием генераторов шума или создание прицельных помех (при обнаружении и определении частоты излучения закладного устройства или побочных электромагнитных излучений ТСПИ) с использованием средств создания прицельных помех (см. рис. 1.5 и 1.6);
- создание акустических и вибрационных помех с использованием
генераторов акустического шума (см. рис. 1.7 и 1.8);
- подавление диктофонов в режиме записи с использованием подавителей диктофонов.
- линейное зашумление:
- линейное зашумление линий электропитания (см. рис. 1.9);
- линейное зашумление посторонних проводников и соединительных линий ВТСС, имеющих выход за пределы контролируемой зоны
(см. рис. 1.10).
- уничтожение закладных устройств:
- уничтожение закладных устройств, подключенных к линии, с использованием специальных генераторов импульсов (выжигателей "жучков").
Выявление портативных электронных устройств перехвата информации (закладных устройств) осуществляется проведением специальных обследований, а также специальных проверок объектов ТСПИ и выделенных помещений.
Специальные обследования объектов ТСПИ и выделенных помещений проводятся путем их визуального осмотра без применения технических средств.
Специальная проверка проводится с использованием технических средств. При этом осуществляется:
- выявление закладных устройств с использованием пассивных средств:
- установка в выделенных помещениях средств и систем обнаружения лазерного облучения (подсветки) оконных стекол;
- установка в выделенных помещениях стационарных обнаружителей диктофонов;
- поиск закладных устройств с использованием индикаторов поля, интерсепторов, частотомеров, сканерных приемников и программно-аппаратных комплексов контроля;
- организация радиоконтроля (постоянно или на время проведения конфиденциальных мероприятий) и побочных электромагнитных излучений ТСПИ.
- выявление закладных устройств с использованием активных средств:
- специальная проверка выделенных помещений с использованием нелинейных локаторов;
- специальная проверка выделенных помещений, ТСПИ и вспомогательных технических средств с использованием рентгеновских комплексов.

Рис. 1.1. Установка специальных фильтров типа «Гранит» в соединительных линиях вспомогательных технических средств, обладающих "микрофонным эффектом" и имеющих выход за пределы контролируемой зоны.

Рис. 1.2. Установка специальных диэлектрических вставок в трубы систем отопления и водоснабжения, имеющих выход за пределы контролируемой зоны.

Рис. 1.3. Установка в цепях электропитания ТСПИ помехоподавляющих фильтров типа ФП.

Рис. 1.4. Установка в осветительной и розеточных сетях электропитания выделенных помещений помехоподавляющих фильтров типа ФП.

Рис. 1.5. Пространственное электромагнитное зашумление побочных электромагнитных излучений ПЭВМ с использованием генератора шума.

Рис. 1.6. Создание прицельных маскирующих радиопомех в каналах передачи информации закладными устройствами.

Рис. 1. 7. Создание вибрационных помех с использованием генераторов акустического шума с целью противодействия лазерным акустическим системам разведки.

Рис. 1.8. Создание вибрационных помех с использованием генераторов акустического шума с целью подавления средств съема информации по виброакустическому каналу.

Рис. 1. 9. Линейное зашумление линий электропитания ТСПИ.

Рис. 1.10. Линейное зашумление линий электропитания осветительной и розеточных сетей выделенных помещений.
Методы и средства обнаружения и подавления диктофонов и акустических закладок.
Диктофоны и акустические закладки в своем составе содержат большое количество полупроводниковых приборов, поэтому наиболее эффективным средством их обнаружения является нелинейный локатор, устанавливаемый на входе в выделенное помещение и работающий в составе системы контроля доступа.К типовым представителям устройств этого класса относится, например, нелинейный локатор "Циклон- Рамка". Локатор имеет два датчика, выносной пульт управления и может скрытно устанавливаться в дверной проем выделенного помещения, что позволяет контролировать наличие у посетителей (как в ручной клади, так и под одеждой) любых радиоэлектронных устройств, в том числе диктофонов и подслушивающих устройств, как во включенном, так и в выключенном состояниях. Зона контроля локатора составляет: по высоте - 2,2 м, по длине - 1,5 м, по ширине - 1,5 м [56].
Для обнаружения работающих в режиме записи диктофонов применяются так называемые детекторы диктофонов. Принцип действия приборов основан на обнаружении слабого магнитного поля, создаваемого генератором подмагничивания или работающим двигателем диктофона в режиме записи. Электродвижущая сила (ЭДС), наводимая этим полем в датчике сигналов (магнитной антенне), усиливается и выделяется из шума специальным блоком обработки сигналов. При превышении уровня принятого сигнала некоторого установленного порогового значения срабатывает световая или звуковая сигнализация. Во избежание ложных срабатываний порог обнаружения необходимо корректировать практически перед каждым сеансом работы, что является недостатком подобных приборов.
Детекторы диктофонов выпускаются в переносном и стационарном вариантах. К переносным относятся детекторы "Сова", RM-100, TRD-800, а к стационарным - PTRD-14, PTRD-16, PTRD-18 и т.д.
В переносном (носимом) варианте блок анализа детектора размещается в кармане оператора, поисковая антенна в рукаве (обычно крепится на предплечье), а датчик сигнализации вибраторного типа - на поясе или в кармане. В ходе переговоров оператор приближает антенну (руку) к возможным местам установки диктофона (портфель, одежда собеседника и т.д.).
При обнаружении излучений ( превышении магнитного поля установленного оператором порогового значения) включенного на запись диктофона скрытый сигнализатор-вибратор начинает вибрировать, сигнализируя оператору о возможной записи разговора.
Для защиты выделенных помещений в основном используются детекторы диктофонов, выполненные в стационарных вариантах. В отличие от переносных детекторов, имеющих один датчик сигналов, стационарные детекторы диктофонов оборудованы несколькими датчиками (например, детектор PTRD-18 имеет возможность подключения до 16 датчиков одновременно), что позволяет существенно повысить вероятность обнаружения диктофонов (см. рис. 3.5) [95].
Стационарный вариант предполагает установку (заделку) антенн в стол для переговоров и в кресла (подлокотники). Блок анализа и индикатор наличия диктофонов размещается в столе руководителя или у дежурного (в этом случае создается дополнительный канал управления). При наличии у беседующего диктофона в одежде или в вещах (папка, портфель и т.д.) у руководителя скрытным образом будет срабатывать индикация этого факта [95].
Ввиду слабого уровня магнитного поля, создаваемого работающими диктофонами (особенно в экранированных корпусах), дальность их обнаружения детекторами незначительна. Например, дальность обнаружения диктофона L-400 в режиме записи в условиях офиса даже при использовании стационарного детектора PTRD-018 не превышает 45 ... 65 см [95]. Дальность обнаружения диктофонов в неэкранированных корпусах может составлять 1 ... 1,5 м.
Наряду со средствами обнаружения портативных диктофонов на практике эффективно используются и средства их подавления. Для этих целей используются устройства электромагнитного подавления типа "Рубеж", "Шумотрон", "Буран", "УПД" (см. рис. 3.6) и др. и устройства ультразвукового подавления типа "Завеса" [52, 91, 93,95, 111].
Принцип действия устройств электромагнитного подавления основан на генерации в дециметровом диапазоне частот (обычно в районе

Рис. 3.5. Стационарный многоканальный адаптивный детектор диктофонов PTRD 018.

Рис. 3.6. Устройство для подавления диктофонов УПД.
900 МГц) мощных шумовых сигналов. В основном для подавления используются импульсные сигналы. Излучаемые направленными антеннами помеховые сигналы, воздействуя на элементы электронной схемы диктофона (в частности, усилитель низкой частоты и усилитель записи), вызывают в них наводки шумовых сигналов. Вследствие этого одновременно с информационным сигналом (речью) осуществляется запись и детектированного шумового сигнала, что приводит к значительному
искажению первого.
Зона подавления диктофонов зависит от мощности излучения, его вида, а также от типа используемой антенны. Обычно зона подавления представляет собой сектор с углом от 30 до 80 градусов и радиусом до 1,5 м (для диктофонов в экранированном корпусе) [52,95, 111].
Устройства подавления диктофонов используют как непрерывные, так и импульсные сигналы. Например, подавитель диктофонов "Шумотрон-2" работает в импульсном режиме на частоте 915 МГц. Длительность излучаемого импульса не более 300 мкс, а импульсная мощность -не менее 150 Вт. При средней мощности излучения 20 Вт обеспечивается дальность подавления диктофонов в экранированном корпусе (типа "Olimpus-400") до 1,5 м в секторе около 30 градусов. Дальность подавления диктофонов в неэкранированном корпусе составляет несколько метров [93].
Системы ультразвукового подавления излучают мощные неслышимые человеческим ухом ультразвуковые колебания (обычно частота излучения около 20 кГц), воздействующие непосредственно на микрофоны диктофонов или акустических закладок, что является их преимуществом. Данное ультразвуковое воздействие приводит к перегрузке усилителя низкой частоты диктофона или акустической закладки (усилитель начинает работать в нелинейном режиме) и тем самым - к значительным искажениям записываемых (передаваемых) сигналов.
В отличие от систем электромагнитного подавления подобные системы обеспечивают подавление в гораздо большем секторе.
Например, комплекс "Завеса" при использовании двух ультразвуковых излучателей способен обеспечить подавление диктофонов и акустических закладок в помещении объемом 27 м3 [111]. Однако системы ультразвукового подавления имеют и один важный недостаток: эффективность их резко снижается, если микрофон диктофона или закладки прикрыть фильтром из специального материала или в усилителе низкой частоты установить фильтр низких частот с граничной частотой 3,4 ... 4 кГц.
Для обнаружения радиозакладок в выделенных помещениях могут использоваться индикаторы поля, интерсепторы, радиочастотомеры, сканерные приемники, программно-аппаратные комплексы контроля и другие технические средства, которые подробно будут рассмотрены в главах 5 и 6.
Наиболее эффективным методом выявления радиозакладок в выделенных помещениях является постоянный (круглосуточный) радиоконтроль с использованием программно-аппаратных комплексов контроля. Для его организации в специально оборудованном помещении на объекте разворачивается стационарный пункт радиоконтроля, в состав которого, как правило, включаются один или несколько программно-аппаратных комплексов, позволяющих контролировать все выделенные помещения. На пункте радиоконтроля устанавливается опорная антенна, а в выделенных (контролируемых) помещениях - малогабаритные широкополосные антенны и звуковые колонки или выносные микрофоны, которые при установке камуфлируются. Антенны и звуковые колонки (или микрофоны) специально проложенными кабелями соединяются соответственно с блоками высокочастотного (антенного) или низкочастотного коммутаторов, установленных в помещении стационарного пункта контроля [34, 78, 85, 110].
Если при проведении радиоконтроля обнаружена передача информации радиозакладкой, то до ее выявления может быть организована постановка прицельных помех на частоте передачи закладки. Для этих целей может использоваться, например, устройство постановки помех АРК-СП [78].
В состав аппаратуры АРК-СП входят широкополосная антенна, перестраиваемый передатчик помех и программное обеспечение.
Управляющая программа позволяет с высокой скоростью настраивать передатчик на предварительно заданные частоты в диапазоне от 65 до 1000 МГц. Передатчик создает прицельную по частоте помеху с узкополосной и широкополосной модуляцией несущей частоты специальными сигналами: речевая фраза или тональный сигнал. Мощность помехи -150 ... 200 мВт. Аппаратура функционирует под управлением ПЭВМ автономно или в составе программно-аппаратных комплексов контроля типа АРК и позволяет осуществлять постановку помех одновременно (попеременно) на четырех частотах (время излучения на одной не менее 50 мс) [100].
Аппаратура питается от сети 220 В и имеет размеры 300х300х55 мм [100].
Для подавления радиозакладок также могут использоваться системы пространственного электромагнитного зашумления, применяемые для маскировки побочных электромагнитных излучений ТСПИ. Однако при этом необходимо помнить, что ввиду сравнительно низкой спектральной мощности излучаемой помехи, эти системы эффективны только для подавления маломощных (как правило, с мощностью излучения менее 10 мВт) радиозакладок. Поэтому для подавления радиозакладок необходимо использовать генераторы шума с повышенной мощностью.
Для защиты речевой информации от сетевых акустических закладок используются помехоподавляющие фильтры низких частот и системы линейного зашумления.
Помехоподавляющие фильтры устанавливаются в линии питания розеточной и осветительной сетей в местах их выхода из выделенных помещений. Учитывая, что сетевые закладки используют для передачи информации частоты свыше 40 ... 50 кГц, для защиты информации необходимо использовать фильтры низких частот с граничной частотой не более 40 кГц. К таким фильтрам относятся, например, фильтры типа ФСПК, граничная частота которых составляет 20 кГц.
В системах зашумления линий электропитания используются генераторы шума типа "Гром-ЗИ-4", "Гром-ЗИ-бЦ", "Гном-2С" и др. (см. рис. 3.7) [91, 95].
При выборе генераторов шума особое внимание необходимо уделять полосе частот и спектральной мощности помехового сигнала (см.
рис. 3.8). Например, генераторы шума Гром-ЗИ-4", "Гром-ЗИ-бЦ" создают помеховый сигнал в диапазоне частот от 0,1 до 1 МГц и от 0,1 до 5 МГц соответственно [91]. Поэтому они не эффективны для подавления сетевых закладок, использующих для передачи информации частоты ниже 100 кГц.
Таблица 3.8
Основные характеристики устройств подавления аппаратуры магнитной записи.
|
Наименование характеристик |
Модель (тип) |
||
|
"Рубеж-1" |
"РаМЗес-Авто" |
"РаМЗес-Дубль" |
|
|
Дальность подавления, м |
не менее 1,5/- |
не менее 1,5/до 1, 5 |
не менее 2/ до 2 |
|
Зона подавления |
Телесный угол не менее 60° |
Шаровой сектор с углом не менее 60° |
Шаровой сектор с углом не менее 70° |
|
Излучаемая мощность, Вт |
- |
5 (AC 220 В) 4 (DC 12 В) |
8 |
|
Питание, потребляемая мощность |
АС 220 В, не более 25 Вт |
AC 220 В (30 Вт) DC 12 В (20 Вт) |
AC 220 В, не более 40 Вт |
|
Время непрерывной работы |
не более 1 часа |
не более 1 часа |
не более 1 часа |
|
Примечания |
Стационарный |
Стационарный, автомобильный |
Стационарный. Возможность подключения одной или двух антенн одновременно |
Окончание табл. 3.8. Основные характеристики устройств подавления аппаратуры магнитной записи.
|
Наименование характеристик |
Модель (тип) |
||
|
"Буран - 2" |
"Буран - 3" |
"УПД-2" |
|
|
Дальность подавления, м |
не менее 1,5/- |
не менее З/ 2 |
до 6 (?)/до 4 (?) |
|
Зона подавления |
45°х45° |
45° х 45° |
Сектор с углом не менее 80° |
|
Излучаемая мощность, Вт |
Не более 10В т в импульсе |
Не более 10 Вт в импульсе |
- |
|
Питание, потребляемая мощность |
АС 220 В; DC 12 В, не более 40 Вт |
АС 220 В; DC 12 В, не более 40 Вт |
АС 220 В; DC 12 В, не более 60 Вт |
|
Время непрерывной работы |
не более 2 ч (АС) не более 1 ч (DC) |
не более 2 ч (АС) не более 1 ч (DC) |
не более 1,5ч (DC) |
|
Примечание |
В дипломате |
В дипломате. Адаптивная модуляция помехового сигнала |
В дипломате. Пульт дистанционного управления |

Рис 3.7. Генераторы шума "Гром-ЗИ-4" и "Гром-ЗИ-6"

Рис. 3.8. Спектрограмма излучения (1) сетевой акустической закладки использующей для передачи информации провода электросети 220 В в условиях маскирующих помех (2), создаваемых устройством УЗС-01
Методы и средства защиты информации, обрабатываемой ТСПИ, от утечки по техническим каналам.
Защита информации, обрабатываемой техническими средствами, осуществляется с применением пассивных и активных методов и средств.Пассивные методы защиты информации направлены на:
- ослабление побочных электромагнитных излучений (информационных сигналов) ТСПИ на границе контролируемой зоны до величин, обеспечивающих невозможность их выделения средством разведки на фоне естественных шумов;
- ослабление наводок побочных электромагнитных излучений (информационных сигналов) ТСПИ в посторонних проводниках и соединительных линиях ВТСС, выходящих за пределы контролируемой зоны, до величин, обеспечивающих невозможность их выделения средством разведки на фоне естественных шумов;
- исключение (ослабление) просачивания информационных сигналов ТСПИ в цепи электропитания, выходящие за пределы контролируемой зоны, до величин, обеспечивающих невозможность их выделения средством разведки на фоне естественных шумов.
Активные методы защиты информации направлены на:
- создание маскирующих пространственных электромагнитных помех с целью уменьшения отношения сигнал/шум на границе контролируемой зоны до величин, обеспечивающих невозможность выделения средством разведки информационного сигнала ТСПИ;
- создание маскирующих электромагнитных помех в посторонних проводниках и соединительных линиях ВТСС с целью уменьшения отношения сигнал/шум на границе контролируемой зоны до величин, обеспечивающих невозможность выделения средством разведки информационного сигнала ТСПИ.
Ослабление побочных электромагнитных излучений ТСПИ и их наводок в посторонних проводниках осуществляется путем экранирования и заземления ТСПИ и их соединительных линий.
Исключение (ослабление) просачивания информационных сигналов ТСПИ в цепи электропитания достигается путем фильтрации информационных сигналов.
Для создания маскирующих электромагнитных помех используются системы пространственного и линейного зашумления.
Методы и средства защиты речевой информации.
Для защиты акустической (речевой) информации используются пассивные и активные методы и средства.Пассивные методы защиты акустической (речевой) информации направлены на:
- ослабление акустических (речевых) сигналов на границе контролируемой зоны до величин, обеспечивающих невозможность их выделения средством разведки на фоне естественных шумов;
- ослабление информационных электрических сигналов в соединительных линиях ВТСС, имеющих в своем составе электроакустические преобразователи (обладающие микрофонным эффектом), до величин, обеспечивающих невозможность их выделения средством разведки на фоне естественных шумов;
- исключение (ослабление) прохождения сигналов высокочастотного навязывания во вспомогательные технические средства, имеющие в своем составе электроакустические преобразователи (обладающие микрофонным эффектом);
- обнаружение излучений акустических закладок и побочных электромагнитных излучений диктофонов в режиме записи;
- обнаружение несанкционированных подключений к телефонным линиям связи.
Активные методы защиты акустической (речевой) информации направлены на:
- создание маскирующих акустических и вибрационных помех с целью уменьшения отношения сигнал/шум на границе контролируемой зоны до величин, обеспечивающих невозможность выделения информационного акустического сигнала средством разведки;
- создание маскирующих электромагнитных помех в соединительных линиях ВТСС, имеющих в своем составе электроакустические преобразователи (обладающие микрофонным эффектом), с целью уменьшения отношения сигнал/шум до величин, обеспечивающих невозможность выделения информационного сигнала средством разведки;
- электромагнитное подавление диктофонов в режиме записи;
- ультразвуковое подавление диктофонов в режиме записи;
- создание маскирующих электромагнитных помех в линиях электропитания ВТСС, обладающих микрофонным эффектом, с целью уменьшения отношения сигнал/шум до величин, обеспечивающих невозможность выделения информационного сигнала средством разведки;
- создание прицельных радиопомех акустическим и телефонным радиозакладкам с целью уменьшения отношения сигнал/шум до величин, обеспечивающих невозможность выделения информационного сигнала средством разведки;
- подавление (нарушение функционирования) средств несанкционированного подключения к телефонным линиям;
- уничтожение (вывод из строя) средств несанкционированного подключения к телефонным линиям.
Ослабление акустических (речевых) сигналов осуществляется путем звукоизоляции помещений.
Ослабление информационных электрических сигналов в соединительных линиях ВТСС и исключение (ослабление) прохождения сигналов высокочастотного навязывания во вспомогательные технические средства осуществляется методами фильтрации сигналов. В основе активных методов защиты акустической информации лежит использование различного типа генераторов помех, а также применение других специальных технических средств.
Методы и средства защиты телефонных линий.
При защите телефонных аппаратов и телефонных линий необходимо учитывать несколько аспектов:- телефонные аппараты (даже при положенной трубке) могут быть использованы для перехвата акустической речевой информации из помещений, в которых они установлены, то есть для подслушивания разговоров в этих помещениях;
- телефонные линии, проходящие через помещения, могут использоваться в качестве источников питания акустических закладок, установленных в этих помещениях, а также для передачи перехваченной информации;
- и, конечно, возможен перехват (подслушивание) телефонных разговоров путем гальванического или через индукционный датчик подключения к телефонной линии закладок (телефонных ретрансляторов), диктофонов и других средств несанкционированного съема информации.
Телефонный аппарат имеет несколько элементов, имеющих способность преобразовывать акустические колебания в электрические, то есть обладающих "микрофонным эффектом". К ним относятся: звонковая цепь, телефонный и, конечно, микрофонный капсюли. За счет электроакустических преобразований в этих элементах возникают информационные (опасные) сигналы.
При положенной трубке телефонный и микрофонный капсюли гальванически отключены от телефонной линии и при подключении к ней специальных высокочувствительных низкочастотных усилителей возможен перехват опасных сигналов, возникающих в элементах только звонковой цепи. Амплитуда этих опасных сигналов, как правило, не превышает долей мВ.
При использовании для съема информации метода "высокочастотного навязывания", несмотря на гальваническое отключение микрофона от телефонной линии, сигнал навязывания благодаря высокой частоте проходит в микрофонную цепь и модулируется по амплитуде информационным сигналом.
Следовательно, в телефонном аппарате необходимо защищать как звонковую цепь, так и цепь микрофона.
Для защиты телефонного аппарата от утечки акустической (речевой) информации по электроакустическому каналу используются как пассивные, так и активные методы и средства.
рис. 3.10) [22].
Отключение телефонных аппаратов от линии при ведении в помещении конфиденциальных разговоров является наиболее эффективным методом защиты информации.
Самый простой способ реализации этого метода защиты заключается в установке в корпусе телефонного аппарата или телефонной линии специального выключателя, включаемого и выключаемого вручную. Более удобным в эксплуатации является установка в телефонной линии специального устройства защиты, автоматически (без участия оператора) отключающего телефонный аппарат от линии при положенной телефонной трубке.
К типовым устройствам, реализующим данный метод защиты, относится изделие "Барьер- Ml". В эго состав входят [115]:
электронный коммутатор;
схема анализа состояния телефонного аппарата, наличия вызывных сигналов и управления коммутатором;
схема защиты телефонного аппарата от воздействия высоковольтных импульсов.
Устройство работает в следующих режимах: дежурном, передачи сигналов вызова и рабочем.
В дежурном режиме (при положенной телефонной трубке) телефонный аппарат отключен от линии, и устройство находится в режиме анализа поднятия телефонной трубки и наличия сигналов вызова. При этом сопротивление развязки между телефонным аппаратом и линией АТС составляет не менее 20 МОм [115]. Напряжение на выходе устройства в дежурном приеме составляет 5 ... 7 В [115].

а)

б)

в)
Рис. 3.9. Вольтамперная характеристика диода VD (а) и схемы защиты звонковой цепи (б) и микрофона (в) телефонного аппарата

Рис. 3.10. Схема устройства защиты телефонных аппаратов типа "Гранит", сочетающего фильтр и ограничитель
При получении сигналов вызова устройство переходит в режим передачи сигналов вызова, при котором через электронный коммутатор телефонный аппарат подключается к линии. Подключение осуществляется только на время действия сигналов вызова.
При поднятии телефонной трубки устройство переходит в рабочий режим и телефонный аппарат подключается к линии. Переход устройства из дежурного в рабочий режим осуществляется при токе в телефонной линии не менее 5 мА [115].
Изделие устанавливается в разрыв телефонной линии, как правило, при выходе ее из выделенного (защищаемого) помещения или в распределительном щитке (кроссе), находящемся в пределах контролируемой зоны.
Электропитание устройства осуществляется от телефонной линии при токе потребления в дежурном режиме не более 0,3 мА [115].
Устройство "Барьер - Ml" обеспечивает защиту телефонного аппарата не только от утечки информации по электроакустическому каналу, но также и его защиту от воздействия высоковольтных импульсов (напряжением до 1000 В и длительностью до 100 мкс) [115].
Активные методы защиты от утечки информации по электроакустическому каналу предусматривают линейное зашумление телефонных линий. Шумовой сигнал подается в линию в режиме, когда телефонный аппарат не используется (трубка положена). При снятии трубки телефонного аппарата подача в линию шумового сигнала прекращается.
К сертифицированным средствам линейного зашумления относятся устройства МП-1 А (защита аналоговых телефонных аппаратов) и МП-1Ц П-1А (защита цифровых телефонных аппаратов) и др. [95].
Для защиты акустической (речевой) информации в выделенных помещениях наряду с защитой телефонных аппаратов необходимо принимать меры и для защиты непосредственно телефонных линий, так как они могут использоваться в качестве источников питания акустических закладок, установленных в помещениях, а также для передачи информации, получаемой этими закладками.
При этом используются как пассивные, так и активные методы и средства защиты. Пассивные методы защиты основаны на блокировании акуститических закладок, питающихся от телефонной линии в режиме положенной трубки, а активные - на линейном зашумлении линий и уничтожении (электрическом "выжигании") закладных устройств или их блоков питания путем подачи в линию высоковольтных импульсов.
Защита телефонных разговоров от перехвата осуществляется главным образом активными методами. К основным из них относятся [2, 14, 33,52,59,91,95,108, 110,111, 115,116]:
- подача во время разговора в телефонную линию синфазного маскирующего низкочастотного сигнала (метод синфазной низкочастотной маскирующей помехи);
- подача во время разговора в телефонную линию маскирующего высокочастотного сигнала звукового диапазона (метод высокочастотной маскирующей помехи);
- подача во время разговора в телефонную линию маскирующего высокочастотного ультразвукового сигнала (метод ультразвуковой маскирующей помехи);
- поднятие напряжения в телефонной линии во время разговора (метод повышения напряжения);
- подача во время разговора в линию напряжения, компенсирующего постоянную составляющую телефонного сигнала (метод "обнуления");
- подача в линию при положенной телефонной трубке маскирующего низкочастотного сигнала (метод низкочастотной маскирующей помехи);
- подача в линию при приеме сообщений маскирующего низкочастотного (речевого диапазона) с известным спектром (компенсационный метод);
- подача в телефонную линию высоковольтных импульсов (метод "выжигания").
Суть метода синфазной маскирующей низкочастотной (НЧ) помехи
заключается в подаче в каждый провод телефонной линии с использованием единой системы заземления аппаратуры АТС и нулевого провода электросети 220 В (нулевой провод электросети заземлен) согласованных по амплитуде и фазе маскирующих сигналов речевого диапазона частот (как правило, основная мощность помехи сосредоточена в диапазоне частот стандартного телефонного канала: 300 ... 3400 Гц) [11 б]. В телефонном аппарате эти помеховые сигналы компенсируют друг друга и не оказывают мешающего воздействия на полезный сигнал (телефонный разговор). Если же информация снимается с одного провода телефонной линии, то помеховый сигнал не компенсируется. А так как его уровень значительно превосходит полезный сигнал, то перехват информации (выделение полезного сигнала) становится невозможным.
В качестве маскирующего помехового сигнала, как правило, используются дискретные сигналы (псевдослучайные последовательности импульсов) [11 б].
Метод синфазного маскирующего низкочастотного сигнала используется для подавления телефонных радиозакладок (как с параметрической, так и с кварцевой стабилизацией частоты) с последовательным (в разрыв одного из проводов) включением, а также телефонных радиозакладок и диктофонов с подключением к линии (к одному из проводов) с помощью индукционных датчиков различного типа.
Метод высокочастотной маскирующей помехи заключается в подаче во время разговора в телефонную линию широкополосного маскирующего сигнала в диапазоне высших частот звукового диапазона [59, 95].
Данный метод используется для подавления практически всех типов подслушивающих устройств как контактного (параллельного и последовательного) подключения к линии, так и подключения с использованием индукционных датчиков. Однако эффективность подавления средств съема информации с подключением к линии при помощи с индукционных датчиков (особенно не имеющих предусилителей) значительно ниже, чем средств с гальваническим подключением к линии.
В качестве маскирующего сигнала используются широкополосные аналоговые сигналы типа "белого шума" или дискретные сигналы типа псевдослучайной последовательности импульсов [59,110, 111,11 б].
Частоты маскирующих сигналов подбираются таким образом, чтобы после прохождения селективных цепей модулятора закладки или микрофонного усилителя диктофона их уровень оказался достаточным для подавления полезного сигнала (речевого сигнала в телефонной линии во время разговоров абонентов), но в то же время эти сигналы не ухудшали качество телефонных разговоров. Чем ниже частота помехового сигнала, тем выше его эффективность и тем большее мешающее воздействие он оказывает на полезный сигнал. Обычно используются частоты в диапазоне от 6 ... 8 кГц до 16 ... 20 кГц. Например, в устройстве Sel SP-17/T помеха создается в диапазоне 8 ... 10 кГц [95, 111].
Такие маскирующие помехи вызывают значительные уменьшение отношения сигнал/шум и искажения полезных сигналов (ухудшение разборчивости речи) при перехвате их всеми типами подслушивающих устройств (см.
рис. 3.11 и 3.12) [59, 110]. Кроме того, у радиозакладок с параметрической стабилизацией частоты ("мягким" каналом) как последовательного, так и параллельного включения наблюдается "уход" несущей частоты, что может привести к потере канала приема [59].
Для исключения воздействия маскирующего помехового сигнала на телефонный разговор в устройстве защиты устанавливается специальный низкочастотный фильтр с граничной частотой 3,4 кГц, подавляющий (шунтирующий) помеховые сигналы и не оказывающий существенного влияния на прохождение полезных сигналов. Аналогичную роль выполняют полосовые фильтры, установленные на городских АТС, пропускающие сигналы, частоты которых соответствуют стандартному телефонному каналу (300 Гц ... 3,4 кГц), и подавляющие помеховый сигнал.
Метод ультразвуковой маскирующей помехи в основном аналогичен рассмотренному выше. Отличие состоит в том, что используются помеховые сигналы ультразвукового диапазона с частотами от 20 ...25 кГц до 50... 100 кГц [116].
Метод повышения напряжения
заключается в поднятии напряжения в телефонной линии во время разговора и используется для ухудшения качества функционирования телефонных радиозакладок [59]. Поднятие напряжения в линии до 18 ... 24 В вызывает у радиозакладок с последовательным подключением и параметрической стабилизацией частоты "уход" несущей частоты и ухудшение разборчивости речи вследствие размытия спектра сигнала [59]. У радиозакладок с последовательным подключением и кварцевой стабилизацией частоты наблюдается уменьшение отношения сигнал/шум на 3 ... 10 дБ. Телефонные радиозакладки с параллельным подключением при таких напряжениях в ряде случаев просто отключаются.
Метод "обнуления"
предусматривает подачу во время разговора в линию постоянного напряжения, соответствующего напряжению в линии при поднятой телефонной трубке, но обратной полярности [116].
Этот метод используется для нарушения функционирования подслушивающих устройств с контактным параллельным подключением к линии и использующих ее в качестве источника питания.
К таким устройствам относятся: параллельные телефонные аппараты, проводные микрофонные системы с электретными микрофонами, использующие телефонную линию для передачи информации, акустические и телефонные закладки с питанием от телефонной линии и т.д.
Метод низкочастотной маскирующей помехи заключается в подаче в линию при положенной телефонной трубке маскирующего сигнала (наиболее часто, типа "белого шума") речевого диапазона частот (как правило, основная мощность помехи сосредоточена в диапазоне частот стандартного телефонного канала: 300 ... 3400 Гц) и применяется для подавления проводных микрофонных систем, использующих телефонную линию для передачи информации на низкой частоте, а также для активизации (включения на запись) диктофонов, подключаемых к телефонной линии с помощью адаптеров или индукционных датчиков, что приводит к сматыванию пленки в режиме записи шума (то есть при отсутствии полезного сигнала) [59].

Рис. 3.11. Спектрограмма излучения телефонной радиозакладки с кварцевой стабилизацией частоты и узкополосной частотной модуляцией в условиях маскирующих высокочастотных помех, создаваемых устройством УЗТ - 01.

Рис. 3.12. Спектрограмма излучения телефонной радиозакладки с параметрической стабилизацией частоты и широкополосной частотной модуляцией в условиях маскирующих высокочастотных помех, создаваемых устройством УЗТ - 01.
Компенсационный метод
используется для односторонней маскировки (скрытия) речевых сообщений, передаваемых абоненту по телефонной линии [2].
Суть метода заключается в следующем [2]. При передаче скрываемого сообщения на приемной стороне в телефонную линию при помощи специального генератора подается маскирующая помеха (цифровой или аналоговый маскирующий сигнал речевого диапазона с известным спектром). Одновременно этот же маскирующий сигнал ("чистый" шум) подается на один из входов двухканального адаптивного фильтра, на другой вход которого поступает аддитивная смесь принимаемого полезного сигнала речевого сигнала (передаваемого сообщения) и этого же помехового сигнала.
Аддитивный фильтр компенсирует (подавляет) шумовую составляющую и выделяет полезный сигнал, который подается на телефонный аппарат или устройство звукозаписи.
Недостатком данного метода является то, что маскировка речевых сообщений односторонняя и не позволяет вести двухсторонние телефонные разговоры.
Метод "выжигания"
реализуется путем подачи в линию высоковольтных (напряжением более 1500 В) импульсов, приводящих к электрическому "выжиганию" входных каскадов электронных устройств перехвата информации и блоков их питания, гальванически подключенных к телефонной линии [95, 110, 111].
При использовании данного метода телефонный аппарат от линии отключается. Подача импульсов в линию осуществляется два раза. Первый (для "выжигания" параллельно подключенных устройств) - при разомкнутой телефонной линии, второй (для "выжигания" последовательно подключенных устройств) - при закороченной (как правило, в центральном распределительном щитке здания) телефонной линии.
Для защиты телефонных линий используются как простые устройства, реализующие один метод защиты, так и сложные, обеспечивающие комплексную защиту линий различными методами, включая защиту от утечки информации по электроакустическому каналу.
На отечественном рынке имеется большое разнообразие средств
защиты. Среди них можно выделить следующие: "SP 17/Т", "S1-2001", "КТЛ-3", "КТЛ-400", "Ком-3", "Кзот-06", "Цикада-М", "Прокруст" (ПТЗ-003), "Прокруст-2000", "Консул", "Гром-ЗИ-6", "Протон" и др. Основные характеристики некоторых из них приведены в табл. 3.9, эффективность - в табл. 3.10, а внешний вид - на рис. 3.13 [33, 52, 91,95, 110].
В активных устройствах защиты телефонных линий наиболее часто реализованы метод высокочастотной маскирующей помехи ("SP 17/Т", ", "КТЛ-3", "КТЛ-400", "Ком-3", "Прокруст" (ПТЗ-003), "Прокруст-2000","Гром-ЗИ-6", "Протон" и др.) и метод ультразвуковой маскирующей помехи ("Прокруст" (ПТЗ-003), "Гром-ЗИ-6").
Метод синфазной низкочастотной маскирующей помехи используется в устройстве "Цикада-М", а метод низкочастотной маскирующей помехи - в устройствах "Прокруст", "Протон", "Кзот-06" и др.
Метод "обнуления" применяется, например, в устройстве "Цикада-М", а метод повышения напряжения в линии - в устройстве "Прокруст".
Компенсационный метод маскировки речевых сообщений, передаваемых абоненту по телефонной линии, реализован в изделии "Туман".
Большинство устройств защиты производят автоматическое измерение напряжения в линии и отображают его значение на цифровом индикаторе. В приборе "Гром-ЗИ-6" на цифровом индикаторе отображается уровень уменьшения напряжения в линии.
Устройства защиты телефонных линий имеют сравнительно небольшие размеры и вес (например, изделие "Прокруст" при размерах 62х55х195 мм весит 1 кг [59]). Питание их, как правило, осуществляется от сети переменного тока 220 В. Однако некоторые устройства (например, "Кзот-06") питаются от автономных источников питания.
Для вывода из строя ("выжигания" входных каскадов) средств несанкционированного съема информации с гальваническим подключением к телефонной линии используются устройства типа "ПТЛ-1500", "КС-1300", "КС-1303", "Кобра" (см. рис. 3.14) и т.д. Их основные характеристики приведены в табл. 3.11 [95, 110, 111].
Приборы используют высоковольтные импульсы напряжением не менее 1500 ... 1600 В. Мощность "выжигающих" импульсов составляет 15 ... 50 ВА. Так как в схемах закладок применяются миниатюрные низковольтные детали, то высоковольтные импульсы их пробивают и схема закладки выводится из строя.
"Выжигатели" телефонных закладок могут работать как в ручном, так и автоматическом режимах. Время непрерывной работы в автоматическом режиме составляет от 20 секунд до 24 часов.


Рис. 3.13. Устройства активной защиты телефонных линий:
SP - 17/Т (а) и "Прокруст" (б).

Рис. 3.14. Выжигатель телефонных закладных устройств "Кобра".

Рис. 3.15. Контроллер телефонных линий КТЛ-3 (в центре).
Таблица 3.9.
Основные характеристики устройств активной защиты телефонных линий.
|
Наименование характеристик |
Тип устройства |
||
|
"Прокруст" |
"Протон" |
"Цикада-М" |
|
|
Метод синфазной низкочастотной маскирующей помехи |
- |
- |
- |
|
Метод высокочастотной маскирующей помехи |
- |
- |
- |
|
Метод ультразвуковой маскирующей помехи |
- |
- |
- |
|
Метод повышения напряжения |
- |
- |
- |
|
Метод "обнуления" |
- |
- |
- |
|
Метод низкочастотной маскирующей помехи |
- |
- |
- |
|
Метод "выжигания" |
- |
- |
- |
|
Индикация |
световая |
световая |
световая |
|
Габаритные размеры, мм |
62х155х195 |
205х60х285 |
68х176х170 |
|
Вес, кг |
1 |
2,3 |
|
|
Напряжение питания, В |
220 |
220 |
220 |
|
Примечание |
Цифровая индикация напряжения в линии |
Цифровая индикация напряжения в линии |
Основные характеристики устройств активной защиты телефонных линий.
|
Наименование характеристик |
Тип устройства |
||
|
Sel SP-17/P |
Гром-3И-6 |
Кзот-06 |
|
|
Метод синфазной низкочастотной маскирующей помехи |
- |
- |
- |
|
Метод высокочастотной маскирующей помехи |
- |
- |
- |
|
Метод ультразвуковой маскирующей помехи |
- |
- |
- |
|
Метод повышения напряжения |
- |
- |
- |
|
Метод "обнуления" |
- |
- |
- |
|
Метод низкочастотной маскирующей помехи |
- |
- |
- |
|
Метод "выжигания" |
- |
- |
- |
|
Индикация |
световая |
световая, звуковая |
световая |
|
Габаритные размеры, мм |
152х104х34 |
150х200х50 |
210х85х32 |
|
Вес, кг |
0,6 |
1,5 |
0,75 |
|
Напряжение питания» В |
220/12 |
220 |
9 |
|
Примечание |
Частотный диапазон помехи 8... 10 кГц Уровень сигнала помехи 70 дБ |
Цифровая индикация уменьшения напряжения в линии |
Цифровая индикация напряжения в линии |
Таблица 3.10.
Эффективность устройств активной зашиты телефонных линий
|
Наименование средств съема информации |
Тип устройства |
|||
|
"Прокруст" |
"Протон" |
"Цикада-М" |
||
|
Радиозакладки с параметрической стабилизацией частоты |
послед. паралл. |
2,3 |
1 |
1 |
|
1 |
2 |
1 |
||
|
Радиозакладки с кварцевой стабилизацией частоты |
послед. паралл. |
2 |
1 |
' |
|
2 |
2 |
1 |
||
|
Диктофоны с системой VOX |
адаптер индукц. датчик |
2,4 |
2,4 |
2 |
|
2,4 |
2,4 |
1 |
||
|
Радиозакладки с подключением к линии через индукционный датчик |
парам. |
2 |
2 |
1 |
|
кварц |
2 |
2 |
1 |
|
|
Проводные микрофонные системы с передачей информации по телефонной линии на низкой частоте |
1 |
1 |
1 |
|
|
Аппаратура высокочастотного навязывания |
- |
1 |
1 |
|
|
Параллельный телефон |
- |
1 |
1 |
2 - ухудшение отношения сигнал/шум на входе средства съема информации
3 - "уход" несущей частоты передатчика
4 - сматывание ленты в режиме записи шума
Окончание табл. 3.10.
|
Наименование средств съема информации |
Тип устройства |
|||
|
Sel SP - 17/Р |
Гром-ЗИ-6 |
Кзот-06 |
||
|
Радиозакладки с параметрической стабилизацией частоты |
послед. паралл. |
1 |
2 |
1 |
|
1 |
2 |
2 |
||
|
Радиозакладки с кварцевой стабилизацией частоты |
послед. паралл. |
1 |
2 |
2 |
|
1 |
2 |
2 |
||
|
Диктофоны с системой VOX |
адаптер индукц. датчик |
2,4 |
2 |
2 |
|
2,4 |
2 |
2 |
||
|
Радиозакладки с подключением к линии через индукционный датчик |
парам. |
2 |
2 |
2 |
|
кварц |
2 |
2 |
2 |
|
|
Проводные микрофонные системы с передачей информации по телефонной линии на низкой частоте |
2 |
2 |
||
|
Аппаратура высокочастотного навязывания |
- |
1 |
1 |
|
|
Параллельный телефон |
1 |
1 |
1 |
Примечание: 1 - срыв съема (передачи) информации
2 - ухудшение отношения сигнал/ шум на входе средства съема информации
3 - "уход" несущей частоты передатчика
4 - сматывание ленты в режиме записи шума
Таблица 3.11.
Основные характеристики "выжигателей" телефонных закладных устройств
|
Наименование характеристик |
Тип устройства |
||
|
"Кобра" |
КС-1300 |
КС-1303 |
|
|
Напряжение на выходе, В |
1600 |
||
|
Мощность импульса, ВА |
15 |
50 |
|
|
Режимы работы |
Автоматический Ручной |
Автоматический Ручной |
Ручной |
|
Время непрерывной работы в автоматическом режиме |
20 с |
24 часа |
— |
|
Время непрерывной работы в ручном режиме |
10 мин |
||
|
Временные интервалы, устанавливаемые таймером |
от 10 мин до 2 суток |
||
|
Габаритные размеры, мм |
65х170х185 |
170х180х70 |
170х80х70 |
|
Напряжение питания, В |
220 |
220 |
220 |
|
Количество подключаемых телефонных линий |
1 |
2 |
2 |
Наряду со средствами активной защиты на практике широко используются различные устройства, позволяющие контролировать некоторые параметры телефонных линий и устанавливать факт несанкционированного подключения к ним.
Методы контроля телефонных линий в основном основаны на том, что любое подключение к ним вызывает изменение электрических параметров линий: амплитуд напряжения и тока в линии, а также значений емкости, индуктивности, активного и реактивного сопротивления линии.
Измерение параметров линии с целью выявления средств несанкционированного съема информации проводится, как правило, при проведении периодических специальных проверок.
Поэтому методы и средства контроля телефонных линий подробно будут рассмотрены в п. 6.3. В данном параграфе рассмотрим только средства, используемые постоянно.
Простейшее устройство контроля телефонных линий представляет собой измеритель напряжения. При настройке оператор фиксирует значение напряжение, соответствующее нормальному состоянию линии (когда к линии не подключены посторонние устройства), и порог тревоги. При уменьшении напряжения в линии более установленного порога устройством подается световой или звуковой сигнал тревоги.
На принципах измерения напряжения в линии построены и устройства, сигнализирующие о размыкании телефонной линии, которое возникает при последовательном подключении закладного устройства.
Как правило, подобные устройства содержат также фильтры для защиты от прослушивания за счет "микрофонного эффекта" в элементах телефонного аппарата и высокочастотного "навязывания".
Устройства контроля телефонных линий, построенные на рассмотренном принципе, реагируют на изменения напряжения, вызванные не только подключением к линии средств съема информации, но и колебаниями напряжения на АТС (что для отечественных линий довольно частое явление), что приводит к частым ложным срабатываниям сигнализирующих устройств. Кроме того, эти устройства не позволяют выявить параллельное подключение к линии высокоомных (с сопротивлением в несколько МОм) подслушивающих устройств. Поэтому подобные устройства не находят широкого применения на практике.
Принцип работы более сложных устройств основан на периодическом измерении и анализе нескольких параметров линии (наиболее часто; напряжения, тока, а также комплексного (активного и реактивного) сопротивления линии). Такие устройства позволяют определить не
только факт подключения к линии средств съема информации, но и способ подключения (последовательное или параллельное). Например, контроллеры телефонных линий "КТЛ-2", "КТЛ-3" (см. рис. 3.15) и "КТЛ-400" за 4 минуты позволяют обнаружить закладки с питанием от телефонной линии независимо от способа, места и времени их подключения, а также параметров линии и напряжения АТС [91].
Приборы также выдают световой сигнал тревоги при кратковременном (не менее 2 секунд) размыкании линии.
Современные контроллеры телефонных линий, как правило, наряду со средствами обнаружения подключения к линии устройств несанкционированного съема информации, оборудованы и средствами их подавления. Для подавления в основном используется метод высокочастотной маскирующей помехи. Режим подавления включается автоматически или оператором при обнаружении факта несанкционированного подключения к линии [91].
Для блокировки работы (набора номера) несанкционированно подключенных параллельных телефонных аппаратов используются специальные электронные блокираторы.
Принцип работы подобных устройств состоит в следующем. В дежурном режиме устройство защиты производит анализ состояния телефонной линии путем сравнения напряжения в линии и на эталонной (опорной) нагрузке, подключенной к цепи телефонного аппарата. При поднятии трубки несанкционированно подключенного параллельного телефонного аппарата напряжение в линии уменьшается, что фиксируется устройством защиты. Если этот факт зафиксирован в момент ведения телефонного разговора (трубка на защищаемом телефонном аппарате снята), срабатывает звуковая и световая (загорается светодиод несанкционированного подключения к линии) сигнализация. А если факт несанкционированного подключения к линии зафиксирован в отсутствии телефонного разговора (трубка на защищаемом телефонном аппарате не снята), то срабатывает сигнализация и устройство защиты переходит в режим блокирования набора номера с параллельного телефонного аппарата. В этом режиме устройство защиты шунтирует телефонную линию сопротивлением 600 Ом (имитируя снятие трубки на защищаемом телефонном аппарате), что полностью исключает возможность набора номера с параллельного телефонного аппарата.
Кроме несанкционированного подключения к линии параллельного телефонного аппарата подобные устройства сигнализирует также о фактах обрыва (размыкания) и короткого замыкания телефонной линии.
Методы контроля проводных линий.
Методы контроля проводных линий, как слаботочных (телефонных линий, систем охранной и пожарной сигнализации и т.д.), так и силовых, основаны на выявлении в них информационных сигналов (низкочастотных и высокочастотных) и измерении параметров линий.Использование того или иного метода контроля определяется типом линии и характеристиками аппаратуры контроля.
Методы контроля телефонных линии в основном основаны на том, что любое подключение к ним вызывает изменение электрических параметров линий: амплитуд напряжения и тока в линии, а также значений емкости, индуктивности, активного и реактивного сопротивлений линии [56, 124, 125]. В зависимости от способа подключения закладного устройства к телефонной линии (последовательного, в разрыв одного из проводов телефонного кабеля, или параллельного) степень его влияния на изменение параметров линии будет различной.
За исключением особо важных объектов линии связи построены по стандартному образцу. Ввод линии в здание осуществляется магистральным многопарным (многожильным) телефонным кабелем до внутреннего распределительного щита. Далее от щита до каждого абонента производится разводка двухпроводным телефонным проводом марки ТРП или ТРВ. Данная схема характерна для жилых и административных зданий небольших размеров. При больших размерах административных зданий внутренняя разводка делается набором магистральных кабелей до специальных распределительных колодок, от которых на небольшие расстояния (до 20 ... 30 м) разводка также производится проводом ТРП или ТРВ [56].
В статическом режиме любая двухпроводная линия характеризуется волновым сопротивлением, которое определяется погонными емкостью (пф/м) и индуктивностью (Гн/м) линии. Волновое сопротивление магистрального кабеля лежит в пределах 130 ... 160 Ом для каждой пары, а для проводов марки ТРП и ТРВ имеет разброс 220 ... 320 Ом [56].
Подключение средств съема информации к магистральному кабелю (как наружному, так и внутреннему) маловероятно. Наиболее уязвимыми местами подключения являются: входной распределительный щит, внутренние распределительные колодки и открытые участки из провода ТРП, а также телефонные розетки и аппараты.
Наличие современных внутренних мини- АТС не влияет на указанную ситуацию.
Основными параметрами радиозакладок, подключаемых к телефонной линии, являются следующие. Для закладок с параллельным включением важным является величина входной емкости, диапазон которой может изменяться в пределах от 20 до 1000 пФ и более, и входное сопротивление, величина которого составляет сотни кОм [56]. Для закладок с последовательным включением основным является ее сопротивление, которое может составлять от сотен Ом в рабочем до нескольких МОм в дежурном режимах.
Телефонные адаптеры с внешним источником питания, гальванически подключаемые к линии, имеют большое входное сопротивление до нескольких МОм (в некоторых случаях и более 100 МОм) и достаточно малую входную емкость [56].
Важное значение имеют энергетические характеристики средств съема информации, а именно потребляемый ток и падение напряжения в линии.
Наиболее информативным легко измеряемым параметром телефонной линии является напряжение в ней при положенной и поднятой телефонной трубке. Это обусловлено тем, что в состоянии, когда телефонная трубка положена, в линию подается постоянное напряжение в пределах 60 ... 64 В (для отечественных АТС) или 25...36 В (для импортных мини-АТС в зависимости от модели). При поднятии трубки напряжение в линии уменьшается до 10 ... 12 В [56, 59, 124, 125].
Если к линии будет подключено закладное устройство, то эти параметры изменятся (напряжение будет отличаться от типового для данного телефонного аппарата).
В табл. 6.1 приведены экспериментально полученные значения падения напряжения на линии для некоторых телефонных закладок [59].
Однако падение напряжения в линии (при положенной и поднятой трубке) не дает однозначного ответа - установлена в линии закладка или нет, так как колебания напряжения в телефонной линии могут происходить из-за ее плохого качества (как результат изменения состояния атмосферы, времени года или выпадения осадков и т.п.). Поэтому для определения факта подключения к линии закладного устройства необходим постоянный контроль ее параметров.
При подключении к телефонной линии закладного устройства изменяется и
величина потребляемого тока (при поднятии трубки телефонного аппарата). Величина отбора мощности из линии зависит от мощности передатчика закладки и его коэффициента полезного действия.
При параллельном подключении радиозакладки потребляемый ток (при поднятой телефонной трубке), как правило, не превышает 2,5 ... 3,0 мА [56].
При подключении к линии телефонного адаптера, имеющего внешний источник питания и большое входное сопротивление, потребляемый из линии ток незначителен (20 ... 40 мкА) [56].
Комбинированные радиозакладки с автономными источниками питания и параллельным подключением к линии, как правило, имеют высокое входное сопротивление (несколько МОм и более) и практически не потребляют энергию из телефонной линии.
Производя измерение тока в линии при снятии телефонной трубки и сравнивая его с типовым, можно выявить факт подключения закладных устройств с током потребления более 500 ... 800 мкА [56].
Таблица
6.1.
Экспериментально полученные значения падения напряжения на линии при подключении к ней некоторых типов телефонных закладок.
|
Напряжение в линии |
||||||
|
Тип закладки |
Трубка лежит |
Трубка снята |
||||
|
U, B |
DU, B |
DU, % |
U, B |
DU, B |
DU, % |
|
|
Закладки нет |
63,7 |
0 |
0,00 |
10,4 |
0 |
0,00 |
|
С последовательным включением, параметрическая стабилизация частоты (f =140 МГц) |
63,2 |
-0,5 |
-0,78 |
9,9 |
-0,5 |
-4,81 |
|
С последовательным включением, кварцевая стабилизация частоты (f= 140 МГц) |
61,8 |
-1,9 |
-2,98 |
10 |
-0,4 |
-3,85 |
|
С последовательным включением, кварцевая стабилизация частоты (f= 472 МГц) |
62,5 |
-1,2 |
-1,88 |
9,7 |
-0,7 |
-6,73 |
|
С параллельным включением, кварцевая стабилизация частоты (f= 640 МГц) |
61,7 |
-2 |
-3,14 |
9,3 |
-1,1 |
-10,58 |
|
Комбинированная с параллельным включением, параметрическая стабилизация частоты (f= 140 МГц) |
61,9 |
-1,8 |
-2,83 |
10,3 |
-0,1 |
-0,96 |
|
Комбинированная с параллельным включением, кварцевая стабилизация частоты (f= 420 МГц) |
62,1 |
-1,6 |
-2,51 |
9,4 |
-1 |
-9,62 |
|
"Телефонное ухо" |
60 |
-3,7 |
-5,81 |
- |
- |
- |
Для измерения напряжения и тока утечки в линии может использоваться, например, прибор ТСМ-03.
Определение техническими средствами контроля закладных устройств с малым током потребления из линии ограничено собственными шумами линии, вызванными нестабильностью как статических, так и динамических параметров линии. К нестабильности динамических параметров в первую очередь относятся флюктуации тока утечки в линии, величина которого достигает 150 мкА [56].
Для контроля линий связи необходимо иметь ее схему и "паспорт". На схеме (выполненной в масштабе) графически или в виде таблицы указываются все санкционированные соединения: распределительные коробки, щиты, параллельные отводы, блокираторы и т.п. с указанием дальности от розетки до соединений. Под "паспортом" обычно понимаются измеренные параметры линии.
Лишь при наличии схемы и "паспорта" производится контроль линии техническими средствами.
Если линия предварительно была очищена и паспортизована, то одним из способов выявления подключаемых к линии средств съема информации является измерение электрофизических параметров линии, к которым относятся емкость, индуктивность и сопротивление линии.
По этому методу измеряются общая емкость линии от телефонного аппарата до распределительного щита и сопротивление линии при ее отключении (размыкании) и закорачивании (замыкании) на распределительном щитке.
В дальнейшем контроль линии заключается в периодической проверке ее электрофизических параметров.
При включении в линию любого несанкционированного средства происходит изменение ее параметров, которые могут быть обнаружены, в том числе замером изменения емкости или сопротивления. Например, при отключении (размыкании) линии на распределительном щитке ее сопротивление или будет стремиться к бесконечности при отсутствии в линии параллельно подключенного закладного устройства, или будет равно входному сопротивлению данного устройства при его подключении. Измеряя сопротивление линии при ее закорачивании (замыкании) на распределительном щитке, легко обнаружить последовательно подключенные закладные устройства.
Эффективность данного метода достаточно высока, однако она ограничена флюктуациями статических параметров линии.
К типовым устройствам контроля параметров телефонной линии относится
телефонное проверочное устройство ТПУ-5 [103].
Наиболее эффективным способом обнаружения подключаемых к телефонной линии средств съема информации является использование локаторов проводных линий.
Методы определения факта негласного подключения к линии с использованием нелинейного локатора будут определяться принципами его функционирования.
Например, при применении нелинейного локатора "Визир"
для проверки телефонной линии необходимо ее разъединить и отключить от нее телефонный аппарат, подключив вместо него эквивалентную нагрузку. Разъединение (отключение телефонной линии) целесообразно проводить на вводной распределительной коробке (щитке) здания. Подключение локатора к линии осуществляется в месте ее разъединения [48].
При обнаружении факта подключения к линии средства съема информации его поиск осуществляется визуально и производится путем последовательного осмотра телефонного кабеля от места расположения телефонного аппарата до центрального распределительного щитка здания.
С помощью нелинейного локатора "Визир" можно установить только факт негласного подключения к линии средства съема информации, а при использовании локатора телефонных линий "Бор-1" возможно определение и дальности до места подключения закладного устройства с ошибкой 2 ... 5 м, что значительно облегчает визуальный поиск и сокращает его время [56].
Аналогичным образом проводится анализ силовых линий. При их проверке необходимо строго соблюдать правила электробезопасности. Данный вид работ необходимо проводить двумя операторами.
Перед обследованием необходимо изучить схему электропроводки обследуемых помещений и проверить линии на соответствие этой схеме.
Обследование электросиловых линий удобнее всего проводить от распределительного щита. Как правило, процедура проверки состоит в том, что в обследуемой линии вычленяется проверяемый участок, который отключается от источника питающего напряжения.
От обследуемой линии отключаются все электрические приборы (легальные нагрузки), все выключатели устанавливаются во включенное положение. Кроме того, если, обследуемый участок электросети содержит люстру или бра, то из них необходимо вывернуть все лампы, а все выключатели поставить в положение "включено", так как закладка может быть установлена внутри их корпусов [48].
Отключенные от обследуемой линии электрические приборы и другие нагрузки должны также быть обследованы.
Далее проводится проверка обследуемого участка линии с использованием нелинейного локатора "Визир", который подключается к одним концам проверяемого участка линии, а к другим концам линии подключается испытательная нагрузка [48].
После обследования линии нелинейным локатором измеряются ее параметры (сопротивление и емкость) при разомкнутом и замкнутом состояниях.
Измерение тока утечки в электросиловой линии производится без ее отключения от источника питающего напряжения. Но при этом от линии должны быть отключены все электрические и осветительные приборы (легальные нагрузки).
Данные измерений заносятся в "паспорт" линии.
Для измерения в линии тока утечки может использоваться прибор ТСМ-03.
Для выявления проводных линий, к которым подключены "пассивные" микрофоны, используются поисковые приборы, оснащенные высокочувствительными усилителями низкой частоты. К таким средствам контроля относятся: поисковые приборы ПСЧ-5, СРМ-700, ТСМ-03, акустический спектральный коррелятор OSR- 5000 "OSCOR", специальные низкочастотные усилители "Хорда", "Бумеранг" и др.
Метод выявления проводных линий, к которым подключены "пассивные" микрофоны, основан на выявлении в них информационных низкочастотных сигналов. Для этого необходимо убедиться, что в обследуемой линии отсутствует высокое напряжение. Если в линии отсутствует постоянное напряжение, то для активизации электретных микрофонов в нее необходимо подать напряжение +3...5В [103].
Затем к ней подключается поисковый прибор. Если в динамике (головных телефонах) прибора прослушиваются характерные звуковые сигналы (шумы помещения, речь, тестовый акустический сигнал) или свист переменного тона (эффект акустической "завязки"), то к линии подключен микрофон.
Далее поиск подключенных к линии микрофонов осуществляется путем визуального осмотра линии по всей ее длине. Выявляется не только место подключения к линии микрофона, но и место установки записывающей или передающей аппаратуры.
Для проверки проводных линий на наличие в них сигналов высокой частоты, модулированных информационным сигналом, используются: индикаторы поля типа D-008, СРМ-700, поисковые приборы
типа ПСЧ-5, ТСМ-03, Scanlock ECM, программно-аппаратные комплексы типа АРК-Д1_12, "КРОНА-4" и др.
Поисковый прибор подключают к проводным линиям с использованием специальных электрических щупов. При подключении к силовой линии необходимо соблюдать правила электробезопасности.
Путем перестройки приемника прибора во всем диапазоне его рабочих частот производится поиск сигналов закладных устройств. При обнаружении сигнала оператор осуществляет его слуховой контроль и при необходимости подстраивает частоту сигнала и выбирает нужного вида детектор (FM или AM), обеспечивающий оптимальную демодуляцию принимаемого сигнала. Если в динамике (головных телефонах) прибора прослушиваются характерные звуковые сигналы помещения или тестовый акустический сигнал, то начинается поиск закладки [30].
Поиск и локализация закладки производится путем подключения прибора к различным точкам силовой сети или слаботочной проводной линии с одновременным контролем уровня прослушиваемых сигналов.
После предварительного определения места расположения закладки дальнейший ее поиск осуществляется визуальным осмотром данного участка проводной линии.
Методы поиска электронных устройств
Перед началом поиска электронных устройств перехвата информации с использованием сканерных приемников в помещении включаются все осветительные, электрические и электронные приборы.Для активизации работы акустических радиозакладок, оборудованных системой VOX, в проверяемом помещении создается тестовый акустический сигнал (см. выше).
Для поиска радиозакладок наиболее часто используется режим автоматического сканирования приемника в заданном диапазоне частот. При этом режиме устанавливаются начальная (10 ... 20 МГц) и конечная (1300 ... 2 000 МГц) частоты сканирования, шаг перестройки по частоте (50 ... 100 кГц), вид модуляции (WFM) и порог чувствительности (максимальное значение: порог закрыт).
Особое внимание обращается на участки диапазона, типичные для использования радиозакладками (60...170, 250...290, 310...335, 360...430, 470...490, 620 ... 640 МГц) [120].
В данном режиме работы целесообразно осуществлять сканирование диапазона с пропуском частот, хранящихся в специально выделенных для этой цели маскированных каналах памяти. Функция пропуска частот включается при установке режима сканирования и используется для сокращения времени сканирования диапазона. В этом случае в блок памяти заранее необходимо записать частоты постоянно работающих в данном районе радиостанций. Например, частоты, выделенные для телевизионных и радиовещательных станций.
При решении задачи поиска радиозакладок наиболее целесообразно использовать режим сканирования, в котором при обнаружении сигнала (превышении уровня сигнала установленного порога) сканирование прекращается и возобновляется только при нажатии оператором функциональной клавиши.
Слуховой контроль обнаруженных сигналов может осуществляться оператором через встроенный громкоговоритель или головные телефоны (если требуется обеспечить скрытность поисковых мероприятий).
При обнаружении сигнала оператор осуществляет его слуховой контроль, изменяя при необходимости шаг перестройки, подстраивает частоту и выбирает нужного вида детектор (WFM, NFM, AM), обеспечивающий оптимальную демодуляцию принимаемого сигнала.
В случае корреляции демодулированного сигнала с тестовым начинается поиск радиозакладки. В противном случае проверяется наличие излучений на второй и третьей гармониках обнаруженного сигнала. При обнаружении излучений методом слухового контроля определяется их корреляция с обнаруженным сигналом.
Далее сканирование возобновляется, если демодулированный сигнал не соответствует тестовому или не обнаружены информационные сигналы на второй или третьей гармониках, то есть когда источник обнаруженного сигнала находится вне контролируемого помещения.
Селекция сигналов (в том числе и на гармониках), источники которых находятся вне контролируемого помещения, может проводиться двумя способами [34, 100, 110].
При первом способе селекция осуществляется путем перемещения приемника по комнате (при необходимости и выходя из неб) и контролем уровня 2-й гармоники сигнала (на дисплее приемника или слуховым методом). Если обнаруженный на гармонике сигнал является побочным сигналом мощной станции, находящейся вне контролируемого помещения, то при перемещении по комнате приемника относительный уровень этого сигнала будет изменяться незначительно. Максимальный его уровень будет наблюдаться у окон. Если обнаруженный на гармонике сигнал является побочным излучением радиозакладки, то при перемещении по комнате будет наблюдаться значительное изменение относительного уровня сигнала, а при выходе из комнаты этот сигнал может даже пропасть.
При втором способе селекция сигналов осуществляется путем сравнения уровней сигналов в контролируемом помещении и вне него.
Если источник сигнала находится вне контролируемого помещения, то, как правило, уровни сигналов внутри и вне помещения будут отличаться незначительно, а если источник сигнала находится в контролируемом помещении, то его уровень в контролируемом помещении будет намного (десятки дБ) больше, чем уровень сигнала вне его.
При использовании портативного (носимого) приемника (например, AR 8000) для реализации этого способа необходимо измерить относительный уровень сигнала в помещении, затем выйти из него, отойти на несколько десятков метров и повторить измерение.
При использовании перевозимого приемника (например, AR 5000) необходимо подключение дополнительной антенны, вынесенной за пределы помещения на несколько десятков метров. Селекция сигналов осуществляется путем сравнения уровней сигналов при последовательном подключении антенны, установленной в контролируемом помещении, и антенны, расположенной вне него.
Использование специальной панорамной приставки SDU-5000 или анализаторов спектра позволяет проводить детальный анализ спектров обнаруженных радиосигналов и в ряде случаев определять, находится ли источник сигнала в контролируемом помещении или вне него [34, 100, 110].
Один из таких методов заключается в сравнении спектров сигналов, полученных до включения тестового акустического сигнала в контролируемом помещении и после его включения. Суть метода в следующем. При обнаружении сканирующим приемником радиосигнала в контролируемом помещении необходимо отключить все источники акустических сигналов и шумов, создав тем самым режим относительной тишины. При этом оператор должен запомнить вид спектра сигнала на экране панорамной приставки SDU-5000. Затем включается тестовый акустический сигнал. Если источник радиосигнала находится в контролируемом помещении, то, как правило, наблюдается расширение спектра радиосигнала. Оператор на слух и визуально устанавливает причинно-следственную связь между включением тестового акустического сигнала и изменением (расширением) спектра анализируемого обнаруженного радиосигнала. Если такая связь установлена, то источник радиосигнала (радиозакладка) находится в контролируемом помещении [110].
Другой метод заключается в детальном анализе спектра обнаруженного радиосигнала и выявлении в его составе побочных электромагнитных излучений, присущих передатчику, находящемуся на незначительном удалении (а в ряде случаев и в ближней зоне) от точки
приема. Данная задача значительно облегчается, если у оператора есть изображения (снимки) спектров типовых радиозакладок, использующих различные виды сигналов [100, 110].
Если установлено, что источник сигнала находится в контролируемом помещении, начинается его поиск.
В большинстве случаев поиск местоположения радиозакладок может осуществляться с помощью тех же переносимых сканерных приемников. При этом поиск радиозакладки может осуществляться тремя способами [34, 100, 110].
Первый - используется, если для передачи информации радиозакладкой используется амплитудная или частотная модуляция сигнала. При обнаружении сигнала выбирается соответствующий детектор (AM, NFM или WFM), и для прослушивания демодулированного сигнала подключается встроенный динамик приемника, настроенный на максимальную громкость. Если помещение небольшое, то при обнаружении сигнала радиозакладки будет наблюдаться эффект так называемой акустической "завязки", то есть в динамике будет прослушиваться громкий характерный сигнал самовозбуждения, похожий на свист. Если помещение большое, то необходимо осуществить его последовательный обход (двигаясь вдоль стен и обходя мебель и предметы). При обходе помещения приемник необходимо ориентировать динамиком в сторону обследуемых предметов или объектов.
При наличии у приемника индикатора относительного уровня сигнала его показания можно использовать для грубой оценки предполагаемого места расположения закладки.
При приближении приемника к излучающей закладке повышается уровень сигнала на его входе и, как следствие, уровень продетектированного сигнала (громкость звука в динамике). При превышении принимаемого сигнала порогового значения, определяемого регулятором громкости, возникает эффект акустической «завязки».
Постепенно уменьшая громкость акустического сигнала в динамике, оператор сужает зону, в которой возникает режим самовозбуждения (акустическая "завязка"), и повторно осуществляет более детальный осмотр возможных мест расположения закладки. При этом расстояние от приемника до обследуемых объектов должно быть не более 10 ... 20 см. Операция повторяется вплоть до локализации месторасположения закладки.
После этого ее поиск осуществляется визуально.
Второй способ обнаружения месторасположения радиозакладки заключается в следующем. При обнаружении ее излучения оператор перемещается в такое место помещения, где установка закладки менее вероятна (обычно это середина контролируемого помещения). Далее оператор добивается максимального уменьшения уровня принимаемого сигнала. Для этого подключается аттенюатор, если используется телескопическая антенна, то уменьшается до минимума ее длина, снижается до минимума громкость сигнала в динамике. Затем необходимо подключить к приемнику головные телефоны с хорошей звукоизоляцией или прижать динамик приемника вплотную к уху.
Поиск акустических радиозакладок осуществляется путем последовательного обхода помещения (двигаясь вдоль стен и обходя мебель и предметы). При этом оператор должен тихим голосом давать счет и легко постукивать по обследуемым объектам. По уровню сигнала на индикаторе и по громкости сигнала в головных телефонах (динамике) оператор может приблизительно определить местоположение закладки. Необходимо помнить, что микрофоны радиозакладок способны улавливать тихий шепот на расстоянии не более 3 ... 5 м. После определения предположительного места расположения закладки ее поиск осуществляется визуально.
Третий способ обнаружения места расположения радиозакладки применяется при совместном использовании с приемником устройства измерения дальности до радиозакладки. При обнаружении излучения радиозакладки с амплитудной (AM) или частотной (FM, NFM, WFM) модуляцией сигнала подобное устройство подключается к линейному выходу или выходу головных телефонов приемника [34, 100, 110].
Принцип действия устройства заключается в следующем. При включении устройство генерирует тестовые акустические импульсные сигналы, которые излучаются через динамик устройства (у некоторых устройств вместо встроенного динамика может использоваться выносная звуковая колонка). Тестовый акустический сигнал принимается микрофоном радиозакладки, преобразуется в электрический сигнал и подается на модулятор передатчика закладки.
В результате излучаемый закладкой радиосигнал оказывается модулированным тестовым сигналом.
Приемник осуществляет прием и детектирование радиосигнала, передаваемого закладкой (после детектирования в динамике приемника будет прослушиваться тестовый акустический сигнал). Через соединительный кабель продетектированный приемником тестовый сигнал подается на специальный блок сравнения устройства измерения дальности, где осуществляется измерение времени запаздывания прихода импульса с детектора приемника по отношению к излученному тестовому импульсу. По времени запаздывания специальным блоком рассчитывается дальность до радиозакладки.
Измерение дальности до радиозакладки по времени запаздывания прихода импульса основано на том, что в воздухе акустический сигнал распространяется со скоростью звука (около 330 м/с) и от момента излучения акустического импульса до его приема микрофоном закладки проходит некоторое время. Учитывая, что скорость распространения радиосигнала около 300000 км/с, то есть много больше скорости звука, временем распространения радиосигнала от закладки до приемника пренебрегают.
Для определения места расположения закладки составляют схему контролируемого помещения (в масштабе). На схеме выбирают два-три места расположения устройства измерения дальности или его звуковой колонки. Последовательно устанавливают устройство или его звуковую колонку в выбранные точки и производят измерение дальности до радиозакладки. На схеме чертятся окружности с центром в точках измерений и радиусом, соответствующим измеренной дальности. По схеме определяют место пересечения окружностей.
Измерения будут верны, если окружности на схеме будут пересекаться в одной точке при всех измерениях.
Для повышения точности локализации закладки звуковые колонки необходимо устанавливать в различных плоскостях и определять ее местоположение на объемной (трехмерной) схеме помещения.
Ошибка измерения расстояния до радиозакладки будет определяться формой тестового импульса (крутизной переднего фронта) и принципом построения (функционирования) блока сравнения.
Для повышения точности измерения дальности используются импульсы со сложным видом модуляции (например, с линейной частотной модуляцией) и специальные устройства их обработки, обеспечивающие сжатие импульса после обработки.
В современных устройствах измерения дальности до радиозакладок ошибка измерения составляет 10 ... 20 см [34,100, 110].
Наиболее простым устройством измерения дальности до радиозакладок является устройство типа "Луч". Оно имеет небольшие размеры (155х77х73 мм), питается от внутренней батареи (9В) и позволяет определять дальность до радиозакладок в пределах 20 м, при этом ошибка измерения дальности составляет 10 % [94].
Местоположение радиозакладки может быть определено и с использованием переносных пеленгаторов с комплектами направленных антенн. Наиболее характерным для данного класса является приемник Miniport ЕВ 100 с модульной антенной НЕ 100. С помощью трех модулей переносная пеленгационная антенна HE-100 перекрывает диапазон частот от 20 до 1000 МГц (поддиапазоны 20...200; 200... 500; 500... 1000 МГц) [149]. Модули устанавливаются на рукоятке держателя антенны, на которой также находятся органы управления и индикатор. Антенные модули обладают кардиоидной диаграммой направленности в горизонтальной и вертикальной плоскостях, что обеспечивает четкую пеленгацию по максимуму сигнала. Местоположение радиозакладки определяется путем ее пеленгования из двух-трех точек.
После определения предположительного местоположения закладки дальнейший ее поиск осуществляется визуальным осмотром.
При поиске телефонных радиозакладок необходимо снять телефонные трубки со всех телефонных аппаратов (в трубках будут слышны непрерывные тоновые сигналы, которые через 40 ... 60 сек. перейдут в короткие гудки). Далее оператор включает режим сканирования частотного диапазона и осуществляет слуховой контроль обнаруженных сигналов.
При обнаружении сигнала оператор осуществляет его слуховой контроль, изменяя при необходимости шаг перестройки, подстраивает частоту и выбирает нужного вида детектор (WFM, NFM, AM и т.д.), обеспечивающий оптимальную демодуляцию сигнала.
В случае если в динамике ( головных телефонах) прослушивается характерный телефонный сигнал (короткие гудки) или обнаружено излучение на второй или третьей гармониках сигнала начинается поиск телефонной радиозакладки.
При обнаружении излучения телефонной радиозакладки последовательно кладутся трубки всех телефонных аппаратов и определяется тот аппарат, в линии которого установлена закладка (при положенной трубке этого аппарата сигнал радиозакладки пропадает).
Поиск телефонной закладки осуществляется визуально и производится путем разборки и осмотра телефонного аппарата, телефонной трубки, телефонной розетки и последовательного осмотра телефонного провода, вплоть до центрального распределительного щитка здания.
Программно-аппаратные комплексы контроля позволяют реализовать все описанные выше методы обнаружения радиозакладок и автоматизировать процесс их поиска и определения местоположения. При использовании в составе комплексов устройств спектральной обработки сигналов (блоков быстрого панорамного анализа на основе процессора БПФ) значительно сокращается время поиска. У современных
комплексов скорость получения спектра составляет 40... 70 МГц/с [34, 100, 110].
Программно-аппаратные комплексы контроля позволяют проводить не только периодический, но и постоянный (непрерывный) радиоконтроль (радиомониторинг) помещений и объектов.
Методика периодического радиоконтроля с использованием программно-аппаратных комплексов во многом определяется их программным обеспечением. Рассмотрим такую методику на примере специального программного обеспечения СМО-Д5 комплекса АРК - Д1 в одном из возможных вариантов [78, 100].
Комплекс развертывается в контролируемом помещении в следующем порядке: подключаются антенны (три устанавливаются в разных концах контролируемого помещения, одна (опорная) - вне его), подключаются и устанавливаются в контролируемом помещении две звуковые колонки. На экране монитора управляющей ПЭВМ изображается схема контролируемого помещения с указанием мест расположения звуковых колонок.
Комплекс включается в режиме работы "Панорама" при подключенной внешней ( установленной вне контролируемого помещения) антенне. В данном режиме осуществляется автоматическое сканирование частотных диапазонов, в которых возможна работа радиозакладок, и запись в память компьютера панорамы спектра. Причем в панораму заносятся только те сигналы (спектральные составляющие), которые превысили установленный оператором порог. Если в памяти компьютера уже имеется панорама спектра для данного помещения, полученная ранее (при проведении предыдущего контроля), то производится накопление спектра в режиме добавления и в панораму заносятся только новые сигналы (спектральные составляющие) или те сигналы, уровень которых превысил соответствующие значения, полученные ранее [78,100].
Перед началом работы с комплексом для активизации радиозакладок, включаемых на передачу при появлении в контролируемом помещении разговоров или шумов, следует включить в помещении какой-либо источник звукового сигнала. Необходимо выбрать именно тот тип известного звукового источника, который лучше всего соответствует типу обследуемого помещения: радиоприемник, магнитофон, телевизор и т.п. Необходимо предусмотреть достаточный запас времени звучания известного источника, так как проверка может продлиться несколько часов.
Включается режим работы "Обнаружение" при подключенных внутренних (установленных внутри контролируемого помещения) антеннах. В данном режиме также осуществляется сканирование частотных диапазонов, в которых возможна работа радиозакладок. По результатам сканирования заполняются и выводятся на экран монитора списки сигналов Вероятные и Обнаруженные
[78, 100].
Сигнал заносится в список Вероятные, если его максимальный уровень превышает значение, полученное ранее в режиме "Панорама" на определенную величину, и больше уровня во внешней антенне на некоторую другую величину (эти величины устанавливаются оператором в задании). Это позволяет отличать сигналы, источники которых находятся в контролируемом помещении, от сигналов, источники которых находятся вне помещения, и которые ранее не наблюдались.
В списке Вероятные для каждого сигнала указываются частоты и относительные уровни первой и второй гармоник, значение аттенюатора, время первого и последнего появления сигнала (если проводилось несколько измерений) и коэффициент временной загрузки (отношение количества обнаружений сигнала к общему количеству измерений).
Все сигналы, попавшие в список Вероятные, тестируются с использованием активного или пассивного тестов [78, 100].
Активный тест производится при приеме сигналов с WFM, NFM и AM- модуляцией с использованием специальных акустических сигналов, транслируемых через выносные звуковые колонки [78, 100]. В данном тесте проверяется корреляция излучаемых акустических сигналов с детектированными принимаемыми. В последних разработках программно-аппаратных комплексов используются пассивные ("бесшумные") акустические корреляторы, не требующие излучения специального акустического сигнала. В них в качестве эталонных (тестовых) используется акустические сигналы, циркулирующие в контролируемом помещении (естественный звуковой фон помещения).
Если вычисленная корреляционная функция превышает некоторое пороговое значение, то обнаруженный сигнал заносится в список Обнаруженные
[78,100].
При пассивном тесте проверяется наличие высших гармоник. Пороговые уровни превышения гармоник над шумами устанавливает оператор. Дополнительно используется метод сравнения уровней сигналов от опорной (внешней) антенны и антенн, установленных в контролируемом помещении [78, 100].
Использование распределенной антенной системы в помещении и внешней опорной антенны позволяет в условиях сложной радиоэлектронной обстановки обнаруживать источники сигналов, расположенные
в контролируемом помещении, с уровнем мощности в несколько десятков мкВт на фоне излучений мощных радиоэлектронных средств (телевизионных и радиовещательных станций и т.д.) [78, 100].
При положительном завершении теста сигнал заносится в список Обнаруженные.
В списке Обнаруженные для каждого сигнала указываются частоты и относительные уровни первой, второй и третей гармоник, значение аттенюатора, время первого и последнего появления сигнала (если проводилось несколько измерений) и коэффициент временной загрузки (отношение количества обнаружений сигнала к общему количеству измерений).
Для определения местоположения обнаруженной радиозакладки, использующей
WFM, NFM или AM- модуляцию сигнала, включается режим работы
"Поиск". В основе поиска лежит метод определения расстояния от акустических колонок до радиозакладки, рассмотренный выше. Результаты определения расстояния отображаются на экране монитора в виде двух дуг. Точка их пересечения соответствует вероятному местоположению радиозакладки. Для повышения точности производят несколько измерений [78, 100].
При использовании программно-аппаратных комплексов наиболее эффективным способом контроля является постоянный (непрерывный) радиоконтроль. Он имеет ряд преимуществ:
• при непрерывном радиоконтроле накапливается большой объем информации об электромагнитной обстановке в контролируемом помещении, что облегчает и ускоряет процессы обнаружения новых источников излучения (радиозакладок);
• выявляются не только непрерывно излучающие или включаемые по акустическому сигналу закладки, но и дистанционно управляемые радиоизакладки и закладки с промежуточным накоплением сигнала, время работы на излучение которых сравнительно мало;
• одним комплексом можно контролировать несколько помещений (например, комплекс АРК-ДЗ позволяет контролировать до 23 помещений) [100].
Для организации постоянного контроля основное оборудование комплекса (сканирующий приемник, устройство спектральной обработки сигналов (блок быстрого панорамного анализа на основе процессора БПФ), компьютер с установленным специальным программным обеспечением, опорная антенна (она может быть как комнатной, так и наружной), антенный коммутатор, микроконтроллер, отвечающий
за внутрисистемные коммутации и управляющий периферийными устройствами и т.п.) устанавливается в служебном помещении. В контролируемых помещениях устанавливаются широкополосные антенны, подключаемые к антенному коммутатору проложенными в здании коаксиальными кабелями, и звуковые колонки, подключаемые к контроллеру низкочастотными кабелями.
Первичный анализ электромагнитной обстановки осуществляется в режиме работы "Панорама" при подключенной опорной антенне [78, 100].
В данном режиме осуществляется автоматическое сканирование частотных диапазонов, в которых возможна работа радиозакладок, и запись в память компьютера панорамы спектра. При первичном анализе группового спектра шумов и сигналов оцениваются амплитудно-частотные характеристики (спектры) отдельных сигналов, проводится их классификация и идентификация с сигналами известных источников электромагнитных излучений. Панорамы с сигналами, которые не полностью идентифицируются с известными сигналами, записываются в память для сохранения, анализа и последующего сравнения с текущей панорамой. В основе анализа панорам с неизвестными сигналами, которые могут быть излучениями радиозакладок, лежат рассмотренные выше методы.
В последующем анализ электромагнитной обстановки в режиме "Панорама"
проводится через определенные интервалы времени, устанавливаемые оператором. Накопление спектра осуществляется следующим образом. В панораму заносятся только новые сигналы (спектральные составляющие) или те сигналы, уровень которых превысил соответствующие значения, полученные ранее. При достаточном времени контроля в панораме будут зарегистрированы и сигналы, появляющееся периодически, например, сигналы от мобильных сотовых систем.
Поиск излучений закладных устройств в контролируемых помещениях осуществляется в режиме "Обнаружение" [78, 100]. При этом контроллер по заданной программе подключает к комплексу антенны и звуковые колонки, установленные в соответствующих помещениях.
Методы поиска радиозакладок такие же, как при периодическом контроле, рассмотренном выше.
Специальное программное обеспечение комплексов контроля позволяет проводить поиск закладных устройств не только в автоматическом, но и ручном режимах, что дает возможность оператору самому детально исследовать параметры сигналов, отнесенных программой к разряду вероятных сигналов закладных устройств. Тщательный анализ этих сигналов позволяет подготовленному оператору выявить акустически некоррелируемые сигналы закладных устройств с программной перестройкой частоты или сложным скремблированием, сверхширокополосные, с "дельта" - модуляцией и др. [110, 111].
На рис. 6.1 ... 6. 8 приведены спектры некоторых радиозакладок, полученные с использованием программы Sedif Plus [110].
На рис. 6.1 представлен типовой спектр сигнала акустической радиозакладки с узкополосной частотной модуляцией и кварцевой стабилизацией частоты при наличии (темно-серый тон) и отсутствии (светло-серый тон) тестового акустического сигнала в контролируемом помещении. Оператор, на слух и визуально устанавливая связь между тестовым акустическим сигналом и расширением спектра обнаруженного радиосигнала, может определить, что анализируемый сигнал принадлежит радиозакладке [110].
Рис. 6.2 ... 6.5 иллюстрируют типичные виды спектров сигналов некоторых типов радиозакладок: акустических - с автономными источниками питания (рис. 6.2 и 6.3) и телефонных - с питанием от телефонной линии и использованием ее в качестве передающей антенны (рис. 6.4 и 6.5).
На рис. 6.6 представлен типичный вид спектра скремблированного (простая инверсия спектра) сигнала акустической радиозакладки.
На рисунке виден основной сигнал на частоте 418.3125 Мгц (Fo) с уровнем 86.5 дБ, а также четыре побочных излучения (сигналы на частотах 418.0025 (2); 418.1575 (1); 418.4675 (1*); 418,6225 (2*) МГц). Анализируя спектр сигнала, можно сделать следующие выводы [110]:
• сигнал узкополосный;
• амплитуда сигнала Fo примерно на 30 дБ выше, чем амплитуда сигналов широковещательных радиостанций в данной точке приема;
• сигналы 1, 1*, 2 и 2* расположены симметрично относительно сигнала Fo. Частотный разнос между сигналами 1 и Fo, 2 и 1 одинаков и значительно больше, чем у радиорелейных линий связи;
• уровень сигналов 1, 1*, 2, 2* составляет -75 дБ относительно уровня Fo.
На основе данных заключений можно сделать следующие выводы:
• сигнал на частоте Fo принадлежит источнику, находящемуся в ближней зоне относительно точки приема, что для данного диапазона частот составляет несколько метров;

Рис. 6.1. Типовой спектр сигнала акустической радиозакладки с узкополосной частотной модуляцией и кварцевой стабилизацией частоты при наличии (темно-серый тон) и отсутствии (светло-серый тон) акустического сигнала в контролируемом помещении.

Рис. 6.2. Типовой спектр сигнала акустической радиозакладки с узкополосной частотной модуляцией и кварцевой стабилизацией частоты.

Рис. 6.3. Типовой спектр сигнала акустической радиозакладки с широкополосной частотной модуляцией и параметрической стабилизацией частоты.

Рис. 6.4. Типовой спектр сигнала телефонной радиозакладки с узкополосной частотной модуляцией и кварцевой стабилизацией частоты.

Рис. 6.5. Типовой спектр сигнала телефонной радиозакладки с широкополосной частотной модуляцией и параметрической стабилизацией частоты.

Рис. 6.6. Типовой спектр скремблированного (простая инверсия спектра) сигнала акустической радиозакладки.

Рис. 6.7. Типовой спектр широкополосного цифрового (М-последовательность) сигнала акустической радиозакладки.

Рис. 6.8. Типовой спектр сигнала акустической радиозакладки с узкополосной частотной модуляцией и кварцевой стабилизацией частоты, маскируемой сигналом широкополосной вещательной радиостанции.
• сигналы 1, 1*, 2, 2* являются побочными излучениями сигнала, прием которых возможен только вблизи источника излучения;
• так как в помещении известных источников излучений на данной частоте нет, то обнаруженный сигнал на частоте Fo принадлежит радиозакладке, установленной в данном или смежных помещениях;
• наличие побочных излучений 1, 1*, 2, 2* с разносом 155 кГц указывает на использование в передатчике модулятора с поднесущей частотой, что характерно для радиозакладок с простой инверсией спектра (скремблированием).
На рис. 6.7 приведен характерный спектр сигнала широкополосного цифрового (М-последовательность) сигнала акустической радиозакладки.
Программно-аппаратные комплексы контроля с устройствами спектральной обработки сигналов на основе процессора БПФ обеспечивают дискретность отсчета 1 ... 3 кГц, что позволяет обнаруживать излучения радиозакладок, рабочие частоты которых (в целях маскировки сигнала) выбираются в непосредственной близости от рабочих частот постоянно работающих мощных источников радиоизлучения.
На рис. 6.8 представлена спектрограмма сигналов, на которой виден спектр излучения акустической радиозакладки с узкополосной частотной модуляцией и кварцевой стабилизацией частоты, маскируемого сигналом широкополосной вещательной радиостанции. Несущая частота радиозакладки в данном примере на 70 кГц ниже центральной частоты вещательной радиостанции и обнаружить ее излучение, используя сканирующий приемник с полосой пропускания AF= 180 ... 220 кГц в режиме слухового контроля, значительно сложнее, чем с помощью комплекса контроля [110].
Методы поиска радиозакладок с использованием индикаторов поля, интерсепторов и радиочастотомеров.
Перед поиском акустических радиозакладок необходимо установить порог срабатывания (чувствительность) индикатора поля. С этой целью оператор, находясь в точке помещения на удалении нескольких метров от возможных мест размещения закладок (это, как правило, середина контролируемого помещения), должен установить регулятор чувствительности в такое положение, при котором световые или стрелочные индикаторы находятся на грани срабатывания или частота следования звуковых и световых импульсов была бы минимальной. Для этого он, сначала вращая регулятор, добивается срабатывания индикаторов, а затем медленным вращением его в обратную сторону их выключает. Если регулятор уровня чувствительности отсутствует, то порог срабатывания устанавливают путем уменьшения длины телескопической антенны [61, 72, 73].При работе в сложной помеховой обстановке (например, в крупном городе) часто используются индикаторы поля, имеющие режекторные и полосовые фильтры [61]. Центральная частота режекторного фильтра, как правило, совпадает с частотой излучения одной из мощных станций, работающих в данном районе (телевизионной, радиовещательной, радиорелейной станции или центральной станции системы сотовой связи и т.д.). Выбором того или иного режекторного фильтра оператор добивается максимального ослабления помехового сигнала. Но при этом надо помнить, что частота радиозакладки может находиться в полосе режекции фильтра.
Полосовые фильтры осуществляют подавление принимаемых сигналов на частотах выше и ниже граничных частот фильтров и значительно повышают чувствительность индикатора поля. Но при этом время поиска значительно возрастает, так как обход помещения необходимо проводить столько раз, сколько используется полосовых фильтров.
Для активизации работы акустических радиозакладок, оборудованных системой VOX, в помещении необходимо создать тестовый акустический сигнал. В качестве источников тестового сигнала могут использоваться любые источники звуковых сигналов (специальные акустические генераторы, магнитофоны, CD-проигрыватели и другие средства).
Создать тестовый сигнал может и сам оператор, например, давая счет или постукивая пальцем по обследуемым предметам. Если требуется провести
поиск закладных устройств скрытно, для создания тестового акустического сигнала целесообразно использовать средства, постоянно находящиеся в помещении. Наиболее часто в них используется радиоприемник, настроенный на частоту какой-либо радиовещательной станции.
В режиме скрытого поиска закладок рекомендуется отключить звуковую сигнализацию и устройство акустической "завязки" индикатора поля. Прослушивание детектированных сигналов необходимо осуществлять через головные телефоны [122].
Поиск акустических радиозакладок осуществляется путем последовательного обхода помещения, двигаясь вдоль стен и обходя мебель и предметы, находящиеся в помещении. При обходе помещения антенну необходимо ориентировать в разных плоскостях, совершая медленные повороты кисти руки и добиваясь максимального уровня сигнала. При этом расстояние от антенны до обследуемых объектов должно быть не более 5 ... 20 см. В процессе поиска динамик индикатора поля все время должен быть обращен в сторону обследуемых предметов или объектов. Обход помещения необходимо проводить два раза: первый с полностью выдвинутой телескопической антенной, второй - с антенной, выдвинутой на два колена [61].
При приближении индикатора к излучающей закладке напряженность электромагнитного поля возрастает, соответственно повышается и уровень сигнала на его входе. При превышении уровня сигнала порогового значения, устанавливаемого регулятором чувствительности, срабатывают световые или звуковой индикаторы, и при включении устройства акустической «завязки» появляется характерный сигнал самовозбуждения (свист). Уменьшая уровень громкости акустического сигнала в динамике, оператор может сузить зону, в которой возникает режим самовозбуждения (акустическая завязка), и тем самым локализовать место расположения закладки.
Необходимо помнить, что эффект акустической «завязки» наблюдается не у всех радиозакладок, поэтому основным демаскирующим признаком при их обнаружении является наличие излучения.
В этом случае локализация закладки с помощью индикатора поля осуществляется путем последовательного уменьшения чувствительности или длины антенны в зоне максимального уровня электромагнитного поля. Возможное местоположение радиозакладки определяется по максимальному уровню сигнала, при этом ошибка определения местоположения маломощных закладок (10 ... 20 мВт) составляет 5 ... 10 см.
Источником обнаруженного сигнала (электромагнитного поля) не обязательно является радиозакладка. В результате многочисленных переотражений электромагнитных волн внешних источников (мощных радиовещательных и телевизионных станций, ПЭВМ, оргтехники и т.п.) от стен помещения, различных металлических предметов и радиоаппаратуры распределение энергии в пространстве комнаты имеет сложный вид с минимумами и максимумами. Поэтому обнаружение закладки осуществляется путем визуального осмотра места (объекта), где уровень излучения максимален [3, 122].
Уменьшить количество подозрительных мест (объектов), подлежащих осмотру, позволяет использование индикаторов поля с селекцией сигналов, источники которых находятся в ближней зоне (то есть, когда R<3хl). К таким индикаторам поля относятся, например, детекторы HKG GD 4120 или Delta V/2 [134, 142].
Наиболее эффективны для выявления закладок индикаторы поля, имеющие амплитудные и частотные детекторы. Прослушивание через динамик или головные телефоны тестового акустического сигнала однозначно говорит о наличии радиозакладки.
Поиск радиозакладок с использованием индикаторов поля наиболее целесообразен и эффективен в местах с низким уровнем общего электромагнитного поля, то есть вдали от крупных городов, телевизионных, передающих центров, объектов с большой концентрацией мощных радиоэлектронных средств и т.п. (например, при удалении от города Москвы на расстояние свыше 20 ... 40 км). В этих условиях дальность обнаружения даже маломощной радиозакладки индикатором поля составляет несколько метров.
Процесс поиска радиозакладок с использованием индикаторов поля в крупных городах и местах с высоким общим уровнем электромагнитного поля очень трудоемкий и длительный по времени, так как в этих условиях дальность обнаружения маломощной радиозакладки не превышает 10 ... 50 см.
Возникают неудобства с обследованием труднодоступных мест, например, потолка (особенно, если он высокий), люстр, воздуховодов и т.п.
Значительно облегчает поиск радиозакладок наличие интерсепторов,
имеющих чувствительность значительно выше чувствительности детекторных индикаторов поля, память LOCKOUT и функцию блокировки частот (например, "R 11") [143].
Методика поиска радиозакладок с использованием этих приборов заключается в следующем. Оператор, находясь в контролируемом помещении, включает тестовый акустический сигнал и включает интерсептор, который захватывает и детектирует наиболее мощный сигнал. Если детектированный и прослушиваемый с помощью динамика сигнал не соответствует тестовому, данная частота вводится оператором в память LOCKOUT и исключается из рабочего диапазона. Процесс продолжается до появления в динамике тестового сигнала (то есть до обнаружения излучения радиозакладки) или до пропадания всех сигналов (когда уровень оставшихся сигналов становится ниже чувствительности интерсептора).
При обнаружении излучения радиозакладки ее локализация осуществляется путем последовательного обхода помещения. В процессе поиска динамик интерсептора все время должен быть обращен в сторону обследуемых предметов или объектов. При приближении интерсептора к излучающей закладке на некоторое критическое расстояние появляется характерный сигнал самовозбуждения (акустической «завязки»). Уменьшая уровень громкости акустического сигнала в динамике, оператор может сузить зону, в которой возникает режим акустической "завязки", и тем самым локализовать закладку. Если интерсептор имеет индикатор уровня сигнала (например, "Xplorer"), то возможное местоположение радиозакладки определяется по максимальному уровню сигнала.
Методика поиска радиозакладок с использованием радиочастотомеров
аналогична методике поиска с использованием индикаторов поля. Поиск радиозакладок осуществляется путем последовательного обхода помещения. При обходе помещения антенну необходимо ориентировать в разных плоскостях, совершая медленные повороты кисти руки и добиваясь максимального уровня сигнала.
Расстояние от антенны до обследуемых объектов должно быть не более 5 ... 20 см. При этом оператор фиксирует частоту принимаемого сигнала и его относительный уровень.
Радиочастотомер захватывает наиболее мощный в точке приема сигнал и измеряет его частоту. Знание частоты позволяет оператору грубо классифицировать принимаемый радиосигнал по возможным его источникам (радио- или телевизионное вещание, служебная связь, сотовая радиотелефонная связь и т. д.). Как правило, радиочастотомер захватывает сигналы мощных радиовещательных станций (при этом при каждом измерении на жидкокристаллическом дисплее показания частоты меняются). При перемещении по комнате (в режиме автозахвата частоты) относительный уровень этих сигналов изменяется незначительно, и максимальный уровень наблюдается около оконных рам и труб парового отопления.
При приближении к радиозакладке на некоторое критическое расстояние сигнал от нее начинает превышать сигналы радиовещательных станций. Радиочастотомер захватывает этот сигнал и фиксирует его частоту. Наличие захвата сигнала радиозакладки подтверждается стабильностью частоты сигнала
(при отключенной функции автозахвата частоты) и его высоким уровнем.
Возможное местоположение радиозакладки определяется по максимальному уровню сигнала. Обнаружение радиозакладки осуществляется путем визуального осмотра подозрительных мест и предметов.
Радиочастотомеры, имеющие высокоомные входы (например, ОЕ "Ml" и ОЕ "3000А"), могут использоваться и для поиска закладок, передающих информацию по проводным линиям (линиям электропитания, телефонным линиям и т.д.) на высокой частоте. Для этого частотомер подключается к контролируемой линии с помощью щупа. При проверке линии электропитания частотомер подключается к нулевому проводу, который определяется обычным индикатором напряжения. Решение о наличии сетевой закладки в линии принимается при обнаружении в ней сигнала высокого уровня с высокой стабильностью частоты (при отключенной функции автозахвата частоты).
Обычно частота передачи информации закладки лежит в пределах от 40 до 600 кГц, а в некоторых случаях - до 7 МГц. Поиск радиозакладки осуществляется путем визуального осмотра розеток, распределительных коробок и электрощитов, осветительных и электрических приборов (при осмотре они отключаются от сети и разбираются), а также непосредственно линий [3,122, 123].
Аналогично поиску акустических радиозакладок осуществляется поиск телефонных радиозакладок.
При поиске телефонных радиозакладок необходимо снять телефонную трубку и поднести индикатор поля (интерсептор) к телефонному аппарату [122, 123]. При наличии в корпусе телефонного аппарата радиозакладки срабатывают световые или звуковой индикаторы поискового устройства, а в динамике или головных телефонах будет прослушиваться непрерывный тональный сигнал или короткие гудки телефонной станции. Радиочастотомером определяется частота закладки. Поиск телефонной закладки производится путем разборки и осмотра телефонного аппарата, телефонной трубки и телефонной розетки.
Далее поиск телефонных радиозакладок осуществляется путем последовательного обхода помещений вдоль телефонного кабеля [3, 122]. При обходе антенну необходимо ориентировать параллельно телефонной линии на минимально возможном расстоянии от нее. Особое внимание обращается на распределительные коробки и места, где телефонная линия проложена скрытой проводкой. Осмотр проводится вплоть до центрального распределительного щитка здания, который находится, как правило, на первом этаже или в подвале. При наличии на линии телефонной радиозакладки в месте ее расположения уровень сигнала поискового устройства будет максимален, а в динамике или головных телефонах индикатора поля или интерсептора будет прослушиваться непрерывный тональный сигнал или короткие гудки телефонной станции.
Программно-аппаратные и специальные комплексы контроля.
Существенное преимущество перед остальными получают сканерные приемники, имеющие возможность работы под управлением компьютера. Использование внешней ПЭВМ с программным обеспечением позволяет автоматизировать процесс поиска и обнаружения закладных устройств.Высокая степень автоматизации позволяет проводить анализ радиоэлектронной обстановки (РЭО) по районам контроля, вести базу радиоэлектронных средств (РЭС) и использовать ее для эффективного обнаружения радиозакладок, в том числе при кратковременных сеансах их работы, например, при использовании радиозакладок с дистанционным управлением, промежуточным накоплением информации (разделением этапов съема и передачи информации) и полуактивных закладных устройств.
Малый вес и габариты комплексов в сочетании с универсальным питанием (12В, 220 В), встроенные батареи позволяют работать с ними в салоне автомобиля, в стационарных и полевых условиях.

Рис. 5.17. Портативный анализатор спектра HP- 8563E

Рис. 5.18. Портативный анализатор спектра ПР-591Е
Таблица 5.5
Характеристики портативных анализаторов спектра фирмы "Hewlett Packard"
| Наименование характеристик | Индекс (тип) | ||||||||
| HP 8591E | HP 8593E | HP 8595E | HP 8596E | ||||||
| Диапазон частот | от 9 кГц до 1,8 ГГц | от 9 кГц до 22 ГГц | от 9 кГц до 6,5 ГГц | от 9 кГц до 12,8 ГГц | |||||
| Погрешность измерения амплитуды, дБ | 1,7 | 2,7 | 2,2 | 2.7 | |||||
| Погрешность измерения частоты, Гц | 210 | 1200 | 210 | 1200 | |||||
| Ширина полосы разрешения | От 30 Гц до 3 МГц | от 30 Гц до 30 МГц | |||||||
| Чувствительность, дБ | -130 | -117 | -125 | -115 | |||||
| Тип детектора | AM/FM | ||||||||
| Питание, В | АС 180...250 | ||||||||
| Размеры, мм | 325х163х427 | ||||||||
| Масса, кг | 14,5 | ||||||||
| Стандарт | MILT -T -2880 | MILT-T-2880-C | |||||||
| Примечание | Данные для частоты 1 ГГц | Данные для частоты 10 ГГц | Данные для частоты 1 ГГц | Данные для частоты 10 ГГц |
Таблица 5.6
Характеристики портативных анализаторов спектра фирмы "Tektronix"
|
Наименование характеристик |
Индекс (тип) |
||||
|
2721 |
2712 |
2715 |
2784 |
||
|
Диапазон частот |
от 9 кГц до 1,8 ГГц |
от 9 кГц до 40 ГГц |
|||
|
Погрешность измерения амплитуды, дБ |
1 ...2 |
2 |
1,0... 1,5 |
||
|
Погрешность измерения частоты, Гц |
15 |
510 |
145 |
||
|
Ширина полосы разрешения |
30 Гц; 3 кГц; 300 кГц; 5 МГц |
от 300 Гц до 5 МГц |
от З Гц до 10 МГц |
||
|
Чувствительность, дБ |
-129 |
-139 |
-92 |
-125 |
|
|
Тип детектора |
AM/FM |
Нет |
|||
|
Питание, В |
90... 250 |
180... 250 |
|||
|
Размеры, мм |
137х316х445 |
||||
|
Масса, кг |
9,5 |
20 |
|||
|
Стандарт |
MILT-T-2880 класс 5 |
MILT - Т -2880-С класс 3 |
|||
|
Примечание |
Данные для частоты 1 ГГц |
Данные для частоты 20 ГГц |
|||
Характеристики портативных анализаторов спектра фирмы "Konig"
|
Наименование характеристик |
Индекс (тип) |
|
|
АРМ-723 |
АРМ - 745 |
|
|
Диапазон частот, МГц |
40...2060 |
|
|
Измерение частоты сигнала |
Встроенный цифровой частотомер |
|
|
Измерение уровня сигнала |
Встроенный цифровой измеритель |
|
|
Ширина полосы разрешения на уровне - 6 дБ, кГц |
10; 100 |
- |
|
Чувствительность, дБ |
Регулируемая -20...-130 |
|
|
Число каналов памяти |
99 |
|
|
Размеры экрана монитора (по диагонали), см |
14 |
|
|
Размеры, мм |
350х145х334 |
|
|
Питание, В |
DC 12 (аккумулятор); АС 220 |
|
|
Масса, кг |
12 |
На практике в основном используются программно-аппаратные комплексы, построенные на базе сканерных приемников фирмы A.O.R.
ltd (Япония): AR-5000, AR-3000A, AR-8000, AR-2700 и фирмы Icom (Япония): IC-7100, IC-8500, IC-9000 и т.п. К ним относятся программно-аппаратные комплексы типа RS-1000/8, RS-1000/3, RS-1100, "Дельта", АРК-Д1_ЗК, АРК-Д1_5К, АРК-ДЗ, АРК-ПК_ЗК, АРК-ПК_5К, КРОНА-4, КРОНА- 5Н, КРОНА- 6Н, КРК, СОИ и др. (рис. 5.19 ... 5.22) [34, 80, 100, 108 110,111].
Состав и основные характеристики некоторых программно-аппаратных комплексов контроля приведены в табл. 5.8 ... 5.13.
Коротко рассмотрим возможности некоторых типовых комплексов.
Портативный программно-аппаратный комплекс контроля RS 1000/8 предназначен для обнаружения и определения местоположения радиозакладок, а также для анализа загрузки радиочастотного спектра [110, 111].
В состав комплекса входят [110, 111]:
- модернизированный сканирующий радиоприемник AR-8000;
- специальный соединительный кабель, в разъемах которого размещены интерфейсные схемы;
- персональный компьютер типа "Notebook";
- акустическая система с двумя колонками;
- специальное программное (математическое) обеспечение. Комплекс размещается в атташе-кейсе. Специальное программное (математическое) обеспечение комплекса позволяет [110, 111]:
- в автоматическом режиме выявлять в контролируемом помещении работающие в диапазоне частот от 30 до 1900 МГц радиозакладки, использующие сигналы с AM, NFM и WFM модуляцией, а также сигналы с инверсией спектра;
- определять с ошибкой до 10 см местоположение радиозакладок, использующих NFM и WFM модуляцию сигнала;
- осуществлять в автоматическом и ручном режимах панорамный анализ загрузки радиочастотного спектра в диапазоне частот от 30 до 1900 МГц,
отображая на экране монитора персонального компьютера общую (диаграммы загрузки) и детальную (спектры сигналов) картину текущего участка радиоспектра;
- записывать на жесткий диск компьютера диаграммы загрузки радиодиапазона и спектров радиосигналов, а также сведения об обнаруженных сигналах (их несущих частотах и уровнях);
- проводить анализ и сравнение диаграммы загрузки радиочастотного спектра с ранее полученными диаграммами загрузки данного диапазона, хранящимися на жестком диске.
По результатам сравнения диаграмм выявлять неизвестные сигналы.

Рис. 5.19. Программно-аппаратный комплекс контроля RS- 1000/8.

Рис. 5.20. Программно-аппаратный комплекс контроля АРК-Д1.

Рис. 5.21. Программно- аппаратный комплекс контроля "Крона-6Н"

Рис. 5.22. Программно- аппаратный комплекс контроля КРК-1
Таблица 5.8
Программно-аппаратные комплексы контроля ЗАО НПЦ "Нелк"
|
Наименование характеристик |
Индекс (тип) |
||
|
Крона-4 |
Крона-5Н |
Крона-6Н |
|
|
Состав комплекса |
Сканирующий приемник AOR 3000А. Пассивный акустический коррелятор. Конвертор для проверки проводных и оптических линий. ПЭВМ Notebook. |
Сканирующий приемник AOR 3000А (доработанный). Устройство спектральной обработки сигналов на основе процессора БПФ. Пассивный акустический коррелятор. Конвертор для проверки проводных и оптических линий. ПЭВМ Notebook |
Сканирующий приемник AOR 5000. Устройство спектральной обработки сигналов на основе процессора БПФ, Пассивный акустический коррелятор. Конвертор для проверки проводных и оптических линий. ПЭВМ Notebook |
|
Диапазон частот, МГц |
25... 2000 |
25 ... 2036 |
10...2600 |
|
Скорость просмотра диапазона, МГц/с |
4 |
4...8 |
|
|
Вид модуляции обнаруживаемых сигналов |
AM, NFM, WFM (в том числе с инверсией спектра) |
||
|
Методы идентификации сигнала |
Корреляция сигнала (активный и пассивный тесты). Проверка на наличие гармоник |
||
|
Возможности документирования результатов |
Запись на жесткий диск спектрограмм, фонограмм, осциллограмм и корреляционных функций сигналов |
||
|
Дополнительные возможности |
Определение координат радиозакладок (РЗ). Проверка проводных линий (электросети (до 250 В), телефонных, охранной и пожарной сигнализации и т.д.) Поиск инфракрасных (ИК) закладок. Возможность детального анализа сигналов в ручном режиме |
||
|
Конструкционное оформление |
Кейсовая укладка |
Таблица 5.9
Программно-аппаратные комплексы контроля ЗАО "Иркос"
|
Наименование характеристик |
Индекс (тип) |
||
|
АРК - Д1_ЗК |
АРК - Д1_5К |
АРК-ДЗ |
|
|
Состав комплекса |
Сканирующий приемник AOR 3000А (доработанный). Устройство спектральной обработки сигналов на основе процессора БПФ. Акустический коррелятор. Устройство для проверки проводных линий. ПЭВМ Notebook. |
Сканирующий приемник AOR 5000. Устройство спектральной обработки сигналов на основе процессора БПФ. Акустический коррелятор. Устройство для проверки проводных линий. ПЭВМ Notebook. |
Сканирующий приемник AOR 3000А (доработанный). Устройство спектральной обработки сигналов на основе процессора БПФ. Акустический коррелятор, устройство для проверки проводных линий, ВЧ коммутатор на 12 входов, НЧ блок. ПЭВМ Notebook. |
|
Диапазон частот, МГц |
1...2000 |
1 ... 2600 |
1 ... 2000 |
|
Динамический диапазон, дБ |
55 ...60 |
||
|
Дискретность отсчета частоты, кГц |
3 |
||
|
Скорость просмотра диапазона,МГц/с |
40... 70 |
28 |
40... 70 |
|
Вид модуляции обнаруживаемых сигналов |
AM, NFM, WFM (в том числе с инверсией спектра) |
||
|
Методы идентификации сигнала |
Корреляция сигнала (пассивный и активный тесты). Проверка на наличие гармоник. Сравнение уровней сигналов от внешней и внутренних (распределенных) антенн |
||
|
Возможности документирования результатов |
Запись на жесткий диск спектрограмм сигналов |
||
|
Дополнительные возможности |
Определение координат радиозакладок (РЗ). Проверка проводных линий, анализ видеосигналов |
||
|
Конструкционное оформление |
Кейсовая укладка |
Таблица 5.10
Программно-аппаратные комплексы контроля ЗАО "Иркос"
|
Наименование характеристик |
Индекс (тип) |
|
|
АРК - ПК_5К |
АРК - ПК_ЗК |
|
|
Состав комплекса |
Сканирующий приемник AOR 5000. Устройство спектральной обработки сигналов на основе процессора БПФ. Акустический коррелятор. Устройство для проверки проводных линий. ПЭВМ Notebook |
Сканирующий приемник AOR 3000А (доработанный). Устройство спектральной обработки сигналов на основе процессора БПФ. Акустический коррелятор. Устройство для проверки проводных линий. ПЭВМ Notebook |
|
Диапазон частот, МГц |
1 ... 2600 |
1 ... 2000 |
|
Скорость панорамного анализа, МГц/с в полосе 2 МГц в полосе 80 МГц в полосе свыше 80 МГц |
28 14 18 |
40 ...70 30 40 |
|
Динамический диапазон, дБ |
55 ... 60 |
|
|
Дискретность отсчета частоты, кГц |
3 |
|
|
Вид модуляции обнаруживаемых сигналов |
AM, NFM, WFM (в том числе с инверсией спектра) |
|
|
Методы идентификации сигнала |
Корреляция сигнала (пассивный и активный тесты). Проверка на наличие гармоник. Сравнение уровней сигналов от внешней и внутренних (распределенных) антенн |
|
|
Возможности документирования результатов |
Запись на жесткий диск спектрограмм сигналов, времени их обнаружения, а также демодулированных речевых сигналов |
|
|
Дополнительные возможности |
Определение координат радиозакладок (РЗ). Проверка проводных линий, анализ видеосигналов |
|
|
Конструкционное оформление |
Кейсовая укладка |
Таблица 5. 11
Специализированные программно-аппаратные комплексы контроля.
|
Наименование характеристик |
Индекс (тип) |
||
|
OSR-5000 |
HKG 2052/III |
РК 855-S |
|
|
Фирма-производитель |
REI (США) |
Helling (Германия) |
РК Electronic (Германия) |
|
Диапазон частот, МГц |
0, 01 ... 3 000 |
30... 1 500 |
50... 250 |
|
Полоса пропускания, кГц |
250, 15, 6, 1 |
20... 180 |
|
|
Чувствительность приемника, мкВ |
0,8 (Df=15кГц) |
0,9 |
1,5 |
|
Вид модуляции обнаруживаемых сигналов |
AM, NFM, WFM, SSB/CW, FM на поднесущей |
AM, NFM, WFM |
|
|
Методы идентификации сигнала |
Корреляция сигнала (активный и пассивный тесты) |
Корреляция сигнала (активный тест) |
Корреляция сигнала (активный тест) |
|
Возможности документирования результатов |
Запись в ОЗУ спектрограмм сигналов. Распечатка спектрограмм на встроенном ленточном плоттере. Запись на внешний магнитофон |
||
|
Дополнительные возможности |
Определение координат РЗ. Проверка проводных и оптических линий, анализ видеосигналов |
Определение координат РЗ |
|
|
Вес, кг |
12,7 |
8,8 |
4,9 |
|
Конструкционное оформление |
Кейсовая укладка |
||
|
Примечание |
Динамический диапазон 90 дБ |
Автоматическое и ручное сканирование. Время сканирования диапазона в автоматическом режиме 40 с |
Автоматическое. Время сканирования диапазона в автоматическом режиме 3 ... 4 мин |
Программно-аппаратные комплексы контроля фирмы "Радиосервис".
|
Наименование характеристик |
Индекс (тип) |
||
|
RS 1000/8 |
RS 1000/3 |
RS 1100 |
|
|
Состав комплекса |
Сканирующий приемник AOR 8000 (доработанный). Специальный соединительный кабель, в разъемах которого размещены интерфейсные схемы. Акустический коррелятор. Конвертор для проверки проводных и оптических линий. ПЭВМ Notebook |
Сканирующий приемник AOR 3000. Специальный соединительный кабель, в разъемах которого размещены интерфейсные схемы. Акустический коррелятор. Конвертор для проверки проводных и оптических линий. ПЭВМ Notebook |
Сканирующий приемник AOR 5000. Микроконтроллер RS 1100/C. Антенные коммутаторы RS 1100/K. Акустический коррелятор. Конвертор для проверки проводных и оптических линий. ПЭВМ Notebook |
|
Диапазон частот, МГц |
30... 1900 |
0,1 ... 2030 |
0.1 ... 2600 |
|
Скорость просмотра диапазона, дискретность отсчета частоты, динамический диапазон |
Определяются возможностями базового приемника |
||
|
Вид модуляции обнаруживаемых сигналов |
AM, NFM, WFM (в том числе с инверсией спектре) |
||
|
Методы идентификации сигнала |
Корреляция сигнала (активный тест). Проверка на наличие гармоник |
||
|
Возможности документирования результатов |
Запись на жесткий диск спектрограмм сигналов |
||
|
Дополнительные возможности |
Определение координат радиозакладок (РЗ). Проверка проводных линий. Поиск инфракрасных закладок |
||
|
Конструкционное оформление |
Кейсовая укладка |
Таблица 5.13.
Программно-аппаратный комплекс контроля КРК - 1 ЗАО "Ново"
|
Наименование характеристик |
Значение характеристик |
|
Состав комплекса |
Сканирующий приемник AOR 5000. Блок спектральной обработки сигналов на основе процессора БПФ. ПЭВМ не хуже Pentium 100/8/810. Звуковая плата SB Vibra 16S. Звуковые колонки. Блок ВЧ- коммутатора (БВЧК). Блок НЧ-коммутатора (БНЧК-1). Токосъемник ТК-101 |
|
Диапазон частот, МГц |
0,01 ...2600 |
|
Скорость просмотра диапазона, МГц/с, в режиме "Детальная панорама" "Общая панорама" |
200 30 |
|
Шаг перестройки в автоматическом режиме, кГц |
20 |
|
Ширина полосы пропускания, кГц при сканировании при анализе сигнала |
44 3,6; 15; 30; 110; 220 |
|
Динамический диапазон |
65 |
|
Вид модуляции обнаруживаемых сигналов |
Амплитудная, частотная (в том числе со скремблированием), D - модуляция, шумоподобные сигналы |
|
Методы идентификации сигнала |
Корреляция сигнала (активный тесты). Проверка спектра сигнала на наличие паразитной модуляции в автоматическом и ручном режимах. Сравнение уровней сигналов от внешней и внутренних (распределенных) антенн |
|
Возможности документирования результатов |
Запись на жесткий диск спектрограмм, фонограмм, основных характеристик сигналов, амплитудно-частотной загрузки диапазона и протокола работы |
|
Дополнительные возможности |
Определение координат радиозакладок (РЗ) в трехмерном пространстве. Проверка проводных линий |
|
Конструкционное оформление |
Единый корпус |
Портативные программно-аппаратные комплексы RS 1000/3 и RS 1100
построены соответственно на базе приемников AR 3000А и AR 5000. В состав комплекса RS 1100 дополнительно включены микроконтроллер RS 1100/C,
электронные антенные коммутаторы RS 1100/К и широкополосные антенны
RS 1100/A, что позволяет организовать радиоконтроль нескольких помещений.
Система обнаружения излучений (СОИ) предназначена для обнаружения и локализации радиозакладок и других источников излучений внутри помещений.
В состав системы входят блок регистрации и датчики излучения, число которых зависит от размеров помещения. В состав системы может входить от 2 до 20 датчиков.
Датчик излучения представляет собой широкополосный приемник, работающий в диапазоне частот от 0,1 до 10 000 МГц. Чувствительность датчика составляет;
- в диапазоне частот 0,1 ... 20 МГц - 10-7 Вт/см2;
- в диапазоне частот 20 ... 1 000 МГц -10-8 Вт/см2;
- в диапазоне частот 1 ... 3 ГГц - 10-7 Вт/см2;
- в диапазоне частот 3 ... 10 ГГц -10-6 Вт/см2.
При превышении уровня электромагнитного поля вблизи датчика порогового значения срабатывает световая сигнализация. Например, дальность обнаружения датчиком сотового телефона составляет 10 ... 15 м.
Автоматизированный программно-аппаратный комплекс КРК-1 предназначен для обнаружения и определения местоположения закладок с передачей информации по радиоканалу и проводным линиям (включая электросеть), а также выявления параметрических каналов утечки информации, возникающих вследствие акустического воздействия на технические средства (аппаратуру связи, оргтехнику и т.п.) [34].
В состав комплекса входят [34]:
- сканирующий радиоприемник AR-5000;
- блок быстрого панорамного анализа (БПА) на основе процессора БПФ;
- блок низкочастотного коммутатора (БНЧК);
- блок высокочастотного коммутатора (БВЧК);
- токосъемник (ТК 101);
- персональный компьютер не хуже Pentium-100/8/810 / SB16;
- акустическая система с четырьмя звуковыми колонками;
- специальная широкополосная антенна;
- специальное программное (математическое) обеспечение. Конструктивно комплекс КРК выполнен в едином корпусе, к которому подключается клавиатура ПЭВМ, а также необходимое количество активных звуковых колонок и специальных широкодиапазонных антенн.
Комплекс КРК может функционировать в автоматическом и ручном режимах работы.
Аппаратура, входящая в состав комплекса КРК, обеспечивает выполнение следующих функций [34]:
- радиоприемное устройство AR-5000 принимает сигналы в диапазоне частот 0,01 ... 2600 МГц и преобразует их во вторую промежуточную частоту 10,7 МГц с полосой пропускания не менее 4 МГц;
- персональный компьютер (ПЭВМ) управляет аппаратурой комплекса, обрабатывает сигналы при помощи специального программного и математического обеспечения, принимает логические решения при работе комплекса в автоматическом режиме, отображает сигнальную и иную информацию, протоколирует полученные результаты;
- блок быстрого панорамного анализа (БПА) на основе процессора БПФ производит квадратурную обработку сигналов в полосе частот 4 МГц и их преобразование в удобную для оцифровки форму;
- звуковая плата SB преобразует аналоговые сигналы, поступающие по двум каналам от блока БПА, в цифровую форму с частотой дискретизации 44,1 кГц, а также синтезирует акустические сигналы при автоматической идентификации и локализации закладных устройств;
- одна из четырех активных звуковых колонок предназначена для автоматической идентификации закладки, а все четыре - для ее автоматической локализации в трехмерном пространстве;
- токосъемник предназначен для подключения входа радиоприемника комплекса к сети с напряжением до 250 В, линиям связи и проводным коммуникациям с целью приема передаваемых по ним сигналов в диапазоне частот 0,15 ... 30 МГц;
- блок низкочастотного коммутатора (БНЧК) формирует акустические тестовые сигналы и обеспечивает переключение звуковых колонок при автоматической идентификации и локализации закладных устройств;
- блок высокочастотного коммутатора (БВЧК) осуществляет переключение входных антенн при осуществлении комплексом автоматического контроля одновременно нескольких помещений.
Специальная программное обеспечение рассчитано на работу в операционной системе Windows - 95 и обеспечивает [34]:
- программное управление сканирующим приемником в диапазоне частот 0,01...2600 МГц;
- получение спектра радиосигналов со скоростью около 200 МГц/с (в режиме "Детальная панорама") и 30 МГц/с (в режиме "Общая панорама");
- накопление спектра сигналов и сохранение его на жестком диске;
- оперативное получение спектра сигнала и анализ его внутренней структуры;
- автоматическое обнаружение новых источников радиоизлучения с определением их частоты (ошибка ± 10 кГц) и относительной амплитуды;
- оперативную настройку на частоту любого сигнала из общей или детальной панорамы и его прослушивание;
- обнаружение сигналов закладных устройств (радиозакладок и закладок с передачей информации по проводным линиям) и их идентификацию по корреляции с тестовым акустическим сигналом;
- локализацию (определение местоположения в трехмерном пространстве) закладных устройств в пределах помещения с ошибкой не более 20 см;
- протоколирование результатов контроля и т.д.
В комплексе реализованы несколько режимов работы [34]:
- режим анализа радиочастотного спектра (ОБНАРУЖЕНИЕ);
- режим идентификации обнаруженных сигналов (ИДЕНТИФИКАЦИЯ),
- режим анализа и измерения характеристик сигналов (АНАЛИЗ);
- режим локализации (определения местоположения) источников излучения (закладных устройств) (ЛОКАЛИЗАЦИЯ);
- режим анализа проводных линий.
В режиме ОБНАРУЖЕНИЕ сканирующий приемник осуществляет автоматический прием сигналов через специальную широкополосную антенну. С выхода второй промежуточной частоты (равной 10,7 МГц) сигналы в полосе пропускания 4 МГц поступают на вход БПА, который производит быструю перестройку в этой полосе с шагом 20 кГц, третье преобразование частоты и квадратурную обработку сигналов. Затем сигналы с двух квадратур БПА подаются через двухканальный линейный вход на звуковую плату SB, установленную в ПЭВМ, с помощью которой производится оцифровка сигнала.
Результаты сканирования (оцифрованные сигналы, обработанные при помощи специальных алгоритмов) выводятся на экран монитора в виде Общей и Детальной панорам. Панорама отображается в виде зависимости амплитуды сигнала от его частоты. При этом на Общей панораме возможно отображение либо всех частот сигналов, превышающих порог обнаружения, или только вновь обнаруженных сигналов.
Кроме этого в комплексе предусмотрена возможность запрета (исключения из обработки) отдельных частот (например, занятых постоянно действующими станциями).
Режим ИДЕНТИФИКАЦИЯ включается после обнаружения сигналов.
Идентификация сигналов осуществляется в автоматическом или ручном (в диалоге с оператором) режимах работы.
В режиме автоматической идентификации после первого прохода заданного диапазона идентификация сигналов происходит на всех частотах, не попавших в заранее задаваемый Список запрещенных частот. На втором проходе контролируемого диапазона идентифицируются только вновь появившиеся сигналы и т.д. Таким образом с каждым циклом обзора происходит автоматическая адаптация комплекса к радиоэлектронной обстановке в зоне контроля. Это позволяет сократить процесс выявления сигналов радиозакладок с 60 ... 180 секунд (без адаптации к радиоэлектронной обстановке) до 5 секунд (после адаптации).
Идентификация сигнала происходит после настройки комплекса на частоту сигнала при помощи специального, синтезированного ПЭВМ и БНЧК, акустического тестового сигнала, который поступает на одну из активных колонок, заранее выбранную оператором. В комплексе реализован универсальный алгоритм, который позволяет выявлять корреляцию между акустическим тестовым сигналом и модулирующей функцией практически любых из известных в настоящее время подслушивающих устройств (использующих амплитудную, частотную и фазовую модуляцию сигнала, инверсию спектра, дельта-модуляцию, скремблирование сигнала, шумоподобные сигналы (ШПС) и т.д.). Те частоты, для которых коэффициент корреляции превысил порог, попадают в Список опасных частот, которые оператор может проанализировать в Окнах анализа внутренней структуры (Квадратура, Амплитуда и Спектр) сигналов или прослушать через динамик радиоприемного устройства или наушники в режиме Прослушивание.
В режиме идентификации сигналов оператором происходит пошаговая проверка всех обнаруженных или только вновь появившихся сигналов с анализом их характеристик в окнах Детальная панорама, Квадратура, Амплитуда, Спектр,
а также в режиме Прослушивание. Кроме того, оператор может кнопкой
Звук включать на короткое время, колонку идентификации, наблюдая при этом изменение спектра, квадратуры и амплитуды исследуемого сигнала.
Помимо приведенного выше алгоритма в комплексе КРК дополнительно реализован алгоритм обнаружения источников радиоизлучений из контролируемого помещения, работающий по принципу сравнения уровня сигнала на антенне внутри контролируемой зоны и внешней (опорной) антенне. Используемый в этих целях специальный высокочастотный коммутатор позволяет обеспечить радиоконтроль в нескольких (до 8) помещениях как по алгоритму идентификации корреляционным методом, так и по алгоритму сравнения уровня сигналов на разнесенных антеннах.
Режим АНАЛИЗ используется для анализа и измерения характеристик сигналов. В данном режиме оператор, настроившись на частоту интересуемого сигнала из Протокола или последовательно настраиваясь при помощи маркера на сигналы из Общей и Детальной панорам, при помощи окон Квадратура и Спектр, производит точное измерение рабочей частоты, ширины спектра сигнала, вида и параметров модуляции. Данные Окна позволяют выявлять информативность излучений, а также возможные каналы утечки речевой информации при акустическом воздействии на различную аппаратуру.
Выявление параметрических каналов утечки информации, возникающих вследствие акустического воздействия на технические средства, производится комплексом КРК-1 с подключенной штыревой широкодиапазонной антенной по электрической составляющей поля в диапазоне частот 0,15 ... 1000 МГц или рамочной антенны по магнитной составляющей поля в диапазоне частот 0,15... 30 МГц (поставляется по отдельному заказу). При этом антенна устанавливается на расстоянии 1 м от исследуемой аппаратуры. Включается режим Обнаружение,
при котором производится снятие радиоэлектронной обстановки (радиоспектра) при выключенном исследуемом устройстве путем сканирования диапазона не менее 10 раз. Затем устройство включается в штатный режим и производится снятие электрической и магнитной составляющих его спектра. Далее перед исследуемым устройством на расстоянии 1 м устанавливается звуковая колонка, включается режим Идентификация
и производится проверка частот спектра побочных электромагнитных излучений (ПЭМИ) на наличие паразитной модуляции в автоматическом режиме или оператором при помощи окон анализа.
Режим ЛОКАЛИЗАЦИЯ включается после обнаружения и идентификации опасного сигнала.
Для определения местоположения источника излучения в трехмерном пространстве задается план контролируемого помещения с его размерами (длиной, шириной и высотой) с точностью не хуже 0,1 м. Кроме того, на план наносятся координаты 4-х звуковых колонок с их номерами. Колонки необходимо размещать по углам помещения таким образом, чтобы они максимальным образом не пересекались в одной плоскости. После размещения колонок необходимо убедиться в правильности их подключения путем тестирования с панели управления комплекса Колонки.
В автоматическом режиме работы комплекса локализация осуществляется сразу после обнаружения идентификатором опасного сигнала корреляционным методом. Для этого специальный тестовый сигнал подается последовательно на одну из 4-х колонок и методом акустической локации определяется местоположение (координаты) радиозакладки. Полученные результаты запоминаются, и процесс продолжается на других частотах. Оператор в любой момент может остановить обнаружение и идентификацию сигналов и посмотреть результаты локализации закладных устройств. Причем окно просмотра результатов Локализации выбирается в любой плоскости, удобной для наблюдения местоположения обнаруженных радиозакладок.
Локализация может производиться также оператором или при помощи тех же четырех колонок путем подачи на них тестовых сигналов, или с помощью цифрового
Индикатора поля, который позволяет уточнить местоположение радиозакладки путем перемещения приемной антенны в контролируемом помещении.
В режим анализа проводных линий ко входу радиоприемного устройства комплекса вместо штыревой широкодиапазонной антенны подключается токосъемник, который обеспечивает подключение для проверки электросети, телефона, факса, каналов связи, проводки и кабелей. При подключении токосъемника к исследуемому каналу производится автоматическое обнаружение сигналов, их идентификация и локализация в автоматическом режиме или оператором.
Для того, чтобы обеспечить непрерывный контроль нескольких каналов телекоммуникаций, к комплекту КРК дополнительно прилагаются несколько токосъемников с блоком БВЧК, который подключается ко входу радиоприемного устройства комплекса.
Вся последовательность изменения режимов работы комплекса (во времени) с указанием частот и характеристик выявляемых сигналов фиксируется в специальном файле и окне Протокол.
Портативные программно-аппаратные комплексы АРК-Д1_ЗК и АРК-Д1_5К предназначены для обнаружения и определения местоположения радиозакладок, а также контроля проводных сетей (выявления закладок, передающих информацию по проводным линиям, включая линии электросети) [100]. В состав комплексов входят [100]:
- доработанный сканирующий радиоприемник AR-3000A (АРК-Д1_ЗК) или
AR-5000 без доработки (АРК-Д1_5К);
- устройство спектральной обработки сигналов (блок быстрого панорамного анализа) на основе процессора БПФ БО_ЗК (АРК-Д1_ЗК) или БО_5К
(АРК-Д1_5К);
- устройство для контроля проводных линий АРК-КПС или АРК-КПС_АК
(включает переносчик спектра сигналов из диапазона частот О...5 МГц в диапазон частот 45...50 МГц, антенный коммутатор на 4 входа и блоки сопряжения с проводными линиями);
- устройство контроля телевизионных сигналов (излучений) АРК-ТВ;
- четыре широкополосные антенны диапазона частот 20 ... 2000 МГц; - персональный компьютер типа "Notebook";
- акустическая система с двумя миниатюрными колонками;
- специальное программное (математическое) обеспечение (СМО-Д5);
- блок питания с зарядным устройством и узлом контроля разряда, аккумуляторная батарея.
Комплекс размещается в атташе-кейсе. Основные характеристики комплекса [100]:
- рабочий диапазон частот 1...2000 МГц (для AR3000) и 1...2600 МГц (для AR5000);
- максимальная скорость перестройки 40 ... 70 МГц/с (для AR-3000A) или 28 МГц/с (для AR-5000) в зависимости от количества используемых антенн;
- динамический диапазон - 55 ... 60 дБ.
Специальная программа (СМО-Д5) рассчитана на работу в операционной системе Windows - 95, поддерживает многозадачный режим работы и обеспечивает [78, 100]:
- программное управление приемником;
- накопление спектра сигналов и сохранение его на жестком диске;
- оперативное получение спектра сигнала в полосе частот 2 МГц;
- работу по различного вида заданиям, определяемым оператором;
- просмотр и работу с ранее накопленной панорамой спектра;
- оперативный просмотр получаемой панорамы (одновременно с ее обновлением);
- обнаружение новых источников радиоизлучения;
- автоматическую настройку на частоту с максимальным уровнем сигнала;
- обнаружение частот работы закладных устройств (радиозакладок и закладок с передачей информации по проводным линиям) с использованием тестов различного вида;
- распечатку частот вероятных и обнаруженных закладок;
- обнаружение местоположения закладных устройств в пределах помещения и т.д.
В комплексе реализованы пять режимов работы [78,100]:
- режим анализа радиочастотного спектра ПАНОРАМА;
- режим автоматического обнаружения радиозакладок ОБНАРУЖЕНИЕ;
- режим анализа проводных линий по ВЧ;
- режим анализа проводных линий по НЧ;
- режим контроля ТВ излучений.
В режиме ПАНОРАМА
аппаратура обеспечивает циклический панорамный анализ загрузки диапазона в полосе рабочих частот приемника (оценку радиоэлектронной обстановки), отображение на экране ПЭВМ и регистрацию на жесткий диск амплитудно-частотной загрузки рабочего диапазона. Длительность цикла перестройки в диапазоне 1 ... 2000 МГц составляет менее 1 минуты. Предусмотрено дополнение зарегистрированных ранее данных (архива). Хранящиеся в архиве характеристики сигналов (частота и относительный уровень) используются для повышения скорости обнаружения радиозакладок.
Режим ОБНАРУЖЕНИЕ используется для обнаружения частот радиозакладок. Накопление спектра производится в режиме обновления. В панораму заносятся все спектральные составляющие, и при каждом новом проходе панорама обновляется. В результате обнаружения потенциально опасных сигналов заполняется список Вероятные и список Обнаруженные. Сигнал (его частота) заносится в список Вероятные, если максимальный уровень излучения превышает значение, полученное ранее в режиме ПАНОРАМА, на определенную величину и больше уровня во внешней антенне на некоторую другую величину (эти величины устанавливаются оператором в задании).
Это позволяет отличать сигналы, источники которых находятся в контролируемом помещении, от сигналов, источники которых находятся вне помещения, и которые ранее не наблюдались. Этот алгоритм позволяет работать как без внешней антенны, так и без ранее созданной панорамы.
Если отсутствует и то и другое, то в список Вероятные попадут все
сигналы, превышающие порог и имеющие уровень не менее указанного.
При обнаружении может использоваться активный или пассивный тесты. Тестируются все частоты, попавшие в список Вероятные. При положительном завершении теста частота заносится в список Обнаруженные.
Активный тест - это тест с использованием акустических сигналов. Он производится в режимах WFM, NFM и при необходимости в AM. Проверяется корреляция излучаемых сигналов с принимаемыми. В данном режиме достоверно идентифицируются радиозакладки с AM, NFM и WFM- модуляцией сигнала, а также с аналоговым скремблированием сигнала (простой и сложной инверсией спектра).
При пассивном тесте проверяется наличие высших гармоник, поэтому его можно применять на частотах не выше 660 МГц (для AR3000A) и 860 МГц (для AR5000). Уровни превышения гармоник над шумами устанавливаются оператором. В этом режиме также используется метод сравнения уровней сигналов от опорной (внешней) антенны и антенн, установленных в контролируемом помещении.
В режиме определения местоположения радиозакладок ПОИСК аппаратура позволяет локализовать местоположение радиозакладки с ошибкой 20 см.
Режим анализа проводных линий по ВЧ предназначен для анализа спектра высокочастотных сигналов (В Ч) в сети переменного тока (с максимальным напряжением до 400 В) и других проводных линиях в диапазоне частот от 0 до 5 МГц, обнаружения в них ВЧ- сигналов закладных устройств и определения их местоположения. Этот режим имеет много общего с режимом ОБНАРУЖЕНИЕ. Отличием является отсутствие ранее накопленной панорамы, более высокое разрешение при получении спектра и использование только активного теста. Задание для режима формируется автоматически.
Режим доступен при наличии устройства АРК-КПС.
Режим анализа проводных линий по НЧ используется для определении наличия информационных низкочастотных сигналов в проводных линиях, а также местоположения микрофонов, подключенных к этим линиям. Режим доступен при наличии аппаратуры АРК-КПС.
При использовании устройства АРК-ТВ возможен контроль телевизионных сигналов (излучений) через стандартный телевизионный приемник, а при использовании дополнительного устройства АРК-СП - постановка прицельных радиопомех мощностью 120 ... 150 мВт в диапазоне частот от 65 до 1000 МГц.
Многофункциональный стационарный комплекс автоматизированного обнаружения радиозакладок и контроля проводных сетей АРК-ДЗ выполнен на базе аппаратуры АРК - Д1 и предназначен для централизованного контроля до 23 помещений. В состав оборудования центрального поста включены: системный блок (комплекс), высокочастотный коммутатор и низкочастотный блок (коммутатор). В каждом контролируемом помещении устанавливаются камуфлированная активная антенна, акустические колонки и микрофон. Длина высокочастотного кабеля-до 100м.
Наряду со специальными комплексами типа АРК-Д1 и АРК-ДЗ для поиска радиозакладок могут использоваться и многофункциональные комплексы радиоконтроля типа АРК-ПК_ЗК (АРК-ПК_5К).
Программно-аппаратный комплекс контроля "КРОНА-4" предназначен для бесшумного поиска и определения местоположения закладных устройств с передачей информации по радиоканалу, по электросети, телефонным и любым другим проводным линиям, а также инфракрасному каналу и решения задач радиомониторинга [110, 111].
В состав комплекса входят [110,111]:
- доработанный сканирующий радиоприемник AR-3000А с интерфейсом;
- многофункциональный переносчик спектра сигналов;
- бесшумный (пассивный) акустический коррелятор;
- персональный компьютер типа "Notebook" не хуже Pentium-166ММХ/16/1,35/ SB16/CD-ROM 6х/АМ;
- специальное программное (математическое) обеспечение Film;
- блок питания.
Комплекс размещается в атташе-кейсе.
Основные технические характеристики комплекса [110, 111]:
- диапазон рабочих частот при поиске радиозакладок - 25 МГц ...
2 ГГц;
- ошибка определения дальности до радиозакладки - 10 см;
- диапазон рабочих частот при анализе проводных линий - 20 кГц... 5 МГц;
- диапазон длин волн при поиске ИК - закладок - 0,9 ... 1,2 мкм. Многофункциональный портативный комплекс "КРОНА-SH" по своему назначению аналогичен комплексу "КРОНА-4" и построен на базе доработанного сканерного приемника AR-3000A. В его состав дополнительно включено устройство спектральной обработки сигналов на основе процессора БПФ, что позволило значительно увеличить просмотра частотного диапазона [111].
Многофункциональный портативный комплекс "КРОНА-
6Н" в отличие от комплекса "КРОНА- 5Н", построен на базе сканерного приемника AR-5000.
Специальная программа Filin предназначена для работы в операционных системах Windows 3.1 или Windows 95 и позволяет использовать для поиска закладных устройств широкий набор методов идентификации сигналов (по тестовому акустическому сигналу, по естественному акустическому фону помещения, по наличию характерных гармонических составляющих сигнала и др. [110, 111]).
В программе реализованы алгоритмы обнаружения подслушивающих устройств, используемые в комплексах OSCOR 5000, АРК-Д1, АРК-ДЗ, RS-1000 и других, что обеспечивает высокую вероятность обнаружения радиозакладок при низком уровне ложной тревоги. Программа осуществляет все необходимые для оптимального решения задач установки параметров используемой аппаратуры и функции управления, вплоть до представления конечных результатов.
Программа обладает гибким, информативным интерфейсом, отображающим процесс работы комплекса, характеристики сигналов, промежуточные результаты их анализа и позволяющим квалифицированному оператору при желании самому проводить
детальный анализ принимаемых сигналов по их спектральным составляющим, осциллограммам, корреляционным функциям и другим характеристикам.
Основные режимы работы [110, 111]:
- непрерывный поиск;
- однократный проход;
- фиксированная частота;
- стоп на сигнале;
- работа с архивом и рабочей базой данных. Режим "Непрерывный поиск" является основным режимом при автоматической работе программы. Заданный диапазон частот просматривается циклически, после достижения конца диапазона происходит автоматический переход в его начало. Уровень принимаемого сигнала отображается в виде спектрограммы. Обеспечиваются возможности автоматического сравнения обнаруженного сигнала с архивом, записи его в рабочую базу данных, запоминания контроль-вой фонограммы с ее прослушиванием, автоматического предупреждения оператора о выходе параметров сигнала за допустимые границы.
Параллельно с автоматическим просмотром заданного диапазона оператор может детально анализировать сигналы, дополнять и корректировать хранящиеся в рабочей базе сведения, перемещать их в архив или удалять.
Режим "Однократный проход" отличается от предыдущего только тем, что при достижении конца заданного диапазона происходит автоматическое выключение перестройки приемника с выдачей соответствующего сообщения пользователю. Режим в основном используется при первом запуске программы для набора начальной информации.
В режиме "Фиксированная частота" приемник постоянно "осматривает" окрестность заданной фиксированной частоты. Реализованы функции изменения масштаба постоянно снимаемой спектрограммы, записи ее в рабочую базу, прослушивания и запоминания фонограммы.
Режим полезен при детальном аудиовизуальном анализе оператором конкретных сигналов, как в реальном времени, так и при работе с базой данных.
Режим "Стоп на сигнале" не является самостоятельным, а используется совместно с первыми двумя. При его включении программа на каждом шаге сообщает пользователю о проведенной операции, полученном результате и просит подтверждения на выполнение следующего шага.
Режимы работы с архивом.
Программа позволяет оператору работать с ранее записанными данными, хранящимися в архиве и в рабочей базе данных.
Реализован отбор записей по любой совокупности задаваемых параметров. Запоминаются и хранятся не только числовые параметры сигнала, но и набор его спектрограмм, а также контрольная фонограмма. Это дает возможность вести отложенный анализ информации в режиме, аналогичном приему сигнала с реального радиоприемника.
Оператор может корректировать и дополнять хранящуюся в архиве информацию о сигнале, удалять записи и перемещать их из рабочей базы в архив.
Во время работы программы постоянно происходит фиксирование действий оператора и основных внешних событий. Эта информация может быть представлена в любое время в виде отчета о работе.
Имеется возможность запоминать текущую панораму, полученную в ходе перестройки приемника, и использовать ее в дальнейшем при обнаружении новых сигналов.
В процессе поиска закладных устройств оператору предоставляется оперативная визуальная, звуковая и документированная информация.
Оперативная визуальная информация [110, 111]:
• текущая панорама в процессе ее получения;
• спектрограммы обнаруженного сигнала в процессе их получения;
• текстовое сообщение о результате сравнения обнаруженного сигнала с архивом;
• текстовое сообщение о результате проверки сигнала на принадлежность закладке;
• функция, иллюстрирующая проверку сигнала на принадлежность закладке;
• функция, иллюстрирующая сравнение сигнала с архивом;
• добавление очередного формуляра в рабочую базу;
• осциллограмма воспроизводящейся фонограммы;
• текстовые сообщения о сбоях и критических ситуациях при работе программы;
• списки вероятных и обнаруженных сигналов закладок;
• общее количество формуляров в рабочей базе и количество обнаруженных закладок.
Оперативная звуковая информация [110,111]:
• фонограмма принимаемого сигнала во время ее записи в формуляр;
• активный акустический тест для проверки нового сигнала;
• звуковая индикация текущего уровня сигнала. Документированная информация:
• таблица со списком всех новых сигналов и их основными характеристиками;
• документ с формуляром на заданный сигнал (кроме фонограммы);
• документированный отчет о работе программы. Документирование данных выполняется путем загрузки их в текстовый редактор Word, который вызывается программой при нажатии соответствующих кнопок управления.
В качестве специального математического обеспечения комплексов серии "КРОНА" кроме программы Film используются специальные программы
Sedif Plus, Sedif PRO и Sedif Scout [110,111].
Программное обеспечение Sedif PRO позволяет в автоматическом или автоматизированном режимах решать следующие задачи контроля [110,111]:
• выявление излучений радиозакладок и определение их местоположения;
• обнаружение и распознавание сигналов РЭС, выявление особенностей их работы;
• анализ индивидуальных особенностей спектров сигналов отдельных РЭС в интересах решения задачи их распознавания;
• выявление и анализ побочных электромагнитных излучений, возникающих при работе средств электронно-вычислительной техники, связи, оргтехники и т.п.;
• анализ данных по радиоэлектронной обстановке в точке приема, интенсивности использования фиксированных частот и работы, отдельных РЭС;
• перехват и регистрацию сообщений, передаваемых по каналам радиосвязи, и т.д.
В программе Sedif-PRO реализованы пять основных режимов работы [110, 111]: ПАНОРАМА, ЧАСТОТОГРАММА, ПРИЕМНИК, ФОНОТЕКА И ОСЦИЛЛОГРАФ.
В режиме ПАНОРАМА, управляющая программа выполняет перестройку приемника с выбранным шагом и полосой пропускания в пределах заданной полосы обзора относительно заданной центральной частоты и представляет результаты измерений уровней принимаемого сигнала на каждом шаге в форме панорамы (псевдоспектра) частот в координатах "уровень-частота". Обеспечивается возможность слухового контроля, автоматической записи информации на жесткий диск, формирования до 100 "режекторных" фильтров, быстрого изменения масштаба амплитудно-частотного окна, получения результатов с накоплением максимальных, минимальных или усредненных значений уровня сигнала за несколько измерений на каждом шаге.
Данный режим необходим для первичного анализа спектра шумов и сигналов в заданных частотных диапазонах, выбора оптимального порога, оценки загруженности диапазонов, а также анализа амплитудно-частотных характеристик (спектров) отдельных сигналов. С помощью манипулятора "мышь" приемник легко настраивается на любой сигнал в пределах полосы обзора. Реализация режима вычитания текущей панорамы из сохраненной ранее обеспечивает гарантированное обнаружение новых сигналов даже при большой загруженности частотных диапазонов. Любая панорама может быть сохранена в архиве с соответствующими комментариями, вызвана на экран и распечатана на принтере.
В данном режиме работы возможно также сканирование с автоматическим смещением центральной частоты на один шаг влево или вправо ("ползущая" ПАНОРАМА). Для оптимальной визуализации спектра обнаруженных сигналов оператор может быстро изменять масштабы амплитудно-частотного окна, использовать режим "многократной лупы", получить результат с накоплением максимальных, минимальных и усредненных значений уровня сигнала за несколько измерений на каждом шаге.
Включенный режим ОЖИДАНИЯ автоматически останавливает приемник на обнаруженном сигнале, превысившем установленный оператором уровень, позволяя провести слуховой контроль или автоматически включить на запись магнитофон. Сканирование может быть продолжено или по истечении установленного времени, или после пропадания сигнала, или по команде оператора.
С целью сокращения времени сканирования путем исключения ненужных поддиапазонов частот (например, сигналов радио- и телевизионных станций) возможно формирование до ста режекторных фильтров.
Использование в режиме ПАНОРАМА двух частотных и двух уровневых маркеров позволяет быстро определить разностные значения частот и уровней двух сигналов.
Режим ЧАСТОТОГРАММА предназначен для временного анализа загруженности сетки частот с возможностью регистрации всех сеансов работы РЭС (по критерию превышения уровня сигнала заданного порога).
Для каждой частоты устанавливается свой порог, полоса пропускания, вид детектора (вид модуляции) и ослабление (аттенюатор).
В каждой ЧАСТОТОГРАММЕ возможны сканирование и отображение наличия сигналов на 24 номиналах частот в течение времени до 36 ч, быстрое включение и исключение из списка сканируемых отдельных номиналов частот, их сортировка по определенным критериям, остановка на любой частоте для слухового контроля, анализ интенсивности работы РЭС с помощью двух маркеров времени и частоты.
Оператор может создать библиотеку Частотограмм и включать их в задание для использования в нужной последовательности. Таким образом, число контролируемых частот не ограничивается количеством банков и ячеек памяти приемника.
Режим ПРИЕМНИК предназначен для сканирования в широком участке частотного диапазона с отображением обнаруженных сигналов в виде желтых точек на двухчастотном поле. На экране одновременно отображаются 1000 частот, начиная от заданного начального значения с шагом сканирования. Это позволяет, например, отобразить на экране монитора диапазон частот шириной 1000 МГц и разрешением по частоте 10 кГц.
Все сигналы, обнаруженные в процессе работы в режимах ПАНОРАМА и ЧАСТОТОГРАММА, при переходе в режим ПРИЕМНИК будут также отображены на двухчастотном поле. Имеющаяся в режиме ПРИЕМНИК функция
"лупы" позволяет увеличивать в 10 раз выбранный участок обзора 50-20 точек для точной настройки на отдельный сигнал.
В режиме ФОНОТЕКА осуществляется регистрация на жесткий диск ПЭВМ принимаемой звуковой информации или модулирующей функции радиотехнических сигналов и учет и обработка звуковых фонограмм. Имеется возможность проводить анализ принимаемых сигналов по осциллограммам. Встроенный конвертор аудиофайлов позволяет использовать программные и аппаратные средства обработки фонограмм других производителей.
Режим ОСЦИЛЛОГРАФ позволяет проводить визуальное исследование модулирующей функции радиотехнических сигналов в непрерывном или запоминающем режимах с частотой дискретизации до 40 кГц.
Предусмотрено создание архива осциллограмм, сжатие/растяжение по горизонтали и вертикали, различные варианты запуска.
Процесс контроля может быть полностью автоматизирован путем создания и запуска на исполнение комплексных заданий. Задание представляет собой совокупность заполненных диапазонов, панорам и фиксированных частот, сканирование или измерения в которых будут выполняться так же, как в автономных режимах ПРИЕМНИК и ПАНОРАМА, но без вмешательства оператора. Перед выполнением каждого пункта задания может быть включен режим ожидания. Каждое задание может содержать в себе в качестве одного из пунктов другое задание. Таким образом, оператор, определив оптимальный алгоритм решения той или иной задачи, может сформировать в архиве библиотеку заданий.
По результатам выполнения задания формируется отчет, который может быть отредактирован оператором и выведен на печать.
Основной задачей, решаемой с помощью программы Sedif Scout, является обнаружение излучений акустических и телефонных закладных устройств и их локализация.
Программное обеспечение Sedif Scout не требует применения какого-либо нестандартного оборудования и дает возможность использовать для поиска любого из представленных в настоящее время на рынке сканеров, имеющих возможность управления от ПЭВМ: AR-2700, AR-8000, AR-3000A, AR-5000, IC-R10, IC-R7100, IC-R8500 или IC-R9000 [110,111].
Программный продукт поддерживает работу пассивного акустического коррелятора PS-COR-2000, использование которого в составе поискового комплекса позволит проводить бесшумный анализ принимаемых сигналов без демаскирования факта проведения поисковых работ [110,111].
Для работы с программой необходима ПЭВМ, имеющая в своем составе стандартную звуковую карту CREATIVE SB-16.
Программа позволяет оператору с помощью обычного сканирующего радиоприемника проводить автоматический анализ загрузки выбранного участка радиодиапазона, выявлять в нем новые радиосигналы, осуществлять их автоматическую проверку на принадлежность к классу закладных систем, определять координаты радиозакладок [110, 111].
В программе Sedif Scout реализованы следующие алгоритмы работы [110, 111]:
• динамически устанавливаемый порог обнаружения;
• проверка наличия гармоник у выявленного закладного устройства;
• возможность использования для выявления новых излучений заранее отснятых спектрограмм загрузки диапазона;
• отслеживание сигналов источников с нестабильным по частоте излучением и др.
Программа полностью автоматизирует процесс поиска и принятия решения об обнаружении закладных устройств подобно тому, как это выполнено в специализированных комплексах RS- 1000, АРК-ДО, АРК-Д1, АРК-Д2, ДЕЛЬТА [110, 111]. Это дает возможность использовать программу даже неподготовленному оператору. Программа требует от оператора ввода лишь начальной и конечной частоты анализируемого участка радиодиапазона. Все остальные установки осуществляются автоматически, включая выбор аттенюатора, типа детектора, полосы пропускания тракта промежуточной частоты и шага сканирования радиоприемника. В списке сигналов, классифицированных программой как сигналы закладных устройств, против каждого номинала частоты указываются признаки, по которым принято данное решение: акустическая корреляция с тестовым сигналом, наличие гармоник основного излучения, превышающих динамический порог, или и то и другое.
В программе сохранены все режимы и функции программы Sedif PRO,
что дает возможность оператору самому детально исследовать параметры сигналов, отнесенных программой к разряду вероятных сигналов закладных устройств. Тщательный анализ этих сигналов не позволит грамотному оператору пропустить акустически некоррелируемые сигналы закладных устройств с программной перестройкой частоты или сложным скремблированием, сверхширокополосные, с "дельта" - модуляцией и др. [110, 111].
Программа дает возможность оператору проанализировать характер отклика, получаемого на тестовый акустический сигнал, проверить на наличие гармоник каждый из обнаруженных сигналов, наглядно сравнивать спектрограммы гармоник и основного излучения путем наложения их друг на друга [110, 111].
Определение местоположения обнаруженного подслушивающего устройства осуществляется программой с участием оператора. Полученные координаты подслушивающего устройства программа наглядно отображает на экране монитора ПЭВМ [110, 111].
Кроме программно-аппаратных комплексов, построенных на базе обычных сканерных приемников и ПЭВМ, для поиска закладных устройств разработаны
специальные комплексы контроля (например, OSR- 5000 "OSCOR", PK 855-S, Scanlock Select Plus и др.) (рис. 5.23. и 5.24) [91, 151, 152, 159].
Комплексы имеют в своем составе специальный сканирующий приемник, микропроцессор и генератор тестового акустического сигнала или бесшумный коррелятор. Достоинством таких комплексов является полная автоматизация процесса поиска и обнаружения закладных устройств.
Наиболее простым в эксплуатации является комплекс PK 855-S [152]. После включения комплекса генератор тестового сигнала начинает генерировать звуковой сигнал на частоте 2.1 кГц, который излучается через динамик. Одновременно приемник начинает сканировать заданный диапазон частот. При превышении обнаруженного приемником радиосигнала некоторого порогового значения он детектируется и подается на микропроцессор, куда также подается тестовый сигнал. Микропроцессор проводит анализ этих сигналов по критерию «свой - не свой». При обнаружении «своего» сигнала он последовательно автоматически проверяет его 4 раза, после чего подается сигнал об обнаружении закладки.
Полное сканирование диапазона частот занимает около 3 ... 4 минут. Чтобы избежать перегрузки чувствительных микрофонов и надежно обнаруживать радиозакладки различных типов, громкость акустического сигнала ступенчато меняется: 1,5 ... 2 мин он излучается на полной громкости, затем - то же время на половинной мощности [152].
Аппаратура размещается в портфеле типа «дипломат» и весит 4,9 кг.
Акустический спектральный коррелятор OSR- 5000 "OSCOR" предназначен для выявления закладных устройств, передающих информацию в акустическом (20 Гц ... 15 кГц), радио (10 кГц ... 3 ГГц) и инфракрасном (0,85 ... 10,07 мкм) диапазонах частот.
Он также позволяет обследовать проводные линии с напряжением до 250 В [91, 159].
Приемник комплекса способен принимать и детектировать сигналы практически со всеми видами модуляции: AM, NFM, WFM, SSB, CW.
OSCOR-5000 реализует принцип сравнения детектированных сигналов, принимаемых в любом диапазоне частот, с акустическими сигналами контролируемого помещения (либо с эталонным акустическим сигналом, излучаемым специальным генератором) и вычисления корреляционной функции для оценки степени угрозы. При этом полученная информация отображается на графическом жидкокристаллическом дисплее (128-256 точек) и может быть выведена на встроенное печатающее устройство и записана в память для дальнейшего анализа оператором [91, 159].


Рис. 5.23. Специальные комплексы контроля:
Scanlock ECM Plus; б) Scanlock Select Plus

Рис. 5.24. Акустический спектральный коррелятор OSR-5000 "OSCOR"
Прибор имеет три основных режима работы [50].
Режим SWEEP позволяет осуществлять панорамный анализ выбранного диапазона частот с заданной полосой пропускания. В этом режиме можно масштабировать выбранный спектральный диапазон и выделять интересующие сигналы. Функция Display Peak Signal позволяет сохранять на экране метки пиков ограниченных во времени сигналов. При этом метка от пика амплитуды сигнала, который присутствовал некоторое время в эфире и отобразился на спектрограмме, останется при следующем сканировании, что бывает необходимо при поиске передатчиков с перестраиваемой частотой.
Режим ANALISE дает возможность более детального изучения спектральной формы выбранных в Sweep-режиме сигналов и их временных характеристик, позволяет выбирать при этом типы демодуляторов и изменять ширину полосы пропускания.
В режиме CORRELATION происходит сравнение (корреляция) принимаемого сигнала с акустическим фоном помещения (естественными шумами помещения, музыкой CD-плейера, сигналом телефонной линии и т.п.). Способ определения уровня тревоги (пиковое или усредненное значение) и его величину, способ сигнализации (вывод на печать, звуковой или световой сигнал), а также параметры корреляции (время анализа сигнала) задает оператор.
OSCOR- 5000 позволяет для сокращения времени сканирования запоминать в обычном варианте 7000 известных частот, а для работы в сложной электромагнитной обстановке (условия крупного промышленного города) предусмотрено функциональное дополнение OEM-5000, позволяющее запомнить до 28672 известных частот [91].
Прибор позволяет проводить контроль в автоматическом и ручном режимах.
Автоматический режим позволяет проводить проверку любого набора предварительно запрограммированных поддиапазонов, что наиболее эффективно в случаях непрерывного контроля в течение длительного времени либо для предварительной оценки электромагнитной обстановки.
OSCOR может круглосуточно работать в автоматическом режиме, исследуя весь диапазон частот или только специально заданные диапазоны (до 31), для каждого из которых можно определить свой режим анализа. При обнаружении "тревожных" сигналов прибор автоматически может производить запись передаваемой информации на диктофон [50].
Ручной режим предусматривает возможность детального анализа любого зарегистрированного сигнала.
Модификация OSCOR-5000 Video позволяет выявлять наличие систем видеонаблюдения, передающих изображение по радиоканалу, и просматривать перехваченное изображение на встроенных мониторах в системах PAL, SECAM, NTSC [91, 95].
Функциональное дополнение OTL-5000 методом трехточечной пространственной локации позволяет локализовать местонахождение радиозакладок в контролируемом помещении.
Модификация "De Luxe+" включает в себя OSCOR-5000 VIDEO, дополненный OTL-5000, различными адаптерами для подключения к проводным коммуникациям и диктофоном для регистрации звуковой информации [91, 95].
Комплекс смонтирован в кейсе (габариты 473х368х159 мм). Вес 12,7 кг. Питание 110/220 В и 12 В (встроенный аккумулятор) [91, 95].
Система Scanlock Select Plus включает специальный приемник Scanlock Select Plus, портативный компьютер типа "Notebook", базу данных Select и специальное программное обеспечение Cerbrus,
работающее в среде Windows 3.1.
База данных Select позволяет запоминать результаты 12 циклов сканирования с фиксацией даты и времени измерения.
В отличие от приемника Scanlock ECM Plus в системе реализованы ряд дополнительных функций.
Программное обеспечение позволяет отображать на экране ПЭВМ и регистрировать на жесткий диск амплитудно-частотную загрузку рабочего диапазона. Оператор в ручном режиме может проводить анализ спектров отдельных сигналов.
При обработке результатов измерений в нескольких точках помещения возможно получение на экране дисплея ПЭВМ двумерного (трехмерного) графического изображения уровня мощности принимаемого сигнала на фиксированной частоте.
Наличие узкополосного фильтра позволят выделять сигналы радиозакладок, маскируемые под сигналы мощных радиовещательных, телевизионных и других станций.
Приемник системы позволяет демодулировать сигналы на любой поднесущей частоте.
Пространственное и линейное зашумление.
Реализация пассивных методов защиты, основанных на применении экранирования и фильтрации, приводит к ослаблению уровней побочных электромагнитных излучений и наводок (опасных сигналов) ТСПИ и тем самым к уменьшению отношения опасный сигнал/шум (с/ш). Однако в ряде случаев, несмотря на применение пассивных методов защиты, на границе контролируемой зоны отношение с/ш превышает допустимое значение. В этом случае применяются активные меры защиты, основанные на создании помех средствам разведки, что также приводит к уменьшению отношения с/ш.Для исключения перехвата побочных электромагнитных излучений по электромагнитному каналу используется пространственное зашумление, а для исключения съема наводок информационных сигналов с посторонних проводников и соединительных линий ВТСС - линейное зашумление.
К системе пространственного зашумления, применяемой для создания маскирующих электромагнитных помех, предъявляются следующие требования:
- система должна создавать электромагнитные помехи в диапазоне частот возможных побочных электромагнитных излучений ТСПИ;
- создаваемые помехи не должны иметь регулярной структуры;
- уровень создаваемых помех (как по электрической, так и по магнитной составляющей поля) должен обеспечить отношение с/ш на границе контролируемой зоны меньше допустимого значения во всем диапазоне частот возможных побочных электромагнитных излучений ТСПИ;
- система должна создавать помехи как с горизонтальной, так и с вертикальной поляризацией (поэтому выбору антенн для генераторов помех уделяется особое внимание);
- на границе контролируемой зоны уровень помех, создаваемых системой пространственного зашумления, не должен превышать требуемых норм по ЭМС.
Цель пространственного зашумления считается достигнутой, если отношение опасный сигнал/шум на границе контролируемой зоны не превышает некоторого допустимого значения, рассчитываемого по специальным методикам для каждой частоты информационного (опасного) побочного электромагнитного излучения ТСПИ [18].
В системах пространственного зашумления в основном используются помехи типа "белого шума" или "синфазные помехи" [24].
Системы, реализующие метод "синфазной помехи", в основном применяются для защиты ПЭВМ. В них в качестве помехового сигнала используются импульсы случайной амплитуды, совпадающие (синхронизированные) по форме и времени существования с импульсами полезного сигнала. Вследствие этого по своему спектральному составу помеховый сигнал аналогичен спектру побочных электромагнитных излучений ПЭВМ. То есть, система зашумления генерирует "имитационную помеху", по спектральному составу соответствующую скрываемому сигналу [24].
В настоящее время в основном применяются системы пространственного зашумления, использующие помехи типа "белый шум", то есть излучающие широкополосный шумовой сигнал (как правило, с равномерно распределенным энергетическим спектром во всем рабочем диапазоне частот), существенно превышающий уровни побочных электромагнитных излучений (см. рис. 2.13 ... 2.16) [28, НО]. Такие системы применяются для защиты широкого класса технических средств: электронно-вычислительной техники, систем звукоусиления и звукового сопровождения, систем внутреннего телевидения и т.д.
Генераторы шума выполняются или в виде отдельного блока с питанием от сети 220 В ("Гном", "Волна", "ГШ-1000" и др.), или в виде отдельной платы, вставляемой (встраиваемой) в свободный слот системного блока ПЭВМ и питанием от общей шины компьютера ("ГШ-К-1000","Смог"и др.).
Основные характеристики генераторов шума, используемых для пространственного зашумления, представлены в табл. 2.7 и 2.8, а внешний вид - на рис. 2.11 и 2.12 [33, 95].

Рис. 2.11. Генераторы шума "Гном-3" (а) и "Смог" (б)

Рис. 2.12. Генератор шума "ГШ -1000"

Рис. 2.13. Характерный вид спектра одного из побочных электромагнитных излучений монитора персонального компьютера.

Рис. 2.14. Спектрограмма маскировки побочных электромагнитных излучений персонального компьютера генератором шума "Гном-3":
1 - спектр побочных электромагнитных излучений ПЭВМ; 2 - спектр маскирующего излучения генератора шума.

Рис. 2.15. Спектрограмма маскировки побочных электромагнитных излучений монитора персонального компьютера и плоттера генератором шума "ГШ - 1000".

Рис. 2.16. Спектрограмма маскировки побочных электромагнитных излучений принтера генератором шума "ГШ - 1000".
Таблица 2.7.
Основные характеристики
генераторов шума, используемых в системах пространственного зашумления.
|
Наименование характеристик |
Тип (модель) |
|||
|
ГШ-1000 |
ГШ-К-1000 |
Смог |
Гном-3 |
|
|
Диапазон частот, МГц |
0,1 ... 1000 |
0,1 ... 1000 |
0,00005 ... 1000 |
0,01 ... 1000 |
|
Спектральная плотность мощности шума,дБ |
40... 75 |
40... 75 |
55 ... 80 |
45 ... 75 |
|
Вид антенны |
Рамочная жесткая |
Рамочная мягкая |
Подставки под монитор и принтер |
Рамочная гибкая |
|
Конструктивное исполнение |
Переносной |
Бескорпусной, вставляется в слот ПЭВМ |
Бескорпусной, вставляется в слот ПЭВМ |
Стационарный |
Таблица 2.8
Основные характеристики генераторов шума, используемых в системах пространственного и линейного зашумления.
|
Наименование характеристик |
Тип (модель) |
|
|
Гром-ЗИ-4 |
Гном-2С |
|
|
Диапазон частот, МГц |
20... 1000 |
0,01 ... 1000 |
|
Спектральная плотность мощности шума, дБ |
40 ... 90 |
50... 80 |
|
Вид антенны |
Телескопическая |
Рамочная |
|
Конструктивное исполнение |
Переносной |
Стационарный |
Диапазон рабочих частот генераторов шума от 0,01 ... 0,1 до 1000 МГц.
При мощности излучения около 20 Вт обеспечивается спектральная плотность помехи 40 ... 80 дБ.
В системах пространственного зашумления в основном используются слабонаправленные рамочные жесткие и гибкие антенны. Рамочные гибкие антенны выполняются из обычного провода и разворачиваются в двух-трех плоскостях, что обеспечивает формирование помехового сигнала как с вертикальной, так и с горизонтальной поляризацией во всех плоскостях [33, 52, 95].
При использовании систем пространственного зашумления необходимо помнить, что наряду с помехами средствам разведки создаются помехи и другим радиоэлектронным средствам (например, системам телевидения, радиосвизи и т.д.). Поэтому при вводе в эксплуатацию системы пространственного зашумления необходимо проводить специальные исследования по требованиям обеспечения электромагнитной совместимости (ЭМС). Кроме того, уровни помех, создаваемые системой зашумления, должны соответствовать санитарно-гигиеническим нормам. Однако нормы на уровни электромагнитных излучений по требованиям ЭМС существенно строже санитарно-гигиенических норм. Следовательно, основное внимание необходимо уделять выполнению норм ЭМС.
Пространственное зашумление эффективно не только для закрытия электромагнитного, но и электрического каналов утечки информации, так как помеховый сигнал при излучении наводится в соединительных линиях ВТСС и посторонних проводниках, выходящих за пределы контролируемой зоны.
Системы линейного зашумления применяются для маскировки наведенных опасных сигналов в посторонних проводниках и соединительных линиях ВТСС, выходящих за пределы контролируемой зоны. Они используются в том случае, если не обеспечивается требуемый разнос этих проводников и ТСПИ (то есть не выполняется требование по Зоне № 1), однако при этом обеспечивается требование по Зоне № 2 (то есть расстояние от ТСПИ до границы контролируемой зоны больше, чем Зона № 2).
В простейшем случае система линейного зашумления представляет собой генератор шумового сигнала, формирующий шумовое маскирующее напряжение с заданными спектральными, временными и энергетическими характеристиками, который гальванически подключается в зашумляемую линию (посторонний проводник).Характеристики некоторых генераторов шума, используемых в системах линейного зашумления, представлены в табл. 2.8 [33, 95].
На практике наиболее часто подобные системы используются для зашумления линий электропитания (например, линий электропитания осветительной и розеточной сетей).
Рекомендации по организации работ
При организации работ по защите утечки по техническим каналам информации на объекте ТСПИ можно выделить три этапа.Первый этап - подготовка к реконструкции (капитальному ремонту, строительству) объекта (здания).
Второй этап - период проведения работ по реконструкции объекта.
Третий этап - период эксплуатации объекта.
На первом этапе с привлечением соответствующих специалистов проводится оценка обстановки на объекте и вблизи него, изучается необходимая документация [3, 14, 19, 20, 54, 122, 123, 151].
При этом устанавливается:
• когда построен объект. Какие организации привлекались для строительства. Какие учреждения в нем располагались;
• условия расположения объекта и всех помещений. Какие организации (лица) занимают смежные помещения, режим их посещения.
Далее проводится оценка информации, представляющей интерес для противника. Определяются помещения, а также технические системы и средства, подлежащие защите.
Для анализа возможных технических каналов утечки на объекте изучаются [3, 54, 62, 122, 123]:
• план прилегающей к объекту местности в радиусе до 1000 м с указанием (по возможности) принадлежности зданий, особенно находящихся в прямой видимости из окон помещений, подлежащих защите (желательно с их фотографиями), мест стоянок автомашин, а также места расположения трансформаторной подстанции;
• поэтажные планы здания с указанием всех помещений (смежных с защищаемыми), характеристик стен, перекрытий и материалов отделки;
• план-схема инженерных коммуникаций всего объекта, включая
систему вентиляции;
• план-схема системы заземления объекта, с указанием места расположения заземлителя;
• план-схема системы электропитания здания с указанием места
расположения разделительного трансформатора (подстанции), всех щитов и разводных коробок;
• план-схема прокладки телефонных линий связи с указанием мест расположения распределительных коробок и установки телефонных аппаратов;
• план-схема систем охранной и пожарной сигнализации с указанием мест установки и типов датчиков, а также распределительных коробок.
В данный период целесообразно провести технический контроль по оценке реальных экранирующих свойств конструкций здания и звукоизоляции помещений с целью учета их результатов при выработке мер защиты ТСПИ и выделенных помещений.
По результатам анализа делается вывод о том, какие потенциальные технические каналы утечки информации существуют на объекте, и разрабатываются
требования и рекомендации по защите информации, которые должны быть включены в техническое задание на разработку технического проекта.
Мероприятия по защите информации отражаются в отдельном разделе технического проекта. Для его разработки должны привлекаться организации, имеющие лицензию Гостехкомиссии РФ.
При разработке технического проекта необходимо учитывать следующие рекомендации [1, 3, 8, 9, 14, 19, 22, 39, 41, 49, 54, 62, 64, 114, 122, 128]:
• в выделенных помещениях необходимо устанавливать сертифицированные технические средства обработки информации и вспомогательные технические средства;
• для размещения ТСПИ целесообразно выбирать подвальные и полуподвальные помещения (они обладают экранирующими свойствами);
• кабинеты руководителей учреждения, а также особо важные помещения рекомендуется располагать на верхних этажах со стороны здания, менее опасной с точки зрения ведения разведки;
• необходимо предусмотреть подвод всех коммуникаций (водоснабжение, отопление, канализация, телефония, электросеть и т.д.) к зданию в одном месте. Вводы коммуникаций в здание целесообразно сразу ввести в щитовое помещение и обеспечить запирание его входа, и сигнализацию или охрану;
• для электропитания защищаемых технических средств рекомендуется в здании учреждения оборудовать свой разделительный трансформатор (подстанцию) или использовать трансформаторную подстанцию, расположенную в пределах контролируемой зоны, отключив при этом от низковольтных шин подстанции потребителей, находящихся за контролируемой зоной;
• электросиловые кабели рекомендуется прокладывать от общего силового щита по принципу вертикальной разводки на этажи с горизонтальной поэтажной разводкой и с установкой на каждом этаже своего силового щитка.
Аналогичным образом должны прокладываться соединительные кабели вспомогательных технических средств, в том числе кабели систем связи;
• число вводов коммуникаций в зону выделенных помещений должно быть минимальным и соответствовать числу коммуникаций. Незадействованные посторонние проводники, проходящие через выделенные помещения, а также кабели (линии) незадействованных вспомогательных технических средств должны быть демонтированы;
• прокладка информационных цепей, а также цепей питания и заземления защищаемых технических средств должна планироваться таким образом, чтобы был исключен или уменьшен до допустимых пределов их параллельный пробег с различными посторонними проводниками, имеющими выход за пределы контролируемой зоны;
• для заземления технических средств (в том числе вспомогательных), установленных в выделенных помещениях, необходимо предусмотреть отдельный собственный контур заземления, расположенный в пределах контролируемой зоны;
• необходимо исключить выходы посторонних проводников (различных трубопроводов, воздухопроводов, металлоконструкций здания и т.п.), в которых присутствуют наведенные информативные сигналы (то есть находящиеся в зоне № 1), за пределы контролируемой зоны;
• прокладку трубопроводов и коммуникаций горизонтальной разводки рекомендуется осуществлять открытым способом или за фальшпанелями, допускающими их демонтаж и осмотр;
• в местах выхода трубопроводов технических коммуникаций за пределы выделенных помещений рекомендуется устанавливать гибкие виброизолирующие вставки с заполнением пространства между ними и строительной конструкцией раствором на всю толщину конструкции. В случае невозможности установки вставок потребуется оборудование трубопроводов системой вибрационного зашумления;
• необходимо предусматривать прокладку вертикальных стояков коммуникаций различного назначения вне пределов зоны выделенных помещений;
• ограждающие конструкции особо важных помещений, смежные с другими помещениями учреждения, не должны иметь проемы, ниши, а также сквозные каналы для прокладки коммуникаций;
• систему приточно-вытяжной вентиляции и воздухообмена зоны выделенных помещений целесообразно сделать отдельной, она не должна быть связана с системой вентиляции других помещений учреждения и иметь свой отдельный забор и выброс воздуха;
• короба системы вентиляции рекомендуется выполнять из неметаллических материалов. Внешняя поверхность коробов вентиляционной системы, выходящих из выделенной зоны или отдельных важных помещений, должна предусматривать их отделку звукопоглощающим материалом. В местах выхода коробов вентиляционных систем из выделенных помещений рекомендуется установить мягкие виброизолирующие вставки из гибкого материала, например, брезента или плотной ткани. Выходы вентиляционных каналов за пределами зоны выделенных помещений должны быть закрыты металлической сеткой;
• в помещениях, оборудованных системой звукоусиления, целесообразно применять облицовку внутренних поверхностей ограждающих конструкций звукопоглощающими материалами;
• дверные проемы в особо важных помещениях необходимо оборудовать тамбурами;
• декоративные панели отопительных батарей должны сниматься для осмотра;
• в особо важных кабинетах не рекомендуется использование подвесных потолков, особенно неразборной конструкции.
• для остекления особо важных помещений рекомендуется применение солнцезащитных и теплозащитных стеклопакетов;
• конструкции полов особо важных помещений целесообразно предусмотреть без плинтусов;
• в выделенных помещениях не рекомендуется применять светильники люминесцентного освещения. Светильники с лампами накаливания следует выбирать на полное сетевое напряжение без применения трансформаторов и выпрямителей.
Раздел технического проекта по защите информации согласовывается с руководителем органа по защите информации учреждения.
На втором этапе силами монтажных и строительных организаций осуществляется выполнение мероприятий по защите информации, предусмотренных техническим проектом. К работам по монтажу технических средств обработки информации, вспомогательных технических средств, а также проведения технических мероприятий по защите информации должны привлекаться организации, имеющие лицензию Гостехкомиссии РФ.
Органом по защите информации организуется контроль всех этапов реконструкции объекта, а также мероприятий по защите информации.
В период реконструкции объекта особое внимание должно уделяться обеспечению режима и охране объекта. К основным рекомендациям на этот период можно отнести следующие:
• при проведении реконструкции объекта должен быть организован контроль и учет лиц и транспортных средств, прибывших и покинувших территорию проводимых работ;
• рекомендуется организовать допуск строителей на территорию и в здание по временным пропускам или ежедневным спискам;
• копии строительных чертежей, особенно поэтажных планов помещений, схем линий электропитания, связи, систем охранной и пожарной сигнализации и т.п. должны быть учтены, а их число - ограничено;
• необходимо обеспечить хранение комплектующих и строительных материалов на складе под охраной;
• не рекомендуется допускать случаев проведения монтажных операций и отделочных работ, выполняемых одиночными рабочими, особенно в ночное время;
• на этапе отделочных работ необходимо обеспечить ночную охрану здания;
• необходимо обеспечить ночную охрану здания;
К некоторым мероприятиям по организации контроля в ходе реконструкции объекта можно отнести:
• перед монтажом необходимо обеспечить скрытную проверку всех монтируемых конструкций, особенно установочного оборудования, на наличие разного рода меток и отличий их друг от друга, а также закладных устройств;
• необходимо организовать периодический осмотр зон выделенных помещений в вечернее или в нерабочее время при отсутствии в нем строителей с целью выявления подозрительных участков и мест;
• организовать контроль за ходом всех видов строительных работ на территории и в здании. Основная функция контроля заключается в подтверждении правильности технологии строительно-монтажных работ и соответствие их техническому проекту;
• организовать осмотр мест и участков конструкций, которые по технологии подлежат закрытию другими конструкциями. Такой контроль может быть организован легально под легендой необходимости проверки качества монтажа и материалов или скрытно;
• необходимо тщательно проверять соответствие монтажных схем и количество прокладываемых проводов техническому проекту. Особое внимание необходимо уделять этапу ввода проводных коммуникаций и кабелей в зону выделенных помещений. Все прокладываемые резервные провода и кабели необходимо нанести на план-схему с указанием мест их начала и окончания.
При проведении контроля особое внимание необходимо обращать на следующие моменты:
• несогласованное с заказчиком изменение количественного состава бригад, изменение их персонального состава, особенно в период длительных по времени однотипных процессов;
• наличие отклонений от согласованной или стандартной технологии строительно-монтажных работ;
• недопустимы большие задержки по времени выполнения стандартных монтажных операций;
• неожиданная замена типов строительных материалов и элементов конструкций;
• изменение схем и порядка монтажа конструкций;
• проведение работ в обеденное или в нерабочее время, особенно ночью;
• психологические факторы поведения отдельных строителей в присутствие контролирующих и т.п.
Перед установкой в выделенные помещения мебель и предметы интерьера технические устройства и средства оргтехники должны проверяться на отсутствие закладных устройств. Одновременно целесообразно провести проверку технических средств на уровни побочных электромагнитных излучений. Такую проверку целесообразно проводить в специально оборудованном помещении или на промежуточном складе.
После отделки рекомендуется провести всесторонний анализ здания на возможность утечки информации по акустическим и вибрационным каналам. По результатам измерений с учетом реальной ситуации по режиму охраны должны быть разработаны дополнительные рекомендации по усилению мер защиты, если имеет место невыполнение требований по защите.
По завершении реконструкции объекта проводится аттестация объектов ТСПИ и выделенных помещений по требованиям безопасности [62]. Она является процедурой официального подтверждения эффективности комплекса реализованных на объекте мер и средств защиты информации.
Процесс аттестации предусматривает комплексную проверку защищенности информации на объекте в реальных условиях эксплуатации, в результате которой посредством специального документа - аттестата соответствия с определенной степенью достоверности подтверждается, что объект соответствует требованиям стандартов по безопасности информации или иных нормативно-технических документов, утвержденных Гостехкомиссией России. Аттестация проводится органом по аттестации в установленном порядке, в соответствии со схемой, выбираемой этим органом на этапе подготовки к аттестации.
В качестве рекомендаций по защите информации, проводимых на третьем этапе, можно выделить следующие:
• в здании учреждения целесообразно организовать зоны ограниченного доступа персонала в помещения различной степени важности;
• особо важные помещения должны быть оборудованы средствами охранной сигнализации и системой разграничения доступа. В случае отсутствия системы разграничения доступа необходимо организовать опечатывание особо важных помещений или зоны выделенных помещений в нерабочее время;
• в особо важных помещениях учреждения число предметов интерьера должно быть минимальным, в них не рекомендуется устанавливать сувениры и предметы интерьера нестандартного исполнения, имеющие в составе массивные металлические части;
• закупка мебели, предметов интерьера, средств оргтехники, технических и вспомогательных устройств должна осуществляться без предварительного заказа и без промежуточного складирования не на территории учреждения;
• необходимо предусмотреть в здании учреждения организацию зон доступа посетителей и зон ограниченного их присутствия только под наблюдением сотрудников учреждения. Не оставлять посетителей в кабинетах одних без присмотра;
• работа вспомогательного персонала учреждения или сотрудников других организаций по ремонту, установке оборудования в особо важных помещениях должна проходить под контролем сотрудника органа по защите информации учреждения или хозяина кабинета;
• после рабочего дня необходимо осуществлять визуальный осмотр всех помещений учреждения, в том числе коридоров, на отсутствие в них посторонних предметов.
• не рекомендуется размещать (сдавать в аренду помещения) в здании сторонние организации. В противном случае сдаваемые в аренду помещения должны быть выделены в отдельную зону с соблюдением всех предусмотренных мер защиты, включая организацию отдельных входов и развязку строительных конструкций по виброакустическим каналам.
В период эксплуатации периодически должны проводиться специальные обследования и проверки выделенных помещений и объектов ТСПИ.
Спецобследование здания должно проводиться во всех служебных помещениях учреждения (не только выделенных) сотрудниками органа по защите информации. Спецобследование должно проводиться под легендой для сотрудников учреждения или в их отсутствие (допускается присутствие ограниченного круга лиц из числа руководителей учреждения и сотрудников службы безопасности).
Сертификация средств защиты информации.
Порядок сертификации средств защиты информации в Российской Федерации и ее учреждениях за рубежом устанавливает Положение о сертификация средств защиты информации [65].Технические, криптографические, программные и другие средства, предназначенные для защиты сведений, составляющих государственную тайну, средства, в которых они реализованы, а также средства контроля эффективности защиты информации являются средствами защиты информации [б5].
Указанные средства подлежат обязательной сертификации, которая проводится в рамках систем сертификации средств защиты информации.
Система сертификации средств защиты информации представляет собой совокупность участников сертификации, осуществляющих ее по установленным правилам (далее именуется - система сертификации) [65]. Системы сертификации создаются Государственной технической комиссией при Президенте Российской Федерации, Федеральным агентством правительственной связи и информации при Президенте Российской Федерации, федеральной службой безопасности Российской Федерации, Министерством обороны Российской Федерации, полномочными проводить работы по сертификации средств защиты информации в пределах компетенции, определенной для них законодательными и иными нормативными актами Российской Федерации (далее именуются - федеральные органы по сертификации) [65].
Сертификация средств защиты информации осуществляется на основании требований государственных стандартов, нормативных документов, утверждаемых Правительством Российской Федерации и федеральными органами по сертификации в пределах их компетенции.
Координацию работ по организации сертификации средств защиты информации осуществляет Межведомственная комиссия по защите государственной тайны (далее именуется - Межведомственная комиссия) (См. сноску 1) [б5].
________
Сноска 1) Функции Межведомственной комиссии по защите государственной тайны в соответствии с Указом Президента Российской Федерации от 30 марта 1994 г. № 614 временно возложены на Гостехкомиссию Российской Федерации.
________
В каждой системе сертификации разрабатываются и согласовываются с Межведомственной комиссией положение об этой системе сертификации, а также перечень средств защиты информации, подлежащих сертификации, и требования, которым эти средства должны удовлетворять.
Участниками сертификации средств защиты информации являются [65]:
• федеральный орган по сертификации;
• центральный орган системы сертификации (создаваемый при необходимости) - орган, возглавляющий систему сертификации однородной продукции;
• органы по сертификации средств защиты информации - органы, проводящие сертификацию определенной продукции;
• испытательные лаборатории - лаборатории, проводящие сертификационные испытания (отдельные виды этих испытаний) определенной продукции;
• изготовители - продавцы, исполнители продукции.
Центральные органы системы сертификации, органы по сертификации средств защиты информации и испытательные лаборатории проходят аккредитацию на право проведения работ по сертификации, в ходе которой федеральные органы по сертификации определяют возможности выполнения этими органами и лабораториями работ по сертификации средств защиты информации и оформляют официальное разрешение на право проведения указанных работ. Аккредитация проводится только при наличии у указанных органов и лабораторий лицензии на соответствующие виды деятельности [65].
Федеральный орган по сертификации в пределах своей компетенции [65]:
• создает системы сертификации; осуществляет выбор способа подтверждения соответствия средств защиты информации требованиям нормативных документов;
• устанавливает правила аккредитации центральных органов систем сертификации, органов по сертификации средств защиты информации и испытательных лабораторий;
• определяет центральный орган для каждой системы сертификации;
• выдает сертификаты и лицензии на применение знака соответствия;
• ведет государственный реестр участников сертификации и сертифицированных средств защиты информации;
• осуществляет государственные контроль и надзор за соблюдением участниками сертификации правил сертификации и за сертифицированными средствами защиты информации, а также устанавливает порядок инспекционного контроля;
• рассматривает апелляции по вопросам сертификации;
• представляет на государственную регистрацию в Комитет Российской Федерации по стандартизации, метрологии и сертификации системы сертификации и знак соответствия;
• устанавливает порядок признания зарубежных сертификатов;
• приостанавливает или отменяет действие выданных сертификатов.
Центральный орган системы сертификации [65]:
• организует работы по формированию системы сертификации и руководство ею, координирует деятельность органов по сертификации средств защиты информации и испытательных лабораторий, входящих в систему сертификации;
• ведет учет входящих в систему сертификации органов по сертификации средств защиты информации и испытательных лабораторий, выданных и аннулированных сертификатов и лицензий на применение знака соответствия;
• обеспечивает участников сертификации информацией о деятельности системы сертификации.
При отсутствии в системе сертификации центрального органа его функции выполняются федеральным органом по сертификации.
Органы по сертификации средств защиты информации [65]:
• сертифицируют средства защиты информации, выдают сертификаты и лицензии на применение знака соответствия с представлением копий в федеральные органы по сертификации и ведут их учет;
• приостанавливают либо отменяют действие выданных ими сертификатов и лицензий на применение знака соответствия;
• принимают решение о проведении повторной сертификации при изменениях в технологии изготовления и конструкции (составе) сертифицированных средств защиты информации;
• формируют фонд нормативных документов, необходимых для сертификации;
• представляют изготовителям по их требованию необходимую информацию в пределах своей компетенции.
Испытательные лаборатории
проводят сертификационные испытания средств защиты информации и по их результатам оформляют заключения и протоколы, которые направляют в соответствующий орган по сертификации средств защиты информации и изготовителям [65]. Испытательные лаборатории несут ответственность за полноту испытаний средств защиты информации и достоверность их результатов.
Изготовители [65]:
• производят (реализуют) средства защиты информации только при наличии сертификата;
• извещают орган по сертификации, проводивший сертификацию, об изменениях в технологии изготовления и конструкции (составе) сертифицированных средств защиты информации;
• маркируют сертифицированные средства защиты информации знаком соответствия в порядке, установленном для данной системы сертификации;
• указывают в сопроводительной технической документации сведения о сертификации и нормативных документах, которым средства защиты информации должны соответствовать, а также обеспечивают доведение этой информации до потребителя;
• применяют сертификат и знак соответствия, руководствуясь законодательством Российской Федерации и правилами, установленными для данной системы сертификации;
• обеспечивают соответствие средств защиты информации требованиям нормативных документов по защите информации;
• обеспечивают беспрепятственное выполнение своих полномочий должностными лицами органов, осуществляющих сертификацию, и контроль за сертифицированными средствами защиты информации;
• прекращают реализацию средств защиты информации при несоответствии их требованиям нормативных документов или по истечении срока действия сертификата, а также в случае приостановки действия сертификата или его отмены.
Изготовители должны иметь лицензию на соответствующий вид деятельности [65].
Изготовитель для получения сертификата направляет в орган по сертификации средств защиты информации заявку на проведение сертификации, к которой могут быть приложены схема проведения сертификации, государственные стандарты и иные, нормативные и методические документы, требованиям которых должны соответствовать сертифицируемые средства защиты информации [65].
Орган по сертификации средств защиты информации в месячный срок после получения заявки направляет изготовителю решение о проведении сертификации с указанием схемы ее проведения, испытательной лаборатории, осуществляющей испытания средств защиты информации, и нормативных документов, требованиям которых должны соответствовать сертифицируемые средства защиты информации, а при необходимости - решение о проведении и сроках предварительной проверки производства средств защиты информации [65].
Для признания зарубежного сертификата изготовитель направляет его копию и заявку на признание сертификата в федеральный орган по сертификации, который извещает изготовителя о признании сертификата или необходимости проведения сертификационных испытаний в срок не позднее одного месяца после получения указанных документов. В случае признания зарубежного сертификата федеральный орган по сертификации оформляет и выдает изготовителю сертификат соответствия установленного образца. Сертификация импортируемых средств защиты информации проводится по тем же правилам, что и отечественных [65].
Основными схемами проведения сертификации средств защиты информации являются [65]:
единичных образцов средств
защиты информации - проведение испытаний этих образцов на соответствие требованиям по защите информации;
для серийного производства средств защиты информации - проведение типовых испытаний образцов средств защиты информации на соответствие требованиям по защите информации и последующий инспекционный контроль за стабильностью характеристик сертифицированных средств защиты информации, определяющих выполнение этих требований.
Кроме того, допускается предварительная проверка производства по специально разработанной программе. Срок действия сертификата не может превышать пяти лет.
Испытания сертифицируемых средств защиты информации проводятся на образцах, технология изготовления и конструкция (состав) которых должны соответствовать образцам, поставляемым потребителю (заказчику) [65].
В отдельных случаях по согласованию с органом по сертификации средств защиты информации допускается проведение испытаний на испытательной базе изготовителя. При этом орган по сертификации средств защиты информации определяет условия, необходимые для обеспечения объективности результатов испытаний. В случае отсутствия к началу проведения сертификации аккредитованных испытательных лабораторий орган по сертификации средств защиты информации определяет возможность, место и условия проведения испытаний, обеспечивающие объективность их результатов [65].
Сроки проведения испытаний устанавливаются договором между изготовителем и испытательной лабораторией [65].
Изготовителю должна быть предоставлена возможность ознакомиться с условиями испытаний и хранения образцов средств защиты информации в испытательной лаборатории [65].
При несоответствии результатов испытаний требованиям нормативных и методических документов по защите информации орган по сертификации средств защиты информации принимает решение об отказе в выдаче сертификата и направляет изготовителю мотивированное заключение [65].
В случае несогласия с отказом в выдаче сертификата изготовитель имеет право обратиться в центральный орган системы сертификации, федеральный орган по сертификации или в Межведомственную комиссию для дополнительного рассмотрения полученных при испытаниях результатов [65].
Федеральный орган по сертификации и органы по сертификации средств защиты информации имеют право приостанавливать или аннулировать действие сертификата в следующих случаях [65]:
• изменения нормативных и методических документов по защите информации в части требований к средствам защиты информации, методам испытаний и контроля;
• изменения технологии изготовления, конструкции (состава), комплектности средств защиты информации и системы контроля их качества;
• отказа изготовителя обеспечить беспрепятственное выполнение своих полномочий лицами, осуществляющими государственные контроль и надзор, инспекционный контроль за сертификацией и сертифицированными средствами защиты информации.
Порядок оплаты работ по обязательной сертификации средств защиты информации определяется федеральным органом по сертификации по согласованию с Министерством финансов Российской Федерации [65]. Оплата работ по сертификации конкретных средств защиты информации осуществляется на основании договоров между участниками сертификации.
Инспекционный контроль за сертифицированными средствами защиты информации осуществляют органы, проводившие сертификацию этих средств защиты информации [65].
При возникновении спорных вопросов в деятельности участников сертификации заинтересованная сторона может подать апелляцию в орган по сертификации средств защиты информации, в центральный орган системы сертификации, в федеральный орган по сертификации или в Межведомственную комиссию [65].Указанные организации в месячный срок рассматривают апелляцию с привлечением заинтересованных сторон и извещают подателя апелляции о принятом решении.
Органы, осуществляющие сертификацию средств защиты информации, несут ответственность, установленную законодательством Российской Федерации, за выполнение возложенных на них обязанностей, обеспечение защиты государственной тайны и других конфиденциальных сведений, сохранность материальных ценностей, предоставленных изготовителем, а также за соблюдением авторских прав изготовителя при сертификационных испытаниях средств защиты информации [65].
Сканерные приемники и анализаторы спектра.
Сканерные приемники можно разделить на две группы: переносимые сканерные приемники; перевозимые портативные сканерные приемники. К переносимым относятся малогабаритные сканерные приемники весом 150...350 г. (IC-R1, IC-R10, DJ-X1 D, AR-1500, AR-2700, AR-8000, MVT-700, MVT-7100, MVT-7200, PR-1300A, HSC-050 и т.д.) [93, 95, 135, 136, 144, 146]. Они имеют автономные аккумуляторные источники питания и свободно умещаются во внутреннем кармане пиджака.Внешний вид некоторых переносимых сканерных приемников представлен на рис. 5.7 и 5.8, а характеристики - в табл. 5.4.



Рис.5.7. Портативные сканерные приемники: a) MVT-7100;
б) AR-2700; в) AR-8000



Рис. 5.8. Портативные сканерные приемники: a) DJ-X1; б) IC-R1;
в) АХ-400
Таблица 5.4.
Характеристики портативных сканерных приемников.
| Наименование | Индекс (тип) | ||||||
| характеристик | IC-R1 | 1C-R10 | DJ - X1 D | ||||
| Фирма-изготовитель | ICOM | ALINCO | |||||
| Диапазон частот, МГц | 0,1... 1300 | 0,5...1300 | 0,1 ... 1300 | ||||
| Виды модуляции | AM, NFM, WFM | AM, NFM, WFM, SSB | AM, NFM, WFM | ||||
| Чувствительность при отношении сигнал/шум 10 дБ, мкВ | AM: 0,8...1.6 NFM: 0,4...0,8 WFM: 3,2...6,3 | AM : 1,0...2,0 NFM : 0,35...0,79 WFM: 1,0...2,0 SSB: 0,25...0,63 | AM: 0,8...1,6 NFM: 0,4...0,8 WFM: 3...6.3 | ||||
| Избирательность на уровне - 6 дБ, кГц | AM, NFM: 15 WFM: 150 | AM, NFM: 15 WFM: 150 SSB : 2,4 | AM, NFM: 15 WFM: 50 | ||||
| Шаг перестройки частоты, кГц | 0.5; 5; 8; 9; 12,5; 15; 20; 25; 30; 50; 100 | 5; 8; 9; 12,5; 15; 20; 25; 30; 50; 100 | |||||
| Число каналов памяти | 100 | 1000 (в 18 банках) | 100 | ||||
| Скорость сканирования, канал/с | 10(20) | 20 | 10; 15; 20 | ||||
| Выходы приемника | Головные телефоны | Головные телефоны; IBM PC | Головные телефоны | ||||
| Питание, В | DC 7,8 (аккумулятор) DC 6...15 (внешнее) | DC 6 (4 AA) DC 4,5...16 (внешнее) | DC 7,8 (аккумулятор) DC 6...15 (внешнее) | ||||
| Размеры, мм | 49х103х35 | 59х130х32 | 53х110х37 | ||||
| Масса, г | 280 | 310 | 370 (без антенны) |
Продолжение таблицы 5.4.
| Наименование характеристик | Индекс (тип) | ||||
| AR-1500 | AR - 2700 | AR - 8000 | |||
| Фирма-изготовитель | A.O.R | ||||
| Диапазон частот, МГц | 0,5... 300 | 0.5...1300 | 0,5... 1900 | ||
| Виды модуляции | AM, NFM, WFM, LSB, USB, CW | AM, NPM, WFM | AM, NFM, WFM, LSB, USB, CW | ||
| Чувствительность при отношении сигнал/шум 10 дБ, мкВ | AM: 1,0 ...3,0 NFM: 0,5... 1.5 WFM: 1,0...6,0 LSB, USB: 0,26... 1,0 | AM: 1,0...3,0 NFM: 0,5...1,5 WFM: 1.0...6.0 | AM: 1,0...3,0 NFM: 0.35...3,0 WFM: 1,0...6,0 SSB: 0,26.. 1,0 | ||
| Избирательность на уровне - 6 дБ, кГц | AM, NFM: 12 WFM: 180 LSB, USB : 2,4 | AM, NFM: 12 WFM: 180 | AM, NFM: 12 WFM: 180 LSB, USB: 2,4 | ||
| Шаг перестройки частоты, кГц | от 5 и 12,5 до 995 | 5; 6,25; 9; 12,5; 15; 20; 25; 30; 50; 100 | Кратный 50 Гц | ||
| Число каналов памяти | по 100 в 10 банках | по 50 в 10 банках | по 50 в 20 банках | ||
| Скорость сканирования, канал/с | 20 | 20...30 | |||
| Выходы приемника | Головные телефоны | Головные телефоны. IBM PC | |||
| Питание, В | DC 4,8 (Ni-Cd батареи) DC 6 (AA) DC 12 (внешнее) | DC 4.8 (Ni-Cd батареи) DC 6 (AA) DC 6... 16 (внешнее) | |||
| Размеры, мм | 55х152х40 | 69х153х40 | |||
| Масса, г | 390 | 350 без антенны) | |||
| Наименование | Индекс (тип) | ||||
| характеристик | MVT - 7000 | MVT-7100 | MVT - 8000 | ||
| Фирма -изготовитель | YUPITERU | ||||
| Диапазон частот, МГц | 0,1... 1 300 | 0,53...1650 | 0,1 ... 1300 | ||
| Виды модуляции | AM, NFM, WFM | AM, NFM, WFM, LSB, USB | AM, NFM, WFM | ||
| Чувствительность при отношении сигнал/шум 10 дБ, мкВ | AM : 1,0... 1,0 NFM: 0,4...1,0 WFM: 0,75...1,5 | AM: 0,5...10 NFM: 0,4...1,0 WFM: 0,75...1,5 LSB, USB: 0.5...1,0 | AM: 0,5.. 1.0 NFM: 0,5...1,0 WFM: 0,75... 1.5 | ||
| Избирательность на уровне - 6 дБ, кГц | AM, NFM: 12 WFM: 180 | AM, NFM: 12 WFM : 180 LSB, USB : 2,4 | AM, NFM: 12 WFM: 180 | ||
| Шаг перестройки частоты, кГц | 5; 6.25; 9; 10; 12,5; 25; 50; 100 (NFM, AM); 50; 100 (WFM) | 50, 100 Гц (SSB); 1,5; 6,25; 9; 10; 12,5; 20; 25; 50; 100 (NFM, AM); 50; 100 (WFM) | 5; 10; 12,5; 25; 50; 100 (NFM, AM); 50; 100 (WFM) | ||
| Число каналов памяти | 200 | по 100 в 10 банках | 200 | ||
| Скорость сканирования, канал/с | 20 | 30 | 15/20 | ||
| Выходы приемника | Головные телефоны | ||||
| Питание, В | DC 4,8 (Ni-Cd батареи) DC 6 (АА бат.); DC 12 (внешнее) | DC 12 (внешнее) | |||
| Размеры, мм | 64х160х40 | 84х155х38 | 160х45х155 | ||
| Масса, г | 330 (без антенны) | 320 (без антенны) | 650 | ||
Продолжение таблицы 5.4.
| Наименование характеристик | Индекс (тип) | |||||
| IC-R100 | AR - 2800 | AR -3000А | ||||
| Фирма-изготовитель | ICOM | А.O.R. | ||||
| Диапазон частот, МГц | 0.1... 1300 | 0.5...1300 | 0.1... 2036 | |||
| Виды модуляции | AM, NFM, WFM | AM, NFM, WFM, LSB, USB, CW | ||||
| Чувствительность при отношении сигнал/шум 10 дБ, мкВ | AM: 0,66...3.2; NFM: 0,2...0,56; WFM: 0,63...1,5 | AM: 1,0...3,0; NFM: 0,35...1,5; WFM: 1,0...3,0 | AM: 1,0...3,2; NFM: 0,35...1,5; WFM: 1,0....6,0; LSB, USB: 0,25... 1,0 | |||
| Избирательность на уровне - 6 дБ, кГц | AM: 6,0; NFM: 15; WFM: 150 | AM, NFM: 12; WFM : 180 | AM, NFM: 12; WFM: 180; LSB, USB: 2,4 | |||
| Шаг перестройки частоты, кГц | 1; 5; 8; 9; 10; 12,5; 20; 25 | ОТ 5 и 12,5 до 995 | Кратный 50 Гц | |||
| Число каналов памяти | 21 | по 100 в 10 банках | по 100 в 4 банках | |||
| Скорость сканирования, канал/с | 20 | 20 ...30 | 30 (50) | |||
| Выходы приемника | Головные телефоны | Головные телефоны, IBM PC | ||||
| Питание, В | DC 13.2 (внешнее) | DC 12 (внешнее) | DC 13,8 (внешнее) | |||
| Размеры, мм | 150х50х181 | 52х145х180 | 138х80х200 | |||
| Масса, кг | 1,4 | 0,65 | 1,2 | |||
| Наименование | Индекс (тип) | |||||
| характеристик | 1C - R8500 | 1C - R9000 | AR - 5000 | |||
| Фирма-изготовитель | ICOM | A.O.R | ||||
| Диапазон частот, МГц | 0,1 ... 2000 | 0,03... 2000 | 0.01 ... 2600 | |||
| Виды модуляции | AM, AM-N, AM-W, FM, NFM, WFM, LSB, USB, CW | AM, NFM, WFM, LSB, USB, CW, FSK | AM, FM. LSB, USB, CW | |||
| Чувствительность при отношении С/Ш 10 дБ, мкВ | AM: 2,5...6,3 NFM: 0,5 WFM: 1,4...2,0 LSB, USB: 0,25...1,0 | AM: 1,4...6,3 NFM: 0,5...1,4 WFM: 1,4...3,0 LSB, USB: 0,16...1,0 | AM: 0,36...0,56 FM: 0,2...1,25 SSB: 0,14...0,25 | |||
| Избирательность на уровне - 6 дБ, кГц | AM-N, LSB, USB: 2,2 NFM, AM: 5, 5 FM, AM: 12 WFM: 150 | AM: 6 NFM: 15 WFM: 150 LSB, USB: 2,4 | 3; 6; 15; 40; 110; 220 | |||
| Шаг перестройки частоты, кГц | 0,01; 0,05; 0,1; 1; 2,5; 5; 9; 10; 12,5; 20; 25; 100; 1000 | 0,01; 0,1; 1; 2,5; 5; 9; 10; 12,5; 20; 25; 100 | от 1 Гц до 1 МГц | |||
| Число каналов памяти | 1000 (по 40 в 20 банках плюс 200) | 1000 | по 100 в 10 банках | |||
| Скорость сканирования, канал/с | 40 | 50 | ||||
| Выходы приемника | Головные телефоны. IBM PC Магнитофон | Головные телефоны. IBM PC. Магнитофон. Внутр. Панорамный индикатор | Головные телефоны IBM PC | |||
| Питание, В | DC 13,8 (внешнее) | DC 12(внешн.) | ||||
| Размеры, мм | 287х112х309 | 424х150х365 | 204х77х240 | |||
| Масса, кг | 7.0 | 20 | ...3,5 | |||
Окончание таблицы 5.4.
| Наименование характеристик | Индекс (тип) | |||
| IC-R7100 | АХ700В | EB-100 "Miniport@ | ||
| Фирма-изготовитель | ICOM | MARANTZ | ROHDE & SCHWARZ | |
| Диапазон частот, МГц | 25...2000 | 50...905 | 20... 1000 | |
| Виды модуляции | AM, NFM, WFM, LSB, USB | AM, NFM, WFM, | AM, FM | |
| Чувствительность при отношении сигнал/шум 10 дБ, мкВ | AM: 1,6 NFM: 0,35 WFM: 1,0 LSB, USB: 0,2 | AM: 3,0 NFM: 0.5 WFM: 1,0 | AM: 0,3 FM: 0,13 | |
| Избирательность на уровне - 6 дБ, кГц | AM, NFM: 6 AM, WFM: 15 WFM: 150 LSB, USB: 2,4 | AM: 10 NFM: 10 WFM : 150 | AM: 7,5 FM: 15 Импульсные сигналы: 150 | |
| Шаг перестройки частоты, кГц | 0,1; 1; 5; 10; 12,5; 20; 25; 100 | 10; 12,5; 20; 25 | от 1 кГц до 1 МГц | |
| Число каналов памяти | 900 | 100 | 30 | |
| Скорость сканирования, канал/с | 30 | |||
| Выходы приемника | Головные телефоны. Магнитофон | Головные телефоны. Внутренний панорамный индикатор: 1 МГц; 100 или 250 кГц | Головные телефоны. Внешний панорамный индикатор. EPZ -100; 200 кГц | |
| Питание, В | DC 13,8 (внешнее) | DC 6 (аккум.); DC 12; 24 (внешнее) | ||
| Размеры, мм | 241х94х239 | 180х75х180 | 188х71х212 | |
| Масса, кг | 6,0 | 2,1 | 3 (без батареи) | |
Избирательность на уровне минус 6 дБ составляет 12 ... 15 кГц и 150 ... 180 кГц соответственно.
Портативные сканерные приемники имеют от 100 до 1000 каналов памяти и обеспечивают скорость сканирования от 20 до 30 каналов за секунду при шаге перестройки от 50...500 Гц до 50...1000 кГц. Некоторые типы приемников, например, AR-2700, AR-8000, IC-R10 могут управляться компьютером.
Перевозимые сканерные приемники (IC-R100, AR-3030, AR-3000, AR-5000, IC-R72, IC-R7100, IC-R8500, IC-R9000, АХ-700В, ЕВ-100 и др.) отличаются от переносимых несколько большим весом (вес от 1,2 до 6,8 кг), габаритами и конечно большими возможностями [93, 95, 110, 135, 153, 154]. Они, как правило, устанавливаются или в помещениях, или в автомашинах. Почти все перевозимые сканерные приемники имеют возможность управления с ПЭВМ.
Внешний вид некоторых перевозимых сканерных приемников показан на рис. 5.9, 5.11 ... 5.16, а характеристики - в Приложении 4.
Сканерные приемники (как переносимые, так и перевозимые) могут работать в одном из следующих режимов [135, 136, 144, 149, 153, 154,156,157]:
- режим автоматического сканирования в заданном диапазоне частот;
- режим автоматического сканирования по фиксированным частотам;
- ручной режим работы.
Первый режим работы приемника является основным при поиске излучений радиозакладок. При этом режиме устанавливаются начальная и конечная частоты сканирования, шаг перестройки по частоте и вид модуляции.

Рис. 5.9. Портативный сканерный приемник AR-3000A

Рис. 5.10. Анализатор спектра SDU-5000 (панорамная приставка к приемнику AR-3000A)

Рис. 5.11. Портативный сканерный приемник IC-R100

Рис. 5.12. Портативный сканерный приемник IC-R9000

Рис. 5.13. Портативный сканерный приемник AR - 5000

Рис. 5.14. Внешний вид передней панели сканерного приемника 1C - 8500

Рис. 5.15. Портативный сканерный приемник "Miniport ЕВ-100"

Рис. 5.16. Комплект антенн HE-100 портативного сканерного приемника "Miniport ЕВ-100"
Как правило, имеются несколько программируемых частотных диапазонов, в которых осуществляется сканирование. Например, для AR-3000A их четыре, для IC-R1 - десять, а для AR-8000 - двадцать. Оперативное переключение между заданными частотными диапазонами осуществляется с помощью функциональных клавиш.
В данном режиме работы возможно осуществление сканирования диапазона с пропуском частот, хранящихся в специально выделенных для этой цели каналах памяти. Такие каналы часто называют маскированными. Функция пропуска частот включается при установке режима сканирования и используется для сокращения времени сканирования диапазона. В этом случае в блок памяти, как правило, записываются частоты постоянно работающих в данном районе радиостанций, которые с точки зрения поиска закладок не представляют интереса (например, частоты, выделенные для телевизионных и радиовещательных станций).
При поиске закладок можно использовать несколько режимов сканирования:
1. При обнаружении сигнала (превышении его уровня установленного порога) сканирование прекращается и возобновляется при нажатии оператором функциональной клавиши.
2. При обнаружении сигнала сканирование останавливается и возобновляется после пропадания сигнала.
3. При обнаружении аудиосигнала сканирование останавливается и возобновляется после пропадания сигнала.
4. При обнаружении сигнала сканирование останавливается для предварительного анализа сигнала оператором и возобновляется по истечении нескольких секунд. Например, для приемника АХ-700Е-через 5 с, а для приемника AR-3000A это время может изменяться в интервале от 0 до 9 с.
У некоторых приемников при проведении сканирования предусмотрена возможность автоматической записи в память частот обнаруженных сигналов. При этом запись в выделенные для этих целей каналы памяти осуществляется последовательно в порядке приема сигналов. Например, у приемника AR-8000 для записи сигналов, обнаруженных в процессе сканирования, выделено 50 каналов в банке "j".
Слуховой контроль обнаруженных сигналов может осуществляться оператором через головные телефоны или встроенный громкоговоритель. Выбором нужного вида детектора (NFM, WFM и т.д.) обеспечивается оптимальная демодуляция принимаемых сигналов.
Второй режим работы приемников используется для обнаружения излучений радиозакладок, если их частоты известны и записаны в каналы памяти.
Для каждого канала памяти вводится значение частоты, вид модуляции и для некоторых видов приемников - ослабление входного аттенюатора.
Информация, хранящаяся в каждой ячейке (канале) памяти, может легко вызываться на жидкокристаллический дисплей с помощью функциональных клавиш.
Сканирование каналов памяти осуществляется последовательно, при этом, так же как и при первом режиме работы, предусмотрены возможность сканирования с пропуском частот, записанных в маскированные каналы, и возможность автоматической записи в память частот обнаруженных сигналов.
У некоторых приемников предусмотрен режим сканирования памяти по заданному виду модуляции. При этом сканируются все каналы памяти, запрограммированные для выбранного вида модуляции. Например, если в канале памяти установлен вид модуляции AM, а сканирование осуществляется по виду модуляции FM (ЧМ), то данный канал при сканировании пропускается.
Как правило, нулевые каналы каждого блока памяти являются приоритетными, что позволяет осуществлять приоритетное прослушивание частот, записанных в эти каналы.
Третий режим работы приемников применяется для детального обследования всего или ряда частотных диапазонов и отличается от первого режима тем, что перестройка приемников осуществляется оператором с помощью ручки изменения частоты, при этом информация о частоте настройки, виде модуляции, уровне входного сигнала и т.п. выводится на жидкокристаллический дисплей.
Перестройка частоты осуществляется с выбранным шагом перестройки. Для более быстрого изменения частоты используется режим поразрядного набора, при котором частота изменяется последовательно по разрядам (например, 100 МГц, 10 МГц, 1 МГц, 100 кГц и т.д.).
Данный режим работы позволяет довольно быстро и легко выйти в нужный частотный диапазон.
У ряда сканерных приемников на дисплее, кроме информации о частоте настройки приемника и виде модуляции, отображается уровень принимаемого сигнала. Например, у приемников AR-3000A уровень входного сигнала отображается в виде 9-ти сегментной диаграммы. При этом используется следующая аппроксимация уровня сигнала: 1-1,0 мкВ; 7 - 30,0 мкВ; 9 - 300,0 мкВ.
Анализировать спектр сигналов можно с использованием специальной панорамной приставки SDU-5000 (рис. 5.10), подключаемой к некоторым типам приемников.
Сканерные приемники выпускаются как в обычном исполнении, так и в виде отдельных блоков, подключаемых к ПЭВМ, или в виде печатной платы, вставляемой в ПЭВМ. К таким приемникам относятся сканерные приемники IC-PCR1000 и Winradio [91, 95, 111, 143].
Приемник IC-PCR1000 выполнен в виде отдельного блока и работает под управлением ПЭВМ через встроенный компьютерный интерфейс RS-232C [143].
Сканер имеет шумоподавитель, функцию автоматической подстройки частоты, функцию автоматической остановки сканирования на модулированных сигналах. В комплект входит управляющее специальное программное обеспечение для Windows.
Основные технические характеристики IC-PCR1000:
- рабочий диапазон частот: 0,01... 1300 МГц;
- виды модуляции принимаемых сигналов: USB/LSB/CW и AM/FM/WFM;
- количество каналов памяти: неограниченное, размещается в банках частот на жестком диске ПЭВМ;
- минимальное разрешение по частоте: 1 Гц;
- режим настройки параметров приема при выборе частоты: автоматический.
Блок имеет размеры 127х30х199 мм и весит 1 кг.
Универсальный сканирующий радиоприёмник Winradio выполнен в виде печатной платы ISA IBM (размеры 294х121х20 мм) [143] и работает под управлением ПЭВМ. Он имеет режим автоматического сканирования по частоте в пределах всего диапазона частот 500 кГц ...13 00 МГц и осуществляет приём в режимах WFM/NFM/AM/SSB. Шаг перестройки по частоте может быть установлен в пределах от 1 кГц до 1 МГц.
Скорость сканирования 50 кан/с. Чувствительность 0,5 мкВ.
Приемник имеет неограниченное количество каналов памяти, размещаемых в банках частот на жестком диске ПЭВМ. Он позволяет отображать на экране дисплея ПЭВМ спектрограммы и осциллограммы принимаемых сигналов, давать данные об уровнях входных сигналов. Панель управления отображается на экране монитора.
Для поиска закладных устройств наряду с обычными сканерными приемниками используются и специально разработанные, например, Scanlock ЕСМ Plus, "Cкорпион" или MRA-3 [75, 76, 134].
Переносной комплекс Scanlock ECM Plus представляет собой специальное радиоприемное устройство, предназначенное для выявления, идентификации и определения местоположения закладных устройств, передающих информацию по радиоканалу (в диапазоне частот от 10 кГц до 4 ГГц), а также по проводным линиям (в диапазоне частот от 8 кГц до 10 МГц), включая электросеть, телефонные кабели (в комплекте специальный интерфейс для подключения прибора к телефонной линии), линии селекторной связи, пожарной сигнализации и т.п. [134].
При отношении с/ш 10 дБ чувствительность приемника диапазоне частот 10 .. 1 100 МГц составляет минус 85 дБм, в диапазоне свыше 1 100 МГц - минус 75 дБм, в диапазоне ниже 10 МГц - минус 90 дБм [134].
Главное преимущество Scanlock ECM Plus состоит в возможности быстрой автоматической перестройки в широком диапазоне частот. Сканирование по диапазону производится автоматически или вручную. В режиме автоматического сканирования перестройка может осуществляться с шагом от 1 до 99 кГц. Продолжительность анализа каждой дискретной частоты в автоматическом режиме составляет 0,7 сек. В ручном режиме шаг перестройки может выбираться из значений: 1, 2, 5, 10, 20, 50, 100 и 200 кГц [134].
Приемник имеет AM и FM детекторы.
Прибор позволяет осуществлять ускоренное автоматическое сканирование наиболее "сильных" сигналов, тем самым значительно сокращая время обнаружения излучений закладок. То есть при включении режима сканирования приемник захватывает наиболее мощный сигнал и производит его анализ, затем последовательно производится анализ менее "сильных" сигналов.
Измерение частоты можно осуществить простым нажатием кнопки. Оператор идентифицирует обнаруженный сигнал, анализируя его частоту и прослушивая его через головные телефоны или встроенный динамик. Идентификация обнаруженного сигнала может осуществляться также методом корреляции принимаемого сигнала с тестовым.
Местоположение закладки определяется по повышающемуся звуковому тону при приближении к ней выносной антенны.
Комплекс питается как от встроенной аккумуляторной батареи, так и от сети 220/240 В. Аккумуляторная батарея обеспечивает восьмичасовую работу приемника.
Габаритные размеры приемника 310х240х80 мм, а вес 6,3 кг. Приемник с принадлежностями размещается в атташе-кейсе. Общий вес комплекса с кейсом 15,2 кг.
Портативный комбинированный прибор "Скорпион" сочетает
в себе функции обычного сканерного приемника, радиочастотомера, интерсептора и постановщика радиопомех [76].
Имея хорошую избирательность и чувствительность (не хуже 20 мкВ) в автоматическом режиме, как любой сканирующий приемник, он может осуществлять просмотр диапазона частот от 30 до 2000 МГц с полосой пропускания 200 кГц. При этом на двухстрочном 16-ти разрядном жидкокристаллическом индикаторе (ЖКИ) отображается информация о частоте, уровне входного сигнала и других режимах работы прибора.
Приемник имеет AM и FM детекторы и позволяет прослушивать принимаемые сигналы через встроенный динамик.
Ошибка измерения частоты составляет ±10 кГц. Относительный уровень принимаемого сигнала отображается на 16-ти сегментном индикаторе (ошибка измерения ± 3 дБ на один сегмент). При измерении уровня мощных сигналов может использоваться аттенюатор, ослабляющий входной сигнал до 50 дБ.
Встроенный блок памяти позволяет запомнить и пропускать при сканировании ("вырезать") до 128 частот известных сигналов (частоты радиовещательных и телевизионных станций и т.д.), вводимых оператором.
При регулировке чувствительности приемника с помощью входного аттенюатора и исключения из поиска частот известных сигналов время сканирования всего диапазона от 30 до 2000 МГц не будет превышать 10 с.
В этом случае прибор может использоваться для непрерывного радиоконтроля с постоянным сканированием заданного диапазона частот.
Отличительной особенностью прибора является то, что одновременно с функциями обнаружения сигналов закладных устройств, он также способен осуществлять их подавление постановкой прицельной помехой.
Выходная мощность передатчика помех составляет 50 мВт в полосе частот 200 кГц.
Прибор "Скорпион" имеет размеры 166«90»29 мм (без антенны). Питание прибора осуществляется от 8 батарей типа АА, информация о состоянии которых отражается на ЖКИ.
Прибор MRA - 3 также специально разработан для поиска радиозакладок в диапазоне частот от 42 до 2700 МГц и может использоваться как для периодического, так и для постоянного (непрерывного) радиоконтроля помещения [75].
Он имеет чувствительность 20 ... 60 мкВ в диапазоне частот от 50 до 1200 МГц и 60 ... 1000 мкВ - в диапазонах 42 ..; 50 МГц и 1200...2700 МГц. Полоса пропускания по промежуточной частоте 400 кГц.
Прибор позволяет детектировать сигналы с AM, WFM, NFM - модуляцией и измерять их относительный уровень, который отражается на сорокаразрядном линейном индикаторе.
Прибор имеет 512 каналов "долговременной" памяти и 16 перезаписываемых каналов - для записи и последующего анализа "новых" сигналов, обнаруженных при сканировании. Прибор имеет защиту от несанкционированного доступа к каналам спектральной памяти.
Для первоначальной записи частотного спектра приемник осуществляет сканирование рабочего диапазона четыре раза подряд в течение 24 секунд (время сканирования спектрального диапазона составляет 6 секунд). Оператор имеет возможность произвести анализ записанных в память сигналов. В последующем приемник переводится в автоматический режим работы. При каждом сканировании производится сравнение обнаруженных и записанных в "долговременную" память сигналов. При выявлении нового сигнала срабатывает сигнализация, и этот сигнал записывается в блок памяти новых сигналов для последующей проверки.
После анализа новых сигналов их можно записать в долговременную память в режиме обновления спектра (добавления новых сигналов).
Прибор MRA-3 имеет размеры 136х49х137 и весит 620 г (вместе с аккумулятором).
Портативные анализаторы спектра в отличие от сканерных приемников при сравнительно небольших габаритах и весе (от 9,5 до 20 кг) позволяют не только принимать сигналы в диапазоне частот от 30 Гц... 9 кГц до 1,8...40 ГГц, но и анализировать их тонкую структуру. Например, цифровые анализаторы спектра НР8561Е фирмы "Hewlett Packard" позволяют измерять параметры сигнала в диапазоне частот от 30 Гц до 6,5 ГГц, а анализаторы спектра 2784 фирмы "Tektronix"- в диапазоне частот от 9 кГц до 40 ГГц [146, 162].
Точность измерения параметров сигналов очень высокая. Погрешность измерения частоты сигнала составляет 15 ... 210 Гц для частоты 1 ГГц и 1 ... 1,2 кГц - для частоты 10 ГГц, а погрешность измерения амплитуды сигнала - 1 ...З дБ.
Ширина полосы разрешения может изменяться в пределах от 1... 30 Гц до 2...5 МГц и более [146, 162].
Почти все анализаторы спектра имеют встроенные AM/FM детекторы.
Чувствительность портативных анализаторов спектра составляет минус 125 ... 145 дБ (относительно 1 мВт) [146, 162].
Внешний вид анализаторов спектра НР-8563Е и НР-8591Е приведен на рис. 5.17 и 5.18.
Характеристики некоторых анализаторов спектра приведены в табл. 5.5 ... 5.7.
Селективные микровольтметры
позволяют принимать сигналы на частотах до 1 ... 2 ГГц, а также измерять их амплитуду с погрешностью 1 дБ и частоту с погрешностью от 10 до 100 Гц. Ширина полосы пропускания при этом, как правило, не превышает 120 ... 250 кГц. Чувствительность селективных микровольтметров составляет 0,25...0,89 мкВ [145].
Для выявления радиозакладок могут использоваться специальные анализаторы спектра, например, АРМ-723, АРМ-745. Эти приборы предназначены для поиска, измерения и анализа спектра радио- и телевизионных сигналов. Они позволяют контролировать одновременно полосы частот шириной до 400 МГц, оборудованы встроенными блоками для приема и просмотра сигналов телевизионных передатчиков.Точность настройки на анализируемый сигнал контролируется измерительным прибором [96, 110].
В модели АРМ-723 предусмотрена возможность прослушивания анализируемых сигналов, в модели АРМ-745 - возможность управления всеми режимами работы от персонального компьютера.
Специальные проверки выделенных помещений.
Выявление внедренных на объекты электронных устройств перехвата информации достигается проведением специальных проверок, которые проводятся при проведении аттестации помещений, предназначенных для ведения конфиденциальных переговоров, а также периодически [39].В зависимости от целей, задач и используемых средств можно выделить следующие виды специальных проверок [3, 20, 54, 122,123]:
- специальное обследование выделенного помещения;
- визуальный осмотр выделенного помещения;
- комплексная специальная проверка помещения;
- визуальный осмотр и специальная проверка новых предметов (подарков, предметов интерьера, бытовых приборов и т.п.) и мебели, размещаемых или устанавливаемых в выделенном помещении;
- специальная проверка радиоэлектронной аппаратуры, устанавливаемой в выделенном помещении;
- периодический радиоконтроль (радиомониторинг) выделенного помещения;
- постоянный (непрерывный) радиоконтроль помещения;
- специальная проверки проводных линий;
- проведение тестового "прозвона" всех телефонных аппаратов, установленных в проверяемом помещении, с контролем (на слух) прохождения всех вызывных сигналов АТС.
Периодичность и виды проверок помещений с целью выявления в них закладных устройств зависят от степени важности помещений и порядка допуска в них посторонних лиц.
Специальное обследование и визуальный осмотр выделенного помещения проводятся без применения технических средств. Остальные же виды проверок требуют использования тех или иных специальных средств контроля.
Специальные обследования помещений проводятся после окончания строительства объекта или после проведения капитального ремонта в них, а также периодически. Для проведения специальных обследований должны привлекаться соответствующие специалисты.
Визуальный осмотр помещений проводится перед началом и после завершения служебных совещаний, а также в начале и после завершения рабочего дня. Если проверка проводится вечером, то после ее завершения помещение должно быть закрыто и опечатано, а ключи в опечатанном тубусе должны сдаваться под охрану.
Данный вид проверки кабинетов руководящего состава целесообразно поручать их секретарям, так как они могут наиболее быстро выявить новые предметы, появившиеся в кабинете. Проверку помещений для проведения служебных совещаний целесообразно поручать специалистам.
При проведении визуального осмотра выделенных помещений особое внимание уделяется местам, куда можно быстро и скрытно установить закладное устройство. Этот вид контроля позволяет выявить закладки, оставляемые посетителями в легко доступных местах: под столешницами, под сидениями стульев, в различных щелях, за картинами, за батареями, за мебелью, за шторами и т. д.
Визуальный осмотр и специальная проверка новых предметов и мебели проводится перед их установкой в выделенном помещении. Как
правило, проверяются предметы и мебель, приобретаемые по предварительному заказу или доставляемые фирмой-посредником, а также представительские подарки и сувениры. Для проведения проверки используются нелинейные локаторы и рентгеновские комплексы.
С целью обнаружения звуко- и видеозаписывающей аппаратуры, а также радиозакладок может проводиться досмотр и специальная проверка посетителей и их вещей.
Специальная проверка радиоэлектронной аппаратуры, в том числе ПЭВМ и телефонных аппаратов, проводится после их закупки или ремонта. Для проведения проверки применяются рентгеновские комплексы, радиоизмерительная техника и специальные программно-аппаратные комплексы контроля.
Специальная проверка проводных линий осуществляется после окончания строительства объекта или после проведения его капитального ремонта, а также периодически с целью обнаружения несанкционированных подключений к линиям средств съема информации. Для проведения проверки должны привлекаться соответствующие специалисты.
Радиоконтроль выделенных помещений проводится с целью обнаружения активных радиозакладок с использованием сканерных приемников или программно-аппаратных комплексов контроля. Он организуется периодически при проведении наиболее важных мероприятий (совещаний, заседаний и т.п.) или непрерывно (постоянно).
При этом средства контроля могут располагаться вне контролируемых помещений.
Тестовый "прозвон" телефонных аппаратов проводится при установке нового телефонного аппарата или телефонного аппарата после ремонта, а также периодически. "Прозвон" необходимо проводить с радиотелефона или телефонного аппарата, установленного в другом помещении. При наборе номера проверяемого телефонного аппарата осуществляется контроль (на слух) прохождения всех вызывных сигналов АТС.
Если обнаружено подавление (непрохождение) одного-двух вызывных звонков у контролируемого телефонного аппарата, то, возможно, что в его корпусе или телефонной линии установлено закладное устройство типа "телефонного уха" и необходимо проводить специальную проверку телефонной линии и телефонного аппарата.
Комплексная специальная проверка помещений проводится после окончания строительства объекта или после проведения капитального ремонта в них, при проведении аттестации помещений, а также периодически. Это наиболее полный вид проверки. Для проведения таких специальных проверок используется весь арсенал технических средств контроля.
Специальные проверки
должны проводить специалисты организаций, имеющих лицензии уполномоченных органов.
При организации специальной проверки можно выделить три этапа: подготовка к проведению проверки, непосредственное проведение проверки и оформление результатов проверки.
При проведении специальной технической проверки помещений можно выделить несколько видов работ (рис. 6.10 ... 6.13) [3, 20, 54, 78, 110, 122, 123, 151].
Первый вид работ включает специальное обследование и проверку с использованием технических средств поверхности стен, потолков, полов, дверей и оконных рам, а также мебели, предметов интерьера, сувениров и т.п. Для его проведения необходимы следующая аппаратура и техника: нелинейный локатор, переносной рентгеновский комплекс, металлоискатель, обнаружитель пустот, индикатор электромагнитного поля, радиочастотомер, а также вспомогательное досмотровое оборудование.
Второй вид работ связан с визуальным осмотром и проверкой с использованием технических средств электронных приборов. При этом используются: переносной рентгеновский комплекс, индикатор электромагнитного поля, радиочастотомер и набор луп.
Третий вид работ включает визуальный осмотр и проверку с использованием технических средств проводных линий (электросети, абонентской телефонной сети, системы часофикации, систем пожарной и охранной сигнализации и т.д.). Для проверки используются средства контроля проводных линий, а также индикатор электромагнитного поля и радиочастотомер.
Четвертый вид работ предусматривает радиоконтроль (радиомониторинг) помещений. Он проводится с использованием программно-аппаратных комплексов контроля или обычных сканерных приемников. Для анализа структуры сигналов применяются анализаторы спектра.
Рассмотренные виды работ могут проводиться параллельно несколькими группами или последовательно.
Специальная проверка помещения начинается с его тщательного осмотра.
При визуальном осмотре применяется вспомогательное оборудование: фонари, досмотровые зеркала и эндоскопы, а также набор луп.
Фонари применяются для осмотра плохо освещаемых мест.

Рис. 6.10. Поиск радиозакладок с использованием специального приемника Scanlock ECM Plus и выносной антенны.

Рис. 6.11. Выявление излучений радиозакладок с использованием
специального приемника Model 300.

Рис. 6.12. Поиск закладных устройств с использованием нелинейного локатора Super Broom.

Рис. 6.13. Измерение параметров телефонных линий с использованием анализатора телефонных линий Model 200.
Досмотровые зеркала применяются для осмотра труднодоступных мест (мебельных ниш, вентиляционных и других отверстий строительных конструкций, люстр и т.п.). Типовой досмотровой комплект зеркал включает в себя сменные зеркала различных размеров и конфигурации и телескопическую штангу, на конце которой закрепляется фонарь и одно из зеркал.
При визуальном осмотре высоко расположенных объектов (люстр и других светильников, верхних полок шкафов и т.п.) могут использоваться стремянки.
Для поиска малогабаритных закладок в местах, не просматриваемых с помощью зеркал, применяются волоконно- оптические эндоскопы, которые используются для скрытного наблюдения.
Лупы применяются для детального анализа обследуемых предметов.
Визуальный осмотр должен начинаться с протоколирования и фотографирования мест расположения всех предметов в обследуемом помещении. При этом используются подготовленные
планы помещений, на которых уточняется расположение мебели, предметов интерьера и аппаратуры и т.д. Записываются их наименование, серийные (инвентарные) номера, номера пломб и печатей и т.п.
После составления протокола и фотографирования мест расположения всех предметов необходимо удалить из контролируемого помещения (или собрать в определенном месте помещения) все электронные устройства: ПЭВМ, телевизоры, магнитофоны, радиоаппаратуру и т.п.
В целях обеспечения полноты визуального контроля целесообразно проводить его по определенной схеме: от двери по часовой стрелке и от периферии к центру помещения.
Осматриваются все поверхности стен, потолков, полов, дверей, оконных рам. Внимательно осматриваются мебель, картины, сувениры и игрушки, цветочные горшки, система отопления, электросеть, системы пожарной, охранной сигнализации и пожаротушения, радиоэлектронная аппаратура, электроприборы, оргтехника, радиотрансляционная сеть, система часофикации, телефонная сеть, урны для мусора и т.д.
Осмотр необходимо проводить последовательно, методично, просматривая фрагмент за фрагментом.
При осмотре стен особое внимание обращается на наличие "свежих" царапин на обоях возле электрических и телефонных розеток, выключателей освещения, участков стены, по тону отличающихся от остальной поверхности (следы свежей краски, потемнение (посветление) обоев и т.д.).
Бра и электрические розетки снимаются, разбираются и осматриваются. При этом необходимо соблюдать правила электробезопасности. При осмотре они должны отключаться от электросети. Осматриваются не только сами электрические розетки, электрощиты, но и ниши, в которых они установлены.
При осмотре обращается внимание на подводящие провода электрощитов и розеток.
Особое внимание уделяется осмотру вентиляционных решеток и коробов. Проверяется крепление решетки, и не снималась ли она. Вентиляционные короба могут осматриваться с использованием эндоскопов или с использованием досмотровых зеркал. В последнем случае необходимо снять вентиляционные решетки.
При осмотре системы отопления необходимо осмотреть пространство за решетчатым ограждением, между ребер батарей и места входа труб в стены или пол (потолок).
Особое внимание обращается на пылевые следы смещения картин, настенных часов или других предметов. Настенные часы осматриваются как снаружи, так и внутри. При осмотре картин необходимо внимательно осмотреть их обратную сторону.
Рамы окон осматриваются при их открытом и закрытом положении. Осматриваются места между рамами и оконными проемами. При необходимости производится осмотр используемого уплотнителя. Особое внимание уделяется осмотру карнизов и штор.
При осмотре пола внимание обращается на отслоение паркетин и царапины на них, на отслоения или вздутости линолеума (коврового покрытия), а также царапины в местах крепления и отслоение плинтусов, следы свежей краски на них.
Осматриваются (внутри и днища) урны, напольные вазы и другие напольные предметы интерьера.
Осматривая крашенный (или поклеенный) потолок, необходимо обратить внимание на наличие участков, по тону отличающихся от остальной поверхности (следы свежей краски, изменение цвета обоев), а также на царапины в местах крепления, отслоение потолочных плинтусов, следы свежей краски на них.
При осмотре подвесных потолков внимание обращается на царапины и нарушения в креплении плиток. Целесообразно снять несколько плиток и осмотреть (в том числе и с использованием досмотровых зеркал) пространство между основным и подвесным потолками.
Датчики охранной и пожарной сигнализации осматриваются внутри. Если они опломбированы, то проверяется целостность пломб.
Люстры осматриваются внутри при отключенном электропитании.
Перед осмотром мебели обращается внимание на изменение ее расположения от ранее установленного порядка (смещена, повернута, переставлена местами друг относительно друга и т.д.).
Мебель при осмотре отодвигается от стен и друг друга. Внимательно осматриваются пол под диванами, шкафами, сейфами, днища шкафов, диванов, столов, кресел, стульев, складки обивки и соединительные швы мягкой мебели и т.д.
Выдвижные ящики и полки вынимаются и осматриваются. Вынимается и осматривается также содержимое столов, шкафов и т.д. Труднодоступные и скрытые полости столов, диванов, кресел и т.д. осматриваются с помощью эндоскопов. Наряду с мебелью проверяются все предметы интерьера, сувениры, игрушки, настольные вазы, пепельницы, зажигалки, цветочные горшки и т.п. При этом особое внимание обращается на царапины, следы свежей краски, клея, сравнительную толщину стенок и объем доступных полостей. Выявляются скрытые полости.
Основные моменты, на которые необходимо обращать внимание при осмотре, приведены в табл. 6.2 и 6.3 [3, 20, 114, 122, 123, 151, 163].
Проверка помещения с использованием специальных технических средств осуществляется или параллельно с проведением визуального осмотра, или после него. При этом обязательно проверяются все выявленные в процессе осмотра подозрительные места и предметы.
Проверку стен, полов и потолков осуществляют с использованием нелинейного локатора. В качестве дополнительных средств применяются обнаружитель пустот и металлоискатель. Если используется нелинейный локатор, осуществляющий прием отраженных сигналов только на второй гармонике, проверку необходимо проводить два раза, первый - с использованием нелинейного локатора, второй - с использованием металлоискателя.
Обнаружение электронного устройства, определение его местоположения и его идентификация осуществляется по методикам, изложенным в пятой главе. Режим работы (включено, выключено) обнаруженного электронного устройства проверяется с использованием индикатора поля. Для определения частоты излучения применяется радиочастотомер.
Подозрительные места, где с использованием нелинейного локатора или металлоискателя обнаружены электронные или металлические объекты, наносятся на схему помещения. При согласии руководства учреждения, данные места вскрываются и осуществляется их осмотр. В противном случае эти работы выполняются при очередном ремонте.
Таблица 6.2.
Методика осмотра помещений.
|
Объекты осмотра. Методы осмотра |
На что обращается внимание |
|
Стены Визуальный осмотр. Вентиляционные короба и батареи досматриваются с использованием зеркал и эндоскопов |
1. Царапины, наличие участков, по тону отличающихся от остальной поверхности (следы свежей краски, потемнение (посветление) обоев и т.д.). 2. Бра, розетки, щитки распределительные (осмотреть внутри). 3. Вентиляционные решетки и отверстия (осмотреть крепление решеток и осмотреть внутри вентиляционного короба). 4. Батареи и трубы отопления (осмотреть пространство между ребер батарей и места входа труб в стены или пол). 5. Настенные часы (осмотреть корпус и внутри). 6. Картины (осмотреть раму и обратную сторону). 7. Окна (осмотреть подоконники, рамы, стекла, карнизы, шторы) |
|
Пол Визуальный осмотр |
1. Отслоение паркетин. Свежие царапины на паркетинах. 2. Отслоения или вздутости линолеума (коврового покрытия). 3. Свежие царапины в местах крепления, отслоение плинтусов, следы свежей краски на них. 4. Урны (осмотреть внутри и днище). 5. Напольные вазы (осмотреть внутри и днище). |
|
Объекты осмотра. Методы осмотра |
На что обращается внимание |
|
Мебель Мебель при осмотре отодвигается от стен и друг друга. Визуальный осмотр с использованием луп и эндоскопов |
1. Пол под диванами, шкафами, сейфами и т.д. 2. Днище шкафов, диванов, столов, кресел, стульев и т.д. 3. Выдвижные ящики и полки (вынимаются и осматриваются). 4. Труднодоступные и скрытые полости столов, диванов, кресел и т.д. (осматриваются с помощью эндоскопов). 5. Содержимое в столах, шкафах и т.д. (вынимается и осматривается). 6. Складки обивки и соединительные швы мягкой мебели. |
|
Потолок Визуальный осмотр. Плитки подвесного потолка снимаются, и проводится визуальный осмотр пространства между основным и подвесным потолками |
1. Наличие участков, по тону отличающихся от остальной поверхности (следы свежей краски, потемнение (посветление) обоев). 2. Свежие царапины, нарушения в креплении плиток подвесных потолков. 3. Свежие царапины в местах крепления, отслоение потолочных плинтусов, следы свежей краски на них. 4. Датчики охранной и пожарной сигнализации (осмотреть внутри или проверить целостность пломб). 5. Люстры (осмотреть внутри). 6. Трубы отопления (осмотреть место входа труб в потолок). |
Таблица 6.3.
Методика осмотра аппаратуры, техники и сувениров.
|
Объекты осмотра |
Методы осмотра |
На что обращается внимание |
|
Электронные приборы (оргтехника, телевизоры, магнитофоны, приемники, ПЭВМ, телефонный аппарат и т.д.) |
1. Разборка. Визуальный осмотр. 2. Визуальный осмотр с помощью лупы. 3. Сравнение наблюдаемых схем со снимками типовых блоков (печатных плат). |
1. Наличие в приборе небольших предметов неизвестного назначения, подключенных, как правило, к блоку питания аппаратуры (если это акустическая закладка, то в ее корпусе должно быть небольшое отверстие или к нему подключен выносной микрофон). 2. Наличие в корпусе телефонного аппарата, телефонной трубке или телефонной розетке небольших предметов неизвестного назначения, подключенных (последовательно или параллельно) к телефонной линии. 3. Наличие дополнительных плат, изменение в штатных печатных платах или появление в электронном приборе дополнительных радиоэлементов. 4. Наличие на платах мест со следами "свежей" (отличной от заводской) пайки. 5. Отличие элементов (конденсаторов, резисторов, микрофонных и телефонных капсюлей и т.п.) от заводских (по внешнему виду, размерам, отсутствию соответствующих надписей и т.п.). 6. Наличие в корпусах радиоэлементов (особенно конденсаторов) небольших отверстий. |
|
Объекты осмотра |
Методы осмотра |
На что обращается внимание |
|
Электрические приборы (настольные лампы, нагревательные приборы и т.д.) |
1. Разборка. Визуальный осмотр. 2. Визуальный осмотр с помощью лупы. |
1. Наличие небольшого предмета неизвестного назначения, подключенного к проводам электропитания прибора, и наличие в его корпусе отверстия или подключенного к нему выносного микрофона. |
|
Сувениры, игрушки, настольные вазы, пепельницы, зажигалки, цветочные горшки и т.п. |
1. Разборка. Визуальный осмотр. 2. Визуальный осмотр с помощью лупы. |
1. Сравнительная толщина стенок и объем доступных полостей. 2. Скрытые полости. Наличие в корпусах (стенках) небольших отверстий. 3. Царапины, следы свежей краски, клея и т.п. |
Особое внимание уделяется наличию в корпусе аппарата, телефонной трубке или телефонной розетке элементов (деталей) неизвестного назначения, подключенных (последовательно или параллельно) к телефонной линии. Внимательно осматриваются внешний вид и соответствующие надписи на всех конденсаторах, микрофонном и телефонном капсюлях [3, 122, 123, 151].
При предположительном обнаружении в том или ином предмете или элементе схемы (блока) прибора акустической закладки они внимательно осматриваются с помощью лупы. При детальном осмотре особое внимание уделяется наличию в их корпусах (стенках) небольших (диаметром около 1 мм) отверстий под микрофоны [122, 123].
Подозрительные неразборные блоки, платы и элементы схем электронных приборов проверяются с использованием рентгеновских комплексов.
Осмотр и проверку подозрительных предметов и элементов желательно проводить таким образом, чтобы не стереть или повредить, возможно, оставленные противником (преступником) отпечатки пальцев.
Перед изъятием подозрительных предметов для специальной технической проверки производится их фотографирование и запоминается (протоколируется) их местоположение. При этом необходимо обратить
внимание на возможные метки, оставляемые с целью фиксирования места размещения предметов, имеющих устройства съема информации.
После проведения проверки электронная аппаратура, электрические приборы, щитки, розетки, вентиляционные решетки и т.д. представителями проверяющей организации опечатываются специальными пломбами или маркируются специальными метками, в том числе ультрафиолетовыми [З]. Использование ультрафиолетовых меток является предпочтительным, так как они являются невидимыми и обнаружить их можно только при облучении ультрафиолетовыми источниками света. Виды и места установки меток указываются в пояснительной записке к плану помещения. При очередной проверке проверяется, вскрывались ли эти приборы и блоки.
Проверка проводных линий
(электросети, абонентской телефонной сети, системы часофикации, систем пожарной и охранной сигнализации и т.д.) осуществляется или параллельно с проведением проверки помещения, или после ее проведения.
Проверка начинается с визуального осмотра каждой линии в соответствии с ее схемой. Особое внимание уделяется осмотру всех распределительных коробок, щитов, параллельных отводов, блокираторов и т.п. В процессе осмотра схемы проводных линий уточняются, на них наносятся неуказанные отводы, распределительные коробки и т.п. [3, 20, 48, 122, 123, 151].
После визуального осмотра осуществляется проверка линий с использованием технических средств. Тот или иной метод проверки проводных линий зависит от принципов работы и характеристик используемых средств контроля.
Проверку проводных линий целесообразно осуществлять в следующей последовательности: вначале проверяется силовая сеть, затем - линии телефонной связи и в конце - линии пожарной и охранной сигнализации и т.д.
При проверке силовых линий необходимо строго соблюдать правила электробезопасности.
Вначале осуществляется проверка каждой линии на наличие в ней высокочастотных сигналов, модулированных информационным сигналом [3, 20, 73, 103, 151].
Слаботочные линии дополнительно проверяются на наличие в них информационных низкочастотных сигналов [3, 20, 103, 151].
При обнаружении сигналов, передаваемых средствами съема информации, их поиск и локализация производится путем подключения прибора к различным точкам силовой сети или слаботочной проводной линии с одновременным контролем уровня прослушиваемых сигналов и визуальным осмотром подозрительных участков.
После проверки линий на наличие в них высокочастотных и низкочастотных сигналов проводится их проверка на наличие подключенных средств съема информации с использованием нелинейного локатора проводных линий, а затем производится измерение параметров линий [48, 103].
В обследуемой силовой линии вычленяется проверяемый участок, который отключается от источника питающего напряжения. Наиболее удобно отключение линии проводить на распределительном щите. От обследуемой линии отключаются все электрические приборы (легальные нагрузки). Из люстр, бра необходимо вывернуть все лампы, все выключатели устанавливаются во включенное положение [48].
К одним концам проверяемого участка силовой линии подключается нелинейный локатор, а к другим - испытательная (эквивалентная) нагрузка.
При проверке телефонной линии необходимо ее разъединить и отключить от нее телефонный аппарат, подключив вместо него эквивалентную нагрузку. Разъединение (отключение телефонной линии) целесообразно проводить на вводной распределительной коробке (щитке) здания. Подключение локатора к линии осуществляется в месте ее разъединения [48].
Если после проведения технической проверки и визуального осмотра в линии не обнаружено подключенных средств съема информации, то проводится измерение ее параметров (активного и реактивного сопротивлений, емкости и индуктивности) [103, 122, 123, 151]. Причем измерения проводятся при разомкнутом и замкнутом (накоротко) состояниях линии. Результаты измерений заносятся в таблицу.
При измерении параметров телефонной линии (после подсоединения телефонного аппарата и подключения линии к АТС) дополнительно фиксируются напряжения при опущенной и поднятой трубке телефонного аппарата. Измерения могут проводиться на вводном распределительном щитке или непосредственно в телефонной розетке. Результаты измерений также заносятся в таблицу.
Полученные результаты измерений параметров проводных линий необходимы для проведения в последующем периодических проверок этих линий.
Радиоконтроль
(радиомониторинг) выделенных помещений может проводиться в ходе их специальной проверки, при проведении особо важных мероприятий в этих помещениях, а также постоянно (непрерывно).
Радиоконтроль может проводиться с использованием как обычных сканерных приемников, так и программно-аппаратных комплексов контроля. Наиболее предпочтительным является метод контроля с использованием программно-аппаратных комплексов.
Для повышения эффективности и оперативности контроля его организация начинается за несколько дней до проведения специальной проверки [З]. При этом скрытно осуществляется радиоконтроль электромагнитной обстановки в районе объекта и по его результатам составляется база данных выявленных сигналов.
В случае использования программно-аппаратных комплексов в процессе контроля на жесткий диск ПЭВМ в режиме обновления записывается спектрограмма рабочего диапазона частот (частота и относительный уровень, а также спектры обнаруженных сигналов). По возможности устанавливаются принадлежность и месторасположение источников обнаруженных сигналов.
При проведении специальной проверки программно-аппаратный комплекс (сканерный приемник) разворачивается в выделенном помещении. Устанавливаются внутренняя (в пределах контролируемого помещения) и внешняя (вынесенная на удаление не менее 20 ... 30 м от контролируемого помещения) антенны. Радиоконтроль проводится после специального обследования помещения.
В процессе контроля с использованием активного или пассивных тестов выявляются сигналы, источники которых находятся в выделенном помещении [34, 78, 110, 151].
Локализация источников сигналов, выявленных в контролируемом помещении, может проводиться как с использованием программно-аппаратного комплекса в соответствующем режиме работы, так и с использованием других средств (например, переносных сканерных приемников, индикаторов поля, радиочастотомеров и т.д.).
Периодический радиоконтроль
наиболее целесообразно организовывать при проведении особо важных мероприятий (совещаний, переговоров, встреч и т.п.). В этом случае пункт радиоконтроля обычно размещается в специально выбранном помещении на объекте, а в контролируемом помещении скрытно устанавливаются широкополосная антенна и выносной микрофон, который подключается к бесшумному коррелятору комплекса контроля. Пункт радиоконтроля также может быть развернут в автомашине, припаркованной недалеко от объекта.
Но наиболее эффективна организация постоянного (круглосуточного)
радиоконтроля в выделенных помещениях. В этом случае могут быть выявлены не только дистанционно-управляемые радиозакладки, но и закладки с промежуточным накоплением информации и закладки, использующие для передачи информации аппаратуру быстродействия [34, 78, 110, 151].
В этом случае в специально оборудованном помещении на объекте разворачивается стационарный пункт радиоконтроля, в состав которого, как правило, включаются один или несколько программно-аппаратных комплексов, позволяющих контролировать все выделенные помещения (например, комплексы КРК, АРК, "Крона", система СОИ и т.п.). На пункте радиоконтроля устанавливается опорная антенна, а в выделенных (контролируемых) помещениях - малогабаритные широкополосные антенны и звуковые колонки или выносные микрофоны (в случае использования в составе комплексов контроля бесшумных корреляторов), которые при установке камуфлируются. Антенны и звуковые колонки (или микрофоны) специально проложенными кабелями соединяются соответственно с блоками высокочастотного (антенного) или низкочастотного коммутаторов, установленных в помещении стационарного пункта контроля [34, 78, 110].
В состав комплекса контроля целесообразно включать два приемника, один из которых использовать в режиме постоянного сканирования заданного диапазона в режиме панорама, а второй - для детального анализа спектров сигналов и их классификации [85].
Если при проведении радиоконтроля обнаружена передача информации закладкой во время важного мероприятия, то до принятия решения о дальнейших действиях может быть организована постановка прицельных помех на частоте передачи закладки. Для этих целей может использоваться, например, устройство постановки помех АРК-СП [78].
Если при проведении специальной проверки обнаружено закладное устройство, руководитель поисковой бригады сообщает об этом факте руководителю учреждения и в территориальный орган ФСБ РФ. Дальнейшие оперативно-следственные действия по изъятию закладки и установлению лиц, внедривших закладку, осуществляют ее представители.
Список использованной литературы.
1. Абалмазов Э.И. Методы и инженерно-технические средства противодействия информационным угрозам. - М.: Гротек, 1997. - 248 с.2. Абалмазов Э.И Новая технология защиты телефонных разговоров// Специальная техника. - 1998. -№ 1. - С. 4 ... 8.
3. Алексеенко В.А. Имеющий уши- подслушивает// Частный сыск. Охрана, Безопасность. - 1996. - № 2. - С.9 ... 12.
4. Анализатор телефонных линий "Багер - 01" (Sel SP-18/T). Инструкция по эксплуатации. — М.: "Маском". - 4 с.
5. Андрианов В.И., Бородин В.А., Соколов А.В." Шпионские штучки " и устройства для защиты объектов и информации: Справ, пособие. - С- Пб.: Лань, 1996. - 272 с.
6. Аппаратура оперативного выявления радиоканалов утечки информации. Поисковый прибор REL-RF-850 от фирмы "РК Электроник"// Системы безопасности, связи и телекоммуникаций. - 1998. - № 1, -С. 38... 39.
7. Атакующая спецтехника фирмы "Анна"// Защита информации. - 1996- № 2. - С. 55... 62.
8. Баранов В.М., Вальков Г.В., Еремеев М.А. и др. Защита информации в системах и средствах связи. Учебное пособие. - Санкт- Петербург: ВИККА имени А.Ф. Можайского, 1994. - 113с.
9. Барсуков B.C., Марущенко В.В., Шигин В.А. Интегральная безопасность: Информационно-справочное пособие. - М.: РАО "Газпром", 1994.-170 с.
10. Бордунов О. Подбор черно-белых телевизионных камер в системах замкнутого телевидения // Мы и безопасность. - 1996. № 3. -С. 11 ... 13.
11. Брусницин Н.А. Открытость и шпионаж. - М.: Воениздат, 1991-56 с.
12. Василевский И.В. Sedif 2.0. Управляющая программа для сканирующих приемников AR-3000A, AR-2700 и AR-8000 // Защита информации. - 1995. № 6. - С. 49... 55.
13. Василевский И.В. Еще один шаг на пути к совершенству// Защита информации. - 1997. - № 5. - С. 103 ... 105.
14. Василевский И.В. Способы и средства предотвращения утечки
информации по техническим каналам. - М.: НПЦ "Нелк", 1998. - 200 с,
15. Василенок В.Л., Вус М.А., Горшков В.В. и др. Введение в безопасность предпринимательства.
Учебное пособие. - Санкт-Петербург: Высшая административная школа мэрии, 1996. - 99 с.
16. Васильев А.С. Опыты с Интернетом// Специальная техника. -1998. - № 1. - С. 54 ...56.
17. Вернигоров Н.С. Нелинейный локатор- эффективное средство в области утечки информации// Защита информации. - 1996. - № 1. - С. 67...69.
18. Викторов А.Д., Генне В.И., Гончаров Э.В. Побочные электромагнитные излучения персонального компьютера и защита информации//Защита информации. - 1995. № 3. - С. 69...72.
19. Вовченко В.В., Степанов И.О. Проблемы защиты информации от экономического шпионажа // Защита информации. - 1994. № 1. -С. 48 ... 64.
20. Вовченко В.В., Степанов И.О. Особенности использования OSCOR и общие методы проведения комплексной поисковой операции// Защита информации. - 1995. № 5/3. - С. 73... 82.
21. Вовченко В.В., Степанов И.О. "Элинвест" в атаке // Защита информации. - 1995. - № 3. - С. 76...89.
22. Гавриш В.Ф. Практическое пособие по защите коммерческой тайны. - Симферополь: Таврида, 1994, - 112 с.
23. Генератор шума "Гном-3". Паспорт. 3.541.053 ПС. - Выборг.:
1994. - 7 с.
24. Генне В.И. Защита информации от утечки через побочные электромагнитные излучения цифрового электромагнитного оборудования// Защита информации. - 1998. № 2. - С. 89 ... 95.
25. Герасименко В.А., Малюк А.А. Основы защиты информации. Учебник. - М.: МГИФИ (Технический университет), 1997. - 537 с.
26. Жуков А. Мониторинг телефонной линии: от диктофона до цифрового магнитофона// Защита информации. - 1998. № 2. - С. 96 ... 98.
27. Закон Российской Федерации "Об информации, информатизации и защите информации". (Принят Государственной Думой 25.01.95 г.). - М.: 1995. - 21 с.
28. Иванов В.П., Сак В.В. Маскировка информационных излучений средств вычислительной техники// Зашита информации. - 1998. №1. - С. 67... 71.
29. Изделия специальной техники: Каталог. - Томск: ЧИП "Циклон-1", 1995. - 12с.
30. Индикатор электрических сигналов в проводных системах ПСЧ-5.
Техническое описание. - М.: АООТ "Ново", 1997. - 6 с.
31. Индукционный съем информации с телефонной линии- можно ли с ним бороться?// Мы и безопасность. — 1996. — № 2. - С. 10...11.
32. Жариков В.Ф., Киреев A.M., Синелев Д.В., Хмелев Л.С. Тестовые режимы// Защита информации. - 1996. № 2. - С. 49... 53.
33. Калинина Н.Г. Как уберечься от "телефонного уха" и сохранить конфиденциальность переговоров?// БДИ. - 1997. - № 5. - С. 28 ... 31.
34. Комплекс радиоконтроля КРК-1. Техническое описание и инструкция по эксплуатации. - М.: АООТ "Ново", 1997. - 32 с.
35. Комплексные системы безопасности. Защита информации. Телевизионное наблюдение. Радиосвязь: Каталог. - М.: "Девикон", 1995. -72 с.
36. Комплексные системы безопасности. Защита информации. Телевизионное наблюдение. Радиосвязь: Каталог. - М.: Девинкон, 1996. -68 с.
37. Контроллер телефонной линии "КТЛ - 400". Паспорт. Техническое описание. Инструкция по эксплуатации. - М.: "Маском", 1998. -11 с.
38. Контроль переговоров в сетях сотовой связи. Системы семейства кольцо. Специальные технические средства. - Санкт- Петербург.: СДЦ, 1998. - 13 с.
39. Концепция информационной безопасности Российской Федерации (проект): Препринт./ Под ред. Д. С. Черешкина и В.А. Виртковского. - М.: Институт системного анализа РАН, 1994. - 44 с.
40. Корнилов С.Ф. Новинки выставки "Технологии безопасности -98"// Специальная техника. - 1998. - № 1. - С. 60 ... 63.
41. Лагутин B.C., Петраков А.В. Утечка и защита информации в телефонных каналах. - М.: Энергоатомиздат, 1996. - 304 с.
42. Лунегов А.Н., Рыжов А.Л. Технические средства и способы добывания и защиты информации. - М.: ВНИИ "Стандарт", 1993. - 95 с.
43. Макаров Д. Шпионские страсти // Радио. - 1995. - № 3. -С. 40... 41.
44. Макаров Д. Шпионские страсти // Радио. - 1995. — № 4. -С. 44...46.
45. Максимов Ю.Н., Сонников В.Г., Каширин И.В., Маков Ю.М. Организационно-технические методы контроля защиты информации в объектах ЭВТ.
Учебное пособие. - Санкт- Петербург: ВИККА имени А.Ф. Можайского, 1994. - 77 с.
46. Мельников В.В. Защита информации в компьютерных системах. - М.: Финансы и статистика; Электроинформ, 1997. - 368 с. 47. Мироничев С. Коммерческая разведка или промышленный шпионаж в России и методы борьбы с ним. - М.: Дружок, 1995. - 223 с. 48. Низкочастотный нелинейный детектор проводных коммуникаций "Визир". Техническое описание. - М.: АООТ "Ново", 1997. - 8 с.
49. Николаенко Ю.С. Противодействие радиотехнической разведке// Системы безопасности, связи и телекоммуникаций. - 1995. - № 6 (декабрь). - С. 12... 15.
50. Некрасов И.Ю. Прибор защиты информации OSR-5000// Защита информации. - 1998. № 2. - С. 99... 101.
51. Новая продукция на рынке средств защиты информации от фирмы "Novo"// Специальная техника. - 1998. - № 1. - С. 58 ... 59.
52. Обзор активных технических средств защиты// Защита информации. - 1997. № 6. - С. 61... 63.
53. Оборудование для правоохранительных органов: Каталог. -М.: "Дар", 1998. - 71 с.
54. Организация и современные методы защиты информации. Информационно-справочное пособие. - М.: Ассоциация "Безопасность", 1996. - 440 с.
55. Оружие шпионажа: Каталог-справочник. - М.: Империал, 1994 - 240с.
56. Особенности устройств съема информации и методы их блокировки. - М.: Томск, НПП "Вихрь", 1996. - 32 с.
57. Переносная рентгеновская установка "Рона". Техническое описание. - М.: АООТ "Ново", 1997. - 5 с.
58. Поздняков Е. Утечка информации // Секьюрити. - 1995. - № 5. - С. 28...29.
59. Подавитель телефонных закладок ПТЗ-003 "Прокруст". Руководство пользователя. - М.: Нелк, 1996. - 12 с.
60. Поисковая аппаратура "Энвис". Инструкция по эксплуатации (ПЛИС ЛТД 464. 213.001. ИЭ). - М.: ГЦНИРТИ, 1994 - 17 с.
61. Поисковое устройство ИПФ-Ч. Техническое описание. - М.:
АООТ "Ново", 1997. - 5 с.
62. Положение по аттестации объектов информатизации по требованиям безопасности информации. (Утверждено Председателем Гостехкомиссии России 25.11.1994). - М.: Гостехкомиссия РФ, 1994. - 22 с.
63. Положение о государственном лицензировании деятельности в области защиты информации. (Решение Гостехкомиссии России и ФАПСИ от 27.04.94 г. № 10). - М.: Гостехкомиссия РФ, 1994. - 16 с.
64. Положение о государственной системе защиты информации в Российской Федерации от иностранных технических разведок и от ее утечки по техническим каналам. Извлечения. (Утверждено Постановлением Совета Министров - Правительства Российской Федерации от 15 сентября 1993 г. № 912-51). - М.: Воениздат, 1993. - 12 с.
65. Положение о сертификации средств защиты информации. (Постановление Правительства Российской Федерации от 26.06.95 г. № 608). -М.: 1995. - 4с.
66. Поляков А.В. Промышленный шпионаж и как с ним бороться.// Мы и безопасность. - 1996. - № 2. - С. 22 ... 44.
67. Портативный нелинейный радиолокатор "Обь-1". Руководство по эксплуатации. - М..: "Маском", 1998. - 7 с.
68. Портативный нелинейный радиолокатор "Омега " З". Паспорт. - М..: НПО "Вариация", 1998. - 9 с.
69. Портативный нелинейный радилокатор "Родник - 2". Техническое описание и инструкция по эксплуатации. - М..: "Маском", 1997. -15 с.
70. Портативный нелинейный радиолокатор "NR 900 Е". Техническое описание. Инструкция по эксплуатации. - М..: "Информационно-коммерческий межотраслевой центр 1", 1998. - 12 с.
71. Портативный селективный металлодетектор "Унискан". Руководство пользователя. - М..: "АКА", 1998. - 6 с.
72. Портативный поисковый прибор D 006. Руководство пользователя. - М.: "Маском", 1998. - 8 с.
73. Портативный поисковый прибор D 008. Руководство пользователя. - М.: "Маском", 1998. - 10 с.
74. Портативный тепловизионный комплекс "Иртис-200". Паспорт. - М.: "Иртис", 1998. - 11 с.
75. Прибор "MRA - З". Руководство пользователя. - М.: "Маском", 1998. - 7 с.
76. Прибор "Скорпион". Техническое описание. - М.: ОАО "Электрозавод", Лаборатория № 11, 1998. - 8 с.
77. Притыко С.М. Нелинейная радиолокация: принцип действия, область применения, приборы и системы// Системы безопасности, связи и телекоммуникаций. - 1995. - № 6 (декабрь). - С. 52 ... 55.
78. Работа комплекса АРК - ПК_12_ЗК в пакете СМО - Д5. Руководство пользователя. - М.: ЗАО "Иркос", 1997. - 34 с.
79. Радиопомехи индустриальные. Оборудование и аппаратура, устанавливаемые совместно со служебными радиоприемными устройствами гражданского назначения. Нормы и методы испытаний. (Нормы 15 - 93). - М.: ГКРЧ. 1993. - 35 с.
80. Рембовский А.М., Ахишмин А.В. Новое поколение аппаратуры выявления каналов утечки информации// Системы безопасности, связи и телекоммуникаций. - 1997. - № 4. - С. 74 ... 77.
81. Рентгеновский просмотровый комплекс "Шмель - 90/К". Паспорт. Формуляр. Техническое описание и инструкция по эксплуатации.
- М.: "Маском", 1998. - 20 с.
82. Ронин Р. Своя разведка: способы вербовки агентуры, методы проникновения в психику, форсированное воздействие на личность, технические средства скрытого наблюдения и съема информации: Практическое пособие. - Мн.: Харвест, 1997. - 368 с. - (Командос).
83. Сафонов Ю.П., Белодобородов А.А., Савченко И.В., Орлов В.П. Прозрачные переговорные кабины. История, настоящее, перспективы// Защита информации. - 1997. - № 3. - С. 57 ... 61.
84. Силантьев В.А. Технические средства выявления сигналов подслушивающих устройств//Специальная техника. - 1998. - № 1. - С. 17... 19.
85. Силантьев В.А. Как построить распределенную систему радиоконтроля объекта// Системы безопасности, связи и телекоммуникаций. - 1997. - № 4. - С. 84 ... 85 .
86. Системы телевизионного наблюдения, сигнализации и контроля доступа: Каталог. - М.: АО "Солинг", 1995. - 32 с.
87. Скребнев В.И. Подповерхностная локация: новые возможности// Специальная техника. - 1998. - № 1. - С. 9 ... 10.
88. Специальная техника: Каталог. - М.: АО НПФ "Элинвест", 1994. - 10 с.
89. Специальная техника: Каталог. - М.: Гротек, 1996. - 83 с.
90. Специальная техника: Каталог. - М.: НПО "Защита информации", 1996. - 56 с.
91. Специальная техника: Каталог. - М.: НПО "Защита информации", 1998. - 32 с.
92. Специальная техника: Каталог. - М.: Прогресстех, 1996. - 79 с.
93. Специальная техника: Каталог. - М.: Прогресстех, 1998. - 26 с.
94. Специальная техника защиты и контроля информации: Каталог. - М.: Маском, 1996. - 32 с.
95. Специальная техника защиты и контроля информации: Каталог. - М.: Маском, 1998 - 44 с.
96. Специальная техника. Системы безопасности и защиты. Каталог. - М.: Ноулидж Экспресс, 1996. - 64 с.
97. Специальные технические средства: Каталог. - М.: ЗАО "Гранд-системы и технологии", 1998. - 37 с.
98. Специальные технические средства; Каталог. - М.: АО "Эльвира", 1998. - 26 с.
99. Справочник по радиоэлектронным устройствам. В 2-х т./ Варламов Р.Г., Додик С.Д., Иванов-Цыганов А.И. и др. Под ред. Линде Д.П. - М.: Энергия, Т. 2, 1978. - 328 с.
100. Средства автоматизированного радиоконтроля: Каталог. - М.:
ЗАО "Иркос", 1998. - 40 с.
101. Строган А. Что имеем, то храним// Частный сыск. Охрана, Безопасность. - 1996. - № 4. - С. 28.
102. Съем информации по виброакустическому каналу// Системы безопасности, связи и телекоммуникаций. - 1995. - № 3 (октябрь-ноябрь). - С. 57 ... 59.
103. Телефонное проверочное устройство ТПУ-5. Техническое описание. - М.: АООТ "Ново", 1997. - 4 с.
104. Терминология в области защиты информации: Справочник. -М.: ВНИИ "Стандарт", 1993. - 110 с.
105. Техника для милиции, полиции и служб безопасности: Каталог. - М.: АООТ "Ново", 1996. - 32 с.
106. Технические изделия: Каталог. - М.: АО "Ново", 1995. - 65 с.
107. Технические изделия. Ч. 1. Техника акустического контроля и мониторинга. - М.: ОАО "Ново", 1996. - 16 с.
108. Технические изделия: Каталог. - М.: ОАО "Ново", 1998. - 87 с.
109. Технические системы защиты информации: Каталог. - М.- АОЗТ "Нелк", 1996. - 84 с.
110. Технические системы защиты информации: Каталог. - М.:
АОЗТ "Нелк", 1997. - 200 с.
111. Технические системы защиты информации: Каталог. - М. АОЗТ "Нелк", 1998. - 56 с.
112. Технические средства безопасности: Каталог. - М.: Суэкс, 1995. - 26 с.
113. Технические средства разведки / Под ред. Мухина В.И. - М.; РВСН, 1992. - 335 с.
114. Торокин А.А. Основы инженерно-технической защиты информации. - М.: Издательство "Ось", 1998. - 336 с.
115. Устройство защиты телефонных "Барьер- Ml". Инструкция по эксплуатации. - М.: ТОО "Энсанос", 1998. - 4 с.
116. Устройство защиты телефонных линий и помещений от прослушивания "Цикада - М". Инструкция по эксплуатации. - М.: ТОО "Энсанос", 1998. - 6 с.
117. Фильтры сетевые помехоподавляющие ФП. Паспорт. 760.295.046 ПС. - Б.м.: 1990. - 11 с.
118. Халяпин Д. Утечка информации // Частный сыск, охрана и безопасность. - 1995 - № 3. - С. 88...91.
119. Халяпин Д. Стены и уши // Частный сыск, охрана и безопасность. - 1996 - № 4. - С .29...30.
120. Хорев А.А. Защита информации от утечки по техническим каналам. Часть 1. Технические каналы утечки информации. Учебное пособие. - М.: Гостехкомиссия РФ, 1998. - 320 с.
121. Хорев А.А. Методы и средства поиска электронных устройств перехвата информации. - МО РФ, 1998. - 224 с.
122. Шаповалов П.П. Методика поисковых исследований. - М.:
ЗАО "Щит", 1995. - 21 с.
123. Шаповалов П.П. Практическое руководство по поиску устройств съема и передачи информации. - М.: ЗАО "Щит", 1997. - 36 с.
124. Шелест С.О. Методы и приборы для измерения параметров линий// Защита информации: - 1996. №4. - С. 57... 60.
125. Шелест С.О. Определение незаконных подключений к сетям Защита информации. - 1996. № 5. - С. 63... 65.
126. Экономический шпионаж на пороге XXI века// БДИ. - 1996. - №5. - С. 6...9.
127. Электромагнитная совместимость радиоэлектронных средств и непреднамеренные помехи. Составитель Д. Р. Ж. Уайт. Джермантаун, Мериленд, 1971-1973.
Вып 1. Общие вопросы ЭМС. Межсистемные помехи. Сокращ. пер. с англ./ Под ред. А. И. Саприга. Послесловие и комментарии А. Д. Князева. - М.: Сов. Радио, 1977. - 352 с.
128. Электромагнитная совместимость радиоэлектронных средств и непреднамеренные помехи. В 3-х вып. Вып 2. Внутрисистемные помехи и методы их уменьшения: Сокращ. пер. с англ./ Под ред. А. И. Саприга. - М.: Сов. Радио, 1978. - 272 с.
129. Электромагнитная совместимость радиоэлектронных средств и непреднамеренные помехи. В 3-х вып. Вып 3. Измерение электромагнитных помех и измерительная аппаратура. Сокращ. пер. с англ./ Под ред. А. Д. Князева. - М.: Сов. Радио, 1979. - 464 с.
130. Ярочкин В.И. Безопасность информационных систем. - М.: Ось-89, 1996. - 320с.
131. Ярочкин В.И. Предпринимательство и безопасность. Ч. 1. Несанкционированный доступ к источнику конфиденциальной информации. - М.: Экспрессное бюро, 1994. - 64 с.
132. Anti-riot equipment: Catalog. - Germany: PK Electronik International FRG, 1996. - 84 р.
133. Audio surveillance: Catalog. - Germany: PK Electronic International FRG, 1996. - 44 p.
134. Audiotel International Limited: Catalog. - 1996. - 12 p.
135. Communication equipment export: Catalog. 1994. - 105 p.
136. Communications receivers: Catalog. - Japan, ICOM. Inc., 1991. -
9 P.
137. Communications receiver IC-R1. Instruction manual. - Japan.:
El. Inc. 1991. - 46 p.
138. Compas-R Collection: Catalog- Japan, Marautz INC, 1994. - 24 p.
139. Covert audio intercept. Volumeont: Catalog. - USA.: Serveillance Technology Group (STG), 1993. - 32 p.
140. Discrete surveillance. Catalog.- Germany: Helling, 1995. - 260 p.
141. Discrete surveillance. Navelnes: Catalog. - Germany: Helling, 1996. - 13 p.
142. Drahtlose Audioubertragungs - Systeme: Catalog. - Germany:
Hildenbrand - Elektronic, 1996 - 25 p.
143. Innovative products for a modem planet: Catalog. - USA, Optoelectronics. Inc., 1998. - 22 p.
144. Hand portable radio receiver AR 8000. Operating manual. - Japan.: AOR, LTD. 1994. - 115 p.
145. Measuring Equipment: Catalog- Germany: Rohde and Schwarz, 1994. - 447 p.
146. Measurement Products: Catalog. - USA: "Tektronix", 1995. -485 p.
147. Micro Corn Inductor. - Phonak Communications, 1995. - 4 p.
148. Miniatur - Audiosender. Catalog. - Germany, Hildenbrand-Elektronic Gmb. H., 1996. - 16 p.
149. Miniport EB-100. - Germany: Rohde and Sehwarz, 1994. - 7 p.
150. Mobile VHF- UHF Broadband Doppler direction Finder PA 555. -Germany: Rohde and Schwarz, 1995. - 7 p.
151. Omni spectral correlator OSC-5000 (OSCOR). Instruction manual. - US.: REI, 1996. - 27 p.
152. Professional general export catalog. The № 1. Government supplier of surveillance technology. - Germany: PK Electronik International FRG, 1994. - 268 p.
153. Professional receiver AR 3000A. Instruction manual. - Japan.:
AOR LTD. 1992. - 57 p.
154. Professional receiver AR 5000. Instruction manual. - Japan.: AOR LTD. 1997. - 78 p.
155. Radio- Monitoring System: Catalog,- Germany: Hildenbrand -Elektronik Gmbh. 1996. - 17 p.
156. Receiver DJ-X1. Instruction manual. - Japan: Alinco El. Inc. 1994. - 36 p.
157. Receiver IC-R1. Instruction manual. - Japan, ICOM. Inc., 1991. - 46 p.
158. Security research. - London: Security Research Ltd., 1997. - 20 p.
159. Specialized Security Systems: Catalog. - USA: American International corporation. -1995. - 185 p.
160. Stabilock 4015. - Schlumberger Techno Logics Gmb.H., 1995. - 11 p.
161. Survival: Catalog. - Communication Control Systems. 1995. -
119 р.
162. Test and measurement: Catalog. - USA: Hewlett Packard, 1996. - 668 р.
163. Who "Is invading others' territory". - M.: Novosti Press Agency Publishing House, 1987. - 24 p.
164. Winkelmann Security System Ltd.: Catalog. - London: Winkelmann Security System Ltd., 1997. - 20 p.
Средства контроля проводных линий.
Средства контроля проводных линий предназначены для выявления, идентификации и определения местоположения закладных устройств, подключаемых к проводным линиям, включая электросеть, телефонные кабели, линии селекторной связи, пожарной сигнализации и т.п.Работа таких средств контроля основана на следующих принципах [1, 2, 4, 30, 31, 33, 37, 40, 41, 48, 51, 56, 61, 73, 84, 91, 95, 98, 100, 103, 110,111,122,123,124,125]:
• на измерении электрических параметров линии (амплитуд напряжения и тока в линии, а также значений емкости и индуктивности линии, активного и реактивного сопротивления);
• обнаружении в линии низкочастотного информационного (тестового) сигнала;
• обнаружении в линии сигнала высокочастотного навязывания;
• обнаружении в линии высокочастотного сигнала, модулированного низкочастотный информационным (тестовым) сигналом;
• обнаружении мест подключения средств съема информации методом локации (в том числе и нелинейной) проводной линии.
Для измерения параметров линий могут использоваться как обычные, так и специально разработанные для этих целей измерительные устройства, имеющие в своем составе специальные адаптеры для подключения к различного типа линиям.
Для обнаружения в линии низкочастотных информационных (тестовых) сигналов используются специальные низкочастотные усилители, а для обнаружения высокочастотных сигналов - специальные приемники или детекторы.
Специально разработанные средства контроля проводных линий, как правило, совмещают в себе почти все функции этих устройств. Исключение составляют специальные средства контроля телефонных линий связи.
В качестве средств контроля проводных линий используются приборы: ТСМ-03, СРМ-700, ПСЧ-5, РТ-030 ("Scanner"), D-008, КТЛ-3, КТЛ-400, ПТУ-5В, "Багер-01" и др. [4, 91, 95, 103, 134,159].
Внешний вид некоторых устройств для проверки проводных линий приведен на рис. 5.25 ... 5. 28, а характеристики - в табл. 5.14.
Для обнаружения подключений к линии средств съема информации и определения мест подключения используются локаторы проводных линий, принцип работы которых аналогичен принципам работы обычных радиолокаторов.
Отличие состоит только в том, что зондирующий сигнал не излучается, а подается в линию. По измененным параметрам отраженного сигнала можно судить о характере гальванически подключаемого к линии закладного устройства. При использовании нелинейного локатора проводных линий отраженный сигнал принимается на частоте второй гармоники зондирующего сигнала, что позволяет минимизировать ложные обнаружения.
Наиболее широко применяются локаторы проводных линий "Визир" (нелинейный), "НЛПК", "Бор-1" и др. [48, 56, НО].
Коротко рассмотрим некоторые типовые средства контроля проводных линий.
Система ТСМ-03 предназначена для проверки телефонных линий, линий селекторной связи, сигнализации, линий электропитания, любых кабелей и проводов на наличие подключения к ним устройств снятия информации [134].

Рис. 5.25. Прибор для проверки проводных линий ТСМ-03.

Рис. 5. 26. Телефонное проверочное устройство "ТПУ-5В"

Рис. 5. 27. Нелинейный локатор проводных линий "Визир"

Рис. 5.28. Прибор для проверки проводных линий "ПСЧ-5"
Система позволяет выполнять следующие функции [134]:
• проводить проверку линии на наличие в ней низкочастотных сигналов;
• активизировать акустические закладки, оснащенные системой VOX (акустоматом);
Таблица 5.14.
Характеристики устройств для проверки проводных линий.
|
Наименование характеристик |
Индекс (тип) |
|
|
ПСЧ-5 |
РТ- 030 |
|
|
Страна |
Россия |
|
|
Назначение |
- выявление линий, к которым подключены "пассивные" микрофоны, - выявление в слаботочных линиях и в силовых линиях высокочастотного сигнала, модулированного информационным низкочастотным (передачи информации на несущей) |
|
|
Тип детектора |
AM, FM |
|
|
Диапазон частот |
||
|
в режиме AM/ FM |
20 кГц ... 10 МГц |
20 кГц ... 7,0 МГц |
|
в режиме AF |
200 Гц ... 7,0 кГц |
200 Гц ... 20 кГц |
|
Чувствительность, мкВ в режиме AM/ FM в режиме AF |
30 100 |
30 100 |
|
Максимальное напряжение в линии, В |
240 |
250 |
|
Дополнительные возможности |
- выявление закладных устройств, передающих информацию по ИК-каналу; — выявление акустических и вибрационных каналов утечки информации и оценки эффективности их закрытия |
- подключение внешнего магнитофона |
|
Индикация |
ЖКИ |
Светодиодная |
|
Питание, В |
две батареи "АА" |
Батарея 9 В |
|
Размеры, мм |
160х84х40 |
182х82х36 |
|
Примечание |
Точность определения частоты ±2,5 кГц |
Окончание табл. 5.14.
|
Наименование |
Индекс (тип) |
|
|
характеристик |
ТПУ - 5В |
Визир (низкочастотный нелинейный локатор) |
|
Страна |
Россия |
|
|
Назначение |
- выявление гальванически подключенных к телефонной линии средств несанкционированного съема информации, - выявление в незанятой телефонной линии низкочастотного информационного сигнала; - выявление в телефонных линиях высокочастотного сигнала навязывания (частота сигнала 20 ... 500 кГц) |
- выявление гальванически подключенных к проводным коммуникациям средств несанкционированного съема информации |
|
Тип обнаруживаемых закладных устройств |
— последовательно подключенные телефонные радиозакладки с сопротивлением более 100 Ом; - параллельно подключенные телефонные и комбинированные радиозакладки с питанием от телефонной линии и током потребления не менее 0,5 мА; - параллельно подключенные высокоомные (с собственным сопротивлением до 20 МОм) закладные устройства (устройства записи, радиозакладки с автономными источниками питания, устройства типа "телефонного уха") |
— последовательно подключенные к линии закладки с сопротивлением более 100 Ом; - параллельно подключенные к линии закладки с мощностью постоянного тока в нагрузке не менее 1 мВт; - параллельно подключенные к линии закладки с сопротивлением до 1 МОм |
|
Индикация |
ЖКИ |
ЖКИ |
|
Питание, В |
АС 220 |
|
|
Примечание |
Напряжение зондирующего сигнала - 220 или 50 В. Частота зондирующего сигнала -50 Гц. Длина обследуемой линии - не более 1 км |
• проводить измерение напряжения и силы тока в линии. Система оснащена высокочувствительным усилителем низкой частоты (диапазон частот от 300 Гц до 15 кГц, чувствительность 30 мкВ при отношении с/ш 10 дБ) с автоматическим изменением коэффициента усиления для определения подключений к линии микрофонов и аналогичных устройств с уровнем сигнала от микровольт до вольт.
Имеющийся тон- генератор служит для активации закладных устройств, оснащенных системой VOX [134].
Приемное устройство системы обеспечивает прием, амплитудное и частотное детектирование сигналов в диапазоне частот от 15 до 400 кГц, имеет чувствительность 100 мкВ и высокую избирательность (-50 дБ) [134].
Система имеет цифровой дисплей, показывающий напряжение и силу тока в контролируемой линии, что необходимо для определения возможных изменений, вызванных в результате подключения к линии средств съема информации.
Устройство имеет размеры 320х260х90 мм, весит 2,2 кг и переносится в атташе-кейсе [134].
Телефонное проверочное устройство "TПУ-SB" предназначено для проверки телефонных линий и определения несанкционированно подключенных устройств съема информации [103].
"TПУ-SB"
позволяет обнаружить [103]:
• последовательно подключенные устройства с собственным сопротивлением выше 100 Ом;
• параллельно подключенные устройства с питанием от незанятой линии и током потребления от 0,5 мА и выше;
• параллельно подключенные устройства с питанием от занятой линии и током потребления от 0,5 мА и выше;
• параллельно подключенные комбинированные закладные устройства;
• параллельно подключенные высокоомные устройства с собственным сопротивлением до 20 МОм (устройства записи телефонных переговоров, радиозакладки с автономным питанием, устройства типа "телефонного уха", "пассивные" микрофоны, и т.д.).
• наличие в телефонной линии высокочастотного (частота 20 ... 500 кГц) сигнала с разностным значением напряжения сигнала от 100 мВ и выше;
• наличие в незанятой телефонной линии низкочастотного сигнала от подключенных микрофонов или специально доработанных телефонных аппаратов.
Устройство имеет небольшие размеры и вес.
Комплекс "АТ-2" предназначен для оценки параметров проводных коммуникаций с целью обнаружения посторонних подключений, в том числе устройств несанкционированного съема информации и их блоков питания, и включает: анализатор, тестер, соединительные провода, телефонную розетку-переходник, сетевой патрон-переходник и сетевой удлинитель.
Весь комплекс размещается в атташе-кейсе.
Работа изделия основана на зондировании контролируемой линии переменным напряжением (частота зондирующего сигнала 40 и 400 Гц) с индикацией сигнала-отклика на экране осциллографа (так называемый осциллографический метод), по которому определяется наличие подключения к линии посторонних устройств. Дальность зондирования при сопротивлении изоляции 200 кОм - 5000 м [90, 94].
Нелинейный локатор проводных линий "Визир" предназначен для обнаружения закладных устройств, подключенных к проводным коммуникациям (как силовым, так и слаботочным) с целью съема информации, а также цепей питания таких устройств [48].
Принцип действия прибора заключается в подаче в линию зондирующего синусоидального сигнала напряжением 220 или 50 В и частотой 50 Гц и регистрации, отраженных от подключенных к линии закладных устройств перехвата информации высших гармоник тока, возникающих в полупроводниковых элементах этих устройств при воздействии зондирующего сигнала. Анализ наличия высших гармоник проводится оператором визуально путем наблюдения изображения формы эллипса на жидкокристаллическом экране прибора [48].
Локатор позволяет определять закладные устройства с последовательным подключением и сопротивлением не менее 100 Ом и с параллельным подключением и сопротивлением не более 1 МОм, а также параллельно подключенные к линии цепи питания таких устройств с мощностью постоянного тока в нагрузке блока питания не менее 1 мВт [48].
Длина обследуемой линии не более 1 км.
Недостатком рассмотренных выше устройств является то, что они позволяют определить только факт подключения к линии закладного устройства, но не позволяют определить место его подключения.
Анализатор телефонных коммутаций "Бор-1" такого недостатка не имеет. Он позволяет контролировать следующие виды возможных нарушений телефонных линий [56]:
• неисправности токоведущих жил типа "обрыв", "короткое замыкание";
• параллельных отводов-расширителей;
• контактных включений в линию сосредоточенных активных и реактивных нагрузок (устройств съема информации).
Он имеет плавную регулировку чувствительности и обнаруживает средства несанкционированного съема информации в линии (максимальная дальность обнаружения- 400 м), определяет расстояние до них и показывает дальность в метрах от места подключения. При этом ошибка измерения дальности составляет 2 ... 5 м (в зависимости от дальности до подключенных средств съема информации). Минимальная емкость обнаруживаемых параллельно включенных устройств - 25 ... 50 пФ, а минимальное сопротивление обнаруживаемых последовательно включенных устройств - 100 ... 150 Ом [56].
Анализатор может работать в автоматическом и ручном режимах. Конструктивно выполнен в портфеле типа "дипломат" и весит 5 кг.
Для проверки линии на наличие в ней низкочастотных и высокочастотных сигналов, модулированных информационным (тестовым) сигналом, могут использоваться поисковый прибор СРМ-700, устройство
"ПСЧ-5", поисковое устройство РТ 030 ("Scanner) и др. Для этих целей могут использоваться также обычные анализаторы спектра, оборудованные AM и ЧМ детекторами. Подключение их к проверяемым линиям электропитания должно осуществляться через специальные согласующие устройства, например, эквиваленты сети.
Комбинированный прибор ПСЧ-5 предназначен для [30]:
• выявления линий, к которым подключены "пассивные" микрофоны;
• выявления в слаботочных сетях (телефонной линии, системах охранной и пожарной сигнализации посторонних проводниках и т.д.) высокочастотного сигнала, модулированного информационным низкочастотным (передачи информации на несущей);
• выявления в силовых линиях (напряжением не более 240 В) высокочастотного сигнала, модулированного информационным низкочастотным (передачи информации на несущей);
• выявления закладных устройств, передающих информацию по инфракрасному каналу;
• выявления акустических и вибрационных каналов утечки информации и оценки эффективности их закрытия.
Прибор позволяет выявлять низкочастотные сигналы в слаботочных линиях в полосе частот от 200 Гц до 7 кГц. Чувствительность усилителя низкой частоты составляет 100 мкВ [30].
Для активизации электретных микрофонов в обесточенных линиях в приборе предусмотрен режим подачи в линию напряжения + 5 В.
Приемное устройство системы обеспечивает прием и амплитудное в частотное детектирование сигналов в диапазоне частот от 20 кГц до 10 МГц и имеет чувствительность порядка 30 мкВ. Точность измерения частоты принимаемого сигнала ± 2,5 кГц [30].
На жидкокристаллическом индикаторе прибора отображаются частота и относительный уровень входного сигнала, а также напряжение источника питания.
Габаритные размеры прибора - 160х84х40 мм. Питание - 9 В [30]. Для выявления акустических и вибрационных каналов утечки информации и оценки эффективности их закрытия в состав системы включены: выносной микрофон, вибродатчик и тестовое звуковое устройство.
Уровень среднего стандартного звукового давления, создаваемого тестовым звуковым устройством составляет 75,8 дБ. В качестве тестовых используются сигналы на частотах: 250, 500, 1000, 2000 и 4000 Гц [30].
Индикатор поля D-008 позволяет проверять проводные линии с напряжением до 500 В на наличие в них сигналов высокой частоты (частота 0,05...7 МГц), модулированных информационным (тестовым) сигналом. Прибор имеет амплитудный и частотный детекторы. Чувствительность индикатора при отношении с/ш 20 дБ составляет 4 мВ [73].
Виброакустическая маскировка.
В случае, если используемые пассивные средства защиты помещений не обеспечивают требуемых норм по звукоизоляции необходимо использовать активные меры защиты.Активные меры защиты заключаются в создании маскирующих акустических помех средствам разведки, то есть использованием виброакустической маскировки информационных сигналов. В отличие от звукоизоляции помещений, обеспечивающей требуемое ослабление интенсивности звуковой волны за их пределами, использование активной акустической маскировки снижает отношение сигнал/шум на входе технического средства разведки за счет увеличения уровня шума (помехи).
Виброакустическая маскировка эффективно используется для защиты речевой информации от утечки по прямому акустическому, виброакустическому и оптико-электронному каналам утечки информации.
Для формирования акустических помех применяются специальные генераторы, к выходам которых подключены звуковые колонки (громкоговорители) или вибрационные излучатели (вибродатчики).
На практике наиболее широкое применение нашли генераторы шумовых колебаний. Именно поэтому активную акустическую маскировку часто называют акустическим зашумлением. Большую группу генераторов шума составляют устройства, принцип действия которых основан на усилении колебаний первичных источников шумов. В качестве источников шумовых колебаний используются электровакуумные, газоразрядные, полупроводниковые и другие электронные приборы и элементы.
Временной случайный процесс, близкий по своим свойствам к шумовым колебаниям, может быть получен и с помощью цифровых генераторов шума, формирующих последовательности двоичных символов, называемые псевдослучайными.
Наряду с шумовыми помехами в целях активной акустической маскировки используют и другие помехи, например, "одновременный разговор нескольких человек", хаотические последовательности импульсов и т.д.
Роль оконечных устройств, осуществляющих преобразование электрических колебаний в акустические колебания речевого диапазона длин волн, обычно выполняют малогабаритные широкополосные громкоговорители, а осуществляющих преобразование электрических колебаний в вибрационные - вибрационные излучатели (вибродатчики).
Громкоговорители систем зашумления устанавливаются в помещении в местах наиболее вероятного размещения средств акустической разведки, а вибродатчики крепятся на рамах, стеклах, коробах, трубопроводах, стенах, потолках и т.д.
Создаваемые вибродатчиками шумовые колебания в ограждающих конструкциях, трубах, оконном стекле и т.д. приводят к значительному повышению в них уровня вибрационных шумов и тем самым - к существенному ухудшению условий приема и восстановления речевых сообщений средствами разведки.
В настоящее время создано большое количество различных систем активной виброакустической маскировки, успешно используемых для подавления средств перехвата речевой информации. К ним относятся:
системы "Заслон", "Кабинет", "Барон", "Фон-В", VNG-006, ANG-2000, NG-101 и др. (см. табл. 3.7) [52, 91, 95, 111].
В состав типовой системы виброакустической маскировки входят шумогенератор и от 6 до 12 ... 25 вибродатчиков (пьезокерамических или электромагнитных) (см. рис. 3.1 и 3.2) [95]. Дополнительно в состав системы могут включаться звуковые колонки (спикеры).

Рис. 3.1. Система виброакустического зашумления: 1 - вибродатчик TRN-2000; 2 " спикер OMS-2000; 3 - акустический генератор ANG-2000

Рис. 3.2. Система виброакустического зашумления VNG - 006DM
Таблица 3.7
Основные характеристики систем виброакустического зашумления.
|
Наименование характеристик |
Модель (тип) |
||
|
VNG-006DM |
ANG-2000 |
"Заслон-2М" |
|
|
Полоса частот эффективной защиты на перекрытии толщиной 0,25 м, кГц |
0,25... 5,0 |
0,25 ... 5,0 |
0,1 ... 5,0 |
|
Максимальное количество вибродатчиков, шт. |
12 |
18 |
25 |
|
Тип и принцип действия вибродатчиков |
КВП-2, КВП-6, КВП-7 пьезо-керамические |
TRN-2000 электро-магнитные |
электро-магнитные |
|
Эффективный радиус подавления вибродатчика на перекрытии толщиной 0,25 м, м |
4 |
5 |
1,5 |
|
Габариты вибродатчиков, мм |
Æ 40х30, Æ 50х39, Æ 33х8 |
Æ 100х338 |
46х65х53 |
|
Примечания |
Подключение спикера. Сертификат Гостехкомиссии России |
Подключение спикера. Сертификат Гостехкомиссии России |
Акустопуск. Адаптация к акустическому фону |
В комплекс "Барон", кроме обычного генератора шума, включены три радиоприемника, независимо настраиваемые на различные радиовещательные станции FM (УКВ-2) диапазона. Смешанные сигналы этих станций используются в качестве помехового сигнала, что значительно повышает эффективность помехи [111].
Для полной защиты помещения по виброакустическому каналу вибродатчики должны устанавливаться на всех ограждающих конструкциях (стенах, потолке, полу), оконных стеклах, а также трубах, проходящих через помещение (см. рис. 3.3). Требуемое количество вибродатчиков для зашиты помещения определяется не только его площадью, количеством окон и труб, проходящих через него, но и эффективностью датчиков (эффективный радиус действия вибродатчиков на перекрытии толщиной 0,25 м составляет от 1,5 до 5 м) [92, 95, 111].
В ряде систем виброакустической маскировки возможна регулировка уровня помехового сигнала. Например, в системах "Кабинет" и ANG-2000 осуществляется ручная плавная регулировка уровня помехового сигнала, а в системе "Заслон-2М"- автоматическая (в зависимости от уровня маскируемого речевого сигнала) [95]. В комплексе "Барон" возможна независимая регулировка уровня помехового сигнала в трех частотных диапазонах (центральные частоты: 250, 1000 и 4000 Гц) [111].
Для защиты выделенных помещений в основном развертываются стационарные системы виброакустической маскировки, но для защиты временно используемых для проведения закрытых мероприятий могут применяться и мобильные. К таким системам относится, например, мобильная система виброакустического зашумления "Фон-В". В состав системы входят: генератор ANG-2000, вибродатчики TRN-2000 и TRN-2000М и металлические штанги для крепления датчиков к строительным конструкциям [95].
Система обеспечивает защиту помещения площадью до 25 м2 [95].
Монтаж (демонтаж) системы осуществляется тремя специалистами в течение 30 минут без повреждения строительных конструкций и элементов отделки интерьера [95].
Для создания акустических помех в небольших помещениях или салоне автомобиля могут использоваться малогабаритные акустические генераторы, например, WNG-023 (см. рис. 3.4). Генератор имеет размеры 111х70х22 мм и создает помеховый (типа "белый шум") акустический сигнал в диапазоне частот от 100 до 12000 Гц мощностью 1 Вт. Питание генератора осуществляется от элемента типа "Крона" или сети 220 В [95].

Рис. 3.3. Вариант схемы установки вибродатчиков в выделенном помещении.

Рис. 3.4. Портативный акустический генератор "белого" шума WNG-023.
При организации акустической маскировки необходимо помнить, что акустический шум может создавать дополнительный мешающий фактор для сотрудников и раздражающе воздействовать на нервную систему человека, вызывая различные функциональные отклонения и приводить к быстрой и повышенной утомляемости работающих в помещении. Степень влияния мешающих помех определяется санитарными нормативами на величину акустического шума. В соответствии с нормами для учреждений величина мешающего шума не должна превышать суммарный уровень 45 дБ.
Заземление технических средств.
Необходимо помнить, что экранирование ТСПИ и соединительных линий эффективно только при правильном их заземлении. Поэтому одним из важнейших условий по защите ТСПИ является правильное заземление этих устройств.В настоящее время существуют различные типы заземлений. Наиболее часто используются одноточечные, многоточечные и комбинированные (гибридные) схемы [128].
На рис. 2.2 представлена одноточечная последовательная схема заземления.
Эта схема наиболее проста. Однако ей присущ недостаток, связанный с протеканием обратных токов различных цепей по общему участку заземляющей цепи. Вследствие этого возможно появление опасного сигнала в посторонних цепях.
В одноточечной параллельной схеме заземления (рис. 2.3) этого недостатка нет. Однако такая схема требует большого числа протяженных заземляющих проводников, из-за чего может возникнуть проблема с обеспечением малого сопротивления заземления участков цепи. Кроме того, между заземляющими проводниками могут возникать нежелательные связи, которые создают несколько путей заземления для каждого устройства. В результате в системе заземления могут возникнуть уравнительные токи и появиться разность потенциалов между различными устройствами [128].
Многоточечная схема заземления (рис. 2.4) практически свободна от недостатков, присущих одноточечной схеме. В этом случае отдельные устройства и участки корпуса индивидуально заземлены. При проектировании и реализации многоточечной системы заземления необходимо принимать специальные меры для исключения замкнутых контуров [22, 128].
Как правило, одноточечное заземление применяется на низких частотах при небольших размерах заземляемых устройств и расстояниях между ними менее 0,5хl.
На высоких частотах при больших размерах заземляемых устройств и значительных расстояниях между ними используется многоточечная система заземления. В промежуточных случаях эффективна комбинированная (гибридная) система заземления, представляющая собой различные сочетания одноточечной, многоточечной и плавающей заземляющих систем [128].
Заземление технических средств систем информатизации и связи должно быть выполнено в соответствии с определенными правилами.

Рис. 2.2. Одноточечная последовательная схема заземления.

Рис. 2.3. Одноточечная параллельная схеме заземления.

Рис. 2.4. Многоточечная схема заземления
.
Основные требования, предъявляемые к системе заземления, заключаются в следующем [22, 128]:
- система заземления должна включать общий заземлитель, заземляющий кабель, шины и провода, соединяющие заземлитель с объектом;
- сопротивления заземляющих проводников, а также земляных шин должны быть минимальными;
- каждый заземляемый элемент должен быть присоединен к заземлителю или к заземляющей магистрали при помощи отдельного ответвления. Последовательное включение в заземляющий проводник нескольких заземляемых элементов запрещается;
- в системе заземления должны отсутствовать замкнутые контуры, образованные соединениями или нежелательными связями между сигнальными цепями и корпусами устройств, между корпусами устройств и землей;
- следует избегать использования общих проводников в системах экранирующих заземлений, защитных заземлений и сигнальных цепей;
- качество электрических соединений в системе заземления должно обеспечивать минимальное сопротивление контакта, надежность и механическую прочность контакта в условиях климатических воздействий и вибрации;
- контактные соединения должны исключать возможность образования оксидных пленок на контактирующих поверхностях и связанных с этими пленками нелинейных явлений;
- контактные соединения должны исключать возможность образования гальванических пар для предотвращения коррозии в цепях заземления;
- запрещается использовать в качестве заземляющего устройства нулевые фазы электросетей, металлоконструкции зданий, имеющие соединение с землей, металлические оболочки подземных кабелей, металлические трубы систем отопления, водоснабжения, канализации и т.д.
Сопротивление заземления определяется главным образом сопротивлением растекания тока в земле.
Величину этого сопротивления можно значительно понизить за счет уменьшения переходного сопротивления между заземлителем и почвой путем тщательной очистки перед укладкой поверхности заземлителя и утрамбовкой вокруг него почвы, а также подсыпкой поваренной соли [22,128].
Таким образом, величина сопротивления заземления будет в основном определяться сопротивлением грунта.
Удельное сопротивление различных грунтов (т.е. электрическое сопротивление 1 см3 грунта) зависит от влажности почвы, ее состава, плотности, температуры и т.п.. и колеблется в очень широких пределах (см. табл. 2.3) [128].
Таблица 2.3
Значения удельного сопротивления различных грунтов
|
Тип грунта |
Удельное сопротивление (Ом/см3). |
||
|
среднее |
минимальное |
максимальное |
|
|
Золы, шлаки, соляные отходы |
2370 |
500 |
7000 |
|
Глина, суглинки, сланцы |
4060 |
340 |
16300 |
|
То же с примесями песка |
15800 |
1020 |
135000 |
|
Гравий, песок, камни с небольшим количеством глины или суглинков |
94000 |
59000 |
458000 |
[128].
При промерзании сопротивление грунтов резко возрастает. Например, для суглинков удельное сопротивление при влажности 15 % и температуре 20 °С составляет 7200 Ом/см3, при температуре -5 °С - 79000 Ом/см3, а при температуре -15 °С - 330 000 Ом/см3 [128].
Орошение почвы вокруг заземлителей 2 ... 5 процентным соляным раствором значительно (в 5 ... 10 раз) снижает сопротивление заземления [128].
Учесть все факторы, влияющие на проводимость почвы, аналитическим путем практически невозможно, поэтому при устройстве заземления величину удельного сопротивления грунта в тех местах, где предполагается размещение заземления, определяют опытным путем.
Как правило, измерение сопротивления заземления проводится два раза в год (зимой и летом).
Если заземлитель состоит из металлической пластины радиуса г, расположенной непосредственно у поверхности земли, то сопротивление заземления R3 можно рассчитать по формуле [22]

При увеличении глубины закапывания 1з пластины сопротивление заземления уменьшается и при 1з значительно больше r (13 » r) величина R3
уменьшается в два раза [22].
Довольно часто применяют заземляющее устройство в виде вертикально вбитой трубы. Сопротивление заземления в этом случае определяется формулой [128]

Из формулы видно, что сопротивление заземления зависит в большей степени не от радиуса трубы, а от ее длины. Поэтому при устройстве заземления целесообразнее применять тонкие и длинные трубы (стержни из арматуры).
В табл. 2.4 приведены экспериментально полученные значения сопротивления заземления стержневого заземлителя (Æ15,9 мм, 1 = 1,5 м) для различных грунтов [128].
В качестве одиночных стержневых заземлителей целесообразно использовать медные заземляющие стержни, конструкции которых приведены на рис. 2.5 [128].
Как видно из табл. 2.4 [128], сопротивление простых одиночных заземлителей оказывается достаточно большим. Поэтому такие заземлители находят применение при невысоких требованиях к заземляющим устройствам или при почвах с очень большой проводимостью.

Рис. 2. 5. Типовые стержни заземлителей: 1 - скользящий молот; 2 • подвижный упор; 3 - соединительная медная шина; 4 - головка с фаской; 5-зажим; 6-стержень; 7 - заостренный конец для забивки в грунт.

Рис. 2.6. Комбинированное заземление из стержней и сетки: 1 -поверхность земли; 2 - сетка; 3 - сварное соединение; 4 - зажим;
5 - медный провод (навитой и приваренный); 6 - медный стержень заземления (его верхний конец выступает над поверхностью)
Таблица 2.4
Значения сопротивления заземления стержневого заземлителя (Æ15,9 мм, 1 = 1,5 м) для различных грунтов
|
Тип грунта |
Сопротивление заземления R3, Ом |
||
|
среднее |
минимальное |
максимальное |
|
|
Золы, шлаки, соляные отходы |
14 |
3,5 |
41 |
|
Глина, суглинки, сланцы |
24 |
2 |
98 |
|
То же с примесями песка |
93 |
6 |
800 |
|
Гравий, песок, камни с небольшим количеством глины или суглинков |
554 |
35 |
2700 |
При повышенных требованиях к величине сопротивления заземления ( сопротивление заземления ТСПИ не должно превышать 4 Ом [114]) применяют многократное заземление, состоящее из ряда одиночных симметрично расположенных заземлителей, соединенных между собой.
На практике наиболее часто в качестве заземлителей применяют:
- стержни из металла, обладающие высокой электропроводностью, погруженные в землю и соединенные с наземными металлоконструкциями средств ТСПИ;
- сеточные заземлители, изготовленные из элементов с высокой электропроводностью и погруженные в землю (служат в качестве дополнения к заземляющим стержням).
На рис. 2.6. приведена схема комбинированного заземления из стержней и сетки [128].
При необходимости устройства высокочастотного заземления нужно учитывать не только геометрические размеры заземлителей, их конструкцию и свойства почвы, но и длину волны высокочастотного излучения. Суммарное высокочастотное сопротивление заземления складывается из высокочастотного сопротивления магистрали заземления Z3 (провода, идущего от заземляемого устройства до поверхности земли) и из высокочастотного сопротивления самого заземлителя Z3
(провода, металлического стержня или листа, находящегося в земле).
Величина заземления в основном определяется не сопротивлением заземления, а сопротивлением заземляющей магистрали. Для уменьшения последнего следует стремиться прежде всего к уменьшению индуктивности заземляющей магистрали, что достигается за счет уменьшения ее длины и изготовления магистрали в виде ленты, обладающей по сравнению с проводом круглого сечения меньшей индуктивностью. В тех случаях, когда индуктивность заземляющей магистрали можно сделать весьма небольшой или использовать ее для получения последовательного резонанса при блокировании излучающих сетей защитными конденсаторами на землю (например, при комплексном подавлении излучения в помещениях), целесообразно значительно уменьшить величину сопротивления заземлителя Z3. Уменьшить величину Z3 можно также многократным заземлением из симметрично расположенных заземлителей [128].
При этом общее сопротивление заземления будет тем меньше, чем дальше друг от друга расположены отдельные заземлители.
При устройстве заземления в качестве заземлителей чаще всего применяются стальные трубы длиной 2 ... 3 м и диаметром 35 ... 50 мм и стальные полосы сечением 50 ... 100 мм [22].
Наиболее пригодными являются трубы, позволяющие достигнуть глубоких и наиболее влажных слоев земли, обладающих наибольшей проводимостью и не подвергающихся высыханию или промерзанию. Однако здесь необходимо учитывать, что с уменьшением сопротивления грунта возрастает коррозия металла. Кроме того, применение таких заземлителей не связано со значительными земляными работами, что неизбежно, например, при выполнении заземления из металлических листов или горизонтально закладываемых в землю металлических лент и проводов [22].
Заземлители следует соединять между собой шинами с помощью сварки. Сечение шин и магистралей заземления по условиям механической прочности и получения достаточной проводимости рекомендуется брать не менее (24 х 4) мм2
[22].
Проводник, соединяющий заземлитель с контуром заземления, должен быть луженым для уменьшения гальванической коррозии, а соединения должны быть защищены от воздействия влаги.
Магистрали заземления вне здания необходимо прокладывать на глубине около 1,5 м, а внутри здания - по стене или специальным каналам таким образом, чтобы их можно было внешне осматривать. Соединяют магистрали с заземлителем только с помощью сварки. К заземляемому устройству ТСПИ магистраль подключают с помощью болтового соединения в одной точке [22].
Для уменьшения сопротивлений контактов наилучшим является постоянное непосредственное соединение металла с металлом, полученное сваркой или пайкой. При соединении под винт необходимо применять шайбы (звездочки или Гровера), обеспечивающие постоянство плотности соединения [128].
При соприкосновении двух металлов в присутствии влаги возникает гальваническая и (или) электрическая коррозия. Гальваническая коррозия является следствием образования гальванического элемента, в котором влага является электролитом.Степень коррозии определяется положением этих металлов в электрическом ряду [128].
Электрическая коррозия может возникнуть при соприкосновении в электролите двух одинаковых металлов. Она определяется наличием локальных электротоков в металле, например, токов в заземлениях силовых цепей [128].
Наиболее эффективным методом защиты от коррозии является применение металлов с малой электрохимической активностью, таких, как олово, свинец, медь. Значительно уменьшить коррозию и обеспечить хороший контакт можно, тщательно изолируя соединения от проникновения влаги.
Звукоизоляция помещений.
Звукоизоляция помещений направлена на локализацию источников акустических сигналов внутри них и проводится с целью исключения перехвата акустической (речевой) информации по прямому акустическому (через щели, окна, двери, технологические проемы, вентиляционные каналы и т.д.) и вибрационному (через ограждающие конструкции, трубы водо-, тепло- и газоснабжения, канализации и т.д.) каналам.Основное требование к звукоизоляции помещений заключается в том, чтобы за его пределами отношение акустический сигнал/шум не превышало некоторого допустимого значения, исключающего выделение речевого сигнала на фоне естественных шумов средством разведки. Поэтому к помещениям, в которых проводятся закрытые мероприятия, предъявляются определенные требования по звукоизоляции.
Звукоизоляция оценивается величиной ослабления акустического сигнала, которое для сплошных однослойных или однородных ограждений (строительных конструкций) на средних частотах приближенно рассчитывается по формуле [99]

Учитывая, что средняя громкость звука говорящего в служебном помещении составляет около 50 ... 60 дБ, то в зависимости от категории помещения его звукоизоляция должна быть не менее норм, приведенных в табл. 3.1 [22].
Таблица 3.1
Требования к звукоизоляции помещений.
| Частота, Гц | Категория выделенного помещения, дБ | ||||||
| 1 | 2 | 3 | |||||
| 500 | 53 | 48 | 43 | ||||
| 1000 | 56 | 51 | 46 | ||||
| 2000 | 56 | 51 | 46 | ||||
| 4000 | 55 | 50 | 45 |
Звукоизоляция помещений обеспечивается с помощью архитектурных и инженерных решений, а также применением специальных строительных и отделочных материалов.
При падении акустической волны на границу поверхностей с различными удельными плотностями большая часть падающей волны отражается. Меньшая часть волны проникает в материал звукоизолирующей конструкции и распространяется в нем, теряя свою энергию в зависимости от длины пути и его акустических свойств.
Под действием акустической волны звукоизолирующая поверхность совершает сложные колебания, также поглощающие энергию падающей волны [114].
Характер этого поглощения определяется соотношением частот падающей акустической волны и спектральных характеристик поверхности средства звукоизоляции [114].
Одним из наиболее слабых звукоизолирующих элементов ограждающих конструкций выделенных помещений являются двери и окна.
Двери имеют существенно меньшие по сравнению со стенами и межэтажными перекрытиями поверхностные плотности и трудноуплотняемые зазоры и щели. Стандартные двери не удовлетворяют требованиям по защите информации (см. табл. 3.2) [114].
Таблица 3.2
Звукоизоляция обычных дверей.
|
Конструкция двери |
Условия применения |
Звукоизоляция (дБ) на частотах, Гц |
|||||
|
125 |
250 |
500 |
1000 |
2000 |
4000 |
||
|
Щитовая дверь, облицованная фанерой с двух сторон |
без прокладки |
21 |
23 |
24 |
24 |
24 |
23 |
|
с прокладкой из пористой резины |
27 |
27 |
32 |
35 |
34 |
35 |
|
|
Типовая дверь П-327 |
без прокладки |
13 |
23 |
31 |
33 |
34 |
36 |
|
с прокладкой из пористой резины |
29 |
30 |
31 |
33 |
34 |
41 |
Как видно из табл. 3.2, применение уплотняющих прокладок повышает звукоизоляцию дверей, однако при этом необходимо учитывать, что в процессе эксплуатации в результате обжатия, износа, затвердевая резиновых прокладок звукоизоляция существенно снижается [114].
Для защиты информации в особо важных помещениях используются двери с тамбуром, а также специальные двери с повышенной звукоизоляцией (см.
табл. 3.3) [114].
Таблица 3.3
Звукоизоляция специальных дверей.
|
Конструкция двери |
Звукоизоляция (дБ) на частотах, Гц |
|||||
|
125 |
250 |
500 |
1000 |
2000 |
4000 |
|
|
Дверь звукоизолирующая облегченная |
18 |
30 |
39 |
42 |
45 |
43 |
|
Дверь звукоизолирующая облегченная, двойная с зазором более 200 мм |
25 |
42 |
55 |
58 |
60 |
60 |
|
Дверь звукоизолирующая тяжелая |
24 |
36 |
45 |
51 |
50 |
49 |
|
Дверь звукоизолирующая тяжелая, двойная с зазором более 300мм |
34 |
46 |
60 |
60 |
65 |
65 |
|
Дверь звукоизолирующая тяжелая, двойная с облицовкой тамбура |
45 |
58 |
65 |
70 |
70 |
70 |
Звукоизоляция окон
|
Схема остекления |
Звукоизоляция (дБ) на частотах, Гц |
|||||
|
125 |
250 |
500 |
1000 |
2000 |
4000 |
|
|
Одинарное остекление: |
||||||
|
толщина 3 мм |
17 |
17 |
22 |
28 |
31 |
32 |
|
толщина 4 мм |
18 |
23 |
26 |
31 |
32 |
32 |
|
толщина 6 мм |
22 |
22 |
26 |
30. |
27 |
25 |
|
Двойное остекление с воздушным промежутком: |
||||||
|
57 мм (толщина 3 мм) |
15 |
20 |
32 |
41 |
49 |
46 |
|
90 мм (толщина 3 мм) |
21 |
29 |
38 |
44 |
50 |
48 |
|
57 мм (толщина 4 мм) |
21 |
31 |
38 |
46 |
49 |
35 |
|
90 мм (толщина 4 мм) |
25 |
33 |
41 |
47 |
48 |
36 |
Для повышения звукоизоляции проводится облицовка внутренних поверхностей тамбура звукопоглощающими покрытиями, а двери обиваются материалами со слоями ваты или войлока и используются дополнительные уплотнительные прокладки [114].
Звукопоглощающая способность окон, так же как и дверей, зависит, главным образом, от поверхностной плотности стекла и степени прижатия притворов. В табл. 3.4 указаны некоторые данные по звукоизоляции наиболее распространенных вариантов остекления помещений [114].
Звукоизоляция окон с одинарным остеклением соизмерима со звукоизоляцией одинарных дверей и недостаточна для надежной защиты информации в помещении. Существенно большую звукоизоляцию имеют окна с остеклением в раздельных переплетах с шириной воздушного промежутка более 200 мм или тройное комбинированное остекление [114].
Обычные окна с двойными переплетами обладают более высокой (на 4 ... 5 дБ) звукоизолирующей способностью по сравнению с окнами со спаренными переплетами. Применение упругих прокладок значительно улучшает звукоизоляционные качества окон. В случаях, когда необходимо обеспечить повышенную звукоизоляцию, применяют окна специальной конструкции (например, двойное окно с заполнением оконного проема органическим стеклом толщиной 20 ... 40 мм и с воздушным зазором между стеклами не менее 100 мм) [14]. Разработаны конструкции окон с повышенным звукопоглощением на основе стеклопакетов с герметизацией воздушного промежутка между стеклами и с заполнением его различными газовыми смесями или создание в нем вакуума. Повышение звукоизоляции до 5 дБ наблюдается при облицовке межстекольного пространства по периметру звукопоглощающим покрытием.
Необходимо отметить, что увеличение числа стекол не всегда приводит к увеличению звукоизоляции в диапазоне частот речевого сигнала вследствие резонансных явлений в воздушных промежутках и эффекта волнового совпадения [114].
Для повышения звукоизоляции в помещениях применяют акустические экраны, устанавливаемые на пути распространения звука на наиболее опасных (с точки зрения разведки) направлениях [114].
Действие акустических экранов основано на отражении звуковых волн и образовании за экраном звуковых теней. С учетом дифракции эффективность экрана повышается с увеличением соотношения размеров экрана и длины акустической волны. Размеры эффективных экранов превышают более чем в 2-3 раза длину волны. Реально достигаемая эффективность акустического экранирования составляет 8 ... 10 дБ [114].
Применение акустического экранирования целесообразно при временном использовании помещения для защиты акустической информации. Наиболее часто применяются складные акустические экраны, используемые для дополнительной звукоизоляции дверей, окон, технологических проемов, систем кондиционирования, проточной вентиляции и других элементов ограждающих конструкций, имеющих звукоизоляцию, не удовлетворяющую действующим нормам.
Для повышения звукоизоляции помещений также применяют звукопоглощающие материалы.
Звукопоглощение обеспечивается путем преобразования кинетической энергии акустической волны в тепловую энергию в звукопоглощающем материале. Звукопоглощающие свойства материалов оцениваются коэффициентом звукопоглощения, определяемым отношением энергии звуковых волн, поглощенной в материале, к падающей на поверхность материала и проникающей (неотраженной) в звукопоглощающий материал [114].
Применение звукопоглощающих материалов при защите акустической информации имеет некоторые особенности по сравнению с звукоизоляцией. Одной из особенностей является необходимость создания непосредственно в помещении акустических условий для обеспечения разборчивости речи в различных его зонах. Таким условием является прежде всего обеспечение оптимального соотношения прямого и отраженного от ограждений акустических сигналов. Чрезмерное звукопоглощение приводит к ухудшению уровня сигнала в различных точках помещения, а большое время реверберации - к ухудшению разборчивости в результате наложения различных звуков [114].
Обеспечение рациональных значений рассмотренных условий определяется как общим количеством звукопоглощающих материалов в помещении, так и распределением звукопоглощающих материалов по ограждающим конструкциям с учетом конфигурации и геометрических размеров помещений.
Звукопоглощающие материалы могут быть сплошными и пористыми. Обычно пористые материалы используют в сочетании со сплошными.
Один из распространенных видов пористых материалов - облицовочные звукопоглощающие материалы. Их изготавливают в виде плоских плит (плиты минераловатные «Акмигран», «Акмант», «Силаклор», «Винипор», ПА/С, ПА/О, ПП-80, ППМ, ПММ) или рельефных конструкций (пирамид, клиньев и т.д.), располагаемых или вплотную, или на небольшом расстоянии от сплошной строительной конструкции (стены, перегородки, ограждения и т.п.). Используются также звукопоглощающие облицовки из слоя пористо-волокнистого материала (стеклянного или базальтового волокна, минеральной ваты) в защитной оболочке из ткани или пленки с перфорированным покрытием (металлическим, гипсовым и др.) [114].
Пористые звукопоглощающие материалы малоэффективны на низких частотах.
Отдельную группу звукопоглощающих материалов составляют резонансные поглотители. Они подразделяются на мембранные и резонаторные [114]. Мембранные поглотители представляют собой натянутый холст (ткань), тонкий фанерный (картонный) лист, под которым располагают хорошо демпфирующий материал (материал с большой вязкостью, например, поролон, губчатую резину, строительный войлок и т д.). В такого рода поглотителях максимум поглощения достигается на резонансных частотах.
Перфорированные резонаторные поглотители представляют собой систему воздушных резонаторов (например, резонаторов Гельмгольца), в устье которых расположен демпфирующий материал.
Средние значения звукоизоляции некоторых материалов приведены в табл. 3.5 [114].
Повышение звукоизоляции стен и перегородок помещений достигается применением однослойных и многослойных (чаще - двойных) ограждений. В многослойных ограждениях целесообразно подбирать материалы слоев с резко отличающимися акустическими сопротивлениями (например, бетон - поролон) [114].
Значения ослабления звука ограждениями, выполненными из некоторых часто применяемых строительных материалов, указаны в табл. 3.6 [114].
Уровень акустического сигнала за ограждением можно приближенно оценить по формуле [114]:

Таблица 3.5. Звукопоглощающие свойства некоторых материалов.
|
Материал |
Коэффициент поглощения на частотах, Гц |
|||||
|
125 |
250 |
500 |
1000 |
2000 |
4000 |
|
|
Кирпичная стена |
0,024 |
0,025 |
0,032 |
0,041 |
0,049 |
0,07 |
|
Деревянная обивка |
0,1 |
0,11 |
0,11 |
0,08 |
0,082 |
0,11 |
|
Стекло одинарное |
0,03 |
- |
0,027 |
- |
0,02 |
- |
|
Штукатурка известковая |
0,025 |
0,04 |
0,06 |
0,085 |
0,043 |
0,058 |
|
Войлок (толщина 25 мм) |
0,18 |
0,36 |
0,71 |
0,8 |
0,82 |
0,85 |
|
Ковер с ворсом |
0,09 |
0,08 |
0,21 |
0,27 |
0,27 |
0,37 |
|
Стеклянная вата (толщиной 9 мм) |
0,32 |
0,4 |
0,51 |
0,6 |
0,65 |
0,6 |
|
Хлопчатобумажная ткань |
0,03 |
0,04 |
0,11 |
0,17 |
0,24 |
0,35 |
Следует иметь в виду, что в общем случае звукоизоляция ограждающих конструкций, содержащих несколько элементов, должна оцениваться звукоизоляцией наиболее слабого из них [114].
Таблица 3.6.
Звукопоглощающие свойства некоторых строительных конструкций.
|
Материал |
Толщина |
Звукоизоляция на частотах (Гц), дБ |
|||||
|
125 |
250 |
500 |
1000 |
2000 |
4000 |
||
|
Кирпичная стена |
1/2 кирпича |
39 |
40 |
42 |
48 |
54 |
60 |
|
Отштукатуренная с двух сторон стена |
1 кирпич |
36 |
41 |
44 |
51 |
58 |
64 |
|
1,5 кирпича |
41 |
44 |
48 |
55 |
61 |
65 |
|
|
2 кирпича |
45 |
45 |
52 |
59 |
65 |
70 |
|
|
2,5 кирпича |
47 |
55 |
60 |
67 |
70 |
70 |
|
|
Стена из железобетонных блоков |
40 мм |
32 |
36 |
35 |
38 |
47 |
53 |
|
100 мм |
40 |
40 |
44 |
50 |
55 |
60 |
|
|
200 мм |
42 |
44 |
51 |
59 |
65 |
65 |
|
|
300 мм |
45 |
50 |
58 |
65 |
69 |
69 |
|
|
400 мм |
48 |
55 |
61 |
68 |
70 |
70 |
|
|
800 мм |
55 |
61 |
68 |
70 |
70 |
70 |
|
|
Стена из шлакоблоков |
220 мм |
42 |
42 |
48 |
54 |
60 |
63 |
|
Перегородка из древесно-стружечной плиты |
20 см |
23 |
26 |
26 |
26 |
26 |
26 |
Примером таких кабин являются кабины междугородней телефонной связи. Кабины с двухслойными звукопоглощающими плитами обеспечивают ослабление звука до 35...40 дБ [114].
Более высокой акустической эффективностью (большим коэффициентом ослабления) обладают кабины бескаркасного типа. Они собираются из готовых многослойных щитов, соединенных между собой через звукоизолирующие упругие прокладки. Такие кабины дороги в изготовлении, но снижение уровня звука в них может достигать 50 ... 55 дБ. Для повышения звукоизоляции кабины минимизируют возможное число стыковочных соединений отдельных панелей между собой и с каркасом кабины. Тщательно герметизируют и уплотняют стыковочные соединения, применяют звукопоглощающие облицовки стен и потолка. В системах вентиляции и кондиционирования воздуха устанавливают специальные глушители звука [114].
Звукоизолирующие кабины в зависимости от требований к звукоизоляции подразделяются на 4 класса. В диапазоне 63 ... 8000 Гц кабины должны обеспечивать ослабление звука: кабины 1-го класса - на 25 ... 50 дБ; 2-го класса - на 15 ... 49 дБ; 3-го и 4-го классов - 15 ... 39 и 15 ... 29. дБ соответственно [114]. Наименьшие значения соответствуют низким частотам, наибольшие - высоким (2000 ... 4000 Гц).
Работа с информацией: Безопасность - Защита - Софт - Криптография
- Информационная безопасность
- Аспекты информационной безопасности
- Системы информационной безопасности
- Софт и информационная безопасность
- IInternet Information Services
- Защита и безопасность
- Защита с Firewall
- Атаки и информационная безопасность
- Информационная безопасность в интернет
- Борьба с вирусами
- Антивирусы против вирусов
- Хакеры и информационная безопасность
- Криптография