
| Компания |
Страховые взносы (тыс. руб.) |
Страховые выплаты (тыс. руб.) |
Крупнейшие клиенты (страховые суммы по договорам с ними, млн. руб.) |
| "ЛУКойл" |
3446394 |
20662 |
НК "ЛУКойл" (5322,7), "ЛУКойл-Пермьнефть" (2450,2) |
| "Энергогарант" |
681643 |
49083 |
"Тюменьэнерго" (2818,9), "Мосэнерго" (2000,0), "Свердловэнерго" (1601,6), "Карелэнерго" (923,5), Костромская ГРЭС (571,8) |
| "ЮКОС-Гарант" |
307321 |
8670 |
Schlumberger (1400,0), Новокуйбышевский, Куйбышевский, Сызранский и Ачинский НПЗ (98000,0) |
| "Геополис" |
179284 |
92970 |
"Воркутауголь", "Ростовуголь" |
| "Якорь" |
83856 |
16676 |
"Славнефть", РИТЭК |
| "Энергополис" |
62262 |
25356 |
"Самараэнерго" (2490,8) |
| "Интеррос-Согласие" |
48899 |
340 |
"Удмуртнефть" |
| "Ингосстрах" |
41918 |
404 |
н. д. (859,3) |
| ВСК |
41470 |
0 |
н. д. (250,0) |
| Группа "НАСТА" |
11580 |
596 |
"Северная нефть", "Нобель Ойл", "Халлибуртон" |
| ЗСТСК |
11545 |
2321 |
|
| ВЕСтА |
6417 |
0 |
ПО "Авангард" (5,8), "Камчатнефтепродукт" (2,5) |
| РСЦ |
4740 |
530 |
Миннибаевский газоперерабатывающий завод |
| Компания |
Страховые взносы (тыс. руб.) |
Страховые выплаты (тыс. руб.) |
Крупнейшие клиенты (страховые суммы по договорам с ними, млн. руб.) |
| "Интеррос-Согласие" |
1110797 |
5542 |
РАО "Норильский никель" |
| РСЦ |
124747 |
1000 |
РКНПЦ им. Хруничева, ЦСКБ "Прогресс", Тульский машиностроительный завод |
| "Ингосстрах" |
93789 |
1398 |
н. д. (7407,0) |
| "Геополис" |
91360 |
7423 |
Магнитогорский металлургический комбинат (3000,0) |
| "Энергогарант" |
66555 |
н. д. |
н. д. |
| "ЮКОС-Гарант" |
40976 |
1268 |
"Строймаш" (70,0) |
| ВСК |
25000 |
0 |
н. д. (11,4) |
| Столичное СО |
19100 |
0 |
н. д. (5400,0) |
| "Ост-Вест Альянс" |
13272 |
271 |
|
| Группа "НАСТА" |
11100 |
н. д. |
Подольский машиностроительный завод, Кандалакшский алюминиевый завод |
| ВЕСтА |
5250 |
0 |
Ковровский экспериментальный завод (10,9), Завод им. Дегтярева (11,4) |
| РУКСО |
3950 |
650 |
|
| Компания |
Страховые взносы (тыс. руб.) |
Страховые выплаты (тыс. руб.) |
Крупнейшие клиенты (страховые суммы по договорам с ними, млн. руб.) |
| "Ингосстрах" |
925328 |
442917 |
н. д. (8550,5) |
| "ЮКОС-Гарант" |
102440 |
10361 |
"Строймашинторг" (100,0) |
| Группа "НАСТА" |
66735 |
н. д. |
"Дарина", "Сатурн", ГП "Полиграфбанксервис" |
| "РЕСО-Гарантия" |
66482 |
48131 |
"Жак Дессанж", ТД "Москва", ТД "1000 мелочей", универмаг "Московский", Дом фарфора |
| ВСК |
40000 |
4000 |
н. д. (60) |
| "Ост-Вест Альянс" |
14255 |
445 |
|
| ВЕСтА |
10514 |
421 |
Samsung Electronics, Daewoo Corp. |
| "Прогресс-Нева" |
5900 |
н. д. |
н. д. |
| РУКСО |
5240 |
1924 |
|
| РСЦ |
3286 |
0 |
"Артекс", "Сюкден" |
| Столичное СО |
2187 |
332 |
н. д. (117,6) |
| "Геополис" |
2125 |
22 |
н. д |
| ЗСТСК |
1820 |
650 |
н. д. |
| СУБД |
Oracle7™ |
| Операционная система сервера БД |
Windows NT®, UNIX (либо любая другая операционная система, в которой поддерживается работа СУБД Oracle7®). |
| Операционная система рабочей станции |
Windows® 95, Windows NT® |
| Процессор |
не ниже Pentium®133 |
| Оперативная память |
не менее 48 Мб |
| Дисковая память |
не менее 1 Гб |
| Процессор |
не ниже Pentium®100 |
| Оперативную память |
не менее 16 Мб |
| Свободную дисковую память |
не менее 100 Мб |
| СТАДИИ ПРОЕКТА |
Организационное |
Методическое |
Информационное |
Программное |
Аппаратное |
| Запуск |
+- |
||||
| Обследование |
+- |
+- |
+- |
||
| Концепция ТЗ |
+- |
+- |
+- |
||
| Эскизный проект |
+- |
+- |
+- |
+- |
|
| ТП |
+ |
++ |
+ |
+- |
+- |
| РП |
++ |
++ |
++ |
++ |
+ |
| Ввод в действие |
++ |
++ |
++ |
++ |
++ |





| Старое правило |
Технология |
Новое правило |
| Информация может появлятся только в одно время в одном месте, как в файл-фолдере |
Распределенные базы данных |
Информация можетодновременно появляться в нескольких местах по необходимости |
| Сложную работу могут выполнить только эксперты |
Экспертные системы |
Функции эксперта может выполнить генеральный менеджер |
| Фирмы должны выбирать между централизацией и децентрализацией |
Телекоммуникационные сети |
Фирмы могут одновременно использовать выгоды централизации и децентрализации |
| Все решают менеджеры |
Инструменты поддержки принятия решений |
Каждый работник принимает участие в принятии решения |
| Полевому персоналу необходим офис для приема, хранения и передачи информации |
Беспроволочные коммуникации, широковещательные сети и портативные компьюторы |
Полевой персонал может посылать и принимать информацию, где бы он не находился |
| Лучший контакт с потенциальными покупателями – непосредственный контакт |
Интерактивный оптический диск |
Лучший контакт с потенциальным покупателем – эффективный контакт |
| Кто-то должен отслеживать местонахождение предметов |
Автоматическая идентификация и технология трекинга |
Каждый предмет различается индивидуально, включая местонахождения |
| Планы пересматриваются переодически |
Высококачествленное выполнение вычислений, компьюторные сети, сетевое программное обеспечение |
Планы пересматриваются мгновенно |
| Бизнес-архитектура |
IT-архитектура |
| Автоматизация бизнес-подразделения |
Различные поставщики оборудования, сети, платформы, операционные системы. Покупай, а не производи. |
| Меньшее количество уровней управления |
Повсеместные почта, заметки, управление образами, телеконференции. |
| Реорганизация работы ориентированности на задачи к ориентированноти на процессы |
Переход от OLTP-мониторов к менеджерам процессов. |
| Интеграция цепочки поставщиков |
* Приложения клиент/сервер от нескольких поставщиков. * Многопротокольная маршрутизация. * Надежная передача сообщений. |
| Глобализация |
* Портированность приложений различных производителей. * Глобальные сети. * Бесперебойная 24х365 работа. |
| Интенсивная фокусировка на обслуживание клиента |
* Быстрое развитие приложений. * Приложения клиент/сервер от нескольких поставщиков. * Надежная передача сообщений. * 24х365 работа. |
| * Возросшая мобильность рабочих * Рост телекоммуникаций |
* Беспроволочные коммуникации. * Асинхронные сообщения. * Тиражирование баз данных. * 24х365 работа. |
| Интенсивная фокусировка на стоимости |
Использование новейших технологий. |
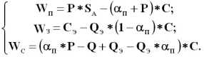
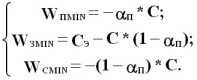
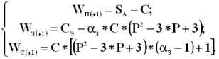
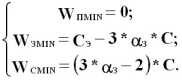
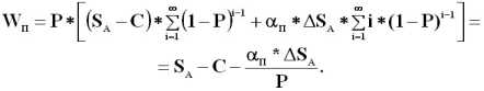
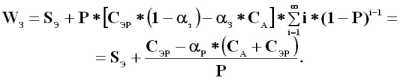
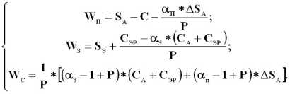
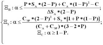
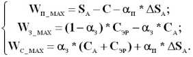
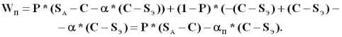
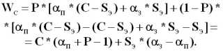
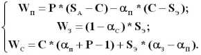
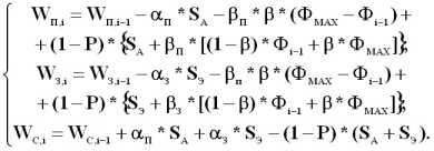
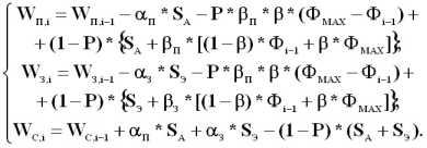
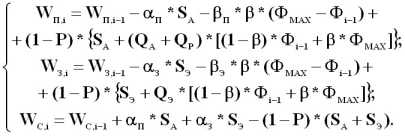
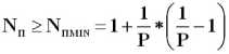
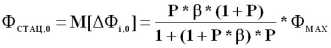
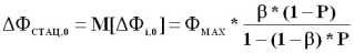
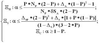
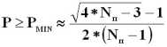
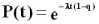
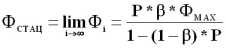
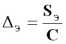
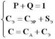
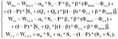
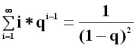
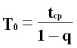
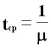
,



.
.
, (q<1), то
.





или
,
– доля потерь от запланированной прибыли из-за задержки реализации проекта (0 < δSА ≤ 1).
или
,
.
,
.





,
.
.
.
,
.
.

.
, (4)
,
,
.| Страна |
Совокупные страховые поступления, 1994, млрд. долл. США |
Совокупные страховые поступления, 1997, млрд. долл. США |
Доля на мировом страховом рынке1997, % |
| США |
561 |
653 |
31,0 |
| Япония |
544 |
520 |
24,7 |
| Германия |
115 |
152 |
7,2 |
| Великобритания |
110 |
137 |
6,5 |
| Франция |
94 |
137 |
6,5 |
| Южная Корея |
38 |
62 |
3,0 |
| Италия |
32 |
44 |
2,1 |
| Канада |
35 |
36 |
1,7 |
| Нидерланды |
27 |
36 |
1,7 |
| Австралия |
20 |
33 |
1,6 |
| Страна |
ВВП 1997, млрд. долл. США |
Прирост ВВП 1997, % |
| США |
7819,3 |
3,8 |
| Япония |
4223,4 |
0,5 |
| Германия |
2115,4 |
2,4 |
| Франция |
1393,8 |
2,3 |
| Великобритания |
1278,4 |
3,4 |
| Италия |
1146,2 |
1,3 |

| Год |
Количество сделок |
| 1998 |
36 |
| 1997 |
53 |
| 1996 |
28 |
| 1995 |
7 |
| 1994 |
7 |
| 1993 |
1 |
| 1992 |
3 |
| 1991 |
2 |
| 1990 |
2 |
| Год |
Количество сделок |
| 1998 |
13 |
| 1997 |
10 |
| 1996 |
11 |
| 1995 |
2 |
| Страна |
Сделки |
| США |
67 |
| Великобритания |
24 |
| Германия |
16 |
| Швейцария |
10 |
| Франция |
9 |
| Италия |
7 |
| Бермуды |
4 |
| Канада |
4 |
| Нидерланды |
4 |
| Испания |
2 |
| Швеция |
2 |
| Австралия |
1 |
| Бельгия |
1 |
| Япония |
1 |
| Страна |
Сделки |
| США |
43 |
| Великобритания |
6 |
| Франция |
3 |
| Германия |
3 |
| Испания |
2 |
| Норвегия |
1 |
| Мексика |
1 |
| Канада |
1 |
| Нидерланды |
1 |
| Бразилия |
1 |
| Аргентина |
1 |
| Австрия |
1 |
| Швейцария |
1 |
| Страна |
Сделки |
| Великобритания |
8 |
| Франция |
5 |
| Испания |
1 |
| Италия |
1 |
| Канада |
1 |
| США |
1 |
| Мексика |
1 |
| Австралия |
1 |
| Дания |
1 |
| Ирландия |
1 |
| Германия |
1 |
| Новая Зеландия |
1 |
| Бразилия |
1 |
| Страна |
Сделки |
| Германия |
8 |
| США |
2 |
| Франция |
2 |
| Швейцария |
2 |
| Италия |
2 |
| Страна |
Сделки |
| Швейцария |
2 |
| Великобритания |
2 |
| Германия |
2 |
| Испания |
1 |
| Италия |
1 |
| Мексика |
1 |
| Норвегия |
1 |
| Страна |
Сделки |
| Франция |
16 |
| США |
11 |
| Великобритания |
9 |
| Германия |
7 |
| Испания |
4 |
| Италия |
4 |
| Швейцария |
4 |
| Канада |
3 |
| Мексика |
3 |
| Австралия |
2 |
| Нидерланды |
2 |
| Бразилия |
2 |
| Норвегия |
2 |
| Аргентина |
1 |
| Дания |
1 |
| Ирландия |
1 |
| Бельгия |
1 |
| Бермуды |
1 |
| Новая Зеландия |
1 |
| Страна |
Сделки |
| Великобритания |
5 |
| США |
3 |
| Италия |
3 |
| Германия |
2 |
| Канада |
1 |
| Япония |
1 |
| Бермуды |
1 |
| Страна |
Сделки |
| Бермуды |
3 |
| Нидерланды |
2 |
| Германия |
2 |
| Канада |
1 |
| Великобритания |
1 |
| Франция |
1 |
| Страна |
Сделки |
| США |
3 |
| Швейцария |
2 |
| Италия |
1 |
| Великобритания |
1 |
| Страна |
Сделки |
| США |
6 |
| Швейцария |
2 |
| Италия |
1 |
| Страна |
Сделки |
| Германия |
2 |
| Италия |
1 |
| США |
1 |
| Страна |
Сделки внедрения |
Сделки экспансии |
| Франция |
16 |
4 |
| США |
11 |
24 |
| Великобритания |
9 |
16 |
| Германия |
7 |
8 |
| Италия |
4 |
7 |
| Швейцария |
4 |
8 |
| Компания-инициатор |
Страна |
Сделки |
| AON |
США |
14 |
| Conseco |
США |
11 |
| Allianz |
Германия |
9 |
| AXA |
Франция |
7 |
| Assicurazioni Generali |
Италия |
7 |
| Munich Re |
Германия |
7 |
| Marsh & Mc Lennan |
США |
6 |
| Royal & Sun Alliance |
Великобритания |
5 |
| Zurich |
Швейцария |
5 |
| AIG |
США |
5 |
| Commercial Union |
Великобритания |
5 |
| Liberty Mutual Group |
США |
5 |
| St. Paul Companies |
США |
5 |
| Willis Corroоn |
Великобритания |
5 |
| Guardian |
Великобритания |
4 |
| AGF |
Франция |
4 |
| Fairfax Financial Holdings |
Канада |
3 |
| Swiss Re |
Швейцария |
3 |
| Aetna |
США |
3 |
| Employers Re |
США |
2 |
| General Re |
США |
2 |
Биржевая торговля: Управление капиталом - Портфель - Риск - Страхование