Бродский - Лекции По Макроэкономике Переходного Периода
ПРЕДИСЛОВИЕ
На одной из лекций студент задал мне вопрос: “А зачем вообще изучать этот предмет — переходную экономику? Во-первых, не совсем ясно, что это такое, а во-вторых, даже придя к соглашению о терминах, остаются сомнения, стоит ли тратить время на изучение «переходных, текучих и зыбких» явлений, некоей преходящей сущности, которая неизбежно должна исчезнуть по мере становления нормальной и стабильной рыночной экономики?” Я поблагодарил студента за проницательность суждений и ответил примерно следующее.
Со времени начала радикальных реформ в посткоммунистических странах — конец 1980-х — начало 1990-х гг. — прошло более десяти лет. Основные острые вопросы и проблемы — трансформационный спад, высокая инфляция, значительный бюджетный дефицит — остались позади, все большее число стран уверенно наращивают экономический потенциал, вступают в международные экономические и политические организации. Это, на первый взгляд, означает, что исследование переходной экономики представляет, главным образом, теоретический и историко-научный интерес. Однако все зависит от того, как мы формулируем предмет переходной экономики и исследовательские задачи.
В узком смысле предмет переходной экономики — это постсоциалистический переход, т.е. процесс замены централизованной плановой экономики на рыночную. Поэтому первая задача — понять логику историко-экономических фактов о переходных экономиках, их взаимосвязь, построив гипотезы и модели для понимания реальных явлений.
В широком смысле предмет курса — это макроэкономические закономерности трансформации и реструктуризации экономических систем. В этом понимании постсоциалистический переход не является конечной целью исследования, но служит отправной точкой для формулировки гипотез, построения теоретических моделей и содержательных выводов о формах и этапах эволюции реструктурируемых социально-экономических систем.
Только взаимосвязь узкого и широкого понимания предмета переходной экономики позволяет обосновать целесообразность изучения этого курса. Нет сомнения в том, что России и другим посткоммунистическим странам, да и всей мировой экономической системе в будущем предстоят новые радикальные реформы, которые, как всегда, задумываются и осуществляются “во благо” жаждущим перемен к лучшему людям, но на практике нередко приводят к ухудшению общественного благосостояния, росту имущественного неравенства и социального угнетения. Представляется, что экономическая теория должна найти ответы на вопросы о закономерностях реструктуризации экономических систем, чтобы избежать “реформ вслепую”, поспешных импровизаций и грубых ошибок в экономической политике.
Российские “революционеры” в политике и экономике всегда уповали на историческую интуицию, стремясь, по примеру Наполеона, “сначала ввязаться в драку, а там видно будет”. Весь XX век прошел для России как череда непрерывных социально-экономических экспериментов, революций и реформ “из самых чистых и гуманных побуждений”. В результате страна к началу XXI столетия успела растерять богатейший интеллектуальный потенциал, заметно отстав от передовых стран по уровню и динамике социально-экономического развития. Поэтому анализ опыта экономических реформ и закономерностей экономической трансформации имеет для России жизненно важное, практическое значение.
Появление в России и на Западе в конце 1990-х гг. книг и учебников по экономике переходного периода можно только приветствовать. Опыт экономической трансформации во всем мире становится предметом углубленной теоретической рефлексии, что подтверждается появлением специализированных научных журналов по этой теме (“Economics of Transition”) и интернет-сайтов с сотнями научных публикаций по переходной экономике.
Вместе с тем большинство российских учебников по переходной экономике
построены по описательному принципу и не содержат развернутого формального анализа закономерностей переходных экономик, что ориентирует эти пособия скорее на студентов социологических и юридических специальностей, а также на студентов экономических факультетов начальных курсов. С другой стороны, в известном западном учебнике О. Бланшара
опыт российских экономических реформ не рассматривается вообще, а лишь констатируется как “необъяснимая аномалия”. Подобную же позицию несложно обнаружить во многих других западных публикациях, посвященных анализу переходной экономики
. Авторы серии работ по российской “виртуальной экономике” К. Гадди и Б. Икее прямо называют Россию 1990-х гг. “ошибкой в мировом экономическом развитии”
.
В этой связи представляется целесообразной разработка учебного курса по макроэкономическим аспектам экономики переходного периода, построенного на принципах западной экономической школы, но учитывающего опыт и реалии российских реформ.
Предлагаемый вниманию читателя учебный курс имеет следующую структуру.
Первая лекция содержит обсуждение предмета переходной экономики в двух взаимосвязанных аспектах.
¦ Эмпирический аспект: опыт экономических реформ 1980-х— 1990-х гг. в постсоциалистических странах Центральной и Восточной Европы. Анализируются главные причины, цели и задачи перехода от “плана” к “рынку”.
¦ Теоретический аспект: анализируются программы реформ, принципы Вашингтонского и поствашингтонского консенсусов. Рассмотрена критика основных положений Вашингтонского консенсуса Дж. Стиглицем, Я. Корнай, Д. Нортом. Анализируются причины неудач первоначальных моделей и прогнозов динамики экономических преобразований. Основная идея первой темы: для построения успешных прогнозов, моделей и программ реформ необходим анализ и учет институциональных и структурных факторов экономической трансформации.
Во второй лекции раскрываются методологические принципы исследования переходной экономики. Краткое введение в историю структурного анализа экономических систем, построенное на работах В. Ойкена, В. Леонтьева, Э. Фелпса, Я. Корнай, завершается формулировкой основных принципов экономического структурализма в контексте ключевых проблем экономической трансформации. Анализируются определения переходной экономики как “дуальной системы” (Я. Корнай
), неравновесной биполярной макроструктуры.
В третьей лекции дается широкий обзор и сравнительный анализ макроэкономических фактов о переходных экономиках Центральной и Восточной Европы, России и стран СНГ. Рассматривается характерный U-образный график динамики агрегированного выпуска, промышленного производства, занятости и производительности труда в различных странах с переходной экономикой. Ключевой вопрос темы: как объяснить U-образную динамику основных макроэкономических показателей? Демонстрируется недостаточность неоклассических и неокейнсианских подходов к анализу этих устойчивых эмпирических закономерностей: экономический спад в большинстве стран с переходной экономикой был гораздо глубже, чем это предсказывалось теоретиками Вашингтонского консенсуса в 1990 г. Вместе с тем в Китае и Вьетнаме удалось избежать начального трансформационного спада.
Далее анализируются основные гипотезы о механизмах экономической трансформации: реаллокация ресурсов, дезорганизация экономической среды, реструктуризация предприятий. Дается подробное изложение модели О. Бланшара, описывающей процесс реаллокации ресурсов между старым государственным и новым частным сектором экономики. Далее рассматривается структуралистская модель процесса дезорганизации экономической среды и на ее основе интерпретируются характер и причины трансформационного спада в начальный период экономических реформ. Подчеркивается роль структурных факторов и структурных реформ в преодолении трансформационного спада.
В четвертой лекции рассматриваются основные проблемы экономической политики в переходных экономиках. Рассматривается модель “шоковой терапии” А. Берга и Дж. Сакса, положенная в основу экономических реформ в Польше. Анализ модели Берга — Сакса завершается дискуссией о преимуществах и недостатках политики “шоковой терапии” в сравнении с градуальными реформами. Углубленный сравнительный анализ “шоковой терапии” и градуализма далее проводится на основе мультисекторной макроэкономической модели, в которой исследуются взаимосвязи “старого” сектора реструктурируемых государственных предприятий и “нового” сектора частных компаний с учетом факторов государственной структурной политики в сфере производства.
В пятой лекции рассматриваются макроэкономические модели динамики реального сектора в переходных экономиках. Изложение начинается с анализа основных проблем реального сектора переходных экономик: трансформационный спад, инвестиционный кризис, структурные диспропорции, отложенные структурные реформы. Далее обосновывается типология переходных экономик: R-экономика — богатые природные ресурсы, преимущественное развитие экспортно-ориентированных добывающих отраслей и L-экономика — относительно бедные природные ресурсы, акцент на развитии обрабатывающих отраслей.
Особое внимание уделяется макроэкономическому анализу проблем переходной R-экономики. Рассматривается мультисекторная макроэкономическая модель R-экономики, описывающая производственные и финансовые взаимосвязи сектора естественных монополий, экспортно-ориентированного и внутренне-ориентированного секторов. Подчеркивается принципиальный характер ценовых диспропорций в сфере производства, обусловливающий значимость немонетарных факторов инфляции в R-экономиках. Подробно рассматриваются макроэкономические факторы роста производства в R-экономиках. Анализируется характер “голландской болезни” в R-экономиках и формулируется вывод о необходимости структурных реформ в реальном секторе.
В шестой лекции рассматриваются макроэкономические модели эволюции кредитно-денежной системы в переходных экономиках. Подробно рассматривается модель процесса долларизации в переходной экономике, анализируются основные макроэкономические факторы, предопределяющие динамику процесса долларизации. Далее исследуется взаимосвязь динамики денежной массы, обменного курса и инфляции в переходных экономиках. Особое внимание уделяется исследованию уравнения спроса на деньги в переходных экономиках; подчеркиваются различия в характере факторов, определяющих спрос на деньги в рыночной и переходной экономиках.
Далее анализируется политика реального обменного курса в переходных экономиках, и особый акцент делается на проблеме взаимосвязи паритета покупательной способности (ППС) и обменного курса. Исследуется влияние курсовой динамики на инфляцию и экономический рост.
В седьмой лекции рассматривается роль государства в проведении экономических реформ. Дается широкий обзор современной дискуссии о проблеме “размера правительства” в переходных экономиках. Анализируются теоретические и эмпирические исследования проблемы роли государства в процессе экономических преобразований. Макроэкономический анализ проблемы взаимосвязи динамики государственных расходов и темпов экономического роста далее проводится на основе мультисекторной модели: исследуются производственные и финансовые взаимосвязи между основными структурными элементами реального сектора российской экономики, а также консолидированным бюджетом и социальной сферой. К числу основных выводов анализа можно отнести следующие. Существуют некоторые оптимальные уровни налоговой нагрузки на экономику и государственных расходов, обеспечивающие максимальные темпы экономического роста в переходной экономике. При этом оптимальный уровень государственных расходов зависит от ключевых параметров макроэкономической ситуации: мировых цен на экспортируемые ресурсы, реального обменного курса, тарифной политики в отраслях естественных монополий.
В восьмой лекции дается структурный анализ рынка труда и социальной сферы в переходных экономиках. Рассматриваются мультисекторные модели динамики спроса на труд в переходных экономиках: взаимосвязь с динамикой производства, базовыми макроэкономическими параметрами. Особое внимание уделяется анализу проблемы дифференциации по доходам в переходных экономиках в рамках “польской” и “российской” моделей.
Девятая лекция посвящена анализу эволюции теневого сектора в переходных экономиках. Для R-экономик характерен неуклонный рост доли теневого сектора в ВВП, тогда как для L-экономик характерна параболическая динамика доли теневого сектора в ВВП, являющаяся зеркальным отражением U-образного графика динамики агрегированного выпуска. Эти принципиальные различия объясняются существенной ролью механизмов торговофинансового посредничества в R-экономиках: распад макроэкономической структуры R-экономики на несколько секторов, отличающихся по условиям конкуренции на внутреннем и внешнем рынках, приводит к резкому росту трансакционных издержек экономических обменов и возможностям извлечения существенной маржи за посреднические услуги.
1
лекция
ПРЕДМЕТ ПЕРЕХОДНОЙ
экономики
1.1
Понятие переходной экономики
XX столетие с полным правом можно назвать эпохой становления и крушения великих социальных утопий. Зарождение марксизма и победа социализма в России, долгие мучительные поиски национальной идеи в Германии 1910-х—1930-х гг. и приход к власти фашистов с идеологией превосходства арийской расы — это были первые попытки и плоды социальной инженерии, поначалу казавшиеся на редкость успешными и перспективными.
После Гражданской войны большевикам удалось восстановить экономику на основе НЭПа. Советская плановая экономика в 1930-е гг. демонстрировала самые высокие темпы роста, выглядевшие особенно убедительно на фоне Великой депрессии в США и Европе. С приходом Гитлера в Германии после гиперинфляции и нищеты 1920-х гг. также наступил экономический подъем. Это были звездные часы социализма и фашизма, когда казалось, что рецепт социального благополучия наконец найден: жесткая централизация и планирование, активное вмешательство государства в экономическую жизнь, целенаправленная социальная инженерия в экономике, политике и идеологии.
Крушение фашизма во Второй мировой войне добавило веские аргументы сторонникам социализма. Советский опыт перени-
Понятие переходной экономики
мался не только в странах “народной демократии”. В Японии, Франции тогдашняя мода на планирование вошла в национальный опыт. СССР без всякой внешней помощи за 5—6 лет восстановил разрушенное войной хозяйство, показал высокие темпы экономического роста, успехи в науке и технике. В течение ряда лет СССР удерживал статус второй сверхдержавы и вплоть до начала 1980-х гг. обеспечивал стратегическое равновесие с США.
Вполне естественно, что мысль о переходе от социализма к капитализму до середины 1980-х гг. представлялась бредовой и фантастической. Много говорилось о неоспоримых и очевидных преимуществах социалистической системы, о врожденных пороках капитализма — хаотичности социального развития, цикличности экономических кризисов, росте социального неравенства и угнетения. Самые смелые умы на Западе рассуждали о конвергенции социализма и капитализма, в СССР маститые экономисты с марксистских кафедр твердили о неизбежности “загнивания” капитализма и неминуемой победе социалистического строя в экономическом соревновании с Западом.
В разреженных сферах экономической теории продолжалась полемика О. Ланге с Ф. Хайеком о сравнительных преимуществах и недостатках “плана” и “рынка”. Аргументация Хайека [Хайек, 1993] ныне хорошо известна, она звучит так: никто не в силах спрогнозировать социальное развитие. Какие блага будут востребованы потребителями, какие фирмы победят в конкурентной борьбе, какие формы организации хозяйства окажутся устаревшими — ответы на эти вопросы может дать лишь сама жизнь. “Пагубная самонадеянность” социальных инженеров — социалистов, коммунистов и фашистов — ведет к искажению естественных механизмов социально-экономической самоорганизации, подавлению конкуренции как “процедуры открытия” новых ценностей и форм хозяйства.
Аргументация О. Ланге, окарикатуренная и опошленная позднейшими интерпретаторами, в своем оригинальном виде приобретает сегодня новое актуальное звучание. Ланге приводит серьезные аргументы в пользу экономического планирования [Lange, 1936; 1967]: научный прогресс еще никому не удалось остановить, апелляция к сложности и непознаваемости социально-экономической реальности звучит сегодня крайним ретроградством, в распоряжении ученых — все более мощные современные средства для анализа и социального планирования.
С середины 1980-х гг. стало вполне ясно, что построение “развитого социализма” в СССР зашло в тупик: неуклонно снижающиеся темпы экономического роста, всеобщий дефицит товаров сигнализировали об исчерпании внутренних резервов развития социалистической системы, о необходимости “рыночных” прививок для оживления экономической ситуации.
Идея конвергенции социализма и капитализма оказалась неожиданно востребованной обществом: переход предприятий на самофинансирование, построение социализма “с человеческим лицом”, задействование факторов личной заинтересованности в результатах труда — эти экономические новации позднего социализма постепенно подготовили почву для радикальных реформ.
На рубеже 1980-х—1990-х гг. идея перехода от социализма к капитализму едва поспевала за историческим фактами: “несокрушимый” бастион социалистической системы вдруг начал рассыпаться как карточный домик, а все “надстроечные” институты социализма оказались внезапно ненужными. Падение Берлинской стены подвело черту под социалистической утопией. Мифы поведенческого и экономического индивидуализма — парафраз истории Робинзона Крузо, строящего маленькое разумное капиталистическое хозяйство во враждебном окружении “темных коллективи-стов-дикарей”, — пришли на смену коммунистическим мифам — заученным с детства историям о самозабвенном коллективном труде, подвигах Стаханова и Павлика Морозова.
В этот период возникло понятие “переходной экономики” — экономической системы, сочетающей в себе элементы плановой и рыночной форм хозяйства. Главной задачей экономической политики в переходной экономике было скорейшее дерегулирование элементов “плана” и создание наиболее благоприятных условий для быстрого роста элементов “рынка”.
Переходной экономики как области экономической рефлексии в это время еще не существовало. Мало задумываясь об особенностях переходных экономических систем, реформаторы активно использовали простейший теоретический инструментарий из стандартных западных курсов экономической теории (economics).
Далее мы рассмотрим причины, цели и задачи перехода от плана к рынку с позиций современных представлений о процессе экономической трансформации.
1.2
Причины, цели и задачи перехода от “плана” к “рынку”
Процесс перехода от “плана” к “рынку” принадлежит к явлениям социальной динамики — наиболее сложному разделу социальноэкономической теории. Рассуждая о причинах, целях и задачах постсоциалистического перехода, мы должны задать себе следующие вопросы: в чем состояла внутренняя слабость социалистической системы, приведшая в конце концов к ее распаду; каковы были основные побудительные мотивы перемен; каковы были предпосылки и первоначальные попытки экономических реформ?
Я. Корнай в книге “Социалистическая система” выделяет три главных группы мотивов перехода от “плана” к “рынку”. Первая группа мотивов — накопление экономических трудностей. Весь период существования социалистической системы сопровождается серьезными экономическим проблемами: хроническим отставанием в техническом развитии и в области потребления, дефицитом, расточительным использованием ресурсов и др. Но одновременно экономика растет весьма впечатляющими темпами, что позволяет рассматривать трудности как неизбежную расплату за быстрое развитие. Со временем, однако, темпы роста замедляются, а существующие экономические проблемы усугубляются. Стратегию форсированного роста нельзя проводить в жизнь бесконечно.
Серьезные экономические проблемы, особенно медленное техническое развитие, начинают угрожать военной мощи социалистических стран. Задача поддержания стратегического паритета с НАТО требует от стран Варшавского договора все возрастающих затрат на оборону.
Вторая группа побуждений к переменам — это недовольство народа. Низкое качество и узкий выбор товаров, отсталость сектора услуг, вечный дефицит, безразличие и произвол бюрократии — эти повседневные приметы социалистической реальности вызывают социальную апатию, чувство безнадежности и глухое недовольство.
С предыдущими двумя группами мотивов связана третья причина побуждений к переменам — утрата веры в социализм теми, кто сам находится у власти. Социалистическая система наделяет бюрократию почти безграничной властью, но власть остается устойчивой лишь до тех пор, пока сама бюрократия убеждена в легитимности своей власти, в превосходстве своих идей преобразования общества. Как только эта вера в среде бюрократии начинает ослабевать, вопрос о переменах ставится в повестку дня. А.Н. Яковлев, один из ближайших соратников М. Горбачева, в своем выступлении на XXVIII съезде КПСС в 1990 г. сказал: “Решением ЦК не отменишь, что за последнее время в Южной Корее по сравнению с Северной промышленность увеличилась в 10 раз; что в Западной Германии жизненный уровень значительно выше, чем в Восточной”1.
Итак, перечислим характерные черты плановой системы хозяйства (на примере СССР — “чистая” форма плана):
¦ государственная (общенародная) собственность на средства производства;
¦ отрицание рынка и конкуренции;
¦ государственное ценообразование практически на все виды продукции на основе издержек (затратные цены);
м заработная плата как единственная денежная категория, оказывающая влияние на движение реальных ресурсов (рабочей силы);
¦ полная закрытость экономики.
К числу “врожденных пороков” плановой системы следует отнести ее административную громоздкость (принцип государственной монополии). Плановая система лишена внутренних стимулов к росту эффективности и лучшей координации (власть бюрократии, номенклатуры). Органическим свойством социалистической экономики стал товарный дефицит. Отсутствие равновесных рыночных цен приводит к возникновению дефицита одних товаров при избытке других. Не действуют и ценовые сигналы, побуждающие производителей увеличивать выпуск товаров, пользующихся спросом, и сокращать выпуск тех, на которые спрос недостаточен, чтобы оправдать издержки. Пропорции производства формируются не структурой спроса, а плановыми заданиями. Отсюда неизбежность накопления структурных деформаций и неэффективности, милитаризация и утяжеленная структура хозяйства (опережающий рост “производства средств производства”).
Цит. по: XXVIII съезд КПСС: Стенографический отчет. М.: Политиздат, 1990. С. 617.
Таким образом, главными причинами перехода от “плана” к “рынку” являются:
¦ общее убеждение в том, что плановая экономика исчерпала себя (резкий спад темпов роста реального ВВП, промышленного производства в 1960-е—1980-е гг.), всеобщий дефицит, “черный” рынок, отсутствие стимулов к эффективному труду: накопление негативных последствий политики и врожденных пороков плановой системы;
¦ внедрение элементов рынка в плановую экономику (хозрасчет, финансовая самостоятельность предприятий, кооперативное движение и др.) наталкивается на административные барьеры, которые должны быть устранены в результате радикальных реформ.
Следует отметить, что осознание неизбежности радикальных рыночных реформ не пришло одномоментно: в 1950-е—1970-е гг. наблюдаются неоднократные попытки частичных реформ: Косыгин-ская реформа в СССР, “гуляшный социализм” в Венгрии, “пражская весна” в Чехословакии. К числу подобных попыток можно отнести “перестройку” в СССР: реформы М. Горбачева в рамках социалистического выбора 1987—1990 гг. В табл. 1.1 приведен хронологический обзор реформ в посткоммунистических странах.
Все частичные реформы, как правило, заканчивались неудачно: бюрократической контрреформой, военным переворотом, подавлением народных восстаний. Августовский путч 1991 г. в Москве представлял собой попытку бюрократической контрреформы, которая завершилась полным провалом путчистов, приходом к власти Б. Ельцина, распадом СССР и началом радикальных реформ в России.
Непосредственно распаду СССР предшествовал крах коммунистических режимов в Восточной Европе и международных институтов, объединявших СССР и эти страны: Варшавского договора и Совета экономической взаимопомощи (СЭВ).
В 1989 г. после 1-го Съезда народных депутатов СССР по социалистическим странам Восточной Европы прокатилась волна антитоталитарных революций.
ГДР. Октябрь 1989 г. События, связанные со стремлением руководства страны приостановить бегство граждан в Западную Германию, привели к массовым выступлениям в Берлине и Лейпциге.
Э. Хоннекер вынужден был уйти в отставку. В марте 1990 г. свободные выборы привели к победе оппозицию, коммунисты уступили власть.
Реформы в посткоммунистических странах: хронологический обзор
|
Таблица 1.1 |
|
|
|
Революция |
|
|
|
|
и постсоциали- |
|
|
|
|
стическая |
|
|
Страна |
Годы |
трансформация |
Важнейшие события |
|
реформ |
как |
минуя |
|
|
|
продол- |
стадию |
|
|
|
|
жение |
реформ |
|
|
|
|
реформ |
|
|
|
Югославия |
1949 г. |
|
|
1949 г.: Югославия порывает с советским блоком |
|
Отдельные |
1949- |
1990 г. |
|
1990 г.: первые многопартий- |
|
республики |
1990 гг. |
|
|
ные выборы в некоторых |
|
Югославии |
|
|
|
республиках |
|
Венгрия |
1953- |
|
|
1953 г.: премьер-министр |
|
|
1954 гг. |
|
|
Имре Надь объявляет Правительственную программу реформ
1954 г.: Надь отстранен от |
|
|
|
|
|
власти |
|
|
|
|
1956 г. |
23 октября 1956 г.: народное |
|
|
|
|
|
восстание |
|
|
|
|
|
4 ноября 1956 г.: советская военная интервенция |
|
|
1963- |
|
|
1963 г.: политическая амни- |
|
|
1989 гг. |
|
|
стия |
|
|
|
1989 г. |
|
1989 г.: провозглашена многопартийная система |
|
Советский |
1953- |
|
|
1953 г.: смерть Сталина |
|
Союз |
1964 гг. |
|
|
1964 г.: отставка Хрущева, приход к власти Брежнева |
|
|
1985- |
|
|
1985 г.: приход к власти Горба- |
|
|
1990 гг. |
|
|
чева; перестройка и гласность |
|
|
1992- |
|
|
1992 г.: начало радикальных |
|
|
2000 гг. |
|
|
реформ |
|
Чехословакия |
1968 г. |
|
|
Январь 1968 г.: начало “пражской весны”
Август 1968 г.: военная интервенция стран Варшавского |
|
|
|
|
|
договора |
|
|
|
|
1989 г. |
1989 г.: “бархатная” революция |
|
|
Окончание табл. 1.1 |
|
Страна |
Годы
реформ |
Революция и постсоциалистическая трансформация |
Важнейшие события |
как
продол
жение
реформ |
минуя
стадию
реформ |
|
Китай |
1978- |
|
|
1978 г.: Дэн Сяопин провоз- |
|
|
1979 гг. |
|
|
глашает политику реформ |
|
|
|
|
|
1979 г.: начало приватизации |
|
|
|
|
|
сельского хозяйства |
|
Польша |
1980- |
|
|
1980 г.: создание профсоюза |
|
|
1981 гг. |
|
|
“Солидарность” |
|
|
|
|
1989 г. |
1989 г.: соглашение “круглого |
|
|
|
|
|
стола” между коммунистиче- |
|
|
|
|
|
ским правительством и “Соли- |
|
|
|
|
|
дарностью” |
|
Вьетнам |
1987 г. |
|
|
1987 г.: провозглашена эко- |
|
|
|
|
|
номическая реформа |
|
Восточная |
|
|
1989 г. |
1989 г.: падение Берлинской |
|
Германия |
|
|
|
стены |
|
|
Источник'. [Корнай, 2000]. |
Болгария. Ноябрь 1989 г. Острая политическая борьба в партийном и государственном руководстве привела к отставке Т. Живкова со всех постов.
Чехословакия. Вторая половина ноября 1989 г. Разгон студенческой демонстрации в Праге привел к массовым выступлениям против режима по всей стране. “Бархатная” революция сделала президентом В. Гавела, который еще вчера сидел в тюрьме.
Румыния. В декабре 1989 г. народное восстание. Расстрел диктатора Н. Чаушеску, приход к власти Фронта национального спасения.
Польша. Поле выборов в конце 1989 г. президентом становится руководитель “Солидарности” Л. Валенса. На смену коммунистическому правительству М. Раковского приходит правительство либералов Мазовецкого — Бальцеровича, которое с января 1990 г. устраивает Польше лечение “шоковой терапией”.
За последние два месяца 1989 г. политическая карта Восточной Европы изменилась до неузнаваемости. Социалистическая система отошла в историческое небытие. Все страны — члены СЭВ “с поспешностью, граничащей с неприличием” отказались от связей и институтов, выстраивавшихся в послевоенное время.
В повестку дня встал вопрос о радикальных экономических реформах. Основными целями этих реформ были следующие: построение эффективной рыночной экономики, преодоление экономического кризиса и тенденций социального распада, построение “цивилизованного рынка” путем радикального изменения системы мотиваций экономических агентов: от стремления “выполнить и перевыполнить” плановые задания — к максимизации экономической прибыли.
Достижение этих целей требовало решения следующих первоочередных задач экономических реформ: либерализации цен и внешней торговли, макроэкономической и финансовой стабилизации. Вместе с этими задачами необходимо было приступать к приватизации и реструктуризации предприятий.
Первостепенное значение для эффективного решения этих задач имеет выбор скорости реформ. На протяжении 1990-х гг. велась активная дискуссия о том, какая скорость реформ — высокая или умеренная — наиболее приемлема для той или иной страны.
Аргументы сторонников “шоковой терапии” (предельно высокая скорость реформирования): задача либерализации цен и внешней торговли должна быть решена быстро, что позволяет быстро снять “денежный навес” и обуздать высокую инфляцию в начале реформ; задача приватизации также должна решаться в быстром темпе, что снижает политический риск реставрации старых структур собственности. Пример “шоковой терапии” — реформы в Польше 1990-х гг.
Аргументы сторонников “градуализма” (умеренная скорость реформ): градуальные реформы имеют все преимущества эволюционного пути развития по сравнению с революционным — постепенный демонтаж старых экономических структур и переход на рыночные принципы функционирования экономики позволяет избежать резких инфляционных “шоков”, существенного спада производства и серьезного ухудшения финансового состояния предприятий. Пример градуальных реформ: переход на рыночные принципы ценообразования в Китае в 1990-е гг.
и
Программы реформ
1.3
Программы реформ
В течение 1990-х гг. были предложены несколько программ экономических трансформаций.
¦ Вашингтонский консенсус.
“Вашингтонский консенсус” представляет собой первоначальную концепцию экономических реформ в постсоциалистических странах, разработанную в 1989—1991 гг. группой ведущих американских экономистов (R. Dornbusch, О. Blanchard, Р. Krugman, R. Layard, L. Summers) и базирующуюся на традиционных методологических подходах: гипотеза эффективной рыночной аллокации благ и ресурсов, определяющая роль монетаристских методов и инструментов макроэкономической политики и др.
Основные положения Вашингтонского консенсуса.
1. Финансовая дисциплина: дефицит бюджета не должен быть большим, чтобы его можно было покрыть без применения инфляционного налога.
2. Приоритет общественных расходов: расходование средств должно быть переориентировано с областей, важных с политической точки зрения, на сферы с высокой экономической отдачей.
3. Налоговая реформа должна включать в себя расширение налогооблагаемой базы и снижение предельных ставок.
4. Финансовая либерализация: высшим ее приоритетом являются рыночно ориентированные процентные ставки.
5. Либерализация торговли и валютного курса.
6. Устранение барьеров для прямых иностранных инвестиций.
7. Приватизация государственных предприятий.
8. Дерегулирование: устранение административных ограничений для развития нового бизнеса.
9. Соблюдение и гарантии прав собственности.
Существенную роль в формировании Вашингтонского консенсуса сыграл Шопронский семинар (Венгрия), проведенный Венским институтом системных исследований (IIASA) в июле 1990 г. в рамках проекта “Экономическая реформа и интеграция”. Основные идеи семинара:
предпочтительность “шоковой терапии” как макроэкономической политики радикальных реформ;
ключевое звено радикальной реформы — либерализация цен;
крайне жесткая финансовая политика, резкое сокращение бюджетных расходов;
никаких индексаций, особенно автоматических;
немедленная налоговая реформа, введение налога с продаж и затем налога на добавленную стоимость;
немедленная корпоратизация крупной промышленности (преобразование в АО с постепенной продажей акций) и скорейшая приватизация крупных и средних предприятий;
открытие экономики, скорейший переход к свободному плавающему курсу и введение конвертируемости по текущим операциям.
¦ Поствашингтонский консенсус.
В целом Вашингтонский консенсус базировался на метафоре “созидательного разрушения”. Однако к 1998 г. стало ясно, что применимость этой метафоры к опыту экономической трансформации далеко не бесспорна. Вашингтонский консенсус частично потерпел неудачу, так как недооценил важность создания новых социально-экономических структур даже в тот период, когда прочные основы перехода к рыночному хозяйству в целом уже были созданы. В атмосфере системного вакуума — “ни плана, ни рынка” — вместо быстрого экономического роста наблюдалось катастрофическое падение производства и доходов.
Далеко не случайно, что в 1996—1998 гг. возникла необходимость в пересмотре основных положений Вашингтонского консенсуса. В Декларации временной комиссии МВФ “Партнерство для устойчивого всемирного роста” (сентябрь 1996 г.) были впервые сформулированы принципы поствашингтонского консенсуса, открывшего новую страницу в интеллектуальной истории стран с переходной экономикой. Основные принципы поствашингтонского консенсуса сводятся к следующим.
1. Монетарная, фискальная и структурная политика являются взаимодополнительными и должны подкреплять одна другую.
2. Необходимо создавать благоприятную среду для частных инвестиций.
3. Структурные реформы должны уделять особое внимание рынкам труда.
4. Необходимо обеспечить хорошее качество корпоративного управления.
5. Для воспрепятствования отмыванию денег необходимо усилить мониторинг банковской системы.
В целом поствашингтонский консенсус базируется на метафоре “реструктуризации экономических систем”. Переходная экономика рассматривается как “дуальная” (Я. Корнай) или “биполярная” структура. Помимо “созидательного разрушения” и дерегулирования ставятся задачи целенаправленного создания новых рыночных структур, которые постепенно заменяют структуры планового хозяйства.
Учебно-методические материалы к лекции 1
Литература
Основная
Колодко Г.В. От шока к терапии. Политическая экономия постсоциалистических преобразований. М.: ЗАО “Журнал «Эксперт»”, 2000.
Корнай Я. Социалистическая система. Политическая экономия коммунизма. М.: НП “Журнал «Вопросы экономики» ”, 2000.
Стиглиц Дж. Куда идут реформы? Десять лет на пути к рынку // Вопросы экономики. 1999. № 7.
Хайек Ф.А. Дорога к рабству: Пер. с англ. М.: Прогресс, 1993.
Хайек Ф.А. Пагубная самонадеянность. Ошибки социализма: Пер. с англ. М.: Изд-во “Новости” при участии изд-ва “Catallaxy”, 1992.
Lange О. On the Economic Theory of Socialism // Review of Economic Studies. 1936. Vol. 4. № 1.
Lange O. The Computer and the Market // Socialism, Capitalism, and Economic Growth: Essays Presented to Maurice Dobb / Ed. by C.H. Feinstein. Cambridge, 1967.
Lavigne M. The Economics of Transition. From Socialist Economy to Market Economy. L.: MacMillan Press, 1995.
North. D. The Contribution of the New Institutional Economics to an Understanding of the Transition Problem: WIDER Annual Lectures. Helsinki, 1997. № 1.
Reform in Eastern Europe / O. Blanchard, R. Dornbush, P. Krugman et al. Helsinki: WIDER, 1991.
Дополнительная
Бальцерович Л. Социализм, капитализм, трансформация. М.: Наука, 1999.
Линвуд Т. Макроэкономическая теория и переходная экономика. М.: ИНФРА-М, 1996.
Kornai J. Economics of Shortage. Amsterdam: North-Holland, 1980.
Stern N., Stiglitz J. A Framework for a Development Strategy in a Market Economy: Objectives, Scope, Institutions and Instruments: EBRD Working Papers. 1997. № 20.
Stiglitz J.E. Whither Socialism? Cambridge: MIT Press, 1995.
Welfens P. EU Eastern Enlargement and the Russian Transformation Crisis. Springer, 1999.
Вопросы для повторения
1. Назовите характерные черты и различия плановой и рыночной систем хозяйства. В чем суть полемики Ф. Хайека и О. Ланге о сравнительных достоинствах и недостатках “плана” и “рынка”?
2. Перечислите и охарактеризуйте “врожденные пороки” плановой системы. В чем, на ваш взгляд, неизбежность падения эффективности производства и постепенной стагнации плановой экономики?
3. Назовите основные причины перехода от “плана” к “рынку”.
4. Сформулируйте основные положения Вашингтонского консенсуса. Когда и при каких обстоятельствах был сформирован Вашингтонский консенсус?
5. В чем суть критики положений Вашингтонского консенсуса Дж. Стиг-лицем, Я. Корнай, Д. Нортом?
6. Сформулируйте основные положения поствашингтонского консенсуса. Почему Вашингтонский консенсус “потерпел частичную неудачу”? Чем была вызвана необходимость перехода к поствашингтонскому консенсусу?
Тесты
1. Верны ли следующие утверждения?
1.1. ’’Врожденными пороками” плановой экономики являются: дефицит бюджета, высокая инфляция, хроническая безработица.
1.2. Преимущества “рынка” по отношению к “плану”: заинтересованность экономических субъектов в эффективности и конечных результатах труда, децентрализация процесса принятия решений, конкуренция.
2. Выберите правильный ответ.
2.1. Согласно Вашингтонскому консенсусу:
• высокая скорость реформ в рамках политики “шоковой терапии” предпочтительна в посткоммунистических экономиках;
• градуальная политика реформ эффективна в “больших” экономиках.
2.2. По мнению Дж. Стиглица:
• преимущества “рынка” состоят в эффективной аллокации благ и ресурсов в результате рыночной конкуренции;
• зрелая рыночная экономика характеризуется полной информационной прозрачностью рынков;
• преимущества рыночных или плановых институтов проявляются в процессе эволюционного социального отбора.
Дополнительные вопросы и задания для самостоятельной работы
1. Используя доступные базы данных и литературные источники, проанализируйте динамику важнейших макроэкономических показателей в странах СЭВ в 1970—1980 гг. В чем, на ваш взгляд, заключались объективные предпосылки и причины перехода от “плана” к “рынку” в странах Центральной и Восточной Европы?
2. Сопоставьте мнения Дж. Стиглица [Стиглиц, 1999] и Д. Норта [North, 1997] о причинах неудач первоначальных теорий переходной экономики. В чем основное различие эволюционистского и институционалистского подходов к анализу проблем переходных экономик?
3. Проведите самостоятельное сравнительное исследование методологических принципов Вашингтонского и поствашингтонского консенсусов.
4. Напишите реферат или доклад по одной из глав книги Дж. Стиглица [Stiglitz, 1995].
лекция
МЕТОДОЛОГИЧЕСКИЕ ПРОБЛЕМЫ ИССЛЕДОВАНИЯ ПЕРЕХОДНОЙ ЭКОНОМИКИ
2.1
Основные методологические направления и принципы анализа переходной экономики
Методологические вопросы всегда были в центре внимания ведущих экономистов-теоретиков. Достаточно вспомнить Дж. С. Милля, Дж. Кейнса (индуктивный метод), К. Маркса (диалектический материализм). Социально-экономическая реальность настолько сложна, что практически любой значимый элемент новизны в практической области требует не просто новой теории, но очень часто и новой методологии социально-экономических исследований. Вместе с тем пути становления новых методологических идей зачастую тернисты и извилисты, в особенности в экономической науке XX столетия.
Не удивительно, что процесс экономических преобразований в 1990-е гг. породил множество нерешенных вопросов и методологических проблем, которые многие политики и политэкономисты тщетно пытаются спрятать “под ковер”, устилаемый к очередному “победному шествию” реформаторов-рыночников.
Начнем с того, что первые попытки построения программ экономических преобразований в посткоммунистических странах базировались на основных направлениях экономического “мейнстрима”: неоклассическом синтезе, неокейнсианской и монетаристской макроэкономических моделях. Авторы Вашингтонского консенсуса прямо заявляют о своей твердой убежденности в эффективности и превосходстве рыночного либерализма, который в результате радикальных реформ должен привести к быстрому подъему экономики и росту благосостояния [Reform in Eastern Europe, 1996]. В работах этих авторов, посвященных исследованию переходной экономики, можно легко проследить основные гипотезы неоклассического синтеза (эффективная рыночная аллокация благ и ресурсов, гибкость цен, уравновешенность рынков и др.), а также кейнсианские идеи (жесткость заработной платы и процентных ставок, неравновесная динамика рынков капитала и труда) и монетаристские постулаты (определяющая роль эффективной денежно-кредитной политики в успехе трансформационного процесса).
Однако к середине 1990-х гг. стало очевидно, что обещанного “экономического чуда” ждать не приходится. Экономический спад в странах Центральной и Восточной Европы оказался значительно глубже, чем это предсказывалось авторами Вашингтонского консенсуса, а усталость и апатия населения, игнорирующего выборы и призывы “еще чуть-чуть обождать, поднапрячься и затянуть пояса”, стала общим местом в социологических исследованиях переходных экономик 1993—1995 гг.
Именно в это время стали слышны голоса известных экономистов, подвергших серьезной критике применимость основных положений мэйнстрима к анализу переходной экономики. В работах Дж. Стиглица, Я. Корнай, Д. Норта [Stiglitz, 1994; Kornai, 1998; North, 1997; 2000] были предложены методологические альтернативы мэйнстриму, оказавшие существенное влияние на отказ практических экономистов и политиков в странах с переходной экономикой от основных положений Вашингтонского консенсуса.
Эволюционизм (Дж. Стиглиц). В монографии 1994 г. [Stiglitz, 1994] Стиглиц рассматривает “наивные” рыночные метафоры и постулаты: “невидимая рука”, “всеобщее благоденствие”, существование Парето-равновесий в рыночных обменах и др. Общий вывод: ввиду информационных и аллокационных несовершенств рынков преимущества совершенной конкуренции и децентрализованных механизмов принятия решений зачастую не реализуются. Стиглиц выступает за отказ от либеральной утопии, которая ни в чем не лучше марксистского прожектерства, и призывает к более зрелому пониманию экономической реальности, в которой доминирует эволюционное развитие. Анализ экономических форм, прошедших эволюционный отбор, по мнению Стиглица, может дать гораздо больше в теории и на практике реформ, чем упорное насаждение теоретически стерильных схем и постулатов мейнстрима.
Системный подход (Я. Корнай). Серьезные возражения против использования методологии экономического мейнстрима в исследовании переходной экономики были представлены Я. Корнай [Когпаі, 1998]. По мысли Корнай, западная экономическая теория разработана, в основном, для условий зрелой рыночной экономики и весьма плохо приспособлена для анализа трансформационных процессов. Отсюда — серьезные ошибки первоначальных прогнозов динамики реформ в посткоммунистических странах. С точки зрения Корнай, ход реформ определяется не только и не столько экономическими факторами, но в гораздо большей степени политической конъюнктурой, идеологическими установками в обществе, всей совокупностью культурных традиций. Корнай выступает за системный подход к исследованию переходной экономики, в котором интегрируются экономические, политические, социальные, идеологические, историко-культурные и иные факторы.
Институционализм (Д. Норт). Д. Норт является одним из наиболее авторитетных экономистов, последовательно выступающим за отказ от принципов мейнстрима в исследовании переходной экономики. По мнению Норта, для адекватного анализа трансформационных процессов необходим учет институциональных и структурных факторов экономического развития. Позиция Д. Норта существенно повлияла на формирование концепции поствашингтонского консенсуса. Норт [North, 1997] пишет: “Несколько сгущая краски, можно утверждать, что поскольку неоклассическая теория делает основной упор на состояния и результаты работы товарных рынков, лишь немногие западные экономисты понимают насущную необходимость структурных преобразований для создания таких рынков, так как считают их наличие само собой разумеющимся”.
Обратим внимание на существенную особенность аргументации Норта: в своих возражениях неоклассике он апеллирует к термину “экономическая структура” — одному из наименее общепринятых и устоявшихся в современной экономической теории. Вместе с тем этот термин является одним из ключевых в концепции поствашингтонского консенсуса (см. лекцию 1). Поэтому представляется вполне разумным и актуальным проанализировать круг социальноэкономических идей, так или иначе связанных с понятием “экономическая структура”, круг идей, который мы обозначим здесь термином “структурализм”.
2.2
Принципы структуралистской методологии анализа переходной экономики
Основные принципы экономического структурализма в контексте ключевых проблем экономической трансформации сводятся к следующим:
ш особое внимание мотивациям и моделям поведения экономических субъектов в условиях реформ;
¦ анализ важнейших функций экономической системы — моделирования, регулирования, адаптации и диагностики — и социально-экономических институтов, реализующих эти функции;
¦ рассмотрение основных структурных сегментов трансформирующейся экономической системы в их функциональных взаимосвязях: новый частный бизнес, реструктурируемые государственные предприятия, естественные монополии, экспортно-ориентированные компании, финансовая система, бюджетная система, социальная сфера;
¦ анализ новой роли государства в проведении экономических реформ и приоритетов долгосрочной структурной политики;
¦ анализ эволюции кредитно-денежной системы в условиях реформ. Проблемы реструктуризации банковской системы;
¦ структурный анализ рынка труда, частных сбережений и инвестиций.
Далее в лекции мы рассмотрим основные структуралистские модели экономических систем, проанализируем определения переходной экономики как “дуальной системы” (Я. Корнай), неравновесной биполярной макроструктуры.
Ключевым термином поствашингтонского консенсуса является слово “структура”. Этот термин как эксплицитно (структурые реформы, структурная политика), так и имплицитно (создание благоприятной инвестиционной “среды” и др.) входит во все положения поствашингтонского консенсуса. Вместе с тем этот термин до
Принципы структуралистской методологии анализа переходной экономики
сих пор не “прижился” в академической экономической науке. Дуглас Норт прямо обвиняет многих западных экономистов в непонимании важности этого понятия для анализа проблем экономической трансформации.
Отдавая дань редкой проницательности Норта, отметим, что в его понимании структура — это “набор политических и экономических рычагов” для управления рынками. С Нортом вполне солидарен Н. Стерн: “Создание управленческих структур требует определенного времени. Наглядным примером являются финансовые и юридические структуры. Банкам необходимо выработать мастерство в сфере расчетов, кредитного анализа и т.п. Если брать юридическую систему, то она должна быть сначала учреждена, а потом внедрена в жизнь... Подобные же соображения применимы и к конкретной политике, и, обобщая, к меняющейся роли государства” [Stern, 1996].
Итак, особое внимание к структурным факторам экономического развития характеризует современное состояние экономической политики в переходных экономиках. Процесс экономической трансформации при этом представляется как постепенная реструктуризация экономической системы.
Вместе с тем вряд ли возможно свести понимание термина “структура” исключительно к понятию “управленческих рычагов”. В любой социально-экономической системе можно обнаружить и другие важнейшие функции. В самом деле, разве для принятия управленческих решений не нужна достоверная информация о состоянии экономической системы, иными словами, достоверный диагноз состояния системы? А как принимать управленческие решения без планирования будущего развития экономической системы, без прогноза ее развития на основе той или иной модели системы?
Во многих работах понятие “экономической структуры” трактуется как совокупность “сложившихся пропорций хозяйства”, в частности совокупность относительных цен, характеризующая устойчивые стереотипы экономического поведения [Berg, 1994].
И наконец, анализируя понятие экономической структуры, мы не можем обойти стороной работы В. Ойкена [Ойкен, 1995; 1996], предложившего концепцию “экономического порядка”, представляющего собой, по сути, совокупность структурообразующих принципов той или иной хозяйственной системы.
Представляется, что термин “экономическая структура” до сих пор не был детально проанализирован в современной экономической теории и не получил теоретической оценки, адекватной его практической значимости. Множественность точек зрения и трактовок этого термина отражает, скорее всего, не плюрализм мнений, а отсутствие значимых методологических разработок в этой области.
Эти вопросы в особенности актуальны при анализе проблем переходных экономик, поскольку уже само определение экономической трансформации как процесса реструктуризации системы предполагает четкое уяснение термина “экономическая структура”.
По мнению С. Васильева [Васильев, 2000], обозначившего современный консенсус в понимании этого термина, “структурные реформы” включают в себя направление экономических преобразований, связанное с изменением институционального базиса и правил регулирования экономики. Согласно широко распространенному мнению, понятие “структурные реформы” объединяет в себе все то, что не входит в разделы макроэкономической, бюджетной и кредитно-денежной политики.
В целом, принимая эту содержательную трактовку понятия структурных реформ, все же нельзя не отметить ее очевидную недостаточность для теоретического анализа проблем переходной экономики. Подчеркнем, что “структурализм” и “структурный анализ” являются самостоятельными направлениями в современной социальной теории, опирающимися на глубокую философскую и социологическую традицию. Лишь амбиции “экономического империализма” препятствуют формированию самостоятельной структуралистской парадигмы в экономической теории, которая могла бы найти выход из множества методологических трудностей и тупиков, с которыми столкнулась экономическая наука конца XX — начала XXI столетий.
Теоретический инструментарий современной микро- и макроэкономики ориентирован, главным образом, на рыночную среду со стабильной структурой социально-экономических институтов. Попытки переноса и использования этого теоретического аппарата для анализа проблем переходной экономики, как правило, неадекватны самой сути процессов экономических реформ при переходе от “плана” к “рынку”, характеризующихся нестабильностью институциональной среды и изменением макроэкономической структуры общества. Далее мы проанализируем несколько принципиальных проблем, возникающих при теоретическом анализе трансформационных процессов.
2.2
Принципы структуралистской методологии анализа переходной экономики
К числу основных теоретических проблем переходных экономик можно отнести следующие.
¦ Проблема реаллокации ресурсов между различными секторами экономики. Вследствие реаллокации трудовых ресурсов между государственным и новым частным секторами экономики возникает феномен структурной безработицы, теоретическому анализу которого в переходных экономиках посвящена работа О. Блан-шара [Blanchard, 1997]. Вместе с тем многие из условий, принятые в модели Бланшара, представляются весьма искусственными и, без сомнения, должны быть модифицированы при теоретическом анализе переходных экономик.
¦ Проблема дезорганизации микро- и макроэкономической среды на начальной стадии экономических реформ. Достоверно установленным фактом для большинства переходных экономик является U-образный график динамики основных макроэкономических показателей (ВВП, промышленное производство, занятость, инвестиции и др.) [Blanchard, 1997]. Теоретическое обоснование этого феномена на базе неоклассических и кейнсианских моделей представляется весьма неудовлетворительным [Stiglitz, 1994]. Чисто эмпирически глубина экономического спада в начальный период реформ для большинства переходных экономик оказалась гораздо большей, чем это предсказывалось теоретиками реформ в странах Центральной и Восточной Европы. По всей вероятности, проблема коренится в структурной неустойчивости экономических систем в условиях резкой смены механизма управления (переход от “плановых” к “рыночным” принципам макроэкономического регулирования).
¦ Проблема выбора макроэкономической политики реформ. В течение 1990-х гг. продолжалась активная дискуссия о том, какая макроэкономическая политика наиболее приемлема для переходных экономик: политика “шоковой терапии”, примененная в Польше в начале 1990-х гг. и в России в 1992—1994 гг. (так называемый “шок без терапии”), или политика “градуализма”, примененная в Венгрии и Китае в 1980—1990-х гг.? Современный ответ на этот вопрос предполагает его переформулировку в следующем виде: “Какой структурной политикой сопровождается тот или иной тип макроэкономической реформы?” [Колодко, 2000].
В целом можно утверждать, что проблемы структурной политики и структурного анализа экономических систем являются весьма актуальными для теоретического исследования переходной экономики. Далее мы рассмотрим основные принципы структурного анализа макроэкономической среды.
Истоки методологии структурного анализа макроэкономической среды восходят к работам В. Ойкена [Ойкен, 1995; 1996]. Он впервые выделил “конституирующие идеально-типические формы” централизованно управляемого и менового хозяйства, присутствующие на всех этапах человеческой истории. В современной интерпретации эти хозяйственные порядки соотносятся с плановой и рыночной экономикой.
Структурный анализ этих базисных экономических порядков ставит своей целью изучение основных функций плановой и рыночной экономики, т.е. важнейших структурных элементов, обусловливающих особенности функционирования централизованно управляемого и менового хозяйства. Эти первичные структурные элементы включают в себя функции: моделирования; регулирования; адаптации; диагностики.
Суть функции моделирования в централизованно управляемой экономике состоит в формировании хозяйственных планов, регламентирующих пропорции и динамику производства и обмена. Здесь на память сразу приходят всеобъемлющие разнарядки по номенклатуре и ценам продукции, которые формировал Госплан СССР. Сущность функции регулирования в плановом хозяйстве также достаточно прозрачна: план подчинял себе всю хозяйственную деятельность, регулируя социальные предпочтения, количество и качество продукции. Суть функции адаптации в плановом хозяйстве состоит в том, что сами планы экономического развития подвергаются пересмотру в зависимости от глобальных социальных целей. И наконец, функция диагностики основывается на определении степени рассогласования между планом и реальностью. Сигнал значимого рассогласования может быть использован либо для регулирования хозяйственного порядка, либо для адаптации плана экономической деятельности.
Институциональные элементы, реализующие функции моделирования, регулирования, адаптации и диагностики в рыночной экономике, кардинально отличны от своих “плановых” аналогов. Основные принципы менового хозяйства предполагают децентрализацию процесса принятия экономических решений и коорди-2.2
Принципы структуралистской методологии анализа переходной экономики
нацию этих решений через механизм цен. Функция моделирования в меновой экономике представляет собой “расчетную шкалу” (В. Ойкен), т.е. совокупность ценовых пропорций, определяющих относительную ценность экономических благ. Именно через эту всеобъемлющую и гибкую ценовую шкалу осуществляется координация экономических решений хозяйствующих субъектов в рыночной экономике. Ценовые пропорции различных экономических благ устанавливаются в процессе рыночных обменов, когда субъективные ценности товара для продавца и покупателя соотносятся с меновой ценой товара, возникающей в процессе обмена. “Универсальная сеть рыночных обменов” является тем институциональным механизмом, который реализует функцию регулирования в рыночной экономике. Естественно, что “ненужные” блага вытесняются из сферы активных рыночных обменов, и, напротив, изобретение инновационных благ резко изменяет универсальную расчетную шкалу, приводя к обновлению всей системы цен. Вместе с тем было бы иллюзией считать, что расчетная шкала в рыночной экономике обладает абсолютной гибкостью. Ойкен [Ойкен, 1996] впервые проанализировал возможные формы менового хозяйства — от совершенной конкуренции до монополии, — отличающиеся различной степенью “гибкости” ценовой шкалы.
По мнению Ф. Хайека, адаптация является центральным элементом функциональной структуры рыночной экономики: именно через адаптацию системы цен происходит включение новых благ в систему предпочтений экономических субъектов [Хайек, 2000].
Функция диагностики представляет собой механизм обнаружения рассогласований между “реальным” и “нормативным” состояниями экономической системы. Сигналы о рассогласованиях между “позитивной” и “нормативной” информацией об экономической системе могут быть использованы как для изменения состояния этой системы (функция регулирования), так и для коррекции ее модели (функция адаптации).
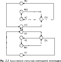
Мы рассмотрели столь подробно институциональную реализацию функций моделирования, регулирования, адаптации и диагностики в плановой и рыночной экономиках с единственной целью: показать, что при всех институциональных различиях базисная структура этих экономических порядков оказывается одной и той же (рис. 2.1).
В этой структуре О — “объект”, т.е. экономика (economy), рассматриваемая на субстратном уровне материальных и финансовых активов; М — моделирование, R — регулирование, А — адаптация, D — диагностика. Все они — функциональные элементы метауровня экономического порядка; стрелками обозначены взаимосвязи функций моделирования, регулирования, адаптации и диагностики. Так, информационный сигнал от экономической модели (стрелка MD) сравнивается в блоке диагноза с информацией от объекта (стрелка OD), и при возникновении значимого рассогласования между этими сигналами может быть предпринята либо коррекция характеристик объекта (стрелки DR и RO), либо коррекция экономической модели (стрелки DA и AM). Смысл контура регулирования — в сохранении относительной замкнутости экономического порядка: все виды хозяйственной деятельности, вступающие в конфликт с основной экономической моделью (М), вытесняются на периферию хозяйственного порядка. Напротив, смысл контура адаптации — в сохранении относительной открытости экономического порядка: новые “успешные” виды хозяйственной деятельности приводят к адаптации существующей экономической модели, включаясь в ядро хозяйственного порядка.

Помимо “идеальных конституирующих форм” централизованно управляемого и менового хозяйств, в работах Ойкена вводится понятие “срединного пути” (Wirtschaftspolitik der mittleren Wege), описывающего попытки регулировать рыночный порядок с помощью государственного вмешательства. Примерами могут служить некоторые европейские государства “всеобщего благосостояния”, в которых проводится точечная политика государственного вмешательства в сфере распределения и занятости. Вместе с тем экономи-2.2
Принципы структуралистской методологии анализа переходной экономики
ческая реальность второй половины XX столетия доставляет немало примеров экономических систем, сочетающих институциональные элементы как централизованно управляемого, так и менового хозяйственного порядков и находящихся как бы на полпути от одной идеально типической формы к другой. В этих экономиках государственное вмешательство не ограничивается лишь точечной политикой, но глубоко проникает в различные сферы хозяйственного механизма.
К таким переходным экономическим порядкам следует отнести экономики:
развивающихся стран (developing economies); возникающих рынков (emerging markets); пОсткоммунистических стран (post-communist economies).
Общая черта этих экономик — это биполярная структура хозяйственных порядков, включающая подструктуры централизованно управляемого и рыночного хозяйств. В развивающихся экономиках государственное регулирование хозяйственных процессов достигает весьма внушительных пропорций. В Чили, Бразилии и Мексике все программы рыночных реформ осуществлялись под патронажем государства, определявшего стратегию и тактику реформ и активно участвовавшего в их реализации.
Притчей во языцех стал “союз государства и бизнеса” в экономиках развивающихся рынков. Экономическая власть чеболей в Южной Корее основана на тесных контактах директоров фирм с верхушкой государственной иерархии. Согласно одной из версий, финансовый кризис в Юго-Восточной Азии 1997—1998 гг. был обусловлен так называемым семейным капитализмом, т.е. слишком тесными связями государственных и рыночных структур в экономиках ЮВА.
Экономики посткоммунистических стран в 1988—1998 гг. также приобрели четко выраженную двухполюсную структуру: ослабевающий госсектор здесь сосуществует с новыми рыночными структурами. Несмотря на тезис ортодоксального либерализма о том, что “государство должно уйти из экономики”, активно внедрявшийся в российское общественное сознание в 1992—1997 гг., посткризисный период развития российской экономики свидетельствует об обратном: государственное регулирование экономики только усилилось в 1998—2001 гг.
В настоящее время отсутствует общепринятое определение переходной экономики. Так, ряд авторов [Fischer, et al., 1997] предлагают отождествить понятие переходной экономики с экономиками посткоммунистического типа. Вместе с тем в работе О. Бланшара [Blanchard, 1997] акцентируется специфика посткоммунистической переходной экономики, тогда как в работах Д. Норта и К. Эрроу [North, 2000; Arrow, 2000] отмечаются институциональные и макроэкономические признаки посткоммунистических переходных экономик, объединяющие их с развивающимися экономиками Мексики, Чили, Аргентины и Бразилии.
В целом наиболее приемлемым является структурное определение, описывающее переходную экономику как биполярную структуру, включающую в себя институциональные элементы как централизованно управляемого, так и менового хозяйств. Это определение содержит известную трактовку экономических трансформаций как “перехода” от относительно замкнутой модели централизованно управляемого хозяйства к открытой модели рыночной экономики. В работах Я. Корнай сформулировано представление о переходной экономике как “дуальной системе” [Когпаі, 1998], весьма близкое к введенному выше определению. Различие между этими определениями состоит в том, что Корнай настаивает на эксплицитном включении в диапазон анализа проблем переходной экономики всего спектра экономических, политических, исторических и культурных факторов, тогда как структурное определение апеллирует не к социальным подсистемам, а к функциям метауровня экономического порядка, которые имплицитно содержат в себе политические, юридические, исторические, культурные и др. факторы экономического развития.
Схема биполярной структуры переходной экономики приведена на рис. 2.2. В этой структуре индекс “1” относится к подсистеме централизованно управляемого хозяйства, индекс “2” — к рыночной экономике. Двойные стрелки между объектами 01 и 02 означают процессы реаллокации материальных и финансовых ресурсов между подсистемами централизованно управляемого и рыночного хозяйств.
Понимание переходной экономики как биполярной структуры, основанной на взаимодействии различных экономических порядков, в корне противоречит широко распространенному взгляду на переходную экономику как временный конгломерат (“эфемериду”) старых, “дерегулированных” хозяйственных механизмов и возникающих на их месте новых экономических структур. Именно последний взгляд доминировал в концепциях экономических преоб-
Принципы структуралистской методологии анализа переходной экономики
разований, предложенных российской правящей элитой в 1992— 1997 гг. Апелляция к “невидимой руке рынка”, которая “со временем все расставит по местам”, звучала как набат в российской экономической публицистике 1990—1995 гг.

Изучение особенностей мотивации и поведения экономических субъектов в условиях реформ является неотъемлемым компонентом структуралистского анализа. Вместе с тем методы структурного анализа экономической микросреды в настоящее время развиты весьма слабо. На микроэкономическом уровне господствует традиционная неоклассическая методология. Однако применимость ее результатов к анализу переходных экономик подвергается серьезной критике в работах Дж. Стиглица, Я. Корнай, Д. Норта [Stiglitz, 1994; Kornai, 1998; North, 1997] и других исследователей. Поэтому в следующем параграфе мы рассмотрим краткий очерк структурного анализа экономической микросреды, который является методологическим базисом для анализа макроэкономических и структурных проблем переходных экономик.
2.3
Структурный анализ частного и общего микро-и макроэкономического равновесия
Модели и результаты, излагаемые далее в этом параграфе, являются принципиально новыми. Их “право на существование” может быть обосновано плодотворностью в использовании для анализа теоретических проблем переходной экономики. В отличие от неоклассических и неокейнсианских статических моделей частного и общего микро- и макроэкономического равновесия, модели, разработанные в рамках структуралистского подхода, являются принципиально динамическими. Но отнюдь не только это, и даже главным образом не это, обстоятельство обусловливает их ценность для анализа проблем экономической трансформации. Дело в том, что эти модели описывают ситуации с переменной структурой предпочтений экономических агентов — ситуации, являющиеся абсолютной terra incognita для неоклассики и неокейнсианства. Вместе с тем именно модели с переменной структурой предпочтений могут оказать существенную помощь в исследовании процесса реструктуризации экономических систем.
Далее будут разработаны и проанализированы следующие модели:
я модель обмена и ее устойчивость;
¦ модели “ошибок” и “провалов” рынка (трансакционные издержки, ухудшающий отбор, моральный риск);
н модели частного макроэкономического равновесия (рынок сбережений-инвестиций, рынок труда);
ш модели общего экономического равновесия.
2.3.1
Модель обмена и ее устойчивость
Исследование рынков совершенной конкуренции начинается с анализа частного экономического равновесия — “спонтанного рыночного порядка”, возникающего в результате элементарных рыночных трансакций между поставщиком и потребителем некоторого экономического блага. Далее я привожу структуралистское описание этого феномена и его формальный анализ.
Будем полагать, что на рынке некоторого экономического блага А действуют два экономических агента: потребитель и производитель этого блага. Обозначим через АГ, А? объемы спроса и предложения со стороны этих агентов соответственно; рс, ps — субъективные ценности обмениваемого блага для потребителя и производителя; рст, рі — объективные ценности (рыночные цены) блага для потребителя и производителя соответственно.
Субъективные ценности обмениваемого блага для потребителя и производителя могут быть представлены обратными функциями спроса и предложения:
рс = рс(Ас,Іс), ps = p“(As,Is), (2-1)
где Ic, Is — бюджет потребителя и производителя соответственно.
На содержательном уровне смысл этих зависимостей состоит в том, что субъективные ценности обмениваемого блага доя потребителя и производителя оказываются связанными с объемами потребления и производства этих благ соответственно. В неоклассике обоснование этих зависимостей проводится на базе “теории полезности”, подвергаемой сегодня обоснованной критике. Теория “выявленных предпочтений” П. Самуэльсона может служить достаточно твердой методологической основой для обоснования этих зависимостей.
Функция моделирования в рассматриваемой системе состоит в том, что потребитель и поставщик “моделируют” рыночную цену экономического блага. Это означает, процесс экономического обмена в рассматриваемой системе опосредован некоторой “общей ценностью” — рыночной ценой обмениваемого блага, формируемой в результате обоюдного соглашения (или договорного процесса) экономических агентов. В общем случае рст^ psm, т.е. рыночная цена блага для потребителя и поставщика различна. Но вначале рассмотрим случай рынка с полной информацией и нулевыми трансакционными издержками, доя которого рст = psm - рт, где рт — единая рыночная цена блага, представляющая собой общую ценность для участников рыночного обмена.
Функция управления для подсистем спроса “ С” и предложения “S” состоит в регулировании объема спроса (Ас) и предложения (As) с целью уменьшения различий между субъективной ценностью блага и его рыночной ценой, т.е.
Ас=кс(рс(Ас,Іс)-рт), кс> 0, (2-2)
As=ks(ps{AsJs)-pm), ks< 0, (2-3)
где Ас - dAc / dt\ t — время в рассматриваемой системе.
Интерпретация этих уравнений такова: если субъективная ценность блага для потребителя выше текущей рыночной цены этого блага, то объем потребления блага увеличивается; и наоборот, если субъективная ценность блага для поставщика выше рыночной цены этого блага, сложившейся на данный момент, то объем поставок будет уменьшаться. Например, если потребитель высоко ценит какое-либо благо, а стоит оно на конкретном рынке весьма дешево, то потребитель будет стремиться увеличить объем покупок блага на этом рынке. Аналогично, если издержки по производству некоторого продукта у производителя значительно ниже цены за этот продукт, предлагаемой на рынке, то данный производитель будет стремиться увеличить поставки своей продукции на этот рынок.
Заметим, что функция диагностики в этой системе с полной информацией состоит в формировании рассогласований между субъективной и объективной ценностью экономического блага. Более сложные процедуры диагностики присущи системам с неполной информацией.
Функция адаптации в этой системе состоит в коррекции рыночной цены блага в зависимости от текущей ситуации рыночного обмена. Если объем спроса превышает объем предложения, то рыночная цена блага будет повышаться и наоборот:
pm=a(Ac-As), а> 0. (2-4)
Содержательный смысл уравнений (2-2)—(2-4) интуитивно ясен из нашего повседневного опыта. Коэффициенты кс,к\аполагаются здесь постоянными.
Таким образом, простейшая система рыночного обмена может быть описана следующими уравнениями:
Ac=kc(pc(AcJc)-pJ, кс> 0, (2-5)
As=ks(ps(As,Is)-Pml ks <0, (2-6)
pm=a(Ac-As), а> О, (2-7)
Допустим для простоты, что эта система имеет единственную стационарную точку: А*с = A*s = А*, рс(A*,IC) = ps (А*, Is) = р*т . Для исследования устойчивости этого равновесия рассмотрим окрестность стационарной точки. Линеаризованная система имеет вид
q = Jq, q = (Ac-A\As-A\pm-p*m), (2-8)
где
|
|
dAc |
0 |
\
-кс |
|
|
7 = |
0 |
k- dp‘ dAs |
-ks |
• (2-9) |
|
|
а |
-а |
0 |
|
|
|
\ |
|
) |
|
Условия устойчивости положения равновесия могут быть записаны следующим образом:
|
dA. |
|
dpc |
+ ks |
A
О |
|
|
dAc |
|
dAs |
|
|
dpc |
dp |
-<0. |
|
|
dAc |
dAs |
|
|
+ ks |
dps |
|
dps |
|
|
|
dAs |
|
-a(kcy |
(2-10)
dpc dps
kck:
dAc dAs v
dA.
Эти условия будут выполнены, если dpc /dAc <0, dp'/ dAs >0, т.е. в случае “нормального” блага. При этом точка равновесия (А*, А*,р*т) системы (2-5)—(2-7) является устойчивым фокусом.
Этот вывод совпадает с анализом устойчивости частного микроэкономического равновесия, проведенным Вальрасом и Маршаллом [Gravelle, Rees 1992; Davis, 1963]. Однако в ситуациях, когда кривая предложения имеет отрицательный наклон (dps /dAs <0) или кривая спроса — положительный наклон (dpc ldAc >0, благо Гиффена), условия устойчивости (2-10) положения равновесия могут нарушаться. Хорошо известно, что подходы Вальраса и Маршалла к анализу устойчивости в этой ситуации приводят к совершенно различным результатам. Вместе с тем описанный выше подход объединяет преимущества вальрасианского и маршаллианского анализа устойчивости частного экономического равновесия, поскольку в уравнениях (2-5)—(2-7) одновременно меняются и объемы, и цены блага для потребителя и производителя, и позволяет сформулировать более точные условия устойчивости равновесия.
Переход к “трехмерному” анализу частного экономического равновесия (2-5)—(2-7) позволяет исследовать динамику рыночного процесса самоорганизации (что и является главной целью “австрийского” подхода), но в то же время дает возможность изучать предельный случай “сравнительной статики” (что характерно для подхода неоклассической школы).
Рассмотрим теперь случай ненулевых трансакционных издержек. Здесь рыночная цена обмениваемого блага будет различной для поставщика и потребителя, т.е. р‘т Ф р'т. Рассмотрим вначале простейшую аддитивную модель трансакционных издержек, в которой рст = рт +ДС, РІ = рт + Д„ ДС,Д, >0. Система (1-5)—(2-1) принимает вид
Ас = кс(рс(Ас,Іс)-рт-Ас), кс> 0,
Д. =ks(ps(As,Is)-pm-\l ks< 0, (2-11)
Рт ~а(Ас ~ А), а> 0.
Эта система имеет единственную стационарную точку Ас = As = А*, рс(А*,ІС)~Дс = ps(A*,IS)-AS. Как правило, трансакционные издержки покупателя выше, чем у поставщика блага, т.е. Д<; > Дs. При этом А* < 4*, гДе Д соответствует равновесному объему обмениваемого блага при нулевых трансакционных издержках.
Мы рассмотрели простейшую модель аддитивных трансакционных издержек. Более сложные ситуации мультипликативных издержек, соответствующие влиянию “посредников” на механизмы рыночного обмена, будут исследованы далее.
Проведенный анализ элементарного экономического обмена позволяет сформулировать следующие выводы. Гипотеза “ценопо-лучателя” (price taking behavior), обычно формулируемая при теоретическом анализе систем частного и общего экономического равновесия, далеко не соответствует реальности. Субъективные ценности обмениваемого блага для потребителя и поставщика непрерывно корректируются в процессе рыночного обмена и постоянно сравниваются с объективной ценностью — рыночной ценой обмениваемого блага. Эта объективная рыночная цена формируется в процессе экономического или символического обмена. Таким образом, “спонтанный порядок человеческого сотрудничества” (Хайек) появляется в результате координации субъективных ценностей на основе “общей ценности” — рыночной цены обмениваемого блага.
Как известно, биржа и фондовый рынок являются одними из фундаментальных институтов чистого рыночного капитализма. Приведенная выше модель экономического обмена идеально соответствует особенностям биржевой торговли: действительно, рыночная цена товара формируется здесь в процессе биржевой торговли и координации субъективных ценностей обмениваемого товара у покупателя и поставщика. Это дает нам основания утверждать, что описанная модель отражает весьма существенные черты процесса экономического обмена.
2.3.2
“Ошибки” и “провалы” рынка
Одним из наиболее типичных примеров провалов рынка (market failure) является феномен трансакционных издержек, впервые проанализированный Р. Коузом [Coase, 1960].
Трансакционные издержки
Продемонстрируем этот феномен на примере простейшей системы “поставщик — потребитель” с трансакционными издержками мультипликативного типа, возникающими вследствие маржи, взимаемой посредником за совершенную сделку. Эта система описывается следующей моделью:
Ac=kc(pc(Ac,I<:)-tpm), kc>0, t> 1, As=ks{ps{As,ls)-pm), Г <0, (2-12)
A»=»(A;-A)> а>0-
В данной модели переменная t > 1 отражает эффект влияния трансакционных издержек на рыночную цену блага для потребителя.
Равновесная точка в системе (2-12) определяется из условий: pc(A*,Ic) = tps(A*,Is),Ac = As=A*.

Отсюда видно, что трансакционные издержки мультипликативного типа приводят к снижению объемов сделок между экономическими агентами и общему росту цен. Равновесие обмена смещается от совершенно конкурентного Ех к равновесию трансакционной “ловушки” Е2. Покажем, что равновесие Е2 является устойчивым. Матрица линеаризованной системы (2-12) имеет вид
|
J.C “Р |
0 |
-tkc |
|
dAc |
|
|
|
0 |
? dp' |
-ks |
|
|
dAs |
|
|
а |
-а |
0 |
Пусть а, = кс , а2 = к* —. Тогда характеристический по-dAc dAs
лином рассматриваемой системы имеет вид IАЕ — 11= Л3 — A2(ах + а2) + Л(аха2— счкс + су + &с) + {axccks — a2octkL). Условия устойчивости Гурвица
- ах - а2 > О,
- (а, + а2)аха2 + а2ак' - > О,
а,?' -a2tk‘ > О,
очевидно, выполнены для любого t > 1. Равновесие Е2 является устойчивым.
Таким образом, трансакционные издержки в системе экономического обмена приводят к устойчивому сдвигу положения равновесия от точки эффективной рыночной аллокации ресурсов.
С этим явлением связан механизм вертикальной и горизонтальной интеграции, в рамках которого звено “посредник” ликвидируется и равновесие обмена в идеале возвращается в точку равновесия при совершенной конкуренции. Однако возникновение интегрированных структур влечет за собой монополизацию рынков с известными негативными последствиями. Поэтому в действительности равновесие смещается в точку, отличную от положения равновесия при совершенной конкуренции.
Моральный риск
Другой известный случай “провалов рынка” также легко интерпретировать в рамках структуралистского анализа. Ситуация “морального риска” (moral hazard) возникает в системе “принципал — агент”, когда экономический агент (производитель некоторого ресурса) склонен завышать объемы поставок ресурса, используя неполноту информации в системе обмена. Эта ситуация описывается следующей моделью:
Ас = к‘{рс{Ас,Іс)-рт), к‘ > О,
К =ks(ps(As,Is)- Рт), Г < 0, (2-13)
рт = а{Ас - h Д ), а > 0, h > 1.
Здесь As — фактический объем поставок ресурса агентом, hAs > Д. — демонстрируемый объем поставок ресурса, h > 1 — некоторый ненаблюдаемый параметр.
Равновесная точка в системе (2-13) определяется из уравнения pc{hA*) = ps{A*), Отсюда видно, что в ситуации морального риска объемы сделок между экономическими агентами также снижаются, а уровень цен сделок падает (рис. 2.4). Устойчивость нового равновесия Ег проверяется непосредственно по аналогии с предыдущим случаем. Следовательно, эффект морального риска ведет к образованию институциональной “ловушки”.
 |
|
Рис. 2.4. Равновесия в системе моральных рисков |
Ухудшающий отбор
Пожалуй, именно ситуация “ухудшающего отбора” (adverse selection) иллюстрирует сложность поиска общих институциональных ценностей — рыночных цен обмениваемых благ — наиболее наглядно. Эта ситуация типична для неполных рынков, когда потребитель не может дифференцировать блага различного типа и вынужден формировать свои субъективные предпочтения с учетом априорных предположений о структуре рынка. Классический пример ситуации ухудшающего отбора — рынок подержанных автомобилей, которые могут оказаться либо вполне приемлемого качества, либо совсем плохими, т.е. “лимонами”. В работе Дж. Акерлофа [Akerlof, 1970] было показано, что в большинстве ситуаций этот рынок деградирует, поскольку на нем остаются только продавцы “лимонов”. Причина распада подобных плохо сегментированных рынков заключается в невозможности формирования общей для покупателей и продавцов рыночной цены обмениваемых благ и, соответственно, в отсутствии рыночного равновесия.
Рассмотрим интерпретацию ситуации ухудшающего отбора в рамках структуралистского метода. Как отмечалось выше, в ситуациях “неполных” рынков потребитель вынужден модифицировать свои субъективные предпочтения с учетом того, что на рынке присутствуют блага различного типа (например высокого и низкого качества). В частности, в модели рынка “лимонов” обратная функция потребительского спроса будет зависеть не только от общего объема спроса, но и от субъективной оценки доли “лимонов” на рынке ус. При возрастании ус объем спроса будет уменьшаться.
Более конкретно будем предполагать, что объемы предложения нормальных благ А и “лимонов” L равны соответственно Q\ и QI, общий объем потребительского спроса на рынке равен Qc. Обратные функции спроса и предложения равны соответственно: pci.Qc,yc), Pa(Q'I), P'l(QD’ рыночная цена равна рт. Тогда рассматриваемый рынок описывается следующей формальной моделью:
|
Qc=kt:(pc(Qc,yc)-pJ, k<:>0, |
 |
(2-14)
|
Равновесная точка в системе (2-14) определяется из условий: |
 |
|
эти условия не выполняются при естественных предположениях о характере функций спроса и предложения благ. В самом деле, поскольку стоимость качественных благ намного выше стоимости “лимонов”, то для любого Q |
X __.?
Ра > Рі
(2-15)
Фа ,Ф1 dQ dQ
(2-16)
Условие (2-16) означает, что при уменьшении рыночной цены предложение качественных благ будет сокращаться резче, чем предложение “лимонов” (рис. 2.5).
 |
|
Рис. 2.5. Спрос и предложение в системе ухудшающего отбора |
При условиях (2-15)—(2-16) Q[ > Q\ и поэтому субъективная оценка доли “лимонов” на рынке ус будет возрастать, а кривая рыночного спроса смещаться вниз и влево от исходного положения pc{QsA + Qsl,0). При этом рыночная цена рт падает, а количество качественных благ Q\ на рынке сокращается гораздо быстрее объема предложения “лимонов” Q[, вследствие чего субъективная оценка доли “лимонов” ус будет возрастать далее, что приведет к дальнейшему сдвигу кривой рыночного спроса pc(QA +Q'l,yc) вниз и влево. В результате этих “мысленных экспериментов” субъекты экономического обмена не могут прийти к взаимоприемлемому соглашению о рыночной цене рт в данной ситуации, и рынок деградирует: на нем остаются только продавцы “лимонов”.
Следует отметить характерную черту рассмотренной ситуации, которая обычно “затушевывается” при традиционном неоклассическом анализе феномена “ухудшающего отбора”. Это особая роль субъективных ожиданий экономических агентов — оценок ус, — которые являются компонентом функции моделирования на данном неполном рынке. По сути дела, неполные рынки являются переходной формой экономического выбора от совершенно конкурентных рынков к рынкам несовершенной конкуренции, которые характеризуются отсутствием общих институциональных ценностей у агентов экономического обмена и особой ролью механизмов формирования субъективных ожиданий агентов.
2.3.3
Частное макроэкономическое равновесие
Методы структурного анализа экономической микросреды позволяют исследовать проблемы частного и общего макроэкономического равновесия. Далее мы рассмотрим две основные модели частного макроэкономического равновесия: динамику рынка инвестиций-сбережений и рынка труда.
Рынок сбережений-инвестиций
Основными макропеременными для этого рынка являются спрос на инвестиции (/) и предложение инвестиций (S), предельная производительность капитала (т(1)), ставка по кредитам (г ) и депозитам (/). В неоклассических моделях обычно предполагается, что S = I, тогда как в кейнсианских моделях S Ф I. Мы рассмотрим модель, построенную на вышеизложенных принципах, которая объединяет черты неоклассического и неокейнсианского подходов. Эта модель описывает рынок сбережений-инвестиций следующей системой уравнений:
|
І -k, (т(І) -rc- д), |
к, >0, |
(2-17) |
|
S = ks (-i(S) + rc -я), |
ks >0, |
(2-18) |
|
гс = а{1 - 5), а > 0. |
|
(2-19) |
В этой системе: 1 — спрос на инвестиции в основной капитал; S — предложение инвестиций, полагаемое равным предложению частных сбережений: т(І) — предельная производительность капитала, являющаяся убывающей функцией от I; i(S) — депозитная ставка коммерческих банков, являющаяся функцией сбережений S: в обычной ситуации с ростом депозитной ставки банки могут привлекать больший объем частных сбережений и соответственно предоставлять больше инвестиционных кредитов реальному сектору; гс — ставка по кредитам банков; 8 — норма амортизации; л — норма банковской прибыли.
Экономический смысл уравнения (2-17) состоит в том, что если т(І) > rc+S, т.е. предельная производительность капитала, сложившаяся на данный момент, выше суммы текущей ставки по кредитам и нормы амортизации, то спрос на инвестиции начинает расширяться и наоборот.
Уравнение (2-18) описывает динамику предложения инвестиций S: если текущая ставка по кредитам выше суммы текущей депозитной ставки и нормы банковской прибыли, то предложение инвестиций начинает расширяться. Заметим, что в уравнении (2-18) неявно предполагается, что объемы предложения сбережений и инвестиций совпадают (что подразумевает отсутствие альтернативных способов вложения финансовых средств у банков).
Уравнение (2-19) описывает динамику кредитной ставки: если спрос на инвестиции превышает предложение инвестиций, то кредитная ставка начинает возрастать и наоборот.
Общее замечание. В уравнениях (2-17)—(2-19) речь идет о реальных процентных ставках и реальных (дефлированных) объемах спроса и предложения инвестиций.
Таким образом, модель описывает экономическое поведение трех основных групп участников рынка: предпринимателей, домохозяйств и финансовых посредников. Из системы (2-17)—(2-19) следует, что если коэффициенты a, k,, ks достаточно велики, то ставка процента и объемы сбережений и инвестиций будут достаточно гибкими, а рынок сбережений-инвестиций будет хорошо описываться неоклассической моделью: в положении равновесия / = S. Однако если коэффициент а достаточно мал, то ставка процента гс будет жесткой, а система (2-17)—(2-19) будет хорошо описываться кейнсианской моделью: / Ф S , т.е. рынок сбережений-инвестиций будет почти всегда в неравновесии.
Из условий устойчивости (2-10) мы заключаем, что положение равновесия системы (2-17)—(2-19) будет устойчивым, если dm/di < 0, di7dS > 0, т.е. в случае “нормального” рынка сбережений-инвестиций. Однако известно весьма немало случаев, когда не существует устойчивых положений равновесия на рынке сбережений-инвестиций или когда существует несколько устойчивых и неустойчивых равновесий этого рынка.
Рассмотрим пример. Характерная форма кривой предложения инвестиций i(S) приведена на рис. 2.6. При очень высоких депозитных ставках і объемы депозитов населения в коммерческих банках начинают сокращаться ввиду недостатка доверия к надежности банковской системы и ожиданий банковского кризиса. Эта ситуация является типичной в периоды экономических и финансовых кризисов, подобных Великой депрессии в США 1929—1932 гг. или российским реформам 1992—1994 гг.
|
m(I),rc,i(S) |
 |
|
Рис, 2.6. Равновесия рынка сбережений-инвестиций |
Немонотонная форма кривой предложения инвестиций i(S) порождает два равновесия: неустойчивое равновесие К (кейнсианское квазиравновесие) и устойчивое равновесие N (неоклассическое равновесие). В равновесии К: di/dS < 0, т.е. условия устойчивости системы (2-17)—(2-19) нарушаются. Рынок сбережений-инвестиций разрушается в точке К, а экономическая система эволюционирует в направлении неоклассического равновесия N.
Рынок труда
Другим краеугольным камнем неоклассической теории макроэкономического равновесия является гипотеза о равновесии рынка труда. Фактором, уравновешивающим спрос и предложение труда, является гибкая ставка заработной платы. Эта гипотеза была подвергнута критике Кейнсом, выдвинувшим альтернативную гипотезу о жесткости ставки заработной платы. Однако эти различия неоклассического и кейнсианского подходов можно преодолеть в структуралистской модели рынка труда. В этой динамической модели функционирование рынка труда описывается следующей системой:
Ld =kd(wd(Ld)-wm), kd> О, t =ks(-ws(Ls) + WJ, ks>0, (2-20)
wm=/3(Ld-n Д >0,
где L? ,U — спрос на труд и предложение труда соответственно; wd (I?), ws (L!) — кривые спроса на труд и предложения труда соответственно; wm — рыночная ставка заработной платы.
Коэффициент (3 характеризует степень жесткости ставки заработной платы: для малых /? ставка заработной платы является жесткой и модель хорошо описывает кейнсианскую ситуацию хронического неравновесия на рынке труда; для больших /3 ставка заработной платы является гибкой и модель характеризует неоклассическую ситуацию, в которой равновесие на рынке труда легко достижимо. Уравнение wm=j3(L?-U) является моделью кривой Филлипса в ее оригинальной форме.
Условия устойчивости положений равновесия в системе (2-20) прежние: dwd / dLd < 0, dws / did > 0. Отметим, что в типичных ситуациях кривая предложения труда является немонотонной и поэтому эти условия равновесия на рынке труда легко нарушаются. По аналогии с рассмотренной выше моделью рынка сбережений-инвестиций в общей ситуации существуют два положения равновесия на рынке труда: неустойчивое (кейнсианское) равновесие и устойчивое (неоклассическое) равновесие. Скорость сходимости к положению равновесия определяется коэффициентами /3, kd, ks.
¦ 2.3
2.3.4
Общее экономическое равновесие
Выше было показано, что при некоторых естественных условиях, наложенных на функции субъективных предпочтений экономических агентов, существует механизм рационального согласования этих предпочтений, основанный на институте общих социальных ценностей обмениваемых благ. В этом параграфе мы рассмотрим перспективу построения теории общего экономического равновесия, основанную на этой идее: в отличие от концепции общего равновесия Л. Вальраса, базирующейся на гипотезе ценополучате-ля (price-taking behavior) экономических агентов, развиваемый далее подход основан на представлении о том, что экономические агенты активно формируют социальные ценности обмениваемых благ, сопоставляя с ними свои субъективные предпочтения этих благ в процессе обмена.
В вальрасианской теории общего равновесия [Arrow, Debreu, 1954; McKenzie, 1954] экзогенность цен обмениваемых благ порождает необходимость введения в модель искусственных переменных типа “избыточного спроса” на эти блага. С описанием свойств этих переменных связаны существенные трудности, с которыми столкнулась современная теория общего экономического равновесия [Sonnenschein, 1973; Debreu, 1974].
В частности, Зонненшайн показал, что любая непрерывная функция, удовлетворяющая закону Вальраса, может быть представлена как функция избыточного спроса в модели чистого обмена с квазивогнутыми функциями полезности участников. Из теоремы Зонненшайна следует, что без дополнительных предположений о виде функции полезности нельзя предсказать направление изменений эндогенных экономических переменных при вариации экзогенных параметров рассматриваемой модели.
В отличие от вальрасианского подхода в рассматриваемых далее моделях общего равновесия все переменные являются эндогенными, включая рыночные цены обмениваемых благ, и поэтому теоретические затруднения, с которыми сталкиваются вальрасианские теории общего равновесия, не возникают здесь априори.
Сделаем несколько замечаний о природе моделей общего равновесия. В модели социального выбора мы сталкиваемся с системой с п потребителями, к благами и одним репрезентативным поставщиком благ (обществом). В модели общего равновесия необходимо исследовать в некотором смысле обратную ситуацию: один (репрезентативный) потребитель, к благ и п поставщиков благ.
Рассмотрим вначале наиболее простой случай: два блага А и В, два поставщика благ А и В, один потребитель благ Aw В. Эта система описывается следующей моделью:
Ас’ = рса{Ас ,В\І)-р’", As =~psA(As) + pmA,
(2-21)
ртА=Ас-А\
Вс =рГв(Вс,Ас,І)-р”,
ртв =ВС~В\
Равновесные точки системы (2-21) удовлетворяют следующим условиям:
Л'? ~АС = A*,tf =ВС =В\р:(А\В*) = р-'А(А*) = р1рсв(В\А*) = р1(В*) = рв.
Как и выше, в случае монотонно убывающих функций спроса рс и монотонно возрастающих функций предложения ps для каждого В* существует единственная точка А* = А*(В*), определяемая из уравнения рА(А*,В*) = рА(А*). Подставляя это значение в уравнение рсв(В*, А*) = рв(В*), получим
рсв(В\А\В*)) = ргв(В*).
Правая часть этого уравнения монотонно возрастает по В*, тогда как его левая часть является монотонно убывающей функцией от В*. Как и выше, предполагаем, что решение этого уравнения в общей ситуации существует. Для единственности этого решения достаточно, чтобы выполнялись условия
др'е
дВ*
др’в
дВ*
М
?А*
<0,
<0,
>0.
Таким образом, при достаточно общих и естественных условиях, наложенных на функции рА,рсв,р'А,рв, существует единственная равновесная точка в системе (2-21).
Для исследования устойчивости этого равновесия рассмотрим линеаризованную систему
q = (Ас - А*, А* - А*, ртА - р*А,Вс - В* ,BS — В*, ртв - рв), q = Jq,
Ml
эвс
о
о
Фв
двс
0
1
 |
дАс
0
1 |
О
Фа
dAs
-1
О
О
О
о о
о о о о
О -1
Фв 1
dBs
-1 oj
1
о
о
о
о
где J =
Фв
дАс
О
Заметим, что матрица J является “почти блочной” с “блоками”, соответствующими рынкам благ А и В. Достаточные условия устойчивости этой системы имеют вид
к<0м<0м
Фв
>о,
За" ’ двс за-' дв5
|
>0. |
|
Ф А |
+ Фв |
/ |
Фа |
Фв |
Фа |
Фв) |
|
двс |
ЗА'' |
\ |
3Ас |
3 вс |
ЗА1 |
dBs ) |
|
Эти условия вновь означают, что при естественных предположениях относительно функций спроса и предложения для благ А и В, а также перекрестных частных производных функций спроса существует устойчивая равновесная аллокация в системе экономического обмена (2-21).
Мы рассмотрели столь подробно условия существования единственного устойчивого равновесия в этой системе потому, что она является основой для исследования рынков несовершенной конкуренции.
Обобщение этих результатов на случай с к благами проводится следующим образом. Пусть А{,А^,...,Ак — объемы потребления благ 1 А,5, А2,..., Ask — объемы поставок благ 1 ,...,к не
зависимыми поставщиками; АД = {А,с,..., А,гч, Дс+1,..., Аск} — множество к благ с исключенным і -м благом; р- (А., АД) — обратная функция спроса на благо і = І,...,к; р. (А/) — обратная функция предложения блага і = 1,...,к; р™ — рыночная цена блага і, формирующаяся в процессе обмена.
Тогда рассматриваемая ситуация экономического обмена описывается моделью вида
Аг^рМ^-рГ.
а; =-р;(а;)+рГ, (2-22>
р"‘ = де - А. ,
где і = 1,...,к.
Равновесные точки в системе (2-22) определяются из уравнений
р;(А*) = р'(а;,<.),і = і,...д. (2-23)
В случай монотонно убывающих функций спроса и монотонно возрастающих функций предложения допустим, что существует единственное решение
Л* = ^(А:(.),і = 1,...Д,
где функции g. монотонно убывают по каждой из координат вектора А*,.. Другими словами, для вектора равновесных объемов спроса X = (А^ ,А*2,...,А*к) получим
X=G(X), (2-24)
где отображение G является непрерывным.
По теореме Брауэра о неподвижной точке, отсюда следует, что существует решение уравнения (2-24), соответствующее равновесной аллокации благ в системе (2-22).
Для исследования устойчивости положения равновесия рассмотрим линеаризованную систему с “почти блочной” матрицей J с диагональными блоками У,,..., 7*, соответствующими рынкам благ г = 1,..., к
dpi
\
О -1

-1 О
)
и внеблочными элементами вида др. /ЭА;С, і Ф j. Доказательство сформулированной ниже теоремы 1 использует следующие идеи:
переход к эрмитово-симметризованной матрице S = -^(7 + 7*),
использование неравенства Важевского и теоремы Гершгорина для анализа условий устойчивости и собственных значений.
Теорема 1. Пусть обратные функции спроса в системе (2-22) монотонно убывают, а обратные функции предложения благ монотонно возрастают и, кроме того, выполнено следующее условие ограниченности “перекрестных” частных производных функций спроса:
Ф* , Ф/
V = max У
' ?
эа; эа;
{/ = min
ф;
ф
о <? <и.
Тогда существует единственное устойчивое положение равновесия в системе экономического обмена (2-22).
Возможность совершенно конкурентного равновесия во многом определяется механизмом согласования индивидуальных предпочтений агентов на основе общих институциональных ценностей — рыночных цен, возникающих в процессе обмена. Следует отметить, что, в отличие от традиционной гипотезы ценополучателя, рыночные цены в рассмотренных моделях не задаются экзогенно как результат чьего-либо произвола или волеизъявления, а являются эндогенными переменными, формируемыми в процессе экономического обмена.
Учебно-методические материалы к лекции 2
Литература
Основная
Бродский Б. Трансформационные кризисы // Экономический журнал ВШЭ. 1998. Т. 2. № з. С. 322-341.
Ойкен В. Основные принципы экономической политики. М.: Издательская группа “Прогресс”, 1995.
Ойкен В. Основы национальной экономии. М.: Экономика, 1996.
Blanchard О. The Economics of Post-Communist Transition. Oxford: Clarendon Press, 1997.
Kornai J. The System Paradigm: WDI Working Papers. 1998. № 278.
Leontyev W. Input-Output Analysis // The New Palgrave. A Dictionary of Economics / Ed. by J. Eatwell, M. Milgate P. Newma. L., 1980. Vol. 2. P. 860—864.
Phelps Ed. Structural Slumps. Cambridge: MIT Press, 1994.
Reform in Eastern Europe / O. Blanchard, R. Dornbush, P. Krugman et al. Helsinki: WIDER, 1991.
Shackle G. Epistemics and Economics. A Critique of Economic Doctrines. Cambridge: Cambridge University Press, 1972.
Дополнительная
Васильев С. Обзор структурных реформ в России в период после финансового кризиса 1998 г. // Инвестиционный климат и экономическая стратегия России: Материалы для обсуждения. М.: ГУ ВШЭ, 2000.
Колодко Гж. От шока к терапии. М.: ЗАО “Журнал «Эксперт»”, 2000.
Хайек Ф. Индивидуализм и экономический порядок. М.: Изограф, 2000.
Яременко Ю.В. Приоритеты структурной политики и опыт реформ. М.: Наука, 1999.
Akerlof G. The Market of Lemons: Quality Uncertainty and the Market Mechanism // Quarterly Journal of Economics. 1970. № 89. P. 488—500.
Arrow K. Economic Transition: Speed and Scope // Journal of Institutional and Theoretical Economics. 2000. Vol. 156. № 1.
Arrow K., Debreu G. Existence of Equilibrium for a Competitive Economy // Econometrica. 1954. Vol. 25. P. 265—290.
Berg A. Does Macroeconomic Reform Cause Structural Adjustment. Lessons from Poland // Journal of Comparative Economics. 1994. Vol. 18. X» 3.
Coase R. The Problem of Social Cost // Journal of Law and Economics. 1960. № 3. P. 1-44.
Davis D.G. A Note on Marshallian vs. Walrasian Stability Conditions // Canadian Journal of Economics and Political Science. 1963. № 29.
Debreu G. Excess Demand Functions // Journal of Mathematical Economics. 1974. № 1. P. 15-23.
Fischer S., Sahay R., Vegh C. From Transition to Market: Evidence and Growth Prospects // Lessons from the Economic Transition. Central and Eastern Europe in the 1990s. Kluwer, 1997.
Gravelle H., Rees R. Microeconomics. 2nd ed. L.; N.Y.: Longman, 1992.
McKenzie L.W. On Equilibrium in Graham’s Model of World Trade and Other Competitive Systems // Econometrica. 1954. Vol. 22. № 1.
North D. Big-Bang Transformations of Economic Systems: an Introductory Note //Journal of Institutional and Theoretical Economics. 2000. Vol. 156. № 1.
North D. The Contribution of the New Institutional Economics to an Understanding of the Transition Problem: WIDER Annual Lectures. Helsinki, 1997. № 1.
Partnership for Sustainable Global Growth: Interim Committee Declaration. Washington D.C: International Monetary Fund, 1996.
Sonnenschein H. Do Walras’ Identity and Continuity Characterize the Class of Community Excess Demand Functions? // Journal of Economic Theory. 1973. №6.
Stem N. The Transition in Eastern Europe and the Former Soviet Union: Some Strategic Lessons from the Experience of 25 Countries over 6 Years: Conference Paper Presented at OECD/CCET Colloquium. Paris, 1996.
Stiglitz J. Whither Socialism? Harvard: MIT Press, 1994.
Taylor L. Structuralist Macroeconomics. N.Y.: MIT Press, 1983.
Woodford M. Structural Slumps // Journal of Economic Literature. 1994. Vol. 32. №4.
Вопросы для повторения
1. Сформулируйте основные положения эволюционистского (Стиглиц), системного (Корнай) и институционалистского (Норт) подходов к анализу переходной экономики.
2. Назовите отличительные признаки структуралистской методологии исследования переходной экономики.
3. Дайте определение термина “экономическая структура”. Нарисуйте и опишите принципиальную схему основных функций экономической структуры и отношений между ними.
4. В чем смысл определений переходной экономики как “дуальной системы” или “биполярной структуры”? Раскройте содержание определения процесса экономической трансформации как “постепенной реструктуризации” экономики.
5. Охарактеризуйте структуралистскую динамическую модель экономического обмена: описание, условия устойчивости равновесий.
6. Опишите модель трансакционных издержек в переходной экономике. Каковы условия возникновения трансакционной ловушки, ее влияние на уровень цен и выпуск.
7. Опишите модель ухудшающего отбора (adverse selection) в переходной экономике: роль субъективных ожиданий агентов в процессе поиска равновесия и взаимосогласованных рыночных цен; условия распада экономической системы.
8. Опишите модель морального риска (moral hazard) в переходной экономике: условия возникновения институциональной “ловушки”, влияние на уровень цен, выпуска.
9. Опишите модель рынка сбережений-инвестиций: условия возникновения неоклассического и кейнсианского равновесий; особенности функционирования рынка сбережений-инвестиций в переходной экономике.
10. Охарактеризуйте модель рынка труда: условия возникновения неоклассического и кейнсианского равновесий; особенности динамики рынка труда в переходной экономике.
Дополнительные вопросы и задания для самостоятельной работы
1. Каковы, по вашему мнению, перспективы применения хрестоматийных макроэкономических моделей (IS-LM, AS-AD, OLG) в анализе макроэкономических проблем переходных экономик? Обоснуйте свой ответ на примерах применения подобных моделей в анализе переходной экономики.
2. Докажите устойчивость равновесия в структуралистской динамической модели обмена с мультипликативными трансакционными издержками. Как интерпретировать этот результат в контексте трансформационного спада в переходной экономике “физических лиц”?
3. Сформулируйте основные различия структуралистских и неоклассических моделей феноменов морального риска и ухудшающего отбора. В чем преимущества структуралистского описания этих феноменов для анализа проблем переходной экономики?
4. Известно, что фундаментальным различием неоклассических и нео-кейнсианских моделей частного и общего макроэкономического равновесия является специфика гипотез о характере поведения экономических агентов на рынке труда и рынке сбережений-инвестиций. Насколько, по вашему мнению, структуралистский анализ позволяет преодолеть эти различия? Обоснуйте свой ответ на примерах структуралистских моделей рынка труда и рынка сбережений-инвестиций.
3
лекция
ОСНОВНЫЕ ФАКТЫ И ГИПОТЕЗЫ О МЕХАНИЗМАХ ТРАНСФОРМАЦИИ
3.1
Эволюция важнейших макроэкономических показателей в переходных экономиках
Эволюция важнейших макроиндикаторов переходных экономик продолжает привлекать внимание многих экономистов. Накануне радикальных реформ 1990-х гг. видные ученые (Дж. Сакс, О. Блан-шар, С. Фишер и др.) прогнозировали быстрый рост реального ВВП, промышленного производства, улучшение качества продукции в результате снятия административных барьеров для частной инициативы и освобождения предпринимательской энергии. Достаточно заглянуть в подшивки российских газет и популярных журналов 1988—1992 гг., чтобы убедиться как в безоглядном оптимизме ведущих российских экономистов (П. Бунич, В. Селюнин, О. Лацис и др.), так и в интенсивности позитивных ожиданий широкой общественности.
Отрезвляющий шок наступил спустя 2—3 года реформ в странах ЦВЕ и СНГ. Спад индексов реального ВВП, промышленного производства, инвестиций и занятости оказался значительно более глубоким, чем это ожидалось и предсказывалось авторами Вашингтонского консенсуса. В наиболее успешных переходных экономиках
Польши, Словении, Венгрии, Словакии и Чехии уровень дореформенного реального ВВП (база — 1989 г.) был восстановлен лишь через 5—10 лет, а максимальная глубина спада составляла 15—25%. Вместе с тем в большинстве переходных экономик экономический спад был настолько глубоким, что дореформенный уровень не был достигнут и в 2000—2001 гг. В России максимальная глубина экономического спада, измеренная по индексу реального ВВП (база — 1989 г.), составила 45% в 1998 г.
В настоящее время общепризнанным стилизованным фактом переходных экономик является U-образная форма динамики агрегированного выпуска, производства и занятости в ходе реформ (см. рис. 3.1—3.3).
 |
-Болгария
-Польша
-Украина
Венгрия
Россия |
 |
Азербайджан
Казахстан
Румыния |
Рис. 3.1. Темпы прироста ВВП (1990=100)
Поиск гипотез для интерпретации этих устойчивых эмпирических закономерностей — причин, сравнительных отличий, вариаций в динамике по различным странам — породил большой массив политэкономической литературы. Исследователи переходных экономик заостряли внимание на таких факторах, как различные начальные условия реформ, макроэкономические шоки, связанные с дерегулированием плановой системы хозяйства, распадом СССР, войнами и гражданскими конфликтами, а также факторах макроэкономической политики реформ.
Эволюция важнейших макроэкономических показателей в переходных экономиках

Азербайджан
Польша
Болгария —А—Венгрия —X—Казахстан
Россия —I—Румыния - Украина
Рис. 3.2. Темпы прироста производства промышленной продукции
(1990=100) |
 |
|
1990 1991 1992 1993 1994 1995 1996 1997 1998 1999 2000 2001 |
¦ Азербайджан —¦—Болгария —X— Венгрия
—Ж— Казахстан —•— Польша —I— Россия
— Румыния А-Украина
Рис. 3.3. Темпы прироста занятости (1990=100)
В последние годы все большее внимание уделяется вопросу о частичных реформах, в результате которых экономика оказывается в “ничейной зоне” между “планом” и “рынком”.
К наиболее авторитетным политэкономическим исследованиям переходных экономик следует отнести следующие работы:
ш Transition — the First Ten Years: Analysis and Lessons for Eastern Europe and the Former Soviet Union: World Bank Report. World Bank, 2002.
¦ Melo M. de, Denizer C., Gelb A. From Plan to Market: Patterns ofTransition. World Bank, 1996.
« Melo M. de, Denizer C, Gelb A., Tenev S. Circumstance and Choice: the Role of Initial Conditions and Policies in Transition Economies. World Bank, 1997.
Авторы этих работ вводят следующую классификацию факторов начальных условий, оказывающих влияние на глубину и скорость экономических реформ.
ж Факторы экономической структуры, доля промышленного производства в ВВП; уровень урбанизации; торговые связи накануне реформ; природные ресурсы; уровень среднедушевых доходов накануне реформ.
ж Факторы экономических диспропорций накануне реформ: подавленная инфляция, высокие теневые обменные курсы, уровень экономической стагнации.
ш Факторы экономических институтов: рыночная “память”, наличие навыков международной торговли и др.
Помимо факторов начальных условий, оказывающих влияние на успех реформ в той или иной стране, во многих исследованиях подчеркивается роль факторов экономической политики в проведении реформ. Дискуссии о последовательности и скорости реформ продолжаются, но современный консенсус о мерах экономической политики, направленных на радикальные реформы, подразумевает: либерализацию цен и торговли; макроэкономическую стабилизацию; ужесточение бюджетных ограничений для предприятий и
банков;
создание условий для развития частного сектора; реформу налоговой системы и реструктуризацию государственных расходов;
реформу законодательной системы; реформу государственных институтов.
Эксперты, работающие в Мировом банке, склонны увязывать факты успешности или неудач экономических реформ в той или иной стране с “индексом либерализации”, комплексно оценивающим степень реализации вышеперечисленных направлений экономической политики реформ [Melo, et al., 1996; 1997].
Помимо работ политэкономического характера, в 1992—2001 гг. предпринимаются попытки теоретического моделирования и анализа устойчивых закономерностей в динамике важнейших макроэкономических показателей переходных экономик.
3.2
Базисные гипотезы о механизмах экономической
трансформации
Как отмечалось выше, резкий спад агрегированного выпуска в начальной фазе экономических реформ в подавляющем большинстве стран ЦВЕ и СНГ представляет собой противоречие как с политэкономическими штампами (устранение барьеров для частной инициативы должно привести к резкому подъему экономики), так и действующими по сей день теоретическим представлениями неоклассики и неокейнсианства (гипотеза эффективности рынка или государственного активизма).
В 1998 г. Корнай назвал этот экономический спад трансформационным, чтобы подчеркнуть его принципиальное отличие от конъюнктурного макроэкономического спада. Однако в 1992—1994 гг. не было недостатка в попытках объяснения этого спада в рамках кон-венциальных экономических теорий. Сегодня любопытно проследить, как реагировало экономическое сообщество на эту фактуаль-ную аномалию. Как часто водится в подобных ситуациях, вначале попытались объявить ее искусственным статистическим артефактом. В работе Берга и Сакса [Berg, Sachs, 1992] спад агрегированного выпуска в начале реформ объяснялся “просто” несовершенством статистики в постсоциалистических странах, которая-де не в состоянии учесть весь объем выпуска нового частного сектора. С другой стороны, экономический спад в начале реформ объяснялся “лживостью” государственной социалистической статистики [Wi-niecki, 1991; Aslund, 1994], которая систематически завышала объем выпуска предприятий. При ближайшем рассмотрении, однако, оказывается, что это объяснение спада “не работает” для Польши и Венгрии, в которых плановая отчетность предприятий была ликвидирована до начала радикальных реформ.
После того как трансформационный спад был признан макроэкономическим фактом, были предприняты попытки его интерпретации на основе нормативной экономической теории. В работах Бруно, Бхадхури и др., Берга и Бланшара, Розати [Bruno, 1992; Bhad-huri et al., 1993; Berg, Blanchard, 1994; Rosati, 1993] причиной трансформационного спада объявлялась стабилизационная политика правительств в переходных экономиках, приведшая к сжатию агрегированного спроса и последующему падению агрегированного предложения. Вместе с тем в России 1992—1993 гг. не удалось осуществить радикальную стабилизацию (годовые темпы инфляции составили 1260% в 1992 г.), но реальный ВВП за первые два года реформ сократился на 18—20%. Анализ данных о динамике годовых индексов реального ВВП в постсоциалистических странах свидетельствует о том, что наибольший спад наблюдался в год наиболее интенсивной либерализации экономики (1990 г. в Польше, 1991 г. в Чехии и Словакии, 1992 г. в России, 1993 г. на Украине). Это означает, что трансформационный спад был индуцирован именно либерализацией экономики, в частности либерализацией внутренней и внешней торговли.
Гомулка и Корнай [Gomulka, 1992; Kornai, 1993] разработали неформальное объяснение феномена трансформационного спада на основе динамики относительных цен в различных секторах переходной экономики в начале экономических реформ. Согласно их аргументации, падение выпуска в секторах, где наблюдается снижение относительных цен, не компенсируется ростом выпуска в секторах, где относительные цены повышаются в ходе реформ. Ясно, однако, что эти неформальные объяснения не выходят за рамки по-литэкономических усмотрений.
Кальво и Коричелли [Calvo, Coricelli, 1992] предложили формальную модель, связывающую причины трансформационного спада с резким сжатием банковского кредита в начале реформ. По логике этих авторов, высокие кредитные ставки, установленные банками для предприятий, привели к резкому сокращению спроса на кредиты со стороны реального сектора и, как следствие, к падению инвестиций и агрегированного выпуска. Вместе с тем факты не подтверждают гипотезу о прямой зависимости объемов производства в переходных экономиках от динамики кредитных заимствований. В России, например, большая доля инвестиций в основной капитал осуществляется на собственные средства предприятий. Более того, в первоначальный пореформенный период подавляющее большинство предприятий финансировало свои инвестиционные потребности, а также пополняло оборотные ресурсы за счет роста взаимной задолженности в реальном секторе.
Другая гипотетическая модель, связывающая причину трансформационного спада с фрикционной безработицей, была предложена Аткенеоном и Кехо [Atkenson, Kehoe, 1995]. По мнению этих авторов, существенный спад агрегированного выпуска в переходных экономиках объясняется, прежде всего, реаллокацией трудовых ресурсов между секторами экономики. Однако подобные секторальные сдвиги наблюдаются и в рыночных экономиках, как правило, не сопровождаясь существенным спадом производства.
В целом следует отметить, что все попытки объяснения трансформационного спада на основе конвенциальной экономической теории оказались не слишком успешными. Точнее, называемая причина трансформационного спада — сжатие агрегированного спроса, сокращение кредита, фрикции на рынке труда — имеет неспецифические следствия. Поэтому в 1996—1998 гг. были предприняты первые попытки объяснения феномена трансформационного спада с привлечением институциональных идей.
Наиболее близко подошли к объяснению настоящих причин трансформационного спада Бланшар и Кремер [Blanchard, Kremer, 1996], а также Ролан и Вердье [Roland, Verdier, 1997]. Эти работы объединяет стремление объяснить трансформационный спад на основе феномена дезинтеграции хозяйственных связей между экономическими субъектами в результате дерегулирования старых экономических структур и институтов. Причем, если в работе Бланшара и Кремера основное внимание уделяется проблеме информационной асимметрии, возникающей в результате экономических реформ (производители “не знают”, по какой цене целесообразно продавать продукцию, которая не находит спроса), то в работе Ролана и Вердье предполагается, что либерализация цен предшествует формированию устойчивых рынков для большинства видов продукции. Поэтому причина трансформационного спада коренится в неизбежных трансакционных издержках производителей, связанных с поиском надежных контрагентов. Поисковая активность предпринимателей отнимает значительные временные и финансовые ресурсы, что препятствует нормальному инвестиционному процессу и вызывает существенный спад в начальный период реформ.
Отметим, что работы Бланшара и Кремера, Ролана и Вердье заостряют внимание на трансакционных издержках переходного периода, которые и являются основной причиной трансформационного спада. В предыдущей лекции мы рассмотрели динамическую модель экономического обмена с трансакционными издержками. Основной вывод, к которому приводит анализ этой модели, состоит в том, что трансакционные издержки, вызванные информационной непрозрачностью рынков, поиском контрагентов, деятельностью посредников, приводят в возникновению устойчивой “трансакционной ловушки”, в которой объемы сделок между экономическим агентами снижаются, а уровень цен возрастает. В масштабах всей экономики это означает, что в начальный период экономических реформ объем агрегированного выпуска будет устойчиво сокращаться.
Как отмечает Бланщар [Blanchard, 1997], причинами столь существенных макроэкономических аномалий не могул быть стандартные факторы макроэкономической конъюнктуры, но гораздо вероятнее — микроэкономические, институциональные и структурные факторы, среди которых он выделяет: реаллокацию ресурсов, дезорганизацию экономической среды, реструктуризацию предприятий.
3.3
Реаллокация ресурсов
Модель реаллокации ресурсов в переходной экономике, предложенная Бланшаром [Blanchard, 1997], представляет интерес как первый опыт интерпретации трансформационного спада с привлечением институциональных идей.
В модели предполагается, что накануне радикальных реформ экономика состоит из двух секторов: сектора государственных предприятий s и нового частного сектора р. Рассматривается монопродуктовая экономика. Продукция частного сектора отличается более высоким качеством, за которое покупатели готовы платить более высокую цену Рр.
3.3
Реаллокация ресурсов рр=а+?)р5,
где ? — дифференциал качества; Ps — цена на продукцию государственного сектора; Рр — цена на продукцию частного сектора.
Государство до реформ субсидирует сектор госпредприятий и облагает повышенными налогами новый частный сектор. Условие ценового арбитража имеет вид
(1 + (T)PS =(1-т)Рр,
где а — ставка субсидий для госпредприятий; т — ставка налогообложения для частных предприятий.
В модели рассматривается краткосрочный период после начала реформ, в котором количество капитала в секторе государственных предприятий Ks и новом частном секторе Кр предполагается постоянным. Рассматривается также гипотеза о единой ставке номинальной заработной платы в экономике W. Тогда уравнения спроса на труд в секторе госпредприятий и частном секторе имеют вид

Введя в рассмотрение реальную заработную плату w = W / Рр, после преобразований получим

Решение этой системы при условии Ls+ Lp=L = const имеет вид, представленный на рис. 3.4: равновесие на рынке труда достигается при ставке реальной заработной платы w = w*.
Одной из целей реформ является отказ от патерналистской роли государства в экономике, которое прекращает субсидировать государственные предприятия (сг = 0). При этом график кривой спроса на труд для сектора госпредприятий смещается к началу координат (см. рис. 3.4).
 |
|
Рис. 3.4. Занятость в государственном и частном секторах (по оси абсцисс: занятость, безработица) |
Если бы ставка реальной заработной платы была гибкой, то новое равновесие на рынке труда переместилось бы из точки w* в точку wj*. Но реальная ставка заработной платы, как правило, характеризуется существенной жесткостью в постсоциалистических экономиках (где еще действуют профсоюзы, защищающие права работников), что приводит к возникновению безработицы {U > 0) и, как следствие, к экономическому спаду. Лишь с течением времени, по мере развития нового частного бизнеса структурная безработица уменьшается вследствие реаллокации трудовых и производственных ресурсов между секторами экономики.
Интерпретация трансформационного спада, предложенная Бланшаром, базируется на рассмотренной модели процесса реаллокации трудовых ресурсов. Более подробно мы проанализируем логику этой интерпретации в разделе 3.5.
3.4
Дезорганизация макроэкономической среды
Модель Бланшара (1997)
Процесс реаллокации ресурсов в переходной экономике, взятый сам по себе, не является достаточным основанием для понимания причин трансформационного спада. Дело в том, что подобные процессы реаллокации — не редкость в рыночных экономиках, но, как правило, и не главная макроэкономическая проблема рыночных экономик. Основная причина трансформационного спада, по Блан-шару, заключается в дезорганизации экономической среды в переходный период. Упразднение государственного планирования производства и распределения в масштабах всей экономики приводит к тому, что типичные фирмы-производители теряют ориентацию в наступившем экономическом хаосе. Директивное планирование устранено, стабильные рынки и цены еще не сформированы — отсюда полная неопределенность в выборе контрагентов, цен и объемов производства. Результат — экономический спад в начальный период экстраординарной политики.
Формальный анализ феномена дезорганизации Бланшар базирует на модели экономического обмена между государственными и частными предприятиями, осложненного трансакционными издержками, причиной которых является асимметрия информации о либерализованных ценах обмениваемых благ. Более конкретно рассмотрим государственную фирму, производящую п продуктов (по единичной цене) с использованием п типов входных ресурсов и полуфабрикатов. Каждый входной ресурс поставляется независимой частной фирмой-контрагентом. После либерализации торговли у каждого поставщика появляется альтернатива сбыта и, следовательно, возможность влияния на ценовую политику и процесс производства в государственном секторе. Для простоты предположим, что все входные ресурсы однородны и поставляются jno ценам С, равномерно распределенным в интервале [О, С ], где С — частная информация фирм-поставщиков технологических ресурсов. Процесс производства в государственной компании начнется лишь при условии, что цена Р, предложенная этой компанией за каждый ресурс, окажется не ниже цен поставщиков С.
Пусть F(-) — функция равномерного распределения цен поставщиков ресурсов. Тогда ожидаемая прибыль производства для государственной компании
п - (F(P)n (1 - Р)п —» max р,
где максимум берется по цене Р.
Отметим, что (F(P))n — это вероятность того, что процесс производства состоится, (1 - Р)п — доходы за вычетом издержек (цена выпуска равна 1) при условии запуска производства.

Решением этой задачи является цена
|
довательно, вероятность запуска технологических линий в госу- |
 |
а ожидаемый |
объем выпуска Ys -п min 1, -—
^ \п+1С) ^
Напротив, если переговоры о поставках продукции с частными поставщиками будут сорваны, то процесс производства в государственной фирме не состоится и ресурсы поставщиков будут использованы альтернативными способами (для выпуска продукции в частном секторе). Поэтому ожидаемый объем производства в частном секторе равен

Ожидаемый полный выпуск:

Характерный вид графиков функций выпуска Y,YS,Y приведен на рис. 3.5. Нетрудно заметить, что с ростом величины С — максимума альтернативной цены ресурсов — объем производства в государственном секторе снижается, тогда как объем производства в частном секторе возрастает.
 |
|
Рис. 3.5. Агрегированный выпуск, объем производства в государственном и частном секторах |
Следует отметить, что многие из предположений модели процесса дезорганизации, предложенной Бланшаром, представляются нереалистичными. Так, поиск контрагентов в начальный период реформ представляет существенную трудность как для государственных, так и для частных фирм. Поэтому падение выпуска в государственном секторе вследствие провала переговоров с поставщиками не ведет автоматически к росту выпуска в частном секторе. Попытка усовершенствовать логику модели Бланшара была предпринята Роланом и Вердье.
Модель Ролана и Вердье (1997)
Ролан и Вердье [Roland, Verdier, 1997] предлагают интерпретацию трансформационного спада в начальный период реформ на основе модели поиска. Предполагается, что основные рынки еще не сформировалась в момент либерализации цен. Либерализация подразумевает свободу выбора клиентов и поставщиков для предприятий. Основная гипотеза: существенные инвестиции в обновление капитала осуществляются только после того как установлены надежные долгосрочные контакты с контрагентами. Вместе с тем в период поиска контрагентов предприятия не инвестируют средства в обновление основного капитала, вследствие чего, по мнению авторов, происходит сокращение производства в начальный период реформ.
Ролан и Вердье рассматривают также модель постепенной либерализации цен, реализованную в Китае (либерализация по двойному пути). Суть способа состоит в следующем. Во-первых, предприятиям позволено продавать малую часть своей продукции по либерализованным ценам (первый путь). Во-вторых, предприятия должны поддерживать своих торговых партнеров, устанавливая цены на выпускаемую продукцию на утвержденном ранее уровне (второй путь). Если начальная либерализация прошла успешно, т.е. предприятия стали находиться в более выгодных экономических условиях и соответственно стали получать большую прибыль, то цены на их продукцию продолжают отпускать вплоть до полной либерализации. Китайский способ поэтапной либерализации стимулирует экономических агентов к поиску новых связей в первый период. Если окажется, что производителям выгоднее не осуществлять реформирование структуры хозяйствования и поддерживать прежние связи, то поиск не производится.
Модель с переменной структурой социальных предпочтений
Вопрос, остающийся открытым в модели Ролана и Вердье, заключается в том, почему снижение объемов инвестиций повлекло за собой столь резкий спад агрегированного выпуска в первые годы реформ. В конце концов большинство постсоциалистических экономик отнюдь не страдало недостатком производственных фондов в первые годы реформ и вполне могло 2—3 года эксплуатировать накопленный капитал. По всей видимости, причина столь резкого экономического спада коренится не только и не столько в инвестиционном кризисе, сколько в фундаментальном изменении структуры предпочтений экономических агентов в ходе реформ.
Отметим, что постоянство структуры предпочтений агентов является одним из главных предположений неоклассической теории. Что происходит с экономической системой при резком изменении структуры предпочтений агентов? Ответ на этот вопрос невозможно найти на страницах стандартных учебников экономической теории. Вместе с тем он оказывается ключевым при анализе закономерностей экономических трансформаций.
Суть процесса экономической трансформации состоит в изменении макроэкономической и институциональной структуры общества: на смену институтам планового централизованного хозяйства, предусматривающим доскональное планирование натуральных и стоимостных показателей работы предприятий, приходят институты децентрализованного рыночного хозяйства, в которых основную роль играет механизм согласования предпочтений экономических агентов на основе рыночных цен обмениваемых благ.
Рассмотрим макроэкономическую систему, в которой производится и потребляется два вида благ: инвестиционные товары А и потребительские товары В. В плановой экономике СССР существенный социальный акцент придавался производству “средств производства” (инвестиционных товаров А) и только во вторую очередь — производству предметов потребления В.
Производство инвестиционных товаров открыто или косвенно (через диспаритет в структуре цен) субсидировалось государством, тогда как на потребительские товары устанавливались “потолки” цен. В этих условиях в плановой экономике появлялся устойчивый структурный дефицит потребительских товаров и избыточное производство инвестиционных благ (см. рис. 3.6).
 |
|
Рис. 3.6. Равновесия на рынках инвестиционных и потребительских товаров в плановой экономике |
Отметим, что уровни цен на инвестиционные и потребительские товары устанавливались, по марксистской традиции, исходя из уровней издержек производства и весьма слабо были связаны с факторами платежеспособного спроса на инвестиционные и потребительские товары.
С началом процесса экономических реформ государство прекращает субсидировать производство инвестиционных благ (Д рл = 0) и снимает верхние ограничения на цены потребительских товаров (Арв =0). При этом точка “планового” равновесия Р должна переместиться в точку “рыночного” равновесия М, которое определяется как точка касания кривой производственных возможностей с кривой социальных предпочтений. Таким образом, в “идеале”, рисовавшемся воображению стратегов и идеологов Вашингтонского консенсуса, процесс экономической трансформации заключается в реаллокации ресурсов (от точки Р к точке М по равновесной кривой производственных возможностей, см. рис. 3.7).
 |
|
Рис. 3.7. Реаллокация ресурсов и дезорганизация хозяйства |
В реальности, однако, все обстояло не столь плавно и гладко. В большинстве стран Центральной и Восточной Европы рыночные реформы сопровождались глубоким экономическим спадом и дезорганизацией хозяйства. Эти последствия стали полной неожиданностью для идеологов экономических реформ, которые полагали, что, освободив частную инициативу и убрав бюрократические заслоны, можно будет добиться стремительного роста экономики.
Традиционная неоклассическая теория также не дает убедительных доказательств неизбежности экономического спада в начальный период реформ.
Реформаторы неявно предполагали, что после освобождения цены установятся на равновесных значениях за достаточно короткое время, так что потерями от неравновесия в переходном процессе можно пренебречь. В реальности, однако, оказалось, что время переходного периода исчисляется годами. Цены освобождены, но неравновесны и подвержены резким колебаниям. В процессе поиска равновесия происходит интенсивная структурная перестройка системы цен, потребительских и социальных предпочтений, спроса и производства экономических благ.
Развитые в предыдущей лекции методы структурного анализа экономических систем позволяют исследовать динамику изменения потребительских предпочтений и установления новых рыночных цен благ в процессе экономических реформ. Далее будет показано, что феномены дезорганизации хозяйства и начального экономического спада в период реформ являются следствием достаточно естественных и общих предположений о характере кривых потребительских предпочтений экономических агентов.
Сохранив все обозначения из предыдущей лекции, рассмотрим следующую динамическую модель экономической системы с инвестиционными (А) и потребительски ми (В) благами:
А^ = р^(Ас,Вс)-ртА,
А^-рХЮ + рі,
р"1=Ас -А\
Иа (3-1)
Вс = ргв(Вс,Ас)-р”,
вг=-Р‘вт+Рв,
р”=Вс-В*.
Отметим, что в этой системе рыночные цены обмениваемых благ формируются под воздействием факторов спроса и предложения, а объемы потребления благ Ас и В1 определяются как субъективными предпочтениями экономических агентов, так и рыночными ценами благ, формирующимися в процессе экономического обмена. Более конкретно в стационарной точке:
А* =АС = А\ BS=BC=B\ р^,В! ) = рМ) = РІ рсв(В*,А*) = рЦВ*) = ртв.
Процесс экономических реформ стартует из точки неэффективной аллокации инвестиционных и потребительских благ Р, ранее существовавшей лишь ввиду идеологических постулатов социализма и искусственных ценовых диспропорций. Гипотетически экономическая система должна быстро достичь эффективного рыночного равновесия. Исследуем, однако, устойчивость этого рыночного равновесия. Выше (см. лекцию 2) было показано, что достаточные условия устойчивости имеют вид
дРл.<0 дРА ^п дРСв .п дР
<0,
<0,^-<0,
двс
>0,^>0,
dBs
дАс
дБ'
м
ЭА'
дАс
(3-2)
|
dpi , дрсв |
f
<г" пііп |
дРл |
dpi |
дРл |
др в) |
|
дВс дАс |
V |
дАс |
двс |
dAs |
дв' J |
Если же хотя бы одно из этих условий не выполняется, то в общей ситуации устойчивость положения равновесия в системе (3-1) нарушается. В частности, при “шоковом” варианте экономических реформ последнее из условий устойчивости (3-2) будет нарушаться: при резком изменении социальных предпочтений возрастание объемов спроса на потребительские блага приводит к резкому уменьшению объемов спроса на инвестиционные блага, т.е.
|
дрсА |
|
дРл |
дрсв |
дРл |
дРв) |
|
двс |
\ |
дАс |
э вс |
dAs |
д Bs J |
При этом система (3-1) теряет устойчивость, развиваются процессы дезорганизации производства, экономический и инвестиционный кризис. Вместо плавного квазиравновесного процесса реаллокации благ и ресурсов по траектории РМ, система (3-1) “срывается” в глубокий экономический и инвестиционный спад (стрелка на рис. 3.7).
Таким образом, при “шоковом” варианте реформ положение равновесия в системе (3-1) будет неустойчивым. Этот вывод дает нам основания для следующих общих замечаний.
Причина трансформационного спада коренится не только и не столько в “трансформационных издержках” (поиск новых контрагентов, неполнота и асимметричность информации на возникающих рынках и др.), сколько в резком изменении структуры предпочтений экономических агентов. При резком изменении социальных и индивидуальных предпочтений происходят глубокие структурные сдвиги в характере кривых спроса и предложения на различные блага, что может повлечь за собой не только переход к новому равновесному режиму, но и к потере устойчивости экономической системы и полной или частичной дезорганизации хозяйства.
В самом деле, представим себе типичную ситуацию на российском пореформенном машиностроительном заводе. Станки, которые производил завод, после радикальных реформ и ликвидации системы государственных заказов стали никому не нужны, технологические линии простаивают, рабочие слоняются без дела и приторговывают на местном рынке. Что делать руководству завода? Лихорадочно искать возможности производства потребительской продукции, перенастраивать технологические линии, изучать перспективы сбыта. Для этого нужны (и срочно!) инвестиции в основной капитал и переобучение кадров, необходимы временные и финансовые ресурсы на переналадку оборудования. Поэтому спад в объемах производства инвестиционных благ (в данном случае станков) вовсе не влечет за собой автоматический рост производства потребительской продукции.
Трансформационные издержки вовсе не являются первопричиной трансформационного спада, но представляют собой следствие глубоких структурных сдвигов в социальных и потребительских предпочтениях, системе цен, производстве и потреблении после начала радикальных реформ.
Учебно-методические материалы к лекции 3
Литература
Основная
Экономика переходного периода. Очерки экономической политики посткоммунистической России 1991—1997 / Под ред. Е. Гайдара. М.: Институт экономики переходного периода, 1998.
Blanchard О. The Economics of Post-Communist Transition. Oxford: Clarendon Press, 1997.
Boycko M., Shleifer A., Vishny R. A Theory of Privatisation // The Economic Journal. 1996. Vol. 106.
Fischer 8., Sahay R., Vegh C. From Transition to Market: Evidence and Growth Prospects // Lessons from the Economic Transition. Central and Eastern Europe in the 1990s. Kluwer, 1997.
Jasinski P., Yarrow G. Privatisation: An Overview of the Issues // Privatisation. Critical Perspectives on the World Economy / Ed. by G. Yarrow, P. Jasinski. L., 1995. Vol. 1.
Дополнительная
Аукуционек С.П. Эмпирика перехода к рынку. Опыт России. М.: Экономика, 1998.
Aslund A. Lessons of the First Four Years of Systemic Change in Eastern Europe // Journal of Comparative Economics. 1994. Vol. 19. № 2. P. 22—38.
Atkenson A., Kehoe P. Optimal Social Insurance, Incentives and Transition. Federal Reserve Bank of Minneapolis, 1995.
Beig A., Blanchard O. Stabilization and Transition in Poland: 1990—1991 / NBER; University of Chicago Press // The Transition in Eastern Europe. 1994. № 1. P. 51-92.
Berg A., Sachs J. Structural Adjustment and International Trade in Eastern Europe: the Case of Poland // Economic Policy. 1992. № 14. P. 117—174.
Bhadhuri A., Laski K., Levcik F. Transition from the Command to the Market System: What Went Wrong and What to Do Now. The Vienna Institute for Comparative Economic Studies, 1993.
Blanchard O., Kremer M. Disorganization. MIT, 1996. (Mimeo).
Bruno M. Stabilization and the Macroeconomics of Transition // Economics of Transition. 1992. № 1. P. 5—19.
Calvo G., Coricelli F. Stabilizing a Previously Centrally Planned Economy: Poland 1990 // Economic Policy. 1992. № 14.
Earl J., Estrin S. Privatisatisation Versus Competition: Changing Enterprise Behavior in Russia: WDI Working Paper. 1997. № 70.
Gavrilenkov E., Kuboniwa M. Development of Capitalism in Russia. Second challenge. Токіо: Hitotsubashi University Press, 1997.
Gomulka S. The Causes of Recession Following Stabilization // Comparative Economic Studies. 1992. Vol. 33. № 2.
Kornai J. Transformational Recession. A General Phenomenon Examined through the Example of Hungary’s Development // Economic Applique. 1993. Vol. 46. № 2. P. 181-227.
Melo M. de, Denizer C., Gelb A. From Plan to Market: Patterns of Transition. World Bank, 1996.
Melo M. de, Denizer C., Gelb A., Tenev S. Circumstance and Choice: the Role of Initial Conditions and Policies in Transition Economies. World Bank, 1997.
Roland G., Verdier T. Transition and the Output Fall: WDI Working Paper. 1997. №37.
Rosati D. Output Decline during Transition from Plan to Market // Economics of Transition. 1994. Vol. 2. № 4. P. 419—442.
Winiecki J. The Inevitability of a Fall in Output in the Early Stages of Transition to the Market: Theoretical Underpinnings // Soviet Studies. 1991. Vol. 43. № 4. P. 669-676.
Вопросы для повторения
1. Назовите и проиллюстрируйте основные стилизованные факты об эволюции макроэкономических показателей в переходных экономиках.
2. Перечислите факторы “начальных условий” экономических реформ, влияющие на глубину и скорость трансформационных процессов. Каковы факторы макроэкономической политики, способствующие успеху реформ в постсоциалистических странах?
3. Опишите трансформационный спад и приведите его различные интерпретации.
4. Назовите и охарактеризуйте основные гипотезы о механизмах экономической транформации.
5. Опишите модель реаллокации ресурсов Бланшара: основные предположения, зависимости, выводы.
6. Охарактеризуйте модели процесса дезорганизации хозяйства в начальный период экономических реформ:
¦ модель Бланшара: предпосылки, логика, выводы. Какова роль трансакционных издержек в формировании трансформационного спада?
¦ модель Ролана — Вердье: предпосылки, логика, выводы. Какова роль поисковых процессов в формировании трансакционных издержек и трансформационном спаде?
7. Опишите модель с переменной структурой предпочтений экономических агентов: предпосылки, основные зависимости, условия нарушения равновесия. Проанализируйте дезорганизацию как следствие трансформации структуры социальных предпочтений.
Дополнительные вопросы и задания для самостоятельной работы
1. Используя доступные базы данных и литературные источники, проведите самостоятельное сравнительное исследование динамики ключевых макроэкономических индикаторов в посткоммунистических странах в 1990-е гг. В чем, по вашему мнению, причины различной динамики реформ в странах ЦВЕ, СНГ, Китая и Вьетнама?
2. Проведите самостоятельное теоретическое исследование модифицированной модели Бланшара с различным уровнем номинальной заработной платы по секторам экономики. В чем новизна выводов этого анализа в сравнении с оригинальной моделью Бланшара?
3. Сформулируйте условия устойчивости равновесия в динамической структуралистской модели двух взаимосвязанных рынков. Как интерпретировать этот результат на примере процесса дезорганизации в переходной экономике? Почему эти условия равновесия, как правило, нарушаются в переходной экономике?
4. Напишите эссе на тему “Приватизация и конкуренция”, используя работы: [Earl, Estrin, 1997; Jasinski, Yarrow, 1997; Boyko, Shleifer, Vishny, 1996].
4
лекция
ПРОБЛЕМЫ
ЭКОНОМИЧЕСКОЙ ПОЛИТИКИ В ПЕРЕХОДНЫХ ЭКОНОМИКАХ
4.1
Трансформационная квадратура: либерализация, стабилизация, приватизация и реструктуризация
Страны, вставшие на путь радикальных экономических реформ, сталкиваются с проблемой выбора экономической политики, обеспечивающей наилучшие результаты как на макро-, так и на микроуровне. К числу основных целей экономической политики, которых необходимо добиться в ходе реформ, относятся:
¦ либерализация цен и внешней торговли;
¦ макроэкономическая и финансовая стабилизация;
¦ приватизация предприятий;
ш структурные реформы.
Первые три цели представляют собой первоочередные задачи реформ.
Либерализация охватывает: переход к свободной торговле и свободным ценам; демонтаж планово-распределительной системы, иерархической структуры управления экономикой и переход к сетевой структуре договорных отношений;
отмену монополии внешней торговли, открытие экономики;
введение свободного рыночного курса национальной валюты взамен его государственного регулирования; обеспечение конвертируемости национальной валюты по текущим операциям.
Финансовая стабилизация предполагает резкое снижение темпов инфляции после либерализации, стабилизацию курса национальной валюты. Она включает в себя:
переход к жестким бюджетным ограничениям на всех уровнях;
создание налоговой системы и налаживание налогового администрирования;
организацию надежного контроля бюджетных расходов; ограничение темпов роста денежной массы и переход к рыночному формированию процентных ставок;
организацию надзора за коммерческими банками.
Приватизация призвана перенести ответственность и риск с государства на частных собственников, заменить большую часть государственной собственности частной, создать новую систему хозяйственных мотиваций и полноценных рыночных агентов.
К этому добавляются в составе первоочередных задач политики реформ: налоговая реформа, создание системы коммерческих банков и двухуровневой банковской системы, а также рынка рабочей силы с отменой государственной системы регулирования оплаты труда.
Первостепенное значение для эффективного решения этих задач имеет выбор скорости реформ [Stiglitz, 1999; Dabrowski, Gomulka, Rostowski, 2000]. На протяжении 1990-х гг. велась активная дискуссия о том, какая скорость реформ — высокая или умеренная — наиболее приемлема для той или иной страны.
Аргументы сторонников “шоковой терапии” (предельно высокая скорость реформирования): задача либерализации цен и внешней торговли должна быть решена быстро, что позволяет быстро снять “денежный навес” и обуздать высокую инфляцию в начале реформ; задача приватизации также должна решаться в быстром темпе, что снижает политический риск реставрации старых структур собственности. Пример “шоковой терапии” — реформы в Польше 1990-х гг.
Аргументы сторонников “градуализма” (умеренная скорость реформ): градуальные реформы имеют все преимущества эволюционного пути развития по сравнению с революционным: постепенный демонтаж старых экономических структур и переход на рыночные принципы функционирования экономики позволяет избежать резких инфляционных “шоков”, существенного спада производства и серьезного ухудшения финансового состояния предприятий. Пример градуальных реформ: переход на рыночные принципы ценообразования в Китае в 1990-е гг.
Эмпирические факты свидетельствуют о том, что “шоковая терапия” в среднем порождает более высокие темпы инфляции в начальный период экономических реформ по сравнению с градуальной политикой. Так, в Венгрии и Чехии, где использовались градуальные методы реформирования, годовая инфляция не вышла за 50—60% за весь период реформ. С другой стороны, в Польше, Словении, Эстонии, России значения годовых темпов инфляции вышли за диапазон двузначных цифр в первые два года реформ. Однако градуальная политика может порождать высокоинфляционные рецидивы спустя 5—6 лет (Болгария, Румыния).
Таблица 4.1
Инфляция в переходных экономиках в 1991—1998 гг.,
% в год |
|
Страна |
1991 г. |
1992 г. |
1993 г. |
1994 г. |
1995 г. |
1996 г. |
1997 г. |
1998 г. |
|
Азербайджан |
126 |
1395,0 |
1294,0 |
1788,0 |
•'З-
со |
6,7 |
0,5 |
4,5 |
|
Албания |
104 |
236,6 |
30,9 |
15,8 |
6,0 |
17,4 |
42,0 |
14,6 |
|
Армения |
25 |
1341,0 |
10896,0 |
1885,0 |
32,0 |
5,8 |
21,8 |
13,0 |
|
Беларусь |
93 |
1159,0 |
1996,0 |
1960,0 |
244,0 |
39,2 |
63,1 |
84,0 |
|
Болгария |
339 |
79,4 |
63,8 |
121,9 |
32,8 |
310,8 |
578,6 |
17,0 |
|
Венгрия |
32 |
21,6 |
21,1 |
21,2 |
28,3 |
19,8 |
18,4 |
14,0 |
|
Грузия |
131 |
1177,0 |
7488,0 |
6474,4 |
57,4 |
13,8 |
8,1 |
8,0 |
|
Казахстан |
137 |
2984,1 |
2169,0 |
1160,0 |
60,4 |
28,6 |
11,3 |
8,5 |
|
Кыргызстан |
170 |
1259,0 |
1363,0 |
95,7 |
31,9 |
35,0 |
14,8 |
12,1 |
|
Латвия |
262 |
959,0 |
35,0 |
26,0 |
23,0 |
13,1 |
7,0 |
5,0 |
|
Литва |
345 |
1161,1 |
188,8 |
45,0 |
35,5 |
13,1 |
8,5 |
6,8 |
|
Македония |
230 |
1925,2 |
229,6 |
55,4 |
9,3 |
0,2 |
4,6 |
5,0 |
|
Молдова |
151 |
2198,0 |
837,0 |
116,0 |
23,8 |
15,1 |
11,2 |
10,0 |
|
Польша |
60 |
44,3 |
37,6 |
29,4 |
26,1 |
18,5 |
13,2 |
10,0 |
|
Россия |
144 |
2508,8 |
840,1 |
204,7 |
131,3 |
21,8 |
11,1 |
84,0 |
|
Румыния |
233 |
199,2 |
295,5 |
61,7 |
27,8 |
56,9 |
151,6 |
47,0 |
|
|
Окончание табл. 4.1 |
|
Страна |
1991 г. |
1992 г. |
1993 г. |
1994 г. |
1995 г. |
1996 г. |
1997 г. |
1998 г. |
|
Словакия |
58 |
9Д |
25,1 |
11,7 |
7,2 |
5,4 |
6,4 |
7,0 |
|
Словения |
247 |
92,9 |
22,9 |
18,3 |
8,6 |
8,8 |
9,4 |
8,0 |
|
Таджикистан |
204 |
1364,0 |
7344,0 |
1,1 |
2133,0 |
40,5 |
165,0 |
19,3 |
|
Туркменистан |
155 |
644,0 |
9750,0 |
1328,0 |
1262,0 |
446,0 |
21,5 |
50,0 |
|
Узбекистан |
169 |
910,0 |
885,0 |
1281,0 |
117,0 |
64,0 |
28,0 |
35,0 |
|
Украина |
161 |
2730,0 |
10155,0 |
401,0 |
182,0 |
39,7 |
10,1 |
19,0 |
|
Хорватия |
250 |
938,2 |
1149,0 |
-3,0 |
3,8 |
3,4 |
3,8 |
5,0 |
|
Чехия |
52 |
12,7 |
18,2 |
9,7 |
7,9 |
8,6 |
10,0 |
11,5 |
|
Эстония |
304 |
953,5 |
35,6 |
42,0 |
29,0 |
15,0 |
12,0 |
11,0 |
|
Источник: [Колодко, 2000].
Практически во всех странах с переходной экономикой вслед за либерализацией следовал спад производства. Исключение составляют Китай и Вьетнам, в которых экономика, начав с очень низкого уровня, все время росла.
Трансформационный спад
|
Таблица 4.2 |
|
Страна |
Длительность спада, лет |
Кумулятивный размер спада, % |
Реальный ВВП, 2000 г.
(1990= 100%) |
|
ЦВЕ и Балтия |
4 |
23 |
107 |
|
Албания |
3 |
33 |
ПО |
|
Болгария |
4 |
16 |
81 |
|
Хорватия |
4 |
36 |
87 |
|
Чехия |
3 |
12 |
99 |
|
Эстония |
5 |
35 |
85 |
|
Венгрия |
4 |
15 |
109 |
|
Латвия |
6 |
51 |
61 |
|
Литва |
5 |
44 |
67 |
|
Польша |
2 |
6 |
112 |
|
Румыния |
3 |
21 |
144 |
|
Словакия |
4 |
23 |
82 |
|
Словения |
3 |
14 |
105 |
|
|
Окончание табл. 4.2 |
|
Страна |
Длительность спада, лет |
Кумулятивный размер спада, % |
Реальный ВВП, 2000 г.
(1990 = 100%) |
|
СНГ |
7 |
51 |
63 |
|
Армения |
4 |
63 |
67 |
|
Азербайджан |
6 |
60 |
55 |
|
Беларусь |
6 |
35 |
88 |
|
Грузия |
5 |
78 |
29 |
|
Казахстан |
6 |
41 |
90 |
|
Кыргызстан |
6 |
50 |
66 |
|
Молдова |
7 |
63 |
35 |
|
Россия |
7 |
40 |
64 |
|
Таджикистан |
7 |
50 |
48 |
|
Туркменистан |
8 |
48 |
76 |
|
Украина |
10 |
59 |
43 |
|
Узбекистан |
6 |
18 |
95 |
|
Источник: [Transition, 2002].
Эмпирические данные не дают оснований для утверждений о том, что глубина экономического спада в начальный период реформ заметно различалась для стран, проводивших политику “шоковой терапии” и градуализма. Это дает основания некоторым авторам [Popov, 2000] для утверждений, что трансформационный спад является следствием не той или иной политики, а результатом слабости экономических и государственных институтов.
Таблица 4.3
Темпы прироста валового внутреннего продукта в странах ЦВЕ
в 1990—1999 гг. |
|
Страна |
1990 г. |
1991г. |
1992 г. |
1993 г. |
1994 г. |
1995 г. |
1996 г. |
1997 г. |
1998 г. |
1999 г. |
|
Чехия |
-1,2 |
-11,5 |
-3,3 |
0,6 |
3,2 |
6,4 |
3,9 |
1,0 |
-2,6 |
-1,5 |
|
Венгрия |
-3,5 |
-11,9 |
-3,1 |
—0,6 |
2,9 |
1,5 |
1,3 |
4,6 |
5,2 |
3,7 |
|
Польша |
-11,6 |
-7,0 |
2,6 |
3,8 |
5,2 |
7,0 |
6,0 |
6,8 |
4,8 |
3,5 |
|
Словакия |
-2,5 |
-14,6 |
-6,5 |
-3,7 |
4,9 |
6,9 |
6,6 |
6,5 |
5,4 |
0,0 |
|
Словения |
-4,7 |
-8,9 |
-5,5 |
2,8 |
5,3 |
4,1 |
3,3 |
3,8 |
4,0 |
2,5 |
|
|
Окончание табл. 4.3 |
|
Страна |
1990 г. |
1991 г. |
1992 г. |
1993 г. |
1994 г. |
1995 г. |
1996 г. |
1997 г. |
1998 г. |
1999 г. |
|
ЦВЕ-5 |
-6,7 |
-9,6 |
-0,9 |
1,6 |
4,3 |
5,8 |
4,6 |
4,9 |
3,2 |
2,0 |
|
Болгария |
-9,1 |
-11,7 |
-7,3 |
-1,5 |
1,8 |
2,9 |
-10,1 |
-6,9 |
4,0 |
-2,0 |
|
Румыния |
-5,6 |
-12,9 |
-8,8 |
1,5 |
4,0 |
7,2 |
3,9 |
-6,6 |
-5,5 |
-5,0 |
|
ЦВЕ-7 |
—6,6 |
-10,4 |
-2,8 |
1,4 |
4,1 |
5,9 |
3,7 |
2,0 |
1,5 |
0,4 |
|
Хорватия |
-7,1 |
-21,1 |
-11,7 |
-8,0 |
5,9 |
6,8 |
6,0 |
6,5 |
3,0 |
-1,5 |
|
Россия |
-3,0 |
-5,0 |
-14,5 |
-8,7 |
-12,7 |
-4,1 |
-3,5 |
0,8 |
-4,6 |
5,3 |
|
Украина |
-4,0 |
-8,7 |
-9,9 |
-14,2 |
-22,9 |
-12,2 |
-10,0 |
-3,2 |
-1,7 |
-2,0 |
|
Источник: Российская экономика: опыт трансформации 1990-х годов и перспективы развития. М.: ГУ ВШЭ, 2000.
К основным тенденциям переходного периода, помимо отмеченных выше, следует отнести:
в сокращение выпуска в промышленности, рост сектора услуг; в рост производства в частном секторе; в рост экспорта — преимущественно в развитые страны; в резкий рост уровня бедности, усиление социального неравенства по доходам.
Таблица 4.4
Сокращение выпуска в промышленности, рост сектора услуг,
% ВВП |
|
Регион и период |
Сельское
хозяйство |
Промышленность |
Услуги |
|
ЦВЕ и Балтия |
|
|
|
|
1990—1991 гг. |
13,7 |
45,1 |
41,2 |
|
1997-1998 гг. |
13,9 |
33,0 |
53,1 |
|
СНГ |
|
|
|
|
1990-1991 гг. |
27,5 |
39,7 |
32,8 |
|
1997-1998 гг. |
18,7 |
31,2 |
50,1 |
|
|
Источник: [Transition, 2002]. |
Из табл. 4.4 видно, что сокращение выпуска продукции сельского хозяйства было значительней в странах СНГ, а промышленности, напротив, — в странах ЦВЕ и Балтии.
Рост производства в частном секторе, % ВВП
|
Таблица 4.5 |
|
Страна |
1990 г. |
1994 г. |
1999 г. |
|
ЦВЕ и Балтия |
11 |
50 |
68 |
|
Чехия |
12 |
65 |
80 |
|
Эстония |
10 |
55 |
75 |
|
Венгрия |
18 |
55 |
80 |
|
Румыния |
17 |
40 |
60 |
|
СНГ |
10 |
20 |
50 |
|
Армения |
12 |
40 |
60 |
|
Беларусь |
5 |
15 |
20 |
|
Россия |
5 |
50 |
70 |
|
|
Источник: [Transition, 2002], |
Для интерпретации этих эмпирических закономерностей были предложены политэкономические и аналитические модели. К основным политэкономическим моделям политики реформ можно отнести:
ш монетаристскую модель [Гайдар, 1999];
ш модель рентоориентированного поведения (rent seeking) [As-lund, et al., 1996].
В рамках монетаристской модели политики реформ различия в динамике макроэкономических индикаторов в странах с переходной экономикой объясняются на основе факторов кредитно-денежной политики. “Эти страны (с переходной экономикой) можно разделить на две группы. Первую из них составляют государства, которые сумели противопоставить финансовому кризису жесткую денежную политику и за короткие сроки сбить инфляцию до умеренных значений. Во второй группе стран денежная политика была мягкой, темпы роста номинального денежного предложения подвержены резким колебаниям, а период высокой инфляции — длительным. С известной долей условностей проводившуюся в первой группе, стран экономическую политику можно назвать монетаристской, во второй — популистской” [Гайдар, 1999].
Следуя логике монетаристской концепции, можно заключить, что в странах с “быстрой дезинфляцией” экономический спад был более коротким, а реформы — более последовательными и глубокими по сравнению со странами с “медленной дезинфляцией”, в которых наблюдался длительный экономический спад, сопровождавшийся рецидивами высокой инфляции. Следует отметить, что эмпирические данные, приведенные в табл. 4.1—4.3, далеко не всегда подтверждают эти выводы.
Другая политэкономическая интерпретация различий в динамике экономических показателей по странам с переходной экономикой была предложена Аслундом [Aslund, et al. 1996] в рамках модели рентоориентированного поведения. Согласно логике этой модели политика правящих элит в посткоммунистических странах в большей или меньшей степени подвержена факторам поиска личной и групповой выгоды в условиях политической, правовой и финансовой неопределенности переходного периода. Логика Аслун-да проста: если высокая инфляция — очевидное зло, то почему правительства во многих странах не борются с ней столь решительно? Потому, что высокая инфляция, порожденная денежно-кредитной эмиссией, позволяет политическим элитам извлекать дополнительную выгоду посредством перераспределения финансовых потоков, выгодных кредитов и пр., иными словами, добывать ренту в “мутной воде” реформ. Пусть U{л) — предельная полезность темпа инфляции л для правящей элиты; С (л) — предельные социальные издержки темпа инфляции л. Характер зависимостей приведен на рис. 4.1.
|
С(л),и {л) |  |
|
Рис. 4.1. Зависимость предельной полезности и предельных социальных издержек от темпа инфляции |
Аслунд рассматривает рентоориентированное поведение некоторого репрезентативного политика в переходной экономике. При выборе целевого темпа инфляции этот политик руководствуется своими представлениями о социальных издержках проинфляцион-ной политики. Если это — ответственный политик, то его оценка уровня социальных издержек высокой инфляции, как правило, оказывается довольно точной. Если же это временщик, озабоченный извлечением личной или клановой выгоды, то он склонен занижать уровень социальных издержек инфляции (аС(ж), 0 < « < 1). Из рис. 4.1 видно, что это приводит к возрастанию темпа инфляции: пг > 7ГХ. По мысли Аслунда, эти аргументы проливают свет на существование длительных периодов высокой инфляции в переходных экономиках. В ресурсоориентированных экономиках предельная выгода элит от кредитно-денежной эмиссии довольно высока, что влечет за собой сохранение чрезвычайно высоких темпов инфляции в течение длительного срока.
Рассмотренные выше политэкономические интерпретации различий в динамике макроэкономических индикаторов в странах с переходной экономикой являются характерными примерами логики монофакторного экономического анализа. В случае монетаристской модели — это примат фактора денег и денежной политики в трансформационной динамике, в случае модели рентоориентированного поведения акцент делается на поиск и извлечение ренты. Представляется, однако, что сложность проблемы требует не моно-факторных, а многофакторных ее интерпретаций. Для более глубокого сравнительного анализа политики “шоковой терапии” и градуализма необходимо использовать макроэкономические модели. Далее в лекции будут рассмотрены две аналитические модели: модель политики “шоковой терапии” Берга — Сакса и двухсекторная модель переходной экономики.
4.2
Модель “шоковой терапии” Берга — Сакса
Эта модель была положена в основу макроэкономических реформ в Польше (см.: [Sachs, 1989; Berg, Sachs, 1992]).
Рассмотрим экономику, производящую промышленную продукцию и услуги в объемах <2, и Q соответственно. Экономика потребляет эти блага, а также импортную продукцию в объемах С(, С? и Cf соответственно. Промышленная продукция частично экспортируется. Официальный обменный курс равен Е в единицах злотый/долл.
Официальные цены на промышленную продукцию, услуги и импорт равны Pi,ps,pf соответственно. Вместе с тем в модели предполагается, что рыночное равновесие на эти блага окончательно устанавливается на “черном” рынке при неофициальных (“теневых”) ценах Pf, Р}, Pf.
Агрегированный (номинальный) спрос Yd равен Yd =PiCi+PsCs+PfCf.
“Кэмбриджское уравнение” в данной ситуации запишется в виде
Yd = М?,
где М — объем денежной массы, V — скорость обращения денег (предполагается постоянной).
Функция реального потребления описывается моделью Кобба — Дугласа: С = CfCfCj.""4', где Yd - Ср , р — базисный индекс потребительских цен, что дает
Р.С. = aYd = аМ?,
PsCs =bYd =ЬМ?,
PfCf =(1 -a-b)Yd =(1 -a-b)MV.
Объемы выпуска промышленной продукции и услуг являются функциями относительных цен:
Qi =Qi(pJ Pi),
Q.s =Qs(pJ Pi)-
В начальной ситуации промышленность является нетго-экспорте-ром, т.е. Qt > Сг На внутреннем рынке промышленная продукция не пользуется повышенным спросом, и “теневые” цены на нее равны официальным, т.е. pt = Ер* = Pt, где р* — базисный индекс мировых цен на промышленную продукцию. Напротив, до радикальных реформ существует избыточный спрос на импортные товары, т.е. pf = Ep*f < Pf .
Для упрощения формального анализа полагаем р* = р*. = 1, так что pt = рf = Е. Цены на услуги ps предполагаются экзогенными. Условие сбалансированности внешней торговли:
Cf=Q,-C,.
После реформ сбалансированность внешней торговли дополняется условием либерализации валютного рынка. При этом “теневые” цены на импорт должны сравняться с официальными ценами импорта, т.е. Pf = pf = Е. С учетом этого получим
Сі=аМ?/Е
Pf С f = ЕС f,
откуда Сf = (1 - а - Ъ)М? / Е. Из условия С} = <2, - С, находим (1 - а - Ъ)М? iE-Qi- aMV ІЕ и получаем зависимость для объема денежной массы, при котором достигается сбалансированность внешней торговли и свободный обмен валюты:
Mc=EQi/[V(l-b)].
Следует отметить, что это — гипотетический объем денежной массы, который должен быть установлен в результате реформирования денежной и валютной политики. В ситуации до реформ, как правило, наблюдается явление “денежного навеса”, при котором М >МС. При “денежном навесе” валюта становится неконвертируемой, что видно из нижеследующих рассуждений. Из уравнений С,- = аМ? / Е, Cf - <2, - С,- получим, что с ростом объема денежной массы падает реальный объем экспорта и предложение импортных товаров. С другой стороны, номинальный спрос на импорт растет:
PfCf =(1 -а-Ь)М?,
что означает наличие избыточного спроса на импорт и, как следствие, рационирование валютного обмена:
Pf =(1-а-Ъ)М?Щ -аМ?/Е].
Из последнего уравнения с учетом полученного выше выражения для М с имеем
Pf/E = (l-a-b)(M/Мс)/[1-Ь-а(М / М с)], М >МС.
Фактически Pf = Еь, т.е. обменный курс “черного рынка” равен базисному индексу цен на импорт.
Политика “шоковой терапии” основывалась на следующих умозаключениях. Путем резкой девальвации национальной валюты (Е —> Еь) снимается “денежный навес”, и при том, что центральный банк не эмитирует новых денег, объем денежной массы становится равным гипотетическому объему Мс. В результате либерализуется валютный рынок, снимается избыточный спрос на импорт при росте предложения импортных товаров. Первоначальный резкий всплеск инфляции (вследствие, скачка обменного курса) быстро гасится ввиду отсутствия существенной денежной эмиссии. Таким образом, правительство ликвидирует “черный рынок” и переходит к программе финансовой стабилизации и реструктуризации предприятий.
 |
|
Рис. 4.2. Обменный курс, объем денежной массы и инфляция в условиях “шоковой терапии” |
4.3
нионшнпи
Сравнительный анализ политики “шоковой терапии”
и градуализма
Модель Берга — Сакса позволяет проследить динамику основных макроэкономических показателей кредитно-денежной сферы в начальный период “шоковой терапии”. Вместе с тем эта модель весьма приблизительно описывает динамику показателей производства в начальный период реформ и даже дает ошибочный прогноз роста объемов производства услуг в реформируемой экономике. Для углубленного анализа динамики показателей производства в случае “шоковой терапии” и градуализма далее рассматривается двухсекторная модель, схема которой приведена на рис. 4.3.
 |
|
Рис. 4.3. Двухсекторная модель переходной экономики |
В этой модели предполагается, что начальный период реформ характеризуется биполярной (дуальной) макроэкономической структурой: в переходной экономике присутствует “новый” сектор (индекс п), возникший в ходе рыночных реформ и функционирующий на рыночных принципах, и “старый” сектор (индекс о), подвергшийся реструктуризации и частично субсидируемый государством.
Для упрощения формального анализа будем предполагать, что объем субсидий “старому” сектору зависит, главным образом, от суммарных налоговых поступлений от обоих секторов, т.е.
(4-1)
В' = Ь(Тах),, 0 < b < 1, (Tax), =(Тах0), + (Тахп)„
где Ъ = 0 в случае “шоковой терапии”, t —¦ текущий период.
Будем также предполагать, что продукция “нового” сектора отличается более высоким качеством, и уровень цен на продукцию “нового” сектора (рп) превышает уровень цен на продукцию “старого” сектора (р), т.е. рп = (1 + ?)р, где ? — дифференциал качества.
Реальный выпуск “нового” и “старого” секторов описывается моделью Кобба — Дугласа, т.е.
= Anlfn" КХ~Р",
Yn
п
(4-2)
г\-Р„
=y:+y,p=aX"K,
где Ln, L0 — занятость в “новом” и “старом” секторах соответственно; Кп,К0 — капитал в “новом” и “старом” секторах соответственно; Y" — реальный объем промежуточной продукции “старого” сектора; Yf — реальный объем конечной продукции “старого” сектора.
Агрегированный доход в “новом” секторе, образующийся после оплаты за поставки промежуточной продукции от “старого” сектора, равен
ІпсЙ = ра + ?)?я-р?0\ ' (4-3)
Этот агрегированный доход далее используется, в основном, на выплату заработной платы, налогов, а также на амортизацию основного капитала и прибыль. В начальный период реформ предприятия “нового” и “старого” секторов работают, как правило, с незначительными отчислениями на амортизацию. Поэтому будем предполагать, что агрегированный доход используется, главным образом, на выплату заработной платы и налогов, т.е.
(wA)/+i=U7«c«)/» (4_4)
(Тахп)1+1=тп(1псп)„ 0<Іп+тп=1-еп,
где \?п — номинальная заработная плата в “новом” секторе, еп ~ норма прибыли в “новом” секторе.
Аналогично для “старого” сектора:
Inco = pY: + pY:+B,
(4-5)
(Тахп ),+1 = то {Іпс()),,
где ??0, ео — номинальная заработная плата и норма прибыли в “старом” секторе соответственно.
В модели также полагаем, что доходы населения формируются, главным образом, за счет заработной платы занятых в “новом” и “старом” секторах, т.е.
W = wnLn+w0L0. (4-6)
Эти доходы сберегаются в части 5 и идут на потребление в части (І-А т.е.
(1 - s)[wnLn + w0Ln] = pa + ОД + pYf. (4-7)
Суть экономических преобразований на микроуровне состоит, прежде всего, в изменении мотивации экономических субъектов: от стремления “выполнить и перевыполнить” плановые задания они переходят к стремлению максимизировать экономическую прибыль. Тогда с учетом (4-2) имеем
¦ и-л=Ар(і+ад. (4_8)
"'.К = й,рУ[.
Из уравнений модели (4-1)—-(4-8) после преобразований получим систему, описывающую динамику выпуска “нового” и “старого” секторов, а также динамику реальных объемов государственных субсидий:
(1 + я)0п(Yn),+1 = (1 -- еп)Ш + ?)Рп(1 - ед - Y0(1 - Д, (1 - s))] „
В
(l + *r)A(yfl),+1=(l-r„-0
(4-9)
Y. +-
Г~)
Ал
+bw^-Tn(\-№-s)))+Wn)jA<X+0)<X-s\
(1+я-)
\p
f+i
Система уравнений (4-9) позволяет исследовать динамику важнейших макроэкономических переменных как в случае “шоковой терапии”, так и в случае политики градуализма. Наиболее просто исследовать случай “шоковой терапии”, для которого Ъ - 0. Следует отметить, однако, что в дальнейших рассуждениях предполагается, что ожидаемый темп инфляции п, налоговые ставки тп, т0, нормы прибыли еп, ео являются экзогенными переменными.
Для случая “шоковой терапии” решение системы (4-9) имеет вид
1-г
Ю, = Уо
ДДі+яО
(4-10)
Д,а+л)
a-Tn)g+m-s)
1+ 7Г
Ю' = Уп
Юг
Анализ этого решения позволяет выделить факторы, определяющие динамику выпуска в “новом” и “старом” секторах соответственно. В случае “шоковой терапии” начальная фаза реформ характеризуется чрезвычайно высокими темпами инфляции ж. Из уравнений (4-10) следует, что при этом глубина экономического спада будет существенной в случае “шоковой терапии” (вывод, не предсказанный теоретиками Вашингтонского консенсуса). Вместе с тем решительные меры правительства по достижению финансовой стабилизации ведут к быстрому обузданию высокой инфляции и вступлению экономики на траекторию роста, прежде всего в “новом” секторе за счет фактора качества 0. Структурная политика правительства может оказать существенное влияние на глубину и продолжительность трансформационного спада: “щадящий” налоговый режим для нового частного бизнеса на начальных стадиях его становления ведет к более быстрому выходу на траекторию роста.
Анализ градуальной политики более сложен в формальном отношении. Вместе с тем качественный характер динамики переменных Yn,Y0,BIр может быть исследован при некоторых упрощающих допущениях. А именно, в третьем уравнении системы (4-9) коэффициенты при Yn и Y() имеют более высокий порядок мало-
'в?
ы,
сти по сравнению с остальными коэффициентами системы (4-9). Положив их равными нулю, получим, что реальный объем государственных субсидий экспоненциально падает с ростом t, причем скорость падения реальных субсидий связана с коэффициентом b обратной зависимостью, т.е.
К
1 + п)
Для реальных объемов выпуска “старого” сектора имеем
1-г
1-Т„
Ът0
l + л
Ю' = Ус
-D,
(4-11)
+•
(Ін-я-)Д,
где у0, Da — начальные условия.
Аналогично для реальных объемов выпуска “нового” сектора
(1 ~ Тп )(1 - Ра (1 ~ s)
А(1+я)
<Гп), = У,
(4-12)
(К\
Анализ решения (4-11)—(4-12) позволяет сделать следующие выводы. Градуалистская политика реформ не вызывает высоких темпов инфляции и не порождает глубокого экономического спада в начальной фазе преобразований. Темпы дерегулирования “старых” экономических структур оказываются более низкими в сравнении с политикой “шоковой терапии”, что создает риск их возрождения. Заметно также, что “новый” сектор развивается более низкими темпами в сравнении с политикой “шоковой терапии”. Вместе с тем государственная структурная политика может существенно повлиять на характер экономической динамики в данной системе: трансформационного спада можно избежать при “щадящем” налоговом режиме для нового частного бизнеса в начальных фазах его становления в сочетании с разумным субсидированием реструктурируемых предприятий “старого” сектора.
Учебно-методические материалы к лекции 4
Литература
Основная
Колодко Г. От шока к терапии. Политическая экономия постсоциалистических преобразований. М.: ЗАО “Журнал «Эксперт»”, 2000.
Aslund A., Boone Р., Johnson S. How to Stabilize: Lessons from Post-Communist Countries: Brookings Papers on Economic Activity. 1996. № 1.
Berg A., Sachs J. Structural Adjustment and International Trade in Eastern Europe: The Case of Poland // Economic Policy. 1992. Vol. 16.
Coricelli F. Macroeconomic Policies and the Development of Markets in Transition Economies. Budapest: CEU Press, 1998.
Gomulka S. Macroeconomic Policies and Achievements in Transition Economies, 1989—1999 // Economic Survey of Europe. 2000. Vol. 2. № 3.
Reform in Eastern Europe / O. Blanchard, R. Dornbush, P. Krugman et al. Helsinki: WIDER, 1991.
Дополнительная
Гайдар E. Наследие социалистической экономики: макро- и микроэкономические последствия мягких бюджетных ограничений. М.: ИЭПП, 1999.
Arrow К. Economic Transition: Speed and Scope // Journal of Institutional and Theoretical Economics. 2000. Vol. 156.
Dabrowski M., Gomulka S., Rostowski J. Whence Reform? A Critique of the Stiglitz Perspective / London School of Economics and Central European University. Budapest: CEU Press, 2000.
North D. Big-Bang Transformations of Economic Systems: an Introductory Note // Journal of Institutional and Theoretical Economics. 2000. Vol. 156.
Popov V. Shock Therapy Versus Gradualism: The End of the Debate (Explaining the Magnitude of Transformational Recession) // Comparative Economic Studies. 2000. Vol. XLII. № 1.
Sachs J. My Plan for Poland // International Economy. 1989. № 3.
Stiglitz J. Whither Reform?: Paper Presented at the World Bank Conference in Development Economics. Washington D.C., 1999.
Transition — the First Ten Years: Analysis and Lessons for Eastern Europe and the Former Soviet Union: World Bank Report. World Bank, 2002.
Вопросы для повторения
1. Сформулируйте и охарактеризуйте основные задачи экономической политики реформ.
2. Опишите дискуссию о скорости экономических реформ: “шоковая терапия” и “градуализм”: участники, политэкономическая аргументация, теоретические обоснования.
3. Сформулируйте монетаристские идеи в макроэкономической политике реформ: политэкономические аргументы, опыт реализации, выводы.
4. Опишите модель “трансформационной ренты” Аслунда: предположения, аргументация, выводы.
5. Опишите модель политики “шоковой терапии” Берга — Сакса: предположения, логика, выводы.
6. Опишите двухсекторную модель переходной экономики: предположения и основные зависимости.
7. Проведите сравнительный анализ политики “шоковой терапии” и градуализма на основе двухсекторной модели. Каковы выводы и следствия для макроэкономической политики?
Дополнительные вопросы и задания для самостоятельной работы
1. Проанализируйте следующий тезис [Гайдар, 1999]: “Почти все постсоциалистические страны можно разделить на две группы. Первую из них составляют государства, которые сумели противопоставить финансовому кризису жесткую денежную политику и за короткие сроки сбить инфляцию до умеренных пределов. Во второй группе стран денежная политика была мягкой, темпы роста номинального денежного предложения подвержены резким колебаниям, а период высокой инфляции — длительным. С известной долей условности проводимую в первой группе стран экономическую политику можно назвать монетаристской, во второй — популистской”. Согласны ли вы с позицией автора? Обоснуйте свой ответ, используя эмпирические данные и теоретические аргументы.
2. Сформулируйте основные положения модели “шоковой терапии” Берга — Сакса. Нарисуйте графики динамики денежной массы, инфляции и обменного курса после начала радикальных реформ. Каким образом снимается “денежный навес”? Какова роль “номинальных якорей” в ограничении темпов инфляции и финансовой стабилизации?
3. Сформулируйте основные положения и выводы структуралистской макроэкономической модели переходной экономики с “новым” сектором частных компаний, “старым” сектором реструктурируемых предприятий, государством, частично субсидирующим реструктурируемый “старый” сектор. Проведите сравнительный анализ политики “шоковой терапии” и градуализма на основе этой модели. Какова роль структурных факторов в преодолении трансформационного спада?
4. Напишите реферат работы В. Попова [Popov, 2000].
5
лекция
МОДЕЛИ ДИНАМИКИ РЕАЛЬНОГО СЕКТОРА
5.1
Обзор моделей реформ
Поиск причин и факторов трансформационного спада в 1990-е гг. стал модной и престижной темой для западных и российских тран-зитологов. Гораздо менее популярна тема трансформационного роста. До недавнего времени большинство исследователей молчаливо полагали, что экономический рост “случится” сам собой, стоит лишь убрать макро- и микрофакторы ему препятствующие. По мнению некоторых экспертов, трансформационный спад — это лишь неприятный и досадный эпизод в истории переходных экономик, а экономический рост — закономерная и долгосрочная тенденция [Campos, СогісеШ, 2002].
Если трансформационный спад стал более или менее устойчивой закономерностью развития переходных экономик, то переход к экономическому росту в значительной степени определялся выбором макроэкономической и структурной политики в каждой стране. В политэкономических дискуссиях 1990-х гг. был достигнут предварительный консенсус по вопросу о ключевых факторах, влияющих на экономический рост. Эти факторы включают в себя, прежде всего, показатели экономической структуры: долю промышленности в ВВП, уровень урбанизации, торговые связи, наделен-ность страны природными ресурсами, начальное распределение по уровню среднедушевых доходов. Однако, согласно мнению ведущих политэкономистов, ни один из этих факторов не является столь значимым, как адекватная экономическая политика, направленная на скорейший выход из трансформационного кризиса.
По классификации Мирового банка, успех политики реформ в той или иной стране можно оценить по двумерной категориальной “решетке”: экономическая дисциплина и стимулирование. В понятие “экономическая дисциплина” включается широкий спектр мер экономической политики, направленных на ужесточение бюджетных ограничений для всех экономических субъектов с целью усиления стимулов к реструктуризации и повышению эффективности работы в новых условиях хозяйствования. В понятие “стимулирование” входят меры, направленные на создание благоприятного инвестиционного климата, стимулирование предпринимательской активности и создание новых предприятий, способных вести конкурентную борьбу в условиях рынка. Мировой банк предлагает следующую классификацию переходных экономик по этим категориям:
¦ Польша, Венгрия, Эстония — высокая дисциплина и эффективное стимулирование;
¦ Чехия, Словакия, Литва — более мягкие бюджетные ограничения, меньше дисциплины;
а Болгария, Румыния, Россия, Украина, Молдова, Киргизстан — отсутствие дисциплины, мягкие бюджетные ограничения;
в Беларусь, Туркменистан, Узбекистан — сохранение пережитков плановой административной системы, отсутствие стимулирования.
Как видно, классификация Мирового банка базируется на традиционных ценностях “кнута и пряника” и при ближайшем рассмотрении оказывается не совсем корректной. Так, в Китае ВВП на душу населения рос на 8% ежегодно с 1978 по 1995 гг. При этом, по классификации Мирового банка, Китай явно проигрывает по степени жесткости бюджетных ограничений для экономических субъектов. Доля “плохих долгов” банковской системы, служивших своеобразной финансовой “подушкой” для убыточных государственных предприятий, составляет от 30 до 40% годового ВВП.
Вместе с тем в России 1990-х гг. бюджетные ограничения для предприятий в большинстве отраслей экономики никак нельзя было назвать “мягкими”. Ликвидация государственных субсидий в
5.1
Обзор моделей реформ
начале 1990-х гг. и практически полное отсутствие доступа к банковскому кредиту привели к резкому ухудшению финансового состояния предприятий реального сектора и повсеместному распространению взаимных неплатежей как средства решения бюджетных проблем на корпоративном уровне. Как можно “ужесточать” бюджетные ограничения для экономических субъектов, которые отказываются подчиняться дисциплине “кнута” и ободряющему соблазну “пряника”? Банкротство — вот рецепт, предлагаемый Мировым банком. Опыт тотального банкротства неэффективных предприятий был опробован в 1993—1994 гг. в Венгрии и еще раньше — в 1980-е гг. — в Нигерии. В Венгрии от тотального банкротства “неэффективных” предприятий быстро отказались ввиду “эффекта домино” — цепной реакции дел о банкротстве, которыми оказались вскоре завалены все суды. В Нигерии “насаждение горчицы” банкротства было доведено до логического конца: экономика превратилась в “экспортный рукав” с полностью разрушенной социальной инфраструктурой и деградировавшими внутренними рынками.
В отличие от двумерной “решетки” Мирового банка и иных подобных политэкономических классификаций (монетаризм и популизм, по Гайдару) наш подход к исследованию эволюции реального сектора переходных экономик будет скорее индуктивным. Мы сосредоточимся на важнейших моделях постсоциалистической трансформации в 1990-х гг., к которым в той или иной мере тяготеют все программы реформ в переходных экономиках.
В настоящее время широко обсуждаются сравнительные достоинства и недостатки трех основных моделей экономической трансформации.
н P-модель: модель “шоковой терапии” в Польше. Эта модель содержала пять основных элементов:
полная либерализация нового частного сектора (1989— 1990 гг.);
упразднение парторганизаций на предприятиях, переход управления к рабочим советам;
шоковая либерализация цен в 1989—1990 гг.; введение жестких бюджетных ограничений для государственных предприятий, жесткая бюджетная и кредитно-денежная политика;
почти полная либерализация внешней торговли; конвертируемость валюты.
и С-модель: модель градуальной политики в Китае. Эта модель основывалась на следующих элементах политики: либерализация нового частного бизнеса; двухуровневая система цен;
мягкие бюджетные ограничения и субсидирование государственных предприятий через госбанки;
отсутствие полной либерализации внешней торговли.
¦ R-модель: модель экономических реформ в России. Отличительными чертами этой модели являются:
шоковая либерализация цен в 1992 г. ; шоковая либерализация внешней торговли в 1992 г.; шоковая массовая ваучерная приватизация по так называемой второй модели в 1993—1994 гг.;
отсутствие жесткой бюджетной и кредитно-денежной политики на начальном этапе реформ в 1992—1994 гг.;
особая роль экспортно-ориентированного сектора (в основном экспорт природных ресурсов) в развитии экономики страны; фаворитизм в приватизации предприятий экспортно-ориентированного сектора в 1994—1996 гг.
Каждая из этих моделей имеет свои структурные особенности. Если для польской модели существенно взаимодействие сектора новых частных компаний с сектором реструктурируемых государственных предприятий, то для российской модели эти взаимодействия не играют существенной роли (по причинам недоразвитости сектора малого и среднего бизнеса, которые будут проанализированы далее), но гораздо существенней — взаимодействие экспортно-ориентированного и импортозамещающего (внутренне-ориентированного) сектора, а также сектора естественных монополий.
5.2
P-модель (польский вариант)
По аналогии с двухсекторной моделью, рассмотренной выше при сравнительном анализе политики “шоковой терапии” и градуализма, в P-модели (см. рис. 5.1) анализируются макроэкономические закономерности взаимодействия двух основных секторов эконо-
мики: сектора новых частных предприятий и сектора реструктурируемых государственных предприятий. В рассмотренной ниже модели исследуется влияние факторов внешней торговли (экспорт, импорт, обменный курс) на макроэкономическую динамику.
 |
|
Рис. 5.1. Принципиальная блок-схема Р-модели |
Мы полагаем, что государство частично субсидирует реструктуризацию “старого” сектора, направляя на эти цели часть налоговых поступлений:
(5-1)
Д+1 = Ь(Тах),,
(Tax), = (Taxn)t +(Tax0)r
Предположим также, что объем производства “нового” Yn и “старого” Y0 секторов связан с ресурсами труда и капитала моделью производственной функции Кобба — Дугласа. Некоторый объем продукции нового сектора поступает на внутренний рынок, другая же часть этого выпуска экспортируется. “Старый” сектор выпускает промежуточную продукцию для “нового” сектора, а также продает часть своей продукции на внутреннем рынке. Уровни цен на про-дуклию “нового” и “старого” секторов различаются некоторым коэффициентом, отражающим более высокое качество продукции нового сектора. Формально эти предположения записываются следующим образом:
у„=аХ-к!/- =у:+у;,
Y0 = A„Lf:Kf- =?/ + ?,;, (5-2)
Рп =0- + в)Ро =ePU
где Ynp — объем продукции нового сектора, поступающей на внутренний рынок (при этом достаточно рассмотреть объем конечной продукции); Y‘ — объем продукции нового сектора, поступающей на экспорт, зависящий от конъюнктуры мировых рынков (уровень цен мирового рынка) и качества продукции нового сектора; Yf — объем продукции старого сектора, поступающей на внутренний рынок; Y" — объем промежуточной продукции старого сектора для предприятий нового частного бизнеса; рп — уровень цен (базисный индекс цен) на продукцию нового сектора; р0 — уровень цен (базисный индекс цен) на продукцию старого сектора; ? — дифференциал качества; е — номинальный обменный курс; р‘п — уровень экспортных цен на продукцию нового сектора (в долларах); Ьп, Ь0 — количество занятых в новом и старом секторах соответственно; Кп, К() — количество капитала в новом и старом секторах соответственно.
При моделировании макроэкономической динамики в “новом” и “старом” секторах будем рассматривать показатель агрегированного дохода, образующегося после финансовых взаиморасчетов с контрагентами.
Сектор нового частного бизнеса
В этом секторе показатель агрегированного дохода формируется из доходов от продаж на внешнем и внутреннем рынке минус платежи за поставки промежуточной продукции от старого сектора плюс объем прямых иностранных инвестиций и объем корпоративных инвестиций. Этот агрегированный доход используется, в основном, на заработную плату работникам предприятий, на налоговые платежи, обновление основного капитала и прибыль. В модели мы будем исследовать динамику заработной платы и налоговых платежей, т.е.
1псп = ерХ + р0 (1 + ?)У: - РХ + F + I,
(wA),+i =*„(^сД, (5-3)
(Тахп)м=тп(Іпсп)„
где Іпсп — агрегированный доход в новом секторе; е — номинальный обменный курс; F — объем прямых иностранных инвестиций; I — объем корпоративных инвестиций; ??„ — номинальная заработная плата в новом секторе; Ьп — занятость в новом секторе; Тахп — налоговые поступления от нового сектора; Іп,тп — коэффициенты корпоративной политики в новом секторе.
Сектор старых предприятий
В секторе реструктурируемых государственных предприятий агрегированный доход образуется из суммарного объема поставок конечной и промежуточной продукции, а также государственных субсидий:
1пс(, = рХ + Р,У:+В,
КАЛ+і =ААсД, (5-4)
. (Тах0)І+1=т0(Іпс0)г
Население
В рассматриваемой модели предполагается, что доходы населения формируются за счет заработной платы и трансфертов:
W = waLn+w0L0 + ™U, (5-5)
где U —¦ численность населения, получающего социальные трансферты; w — ставка социального трансферта (пенсии, стипендии, пособия по безработице).
Реальные расходы населения моделируются кейнсианской функцией потребления: где с0 — предельная склонность к потреблению; рі — уровень мировых цен (базисный индекс) на потребительский импорт; Е, — численный коэффициент.
Заработная плата занятых в новом секторе определяется из условия максимизации прибыли, которое с учетом модели Кобба Дугласу для производственной функции дает
|
W |
 |
СYf+Yf)
(5-6)
/у
(5-7)
«А =А(і+<?)/> А
Аналогично для заработной платы в старом секторе (с учетом реструктуризации предприятий и внедрения рыночных стимулов):
»А=Д,рА- (5-8)
Отсюда для количества населения, получающего трансферты, имеем
Рп
U = L-Po2*-Yo-Pn(\ + 0)?*-Ya
иу. W
(5-9)
и, следовательно, для доходов населения:
V WnJ
+рпа+?)рх,
W = wL + P0pNY0
(5-10)
Подставив это выражение в зависимость для реальных расходов населения, получим уравнение, связывающее количество промежуточной продукции с объемами выпуска в новом и старом секторах:
Y:=Y0(l-B0) + Yn(l-Bn)-Y:-A, (5-11)
где
РпСс
В с
г'о с
cwL
W,
V WoJ
в.
( ?А =
(1 + ?) і +
I ePi)
Х>Вп=-
( D Л
(1+0)po 1+^
l ePJ
1+^—
. Vi)
(1+0)
где с0 — предельная склонность к потреблению; pt — уровень мировых цен (базисный индекс) на потребительский импорт; ? — численный коэффициент.
Заработная плата занятых в новом секторе определяется из условия максимизации прибыли, которое с учетом модели Кобба — Дугласа для производственной функции дает
W
= с — Рп
Рп.
ер
і+?
(5-6)
ij
(5-7)
и'Л=Д(і+«)рЛ
Аналогично для заработной платы в старом секторе (с учетом реструктуризации предприятий и внедрения рыночных стимулов):
»А=Д,РЛ- (5-8)
Отсюда для количества населения, получающего трансферты, имеем
Рп
U = L-j3o^-Yo-j3n(l + 0)^Yn w„ w„
(5-9)
и, следовательно, для доходов населения:
V WnJ
(5-10)
(
W = wL + Р0р,Х„ 1--+А(1 + 0)РЛ
V Wo)
Подставив это выражение в зависимость для реальных расходов населения, получим уравнение, связывающее количество промежуточной продукции с объемами выпуска в новом и старом секторах:
Y:=Y0(l-B0) + Yn(l-Bn)-Y:-A, (5-11)
где
РпСс
В с
гос
cwL
w,
\’Вп=-
( ?А =
(1 + 0) 1 +
I еРІ)
( \
1 + ^
V ePiJ
1+#—
. еРі)
(1 + ?)Р„
(1+0)
Отсюда после преобразований получим уравнение для динамики выпуска в новом секторе:
(0+лІ,)і;+і7-(і-од+—+А
Ро
а+яхі+фдгои-а-г.-о
(5-12)
В этом уравнении переменная Y‘ — реальный объем экспорта нового сектора — является экзогенной. Выше мы отметили, что ее динамика определяется мировой конъюнктурой, в частности мировыми ценами на продукцию и услуги, экспортируемые новым сектором, а также показателем качества продукции нового сектора ?, определяющим конкурентоспособность этой продукции на мировых рынках.
Уравнение динамики выпуска в секторе старых предприятий записывается аналогично:
(5-13)
Нетрудно заметить, что ход рассуждений в этой модели соответствует логике предыдущей лекции. Остается лишь записать уравнение для динамики реальных объемов государственных субсидий:
f ВЛ
+Ътп{?+Вп)?п)1+ЪтпЮ,+
(1+я)
= Ьт
\Po)t+1
Ро)
(5-14)
(. F+IЛ А+-
+Ь(т0-тп(1-ВЖХ+Ьтп
Ро Л
Напомним еще раз, что целью данной модели является изучение факторов, определяющих динамику выпуска в новом и старом секторах, т.е. эндогенными переменными модели являются Yn,Y0,B/р0. Все другие показатели — ожидаемый темп инфляции, налоговые ставки, обменный курс и т.д. — предполагаются экзогенными.
Решение системы (5-12)—(5-14) для случаев “шоковой терапии” и градуальной политики реформ может быть получено аналогично предыдущей лекции. Это решение позволяет проанализировать основные факторы, определяющие динамику выпуска в секторе новых и старых предприятий.
а Темп инфляции: высокие темпы инфляции в начале реформ в результате проведения политики “шоковой терапии” приводят к спаду выпуска. Вместе с тем успешная политика финансовой стабилизации способствует росту выпуска в секторе новых частных предприятий.
и Более высокое качество продукции нового сектора способствует росту выпуска.
я Рост объемов прямых иностранных инвестиций, равно как и корпоративных инвестиций, приводит к росту выпуска в новом секторе.
и “Мягкий” налоговый режим для предприятий нового сектора на начальных стадиях их становления способствует росту выпуска.
а Трансформационный спад в P-модели будет значительно меньше при проведении градуальных реформ в реальном секторе, чем в случае “шоковой терапии”. Этот вывод подтверждается анализом опыта польских реформ. В отличие от России, где 80% бывших госпредприятий были лишены субсидий в начале реформ (1992—1993 гг.), а приватизация предприятий была проведена “шоковым” методом в 1993—1995 гг. (так называемая вторая модель приватизации), в Польше приватизация предприятий реального сектора проводилась градуальным методом: вплоть до 1996—1997 гг. большинство крупных промышленных предприятий находилось в государственном секторе экономики.
Проведенный выше анализ позволяет выявить как внешние, так и внутренние факторы экономического роста в P-модели. Основные внешние факторы роста: прямые иностранные инвестиции и благоприятная мировая конъюнктура на рынках экспортируемой продукции. Внутренние факторы роста: успешная приватизация и реструктуризация предприятий реального сектора, создание благоприятных условий для роста нового частного бизнеса, макроэкономическая стабилизация, грамотная политика в социальной сфере. В целом, итогом реформ в P-модели становится конкурентная среда частных предприятий, выпускающих пользующуюся спросом продукцию как для внутреннего рынка, так и на экспорт.
5.3
R-модель (российский вариант)
Рассматриваемая далее модель является центральным смысловым и методологическим звеном для последующего анализа проблем российской переходной экономики. В этой модели мы вводим в рассмотрение факторы внешней торговли — экспорт, импорт, обменный курс, а также факторы производственных взаимосвязей и финансовых взаиморасчетов между различными структурными сегментами реального сектора. Эта модель является прототипом структуралистских моделей переходных экономик с акцентом на преимущественном развитии добывающих отраслей и экспорте природных ресурсов. Именно в этих R-экономиках (от слова “resources”) с особой остротой проявляются симптомы “голландской болезни”, существенно затрудняющей выход из трансформационного кризиса и дальнейший экономический рост. Кризис неплатежей, тесная связь макроэкономической динамики с перепадами конъюнктуры мировых рынков сырья, хронический недостаток инвестиционных ресурсов, структурные диспропорции в реальном секторе — таковы основные макроэкономические проблемы, осложняющие экономический рост в переходных R-экономиках.
Одной из главных структурных характеристик российской переходной экономики является сложившаяся в 1992—2002 гг. трехполюсная структура реального сектора, экспортно-ориентированные отрасли, поставляющие конкурентную продукцию на внешний и внутренний рынок, естественные монополии (электроэнергетика, транспорт), обслуживающие все отрасли реального сектора и население, и внутренне-ориентированные отрасли, обслуживающие национальный рынок и подверженные рецессии вследствие снижения платежеспособного спроса населения и низкой конкурентоспособности их продукции с импортными товарами.
Проблема неплатежей между предприятиями реального сектора является одной из ключевых в определении характера взаимосвязи темпов инфляции и экономического роста в России. Поляризация реального сектора российской экономики на экспортно-ориентированный и внутренне-ориентированный сегменты обостряет структурную несбалансированность национального хозяйства и вызывает бурный рост объемов долговых обязательств.
Поквартальная динамика показателя разности между просроченной задолженностью покупателей и просроченной задолженностью поставщикам в различных отраслях промышленного производства в 1998—2001 гг. приведена в табл. 5.1.
Таблица 5.1
Динамика разности между просроченной задолженностью покупателей и просроченной задолженностью поставщикам,
трлн. руб. |
|
Отрасль |
1998 г. |
|
1999 г. |
|
|
2000 г. |
|
2001 г. |
промыш
ленности |
III
КВ. |
IV
кв. |
I
КВ. |
II
кв. |
III
КВ. |
IV
кв. |
I
кв. |
II
кв. |
III
КВ. |
IV
КВ. |
I
КВ. |
II
КВ. |
|
Вся промышленность |
27,2 |
13,2 |
33,8 |
34,7 |
30,4 |
16,0 |
-1,2 |
-0,7 |
-4 |
-0,2 |
4,3 |
10,6 |
Электро
энергетика |
41,4 |
35,2 |
44,2 |
51,6 |
42,9 |
38,3 |
67,1 |
45 |
41,9 |
36,6 |
43,5 |
39,7 |
|
Топливная |
16,6 |
13,2 |
18,4 |
14,7 |
19,4 |
11,2 |
8,6 |
5,8 |
5,9 |
15,1 |
17 |
14,6 |
Черная
металлургия |
-8,6 |
-9,0 |
-9,5 |
-10,4 |
-9,5 |
-10,8 |
-9,6 |
-10,6 |
-1U |
-9,4 |
-8,1 |
-4,5 |
Цветная
металлургия |
-5,1 |
-5,5 |
-4,6 |
-4,9 |
-4,6 |
-5,9 |
-4,6 |
-3,9 |
-11,5 |
-4,7 |
-8 |
-6,4 |
|
Химическая |
-9,9 |
10,9 |
-п,з |
-10,1 |
-12,0 |
-12,5 |
-14,2 |
-13,6 |
-13,2 |
-13,7 |
-13,2 |
-12 |
Машино
строение
и металлообработка |
-1,6 |
-2,7 |
4,1 |
2,7 |
3,7 |
6,9 |
-6,9 |
-5,9 |
-10 |
-15,2 |
-18,5 |
-13,1 |
Лесной
комплекс |
-3,2 |
-3,7 |
-2,8 |
-4,0 |
-4,5 |
-3,6 |
-2,7 |
-2,3 |
-2,8 |
-3,4 |
-2,7 |
-2,3 |
|
Строительных материалов |
-0,5 |
-0,5 |
-0,8 |
-1,1 |
-0,7 |
-1,6 |
-1,5 |
-1,4 |
-0,9 |
-1,8 |
-2 |
-1,9 |
|
Легкая |
-1,8 |
-1,9 |
-2,0 |
-1,9 |
-1,7 |
-2,3 |
-2,0 |
-2,3 |
-2,1 |
-2,3 |
-2 |
-1,7 |
|
Пищевая |
-1,1 |
-2,0 |
-2,7 |
-3,1 |
-4,1 |
-4,3 |
-4,5 |
-5,7 |
-5,1 |
-4,8 |
-6,2 |
-7,3 |
Сельское
хозяйство |
-24,1 |
-24,2 |
-25,4 |
-27,9 |
-28,0 |
-26,1 |
-26,5 |
-31,8 |
-33 |
-31,9 |
-31,3 |
-35,6 |
|
Транспорт |
58,5 |
55,1 |
49,9 |
65,2 |
69,7 |
48,8 |
50,9 |
51,9 |
49,8 |
43,9 |
46,9 |
25,8 |
|
Источник, данные Госкомстата России, расчеты автора.
Анализ данных, приведенных в табл. 5.1, подтверждает описанный выше “структурный портрет” реального сектора российской экономики. Существуют три сравнительно устойчивые группы отраслей, для которых динамика исследуемого показателя взаимной задолженности предприятий имеет качественно различный характер:
¦ естественные монополии (электроэнергетика, транспорт);
¦ экспортно-ориентированные отрасли (топливный комплекс, металлургия, химия, лесной комплекс);
¦ внутренне-ориентированные отрасли (машиностроение, легкая, пищевая, промышленность стройматериалов, строительство, ЖКХ, сельское хозяйство).
Формальный анализ
Характеризуя финансовое положение предприятий в различных структурных сегментах реального сектора российской экономики, мы будем использовать показатель агрегированного дохода, учитывающий объемы взаимных неплатежей между предприятиями. Введем в рассмотрение следующие вектора чистых долговых обязательств: D — вектор долговых обязательств, направленный от внутренне-ориентированного (ВОС) к экспортно-ориентированному (ЭОС) сектору; De — вектор долговых обязательств, направленный от ЭОС к сектору естественных монополий (ЕМ); Dd — вектор долговых обязательств, направленный от ВОС к ЕМ.
С учетом данных табл. 5.1 диаграмма долговых обязательств в реальном секторе приобретает следующий вид.

Предприятия внутренне-ориентированного сектора являются нетто-дебиторами для отраслей естественных монополий и экспортно-ориентированного сектора (вектора Dd и D соответственно); предприятия ЭОС являются нетто-кредиторами для ВОС (вектор D) и нетто -дебиторам и для ЕМ (вектор De).
Экспортно-ориентированный сектор (ЭОС)
Экономическое поведение предприятий, входящих в состав ЭОС, преследует цель максимизации прибыли на базе доступных ресурсов труда Ье и капитала Ке. Эти предприятия не сталкиваются с проблемой ограниченного внутреннего спроса на свою продукцию (преимущественно сырьевые и топливно-энергетические ресурсы). Совокупный реальный объем их выпуска связан с ресурсами труда и капитала моделью производственной функции: Ye = F(Ke,Li:). Некоторый объем продукции предприятий ЭОС (У/) продается на внешнем рынке по мировым ценам ре; остальная же часть продукции (Yd) продается на российском рынке по внутренним ценам pde (в долларовом исчислении).
С учетом приведенной выше диаграммы долговых обязательств агрегированный доход в секторе ЭОС приобретает следующий вид:

где Іпсе — агрегированный доход экспортно-ориентированного сектора; е — номинальный обменный курс (руб./долл.); ереУе — доход от продаж на мировых рынках; epdYf — потенциальный доход от продаж на внутреннем рынке; D — объем долговых обязательств от ВОС к ЭОС; Y‘m Рт — потенциальная стоимость ресурсов, предоставленных ЕМ для ЭОС; De — объем долговых обязательств от ЭОС к ЕМ; Ge — объем государственных (централизованных) инвестиций в ЭОС, Іе — объем частных инвестиций в ЭОС. Этот доход был использован, главным образом, на воспроизводство основного капитала (часть ке), на оплату труда (Іе) и налоговые назначения (ге):
(5-16)
(5-17)
(5-18)
(А)(+1 = к ЛіпСе),,
(weLe)Hl ~ IЛіПСе), > (ТаХе )(+, = Те (іпСе ), >
где коэффициенты ке,Іе,те являются функциями времени; О < ке + к + т,, < 1 і t, (t +1) — последовательные временные интервалы.
Естественные монополии (ЕМ)
Особенностью экономического поведения естественных монополий в первой фазе реформ (1992-—1994 гг.) стал опережающий рост тарифов на электроэнергию и грузовые перевозки, приведший к разгону темпа инфляции и росту объемов неплатежей между предприятиями реального сектора. Из данных табл. 5.1 следует, что в 1998—2001 гг. просроченная нетто-задолженность покупателей сосредоточилась в отраслях естественных монополий (и в топливной промышленности). С учетом векторов долговых обязательств De, Dd, направленных от секторов ЭОС и ВОС к сектору естественных монополий, агрегированный доход в отраслях естественных монополий приобретает следующий вид:

(5-19)
где Іпст — агрегированный доход в секторе естественных монополий; Y", Y)', YJ’ — объемы продукции и услуг естественных монополий, направляемые в ЭОС, ВОС и на обслуживание населения соответственно; Рт,рт — уровень тарифов естественных монополий для реального сектора и населения соответственно; Gm — объем государственных инвестиций в отрасли естественных монополий; Іт — объем частных инвестиций в отрасли естественных монополий.
В уравнении (5-19) мы полагаем, что суммарный эффект материальных затрат и взаимных неплатежей для сегмента естественных монополий выражается суммой векторов чистых долговых обязательств De + Dd. Поставками продукции естественных монополий на экспорт пренебрегаем.
С учетом коэффициентов прямых затрат на использование продукции и услуг естественных монополий в экспортно- и внутренне-ориентированных отраслях имеем

(5-20)
Общий объем просроченной задолженности Dm=De + Dd в отраслях ЕМ связан с уровнем тарифов для реального сектора Рт прямой зависимостью: Dm = Dm(Pm), причем монопольное положение этих предприятий позволяло им в 1992—2000 гг. добиваться положительной разности (Y‘ + YA)Рт -Dm(Pm) = %YmPm, 0<%< 1, при росте тарифов Рт.
Внутренне-ориентированный сектор (ВОС)
Агрегированный доход в ВОС может быть записан следующим образом:
Incd = PdYd - (ерЖ -D)~ {YAPm -Dd) + Gd + Id, (5-21)
где Incd — агрегированный доход ВОС; pdYd — доход от продаж на внутреннем рынке; epAYf -D — фактический объем выплат за поставки продукции ЭОС; YAPm-Dd — фактический объем выплат за поставки продукции ЕМ; Gd — объем государственных инвестиций в ВОС; Id — объем частных инвестиций в ВОС.
Предприятия ВОС сталкиваются с ограниченным платежеспособным спросом населения на свою продукцию и возросшей конкуренцией с импортными товарами. В силу этих причин объем производства Yd в ВОС снижался в 1992—1998 гг., а доход, в основном, использовался на оплату труда и налоговые назначения. В модели описывается динамика двух основных составляющих агрегированного дохода ВОС — заработной платы и налогов:
(wrfZ/rf)/+1 (5-22)
СTaxd)l+i= Td (Inca),» (5-23)
где 0<id + Td<l.
Замечание. Подчеркнем еще раз, что в отличие от микроэкономических структуралистских моделей экономического обмена, в которых объемы потребления и предложения благ изменяются в зависимости от ценовых диспаритетов, в макроэкономических моделях использован показатель агрегированного дохода в качестве основного функционала от финансового состояния предприятий в различных секторах экономики. По аналогии со структуралистскими микромоделями цены в различных секторах должны определяться исходя из условия согласования объемов спроса и предложения или, в общем случае, из условия минимизации взаимных неплатежей между предприятиями различных секторов. Далее эта идея будет развита на примере определения уровня цен на продукцию импортозамещающего сектора российской экономики.
Предприятия импортозамещающего сектора в начальный период реформ в России столкнулись с двумя фундаментальными макроэкономическим факторами, обусловившими резкое ухудшение их финансового состояния. Во-первых, это резко возросшая конкуренция с дешевым потребительским импортом, хлынувшим в страну в результате либерализации внешней торговли. Во-вторых, это агрессивная ценовая и тарифная политика в отраслях экспортно-ориентированного сектора и естественных монополий. Интересы пред-приятий-экспортеров заключались в стремительном росте российских цен на сырьевые ресурсы вплоть до уровня соответствующих мировых цен. Для импортозамещающего сектора рост сырьевых цен означал резкое увеличение материальных затрат при невозможности найти “адекватный ответ” — увеличить цены на конечную продукцию — вследствие конкуренции с дешевым импортом и ограниченного платежеспособного спроса на внутреннем рынке. Отсюда — объективная причина кризиса неплатежей, поразившего российскую экономику, как и другие переходные R-экономики в годы реформ. Более того, именно эти структурные ценовые диспропорции обусловили недостаточное развитие малого и среднего бизнеса в России. В условиях резкого роста издержек производства, значительной конкуренции с потребительским импортом, а также существенного уровня коррупции в госаппарате малый и средний бизнес в России вплоть до кризиса 1998 г. оставался убыточным, несмотря на множество призывов и постановлений о необходимости его ускоренного роста.
Сравним две интерпретации кризиса неплатежей в России 1992-2002 гг.
¦ Конвенциальная политэкономическая интерпретация: кризис неплатежей вызван “мягкими бюджетными ограничениями” как на уровне финансовых отношений между предприятиями, так и в сфере государственных финансов. Предприятия-должники представляют собой так называемый “нерыночный” сектор экономики, разрушающий добавленную стоимость и фактически “паразитирующий” на здоровом рыночном секторе экономики. Для борьбы с неплатежами необходимо, прежде всего, ввести эффективные процедуры банкротства и заставить государство платить по своим обязательствам [Ясин, 2002а].
¦ Структуралистская интерпретация: кризис неплатежей вызван фундаментальными структурными диспропорциями в развитии различных секторов R-экономики, прежде всего диспаритетом в динамике цен на экспортируемые товары (сырье и энергоресурсы) и продукцию для внутреннего рынка, а также тарифов естественных монополистов. Для борьбы с кризисом неплатежей необходимо выравнивать условия конкуренции для российских предприятий, а также осуществлять структурные реформы, прежде всего, в реальном секторе экономики.
Сторонники первой интерпретации настаивают на предельно жесткой финансовой политике в реальном секторе: необходимо, невзирая на социальные последствия, обанкротить большинство предприятий нерыночного сектора с передачей их ресурсов эффективно работающим предприятиям. Несмотря на то, что “жесткость” этой политики обладает очевидным “обаянием простых решений”, российская экономическая практика доказала, что необходимо принимать во внимание аргументы структуралистской интерпретации кризиса неплатежей. Далее мы увидим, что R-модель дает дополнительные аргументы в пользу второй интерпретации.
Основной характеристикой ВОС в 1992—1998 гг. стало резкое ухудшение финансового состояния предприятий, ориентированных на внутренний рынок, и рост просроченной нетто-кредиторской задолженности, компенсирующей разницу между доходами от реализации продукции pdYd и оплатой ресурсов, предоставленных секторами ЭОС и ЕМ, т.е.

(5-24)
В этих условиях произошло снижение агрегированного дохода ВОС до величины
(5-25)
Incd=Gd+Id
и, как следствие, сужение налогооблагаемой базы и фонда оплаты труда ВОС, вызвавшее рост задолженности по налогам в бюджет и заработной плате.
Эти тенденции в России наблюдались вплоть до кризиса 1998 г. После кризиса, сопровождавшегося существенной девальвацией рубля и значительным ростом инфляции, произошел перелом этих негативных тенденций. Далее мы подробно проанализируем факторы посткризисного роста, пока же отметим, что резкое падение реального курса рубля после 1998 г. значительно улучшило конкурентоспособность российской продукции на внутреннем рынке и привело к усилению процессов импортозамещения. Из данных табл. 5.1 видно, что многие отрасли (например машиностроение и металлообработка, где сосредоточены 80% российских предприятий), до кризиса бывшие нетто-дебиторами и, по терминологии Ясина, располагавшиеся в так называемом нерыночном секторе экономики, после кризиса пережили внезапное “чудесное превращение”, оказавшись нетто-кредиторами и перейдя в рыночный сектор. Наивно полагать, что это стремительное сокращение нерыночного сектора российской экономики в посткризисный период вызвано сугубо микрофакторами: улучшением менеджмента, ростом производительности труда и т.д. Ясно, что при анализе этих явлений мы не можем не принимать во внимание существенное изменение макроэкономической конъюнктуры после кризиса 1998 г. в России.
Доходы и расходы населения
Для дальнейшего анализа нам потребуется изучение факторов, влияющих на динамику доходов и расходов населения.
Агрегированная потребительская функция в России обладает чертами, присущими кейнсианской модели, и может быть описана зависимостью вида: С = C(W/p).
f—1
UJ
(5-26)
In С = D0 + Dx In
Существует зависимость вида C(W/ pA)a, 0<сс<1, где a = 0,644.
Вместе с тем объем реального потребления связан с реальным объемом агрегированного выпуска внутренне-ориентированного сектора зависимостью вида
C = Yd(l + Imp), (5-27)
где Imp = t;——--доля импорта в совокупном потреблении, вы-
(еРі)
тесняющего российские товары конечного спроса.
Вследствие ограниченного внутреннего платежеспособного спроса населения предприятия внутренне-ориентированного сектора сталкиваются со значительными финансовыми трудностями:
их доходы от реализации продукции не покрывают издержек на сырьевые и топливно-энергетические ресурсы, что приводит к росту неплатежей. В этих условиях одной из главных проблем предприятий внутренне-ориентированного сектора является выбор ценовой политики, т.е. определение уровня цен pd , минимизирующего объем неплатежей D+Dd. При этом в модели мы исходим из “презумпции невиновности”, т.е. предполагаем, что большинство предприятий ВОС не заинтересованы в наращивании объемов неплатежей. Поэтому выбор уровня внутренних цен осуществляется на основе критерия: D+ Dd —> тіщ,, который с учетом (5-21) преобразуется к виду
epX+YdPm-pdYd^ min
(5-28)
Pd‘
Из уравнений (5-26)—(5-27) имеем
(5-29)
.... PdC(W/pd)'
1 + &d КерУ
Для дальнейшего изложения существенны особенности динамики внутренних цен на продукцию ЭОС — pde. Рассмотрим два характерных квазистационарных периода эволюции цен pde : в первом периоде (1992—1994 гг.) уровень внутренних цен на продукцию ЭОС сектора значительно ниже мирового, т.е. pd « ре, и во втором периоде (1995—2001 гг.): pd~pe.
Выбор уровня цен pd предприятиями ВОС осуществляется при условии W = const (эти предприятия, как правило, не в состоянии прогнозировать изменения совокупных доходов населения).
В первом периоде эволюции внутренних цен на продукцию ЭОС минимум критерия (5-28) достигается при pdYd = epdYde + SYd Рт. Отсюда мы заключаем, что темп роста внутренних цен pd в период 1992—1994 гг., в основном, определялся динамикой тарифов на продукцию и услуги естественных монополий Рт, темпом роста обменного курса е и уровнем цен на продукцию предприятий ЭОС — pd. Во втором периоде, характеризующемся близостью уровней внутренних и мировых цен на продукцию ЭОС, выполняется условие pdYd cV^ -epdYd +YdPm, и поэтому оптимальной ценовой политикой для предприятий ВОС становится выбор уровня цен, максимизирующего доходы от реализации продукции pdYd (см. рис. 5.3).
І1 рЖ
V,
max
(рМ
|
d±d' шах |  |
|
Рис. 5.3. Доходы ВОС в зависимости от уровня цен Используя явное выражение для pd Yd, из (5-29) получаем |
Pd
|
р.пА-а |
 |
(5-30)
Уравнение (5-30), соответствующее политике “нейтральной девальвации” рубля, определяет факторы, влияющие на темп инфляции во втором периоде: обменный курс доллара и темп роста цен на импортируемые товары.
Помимо отмеченных выше немонетарных факторов, определяющих темп роста цен на продукцию ВОС, на темп роста потребительских цен во втором периоде влияют также факторы прироста денежной массы, обусловленные объемом монетизации бюджетного дефицита и объемом стерилизации притока иностранной валюты в страну. Вследствие этого уровень внутренних цен на потребительские товары будет выше (pd) , что приведет к дальнейшему росту
номинальных и реальных объемов неплатежей между предприятиями реального сектора.
Вместе с тем исследование взаимосвязи темпов инфляции и экономического роста в реальном секторе целесообразно провести
для случая оптимального выбора внутренних цен на продукцию ВОС, соответствующего политике “нейтральной девальвации” национальной валюты. С учетом (5-15) и (5-24) уравнение (5-17) может быть записано в следующем виде:
(¦W'LXi =Церег; + pdYd -YmPm + Dm+Ge + Ie)r (5-31)
Принимая во внимание (5-30), а также отмеченное выше соотношение YmPm-Dm = ZYmPm, 0<%<\, преобразуем (5-31) к следующему виду:
(рЛ
——F(Ke,Le)+Yd + E‘ ~{r) -XYmPm/Pi
We
d-'t+l
. (5-32)
L,
(рЛ
Pil-a
Pi
Jt
/і+і
Как было отмечено выше, предприятия экспортно-ориентированного сектора не сталкиваются с ограниченным платежеспособным спросом на свою продукцию и стремятся к извлечению максимума прибыли на базе имеющихся ресурсов труда и капитала. Поэтому реальная заработная плата в ЭОС равна предельному продукту труда:
— = F'L(Ke,Le). (5-33)
еРе
С учетом производственной функции Кобба — Дугласа уравнение (5-32) может быть преобразовано к следующему виду:
|
г |
( „ X |
\ |
|
С -хп |
Р,п |
|
|
|
|
|
V |
У Pd у |
t) |
|
(1 + 71) PC Fl+1 |
|
|
f |
г \ |
|
|
/ \ |
|
+ U |
1 -Х8 |
Рт |
|
(Yd), + le |
Gi + Ie |
|
|
\ |
1 Pd) |
і) |
|
1 Pd J |
|
(5-34)
а
1 -а
где n-{pd\J{pd\-1 - темп инфляции; С = —?
Рі
Это уравнение описывает динамику выпуска в экспортно-ориентированном секторе. Существуют две возможные траектории этой динамики.
Р
1. Депрессивная траектория: Іе(С~ХЛ~< Д(1 + яО<Г- Этот
Pd
случай характерен для текущей ситуации в российской экономике. Когда тарифы на продукцию и услуги естественных монополий, ставки налога на добавленную стоимость и прибыль достаточно велики, большинство предприятий экспортно-ориентированного сектора лишаются мотивационных импульсов к расширению бизнеса, и агрегированный выпуск в ЭОС постепенно снижается до следующей нижней границы:
г = h Yd (1'~ Рт / Pd) + (Ее + Іе (ОУ Pd
С (\ + n)p-U + XVUPm/? Pd '
Уравнение (5-35) свидетельствует о том, что в “депрессивном случае” существует положительная связь между объемом выпуска в ЭОС — F и агрегированным выпуском внутренне-ориентированного сектора — Yd ¦ Депрессивная динамика объема производства Yd в отраслях, ориентированных на внутренний рынок, подавляет экономический рост в ЭОС. Эта ситуация усугубляется инвестиционным и бюджетным кризисом в России: недобор налогов в государственный бюджет ввиду сужения налогооблагаемой базы и роста теневого сектора экономики приводит к урезанию государственных инвестиционных программ и расширению эмиссий госбумаг (ГКО, евробонды), что влечет за собой увеличение нагрузки госдолга на кредитные ресурсы банков и снижение реальных объемов капиталообразующих инвестиций в ЭОС и ВОС.
Из уравнения (5-35) следует, что существует негативная зависимость между темпом инфляции и динамикой выпуска в ЭОС. Однако постулирование подобной зависимости для всего реального сектора переходной экономики является ошибочной экстраполяцией теоретических результатов, полученных для развитых рыночных экономик, на переходные экономические структуры.
С-хп—
( \
>/3(1+ж)?.
Pd)
2. Траектория экономического роста: I,
Этот случай характеризует феномен экономического роста. Если тарифы естественных монополий, а также налоговые ставки на добавленную стоимость и прибыль реального сектора достаточно низки, то условие роста выполняется и из уравнения (5-35) следует, что объем выпуска в ЭОС (F) начинает возрастать независимо от депрессивной динамики переменных Yd>Ee,Ie(r) и определяется только ограничениями внешнего спроса. Практически во всех переходных экономиках Центральной и Восточной Европы экономический рост начинался с экспортно-ориентированного сектора и лишь впоследствии (через расширение агрегированного спроса) распространялся на отрасли, обслуживающие внутренний рынок. Вместе с тем в российском случае несбалансированная экспортная экспансия в отраслях, производящих сырьевые и топливно-энергетические ресурсы, может привести к усилению структурных диспропорций в реальном секторе, кризису в обрабатывающей промышленности и стагнации внутреннего спроса.
В отличие от классического монетаристского постулата “ниже инфляция — выше темп экономического роста”, проведенный анализ свидетельствует о том, что снижение темпов инфляции не всегда влечет за собой уменьшение темпов экономического спада. Что мы действительно можем утверждать относительно влияния инфляции на темп экономического роста, это тот факт, что снижение темпа инфляции создает предпосылки для переключения на траекторию экономического роста. Вместе с тем для начала экономического роста, помимо снижения темпа инфляции, необходима адекватная налоговая политика государства в отношении предприятий реального сектора, а также отсутствие резких ценовых диспропорций в различных секторах производства. Быстрого экономического подъема добиваются лишь те страны, в которых налоговая нагрузка на предприятия реального сектора сведена к минимуму, а основное налоговое бремя ложится на физические лица с большими доходами.
В порядке самокритики отметим два недостатка проведенного анализа: во-первых, он базировался на гипотезе “нейтральной девальвации” рубля, что далеко не всегда соответствует действительности; во-вторых, была исследована динамика выпуска в экспортно-ориентированном секторе и ничего не было сказано о факторах, влияющих на динамику выпуска в секторе предприятий, работающих на внутреннем рынке.
Обобщение полученных результатов на случай произвольной динамики реального обменного курса, включая фактическую динамику реального обменного курса в России в 1992—2002 гг., можно получить следующим образом. Введем в рассмотрение фактор реального обменного курса, рассчитанного по экспортируемым товарам, т.е.
?Ре
Pd
и напомним, что ре — уровень мировых цен (базисный индекс) на экспортируемые товары (усредненный с учетом структуры экспорта); е — номинальный обменный курс (для России — в размерности руб. /долл.); pd — уровень внутренних цен.
Тогда, в точности повторив приведенные выше рассуждения, получим уравнение для динамики выпуска экспортно-ориентированного сектора:
(
P"L
V Pd ),)
f Т \ f Л
weLe I ере'
(К)ні=АЕма+*М)ні=і,
(П),+
Et-XV
V Pd Jl+i
V еРе )м (
( \\ Eml
{p<l Sty
fG +1 Л
e e
1 -SEt -%к
(U +
Pd J,
Это уравнение позволяет анализировать факторы, влияющие на динамику выпуска в экспортно-ориентированном секторе, в общем случае, а именно:
¦ рост инфляционных ожиданий тг(+1 приводит к снижению выпуска экспортно-ориентированного сектора (УД+1;
¦ рост мировых цен на экспортируемые товары (в основном, сырая нефть) приводит к увеличению выпуска (УД+1;
¦ опережающий рост тарифов естественных монополистов (электроэнергия, газ, грузовой транспорт) по сравнению с темпом роста цен в промышленности приводит к снижению выпуска (У,).+];
¦ рост фактора (elpd), приводит к увеличению выпуска (УД+1. В частности, укрепление рубля, вызванное опережающим темпом роста цен в промышленности по сравнению с ростом номинального обменного курса, при прочих равных условиях приводит к снижению выпуска (УД+1.
Рассмотрим теперь факторы, определяющие экономический рост во внутренне-ориентированном секторе. Рассуждения будем основывать на зависимости (5-27), которую представим в следующем виде:
у L
d~l
ері
Из этой зависимости непосредственно видно, что политика стимулирования внутреннего спроса и рост реальных располагаемых доходов населения приводят к росту выпуска внутренне-ориентированного сектора. Более сложным является вопрос: как влияет инфляция и обменный курс на динамику показателя Yd ?
Выше мы показали, что динамика инфляции в российской экономике определяется как монетарными (денежная масса, валютный курс), так и немонетарными факторами, к которым можно отнести динамику тарифов естественных монополистов. Любое повышение инфляции, вызванное ростом тарифов естественных монополистов, отрицательно сказывается на динамике выпуска Yd. Это непосредственно следует из приведенной выше зависимости, поскольку рост уровня внутренних цен pd приводит к уменьшению числителя и росту знаменателя главной дроби в правой части этой формулы.
В то же время рост фактора —--реального обменного кур-
ер,
са рубля — приводит к уменьшению выпуска Yd. С этой закономерностью связан так называемой эффект импортозамещения, проявившийся в России после кризиса 1998 г.: резкая девальвация рубля привела к повышению конкурентоспособности российских товаров на внутреннем рынке и росту выпуска внутренне-ориентированного сектора.
Выводы
Проведенный анализ позволяет выявить основные макроэкономические факторы, определяющие динамику экономического роста в переходной экономике российского типа.
1. Темп инфляции.
> /3(1 +я)? следует, что снижение
f Р \
Из условия іе С ~ XV—
V Pd У
темпа инфляции л создает предпосылки для переключения на траекторию экономического роста. Вместе с тем следует отметить, что, в отличие от монетаристской трактовки взаимосвязи темпов инфляции и экономического роста (“чем ниже темпы инфляции, тем выше годовой прирост реального ВВП”), приведенная выше модель позволяет сделать вывод об отсутствии однозначной и жесткой обратной зависимости между темпом инфляции и экономическим ростом в экономиках переходного типа. Задача снижения темпа инфляции “любой ценой” может обернуться углублением темпов экономического спада, что и наблюдалось в России в 1996—1998 гг. Разработанная модель подтверждает принципиальную возможность такого хода развития событий: даже при снижении темпа инфляции до 24% годовых условие экономического роста Іе(С ~ХРРт/ Pd) > @(.1 + я)С в России в 1996—1997 гг. не выполнялось ввиду высоких тарифов на продукцию и услуги естественных монополий и высокого уровня налоговых ставок для предприятий реального сектора.
2. Уровень тарифов на продукцию и услуги естественных монополий.
Из уравнения (5-34) следует, что опережающий рост тарифов на продукцию и услуги естественных монополий по сравнению с темпом инфляции (Рт / pd Т) подавляет экономический рост и ведет к усилению депрессивных тенденций в реальном секторе в краткосрочной перспективе. Вместе с тем в среднесрочной и долгосрочной перспективе неизбежно происходят структурные сдвиги в сфере производства: преимущественное развитие получают энергосберегающие технологии и неэнергоемкие отрасли, что ведет к снижению энергоемкости и росту производства.
3. Уровень налоговых ставок на предприятия экспортно-ориентированного сектора.
Из уравнения (5-34) следует, что высокий уровень налоговых ставок те на экспортно-ориентированные предприятия реального сектора подавляет экономический рост. Высокая ставка налога на добавленную стоимость лишает предприятия ЭОС мотивационных импульсов к расширению бизнеса. Именно здесь кроется одна из главных причин низкой эффективности финансовых вложений в реальный сектор. Уровень отдачи от финансовых инвестиций в реальный сектор определяется процентом прироста производства от каждой дополнительной единицы финансовых вложений. Но если ставка налога на производство велика, то, как следует из уравнения (5-34), реальный объем производства будет сокращаться, несмотря на увеличение объемов финансовых инвестиций. Таким образом, существуют вполне реальные причины, обусловливающие повышенный уровень риска финансовых вложений в реальный сектор: высокая ставка налога на производство и высокий уровень тарифов на продукцию и услуги естественных монополий влекут за собой низкий уровень инвестиционной активности в реальном секторе российской экономики, несмотря на снижение темпов инфляции и процентных ставок.
В этой связи принятие и ввод в действие новых статей Налогового кодекса в 2002 г., предусматривающих радикальное снижение налоговой нагрузки на реальный сектор, в ближайшие 2—3 года окажет положительное воздействие на рост производства в базовых отраслях и будет способствовать притоку финансовых инвестиций в реальный сектор.
4. Темп роста реальных объемов инвестиций в основной капитал.
Из уравнения (5-34) следует, что инвестиции в основной капитал являются важнейшим фактором экономического роста.
5. Темп роста реальных располагаемых доходов населения.
Рост реальных располагаемых доходов населения, как следует из уравнения (5-34), стимулирует оживление производства как в секторе внутренне-ориентированных отраслей, так и в экспортноориентированном секторе экономики.
6. Темп роста объемов неплатежей в реальном секторе.
Из уравнения (5-34) следует, что в условиях высоких тарифов на продукцию и услуги естественных монополий, а также высоких налоговых ставок на производство снижение коэффициента х •> обусловленное ростом дебиторской задолженности в отраслях естественных монополий, предотвращает экономический спад. В этом смысле неплатежи стали формой адаптации предприятий к аномальным экономическим реалиям переходного периода 1992—1998 гг. В то же время рост объемов неплатежей в реальном секторе приводит к снижению налоговых поступлений в бюджет и стагнации агрегированного спроса.
Учебно-методические материалы к лекции 5
Литература
Основная
Бродский Б.Е. Инфляция и экономический рост в России: источники, механизмы, модели // Экономический журнал ВШЭ. 1997. № 2.
Бродский Б.Е. Трансформационные кризисы // Экономический журнал ВШЭ. 1998. Т. 2. № 3.
Ясин Е.Г. Российская экономика. Истоки и панорама рыночных реформ. М.: ГУ ВШЭ, 2002 [а].
Blanchard О. The Economics of Post-Communist Transition. Oxford: Clarendon Press, 1997.
Duchene G. Structural Change and Output Decline in Transition Economies // Экономический журнал ВШЭ. 1999. T. 3. № 4.
Komai J. Transformational Recession: the Main Causes // Journal of Comparative Economics. 1994. Vol. 19. № 1. P. 39—63.
Дополнительная
Основные направления структурной политики и регулирования отраслевых рынков / А. Свинаренко, Я. Кузьминов, Б. Кузнецов и др. М.: ГУ ВШЭ, 2000.
Полтерович В.М. Трансформационный спад в России // Экономика и математические методы. 1996. № 1.
Попов В. Динамика производства при переходе к рынку: влияние объективных условий и экономической политики // Вопросы экономики. 1998. № 7.
Яковлев А. Структурные деформации как фактор экономических реформ в России: Материалы конференции “Инвестиционный климат и перспективы экономического роста России”. М., 2000.
Ясин Е.Г. Модернизация российской экономики: повестка дня // Модернизация российской экономики: В 2 кн. / Отв. ред. Е.Г. Ясин. М.: ГУ ВШЭ, 2002 [б]. Кн. 1.
Campos N., Coricelli F. Growth in Transition: What We Know, What We Don’t Know, and What We Should Know: Working Paper. William Davidson Institute, 2002.
Gomulka S. Output: Causes of the Decline and Recovery // Understanding Transition. MIT Press, 1998.
Transition — The First Ten Years: Analysis and Lessons for Eastern Europe and the Former Soviet Union: World Bank Report. World Bank, 2002.
Вопросы для повторения
1. Проведите политэкономический анализ факторов роста в переходных экономиках.
2. Охарактеризуйте основные политэкономические модели реформ в реальном секторе: Р-, С-, R-модель.
3. Проведите теоретический анализ P-модели: предпосылки, основные зависимости.
4. Проанализируйте факторы экономического роста в Р-модели.
5. Проведите теоретический анализ R-модели: предпосылки, логика, основные зависимости.
6. Проанализируйте факторы экономического роста в R-модели.
7. Опишите механизм и проведите теоретический анализ “голландской болезни” в переходных экономиках. Охарактеризуйте российский вариант “голландской болезни”: особенности и симптомы.
8. Охарактеризуйте инвестиционный кризис и инвестиционный рост в переходных экономиках.
Дополнительные вопросы и задания для самостоятельной работы
1. Используя доступные базы данных и статистические обзоры по переходным экономикам, проведите самостоятельное сравнительное исследование динамики показателей производства, экспорта и импорта в различных постсоциалистических странах. По вашему мнению, дают ли основания эти данные-для вывода о качественных различиях переходных R- и L-экономик?
2. Рассмотрите модификацию мультисекторной модели R-экономики, в которой часть продукции естественных монополий поставляется на экспорт. Каковы особенности этой модели? Сохраняется ли качественный характер выводов о факторах экономического роста, о взаимосвязи темпов инфляции и роста в различных секторах?
3. На основе мультисекторной модели R-экономики проанализируйте факторы, определяющие динамику инвестиций в основные производственные фонды для секторов ЭОС, ВОС и ЕМ. Как известно, в России в 1999—2001 гг. основная доля инвестиций в обновление производственных фондов приходилась на экспортно-ориентированный сектор. Чем это объясняется? Приведите теоретические аргументы на основе мультисекторной модели.
4. Напишите реферат или доклад по работе [Ясин, 20026].
5. Напишите эссе на основе работы [Основные направления, 2000].
6
лекция
МОДЕЛИ ЭВОЛЮЦИИ КРЕДИТНО-ДЕНЕЖНОЙ СИСТЕМЫ
6.1
Трансформация кредитно-денежных систем переходных экономик
В процессе экономических реформ кредитно-денежные системы постсоциалистических экономик подвергаются существенной трансформации. Жесткая централизация кредитно-денежных отношений была одним из основных принципов социалистической системы. Например, в СССР в 1930—1932 гг. была проведена кредитная реформа, в результате которой ввели запрет на коммерческий кредит, заменив его исключительно банковским, а все расчеты и кредитные операции стали осуществляться через единый общегосударственный банк — Госбанк СССР. Первые годы реформ в большинстве постсоциалистических стран были отмечены бурным ростом частного банковского сектора, а также реструктуризацией бывших государственных банков. Децентрализация процессов принятия экономических решений, либерализация цен и внешней торговли порождали множество проблем становления кредитно-денежных систем переходных экономик.
Высокая инфляция в начале экономических реформ и слабость институциональной базы кредитно-денежной системы в переходных экономиках вызвали стремительные темпы доллариза-
Трансформация кредитно-денежных систем переходных экономик
ции постсоциалистических экономик и широкое распространение квазиденег, компенсирующих нехватку кредитных и денежных ресурсов у предприятий. По оценкам ряда экспертов, уровень долларизации в Польше в 1991—1992 гг. составлял величину порядка 80%, в Чехии — 60—70%, в Венгрии — 45—50% в тот же период. Для России, согласно различным оценкам, уровень долларизации экономики составлял 35—40% в 1996—1997 гг., а после кризиса 1998 г. — возрос до 50—60% [Brodsky, 1997; Dabrowski, et al., 2001; Ясин, 2002].
К числу основных следует отнести следующие проблемы становления кредитно-денежных систем переходных экономик:
ш “жесткой” или “мягкой” кредитно-денежной политики;
¦ “плохих долгов” банков;
¦ интерфейса реального и финансового сектора;
¦ долларизации и квазиденег.
Перечисленные проблемы так или иначе связаны с задачей выявления факторов, определяющих спрос на деньги в переходных экономиках. В отличие от развитых рыночных экономик переходные экономики характеризуются специфическими мотивами и факторами спроса на деньги. Во-первых, трансакционный мотив: объемы трансакций, требующих тех или иных форм денежного обмена, в переходных экономиках, как правило, не поддаются точному учету. К примеру, в России 1995—1998 гг. велись активные дискуссии по вопросу о том, какая кредитно-денежная политика проводится Центральным банком: “жесткая” или “мягкая”? Одна группа дискуссантов упорно доказывала, что денежная политика чересчур “жесткая”, предприятия лишены необходимых финансовых ресурсов и вынуждены прибегать к различным формам денежных суррогатов и бартеру для осуществления сделок. Другая группа экономистов обращала внимание на устойчиво высокие темпы роста денежной массы в России, превосходившие в среднем темпы инфляции. Отсюда, в соответствии с монетаристскими постулатами, делался вывод о растущей угрозе высокой инфляции в России с соответствующими требованиями к Центральному банку ограничить и “зажать” высокие темпы роста денежной массы. Дискуссия прекратилась только после финансового кризиса 1998 г., когда стало вполне очевидно, что развитие реального сектора российской экономики весьма слабо связано с эволюцией и кризисами финансовой системы.
Во-вторых, спекулятивный мотив спроса на деньги: модель Баумоля — Тобина, описывающая поведение добропорядочного буржуа, выбирающего оптимальные темпы стрижки купонов с банковских депозитов, в переходных экономиках, очевидно, не работает. Резкое падение реальных доходов населения в начальный период экономических реформ в постсоциалистических странах и отсутствие системы страхования банковских депозитов привели к тому, что население предпочитало сберегать деньги вне банковской системы, преимущественно в виде твердой валюты. Тезаврационный мотив поведения (попытка сберечь накопления от высокой инфляции) дополнялся здесь откровенно спекулятивным: попыткой заработать на разнице в темпах роста номинального обменного курса валюты и потребительских цен.
Долларизация является далеко не единственной формой замещения в обороте национальной валюты. Наибольшая диверсификация форм квазиденег в странах с переходной экономикой наблюдалась в России в 1992—1998 гг. К. Гадди и Б. Икее [Gaddy, Ickes, 1998] предложили следующую классификацию форм замещения денег в России.
¦ Взаимные неплатежи, т.е. просроченная кредиторская задолженность в больших масштабах, включая неуплату налогов и неисполнение обязательств бюджетами всех уровней, задержки с выплатой заработной платы.
¦ Бартер, т.е. натуральный товарообмен. Существенно, что в оформлении бартерных сделок применяются иные, завышенные, цены, отличные от сделок с денежными расчетами.
в Взаимозачеты, особенно во взаимоотношениях с бюджетами: неуплата налогов прощается (зачитывается) в сумме недофинансирования из бюджета. Цены во взаимозачетах также завышены, а курс рубля занижен.
в Денежные суррогаты, кроме КО, КНО, гарантий и поручительств Минфина, появлялись и различного рода “местные” деньги. Векселя, в том числе выдаваемые предприятиями без какого-либо ликвидного обеспечения, являлись одной из наиболее цивилизованных форм денежных суррогатов.
в Расчеты наличными (т.е. банкнотами), минуя банки или посредством нелегальных операций через легальные или нелегальные банки.
в Долларизация во внутренних расчетах и для тезаврации.
ятий. В этом отношении Россия заметно выделяется среди стран с переходной экономикой.
Таблица 6.2
Кредиты нефинансовому сектору в некоторых странах Центральной и Восточной Европы, % ВВП |
|
Страна |
1993 г. |
1994 г. |
1995 г. |
1996 г. |
|
Россия |
20,4 |
19,6 |
12,0 |
10,4 |
|
Польша |
21,3 |
19,8 |
19,7 |
22,1 |
|
Венгрия |
28,4 |
26,5 |
23,0 |
22,9 |
|
Чехия |
73,1 |
72,9 |
63,8 |
61,1 |
|
Болгария |
67,8 |
51,0 |
41,3 |
69,5 |
|
|
Источник: Экономический обзор ОЭСР: Российская Федерация, 1997. |
Вплоть до кризиса 1998 г. кредитно-денежная политика в России была внутренне противоречивой: любая попытка ограничить темпы роста денежной массы приводила к дальнейшему росту объемов денежных суррогатов и неплатежей, однако любая значительная денежная эмиссия быстро поглощалась валютным рынком или рынком ГКО. Эта политика не являлась ни чересчур “мягкой”, ни “жесткой”, она была просто неэффективной.
Какую же кредитно-денежную политику в переходной экономике можно считать эффективной? Ясно, что эффективность политики будет измеряться степенью достижения поставленных целей: снижение инфляции и стабильность национальной валюты. Кризис 1998 г. показал, что ни одна из этих целей не была достигнута в России, несмотря на примерное следование всем монетаристским постулатам: ограничение темпов роста денежной массы, снижение базовых процентных ставок, введение валютного коридора. По всей видимости, переходная экономика характеризуется нестандартными взаимосвязями между темпом инфляции, динамикой денежной массы и обменного курса. Существенная степень долларизации экономики накладывает свой отпечаток на характер этих взаимозависимостей. Далее мы рассмотрим модель процесса долларизации в переходной экономике и на ее основе проанализируем взаимосвязи между динамикой денежной массы, инфляции и обменного курса, характерные для переходных экономик.
Модель процесса долларизации 6.2
Модель процесса долларизации
Рассмотрим модель, описывающую экономическое поведение типичного агента в переходной экономике. Этим экономическим агентом может быть либо физическое лицо, либо коммерческий банк, либо предприятие. Все эти агенты часть своих активов хранят в национальной валюте (рублях, злотых, форинтах и т.д.), часть же — в твердой валюте (долларах, евро и т.д.). На содержательном уровне ясно, что предпочтения экономических агентов между этими формами сбережений будут определяться динамикой ключевых макроэкономических и финансовых индикаторов, прежде всего динамикой инфляции и обменного курса, т.е.
? = 5±L-i, (6-1)
Р, е<
где л, е — темп инфляции и изменения обменного курса соответственно; t, (г -н-1) — последовательные временные интервалы.
Допустим, что реальные активы экономического агента в момент t равны W,. Задача состоит в описании динамики величины Wt. Пусть доля валютных активов экономического агента в момент t равна (1 -к). Тогда реальные активы в момент (і +1) равны:
Wl+1 = kW, + (1 - k)W, - Р‘ -e,+' . (6-2)
Pt+1 Pt+i et
Задача оптимизации портфеля сбережений экономического агента в этой постановке сводится к следующей:
Wt+1 —» max , (6-3)
кті„<к<і
где кт-п > 0 — ограничение по ликвидности активов в национальной валюте.
Пусть п > 0 (темпы инфляции в переходных экономиках, как правило, положительны). Тогда оптимальный выбор к сводится к следующему:

(6-4)
и при условии ? > 0 оптимальный темп роста реальных активов равен
(6-5)
w = e(l-kmin)-7i.
Отметим, что это уравнение справедливо при любых соотношениях между темпом инфляции и динамикой обменного курса: при очень высоких темпах инфляции и отсутствии существенного роста обменного курса реальные активы экономических агентов начинают сокращаться; при опережающем росте обменного курса по сравнению с темпом инфляции реальные активы экономических агентов возрастают. Другими словами, эта зависимость описывает как тезаврационный, так и спекулятивный мотивы поведения экономических агентов в переходной экономике с существенной долларизацией хозяйственного оборота.
При этом темп роста валютной составляющей реальных активов в портфеле экономического агента равен
(6-6)
сигг = (1 - к^п )(е -тс) — ктіп.
Существенный вывод состоит в том, что с увеличением разности {s-тс) возрастает спрос на твердую валюту и уменьшается спрос на деньги (национальную валюту). На макроэкономическом уровне это означает, что в переходных экономиках спекулятивный мотив спроса на деньги у экономических агентов отличается от аналогичного мотива агентов в рыночных экономиках: вместо фактора процентной ставки, влияющего на межвременные предпочтения ликвидности, на первый план выходит фактор (е — ті), влияющий на степень долларизации финансовых активов экономических агентов. Далее мы проанализируем макроэкономические следствия этого факта.
Динамика денежной массы, обменного курса и инфляции в переходной экономике
63
Динамика денежной массы, обменного курса и инфляции в переходной экономике
Традиционный вид функции спроса на деньги М/Р = L(Y,R), где М — объем денежной массы в экономике, Р — уровень цен, Y— агрегированный выпуск, R — номинальная процентная ставка, для переходной экономики должен быть преобразован следующим образом:
М/Р-Щ,е-ж). (6-7)
Содержательный смысл уравнения (6-7) отражает характерную особенность предпочтений населения и коммерческих банков в переходных экономиках: чем выше значение фактора (е - л), тем больше спрос населения и банков на валюту и тем меньше спрос на деньги (рублевую массу).
Переходя в последнем уравнении к темпам изменения входящих в него переменных, получим следующую зависимость для темпа прироста денежной массы:
/л = ж + ag -/3{е-ж), а,/3>0, (6-8)
где /л - Мж /М-1, g = Yl+l/Yt-1 — темп изменения объема денежной массы и агрегированного выпуска соответственно.
Это уравнение позволяет анализировать характер взаимосвязей между темпом изменения денежной массы, темпом инфляции и темпом роста курса доллара на различных этапах денежно-кредитной политики в переходной экономике.
Начальный этап финансового регулирования. На начальном этапе либерализации цен и внешней торговли в переходной экономике темпы инфляции очень высоки и валюта становится основным средством защиты сбережений населения. Соответственно спрос на валюту населения и коммерческих банков очень высок, нормы законодательства в денежно-кредитной сфере развиты весьма слабо, и, как результат, темп роста курса доллара превышает темп инфляции, т.е. е > ж. При этом трансформационный спад в переходной экономике приводит к тому, что темпы изменения агрегированного выпуска становятся отрицательными, т.е. g < 0. Из уравнения (6-8) с учетом этих замечаний получим
?> Л > jU.
Таким образом, темп роста денежной массы ниже темпа инфляции.
Этап финансовой стабилизации. На этапе финансовой стабилизации правительство и ЦБ переходят к использованию “номинальных якорей” — обменного курса и заработной платы — для ограничения темпов инфляции. Введение “валютного коридора” в России в июне — июле 1995 г. привело к тому, что темп инфляции начал стабильно превышать темп роста курса доллара, т.е. ? < л. При этом темпы спада производства значительно уменьшились, т.е. g ~ 0. Из уравнения (6-8)при этом получим
fi> л > ?.
Таким образом, темп роста денежной массы начинает превышать темп инфляции.
Отсюда следует, что монетаристский вывод об однозначной зависимости темпа инфляции от темпа роста денежной массы неверен для переходной экономики с доминированием эффекта долларизации финансового и коммерческого оборота. Поэтому макроэкономическую политику в России накануне финансового кризиса августа — сентября 1998 г., направленную на снижение инфляции путем ограничения темпов роста денежной массы, следует признать неудачной и спровоцировавшей масштабный финансовый кризис.
Следует особо остановиться на последствиях российского финансового кризиса августа — сентября 1998 г. В результате этого кризиса развитие российской финансовой системы было отброшено на уровень 1993—1994 гг. После 17 августа 1998 г. произошел резкий скачок обменного курса, индуцировавший (через удорожание потребительского импорта) быстрый рост потребительских цен в России. Далее в ноябре — декабре 1998 г. происходила медленная адаптация объема денежной массы к возросшему уровню цен. Таким образом, после кризиса российская финансовая система вернулась в состояние 1993 г., когда выполнялось соотношение ?> л> ц.
Особую актуальность имеет анализ взаимосвязей этих показателей в 2000—2002 гг. при сохранении крайне благоприятной мировой конъюнктуры на рынках основных товаров российского
Динамика денежной массы, обменного курса и инфляции в переходной экономике
экспорта. Приток валюты в страну и укрепление рубля в реальном выражении накладываются на острый инвестиционный кризис в электроэнергетике и газовой отрасли. Этот кризис приводит к существенному росту энергетических тарифов, что сразу сказывается на общем уровне цен. Соответственно в настоящее время темп инфляции значительно превышает темп роста курса доллара при отсутствии существенного спада производства. Из уравнения (6-8) при этом получим, что темп роста денежной массы должен устойчиво превышать темп инфляции. Эти выводы можно проиллюстрировать рис. 6.1 и 6.2.
|
рі ................................eps |
 |
|
Рис. 6.1. Динамика показателей темпа роста курса доллара (eps) и темпа инфляции (рі) в 1994—2002 гг. |
На этих графиках явно различимы три характерных периода: ¦ период финансовой стабилизации 1995—1998 гг.: темп инфляции превышает темп роста курса доллара, темп роста денежной массы в среднем превышает темп инфляции;
ш период финансового кризиса 1998—1999 гг.: темп роста курса доллара превышает темп инфляции, темп роста денежной массы ниже темпа инфляции;
ш период посткризисного развития 1999—2002 гг.: темп инфляции существенно выше темпа роста курса доллара, темп роста денежной массы существенно превышает темп инфляции.
 |
|
Рис. 6,2. Динамика показателей темпа роста денежной массы (ши) и темпа инфляции (рі) в 1994—2002 гг. |
Изложенная выше модель взаимосвязи базовых показателей кредитно-денежных систем переходных экономик хорошо объясняет эти факты, что еще раз подтверждает ее справедливость.
6.4
Двухсекторная модель кредитно-денежной системы в переходной экономике
Выше мы отметили, что существенной характеристикой кредитноденежных систем переходных экономик является структурная неоднородность. В отличие от рыночной экономики, где национальная валюта является единственным средством денежно-кредитного обращения и сбережения, в переходной экономике существует целый сегмент кредитно-денежной системы, связанный с твердой валютой. На роль твердой валюты может претендовать доллар, евро или другая иностранная валюта, а также золотой червонец, денежный суррогат и т.д. При определенных условиях эта биполярная структура кредитно-денежной системы может потерять устойчивость, что повлечет за собой отказ от национальной валюты и переход к твердой валюте как единственной денежной единице.
Далее мы рассмотрим двухсекторную модель, описывающую взаимодействие кредитно-денежных подсистем, связанных с национальной и твердой валютой в переходной экономике.
Спрос на деньги, в соответствии с вышеизложенным, зависит от объема выпуска (У), а также от фактора (е~я) — разности между темпом роста обменного курса твердой валюты и темпом инфляции. Темп инфляции (точнее, его монетарная составляющая) зависит от разности между предложением денег и спросом на деньги: если объем предложения денег превышает спрос на деньги (денежные власти “наводняют” деньгами экономику, которые она не в состоянии “усвоить”), то темп инфляции возрастает.
При прочих равных условиях спрос на деньги будет возрастать, если ценность денег (цена спроса на деньги) для экономических агентов выше, чем уровень цен, сложившийся на данный момент. Например, дефицит денежных средств в российской экономике в 1995—1998 гг. обусловливал повышенный спрос на деньги, несмотря на высокий уровень цен (на потребительском рынке и в реальном секторе). Экономические агенты испытывали нехватку денег для обеспечения хозяйственного оборота, при этом фактор дороговизны денег зачастую отступал на второй план.
С другой стороны, осуществляя эмиссию, денежные власти решают весьма специфические задачи обеспечения стабильности финансовой системы. Цена предложения денег при этом сопоставляется с базовым уровнем цен (например уровнем цен на потребительском рынке) в экономике. Чем выше уровень цен в экономике, тем больше объем денежного предложения.
Сказанное выше приводит к следующей системе:
М “ = ki (Pd (М,У,е-я)-р), kdM > О, Ms~Fu{p*{Ms)~-p), к‘м< 0 (6-9)
р = J3(MS-Md), /?>0.
Отметим, что в отличие от “нормальных” благ деньги являются весьма необычным благом, что находит свое отражение в знаках коэффициентов в третьем уравнении этой системы: эти знаки не совпадают со своими аналогами для обычных благ (см. лекцию 2).
Рассмотрим теперь факторы, влияющие на динамику спроса и предложения валюты. Мы полагаем, что спрос на твердую валюту положительно зависит от фактора (е-я) — разности между темпом роста обменного курса и темпом инфляции. Предложение твердой валюты положительно зависит от объема экспорта Е, а также от политики золотовалютных резервов. Если Центральный банк осуществляет закупки валюты в резервы для обслуживания внешнего долга, кредитования правительства и т.д., то предложение валюты будет сокращаться, а цена предложения валюты возрастать. В то же время, закупая валюту в резервы, ЦБ осуществляет дополнительную эмиссию денег, поэтому в уравнение для предложения денег необходимо ввести экзогенный фактор R — объем золотовалютных резервов.
Для подсистемы, связанной с твердой валютой, запишем аналогично (6-9):
Crf= kd(ed{Cd,?-n)~e), kd > 0, C=K{es{C\E,R)~e\ ksc <0, (6-10)
e = a{Cd-Cs), a> 0.
Отметим, что валюта является “нормальным” благом: если цена спроса на валюту (т.е. ее субъективная ценность для экономических агентов) превышает ее рыночную цену (т.е. обменный курс), сложившуюся на данный момент, то спрос на валюту начинает возрастать. Вместе с тем если цена предложения валюты выше, чем ее обменный курс, сложившийся на данный момент, то объем предложения валюты начинает уменьшаться. Например, российский экспортер решает, репатриировать ли ему валютную выручку или оставить ее за границей? Фактор, который он будет принимать во внимание — текущий обменный курс валюты: высокий курс сулит хорошую выручку, низкий же курс может обернуться потерями. Динамика обменного курса твердой валюты определяется разностью между объемами спроса и предложения твердой валюты: если спрос на валюту превышает ее предложение, то обменный курс твердой валюты возрастает.
Отметим, что система (6-9)—(6-10) обобщает многие известные модели функционирования кредитно-денежных систем в экономиках высокой инфляции, переходных и развивающихся экономиках. В частности, из первого уравнения в (6-9) следует, что при чрезвычайно большом росте уровня цен объем спроса на деньги начинает экспоненциально сокращаться (модель Кейгана). При высоких темпах роста обменного курса твердой валюты резко возрастает ее привлекательность как спекулятивного инструмента: все большее число экономических субъектов начинают инвестировать средства в твердую валюту и зарабатывать прибыль на разности между темпами роста обменного курса и инфляции.
При решении системы (6-9)—(6-10) полагаем: е~ё,л = р. Подставив эти соотношения в данную систему и перенормировав переменные, получим модель в приведенной форме:
МА = pd(Md,Y,Cd - С -М5 +Мd) - р,
Ms=p-p\Ms,R\
+ -
p = Ms-Md,
Cd =ed(Cd, Cd - C - Ms +Md)-e,
+
C =e-es(Cs,E,R),
+ - +
ё = Cd - C.'
Нетрудно заметить, что эта система является частным случаем структуралистских моделей частного и общего микро- и макроэкономического равновесия, изложенных в лекции 2. Стационарное решение системы (6-11) получается приравниванием нулю правых частей выписанных уравнений. Это стационарное решение позволяет исследовать макроэкономические последствия кредитно-денежной политики в переходной экономике.
Рассмотрим несколько частных случаев. Допустим, что ЦБ увеличивает закупки валюты в резервы. При этом возрастает цена предложения валюты, а объем предложения валюты сокращается. Это приведет к росту обменного курса валюты и росту спроса на нее со стороны коммерческих банков и населения. В то же время решение ЦБ увеличить объемы закупок валюты в резервы приведет к росту денежной эмиссии, что вызовет рост уровня цен и сокращение спроса на деньги в экономике.
Рассмотрим теперь последствия роста выпуска Y. Из первого уравнения системы (6-11) следует, что это приведет к росту спроса на деньги (трансакционный мотив). Рост спроса на деньги, в свою очередь, приведет к снижению уровня цен и объема предложения денег. Вместе с тем падение темпов инфляции приведет к росту привлекательности валюты как спекулятивного инструмента, что вызовет спад спроса на деньги (спекулятивный мотив) и рост спроса на валюту. Рост спроса на валюту приведет к росту обменного курса и увеличению предложения валюты. Таким образом, система (6-11) перейдет в новое равновесие, характеризующееся меньшим уровнем инфляции и большим обменным курсом.
Исследование устойчивости системы (6-11) проводится по общей схеме, изложенной в лекции 2. Качественный вывод этого исследования (формальный анализ устойчивости предлагается в виде задания к лекции 6) состоит в том, что при достаточно высокой чувствительности спроса на деньги к эффекту долларизации может произойти распад системы деньги-валюта и переход к твердой валюте как единственной денежной единице.
6.5
Реальный обменный курс, паритет покупательной способности и экономический рост
Одной из существенных проблем кредитно-денежной политики в переходных экономиках является существенный разрыв между рыночным курсом и паритетом покупательной способности (ППС)., Та же картина наблюдается и в развивающихся странах. Однако в России этот разрыв явно гипертрофирован: по оценке, в 1999 г. рубль по паритету покупательной способности был весомее, чем по рыночному курсу, примерно в 5,5 раза (т.е. так, как это было в 1993— 1994 гг.). В странах Восточной Европы, которые продвинулись в части реформ дальше России (Чехия, Польша, Венгрия, Словения), этот разрыв примерно двукратный. В то же время в большинстве развитых стран мира с устойчиво работающими рыночными институтами, динамичными экономиками и развитыми финансовыми рынками ППС и рыночный курс близки друг другу, причем в наиболее развитых странах Европы национальные валюты по рыночному курсу, как правило, весомее, чем по ППС (рис. 6.3). Во многом это обусловливается повышенным спросом на валюты и ценные бумаги этих стран со стороны нерезидентов.
 |
|
Рис. 6.3. Среднедушевой ВВП и соотношение паритета и курса валют по группам стран |
Если же курс национальной валюты в номинальном выражении значительно превышает паритет покупательной способности, то это свидетельствует о наличии существенных ценовых диспропорций и искаженной структуре относительных цен. В этой ситуации цены на ряд товаров и услуг могут быть сопоставимы с ценами мирового рынка, в то время как по другим группам товаров и услуг имеется существенный разрыв (применительно к российской экономике это касается, например, жилищно-коммунальных или транспортных услуг для пассажиров). Это означает, что, по сути, такая экономика характеризуется высоким уровнем скрытого субсидирования, что, в свою очередь, выводит определенные сектора экономики за границы конкурентоспособности, деформирует структуру массового платежеспособного спроса, поскольку и потребителям, и производителям поступают искаженные ценовые сигналы. Динамично развивающаяся экономика, эффективно работающие финансовые рынки — основа устойчивости национальной валюты. Рис. 6.3 является иллюстрацией связи между уровнем развития страны, измеренным по размеру производимого на душу населения ВВП, и соотношением между рыночным курсом и ППС.
 |
Рис. 6.4. Паритет покупательной способности и рыночный курс рубля
в России |
Другой проблемой кредитно-денежной политики в переходных и развивающихся экономиках является взаимосвязь реального обменного курса и экономического роста. История кризисов в развивающихся странах показывает, что девальвация является лишь “временным стимулятором” роста. Для валютных кризисов в развивающихся странах в последние 30 лет характерна S-образная динамика реального ВВП. Накануне и в ходе валютного кризиса темпы роста ВВП снижаются и достигают минимальных значений, после кризиса происходит значительное увеличение темпов роста. Пост-девальвационный период высоких темпов роста продолжается около трех лет, и впоследствии темпы снижаются, приближаясь к среднему уровню, характерному для стран, которые не столкнулись с валютным кризисом. В последнее десятилетие положительный эффект девальвации на ВВП резко снизился. Девальвация 1990-х гг. не обеспечивает более высоких темпов роста реального ВВП по сравнению с другими странами.
Кризисы 1990-х гг. показали также, что девальвация не является средством восстановления более высоких темпов роста в странах, испытавших кризис, по сравнению с докризисным периодом. Для большинства развивающихся стран Азии, Латинской Америки и Восточной Европы, прибегнувших к девальвации в 1990-е гг., была характерна ?-образная динамика, т.е. девальвация в реальном выражении обеспечивала восстановление прежних докризисных темпов роста ВВП.
 |
-*— Средний темп роста ВВП в странах Азии, исп ытавших кризис в 1990-е гг.
—о— Средний темп роста ВВП в странах Латинской Америки, испытавших кризис в 1990-е гг. —Средний темп роста ВВП в странах Восточной Европы, испытавших кризис в 1990 -егг. |
Рис. 6.5. Темпы роста реального ВВП, % (0 — точка девальвации)
Можно выделить следующие основные причины ослабления влияния девальвации на экономический рост.
¦ Повышение синхронности циклов между странами. В этих условиях внешний спрос остается низким, а девальвация не оказывает желаемого эффекта на экономический рост в силу слабого стимулирования роста экспорта.
¦ Эффект снижения реальных доходов. Снижение реальных доходов под воздействием роста импортных цен может не компенсироваться ростом чистого экспорта.
¦ Эффект влияния финансовых рынков. Рост процентных ставок под воздействием внешних факторов может способствовать снижению внутреннего спроса и притоку финансового капитала. Происходящее при этом укрепление курса может приводить к росту импорта, снижению чистого экспорта и торможению экономического роста.
¦ Адаптационные лаги. Чистый экспорт может реагировать на изменение валютного курса с некоторой задержкой, в результате чего восстановление экономики в целом происходит спустя некоторое время после девальвации.
Кризисы в странах Азии, Латинской Америки, Восточной Европы в конце 1990-х гг. продемонстрировали слабую зависимость динамики реального курса и роста ВВП как в силу наличия адаптационных лагов, так и слабой реакции экспорта на девальвацию.
Укрепление реального курса национальной валюты после кризисов 1990-х гг. во многих странах сопровождалось через два-три года новым ослаблением национальной валюты, компенсирующим послекризисное укрепление национальной валюты в реальном выражении.
Например, в Индонезии во время кризиса 1997 г. доллар вырос по отношению к национальной валюте более чем в три раза, однако уже через полтора года стабилизировался на уровне, в 1,4— 1,8 раза превышающем курс в докризисный период. Столь резкие колебания реального валютного курса в определенной степени стали отражением экономических и политических рисков в стране. Уже через два года индонезийская рупия стала постепенно ослабевать с последующей минидевальвацией в 2,2 раза по сравнению с моментом начала кризиса в 1997 г.
Не удалось избежать послекризисной волны ослабления национальных валют в Таиланде (начавшейся примерно через два с половиной года после событий 1997 г.) и Корее (через три года после первой девальвационной волны).
Бразилия, девальвировавшая свою валюту в январе 1999 г. (в реальном выражении курс доллара вырос в 1,7 раза), на протяжении всего лишь полутора лет с переменным успехом укрепляла бразильский реал. Однако кризис в Аргентине привел к новому обесценению национальной валюты в Бразилии, причем до масштабов, превышающих первоначальную девальвационную волну 1999 г.
В то же время некоторым странам удалось избежать новой девальвации. В России, в которой девальвация рубля не сопровождалась его последующим резким укреплением и в течение почти двух лет реальный курс удерживался на уровне первоначальной девальвации, удалось избежать очередного снижения курса. В Польше ослабление курса было не столь значительным — в октябре 1999 г. курс доллара вырос на 16% по сравнению с октябрем 1998 г., и валютный курс впоследствии постепенно вернулся к предшествующему уровню. Удалось избежать новой девальвации в Мексике, а Турция после валютного кризиса 1994 г. пережила новый кризис только в 2001 г.
Повторная девальвация, характерная для большинства стран Восточной Европы, Юго-Восточной Азии и Латинской Америки после кризиса 1990-х гг., продемонстрировала ограниченность де-вальвационного эффекта. Для стран Восточной Европы и Азии послекризисное восстановление экономики сопровождалось укреплением национальной валюты в реальном выражении. Тем не менее для закрепления тенденций роста экономики через три года требовалась очередная девальвация. Впоследствии, независимо от продолжения ослабления или возобновления укрепления национальной валюты, рассмотренные страны сталкиваются с замедлением темпов роста. В группе стран Латинской Америки небольшое укрепление курса приводило к снижению темпа роста, а небольшая девальвация способствовала восстановлению докризисных темпов. Неравномерность влияния динамики курса в 1990-е гг. была отчасти обусловлена замедлением реакции экономики на девальвацию, когда эффект восстановления темпа роста проявлялся спустя год после девальвации.
Девальвационный допинг не сыграл существенной роли в качестве катализатора роста экспорта. Объем экспорта развивающихся стран в большей степени зависит от уровня мировых цен на товарносырьевых рынках, чем от курса. В силу общей стагнации мировых цен на основные экспортные товары из развивающихся стран в конце 1990-х гг. девальвация не привела к росту экспорта относительно докризисного периода. Это в свою очередь не могло не сказаться и на медленном восстановлении экономики в целом.
Учебно-методические материалы к лекции 6
Литература
Основная
Begg D. Pegging Out: Lessons from the Czech Exchange Rate Crisis // Journal of Comparative Economics. 1998. Vol. 26. P. 669—690.
Brodsky B. Dollarization and Monetary Policy in Russia // Review of Economies in Transition. 1997. № 6. P. 49—62.
Qin D., Vanags A. Modelling the Inflation Process in Transition Economies: Empirical Comparison of Poland, Hungary and Czech Republic // Economics of Planning. 1996. Vol. 29. P. 147—168.
Vincze J. Chronic Moderate Inflation in Transition: the Tale of Hungary: WDI Working Paper. 1998. № 176.
Дополнительная
Делягин M. Экономика неплатежей: как и почему мы будем жить завтра. М., 1997.
Смирнов А.Д. Лекции по макроэкономическому моделированию. М.: ГУ ВШЭ, 2000.
Экономический обзор ОЭСР: Российская Федерация, 1997. ОЭСР, 1997.
Ясин Е.Г. Российская экономика. Истоки и панорама рыночных реформ. М.: ГУ ВШЭ, 2002.
Dabrowski М., Paczynski W., Rawdanowicz L. Inflation and Monetary Policy in Russia: Transition Experience and Future Recommendations: RECEP Working Paper. 2001.
Gaddy C., Ickes B. To Restructure or Not to Restructure: Informal Activities and Enterprise Behavior in Transition: WDI Working Paper. 199^.
Вопросы для повторения
1. Назовите и охарактеризуйте основные проблемы кредитно-денежной политики в переходных экономиках.
2. Опишите модель процесса долларизации в переходной экономике: предпосылки, логика, выводы.
3. Охарактеризуйте спрос на деньги в переходной экономике: основные факторы, отличия от рыночной экономики.
4. В чем взаимосвязь динамики денежной массы, инфляции и обменного курса в переходной экономике?
5. Охарактеризуйте двухсекторную модель кредитно-денежной системы в переходной экономике.
6. Опишите эволюцию банковской системы в переходной экономике.
Дополнительные вопросы и задания для самостоятельной работы
1. На основе доступных баз данных и статистических источников по переходным экономикам проведите самостоятельное исследование факторов, определяющих динамику процесса долларизации в переходных экономиках. Сопоставьте ваши выводы с имеющейся литературой на эту тему. Согласны ли вы с мнениями авторов? Напишите краткий отчет о ваших исследованиях.
2. На основе имеющейся статистической информации проведите самостоятельное эконометрическое исследование взаимосвязи динамики денежной массы, инфляции и обменного курса в переходных экономиках России и Польши. Сопоставьте ваши выводы для этих экономик. Чем объясняется устойчивое расхождение в темпах роста денежной массы и темпах инфляции для переходных экономик? Какова роль курсовой динамики и процентных ставок в определении характера этих зависимостей? Напишите краткий отчет о ваших исследованиях.
3. Напишите эссе на тему “Финансовые кризисы в переходных экономиках: причины, факторы, последствия” с использованием источников, указанных в списке литературы к теме.
4. Напишите реферат статьи Кина, Ванагса [Qin, Vanags, 1996] с анализом факторов инфляции в переходных экономиках.
лекция
ГОСУДАРСТВО
В ПЕРЕХОДНОЙ ЭКОНОМИКЕ
7.1
Проблема “размера правительства”
Проблема “размера правительства” в переходных экономиках привлекает в последние годы все большее внимание исследователей. С позиций либеральной ортодоксии и основанной на ней доктрины Вашингтонского консенсуса выдвигается лозунг “ухода государства из экономики”, включающий требование снизить не процентные расходы бюджета до экзистенциального минимума [Илларионов, 1996]. Напротив, авторы концепции поствашингтонского консенсуса выступают с критикой теории рыночного благосостояния и ратуют за активную государственную структурную политику с целью исправления информационных и аллокационных несовершенств рынка.
В 1990-е гг. появилось несколько теоретических [Stiglitz, 1997; Rodrik, 1996] и эмпирических [Вагго, 1991; Levine, Renelt, 1992] исследований проблемы роли государства в процессе экономических преобразований. Если в работах Р. Барро утверждается наличие отрицательной корреляции между темпами экономического роста и объемом государственных расходов, то в работах Р. Левина и Д. Ре-нелта подобная связь не прослеживается, но, напротив, подтверждается гипотеза о положительной корреляции между темпами экономического роста и суммарным объемом инвестиций (корпоративных и государственных) в экономику.
Современное состояние проблемы “размера правительства” в переходных экономиках характеризуется существенной теоретической неопределенностью и наличием диаметрально противоположных авторитетных точек зрения. Вместе с тем представляется вполне достоверным тот факт, что зависимость темпов экономического роста от динамики государственных расходов имеет сложный и нелинейный характер, обусловленный эволюцией важнейших макроэкономических показателей. Теоретический анализ большинства моделей [Rebelo, 1990; Barro, Sala-I-Martin, 1995; Barro, 1995], разработанных для рыночных экономик, свидетельствует о том, что зависимость темпов экономического роста от государственных расходов имеет вид “горба”. Излишне большие расходы требуют чрезмерных налогов, которые подавляют экономический рост. Вместе с тем чрезмерное сокращение государственных расходов ведет к деградации государственных и социальных институтов, что снижает темпы экономического роста в долгосрочной перспективе.
Теоретические и эмпирические результаты, полученные для рыночной экономики, вряд ли могут быть безоговорочно экстраполированы на опыт переходной экономики, характеризующейся, прежде всего, трансформирующейся структурой экономических, государственных и социальных институтов. Более того, даже признание экстремального характера зависимости темпов экономического роста от уровня государственных расходов мало что дает для разработчиков государственной бюджетной и финансовой политики. Дело в том, что этот экстремум (“горб”) не является стабильным, но, по всей вероятности, “плавает” в зависимости от ключевых параметров макроэкономической ситуации. Вместе с тем в известных теоретических моделях делаются существенные упрощения, которые влекут за собой вывод о постоянстве этого экстремума. Например, в работе Барро и Сала-и-Мартина [Barro, Sala-1-Martin, 1995] авторы полагают, что доля государствен ных расходов в агрегированном выпуске неизменна во времени, а именно: G = tY , где Y — агрегированный выпуск, G — государственные расходы, т — налоговая ставка (Ibid, р. 154). Далее из условия максимизации прибыли репрезентативной фирмы, производственная функция которой описывается моделью Кобба — Дугласа типа АіУаКа, где К — капитал, L — труд, несложно получить, что оптимальная налоговая ставка равна т-1-а. Таким образом, единственным фактором, определяющим оптимальный уровень налогообложения реального сектора и, как следствие, оптимальную долю государственных расходов в агрегированном выпуске, является параметр а — доля затрат на капитал у репрезентативной фирмы. Искусственность этих предположений и выводов не требует детальных комментариев.
Поэтому чрезвычайно актуальным было бы исследование влияния динамики государственных расходов на экономический рост в переходных экономиках на основе макроэкономической модели, учитывающей структурные взаимосвязи между основными секторами экономики и динамику важнейших макроэкономических показателей (реальный обменный курс, мировую конъюнктуру на рынках сырья и энергоносителей, динамику тарифов естественных монополистов, темпы инфляции в промышленности и на потребительском рынке и др.). Выявление ключевых факторов, определяющих характер и параметры зависимости уровня реального выпуска от доли государственных расходов в ВВП, имеет, помимо чисто теоретического, существенное прикладное значение, позволяя корректировать уровень налоговой нагрузки на экономику для оптимизации объема выпуска при изменении параметров мировой и внутриэкономической конъюнктуры.
В табл. 7.1 приведены данные о динамике доли расходов расширенного правительства в ВВП в странах Центральной и Восточной Европы, России и СНГ.
Таблица 7.1
Расходы расширенного правительства, % ВВП |
|
|
1992 г. |
1993 г. |
1994 г. |
1995 г. |
1996 г. |
1997 г. |
1998 г. |
1999 г. |
2000 г. |
2001— 2010 гг.
(в среднем за год) |
ЦВЕи
Балтия |
47,3 |
45,7 |
44,7 |
43,8 |
43,4 |
43,1 |
43,1 |
43,0 |
|
42-44 |
|
СНГ |
64,8 |
45,2 |
44,0 |
35,6 |
37,1 |
38,2 |
35,0 |
34,7 |
|
34—35 |
|
Россия |
75,9 |
|
|
40,6 |
45,4 |
45,7 |
38,3 |
36,6 |
36,0 |
30—31 |
|
|
Источник. [Gomulka, 2000]. |
Сравнительный анализ этих данных свидетельствует о том, что в настоящее время в России этот показатель ниже, чем в среднем по странам ЦВЕ и Балтии. Вместе с тем на ближайшее десятилетие в России предполагается дальнейшее снижение доли расходов расширенного правительства в ВВП. Целесообразность этой политики обычно обосновывается в ультралиберальном ключе: “чем меньше средств у государства, тем больше их в экономике”. В лекции будут приведены теоретические возражения против подобной политики и аргументации.
Целью лекции является анализ проблемы “размера правительства” в странах с переходной экономикой R-типа, к которой относится российская экономика, характеризующаяся следующей “треугольной” структурой (см. лекцию 5):
¦ экспортно-ориентированный сектор (ЭОС);
¦ внутренне-ориентированный (импортозамещающий) сектор (ВОС);
¦ сектор естественных монополий (ЕМ).
Отличительной чертой R-экономики является наличие богатых
природных ресурсов и акцент на экспорт сырья и продукции с низкой добавленной стоимостью. Сырьевые ресурсы пользуются высоким спросом на мировых рынках, и поэтому экспортно-ориентированный сектор R-экономики получает конкурентные преимущества по сравнению с сектором предприятий, работающих на внутреннем рынке. Это — вариант “голландской болезни” [Сакс, Ларрен, 1996], протекающей в тяжелой форме для переходной R-экономики, поскольку эта болезнь усугубляется трансформационным спадом, который сам по себе чрезвычайно болезнен для экономической системы. В условиях переходного периода структурные диспропорции, обусловленные “голландской болезнью”, неизбежно закрепляются в трансформирующейся структуре экономических и социальных институтов, что ведет к деградации производств и отраслей, ориентированных на внутренний рынок, и стремительному росту структур неформальной и теневой экономики.
В этой ситуации роль государства в осуществлении структурных реформ, направленных на ликвидацию структурных диспропорций, прежде всего в реальном секторе экономики, становится критической. Поэтому задача исследования взаимосвязей динамики государственных расходов с экономическим ростом в контексте структурных реформ и модернизации экономики является актуальной.
7.2
Анализ на основе R-модели
Анализ проблемы “размера правительства” далее проводится на основе мультисекторной модели R-экономики. В модели будем рассматривать следующую группировку статей расходов консолидированного бюджета:
я Gr — расходы на развитие реального сектора. Gr=Ge+Gd+Gm,
где индекс е соответствует сектору ЭОС, d — сектору ВОС, т — сектору ЕМ;
¦ Gu — расходы на социальную политику;
¦ Gs — расходы на государственное и местное самоуправление, национальную оборону, правоохранительную деятельность, фундаментальные исследования, образование и здравоохранение. Далее будем полагать, что статьи расходов Gr,Gu,Gs,Ge,Gd,Gm связаны с общим объемом непроцентных расходов G некоторыми коэффициентами бюджетной политики fr, /м, /(, fe, fd, fm соответственно, т.е.
fr + fu + Л - 1 > fe +fd+ fm - fr-
Уравнение консолидированного бюджета запишем следующим образом:
(G -Г),+1 + ЪВ, = (М,+1 -М,) + (В(+1 -В,), (7-1)
где Т — общий объем налоговых поступлений в бюджет; М— объем денежной массы; В — объем государственного долга; b — ставка процентных выплат по долгу.
Здесь и далее индекс t означает текущий временной интервал. Следует отметить, что в целях упрощения формального анализа в модели не учитываются неналоговые поступления в бюджет.
В дальнейшем нам потребуется зависимость между затратами на заработную плату и стоимостным объемом выпуска для различных секторов. Наиболее простой способ получения подобных зависимостей состоит в принятии гипотез о форме зависимости Кобба — Дугласа для производственной функции и максимизации прибыли репрезентативной фирмой в различных секторах (отметим, что именно эти гипотезы работают в упомянутой выше модели Барро). Вместе с тем именно эти гипотезы наиболее уязвимы для критики в российских условиях. Поэтому далее мы непосредственно запишем следующее уравнение для затрат на заработную плату (для каждого сектора необходимо подставить соответствующий индекс е, dvum т):
wL = /3pY, (7-2)
где w — номинальная заработная плата; L — занятость; р — уровень цен на продукцию, Y — реальный объем выпуска, /? — некоторый эмпирический коэффициент.
Обосновать зависимость (7-2) можно эмпирическими данными о динамике доли затрат на заработную плату в объеме товарной продукции для различных отраслей российской экономики в 1995— 2000 гг. (см. табл. 7.2).
Таблица 7.2
Динамика доли заработной платы в объеме выпуска по отраслям экономики России (по данным формы 5-з, 1995—2000 гг., в действующих ценах) |
|
Год |
Электроэнергетика |
Транспорт |
Топливная
промышленность |
Машиностроение |
Газовая
промышленность |
Черная
металлургия |
Цветная
металлургия |
Химическая
промышленность |
Пищевая
промышленность |
Легкая
промышленность |
|
1995 |
0,05 |
0,15 |
0,06 |
0,13 |
0,06 |
0,05 |
|
0,06 |
0,08 |
0,13 |
|
1996 |
0,06 |
0,11 |
0,07 |
0,15 |
0,06 |
0,08 |
0,14 |
0,08 |
0,10 |
0,18 |
|
1997 |
0,06 |
0,16 |
0,07 |
0,16 |
0,05 |
0,09 |
0,13 |
0,09 |
0,10 |
0,20 |
|
1998 |
0,07 |
0,27 |
0,08 |
0,16 |
0,06 |
0,09 |
0,10 |
0,10 |
0,09 |
0,20 |
|
1999 |
0,09 |
0,16 |
0,06 |
0,13 |
0,08 |
0,07 |
0,07 |
0,08 |
0,07 |
0,15 |
|
2000 |
0,09 |
|
0,07 |
0,14 |
0,10 |
0,08 |
0,10 |
0,08 |
0,08 |
0,16 |
|
Из данных табл. 7.2 непосредственно видно, что доля затрат на заработную плату не претерпела резких изменений за 6 последних лет для подавляющего большинства отраслей. Поэтому в качестве рабочей гипотезы далее будем использовать форму зависимости (7-2).
В дальнейшем для упрощения формального анализа будем рассматривать единую ставку налоговых отчислений для реального сектора т. Тогда совокупный объем налоговых поступлений в бюджет от предприятий реального сектора составит
<TrU =<Іпсе + ІЩ +Іпст), =T(epX +epXd-D-Y^mPm + De+Ge +
+ PX-epAX +D-YdPm +Dd +Gd + Xm+Yd)Pm-De -Dd +Gm) = (7-3)
= T(epX +PdYd+Gr),
где Gr=Ge+Gd+Gm.
Помимо налоговых поступлений от предприятий реального сектора в модели учитываются налоговые поступления от физических лиц. Агрегированный доход населения равен
W — L w + LjW, + L w + L w , (7-4)
где Lewe,Ldwd,Lmwm — суммарный объем заработной платы в секторах ЭОС, ВОС и ЕМ соответственно; Luwu — суммарный объем заработной платы в бюджетной сфере и социальных трансфертов.
Тогда динамика налоговых поступлений в бюджет может быть описана следующим уравнением:
ере
Pd
+ r(Yd),+Ts
(7-5)
(1 + 0
-Г
KPd)t
KPd)t
\ Pd Л+1
Рассмотрим величину реальных доходов населения W / pd. Из уравнения (7-2) и предположения pde = ре (справедливого для периода 1995—2002 гг.) имеем
Lewe=epJX, Ldwd=PdpdYd, Lmwm - PmpmYm. (7-6)
Отсюда имеем для реальных доходов населения
— = &^-Уе + /?Л + Дп—(^е+^) + — • (7-7)
Pd Pd Pd Pd
Реальные потребительские расходы населения будем, с одной стороны, связывать с реальными доходами:
W
С = с0—, (7-8)
Pd
где с0 — предельная склонность к потреблению; с другой стороны — с объемом производства в секторе ВОС и импортом потребительских товаров и услуг, зависящим, прежде всего, от реального обменного курса:
I еРі)
(7-9)
Ld'
Из уравнений (7-5)—(7-9) получаем зависимость, связывающую величину Yd с Ye и Gulpd:
сЛ — + соРт—к
Pd , G« co Pd A’
Pd
(7-10)
Yd=Yt-
где A = 1 + - c0/3d - сфл—.
ePi Pd
Последняя зависимость выявляет принципиальную закономерность в развитии экономики, зависящей от экспорта сырьевых ресурсов: объем выпуска импортозамещающей продукции (сектор ВОС) напрямую зависит от объема выпуска экспортно-ориентированного сектора и реального объема государственных расходов на социальную и бюджетную сферы.
Полученные зависимости позволяют нам записать уравнение динамики государственных расходов. Из уравнения консолидированного бюджета с учетом (7-5) и Y‘ -Ye- SYd имеем:
еРе уе
1-8&. Pd)
{\+п)
-г
41
К Pd ),
Pd
\PdJl+l
(7-11)
/ттг\
w_
V Pd
+ (1 + Я)
+ (1 + Л)
А-Т
V Pd )t+1
\Pd )t
VPd
J f+1
Для упрощения формального анализа положим rs = г. Тогда с учетом (7-5)—-(7-8) получим
(7-12)
+ ?()’
V Ра Л+і
\Pd),
где
ep,
сре — + с^т^-к 1 + #
We
Pd
??,
Pd)
Pd , ep,
Pd
1-S
8і =
&L
ePi
6Pe
1-S
/, + fu
^ + /• --
A Ju A
1 + 7Г
ГАМЛ
So
1 + 7Г
\Pd),
V Pd ),
V Pd Л+1
+1.
Отсюда видно, что динамика реальных государственных расходов в существенной степени зависит от выпуска экспортно-ориентированного сектора Ye. Для изучения динамики переменной Ye рассмотрим уравнение для заработной платы в секторе ЭОС:
(W,+1=/,CІПСе)г (2-13)
Преобразуя левую и правую часть (7-13) с использованием (7-2) и (7-10), получим
?рт
Pd
Pd)
вРе
Pd
(1 + я)?&(УД+1=/
1-S
(Ун),
(KYe + rfYd )t +
Pd),
где л — прогноз инфляции на момент (7 + 1), Е — прогноз реального обменного курса (ере / р(1),+1.
С учетом соотношения т + Іе + у = 1, где у — суммарная норма прибыли и амортизации для сектора ЭОС, получим
'g;
кРч),
(ГД+1 = (1 - г - кшгд + (1 ~ Г - г)у2
(7-14)
где
\ сА + с0 Д„ ~ к
1 -8^-?г]^ V Pd Pd
еРс
Ра
рл
-&¦--?к'-~-
Pd
Уі
(1 + я)Е/Зе
Г (
ft + fu
l-S^-?т]^-V Pd Pd
Уг
(1 + я)Е0е
Таким образом, окончательно имеем
' G_
\Pd J,
(УХі=а-г-г)Ут<+а-г-у)у;
(7-15)
Pd),
-¦*8i(Ye)t+rg2
+ go-
V Pd )l+1
Анализ системы (7-15) позволяет сделать следующие предварительные выводы: динамика государственных расходов в значительной степени зависит от общего уровня налоговой нагрузки для предприятий реального сектора. Чем выше т, тем больше объем реальных государственных расходов G / pd. Вместе с тем с ростом ставки налогообложения (в частности, налога на добычу полезных ископаемых, вводимого с 2002 г.) снижается реальный объем выпуска в экспортно-ориентированном секторе. Наоборот, при снижении уровня налоговой нагрузки для предприятий реального сектора возможно оживление в сфере производства. В то же время снижение уровня налогообложения сужает возможности финансирования необходимых государственных расходов (прежде всего на социальные нужды и структурные реформы в реальном секторе), что ведет к снижению объемов агрегированного выпуска в долгосрочной перспективе.
Далее будет рассмотрена наиболее простая постановка задачи: на основе анализа стационарного решения системы (7-15) необходимо определить налоговую ставку г* и “размер правительства”, обеспечивающие максимум выпуска в различных секторах экономики при изменении параметров макроэкономической конъюнктуры. Вначале введем необходимые определения.
Под “размером правительства” будем понимать величину:
('GIPd)IY,
где Y — агрегированный выпуск, равный Y = Ye + Yd + Ym. При этом из уравнений (7-7) и (7-10) имеем:
соРе — + соРт~к г
у —V_Ей_?7/ і Gu Ср
‘ ' А +р,А-
Y, =ісУ,+ПУ,,
G
т.е. Y = aYe + ufu —, где а,и— некоторые положительные коэф-Pd
фициенты.
Из уравнений системы (7-15) получаем стационарное решение:
(1 -T-y)y2g0
оо* =
(1 -rg2)-(1 -Tg2)i 1 -т- Y)yx -т( 1 -r- Y)gxy2 god-^q-f-r))
(7-16)
(G/Pd) =
(1 -rg2)-(1 -Tg2)( 1 -t-Y)yx -g^Til-т-Y)
Отсюда, в частности, получим:
f(Glpd)'^
(G/PdT = і-Уіа-т-Г). (УеУ У2а-Г-У) ’
1 1 У21~т-у
А
У2
= ufu+d.
Таким образом, для стационарного режима существует прямая монотонная зависимость между налоговой ставкой т и “размером правительства” (G/ pd )* /У*. Поэтому все выводы, сделанные далее для оптимальной налоговой ставки, непосредственно переносятся на показатель оптимального “размера правительства”.
Какие критерии целесообразно использовать при определении оптимальной налоговой ставки? Конкретный экономический смысл имеет следующий критерий:
(У)* —> шах. (7-17)
Г
Смысл критерия (7-17) состоит в том, что при оптимальном выборе налоговой ставки максимизируется реальный выпуск экспортноориентированного сектора в долгосрочной перспективе. Эта политика соответствует экспортно-ориентированному сценарию развития российской экономики, который, по всей видимости, реализуется в настоящее время.
Более общий и более сложный критерий имеет вид
Y* —> шах. (7-18)
Критерий (7-18) соответствует долгосрочному социально-экономическому оптимуму: максимизируется агрегированный выпуск всей экономики в долгосрочной перспективе. Эта политика соответствует долгосрочному сценарию развития российской экономики, в котором учитываются перспективы и факторы развития всех отраслей реального сектора.
С учетом (7-16) для критерия (7-17) имеем решение (при 81У2-У182 >°)
= 1-
1 -82
8\У2~Уі82
Чуть более сложно рассчитать решение для критерия (7-18), показатель которого имеет вид (выражение для т* ввиду его громоздкости не приводится)
Y* _ a(l-r-y)y2g0 +M/Mg0(l-y1(l-r-y))
(l-Tg2)-d-zg2)Q.-T-y)yx-gly2T(l-T-yy
Таким образом, зависимость уровня выпуска от налоговой нагрузки на реальный сектор и “размера правительства” является нелинейной и моноэкстремальной (рис. 7.1). При этом оптимальный уровень налогообложения и оптимальный “размер правительства” зависят от ключевых параметров макроэкономической конъюнктуры: номинального обменного курса, ожидаемой инфляции, тарифов естественных монополистов.
 |
|
Рис. 7.1. Зависимость уровня выпуска от налоговой нагрузки |
Отметим, что данная лекция не ставит своей целью точный расчет оптимального “размера правительства” и оптимальной налоговой ставки. Подобные “точные” прогнозы, как правило, никогда не реализуются и не сбываются. Цель работы скорее гносеологическая: продемонстрировать, что для российской экономики упорное следование ультралиберальной аргументации может обернуться пагубными последствиями в долгосрочной перспективе.
7.3
Выводы
Целью лекции было обоснование тезиса о том, что существуют оптимум налоговой нагрузки на экономику и, как следствие, оптимум “размера правительства”, обеспечивающий максимальные темпы экономического роста в странах с переходной R-экономикой, к которым относится Россия. Этот тезис отличен от мнений как сторон-7.3
Выводы
ников “малых” правительств (уровень государственных расходов менее 30% ВВП), так и приверженцев “больших” уровней государственных расходов (более 40% ВВП). Оптимум налоговой нагрузки на экономику существенно зависит от ключевых параметров мировой конъюнктуры на рынках сырьевых ресурсов, а также от политики реального обменного курса и тарифной политики в отраслях естественных монополий. ’
Поствашингтонский консенсус включает в себя вызревшее в ходе экономических реформ 1990-х гг. понимание того, что важно иметь не “большое” или “малое” правительство, а “способное правительство, которое может обеспечить хороший экономический рост и справедливое распределение результатов” [Колодко, 2000]. Однако эти верные общие тезисы необходимо наполнить конкретными мерами экономической политики, направленной на структурные реформы и экономический рост.
Переходная экономика R-типа подвержена влиянию “голландской болезни”, представляющей собой чисто структурный феномен экономического развития. По мнению Дж. Сакса, “структурные сдвиги в производстве, вызванные изменениями масштабов природного богатства, не являются «болезнью» экономики в прямом смысле этого слова” [Сакс, Ларрен, 1996, с. 726], а являются “оптимальной реакцией на рост богатства” [Там же, с. 728]. Однако весь опыт экономических реформ в России 1990-х гг. заставляет нас не согласиться с этим тезисом. “Голландская болезнь” в развивающихся и переходных экономиках является скорее болезнью экономического организма в прямом смысле этого слова, протекая в тяжелой и зачастую чреватой летальным исходом (как в случае Нигерии) форме. Дело в том, что эти структурные сдвиги накладываются на процесс экономической трансформации, неизбежно закрепляясь в институциональных характеристиках экономической системы. В случае России очевидным и зримым проявлением “голландской болезни” является бурный рост объемов сырьевого экспорта на фоне стремительного падения годовых индексов реального ВВП в 1990-е гг. Подобное противоречие с теорией сравнительных преимуществ объясняется лишь на основе анализа макроэкономической структуры российской экономики: различия в условиях конкуренции на внутреннем и внешнем рынках приводят к появлению и институциональному оформлению экспортно-ориентированного и внутренне-ориентированного секторов, наряду с сектором естественных монополий. Структурные диспропорции между этими секторами, прежде всего ценовые и инвестиционные, объясняют очень многое: застарелую болезнь всеобщих неплатежей в России, высокий уровень инфляции в 1990-е гг., макроэкономические и финансовые кризисы 1994,1995,1997—1998 гг.
Готовых рецептов борьбы с “голландской болезнью” в переходных и развивающихся экономиках по сей день не найдено. Диапазон макроэкономических мер включает в себя как ортолиберальные “пилюли” (резкое снижение непроцентных расходов бюджета с целью “оживления” экономики. Например, следующее: “МВФ будет настаивать на резком сокращении Киевом примерно 1000 налоговых льгот как ключевом условии предоставления кредита нуждающемуся в средствах правительству... Фонд также попросил правительство урезать запланированные на оставшиеся полгода расходы на 30%, или на 2,1 млрд.” (цит. по: [Колодко, 2000])), так и более тонкие меры структурной политики (различный налоговый режим для предприятий экспортно-ориентированного и импортозамещающего секторов, гибкую тарифную политику и др.). Представляется, однако, что серьезность этой макроэкономической проблемы требует ее детального теоретического и практического анализа.
К числу основных выводов можно отнести следующие.
¦ Существуют некоторый оптимум налоговой нагрузки на экономику и оптимум уровня государственных расходов, обеспечивающие максимальные темпы экономического роста в переходной R-экономике.
в Этот оптимальный уровень государственных расходов зависит от ключевых параметров макроэкономической ситуации: мировых цен на экспортируемые ресурсы, реального обменного курса, тарифной политики в отраслях естественных монополий.
¦ Представляется весьма разумным и актуальным осуществление ряда макроэкономических мер, направленных на борьбу с “голландской болезнью” и оптимизацию “размера правительства”, таких, как:
проведение гибкой тарифной политики во внешнеэкономической сфере (с ростом мировых цен необходимо повышать акцизы на экспорт нефти, газа, металлов, леса и удобрений);
образование “фонда структурной политики” в составе федерального бюджета, куда должны поступать сверхдоходы от благоприятной внешнеэкономической конъюнктуры; расходовать средства из этого фонда необходимо на техническое перевооружение и
модернизацию отраслей с высокой добавленной стоимостью (финансирование проектов НИОКР, импорта высоких технологий), цели фундаментальной и прикладной науки и образования.
Учебно-методические материалы к лекции 7
Литература
Основная
Гурвич Е.Т. Государственная политика стимулирования экономического роста // Инструменты макроэкономической политики для России. М.: ТЕИС, 2000.
Илларионов А. Бремя государства // Вопросы экономики. 1996. № 9.
Отчет о мировом развитии. Государство в меняющемся мире. Мировой банк,1997.
Фридман Л., Видясов М., Мельянцев В. Государственные расходы и экономический рост // Мировая экономика и международные отношения. 1999. № 10, И.
Вагго R., Sala-I-Martin X. Economic Growth. McGraw Hill, 1995.
Rodrik D. Understanding Economic Policy Reform // Journal of Economic Literature. 1996. № 34. P. 9—41.
Stiglitz J. More Instruments and Broader Goals: Moving Toward the Post-Washington Consensus: WIDER Annual Lectures. Helsinki, 1997. № 2.
Дополнительная
Колодко Г. От шока к терапии. Политическая экономия постсоциалистических преобразований. М.: Эксперт, 2000.
Сакс Дж., Ларрен Ф. Макроэкономика: глобальный подход. М.: Дело, 1996.
Смирнов А. Лекции по макроэкономическому моделированию. М.: ГУ ВШЭ, 2000.
Barro R. Determinants of Economic Growth. MIT Press, 1995.
Barro R. Economic Growth in a Cross-Section of Countries // Quarterly Journal of Economics. 1991. Vol. 106. P. 407—443.
Caselli F., Esquivel G., Lefort F. Reopening the Convergence Debate: a New Look at Cross-Country Growth Empirics // Journal of Economic Growth. 1996. Vol. 1. № 3.
Durlauf S., Quah D. The New Empirics of Economic Growth: NBER Working Paper. 1998. № 6422.
Gomulka S. Macroeconomic Policies and Achievements in Transition Economies, 1989—1999 // Economic Survey of Europe. 2000. Vol. 2. № 3.
Levine R., Renelt D. A Sensitivity Analysis of Cross-Country Growth Regressions // American Economic Review. 1992. Vol. 82. P. 942—963.
Olson M., Sarna N., Swamy A. Governance and Growth: a Simple Hypothesis Explaining Cross-Country Differences in Productivity Growth // Public Choice. 2000. Vol. 102. P. 341-364.
Rebelo S. Long Run Policy Analysis and Long Run Growth: NBER Working Paper. 1990. № 3325.
Вопросы для повторения
1. Назовите и охарактеризуйте основные положения поствашингтонского консенсуса о новой роли государства в процессе экономических преобразований. В чем главное отличие тезиса о новой роли государства в процессе реформ от неолиберальных и кейнсианских концепций?
2. Назовите известные вам эмпирические исследования влияния государственных расходов на экономический рост.
3. Охарактеризуйте модель Р. Барро взаимосвязи темпов экономического роста с “размером правительства”: предпосылки, логика, выводы.
4. Проанализируйте проблему “размера правительства” на основе трехсекторной R-модели.
5. Охарактеризуйте структурные реформы в переходной экономике.
6. Опишите бюджетно-финансовые кризисы в переходных экономиках.
Дополнительные вопросы и задания для самостоятельной работы
1. Сопоставьте мнения российских экономистов А. Илларионова [Илларионов, 1996] и Е. Гурвича [Гурвич, 2000] по вопросу о влиянии уровня государственных расходов на экономический рост в переходных экономиках. Насколько и какими аргументами обоснованы позиции Илларионова и Гурвича? Какова, на ваш взгляд, степень научной обоснованности подобных аргументов?
2. На основе мультисекторной модели R-экономики (к которой относится Россия) проанализируйте влияние динамики мировых цен на нефть на оптимальный уровень государственных расходов.
3. Одной из широко распространенных точек зрения на возможность экономического роста в России является кейнсианский рецепт стимулирующей государственной политики в социальной сфере: индексация минимальной заработной платы в меру инфляции. Насколько действенна эта политика? Приведите формальные аргументы на основе мультисекторной модели российской экономики.
4. Напишите эссе по одной из статей, представленных в списке дополнительной литературы к лекции 7.
лекция
РЫНОК ТРУДА
В ПЕРЕХОДНЫХ ЭКОНОМИКАХ
8.1
Обзор проблем и моделей рынка труда в переходных экономиках
Проблемам рынка труда в переходных экономиках обычно уделяется мало внимания. Как отмечает Т. Бури [Воегі, 1999], исследователи рынков труда обычно сосредотачиваются на факторах спроса на труд, обусловленных динамикой производства в условиях реформ, и игнорируют динамику предложения труда в процессе экономических трансформаций. Вместе с тем многие нетрадиционные явления, присущие рынкам труда в переходных экономиках, получают свое объяснение на основе совокупного анализа факторов спроса и предложения труда.
Все бывшие социалистические страны к началу 1990-х гг. отличались очень высокой степенью вовлеченности населения в экономическую деятельность. Показатели участия населения в рабочей силе в этих странах были выше, чем в странах с рыночной экономикой. Это было следствием идеологии и политики полной занятости, не признававшей возможности добровольной незанятости для трудоспособных граждан. Поэтому с началом радикальных реформ ожидалось резкое сокращение доли населения, участвующего в экономике.
В течение большей части 1990-х гг. уровень экономической активности населения снижался практически во всех странах Центральной и Восточной Европы. К числу основных причин этого снижения активности можно отнести следующие:
¦ отказ от идеологии принудительной и обязательной занятости;
¦ увеличение удельного веса крайних возрастных групп в населении;
в отказ от распределения социальных благ и услуг через предприятия;
я рост доходов от собственности, не связанных с занятостью.
Поиск на рынке труда в условиях плановых экономик не мог принимать форму открытой безработицы. Одним из главных достижений “реального социализма” провозглашалась ее окончательная ликвидация и обеспечение полной занятости. Система материальной поддержки безработных отсутствовала, поскольку отрицалась сама возможность существования безработицы.
С началом реформ признание контрактной природы трудовых отношений потребовало углубленной разработки законодательства о труде. Искусственные барьеры на пути перемещения рабочей силы (институт прописки и др.) были ликвидированы или значительно ослаблены. Предприятия получили свободу в определении численности и состава персонала, а также в установлении уровня и степени дифференциации заработной платы. Ужесточение бюджетных ограничений вследствие рыночных реформ ослабило стимулы к накоплению излишков рабочей силы. Была признана неизбежность существования безработицы.
Помимо перечисленных факторов, влиявших на динамику предложения труда, уровень занятости населения определялся факторами спроса на труд, являющимися в конечном итоге производными от динамики и факторов экономического роста в условиях реформ.
На эволюцию рынка труда не мог не наложить серьезного отпечатка трансформационный кризис. В предыдущих лекциях мы проанализировали причины того, почему странам ЦВЕ и СНГ не удалось избежать резкого сжатия совокупного спроса, последовавшего за либерализацией цен, и сокращения государственного субсидирования предприятий, что имело крайне негативные последствия с точки зрения спроса на труд и общего уровня занятости. На рис. 8.1 приведена динамика индексов занятости в посткоммунистических странах за годы реформ (1989—2001 гг.). Из рисунка видно, что спад занятости населения сильно варьировался в разных странах. Наибольший спад занятости наблюдался в Болгарии (-27%) и Венгрии (-30%). Пожалуй, единственной страной, в которой тенденция спада занятости была радикально переломлена в середине 1990-х гг., стала Польша.
 |
1990 1991 1992 1993 1994 1995 1996 1997 1998 1999 2000 2001
—Азербайджан —Болгария X" Венгрия —Ж—Казахстан —•—Польша —I—Россия ——Румыния —Ж—Украина |
5 0 -5 -10 -15 -20 -25 -30
Рис, 8.1. Темпы прироста занятости (1990=100)
В предыдущих лекциях были проанализированы три базовые модели экономических реформ в постсоциалистических странах: польская, российская и китайская. Отличительные черты каждой из этих моделей непосредственно проявляются в характере динамики рынка труда в странах Центральной и Восточной Европы, СНГ и Китае. В целом, большинством исследователей признается тот факт, что динамика рынка труда в Польше, Венгрии и Чехии хорошо описывается двухсекторной моделью Бланшара [Blanchard, 1997] с активной ролью нового частного бизнеса в процессе создания рабочих мест. В этой модели предполагается, что реструктуризация вызывает активное освобождение предприятий традиционного сектора от избыточного персонала, что приводит к росту открытой безработицы. Однако параллельно увеличивается спрос на рабочую силу со стороны нового частного сектора, где после более или менее продолжительного поиска начинают “оседать” бывшие безработные, покинувшие традиционные предприятия. Безработица предстает в этой модели как своего рода перевалочный пункт при реаллокации трудовых ресурсов между стагнирующими и новыми секторами экономики.
Вместе с тем российский рынок труда по сей день представляет собой необъяснимую аномалию для многих транзитологов. Характеристики этого рынка включают в себя такие понятия, как “латентность” [Малева, 1998], “мутация”, “адаптация без реструктуризации” [Капелюшников, 2001], “парадоксальность” [Гимпель-сон, 1997] и др. Специфика российского рынка труда дала о себе знать практически сразу же после начала радикальных реформ, когда вместо предполагавшегося послешокового скачка открытой безработицы российское правительство столкнулось с никем не ожидавшейся эскалацией невыплат заработной платы.
Р. Капелюшников [Капелюшников, 2001] предложил анализировать российский рынок труда с учетом его парадоксальной природы. Каким образом драматичное падение ВВП могло совмещаться с относительной стабильностью занятости и умеренными темпами безработицы? Как мог возникнуть 4—7-кратный разрыв в уровнях общей и регистрируемой безработицы, свидетельствующий о слабости стимулов к регистрации в государственных службах занятости? Ответы на эти и многие другие вопросы коренятся в специфике макроэкономической структуры и в особенностях поведения экономических агентов в России.
В России реакция занятости на трансформационный шок была заметно слабее, чем в странах ЦВЕ (см. рис. 8.1). Как правило, переходный период в странах ЦВЕ длился не более 2—4 лет, после чего наблюдалось возобновление экономического роста. Падение ВВП не превышало 25—33% (в нижней точке кризиса). При этом снижение численности занятых во всей экономике достигало 10—30%, а в промышленности — 20—35%. Соответственно каждый процентный пункт падения выпуска сопровождался снижением занятости на 0,6—1,1 процентного пункта. Таким образом, динамика занятости в странах ЦВЕ достаточно плотно следовала за динамикой выпуска. Вместе с тем в России каждый процентный пункт падения выпуска сопровождался снижением численности занятости примерно на 0,34 процентного пункта.
На уровне политэкономических оценок эти различия объясняются отсутствием “жестких бюджетных ограничений” для большинства российских предприятий, которые за счет механизма взаимных неплатежей могли поддерживать достаточно большой штат работников даже в условиях падения выпуска. Однако детальный анализ позволяет вскрыть более глубокие механизмы, обусловливающие различия в динамике польской и российской моделей рынка труда.
8.2
“Польская” модель функционирования рынка труда
Как отмечалось выше, динамика занятости в большинстве постсоциалистических экономик ЦВЕ была тесно связана с динамикой агрегированного выпуска. Это дало основания О. Бланшару [Blanchard, 1997] для построения так называемой “польской” модели рынка труда, в которой основной акцент сделан на изучении взаимосвязей между ростом выпуска в новом частном секторе, реструктуризацией государственных предприятий и безработицей. Далее мы рассмотрим принципы построения этой модели, которые на содержательном уровне сводятся к следующим:
ш рост нового частного сектора снижает уровень безработицы;
¦ реструктуризация государственных предприятий приводит к росту выпуска, но одновременно увеличивает безработицу;
¦ уровень безработицы, в свою очередь, влияет на темп роста нового частного сектора и на скорость процесса реструктуризации.
В рамках “польской” модели рынка труда рост выпуска в экономике происходит вследствие реаллокации ресурсов и реструктуризации, а уровень безработицы остается постоянным в течение всего переходного периода.
Напомним, что в модели Бланшара рассматривается изменение занятости в государственном и новом частном секторах в результате либерализации цен и ликвидации субсидий государственным предприятиям. Модель квазистатическая: до реформ безработица равна нулю, после реформ вследствие сокращения занятости в секторе государственных предприятий возникает безработица U = 1 - Ns ~Np, где N — занятость в новом частном секторе, Ns — занятость в государственном секторе.
Процесс создания рабочих мест в новом частном секторе описывается переменной Н:
Н=а( І + ?-w),
где (1 + <9) — производительность труда в новом частном секторе; w — рыночная ставка заработной платы. Таким образом, прирост занятости в новом частном секторе определяется разностью между производительностью труда и рыночной ставкой заработной платы.
Обозначим через V , Vs, ?и субъективную ценность для экономического агента работать в новом частном секторе, работать в государственном секторе или быть безработным соответственно. Эти оценки удовлетворяют следующим соотношениям:
rVu=b + (H/U)(Vp-Vu) + dVu/dt rVp =w + dVp / dt rVs=l + dVs/dt Vp=Vu+c.
Здесь предполагается, что безработный получает пособие b и с вероятностью Я / U имеет шанс найти работу в новом частном секторе. Субъективная ценность иметь работу в новом секторе выше степени привлекательности безработицы на величину с. Из этих уравнений следует, что
w = b + c(r + Н /II)
и далее
Н=-^-(1 + ?-(Ь + сг)),
U + са
са U .
w = —-(1 + ?) + —-(b + сг).
и +са и +са
Отсюда видно, что количество новых рабочих мест в частном секторе возрастает с увеличением уровня безработицы. Рыночная ставка заработной платы является убывающей функцией уровня безработицы.
Другой существенной составной частью модели Бланшара является описание процесса реструктуризации предприятий государственного сектора. Предполагается, что реструктуризация ведет к увеличению производительности труда с 1 до (1 + 0), но влечет за собой снижение занятости с 1 до Л < 1. Предполагается, что выпуск возрастает в результате реструктуризации, т.е. Л(1 + ?) > 1.
Процесс реструктуризации может быть “запущен” лишь при выполнении условия
Vs<AVp+(\-A)Vu,
означающего что совокупная ценность от реструктуризации для работников выше, чем ценность работать на государственном предприятии.
Выводы модели: реструктуризация влечет за собой как увеличение выпуска, так и сокращение занятости. Решение о проведении реструктуризации зависит, помимо прочего, от состояния рынка труда: чем выше уровень безработицы, тем менее вероятно проведение реструктуризации.
Общий характер эволюции рынка труда, по Бланшару, таков: доля занятых в государственном секторе постепенно сокращается, доля занятых в частном секторе возрастает, а доля безработных остается приблизительно постоянной в течение всего периода трансформации.
8.3
“Российская” модель функционирования рынка труда
Рассмотренная выше “польская” модель является конвенциальной моделью функционирования рынка труда в постсоциалистических экономиках ЦВЕ. Вместе с тем она мало что или почти ничего не объясняет в эмпирических закономерностях функционирования российского рынка труда. Как отмечает ряд исследователей [Капе-люшников, 2001; Малева, 1998; Гимпельсон, 1997], особенностью российского рынка труда является сохранение высокого уровня занятости на предприятиях даже в условиях экономического спада. На мой взгляд, объяснение этого феномена кроется в особенностях макроэкономической структуры российской экономики. Подчеркнем еще раз, что одной из отличительных черт российской модели реформ стала “шоковая” ваучерная приватизация предприятий в 1993—1994 гг. и последовавшая сразу за ней в 1995—1996 гг. приватизация крупных предприятий экспортно-ориентированного сектора (нефтедобыча и нефтепереработка, черные и цветные металлы, химия и нефтехимия, лесной комплекс). В результате, в отличие от “польской” и “китайской” моделей реформ, главные проблемы российского рынка труда возникают не в плоскости взаимодействия нового частного сектора и государственного сектора экономики, а з рамках вышеупомянутой “треугольной” модели взаимодействия экспортно-ориентированного и импортозамещающего (внутреннеориентированного) сектора экономики, а также сектора естественных монополий. Несмотря на все усилия сменявших друг друга правительств, российская экономика в 1990-е гг. была и в 2000-е гг. остается “экономикой неплатежей” предприятий. Именно механизм взаимных неплатежей предприятий позволяет этой экономике существовать в условиях глубоких структурных диспропорций в реальном секторе. За счет взаимных неплатежей предприятий происходит финансирование оборотных средств в депрессивных отраслях, что позволяет поддерживать сравнительно высокий уровень занятости даже в условиях снижения спроса и выпуска предприятий.
Следует подчеркнуть, что “нормальный” рыночный способ разрешения проблемы неплатежей состоял бы в банкротстве неплатежеспособных предприятий и ликвидации всего “нерыночного сектора” экономики [Ясин, 2001]. Однако в России, как известно, социальный микроуровень реагирует на зачастую абсурдные директивы, поступающие с политического и экономического макроуровня, знаменитой “энергией бездействия” (по меткому выражению М.Е. Салтыкова-Щедрина). Предприятия продолжают сохранять высокий уровень занятости, не платя за поставки ресурсов от своих контрагентов, задерживая выплаты заработной платы работникам, в надежде на скорое благоприятное изменение политической и экономической конъюнктуры. Правительство же ломает голову над извечной проблемой “недоимок” и устраивает “потемкинские деревни” с показательно выпоротыми и все же счастливыми непла-тельшиками налогов.
Напомним основные положения, касающиеся трехсекторной R-модели, изложенные в предыдущих лекциях: три основных сектора экономики, различающиеся по условиям конкуренции на внутреннем и внешнем рынке — экспортно-ориентированный сектор, имеющий возможность зарабатывать твердую валюту за поставки сырьевых ресурсов на экспорт; естественные монополии, стремящиеся к росту тарифов; и внутренне-ориентированный (импортозамещающий) сектор, характеризующийся крайними по степени неблагоприятности условиями конкуренции. Далее мы рассмотрим предельно упрощенную версию модели, в которой предполагается, что предприятия внутренне-ориентированного сектора поддерживают сравнительно стабильный уровень занятости за счет неплатежей за поставки ресурсов от экспортно-ориентированного сектора и естественных монополий. Пользуясь обозначениями, введенными в лекциях 5 и 7, запишем:
(WA),+1 =lAIncd\>
Incd = pdYd - epeY? +D-Y,dnPm+Dd, (8-1)
Y _C(W/pd)
1 + ^'
ept
Отсюда видно, что за счет неплатежей за материальные ресурсы можно финансировать оборотные средства и поддерживать минимально приемлемый уровень заработной платы, не прибегая к масштабным сокращениям рабочей силы. Отметим также, что в модели текущий уровень агрегированного дохода связывается с будущими затратами на заработную плату. Это позволяет учесть фактор неплатежей по заработной плате, когда коэффициент ld близок к нулю.
Вместе с тем затраты на заработную плату и стоимостной объем выпуска одного периода связаны между собой пропорциональной зависимостью (в лекции 7 мы обсуждали конкретный вид коэффициентов пропорциональности для различных отраслей):
>ЧЛ=Д*РЛ> (8‘2)
-1
откуда Ц, = PdYd
Эта зависимость по-иному характеризует
\Рл.
проблему взаимосвязи между уровнем занятости Ld и реальным выпуском Yd: даже при падении выпуска Yd можно сохранить уровень занятости Ld за счет уменьшения ставки заработной платы wd, в частности путем невыплат (или задержек с выплатами) части заработной платы.
Продолжая рассуждать таким образом, запишем уравнение для доходов населения:
где w — средняя ставка социального трансферта (пенсии, пособия по безработице и др.); U — количество населения, получающего социальные трансферты.
После алгебраических преобразований с учетом результатов, полученных в лекциях 5 и 7, имеем следующую зависимость для реальных доходов населения:
(8-5)
где
f \
l + gP±
W
Далее из уравнения с0 — = Yd
Pd
зависимость для объема выпуска импортозамещающего сектора:
выводим следующую
ер,
(8-6)
Y -Y
1е
A) Pd А)
|
|
(
1-Z. |
+Лл— |
|
|
|
1 wdJ |
Pd |
Ч WJ |
|
А— |
fi |
+ Ал— |
ДА |
|
Pd |
l weJ |
Pd |
L WJ |
где Дз =1 + ?— -с0Д >0.
ер,
Отсюда следует, что в экономике, зависящей от экспорта сырьевых ресурсов, динамика реального ВВП будет определяться, главным образом, динамикой выпуска экспортно-ориентированного сектора и политикой в области минимальной заработной платы. Не удивительно, что и динамика занятости в R-экономике будет зависеть, прежде всего, от выпуска экспортно-ориентированного сектора, а также от государственной и корпоративной политики в области заработной платы. Более точно, с учетом полученных выше соотношений, для количества занятых в экономике Ьг имеем
A- -Le + Ld+ Lm где
№ — + АП — + РЖ + ^)— = BxYe + В0, (8-7)
ИЬ ?? W
р. +5Д.(Д, ?-+пр?
В,=Д^+«Й
w,
A)
+ V/3m—).
vv
w.
Зависимость (8-7) позволяет сделать следующие выводы для российской модели рынка труда.
1. Термин Р. Капелюшникова “адаптация без реструктуризации” не совсем корректен: реструктуризация рынка труда, действительно, произошла в России в 1990-е гг. Однако эта реструктуризация кардинально отличается от “польской” модели, описанной О. Блан-шаром. В отличие от “польской” модели рынка труда, в которой существенно взаимодействие сектора нового частного бизнеса с традиционным сектором государственных предприятий, в России наиболее существенно взаимодействие экспортно-ориентированного сектора с внутренне-ориентированным сектором.
2. Необычные черты российского рынка труда, в частности сохранение излишков трудовых ресурсов при падении спроса и выпуска в отраслях, ориентированных на российский рынок, объясняются отмеченной выше структурной особенностью функционирования российского рынка труда. Динамика занятости зависит, прежде всего, от состояния и динамики выпуска экспортно-ориентированного сектора. При ухудшении внешнеэкономической конъюнктуры (например, падении мировых цен на нефть) ухудшается и общее состояние российского рынка труда: сокращаются заказы для предприятий машиностроения, падают доходы населения, спрос на продукцию внутренне-ориентированного сектора. Однако предприятия, работающие на внутренний российский рынок, при этом отнюдь не торопятся сократить число занятых. Дело в том (и в этом существенное отличие от “польской” модели), что этот спад воспринимается как конъюнктурный, и руководители предприятий сохраняют надежду, что ситуация на мировых рынках скоро улучшится, а следовательно, повысится спрос на их продукцию и потребуются ресурсы труда для выполнения новых заказов. Адаптация к условиям спада происходит за счет снижения ставки заработной платы в отраслях, работающих на российский рынок. При восстановлении благоприятной конъюнктуры на мировых рынках возрастает и средняя ставка заработной платы.
Более формально (во избежание упреков в поспешных экстраполяциях) преобразуем коэффициенты В0 и 5, в уравнении (8-7) следующим образом:
Д,=^(А—+Рль
),
А)
P±^L
W ??
иц
Pd Wn
Cn A,
Pd
P d w W,„
Отсюда непосредственно видно, что, помимо фактора реального выпуска экспортно-ориентированного сектора, динамика занятости будет зависеть от таких факторов, как:
¦ государственная политика в области пенсий и минимальной реальной ставки социального трансферта — w / р(!;
я корпоративная политика в области заработной платы — wd /w, we Iw, wm fw;
¦ реальный обменный курс — epe / pd, epi / pd, рассчитанный для базисного индекса цен по экспортным и импортным операциям соответственно;
¦ тарифная политика в отраслях естественных монополий — Pm I Pd •
8.4
Социальная дифференциация в переходных экономиках
Вопрос, который мы не можем обойти стороной при анализе рынка труда в переходных экономиках, состоит в существенном углублении социальной дифференциации по доходам в R-модели. Исследования переходных экономик, проведенные Мировым банком в 2000 г. [Transition, 2002], позволяют утверждать, что наиболее глубокая социальная дифференциация по доходам наблюдалась в экономиках России, Молдовы, Грузии, Армении, Кыргызстана, Таджикистана. В странах ЦВЕ — Чехии, Венгрии, Словении, Польше — уровень дифференциации по доходам за годы реформ постепенно сближался со среднеевропейским.
На рис. 8.2 представлена эволюция кривой Лоренца для России в период 1991—2001 гг. Непосредственно видно, что в переходный период происходило углубление дифференциации по доходам в России.
 |
Доля населения, %
-Линия равномерного распределения общего объема денежных доходов
—•—1991 г.
—±—1992 г.
-*-2001 г.
Рис. 8.2. Кривая Лоренца в России в 1991—2001 гг. |
8.4
Социальная дифференциация в переходных экономиках
Причина столь разительных отличий уровня социальной дифференциации в Р- и R-модели в общих чертах ясна: макроэкономическая структура R-модели характеризуется существенными диспропорциями — различия в условиях конкуренции на внутреннем и внешнем рынке для предприятий экспортно-ориентированного и внутренне-ориентированного секторов, а также сектора естественных монополий приводят к существенному неравенству в уровне доходов населения, занятого в этих секторах. Далее мы проанализируем эту гипотезу на основе модели российского рынка труда, изложенной в предыдущем параграфе.
Для реальных доходов населения, занятого в секторах ЭОС, ЕМ и ВОС, имеем соответственно
Lewe
Pd
ер* Pd ’
= BY
r'e e
Pi Pi
Ldwd _ p (Y CA ! w coL
Pd ІЧ Pd A
Для реальных доходов населения, получающего социальные трансферты, имеем
Uw _ w Pd Pd\
¦BY ^-B Y Pn
r^e e r'm m
El
w.
L-PdYd
w„
w.
mj
После преобразований с учетом зависимостей, полученных в предыдущем параграфе, имеем
Uw w
— = —(П0-ОД,
Pd Pd
cnL
где Dn = L-
Pd w c04
Pm Pd W
P d W Wd \ P d W WmV
K + TJ
Таким образом, при возрастании реального объема выпуска экспортно-ориентированного сектора Ye наиболее существенно растут реальные доходы населения, занятого в экспортно-ориентированном секторе и секторе естественных монополий. Вместе с тем реальные доходы населения, занятого в секторе предприятий, производящих продукцию для внутреннего рынка, растут гораздо медленнее с ростом К (ввиду незначительности коэффициента /3(Іс0А2 / А0), а реальные доходы населения, получающего социальные трансферты, вообще сокращаются с ростом Ye. Это и является основной причиной существенного углубления социальной дифференциации по доходам в R-модели.
Основной вывод, к которому приводит анализ рынка труда в R-модели, состоит в том, что стратегия экспортно-ориентированного экономического роста (по всей вероятности, реализуемая в настоящее время в России) содержит встроенный макроэкономический механизм относительного обнищания широких масс населения, не занятого в секторах экономики, имеющих конкурентные преимущества на внутреннем и внешнем рынке (ЭОС и ЕМ), и существенного углубления социальной дифференциации по доходам.
В.И. Ленин и российские марксисты назвали бы подобный механизм “преступным”, Е.Г. Ясин и российские либералы — “естественным”. Я же хочу повторить еще раз: игнорирование структурных факторов экономического развития влечет за собой весьма неожиданные последствия, одним из которых становится постепенное и неизбежное формирование пропасти между социальной элитой, имеющей доступ к “высшим ценностям”, и нищим населением, обделенным рыночными реформами. Говорить о становлении “среднего класса” в подобных экономиках просто не приходится.
Проведенный выше анализ неизбежно покажется малоубедительным, если не объяснить, почему столь существенного углубления социальной дифференциации по доходам не происходит в Р-модели. Основная причина состоит в том, что в “польской” модели существенное значение имеет противоположность между новым частным бизнесом и реструктурируемыми государственными предприятиями. В ходе реформ происходит реаллокация труда и капитала в новый частный бизнес, так что практически все работающее население оказывается занятым в растущем частном секторе. Именно поэтому макроэкономическая среда в P-модели является сущест-
венно более однородной по условиям конкуренции на внутреннем и внешнем рынках, а степень социальной дифференциации по доходам значительно меньшей по сравнению с R-моделью.
Учебно-методические материалы к лекции 8
Литература
Основная
Государственная и корпоративная политика занятости / Под ред. Т. Ма-левой. М.: Московский центр Карнеги, 1998.
Капелюшников Р.И. Российский рынок труда: адаптация без реструктуризации. М.: ГУ ВШЭ, 2001.
Линвуд Т. Макроэкономическая теория и переходная экономика. М.: ИНФРА-М, 1996.
Blanchard О. The Economics of Post-Communist Transition. Oxford: Clarendon Press, 1997.
Coricelli F. Macroeconomic Policies and the Development of Markets in Transition Economies. Budapest: CEU Press, 1998.
Дополнительная
Гимпельсон В. Частный сектор в России: занятость и оплата труда // Мировая экономика и международные отношения. 1997. № 2.
Малева Т. Российский рынок труда и политика занятости: парадигмы и парадоксы // Государственная и корпоративная политика занятости / Под ред. Т. Малевой. М.: Московский центр Карнеги, 1998.
Воегі Т. Transition with Labour Supply: WDI Working Paper. 1999. № 274.
Commander S., Tolstopyatenko A. Unemployment, Restructuring and the Pace of Transition // Lessons from the Economic Transition. Central and Eastern
Europe in 1990s / Ed. by S. Zecchini. Dordrecht: Kluwer Academic Publishers, 1997.
Faggio G., Konings J. Gross Job Flows and Firm Growth: Evidence Using Firm Level Data on Five Countries: CEPR Working Paper. 1999. № 2261.
Transition — the First Ten Years: Analysis and Lessons for Eastern Europe and the Former Soviet Union: World Bank Report. World Bank, 2002.
Вопросы для повторения
1. Приведите типологию рынков труда в переходных экономиках (по Р. Капелюшникову [Капелюшников, 2001]). Охарактеризуйте основные модели функционирования рынков труда. К какой модели тяготеет российский рынок труда и почему?
2. Охарактеризуйте “польскую” модель функционирования рынка труда; покажите взаимосвязь динамики занятости и реструктуризации предприятий (по О. Бланшару [Blanchard, 1997]).
3. Охарактеризуйте “российскую” модель функционирования рынка труда: модель “адаптации без реструктуризации”; покажите взаимосвязь динамики производства и затрат на заработную плату в различных секторах экономики.
4. Проанализируйте углубление социальной дифференциации по доходам в переходных экономиках; приведите различия и интерпретации для “польской” и “российской” моделей реформ.
5. Проведите эмпирический анализ доходов, расходов и сбережений населения в переходных экономиках.
Дополнительные вопросы и задания для самостоятельной работы
1. Используя доступные базы данных, проведите самостоятельное эконометрическое исследование зависимости реальных потребительских расходов от реальных объемов производства и реального обменного курса для различных стран с переходной экономикой. Изменяется ли качественный характер модели по различным странам?
2. Чем объясняются качественные различия в динамике спроса на труп а мультисекторных R- и L-моделях переходных экономик? Насколько реалистичны, на ваш взгляд, гипотезы, положенные в основу этой моделіп Приведите эмпирические и теоретические аргументы.
3. Напишите реферат статьи Д. Фаггио и Дж. Конингса [Faggio, Konings. 1999].
4. Напишите эссе на тему “Движение рабочей силы в России” по материалам статей В. Гимпельсона [Гимпельсон, 1997], Т. Малевой [Малева, 1998].
9
лекция теневой сектор
В ПЕРЕХОДНЫХ ЭКОНОМИКАХ
9.1
Определения и оценки масштабов теневой экономики
Альтернативные определения теневой (скрытой, неформальной, серой, и т.д.) экономики были даны многими авторами, среди которых отметим: Е. Фейге [Feige, 1979], В. Танци [Tanzi, 1980], К. Макафи [Macafee, 1980], М. Картер [Carter, 1984]. В настоящее время различают:
¦ скрытую экономику, включающую все нерегистрируемые виды экономической деятельности;
м неформальную экономику, охватывающую все виды экономической деятельности, не включаемые в определение ВВП;
¦ экономический андеграунд, избегающий официальной регистрации и учета;
ш криминальную экономику, которая вовсе не в ладах с законами.
В дальнейшем я буду пользоваться наиболее широким определением “скрытой экономики”. Сразу оговорюсь, что в цель этой лекции не входят ни уточнение определений скрытой и теневой хозяйственной деятельности, ни новые оценки ее масштабов для переходных экономик. На мой взгляд, для макроэкономической политики существенны не столько абсолютные оценки масштабов теневой деятельности, сколько ее относительная динамика. Тем не менее краткий обзор наиболее распространенных методов оценки масштабов теневой экономики помогает прояснить некоторые детали современных представлений о характере неформальной экономической деятельности. На сегодняшний день сформировались следующие основные подходы к оценке масштабов теневой экономики.
Анализ спроса на наличность [МагеШ, 1987; Tanzi, Shome, 1993; Schneider, 1997]. Этот подход базируется на том, что теневая экономика поглощает подавляющую часть наличных денег за вычетом денег на руках у населения. Неформальные сделки совершаются за наличные, что ведет к чрезмерному спросу на этот вид денег. Для России расчеты по этому методу дают оценку теневой экономики в 20% ВВП на начало 1993 г. и 39% на начало 1994 г. В 1997 г. различные источники приводят оценки 25% и 40% [Brodsky, 1997].
Многофакторный анализ [Frey, Week, 1984]. В этом полуэв-ристическом подходе выделяются следующие факторы, определяющие динамику теневой экономики — уровень налоговой нагрузки, степень государственного регулирования экономики, уровень безработицы и др. Каждому фактору приписывается определенный вес и далее прогнозируется динамика теневого сектора.
Метод электробаланса [Kaufmann, Kaliberda, 1996]. Идея этого метода довольно прозрачна: электроэнергию нельзя запасать впрок и поэтому любое значимое превышение темпов спада реального ВВП над темпом спада объемов потребления электроэнергии свидетельствует о наличии теневого потребления электроэнергии. Вместе с тем применимость этого метода к реалиям переходных экономик является предметом оживленных дискуссий (см., например: [Lacko, 2000]). В частности, отмечают фактор условно-постоянных издержек, которые приводят к некоторому превышению динамики потребления электроэнергии над динамикой реальных объемов производства; фактор структурных сдвигов в реальном секторе — деградация энергосберегающих технологий в начальный период реформ; а также факторы постоянного пересмотра и отсутствия достоверных оценок динамики ВВП в переходных экономиках. Однако следует признать, что показатель потребления электроэнергии является одним из немногих надежно измеряемых параметров экономической активности в переходных экономиках.
В табл. 9.1 приведены оценки доли теневой экономики в ВВП в 1989—1995 гг. для стран с переходной экономикой, полученные по методу электробаланса.
Лекция 9
Теневой сектор в переходных экономиках
Динамика доли теневой экономики в ВВП для стран с переходной экономикой, % ВВП
|
Таблица 9.1 |
|
|
1989 г. |
1990 г. |
1991 г. |
1992 г. |
1993 г. |
1994 г. |
1995 г. |
|
Азербайджан |
12,0 |
21,9 |
22,7 |
39,2 |
51,2 |
58,0 |
60,6 |
|
Беларусь |
12,0 |
15,4 |
16,6 |
13,2 |
11,0 |
18,9 |
19,3 |
|
Болгария |
22,8 |
25,1 |
23,9 |
25,0 |
29,9 |
29,1 |
36,2 |
|
Чехия |
6,0 |
6,7 |
12,9 |
16,9 |
16,9 |
17,6 |
11,3 |
|
Эстония |
12,0 |
19,9 |
26,2 |
25,4 |
24,1 |
25,1 |
11,8 |
|
Грузия |
12,0 |
24,9 |
36,0 |
52,3 |
61,0 |
63,5 |
62,6 |
|
Венгрия |
27,0 |
28,0 |
32,9 |
30,6 |
28,5 |
27,7 |
29,0 |
|
Казахстан |
12,0 |
17,0 |
19,7 |
24,9 |
27,2 |
34,1 |
34,3 |
|
Латвия |
12,0 |
12,8 |
19,0 |
34,3 |
31,0 |
34,2 |
35,3 |
|
Литва |
12,0 |
11,3 |
21,8 |
39,2 |
31,7 |
28,7 |
21,6 |
|
Молдова |
12,0 |
18,1 |
27,1 |
37,3 |
34,0 |
39,7 |
35,7 |
|
Польша |
15,7 |
19,6 |
23,5 |
19,7 |
18,5 |
15,2 |
12,6 |
|
Румыния |
22,3 |
13,7 |
15,7 |
18,0 |
16,4 |
17,4 |
19,1 |
|
Россия |
12,0 |
14,7 |
23,5 |
32,8 |
36,7 |
40,3 |
41,6 |
|
Словакия |
6,0 |
7,7 |
15,1 |
17,6 |
16,2 |
14,6 |
5,8 |
|
Украина |
12,0 |
16,3 |
25,6 |
33,6 |
38,0 |
45,7 |
48,9 |
|
Узбекистан |
12,0 |
11,4 |
7,8 |
11,7 |
10,1 |
9,5 |
6,5 |
|
|
Источник’. [Johnson, Kaufmann, Shleifer, 1997а]. |
Расчет потребления электроэнергии домохозяйствами [Lacко, 2000]. Этот метод является модификацией предыдущего, только в качестве диагностического параметра используется не общий объем потребления электроэнергии, а объем потребления электричества домашними хозяйствами. По мнению авторов метода, это позволяет избежать проблем, связанных с внедрением энергосберегающих промышленных технологий, и дает лучшую корреляцию с объемами неформальной экономической деятельности.
Не вдаваясь в детали полемики об абсолютных оценках доли теневого сектора в ВВП переходных экономик, обратим внимание на следующие факты, достоверно воспроизводимые в оценках, полученных при помощи различных методик: в одной группе стран (Польша, Чехия, Венгрия, Словакия и др.) размеры теневого секто-
Анализ причин распространения теневой экономики
ра растут в первые годы реформ, а затем, по мере достижения финансовой стабилизации и начала этапа экономического роста, начинают уменьшаться. В других же переходных экономиках (Россия и страны СНГ, Румыния, Болгария и др.) доля теневого сектора в ВВП неуклонно растет все годы реформ, невзирая на периоды финансовой стабилизации и кризисов. Этот же неуклонный рост теневого сектора характерен для многих развивающихся стран (Венесуэла, Нигерия, Марокко, Перу и др.), что отмечается западными [Сото, 1995; Jamada, 1996] и российским [Иванова, 1999] исследователями.
Другой вопрос, связанный с приведенными выше оценками масштабов теневой экономики в различных странах, касается видов неформальной экономической деятельности, которые отражаются в том или ином методе оценивания. Ясно, что метод электробаланса учитывает, в основном, теневое производство и весьма мало приспособлен для оценки доли теневой торгово-посреднической деятельности. В то же время метод оценки по критерию повышенного спроса на наличность лучше отражает динамику финансового посредничества, но может давать большую погрешность, обусловленную сложностью разделения финансовых потоков по секторам экономики.
Вместе с тем следует еще раз подчеркнуть, что для разработки мер макроэкономической политики, направленных на борьбу с теневой экономикой, важны не абсолютные оценки масштабов неформальной экономической деятельности, которые в любом случае будут весьма приблизительными, а понимание и анализ причин, обусловливающих тот или иной характер динамики теневого сектора, и макроэкономических последствий этой теневой эволюции для переходных экономик.
9*2
Анализ причин распространения теневой экономики
Среди множества статей, посвященных анализу причин широкого распространения неформальной экономической деятельности в странах с развивающейся и переходной экономикой, можно выделить работы, анализирующие факторы микроуровня, и работы, связанные с исследованием макроэкономических факторов распространения теневой экономики.
Краткий обзор работ, посвященных анализу факторов микроуровня, содержится в статье А. Ивановой [Иванова, 1999]. Автор отмечает, что основными подходами к анализу микроэкономических факторов распространения теневой экономики являются следующие.
¦ Легалистский подход, акцентирующий внимание на административных и юридических препятствиях для развития мелкого и среднего частного бизнеса [Сото, 1995].
¦ Структуралистский подход, подчеркивающий значение структурных факторов в динамике теневого производства: структурная безработица в начальный период реформ, неэффективные взаимосвязи финансового, реального и социального секторов экономики [Tockman, 1978].
м Институционалистский подход: традиции уклонения от уплаты налогов, коррупция, распад социальной морали, высокие трансакционные издержки легального экономического обмена [Chu, 1990].
¦ Этатистский подход: высокое налоговое бремя для легального сектора экономики, неявная заинтересованность государства в развитии теневой экономики [Marcouiller, Young, 1995].
Вместе с тем следует отметить, что чисто микроэкономический анализ мало что проясняет в закономерностях распространения теневой хозяйственной деятельности в странах с развивающейся и переходной экономикой, в частности уже упоминавшееся качественное различие в динамике теневого сектора для разных групп стран. На мой взгляд, существенное значение для понимания закономерностей развития теневого сектора имеет макроэкономическая структура той или иной переходной экономики.
В 1998—2000 гг. широкий резонанс получили работы К. Гадди и Б. Икеса [Gaddy, Ickes, 1998; 1999], посвященные анализу российской виртуальной экономики, представляющей собой, по мнению авторов, ошибочную мутацию в мировом экономическом развитии, вызванную неполной шоковой терапией 1992—1993 гг. Эти авторы отмечают, что непоследовательный характер макроэкономических реформ в России привел к повсеместному распространению бартера и неденежных форм взаимных расчетов между предприятиями, представляющих собой специфические формы экономического обмена в виртуальной экономике.
Виртуальность российской экономики — это синдром взаимообусловленного существования открытой и теневой экономик, порождающий фиктивные оценки экономического роста и кризисы в финансовой сфере. Бартер, взаимные неплатежи между предприятиями и неформальная экономическая деятельность — три тесно связанных макроэкономических феномена, характеризующих, по мнению Гадди и Икеса, институциональную “ловушку”, в которую угодила Россия в попытках реформировать свой хозяйственный механизм.
Взгляды и модели Гадди и Икеса отличаются элегантной простотой, а рекомендации в области макроэкономической политики — завидным радикализмом. Так, все российские предприятия эти авторы подразделяют на два класса — создающие и разрушающие стоимость. В первый класс попадает, в основном, “Газпром”, а во второй — большинство российских недореструктуризованных компаний, которые не мешало бы побыстрей обанкротить. Эти-то “паразитарные” предприятия и используют бартер для сокрытия разрушенной стоимости и ухода от налогов. Попытки государства ужесточить бюджетные ограничения в виртуальной экономике обречены на провал: большинство предприятий используют неденежные формы взаиморасчетов.
Рекомендации “банкротить всех и вся” настойчивым рефреном звучат в работах многих западных транзитологов, мало озабоченных социальными импликациями этой политики. Эволюционистская метафора “ошибочной мутации” диктует драконовские “меры” по борьбе с неформальной и виртуальной экономикой.
9.3
Формальный анализ: макроэкономические модели динамики теневого сектора в переходных экономиках
Вначале поставим следующий вопрос: какие виды экономической активности могут приобретать теневой характер в переходных экономиках? Можно ли представить себе крупное промышленное предприятие, выпускающее в значительных объемах теневую промежуточную продукцию? Теоретически можно, в условиях полного коллапса государственной системы (теневые нефтепроводы в Чечне и т.п.). Однако практически теневая экономическая активность гораздо чаще наблюдается в сфере торгово-посреднической и финансовой деятельности, а также в производстве конечной продукции и услуг для населения. Это означает, что чем сложнее макроэкономическая структура переходной экономики, чем больше в ней структурных секторов экономической деятельности, различающихся по степени доступа к производственным ресурсам и условиям конкуренции на внутреннем и внешнем рынках, тем шире возможности для организации теневой деятельности.
Именно этот аргумент проливает свет на главную проблему: почему в одних переходных и развивающихся экономиках (Польша, Венгрия, Чехия и др.) наблюдается “параболический” график динамики теневого сектора, тогда как в других экономиках (Румыния, Болгария, Россия, Украина и страны СНГ, Венесуэла, Нигерия и др.) теневой сектор обладает тенденцией к устойчивому саморазвитию и доля теневого выпуска в ВВП неуклонно растет, стабилизируясь на высоком уровне?
На мой взгляд, различие между этими паттернами динамики теневого сектора в переходных и развивающихся экономиках обусловлено структурными особенностями функционирования R- и L-экономик [Бродский, 2000]. Напомним здесь основной принцип различения экономик R- и L-типа.
¦ R-экономика: богатые природные ресурсы, преимущественное развитие добывающих экспортно-ориентированных производств.
¦ L-экономика: относительно бедные природные ресурсы, преимущественное развитие обрабатывающих и постиндустриальных технологий.
В моей статье [Бродский, 2000] были проанализированы структурные особенности R-экономики: возможность извлечения внушительной ренты из добычи и эксплуатации богатых природных ресурсов приводит к институциональному оформлению экспортноориентированного сектора R-экономики, развитие которого подчинено механизмам глобальной экономики и во многом обособлено от макроэкономических проблем и трудностей, с которыми сталкивается конкретная переходная экономика. Классический пример: “Газпром” в России, в 1998—2000 гг. провозгласивший стратегию глобальной экспансии и весьма косвенно затронутый экономическим кризисом в стране.
Основная гипотеза, теоретическому анализу и обоснованию которой посвящена эта лекция, формулируется следующим образом: для переходных и развивающихся экономик R-типа характерна монотонная динамика доли теневого сектора в ВВП, тогда как для экономик L-типа характерен рост теневого сектора вначале реформ и постепенное уменьшение его доли в ВВП по мере становления рыночной экономики. Если эта гипотеза окажется верной (хотя бы отчасти), то выводы из нее для долгосрочной макроэкономической политики в России будут весьма серьезными: традиционные методы борьбы с теневым коммерческим оборотом (ужесточение санкций за нарушение налогового законодательства, снижение общего уровня налоговой нагрузки и др.) оказываются явно недостаточными в этой ситуации, требующей нетрадиционных мер структурной политики.
Вначале рассмотрим закономерности макроэкономической динамики теневого сектора в переходной L-экономике. Как отмечалось выше, макроэкономическая структура L-экономики отличается сравнительной однородностью: большинство предприятий открытой экономики ориентированы как на внутренний рынок, так и на экспорт своей продукции. Отсутствует структурная обособленность экспортно-ориентированных компаний, производящих продукцию с высокой добавленной стоимостью. Другая особенность L-экономики — импорт важнейших сырьевых ресурсов в условиях жесткой мировой конъюнктуры и развитой конкурентной среды на рынках поставок сырья. В этой ситуации сектор неформальной экономики занят, в основном, теневым производством конечной продукции и услуг для населения. Возможности организации теневых структур финансового посредничества в L-экономике существенно ограничены.
В макроэкономической структуре L-экономики сектор открытой экономики ориентирован как на внутренний, так и на внешний рынок. Сектор теневой экономики получает энергосырьевые ресурсы и промежуточную продукцию от сектора открытой экономики и производит теневую продукцию и услуги для населения.
Доходы населения в L-экономике складываются, в основном, из доходов в открытой экономике (заработная плата, предпринимательский доход), из доходов в теневой экономике, а также из социальных трансфертов.
w = Ldwd + Lsws + Luwu,
(9-1)
где Ld, Ls, Lu — численность населения, фактически занятого в открытой и теневой экономике, а также получающего социальные трансферты соответственно; wd,ws,wu — средний уровень доходов в открытой и теневой экономике, а также социальных трансфертов соответственно.
Реальные потребительские расходы населения С связаны, с одной стороны, с реальными доходами W / рА\
VP*.
(9-2)
где pd — уровень потребительских цен в L-экономике, а с другой стороны, определяются реальными объемами производства конечной продукции для населения в секторе открытой (Yd) и теневой (Ys) экономики, а также импортом потребительских товаров, зависящим от реального обменного курса pd / ер t, где е — номинальный обменный курс; pt — уровень контрактных цен на потребительский импорт, т.е.
C = (Yd+Yt)
(9-3)
( \ І + ^-Ел.
? еРи
Динамика реальных объемов производства в открытом и теневом секторах L-экономики тесно связана с тенденциями изменения агрегированного дохода в них. Агрегированный доход сектора открытой экономики может быть представлен следующим образом:
Incd = Yeepe + pdYd + p‘Yd‘ ~ pYd +1d, (9-4)
где Ye — реальный объем экспорта L-экономики; pe — уровень контрактных цен на экспортируемую продукцию; pd — уровень внутренних цен на конечную продукцию; Yd — объем поставок конечной продукции открытого сектора на внутренний рынок; pd — уровень цен на поставки продукции открытого сектора теневому сектору; Yd — реальный объем поставок продукции открытого сектора теневому сектору; р — уровень мировых цен на исходное сырье;
Yd — реальный объем поставок исходного сырья для открытого сектора; 1й — объем частных инвестиций.
Далее предположим, что общий объем заработной гттатъ: и предпринимательского дохода в открытом секторе в момент времени (? + 1) пропорционален агрегированному доходу, полученному в период t, т.е.
(wdLd),+x-Id(lncd),- (9-5)
Аналогично для объема налоговых отчислений:
(Тахл ),+і = Td Uncd), > (9-6)
где 0 < ld, rd < 1 — коэффициенты экономической политики.
В модели также предполагается, что производственная функция в секторе открытой экономики описывается моделью Кобба — Дугласа:
у=к, + ^+г; = лХ'М'. (9-7)
где Y — общий реальный объем выпуска открытого сектора L-экономики; Kd — реальный объем производственного капитала открытого сектора; Pd,Yd >0 — структурные коэффициенты.
Далее будем полагать, что выбор уровня цен pd в открытом секторе L-экономики осуществляется на основе паритета с мировыми ценами, т.е. pd - е ре. С другой стороны, объем поставок открытого сектора теневой экономике Yd пропорционален объему теневого производства Ys, т.е. YJ - SdYs, а уровень цен ргі отслеживает уровень цен в открытом секторе экономики pd.
Тогда с учетом того, что уровень занятости Ld определяется из условия максимизации прибыли в открытом секторе, получим
(9-8)
Pd
Аналогично для теневого сектора зависимость для агрегированного дохода имеет вид
(9-9)
Inc, =Ysps - PdYd - pYs,
а уравнения для объемов заработной платы и налоговых отчислений (рассматривается феномен “серой” экономики) соответственно
(т Ls )f+1 = U (Incs X (9-10)
(Taxs ),+i - ts (lncs X ¦ (9-11)
При этом ls,rs — коэффициенты экономической политики, причем ts « Td (основная налоговая нагрузка ложится на предприятия открытой экономики). По-прежнему полагаем, что производственная функция в теневом секторе описывается моделью Кобба — Дугласа, уровень занятости в теневом секторе определяется из условия максимизации прибыли, что дает
L— = fi,Y,- (9-12)
Р, '
Рассмотренная формализация дает возможность исследования количественных взаимосвязей динамики открытого и теневого секторов L-экономики. Для сохранения простоты модели допустим, что зависимость (9-2) допускает линеаризацию: С = c0W / pd.
Тогда из уравнений (9-1)—(9-3), (9-8), (9-12) получим
PdY + Ps&-Y.+LK„^
(Ъ+г,)
i+?-
(9-13)
= сг
ePj
Pd
Pd,
где ки — доля населения, получающего социальные трансферты. Отсюда получим основную зависимость, связывающую объемы производства Yd и Ys в открытом и теневом секторах L-экономики,
Y, = У - У (1 - А) + Co-K"Wu
(9-14)
а+@)р/
( Л
со fi,— + fid<5''d Pd
Pd
е Рі
где 0 < А = •
<1, Е =
1 + ?Е
Таким образом, динамики открытого и теневого секторов L-экономики находятся в обратном соотношении: чем выше объем выпуска Yл в открытом секторе экономики, тем меньше доля теневого сектора и наоборот. Заметим, что, несмотря на кажущуюся тривиальность, этот вывод уже далеко не всегда справедлив для R-экономики.
Динамика объема выпуска в теневом секторе экономики может быть исследована на основе уравнений (9-9)—(9-11). После преобразований получим .
_p_
Ps)
Pd.
Ps
(1 + TTs)j3s(Y.Xl=h(Ys)t
(9-15)
1-
Отсюда видно, что при 1 -rs > ДД + яД будет наблюдаться рост теневого сектора экономики. Это означает, что если основное налоговое бремя ложится на предприятия открытого сектора экономики, а легальные санкции за уклонение от уплаты налогов весьма слабы, то у предприятий появляется устойчивый стимул для перехода в нелегальный сектор.
Таким образом, политика государства, направленная на снижение общего уровня налоговой нагрузки на предприятия открытого сектора экономики и ужесточение санкций за нарушения налогового законодательства, будет эффективной в L-экономике. Вместе с тем попытки механического копирования опыта успешных реформ в L-экономиках для экономик R-типа могут оказаться весьма неэффективными, что будет показано далее.
Проведенный анализ L-экономики позволяет сделать следующие выводы.
в Характерный “ параболический ” график динамики теневого сектора в переходной L-экономике может быть объяснен на основе двухсекторной модели: в начальный период реформ вследствие дерегулирования государственного сектора в экономике и дезорганизации производства происходит спад уровня агрегированного выпуска и занятости в открытом секторе экономики. Именно в этот период отмечается резкий рост объемов теневых трансакций в L-экономике. Далее, по мере развития нового частного бизнеса, происходит рост агрегированного выпуска и занятости в открытой экономике. Доля теневого производства в ВВП и теневой занятости начинает снижаться. Таким образом, динамика теневого сектора в переходной L-экономике является зеркальным отражением U-образной формы динамики агрегированного выпуска и занятости.
¦ Предыдущий вывод следует расценивать лишь как первое приближение к реальной ситуации. Более детальный анализ заставляет нас сформулировать следующие вопросы: Почему теневой сектор не является структурно устойчивым в L-экономике? Вызвано ли это стимулирующей налоговой политикой государства (снижение уровня налогообложения открытого бизнеса, введение жестких санкций за нарушение налогового законодательства), либо причина этого коренится в структурной однородности L-экономики? Ответы на них могут быть получены на основе сравнительного анализа динамики теневого сектора в L- и R-экономиках.
Рассмотрим макроэкономическую структуру R-экономики. Как отмечалось выше, она характеризуется системными взаимосвязями следующих секторов производства: экспортно-ориентированного сектора (ЭОС), сектора естественных монополий (ЕМ), сектора предприятий, ориентированных на внутренний рынок (ВОС) и теневого сектора (ТС). Подчеркнем, что в R-экономике эти сектора различаются по условиям конкуренции на внутреннем и внешнем рынках, по финансовому положению входящих в них предприятий, а также по степени доступа к экспортным и инвестиционным ресурсам.
|
ЕМ |
|
ЭОС |  |
ВОС |
Рис. 9.1. Принципиальная схема хозяйственных взаимосвязей
в R-экономике |
Следует отметить, что эта четырехсекторная макроэкономическая структура гораздо сложнее и ближе к реальности, чем модель Гадди и Икеса [Gaddy, Ickes, 1998], основанная на тривиальной дихотомии “«Газпром» и все остальные”. Далее будет показано, что “предложения” этих авторов “банкротить всех и вся” ничего кроме хозяйственного хаоса и социальной разрухи для R-экономики вызвать не могут.
Механизмы ценообразования в R-экономике исключительно сложны. Как правило, для каждого сектора макроструктуры существует официальный уровень цен, например, рт — официальный уровень цен на продукцию и услуги естественных монополий; р?т — уровень цен за сделки по бартеру или с использованием денежных суррогатов; рьт — уровни цен закупки продукции и услуг за наличные деньги и р’І — уровни цен за поставки этой продукции и услуг за наличные деньги.
Структуры финансового посредничества в R-экономике существуют, в основном, за счет маржи между ценами поставки и закупки продукции. Отметим, что несмотря на кажущуюся сложность схем и цепочек взаиморасчетов в R-экономике, — например, коммерческая фирма А закупила электроэнергию у станции Б, расплатившись векселями “Газпрома”, далее Б купила газ за векселя у “Газпрома” и т.д. — принципиальная схема формирования конечных финансовых результатов деятельности предприятий в R-экономике на макроуровне имеет вид, приведенный на рис. 9.2: в конечном итоге теневые коммерческие фирмы делают прибыль именно на марже между закупкой и поставкой за наличные деньги.
Следует также подчеркнуть, что вопреки расхожему тезису “неплатежи — это наводнение, которое топит экономику России”, на наш взгляд, неплатежи в реальном секторе представляют собой чисто бумажный феномен в том смысле, что они существуют только на листах финансовой отчетности предприятий как видимый результат теневых сделок с финансовыми посредниками. Этот взгляд весьма близок позиции таких экспертов, как П. Карпов [Карпов, 1998] и А. Яковлев [Яковлев, 1999]. Нынешняя система неплатежей является “новой промышленной организацией”. Суть ее в том, что расчеты в экономике в основном осуществляются не между самими промышленными предприятиями-производителями, а между неформальными группами, составной частью которых являются сами эти предприятия. Этот механизм обеспечивает аккумулирование ликвидности и прибылей у финансовых посредников в составе неформальных групп, а также долгов и убытков на уязвимых промышленных предприятиях.
В самом деле, рассмотрим следующий характерный пример образования огромной дебиторской задолженности на счетах естественных монополий в России. Пусть РАО “ЕЭС России” объявляет официальный тариф рт за единицу электроэнергии. Цена бартерных сделок с электроэнергией р?т , как правило, гораздо выше: р?т » рт. Цена закупки электроэнергии финансовым посредником у электростанции А за наличные, как правило, ниже рт, тогда как цена поставок этой продукции финансовым посредником предприятию Б за наличные деньги выше рт, т.е.
РІ<Рт<РІ«РІ- (9-16)
В этой ситуации лишь на первый взгляд кажется, что предприятие А будет в проигрыше от сделки за наличные по цене рьт < рт. В действительности руководство А получает следующий доход от продажи единицы продукции
(9-17)
рЬт + Л(р5т~рЬт)> Рт,
где 0 < Л < 1 —¦ “доля” руководства А в доходах от сделки.
Работники предприятия А также удовлетворены: они получают заработную плату вовремя и “живыми” деньгами. Не в накладе и предприятие Б, которому поставили электроэнергию по цене Рт > Рт- В самом деле, единственной альтернативой этой сделке для Б будет использование бартера и векселей по цене р?т » рт, что часто нежелательно. А уж агенты из посреднических структур и вовсе на седьмом небе: к ним стекается вся прибыль от наличных сделок. Единственным проигравшим в этой ситуации будет государство в лице налогового инспектора, который приходит на предприятие А, где ему предъявляют “минусовую” финансовую отчетность с “дебиторкой”, кратной рт~рЬт, а затем расстроенный идет на предприятие Б, где ему опять предъявляют “кредиторку”, кратную Рт ~ Рт • ПРИ этом заглянуть в посредническую контору этот инспектор побоится или побрезгует (“мелочь какая-то и небезопасно”).
Сказанное выше дает нам основания для рассмотрения финансовых взаимосвязей между секторами ЭОС, ЕМ, ВОС и ТС R-экономики в рамках расчетов за деньги.
Теневой сектор
Агрегированный доход теневого сектора образуется как доход от услуг по финансовому посредничеству плюс доход от теневого производства продукции и услуг для населения:
(9-18)
Incs=(Yed + Yem)(pb-p-l) + (Y:+Yd)(pbm-P:) + (Yl+Ydm)(pbd-pD + + Ysps-Y;pb-Y;ipbn-Y;pb,
где Yf - SdYd,Yem = S™Ye и т.д., т.е. реальный объем поставок продукции сектора А сектору Б равен реальному объему выпуска сектора Б, умноженному на некоторый технологический коэффициент (заметим, что этот подход соответствует основной идее межотраслевого баланса). После преобразований получим
іпо, = Y,(p, - Ы -sipi - stf) + к„(^дЛі+Pd)+ +УЖЬр, +#;дРі)+кх^дЛ+^др„).
По-прежнему полагаем, что этот агрегированный доход используется на выплату заработной платы и налогов (рассматриваем “серую” экономику), т.е.
(WsLs)t+i - ls(lncs)t,
СTaxs)t+l = Ts(lncs),,
где 0 <ls, ts <1 — коэффициенты.
Производственная функция теневого сектора описывается моделью Кобба — Дугласа, ys = As Lf' КІ1, а уровень занятости Ls определяется из условия максимизации прибыли в теневом секторе, т.е.
Ls—=(3js. (9-21)
Ps
Аналогично рассматриваются сектора ЭОС, БОС, ЕМ. Запишем окончательную форму уравнений модели для этих секторов.
Экспортно-ориентированный сектор Агрегированный доход:
Іщ =еРх +йо?+Г+?)-йХ -РХЧ =(ед +«гі -ы?. + +<<?rf -едЖ -ч>Л+(« -*вЖЧ-
Номинальная заработная плата и налоги:
(weLe)t+1 = ІеіІПСе))’
(Тахе),+І - Те ІІПСе ), •
Производственная функция:
Ye = Aed'Kl'-
Реальная заработная плата:
Le— = j3eYe-
Естественные монополии Агрегированный доход:
1пст = ^+F„:+о - - рХ+4
Номинальная заработная плата и налоги:
(?Г/?і ~ Іщ *
(ТІЗХт)г+і (//2Ст)/'
Производственная функция:
Ym = An Lm" Kk = Yi + Ym + Ym ¦ Реальная заработная плата:
Lm— = 0mYm-
Pm
(9-22)
(9-23)
(9-24)
(9-25)
(9-26)
(9-27)
(9-28)
(9-29)
Внутренне-ориентированный сектор
|
Агрегированный доход: |
 |
(9-30) |
|
Номинальная заработная плата и налоги: |
(9-31)
КАЛ+і = ld(Incd)t, (Taxd)l+i = Td(lncA)r
Задолженность сектора ВОС
В отличие от всех других секторов R-экономики сектор предприятий, ориентированных на внутренние рынки, не имеет возможности погашать кредиторскую задолженность за счет роста цен на свою продукцию (ограниченный платежеспособный спрос населения, конкуренция с потребительским импортом) либо за счет внешних рынков сбыта. Поэтому в модели рассматривается динамика чистой кредиторской задолженности сектора ВОС как механизма компенсации разности между издержками и доходами:

(9-32)
Анализ уравнений модели R-экономики, как и для L-экономики, начинается с зависимости для номинальных доходов населения в R-экономике

(9-33)
Реальные расходы населения на конечное потребление, с одной стороны, связаны с текущими реальными доходами зависимостью вида
(9-34)
С = C(W / pd) = с0
Pd
а с другой стороны, определяются объемами производства конечной продукции для населения теневым сектором (Ys) и сектором предприятий, ориентированных на внутренние рынки (Ypd ), а также объемом потребительского импорта, зависящего от реального обмен-( ^
Р±
Pd.
т.е.
ного курса
( \ { еРі)
C = (Yf+Ys)
(9-35)
где Yf=Yd-Y‘-Ydm-YJ.
Подставив (9-34)—(9-35) в (9-33), получим после алгебраических преобразований следующую зависимость:
Yd - alYs + a2Ye + a2LKuwu. (9-36)
где
в. = S-' (Д pt + РярЛ + ESdJ: + ES: - E), a2=S-l(epJe+/lmpmS‘m+ES‘+ES:S:\ a3 = S~l(l + ldIdILwuKu)
и 5 = Я(1-ед)-АдЛ. E = l + 4&-.
Pi
Таким образом, вместо четырех переменных Yd,Ye,Ys,Ym — объемов производства в секторах ВОС, ЭОС, ТС и ЕМ соответственно, мы получили всего две независимых переменных: Ye — реальный объем производства в экспортно-ориентированном секторе и Ys — реальный объем производства в теневом секторе. Это и не удивительно: по сравнению с L-экономикой, где имеется лишь один вид неформальной деятельности (теневое производство) и одна независимая переменная — объем производства в открытом секторе экономики, в R-экономике существуют два вида теневой деятельности: финансовое посредничество и теневое производство и, как результат, две “степени свободы” — независимые переменные Ye и Ys. Поэтому анализ динамики производства в R-экономике необходимо проводить на фазовой плоскости (Ye,Ys).
Этот анализ заключается в следующем. Подставив полученную зависимость Yd = f(Ye,Ys) в уравнение Ym = <5dmYd + 8smYs + 8emYe и
зависимости для Іпсе, Іпс5, выразим эти величины через независимые переменные Ye, Ys. Далее имеем
(ер г)
e'l+1
Ж |
|
=/« |
ІПСе |
|
|
е р
\ г е J, |
|
/ Л |
|
= 7. |
InCs |
|
|
? Д J, |
|
WeLe
(ед),
?^Д Ум Г
(9-37)
(д)
I д L (рХ
откуда получим уравнения, описывающие динамику переменных Ye и У,.,
Дді + ^Кі + frXiXre)l+i=W)t+№,)'+%, Ad + (дАЖА, =КЮ, +b5(Ys)t + b6.
Конкретный вид коэффициентов Ь^+Ь6, зависящих от ценовой политики предприятий в различных секторах R-экономики (Ре > Рл ’ Рт ’ Рs)’ от цен закупки и поставки продукции этих секторов финансовыми посредниками (pbd,psd,pbm,psm,pbe,pse), от маржи за посреднические услуги (Apd,Ape,Apm), а также параметров налоговой политики государства в отношении открытой и “серой” экономики (те, д) таков:
^-6, =ер. -г>: -ад +<Ь(^Л‘-ерд + фрІ-ерЖ+ъЫ.
ед
А = Ад - ед + Д (А Ре - ед) + (Am Д - ед ХА + Д А)>

= 4 + аъ1\?ики (А, д - ед + А„, (Атд - ед)),
= №Др„ +г;д^)+(4"дЛ+Я"АР<ж +<*Я)+
.S
+ ОгСА'ДД + АД ДА
Д = р.-ад s-pi -ад+(адР,+адРдадв|?)+
+д(А*дд+Адд)>
= <hLwuKu (SeAPc + КАР,П + аъК (SeAPe + ^ІАР,' ))•

Анализ системы (9-38) позволяет утверждать, что устойчивость фазовых траекторий (Ye, Ys) может быть легко нарушена посредством изменения параметров маржи за услуги финансовых посредников — Д pe,&pd,Apm, — входящих в выражения для коэффициентов 6, +&б. Возможный вид фазовых траекторий системы (9-38) приведен на рис. 9.2.
 |
|
Рис. 9.2. Фазовые траектории в системе (9-38) |
Таким образом, при любом наборе параметров налоговой политики государства в отношении различных сегментов R-экономики возможен вариант катастрофической эволюции, когда масштабы теневой экономики начинают увеличиваться до величин, при которых распад большинства отраслей R-экономики, работающих на внутренний рынок, становится необратимым, а вся R-экономика начинает походить на экспортно-коррупционный анклав, в котором отдельные островки финансового благополучия — олигархический бизнес сырьевых и медиамагнатов, торговля оружием и наркотиками, преступная среда — тонут в пучине экономического и социального коллапса. Именно таким был результат либеральных реформ в Нигерии, Венесуэле и многих других R-экономиках. Сегодня есть все основания полагать, что российская политическая элита явно недооценивает опасность такого варианта развития событий. Во всяком случае, программа долгосрочного экономического развития России на период до 2010 г. ориентирована скорее на тотальную либерализацию экономики в духе идей Вашингтонского консенсуса.
Учебно-методические материалы к лекции 9
Литература
Основная
Бродский Б.Е. Теневые структуры и виртуальные “ловушки”: модели неформального сектора в переходных экономиках // Экономический журнал ВШЭ. 2000. Т. 4. № 4.
Gaddy С., Ickes В. То Restructure or Not to Restructure: Informal Activities and Enterprise Behavior in Transition: WDI Working Paper. 1998. May.
Gaddy C., Ickes B. Stability and Disorder: An Evolutionary Analysis of Russia’s Virtual Economy: WDI Working Paper. 1999. № 276.
Johnson S., Kaufman D., Shleifer A. The Unofficial Economy in Transition // Brookings Papers on Economic Activity. 1997 [a]. № 2.
Дополнительная
Иванова А.Б. Исследование причин распространения теневой экономики в России // Экономический журнал ВШЭ. 1999. Т. 3. № 4. С. 543—568.
Карпов П. Как нам восстановить платежеспособность российских предприятий // Российский экономический журнал. 1998. № 4. С. 52—65.
Полтерович В.М. Институциональные ловушки и экономические реформы. М.: РЭШ, 1998.
Симагин Ю. Об оценках масштабов дополнительной занятости населения // Вопросы экономики. 1998. N° 1.
Сото Э. де. Иной путь. Невидимая революция в третьем мире. М.: Catallaxy, 1995.
Яковлев А.А. Неучтенный наличный оборот и уход от налогов в России: схемы уклонения и мотивация фирм: Дискуссионные материалы. Вып. 1. М.: ГУ ВШЭ. 1999.
Brodsky В. Dollarization and Monetary Policy in Russia // Review of Economies in Transition. 1997. № 6. P. 49—62.
Carter M. Issues in the Hidden Economy // Economic Record. 1984. № 60. P. 209-211.
Chu C. A Model of Income Tax Evasion with Venal Tax Officials: the Case of Taiwan // Public Finance. 1990. Vol. 45. № 3. P. 392—408.
Feige E.L. How Big is the Irregular Economy? // Challenge. 1979. № 22. P. 5—13.
Frey B.S., Week H. The Hidden Economy as an Unobserved Variable // European Economic Review. 1984. № 26. P. 33—53.
Johnson S., Kaufmann D., Shleifer A. Politics and Entrepreneurships in Transition Economies: WDI Working Paper. 1997 [6]. № 57.
Kaufmann D., Kaliberda A. Integrating the Unofficial Economy into Dynamics of Post-Socialist Economies: A Framework for Analysis and Evidence: Development Discussion Paper. 1996. № 558. P. 81—120.
Lacko M. Hidden Economy — an Unknown Quantity? Comparative Analysis of Hidden Economies in Transition Countries, 1989—1995 // Economics of Transition. 2000. № 1.
Macafee K. A Glimpse of the Hidden Economy in the National Accounts // Economic Trends. 1980. № 316. P. 81—87.
Marcouiller D., Young L. The Black Hole of Graft: the Predatory State and the Informal Economy // American Economic Review. 1995. Vol. 85. № 3. P. 630-646.
Marelli M. The Economic Analysis of Tax Evasion: Empirical Aspects // Surveys in the Economics of Uncertainty. Oxford, 1987.
Schneider F. Empirical Results for the Size of the Shadow Economy of West European Countries over Time / University of Linz: Working Paper. 1997. №9710.
Schneider F., Enste D. Shadow Economies: Sizes, Causes, and Consequences // Journal of Economic Literature. 2000. Vol. 38. № 1.
Tanzi V. The Underground Economy in the United States: Estimates and Implications / Banca Nationale del Lavoro // Quaterly Review. 1980. № 135. P. 427—453.
Tanzi V., Shome P. A Primer on Tax E'-m:;r ;v- Smf .-me- _:,:i ¦: -]
№4. "
Тоскшап V. Competition between the Informal and Formal Sec::rs Rn the Case of Santiago // World Development. 1978. Vol. 6. 9. 10.
Yamada G. Urban Informal Employment // Economic Development and Cultural Change. 1996. Vol. 44. № 2. P. 289-314.
Вопросы для повторения
1. Дайте определения и оцените масштабы теневого сектора в переходных экономиках.
2. Проанализируйте причины и факторы распространения теневой экономики. По работам Гадди, Икеса [Gaddy, Ickes, 1998, 1999] охарактеризуйте “виртуальную экономику”.
3. Проанализируйте динамику теневого сектора в переходных экономиках L-типа (“польский” вариант).
4. Проанализируйте динамику теневого сектора в переходных экономиках R-типа (“российский” вариант).
Дополнительные вопросы и задания для самостоятельной работы
1. Используя доступные базы данных, проведите самостоятельное сравнительное исследование динамики производства электроэнергии и агрегированного выпуска для различных стран с переходной экономикой. Дают ли основания эти данные для выводов о существенных масштабах теневой экономической деятельности в этих странах?
2. Рассмотрите модификацию четырехсекторной модели российской экономики с мультипликативными трансакционными издержками, обусловленными деятельностью торгово-финансовых посредников. Изменяется ли качественный характер выводов по модели?
3. Напишите реферат статьи М. Ласко [Lasko, 2000].
4. Напишите эссе на тему “Российская виртуальная экономика: миф или реальность?” с использованием материалов статей Гадди, Икеса [Gaddy, Ickes, 1998; 1999], А. Яковлева [Яковлев, 1999], А. Ивановой [Иванова, 1999].
ЗАКЛЮЧЕНИЕ
“Не дай тебе небо жить в эпоху перемен”, — гласит древняя китайская мудрость. Многие из нас, пережившие все тяготы переходного периода, охотно согласятся с этим тезисом. Гиперинфляция и падение жизненного уровня в первые годы экономических реформ, всеобщий хаос и отсутствие привычных жизненных ориентиров в текучей магме повседневности, трудности на работе и в семье — перечислять все приметы переходного периода можно сколь угодно долго.
“Блажен, кто посетил сей мир в его минуты роковые”, — возражает великий русский поэт. Спустя двенадцать лет после начала российских реформ можно сказать, что жить в эпоху переходной экономики очень трудно, но вместе с тем крайне интересно. На наших глазах рушатся старые идеологемы, одряхлевшие экономические стереотипы — весь старый мир уходит в небытие, а на его месте возникает новая экономическая реальность, появляются новые возможности и перспективы.
Судьба распорядилась так, что за годы реформ я вблизи наблюдал многих людей, причастных к российской экономической политике, учился у крупных экономистов в России и на Западе, с благодарностью воспринимая их опыт и знания, порой удивляясь особым свойствам и различиям российского и западного стиля “экономического мышления”. Встречи и научное общение с В.М. Полте-ровичем, инициировавшим мой интерес к переходной экономике, С. Коэном в Университете Эразмус (Роттердам), открывшим мне новый взгляд на проблемы развивающихся и переходных экономик, были поистине незабываемы.
Основной теоретический урок из опыта переходных экономик — это ограниченность академических конструктов “неоклассического синтеза” и неокейнсианства в объяснении основных фактов о переходных экономиках. В своей книге я попытался обозначить контуры новой парадигмы в экономической теории, возникающей из идеи “экономической структуры”. Именно эта идея содержит в себе ключ к пониманию основных проблем переходной экономики.
Заключение
Вашингтонский консенсус базировался на шумгтетер;іан: ко й идее “созидательного разрушения”: чтобы построить рыночную экономику, необходимо быстро разрушить старый плановый экономический порядок и тогда созидательная стихия рынка “самоор-ганизует” экономическую среду, а творческая сила конкуренции приведет к открытию новых экономических форм и институтов.
Опыт переходных экономик доказал, что эта идея рыночной самоорганизации весьма незрела и наивна: рынки не возникают б одночасье, спонтанно и без новых экономических структур и институтов. Институциональный “вакуум” между разрушенным плановым порядком и еще не созданным порядком рынка порождает экономический хаос и разруху переходного периода.
Поствашингтонский консенсус, пришедший на смену Вашингтонскому в 1997—1998 гг., основан на идее “реструктуризации экономических систем”. Идея экономической структуры получила в нем весьма убедительное практическое воплощение. Вместе с тем теоретическое осмысление этой идеи в экономической теории еще впереди. Мне бы хотелось, чтобы моя книга помогла российским студентам на этом пути.
Эта книга вряд ли могла выйти в свет без постоянной поддержки Издательского дома ГУ ВШЭ в лице директора Е.А. Ивановой и главного редактора Е.А. Рязанцевой. Особую благодарность хочется выразить редактору книги О.В. Осиповой и ведущему специалисту Л.А. Моисеенко за неоценимую помощь в доработке текста рукописи.
Экономика: Знания - Циклы - Макроэкономика