Агапова - Макроэкономика
В учебнике дано систематическое изложение основных макроэкономических проблем и моделей. Отличительной особенностью учебника является то, что он представляет собой полный учебно-методический комплекс. В каждой главе выделяются, наряду с теоретической частью, основные понятия, вопросы для обсуждения, задачи и принципы их решения, тесты, рекомендуемая литература. Содержание многих категорий раскрывается авторами не только в теоретическом аспекте, но и с учетом осуществления макроэкономических процессов в переходной экономике. Благодаря своим особенностям учебник может быть использован не только для расширения теоретических знаний, но и для приобретения необходимых навыков практической работы с макроэкономическими моделями, помогает ориентироваться в современной литературе по макроэкономике.
Предисловие
Вашему вниманию предлагается 5-е, переработанное и дополненное издание учебника “Макроэкономика”, который выходит в серии “Учебники Московского государственного университета им М.В. Ломоносова”. Данная серия, включающая “Курс экономической теории”, а также учебники по микроэкономике, математическим методам в экономике и другим разделам экономической науки, дает целостное освещение всех основных современных экономических теорий.
Особенности учебника. В отличие от ряда вышедших из печати учебников и учебных пособий данный учебник обладает рядом особенностей. Прежде всего, являясь систематизированным курсом макроэкономики, он представляет собой учебно-методический комплекс: в структуре каждой главы в соответствии с общепринятой мировой практикой выделены теоретическая часть, основные термины, вопросы для обсуждения, задачи и примеры их решения. Авторы сосредотачиваются на наиболее сложных вопросах каждой темы. В сравнительно меньшей степени рассматриваются те проблемы, которые достаточно подробно изложены в ранее вышедших на русском языке изданиях. Такая систематизация теоретического и учебно-методического материала позволяет использовать данное пособие одновременно как для расширения теоретической базы знаний, так и для приобретения необходимых навыков практической работы с макроэкономическими моделями. Данные модели расположены в определенной структурно-логической последовательности, отражающей многоступенчатый процесс конкретизации и усложнения экономических взаимосвязей и соответствующей стандартному набору тем учебника по макроэкономике.
Другой отличительной особенностью учебника является то, что содержание многих категорий раскрывается авторами не только в общеэкономическом аспекте, но и с учетом специфики осуществления того или иного экономического явления в переходной экономике, в том числе и в российской. Это дает возможность моделировать рыночные процессы, используя подобные подходы к изучению современной макроэкономики в анализе экономической политики государства.
Третья отличительная черта данного издания - его универсальность, позволяющая читателю ориентироваться практически в любых переведенных на русский язык курсах макроэкономики, в различных вводных курсах “Экономика”.
Материал излагается авторами в доступной форме, с использованием графических методов анализа и элементарного математического аппарата, что позволяет читателю разобраться в динамике количественных аспектов экономических процессов.
Серьезным методическим подспорьем является и тщательный разбор типовых задач в каждой теме курса.
Рекомендации по использованию учебника. Данный учебник может быть использован для студентов, изучающих как вводный, так и продвинутый курс. Его исключительно удобная для читателя четкость и логичность изложения, наличие учебнометодических приложений делают учебник весьма полезным и для самостоятельного усвоения курса макроэкономики. Материал, излагаемый в учебнике, соответствует государственным образовательным стандартам высшей школы России.
Авторы учебника — доктор экономических наук, профессор Агапова ТА. (гл. 1, 3, 5, 6, 9, 12, 14 - 17, Приложение 1) и доктор экономических наук, профессор Серегина С.Ф. (гл. 2, 4, 7, 8, 10, 11, 13, 18). Они работают на кафедре экономической теории ИППК МГУ, а также преподают в Совместном центре переподготовки Московского государственного университета им.М.В.Ломоносова и Института Всемирного Банка. Неоднократно преподавали курс макроэкономики в международных программах базовой переподготовки государственных служащих, организованных МГУ и Объединенным Венским Институтом.
Источники. При подготовке учебного пособия использован широкий круг источников — оригинальные разработки авторов, переводные и отечественные издания, материалы Всемирного Банка и Международного Валютного Фонда. В издании обобщен опыт преподавания курса макроэкономики как студентам, так и преподавателям экономических дисциплин, государственным служащим России и других стран, экономистам-практикам.
Выражаю искреннюю благодарность Маланичевой Н.В., Волковой Е.В., Евстигнеевой Т.Б., а также другим сотрудникам кафедры экономической теории ИППК МГУ за подготовку данной работы к выходу в свет.
Мы будем благодарны читателям за отзывы об учебнике, которые просим направлять по адресу: 119899, Москва, Воробьевы горы, МГУ, 2-й корпус гуманитарных факультетов, ИППК, кафедра экономической теории.
Л.В. Сидоровин1
доктор экономических наук, профессор, заведующий кафедрой
экономической теории ИППК МГУ, редактор серии
«Учебники МГУ им. м.В. Ломоносова».
Глава 1
Введение в макроэкономику
1.1. Предмет макроэкономики. Макро- и микроэкономика. Макроэкономическая политика.
1.2. Макроэкономические модели. Экзогенные и эндогенные переменные. Запасы и потоки.
1.3. Модель круговых потоков. "Утечки’' и "инъекции”. Общие условия макроэкономического равновесия.
1.1. Предмет макроэкономики.
Макро- и микроэкономика.
Макроэкономическая политика
Макроэкономика - отрасль экономической науки, изучающая поведение экономики как единого целого с точки зрения обеспечения условий устойчивого экономического роста, полной занятости ресурсов, минимизации уровня инфляции и равновесия платежного баланса.
Экономический рост является результатом действия таких относительно устойчивых факторов, как рост населения и технологический прогресс. Динамика этих факторов в долгосрочной перспективе определяет динамику потенциального объема производства. В краткосрочном периоде экономика отклоняется от этой главной траектории равномерного поступательного движения. Поэтому обеспечение устойчивого экономического роста предполагает управление этими циклическими колебаниями.
Управление экономическим циклом в целях обеспечения полной занятости ресурсов и неинфляционного экономического роста осуществляется с помощью инструментов макроэкономической политики: бюджетно-налоговой (или фискальной) и кредитно-денежной (или монетарной). Бюджетно-налоговая политика (в том числе и внешнеторговая) осуществляется преимущественно правительством, а кредитно-денежная политика (в том числе и валютная) - преимущественно Центральным Банком. Координация краткосрочных и долгосрочных целей, выбор инструментов и разработка альтернативных стратегий фискальной и монетарной политики являются непосредственным объектом исследования в макроэкономической теории.
Концентрируя внимание на наиболее значимых экономических факторах, определяющих фискальную и кредитно-денежную политику государства (например, таких, как динамика инвестиций, состояние государственного бюджета и платежного баланса, уровень заработной платы, цен, валютного курса и т.д.), макроэкономика оставляет “за кадром” поведение отдельных экономических агентов - домашних хозяйств и фирм. Макроэкономический анализ предполагает абстрагирование от различий между отдельными рынками и выявление ключевых моментов функционирования целостной экономической системы во взаимодействии рынков товаров, труда и денег как таковых, а также национальных экономик в целом. Речь идет о механизмах установления и поддержания с помощью мер фискальной и монетарной политики краткосрочного и долгосрочного общего макроэкономического равновесия (внутреннего и внешнего).
Микроэкономика объединяет теорию потребительского выбора и теорию фирмы. Предметом микроэкономики является механизм принятия экономических решений на уровне домашних хозяйств и фирм в заданных экономических условиях, а также механизм формирования этих “заданных” условий в результате их совместных действий. Микроэкономика принимает как заданные такие переменные, динамику которых исследует макроэкономика. В микроанализе доход потребителей рассматривается преимущественно как заданная величина и акцент делается на распределении расходов домашнего хозяйства между различными товарами и услугами. Наоборот, в макроанализе совокупные расходы, совокупный доход, располагаемый доход, потребление и т.д. сами по себе являются предметом исследования. Макроэкономические факторы (такие, как уровень рыночной ставки процента, инфляции, безработицы и т.д.) оказывают воздействие на решения домашних хозяйств и фирм о сбережениях, инвестициях, потребительских расходах и т.д., что, в свою очередь, определяет величину и структуру совокупного спроса. Поэтому микро- и макроэкономические процессы тесно взаимосвязаны.
В отличие от микроэкономики макроэкономика использует в своем анализе агрегированные величины, характеризующие движение экономики как единого целого: ВВП (а не выпуск отдельной фирмы), средний уровень цен (а не цены на конкретные товары), рыночную ставку процента (а не ставку процента отдельного банка), уровень инфляции, занятости, безработицы и т.д. Основными макроэкономическими показателями являются темп роста реального ВВП, темп инфляции и уровень безработицы.
И в микро-, и в макроэкономике активно используется логическое и формально-математическое моделирование.
1.2. Макроэкономические модели. Экзогенные и эндогенные переменные. Запасы и потоки
Макроэкономические модели представляют собой формализованные (логически, графически и алгебраически) описания различных экономических явлений и процессов с целью выявления функциональных взаимосвязей между ними. Любая модель (теория, уравнение, график и т.д.) является упрощенным, абстрактным отражением реальности, так как все многообразие конкретных деталей не может быть одновременно принято во внимание при проведении исследования. Поэтому ни одна макроэкономическая модель не абсолютна, не исчерпывающа, не всеобъемлюща. Она не дает единственно правильных ответов, адресованных конкретным странам в конкретный период времени. Однако с помощью таких обобщенных моделей определяется комплекс альтернативных способов управления динамикой уровней занятости, выпуска, инфляции, инвестиций, потребления, процентных ставок, валютного курса и других внутренних (эндогенных) экономических переменных, вероятностные значения которых устанавливаются в результате решения модели. В качестве внешних (экзогенных) переменных, величина которых определяется вне модели, нередко выступают основные инструменты фискальной политики правительства и монетарной политики Центрального Банка - изменения в величинах государственных расходов, налогов и денежной массы.
Обеспечиваемая с помощью моделей многовариантность способов разрешения экономических проблем позволяет добиваться необходимой альтернативности и гибкости макроэкономической политики. Использование макроэкономических моделей дает возможность оптимизировать сочетания инструментов бюджетно-налоговой, кредитно-денежной, валютной и внешнеторговой политики, успешно координировать меры правительства и Центрального Банка по управлению циклическими колебаниями экономики. Наиболее перспективными с этой точки зрения являются модели, учитывающие динамику инфляционных ожиданий экономических агентов. Их использование в макроэкономическом прогнозировании позволяет снизить риск возникновения феномена неожиданной инфляции, которая оказывает наиболее разрушительное влияние на экономику, а также смягчить являющуюся одной из самых сложных в макроэкономике проблему недоверия к политике правительства и Центрального Банка.
Такие обобщенные макроэкономические модели, как модель круговых потоков, AD-AS, крест Кейнса, IS-LM, кривые Филлипса, Лаффера, модель Солоу и т.д., представляют собой общий инструментарий макроэкономического анализа и не имеют какой-ибо национальной специфики. Специфическими могут быть начения эмпирических коэффициентов и конкретные формы функциональных зависимостей между экономическими переменными в разных странах. Оценка любой макроэкономической модели должна даваться не по критерию ее сиюминутной “пригодности” или “непригодности” для экономики конкретной страны, в том числе и России, а по критерию ее полезности в процессе познания экономической динамики и управления ее показателями.
Объективная трудность состоит в том, чтобы обеспечить достаточность предпосылок построения модели с точки зрения поставленной цели и избежать ошибочных выводов для макроэкономической политики. В то же время модель может быть достаточно реалистичной, но слишком сложной, тогда как простота модели одно из важнейших требований к ней с точки зрения возможностей ее использования в процессе исследования. Однако и чрезмерная упрощенность модели может привести к исключению из анализа существенных факторов, вследствие чего выводы окажутся неверными. Поэтому наиболее сложным моментом построения любой модели является определение круга факторов, существенных для макроэкономического анализа конкретной проблемы.
Наряду с классификацией экономических переменных как эндогенных и экзогенных важна и другая группировка, связанная со способом измерения их во времени. Переменные запаса могут быть измерены только в определенный момент времени и характеризуют состояние объекта исследования на определенную дату - начало или конец года и т.д. Примерами запаса могут служить государственный долг, объем капитала в экономике, общее число безработных и т.д.
Переменные потока измеряются в единицу времени (в месяц, в квартал, в год и т.д.) и характеризуют собственно “течение” экономических процессов во времени: размер потребительских расходов за год, объем инвестиций за год, число потерявших работу в течение квартала и т.д.
Потоки вызывают изменения в запасах: накопление бюджетных дефицитов за ряд лет приводит к увеличению государственного долга; изменение запаса капитала в конце текущего года по сравнению с его величиной на конец прошлого года может быть представлено как поток чистых инвестиций за год и т.д. Взаимосвязь запасов и потоков составляет основу исходной макроэкономической модели круговых потоков.
1.3. Модель круговых потоков. “Утечки” и “инъекции”. Общие условия макроэкономического равновесия
В основу макроэкономического анализа заложена простейшая модель круговых потоков (или модель кругооборота ВВП, доходов и расходов). В своей элементарной форме эта модель включает в себя только две категории экономических агентов домашние хозяйства и фирмы - и не предполагает государственного вмешательства в экономику, а также каких-либо связей с внешним миром (см. рис. 1.1).
 |
|
Рис. 1.1 |
Из схемы видно, что экономика является замкнутой системой, в которой доходы одних экономических агентов предстают как расходы других.
Расходы фирм на ресурсы (или их издержки) одновременно представляют собой потоки заработной платы, ренты и других доходов для домашних хозяйств. С другой стороны, поток потребительских расходов образует выручку (или доход) фирм от реализации готовой продукции.
Потоки “доходы-расходы" и “ресурсы-продукция" осуществляются одновременно в противоположных направлениях и бесконечно повторяются. Основным выводом из модели является равенство суммарной величины продаж фирм суммарной величине доходов домашних хозяйств. Это означает, что для закрытой экономики (т.е. без каких-либо связей с внешним миром) без государственного вмешательства величина общего объема производства в денежном выражении равна суммарной величине де-ежных доходов домашних хозяйств.
В открытой экономике с государственным вмешательством модель круговых потоков несколько усложняется (см. рис. 1.2).

Когда в модель вводятся две другие группы экономических агентов - правительство и остальной мир то указанное равенство нарушается, так как из потока ''доходы-расходы” образуются “утечки” в виде сбережений, налоговых платежей и импорта. “Утечки” любое использование дохода не на покупку произведенной внутри страны продукции. Одновременно в поток “доходы-расходы” вливаются дополнительные средства в виде “инъекций” инвестиции, государственные расходы и экспорт. “Инъекции” любое дополнение к потребительским расходам на продукцию, произведенную внутри страны.
Схема взаимодействия между решениями домашних хозяйств о расходах и решениями фирм по поводу производства остается прежней, хотя и усложняется: с помощью трансфертов, субсидий, налогов и других экономических инструментов государство регулирует колебания в уровнях производства, занятости и инфляции.
Если домашние хозяйства решают тратить меньше, то фирмы вынуждены сокращать выпуск продукции, что, в свою очередь, приводит к снижению совокупных доходов. Уровень спроса на товары определяет уровень производства и занятости, а уровень выпуска определяет уровень доходов владельцев факторов производства, которые (доходы), в свою очередь, определяют совокупный спрос.
Основной вывод из модели круговых потоков: реальный и денежный потоки осуществляются беспрепятственно при условии равенства совокупных расходов домашних хозяйств, фирм, государства и остального мира совокупному объему производства. Совокупные расходы дают толчок к росту занятости, выпуска и доходов; из этих доходов вновь финансируются расходы экономических агентов, которые снова возвращаются в виде дохода к владельцам факторов производства и т.д. (см. рис. 1.3). Причина и следствие меняются местами, и модель круговых потоков принимает вид кругооборота.

Если совокупные расходы, определяющие совокупный спрос, снижаются, то и совокупный объем занятости и выпуска падает, что снижает совокупные доходы, определяющие, в свою очередь, совокупный спрос. Поэтому важной задачей макроэкономической политики является стабилизация совокупного спроса.
Подходы к разрешению этой задачи различны у представителей разных направлений макроэкономической теории. Представители кейнсианского направления предлагают осуществлять стабилизацию совокупных расходов с помощью изменения величин государственных расходов, налогов и денежного предложения. Монетаристы считают изменение денежной массы универсальным средством стабилизации экономики. В рамках нео-кейнсианского подхода разрабатываются концепции макроэкономического управления ожиданиями экономических агентов при медленном изменении уровней заработной платы и цен. В неоклассической модели рациональных ожиданий цены и заработная плата быстро реагируют на изменения рыночной конъюнктуры и поэтому экономика быстро стабилизируется в обстановке доверия экономических агентов к политике правительства и Центрального Банка.
Основные термины
Макроэкономика Микроэкономика Макроэкономическая политика Агрегирование Макроэкономические модели Эндогенные (внутренние) переменные Экзогенные (внешние) переменные Запасы и потоки Модель круговых потоков Закрытая экономика Открытая экономика “Утечки’4 и “инъекции”
Рекомендуемая учебная литература
1. Мэнкью Н.Г. Макроэкономика. Гл. 1, 2.
2. Макконнелл К., Брю С. Экономикс. Т. 1, гл. 9.
3. Дорнбуш РФишер С. Макроэкономика. Гл. 1, § 1.
4. Фишер С, Дорнбуш Р., Шмалензи Р. Экономика. Гл. 24.
5. Долан Э. Макроэкономика. Гл. 2.
6. Долан Э., Кемпбелл К, Кемпбелл Р. Деньги, банковское дело и денежно-кредитная политика. Гл. 1.
7. Линвуд Т. Гайгер. Макроэкономическая теория и переходная экономика. Гл. 4, § 1.
8. Хейне П. Экономический образ мышления. Гл. 16.
9. Гальперин В. М., Гребенников П.И., Леусский А.И., ТарасевичЛ.С. Макроэкономика. Гл. 1, 2.
Глава 2
Измерение результатов экономической деятельности. Индексы цен
2.1. ВВП и другие показатели дохода и продукта.
2.2. Основные макроэкономические тождества.
2.3. Номинальные и реальные показатели. Индексы цен.
2.4. Сложности подсчета показателей дохода и продукта. Проблемы оценки благосостояния нации.
2.1. ВВП и другие показатели дохода и продукта
Макроэкономический анализ предполагает использование множества экономических показателей, которые предоставляются статистикой и, в частности, системой национальных счетов (СНС). В рамках СНС определяются некоторые основные статистические агрегаты, которые широко используются как показатели экономической активности на уровне экономики в целом.
Одним из основных макроэкономических показателей, оценивающих результаты экономической деятельности, является валовой внутренний продукт (ВВП). Его динамика используется для оценки общей эффективности функционирования экономики и, следовательно, для определения относительного успеха или несостоятельности мер экономической политики, проводимой правительством.
ВВП (валовой внутренний продукт) измеряет стоимость конечной продукции, произведенной резидентами данной страны за определенный период времени.
Конечными товарами и услугами являются те из них, которые используются на конечное потребление, накопление и экспорт. Стоимость промежуточных товаров и услуг, израсходованных в процессе производства (сырье, материалы, топливо, энергия, инструменты, семена, услуги грузового транспорта, оптовой торговли, рекламных агентств, платежи за аренду помещений и др.) не включаются в ВВП. В противном случае имел бы место повторный счет, так как стоимость промежуточных продуктов входит в состав стоимости конечных товаров и услуг.
Термин “валовой” в определении ВВП означает, что при исчислении ВВП из стоимости не вычитается потребление основного капитала (амортизация).
ВВП является внутренним продуктом, поскольку производится резидентами данной страны. Резидентами считаются все экономические единицы (предприятия, домашние хозяйства) независимо от их национальной принадлежности и гражданства, имеющие центр экономического интереса на экономической территории1 данной страны (занимаются производственной деятельностью или проживают в стране не менее года).
Существует три способа измерения ВВП:
а) по добавленной стоимости (производственный метод);
б) по расходам (метод конечного использования);
в) по доходам (распределительный метод).
ВВП является прежде всего показателем производства. Валовой внутренний продукт представляет собой конечный результат производственной деятельности ироизводителей-резидентов.
При подсчете ВВП производственным методом суммируется стоимость, добавленная на каждой стадии производства конечного продукта.
Добавленная стоимость - это разность между стоимостью произведенных товаров и услуг (выпуском) и стоимостью товаров и услуг, полностью потребленных в процессе производства (промежуточным потреблением).
ВВП, по существу, является понятием добавленной стоимости. ВВП - это сумма валовой добавленной стоимости всех производи-телей-резидентов плюс та часть (а возможно, и вся сумма) налогов за вычетом субсидий на продукты, которая не включена в добавленную стоимость. В целях упрощения в макроэкономике ВВП определяют как сумму добавленной стоимости всех производителей. Данный метод подсчета ВВП позволяет учесть вклад различных фирм и отраслей в создание ВВП. Исключение промежуточной продукции позволяет решить проблему двойного счета.
Для экономики в целом сумма всей добавленной стоимости должна быть равна стоимости конечных товаров и услуг. В России в настоящее время наиболее доступной и оперативной информацией являются данные о производстве товаров и услуг, собираемые Государственным комитетом по статистике на базе статистической отчетности предприятий, поэтому основным методом расчета ВВП является производственный метод.
При расчете ВВП по расходам суммируются расходы на конечное потребление товаров и услуг домашних хозяйств, государства; валовые инвестиции; чистый экспорт. Фактически речь идет о совокупном спросе на произведенный ВВП. Суммарные расходы можно разложить на несколько компонентов:
BBIJ=C+I+G+Xn,
где С - личные потребительские расходы, включающие расходы
домашних хозяйств на товары длительного пользования и текущего потребления, на услуги, но не включающие расходы на покупку жилья;
1 - валовые инвестиции, включающие производственные капиталовложения, или инвестиции в основные производственные фонды (затраты фирм на приобретение новых производственных предприятий и оборудования); инвестиции в жилищное сгроительство; инвестиции в запасы (рост запасов учитывается со знаком уменьшение - со знаком Валовые инвестиции можно также представить как сумму чистых инвестиций и амортизации. Чистые инвестиции увеличивают запас капитала в экономике;
G - государственные закупки товаров и услуг - например, расходы на строительство и содержание школ, дорог, содержание армии и государственного аппарата управления и пр. Однако это лишь часть государственных расходов, которые включаются в госбюджет. Сюда не входят, например, трансфертные платежи;
Хп - чистый экспорт товаров и услуг за рубеж, рассчитываемый как разность экспорта и импорта. При подсчете ВВП необходимо учесть все расходы, связанные с покупками конечных товаров и услуг2, произведенных в данной стране, в том числе и расходов иностранцев, т.е. стоимость экспорта данной страны. Одновременно необходимо исключить из покупок экономических агентов данной страны те товары и услуги, которые были произведены за рубежом, т.е. стоимость импорта.
Приведенное уравнение ВВП часто называют основным макроэкономическим тождеством. Различие между составляющими ВВП - С Л G, Хп - базируется главным образом на различии между типами покупателей, осуществляющих эти затраты (домашние хозяйства, фирмы, государство, иностранцы), а нс на различии покупаемых благ и услуг. Так, автомобиль, купленный домашним хозяйством, включается в компонент С; если же он приобретен фирмой - это часть инвестиций в основные фонды ит.д. Исключение составляют инвестиции в жилищное строительство, которые включаются в ВВП без деления на составляющие в зависимости от того, кто осуществил эти инвестиции - домашние хозяйства, бизнес или государство.
В ВВП не включаются затраты на приобретение товаров, произведенных в предшествующие годы (например, покупка дома, построенного 5 лет назад), а также затраты на покупку промежуточных продуктов, что позволяет избежать двойного счета.
Среди компонентов ВВП самыми большими обычно бывают потребительские расходы (С), а самыми изменчивыми - инвестиционные расходы (/).
|
Таблица 2.1. Структура ВВП (в процентах) по разным странам за 1997 год1 |
|
Страны |
Потребление частного сектора (С) |
Государст
венное
потребление
(G) |
Валовые
внутренние
инвестиции
(I) |
Чистый экспорт товаров и нефакторных услуг (NX)2 |
|
Россия |
63 |
11 |
22 |
3 |
|
Польша |
64 |
18 |
22 |
-4 |
|
Венгрия |
64 |
К) |
27 |
-1 |
|
Южная Корея |
65 |
11 |
35 |
-1 |
|
Гонконг |
61 |
9 |
34 |
-4 |
|
Сингапур |
39 |
9 |
37 |
14 |
|
Чили |
65 |
9 |
28 |
-2 |
|
Израиль |
58 |
29 |
24 |
-10 |
|
Австрия |
61 |
18 |
21 |
0 |
|
США |
68 |
16 |
18 |
-2 |
|
Япония |
60 |
10 |
29 |
1 |
|
При расчете ВВП по доходам (распределительным методом) суммируются первичные доходы, выплаченные из добавленной стоимости производственными единицами-резидентами. К таким доходам относятся:
- оплата труда наемных работников (заработная плата, включая премии, доплаты, надбавки, начисленные в денежной или натуральной формах и др., исчисленные до выплаты налогов и других удержаний); отчисления работодателей на социальное страхование;
- налоги на производство и импорт за вычетом субсидий (чистые косвенные налоги), куда включаются НДС, акцизы, налоги на продажи, налоги на землю, здания, фонд оплаты труда и др.;
- валовая прибыль и валовые смешанные доходы или чистая прибыль и чистые смешанные доходы плюс потребление основного капитала (амортизация).
Валовая прибыль и валовые смешанные доходы представляют собой часть валовой добавленной стоимости, которая остается у производителей после вычета расходов, связанных с оплатой труда наемных работников и уплатой налогов на производство и импорт. Данный компонент доходов показывает прибыль, полученную от производства, до вычета доходов от собственности. Рента, проценты и другие доходы от собственности выплачиваются в ходе дальнейшего распределения первичных доходов.
Смешанными доходами называются доходы некорпоративных предприятий, принадлежащих домашним хозяйствам (индивидуально или совместно с другими лицами), мелких магазинов, ферм, товариществ и др. В таких предприятиях применяется труд самих владельцев или членов их домашних хозяйств, а доход этих предприятий содержит элемент оплаты труда, который не может быть отделен от дохода владельца или предпринимателя.
Налоги на производство и импорт (косвенные налоги) в новой версии СНС рассматриваются как первичный доход органов государственного управления.'
Другая трактовка ВВП, рассчитываемого по доходам, основанная на американской практике расчета данного показателя и сохранившаяся во многих учебниках по экономической теории, предполагала суммирование следующих видов первичных доходов: оплаты труда, прибыли корпораций, остающейся после выплат работникам и кредиторам (в ней выделялись дивиденды, нераспределенная прибыль и налоги на прибыль), ренты, процента (кроме процентов по государственному долгу), доходов некорпоративных предприятий (они назывались доходами собственников, или доходами от собственности). К этим доходам прибавлялись две статьи, не считавшиеся доходами, косвенные налоги и потребление основного капитала.
Из приведенных методов расчета ВВП чаще всего используются производственный и метод конечного использования (их применяют большинство стран ЕС). Выбор определяется наличием надежной информационной базы.
Помимо ВВП существуют и другие показатели дохода и продукта. ВВП - это результат производственной деятельности предприятий, организаций, являющихся резидентами данной страны. Однако не все работники этих учреждений являются резидентами. Поэтому часть стоимости, созданной в данной стране, выплачивается нерезидентам за их участие в производстве ВВП данной страны. И наоборот, резиденты данной страны часть доходов могут получать из-за рубежа (из добавленной стоимости, созданной в других странах) за свое участие в производстве ВВП других стран, например в виде оплаты труда. Аналогичные процессы происходят и с распределением доходов от собственности (процентов, дивидендов и др.). Часть этих доходов резиденты получают из добавленной стоимости, произведенной за рубежом, тогда как часть стоимости, произведенной в данной стране, используется для выплаты доходов от собственности нерезидентам.
Для учета всех первичных доходов,1 полученных резидентами данной страны в связи с их участием в производстве как ВВП Данной страны, так и ВВП других стран, используется показатель валового национального дохода (ВНД).
К первичным доходам в СНС относят доходы, поступившие хозяйственным субъектам в порядке первичного распределения добавленной стоимости: прибыль, смешанные доходы, доходы от собственности, оплата труда, налоги на производство и импорт за вычетом субсидий.
Различие между показателями ВВП и ВНД заключается в следующем. С качественной стороны принципиальное различие состоит в том. что ВВП измеряет поток конечных товаров и услуг, произведенных резидентами данной страны, а ВНД поток первичных доходов, полученных ее резидентами. С количественной точки зрения ВНД отличается от ВВП на сальдо первичных доходов, полученных из-за границы, т.е. разницу между доходами резидентов данной страны, полученными из-за границы, и доходами нерезидентов, переданными за границу из данной страны (выплаченными резидентами данной страны нерезидентам). Эту разницу называют также “чистым доходом из-за границы”.
ВНД - ВВП + Сальдо первичных доходов из-за границы.
Таким образом, оба показателя (ВВП и ВНД) относятся ко всей экономике, но один измеряет выпуск (ВВП), а другой доход (ВНД). Показатель ВНД идентичен показателю ВНП (валовой национальный продукт), использовавшемуся в старой редакции СНС. В принципе, термины “внутренний” и “национальный” применимы к обоим показателям и ВВП, и ВНД. Но поскольку оба термина уже глубоко укоренились в теории и практике, то было предложено лишь переименовать ВНП в ВНД, так как ВНП в действительности является категорией дохода, а не продукта. ВНД это совокупность первичных доходов, полученных резидентами в результате их участия в производстве и от собственности.
Показатели внутреннего продукта и национального дохода могут быть рассчитаны как на валовой, так и на чистой основе. Соответственно, в первом случае мы имеем ВВП и ВНД, а вычитая из них потребление основного капитала, мы получаем чистый внутренний продукт (ЧВП) и чистый национальный доход (ЧНД).2
В макроэкономическом анализе используется показатель личного дохода. Как таковой он отсутствует в СНС, но может быть рассчитан на базе других показателей СНС.
Показатель личного дохода получается путем вычитания из чистого национального дохода взносов на социальное страхование, косвенных налогов (с учетом новой трактовки национального дохода, включающего в себя и сумму косвенных налогов), нераспределенной прибыли корпораций, налогов на прибыль корпораций и добавления суммы трансфертных платежей. Необходимо также вычесть процентные доходы бизнеса и прибавить личные доходы, полученные в виде процентов, в том числе процентов по государственному долгу.
Располагаемый личный доход исчисляется уменьшением личного дохода на сумму подоходного налога с граждан и некоторых неналоговых платежей государству. Располагаемый личный доход используется домашним хозяйством на потребление и сбережения.
Потребление (С) - важнейшая и самая большая составляющая ВВП. В долгосрочной перспективе изменения ВВП и потребительских расходов приблизительно одинаковы, но в краткосрочном периоде потребительские расходы колеблются в меньшей степени, чем ВВП, так как зависят главным образом от располагаемого дохода, который, как по величине, так и по своим компонентам, не совпадает с ВВП. Например, две важнейших составляющих располагаемого дохода, отличающие его от ВВП - налоги (особенно при прогрессивной системе налогообложения) и трансферты, - действуют как автоматические стабилизаторы в периоды спадов и подъемов: налоги снижаются в период спада, а трансферты растут, поэтому располагаемый доход сокращается не так быстро, как ВВП.
Сбережения (S) определяются как доход за вычетом потребления.
Располагаемый доход может определяться не только на уровне Домашних хозяйств (располагаемый личный доход), но и экономики в целом. Валовой национальный располагаемый доход получается путем суммирования ВНД и чистых трансфертов из-за рубежа, т.е. трансфертов, полученных от “остального мира” (дарения, пожертвования, гуманитарная помощь и пр.), за вычетом аналогичных трансфертов, переданных за рубеж. Валовой национальный располагаемый доход используется для конечного Потребления и национального сбережения.
2.2. Основные макроэкономические тождества
Основное макроэкономическое тождество (тождество дохода) отражает равенство доходов и расходов:
Y = С + 7 + G + Хп.
В макроэкономическом анализе используются и другие важные тождества.
Тождество сбережений и инвестиций можно вывести следующим образом. Для упрощения рассмотрим вначале закрытую экономику, в которой отсутствует государственный сектор, а следовательно, и налоги. Тогда
Расходы на ВВП - Потребление + Инвестиции.
По определению сбережений можем записать:
Доход, или ВВП, измеренный по доходам =
= Сбережения + Потребление.
Поскольку расходы на ВВП и доходы, полученные в результате производства ВВП, равны, то, приравнивая правые части уравнений, имеем:
С + / = 5 + С или I = S.
Это простое тождество усложняется с введением в анализ государства и внешнего мира.
Совокупные сбережения делятся на частные (Sp), государственные (5^) и сбережения остального мира (Sr):

sp + sg+ s.
Частные сбережения равны сумме доходов (У), трансфертов (77?), процентов по государственному долгу (N) за вычетом налогов (7) и потребления (С):
Sp = (У + 77? + N Т) С.
Государственные сбережения определяются как
Sg=(T- 77? - ДО - С.
Сбережения государства, если они являются положительной величиной, составляют бюджетный излишек. Если же они отрицательны, это свидетельствует о наличии бюджетного дефицита (BD):
BD - -Sg.
Сбережения внешнего мира (остального мира) в самом простом определении равны доходу, который внешний мир получает за счет нашего импорта (ІМ), минус затраты на наш экспорт (Л"):
Sr - ІМ - X, или Sr - Х„.
Сбережения внешнего мира могут быть использованы для покупки финансовых активов в нашей стране для сокращения иностранной задолженности, и тогда мы имеем приток капитала в страну.
Равенство сбережений и инвестиций выполняется для экономики в целом, но необязательно для каждого из секторов (частного, государственного, внешнего мира). Например, инвестиции могут расти и при сокращении частных и государственных сбережений за счет роста притока капитала из-за границы.
Sp+ Sf+ Sr= (Y + TR + N- T)-C + (T- TR-N)-G + (-Xn)
Sp+Sg+Sr= Y-C-G X„: S = I.
Сбережения могут быть использованы как для инвестиций в реальные активы, так и для увеличения финансовых активов. Предположим для простоты, что имеется два вида финансовых активов: государственные облигации и наличные деньги. Облигации и наличность - это пассивы (обязательства) государства и активы частного сектора. Излишек сбережений, не использованных для реальных инвестиций, может пойти либо на увеличение активов, либо на сокращение пассивов. В макроэкономике инвестиции рассматриваются только как расходы частного сектора, но не государства. Тогда государственные сбережения могут быть использованы либо на покрытие государственного долга, либо для сокращения денежной массы:
Sg = (ДА/+ДЯ),
где AM - изменение денежной массы;
АВ изменение суммы выпущенных государственных облигаций.
Если сбережения государства являются величиной отрицательной, это свидетельствует о наличии дефицита государственного бюджета. Дефицит может быть профинансирован двумя способами: дополнительной денежной эмиссией (AM) или выпуском государственных облигаций (АВ):
BD ~ -Sg, или BD = AM + АВ.
Данное выражение называют тождеством госбюджета.
2-299
Частные сбережения также могут быть использованы как н, увеличение реальных активов, так и оставаться в форме государ ственных облигаций или наличности:
Sp = I + AM + А Вр.
Сбережения остального мира, аналогично, могут быть ис пользованы на покупку государственных облигаций нашей стра ны, и тогда мы имеем:
Sr = А Вг,
Сумма трех видов сбережений с точки зрения их использования опять даст нам известное тождество1:
5 = /.
2.3. Номинальные и реальные показатели.
Индексы цен
Номинальный ВВП рассчитывается в ценах текущего года, а реальный ВВП - в сопоставимых (то есть постоянных, базисных) ценах, что дает возможность оценить изменение физического объема выпуска за определенный промежуток времени. На величину номинального ВВП оказывают влияние два процесса:
а) динамика реального объема производства;
б) динамика уровня цен.
Реальный ВВП рассчитывается с помощью корректировки номинального ВВП на индекс цен:
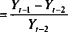
_ . ппп Номинальный ВВП
Реальный ВВП =-.
Индекс цен
Если величина индекса цен меньше единицы, то происходит корректировка номинального ВВП в сторону увеличения, которая называется инфлированием. Если величина индекса цен больше единицы, то происходит дефлирование - корректировка номинального ВВП в сторону снижения.
Предполагается, что все облигации, выпушенные государством (Д#). покупаются либо частным сектором {АВР), либо иностранцами (Д?г). т.е. ДВ = =A?/f + ДВЛ.

Индексы цен используются для оценки изменения темпов инфляции, динамики стоимости жизни.
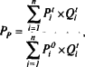
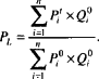
Индекс потребительских цен (ИПЦ, или СРІ в английской аббревиатуре - consumer price index) показывает изменение среднего уровня цен “корзины” товаров и услуг, обычно потребляемых средней городской семьей. Состав потребительской корзины фиксируется на уровне базисного года.
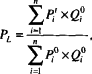
ИПЦ рассчитывается по типу индекса Ласпейреса, или индекса цен с базисными весами (набором благ, фиксированным по базисному году):

где рР и /V-цены /-го блага, соответственно, в базисном (0) и
текущем (/) периоде;
Q? - количество /-го блага в базисном периоде.
Индекс данного типа не учитывает изменения в структуре весов в текущем периоде по сравнению с базисным, что несколько искажает результат. Так, ИПЦ, где используется потребительская корзина базисного года, не принимает во внимание изменений в структуре потребления в текущем периоде, например, замену более дорогих благ более дешевыми в условиях роста цен. Это приводит к завышению роста стоимости жизни, если в качестве оценочного показателя используется ИПЦ.
Индекс цен - неявный дефлятор ВВП, или, как его кратко называют, дефлятор ВВП, - рассчитывается по типу индекса Па-аше, т.е. индекса, где в качестве весов используется набор благ текущего периода:

гДе Q/ - количество /-го блага в текущем периоде. Если вместо Q мы подставим весь набор благ, представленный в ВВП, а вместо
Р, соответственно, их цены, то получим дефлятор ВВП. Фактически он равен отношению номинального ВВП к реальному е текущем периоде:
Номинальный ВВП Реальный ВВП
Дефлятор ВВП =
В отличие от индекса Ласпейреса индекс Пааше несколько занижает рост уровня цен в экономике, поскольку также не учитывает динамику структуры весов, но фиксирует ее уже в текущем периоде. Если с его помощью оценивать рост стоимости жизни, то не будет учтено влияние на потребителей повышения цен на блага, которые присутствовали в наборе базисного года, но отсутствуют в наборе текущего года.
Индекс Фишера отчасти устраняет недостатки индексов Ласпейреса и Пааше, усредняя их значение:

2.4. Сложности подсчета показателей дохода и продукта. Проблемы оценки благосостояния нации
Сложности подсчета показателя ВВП связаны с рядом обстоятельств.
Некоторые товары и услуги, созданные в данном году, не поступают на рынок, а следовательно, не имеют рыночной цены. В показателе ВВП они учитываются по условно начисленной стоимости. Так, для учета услуг, которыми пользуются владельцы собственных домов (по аналогии с теми, кто арендует жилье), статистика учитывает в ВВП “арендную плату”, которую они должны были бы “платить” сами себе, хотя реально эти выплаты не осуществляются. Услуги государственных служащих также не имеют рыночной стоимости (услуги полицейских, пожарных, работников управленческого аппарата и т.д.), но в ВВП учитываются издержки но производству этих услуг, то есть соответствующие расходы государства, например, на заработную плату этим работникам.
Многие товары и услуги производятся и потребляются в домашних хозяйствах, не попадая на рынок, и часто не учитываются в показателе ВВП. Так, еда, приготовленная дома и в ресторане, может быть совершенно одинаковой, но лишь стоимость последней учитывается в ВВП. Прислуга и домохозяйка могут выполнять одинаковую работу, но труд последней никак не будет учтен, а заработная плата прислуги войдет в ВВП, рассчитанный по доходам.
Во всех странах существует проблема учета теневой экономики. В России она представляется чрезвычайно актуальной, поскольку в ходе проведения экономических реформ масштабы теневой части экономики значительно увеличиваются. Это связано с расширением частного сектора в результате приватизации государственных предприятий, возникновением новых частных предприятий, а также недостаточным государственным контролем за деятельностью частного сектора. Расширение теневой экономики и невозможность учета ее масштабов приводит к занижению данных о производстве ВВП по сравнению с данными о его использовании, так как нелегально созданные продукты и доходы расходуются на потребление и накопление легально.
Проблемы расчета ВВП в переходной экономике часто бывают связаны с несовершенством организации учета деятельности быстро растущего числа мелких производителей, особенно при переходе от сплошного статистического наблюдения к выборочному.
Существуют также серьезные проблемы, связанные с учетом потерь от загрязнения окружающей среды.
Показатели ВВП или национального дохода в расчете на душу населения часто используются для межстрановых сравнений - например, при оценке уровня жизни, благосостояния нации. Однако они не всегда могут дать точную информацию.
Две страны могут иметь одинаковый показатель ВВП на душу населения, но разный уровень цен, а значит, на 1 долл, дохода в этих странах можно будет купить разное количество благ.
Одинаковые показатели ВВП на душу населения могут дополняться различными показателями: уровня образования населения, продолжительности жизни, калорийности питания и т.д., которые следует учитывать в оценке благосостояния нации. Часто различия между странами по этим показателям связаны со степенью дифференциации доходов населения. Например, страна с относительно низкой дифференциацией доходов может иметь более высокие по сравнению с другими странами показатели Уровня образования, продолжительности жизни и т.д., несмотря
на то, что по уровню ВВП на душу населения она будет на диться на более низкой позиции по сравнению с ними.
Основные термины
Валовой внутренний продукт (ВВП)
Чистый внутренний продукт (ЧВП)
Валовой национальный доход (ВИД)
Чистый национальный доход (ЧНД) Национальный доход (НД)
Личный доход
Располагаемый личный доход Потребление (С)
Инвестиции (/)
Чистые инвестиции Валовые инвестиции Амортизация
Государственные закупки товаров и услуг (G) Чистый экспорт (Хп)
Расчет ВВП по доходам
Расчет ВВП по расходам
Расчет ВВП по добавленной стоимости
Чистые факторные доходы из-за рубежа
Сбережения (S)
Совокупные сбережения (S)
Частные сбережения (Sp)
Государственные сбережения (Sg)
Сбережения внешнего (остального) мира (Sr)
Основное макроэкономическое тождество
Тождество сбережений и инвестиций
Тождество госбюджета
Номинальный ВВП
Реальный ВВП
Инфлирование
Дефлирование
Индекс Ласпейреса
Индекс потребительских цен
Индекс Пааше
Дефлятор ВВП
Индекс Фишера
Вопросы для обсуждения
1. Назовите причины, по которым показатель ВВП не всегда точно характеризует благосостояние нации.
2. Какие из перечисленных ниже сделок будут включены в ВВП, а какие нет? Объясните, почему.
а) Семья продает свою старую квартиру за 200 тыс. руб. и покупает квартиру в только что построенном доме за 250 тыс. руб.
б) Фирма приобретает 10 компьютеров, уже бывших в употреблении, у другой фирмы.
в) Семья покупает акции компании “А” на сумму 10 тыс. руб.
г) Фирма выпускает продукцию на сумму 10 млн долл., половину продает через фирменный магазин, а другую половину хранит на складе.
д) Издательство продает книги, хранившиеся на складе с прошлого года, на сумму 500 тыс. руб.
3. Если часть домохозяек в стране решит устроиться на работу, а для выполнения домашних дел будет нанимать прислугу, отразится ли это на величине ВВП?
4. Введение импортных пошлин повысило цены ввозимых товаров. Как это отразится на стоимости жизни, если для оценки ее изменения использовать:
а) индекс потребительских цен;
б) дефлятор ВВП.
Задачи и решения
1* Имеются следующие данные по экономике США за 1929 год
(в млрд долл.):
Государственные закупки товаров и услуг 8,5
а) Рассчитайте показатели ВВП и личного располагаемой дохода.
б) Какова величина частных сбережений?
в) На какую величину вырос запас капитала в экономик* (Задача решается в соответствии со старой трактовкой СН и при условии, что ВВП=ВНП.)
Решение
а) Исходя из данных, приведенных в условиях задачи, моя но рассчитать ВВП по расходам (для расчета другими сш собами не хватает информации):
Y = С + I + G + Хп.
Складываем показатели потребительских расходов (77,2 валовых инвестиций (16,2), государственных расходов (8,5) чистого экспорта (1,1). Получаем ВВП=103. Чтобы рассчита^ величину личного располагаемого дохода, мы должны найі вначале чистый национальный продукт (ЧНП), национальнь доход (НД) и личный доход (ЛД). Учитывая, что ВВП=ВНІ имеем:
ЧНП = ВНП амортизация;
ЧНП= 103 - 7,9 = 95,1;
НД = ЧНП косвенные налоги на бизнесу
НД = 95,1 7,0 = 88,1;
ЛД = НД взносы на социальное страхование -
нераспределенная прибыль корпораций - налоги на прибыль корпораций +
+ трансфертные платежи;
ЛД = 88,1 0,2 - 2,8 - 1,4 + 4,0 = 87,7.
Располагаемый личный доход равен личному доходу за в четом подоходных налогов:
РЛД = 87,7 - 2,6 = 85,1.
б) Частные сбережения могут быть получены вычитанием ли ных потребительских расходов из располагаемого личн го дохода:
^ = 85,1 - 77,2 =7,9.
в) Запас капитала в экономике увеличивается за счет потока чистых инвестиций, которые в 1929 г. составили 8,3 (валовые инвестиции-амортизация).
С учетом новой трактовки национального дохода в современной СНС, включающего косвенные налоги как доход государства, несколько изменяется порядок расчета личного дохода. С учетом того, что, по условию задачи, ВВП=ВНП, ВНП в новой редакции СНС соответствует ВНД, находим ЧНД путем уменьшения ВНД на величину амортизации:
ЧНД = ВНД - амортизация;
ЧНД = 103- 7,9 =95,1.
Затем находим личный доход, вычитая из ЧНД косвенные налоги и три уже известных компонента, прибавляя при этом трансферты:
ЛД = 95,1 - 7,0 - 0,2 - 2,8 - 1,4 + 4,0 = 87,7.
2. Экономика описана следующими показателями:
- потребительские расходы (0=2300;
- инвестиции (7)=700;
-государственные расходы (G)=800;
- государственные трансферты (77?)= 100;
- выплаты процентов по государственному долгу (7?)=Ю0;
- налоги (7)=800.
Предполагается, что ВВП = ВНД.
Рассчитайте:
а) частные сбережения;
б) государственные сбережения;
в) стоимость государственных облигаций и дополнительного количества денег, выпущенных для покрытия дефицита госбюджета, если известно, что дефицит на 80% финансируется выпуском облигаций.
Решение
а) Частные сбережения рассчитываются по формуле
SP=(Y+ TR + N Т) С;
Y = С + / + G;
Y = 2300 + 700 + 800 = 3800;
Sp = (3800 + 100 + 100 800) - 2300 = 900.
б) Государственные сбережения равны:
Sg = Т- TR-N-G;
Sg = 800 - 100 - 100 - 800 = -200.
в) Отрицательное значение государственных сбережений означ ет наличие дефицита госбюджета:
BD = -Sg = 200.
Дефицит финансируется выпуском облигаций на 80%, т.е.
А В = 0,8 • BD ;
А В = 0,8 ¦ 200 = 160.
Оставшаяся часть дефицита финансируется выпуском допо нительного количества денег:
AM = 200- 160 = 40.
3. Предположим, что производятся и потребляются 3 благ В таблице представлены количество и цена (за единицу) каждо: из них за 2 периода.
Рассчитайте индекс Ласпейреса, индекс Пааше и индекс Ф шера (1982 г. - базисный период).
|
Годы |
1982 |
1982 |
1992 |
1992 |
|
|
цена |
количество |
цена |
количество |
|
книги |
10 |
10 |
15 |
8 |
|
джинсы |
27 |
6 |
24 |
7 |
|
телевизоры |
655 |
3 |
425 |
5 |
Решение
Индекс Ласпейреса это индекс цен с весами базисного период т.е. в качестве весов мы берем количество благ, произведенных 1982 г.
|
Общий вид индекса: |  |
Общий вид индекса Пааше (индекса цен с весами текущего пери-ода):
 |
t
/ |
|
X р~х б /=1 |
 |
п |
15-8 + 24-7 + 425 • 5 2413
Рр =-=-
р 10-8 + 27-7 + 655-5 3544

В данном случае:
Оба индекса показывают снижение стоимости жизни, но в разной степени. Индекс Фишера усредняет результат:
PF = ylPL X Рр = 0,69.
Тесты
1. Имеются следующие данные за 2 года:
|
|
Номинальный
ВВП |
Дефлятор
ВВП |
|
1929 |
96 млрд долл. |
100% |
|
1933 |
48 млрд долл. |
75% |
Каким был реальный ВВП в 1933 г., если в качестве базисного периода рассматривать 1929 год?
а) 72 млрд долл.; в) 64 млрд долл.;
б) 36 млрд долл.; г) 48 млрд долл.
2. Предположим, что в 1-м году (базисном) номинальный ВВП составил 500. Через 6 лет дефлятор ВВП увеличился в 2 раза, а реальный ВВП возрос на 40%. В этом случае номинальный ВВП ^ерез 6 лет составил:
а) 2000; в) 1000;
б) 1400; г) 750.
3. Если фирмы начнут все свои прибыли выплачивать акционерам в форме дивидендов, то в национальных счетах возрастет Показатель:
а) ВВП;
б) чистых инвестиций;
в) амортизации;
г) личного дохода.
4. В экономике, где в данном году было потреблено больше, чеі произведено, величина снижения инвестиций в запасы должн быть прибавлена при подсчете ВВП данного года:
а) да;
б) нет.
5. Инвестиции равны 220, бюджетный излишек равен 10, экспор составил 175, а импорт 185. Каковы частные сбережения?
6. Закрытая экономика описывается следующими показателями
потребительские расходы (С)=1200; валовые инвестиции (/)=500; государственные расходы (G)=300; государственные трансферты (7У?)=200; проценты по государственному долгу (7?)~ 100; налоги (7")=400; чистый экспорт (Хп) = -100.
Чему равны:
а) частные сбережения;
б) государственные сбережения;
в) сбережения внешнего мира?
7. Все, перечисленное ниже, относится к категории “запаса”, кроме
а) накопленного богатства потребителей;
б) дефицита государственного бюджета;
в) количества безработных;
г) объема капитала в экономике.
8. Компания по производству шин продает фирме, производящеі автомобили, 4 шины стоимостью 400 долл. Другая компания про дает автомобильной фирме плейер за 500 долл. Установив все этс на новой машине, автомобильная фирма продает ее за 20 000 долл Какая сумма будет включена при подсчете в состав ВВП:
а) 20 000;
б) 900;
 |
в) 20 900;
г) 20 000 минус прибыль автомобильной фирмы. |
9. Предположим, что производятся и потребляются 2 продукта: апельсины и яблоки. Апельсины стоили в 1982 г. 1 долл., а в 1990 г. - 0,5 долл, за штуку. Яблоки в 1982 г. стоили 0,5 долл., а в 1990 г. - 1 долл. В 1982 г. было произведено 10 яблок и 5 апельсинов, а в 1990 г. - 5 яблок и 10 апельсинов. Рассчитайте дефлятор ВВП для 1990 г., принимая за базисный 1982 год.
10. Потребительская корзина средней городской семьи в США стоила в 1982 г. 14 000 долл., а такая же корзина в 1990 г. стоила уже 21 000 долл, (в текущих ценах). Потребительская корзина товаров и услуг, приобретаемых в 1990 г., стоила 20 000 долл, (в ценах 1990 г.), тогда как такая же корзина в ценах 1982 г. стоила 15 000 долл. Рассчитайте индекс потребительских цен для 1990 г., принимая за базисный 1982 год.
Рекомендуемая учебная литература
1. Мэнкью Н.Г Макроэкономика. Гл. 2, 3.
2. Макконнелл К, Брю С. Экономикс. Гл. 9.
3. Фишер С., Дорнбуш Р., Шмалензи Р. Экономика. Гл. 24.
А. Долан Э. Макроэкономика. Гл. 2, 3.
5. Долан Э., Кемпбелл К, Кемпбелл Р. Деньги, банковское дело и денежно-кредитная политика. Гл. 1.
6. Система национальных счетов - инструмент макроэкономи
ческого анализа: Учебное пособие / Под ред. Ю.Н. Иванова. М., 1996.
Ответы к тестам
6) а) 600; б) -200; в) 100
7) 6
8) а
9) 0,8
10) 1,5
1) в
2) 6
3) г
4) б
0,8
1,5
5) 200
Глава 3
Макроэкономическая нестабильность: экономические циклы, безработица, инфляция
3.1. Экономический цикл и динамика основных макроэкономических показателей. Потенциальный ВВП.
3.2. Формы безработицы и ее естественный уровень. Закон Оукена. Регулирование уровня безработицы.
3.3. Уровень инфляции. Инфляция спроса и инфляция издержек. Ожидаемая и неожиданная инфляция.
3.4. Взаимосвязь инфляции и безработицы: общая постановка проблемы.
3.1. Экономический цикл и динамика основных макроэкономических показателей.
Потенциальный ВВП
Экономический цикл - периодические колебания уровней занятости, производства и инфляции. Причинами цикличности являются: периодическое истощение автономных инвестиций; ослабление эффекта мультипликации; колебания объемов денежной массы; обновление “основных капитальных благ” и т.д. В макроэкономике отсутствует интегральная теория экономического цикла и экономисты различных направлений концентрируют свое внимание на разных причинах цикличности. Однако большинство экономистов считают, что уровень совокупных расходов непосредственно определяет уровень занятости и производства. При этом факторы сезонных колебаний деловой активности в некоторых отраслях (в сельском хозяйстве, строительстве и т.д.) исключаются.
Основными фазами экономического цикла являются подъем и спад, в ходе которых происходит отклонение от средних показателей экономической динамики (см. рис. 3.1).
Реальный ВВП отклоняется от номинального — эти колебания фиксируются дефлятором ВВП. Колебания фактического объема выпуска вокруг потенциального ВВП характеризуются показателем
|
ВВП |  |
|
Рис. 3.1. |
*
Y-Y |
 |
gap GDP =
где Y — фактический объем производства;
У*— потенциальный объем производства.
Потенциальный ВВП (или экономический потенциал) —
объем производства при полной занятости ресурсов.
Полная занятость ресурсов предполагает поддержание доли незагруженных производственных мощностей на уровне 10— 20% от их общего объема и естественного уровня безработицы в Размере 6,5—7,5% от общей численности рабочей силы. Эти показатели могут варьироваться по различным странам, но во всех случаях полная занятость ресурсов исключает их стопроцентное Использование.
Циклически изменяются также уровни занятости, безработицы, инфляции, ставки процента, валютного курса и объем Денежной массы. Однако основными индикаторами фазы цикла обычно служат уровни занятости, безработицы и объема выпуски. так как динамика уровней инфляции, процентной ставки и

валютного курса может быть различной в зависимости от факторов, вызвавших спад. Спад занятости и выпуска, вызванный сокращением совокупных расходов, нередко сопровождается снижением среднего уровня цен и уровня инфляции. Наоборот, спад, вызванный сокращением совокупного предложения, нередко сопровождается повышением уровня цен и уровня инфляции. В обоих случаях динамика процентных ставок будет определяться политикой Центрального Банка по регулированию денежной массы, что, в свою очередь, вызовет соответствующие изменения в уровне валютного курса.
Диагностика фазы экономического цикла является одной из наиболее сложных задач макроэкономического прогнозирования, разрешение которой связано с необходимостью совершенствования сбора и обработки статистической информации, построения комплексных индексов (по типу индекса опережающих индикаторов), а также с развитием методов экономико-математического моделирования. В переходной экономике, в том числе и в российской, эти проблемы приобретают особую актуальность ввиду отсутствия адекватной статистической базы данных и необходимого опыта использования инструментов макроэкономического управления.
Объемы производства и занятости наиболее сильно реагируют на смену фаз экономического цикла в отраслях, производящих средства производства и потребительские товары длительного пользования. В отраслях, производящих потребительские товары кратковременного пользования, колебания занятости и выпуска менее значительны. Причины этого связаны с двумя обстоятельствами.
Во-первых, обновление оборудования и приобретение новых товаров длительного пользования можно отложить на определенный срок. Поэтому в периоды спадов деловой активности спрос на эти товары сокращается особенно значительно - фирмы и домашние хозяйства не спешат приобретать что-то новое, а обходятся накопленным запасом производственных мощностей и потребительских благ. Поэтому занятость в этих отраслях быстро снижается, выпуск падает, а безработица возрастает.
Во-вторых, именно в этих отраслях производство, как правило, является высококонцентрированным и на рынке господствует небольшое число фирм. Олигополистическая структура рынка позволяет фирмам быстро снижать уровни занятости и выпуска в период спада деловой активности, чтобы относительно стабилизировать уровень цен. В отраслях, производящих товары кратковременного пользования, рынки более конкурентны и поэтому фирмы не могут противодействовать тенденции к снижению цен с помощью сокращения занятости и выпуска. Соответственно, в этих отраслях цены колеблются более значительно, чем занятость и выпуск.
Для общей оценки состояния экономики и эффективности экономической политики нередко используется так называемый “индекс нищеты”, который представляет собой сумму уровней безработицы и инфляции как двух основных показателей макроэкономической нестабильности.
3.2. Формы безработицы и ее естественный уровень. Закон Оукена. Регулирование уровня безработицы
Основными типами безработицы являются фрикционная, структурная и циклическая.
Фрикционная безработица связана с поисками и ожиданием работы. Это безработица среди лиц, для которых поиск места работы, соответствующего их квалификации и индивидуальным предпочтениям, требует определенного времени.
Информация о вакансиях и претендентах на рабочие места несовершенна, и ее распространение требует известного времени. Территориальное перемещение рабочей силы также не может быть моментальным. Часть работников увольняется по собственному желанию в связи с изменением профессиональных интересов, места жительства и т.д. Поэтому фрикционная безработица имеет преимущественно добровольный и кратковременный характер: у этой категории безработных имеются “готовые” навыки к работе, которые можно продать на рынке труда.
Структурная безработица связана с технологическими сдвигами в производстве, изменяющими структуру спроса на рабочую силу. Это безработица среди лиц, профессии которых оказались “устаревшими” или менее необходимыми экономике вследствие научно-технического прогресса. Структурная безработица имеет преимущественно вынужденный и более долговременный характер, так как у этой категории безработных нет “готовых” к продаже навыков к работе и получение рабочих мест для них связано с профессиональной переподготовкой, нередко сопровождающейся сменой места жительства.
Сочетание фрикционной и структурной безработицы образует естественный уровень безработицы (или уровень безработицы при полной занятости), соответствующий потенциальному ВВП. Ряд экономистов считают неприемлемым использование термина “естественный” по отношению к безработице, вызванной структурными сдвигами. Поэтому в макроэкономической литературе широко используется термин NAIRU (Non-Accelerating-Inflation Rate of Unemployment), который фиксирует внимание на том, что этот устойчивый уровень безработицы стабилизирует инфляцию.
Циклическая безработица представляет собой отклонение фактического уровня безработицы от естественного. В период циклического спада циклическая безработица дополняет фрикционную и структурную; в периоды циклического подъема циклическая безработица отсутствует.
Расчеты фактического и естественного уровней безработицы осложняются тем, что критерии отнесения отдельных лиц к категориям занятых или безработных достаточно подвижны. Обычно безработными считаются те, кто не имеет работы на момент проведения статистического обследования, но активно ищут ее и готовы приступить к работе немедленно. Люди, имеющие работу, а также все занятые неполный рабочий день или неделю, относятся к категории занятых.
Совокупность занятых и безработных образует рабочую силу. Лица, не имеющие работы и активно ее не ищущие, считаются выбывшими из состава рабочей силы. К их числу относятся лица трудоспособного возраста, потенциально имеющие возможность работать, но по каким-либо причинам не работающие: учащиеся, пенсионеры, бездомные, домохозяйки, те. кто отчаялся найти работу и прекратил ее поиски, и т.д. В состав рабочей силы также не включаются лица, находящиеся длительное время в институциональных учреждениях (психиатрических больницах, тюрьмах и т.д.).
Уровень безработицы определяется как соотношение численности безработных и численности рабочей силы или как соотношение доли занятых, ежемесячно теряющих работу, и суммы этой доли с долей безработных, ежемесячно находящих работу.
Естественный уровень безработицы (NAIRU) определяется в результате усреднения фактического уровня безработицы в стране за предыдущие 10 лет (или более длительный период) и последующие 10 лет (используются прогнозные оценки с учетом вероятностной динамики ожидаемого уровня инфляции).
В индустриальных странах (например, в США) для получения соответствующего мониторинга статистическое управление министерства труда ежемесячно проводит выборочные опросы примерно 60 тысяч семей об отношении к занятости. Однако статистические погрешности неизбежны, так как, например, лица, которые активно не ищут работу, могут указать в анкете, чтобы получить пособие по безработице, что они занимаются поисками рабочих мест. В результате и фактический, и естественный уровни безработицы окажутся завышенными. С другой стороны, безработными себя часто называют те, кто занят в “теневой” экономике, - в результате уровень безработицы тем выше, чем больше доля “теневого” сектора. Последнее особенно актуально для экономик переходного периода, где значительная доля занятых в “теневом” бизнесе сочетается с отсутствием адекватного статистического мониторинга экономики, неразвитостью инфраструктуры рынка труда, поддержанием “скрытой” безработицы как фактора относительной стабилизации государственных расходов и снижения социального риска. Поэтому расчеты уровня безработицы в переходных экономиках, в том числе и в российской, нередко приобретают характер экспертных оценок.
Основными причинами существования естественного (устойчивого) уровня безработицы являются следующие.
1) Увеличение времени поиска работы в условиях системы
страхования по безработице.
Выплата пособий по безработице относительно снижает стимулы к быстрому трудоустройству - увеличивается время на поиски подходящей работы, на переподготовку и т.д. В долгосрочной перспективе это способствует достижению большей сбалансированности структуры рабочих мест и структуры рабочей силы. В то же время увеличение пособий по безработице и срока их выплаты способствует росту численности безработных и повышению уровня безработицы. Инструментом разрешения этой проблемы являются государственные инвестиции в инфраструктуру рынка труда (развертывание различных систем переподготовки кадров, повышение их профессиональной и географической мобильности, совершенствование информации о вакансиях и т.д.). В краткосрочном периоде финансирование программ по регулированию занятости может увеличить нагрузку на государственный бюджет, однако уже в среднесрочной перспективе это будет способствовать снижению естественного уровня безработицы.
2) Устойчивость (жесткость) заработной платы порождает “безработицу ожидания". Безработица ожидания возникает в результате превышения уровня реальной заработной платы над ее равновесным значением (см. рис. 3.2).
Реальная заработная плата со/р
равновесная
ставка
заработной
платы |  |
SL (предложение труда)
устойчивый уровень заработной платы
?>l (спрос на труд) |
|
Рис» 3.2 |
L (занятость)
Безработица ожидания= L2- L
“Жесткость” заработной платы приводит к относительной нехватке рабочих мест: работники становятся безработными пото-
(со \
му, что при данном уровне заработной платы I I предложение труда L2 превосходит спрос на труд Ljf и люди просто “ожидают” возможности получить работу по фиксированной ставке оплаты.
“Застывание” рынка труда в неравновесном состоянии связано с:
1) законодательным установлением минимума заработной платы, которое ограничивает ее свободные колебания. Ограничивающее воздействие минимума заработной платы оказывается тем более значительным, чем выше удельный вес молодежи, женщин, лиц малоквалифицированного труда в составе рабочей силы, так как для этих категорий занятых равновесная ставка заработной платы ниже законодательно установленного минимума;
2) фиксацией уровня заработной платы в коллективных договорах с профсоюзами и индивидуальных трудовых соглашениях;
3) незаинтересованностью фирм в снижении уровня заработной платы из-за риска потери квалифицированной рабочей силы, увеличения общей текучести кадров, снижения производительности труда, трудовой дисциплины и объема прибыли.
Уровень безработицы различен в разных демографических группах. В частности, уровень безработицы среди молодежи значительно выше, чем в других возрастных группах.
Тенденция к увеличению естественного уровня безработицы в долгосрочном периоде связана с:
1) увеличением доли молодежи в составе рабочей силы;
2) увеличением доли женщин в составе рабочей силы;
3) более частыми структурными сдвигами в экономике.
В таблице 3.1 представлена долгосрочная динамика уровня безработицы в индустриальных странах, которая иллюстрирует эту повышательную тенденцию.
|
Таблица 3.1. Индустриальные страны: уровень безработицы (в %) |
|
Страны |
1981-
1990 |
1991-
2000 |
1991 |
1992 |
1993 |
1994 |
1995 |
1996 |
1997 |
1998 |
1999’ |
2000’ |
|
1. Индустриальные страны (в среднем по всей группе) |
7,0 |
6,9 |
6,5 |
7,2 |
7,6 |
7,4 |
7,0 |
7,1 |
6,8 |
6,7 |
6,5 |
6,5 |
|
2. Ведущие индустриальные страны (в среднем по группе)** |
6,9 |
6,7 |
6,5 |
7,1 |
7,2 |
7,0 |
6,7 |
7,7 |
6,5 |
6,2 |
6,2 |
6,4 |
|
США |
7,1 |
5,6 |
6,9 |
7,5 |
6,9 |
6,1 |
5,6 |
5,4 |
4,9 |
4,5 |
4,3 |
4,5 |
|
Япония |
2,5 |
3,4 |
2,1 |
2,2 |
2,5 |
2,9 |
3,1 |
3.3 |
3,4 |
4,1 |
5,0 |
5,8 |
|
Германия |
7,3 |
8,2 |
5,5 |
6,6 |
7,9 |
8,4 |
8,2 |
8,9 |
9,9 |
9,4 |
9,1 |
8,6 |
|
Франция |
9,3 |
11,4 |
9,4 |
10,3 |
11,6 |
12,3 |
11,7 |
12,4 |
12,5 |
11,6 |
11,3 |
10,7 |
|
Италия |
10,1 |
11,3 |
10,9 |
10,7 |
10,1 |
11,1 |
11,6 |
11,6 |
11,7 |
11,8 |
11,7 |
11,4 |
|
Великобритания |
9,0 |
7,3 |
7,8 |
9,6 |
10,3 |
9,4 |
8,1 |
7,4 |
5,7 |
4,7 |
4,8 |
5,3 |
|
Канада |
9,4 |
9,6 |
10,4 |
11,3 |
11,2 |
10,4 |
9,5 |
9,7 |
9,2 |
8,3 |
8,0 |
8,1 |
|
3. Остальные индустриальные страны (в среднем по группе)*** |
7,2 |
7,8 |
6,5 |
7,3 |
8,6 |
8,7 |
8,2 |
8,1 |
7,8 |
8,1 |
7,5 |
6,9 |
|
Оценочные показатели.
Эта группа объединяет страны “большой семерки”.
В эту группы включены Испания, Нидерланды, Бельгия, Швеция, Австрия, Дания, Финляндия, Греция, Португалия. Ирландия, Люксембург, Швейцария, Норвегия, Израиль, Исландия. Корея, Австралия, Тайвань, Гонконг, Сингапур и Новая Зеландия. |
Источник: World Economic Outlook, October 1999, p. 173.
В таблице 3.2 представлены данные о динамике уровня безработицы в некоторых странах с переходной экономикой. В России, на Украине и в некоторых других государствах бывшего СССР расхождения в показателях официального уровня безработицы и уровня безработицы, рассчитанного по международной методологии, весьма значительны из-за несовершенства статистической базы.
Таблица 3.2. Уровень безработицы в некоторых странах
с переходной экономикой (в %) |
|
Страны |
1989 |
1990 |
1991 |
1992 |
1993 |
1994 |
1995 |
1996 |
1997 |
1998 |
|
Болгария |
4 4 |
1,5 |
6,7 |
13,2 |
15,7 |
14,1 |
И,1 |
12,5 |
13,7 |
12,2 |
|
Чешская Республик; |
. . |
0,3 |
2,6 |
3,1 |
3,0 |
3,3 |
3,0 |
3,1 |
4,3 |
6,0 |
|
Венгрия |
0,4 |
0,8 |
4,1 |
10,2 |
11,5 |
10,3 |
9,9 |
9,2 |
7,7 |
7,0 |
|
Польша |
ф » |
3,4 |
9,7 |
13,6 |
14,9 |
16,0 |
14,9 |
13,2 |
10,3 |
10,4 |
|
Румыния |
4 % |
ф 4 |
3,0 |
8,4 |
10,4 |
10,9 |
10,4 |
9,0 |
4 • |
4 4 |
|
Словакия |
Ф Ф |
0,6 |
6,6 |
11,4 |
2,7 |
14.4 |
13,7 |
12,6 |
12,9 |
14,0 |
Россия:
-официальный
показатель |
4 4 |
1 4 |
0,1 |
0,8 |
1,0 |
1,7 |
2,8 |
3,6 |
4 ¦ |
2,4* |
|
-показатель, рассчитанный по методологии МОТ (Международной Организации Труда) |
• • |
1 4 |
• • |
4 4 |
5,6 |
7,5 |
8,9 |
9,6 |
4 4 |
11,5* |
|
|
* Данные по состоянию на сентябрь 1998 г. |
Источники: IMF Staff Papers. Vol. 45. №2. June 1998, p. 273. IMF Economic Reviews, 1999, №1-2.
Выбор стран, включенных в таблицу 3.2, обусловлен степенью доступности сопоставимой статистической информации о состоянии рынков труда. Официальные показатели безработицы в других странах бывшего СССР характеризуют аналогичные тенденции, но достаточно сложно подобрать сопоставимые серии данных по уровню безработицы, рассчитанному по методологии Международной Организации Труда (МОТ).
Закон Оукена связывает колебания уровня безработицы с колебаниями ВВП:
*
Y-Y
*
Y
= -/3(и-и*)ч

где Y -Y*

фактический объем производства;
потенциальный ВВП;
фактический уровень безработицы;
естественный уровень безработицы;
эмпирический коэффициент чувствительности ВВП к динамике циклической безработицы.
Если фактический уровень безработицы выше естественного на 1%, то фактический объем производства будет ниже потенциального на (3%.
Коэффициент (3 устанавливается эмпирическим путем и различен в разных странах. Нередко его значения попадают в интервал от 2 до 3, что свидетельствует о значительных потерях ВВП, вызванных циклической безработицей.
Y-Y

3%-2(и-и Л


где Y фактический объем производства в текущем году;
Y і - фактический объем производства в прошлом году;
и - фактический уровень безработицы в текущем году; и 1 фактический уровень безработицы в прошлом году.
Если фактический уровень безработицы не изменился по отношению к показателю предыдущего года, то темп роста реального ВВП составляет 3% в год. Этот темп обусловлен приростом населения, накоплением капитала и научно-техническим прогрессом. При каждом увеличении уровня безработицы на один процент (по отношению к показателю прошлого года) темп роста реального ВВП снижается на 2%.
3.3. Уровень инфляции. Инфляция спроса и инфляция издержек. Ожидаемая и неожиданная инфляция
Инфляция - устойчивая тенденция к повышению среднего (общего) уровня цен.
В условиях инфляции различные виды цен изменяются неравномерно: одни цены увеличиваются быстро, другие — медленно, третьи остаются без изменения.
Дефляция - устойчивая тенденция к снижению среднего (общего) уровня цен.
Уровень инфляции (темп роста цен) - относительное изменение среднего (общего) уровня цен. В макроэкономических моделях уровень инфляции может быть представлен как
р~х
где Р - средний уровень цен в текущем году;
Р 1 - средний уровень цен в прошлом году.
Средний уровень цен измеряется индексами цен. Нередко в качестве основы для расчета уровня инфляции используется индекс потребительских цен (СРІ), и показатель приобретает следующий вид:
СРІ - СРІ ,
к =-,
СРІ_Х
где СРІ - индекс потребительских цен в текущем году;
СРІ_\ - индекс потребительских цен в прошлом году.
В таблице 3.3 представлены данные о таком среднегодовом процентном изменении индекса потребительских цен в странах с переходной экономикой.
Показатели уровня инфляции, рассчитанные на основе индексов потребительских цен (СРІ) и индексов Пааше (дефляторов ВВП), оказываются существенно различными. Таблица 3.4 иллюстрирует это расхождение на примере российской экономики.
|
Таблица 3.3. Страны с переходной экономикой: среднегодовое изменение уровня потребительских цен (в %) |
|
Страны |
1997 |
1998 |
1999* |
2000* |
|
В среднем по всей |
|
|
|
|
|
группе стран |
28 |
21 |
39 |
18 |
|
Албания |
32 |
21 |
7 |
9 |
|
Белоруссия |
64 |
73 |
320 |
250 |
|
Босния и |
|
|
|
|
|
Герцеговина |
14 |
10 |
5 |
3 |
|
Болгария |
1082 |
22 |
-1 |
4 |
|
Хорватия |
4 |
6 |
4 |
3 |
|
Чехия |
8 |
11 |
3 |
5 |
|
Эстония |
И |
8 |
4 |
3 |
|
Венгрия |
18 |
14 |
9 |
8 |
|
Латвия |
8 |
5 |
2 |
3 |
|
Литва |
9 |
5 |
2 |
3 |
|
Македония |
2 |
1 |
2 |
2 |
|
Молдавия |
12 |
8 |
28 |
6 |
|
Польша |
15 |
12 |
7 |
5 |
|
Румыния |
155 |
59 |
40 |
17 |
|
Словакия |
6 |
7 |
9 |
7 |
|
Словения |
8 |
8 |
5 |
5 |
|
Украина |
16 |
И |
26 |
15 |
|
Россия |
15 |
28 |
88 |
23 |
|
Армения |
14 |
9 |
3 |
8 |
|
Азербайджан |
4 |
-1 |
-5 |
4 |
|
Грузия |
7 |
4 |
|
5 |
|
Казахстан |
17 |
7 |
1 |
11 |
|
Киргизия |
26 |
12 |
32 |
16 |
|
Монголия |
37 |
9 |
9 |
6 |
|
Таджикистан |
88 |
43 |
15 |
7 |
|
Туркменистан |
84 |
17 |
27 |
54 |
|
Узбекистан |
71 |
29 |
28 |
22 |
|
|
Оценочные показатели. |
Источник: World Economic Outlook, October 1999, p. 28.
|
Таблица 3.4. Россия: среднегодовая динамика индекса-дефлятора ВВП и индекса потребительских цен (в %) |
|
Уровень инфляции (Я) |
1996 |
1997 |
1998 |
1999 |
СРІ-СРІ ,
к ~--
СРІ_Х |
48 |
15 |
28 |
88 |
Р _ р
(Питие) 1 Л(Пааше)
К =-
Р-)( Пашне) |
43.9 |
16,6 |
11,4 |
74,9 |
|
|
Источник: IMF Economic Reviews, 1999. №2, р. 179; World Economic Outlook, October 1999. p. 28. |
Дезинфляция - снижение уровня инфляции (темпа роста цен).
Инфляция спроса возникает как следствие избыточных совокупных расходов (совокупного спроса) в условиях, близких к полной занятости.
Инфляция издержек возникает как следствие повышения средних издержек на единицу продукции и снижения совокупного предложения. Этот тип инфляции приводит к стагфляции, то есть к одновременному росту инфляции и безработицы на фоне спада производства (стагнация в сочетании с инфляцией). Повышение средних издержек относительно сокращает прибыли фирм, что приводит к снижению выпуска фирм и спаду совокупного предложения в целом. При прежнем уровне совокупного спроса снижение совокупного предложения приводит к росту среднего уровня цен и увеличению темпа инфляции.
Причины повышения средних издержек производства:
1) повышение номинальной заработной платы, которое не уравновешивается увеличением производительности труда;
2) повышение цен на сырье;
3) увеличение налогов и рост “налогового клина".
Инфляция издержек в известной мере самоограниченна: спад производства сдерживает дополнительный рост издержек производства, так как при возрастающем уровне безработицы номинальная заработная плата постепенно снижается.
Сочетание инфляции спроса и инфляции издержек образует инфляционную спираль, в которой возросшие инфляционные ожидания экономических агентов выполняют роль передаточного механизма. Бюджетно-налоговая или кредитно-денежная экспансия, направленная на краткосрочное стимулирование совокупного спроса, вызывает инфляцию спроса по мере приближения экономики к состоянию полной занятости ресурсов. В условиях инфляции спроса экономические агенты постепенно корректируют свое поведение: ставки номинальной заработной платы повышаются в новых трудовых соглашениях в соответствии с возросшими инфляционными ожиданиями. Повышение ставок номинальной заработной платы вызывает рост средних издержек производства, что является основой для развертывания инфляции издержек. Если правительство и Центральный Банк не располагают инструментами управления инфляционными ожиданиями, то на основе спирали “заработная плата - цены” возникает гиперинфляция. Она представляет собой неуправляемую инфляцию с быстрым темпом роста цен, которая оказывает особенно разрушительное воздействие на занятость и выпуск, так как в этих условиях экономически выгодно вкладывать средства в спекулятивные операции, а не в инвестиции. Ситуация недоверия к непоследовательной политике правительства и Центрального Банка, характерная для многих переходных экономик, является подходящей “средой” для развертывания неуправляемой инфляции.
Воздействие инфляции на уровень реальных доходов противоречиво. Инфляция по-разному влияет на перераспределение доходов в зависимости от того, является ли она ожидаемой или непредвиденной. В случае ожидаемой инфляции получатель дохода может принять меры, чтобы предотвратить или уменьшить негативные последствия инфляции, которые, в противном случае, отразятся на величине его реального дохода. Корректировка номинальных доходов может быть осуществлена с учетом уравнения Фишера: / = г + ке, где / иг - номинальная и реальная ставки процента (соответственно), а пе - уровень ожидаемой инфляции. При темпах инфляции, превышающих 10%, уравнение
ns /-я*
Фишера имеет вид г =-.
1 + ке
Непредвиденная инфляция приводит к снижению всех видов фиксированных доходов и “субсидирует” тех экономических агентов, чьи номинальные доходы возрастают быстрее, чем средний уровень цен. В условиях неожиданной инфляции получатели ссуд выигрывают за счет кредиторов, так как долги возвращаются обесценившимися деньгами. Правительства, накопившие значительный государственный долг, нередко проводят политику краткосрочного стимулирования инфляции, которая способствует относительному обесцениванию задолженности.
Если экономические агенты имеют диверсифицированные источники доходов, то они могут одновременно “выиграть” и “проиграть” в условиях роста уровня инфляции. В России и других переходных экономиках последствия инфляции оказываются тяжелыми для значительного числа семей потому, что в дореформенных экономиках основным видом семейного дохода была фиксированная заработная плата. По мере реформирования систем оплаты труда и расширения числа источников доходов негативные последствия инфляции могут быть постепенно элиминированы.
3.4. Взаимосвязь инфляции и безработицы: общая постановка проблемы
В условиях приближения к экономическому потенциалу возникает известная альтернатива между ростом занятости, с одной стороны, и ростом уровня инфляции - с другой. Увеличение занятости и снижение безработицы сопровождается ростом инфляции спроса, так как в экономике постоянно уменьшается объем неиспользованных ресурсов и расширять производство приходится за счет “переманивания” ресурсов от одной фирмы к другой, из одной отрасли в другую, путем повышения ставок заработной платы и цен на инвестиционные товары. Снижение уровня инфляции спроса может быть достигнуто только путем ограничения занятости и увеличения безработицы. Это означает, что в краткосрочном периоде между уровнями инфляции и безработицы обнаруживается обратная зависимость, определяемая как кривая Филлипса (Phillips curve) (см. рис. 3.3).
В любой момент времени правительство, управляющее совокупными расходами, может выбрать на кривой Филлипса определенную комбинацию уровней инфляции и безработицы для краткосрочного временного интервала. Этот выбор зависит от ожидаемого темпа инфляции: чем выше ожидаемая инфляция, тем выше располагается кривая Филлипса. Выбор экономической политики в этом случае затрудняется, так как фактический уровень инфляции будет выше для любого уровня безработицы.

Компромисс между инфляцией и безработицей в макроэкономических моделях может быть представлен в следующем виде:
«
Л=Ле +f(y~? )+?
У
где к - фактический уровень инфляции;
7f - ожидаемый уровень инфляции;
*
у — у
Я * ) - инфляция спроса;
е - внешний ценовой шок (инфляция издержек).
у-у*
*
У
Поскольку
определяется динамикой циклической без
работицы в соответствии с законом Оукена, то уравнение краткосрочной кривой Филлипса принимает вид
К - Ке-у (и- и*) + ? ,
где к и же
и И и*

фактический и ожидаемый темп инфляции (соответственно);
фактический и естественный уровень безработицы (соответственно); внешний ценовой шок; эмпирический коэффициент.
Основные термины
Экономический цикл Спад (рецессия)
Подъем (оживление)
Пик
Низшая точка спада
Потенциальный ВВП (экономический потенциал) Относительное отклонение фактического ВВП от потенциального (gap GDP)
Безработные Занятые Рабочая сила
Фрикционная безработица Структурная безработица Циклическая безработица Уровень безработицы
Естественный уровень безработицы (не ускоряющий инфляцию уровень безработицы, NAIRU)
Страхование по безработице
“Жесткость” заработной платы
Безработица ожидания
Закон Оукена
Инфляция
Дефляция
Инфляция спроса
Инфляция издержек
Стагфляция
Инфляционная спираль
Ожидаемая инфляция
Непредвиденная (неожиданная) инфляция
Эффект Фишера
Гиперинфляция
Кривая Филлипса
“Индекс нищеты”
Вопросы для обсуждения
1. Верны ли следующие утверждения:
а) люди в возрасте от 16 лет и старше относятся либо к категории занятых, либо к числу безработных;
б) естественный уровень безработицы всегда постоянен;
в) при равновесии рынка труда безработица невозможна;
г) если фактический объем производства равен потенциальному, то в экономике нет безработицы;
д) в условиях спада производства уровень инфляции может возрасти или снизиться;
е) если уровень инфляции снижается, то и цены всегда снижаются;
ж) если цены на нефть возрастают, то реальная заработная плата снижается.
2. Предположим, что в экономике снизился уровень производительности труда (то есть произошел отрицательный сдвиг кривой производственных возможностей).
а) Что в этом случае происходит с кривой спроса на труд?
б) Как это изменение отразится на состоянии рынка труда на показателях занятости, безработицы, уровне реальной заработной платы - при условии, что рынок труда постоянно находится в равновесии (кривая предложения труда вертикальна)?
в) Как это изменение отразится на состоянии рынка труда при условии, что профсоюзы настояли на сохранении неизменного уровня реальной заработной платы?
3. Предположим, что в день поступления в университет вы согласились одолжить своему товарищу определенную сумму денег. Вы оба ожидаете, что реальная ставка процента будет нулевой. Возврат долга должен состояться после окончания университета по фиксированной номинальной ставке процента. Если в период пятилетнего обучения в университете инфляция оказалась ниже, чем вы оба ожидали, то кто окажется в выигрыше, а кто проиграет?
Задачи и решения
1. Численность населения составляет 100 млн чел.. 24 млн чел. дети до 16 лет, а также люди, находящиеся в длительной изоляции (в психиатрических больницах, в исправительных учреждениях и т.д.); 30 млн чел. выбыли из состава рабочей силы; 4 млн 600 тыс. чел. безработные; 1 млн чел. - работники, занятые неполный рабочий день и ищущие работу.
Используя эти статистические данные, рассчитайте:
а) величину рабочей силы;
б) уровень безработицы.
Решение
а) Численность рабочей силы = Общая численность населения -Численность нетрудоспособных (лица до 16 лет и лица, находящиеся в институциональных учреждениях) - Численность покинувших рынок рабочей силы = 100 млн чел. - 24 млн чел. -- 30 млн чел. = 46 млн чел.
Численность безработных Численность рабочей силы
х 100%=
б) Уровень безработицы =
4,6 млн чел. 46 млн чел.

Данные о занятых неполный рабочий день и ищущих работу являются избыточными для данной задачи и не должны использоваться в расчетах. Избыточные данные не должны исключаться из условий задач, так как работа с ними развивает у студентов первичные навыки классификации и обработки статистической информации.
2. Естественный уровень безработицы в текущем году составляет 6%, а фактический - 10%.
1) Определите величину относительного отставания фактического ВВП от потенциального при условии, что коэффициент чувствительности ВВП к динамике циклической безработицы равен 2.
2) Если фактический объем выпуска в том же году составил 600 млрд долл., то каковы потери ВВП, вызванные циклической безработицей?
Решение
1) Величина относительного отклонения реального ВВП от потенциального может быть найдена с использованием закона Оукена:
Y-Y
= -p(U-U )

Y фактический объем выпуска;
Y потенциальный объем выпуска;
Р коэффициент чувствительности ВВП к динамике циклической безработицы;
U фактический уровень безработицы;
U естественный уровень безработицы.
Подставив данные задачи в приведенную модель, получаем:
*
Y ~ 2L = -2(0,1 - 0,06) = -2x0,04 = -0,08, или -8%.
Y
Это означает, что из-за циклической безработицы фактический объем производства снизился относительно потенциального на 8%. 2) Для того чтобы ответить на вопрос задачи, необходимо найти экономический потенциал Y из уравнения

600-Y*
*
У
После алгебраических преобразований имеем:
У* = 652,2 млрд долл.
Потери ВВП, вызванные циклической безработицей, составляют:
У - У* = 600 - 652,2 = -52,2 (млрд долл.).
3. Экономика описывается следующими данными: естественный уровень безработицы равен 6%, ожидаемый уровень инфляции составляет 3%, относительное отклонение реального ВВП от потенциального меньше нуля. Внешние ценовые шоки отсутствуют. В этом случае фактический уровень инфляции составит:
а) более 3%;
б) менее 3%;
в) равен 3%;
г) равен 6%.
Решение
Для того чтобы найти правильный ответ из четырех предложенных, можно использовать уравнение кривой Филлипса:
¦
*
л = ле +/(}—-) + ?,
У
где к - фактический уровень инфляции;
ке - ожидаемый уровень инфляции;
*
у-у ___
* - относительное отклонение реального ВВП от по-
^ тенциалъного, обусловленное инфляцией спроса;
е - внешний ценовой шок;
/ - эмпирический коэффициент, определяющий угол наклона кривой Филлипса.
Так как внешний ценовой шок отсутствует, а параметр, связанный с инфляцией спроса, отрицателен, то это означает, что экономика находится в фазе циклического спада, когда фактический объем выпуска Y ниже, чем потенциальный выпуск У*. На фоне спада производства уровень инфляции окажется ниже ожидаемого, то есть верным является ответ б).
Тесты
1. “Отчаявшиеся” работники, которые хотели бы работать, но прекратили поиск рабочего места:
а) учитываются в величине фрикционной безработицы;
б) учитываются в величине безработицы ожидания;
в) более не учитываются в составе рабочей силы;
г) получают пособие в соответствии с законодательством о минимальной заработной плате.
2. Измеряемая безработица может быть ниже, чем фактическая безработица, так как:
а) измеряемая безработица не включает фрикционных безработных;
б) некоторые рабочие хотели найти работу, но отчаялись и прекратили ее поиски;
в) некоторые из тех, кто называет себя безработными, просто не занимаются поисками работы всерьез;
г) измеряемая безработица не включает в себя подростковую безработицу.
3. Что из нижеперечисленного неверно:
а) естественный уровень безработицы относительно стабилен в краткосрочном периоде и изменяется в долгосрочной перспективе;
б) NAIRU включает в себя фрикционную, структурную и циклическую безработицу;
в) реальный ВВП равен потенциальному, если уровень безработицы равен NAIRU;
г) изменения в величине естественного уровня безработицы вызывают сдвиг кривой Филлипса;
д) повышение минимума заработной платы является фактором увеличения NAIRU в долгосрочном периоде.
4. Безработица ожидания возникает, когда:
а) известно, что минимальная заработная плата увеличится в ближайшем будущем;
б) введено щедрое страхование по безработице;
в) работники временно уволены из-за погодных условий;
г) реальная заработная плата превышает равновесный уровень.
5. Один из эффектов неожиданной инфляции состоит в том, что богатство перераспределяется:
а) от заемщиков к кредиторам;
б) от кредиторов к заемщикам;
в) от молодых людей к старым;
г) от государства к фирмам.
6. Экономика описывается следующими данными:
— естественный уровень безработицы равен 6%;
— фактический уровень безработицы равен 7,33%;
— потенциальный ВВП увеличивается на 3% в год. Насколько быстро должен возрастать фактический объем производства для того, чтобы в следующем году была обеспечена полная занятость ресурсов при естественном уровне безработицы? ^Коэффициент чувствительности ВВП к динамике циклической безработицы равен 3):
а) 3%;
б) 4%;
11 в) 5%;
г) 6%;
‘ Д) 7%.
7. Имеются следующие данные о динамике уровня цен:
Годы
Индекс потребительских цен
400
440
462
462
1991
1992
1993
1994
В этом случае можно утверждать, что:
а) уровень инфляции 1994 года превышает уровни инфляции
1992 года и 1993 года;
* б) уровень инфляции 1993 года превышает уровень инфляции 1992 года;
в) уровень инфляции 1992 года превышает уровни инфляции
1993 года и 1994 года;
г) в экономике отсутствует тенденция к снижению уровня инфляции.
8. Используйте данные о динамике индекса потребительских цен из задачи № 7. Предположим, что рост уровня номинальной заработной платы для работников, заключающих трудовые договоры на 2-летний период начиная с 1993 года, обусловлен зависимостью

AW
W
где W - номинальная заработная плата.
В этом случае можно утверждать, что реальная заработная плата:
а) будет иметь тенденцию к снижению;
б) останется неизменной;
в) увеличится в 1994 году более значительно, чем в 1993 году;
г) увеличится в 1993 году более значительно, чем в 1994 году.
9. Допустим, что индекс потребительских цен составляет 301 в 1993 году и 311 в 1994 году. 1977 год является базовым. В этом случае можно сделать заключение, что:
а) в 1994 году и инфляция и цены оказались выше, чем приемлемый 4%-ный уровень инфляции 1977 года и базовый уровень цен (соответственно);
б) в 1994 году инфляция оказалась ниже приемлемого 4%-ного уровня, а цены оказались на 311% выше, чем в базовом году;
в) в 1994 году инфляция оказалась ниже приемлемого 4%-ного уровня, а цены оказались на 211% выше, чем они были в 1977 году;
г) все вышеперечисленное неверно.
10. Экономика описана следующими данными:
Год Уровень Номинальная
инфляции ставка процента
1 3% 8%
2 8% 3%
На сколько процентов изменилась реальная процентная ставка во втором году по сравнению с первым:
а) реальная ставка процента не изменилась;
б) реальная ставка процента возросла на 5%;
в) реальная ставка процента снизилась на 5%;
г) реальная ставка процента снизилась на 10%.
Рекомендуемая учебная литература
Мэнкью Н.Г. Макроэкономика. Гл. 5, 6.
2. Макконнелл К, Брю С. Экономикс. Т. 1, гл. 10.
3. Дорнбуш Р., Фишер С. Макроэкономика. Гл. 15.
4. Фишер С, Дорнбуш РШмалензи Р. Экономика. Гл. 23, 32, 33.
5. Долан Э. Макроэкономика. Гл. 1.
6. Долан Э., Кэмпбелл К, Кемпбелл Р. Деньги, банковское дело и денежно-кредитная политика. Гл. 17.
7. Линвуд Т. Гайгер. Макроэкономическая теория и переходная экономика. Гл. 4.
$. Хейне П. Экономический образ мышления. Гл. 15.
9. Гальперин В.М., Гребенников П.И., Леусский А.И., Тарасович Л.С. Макроэкономика. Гл. 7, 9, 10.
10. Эклунд К Эффективная экономика. Гл. 10, И.
|
Ответы к тестам |
|
1)в |
6) д |
|
2)6 |
7) в |
|
3) б |
8) в |
|
4) г |
9) в |
|
5) б |
10) г |
|
Глава 4
Общее макроэкономическое равновесие: модель совокупного спроса и совокупного предложения
4.1. Совокупный спрос и факторы, его определяющие.
4.2. Совокупное предложение: классическая и кейнсианская модели.
4.3. Макроэкономическое равновесие в модели совокупного спроса и совокупного предложения. Переход от краткосрочного к долгосрочному равновесию.
4.4. Шоки спроса и предложения. Стабилизационная политика.
4.1. Совокупный спрос и факторы, его определяющие
В макроэкономике модель AD-AS является базовой для изучения колебаний объема выпуска и уровня цен в экономике в целом, причин и последствий их изменений. С ее помощью могут быть описаны различные варианты экономической политики государства.
Совокупный спрос представляет собой сумму всех расходов на конечные товары и услуги, произведенные в экономике. Он отражает связь между объемом совокупного выпуска, на который предъявлен спрос экономическими агентами, и общим уровнем цен в экономике.
При отсутствии ограничений со стороны производства, а также при отсутствии сильной инфляции рост совокупного спроса стимулирует увеличение объема выпуска и занятости, оказывая незначительное влияние на уровень цен. Такое воздействие на экономику в период кризиса 30-х годов оказала государственная политика стимулирования совокупного спроса в США.
Если экономика близка к состоянию полной занятости, то рост совокупного спроса вызовет не столько увеличение объема выпуска (так как практически все мощности уже задействованы), сколько рост цен.
В структуре совокупного спроса можно выделить:
1) спрос на потребительские товары и услуги;
2) спрос на инвестиционные товары;
3) спрос на товары и услуги со стороны государства;
4) спрос на наш экспорт со стороны иностранцев (или спрос на чистый экспорт, если спрос на импорт входит в первые три компонента совокупного спроса).
Одни компоненты совокупного спроса относительно стабильны, изменяются медленно, например потребительские расходы. Другие - более динамичны, например инвестиционные расходы, их изменения вызывают колебания экономической активности.
Кривая совокупного спроса AD (от английского aggregate demand) показывает количество товаров и услуг, которое потребители готовы приобрести при каждом возможном уровне цен. Она дает такие комбинации объема выпуска и общего уровня цен в экономике, при которых товарный и денежный рынки находятся в равновесии.
Движение вдоль кривой AD отражает изменение совокупного спроса в зависимости от динамики общего уровня цен. Наиболее простое выражение этой зависимости можно получить из
! уравнения количественной теории денег:
«ч
к
|
MV = PY , отсюда |  |
|
или |  |
где Р - уровень цен в экономике, в данном случае - индекс цен;
Y - реальный объем выпуска, на который предъявлен спрос; М количество денег в экономике;
V скорость обращения денег.
Отрицательный наклон кривой AD объясняется следующим образом: чем выше уровень цен Р, тем меньше реальные запасы
денежных средств
(кривая AD строится при условии фикси
рованного предложения денег М и скорости их обращения У), а следовательно, меньше и количество товаров и услуг, на которые предъявлен спрос Y.
Обратная зависимость между величиной совокупного спроса и уровнем цен объясняется также эффектом процентной ставки, эффектом богатства, эффектом импортных закупок. Например, рост цен увеличивает спрос на деньги. При неизменном предложении денег рост спроса на них увеличивает процентную ставку, что сокращает расходы экономических агентов, связанные с по-
лучением кредита, а значит, снижает объем совокупного спроса. Рост цен снижает также реальную покупательную способность накопленных финансовых активов с фиксированной стоимостью (облигации, срочные счета), что делает их владельцев беднее и побуждает к сокращению расходов. Рост цен внутри страны при стабильных ценах на импорт перекладывает часть спроса с внутренних товаров на импортные и сокращает экспорт, что также снижает совокупный спрос в экономике.
К неценовым факторам, влияющим на совокупный спрос, относится все, что воздействует на потребительские расходы домашних хозяйств, инвестиционные расходы фирм, государственные расходы, чистый экспорт: благосостояние потребителей, их ожидания, налоги, процентные ставки, субсидии и льготные кредиты инвесторам, колебания валютных курсов, условия на внешних рынках и т.д. Уравнение количественной теории денег также дает два неценовых фактора совокупного спроса: предложение денег М и скорость их обращения V. Изменение неценовых факторов отражается на графике сдвигом кривой AD. Например, увеличение предложения денег (или скорости их обращения) и соответствующий рост платежеспособного спроса в экономике отразятся на графике сдвигом кривой AD вправо (рис. 4.1), а снижение спроса на нефть на мировом рынке и соответствующее сокращение экспорта отразятся графически сдвигом AD влево (рис. 4.2).

 |
|
Рис. 4.1 |

Часто непосредственное воздействие какого-либо неценового фактора на совокупный спрос оказывается не единственным, и
для оценки итогового эффекта требуется дополнительный анализ. Так, увеличение государственных расходов непосредственно ведет к росту совокупного спроса. Но, финансируя эти расходы через продажу облигаций, государство забирает часть ресурсов с денежного рынка, что при неизменном общем предложении денег в экономике и спросе на них со стороны частного сектора увеличивает ставку процента. Это, в свою очередь, затрудняет инвестиционную деятельность частного сектора, покупку дорогостоящих товаров потребителями и т.д., то есть сокращает другие компоненты совокупного спроса.
4.2. Совокупное предложение: классическая и кейнсианская модели
Совокупное предложение это общее количество конечных товаров и услуг, произведенных в экономике (в стоимостном выражении). Это понятие часто используется как синоним валового внутреннего продукта.
Кривая совокупного предложения AS (от английского aggregate supply) показывает, какой объем совокупного выпуска может быть предложен на рынок производителями при разных значениях общего уровня цен в экономике.
Неценовыми факторами совокупного предложения являются изменения в технологии, ценах ресурсов, налогообложении фирм и т.д., что графически отражается сдвигом кривой /45. Например, резкое повышение цен на нефть и нефтепродукты приводит к росту издержек и снижению объема предложения при каждом данном уровне цен в экономике, что графически интерпретируется сдвигом кривой AS влево. Высокий урожай, вызванный неожиданно благоприятными погодными условиями, увеличит объем совокупного предложения и отразится на графике сдвигом кривой AS вправо.
Форма кривой AS интерпретируется по-разному в классической и кейнсианской школах. Изменения величины совокупного предложения под влиянием одного и того же фактора, скажем, совокупного спроса, могут оказаться разными. Это зависит от того, учитываем ли мы изменения предложения, произошедшие за короткий отрезок времени или же нас интересуют долгосрочные последствия воздействия колебаний совокупного спроса.
Различие между краткосрочным (обычно до 2 -3 лет) и долгосрочным периодами в макроэкономике связывают главным образом с поведением номинальных и реальных переменных. В краткосрочном периоде номинальные величины (цены, номинальная заработная плата, номинальная ставка процента) под воздействием рыночных колебаний изменяются медленно, обычно говорят об их относительной “жесткости”. Реальные величины (объем выпуска, уровень занятости, реальная ставка процента) - более подвижные, “гибкие”. В долгосрочном периоде, наоборот, номинальные величины в итоге изменяются достаточно сильно - их считают “гибкими”, а реальные меняются крайне медленно; так что для удобства анализа их часто рассматривают как постоянные.
Классическая модель описывает поведение экономики в долгосрочном периоде. Анализ совокупного предложения в классической теории строится исходя из следующих условий:
- рынки являются конкурентными;
- объем выпуска зависит только от количества факторов производства (труда и капитала) и технологии и не зависит от уровня цен;
- изменения в факторах производства и технологии происходят медленно;
- экономика функционирует в условиях полной занятости факторов производства, следовательно, объем выпуска равен потенциальному;
- цены и номинальная заработная плата - гибкие, их изменения поддерживают равновесие на рынках.
Кривая в этих условиях вертикальна на уровне выпуска при полной занятости факторов.
Объяснение формы кривой AS в классической модели связано с анализом рынка труда, поскольку труд считается главным фактором, изменения которого могут влиять на уровень выпуска в краткосрочном периоде.
Рост общего уровня цен снижает реальную заработную плату, следовательно, спрос на труд превысит предложение на рынке труда (рабочие и предприниматели реагируют на изменение реальной, а не номинальной заработной платы). Это вызовет рост номинальной заработной платы. В результате реальная повысится до исходного уровня, что восстановит равновесие на рынке труда, прежний уровень занятости, а следовательно, объем выпуска практически не изменится (возможны лишь незначитель-
ные краткосрочные колебания). Корректировки номинальной заработной платы происходят быстро, поэтому при любом изменении уровня цен совокупное предложение (объем выпуска) останется неизменным на уровне потенциала (Y*).
Сдвиги AS возможны лишь при изменении величины факторов производства или технологии. Если такие изменения отсутствуют, то кривая в долгосрочном периоде (LRAS - от английского long run aggregate supply curve) фиксирована на уровне Потенциального выпуска, и любые колебания совокупного спроса отражаются лишь на уровне цен (см. рис. 4.3).
 |
|
Рис. 4.3 |
Кейнсианская модель рассматривает функционирование экономики на сравнительно коротких отрезках времени. Анализ совокупного предложения базируется на следующих предпосылках:
- экономика функционирует в условиях неполной занятости факторов производства;
- цены, номинальная заработная плата и другие номинальные величины - относительно жесткие, медленно реагируют на рыночные колебания;
- реальные величины (объем выпуска, занятость, реальная заработная плата и др.) более подвижны, быстрее реагируют на рыночные колебания.
Кривая AS в кейнсианской модели горизонтальна (в крайнем случае - при жестких ценах и номинальной заработной плате) или имеет положительный наклон (при жесткой номинальной заработной плате и относительно подвижных ценах).
Причинами относительной жесткости номинальных величин в краткосрочном периоде служат: длительность трудовых договоров, государственное регулирование минимальной заработной платы, ступенчатый характер изменения цен и заработной платы (когда фирмы меняют цены и заработную плату постепенно, “порциями”, с оглядкой на конкурентов), сроки действия контрактов на поставки сырья и готовой продукции, деятельность профсоюзов, эффект “меню” и т.д.
Например, если издержки переиздания каталогов с ценами на выпускаемую продукцию достаточно велики и сам процесс переиздания требует определенного времени (эффект “меню”), то при увеличении спроса фирмы в течение некоторого времени будут стремиться нанять дополнительное количество рабочих, нарастить выпуск и удовлетворить спрос покупателей при прежнем уровне цен. В таком экстремальном случае абсолютно жестких цен краткосрочная кривая AS будет горизонтальной.
Если номинальная заработная плата достаточно жесткая, а цены относительно гибкие, то их рост, вызванный увеличением совокупного спроса, приведет к падению реальной заработной платы, труд станет дешевле, что будет способствовать росту спроса на труд со стороны фирм. Использование большего количества труда приведет к увеличению выпуска. Таким образом, в период, когда номинальная заработная плата не меняется, появляется положительная зависимость между уровнем цен и объемом выпуска. Кривая AS в этих условиях имеет положительный наклон.
Разумность предположений об относительной жесткости цен на коротких временных интервалах подтверждается типичным поведением бизнеса. В обычных условиях у большинства фирм имеются избыточные мощности, запасы готовой продукции на
Еадах, а также возможность использовать сверхурочную рабо-или нанять дополнительных работников (особенно в условиях юлной занятости). Поэтому в краткосрочном периоде расширение спроса всегда может быть встречено увеличением объема продаж без какого-либо существенного изменения цен. й Следует обратить внимание на то, что в кейнсианской моде-j ди кривая AS ограничена справа уровнем потенциального вы-Ьуска, после чего она приобретает вид вертикальной прямой, т.е. ft фактически совпадает с долгосрочной кривой ^5.
Таким образом, объем совокупного предложения в кратко-;; срочном периоде зависит главным образом от величины совокуп-ного спроса. В условиях неполной занятости факторов производства и жесткости цен колебания совокупного спроса вызывают прежде всего изменения объема выпуска (предложения) и лишь і впоследствии могут отразиться на уровне цен (рис. 4.4, где SRAS -краткосрочная кривая совокупного предложения, от английского ¦ short run aggregate supply curve). Эмпирические данные подтверждают это положение.
Если правительство хочет увеличить объем выпуска в экономике, то, согласно кейнсианскому подходу, оно должно стимулировать совокупный спрос при помощи фискальной и денежной политики — например, увеличить государственные расходы, снизить налоги, расширить предложение денег и т.п. (см. рис. 4.4).
щ

<•!(
,?
* у-
¦л
»*•
»
•,.
¦ <
* \ч
4.3. Макроэкономическое равновесие в модели совокупного спроса и совокупного предложения. Переход от краткосрочного к долгосрочному равновесию
Пересечение кривых AD и AS определяет равновесный объем выпуска и уровень цен в экономике. При нарушении равновесия в экономике, близкой к полной занятости, например, в результате изменения совокупного спроса, вслед за непосредственной реакцией и установлением краткосрочного равновесия продолжается движение к состоянию устойчивого долгосрочного равновесия. Этот переход осуществляется через корректировку цен (см. рис. 4.5).
 |
Доход, выпуск
Рис. 4.5 |
Например, в результате роста денежной массы произошло увеличение совокупного спроса (ADi —> AD2), и краткосрочное равновесие установилось в точке Я, где Y>Y*, а уровень цен остался неизменным. Под влиянием высокого уровня спроса увеличивается объем производства, но некоторое время продукция реализуется по старым ценам. Однако постепенно начинают расти издержки: при отсутствии достаточного количества свободных ресурсов и росте спроса на них увеличивается их цена, например, растет заработная плата. Это ведет к росту цен на готовую продукцию. Величина спроса в результате начинает снижаться (движение вдоль кривой AD2 от точки В к точке С), и экономика возвращается к прежнему уровню выпуска, но при более высоком уровне цен.
Долгосрочное равновесие устанавливается в точке С. Корректировка цен в ответ на колебания AD происходит постепенно, тогда как приспособление объема выпуска и занятости к новым условиям осуществляется гораздо быстрее. Эмпирические факты подтверждают, что, независимо от причин, вызвавших изменение совокупного спроса и отклонение от исходного равновесия, в долго--срочном периоде экономика путем саморегуляции возвращается к уровню потенциала, заданного имеющимся количеством факторов производства и технологией.
п-
ч
%
W
і
с
В условиях неполной занятости факторов рост совокупного спроса может длительное время стимулировать увеличение совокупного предложения, вплоть до достижения потенциального уровня выпуска. Дальнейшее увеличение совокупного спроса приведет к последствиям, описанным выше (см. рис. 4.5).
if
Ч
'Г
' Т'
•V
Заметим, что в случае сокращения совокупного спроса (уменьшение предложения денег, падение государственных расходов, увеличение налогов и т.д.) кривая AD сдвигается влево, показывая снижение выпуска в краткосрочном периоде при относительной устойчивости цен. В дальнейшем корректировка цен в сторону понижения (при У<У* увеличении безработицы, снижении заработной платы и других издержек) постепенно вернет экономику к исходному уровню выпуска. На графике это отразится движением вниз вдоль новой кривой AD до уровня У*. Но в реальной экономике цены не всегда так же легко снижаются, как растут (эффект “храповика”), поэтому вполне возможно, что величина выпуска восстановится на исходном уровне У* при более высоком уровне цен, чем это предполагалось теоретически.
4.4. Шоки спроса и предложения. Стабилизационная политика
Л'
Резкие изменения совокупного спроса и предложения - шоки -приводят к отклонению объема выпуска и занятости от потенциального уровня. Шоки со стороны спроса могут возникать, например, вследствие резкого изменения предложения денег или скорости их обращения, резких колебаний инвестиционного спроса и т.д. Шоки предложения могут быть связаны с резкими скачками цен на ресурсы (ценовые шоки, например, нефтяной шок), со стихийными бедствиями, приводящими к утрате части ресурсов экономики и возможному уменьшению потенциала, усилением
активности профсоюзов, изменениями в законодательстве и, например, связанным с этим значительным ростом затрат на охрану окружающей среды и т.д.
С помощью модели AD-AS можно оценить воздействие шоков на экономику, а также последствия стабилизационной политики государства, направленной на смягчение колебаний, вызванных шоками, и восстановление равновесного объема производства и занятости на прежнем уровне.
Например, негативный шок предложения (рост цен на нефть) вызывает рост общего уровня цен (краткосрочная кривая AS сдвигается вверх от SRAS] до SRAS2) и падение объема выпуска (точка В) (см. рис. 4.6).
 |
Доход, выпуск
Рис. 4.6 |
Если правительство и Центральный банк не предпринимают никаких шагов, то экономика будет приспосабливаться к новой ситуации. При уровне производства и занятости ниже потенциального (точка В) цены начнут постепенно снижаться, а уровень занятости и выпуска вернется к прежнему состоянию. Это отразится на графике обратным движением вдоль прежней кривой AD/ из точки В в точку А. Однако такой процесс приспособления может оказаться очень длительным, а затяжной спад в экономике чреват социальными конфликтами.
Центральный банк может нейтрализовать спад, увеличив предложение денег (сдвиг вправо кривой AD от ADj до ADi), но последствием этого станет фиксация цен на более высоком уровне, установившемся в результате шока (точка С). Аналогичный результат достигается увеличением государственных расходов.

Таким образом, экономическая политика государства сталкивается с известной дилеммой: длительный спад и безработица или рост цен при сохранении уровня занятости и выпуска.
В литературе встречаются и другие представления модели • AD-AS. Если необходимо акцентировать внимание не на временном аспекте анализа, а на близости экономики к потенциалу, используют изогнутую форму кривой AS, где совмещаются ее кейнсианский и классический отрезки (см. рис. 4.7). Иногда используется “усредненный” вариант, когда кривая AS имеет положительный наклон, что удобно, например, для иллюстрации “инфляционной спирали” и разграничения в ней инфляции спроса и инфляции издержек (рис. 4.8).

«л

Например, в экономике, близкой к полной занятости, рост совокупного спроса, вызванный увеличением предложения денег (AD/ ADi), не только увеличит на некоторое время объем выпуска, но при определенных обстоятельствах может привести к инфляции спроса, уровень цен поднимется до Р2. На этом фоне в условиях почти полного использования имеющихся ресурсов цены на них начнут расти, что увеличит издержки и вызовет снижение совокупного предложения (сдвиг кривой AS от AS} до AS2). Движение вдоль кривой AD2 от точки В к точке С отражает инфляцию издержек, уровень цен растет до Рз, а уровень выпуска возвращается к исходному состоянию (движение вдоль AD2 означает также падение величины совокупного спроса на фоне роста
цен). Повторение попыток монетарного воздействия на совокупный спрос приведет к аналогичному результату и еще больше поднимет уровень цен. Долгосрочное устойчивое равновесие установится на уровне потенциала У*
Модель AD - AS (с определенной степенью условности) может быть использована для интерпретации и анализа процессов, происходивших в переходной экономике России и других стран.
Последствия форсированной либерализации хозяйственной деятельности в России отразились на состоянии совокупного спроса и предложения: либерализация цен и снятие дефицита потребительских товаров (в том числе и за счет импорта) привели к перераспределению денежных средств населения в пользу текущего потребления за счет ранее накопленных сбережений. Безналичные средства предприятий, служившие ранее простым средством учета плановых потоков продуктов, стали реальными платежными средствами. Все это привело к увеличению совокупного спроса в экономике. Графически это могло быть отражено сдвигом вправо-вверх кривой AD, что показывало рост цен в экономике.
Структурная перестройка экономики в процессе либерализации хозяйственной жизни, связанная, в частности, с изменением структуры спроса и относительных цен, определенным образом повлияла на состояние совокупного предложения. Например, вследствие несовпадения структуры факторов производства, занятых в разных отраслях, было невозможно их полное перераспределение в соответствии с новыми потребностями из угасающих отраслей в перспективные. В связи с этим далеко не весь производственный потенциал, задействованный в доперестроечный период, мог быть использован после либерализации экономики. В сторону сокращения объема потенциального выпуска (долгосрочного совокупного предложения) действовали и такие факторы, как разрыв ряда производственных связей и сокращение торговых отношений с бывшими союзными республиками и партнерами по СЭВу. Достаточно отчетливо проявилось в переходной экономике России явление “гистерезиса” - утраты части производственного потенциала, вследствие того, что падение производства оказалось достаточно устойчивым и долговременным.
В модели AD - AS подобные изменения совокупного предложения можно было отразить графически сдвигом LRAS влево от прежнего уровня потенциального выпуска.
Краткосрочная кривая AS, если предположить ее положительный наклон, оказалась бы слева от LRAS и также смещалась бы влево-вверх под воздействием, например, ценовых шоков, таких как рост цен на топливно-энергетические ресурсы. Все это имело следствием дальнейшее снижение объема выпуска и рост цен, но теперь уже как результат инфляции издержек.
Длительное депрессивное состояние экономики привело к снижению реальных доходов основной массы населения, что послужило причиной последующего падения совокупного спроса. В этом же направлении подействовало и снижение инвестиционной активности в экономике, что сократило инвестиционную составляющую совокупного спроса. Графически это иллюстрируется сдвигом влево кривой AD, что еще более усиливает спад, по крайней мере в краткосрочном периоде, хотя и несколько снижает уровень цен или замедляет инфляцию (если цены неэластичны в сторону понижения).
Таким образом, модель AD - AS может быть использована как для иллюстрации, так и для оценки перспектив событий в переходных экономиках во всех случаях, когда совокупный спрос и предложение начинают работать в соответствии с закономерностями возникающего рыночного механизма.
Основные термины
Совокупный спрос Совокупное предложение
Неценовые факторы совокупного спроса и предложения Классическая модель совокупного предложения Кейнсианская модель совокупного предложения Гибкость номинальных переменных в классической модели Жесткость номинальных переменных в кейнсианской модели
Краткосрочное равновесие совокупного спроса и предложения
Долгосрочное равновесие совокупного спроса и предложения
Корректировка цен Шоки спроса Шоки предложения Стабилизационная политика
Вопросы для обсуждения
1. Опишите влияние следующих факторов на совокупный спрос и совокупное предложение:
а) снижение уровня ставки процента (не связанное с изменением уровня цен);
б) усиление инфляционных ожиданий в экономике;
в) рост ставок подоходного налога;
г) увеличение предложения денег в экономике;
д) появление новых технологий;
е) решение правительства о сокращении финансирования социальных программ;
ж) сильное землетрясение, повлекшее за собой многочисленные разрушения.
2. В американских газетах появилось сообщение о том, что ряд стран Южной Америки не смогут выполнить свои обязательства по займам, полученным у американских банков. Каким образом этот факт может отразиться на объеме совокупного спроса в американской экономике?
3. Профсоюзы усилили требования о повышении заработной платы с целью поддержания уровня жизни в условиях роста цен в экономике. Используя модель AD-AS, объясните, как в подобной ситуации может возникнуть стагфляция.
4. Сравните эффект фискальной экспансии - роста государственных расходов, финансируемых за счет продажи населению государственных облигаций, - в краткосрочном (кейнсианская модель) и долгосрочном (классическая модель) периодах. Какое воздействие окажет эта политика на реальный доход, занятость, уровень цен?
Задачи и решения
1. В результате внедрения новых технических средств в банковской системе увеличилась скорость обращения денег. Центральный банк принял меры по стабилизации объема выпуска и уровня цен в экономике, изменив предложение денег. Покажите, как можно отразить на графике исходный шок и стабилизационную политику Центрального банка.
Решение
Увеличение скорости обращения денег (что равносильно росту их количества) сдвинет вправо кривую AD от ADj до AD2. Краткосрочное равновесие установится в точке В.

Если экономика первоначально находилась в состоянии, близком к полной занятости (точка А), то возникнет тенденция к росту цен. Центральный банк для ликвидации возникших колебаний в экономике должен нейтрализовать рост скорости обращения денег уменьшением их количества. Сокращение предложения денег снизит совокупный спрос и вернет экономику в исходное положение (точка А). На графике это отразится сдвигом кривой совокупного спроса обратно от АГ>2 до ADj.
2. Первоначально экономика находится в состоянии долгосрочного равновесия и описывается следующим образом: долгосрочная кривая AS вертикальна на уровне У = 2800, краткосрочная кривая AS горизонтальна на уровне Р — 1,0, кривая AD зада-
М
на уравнением У =3,5— , где М = 800.
Произошел неблагоприятный шок предложения, в результате чего цены выросли до уровня 1,4 (SRAS а потенциальный уровень выпуска снизился до уровня У = 2500 (LRAS%
а) Каковы новые равновесные значения У и Р в краткосрочном и долгосрочном периодах, если правительство и Центральный банк не вмешиваются в экономику, т.е. кривая AD остается прежней?
б) Если Центральный банк проведет стабилизационную политику, то какое дополнительное количество денег он должен выпустить в обращение, чтобы краткосрочное равновесие в экономике установилось на уровне выпуска У = 2800?
в) Если возросшее количество денег в экономике будет поддерживаться и далее, то каковы будут координаты точки нового долгосрочного равновесия?
Решение

а) В результате шока уровень цен поднялся до 1,4, краткосрочная кривая совокупного предложения сместилась вверх до SRAS ’. Краткосрочное равновесие установилось в точке В на пересечении кривой AD и новой краткосрочной кривой предложения SRAS\
Координаты точки В находим из условия равенства спроса и предложения в точке краткосрочного равновесия, подставляя в уравнение кривой AD новое значение уровня цен Р - 1,4. Тогда объем выпуска Y составит:
Y = 3,5 — = 2000.
1,4
Уровень выпуска в точке В оказался ниже его потенциального значения, которое после шока составило 2500. Это свидетельствует о спаде производства и безработице. Постепенно заработная плата и уровень цен начнут снижаться, более низкие издержки позволят расширить производство, и экономика будет двигаться к уровню своего нового потенциала Y - 2500. На графике это отразится перемещением вдоль кривой AD от точки В к точке С, в которой и установится новое долгосрочное равновесие. Уровень цен в точке С находим опять же из уравнения кривой AD, подставляя вместо Y его значение 2500:
2500 = 3,5 -р-, отсюда Р - 1,12.
Таким образом, краткосрочное равновесие после шока установится в точке В, координаты которой: Y - 2000, Р = 1,4. Долгосрочное равновесие установится в точке С, на пересечении новой долгосрочной кривой совокупного предложения LRAS’ и кривой AD при Y = 2500 и Р = 1,12.
б) В результате стабилизационной политики Центрального банка предложение денег увеличится, что отразится на графике сдвигом кривой AD вправо до AD \ где новая кривая AD’ пересечется с прежней долгосрочной кривой совокупного предложения LRAS на уровне выпуска Y = 2800.
|
LRAS’ |
 |
В краткосрочном периоде, когда цены негибкие, это отразится перемещением из точки В в точку С вдоль краткосрочной кривой совокупного предложения SRAS’. Новое количество денег в экономике находим из условия равенства спроса и предложения в точке краткосрочного равновесия (точка С), подставляя в уравнение кривой AD' значения совокупного предложения У, которое по условию должно составить 2800, и уровня цен Р-1,4:
2800 = 3,5 —, отсюда
1,4
А/’ = 1120, а ДМ - М’ - А/=1120 - 800 = 320.
Таким образом, чтобы краткосрочное равновесие в экономике установилось на уровне выпуска У=2800, Центральный банк должен увеличить предложение денег на 320.
в) Если возросшее предложение денег сохранится в экономике и в дальнейшем, то долгосрочное равновесие установится в точке D на пересечении новой кривой AD’ (появившейся в результате сдвига кривой AD после увеличения предложения денег на 320) и возникшей в результате шока новой долгосрочной кривой совокупного предложения LRASy (на уровне нового значения потенциального объема выпуска, снизившегося после шока до 2500).
В точке краткосрочного равновесия (точка С) уровень производства временно оказался выше потенциального в результате роста совокупного спроса (ADсвязанного с увеличением предложения денег. Занятость в этом случае несколько превысила естественный уровень. Заработная плата и цены других факторов

начинают расти. Возросшие издержки снижают совокупное предложение. Общий уровень цен (на готовую продукцию) в результате роста издержек также поднимается, что ведет к снижению величины спроса, и экономика возвращается к уровню своего потенциала (?=2500). На графике - это движение из точки С в точку D вдоль кривой AD \ Уровень цен в точке D находим, подставляя в уравнение кривой AD* (с новым значением Л/-У 120) значение совокупного предложения ?=2500:
2500 = 3,5 , отсюда Р=1,568.
3. Предположим, что первоначально экономика функционирует на уровне своего потенциала (Y*). Впоследствии, в результате шока, происходит снижение совокупного спроса при каждом значении уровня цен. В условиях жесткости цен это вызовет:
а) увеличение уровня безработицы;
б) сокращение запаса капитала в экономике;
в) снижение потенциального ВВП;
г) повышение заработной платы и цен.
Решение
Исходное равновесие в экономике фиксирует точка ?, где пересекаются долгосрочная кривая совокупного предложения LRAS (на уровне потенциального выпуска ?*) и кривая совокупного спроса AD.
Краткосрочная кривая совокупного предложения SRAS проходит на уровне цен, заданном исходным равновесием. Условие жесткости цен означает, что рассматривается краткосрочный период функционирования экономики.
 |
AD |
AD'
Y’ у* |
Снижение совокупного спроса при каждом значении уровня цен (что означает сдвиг влево кривой совокупного спроса от AD до AD ) оказывает давление на уровень выпуска в сторону его понижения, но не влияет на потенциальный ВВП. Последний может измениться лишь вследствие изменения запаса капитала в экономике, величины рабочей силы или технологии.
Краткосрочное равновесие после падения совокупного спроса установится в точке Е’ на пересечении краткосрочной кривой совокупного предложения SRAS и новой кривой спроса AD \ Уровень выпуска У" окажется ниже потенциального, что говорит о спаде в экономике и росте уровня безработицы. В этих условиях цены (если бы они были подвижными) могли бы иметь тенденцию к понижению, а не к росту, что исключает ответ г).
Таким образом, единственно верным будет ответ а).
Тесты
1. Различие между состоянием экономики в долгосрочном и краткосрочном периодах состоит в том, что:
а) кредитно-денежная и бюджетно-налоговая политика оказывают влияние на объем выпуска только в долгосрочном периоде;
б) цены и номинальная заработная плата относительно гибкие только в краткосрочном периоде;
в) совокупный спрос влияет на объем выпуска и занятость в краткосрочном периоде, а предложение оказывается главным фактором, определяющим выпуск и занятость в долгосрочном периоде;
г) цены и номинальная заработная плата относительно жесткие только в долгосрочном периоде.
2. Сокращение предложения денег в экономике графически может быть представлено сдвигом:
а) влево-вверх кривой AS;
б) вправо-вниз кривой AS;
в) влево-вниз кривой AD;
г) вправо-вверх кривой AD.
3. Какое из перечисленных утверждений о кривой AD является ошибочным:
а) отрицательная зависимость между уровнем цен и объемом выпуска выводится из уравнения количественной теории денег при условии фиксированного предложения денег и скорости их обращения;
б) кривая AD имеет отрицательный наклон;
в) когда Центральный банк увеличивает предложение денег, изменения в экономике могут быть описаны движением вдоль стационарной кривой AD, уровень выпуска при этом возрастает, а уровень цен снижается;
г) при движении вдоль кривой AD предполагается, что предложение денег остается постоянным.
4. В долгосрочном периоде уровень выпуска в экономике определяется:
а) предложением денег, уровнем государственных расходов и налогов;
б) величиной капитала и труда, а также используемой технологией;
в) предпочтениями населения;
г) уровнем ставки процента.
5. Классический вариант кривой AS предполагает, что в долгосрочном периоде изменения совокупного спроса:
а) окажут влияние на объем выпуска, но не на уровень цен;
б) окажут воздействие на уровень цен, но не на объем выпуска;
в) не окажут влияния на уровень цен и выпуска;
г) окажут влияние как на уровень цен, так и на объем выпуска.
6. Если потребители решат увеличить долю дохода, которую они тратят на текущее потребление, то в краткосрочном периоде:
а) прежде всего увеличится объем выпуска и занятость;
б) прежде всего сократится объем выпуска и занятость;
в) увеличится уровень цен при неизменном выпуске и занятости;
г) снизится уровень цен при неизменном выпуске и занятости.
7. Экономика находится первоначально в состоянии долгосрочного экономического равновесия в точке А на пересечении долгосрочной (LRAS) и краткосрочной (SRAS) кривой совокупного предложения и кривой совокупного спроса (AD). Шок спроса, вызванный резким увеличением скорости обращения денег в экономике, сдвигает кривую AD. Какой из приведенных графиков иллюстрирует реакцию экономики на этот шок в краткосрочном (точка В) и долгосрочном (точка С) периодах?
 |
|
б) |
LRAS
А SRAS |
 |
у*
а)
 |
|
г) |
 |
|
в) |
8. Негативный шок предложения (например, рост цен на энергоносители) в краткосрочном периоде вызовет:
а) рост цен и объема выпуска;
б) рост цен и снижение объема выпуска;
в) падение цен и объема выпуска;
г) падение цен и рост выпуска.
9. В году t-i потенциальный ВВП составил 4000, кривая AD описывалась уравнением Y = 4200-2Р. В году t потенциальный ВВП вырос на /%, а уравнение совокупного спроса приняло вид Y-4280-2P. На сколько процентов изменился равновесный уровень цен в году t ?
10. Долгосрочная кривая AS представлена как Y-2000, краткосрочная кривая AS - горизонтальна на уровне Р=1,0. Кривая AD
М
задана уравнением У = 2,0х —. Предложение денег (Л/) равно
1000. В результате ценового шока краткосрочная кривая совокупного предложения поднялась до уровня Р-1,25.
а) Каковы координаты точки краткосрочного равновесия в экономике, установившегося после шока?
б) На сколько должен увеличить предложение денег Центральный банк, чтобы восстановить исходный уровень выпуска в экономике?
Рекомендуемая учебная литература
1. Мэнкью Н.Г. Макроэкономика. Гл. 8.
2. Макконнелл К, Брю С. Экономикс. Гл. 11.
3. Фишер С., Дорнбуш Р., Шмалензи Р. Экономика. Гл. 30.
4. Долан Э. Макроэкономика. Гл. 4.
5. Долан Э., Кемпбелл Р. Деньги, банковское дело и денежно-кредитная политика. Гл. 17.
6. Хейне П. Экономический образ мышления. Гл. 16, 18.
7. Некипелов А.Д. Очерки по экономике посткоммунизма. - М., 1996. Очерк 6.
Ответы к тестам
Глава 5
Макроэкономическое равновесие на товарном рынке. Кейнсианская модель доходов и расходов
5.1. Равновесие совокупного спроса и совокупного предложения и полная занятость ресурсов. Компоненты совокупного спроса и уровень планируемых расходов. Потребление и сбережения. Инвестиции.
5.2. Фактические и планируемые расходы. Крест Кейнса. Механизм достижения равновесного объема производства.
5.3. Колебания равновесного уровня выпуска вокруг экономического потенциала. Мультипликатор автономных расходов. Ре-цессионный и инфляционный разрывы.
5.4. Парадокс бережливости. Взаимосвязь модели AD-AS и Кейнсианского креста.
5.1. Равновесие совокупного спроса и совокупного предложения и полная занятость ресурсов.
Компоненты совокупного спроса и уровень планируемых расходов. Потребление и сбережения. Инвестиции
Классическая экономическая теория исходит из двух основных положений. Во-первых, утверждается, что вряд ли возможна ситуация, в которой уровень совокупных расходов Y=C + I + G + Xn будет недостаточен для закупки продукции, произведенной при полной занятости ресурсов (то есть вряд ли возможна ситуация, когда AD Ф AS).
Во-вторых, даже если эта ситуация возникнет, то немедленно изменятся заработная плата, цены и рыночная ставка процента, и вслед за спадом совокупного спроса произойдет быстрый и крайне незначительный спад производства, что стабилизирует ситуацию. Важно, что денежный рынок всегда гарантирует равенство инвестиций и сбережений и, следовательно, полную занятость ресурсов. Возможна лишь “добровольная” безработица в пределах ее естественного уровня. Это означает, что в точке равновесия AD и AS объем производства Y всегда равен потенциальному У*.
Кейнсианская экономическая теория оспаривает существование такого механизма саморегулирования. На основе эмпирических данных, полученных в период Великой депрессии, Дж.Кейн-су удалось доказать, что полная занятость в нерегулируемой экономике может возникнуть только случайно. Равновесие спроса и предложения (см. рис. 5.1), как правило, не совпадает с полной занятостью ресурсов: в точке А устанавливается равенство AD = AS, однако равновесный объем производства У(> < У .

Одной из причин такого несовпадения является несоответствие планов инвестиций и сбережений, которые осуществляются разными экономическими агентами по различным мотивам и определяются различными факторами.
Мотивы сбережений домашних хозяйств:
1) покупки дорогостоящих товаров;
2) обеспечение в старости;
3) страхование от непредвиденных обстоятельств (болезнь, несчастный случай и т.д.);
4) обеспечение детей в будущем.
Мотивы инвестиций фирм:
1) максимизация нормы чистой прибыли;
2) реальная ставка процента - плата за приобретение денежного капитала для инвестирования - учитывается при составлении планов инвестиций.
Согласно классической экономической теории основным фактором, определяющим динамику сбережений и инвестиций, является ставка процента: если она возрастает, то домашние хозяйства начинают относительно больше сберегать и меньше потреблять из каждой дополнительной единицы дохода. Рост сбережений домашних хозяйств со временем приводит к снижению цены кредита, что обеспечивает рост инвестиций.
Согласно кейнсианской экономической теории не ставка процента, а величина располагаемого дохода домашних хозяйств является основным фактором, определяющим динамику потребления и сбережений. При этом сберегается та часть дохода, которая остается после осуществления всех потребительских расходов. Влияние ставки процента вторично и играет относительно небольшую роль по отношению к воздействию дохода на потребление и сбережения. В то же время динамика инвестиций определяется прежде всего динамикой процентных ставок, что находит отражение в соответствующих функциях потребления, сбережений и инвестиций. Простейшая функция потребления имеет вид
C = a + b(Y-T),
где С - потребительские расходы;
а - автономное потребление, величина которого не зависит от размеров текущего располагаемого дохода; b - предельная склонность к потреблению;
Y - доход;
Т ~ налоговые отчисления;
(Y-T) - располагаемый доход (доход после внесения налоговых
отчислений). В макроэкономических моделях этот показатель часто обозначается как Yd или DI.
Предельная склонность к потреблению (marginal propensity to consume - MPC) - доля прироста расходов на потребительские товары и услуги в любом изменении располагаемого дохода.
|
МРС = |  |
где МРС предельная склонность к потреблению;
АС - прирост потребительских расходов;
A Yj - прирост располагаемого дохода.
Средняя склонность к потреблению (average propensity to consume - АРС) - доля располагаемого дохода, которую домашние хозяйства расходуют на потребительские товары и услуги.
|
АРС = |  |
где АРС - средняя склонность к потреблению;
С - величина потребительских расходов; Yd - величина располагаемого дохода.
Простейшая функция сбережений имеет вид:
S = -а + (1 - b)(Y - Т),
где S - величина сбережений в частном секторе;
а - автономное потребление;
(1 - Ь) - предельная склонность к сбережению;
Y - доход;
Т - налоговые отчисления.
Предельная склонность к сбережению (marginal propensity to save - MPS) - доля прироста сбережений в любом изменении располагаемого дохода.
|
MPS = |  |
где MPS -А 5
АП/ -
предельная склонность к сбережению;
прирост сбережений;
прирост располагаемого дохода.
Средняя склонность к сбережению (average propensity to save -APS) - доля располагаемого дохода, которую домашние хозяйства сберегают.
|
APS = |  |
где APS -5 -
Yd -
средняя склонность к сбережению; величина сбережений; величина располагаемого дохода.
В краткосрочной перспективе по мере роста текущего располагаемого дохода А PC убывает, a APS возрастает, то есть с ростом дохода семьи относительно сокращается доля затрат на потребление и относительно возрастает доля сбережений. Однако в долгосрочной перспективе средняя склонность к потреблению стабилизируется, так как на величину потребительских расходов оказывает влияние не только размер текущего располагаемого дохода семьи, но и размер общего жизненного достатка, а также величины ожидаемого и постоянного дохода.
Факторы, определяющие динамику потребления и сбережений:
1) доход домашних хозяйств;
2) богатство, накопленное в домашнем хозяйстве;
3) уровень цен;
4) экономические ожидания;
5) величина потребительской задолженности;
6) уровень налогообложения.
Величины потребления и сбережений относительно стабильны при условии, что государство не предпринимает специальных действий по их изменению, в том числе через систему налогообложения. Стабильность этих величин связана с тем, что на решения домашних хозяйств “потреблять” или “сберегать” влияют соответствующие традиции. К тому же факторы, не связанные с доходом, многообразны и изменения в них нередко взаимоурав-новешиваются.
Если потребительские расходы, как первый компонент совокупного спроса, относительно стабильны, то второй компонент инвестиции, наоборот, изменчивы.
Основные типы инвестиций;
1) производственные инвестиции;
2) инвестиции в товарно-материальные запасы (ТМЗ);
3) инвестиции в жилищное строительство.
Простейшая функция автономных инвестиций имеет вид;
I = e-dR,
где / - автономные от совокупного дохода инвестиционные
расходы;
е - автономные инвестиции, определяемые внешними экономическими факторами (запасы полезных ископаемых и т.д.);
R - реальная ставка процента;
d - эмпирический коэффициент чувствительности инвестиций к динамике ставки процента.
Факторы, определяющие динамику инвестиций;
1) ожидаемая норма чистой прибыли;
2) реальная ставка процента;
3) уровень налогообложения;
4) изменения в технологии производства;
5) наличный основной капитал;
6) экономические ожидания;
7) динамика совокупного дохода.
С ростом совокупного дохода автономные инвестиции дополняются стимулированными, величина которых возрастает по мере роста ВВП. Так как инвестиции финансируются из предпринимательской прибыли, а последняя растет с ростом совокупного дохода У, то и инвестиции увеличиваются с ростом У. При этом с ростом совокупного дохода возрастают не только собственно производственные инвестиции, но и инвестиции в товарно-материальные запасы и в жилищное строительство, так как на подъеме экономики увеличиваются стимулы к пополнению истощившихся запасов капитала и повышается спрос на жилые дома.
Положительная зависимость инвестиций от дохода может быть представлена в виде функции:
/ = е - dR + уУ,
где у - предельная склонность к инвестированию;
У - совокупный доход.
Предельная склонность к инвестированию - доля прироста расходов на инвестиции в любом изменении дохода:
А/
где АI - изменение величины инвестиций;
А У - изменение дохода.
Основные факторы нестабильности инвестиций:
1) продолжительные сроки службы оборудования;
2) нерегулярность инноваций;
3) изменчивость экономических ожиданий;
4) циклические колебания ВВП.
Несовпадение планов инвестиций и сбережений обусловливает колебания фактического объема производства вокруг потенциального уровня, а также несоответствие фактического уровня безработицы величине NAIRU. Этим колебаниям способствует низкая эластичность заработной платы и цен в сторону понижения. Поэтому циклическая безработица, имеющая вынужденный, а не добровольный характер, является экономической закономерностью.
5.2. Фактические и планируемые расходы.
Крест Кейнса. Механизм достижения равновесного объема производства
Чтобы избежать значительных потерь от спада производства, необходима активная государственная политика по регулированию совокупного спроса. Поэтому кейнсианскую экономическую теорию часто называют теорией совокупного спроса.
Фактические инвестиции включают в себя как запланированные, так и незапланированные инвестиции. Последние представляют собой непредусмотренные изменения инвестиций в товарно-материальные запасы (ТМЗ). Эти незапланированные инвестиции функционируют как выравнивающий механизм, который приводит в соответствие фактические величины сбережений и инвестиций и устанавливает макроэкономическое равновесие.
Планируемые расходы представляют собой сумму, которую домохозяйства, фирмы, правительство и внешний мир планируют истратить на товары и услуги. Реальные расходы отличаются от планируемых тогда, когда фирмы вынуждены делать незапланированные инвестиции в товарно-материальные запасы в условиях неожиданных изменений в уровне продаж.
Функция планируемых расходов E = C + I + G + Xn изображается графически как функция потребления С = а + b(Y - Т), которая “сдвинута” вверх на величину / + G + Хп.
В данном случае для простоты анализа предполагается, что величина чистого экспорта автономна от динамики совокупного дохода Y. Поэтому чистый экспорт полностью включается в величину автономных расходов (а+ I + G + Хп).
Величина автономных расходов будет равна (а + I + G + g) с учетом функции чистого экспорта:
Хп- g- m Y,
где Х„ - чистый экспорт;
g - автономный чистый экспорт;
m' - предельная склонность к импортированию;
Y - доход.
Предельная склонность к импортированию - доля прироста расходов на импортные товары в любом изменении дохода:
, А М
т =-,
А Y
где AM - изменение расходов на импорт;
A Y - изменение дохода.
С ростом совокупного дохода увеличивается импорт, так как потребители и инвесторы увеличивают свои расходы на покупки как отечественных, так и импортных товаров. А экспорт из данной страны не зависит непосредственно от величины ее совокупного дохода У, а зависит от динамики совокупного дохода страны, ввозящей эти товары и услуги. Поэтому зависимость между динамикой совокупного дохода данной страны У и динамикой ее чистого экспорта Хп отрицательна, что и фиксируется знаком “минус” в функции чистого экспорта.
 |
|
Рис. 5.2 |
Очевидно, что линия планируемых расходов пересечет линию, на которой реальные и планируемые расходы равны друг другу (то есть линию У - ?), в какой-то одной точке Л (см. рис. 5.2). Приведенный чертеж получил название креста Кейнса. На линии Y - Е всегда соблюдается равенство фактических инвестиций и
Глава 5. Макроэкономическое равновесие на товарном рынке
101
 |
|
г |
 |
|
* |
сбережений. В точке А, где доход равен планируемым расходам, достигается равенство планируемых и фактических инвестиций и сбережений, то есть устанавливается макроэкономическое равновесие.
Если фактический объем производства У/ превышает равновесный Yo, то это означает, что покупатели приобретают товаров меньше, чем фирмы производят, то есть AD<AS. Нереализованная продукция принимает форму ТМЗ, которые возрастают, рост запасов вынуждает фирмы снижать производство и занятость, что в итоге снижает ВВП. Постепенно Y} снижается до Yo, то есть доход и планируемые расходы выравниваются. Соответственно достигается равновесие совокупного спроса и совокупного предложения (т.е. AD -AS).
Наоборот, если фактический выпуск Y2 меньше равновесного Y(), то это означает, что фирмы производят меньше, чем покупатели готовы приобрести, то есть AD>AS. Повышенный спрос удовлетворяется за счет незапланированного сокращения запасов фирм, что создает стимулы к увеличению занятости и выпуска. В итоге ВВП постепенно возрастает от Y2 до Y0 и вновь достигается равновесие AD = AS.
|
• |
 |
5.3. Колебания равновесного уровня выпуска вокруг : экономического потенциала.
Мультипликатор автономных расходов, f Рецессионный и инфляционный разрывы
і 4
I
;; Равновесный уровень выпуска Yo может колебаться в соответ-\і ствии с изменением величины любого компонента совокупных У расходов: потребления, инвестиций, государственных расходов или f чистого экспорта. Увеличение любого из этих компо-нентов сдви-f: гает кривую планируемых расходов вверх и способствует росту равновесного уровня выпуска. Снижение любого из компонентов і совокупного спроса сопровождается спадом занятости и равновесного выпуска.
Приращение любого компонента автономных расходов
АА = А(а + / + G + Хп)
вызывает несколько большее приращение совокупного дохода А Y благодаря эффекту мультипликатора.
Мультипликатор автономных расходов отношение изменения равновесного ВВП к изменению любого компонента автономных расходов.
A Y
т = —г,
АА
где т - мультипликатор автономных расходов;
А К - изменение равновесного ВВП;
АЛ изменение автономных расходов, независимых от динамики Y.
Мультипликатор показывает, во сколько раз суммарный прирост (сокращение) совокупного дохода превосходит первоначальный прирост (сокращение) автономных расходов. Важно, что однократное изменение любого компонента автономных расходов порождает многократное изменение ВВП. Если, например, автономное потребление увеличивается на какую-то величину АС а, то это увеличивает совокупные расходы и доход Y на ту же величину, что, в свою очередь, вызывает вторичный рост потребления (из-за увеличения дохода), но уже на величину Л/РСхАС^. Далее совокупные расходы и доход снова возрастают на величину МРСхАСа и так далее по схеме кругооборота “доходы-расходы”. Возникает цепочка:
АСаТ => ЛОТ => гТ => СТ =* ADТ => Ft => сТ => ADT => Ft
И т.д.
Из этой простой схемы видно, что совокупный доход Y многократно реагирует на первоначальный импульс ДС^Т, что и отражается в величине мультипликатора автономных расходов. Это означает, что относительно небольшие изменения в величинах С\ /, G или Хп могут вызвать значительные изменения в уровнях занятости и выпуска. Мультипликатор, таким образом, является фактором экономической нестабильности, усиливающим колебания деловой активности, вызванные изменениями в автономных расходах. Поэтому одной из основных задач бюджетно-налоговой политики правительства является создание системы встроенных стабилизаторов экономики, которая позволила бы ослабить эффект мультипликации путем относительного снижения величины предельной склонности к потреблению (МРС) . Данная
|
ч |
 |
|
і |
t'
I
\ |
 |
|
I |
 |
•I.
ft
4, |
 |
t
p |
проблема становится более сложной в условиях стимулированных инвестиций, так как в каждом следующем цикле производства из возросшего совокупного дохода Y финансируются не только более высокие потребительские, но и растущие инвестиционные расходы и возникает эффект супермультипликатора.
Рецессионный разрыв - величина, на которую должен возрасти совокупный спрос (совокупные расходы), чтобы повысить равновесный ВВП до неинфляционного уровня полной занятости.
Если фактический равновесный объем выпуска Yq ниже потенциального Y (см. рис. 5.3), то это означает, что совокупный спрос неэффективен, то есть совокупные расходы недостаточны для обеспечения полной занятости ресурсов, хотя равновесие AD = AS достигнуто. Недостаточность совокупного спроса оказывает депрессивное воздействие на экономику.
 |
|
Рис. 5.3 |
Чтобы преодолеть рецессионный разрыв и обеспечить полную занятость ресурсов, необходимо простимулировать совокупный спрос и “переместить” равновесие из точки А в точку В. При этом приращение совокупного равновесного дохода AY составляет:
Величина Величина
A Y = рецессионного х мультипликатора
разрыва автономных расходов
Инфляционный разрыв - величина, на которую должен сократиться совокупный спрос (совокупные расходы), чтобы снизить равновесный ВВП до неинфляционного уровня полной занятости.
Если фактический равновесный уровень выпуска Yo (см. рис. 5.4) больше потенциального Y , то это означает, что совокупные расходы избыточны. Избыточность совокупного спроса вызывает в экономике инфляционный бум: уровень цен возрастает потому, что фирмы не могут расширять производство адекватно растущему совокупному спросу, так как все ресурсы уже заняты.
 |
E=C+/+G+X„ |
|
Рис. 5.4 |
Преодоление инфляционного разрыва предполагает сдерживание совокупного спроса и “перемещение” равновесия из точки А в точку В (полная занятость ресурсов). При этом сокращение равновесного совокупного дохода AY составляет:
Величина Величина
AY - инфляционного х мультипликатора
разрыва автономных расходов
5.4. Парадокс бережливости.
Взаимосвязь модели AD-AS и Кейнсианского креста
Парадокс бережливости попытка общества больше сберегать оборачивается таким же или меньшим объемом сбережений. Если прирост сбережений не сопровождается приростом инвестиций, то любая попытка домашних хозяйств больше сберегать окажется тщетной в связи со значительным снижением равновесного ВВП, обусловленным эффектом мультипликации.
Экономика стартует в точке А (см. рис. 5.5). В ожидании спада домашние хозяйства стремятся побольше сберегать: график сбережений перемещается от S до S', а инвестиции остаются на том же уровне /. В результате потребительские расходы относительно снижаются, что вызывает эффект мультипликатора и спад совокупного дохода от Yq до Yj. Так как совокупный доход Y снизился, то и сбережения в точке В окажутся теми же, что и в точке А.

Если одновременно с ростом сбережений от S до S’ возрастут и запланированные инвестиции от / до Г, то равновесный уровень выпуска остается равным Yq и спада производства не возникнет. Напротив, в структуре производства будут преобладать инвестиционные товары, что создает хорошие условия для экономического роста, но может относительно ограничить уровень текущего потребления населения. Возникает альтернатива выбора: либо экономический рост в будущем при относительном ограничении текущего потребления, либо отказ от ограничений в потреблении ценой ухудшения условий долгосрочного экономического роста.
Рост сбережений может оказать на экономику антиинфляционное воздействие в условиях, близких к полной занятости ресурсов: спад потребления и следующее за ним сокращение совокупных расходов, занятости и выпуска (с эффектом мультипликатора) ограничивают давление инфляции спроса - совокупный спрос снижается от AD ло АО/, что сопровождается спадом производства от У/ до К? и снижением уровня цен от Р/ до Р2 (см. рис. 5.6).
 |
|
Рис. 5.6 |
Модель Кейнсианского креста не позволяет иллюстрировать процесс изменения уровня цен Р, так как предполагает фиксированные цены. Крест Кейнса конкретизирует модель AD-AS для целей краткосрочного макроэкономического анализа с “жесткими” ценами и не может быть использован для исследования долгосрочных последствий макроэкономической политики, связанных с ростом или снижением уровня инфляции.
Основные термины
Классическая экономическая теория Кейнсианская экономическая теория Потребительские расходы Сбережения Инвестиции
Тождество “сбережения - инвестиции”
“Гибкие” цены и заработная плата
“Жесткие” цены и заработная плата
Несоответствие планов инвестиций и сбережений
Мотивы сбережений
Мотивы инвестиций
Функция потребления
Предельная склонность к потреблению
Средняя склонность к потреблению
Функция сбережений
Предельная склонность к сбережению
Средняя склонность к сбережению
Функция инвестиций
Предельная склонность к инвестированию Запланированные и фактические расходы
Инвестиции в товарно-материальные запасы
Крест Кейнса
Равновесный объем производства (выпуска)
Рецессионный разрыв
Инфляционный разрыв
Мультипликатор автономных расходов
Парадокс бережливости
Вопросы для обсуждения
1. Верны ли следующие утверждения:
а) предельная склонность к потреблению не может быть равна предельной склонности к сбережению;
б) динамика и объем сбережений и инвестиций определяются действием одних и тех же факторов;
в) если известна функция потребления, то всегда можно построить график функции сбережений;
г) предельная склонность к потреблению и сбережению в долгосрочном периоде зависит, главным образом, от уровня цен;
д) если объем потребления низкодоходной семьи превышает уровень ее дохода, то это означает, что ей свойственна высокая предельная склонность к потреблению;
е) если предельная склонность к потреблению равна 0,9 - это означает, что семья всегда тратит 90% своего дохода на товары и услуги;
ж) с помощью креста Кейнса можно объяснить механизм инфляции спроса, а модель AD-AS нужна для анализа механизма инфляции издержек;
з) взгляды любого человека на социальную значимость сбережений зависят от того, какой макроэкономической концепции он придерживается - кейнсианской или классической.
2. Экономика, находящаяся в состоянии полной занятости, вступает в период высокой ожидаемой инфляции. Какое из следующих утверждений точно описывает вероятный результат?
а) Большинство людей увеличивают сбережения, чтобы лучше подготовиться к росту цен, увеличивая, таким образом, инвестиции, стимулируя экономический рост и поддерживая более низкие процентные ставки.
б) Большинство людей сокращают сбережения, чтобы увеличить текущее потребление и инвестиции, стимулируя, таким образом, экономический рост и поддерживая более низкие процентные ставки.
в) Большинство людей увеличивают сбережения, чтобы лучше подготовиться к росту цен, сокращая, таким образом, инвестиции, снижая экономический рост и поддерживая более низкие процентные ставки.
г) Большинство людей сокращают сбережения, чтобы увеличить текущее потребление, сокращая, таким образом, инвестиции, снижая экономический рост и поддерживая более высокие процентные ставки.
Задачи и решения
1. Экономика описана следующими данными:
У = С + /
С= 100 +0,8 У
7 = 50
Определите:
а) равновесный уровень дохода;
б) равновесный уровень сбережений и потребления;
в) если уровень выпуска будет равен 800, то каков будет незапланированный прирост запасов продукции?
г) если автономные инвестиции возрастут до 100, то как изменится равновесный выпуск? Каково значение мультипликатора автономных расходов? Покажите изменение уровня равновесия графически.
Решение
а) Первоначальный равновесный уровень выпуска может быть найден в результате решения уравнения
У = С + / = 100+0,8У + 50.
После алгебраических преобразований имеем значение равновесного объема производства:
У = 750.
б) В равновесии соблюдается равенство сбережений и инвестиций, то есть равновесный уровень сбережений S = I ~ 50. Равновесный уровень потребления равен:
С = У-S = 750 - 50 = 700.
Равновесный уровень потребления может быть найден и из потребительской функции после подстановки в нее равновесного дохода:
С = 100 + 0,8 х 750 = 100 + 600 = 700.
в) Если фактический объем выпуска равен 800, а равновесный составляет 750, то незапланированный прирост запасов продукции составит:
800 750 = 50.
г) Если автономные инвестиции возрастут с 50 до 100, то кривая планируемых расходов сдвинется вверх и объем выпуска возрастет на величину:
А У = А/ х ш,
где А Y - прирост равновесного выпуска;
А/ - прирост автономных инвестиций; т - мультипликатор автономных расходов.
 |
|
Рис. 5.7 |
Экономика переместится из точки А в точку В (см. рис. 5.7), где равновесный выпуск составит:
Y= 100 + 0,8 Y + 100 => Y= 1000.
Прирост равновесного выпуска: A Y = 1000 - 750 = 250.
Мультипликатор автономных расходов:


2. Экономика описана следующими данными:
r = c + / + c + jrw
С = 300 + 0,8 Yd / = 200+0,2 Y Xn = 100 - 0,04 К G = 200
t = 0,2
Рассчитайте:
а) равновесный уровень дохода;
б) величину мультипликатора автономных расходов.
Решение
а) Для расчета равновесного уровня дохода подставим функции потребления, инвестиций и чистого экспорта, а также величину госрасходов в основное макроэкономическое тождество и решим его относительно Y:
Г = 300 + 0,8 (Y-0,2Y) + 200 + 0,2У + 200 + 100 -0,04У.
После алгебраических преобразований имеем:
Y = 4000 => равновесный уровень дохода.
б) Для расчета величины мультипликатора автономных расходов необходимо посчитать суммарные автономные расходы А:
А - Автономное потребление 300 + Автономные инвестиции 200 + + Госрасходы 200 + Автономный чистый экспорт 100 = 800.
Мультипликатор автономных расходов = 4000 / 800 = 5.
Примечание. Во всех случаях, когда в модель входят стимулированные инвестиции, зависящие от динамики текущего дохода, при расчете величины мультипликатора следует использовать предложенный метод, а не подстановки в формулы:
1 1 1 1 -МРС ’ 1 -MPC(\-t) ИЛИ 1 — МРС(\ — t) + ш'
где t предельная налоговая ставка;
т' предельная склонность к импортированию.
Использование этих формул в случае стимулированных инвестиций дает неправильный ответ.
3. Когда фактический объем выпуска превосходит планируемые расходы, то можно утверждать, что:
а) растут запасы нереализованной продукции, а уровень выпуска будет снижаться;
б) растут запасы нереализованной продукции, и уровень выпуска будет возрастать;
в) запасы нереализованной продукции снижаются, и уровень выпуска будет снижаться;
г) запасы нереализованной продукции снижаются, а уровень выпуска будет возрастать.
Решение
Для нахождения правильного ответа из четырех предложенных рекомендуется использовать диаграмму креста Кейнса (см. рис. 5.8).
 |
запасы
нереализованной
продукции
Y=C+l+G+Xn
Y (Доход, выпуск) |
|
Рис. 5.8 |
Из условия задачи следует, что экономика находится правее равновесного выпуска Уо> так как фактический выпуск превышает планируемые расходы. Допустим, что фактический выпуск равен Y\. При таком уровне производства совокупное предложение превышает совокупный спрос - нереализованная продукция “оседает” в товарно-материальных запасах фирм и они возрастают. Это служит сигналом того, что необходимо снижать занятость и выпуск: последний постепенно упадет от Y\ до Yq. Поэтому правильным является ответ а).
Тесты
1. Что из нижеперечисленного является неверным:
а) при равновесном уровне дохода планируемые и фактические расходы равны;
б) в условиях равновесия отсутствуют инвестиции в товарно-материальные запасы;
в) равновесный уровень выпуска не может быть равен потенциальному ВВП;
г) в условиях равновесия совокупные расходы равны совокупным доходам всех экономических агентов.
2. Если совокупное предложение превышает совокупный спрос при условии, что государственные расходы и чистый экспорт равны нулю, то:
а) сумма потребительских и инвестиционных расходов равна сбережениям;
б) сбережения равны инвестициям;
в) сбережения превосходят планируемые инвестиции;
г) номинальный объем выпуска останется неизменным;
д) реальный ВВП будет возрастать.
3. Изменение величины автономного потребления может быть графически представлено, как:
а) перемещение вдоль кривой планируемых расходов;
б) изменение угла наклона кривой планируемых расходов;
в) сдвиг кривой планируемых расходов;
г) перемещение вдоль кривой потребительской функции по мере изменения уровня дохода.
4. Если величина располагаемого дохода равна нулю, то можно утверждать, что:
а) уровень потребления равен нулю;
б) уровень сбережений равен нулю;
в) уровень инвестиций равен нулю;
г) исчезает эффект мультипликатора;
д) все вышеперечисленные ответы неверны.
5. Если домашние хозяйства не тратят весь свой доход на потребление и помещают неизрасходованную сумму в банк, то можно сказать, что они:
а) и сберегают, и инвестируют;
б) сберегают, но не инвестируют;
в) инвестируют, но не сберегают;
г) не сберегают и не инвестируют;
д) сберегают, но не инвестируют часть сбережений, которая используется для покупки ценных бумаг.
6. Пусть инвестиционная функция задана уравнением
/=1000 30г,
где г реальная ставка процента.
Номинальная ставка процента равна 10%, темп инфляции составляет 2%. В этом случае объем инвестиций будет равен: а) 240; б) 700; в) 760; г) 970.
7. Когда планируемые потребительские расходы равны
40 + 0,9 Yd
и планируемые инвестиции составляют 50, тогда равновесный уровень дохода равен:
а) 90; б) 400; в) 500; г) 900.
8. Когда планируемые сбережения равны - 40 + 0,2 Yd и планируемые инвестиции составляют 60, тогда равновесный уровень дохода и величина мультипликатора автономных расходов составляют соответственно:
а) 500; б) 400; в) 500; г) 1000;
9. Если величина потребительских расходов составляет 9000, тогда как располагаемый доход равен 10 000, то предельная склонность к потреблению равна:
д) является неопределенной величиной.
10. Экономика описана следующими данными:
Y = C + I + G + Xn,
С = 400 + 0,9 Yd,
I = 200 + 0,25 Y,
Хп = 200 0,1 У,
G = 200,
/ = 0,333.
Равновесный уровень дохода и величина мультипликатора автономных расходов соответственно равны:
а) 4000; б) 5000; в) 4000; г) 4000;
4,5; 4,0; 2,0; 4,0.
Рекомендуемая учебная литература
1. Мэнкью Н.Г Макроэкономика. Гл. 9.
2. Макконнелл К, Брю С. Экономикс. Гл. 12, 13.
Ъ.Дорнбуш Р., Фишер С. Макроэкономика. Гл. 3, § 1-3; гл. 8; гл. 9, § 1.
4. Фишер С., Дорнбуш РШмалензи Р. Экономика. Гл. 25.
5. Долан Э. Макроэкономика. Гл. 5, 6.
6. Долан Э., Кемпбелл К., Кемпбелл Р. Деньги, банковское дело и денежно-кредитная политика. Гл. 18.
7. Линвуд Т Гайгер. Макроэкономическая теория и переходная экономика. Гл. 5, § 1-3.
8. Хейне П. Экономический образ мышления. Гл. 18.
9. Гальперин В.М., Гребенников П.//.,Леусский А.И., ТарасевичЛ.С. Макроэкономика. Гл. 3.
Ответы к тестам
|
1) в |
6) В |
|
2) в |
7) г |
|
3) в |
8) в |
|
4) д |
9) д |
|
5) б |
10) г |

Глава 6
Бюджетно-налоговая политика
6.1. Краткосрочные и долгосрочные цели бюджетно-налоговой политики и ее инструменты. Мультипликатор государственных расходов.
6.2. Мультипликатор налогов. Мультипликатор сбалансированного бюджета.
6.3. Дискреционная и недискреционная фискальная политика. Бюджетные дефициты и излишки. Встроенные стабилизаторы экономики. Циклический и структурный дефициты госбюджета.
6.4. Воздействие бюджетного излишка на экономику. Инфляционные и неинфляционные способы финансирования бюджетного дефицита. Сеньораж. Эффект вытеснения. Проблемы увеличения налоговых поступлений в государственный бюджет.
6.1. Краткосрочные и долгосрочные цели бюджетноналоговой политики и ее инструменты. Мультипликатор государственных расходов
Кейнсианский крест показывает, как устанавливается равновесный объем производства Y при данном уровне планируемых инвестиций /, государственных расходов G и налоговых отчислений Г.
Так как равновесный уровень национального производства может быть достигнут вне состояния полной занятости ресурсов (вследствие неэффективности совокупного спроса), то образовавшийся разрыв может быть аннулирован с помощью инструментов государственного регулирования экономики: изменения величины государственных расходов G и налоговых отчислений в госбюджет Т.
Бюджетно-налоговая (фискальная) политика меры правительства по изменению государственных расходов, налогообложения и состояния государственного бюджета, направленные на обеспечение полной занятости, равновесия платежного баланса и экономического роста при производстве неинфляционного ВВП.
Стимулирующая бюджетно-налоговая политика (фискальная экспансия) в краткосрочной перспективе имеет своей целью преодоление циклического спада экономики и предполагает увеличение госрасходов G, снижение налогов Т или комбинирование этих мер. В более долгосрочной перспективе политика снижения налогов может привести к расширению предложения факторов производства и росту экономического потенциала. Осуществление этих целей связано с проведением комплексной налоговой реформы, сопровождающейся ограничительной кредитно-денежной политикой Центрального Банка и оптимизацией структуры государственных расходов.
Сдерживающая бюджетно-налоговая политика (фискальная рестрикция) имеет своей целью ограничение циклического подъема экономики и предполагает снижение госрасходов G, увеличение налогов Т или комбинирование этих мер. В краткосрочной перспективе эти меры позволяют снизить инфляцию спроса ценой роста безработицы и спада производства. В более долгом периоде растущий налоговый клин может послужить основой для спада совокупного предложения и развертывания механизма стагфляции, особенно в том случае, когда сокращение государственных расходов осуществляется пропорционально по всем статьям бюджета и не создается приоритетов в пользу государственных инвестиций в инфраструктуру рынка труда. Затяжная стагфляция на фоне неэффективного управления государственными расходами создает предпосылки для разрушения экономического потенциала, что нередко встречается в экономиках переходного периода, в том числе и в России.
В краткосрочной перспективе меры бюджетно-налоговой политики сопровождаются эффектами мультипликаторов государственных расходов, налогов и сбалансированного бюджета.
Если государственные расходы увеличиваются на AG, то кривая планируемых расходов сдвигается вверх на эту же величину (см. рис. 6.1), а равновесный объем производства возрастает от Y\ до У2 на величину AY = AG х mg, где т% - мультипликатор государственных расходов.
Мультипликационный процесс начинается, когда расходы возрастают на AG и увеличивают доход на ту же величину, что в свою очередь дает прирост потребления на величину fexAG. Этот рост потребления вновь увеличивает расходы и доход, что снова приводит к росту потребления на величину b2xAG и т.д. Совокупный эффект равен:
первоначальное изменение расходов = АС; первое изменение потребления = bxAG; второе изменение потребления = b~xAG\
ДУ = AG {1 + Ь + Ь2 + ...)¦
 |
|
Рис. 6.1 |
Доход, выпуск
А У 1
Мультипликатор государственных расходов ^ *
Эта элементарная модель получила название простого мультипликатора Кейнса.
Величина мультипликатора государственных расходов и равновесный объем выпуска могут быть найдены в результате решения системы уравнений:
JY=C+I+G \C = a + bY ’
где Y = С + / + G основное макроэкономическое тождество;
С = а + bY потребительская функция.
Подстановка потребительской функции в основное макроэкономическое тождество позволяет определить равновесный объем производства:
Y = a+bY+1+G => Y-bY = a+I+G => Y(l-b) = a+/+G.
Y - -——(а +1 + G)? где (a + / + G) - автономные расходы, не
\-b j
зависящие от величины дохода Y, а
мультипликатор, ко
1 -Ъ
торый показывает, насколько возрастает равновесный уровень дохода в закрытой экономике в результате роста не только государственных, но и любого из автономных расходов на единицу. Основным фактором, определяющим величину мультипликатора, является предельная склонность к потреблению Ь (МРС).
С учетом налогообложения дохода Y изменится вид потребительской функции и, соответственно, модель мультипликатора:
Y = С + I+G [С-а + b(\-t)Y
у =--(а + / +G)
где
- мультипликатор расходов в закрытой экономике;
t - предельная налоговая ставка.
Предельная налоговая ставка - соотношение между приростом суммы вносимого налога и приростом дохода:
AY ’
где t предельная ставка налогообложения;
АТ прирост суммы вносимого налога;
A Y прирост дохода.
Прогрессивная система налогообложения является фактором, способствующим ослаблению эффекта мультипликатора и стабилизации уровней занятости и выпуска. Чем ниже ставки налогообложения, тем, при прочих равных условиях, более значителен эффект мультипликатора.
Эффект мультипликатора государственных расходов в открытой экономике относительно ниже, чем в закрытой.
В открытой экономике величина мультипликатора госрасхо-дов и равновесный объем выпуска могут быть найдены в результате решения системы уравнений:

Y=С+I+G+X С = а + b( 1 - t)Y\ Хп =g-m'Y,
где К = С
С +1 + G + ЛГ„ = а +Ь(1 -t)Y Хп = g - m'Y
основное макроэкономическое тождество; потребительская функция; функция чистого экспорта.
-¦{a + I + G + g),
где
мультипликатор государственных расходов в открытой экономике; предельная склонность к импортированию
‘Л
л
> |
 |
і
« |
6.2. Мультипликатор налогов. Мультипликатор сбалансированного бюджета
«.
\і і |
 |
Аналогичное мультипликативное воздействие на равновесный уровень дохода окажет и снижение налогов Т. Если налоговые отчисления снижаются на А Г, то располагаемый доход Yd - Y - Т возрастает на величину АТ (см. рис. 6.2). Потребительские расходы соответственно увеличиваются на величину А 7x6, что сдвигает вверх кривую планируемых расходов и увеличивает равновесный объем производства Y/ до Y2 на величину
 |
, где |

AY
АТ
-ь
-—- - мультипликатор налогов. 1 - о |
 |
|
Рис. 6.2 |
Механизм налоговой мультипликации, как и в случае с государственными расходами, связан с многократной реакцией потребления на однократное изменение налогов:
налоги снижаются на АТІ =>
=> располагаемый доход увеличивается на ATT => потребление увеличивается на ЬхАТ'І => совокупные расходы увеличиваются на ЬхАТ\ совокупный доход увеличивается на ЬхАТГ => потребление увеличивается на Ь(ЬхАТ)Т =>
=> совокупные расходы увеличиваются на Ь2хАТ\ =>
=> совокупный доход увеличивается на Ь2хАТ\ =>
=> потребление увеличивается на А(й2хДГ)Т и т.д.
Если предположить, что все налоговые отчисления в государственный бюджет зависят от динамики текущего дохода У, то налоговая функция принимает вид
T = t У-
где t предельная налоговая ставка.
В этом случае функция потребления имеет вид:
C = a + b(Y-tY)=a + b( 1 - /)У,
а модель налогового мультипликатора принимает вид
-Ь
т{ =
где т, налоговый мультипликатор в закрытой экономике. Полная налоговая функция имеет вид
Т=Та + іУщ
где Та — автономные налоги, независящие от величины текущего дохода У (например, налоги на недвижимость, наследство и т.д.);
t - предельная налоговая ставка.
С учетом функциональной зависимости налоговых отчислений Т от дохода У функция потребления принимает вид
C = a + b[Y (Та + t У)].
В этом случае модель равновесного объема производства в открытой экономике имеет вид
-¦(а + І + G + g)-
-Т
, 1 а ’
\-b(\-t)+m
где
мультипликатор налогов в открытой экономике.
\-b(\-t) + m'
При этом суммарное изменение дохода AY в результате одновременного изменения величин госрасходов и автономных налогов определяется как

AY=AG-
Если государственные расходы и автономные налоговые отчисления возрастают на одну и ту же величину, то и равновесный объем производства возрастает. В этом случае говорят о
мультипликаторе сбалансированного бюджета, который всегда равен или меньше единицы.
Мультипликатор сбалансированного бюджета не предполагает абсолютного устранения любых бюджетных дефицитов или излишков. Речь идет о сбалансировании изменений в доходной и расходной частях бюджета, то есть о сохранении равенства АТ = AG, где под символом АТ обобщенно обозначаются все изменения доходов бюджета, а под символом AG - все изменения расходов бюджета.
Если, например, государственные расходы возросли на АС, то равновесный объем производства возрастет на величину
AK=AG-
Если правительство одновременно повысит автономные налоги на АТа ~ АС, то равновесный объем выпуска снизится на величину

Суммарное изменение равновесного объема выпуска составит:
AY = АG •(---------)
?fn l-b(\-t) + m \-b(\-t) + m
<1
то есть AY < AG = АТа.
Мультипликативный эффект от снижения налогов слабее, чем от увеличения государственных расходов, что алгебраически выражается в превышении мультипликатора расходов над налоговым мультипликатором. Это является следствием более сильного воздействия госрасходов на величины дохода и потребления (по сравнению с изменением налогов). Данное различие является определяющим при выборе инструментов фискальной политики. Если она нацелена на расширение государственного сектора экономики, то для преодоления циклического спада увеличиваются госрасходы (что дает сильный стимулирующий эффект), а для сдерживания инфляционного подъема увеличиваются налоги (что является относительно мягкой ограничительной мерой).
Если фискальная политика нацелена на ограничение государственного сектора, то в фазе циклического спада снижаются налоги (что дает относительно небольшой стимулирующий эффект), а в фазе циклического подъема снижаются госрасходы, что позволяет относительно быстро снизить уровень инфляции.
6.3. Дискреционная и недискреционная фискальная политика. Бюджетные дефициты и излишки. Встроенные стабилизаторы экономики.
Циклический и структурный дефициты госбюджета
Дискреционная фискальная политика целенаправленное изменение величин государственных расходов, налогов и сальдо государственного бюджета в результате специальных решений правительства, направленных на изменение уровня занятости, объема производства, темпов инфляции и состояния платежного баланса.
Недискреционная фискальная политика - автоматическое изменение названных величин в результате циклических колебаний совокупного дохода. Недискреционная фискальная политика предполагает автоматическое увеличение (уменьшение) чистых налоговых поступлений в госбюджет в периоды роста (уменьшения) ВВП, которое оказывает стабилизирующее воздействие на экономику.
Чистые налоговые поступления представляют собой разность между величиной общих налоговых поступлений в бюджет и суммой выплаченных правительством трансфертов.
При дискреционной фискальной политике в целях стимулирования совокупного спроса в период спада целенаправленно создается дефицит госбюджета вследствие увеличения госрасхо-дов (например, на финансирование программ по созданию новых рабочих мест) или снижения налогов. Соответственно, в период подъема целенаправленно создается бюджетный излишек.
Дискреционная политика правительства связана со значительными внутренними временными лагами, так как изменение структуры государственных расходов или ставок налогообложения предполагает длительное обсуждение этих мер в парламенте.
При недискреционной фискальной политике бюджетный дефицит и излишек возникают автоматически, в результате действия встроенных стабилизаторов экономики.
“Встроенный” (автоматический) стабилизатор - экономический механизм, позволяющий снизить амплитуду циклических колебаний уровней занятости и выпуска, не прибегая к частым изменениям экономической политики правительства. В качестве таких стабилизаторов в индустриальных странах обычно выступают прогрессивная система налогообложения, система государственных трансфертов (в том числе страхование по безработице) и система участия в прибылях. Встроенные стабилизаторы экономики относительно смягчают проблему продолжительных временных лагов дискреционной фискальной политики, так как эти механизмы “включаются” без непосредственного вмешательства парламента.
Степень встроенной стабильности экономики непосредственно зависит от величин циклических бюджетных дефицитов и излишков, которые выполняют функции автоматических “амортизаторов” колебаний совокупного спроса.
Циклический дефицит (излишек) - дефицит (излишек) государственного бюджета, вызванный автоматическим сокращени-
 |
|
Рис. 6.3 |
ем (увеличением) налоговых поступлений и увеличением (сокращением) государственных трансфертов на фоне спада (подъема) деловой активности.
В фазе циклического подъема Yi>Yq, и поэтому налоговые отчисления автоматически возрастают, а трансфертные платежи автоматически снижаются. В результате возрастает бюджетный излишек и инфляционный бум сдерживается (см. рис. 6.3).
В фазе циклического спада Y\<Y$, и поэтому налоги автоматически падают, а трансферты растут. В итоге увеличивается бюджетный дефицит на фоне относительного роста совокупного спроса и объема производства, что ограничивает глубину спада.
Величины циклических дефицитов и излишков определяются степенью “крутизны” графиков налоговой и бюджетной функций. Угол наклона налоговой функции Т определяется величиной предельной налоговой ставки /, а угол наклона функции государственных расходов G - величиной у, которая характеризует соотношение между изменением суммы получаемого трансферта и изменением величины дохода. Соответственно, чем выше уровень дохода, тем выше вносимый налог и ниже трансферт, получаемый от государства.
Даже в том случае, когда все государственные расходы G упрощенно представлены как неизменная величина, независящая от динамики текущего дохода, степень встроенной стабильности экономики оказывается тем выше, чем выше уровень налоговых ставок t и чем, соответственно, круче линия Т. В положении Т' величины циклических бюджетных дефицитов и излишков больше, чем в положении Т, и поэтому встроенные стабилизаторы оказывают более сильное воздействие на рост или снижение совокупного спроса.
В то же время увеличение степени встроенной стабильности экономики противоречит другой, более долгосрочной цели бюджетно-налоговой политики - укреплению стимулов к расширению предложения факторов производства и росту экономического потенциала. Стимулы к инвестированию, предпринимательскому риску и труду оказываются относительно сильнее при сравнительно более пологой кривой налоговой функции, что может быть достигнуто путем снижения предельных ставок налогообложения. Однако это снижение сопровождается сокращением величин циклических бюджетных дефицитов и излишков, а следовательно, и снижением степени встроенной стабильности экономики. Выбор между краткосрочными и долгосрочными эффектами фискальной политики является сложной макроэкономической проблемой как для индустриальных, так и для переходных экономик.
Встроенные стабилизаторы не устраняют причин циклических колебаний равновесного ВВП вокруг его потенциального уровня, а только ограничивают размах этих колебаний. На основании данных о циклических бюджетных дефицитах и излишках нельзя оценивать эффективность мер фискальной политики, так как наличие циклически несбалансированного бюджета не приближает экономику к состоянию полной занятости ресурсов, а может иметь место при любом уровне выпуска. Поэтому встроенные стабилизаторы экономики, как правило, сочетаются с мерами дискреционной фискальной политики правительства, нацеленными на обеспечение полной занятости ресурсов. В результате возникает структурный дефицит (излишек) государственного бюджета разность между расходами (доходами) и доходами (расходами) бюджета в условиях полной занятости. Циклический дефицит нередко оценивается как разность между фактической величиной бюджетного дефицита и структурным дефицитом.
В таблице 6.1 приведены данные о динамике фактического и структурного дефицита государственного бюджета в среднем по двум группам стран - “ведущие индустриальные страны” и “остальные индустриальные страны”.
Таблица 6.1. Индустриальные страны: доля бюджетного
дефицита в ВВП (в %) |
|
|
1980-
1989 |
1990 |
1991 |
1992 |
1993 |
1994 |
1995 |
1996 |
1997 |
2001 |
|
L Ведущие индустриальные страны * |
|
|
|
|
|
|
|
|
|
|
|
- фактический дефицит |
-3,0 |
-2,1 |
-2,7 |
-3,8 |
-4,3 |
-3,5 |
-3,3 |
-2,9 |
-2.3 |
-1,5 |
|
- отклонение ВВП** |
-0,4 |
2,7 |
0,5 |
-0,4 |
-1,8 |
-1,2 |
-1,4 |
-1,4 |
-и |
0.2 |
|
- структурный дефицит*** |
-2,8 |
-3,3 |
-3,0 |
-3,5 |
-3,3 |
-2,7 |
-2,5 |
-2,1 |
-і,б |
-1,5 |
|
2. Остальные индустриальные страны**** |
|
|
|
|
|
|
|
|
|
|
|
- фактический дефицит |
-4,1 |
-2,5 |
-3,8 |
-4,7 |
-6,0 |
-5,1 |
-4,4 |
-2,9 |
-2,0 |
-1,6 |
|
- отклонение ВВП** |
-0,6 |
2,5 |
1,1 |
-0,1 |
-2,3 |
-1,6 |
-1,2 |
-1,2 |
-1,1 |
-0,1 |
|
- структурный дефицит*** |
-3,8 |
-4,3 |
-4,8 |
-4.7 |
-4,3 |
-3,8 |
-3,5 |
-2,1 |
-1,4 |
-1,5 |
|
* Эта группа объединяет страны “большой семерки”.
** Показатель “Отклонение ВВП” представляет собой величину относительного отклонения фактического ВВП от его потенциального уровня
V Y *
*** Структурный дефицит государственного бюджета в среднем по группе стран выражен в процентном отношении к среднему потенциальному объему выпуска.
**** Эта группа стран в 1980-1989 гг. включала Испанию, Нидерланды, Бельгию, Швецию, Австрию, Данию, Ирландию, Австралию и Новую Зеландию. В последующий период в нее также были включены Финляндия, Греция, Норвегия и Португалия.
Источник: World Economic Outlook. October 1996, pp. 22 23.
Сложности определения уровня полной занятости ресурсов, естественного уровня безработицы и потенциального объема выпуска затрудняют расчеты структурных дефицитов (излишков) государственного бюджета как в индустриальных, так и в переходных экономиках, хотя именно на основе динамики этих макроэкономических индикаторов оценивается эффективность мер фискальной политики в долгосрочной перспективе. Поэтому при разработке стратегий стабилизации и структурных реформ в переходных экономиках приходится опираться на оценки общего бюджетного дефицита, динамика которых представлена в таблице 6.2.
Таблица 6.2. Доля общего дефицита государственного бюджета
в ВВП (в %) в странах с переходной экономикой |
|
Страны |
1992 |
1993 |
1994 |
1995 |
1996 |
1997 |
1998 |
|
Албания |
-20,0 |
-16,0 |
-7,0 |
-10,3 |
-11,7 |
-12,6 |
-10,4 |
|
Армения |
-37,6 |
-56,0 |
-16,4 |
-ил |
-9,3 |
-6,7 |
•«• |
|
Азербайджан |
3,5 |
-15,3 |
-11,4 |
-4,3 |
-2,8 |
-1,7 |
-4,2 |
|
Белоруссия |
-2,8 |
-4,2 |
-2,6 |
-1,9 |
-1,6 |
-1,2 |
«•« |
|
Болгария |
-5,2 |
-15,7 |
-5,8 |
-6,3 |
-12,7 |
-2,5 |
0,9 |
|
Хорватия |
-4,0 |
-0,7 |
1,5 |
0,9 |
-0,5 |
-1,4 |
Ml |
|
Чешская Республика |
-2,1 |
1,4 |
-1,2 |
0,2 |
-0,4 |
-1,4 |
-1,4 |
|
Эстония |
-0,3 |
-1,1 |
1,3 |
-0,5 |
-1,5 |
1,8 |
-0,3 |
|
Грузия |
-34,5 |
-26,2 |
-16,5 |
-5,3 |
-4,5 |
-5,0 |
• • 4 |
|
Венгрия |
-7,6 |
-8,9 |
-8,6 |
-6,2 |
-3,1 |
-4,9 |
-4,6 |
|
Казахстан |
-7,3 |
-1,2 |
-7,1 |
-3,2 |
-5,3 |
-7,0 |
-8,0 |
|
Киргизия |
-17,6 |
-13,5 |
-7,7 |
-17,3 |
-9,5 |
-9,0 |
-8,8 |
|
Латвия |
-0,8 |
0,6 |
-4,0 |
-3,9 |
-1,7 |
0,1 |
-0,8 |
|
Литва |
0,5 |
-4,9 |
-4,8 |
-4,5 |
-4,5 |
-1,8 |
-5,8 |
|
Македония |
-9,6 |
-13,6 |
-3,2 |
-1,3 |
-0,4 |
-0,3 |
Ml |
|
Молдавия |
-23,9 |
-7,4 |
-9,1 |
-5,8 |
-6,6 |
-6,8 |
-3,0 |
|
Монголия |
-6,0 |
-14,6 |
-10,3 |
-6,4 |
-9,0 |
-9,0 |
• ¦ ¦ |
|
Польша |
-8,0 |
-4,0 |
-3,2 |
-3,2 |
-3,6 |
-3,3 |
-3,0 |
|
Румыния |
-4,6 |
-0,1 |
-1,8 |
-2,6 |
-3,9 |
-4,5 |
Щ 4 9 |
|
Россия* |
-18,4 |
-7,6 |
-10,4 |
-5,8 |
-9,5 |
-7,5 |
4 Л Ш |
|
Словацкая Республика |
-11,9 |
-7,1 |
-1,3 |
0,4 |
-1,3 |
-5,2 |
-6,0 |
|
Словения |
0,2 |
0,3 |
-0,2 |
-0,5 |
-0,2 |
-1,7 |
-1,4 |
|
Таджикистан |
-31,2 |
-23,6 |
-10,5 |
-11.2 |
-5,8 |
-3,4 |
• • • |
|
Туркмения |
13,3 |
-0,4 |
-1,4 |
-1.6 |
-0,8 |
0,0 |
« • • |
|
Украина |
-24,0 |
-10,3 |
-8,7 |
-4,9 |
-3,2 |
-5,6 |
-2,7 |
|
Узбекистан |
-12,2 |
-17,5 |
-6,1 |
-4,1 |
-7,3 |
-2,8 |
м • |
|
*Данные о дефиците консолидированного бюджета Российской Федерации. Дефицит Федерального Бюджета составил в 1996 г. - 8,4% ВВП, в 1997 г. -7,1%, в 1998 г. - 5,9%, в 1999 г. - 5,1% ВВП.
Источники: World Economic Outlook, May 1996, p. 78; October 1996, p. 29; May 1998, p. 98; IMF Economic Reviews, 1999, № 1-2. |
В таблице 6.3 представлена динамика фактического дефицита государственного бюджета в среднем по всей группе стран с переходной экономикой.
Таблица 6.3. Страны с переходной экономикой: доля дефицита бюджета расширенного правительства
(в %, в среднем по группе стран) |
|
|
1991 |
1992 |
1993 |
1994 |
1995 |
1996 |
1997 |
1998 |
1999 |
2000 |
|
Дефицит бюджета расширенного правительства |
-9.6 |
-14,1 |
-6,7 |
-7,0 |
-4,4 |
-5,5 |
-5,0 |
-4,8 |
-3,6 |
-2,5 |
|
|
Источник: World Economic Outlook, October 1999, p. 188. |
6.4. Воздействие бюджетного излишка на экономику. Инфляционные и неинфляционные способы финансирования бюджетного дефицита. Сеньораж. Эффект вытеснения. Проблемы увеличения налоговых поступлений в государственный бюджет
Наибольший стабилизационный эффект бюджетного излишка связан с его полным изъятием, препятствующим выплате процентов по государственному долгу, увеличению социальных трансфертов или финансированию каких-либо других государственных расходов за счет этих средств. Так как рост циклического бюджетного излишка происходит на подъеме экономики, который нередко сопровождается усилением инфляционного напряжения, то любые выплаты населению части этих средств (в виде погашения облигаций, увеличения пособий малообеспеченным семьям и т.д.) будет сопровождаться дальнейшим увеличением совокупных расходов и нарастанием инфляции спроса. Напротив, “замораживание'" бюджетного излишка ограничивает избыточное давление совокупного спроса и сдерживает инфляционный бум в экономике.
Степень стабилизационного воздействия бюджетного дефицита зависит от способа его финансирования.
Способы финансирования дефицита госбюджета:
1) кредитно-денежная эмиссия (монетизация);
2) выпуск займов;
3) увеличение налоговых поступлений в госбюджет.
В случае монетизации дефицита нередко возникает сеньораж- доход государства ог печатания денег. Сеньораж возникает на фоне превышения темпа роста денежной массы над темпом роста реального ВВП, что приводит к повышению среднего уровня цен. В результате все экономические агенты платят своеобразный инфляционный налог, и часть их доходов перераспределяется в пользу государства через возросшие цены.
В условиях повышения уровня инфляции возникает эффект Оливера-Танзи - сознательное затягивание налогоплательщиками сроков внесения налоговых отчислений в государственный бюджет. Нарастание инфляционного напряжения создает экономические стимулы для “откладывания” уплаты налогов, так как за время “затяжки” происходит обесценивание денег, в результате которого выигрывает налогоплательщик. В итоге дефицит госбюджета и общая неустойчивость финансовой системы могут возрасти.
Монетизация дефицита госбюджета может не сопровождаться непосредственно эмиссией наличности, а осуществляться в других формах, например в виде расширения кредитов Центрального банка государственным предприятиям по льготным ставкам процента или в форме отсроченных платежей. В последнем случае правительство покупает товары и услуги, не оплачивая их в срок. Если закупки осуществляются в частном секторе, то производители заранее увеличивают цены, чтобы застраховаться от возможных неплатежей. Это дает толчок к повышению общего уровня цен и уровня инфляции.
Если отсроченные платежи накапливаются в отношении предприятий государственного сектора, то эти дефициты нередко непосредственно финансируются Центральным банком или же накапливаются, увеличивая общий дефицит госбюджета. Поэтому, хотя отсроченные платежи, в отличие от монетизации, официально считаются неинфляционным способом финансирования бюджетного дефицита, на практике это разделение оказывается весьма условным.
Если дефицит госбюджета финансируется с помощью выпуска государственных займов, то увеличивается средняя рыночная ставка процента, что приводит к снижению инвестиций в частном секторе, падению чистого экспорта и частично - к снижению потребительских расходов. В итоге возникает эффект вытеснения, который значительно ослабляет стимулирующий эффект фискальной политики.
5-299
Долговое финансирование бюджетного дефицита1 нередко рассматривается как антиинфляционная альтернатива монетизации дефицита. Однако долговой способ финансирования не устраняет угрозы роста инфляции, а только создает временную отсрочку для этого роста, что является характерным для многих переходных экономик, в том числе и для российской. Если облигации государственного займа размещаются среди населения и коммерческих банков, то инфляционное напряжение окажется слабее, чем при их размещении непосредственно в Центральном Банке. Однако последний может скупить эти облигации на вторичном рынке ценных бумаг и расширить, таким образом, свою квазифискальную деятельность, способствующую росту инфляционного давления.
В случае обязательного (принудительного) размещения государственных облигаций во внебюджетных фондах под низкие (и даже отрицательные) процентные ставки долговое финансирование бюджетного дефицита превращается, по существу, в механизм дополнительного налогообложения.
Проблема увеличения налоговых поступлений в государственный бюджет выходит за рамки собственно финансирования бюджетного дефицита, так как разрешается в долгосрочной перспективе на базе комплексной налоговой реформы, нацеленной на снижение ставок и расширение базы налогообложения. В краткосрочном периоде снижение налоговых ставок сопровождается, во-первых, снижением степени встроенной стабильности экономики; во-вторых, ростом эффекта вытеснения негосударственного сектора на фоне повышения процентных ставок, которое возникает как реакция денежного рынка на сопровождающее экономическое оживление повышение спроса на деньги при их неизменном (в целях ограничения уровня инфляции) предложении; в-тре-тьих, возможным увеличением бюджетного дефицита из-за одновременного снижения ставок налогообложения и налоговых поступлений в бюджет в соответствии с закономерностью, описываемой кривой Лаффера.
Ни один из способов финансирования дефицита государственного бюджета не имеет абсолютных преимуществ перед остальными и не является полностью неинфляционным.
Основные термины
Фискальная политика (бюджетно-налоговая политика) Мультипликатор государственных расходов Мультипликатор налогов (налоговый мультипликатор) Мультипликатор сбалансированного бюджета Предельная налоговая ставка
Дефицит государственного бюджета (бюджетный дефицит)
Бюджетный излишек
Дискреционная фискальная политика
Недискреционная фискальная политика
Чистые налоговые поступления в бюджет
Встроенные (автоматические) стабилизаторы экономики
Циклический дефицит госбюджета
Структурный дефицит госбюджета
Инфляционное и неинфляционное финансирование дефицита госбюджета Монетизация дефицита Сеньораж
Долговое финансирование Эффект вытеснения Налоговая реформа Кривая Лаффера Эффект Оливера-Танзи
Вопросы для обсуждения
1. Верны ли следующие утверждения?
а) При прочих равных условиях повышение налогов и государственных расходов на одинаковую величину может привести к росту ВВП.
б) Введение прогрессивного налога на личный доход не отражается на величине мультипликатора.
в) Дефицит государственного бюджета не связан с размерами чистого экспорта.
г) Бюджетно-налоговая политика проводится только в целях снижения уровня безработицы и инфляции.
д) Циклический дефицит госбюджета возникает в результате антициклической политики государства, направленной на стимулирование экономического роста.
е) Снижение предельных налоговых ставок уменьшает встроенную стабильность экономики.
ж) Встроенные стабилизаторы экономики увеличивают размеры государственных расходов.
з) Если экономика достигла уровня полной занятости ресурсов при превышении уровня государственных расходов над налоговыми поступлениями, то возникает структурный дефицит госбюджета.
2. Государственный бюджет объединяет государственные закупки товаров и услуг и трансфертные платежи в общую категорию государственных расходов. Почему при выборе инструментов фискальной политики необходимо проводить различие между государственными закупками и трансфертами?
3. Какой из нижеперечисленных индикаторов следует расценивать как основной критерий эффективности бюджетно-налоговой политики правительства (ответ аргументируйте):
а) размер фактического дефицита или излишка государственного бюджета;
б) размер бюджетного излишка или дефицита при полной занятости ресурсов;
в) уровень личного подоходного налога;
г) величина инфляционного воздействия встроенных стабилизаторов в экономике с полной занятостью ресурсов.
4. Какие из нижеперечисленных мер будут способствовать усилению краткосрочного и долгосрочного инфляционного напряжения в экономике:
а) правительство повышает налоги;
б) правительство увеличивает расходы и финансирует бюджетный дефицит за счет выпуска государственных займов;
в) Центральный банк осуществляет финансирование правительственных социальных программ по льготным ставкам процента;
г) Государственное казначейство выпускает в обращение казначейские билеты.
Задачи и решения
1. Экономика описана следующими данными:
С = 20 + 0,8 (Y - Т + F) (потребление);
/ = 60 (инвестиции);
Т - 40 (налоги);
F - 10 (трансферты);
G - 30 (государственные расходы).
а) Рассчитайте равновесный уровень дохода.
б) Правительство увеличивает расходы до 40 в целях сти му-лирования экономики:
- что происходит с кривой планируемых расходов?
- как изменится равновесный уровень дохода?
- какова величина мультипликатора госрасходов?
- как изменится сальдо госбюджета?
в) Правительство увеличивает налоги с 40 до 50 (при уровне госрасходов G — 30):
- что происходит с кривой планируемых расходов?
- как изменится равновесный уровень дохода?
- какова величина мультипликатора налогов?
- как изменится сальдо госбюджета?
г) Правительство одновременно увеличивает госрасходы с 30 до 40 и налоги с 40 до 50:
- что происходит с кривой планируемых расходов?
- как изменится равновесный уровень дохода?
- что происходит с эффектом мультипликатора?
- как изменится сальдо госбюджета?
Решение
а) Для расчета равновесного уровня дохода подставим числовые значения С, А Tt Ft G в основное макроэкономическое тождество и решим его относительно Y:
Г =20+ 0,8 (Г 40 + 10)+ 60 + 30.
После алгебраических преобразований получаем:
Y - 430 => это первоначальное равновесие (точка А).
б) При увеличении госрасходов на 10 (с 30 до 40) кривая планируемых расходов сдвинется вверх на 10 (см. рис. 6.4):
 |
E=C+1+G |
Рис. 6.4
430 480 |
Y
Изменение равновесного уровня дохода при перемещении из точки А в точку В составит:
Д^лс-т?'О'і^Г5»-
В точке В равновесный уровень дохода возрос до 480. Мультипликатор госрасходов равен:
т^Г5'
До проведения фискальной экспансии госбюджет был сбалансирован:
G4F= Т
30+10 40
После проведения фискальной экспансии возник бюджетный дефицит в размере 10, так как госрасходы увеличились на 10, а налоговые поступления не изменились.
в) При увеличении налогов на 10 (с 40 до 50) кривая планируемых расходов сдвинется вниз на величину -АТ х МРС = = -10 х 0,8 = -8 (см. рис. 6.5):
Равновесный уровень выпуска снизится на величину
AY = -ДГ- —= -10—^- = -40.
1 -Ь 1-0,8
Экономика переместится из точки А в точку В, где равновесный объем производства составит 390.
Мультипликатор налогов равен

 |
E=C+I+G |
|
Рис. 6.5 |
 |
430 |


После проведения налоговой рестрикции возник бюджетный излишек в размере /0, так как величина госрасходов и трансфертов по-прежнему равна 40, а налоговые поступления увеличились до 50.
г) При одновременном увеличении госрасходов с 30 до 40 и налогов с 40 до 50 кривая планируемых расходов переместится вверх на 2, так как воздействие бюджетной экспансии на совокупный спрос относительно сильнее, чем налоговое сдерживание (см. рис. 6.6):
 |
|
Рис. 6.6 |
Равновесие переместится из точки А в точку В, причем равновесный уровень дохода в соответствии с мультипликатором сбалансированного бюджета также увеличится на 10 до 440. Это можно проверить с помощью расчета:
Y = 20 + 0,8 (Y - 50 + 10) + 60 + 40;
Y = 440.
В экономике появился эффект мультипликатора сбалансированного бюджета, равный единице:
1 Ь _ 1 0,8
1 -b 1 - 6 “ 1 - 0,8 1-0,8“ ‘
При проведении такой политики бюджет останется, как и первоначально, сбалансированным:
G+? = Т 40 + 10 50
2. Предположим, что государственные закупки равны 500, налоговая функция имеет вид Т = 0,4 У, функция трансфертов F = 0,2 У, уровень цен Р = 1. Федеральный долг D - 1000 при ставке процента R = 0,1. Реальный объем производства равен 2000, а потенциальный составляет 2500.
а) Является ли сальдо госбюджета положительным или отрицательным?
б) Какова величина структурного дефицита госбюджета?
в) Какова величина циклического дефицита госбюджета?
Решение
а) Сальдо государственного бюджета может быть рассчитано путем сопоставления расходной и доходной частей:
Расходы бюджета = госзакупки (G) + трансферты (F) +
+расходы по обслуживанию государственного долга (DxR) = = 500 + 0,2x2000 + 0,1x1000 = 500 + 400 + 100 = 1000.
Доходы бюджета = налоговые поступления
(Т) - 0,4x2000 = 800.
Фактический дефицит бюджета = 1000 - 800 = 200.
б) Структурный дефицит может быть рассчитан путем подстановки в расчеты потенциального объема выпуска вместо фактического:
Структурный дефицит -= 500 + 0,2x2500 + 0,1x1000 - 0,4x2500 = 100.
в) Циклический дефицит госбюджета — фактический дефицит структурный дефицит - 200 - 100 - 100.
3- Допустим, что первоначально госбюджет сбалансирован и в экономике действует система пропорционального налогообложения. Если автономные инвестиции возрастают, то, при прочих равных условиях, увеличится равновесный уровень дохода и возникает бюджетный дефицит.
а) Да б) Нет
Решение
Правильным ответом является отрицательный, то есть б). При указанных условиях модель бюджета имеет вид t-Y -G ,
Т
где t - налоговая ставка, Т общие налоговые поступления в бюджет, G - расходы бюджета.
При увеличении автономных инвестиций возрастают совокупные расходы и доход, причем с эффектом мультипликатора. Рост совокупного дохода Y приводит к росту налоговых поступлений в бюджет t'Y и возникает бюджетный излишек. При этом величина бюджетного излишка окажется тем более значительной, чем сильнее снижаются на подъеме экономики бюджетные расходы G из-за автоматического сокращения пособий по безработице.
Тесты
1. Если экономика находится в состоянии равновесия, то можно утверждать, что:
а) государственный бюджет сбалансирован;
б) бюджеты всех уровней должны быть сбалансированы;
в) потребительские расходы должны быть равны инвестициям;
г) любое увеличение потребительских расходов приведет к инфляционному разрыву;
д) доходы фирм должны быть равны валовым инвестициям;
е) все предыдущие ответы неверны.
2. Воздействие бюджетного излишка на равновесный уровень ВВП оказывается, по существу, таким же, как:
а) сокращение сбережений;
б) увеличение инвестиций;
в) увеличение потребления;
г) увеличение сбережений.
3. Некоторые корпорации выплачивают дивиденды в неизменном размере во всех фазах экономического цикла. Это действует на экономическую конъюнктуру:
а) как фактор увеличения амплитуды циклических колебаний;
б) нейтрально;
в) как встроенный (автоматический) стабилизатор;
г) неопределенным образом, в зависимости от факторов, вызвавших циклические колебания.
4. Рост государственных расходов увеличивает реальный ВВП только в том случае, если:
а) госрасходы направляются на закупки товаров и услуг, а не на оплату чиновников;
б) госрасходы сопровождаются увеличением предложения денег;
в) госрасходы не вытесняют равновеликого объема расходов в негосударственном секторе;
г) госрасходы финансируются за счет выпуска государственных займов.
5. Изменение уровня цен:
а) не отражается на результатах фискальной политики;
б) усиливает эффект фискальных мер;
в) практически отсутствует при проведении фискальной политики;
г) увеличивает эффекты мультипликатора госрасходов и налогов;
д) снижает действенность мер фискальной политики.
6. Экономика находится в состоянии равновесия, причем предельная склонность к сбережению равна 0,25, а предельная склонность к импорту равна нулю. Как изменится равновесный уровень выпуска, если правительство увеличит свои закупки на 2 млрд руб., не изменяя при этом налоговые поступления:
а) возрастет на 6 млрд руб.;
б) возрастет на 4 млрд руб.;
в) возрастет на 8 млрд руб.;
г) возрастет на 2 млрд руб.
7. Экономика находится в равновесии в условиях полной занятости ресурсов. Правительство предполагает увеличить госзакупки на сумму 10 млрд руб. и одновременно увеличить налоги.


избежав при этом повышения уровня инфляции (т.е. сохранив прежний уровень равновесного ВВП), Чему равно предполагаемое увеличение налогов:
а) 10 млрд руб.;
б) более 10 млрд руб.;
в) менее 10 млрд руб., но не нулю;
г) нулю;
д) для поддержания полной занятости налоги должны быть уменьшены.
8. Предположим, что бюджетный излишек представлен как:
BS = t - Y-G.
где BS - бюджетный излишек; t - налоговая ставка;
У - доход;
G - расходы бюджета.
В этом случае увеличение государственных расходов на 100 вызовет:
а) снижение бюджетного излишка на 100;
б) увеличение бюджетного излишка на 100;
в) снижение бюджетного излишка меньше чем 100;
г) нельзя сказать ничего определенного о возможных изменениях величины бюджетного излишка.
9. Правительство предполагает увеличить госрасходы на 15 млрд руб. в экономике с полной занятостью ресурсов. Равновесный уровень дохода составляет 500 млрд руб., предельная склонность к потреблению равна 0,75, чистые налоговые поступления в госбюджет автономны. На сколько необходимо увеличить чистые налоговые поступления в бюджет для тог о, чтобы избежать избыточного роста совокупного спроса и поддержать стабильность уровня цен:
а) на 25 млрд руб.;
б) на 20 млрд руб.;
в) на 30 млрд руб.;
г) на 35 млрд руб.
10. Известно, что предельная склонность к сбережению составляет 0,25 и в экономике функционирует система 20%-ного пропорционального налогообложения доходов. К каким изменениям в величине равновесного уровня выпуска приведут соответственно:
увеличение госрасходов на 10 млн руб.; увеличение автономных налогов на 15 млн руб.; снижение трансфертов на 10 млн руб.?
а) В результате роста госрасходов равновесный доход увеличится на 25 млн руб.; он снизится на 28,125 млн руб. в результате повышения налогов и на 18,75 млн руб. -в результате снижения трансфертов.
б) В результате роста госрасходов равновесный доход увеличится на 28,125 млн руб.; он снизится на 25 млн руб. в результате снижения трансфертов и на 18,75 млн руб. - в результате повышения налогов.
в) В результате роста госрасходов равновесный доход увеличится на 18,75 млн руб.; в результате снижения трансфертов он возрастет на 25 млн руб.; в результате повышения налогов равновесный доход снизится на 28,125 млн руб..
г) В результате роста госрасходов равновесный доход увеличится на 25 млн руб.; он снизится на 18,75 млн руб. в результате повышения налогов и на 28,125 млн руб.
в результате снижения трансфертов.
Рекомендуемая учебная литература
1. Мэнкью Н.Г. Макроэкономика. Гл. 9.
2. Макконнелл К, Брю С Экономикс. Гл. 8, 14.
3. Дорнбуш Р., Фишер С. Макроэкономика. Гл. 3, §4-7; гл. 5; гл. 16, §1-3.
4. Фишер С, Дорнбуш Р., Шмалепзи Р. Экономика. Гл. 28.
5. Долан Э. Макроэкономика. Гл. 7.
6. Долан Э., Кемпбелл К., Кемпбелл Р. Деньги, банковское дело и денежно-кредитная политика. Гл. 18.
7. Линвуд Т. Гайгер. Макроэкономическая теория и переходная экономика. Гл. 5, 7.
8. Хейне П. Экономический образ мышления. Гл. 18, 19.
9. Эклунд К. Эффективная экономика. Гл. 6.
Ответы к тестам
10) а
Глава 7
Денежный рынок: спрос на деньги, предложение денег, равновесие на денежном рынке
7.1. Деньги и их функции. Основные денежные агрегаты.
7.2. Классическая и кейнсианская теории спроса на деньги.
7.3. Модель предложения денег. Денежный мультипликатор.
7.4. Равновесие на денежном рынке.
7.1. Деньги и их функции. Основные денежные агрегаты
Деньги - важнейшая макроэкономическая категория, позволяющая анализировать инфляционные процессы, циклические колебания, механизм достижения равновесия в экономике, согласованность работы товарного и денежного рынков и т.д.
Деньги - вид финансовых активов, который может быть использован для сделок. Наиболее характерная черта денег - их высокая ликвидность, т.е. способность быстро и с минимальными издержками обмениваться на любые другие виды активов. Обычно выделяют три основные функции денег: 1) средство обмена; 2) мера стоимости (измерительный инструмент для сделок); 3) средство сбережения или накопления богатства.
Количество денег в стране контролируется государством (монетарная, или денежная, политика), на практике эту функцию осуществляет Центральный Банк. Для измерения денежной массы используются денежные агрегаты: Ml, М2, М3, L (в порядке убывания степени ликвидности). Состав и количество используемых денежных агрегатов различаются по странам. Согласно классификации, используемой в США, денежные агрегаты представлены следующим образом:
Ml наличные деньги вне банковской системы, депозиты до востребования, дорожные чеки, прочие чековые депозиты;
М2 - Ml плюс нечековые сберегательные депозиты, срочные вклады (до 100 000 долл.), однодневные соглашения об обратном выкупе и др.;
М3 - М2 плюс срочные вклады свыше 100 000 долл., срочные соглашения об обратном выкупе, депозитные сертификаты и др.;
L - М3 плюс краткосрочные казначейские облигации, коммерческие бумаги и пр.
В макроэкономическом анализе чаще других используются агрегаты Ml и М2. Иногда выделяются показатель наличности (МО или С от английского “currency”) как часть Ml, а также показатель “квази-деньги” (QM) как разность между М2 и Л/7, т.е., главным образом, сберегательные и срочные депозиты, тогда M2-M1+QM.
Динамика денежных агрегатов зависит от многих причин, в том числе от движения процентной ставки. Так, при росте ставки процента агрегаты М2, М3 могут опережать А/7, поскольку их составляющие приносят доход в виде процента. В последнее время появление в составе Ml новых видов вкладов, приносящих проценты, сглаживает различия в динамике агрегатов, обусловленные движением ставки процента.
В российской статистике чаще всего используются агрегаты Ml («Деньги»), «Квази-деньги» (срочные и сберегательные дегю-* зиты) и М2 («Широкие деньги»).
В соответствии с методологией составления денежного обзора в российской банковской статистике выделяются следующие показатели:
- Деньги - все денежные средства в экономике страны, которые могут быть немедленно использованы как платежное средство. Данный агрегат формируется как совокупность агрегатов “Деньги вне банков” и “Депозиты до востребования” в банковской системе.
- Квази-деньги - депозиты банковской системы, которые непосредственно не используются как платежное средство и менее ликвидны, чем “Деньги”. Включают срочные депозиты в валюте Российской Федерации и все депозиты в иностранной валюте. Совокупность агрегатов “Деньги” и “Квази-деньги” формирует агрегат “Широкие деньги”.
В национальном определении (в отличие от международной методологии денежного обзора) денежная масса рассчитывается как агрегат М2. В этом случае в составе денежной массы выделяются следующие компоненты:
Наличные деньги в обращении (денежный агрегат МО) -наиболее ликвидная часть денежной массы, доступная для немедленного использования в качестве платежного средства. Включает банкноты и монету в обращении.
- Безналичные средства включают остатки средств нефинансовых предприятий, организаций, индивидуальных пред-
принимателей, населения на расчетных, текущих, депозитных и иных счетах до востребования (в том числе счетах для расчетов с использованием пластиковых карт) и срочных счетах, открытых в кредитных организациях в валюте Российской Федерации.
- Денежная масса (М2) рассчитывается как сумма наличных денег в обращении и безналичных средств. В показатель денежной массы в национальном определении, в отличие от аналогичного показателя, исчисленного по методологии составления денежного обзора (как сумма агрегатов “Деньги” и “Квази-деньги”), не включаются депозиты в иностранной валюте.
7.2. Классическая и кейнсианская теории спроса на деньги
Количественная теория денег определяет спрос на деньги с помощью уравнения обмена:
MV=PY,
где М - количество денег в обращении;
V - скорость обращения денег;
Р - уровень цен (индекс цен);
Y - объем выпуска (в реальном выражении).
Предполагается, что скорость обращения - величина постоянная, так как связана с достаточно устойчивой структурой сделок в экономике. Однако с течением времени она может изменяться - например, в связи с внедрением новых технических средств в банковских учреждениях, ускоряющих систему расчетов. При постоянстве V уравнение обмена имеет вид
MV = PY.
При условии постоянства V изменение количества денег в обращении (М) должно вызвать пропорциональное изменение номинального ВВП (PY). Но, согласно классической теории, реальный ВВП (Y) изменяется медленно и только при изменении величины факторов производства и технологии. Можно предположить, что У меняется с постоянной скоростью, а на коротких отрезках времени постоянен. Поэтому колебания номинального ВВП будут отражать главным образом изменения уровня цен. Таким образом, изменение количества денег в обращении не окажет влияния на реальные величины, а отразится на колебаниях номинальных переменных. Это явление получило название “нейтральности денег”. Современные монетаристы, поддерживая концепцию "нейтральности денег” для описания долговременных связей между динамикой денежной массы и уровнем цен, признают влияние предложения денег на реальные величины в краткосрочном периоде (в пределах делового цикла).
Уравнение обмена может быть представлено в темповой записи (для небольших изменений входящих в него величин):
 |
|
V Р У |
По правилу монетаристов, государство должно поддерживать темп роста денежной массы на уровне средних темпов роста реального ВВП, тогда уровень цен в экономике будет стабилен.
Приведенное выше уравнение обмена М?=РУ связывают с именем американского экономиста И. Фишера. Используется и другая форма этого уравнения, так называемое кембриджское
уравнение: М-кРУ, где & = - величина, обратная скорости обращения денег. Коэффициент к несет и собственную смысловую нагрузку, показывая долю номинальных денежных остатков (М) в доходе (РУ). Строго говоря, величины V и к связаны с движением ставки процента , но в данном случае для простоты принимаются постоянными. Кембриджское уравнение предполагает наличие разных видов финансовых активов с разной доходностью (а не только наличность или Ml) и возможность выбора между ними при решении вопроса, в какой форме хранить доход.
Чтобы элиминировать влияние инфляции, обычно рассматривают реальный спрос на деньги, то есть

где величина — носит название “реальных запасов денежных
средств”, или “реальных денежных остатков”.
Кейнсианская теория спроса на деньги - теория предпочтения ликвидности - выделяет три мотива, побуждающие людей хранить часть денег в виде наличности:
-трансакционный мотив (потребность в наличности для текущих сделок);
-мотив предосторожности (хранение определенной суммы наличности на случай непредвиденных обстоятельств в будущем);
- спекулятивный мотив (“намерение приберечь некоторый резерв, чтобы с выгодой воспользоваться лучшим, по сравнению с рынком, знанием того, что принесет будущее”).
Спекулятивный спрос на деньги основан на обратной зависимости между ставкой процента и курсом облигаций2. Если ставка процента растет, то цена облигаций падает, спрос на облигации растет, что ведет к сокращению запаса наличных денег (меняется соотношение между наличностью и облигациями в портфеле активов), т.е. спрос на наличные деньги снижается. Таким образом, очевидна обратная зависимость между спросом на деньги и ставкой процента (подробнее о спекулятивном мотиве спроса на деньги см. задачу 1 в разделе “Задачи и решения").
 |
= 62 500. |
Кейнс для простоты предположил, что существуют только две формы финансовых активов: наличность и облигации.
Обобщая два названных подхода - классический и кейнсианский, можно выделить следующие факторы спроса на деньги:
1) уровень дохода;
2) скорость обращения денег;
3) ставка процента.
Классическая теория связывает спрос на деньги главным образом с реальным доходом. Кейнсианская теория спроса на деньги считает основным фактором ставку процента. Хранение денег в виде наличности связано с определенными издержками. Они равны проценту, который можно было бы получить, положив деньги в банк или использовав их на покупку других финансовых активов, приносящих доход. Чем выше ставка процента, тем больше мы теряем потенциального дохода, тем выше альтернативная стоимость хранения денег в виде наличности, а значит, тем ниже спрос на наличные деньги.
Оставляя в стороне наиболее сложный и противоречивый фактор - скорость обращения денег, по поводу которого отсутствует единство во взглядах среди экономистов, мы можем представить функцию спроса на реальные денежные остатки следующим образом:
( м\°
^ =L(R,Y),
где R - ставка процента;
У - реальный доход.
Если предположить линейную зависимость2, получим:
= kY-hR
где коэффициенты к и h отражают чувствительность спроса на деньги к доходу и ставке процента. Функция спроса на деньги показывает, что при любом данном уровне дохода величина спроса будет падать с ростом ставки процента и наоборот. Увеличение уровня дохода отразится сдвигом кривой спроса на деньги Ld вправо на величину кАУ (см. рис. 7.1).


2 Возможна и нелинейная форма зависимости, например:
 |
|
Рис. 7.1 |
Эмпирические данные подтверждают теоретическую модель спроса на деньги, обнаруживая, однако, наличие определенного временного лага между изменением факторов и реакцией спроса на деньги.
Различают номинальную и реальную ставки процента. Номинальная ставка - это ставка, назначаемая банками по кредитным операциям. Реальная ставка процента отражает реальную покупательную способность дохода, полученного в виде процента. Связь номинальной и реальной ставки процента описывается уравнением Фишера:
/ = Г + 7Г,
где к - темп инфляции;
г - реальная ставка процента; і - номинальная ставка процента.
Уравнение показывает, что номинальная ставка процента может изменяться по двум причинам: из-за изменения реальной ставки и темпа инфляции.
Количественная теория и уравнение Фишера вместе дают связь объема денежной массы и номинальной ставки процента: рост денежной массы вызывает рост инфляции, а последняя приводит к увеличению номинальной ставки процента. Эту связь инфляции и номинальной ставки процента называют эффектом Фишера.
Отметим, что в долгосрочном периоде сохраняется отмеченная классиками “нейтральность денег”, то есть изменение номинальной переменной (в данном случае к) может повлиять лишь на другую номинальную переменную (?), не затрагивая реальные величины (г). В краткосрочном периоде изменение номинальной величины может на какое-то время отразиться на реальной переменной. Так, при изменении темпов инфляции банки могут не сразу изменить назначаемую ими ставку процента (/), тогда, например, рост инфляции (к) снизит на некоторое время реальную ставку процента, что создаст благоприятные условия для инвесторов и других получателей кредитов. В этом случае г - і- к. При высоких темпах инфляции используется более точная формула для определения реальной ставки процента:
і-к г--.
1 + 7Г
Учитывая возросшее влияние на процессы в экономике инфляционных ожиданий экономических агентов, а также тот факт, что, устанавливая определенную ставку процента, банки имеют в виду ожидаемый в перспективе темп инфляции (я^), поскольку фактическое его значение на данный момент неизвестно, формула Фишера несколько модифицируется:
/ = г + if.
На базе двух основных подходов к анализу спроса на деньги развивается множество современных денежных теорий, акцентирующих внимание на разных сторонах спроса на деньги. Так, в основе модели Баумоля-Тобина лежит трансакционный спрос на деньги. С помощью этой модели можно определить, например, какую сумму в среднем за период экономический агент может хранить в виде наличности в зависимости от уровня своего дохода, альтернативной стоимости хранения денег в виде наличности (обычно ставки процента /), издержек по переводу своих активов из одной формы в другую. Одновременно решается и вопрос о том, как часто следует переводить активы из одной формы в другую.
Портфельный подход к спросу на деньги исходит из того, что наличность лишь одна из составляющих портфеля финансовых активов экономических агентов. Решая вопрос об оптимальном количестве средств, которые можно держать в виде наличности, владелец портфеля исходит из того, какой доход могут обеспечить ему другие виды активов, и в то же время, насколько рискованно хранить средства в той или другой форме финансовых активов. Рост доходности акций и облигаций, например, будет снижать спрос на наличность. С другой стороны, рост риска потерять доход от неденежных форм активов увеличивает желание хранить деньги в виде наличности. Спрос
на деньги ставится также в зависимость от общего богатства индивида, поскольку размеры этого богатства определяют объем портфеля активов в целом, а значит, и всех его составляющих. Учитывается и влияние инфляции. Общая формула выглядит таким образом:

где гу - предполагаемый реальный доход на акции;
гъ - предполагаемый реальный доход по облигациям; if - ожидаемая инфляция;
W - реальное богатство.
Причем только последний фактор положительно связан со спросом на деньги. Например, в случае высокой инфляции спрос на деньги уменьшается, экономические агенты стремятся перевести свои средства в реальные активы, не столь подверженные влиянию инфляции.
Очевидно, что данный подход к спросу на деньги имеет смысл прежде всего для агрегатов М2, М3 и более широких. Составляющие агрегата Ml практически не приносят дохода, но по степени риска почти аналогичны многим активам в правой части приведенной формулы (например, государственным облигациям). В этом случае утрачивается смысл сравнения правой и левой частей формулы: владельцам портфеля активов заведомо невыгодно держать средства в форме наличности или Ml, если можно поместить их в более прибыльные, но такие же по степени риска финансовые активы.
Эмпирическая оценка спроса на деньги может быть основана на имеющихся данных о существовавших в предшествующих периодах соотношениях между спросом на деньги и ВВП, ставкой процента, инфляцией. Однако в условиях переходной экономики при проведении структурной перестройки, финансовой реформы и пр. подобные оценки имеют ограниченное применение.
Другой подход может состоять в определении спроса на деньги на основе оценки вероятного изменения скорости обращения Денег, ожидаемой инфляции и планируемого изменения объема реального ВВП (то есть исходя из уравнения MV = PY).
7.3. Модель предложения денег. Денежный мультипликатор
Предложение денег (М) включает в себя наличность (С) вне банковской системы и депозиты (D), которые экономические агенты при необходимости могут использовать для сделок (фактически это агрегат МУ, хотя в качестве показателя предложения денег может использоваться и агрегат М2):
Ms= С + D
Современная банковская система это система с частичным резервным покрытием: только часть своих депозитов банки хранят в виде резервов, а остальные используют для выдачи ссуд и других активных операций.
В отличие от других финансовых институтов банки обладают способностью увеличивать предложение денег (“создавать деньги4’). Кредитная мультипликация - процесс эмиссии платежных средств в рамках системы коммерческих банков.
Предположим, что депозиты банка 1 выросли на 1000. В резерве остается 20%, то есть 200, а остальные отдаются в ссуду (норма резервов - отношение резервов к депозитам в данном случае составляет 20%, или 0,2). Таким образом, банк 1 увеличил предложение денег на 800, и теперь оно равно 800 + 1000 = 1800. Вкладчики по-прежнему имеют депозиты на сумму 1000 единиц, но и заемщики держат на руках 800 единиц, то есть банковская система с частичным резервным покрытием способна увеличить предложение денег.
Далее, если эти 800 единиц опять попадают в банк в виде депозитов, процесс возобновляется: 20%, то есть 160 единиц, банк 2 оставляет в резервах, а остальные 640 использует для выдачи кредитов, увеличивая предложение денег еще на 640 единиц. Третий банк, куда могут попасть эти деньги, добавит еще 512 и так далее.
Если процесс продлится до использования последней денежной единицы, то количество денег в системе можно будет определить следующим образом:
Первоначальный вклад = 1000.
Ссуда І-го банка (дополнительное предложение денег) = (1 - 0,2)х1000 = 800. Ссуда 2-го банка = (1- 0,2)[(1 - 0,2)х1000]=( 1- 0,2)2х1000=640.
Ссуда 3-го банка = (I - 0,2)[(1 - 0,2):х1000]=( 1- 0,2)3х1000=512.
(в квадратных скобках имеем сумму членов геометрической прогрессии со знаменателем (1 - 0,2), т.е. меньше единицы. По опре
|
1 - (1-0.2) |  |
делению эта сумма равна
В общем виде суммарное предложение денег, возникшее в результате появления нового депозита (включая первый депозит), равно:

где гг - норма банковских резервов;
D - первоначальный вклад.
Коэффициент — называется банковским мультипликатором,
гг
или депозитным мультипликатором.
Если же исходить из того, что первый вклад в 1000 единиц появился в банке вследствие сокращения на эту же сумму объема наличности (С), то есть в результате этой операции предложение денег не изменилось, то дополнительное предложение денег в экономике, возникшее в итоге кредитной мультипликации, составит:
1
800 х — . В данном случае мультиплицируется первая ссуда (первого банка), или первый новый депозит, появившийся во втором банке в процессе денежного расширения (а не вследствие простого перевода денег из наличной формы в форму депозита).
Более общая модель предложения денег строится с учетом роли Центрального Банка, а также с учетом возможного оттока части денег с депозитов банковской системы в наличность. Она включает ряд новых переменных.
Денежная база (деньги повышенной мощности, резервные деньги) - это наличность вне банковской системы, а также резервы коммерческих банков, хранящиеся в Центральном Банке. Налич-Ность является непосредственной частью предложения денег, тогда как банковские резервы влияют на способность банков создавать Новые депозиты, увеличивая предложение денег. Обозначим денежную базу через МВ, банковские резервы через R, тогда
МВ = C+R,
где МВ денежная база;
С наличность;
R резервы.
Ms = С + Z),
где A/s предложение денег;
С - наличность;
D - депозиты до востребования.
Денежный мультипликатор (ш) - это отношение предложения денег к денежной базе:
M s - т МВ.
Ms
т--
МВ
Денежный мультипликатор можно представить через отношение наличность-депозиты сг (коэффициент депонирования) и резервы-депозиты гг (норму резервирования);
С + Z)
МВ С + R
Разделим почленно числитель и знаменатель правой части уравнения на D (депозиты) и получим:
сг + 1 С R
т--, где сг — —-, гг = —.
сг + гг и D
Величина сг определяется главным образом поведением населения, решающего, в какой пропорции будут находиться наличность и депозиты. Отношение гг зависит от нормы обязательных резервов, устанавливаемой Центральным Банком, и от величины избыточных резервов, которые коммерческие банки предполагают держать сверх необходимой суммы.
Теперь предложение денег можно представить как
сг+ 1

МВ.
сг л-гг
МВ
МВ - С + R = сг D + гг D - Dfcr + гг), отсюда ?>=
сг+гг
Поскольку I) в обоих уравнениях - одна и та же величина, можно лрирав нять правые части выражений для D:
MB S І + ст I + сг
-, отсюда AT = МВ-, где-= т
1 + СГ сг + гг
гг + сг
гг + сг
х 1000
 |
|
к |
Таким образом, предложение денег прямо зависит от величины денежной базы и денежного мультипликатора (или мультипликатора денежной базы). Денежный мультипликатор показывает, как изменяется предложение денег при увеличении денежной базы на единицу. Увеличение коэффициента депонирования и нормы резервов уменьшает денежный мультипликатор (см. задачу 2 из раздела “Задачи и решения”).
Центральный Банк может контролировать предложение денег прежде всего путем воздействия на денежную базу. Изменение денежной базы, в свою очередь, оказывает мультипликативный эффект на предложение денег. Таким образом, процесс изменения объема предложения денег можно разделить на два этапа:
- первоначальная модификация денежной базы путем изменения обязательств Центрального Банка перед населением и банковской системой (воздействие на величину наличности и резервов);
- последующее изменение предложения денег через процесс “мультипликации” в системе коммерческих банков.
Инструменты денежной политики корректируют величину денежной массы, воздействуя либо на денежную базу, либо на мультипликатор.
Выделяют три главных инструмента денежной политики, с
помощью которых Центральный Банк осуществляет косвенное регулирование денежно-кредитной сферы:
1) изменение учетной ставки (или ставки рефинансирования), то есть ставки, по которой Центральный Банк кредитует коммерческие банки;
2) изменение нормы обязательных резервов, то есть минимальной доли депозитов, которую коммерческие банки должны хранить в виде резервов (беспроцентных вкладов) в Центральном банке;
3) операции на открытом рынке: купля или продажа Центральным Банком государственных ценных бумаг (используется в странах с развитым фондовым рынком).
Эти операции связаны с изменением величины банковских резервов, а следовательно, денежной базы и мультипликатора (подробнее они будут рассмотрены в следующей главе).
Центральный Банк не может полностью контролировать предложение денег, поскольку, например:
1) коммерческие банки сами определяют величину избыточ-
ных резервов (они входят в состав /?), что влияет на отношение гг и, соответственно, на мультипликатор;
2) Центральный Банк не может точно предусмотреть объем кредитов, которые будут выданы коммерческим банкам;
3) величина сг определяется поведением населения и другими причинами, не всегда связанными с действиями Центрального Банка.
7.4. Равновесие на денежном рынке
Модель денежного рынка соединяет спрос и предложение денег. Вначале для простоты можно предположить, что предложение денег контролируется Центральным Банком и фиксировано
на уровне М . Уровень цен также примем стабильным, что вполне допустимо для краткосрочной модели. Тогда реальное пред
и на графике s
ложение денег будет фиксировано на уровне
(см. рис. 7.2) представлено вертикальной прямой L
Спрос на деньги (кривая L?) рассматривается как убывающая функция ставки процента для заданного уровня дохода (при неизменном уровне цен номинальные и реальные ставки процента равны). В точке равновесия спрос на деньги равен их предложению.

Подвижная процентная ставка удерживает в равновесии денежный рынок. Корректировка ситуации с целью достижения равновесия возможна потому, что экономические агенты меняют структуру
своих активов в зависимости от движения процентной ставки. Так, если R слишком высока, то предложение денег превышает спрос на них. Экономические агенты, у которых накопилась денежная наличность, попытаются избавиться от нее, обратив в другие виды финансовых активов: акции, облигации, срочные вклады и т.п. Высокая процентная ставка, как уже говорилось, соответствует низкому курсу облигаций, поэтому будет выгодно скупать дешевые облигации в расчете на доход от повышения их курса в будущем вследствие снижения R. Банки и другие финансовые учреждения в условиях превышения предложения денег над спросом начнут снижать процентные егавки. Постепенно через изменение экономическими агентами структуры своих активов и понижение банками своих процентных ставок равновесие на рынке восстановится. При низкой процентной ставке процессы пойдут в обратном направлении.
Колебания равновесных значений ставки процента и денежной массы могут быть связаны с изменением экзогенных переменных денежного рынка: уровня дохода, предложения денег. Графически это отражается сдвигом, соответственно, кривых спроса и предложения денег.
Так, изменение уровня дохода, например его увеличение (см. рис. 7.3), повышает спрос на деньги (сдвиг вправо кривой спроса на деньги L°) и ставку процента (от Rj до Rj). Сокращение предложения денег также ведет к росту процентной ставки (см. рис. 7.4).
 |
М/Р |
Подобный механизм установления и поддержания равновесия на денежном рынке может успешно работать в сложившейся рыночной экономике с развитым рынком ценных бумаг, с устоявшимися поведенческими связями - типичной реакцией экономических агентов на изменение тех или иных переменных, скажем, ставки процента.
Основные термины
Деньги Ликвидность Функции денег Денежные агрегаты Квази-деньги
Уравнение обмена количественной теории денег Нейтральность денег Правило монетаристов
Реальные запасы денежных средств, или реальные денежные остатки
Теория предпочтения ликвидности Трансакционный мотив спроса на деньги Мотив предосторожности Спекулятивный мотив
Альтернативная стоимость хранения наличности
Номинальная ставка процента
Реальная ставка процента
Уравнение Фишера
Эффект Фишера
Портфельный подход
Предложение денег
Банковский мультипликатор
Кредитная мультипликация
Денежная база, или деньги повышенной мощности Денежный мультипликатор
Отношение наличность - депозиты (коэффициент депонирования)
Отношение резервы - депозиты (норма резервирования)
Обязательные резервы
Избыточные резервы
Инструменты денежной политики
Изменение учетной ставки
Изменение нормы обязательных резервов
Операции на открытом рынке
Вопросы для обсуждения
1. Предположим, что денежный рынок находится в состоянии равновесия. Центральный Банк принимает решение сократить предложение денег и проводит это решение в жизнь.
Как будут развиваться события на денежном рынке (как изменится ставка процента, курс облигаций и так далее)?
2. Если наличность изымается из обращения и вкладывается в банк, означает ли это, что предложение денег сокращается? Какая дополнительная информация необходима для однозначного ответа на этот вопрос?
3. Альтернативной стоимостью хранения денег в виде наличности считается рыночная ставка процента. Будет ли справедливо это утверждение, если вместо наличности мы возьмем сберегательные депозиты? Если нет, то как в этом случае изменится исходное утверждение?
4. Перечислите несколько факторов, влияющих на соотношение “наличность - депозиты”. Если предположить, что перед Рождеством люди держат на руках больше наличности, чтобы приобрести рождественские подарки, повлияет ли это на объем предложения денег в экономике?
5. По каким причинам, по вашему мнению, банки могут держать избыточные резервы (то есть хранить деньги сверх суммы, предписанной Центральным Банком), не используя их для получения дохода?
6. Как изменится наклон кривой Ln, если спрос населения на деньги станет более чувствителен к изменению ставки процента? Повлияет ли это на величину изменения равновесной ставки процента в случае роста денежной массы?
Задачи и решения
1. Предположим, что вы можете обратить свое богатство в облигации или наличные деньги и в данный момент (руководствуясь кейнсианской концепцией спроса на деньги) решаете держать свое богатство в форме наличности. Это означает, что:
а) в момент принятия вами решения процентная ставка была низкой, и вы ожидали ее повышения;
б) в момент принятия вами решения процентная ставка была высокой, и вы ожидали ее понижения.
Решение
Для ответа на поставленный вопрос необходимо вспомнить концепцию спекулятивного спроса на деньги Кейнса. Рассуждения будут приблизительно такими.
Экономический агент располагает определенным запасом богатства, которое можно обратить в облигации или оставить в форме наличности. В момент принятия решения на рынке действует определенная ставка процента. Экономический агент оценивает ее как высокую, предполагая, что со временем она упадет. Тогда, если его ожидания подтвердятся, курс облигаций повысится, что даст ему возможность, помимо обычного дохода на облигации, получить еще и доход, обусловленный приростом капитала (например, он сможет продать облигацию по более высокой цене, чем та, за которую она была куплена). А так как прибыль от хранения наличности равна нулю, то, вероятно, рассуждая подобным образом, экономический агент вложит значительную часть своих средств в облигации. Таким образом, при высокой процентной ставке спрос на наличность относительно невелик, средства вкладываются преимущественно в облигации, спрос на которые в данный момент растет.
Если в момент принятия решения ставка процента будет низкой и можно ожидать ее роста в будущем, то хранение облигаций принесет их держателям убытки: курс облигаций с ростом ставки процента упадет. В этом случае предпочтительнее будет оставить богатство в форме наличности, чтобы избежать подобных потерь и иметь возможность приобрести в будущем дешевые облигации. Таким образом, при низкой ставке процента высокий спекулятивный спрос на деньги вызван желанием избежать потерь капитала, связанных с хранением активов в форме облигаций в период ожидаемого роста процентной ставки.
В нашей задаче верным будет ответ а).
2. Если коэффициент депонирования (гг) увеличится, а норма резервирования и денежная база останутся неизменными, то как изменится предложение денег (Л/^)?
Решение
Формула предложения денег выглядит следующим образом:
Ms = МВ^^- = МВт.
гг + сг
Выясним вначале, как изменение величины сг повлияет на денежный мультипликатор (т). Прибавим к числителю мульти-
пликатора и вычтем из него одну и ту же величину - гг, сгруппируем слагаемые и разделим числитель почленно на знаменатель:
1+ СГ + ГГ-ГГ (rr + cr) + (l-rr) Л 1-гг тп —-=-= И--.
гг + сг гг + сг гг + сг
Теперь очевидно, что при увеличении значения сг мультипликатор будет уменьшаться, а значит, и предложение денег снизится.
Тесты
1. Если реальный ВВП увеличится в 1,2 раза, а денежная масса возрастет на 8%, то уровень цен при стабильной скорости обращения денег:
а) повысится на 10%;
б) снизится на 10%;
в) 'останется неизменным;
г) повысится на 11%.
2. Спрос на наличность зависит:
а) отрицательно от динамики уровня цен;
б) отрицательно от динамики реального ВВП;
в) положительно от рыночной ставки процента;
г) все перечисленное неверно.
3. Предложение денег увеличится, если:
а) возрастет норма резервирования;
б) увеличится отношение “наличность-депозиты”;
в) увеличится денежная база;
г) уменьшится денежный мультипликатор.
4. Если номинальное предложение денег увеличится на 5%, уровень цен возрастет на 4%, то при неизменной скорости обращения денег, в соответствии с количественной теорией, реальный доход:
а) увеличится на 9%;
б) снизится на 9%;
в) увеличится на 1%;
г) снизится на 1%.
5. Спрос на деньги задан следующим уравнением:
(м \п
— =0,ЗГ-8 R
Р
\ /
где R - ставка процента;
У - реальный ВВП.
Если реальный объем выпуска увеличится на 200 000, то кривая спроса на деньги сдвинется:
а) вправо на 60 000;
б) вправо на 200 000;
в) влево на 1600 000;
г) влево на 60 000.
6. Предположим, что предложение денег и уровень цен постоянны. Тогда в случае увеличения уровня дохода на денежном рынке:
а) увеличатся спрос на деньги и ставка процента;
б) увеличится спрос на деньги и снизится ставка процента;
в) спрос на деньги снизится, а ставка процента увеличится;
г) спрос на деньги и ставка процента снизятся.
7. Пусть спрос на наличность составляет 10% от суммы депозитов. Норма резервирования равна 0,15. Если Центральный Банк решает расширить предложение денег на 330 млрд руб., он должен:
а) увеличить денежную базу на 330 млрд руб.;
б) уменьшить денежную базу на 75 млрд руб.;
в) увеличить денежную базу на 75 млрд руб.;
г) увеличить денежную базу на 49,5 млрд руб.
8. Что из нижеперечисленного не включается в агрегат М2:
а) наличность вне банковской системы;
б) небольшие сберегательные вклады;
в) чековые депозиты;
г) краткосрочные государственные облигации.
9. Банковские депозиты возросли на 200 млн руб. Норма резервирования на этот момент составляла 20%. Каково потенциально возможное увеличение предложения денег?
10. Норма обязательных резервов равна 0,15. Избыточные резервы отсутствуют. Спрос на наличность составляет 40% от объема депозитов. Сумма резервов равна 60 млрд руб. Чему равно предложение денег?
Рекомендуемая учебная литература
1. Мэнкью Н.Г. Макроэкономика. Гл. 6, 18.
2. Макконнелл К., Брю С. Экономикс. Гл. 15, 16.
3. Фишер С, Дорнбуш Р.ч Шмалензи Р. Экономика. Гл. 26, 27, 29.
4. Долан Э. Макроэкономика. Гл. 8, 9, 10.
5. Долан Э., Кэмпбелл К., Кэмпбелл Р. Деньги, банковское дело и денежно-кредитная политика. Гл. 4-12, 14, 15, 16, 20.
6. Хейне П. Экономический образ мышления. Гл. 17-20.
Ответы к тестам
1)6
Г'
1000 млн руб. 560 млрд руб.
Ю)
Глава 8
Банковская система. Кредитно-денежная политика
8.1. Банковская система: Центральный Банк и коммерческие банки.
8.2. Цели и инструменты кредитно-денежной политики.
8.3. Передаточный механизм кредитно-денежной политики, ее связь с бюджетно-налоговой и валютной политикой.
8.1. Банковская система: Центральный Банк и коммерческие банки
Банковская система в рыночной экономике является обычно двухуровневой и включает Центральный Банк (эмиссионный) и коммерческие (депозитные) банки различных видов. Основными функциями коммерческих банков считаются привлечение вкладов (депозитов) и предоставление кредитов. Посредством этих операций коммерческие банки могут создавать деньги, т.е. расширять денежное предложение, что отличает их от других финансовых учреждений. Банки занимаются также куплей и продажей ценных бумаг.
Центральный Банк выпускает в обращение национальную валюту, хранит золотовалютные резервы страны, обязательные резервы коммерческих банков, выступает в качестве межбанковского расчетного центра. Он является обычно кредитором последней инстанции для коммерческих банков, а также финансовым агентом правительства. Центральный Банк может выступать как продавец и покупатель на международных денежных рынках и координировать зарубежную деятельность частных банков.
Во всех странах Центральные Банки формируют и осуществляют кредитно-денежную политику, контролируют и координируют деятельность коммерческих банков.
Предложение денег в экономике изменяется в результате операций Центрального Банка, коммерческих банков и решений небанковского сектора. Как уже было показано в предыдущей главе, Центральный Банк контролирует предложение денег путем воздействия на денежную базу, а также на мультипликатор. Фактический объем предложения денег складывается в результате операций коммерческих банков по приему вкладов и выдаче ссуд.
8.2. Цели и инструменты кредитно-денежной политики
Цели и инструменты денежной политики можно сгруппировать следующим образом:
Конечные цели:
а) экономический рост;
б) полная занятость;
в) стабильность цен;
г) устойчивый платежный баланс.
Промежуточные целевые ориентиры:
а) денежная масса;
б) ставка процента;
в) обменный курс.
Инструменты:
а) лимиты кредитования; прямое регулирование ставки процента;
б) изменение нормы обязательных резервов;
в) изменение учетной ставки (ставки рефинансирования);
г) операции на открытом рынке.
Существует различие между инструментами прямого (а) и косвенного (б, в, г) регулирования. Эффективность использования косвенных инструментов регулирования тесно связана со степенью развития денежного рынка. В переходных экономиках, особенно на первых этапах преобразований, используются как прямые, так и косвенные инструменты с постепенным вытеснением первых вторыми.
Конечные цели реализуются кредитно-денежной политикой как одним из направлений экономической политики в целом, наряду с фискальной, валютной, внешнеторговой, структурной и другими видами политики. Промежуточные цели непосредственно относятся к деятельности Центрального Банка и осуществляются в рыночной экономике в основном с помощью косвенных инструментов.
Нередко в процессе формирования банковской системы в странах, переходящих к рыночным отношениям, усиление степени независимости Центрального Банка в проведении денежной политики сопровождается стремлением денежных властей к достижению конечной цели, тогда как реально они в состоянии контролировать лишь определенные промежуточные номинальные величины.
Рассмотрим инструменты косвенного регулирования денежной системы.
Обязательные резервы - это часть суммы депозитов, которую коммерческие банки должны хранить в виде беспроцентных вкладов в Центральном Банке (формы хранения могут различаться по странам). Нормы обязательных резервов устанавливаются в процентах от объемов депозитов. Они различаются по величине в зависимости от видов вкладов (например, по срочным они ниже, чем по вкладам до востребования). В современных условиях обязательные резервы не столько выполняют функцию страхования вкладов (эту функцию выполняют специализированные финансовые институты, которым банки отчисляют определенный процент от вкладов), сколько служат для осуществления контрольных и регулирующих функций Центрального Банка, а также для межбанковских расчетов.
Нормы обязательных резервов довольно существенно различались по отдельным странам. Так, в начале 90-х годов нормы резервирования текущих счетов колебались от 0,51% в Великобритании и 2,5% в Японии и Швейцарии до 22,5% в Италии.
В России динамика нормы резервирования выглядела следующим образом:
Таблица 8.1. Нормативы отчислений кредитных организаций
в обязательные резервы Банка России |
Дата
действия |
По счетам до востребования и срочным обязательствам до
30 дней включительно |
По
срочным обязательствам от 31 до 90 дней
включи
тельно |
По
срочным
обяза
тель
ствам
свыше
90 дней |
По средствам в
ино
стран
ной
валюте |
По вкладам и депозитам физических лиц в
Сбербанке РФ в рублях (независимо от сроков привлечения) |
|
01.02.95-30.04.95 |
22 |
15 |
10 |
2 |
20/25 |
|
01.05.95-30.04.96 |
20 |
14 |
10 |
1,5 |
20/15 |
|
01.05.96-10.06.96 |
18 |
14 |
10 |
1,25 |
20/15 |
|
11.06.96-31.07.96 |
20 |
16 |
12 |
2.5 |
20/15 |
|
01.08.96-30.10.96 |
18 |
14 |
10 |
2,5 |
20/15 |
|
01.11.96-30.04.97 |
16 |
13 |
10 |
5 |
10 |
|
01.05.97 -11.11.97 |
14 |
11 |
8 |
6 |
9,5 |
|
12.11.97-30.11.97 |
14 |
11 |
8 |
9 |
9,5 |
|
|
Продолжение |
Дата
действия |
По счетам до востребования и срочным обязательствам до 30 дней включительно |
По
срочным обязательствам от 31 до 90 дней включительно |
По
срочным
обяза
тель
ствам
свыше 90 дней |
По средствам в
ино
стран
ной
валюте |
По вкладам и депозитам физических лиц в
Сбербанке РФ в рублях (независимо от сроков привлечения) |
|
01.12.97-31.01.98 |
14 |
11 |
8 |
9 |
8 |
|
01.02.98-23.08.98 |
|
|
11 |
|
|
8 |
|
24.08.98 31.08.98 |
|
|
10 |
|
|
7 |
|
01.09.98-30.11.98 |
|
|
10 |
|
|
5 |
|
01.12.98-18.03.99 |
|
|
5 |
|
|
5 |
|
|
По привлеченным средствам юридических лиц в рублях |
По привлеченным средствам физических лиц в рублях |
|
|
|
19.03.99 09.06.99 |
7 |
|
|
5 |
7 |
5 |
|
10.06.99-31.12.99 |
00 |
|
|
5,5 |
8,5 |
5,5 |
|
01.01.2000- |
10 |
|
|
7 |
10 |
7 |
|
Источник: Бюллетень банковской статистики № 8 (63), 1998 г.; № 12 (91), 2001 г.
После кризиса 1998 г. ЦБ РФ снизил нормы обязательных резервов для облегчения расшивки неплатежей. В дальнейшем по мере восстановления банковской системы коммерческие банки стали использовать появившиеся средства в спекулятивных целях. Для предотвращения перетока средств на валютный рынок ЦБ РФ вновь поднял норму обязательных резервов по привлеченным средствам юридических лиц до 7% 19.03.1999 г., затем до 8,5% 10.06.1999 г. и до 10% 1.01.2000 г.
Банки могут хранить и избыточные резервы - некоторые суммы сверх обязательных резервов, например, для непредвиденных случаев увеличения потребности в ликвидных средствах. Однако это лишает банки суммы дохода, который они могли бы получить, пуская эти деньги в оборот. Поэтому с ростом процентной ставки уровень избыточных резервов обычно снижается.
В России динамика избыточных резервов выглядела таким образом:
 |
ООч-ОООч-ОООч-ОООт-ООО
Рис. 8.1. Доля избыточных резервов в общем объеме банковских резервов (%) |
Источник: Обзор экономической политики в России за 1999 г., М., 2000, с. 163.
Основной частью избыточных резервов российских банков были остатки средств на корреспондентских счетах в Центральном Банке. Резкое увеличение их после августа 1998 г. объясняется рядом причин, в том числе: снижением нормы обязательных резервов Центральным Банком для смягчения последствий дефолта по внутреннему долгу и массового изъятия вкладов; вливанием Центробанком ликвидности в банковскую систему в виде стабилизационных кредитов; фактической ликвидацией рынка ценных бумаг как объекта инвестирования для коммерческих банков; сокращением кредитов реальному сектору.
Чем выше устанавливает Центральный Банк норму обязательных резервов, тем меньшая доля средств может быть использована коммерческими банками для активных операций. Увеличение нормы резервов (гг) уменьшает денежный мультипликатор и ведет к сокращению денежной массы. Таким образом, изменяя норму обязательных резервов, Центральный Банк оказывает воздействие на динамику денежного предложения.
На практике нормы обязательных резервов пересматриваются довольно редко, поскольку сама процедура носит громоздкий характер, а сила воздействия этого инструмента через мультипликатор значительна. В последние годы в ряде стран наблюдалось снижение нормы обязательного резервирования, а в некоторых случаях и ее отмена.
Другим инструментом кредитно-денежного регулирования является изменение учетной ставки (или ставки рефинансирования), по которой Центральный Банк выдает кредиты коммерческим банкам. Если учетная ставка повышается, то объем заимствований у Центрального Банка сокращается, а следовательно, уменьшаются и операции коммерческих банков по предоставлению ссуд. К тому же, получая более дорогой кредит, коммерческие банки повышают и свои ставки по ссудам. Волна кредитного сжатия и удорожания денег прокатывается по всей системе. Предложение денег в экономике снижается. Снижение учетной ставки действует в обратном направлении.
Учетная ставка обычно бывает ниже ставки межбанковского рынка. Но получение кредита у Центрального Банка может быть сопряжено с определенными административными ограничениями. Часто Центральный Банк выступает как последний кредитор для коммерческих банков, испытывающих серьезные затруднения. Однако к “учетному окну” Центрального Банка допускаются не все банки: характер финансовых операций заемщика или причины обращения за помощью могут оказаться неприемлемыми с точки зрения Центрального Банка.
Краткосрочные ссуды обычно предоставляются для пополнения резервов коммерческих банков. Среднесрочные и долгосрочные ссуды Центрального Банка выдаются для особых нужд (сезонные потребности) или для выхода из тяжелого финансового положения.
В некоторых странах Центральный Банк устанавливает квоты рефинансирования для банков, а выгодные условия кредитования стимулируют к использованию этих квот.
В отличие от межбанковского кредита ссуды Центрального Банка, попадая на резервные счета коммерческих банков, увеличивают суммарные резервы банковской системы, расширяют денежную базу и образуют основу мультипликативного изменения предложения денег. Следует заметить, однако, что объем кредитов, получаемых коммерческими банками у Центрального Банка, составляет обычно лишь незначительную долю привлекаемых ими средств. Изменение учетной ставки Центральным Банком стоит рассматривать скорее как индикатор проводимой им политики. Во многих развитых странах существует четкая связь между учетным процентом Центрального Банка и ставками частных банков. Например, повышение учетной ставки Центральным Банком сигнализирует о начале ограничительной кредитно-денежной политики. Вслед за этим растут ставки на рынке межбанковского кредита, а затем и ставки коммерческих банков по ссудам, предоставляемым ими небанковскому сектору. Все эти изменения происходят по цепочке достаточно быстро.
Операции на открытом рынке - третий способ контроля за денежной массой. Он широко используется в странах с развитым рынком ценных бумаг и затруднен в странах, где фондовый рынок находится в стадии формирования. Этот инструмент денежного регулирования предполагает куплю-продажу Центральным Банком государственных ценных бумаг (обычно на вторичном рынке, так как деятельность Центрального Банка на первичных рынках во многих странах запрещена или ограничена законом). Чаще всего это бывают краткосрочные государственные облигации.
Когда Центральный Банк покупает ценные бумаги у коммерческого банка, он увеличивает сумму на резервном счете этого банка (иногда на специальном счете коммерческого банка в Центральном Банке для подобных операций), соответственно в банковскую систему поступают дополнительные “деньги повышенной мощности” и начинается процесс мультипликативного расширения денежной массы. Масштабы расширения будут зависеть от пропорции, в которой прирост денежной массы распределяется на наличность и депозиты: чем больше средств уходит в наличность, тем меньше масштаб денежной экспансии. Если Центральный Банк продает ценные бумаги, процесс протекает в обратном направлении.
Таким образом, воздействуя на денежную базу через операции на открытом рынке, Центральный Банк регулирует размер денежной массы в экономике. Часто подобные операции осуществляются Центральным Банком в форме соглашений об обратном выкупе (РЕПО). В этом случае банк, например, продает цен-ньіе бумаги с обязательством выкупить их по определенной (более высокой) цене через некоторый срок. Платой за предоставленные взамен ценных бумаг денежные средства служит разница между ценой обратного выкупа и ценой продажи. Соглашения об обратном выкупе широко распространены в деятельности коммерческих банков и фирм.
Операции на открытом рынке во многих странах рассматриваются как наиболее гибкий и точный инструмент денежной политики, поскольку они осуществляются по инициативе и под контролем Центрального Банка, в любых размерах, достаточно быстро и при необходимости могут корректироваться.
С помощью названных инструментов Центральный Банк реализует цели кредитно-денежной политики: поддержание на определенном уровне денежной массы (жесткая монетарная политика) или ставки процента (гибкая монетарная политика). Варианты денежной политики по-разному интерпретируются на графике денежного рынка. Жесткая политика поддержания денежной массы соответствует вертикальной кривой предложения денег на уровне целевого показателя денежной массы. Гибкая монетарная политика может быть представлена горизонтальной кривой предложения денег на уровне целевого значения процентной ставки. Промежуточный вариант соответствует наклонной кривой предложения денег .
Выбор вариантов кредитно-денежной политики зависит во многом от причин изменения спроса на деньги. Например, если рост спроса на деньги связан с инфляционными процессами, уместной будет жесткая политика поддержания денежной массы, что соответствует вертикальной или крутой кривой предложения денег. Если необходимо изолировать динамику реальных переменных от неожиданных изменений скорости обращения денег, то,
вероятно, предпочтительной окажется политика поддержания ставки процента, связанной непосредственно с инвестиционной активностью (горизонтальная или пологая кривая предложения денег Ls). В зависимости от угла наклона кривой Ls изменение спроса на деньги будет в большей степени сказываться либо на денежной массе (рис. 8.3), либо на ставке процента (рис. 8.2).
Очевидно, что Центральный Банк не в состоянии одновременно фиксировать денежную массу и ставку процента. Например, для поддержания относительно устойчивой ставки при увеличении спроса на деньги Банк вынужден будет расширить предложение денег, чтобы сбить давление вверх на ставку процента со стороны возросшего спроса на деньги (это отразится сдвигом вправо кривой Ld и перемещением точки равновесия вправо вдоль кривой L5).
|
Л R - ставка процента |
 |
|
Рис. 8.3 |

 |
|
Рис. 8.2 |
Относительно жесткая Относительно гибкая
денежная политика денежная политика
8.3. Передаточный механизм кредитно-денежной политики, ее связь с бюджетно-налоговой и валютной политикой
Монетарная политика имеет довольно сложный передаточный механизм. От качества работы всех его звеньев зависит эффективность политики в целом.
Можно выделить 4 звена передаточного механизма кредитно-денежной политики:
1) изменение величины реального предложения денег

в результате проведения Центральным Банком соответствующей политики;
2) изменение ставки процента на денежном рынке;
3) реакция совокупных расходов (в особенности инвестиционных расходов) на динамику ставки процента;
4) изменение объема выпуска в ответ на изменение совокупного спроса (совокупных расходов).
Между изменением предложения денег и реакцией совокупного предложения расположены еще две промежуточные ступени, прохождение через которые существенно влияет на конечный результат (см. рис. 8.4).
Изменение
ставки
процента
Изменение
расходов
(инвестиционных) в ответ на изменение ставки процента
Изменение объема выпуска в ответ на изменение совокупного спроса |
|
ЦБ покупает государственные облигации на открытом рынке |  |
Изменение
предложения
денег
Рис. 8.4. Передаточный механизм денежной политики
Изменение рыночной ставки процента (2) происходит путем изменения структуры портфеля активов экономических агентов после того, как в результате, скажем, расширительной денежной политики Центрального Банка на руках у них оказалось больше денег, чем им необходимо. Следствием, как известно, станет покупка других видов активов, удешевление кредита, то есть в итоге - снижение ставки процента (см. рис. 8.5а).
Однако реакция денежного рынка зависит от характера спроса на деньги, т.е. от крутизны кривой LD. Если спрос на деньги достаточно чувствителен к изменению ставки процента (пологая L°)t то результатом увеличения денежной массы станет незначительное изменение ставки процента. И наоборот: если спрос на деньги слабо реагирует на ставку процента (крутая кривая L°), то увеличение предложения денег приведет к существенному падению процентной ставки (рис. 8.56, 8.5в)
 |
|
Рис. 8.5а |
Рис. 8.56
Рис. 8.5в
Следующим шагом является корректировка совокупного спроса (совокупных расходов) в связи с изменением ставки процента. Обычно считается, что больше других на динамику ставки процента реагируют инвестиционные расходы (хотя можно говорить и о реакции потребления, расходах местных органов государственного управления, но они менее значительны). Если предположить, что на денежном рынке произошло существенное изменение ставки процента, то далее встанет вопрос о чувствительности инвестиционного спроса (или совокупного спроса в целом) к динамике ставки процента. От этого, при прочих равных условиях, будет зависеть величина мультипликативного расширения совокупного дохода (см. гл. 5).
Отметим также необходимость учитывать и степень реакции совокупного предложения на изменения совокупного спроса, что связано с наклоном кривой AS (более подробно об этом будет сказано в гл. 10).
Очевидно, что нарушения в любом звене передаточного механизма могут привести к снижению или даже отсутствию каких-либо результатов денежной политики. Например, незначительные изменения ставки процента на денежном рынке или отсутствие реакции составляющих совокупного спроса на динамику ставки процента разрывают связь между колебаниями денежной массы и объемом выпуска. Эти нарушения в работе передаточного механизма денежной политики особенно сильно проявляются в странах с переходной экономикой, когда, например, инвестиционная активность экономических агентов связана не столько со ставкой процента на денежном рынке, сколько с общей экономической ситуацией и ожиданиями инвесторов.
Помимо качества работы передаточного механизма существуют и другие сложности в осуществлении денежной политики. Поддержание Центральным Банком одного из целевых параметров, скажем ставки процента, требует изменения другого в случае колебаний на денежном рынке, что не всегда благоприятно сказывается на экономике в целом. Так, Центральный Банк может удерживать ставку процента на определенном уровне для стабилизации инвестиций, а следовательно, их воздействия через мультипликатор на объем выпуска в целом. Но если по каким-то причинам в экономике начинается подъем и ВВП растет, то это увеличивает трансакционный спрос на деньги (реальный
/ - -'D
= kY-hR).
ВВП один из параметров спроса на деньги:
При неизменном предложении денег ставка процента будет расти, а значит, чтобы удержать ее на прежнем уровне, Центральный Банк должен увеличить предложение денег. Это, в свою очередь, создаст дополнительные стимулы роста ВВП и к тому же может спровоцировать инфляцию.
В случае спада и сокращения спроса на деньги Центральный Банк для предотвращения снижения ставки процента должен уменьшить предложение денег. Но это приведет к падению совокупного спроса и только усугубит спад в экономике.
Следует учитывать также возможные побочные эффекты при проведении кредитно-денежной политики. Например, если Центральный Банк считает необходимым увеличить предложение денег, он может расширить денежную базу, покупая облигации на рынке ценных бумаг. Но одновременно с ростом предложения денег начнется снижение ставки процента. Это может отразиться на величине коэффициентов сг и гг: Население может пере-
С
вести часть средств из депозитов в наличность и отношение — = <*/¦
увеличится, банки могут увеличить свои избыточные резервы.
R
что повысит отношение — - гг . в результате денежный мультипликатор уменьшится, что может частично нейтрализовать исходную тенденцию к расширению денежной массы.
Кредитно-денежная политика имеет значительный внешний лаг (время от принятия решения до его результата), так как влияние ее на размер ВВП в значительной степени связано через колебания ставки процента с изменением инвестиционной активности в экономике, что является достаточно длительным процессом. Это также осложняет ее проведение, так как запаздывание результата может даже ухудшить ситуацию. Скажем, антициклическое расширение денежной массы (и снижение процентной ставки) для предотвращения спада может дать результат, когда экономика будет уже на подъеме, и вызовет нежелательные инфляционные процессы.
Эффективность кредитно-денежной политики в современных условиях в значительной мере определяется степенью доверия к политике Центрального Банка, а также степенью независимости Банка от исполнительной власти. Последний фактор с трудом поддается точной оценке и определяется, как на основе некоторых формальных критериев (частоты сменяемости руководства Центрального Банка, границ участия банка в кредитовании государственного сектора, решении проблем бюджетного дефицита и других официальных характеристик банка, зафиксированных в уставе), так и неформальных моментов, свидетельствующих о фактической независимости Центрального Банка.
В развивающихся странах, а также странах с переходной экономикой часто просматривается следующая закономерность: чем больше независимость (как формальная, так и неформальная) Центрального Банка, тем ниже темпы инфляции и дефицит бюджета.
Денежно-кредитная политика тесно связана с бюджетно-налоговой и внешнеэкономической политикой. Если Центральный Банк ставит целью поддержание фиксированного обменного курса, то самостоятельная внутренняя денежная политика оказывается практически невозможной, так как увеличение или сокращение валютных резервов (покупка или продажа Центральным Банком иностранной валюты на валютном рынке) в целях поддержания обменного курса автоматически ведет к изменению денежной массы в экономике (например, при покупке валюты предложение денег в экономике увеличивается, так как Центральный Банк расплачивается за нее своими обязательствами). Исключение составляет лишь ситуация, когда Центральный Банк проводит стерилизацию притока или оттока валютных резервов, нейтрализуя колебания денежной массы, происшедшие вследствие валютных операций, изменением объема внутреннего кредита с помощью известных инструментов денежной политики (см. гл. 18 настоящего учебника).
Определенные трудности связаны с проблемой координации бюджетно-налоговой и денежной политики. Если правительство стимулирует экономику значительным расширением государственных расходов, результат будет во многом связан с характером денежной политики (поведением Центрального Банка). Финансирование дополнительных расходов долговым способом, то есть через выпуск облигаций, окажет давление на финансовый рынок, свяжет часть денежной массы и вызовет рост процентной ставки, что может привести к сокращению частных инвестиций (“эффект вытеснения”) и подрыву исходных стимулов к расширению экономической активности. Если же Центральный Банк одновременно проводит политику поддержания процентной ставки, он вынужден будет расширить предложение денег, провоцируя инфляцию.
Аналогичная проблема встает при решении вопроса о финансировании дефицита госбюджета. Как известно, дефицит может покрываться денежной эмиссией (монетизация дефицита) или путем продажи государственных облигаций частному сектору (долговое финансирование). Последний способ считается неинфляционным, не связанным с дополнительным предложением денег, если облигации покупаются населением, фирмами, частными банками. В этом случае происходит лишь изменение формы сбережений частного сектора - они переводятся в ценные бумаги. Если же к покупке облигаций подключается Центральный Банк, то, как уже было показано, увеличивается сумма резервов банковской системы, а соответственно, денежная база, и начинается мультипликативный процесс расширения предложения денег в экономике, что фактически равносильно монетизации.
Таким образом, Центральный Банк монетизирует дефицит всякий раз, когда покупает на рынке государственные облигации, выпущенные для покрытия бюджетного дефицита. Однако, решая вопрос о целесообразности монетизации дефицита, Центральный Банк сталкивается с дилеммой.
Если он не станет финансировать дефицит, то фискальная бюджетная экспансия, не сопровождающаяся компенсирующей денежной политикой, вызовет рост процентных ставок и приведет к вытеснению частных расходов (инвестиций).
С другой стороны, Центральный Банк может предотвратить эффект вытеснения за счет покупки государственных ценных бумаг, что увеличит предложение денег и обеспечит рост дохода без увеличения процентных ставок. Но такая политика монетизации чревата опасностью. Если экономика близка к полной занятости, монетизация может привести к усилению инфляции. Однако в период глубокого спада обычно нет причин опасаться инфляционных последствий компенсации бюджетной экспансии за счет роста денежной массы. В переходных экономиках опасность инфляции при монетизации дефицита возникает прежде всего в случае отсутствия необходимых условий для экономического роста, а также из-за неспособности государственных органов управления осуществлять необходимый контроль за движением денежных средств.
Эффективная стабильная денежная политика (под которой подразумевается обычно низкий устойчивый темп роста денежной массы) в большинстве случаев не может сосуществовать с фискальной политикой, допускающей значительный дефицит госбюджета. Это связано с тем, что в условиях длительного, а тем более растущего дефицита и ограниченных возможностей долгового финансирования правительству бывает сложно удержаться от давления на Центральный Банк с целью добиться увеличения денежной массы для финансирования дефицита.
Основные термины
Коммерческие банки Центральный Банк
Конечные цели кредитно-денежной политики Промежуточные цели
Инструменты кредитно-денежной политики Обязательные резервы Избыточные резервы
Изменение нормы обязательных резервов Изменение учетной ставки Операции на открытом рынке Соглашения об обратном выкупе (РЕПО)
Жесткая денежная политика Гибкая денежная политика
Передаточный механизм кредитно-денежной политики
Внешний лаг денежной политики
Степень независимости Центрального Банка
Вопросы для обсуждения
1. В каких случаях и при каких условиях кредитно-денежная и бюджетно-налоговая политика могут вступать в противоречие, а когда могут действовать однонаправленно?
2. От каких причин может зависеть выбор инструментов кредитно-денежной политики?
3. Как работает передаточный механизм денежной политики? Какие условия необходимы для его эффективного функционирования? Имеются ли они в нашей экономике?
4. Если предположить, что в период спада население предпочитает держать больше средств в виде наличности и меньше хранить на депозитах, а во время подъема наоборот сокращает долю наличности, то как это может отразиться на предложении денег в экономике? Какие меры может предпринять в связи с этим Центральный Банк?
Задачи и решения
1. Каким образом повышение процентной ставки может повлиять на норму резервирования депозитов и соотношение наличность-депозиты? Если принять во внимание этот эффект, как будет выглядеть в этом случае кривая предложения денег?
Решение
Рост процентной ставки означает повышение доходности ряда финансовых активов, что может способствовать сокращению банками своих избыточных резервов, не приносящих дохода. Это, в свою очередь, снизит общую массу резервов и уменьшит норму
резервирования: где ^ ~~ общая сумма резервов. Насе
ление в данной ситуации может переместить часть своих средств из наличности в депозиты, приносящие проценты, следователь-
С і
но, коэффициент сг также понизится: сг і= . В результате де-нежный мультипликатор увеличится, поскольку он связан обратной зависимостью с коэффициентами сг и /т, и денежная масса возрастет. Мы будем иметь прямую зависимость между ростом ставки процента и предложением денег, а значит, кривая предложения денег будет иметь положительный наклон.
2. Суммарные резервы коммерческого банка составляют 220 млн руб. Депозиты равны 950 млн руб. Обязательная норма резервирования депозитов составляет 20%. Как может измениться предложение денег, если банк решит использовать все свои избыточные резервы для выдачи ссуд?
Решение
При норме резервирования 20% сумма обязательных резервов Rrсоставит:
Rr = 950 х 0,2 = 190 (млн руб.).
Следовательно, избыточные резервы равны:
Re = 220 - 190 = 30 (млн руб.).
Если все они будут использованы для выдачи ссуд, то дополнительное предложение денег может составить:
ДМ=30х—= 150 (млн руб.).
0,2
В данном случае мы можем использовать лишь банковский
мультипликатор
, поскольку не имеем данных о денежной
базе и соотношении наличность-депозиты. Полученная сумма представляет собой максимально возможное расширение предложения денег, если они не выходят за пределы банковской системы.
3. Норма обязательных резервов равна 20%. Коммерческий банк хранит еще 5% от суммы депозитов в качестве избыточных резервов. Величина депозитов составляет 10 000. Какую максимальную сумму банк может использовать для выдачи ссуд?
Решение
Величина обязательных резервов составляет:
Rr= 10 000 x 0,2 = 2000.
Избыточные резервы равны:
Re= 10 000 x 0,05 = 500.
Тогда суммарные резервы равны: 2000 + 500 = 2500, или иначе: R = 10 000(0,2 + 0,05) = 2500.
Следовательно, храня в виде резервов 2500 из суммы депозитов, оставшиеся средства банк может использовать для выдачи ссуд (L-loans):
L= 10 000- 2500 = 7500.
4. Центральный Банк покупает государственные облигации у коммерческих банков на сумму 100 млн. Как может измениться предложение денег, если коммерческие банки полностью используют свои кредитные возможности, при условии, что норма резервирования депозитов составляет 0,1 (10%).
Решение
Покупая облигации, Центральный Банк увеличивает резервы коммерческих банков на 100 млн. В результате у коммерческих банков возникают излишние резервы, которые они могут полностью использовать для выдачи ссуд. Максимально возможное увеличение предложение денег составит:
ДЛ/ = 100 — = 100 — = 1000.
гг 0,1
Тесты
1. Предложение денег в экономике увеличилось на 40 млрд руб. Известно, что увеличение денежной массы на 20 млрд снижает ставку процента на 1 процентный пункт, а каждый процентный пункт снижения ставки стимулирует дополнительные инвестиционные расходы в 30 млрд руб. Мультипликатор расходов равен 2,5. Как изменится реальный ВВП? (Уровень безработицы таков, что увеличение совокупного спроса не вызывает роста цен):
а) увеличится на 60 млрд;
б) снизится на 150 млрд;
в) увеличится на 75 млрд;
г) увеличится на 150 млрд.
2. Если Центральный Банк принимает решение сократить предложение денег, он может:
а) осуществить покупку государственных облигаций на открытом рынке;
б) уменьшить учетную ставку;
в) увеличить норму обязательных резервов;
г) все перечисленное верно.
3. Резервы коммерческих банков составляют 40 млрд. Норма обязательных резервов равна 10%, а коэффициент депонирования составляет 0,35. Чему равно предложение денег?
а) 400 млрд;
б) 540 млрд;
в) 260 млрд;
г) 640 млрд.
4. Норма резервов равна 0,25. С помощью операций на открытом рынке Центральный Банк может увеличить предложение денег максимум на 440 млрд руб. В этом случае он должен:
а) выкупить облигации на сумму 1760 млрд руб.;
б) продать облигации на сумму 110 млрд руб.;
в) выкупить облигации на сумму ПО млрд руб.;
г) продать облигации на сумму 440 млрд руб.
5. Норма обязательных резервов составляет 5%. Расходы государства превысили его доходы на 20 млрд. руб. Дефицит был профинансирован долговым способом. Центральный Банк через операции на открытом рынке выкупил четвертую часть облигаций. Как могло максимально измениться предложение денег, если известно, что 3% суммы, полученной от продажи облигаций, коммерческие банки сохранили в виде избыточных резервов, а на остальную сумму предоставили кредиты?
а) предложение денег могло сократиться на 400 млрд руб.;
б) предложение денег могло возрасти на 97 млрд руб.;
в) предложение денег могло возрасти на 100 млрд руб.;
г) предложение денег могло увеличиться на 91 млрд руб.
6. Соотношение наличность-депозиты (сг) равно 10%, величина депозитов (D) составляет 100 млрд руб., тогда предложение денег равно:
а) 10 млрд руб.;
б) 90 млрд руб.;
в) 110 млрд руб.;
г) нельзя определить из-за отсутствия данных.
7. Норма обязательных резервов равна 12%, избыточные резервы составляют 3% от суммы депозитов. Если общая величина резервов равна 45 млрд руб., а наличность составляет 150 млрд руб., то размер депозитов равен:
а) 300 млрд руб.;
б) 375 млрд руб.;
в) 363,75 млрд руб.;
г) 225 млрд руб.
8. Если предположить, что деньги меняют своих владельцев в среднем через месяц, а экономические агенты используют весь имеющийся доход, то какой будет денежная масса в экономике, если совокупный номинальный доход составляет 2700 млрд в год?
9. Банковский мультипликатор равен 4. Максимальное дополнительное количество денег, которое может “создать” банковская система, равно 40 млрд руб. Тогда норма обязательных резервов и сумма, которую банки использовали для выдачи ссуд, составят:
а) 40% и 4 млрд руб.;
б) 40% и 10 млрд руб.;
в) 25% и 2,5 млрд руб.;
г) 25% и 10 млрд руб.
10. Предположим, что норма обязательных резервов равна 0,15. Величина депозитов коммерческого банка составляет 15 000. Банк может выдать ссуды объемом не более 12 150. Каковы избыточные резервы банка в процентах от депозитов?
Рекомендуемая учебная литература
1. Мэнкью Н.Г. Макроэкономика. Гл. 6, 18.
2. Макконнелл К, Брю С. Экономикс. Гл. 17, 18.
3. Фишер С, Дорнбуш Р., Шмалензи Р. Экономика. Гл. 26, 27.
4. Долан Э. Макроэкономика. Гл. 8, 9, 10.
5. Долан Э., Кемпбеля К., Кемпбела Р. Деньги, банковское дело и денежно-кредитная политика. Гл. 4 12, 16, 20.
6. Хейне П. Экономический образ мышления. Гл. 17, 19, 20.
7. Мир денег: краткий путеводитель по денежной, кредитной и налоговой системам Запада. - М., 1992. Гл. 1, 3, 4.
8. Б?нкина М.К. Деньги. Банки. Валюта: Учебное пособие. Гл. 4, 5,' 6.
9. Курс экономической теории / Под ред. проф. А.В. Сидоро-вича. Гл. 48.
Ответы к тестам
|
1)г |
6) В |
|
2) в |
7) а |
|
3) б |
8) 225 млрд |
|
4) в |
9) г |
|
5) б |
10) 4% |
Глава 9
Макроэкономическое равновесие на товарном и денежном рынках.
Модель IS-LM
9.1. Взаимосвязь моделей AD-AS и IS-LM. Основные переменные и уравнения модели IS-LM. Вывод кривых IS и LM. Наклон и сдвиг кривых IS и LM. Равновесие в модели IS-LM.
9.2. Относительная эффективность бюджетно-налоговой и кредитно-денежной политики.
9.3. Вывод кривой совокупного спроса. Экономическая политика в моделях AD-AS и IS-LM при изменениях уровня цен.
9.1. Взаимосвязь моделей AD-AS и IS-LM. Основные переменные и уравнения модели IS-LM. Вывод кривых IS и LM. Наклон и сдвиг кривых IS и LM.
Равновесие в модели IS-LM
В модели AD-AS и модели Кейнсианского креста рыночная ставка процента является внешней (экзогенной) переменной и устанавливается на денежном рынке относительно независимо от равновесия товарного рынка. Основной целью анализа экономики с помощью модели IS-LM является объединение товарного и денежного рынков в единую систему. В результате рыночная ставка процента превращается во внутреннюю (эндогенную) переменную, и ее равновесная величина отражает динамику экономических процессов, происходящих не только на денежном, но и на товарном рынках.
Модель IS-LM (инвестиции - сбережения, предпочтение ликвидности - деньги) - модель товарно-денежного равновесия, позволяющая выявить экономические факторы, определяющие функцию совокупного спроса. Модель позволяет найти такие сочетания рыночной ставки процента R и дохода Y , при которых одновременно достигается равновесие на товарном и денежном рынках. Поэтому модель IS-LM является конкретизацией модели А D-A S.
Основные уравнения модели IS-LM:
1) Y=C+I+G+X„ - основное макроэкономическое тождество;
2) C-a+b(Y-T) - функция потребления, где T=Ta+tY;
3) I=e-dR - функция инвестиций;
4) Xn=g-m' xY-nR - функция чистого экспорта;
М
5) — = k Y - h ¦ R - функция спроса на деньги.
Внутренние переменные модели: Y (доход), С (потребление), I (инвестиции), ^(чистый экспорт), R (ставка процента).
Внешние переменные модели: G (государственные расходы). М$ (предложение денег), / (налоговая ставка).
Эмпирические коэффициенты (a, b, е, d, g, т', п, к, h) положительны и относительно стабильны.
В краткосрочном периоде, когда экономика находится вне состояния полной занятости ресурсов ( Y*Y*), уровень цен Р фиксирован (предопределен), а величины ставки процента R и совокупного дохода У подвижны. Поскольку Р = const, постольку номинальные и реальные значения всех переменных совпадают.
В долгосрочном периоде, когда экономика находится в состоянии полной занятости ресурсов (Y-Y*), уровень цен Р подвижен. В этом случае переменная Ms (предложение денег) является номинальной величиной, а все остальные переменные модели реальными.
Кривая IS - кривая равновесия на товарном рынке. Она представляет собой геометрическое место точек, характеризующих все комбинации У и R, которые одновременно удовлетворяют тождеству дохода, функциям потребления, инвестиций и чистого экспорта. Во всех точках кривой IS соблюдается равенство инвестиций и сбережений. Термин IS отражает это равенство (Investment = Savings).
Простейший графический вывод кривой IS связан с использованием функций сбережений и инвестиций (см. рис. 9.1).
На рис. 9.1,А изображена функция сбережений: с ростом дохода от У/ до Y2 сбережения увеличиваются с 5; до S2 .
На рис. 9.1,В изображена функция инвестиций; рост сбережений сокращает процентную ставку с R/ до R2 и увеличивает инвестиции с // до h . При этом // = S/, a h = S2 .
На рис. 9.1,С изображена кривая IS: чем ниже ставка процента, тем выше уровень дохода.
А. Функция сбережений
Сбережения
S

Аналогичные выводы могут быть получены с использованием модели Кейнсианского креста (см. рис. 9.2).
На рис.9.2,А изображена функция инвестиций: рост ставки процента от R] до R2 снижает планируемые инвестиции с I(Rj) до I(R2).
На рис. 9.2,В изображен крест Кейнса: уменьшение планируемых инвестиций сокращает доход с Yj до Y2 .
На рис. 9.2,С показана кривая IS: чем выше ставка процента, тем ниже уровень дохода.
Графический вывод кривой IS из креста Кейнса
|
В. Кейнсианский крест |
Планируемые
расходы |  |
=C(Y-T)+ +I(Rj)+G+X |
|
С. КриваяЩ |
E=C(Y-T)+
+1( R 2)+G+Xn
Доход,
Y выпуск
А. Функция инвестиций
і
і t
і
¦ *
Ставка процента і |
 |
|
Рис. 9.2 |
Ставка процента
Алгебраический вывод кривой IS
Уравнение кривой IS может быть получено путем подстановки уравнений 2, 3 и 4 в основное макроэкономическое тождество и его решения относительно R и Y.
Уравнение кривой IS относительно R имеет вид
a + e + g \-b(\-t) + m 1 ^ b
•T
G-
•Y +
где T = Ta + / ¦ Y.
Уравнение кривой IS относительно У имеет вид
b
1 -b(l -t) + m
1
1 - b(l - t) + т'
d + n R
I -b(l - t) + m
а + е + g 1 -b(l -t) + т



где T = Ta +t Y.
Коэффициент L_L_^ + m характеризует угол наклона
d + n
кривой IS относительно оси Y, который является одним из параметров сравнительной эффективности фискальной и монетарной политики.
Кривая IS является более пологой при условии, если:
1) чувствительность инвестиций (d) и чистого экспорта (п) к динамике ставки процента велика;
2) предельная склонность к потреблению (Ъ) велика;
3) предельная ставка налогообложения (г) невелика;
4) предельная склонность к импортированию {т') невелика.
Под влиянием увеличения государственных расходов G или
снижения налогов Т кривая IS смещается вправо. Изменение налоговых ставок t изменяет также и угол ее наклона. В долгосрочной перспективе угол наклона IS также может быть изменен с помощью политики доходов, так как у высокообеспеченных семей предельная склонность к потреблению относительно ниже, чем у малообеспеченных. Остальные параметры (d, п и т') практически не подвержены воздействию макроэкономической политики и преимущественно являются внешними факторами, определяющими ее эффективность.
Кривая LM кривая равновесия на денежная рынке. Она фиксирует все комбинации Y и R, которые удовлетворяют функции спроса на деньги при заданной Центральным Банком величине денежного предложения М s. Во всех точках кривой LM спрос на деньги равен их предложению: Термин LM отражает это равенство (Liquidity Preference = Money Supply) (см. рис. 9.3).
Графический вывод кривой LM
А Рынок реальных запасов К Кривая LM
денежных средств |
 |
|
Рис. 9.3,А показывает денежный рынок: рост дохода от У/ до Y2 увеличивает спрос на деньги и, следовательно, повышает ставку процента от Rj до R2. Рис. 9.3,В показывает кривую LM: чем выше уровень дохода, тем выше ставка процента. |
Алгебраический вывод кривой LM
Уравнение кривой LM может быть получено путем решения уравнения 5 модели относительно R и У.
Уравнение кривой LM имеет вид:
D к __ 1 М
К = — у - -—— (относительно R); h h Р
Коэффициент
характеризует угол наклона кривой LM
относительно оси У, который, аналогично углу наклона кривой
IS, определяет сравнительную эффективность фискальной и монетарной политики.
Кривая LM является относительно пологой при условии, если:
1) чувствительность спроса на деньги к динамике рыночной ставки процента (h) велика;
2) чувствительность спроса на деньги к динамике ВВП (к) невелика.
Увеличение предложения денег Ms или снижение уровня цен
Р сдвигает кривую LM вправо.
Равновесие в модели достигается в точке пересечения кривых IS и LM (см. рис. 9.4).
|
Ставка процента |
 |
Y Доход, выпуск
Равновесный
уровень
дохода
Рис. 9.4
Алгебраически равновесный объем производства может быть найден путем подстановки значения R из уравнения IS в уравнение LM и решения последнего относительно У:
a + e + g + G- b-Ta k(d + п) + hf 1 -b(l -t) + m']



d + n M
k(d + n) + h[ 1 - b( 1 -t) + m] P
(при условии, что T = Та +t-Y ).
При фиксированном уровне цен Р равновесное значение У будет единственным. Равновесное значение процентной ставки R может быть найдено путем подстановки равновесного значения У в уравнение IS или LM и решения его относительно R.
9.2. Относительная эффективность бюджетноналоговой и кредитно-денежной политики
Бюджетно-налоговая экспансия. Рост государственных расходов и снижение налогов приводит к эффекту вытеснения, который значительно снижает результативность стимулирующей фискальной политики (см. рис. 9.5).
 |
|
Рис. 9.5 |
G Т [или Т І)=> КТ^СТ^КТ
I і,Хп І=> Y і
м D 7?Т
эффект вытеснения
Если госрасходы G увеличиваются, то совокупные расходы и доход возрастают, что приводит к увеличению потребительских расходов С Увеличение потребления, в свою очередь, увеличивает совокупные расходы и доход У, причем с эффектом мультипликатора. Увеличение У способствует росту спроса на деньги Мі), так как в экономике совершается большее количество сделок. Повышение спроса на деньги при их фиксированном предложении вызывает рост процентной ставки R. Повышение процентных ставок снижает уровень инвестиций / и чистого экспорта Хп. Падение чистого экспорта связано также с ростом совокупного дохода Y, который сопровождается увеличением импорта. В итоге рост занятости и выпуска, вызванный стимулирующей фискальной политикой, оказывается частично элиминированным за счет вытеснения частных инвестиции и чистого экспорта.
Если бы не было вытеснения инвестиций и чистого экспорта, то увеличение Y из-за приращения госрасходов (или снижения налогов) было бы равно (Y0Y2). Однако вследствие эффекта вытеснения действительное увеличение Y составляет только (YqY).
Кредитно-денежная экспансия. Увеличение предложения денег позволяет обеспечить краткосрочный экономический рост без эффекта вытеснения, но оказывает противоречивое воздействие на динамику чистого экспорта.
Увеличение денежной массы Ms сопровождается снижением процентных ставок R (см. рис. 9.6), так как ресурсы для кредитования расширяются и цена кредита снижается. Это способствует росту инвестиций /. В итоге совокупные расходы и доход Y увеличиваются, вызывая рост потребления С. Динамика чистого экспорта Хп оказывается под влиянием двух противодействующих факторов: роста совокупного дохода Y, который сопровождается снижением чистого экспорта, и снижения ставки процента, которое сопровождается его ростом. Конкретное изменение величины Х„ зависит от величин изменений Y и /?, а также от значений предельной склонности к импортированию т' и коэффициента п.
Относительная эффективность бюджетно-налоговой и кредитно-денежной политики определяется в зависимости от:
а) степени чувствительности функций инвестиций и чистого экспорта к динамике рыночной ставки процента (коэффициенты d и п)\
б) степени чувствительности спроса на деньги к динамике рыночной ставки процента (коэффициент И).
Относительная эффективность стимулирующей фискальной политики определяется величиной эффекта вытеснения. Если эффект вытеснения меньше, чем эффект роста выпуска, то, при про-Чих равных условиях, фискальная политика эффективна.
мТ=>ді=>/Т=> уТ=> у ,Т => сТ, * ?
s a n
?X ~ g m'Y'l - л • Rl.
n = =
Эффект вытеснения оказывается относительно незначительным в двух случаях:
1) если инвестиции и чистый экспорт малочувствительны к повышению процентных ставок на денежном рынке, то есть если коэффициенты чувствительности d и п относительно малы. В этом случае даже значительное увеличение R вызовет лишь небольшое вытеснение / и Хпу и поэтому общий прирост Y будет существенным. Графически эта ситуация иллюстрируется более крутой кривой IS (см. рис. 9.7). Наклон кривой LM имеет в данном случае второстепенное значение.

 |
|
(эффект ивная) |
Инвестиции и чистый экспорт малочувствительны к динамике процентных ставок
2) Если спрос на деньги высокочувствителен к повышению процентных ставок и достаточно незначительного увеличения R, чтобы уравновесить денежный рынок. Поскольку повышение R незначительно, то и эффект вытеснения будет относительно мал (даже при относительно высоких коэффициентах чувствительности / и Хп к динамике R). Графически эта ситуация иллюстрируется более пологой кривой LM (см. рис. 9.8). Наклон кривой IS имеет в данном случае второстепенное значение.
 |
сильная
(эффективная)
Рис. 9.8 |
Спрос на деньги высокочув ствителен к динамике процентных ставок
Стимулирующая фискальная политика оказывается наиболее эффективной при сочетании относительно крутой IS и относительно пологой LM (см. рис. 9.9). В этом случае эффект вытеснения очень мал, так как и повышение ставок процента очень незначительно, и коэффициенты d и п очень малы. Общий прирост У составляет величину (Y0Yj).

7-299
Стимулирующая фискальная политика относительно неэффективна, если эффект вытеснения превосходит эффект прироста выпуска.
Эффект вытеснения значителен, если:
1) инвестиции и чистый экспорт высокочувствительны к динамике процентных ставок, то есть коэффициенты d и п очень велики. В этом случае даже незначительное увеличение R вызовет большое снижение / иІ„и поэтому общий пророст Y будет мал. Графически эта ситуация иллюстрируется относительно пологой кривой IS (см. рис. 9.10) Наклон кривой LM в данном случае имеет второстепенное значение.

Инвестиции и чистый экспорт высокочувствительны к динамике процентных ставок
Рис. 9.10
2) Спрос на деньги малочувствителен к динамике R. В этом случае для того, чтобы уравновесить денежный рынок, нужно очень значительное повышение R. Это вызывает очень сильный эффект вытеснения даже при относительно небольших коэффициентах d и п. Графически эта ситуация иллюстрируется более крутой кривой LM (см. рис. 9.11). Наклон кривой IS в данном случае имеет второстепенное значение.
 |
|
(неэффект ивная) |
Спрос на деньги малочувствителен к динамике процентных ставок
Стимулирующая фискальная политика оказывается наименее эффективной в случае сочетания относительно пологой IS и Крутой LM. В этом случае прирост У, равный (УоУ/h очень мал, так как и повышение ставок процента очень велико, и коэффициенты d и п значительны (см. рис. 9.12).
 |
|
Рис. 9.12 |
Относительная эффективность стимулирующей монетарной политики определяется величиной стимулирующего эффекта от увеличения денежной массы и снижения процентных ставок на инамику инвестиций и чистого экспорта. Этот стимулирующий эффект противоположен эффекту вытеснения.
Стимулирующий эф-
Инвестиции и чистый экспорт высокочувствительны к динамике процентных ставок
LM LM' |
 |
IS (пологая)
сильная
(эффективная) |
фект на I w Хп относительно велик в двух случаях:
1) если / и Хп высокочувствительны к динамике процентных ставок. Графически это соответствует относительно пологой IS (см. рис. 9.13). В этом случае даже незначительное снижение R в ответ на рост денежной массы приводит к значительному росту I и Хп, что существенно увеличивает У. Угол наклона кривой LM в данном случае имеет второстепенное значение;
2) если спрос на деньги малочувствителен к динамике R. Графически это соответствует относительно крутой LM (см. рис. 9.14). В этом случае прирост денежной массы сопровождается очень большим снижением процентных ставок, что сильно увеличивает / и Х„ даже при относительно незначительных коэффициентах d и и. Угол наклона IS в данном случае имеет второстепенное значение.
 |
|
(эффективная) |
Спрос на деньги малочувствителен к динамике процентных ставок
Рис. 9.14
 |
|
Рис. 9.15 |
Стимулирующая денежно-кредитная политика наиболее эффективна при сочетании относительно крутой LM и пологой IS (см. рис. 9.15). В этом случае и снижение процентных ставок весьма существенно, и коэффициенты d и п значительны. Поэтому прирост Г, равный (YaYi), относительно велик.
Стимулирующая денежно-кредитная политика относительно неэффективна при высокой чувствительности спроса на деньги К динамике R, а также низкой чувствительности инвестиций и чистого экспорта к динамике ставки процента.
 |
( неэффективная )
Рис. 9.17 |
 |
( неэффективная )
Рис. 9.16 |
Крутая IS означает, что даже при значительном снижении R инвестиции и чистый экспорт возрастут очень слабо, так как коэффициенты dun очень малы. Поэтому общий прирост выпуска будет незначителен даже при большом увеличении денежного предложения и существенном снижении ставок процента (см. рис. 9.17).
Пологая LM означает, что денежный рынок приходит в равновесие при очень небольшом снижении R в ответ на рост денежной массы. Даже если I и Хп очень чувствительны к динамике R, такого небольшого снижения процентных ставок оказывается недостаточно, чтобы существенно увеличить инвестиции и чистый экспорт. Поэтому общий прирост выпуска очень мал (см. рис. 9.16).
Монетарная политика наименее эффективна при одновременном сочетании крутой IS и пологой LM (см. рис. 9.18). В этом случае и R снижается незначительно, и реакция на это со стороны I и Хп очень слабая. Поэтому общий прирост очень невелик и равен (Y0Yi).
 |
|
Рис. 9.18 |
9.3. Вывод кривой совокупного спроса. Экономическая политика в моделях AD-AS и IS-LM при изменениях уровня цен
Графический вывод кривой AD из модели IS-LM
А. Модель IS-LM |
 |
|
Доход, выпуск |
 |
Повышение уровня цен от Pj до Р? снижает реальное предложение денег, что графически соответствует сдвигу кривой LM влево (см. рис. 9.19,А). Снижение предложения денег повышает ставку процента R, что приводит к снижению инвестиций I и относительно сокращает чистый экспорт Хп. В итоге объем производства Y снижается от Yj до Y2 (см. рис. 9.19,В).
Уравнение совокупного спроса можно получить из алгебраического выражения для равновесного Y (см. § 1 данной главы) при условии введения в него гибких цен. В обобщенном виде его можно представить как
Г=а+Р-С?-у.Га+?.^, где а, Р, у и ? - обобщающие коэффициенты.
Увеличение государственных расходов, сокращение налогов или увеличение предложения денег сдвигают кривую совокупного спроса вправо. Однотипный сдвиг кривой AD сопровождает совершенно различные сдвиги кривых IS и LM, соответствующие мерам стимулирующей бюджетно-налоговой и кредитно-де-. нежной политики (см. рис. 9.20 и 9.21).
Рис. 9.20. Стимулирующая Рис. 9.21. Стимулирующая кредитно-денежная политика бюджетно-налоговая политика
 |
|
Доход, выпуск |

 |
Ш,
Л. |


|
Доход, выпуск |
 |
|
Доход, выпуск |




«
* |
 |
 |
|
•» |
|
г |
 |
Стимулирующая бюджетно-налоговая политика
при изменении уровня цен
Экономика стартует в точке С (см. рис. 9.22).
При росте госрасходов G (или снижении налогов Т) кривая IS смещается в положение IS', что отражает рост совокупного спроса до AD'. Сдвиг AD вызывает инфляцию спроса - уровень цен возрастает с Pq до Pj. Под влиянием роста цен относительно сокращается реальное предложение денег и кривая LM уходит влево (в положение LM'). В точке А устанавливается краткосрочное макроэкономическое равновесие.
 |
|
Рис. 9.22 |
В условиях инфляции спроса экономические агенты постепенно корректируют свое поведение: повышаются ставки номинальной заработной платы. Это увеличивает средние издержки на единицу продукции и сокращает прибыль фирм. Постепенно фирмы начинают снижать свой выпуск, и кривая AS медленно смещается влево. Сокращение AS вызывает дальнейший рост цен (инфляция издержек) от Р\ до Р2. Это повышение цен смещает кривую LM' еще дальше влево, в положение LM". Так как предложение денег все время относительно снижается, то ставка процента все время возрастает (от Rq до Я?). В точке В устанавливается долгосрочное макроэкономическое равновесие при более высоком уровне цен и процентных ставок, чем в точке С, и изменении структуры экономики в пользу государственного сектора. Уровень производства равен потенциальному.
Стимулирующая денежно-кредитная политика
при изменении уровня цен
Экономика стартует в точке В (см. рис. 9.23).
Увеличение предложения денег сдвигает кривую LM вправо до положения LM\ что отражает рост совокупного спроса AD до AD'. Сдвиг AD сопровождается инфляцией спроса - цены увеличиваются с Р() до Р/ Это относительно сокращает реальное денежное предложение, и кривая LM' смещается назад влево до положения LM". В точке А устанавливается краткосрочное макроэкономическое равновесие.


Рис. 9.23
В дальнейшем инфляция издержек приводит к спаду совокупного предложения: кривая AS смещается влево до AS'. Повышение цен от Р/ до Р2 возвращает кривую LM" в исходное положение LM. так как реальное предложение денег постоянно снижается. В точке В' устанавливается долгосрочное макроэкономическое равновесие при потенциальном уровне производства, исходном уровне процентных ставок Rq и возросшем с Ро до Р2 уровне цен. Очевидно, что в долгосрочном плане рост денежной массы вызывает только рост цен при неизменности реальных переменных. Это явление получило название нейтральности денег.
При однократном и неожиданном увеличении денежного предложения в коротком периоде снижаются и реальная, и номинальная ставки процента (хотя изменения номинальной ставки могут быть незначительными). В долгосрочном плане обе процентные ставки остаются неизменными.
Если имеют место длительные изменения темпов роста денежной массы, то в долгосрочном плане увеличивается номинальная ставка процента, “подталкиваемая” ростом уровня ожидаемой инфляции. Это не исключает, однако, краткосрочных понижений номинальной ставки из-за текущих мер денежно-кредитной политики. Ожидаемые темпы роста денежной массы, согласно уравнению Фишера, не оказывают на реальную ставку процента заметного воздействия.
И фискальная, и монетарная экспансия вызывает лишь краткосрочный эффект увеличения занятости и выпуска, не способствуя росту экономического потенциала. Задача обеспечения долгосрочного экономического роста не может быть решена с помощью политики регулирования совокупного спроса. Стимулы к экономическому росту связаны с политикой в области совокупного предложения.
Основные термины
Кривая “инвестиции-сбережения” (IS)
Кривая “предпочтение ликвидности — деньги” (LM)
Модель IS - LM
Относительная эффективность бюджетно-налоговой и денежно-кредитной политики Эффект вытеснения
Чувствительность экономических переменных Уравнение совокупного спроса
Бюджетно-налоговая политика при изменении уровня цен Кредитно-денежная политика при изменении уровня цен Нейтральность денег
Вопросы для обсуждения
1. Верны ли следующие утверждения?
а) В результате проведения мер кредитно-денежной политики кривые IS и LM одновременно сдвигаются.
б) Увеличение предложения денег и увеличение государственных закупок оказывают одинаковое воздействие на динамику ВВП.
в) Увеличение предложения денег и снижение налоговых ставок оказывают одинаковое воздействие на величину рыночной ставки процента.
г) Снижение предложения денег и снижение налоговых ставок оказывают одинаковое воздействие на кривую совокупного спроса.
д) Если уровень цен снижается, то кривая совокупного спроса смещается вправо, а кривая LM влево.
2. Что произойдет со ставкой процента, уровнем дохода, объемом потребления и инвестиций в соответствии с моделью /S-LM, если:
а) Центральный Банк уменьшает предложение денег?
б) Государство снижает закупки товаров и услуг?
в) Государство снижает налоги?
г) Государство снижает закупки и налоги на одну и ту же величину?
3. Объясните, почему результаты любых изменений в бюджетноналоговой политике зависят от того, как будет реагировать на них Центральный Банк.
Задачи и решения
1. Экономика описана следующими уравнениями:
С = 300 + 0,8У^;
/ = 200-1500/?;
Хп =100-0,04Г -500/?;
Md =(0,5К -2000/?)/5.
При условии, что:
G = 200 (государственные расходы);
/ = 0,2 (ставка налогообложения);
М = 550 (номинальное предложение денег);
Р ~ 1 (предопределенный уровень цен),
а) рассчитайте равновесные уровни процентной ставки и дохода;
б) выведите уравнение кривой совокупного спроса.
Решение
а) Для расчета равновесных значений ставки процента и дохода необходимо вывести уравнения кривых IS и LM.
Для вывода уравнения кривой IS подставим функции потребления, инвестиций и чистого экспорта в основное макроэкономическое тождество и решим полученное уравнение относительно Y:
Y = 300+0,8 -(1-0,2) У+200-15007?+100-0,04 F-5007?+200.
После алгебраических преобразований имеем:
Y = 2000 50007? => уравнение кривой IS.
Для вывода уравнения кривой LM нужно использовать функцию спроса на деньги, величины уровня цен и номинального денежного предложения:
— = 0,5У - 2000/? => — = 0,5Г - 2000/?
Р 1
После алгебраических преобразовавний получаем:
Y = 1100 + 40007? уравнение кривой LM.
Приравниваем значения Y из уравнений кривых IS и LM:
2000 - 50007? =1100+40007?.
Решаем полученное уравнение относительно 7?:
900 = 90007?;
7? = 0,1 или 10% => равновесное значение
процентной ставки.
Подставляем равновесную процентную ставку в уравнение, например, кривой LM и находим равновесное значение Y:
Г = 1100+4000 *0,1 = 1100+400 = 1500.
Ответ: равновесная ставка процента составляет 10%,
равновесный уровень дохода равен 1500.
б) Для выведения уравнения кривой AD используем уравнение кривой LM, не подставляя в него конкретные значения номинального денежного предложения и уровня цен:
- 0,5Y - 2000R.
Решаем это уравнение относительно Y:
Y = — + 4000R.
Р
Теперь решаем относительно Y основное макроэкономиче-:кое тождество, подставив в него функции потребления, инве-істиций и чистого экспорта, но не подставляя величины государственных расходов G:
Y = 300+ 0,8(1-0,2)Y+ 200- 1500R+100-0,04Y- 500R + G.
После алгебраических преобразований имеем:
Y = 600+0,6Y-2000R+G.
; Из этого выражения получаем значение для величины 2000R:
2000R = 600-0,4Y + G.
Соответственно, для 4000R имеем: 4000R = 1200-0,8Y+2G. Подставляем это выражение для 4000R в уравнение LM, решенное относительно Y:
2М 2М
Y =-+ 4000R =-+1200 - 0,8Y + 2G.
Р Р
, После алгебраических преобразованеий получаем уравнение кривой AD-.
М
Y = 666,7 + 1,1Ю + 1,11
2. Допустим, что правительство увеличивает налоги, чтобы сократить дефицит госбюджета и снизить уровень инфляции. Используя модель IS-LM, покажите графически, какие меры должен предпринять Центральный Банк, чтобы уровень выпуска остался неизменным?
Решение
s Увеличение налогов вызывает сокращение совокупного ¦ спроса, которое графически изображается как сдвиг кривой IS влево вниз до положения IS’ (см. рис. 9.24).
 |
|
Рис. 9.24 |

В экономике появляется тенденция к снижению рыночной ставки процента на фоне спада деловой активности. Для стабилизации уровня выпуска Центральный Банк должен уменьшить денежное предложение, что графически изображается как сдвиг кривой LM влево вверх до положения LM’. Спад производства составит величину K/Fj.
3. Если Центральный Банк проводит жесткую кредитно-денежную политику в целях снижения уровня инфляции, то можно утверждать, что в краткосрочном периоде:
а) кривая совокупного спроса сдвинется вправо, кривая планируемых расходов — вверх, а кривая LM — влево;
б) кривая совокупного спроса сдвинется влево, кривая планируемых расходов — вниз, а кривая LM — вправо;
в) кривая совокупного спроса останется без изменений, кривая планируемых расходов сдвинется вниз, а кривая LM -влево;
г) кривая совокупного спроса сдвинется влево вниз, кривая LM — влево вверх, а кривая планируемых расходов ~ вниз.
Решение
Решение задач подобного типа рекомендуется осуществлять графически, одновременно используя диаграммы необходимых моделей. Для нахождения правильного ответа из четырех предложенных необходимо использовать модели AD-AS, Кейнсианского креста и JS-LM (см. рис. 9.25).
AD-AS
Крест Кейнса |
 |
R |
|
Рис. 9.25 |
|
IS-LM |
 |
|
у у 1 2 11 |
Жесткая антиинфляционная монетарная политика предполагает снижение денежного предложения. Это сокращает совокупный спрос, и кривая AD смещается влево вниз. В экономике снижаются уровни занятости и выпуска от Уу до У> В диаграмме Кейнсианского креста это отражается сдвигом кривой планируемых расходов вниз до Е'. В модели IS-LM сокращение денежной массы вызывает сдвиг кривой LM влево вверх до положения LM'. Спад производства от У/ до У? изображен на горизонтальных осях всех трех диаграмм. Таким образом, правильным ответом является пункт г).
Примечание: Для модели AD-AS в данном случае выбирается горизонтальная кривая AS, так как речь идет о краткосрочном периоде, причем с учетом процессов, происходящих в кресте Кейнса. Последний предполагает, что уровень цен фиксирован. Поэтому и в диаграмме AD-AS выбирается не промежуточный, а кейнсианский отрезок кривой AS. Эффект снижения уровня инфляции возникает в более долгом периоде и поэтому в данном случае не может быть показан графически.
Тесты
1. Увеличение предложения денег сдвигает кривую LM вправо на
1 AM
величину вместе с изменением равновесного дохода при
близительно на ту же самую величину при условии, если:
а) кривые LM и IS относительно крутые;
б) кривая LM относительно более пологая, чем кривая IS;
в) кривая LM относительно крутая, а кривая IS относительно пологая;
г) кривая LM относительно пологая, а кривая IS относительно крутая.
2. Если первоначально фактический объем производства ниже потенциального, то:
а) уровень цен будет постепенно снижаться, сдвигая кривую LM вправо вниз;
б) уровень цен будет постепенно повышаться, сдвигая кривую LM влево вверх;
в) уровень цен будет возрастать, сдвигая кривую IS вправо;
г) уровень іДн зафиксирован на определенной величине даже в долгосрочном периоде.
3. Наиболее вероятно, что эффект вытеснения возникает в том случае, когда:
а) спрос на деньги чувствителен к динамике ставки процента, а расходы в частном секторе практически нечувствительны к ней;
б) и спрос на деньги, и расходы в частном секторе чувствительны к динамике процентной ставки;
в) и спрос на деньги, и расходы в частном секторе практически нечувствительны к динамике процентной ставки;
г) спрос на деньги практически нечувствителен к динамике процентной ставки, а расходы в частном секторе чувствительны к ней.
4. Эффект вытеснения возникает в том случае, когда:
а) снижение предложения денег увеличивает процентные ставки, и чувствительные к ним расходы в частном секторе вытесняются;
б) увеличение налогов в частном секторе снижает располагаемый доход и расходы в этом секторе;
в) снижение подоходных налогов вызывает повышение процентных ставок, и чувствительные к ним расходы в частном секторе вытесняются;
г) сокращение государственных расходов вызывает вынужденное сокращение потребительских расходов.
5. Экономика описана следующими данными:
Y = C+I+G+X„
С = 100+0.9Yd I = 200-500R Х„ = 100-0.12 Y-500R М = (0.8Y-2000RJP G = 200
t = 0.2
Ms = 800 Р = 1
В этом случае уравнение кривой IS имеет вид
а) Y = 1600 -2700R;
б) У = 1500-2500R;
в) Y = 1500-2600R;
г) Y = 1600 2600R.
6. Используя данные задачи № 5, можно утверждать, что уравнение кривой LM имеет вид
а) Y= 1000+2700R;
б) Y= 900+2600R;
в) Y = 1000+2500R;
г) Y - 900+2600R.
1. Используя данные задач № 5-6, можно утверждать, что равновесные уровни ставки процента и дохода равны соответственно:
а) 15% и 1300;
б) 12%, и 1200;
в) 8%, и 900;
г) 10% и 1250.
|
8. Используя данные задач № 5-7, рассчитайте уровни потребительских расходов, инвестиций и чистого экспорта: |
|
а) |
с |
= 1000; |
в) С |
= 1000; |
|
|
I |
= 100; |
I |
= 150; |
|
|
Хп |
= 100; |
Хп |
= -100; |
|
б) |
с |
= 1000; |
г) С |
= 1000; |
|
|
I |
= 150; |
I |
= 100; |
|
|
Хп |
= -50; |
|
= -100. |
|
9. Используя данные задачи № 5, можно утверждать, что уравнение кривой совокупного спроса имеет вид:

Y = 500+1,25G+0,625

б) Y = 500 + 1,3G+ 0,725 ;
в) Y =500 + 1.2G + 0,625 Мр ;

Y = 500 + 1,25G + 0,725

10. Используя данное задач №5—9, рассчитайте величину эффекта вытеснения, сопровождающего увеличение государственных расходов на 100:
а) 100; б) 125; в) ПО; г) 95.
Рекомендуемая учебная литература
1. Мэнкью Н.Г Макроэкономика. Гл. 9, 10.
2. Дорнбуш Р., Фишер С. Макроэкономика. Гл. 4; гл. 5, § 4; гл. 8, § 5.
3. Долан Э., Кемпбелл К, Кемпбелл Р. Деньги, банковское дело и денежно-кредитная политика. Гл. 19.
4. Линвуд Т. Гайгер. Макроэкономическая теория и переходная экономика. Гл. 6.
5. Гальперин В.М., Гребенников П. И., Леусский А.И., ТарасевичЛ. С. Макроэкономика. Гл. 3, § 2; гл. 4, § 4; гл. 6.
6. Hall R.E., Taylor J.В. Macroeconomics. - 3rd ed., 1991. Ch. 7.
Ответы к тестам
9) а 10)6
Глава 10
Совокупное предложение и кривая Филлипса. Политика стимулирования предложения
10.1. Совокупное предложение в краткосрочном периоде.
10.2. Кривая Филлипса как иное выражение кривой совокупного предложения. Взаимосвязь безработицы и инфляции в краткосрочном и долгосрочном периодах.
10.3. Антиинфляционная политика.
10.4. Экономическая политика стимулирования совокупного предложения.
ЮЛ. Совокупное предложение в краткосрочном периоде
Кейнсианский анализ краткосрочного макроэкономического равновесия на товарном и денежном рынках (крест Кейнса, модель IS-LM) позволил оценить макроэкономическую ситуацию с точки зрения формирования совокупного спроса и возможностей воздействия на него с помощью различных инструментов фискальной и денежной политики. Вторая сторона общего макроэкономического равновесия связана с состоянием совокупного предложения.
Классическая и кейнсианская модели предполагают два крайних варианта трактовки совокупного предложения:
1) совокупное предложение определяется величиной факторов производства и технологией, независимо от динамики уровня цен и других номинальных переменных; в этом случае кривая AS - вертикальна на уровне потенциального объема выпуска;
2) совокупное предложение зависит от величины спроса и может колебаться в зависимости от его изменения (горизонтальная кривая Л5); уровень цен, номинальная заработная плата оказываются менее подвижными по сравнению с объемом выпуска и другими реальными переменными.
Первая модель (классическая) объясняет преимущественно долгосрочное поведение экономики, вторая (кейнсианская) - ее динамику на краткосрочных интервалах.
Современные последователи как классического, так и кейнсианского направления рассматривают совокупное предложение как величину, зависящую от уровня цен в краткосрочном периоде; соответственно, кривая AS имеет положительный наклон и ее уравнение можно представить как
Y= Y^+afP-P*),
где Y* ~ потенциальный ВВП;
Р ~ уровень цен (фактический);
- ожидаемый уровень цен; а - положительный коэффициент.
В этом случае уровень выпуска отклоняется от потенциального, если ожидаемый уровень цен не совпадает с фактическим (см. рис. 10.1).
 |
|
Рис. 10.1 |
Теорию совокупного предложения называют иногда теорией ошибок, поскольку отклонения фактического уровня цен от ожидаемого объясняются обычно ошибочными представлениями рабочих и владельцев фирм. Так, рабочие часто воспринимают повышение своей номинальной заработной платы, связанное с ростом цен, как увеличение реальной зарплаты и, соответственно, увеличивают предложение труда. Владельцы фирм лучше осведомлены о фактическом соотношении роста цен и номинальной заработной платы. Зная, что последняя растет медленнее, чем цены, а значит, реальная заработная плата падает, они увеличивают спрос на труд. В итоге, одновременно с ростом уровня цен, растет занятость и объем выпуска. В приведенном выше уравнении кривой AS фактический объем выпуска (Y) может превысить потенциальный (Y*), если фактический уровень цен (Р) оказался больше, чем предполагали рабочие (Pe)t что и привело к фактическому снижению реальной заработной платы. Это продолжается до того момента, пока рабочие не начинают осознавать ошибочность своих предположений о реальной заработной плате и не требуют такого повышения номинальной заработной платы, которое компенсировало бы рост цен и сохраняло прежний уровень реальной заработной платы.
Ошибки со стороны фирм связаны с тем, что при отсутствии четкой информации об изменении цен они не знают точно, вырос ли общий уровень цен или изменились относительные цены на данный вид продукции. В итоге, они идут на определенный компромисс, увеличивая объем выпуска, но не в такой степени, как в случае, когда им точно известно о росте относительных цен на их собственную продукцию. Аналогичные ошибки допускают и рабочие, но только в этом случае речь идёт об общем росте номинальной заработной платы и росте цен на данный вид труда (на этот факт обращал внимание Р. Лукас). И в том, и в другом случае на некоторое время увеличиваются занятость и объем выпуска, т.е. возникает прямая зависимость между динамикой цен и уровнем выпуска. Это свидетельствует о нарушении в краткосрочном периоде классического условия абсолютной подвижности номинальных величин как механизма очищения рынков. Кривая AS уже не может быть вертикальной.
Существуют и другие факторы, обусловливающие относительную жесткость номинальных величин (заработной платы, цен) в коротком периоде (о некоторых из них уже говорилось в гл. 3, 4). Среди них - определенная продолжительность трудовых контрактов и договоров о поставках сырья и готовой продукции, “эффективная заработная плата”, “издержки меню”, ступенчатый характер изменения цен и заработной платы и др. Так, фирмы нередко предпочитают поддерживать стабильно высокую заработную плату (“эффективную заработную плату”) для обеспечения высокой производительности и интенсивности труда, поддержания дисциплины труда, для сокращения текучести квалифицированной рабочей силы, то есть для устойчивого эффективного функционирования фирмы. Такая заработная плата становится достаточно жесткой и слабо реагирует на изменения совокупного спроса.
Одной из причин медленной реакции цен на изменения спроса в краткосрочном периоде является отсутствие координации в поведении фирм. Например, очевидно, что последствием увеличения денежной массы в конечном итоге при прочих равных будет соответствующий рост цен, а выпуск и занятость сохранятся на прежнем уровне. Но если одна фирма сразу же увеличит свои цены в соответствии с ростом предложения денег, она может потерпеть крах. Если все фирмы одновременно повысят свои цены в той же степени, что увеличилась денежная масса, то экономика выйдет на новое равновесие при том же уровне выпуска и занятости. А так как фирмы не координируют свои действия по увеличению цен, то каждая будет повышать цены на свою продукцию медленно, по мере того как изменение предложения денег будет сказываться (через рост совокупного спроса) на увеличении спроса на товары данной фирмы. Поэтому в целом в экономике цены будут расти медленно, а первой реакцией фирм на изменение спроса будет скорее всего увеличение объема предложения (объема продаж) - следовательно, кривая Л5 будет достаточно пологой.
Аналогичная ситуация будет складываться и при падении совокупного спроса с той лишь разницей, что фирмы не будут торопиться первыми снизить цены, опасаясь потерять прибыли.
Ступенчатый характер изменения цен и заработной платы связан также с тем, что фирмы проводят корректировку цен и заработной платы в разное время и с разной периодичностью. К тому же, по указанным выше причинам, их первая реакция на колебания спроса будет достаточно сдержанной, что в итоге сделает процесс корректировки цен и заработной платы довольно длительным.
Наклон кривой совокупного предложения зависит от изменчивости совокупного спроса и уровня цен. На этот факт обратил внимание Р. Лукас. Основываясь на статистических данных об изменениях цен и объемов производства, он показал, что в странах с существенными колебаниями спроса и цен кривая AS достаточно крутая: предложение почти не реагирует на частые колебания цен (см. рис. 10.2). Производители в таких условиях справедливо видят в номинальном росте совокупного спроса (и, соответственно, цен) лишь инфляционный феномен, затраг ивающий в равной степени всех, в отличие от изменения относительных цен и спроса на конкретный вид продукции, и не спешат наращивать выпуск, меняя лишь цены на свою про-
дукцию. И наоборот, в странах со стабильным совокупным спросом и низкой инфляцией колебания спроса сильнее отражаются на объеме реального выпуска и значительно меньше на уровне цен. Следовательно, кривая AS довольно пологая. В этом случае производители рассматривают изменения цен и спроса как колебания в структуре относительных цен и, соответственно, реагируют прежде всего изменением объема производства (см. рис. 10.3). Очевидно, что в этой группе стран стимулирующая бюджетно-налоговая политика (TG, ФТ), увеличивающая совокупный спрос, будет иметь гораздо больший эффект, нежели в первой группе стран (по крайней мере в коротком периоде).


10.2. Кривая Филлипса как иное выражение кривой совокупного предложения. Взаимосвязь безработицы и инфляции в краткосрочном и долгосрочном периодах
От связи реального объема выпуска и уровня цен путем модификации уравнения кривой совокупного предложения можно перейти к зависимости между инфляцией и безработицей, которая отражается кривой Филлипса. Уравнение совокупного предложения Y = Y* + а (Р- Р*) представим в виде Р = Ре + — (Y - У*).
а
Вычтем из обеих частей уравнения уровень цен предшествующего периода Р ь а разницу уровней цен заменим показателем темпа инфляции:
Р- Р \ = я, Ре-Р-Х = Яе.
Используя закон Оукена, отклонение фактического уровня выпуска от потенциального заменим отклонением фактического уровня безработицы от ее естественного уровня, т.е. вместо
— (К-У*) подставим - Р(и - w*). Добавим в уравнение параметр а
?, отражающий воздействие на уровень цен шоков предложения, и получим:
%
К= КС - Р(и~ и) + ?,
где к и ке - фактический и ожидаемый уровень инфляции,
и и и* ~ фактический и естественный уровень безработицы;
Р - параметр, больший нуля;
? - резкие ценовые изменения (шоки предложения).
Таким образом, кривая Филлипса представляет собой лишь иное выражение кривой совокупного предложения и показывает наличие в краткосрочном периоде связи между динамикой инфляции и безработицы. Изменение ожидаемого уровня инфляции ке и шоки предложения е служат причинами сдвигов кривой Филлипса.
Из уравнения также очевидно, что если фактический уровень безработицы совпадает с ее естественным уровнем, то при отсутствии шоков фактическое значение инфляции равно ожидаемому. Отклонение фактического уровня безработицы от естественного, соответственно, меняет темп инфляции (вспомним иное название м* - NAIRU - не ускоряющий инфляцию уровень безработицы). В своем первоначальном виде кривая Филлипса (названная в честь британского экономиста А.У. Филлипса) показывала обратную зависимость между уровнем безработицы и инфляцией номинальной заработной платы. Современная интерпретация кривой Филлипса, как видно из уравнения, вместо темпов прироста номинальной заработной платы использует темпы прироста уровня цен, а также включает инфляционные ожидания (их значение исследовали М. Фридман и Э. Фелпс) и шоки предложения.
Инфляционные ожидания (ке) могут складываться на основе уже имеющихся представлений о прошлой инфляции (так называемые адаптивные ожидания). Тогда приведенное уравнение кривой Филлипса демонстрирует явление инфляционной инерции: инфляция будет продолжаться и при отсутствии отклонения безработицы от естественного уровня, а также при отсутствии шоков предложения (?) уже только потому, что существуют инфляционные ожидания пе}
Кривая Филлипса в представленном виде отражает связь безработицы и инфляции в краткосрочном периоде, но не может быть использована для оценки долгосрочных изменений. Экономическая политика, направленная на сокращение безработицы через стимулирование совокупного спроса, эффективна лишь до тех пор, пока экономические агенты не меняют своих инфляционных ожиданий — например, не требуют повышения номинальной заработной платы в связи с ростом цен, вызванным стимулирующей политикой государства, скажем увеличением государственных расходов или ростом денежной массы. Так, если экономика стартовала в точке А точке полной занятости ресурсов (естественного уровня безработицы), то повышенный спрос будет стимулировать расширение выпуска и занятости. Цены увеличатся, но заработная плата останется прежней, зафиксированной в договорах при условии, что ожидаемая инфляция равна ж[. Прибыли фирм относительно возрастут, что сделает выгодным расширение производства (движение вдоль исходной кривой Филлипса из точки А в точку В). Но в дальнейшем, на фоне развивающейся инфляции, люди изменят свои ожидания, начнется рост номинальной заработной платы и других издержек, исчезнут стимулы к расширению производства, безработица возвратится к исходному уров- ню, а экономика перейдет на новую краткосрочную кривую Филлипса, соответствующую более высокому уровню инфляционных ожиданий п\ (сдвиг кривой Филлипса вправо - вверх и движение экономики из точки В в точку С, см. рис. 10.4).

В результате мы возвращаемся к первоначальному уровню выпуска и занятости, но при более высокой инфляции. Политика стимулирования спроса дает в таких условиях лишь краткосрочный эффект. Повторение подобных действий правительства в конечном итоге будет приводить лишь к дальнейшему росту инфляции. Однако, поскольку в течение короткого отрезка времени есть возможность нарастить объем выпуска при небольшом росте цен, у политических деятелей нередко возникает соблазн простимулировать экономику незадолго до выборов. Инфляционные издержки такой политики станут очевидны лишь позднее.
Сторонники теории рациональных ожиданий считают, что экономические агенты формируют свои ожидания на основе всей доступной им информации, а не только прошлого опыта, к тому же они не делают систематических ошибок, поэтому они могут верно оценить последствия стимулирующей политики государства и достаточно быстро изменить свои инфляционные ожидания, что отразится, например, в требовании увеличения номинальной заработной платы для компенсации роста цен. В итоге - практически никакого увеличения реального выпуска не происходит даже в краткосрочном периоде, а рост совокупного спроса приводит лишь к росту цен (движение из точки А в точку С, минуя точку В). Исключение составляют лишь непредвиденные изменения совокупного спроса, приводящие к кратковременным колебаниям выпуска.
Таким образом, традиционная кривая Филлипса, фиксирующая обратную зависимость между инфляцией и безработицей, отражает краткосрочную динамику этих переменных. В долгосрочном периоде стимулирование совокупного спроса, сопровождающееся обычно ростом денежной массы, не приводит к существенным изменениям уровня безработицы и реального выпуска и отражается в основном на росте цен, т.е. кривая Филлипса приближается к вертикальной прямой на уровне естественной безработицы.
Рисунок 10.5 показывает изменение уровней инфляции и безработицы в период с 1961 по 1995 гг. в экономике США. В 60-е годы снижение уровня безработицы сопровождалось ростом инфляции. Однако в последующие годы такая связь между безработицей и инфляцией была нарушена. В качестве причин называют шоки, связанные с ростом цен на нефть в 70-х гг. и изменения в инфляционных ожиданиях.
10.3. Антиинфляционная политика
Антиинфляционная политика правительства, согласно кривой Филлипса, в краткосрочном периоде приводит к росту безработицы и снижению выпуска. Экономика перемещается из точки А вправо-вниз вдоль исходной кривой Филлипса. Сокращение государственных расходов или денежной массы снижает уровень цен, тогда как заработная плата, зафиксированная в трудовых договорах, остается прежней. В этих условиях прибыли фирм падают и они сокращают объем своего выпуска, а значит и заня-
 |
|
Рис.10.5 |
тостъ1. Для количественной оценки эффективности борьбы с инфляцией используется так называемый коэффициент потерь. Он показывает, сколько процентов реального годового объема выпуска необходимо принести в жертву, чтобы снизить инфляцию на один процентный пункт . Сторонники теории рациональных ожиданий считают, что потери от борьбы с инфляцией могут быть существенно снижены, если план проведения такой антиинфляционной политики будет объявлен заранее, до того как экономические агенты сформируют свои ожидания, и, что самое существенное, если люди будут верить в осуществление этого плана. То есть политика, пользующаяся доверием населения, в условиях рациональных ожиданий может привести к замедлению темпа инфляции, практически не вызывая спада.
Однако опыт США начала 80-х годов и Великобритании, когда правительство М. Тэтчер, придерживаясь твердой антиинфляционной политики, пришло к уровню безработицы в 13%, заставляет усомниться в столь оптимистичном сценарии. Одной веры людей в способность с помощью мер политики снизить темп инфляции, очевидно, недостаточно. Ожидания должны быть встроены в соглашения о ставках заработной платы и другие долгосрочные контракты. Пересмотр контрактов требует времени, какой-то период будут действовать старые контракты, включающие прежние ожидания. Поэтому из-за инфляционной инерции быстрое возвращение к умеренной инфляции маловероятно. Легче всего изменить темп инфляции, когда в экономике отсутствуют долгосрочные контракты, например в период гиперинфляции, а политика правительства пользуется доверием. Тем не менее остается верным, что, независимо от структуры контрактов, чем большим доверием пользуется антиинфляционная политика, тем больший успех она будет иметь.
Антиинфляционная политика может проводиться как методами “шоковой терапии” (когда жесткая денежная политика помогает быстро сбить инфляцию, но сопровождается значительным спадом производства), так и постепенно, путем многократного, но каждый раз небольшого снижения темпов роста денежной массы, что позволяет избежать глубокого спада, однако не дает возможности быстро снизить инфляцию (см. рис. 10.6).
Конкретная реализация долговременных антиинфляционных программ выходит за рамки рекомендаций по сокращению государственных расходов и денежной массы, соответствующих краткосрочной модели кривой Филлипса и основанных на кейнсианских идеях регулирования совокупного спроса.
В более широком плане “шоковая терапия” предполагает, как правило, использование чисто монетаристских антиинфляционных мер: широкую либерализацию хозяйственной жизни, освобождение цен, свертывание хозяйственной активности государства, жесткое ограничение роста денежной массы, балансирование бюджета главным образом за счет сокращения расходов и т.д. Программы постепенного снижения инфляции предусматривают активное регулирующее воздействие государства (в целях смягчения негативных последствий антиинфляционных мер): поддержку важнейших отраслей производства, налоговое стимулирование предпринимательства, частичное регулирование процесса ценообразования, создание рыночной инфраструктуры и т.д. В этом случае антиинфляционное сокращение совокупного спроса дополняется мерами, поддерживающими предложение и создающими условия его роста в будущем, что позволяет избежать глубокого спада и безработицы (политика градуализма).

 |
---постепенное снижение инфляции -шоковая терапия
т - темп прироста денежной массы
Рис. 10.61 |
Большинство стран - как развитых, так и с переходной экономикой - в практике борьбы с инфляцией никогда не следовали жестким монетаристским рекомендациям “шоковой терапии”, поскольку это неизбежно приводило к затяжному спаду, росту безработицы, резкому снижению жизненного уровня населения.
10.4. Экономическая политика стимулирования совокупного предложения
Одной из теоретических основ программ преодоления высокой инфляции и сопутствующей ей безработицы (сочетания, особенно характерного для стран с переходной экономикой) является концепция “экономики предложения”.
Сторонники этой концепции считают, что экономическая политика, направленная на стимулирование совокупного спроса, неэффективна. Она не смогла справиться со стагфляцией, поразившей развитые страны в 70-х годах, а потому должна быть заменена более эффективной экономической политикой. «Активной силой», влияющей на уровень безработицы и инфляции, являются, по их мнению, изменения в совокупном предложении (сдвиги долгосрочной кривой Л5). Экономическая политика, стимулирующая предложение, может включать программы поддержания занятости, переподготовки работников, стимулирования конкуренции, налоговые реформы и т.п.
Одним из действенных факторов увеличения совокупного предложения сторонники данной концепции считают снижение налогов. При этом они опираются на кривую Лаффера. А. Лаффер считал, что, по мере роста ставки налога от 0% до 100%, налоговые поступления сначала увеличиваются и достигают максимума в точке А при t -а, а затем падают, несмотря на рост налоговой ставки. Падение налоговых поступлений, по предположению Лаффера, связано с тем, что более высокие ставки сдерживают экономическую активность (падают инвестиции, потребление, сбережения и пр.), а следовательно, сокращают налоговую базу, поэтому даже при росте налоговой ставки поступления от налогов падают (рис. 10.7).
Как известно, кейнсианцы трактуют рост налогов как снижение покупательной способности, а следовательно, как антиинфляционный феномен (сдвиг кривой AD влево). Сторонники “экономики предложения” считают, что большинство налогов переходят в издержки предпринимателей и перекладываются на потребителей в виде более высоких цен (“налоговый клин”), т.е. дают эффект ускорения инфляции издержек. Таким образом, увеличение налогов смещает кривую AS влево, доход падает, сокращается налоговая база, а следовательно, и сумма налоговых поступлений.

Снижение налоговых ставок, по мнению Лаффера и его сторонников, может создать дополнительные стимулы к труду, инвестициям, сбережениям, расширению производства и, соответственно, налоговой базы. Сократится и уклонение от налогов. Все это благоприятно отразится на состоянии бюджета: рост занятости снизит выплаты пособий по безработице, а рост дохода увеличит суммарные налоговые поступления в бюджет даже при более низкой налоговой ставке.
Критики данного подхода указывают на тот факт, что налоговые стимулы смогут привести к росту производства лишь в долгосрочном периоде. К тому же неизвестно, сработают ли эти стимулы. Во многом это зависит от чувствительности экономики к изменению налоговых ставок. Нельзя, например, однозначно утверждать, что при снижении подоходных налогов люди станут работать больше, а не предпочтут отдых, если теперь тот же доход после выплаты налогов (располагаемый доход) можно будет получить, затрачивая меньше труда.
Отдача от дополнительных инвестиций будет получена не сразу, а вот увеличение потребления при снижении налогов расширит совокупный спрос. Рост спроса опередит увеличение предложения, что может привести к инфляции и бюджетному дефициту.
Наконец, на практике бывает трудно определить, находится экономика справа или слева от точки А на кривой Лаффера. Если экономика стартует в точке С то снижение налоговых ставок действительно может увеличить налоговые поступления, но если движение начнется из точки В, то неминуем рост дефицита бюджета вследствие падения налоговых поступлений со всеми вытекающими негативными последствиями.
Среди мер экономической политики, направленных на стимулирование совокупного предложения, нередко выделяют:
1) меры по стимулированию текущего объема производства;
2) меры, направленные на долгосрочное повышение темпов роста производства.
К первой группе обычно относят меры по повышению эффективности использования факторов производства, повышению эффективности распределения ресурсов между конкурирующими областями их применения через реформу финансовой системы, государственного сектора, рынка труда и т.д., меры по сокращению “налогового клина” через реформу налоговой системы, сокращение дотаций, снятие торговых ограничений и другие меры, содействующие развитию конкуренции и т.д. Ко второй группе относят стимулирование сбережений и инвестиций, а также совершенствование механизма перевода первых во вторые; стимулирование нововведений в области образования и создание новых технологий; стимулирование притока иностранных инвестиций и другие структурные преобразования.
Основные термины
Краткосрочная кривая AS
Жесткость цен и заработной платы в краткосрочном периоде
Эффективная заработная плата
Отсутствие координации в поведении фирм
Ступенчатый характер изменения цен и заработной платы
Кривая Филлипса
Инфляционные ожидания
Адаптивные ожидания
Рациональные ожидания
Инфляционная инерция
Краткосрочная кривая Филлипса
Долгосрочная кривая Филлипса
Коэффициент потерь
Антиинфляционная политика
Шоковая терапия
Постепенное снижение инфляции
Теория “экономики предложения”
Кривая Лаффера
Стимулирование текущего объема производства Стимулирование долгосрочного повышения темпов роста производства
Вопросы для обсуждения
1. Каким образом теории адаптивных и рациональных ожиданий доказывают, что политика управления спросом не в состоянии повлиять на уровень выпуска и занятости в долгосрочной перспективе?
2. В чем состоит различие между адаптивными и рациональными ожиданиями? Можно ли утверждать, что в настоящее время рациональный тип ожиданий стал преобладающим?
3. Найдите аргументы “за” и “против” утверждения сторонников концепции “экономики предложения” о том, что снижение налоговых ставок ведет к росту экономической активности и увеличению объема производства.
4. В чем состоит явление “инфляционной инерции“? Как наличие инфляционной инерции может отразиться на антиинфляционной или стабилизационной политике?
5. Как можно минимизировать издержки борьбы с инфляцией?
Задачи и решения
1. Пусть кривая Филлипса задана следующим уравнением:
7Г — 7Г_! — 0,б(м - 0,06)
а) Какова должна быть циклическая безработица в текущем году, чтобы уровень инфляции снизился по сравнению с предшествующим годом на 6 процентных пунктов?
б) Если в соответствии с законом Оукена отклонение безработицы от естественного уровня на 1 процентный пункт соответствует изменению уровня ВВП на 2 процента, то каким будет коэффициент потерь от борьбы с инфляцией?
Решение
а) В соответствии с кривой Филлипса, чтобы снизить инфляцию, уровень безработицы должен в течение определенного времени быть выше естественного. Перепишем уравнение кривой Филлипса таким образом, чтобы в левой части получить необходимую величину снижения инфляции: (к ~х.Л ) = -0,6(и-0,06). По условию известно, что (л -л_{) = -0,06, или 6 процентным пунктам, тогда 0,06 = -0,6(и - 0,06), отсюда и = 0,16 (фактический уровень безработицы).
Как известно, циклическая безработица представляет собой разницу между фактическим и естественным ее значениями. Из уравнения очевидно, что естественный уровень безработицы составляет 0,06, или 6%. Это уровень безработицы, при котором фактическое значение темпа инфляции совпадает с ожидаемым, которое в данном случае равно темпу инфляции предшествующего периода, т.е. же =ж_}. Таким образом, циклическая безработица составляет 10%, т.е. (и - и*) = 0,16 - 0,06 = 0,1, или 10%.
б) По условию задачи, отклонение фактического уровня безработицы от естественного на 1 процентный пункт соответствует изменению ВВП на 2 процента. В данном случае фактический уровень безработицы выше естественного на 10 процентных пунктов. Следовательно, ВВП должен снизиться на 20 процентов. Коэффициент потерь показывает, сколько процентов годового объема ВВП необходимо принести в жертву, чтобы снизить инфляцию на 1 процентный пункт. Разделив 20 процентов падения ВВП на 6 процентных пунктов снижения инфляции, получим коэффициент потерь: 20/6 = 3,3.
2. Предположим, что краткосрочная кривая AS задана уравнением
|
Р = Ре |  |
а
\ |

где а =10;
Е - шоки предложения, в исходном состоянии Е = 0; Р=Ре = 100;
Y* =1000 (потенциальный объем выпуска);
Кривая совокупного спроса AD задана уравнением
Y = 2000- \0Р.
а) Найдите координаты исходного равновесия в экономике, описанной данными уравнениями, при отсутствии шоков. Является ли это равновесие долгосрочным?
б) Предположим, шок предложения привел к росту цен на 10 пунктов для каждого возможного уровня выпуска, т.е. Е = 10. Найдите координаты нового краткосрочного равновесия.

Решение
а) При условии Р = Ре = 100 получаем Y = 1000 из уравнения кривой AS или из уравнения кривой АО, т.е. при Р = 100 спрос равен предложению. Таким образом, исходное равновесие (точка А) имеет координаты Р - 100, Y = 1000, т.е. Y = Т* а значит, мы имеем в точке А долгосрочное равновесие.
б) Шок предложения приводит к росту уровня цен для каждого значения уровня выпуска, т.е. сдвигает кривую AS вверх до AS' (на 10 пунктов вдоль оси Р). Подставим Е = 10 в уравнение кривой AS, учитывая, что Ре = 100, a Y* = 1000:
Р= 100 + 0,1( Г-1000) + 10 или Р = 0,1 Т + 10.
Подставляем полученное выражение в уравнение кривой АО:
Y = 2000 - 10(0,1 Y + 10) и получаем Y = 950.
Далее подставим полученное значение Y-950 в уравнение кривой AD (или в уравнение кривой AS) и найдем значение Р:
950 = 2000 - ЮЛ отсюда Р = 105.
Таким образом, мы определили координаты краткосрочного равновесия, возникшего в результате шока предложения (точка В): Y = 950, Р = 105.
Тесты
1. За 5 лет уровень инфляции удалось снизить на 5 процентных пунктов. Накопленный показатель циклической безработицы составил за это время 10 процентных пунктов. Известно, что один процентный пункт превышения уровня безработицы над естественным соответствует снижению ВВП на 3 процента. Рассчитайте коэффициент потерь от борьбы с инфляцией (здесь и далее -как соотношение потерь ВВП и изменения уровня инфляции).
2. Коэффициент потерь от снижения инфляции равен 4,5. Один процентный пункт превышения уровнем безработицы его естественного значения означает потерю 2 процентов ВВП. За рассматриваемый период накопленный показатель циклической безработицы составил 9%. На сколько процентных пунктов был снижен за этот период уровень инфляции?
3. Уравнение кривой Филлипса представлено как
7Г = 7Ге ~ P(u -U*)+? ,
где м* = 5%, или 0,05;
Р = 0,4;
if = 8%, или 0,08;
? = 0.
В целях борьбы с инфляцией правительство решило снизить совокупный спрос путем сокращения государственных закупок. Данная политика привела к увеличению уровня безработицы до 10%, или 0,1.
Каким оказался в итоге уровень инфляции?
в) прямую связь между номинальной заработной платой и темпом инфляции;
г) прямую связь между реальной заработной платой и уровнем безработицы.
5. Политика управления спросом, направленная на снижение инфляции:
а) приводит в краткосрочном периоде к снижению темпов инфляции без сокращения уровня выпуска;
б) сокращает уровень выпуска, не оказывая влияния на темп инфляции;
в) требует увеличения государственных расходов;
г) осуществляется путем сокращения темпов роста номинального предложения денег.
6. Краткосрочная кривая Филлипса сдвигается вправо-вверх, если:
а) ОПЕК резко увеличивает цены на нефть;
б) снижаются инфляционные ожидания экономических агентов;
в) Центральный банк сокращает предложение денег;
г) возрастают государственные закупки товаров и услуг.
7. Уравнение кривой совокупного предложения в краткосрочном периоде представлено как Y = У* + 600(Р-/^). Кривая совокупного спроса задана уравнением: Y - 1300 - 300Р. Потенциальный объем выпуска равен 1000. В исходном равновесном состоянии Р = Ре = 1. Проводя политику сокращения уровня безработицы, Центральный банк увеличил предложение денег, и уравнение кривой AD приняло вид Y = 1390 - 300Р. Каковы будут координаты нового краткосрочного равновесия в экономике после проведения данной политики при условии, что ценовые ожидания экономических агентов останутся прежними?
8. Естественный уровень безработицы в экономике равен 6%. Фактический уровень безработицы в течение 4-х лет составил 7,5%, 9,5%, 8,5%, 7,5%. Каждый процентный пункт превышения фактическим уровнем безработицы ее естественного значения соответствует трем процентам отклонения вниз от потенциала уровня ВВП. За этот период инфляция снизилась на 6 процентных пунктов. Чему равен коэффициент потерь от борьбы с инфляцией?
9. Кривая Лаффера описывает соотношение между:
а) дефицитом госбюджета и безработицей;
б) налоговыми ставками и инфляцией;
в) уровнем цен и налоговыми поступлениями в бюджет;
г) налоговыми ставками и доходами государства от налоговых поступлении.
10. Повышение налоговых ставок рассматривается:
а) как проинфляционная мера экономической политики сторонниками концепции “экономики предложения”, поскольку приводит к сдвигу влево кривой AS;
б) как антиинфляционная мера сторонниками концепции “экономики предложения”, так как сдвигает вправо кривую A S;
в) как антиинфляционная мера сторонниками кейнсианства, поскольку сдвигает вправо кривую AD\
г) как проинфляционная мера сторонниками кейнсианства, так как приводит к сдвигу влево кривой AD.
Рекомендуемая учебная литература
1. Мэнкью Н.Г. Макроэкономика. Гл. 11.
2. Макконнелл К., Брю С. Экономикс. Гл. 17, 19.
3. Фишер С, Дорнбуш Р., Шмалензи Р. Экономика. Гл. 30, 31, 33. А. Долан Э. Макроэкономика. Гл. 12, 13.
5. Долан Э., Кемпбелл К, Кемпбелл Р. Деньги, банковское дело и денежно-кредитная политика. Гл. 17.
6. Хейне П. Экономический образ мышления. Гл. 20.
1. Дорнбуш Р., Фишер С. Макроэкономика. Гл. 13, 14, 15.
Ответы к тестам
1)6
6) а
2)4
?0
7) Y- 1060; Р = 1,1
8) 4,5
3) 6%
4) б
9) г 10) а
5) г
Глава 11
Экономический рост
11.1. Понятие и факторы экономического роста.
11.2. Кейнсианские модели экономического роста.
11.3. Неоклассическая модель роста Р. Солоу.
11.1. Понятие и факторы экономического роста
В предыдущих главах были рассмотрены различные аспекты краткосрочного макроэкономического равновесия. Колебания объема выпуска объяснялись в основном изменениями совокупного спроса (крест Кейнса, модель /S-LA/). Совокупное предложение также рассматривалось главным образом в краткосрочном аспекте. Экономическая политика анализировалась с точки зрения ее стабилизационных возможностей в связи с временными отклонениями экономики от равновесных состояний, вызванными шоками спроса и предложения, а также циклическими колебаниями. Но краткосрочные колебания объема выпуска, уровня занятости, цен происходят вокруг тренда, заданного общим поступательным движением экономики, увеличением ее реального объема выпуска, т.е. экономическим ростом. Экономический рост можно рассматривать как долгосрочный аспект динамики совокупного предложения или, что более точно, потенциального объема выпуска. Анализ его факторов и закономерностей является одним из центральных вопросов макроэкономической теории.
Под экономическим ростом обычно понимают долговременную тенденцию увеличения реального объема выпуска в экономике. Соответственно, для измерения экономического роста используются показатели абсолютного прироста или темпов прироста реального объема выпуска в целом (ВВП, ВИД) или в расчете на душу населения. Например:
AY,=Y,- Y, _ і или Y, =
‘t-\
где t - индекс времени.
Экономический рост называется экстенсивным, если он осуществляется за счет привлечения дополнительных ресурсов и не меняет среднюю производительность труда в обществе. Интенсивный рост связан с применением более совершенных факторов производства и технологии, т.е. осуществляется не за счет увеличения объемов затрат ресурсов, а за счет роста их отдачи. Интенсивный рост может служить основой повышения благосостояния населения. Обычно говорят о преимущественно интенсивном или экстенсивном типе экономического роста в зависимости от удельного веса тех или иных факторов, вызвавших этот рост.
Факторы экономического роста часто группируют в соответствии с типами экономического роста. К экстенсивным факторам относят рост затрат капитала, труда, к интенсивным - технологический прогресс, экономию на масштабах, рост образовательного и профессионального уровня работников, повышение мобильности и улучшение распределения ресурсов, совершенствование управления производством, соответствующее улучшение законодательства и т.д., т.е. все, что позволяет качественно усовершенствовать как сами факторы производства, так и процесс их использования. Иногда в виде самостоятельного фактора экономического роста выделяют совокупный спрос как главный катализатор процесса расширения производства.
В качестве причин, сдерживающих экономический рост, часто называют ресурсные и экологические ограничения, широкий спектр социальных издержек, связанных с ростом производства, а также неэффективную экономическую политику правительства.
11.2. Кейнсианские модели экономического роста
Рассмотрим основные современные модели экономического роста. Как и любые модели, модели роста представляют собой абстрактное, упрощенное выражение реального экономического процесса в форме уравнений или графиков. Целый ряд допущений, предваряющих каждую модель, уже изначально отодвигает результат от реальных процессов, но, тем не менее, дает возможность проанализировать отдельные стороны и закономерности такого сложного явления, как экономический рост.
Большинство моделей роста исходит из того, что увеличение реального объема выпуска происходит прежде всего под влиянием роста основных факторов производства - труда (L) и капитала (ЛТ). Фактор “труд” обычно слабо поддается воздействию извне, тогда как величина капитала может быть скорректирована определенной инвестиционной политикой. Как известно, запас капитала в экономике со временем сокращается на величину выбытия (амортизации) и увеличивается за счет роста чистых инвестиций. Вполне очевидно, что экономический рост ценен не сам по себе, а в качестве основы повышения благосостояния населения, поэтому качественная оценка роста часто дается через оценку динамики потребления.
Кейнсианские модели роста используют в основном тот же логический инструментарий, что и известные нам кейсианские модели краткосрочного равновесия. Но теперь анализ со стороны спроса необходимо соединить с факторами, определяющими динамику предложения, и выяснить условия динамического равновесия спроса и предложения в экономике. Стратегической переменной, с помощью которой можно управлять экономическим ростом, являются инвестиции.
Наиболее простой кейнсианской моделью роста является модель Е. Домара, предложенная в конце 1940-х годов. Технология производства представлена в ней производственной функцией Леонтьева с постоянной предельной производительностью капитала (при условии, что труд не является дефицитным ресурсом). Модель Домара исходит из того, что на рынке труда существует избыточное предложение, что обусловливает постоянство уровня цен. Выбытие капитала отсутствует, отношение KJY и норма сбережений постоянны. Выпуск зависит фактически от одного ресурса - капитала. Для простоты можно принять также инвестиционный лаг равным нулю.
Фактором увеличения спроса и предложения в экономике служит прирост инвестиций. Если в данном периоде инвестиции выросли на А/, то, в соответствии с эффектом мультипликатора, совокупный спрос возрастет на
= АI • т = А/-
\-Ъ |  |
1 |

где т - мультипликатор расходов,
Ь - предельная склонность к потреблению, s - предельная склонность к сбережению.
Увеличение совокупного предложения составит ЛУА$ = а • ЛК, где а - предельная производительность капитала (по условию -постоянна). Прирост капитала ЛК обеспечивается соответствующим объемом инвестиций /, поэтому можно записать: AYas - а ¦ I.
Равновесный экономический рост будет достигнут при усло-
А/ г А/
вии равенства спроса и предложения: — = а-І или — = a-s,
s I
т.е. темп прироста инвестиций должен быть равен произведению предельной производительности капитала и предельной склонности к сбережению. Величина а задается технологией производства и, в соответствии с принятыми предпосылками, постоянна, а значит увеличить темпы прироста инвестиций может лишь рост нормы сбережений s (но для рассматриваемого периода она берется постоянной).
Поскольку в условиях равновесия инвестиции равны сбережениям / = У, a S = s Y при s = const, уровень дохода является величиной, пропорциональной уровню инвестиций, и тогда A Y М
= - = CL • V
У /
Таким образом, согласно теории Е. Домара, существует равновесный темп прироста реального дохода в экономике, при котором полностью используются имеющиеся производственные мощности. Он прямо пропорционален норме сбережений и предельной производительности капитала, или приростной капита
|
лоотдаче |  |
Инвестиции и доход растут с одинаковым по
стоянным во времени темпом.
Такое динамическое равновесие может оказаться неустойчивым, как только темп роста плановых инвестиций частного сектора отклоняется от уровня, заданного моделью.
Модель Е. Домара не претендовала на роль теории роста. Это была попытка расширить условия краткосрочного кейнсианского равновесия на более длительный период и выяснить, какими будут эти условия для развивающейся системы.
Р.Ф. Харрод построил специальную модель экономического роста (1939 г.), включив в нее эндогенную функцию инвестиций (в отличие от экзогенно заданных инвестиций у Домара) на основе принципа акселератора и ожиданий предпринимателей.
Согласно принципу акселератора, любой рост (сокращение) дохода вызывает рост (сокращение) капиталовложений, пропорциональный изменению дохода:
/, = v(Yt- Yt.]), где ?- акселератор.
Предприниматели планируют объем собственного производства, исходя из ситуации, сложившейся в экономике в предшествующий период: если их прошлые прогнозы относительно спроса оказались верными и спрос полностью уравновесил предложение, то в данном периоде предприниматели оставят темпы роста объема выпуска неизменными; если спрос в экономике был выше предложения, они увеличат темпы расширения производства; если предложение превышало спрос в предшествующем периоде, они снизят темпы роста. Формализовать это можно следующим образом:


 |
5 |

где а-1, если спрос в предшествующем периоде (t - 1) был равен предложению; а>/, если спрос превысил предложение и а<1, если спрос был ниже предложения. Отсюда получим объем предложения в экономике:
|
=Yt-\<a |  |


Для определения совокупного спроса используется модель акселератора (а также условие равенства I-S):
_/, _?(У,-Км)
* s s
Равновесный экономический рост предполагает равенство совокупного спроса и предложения:
*гггі-іКу
г-1
г-2
После небольшого преобразования получим:
Yt~Yt-1
rt-i
\ <y -Y
rt-1 rt-2
t-2
Предположим, что в предшествующем периоде спрос был равен предложению, т.е. а = I. Тогда, в соответствии с приняты-
ми условиями поведения, предприниматели и в текущем периоде сохранят темпы роста производства такими же, как и в предшествующем периоде, т.е.




+1. Отсюда равновесный темп прироста
образом:
Тогда предыдущее выражение можно представить следующим ? A Yt A Yt
s У, -1 У,--
АГ
У,-і
. Харрод назвал выраже
объема выпуска составит:
ние - “гарантированным” темпом роста: поддерживая его,
V - S
предприниматели будут полностью удовлетворены своими решениями, поскольку спрос будет равен предложению и их ожидания будут сбываться. Такой темп роста обеспечивает полное использование производственных мощностей (капитала), но полная занятость при этом достигается не всегда.
Анализ соотношений между гарантированным и фактическим темпами роста позволил сделать следующий вывод: если фактически запланированный предпринимателями темп роста предложения отличается от гарантированного темпа роста (превышает или не достигает его), то система постепенно отдаляется от состояния равновесия.
Помимо гарантированного темпа роста Харрод вводит понятие “естественного” темпа роста. Это максимальный темп, допускаемый ростом активного населения и техническим прогрессом1.
При таком темпе достигается полная занятость факторов -труда и капитала.
Если гарантированный темп роста, удовлетворяющий предпринимателей, выше естественного, то вследствие недостатка трудовых ресурсов фактический темп окажется ниже гарантированного: производители будут разочаровываться в своих ожиданиях, снизят объём выпуска и инвестиции, в результате чего система будет находиться в состоянии депрессии.
Если гарантированный темп роста меньше естественного, то фактический темп может превысить гарантированный, по-
¦- к дк
Технический прогресс в модели Харрода не меняет соотношений ¦
скольку существующий избыток трудовых ресурсов дает возможность увеличить инвестиции. Экономическая система будет переживать бум. Фактический темп роста может быть также равен гарантированному, и тогда экономика будет развиваться в условиях динамического равновесия, вполне удовлетворяющих предпринимателей, но при наличии вынужденной безработицы.
Идеальное развитие экономической системы достигается при равенстве гарантированного, естественного и фактического темпов роста в условиях полной занятости ресурсов.
Но поскольку всякое отклонение инвестиций от условий гарантированного темпа роста, как известно, выводит систему из равновесия и сопровождается все более увеличивающимся расхождением между спросом и предложением, динамическое равновесие в модели Харрода также оказывается неустойчивым.
Часто обе модели объединяют в одну модель Харрода-До-мара. Обе модели приводят к выводу, что при данных технических условиях производства темп экономического роста определяется величиной предельной склонности к сбережению, а динамическое равновесие может существовать в условиях неполной занятости.
Ограниченность данных моделей задана уже предпосылками их анализа. Например, используемая в них производственная функция Леонтьева характеризуется отсутствием взаимозаменяемости факторов производства - труда и капитала, что в современных условиях не всегда соответствует действительности.
Модели Домара и Харрода неплохо описывали реальные процессы экономического роста 1920-1950-х гг., но для более поздних наблюдений (50 70-е гг.) наиболее успешно использовалась неоклассическая модель Р. Солоу.
11.3. Неоклассическая модель роста Р. Солоу
Неоклассические модели роста преодолевали ряд ограничений кейнсианских моделей и позволяли более точно описать особенности макроэкономических процессов.
Р. Солоу показал, что нестабильность динамического равновесия в кейнсианских моделях была следствием невзаимозаменя-емости факторов производства. Вместо функции Леонтьева он использовал в своей модели производственную функцию Кобба-Дугласа, в которой труд и капитал являются субститутами.
Другими предпосылками анализа в модели Солоу являются: убывающая предельная производительность капитала, постоянная отдача от масштаба, постоянная норма выбытия, отсутствие инвестиционных лагов.
Взаимозаменяемость факторов (изменение капиталовооруженности) объясняется не только технологическими условиями, но и неоклассической предпосылкой о совершенной конкуренции на рынках факторов.
Необходимым условием равновесия экономической системы является равенство совокупного спроса и предложения. Предложение описывается производственной функцией с постоянной отдачей от масштаба: Y = F(K, L) и для любого положительного z
Y_
L |  |
верно: zF(K,L) = F (zK zL). Тогда если z = у, то

Y К
Обозначим (-) через у, а (—) через к и перепишем исходную
L к
функцию в форме взаимосвязи между производительностью и фондовооруженностью (капиталовооруженностью): у = f(k) (см. рис. 11.1). Тангенс угла наклона данной производственной функции для каждого уровня к соответствует предельному продукту капитала (МРК), который убывает по мере роста фондовооруженности (к).

Совокупный спрос в модели Солоу определяется инвестициями и потреблением: у = / + с, где / и с - инвестиции и потребление в расчете на одного занятого. Доход делится между потреблением и сбережениями в соответствии с нормой сбережения, так что потребление можно представить как с - (1 - s)у, где s - норма сбережения (накопления), тогда у = с + і - (1 - s)y + і, откуда
i = sy. В условиях равновесия инвестиции равны сбережениям1 и пропорциональны доходу.
Условия равенства спроса и предложения могут быть представлены как f(k) = с + і или /(*)=-. Производственная функция определяет предложение на рынке товаров, а накопление капитала спрос на произведенный продукт.
Динамика объема выпуска зависит от объема капитала (в нашем случае - капитала в расчете на одного занятого, или капиталовооруженности). Объем капитала меняется под воздействием инвестиций и выбытия: инвестиции увеличивают запас капитала, выбытие - уменьшает.
Инвестиции зависят от фондовооруженности и нормы накопления, что следует из условия равенства спроса и предложения в экономике: / = s-f(k). Норма накопления определяет деление продукта на инвестиции и потребление при любом значении к (рис. 11.1): у =f(k), i ~sf(k), с = (I -s)f(k).
Амортизация учитывается следующим образом: если принять, что ежегодно вследствие износа капитала выбывает его фиксированная часть d (норма выбытия), то величина выбытия будет пропорциональна объему капитала и равна dk. На графике эта связь отражается прямой, выходящей из точки начала координат, с угловым коэффициентом d (рис. 11.2).
 |
|
1 Предполагается, согласно неоклассической теории, что реальная ставка процента корректируется, обеспечивая равновесие на рынке инвестиций -сбережений. |
Влияние инвестиций и выбытия на динамику запасов капитала можно представить уравнением А к - і - dk, или, используя равенство инвестиций и сбережений, Ак = sf(k) - dk. Запас капитала (к) будет увеличиваться (Ак>0) до уровня, при котором инвестиции будут равны величине выбытия, т.е. s-f(k) = dk. После этого запас капитала на одного занятого (фондовооруженность) не будет меняться во времени, поскольку две действующие на него силы уравновесят друг друга (Ак - 0). Уровень запаса капитала, при котором инвестиции равны выбытию, называется равновесным (устойчивым) уровнем фондовооруженности труда и обозначается к*. При достижении к* экономика находится в состоянии долгосрочного равновесия.
Равновесие является устойчивым, поскольку независимо от исходного значения к экономика будет стремиться к равновесному состоянию, т.е. к к*. Если начальное к/ ниже к* то валовые инвестиции (sf(k)) будут больше выбытия (dk) и запас капитала будет возрастать на величину чистых инвестиций. Если кі> к*, это означает, что инвестиции меньше, чем износ, а значит, запас капитала будет сокращаться, приближаясь к уровню к* (см. рис. 11.2).
Норма накопления (сбережения) непосредственно влияет на устойчивый уровень фондовооруженности. Рост нормы сбережения с si до 52 сдвигает кривую инвестиций вверх из положения sjf(k) до S2f(k) (см. рис. 11.3).

В исходном состоянии экономика имела устойчивый запас капитала &/*, при котором инвестиции равнялись выбытию. После повышения нормы сбережения инвестиции выросли на (/'і - ц), а запас капитала (к]*) и выбытие (dkj) остались прежними. В этих условиях инвестиции начинают превышать выбытие, что вызывает рост запаса капитала до уровня нового равновесия /с2* которое характеризуется более высокими значениями фондовооруженности и производительности труда (выпуск на одного занятого, у).
Модель Солоу показывает, что норма сбережения является важнейшим фактором, определяющим устойчивый уровень капиталовооруженности и, соответственно, уровень выпуска. Страны с более высокой нормой сбережения больше инвестируют и имеют более высокий уровень капиталовооруженности, что обеспечивает более высокий темп роста (см. табл. 11.1).
|
Таблица 11.1 |
|
Страна |
Валовые внутренние инвестиции, % от ВВП 1997 г. |
Валовые внутренние сбережения, % от ВВП 1997 г. |
ВНП на душу населения, долл.
1997 г. |
Среднегодовые темпы роста ВНП,
1996-1997гг. |
Среднегодовые темпы роста ВНП на душу населения, % 1996 1997 гг |
|
Гаити |
10 |
-4 |
380 |
1,0 |
-и |
|
Бурунди |
7 |
3 |
207 |
0,7 |
-1,5 |
|
Сенегал |
19 |
13 |
540 |
5,4 |
2,5 |
|
США |
18 |
16 |
29080 |
3,8 |
2,8 |
|
Нидерланды |
20 |
26 |
25830 |
3,4 |
2,8 |
|
Австрия |
24 |
23 |
27920 |
0,8 |
0,7 |
|
Япония |
30 |
30 |
38160 |
1,8 |
1,5 |
|
Перу |
25 |
21 |
2610 |
7,3 |
5,4 |
|
Индонезия |
31 |
31 |
1110 |
4,3 |
2,6 |
|
Малайзия |
43 |
44 |
4530 |
7,5 |
4,8 |
|
Ю. Корея |
35 |
34 |
10550 |
4,9 |
3,9 |
|
Гонконг |
34 |
31 |
25200 |
5,2 |
2,1 |
|
Сингапур |
37 |
51 |
32810 |
8,8 |
6,7 |
|
Китай |
38 |
43 |
860 |
8,5 |
7,4 |
|
Польша |
22 |
18 |
3590 |
6,8 |
6,7 |
|
Венгрия |
27 |
27 |
4510 |
4,7 |
5,1 |
|
Монголия |
22 |
18 |
390 |
3,3 |
1,5 |
|
Молдова |
24 |
0 |
460 |
-0,3 |
0,0 |
|
Грузия |
7 |
-4 |
860 |
13,2 |
13,1 |
|
Армения |
9 |
-29 |
560 |
8,6 |
8,2 |
|
Беларусь |
26 |
22 |
2150 |
іи |
11,4 |
|
Украина |
20 |
16 |
1040 |
-3,2 |
-2,4 |
|
Узбекистан |
19 |
19 |
1020 |
— |
— |
|
Казахстан |
16 |
13 |
1350 |
1,7 |
2,4 |
|
Киргизия |
22 |
14 |
480 |
8,6 |
7,2 |
Российская
Федерация |
22 |
25 |
2680 |
0,3 |
0,6 |
|
|
Источник: World Development Indicators, 1999. The World Bank. P. 12-14, 220, 222. |
Таким образом, чем выше норма сбережения (накопления), тем более высокий уровень выпуска и запаса капитала может быть достигнут в состоянии устойчивого равновесия. Однако повышение нормы накопления ведет к ускорению экономического роста в краткосрочном периоде, до тех пор пока экономика не достигнет точки нового устойчивого равновесия.
Очевидно, что ни сам процесс накопления, ни увеличение нормы сбережения не могут объяснить механизм непрерывного роста выпуска в рассчете на душу населения в устойчивом состоянии. Они показывают лишь переход от одного состояния равновесия к другому.
Для дальнейшего развития модели Солоу поочередно снимаются две предпосылки: неизменность численности населения и его занятой части (их динамика предполагается одинаковой) и отсутствие технического прогресса.
Предположим, население растет с постоянным темпом п. Это новый фактор, влияющий вместе с инвестициями и выбытием на фондовооруженность. Теперь уравнение, показывающее изменение запаса капитала на одного работника, будет выглядеть как Д/с = і - dk - nk или Ak = i - (d + n)k.
Рост населения аналогично выбытию снижает фондовооруженность, хотя и по-другому - не через уменьшение наличного запаса капитала, а путем распределения его между возросшим числом занятых. В данных условиях необходим такой объем инвестиций, который не только бы покрыл выбытие капитала, но и позволил бы обеспечить капиталом новых рабочих в прежнем объеме. Произведение nk показывает, сколько требуется дополнительного капитала в расчете на одного занятого, чтобы капи-

таловооруженность новых рабочих была на том же уровне, что и старых.
Условие устойчивого равновесия в экономике при неизменной фондовооруженности к* можно будет записать теперь так:
Ak=s-f(k)~(d + n)k = 0 или s ¦ f(k) = (d + п)к.
Данное состояние характеризуется полной занятостью ресурсов (рис. 11.4).
В устойчивом состоянии экономики капитал и выпуск на одного занятого, т.е. фондовооруженность (к) и производительность (у) труда, остаются неизменными. Но, чтобы фондовооруженность оставалась постоянной и при росте населения, капитал должен возрастать с тем же темпом, что и население, т.е. AY AL AK _
У ~ L ~ К
Таким образом, рост населения становится одной из причин непрерывного роста общего объема выпуска в условиях равновесия.
Отметим, что с увеличением темпа роста населения возрастает угловой коэффициент кривой (d + п)к, что приводит к уменьшению равновесного уровня фондовооруженности (к'*), а следовательно, к падению у.
Учет в модели Солоу технологического прогресса видоизменяет исходную производственную функцию. Предполагается трудосберегающая форма технологического прогресса. Производственная функция будет представлена как Y - F(К, L E), где Е - эффективность единицы труда, зависящая от состояния здоровья, образования и квалификации работника, a (L-E) - численность условных единиц труда с постоянной эффективностью Е. Чем выше тем больше продукции может быть произведено данным числом работников. Предполагается, что технологический прогресс осуще-
ствляется путем роста эффективности труда Е с постоянным темпом g. Рост эффективности труда в данном случае аналогичен по результатам росту численности занятых: если технологический прогресс имеет темп g = 2%, то, например, 100 рабочих могут произвести столько же продукции, сколько ранее производили 102 рабочих. Если теперь численность занятых (L) растет с темпом л, а ? растет с темпом g, то (ЕЕ) будет увеличиваться с темпом (п + g).
Включение технологического прогресса несколько меняет и
|
анализ состояния устойчивого равновесия, хотя ход рассуждений сохраняется. Если определить к' как количество капитала в расчете на единицу труда с постоянной эффективностью, т.е. |
 |
труда аналогичны росту численности занятых (увеличение количества единиц труда с постоянной эффективностью снижает величину капитала, приходящегося на одну такую единицу). В состоянии устойчивого равновесия (рис. 11.5) уровень фондовооруженности к' * уравновешивает, с одной стороны, влияние инвестиций, повышающих фондовооруженность, а с другой стороны, воздействие выбытия, роста числа занятых и технологического прогресса, снижающих уровень капитала в расчете на эффективную единицу труда:
s -Д^О =(d + n +g)k'.
В устойчивом состоянии (к'*) при наличии технологическо-го прогресса общий объем капитала (К) и выпуска (Y) будут
*ЛП
(d + n+ g)k'
'd + n+ g)k'
 |
sf- (к') |
IS
( капитал на эффективную единицу труда)
расти с темпом (п + g). Но, в отличие от случая роста населения,
'К'
теперь будут расти с темпом g фондовооруженность
и вы-
/ т/ Л
пуск
в расчете на одного занятого; последнее может служить
основой для повышения благосостояния населения. Технологический прогресс в модели Солоу является, следовательно, единственным условием непрерывного роста уровня жизни, поскольку лишь при его наличии наблюдается устойчивый рост выпуска на душу населения (у).
|
Таблица 11.2. Характеристика основных переменных модели Солоу в состоянии устойчивого равновесия |
При отсутствии роста населения
и технологического
прогресса |
При росте населения
с темпом п |
При росте населения с темпом п
и технологическом
прогрессе с темпом g |
|
переменная |
темп |
переменная |
темп |
переменная |
темп |
|
|
роста |
|
роста |
|
роста |
|
L |
0 |
L |
п |
L |
п |
|
|
|
|
|
LE |
я +? |
|
К |
0 |
К |
п |
К |
п +g |
|
|
|
|
|
, К |
|
|
|
|
|
|
к =- |
0 |
|
|
|
|
|
LE |
|
|
К |
|
К |
|
К |
|
|
к = — |
0 |
к = — |
0 |
к= — |
g |
|
L |
|
L |
|
L |
|
|
Y |
0 |
Y |
п |
Y |
n+g |
|
|
|
|
|
, Y |
|
|
|
|
|
|
у = - |
0 |
|
|
|
|
|
LE |
|
|
Y |
|
Y |
|
Y |
|
|
-У |
0 |
у — |
0 |
у — — |
g |
|
L |
|
L |
|
L |
|
|
Таким образом, в модели Солоу найдено объяснение механизма непрерывного экономического роста в режиме равновесия при полной занятости ресурсов.
Как известно, в кейнсианских моделях норма сбережения задавалась экзогенно и определяла величину равновесного темпа роста дохода. В неоклассической модели Солоу при любой норме сбережения рыночная экономика стремится к соответствующему устойчивому уровню фондовооруженности (к*) и сбалансированному росту, когда доход и капитал растут с темпом (п + g). Величина нормы сбережения (накопления) является объектом экономической политики и важна при оценке различных программ экономического роста.
Поскольку равновесный экономический рост совместим с различными нормами сбережения (как мы видели, увеличение s лишь на короткое время ускоряло рост экономики, в длительном же периоде экономика возвращалась к устойчивому равновесию и постоянному темпу роста в зависимости от значений п и g), возникает проблема выбора оптимальной нормы сбережения.
Оптимальная норма накопления, соответствующая “золотому правилу” Э. Фелпса, обеспечивает равновесный экономический рост с максимальным уровнем потребления. Устойчивый уровень фондовооруженности, соответствующий этой норме накопления, обозначим к**, а потребления - с**
Уровень потребления в расчете на одного занятого при любом устойчивом значении фондовооруженности к* определяется путем ряда преобразований исходного тождества: у - с + /. Выражаем потребление с через у и / и подставляем значения данных параметров, которые они принимают в устойчивом состоянии: с - у - і, с* =f (к*) -dk*, где с* - потребление в состоянии устойчивого роста, а / = sf(k) = dk по определению устойчивого уровня фондовооруженности. Теперь из различных устойчивых уровней фондовооруженности (к*), соответствующих разным значениям s, необходимо выбрать такой, при котором потребление достигает максимума (рис. 11.6).

Если выбрано k*<k**, то объем выпуска увеличивается в большей степени, чем величина выбытия (линия/(к*) на графике круче, чем dk*), а значит, разница между ними, равная потреблению, растет. При к*>к** увеличение объема выпуска меньше роста выбытия, т.е. потребление падает. Рост потребления возможен лишь до точки к**, где оно достигает максимума (производственная функция и кривая dk* имеют здесь одинаковый наклон). В этой точке увеличение запаса капитала на единицу даст прирост выпуска, равный предельному продукту капитала (МРК), и увеличит выбытие на величину d (износ на единицу капитала). Роста потребления не будет, если весь прирост выпуска будет использован на увеличение инвестиций для покрытия выбытия. Таким образом, при уровне фондовооруженности, соответствующем “золотому правилу” (к**), должно выполняться условие: МРК = d (предельный продукт капитала равен норме выбытия), а с учетом роста населения и технологического прогресса: МРК - d + п + g.
Если экономика в исходном состоянии имеет запас капитала больший, чем следует по “золотому правилу”, необходима программа по снижению нормы накопления. Эта программа обусловливает увеличение потребления и снижение инвестиций. При этом экономика выходит из состояния равновесия и вновь достигает его при пропорциях, соответствующих “золотому правилу”.
Если экономика в исходном состоянии имеет запас капитала меньше, чем к**, необходима программа, направленная на повышение нормы сбережения. Эта программа первоначально приводит к росту инвестиций и падению потребления, но по мере накопления капитала с определенного момента потребление вновь начинает расти. В результате экономика достигает нового равновесия, но уже в соответствии с “золотым правилом”, где потребление превышает исходный уровень. Данная программа обычно считается непопулярной в связи с наличием “переходного периода”, характеризующегося падением потребления, поэтому ее принятие зависит от межвременных предпочтений политиков, их ориентации на краткосрочный или долгосрочный результат.
Рассмотренная модель Солоу позволяет описать механизм долгосрочного экономического роста, сохраняющий равновесие в экономике и полную занятость факторов. Она выделяет технический прогресс как единственную основу устойчивого роста благосостояния и позволяет найти оптимальный вариант роста, обеспечивающий максимум потребления.
Представленная модель не свободна и от недостатков. Модель анализирует состояния устойчивого равновесия, достигаемые в длительной перспективе, тогда как для экономической политики важна и краткосрочная динамика производства и уровня жизни. Многие экзогенные переменные модели Солоу - s, d, п, g -предпочтительнее было бы определять внутри модели, поскольку они тесно связаны с другими ее параметрами и могут видоизменять конечный результат. Модель не включает также целый ряд ограничителей роста, существенных в современных условиях ресурсных, экологических, социальных. Используемая в модели функция Кобба-Дугласа, описывая лишь определенный тип взаимодействия факторов производства, не всегда отражает реальную ситуацию в экономике. Эти и другие недостатки пытаются преодолеть современные теории экономического роста.
В неоклассической модели роста объем выпуска в устойчивом состоянии растет с темпом (п + g), а выпуск на душу населения - с темпом g, т.е. устойчивый темп роста определяется экзогенно. Современные теории эндогенного роста пытаются определить устойчивый темп роста в рамках модели, эндогенно, связывая его со всеми возможными количественными и качественными факторами: ресурсными, институциональными и др.
Сторонники концепции “экономики предложения’" полагают, что увеличение темпов роста при полной занятости возможно прежде всего путем сокращения регулирующего вмешательства извне в рыночную систему.
Основные термины
Экономический рост Экстенсивный рост Интенсивный рост
Модель экономического роста Е. Домара Модель роста Р.Ф. Харрода “Гарантированный" темп роста “Естественный" темп роста Модель роста Р. Солоу Устойчивый уровень фондовооруженности “Золотое правило” Э. Фелпса
Вопросы для обсуждения
1. Норма сбережения является одним из ключевых параметров моделей роста. С помощью каких инструментов экономической политики государство может влиять на норму сбережения? Является ли эта политика достаточным условием формирования необходимого уровня инвестиций (равного уровню сбережений)?
2. В небольшой стране землетрясение уничтожило значительную часть запасов капитала. В контексте модели Солоу опишите, как будет происходить процесс восстановления экономики, каковы будут краткосрочные и долгосрочные последствия.
3. Предположим, что две страны имеют одинаковые нормы сбережений, темпы роста населения и технологического прогресса, но одна имеет высокообразованную, а другая менее образованную рабочую силу. Будут ли в этих странах, в соответствии с моделью Солоу, различаться темпы роста совокупного дохода и темпы роста дохода в расчете на душу населения?
4. В чем, по вашему мнению, состоит ограниченность представленных моделей экономического роста? Какие направления преодоления этой ограниченности вы могли бы предложить?
Задачи и решения
1. Экономика страны описывается производственной функцией вида Y - A'KP'4-L0,6. Известно, что темп прироста капитала равен 3% в год, а численности занятых - 2%. Общая производительность факторов растет с темпом 1,5% в год. Как меняется объем производства?
Решение
В неоклассической модели роста была использована производственная функция вида Y = A F(К, L). Объем производства Y зависит от вклада факторов - труда L и капитала К, а также от технологии. Производственная функция имеет постоянную отдачу от масштаба, т.е. увеличение всех факторов в определенной степени приводит к росту выпуска в той же степени (если факторы увеличились вдвое, то выпуск возрастет также в 2 раза). Изменение выпуска можно представить как A Y = F(K, L)AA + + МРКАК + MPL AL, где МРК и MPL - предельные производительности соответствующих факторов.
Разделим это выражение на Y = A F(K, L) и получим:
AY АА МРК MPL КТ
— = — + —— • А К + —— • АL . Второе и третье слагаемые правой
Y А 1 I
части уравнения умножим и разделим на К и L:
AY
? |  |
МРК
Y |
MPL
АL
— . В скобках мы получим
і?
доли капитала и труда в общем объеме выпуска. При условии постоянной отдачи от масштаба сумма этих долей равна единице
|
АY Y |  |
4
где а ; |
(по теореме Эйлера), тогда
доля капитала, а (1 а) - доля труда в доходе; А общая производительность факторов, мера уровня технологического прогресса, измеряемая обычно по остаточному принципу (“остаток Солоу”)1.
В представленной функции Y = А-К0,4-^’6 показатели степени представляют собой одновременно и долю факторов в доходе,
А Y
то есть —
Y |  |
что можно проверить матема
тически, проведя с этой функцией все указанные выше операции.
Тогда
= 1,5%+ 0,4-3%+ 0,6 *2% = 3,9%, т.е. выпуск растет с
темпом 3,9% в год. { ,
2. Производственная функция задана уравнением Y = K2 L2 . Норма сбережения s равна 0,2, норма выбытия d - 5%, темп роста населения п составляет 2% в год, темп трудосберегающего технологического прогресса g равен 3%. Каким будет запас капитала и объем выпуска в расчете на одного занятого в устойчивом состоянии? Соответствует ли устойчивая фондовооруженность уровню, при котором достигается максимальный объем потребления (“золотому правилу”)? Какой должна быть норма сбережения в соответствии с “золотым правилом”?
Решение
Преобразуем производственную функцию, разделив ее на L, т.е. представим все параметры в расчете на одного занятого, тог-

L2
О методах расчета источников экономического роста см.: Мэнкъю И.Г. Макроэкономика. С. 191-198.
В соответствии с условием устойчивого состояния экономики инвестиции должны быть равны выбытию, т.е. і - dk, или
sy = dk, или s4k = dk. С учетом роста населения и технологического прогресса формула принимает вид s-Jk = (d + п + g)fc. Отсюда
находим к: -4=- =--- или 4к=---. Подставляем значения
dk d + n + g d + n + g
= 2,
соответствующих параметров и получаем
0,2
0,05 + 0,02 + 0,03
к = 4, у = у[к = 2.
По условию “золотого правила” МРК - d + п + g. Предельный продукт капитала получим как производную функции
=u~L 1
~4к :У ~
= d + n + g= 0,1, отку
Тогда
2?Г
2у[к
да dk =5 , к = 25. Таким образом, исходная фондовооруженность (к -4) не соответствует условиям достижения максимума потребления. Очевидно, норма накопления в соответствии с “золотым правилом” должна быть выше. Находим ее, учитывая, что состояние экономики при условиях “золотого правила” также является устойчивым, а значит, s-y = (d + п + g)k, отку-
(d+n + g)k (d + n + g)k
. Подставляя значения параметров



(к - 25, 4к = 5 ), получаем: s - —-= 0,5 . Таким образом, норма
сбережения в соответствии с “золотым правилом” должна быть равна 0,5, или 50%, тогда как в исходном состоянии она равна 20%.
Тесты
1. Предположим, что в стране А предельная производительность капитала равна 1/5, а в стране В - 1/3; предельная склонность к сбережению в обеих странах одинакова. В соответствии с моделью Домара темп прироста реального выпуска в стране А:
а) на 13% ниже, чем в стране В;
б) составляет 60% от темпа прироста в стране В;
в) в 1,67 раза выше, чем в стране В;
г) на 40% выше, чем в стране В.
2. В соответствии с моделью Солоу при темпе трудосберегающего прогресса g и темпе роста населения п темп прироста общего выпуска в устойчивом состоянии равен:
а) п\ б) g; в) 0; г) п + g.
3. Производственная функция имеет вид Y = А ¦ A0,3-L0,7. Если общая производительность факторов растет с темпом 2%, темп роста выпуска равен 5,9%, а капитал растет с темпом 6%, то численность занятых увеличивается с темпом:
а) 3,3%; б) -2,1%; в) 3%; г) 0,8%.
(См. задачу 1 из раздела “Задачи и решения”.)
4. Устойчивый рост объема выпуска в расчете на одного занятого в модели Солоу объясняется:
а) ростом населения;
б) ростом нормы сбережения;
в) технологическим прогрессом;
г) ответы а) и в) верны.
5. Увеличение нормы выбытия в экономике при неизменной производственной функции, норме сбережения, неизменных темпах роста населения и технологического прогресса:
а) увеличит запас капитала на одного занятого в устойчивом состоянии;
б) снизит устойчивый уровень запаса капитала на одного занятого;
в) не изменит устойчивого уровня фондовооруженности;
г) ничего определенного сказать нельзя.
6. Производственная функция в странах А и В задана как У = К°'5Ь0,5. Норма выбытия в обеих странах составляет 6% в год. Но страна А сберегает 24% своего дохода, а страна В - 15%. В этих условиях уровень выпуска на одного занятого в устойчивом состоянии в стране А:
а) в 1,6 раза выше, чем в стране В;
б) в 2,56 раза выше, чем в стране В;
в) составляет 62,5% от соответствующего уровня в стране В;
г) составляет 80% от соответствующего показателя в стране В.
7. Производственная функция представлена как Y = 2K°'5L0,5. Рост населения составил 1% в год. Ежегодно страна сберегает 10% от объема выпуска. Норма выбытия равна 3% в год. Темп технологического прогресса составил 2% в год. В данных условиях устойчивый уровень потребления в расчете на одного занятого составит:
а) 0,5626; б) 0,6; в) 1,25; г) 6,0.
8. В модели Солоу производственная функция имеет вид
у - 0,64-У^ . Норма выбытия капитала составляет 5%, население растет на 1% в год, темп технологического прогресса равен 2%. Тогда норма сбережения, соответствующая “золотому правилу”, составляет:
а) 64%; б) 20%; в) 50%; г) 31,25%.
I 1
9. Производственная функция имеет вид у = 15. к3, • L3 * Срок службы капитала составляет 20 лет. Рост населения и технологический прогресс отсутствуют. Определите устойчивый уровень выпуска в расчете на одного занятого, соответствующий условиям “золотого правила”:
а) 1000; б) 150; в) 1500; г) 300.
10. Страна А имеет производственную функцию Y = K°’5-L0,5. Норма выбытия составляет 6% в год. Население увеличивается за год на 2%. Технологический прогресс отсутствует. Максимальный объем потребления в соответствии с условиями “золотого правила” составит:
а) 3,125; 6)6,25; в) 39,0625; г) 2,65.
Рекомендуемая учебная литература
1. Мэнкъю Н.Г Макроэкономика. Гл. 4.
2. Фишер С, Дорнбуш Р., Шмалензи Р. Экономика. Гл. 35.
3. Пезенти А. Очерки политической экономии капитализма. Т. 2, с. 315-336, 793-870.
4. Гальперин В.М., Гребенников П.И., Леусский А.И., Тарасе-вичЛ.С. Макроэкономика. Гл. 14.
5. Дорнбуш Р., Фишер С. Макроэкономика. Гл. 19.
|
|
Ответы к тестам |
|
1)6 |
6) а |
|
2) г |
7) г |
|
3) в |
8) в |
|
4) в |
9) 6 |
|
5)6 |
10) а |
Глава 12
Выбор моделей макроэкономической политики
12.1. Фискальная и монетарная политика в классической и кейнсианской моделях.
12.2. Проблемы осуществления стабилизационной политики. Активная и пассивная политика.
12.3. Политика твердого курса и произвольная макроэкономическая политика.
12.4. Возможные “твердые курсы” фискальной и монетарной политики. Противоречивость целей макроэкономического регулирования и проблема координации курсов бюджетно-налоговой и кредитно-денежной политики.
12.1. Фискальная и монетарная политика в классической и кейнсианской моделях
Классический и кейнсианский подходы к макроэкономической политике различны. Разногласия касаются причин нестабильности совокупного спроса; факторов, определяющих совокупное предложение; взаимосвязи инфляции и безработицы; инструментов фискальной и монетарной политики и т.д.
Общим методологическим подходом кейнсианцев является концепция активной макроэкономической политики, которая необходима для стабилизации внутренне нестабильной экономики. Внутренняя нестабильность во многом связана с недостаточной гибкостью рынка труда, «жесткостью» заработной платы и неэластичностью цен в сторону понижения.
В классической модели макроэкономическая политика всегда пассивна, так как экономика внутренне стабильна и автоматически приходит в состояние долгосрочного равновесия. Инструментами «саморегулирования» являются гибкие заработная плата, цены и ставка процента. Государственное вмешательство, напротив, усиливает экономическую нестабильность и сводится к минимуму.
В кейнсианской модели основным уравнением является уравнение совокупных расходов:
Г = С + / + С + А?
которое определяет величину номинального ВВП.
В классической модели основным уравнением является уравнение обмена:
MV-PY,
где величина М V представляет собой совокупные расходы покупателей, а PY общие доходы (выручку) продавцов, которые также определяют номинальный ВВП.
Очевидно, что оба уравнения описывают кругооборот доходов и расходов в экономике и поэтому взаимосвязаны.
В кейнсианской модели фискальная политика рассматривается как наиболее эффективное средство макроэкономической стабилизации, так как государственные расходы оказывают непосредственное воздействие на величину совокупного спроса и сильное мультипликативное воздействие на потребительские расходы. Одновременно налоги достаточно эффективно воздействуют на потребление и инвестиции.
В классической модели фискальной политике отводится второстепенная роль по сравнению с монетарной, так как фискальные меры вызывают эффект вытеснения и способствуют повышению уровня инфляции, что значительно снижает их стимулирующий эффект.
В кейнсианской модели монетарная политика рассматривается как вторичная по отношению к фискальной, так как у кредитно-денежной политики очень сложный передаточный механизм: изменение денежной массы приводит к изменению ВВП через механизм изменения инвестиционных расходов, которые реагируют на динамику процентной ставки.
В классической модели предполагается, что изменение денежного предложения непосредственно воздействует на совокупный спрос и, следовательно, на номинальный ВВП.
В концепциях неоклассического направления, таких как теория рациональных ожиданий (ТРО), цены и заработная плата рассматриваются как абсолютно гибкие. Поэтому рыночный механизм может автоматически поддерживать экономику в состоянии равновесия без какого-либо вмешательства правительства или Центрального Банка. Стабилизационная политика может оказаться эффективной лишь в том случае, если правительство и Центральный Банк лучше информированы о шоках совокупного спроса и предложения, чем рядовые экономические аг енты. Если же этого преимущества в информации нет, то фискальная или монетарная политика не сможет улучшить экономическую ситуацию.
12.2. Проблемы осуществления стабилизационной политики. Активная и пассивная политика
Экономическая стабилизация связана со многими трудностями практического характера. К их числу относятся:
а) временные лаги фискальной и монетарной политики;
б) несовершенство экономической информации;
в) изменчивость экономических ожиданий;
г) неоднозначность исторических аналогий.
Внутренний лаг -- промежуток времени между моментом экономического шока и моментом принятия ответных мер экономической политики. Такие внутренние лаги более характерны для фискальной политики: изменение курса денежно-кредитной политики осуществляется по решению Центрального Банка, тогда как меры бюджетно-налоговой политики предполагают длительное обсуждение в парламенте.
Внешний лаг - промежуток времени между моментом принятия какой-либо меры экономической политики и моментом появления результатов от этой меры. Такие внешние лаги характерны для денежно-кредитной политики в большей мере, чем для фискальной, гак как денежно-кредитные инструменты воздействуют на совокупный спрос через определенный передаточный механизм.
Поскольку инвестиционные проекты планируются фирмами заблаговременно, то требуется время от 6 до 12 месяцев, чтобы, например, инвестиции в жилищное строительство отреагировали на изменение ставки процента. Производственные инвестиции имеют еще более продолжительный лаг.
Так же обстоит дело и с чистым экспортом. В ответ на изменение денежной массы и процентной ставки изменяется валютный курс, что, в свою очередь, приводит к изменению объемов экспорта и импорта и, соответственно, величины чистого экспорта . Если, например, в результате снижения валютного курса какие-либо товары относительно подешевели, а другие, наоборот, относительно подорожали, то потребители не переключаются немедленно на подешевевшие товары даже в том случае, когда они очень высокого качества требуется известное время, чтобы покупатели обнаружили их преимущества, изменили свои предпочтения и т.д. Эластичность спроса на импортные товары ока-
жется в этом случае одним из главных факторов, определяющих эффективность мер монетарной политики.
В среднем лаги фискальной и монетарной политики составляют 1-2 года. Если меры были приняты до начала циклического спада или во время спада, то пик воздействия может проявиться в противоположной фазе цикла (то есть в подъеме) и усилить амплитуду колебаний. Это усложняет проведение активной стабилизационной политики.
Автоматические стабилизаторы экономики частично разрешают эту проблему в индустриальных странах. Создание эффективных систем прогрессивного налогообложения и страхования занятости является первоочередной задачей и для переходных экономик, где объективные сложности стабилизационной политики сочетаются с отсутствием адекватных налоговых, кредитно-денежных и других механизмов макроэкономического управления.
Проведение стабилизационной политики также осложняется тем, что многие экономические события практически непредсказуемы. Эти сложности макроэкономического прогнозирования частично преодолеваются с помощью расширения и усложнения макроэкономических моделей, позволяющих предсказать динамику основных показателей экономического развития. Индекс опережающих индикаторов, объединяющий 11 блоков данных, обеспечивает необходимую информацию о возможных колебаниях экономики.
Индекс опережающих индикаторов включает в себя следующие показатели:
1. Средняя продолжительность рабочей недели. Сокращение в длительности рабочей недели указывает на возможное сокращение в будущем объема ВВП.
2. Первичные заявки на получение страховки по безработице. Увеличение числа первичных требований на получение пособия связано с падающим уровнем занятости и выпуска.
3. Новые заказы на поставку потребительских товаров. Сокращение числа таких заказов предшествует сокращению ВВП.
4. Цены рынка акций. Снижение цен акций является отражением ожидаемого сокращения продаж корпораций и падения прибылей, а также вызывает сокращение потребительских расходов и делает выпуск новых акций менее привлекательным для фирм, что может вызвать падение ВВП.
5. Контракты и заказы на новые машины и оборудование. Сокращение объема заказов на производственное оборудо-
вание и другие инвестиционные товары означает сокращение в будущем объема ВВП.
6. <Чцсло лицензий на строительство жилья. Сокращение этого показателя предшествует сокращению инвестиций и ВВП
7. Выполнение заказов на поставки материалов и комплектующих изделий. Хотя это кажется несколько парадоксальным, но улучшение деятельности торговых предприятий по своевременной поставке покупателям материалов и комплектующих изделий свидетельствует о сокращении спроса со стороны сектора «бизнес» и о потенциально снижающемся ВВП.
8. Изменение портфеля заказов на товары длительного пользования. Сокращение объема портфеля заказов свидетельствует о сокращении совокупного спроса и последующем снижении ВВП.
9. Изменение цен па некоторые виды сырья. Снижение цен на сырье нередко предшествует падению объема ВВП.
10. Предложение денег. Сокращение предложения денег обычно ассоциируется с падением ВВП.
11. Индекс потребительских ожиданий. Падение доверия потребителей, характеризуемое этим индексом, предвещает сокращение потребительских расходов и ВВП.
Если на протяжении трех месяцев подряд идет сокращение или повышение этого средневзвешенного (или сводного) индекса из 11 компонентов, то это означает, что экономика в целом будет развиваться в том же направлении. Однако данный индекс не является безукоризненным барометром экономической конъюнктуры и не гарантирует от «ошибок» при проведении макроэкономической политики.
Выбор между активной и пассивной моделями макроэкономической политики осложняется также изменчивостью экономических ожиданий.
Определяя поведение потребителей, инвесторов и других экономических агентов, ожидания играют в экономике важнейшую роль. Проблема состоит в том, что, с одной стороны, от ожиданий во многом зависят результаты макроэкономического регулирования, но, с другой стороны, сами ожидания определяются мерами экономической политики.
Когда в политике правительства и ЦБ происходят изменения, то изменяются и ожидания экономических агентов, и их экономическое поведение. Для того чтобы эффективно управлять экономикой, необходимо прогнозировать эти изменения, используя для расчетов дос-
таточно сложные экономические модели. Уравнения моделей должны изменяться в соответствии с изменениями в политике.
Однако обратное воздействие политики на формирование ожиданий очень сложно формализовать и “просчитать”. Поэтому любые макроэкономические модели в известной мере несовершенны, и Р. Лукас критически оценивает их использование для оценки эффективности экономической политики. В связи с этим в современной экономической теории появился особый термин -“критика Лукаса”. В самом общем виде его содержание сводится к тому, что традиционные методы анализа экономической политики не могут адекватно отразить влияние политических изменений на экономические ожидания.
Это особенно существенно для расчетов уровней ожидаемой инфляции и разработок стратегии антиинфляционной политики. Адаптивный компонент ожидаемой инфляции может быть рассчитан как сумма всех темпов инфляции прошлых лет, причем коэффициент при каждом следующем слагаемом, характеризующем удаление в прошлое, оказывается меньше, чем у предыдущего:
ке = 0,4л_/ + 0,2л_2 + 0,1л:_5 + ... + а,
' -V-'
ожидаемая адаптивный рациональный
инфляция (инерционный) компонент
компонент
где л_/ - уровень инфляции прошлого года;
л_2 - уровень инфляции двухгодичной давности; л_2 - уровень инфляции трехлетней давности и т.д. Уравнение ожидаемой инфляции является составной частью общей модели равновесия “совокупный спрос - совокупное предложение”:

(уравнение совокупного спроса)

Y = я + (3 ¦ G — у • Та +0
2) к = ке - Х(и - и*) + € (уравнение кривой Филлипса,
полученное из уравнения кривой AS)
Внешними переменными модели являются госрасходы G, налоги Та, денежное предложение Л/, ценовой шок е. В результате решения модели выводятся вероятностные значения уровней занятости, выпуска, безработицы, инфляции, которые могут послужить ориентирами для разработки альтернативных стратегий макроэкономической стабилизации.
При длительной инфляции экономические агенты перестают заблуждаться относительно последствий фискальной и монетарной экспансии, они больше интересуются экономической информацией, быстро распознают цели и прогнозируют результаты действий политиков, что позволяет избежать былых ‘‘ошибок” при выработке своих решений1. Это означает, что инерционная составляющая ожидаемой инфляции постепенно уменьшается и со временем вовсе исчезает. Одновременно возрастает рациональный компонент ожидаемой инфляции, связанный с изменениями в макроэкономической политике. Именно этот компонент наиболее трудно количественно оценить, а это означает, что результаты решения модели AD-AS не смогут оказаться абсолютно достоверными, что осложняет выбор мер экономической стабилизации.
Выбор между активной и пассивной экономической политикой зависит и от того, как оцениваются уроки истории. Мнение о стабилизационной политике во многом основывается на представлении о том, какую роль она сыграла в истории: стабилизирующую или дестабилизирующую. Этот подход является особенно распространенным в переходных экономиках, в том числе и в России, где постоянно ведутся поиски исторических аналогий сегодняшней ситуации и в этой связи обсуждается опыт НЭПа, опыт реформ Столыпина и другие исторические прецеденты.
Однако различные оценки исторических фактов нередко противоречат друг другу. История всегда допускает не одно, а множество толкований, так как выявить истинную причину макроэкономических колебаний нелегко. Поэтому обращение к истории не может окончательно разрешить вопроса о выборе модели стабилизационной политики.
Подробнее об этом см. гл. 10 “Совокупное предложение и кривая Филлипса. Политика стимулирования предложения”.
12.3. Политика твердого курса и произвольная макроэкономическая политика
Выбор между активной и пассивной моделями макроэкономической политики не тождественен выбору между “политикой твердого курса” и “свободой действий”. Последовательная макроэкономическая политика (“политика твердого курса”, или “игра по правилам”) предполагает заблаговременный выбор мер, которые могут быть предприняты в той или иной ситуации и которые предопределяют практические шаги правительства и Центрального Банка. “Твердый курс” означает, что меры правительства и Центрального Банка но изменению госрасходов, налогов и денежной массы ограничиваются количественными рамками избранных целевых ориентиров, которые не могут быть изменены в соответствии с текущей экономической конъюнктурой. Поэтому свобода действий правительства и ЦБ оказывается ограниченной необходимостью соблюдения заранее объявленных “правил игры”.
Примером пассивной макроэкономической политики в рамках твердого курса на стабилизацию темпа роста денежной массы является увеличение денежного предложения на 3% в год независимо от динамики уровня безработицы и других факторов.
Примером активной политики в рамках названного курса ЦБ может быть следующая:
AM
М
ал/
где
М
и И U-I
- темп роста денежной массы,
- фактический уровень безработицы в текущем и прошлом году (соответственно).
В обоих случаях твердым курсом ЦБ является, в терминах модели IS-LM, сдвиг кривой LM вправо, так как ЦБ стремится стабилизировать с помощью расширения денежного предложения находящуюся в спаде экономику. Но величина этого сдвига кривой LM вправо при пассивной политике всегда одинакова, а при активной - увеличивается в зависимости от глубины спада.
Непоследовательная макроэкономическая политика (политика “свободы действий”, или “свободы инициативы”) означает, что правительство и Центральный Банк дают оценку экономических проблем в каждом конкретном случае, по мере их возник
4
новения, и в каждый данный момент дискреционно подбирают подходящий тип политики. Поэтому такую политику также называют дискреционной, хотя в данном случае содержание этого термина гораздо более широкое, чем в контексте дискреционной фискальной политики, о которой шла речь в главе 6. “Свобода действий” означает отсутствие каких-либо количественных рамок, ограничивающих возможности правительства и ЦБ по изменению госрасходов, налогов и денежной массы.
Опыт макроэкономического регулирования в индустриальных странах свидетельствует, что “игра по правилам” имеет неоспоримые преимущества перед произвольной политикой. Эти преимущества, в самом общем виде, могут быть сведены к трем обстоятельствам.
1) Последовательная макроэкономическая политика снижает риск принятия некомпетентных решений.
Некомпетентность в экономической политике может быть связана не столько с некомпетентностью конкретных официальных лиц, сколько с двумя следующими обстоятельствами. Во-первых, некомпетентное решение правительства может возникнуть стихийно, как результат столкновения противоречивых интересов различных социальных групп. Во-вторых, несовершенство информации является “питательной почвой” для действий дилетантов, предлагающих заманчивые, но малореалистичные программы быстрого разрешения сложных макроэкономических проблем.
При твердых курсах политики правительства и ЦБ снижаются риски принятия некомпетентных решений под давлением определенных социальных групп или “популярных” программ.
2) Политика твердого курса снижает влияние политического бизнес-цикла на динамику уровней занятости, выпуска и инфляции.
Политические деятели, осуществляющие меры фискальной и монетарной политики, стараются сделать так. чтобы к моменту выборов сложились благоприятные в социальном смысле условия, которые обеспечили бы переизбрание лидеров данной партии на следующий срок. В этих целях можно сначала простимулировать увеличение занятости, а потом снизить инфляцию в результате более жесткой политики расходов, что обеспечит к моменту перевыборов относительно высокую занятость при относительно умеренной инфляции. Такого же результата можно добиться и с помощью противоположной комбинации мер - сначала провести жесткую антиинфляционную политику, сопровождающуюся ростом безработицы, а затем стимулирующую политику по

увеличению занятости и доходов. Таким образом, маневрирование уровнями занятости и инфляции оказывается нацеленным не столько на обеспечение устойчивого экономического роста, сколько на обеспечение политической победы на очередных выборах. В итоге политический процесс сам по себе превращается в один из факторов циклических колебаний экономики.
Твердые курсы политики правительства и ЦБ позволяют относительно оградить экономику от влияния изменений политической конъюнктуры. Приверженность твердому курсу снижает возможность фискальных и монетарных маневров в краткосрочном периоде, но способствует стабилизации экономики в долгосрочном плане.
3) “Игра по правилам” способствует укреплению доверия экономических агентов к политике правительст ва и Центрального Банка.
Проблема недоверия связана не столько с недоверием к отдельным официальным лицам, сколько с возможными отказами правительства и ЦБ от своих обещаний по проведению тех или иных экономических мер. Например, при произвольной макроэкономической политике правительство может объявить о льготном налогообложении прибылей от инвестиций, чтобы привлечь капитал в определенные отрасли и регионы. Но когда капитал уже инвестирован, правительство может отказаться от своих обещаний по снижению налогообложения, так как это создает угрозу увеличения дефицита госбюджета. Другой пример: в целях стимулирования инноваций правительство выдает изобретателям новых видов продукции патенты, предоставляющие им монопольное право использования ее в течение ряда лет и получения монопольной прибыли. Но после того, как изобретения уже сделаны, правительство может аннулировать патенты, чтобы сделать продукцию более доступной для потребителя.
В каждом из этих случаев экономические агенты знают, что правительство может нарушить свои обещания. Поэтому они страхуются от “обмана” - не инвестируют и не делают изобретений. В результате такой непоследовательной политики правительства экономика в целом существенно проигрывает, так как стимулы к экономическому росту оказываются заблокированными пессимистическими ожиданиями.
Отдавая себе отчет в непоследовательности макроэкономической политики, экономические агенты перестают доверять заявлениям правительства и ЦБ, и экономика, в конечном счете, может оказаться малоуправляемой. Так, например, согласно кривой Филлипса, взаимосвязь между инфляцией и безработицей
Индекс доверия
Высокоразвитые страны ОЭСР=1,0

 |
4
S Cl.
О
§.o 2 2 |
аз
Q.
Н
О |  |
1 л 0,8 0,6 0,4 0,2 О
 |
со
аз
ю
аз
ю
аз
(J |


аз
х
>S
03
03
с
о
X a
S ш
г « л аз с ? аз т а. о
аз
*
5
а.
¦&
<
аз
*
о
h
О
О
CD |
 |
аз
г
а.
«и |
а
аз
S
<
сс
03
ю
аз 2
it
< о
О
о
и
CD
ОТО ^ А ^ о 5 о х * ю s S- s
К *7 Q.
« ° аз
с: s ^
С 0) lO о
зависит от инфляционных ожиданий. Для уменьшения инфляционных ожиданий руководство ЦБ заявляет, что главной целью проводимой им денежной политики является снижение темпов роста цен. Однако после того, как ожидания уже сложились, у ЦБ появляется стимул к отказу от прежних намерений ради борьбы с безработицей. Если маневры ЦБ не ограничены рамками «твердого курса», то экономические агенты не поверят его заявлениям о решительной антиинфляционной политике и не будут осуществлять инвестиций. В итоге экономический рост окажется «заблокированным» этим недоверием. Эта взаимосвязь между уровнем доверия, инвестиций и экономического роста в различных группах стран представлена на рис. 12.1.
Политика твердого курса, которая не сопровождается никакими обещаниями, вызывает у экономических агентов больше доверия, делает ожидания более рациональными и создает в целом более благоприятную обстановку с точки зрения долгосрочных целей экономического роста.
12.4. Возможные “твердые курсы” фискальной и монетарной политики. Противоречивость целей макроэкономического регулирования и проблема координации курсов бюджетно-налоговой и кредитно-денежной политики
Некоторые возможные “твердые курсы” бюджетно-налоговой политики правительства:
а) государственный бюджет, балансируемый ежегодно;
б) государственный бюджет, балансируемый в более долгом периоде:
- на циклической основе;
- на функциональной основе.
Курс правительства на ежегодно балансируемый государственный бюджет:
а) снижает степень “встроенной” стабильности экономики;
б) вызывает частые колебания налоговых ставок, которые снижают инвестиционную активность;
в) относительно уменьшает доходы сегодняшнего поколения в пользу будущего.
Данные таблицы 12.1 свидетельствуют о сложностях практической реализации курса на ежегодно сбалансированный бюджет.
Таблица 12.1. Ведущие индустриальные страны: динамика доли сальдо федерального бюджета и бюджета расширенного
правительства в ВВП (в процентах)1} |
г
\ |
1991 |
1992 |
1993 |
1994 |
1995 |
1996 |
1997 |
1998 |
1999 |
2000" |
2001" |
I. Сальдо бюджета
расширенного
правительства
¦ в среднем по группе стран
В том числе: |
-2,7 |
-4,5 |
-4,9 |
-4,2 |
-4,1 |
-3,4 |
-1,9 |
-1,3 |
-1,2 |
-U |
-0,6 |
|
США |
-3,3 |
-6.0 |
-5,1 |
ОС |
-3.3 |
-2,4 |
-1,2 |
-0,1 |
0,5 |
1,0 |
1,2 |
|
Япония |
2,9 |
1,5 |
-1,6 |
-2,3 |
-3,6 |
-4.2 |
-3,4 |
-4,3 |
-7,1 |
-8,4 |
-6,7 |
|
Германия |
-3,1 |
-2,5 |
-3,2 |
-2,5 |
-3,2 |
-3.4 |
-2,6 |
-1,7 |
-1.1 |
-0,7 |
-1,0 |
|
франция21 |
-2,2 |
-4,1 |
-5,9 |
-5,5 |
-5,5 |
-4.2 |
-3,0 |
-2,7 |
-1,8 |
-1,5 |
-1.0 |
|
; Италия |
-10,0 |
-9,5 |
-9,4 |
-9,1 |
-7,6 |
-7.1 |
-2.7 |
-2,8 |
-1,9 |
-1,5- |
-1.0 |
|
Великобритания1* |
-2,2 |
-6,5 |
-8,0 |
-6,8 |
-5,8 |
-4,4 |
-2.0 |
0,2 |
0,3 |
0.2 |
0,2 |
Канада
II. Сальдо бюджета
федерального
правительства |
-7,2 |
-8,0 |
-7,6 |
-5,6 |
-4.3 |
-1.8 |
0.8 |
0.9 |
2.8 |
2,3 |
2,0 |
|
в среднем |
|
|
|
|
|
|
|
|
|
|
|
по группе стран
В том числе: |
-3,2 |
-4,3 |
-4,4 |
-3,8 |
-3,4 |
-2.9 |
-1.7 |
-1,1 |
-0,8 |
-0,5 |
-0,2 |
|
США4’ |
-3,5 |
-4,9 |
-4,2 |
-3,0 |
-2,6 |
-1,8 |
-0,5 |
0.4 |
1.0 |
1.5 |
1,7 |
|
Япония51 |
-0,2 |
-1.7 |
-2,7 |
-3.5 |
-4.0 |
-4,3 |
-4,0 |
-4,9 |
-5.7 |
-6.0 |
-5,0 |
|
Г ермания61 |
-1.8 |
-1.2 |
-2,1 |
-1.5 |
-1.4 |
-2.2 |
-1,7 |
-1.5 |
-1.3 |
-1.1 |
-1,2 |
|
іфранция01 |
-1,7 |
-3,9 |
-4,8 |
-4,8 |
-4,2 |
-3,7 |
-3,5 |
-3,0 |
-2.3 |
-2.1 |
-1,9 |
|
Италия |
-10,2 |
-10,3 |
-9,9 |
-9,1 |
-7,1 |
-6,8 |
-2,6 |
-2,8 |
-1.5 |
-1,3 |
-1,2 |
|
Великобритания |
-4,3 |
-7,3 |
-8,2 |
-6,7 |
-5,5 |
-4,6 |
-2.0 |
0.3 |
0,5 |
0.5 |
0,6 |
|
Канада |
-4,6 |
-4,3 |
-4,6 |
-3.7 |
-3.1 |
-1.3 |
1,0 |
1.1 |
1.1 |
1.2 |
0,9 |
|
” Данные за 2000-2001 гг. имеют оценочный характер.
С поправкой на изменения, связанные со стабилизацией обменного курса. 11 Исключая продажи активов.
41 Данные бюджетной статистики.
¦' Данные статистики национального дохода (с исключением операций по социальному обеспечению).
Ь! Операции по социальному обеспечению исключены.
Источник-. World Economic Outlook. May 2000. -IMF, 2000, p.p. 223 224; October 1999, p.p. 189-190.
Поскольку курс на ежегодно сбалансированный бюджет связан со значительными издержками, постольку бюджеты большинства стран балансируются в более долгосрочной перспективе. При этом в качестве целевых ориентиров фискальной политики, ограничивающих свободу действий правительства и направляющих ее на поддержание определенных количественных соотношений, могут выступаіъ следующие:
- снижение общего объема государственного долга;
-стабилизация соотношения долг/ВВП1;
- выравнивание темпов роста государственных расходов и темпов роста ВВП;
- равенство или превышение чистого объема инвестиций над чистым объемом государственного долга.
Указанные целевые ориентиры сдерживают “аппетиты” расходующих государственных ведомств, которые вынуждены соотносить свои требования новых бюджетных ресурсов с этими ограничениями, без которых динамика фактического дефицита государственного бюджета может оказаться трудноуправляемой. Некоторые возможные “твердые курсы” кредитно-денежной политики Центрального Банка:
1) поддержание стабильного темпа изменения денежной массы;
2) стабилизация рыночной ставки процента;
3) стабилизация номинального ВВП;
4) стабилизация номинального валютного курса.
При стабилизации темпа изменения денежной массы ЦБ устанавливает на каждый год определенный уровень ее прироста и с помощью операций на открытом рынке, дисконтной политики или изменения нормы резервирования поддерживает стабильное денежное предложение2. При такой политике кривая LM имеет положительный наклон: так как предложение денег стабильно, то более высокому уровню выпуска Y2 соответствует более высокая ставка процента Л? (см. рис. 12.2). Этот курс ЦБ оказывается эффективным при относительно стабильной скорости обращения денег.
 |
1 Подробнее об этом см. гл. 17 “Бюджетный дефицит и управление государственным долгом”, а также Приложение 1.
2 Подробнее об этом см. гл. 7 “Денежный рынок: спрос на деньги, предложение денег, равновесие на денежном рынке” и гл. 8 “Банковская система. Кредитно-денежная политика”. |
|
Валовые инвестиции (процентов от ВВП) |
 |
Высокий Средний Низкий
Уровень доверия |
 |
Высокий Средний Низкий
Уровень доверия |
При стабилизации процентной ставки ЦБ изменяет денежное предложение с помощью указанных инструментов таким образом, чтобы фактическая среднерыночная ставка процента приблизилась к избранному целевому ориентиру. Этот курс позволяет относительно сократить эффект вытеснения частных инвестиций, сопровождающий стимулирующую фискальную политику. В то же время стабилизация ставки процента позволяет относительно стабилизировать динамику валютного курса, так как, при прочих равных условиях, между этими переменными наблюдается положительная функциональная зависимость1.
Стабилизация ставки процента графически может изображаться в виде горизонтальной кривой LM, “зафиксированной” на уровне целевого ориентира Rq (см. рис. 12.3).
R
Ко -LM
-Y
Рис. 12.3
Если правительство и ЦБ успешно координируют свои действия, то стабилизация ставки процента может быть достигнута при традиционных наклонах кривых IS и LM и их скоординированных сдвигах (см. рис. 12.4).
 |
|
1 Подробнее об этом см. гл. 16 “Валютный курс”. Стабилизация номинального валютного курса нередко является непосредственным целевым ориентиром Центрального Банка. |
Антиинфляционный потенциал курса на стабилизацию темпов изменения денежной массы более высокий, чем курса на стабилизацию рыночной ставки процента, однако в первом случае не удается избежать эффекта вытеснения.
Курс на стабилизацию номинального ВВП обладает наибольшим антиинфляционным потенциалом, хотя практическая реализация такой политики осложняется тем, что ВВП изменяется со значительным временным лагом к любым мерам. Этот курс предполагает “фиксацию” вертикальной кривой LM на уровне избранного ориентира Yq (см. рис. 12.5).

LM


Рис. 12.5
Если фактический номинальный ВВП оказывается выше заданного, то ЦБ с помощью мер кредитно-денежной политики снижает денежное предложение, что сопровождается снижением занятости и выпуска. Если фактический ВВП ниже заданного уровня, то ЦБ проводит кредитно-денежную экспансию. Колебания уровня занятости при такой политике могут оказаться значительными, хотя в более долгом периоде стабилизация выпуска предполагает и стабилизацию уровня безработицы.
“Выпрямление” кривой LM* как правило, предполагает скоординированные действия ЦБ и правительства, так как кривая LM становится вертикальной при очень высоких ставках процента, которые сопровождаются минимизацией спекулятивного спроса на деньги и сохранением, по существу, только трансакционного спроса на деньги. Такое значительное повышение процентных ставок может быть достигнуто при долговом финансировании бюджетного дефицита в сочетании с ограничительной кредитно-денежной политикой ЦБ (см. рис. 12.6).
Описанный курс политики оказывается наиболее эффективным в ситуациях, когда снижение уровня инфляции становится первоочередной целью макроэкономического регулирования.
 |
|
Рис. 12.6. |
Опыт многих стран свидетельствует, что заслуживает доверия политика ЦБ, которая обеспечивает низкий стабильный темп роста денежной массы. Однако такая политика несовместима с фискальной политикой правительства, ориентированной на значительный дефицит госбюджета. Эта несовместимость объясняется ограниченными возможностями долгового финансирования бюджетного дефицита и неизбежным усилением инфляционного давления даже в случае стабилизации темпа роста денежной массы. В условиях быстрого роста государственного долга экономические агенты не поверят обещанию ЦБ придерживаться низкого темпа роста денежной массы, а недоверие неизбежно дестабилизирует общую макроэкономическую ситуацию. Поэтому систематический контроль правительства за динамикой бюджетного дефицита является необходимым условием успешного проведения Центральным Банком антиинфляционной денежной политики.
В переходных экономиках, в том числе и в российской, выбор оптимального сочетания курсов бюджетно-налоговой и кредитно-денежной политики затрудняется рядом специфических обстоятельств. Во-первых, нередко отсутствует необходимый опыт макроэкономического регулирования вообще и опыт координации действий правительства и ЦБ- в частности. Во-вторых, объективно сложная проблема укрепления доверия к экономической политике правительства и ЦБ еще более усложняется в ситуации экономической нестабильности и недоверия к отдельным официальным лицам. В-третьих, нередко отсутствуют необходимые социальные условия для обеспечения успешного антиинфляционного сдерживания ценой увеличения безработицы. Например, отсутствие в России развитой инфраструктуры рынка труда, которая позволила бы вытесненным из производства работникам быстро получить новые профессии и новые рабочие места, делает социально рискованным проведение жесткой антиинфляционной политики по методике “шоковой терапии'’.
Сочетание указанных обстоятельств приводит к преобладанию произвольной макроэкономической политики правительства и ЦБ, которая не способствует укреплению доверия и препятствует рационализации экономических ожиданий. Однако некоторые меры экономической политики - например, установление валютного коридора - позволяют думать о том, что правительство и ЦБ начинают процесс '‘обучения” экономических агентов формам рационального поведения. В пользу вывода о возможном движении в сторону рационализации ожиданий свидетельствует и обилие макроэкономической информации в периодической печати, а также появление в структуре частных фирм специальных аналитических подразделений, призванных давать обоснованные, “рациональные” прогнозы будущего состояния экономики, исходя из которых негосударственный сектор будет принимать экономические решения.
В то же время на фоне негибкости рынка труда усиливается тенденция к “жесткости” заработной платы и цен, корректировки которых значительно расходятся по времени. Снижение уровня инфляции и стабилизация доли бюджетного дефицита в ВВП России частично достигается путем “задержек” в выплате заработной платы и накопления отсроченных платежей, а также активного долгового финансирования бюджетных расходов. В этой ситуации эффекты антиинфляционной политики вряд ли могут оказаться долговременными.
Существенные сложности практического осуществления макроэкономической политики связаны с необходимостью координации «твердых курсов» правительства и Центрального Банка. Так, например, в странах с переходной экономикой финансирование значительных бюджетных дефицитов неинфляционными методами было практически невозможным, в особенности на начальном этапе трансформации. Поэтому монетизация бюджетного дефицита использовалась фактически повсеместно (см. табл. 12.2).
Инфляция, стимулируемая чрезмерным ростом денежной массы, приводила к обесцениванию денежных средств населения и перераспределению доходов между домашними хозяйствами, предприятиями, банками и правительством. При этом финансовый сектор (в том числе ЦБ) и правительство получили зна-
Таблица 12.2. Монетизация и небанковские источники финансирования бюджетного дефицита в некоторых странах
с переходной экономикой (1992-1994 гг.) |
|
|
Дефицит |
Монетизация |
Небанковские |
|
|
государст |
бюджетного |
источники |
|
|
венного |
дефицита |
финансирования |
|
|
бюджета |
(в % к общему |
бюджетного дефицита |
|
|
(в % к |
объему |
(в % к общему объему |
|
|
ВВП) |
финансирования) |
финансирования) |
|
В среднем по группе стран |
|
I. Страны, в которых объем бюджетного дефицита не превышал 5% ВВП (Латвия, Литва, |
1.4 |
16 |
84 |
Польша, Словения, Хорватия, Эстония)
2. Страны, в которых объем бюджетного |
|
|
|
дефицита превысил
5% ВВП (Албания, Беларусь, Болгария, Венгрия, Казахстан, Молдова, Россия, Словакия) |
9,3 |
71 |
29 |
|
|
Источник: From Plan to Market. World Development Report 1996. -fhe World Bank, 1996, p. 37. |
чительные выгоды от инфляционного налога, в особенности в России, где в 1992- 1993 годах доход от монетизации дефицита (сеньораж) превысил 16% ВВП, практически сравнявшись с общей величиной поступлений в государственный бюджет. В странах ЦВЕ этот показатель был несколько ниже - в Венгрии и Польше он составлял 5-6% ВВП в 1990-1992 гг. Впоследствии сеньораж в переходных экономиках, лидирующих на пути реформ, стабилизировался на «нормальном» уровне - около 1,5% ВВП. Это послужило серьезным фактором укрепления доверия к стабилизационным стратегиям правительства и ЦБ, позволив этим экономикам в 1993-2000 гг. выйти на траекторию устойчивого роста.
Основные термины
Внутренний временной лаг Внешний временной лаг Индекс опережающих индикаторов
“Критика Лукаса”
Активная и пассивная макроэкономическая политика Правила (“твердые курсы”) макроэкономической политики Свобода действий в макроэкономической политике Некомпетентность в макроэкономической политике Политический бизнес-цикл
Непоследовательность макроэкономической политики Доверие к политике правительства и Центрального Банка
Вопросы для обсуждения
1. Верны ли следующие утверждения?
а) После шока совокупного спроса или шока совокупного предложения экономика быстро возвращается в состояние равновесия без постороннего вмешательства.
б) Одной из целей макроэкономической политики является достижение нулевого уровня безработицы.
в) В случае шока совокупного спроса курс Центрального Банка на стабилизацию ВВП не будет оптимальным.
г) Политика Центрального Банка по поддержанию стабильного темпа роста денежной массы всегда является активной.
д) Если Центральный Банк проводит курс на стабилизацию рыночной ставки процента, то любые изменения в уровне инвестиций вызовут значительные колебания ВВП.
е) Денежно-кредитная политика всегда более эффективна, чем бюджетно-налоговая.
2. Что понимается под “непоследовательностью” макроэкономической политики? Является ли непоследовательная политика совершенно неэффективной? Почему непоследовательная политика вызывает недоверие к действиям правительства и Центрального Банка? Можно ли разрешить проблему недоверия с помощью смены политических лидеров?
3. Во многих странах городские власти принимают законы, ограничивающие размер квартирной платы. Эти ограничения применяются по отношению к уже существующим зданиям, а не к тем, которые будут построены в будущем. Сторонники контроля за квартирной платой полагают, что благодаря этому данные законы не подрывают стимулов к новому жилищному строительству. Является ли при этом важным, какую политику проводят правительство и Центральный Банк - последовательную или непоследовательную?
4. Ряд экономистов считают эффективной ориентацию фискальной политики на поддержание сбалансированного государственного бюджета при сохранении полной занятости ресурсов. Сравните этот твердый курс с твердым курсом на ежегодную сбалансированность бюджета. Что более предпочтительно? Какие проблемы порождает курс на сбалансированность бюджета при полной занятости ресурсов?
Задачи и решения
1. Правительство проводит жесткую бюджетную политику в целях снижения уровня инфляции. Покажите ее краткосрочные и долгосрочные результаты, одновременно используя модели AD-AS, крест Кейнса, IS-LM и кривую Филлипса.
Решение
Жесткая антиинфляционная бюджетная политика предполагает снижение уровня государственных расходов G. Все четыре указанные модели можно использовать для краткосрочного анализа, так как модель Кейнсианского креста предполагает стабильность уровня цен. Долгосрочные результаты можно иллюстрировать в трех остальных моделях.
|
Краткосрочные результаты |
 |
Под влиянием снижения госрас-ходов (см. рис. 12.7) снижается совокупный спрос с AD до AD'. Спад производства от К* до Yj происходит при относительно стабильных ценах — в коротком периоде цены не эластичны в сторону понижения. Равновесие перемещается из точки А в точку В.
Под влиянием снижения гос-расходов сокращается уровень планируемых расходов с величины ?до Е' (см. рис. 12.8), что сопровождается спадом производства К* до Yі при относительно стабильных ценах. Равновесие перемещается из точки А в точку В.
Рис. 12.10
 |
|
Рис. 12.9 |
Снижение госрасходов вызывает сдвиг кривой IS до положения IS' (см. рис. 12.9), что сопровождается спадом производства с Y* до У/ при относительно стабильных ценах. Равновесие перемещается из точки А в точку В'.
Постепенное снижение уровня цен приводит к относительному увеличению реального предложения денег, что сопровождается сдвигом кривой LM до положения LM' (см. рис. 12.10). Равновесие перемещается в точку В.
|
к Р |
 |

Рис. 12.11 Рис. 12.12
Снижение госрасходов и тенденция к спаду производства приводит к постепенному изменению в уровне цен, причем фактический уровень цен снижается быстрее, чем ожидаемый, который зафиксирован в коллективных договорах с профсоюзами, в ценовых каталогах и т.д. Это приводит к относительному сокращению прибылей фирм, и они постепенно сокращают занятость и выпуск -фактический уровень безработицы Uj превышает естественный U* (см. рис. 12.11). Равновесие перемещается из точки А в точку В, причем реакция цен отражается и в модели AD-AS, вызывая “замещение” горизонтальной кривой AS на линию с положительным наклоном (см. рис. 12.12)
Долгосрочные результаты
В долгосрочной перспективе происходит восстановление равновесия при полной занятости ресурсов, более низком уровне цен Рі и снизившемся уровне инфляции л у.
Равновесие во всех моделях перемещается из точки В в точку С, так как постоянно снижающиеся цены вызывают расширение реального денежного предложения - кривая LM' смещается до LM" (см. рис. 12.14) - и рост совокупного предложения на фоне относительного увеличения занятости и выпуска фирм (см. рис. 12.13).
 |
|
Рис. 12.14 |
 |
SR |
|
Рис. 12.13 |
 |
|
Рис. 12.15 |
Снизившиеся инфляционные ожидания отражаются в новых коллективных договорах, новых ценовых каталогах, меню и т.д. - краткосрочная кривая Филлипса смещается из положения 1 в положение 2 (см. рис. 12.15).
2. Все нижеперечисленное является примером политики “твердых курсов”, за исключением:
а) Центральный Банк автоматически увеличивает денежное предложение на 3% в год;
б) в соответствии с требованием конституции Федеральное правительство обязано ежегодно балансировать государственный бюджет;
в) Центральный Банк в будущем будет руководствоваться следующей моделью кредитно-денежной политики:
дд^ Фактический Естественный
-= 3% + 2 X ( уровень — уровень );
М безработицы безработицы
г) после спада негосударственных расходов парламент решает стимулировать совокупный спрос с помощью снижения налогов.
Решение
Правильным ответом на вопрос задачи является ответ г), демонстрирующий пример свободы действий в макроэкономической политике. В случаях а), б) и в) речь идет о твердых курсах монетарной и фискальной политики, причем в пунктах а) и в) рассматриваются соответственно модели пассивной и активной политики Центрального Банка.
3. Экономика первоначально находится в состоянии равновесия при потенциальном объеме выпуска У*=5000 и уровне цен Р=100. Центральный Банк объявляет о своем намерении увеличить денежную массу на 3,3%. Рассчитайте возможные изменения в уровнях цен и выпуска при условии рациональных ожиданий и доверия экономических агентов к политике Центрального Банка. Насколько вероятны эти изменения?
Решение
При условии рациональных ожиданий и доверия к макроэкономической политике все экономические агенты скорректируют свои ожидания точно в соответствии с объявленным темпом роста денежной массы: заработная плата и цены возрастут
на 3,3%, что увеличит средний уровень цен Р до 103,3. Так как корректировка цен происходит в описанных условиях быстро, то фактический объем выпуска останется на уровне потенциального У*=5000, то есть экономика останется в состоянии полной занятости ресурсов.
Вероятность столь быстрой корректировки заработной платы и цен невелика из-за относительной негибкости рынка труда и относительного несовершенства экономической информации. Более того, если экономические агенты не доверяют политике Центрального Банка, то они попытаются “страховаться” от роста инфляции путем предъявления более высоких требований к заработной плате и ценам: последние увеличатся не на 3,3%, а на большую величину. В результате начнет работать механизм инфляционной спирали “заработная плата-цены”.
Тесты
1. При прочих равных условиях значительный бюджетный дефицит при полной занятости ресурсов приводит:
а) к инфляции издержек;
б) к снижению реальной ставки процента;
в) к превышению экспорта над импортом;
г) к росту реальной ставки процента;
д) к росту частных инвестиций;
е) ответы а) и г) верны;
ж) ответы б) и д) верны.
2. “Автоматические стабилизаторы”:
а) обостряют проблему временных лагов;
б) приводят к такой корректировке налоговых ставок, которая позволяет поддерживать сбалансированным бюджет при полной занятости ресурсов;
в) приводят к такой корректировке налоговых ставок, которая позволяет поддерживать сбалансированным фактический государственный бюджет;
г) снижают амплитуду колебаний национального дохода;
д) позволяют поддерживать ежегодный темп роста денежной массы на уровне 4-6%.
3. Какое из нижеперечисленных утверждений является неверным?
а) Автоматические стабилизаторы никогда полностью не устраняют нестабильности экономики.
б) Для достижения ежегодного сбалансированного бюджета в период спада правительство должно снизить налоговые ставки.
в) “Политика доходов” предполагает, что среднегодовой рост номинальной заработной платы должен быть не выше, чем среднегодовой рост производительности труда.
г) Дискреционной может быть как фискальная, так и монетарная политика.
4. Что из нижеперечисленного является наиболее приемлемым для того, чтобы снизить уровень инфляции с 8 до 3% в обстановке доверия и в соответствии с концепцией рациональных ожиданий, то есть без спада производства и без роста безработицы выше естественного уровня:
а) сокращение темпа роста денежной массы на 5% относительно исходного уровня, который не может быть рассчитан на основе имеющейся информации;
б) сокращение темпа роста денежной массы с 8 до 3%;
в) одновременное сокращение на 5% темпа роста денежной массы и государственных расходов;
г) ответы б) или в) в зависимости от величины дефицита государственного бюджета.
5. Предположим, что величина индекса опережающих индикаторов снижается. В этом случае авторы экономических прогнозов будут ожидать всего нижеперечисленного, за исключением:
а) несомненного повышения уровня безработицы;
б) несомненного снижения реального объема производства;
в) несомненного снижения налоговых поступлений в бюджет;
г) несомненного повышения уровня инфляции.
6. Предположим, что уравнение совокупного спроса имеет вид
Y = 700 + 0,75—-,
а уравнение совокупного предложения задано как
y = боо(р-ре) + то.
Если величина денежного предложения составляет 400, то каков будет равновесный уровень цен при условии, что в макроэкономической политике не происходит никаких изменений, а уровень выпуска равен потенциальному:
г) 1,00;
д) 1,08.
7. Предположим, что ожидаемый уровень цен определяется уравнением
Ре = Р-\+ 0,5(/* - Р_х),
где Ре - ожидаемый уровень цен;
Р - фактический уровень цен;
Р~і - уровень цен в прошлом году.
Если уровень совокупного спроса увеличивается, то можно ожидать, что:
а) величина ВВП не изменится;
б) величина ВВП возрастет;
в) величина ВВП снизится;
г) величина ВВП изменится в любом направлении или останется постоянной в зависимости от факторов, вызвавших рост совокупного спроса;
д) величина ВВП изменится в любом направлении или останется неизменной в зависимости от экономических обстоятельств, не входящих в число факторов изменения совокупного спроса.
8. Первоначально экономика находится в состоянии полной занятости ресурсов при потенциальном объеме выпуска К*=6000 и уровне цен />=100. Центральный Банк заявляет о намерении повысить величину денежной массы на 2,5%. Что из нижеперечисленного является наиболее вероятным при условии рациональных ожиданий и доверия экономических агентов к политике Центрального Банка:
а) ВВП увеличится до 6150 при неизменном уровне цен />=100/
б) ВВП останется на уровне 6000 при уровне />= 100;
в) ВВП останется на уровне 6000 при повышении уровня цен Р до 102,5;
г) ВВП возрастет до 6150 при повышении уровня цен Р до 102,5;
д) ВВП останется на уровне 6000 при повышении уровня цен Р до 105.
9. Система страхования по безработице может быть использована для иллюстрации:
а) непоследовательной макроэкономической политики;
б) “критики Лукаса”;
в) продолжительного внутреннего лага в осуществлении макроэкономической политики;
г) способа автоматической стабилизации экономики в случае шока.
10. Если Центральный Банк проводит политику, ориентированную на стабилизацию безработицы на уровне 5,5%, то можно
утверждать, что:
а) фактический уровень безработицы никогда не окажется выше или ниже 5,5%;
б) естественный уровень безработицы будет устанавливаться Центральным Банком;
в) Центральный Банк должен увеличить темп роста денежной массы в том случае, когда уровень безработицы превышает целевой ориентир;
г) Центральный Банк должен скорректировать свою целевую установку в том случае, если фактический уровень безработицы окажется не равным 5,5%;
д) Центральный Банк окажется не в состоянии оказать какое-либо воздействие на уровень инфляции;
е) возникнет недоверие к политике Центрального Банка, так как она непоследовательна.
Рекомендуемая учебная литература
/. Мэнкью Н.Г Макроэкономика. Гл. 12, 16.
2. Макконнелл К., Брю С. Экономикс. Гл. 14, 17, 18, 20.
3. Дорнбуш Р., Фишер С. Макроэкономика. Гл. 12.
4. Фишер С., Дорнбуш Р., Шмалензи Р. Экономика. Гл. 29, 31, 34.
5. Долан Э. Макроэкономика. Гл. 15.
6. Долан Э., Кемпбелл К, Кемпбелл Р. Деньги, банковское дело и денежно-кредитная политика. Гл. 17, 20.
7. Линвуд Т Гайгер. Макроэкономическая теория и переходная экономика. Гл. 12.
8. Хейне П. Экономический образ мышления. Гл. 22.
9. Гальперин В.М., Гребенников П.И., Леусский А.И., Тарасевич Л.С. Макроэкономика. Гл. 11.
|
|
Ответы к тестам |
|
1) а |
6) г |
|
2) г |
7)6 |
|
3) б |
8) в |
|
4) б |
9) г |
|
5) г |
10) в |
Глава 13
Теория международной торговли
13.1. Необходимость внешней торговли. Теория сравнительного преимущества Д. Рикардо.
13.2. Теория внешней торговли Хекшера-Олина, возможности ее применения.
13.3. Спрос и предложение на мировом рынке, равновесный уровень цен. Выигрыш от внешней торговли.
13.4. Внешняя торговля и распределение доходов.
Анализ специфических проблем открытой экономики начинается обычно с внешней торговли как важнейшей формы международных экономических отношений. Здесь тесно переплетаются макроподход с точки зрения влияния внешней торговли на уровень производства, занятости, цен и другие переменные и микроанализ рынков отдельных товаров, вовлекаемых в международный обмен, с позиций выгод и потерь экономических агентов, возникающих в результате либерализации внешней торговли.
В ходе макроэкономического анализа мы уже сталкивались с проблемами открытой экономики. Так, объем экспорта и импорта, как известно, может непосредственно влиять на уровень ВВП, занятость и другие макроэкономические показатели, а также в целом на макроэкономическое равновесие. Рост производства в экспортных отраслях, в связи с возросшим спросом на отечественные товары за рубежом, увеличивает объем ВВП страны. Напротив, рост импорта отвлекает часть внутреннего спроса на товары, производимые в других странах, и таким образом снижает стимулы внутреннего производства, что может привести к падению ВВП. В соответствии с кейнсианской моделью влияние экспорта и импорта (или чистого экспорта) на объем дохода в экономике оценивается с учетом эффекта мультипликатора, аналогично влиянию других расходов .
13.1. Необходимость внешней торговли.
Теория сравнительного преимущества Д. Рикардо
Теория международной торговли Д. Рикардо, а ранее А. Смита, была призвана доказать в противовес меркантилистам необходимость и целесообразность свободной внешней торговли. А. Смит объяснял существование международной торговли и ее выгодность различием в абсолютных издержках производства товаров в разных странах. Международное разделение труда и специализация считались целесообразными, поскольку в каждой стране существовали особые условия и ресурсы, обеспечивавшие ей преимущества по сравнению с другими странами: возможность производить определенные товары с меньшими издержками (или возможность производить в единицу времени большее количество товаров).
В теории абсолютного преимущества А. Смита принципы разумного поведения хозяйствующего субъекта переносятся на сферу международной торговли: если можно купить товар за рубежом по более низкой цене, чем у себя дома, то лучше сделать это, специализируясь на производстве того товара, который дешевле изготавливать дома вследствие наличия определенных преимуществ в данной отрасли.
Разделение труда и специализация стран на товарах, в производстве которых они обладают абсолютным преимуществом, экспорт этих товаров после покрытия внутренних потребностей в обмен на другие товары, издержки производства которых в других странах ниже, - все это дает возможность обеспечить общую экономию затрат в торгующих странах, поскольку каждая из них производит главным образом те товары, на которые она затрачивает меньше ресурсов, чем другие страны.
Д. Рикардо сделал следующий шаг в теории международной торговли, доказав ее целесообразность и для тех случаев, когда страна не обладает абсолютным преимуществом в производстве каких-либо товаров. Он показал, что всегда, когда в отсутствие торговли сохраняются различия между странами в соотношении издержек производства разных товаров, каждая страна будет располагать сравнительным преимуществом: у нее всегда найдется товар, производство которого будет более эффективно, чем производство остальных, при существующем соотношении издержек в разных странах. Другими словами, отношение издержек производства этого товара к издержкам производства остальных товаров в данной стране будет ниже, чем аналогичное соотношение в других странах. Именно на производстве такого товара страна должна специализироваться и экспортировать его в обмен на другие товары.
Приведем пример. Пусть при имеющихся ресурсах страна А может произвести за год 60 единиц товара У или 30 единиц товара X или любую комбинацию этих товаров в пределах, заданных кривой производственных возможностей (сплошная линия на рис. 13Л,а). Страна В (или остальной мир) с помощью имеющихся ресурсов может произвести 80 единиц товара У, или 100 единиц товара X, или их любую комбинацию в пределах, заданных кривой производственных возможностей (сплошная линия на рис. 13.1,6). Очевидно, страна В обладает абсолютным преимуществом в производстве обоих товаров, а страна А не имеет абсолютного преимущества ни по одному из товаров1. Однако соотношения издержек производства товаров X и Y в этих странах различны. Мы будем исходить из предположения о постоянстве издержек производства товаров У и Л" в странах, а значит, постоянстве издержек замещения, что даст возможность представить кривые производственных возможностей в виде прямых линий. Различный наклон этих кривых в странах свидетельствует о разном соотношении издержек производства товаров А" и У. Для страны А это соотношение составит 60У=30А", или 2У=1А', а в стране В - соответственно 0,8У=1АГ (для единицы товара У эти же соотношения будут равны: 1 У=0,5АГ в стране А и 1 У= \,25Х в стране В). Относительные цены товаров на конкурентных рынках определяются относительными издержками их производства и стремятся к указанным выше соотношениям.
В закрытой экономике товаров потребляется столько, сколько производится. Максимальные объемы потребления заданы точками на кривых производственных возможностей. Предположим, что страна А производит и потребляет 20 единиц товара У и 20 единиц товара X (т. Ео на рис. 13.1,а) , а страна В, соответственно, 65А" и 28 У (т. Ео на рис. 13.1,б).
При сопоставлении условий торговли в двух странах обнаруживается, что товар У можно купить в стране А за 0,5А\ а продать

в стране В за 1,25Х. Товар X можно купить в стране В за 0,8 У, а продать в стране А за 2 У, получая значительную выгоду (при условии, что транспортные издержки невелики). Значит, если страны будут открыты для международной торговли, то страна А будет экспортировать товар У в страну В и закупать у нее более дешевый товар X. Страна В, наоборот, будет вывозить товар X в страну А в обмен на более дешевый товар У. Развитие межстранового обмена приведет к выравниванию относительных цен в обеих странах.1 Мировая цена (в данном случае цена, по которой страны А и В будут торговать друг с другом) установится где-то между относительными ценами, существовавшими в странах до начала обмена. В нашем примере мировая цена будет находиться в пределах 0,8У<1Х<2У, или для товара У: 0,5А"<1 Y<l,25X.
Если предположить, что цена мирового рынка выйдет за эти пределы и установится, скажем, на уровне 1 Y-2X, то взаимной торговли не будет, так как обеим странам станет выгоднее экспортировать товар У, а товар X продавать у себя дома. Конкретный уровень цены мирового рынка будет зависеть от соотношения спроса и предложения, то есть, например, при более высоком спросе на данный товар мировая цена будет тяготеть к верхней границе, и наоборот.
Объем внешней торговли расширяется до тех пор, пока не исчезает разница в относительных ценах товаров между торгующими странами.
Предположим, что цена на мировом рынке установилась на уровне \X-\Y. Как и в случае абсолютного преимущества, для получения наибольшей выгоды странам необходимо полностью специализироваться на производстве одного товара: товара Y в стране А и товара Xв стране В. При новом соотношении цен 1 Х-\ Y страны смогут расширить границы своего потребления (пунктирные линии на рис. 13.1,а и 13.1,6). Теперь, например, страна А может либо производить 60 У и обменивать их на бОА', либо производить 60 У, частично потреблять товары У, а частично обменивать их на X. Если потребление товаров У останется на прежнем уровне (20 У в т. Eq), то из произведенных 60 У оставшиеся 40 У страна может обменять на 40Х на мировом рынке, расширив в 2 раза потребление товара X (т. Еі). Можно выбрать и другое сочетание товаров Хи У, например 30Х и 30 У1 (т. Е\ на рис. 13.1,а). Аналогичные рассуждения можно провести и для страны fi, специализирующейся полностью на производстве товара X (потребление может возрасти до уровня, соответствующего т. ?*Ц.
В целом потребление в двух странах в результате установления торговых отношений и специализации производства существенно расширится (см. табл. 13.1).
Суммарное производство товаров X и У в двух странах также увеличится и составит \00Х и 60 У, тогда как до специализации оно равнялось, соответственно, 852^(20+65) и 48 У(20+28). Внешняя торговля, таким образом, оказывается выгодной как отдельным странам, так и мировому хозяйству в целом.
|
Таблица 13.1 |
|
|
Закрытые рынки |
Открытые рынки |
|
|
Товар X |
Товар У |
Всего |
Товар X |
Товар У |
Всего |
Страна А
(потребление) |
20 |
20 |
40 |
30 |
30 |
60 |
Страна В
(потребление) |
65 |
28 |
93 |
70 |
30 |
100 |
Всего
(производство и потребление) |
85 |
48 |
133 |
100 |
60 |
160 |
|
Примечание. Цифры даны для соотношений, представленных на графиках 13Л,а и 13.1,6 точками Ео и Е\.
1 В новых условиях уравнение кривой торговых возможностей для страны А (пунктирная линия на рис. 13.1,а) будет таким: Y- 60 - X. а для страны В : У= 100 - X. |
Теория Д. Рикардо основывалась на различиях в издержках производства товаров между странами, а также на предположении о постоянстве издержек замещения в каждой стране. В нашем примере это означало, что в какой бы точке кривой производственных возможностей страны А мы ни находились, для производства дополнительной единицы товара X мы должны были бы отказаться от выпуска двух единиц товара Y (или для увеличения на единицу производства товара Y мы должны были бы отказаться от производства 0,5 единицы товара X). Графически это отражалось бы в том, что кривые производственных возможностей имели постоянный наклон на всем протяжении, то есть были бы прямыми линиями.
Однако на практике предпосылка о постоянстве издержек замещения оказалась несостоятельной. Во многих отраслях рост производства сопровождался увеличением предельных издержек, а следовательно, выпуск каждой дополнительной единицы товара требовал отказа от производства все большего количества других товаров. К тому же перемещение производства из одной отрасли в другую приводило к росту издержек замещения и потому, что для выпуска разных видов товара требовались разное сочетание ресурсов, разная технология и т.д. Предпосылка о постоянстве издержек замещения имела следствием тот факт, что максимальный выигрыш от внешней торговли достигался при полной специализации стран на товарах, в производстве которых они обладали сравнительным преимуществом. Но реальная структура внешней торговли не подтверждала этот вывод: примеров полной специализации в мире практически не существовало.
Все это привело к замене данной предпосылки на более приемлемую - о возрастающих издержках замещения (выпуклая кривая производственных возможностей на рис. 13.2). Это означало. что при расширении одной отрасли за счет других выпуск каждой дополнительной единицы товара сопровождался отказом от производства все большего объема продукции в других отраслях.
Пусть в закрытой экономике, при имеющихся ресурсах, в ¦ од может быть произведено 50 единиц товара У и 40 единиц товара X. Соотношение цен на внутреннем рынке устанавливалось на уровне 2Y=\X, или 17=0,5,7 (точка Si на рис. 13.2). Страна имеет сравнительные преимущества в производстве товара У,
'0—299
Линия соотношения цен в закрытой экономике: 2Y—IX
Линия соотношения цен
......'a: 1Y—1X |
|
50 |  |
40
Рис. 13.2 |
поэтому после установления торговых отношении с другими странами ей будет выгодно экспортировать товар Y ив обмен закупать более дешевый за границей товар X. Если мировая цена будет зафиксирована на уровне 1Х= \ У, то страна скорее всего изменит структуру своего производства и будет специализироваться на выпуске товара Y. Для этого ей придется перевести ресурсы из отрасли X в отрасль Y. Но если раньше мы исходили из того, что издержки замещения постоянны независимо от сочетания объемов выпускаемых товаров, а значит, и при полной специализации на выпуске одного товара они остаются теми же, то теперь ресурсы уже не полностью взаимозаменяемы. Это означает, что при увеличении производства товара Y соотношение издержек будет меняться, например, от 1 Y=0,5Y к 1 У=0,6А", 1 Y=0,$X и т.д., что соответствует предположению о росте издержек замещения. Специализация на выпуске товара Y будет выгодной до тех пор, пока соотношение издержек в стране не сравняется с соотношением цен на мировом рынке, то есть не достигнет уровня 1 Y-\X (точка S2 на рис. 13.2). Дальнейшее увеличение производства товара Y будет сопровождаться ростом предельных издержек и, следовательно, издержек замещения, которые превысят цены мирового рынка и сделают экспорт товара Y невыгодным.
Таким образом, растущие издержки замещения ставят границы специализации и максимальная выгода от внешней торговли достигается при частичной специализации.1 Страна производит не только товар У, но и некоторое количество товара X, поэтому на практике нередко возникает конкуренция между импортом (товаром X из других стран) и импортозамещающей продукцией, выпускаемой отечественными производителями (оставшееся производство товара X).
Тем не менее при той и другой предпосылке теория сравнительных преимуществ показывает, что возможности потребления в стране могут быть расширены не только за счет совершенствования или наращивания внутренних факторов (что раздвигает границы производственных возможностей), но и за счет международной торговли и специализации в рамках международного разделения труда.
13.2. Теория внешней торговли Хекшера-Олина, возможности ее применения
Дальнейшее развитие теории внешней торговли связано с именами шведских ученых Э. Хекшера и Б. Олина. Они исходили из того, что различия в сравнительных издержках между странами объясняются, во-первых, тем, что в производстве различных товаров факторы используются в разных соотношениях, и, во-вторых, тем, что обеспеченность стран факторами производства неодинакова. В соответствии с теорией Хекшера-Олина страны будут экспортировать те товары, производство которых требует значительных затрат относительно избыточных факторов и импортировать товары, в производстве которых пришлось бы интенсивно использовать относительно дефицитные факторы. Таким образом, в скрытом виде экспортируются избыточные факторы и импортируются дефицитные. Интенсивное использования фактора, например труда, в производстве какого-либо товара означает, что доля затрат на рабочую силу в его стоимости
Расширение возможностей потребления в условиях внешней торговли представлено на рис. 13.2 площадью между линией соотношения цен мирового рынка, продолженной вправо от точки S\, и кривой производственных возможностей (структура выпуска остается прежней, но появляются выюдные условия обмена части продукции У на мировом рынке), а также площадью под касательной справа от точки 5: (между касательной и кривой производственных возможностей), где соотношение внутренних издержек равно относительным ценам мирового рынка и достигается максимальное увеличение возможностей потребления.
выше, чем в стоимости других товаров (обычно такой продукт называют трудоемким).
Относительная обеспеченность страны факторами производства определяется следующим образом: если соотношение между количеством данного фактора и остальными факторами в стране выше, чем в остальном мире, то этот фактор считается относительно избыточным для данной страны, и наоборот, если указанное соотношение ниже, чем в других странах, то фактор считается дефицитным.
Так, если в стране А 2 единицы товара Y стоят 1 единицу товара X, это можно объяснить тем, что данная страна обладает относительно большим количеством факторов, интенсивно используемых в производстве товара Y. Очевидно, эти факторы, при прочих равных, будут здесь дешевле, чем в других странах, где их относительно мало. Соответственно, ниже будут и издержки производства товара Y в стране А. С другой стороны, дефицит факторов, в большом количестве используемых в производстве товара X, увеличивает их цену и делает относительно высокими издержки производства данного товара. Именно различия в относительной обеспеченности факторами производства и степени их использования в производстве товаров X и Y объясняют экспорт товара Y из страны А и импорт товара X из других стран, где его выпуск обходится дешевле по аналогичным причинам.
Практика отчасти подтверждает выводы теории Хекшера-Олина. Но в последние десятилетия структура обеспеченности развитых стран (особенно европейских) необходимыми производственными ресурсами относительно выравнивается, что должно было, согласно теории Хекшера-Олина, снизить их стимулы к торговле друг с другом. Однако этого не происходит. Наоборот, центр тяжести в международной торговле перемещается именно к торговле между промышленно развитыми странами, то есть странами с приблизительно одинаковой обеспеченностью факторами производства. Причем в мировой торговле растет удельный вес взаимных поставок сходных промышленных товаров. Это не укладывается в рамки теории Хекшера-Олина.
Практическим поискам в целях подтверждения или опровержения теории Хекшера-Олина во многом способствовало появление в 50-х годах так называемого “парадокса Леонтьева”. В. Леонтьев показал, что в 1947 г. США, считавшиеся капитало-избыточной страной, экспортировали не капиталоемкую, а трудоемкую продукцию, хотя, согласно теории Хекшера-Олина, результат должен был быть обратным. Дальнейшие исследования, с одной стороны, подтвердили наличие в США данного парадокса в послевоенный период, а во-вторых, показали, что капитал не самый избыточный фактор в стране. Выше него стоят обрабатываемая земля и научно-технические кадры. И здесь теория Хекшера- Олина подтверждалась: США оказались чистым экспортером товаров, в производстве которых интенсивно используются эти факторы.
Итогом дискуссии вокруг “парадокса Леонтьева” стала тенденция к разукрупнению факторов производства и учету каждого из подвидов при объяснении направлений экспортных и импортных потоков. В качестве отдельных факторов, способных обеспечить относительные преимущества отраслям или фирмам, стали выделять, например, труд различной квалификации, качество управленческого персонала, различные категории научного персонала, различные виды капитала и т.д.
С другой стороны, не прекращаются попытки найти замену теории Хекшера-Олина. Такова, например, теория, согласно которой выгоды ог внешней торговли получают страны, специализирующиеся в отраслях, которые характеризуются экономией на масштабах (или снижением издержек на единицу выпуска при наращивании объема производства). Но из микроэкономики известно, что в отраслях с эффективным массовым производством обычно отсутствует свободная конкуренция, а значит, производство окажется в руках крупных монополий.
В отдельном ряду стоит теория М. Портера1, который считает, что теории Д. Рикардо и Хекшера-Олина уже сыграли свою позитивную роль в объяснении структуры внешней торговли, но в последние десятилетия фактически утратили свое практическое значение, поскольку существенным образом изменились условия формирования конкурентных преимуществ, устраняется зависимость конкурентоспособности отраслей от наличия в стране основных факторов производства. М. Портер выделяет следующие детерминанты, формирующие среду, в которой развиваются конкурентные преимущества отраслей и фирм:
1) факторы производства определенного количества и качества, а также условия их эффективного воспроизводства;
См.: Портер М. Международная конкуренция. - - М., 1993.
2) условия внутреннего спроса на продукцию данной отрасли, его количественные и качественные параметры;
3) наличие родственных и поддерживающих отраслей, конкурентоспособных на мировом рынке;
4) стратегия и структура фирм, характер конкуренции на внутреннем рынке.
Названные детерминанты конкурентного преимущества образуют систему, взаимно усиливая и обусловливая развитие друг друга. К ним добавляются еще два фактора, которые могут серьезно влиять на обстановку в стране: действия правительства и случайные события. Все перечисленные характеристики экономической среды, в которой могут формироваться конкурентоспособные отрасли, рассматриваются в динамике, как гибкая развивающаяся система.
Важную роль в процессе формирования конкурентных преимуществ отраслей национальной экономики играет государство, хотя эта роль различна на разных этапах данного процесса. Это могут быть целевые капиталовложения; поощрение экспорта; прямое регулирование потоков капитала; временная защита внутреннего производства и стимулирование конкуренции на первых этапах; косвенное регулирование через налоговую систему, развитие инфраструктуры рынка, информационной базы для бизнеса в целом; финансирование научных исследований; поддержка образовательных учреждений и т.д. Опыт показывает, что ни в одной из стран создание конкурентоспособных отраслей не обходилось без участия государства в той или иной форме. Это тем более актуально для переходных экономических систем, поскольку относительная слабость частного сектора не позволяет ему в короткий срок самостоятельно сформировать необходимые факторы конкурентного преимущества и завоевать место на мировом рынке.
13.3. Спрос и предложение на мировом рынке, равновесный уровень цен. Выигрыш от внешней торговли
Представленные выше теории пытались объяснить структуру внешней торговли с точки зрения того, что выгодно вывозить и ввозить данной стране. Но не менее важным является вопрос о том, на каком уровне установится цена равновесия на мировом рынке, поскольку именно с этим связана количественная оценка конкретной выгоды, получаемой страной от специализации и международного обмена.
Для выяснения этого вопроса сопоставим спрос, предложение и условия равновесия, например, на рынке товара X в торгующих странах.
Предположим, что страна В обладает сравнительным преимуществом в производстве товара I, и в отсутствие внешней торговли соотношение цен на внутреннем рынке устанавливается на уровне 1^=0,5 Y (см. рис. 13.3,в). В стране А аналогичное соотношение цен будет: \Х=2 У. Очевидно, страна В будет экспортировать относительно дешевый товар X в страну А.
Кривая спроса мирового рынка (Dm) на товар X (в данном случае - спроса страны А на импорт товара X) строится на основе величины избыточного спроса в стране А при ценах, более низких, чем внутренняя цена равновесия (2 У за \Х). Кривая предложения на мировом рынке (SY) получена исходя из величины избыточного предложения в стране В при ценах выше внутренней цены равновесия (0,5 У за IX).
Существует лишь один уровень цен, при котором спрос на мировом рынке товара X равен предложению (точка Е на рис. 13.3,6). Это будет цена 1 У за IX, при которой избыточный спрос на товар X в стране А равен избыточному предложению данного товара в стране В.
Общий итог установления торговых отношений можно подвести, определив выигрыши и потери производителей и потребителей обеих стран, а также мирового хозяйства в целом.
В стране А после снижения цен с 2 У до 1 У, то есть до уровня мировых, область потребительского излишка (с) увеличится на площадь (a+b+d) и в целом составит (a+b+d+c). Производители товара X в стране А понесут убытки от снижения цен, соответствующие площади (а), поскольку в закрытой экономике прибыль производителей была равна области (а+е), а после установления торговых отношений, падения цен и сокращения внутреннего производства с 40Х до 20Х она составила только область (е). Таким образом, потребители страны А получили выигрыш в размере области (a+b+d), а производители понесли потери, равные (а). В итоге чистый выигрыш для страны в целом оказался равным: (a+b+d) (a)=(b+d). Для простоты анализа мы прини
маем предположение о равноценности единиц потерь производителей и выигрыша потребителей.
мает вид
Цена1 Цена Цена
|
а) Страна А б) Мировой рынок товара X в) Страна В |
 |
Количество товара X Количество Количество товара X
товара X
Рис. 13.3 |


Аналогично, в стране В потребители после повышения цен до уровня мировых теряют часть потребительского излишка, равную площади (/?+/), а производители выигрывают от роста цен и расширения производства область (Л+/+Д Чистый выигрыш страны составляет: (h+i+f) (h+i)=(f).
Таким образом, мировое хозяйство в целом имеет выигрыш в размере (b+d+f) (см. рис. 13.3,6).
Распределение выгод между странами зависит от того, в какой степени изменяются внутренние цены в результате установления торговых отношений. Больше получает страна, у которой цены изменились сильнее. Это отражается правилом распределения выгод, которое гласит: выгоды от внешней торговли распределяются прямо пропорционально изменениям цен в обеих странах. Если относительные цены в стране А изменились на ?)%, а в стране В на 5% (в процентах от цены мирового рынка), то
Выигрыш страны А _ D% Выигрыш страны В S%
Цена товара X выражена в единицах товара Y.
Больше получает та страна, у которой эластичность спроса и предложения по цене ниже. В нашем примере это страна А1.
В связи с проблемой распределения выгод от внешней торговли интерес для экономистов представляет анализ динамики экспортных и импортных цен отдельных стран. Этим целям служит показатель “условий торговли” (terms of trade).
Он определяется как соотношение индексов экспортных и импортных цен и рассчитывается для всего набора экспортных и импортных товаров:

где Т - “условия торговли”,
Рх - индекс экспортных цен.
Рт - индекс импортных цен“.
Рост этого показателя обычно называют “улучшением” условий торговли. Однако анализировать его динамику следует вместе с данными об изменении объемов торговли и причинах изменения цен.
13.4. Внешняя торговля и распределение доходов
Внешняя торговля в разной степени затрагивает интересы отдельных групп населения. Помимо деления на потребителей и производителей существует и другое, связанное с тем, какими факторами производства владеют экономические агенты и в каких отраслях заняты эти факторы.
Развитие внешней торговли сопровождается специализацией стран на выпуске тех видов продукции, по которым они имеют относительные преимущества. Следовательно, претерпевает изменения структура производства в торгующих странах, а значит, и структура спроса на факторы производства.
\- (70-30)0 -0.5)
Чистый выигрыш страны В равен плошали /: -= 10. Чистым
2
Л , Л (60 - 20X2 -1) _
выигрыш страны А равен площади треугольника (п+а): ---= 20 .
' Рх = '?ХІРІ. где Хі - доля мо товара в суммарной стоимости экспорта в
базисном году, Р, - отношение текущей пены /-го товара к его цене в базисном году. Аналогично рассчитывается Рт.
Отрасль, производящая экспортную продукцию, например товар X в стране Я, будет расширяться, цена товара X будет расти (до уровня мировой цены). Соответственно, увеличится и спрос на факторы производства, занятые в этой отрасли, а следовательно, и цены на них. В краткосрочном периоде, пока не началось перемещение в данную отрасль ресурсов из других отраслей, больше всех от развития внешней торговли выиграют владельцы факторов, используемых в растущей экспортной отрасли. Одновременно проиграют в большей степени те, кто владеет факторами, занятыми в импортозамещающих отраслях, поскольку последние в результате открытия рынков и конкуренции со стороны более дешевой импортной продукции будут сокращаться.
В долгосрочном периоде, после того как ресурсы, высвобождаемые в отраслях, конкурирующих с импортом, начнут перемещаться в растущие экспортные отрасли, цены на факторы производства в экспортных отраслях могут несколько снизиться. Но структура факторов, используемых в этих отраслях, отличается от структуры факторов импортозамещающего производства. Например, в производстве экспортного товара X требуется относительно больше капитала и меньше труда, тогда как в производстве импортозамещающего товара Y - наоборот. Это означает, что капитала, высвобождаемого в отрасли Y, будет недостаточно для покрытия потребности в нем растущей отрасли X. Напротив, труда, высвобождающегося в отрасли У, окажется даже больше, чем необходимо для расширения отрасли X, что может привести к росту безработицы. Поэтому цена капитала не вернется к исходному уровню, существовавшему до начала торговых отношений, а заработная плата, наоборот, даже снизится по сравнению с исходным уровнем, так как теперь обеим отраслям вместе требуется относительно больше капитала и меньше труда.
Дальнейшие исследования проблемы влияния внешней торговли на распределение доходов между владельцами факторов производства позволили выявить определенную закономерность: чем больше какой-либо фактор специализирован (сконцентрирован) на экспортном производстве, тем больше он выигрывает в результате внешней торговли. И наоборот: чем выше доля фактора в производстве конкурирующей с импортом продукции, тем больше он теряет после установления торговых отношений.
Владельцы нейтральных факторов (примерно одинаково представленных как в экспортных, так и в импортозамещающих отраслях) в целом выигрывают от внешней торговли, поскольку совокупный выигрыш нации от внешней торговли сопровождается расширением спроса и на эти факторы, особенно если они могут перемещаться между отраслями экономики.
Основные термины
Теория абсолютного преимущества Теория сравнительного преимущества Полная и частичная специализация Теория Хскшера Олина Избыточные факторы производства Дефицитные факторы производства Парадокс Леонтьева
Теория международной конкуренции М. Портера Цена равновесия на мировом рынке Правило распределения выгод “Условия торговли”
Вопросы для обсуждения
1. Япония может производить товар А более эффективно, чем Корея, издержки производства в Японии более низкие. Тем не менее она вывозит товар А из Кореи. Как можно объяснить этот факт?
2. Производительность труда в обрабатывающей промышленности Японии приблизительно такая же, как и в США (в одних отраслях выше, в других ниже), тогда как в сфере услуг США все еще сохраняют более высокую производительность труда. В то же время большинство видов услуг не являются в США объектами международной торговли. Некоторые американские аналитики считают этот факт серьезной проблемой, поскольку, с их точки зрения, страна не поставляет на мировой рынок именно те товары, в производстве которых она имеет сравнительное преимущество. Что ошибочно в их утверждении?
3. В чем, на ваш взгляд, состоит ограниченность теории Рикардо? Хекшера-Олина? Какими объективными тенденциями в развитии мировой экономики это обусловлено?
4. Подумайте, почему динамика показателя “условия торговли”, его ухудшение или улучшение, не всегда отражает соответствующие изменения в экономике страны и благосостоянии ее населения.
5. Объясните различия между кратковременными и долговременными последствиями установления внешнеторговых отношений для распределения доходов между факторами производства, используемыми в производстве экспортной и импортозамещающей продукции. Можно ли утверждать, что от либерализации торговли в конечном счете выигрывают все?
Задачи и решения
1. В стране А рабочий может произвести за один день 6 метров шелка или 1 кг масла. В стране В рабочий может изготовить за день 2 метра шелка или 4 кг масла.
а) Каковы относительные цены в странах при отсутствии торговли?
б) Что будут вывозить страны после установления торговых отношений?
в) В каких пределах могут колебаться мировые цены после установления торговых отношений между странами?
г) Если предположить, что до установления торговых отношений рабочий в стране А производил в день 4 метра шелка и 1/3 кг масла, а в стране В соответственно 0,5 метра шелка и 3 кг масла, то каким будет общий прирост производства шелка и масла в результате специализации стран на выпуске относительно более дешевых продуктов?
д) Если реальное соотношение в торговле между странами сложилось на уровне 1 метр шелка за 0,5 кг масла и 2 метра шелка обмениваются на 1 кг масла, то каким будет выигрыш от специализации и торговли для каждой страны?
Решение
а) При отсутствии торговли относительные цены будут следующими:
Страна А
6 м = 1 кг или
1 м = 1/6 кг
Страна В
2 м = 4 кг или
1 м = 2 кг, 0,5 м = 1 кг
б) Из пункта а) ясно, что шелк относительно дешевле в стране А: за 1 метр дают здесь 1/6 кг масла (тогда как в стране В 2 кг).
Значит, его выгодно покупать в стране Л, вывозить в страну В и продавать там за 2 кг масла или, по крайней мере, больше чем за 1/6 кг. Масло, наоборот, относительно дешевое в стране В: его можно купить по 0,5 м шелка за 1 кг (тогда как в стране А 1 кг масла стоит 6 м шелка). Значит, издержки производства масла в стране В относительно ниже (по сравнению с издержками производства шелка), чем в стране А. Этот товар и будет экспортироваться.
в) Для того чтобы каждой стране было выгодно торговать, мировая цена (цена, по которой страны будут торговать друг с другом) должна быть выше, чем внутренняя цена на вывозимый товар. В данном случае мировая цена одного метра шелка может установиться в пределах
1/6 кг < 1 м < 2 кг,
то есть за метр шелка должны заплатить больше 1/6 кг, но меньше 2 кг масла, или за 1 кг масла должны отдать больше 0,5 м шелка, но меньше 6 метров:
0,5 м < 1 кг < 6 м.
г) До установления торговых отношений в двух странах произ-
-1
водилось в день одним рабочим 4,5 м шелка (4 м + 0,5 м) и л — кг
масла (3 кг + 1/3 кг). После того как страна А стала специализироваться на выпуске шелка, а страна В на производстве масла, то есть все время рабочие тратили на изготовление только одного товара, всего стало производиться в день одним рабочим 6 м шелка (в стране А) и 4 кг масла (в стране В). Общий прирост составил 1,5 м шелка и 2/3 кг масла.
д) После специализации и установления торговых отношений в стране А одним рабочим производится 6 м шелка в день. Из них 4 м потребляются дома, а 2 м экспортируются в обмен на 1 кг масла. Соответственно, в стране ? одним рабочим производится в день 4 кг масла, из которых 1 кг обменивается на 2 м шелка, а 3 кг потребляются дома. В итоге в стране А потребляется 4 м шелка и 1 кг масла (до специализации и торговых отношений было 4 м шелка и 1/3 кг масла). В стране В потребляется 3 кг масла и 2 м шелка (до этого потреблялось 3 кг масла и 0,5 м шелка). Таким образом, очевиден рост потребления в обеих странах как результат специализации и установления торговых отношений.
2. В таблице представлены данные о спросе и предложении часов в США и Швейцарии. Постройте по данным таблицы графики спроса и предложения для каждой из стран.
а) Каковы равновесные цены и количества на рынках часов в обеих странах при отсутствии внешней торговли?
б) Какая цена равновесия установится на мировом рынке часов при наличии внешней торговли?
в) Какая из стран будет экспортировать часы и сколько?
|
Цена часов (долл, за 1 шт.) |
Величина спроса в США (в тыс.) |
Величина предложения в США (в тыс.) |
Величина спроса в Швейцарии (в тыс.) |
Величина предложения в Швейцарии (в тыс.) |
|
10 |
ПО |
0 |
80 |
30 |
|
20 |
90 |
20 |
50 |
50 |
|
30 |
70 |
40 |
35 |
65 |
|
40 |
60 |
60 |
20 |
80 |
|
50 |
50 |
80 |
5 |
95 |
|
60 |
40 |
95 |
0 |
105 |
|
70 |
30 |
105 |
0 |
ПО |
|
80 |
20 |
ПО |
0 |
115 |
Решение
а) Построим графики спроса и предложения на рынке часов для США и Швейцарии.
США Швейцария
Р Р |
 |
|
20 40 60 80 100 115 |
При отсутствии внешней торговли, как очевидно из графиков и таблицы, точки равновесия на рынке часов будут иметь координаты для США: /*=40, (2=60, для Швейцарии: Р=20, (2=50.
б) Цена равновесия на мировом рынке часов установится на уровне, при котором избыточный спрос на часы в США будет равен избыточному предложению в Швейцарии. Этот уровень должен быть в промежутке между ценами внутреннего равновесия обеих стран, то есть 20<Pw<40. Из графика и таблицы следует, что мировая цена будет установлена на уровне /?=30. В этом случае превышение спроса над предложением в США равно: 70-40=30 и избыточное предложение в Швейцарии также составит: 65 - 35 = 30.
в) Очевидно, что экспортировать часы будет Швейцария, где внутренний спрос, издержки и цена равновесия ниже, чем в США. При цене /?=30 внутренний спрос в Швейцарии составит 35 тысяч, а предложение - 65 тысяч. Разница и будет составлять объем экспорта.
Тесты
1. Страна А, используя все имеющиеся у нее ресурсы, может произвести 100 единиц товара X или 60 единиц товара Y.
Страна В может произвести, соответственно, 80 единиц товара X или 80 единиц товара Y.
а) На выпуске какого товара может специализироваться страна А? Страна В?
б) Покажите границы, в пределах которых могут устанавливаться цены в торговле между странами?
2. Известно, что страна Z тратит на производство товара А 8 часов, а на производство товара В - 12 часов. Страна Y тратит на выпуск товара А 6 часов, а на товар В - 8 часов.
а) На выпуске какого товара будет специализироваться каждая страна?
б) Какая из предложенных относительных цен возможна в торговле между данными странами:
\А = \В; \В=2А; IA=0JB; 1Я=1,6Л.
3. В таблицах представлены производственные возможности стран V и М.
|
Страна N |
|
|
Производственные возможности |
|
Товар А |
40 |
32 |
24 |
16 |
8 |
0 |
|
Товар В |
0 |
8 |
16 |
24 |
32 |
40 |
|
|
Страна М |
|
|
Производственные возможности |
|
Товар А |
20 |
16 |
12 |
8 |
4 |
0 |
|
Товар В |
0 |
6 |
12 |
18 |
24 |
30 |
|
а) Следует ли странам при данных условиях развивать специализацию и торговлю друг с другом? Если да, то какой должна быть специализация?
б) Найдите общий прирост производства в результате специализации при условии, что до этого страна N производила и потребляла 24 товара А и 16 товаров В, а страна М - 12 товаров А и 12 товаров В.
4. Используя условия задачи 3, определите пределы условий торговли между странами N и М.
5. В городах А и В производится два вида товаров - костюмы и платья. В таблице показано, сколько костюмов и платьев производится в ателье двух городов за 1 день.
|
|
Город А |
Город В |
|
Костюмы |
3 |
2 |
|
Платья |
3 |
1 |
а) Какова относительная цена платья в обоих городах при отсутствии торговли между ними?
б) Какой из городов имеет сравнительное преимущество в производстве платьев?
в) Если города начнут торговать друг с другом, что будет экспортировать каждый из них?
г) В каких пределах установится соотношение цен на платья и костюмы в условиях свободной торговли между городами?

6. Страна А имеет 1200 единиц труда. Она производит два вида товаров - галстуки и зонтики. На производство зонтика затрачивается 3 единицы груда, на производство г алстука - 2. Страна В имеет 800 единиц труда. Для производства зонтика ей требуется 5 единиц труда, галстука - 1 единица.
а) Какова относительная цена зонтиков (выраженная в единицах галстуков) в обеих странах в отсутствие торговли между ними?
б) Каковы границы относительных цен в условиях торговли между странами?
7. Функция спроса на товар X в стране А имеет вид ВА = 80 - 20р.
Функция предложения представлена как SB = -70 + 40р. Функции спроса и предложения в стране В представлены, соответственно, как DB - 60 - Юр, SB - 30 + 20р.
Определите уровень мировой цены (р) и объема продаж (Q) при установлении торговых отношений между странами.
Рекомендуемая учебная литература
1. Макконнелл К., Брю С. Экономикс. Гл. 39.
2. Фишер С, Дорнбуш Р., Шмалензи Р. Экономика. Гл. 37.
3. Линдерт Л. Экономика мирохозяйственных связей. Гл. 2-4.
4. Портер М. Международная конкуренция. М., 1993.
5. Курс экономической теории./Под ред. проф Л.В. Сидоровича. Гл. 58, 59.
Ответы к тестам
1. а) Страна А специализируется на выпуске товара X, страна В товара У\ б) §&Y<\X<\Y.
2. а) Страна Z специализируется на производстве товара А, страна Y товара В; б) 1А=0,7В.
3. а) Да. Страна N должна специализироваться на производстве товара А, страна М - товара В; б) Прирост производства составит 4А и 2В.
4. 1В<1А<15В.
5. а) В городе А\ 1 п. = 1 к., в городе В: 1 п. = 2 к.; б) город А\
в) город А экспортирует платья, город В экспортирует костюмы;
г) 1 к. < 1 и. < 2 к.
6. а) Страна А: 1 з. = 1,5 г.; страна В: 1 з. = 5 г.; б) 1,5 г. < 1 з. < 5 г.
7. р-2, 0=30.
Глава 14
Торговая политика
14.1. Тариф на импорт и механизм его действия. Последствия введения тарифов.
14.2. Аргументы в пользу введения тарифов и контраргументы. Тариф и производственная субсидия.
14.3. Экспортные субсидии, демпинг и антидемпинговые меры в торговой политике. Компенсационные пошлины.
14.4. Нетарифные ограничения в международной торговле. Сравнительный анализ тарифов и квот на импорт. Способы размещения импортных лицензий.
14.5. Экспортные пошлины и добровольные экспортные ограничения (ДЭО).
14.6. Причины “выборочной” протекционистской политики и общая тенденция к либерализации международной торговли.
14.1. Тариф на импорт и механизм его действия. Последствия введения тарифов
Торговая политика - относительно самостоятельное направление бюджетно-налоговой политики правительства, связанное с государственным регулированием объемов внешней торговли через налоги, субсидии и прямые ограничения на импорт или экспорт.
Большинство экономистов последовательно выступают за либерализацию внешней торговли, так как эффекты торговых ограничений имеют краткосрочный характер, а в более долгосрочной перспективе только свободная торговля приводит к рациональному размещению и использованию экономических ресурсов. Однако на практике на пути свободной торговли стоит большое количество барьеров, которые используются в качестве инструментов торговой политики, - тарифов, квот, добровольных ограничений экспорта и так далее.
Наиболее распространенным видом ограничения торговли является тариф - таможенная пошлина на импорт. При введении тарифа отечественная цена импортного товара поднимается выше
мировой цены:
Внутренняя цена _ Мировая импортного товара цена

 |
|
ставка |
цена ставка
Тариф на импорт обеспечивает защиту отечественных производителей аналогичных товаров, а отечественные потребители оказываются в числе проигравших, так как облагаются дополнительным налогом через возросшие цены.
В условиях свободной торговли внутренние цены товаров (Р(і) будут близки к мировым ценам (Ри) и избыток спроса над предложением покрывается за счет импорта (см. рис. 14Л).
 |
Импорт до введения тарифа
Рис. 14.1 |
В результате введения тарифа импорт сокращается до величины Qfs Q'j При этом отечественное производство товара возрастает от Qs до а внутреннее потребление снижается от Qjjio
Q'd.
Отечественное производство расширяется, потому что отечественные производители не платят тариф и поэтому могут производить свои товары с более высокими предельными издержками, чем на мировом рынке. Тариф на импорт, таким образом, защищает низкоэффективные отрасли отечественного производства от иностранной конкуренции. При этом отечественные потребители в целом сокращают свои закупки из-за повышения цен как на отечественные, так и на импортные товары. Чистые потери потребителей от введения тарифа образуют область ( “а + b + с+ + сГ), которая характеризует сокращение величины потребительского излишка.
Часть возросших платежей потребителей поступает теперь отечественным производителям в виде возросших прибылей от продаж (площадь ”а”). Отечественные фирмы в импортозамещающих отраслях реализуют теперь свой первоначальный объем выпуска Qs по возросшим ценам и получают дополнительную прибыль от прироста объема производства до Q's и реализации этой продукции по цене с тарифом. В данном случае происходит перераспределение дохода потребителей в пользу производителей, хотя определенные группы потребителей, которые владеют акциями фирм в импортозамещающих отраслях, могут получить возросшие доходы от введения тарифа.
Выигрыш производителей от введения тарифа на импорт не перекрывает потерь отечественных потребителей. Потери эти оказываются тем более существенными, чем сильнее оказывается общий импульс к повышению уровня цен и уровня инфляции, задаваемый введением торговых ограничений.
Тариф на продукт какой-либо отрасли является защитой не только по отношению к фирмам собственно этой отрасли, но и к отраслям, поставляющим данной отрасли сырье и материалы. Поэтому различают номинальный и фактический уровни защитного тарифа.
Фактический уровень защитного тарифа в отрасли - величина (в процентах), на которую увеличивается созданная в этой отрасли добавленная стоимость единицы продукции в результате функционирования всей тарифной системы. Если конечная продукция отрасли защищена более высокой пошлиной, чем ее промежуточная продукция, то фактический уровень защитного тарифа превысит его номинальный уровень.^
Площадь “г’' поступает в государственный бюджет и выступает поэтому в виде выигрыша государства, который равен величине импорта, умноженной на величину тарифа. Эти доходы являются трансфертом от потребителей в пользу государства, которое может использовать эти средства в соответствии с целями бюджетно-налоговой политики: на развертывание дополнительных социальных программ, на снижение подоходного налога, на увеличение заработной платы государственных служащих и так далее2. Часть этих средств может быть, таким образом, возвращена потребителям, но часть их может оказаться безвозвратно потерянной в виде издержек, связанных с бюрократической деятельностью администрации и “протаскиванием” в парламенте тарифов, защищающих интересы отдельных групп, что особенно характерно для переходных экономик.
Чистые потери национального благосостояния представлены областями “Ь” и “d”. Область “b" представляет производственный эффект тарифа - сокращение благосостояния вследствие переключения потребительского спроса с более дешевой импортной продукции на более дорогую отечественную. Возросшие платежи потребителей стимулируют расширение неэффективного отечественного производства с высокими предельными издержками, в то время как при отсутствии тарифной защиты ресурсы труда и капитала могли бы быть использованы более эффективно в других секторах экономики.
Область представляет потребительский эффект тарифа -сокращение благосостояния вследствие вынужденного снижения потребления. Потребители согласны были бы заплатить за дополнительное количество товара цену в интервале от Л, до Ра для того, чтобы удовлетворить свой спрос, не сокращая его. Однако тариф не позволяет этого сделать, и поэтому внутреннее потребление снижается.
Чистые потери общества не оборачиваются ничьим выигрышем и поэтому являются абсолютными.
Чистые потери общества от введения тарифов относительно ВВП могут оказаться незначительными, и поэтому их упразднение дает прирост благосостояния в пределах от (-1%) до (+10%) ВВП. Наивысший результат достигается в том случае, если:
а) упраздняемые торговые барьеры были велики;
б) эти барьеры были упразднены полностью.
Чистые потери общества от введения тарифа на импорт также снижаются пропорционально участию валютного курса в тарифном эффекте. Если, например, вследствие введения 10%-ного тарифа на импорт отечественная валюта подорожает на 3%,* то внутренние цены импортируемых товаров, выраженные в отечественной валюте, возрастут не на 10%, а на 7%. Это означает, что чистые потери общества от тарифа на импорт составят около 70% от величины областей “6” и "d'\ Чем меньше доля товаров, подлежащих обложению новым тарифом, в общем объеме импорта, гем меньшим окажется соответствующее изменение валютного курса и тем более обоснованно можно будет пренебречь воздействием обменного курса на тарифный эффект.
В целом таможенные тарифы практически всегда снижают уровень благосостояния нации, так как потребители теряют больше, чем получают в сумме производители и государство. Тариф перераспределяет доходы потребителей импортируемой продукции в пользу других социальных групп. Как правило, стимулирование отечественного производства может быть осуществлено и другими способами, причем с лучшими результатами.
14.2. Аргументы в пользу введения тарифов и контраргументы. Тариф и производственная субсидия
Аргументы в пользу ограничения свободной торговли достаточно многообразны и противоречивы. Главными из них являются следующие:
1. Таможенные тарифы позволяют защитить оборонные отрасли промышленности, которые необходимо развивать независимо от критерия экономической эффективности размещения ресурсов, так как в случае войны очень важна самообеспеченность экономики их продукцией.
2. Таможенные тарифы позволяют увеличить внутреннюю занятость ресурсов и простимулировать совокупный спрос, что особенно важно в период приближения циклического спада производства. В результате ограничений импорта относительно возрастает величина чистого экспорта как компонента совокупного спроса, что способствует росту занятости и выпуска, а также улучшению состояния платежного баланса страны по счету текущих операций1.
3. Таможенные тарифы необходимы для защиты монокультурных экономик от разрушительных колебаний конъюнктуры мирового рынка.
4. Таможенные тарифы необходимы для защиты новых, “молодых” отраслей национальной экономики, порожденных научно-техническим прогрессом, от конкуренции более зрелых и эффективных иностранных фирм.
5. Если правительство не использует таможенные тарифы, то иностранные фирмы, использующие более дешевую рабочую
1 Подробнее об этом см. гл. 15 "Платежный баланс" курс".
16 "Валютный
и гл
силу, могут увеличить приток дешевого импорта на внутренний рынок. В результате снижения внутренних цен снизится и заработная плата, что может послужить основой для снижения уровня жизни в стране.
6. Таможенные тарифы необходимы для защиты отечественных производителей от демпинга - сбыта импортной продукции по ценам, которые ниже внутренних рыночных цен в стране-из-готовителе. Обычно демпинг является результатом монопольной рыночной власти и используется в целях ее укрепления.
Все аргументы в пользу введения таможенных тарифов и других торговых ограничений являются дискуссионными, так как в большинстве случаев те же цели могут быть достигнуты с меньшими издержками. Альтернативным способом разрешения проблемы “защиты” оборонных, “молодых” и других отраслей, нуждающихся во временной поддержке государства, является прямая субсидия отечественным производителям в этих отраслях (или дотация, или снижение налогообложения пропорционально росту объема отечественного производства).
Преимущество производственной субсидии перед тарифом состоит в том, что она, с одной стороны, стимулирует рост отечественного производства с величины So до величины Si (как и тариф), но, с другой стороны, не приводит к абсолютному снижению потребления, так как не поднимает уровня внутренних цен выше мировых (см. рис. 14.2).
 |
|
Рис. 14.2 |
При субсидии производителям уровень внутренней цены Р^ близок к мировому уровню Лч и поэтому фактический объем потребления составляет Do, тогда как при тарифе он сокращается до величины D}. Абсолютные потери благосостояния в случае использования производственных субсидий снижаются на величину области “rf” так как величина импорта значительно больше, чем после введения тарифа. Потери благосостояния в размере области “Л” по-прежнему сохраняются, так как расширение отечественного производства в конкурирующих с импортом отраслях связано с дополнительными издержками.
В то же время прямые производственные субсидии не гарантируют от неэффективной растраты ресурсов, так как нелегко определить, какие именно отрасли следует защищать от иностранной конкуренции. И тарифы, и субсидии очень сложно отменить, если они уже введены, в то время как очень велик риск “защиты'’ отраслей, которые никогда не смогут стать конкурентоспособными на мировом рынке. Это обстоятельство является особенно существенным для переходных экономик, в том числе и для российской, которые ведут поиски “свободных ниш” в структуре мирового рынка, тогда как их сравнительные преимущества в международной торговле в некоторых случаях оказываются весьма проблематичными.
Для регулирования экономического цикла, увеличения внутренней занятости и совокупного спроса в целях предотвращения спада целесообразно использовать другие меры фискальной и кредитно-денежной политики, а не манипулирование пошлинами и квотами. Причина заключается в угрозе развязывания тор-
к*
говои воины, в условиях которой даже временное регулирующее воздействие внешнеторговых ограничений на совокупный спрос отсутствует.
Что касается дешевой рабочей силы за рубежом, то проблема заключается не столько в этом, сколько в том, что некоторая часть отечественной рабочей силы занята в производстве товаров, которые экономически выгоднее было бы импортировать. Если отечественная отрасль потеряла сравнительное преимущество и стала неконкурентоспособной, то ее целесообразно свернуть и заменить импортом. В этом случае ее уволенным работникам может быть предоставлена материальная помощь из государственного бюджета (на цели переквалификации, переезда в другие регионы страны и т.д.). Такие государственные расходы окажутся экономически более эффективными, чем чистые потери от тарифа на импорт, так как они способствуют повышению мобильности трудовых и капитальных ресурсов, их более рациональному размещению и использованию, что в более долгосрочной перспективе служит фактором экономического роста.
За исключением защиты от демпинга, которую целесообразно рассматривать как самостоятельную проблему, отступления от политики свободной торговли в пользу тарифного протекционизма относительно оправданы в следующих случаях:
1) Использование “оптимального тарифа”: если страна способна воздействовать на уровень мировых цен, то можно найти такой уровень тарифной ставки, который принесет ей чистый выигрыш. Оптимальная ставка тарифа равна величине, обратной величине эластичности предложения импорта: чем менее гибкими оказываются зарубежные поставщики, поддерживающие примерно одинаковый объем импорта, тем выше оптимальная ставка тарифа на импорт и больше чистый выигрыш данной страны. Наоборот, если эластичность импорта очень велика, а мировая цена остается неизменной, то оптимальный тариф будет равен нулю и тарифная система принесет стране чистые потери благосостояния. Более того, в случае ответных мер торговых партнеров на введение оптимального тарифа, то есть в случае торговой войны, даже оптимальная ставка тарифа не может принести никаких положительных результатов.
2) Иногда введение тарифа может оказаться полезнее, чем экономическая пассивность правительства. Если, например, увеличение занятости в какой-либо передовой отрасли производства, конкурирующей с импортом, приносит большие социальные преимущества, связанные с ростом знаний, квалификации или изменением отношений во всем обществе, то введение тарифа на импорт может оказать положительное влияние на национальное благосостояние. Тарифный протекционизм может подтолкнуть фирмы этой отрасли к увеличению выпуска продукции и найму большего количества рабочей силы. Дополнительные социальные выгоды, связанные с созданием новых рабочих мест, могут перекрыть потери отечественных потребителей от повышения цен на импорт. Однако каждый подобный случай требует тщательного макроэкономического анализа, предшествующего введению тарифа, особенно в странах с переходной экономикой.
3) Тарифы могут рассматриваться в качестве приемлемой меры торговой политики, если экономика страны настолько слабо развита, что ее правительство не имеет других источников средств для финансирования социальных программ и инвестиционной деятельности. Эта ситуация скорее характерна для бывших колоний с монокультурной экономикой, чем для государств Восточной Европы, России и стран СНГ.
14.3. Экспортные субсидии, демпинг и антидемпинговые меры в торговой политике. Компенсационные пошлины
Демпинг обычно используется в период циклического спада, когда отрасль не может реализовать всю созданную продукцию на внутреннем рынке из-за снижения отечественного спроса. Для того чтобы в этих условиях предотвратить сокращение объемов производства и снижение внутренних цен, отрасль “сбрасывает” часть “излишней” продукции за рубеж по более низким ценам, чтобы стабилизировать свое положение ценой подрыва производства у своего торгового партнера.
Демпинг, как правило, является временным явлением, так как частные фирмы не могут постоянно продавать свои товары ниже их себестоимости. Иногда время демпинга удлиняется за счет предоставления правительством экспортных субсидий отечественным производителям. Если бы эти меры имели постоянный характер и импортеры все время снижали бы цены, то это можно было бы только приветствовать, так как отечественные потребители имели бы выигрыш, а структура отечественного производства постепенно освобождалась бы от неконкурентоспособных отраслей.
Однако негативные последствия демпинга связаны именно с его временным характером. До тех пор, пока цены субсидируемых импортных товаров снижаются, отечественным производителям приходится сокращать свое производство. Когда же экспортные субсидии и демпинг прекращаются, отечественные производители вынуждены вновь наращивать объем выпуска.
Очевидно, что иностранные экспортные субсидии и демпинг являются дополнительным фактором усиления циклических колебаний в отечественной экономике. Чтобы блокировать воздействие этого фактора используются компенсационные (или антидемпинговые) пошлины, которые нейтрализуют иностранные экспортные субсидии. В этих целях действует специальное антидемпинговое законодательство: одно из положений ГАТТ (Генерального соглашения о тарифах и торговле) и ВТО (Всемирной торговой организации) оценивает экспортные субсидии как “нечестную” (или “недобросовестную”) конкуренцию и разрешает импортирующим странам принимать ответные меры в виде антидемпинговых тарифов. Однако есть способы государственного субсидирования экспорта в обход ГАТТ и ВТО: льготные кредиты экспортерам (или их иностранным клиентам), организация рекламы экспортных товаров за рубежом за счет средств из госбюджета, налоговые льготы отечественным фирмам-экспортерам в зависимости от объемов экспорта и т.д.
Экспортные субсидии в целом по экономике обычно не превышают 1% стоимости экспорта обрабатывающей промышленности индустриальных стран. Однако для отдельных товаров и фирм, занимающих монопольное положение на рынке, они могут достигать значительных размеров. В то же время злоупотребление антидемпинговым законодательством может увеличить цену импорта и ограничить конкуренцию на внутреннем рынке, что послужит импульсом для общего повышения уровня цен за счет потребителей.
14.4. Нетарифные ограничения в международной торговле. Сравнительный анализ тарифов и квот на импорт. Способы размещения импортных лицензий
После Второй мировой войны тарифы в индустриальных странах были значительно уменьшены и находились в начале 80-х гг. на минимальном уровне. Экономическая интеграция, особенно в странах Западной Европы, способствовала либерализации торговли. Однако в настоящее время наблюдается расширение “выборочной” протекционистской торговой политики, особенно в форме квот, добровольных ограничений экспорта и других нетарифных барьеров, которые позволяют дискриминировать импортные товары в пользу отечественных. К числу таких нетарифных барьеров относятся различные стандарты качества, санитарные ограничения, требования к экологическим характеристикам оборудования, ограничения выпуска лицензий на импорт, административные запреты на продажи отдельных видов продукции в определенных странах и т.д. Из всех видов нетарифных ограничений наибольшее распространение получили квоты на импорт и экспорт.
Тариф на импорт не ограничивает количества импортных товаров непосредственно - импортер может ввозить любой объем продукции при условии, что он платит таможенную пошлину. Напротив, импортная квота ограничивает объем импорта определенным количеством штук, тонн, пар обуви и т.д., а иногда ограничивает и стоимость импорта, ежегодно разрешенного к ввозу в страну. Государство выдает ограниченное количество лицензий. разрешающих ввоз товаров, и запрещает нелицензированный импорт.
Механизм действия квот подобен импортному тарифу: внутренние цены поднимаются выше мировых, предложение импортных товаров ограничивается. Однако квоты имеют два важных отличия от тарифа:
1) Квоты абсолютно нивелируют любое воздействие иностранной конкуренции на внутренние цены. Если мировые цены снижаются, то при тарифе импорт будет постепенно возрастать, а внутренние цены — снижаться вслед за мировыми (см. § 1 данной главы). При наличии квоты импорт не может быть увеличен. Поэтому разрыв между внутренними и мировыми ценами возрастает, увеличивая прибыли от импорта (в том числе и монопольные).
Вместе с тем более жесткое регулирование величины импорта с помощью квоты несколько облегчает процесс краткосрочного урегулирования платежного баланса, а относительно эластичный импорт при тарифе усложняет этот процесс.
2) Квоты, количественно ограничивающие импорт, полностью изолируют внутренний рынок от проникновения новых иностранных товаров если установленная квота исчерпана, то их нельзя даже подарить. В сочетании с изоляцией внутренних цен от мировых это обеспечивает абсолютную защиту внутреннего рынка от иностранной конкуренции, что оказывает на экономику весьма противоречивое воздействие.
В настоящее время квоты используются несколько чаще, чем тарифы, в основном по двум причинам:
1) тарифные ставки регламентируются международными торговыми соглашениями. За редким исключением, правительства не могут самостоятельно повышать тарифы и вынуждены прибегать к более строгим импортным квотам в целях защиты конкурирующих с импортом отраслей экономики;
2) нуждающиеся в защите отрасли также предпочитают квоты на импорт, так как добиться специальных лицензионных привилегий легче, чем введения тарифа, которое связано с изменением структуры доходов государственного бюджета.
Импортные квоты наиболее привлекательны в условиях свободной конкуренции, при которой последствия квотирования аналогичны тарифу на импорт (см. рис. 14.3).
 |
Квота
Рис. 14.3 |
Чистые потери благосостояния, как и при тарифе, составляют области “й” и “</” а область “с” представляет собой наценку на разрешенный импорт и характеризует трансферт от потребителей в пользу органов, ведающих лицензиями на импорт.
Чистые потери благосостояния при квотировании окажутся выше, чем при тарифе на импорт, в двух случаях:
1) если квота провоцирует монопольную власть отечественного производителя или зарубежной фирмы-импортера продукции;
2) если импортные лицензии размещаются неэффективно.
Способы размещения импортных лицензий:
1) открытый аукцион: государство предоставляет лицензию компании, предложившей за нее наивысшую цену. При прочих равных условиях аукцион является более дешевым и эффективным механизмом, однако при коррумпированности государственной власти обладателем импортной лицензии нередко становится тот, кто предложил за нее наибольшую взятку, что влечет за собой значительные социальные издержки;
2) система явных предпочтений; без каких-либо предварительных заявок и переговоров правительство предоставляет импортные лицензии наиболее авторитетным фирмам, причем в объеме, соответствующем их доле в суммарной величине импорта накануне введения квот;
3) “затратный метод”: выдача лицензий фирмам, имеющим большее количество производственных мощностей и других ресурсов, что ведет к их неэффективному использованию в виде избыточных инвестиций в неиспользуемое оборудование в расчете на получение большего количества лицензий.
14.5. Экспортные пошлины и добровольные экспортные ограничения (ДЭО)
Механизм тарифов на экспорт, или экспортных пошлин, “зеркально'’ отражает импортный тариф.
 |
лини |
|
Рис. 14.4 |
При экспортной пошлине внутренняя цена Pd оказывается ниже мировой Рп (см. рис. 14.4). В этих условиях внутреннее потребление возрастает с величины Do до величины D/, внутреннее производство сокращается с величины So до 5/, а экспорт снижается с величины Хо до X/.
Потери отечественных производителей от введения экспортного тарифа велики и определяются областью (“a+b+c+d”). Выигрыш потребителей от снижения цен ниже мировых составляет область “а” Доходы государства от экспортной пошлины представлены областью “с” Чистые потери благосостояния, которые не компенсируются ничьим выигрышем, составляют области (“ft” + ud”).
В основе политики налогообложения экспорта лежит расчет на монопольную прибыль: монопольное положение страны-экспортера на мировом рынке вынуждает зарубежные страны-импортеры переплачивать за импортируемый товар. Монопольная прибыль особенно значительна в случае одновременного установления экспортных барьеров несколькими странами, объединенными в международный картель.
Добровольные экспортные ограничения (ДЭО) являются разновидностью экспортной квоты, которую вводит иностранное государство, “добровольно” лимитируя объемы своего экспорта в некоторые страны. “Добровольность”, в данном случае, имеет условный характер, так как экспортер идет на ограничения для того, чтобы избежать более серьезных мер торговой политики со стороны своих партнеров.
ДЭО имеют две специфические особенности, которые определяют известные преимущества этого инструмента торговой политики:
1) ДЭО менее очевидны для отечественных потребителей, чем тарифы или квоты на импорт. Поэтому потребители воспринимают их более лояльно и не предъявляют претензий к правительству;
2) при ДЭО зарубежные фирмы могут назначать за свою продукцию более высокие цены, чем в случае тарифных ограничений или квотирования импорта. Таким образом, при ДЭО иностранцы частично компенсируют снижение объемов экспорта путем повышения цен на него.
14.6. Причины “выборочной” протекционистской политики и общая тенденция к либерализации международной торговли
В послевоенный период, благодаря действию ГАТТ и ВТО, в мировой экономике реализована общая тенденция к либерализации торговли, но одновременно происходит и “выборочная” реставрация протекционизма. Причины такой “реставрации” отчасти связаны с тем, что производители, выигрывающие от ограничений импорта, более организованно защищают свои интересы в правительстве, чем потребители, которые, как правило, проигрывают от торговых барьеров.
Несмотря на то, что прямые производственные субсидии более эффективно стимулируют отечественное производство, чем тарифы и квоты, правительства нередко выбирают именно последние. Такие предпочтения в торговой политике обусловлены двумя обстоятельствами:
1) тариф или квоту (то есть относительно прямолинейные “запреты”) ввести легче, чем производственную субсидию. Их “запретительная” направленность против иностранных конкурентов более очевидна и встречает большую поддержку общественного мнения, которое нередко не совсем правильно ориентировано в отношении всех последствий протекционизма и “подталкивает” законодателей на осуществление торговых ограничений, ошибочно считая “протекционизм” синонимом “патриотизма”;
2) производственная субсидия служит трансфертом средств от налогоплательщиков к товаропроизводителям через государственный бюджет, что делает потери отечественных потребителей очевидными и может сопровождаться усилением социального напряжения. При тарифе и квоте кажется, что страдают только зарубежные конкуренты, а более высокие потери отечественных потребителей остаются в тени.
Протекционистские тенденции в международной торговле относительно укрепляются также благодаря деятельности таможенных союзов, в рамках которых устанавливается режим свободной торговли, а импорт из третьих стран ограничивается. Таможенный союз повышает благосостояние в той мере, в какой он расширяет торговлю, и снижает его в результате переключения торговли с более дешевой на более дорогостоящую продукцию.
Торговые ограничения всех видов создают преимущества одним экономическим агентам за счет других, что не способствует общему экономическому росту. Эмпирические исследования подтверждают, что издержки протекционизма превышают краткосрочные выгоды от него. Поэтому в долгосрочном плане тенденция к либерализации международной торговли должна быть определяющей при формировании торговой политики.
Основные термины
Торговая политика Тариф (пошлина)
Фактический уровень защитного тарифа Производственный эффект тарифа Потребительский эффект тарифа Оптимальная ставка тарифа Производственная субсидия Демпинг
Субсидирование экспорта
Компенсационные (антидемпинговые) пошлины Генеральное соглашение о тарифах и торговле (ГАТТ) Всемирная торговая организация (ВТО)
Нетарифные барьеры
Квота
Лицензия
Добровольные экспортные ограничения (ДЭО)
Либерализация торговли
Протекционизм
Таможенные союзы (зоны свободной торговли)
Вопросы для обсуждения
1. Верны ли следующие утверждения?
а) Экономическое благосостояние страны при введении импортных пошлин всегда выше, чем в условиях свободной международной торговли.
б) Введение таможенных пошлин стимулирует внутреннее потребление в стране.
в) Цель введения импортных пошлин - сократить импорт, чтобы защитить национальные отрасли и рабочие места от иностранной конкуренции.
г) Необходимость защиты “молодых” отраслей от иностранной конкуренции - справедливый аргумент в пользу установления торговых барьеров.
д) Ограничения импорта приводят к сохранению в экономике неконкурентоспособных отраслей и неэффективной структуры занятости, что сдерживает рост эффективных производств.
е) Тариф никогда не может способствовать увеличению реальной заработной платы работников защищаемой отрасли.
ж) Снижение тарифов может увеличить доходы государства.
з) Нетарифный барьер достаточно низок для того, чтобы улучшить условия торговли, и достаточно высок для того, чтобы поддержать приемлемый уровень товарообмена.
2. В целях сохранения национального художественного наследия вводится полное запрещение на экспорт любых произведений искусства, созданных в стране.
а) Является ли такая мера более предпочтительной, чем налог на экспорт?
б) Кто выигрывает и кто терпит убытки от такого запрета?
в) Будет ли этот запрет способствовать тому, чтобы молодые художники продолжали работать?
3. Приведите аргументы “за” и “против” следующих утверждений:
а) Защитные тарифы ограничивают как импорт, так и экспорт страны, которая их вводит.
б) Широкое применение защитных тарифов подрывает способность системы мирового рынка эффективно размещать ресурсы.
в) Официальная безработица нередко может быть снижена с помощью тарифов на импорт, но при этом скрытая безработица, как правило, увеличивается.
г) Фирмы, которые сбывают свою продукцию за рубежом по демпинговым ценам, на самом деле преподносят подарок зарубежным партнерам.
д) С точки зрения долгосрочной тенденции добровольные экспортные ограничения не оказывают влияния на уровень NAIRU.
4. Одна из стран соглашается на добровольные экспортные ограничения в отношении другой страны. Если эти ограничения станут постоянными, то каковы будут долгосрочные последствия для:
а) размещения ресурсов;
б) уровня занятости;
в) уровня цен;
г) уровня жизни в обеих странах?
5. Какой инструмент торговой политики - тариф на импорт, импортная квота или прямая субсидия отечественным производителям - является наиболее предпочтительным средством снижения дефицита государственного бюджета (при прочих равных условиях)?
Задачи и решения
1. Правительство страны принимает решение о введении тарифа на импорт сахара в размере 0,02 S за 1 кг сахара. Мировая цена на сахар равна 0,1 $ за 1 кг. Объем внутреннего производства сахара при свободной торговле составляет 6 млрд кг в год, а при наличии тарифа на импорт - 8 млрд кг в год. Объем внутреннего потребления сахара при свободной торговле составляет 22 млрд кг в год, а при тарифе на импорт 20 млрд кг в год. Объем импорта сахара в данную страну при свободной торговле составляет 16 млрд кг в год, а при наличии тарифа на импорт 12 млрд кг в год.
Рассчитайте:
а) потери потребителей данной страны от введения тарифа на импорт сахара;
б) выигрыш отечественных производителей от этой меры;
в) увеличение доходов государственного бюджета от введения тарифа на импорт сахара;
г) чистые потери национального благосостояния страны от ограничения импорта.
Решение
а) Для осуществления требуемых расчетов полезно сделать графическую диаграмму данной задачи, которая облегчит ее решение (см. рис. 14.5).
 |
Производство и потребление сахара (в млрд кг в год) |
|
Рис. 14.5 |

Sq = 6 млрд кг (внутреннее производство сахара при свободной торговле).
Si = 8 млрд кг (внутреннее производство сахара при наличии тарифа).
Do = 22 млрд кг (внутреннее потребление сахара без тарифа).
Dj = 20 млрд кг (внутреннее потребление сахара с тарифом).
Pw = 0,1 $ за кг (мировая цена на сахар).
Л = Pw + тариф на импорт = ОД $ за 1 кг + 0,02 $ за 1 кг = 0,12 $ за 1 кг (внутренняя цена на сахар с учетом тарифа).
Do - Sq = Mo = 16 млрд кг (импорт сахара в страну при условии свободной торговли).
Dj - Si - Мі - 12 млрд кг (импорт сахара в страну с учетом тарифа).
Потери потребителей данной страны от введения тарифа на импорт сахара определяются площадью трапеции (a+b+c+d): они связаны с общим повышением цен на отечественный и импортный сахар, которое сопровождается абсолютным сокращением его потребления.
Площадь указанной трапеции может быть рассчитана по формуле
(Pf -Pw) = 22±20 (0,12-0,1) = 0,42 (млрд $ в год)
б) Выигрыш отечественных производителей от введения тарифа на импорт сахара также обусловлен превышением внутренних цен над мировым уровнем, что позволяет продавать по повышенным ценам не только прежний объем произведенного сахара Sq, но и возросший до S} объем производства. Площадь трапеции (а) характеризует величину этого выигрыша:
2 ~ ^ = = Q AM млрд $ в год)
в) Увеличение доходов государственного бюджета от введения тарифа на импорт сахара определяется площадью прямоугольника (с): часть потребительского излишка перераспределяется теперь от потребителей к государству через возросшие цены на сахар:
(D{ -S\)(Pt - Pw) = 12- 0,02 = 0,24(.илрд $ в год)
~йГ
г) Чистые потери национального благосостояния страны от ограничения импорта определяются суммой площадей треугольников (Ь) и (d). Они обусловлены неэффективным использованием ресурсов отечественными производителями сахара в условиях защиты их от иностранной конкуренции (треугольник (Ь)) и абсолютным сокращением внутреннего потребления сахара в результате повышения цен на него (треугольник (d)).
Сумма площадей треугольников (Ь) и (d) может быть рассчитана как разность между площадью трапеции (a+b+c+d), площадью трапеции (а) и площадью прямоугольника (с):
0,42 - 0,14 - 0,24 = 0,04 (млрд $ в год).
|
2. Какая из трех зарубежных фирм - импортеров прохладительных напитков в данную страну может быть обвинена в демпинге на ее внутренний рынок? |
|
|
Фирма А |
Фирма В |
Фирма С |
|
Средние издержки производства в расчете на единицу продукции |
10$ |
10$ |
10$ |
|
Цена напитков на внутренних рынках фирм-импортеров |
10$ |
12$ |
9$ |
|
Экспортная цена напитков |
11 $ |
11 $ |
10,5$ |
|
Цена напитков, произведенных импортозамещающими фирмами в данной стране |
12$ |
13$ |
11 $ |
|
Решение
Для ответа на поставленный вопрос необходимо сравнить уровни экспортных цен всех фирм и уровни цен их продукции на отечественных рынках. В том случае, когда экспортная цена окажется ниже, чем цена продукции на отечественном рынке фирмы-импортера, имеет место демпинг. Только у фирмы В экспортная цена прохладительных напитков (11$) ниже, чем их цена на отечественном рынке (12$), что свидетельствует о демпинге фирмы В на внутренний рынок данной страны.
3. При свободной торговле каждый доллар стоимости единицы продукции в текстильной промышленности распределяется следующим образом: 40% (то есть 40 центов) составляет добавленная стоимость, 30% (или 30 центов) - затраты на хлопковую пряжу и 30% (или 30 центов) - на прочее волокно. Предположим, что правительство вводит тарифы на импорт текстиля в размере 25% и на импорт хлопковой пряжи - в размере 16,7% (или 1/6). Цена единицы продукции без тарифа составляет 1 $.
а) Рассчитайте, как будет распределяться стоимость единицы продукции после введения двух тарифов на импорт.
б) Насколько фактический уровень импортного тарифа на текстиль будет соответствовать номинально установленному уровню в 25%?
Решение
а) Так как тарифные ограничения на импорт текстиля введены в размере 25%, то цена каждой единицы продукции в текстильной промышленности увеличится на 25 центов и составит: 1 $ + 0,25 $ = 1,25 $.
Однако тариф на импорт хлопковой пряжи в размере 1/6 (или 16,7%) в свою очередь повысит внутренние цены и увеличит расходы на хлопок на 16,7% от их первоначальной величины:
30 центов ¦ 1/6-5 центов (величина тарифа на хлопковую
пряжу).
30 центов + 5 центов = 35 центов (новые расходы на хлопковую пряжу).
Это означает, что издержки производства в расчете на единицу текстильной продукции возросли на 5 центов, а добавленная стоимость возросла, соответственно, на:
25 центов - 5 центов = 20 центов.
Таким образом, добавленная стоимость в расчете на каждую единицу продукции в текстильной промышленности после введения двух тарифов составит:
40 центов + 20 центов - 60 центов.
Затраты на прочее волокно составят:
0,3$
(или 30 центов)
1,25$ - 0,6$ - 0,35 $
новая додав- новые расходы
ленная стой- на хлопковую
мость пряжу
цена единицы продукции с учетом тарифа в 25%
Ответ: после введения двух тарифов на импорт стоимость единицы продукции будет распределяться следующим образом: 60 центов - добавленная стоимость, 35 центов затраты на хлопок и 30 центов - затраты на прочее волокно.
б) Добавленная стоимость одной единицы продукции в текстильной промышленности возросла на 20 центов (60 центов - 40 центов) в результате функционирования всей тарифной системы. Это означает, что введение двух тарифов на импорт формирует фактический уровень защитного тарифа в этой отрасли в размере:
60-40
40
= 0,5 = 50%,
что превосходит номинально установленный уровень тарифа на текстиль в размере 25%. Это превышение образовалось в результате того, что конечная продукция текстильной промышленности защищена более высокой пошлиной, чем ее промежуточная продукция (25% - импортный тариф на конечную продукцию и 16,7% - импортный тариф на промежуточную продукцию текстильной промышленности).
Тесты
1. Различие между тарифом на импорт и импортной квотой состоит в том, что:
а) квота никогда не приносит дохода государству, тогда как тариф дает такой выигрыш;
б) тариф никогда не приносит дохода государству, тогда как квота дает такой выигрыш;
в) квота может быть использована для ограничения притока импортных товаров на внутренний рынок, тогда как тариф не может быть использован в этих целях;
г) тариф может быть использован для полного (или почти полного) прекращения притока импортных товаров на внутренний рынок, тогда как квота не может быть использована в этих целях;
д) квота обеспечивает более надежную защиту отечественного производства от иностранной конкуренции, чем тариф.
2. Наряду с повышением цен и увеличением валютных резервов страны высокий протекционистский тариф может:
а) вызвать общее повышение уровня жизни;
б) оставить реальную заработную плату без изменений, хотя денежная заработная плата возрастет;
в) увеличить денежную заработную плату в большей степени, чем стоимость жизни, так что реальная заработная плата снизится;
г) увеличить денежную заработную плату в меньшей степени, чем стоимость жизни, так что реальная заработная плата снизится.
3. Аргумент в пользу введения тарифов, связанный с необходимостью защиты “молодых” отраслей:
а) является справедливым, если страна специализируется на производстве только одного товара;
б) противоречит теории сравнительного преимущества;
в) исходит из того, что в долгосрочном периоде условия торговли изменяются не в пользу продуктов сельского хозяйства;
г) соответствует планам стабилизации производственных возможностей страны;
д) является обоснованным, если кривая производственных возможностей может быть сдвинута вверх, в направлении нового сравнительного преимущества.
4. Сторонники тарифов утверждают, что одностороннее введение высоких тарифов может увеличить денежную заработную плату. Справедливым контраргументом является одно из следующих утверждений:
а) такие тарифы привели бы к снижению, а не к повышению денежной заработной платы;
б) такие тарифы не оказали бы никакого воздействия на денежную заработную плату;
в) любое увеличение денежной заработной платы было бы уравновешено спадом занятости;
г) любое увеличение денежной заработной платы было бы компенсировано повышением стоимости жизни;
д) ни одно из вышеприведенных утверждений не является справедливым.
5. Какая из следующих форм торговых барьеров не является существенным ограничением свободы торговли:
а) пошлина на импорт;
б) добровольные экспортные ограничения;
в) импортная квота;
г) квота на экспорт;
д) нетарифные барьеры;
е) все предыдущие ответы верны;
ж) все предыдущие ответы неверны.


6. Жесткая протекционистская политика с использованием высоких тарифов на импорт:
а) может увеличить уровень занятости в данной стране в краткосрочном периоде;
б) способствует снижению уровня безработицы за рубежом;
в) базируется на абсолютном преимуществе зарубежного партнера в производстве продукции;
г) предполагает увеличение доходов государственного бюджета данной страны в долгосрочной перспективе.
|
7. Экономика описана следующими данными: |
1
\ |
При 5%-ном импортном тарифе на мотоциклы |
Без
тарифа |
|
Мировая цена мотоцикла с доставкой в США |
2000 S |
2050$ |
5%-ный тариф
« |
100$ |
0 |
|
Внутренняя цена мотоцикла в США |
2100$ |
2050$ |
|
Число мотоциклов, покупаемых в США за год |
100 000 |
105000 |
|
Число мотоциклов, производимых в США за год |
40 000 |
35 000 |
|
Число мотоциклов, импортируемых в США за год |
60 000 |
70 000 |
|
Правительство США отменяет 5%-ный тариф на импорт мотоциклов. При этом мировая цена на мотоциклы повышается.
Определите выигрыш американских потребителей от отмены пошлины:
а) 5 150 000 $ в год;
б) 6 000 000 $ в год;
в) 2 750 000 $ в год;
г) 5 125 000 $ в год.
8. Используя условия задачи № 7, рассчитайте потери американских производителей от либерализации торговли:
а) 1 800 000 $ в год;
б) 1 875 000 $ в год;
в) 1 900 000 $ в год;
г) 6 000 000 S в год.
9. Используя данные задачи № 7, рассчитайте потери в таможенных доходах для государственного бюджета:
а) 5 000 000 $ в год;
б) 6 500 000 $ в год;
в) 6 000 000 $ в год;
г) 6 250 000 $ в год.
10. Используя данные задач № 7-9, оцените совокупное влияние отмены 5%-ного импортного тарифа на мотоциклы на уровень благосостояния в США:
а) чистые потери благосостояния в США составят 2 750 000S в год;
б) чистый положительный эффект от снятия тарифа для экономики США составит 2 750 000$ в год;
в) чистые потери благосостояния в США составят 2 700 000$ в год из-за повышения уровня мировых цен на импортируемые мотоциклы;
г) чистый положительный эффект для всей экономики США превысит потери американских производителей от снятия тарифа;
д) чистые потери благосостояния в США превысят выигрыш американских потребителей, так как возросли мировые цены на импортируемые мотоциклы.
Рекомендуемая учебная литература
1. Макконнелл К, Брю С. Экономикс. Гл. 39.
2. Фишер С, Дорнбуш Р., Шмалензи Р. Экономика. Гл. 37.
3. Линдерт П. Экономика мирохозяйственных связей. Гл. 6-9, 12, 13.
4. Эклунд К. Эффективная экономика. Гл. 7.
Ответы к тестам
Глава 15
Платежный баланс
15.1. Макроэкономическое значение, основные статьи и структура платежного баланса. Торговый баланс, баланс текущих операций и баланс движения капитала.
15.2. Взаимосвязь счетов платежного баланса. Колебания валютного курса как инструмент автоматического урегулирования платежного баланса.
1 5.3. Официальные валютные резервы Центрального Банка. Влияние макроэкономической политики на состояние платежного баланса. Дефицит и кризис платежного баланса.
15.1. Макроэкономическое значение, основные статьи и структура платежного баланса. Торговый баланс, баланс текущих операций и баланс движения капитала
Платежный баланс - систематизированная запись итогов всех экономических сделок между резидентами данной страны (домашними хозяйствами, фирмами и правительством) и остальным миром в течение определенного периода времени (обычно года).
Резидент - любое лицо, проживающее в данной стране более одного года независимо от его гражданства (подданства) и паспортного статуса. Работники посольств и военные всегда являются резидентами только своей страны независимо от срока их пребывания за рубежом.
Макроэкономическое назначение платежного баланса состоит в том, чтобы в лаконичной форме отражать состояние международных экономических отношений данной страны с ее зарубежными партнерами, являясь индикатором для выбора кредитно-денежной, валютной, бюджетно-налоговой, внешнеторговой политики и управления государственной задолженностью.
Экономические сделки представляют собой любой обмен стоимости, то есть акт, в котором передается право собственности на товар, оказывается экономическая услуга или право собственности на активы переходит от резидента данной страны к резиденту другой страны.
Любая сделка имеет две стороны, и поэтому в платежном балансе реализуется принцип двойной записи. Основными статьями платежного баланса являются кредит и дебет.
Кредит - отток стоимостей, за которым должен последовать их компенсирующий приток в данную страну. В кредите отра-,( жается отток ценностей из страны, за которые впоследствии ее; резиденты получают платежи в иностранной валюте.
Дебет - приток стоимостей в данную страну, за который ее резиденты должны впоследствии платить, возможно, наличными деньгами, то есть расходовать иностранную валюту.
Общая сумма кредита должна быть равна общей сумме дебета платежного баланса по определению. При этом внутри платежного баланса могут быть выделены несколько частей.
Все сделки между данной страной и остальным миром включают в себя текущие операции и операции с капиталом. Соответственно, платежный баланс включает в себя три составных элемента:
1) счет текущих операций;
2) счет движения капитала и финансовых операций;
3) изменение официальных резервов.
Обобщенная структура платежного баланса
I. Счет текущих операций
?*
Сальдо баланса внешней торговли (торговый баланс)
3. Экспорт услуг (доходы от иностранного туризма и т.д., исключая кредитные услуги)
4. Импорт услуг (платежи за туризм
за рубежом и т.д., исключая кредитные услуги)
5. Чистые факторные доходы из-за рубежа
6. Чистые текущие трансферты
Сальдо баланса по текущим операциям
II. Счет движения капитала и финансовых операций
7. Приток капитала
8. Отток капитала
Сальдо баланса движения капитала и финансовых операций
Сальдо баланса по текущим, капитальным и финансовым операциям
III. Изменение официальных резервов
1 Обобщенная структура платежного баланса приводится исключительно в учебных целях. Стандартная классификация платежного баланса в соответствии с методологией СНС имеет более сложную композицию. Подробнее об этом см.: Система национальных счетов - инструмент макроэкономического анализа: Учебное пособие / Под ред. Ю.Н. Иванова. М.: Финстатин-форм, 1996.
Счет текущих операций включает в себя экспорт товаров и услуг (со знаком “плюс”), импорт (со знаком ‘'минус”), чистые доходы от инвестиций и чистые текущие трансферты. Разница между товарным экспортом и товарным импортом образует собственно торговый баланс. В целом счет текущих операций выступает как расширенный торговый баланс.
Товарный экспорт (и все экспортоподобные операции) учитываются со знаком “плюс” и выступают как кредит, потому что создают запасы иностранной валюты в национальных банках. Наоборот, импорт (и все импортоподобные операции) учитываются в графе «дебет» со знаком “минус”, потому что они сокращают запасы иностранной валюты в стране.
Чистые факторные доходы из-за рубежа образуются в результате экспорто- и импортоподобных операций. Они включают в себя чистую оплату труда временных (сезонных, приграничных и т.д.) работников и чистые доходы от кредитных услуг, которые связаны с «экспортом» услуг вкладываемого за рубежом национального денежного капитала. Если национальный капитал, вложенный за рубежом, приносит больший объем процентов и дивидендов, чем иностранный капитал, инвестированный в данной стране, то чистые доходы от инвестиций окажутся положительными; в противном случае - отрицательными.
Иногда активы и пассивы данной страны наращиваются без осязаемых потоков ценностей между странами. Наиболее частым примером такого рода является невозвращение в “свою” страну прибылей отечественных корпораций, реинвестируемых в иностранных фирмах. В этом случае отечественная материнская компания увеличивает свои активы за рубежом, но не репатриирует их в “свою” страну в виде дивидендов. В обычной государственной статистике такие прибыли и их реинвестирование за границей полностью исключаются из статей платежного баланса, как будто никаких международных сделок не произошло, пока эти прибыли не будут репатриированы в страну материнской компании.
Чистые текущие трансферты включают переводы частных и государственных средств в другие страны (пенсии, подарки, Денежные переводы за границу или безвозмездная гуманитарная помощь иностранным государствам). Учет односторонних трансфертов (даров) является технически сложным, так как невозможно сопоставить два взаимопогашающих друг Друга потока ценностей (например, когда медицинская помощь экспортируется за границу безвозмездно). В этом случае в графе “дебет” со знаком “минус” появляется специальная строка “односторонние трансферты” (или “дары”), так как подобные платежи истощают имеющийся в стране запас иностранной валюты.
В макроэкономических моделях сальдо счета текущих операций обычно изображается как разность:
X М = Х„ = Y - (С +1 + G)'
V ' * Vм ' * V...... * ^ V '
Экспорт Импорт Чистый Абсорбция
(и экспорта- (и импорта- экспорт подобные подобные
операции) операции)
Абсорбция - часть валового внутреннего продукта, реализуемая отечественным домашним хозяйствам, фирмам и правительству данной страны.Когда страна сталкивается с дефицитом баланса по текущим операциям, это означает, что ее расходы по оплате импорта превосходят доходы, полученные от экспорта. Этот дефицит финансируется либо с помощью зарубежных займов, либо путем продажи части активов иностранцам, что и отражается в счете движения капиталов. Эти сделки ведут к сокращению чистых зарубежных активов.
Чистые зарубежные активы (Net foreign assets, NFA) - разность между величиной зарубежных активов, которыми владеют отечественные резиденты, и величиной национальных активов, которыми владеют иностранцы.
Исчерпание кредита и пользующихся спросом активов приводит к необходимости макроэкономической корректировки текущего счета платежного баланса. Корректировка предполагает либо увеличение доходов от экспорта товаров и услуг за грани- цу, либо сокращение расходов по импорту, в том числе и с помощью внешнеторговых ограничений (введение тарифов на импорт, импортных квот и т.д.). В случае ограничительной внешнеторговой политики макроэкономическая корректировка оказывается весьма болезненной для отечественных потребителей, так как они сталкиваются с возросшими ценами как на импортные, так и на отечественные товары. При этом состояние текущего счета платежного баланса улучшается только в краткосрочном периоде, так как в долгосрочной перспективе (даже в том случае, когда торговые партнеры не предпринимают ответных ограничительных мер) чистый экспорт из данной страны уменьшится вследствие повышения курса национальной валюты2.
Положительное сальдо счета текущих операций противоположно дефициту: в этом случае страна получает иностранной валюты больше, чем тратит за границей, а следовательно, может предоставлять кредиты иностранцам или накапливать зарубежные активы.
В счете движения капитала и финансовых операций отражаются все международные сделки с активами: доходы от продажи акций, облигаций, недвижимости и т.д. иностранцам и расходы, возникающие в результате покупок активов за границей.
Баланс Поступления Расходы
движения = от продажи - на покупку активов капитала активов за границей
Продажа иностранных активов увеличивает запасы иностранной валюты, а их покупка — уменьшает их. Поэтому баланс движения капитала и финансовых операций показывает чистые поступления иностранной валюты от всех сделок с активами.
Положительное сальдо счета движения капитала и финансовых операций определяется как чистый приток капитала в страну. Наоборот, чистый отток (или вывоз капитала) возникает на фоне дефицита счета движения капитала и финансовых операций, когда расходы на покупки активов за границей превосходят доходы от их продажи за рубеж.
15.2. Взаимосвязь счетов платежного баланса. Колебания валютного курса как инструмент автоматического урегулирования платежного баланса
Взаимосвязь текущего счета и финансового счета может быть представлена алгебраически путем последовательных преобразований основного макроэкономического тождества:
Y = C + I + G + Xn
Л
Y - С - G = С + I + G + Хп - (С + G)
'-¦-' И
Sn = I + Хт где S,i - национальные сбережения
Л
(I - S) + Xn- 0 {нейтральное представление
платежного баланса в режиме гибкого валютного курса без вмешательства Центрального Банка)
Величина (I - S) представляет собой избыток внутренних инвестиций над внутренними сбережениями и характеризует сальдо счета движения капитала и финансовых операций. Счет текущих операций фиксирует, каким образом формируется сумма, получаемая из-за границы в обмен на отечественный чистый экспорт (включая чистую выручку от использования отечественных факторов производства). Поэтому величина Хп отражает сальдо счета текущих операций.
Из основного макроэкономического тождества следует, что финансовый счет и текущий счет платежного баланса уравновешивают друг друга, то есть
Х^М = Хп = - (I-S) = 5^
внешний баланс внутренний баланс
Это означает, что дефицит платежного баланса по текущим операциям финансируется в основном чистым притоком капитала на финансовый счет:
\хп<о^>х-м<о^>х<м
і I~S>0=$I>S=$ приток капитала из-за рубежа
L (\должники)
Если инвестиции превышают национальные сбережения (/>5), то излишек инвестиций должен финансироваться из-за рубежа, за счет иностранных займов. Эти займы позволяют стране импортировать товаров и услуг больше, чем экспортировать (М>Х), то есть чистый экспорт является отрицательной величиной (Хп<0). На мировой арене страна выступает в качестве должника.
Наоборот, если национальные сбережения превышают внутренние инвестиции, то избыточные сбережения используются для кредитования зарубежных партнеров. Им требуются эти кредиты, поскольку экспорт товаров и услуг из данной страны превышает импорт (Х>М), то есть чистый экспорт является положительной величиной (Хп>0). На мировой арене страна выступает в качестве кредитора.
Следовательно, активное сальдо текущего счета сопровождается чистым оттоком капитала, так как избыточные средства текущего счета будут использованы для покупки недвижимости за рубежом или предоставления займов другим странам:
J Хп>0=>Х-М>0=>Х> М
I I-S<0=>I<S=$ отток (вывоз) капитала за границу
(кредиторы)
Для того чтобы поступления от всех сделок балансировали совокупные расходы, необходимо, чтобы дефицит текущего счета в точности соответствовал положительному сальдо финансового счета, или наоборот - дефицит счета движения капитала и финансовых операций должен в точности соответствовать активному сальдо текущего баланса. Такое взаимоурегулирование счетов платежного баланса осуществляется при условии, что Центральный Банк не предпринимает валютных интервенций и не изменяет величины официальных валютных резервов. В этом случае на фоне притока капитала появляется тенденция к относительному удорожанию национальной валюты, а на фоне оттока капитала - к ее относительному удешевлению. Свободные колебания валютного курса являются механизмом автоматического уравновешивания текущего и финансового счетов платежного баланса.
15.3. Официальные валютные резервы Центрального Банка.
Влияние макроэкономической политики на состояние платежного баланса.
Дефицит и кризис платежного баланса
Необходимость такого взаимоурегулирования исчезает, если Центральные Банки стремятся предотвратить свободные колебания валютного курса и оказывают воздействие на него, покупая и продавая иностранную валюту из официальных валютных резервов. Официальные валютные резервы, как правило, включают золото, иностранную валюту, кредитную долю страны в МВФ плюс специальные права заимствования (SDR) и так далее. Дефицит платежного баланса может быть профинансирован за счет сокращения официальных резервов Центрального Банка. Поскольку в данном случае предложение иностранной валюты на внутреннем рынке увеличивается, то данная операция является экспортоподобной и учитывается в кредите со знаком “плюс” (хотя запасы иностранной валюты в Центральном Банке страны снижаются). При этом предложение национальной валюты на внутреннем рынке относительно уменьшается, а ее обменный курс относительно повышается, что оказывает на национальную экономику сдерживающее воздействие.
Наоборот, активное сальдо платежного баланса сопровождается ростом официальных валютных резервов в Центральном Банке. Это отражается в дебете со знаком “минус”, так как данная операция уменьшает предложение иностранной валюты на внутреннем рынке и является импортоподобной. При этом предложение национальной валюты на внутреннем рынке относительно увеличивается, а ее обменный курс - относительно снижается, что оказывает на экономику стимулирующее воздействие.
Такие покупки и продажи Центральным Банком иностранной валюты называются операциями с официальными резервами, которые не тождественны его операциям на открытом рынке. Операции с валютными резервами, как правило, используются Центральными Банками для поддержания режима фиксированного валютного курса или “управляемого плавания”. В итоге операций с официальными резервами сумма сальдо текущего счета, финансового счета и изменения величины официальных резервов в нейтральном представлении платежного баланса должна составить ноль:
САВ + СА + AOR — О,
где САВ - сальдо текущего счета,
СА - сальдо финансового счета,
AOR - изменение величины резервов ЦБ.
Оценки актива или дефицита платежного баланса в аналитическом представлении не могут быть однозначными. Их желательность или нежелательность зависят от вызвавших их причин и устойчивости. Дефицит (или положительное сальдо) платежного баланса могут быть реакцией на возрастание (или сокращение) иностранного спроса на валюту данной страны для использования ее в качестве резервных активов. Общим правилом является следующее: в условиях нормально растущей экономики и расширения внешнеэкономических отношений страна, чья валюта используется в качестве средства международных расчетов, должна иметь дефицит баланса текущих операций. Так как большая часть мировых денег имеет форму банковских депозитов или казначейских векселей в ключевой валюте, растущий спрос на мировые деньги со стороны всех других стран порождает дефицит международных расчетов ключевой валюты. В этом случае дефицит платежного баланса может быть вполне нормальным явлением, а не признаком слабости национальной валюты, как во всех других случаях. Страна ключевой валюты действует, по существу, как обычный банк, который всегда имеет больше денежных обязательств, чем резервных активов. Такой дефицит платежного баланса нередко называют “дефицит без слез”, так как страна ключевой валюты может позволить себе в течение известного времени не проводить макроэкономической корректировки.
Если же страна не является мировым финансовым центром, то, поскольку официальные резервы любой страны ограничены, постольку устойчивые и длительные дефициты платежных балансов со временем приводят к их истощению. В этом случае проводится корректировка платежного баланса, связанная со сложной макроэкономической перестройкой: страна может сократить свои расходы за границей или увеличить доходы от своего экспорта путем использования различных внешнеторговых ограничений или корректировки обменного курса валюты.
В ходе таких корректировок возможно снижение уровня жизни населения в результате повышения общего уровня цен, обесценивания национальной валюты (и сбережений в этой валюте), сокращения занятости в отдельных отраслях экономики и т.д. Поэтому корректирующие меры макроэкономической политики являются малопопулярными и нередко откладываются.
Кризис платежного баланса (длительно существующий накопленный дефицит платежного баланса) нередко возникает в результате того, что страна длительное время откладывала урегулирование дефицита по текущим операциям и истощила свои официальные валютные резервы. Возможности кредитования за рубежом исчерпаны, так как нарушен график обслуживания внешнего долга и страна не в состоянии его погасить1. Макроэкономическая корректировка является единственным способом преодоления кризиса платежного баланса и кризиса внешней задолженности.
%
і
%
*
Фактором усугубления кризиса платежного баланса является недоверие экономических агентов к политике правительства и Центрального Банка. Ожидания обесценивания национальной валюты стимулируют спекулятивный спрос на иностранную валюту. Эта ситуация характерна для многих переходных экономик, в том числе и для России. Любая информация об ухудшении состояния государственного бюджета, о снижении цен на нефть или на другие экспортные ресурсы снижает доверие к политике правительства и повышает спрос на иностранную валюту (в обмен на национальную). Это значительно затрудняет действия Центрального Банка по защите национальной валюты от обесценивания, так как его официальных валютных резервов может оказаться недостаточно для одновременного финансирования дефицита платежного баланса и удовлетворения растущего спекулятивного спроса на иностранную валюту. Поэтому правительство нередко прибегают к ограничениям таких спекулятивных операций. В этом случае возникает “черный рынок” валюты, а проблема недоверия к политике государства не снимается.
Корректировка обменного курса валюты является, по существу, единственным способом выхода из этой ситуации. Однако установление более реалистичного валютного курса на практике достаточно трудно осуществить, так как это зависит от ожиданий экономических агентов и их оценок политики правительства. Поскольку обратное воздействие макроэкономической политики на экономические ожидания является труднопрогнозируемым ,
7. Линдерт П. Экономика мирохозяйственных связей. Гл. 16, 19.
8. Система национальных счетов — инструмент макроэкономического анализа / Под ред. Ю.Н, Иванова. Гл. 9.
9. Хейне П. Экономический образ мышления. Гл. 21.
10. Гальперин В.М., Гребенников П.И., Леусскт А.И., Тарасе-вин Л.С. Макроэкономика. Гл. 12.
11. Эклунд К Эффективная экономика. Гл. 7.
Ответы к тестам
9) а
10) в
Вопросы для обсуждения
1. Верны ли следующие утверждения?
а) Счет текущих операций фиксирует все операции, которые имели место в течение года между резидентами данной страны и других стран.
б) В счете движения капитала и финансовых операций фиксируется приток и отток капитала, чистый доход от инвестиций и чистый объем трансфертных платежей.
в) Счет текущих операций включает в себя торговый баланс.
г) Сальдо платежного баланса страны, строго говоря, всегда составляет ноль.
д) Дефицит счета текущих операций финансируется в основном чистым притоком капитала.
е) Страна не может изменить общий уровень внутренних цен, для того чтобы восстановить равновесие платежного баланса.
2. В стране открыто месторождение золота. Чтобы организовать его добычу, страну наводняют старатели с оборудованием. Какие факторы свидетельствуют о том, что возникнет актив текущего счета, а какие о том, что образуется пассив? Активным или пассивным окажется сальдо счета движения капитала и финансовых операций? Почему?
3. Какие из нижеперечисленных операций сопровождаются притоком, а какие - оттоком капитала из США?
а) Крупный нью-йоркский банк предоставляет правительству Мексики ссуду в 500 000 долл.
б) Богатый калифорниец приобретает конный завод в Ирландии.
в) Пенсионный фонд Союза британских транспортных рабочих приобретает 10 000 акций американской корпорации.
г) Американский импортер вина организует краткосрочный заем во французском банке для оплаты приобретаемой им партии французского шампанского.
4. Объясните, каким образом сокращение дефицита государственного бюджета может способствовать уменьшению дефицита платежного баланса страны.
Задачи и решения
1. Экономика описана следующими данными:
1. Экспорт товаров составляет 19 650$.
2. Импорт товаров составляет 21 758$.
3. Граждане страны получают доход от иностранных инвестиций в виде процентных выплат из-за рубежа в размере 3621$.
4. Страна выплачивает зарубежным инвесторам доход в виде процентов в размере 1394$.
5. Расходы граждан данной страны на туризм составляют 1919$.
6. Доходы данной страны от туризма составляют 1750$.
7. Односторонние трансферты страны равны 2388$.
8. Отток капитала из страны составляет 4174$.
9. Приток капитала в страну составляет 6612$.
а) Используя эти данные, рассчитайте сальдо текущего счета, финансового счета и платежного баланса страны;
б) Каковы изменения величины официальных валютных резервов страны?
|
|
|
|
|
Решение |
|
|
|
Сальдо |
|
Экспорт |
Экспорт |
Факторный |
|
текущего |
— |
товаров |
+ услуг |
+ доход |
|
|
счета |
|
- |
туризма |
из-за рубежа |
|
|
Импорт |
|
Импорт |
Выплаты |
Односторонние |
|
|
товаров |
+ |
услуг + |
процентов
зарубежным |
+ трансферты |
|
|
|
|
|
инвесторам |
|
|
|
= (19650 + 1750 + 3621) - (21 758 + 1919 + 1394 + 2388) = -2438(1) |
Сальдо _ Приток _ Отток
капитального счета капитала капитала
= 6612-4174 = 2438(5)
Сальдо
платежного
баланса
Сальдо Сальдо
текущего + капитального = -2438 + 2438 - 0 счета счета
б) Так как дефицит счета текущих операций финансируется за счет чистого притока капитала, то величина официальных валютных резервов не изменяется.
2. Экономика описана следующими данными:
Sp = -50 + 0,2 (Y-T) - функция сбережений частного сектора;
/= 100 — 5jR - функция инвестиций.
Потребительские расходы составляют 530, ставка процента равна 7%, а бюджетный излишек BS = 10. Рассчитайте сальдо счета текущих операций.
Решение
Сальдо счета Сальдо счета
текущих - - движения капитала - - (I - Sn) = Sn -1,
операций и финансовых операций
где Sn - национальные сбережения;
I - инвестиции.
Рассчитываем величину инвестиций:
/= ЮО-5 х7 = 100- 35 = 65.
Примечание: в тех случаях, когда подстановка переменных осуществляется
непосредственно в процентной форме, а не в долях единицы, преподавателю следует обращать на это особое внимание студентов.
Величина национальных сбережений составляет сумму сбережений частного и государственного секторов:
Sn - SD + S ,
где Sg - сбережения государственного сектора, равные величине
бюджетного излишка, то есть Sg = BS = 10
Находим величину сбережений частного сектора:
Sp = Y-T-C,
где Sp - частные сбережения;
Y - доход;
Т - налоговые отчисления в бюджет; С - потребление.
Так как функция частных сбережений имеет вид
Sp = -50 + 0,2 (У - 7), то функция потребления имеет вид:
С =50+ 0,8 (Г-7).
Так как величина потребления С = 530, то имеем уравнение
530 = 50 + 0,8 (Y-T)
Находим располагаемый доход (Y - Т):
у - Т = 530 - 50 = 600
0,8
Величина частных сбережений Sp = 600 - 530 = 70.
Величина национальных сбережений Sn = 70 + 10 = 80.
Сальдо счета текущих операций = 80 - 65 = 15.
3. Экономика описана следующими данными:
1. Баланс текущих операций = 50.
2. Баланс капитального счета = -60.
3. Официальные резервы = +10.
а) Имеется ли в данном случае пассив или актив платежного баланса?
б) Какое влияние оказывают операции с валютными резервами на экономику данной страны: стимулирующее или сдерживающее?
Решение
а) Сальдо Сальдо счета Сальдо Изменение
платежного= текущих + капитального* официальных =
баланса операций счета резервов
= 50-60 + 10 = 0
Дефицит капитального счета профинансирован за счет снижения официальных валютных резервов Центрального Банка. Платежный баланс сведен с нулевым сальдо.
б) Снижение официальных валютных резервов Центрального Банка сопровождается увеличением предложения иностранной валюты на внутреннем рынке в обмен на национальную валюту, предложение которой относительно сокращается, что оказывает на экономику сдерживающее воздействие.

Тесты
1. Если величина официальных валютных резервов Центрального Банка не изменяется, то, при прочих равных условиях, можно утверждать, что:
а) сальдо торгового баланса всегда равно нулю;
б) сальдо счета текущих операций всегда равно нулю;
в) сальдо капитального счета всегда равно нулю;
г) сальдо платежного баланса страны равно нулю.
2. Испания решает установить контроль над внешней торговлей в целях снижения дефицита платежного баланса. Одним из результатов такой политики в краткосрочном периоде будет:
а) снижение уровня занятости в стране;
б) снижение уровня инфляции в стране;
в) снижение темпов экономического роста;
г) снижение испанского экспорта;
д) снижение импорта товаров и услуг в Испанию;
е) снижение сальдо торгового баланса.
3. Чистый экспорт вероятнее всего:
а) положительно зависит от ставки процента и ВВП;
б) отрицательно зависит от ВВП, но положительно от ставки процента;
в) отрицательно зависит как от ставки процента, так и от ВВП;
г) положительно связан с ВВП, но совершенно не зависит от ставки процента.
4. Составная часть платежного баланса страны - счет текущих операций - не включает:
а) товарный экспорт;
б) чистые доходы от инвестиций;
в) транспортные услуги иностранным государствам;
г) изменения в активах страны за рубежом;
д) односторонние трансфертные платежи.
5. Дефицит платежного баланса может быть профинансирован:
а) с помощью девальвации валюты;
б) путем увеличения внешней задолженности;
в) путем использования (расходования) резервов иностранной валюты;
г) ответы б) и в) верны.
6. Функция импорта представлена как 100 + 0,1 У, экспорт - экзогенная переменная. В этом случае, если доход (Y) составляет 500, а торговый дефицит равен 50, величина экспорта составляет:
7. Увеличение предельной склонности к импортированию:
а) способствует увеличению чистого экспорта;
б) улучшает состояние счета текущих операций;
в) способствует снижению уровня занятости в отраслях национальной экономики, конкурирующих с импортом;
г) не оказывает никакого воздействия на величину сальдо счета движения капитала и финансовых операций.
8. Какие из нижеперечисленных утверждений справедливы, если
функция чистого экспорта имеет вид 80 0,1 К и нет изменений в
величине официальных валютных резервов Центрального Банка?
а) Капитальный счет имеет дефицит в размере 30 при совокупном выпуске, равном 1100.
б) Счет текущих операций имеет дефицит в размере 20 при совокупном выпуске, равном 1000.
в) При совокупном выпуске, равном 1200, сальдо платежного баланса окажется положительным.
г) При совокупном выпуске, равном 1300, сальдо платежного баланса окажется равным нулю.
9. Экономика описана следующими данными:
1) товарный экспорт составляет 214,0;
2) товарный импорт составляет 338,3;
3) доходы от туризма составляют 55,2;
4) доходы от зарубежных активов составляют 90,5;
5) расходы по туризму составляют 58,2;
6) выплаты процентов зарубежным инвесторам составляют 65.8:
7) односторонние трансферты составляют 14,8;
8) приток капитала составляет 146,9;
9) отток капитала составляет 29,5.
В этом случае можно утверждать, что:
а) сальдо платежного баланса равно нулю;
б) дефицит платежного баланса составляет - 117,4;
в) актив платежного баланса равен 120;
г) для урегулирования платежного баланса необходимо использовать официальные валютные резервы в размере 110;
д) все предыдущие ответы неверны.
10. Экономика описана следующими данными:
- потребление импортных товаров и услуг равно 200;
- потребление отечественных товаров и услуг равно 800;
- инвестиционные расходы на импортные товары и услуги равны 50;
- инвестиционные расходы на отечественные товары и услуги составляют 150;
- государственные закупки отечественных товаров и услуг составляют 250;
- налоговые поступления в госбюджет равны 500;
- сбережения государственного сектора составляют 50;
- величина экспорта составляет 500.
В этом случае состояние текущего счета характеризуется:
а) дефицитом в размере 50;
б) активом в размере 40;
в) активом в размере 50;
г) дефицитом в размере 40.
Рекомендуемая учебная литература
1. Мэнкью Н.Г. Макроэкономика. Гл. 7.
2. Макконнелл КБрю С Экономикс. Гл. 40.
3. Дорнбуш Р.ч Фишер С. Макроэкономика. Гл. 6, § 1-4; гл. 20, §1-2.
4. Фишер С., Дорнбуш РШмалепзи Р. Экономика. Гл. 36.
5. Долан Э., Кемпбелл К., Кемпбелл Р. Деньги, банковское дело и денежно-кредитная политика. Гл. 21.
6. Долан Э. Макроэкономика. Гл. 3.
7. Линдерт П. Экономика мирохозяйственных связей. Гл. 16, 19.
8. Система национальных счетов — инструмент макроэкономического анализа / Под ред. Ю.Н, Иванова. Гл. 9.
9. Хейне П. Экономический образ мышления. Гл. 21.
10. Гальперин В.М., Гребенников П.И., Леусскт А.И., Тарасе-вин Л.С. Макроэкономика. Гл. 12.
11. Эклунд К Эффективная экономика. Гл. 7.
Ответы к тестам
9) а
10) в
Глава 16 Валютный курс
16.1. Валютный рынок: основные понятия. Системы гибких и фиксированных валютных курсов.
16.2. Соотношение номинального и реального валютного курса в краткосрочной и долгосрочной перспективе. Факторы, определяющие динамику номинального валютного курса в долгосрочном периоде.
16.3. Воздействие макроэкономической политики на динамику равновесного реального валютного курса.
16.4. Сравнительная эффективность режимов гибкого и фиксированного валютного курса.
16.1. Валютный рынок: основные понятия.
Системы гибких и фиксированных валютных курсов
В международной торговле используются различные национальные валюты, которые в определенных соотношениях обмениваются одна на другую на валютных рынках.
Номинальный валютный (обменный) курс - относительная цена валют двух стран, то есть цена одной валюты в единицах другой. Термин “обменный курс валюты", как правило, используется именно для обозначения номинального валютного курса.
Увеличение экспорта товаров и услуг из данной страны увеличивает спрос на национальную валюту за рубежом и одновременно формирует предложение иностранной валюты в данной стране.
Соответственно, увеличение импорта товаров и услуг в данную страну создает в ней спрос на иностранную валюту и формирует предложение национальной валюты для иностранцев. Рост внутреннего спроса на иностранную валюту снижает ее запасы в национальных банках страны, которые были созданы за счет увеличения экспорта. Таким образом, экспорт из страны позволяет ей “зарабатывать” иностранную валюту, необходимую для оплаты импорта.
При системе гибких (плавающих) валютных курсов обменный курс устанавливается в результате свободных колебаний спроса и предложения как равновесная цена валюты на валютном рынке.
Если предложение фунтов стерлингов увеличивается с 250 до 300 млрд, то обменный курс снижается с 1,18 долл, за 1 фунт
Рынок фунта стерлингов
|
Валютный курс |
 |
стерлингов до 1 долл, за 1 ф. ст. (см. рис. 16.1). По мере снижения курса фунта английские товары относительно дешевеют для иностранцев и их закупки возрастают. Растущий экспорт из Великобритании увеличивает спрос на фунты стерлингов -равновесие на валютном рынке перемещается из точки А в точку В.
При системе абсолютно гибких валютных курсов колебания обменного курса ничем не ограничены, и поэтому колебания объемов экспорта и импорта, а следовательно, и состояния торгового баланса, текущего счета и платежного баланса в целом могут оказаться труднопрогнозируемыми, что может оказать дестабилизирующее воздействие на экономику.
При системе фиксированных курсов курс национальной валюты устанавливается Центральным Банком, который берет на себя обязательства покупать и продавать любое количество иностранной валюты по установленному курсу. Обычно Центральный Банк устанавливает пределы свободных колебаний курса национальной валюты в целях макроэкономической стабилизации. Когда цена валюты приближается к верхней или нижней границе этих пределов, то Центральный Банк проводит интервенции: приближение к нижнему пределу требует покупки ЦБ этой валюты в обмен на иностранную или золото (в случае золотого стандарта), и наоборот.
Рынок фунта стерлингов
|
Валютный курс |
 |
|
Рис. 16.2 |
Если курс фунта стерлингов снижается до уровня 1 долл, за 1 фунт стерлингов (см. рис. 16.2), а Центральный Банк Великобритании поддерживает фиксированный курс 1,2 долл, за 1 ф. стерлингов с пределами колебаний от 1,22 до 1,18 долл, за 1 фунт стерлингов, то Центральный Банк должен предъявить дополнительный спрос на фунты стерлингов и выкупить их в обмен на доллары или золото. Если предложение фунтов стерлингов сокращается от 300 млрд до 250 млрд, то курс поднимается до нижней границы колебаний и устанавливается на уровне 1,18 долл, за 1 фунт стерлингов.
При собственно Золотом Стандарте официальные органы дают возможность золоту (а позднее - другим видам официальных валютных резервов) свободно перемещаться из страны в страну. Потоки международных резервов воздействуют на кривые спроса и предложения валют до тех пор, пока они не пересекутся в точке фиксированного валютного курса.
В режиме плавающих курсов понижение цены равновесия называется обесцениванием валюты, а повышение - удорожанием валюты. В режиме фиксированных курсов эти процессы определяются соответственно как девальвация и ревальвация.
В современных международных валютных системах, объединяющих элементы режимов гибкого и фиксированного курсов, границы колебаний устанавливаются в отношении коллективных расчетных валют - SDR (СДР) и EURO (ЕВРО). Посколь-
353
ку происходит удорожание или удешевление национальной валюты относительно “корзины” нескольких валют, постольку изменяется так называемый эффективный номинальный валютный курс, который является средневзвешенной величиной из номинальных двусторонних курсов валют, входящих в состав “корзины”. При этом Центральные Банки стран-участниц приобретают возможности проведения совместных валютных интервенций по поддержанию курса “слабеющих” валют, что смягчает проблему ограниченности официальных валютных резервов каждой отдельной страны. При этом, однако, страны-участницы утрачивают возможности проведения совершенно самостоятельной, произвольной макроэкономической политики.
16.2. Соотношение номинального и реального валютного курса в краткосрочной и долгосрочной перспективе. Факторы, определяющие динамику номинального валютного курса в долгосрочном периоде
Реальный валютный курс - относительная цена товаров, произведенных в двух странах.
Так как реальный валютный курс характеризует соотношение, в котором товары одной страны могут быть проданы в обмен на товары другой страны, то реальный валютный курс иногда определяется как условия торговли.
Зависимость между номинальным и реальным обменным курсом имеет вид

где - реальный валютный курс;
En - номинальный валютный курс;
Л/ уровень (индекс) внутренних цен, выраженных в национальной валюте;
Pj - уровень (индекс) цен за рубежом, выраженных в иностранной валюте.
Уровни (индексы) цен в обеих странах соотнесены с одним и тем же базисным годом.
Реальный эффективный валютный курс предполагает, что в указанной зависимости в качестве Р/ выступает средневзвешенный для группы стран индекс цен.
Увеличение (уменьшение) реального или реального эффективного валютного курса свидетельствует о снижении (повышении) конкурентоспособности товаров данной страны на мировом рынке. Зависимость динамики конкурентоспособности с номинальным и реальным валютным курсами достаточно сложна, и раскрытие ее содержания требует числовой иллюстрации.
Допустим, что в базисном 1980 году определенная рыночная корзина товаров и услуг стоит 1000 долларов в США и 3000 марок в Германии. Номинальный валютный курс в 1980 году составляет 3 марки за 1 доллар. Так как в базисном году ценовые индексы равны единице, то реальный валютный курс составит:

марка
доллар
марка
доллар

1000 долл 1000 долл
= 1,0
3000 марок

3000 марок
= 1,0
марка доллар *
то есть реальный и номинальный курсы равны. Это означает, что немцам было безразлично, где покупать эту корзину: в Германии за 3000 марок или в США - обменяв эти же 3000 марок на 1000 долларов. Также безразличным является место покупки и для американцев.
К 1990 году уровень цен в США возрос на 50% (с 1,0 до 1,5). в то время как уровень цен в Германии остался прежним. Это означает, что та же рыночная корзина в США стоит теперь 1500 долларов, а в Германии - по-прежнему 3000 марок.
После повышения цен в США описанное безразличие нарушается. В Германии эту корзину можно приобрести за 3000 марок, а в США нужно обменять 4500 марок на 1500 долларов (при прежнем номинальном курсе обмена валют в соотношении 3 марки за 1 доллар). Если прежде американская корзина товаров и услуг эквивалентно обменивалась на немецкую корзину, то теперь за одну и ту же сумму в 3000 марок в США можно приобрести только 2/3 этой торговой корзины, тогда как в Германии ее можно купить полностью. Это означает
ухудшение условий торговли для США с соотношения между индексами экспортных и импортных цен в размере 1:1 до 2/3:1 и улучшение условий торговли для Германии с соотношения 1:1 до 1,5:1. В этих условиях немцы перестали бы покупать товары в США, так как это невыгодно - реально, то есть с учетом разницы в ценах, они теперь должны платить 4,5 марки за 1 доллар, хотя номинальный курс обмена валют остался по-прежнему 3 марки за 1 доллар:
1500 долл _ 1000 долл 3000 марок _ 3000 марок ~ ’
марка
дохіар
марка
дохшр
марка дохіар'




Создается впечатление, что после подъема цен в США падает покупательная способность марки, но это лишь видимость, так как покупки товаров в США на таких невыгодных условиях сокращаются, снижая объемы экспорта и чистого экспорта из США в Германию. Одновременно по этим же причинам возрастает импорт из Германии в США. В результате снижения конкурентоспособности в США сокращаются совокупный спрос, занятость и выпуск, что оказывает на экономику дестабилизирующее воздействие.
Механизмом, который компенсирует повышение цен в США и сохраняет “безразличие” к месту покупки корзины товаров, является снижение номинального курса доллара (и повышение номинального курса марки) с 3 до 2 марок за 1 доллар:
и
1,0
марка
дохіар
марка
доллар



“S'
En х р “ Er
Ч
В долгосрочной перспективе номинальные курсы подвижны и реагируют на изменения уровня цен таким образом, что реальные курсы валют остаются неизменными, обеспечивая соблюдение паритета покупательной способности.
Паритет покупательной способности - уровень обменного курса валют, выравнивающий покупательную способность каждой из них.
Согласно концепции паритета покупательной способности, международная конкуренция постепенно ведет к выравниванию внутренних и зарубежных цен на товары и услуги, участвующие в международной торговле. Если инфляция в данной стране превосходит темп инфляции за границей, то, при прочих равных условиях, национальная валюта будет иметь тенденцию к удешевлению. Согласно данной концепции, валютный курс всегда изменяется ровно настолько, насколько это необходимо для того, чтобы компенсировать разницу в динамике уровня цен в разных
р
странах, так как = , где г - цена иностранной валюты в
V
единицах отечественной валюты; Рц «внутренний» уровень цен; Pf- уровень цен за рубежом. Стрелки показывают, что повышение (снижение) соотношения индексов цен вызывает компенсирующее снижение (повышение) обменного курса валюты на ту же величину. Это означает, что для успешного прогнозирования долгосрочной динамики номинального курса обмена валют необходима информация о возможных изменениях факторов, определяющих уровни цен в этих странах.
В краткосрочном периоде номинальный курс, как и цены, относительно “жесткий”, а реальный курс изменяется, вызывая нарушения паритета покупательной способности валют. Эти изменения сопровождаются колебаниями величины чистого экспорта и совокупного спроса. Чем ниже реальный курс, тем относительно дешевле отечественные товары для иностранцев, а импортные для отечественных потребителей, и тем больше чистый экспорт.
Эта зависимость в макроэкономических моделях формализуется в виде модификации функции чистого экспорта: отрицательная зависимость чистого экспорта от ставки процента Xn=g-m'*Y-nR конкретизируется в отрицательную зависимость чистого экспорта от динамики реального валютного курса X„-g-m'-Y-X-e, где € реальный валютный курс; Я - эмпирический коэффициент чувствительности чистого экспорта к динамике реального валютного курса.
Если в экономике среднерыночная ставка процента поднимается выше уровня мировой ставки, то возрастает спрос на национальные ценные бумаги и начинается приток капитала. Это увеличивает спрос на национальную валюту и приводит к новы-шению реального валютного курса, что, в свою очередь, вызывает относительное снижение экспорта и рост импорта, то есть сокращение чистого экспорта. Важно, что, при прочих равных условиях, ставка процента и реальный валютный курс изменяются в одном и том же направлении, вызывая противоположную динамику чистого экспорта, что и фиксируется в вышеприведенных функциональных зависимостях.
Поскольку валютный рынок является составной частью денежного рынка, постольку классическая концепция нейтральности денег в долгосрочном периоде определяет взаимозависимость номинального и реального валютного курса: в коротком периоде под воздействием кредитно-денежной политики изменяется реальный валютный курс при относительной стабильности номинального, а в долгосрочной перспективе изменяется номинальный валютный курс при относительной стабильности реального.
Так как, согласно классической концепции, основными факторами, определяющими динамику уровня цен (Р) в долгосрочном плане являются денежное предложение (М)9 реальный объем выпуска (Т) и поведенческий коэффициент (К), что следует из уравнения M-k Р У, то эти же факторы определяют и долгосрочную динамику номинального курса обмена валют, которая компенсирует изменение в уровнях цен:
|
( \ м |
|
(? Л
Yf |
|
*/) |
Mr
? J ) |
4 |
Y |
|
К |
|
V / |
\ / |
где г - цена иностранной валюты в единицах отечественной.
Из уравнения следует, что курс иностранной валюты относительно отечественной будет повышаться, если темн роста денежной массы внутри страны выше, чем за рубежом, если темп роста реального ВНП за рубежом выше, чем внутри страны, а также если темп роста поведенческих коэффициентов за рубежом выше, чем в данной стране.
Динамика поведенческих коэффициентов К зависит от уровня рыночных процентных ставок внутри страны и за рубежом (/ и // соответственно), от уровня ожидаемой инфляции внутри страны и за рубежом (ке и Kef), а также динамики сальдо торгового баланса и счета текущих операций данной страны.
При прочих равных условиях цена иностранной валюты в единицах отечественной возрастет (т.е. курс иностранной валюты возрастет), если:
- повысится предложение денег в данной стране (т.е. возрастет «внутренняя» денежная масса М);
- упадет предложение денег в иностранном государстве (Mf);
-повысится реальный ВВП за рубежом (Yf);
- снизится реальный ВВП в данной стране (У);
- повысятся процентные ставки за рубежом (if);
- снизятся процентные ставки в данной стране (і);
- повысится ожидаемая инфляция в данной стране (же);
- понизится ожидаемая инфляция в иностранном государстве (же/);
ухудшится состояние торгового баланса и счета текущих операций данной страны.
В тех случаях, когда рост процентных ставок и рост выпуска сопровождаются усилением инфляционного напряжения, номинальный курс валюты будет иметь тенденцию к снижению, а не к росту. Аналогично, дефициты торгового баланса и счета текущих операций не всегда сопровождаются “ослаблением” национальной валюты. Наличие в стране благоприятного инвестиционног о климата и значительный приток капитала могут способствовать быстрому росту импорта оборудования, сырья и других инвестиционных товаров, что способствует возникновению дефицита торгового баланса и текущего счета. Однако в этом случае будет происходить удорожание, а не обесценивание национальной валюты.
Использование теории паритета покупательной способности для прогнозирования динамики номинального обменного курса дает реалистичные результаты в долгосрочном периоде (начиная от 10 лет) при отсутствии резких ценовых шоков. Для составления краткосрочных прогнозов обычно используются экспертные оценки биржевых специалистов по конъюнктуре.
16.3. Воздействие макроэкономической политики на динамику равновесного реального валютного курса
Равновесный реальный валютный курс (см. рис. 16.3) устанавливается на уровне, соответствующем точке пересечения вертикальной линии, обозначающей разность между сбережениями
и инвестициями, и наклоненного вправо вниз графика чистого экспорта. В этой точке предложение национальной валюты в качестве кредитов за границу уравновешивает спрос на национальную валюту, предъявляемый иностранцами, приобретающими чистый экспорт из данной страны. Это означает, что реальный валютный курс уравновешивает предложение национальной валюты по операциям с капиталом и спрос на нее, предъявляемый для текущих операций.
 |
|
Рис. 16.3 |
В малой открытой экономике, для которой внутренняя рыночная ставка процента определяется среднемировым уровнем, а мобильность капитала является совершенной, то есть отсутствуют какие-либо ограничения в движении потоков капитала, внутренняя фискальная экспансия способствует повышению равновесного реального валютного курса.
При увеличении государственных расходов (или снижении налогов) снижаются национальные сбережения и кривая (S I) смещается влево (см. рис. 16.4). Этот сдвиг означает снижение предложения национальной валюты для зарубежных инвестиций. Более низкое предложение валюты повышает ее реальный обменный курс. В результате отечественные товары дорожают относительно иностранных, что приводит к сокращению экспорта и увеличению импорта. В итоге образуется дефицит по счету текущих операций.
 |
Чистый экспорт
Рис. 16.4 |

В случае, если снижение налогов вызывает рост инвестиций, кривая (S - I) снова смещается влево, хотя объем национальных сбережений не снижается. Инвестиционный налоговый кредит делает инвестиции в данной стране более привлекательными для иностранцев, что, в свою очередь, увеличивает равновесный реальный валютный курс и вызывает дефицит платежного баланса по текущим операциям.
Стимулирующая бюджетно-налоговая политика в зарубежных странах приводит, при прочих равных условиях, к сокращению уровня сбережений за рубежом. Это повышает мировую ставку процента и снижает уровень инвестиций в малой открытой экономике.
В этом случае предложение национальной валюты для инвестиций за рубежом увеличивается и кривая (S - I) смещается вправо (см. рис. 16.5). Равновесное значение реального обменного курса снижается, отечественные товары относительно дешевеют и чистый экспорт увеличивается.
Протекционистская торговая политика (введение тарифов или квот на импорт) способствует увеличению чистого экспорта, что отражается сдвигом кривой NX(e)i в положение NX(e):-(см. рис. 16.6).
 |
NX (г)
N X |
|
Рис. 16.5 |
 |
Чистый экспорт
Рис. 16.6 |
Равновесный реальный валютный курс повышается, отечественные товары относительно дорожают и чистый экспорт снижается, элиминируя его первоначальное увеличение, вызванное протекционистскими мерами. Таким образом, протекционистская торговая политика не влияет ни на счет текущих операций, ни на счет движения капитала и финансовых операций. Однако
она повышает равновесный реальный валютный курс и абсолютно сокращает размеры внешней торговли: в точке В общие объемы экспорта и импорта абсолютно меньше, чем в точке Л, хотя величина чистого экспорта не изменилась.
Введение импортных ограничений сопровождается повышением уровня внутренних цен Р& Поэтому в более долгом периоде номинальный курс валюты EN снижается настолько же. насколько возросли цены. В итоге возросший равновесный реальный валютный курс стабилизируется на уровне г2, а не снижается обратно до уровня ?і вслед за спадом чистого экспорта. Снижение номинального курса в ответ на рост уровня цен восстанавливает паритет покупательной способности.
16.4. Сравнительная эффективность режимов гибкого и фиксированного валютного курса
Поддержание фиксированных валютных курсов требует соответствующих резервов для покрытия периодически возникающего дефицита платежного баланса. Если резервы недостаточны, страны должны предпринимать дефляционную политику по снижению цен и доходов, вводить протекционистские торговые меры или валютный контроль, что временно улучшает состояние платежного баланса.
Валютный контроль - контроль правительства над всеми сделками между данной страной и остальным миром. В частности, правительство может ограничить возможности резидентов менять иностранную валюту для расходов за границей, не изменяя при этом официальный курс обмена валюты.
Гибкие обменные курсы, как правило, неустойчивы с точки зрения краткосрочного периода, но в долгосрочном плане они обладают необходимой эффективностью. Наоборот, фиксированные обменные курсы эффективны с точки зрения краткосрочной стабильности, но неэластичны в долгосрочной перспективе. Ни одна из этих систем не обладает очевидным превосходством в деле обеспечения полной занятости ресурсов, стабильности уровня цен и урегулирования платежного баланса.
В современных условиях страны нередко используют компромиссные (смешанные) системы, сочетающие в себе элементы плавающих и фиксированных валютных курсов. К их числу относится управляемое плавание валют, предполагающее постеленное изменение официальными органами уровня валютного курса, пока не будет достигнут новый паритет. По мере движения к нему может происходить ежедневная девальвация национальной валюты на заранее установленную величину (“скользящая привязка"). При “ползущей привязке” курс может изменяться на большую величину с заранее объявленной периодичностью или на заранее необъявленную величину каждый день (“грязное плавание”). При этом правительство принимает меры по приспособлению экономики к новой ситуации и поиску финансовых средств для осуществления необходимых операций на валютном рынке.
Таблица позволяет оценить сравнительную эффективность режимов гибкого и фиксированного валютного курса.
|
Фиксированный курс |
Гибкий курс |
|
1. Эффективен при значительных валютных резервах ЦБ. |
1. Эффективен в стабильных экономиках с многосторонними внешнеторговыми отношениями, с предсказуемой фискальной и монетарной политикой. |
|
2. Эффективен как номинальный "якорь" при отсутствии неожиданных ценовых шоков (в целях сближения темпов инфляции в двух странах). |
2. Эффективен в условиях гиперинфляции. |
|
3. Эффективен в случае “привязки” к SDR или EURO. |
3. Эффективен в системе "управляемого плавания ”. |
|
4. Неэффективен при кризисе платежного баланса, так как неизбежна макроэкономическая корректировка. |
4. Эффективен дтя урегулирования кризиса платежного баланса. |
|
5. В режиме фиксированного курса эффективность фискальной политики относительно выше, чем монетарной, так как весь “эффект” от изменения денежной массы “уходит” на цели поддержания валютного курса и не затрагивает уровней занятости и выпуска. |
5. В режиме гибкого курса эффективность монетарной политики относительно выше, чем фискальной, так как свободные колебания валютного курса могут усиливать эффект вытеснения и инфляционное давление, сопровождающие фискальную экспансию. |
Основные термины
Валютный рынок
Сирое и предложение валюты
Номинальный валютный курс (обменный курс)
Эффективный номинальный валютный курс
Фиксированный валютный курс
Гибкий валютный курс
Управляемые плавающие валютные курсы
Золотой стандарт
Удорожание и обесценивание валюты
Девальвация
Ревальвация
Валютная интервенция
Реальный валютный курс
Эффективный реальный валютный курс
Паритет покупательной способности
Равновесный реальный валютный курс
“Якорь” номинальный
Валютный контроль
Вопросы для обсуждения
I. Верны ли следующие утверждения?
а) Когда страна снижает цену на золото, это называется обесцениванием её валюты.
б) Система гибких валютных курсов может оказывать дестабилизирующее влияние на внутреннюю экономику, привести к сокращению внешней торговли и объема инвестиций за рубежом.
в) Курс Центрального Банка на стабилизацию рыночной ставки процента является оптимальным для стабилизации обменного курса валюты.
г) Абсолютно гибкие валютные курсы определяются свободными колебаниями спроса и предложения валюты.
д) Повышение цены на золото автоматически снижает обменный курс валюты.
е) Обесценивание и девальвация валюты не являются взаимоисключающими.
ж) Правительство часто теряет деньги налогоплательщиков в валютных операциях по стабилизации валютного курса,
но эти потери нужно оценивать положительно, так как общество в целом выигрывает от сравнительно стабильного валютного курса.
2. Каким образом повышение или понижение стоимости валюты повлияет на:
а) потребителей?
б) отрасли промышленности, использующие в своем производстве импортное сырье и оборудование?
в) отрасли промышленности, ориентированные на экспорт?
г) отрасли промышленности, конкурирующие с импортом на внутреннем рынке?
д) чистый экспорт?
е) совокупный спрос?
ж) совокупное предложение?
3. Какие мероприятия должен предпринять Центральный Банк при осуществлении валютной интервенции, добиваясь девальвации или ревальвации валюты своей страны?
4. Какими средствами, помимо валютной интервенции, государственные органы могут повлиять на обменный курс валют?
5. В чем заключаются преимущества системы управляемых плавающих валютных курсов перед системой абсолютно г ибких валютных курсов?
Задачи и решения
1. Ниже приведена карта спроса на фунты стерлингов:
|
Цена фунта (в долларах) |
2.0 |
2.1 |
2,2 |
— |
2,4 |
2.5 |
|
Объем спроса на фунты (в млн фунтов стерлингов) |
200 |
190 |
180 |
170 |
160 |
150 |
а) Правительство Великобритании устанавливает валютный курс на уровне: 1 фунт стерлингов = 2,40 доллара. Объем предложения фунтов стерлингов по этому курсу равен 180 млн. Должен ли Центральный Банк Великобритании в этой ситуации покупать или продавать фунты? Если да, то какое количество?
б) Что произойдет в этом случае с официальными валютными резервами британского Центрального Банка? Как отразить это изменение резервов в платежном балансе?
Решение
а) При установленном курсе объем предложения фунтов в размере 180 млн превышает спрос на них в объеме 160 млн. В этой ситуации Центральный Банк Великобритании должен скупить избыточные фунты в объеме 180 160=20 (млн) в обмен на доллары.
б) Официальные резервы британского Центрального Банка уменьшаются, так как он покупает национальную валюту в обмен на иностранную. Уменьшение резервов отражается в платежном балансе как кредит со знаком “плюс", так как это экспортоподобная операция.
2. Предположим, что Мексика пытается стабилизировать соотношение песо/доллар при условии, что цены в долларах ежегодно возрастают на 7%.
а) Каким должен быть уровень инфляции в Мексике для осуществления стабилизации обменного курса валют?
б) Каков должен быть темп роста денежной массы в Мексике, если соотношения количественной теории денег выполняются в Мексике и США при постоянных поведенческих коэффициентах а экономический рост в Мексике составляет 2% в год?
в) Сохранится ли постоянство поведенческих коэффициентов, если в Мексике появится тенденция к снижению процентных ставок?
Решение
а) Для осуществления стабилизации обменного курса валют уровень инфляции в Мексике должен быть близким к уровню инфляции в США, то есть составлять примерно 7% в год.
б) Постоянство поведенческого коэффициента к позволяет переписать уравнение количественной теории денег М-к Р* Y для Мексики в темповой записи:
AM_AP ДУ М ~ Р + Y 4
AM
темп роста денежной массы в Мексике;
где
АР
- уровень инфляции в Мексике;
А Y
—г~ - темп роста реального ВНП в Мексике.
АР А Y AM
Так как -г- = 7%, а —гг = 2%, то ~Г7" = 9%, то есть темп
Р У М
роста денежной массы в Мексике должен составлять 9% в год.
в) При появлении в Мексике тенденции к снижению процентных ставок возрастет соотношение между поведенческими коэффициентами к в США и Мексике (соответственно) и возникнет тенденция к относительному повышению обменного курса доллара (при прочих равных условиях).
3. Если Центральный Банк принимает меры по защите национальной валюты от обесценивания, то, при прочих равных условиях:
а) уровень процентных ставок и уровень безработицы относительно снижаются;
б) уровень процентных ставок относительно повышается, а уровень безработицы относительно снижается;
в) уровень процентных ставок относительно повышается, а уровень занятости относительно снижается;
г) уровень процентных ставок относительно повышается при неизменном уровне совокупного спроса.
Решение
Защита национальной валюты от обесценивания предполагает покупку Центральным Банком ее избытка в обмен на иностранную валюту. В результате предложение национальной валюты на внутреннем рынке относительно снижается, уровни процентной ставки и валютного курса относительно возрастают. Снижение денежного предложения, рост процентных ставок и валютного курса ограничивают совокупный спрос, и уровень занятости относительно снижается. Поэтому правильным является ответ в).
Тесты
1. Что из нижеперечисленного не вызывает краткосрочного роста чистого экспорта?
а) Снижение курса национальной валюты.
б) Проведение ведущими торговыми партнерами в своих странах стимулирующей экономической политики.
в) Снижение курса иностранной валюты.
г) Снижение иностранными торговыми партнерами уровня тарифных барьеров.
2. Предположим, что экономические агенты слишком привержены своим привычкам: они покупают импортные товары в том же объеме при любых обстоятельствах, причем это относится как к американским, так и к иностранным импортерам. Курс доллара по отношению к фунту стерлингов снижается на 10% с 1,2 до 1,32 долл, за фунт. В этом случае можно утверждать, что:
а) состояние торгового баланса США улучшится;
б) состояние торгового баланса США ухудшится;
в) состояние торгового баланса США не изменится, так как спрос на импорт неэластичен;
г) общее состояние платежного баланса США потребует обязательного введения валютного контроля.
3. Предположим, что стоимость экспорта из США в долларах не изменяется и также не изменяется стоимость импорта в США в фунтах стерлингов (и в других иностранных валютах). При 10%-ном обесценивании доллара:
а) состояние торгового баланса США обязательно улучшится;
б) улучшение состояния торгового баланса США будет зависеть от эластичности спроса на импортные товары;
в) улучшение состояния торгового баланса США не будет зависеть от эластичности спроса на импорт;
г) спрос на импорт окажется малоэластичным.
4. Обесценивание доллара при условиях, указанных в задаче № 3, приведет к тому, что “условия торговли'’ как соотношение экспортных и импортных цен:
а) улучшатся на 10%;
б) не изменятся;
в) ухудшатся на 10%;
г) для прогноза динамики условий торговли недостаточно информации.
5. Меры валютного контроля, связанные с нормированным распределением валютной выручки между производителями, могли бы:
а) ограничить импорт и временно улучшить состояние платежного баланса;
б) увеличить импорт и временно ухудшить состояние платежного баланса;
в) способствовать устойчивому повышению обменного курса национальной валюты;
г) способствовать устойчивому повышению темпов экономического роста.
6. Что из нижеперечисленного способствует повышению обменного курса национальной валюты (при прочих равных условиях):
а) снижение процентных ставок в данной стране;
б) повышение процентных ставок за рубежом;
в) повышение в данной стране уровня цен;
г) повышение в данной стране уровня производительности труда;
д) повышение в данной стране ставок номинальной заработной платы.
7. Если происходит ревальвация национальной валюты, то, при прочих равных условиях:
а) пострадают отрасли, ориентированные на потребление импортного сырья;
б) пострадают отрасли, ориентированные на экспорт;
в) может вырасти уровень безработицы в странах - торговых партнерах данной страны;
г) это является признаком несостоятельности правительства данной страны;
д) не произойдет ничего из вышеназванного.
8. Предположим, что темп экономического роста в стране А составляет 2% в год, а темн роста денежной массы равен 3% в год. В стране В эти параметры составляют 3% в год и 4% в год соответственно. Поведенческие коэффициенты к постоянны в обеих странах. В этом случае:
а) вероятнее всего, что валюта страны А подорожает относительно валюты страны В на 1%;
б) вероятнее всего, что валюта страны В подорожает относительно валюты страны А на 1%;
в) вероятнее всего, что курсы обмена валют стран А и В останутся неизменными;
г) вероятнее всего, что странам А и В не удастся стабилизировать соотношение своих валют.
9. При системе фиксированного валютного курса:
а) кредитно-денежная политика более эффективна в качестве инструмента экономической стабилизации, чем бюджетно-налоговая;
б) кредитно-денежная политика совсем неэффективна как инструмент экономической стабилизации, так как она должна быть направлена на поддержание фиксированного валютного курса;
в) кредитно-денежная политика совсем неэффективна как инструмент экономической стабилизации, так как в условиях открытых рынков и фиксированных обменных курсов ожидания всегда рациональны и любая политика нейтральна в отношении занятости и выпуска;
г) ответы б) и в) верны;
д) ничего из вышеперечисленного неверно.
10. Если Центральный Банк проводит монетарную политику по поддержанию фиксированного обменного курса национальной валюты в малой открытой экономике при совершенной мобильности капитала, то:
а) кривая LM будет вертикальной на уровне потенциального ВВП;
б) кривая LM будет вертикальной на том уровне ВВП, который обеспечивается существующим в экономике уровнем занятости ресурсов;
в) кривая LM будет вертикальной на более высоком или низком относительно мирового уровне внутренней ставки процента в зависимости от того, является ли сальдо счета текущих операций отрицательным или положительным;
г) кривая LM будет горизонтальной на уровне мировой ставки процента;
д) кривая LM будет более крутой по сравнению с тем случаем, когда монетарная политика не нацелена на обеспечение фиксированного валютного курса.
Рекомендуемая учебная литература
1. Мэнкью Н.ГМакроэкономика. Гл. 7.
2. Макконнелл К., Брю С. Экономикс. Гл. 40.
Ъ.Дорнбуш Р., Фишер С. Макроэкономика. Гл. 6; 20.
4. Фишер С., Дорнбуш Р., Шмалензи Р. Экономика. Гл. 38.
5. Долан Э. Макроэкономика. Гл. 16.
6. Долан Э., Кемпбелл К, Кемпбелл Р. Деньги, банковское дело и денежно-кредитная политика. Гл. 21, 22.
І.Линдерт П. Экономика мирохозяйственных связей. Гл. 14, 15, 17, 18, 22.
8. Линвуд Т. Гайгер. Макроэкономическая теория и переходная экономика. Гл. 11.
9. Хейне П. Экономический образ мышления. Гл. 21.
10. Гаіьперин В.М., ГребенниковП.И., Леусский А.И., ТарасевичЛ.С. Макроэкономика. Гл. 12.
11. Эклунд К Эффективная экономика. Гл. 7, 9.
|
|
Ответы к тестам |
|
1)в |
6) г |
|
2)6 |
7)6 |
|
3) б |
8) в |
|
4) в |
9) б |
|
5) а |
10) г |
9
I
I
IS
4
I
I •*
it
I
I
I I
<
 |
|
I |
.1
Глава 17
Бюджетный дефицит и управление государственным долгом
17.1. Бюджетный дефицит и государственный долг: основные определения. показатели и проблемы количественной оценки.
17.2. Основные причины устойчивого бюджетного дефицита и увеличения государственного долга.
17.3. Первичный дефицит государственного бюджета и механизм са-мовоспроизводства долга. Государственный долг, налоги, инвестиции и экономический рост.
17.4. Взаимосвязь внутреннего и внешнею долга. Государственный долг и дефицит платежного баланса.
17.5. Причины долгового кризиса и стратегия управления государственной задолженностью.
17.1. Бюджетный дефицит и государственный долг: основные определения, показатели и проблемы количественной оценки
Государственный долг - общий размер задолженности правительства владельцам государственных ценных бумаг, равный сумме прошлых бюджетных дефицитов (минус бюджетные излишки). Внутренний государственный долг - задолженность государства гражданам, фирмам и учреждениям данной страны, которые являются держателями ценных бумаг, выпущенных ее правительством.
Внешний долг - задолженность государства иностранным гражданам, фирмам и учреждениям.
Частный долг - общий размер задолженности негосударственного сектора владельцам частных ценных бумаг.
Государственный и частный долг являются элементами кругооборота “доходы-расходы”. По мере роста доходов растут и сбережения, которые должны быть использованы домашними хозяйствами, фирмами, правительством и остальным миром. Создание долга - это механизм, посредством которого сбережения передаются лицам, осуществляющим расходы. Если потребители и бизнес не склонны к заимствованиям, и, следовательно, частная задолженность растет недостаточно быстро, чтобы абсорбировать растущий объем сбережений, эта функция выполняется приростом государственного долга. В противном случае экономика отойдет от состояния полной занятости ресурсов.
Бюджетный дефицит представляет собой разницу между государственными расходами и доходами. Количественная оценка
бюджетного дефицита и долга объективно усложняется следующими факторами:
1) Обычно при оценке величины государственных расходов не учитывается амортизация в государственном секторе экономики, что приводит к объективному завышению размеров бюджетного дефицита и государственного долга.
2) Важная статья государственных расходов - обслуживание задолженности, то есть выплата процентов по ней и постепенное погашение основной суммы долга (амортизация долга).
Государственные расходы должны включать только реальный процент по государственному долгу, равный RrD, а не номинальный процент, равный R„D, где D величина государственного долга; R, - реальная ставка процента; Rn - номинальная ставка процента. Объявленный в отчетах официальный бюджетный дефицит часто завышается на величину kD, так как, по уравнению Фишера, к - Rn - Rr. При высоких темпах инфляции эта погрешность может быть весьма значительной, так
/? - л
как в периоды роста инфляции R =~—. Завышение бюд-
/ +л
жегного дефицита связано с завышением величины государственных расходов за счет инфляционных процентных выплат по долгу. Возможны ситуации, когда номинальный (официальный) дефицит госбюджета и номинальный долг растут, а реальный дефицит и долг снижаются, что затрудняет оценку эффективности бюджетно-налоговой политики правительства.

Поэтому при измерении бюджетного дефицита необходима поправка на инфляцию:
Реальный Номинальный Величина Темп
дефицит = дефицит - государственного X инфляции, госбюджета госбюджета долга на начало года
3) При оценках дефицита государственного бюджета на макроуровне, как правило, не учитывается состояние местных бюджетов, которые могут иметь излишки. Нередко местные органы власти целенаправленно искажают статистическую информацию о состоянии местных бюджетов, чтобы снизить налоговые отчисления в федеральный бюджет. Эта закономерность характерна практически для всех переходных экономик, в которых наметилась тенденция к фискальной децентрализации. В итоге при оценке дефицита федерального бюджета происходит завышение.
4) Наряду с измеряемым (официальным) дефицитом госбюджета как в индустриальных, так и в переходных экономиках, в том числе и в России, существует его скрытый дефицит, обусловленный квазифискальной (квазибюджетной) деятельностью Центрального Банка, а также государственных предприятий и коммерческих банков.
К числу квазифискальных операций относятся:
а) финансирование государственными предприятиями избыточной занятости и выплата ставок заработной платы выше рыночных за счет банковских ссуд или путем накопления взаимной задолженности;
б) накопление в коммерческих банках, отделившихся на начальных стадиях экономических реформ от Центрального Банка, большого портфеля недействующих ссуд (просроченных долговых обязательств госпредприятий, льготных кредитов домашним хозяйствам, фирмам и т.д.). Эти кредиты выплачивают в основном за счет льготных кредитов ЦБ, причем портфели “плохих долгов” в переходных экономиках весьма значительны;
в) финансирование ЦБ (в переходных экономиках) убытков от мероприятий по стабилизации обменного курса валюты, беспроцентных и льготных кредитов правительству (на закупки пшеницы, риса, кофе и т.д.) и кредитов рефинансирования коммерческим банкам на обслуживание недействующих ссуд, а также финансирование ЦБ сельскохо-

зяиственных, промышленных и жилищных программ по льготным ставкам и т.д.
Скрытый дефицит бюджета занижает величину фактического бюджетного дефицита и государственного долга1, что нередко делается целенаправленно (например, перед выборами), а также в рамках “жесткого” курса правительства на ежегодно сбалансированный бюджет .
Таким образом, абсолютные размеры бюджетного дефицита и государственного долга не могут служить надежными макроэкономическими показателями, тем более что задолженность обычно увеличивается по мере роста ВВП.
Поэтому целесообразно использовать относительные показатели задолженности.
1) _Долг_
ВВП
2) _Долг_
Экспорт товаров и услуг
3) Сулема обслуживания долга
ВВП
4 ) Сумма обслуживания долга Экспорт товаров и услуг
Показатели запаса, характеризующие бремя долга в более долгом периоде, то есть степень зависимости национальной экономики от прошлого притока иностранного капитала
Показатели потока: чем они выше, тем в более активной краткосрочной корректировке нуждается внешнеторговая и валютная политика в целях уравновешивания платежного баланса (особенно если велика доля внешнего долга).
В макроэкономическом анализе также используется сравнительная динамика показателей
_ВВП_
Численность населения страны |
_Долг_
Численность населения страны |
17.2. Основные причины устойчивого бюджетного дефицита и увеличения государственного долга
Основными причинами устойчивых бюджетных дефицитов и увеличения государственного долга являются:
а) увеличение государственных расходов в военное время или в периоды других социальных конфликтов. Долговое финансирование бюджетного дефицита позволяет в краткосрочном периоде ослабить инфляционное напряжение, избежав увеличения денежной массы, и не прибегать к ужесточению налогообложения;
б) циклические спады и “встроенные стабилизаторы” экономики;
в) сокращение налогов в целях стимулирования экономики (без соответствующей корректировки госрасходов).
Налоговые поступления в государственный бюджет Т и по
(где Y - совокуп
казатель налогового бремени в экономике —
ный выпуск) в долгосрочной перспективе имеют тенденцию к снижению, так как:
1) в целях стимулирования экономики целенаправленно сокращается “налоговый клин”;
2) все системы налогообложения включают значительное количество льгот;
3) нередко налоговые сборы снижаются из-за неудовлетворительной организации налогообложения (неэффективный таможенный контроль, неудовлетворительные налоговые службы, низкая собираемость налогов и т.д.). Этот фактор особенно рельефно обнаруживается в переходных экономиках, в том числе и в российской;
4) в переходных экономиках налоговые отчисления в бюджет также падают из-за спада в традиционных отраслях производства;
г) усиление влияния политического бизнес-цикла в последние годы, связанное с проведением “популярной” макроэкономической политики увеличения госрасходов и снижения налогов перед очередными выборами;
д) повышение долгосрочной напряженности в бюджетно-налоговой сфере в результате:
- увеличения государственных расходов на социальное обеспечение и здравоохранение (преимущественно в тех странах, где возрастает доля пожилого населения);
- увеличения государственных расходов на образование и создание новых рабочих мест (преимущественно в тех странах, где возрастает доля молодого населения).
17.3. Первичный дефицит государственного бюджета и механизм самовоспроизводства долга. Государственный долг, налоги, инвестиции и экономический рост
Одним из факторов экономического роста является соотно-
; шение
долг ВВП '
Динамика этого соотношения зависит от следующих факторов:
1) величины реальной ставки процента, которая определяет размер процентных выплат по долгу;
2) темпов роста реального ВВП;
3) величины первичного дефицита госбюджета.
Первичный дефицит госбюджета представляет собой разность
между величиной общего дефицита и суммой процентных выплат по долгу. При долговом финансировании первичного дефицита увеличивается и основная сумма долга, и коэффициент его обслуживания, то есть возрастает “бремя долга'’ в экономике. Увеличение первичного излишка позволяет избежать самовосп-роизводства долга.
BD общий - (G + N + F)
государ- выплаты ствеиные по обслужи-закупки ванию долга
транс- налоговые ферты поступления
в бюджет
BD первичный - ( G + F ) - Т
N = D х Rr ,
где N - выплаты по обслуживанию долга; D - величина долга;
Rr - реальная ставка процента.
Механизм самовоспроизводства государственного долга:
BD первичный Т => BD общий
государственные Т => государственный Т => N Т займы долг
=* новые государственные Т => долг Т и т.д.
займы
Если реальная ставка процента превышает темп роста реального ВВП, то увеличение государственного долга становится неуправляемым: весь прирост реального ВВП уходит на выплату процентов по обслуживанию долга и возрастает соотношение
долг
, характеризующее бремя долга.
т-. долг
Для прогнозирования динамики соотношения ------ исполь-
ВВП
зуется зависимость:
дх = ?/гл-у-;-о,
долг
ВВП
где АХ - изменение соотношения
долг
ВВП’
X - исходное значение соотношения
Rr
AY
реальная ставка процента,
- темп роста реального ВВП,
<7 - доля первичного бюджетного излишка в ВВП
Для снижения соотношения ^°Лг необходимы два условия:
ВВП
1) реальная ставка процента должна быть ниже, чем темп роста реального ВВП;
2) увеличение доли первичного бюджетного излишка в ВВП должно быть постоянным. Наличие первичного дефицита госбюджета является фактором увеличения долгового бремени.
Увеличение налогов является для правительства одним из способов получения необходимых доходов для выплаты процентов по обслуживанию долга и погашения его основной суммы. Для того чтобы соблюдать график обслуживания долга, правительство должно собрать в виде налогов сумму, не меньшую, чем N.
_ N
Это означает, что соотношение - является нижнеи границей
ВВП
ставки подоходного налога:
N T < ----- ^
У У
где У совокупный доход (или ВВП).
Так как, кроме обслуживания долга, правительство должно финансировать и другие расходы (в частности, госзакупки и трансфертные выплаты), то ситуация, когда
Т G N F
< - + - + ?
У У У У
свидетельствует о нарастании напряженности в бюджетно-налоговой сфере.
Увеличение налогов как условие обслуживания растущего долга может привести к снижению стимулов к труду, к инновациям и к инвестированию. Поэтому существование большого государственного долга косвенно ограничивает возможности экономического роста.
Для того чтобы избежать этих ограничений и не увеличивать налоги, правительство может рефинансировать долг, то есть выпустить новый государственный заем и использовать выручку от его размещения для выплаты процентов по “старым” долгам. Так как правительство всегда имеет выбор между повышением налогов, рефинансированием государственного долга и монетизацией бюджетного дефицита, то угроза банкротства государства даже при значительной задолженности практически отсутствует.
Долговое финансирование дефицита госбюджета увеличивает ставки процента и, следовательно, сокращает инвестиционные расходы. В частном секторе могут производиться либо потребительские, либо инвестиционные товары. Если рост государственных расходов “вытесняет” производство инвестиционных товаров в частном секторе, тогда уровень потребления (уровень жизни) сегодняшнего поколения не будет затронут. Однако будущее поколение унаследует меньший объем основных производственных фондов и, следовательно, будет иметь более низкий уровень дохода. Этот эффект возникает в том случае, если прирост государственных расходов происходит преимущественно за счет увеличения расходов потребительского назначения (социальные
трансферты: субсидии школьникам, малообеспеченным слоям населения и т.д.).
Государственные инвестиции, как и частные, укрепляют производственный потенциал экономики. Если прирост правительственных расходов приобретает вид инвестиционных расходов (например, вложений в строительство автострад, портов, инвестиций в "человеческий капитал” в системе образования и здравоохранения), тогда производственные мощности, оказывающиеся в распоряжении будущих поколений, не будут сокращаться. Изменится их структура в пользу увеличения доли государственного капитала. При этом, однако, могут быть вытеснены частные инвестиции потребительского назначения, что относительно ограничит возможности текущего потребления населения.
Поведение потребителей в условиях роста государственной задолженности весьма противоречиво, что находит свое отражение в дискуссии между сторонниками традиционной и рикардианской точек зрения на государственный долг.
Согласно традиционной точке зрения, снижение налогов, финансируемое за счет государственных займов и накопления долга, стимулирует рост потребительских расходов и приводит к сокращению национальных сбережений. Рост потребления увеличивает совокупный спрос и доход в краткосрочном периоде, но в долгосрочном плане ведет к снижению объемов накопленного капитала и ограничению экономического роста.
Согласно рикардианской точке зрения, снижение налогов, финансируемое за счет увеличения государственного долга, не вызывает роста потребительских расходов и не ограничивает роста сбережений, а только в определенной мере перераспределяет налоговое бремя от настоящего поколения к будущим.
Каждая из этих концепций не может быть полностью опровергнута и оказывает известное воздействие на формирование конкретных моделей бюджетно-налоговой политики1.
Поведение инвестиционного спроса также может быть различным. Эффект вытеснения предполагает, что при заданной кривой инвестиционного спроса частные инвестиции сокращаются из-за повышения процентных ставок, которое возникает в случае долгового финансирования бюджетного дефицита. Однако если экономика первоначально находится в состоянии спада, то
рост государственных расходов будет оказывать на нее стимулирующее воздействие через эффект мультипликатора. Это может улучшить ожидания прибылей у частного бизнеса и вызвать сдвиг вправо кривой инвестиционного спроса. Прирост инвестиционного спроса может частично или полностью элиминировать эффект вытеснения (см. рис. 17.1).
 |
вытеснения
Рис. 17.1 |
Возникший под влиянием роста процентных ставок с Rj до R? эффект вытеснения инвестиций с 7/ до Г элиминируется их ростом с І2 до Ij в результате сдвига кривой инвестиционного спроса из положения 1 в положение 2 на фоне оптимистических ожиданий инвесторов. Таким образом, в известных обстоятельствах один и тот же механизм - долговое финансирование бюджетного дефицита - может как вызвать эффект вытеснения частных инвестиций, гак и элиминировать его. Поэтому взвешенная оценка эффективности бюджетно-налоговой политики в условиях увеличения государственного долга требует углубленного макроэкономического анализа.
17.4. Взаимосвязь внутреннего и внешнего долга. Государственный долг и дефицит платежного баланса
Элиминирование эффекта вытеснения оказывается тем более существенным, чем выше международная мобильность капитала и активнее его приток в данную страну под влиянием превышения внутренних рыночных ставок процента над их среднемировым уровнем.
При долговом финансировании бюджетного дефицита ставки процента поднимаются особенно значительно в том случае, когда стимулирующая фискальная политика сопровождается ограничением предложения денег в целях снижения уровня инфляции. Долговое финансирование дефицита госбюджета увеличивает спрос на деньги, а Центральный Банк ограничивает их предложение. Это сочетание мер экономической политики стимулирует быстрый рост процентных ставок.
Повышение процентных ставок на внутреннем рынке увеличивает зарубежный спрос на ценные бумаги данной страны, что вызывает приток капитала и увеличение суммы внешнего долга. Обслуживание внешнего долга требует передачи части реального выпуска продукции в распоряжение других стран, что может вызвать сокращение национального производства в будущем.
Возросший зарубежный спрос на отечественные ценные бумаги сопровождается повышением общемирового спроса на национальную валюту, необходимую для их приобретения. В результате обменный курс национальной валюты повышается, что способствует снижению экспорта и увеличению импорта. Сокращение чистого экспорта оказывает сдерживающее воздействие на экономику: в экспортных и в конкурирующих с импортом отраслях снижаются занятость и выпуск, возрастает уровень безработицы. Поэтому первоначальное стимулирующее воздействие бюджетного дефицита может быть ослаблено не только за счет эффекта вытеснения, но и за счет отрицательного эффекта чистого экспорта, ухудшающего состояние платежного баланса страны по счету текущих операций. Но одновременно приток капитала увеличивает внутренние ресурсы и способствует относительному снижению процентных ставок на внутреннем рынке. В итоге масштабы эффекта вытеснения относительно сокращаются.
Дефицит счета текущих операций, связанный с неблагоприятным торговым балансом, финансируется за счет чистого притока капитала, который может принимать следующие формы:
1. Международные займы. Займы у иностранных правительств, у МВФ, у Всемирного Банка или у коммерчес-
ких банков за рубежом увеличивают размеры внешнего долга.
2. Продажа активов иностранным инвесторам. Выручка от продажи долгосрочных активов используется для финансирования дефицита платежного баланса по текущим операциям.
3. Прямые инвестиции, предполагающие ввоз в страну иностранной валюты в целях организации новых предприятий по производству продукции. Эта валюта может быть использована для покрытия дефицита текущего счета.
4. Использование резервов. Страна может расходовать часть своих официальных резервов иностранной валюты для урегулирования платежного баланса.
В случае осуществления любой из этих мер чистые зарубежные активы страны снижаются.
Угроза сочетания кризиса платежного баланса и кризиса внешней задолженности возникает в том случае, когда правительство увеличивает долг за счет зарубежных займов, размеры которых значительно превосходят дефицит счета текущих операций. Если эти заемные средства используются не на инвестиции в национальную экономику, а на покупки известного количества иностранных активов в других странах (земельных участков и т.д.), то ресурсы иностранных займов оказываются использованными на финансирование оттока частного капитала из страны, принимающего в этом случае форму так называемого “бегства” капитала.
Такая макроэкономическая политика и сопровождающее ее “бегство” капитала послужили одной из причин мирового кризиса внешней задолженности, начавшегося в 1982 г., когда десятки стран-должников заявили, что они не в состоянии расплачиваться по своим долговым обязательствам. Широкомасштабным явлением стала реструктуризация долга, при которой условия его обслуживания (процент, сумма, сроки начала возврата) пересматриваются. Реструктуризация имеет место тогда, когда страна не может осуществлять выплаты в соответствии с первоначальными соглашениями о предоставлении займа. В частности, Россия, принявшая на себя задолженность бывшего СССР, прибегла к реструктуризации своего долга согласно договоренности с официальными кредиторами (членами Парижского клуба).
17.5. Причины долгового кризиса и стратегия управления государственной задолженностью
Причинами кризиса внешней задолженности являются:
1. Ухудшение конъюнктуры мирового хозяйства в 80-е годы, связанное с увеличением реальных ставок процента, замедлением темпов экономического роста и снижением цен на товары. Увеличение реальных процентных ставок привело к увеличению коэффициентов обслуживания долга. Снижение товарных цен и замедление темпов роста ВВП в странах-потребителях экспорта из стран-должников привели к снижению экспорта и доходов от экспорта, которые являются для стран-должников основным источником выплаты долга. В итоге бремя долга в странах-должниках увеличилось, так как одновременно упали доходы от экспорта и возросли суммы обслуживания долга.
2. Неудовлетворительное управление экономикой в странах-должниках. Общей практикой были бюджетный дефицит и завышенный курс национальной валюты. Практика завышения обменного курса сопровождается спекуляциями на грядущей девальвации валюты. Валютные спекуляции принимают форму резко растущего импорта или «бегства» капитала из страны, что ухудшает состояние платежного баланса, так как внешние займы используются не по назначению (не на инвестиционные цели, связанные с приростом совокупного дохода, а на финансирование “нежизнеспособных” проектов и на спекулятивные операции).
3. Ошибочная макроэкономическая политика финансировалась избыточными кредитами коммерческих банков. В случае предъявления требований на новые займы коммерческие банки предоставляли их, не обращая внимания на быстрорастущие масштабы долга. Такая активность кредиторов была обусловлена несколькими причинами:
а) нефтяные шоки 1973 1974 гт. и 1979-1980 гг. послужили инструментом перераспределения значительной доли мирового дохода в пользу стран-экспортеров нефти, где краткосрочная склонность к сбережениям велика. Пока происходило аккумулирование сбережений для крупных инвестиций в их собственную экономику, эти страны выдавали кредиты в ликвидной форме, что послужило источником расширения ресурсов для международного кредитования:
б) эти новые финансовые средства в основном были предоставлены в виде дополнительных кредитов странам-долж-никам. так как инвестиционная ситуация в индустриальных странах была в это время весьма неопределенной. К тому же страны-должники ограничивали прямые иностранные инвестиции и широко использовали внешние займы под проценты без права контроля над собственностью, что стимулировало нарастание их внешнего долга;
в) крупнейшие коммерческие банки активно искали возможностей для таких операций в целях опережения конкурентов.
В итоге активизации международного кредита к 1985 году общая сумма предоставляемых коммерческими банками кредитов стала меньше, чем суммы взимаемых ими платежей по обслуживанию и погашению долга. Это способствовало значительной «утечке» финансовых ресурсов из стран-должников.
Более общей причиной периодического повторения кризиса внешней задолженности, которая непосредственно не связана с мировой конъюнктурой 80-х годов, является наличие сильных стимулов к отказу от платежей по долгу суверенными странами-должниками. Страна-должник может привлекать иностранные займы до того момента, пока сумма кредитов будет превышать сумму оттока капитала по обслуживанию накопленного долга в виде выплаты процентов и амортизации его основной суммы, а затем объявить о прекращении платежей. Практика международных расчетов свидетельствует, что отказ от выплат происходит в тех случаях, когда это экономически выгодно стране-должнику, а не только тогда, когда страна не имеет ресурсов для обслуживания долга.
Одним из перспективных способов разрешения проблемы отказа от платежей является введение залога, или обеспечения, то есть активов того или иного вида, которые могут перейти в собственность кредитора в случае приостановки страной-должником выплат по долгу.
Международный Валютный Фонд и Мировой Банк оказывают консультационную помощь и частично финансируют операции по сокращению размеров задолженности и созданию новых стимулов для увеличения внутренних инвестиций и роста иностранных капиталовложений в странах-должниках.
13-299
Механизмы сокращения внешней задолженности:
1. Выкуп долга - предоставление стране-должнику возможности выкупить свои долговые обязательства на вторичном рынке ценных бумаг. Выкуп осуществляется за наличные средства со скидкой с номинальной цены в пользу должника. Иностранная валюта, необходимая для таких операций, может быть одолжена или предоставлена “в дар” данной стране.
2. Обмен долга на акционерный капитал (своп) - предоставление иностранным банкам возможности обменивать долговые обязательства данной страны на акции ее промышленных корпораций. При этом иностранные небанковские организации получают возможность перекупать эти долговые обязательства на вторичном рынке ценных бумаг со скидкой при условии финансирования прямых инвестиций или покупки отечественных финансовых активов из этих средств. Во всех этих случаях иностранный инвестор получает “долю” в капитале данной страны, а ее внешняя задолженность при этом уменьшается.
3. Замена существующих долговых обязательств новыми обязательствами (в национальной или иностранной валюте). При этом ставка процента по новым ценным бумагам может быть ниже, чем по старым, при сохранении номинальной стоимости облигаций.
Беднейшим странам-должникам предоставляется выбор одного из вариантов помощи со стороны официальных кредиторов (членов Парижского клуба):
1) частичное аннулирование долга;
2) дальнейшее продление сроков долговых обязательств;
3) снижение ставок процента по обслуживанию долга. Эффективное управление государственным долгом как в индустриальных, так и в переходных экономиках не может осуществляться автономно от других мер бюджетно-налоговой политики правительства, так как является составной частью общей системы управления государственными расходами.
Приток капитала на фоне увеличения внешнего долга способствует элиминированию эффекта вытеснения частных инвестиций, угроза которого нередко сопровождает налоговую реформу стимулирующего типа, нацеленную на снижение ставок налогообложения в сочетании с расширением налоговой базы. Расходы по обслуживанию государственного долга являются наименее эластичной статьей расходной части государственного бюджета. Так как эластичность трансфертных выплат также весьма невелика, то ограничение темпов роста других статей государственных расходов и повышение их эффективности является в России и других переходных экономиках ведущим фактором снижения напряженности в бюджетно-налоговой сфере. Аннулирование квазифискальных операций и включение соответствующих счетов в систему государственного бюджета восстанавливает доверие к экономической политике правительства и Центрального Банка, особенно в том случае, если это сопровождается созданием адекватных рыночной экономике институциональных структур по управлению государственными расходами бюджетного управления и казначейства, в функции которого входит и обслуживание государственной задолженности.
Основные термины
Государственный долг Частный долг Внутренний долг Внешний долг
Обслуживание государственного долга Амортизация долга
Квазибюджетные (квазифискальные) операции
Первичный дефицит (излишек) государственного бюджета
Рефинансирование государственного долга
Кризис внешней задолженности
Реструктуризация долга
Выкуп долга
Своп
Вопросы для обсуждения
1. Верны ли следующие утверждения?
а) инфляция увеличивает реальную стоимость номинального государственного долга;
б) продавая государственные облигации иностранцам для финансирования растущих государственных расходов, правительство накладывает долговое бремя на будущие поколения;
в) наименее вероятным следствием большого государственного долга может быть банкротство правительства;
г) растущий внутренний долг приводит к перераспределению доходов;
д) отношение суммы обслуживания долга к величине налоговых поступлений в бюджет характеризует минимальный уровень налогообложения, необходимый для своевременной выплаты процентов по государственному долгу;
е) погашение внутреннего государственного долга является антиинфляционным фактором.
2. Предположим, что Государственное Казначейство выпустило облигации государственного займа на 1 млрд руб. Они были проданы населению. Затем Центральный Банк выкупил облигации на открытом рынке на сумму 300 млн руб. Каков в этом случае способ финансирования дефицита госбюджета? Какова возможная динамика уровня инфляции?
3. Объясните, каким образом существенное сокращение дефицита государственного бюджета может способствовать:
а) снижению величины торгового дефицита;
б) сокращению общей суммы внешнего долга;
в) сокращению числа покупок иностранцами отечественных предприятий, ферм и других активов.
4. Правительство увеличивает свои расходы на строительство дамбы. Расходы финансируются долговым способом. Можно ли в данном случае говорить о создании долгового бремени? Изменится ли ответ на этот вопрос, если госрасходы возросли из-за закупки партии военных машин?
5. Обсудите причины кризиса задолженности и объясните, почему странам-должникам трудно обслуживать свой долг.
а) Если страны нарушают график обслуживания долга, то почему находятся кредиторы, которые продолжают выдавать им займы?
б) Возникают ли подобные проблемы долгов внутри страны? Если да, то что происходит в таких случаях? Насколько эффективен залоговый механизм в системе международного кредита?
6. Является ли реструктуризация внешнего долга России долгосрочным фактором снижения долговой нагрузки? Почему?
Задачи и решения
1. Правительство получило иностранный заем в размере 1 млрд долл, по годовой ставке 8%. Эти средства вкладываются в инвестиционные проекты, которые позволяют получить ежегодный прирост ВВП в размере 300 млн долл, в течение нескольких последующих лет.
Рассчитайте:
а) в каком размере увеличится государственный долг?
б) вырастет ли чистое долговое бремя, налагаемое на граждан данной страны?
в) через сколько лет страна сможет погасить этот долг?
Решение
а) Сумма государственного долга возрастет на всю сумму полученного иностранного займа, то есть на 1 млрд долл.
б) Для того чтобы ответить на вопрос об увеличении долгового бремени, необходимо сопоставить сумму процентных выплат по долгу и сумму ежегодного прироста ВВП, из которой обслуживается долг.
Сумма ежегодных процентных выплат по долгу составляет 8% от его суммы, то есть 80 млн долл., а ежегодный прирост ВВП от инвестиционных проектов составляет 300 млн долл. Разница в размере 300 - 80 = 220 (млн долл.) накапливается для погашения основной суммы долга. Поэтому чистое долговое бремя не возрастает.
в) Ежегодно страна получает чистый прирост ВВП в размере 220 млн долл., а общая сумма долга, которая должна быть погашена за счет этих средств, составляет 1 млрд долл. Следователь-
1,00
но, примерно через ~ Ь лет страна сможет полностью погасить этот долг.
2. Экономика описана следующими данными:
реальная ставка процента равна 3%, темп роста реального ВВП
равен 7%, соотношение ~~ составляет 50%, а первичный дефи-
цит государственного бюджета составляет 5% от ВВП. Рассчи
долг
ВВП
тайте, будет ли соотношение
возрастать или снижаться?
Решение
Для расчета необходимо использовать зависимость
Доля первичного бюджетного излишка в ВВП
Долг Долг Д = х
ВВП ВВП
Реальная Темп роста ставка - реального процента ВВП
После подстановки цифровых значений получаем:
Долг
ВВП
- 0,5 (0,03 -0,07) - (-0,05) = 0,03 или 3%,
Долг
то есть соотношение увеличится на 3% из-за наличия пер
вичного бюджетного дефицита.
|
3. Экономика стран А и В описана следующими данными: |
|
|
Страна А |
Страна В |
|
1) Величина государственного долга на начало финансового года (в млн долл.) |
2000 |
2000 |
|
2) Номинальные государственные расходы (на конец финансового года), исключая процентные платежи по обслуживанию долга (в млн долл.) |
200 |
200
t |
|
3) Уровень цен (на начало года) |
1.0 |
1,0 |
|
4) Годовой темп инфляции |
0,0 |
0,10 |
|
5) Номинальная ставка процента |
0,03 |
0,13 |
|
6) Номинальные налоговые поступления в государственный бюджет (в млн долл.) |
260 |
260 |
|
Рассчитайте:
а) Каковы номинальные суммы процентных платежей по обслуживанию государственного долга в каждой из стран?
б) Каковы официальные оценки бюджетных дефицитов в каждой из стран?
в) Какова номинальная и реальная величина государственного долга в каждой из стран (на конец года)?
Решение
а) Используя статистические данные для страны А, получаем номинальную сумму процентных платежей по обслуживанию государственного долга:
0,03 х 2000 = 60 (млн до.гі.)
номинальная госдолг ставка на начало процента года
Аналогично для страны В:
0,13 х 2000 = 260 (млн до.гі.)
б) Официальная (то есть номинальная) оценка дефицита госбюджета в каждой стране складывается как разность между номинальными государственными расходами, включая номинальные процентные платежи по обслуживанию долга, и номинальными налоговыми поступлениями в бюджет.
Для страны А имеем:
200 + (0,03 х 2000) - 260 = 260 - 260 = 0 (млн долл.).
. і
11 ?
60
Для страны В имеем:
200 + (0,13 х 2000) - 260 = 460 - 260 = 200 (млн долл.).
260
в) Номинальная величина государственного долга на конец года равна сумме долга на начало года плюс номинальный дефицит госбюджета, образовавшийся в течение года. Соответственно, в стране А:
2000 + 0 = 2000 (млн долл.) (номинальный государственный долг на конец года).
Для страны В аналогично:
2000 + 200 = 2200 (млн долл.).
Для оценки реальных величин государственного долга в обеих странах необходимо рассчитать уровни цен в каждой из них на конец года. Первоначальные уровни цен в обеих странах одинаковы и равны КО, но годовые темпы инфляции разные: 0.0 в стране А и 0,10 в стране В.
Следовательно, уровни пен на конец года составят 1,0 и 1.1 для стран А и В (соответственно).
Реальная величина государственного долга на конец года равна его номинальной величине на конец года, разделенной на уровень цен на конец года. Соответственно, имеем
для страны А: для страны В:
2000/1,0 = 2000 (млн долл.), 2200/1,1 - 2000 (млн долл.),
то есть реальная задолженность одинакова в обеих странах.
Тесты
К В периоды растущей инфляции официальная оценка величины дефицита государственного бюджета:
а) завышает величину изменения реальной государственной задолженности;
б) занижает эту величину;
в) равна этой величине;
г) равна ожидаемому уровню инфляции;
д) равна номинальной величине налоговых поступлений в государственный бюджет.
2. Номинальная величина дефицита госбюджета является неудовлетворительным измерителем величины общей государственной задолженности, так как:
а) учитывает изменения номинальной, а не реальной величины государственного долга;
б) не принимает во внимание изменения стоимости государственных активов;
в) исключает нарастание будущих пенсионных выплат занятым в государственном секторе экономики;
г) все вышеперечисленное верно;
д) ничто из вышеперечисленного неверно.
3. Значительный государственный долг является нежелательным потому, что:
а) создает очевидную угрозу банкротства государства;
б) темп роста государственной задолженности всегда превосходит темп роста ВВП;
в) рост государственного долга всегда сопровождается ростом уровня безработицы;
г) долговременное долговое финансирование бюджетного дефицита может нивелировать антиинфляционный эффект жесткой кредитно-денежной политики;
л) все вышеперечисленное верно.
4. Сумма обслуживания государственного долга измеряется:
а) общей величиной государственного долга;
б) соотношением долг/ВВП;
в) соотношением долг/экспорт товаров и услуг:
г) отношением процентных выплат по долгу к ВВП;
д) обшей величиной процентных выплат по долгу плюс амортизация его основной суммы;
е) общей величиной процентных выплат по долгу минус амортизация его основной суммы.
5. Какие из нижеперечисленных утверждений верны:
а) значительный государственный долг является инструментом полного устранения инфляционного напряжения в экономике;
б) значительный государственный долг может снизить экономические стимулы к инновациям и инвестициям:
в) при значительном государственном долге чистые зарубежные активы всегда возрастают;
г) рост государственного долга никогда не сопровождается удорожанием национальной валюты;
д) утверждения б) и в) верны.
6. Что из нижеперечисленного неверно:
а) значительный государственный долг может способствовать развертыванию кризиса платежного баланса;
б) рост государственного долга может сопровождаться притоком капитала;
в) значительный государственный долг может способствовать накоплению большего запаса частного капитала для будущих поколений;
г) увеличение внешнего долга может элиминировать эффект вытеснения;
д) утверждения а) и г) верны;
е) утверждения б) и г) верны.
7. Растущий внешний спрос на государственные облигации данной страны, вызванный более высоким уровнем внутренней рыночной процентной ставки:
а) увеличивает внешний долг данной страны и удешевляет се валюту;
б) сокращает внешний долг данной страны и удорожает ес валюту;
в) сокращает внешний долг данной страны и удешевляет ее валюту;
г) увеличивает внешний долг данной страны и удорожает ее валюту;
д) все предыдущие ответы неверны, так как между динамикой внешнего долга страны и динамикой обменного курса ее валюты нет никакой взаимосвязи.
8. Предположим, что правительство столкнулось с дефицитом государственного бюджета в размере 30 млн долл., а Центральный Банк не намерен увеличивать денежное предложение более чем на 40 млн долл, при ставке резервных требований в 20%. Налоговые поступления в государственный бюджет стабильны. На сколько в этом случае должен возрасти государственный долг:
а) на 8 млн долл.;
б) на 10 млн долл.;
в) на 32 млн долл.;
г) на 38 млн долл.;
д) на 22 млн долл.
9. В ситуации, описанной в задаче № 8, правительство получило внешний заем из расчета 5% годовых при обязательной уплате 0,4 млн долл, ежегодно в счет амортизации основной суммы долга. Заемные средства инвестируются в экспортные отрасли, что позволяет получить ежегодный прирост ВВП в размере 6 млн долл, в течение нескольких последующих лет. Через сколько лет страна сможет погасить полученный внешний заем:
а) через 4 года;
б) через 5 лет;
в) через 5,5 года;
г) через 6 лет.
10. После проведения мер стимулирующей фискальной политики уровень инфляции составил 10%, номинальная ставка процента равна 12%, доля первичного бюджетного дефицита в ВВП составила 3%, а доля долга в ВВП увеличилась на 2,04% при темпе роста реального ВВП в 5%. Каким было соотношение долг/ВВП до проведения в экономике бюджетно-налоговой экспансии:
а) 30%;
б) 35%;
в) 40%;
г) 50%.
11. Предположим, что Всемирный Банк рассматривает график потока кредитов, предоставляемых стране для оказания помощи в развитии нефтяных месторождений. Всемирный Банк является единственным кредитором данной страны.
|
|
Результаты займа (млн долл.) |
|
Год |
Поступление средств от Всемирного Банка |
Величина накопленной суммы долга в конце года |
Величина процентных платежей по долгу (из 8% годовых) |
Дополнительные
доходы
от экспортных продаж нефти |
|
1 |
200 |
200 |
0 |
0 |
|
2 |
100 |
300 |
16 |
30 |
|
3 |
50 |
350 |
24 |
30 |
|
4 |
0 |
350 |
28 |
30 |
|
5 |
50
(выплата долга) |
300 |
28 |
30 |
|
6 |
50
(выплата долга) |
250 |
24 |
30 |
|
|
и так далее |
|
|
|
В военном отношении страна находится в безопасности и существующее правительство нс может быть свергнуто. Будет ли в этих условиях в интересах страны отказаться от выплаты долга?
а) Нет, страна будет соблюдать график обслуживания долга до его полного погашения в конце 11-го года.
б) Да. страна откажется от выплаты задолженности в конце второго іода, так как ее ресурсы недостаточны для обслуживания долга.
в) Да, страна откажется от соблюдения графика обслуживания долга в конце третьего года.
г) Да, страна откажется от выплаты задолженности в конце четвертого года.
Рекомендуемая учебная литература
1. Дорнбуш Р., Фишер С. Макроэкономика. Гл. 16, 17.
2. Макконнелл К., Брю С. Экономикс. Т. 1, гл. 20; т. 2, гл. 41.
3. Мэнкью Н.Г. Макроэкономика. Гл. 16.
4. Фишер С., Дорнбуш Р., Шмалензи Р. Экономика. Гл. 39.
5. Долан Э. Макроэкономика. Гл. 7.
6. Линдерт П.Х. Экономика мирохозяйственных связей. Гл. 24.
7. Гальперин В.М., Гребенников П.И., Леусский А.И., Тарасович Л.С. Макроэкономика. Гл. 11, § 4.
8. Курс экономической теории / Под ред. проф. А.В. Сидорови-ча. Гл. 57.
Ответы к тестам
Глава 18
Внутреннее и внешнее равновесие: проблемы экономической политики
18.1. Влияние кредитно-денежной и бюджетно-налоговой политики на платежный баланс.
18.2. Модель внутреннего и внешнего равновесия в условиях фиксированного обменного курса. Правило распределения ролей.
18.3. Экономическая политика в условиях плавающего обменного курса.
18.4. Практическое применение модели внутреннего и внешнего баланса.
18.5. Факторы, осложняющие проведение эффективной экономической политики.
В открытой экономике серьезной проблемой макроэкономического регулирования является достижение внутреннего и внешнего равновесия. Ее решение требует учета взаимного влияния как внутренних, так и внешних переменных (хотя это деление условно). Проблема осложняется существованием обратного воздействия переменных друг на друга, а также тем, что единичное воздействие сопровождается обычно целой цепочкой следствий, как непосредственных, так и проявляющихся в долгосрочном периоде.
Внутреннее равновесие предполагает баланс спроса и предложения на уровне полной занятости при отсутствии инфляции (или ее стабильно низком уровне). В краткосрочном аспекте проблема внутреннего баланса решается прежде всего методами регулирования совокупного спроса с помощью фискальной и денежной политики. Внешнее равновесие связано с поддержанием нулевого сальдо платежного баланса в определенном режиме валютного курса. Иногда эту проблему подразделяют на две самостоятельные: достижение определенного состояния счета текущих операций и поддержание заданного уровня валютных резервов. Меры государственного регулирования остаются теми же: кредитно-денежная и бюджетно-налоговая политика, но иногда выделяют как самостоятельную и политику обменного курса. Усложняется задача достижения внешнего баланса таким фактором,
как мобильность капитала, то есть интенсивность межстранового перелива капитала в ответ на колебания внутренней ставки процента по отношению к ее мировому уровню. Фактически поддержание внешнего и внутреннего равновесия касается функционирования трех рынков: товарного, денежного и валютного.
18.1. Влияние кредитно-денежной и бюджетно-налоговой политики на платежный баланс
Из предыдущих глав известно, каким образом кредитно-денежная и бюджетно-налоговая политика влияют на внутреннее равновесие в краткосрочном периоде (см. гл. 9). Рассмотрим возможные последствия применения этих же мер для внешнего баланса.
На состояние платежного баланса фискальная политика влияет по двум направлениям: через воздействие на уровень дохода и на ставку процента. Так, дополнительные государственные расходы через мультипликативный эффект приводят к росту дохода, что, в свою очередь, расширяет спрос не только на отечественные, но и на импортные товары. Рост импорта ухудшает торговый баланс. В то же время дополнительные государственные расходы часто означают расширение государственного заимствования на финансовых рынках, что вызывает рост процентной ставки. Более высокая ставка привлекает капиталы из-за рубежа, улучшая баланс движения капитала и в определенной степени нейтрализуя негативное влияние торгового баланса на платежный баланс в целом. Итоговое воздействие фискальной политики на внешний баланс в краткосрочном периоде во многом зависит от степени мобильности капитала. Например, при высокой мобильности капитала рост ставки процента может вызвать столь значительный приток иностранного капитала, что положительное сальдо по счету движения капитала перекроет дефицит торгового баланса, и платежный баланс будет иметь положительное сальдо. В случае низкой подвижности капитала притока капитала может не хватить для компенсации дефицита торгового баланса, и платежный баланс будет иметь отрицательное сальдо. Однако в долгосрочном периоде займы из-за рубежа, привлеченные высокой процентной ставкой, потребуют выплаты процентов и погашения долга, что вызовет отток капитала из страны.
Кредитно-денежная политика воздействует на платежный баланс более определенно. Рост предложения денег снижает ставку процента (при прочих равных), что также имеет два канала влияния на экономику. Дешевые деньги стимулируют рост расходов, в том числе и на импорт (особенно с учетом возможного роста цен в связи с инфляцией спроса), что ухудшает торговый баланс. Одновременно низкая процентная ставка приведет к оттоку капитала из страны, что ухудшит баланс движения капитала. Платежный баланс окажется в дефиците в связи с ухудшением двух своих составляющих - счета текущих операций и счета движения капитала. Однако в долгосрочном периоде капиталы за рубежом начнут приносить доход, оказывая положительное влияние на платежный баланс.
В обоих случаях - как при расширительной фискальной, так и при расширительной денежной политике - влияние через доход вызывает ухудшение платежного баланса, а влияние через процентную ставку может быть различным и во многом связано со степенью мобильности капитала.
18.2. Модель внутреннего и внешнего равновесия в условиях фиксированного обменного курса.
Правило распределения ролей
Как показали исследования, экономическая политика, направленная на достижение только внутреннего равновесия (обычно через регулирование совокупного спроса), лишь в исключительных случаях одновременно приводит и к внешнему равновесию. Аналогичная ситуация складывается при обособленном регулировании внешнего равновесия. Поэтому задача одновременного достижения внешнего и внутреннего баланса ставится как отдельная и поддается решению обычно с большим трудом.
В ходе анализа проблемы внутреннего и внешнего равновесия был выработан фундаментальный принцип разработки и проведения экономической политики: для достижения двух независимых целей - внутреннего баланса (желательный объем выпуска при естественном уровне безработицы и низкой или нулевой инфляции) и внешнего баланса (сальдо платежного или торгового баланса равно нулю) требуются по крайней мере два независимых инструмента экономической политики. Соответственно, для достижения трех целей экономической политики должны быть использованы три инструмента и так далее.
В работах Р. Манделла было показано, что использование инструментов кредитно-денежной и бюджетно-налоговой политики позволяет одновременно достичь двух целей внешнего и внутреннего равновесия при условии, что модель допускает международное передвижение капитала.
Теоретический аспект проблемы внутреннего и внешнего равновесия часто рассматривается с использованием несколько модифицированной модели IS-LM путем добавления к ней третьей кривой ВР, показывающей равновесие платежного баланса. Эта модель строится для разных режимов валютных курсов - фиксированного и плавающего, а также для разной степени мобильности капитала1. Малая открытая экономика с совершенной мобильностью капитала может анализироваться с помощью модели Манделла-Флеминга2.
Подход к данной проблеме с точки зрения конкретных практических рекомендаций для экономической политики может быть и несколько иным (возможно, более упрощенным по сравнению с названными моделями).
Рассмотрим один из вариантов такого подхода, который довольно часто используется для решения задачи одновременного достижения внутреннего и внешнего баланса в условиях, когда правительство поддерживает фиксированный валютный курс.
Графическое представление данного подхода предполагает, что на осях координат непосредственно заданы два основных инструмента политики, используемые для решения двух поставленных задач (внутреннее и внешнее равновесие): уровень государственных расходов (G)} и ставка процента (R).
На рисунке 18.1 кривая ВВ представляет собой набор сочетаний объемов государственных расходов (G) и значений ставки процента (R), соответствующих поддержанию внешнего баланса. то есть ситуации, когда сальдо платежного баланса равно нулю (ВР=0).
Положительный наклон кривой объясняется следующим образом. Пусть в начальной точке Е достигнут внутренний и внешний баланс. Повышение государственных расходов (G) будет *См.: Caves R.E., Frankel J.A., Jons R. W. World Trade and Payments. 1990. Ch. 21; Миклашевская И.А., Холопов А.В. Международная экономика. М.: ДИС. 2000. Гл. 11-12.
“ См.: Мэтью И.Г. Макроэкономика. Гл. 13.
3 Вместо G можно использовать сальдо госбюджета.
 |
|
Рис. 18.1 |
отражено движением вправо от точки Е, например до точки А. Результатом станет рост дохода, а вместе с ним и увеличение импорта, что вызовет дефицит торгового баланса (здесь рассматриваются лишь краткосрочные последствия фискальной политики и не затрагивается влияние последующего изменения валютных резервов на предложение денег). Теперь для устранения возникшего дефицита платежного баланса (ВР<0) правительство должно принять меры, которые способствовали бы достижению положительного сальдо счета движения капитала. Этого можно добиться с помощью ограничительной денежной политики: возросшая ставка процента привлечет в страну иностранный капитал1 . Рост процентной ставки (движение из точки А в точку С на рис. 18.1) должен быть достаточен для того, чтобы положительное сальдо счета движения капитала компенсировало дефицит по счету текущих операций и возвратило сальдо платежного баланса к нулю (в точке С на кривой ВВ). Такое сочетание изменений G и R для сохранения внешнего равновесия объясняет положительный наклон кривой ВВ.
Все точки, лежащие ниже и правее кривой ВВ, отражают состояние дефицита платежного баланса (ВР<0). Сдвиг от кривой ВВ в этом направлении соответствует расширительной фискаль-] Такое сочетание фискальной экспансии и жесткой денежной политики, позволяющей повысить процентные ставки, хорошо описывает ситуацию в США в 1981 1984 гг., когда в итоге был получен прогнозируемый результат: значительный торговый дефицит, финансируемый широкими заимствованиями из-за рубежа, привлекаемыми высокими процентными ставками.
 |
|
|і |
ной (вправо вдоль оси G) или монетарной (вниз вдоль оси R) политике, а значит, существует либо отрицательное сальдо счета текущих операций при повышении государственных расходов, дохода и импорта, либо дефицит счета движения капитала при снижении ставки процента.
Любая точка левее и выше кривой ВВ отражает состояние положительного сальдо платежного баланса (ВР>0), возникающее вследствие жесткой фискальной и денежной политики: сальдо капитального счета может быть положительным из-за высокой ставки процента (вверх от кривой ВВ вдоль оси R), счет текущих операций улучшится при снижении G, уровня дохода и импорта (влево от кривой ВВ вдоль оси G).
Рассмотрим графическое представление внутреннего баланса (рис. 18.2), то есть состояния полной занятости, потенциального объема выпуска и отсутствия инфляции. Пусть в точке Е достигается как внешнее, так и внутреннее равновесие. Если правительство повысит расходы G, то доход, согласно кейнсианской теории, будет расти с мультипликативным эффектом. Движение из точки Е в точку А, отражающее этот рост, означает перемещение из точки равновесия в зону излишнего спроса, где повышенный доход (выше уровня, соответствующего полной занятости) создает инфляционное давление. Теперь для восстановления внутреннего равновесия необходимо уменьшить размер денежной массы, поднимая R, чтобы сократить спрос. На графике это представлено движением из точки А в точку Д где доход возвращает-


ся к уровню при полной занятости ресурсов и восстанавливается внутреннее равновесие.
Таким образом, набор сочетаний G и R, поддерживающих внутреннее равновесие, дает нам кривую YY с положительным наклоном. Все точки справа и ниже этой кривой находятся в зоне избыточного спроса (вследствие роста государственных расходов сТ или удешевления денег Точки слева и выше кривой YY находятся в зоне избыточного предложения (безработица), что объясняется сокращением G (уменьшение спроса) и повышением R.
Крутизна кривой ВВ зависит от степени мобильности капитала: чем более подвижен капитал, тем меньший рост Л, вызывающий приток капитала, требуется для финансирования дефицита счета текущих операций, то есть кривая ВВ будет более пологой, и наоборот.
На практике оказывается, что даже при относительно низкой мобильности капитала кривая ВВ не может быть круче кривой YY. Чтобы представить это, рассмотрим движение из точки Е к точке /), обусловленное фискальным расширением и жесткой денежной политикой, рассчитанное таким образом, чтобы сохранить доход на уровне полной занятости. Положение линии ВВ относительно кривой YY можно определить, выяснив, является ли точка D точкой дефицита или излишка платежного баланса. Поскольку уровень дохода в точке D остается тем же, что и в точке Е (обе точки расположены на кривой внутреннего равновесия), то импорт, а следовательно, и торговый баланс не изменятся. Однако ставка процента в точке D выше, чем в точке ?. следовательно, приток капитала в страну приведет, при прочих равных, к положительному сальдо счета движения капитала и, соответственно, платежного баланса в целом. Значит, точка D находится в зоне положительного сальдо платежного баланса, то есть выше кривой ВВ. Это подтверждает наше предположение о том, что кривая YY круче кривой ВВ] .
Описанные способы достижения внутреннего и внешнего равновесия показывают, что определенное сочетание фискальной и монетарной политики позволяет поддерживать как внутренний, так и внешний баланс. Дальнейшая задача состоит в том, чтобы определить степень воздействия фискальной и монетарной политики на внутренний и внешний баланс. Р. Манделл и М.Флеминг обнаружили, что кредитно-денежная и бюджетноналоговая политика оказывают различное относительное воздействие на внутреннее и внешнее равновесие. Они показали, что при фиксированном обменном курсе монетарная политика имеет сравнительное преимущество в регулировании платежного баланса, а фискальная в регулировании внутреннего равновесия (через воздействие на совокупный спрос), то есть фактически имеется два инструмента политики для реализации двух целей.
Действительно, в условиях фиксированного валютного курса логично предположить, что монетарная политика в большей степени связана с проблемами внешнего баланса. Как известно (см. гл. 8), в случае, когда Центральный Банк связан в своих действиях необходимостью поддерживать определенный уровень обменного курса, колебания денежной массы часто бывают вызваны именно решением этой задачи, независимо от того, соответствуют эти колебания потребностям внутренней политики или нет.
Для простоты представим все коммерческие банки и Центральный Банк страны как единый банк, в котором сконцентрированы все иностранные активы и пассивы, а денежное предложение представлено наличностью и депозитами. В пассиве баланса такого гипотетического банка будут находиться все компоненты предложения денег (обычно агрегат Л/2), а в активе - чистые иностранные активы банковской системы (активы минус пассивы, то есть фактически активы, которыми мы располагаем после погашения требований к нам иностранцев) и чистые внутренние активы (или чистый внутренний кредит правительству, фирмам, домашним хозяйствам). Чистые иностранные активы будут соответствовать валютным резервам страны, которые меняются в зависимости от необходимости корректировки платежного баланса. Тогда из условия равенства
активов и пассивов можно записать: М = Res +DC, то есть предложение денег (обязательства банковской системы) равно сумме валютных резервов (чистых иностранных активов) и внутреннего кредита банковской системы, а значит, предложение денег зависит как от внутренних, так и от внешних факторов.
Изменение денежной массы можно представить как AM = = ARes +ADC, где ARes будет соответствовать дефициту или излишку платежного баланса. Необходимость восстановления внешнего баланса и, соответственно, поддержания обменного курса потребует продажи или покупки иностранных активов, то есть сокращения или увеличения резервов. Но, продавая резервы, Центральный Банк одновременно изымает из обращения часть денег, а покупая иностранные активы, пополняет объем предложения денег. Таким образом, в условиях фиксированного валютного курса М является эндогенной переменной, подверженной прежде всего влиянию возникающего дефицита или излишка платежного баланса (то есть влиянию возникающих тенденций к снижению или повышению обменного курса). В этом случае при составлении прогнозов развития экономики потребность в деньгах определяется исходя из плановых (целевых) показателей экономического роста и инфляции, а предложение денег связывается с объемом чистых иностранных активов и внутреннего кредита. Объем чистых иностранных активов устанавливается в соответствии с прогнозами состояния платежного баланса, а объем внутреннего кредита определяется по остаточному принципу и распределяется между правительством и частным сектором (для необходимой корректировки величины внутреннего кредита частному сектору используются все три известных инструмента денежной политики).
Центральный Банк может попытаться нейтрализовать влияние платежного баланса на предложение денег в экономике путем стерилизации изменения валютных резервов. Например, при сокращении резервов (для ликвидации дефицита платежного баланса и предотвращения падения обменного курса) Центральный Банк может расширить внутренние активы с помощью операций на открытом рынке или других инструментов денежной политики таким образом, что величина денежной массы в экономике не изменится: М - 1 Res + ЛСТ. Однако возможности стерилизации ограничены. Если дефицит платежного баланса сохраняется длительное время, то снижение валютных резервов может привести к их полному истощению. Страна вынуждена будет отказаться от фиксированного курса или позволить денежной массе сокращаться, чтобы нейтрализовать тенденцию обменного курса к понижению и остановить отток денег за рубеж. При устойчивом положительном сальдо платежного баланса объем резервов может стать настолько большим, что внутренний кредит примет нулевое значение, что практически невозможно (банки должны будут не ссужать, а занимать деньги у небанковского сектора).
Таким образом, даже стерилизация не защищает денежную массу от влияния платежного баланса, что резко ограничивает возможности воздействия денежной политики на внутренний баланс, оставляя его регулирование фискальной политике.
На графике (рис. 18.2) относительные преимущества монетарной политики в регулировании внешнего баланса обнаруживаются следующим образом: требуется сравнительно небольшое изменение ставки процента для перемещения внешнего равновесия из точки Е в точку С и значительное изменение R для движения внутреннего равновесия из точки Е в точку D при одинаковом изменении G. Аналогичные рассуждения можно провести и для сравнения изменения государственных расходов для восстановления внешнего и внутреннего равновесия при одинаковом изменении ставки процента. Фискальная политика будет оказывать более сильное влияние на внутренний баланс. Если экономика находится в точке К, то дія восстановления внутреннего равновесия потребуется небольшое изменение G (перемещение из точки К в точку L, рис. 18.2), тогда как для восстановления внешнего равновесия потребуется значительное увеличение G ( движение из точки К в точку Q.
Эффективность бюджетно-налоговой политики при фиксированном обменном курсе прямо связана с мобильностью капитала. Рост государственных расходов приводит к повышению ставки процента (занимая средства на фондовом рынке, государство сокращает ту денежную массу, которая обслуживает частный сектор), что стимулирует приток капитала из-за рубежа. При высокой мобильности капитала дефицит торгового баланса, связанный с ростом (7, практически перекрывается положительным сальдо счета движения капитала, и ЦБ, для погашения возникающей тенденции к росту обменного курса, вынужден скупать иностранную валюту и выбрасывать в обращение национальную, увеличивая таким образом предложение денег. Это создает, наряду с ростом государственных расходов, дополнительный стимул к
расширению дохода. Таким образом, при фиксированном курсе фискальная политика в отличие от денежной может успешно воздействовать на уровень дохода и, соответственно, на внутреннее равновесие, причем степень воздействия расширяется с увеличением мобильности капитала.
Каким образом в соответствии с представленной выше графической интерпретацией внутреннего и внешнего равновесия можно, используя различные инструменты экономической политики, достигать полного, то есть внутреннего и внешнего, равновесия в экономике?

На рисунке 18.3 можно выделить четыре сектора, характеризующиеся определенным сочетанием состояний внешнего и внутреннего равновесия. Зона I соответствует дефициту платежного баланса (ВР<0) и избыточному спросу, что сопровождается инфляцией (к). Зона II соответствует дефициту платежного баланса (ВР<0) и избыточному предложению, которое сопряжено с безработицей (и). Зона III соответствует положительному сальдо платежного баланса (ВР>0) и избыточному предложению (и). Наконец, зона IV указывает на положительное сальдо платежного баланса и избыточный спрос (к). На основе данного графика можно составить представление относительно правильного выбора направлений и инструментов экономической политики в целях приближения к полному равновесию (точка Е).
Выберем точку //, расположенную в секторе I, где наблюдается дефицит платежного баланса и высокая инфляция. Достижение общего равновесия в точке Е требует как снижения государственных расходов (для преодоления инфляции), так и роста ставки процента (для выравнивания платежного баланса). На графике это соответствует движению влево вверх от точки Н. Аналогичная проблема в ситуации, когда состояние экономики соответствует точке А, может быть решена только ужесточением фискальной политики без изменения ставки процента, поскольку ее уровень в точке А соответствует равновесному в точке Е. Если мы находимся в точке А, денежное сжатие, приводящее к росту ставки процента, должно сопровождаться некоторым фискальным расширением (точка N — левее точки Е). Сокращение денежной массы, повышая ставку процента, значительно улучшает платежный баланс, способствуя притоку капитала. Однако это же денежное сжатие может привести к снижению экономической активности в стране и росту безработицы, поэтому требуется определенное фискальное расширение для восстановления занятости .
В зонах I и III необходимые направления изменения фискальной и денежной политики зависят от относительной величины внутреннего и внешнего дисбаланса. В зонах II и IV можно совершенно определенно указать направления изменения обоих инструментов политики (G и R) для достижения равновесия в точке Е. В зоне II дефицит платежного баланса и безработица всегда требуют фискального расширения в сочетании с жесткой монетарной политикой. Рост ставки процента, хотя и препятствует установлению полной занятости, но приносит меньше вреда, чем пользы, компенсируя дефицит платежного баланса через приток капитала. Уровень R, как и G, в зоне II всегда ниже необходимого для равновесия в точке Е. Аналогичные рассуждения справедливы и для зоны IV.
Примером использования фискальной и денежной политики как независимых инструментов для достижения общего равновесия в условиях фиксированного обменного курса служит ситуация в США в конце 50-х начале 60-х годов. Она соответствовала условиям зоны II: сочетание дефицита ВР и безработицы. Основываясь на изложенных выше теоретических соображениях, некоторые экономисты настойчиво предлагали ослабить фискальную и ужесточить денежную политику. Администрация Кеннеди для преодоления депрессии снизила налоги и делала попытки поднять краткосрочную ставку процента, чтобы привлечь иностранный капитал и компенсировать дефицит платежного баланса. Но в большинстве случаев с 50-х и до начала 80-х годов фискальная и монетарная политика в США двигались в одном направлении.
Рассмотренная модель показывает, что международное движение капитала в ответ на отклонение внутренней ставки процента от ее мирового уровня позволяет странам достигать общего равновесия, не меняя обменного курса. Чем выше мобильность капитала, тем меньшее изменение ставки процента требуется для выравнивания платежного баланса. В крайнем случае абсолютной мобильности капитала R устанавливается на уровне мировой ставки процента и кривая внешнего равновесия ВВ становится горизонтальной. Денежная политика в этом случае может влиять на внешний баланс, не меняя существенно значения R (реакция потоков капитала на изменение R становится практически мгновенной). В то же время изменения денежной массы не оказывают никакого воздействия на внутренний баланс, так как потоки капитала не позволяют процентной ставке измениться сколько-нибудь существенно, а задача поддержания фиксированного обменного курса полностью определяет движение денежной массы в экономике'.
Правительствам часто приходится сталкиваться с множеством задач, которые они вынуждены решать путем децентрализации полномочий и закрепления ответственности за достижение определенных целей за разными органами. Нередко работу приходится вести и на стыке нескольких областей, что может привести к столкновению интересов различных органов управления. Однако бывает полезно рассмотреть в чистом (упрощенном) виде случай распределения полномочий и его результаты с точки зрения достижения общего (внутреннего и внешнего) равновесия.
Предположим, что имеются два органа: Центральный Банк (ЦБ) и Министерство финансов (МФ), которые располагают собственными инструментами, соответственно, денежной (R, Ms) и бюджетно-налоговой (G, Т) политики. Данный анализ призван показать, что общее равновесие в точке Е может быть достигнуто, если органы действуют относительно независимо, без прямой координации. Существенным является лишь точное определение обязанностей каждого органа.
Пусть распределение полномочий сложилось таким образом (в соответствии с выводами Р. Манделла и М. Флеминга), что Центральному Банку поручено обеспечить внешнее равновесие (ВР~0у. причем используется правило: ставка процента снижается при положительном сальдо платежного баланса (ВР > 0) и повышается при его дефиците (ВР < 0). Министерству финансов, отвечающему за бюджетно-налоговую политику, поручается обеспечение внутреннего равновесия в соответствии со следующими инструкциями: увеличивать государственные расходы (G) в условиях безработицы и снижать их в период инфляционного давления.
Исходное состояние экономики в точке Л (рис. 18.4) характеризуется дефицитом ВР и инфляцией. ЦБ начинает действовать, повышая R для достижения внешнего равновесия в точке С. Эти действия смягчают и инфляционное давление в экономике, но не устраняют его полностью. Подключаясь к решению проблемы внутреннего баланса, МФ воздействует на инфляцию сокращением государственных расходов, продвигая экономику к точке F. ЦБ, обнаруживая вновь возникающий внешний дисбаланс, но только теперь в виде положительного сальдо ВР, решает несколько отступить от прежнего курса, снизив процентную ставку и перемещая экономику в точку /. Инициированное этими действиями
 |
|
Рис. 18.5 |
(движение вправо из точки В до точки С на кривой ВВ). Однако новая точка внешнего равновесия (точка О окажется правее точки В, то есть экономика удаляется от состояния общего равновесия (точка Е). Вновь возникает инфляция и ЦБ вынужден ужесточить денежную политику, повышая R (вверх от точки С), что еще больше усложнит ситуацию. Экономика движется по зоне IV. удаляясь от точки равновесия Е. Амплитуда колебаний инфляции и дефицита ВР с каждым разом увеличивается.
Таким образом, ошибочное распределение полномочий между органами управления лишь удаляет экономику от искомого состояния равновесия. Верное распределение ролей должно основываться на уже упоминавшемся правиле сравнительного преимущества: каждая задача должна ставиться перед тем органом, инструменты которого имеют относительно большее влияние на ее решение. Рассмотренная модель показывает, что сравнительное преимущество денежной политики при фиксированном валютном курсе связано с поддержанием внешнего баланса, а фискальной - с поддержанием внутреннего равновесия. Это правило называют принципом классификации эффективного рынка Манделла (Mundelfs principle of effective market classification).
18.3. Экономическая политика в условиях плавающего обменного курса
В условиях плавающего обменного курса денежная и бюджетно-налоговая политика имеют совершенно иные результаты по сравнению с ситуацией при фиксированном курсе. Теперь правильное решение проблемы распределения ролей имеет обратное выражение: бюджетно-налоговая политика приобретает большую значимость для торгового, а значит, и платежного баланса по сравнению с денежной политикой, и именно ею следует пользоваться для достижения внешнего баланса; внутренний баланс становится предметом регулирования для денежной политики.
Если при фиксированном курсе внутренняя денежная политика была «связана» необходимостью поддерживать обменный курс, то теперь она освобождается от этой задачи и может более эффективно использоваться для решения внутренних проблем.
Так, расширение предложения денег снижает процентные ставки и ведет к росту расходов. Как известно, увеличение расходов стимулирует рост импорта и ухудшает торговый баланс. Дефициту платежного баланса способствует и отток капитала вследствие снижения процентной ставки. Но при гибком курсе дефицит не будет сохраняться. Рост импорта и отток капитала увеличивают спрос на иностранную валюту, а национальная валюта обесценивается. Это обесценение усиливает конкурентоспособность наших экспортеров, что ведет к улучшению торгового баланса. Рост экспорта означает рост спроса на продукцию нашей страны, что еще более усиливает экономический подъем, вызванный первоначальным увеличением денежной массы.
Таким образом, денежная политика оказывает значительное влияние на внутренний доход, как непосредственно через рост предложения денег, так и опосредованно - через снижение обменного курса и увеличение экспорта. Подвижность капитала имеет значение постольку, поскольку сказывается на величине оттока капитала, а следовательно, на степени обесценения национальной валюты. Однако, вспоминая о сложном передаточном механизме денежной политики, можно предположить, что ее положительное воздействие на объем выпуска будет опосредовано в большей степени внешним миром, нежели внутренними стимулами расширения производства (снижением ставки процента), то есть рост спроса на отечественную продукцию в значительной мере будет происходить за счет увеличения спроса на наш экспорт на фоне оттока капитала из страны и обесценения валюты. Поэтому в целом положительное воздействие денежной политики на внутренний баланс будет довольно специфическим.
Оценка эффективности бюджетно-налоговой политики при плавающем валютном курсе оказывается более сложной. Рост государственных расходов, как известно, воздействует на внутреннее и внешнее равновесие по двум направлениям: через доход и через ставку процента. Рост дохода (через эффект мультипликатора) увеличивает импорт, ухудшает торговый баланс и понижает курс национальной валюты. Тот же рост государственных расходов означает, что правительство увеличивает заимствования, что ведет к повышению процентных ставок. Более высокие ставки стимулируют приток капитала из-за рубежа, что повышает курс национальной валюты и улучшает счет движения капитала. Итоговый результат будет зависеть от степени мобильности капитала.
При низкой мобильности капитала будет преобладать первый канал влияния бюджетной экспансии - через доход. Незначительный приток капитала не сможет компенсировать дефицит торгового баланса, а значит, и падение валютного курса. Удешевление национальной валюты создаст благоприятные условия для роста экспорта, что позволит ликвидировать дефицит платежного баланса. Рост экспорта дополнит положительное влияние бюджетного расширения на объем внутреннего производства.
Однако по мере увеличения подвижности капитала влияние капитального счета на платежный баланс и валютный курс будет нарастать. При высокой подвижности капитала вызванная его притоком тенденция к повышению курса валюты будет преобладать. Это приведет к снижению экспорта и еще большему дефициту торгового баланса. Значительный приток капитала позволит компенсировать этот дефицит и уравновесит платежный баланс в целом. Но итоговое воздействие бюджетной экспансии на объем выпуска окажется практически нулевым вследствие мощного эффекта вытеснения — частных инвестиций через повышенную ставку процента и экспорта через рост обменного курса1.
Таким образом, в отличие от однозначно положительного воздействия на внутренний доход денежной политики, бюджетно-налоговая оказывается эффективной лишь при малой подвижности капитала, что подтверждает наше предположение об ином распределении ролей при проведении экономической политики в условиях плавающего курса.
Подводя итог, мы можем оценить относительную эффективность денежной и бюджетно-налоговой политики в плане их воздействия на объем выпуска при одновременном сохранении внешнего баланса. Как известно, при фиксированном курсе внутренняя монетарная политика оказывается практически «парализованной» и эффект может дать лишь бюджетно-налоговая, причем тем больший, чем выше мобильность капитала . При плавающем курсе на внутренний объем производства несомненно положительно влияет денежная политика вне зависимости от мобильности капитала, тогда как последствия бюджетной политики могут быть неоднозначными.
18.4. Практическое применение модели внутреннего и внешнего баланса
Представленная в данной главе стандартная модель внутреннего и внешнего равновесия, основанная на принципе «распределения ролей», с небольшими модификациями использовалась многими странами, проводившими стабилизационную политику и структурную перестройку с помощью займов МВФ.
При отсутствии законченной количественной модели экономики страны, с помощью которой можно было бы определить значение всех инструментов экономической политики для обеспечения любого возможного комплекса целей, экономическую политику обычно проводят поэтапно, увязывая отдельные инструменты с конкретными целями. Стандартная модель внутреннего и внешнего баланса может содержать, например, 3 цели и 3 инструмента (как и делалось в программах МВФ). Согласно такой модели бюджетно-налоговая политика увязывается с внутренним балансом, реальный валютный курс - со счетом текущих операций, а денежная политика - с объемом резервов иностранной валюты. В отличие от представленной выше модели в данном случае цель «внешний баланс» делится на две составляющие - счет текущих операций и уровень валютных резервов. При этом используются три правила:
1) если инфляция слишком высока, следует уменьшить бюджетный дефицит (первичный дефицит);
2) если велик дефицит счета текущих операций, необходимо понижение реального обменного курса;
3) если резервы иностранной валюты слишком малы или сокращаются слишком быстро, следует ужесточить денежную политику.
Такая увязка целей и инструментов берется в виде основы (исходя из сравнительных преимуществ той или иной политики в достижении определенных целей в конкретных условиях), хотя, разумеется, каждый инструмент экономической политики будет в той или иной степени затрагивать все цели.
Во многих случаях внутренний баланс оценивается уровнем инфляции в стране в связи с остротой этой проблемы в период перестройки экономики. В этих условиях ужесточение бюджетной политики является одним из центральных моментов программ макроэкономической корректировки для многих стран. Эта же мера требуется и для сокращения задолженности до устойчивого уровня. Под ужесточением фискальной политики понимается обычно сокращение внутреннего спроса или снижение инфляционного налога в финансировании дефицита.
Если при существующих валютных курсах бюджетная и денежная политики, обеспечивающие внутренний и внешний баланс, допускают большой дефицит счета текущих операций, то для решения этой проблемы требуется снижение реального валютного курса. Этого можно добиться с помощью номинальной девальвации и последующего ужесточения бюджетной политики с целью ослабления инфляционных последствий. Это позволил превратить номинальную девальвацию в реальную. Если же в краткосрочном периоде номинальная девальвация дестабилизирует счет движения капитала, то возникает необходимость во временном ужесточении денежной политики для поддержания внешнего баланса.
Внутренняя непротиворечивость используемой макроэкономической модели внутреннего и внешнего баланса обычно проверяется с помощью расчета показателя динамики доли долга в ВВП (или, как говорят, с помощью анализа устойчивости задолженности). Используется следующее уравнение динамики внутренней задолженности:
АЯ= Я(г - п) + р - s,
где Я отношение долга к ВВП, г реальная ставка процента, п - темп прироста реального ВВП, р - первичный дефицит как доля ВВП,
5 - отношение эмиссионного дохода к ВВП.
Эмиссионный доход включает как инфляционный налог, так и реальный рост спроса на деньги по мере роста экономики страны.
Проверка осуществляется таким образом. Эмиссионный доход (прирост денежной массы) определяется исходя из планируемых темпов экономического роста, целевого показателя инфляции и оценочного значения скорости обращения денег (с помощью известной формулы MV - PY). Процентная ставка определяется с учетом потребностей внешнего баланса: она должна быть достаточно высокой, чтобы предотвратить отток капитала из страны (если нет других форм государственного контроля за движением капитала). Темпы роста задолженности, соответствующие целевому показателю процентной ставки, вычисляют, исходя из темпов роста благосостояния соответствующих кредитующих слоев населения (покупающих долговые обязательства). Допустимые темпы роста показателя доли долга в ВВП принимаются равными нулю (АХ=0). Отсюда получаем величину первичного дефицита, совместимого с внутренним балансом. Эту проверку можно также рассматривать как проверку устойчивости траектории задолженности, если известен первичный дефицит. Таким образом, инструменты экономической политики, направленной на поддержание внутреннего и внешнего равновесия, а в данном случае на реализацию трех поставленных целей, должны одновременно обеспечивать устойчивость динамики задолженности страны, как внутренней, так и внешней.
18.5. Факторы, осложняющие проведение эффективной экономической политики
Анализируя модель внутреннего и внешнего равновесия, мы абстрагировались от множества реальных процессов, осложняющих эффективную разработку и проведение экономической политики.
Во-первых, имеются значительные временные лаги в проведении тех или иных мероприятий экономической политики (разрыв во времени между изменением инструмента политики и реакцией экономики) например, изменение ставки процента и корректировка домашними хозяйствами и фирмами своих планов относительно потребительских и инвестиционных расходов. Однако это не самая сложная проблема политики: лаги можно учесть, сдвигая во времени проведение определенных мероприятий для получения результатов в нужный момент.
Вторая трудность связана с фактором неопределенности. Можно выделить три вида неопределенности:
1) неопределенность текущего положения экономики отно-
сительно а) уровня выпуска, соответствующего полной занятости, и б) желательного состояния торгового баланса;
2) неопределенность относительно будущих шоков, таких как изменение спроса на деньги, уровня расходов частного сектора и др.;
3) неопределенность по поводу правильности самой модели (верного значения таких параметров, как предельная склонность к сбережению, к импортированию, наклона кривых и т.д.).
Неопределенность любого вида может привести к серьезным ошибкам в политике. Так, оценка состояния экономики США в 70-е годы как далекого от полной занятости способствовала принятию решения о необходимости расширительной фискальной и денежной политики, что привело к резкому подъему инфляции. Неудаче такой политики способствовал также непредвиденный спад спроса на деньги, в связи с чем запланированный темп роста денежной массы вылился в неожиданно высокий спрос на товары и услуги, породивший инфляцию.
Третьей проблемой для политиков является такой сложный и плохо поддающийся оценке фактор, как ожидания, особенно инфляционные. Как известно, проблема ожиданий существенно осложняет дилемму инфляция - безработица. В целом же фактор ожиданий для некоторых политиков служит основанием для снижения частоты корректировок мер экономической политики в ответ на изменения в экономике вплоть до полного отказа от дискреционной политики.
Наконец, существует и четвертая проблема. Даже если политики и экономисты четко предсказывают, какие действия необходимо предпринять для достижения поставленных целей, могут возникнуть серьезные политические ограничения. Экономическая логика часто уступает место политическим лозунгам, ссылкам на исторические прецеденты, бюрократическим препятствиям, личным интересам государственных деятелей и т.д. “Политическая" составляющая особенно усиливается в периоды трансформации экономических систем. Однако даже при наличии единства в определении целей возникает масса разногласий по поводу конкретных путей их достижения. Поэтому теоретические выводы на основе построения абстрактных моделей могут помочь эффективному осуществлению экономической политики лишь при учете всех названных сложностей и внешних воздействий на экономическую систему.
Основные термины
Внутренний баланс (внутреннее равновесие)
Внешний баланс (внешнее равновесие)
Правило распределения ролей Модель внутреннего и внешнего равновесия Сравнительные преимущества отдельных видов экономической политики в регулировании внутреннего и внешнего баланса
Стерилизация изменения валютных резервов
Динамика доли долга в ВВП
Временные лаги
Фактор неопределенности
Ожидания
Политические ограничения
Вопросы для обсуждения
1. Назовите два направления влияния бюджетно-налоговой политики на платежный баланс. От чего зависит итоговое состояние платежного баланса в краткосрочном периоде?
2. Как, по-вашему, будет выглядеть графическая модель внутреннего и внешнего равновесия, если по вертикали будем откладывать значения ставки процента, а по горизонтали бюджетный излишек? Сравните наклон кривых внутреннего и внешнего равновесия.
3. Объясните, почему при фиксированном валютном курсе денежная политика внутри страны оказывается малоэффективной. Какую роль при этом играет проводимая Центральным Банком стерилизация изменения валютных резервов?
4. Каким образом меняется «распределение ролей» при проведении политики поддержания внутреннего и внешнего баланса в условиях плавающего валютного курса?
Задачи и решения
1. Пусть состояние экономики характеризуется повышенной инфляцией и положительным сальдо платежного баланса. Опишите последовательность шагов экономической политики для достижения внутреннего и внешнего равновесия в экономике в условиях фиксированного валютного курса.
Решение
Обозначим состояние экономики, заданное условием задачи, как точку А в зоне IV графика (см. текст главы 18, рис. 18.3).

В соответствии с правилом распределения ролей ЦБ должен регулировать внешнее равновесие с помощью изменения ставки процента, а МФ - внутренний баланс через корректировку величины государственных расходов. Пусть начинает действия ЦБ, снижая R и поощряя тем самым отток капитала из страны, для достижения равновесия платежного баланса (движение вниз от точки А до кривой внешнего равновесия ВВ - точки С). Однако подобные меры не снимают проблемы внутреннего баланса, скорее наоборот — могут еще больше усилить инфляцию.
Подключаясь к работе, МФ ужесточает бюджетно-налоговую политику, сокращая государственные расходы (Gl). На графике это соответствует движению из точки С к точке D на кривой внутреннего равновесия YY. Теперь ЦБ вновь обнаруживает возникший внешний дисбаланс, хотя не такой значительный, как в точке А. Положительное сальдо ВР опять ликвидируется снижением ставки процента (ЯІ) и ухудшением состояния счета движения капитала (вниз от точки D). Далее вновь подключается МФ и еще раз уменьшает государственные расходы, хотя в значительно меньшей степени, чем раньше. Такая последовательность шагов в итоге приводит экономику к точке ?, где достигается внутренний и внешний баланс одновременно.
2. На каком из графиков показана экономика с более высокой степенью мобильности капитала?

Решение

Степень мобильности капитала влияет на крутизну кривой внешнего равновесия ВВ. Пусть экономика находится в точке равновесия Е. Рост государственных расходов сдвигает экономику в точку А, ухудшая торговый баланс и создавая общий дефицит платежного баланса. Для ликвидации этого дефицита следует повысить ставку процента (движение из точки А в точку С), стимулируя приток капитала.
Если подвижность капитала высока, то потребуется лишь незначительное увеличение R для восстановления внешнего равновесия, то есть кривая ВВ будет достаточно пологой; и наоборот, низкая мобильность капитала требует значительного роста R для обеспечения необходимого притока капитала в экономику, то есть расстояние от точки А до точки С будет большим, а кривая ВВ достаточно крутой.
Таким образом, более высокая степень мобильности капитала отражена рисунком 1 в условии задачи.
Тесты

1. На рисунке показано начало движения экономики к состоянию внутреннего и внешнего равновесия при фиксированном обменном курсе. Известно, что ЦБ может манипулировать ставкой процента, а Министерство финансов (МФ) корректировать государственные расходы. Исходя из того, что изображено на графике, определите, правильно ли были фактически распределены полномочия между ЦБ и МФ в проведении экономической политики, направленной на достижение внутреннего и внешнего баланса?
а) Да б) Нет
2. В экономике с фиксированным обменным курсом наблюдается безработица и дефицит платежного баланса. Какое сочетание денежной и фискальной политики необходимо для достижения состояния внутреннего и внешнего равновесия:
а) бюджетно-налоговое расширение и денежное сжатие;
б) бюджетно-налоговое и денежное расширение;
в) снижение государственных расходов и увеличение ставки процента;
г) снижение государственных расходов и снижение ставки процента;
3. Политика стерилизации, проводимая Центральным Банком, означает:
а) увеличение предложения денег при росте валютных резервов;
б) сокращение предложения денег в условиях дефицита платежного баланса;
в) увеличение внутренних активов при сокращении валютных резервов;
г) сокращение внутреннего кредита при дефиците платежного баланса.
4. В условиях фиксированного обменного курса:
а) бюджетно-налоговая политика оказывает более сильное влияние на внешний баланс по сравнению с кредитно-денежной;
б) денежная политика имеет сравнительное преимущество в регулировании платежного баланса, но не внутреннего равновесия;
в) бюджетно-налоговая политика в соответствии с правилом распределения ролей используется для регулирования внешнего баланса;
г) монетарная политика в соответствии с правилом распределения ролей используется для регулирования внутреннего баланса.
5. Предположим, что состояние экономики в условиях фиксированного курса характеризует точка А на графике внутреннего и внешнего баланса. Какими должны быть направления экономической политики для достижения общего равновесия в точке Е (два первых шага):
а) денежное расширение и бюджетная экспансия;
б) денежное сжатие и бюджетное расширение;
в) увеличение предложения денег и снижение государственных расходов;
г) снижение процентной ставки и сокращение государственных расходов.

6. В условиях плавающего курса:
а) денежная политика имеет сравнительное преимущество в регулировании внешнего баланса;
б) фискальная политика имеет преимущество в регулировании как внутреннего, так и внешнего баланса;
в) денежная политика должна использоваться для регулирования как внутреннего, так и внешнего баланса;
г) денежная политика имеет сравнительное преимущество в регулировании внутреннего равновесия, а фискальная - в поддержании внешнего баланса.
Рекомендуемая учебная литература
1. Линдерт П.Х. Экономика мирохозяйственных связей. Гл. 20, 21.
2. Caves Я.Е.Щ Frankel J.A.,Jons R. W. World Trade and Payments.
Fifth Edition. - 1990. Ch. 21.
3. Мэнкъю Н.Г. Макроэкономика. Гл. 13.
Ответы к тестам
 |
Рис. 18.4
некоторое оживление инфляции привлекает внимание МФ, которое решает продолжить сокращение государственных расходов (движение влево от точки Г). Дальнейшие самостоятельные действия двух органов, очевидно, приведут экономику к точке Е, где достигается внутреннее и внешнее равновесие одновременно.
Можно убедиться, что иное распределение полномочий приведет лишь к негативному результату. Пусть ЦБ поручен контроль за внутренним балансом, а МФ - за внешним. Исходя из ситуации в точке А (рис. 18.5) ЦБ в целях преодоления инфляции и восстановления внутреннего равновесия поднимает ставку процента до уровня точки В. МФ, обнаружив положительное сальдо ВР, попытается нейтрализовать его увеличением G, что должно привести к росту дохода, импорта и дефицита торгового баланса |
Приложение 1
Взаимосвязь бюджетного дефицита и государственного
долга в переходной экономике (материалы для спецкурсов)
1. Относительность критериев классификации государственною долга.
2. Внутреннее долговое финансирование бюджетного дефицита.
3. Россия: последствия внутреннего долгового финансирования.
4. Внешнее долговое финансирование бюджетного дефицита.
5. Показатели долговой нагрузки.
6. Россия: концепции бюджетного финансирования 1997-2000 гг.
1. Относительность критериев классификации государственного долга.
Использование неэмиссионных источников финансирования бюджетного дефицита приводит к росту государственного долга - как внутреннего, так и внешнего. Так. отказ правительства России от использования первичной кредитной эмиссии ЦБ для финансирования бюджетного дефицита в 1995-1996 гг. привел к заметному сокращению темпов инфляции. Однако это подавление инфляции было достигнуто не столько вследствие реального сокращения бюджетного дефицита, сколько в результате его ^конвертации'’ в государственную задолженность: место кредитов ЦБ заняли государственные займы внутри страны и за рубежом.
Одновременно с увеличением задолженности повышаются и текущие расходы правительства на обслуживание государственного долга и, соответственно, усиливается долговая "нагрузка" на будущие бюджеты. С этой точки зрения не имеет большого значения происхождение государственного долга, а именно внутренний он или внешний, так как обслуживание и того, и другого отвлекает экономические ресурсы из реального сектора экономики, косвенно ограничивая возможности экономического роста.
В переходных экономиках вопрос о критериях классификации государственного долга на внутренний и внешний оказывается еще более проблематичным в связи с тем, что, например, в России внутренний долг классифицируется по инструментальному и институциональному признакам, а внешний долг по истории возникновения и типу кредитов. Это означает, что четкие
границы между внешним государственным долгом, как долгом перед нерезидентами, и внутренним государственным долгом, как долгом перед резидентами, оказываются размытыми. Так, Закон Российской Федерации "О государственном внутреннем долге РФ", принятый в 1992 году, закрепил деление долга на внутренний и внешний в соответствии с валютным критерием. Таким образом, в российской бюджетной практике рублевые долговые обязательства относятся к внутреннему долгу, а валютные - к внешнему.
Однако указанные критерии деления долга на внутренний и внешний по принципу “рубль-доллар” и “резидент-нерезидент” совпадали только до тех пор, пока рубль был “деревянным” и все внешнеэкономические операции России осуществлялись в конвертируемой валюте, а внутриэкономические - в рублях. По мере либерализации экономики и снятия ограничений на проведение валютных операций несовершенство этой классификации становится все более очевидным, что затрудняет управление государственной задолженностью.
Частично данная проблема была разрешена с принятием в 1994 году Федерального закона “О государственных внешних заимствованиях Российской Федерации и государственных кредитах, предоставляемых Российской Федерацией иностранным государствам, их юридическим лицам и международным организациям”. В соответствии с этим законом внешними заимствованиями являются кредиты, привлекаемые из иностранных источников, по которым возникают государственные финансовые обязательства России. Таким образом, объем внешних заимствований оказывается поставленным под контроль, однако данный закон слабо согласуется с нормами закона о государственном внутреннем долге.
Более того, и в индустриальных, и в переходных экономиках могут возникать объективные противоречия между правительством и ЦБ в процессе регулирования отношений, связанных с осуществлением государственных заимствований. ЦБ проводит собственную денежно-кредитную политику, относительно независимую от бюджетно-налоговой политики правительства. Поэтому для ЦБ, поддерживающего стабильность национальной валюты, выступающего одновременно в качестве органа валютного регулирования и органа контроля, первостепенное значение приобретает деление государственного долга по валютному критерию (то есть деление на рублевую и валютную части в конкретном случае России). Для
правительства же, наоборот, приоритетным направлением в области управления задолженностью является контроль взаимосвязи государственного долга (как внутреннего, так и внешнего) с бюджетным дефицитом и источниками его финансирования.
2. Внутреннее долговое финансирование бюджетного дефицита.
Эффект вытеснения частного сектора, который сопровождает монетизацию дефицита государственного бюджета только в случае целенаправленных активных ограничений Центральным Банком роста денежной массы, возникает также и при стабильном денежном предложении - как следствие внутреннего долгового финансирования бюджетного дефицита. Если правительство выпускает в целях финансирования своих расходов облигации государственных займов, то спрос на кредитные ресурсы возрастает, что, при стабильной денежной массе, приводит к увеличению средних рыночных ставок процента. Если внутренние процентные ставки изменяются свободно, то их увеличение может быть достаточно значительным, отвлекая банковские кредиты от негосударственного сектора. В результате частные внутренние инвестиции, чистый экспорт и - частично - потребительские расходы снижаются. Таким образом, рост государственных расходов и их долговое финансирование “вытесняет” все виды негосударственных расходов: в ответ на увеличение государственного спроса относительно снижается потребительский и инвестиционный спрос, а также спрос на чистый экспорт, что значительно ослабляет стимулирующий потенциал бюджетно-налоговой экспансии в любой экономике - как в индустриальной, так и в переходной. При этом “вытеснение” потребительских расходов оказывается тем более значительным, чем сильнее повышаются ставки процента по потребительскому кредиту в условиях долгового финансирования бюджетного дефицита - с одной стороны, и чем большая доля потребительских расходов финансируется через систему потребительского кредита - с другой.
Потребительский кредит занимает заметное место в системе социальной защиты населения индустриальных стран. В России элементы системы потребительского кредита небезуспешно использовались в 60-70-е годы применительно к некоторым товарам длительного пользования. Впоследствии потребительский кредит был практически аннулирован в связи с нарастанием дефицита и инфляции. В настоящее время возникают экономические предпосылки для восстановления этой формы кредитования, а следовательно, и предпосылки для повышения “чувствительности” потребительских расходов к динамике процентных ставок. При слишком активном использовании долгового финансирования бюджетного дефицита эта тенденция может создать угрозу увеличения “эффекта вытеснения”.
В условиях долгового финансирования бюджетного дефицита поведение инвестиционного спроса также может оказаться различным. С одной стороны, частные инвестиции сокращаются (“вытесняются”) из-за повышения процентных ставок. С другой стороны, если экономика в момент осуществления фискальной экспансии находится в состоянии глубокого спада, то рост государственных расходов будет оказывать на нее стимулирующее воздействие с эффектом мультипликатора. Это может улучшить ожидания прибылей у частного бизнеса, особенно в обстановке доверия к курсу стабилизационной политики правительства. На фоне оптимистических ожиданий может увеличиться инвестиционный спрос, что частично или даже полностью элиминирует эффект вытеснения инвестиций, возникший вследствие повышения процентных ставок.
Таким образом, если правительство и ЦБ в условиях спада проводят последовательную макроэкономическую политику, сопровождающуюся ростом доверия к курсу стабилизации, то один и тот же экономический инструмент - внутреннее долговое финансирование дефицита государственного бюджета - может одновременно как вызывать “эффект вытеснения”, так и элиминировать его. Так, например, в Чехословакии приватизация мелких предприятий и магазинов приобрела осязаемые черты еще в 1990 г. Соответственно, вероятность появления “эффекта вытеснения” должна была бы стать препятствием на пути внутреннего долгового финансирования бюджетного дефицита. Однако несмотря на то что в 1990 г. в рамках финансовой реформы была введена новая структура процентных ставок, внутренние ставки процента изменились очень незначительно и проблема “эффекта вытеснения” не приобрела особой остроты. Отсутствие нежелательной реакции на либерализацию процентных ставок можно объяснить, в частности, тем, что чешское правительство стремится “защитить” существующие ставки по ипотечным и другим целевым кредитам, что, в свою очередь, укрепляет доверие к курсу стабилизации.
В других переходных экономиках, где уровень доверия к стабилизационной стратегии более низок, ожидания прибылей в частном секторе не столь оптимистичны, а совокупное предложение малоэластично (в том числе и потому, что экономика
близка к состоянию полной занятости ресурсов), “эффект вытеснения” внутренних инвестиций вследствие долгового финансирования бюджетного дефицита может оказаться очень значительным. Так, например, в России суммарное отвлечение финансовых ресурсов для обслуживания государственного долга повысилось с 1,5% ВВП в 1993 г. до 3,6% ВВП в 1995 г. и, по некоторым оценкам, до 4,4% ВВП в 1996 г. На погашение внутреннего государственного долга ушло, соответственно, более 5% ВВП в 1995 г. и более 12% ВВП в 1996 г. По некоторым оценкам, этот показатель составляет более 20% ВВП в 1997 г.
Удельный вес отвлеченных таким образом ресурсов в общем объеме всех инвестиций в российскую экономику возрос с 9,6% в 1993 г. до 24% в 1995 г. и до 37,4% в 1996 г. Отношение этих отвлеченных ресурсов к общим национальным инвестициям (все инвестиции за вычетом иностранных) возросло до 25% в 1995 г. и почти до 40% в 1996 г.
Неудивительно, что результатом столь масштабного отвлечения финансовых ресурсов от их производительного использования в качестве инвестиций явилось существенное сокращение последних. При этом сокращение инвестиций происходит не только опережающими, но и ускоряющимися темпами по сравнению с динамикои ВВП. Если в 1993 г. темпы спада капиталовложений превосходили темпы спада ВВП в 1,4 раза, в 1994 г. - в 1,9 раза, то в 1995 1996 гг. - уже в 2,8-3,2 раза. По сравнению с соответствующими периодами 1995 г. в первом квартале 1996 г. инвестиции в основной капитал сократились на 10%, в первом полугодии 1996 г. - на 14%, в июне 1996 г. - на 20%. Такое ускоряющееся падение инвестиций сделало маловероятным возобновление экономического роста в среднесрочной перспективе - особенно при сохранении значительных масштабов долгового финансирования бюджетного дефицита.
Если при внутреннем долговом финансировании бюджетных расходов внутренний рынок капиталов слабо развит, процентные ставки относительно фиксированы и возможности размещения облигаций среди населения ограничены, что типично для многих переходных экономик, то растущий частный сектор внутри страны обычно предъявляет повышенный спрос на иностранные активы, что неизбежно нарушает равновесие платежного баланса по финансовому счету. Более того - если правительство намерено финансировать значительную часть своего бюджетного дефицита через продажу облигаций, то оно не может одновременно проводить жесткую антиинфляционную политику. Облигации будут
пользоваться спросом только при достаточно привлекательном уровне дохода по ним. Если же этот доход будет низким (или отрицательным), то возможности внутреннего долгового финансирования бюджетного дефицита сильно уменьшаются даже вне зависимости от степени развития внутреннего рынка капитала. В этом случае экономические агенты будут стремиться приобрести не государственные облигации, а товары или вложить свои финансовые средства за рубежом, ограничивая тем самым возможности правительства финансировать бюджетный дефицит из внутренних небанковских источников и ухудшая состояние платежного баланса.
Эта диспропорция может усиливаться на фоне ожиданий девальвации национальной валюты (особенно в обстановке недоверия к политике правительства и ЦБ), что способствует нарушению равновесия счета текущих операций и создает угрозу кризиса платежного баланса. С этой точки зрения внутреннее долговое финансирование дефицита госбюджета оказывает более сильное негативное воздействие на платежный баланс при относительной стабильности внутренних ставок процента, чем при их повышении, хотя в последнем случае “эффект вытеснения” оказывается более значительным.
Более того, при высоком уровне процентных ставок и значительных размерах дефицита государственного бюджета со временем неизбежно происходит резкое увеличение доли государственного внутреннего долга в ВВП, особенно при низких (и тем более - отрицательных) темпах экономического роста, что характерно для многих переходных экономик (в том числе и для России). Так, в 1995-1996 гг. чистый прирост государственного внутреннего долга в России, пересчитанный для сопоставимости но соответствующему среднегодовому курсу, составил примерно 46 млрд долл. Исходя из бюджета 1997 г., внутренний долг возрос, по некоторым оценкам, еще на 50 млрд долл, и составил около 20% ВВП. Такой значительный и быстрый рост бремени внутреннего долга увеличивает и долю государственных расходов на его обслуживание, что приводит к одновременному самовозрастанию и бюджетного дефицита, и государственной задолженности. Это серьезно ограничивает возможности снижения напряженности в бюджетно-налоговой сфере и стабилизации уровня инфляции.
В целом в переходных экономиках внутреннее долговое финансирование бюджетного дефицита связано с относительно умеренными издержками и поэтому является наиболее предпочтительным для переходных экономик только в тех случаях, когда:
• сложно контролировать предоставление кредитов частному сектору, и поэтому нецелесообразно использовать монетизацию бюджетного дефицита, чреватую ростом инфляции на фоне мультипликационного расширения денежной массы в кредитной системе;
• внутреннее предложение относительно эластично, и, следовательно, "эффект вытеснения'’ оказывается незначительным или полностью элиминируется;
• внешнее долговое финансирование относительно дорого или ограничено из-за значительного бремени внешней задолженности, тогда как существующая внутренняя задолженность незначительна;
• сопровождающая переходный период инфляция достигла высоких темпов или представляется абсолютно неизбежной.
3. Россия: последствия внутреннего долгового финансирования.
В 1995-1996 гг. правительство России постепенно формально реализовало задачу перехода к неэмиссионному финансированию дефицита государственного бюджета. За счет размещения государственных облигаций в 1995 г. было профинансировано 60% дефицита, а задолженность правительства перед ЦБ сократилась за этот год на 1,4 трлн руб. - с 59,8 трлн руб. в январе 1995 г. до 58,4 трлн руб. в феврале 1996 г. При этом, однако, происходило устойчивое возрастание нагрузки по обслуживанию государственного внутреннего долга: если в первом полугодии 1994 г. расходы на обслуживание внутреннего долга составляли 5% всех расходов бюджета, то в 1995 г. они превысили 10%. В то же время госбюджет, обслуживая рынок ценных бумаг, переориентировался с финансирования реального сектора экономики на поддержку банковской системы. Эта переориентация проявлялась в коренном изменении соотношения между государственными расходами по обслуживанию внутреннего долга и государственными расходами на финансирование народного хозяйства. В первом полугодии 1994 г. это соотношение составляло 1:5, в 1995 г. оно изменилось до 1:2,4, а к началу 1996 г. до 1:1,3.
Цели привлечения средств для финансирования дефицита госбюджета (на фоне повышения доходности государственных облигаций) вступили в противоречие с задачами снижения нагрузки по обслуживанию внутреннего долга, которые требовали снижения процентных ставок. На практике в экономике России чередовались периоды, когда на первый план выступала то одна, то другая из этих задач. Так, в конце 1995 г. проводилась политика по максимизации объемов привлечения средств в бюджет - доходность государственных облигаций составляла 140% при первичном размещении и 108% - на вторичном рынке. В январе 1996 г. проводилась политика по снижению средней доходности ГКО до 78,8% на первичном рынке, и до 71% - на вторичном. В середине марта 1996 г. в условиях жесткой нехватки бюджетных ресурсов правительство России было вынуждено вновь повысить доходность ГКО до 120% годовых и более, что практически свело на нет результаты предшествующего тура бюджетно-налоговой политики и поставило под сомнение возможность выхода на уровень в 30-50% годовых, который соответствовал правительственному ориентиру “процентная ставка Сбербанка плюс 4-5% годовых” и оценивался как ключевой показатель для обеспечения роста инвестиций.
Ориентация правительства на активное внутреннее долговое финансирование бюджетного дефицита в России усиливала тенденцию к самовоспроизводству долга: все большая часть государственных облигаций выпускалась для того, чтобы покрыть долг по предыдущим, а их доля, направляемая собственно на финансирование дефицита бюджета, неуклонно снижалась.
В первом полугодии 1996 г. эмиссия ГКО увеличилась по сравнению с соответствующим периодом 1995 г. в 3,4 раза, а отношение привлеченных в бюджет средств к объему выручки от продажи ГКО сократилось в 4,5 раза. Из общей суммы привлеченных в государственный бюджет средств от продажи ГКО на обслуживание долга было израсходовано 77,6%, а на покрытие дефицита бюджета было направлено лишь менее 23% привлеченных ресурсов.
В целом за 1995 и 1996 гг. эмиссия государственных ценных бумаг составила соответственно более 9% и более 19% ВВП: эти объемы эмиссии позволили правительству России рефинансировать обслуживание и погашение внутреннего долга, а также привлечь в государственный бюджет относительно небольшие “чистые деньги” -всего лишь в размере 1,4% ВВП в 1995 г. и 1,8% ВВП в 1996 г.
Рассматриваемые тенденции сохранялись и в дальнейшем. В конце января 1998 г. на фоне ожиданий девальвации на рынке ГКО возникла паника, приведшая к росту доходности по этим бумагам с 30 до 45%. ЦБ России реагировал на это повышением ставки рефинансирования с 28 до 42%. В ответ на нестабильность рынка ГКО правительством было принято решение ограничить объемы заимствований величиной рефинансирования внутреннего долга.
В феврале 1998 г. в результате этих мер, а также под влиянием положительных итогов исполнения бюджета 1997 г. и января 1998 г. в сочетании с заявлениями правительства о твердой решимости сократить государственные расходы ситуация на рынке ГКО в последний раз относительно стабилизировалась. Доходность по ГКО/ОФЗ постепенно снижалась до конца марта 1998 г. с 46 до 26% - нерезиденты, доля которых, по оценкам ЦБ, превышала 32%. увеличили свои вложения на 5 млрд. долл. Это дало правительству повод вновь вернуться к наращиванию эмиссии ГКО/ОФЗ. Если в январе 1998 г. выручка от ГКО/ОФЗ составила 25,2 млрд руб. при расходах на полное обслуживание долга в размере 26,1 млрд руб., то в феврале 1998 г. выручка достигла 30,9 млрд руб. при расходах на погашение долга на 1,7 млрд руб. меньше. В марте 1998 г. объем выручки от эмиссии бумаг достиг 45,0 млрд руб., что, в частности, было связано с переоформлением старых ОФЗ в новые и выплатой купона на сумму всего 14,1 млрд руб. В итоге чистое финансирование бюджетного дефицита оказалось близким к нулю.
В апреле и мае 1998 г. после ухода нерезидентов с рынка ГКО/ОФЗ (под влиянием смены правительства и отсрочки предоставления России очередного транша МВФ) выручка от размещения этих ценных бумаг стала ниже, чем объемы погашения основного долга, а чистое финансирование бюджетного дефицита за счет этого источника оказалось отрицательным. Стало очевидно, что дальнейшая эмиссия ГКО/ОФЗ невозможна даже для рефинансирования внутреннего долга, не говоря уже о финансировании бюджетного дефицита.
Так как любое правительство, по существу, всегда имеет возможность выбора между рефинансированием государственного долга, монетизацией бюджетного дефицита и повышением налогов в целях финансирования своих расходов, то угроза банкротства государства даже при значительной задолженности практически отсутствует. Однако повышенная активность ЦБ на рынке государственных долговых обязательств может нивелировать ту временную отсрочку повышения уровня инфляции, которая составляет основное преимущество внутреннего долгового финансирования бюджетного дефицита перед его монетизацией. Так. например, в России в 1995 г. треть от прироста объема рынка государственных облигаций составили их покупки Центральным Банком. В 1996 г. ЦБ России продолжал оставаться основным кредитором правительства - к началу 1996 г. задолженность Минфина России перед ЦБ по государственным ценным бумагам составила 36% от общей суммы задолженности Минфина, к концу первого полугодия 1996 г. на долю ЦБ приходилось 64,7% общей чистой задолженности правительства банковскому сектору, а доля коммерческих банков составила 35,3%.
Покупая государственные обязательства, ЦБ создает базу для последующей кредитной эмиссии коммерческих банков, что непосредственно вызывает увеличение денежной массы. Дополнения. внесенные Минфином в схему торговли ГКО, позволяющие допродавать не размещенные на первичном рынке ГКО и ОФЗ в режиме вторичного рынка, по существу означают, что рынок ценных бумаг утратил функции неэмиссионного источника финансирования бюджетного дефицита. ЦБ скупает эти ценные бумаги за счет прямой эмиссии или сокращения валютных резервов. Такая стратегия размещения внутреннего долга является, по существу, разновидностью монетизации бюджетного дефицита и создает скрытую угрозу увеличения уровня инфляции.
В июне 1998 г. доля Банка России в валовом финансировании бюджетного дефицита увеличилась до 7%, а в сентябре-декабре 1998 г. ЦБ стал главным источником заимствований, предоставляя, как и в 1992-1994 гг., кредиты правительству. Но так как с 1995 г. прямое кредитование правительства Центральным Банком было запрещено законом, эти кредиты оформлялись в иных, формально законных формах. Как и раньше, ЦБ покупал ОФЗ, которые размещались правительством: всего за период с сентября по декабрь 1998 г. было эмитировано этих ценных бумаг на сумму 44,6 млрд руб., из которых 20 млрд руб. приходятся на декабрьскую эмиссию. Кроме того, ЦБ предоставлял кредиты Внешторгбанку, который на эти деньги покупал у Министерства финансов государственные ценные бумаги. С помощью этого способа правительство получило 40,5 млрд руб. Общий объем финансирования дефицита федерального бюджета Банком России в сентябре - декабре 1998 г. составил 85 млрд руб., а доля ЦБ в валовом финансировании поднялась до 69%, причем в октябре -ноябре 1998 г. она составила 80-90%, что практически означало возврат к абсолютной монетизации бюджетного дефицита.
4. Внешнее долговое финансирование бюджетного дефицита.
Альтернативные возможности внешнего льготного финансирования бюджетного дефицита (например, получение безвозмездных субсидий из-за рубежа или льготных займов по низким ставкам с длительными сроками погашения) являются наиболее привлекательными, так как в этом случае дефицит бюджета не только не оказывает негативного воздействия на экономику, но и может оказаться весьма полезным, если такое финансирование связано с производительным использованием ресурсов. Нередко, однако, эти возможности льготного финансирования в переходных экономиках либо ограничены из-за значительной внешней задолженности, либо используются правительствами преимущественно в непроизводительных целях - на потребительские дотации, выплаты пенсий, увеличение государственного аппарата и т.д. Такие дополнительные бюджетные расходы не могут быть быстро сокращены в случае прекращения их внешнего субсидирования при отсутствии гарантированных внутренних источников покрытия, что усиливает общее напряжение в бюджетно-налоговой сфере.
Использование внешнего долгового финансирования бюджетного дефицита оказывается относительно эффективным, когда уровень внутренних процентных ставок превышает среднемировой и имеется возможность относительно стабилизировать валютный курс. Внутренние ставки процента поднимаются особенно значительно в том случае, когда стимулирующая фискальная политика правительства сопровождается ограничением предложения денег Центральным Банком в целях снижения уровня инфляции. В этих условиях зарубежный спрос на ценные бумаги данной страны увеличивается, что вызывает приток капитала.
Возросший зарубежный спрос на отечественные ценные бумаги сопровождается повышением спроса на национальную валюту, необходимую для их приобретения. В результате обменный курс национальной валюты проявляет тенденцию к повышению, что способствует снижению экспорта и увеличению импорта. Если не удается поддержать валютный курс относительно стабильным, то сокращение чистого экспорта оказывает сдерживающее воздействие на национальную экономику: в экспортных и в импортозамещающих отраслях снижаются занятость и выпуск, возрастает уровень безработицы. Поэтому первоначальное стимулирующее воздействие бюджетного дефицита может быть ослаблено не только за счет “эффекта вытеснения” инвестиций и потребительских расходов, но и за счет отрицательного “эффекта чистого экспорта”, ухудшающего состояние платежного баланса страны по счету текущих операций. Этот отрицательный “эффект чистого экспорта” может рассматриваться и как составная часть общего “эффекта вытеснения”, который, в таком случае, означает снижение всех трех компонентов негосударственных расходов - потребления, инвестиций и чистого
экспорта - в ответ на увеличение расходов правительства. Но одновременно с этим приток капитала способствует относительному снижению внутренних процентных ставок. В итоге масштабы “эффекта вытеснения” относительно сокращаются, причем его элиминирование оказывается тем более существенным, чем выше международная мобильность капитала и активнее его приток в данную страну. В то же время внешняя задолженность увеличивается. Обслуживание растущего внешнего долга предполагает передачу части реального выпуска продукции в распоряжение других стран, что может вызвать сокращение национального производства в будущем.
Увеличение внешней задолженности происходит в данном случае в известной мере “автоматически”, так как часть долговых обязательств правительства, которые раньше размещались на внутреннем рынке, теперь уходит на мировой финансовый рынок, и, таким образом, происходит своеобразное “превращение” части внутреннего долга во внешний. Так, согласно данным платежного баланса Российской Федерации за первое полугодие 1997 г., доля иностранного участия на рынке ГКО/ОФЗ возросла с 16% (по состоянию на 1 января 1997 г.) до 30% (по состоянию на 1 июля 1997 г.) и до 32% (к январю 1998 г.). Активный приток иностранного капитала на рынок ГКО/ОФЗ способствовал снижению процентных ставок по обслуживанию государственного внутреннего долга - за первое полугодие 1997 г. доходность ГКО снизилась в 1,5 раза, а в целом за 1997 г. ставка процента по ГКО составила в среднем 40,4% (против 102% в 1996 г.). Однако к середине августа 1998 г. она вновь превысила 130% годовых, хотя правительство России приостановило выпуск новых ГКО и получило новые значительные кредиты МВФ.
В предшествующий период - на протяжении 1995-1996 гг. -иностранные инвесторы имели не только непосредственный доступ к рынку государственных ценных бумаг, но также оказывали на него и косвенное воздействие, предоставляя банкам и инвестиционным компаниям заемные средства в СКВ под операции с ГКО/ОФЗ, что способствовало “скрытому” превращению внутреннего государственного долга во внешний. Либерализация доступа иностранного капитала на рынок государственных ценных бумаг в первом полугодии 1997 г. привела к тому, что риск таких “косвенных” вложений стал экономически неоправданным и практически произошла полная переориентация зарубежных инвесторов на использование только официального механизма покупки ГКО/ОФЗ.
По расчетам Министерства финансов России, размещение государственных обязательств на европейском денежном рынке обходилось дешевле их размещения на внутреннем рынке ГКО в среднем на 20%. Соответственно, данное направление финансовой деятельности правительства считалось одним из приоритетных. Однако такой тип финансирования бюджетного дефицита связан с ограничениями двоякого рода. Во-первых, он ограничен пределом нагрузки на экспортно-ориентированный сектор экономики, выручка от функционирования которого составляет основную часть выплат по обслуживанию внешнего долга. Во-вторых, такой “автоматический" рост внешней задолженности является объектом контроля со стороны МВФ и Всемирного Банка, которые, предоставляя России значительные кредиты на цели осуществления структурных реформ, отслеживали общую динамику размеров внешней задолженности и соблюдение графика ее обслуживания (с учетом условий реструктуризации долга).
Поэтому первый тур размещения “евробондов", проведенный Россией во втором полугодии 1996 г., явился, по некоторым оценкам, лишь относительным успехом, несмотря на то что спрос на эти ценные бумаги превысил их предложение в 2,8 раза: был размещен заем в размере 1 млрд долл., причем условия этого размещения достаточно жесткие (9,3% годовых, в то время как для США, например, этот показатель составляет 5-6% годовых). Кроме того, фактически в качестве условия для допуска на мировой финансовый рынок, Россия была вынуждена признать долг в 1,6 млрд долл.
В первом полугодии 1997 г. Министерство финансов РФ продолжало осуществление займов в этой форме, хотя условия и не стали более благоприятными: в марте 1997 г. номинал выпуска еврооблигаций составил 2 млрд немецких марок сроком на 7 лет при ставке купона в 9%, а в июне 1997 г. номинальная стоимость займа составила 2 млрд долл. США, срок - 10 лет при ставке купона в 10%. Более того - в первом полугодии 1997 г. на международный рынок капитала со своими ценными бумагами впервые вышли российские регионы. В мае 1997 г. Москва разместила трехлетние еврооблигации на сумму 500 млн долл, при ставке купона 9,5%, а в июне 1997 г. С.-Петербург привлек через еврооблигационный механизм 300 млн долл, на 5 лет при тех же условиях обслуживания.
Таким образом, общая сумма, полученная федеральными и местными органами власти России от выпуска еврооблигаций, составила в первом полугодии 1997 г. около 4 млрд долл. С учетом того, что доля иностранных инвесторов на рынке облигаций государственного внутреннего валютного займа достигала 43%, масштабы “превращения” внутреннего государственного долга во внешний оказались очень значительными.
В июле 1998 г. стратегия «превращения» краткосрочного внутреннего долга в долгосрочный внешний дополнилась новой операцией. Стремясь уменьшить объем внутреннего долга, правительство России объявило о готовности обменять некоторые выпуски ГКО на новые еврооблигации. В результате такого свопа было обменено ГКО на сумму 27,7 млрд руб., что на тот момент составляло лишь 6% рынка ГКО/ОФЗ. Поэтому данная мера имела своей целью не столько смягчение бремени долга, сколько намерение правительства переломить экономические ожидания девальвации рубля. Осенью 1998 г. и в 1999 г., после девальвации, стало очевидным, что эта мера только ухудшила положение с государственным долгом.
В целом угроза сочетания кризиса платежного баланса и кризиса внешней задолженности может возникнуть в том случае, когда, наряду с описанным выше процессом трансформации внутреннего долга во внешний, правительство страны одновременно увеличивает внешний долг за счет займов у официальных кредиторов, особенно если размеры этих займов превосходят дефицит счета текущих операций. Если эти заемные средства используются не на внедрение прибыльных инвестиционных проектов, а на разного рода субсидирование или на покупки известного количества иностранных активов (например, земельных участков в других странах и т.д.), то ресурсы иностранных займов оказываются использованными на финансирование оттока частного капитала из страны, что является распространенной практикой в переходных экономиках, в том числе и в России.
Аналогичные негативные последствия внешнего долгового финансирования возникают тогда, когда проценты по внешним займам настолько велики, что делают любые проекты неэффективными; когда долгосрочные проекты финансируются за счет краткосрочных займов, а также когда экономические агенты ожидают будущих девальваций национальной валюты. Практика завышения обменного курса национатьной валюты сопровождается, как правило, спекуляциями на ее грядущей девальвации. Эти спекуляции нередко принимают форму быстро растущего импорта, что способствует ухудшению состояния счета текущих операций платежного баланса. В итоге общий приток капитала в страну в форме официальных государственных поступлений из-за рубежа может быть перекрыт его общим оттоком, принимающим в этом случае форму так называемого “бегства” капитала. Так, несмотря на то что Россия, принявшая на себя задолженность бывшего СССР, уже дважды прибегла к широкомасштабной реструктуризации своего внешнего долга согласно договоренностям с официальными кредиторами (членами Парижского и Лондонского клубов), тем не менее масштабы ежегодного оттока капитала из страны продолжают оставаться весьма значительными, хотя и варьируют, вследствие различий в методиках расчета, в довольно широком интервале - от 18 до 30 млрд долл.
Макроэкономическая политика, направленная на относительное сокращение внутреннего долгового финансирования бюджетного дефицита за счет использования внешних источников, только при определенных условиях может восстановить общее равновесие платежного баланса в краткосрочном плане, но необязательно устранит дефицит счета текущих операций. Более того, внешнее долговое финансирование бюджетного дефицита в долгосрочной перспективе увеличивает внешнюю задолженность и актуализирует проблему ее обслуживания. Поскольку торговый баланс со временем фактически проявляет тенденцию к ухудшению, всем переходным экономикам, использующим этот способ финансирования, приходится во все большей степени полагаться на экспортные отрасли, чтобы предотвратить угрозу долгового кризиса.
Вместе с тем внешнее финансирование бюджетного дефицита оказывается менее инфляционным, чем его монетизация, так как предложение товаров на внутреннем рынке увеличивается в той мере, в какой внешние займы способствуют расширению импорта. При этом чем более открытой является переходная экономика и чем более жестким ее валютный курс, тем в меньшей мере внешнее долговое финансирование окажется инфляционным, но тем сильнее будет его воздействие на состояние платежного баланса.
В целом привлечение средств из иностранных источников для финансирования бюджетного дефицита может оказаться относительно привлекательным вариантом для переходных экономик преимущественно в тех случаях, когда:
• на внутреннем рынке ощущается дефицит капитала при высокой внутренней норме прибыли;
• торговый баланс относительно благополучен при наличии благоприятных перспектив расширения рынка;
• первоначальные размеры внешнего долга незначительны;
• первоочередной задачей макроэкономической политики является снижение вероятной инфляции;
• удается организовать концессионное финансирование, которое (как один из механизмов реструктуризации внешнего долга) связано с предоставлением иностранным банкам возможности обменивать долговые обязательства данной страны на акции ее промышленных корпораций. При этом иностранные инвесторы получают возможность перекупать эти долговые обязательства на вторичном рынке ценных бумаг со скидкой - при условии, что они осуществляют прямые инвестиции в экономику данной страны или покупают из этих средств отечественные финансовые активы. Во всех этих случаях иностранные инвесторы получают “долю” в капитале данной страны, а ее внешняя задолженность при этом уменьшается. Именно такая стратегия управления государственной задолженностью осуществлена, например, правительством Венгрии. В результате в этой стране бремя внешней задолженности не является в настоящее время фактором, ограничивающим экономический рост, который оказался «простимулированным» притоком иностранного капитала.
У различных стран с переходной экономикой возможности выбора приоритетных способов финансирования бюджетного дефицита неодинаковы, хотя и ограничены. Возможности для преимущественно неинфляционной стабилизации бюджета, как правило, незначительны и финансирование осуществляется при активном участии Центрального Банка, особенно на начальном этапе экономических преобразований. В то же время в таких странах, как, например, Чехия, Словакия и т.д., где к началу переходного периода не наблюдалось значительного нарушения рыночного равновесия, а правительство имеет твердое намерение осущест&лять рыночные реформы и пользуется доверием, финансирование бюджетного дефицита из любого источника сопряжено с меньшими издержками, чем, например, в Болгарии или в России и других государствах бывшего СССР, где ощущается резкий недостаток средств, поступающих как из внешних, так и из внутренних источников.
5. Показатели долговой нагрузки.
В 1996 г. показатель бремени общего государственного долга России, равный примерно 47% ВВП (из них 15,3% ВВП - бремя внутреннего долга и 31,7% - внешнего), нередко расценивался как относительно низкий и вполне безопасный для экономического развития.
Более того, формально по данному показателю Россия удовлетворяла Маастрихтским критериям членства в Европейском денежном союзе, согласно которым показатель долгового бремени должен составлять не более 60% ВВП. Однако для более точной оценки возможностей продолжения долгового финансирования бюджетного дефицита целесообразно сравнивать общие размеры государственного долга не только с ВВП, но и с объемом денежной массы (агрегатом М2). Действительное бремя государственного долга для той или иной страны предопределяется прежде всего способностью (или неспособностью) государства его обслуживать. А эта способность правительства мобилизовывать наличные денежные ресурсы в большей степени зависит от величины денежной массы, чем от размеров ВВП.
В условиях, когда показатель монетизации экономики, равный соотношению между объемом денежной массы М2 и ВВП, достаточно близок к единице, отношения объемов государственного долга к ВВП и к М2 если и не совпадают полностью, то достаточно близки по значению. Так, например, к середине 90-х годов показатели “долг/ВВП’' и “долг/Л/2” составляли соответственно 49 и 47% в Великобритании; 65 и 59% в Испании; 1,6 и 1,5% в Люксембурге; 23 и 18% в Швейцарии; 87 и 75% в Японии.
Картина существенно изменяется тогда, когда из-за низкого доверия к национальной валюте (вследствие, например, ранее пережитой высокой инфляции) уровень монетизации экономики низок. В этом случае показатель “долг/Л/2” оказывается в несколько раз выше, чем показатель “долг/ВВП”. Например, в Исландии, которая в 70-80-х гг. претерпела относительно высокую для западных стран инфляцию, отношение долга к ВВП составило к середине 90-х годов 55%, а отношение долга к М2 - 144,4%.
Аналогичная тенденция наблюдается и в России, где показатель монетизации экономики “Л/2/ВВП” остается очень низким вследствие высокой инфляции 1991-1995 гг. в 1996-1997 гг. он составлял около 12-13%, а к середине августа 1998 г. не превысил 15%. Поэтому при относительно невысоком в 1996 г. показателе бремени государственного долга в размере 47% от величины ВВП. отношение долга к денежной массе в середине 1996 г. составило около 378%. По последнему показателю Россия уже в 1996 г. почти в 1,5 раза опережала Грецию - страну с наиболее высоким уровнем государственной задолженности среди индустриальных стран: в Греции показатель “долг/Л/2” составлял примерно 261%.
Сравнительный анализ свидетельствует, что и в других переходных экономиках, например, в Польше в 1990-1991 гг. показатели монетизации экономики также были не очень высоки и составляли 23,5% (1990 г.) и 27,9% (1991 г.). При этом важно, однако, что если в России за период 1990-1995 гг. этот показатель снизился от 73,2 до 12,3%, то в Польше проявилась тенденция к его постепенному повышению от 23,5% в 1990 г. до 31,4% в 1995 г. Благодаря сокращению в 1992 г. кредиторами Парижского клуба чистой приведенной стоимости непогашенного внешнего долга Польши на 50% динамика соотношения «долг/ВВП» за период 1993-1997 гг. характеризуется следующими данными: 86,0% (1993 г.), 69,5% (1994 г.), 55,7% (1995 г.), 49,4% (1996 г.), 47,9% (1997 г.). Соотношение «долг/А/2», составлявшее в Польше в 1993 г. 276,53%, снизилось до 219,24% в 1994 г. и до 177,39% в 1995 г., что свидетельствует о более благоприятной, чем в России, ситуации с мобилизацией денежных ресурсов для обслуживания государственного долга. В то же время, как и в России, показатель «долг/Л/2» в Польше в несколько раз превосходит соотношение «долг/ВВП» за соответствующие годы, что является характерным для стран, в которых сохраняются высокие инфляционные ожидания.
Таким образом, реальное бремя государственной задолженности в России, несмотря на реструктуризацию внешнего долга, оказывается более тяжелым, чем это представляется на первый взгляд. Государственные займы, которые фактически являлись компенсатором разрыва между налоговыми поступлениями в бюджет и государственными расходами, очень быстро превратились в фактор расширения последних: уже в 1996 г. общая величина расходов государства по обслуживанию внешнего и внутреннего долга составила около 7% ВВП, увеличившись с 1992 г. почти в четыре раза. Это свидетельствовало об ограничениях в возможностях продолжения долгового финансирования бюджетного дефицита - как внутреннего, так и внешнего, которые появились в российской экономике задолго до финансового кризиса 1998 г.
К концу 1997 г. показатель долгового бремени в России увеличился до 50% ВВП. Проводившаяся до середины августа 1998 г. «жесткая» кредитно-денежная политика ЦБ России, нацеленная на сохранение низкого уровня инфляции и поддержку валютного курса, с необходимостью сопровождалась высокими процентными ставками по долговым обязательствам, деноминированным в отечественной валюте. Аналогичная ситуация складывалась и на Украине.
Удешевление рубля по мере развития финансового кризиса после 17 августа 1998 г. и сопровождающий такое удешевление обязательный рост инфляции способствовали снижению в России реальной ставки процента по «рублевому долгу», но, в то же время, неизбежно вызывали рост реального бремени задолженности в иностранной валюте, тем более что реструктуризация внутреннего долга предполагала переоформление ГКО в новые ценные бумаги, часть из которых представляла собой, по существу, уже внешние долговые обязательства. Введенный при этом временный мораторий на возврат иностранных кредитов в сочетании с общей нестабильностью финансовой системы не могли не снизить доверия зарубежных инвесторов к курсу стабилизации, что сдерживало приток иностранного капитала в Россию, который при других обстоятельствах мог бы оказаться фактором устойчивого снижения реальных процентных ставок.
Даже в наиболее благоприятной ситуации, когда низкие реальные процентные ставки превосходят темп роста реального ВВП всего на 1%, для стабилизации соотношения «долг/ВВП» необходимы первичные бюджетные излишки (а не первичные дефициты, которые имеют место в России, Чехии и на Украине). С ростом реальной процентной ставки увеличивается разрыв между ее динамикой и темпом роста реального ВВП, что требует компенсирующего увеличения первичного бюджетного излишка до 5% в России и до 3% на Украине. Наличие первичного бюджетного излишка в размере 3,5% ВВП позволило правительству Венгрии в 1997 г. снизить бремя долговой нагрузки - тем более что ожидавшийся в 1998 г. темп роста реального ВВП был весьма значителен (4,8%). В Чехии бремя обслуживания долга в 1997 г. относительно возросло (после нескольких лет его снижения в предшествующие годы), хотя в настоящее время правительство этой страны ориентирует свою бюджетно-налоговую стратегию на достижение в течение ближайших 2-3 лет сбалансированного государственного бюджета и обеспечение первичного бюджетного излишка.
В России и на Украине, так же как и в других переходных экономиках, где экономические реформы осуществляются более медленно, чем в странах Вышеградской группы, относительно высокие реальные процентные ставки усиливают бремя обслуживания долга. В этих условиях цели стабилизации показателя «долг/ ВВП» требуют либо обеспечения значительного и устойчивого первичного бюджетного излишка (с этой точки зрения показатели первичного бюджетного излишка в размере 1,65% ВВП и 3,18%
ВВП в России соответственно в 1999 и в 2000 гг., являлись заниженными), либо резкого ускорения темпов экономического роста. В противном случае правительствам этих стран не удастся предотвратить продолжения самовоспроизводства государственного долга.
6. Россия: концепции бюджетного финансирования 1997-2000 іт.
Тенденция к самовоспроизводству государственной задолженности не позволяет правительству России добиться устойчивого снижения напряженности в бюджетно-налоговой сфере: хотя уровень инфляции снизился за 1993-1997 гг. примерно в 40 раз, бюджетный дефицит, который в явной или скрытой форме служит питательной средой для инфляционных процессов в экономике, за этот период изменился всего лишь с 7,6% ВВП до 7,5% ВВП (соответственно). За столь серьезными различиями в динамике уровня инфляции и дефицита государственного бюджета стоит неэмиссионный (то есть долговой) способ финансирования последнего, который сопровождался скрытым инфляционным напряжением, особенно в условиях, когда долговое “дно” уже было достигнуто.
В 1997 г. правительство России было вынуждено искать дополнительные источники для выполнения растущих государственных обязательств: прежде всего на погашение задолженности по пенсиям к 1 июля 1997 г., а также на обслуживание внешнег о долга страны. Поэтому федеральные органы власти оставались активными заемщиками средств на мировом рынке. По данным платежного баланса Российской Федерации, за первое полугодие 1997 г. в структуре источников финансирования федерального бюджета доля внешних источников возросла с 45% (по состоянию на 1 января 1997 г.) до 64% (по состоянию на 1 июля 1997 г.). При этом основными инструментами привлечения средств выступили:
• во-первых, рынок государственных ценных бумаг (чистый приток иностранного капитала на рынок ГКО/ОФЗ и поступления от размещения выпусков еврооблигаций вместе составили около 11,4 млрд долл., что свидетельствует о значительных масштабах рассмотренного выше “превра-ще-ния" внутреннего государственного долга во внешний);
• во-вторых, кредиты международных финансовых организаций и иностранных государств (использовано 3,2 млрд долл.);
• в-третьих, новым явлением стал выход местных органов власти России (прежде всего правительств Москвы и Санкт-Петербурга) на рынок еврооблигаций. Общая сумма привлеченных средств составила в первом полугодии 1997 г. около 1 млрд долл.
Согласно концепции Федерального бюджета России на 1998 год доля внешнего финансирования бюджетного дефицита, оцениваемого в 5,6% ВВП, была снижена до 22,7%, а доля внутреннего финансирования увеличена до 77,3%. При этом, однако, планируемый приток финансовых ресурсов из внешних источников в размере 9,6 млрд долл, (или 57,6 млрд руб., с учетом деноминации рубля, исходя из курса обмена валют в соотношении 1 долл. = 6 руб.) превышал объявленный размер внешнего финансирования бюджетного дефицита (30 млрд руб.) примерно в 2 раза. В этих условиях у правительства сохранялись значительные возможности для “манипулирования” показателями как самого бюджетного дефицита, так и структуры его финансирования - тем более что в июле-августе 1998 г. МВФ предоставил Российской Федерации дополнительную финансовую поддержку в размере 11,2 млрд долл. (8,5 млрд SDR) на цели реализации стабилизационной программы. С учетом этого кредита правительство России уже использовало возможности получения финансовых ресурсов от МВФ в объеме 14,3 млрд долл. (10,7 млрд SDR), а к августу 1999 г. объем использованных ресурсов МВФ достиг 16 млрд долл. (12 млрд SDR), что составляет около 200% российской квоты в МВФ. При оставшемся «резерве» кредитования МВФ в размере около 150% квоты (около 12 млрд долл.; 8,9 млрд SDR) вопрос о более активном использовании внутренних источников финансирования бюджетных расходов являлся чрезвычайно актуальным, но, в то же время, и весьма проблематичным: дальнейшее увеличение бремени внутреннего долга блокирует возможности экономического роста, а “замена” внутреннего долгового финансирования монетизацией бюджетного дефицита способствует росту инфляционных ожиданий.
В условиях финансового кризиса, начавшегося в августе 1998 г. на фоне исчерпания источников внутреннего и внешнего долгового финансирования, правительство России отдало предпочтение возврату к монетизации бюджетного дефицита. Это привело к снижению объема реального ВВП за 1998 г. на 4,6% по сравнению с 1997 г., к быстрому росту уровня инфляции (если за октябрь и ноябрь 1998 г. инфляция потребительских цен составила 4,5 и 5,7% соответственно, то в декабре 1998 г. этот показатель достиг 11,6%, а в январе 1999 г. составил 8,5% за месяц), к резкому снижению курса рубля относительно доллара (темпы роста курса доллара за август-декабрь 1998 г. в 1,9 раза превышали инфляцию), а также к снижению доверия экономических агентов к стабилизационной стратегии правительства и Центрального Банка.
В соответствии с Законом о бюджете на 1999 год более 50% всех источников финансирования бюджетного дефицита составляют внешние займы от МВФ, МБРР, МФО, от правительств иностранных государств на основе двусторонних соглашений и связанные экспортные кредиты. Доля Банка России составляет около 30% валового финансирования. Большая часть этих средств должна поступить в форме прямой монетизации (то есть через оформленные окольным путем прямые кредиты ЦБ правительству), а остальная часть - в форме вновь размещаемых ОФЗ для реструктуризации принадлежащих Банку России государственных ценных бумаг. Около 12% всех источников финансирования бюджетного дефицита в 1999 г. составляют поступления от приватизации и продажи драгоценных металлов на внутреннем и внешнем рынках. Кроме того, во втором полугодии 1999 г., согласно Закону о бюджете, предполагалось постепенное возрождение внутреннего рынка государственных долговых обязательств.
Укрепление доверия оказывается особенно проблематичным на фоне ориентации правительства на дальнейшую реструктуризацию внутреннего и внешнего государственного долга, предполагающую выпуск вместо ГКО новых долговых обязательств с более длительными сроками погашения. Хотя официальные резервы ЦБ постепенно пополняются за счет обязательной продажи экспортерами их валютной выручки, тем не менее относительная неопределенность стратегии правительства в отношении обслуживания государственного долга в сочетании с системой множественных валютных курсов не может не “подпитывать” высоких инфляционных ожиданий. Так, ожидаемый уровень инфляции в 1999 г., согласно первоначальным прогнозным расчетам, не должен был бы превышать 30%, но уже к осени 1999 г. фактический уровень инфляции примерно в 1,5 раза превзошел соответствующий показатель за 1998 г., оценочная величина которого составляла 27,8%. Тенденция к росту инфляционных ожиданий вывела среднегодовой показатель инфляции в 1999 г., на уровень 92,5%, что послужило блокатором стимулов к долгосрочному экономическому росту: спад реального объема выпуска составлял в 1999 г. около 2%.
Объем источников финансирования дефицита Федерального бюджета в 2000 г. определился в размере 57,9 млрд руб. или 1,13% к прогнозируемому на этот период объему ВВП. Доля первичного профицита прогнозировалась на уровне 3,18% ВВП. Федеральный бюджет на 2000 г. в сфере внутренних заимствований был рассчитан исходя из ориентации на возрождение доверия к государству как заемщику. Основанием для такого построения долговой программы служит уже закончившаяся процедура реструктуризации государственного внутреннего долга, четкое соблюдение сроков выплаты доходов и основной суммы долга по реструктурированным обязательствам и практически отказ от привлечения средств на финансирование дефицита федерального бюджета в 1999 г.
Бюджет предусматривал в 2000 г. размещение на рынке государственных ценных бумаг на сумму 45 042 млн руб., продолжение размещения среди физических лиц облигаций российского внутреннего выигрышного займа 1999 г. (с привлечением в бюджет средств в объеме 35,1 млн руб.), получение доходов от продажи имущества, находящегося в федеральной собственности, в объеме 18 млрд руб. В последнем случае основным источником доходов бюджета должна была стать реализация находящихся в федеральной собственности акций ОАО «Очерский машиностроительный завод», «Прикаспийбурнефть», «Роснефть», «Связьинвест», «Лукойл», «Славнефть», «Транснефтьпродукт», «Камский ЦБК» и т.д.
Для финансирования дефицита, а также для импортных закупок оборудования в Федеральном бюджете 2000 г. предусматривалось привлечение финансовых ресурсов за счет внешних источников в объеме 5885, 2 млн долл. По линии МВФ ожидалось получение 2,6 млрд долл. Объем финансовых кредитов МБРР в 2000 г. предусматривался в сумме 1,15 млрд долл. При этом расходы по погашению основной суммы внешнего долга составляли 5300 млн долл., а объем источников внешнего финансирования дефицита бюджета оценивался в 585,2 млн долл.
В связи с недостаточностью привлекаемых на погашение и обслуживание внешнего долга иностранных кредитных ресурсов предполагалось заимствование у ЦБ РФ суммы в размере 1 млрд долл. Это означает, что в структуре финансирования бюджетного дефицита в 2000 г. доля эмиссионных источников превосходила долю внешнего долгового финансирования примерно в 2 раза. Аналогичные тенденции характерны и для бюджета 2001 г.
Опыт разрешения бюджетных проблем как в индустриальных странах, так и в переходных экономиках убедительно свидетельствует, что какими бы привлекательными ни казались мотивы эмиссионного финансирования бюджетного дефицита в каждый данный момент, в более долговременной перспективе это традиционно заканчивается нарастанием долгосрочного бюджетного напряжения.
Список рекомендуемой учебной литературы
1. Мэнкью НТ. Макроэкономика / Пер. с англ. - М., 1994.
2. Макконнелл КБрю С. Экономикс / Пер. с англ. - М., 1992.
3. Дорнбуш РФишер С. Макроэкономика / Пер. с англ. - М., 1997.
4. Долан Э., Линдсей Д. Макроэкономика / Пер. с англ. - СПб., 1994.
5. Долан Э., Кемпбелл К., Кемпбелл Р. Деньги, банковское дело и денежно-кредитная политика / Пер. с англ. - М. - Л., 1991.
6. Гайгер, Линвуд Т. Макроэкономическая теория и переходная экономика / Пер. с англ. - М., 1996.
7. Линдерт П. Экономика мирохозяйственных связей / Пер. с англ. - М., 1992.
8. Хейне П. Экономический образ мышления / Пер. с англ. - М., 1991.
9. Фишер С., Дорнбуш Р., Шмалензи Р. Экономика / Пер. с англ. -М., 1993.
10. Сакс Дж. Д., Ларрен Ф.Б. Макроэкономика. Глобальный подход / Пер. с англ. - СПб., 1994.
11. Эклунд К Эффективная экономика / Пер. с англ. - М., 1991.
12. Гальперин В.М., Гребенников П.И., Леусский А.И., Тарасе-вич Л. С. Макроэкономика. - СПб., 1994.
13. Бункина И.К. Деньги. Банки. Валюта: Учебное пособие. — М., 1994.
14. Система национальных счетов - инструмент макроэкономического анализа: Учебное пособие / Под ред. Ю.Н. Иванова. -М., 1996.
15. Сафонова В.П. Показатели системы национальных счетов в отечественной статистике: Учебное пособие для вузов. - М., 1996.
16. Курс экономической теории / Под ред. проф. А.В. Сидорови-ча. М., 2001.
17. Агапова ГА. Бюджетно-налоговое регулирование в переходной экономике: макроэкономический аспект. - М., 1998.
18. Албегова И.М., Емцов Р.Г.. Холопов А.В. Государственная экономическая политика. - М., 1998.
Учебное издание
Агапова Татьяна Анатольевна, Серегина Светлана Федоровна
МАКРОЭКОНОМИКА
Учебник
6-е издание, стереотипное
Подписано в печать 30.01.04. Формат 60x90/16. Объем 28 печ. л. Тираж 10000 экз. Зак. 299
Издательство «Дело и Сервис».
Адрес: 121096, г. Москва, ул. В. Кожиной, 14. Почтовый адрес: 107014, г. Москва, а/я 112.
Тел. 148-95-62, 964-97-57.
E-mail:
Определение ВВП дается в соответствии с новой версией СНС ООН, принятой в 1993 г. и представляющей современный международный стандарт в области национального счетоводства. Данное определение, а также определения валового национального дохода (ВНД) и национального дохода (НД) отличаются от определений, представленных в большинстве издававшихся ранее переводных учебников по экономике. Многие зарубежные издания учебников по экономике последних лет уже перешли к определениям, соответствующим новой версии СНС. На ней же основаны и данные Государственного комитета по статистике Российской Федерации.
В отличие от географической территории экономическая не включает территориальные анклавы других стран (посольсгва. военные базы и т.п.), но содержит анклавы данной страны, расположенные на территории других стран.
Термин "инвестиции" употребляется в макроэкономике в строго определенном смысле, он означает затраты на новое строительство или покупку нового оборудования. Приобретение ценных бумаг также часто называют инвестированием средств. Однако, хотя финансовые активы и обеспечивают их владельцам денежный доход, с точки зрения макроэкономики затраты на них не относятся к инвестициям, так как здесь речь идет не о создании новых, а о перераспределении уже существующих активов, переходе их от одного владельца к другому.
В новой редакции СНС в составе инвестиционных расходов выделяется чистое приобретение ценностей — предметов, служащих не для производственных или потребительских целей, а для сохранения стоимости (причем со временем их ценность растет); сюда относятся драгоценные металлы и камни, антиквариат, коллекции, ювелирные изделия и т.п., которые ранее Учитывались в составе потребительских расходов.
Государственные трансферты — это выплаты государственных органов, не связанные с движением товаров и услуг. Трансферты перераспределяют доходы государства, полученные от налогоплательщиков, через пособия, пенсии, выплаты по социальному страхованию и т.д. Существуют также трансферты бизнеса, например, в форме благотворительных взносов и др. В новой редакции СНС при исчислении ВВП по расходам (методом конечного использования) помимо указанных компонентов государственных расходов учитываются расходы на конечное потребление некоммерческих организаций, обслуживающих домашние хозяйства (НКОДХ), профсоюзов, политических партий, научных обществ, религиозных организаций, спортивных клубов, домов культуры, благотворительных организаций и пр., главной функцией которых является оказание нерыночных услуг своим членам и другим домашним хозяйствам. Расходы органов государственного управления и НКОДХ одинаково отражаются в учете и рассматриваются вместе. Между сектором государственного управления и НКОДХ имеется определенное сходство как в области их функций в экономике, так и в способах финансирования издержек. Оба сектора предоставляют нерыночные услуги; государственный — обществу в целом и отдельным его членам, НКОДХ - своим членам и другим домашним хозяйствам. Органы государственного управления финансируют свои расходы за счет налогов, а также доходов от собственности, которой они располагают. НКОДХ финансируют свои издержки за счет взносов, доходов от собственности, пожертвований.
‘ При подсчете ВВП учитывается чистый экспорт товаров и нефакторных услуг. Доходы, полученные из-за границы в качестве платежей за “услуги” факторов производства, предоставленные резидентами данной страны для производства ВВП в других странах, учитываются в показателе ВНД (валового национального дохода) в составе первичных доходов, полученных резидентами данной страны, но не для подсчета объема товаров и услуг, произведенных резидентами данной страны.
World Development Report 1998-1999, р.214-215.
Знак (-) означает превышение импорта нал экспортом.
В СНС доходами от собственности считаются доходы, возникающие в результате предоставления в ссуду или сдачи в аренду финансовых и материальных непроизведенных активов, в том числе земли, другим хозяйствующим единицам для использования в производстве. Сюда относятся: проценты, дивиденды и аналогичные виды доходов владельцев финансовых активов; рента, получаемая владельцами земли или ее недр, сдаваемых в аренду другим единицам; реинвестированные доходы от прямых иностранных инвестиций.
Отметим, что налоги на доходы и собственность не рассматриваются как первичные доходы, а трактуются как перераспределительные платежи.
В макроэкономике нередко вместо терминов “валовой внутренний продукт", “валовой национальный доход" используются более общие понятия -- объем выпуска, доход. — причем, как взаимозаменяемые. Это связано с тем, что. в принципе. ВВП, подсчитанный любым из трех способов, должен быть одинаковым по величине (если отвлечься от погрешностей учета). Поэтому можно говорить как о произведенной добавленной стоимости, так и о доходах. С другой стороны, для содержательной стороны анализа иногда не имеет существенного значения, какой показатель используется -ВВП, посчитанный определенным способом, или ВНД.
“ В учебной литературе по экономической теории, основанной на американских источниках, обычно рассчитывался чистый национальный продукт (ЧНП). Он был равен ВНП за вычетом амортизации. Национальный доход (НД) равнялся ЧНП за вычетом косвенных налогов. В новой редакции СНС косвенные налоги включаются в состав национального дохода.
Подробнее о кривой Филлипса см. главу 10 “Совокупное предложение и кривая Филлипса. Политика стимулирования предложения”.
Подробнее об этом см. главу 10 “Совокупное предложение и кривая Фил липса. Политика стимулирования предложения”.
При падении цен реальная заработная плата повысится, что увеличит предложение труда, но снизит спрос фирм на относительно дорогую рабочую силу. Может возникнуть безработица. Однако рационально мыслящие работники предпочтут получать более низкую номинальную заработную плату, нежели оказаться без работы, тем более, что при упавших ценах реально они смогут приобретать прежнее количество товаров. Номинальная заработная плата снизится вслед за ценами, а реальная упадет до исходного значения, что поднимет спрос на труд до первоначального уровня. Равновесие на рынке труда восстановится. Занятость и объем выпуска не изменятся. Безработица в этих условиях возможна лишь добровольная - если работники не согласятся на снижение номинальной зарплаты, что маловероятно.
Более подробно о краткосрочной кривой совокупного предложения см. гл. 10 “Совокупное предложение и кривая Филлипса...”.
в 6) а
2) в 7) г
3) в 8) б
4) б 9) вырос на 20%
5) б 10) а) У= 1600, Р= 1,25
б) AM = 250
Механизму действия инструментов бюджетно-налоговой политики и модификации величины мультипликатора посвящена гл. 6.
Подробнее об этих моделях мультипликатора см. главу 6 “Бюджетно-налоговая политика".
Подробнее об этом см. главу 3 “Макроэкономическая нестабильность../' и главу 10 “Совокупное предложение...".
Подробнее о проблеме временных лагов см. гл. 12 “Выбор моделей макроэкономической политики".
Более подробно о государственном долге см. гл. 17 “Бюджетный дефицит и управление государственным долгом”, а также Приложение 1.
Подробный анализ типов финансирования бюджетного дефицита см. в кн.: Агапова Т.А. Бюджетно-налоговое регулирование в переходной экономике: макроэкономический аспект. - М., 1998.
Подробнее об этом см. гл. 10 “Совокупное предложение и кривая Филлипса. Политика стимулирования предложения”.
1 Кейнс Дж. М. Избранные произведения. - М.: Экономика, 1993. - С. 356.
Пусть мы приобрели облигацию по курсу 100 000 руб., приносящую фиксированный доход в 5000 руб. в год. что соответствует существующей на этот момент процентной ставке, равной 5%. Затем мы решаем продать эту облигацию. Но процентная ставка на рынке изменилась и равна уже 8%. За какую сумму мы сможем теперь продать нашу облигацию при условии, что она приносит те же 5000 руб. дохода? По курсу 100 тыс. ее уже не купят, так как эти деньги могут принести 8000 руб. дохода при существующей рыночной ставке. Предполагая, что 5000 руб. соответствуют 8% дохода, получаем новый курс облигации, равный 62 500 руб. Общая формула для
а
определения текущего курса облигации такова: В - — , где В курс облига-
/
ции в данный момент, а - фиксированная сумма дохода, которую приносит облигация, / текущая рыночная ставка процента. В нашем примере
Очевидно, что фактором номинального спроса на деньги (MD) является также уровень цен.
См.: Мэнкью И.Г. Макроэкономика. Гл. 18.
Суммарное предложение денег равно:
1000х[1 + (1 - 0,2) + (1 - 0,2)2 +(1 - 0,2)3 + ...] = —
0,2
Представленная формула может быть получена и другим путем. Для этого выразим Ms и МВ через коэффициенты сг и гг и депозиты:
0
с MS
Ms = С + D = сг D + D = D(cr + 1), отсюда /)=-;
1+сг
В данной главе модель денежного рынка рассматривается для краткосрочного периода, с тем чтобы использовать ее в дальнейшем для выведения кривой LM в модели 1S-LM (см. гл. 9).
Если продавцом ценных бумаг является частное лицо, то, получив чек от Центрального Банка и предъявив его коммеческому банку, продавец может либо увеличить свой счет в банке, либо получить наличность. Частный банк, получив чек, депонирует указанную сумму на свой резервный счет в ЦБ, то есть в результате возрастает денежная база.
Как уже отмечалось, Центральный Банк не может полностью контролировать предложение денег. Так, рост процентной ставки на денежном рынке может вызвать снижение избыточных резервов (уменьшение коэф-
фициента гг = —, где R включает и обязательные, и избыточные резервы),
О
а также побудить население хранить относительно больше средств на депозитах и меньше в наличности, что отразится на снижении коэффициента сг С
(сг = — ). В результате увеличится денежный мультипликатор и, соотвст-D
ственно, предложение денег.
Подробнее об этом см. гл. 10 “Совокупное предложение и кривая Филлипса. Политика стимулирования предложения”.
Математически подобная замена не совсем точна (см.: Мэнкью Г. Макроэкономика, с. 455), но это не меняет общего смысла выводов.
Феномен инфляционной инерции довольно отчетливо проявляется в странах с переходной экономикой на фоне продолжительной высокой инфляции, связанной с либерализацией хозяйственной жизни. Так, по некоторым оценкам, доля инерционного фактора, обусловленного инфляционными ожиданиями, в росте оптовых цен (без отраслей ТЭК) в России в 1994 1995 гг. колебалась в пределах от 43,2 до 59,1% (по разным кварталам), тогда как доля такого фактора, как рост денежной массы, составляла максимум 19,5 %. (Экономический мониторинг России. Институт народнохозяйственного прогнозирования РЛН. Бюллетень. № 7. — М., 1996. - С. 47).
Р. Лукас на основе анализа статистических данных по 18 странам за полтора десятилетия показал, что даже краткосрочный эффект, полученный вследствие неожиданного увеличения совокупного спроса, ускользает, если правительство и Центральный Банк постоянно повторяют попытки стимулировать экономический рост с помощью денежных шоков (роста денежной массы). Он показал также, что в странах с относительно стабильными ценами (США, Германия) стимулирующая политика может дать значительный первоначальный эффект, увеличивая на некоторое время выпуск и занятость при сравнительно низкой инфляции. Напротив, в странах с высокой и нестабильной инфляцией (Аргентина, Парагвай и др.) такая политика дает незначительный или нулевой прирост выпуска, так что даже начальное увеличение номинального дохода связано обычно с ростом цен. И в том и в другом случае реальный эффект подобной политики недолговечен.
Можно предположить, что в дальнейшем новые трудовые контракты в условиях снизившейся инфляции и возросшей безработицы зафиксируют более низкий уровень заработной платы. Это относительно поднимет прибыли фирм, что позволит увеличить выпуск и восстановить естественный уровень безработицы. Кривая Филлипса сместится вниз. Спад производства и безработица оказываются необходимыми условиями для изменения инфляционных ожиданий и устойчивого снижения инфляции.
Иногда коэффициент потерь рассчитывают как отношение накопленного показателя циклической безработицы к величине снижения инфляции (в процентных пунктах) за определенный период. Например, если в течение 3-х лет сумма ежегодных превышений фактическим уровнем безработицы естественного, т.е. Х(м-ы ), составила 8 процентных пунктов, а инфляция за эти же 3 года снизилась с 6 до 4%, т.е. на 2 процентных пункта, то коэффициент потерь будет равен 8/2=4.
Подробное описание данного рисунка см.: Дорнбуш Р., Фишер С., Макроэкономика. М., 1997. Гл. 14.
Проблема ликвидации “налогового клина” стала в последние годы особенно актуальной для России. Одним из факторов спада в экономике стало сочетание высокой ресурсоемкости производства и роста цен на ресурсы, причем главным образом за счет увеличения их налоговой составляющей. Уменьшение налогового пресса, по мнению многих экономистов, позволит снизить цены на ресурсы, сократить издержки производства во многих отраслях и таким образом не только ослабить инфляцию, но и создать условия для роста производства и снижения дефицита бюджета.
Кривая Филлипса показывает:
а) обратную связь между реальной и номинальной заработной платой;
б) обратную связь между темпом инфляции и уровнем безработицы;
Иногда выделяют и рост дохода в расчете на одного занятого. Этот показатель может отличаться от показателей роста дохода а расчете на душу населения, поскольку отражает уровень и динамику экономической активности населения.
В некоторых случаях выделяются земля или природные ресурсы, но считается, что для промышленно развитых стран они не являются особенно важными факторами экономического роста.
Предпосылки модели Харрода остаются теми же, что и в модели Домара.
Изменение фондовооруженности (к), необходимое для поддержания устойчивого равновесия на уровне к*, происходит за счет гибкости цен на факторы производства. Например, при k2>k* объем капитала на одного занятого недостаточен для оснащения должным образом новой рабочей силы и покрытия выбытия. Это означает, что часть рабочей силы останется безработной. Но в условиях свободной конкуренции на рынках факторов безработица приведет к снижению цены труда по отношению к цене капитала, и предприниматели предпочтут перейти к новой технологии, требующей больше затрат труда и меньше капитала. Таким образом фондовооруженность (кі) снизится в направлении к*. Аналогичные рассуждения можно привести и для кі<к*, что свидетельствует о наличии внутренних механизмов движения системы к состоянию устойчивого равновесия.
Этот же результат можно получить, учитывая тот факт, что функция потребления достигает максимума при равенстве нулю ее первой производной: (г*) = \f(k*)-dk*\ = 0.
Подробнее об этом см. гл. 15 “Платежный баланс” и гл. 16 “Валютный курс”.
9-299
ке=0,4к !+0,2п 2+0,1 к 3+ +G (уравнение ожидаемой
инфляции )
Р— (1+я) Р { (уравнение уровня цен)
1 В этом случае в мультипликатор расходов вводится предельная склонность к импортированию пГ, показывающая изменение объема импорта при изменении дохода на единицу. Тогда мультипликатор расходов прини-
\-b(\~t) + m'
Вместо количества произведенных товаров можно рассматривать рабочее время, необходимое для производства заданного количества товаров, что не изменит смысла рассуждений.
Уравнение кривой производственных возможностей для страны А при заданных условиях будет выглядеть так: У=60 - 2Х, тогда если А"=20, то У=20.
Уравнение кривой производственных возможностей страны В: У=80--0,8У, тогда если А=65, то У=28.
Подробнее об этом см. раздел “Задачи и решения”.
“ Подробнее об этом см. гл. 6 “Бюджетно-налоговая политика”.
Подробнее о воздействиях торговых ограничений на динамику валютного к\рса см. гл. 16 ’‘Валютный курс".
Подробно эти меры рассмотрены в гл. 6 “Бюджетно-налоговая политика” и в гл. 8 “Банковская система. Кредитно-денежная политика”.
' -299
Товарный экспорт
Строго говоря, при такой расширенной трактовке чистого экспорта, охватывающей сальдо счета текущих операций в целом, под Y понимается валовой национальный располагаемый доход, включающий в себя ВВП, чистый первичный доход из-за рубежа и чистые трансферты. Однако подобное уточнение существенно только для конкретных экономических исследований и расчетов, касающихся взаимосвязи между платежным балансом и реальным сектором экономики. Это уточнение не изменяет содержания макроэкономического анализа данной проблемы.
' Подробнее об этом см. гл. 14 “Торговая политика”. - Подробнее об этом см. гл. 16 “Валютный курс”.
Подробнее об управлении задолженностью см. гл. 17 “Бюджетный дефицит и управление государственным долгом”, а также Приложение 1.
Подробнее об этом см. гл.12 “Выбор моделей макроэкономической политики”.
Подробнее об этом см. гл. 12 “Выбор моделей макроэкономической политики’'.
Подробнее об этом см. гл. 14 “Торговая политика”.
Подробный анализ количественных оценок бюджетного дефицита см. в кн.: Агапова Т.А. Бюджетно-налоговое регулирование в переходной экономике: макроэкономический аспект. - М, 1998.
О влиянии политического бизнес-цикла на возможные курсы правительства и ЦБ см. гл. 12 “Выбор моделей макроэкономической политики”.
Подробнее об этом см. гл. 6 ‘'Бюджетно-налоговая политика’*.
Более подробно об этих двух точках зрения на государственный долг см.: Мэнкью Н.Г. Макроэкономика. Гл. 16.
Подробнее об этом см. гл. 15 “Платежный баланс", и гл. 16 “Валютный курс".
Идея этого принципа принадіежит Я. Тинбергену.
При нулевой мобильности капитала, то есть при ее отсутствии, кривая ВВ имеет тот же наклон, что и кривая YY. В этом случае монетарная и фискальная политика не являются независимыми инструментами. Монетарная политика не имеет влияния на платежный баланс сверх того, что оказывает фискальная политика через рост дохода и импорта. В целом же можно считать. что точка D обычно расположена выше точки С, поскольку на практике влияние ставки процента на капитальный счет шире и глубже, чем на торговый баланс.
В публикуемых отчетах Центрального Банка этот гипотетический банк соответствует так называемому денежному обзору, который представляет собой консолидированный баланс банковской системы страны, исключающий межбанковские операции. Денежный обзор показывает внутренние и внешние источники формирования фактического предложения денег в экономике.
Напомним, что стерилизация проводится лишь при режиме фиксированного курса.
Фактически эффект вытеснения внутренних частных инвестиций погашается притоком иностранного капитала и увеличением предложения денег, что значительно усиливает положительное воздействие фискальной политики на доход и позволяет с ее помощью быстро восстанавливать внутреннее равновесие (движение из точки К в точку L на рис. 18.2).
Напомним, что при описании ситуаций, представленных точками А, //, Л', указывается прежде всего то направление влияния монетарной или фискальной политики, которое является относительно более сильным: например, влияние R на ВР и G на У, хотя “за кадром" подразумевается, что как монетарная, так и фискальная политика влияют на обе стороны равновесия внутреннюю и внешнюю (и на ВР, и на Y).
Например, рост денежной массы понизит R, что тут же вызовет отток капитала и угрозу снижения обменного курса. Если Центральный Банк сохраняет фиксированный курс, он вынужден будет допустить отток капитала, продавать валютные резервы и скупать собственную валюту для поддержания ее курса, то есть фактически снижать денежную массу в обращении. Это снижение будет продолжаться до возвращения R к исходному значению и прекращения оттока капитала. Если Центральный Банк попытается удержать и валютный курс, и новую величину денежной массы, то есть проведет стерилизацию, он вскоре исчерпает запас валютных резервов. Если же он решит поддерживать только валютный курс, то вынужден будет отказаться от намеченной величины денежной массы (исходного ее роста как цели внутренней денежной политики), допуская отток капитала, сокращение резервов и снижение предложения денег.
Независимость в данном случае означает, что органы управления реагируют на состояние экономики, а не на действия другого органа.
Напомним, что в данной главе, если иное специально не оговорено, рассматриваются краткосрочные последствия экономической политики.
Заметим, что неэффективность той или иной политики может иметь и положительный момент: неэффективность внутренней денежной политики при фиксированном курсе означает также и “неэффективность", то есть незначительное влияние на экономику негативных денежных шоков, которые в этом случае автоматически погашаются. Аналогично, неэффективность фискальной политики в отношении объема выпуска при плавающем курсе и высокой мобильности капитала означает, что экономика в этих условиях легче справится с негативными реальными шоками, например инвестиционными.
Данное уравнение аналогично приведенному в гл. 17 “Бюджетный дефицит и управление государственным долгом". Модификация состоит лишь в замене первичного излишка первичным дефицитом и учете эмиссионного дохода. Такая форма уравнения часто используется в прикладных аналитических материалах МВФ, касающихся оценки программ корректировки экономической политики в разных странах. Для оценки динамики внешней задолженности в краткосрочном периоде часто используется показатель доли внешнею долга в объеме экспорта. Изменение этого показателя связано с мировой процентной ставкой, динамикой обменного курса и экспорта.
Экономика: Знания - Циклы - Макроэкономика