Тарасевич - Макроэкономика
Авторы:
Тарасевич Леонид Степанович — профессор, ректор Санкт-Петербургского государственного университета экономики и финансов;
Гребенников Петр Ильич — профессор кафедры ценообразования Санкт-Петербургского государственного университета экономики и финансов; Леусский Александр Иванович — профессор, заведующий кафедрой экономической теории и мировой экономики Санкт-Петербургского государственного университета
экономики и финансов
Книга является шестым изданием первого российского учебника современного курса «Макроэкономика». Предыдущие три издания были опубликованы в издательстве Санкт-Петербургского государственного университета экономики и финансов, одним из соавторов был В.М. Гальперин. Четвертое и пятое правопреемственные издания вышли в издательстве «Юрайт».
Учебник содержит систематизированное и взаимосвязанное изложение макроэкономических проблем и современных методов их научного анализа. Основные положения и выводы иллюстрируются статистическими данными и фактами экономического развития России в 1992—2004 гг. В книгу включен сборник задач с их решениями.
Для студентов, аспирантов и преподавателей экономических вузов и факультетов.
Предисловие
В 1996 г. вышло в свет первое издание учебника «Макроэкономика», сориентированного на углубленное изучение теории функционирования рыночного хозяйства с использованием современных инструментов экономического анализа. Как первое, так и последовавшие за ним издания быстро разошлись по всей стране. За это время учебник прошел успешную апробацию в большинстве отечественных экономических вузов, стал базовым в ведущих учебных заведениях. Авторы получили много положительных отзывов не только от российских читателей, но и от профессоров ряда университетов Великобритании, Германии, США, Франции, Швеции, Китая. Учебник был предметом нескольких публичных обсуждений, на которых получил высокую оценку. В 2000 г. за создание комплекта учебников «Макроэкономика» и «Микроэкономика» авторам была присуждена премия Правительства РФ в области образования.
Время очередного переиздания книги определяется двумя факторами: новым материалом, который авторы могут предложить читателю, и спросом на учебник. В данном случае оба обстоятельства удачно совпадают. Со времени выхода последнего издания произошли существенные изменения в экономике России, которые потребовали теоретического осмысления и обновления фактологического материала, появился ряд новых теоретических подходов, которые могут быть отражены в учебной литературе. Что касается спроса, то издание 2003 г. уже стало библиографической редкостью и выпуск учебника в новой редакции стал необходим. Кроме того, накопился определенный опыт использования книги в учебном процессе, который учтен при компоновке материала.
В настоящем издании сохранены оправдавшие себя в педагогическом отношении структура и последовательность изложения курса макроэкономики: от анализа взаимодействия макроэкономических субъектов на отдельных рынках через макроэкономические модели функционирования национальной экономики к рассмотрению стабилизационной политики государства. Наряду со стремлением придать учебному курсу логическую целостность авторы с первого издания учебника считали необходимым ознакомить учащихся с альтернативными подходами к освещению и решению макроэкономических проблем различными экономическими школами. Наличие в экономической науке различных школ свидетельствует, по нашему мнению, не о ее кризисе, а о творческом развитии в соответствии с ходом истории.
Многолетний опыт преподавания макроэкономики подтвердил, что используемые в отдельных темах числовые примеры и предлагаемые в конце учебника типовые задачи с решениями очень полезны для более глубокого усвоения материала и, в частности, для создания компьютерных обучающих программ. Одновременно с данным изданием учебника авторы подготовили большое число электронных диалоговых упражнений, с которыми можно ознакомиться на сайте Санкт-Петербургского государственного университета экономики и финансов: .
Авторы выражают глубокую благодарность всем, кто принял участие в обсуждении рукописи данного учебника, прислал отзывы на предыдущие его издания с замечаниями и предложениями по совершенствованию книги. Особая признательность ушедшему из жизни нашему уважаемому коллеге и соавтору по предыдущим изданиям — доктору экономических наук, профессору Гальперину Вадиму Максо-вичу, который внес неоценимый вклад в формирование методической концепции учебника.
Авторы с благодарностью примут пожелания и рекомендации относительно содержания и методики изложения материала. Их можно направлять по адресу: 199023, Санкт-Петербург, ул. Садовая, д. 21, Издательство СПбГУЭФ и по электронной почте: . |
Принятые обозначения
A — автономные (независимые от величины национального дохода) расходы на закупку благ B — текущая рыночная цена облигации C — реальный объем потребления домашних хозяйств Ca— объем автономного потребления домашних хозяйств Cy — предельная склонность к потреблению по доходу Cv— предельная склонность потребления по имуществу D — государственный долг E — реальный объем экспорта e — обменный курс валюты F — свободное(нерабочее) время G — реальный объем государственных расходов H — денежная база i — ставка процента I — реальный объем чистых инвестиций Ibr — реальный объем валовых (брутто) инвестиций Iй — реальный объем чистых (нетто) инвестиций K — реальный объем капитала L — номинальный спрос на деньги l — реальный спрос на деньги M — номинальное предложение денег N — количество труда (рабочее время, число работающих) n — темп прироста трудовых ресурсов P — уровень цен Qi — количество благ i-го вида q — производительность труда R — валютные резервы центрального банка r — норма доходности капитального актива S — объем сбережений Sa — объем автономных сбережений Sy — предельная склонность к сбережению T — сумма налогов |
Ty — ставка подоходного налога и — норма безработицы
Y — скорость обращения денег
W — ставка номинальной заработной платы w — ставка реальной заработной платы
Y — величина номинального национального дохода у — величина реального национального дохода
yv — величина располагаемого национального дохода yF — величина национального дохода полной занятости Z — реальный объем импорта
Zy — предельная склонность к потреблению импортных благ 8 — дефицит государственного бюджета
Y = I + G + E — «приток» в народнохозяйственный кругооборот Часть I
? = S + T + Z — «отток» из народнохозяйственного кругооборота
п — темп инфляции __
п е — ожидаемый темп инфляции Введение в макроэкономику
^ — капиталовооруженность труда
а — производительность капитала
и — объем имущества
Xе — ожидаемое значение показателя х
xt = (xt - xt-i)/xt-i — темп прироста показателя x
ВВП — валовой внутренний продукт
ВНП — валовой национальный продукт
НД — национальный доход
ПП — промежуточный продукт
СНС — система национального счетоводства
СОП — совокупный общественный продукт
ЧНП — чистый национальный продукт
|
|
|
Таблица 1.1 |
|
|
|
Вопросы экономической теории |
Разделы экономической теории |
|
Микроэкономика |
|
Как потребители определяют объем и структуру спроса на рынке? |
Теория потребительского спроса |
|
Как производители устанавливают объемы выпуска благ и способы их производства? |
Теория производства и предложения благ |
|
Как образуются рыночные цены? |
Теории отраслевого и общего экономического равновесия |
|
Как распределяется национальный |
Теория ценообразования факторов |
|
доход? |
производства |
|
Должно ли государство участвовать в межотраслевом распределении факторов производства и распределении национального дохода между индивидами? |
Теория общественного благосостояния |
|
Макроэкономика |
|
Чем определяется величина националь- |
Теория статического макроэкономичес- |
|
ного дохода? |
кого равновесия |
|
Что такое деньги и какова их роль? |
Теория денег |
|
Что такое уровень цен и чем определяется его динамика? |
Теория инфляции |
|
Чем определяется уровень занятости? |
Теория занятости |
|
Какие факторы определяют колебания экономической конъюнктуры? |
Теория экономических циклов |
|
Каковы условия стабильного экономического роста? |
Теория экономического роста |
|
Какое воздействие на экономическую |
Теория платежного баланса и валютного |
|
конъюнктуру страны оказывает остальной мир? |
курса |
|
Как государство может способствовать |
Теория стабилизационной политики |
|
стабильному экономическому росту? |
государства |
Глава 1
Предмет и метод макроэкономического анализа
1.1. Макроэкономика как раздел экономической науки
В середине ХХ в. в основном направлении развития экономической теории, описывающем процессы общественного производства, распределения и использования материальных благ и услуг в мире ограниченных ресурсов, выделились две части, различающиеся по предмету и методам исследования, — микроэкономика и макроэкономика.
Микроэкономический анализ посвящен изучению поведения отдельных экономических субъектов (домашних хозяйств, фирм), выявлению условий, обеспечивающих совместимость их хозяйственных планов, и описанию механизма согласования совокупности индивидуальных целей субъектов национальной экономики. В современной экономике это согласование в значительной степени осуществляется посредством рыночного ценообразования благ и факторов производства. Поэтому механизм рыночного ценообразования составляет ядро микроэкономики.
Макроэкономический анализ направлен на выявление результатов функционирования национальной экономики в целом. В макроэкономике исследуют факторы, определяющие национальный доход, уровень безработицы, темп инфляции, состояние государственного бюджета и платежного баланса страны, темпы экономического роста.
Микроэкономика исследует меновое хозяйство, в котором используют «товарные деньги», т.е. функцию денег выполняет одно из производимых фирмами благ (например, золото). Это приводит к тому, что в микроэкономике рассматривают лишь реальный сектор национального хозяйства. Макроэкономический анализ исходит из существования в стране «кредитных денег». Процессы их возникновения и распределения в национальном хозяйстве образуют монетарный (денежный) сектор.
Взаимодействие реального и монетарного секторов национального хозяйства относится к числу основных проблем макроэкономики.
В центре внимания микроэкономики находятся аллокационные и дистрибутивные проблемы национального хозяйства. Макроэкономика концентрируется на колебаниях народнохозяйственной конъюнктуры и экономического роста.
В табл. 1.1. представлены основные вопросы, рассматривающиеся в каждой из двух частей экономической теории, и их разделы.
Содержание и структура экономической теории
Несмотря на относительную самостоятельность микро- и макроэкономики, их выводы о сущности экономических явлений и закономерностей часто дополняют друг друга. В последние годы экономисты большое внимание уделяют микроэкономическому фундированию макроэкономических концепций. |
Макроэкономика как наука о функционировании национального хозяйства в целом служит теоретической основой экономической политики в отдельных странах и организации мировых хозяйственных связей. Выделению макроэкономики в особый раздел экономической теории способствовали бурное развитие в ХХ в. эмпирических исследований функционирования национальных экономик и разработка инструментов для оценки народнохозяйственных результатов. Развитие макроэкономики происходило в тесной взаимосвязи с развитием статистики, эконометрики и системы национального счетоводства.
В настоящее время макроэкономическими категориями и показателями интересуются самые широкие слои населения. Текущие доходы людей непосредственно зависят от уровня национального дохода и занятости, ценность семейного имущества напрямую связана с темпом инфляции, состояние платежного баланса страны в значительной мере определяет степень свободы передвижения ее жителей через государственные границы. От текущих значений основных макроэкономических индикаторов страны существенно зависят исходы выборов в представительные и исполнительные органы власти.
1.2. Особенности макроэкономического анализа
Агрегирование. В макроэкономике используют агрегированные параметры. При макроэкономическом анализе в национальном хозяйстве выделяют лишь четыре экономических субъекта: сектор домашних хозяйств, предпринимательский сектор, государственный сектор и остальной мир (заграницу). Каждый из этих секторов представляет собой совокупность реальных хозяйственных субъектов. |
Сектор домашних хозяйств включает все частные хозяйственные ячейки внутри страны, деятельность которых направлена на удовлетворение собственных потребностей. Все факторы производства находятся в частной собственности домашних хозяйств. За счет их продажи или предоставления в аренду последние получают доход, который распределяют между текущим потреблением и сбережением. Следовательно, домашние хозяйства проявляют три вида экономической активности: предлагают факторы производства, потребляют часть получаемого дохода, покупая потребительские блага, и сберегают другую его часть, приобретая ценные бумаги и недвижимость.
Предпринимательский сектор представляет собой совокупность всех фирм, функционирующих внутри страны. Их деятельность сводится к закупке факторов производства, продаже произведенной продукции и услуг, поддержанию и развитию производственной базы. Иначе говоря, выделяются три вида экономической активности данного сектора: спрос на факторы производства, предложение благ и осуществление капиталовложений (инвестирование).
Государственный сектор — это все государственные институты и учреждения. Государство занимается производством общественных благ, которые в отличие от благ, производимых в предпринимательском секторе, достаются потребителю бесплатно, т.е. без непосредственной оплаты каждой потребляемой их единицы. К числу важнейших благ такого рода относятся национальная безопасность, достижения фундаментальной науки, услуги государственной социальной и производственной инфраструктур. Результаты деятельности государства как производителя общественных благ проявляются в увеличении продуктивности предпринимательского сектора и снижении затрат на потребление домашних хозяйств. Если государство не будет строить автострады, то у предпринимательского сектора возрастут транспортные затраты; когда нет бесплатного государственного образования, домашние хозяйства вынуждены платить за обучение детей непосредственно учителям.
Специфика хозяйственной деятельности государства в отличие от предпринимательского сектора заключается в том, что оно не преследует цели максимизации прибыли от получаемых конечных результатов. Целям экономической политики государства и методам их достижения посвящена часть IV данного учебника.
Для производства общественных благ государство закупает в качестве средств производства блага, созданные в предпринимательском секторе. Затраты на покупку благ вместе с затратами на оплату труда государственных служащих в дальнейшем будем называть государственными расходами. Источником их покрытия служат налоги, взимаемые с домашних хозяйств и предпринимателей. В расходной части государственного бюджета значительную часть составляют выплаты домашним хозяйствам (государственные пенсии и пособия) и предпринимателям (дотации и субвенции). Их будем учитывать в качестве отрицательных налогов. |
Кроме текущих расходов на производство общественных благ государство, как правило, осуществляет инвестиции в реальный капитал. По своему воздействию на экономическую конъюнктуру реальные капиталовложения государства существенно отличаются от его расходов на закупку вооружения или содержание аппарата чиновников. Однако в целях упрощения будем считать, что все инвестиции обеспечивает частный сектор, а государственный бюджет расходуется только на производство общественных благ.
Одной из важнейших экономических функций государства в лице его центрального (государственного) банка является создание (предложение) денег, необходимых для нормального функционирования национальной экономики.
Таким образом, экономическая активность государства как макроэкономического субъекта проявляется в расходовании бюджета, взимании налогов и предложении денег.
Остальной мир включает в себя экономические субъекты, имеющие постоянное местонахождение за пределами данной страны, а также иностранные государственные институты. Воздействие заграницы на отечественную экономику происходит через взаимный обмен товарами, капиталом и национальными валютами.
Кроме этих специфических видов экономической активности, каждый из перечисленных макроэкономических субъектов взаимодействует с другими через кредитование и заимствование.
В макроэкономическом анализе агрегируются не только физические и юридические лица, но и их поведение в хозяйственной жизни. Иначе говоря, совокупность микроэкономических функций спроса и предложения заменяется макроэкономическими функциями, отражающими поведение макроэкономических субъектов. При этом обнаруживается, что национальная экономика как сложная органическая система обладает свойством эмерджентности: последствия деятельности макроэкономического субъекта могут не совпадать с последствиями такой же деятельности микроэкономических субъектов, объединенных в макроэкономический агрегат. Так, если во время депрессии фирма воздерживается от реальных инвестиций, то это способствует сохранению ее капитала. Но если все фирмы поступают таким образом, то совокупный капитал и капитал каждой фирмы обесценятся. Для отдельного домашнего хозяйства ценные бумаги (облигации, акции) составляют часть его реального имущества; в то же время сумма всех обращающихся в стране отечественных ценных бумаг есть фиктивный капитал, представляющий собой финансовое обязательство одних граждан перед другими. |
Макроэкономическое агрегирование распространяется и на рынки. Все множество рынков отдельных благ, являющееся предметом изучения микроэкономического анализа, в макроэкономике объединяется в единый рынок благ, на котором покупается и продается только один вид благ, использующийся и как предмет потребления, и как средства производства (реальный капитал).
Вследствие свертывания всего множества реальных благ в одно абстрактное благо исчезает микроэкономическое понятие цены блага как пропорции обмена одного товара на другой. Предметом изучения становятся абсолютный уровень цен и его изменение.
Рынки факторов производства в макроэкономических моделях представлены рынком труда и рынком капитала. На первом продается и покупается один вид труда; на втором предприниматели покупают средства для расширения производства (возмещение изношенного капитала происходит за счет амортизации). Дополнительный капитал, необходимый для расширения производства, создается в результате сбережений экономических субъектов. Поскольку они образуются путем покупки ценных бумаг (облигаций, акций), открытия сберегательных счетов в банках, то рынок капитала называют также рынком ценных бумаг.
Роль денег в современной экономике исследуют посредством специфического макроэкономического инструмента — рынка денег, на котором в результате взаимодействия спроса и предложения формируется цена денег — ставка процента.
Рынок благ и рынок труда вместе образуют реальный сектор экономики, а рынок денег и рынок ценных бумаг — ее монетарный сектор.
Очевидными издержками макроэкономического агрегирования являются частичная потеря информации и повышенный уровень абстракции экономических исследований. Однако высокий уровень абстракции — осознанный прием макроэкономических исследований, соответствующий их целям. Так, микроэкономическое наблюдение за домашним хозяйством преследует цель выяснить, почему спрос одного индивида отличается от спроса другого; в результате оказывается, что на это влияет большое число факторов: доход, индивидуальные предпочтения, возраст, семейное и социальное положения, место жительства и др. При изучении сектора домашних хозяйств в макроэкономике главная цель — это объяснить колебания объема потребительского спроса во времени; в этом случае все перечисленные факторы, кроме дохода, взаимно нейтрализуются в ходе агрегирования.
Чтобы агрегированные категории не потеряли экономического смысла и научной ценности, необходимо соблюдать определенные пра- |
вила, которые разрабатываются в системе национального счетовод-1
ства .
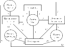
Макроэкономические взаимосвязи. В результате макроэкономического агрегирования функционирование национальной экономики представляется в виде хозяйственной деятельности четырех субъектов, взаимодействующих друг с другом на четырех агрегированных рынках. Вследствие отмеченной выше специфики государственного участия в национальном хозяйстве между государством и частным сектором кроме рыночных существуют и нерыночные экономические связи. Наглядно совокупность основных макроэкономических взаимосвязей можно представить в виде схемы (рис. 1.1).
|
 |
Рис. 1.1. Схема взаимодействий между макроэкономическими субъектами:
1 — предложение благ; 2 — спрос на блага домашних хозяйств; 3 — спрос на инвестиции; 4 — спрос на блага государства; 5 — экспорт; 6 — импорт; 7 — предложение труда; 8 — спрос на труд; 9 — спрос на деньги; 10 — предложение денег; 11 — предложение ценных бумаг; 12 — спрос на ценные бумаги; 13 — налоги |
1 «Созидательная сила макроэкономики заключена в верности методу сверхупрощения, который используется для получения конкретных выводов. Прийти к таким выводам на основе применения более сложных моделей либо значительно труднее, либо вообще невозможно. Макроэкономика вполне оправдала возложенные на нее ожидания, предложив экономистам и политикам такие анализ и объяснение процессов, какими они совершенно не располагали ранее. Однако именно метод сверхупрощения, который сделал реальными такие успехи макроэкономики, требует наивысшей осторожности, когда речь идет о том, чтобы полагаться на ее выводы и использовать их на практике. Они должны быть тщательно маркированы надписью «Обращаться осторожно», дабы предостеречь пользователя, поскольку неправильное применение данных выводов может нанести вред здоровью экономики» (Баумоль У. Чего не знал А. Маршалл?/Вопросы экономики. 2001. № 2. С. 81).
Упрощение экономической действительности до обозримого числа наиболее существенных взаимосвязей составляет основу макроэкономического моделирования, посредством которого осуществляют соответствующий анализ. Какие взаимосвязи считать главными, зависит от цели исследования. Так, при выяснении сущности инфляции в центре внимания оказываются динамика денежной массы, издержек производства и обменного курса валют, а при изучении механизма экономического роста — инвестиции, темпы роста населения и технический прогресс.
Моделируемые взаимосвязи и процессы описываются в виде математических уравнений. Модель исследуемого объекта включает в себя две группы элементов: известные к моменту ее построения параметры и неизвестные величины, которые надо установить в результате анализа (решения) модели. Первые также называют экзогенными (их определяют вне модели), а вторые — эндогенными (их рассчитывают внутри модели) параметрами. Построить модель функционирования некоторой системы — значит отыскать или постулировать оператор (функцию), связывающий неизвестные и известные ее параметры.
При построении макроэкономических моделей обычно используют четыре типа функциональных уравнений.
1. Поведенческие функции, выражающие сложившиеся в обществе предпочтения. Так, выявленную закономерность распределения домашними хозяйствами своего дохода между потреблением (C) и сбережением (S) можно представить в виде следующих соответствующих функций: C = C(y) и S = S(y).
2. Функции, характеризующие технологические условия производства, т.е. зависимость между количеством используемых факторов производства (труда N и капитала K) и максимально возможным выпуском: y = y (N, K).
3. Институциональные функции, представляющие институционально установленные зависимости между параметрами модели. Например, сумма налоговых поступлений (T) есть функция от величин дохода (y) и установленной соответствующим институтом налоговой ставки (Ty): T=Tyy.
4. Дефиниционные функции, выражающие зависимости, которые соответствуют вербальному определению экономических явлений. Например, под совокупным спросом на рынке благ (yD) подразумевают потребительский спрос домашних хозяйств (C), инвестиционный спрос предпринимательского сектора (I), государства (G) и заграницы (E). Это определение можно представить в виде тождества yD = C + I + G + E. |
К экзогенным параметрам макроэкономических моделей относят технологию производства в виде производственной функции и поведение экономических субъектов на каждом из рынков в виде их функций спроса и предложения. Эндогенными показателями, получаемыми в результате анализа модели, являются величина реального национального дохода, уровень занятости, ставка заработной платы, ставка процента и уровень цен. Особый интерес представляет такой вектор эндогенных величин, при котором экономика оказывается в состоянии общего равновесия.
Общее экономическое равновесие. Оно характеризует состояние, при котором объем производства и пропорции обмена сложились таким образом, что на всех рынках одновременно достигнуто равенство между спросом и предложением и при этом никто из участников рыночных сделок не заинтересован изменять свои объемы покупок или продаж. Экономическое равновесие — это категория «ex-ante» анализа. В прошедшем периоде спрос и предложение всегда равны друг другу: в прошлом году было продано столько товаров, сколько их купили, или наоборот. Определить состояние общего экономического равновесия значит выяснить, при каких условиях все участники рыночного хозяйства смогут реализовать свои намеченные цели. Поэтому экономическому равновесию соответствуют не только определенный объем и структура предложения благ, но и удовлетворенность каждого участника рыночных сделок реализацией намеченных им планов. Например, такой факт, что в 2000 г. в России было продано и куплено товаров народного потребления на 2,4 трлн руб., сам по себе не свидетельствует о наличии в этом году на потребительском рынке страны равновесия. Необходимо еще знать, желали ли производители продать, а потребители купить именно такое количество благ при сложившихся затратах, доходах и ценах. Иначе говоря, надо выяснить, не появились ли у производителей сверхплановые приросты запасов готовой продукции, а у потребителей — вынужденные сбережения.
Достижение общего экономического равновесия не означает, что теперь каждый участник рыночного хозяйства доволен своим положением; равновесие просто констатирует, что за счет изменения объема и структуры покупок или продаж никто не сможет улучшить свое благосостояние в сложившихся условиях. Общее экономическое равновесие, как и равновесие на отдельном рынке, не обязательно является Паре-то-оптимальным состоянием, при котором нельзя повысить благосостояние хотя бы одного субъекта без снижения благосостояния других. Так, равновесие на монополизированном рынке устанавливается при неоптимальном использовании ресурсов, хотя в сложившихся условиях участники рыночных сделок максимизируют свои целевые функции. |
Общее экономическое равновесие не является типичным состоянием рыночной экономики, так как разрабатываемые независимо друг от друга планы суверенных субъектов лишь случайно могут оказаться взаимно согласованными. Из-за постоянно изменяющихся потребностей населения и технологии производства экономика чаще оказывается в состоянии перехода от одного равновесного состояния к другому. Поэтому в действительности и отдельные рынки, и национальное хозяйство в целом чаще оказываются в неравновесном, чем в равновесном состоянии. Однако поведение экономических субъектов в рыночном хозяйстве устремляет его к равновесию: до тех пор, пока планы участников рыночных сделок не окажутся согласованными, они будут посредством изменения спроса и предложения корректировать экономическую конъюнктуру. Зная, например, что равновесный объем инвестиций равен 20 млрд руб., в то время как в текущем периоде он составлял лишь 15 млрд руб., можно предсказать увеличение объема инвестиций.
Для понимания специфики текущей хозяйственной конъюнктуры и проведения экономической политики важно установить, является ли экономическое равновесие устойчивым или неустойчивым. Если в ответ на экзогенный импульс, нарушающий равновесие, система сама под влиянием внутренних сил возвращается в равновесное состояние, то такое равновесие называют устойчивым, если же она не восстанавливается самостоятельно, то — неустойчивым. Поэтому наряду с определением условий установления общего экономического равновесия необходимо исследовать, будет ли оно стабильным или нет.
В зависимости от того, в какой мере при исследовании экономических явлений учитывается время, различают три вида анализа: статический, сравнительной статики и динамический.
При статическом анализе определяют, при каких значениях эндогенных параметров в данный момент установится равновесие. В этом случае применяют статические модели, все параметры которых относятся к одному и тому же периоду времени. В таких моделях предполагается, что эндогенные переменные моментально реагируют на изменения экзогенных параметров.
Если в статической модели значения экзогенных параметров в одном периоде заменить на их значения в другом, то исследование модели дает новые величины эндогенных переменных. Такой прием называют анализом сравнительной статики. Он позволяет определить значения эндогенных параметров в различные моменты времени, но при этом не раскрывает процесс перехода от одного равновесного состояния к другому. Основная задача анализа сравнительной статики заключается в оценке влияния того или иного изменения экзогенных параметров на эндогенные (например, как увеличение государственных расходов скажется на объеме инвестиций). |
Процесс перехода экономики из одного состояния в другое исследуют с помощью динамического анализа, в котором применяют динамические модели. В последних содержатся переменные, относящиеся к разным периодам времени, поэтому они описывают процесс перехода от исходного состояния к конечному. В рамках динамического анализа выясняются также причины возможного невозвращения экономической системы в равновесное состояние после экзогенного шока (толчка).
Кроме того, учет времени в экономических исследованиях осуществляют путем выделения короткого и длинного периодов. Предметом анализа в коротком периоде служат потоковые величины народнохозяйственного кругооборота (доходы, сбережения, амортизация, инвестиции и др.) и их влияние на объемы запасов (имущества). Обратное воздействие изменения объемов имущества на потоки при этом не учитывают. Комплексный анализ взаимодействия экономических потоков и запасов осуществляют на моделях экономических процессов в длинном периоде.
Так как все эндогенные макроэкономические параметры взаимосвязаны, то их равновесные значения, как правило, можно определить только совместно на основе решения системы уравнений, описывающей взаимодействие макроэкономических субъектов одновременно на всех макроэкономических рынках. Однако одним из приемов изучения сложных экономических процессов является частичный анализ. Суть его состоит в том, что многие влияющие на объект исследования факторы принимаются заданными и неизменными; изменяются лишь те, воздействие которых на изучаемый объект желательно установить. Частичный анализ (выявление некоторой зависимости «при прочих равных условиях») особенно востребован при изучении первых тем учебного курса. Полученные данные используют затем при проведении общего анализа, при котором учитывают комплексное воздействие всех основных факторов на формирование исследуемого явления. Общий анализ позволяет также установить, не взаимоисключают ли друг друга полученные в ходе частичного анализа выводы. |
В данном учебнике избрана следующая логика макроэкономического анализа: вначале определяют условия равновесия на каждом из рынков в отдельности и лишь затем выводят условия одновременного его достижения на всех рынках. При этом используют известный из микроэкономики закон Вальраса: если в хозяйстве, состоящем из n взаимосвязанных рынков, равновесие установилось на (n — 1) рынках, то равновесие будет и на последнем из них.
1.3. Исходные понятия
Своеобразие предмета и методов макроэкономического анализа обусловливает использование в макроэкономике понятий, не встречающихся в микроэкономике. Они будут вводиться постепенно на протяжении всего учебного курса. Здесь раскроем содержание только некоторых исходных макроэкономических категорий.
В качестве обобщающих показателей результатов функционирования национальной экономики за определенный период применяют такие агрегированные параметры, как валовой внутренний продукт, валовой национальный продукт, чистый национальный продукт, национальный доход и располагаемый доход.
Валовой внутренний продукт — это сумма добавленных ценностей, созданных за определенный период всеми производителями, ведущими производство на территории страны. При этом под добавленной стоимостью понимают разность между выручкой и ценностью материальных затрат на производство и реализацию продукции. Поскольку услуги государства не получают ценностной оценки, то его вклад в создание ВВП измеряется величиной заработной платы, выплаченной государственным служащим.
Валовой национальный продукт — это ВВП минус сумма добавленных ценностей, созданных на территории страны посредством использования факторов производства, принадлежащих иностранцам, плюс сумма добавленных ценностей, произведенных за границей за счет факторов, принадлежащих гражданам данной страны. В полностью закрытой экономике ВВП равен ВНП.
Чистый национальный продукт — это ВНП за вычетом амортизации. Последняя представляет собой эквивалент величины обесценения основного капитала за период.
При определении всех перечисленных показателей результативности функционирования национальной экономики используют рыночные цены. Из микроэкономики известно, что рыночные цены благ без остатка раскладываются на факторные доходы: заработную плату, процент, ренту и предпринимательский доход. Но так обстоит дело только в том случае, если государство не прибегает к косвенным налогам и субвенциям. Первые повышают цену конечной реализации, вторые снижают ее. Поэтому, чтобы узнать величину созданного за период национального дохода — сумму всех факторных доходов, надо из ЧНП, измеренного в ценах реализации, вычесть косвенные налоги и прибавить субвенции. Иначе говоря, национальный доход есть ЧНП, измеренный в «очищенных» ценах факторов производства, которые являются расчетными величинами и не используются в рыночных сделках. Чистый национальный продукт в рыночных ценах можно рассматривать как сумму результатов экономической деятельности частного сектора — национального дохода и государства — сальдо косвенных налогов и субсидий. |
Кроме косвенных государство взимает прямые налоги и социальные отчисления с доходов домашних хозяйств и фирм, а также осуществляет социальные выплаты и субсидирует некоторые виды производства. Если из НД вычесть прямые налоги и отчисления и прибавить субсидии производству, то получится наиболее интересный для потребителей показатель — располагаемый доход.
В некоторых случаях, например, при определении количества денег, необходимых для нормального функционирования экономики, приходиться использовать показатель совокупного общественного продукта (СОП), который представляет собой сумму цен всех произведенных за год товаров и услуг; СОП превышает ВВП на величину импорта и промежуточного продукта (ПП), под которым подразумевают ценность товаров и услуг, потребленных в процессе производства ВВП.
Пример 1.1. В 1999 г. СОП составил 9414,9 млрд руб., в том числе импорт 1257,3, а ПП — 3612,1 млрд руб. Следовательно, ВВП был равен 4545,5 млрд руб. Налоги на продукты (косвенные налоги) составили 542,5 млрд руб., а субсидии — 132,6 млрд руб.; поэтому ВВП, измеренный в ценах факторов производства, равнялся 4135,6 млрд руб.
Сальдо заработной платы, полученной гражданами России за границей и выплаченной в нашей стране нерезидентам, составило 6,4 млрд руб.; сальдо доходов от собственности, полученных от остального мира и переданных ему, было отрицательным: -192,5 млрд руб. Следовательно, ВНП = 4545,5 + 6,4 -- 192,5 = 4359,4 млрд руб. Кроме того, из остального мира в Россию поступило безвозмездных переводов (текущих трансфертов) на сумму 25,9 млрд руб., а из страны в остальной мир ушло по этой статье 12,2 млрд руб. Поэтому валовой национальный располагаемый доход составил 4359,4 + 25,9 - 12,2 = = 4373,1 млрд руб. |
В приведенном примере нет величины НД. Это связано с тем, что в 1990-х гг. в России отсутствовали достоверные данные о рыночной ценности основных производственных фондов и их амортизации.
Все доходы можно разделить на два вида: доходы от труда и доходы от имущества.
Под имуществом понимают любой источник законного нетрудового дохода. Основными видами имущества являются производительный (реальный) капитал, земля, жилые дома, ценные бумаги, лицензии и патенты и др. Денежная оценка имущества представляет собой дисконтированную сумму ценностей ожидаемых от него доходов.
Совокупность имущества, принадлежащего частным физическим и юридическим лицам, а также государству, образует национальное богатство.
Всеобщим платежным средством являются деньги, их в стране по закону все должны принимать при оплате товаров и услуг, а также в качестве налоговых и прочих обязательных отчислений.
Отношение ценности фиксированного набора благ (корзины), измеренной в ценах одного периода, к ценности этого же набора в ценах другого периода характеризует индекс цен. В зависимости от выбранной корзины благ различают индексы потребительских цен, цен промышленной, сельскохозяйственной продукции и др.
Одним из наиболее часто используемых в макроэкономике показателей является уровень цен, который не тождественен индексу цен. Под первым понимают денежную оценку блага (или корзины благ), служащего масштабом цен. Второй отображает изменение уровня цен только в том случае, если между двумя рассматриваемыми моментами времени относительные цены всех благ остались неизменными. Рассмотрим это подробнее.
Если в некоторой безденежной экономике обращается n благ, то можно принять единицу одного из них (например, 1 г золота) за масштаб цен, т.е. считать, что цена единицы этого блага равна 1. Тогда равновесные пропорции обмена всех других благ на данное благо образуют вектор равновесных относительных цен
P1,P2,---, Pn-1,
Посредством этого вектора относительных цен можно определять совокупный результат хозяйствования производителей различных благ. Так, если количество вновь созданного за период блага i обозначить Qi, то общий экономический результат можно представить одной цифрой — величиной реального национального дохода |
n ~
Е Pi Qi - y.
i=1
Произведение представляет ценность блага i, выраженную в единицах n-го блага, избранного мерой ценности всех других благ.
Если единице n-го блага дать денежную оценку P, то это и будет уровень (масштаб) цен. Денежные цены всех других благ определятся в результате умножения относительной их цены на уровень цен:
P1 = PP1, P2 = PP2,-, Pn-1 = PPn-1,
а номинальная (денежная) величина национального дохода составит
n n
Е PPiQi = P Е PiQi = Py - Y.
i=1 i=1
Уровень цен используют для пересчета денежных (номинальных) величин экономических параметров в их реальные значения. Реальное значение макроэкономического показателя — это не натуральная, а ценностная величина, выраженная в неизменных (базовых) ценах. Оно определяется путем деления номинального значения, выраженного в текущих ценах, на уровень цен. Так, для определения величины реального национального дохода надо его величину, подсчитанную в текущих ценах, разделить на уровень цен; номинальная заработная плата, деленная на уровень цен, равна ее реальной сумме. Если разделить некоторую сумму денег на уровень цен, то получим величину реальных кассовых остатков, которая показывает, сколько благ можно купить на данную сумму денег.
Поскольку по мере развития экономики меняется соотношение между количествами обращающихся товаров и денег, то уровень цен со временем изменяется. Отношение уровней цен текущего (P1) и базового (P0) периодов служит мерой изменения уровня цен за период. Запишем это отношение в трех тождественных формах:
п рЕ Р0Й0 Е P1Q0
P = i=1 = 1=1_
0 Po Е р 0Q10 Е Pi 0Q10
i=1 i=1 |
В практических расчетах изменения уровня цен применяют третью форму (индекс Ласпейреса), так как статистики относительных цен нет. В связи с этим нужно иметь в виду, что индекс Ласпейреса лишь в том случае покажет изменение уровня цен, если в рассматриваемом периоде не менялись относительные цены благ.
Пример 1.2. В некотором безденежном хозяйстве сложилось устойчивое равновесие при ежедневном производстве 100 кг хлеба, 50 л молока, 40 м2 тканей, 20 пар обуви и следующих пропорциях обмена: 1 л молока = 3 кг хлеба; 1 м2 ткани = 5 кг хлеба; 1 пара обуви = 8 кг хлеба.
Приняв 1 кг хлеба в качестве масштаба цен, получим вектор равновесных относительных цен:
P~ хл = 1; P мол = 3; Як = 5; Pоб = 8; величина реального национального дохода составит
у0 = 1 • 100 + 3 • 50 + 5 • 40 + 8 • 20 = 610, т.е. ценность всего набора производимых благ эквивалентна ценности 610 кг хлеба.
Допустим, что в этом хозяйстве решили перейти на денежное измерение ценности благ и денежная цена 1 кг хлеба установилась равной 6 ден. ед. Тогда образуется следующий вектор денежных цен:
р’хл = 6; -Рмол = 18; -Ртк = 30; -Роб = 48;
величина номинального национального дохода в данном случае составит
Y0 = Py0 = 6 • 100 + 18 • 50 + 30 • 40 + 48 • 20 = 3660.
Если по каким-либо причинам денежная оценка хлеба удвоится, т.е. PM = 12 ден. ед., то произойдет удвоение уровня цен, что найдет адекватное отражение и в индексе Ласпейреса.
Но может случиться так, что при той же денежной оценке хлеба (Рхл = 6 ден. ед.) изменятся пропорции равновесного обмена благ, например 1 л молока = 4 кг хлеба; 1 м2 ткани = 8 кг хлеба; 1 пара обуви = 5 кг хлеба.
В данном случае величина реального национального дохода
y1 = 1 • 100 + 4 • 50 + 8 • 40 + 5 • 20 = 720,
т.е. имеет место рост реального национального дохода: У1/У0 = 1,18. Индекс Ласпейреса также составит 1,18, но это нельзя интерпретировать как рост уровня цен. Индекс Ласпейреса выражает изменение уровня цен только в том случае, если вектор равновесных относительных цен благ, включаемых в «корзину», фиксирован.
В экономических расчетах применяют несколько разновидностей индекса цен в зависимости от выбранной корзины благ, используемой при его построении. |
Наряду с индексом и уровнем цен в макроэкономике применяют дефлятор (индекс Пааше). Дефлятор — это отношение номинального и реального ВВП данного года при измерении последнего в ценах базового года. В отличие от двух предыдущих индексов дефлятор отражает не только изменение цен по сравнению с базовым периодом, но и изменение структуры «корзины» благ. Индексы цен и дефлятор в России в 1993-2001 гг. приведены ниже.
|
Годы.................................................
Индекс цен, к предыдущему периоду |
1993 |
1994 |
1995 |
1996 |
1997 |
1998 |
1999 |
2000 |
2001 |
|
потребительских товаров ... производителей в промыш- |
9,4 |
3,2 |
2,3 |
1,2 |
1,1 |
1,8 |
1,4 |
1,2 |
1,2 |
ленности ....................................
строительно-монтажных |
10,0 |
3,4 |
2,8 |
1,3 |
1,1 |
1,2 |
1,7 |
1,3 |
1,1 |
|
работ ............................................ |
— |
4,7 |
2,5 |
1,8 |
1,2 |
1,1 |
1,4 |
1,4 |
1,2 |
грузовых перевозок...............
Дефлятор, к предыдущему |
— |
3,5 |
2,7 |
1,2 |
1,0 |
1,2 |
1,2 |
1,5 |
1,4 |
|
периоду ........................................... |
9,9 |
4,1 |
2,8 |
1,4 |
1,1 |
1,2 |
1,6 |
1,4 |
— |
Какой из индексов цен использовать в качестве эквивалента уровня цен при практических пересчетах номинальных денежных показателей в реальные экономические величины, зависит от сущности показателя: для определения реальной заработной платы обычно применяют индекс потребительских цен, а для расчета реального ВВП или национального богатства — дефлятор.
Краткие выводы
Деление современной экономической теории на две составные части — микроэкономику и макроэкономику — основано на различии проблем, составляющих предмет изучения каждой из них, и на использовании, наряду с общими, специфических методов исследования. В микроэкономике исследуют, как рынок решает аллокационные и дистрибутивные задачи общественного хозяйства, а макроэкономика сосредоточивается на природе конъюнктурных колебаний и факторах экономического роста.
Особенностью макроэкономического анализа является оперирование агрегированными экономическими категориями. При макроэкономическом подходе национальную экономику рассматривают как взаимодействие четырех субъектов (сектора домашних хозяйств и предпринимательского, государства и остального мира) на четырех рынках (благ, труда, денег и финансов). Состояние, при котором хозяйственные планы, намечаемые экономическими субъектами в пределах своих бюджетных ограничений, оказываются совместно осуществимыми на всех рынках, называют общим экономическим равновесием. Для прогнозирования хозяйственной конъюнктуры и выработки экономической политики государства важно выявить условия достижимости и устойчивости общего экономического равновесия.
Основным методом макроэкономического анализа является экономико-математическое моделирование народнохозяйственных процессов. При построении макроэкономических моделей система взаимодействия экономических субъектов и их реакция на изменения хозяйственных условий описываются посредством поведенческих, технологических, институциональных и дефиниционных функций. Главными эндогенными параметрами макроэкономических моделей являются национальный доход, уровень занятости, уровень цен, ставка заработной платы и ставка процента.
Количественную оценку результатов функционирования национальной экономики осуществляют на основе специальной системы показателей: валового внутреннего продукта, чистого национального продукта, национального дохода. Для определения реальных величин экономических показателей нужно их номинальное значение разделить на уровень цен. |
В результате того что в текущем месяце доходы превысили расходы, у домашнего хозяйства за счет сбережений имущество увеличилось на 17 тыс. руб., в том числе AB = 14 тыс. руб. и AM = 3 тыс. руб. В матричной форме бюджет рассматриваемого хозяйства представлен в табл. 2.1; в виде схемы — на рис. 2.1, а в виде бухгалтерского счета — в табл. 2.2.
|
|
|
Табличное представление бюджета домашнего хозяйства |
|
|
Поступления
от |
Поступления к |
Всего |
домашнему
хозяйству |
предприни
мателям |
государству |
загранице |
сектору
имущества |
Домашнего
хозяйства |
— |
40 |
18 |
0 |
17 |
75 |
Предприни
мателей |
45+10 |
- |
- |
- |
- |
- |
|
Государства |
5 |
- |
- |
- |
- |
- |
|
Заграницы |
15 |
- |
- |
- |
- |
- |
Сектора
имущества |
0 |
- |
- |
- |
- |
- |
|
Всего |
75 |
- |
- |
- |
- |
- |
|
Таблица 2.2 |
Глава 2
Народнохозяйственный кругооборот и СЧЕТОВОДСТВО
Практически важнейшие макроэкономические показатели исчисляют посредством системы национальных счетов (народнохозяйственной бухгалтерии). В свою очередь национальное счетоводство основывается на модели народнохозяйственного кругооборота, в которой процесс функционирования национальной экономики изображается в виде замкнутых денежных потоков, возникающих между макроэкономическими субъектами в ходе производства, распределения и потребления материальных благ и услуг.
2.1. Народнохозяйственный кругооборот
Основу экономического кругооборота составляет бюджет. Он отражает все доходы и расходы субъекта, а следовательно, и изменение объема его имущества в текущем периоде. Если имеется дефицит бюджета, то размер имущества сокращается; если возникает избыток бюджета, то этот размер возрастает. Бюджет может быть представлен четырьмя способами: в виде уравнения, таблицы (матрицы), диаграммы и бухгалтерского счета.
Рассмотрим в качестве примера домашнее хозяйство, бюджет которого за месяц складывался из 45 тыс. руб. зарплаты, 10 тыс. руб. дивидендов, 5 тыс. руб. государственного пособия на детей и 15 тыс. руб., полученных по переводу от родственников из-за границы. Расходы этого хозяйства в том же месяце были следующими: 40 тыс. руб. — на оплату благ и услуг, 18 тыс. руб. — на налоги и пошлины, 14 тыс. руб. — на покупку ценных бумаг и 3 тыс. руб. остались неиспользованными. Бюджетное уравнение (тыс. руб.) данного хозяйства выглядит следующим образом:
45 + 10 + 5 + 15 = 40 + 18 + 14 + 3 y = C + T + S
Таблица 2.1
| |
Счет бюджета домашнего хозяйства |
 |
Рис. 2.1. Схематическое представление бюджета домашнего хозяйства:
Размерность приведенных цифр — тыс. руб. |
|
|
Таблица 2.3
Табличное представление народнохозяйственного кругооборота |
|
|
Поступления
от |
Поступления к |
домашнему
хозяйству |
предприни
мателям |
государству |
загранице |
сектору
имущества |
Домашнего
хозяйства |
- |
Оплата благ |
Прямые
налоги |
Трансферты |
Сбережения |
Предпринима
телей |
Оплата
факторов
производства |
|
Налоги |
Оплата
импорта |
Нераспреде
ленная
прибыль,
амортизация |
|
Государства |
Пособия |
Оплата благ, субсидии |
- |
Оказание
помощи |
Избыток
бюджета |
|
Заграницы |
Трансферты |
Оплата
экспорта |
Получение
помощи |
|
Дефицит
платежного
баланса |
Сектора
имущества |
Изъятия |
Валовые
инвестиции |
Дефицит
госбюджета |
Избыток
платежного
баланса |
|
Выбор формы представления бюджета зависит от аспекта его анализа. При построении экономико-математических моделей бюджеты экономических субъектов представляются в виде уравнений. Табличная форма удобна для анализа взаимосвязей между бюджетами всех экономических субъектов. Достоинством графического изображения бюджетных потоков является наглядность. Бухгалтерскую форму представления бюджетов макроэкономических субъектов используют для построения системы национального счетоводства.
Поскольку в рыночной экономике расход одного субъекта становится доходом другого, и наоборот, то все бюджеты оказываются взаимосвязанными, и в экономической системе образуется кругооборот денежных средств.
Народнохозяйственный кругооборот есть совокупность бюджетов экономических субъектов в их взаимосвязи. Его можно представить теми же четырьмя способами, что и отдельный бюджет.
Если данные в табл. 2.1 дополнить бюджетами других макроэкономических субъектов, то получится кругооборот, представленный в матричной форме, как это показано в табл. 2.3.
Графы в ней раскрывают содержание «притока» к каждому субъекту, строки — «оттока». Сальдо «притока» и «оттока» представляет приращение имущества в текущем периоде.
Приведенная в гл. 1 схема макроэкономических связей (см. рис. 1.1) есть не что иное, как графическое изображение народнохозяйственного кругооборота. Если для упрощения исключить из нее рынки, то рис. 2.2 будет отображать основные потоки народнохозяйственного кругооборота.
|  |
|
Рис. 2.2. Схематическое представление народнохозяйственного кругооборота |
На схеме (рис. 2.2) входящие в каждый из прямоугольников и исходящие из них стрелки показывают движение потоков, из которых составляются бюджетные уравнения макроэкономических субъектов:
— домашних хозяйств — y = C + Th + S;
— предпринимателей — y + Z + Tf = C + I+ G + E;
— государства — G = T + (G — T);
— остального мира (заграницы) — Z = E + (Z — E),
где (G — T) — дефицит государственного бюджета; (Z — E) — дефицит торгового баланса страны.
Из бюджетных уравнений домашних хозяйств и предпринимателей следует, что в процессе народнохозяйственного кругооборота обеспечивается равенство
C + Th + S = C +1 + G + E— Tf — Z ^ S + T + Z = I + G + E.
Представление народнохозяйственного кругооборота посредством бухгалтерских счетов составляет суть системы национального счетоводства.
2.2. Система национального счетоводства
Система национального счетоводства представляет собой совокупность взаимосвязанных показателей, используемых для описания и анализа макроэкономических процессов. Данные СНС используют
|
|
Таблица 2.5
Счет образования НД |
|
|
|
Дебет |
Кредит |
|
Амортизация |
О |
Добавленная ценность |
О |
|
Косвенные налоги |
О |
Субвенции |
О |
|
Национальный доход |
д |
|
|
|
Всего |
2 |
Всего |
2 |
правительства стран при разработке экономической политики и отслеживании ее результатов, международные экономические организации, в том числе ООН, МВФ, Мировой банк, для оценки развития мировой экономики в целом и сопоставления уровней отдельных стран, а также для проведения научных исследований. Основная цель национального счетоводства — дать количественную информацию о возникновении, распределении и использовании национального дохода. Для этого по каждому из экономических субъектов и народному хозяйству целом составляют систему функциональных счетов, отражающих участие данного субъекта в следующих хозяйственных процессах:
— производстве материальных благ и услуг;
— образовании дохода;
— распределении дохода;
— перераспределении дохода;
— использовании дохода;
— изменении объема имущества;
— кредитовании и финансировании.
Рассмотрим содержание каждого из функциональных счетов, относящихся к народному хозяйству в целом, поскольку в них в итоге отражаются конкретные значения макроэкономических показателей.
На счете производства (табл. 2.4) в ценностном выражении учитывается объем произведенных за определенный период товаров и издержки их изготовления.
Таблица 2.4
Если добавленную ценность «очистить» от амортизации и искажающего воздействия на рыночные цены косвенных налогов и субвенций, то получится ЧНП в факторных ценах, т.е. национальный доход.
Следующие два счета (табл. 2.6 и 2.7) показывают, как распределяется и перераспределяется национальный доход.
|
Счет распределения НД
Таблица 2.6 |
|
|
|
Дебет |
Кредит |
|
Заработная плата |
О |
Национальный доход |
О |
|
Доход от предпринимательства и имущества |
О |
|
|
|
Нераспределенная прибыль фирм |
д |
|
|
|
Всего |
2 |
Всего |
2 |
Счет перераспределения НД
Таблица 2.7 |
|
|
|
Дебет |
Кредит |
|
Прямые налоги |
О |
Национальный доход |
О |
|
Социальные отчисления |
О |
Социальные выплаты |
О |
|
Прочие отчисления |
О |
|
|
|
Располагаемый доход |
д |
|
|
|
Всего |
2 |
Всего |
2 |
|
Счет производства СОП |
|
|
|
Дебет |
Кредит |
|
Материальные затраты |
О |
Реализация в собственной стране |
О |
|
Затраты на импорт |
О |
Экспорт |
О |
|
Добавленная ценность |
д |
Изменение запасов |
О |
|
Всего |
2 |
Всего |
2 |
На счете распределения национального дохода представлены факторные доходы участников производства. Они перераспределяются государством посредством налогов и трансфертных выплат, что отражается на счете перераспределения. В нем верхнюю строку кредита занимает доля национального дохода, полученная субъектом в ходе его первичного распределения. Поскольку мы рассматриваем систему счетов всего народного хозяйства, то отправным пунктом (первая позиция в кредите счета перераспределения национального дохода), как и в предыдущем счете, стоит национальный доход. В результате вычитания налоговых и прочих отчислений из факторных доходов участников производства и добавления к ним трансфертных выплат образуется располагаемый доход.
Знак о представляет данные, получаемые на основе статистического учета от предприятий, домашних хозяйств и правительственных учреждений. Знак Д соответствует величине, отражающей результат приравнивания суммы дебета и кредита. В счете производства совокупного общественного продукта расчетной (сальдирующей) величиной является ВВП (добавленная ценность).
На основе счета производства СОП формируется счет образования дохода, в котором сальдированная величина предыдущего счета занимает отправную позицию (табл. 2.5).
|
|
Таблица 2.8
Счет использования располагаемого НД |
|
|
|
Дебет |
Кредит |
|
Потребление |
О |
Располагаемый доход |
О |
|
Сбережения |
Д |
|
|
|
Всего |
2 |
Всего |
2 |
|
Счет изменения имущества |
|
|
|
Дебет |
Кредит |
|
Инвестиции в реальный капитал |
О |
Сбережения |
О |
|
Финансовое сальдо |
д |
Амортизация |
О |
|
Всего |
2 |
Всего |
2 |
|
Таблица 2.10 |
|
Счет кредитования и заимствования |
|
|
|
Дебет |
Кредит |
|
Приращение кредита |
О |
Финансовое сальдо |
О |
|
Статистическая погрешность |
д |
Приращение задолженности |
О |
|
Всего |
2 |
Всего |
2 |
Таблица 2.11
Баланс производственной фирмы |
|
|
|
Дебет |
Кредит |
|
Запасы материалов |
О |
Краткосрочная задолженность |
О |
|
Готовая продукция |
О |
Долгосрочная задолженность |
О |
|
Здания,оборудование |
д |
Собственный капитал |
О |
|
Всего |
2 |
Всего |
2 |
Располагаемый доход используется по двум направлениям: на текущее потребление и сбережение. Это отражается на счете использования располагаемого национального дохода (табл. 2.8), где сбережения учитываются в виде разницы между этим доходом и потреблением.
Сбережения приводят к изменению объема имущества. Это отражается на счете изменения имущества (табл. 2.9), в котором представлены и формы сбережений. Финансовое сальдо вместе с приращением задолженности служит источником кредитования, что учитывается на счете кредитования (табл. 2.10).
Таблица 2.9
В России система национального счетоводства начала внедряться одновременно с переходом к рыночной экономике. В 1992 г. была утверждена программа перехода Российской Федерации на принятую в международной практике систему учета и статистики. Разработка в России СНС ведется в соответствии с новой ее версией, принятой Статистической комиссией ООН в 1993 г. Результаты этой работы периодически проходят международную экспертизу в МВФ, Организации экономически развитых стран (ОЭРС) и Всемирном банке. Завершить работу по приведению СНС России в соответствии с рекомендациями Статистической комиссии ООН планируется в 2005 г.
Система национальных счетов России в настоящее время включает в себя следующие счета:
— товаров и услуг;
— производства;
— образования доходов;
— распределения первичных доходов;
— вторичного распределения доходов;
— использования располагаемого дохода;
— операций с капиталом.
Согласно СНС 1993 г. такие счета составляются не только для народного хозяйства в целом, но и по секторам «Домашние хозяйства», «Предприятия и некоммерческие организации», «Государственные учреждения» и «Остальной мир».
На основе методологии СНС Госкомстат России рассчитывает по отдельным экономическим регионам страны валовой региональный продукт в качестве обобщающего показателя их экономической деятельности. Для международных сопоставлений структуры используемого ВВП России его вычисляют в долларах США на основе паритета покупательной способности рубля. Результаты полученных данных публикуют в статистических сборниках «Национальные счета России» за соответствующий период.
В США СНС занимается специальный отдел Министерства экономики «Office of Business Economics», который ежемесячно публикует полученные данные в бюллетени «Survey of current Business».
Посредством системы счетов ведут учет образования и использования экономических величин, имеющих размерность потока. Для структурного анализа величин запаса составляют баланс, схема которого для производственной фирмы приведена в табл. 2.11.
В отличие от счета, статьи которого учитывают количество в единицу времени, баланс в своих статьях показывает величину запаса на определенный момент времени. |
|
|
Таблица 2.12
Модель простого воспроизводства СОП по Марксу |
|
|
|
Натурально-вещественная структура СОП |
Стоимостная структура СОП |
Всего |
|
c |
v |
m |
|
Средства производства (I) |
400 |
100 |
100 |
600 |
|
Предметы потребления (II) |
200 |
50 |
50 |
300 |
|
Всего |
600 |
150 |
150 |
900 |
2.3. Исторический экскурс
Первой известной в истории макроэкономической моделью является «таблица Кенэ». В 1758 г. придворный врач французского короля Людовика XV Ф. Кенэ описал процесс воспроизводства ВНП как кругооборот денежных потоков, который, по его мнению, аналогичен кровообращению в организме человека. Тем самым одним из первых он обосновал объективность законов, которые называл естественными регулирующими порядок ведения национального хозяйства и его результативность. Ф. Кенэ представил функционирование национальной экономики в виде взаимодействия трех классов: крестьян, производящих сельскохозяйственную продукцию на 5 млрд фр.; ремесленников, изготавливающих изделий на 2 млрд фр., и земельных собственников, получающих ренту в 2 млрд фр. Диаграмма кругооборота Кенэ представлена на рис. 2.3.
 |
Рис. 2.3. Народнохозяйственный кругооборот Кенэ.
Размерность приведенных цифр — млрд фр. |
Собственники земли в предшествующем году получили 2 млрд фр. земельной ренты. Эту сумму они расходуют в текущем году, в том числе 1 млрд фр. на покупку сельхозпродуктов и 1 млрд фр. на приобретение изделий ремесленников. Ремесленники расходуют полученный от землевладельцев 1 млрд фр. на покупку продуктов питания у фермеров. Последние возвращают эти деньги ремесленникам, оплачивая покупку сельскохозяйственных орудий. В очередной раз ремесленники передают крестьянам 1 млрд фр. в обмен на сырье, необходимое им для продолжения производства. А крестьяне для продолжения своего производства используют оставшуюся у них сельхозпродукцию стоимостью в 2 млрд фр., а оставшиеся 2 млрд фр. уплачивают земельным собственникам в качестве ренты. Так схема Кенэ в простейшей
1 Кенэ Ф. Избранные экономические произведения. М., 1960. С. 360—364.
форме определяет условия сбалансированности макроэкономических рынков.
Следующая макроэкономическая модель появилась в экономической науке только более чем через 100 лет. К. Маркс во 2-м томе «Капитала» (1885) на двухсекторной модели народного хозяйства проанализировал условия простого и расширенного воспроизводства совокупного общественного продукта. При этом он обращал внимание на необходимое соответствие между стоимостной и натурально-вещественной структурой СОП. Стоимостную структуру продукта К. Маркс представил в виде следующей формулы:
W = c + v + m,
где W — стоимость СОП; c — материальные затраты (стоимость потребленных средств производства); v — доходы труда (стоимость рабочей силы); m — доходы капитала (прибавочная стоимость).
По натурально-вещественному составу К. Маркс разделил СОП на средства производства и предметы потребления. Цифровой пример К. Маркса приведен в табл. 2.12.
Для осуществления простого воспроизводства, согласно утверждениям К. Маркса, должно соблюдаться следующее равенство:
cI +vI + mI = cII,
т.е. сумма доходов от труда и капитала при производстве средств производства должна равняться материальным затратам при производстве предметов потребления. В этом случае стоимость созданных предметов потребления будет равна сумме факторных доходов, на которые эти блага приобретаются:
vI + mI + vII + mII = WII. |
Одновременно стоимость произведенных средств производства будет равна стоимости потребленных в обоих подразделениях средств производства:
WI = cI + cII.
Для осуществления расширенного воспроизводства необходимо, чтобы в текущем периоде было произведено больше средств производства, чем потреблено, т.е.
cI + vI + mI > cI + cII ^ vI + mI > cII.
В 30-х гг. ХХ в. для анализа структурных условий народнохозяйственного воспроизводства В. Леонтьевым была разработана модель межотраслевого баланса (МОБ). В настоящее время эту модель широко используют в практических расчетах затрат на производство и цен, при анализе межотраслевых связей и определении структуры СОП. Ее можно также рассматривать в виде свода таблиц национального счетоводства. Упрощенная модель МОБ экономики, состоящей лишь из трех отраслей (добывающей (Д), обрабатывающей (О) и услуг (У)), представлена в табл. 2.13.
|
Таблица 2.13
Модель межотраслевого баланса |
|
|
|
|
Д |
О |
У |
Всего M |
C |
I |
G |
E -Z |
у |
X |
|
Д |
a11X1 |
a12X2 |
a13X3 |
Ml |
C1 |
І1 |
G1 |
E1- Z1 |
у1 |
X1 |
|
О |
a21X1 |
a22X2 |
a23X3 |
M2 |
C2 |
I2 |
G2 |
E2 - Z2 |
У2 |
X2 |
|
У |
a31X1 |
a32X2 |
a33X3 |
M3 |
C3 |
I3 |
G3 |
E3 - Z3 |
у3 |
X3 |
|
Всего М |
M1 |
M2 |
M3 |
ъм |
ъс |
ЪІ |
ЪС |
Ъ(Е- Z) |
Ъу |
2X |
|
D |
D1 |
D2 |
D3 |
2D |
|
|
|
|
|
|
|
W |
W1 |
W2 |
W3 |
2W |
|
|
|
|
|
|
|
п |
п1 |
п2 |
п3 |
Ъп |
|
|
|
|
|
|
|
T-и |
T1 - u1 |
T2 — u2 |
T3 - u3 |
2(T - u) |
|
|
|
|
|
|
|
у |
У1 |
У2 |
у3 |
Ъу |
|
|
|
|
|
|
|
X |
X1 |
X2 |
X3 |
2X |
|
|
|
|
|
|
В модели МОБ выделяются три квадранта. В квадранте I отражены все межотраслевые потоки промежуточных продуктов (M). Показатель aj представляет количество продукции отрасли i, производительно потребленной в отрасли j. В квадранте III представлена структура образования конечного продукта (у) или ВВП в отраслевой структуре. Здесь кроме амортизации D и вновь созданной ценности (национального дохода ( W + п), состоящего из зарплаты и прибыли) отражен вклад государства в образование конечного продукта в виде разности между косвенными налогами и субвенциями (T — и). В квадранте II также с разбивкой по отраслям показана структура использования ВВП (потребление домашних хозяйств (С), инвестиции (I), государственные расходы (G), чистый экспорт (E — Z)). Сумма промежуточного и конечного продуктов образует совокупный общественный продукт (X). Таким образом, МОБ раскрывает как источники образования общественного продукта, так и направления его использования.
Основные показатели межотраслевого баланса России за 1997 г. в текущих ценах и процентная структура промежуточного и конечного продуктов представлены в табл. 2.14 и 2.15.
С 20-х гг. XX в. многие экономисты начинают специализироваться на исследовании макроэкономических проблем, что способствует накоплению и систематизации статистических данных о макроэкономических процессах.
В 1920 г. в США У. Митчелл основал Национальное бюро экономических исследований (National Bureau of Economic Research (NBER)). В 1931 г. по его приглашению в этом бюро начал работать В. Леонтьев.
Одним из важнейших направлений работы NBER, которое возглавил сам У. Митчелл, стало исследование конъюнктурных циклов. В 1930-х гг. в этом бюро под руководством С. Кузнеца были разработаны основы СНС, которую после ее усовершенствования английскими экономистами Р. Стоуном и Дж. Мидом в начале 1940-х гг. стали использовать для расчетов макроэкономических показателей во всех странах с рыночной экономикой. Р. Стоун и Дж. Мид ввели, в частности, в СНС четыре секторных счета: домашних хозяйств, коммерческих предприятий, государства и заграницы.
В Советской России тоже в 1920 г. при Народном комиссариате финансов был создан Институт по изучению народнохозяйственных конъюнктур, в котором стали работать известные экономисты и статистики (Н.Д. Кондратьев, А.Л. Вайнштейн, А.А. Конюс, М.В. Игнатьев, Е.Е. Слуцкий). В данном институте проводили всесторонние исследования экономического развития нашей страны и ведущих капиталистических государств с целью разработки научных прогнозов и методов управления народным хозяйством. Их результаты получили всемирное признание, что было отражено в положительных отзывах Дж.М. Кейнса, У. Митчелла, С. Кузнеца, И. Фишера и других экономистов. Н.Д. Кондратьев был избран членом ряда авторитетных иностранных научных обществ, в том числе Американской экономической ассоциации, Американского статистического и социологического общества, Лондонского статистического и социологического общества. |
Межотраслевой баланс России за 1997 г. (в ценах покупателей), трлн руб.
|
|
Таблица 2.14 |
|
|
|
Код |
1 |
2 |
3 |
4 |
5 |
6 |
7 |
8 |
9 |
10 |
11 |
C |
G |
I |
E-Z |
У |
X |
Д |
|
1 |
831,2 |
154,1 |
73,9 |
106,5 |
82,9 |
6,3 |
92,2 |
83,9 |
16,1 |
92,9 |
1539,9 |
755,4 |
0,6 |
192,2 |
107,6 |
1055,8 |
2595,6 |
969,2 |
|
2 |
6,7 |
1,4 |
1,1 |
2,7 |
7,2 |
0,2 |
7,6 |
5,8 |
0,9 |
6,4 |
39,9 |
9,2 |
0,0 |
344,8 |
-4,1 |
349,8 |
389,7 |
41,0 |
|
3 |
68,3 |
0,0 |
91,7 |
0,0 |
5,9 |
0,0 |
0,2 |
4,4 |
0,1 |
7,2 |
177,7 |
169,5 |
4,5 |
10,2 |
-7,8 |
176,4 |
354,1 |
31,5 |
|
4 |
25,1 |
7,5 |
4,8 |
14,3 |
32,5 |
1,0 |
2,3 |
9,5 |
2,1 |
31,1 |
130,3 |
91,3 |
4,5 |
0,0 |
6,3 |
102,1 |
232,4 |
-193,4 |
|
5 |
7,6 |
2,1 |
0,3 |
14,4 |
25,3 |
0,6 |
0,5 |
4,0 |
0,2 |
6,3 |
61,2 |
26,1 |
0,0 |
0,0 |
-6,5 |
19,6 |
80,8 |
-590,2 |
|
6 |
7,8 |
0,9 |
0,2 |
1,5 |
8,7 |
1,0 |
0,5 |
3,5 |
0,3 |
4,6 |
28,9 |
25,4 |
0,1 |
0,7 |
-17,8 |
8,4 |
37,4 |
8,2 |
|
7 |
2,4 |
1,1 |
0,6 |
2,5 |
6,8 |
0,2 |
3,4 |
28,9 |
0,7 |
29,2 |
75,7 |
105,2 |
7,7 |
0,0 |
0,2 |
113,1 |
188,8 |
-52,7 |
|
8 |
0,3 |
0,1 |
0,0 |
0,1 |
0,4 |
0,0 |
0,0 |
0,9 |
0,0 |
0,4 |
2,3 |
98,6 |
232,4 |
0,0 |
-0,7 |
330,3 |
332,6 |
-1,2 |
|
9 |
10,7 |
0,9 |
0,4 |
3,8 |
1,7 |
0,1 |
0,3 |
0,1 |
16,3 |
5,9 |
40,2 |
0,0 |
16,7 |
13,4 |
-1,7 |
28,4 |
68,5 |
3,0 |
|
10 |
3,6 |
0,6 |
0,2 |
1,9 |
4,1 |
0,1 |
0,5 |
0,7 |
0,1 |
16,1 |
27,9 |
69,0 |
272,6 |
0,0 |
-2,0 |
339,7 |
367,6 |
0,0 |
|
11 |
963,8 |
168,5 |
173,2 |
147,6 |
175,4 |
9,5 |
107,6 |
141,6 |
36,9 |
200,0 |
2124,1 |
1349,7 |
539,1 |
561,3 |
73,5 |
2523,5 |
4647,6 |
215,3 |
|
12 |
265,8 |
99,3 |
43,6 |
112,6 |
70,7 |
8,6 |
54,5 |
127,3 |
26,0 |
140,5 |
948,9 |
|
|
|
|
|
|
|
|
13 |
299,7 |
52,2 |
-3,6 |
127,2 |
317,2 |
10,1 |
67,9 |
55,6 |
1,4 |
17,3 |
945,0 |
|
|
|
|
|
|
|
|
14 |
19,4 |
15,9 |
109,2 |
11,0 |
90,8 |
|
9,8 |
7,8 |
|
14,5 |
278,4 |
|
|
|
|
|
|
|
|
15 |
82,6 |
12,9 |
3,2 |
27,5 |
16,9 |
1,0 |
1,8 |
1,5 |
1,2 |
2,7 |
151,4 |
|
|
|
|
|
|
|
|
16 |
-4,9 |
|
-3,1 |
|
|
|
|
|
|
|
-8,0 |
|
|
|
|
|
|
|
|
17 |
|
|
|
|
|
|
|
|
|
-7,4 |
-7,4 |
|
|
|
|
|
|
|
|
18 |
662,7 |
180,2 |
149,3 |
278,2 |
495,6 |
19,7 |
134,0 |
192,3 |
28,7 |
167,6 |
2308,2 |
|
|
|
|
|
|
|
|
19 |
1626,5 |
348,7 |
322,6 |
425,8 |
671,0 |
29,2 |
241,6 |
333,9 |
65,5 |
367,5 |
4432,3 |
|
|
|
|
|
|
|
Примечание. В табл. 2.14 и 2.15 приняты следующие условные обозначения:
1 — промышленность; 2 — строительство; 3 — сельское и лесное хозяйство; 4 — транспорт и связь; 5 — сфера обращения; 6 — прочее производство; 7 — жилищно-коммунальное хозяйство; 8 — здравоохранение, образование, культура; 9 — наука ; 10 — управление, финансы, кредит, страхование; 11 — всего (1—10); 12 — зарплата; 13 — прибыль; 14 — смешанный доход; 15 — налоги на производство; 16 — субсидии на производство; 17 — услуги финансовых посредников (-); 18 — ВВП (сумма 12—17); 19 — СОП (11 + 18); C — потребление домашних хозяйств; G — государственные расходы; I — инвестиции; E-Z — чистый экспорт благ; X — СОП; Д — статистическая погрешность.
|
Таблица 2.15
Структура промежуточного и конечного продуктов России в 1997 г., % |
|
|
|
Код |
1 |
2 |
3 |
4 |
5 |
6 |
7 |
8 |
9 |
10 |
11 |
C |
G |
I |
E-Z |
У |
|
1 |
39,13 |
7,25 |
3,48 |
5,01 |
3,90 |
0,29 |
4,34 |
3,95 |
0,76 |
4,37 |
72,50 |
29,93 |
0,02 |
7,62 |
4,26 |
41,84 |
|
2 |
0,31 |
0,07 |
0,05 |
0,13 |
0,34 |
0,01 |
0,36 |
0,27 |
0,04 |
0,30 |
1,88 |
0,36 |
0,00 |
13,66 |
-0,16 |
13,86 |
|
3 |
3,22 |
0,00 |
4,32 |
0,00 |
0,28 |
0,00 |
0,01 |
0,21 |
0,00 |
0,34 |
8,37 |
6,72 |
0,18 |
0,40 |
-0,31 |
6,99 |
|
4 |
1,18 |
0,35 |
0,23 |
0,67 |
1,53 |
0,05 |
0,11 |
0,45 |
0,10 |
1,46 |
6,14 |
3,62 |
0,18 |
0,00 |
0,25 |
4,05 |
|
5 |
0,36 |
0,10 |
0,01 |
0,68 |
1,19 |
0,03 |
0,02 |
0,19 |
0,01 |
0,30 |
2,88 |
1,03 |
0,00 |
0,00 |
-0,26 |
0,78 |
|
6 |
0,37 |
0,04 |
0,01 |
0,07 |
0,41 |
0,05 |
0,02 |
0,17 |
0,01 |
0,22 |
1,36 |
1,01 |
0,01 |
0,03 |
-0,71 |
0,33 |
|
7 |
0,11 |
0,05 |
0,03 |
0,12 |
0,32 |
0,01 |
0,16 |
1,36 |
0,03 |
1,37 |
3,56 |
4,17 |
0,30 |
0,00 |
0,01 |
4,48 |
|
8 |
0,02 |
0,00 |
0,00 |
0,01 |
0,02 |
0,00 |
0,00 |
0,04 |
0,00 |
0,02 |
0,11 |
3,91 |
9,21 |
0,00 |
-0,03 |
13,09 |
|
9 |
0,51 |
0,04 |
0,02 |
0,18 |
0,08 |
0,00 |
0,01 |
0,00 |
0,77 |
0,28 |
1,89 |
0,00 |
0,66 |
0,53 |
-0,07 |
1,12 |
|
10 |
0,17 |
0,03 |
0,01 |
0,09 |
0,20 |
0,01 |
0,02 |
0,04 |
0,01 |
0,76 |
1,31 |
2,74 |
10,80 |
0,00 |
-0,08 |
13,46 |
|
11 |
45,37 |
7,93 |
8,16 |
6,95 |
8,26 |
0,45 |
5,06 |
6,67 |
1,74 |
9,41 |
100,00 |
53,49 |
21,36 |
22,24 |
2,91 |
100,00 |
|
12 |
11,52 |
4,30 |
1,89 |
4,88 |
3,06 |
0,37 |
2,36 |
5,52 |
1,13 |
6,09 |
41,11 |
|
|
|
|
|
|
13 |
12,99 |
2,26 |
-0,16 |
5,51 |
13,74 |
0,44 |
2,94 |
2,41 |
0,06 |
0,75 |
40,94 |
|
|
|
|
|
|
14 |
0,84 |
0,69 |
4,73 |
0,47 |
3,93 |
|
0,42 |
0,34 |
|
0,63 |
12,06 |
|
|
|
|
|
|
15 |
3,58 |
0,56 |
0,14 |
1,19 |
0,73 |
0,04 |
0,08 |
0,06 |
0,05 |
0,12 |
6,56 |
|
|
|
|
|
|
16 |
-0,21 |
|
-0,14 |
|
|
|
|
|
|
|
-0,35 |
|
|
|
|
|
|
17 |
|
|
|
|
|
|
|
|
|
-0,32 |
-0,32 |
|
|
|
|
|
|
18 |
28,71 |
7,81 |
6,47 |
12,05 |
21,47 |
0,85 |
5,81 |
8,33 |
1,24 |
7,26 |
100,00 |
|
|
|
|
|
Таблица Кенэ, схемы воспроизводства СОП Маркса, модель МОБ Леонтьева, научные работы коллективов NBER и Института по изучению народнохозяйственных конъюнктур послужили подготовкой к выделению макроэкономики в особый раздел экономической теории. Основателем же макроэкономики был признан Дж.М. Кейнс после опубликования в 1936 г. книги «Общая теория занятости, процента и денег». Именно он четко очертил круг специфических макроэкономических проблем, заложил основы методологии и методики их анализа, сформулировал задачи экономической политики государства. Новый (макроэкономический) подход Дж.М. Кейнса к исследованию национальной экономики позволил ему совершить революцию в представлении о характере функционирования рыночного хозяйства и, в частности, об экономической роли государства в нем.
Экономисты неоклассической школы (А. Менгер, У. Джевонс, Л. Вальрас, В. Парето, А. Маршалл), усовершенствовав методику исследований классиков (Ф. Кенэ, А. Смита, Д. Рикардо, Дж.Ст. Милля, Ж.-Б. Сэя) с помощью инструментов предельного анализа и принципа оптимизации хозяйственной деятельности экономических субъектов, подтвердили их вывод о том, что рыночной экономике естественно присуща тенденция к устойчивому общему экономическому равновесию при полном и эффективном использовании производственных ресурсов. Дж.М. Кейнс и его последователи, опираясь на свои методы исследования, пришли к выводу, что рынок не всегда способен обеспечить стабильное развитие национальной экономики при полной занятости и обосновали целесообразность государственного регулирования рыночного хозяйства. До 60-х гг. ХХ в. экономическая концепция Дж.М. Кейнса и макроэкономика воспринимались в качестве тождественных понятий. В последующие годы концепция классической школы приобрела «второе дыхание» благодаря работам «монетаристов» и «новых классиков». Наряду с «новыми классиками» и неокейнсианцами, совместно представляющими основное течение в развитии экономической мысли (main stream), в последние десятилетия все большую популярность приобретает еще одно направление экономических исследований — институционализм, сторонники которого критикуют main stream за абстрактный характер анализа и универсальность выводов.
Наличие различных подходов к исследованию макроэкономических явлений и неодинаковое толкование их сути отдельными школами, с одной стороны, усложняют изучение данного раздела экономической теории, с другой — содействуют разностороннему взгляду на данный предмет. В предлагаемом учебнике не рассматривается подробно каждое из названных течений в современной экономической теории. В нем основное внимание сконцентрировано на проблемах, раскрывающих механизм действия экономической системы и выработки экономической политики. В то же время при изложении отдельных тем курса будут представлены альтернативные взгляды на изучаемую проблему для наиболее полного ее освещения.
Краткие выводы
В системе национального счетоводства формируются важнейшие макроэкономические показатели и определяются их количественные значения. Поэтому с него и начинается количественный макроэкономический анализ. |
Национальное счетоводство показывает, как экономика функционировала в прошлом. Эта информация служит для оценки степени реализации намечавшихся целей, выработки экономической политики, сравнительного анализа экономических потенциалов различных стран. На основе этих данных корректируются макроэкономические концепции и разрабатываются новые.
Национальное счетоводство основано на представлении совокупности экономических взаимоотношений между субъектами национального хозяйства в виде кругооборота денежных потоков, отражающих участие субъектов в основных видах хозяйственной деятельности: производстве, распределении, перераспределении, использовании национального дохода и образовании имущества. Изменение экономического положения участников национального хозяйства за период отражается посредством системы двухсторонних счетов. Последние нужно отличать от балансовых таблиц, фиксирующих состояние имущества субъекта на определенную дату. Комплексное представление о факторах образования и направлениях использования результатов общественного производства — СОП, ВНП и НД — дает межотраслевой баланс народного хозяйства. Столбцы таблицы межотраслевого баланса показывают, из каких элементов складывается ценность продукции отдельной отрасли национального хозяйства, а строки отражают потребление ее продукции другими отраслями (промежуточный продукт) и конечными потребителями (конечный продукт).
В межотраслевом балансе выделяются три квадранта: промежуточного, конечного потребления и образования ВВП. В квадранте I представлены межотраслевые поставки продукции, произведенной и потребленной в одном и том же периоде. В квадранте II отображается использование результатов хозяйственной деятельности за период четырьмя макроэкономическими субъектами. Квадрант III представляет источники образования ВВП и НД в отраслевой структуре.
Система национальных счетов, используемая в России, построена на методологических основах, принятых в 1993 г. совместно ООН, МВФ, Мировым банком, ОЭСР и Евростатом. Это позволяет сопоставлять результаты развития российской экономики и других стран и прослеживать макроэкономические явления и закономерности с помощью данных отечественной статистики. |
|
|
|
Год |
1993 |
1994 |
1995 |
1996 |
1997 |
1998 |
1999 |
2000 |
2001 |
|
|
|
|
|
|
Ресурсы |
|
|
|
|
Выпуск |
305,5 |
1044,3 |
2784,5 |
3831,8 |
4437,0 |
4620,5 |
7922,0 |
11604,4 |
15301,8 |
|
Налоги на продукты |
26,0 |
71,9 |
184,1 |
269,1 |
320,3 |
338,8 |
599,0 |
942,9 |
1283,8 |
|
Субсидии на продукты (-) |
10,5 |
24,0 |
63,6 |
86,6 |
104,9 |
99,4 |
109,9 |
127,3 |
184,5 |
|
Всего |
321,0 |
1092,2 |
2904,9 |
4014,3 |
4652,4 |
4859,9 |
8411,1 |
12420,0 |
16401,0 |
|
|
|
|
|
Использование |
|
|
|
|
ПП |
149,5 |
481,5 |
1364,4 |
1868,7 |
2173,8 |
2118,9 |
3653,9 |
5356,6 |
7360,1 |
|
ВВП |
171,5 |
610,7 |
1540,5 |
2145,7 |
2478,6 |
2741,1 |
4757,2 |
7063,4 |
9040,8 |
|
Всего |
321,0 |
1092,2 |
2904,9 |
4014,3 |
4652,4 |
4859,9 |
8411,1 |
12420,0 |
16401,0 |
Развитие макроэкономической статистики, представление процесса функционирования народного хозяйства в виде кругооборота денежных средств, разработка системы национального счетоводства и создание модели межотраслевого баланса послужили основой для выделения макроэкономики в специализированный раздел экономической теории. Все это способствовало дальнейшему совершенствованию методологии и методов экономических исследований. Современное состояние макроэкономики характеризуется наличием альтернативных научных направлений, отличие которых заключается не только в методах теоретического анализа, но и в выводах относительно сущности объекта познания. В то же время макроэкономика сегодня не представляет собой набор отдельных разнородных положений о функционировании национальных экономик, а комплексно описывает этот механизм и служит теоретической основой для выработки экономической политики государства.
Приложение: Национальные счета России за 1993—2001 гг.1
(в текущих ценах, млрд руб.; до 1998 г. — трлн руб.)
Счет товаров и услуг
Счет производства
Счет образования доходов
| |
Год |
1993 |
1994 |
1995 |
1996 |
1997 |
1998 |
1999 |
2000 |
2001 |
|
Оплата труда наемных работников |
76,3 |
301,0 |
695,8 |
1064,2 |
1238,9 |
1292,7 |
1933,8 |
2936,4 |
4069,1 |
|
В том числе скрытая |
9,1 |
52,0 |
160,0 |
250,0 |
290,0 |
277,0 |
525,0 |
810,0 |
1002,8 |
Налоги на производство и импорт
В том числе: |
28,7 |
85,0 |
253,3 |
380,7 |
471,7 |
520,5 |
890,5 |
1404,1 |
1589,4 |
|
налоги на продукты |
26,0 |
71,9 |
184,1 |
269,1 |
320,3 |
338,8 |
613,9 |
980,9 |
1283,8 |
|
другие налоги на производство |
2,6 |
13,1 |
69,3 |
111,6 |
151,4 |
181,7 |
276,7 |
423,2 |
305,6 |
Субсидии на производство и импорт (-)
В том числе: |
10,5 |
26,6 |
71,0 |
90,0 |
113,0 |
105,0 |
125,2 |
155,9 |
194,8 |
|
субсидии на продукты |
10,5 |
24,0 |
63,6 |
86,6 |
104,9 |
99,4 |
118,5 |
147,7 |
184,6 |
|
другие субсидии на производство |
- |
2,6 |
7,4 |
3,4 |
8,0 |
5,6 |
6,7 |
8,2 |
10,3 |
|
Прибыль и смешанные доходы |
77,0 |
251,3 |
662,4 |
790,8 |
881,0 |
1032,8 |
2067,6 |
3117,7 |
3577,1 |
|
ВВП |
171,5 |
610,7 |
1540,5 |
2145,7 |
2478,6 |
2741,1 |
4766,8 |
7302,2 |
9040,8 |
|
Год |
1993 |
1994 |
1995 |
1996 |
1997 |
1998 |
1999 |
2000 |
2001 |
|
|
|
|
|
Ресурсы |
|
|
|
|
|
Выпуск |
305,5 |
1044,3 |
2784,5 |
3831,8 |
4437,0 |
4620,5 |
7922,0 |
11604,4 |
15301,8 |
|
Импорт товаров и услуг |
52,3 |
141,7 |
373,6 |
442,8 |
518,9 |
644,2 |
1280,9 |
1761,1 |
2166,5 |
|
Налоги на продукты |
26,0 |
71,9 |
184,1 |
269,1 |
320,3 |
338,8 |
599,0 |
942,9 |
1283,8 |
|
Субсидии на продукты (-) |
10,5 |
24,0 |
63,6 |
86,6 |
104,9 |
99,4 |
109,9 |
127,3 |
184,6 |
|
Всего |
373,3 |
1233,9 |
3278,5 |
4457,1
Исп |
5171,2
ользован |
5504,1
ие |
9692,0 |
14181,1 |
18567,5 |
Промежуточное
потребление |
149,5 |
481,5 |
1364,4 |
1868,7 |
2173,8 |
2118,9 |
3653,9 |
5356,6 |
7360,1 |
|
Расходы на конечное потребление |
106,8 |
422,1 |
1095,8 |
1544,7 |
1891,8 |
2100,7 |
3303,9 |
4506,3 |
5898,0 |
|
Валовое накопление |
46,3 |
156,0 |
391,6 |
528,7 |
564,2 |
444,0 |
729,2 |
1245,5 |
1994,1 |
|
Экспорт товаров и услуг |
65,5 |
169,5 |
426,7 |
532,2 |
592,3 |
840,6 |
2090,7 |
3232,4 |
3337,9 |
Статистическое
расхождение |
5,2 |
4,9 |
-0,1 |
17,1 |
-50,9 |
0,0 |
-85,7 |
-159,7 |
-22,7 |
|
Всего |
373,3 |
1233,9 |
3278,5 |
4457,1 |
5171,2 |
5504,1 |
9692,0 |
14181,1 |
18567,5 |
Счет распределения первичных доходов
|
Год |
1993 |
1994 |
1995 |
1996 |
1997 |
1998 |
1999 |
2000 |
2001 |
|
|
|
|
|
|
Ресурсы |
|
|
|
|
Прибыль экономики и смешанные доходы |
77,0 |
251,3 |
662,4 |
790,8 |
881,0 |
1032,8 |
2067,6 |
3117,7 |
3577,1 |
|
Оплата труда наемных работников |
76,3 |
300,7 |
694,4 |
1062,1 |
1236,9 |
1291,9 |
1939,3 |
2893,9 |
4072,9 |
|
Налоги на производство и импорт |
28,7 |
85,0 |
253,3 |
380,7 |
471,7 |
520,5 |
890,6 |
1404,1 |
1589,4 |
|
Субсидии на производство и импорт (-) |
10,5 |
26,6 |
71,0 |
90,0 |
113,0 |
105,0 |
125,2 |
155,9 |
194,8 |
|
Доходы от собственности, полученные от остального мира |
2,3 |
6,2 |
18,2 |
20,9 |
23,7 |
29,4 |
81,9 |
120,2 |
179,3 |
|
Всего |
173,8 |
616,7 |
1557,3 |
2164,5
Ис |
2500,3
пользо |
2769,6
вание |
4854,6 |
7429,9 |
9223,9 |
|
Доходы от собственности, переданные остальному миру |
4,9 |
11,3 |
32,5 |
47,2 |
70,9 |
143,9 |
278,6 |
316,8 |
296,4 |
|
ВВП |
168,9 |
605,4 |
1524,7 |
2117,3 |
2429,4 |
2625,8 |
4575,6 |
7113,1 |
8927,5 |
|
Всего |
173,8 |
616,7 |
1557,3 |
2164,5 |
2500,3 |
2769,6 |
4854,6 |
7429,9 |
9223,9 |
1 Национальные счета России в 1992—1999 гг.: Стат. сб. М., 2000. С. 27—30; Национальные счета России в 1994—2001 гг.: Стат. сб. М., 2002. С. 30—33.
Счет вторичного распределения доходов
Счет использования располагаемого дохода (ВВП)
Часть II
Равновесие
НА ОТДЕЛЬНЫХ РЫНКАХ
|
Год |
1993 |
1994 |
1995 |
1996 |
1997 |
1998 |
1999 |
2000 |
2001 |
|
Расходы на конечное |
106,8 |
422,1 |
1095,8 |
1544,7 |
1891,8 |
2100,7 |
3280,3 |
4498,6 |
5898,0 |
потребление
В том числе: домашних хозяйств: |
68,0 |
267,1 |
760,0 |
1056,1 |
1265,5 |
1498,7 |
2520,0 |
3336,6 |
4495,9 |
|
государственных |
29,8 |
136,7 |
299,4 |
436,8 |
539,1 |
512,6 |
702,8 |
1082,8 |
1292,5 |
учреждений
некоммерческих |
9,0 |
18,3 |
36,5 |
51,8 |
87,3 |
89,4 |
108,6 |
147,1 |
109,5 |
организаций
Валовое накопление |
64,7 |
183,1 |
429,4 |
573,6 |
535,4 |
521,9 |
1311,0 |
2619,5 |
3021,6 |
|
ВВП |
171,5 |
605,2 |
1525,2 |
2118,3 |
2427,3 |
2622,6 |
4591,3 |
7118,0 |
8919,5 |
|
Год |
1993 |
1994 |
1995 |
1996 |
1997 |
1998 |
1999 |
2000 |
2001 |
|
|
|
|
|
|
Ресур |
сы |
|
|
|
|
ВНП |
168,9 |
605,4 |
1524,7 |
2117,3 |
2429,4 |
2625,8 |
4575,68 |
71113,1 |
8927,5 |
|
Трансферты от остального мира |
1,7 |
1,0 |
3,5 |
4,0 |
2,4 |
2,5 |
32,0 |
28,3 |
26,1 |
|
Всего |
170,6 |
606,3 |
1528,2 |
2121,3 |
2431,8 |
2628,3 |
4607,6 |
7141,4 |
8953,6 |
|
|
|
|
|
Использование |
|
|
|
|
Трансферты остальному |
0,4 |
1,1 |
3,0 |
3,0 |
4,5 |
5,7 |
16,3 |
23,4 |
34,0 |
миру
ВНП |
170,2 |
605,2 |
1525,2 |
2118,3 |
2427,3 |
2622,6 |
4591,3 |
7118,0 |
8919, 5 |
|
Всего |
170,6 |
606,3 |
1528,2 |
2121,3 |
2431,8 |
2628,3 |
4607,6 |
7141,4 |
8953, 6 |
Счет операций с капиталом
|
Год |
1993 |
1994 |
1995 |
1996 |
1997 |
1998 |
1999 |
2000 |
2001 |
|
Валовое сбережение Капитальные трансферты от остального мира Капитальные трансферты остальному миру (-) |
Из
63,4
0,8 |
менени
183,1
9,7
7,6 |
я в обя
429,4
14,2
15,8 |
зательс
573,6
15,8
18,1 |
гвах и ч
535,4
6,9
11,5 |
истой с
521,9
8,8
14,2 |
оимост
1311,0
11,9
22,8 |
и капит
2619,5
318,7
18,6 |
ала
3021,6
58.2
33.2 |
Всего
Валовое накопление
основного капитала
Изменение запасов оборотных средств
Чистое кредитование (+), чистое заимствование (-) и статистическое расхождение |
64,2
35,0
11,4
17,9 |
185.2
133.2
22,8
29,3 |
427.8
327.9
63,6
36,2 |
571.3
Измен
454.4
74,3
42,6 |
530,9
ения в а
482,5
81,8
-33,4 |
516.6
ктивах
485,5
-41,5
72.6 |
1300,0
683.3
17.3
599,4 |
2919.6
1143.7
216,8
1559,0 |
2747,7
1609,5
384.6
753.6 |
|
Всего |
64,2 |
185,2 |
427,8 |
571,3 |
530,9 |
516,6 |
1300,0 |
2919,6 |
2747,7 |
Глава 3
Рынок благ
В системе национального счетоводства, рассмотренной в гл. 2, отражаются экономические процессы и результаты народнохозяйственной деятельности в прошедших периодах. Поэтому представленные в СНС объемы покупок и продаж на всех рынках всегда равны (тождественны) друг другу и национальная экономика предстает в виде полностью сбалансированной системы. Сохранится ли такое состояние экономики в будущем, зависит от того, насколько субъекты народного хозяйства удовлетворены сложившейся ситуацией при данных предпочтениях потреблений и достигнутом уровне развития производительных сил. Чтобы выяснить это, необходимо исследовать факторы, определяющие объемы спроса и предложения на каждом из рынков, и условия равновесия. Таков предмет анализа этой части учебника.
Рынок благ является центральным звеном макроэкономических моделей, и этим объясняется использование его в качестве «входа» в общую систему взаимосвязанных рынков. Выделение одного из рынков в качестве самостоятельного объекта исследования неизбежно сопровождается принятием ряда упрощений относительно тех явлений, объяснение которых возможно только на основе анализа взаимодействия всех рынков. В данной главе таким упрощением будет предположение, что при заданном уровне цен (P = 1) предприниматели готовы предложить любой объем благ (совершенная эластичность совокупного предложения), поэтому номинальные и реальные значения экономических показателей совпадают.
3.1. Совокупный спрос и его структура
Покупателями на рынке благ являются все четыре макроэкономических субъекта: сектор домашних хозяйств, предпринимательский сектор, государство и остальной мир. Как изменялась доля каждого из них на российском рынке благ в 1994—2002 гг., показано на диаграмме, представленной на рис. 3.1. |
|
 |
Рис. 3.1. Доля макроэкономических субъектов России в ВВП в 1994—2002 гг.
С — потребление домашних хозяйств; G — государственные расходы;
Ibr — валовое накопление; E-Z — чистый экспорт товаров и услуг |
Рассмотрим, как формируется объем спроса этих субъектов. По данному вопросу, как и по большинству макроэкономических проблем, между неоклассиками и кейнсианцами существуют расхождения.
3.1.1. Спрос домашних хозяйств
Наблюдая за поведением домашних хозяйств, можно констатировать, что к числу факторов, определяющих их спрос на рынке благ, относятся: 1) доход от участия в производстве; 2) налоги и трансфертные платежи; 3) размер имущества; 4) доход с имущества. Принимая во внимание, что сектор домашних хозяйств есть агрегатная величина, к названным факторам следует добавить еще два: 5) степень дифференциации населения по уровню доходов и размеру имущества; 6) численность и возрастную структуру населения.
Два первых фактора объединяются в понятие «располагаемый доход». Два последних в коротком периоде являются экзогенными параметрами. В зависимости от того, какой из оставшихся факторов — располагаемый доход, размер имущества или его доходность — считать наиболее значимым, можно построить несколько разновидностей функции спроса домашних хозяйств на рынке благ, получившей название «функция потребления».
|
|
 |
|
Рис. 3.2. Средняя и предельная нормы потребления |

Функции потребления и сбережения Дж.М. Кейнса и их модификации
Функция потребления. Дж.М. Кейнс исходил из того, что потребление домашних хозяйств зависит от абсолютной величины текущего дохода. Характер этой зависимости он выразил так: «Основной психологический закон, в существовании которого мы можем быть вполне уверены не только из априорных соображений, исходя из нашего знания человеческой природы, но и на основании детального изучения прошлого опыта, состоит в том, что люди склонны, как правило, увеличивать свое потребление с ростом дохода, но не в той же мере, в какой растет доход».
В алгебраической форме функция потребления, соответствующая «основному психологическому закону», записывается следующим образом:
C = Ca + Cyy; Са > 0; 0 < Cy < 1, (3.1)
где Са — величина автономного (независимого от текущего дохода) потребления; (оно осуществляется за счет сокращения имущества); Cy — предельная склонность к потреблению, которая показывает, насколько увеличится последнее при росте текущего дохода на единицу: Cy = AC/Ay.
Из «основного психологического закона» следует, что формула (3.1) определяет объем потребления отдельного человека. Получить из нее агрегированную функцию спроса сектора домашних хозяйств можно следующим образом:
г \
\ Е Уі )
Обозначив
ECai = Ca; Уі/ ЕУі =5і; ЕУі = у; Е(Cyi5і)=Cy, получим макроэкономическую функцию потребления в виде (3.1).
Отсюда следует, что величина предельной склонности к потреблению сектора домашних хозяйств определяется не только индивидуальной склонностью к потреблению отдельных домашних хозяйств, но и распределением национального дохода между ними.
Домашние хозяйства принимают самостоятельные решения о направлении использования не всего, а только располагаемого дохода: У? = У — Tyy. Поэтому можно ввести понятие «предельная склонность к потреблению располагаемого дохода» C ? = AC/Ay? и представить функцию потребления в виде
C = Ca + C yv. (3.2)
У v
Выражения (3.1) и (3.2) эквивалентны при Cy = Cy (1 - Ty); поэтому, когда не требуется учитывать налоги в явном виде, будем применять формулу (3.1).
Из функции (3.1) следует, что при заданной склонности к потреблению с ростом дохода средняя норма потребления (доля его в доходе C/y) снижается (рис. 3.2), чем больше доход, тем меньше tgP.
Это указывает на то, что расширение производства потенциально содержит в себе возможность перепроизводства: все меньшая часть созданной продукции потребляется домашними хозяйствами.
Практическая проверка функции (3.1) показала, что она хорошо аппроксимирует статистические данные о доходах и потреблении домашних хозяйств в коротком (2—4 года) периоде.
Зависимость между объемом потребительских расходов домашних хозяйств (С) и величиной их располагаемого дохода (у) в России в 1995—2001 гг. показана на рис. 3.3.
C
|  |
Рис. 3.3. Функция потребления домашних хозяйств России в 1995—2001 гг. (в текущих ценах, млрд руб.; до 1998 г. — трлн руб.):
R2 — коэффициент корреляции |
|
1 Кейнс Дж.М. Общая теория занятости, процента и денег. М., 1978. С. 157. |
|
|
|
 |
|
Рис. 3.5. Зависимость потребления от дохода в коротком и длинном периодах |

В ФРГ в период между 1985 и 1990 г. эта зависимость определялась следующей формулой (млрд марок): C = 280 + 0,63y.
В то же время расчеты по фактическим данным, проводившиеся за более продолжительные промежутки времени, не показывают снижения средней нормы потребления. Одним из первых на это обратил внимание С. Кузнец, получивший следующие результаты по США:
Период, годы........................ 1869—1898 1884—1913 1904—1930
C/y............................................ 0,867 0,867 0,879
Получается, что функция потребления должна иметь вид C = Cyy, не соответствующий «основному психологическому закону» Дж.М. Кейнса.
«Загадка Кузнеца» активизировала исследования характера зависимости объема потребительских расходов домашних хозяйств от их доходов. Для объяснения полученных С. Кузнецом результатов было предложено несколько версий. По одной из них функция потребления с постоянной средней нормой потребления есть статистический мираж, возникающий из-за того, что в «действительной» функции потребления типа (3.1) с течением времени увеличивается автономная составляющая вследствие роста объема имущества. Наглядно это показано на
рис. 3.4. Точки М, N, L относятся к разным функциям потребления, но соединив их, получим график функции спроса с постоянной средней нормой потребления.
По другой версии существуют две функции потребления домашних хозяйств: в коротком и длинном периодах. Это объясняется тем, что потребители неохотно сокращают объем потребления: легче уменьшить долю сберегаемого дохода, чем
Рис. ЗА. Временные сдвиги снизить достигнутый уровень по-
графика потребления требления. Для описания поведения
домашних хозяйств посредством двух функций потребления рассмотрим рис. 3.5. Пусть в исходном состоянии национальный доход равен y0, а потребительские расходы — C0. Если национальный доход уменьшится до
У1, то на первых порах потребление снижается с C0 до Cp Но если окажется, что доход надолго стабилизировался на уровне y1, то потребление снизится до Cl 1. При увеличении дохода до y2 потребление в коротком периоде возрастет до C2, а в длинном — до Cl2.
Переходя от короткого к длинному периоду при исследовании факторов, определяющих объем потребления домашних хозяйств, обнаруживается, что доход у и имущество v сливаются в единый источник потребления. В одни периоды последнее меньше дохода и тогда увеличивается размер имущества, в другие — оно превышает доход за счет сокращения объема имущества. На рис. 3.6 показано, как можно поддерживать постоянный объем потребления при изменяющемся на протяжении жизни доходе.
|  |
|
Рис. 3.6. Постоянный объем потребления в концепции жизненного цикла |
T
у
t=0(1 + iy
Ct
(3.3)
T lnCt
Ct
yt
—X
t=0 (1 + i))
t=0 (1 + 8)t
(3.4)
(t = 1,..., T),
lnU =
В начальный период своего существования (0, ?q) домашнее хозяйство потребляет больше, чем получает, будучи заемщиком (объем имущества отрицателен). В последующие годы до выхода на пенсию (7q, t\) доходы превышают расходы, что сопровождается ростом размера имущества. Накопленное имущество позволяет в пенсионный период жизни сохранять стабильный уровень потребления, превышающий размер пенсии. Такое описание поведения домашних хозяйств на рынке благ содержится в концепциях «жизненного цикла» и «перманентного дохода», имеющих общее микроэкономическое обоснование.
Цель потребителя — получить максимум удовлетворения от потребления за весь срок своей жизни — Т лет. Задача сводится к максимизации многопериодной функции полезности
U = C^ -Со •...•CTT ^max(t = 1,2,...,T),
где Ct — объем потребления в периоде t; at — относительная значимость потребления в данном периоде по сравнению с другими.
Соблюдение первого закона Госсена (убывание предельной полезности) обеспечивается тем, что 0 < at < 1.
Для удобства экономической интерпретации примем
1
(1 + 8)t’
где 8 — мера предпочтения одного и того же блага в двух смежных периодах.
Иначе говоря, если потребление в текущем (нулевом) периоде возрастет на 1%, то на 1% увеличится и благосостояние индивида. Если же потребление повысится на 1% в периоде t, то благосостояние потребителя увеличится только на 1/(1 + 8/ процентов.
Представим функцию полезности в следующем виде:
У JnQ
t=0 (1 + 8)
В каждом из периодов объем потребления домашних хозяйств может не равняться доходу текущего периода, но за весь срок жизни потребление не должно превысить сумму всех полученных доходов, т.е. сегодняшняя ценность всего потребления должна равняться сегодняшней ценности всех доходов. При этом дисконтирование (приведение ценности будущих периодов к текущему) осуществляется по рыночной ставке процента i |
T
y_?t
у0(1 + if
Задача потребителя сводится к максимизации функции Лагранжа
T
у
t=0 (1 + i) где X — сомножитель Лагранжа.
Условием ее максимизации является следующая система равенств:
|
|
1 =X. |
|
|
C0 |
|
|
1= |
X . |
|
(1 + 8)C1 |
1 + i. |
|
1 |
X . |
|
(1 + 8)C2 |
= (1 + i)’ |
|
1 |
=X |
|
(1 + 8)TCT |
= (1 + i)T |
В результате деления каждого из равенств этой системы на первое равенство получаем
Ct
(1 + i)t (1 + 8)t
а для двух смежных периодов
* 1 + i *
Ct =-Ct-i.
t 1 + 8 t 1
Таким образом, при фиксированных значениях ставки процента и коэффициента предпочтения благ во времени соотношение Ct/C _ 1 = = const. Если i = 8, то объем потребления одинаков на всем протяжении жизни (см. рис. 3.6). Домашние хозяйства, у которых 8 < i, от года к году увеличивают свое потребление (рис. 3.7, а), а те, у кого 8 > i, от периода к периоду сокращают объем потребления (рис. 3.7, б).
 |
|
Рис. 3.7. Динамика потребления при неравенстве ставки процента мере предпочтения нынешних благ будущим |
Перепишем бюджетное уравнение (3.3) в следующем виде:
с0 + У
t=1 (1 +1))
у yt
t=0 (1 +1))
где уу — дисконтированная сумма доходов, приведенная к t = 0.
С учетом равенства (3.4) бюджетное уравнение можно представить следующим образом:
из него следует, что
T С
С 0+у тСу
t=1(1 + 5)
¦y ъ,
C0 = СУЪ Уъ; C
Числовой пример, которому соответствуют графики на рис. 3.6 и 3.7, представлен в табл. 3.1: с 1-го по 34-й годы трудовой доход домашнего хозяйства увеличивается на 5%, а с 35-го года оно существует за счет имущества и государственной пенсии, равной 150.
Таблица 3.1
1 + у1 / (1 + 5)t
t=1
|
Зависимость текущего потребления от доходов, получаемых за весь срок жизни |
|
|
|
t |
У |
Объемы потребления С и имущества и, ден. ед. |
|
i = 5 = 0,02 |
i =0,02; 5 = 0,005 |
i = 0,02; 5 = 0,03 |
|
С |
и |
С |
и |
С |
и |
|
0 |
100 |
213,6 |
-113,6 |
149,6 |
-49,6 |
263,7 |
-163,7 |
|
1 |
105 |
213,6 |
-220,1 |
151,9 |
-95,6 |
261,0 |
-316,6 |
|
2 |
110,3 |
213,6 |
-319,5 |
154,1 |
-137,8 |
258,4 |
-459,0 |
|
3 |
115,8 |
213,6 |
-411,7 |
156,5 |
-176,1 |
255,8 |
-591,0 |
|
4 |
121,6 |
213,6 |
-496,7 |
158,8 |
-210,5 |
253,3 |
-712,7 |
|
5 |
127,6 |
213,6 |
-574,6 |
161,2 |
-240,9 |
250,7 |
-824,2 |
|
|
|
|
|
|
|
|
|
|
34 |
525,3 |
213,6 |
530,7 |
1154,7 |
5977,7 |
187,3 |
166,6 |
|
35 |
150 |
213,6 |
498,9 |
1103,7 |
6052,8 |
185,5 |
148,9 |
|
36 |
150 |
213,6 |
467,7 |
1051,9 |
6126,3 |
183,6 |
132,4 |
|
|
|
|
|
|
|
|
|
|
54 |
150 |
213,6 |
0 |
334,3 |
0 |
153,2 |
0 |
|
Сумма, приведенная к t=0 при i=0,02 |
7228,5 |
7228,5 |
X |
7228,5 |
X |
7228,5 |
X |
Таким образом, объем потребления текущего периода связывается не только с текущим доходом, но и с доходами всех других периодов срока жизни индивида.
Отличие концепций «жизненного цикла» и «перманентного дохода» заключается в основном в разных видах использования имеющихся статистических данных для отражения зависимости текущего потребления от суммарного дохода за срок жизни.
В концепции «жизненного цикла» выделяются доходы от труда (уд) и имущества (ув)
уръ = У
+і).+ .1,+«
Ум
yBt
(3.5)
Вторая сумма в правой части равенства (3.5) есть сегодняшняя ценность имущества, которую представляет его рыночная ценность в нулевом периоде (^0). Из слагаемых первой суммы в нулевом периоде (в момент принятия решения об объеме потребления) задано только уд0. Доходы в последующие Т периодов являются ожидаемыми величинами. Они могут быть как больше, так и меньше текущего дохода, но сопоставимы с ним (являются однопорядковыми величинами).
Обозначим среднеожидаемый доход за последующие Т лет уД, а отношение уДм /Ум0 = а. Тогда
УРЪ = УА0 + аТУА0 + ® 0 = (1 + аТ )УА0 + ® 0,
и функция потребления в нулевом периоде принимает вид С0 = Суъ (1 + aT)УЛ0 + Суъ у 0.
Для любого периода t функцию потребления в общем виде можно записать следующим образом:
Ct = CyVt + С у® t. (3.6)
Графическое представление функции (3.6) соответствует рис. 3.4; второе слагаемое правой части данного выражения определяет сдвиг графика.
В соответствии с концепцией «перманентного дохода» весь доход домашние хозяйства получают от имущества. Доход от труда в данном случае интерпретируется как доход от специфической разновидности имущества — человеческого капитала. Ее величина равна сегодняшней ценности всех доходов от труда за все годы трудовой активности индивида.
Теоретически перманентный доход определяется по формуле
ypt=r у, |
Пусть в исходном периоде перманентный доход равен yjf; тогда объем потребление домашних хозяйств составит С0. В случае устойчивого роста экономики перманентный доход увеличится до ур , а потребление — до Съ- Поскольку в периоды бума фактический доход больше перманентного, то наблюдаемым окажется сочетание Съ, уъ-Во время депрессии перманентный доход сокращается до yf , а фактический — на большую величину yd < yf; возникает статистически наблюдаемое сочетание Су, уу. В результате вместо реальной функции потребления C(yp) статистики замечают кейнсианскую функцию C(y).
Поскольку перманентный доход не является статистически наблюдаемой величиной, то для алгебраического построения функции потребления М. Фридман предложил исчислять его как средневзвешенную величину всех ранее полученных доходов
yt = Xyt + X(1 -X )yt-1 + X(1 -X)2 yt-2 + X(1 -X)3 yt-3 + ••• = (3.7) |
^?(1-
т=0
X) Т yt-Т
где r — средневзвешенная доходность от имущества, включая человеческий капитал.
Функция потребления домашних хозяйств соответственно имеет вид

С позиций концепции перманентного дохода кейнсианская функция потребления является иллюзией, которая возникает из-за того, что в системе национального счетоводства перманентный доход непосредственно не отражается. График функции потребления, соответствующий концепции перманентного дохода, представлен на рис. 3.8 лучом, исходящим из начала координат.

где СуР — предельная склонность к потреблению перманентного дохода.
|
 |
|
Рис. 3.8. Функции потребления в концепции перманентного дохода |
где X — весовой коэффициент; X ? (1 - X)т = 1.
т=0
Перманентный доход более стабилен, чем фактический; во время экономического бума yt > yt , а во время спада yt < yf . Когда годовые доходы монотонно растут, тогда увеличивается и перманентный доход; при их длительном снижении он уменьшается. Это показано на рис. 3.9, фактические значения дохода здесь заданы произвольно, а соответствующие им величины перманентного дохода рассчитаны по формуле (3.7) при X - 0,4. Рис¦39 ¦ Динамика Фактическоі-о
и перманентного доходов |
|
|
 |
|
Рис. 3.10. Построение кейнсианской функции сбережений |
: с ростом размера имущества увеличи-
Функция потребления в концепции перманентного дохода имеет следующий вид:
го
Ct = CyPyf = CypXX(1 -X) yt-т . (3.8)
т=0
Чтобы в итоге освободиться от бесконечности, вначале сдвинем в равенстве (3.8) все параметры на один период назад и умножим обе его части на (1 + X), тогда
го
(1 - X) Ct= C p х X(1 - XT Vt-т-1. (3.9)
y т=0
После вычитания выражения (3.9) из выражения (3.8) и соответствующих преобразований получаем
Ct = (1 -X)Ct-1 +XCypyt.
Основной вывод из концепций жизненного цикла и перманентного дохода состоит в том, что объем спроса домашних хозяйств на рынке благ не настолько сильно зависит от их текущего дохода, как полагал Дж.М. Кейнс. А. Модильяни и М. Фридман обращают внимание на стремление домашних хозяйств удерживать объем потребления на неизменном уровне за счет изменения объема имущества. Однако в действительности потребители не всегда могут беспрепятственно занимать и ссужать деньги в пределах своих многопериодных бюджетных ограничений, как это предполагается в названных концепциях. Кредитные институты неохотно предоставляют займы исключительно под ожидаемые в будущем доходы. От клиентов с низким текущим доходом банки требуют залоговое обеспечение кредита или ограничивают его размер и сроки предоставления. В таких условиях текущий доход оказывает большее влияние на объем потребления, чем весь поток ожидаемых доходов за срок существования домашнего хозяйства.
Функция сбережений. Поскольку сбережения есть непотребленная часть располагаемого дохода, то
S = y - T - C = y - Tyy - Ca - Cyy = (1 - Ty - Cy )y - Ca.
Обозначив Sy = (1 - Ty - Cy), функцию сбережений домашних хозяйств можно представить в виде
Графическое построение функции сбережений показано на рис. 3.10. При вертикальном вычитании графика, представляющего сумму потребительских расходов и налогов [C(y) + I(y)] из линии, построенной под углом 45о и представляющей доход y, получаем график функции сбережений S (y ).
Если потребление домашних хозяйств зависит не только от текущего дохода, но и от объема имущества C = C (y, и),
то функция сбережений выражается зависимостью S = S(y, и)
вается потребление за счет уменьшения сбережений.
Неоклассические функции потребления и сбережения. Согласно описанному выше, кейнсианская функция потребления основывается на двух предпосылках: 1) доход для потребителя экзогенно задан; 2) распределение дохода между потреблением и сбережением осуществляется в соответствии с психологической склонностью к потреблению, которая формируется под воздействием традиций или привычек (значение Cy определяется по статистическим данным). В концепциях жизненного цикла и перманентного дохода вторая предпосылка заменяется предпосылкой о максимизации полезности потока потребления за весь срок жизни индивида.
В неоклассической концепции индивид тоже принимает решения в рамках долгосрочного планирования, но в отличие от кейнсианцев неоклассики полагают, что доход индивида не является для него экзогенно заданным. Величину дохода индивид определяет сам, распределяя имеющееся у него время (Т) на свободное (F) и рабочее (N). Размер трудового дохода равен произведению количества рабочего времени (N) либо на цену труда (w), если индивид является наемным рабочим, либо на производительность труда, если он сам ведет свое хозяйство. Решение о распределении всего времени на рабочее и свободное, так же как и о распределении текущего дохода между потреблением и сбережени- |
аф + Y )
(3.12)
(а + в + Y )_
|
|
N |
|
|
|
|
У о , |
|
|
|
wN \ |
\ U
х у'° |
tgP= 1 + г |
|
|
|
|
Со |
'Р\,. I |
|
|
|
|
tga = w у? |
|
^7.JJ |
|
|
|
/ a \ |
|
|
|
|
N* |
7, |
Уі |
|
Рис. 3.11. Определение дохода и его распределение между потреблением и сбережением в неоклассической концепции |
(3.10)
ем, подчинено максимизации благосостояния (функции полезности) индивида.
Для упрощения не будем учитывать налоги, инфляцию (P0 = р = = 1) и ограничимся лишь двумя периодами: текущим (t = 0), в котором индивид трудится, и будущим (t = 1), когда он не работает и живет за счет своих сбережений, накопленных за период трудовой активности. Предпочтения индивида относительно потребления и свободного времени представлены функцией
и=(о, - в>“ (С, + а)в (F0 - b)Y,
где а и b — минимально необходимые объемы соответственно потребления и свободного времени в текущем периоде (так как а единиц благ обязательно потребляется в нулевом периоде, то это учитывается во втором сомножителе).
При заданных рынком значениях ставки заработной платы и ставки процента индивид определяет свое благосостояние в обоих периодах, выбирая в нулевом периоде продолжительность рабочего времени и пропорцию распределения дохода между потреблением и сбережением путем определения длины рабочего дня в текущем периоде и распределения текущего дохода между потреблением и сбережением. Потребление индивида в будущем периоде задано его двухпериодным бюджетным уравнением
С, = (1 + i)[w(To - Fo) - С о].
Для определения оптимальных значений объемов потребления и свободного времени нужно максимизировать следующую функцию Лагранжа:
Ф = (С0 - а)а(С1 + a)e(F0 - b)Y - Х[С1 -(1 + i)wT0 + (1 + i)wF0 + (1 + І)С0].
Условием ее максимизации является следующая система уравнений:
а(С1 + а)в (F0 - b)Y (С0 - а)а-1 = 7(1 + i);
_Р(С0 -а)а(F0 -b)Y(С1 + а)в-1 = 7;
Y(С0 - а)а(С1 + а)в(F00 -b)Y-1 = 7w(1 + i);
С1 = (1 + i)[w(T0 -F0)-С0].
В результате поочередного деления первого уравнения этой системы на второе и третье получаем
в(1 + i) ва(1 + i)
С1 =-С0--
а а
F0 = b+ ^-Сй. (3.11)
aw а—
Подставив формулы (3.10) и (3.11) в бюджетное уравнение, после преобразований получим
+ w(T0 - b) +
Таким образом, при заданном бюджете времени (70) и предпочтениях индивида (а, b, а, в, y) его потребление в каждом периоде определяется только вектором относительных цен: С = С(—, i).
Подставив формулу (3.12) в выражение (3.11), обнаружим, что при повышении ставки процента индивид сокращает свободное время, т.е. больше работает. Это объясняется тем, что, увеличивая отдачу от сбережений, рост ставки процента косвенно повышает и отдачу от труда.
Таким образом, в неоклассической концепции при распределении дохода между потреблением и сбережением индивид определяет объем потребления не на один период, а сразу на весь плановый срок. Поэтому соотношение между приростом дохода и приростом потребления (предельной склонностью к потреблению) зависит от того, происходит ли увеличение дохода (в результате повышения цены или производительности труда) только в одном или во всех периодах. В первом случае изменение дохода практически не отразится на объеме потребления (Су ~ 1; Sy ~ 1), а во втором — потребление возрастет на величину прироста дохода (Су ~ 1; Sy ~ 0).
Наглядно процесс принятия решения индивидом о величине дохода и его распределении между потреблением и сбережением показан на рис. 3.11.
Кривые безразличия U в левом квадранте характеризуют предпочтения индивида относительно труда и дохода, а в правом — относительно текущего и будущего потреб- |
|
|
Таблица 3.2
Износ и обновление основных фондов в России в 1990—1998 гг.1 |
|
|
|
|
|
|
|
|
|
Годы |
|
|
|
|
|
|
Показатели |
1990 |
1992 |
1995 |
1996 |
1997 |
1998 |
|
|
а |
б |
а |
б |
а |
б |
а |
б |
а |
б |
а |
б |
|
Все основные фонды |
35,1 |
5,8 |
40,6 |
3,2 |
38,6 |
2,1 |
36,3 |
1,5 |
37,1 |
1,5 |
38,4 |
1,4 |
|
Основные фонды промышленности |
48,8 |
6,0 |
46,8 |
2,8 |
47,9 |
1,6 |
40,9 |
1,3 |
52,0 |
1,0 |
52,4 |
0,9 |
|
Примечание. Здесь а — степень износа на начало года, %; б — коэффициент обновления в сопоставимых ценах, в процентах к наличию на конец года. |
лений. Точка касания линии зарплаты wN с наиболее отдаленной кривой безразличия в левом квадранте указывает на величину текущего дохода У0. Точка касания двухпериодной бюджетной линии с наиболее отдаленной кривой безразличия в правом квадранте определяет распределение дохода у* между текущим и будущим потреблениями.
При заданном доходе объемы потребления и сбережения индивида меняются при изменении ставки процента; ее рост уменьшает потребление и увеличивает сбережение
C = C (i); 5 = S( i).
- +
Расхождения между взглядами Дж.М. Кейнса и неоклассиков при описании поведения домашних хозяйств на макроэкономических рынках вызваны их различными представлениями о механизме функционирования рынка. В отличие от неоклассиков, отрицавших возможность существования диспропорции между объемами рыночного спроса и предложения из-за совершенной гибкости цен, Дж.М. Кейнс исходил из условия «вязкости» цен (их негибкости в коротком периоде). В последнем случае домашнее хозяйство может встретиться с препятствием при попытке осуществить торговые сделки в оптимальных объемах, соответствующих максимуму функции полезности. Если по существующей цене труда индивид не может продать его желаемое количество, то для него доход становится экзогенным параметром: величина заработка определяется не предпочтениями индивида относительно свободного времени и потребления, а независящими от него ограничениями на рынке труда.
3.1.2. Спрос предпринимательского сектора
Предприниматели предъявляют спрос на инвестиционные блага для: 1) восстановления изношенного капитала; 2) увеличения производственных мощностей. Соответственно общий объем инвестиций (брутто-инвестиции) делится на реновационные и чистые (нетто) инвестиции. Если в некотором периоде общий объем инвестиций меньше величины износа капитала (амортизации), то нетто-инвестиции оказываются отрицательной величиной. Такая ситуация сложилась в российской экономике в 1990-х гг. (табл. 3.2.)
1 Более подробный сравнительный анализ кейнсианской и неоклассической функций потребления домашних хозяйств проведен в гл. 13.
Если результат производства в национальном хозяйстве представлять национальным доходом, а не ВВП, то спрос предпринимателей на рынке благ сводится к чистым инвестициям.
Спрос на инвестиции — самая изменчивая часть совокупного спроса на блага. С одной стороны, инвестиции сильнее всего реагируют на изменение экономической конъюнктуры, а с другой, именно изменение их объема чаще всего служит причиной конъюнктурных колебаний.
Специфика воздействия инвестиций на экономическую конъюнктуру состоит в том, что в момент их осуществления возрастает спрос на блага, а предложение последних увеличится лишь через некоторое время, когда в действие вступят новые производственные мощности. Поэтому в статических и краткосрочных макроэкономических моделях инвестиции влияют только на объем совокупного спроса.
Функции спроса на инвестиции. Будем исходить из того, что инвестиции в текущем периоде превращаются в дополнительный реальный капитал к началу следующего периода
It = AKt+1.
В соответствии с традиционной (неоклассической) теорией предприниматели осуществляют инвестиции, когда объем используемого ими капитала меньше оптимального
It =в(К*-Kt); 0<р< 1,
где К * — оптимальный объем капитала; в — коэффициент, характеризующий скорость приближения существующего объема капитала к оптимальному. |
I Чт - К J-
Наглядно процесс нахождения оптимального объема капитала представлен на рис. 3.12, ему соответствует точка пересечения прямой i с кривой г(К).
|
 |
|
Рис. 3.12. Определение оптимального объема капитала |
 |
|
Рис. 3.13. Динамика индуцированных инвестиций |
Оптимальным является такой объем капитала, который при существующей технологии и заданных ценах факторов производства обеспечивает максимальную прибыль. В условиях совершенной конкуренции фирма получает максимум прибыли, когда предельная производительность капитала (г) равна предельным затратам его использования. Если отвлечься от амортизации, то затраты применения капитала равны альтернативным, т.е. ссудной ставке процента. Поэтому условием максимизации прибыли является равенство: г(К) = i.
Пусть технология производства характеризуется производственной функцией Кобба-Дугласа: y = KaN1-a. Тогда г = ay/К и прибыль достигает максимума при i = ay/K; поэтому оптимальный объем капитала равен К = ay/i. В этом случае
Если при данной ставке процента растет предельная производительность капитала вследствие технического прогресса или большего применения труда (сдвиг кривой г вправо), то К тоже увеличивается.
После достижения оптимального объема капитала фирмы будут осуществлять чистые инвестиции только при снижении ставки процента, увеличении производительности капитала или спроса на производимую продукцию:
( \
I = I г iy
\+~+J
В зависимости от того, какие факторы определяют объем спроса на инвестиции, последние делят на индуцированные и автономные.
Индуцированные инвестиции. Если при использовании оптимального объема капитала увеличивается спрос на блага, то для его удовлетворения на основе существующей технологии потребуется дополнительный капитал. Необходимые для этого инвестиции называют индуцированными.
Чтобы определить объем инвестиций, обеспечивающий необходимое для удовлетворения возросшего спроса расширение производственных мощностей, нужно знать приростную капиталоемкость продукции (n = AK/Ay) — коэффициент, показывающий, сколько единиц дополнительного капитала требуется для производства дополнительной единицы продукции. Коэффициент приростной капиталоемкости называют также акселератором. При данной приростной капиталоемкости для увеличения производства с yo до yi необходимы индуцированные инвестиции в размере
Iin = n(yi— yo).
Если в текущем году размер национального дохода снижается по сравнению с предыдущим годом, то индуцированные инвестиции принимают отрицательное значение. Практически это означает, что из-за сокращения производства предприниматели частично или полностью не восстанавливают изношенный капитал. Поэтому объем отрицательных инвестиций не может превысить размер амортизации. Пример зависимости объема индуцированных инвестиций от изменения нацио-
| |
нального дохода при n = |
4 представлен ниже и на |
рис. 3.13. |
|
|
t............. 1 |
2 |
3 |
4 |
5 |
6 |
7 |
8 |
9 |
10 |
|
y............100 |
110 |
120 |
130 |
140 |
145 |
155 |
160 |
155 |
155 |
|
Iin........... 0 |
40 |
40 |
40 |
40 |
20 |
40 |
20 - |
0 |
При равномерном приращении национального дохода объем индуцированных инвестиций постоянен. Если доход растет с переменной скоростью, то объем Іт колеблется. В случае снижения национального дохода инвестиции становятся отрицательными.
Автономные инвестиции.
Нередко предпринимателям оказывается выгодным осуществлять инвестиции и при фиксированном национальном доходе, т.е. при заданном совокупном спросе на блага.
Это прежде всего инвестиции в новую технику и направлен-
|
|
 |
Рис. 3.14. Ранжирование проектов по их предельной эффективности:
1—6 — ранжированные инвестором проекты |
ные на повышение качества продукции. Чаще всего они сами становятся причиной увеличения национального дохода, а не следствием роста последнего, поэтому такие инвестиции называют автономными.
Из неоклассической концепции следует, что побудительным мотивом осуществления автономных инвестиций является превышение предельной производительности используемого капитала рыночной ставки процента. Дж.М. Кейнс интерпретировал это иначе. По его мнению, инвестор сравнивает рыночную ставку процента не с производительностью действующего капитала, а с потенциальной эффективностью инвестиционных проектов.
Инвестиции в отличие от текущих затрат на производство дают результаты не в том периоде, в котором их осуществляют, а в течение ряда последующих периодов. Поэтому при сравнении инвестиционных затрат с получаемыми от них результатами возникает проблема соизмерения разновременных ценностных показателей, которую решают посредством дисконтирования. Оценивая, сколько стоит сегодня возможность получения некоторой суммы денег через t лет при отсутствии инфляции, инвестор делит эту сумму на (1 + 5)t, где 5 — мера предпочтения инвестором нынешней ценности будущей. Как правило, каждый индивид имеет свою меру предпочтения. Если 5 некоторого индивида меньше ставки процента, выплачиваемого по облигациям, то он приобретет облигации. И наоборот, тот, кто предпочитает вместо возможности покупки облигаций хранение наличных денег, имеет 5, превышающую процент на облигации.
Пусть некоторый инвестиционный проект требует вложений K0 в текущем периоде и обещает дать в следующих трех чистого дохода соответственно Пр П2, П3. Инвестор сочтет данный проект экономически целесообразным, если
K < П1 + П2 + П3
0 1 + 5 (1+ 5)2 (1+ 5)3 .
При заданных Пг- сумма их дисконтированных значений зависит от величины 5. Значение 5, которое превращает приведенное неравенство в равенство, называют предельной эффективностью капитала (Л). Величина R — это такая ставка процента, при которой инвестиционный проект можно осуществить за счет кредита и «остаться при своих», т.е. полностью возвратить его с процентами из будущих доходов.
Процесс определения объема автономных инвестиций можно представить следующим образом. Инвестор ранжирует все инвестиционные проекты по убыванию их предельной эффективности, получая зависимость R = R(I), представленную на рис. 3.14.
Кроме связанных с риском вложений в реальный капитал инвестор может приобрести государственные облигации с гарантированной доходностью i. Поэтому оптимальный объем инвестиций в реальный капитал находится из равенства R(I) = i. В случае, представленном на рис. 3.14, при i1 инвестиции будут сделаны в первые четыре проекта; если же ставка процента возрастет до i2, то будут реализованы лишь первые два.
Принимая в целях упрощения зависимость R(I) линейной, кейнсианскую функцию автономных инвестиций можно получить следующим образом:
1
Rmax — aI = ^ = (Rmax — i).
а
Обозначим 1/а = Ц, тогда
1 = i (Rmax - i).
Коэффициент Ii характеризует «чувствительность» объема инвестиций к разности между предельной эффективностью капитала и ставкой процента; он показывает, на сколько единиц изменится объем инвестиции при изменении разности между предельной эффективностью капитала и текущей ставкой процента на один процентный пункт.
При заданном наборе инвестиционных проектов Rmax и Ii являются экзогенными параметрами и объем автономных инвестиций зависит только от ставки процента: I = I(i).
Расхождения неоклассиков и Дж.М. Кейнса при описании поведения инвестора связаны с тем, что r и R различны. Предельная производительность капитала (r) характеризует используемую технологию производства и является объективным параметром. Предельная эффективность капитала (R) — категория субъективная, так как значения Пі, определяющие величину R, являются ожидаемыми величинами. Они |
П3
•\3
1 + i (1 + i) (1 + i)
берутся на основе предположений инвестора относительно будущих цен, затрат и объемов спроса. Поэтому в кейнсианской концепции объем инвестиций существенно зависит от субъективных представлений инвестора .
Для устранения субъективизма в кейнсианской функции автономных инвестиций можно использовать коэффициент Тобина . Если ожидаемые чистые доходы от инвестиционного проекта дисконтировать по рыночной ставке процента, то полученная сумма представит его сегодняшнюю ценность PV (present value):
тг П1 П2
PV к—1 + + -
Инвестиционный проект экономически целесообразен, если K < PV или PV/Kо = q > 1, где q — коэффициент Тобина.
При существовании совершенной конкуренции на финансовых рынках рыночная ценность инвестиционного проекта (сумма денег, за которую сегодня можно продать право на осуществление проекта) равна его PV. Поэтому коэффициент Тобина можно определить как отношение рыночной ценности проекта к затратам на его выполнение. Если данное отношение больше единицы, то следует инвестировать проект, в противном случае этого делать не стоит.
3.1.3. Спрос государства и остального мира
Государство. Оно покупает продукцию, изготовленную в частном секторе, для производства общественных благ. На фоне исторического развития рыночного хозяйства прослеживается ярко выраженная тенденция к увеличению государственных расходов в ВВП: в начале ХХ в. она составляла около 10%, а в начале XXI в. — уже 40—60%. В отличие от хозяйственной деятельности частных секторов экономическая активность государства не имеет четко выраженного критерия оптимальности. Кроме типичных статей расходов государственного бюджета (государственное управление, национальная оборона, правоохранительная деятельность, государственное социальное обеспечение граждан), объем государственных закупок благ зависит от тактических целей фискальной политики, которая будет рассмотрена в гл. 11 и 12. Государственный бюджет страны утверждается парламентом, как правило, на год вперед, и тем самым основные расходные статьи государства оказываются заданными. Поэтому в моделях короткого периода объем государственных расходов является экзогенной фиксированной величиной. |
Кроме прямого воздействия государства на рынок благ через их покупку оно косвенно влияет на совокупный спрос посредством налогов и займов (выпуска облигаций). С изменением величины налогов меняется размер располагаемого дохода, а следовательно, и потребительский спрос домашних хозяйств. Операции государства на рынке ценных бумаг отражаются на уровне реальной ставки процента и, соответственно, на инвестиционном спросе предпринимателей.
Остальной мир. Спрос его на отечественном рынке благ выражается экспортом товаров и услуг страны. Как правило, спрос остального мира на продукты отдельной страны растет по мере увеличения мирового производства (национального дохода заграницы — yZ). Объем экспорта страны зависит также от соотношения уровней цен внутри нее и за границей (P/PZ^ обменного курса национальный валюты (е), который показывает, сколько единиц отечественных денег нужно заплатить за единицу иностранных. Оба эти фактора объединяются в показателе «реальные условия обмена» (terms of trade). Он отражает, сколько заграничных благ страна может получить в обмен на единицу своего блага, и рассчитывается по формуле
? = P/ePz.
Пример 3.1. Пусть страна A обменивает свою нефть на заграничные апельсины. Цена 1 т нефти 400 руб., а 1 т апельсинов — 80 дол. Обменный курс валюты страны A равен 25 руб/дол. Тогда ? = 400/(25-80) = 0,2. Это означает, что страна A за 1 т нефти может получить 200 кг апельсинов.
Когда ? растет, то говорят, что реальные условия обмена страны улучшаются, так как за единицу отечественного блага можно получить больше иностранных. Однако для заграницы это означает подорожание товаров из данной страны, и экспорт последней, при прочих равных условиях, сократится.
Общая зависимость между объемом экспорта страны и факторами, его определяющими, представляется функцией экспорта
E = E (yZ, ?).
+ - |
|
|
|
I |
II |
III |
IV |
|
216,3 |
249,2 |
161,1 |
107,3 |
|
291,5 |
259,2 |
184,3 |
107,9 |
|
1221 |
1976 |
810 |
226 |
|
1331 |
1417 |
627 |
760 |
|
39708 |
55531 |
33792 |
10992 |
|
7659 |
8319 |
6183 |
4123 |
|
117,1 |
101,1 |
72,5 |
43,5 |
(3.13)
Заграница не только покупает, но и продает на отечественном рынке благ (страна импортирует блага). Объем импорта страны тем больше, чем больше национальное производство (ее национальный доход). Кроме того, импорту способствует повышение показателя реальных условий обмена: чем больше ?, тем относительно дешевле становятся иностранные товары, и спрос на них увеличивается. Поэтому функция импорта имеет следующий вид:
Z = ^ y,0j.
Зависимость объема импорта от обменного курса рубля наглядно проявилась после финансового кризиса 17 августа 1998 г.; до конца года обменный курс возрос с 6,2 до 20,7 руб/дол.; как это отразилось на импорте отдельных видов товаров России в 1998 г., показано ниже:
Квартал ............................................................
Мясо свежемороженое, тыс. т................
Мясо птицы свежемороженое, тыс. т ..
Сахар, включая сырец, тыс. т.................
Нефтепродукты, тыс. т..............................
Число автомобилей:
легковых...................................................
грузовых...................................................
Импорт всего, % к соответствующему периоду предшествующего года............
Суммарный результат участия остального мира на отечественном рынке благ представляет функция чистого экспорта товаров и услуг NE, которую можно представить в следующем виде:
NE = e(yZ,0^ -Е^у,?^ ^ NE = NE(yZ, y,0^.
Итак, из проведенного анализа следует, что в кейнсианской концепции при фиксированном уровне цен объем и структура спроса на рынке благ представляется следующей функцией:
yD = C(y) r I(R, i) r G r NE I yZ, y, 0
В дальнейшем в соответствии с избранным порядком изложения материала последнее слагаемое формулы (3.13) будем учитывать только в гл. 12 при анализе механизма функционирования открытой экономики.
В неоклассической концепции структура спроса на рынке благ выражается формулой
yD = C(i) r1 ( r,i Jr G.
Принципиальная особенность кейнсианской модели формирования совокупного спроса состоит в том, что в ней присутствует обратная связь: величина совокупного спроса существенно зависит от объема спроса домашних хозяйств, который определяется размером национального дохода, представляющего совокупный спрос. Эта особенность порождает так называемый мультипликативный эффект, который будет рассмотрен в 3.3. В специфике построения функций совокупного спроса на блага проявляется главное концептуальное различие двух школ по вопросу о роли спроса и предложения в формировании экономической конъюнктуры: кейнсианцы решающим фактором считают совокупный спрос, неоклассики — предложение.
3.2. Равновесие на рынке благ в кейнсианской модели
Для выявления условий равновесия на рынке благ кроме факторов, определяющих объем совокупного спроса, нужно знать, как формируется объем предложения на данном рынке. Для этого необходимо рассмотреть процессы, происходящие на рынке труда, так как от уровня занятости зависит объем производства и предложения благ. Механизм функционирования рынка труда будет изложен в гл. 7. Поэтому пока примем, что предложение благ совершенно эластично, т.е. при данном уровне цен предприниматели готовы предложить столько благ, сколько их спрашивают. На практике такая ситуация складывается при неполном использовании производственных мощностей и рабочей силы (в периоды экономической депрессии), когда предприниматели могут увеличить выпуск за счет дополнительного привлечения последней при неизменных средних затратах на производство. Такое подключение предложения к анализу условий равновесия на рынке благ не имеет смысла с позиций неоклассиков, так как в их функции совокупного |
спроса в числе аргументов нет дохода от производства. Но для понимания существа кейнсианской концепции такой методический прием оказывается плодотворным. Используя его в данном и следующем разделах, мы выявим некоторые неочевидные взаимосвязи в национальной экономике.

На рынке благ установится равновесие, если ys = yD = у, или во введенных обозначениях: yS = C + Т + S, а yD = C +1 + G, то условие равновесия будет следующим:
y = Ca + Cy° (У — ТУУ) + 1 (Rmax — f) + G-
Данное равенство можно представить в виде двух эквивалентных выражений
(3.14)
Azk
If
или
= A - Iji
y = -iy (3Л4а)
где A = Ca + IRmax + G; %y = 1 - Cyv + CyvTy = syv (1 - Ty) + Ту Ш Sy + Ty.
Каждая из этих формул определяет множество сочетаний ставки процента и национального дохода, соответствующих равенству объемов спроса и предложения на рынке благ.
Пример 3.2. Экономическая активность домашних хозяйств, предпринимателей и государства на рынке благ отображается следующими функциями и параметрами: C = 80 + 0,778у; I = 260 - 6i; Ту = 0,1; G = 110. В таком случае объем спроса будет равен объему предложения только при условии, если ставка процента и величина национального дохода соответствуют равенству
у = 80 + 0,778 (у - 0,1у) + 260 - 6i + 110 ^ i = 75 - 0,05у.
Так, если объем произведенных благ (реальный национальный доход) равен 1100 ед., то все блага будут раскуплены только при i = 20: спрос домашних хозяйств составит (80 + 0,7-1100) = 850, предпринимателей - (260 - 6-20) = 140 и оставшиеся 110 ед. купит государство.
Множество равновесных сочетаний і, у, представленное в графическом виде, получило название «линия IS» (I = S — условие равновесия на рынке благ в экономике без государства и заграницы). Построение линии IS показано на рис. 3.15. |
В квадранте IV изображен график суммы функций налоговых сборов и сбережений домашних хозяйств В = В (у), а в квадранте II — график суммы инвестиций и государственных расходов у = у(і). В квадранте III проведена вспомогательная прямая линия под углом 45° к осям координат. На основе этих данных в квадранте I находим искомое множество равновесных сочетаний у и і.
При национальном доходе у0 «отток» из народнохозяйственного кругооборота в виде сбережений и налогов будет равен В0; равный ему «приток» в виде инвестиций и государственных закупок может существовать только при ставке процента ф. Следовательно, точка а представляет одно из равновесных сочетаний у, і. Если ставка процента примет значение і\, то «приток» будет равен ур чтобы «отток» составил такую же величину, нужно произвести у\ национального дохода. Поэтому точка b тоже представляет равновесное сочетание у, і. Аналогично в квадранте I находятся все другие точки, соответствующие равновесию на рынке благ.
Все сочетания і, у, соответствующие точкам выше линии IS, приводят к избытку на рынке благ. Возьмем точку с: при у\ объем спроса благ уравнивается с объемом их предложения, если ставка процента равна і\. Поскольку І2 > і\, то спрос на инвестиции меньше своего равновесного значения и поэтому совокупный спрос меньше предложения. Из аналогичных рассуждений следует, что все точки под линией IS представляют сочетания і, у, при которых на рынке благ возникает дефицит.
Линия IS относится к числу основных инструментов макроэкономического анализа в кейнсианской концепции. В связи с этим выявим факторы, которые определяют расположение этой линии. |
Из выражения (3.14) можно определить наклон линии IS к оси абсцисс _
tga = ^ = -Т-Ay Ii
Следовательно, при увеличении ставки подоходного налога и нормы сбережений линия IS становится круче, а при увеличении чувствительности инвестиций к ставке процента — положе.
Чтобы выяснить, от чего зависит параллельный сдвиг линии IS, примем i = const и запишем выражение (3.14а) в приращениях:
1
Ay = — AA. (3.15)
^ У
Поскольку A = Ca + I + G, то линия IS сдвигается при изменении автономного потребления домашних хозяйств, предельной эффективности капитала, чувствительности инвестиций к ставке процента и государственных расходов.
Сомножитель перед АА в уравнении (3.15) называют мультипликатором автономных расходов. Он показывает, на сколько увеличится совокупный спрос на рынке благ, если при заданной ставке процента объем спроса отдельного макроэкономического субъекта возрастет на единицу. Поскольку Ty + Sy < 1, то мультипликатор автономных расходов больше 1. Значит, если, например, государство увеличит закупки на рынке благ на 100 ед., то совокупный спрос увеличится больше, чем на 100 ед. Рассмотрим этот неожиданный, на первый взгляд, вывод подробней.
3.2.1. Мультипликативные эффекты
Любое сочетание i, y, соответствующее точке на линии IS, обеспечивает равновесие на рынке благ до тех пор, пока макроэкономические субъекты не меняют свои объемы спроса. При изменении спроса одного из участников общественного хозяйства свое поведение на рынке благ изменят и другие участники вследствие взаимозависимости их экономической деятельности. Как в результате этого изменится совокупный спрос, позволяет определить мультипликатор автономных расходов.
Допустим, что в примере 3.2 государство решило увеличить закупки на рынке благ на 60 ед. Если в ответ на это предприниматели увеличат объем предложения тоже на такую же величину, то на рынке возникнет дефицит
1160 < 80 + 0,7-1160 + 260 — 6-20 + 170 = 1202. |
Чтобы узнать, насколько надо увеличить предложение для восстановления равновесия, воспользуемся формулой (3.15): Ay = 60/0,3 = 200. При таком увеличении предложения на рынке установится новое равновесие
1300 = 80 + 0,7-1300 + 260 — 6-20 + 170 = 1300.
Процесс мультиплицирования первоначального приращения спроса в рассматриваемом примере можно объяснить следующим образом. В результате дополнительных расходов государства на 60 ед. увеличились доходы у работников оборонной промышленности; последние в соответствии со сложившейся склонностью к потреблению израсходуют 0,7-60 = 42 на покупку бытовой техники; получив 42 ед. дополнительного дохода, производители бытовой техники 0,7-42 = 29,4 ед. израсходуют на продукцию фермеров, доход которых возрастет на такую же величину, и т.д. Общее приращение совокупного спроса определяется по формуле
Ay = 60(1 + 0,7 + 0,72 + 0,73 + ... + 0,7“) = 200.
В общем виде мультипликативный процесс описывается формулой:
Ay=aA(1+Cy+cy +...+Cyy (3.16)
Учитывая, что 1 - Cy = Ty + Sy, при n ^ получаем значение мультипликатора автономных расходов.
Поскольку величина мультипликатора обратно пропорциональна предельной склонности к сбережению, то возникает так называемый парадокс сбережений: если потребители в преддверии спада производства увеличивают долю сберегаемого дохода, то тем самым они приближают спад; стремясь быть богаче, они становятся беднее.
Парадокс сбережений — одно из наглядных проявлений сущности кейнсианской концепции: совокупный спрос — доминанта экономической конъюнктуры.
Допустим, что в числовом примере 3.2 из-за ожиданий ухудшения экономической конъюнктуры предельная склонность к сбережению домашних хозяйств возрастет до 0,3, а предельная склонность к потреблению соответственно снижается до 0,6. Тогда при том же увеличении государственных расходов на 60 ед. национальный доход возрастет не на 200, а только на 150 ед. Следовательно, чем больше общество сберегает, тем беднее становится.
Американский юморист Арт Бухальт популярно изложил суть парадокса сбережений: «Хофбергер, продавец из Томкэта, пригорода Вашингтона, позвонил Литлтону, владельцу фирмы «Мужская одежда», и сказал: «Хорошие новости! Только что поступила партия новых автомобилей «Nova». Я оставил одну для Вас и Вашей жены». |
Литлтон ответил: «Не могу, Хофбергер. Мы с женой разводимся. Жаль, — продолжал он, — но я не могу позволить себе новую машину в этом году. Как только я улажу все с женой, буду рад купить велосипед».
Хофбергер повесил трубку. Через несколько минут зазвонил его телефон. «Это Бедчек, маляр, — произнесли на другом конце провода. — Когда Вы хотите, чтобы я начал красить Ваш дом?» «Я передумал», — сказал Хофбергер. «Но я заказал краску, — воскликнул Бедчек, — почему Вы изменили свое решение?» «Потому что Литлтон разводится и не может позволить себе новую машину».
В тот же вечер, когда Бедчек пришел домой, жена сообщила ему: «Принесли новый цветной телевизор из магазина Глэдстоуна». «Отошли его назад», — вздохнул Бедчек. «Почему?» — возмутилась жена. «Потому что Хофбергер не собирается красить дом в связи с тем, что Литлтон разводится с женой». На следующий день миссис Бедчек доставила телевизор в магазин.
Глэдстоун изменился в лице. Он немедленно связался с Сэндстромом, агентом туристической фирмы: «Вы помните о моей поездке на Вирджинские острова?» — «Конечно, билеты уже заказаны». — «Аннулируйте заказ, я не могу поехать. Бедчек только что вернул цветной телевизор, потому что Хофбергер не продал машину Литлтону, т.к. он собирается разводиться с женой и она требует все деньги».
Сэндстром порвал авиабилеты и отправился к банкиру Грипполму. «Я не могу выплатить кредит в этом месяце, потому что Глэдстоун не летит на Вирджинские острова». Грипполм взвился. Когда Рудмейкер зашел занять деньги на новую кухню для своего ресторана, Грипполм холодно отказал: «Как я могу одолжить деньги, если Сэндстром не выплатил деньги, которые он занимал». Рудмейкер позвонил подрядчику Иглтону и сказал, что отказывается от новой кухни. Иглтон уволил восемь человек.
Тем временем «Дженерал моторз» объявила, что предоставляет скидку на новые модели. Хофбергер немедленно позвонил Литлтону: «Хорошие новости! Если Вы и разводитесь с женой, Вы можете позволить себе новую машину». «Я не развожусь, — сказал Литлтон, — все это было недоразумением, все уладилось». «Прекрасно, — воскликнул Хофбергер, — теперь можете купить “Nova”».
«Ни в коем случае! Дела настолько паршивые, что не знаю, как еще держусь на плаву». «Не знал этого», — заметил Хофбергер. «Понимаете ли, больше месяца не видел в моем магазине ни Бедчека, ни Глэдстоуна, ни Сэндстрома, ни Грипполма, ни Рудмейкера, ни Иглтона». |
Проследим теперь за последствиями изменения ставки подоходного налога. Исходное состояние равновесия на рынке благ представляется равенством
У = Cyv (у - Tyy) + A, (3.17)
где C v — предельная склонность к потреблению располагаемого дохода; A = Ca + I + G.
Повышение ставки налога на А Ту изменит совокупный спрос на некоторую величину Ау. Для сохранения равновесия на рынке благ должно выполняться равенство
У + Ау = CyV у[(у + Ау) - (Ту + АТ у )(у + Ау)] + A. (3.18)
Вычтя равенство (3.17) из равенства (3.18), после преобразований получим
АУ = -1 _ C + C Т (У + АУ)АТу. (3.19)
у? у? у
Произведение (у + Ау)АТу представляет приращение налоговых поступлений вследствие изменения ставки подоходного налога; обозначим его АТ. В знаменателе правой части выражения (3.19) стоит сумма Ту + Ау, это следует из равенства у = CyV (у _ Туу) + ТуУ + БуУ. Поэтому выражение (3.19) можно представить в виде
Ау =--АТ. (3.20)
Ту + Sy
Сомножитель, стоящий перед АТ, называют налоговым мультипликатором; он показывает, на сколько сократится (увеличится) совокупный спрос при увеличении (уменьшении) налоговых платежей на единицу.
При сравнении значений мультипликатора автономных расходов (3.15) и налогового мультипликатора (3.20) обнаруживается, что по абсолютной величине первый превосходит второй. Следовательно, рост государственных расходов на определенную величину вызовет боль- |
|
|
Таблица 3.3
Последствия изменения государственных расходов и налогообложения |
|
|
|
Следствие |
Действие |
|
увеличение государственных расходов на AG |
снижение суммы налогов на AT |
Прирост национального
дохода на |
т + s AG (1)
Jy y |
C v
-y—AT (2)
Ty +sy (2) |
|
Увеличение дефицита бюджета на |
(‘- T, + s, У (3> |
С T C Л
. TyCyv
1--— AT (4)
T + s (4)
^ Ty^sy) |
Ty
AS = AG - T
AG.
(3.22)
AT.
AS = -
1-
ший прирост совокупного спроса, чем сокращение на такую же величину суммы налогообложения. Это объясняется тем, что снижение налогов на AT первоначально увеличивает потребление домашних хозяйств не на AT, а только на C vAT. (В формуле мультипликативного процесса (3.16) пропадает первое слагаемое в скобке.)
Мультипликативные эффекты и государственный бюджет. Изменение величины государственных расходов и налогов отражается на состоянии государственного бюджета. Превышение государственных расходов над доходами образует дефицит госбюджета
S = G -Tyy, (3.21)
а превышение доходов над расходами называют профицитом.
Допустим, государство планирует увеличить расходы на AG при неизменной ставке налога. Тогда дефицит государственного бюджета изменится на AS = AG - TyAy.
С учетом выражения (3.15) получаем
AG
Sy + Ty )
Поскольку сомножитель, стоящий перед AG в выражении (3.22), меньше единицы, то при увеличении государственных расходов дефицит бюджета возрастает на меньшую, чем расходы, величину. Это объясняется тем, что рост государственных закупок повышает доходы частного сектора, а следовательно, и подоходный налог. Так, государственные расходы частично сами себя финансируют.
Чтобы выявить влияние изменения ставки подоходного налога на состояние госбюджета, запишем уравнение (3.22) в приращениях при фиксированном размере государственных расходов
AS = -(A Tyy + TyAy + ATyAy) = -(AT + TyAy). (3.23)
С учетом выражения (3.19) равенство (3.23) можно представить следующим образом:
C T \
CyvTy
? sу + Ty j
В обобщенном виде результаты проведенного анализа последствий изменения экономической активности государства представлены в табл. 3.3.
Таким образом, одна и та же дополнительная нагрузка на государственный бюджет (AG = AT) порождает неодинаковые последствия в зависимости от того, растут ли государственные расходы при неизменном налогообложении или снижаются налоги при фиксированном объеме государственных расходов: национальный доход возрастет в большей степени при росте государственных закупок, чем при снижении налогов (см. табл. 3.3): (1) > (2), а бюджетный дефицит будет выше при сокращении налогов: (3) < (4).
Пример 3.3. Государство закупает на рынке благ 130 ед.; ставка подоходного налога Ty = 0,1. Для инвестиций предприниматели используют 90 ед. благ. Функция потребления домашних хозяйств имеет вид: C = 60 + 0,8(y - Tyy). В этих условиях равновесная величина национального дохода определяется из равенства
y = 60 + 0,8-0,9y + 90 + 130 ^ y = 1000.
Дефицит бюджета составит S = 130 - 0,1 • 1000 = 30.
Увеличив государственные расходы на 28 ед., получим
y = 60 + 0,8-0,9y + 90 + 158 ^ y = 1100;
S = 158- 0,1^ 1100 = 48.
Рост государственных расходов на 28 ед. увеличил дефицит только на 18 ед.
Сократим теперь налоги на 28 ед., сохраняя госрасходы в размере 130 ед.; для этого ставку налога снизим до Ty = 0,072. Равновесие на рынке благ достигается при
y = 60 + 0,8-0,928y + 90 + 130 ^ y = 1087.
Дефицит бюджета составит S = 130 - 0,072-1087 = 51,7, т.е. дефицит возрос на 21,7 ед. Обобщим результаты в табл. 3.4. |
автономных осуществляются индуцированные инвестиции, а потребительский спрос домашних хозяйств определяется не только текущим доходом, но и объемом имущества, то условие равновесия на рынке благ выражается равенством
Таблица 3.4
|
|
Последствия увеличения нагрузки на госбюджет на 28 ед. |
|
|
|
|
Действие |
|
Следствие |
>
II
to
00 |
>
|ч
іі
to
00 |
|
Ду |
100 |
87 |
|
Д5 |
18 |
21,7 |
|
|
f Л |
|
f л |
|
f л |
|
S |
y, $ |
+T |
у |
= I |
i, у |
|
|
1+ -) |
|
1+) |
|
к- +) |
Теорема Хаавельмо. Для обеспечения сбалансированности государственного бюджета необходимо соблюдать равенство G = Tyy. В этом случае ставка подоходного налога и размер государственных расходов становятся взаимозависимыми величинами. Условие равновесия на рынке благ принимает вид:
у = Cyv(у-Tyy) + + G = Cyvy- CyG + + G^
^ У(1 - Cyv) = у(1 - Cyv)+1.
При фиксированном объеме инвестиций оказывается, что Ду = AG, т.е. повышение на определенную величину государственных расходов при условии финансирования их за счет увеличения подоходного налога приводит к росту национального дохода на такую же величину. Иначе говоря, повышение госбюджета на определенную величину вызывает рост национального дохода на такую же величину. Этот парадоксальный на первый взгляд вывод, сделанный норвежским экономистом Т. Хаавельмо и получивший название «теорема Хаавельмо», объясняется тем, что мультипликатор государственных расходов больше налогового мультипликатора.
Эффект теоремы Хаавельмо, как и парадокс сбережений, подчеркивает специфику экономической конъюнктуры, соответствующей принятым в данной главе упрощениям. При изучении материалов последующих глав мы увидим, что при взаимодействии рынка благ с остальными макроэкономическими рынками эти эффекты существенно модифицируются.
3.2.2. Расширенное условие равновесия
Если спрос предпринимателей на инвестиции зависит не только от ставки процента, но и от величины национального дохода, т.е. кроме
Посмотрим, как дополнительно учтенные факторы изменяют множество равновесных сочетаний i, у, т.е. расположение линии IS.
Пусть на рынке благ установилось равновесие при значениях у0, io, $0, G0. На рис. 3.16 такому сочетанию параметров соответствуют графики «притоков» и «оттоков» у0 = I(i,y0) + Gq; Вq = S(y,$0) + T(у),
|  |
|
Рис. 3.16. Построение линии IS в расширенной кейнсианской модели |
определяющие в квадранте I расположение точки А. При снижении национального дохода до y1 график «притоков» сдвинется влево из-за сокращения инвестиций. Для восстановления равновесия на рынке благ ставка процента теперь должна возрасти не до i 1, а только до й; соответственно линии IS теперь будет принадлежать не точка B', а точка В. Таким образом, когда объем инвестиций зависит не только от ставки процента, но и от величины национального дохода, линия IS становится положе.
Если в ответ на небольшое изменение национального дохода график «притоков» сдвигается на большое расстояние, то линия IS может приобрести положительный наклон.
Влияние изменения объема имущества на расположение линии IS проявляется через сдвиг линии «оттоков»: при увеличении реального объема имущества график ? приближается к оси абсцисс, так как каждому объему дохода соответствует меньший объем сбережений; в результате линия IS смещается вправо. Соответственно, уменьшение объема реального имущества сопровождается сдвигом линии IS влево.
Увеличение числа факторов, влияющих на поведение макроэкономических субъектов, сопровождается изменением величины мультипликативных эффектов.
Краткие выводы
Совокупный спрос на рынке благ является существенным (а в кейнсианской концепции — решающим) фактором, определяющим величину реального национального дохода. Объем спроса на блага отдельного макроэкономического субъекта формируется под воздействием специфических побудительных мотивов, учитываемых при построении функций спроса на блага каждого из субъектов. Методологии их построения в неоклассической и кейнсианских концепциях принципиально отличаются.
Спрос домашних хозяйств на рынке благ представляет макроэкономическая функция потребления, выражающая зависимость между объемом потребительского спроса и определяющими его факторами. В настоящее время в макроэкономике используют несколько разновидностей функции потребления, отличающихся тем, какому из факторов формирования спроса придается решающее значение. Так как непотребленная часть располагаемого дохода представляет собой объем сбережения домашних хозяйств, то функции потребления и сбережения выводятся одновременно.
Спрос предпринимателей на рынке благ определяется планируемым объемом инвестиций, который зависит от совокупности прошлых (индуцированные инвестиции) и ожидаемых (автономные инвестиции) обстоятельств. Поскольку основным источником инвестиционных средств служат сбережения домашних хозяйств, несовпадение планируемых объемов сбережений и инвестиций приводит к несбалансированности рынка благ.
Размеры государственных закупок на рынке благ в современной экономике определяются не только потребностями производства общественных благ, но и мероприятиями стабилизационной политики государства. Кроме закупок благ государство влияет на соотношение спроса и предложения через налогообложение. |
Остальной мир воздействует на конъюнктуру национального рынка благ посредством величины чистого экспорта, которая зависит от объема мирового производства, соотношения уровней цен торгующих друг с другом стран и обменного курса их валют.
Условия существования равновесия на рынке благ в полном объеме можно выявить только на основе комплексного анализа его взаимодействия с другими макроэкономическими рынками. В то же время принятие предположения о совершенной эластичности предложения благ при заданном уровне цен позволяет обнаружить специфику взаимодействия спроса и предложения на рынке благ в кейнсианской концепции, связывающей величину потребительского спроса с текущим объемом национального дохода. Даже в этом случае существует лишь одна величина национального дохода, соответствующая равновесию на рынке благ. Поскольку спрос домашних хозяйств является функцией от дохода, а спрос предпринимателей — от ставки процента, то условие равновесия на рынке благ представляется определенным множеством сочетаний значений национального дохода и ставки процента; в графическом виде это множество представляет линия IS.
При экзогенном нарушении равновесия на рынке благ в кейнсианской модели возникают мультипликативные эффекты, которые иллюстрируют процесс перехода от одного равновесного состояния к другому без участия механизма цен путем количественного приспособления спроса и предложения. |
Глава 4
Рынок денег
Под рынком денег понимают совокупность отношений между банковской системой, создающей всеобщие платежные средства — деньги, и остальными макроэкономическими субъектами, предъявляющими спрос на них. Макроэкономическое понятие «рынок денег» шире «рынка денег» в интерпретации финансистов как рынка краткосрочных кредитов.
Основная задача данной главы — рассмотреть, как определяется количество денег, необходимое для нормального функционирования национального хозяйства. Но для этого нужно установить, что считается деньгами.
4.1. Сущность и функции денег
Деньги — это разновидность имущества экономических субъектов. От других видов имущества они отличаются двумя характерными свойствами: во-первых, деньги можно моментально и без издержек трансформировать в любое другое благо (они обладают высокой ликвидностью), а во-вторых, при постоянном уровне цен деньги либо вовсе не приносят дохода, либо их доходность существенно ниже, чем других разновидностей имущества. В связи с этим возникает вопрос: почему же люди держат в составе своего имущества деньги?
Функции денег. Полезность денег проявляется через функции, которые они выполняют в национальном хозяйстве. Деньгам традиционно приписывают три функции: средств платежа, счета и сохранения ценности. |
Средство платежа. Деньги служат общепризнанным платежным средством при обмене благ и кредитных отношениях. Наличие всеобщего платежного средства позволяет заменить прямой обмен одного товара на другой (бартер) опосредованным обменом-продажей одного товара за деньги и покупкой на них другого. Переход от бартера к купле-продаже облегчает товарообмен за счет того, что индивиду, желающему обменять определенное количество товара А на товар В в определенной пропорции, не нужно искать такого собственника товара В, который в данный момент нуждается в товаре А и согласен с предлагаемой пропорцией обмена.
Наглядным примером трансакционных издержек бартера может служить следующий рассказ англичанина, путешествовавшего по Африке в начале XIX в.: «Забавно было видеть, как мне пришлось платить наемную плату за лодку на рынке в Кавеле, на берегу Танганьики. Агент Саида требовал уплаты слоновой костью, которой, однако, у меня не было; тогда я узнал, что Магомет Ибн-Салиб располагал слоновой костью и желал иметь сукно; однако это известие принесло мне еще немного пользы, пока, наконец, я не услышал, что Магомет Ибн-Гариб имел сукно и желал иметь проволоку. Эта последняя у меня, к счастью, была, и, таким образом, я дал Магомету Ибн-Гарибу требуемое количество медной проволоки, он передал Магомету Ибн-Салибу сукно, а этот последний дал агентам Саида требуемую слоновую кость; тогда только я получил от последнего право воспользоваться лодкой».
Подобная ситуация сложилась в России в конце ХХ в., когда товаропроизводители оказались без всеобщего платежного средства вследствие разразившейся «эпидемии неплатежей». Ниже представлена копия соглашения о взаимозачетах между шестью юридическими лицами (рис 4.1).
В соответствии с этим соглашением Государственный завод им. Н.А. Морозова, производящий строительные материалы, не имея денег для уплаты налогов в местный бюджет (Комитет финансов Ленинградской области), отпускает свою продукцию строительной организации «Лагун». Последняя выполняет работы по реконструкции тепломагистрали «Ленэнерго». За это «Ленэнерго» погашает задолженность Областной детской клинической больницы за потребленную теплоэнер-гию. На погашенную сумму Комитет здравоохранения Ленинградской области засчитывает получение средств из Комитета финансов на финансирование Областной детской клинической больницы. Составление и реализация подобных «цепочек» стали самостоятельным и весьма прибыльным видом бизнеса для отдельных фирм, хотя с позиций общества эти затраты нерациональны, так как они отсутствуют при использовании всеобщего платежного средства. |
Комитет финансов Ленинградской области, Комитет здравоохранения Ленинградской области, ОАОЭЭ «Ленэнерго», Теплосеть ОАОЭЭ «Ленэнерго», Областная детская клиническая больница, Государственный Завод имени Н.А. Морозова, ОАО «Лагун».
СОГЛАШЕНИЕ №
При проведении взаимозачета между Комитетом финансов Ленинградской области, Комитетом здравоохранения
Ленинградской области, ОАОЭЭ «Ленэнерго», Теплосетью ОАОЭЭ «Ленэнерго», Областной детской клинической
больницей, Государственным Завод имени Н.А. Морозова, ОАО «Лагун».
1. В счет средств, предусмотренных в областном бюджете на текущее содержание учреждений Комитета здравоохранения по смете на 1997 год, Комитет финансов оформляет ГЗ имени Н.А. Морозова свидетельство о налоговом зачете по налогам, причитающимся к уплате в областной бюджет на сумму 820.800.000=00 (Восемьсот двадцать миллионов восемьсот тысяч) рублей.
2. ГЗ имени Н.А. Морозова, в счет выданного свидетельства о налоговом зачете отпускает ООО «Лагун» продукцию согласно спецификации к договору № 311/Л/М от 03 ноября 1997 г. на сумму 820.800.000=00 (Восемьсот двадцать миллионов восемьсот тысяч) рублей, в том числе НДС (20%) = 136.800.000=00 рублей.
3. ОАО «Лагун» погашает задолженность Теплосети ОАОЭЭ «Ленэнерго» за выполненные работы по реконструкции Северной Тепломагистрали от ТЭЦ-15 до 11-ой Красноармейской улицы по договору № 52-1/96 от 25.04.1997 г. на сумму 820.800.000=00 (Восемьсот двадцать миллионов восемьсот тысяч) рублей, в том числе НДС (20%) = 136.800.000=00 рублей.
4. ОАОЭЭ «Ленэнерго» погашает задолженность областной детской клинической больницы за потребленную
теплоэнергию согласно договора №_____от «__»_______199__г. на сумму 820.800.000=00
(Восемьсот двадцать миллионов восемьсот тысяч) рублей, в том числе НДС (20%) = 136.800.000=00 рублей.
5. Комитет по здравоохранению Ленинградской области зачитывает указанную сумму в размере 820.800.000=00
 |
В современной экономике платежи осуществляют тремя способами: 1) путем передачи денежных знаков; 2) посредством записей на счетах в банках; 3) с помощью документов, удостоверяющих задолженность одного лица другому. На этом основании различают три вида платежных средств: наличные деньги (банкноты, монеты), жиро-деньги (чеки, текущие счета), долговые деньги (векселя частных лиц, обязательства). Первые два вида платежных средств создаются банковской системой, а третий — хозяйственными агентами.
Широкое использование «небанковских денег» (денежных суррогатов) в виде корпоративных векселей началось в России после постановления Правительства РФ № 1094 от 26 сентября 1994 г. «Об оформлении взаимной задолженности предприятий и организаций векселями единого образца и развитии вексельного обращения». При переходе от централизованно планируемой экономики к рыночной расплата векселями (собственными или других предприятий) стала для многих фирм единственным средством продолжения хозяйственных операций. Наибольшее распространение в качестве средства платежа получили векселя энергосистем, железных дорог и крупных финансово устойчивых промышленных предприятий.
Средство сохранения ценности. Следствием перехода от бартера к купле-продаже послужило то, что у продавца, получившего за свой товар деньги, не всегда возникает необходимость сразу потратить их на покупку другого товара. В связи с этим важно, чтобы деньги сохраняли представляемую ими ценность. Если всеобщее платежное средство обладает этим свойством, то оно используется и в качестве средства сохранения ценности, несмотря на то, что эту функцию обычно более успешно выполняют другие виды имущества — облигации, акции, недвижимость и пр. Высокая ликвидность денег компенсирует их бездоходность.
В современной экономике с глубоким разделением труда наибольшее значение имеет способность денег служить средством платежа, чем сохранять ценность (особенно в течение длительного времени), поскольку развитый финансовый рынок предоставляет для этого много иных, более эффективных средств. Напротив, в слаборазвитой экономике способность денег служить средством платежа менее важна из-за недостаточно глубокого разделения труда и соответственно малой эффективности обмена. В такой экономике они нужнее как средство сохранения ценности (богатства).
Средство счета. В данном случае деньги являются мерой ценности благ, в них выражаются цены товаров. Если в хозяйстве обращается n различных товаров, то каждый из них будет иметь n - 1 относительных цен. Поскольку цена і-го товара, выраженная в единицах j-го товара, |
|
|
|
Структура денежной массы России, млрд руб.1 |
|
|
|
Денежные агрегаты |
На 1 января 2001 г. |
На 1 января 2002 г. |
На 1 января 2003 г. |
|
М0 |
419,3 |
584,3 |
763,3 |
|
М1 |
879,3 |
1192,6 |
1499,2 |
|
М2 |
1144,3 |
1602,6 |
2119,6 |
|
Квази-деньги |
680,7 |
930,1 |
1344,4 |
|
Широкие деньги |
1560,0 |
2122,7 |
3464,0 |
одновременно представляет собой относительную ценуу-го товара, измеренную в единицах г-го товара, то общее количество относительных цен будет равно n(n - 1)/2. Когда все сделки осуществляют посредством промежуточного обмена товаров на деньги, то общее количество денежных цен равно n (если деньги рассматривать как n + 1 товар), т.е. в (n - 1)/2 раз меньше, чем в безденежном хозяйстве. Масштабы сокращения необходимой для функционирования рынка информации можно оценить, если учесть, что в современной экономике n > 107.
В условиях высокой инфляции функция средства счета переходит от обесценивающихся отечественных денег к наиболее устойчивой иностранной валюте, и тогда в магазинах появляются цены, выраженные в «условных единицах» такой валюты.
Отметим, что для выполнения функции средства счета деньги используются в качестве абстрактного понятия — условной счетной единицы (numeraire), тогда как для реализации двух других функций они должны существовать в определенной «вещественной» форме (в виде банкнот, монет, чековых книжек, кредитных карточек). Поэтому при поиске ответа на основной вопрос данной главы — какое количество денег соответствует равновесию на денежном рынке? — имеют значение лишь функции средств платежа и сохранения ценности.
Структура денежной массы. Два основных свойства денег — высокая ликвидность и сохранение ценности во времени — не в одинаковой степени представлены в каждом конкретном виде платежных средств. Наличные деньги или депозиты до востребования более ликвидны, чем сберегательные депозиты, но последние по сравнению с первыми более выгодны для сохранения ценности, поскольку при отсутствии инфляции они не только сберегают, но и увеличивают ценность. В связи с этим в денежной статистике всю денежную массу делят на агрегаты.
Чаще всего в ней выделяют четыре следующих агрегата:
• M0 — банкноты и монеты, находящиеся в обращении вне банковской системы (наличные деньги);
• M1 — наличные деньги плюс вклады в коммерческих банках до востребования без депозитов органов государственного управления;
• M2 — сумма M1 и среднесрочных (до 4 лет) вкладов в коммерческих банках;
• M3 — сумма M2 и долгосрочных вкладов в коммерческих банках.
В денежной статистике России в настоящее время в агрегат М2 включается объем наличных денег в обращении (вне банков) и остатков средств в национальной валюте на расчетных, текущих счетах и депозитах нефинансовых предприятий, организаций и физических лиц, являющихся резидентами Российской Федерации, т.е. агрегат М0 и все депозиты в отечественной валюте, кроме депозитов органов государственного управления. Вместо агрегата М3 в российской статистике используется агрегат «широкие деньги», который образуется путем добавления к агрегату М1 сберегательных депозитов и депозитов в иностранной валюте. Их сумму называют «квази-деньгами». Оперативным источником информации об объеме и структуре денежной массы являются ежемесячно составляемые на основе данных бухгалтерского учета баланса Центрального банка РФ и сводного бухгалтерского баланса действующих кредитных организаций таблицы «Денежный обзор» и «Денежная масса (национальное определение)», публикующиеся в Бюллетене банковской статистики.
В табл. 4.1 приведена структура денежной массы в России на 1 января 2001, 2002 и 2003 г.
Таблица 4.1
Структура денежной массы в странах Европейского союза и США на начало 2001 г. показана на рис. 4.2.
|
°/
%
М3
М3 |
 |
Рис. 4.2. Денежные агрегаты в странах Евросоюза и США на 1 января 2001 г.
(М3 = 100%) |
В отличие от стран с развитыми рыночными отношениями в современной России в общей денежной массе велика доля наличных денег.
|
|
|
Актив |
Пассив |
|
Золотовалютные резервы |
3569 |
Наличные деньги в |
1532 |
|
|
|
обращении |
|
|
Ценные бумаги |
347 |
Депозиты коммерческих |
1110 |
|
Кредиты коммерческим |
44 |
Депозиты правительства |
1195 |
|
Кредиты правительству |
154 |
|
|
|
Прочие активы |
61 |
Прочие пассивы |
338 |
|
Всего |
4175 |
Всего |
4175 |
Это объясняется сравнительно узким спектром предлагаемых отечественным денежным рынком активов, способных служить средством сохранения ценности в условиях высокого уровня инфляции. Кроме того, наличные деньги в отличие от банковских депозитов обладают важным для многих свойством — они обеспечивают анонимность их владельца. Поскольку это особенно ценится представителями теневой экономики, то возрастание доли наличных денег в их общей массе может служить косвенным свидетельством увеличения не регистрируемой государством экономической деятельности.
В дальнейшем под деньгами будем подразумевать денежный агрегат М1, поскольку наличные деньги и чеки в любой момент и без дополнительных издержек можно использовать в качестве средства платежа.
4.2. Создание и уничтожение денег банковской системой
Центральный банк. Основу всей денежной массы страны составляют банкноты и монеты, поэтому их называют денежной базой. Банкноты поступают в обращение двумя путями. Во-первых, центральный банк расплачивается ими при покупке у населения или государства золота, иностранной валюты и ценных бумаг. Во-вторых, он может предоставлять государству и коммерческим банкам кредиты. Общий размер денежной базы страны в каждый данный момент можно определить по балансу центрального банка. Основные статьи баланса Центрального банка РФ на 1 июля 2003 г. приведены в табл. 4.2.
Таблица 4.2
Основные статьи баланса Центрального банка РФ на 1 июля 2003 г.,
млрд руб.
Если из суммы кредитов правительству вычесть его депозиты, то получится чистая задолженность правительства (ЧЗП): ЧЗП = КП — - ДП. Кроме того, обозначим разность между прочими активами и пассивами АП. Тогда балансовое уравнение центрального банка можно записать в следующем виде:
ВР + ЦБ + ККБ + ЧЗП + АП = НДО + ДКБ. (4.1)
Левая часть уравнения (4.1) показывает, как возникает денежная база. Увеличивая свои активы, центральный банк создает деньги, а сокращая, уничтожает их.
Возможность центрального банка регулировать количество денег в стране существенно зависит от того, как его активы распределяются между иностранными (золотовалютные резервы), объем которых определяется состоянием платежного баланса страны, и внутренними (кредиты правительству и коммерческим банкам) активами, размер которых непосредственно зависит от денежной политики властей. При несоответствии целям такой политики — росте положительного сальдо платежного баланса страны — центральному банку приходится проводить «стерилизацию»: доступными ему средствами выводить из обращения излишнее количество отечественных денег.
Изменение соотношения между внешними и внутренними активами банковской системы РФ в 2000—2002 гг. показаны на рис. 4.3.
Представим баланс банка в виде уравнения статей актива и пассива ВР + ЦБ + ККБ + КП + ПА = НДО + ДКБ + ДП + ПП.
|
о/
% |
 |
Рис. 4.3. Изменение внешних и внутренних активов органов денежнокредитного регулирования РФ в 2000—2002 гг., млрд руб.:
1 — требования к государству, населению и частным предприятиям;
2 — иностранные активы |
1 Бюлл. банковской статистики. 2005. № 2. С. 45.
|
|
Таблица 4.3
Нормативы обязательных резервов, %, кредитных организаций, установленные Центральным банком РФ |
|
|
|
Период |
Счета до востребования и срочные обязательства до 30 дн. |
Срочные обязательства |
Счета в иностранной валюте |
|
от 31 до 90 дн. |
от 91 дн. и более |
|
11.06.96—31.07.96 |
20 |
16 |
12 |
2,5 |
|
01.08.96—30.10.96 |
18 |
14 |
10 |
2,5 |
|
01.11.96—30.04.97 |
16 |
13 |
10 |
5 |
|
12.11.97—30.11.98 |
14 |
11 |
8 |
9 |
|
01.01.00 — н / в |
10 |
10 |
10 |
7 |
Обратим внимание на то, что золото, служившее деньгами до ХХ в., в денежной базе современных национальных экономик составляет незначительную долю — от 1 до 10%; в активе Центрального банка РФ на 1 января 2002 г. на золото приходилось 3,1%.
Правая часть уравнения (4.1) показывает, что в каждый данный момент денежная база распределена между наличными деньгами, находящимися в обращении, и депозитами коммерческих банков в центральном банке. В качестве средств платежа может быть использовано только первое слагаемое денежной базы (НДО), поэтому второе слагаемое (ДКБ) не является деньгами. Депозиты коммерческих банков служат резервами денежной системы.
Коммерческие банки. Банкноты, выходящие из центрального банка, распределяются в дальнейшем по двум направлениям: одна часть оседает в кассе домашних хозяйств и фирм, другая поступает в коммерческие банки в виде вкладов. При наличии бессрочного депозита вкладчик обычно получает право оплачивать свои расходы чеками в пределах вложенной в банк суммы. В результате наряду с банкнотами в роли платежных средств оказываются чеки.
Банкноты, поступившие в виде вклада в коммерческий банк, могут быть использованы последним для предоставления кредита, и тогда количество платежных средств возрастет. При возвращении кредита оно сокращается. Таким образом, коммерческие банки тоже могут создавать и уничтожать деньги.
В отличие от центрального банка, возможности предоставления кредитов которого теоретически безграничны, так как его долговые обязательства и есть деньги, коммерческие банки имеют пределы кредитования. Открывая у себя счета до востребования, они должны учитывать то, что вкладчик в любой момент может потребовать наличные деньги (банкноты) в объеме своего вклада. Поэтому для предотвращения банкротства коммерческим банкам всегда необходимо иметь резервы наличных денег.
В современной двухуровневой банковской системе, возникшей в 1913 г. с созданием Федеральной резервной системы (ФРС) США, для коммерческих банков устанавливаются нормативы минимальных резервных покрытий в виде обязательных беспроцентных вкладов в центральном банке. Их размер определяется в процентах вкладов в коммерческие банки. При этом проценты дифференцированы по видам вкладов: вклады до востребования имеют более высокий норматив, чем срочные.
Нормы минимальных резервных покрытий, рассматривавшиеся на первом этапе развития двухуровневой банковской системы как средство предотвращения краха банков, впоследствии (в США с 1933 г.) стали применять как инструмент регулирования количества обращающихся в стране денег. Для страхования банковских вкладов в большинстве стран были созданы специальные институты (в США для этого в 1934 г. была образована Федеральная корпорация по страхованию депозитов).
Как использовались нормативы минимальных покрытий для регулирования количества денег в России, показано в табл. 4.3.
Кроме минимального резервного покрытия, коммерческие банки часто отчисляют определенный процент поступивших вкладов в свой резерв — держат собственную кассу (избыточные резервы). Формирование резервов несколько ограничивает возможности коммерческих банков в предоставлении кредитов, тем не менее выдаваемая сумма последних может превышать (и, как правило, превышает) величину поступивших к ним вкладов.
Пример 4.1. Пусть норматив минимального резервного покрытия установлен в размере 20%, а собственный норматив коммерческих банков — 8% поступивших вкладов. В коммерческий банк A поступил вклад в виде банкнот суммой 10 млн руб. Из них 2 млн руб. банк А перечислит в Центральный банк РФ в качестве минимального резервного покрытия и 0,8 млн руб. в собственный резерв, а оставшиеся 7,2 млн руб. предоставит в кредит на замену оборудования некоторой фирме. После оплаты оборудования 7,2 млн руб. окажутся на расчетном счете продавца в коммерческом банке B, который переведет 0,2-7,2 = = 1,44 млн руб. в обязательный резерв и 0,08-7,2 = 0,58 млн руб. в свой резерв, а оставшиеся 5,18 млн руб. использует в качестве кредитных средств. Дальнейшее протекание процесса увеличения находящихся в обращении денег представлено в табл. 4.4.
|
Таблица 4.4
Создание денег коммерческими банками, млн руб. |
|
|
|
Показатель |
Банк |
Всего |
|
А |
В |
С |
|
|
Поступление вклада |
10,0 |
7,2 |
5,18 |
|
35,71 |
|
Минимальный резерв |
2,0 |
1,44 |
1,04 |
|
5,14 |
|
Собственный резерв |
0,8 |
0,58 |
0,41 |
|
2,86 |
|
Сумма кредита |
7,2 |
5,18 |
3,73 |
|
25,71 |
|
Так система коммерческих банков в дополнение к поступившим в нее 10 млн руб. создала еще 25,71 млн руб. Обратим внимание на то, что размер возможного увеличения денег коммерческими банками не зависит от их числа, как может показаться на первый взгляд. В рассмотренном примере 10 млн руб. возросли бы до 35,71 млн руб., даже если бы кроме Центрального банка РФ существовал только один коммерческий банк. В этом случае в табл. 4.4 A, B, Cи т.д. представляли бы различных дебиторов в одном и том же банке. |
Центральный банк приобрел у населения и государства свои активы, расплатившись банкнотами. Одна часть последних образует актив населения (CM), а другая поступает на депозиты в коммерческие банки, образуя их актив (RR + ER). Депозиты являются активом для населения и пассивом для коммерческих банков. Кредиты последних — это часть их актива, но пассив для населения.
Процесс создания денег банковской системой отражается в двух балансовых уравнениях:
H = CM + RR + ER; K = D - RR - ER.
Введем следующие коэффициенты: RR/D = а — норматив минимального резерва; ER/D = в — коэффициент кассовых остатков коммерческих банков; CM/K = у — доля наличных денег в общей сумме кредитов коммерческих банков. Из балансовых уравнений банковской системы следует, что
(4.3)
(4.4)
|
|
Баланс |
Баланс |
Баланс |
|
центрального банка |
коммерческих банков |
«публики» |
|
Актив |
Пассив |
Актив |
Пассив |
Актив |
Пассив |
|
H |
CM |
RR |
D |
CM |
K |
|
|
RR |
ER |
|
D |
H |
|
|
ER |
K |
|
|
|
|
Всего |
Всего |
Всего |
Всего |
Всего |
Всего |
В приведенном примере для упрощения предполагалось, что кредит, полученный в одном коммерческом банке, в полном объеме депонируется в другом. В действительности заемщик часть полученных денег может оставить у себя в виде наличной кассы. Из-за этого объем дополнительных платежных средств, создаваемых коммерческими банками сверх первоначальной суммы банкнот, сокращается. В целом размер увеличения денег коммерческими банками зависит от величины нормативов отчисления в резервы и доли наличных денег в общей сумме кредитов банков. Конкретно эта зависимость может быть представлена моделью создания денег.
Модель создания денег. Введем следующие обозначения: H — денежная база; RR — минимальные резервы; ER — избыточные резервы; K — кредиты коммерческих банков; D — чековые (бессрочные) депозиты; СМ — наличные деньги в обращении.
Составим в этих обозначениях балансы денежных средств всех трех участников создания денег: центрального банка, сети коммерческих банков и «публики».
(H =aD + eD + ^ d =_1_н. (4.2)
[K = D-CD-pD а + в +у (1 -а-p)
Сомножитель перед Н называют депозитным мультипликатором. Он показывает, насколько возрастет сумма депозитов в коммерческих банках при увеличении денежной базы на единицу.
Из системы (4.2) можно также вывести кредитный мультипликатор, который показывает, насколько увеличится сумма предоставленных коммерческими банками кредитов при росте денежной базы на единицу,
1 -а-p
a + P + Y (1 -а-Р)
Поскольку под деньгами мы понимаем денежный агрегат М1 = CM + + D = yK + D, то количество созданных банковской системой денег определяется по формуле
1+ Y (1 -а-Р) н а + P + Y (1 -а-Р)
Сомножитель, стоящий перед Н в выражении (4.4), называют денежным мультипликатором. Он показывает, насколько возрастет количество находящихся в обращении денег при увеличении денежной базы на единицу. Динамика денежного мультипликатора в России в 2002— 2003 гг. показана на рис. 4.4. Чем стабильнее значение мультипликатора, тем легче Центральному банку РФ регулировать количество находящихся в обращении денег. |
Таблица 4.5
|
 |
|
Рис. 4.4. Динамика денежного мультипликатора в России в 2002-2003 гг. |
|
Процесс создания денег |
|
|
Номер
итерации |
CM |
D |
RR |
ER |
K |
|
0 |
|
100 |
20 |
8 |
72 |
|
1 |
18 |
54 |
10,8 |
4,32 |
38,88 |
|
2 |
9,72 |
29,16 |
5,83 |
2,33 |
21,00 |
|
3 |
5,25 |
15,75 |
3,15 |
1,26 |
11,34 |
|
4 |
2,83 |
8,50 |
1,70 |
0,68 |
6,12 |
|
5 |
1,53 |
4,59 |
0,92 |
0,37 |
3,31 |
|
6 |
0,83 |
2,48 |
0,50 |
0,20 |
1,79 |
|
7 |
0,45 |
1,34 |
0,27 |
0,11 |
0,96 |
|
8 |
0,24 |
0,72 |
0,14 |
0,06 |
0,52 |
|
9 |
0,13 |
0,39 |
0,08 |
0,03 |
0,28 |
|
10 |
0,07 |
0,21 |
0,04 |
0,02 |
0,15 |
|
Всего |
39,1 |
217,4 |
43,5 |
17,4 |
156,5 |
|
Пример 4.2. Пусть а = 0,2; в = 0,08; у = 0,25; Н = 100. В этом случае в соответствии с представленной моделью количество созданных банковской системой денег и их распределение можно представить в виде следующих балансов. |
|
|
Баланс
центрального банка |
Баланс
коммерческих банков |
Баланс
«публики» |
|
Актив |
Пассив |
Актив |
Пассив |
Актив |
Пассив |
|
H=100 |
CM = 39,1 RR = 43,5 ER = 17,4 |
RR = 43,5
ER =17,4
K = 156,5 |
D =217,4 |
CM=39,1
D =217,4 |
K =156,5 H=100 |
|
100 |
100 |
217,4 |
217,4 |
256,5 |
256,5 |
Мультипликационный процесс создания денег развертывается в данном примере по следующей цепочке. Центральный банк оплачивает покупку у населения золота на 100 ден. ед. чеками на себя. Эти чеки вносятся в банки, в которых население открывает счета до востребования. Из полученных денег коммерческие банки 20 ден. ед. направляют в минимальные резервные покрытия, 8 ден. ед. оставляют в своей кассе и 72 ден. ед. предоставляют в кредит частному сектору. Полученный кредит распределяется так: 18 ден. ед. население хранит у себя наличными и 54 ден. ед. депонирует в коммерческие банки. Последние, получив очередной вклад, распределяют его между минимальным резервным покрытием (10,8 ден. ед.), своей кассой (4,32 ден. ед.) и дополнительными кредитами (38,88 ден. ед.), из которых часть (29,16 ден. ед.) снова вернется к ним в виде депозитов и т.д. (табл. 4.5).
Итак, при заданной денежной базе (количестве выпущенных банкнот) размер денежной массы в стране зависит от значений параметров а, в, у, которые определяются поведением соответственно центрального банка, коммерческих банков и населения. Схема, представленная на рис. 4.5, отображает воздействие каждого из них на формирование денежной массы (^ — денежный мультипликатор).
|  |
|
Рис. 4.5. Процесс образования денежной массы |
Количество денег в стране увеличивается, если:
— растет денежная база (H);
— снижается норма минимального резервного покрытия (а);
— уменьшаются избыточные резервы коммерческих банков (в);
— снижается доля наличных денег в общей сумме кредитов коммерческих банков (у).
График этой функции приведен на рис. 4.7.
Чем выше ставка процента, тем больше будет предложение денег при заданной денежной базе и фиксированной норме резервного покрытия. При увеличении (уменьшении) денежной базы график сдвигается вправо (влево). При снижении (повышении) нормы резервного покрытия график функции смещается вправо (влево).
 |
|
предложения денег |
Обратим также внимание на то, что денежная база превышает количество наличных денег в обращении на величину резервов коммерческих банков (рис. 4.6).

|
|
 |
|
Рис. 4.6. Денежная база и денежная масса |
Величины H и а определяются политикой центрального банка и рассматриваются в модели в качестве экзогенных параметров. Показатели в и у представляют собой убывающие функции от ставки процента, так как с ростом і у коммерческих банков усиливается заинтересованность в снижении избыточных резервов, а у населения — доли наличных денег в составе их имущества. Если изменения H и а влияют на количество денег центрального банка за его пределами, то изменение i — на скорость их обращения. По воздействию на экономическую конъюнктуру ускорение обращения денег эквивалентно увеличению их количества, а замедление — уменьшению общего количества платежных средств в заданном периоде.
На основе проведенного в данном разделе анализа можно записать следующую функцию предложения денег:
M = р(а, в(і), у (i)) • H. (4.5)
4.3. Спрос на деньги
Достаточно распространенное мнение, что спрос людей на деньги безграничен, основано на недоразумении. Тот, кто так считает, на самом деле имеет в виду, что на желаемую им сумму денег он купил бы дом, автомобиль и другие нужные ему блага. Тем самым стремление иметь как можно больше благ или как можно больший доход выдается за безграничность спроса на деньги.
Под спросом на деньги в макроэкономике понимают желание экономических субъектов иметь в своем распоряжении определенное количество платежных средств (кассу). Определить истинный спрос на деньги для центрального банка так же важно, как, например, для строительной фирмы установить потребность в новых квартирах.
Держание кассы лишает ее собственника доходов (пользы) от тех видов имущества, которые он может купить на лежащие в ней деньги. Иначе говоря, держание кассы связано с альтернативными затратами. Почему же экономические субъекты согласны нести эти затраты, предъявляя спрос на деньги?
4.3.1. Спрос на деньги для сделок и по мотиву предосторожности
Люди нуждаются в деньгах для того, чтобы в периоды между моментами получения денежных доходов («от зарплаты до зарплаты») оплачивать приобретение необходимых им благ. Если 1-го числа каждого месяца человек получает доход в 100 ден. ед., которые он равномерно расходует до конца месяца на покупку благ, то его средний запас денег равен 50 ден. ед.: (100 + 0)/2 = 50. |
|
|
 |
|
Рис. 4.8. Спрос на деньги для сделок и их распределение между потребителями и производителями |
dX
Если бы тот же месячный доход выплачивался получателю двумя равными порциями 1 раз в две недели, то он имел бы средний денежный запас в 25 ден. ед. При еженедельном получении четверти месячного дохода можно совершать тот же объем покупок, имея лишь 12,5 ден. ед. в своей кассе.
По мере осуществления покупок деньги от домашних хозяйств переходят к фирмам. Поэтому в каждый данный момент общее количество находящихся в обращении денег неизменно, хотя и по-разному распределено между потребителями и производителями (рис. 4.8).
Если деньги делают один оборот за период, то общее их количество, находящееся в любой момент у потребителей и производителей, равно ценности реализованных за этот период благ. При двух оборотах за период это количество равно /2, а при четырех — /4 ценности проданных благ.
Таким образом, спрос на деньги для сделок прямо пропорционален сумме покупок за период и обратно пропорционален частоте получения денежного дохода.
Сумму покупок, осуществленных в национальном хозяйстве за период, представляет совокупный общественный продукт, включающий в себя промежуточные и конечные продукты. Сколько раз в среднем за период домашние хозяйства и фирмы получают доходы, выражается скоростью обращения денег в стране. Поэтому спрос «публики» на деньги для сделок равен Ьсд = Px/V, где x — совокупный общественный продукт; V — скорость обращения денег. Но поскольку в качестве основного показателя, характеризующего результат хозяйственной деятельности за период, в макроэкономике используется национальный доход, то нужно установить зависимость Ьсд = ?сд(у). Это достигается путем установления доли национального дохода в совокупном общественном продукте; обозначим ее 5. Тогда Ьсд = Py/5V и функцию спроса на деньги для сделок домашних хозяйств можно представить в виде:
1
Ьсд = LyY, где Ly = — коэффициент кассовых остатков для сделок,
зависящий от скорости обращения денег и доли национального дохода в совокупном общественном продукте (0 < Ly < 1).
Такой «механический» способ расчета необходимого людям количества денег полностью определяет спрос на них согласно неоклассической концепции. Учитывая зависимость спроса на деньги от экзогенно заданной скорости их обращения, неоклассики не принимали во внимание альтернативные издержки держания кассы, которые сами влияют на скорость обращения денег. Модель спроса на деньги для сделок с учетом альтернативных затрат держания кассы была предложена независимо друг от друга двумя экономистами — У. Баумолем и Дж. Тобином.
Допустим, что в начале каждого периода доход не выплачивается семье наличными деньгами, а зачисляется на депозитный счет с гарантированным процентным доходом за период. По мере возникновения потребности в деньгах для оплаты покупок люди снимают с депозита необходимую сумму. Каждая операция по конвертированию части вклада в наличность стоит домашнему хозяйству определенных затрат, которые состоят из двух частей: оплаты услуги по конвертированию (h) и альтернативных затрат в виде потери процентного дохода (i) с изымаемой из банка суммы (X).
Если деньги снимаются со счета равными порциями, то общая сумма затрат за период между двумя начислениями дохода составит
hY iX TC (X) = — + X.
X 2
Приравняв первую производную этой функции нулю, dTC hY i Л
=--7 + 77 = 0, найдем, что она достигает минимума при X = yj2hY/i. Следовательно, оптимальный объем спроса домашних хозяйств на деньги для сделок в среднем равен
т = X = \El = 2 = V 2i • |
|
|
 |
|
Рис. 4.9. Оптимальное число обращений в банк между двумя моментами получения дохода |
0,05- 7200 2 • 2
0,05- 7200 2 • 3
5,05- 7200 2 • 4
= 130;
= 120;
= 125.
Учитывая, что такая же сумма денег в среднем находится у предпринимательского сектора (см. рис. 4.7), общий спрос на деньги для сделок равен -сд = -у] 2hY / i.
Отличие между классической концепцией спроса на деньги и концепцией Баумоля—Тобина заключается в том, что в первом случае скорость обращения денег рассматривается как технологическая константа, а во втором домашние хозяйства сами определяют эту скорость (число конвертаций), чтобы достичь минимизации альтернативных издержек держания кассы, т.е. V = V(h,i).
Представим общие альтернативные затраты в следующем виде:
TC (n) = nh + —,
2n
где n = X/Y — число обращений домашнего хозяйства в банк за деньгами между двумя моментами получения дохода; затраты минимальны при n = у/iY/2h (рис. 4.9).
Пример 4.3. Годовой доход домашнего хозяйства — 7200 руб.; годовая ставка процента — 5%; плата за одну операцию получения в банке наличных денег — 20 руб. В этом случае n* = 3, что подтверждается следующими расчетами:
TC (2) = 2 • 20 + TC (3) = 3 • 20 + TC (4) = 4 • 20 +
До сих пор рассуждения о величине спроса экономических субъектов на деньги строились на предположении, что им точно известны объемы и время будущих поступлений и платежей. В действительности людям часто приходится сталкиваться с непредвиденными платежами и неожиданным снижением дохода. Если к сроку осуществления платежей у человека не оказывается денег, то ему придется взять кредит или продать часть своего имущества. То и другое связано с затратами, для избежания которых и должен служить определенный запас денег. Так возникает спрос на них по мотиву предосторожности. Его объем зависит от размера непредвиденных платежей, который, как правило, прямо пропорционален доходу субъекта. При снижении затрат, связанных с непредвиденными платежами, рассматриваемый запас денег по мотиву предосторожности, как и любая касса, порождает альтернативные расходы в размере текущей ставки процента. Следовательно, спрос на деньги по мотиву предосторожности определяется теми же факторами, что и спрос на деньги для сделок: = -^(Y, i).
4.3.2. Спрос на деньги как имущество (спекулятивный мотив)
В современной экономике имущество субъектов принимает форму портфеля ценных бумаг: денег, облигаций, акций и других титулов права собственности. Образуется имущество в результате сбережений. В данном случае индивиду приходится решать, какую часть дохода сберегать и в какой вид имущества превратить. В качестве одной из альтернативных форм имущества выступают деньги.
При неизменном уровне цен деньги в отличие от других видов ценных бумаг не приносят дохода. Их полезность состоит в абсолютной ликвидности, так как денежную часть имущества можно мгновенно и без затрат превратить в его любой другой вид, который представляется индивиду в данный момент наиболее привлекательным.
Спрос на деньги как имущество существовал бы и в том случае, если бы экономические субъекты могли точно знать все о своих предстоящих доходах и расходах на покупку благ.
Спекулятивный мотив спроса на деньги связан с их функцией сохранения ценности, а не с функцией средства платежа. За желание использовать всеобщее платежное средство в качестве средства сохранения ценности индивид опять же должен заплатить потерей дохода от альтернативных видов имущества. Поэтому спрос на деньги как имущество обратно пропорционален доходности ценных бумаг.
Предположим пока, что кроме денег существует лишь один вид ценных бумаг — государственные облигации. (В следующей главе это ограничение будет снято.) Проследим за тем, как индивид решает, направить ли ему сбережения в текущем периоде на прирост кассы или купить облигации.
Пусть на облигацию ежегодно выплачивается гарантированный доход в размере 2 ден. ед., а рыночная ставка процента равна i. Тогда рыночная цена облигации будет B = z/i. Объясняется это следующим образом. Если iB > z, то запланированные деньги на покупку облигации (В) выгодней отдать в ссуду (положить в банк). При iB < z все пожелают обменять свои депозиты на облигации; из-за увеличения спроса на последние возрастет их рыночная цена. Равновесие на финансовом рынке установится при iB = z. |
Решая, хранить ли сбережения в денежной форме или в виде облигаций, индивид кроме дохода на облигацию учитывает ее рыночный курс в будущем (Be), который в соответствии с проведенными рассуждениями определяется по формуле Be = z/ie, где ie — ожидаемое индивидом значение ставки процента в будущем. Если владелец облигации ожидает повышения рыночной ставки процента (ie > i), то его ожидаемые потери от снижения курса облигации составят
B -Be =--—. i ie
Ожидаемую потерю он сопоставляет с гарантированным доходом на облигацию и сохраняет ее до тех пор, пока
^z z 1 z >---^ 1 >---
i i i
Текущую ставку процента, превращающую это неравенство в равенство, называют критической (ік): |
На основе этих соображений совокупный спрос на деньги как имущество можно представить графически (рис. 4.10, б). Выпуклость приведенной кривой к началу координат объясняется тем, что при низкой ставке процента число желающих держать имущество в денежной форме быстро увеличивается.
|
 |
Рис. 4.10. Индивидуальный (а) и совокупный (б) спрос на деньги как
имущество |
Желание иметь деньги в качестве имущества можно выразить посредством так называемой предельной склонности к предпочтению ликвидности в качестве имущества: Li = dL^/di. Она показывает, на сколько единиц увеличится (уменьшится) спрос на деньги как имущество при уменьшении (увеличении) ставки процента в интервале между imax и im;n на 1 пункт. При небольших изменениях ставки процента спрос на деньги как имущество можно представить в виде линейной функции L^ = Li(imax - i), где i — текущая ставка процента.
Спекулятивный спрос на деньги тем выше, чем меньше возможности использовать для сохранения ценности иные финансовые активы. При развитом финансовом рынке и наличии на нем краткосрочных, приносящих процентный доход активов спекулятивный спрос на деньги минимален.
4.3.3. Спрос на деньги и уровень цен
Изменение уровня цен меняет реальную ценность денег, их покупательную способность. В связи с этим при определении спроса на деньги необходимо учитывать два обстоятельства.
Во-первых, поскольку индивид желает приобрести определенное количество предметов потребления и разновидностей имущества, то
|
|
Таблица 4.6
Темп инфляции и спрос на реальные кассовые остатки |
|
|
|
Германия (М/Р =1 на декабрь 1913 г.) |
Россия (М/Р =1 на февраль 1992 г.) |
|
Год, месяц |
п, % (мес.) |
М/Р |
Год, месяц |
п, % (мес.) |
М/Р |
|
1920 |
|
|
1992 |
|
|
|
июнь |
6,0 |
1,01 |
июнь |
18,6 |
0,83 |
|
декабрь |
1,1 |
1,13 |
декабрь |
25,0 |
0,97 |
|
1921 |
|
|
1993 |
|
|
|
июнь |
0,1 |
1,18 |
июнь |
19,9 |
0,75 |
|
декабрь |
8,4 |
0,99 |
декабрь |
13,0 |
0,52 |
|
1922 |
|
|
М/Р = 1 |
на январь 1998 г. |
|
июнь |
12,8 |
0,68 |
|
|
|
|
декабрь |
46,7 |
0,24 |
1998 |
|
|
|
1923 |
|
|
сентябрь |
38,4 |
0,69 |
|
июнь |
40,0 |
0,24 |
ноябрь |
5,7 |
0,67 |
|
декабрь |
286,0 |
0,03 |
|
|
|
 |
|
Рис. 4.11. Кривая спроса на реальные кассовые остатки |
где
темп прироста
спрос на деньги изменяется прямо пропорционально изменению уровня цен. При удвоении уровня цен для торговых сделок требуется вдвое больше денег. Иначе говоря, функция спроса на деньги является однородной относительно уровня цен: L = L(Py, i) = Pl(y, i), где l(y, i) — спрос на реальные кассовые остатки. В отличие от номинального количества денег (M), которое измеряется числом денежных знаков (рублей, долларов, марок), их реальная величина (M/P) выражается в единицах макроэкономического блага
М (ру&) = M (шт.).
Р(руб/шт.) P
Во-вторых, повышение уровня цен увеличивает альтернативные издержки держания кассы, потому что рост уровня цен по-разному влияет на доходность отдельных разновидностей имущества.
Пример 4.4. Пусть при данном уровне цен индивид держит кассу в размере 120 ден. ед., хотя мог бы приобрести на них облигации с гарантированным годовым доходом 12 ден. ед. или вложить деньги в реальный капитал с годовой прибылью 24 ден. ед. при заданной степени риска. Если уровень цен возрастет на 20%, то реальная касса индивида уменьшится до 100 ден. ед., реальный доход на облигации будет равен 10 ден. ед., а реальная прибыль от капитала при той же степени риска по-прежнему составит 24 ден. ед., так как рост уровня цен в одинаковой степени увеличивает затраты производства и выручку.
Таким образом, при стабильном уровне цен желание индивида иметь 120 ден. ед. стоило ему 10% безрискового дохода или 20% дохода при определенном риске, а при повышении уровня цен в 1,2 раза удовлетворение этого желания обходится дороже: потерей 10% гарантированного дохода или 24% дохода при том же риске.
Изменение темпа роста уровня цен воздействует на денежную часть имущества так же, как и изменение ставки процента: чем выше темп прироста уровня цен, тем меньше спрос на реальную
кассу . Наличие отмеченной зависимости между темпом инфля-
2
ции и спросом на реальную кассу подтверждают данные , приведенные в табл. 4.6.
Таким образом, объем спроса на реальные кассовые остатки является функцией трех аргументов
/ \ y, i, п
V+ - -J
Pt - Pt-1 Pt-1
уровня цен.
График данной функции представлен на рис. 4.11. С ростом реального дохода кривая l сдвигается вправо, при его снижении — влево. При увеличении темпа роста уровня цен она перемещается влево, а при его уменьшении — вправо.
4.4. Равновесие на рынке денег
На рынке денег устанавливается равновесие, когда количество находящихся в обращении денег равно объему спроса на них. Это равенство обеспечивается за счет того, что аргументы функции спроса на деньги принимают соответствующие значения.
Так как в неоклассической концепции деньги не являются богатством и потому не представляют собой составную часть имущества, то |

|
i, у, п
\- + -J |
 |
|
Рис. 4.12. Равновесие на рынке денег в неоклассической (а) и кейнсианской (б) концепциях |
в ней спрос на деньги существует только для сделок. Поэтому условие равновесия на рынке денег описывает следующее уравнение: M(a, Н) = = Py/V, получившее название уравнение количественной теории денег. Поскольку скорость обращения задана технологией расчетов, а величина реального национального дохода — технологией производства и уровнем занятости, то параметром, обеспечивающем равновесие на рынке денег является уровень цен, который меняется прямо пропорционально изменению количества денег (рис. 4.12, а).
В кейнсианской концепции на денежном рынке в результате взаимодействия спроса и предложения определяется не уровень цен, а цена денег — рыночная ставка процента. Условие равновесия на рынке денег описывает уравнение
i ,а, H
+ - +
В графическом виде оно представлено на рис. 4.12, б.
При денежной базе Hq и национальном доходе уо ставка процента примет значение іо. Если денежная база увеличится до Нр то при том же доходе у о ставка процента снизится до ір Рост дохода до у1 при денежной базе Но поднимет ставку процента до І2.
В концепции Дж.М. Кейнса ставка процента повышается, если при прочих неизменных условиях:
• центральный банк сократит свои активы или увеличит минимальные нормы резервного покрытия;
• коммерческие банки продадут имеющиеся у них ценные бумаги населению;
• население увеличит свои сберегательные вклады;
• повысится уровень цен;
• увеличится доля промежуточного продукта в конечном;
• возрастет реальный национальный доход;
• фирмы перейдут от двухразовой выплаты заработной платы в месяц к одноразовой;
• население увеличит долю реальных кассовых остатков в структуре своего имущества вследствие повышения риска рынка ценных бумаг или роста трансакционных издержек при переводе денег в альтернативные финансовые инструменты.
Первые четыре фактора сокращают предложение реальной кассы, а последние четыре — увеличивают спрос на нее; то и другое повышает ставку процента.
Исходные предпосылки «кейнсианской революции» представлены на рис. 4.12.
Основным инструментом при анализе процессов, происходящих на рынке денег и возникающих при его взаимодействии с другими макроэкономическими рынками, в кейнсианской концепции является кривая LM. Она представляет множество всех сочетаний реального национального дохода и ставки процента, при которых на денежном рынке существует равновесие. Построим ее сначала в предположении, что объемы предложения денег и спроса на них для сделок и из-за предосторожности не зависят от ставки процента (рис. 4.13).
| |
|
|
|
Л |
к
h |
LM
F J |
|
ш ^ |
|
іИ.................... |
|
|
|
I |
|
|
|
|
< WP^\ |
|
|
|
|
|
ИМ ^ИМр |
ц |
Уо 1 Ун
1
сдО \ 1 |
Уі |
У |
|
|
|
/ „
сдН N. |
|
|
|
|
|
^СДІ |
|
|
|
|
|
М/Р
t |
Цу) |
L
Рис. 4.13. Построение кривой LM (упрощенный вариант) |
В квадранте II изображен график функции спроса на деньги как имущество (/им), а в квадранте IV — спроса на деньги в зависимости от дохода (/сд). В квадранте III прямая линия показывает, как данное реальное количество денег может быть распределено между /им и /сд. На основе этих линий в квадранте I определяется множество комбинаций i и у, соответствующих равновесию на рынке денег.
При ставке процента І0 спрос на деньги как имущество равен /им0. Тогда для сделок и запаса предосторожности остается сумма /сд0. Такое количество денег для указанных целей потребуется только в том случае, если доход будет равен у0. Следовательно, при І0, У0 спрос на рынке денег будет равен их предложению.
Найдем другую равновесную комбинацию в обратной последовательности. Пусть доход равен у1. При таком доходе спрос на деньги для сделок и из-за предосторожности составит /сд1. Чтобы оставшиеся деньги /им1 люди согласились держать в качестве имущества, необходима ставка процента ip Следовательно, при у1 и І1 на рынке денег тоже существует равновесие.
Кривая LM представляет все множество парных значений у и І, соответствующих равновесию на денежном рынке.
Точки, лежащие выше линии LM, соответствуют избытку денег. Убедимся в этом на примере, рассмотрев точку F. Для того чтобы при доходе ун спрос на деньги равнялся их предложению, нужна ставка процента iH. Точка F соответствует более высокой ставке процента, при которой спрос на деньги как имущество меньше, чем требуется для полного использования предложенного количества денег. Посредством аналогичных рассуждений можно убедиться в том, что в области, расположенной ниже линии LM, объем спроса на деньги больше их предложения.
Конфигурация линии LM позволяет выделить на ней три участка: 1) асимптотически приближающийся к imin, практически параллельный оси абсцисс (кейнсианская область); 2) с положительным наклоном (промежуточная область); 3) перпендикулярный оси абсцисс, соответствующий i > imax (классическая область). Экономический смысл этой особенности кривой LM будет раскрыт при анализе взаимодействия рынков благ и денег в 6.2.
Если банковская система увеличит предложение денег, то на рис. 4.13 прямая в квадранте III сдвинется в направлении от начала координат и вслед за ней вправо переместится кривая LM. При уменьшении количества денег линия LM сдвигается влево. |
Аналогичные последствия возникнут при изменении уровня цен. Поэтому каждому уровню цен соответствует своя кривая LM.
Кривая LM, как и линия IS, не является графиком функций дохода от ставки процента или наоборот. Она показывает, как должен измениться доход при изменении ставки процента (или наоборот), чтобы на денежном рынке сохранилось равновесие.
Примем теперь во внимание, что предложение денег и спрос на них для сделок могут зависеть от ставки процента. В этом случае построение кривой LM усложняется, так как каждой ставке процента соответствуют свои линии в квадрантах III и IV (рис. 4.14).

При повышении ставки процента с i0 до i1 банковская система увеличит предложение денег и в квадранте III прямая, представляющая реальное предложение денег, отодвинется от начала координат. В то же время население уменьшит спрос на деньги для сделок и из-за предосторожности вследствие увеличения альтернативных издержек держания кассы, что отобразится в квадранте IV поворотом прямой /сд против часовой стрелки. В результате функция LM становится более эластичной по ставке процента. Однако и в данном случае основные характеристики кривой LM остаются прежними: наличие трех участков с различным наклоном; сдвиги при изменении денежной базы. |
(4.6)
Алгебраический вид кривой LM выводится из уравнения равновесия на рынке денег. Для упрощения примем, что в коротком периоде предложение реальной кассы фиксировано и спрос на деньги как имущество линеен. Тогда
р — lyy + li vmax 0 ^ р — lyy кг, где M ~= M - Pliimax.
В этом случае уравнение линии LM можно представить в виде двух эквивалентных выражений
-+ —г
Ply 1У
Z =l-y-l%' (4'6а)
Пример 4.5. Пусть M = 104, а ly = 0,04. Спрос на деньги как имущество представлен функцией 1им = 2(50 — i). В этом случае на рынке денег будет равновесие при условии, что значения у и i соответствуют равенству 104/P = 0,04у + 100 — 2i ^ у = 2600/P — 2500 + 50i или i = 50 + 0,02у — 52/P.
Краткие выводы
Деньги — это всеобщее платежное средство, использующееся одновременно для измерения ценности благ и сохранения ее во времени. При высокой инфляции национальные деньги применяют только в качестве средства платежа, поскольку эта функция закрепляется за ними законодательно, а для измерения ценности товаров и сохранения ценности используют устойчивую иностранную валюту.
В современной экономике деньги создаются двухуровневой банковской системой в виде долговых обязательств перед «публикой». Количество находящихся в обращении денег определяется политикой центрального банка, экономической активностью коммерческих банков и коэффициентом предпочтения домашними хозяйствами наличных денег относительно банковских депозитов. |
Потребность домашних хозяйств иметь в каждый данный момент определенное количество наличных денег (спрос на деньги) связана с необходимостью оплачивать покупки между двумя моментами получения денежных доходов. Поэтому объем спроса на деньги зависит от количества произведенной продукции и скорости обращения денег. Таково традиционное (неоклассическое) объяснение спроса на деньги. В соответствии с ним спрос на деньги уравновешивается с их предложением за счет изменения уровня цен.
Дж.М. Кейнс выделил два дополнительных мотива спроса на деньги: предосторожности и спекулятивный. В результате он оказался зависимым не только от объема производства, но и от альтернативных издержек держания кассы. Специфический подход Баумоля—Тобина к объяснению спроса на деньги описывает процесс оптимизации величины кассовых остатков.
Спрос на деньги меняется прямо пропорционально изменению уровня цен. С увеличением темпа инфляции потребность в реальной кассе уменьшается, а при его снижении возрастает.
В кейнсианской концепции равновесие на денежном рынке возможно лишь при определенных сочетаниях значений ставки процента и реального национального дохода. Множество таких сочетаний в графическом виде представляется кривой LM.
На кривой LM выделяются три специфических участка: кейнсианский, промежуточный и классический. При увеличении предложения реального количества денег и(или) уменьшении спроса на реальную кассу кривая LM смещается вправо; при сокращении реального количества находящихся в обращении денег и(или) повышении спроса на них она сдвигается влево. Поэтому каждому уровню цен соответствует своя кривая LM.
Приложение: Становление современной банковской системы в России
Одной из первоочередных задач при переходе России в начале 90-х гг. ХХ в. от централизованного управляемого национального хозяйства к рыночной экономике было создание двухуровневой банковской системы в качестве основы современных денежно-кредитных отношений. Формально возникновение этой системы можно датировать декабрем 1990 г., когда Верховным Советом РФ были приняты федеральные законы «О Центральном банке Российской Федерации (Банке России)» и «О банках и банковской деятельности в РСФСР». В соответствии с ними разрешалось создавать кредитные учреждения на паевой и акционерной основе юридическим и физическим лицам для извлечения прибыли как основной цели их деятельности. |
Коммерческие банки получили право привлекать во вклады деньги домашних хозяйств и предприятий, размещать собранные средства от своего имени и за свой счет на условиях возвратности, платности и срочности, открывать и вести банковские счета юридических и физических лиц. При наличии соответствующих лицензий коммерческие банки получили возможность осуществлять операции с иностранной валютой, драгоценными металлами и ценными бумагами. К запрещенным для банков видам деятельности относится производство, торговля и страхование. Таким образом, в полном соответствии с концепцией двухуровневой банковской системы кредитнорасчетное обслуживание частного сектора стало исключительной прерогативой коммерческих банков. В то время Центральный банк, определявший порядок образования коммерческих банков и предоставлявший им лицензии, видел свою задачу в том, чтобы «упростить порядок образования коммерческих банков».
Для создания настоящей денежной системы в России требовались также институциональные преобразования в реальном секторе экономики. Началом развития этого направления послужили указы Президента РФ от 29 января 1992 г. № 65 «О свободе торговли» и от 15 ноября 1991 г. № 213 «О либерализации внешнеэкономической деятельности на территории РСФСР». Первый из них разрешал частные предпринимательство и торговлю, а в соответствии со вторым каждый гражданин получил право открывать инвалютный счет в банке. С 1 июля 1992 г. был введен единый плавающий курс рубля по отношению к доллару (внутренняя конвертируемость рубля). Одновременно были отменены ограничения на продажу валюты частным лицам и обязательная продажа валюты экспортерами по фиксированному курсу.
Не меньшую роль в создании благоприятных условий для успешного становления денежной системы России сыграла ускоренная массовая приватизация государственных предприятий. Хотя первый (ваучерный) ее этап не дал предприятиям подлинных хозяев и стратегических инвесторов, но в результате ликвидации отраслевых министерств и других органов централизованного управления деньги стали играть совершенно иную роль в экономике. При работе предприятий по сверху спускаемому плану деньги служили средством расчета общих объемов выделяемых ресурсов и заданного объема выпуска продукции. Для самостоятельных товаропроизводителей, статус которых приобрели бывшие государственные предприятия, деньги являются средством доступа к необходимым ресурсам и мерой оценки результатов их хозяйственной деятельности.
1 В настоящее время эти указы утратили силу. |
В результате отмеченных преобразований в России в первой половине 1990-х гг. число коммерческих банков быстро увеличивалось, о чем свидетель-
1
ствуют следующие данные:
Дата........................................................................... 01.01.93 01.01.94 01.01.95
Число кредитных организаций..................... 1713 2019 2457
К середине 1990-х гг. Россия в 2—4 раза опережала ведущие европейские страны по числу жителей, приходящихся на один банк, но существенно отставала от США, где в конце 1990-х гг. было около 12 тыс. коммерческих банков и 2 тыс. ссудно-сберегательных ассоциаций.
Страна......................................... Россия Великобритания Германия Франция Италия
Число жителей на один
коммерческий банк, тыс...... 57 118 245 135 181
Большинство банков возникло в результате преобразования бывших государственных специализированных банков в акционерные общества и общества с ограниченной ответственностью. Активное участие в организации новых банков принимали тогда еще существовавшие отраслевые министерства, которые надеялись сохранить свой контроль за внутриотраслевыми финансовыми потоками через расчетное обслуживание и кредитование предприятий. Часть коммерческих банков была создана предприятиями и физическими лицами.
Основным источником банковских активов в начале 1990-х гг. служили остатки средств на расчетных и текущих счетах предприятий. Пополнялись активы коммерческих банков также за счет широко практиковавшегося на протяжении 1992—1994 гг. льготного кредитования и субсидирования предприятий для поддержания производства в условиях перехода к рынку; большинство этих кредитов не было возвращено. |
В первой половине 1990-х гг. доля бесплатных и дешевых статей пассива коммерческих банков (средства на расчетных и текущих счетах предприятий и организаций, средства бюджетов и фондов, средства на корреспондентских счетах, средства в расчетах) составляла 70%, а платных (депозиты физических и юридических лиц, займы банка) — 30%. В странах с развитой рыночной экономикой это соотношение обратное. Специфика российских коммерческих банков состояла также в том, что преобладающую долю доходов они получали не за счет кредитования реального сектора экономики, как это имеет место в эффективно функционирующих хозяйствах, а в результате операций в финансовом секторе: спекуляции на рынках иностранной валюты, государственных ценных бумаг и межбанковских кредитов. Неустойчивая конъюнктура на этих рынках в 1992—1994 гг. в сочетании с высокой инфляцией позволяли коммерческим банкам 70—80% своей прибыли извлекать с валютного рынка. В качестве широко распространенного способа извлечения доходов российские банки практиковали «прокручивание» денег клиентов: использование не по назначению межбюджетных трансфертов, задержки на несколько дней и даже недель выполнения платежных поруче-ний. Значительную долю своих доходов банки получали в результате присвоения части эмиссионного дохода государства (сеньоража). Это достигалось за счет того, что темпы инфляции существенно превышали ставки процента по депозитам. По оценке экспертов, банковский доход от сеньоража в 1994 — начале 1995 г. достигал 9—10% ВВП.
Существенные изменения в условиях деятельности российских коммерческих банков начали происходить с 1995 г. В этом году Правительство РФ отказалось от финансирования дефицита государственного бюджета за счет кредитов Центрального банка РФ, что наряду с другими мерами денежно-кредитной политики обеспечило устойчивую тенденцию к снижению инфляции. Одновременно резко сократился объем централизованных кредитов предприятиям и банкам. Эти изменения вынудили банки обращать больше внимания на реальный сектор экономики:
Дата..................................................................................... 01.01.94 01.01.95 01.01.96
Банковские кредиты предприятиям
и организациям, млн дол............................................ 24302 23382 46932
В это же время начался процесс концентрации российского банковского капитала, чему содействовало поэтапное ужесточение требований Центрального банка РФ к минимальному размеру уставного капитала коммерческих банков: |
Дата.................................................... 01.06.93 01.03.94 01.04.96 01.06.98
Минимальный размер
уставного капитала...................... 100 тыс. дол. 1,3 млн дол. 2 млн ЭКЮ 5 млн ЭКЮ
Концентрация банковского капитала естественно сопровождалась уменьшением числа действующих банков; достигнув к началу 1997 г. максимума — 2576, оно монотонно начало снижаться (рис.1).
|
 |
|
Рис.1. Число коммерческих банков в России в 1997—2001 гг. |
Укрупнение банковского капитала способствовало образованию в России финансово-промышленных групп (ФПГ), через которые в современных условиях реализуются наиболее крупные инвестиционные проекты. Количество таких групп быстро увеличивалось:
Годы................................................................ 1993 1994 1995 1996
Число ФПГ на конец года..................... 1 6 21 40
Однако и во второй половине 1990-х гг. низкая рентабельность работы предприятий реального сектора, с одной стороны, и большие размеры заимствования государства на денежном рынке, с другой, сохраняли существенное превышение доходности операций в финансовом секторе над доходностью кредитов производству. Доходы и расходы коммерческих банков в процентах к сумме активов по отдельным видам операций представлены в табл. 1.
|
|
Таблица 1
Доходность основных видов операций коммерческих банков России до финансового кризиса 1998 г., млн руб.1 |
|
|
|
|
|
|
|
|
Годы |
|
|
|
|
|
Операции |
|
1996 |
|
|
1997 |
|
1998 (I полугодие) |
|
|
Доходы |
Расходы |
Прибыль |
Доходы |
Расходы |
Прибыль |
Доходы |
Расходы |
Прибыль |
Процент
ные* |
13,6 |
14,2 |
-0,6 |
7,1 |
7,4 |
-0,3 |
7,2 |
6,7 |
0,5 |
|
С ГКО-ОФЗ |
14,0 |
2,5 |
11,5 |
6,2 |
1,0 |
5,2 |
6,3 |
3,1 |
3,2 |
|
Валютные |
2,0 |
1,5 |
0,5 |
2,5 |
2,0 |
0,5 |
1,7 |
1,6 |
0,1 |
|
Прочие** |
5,1 |
10,9 |
-5,8 |
5,5 |
8,5 |
-3,0 |
7,5 |
11,2 |
—3,7 |
*Привлечение депозитов и кредитование.
**Расчетно-кассовое обслуживание, операции с векселями, участие в капитале фирм и зачетных схемах. |
|
|
|
Статьи баланса |
Годы |
|
1993 |
1994 |
1995 |
1996 |
1997 |
|
Активы в иностранной валюте |
12,7 |
13,5 |
9,9 |
13,3 |
11,4 |
|
Обязательства в иностранной валюте |
13,5 |
14,2 |
18,4 |
23,9 |
32,4 |
|
Сальдо |
-0,8 |
-0,7 |
-8,4 |
-10,6 |
-21,0 |
1 Алексашенко С, Клепач А.,Осипова О, Пухов С. Куда плывет рубль // Вопросы экономики. 1998. № 12. С. 21.
2 Илларионов А.И. Как был организован финансовый кризис // Вопросы экономики. 1998. № 12. С. 21. |
В 1996—1997 гг. из-за высокой доходности ГКО-ОФЗ и удержания обменного курса рубля в валютном коридоре, установленным Центральным банком РФ с июня 1995 г., коммерческие банки получили возможность извлекать большие прибыли из заимствований у заграничных банков для проведения операций на отечественном рынке государственных облигаций. Поскольку доходность ГКО в рублевом исчислении редко опускалась ниже 30% годовых, то при возможности получить кредит за 5—8% годовых в долларовом исчислении и гарантированном валютным коридором росте обменного курса рубля не более 15% такие операции были очень привлекательны. Использование разницы («спрэда») в доходности различных финансовых рынков является для коммерческого банка нормальным средством получения прибыли. Однако объем таких операций не должен выходить за пределы оптимальной по доходности и риску структуры баланса банка. К началу 1998 г. российская банковская система в целом вышла за эти пределы, о чем свидетельствуют данные, приведенные в табл. 2.
Таблица 2
Некоторые статьи баланса российской банковской системы (на конец года), млрд дол.2
Кроме того, значительные доходы российские банки стали получать от форвардных контрактов на поставку валюты по твердой цене, объем которых резко возрос после легального доступа в 1996 г. нерезидентов на российский рынок государственных облигаций. При этом имела место явная недооценка валютного риска, проявившаяся в неоправданно большом объеме валютных обязательств перед банками-нерезидентами (как балансовых — в основном по кредитам, депозитам и прочим привлеченным средствам, так и забалансовых — прежде всего по срочным контрактам на поставку валюты). Их совокупный объем на начало августа 1998 г. составил более 26 млрд дол. (Для сравнения отметим, что валютные резервы Центрального банка РФ в то время исчислялись в 11,2 млрд дол.)
Все это повысило уязвимость российского финансового рынка по отношению к воздействию неблагоприятных внешних факторов, таких, как кризисы на международных финансовых и товарно-сырьевых рынках, миграция международного спекулятивного капитала. Эти потенциальные угрозы российской банковской системе начали реализовываться осенью 1997 г. в связи с кризисом на Гонконгской фондовой бирже. Последовавшее за этим снижение активности мировой экономики привело к уменьшению цен на основные статьи российского экспорта в 2—3 раза, что усилило давление на обменный курс рубля. В преддверии обесценивания рубля и необходимости выполнения своих валютных обязательств перед нерезидентами банки стали усиленно закупать валюту. Острая потребность в денежных средствах заставила их снизить практически до нуля тарифы на расчетно-кассовое обслуживание юридических лиц и резко повысить ставки процента по депозитам, которые достигли 40—50% при годовой инфляции в 11%.
В создавшейся ситуации основные держатели государственных ценных бумаг — крупнейшие отечественные банки — не захотели в августе 1998 г. осуществить традиционный ролловер, при котором номинальный объем подлежащих оплате облигаций погашается облигациями нового выпуска, и ограничиться получением дисконта (процентов). Поскольку Правительство РФ не имело средств для полной оплаты всех подлежащих погашению облигаций, оно приняло решение 17 августа 1998 г. приостановить выполнение своих обязательств по внутреннему долгу с последующим переоформлением государственных ценных бумаг в новые. В результате банковская система лишилась основной части ликвидных активов.
За август-декабрь 1998 г. убытки банков (без Сбербанка РФ) составили 35 млрд руб.; их капиталы сократились на 30%. За это же время рублевые вклады населения уменьшились на 17%, а валютные — на 55%2. Наибольшие потери понесли крупнейшие российские коммерческие банки. Если в начале 1997 г. более 10 российских банков имели капитал, превышающий 250 млн дол., что позволяло им входить в состав 30 крупнейших банков Восточной Европы, то к |
|
|
Таблица 3
Распределение активов банковской системы по кредитным организациям, классифицированным по финансовой устойчивости, % |
|
|
|
Дата |
Организации |
финансово
устойчивые |
испытывающие серьезные финансовые трудности |
находящиеся в критическом финансовом положении |
|
01.01.99 |
54,4 |
19,8 |
25,8 |
|
01.05.00 |
82 |
9,5 |
8,5 |
|
01.10.01 |
92,2 |
5 |
2,8 |
|
Таблица 4 |
|
|
|
Активы |
Годы |
|
1997 |
1998 |
1999 |
2000 |
|
Всего |
128,1 |
50,7 |
58,8 |
83,7 |
|
Кредиты реальному сектору |
33,8 |
14,5 |
16,3 |
27,4 |
|
Средства на счетах Центрального банка РФ |
5,1 |
1,8 |
2,6 |
5,1 |
|
Кредиты отечественным банкам |
11,1 |
5,2 |
7,3 |
8,8 |
|
Кредиты иностранным банкам |
4,6 |
3,7 |
6,2 |
8,2 |
|
Государственные ценные бумаги |
27,7 |
8,7 |
7,9 |
11,0 |
|
Корпоративные ценные бумаги |
9,5 |
3,9 |
3,7 |
5,4 |
|
Прочие активы |
36,3 |
12,9 |
14,8 |
17,8 |
началу 1999 г. такому критерию удовлетворяло только три банка (Сбербанк РФ, оставшийся крупнейшим банком Восточной Европы, а также Газпромбанк и Межпромбанк).
Для финансового оздоровления системы коммерческих банков Центральный банк РФ провел операции многостороннего клиринга взаимных обязательств банков, снизил нормы минимальных резервов по рублевым и валютным привлеченным средствам с 10 до 5 %, предоставил стабилизационные кредиты ряду крупных банков, включая Сбербанк РФ. Значительно облегчило положение банков, по крайней мере на первое время, решение Правительства РФ о введении моратория сроком на 90 дней на осуществление выплат по возврату финансовых кредитов, полученных от нерезидентов, страховых платежей по кредитам, обеспеченным залогом ценных бумаг, и по срочным валютным контрактам. В октябре
1998 г. было создано Агентство по реструктуризации кредитных организаций (АРКО), которое в соответствии с принятыми федеральными законами от 25 февраля 1999 г. № 40-ФЗ «О несостоятельности (банкротстве) кредитных организаций» и от 8 июля 1999 г. № 144-83 «О реструктуризации кредитных организаций» приняло на себя управление проблемными банками.
Мероприятия Центрального банка РФ по рекапитализации коммерческих банков и проведение им активной политики по отзыву лицензий у банков с отрицательным капиталом, с одной стороны, и подъем отечественного производства вследствие резкого сокращения импорта после четырехкратного повышения обменного курса рубля, с другой, способствовали восстановлению банковской системы в 1999 г. Средства, привлеченные коммерческими банками от предприятий и организаций, возросли за год на 66,7%; депозиты населения в рублях увеличились на 43,1%, а в иностранной валюте — на 61,9%. Возрос и собственный капитал коммерческих банков за счет взносов акционеров, которые за
1999 г. внесли в уставный капитал более чем 40 млрд руб; за год соотношение совокупного капитала банковской системы и ВВП возросло с 2,9 до 3,8%. Число проблемных кредитных организаций в 1999 г. сократилось с 480 до 199.
Однако структура пассивов свидетельствовала о сохранении основных недостатков российских коммерческих банков. Хотя в 1999 г. доля их рублевых вложений в государственные долговые обязательства сократилась с 16,7 до 7,8%, доля кредитов реальному сектору российской экономики в совокупных активах банковской системы тоже снизилась с 42,2 до 29,6% из-за высоких рисков капиталовложений. В то же время коммерческие банки сохранили интерес к операциям с долговыми обязательствами Российской Федерации, номинированными в иностранной валюте; этот вид вложений возрос на 12%.
В 2000 г. рост российской экономики не только продолжился, но и достиг рекордной отметки — ВВП России увеличился за год на 7,6%. Резко возросшие в это же время мировые цены на нефть и другие сырьевые товары российского экспорта позволили удвоить золотовалютные резервы страны. На этой основе российской банковской системе в основном удалось достичь уровня первой половины 1998 г., о чем свидетельствуют данные, приведенные в табл. 3—5.
Основные виды активов системы коммерческих банков России (на конец года), млрд дол.
совом положении, либо осуществляющие действия (кроме предоставления недостоверной отчетности), препятствующие получению органами банковского надзора, а также физическими и юридическими лицами полной и(или) достоверной информации о своей деятельности либо финансовом положении (отсутствие транспарентности кредитной организации); г) систематически не выполняют требований территориального учреждения Банка России и(или) взятых на себя обязательств по устранению имеющихся недостатков, включая недостатки в деятельности филиалов, и не принимают в период до истечения срока действия предписания реальных мер по устранению указанных в нем недостатков» (Вестн. Банка России. 2000. № 19. С. 30).
1 Отчет Центрального банка РФ за 1999 г. М., 2000. С. 108.
2 Сост. по: Вестн. Банка России. 2001. № 1.; 2002. № 1. |
|
|
|
Таблица 5 |
|
|
|
Пассивы |
Годы |
|
1997 |
1998 |
1999 |
2000 |
|
Всего |
128,1 |
50,7 |
58,8 |
83,7 |
|
Собственные средства |
23,7 |
6,2 |
8,4 |
11,8 |
|
Средства государства |
5,8 |
1,5 |
1,6 |
2,4 |
|
Текущие счета предприятий |
22,1 |
9,2 |
11,1 |
16,5 |
|
Депозиты предприятий |
5,3 |
2,9 |
4,4 |
7,5 |
|
Депозиты населения |
28,5 |
9,7 |
11,0 |
15,8 |
|
Средства нерезидентов |
14,2 |
7,0 |
4,5 |
3,7 |
|
Прочие пассивы |
28,5 |
14,2 |
17,8 |
26,0 |
Таблица 6
Структура и основные показатели российской банковской системы на 1 июня 2001 г., |
|
|
|
Банки |
Активы |
Кредиты
экономике |
Ценные
бумаги |
Депозиты
населения |
Средства
предприятий |
|
Сбербанк РФ и Внешторгбанк |
32,1 |
34,5 |
53,0 |
75,7 |
16,7 |
|
Крупнейшие 30 коммерческих банка |
41,4 |
34,5 |
22,1 |
10,5 |
51,3 |
|
Остальные коммерческие банки |
26,5 |
31,0 |
24,9 |
13,6 |
32,0 |
Основные виды пассивов системы коммерческих банков России (на конец года), млрд дол.
Однако ни в середине 1998 г., ни в середине 2002 г. в России еще не сложилась эффективная банковская система, способная успешно выполнять свою основную функцию — трансформировать сбережения населения в производственные инвестиции.
В структуре привлеченных средств продолжают преобладать наиболее краткосрочные ресурсы — средства предприятий, из которых 65—70% приходится на текущие счета (средства до востребования), а средний срок их депозитов не превышает трех месяцев. Хотя в абсолютном выражении сумма вкладов населения медленно растет, 75% их сосредоточено в (фактически государственном) Сбербанке РФ; причем около 85% суммы вкладов населения краткосрочные — до одного года. Сумма денег на руках у населения многократно (по некоторым оценка более чем в 10 раз) превышает его депозиты в банках. Одна из причин такого положения — отсутствие реально работающей системы гарантирования вкладов.
Но в то же время коммерческие банки постоянно имеют большие избыточные резервы из-за высоких рисков вложений в реальный сектор отечественной экономики.
По меркам развитых экономик российские коммерческие банки по-прежнему маломощны.
Группировка действующих кредитных организаций по величине уставного капитала на 1 января 2002 г. приведена ниже1:
Уставный капитал, млн руб......... <10 10—60 60—150 150—300 >300
Число организаций.......................... 346 572 171 97 133 капитал крупнейшего в мире банка Citigroup, а наш крупнейший по капиталу банк (Внешторгбанк) хотя и является лидером в Центральной и Восточной Европе по этому показателю, но с капиталом в 1,5 млрд дол. на начало 2001 г. занимал лишь 222 место в мире. В соответствии с нормативами Банка России совокупный кредит, который вся наша банковская система может предоставить одному заемщику, составляет чуть более 4 млрд дол., в то время как заемные средства одного только Газпрома на конец 2000 г. оценивались в 13,5 млрд дол.
К началу третьего тысячелетия в российской банковской системе выделялись три группы банков, отличающихся по объему и структуре операций: два крупных государственных банка — Сбербанк РФ и Внешторгбанк; 30 крупнейших коммерческих банков; остальные коммерческие банки. Их основные характеристики на середину 2001 г. приведены в табл. 6.
Одной из первоочередных задач дальнейшего совершенствования российской банковской системы является укрепление доверия, с одной стороны, населения к коммерческим банкам, а с другой — банков к фирмам-заемщикам. Решение этой задачи затруднено отсутствием законодательной основы для создания эффективной системы гарантий сохранности вкладов и защиты банков от недобросовестных заемщиков (при отказе последних возвращать кредит суды низших инстанций часто принимают решения не в пользу банка). Чтобы банковская система могла эффективно трансформировать сбережения в инвестиции, необходимо также улучшать систему учета и отчетности предприятий как реального, так и финансового секторов для обеспечения их большей «прозрачности».
В абсолютном выражении совокупный капитал всех российских банков на середину 2001 г. составлял 13 млрд дол., что в 4 раза меньше, чем
- 1 Клепач А, Красков В, Лепетиков Д. Банковская система России перед вызовом со
1 Сост. по: Бюлл. банковской статистики. 2002. № 1. С. 70. стороны растущей экономики. М., 2001. С. 19. |
Глава 5
Рынок финансов
До сих пор в целях упрощения предполагалось, что имущество домашних хозяйств состоит лишь из двух разновидностей финансовых активов: денег и облигаций. Последние были единственным объектом купли-продажи на финансовом рынке, и их текущая доходность в виде рыночной ставки процента определяла альтернативные затраты держания денег, т.е. их цену. В действительности для трансформации сбережений домашних хозяйств в инвестиции предпринимательского сектора финансовые посредники используют большое число разнообразных инструментов, отличающихся по эмитентам, периоду и формам обращения на рынке, доходности, ликвидности, делимости, трансакционным издержкам и другим характеристикам. На их основе в соответствии со своими предпочтениями домашние хозяйства формируют оптимальную для себя структуру имущества посредством купли-продажи на финансовом рынке.
При построении макроэкономической модели общего экономического равновесия рынку финансов отводится роль «последнего» рынка, который в соответствии с законом Вальраса оказывается в таком состоянии, если оно достигнуто на трех остальных рынках. Поэтому для построения предлагаемой модели нет необходимости определять условия равновесия на финансовом рынке. Однако исследование механизма его функционирования позволяет: а) приблизить макроэкономический анализ к действительности; б) полнее представить роль сектора имущества в установлении макроэкономического равновесия; в) расширить понимание сущности и роли денег в современном национальном хозяйстве.
5.1. Структура рынка финансов и система ставок процента
Всю совокупность спроса и предложения финансовых активов, образующую финансовый рынок, можно разделить на два рынка: краткосрочных кредитов и капитала. |
На рынке краткосрочного кредита объектом купли-продажи служат деньги центрального банка и ценные бумаги денежного рынка: краткосрочные облигации, векселя, депозитные и сберегательные сертификаты, банковские акцепты и др. Общим свойством всех этих финансовых инструментов является то, что они удовлетворяют краткосрочную потребность в ликвидности.
На практике рынок краткосрочного кредита называют также денежным, но в теоретическом понимании его не следует отождествлять с денежным рынком, рассмотренным в предыдущей главе.
На рынке капитала обращаются долгосрочные ценные бумаги, прежде всего акции и облигации. Владелец акции имеет право не только на получение части дохода эмитента, но и на определенное участие в управлении бизнесом. Особенностью долгосрочной ценной бумаги является повышенная степень риска в получении дохода. Рынок капитала, наряду обеспечением предпринимателей долгосрочными заемными средствами, оптимизирует распределение риска между лицами, предоставляющими их. Эффективность выполнения этой функции существенно возросла в 70-е гг. ХХ в., благодаря появлению разнообразных производных финансовых инструментов (финансовых инноваций): фьючерсов, опционов, процентных и девизных своп. Возможность заключать контракты на куплю-продажу рисковых ценных бумаг в установленное время и по фиксированной цене способствует гибкому распределению риска, связанного с долгосрочными инвестициями, между агентами финансового рынка.
В макроэкономике деньги рассматриваются как гомогенное благо: один рубль ничем не отличается от другого. Однако сделки, происходящие на реальном денежном рынке, отличаются одна от другой по срокам и субъектам, осуществляющим их. В этом смысле на реальном денежном рынке обращается множество гетерогенных благ, каждое из которых имеет свою цену. Так возникает система ставок процента. При анализе ее структуры прежде всего выделяют краткосрочную и долгосрочную ставки процента.
Наблюдения за рыночными ставками процента свидетельствуют о том, что, как правило, долгосрочная ставка выше краткосрочной. Прослеживается также однонаправленное изменение обоих ставок процента во времени, но краткосрочная колеблется значительнее, чем долгосрочная. В качестве примера в табл. 5.1 приведены данные о ставках процента на денежном рынке и по 10-летним государственным облигациям стран Европейского союза1. (Обратите внима- |
|
|
|
Таблица 5.2 |
|
|
|
Вариант |
ic0 |
е
Іс1 |
iec2 |
4 |
Іс4 |
iec5 |
il0 |
|
1 |
2 |
3 |
4 |
5 |
6 |
7 |
8 |
|
I |
10 |
10 |
10 |
10 |
10 |
10 |
10 |
|
II |
10 |
11 |
12 |
13 |
14 |
15 |
12,4 |
|
III |
10 |
9 |
8 |
7 |
6 |
5 |
7,6 |
|
IV |
10 |
12 |
8 |
13 |
9 |
11 |
10,6 |
ние на совершенную инверсию ставок процента на денежном рынке в 2001 г., возникшую в связи с введением наличной евро с 1 января 2002 г.)
Ожидаемые значения ставки процента
|
Таблица 5.1 |
|
|
|
Годы |
|
|
Ставка процента, % |
|
|
|
|
1 дн. |
1 мес. |
3 мес. |
6 мес. |
12 мес. |
10 лет |
|
1997 |
3,98 |
4,23 |
4,24 |
4,25 |
4,28 |
5,99 |
|
1998 |
3,09 |
3,84 |
3,83 |
3,78 |
3,77 |
4,71 |
|
1999 |
2,74 |
2,86 |
2,96 |
3,06 |
3,19 |
4,66 |
|
2000 |
4,12 |
4,24 |
4,4 |
4,55 |
4,78 |
5,44 |
|
2001 |
4,39 |
4,33 |
4,26 |
4,16 |
4,09 |
5,03 |
2002
(январь) |
3,29 |
3,35 |
3,34 |
3,34 |
3,48 |
5,01 |
Среднегодовые кратко- и долгосрочные ставки процента в странах Европейского союза в 1997—2002 гг.
То, что при таких соотношениях ic0j и ію годовая и пятилетняя ссуды являются совершенными субститутами, подтверждают расчеты, представленные в табл. 5.3.
|
Таблица 5.3 |
|
|
|
Ссуда |
Вариант |
А
В |
I
100 ¦ (1,1 + 1,12 + 1,13 + 1,14 + 1,15) = 652
100 ¦ (1,1 + 1,12 + 1,13 + 1,14 + 1,15) = 652 |
A
B |
II
100 ¦ (1,11 + 1,11 ¦ 1,12 + 1,11 ¦ 1,12 ¦ 1,13 + 1,11 ¦ 1,12 ¦ 1,13 ¦ 1,14 + 1,11 ¦ 1,12 ¦ 1,13 ¦ 1,14 ¦ 1,15) = 720 100 ¦ (1,124 + 1,1242 + 1,1243 + 1,1244 + 1,1245) = 720 |
|
|
III |
|
A |
100 ¦ (1,09 + 1,09 ¦ 1,08 + 1,09 ¦ 1,08 ¦ 1,07 + 1,09 ¦ 1,08 ¦ 1,07 ¦ 1,06 + 1,09 ¦ 1,08 ¦ 1,07 ¦ 1,06 ¦ 1,05) = 626 |
|
B |
100 ¦ (1,076 + 1,0762 + 1,0763 + 1,0764 + 1,0765) = 626 |
|
|
IV |
|
A |
100 ¦ (1,12 + 1,12 ¦ 1,08 + 1,12 ¦ 1,08 ¦ 1,13 + 1,12 ¦ 1,08 ¦ 1,13 ¦ 1,09 + 1,12 ¦ 1,08 ¦ 1,13 ¦ 1,09 ¦ 1,11) = 683 |
|
B |
100 ¦ (1,106 + 1,1062 + 1,1063 + 1,1064 + 1,1065) = 683 |
Расчеты годовой и пятилетней ссуд
Первое теоретическое обоснование отмеченной зависимости между рассматриваемыми ставками процента было дано И. Фишером. Оно основано на предположении, что кредитор желает получить одинаковый доход от ссуды определенной суммы денег сроком на пять лет и от ссуды этой же суммы на один год с пятикратным возобновлением годовой ссуды и рекапитализацией процентов. При таком подходе кратко- и долгосрочные ссуды рассматриваются как совершенные субституты, а долгосрочная ставка процента выступает в роли средней из краткосрочных ставок. В этом случае долгосрочная ставка процента будет выше краткосрочной до тех пор, пока ожидается рост последней во времени. При постоянстве краткосрочной ставки долгосрочная равна ей. Если же ожидается снижение краткосрочной ставки процента, то долгосрочная окажется ниже нее.
Из интерпретации долгосрочной ставки процента как средней величины краткосрочных ставок следует, что во времени они изменяются однонаправленно, но долгосрочная ставка более стабильна.
Пример 5.1. Пусть текущая годовая ставка процента іс0 = 10. В табл. 5.2 приведены четыре варианта ожидаемых значений годовой ставки процента в последующие пять лет іЦ—і|5 и соответствующая им ставка на пятилетнюю ссуду — ІІ0.
Примечание. A — ссуда 100 ден. ед. на 1 год с пятилетним реинвестированием валового дохода; В — ссуда 100 ден. ед. на 5 лет.
Сравнение цифр в столбцах 3—7 с цифрами в столбце 8 табл. 5.2 свидетельствует о большей стабильности долгосрочной ставки процента по сравнению с краткосрочными ставками.
Недостаток приведенного объяснения соотношения краткосрочной и долгосрочной ставок процента состоит в игнорировании повышенного риска при предоставлении долгосрочного кредита.
Дж.М. Кейнс объяснял превышение долгосрочной ставки процента над краткосрочной тем, что отказ от ликвидности на продолжительное время снижает благосостояние кредитора в большей степени, чем отказ на короткий период; поэтому и цена долгосрочного кредита выше цены краткосрочного. |
|
|
|
Баланс 1 |
|
|
|
Актив |
Пассив |
|
Обязательные резервы |
10 |
Депозиты до востребования |
100 |
|
Ценные бумаги |
90 |
Срочные депозиты |
0 |
|
Всего |
100 |
Всего |
100 |
М1 = 100 М3 = 100 К = 0 |
С учетом всех перечисленных обстоятельств в разности ц - ic можно выделить три компоненты: а) ожидаемое инвестором изменение ставки процента во времени; б) премию за повышенный в длином периоде риск непредвиденного изменения конъюнктуры; в) премию за более продолжительный отказ от обладания ликвидностью. Несмотря на то что названные в пп. «б» и «в» премии положительны, долгосрочная ставка процента может оказаться ниже краткосрочной, если инвесторы ожидают долговременное снижение ставки процента (см. вариант III в табл. 5.2).
Кроме временной, система ставок процента имеет пространственную структуру: на каждом сегменте денежного рынка образуется своя цена.
Обозначим is ставку процента, по которой на рынке банковского кредита коммерческие банки предоставляют кредиты частному сектору, а ставку, по которой население на рынке депозитов предоставляет коммерческим банкам кредит, — ig.
На рынке денег центрального банка коммерческие банки пополняют свои резервы. Это можно осуществить тремя путями:
— получить кредит в центральном банке по ставке рефинансирования (дисконту) (id);
— взять кредит у другого коммерческого банка по межбанковской ставке процента (ij);
— продать на открытом рынке ценных бумаг государственные облигации; в этом случае доходность правительственных ценных бумаг (ig) выступает в роли цены дополнительных резервов.
Все кредитные рынки оказываются взаимосвязанными вследствие того, что коммерческие банки, стремясь к максимизации прибыли, выступают на каждом из них в качестве продавца или покупателя в зависимости от сложившейся там конъюнктуры. Взаимодействие отдельных кредитных рынков приводит к установлению упорядоченной структуры ставок процента в результате следующих обстоятельств.
Если коммерческие банки нуждаются в деньгах сверх доступных им кредитов центрального банка, то они обращаются на рынок межбанковского кредита, на котором ij > id. Чтобы коммерческие банки не приобретали государственные ценные бумаги за счет кредитов центрального банка, необходимо обеспечение неравенства id > ig. У населения коммерческие банки будут брать кредит только при ig > ig, так как в противном случае для получения денег выгоднее продать на открытом рынке облигации.
Из проведенных рассуждений следует, что между различными видами ставок процента в длинном периоде складывается следующее соотношение:
is > ij > id > ів > ih.
Изменение ставки процента на одном из кредитных рынков повлечет за собой корректировку цены кредита на других рынках. При этом в определенных ситуациях возможна инверсия между отдельными ставками процента. Система ставок процента на российском финансовом рынке за 1997—2002 гг.1 представлена на рис. 5.1.
В результате осуществления сделок на рынке краткосрочного кредита одновременно с формированием системы ставок процента определяется совокупность денежных агрегатов.
Как было установлено в предыдущей главе, при заданной денежной базе и фиксированных нормах минимальных резервных покрытий с ростом ставки процента увеличивается общее количество находящихся в обращении денег за счет сокращения избыточных резервов коммерческих банков и снижения доли наличных денег в реальных кассовых остатках домашних хозяйств. Когда эти источники будут исчерпаны, дальнейшее увеличение суммы банковских кредитов как будто бы невозможно. Однако и в этом случае у коммерческих банков есть два способа повысить свою кредитоспособность.
Во-первых, можно убедить вкладчиков перевести бессрочный вклад в срочный. Поскольку норматив минимального резервного покрытия на срочный вклад меньше того же норматива на бессрочный, то при осуществлении указанной операции у коммерческого банка увеличиваются избыточные резервы. Рассмотрим последствия переоформления бессрочного вклада в срочный на условном примере. Пусть нормативы минимального резервного покрытия по этим вкладам соответственно равны 0,1 и 0,05. Исходное состояние баланса коммерческого банка показано в балансе 1, в пассиве которого отражена структура денежных агрегатов.
В положении, представленном балансом 1, банк не может предоставить кредит (K = 0) из-за отсутствия избыточных резервов. После пе- | 
реоформления вкладов баланс банка принимает вид, представленный балансом 2.
|
Баланс 2 |
|
|
|
Актив |
Пассив |
|
Обязательные резервы |
5 |
Депозиты до востребования |
0 |
|
Избыточные резервы |
5 |
Срочные депозиты |
100 |
|
Ценные бумаги |
90 |
|
|
|
Всего |
100 |
Всего |
100 |
М1 = 0 М3 = 100 К = 0 |
В результате переоформления вклада у банка сократилась сумма обязательного резервного покрытия и появились избыточные резервы. На их основе банк предоставляет кредит в размере 50 ден. ед., открывая у себя чековый вклад заемщику, и баланс банка предстает теперь в виде баланса 3.
|
Баланс 3 |
|
|
|
Актив |
Пассив |
|
Обязательные резервы |
10 |
Депозиты до востребования |
50 |
|
Ценные бумаги |
90 |
Срочные депозиты |
100 |
|
Кредиты |
50 |
|
|
|
Всего |
150 |
Всего |
150 |
М1 = 50 М3 = 150 К = 50 |
Так за счет изменения структуры денежных агрегатов банк смог увеличить размер предоставленных кредитов и количество обращающихся денег при заданной денежной базе.
Второй способ увеличения избыточных резервов, а затем и банковских кредитов — это продажа населению государственных ценных бумаг. Пусть исходное положение коммерческого банка характеризуется балансом 4.
|
Баланс 4 |
|
|
|
Актив |
Пассив |
|
Обязательные резервы |
20 |
Депозиты до востребования |
200 |
|
Ценные бумаги |
200 |
Собственный капитал |
20 |
|
Всего |
220 |
Всего |
220 |
М1 = 200 М3 = 200 К = 0 |
При таком состоянии баланса банк не может предоставлять кредит. Однако если он продаст своим вкладчикам государственные облигации, то его обязательные резервы превратятся в избыточные, так как в пассиве исчезнут бессрочные вклады вследствие использования их на приобретение государственных облигаций. Баланс банка при этом сократится, как это показано балансом 5, но тем не менее у него теперь появится возможность предоставить кредит.
|
|
|
Баланс 5 |
|
|
|
Актив |
Пассив |
|
Избыточные резервы |
20 |
Собственный капитал |
20 |
|
Всего |
20 |
Всего |
20 |
М1 = 0 М3 = 0
К = 0 |
|
Баланс 6 |
|
|
|
Актив |
Пассив |
|
Обязательные резервы |
20 |
Депозиты до востребования |
200 |
|
Кредиты |
200 |
Собственный капитал |
20 |
|
Всего |
220 |
Всего |
220 |
М1 = 200 М3 = 200 К = 0 |
Используя эту возможность, банк превращает избыточные резервы снова в обязательные, и его баланс принимает вид баланса 6.
При продаже населению облигаций объем банковских кредитов возрос, не изменив пропорции денежных агрегатов.
Источником дополнительных кредитов и в случае переоформления бессрочного вклада в срочный, и при продаже населению государственных ценных бумаг является ускорение оборачиваемости денег: банки пускают в оборот средства, хранящиеся у населения.
5.2. Доходность и риск портфеля ценных бумаг
Перейдем теперь к комплексному анализу логики поведения экономического субъекта, стремящегося постоянно поддерживать оптимальную структуру своего имущества, представленного портфелем ценных бумаг. Для этого он в начале каждого периода так меняет структуры своего портфеля, чтобы максимизировать прирост его ценности к концу периода или, что то же самое, обеспечить максимальную доходность имущества, которая определяется как отношение дохода за период к ценности имущества. Доход портфеля складывается из дивидендов и приращения ценности его активов, поэтому доходность определяется по формуле
d + Ft - Ft-1 Ft-1
где r — доходность за период; d — процент (дивиденд), выплачиваемый за период; Ft, Ft-1 — рыночный курс портфеля соответственно в конце и начале периода.
На решение индивида о распределении общей суммы сбережений между различными видами ценных бумаг воздействуют четыре фактора:
— доходность конкретного вида ценной бумаги;
— трансакционные затраты, связанные с превращением ценной бумаги в деньги;
— степень риска получения ожидаемого дохода;
— отношение индивида к риску.
Если бы ценные бумаги отличались только доходностью, то в портфеле экономического субъекта находился бы лишь один вид ценной бумаги, т.е. тот, который имеет наибольшую норму доходности. Именно к такому выводу привел нас проведенный в предыдущей главе анализ спроса на деньги как имущество: пока доход на облигацию превышал ожидаемые потери от снижения ее курса в портфеле индивида были только облигации; когда эти потери стали превышать сумму процентных выплат, тогда имущество индивида состояло только из денег. Однородность портфеля обусловлена в данном случае тем, что, кроме доходности, никакие другие свойства ценных бумаг не принимались во внимание.
Когда при определении оптимальной структуры портфеля учитываются также трансакционные затраты, как это было при исследовании спроса на деньги для сделок по модели Баумоля—Тобина, тогда в портфеле индивида одновременно были и деньги, и облигации.
Рассмотрим теперь роль риска при формировании портфеля ценных бумаг. Риск, связанный с приобретением некоторых видов ценных бумаг, обусловлен тем, что ожидаемый от них доход — величина случайная; он может принимать различные числовые значения с определенными вероятностями.
Вероятность характеризует степень достоверности наступления некоторого события. Вероятность гарантированного события принимают за единицу, а невозможного — за нуль. Вероятность случайной величины больше нуля, но меньше единицы, причем сумма вероятностей всех возможных ее значений равна единице.
Существуют два основных способа определения вероятности наступления случайного события: объективный (исторический) и субъективный (прогнозный). Объективная оценка вероятности выводится по данным статистической обработки результатов наблюдений за повторяющимися процессами, порождающими случайные события. Таким образом можно определить вероятность того, что в апреле текущего года в Москве среднемесячная температура будет выше нуля или что 31 декабря в городе не будет дорожно-транспортных происшествий. Иногда объективную оценку вероятности наступления некоторого случайного события можно дать априори: например, вероятность выпадения числа 3, как и любого другого от 1 до 6, при бросании шестигранного кубика равна /6. Субъективная оценка вероятности сводится к более или менее обоснованному прогнозу частоты появления возможных значений случайной величины. В инвестиционных расчетах обычно приходится иметь дело с новыми технологиями, и поэтому с субъективными оценками вероятности. |
На основе заданных вероятностей случайных величин строят различные алгоритмы определения их средних ожидаемых значений. Чаще всего ожидаемое значение рассчитывают как средневзвешенную по вероятностям величину. Так, если в следующем году прибыль фирмы с вероятностью 0,1 может равняться и 15, и 30 ден. ед., с вероятностью 0,2 — и 18, и 24 ден. ед. и с вероятностью 0,4 — 20 ден. ед., то ожидаемая величина составит 0,1(15 + 30) + 0,2(18 + 24) + 0,4 ¦ 20 = 20,9 ден. ед.
Поскольку количественные оценки вероятности не всегда достоверны, то фактическое значение прогнозируемой величины может не совпасть с ожидаемым. Отсюда возникает понятие риска: существует риск, что фактическая величина не совпадет с ожидаемой. Вероятность отклонения фактической величины от ожидаемой тем больше, чем шире разброс значений случайной величины. Поэтому в качестве меры риска, присущего решению с вероятностным исходом, используют так называемое стандартное отклонение (а) — среднеквадратическое абсолютное отклонение возможных значений случайной переменной от ожидаемого. В приведенном выше примере риск не получить в будущем году прибыль в размере 20,9 ден. ед. составит
а = [(20,9 -15)+(20,9 -18)2+(20,9 -20)+(20,9 -24)+(20,9 -30)2]0,5=11,7.
Величину а называют дисперсией, или вариацией.
Две случайные переменные x, у могут оказаться стохастически зависимыми или независимыми. Это определяется тем, насколько появление значения ~ (і = 1,..., n) связано с появлением значения Уj(j = 1, —, m). Обозначим буквой wy вероятность того, что переменная у примет значение yj тогда, когда переменная x примет значение ~. Тогда характер зависимости двух случайных переменных можно отобразить следующей матрицей:
|
|
|
~1 |
~2 • |
• • ~n |
|
у1 |
Wn |
w12 • |
•• w1n |
|
у2 |
W21 |
w22 — |
w2n |
|
ym |
Wm1 |
wm2 — |
• • wmn |
Количественной мерой взаимозависимости двух случайных переменных служит ковариация
n m
cov(xу) = ? ? wj (xi - x)(yj - y).
i=1j=1
Часто удобней характеризовать степень взаимозависимости двух случайных переменных посредством коэффициента корреляции: p = cov(~, x)/ а xa у. По построению значение коэффициента корреляции находится в интервале -1 < p < +1. Если cov(~,~) = 0 (соответственно p = 0), то x и у являются стохастически независимыми или некоррелируемыми случайными переменными; при p = 1 случайные значения x и у находятся в положительной, а при p = -1 — в отрицательной линейной зависимости. На рис. 5.2 показано, как располагаются точки, представляющие одновременные значения доходности двух ценных бумаг при p ^ 0, p ^ +1 и p ^ -1.
Каждая точка в системе координат гд, rg представляет определенную комбинацию доходности двух видов ценных бумаг А и В. При нулевой корреляции (см. рис. 5.2, а) расположение точек не имеет ярко выраженной направленности. Если рост доходности одной акции сопровождается ростом доходности другой (рис. 5.2, б), то наблюдается положительная корреляция. При отрицательной корреляции с ростом доходности одной акции происходит снижение доходности другой (рис. 5.2, в).
|  |
|
Рис. 5.2. Нулевая (а), положительная (б) и отрицательная (в) корреляции между доходностью двух ценных бумаг |
Пример 5.2. Случайная переменная x с вероятностью 0,3 может принять значение 50, с 0,2 — 100 и с 0,5 — 130. Случайная переменная у с вероятностью 0,6 примет значение 150, с 0,4 — 275. Вероятность того, что x будет равно 50 тогда,
|
|
|
Доходность и риск акций |
|
|
|
Показатели, % |
Акции с |
жрмы |
|
|
A |
B |
С |
D |
Е |
F |
|
r |
7 |
9 |
9 |
12 |
15 |
15 |
|
а |
12 |
8 |
20 |
30 |
30 |
25 |
 |
|
Рис. 5.3. Доходность и риск акций |
0,06.
(5.1)
когда у = 150, составляет 0,2. Все другие показатели вероятности совместного появления различных значений x и у представлены в виде следующей матрицы:
|
~i |
50 |
100 |
130 |
|
yj |
|
|
|
|
150 |
0,2 |
0,1 |
0,3 |
|
275 |
0,1 |
0,1 |
0,2 |
В данном примере ожидаемые значения
X = 0,3-50 +0,2-100 + 0,5-130 = 100; у = 0,6-150 + 0,4-275 = 200. Определим стандартные отклонения
a x =70,3(50 -100)2 + 0,2(100 -100)2 + 0,5(130 -100)2 = 34,6;
а у = 70,6(150 - 200)2 + 0,4(275 - 200)2 = 61,2.
Вычислим ковариацию
cov(~,~) = 0,2¦ (150 - 200)-(50 - 100) + 0,1-(150 - 200)-(100 - 100) + 0,3х х(150 - 200)¦ (130 - 100) + 0,1 ¦ (275 - 200)-(50 - 100) + 0,1-(275 - 200)-(100 -- 100) + 0,2-(275 - 200)¦ (130 - 100) = 125.
Теперь можно определить коэффициент корреляции
125
34,6 • 61,2
В дальнейшем нам придется воспользоваться еще рядом положений теории вероятностей. Ожидаемое значение суммы случайных переменных равно сумме их средних ожидаемых значений
X + у = X + у.
Если а и b некоторые константы, то
ах + Ьу = ах + Ьу.
Дисперсия суммы двух случайных переменных
соответственно
а 2 =Л 2а 2 +h 2а 2
аox+Ъу = а аX + b ау. (5.2а)
Необходимость учитывать наряду с доходностью акции и ее риск значительно расширяет область выбора инвестора при формировании портфеля. Допустим, на фондовом рынке обращаются акции шести фирм. Характеристики этих акций приведены в табл. 5.4.
Таблица 5.4
Для большей наглядности представим эти данные в графическом виде (рис. 5.3).
На первый взгляд акции фирм А, С и D будут вытеснены с рынка, так как с точки зрения типичного инвестора по соотношению доходности и риска акции фирмы B предпочтительнее акций фирм A и C, а вместо акций фирмы D целесообразнее купить акции либо фирмы E, либо F. В действительности на фондовом рынке могут одновременно и постоянно обращаться акции всех указанных фирм. Почему это так, объясняет теория портфеля. |
’х+у
а X + а у + 2ра Xа у ,
2 9 9 9 9
а_, и.. = а а X + b а у + 2abp a X а у.
'X+у
соответственно
’ aX+Ъу^а KiX~rb ^ у ^ 2а^^у. (5.2)
Если случайные переменные стохастически независимы, то р = 0, тогда
аX +ау , |
5.3. Составление портфеля из двух разновидностей акций
При наличии на рынке ценных бумаг лишь двух акций A и B область выбора инвестора не сводится к двум сочетаниям га, a a и rB, aB. Для составления портфеля можно использовать бесчисленное множество комбинаций из определенного количества каждой из акций. Согласно |
свойству (5.1) ожидаемая доходность таких комбинаций определяется по формуле
Гр = пАгА + (1 - ПА)ГВ, (5.3)
где Гр,га,?в — ожидаемые доходности соответственно портфеля и акций A и В; па, (1- па) = пв — доли каждой из акций в общей ценности портфеля.
Степень риска каждого из возможных вариантов портфеля в соответствии со свойством (5.2) будет
аР = ПАаА + (1 - ПА)2 аВ + 2пА(1 - ПА)а Аа B Р А,В- (5.4)
Из уравнения (5.3) следует, что при па + Пв = 1 доходность портфеля не может превышать доходность наиболее доходной акции. Поэтому, казалось бы, составлять смешанный портфель нет смысла. Однако риск портфеля, как следует из уравнения (5.4), ниже риска отдельных акций, включенных в него, не только при отрицательном коэффициенте корреляции. Чтобы этот вывод сделать более наглядным, составим портфель из акций двух фирм, имеющих не только одинаковую ожидаемую до-
( 2 2 2 \
а A = ° В = ° ).
Ожидаемая доходность такого портфеля — r, а ее вариация ар = 0,25а2 + 0,25а2 + 0,5а 2р = 0,5(1 + р) а2.
Отсюда следует, что основным параметром, который определяет соотношение рисков портфеля и составляющих его ценных бумаг, является коэффициент корреляции. Поскольку -1 < р < +1, то риск портфеля не выше риска входящих в него акций. При р = 0 измеряемый дисперсией риск данного портфеля вдвое меньше, чем отдельной акции:
а^, = 0,5а^. Если р = -1, то получаем безрисковый портфель: ар = 0. Объяснение того, как из двух рисковых активов получается безрисковый портфель, представлено на рис. 5.4, где показана динамика доходности во времени двух акций при р = -1. Несмотря на колебания доходности каждой из Рис. 5.4. Безрисковый портфель из акций, у портфеля она не изме-
двух рисковых акций няется.
Согласно выражению (5.4) риск портфеля, состоящего из двух акций, является функцией от одной переменной па. Поэтому условие минимизации риска портфеля можно представить следующим равенством:
dа
dnA
= 2пАаA - 2(1 - пА)аВ + 2(1 - 2пА)аАаВРA,В = 0. (5.5)
Чтобы убедиться в том, что найденный экстремум является минимумом, определим вторую производную
2_2 _р
dnA
d 2а
2 2
= 2а а + 2аВ - 4а AаВ ра,В ,
так как -1 < р < +1, то вторая производная всегда неотрицательна.
Решение равенства (5.5) относительно па дает структуру портфеля с минимальным риском
па
а В -а A а В р а,В
аA +аВ - 2аАаВ ра,В
; пв =(1 - па ).
(5.6)
При р = -1 доли каждого вида акций, минимизирующие риск, будут
па =¦
а л + а;
пв =¦
а л + а.
(5.7)
Портфель с такой структурой имеет нулевой риск. В этом можно убедиться, подставив значения (5.7) в формулу (5.4) при р = -1:

2
а2 =_ал.
Up
(а A + а В)
а2 +
2 а A +
аА
аВ
(а A + а В)
аA+аВ аA+аВ
а Аа В = °.
Портфель из двух стохастически независимых акций (р = 0) в соответствии с условием (5.5) имеет минимальный риск при
22 * а в * а а
пА = о 2; ПВ = 2 2.
аА+аВ аA+аВ
У такого портфеля

2 2 а Аа В
2 2 ' а A +а В
пА
пв
О в-О
О ЛО
О» -2
оА +
0.
Or -О
?ОА -О
При совершенной положительной корреляции двух акций (р = +1) структура портфеля с минимальным риском следующая:
* О в * О a
О А-О
он тоже может быть безрисковым, так как С _ У2 с _ У2
А^в
?ОА -О
Но при этом, как следует из приведенных формул, определяющих доли каждого вида акций этого портфеля, одна из них должна быть отрицательной: если Ов > оа, то пв < 0, а если о а > Ов, то Па < 0. На практике этому соответствует продажа акций «без покрытия», т.е. реализация акций, взятых на время.
Однако не все выбирают портфель с минимальным риском. Некоторые инвесторы согласны иметь более рисковый портфель с более высокой ожидаемой доходностью. Поэтому нужно найти все множество возможных сочетаний Гр, op. Чтобы получить функциональную зависимость ожидаемой доходности портфеля непосредственно от степени его риска: Гр = гр(Ор), нужно решить уравнение (5.4) относительно па и найденное значение подставить в формулу (5.3). Графическое построение данной функции приведено на рис. 5.5. Здесь представлен случай, когда Га = 13, о а = 3,16, Гв = 18, Ов = 6 и р = 0.
|
 |
|
Рис. 5.5. Зависимость доходности и риска портфеля от его структуры |
В нижней части рис. 5.5 представлена зависимость доходности и риска портфеля от доли в нем наиболее доходной акции. По мере увеличения этой доли Гр повышается (квадрант III), а его риск сначала снижается, а потом возрастает (квадрант IV). Посредством вспомогательной линии, проведенной в квадранте II под углом 45°, в квадранте I строится график Тр(Ор) путем совмещения проекций графиков Ор(пв) и Гр(пв). График Гр(Ор) в квадранте I есть геометрическое место точек, представляющих все возможные комбинации значений ожидаемой доходности и степени риска портфеля, составляемого из двух разновидностей ценных бумаг с вероятностно независимой друг от друга доходностью.
Как уже отмечалось, область выбора инвестора при составлении портфеля из двух разновидностей рисковых ценных бумаг существенно зависит от коэффициента корреляции. Чтобы нагляднее представить это, определим области выбора при составлении портфеля из двух разновидностей акций А и в, у которых Га = 13, оа = 3,16, Гв = 18, Ов = 6, при различных вариантах взаимозависимости их доходностей. В табл. 5.5 приведены результаты расчетов по формулам (5.3) и (5.4) интересующих инвестора характеристик при четырех значениях р. На рис. 5.6 они представлены в графическом виде.
|  |
Рис. 5.6. Зависимость доходности и риска портфеля от коэффициента
корреляции |
рышем. Проиллюстрируем применение этого критерия следующим
Таблица 5.5
|
|
|
Доходность и риск портфеля при различных коэффициентах корреляции |
|
|
|
nB |
rP |
ap |
|
P = -1 |
P = 0 |
P = 0,5 |
P = 1 |
|
0 |
13 |
3,16 |
3,16 |
3,16 |
3,16 |
|
0,1 |
13,5 |
2,24 |
2,91 |
3,19 |
3,44 |
|
0,2 |
14 |
1,33 |
2,80 |
3,30 |
3,73 |
|
0,3 |
14,5 |
0,41 |
2,85 |
3,48 |
4,01 |
|
0,4 |
15 |
0,50 |
3,06 |
3,73 |
4,30 |
|
0,5 |
15,5 |
1,42 |
3,39 |
4,03 |
4,58 |
|
0,6 |
16 |
2,34 |
3,82 |
4,37 |
4,86 |
|
0,7 |
16,5 |
3,25 |
4,31 |
4,75 |
5,15 |
|
0,8 |
17 |
4,17 |
4,84 |
5,15 |
5,43 |
|
0,9 |
17,5 |
5,08 |
5,41 |
5,56 |
5,72 |
|
1 |
18 |
6 |
6 |
6 |
6 |

Какую точку кривых выбора предпочтет инвестор, зависит от его отношения к риску. Предпочтения индивида относительно дохода и риска можно представить в виде функции полезности: U = U( r, а). В зависимости от отношения к риску люди делятся на:
1) равнодушных к риску, считающих, что их благополучие остается неизменным, если одинаково растут доходность и степень риска портфеля;
2) предрасположенных к риску, которые согласны на отставание роста доходности от повышения степени риска;
3) не расположенных к риску, для которых с его повышением полезность портфеля не изменяется при росте доходности в большей мере, чем степени риска.
Иначе говоря, чтобы полезность портфеля не менялась, для первой категории людей производная доходности по риску должна быть постоянной; для второй — уменьшаться; для третьей — возрастать.
Большинство людей относится к третьей группе. Они готовы платить за предотвращение или снижение риска. На этом основана деятельность страховых компаний, успешно функционирующих в большинстве стран.
Чтобы разделить людей на указанные три группы по их отношению к рисковому доходу, воспользуемся понятием гарантированный эквивалент лотереи (лотерейный выигрыш). Данный эквивалент — это некий гарантированный доход, который имеет для индивида такую же полезность (дает такое же приращение его благосостоянию), как и имеет возможность участвовать в лотерее с известным ожидаемым выиг-примером.
Участникам коллективного заполнения кроссворда за отгаданное слово предлагается на выбор: а) 50 руб.; б) из урны, в которой находятся 2 красных, 3 желтых и 5 синих шаров, вынуть вслепую один из них; если шар окажется красным, то игрок получает 100 руб., если желтым, то 80 руб., а если синим, то 10 руб. Те участники, которые захотят вынимать шар, расположены к риску, так как гарантированному доходу в размере 50 руб. они предпочитают рисковый доход со следующей ожидаемой доходностью: 0,2 -100 + 0,3-80 + 0,5-10 = 49 руб. Когда ожидаемая доходность описанной лотереи возрастет до 50 руб. (например, в результате того, что за вынутый красный шар будут платить 105 руб.), тогда вытягивать шары захотят и безразличные к риску игроки. Не расположенные к риску участники пойдут к урне только в том случае, если ожидаемый выигрыш превысит 50 руб.
Разность между ожидаемой величиной вероятностного дохода и его гарантированным эквивалентом называют премией за риск. Будем считать, что типичный инвестор не считает риск благом и требует за него премию.
Функцию полезности не расположенных к риску людей можно представить функцией, предложенной М. Рубинштейном:
? rp
где ? — коэффициент, характеризующий индивидуальные предпочтения инвестора относительно доходности и риска.
Графически такая функция изображается в виде семейства кривых безразличия инвестора (рис. 5.7), построенных по формуле rp =(0 + ap j/?, где U0 — заданная величина полезности.
Выпуклость кривых безразличия к оси абсцисс свидетельствует о том, что благосостояние инвестора не изменится лишь в том случае, если каждая дополнительная единица риска будет оплачиваться все возрастающей доходностью
портфеля. Угол наклона касательной к _ __ _
„ - Рис. 5.7. Функция полезности
кривой безразличия отражает размер
^ ^ к к к инвестора |


требуемой инвестором платы за увеличение риска на единицу. Совместив карту безразличия инвестора с эффективной областью выбора (кривой DCE на рис. 5.8), получим геометрическое решение задачи оптимизации портфеля, состоящего из двух разновидностей рисковых активов. Для не расположенных к риску людей отрезок CD на рис. 5.8 представляет нерациональные сочетания гр и ар, так как каждому из них на
Рис. 5Я. Оптимальный отрезке CE соответствует комбинация,
портфель обеспечивающая большую доходность
портфеля при той же степени риска.
Точка касания эффективной области выбора с наиболее удаленной кривой безразличия (точка H на рис. 5.8) укажет на оптимальное сочетание r , а , однозначно соответствующее определенной доле пв (см. рис. 5.5), т.е. оптимальной структуре портфеля.
Проведенный анализ оптимизации структуры портфеля, состоящего из двух разновидностей акций, позволяет сделать следующие выводы.
1. Нельзя сформировать эффективный портфель на основе сопоставления индивидуальных характеристик отдельных акций.
2. Размер снижения риска портфеля за счет его диверсификации определяется степенью корреляции между отдельными ценными бумагами; чем ниже коэффициент корреляции, тем больше возможность снижения риска.
3. Из двух рисковых ценных бумаг можно составить безрисковый портфель, если р = -1 или р = +1; в последнем случае для этого необходимо осуществлять «продажи без покрытия» наиболее доходной ценной бумаги.
4. Оптимальная структура портфеля определяется в соответствии с предпочтениями инвестора относительно доходности и риска.
5.4. Оптимизация портфеля из n разновидностей ценных бумаг |
Пусть кроме двух рассмотренных в 5.3 акций A и B на рынке появилась третья акция F. Ее ожидаемая доходность и риск представлены точкой F на рис. 5.9, на котором дуга CE отражает область эффективного выбора портфеля из акций A и B. Выберем на ней один из портфелей, например, портфель с минимальным риском, представленный точкой C, и, рассматривая его как одну из разновидностей акций, построим кривую выбора для портфеля, состоящего из комбинированной акции C и акции F. Пусть область эффективного выбора этого портфеля имеет вид кривой CHNLF. Очевидно, что с появлением акции Fдуга CL уже не представляет область эффективного выбора, так как портфели, соответствующие точкам дуги CHNL, имеют более предпочтительные для типичного инвестора сочетания доходности и риска. Дуги NL и LK тоже не принадлежат области эффективного выбора портфеля из трех рассматриваемых акций. Это следует из того, что из портфелей, представленных точками N и K, можно составить портфели, кривая эффективного выбора которых будет проходить выше дуг NL и LK; таковы свойства функции г^(Ор)(см. рис. 5.6). Поэтому эффективную область выбора портфеля из акций A, B и F представляет дуга HNKE.
С включением в портфель дополнительных разновидностей рисковых ценных бумаг кривая эффективного выбора не склонного к риску инвестора по изложенным причинам будет смещаться вверх влево. Точка ее касания с наиболее отдаленной кривой безразличия инвестора отразит оптимальное сочетание доходности и риска портфеля из п рисковых активов, а следовательно, и его структуру. Алгебраическая модель и числовой пример определения оптимальной структуры портфеля из п числа рисковых активов приведены в Математическом приложении 1 к данной главе.
Проведенный анализ позволяет сделать следующие выводы.
1. Можно повысить ожидаемую доходность портфеля при неизменном риске или снизить последний при той же доходности портфеля за счет включения в него дополнительного рискового актива с меньшей доходностью и большим риском, чем у первоначального портфеля.
2. После включения в порт
фель дополнительного рискового актива некоторые ранее эффективные портфели перестают быть таковыми. Рис. 5.9. Область выбора портфеля из
трех разновидностей акций |
n _2 n-1 n 1
Е~2+ Е Е —cov(i’j)
i=1 n i=1j=i+1 n
|
|
= i + |  |
3. По мере увеличения разновидностей рисковых ценных бумаг в портфеле его ожидаемая доходность и риск становятся более предпочтительными для типичных инвесторов (кривая эффективного выбора смещается вверх влево).
Последний вывод отражает так называемую наивную диверсификацию, суть которой состоит в следующем. Поскольку на практике бывает трудно собрать все необходимые данные для определения структуры портфеля по рассмотренной оптимизационной модели, то приемлемых для инвестора результатов можно достичь, разделив сумму направляемых на создание портфеля средств в одинаковой пропорции между всеми обращающимися на рынке акциями. В соответствии с формулой (5.2) риск такого портфеля
1Е Ot+n-1 Е Е 2cov(i’ j)
nE n n Е j Е+іn(n -1) ’ где n — число акций.
Второй сомножитель первого слагаемого в этом выражении есть средняя вариация акций, входящих в портфель; обозначим ее а. Второй сомножитель второго слагаемого есть средняя ковариация тех же акций; обозначим ее cov. Тогда
2 а n -1— а - cov _
а Р =--1--cov =--+ cov.
F n n n
Отсюда следует, что по мере увеличения ассортимента включаемых в портфель акций его риск монотонно снижается до средней ковариации входящих в него акций. Этот вывод был неоднократно подтвержден статистическими исследованиями реальных фондовых рынков. Так, американские экономисты Дж. Эванс и С. Арчер по данным обращавшихся в 1958—1967 гг. на Нью-Йоркской фондовой бирже ценных бумаг установили следующую зависимость между величиной «наивно» диверсифицированного портфеля и его риском: ар = 11,91 + + 8,63/n. Аналогичные исследования, проведенные на швейцарском фондовом рынке в начале 1980-х гг., показали, что ар = 16,25 + 11,27/n.
Из-за того что в действительности многие акции положительно коррелируют между собой, снижение риска портфеля за счет его диверсификации имеет предел, который называют недиверсифицируемым риском. Он отражает непредвиденные события, определяющие колебания национального или мирового хозяйства. Разность между общим риском портфеля и недиверсифицируемым риском есть диверсифицируемый риск. Он порождается специфическими условиями функционирования отдельных отраслей или фирм, и его можно асимптотически приближать к нулю за счет диверсификации портфеля.
5.5. Оптимизация портфеля из рискового и безрискового активов
Проследим за поведением домашнего хозяйства в условиях, когда формирование портфеля из n разновидностей акций сочетается с возможностью ссужать и занимать деньги по единой гарантированной ставке процента. Обозначим долю средств, которую домашнее хозяйство затратило для приобретения рисковых активов n; тогда доля, используемая на денежном рынке, равна (1- n). Отсюда ожидаемая доходность всего имущества (и) домашнего хозяйства в соответствии с формулой (5.3) будет
Гц = rpn + i(1 - n) = i + (rp - i) n.
Риск ожидаемой доходности определяется только риском пакета акций, т.е.
=yjгіаp = наp ^ n = аь/аp.
Оба параметра — rv и а„ — являются линейными функциями от доли пакета акций в объеме имущества. Поэтому между ними тоже существует линейная зависимость (5.8) которая представлена прямой iF на рис. 5.10, а, где точка F соответствует пакету акций.
Линия iF становится областью выбора инвестора при совместном существовании совершенного рынка денег и рынка рисковых активов. Как и кривая эффективного выбора портфеля из рисковых активов, прямая iF наиболее приемлема для типичного инвестора, чем выше и левее она расположена. При заданной ставке процента сместить ли- |
|
|
 |
|
Рис. 5.10. Области возможного (а) и эффективного (б) выбора структуры имущества с рисковыми и безрисковыми активами |
 |
|
оптимизации структуры имущества |
нию iF в более благоприятном направлении можно за счет увеличения угла ее наклона, т.е. за счет соответствующего подбора значений Гр и Ор. Уравнение (5.8) тогда будет представлять область эффективного выбора структуры имущества из рисковых и безрисковых активов, когда значения Гр и ор сделают прямую iF касательной к кривой эффективного выбора портфеля рисковых ценных бумаг, как показано на рис. 5.10, б. В этом случае любой точке на кривой CZ, кроме точки H, соответствует более предпочтительная точка на прямой iH: при том же уровне риска достигается большая доходность финансовых вложений.
Следовательно, при совместном существовании рынка рисковых активов и совершенного денежного рынка областью эффективного выбора инвестора становится прямая, пересекающая ось ординат в точке i и являющаяся касательной к кривой эффективного выбора портфеля рисковых ценных бумаг.
Таким образом, с появлением совершенного рынка денег из всего
множества эффективных портфелей (кривой CZ) остается только один, представленный точкой H. Именно этот портфель типичный инвестор будет включать в состав имущества в качестве рисковой его части. Ее величина зависит от функции полезности (расположения кривых безразличия) инвестора: точка касания прямой эффективного выбора с наиболее отдаленной кривой безразличия определяет оптимальную структуру его имущества. На рис. 5.11 показаны три возможных случая. Выбор точки H означает, что все свои средства инвестор вложил в рисковые активы. Все точки, расположенные левее H (например, К) соответствуют определенному распределению средств между акциями и денежной ссудой. Точки, находящиеся правее H(например, L), представляют имущество, состоящее из портфеля ценных бумаг и денежной задолженности инвестора.
Из проведенного анализа можно сделать следующий важный вывод: если не расположенные к риску инвесторы имеют одинаковое представление о величине ожидаемых доходов от акций, их вариациях и ковариациях, т.е. одинаково располагают кривую CZ в пространстве гр, Ор, то у всех инвесторов структура портфеля рисковых активов будет одинаковой (соответствующей точке H) независимо от их индивидуальных предпочтений относительно доходности и риска.
Функция полезности субъекта в этих условиях определяет не структуру рискового портфеля, а поведение инвестора на денежном рынке: будет ли он кредитором (точка K), или заемщиком (точка L), либо вообще не будет выходить на денежный рынок (точка H). Оптимальная структура портфеля не зависит от предпочтений инвесторов.
Этот вывод получил название теоремы сепаратности, поскольку он констатирует, что задачи оптимизаций структур портфеля рисковых ценных бумаг и всего имущества инвестора решаются отдельно.
Когда планы по оптимизации структуры имущества у всех экономических субъектов совпадают, тогда на всех кредитных рынках достигается равновесие. Поскольку при макроэкономическом агрегировании в экономике остаются лишь два кредитных рынка — денег и государственных облигаций, то при достижении равновесия на одном из них сбалансированным оказывается и второй. Следовательно, кривая LM, построенная в предыдущей главе, представляет множество сочетаний уровня национального дохода и ставки процента, соответствующих совместному равновесию на рынках денег и ценных бумаг.
5.6. Спрос на деньги в теории портфеля
Используя графические инструменты анализа теории портфеля, вернемся к вопросу о факторах, определяющих объем спроса на деньги. Если индивид распределяет свои сбережения между реальной кассой и пакетом акций, то выражение (5.8) принимает следующий вид:
ги = ГрОп/Ор.
В этом случае график эффективных комбинаций портфеля представляет собой луч, исходящий из начала координат под углом, тангенс |
|
|
 |
|
Рис. 5.12. Рост спроса на деньги при повышении ставки процента и доходности рисковых активов |
которого равен /p/op, так как деньги при постоянном уровне цен не приносят дохода (rM = 0).
Пусть в соответствии со своими предпочтениями относительно доходности и риска индивид определенным образом (точка Ео на рис. 5.12) распределил свое имущество между кассовыми остатками и пакетом акций так, что ожидаемая доходность имущества равна г^о, а степень его риска — о^. Если на рынке ценных бумаг произойдут благоприятные для типичного инвестора изменения, выражающиеся в росте отношения Гр/Ср, то линия эффективного выбора станет круче и будет касаться более высокой кривой безразличия. При этом новая точка касания может оказаться левее исходной, как показано на рис. 5.12. Переход из точки Ео в точку Е1 означает, что индивид в составе своего имущества уменьшил долю акций и увеличил долю денег. Следовательно, спрос на деньги как имущество определяется не только ставкой процента, но и доходностью (соответственно и риском) акций (реального капитала).
В теории портфеля объем реальной кассы формируется в процессе оптимизации структуры всего имущества, состоящего не только из денег и облигаций, но и из рисковых ценных бумаг. Парето-оптимальная структура имущества достигается тогда, когда на всех сегментах финансового рынка устанавливается равновесие
M = L(y, i, rp, 0);
¦ BS = BD (у, i,rp, 0); (5.9)
KS = KD(y,i, rp, 0),
. M + B + K
где 0 =-p- — реальный объем имущества.
Система уравнений (5.9) определяет макроэкономическую структуру имущества при заданных значениях у и P. Когда планы по оптимизации структуры ценных бумаг у всех инвесторов взаимно согласуются, тогда на всех сегментах финансового рынка устанавливается равновесие и структура имущества стабилизируется. Так при портфельном подходе объем и структура имущества определяют спрос на деньги.
До сих пор мы делили имущество на три части, отличающиеся по сочетанию доходности и риска: деньги (гм = 0, Ом = 0), облигации (гв > 0, Ов = 0) и акции (/p > 0, Op > 0). Но так обстоит дело только при отсутствии инфляции.
Инфляция, обесценивая деньги, придает им отрицательную доходность, а дефляция — положительную. Изменение покупательной способности денег непосредственно отражается на реальной доходности облигации, так как на нее гарантируется лишь номинальный доход определенной величины. Таким образом, при непредвиденных изменениях уровня цен деньги и облигации имеют вероятностную доходность с положительной корреляционной зависимостью.
Риск доходности акций непосредственно не связан с изменением уровня цен: при его повышении (понижении) в равной мере увеличиваются (уменьшаются) выручка и затраты на производство, а реальная доходность фирмы остается неизменной. Основными причинами колебания доходности реального капитала являются процессы, происходящие в реальном секторе: технический прогресс, изменение предпочтений потребителей, налоговые реформы, сезонные колебания конъюнктуры и пр.
Отмеченные обстоятельства приводят к тому, что избегающие риск индивиды рассматривают деньги и облигации как взаимозаменяемые активы, а финансовый и реальный капитал — как взаимодополняемые части своего имущества.
Пусть при сложившейся конъюнктуре оптимальный для индивида портфель на 60% состоит из денег и облигаций и на 40% из акций. В случае повышения ставки процента собственник портфеля пожелает сократить свою кассу из-за роста альтернативных издержек. Если он использует часть денег для покупки дополнительных облигаций, то мера риска его портфеля не изменится: как и прежде, инфляция угрожает 60% портфеля, а снижение производительности труда — 40%. Если за счет уменьшения денежной части портфеля его владелец увеличит пакет акций, то риск получения ожидаемого дохода станет иным: инфляция теперь обесценит меньшую, чем ранее, часть портфеля, зато снижение производительности труда приведет к большим потерям.
Степень взаимозаменяемости и взаимодополняемости составных частей портфеля определяется не только разными источниками риска доходности каждой из них, но и отношением индивидов к сочетанию дохода и риска. Люди, более склонные к последнему, рассматривают акции и облигации как взаимозаменяемые части портфеля. Для людей, предпочитающих минимизировать риск, облигации и акции не являются совершенными субститутами. |
Как уже отмечалось, кейнсианская функция спроса на деньги основана на предположении, что имущество домашних хозяйств состоит только из двух невзаимозаменяемых активов — денег и облигаций. Если банковская система увеличивает предложение денег, то для восстановления равновесия в финансовом секторе необходимо, чтобы спрос на них L возрос на величину дополнительного предложения денег: AL = ДМ.
В теории портфеля составные части имущества в определенной степени взаимозаменяемы, поэтому dL/db < 1. Следовательно, при увеличении предложения денег возрастает спрос не только на реальную кассу, но и на другие части имущества, т.е. нарушается исходное равновесие на всех сегментах финансового рынка. Для восстановления равновесия должна измениться не только ставка процента, но и доходность реального капитала таким образом, чтобы выполнялось следующее равенство: AM = AL + ABD + AKD.
Портфельный подход при определении спроса на деньги лежит в основе «новой количественной теории денег» М. Фридмена.
Согласно этой теории спрос на номинальные кассовые остатки можно представить в виде функции от пяти переменных
L = fj^P, - ,r а,п,Ур| ,
где Y p — номинальный перманентный доход, представляющий одновременно объем имущества (см. 3.1.1).
Рост уровня цен и перманентного дохода (имущества) ведет к увеличению спроса на номинальную кассу. Повышение доходности облигаций и акций, а также ускорение инфляции снижают спрос на деньги из-за повышения альтернативных затрат держания кассы.
Поскольку экономические субъекты оптимизируют размер реальной кассы, то при одновременном повышении уровня цен и номинального дохода в а раз спрос на номинальную кассу тоже увеличится в а раз. Допустим, что а = 1/ Ур, тогда
L / P . Л -= f ,1,Гл ,П,1 I .
ур J{ yp A ) |
Опустив в числе аргументов единицу и заменив аргумент P/У р обратной его величиной: Ур/Р = ур, получим L = Ypf (ур,і,гд,п). На рынке денег будет равновесие, если М = L, т.е.
М = ypf(yp,i,rA,n) ^ М-^-= Pyp. (5.10)
f (УР, 6 rA п)
Уравнение (5.10) выражает суть новой количественной теории денег М. Фридмена. От традиционной, представляемой уравнением М? = Py, она отличается не только заменой текущего дохода перманентным, но и тем, что скорость обращения денег является не числом, а функцией. Из экзогенно заданного параметра скорость обращения денег становится эндогенной величиной, определяемой в ходе оптимизации структуры портфеля. Общим у традиционной и новой количественной теорий денег является то, что скорость их обращения непосредственно не зависит от их количества. Поэтому увеличение номинального количества денег сопровождается пропорциональным ростом уровня цен, если значения аргументов функции V = f (ур,i, га,п) не изменяются.
5.7. Ценообразование на рынке ценных бумаг
Исторически первой моделью ценообразования капитальных активов является классическая концепция капитализации ожидаемых доходов. В соответствии с ней цена земли как актива с бесконечным сроком службы определяется путем деления земельной ренты на ссудную ставку процента; цена объекта вложений с ограниченным сроком службы равна сумме всех ожидаемых за этот срок чистых доходов, приведенных к текущему моменту посредством коэффициента дисконтирования.
Основной недостаток классической концепции ценообразования на капитальные активы состоит в том, что она не учитывает вероятностный характер ожидаемых доходов и взаимозависимость доходностей всех финансовых инструментов. С позиций современной экономической теории отличие между дисконтированной суммой ожидаемых доходов капитального актива и его ценой примерно такое же, как между ценой блага, определенной по модели частичного равновесия (на отдельном рынке данного блага), и его ценой, установленной с помощью модели общего экономического равновесия. Тем не менее метод капитализации ожидаемых доходов в качестве модели ценообразования на рынке ценных бумаг может быть применим для финансовых инструментов с гарантированными номинальными доходами, т.е. для облигаций. |
|
Цена облигации. При определении цены облигации решающими являются следующие ее характеристики: величина выплат владельцу облигации за период — купонный доход (z); предстоящий срок ее обращения (T); сумма гашения в конце срока обращения (В); рыночная ставка процента (i). Согласно концепции капитализации доходов |
Для иллюстрации этих выводов проследим за изменением ценности пяти различных облигаций с одинаковым номиналом 100 ден. ед., характеристики которых представлены в табл. 5.6, при фиксированной текущей ставке процента, равной 10%. Результаты расчетов, проведенные по формуле (5.12) для каждого периода t, представлены в табл. 5.7 и на рис. 5.13. |
:В(1+О +Хzt(1 + о ,
t=1
где В0 — цена облигации в текущем (нулевом) периоде.
Обычно за все годы обращения облигации дивиденды выплачиваются в одинаковом размере: Z1 = Z2 = ... = zj = a; тогда формула (5.11) принимает вид
Вс
(5.11)
Таблица 5.6
В0 = В(1 + i)-T + a X(1 + i)-1 = B(1 + i)-T +<
t=1
=a+fв - (1+i)-T.
(1+i)1 -1 i(1+i)T
(5.12)
|
Набор облигаций |
|
|
|
Облигация |
а, ден. ед. |
Т |
|
A |
15 |
8 |
|
В |
15 |
4 |
|
C |
10 |
5 |
|
D |
5 |
8 |
|
E |
5 |
4 |
Таблица 5.7
Изменения сегодняшней ценности облигаций по мере приближения к сроку гашения, ден. ед. |
|
|
|
t |
A |
В |
C |
D |
E |
|
0 |
126,7 |
115,8 |
100 |
73,3 |
84,2 |
|
1 |
124,3 |
112,4 |
100 |
75,7 |
87,6 |
|
2 |
121,8 |
108,7 |
100 |
78,2 |
91,3 |
|
3 |
119,0 |
104,5 |
100 |
81,0 |
95,5 |
|
4 |
115,8 |
100 |
100 |
84,2 |
100 |
|
5 |
112,4 |
— |
100 |
87,6 |
— |
|
6 |
108,7 |
— |
— |
91,3 |
— |
|
7 |
104,5 |
— |
— |
95,5 |
— |
|
8 |
100 |
— |
— |
100 |
— |
 |
|
Рис. 5.13. Изменение сегодняшней ценности облигаций по мере приближения к сроку гашения |
Когда рыночный курс облигации меньше значения, получаемого по формуле (5.12), тогда следует ожидать повышения курса, в противном случае — понижения.
Кроме нынешней цены облигации может представлять интерес ее цена на момент гашения (Вт):
T
Вт = В + aХ(1 +i)T t. (5 13)
Она показывает, какую сумму денег получит владелец облигации в момент ее гашения в случае реинвестирования всех дивидендов под сложные проценты.
Из четырех параметров (a, В, i, T), определяющих цену купонной облигации, два первых являются известными константами. Рассмотрим, как влияют на цену облигации изменения срока ее обращения и рыночной ставки процента.
При a/B = i цена облигации равна ее номиналу независимо от оставшегося срока ее обращения, так как в этом случае выражение (5.12) принимает следующий вид:
Bt = — + {В - —) (1 + i)t-т = В; t = 1,2,..., T. a у a I
Если a/B > i, то Bt > В, но по мере приближения к моменту гашения облигации разность (Bt — В) уменьшается. Когда a/B < i, тогда Bt < В и Bt приближается к В снизу.
|
Изменение ценности облигации при изменении ставки процента |
|
|
|
І, % |
Ценность облигации, ден. ед., в каждый период t |
|
0 |
1 |
2 |
3 |
4 |
5 |
|
8 |
115,97 |
125,25 |
135,27 |
146,09 |
157,78 |
170,4 |
|
12 |
100,0 |
112,0 |
125,44 |
140,49 |
157,35 |
176,23 |
|
4 |
135,6 |
141,0 |
146,7 |
152,5 |
158,6 |
165,0 |
Согласно выражению (5.15) ДВт > 0 при І1 > io, и наоборот, т.е. при повышении (понижении) ставки процента владелец облигации в момент ее гашения получит больше (меньше), чем ожидал.
Таким образом, в случае повышения ставки процента нынешняя цена облигации снижается, но к моменту ее гашения держатель облигации при реинвестировании дивидендов будет иметь больше, чем ожидал. При понижении ставки процента обладатель облигации в текущем периоде окажется богаче, но к моменту ее гашения он накопит меньшую сумму, чем при исходной ставке процента.
Пример 5.4. При ставке i = 8% нынешняя цена облигации номиналом в 100 ден. ед. с пятилетним сроком обращения и ежегодным доходом в 12 ден. ед. составит
Как изменяется цена облигации в каждом из периодов срока ее обращения при различных ставках процента, определяется по формуле
Bt = - + ^ В - (1 + i)t-T.
Результаты расчетов представлены в табл. 5.8 и на рис. 5.14.
Таблица 5.8
Проанализируем теперь, как влияет на ценность облигации колебание ставки процента. Из выражения (5.11) следует, что при ее изменении с І0 до ц нынешняя ценность облигации изменится на
T
ДВ0 = X zt
(1 + io) t
(1 + і[
(5.14)
t=1
где zt при (t = T) — купонная выплата плюс сумма гашения облигации.
Из формулы (5.14) следует, что ДВ) < 0 при І1 > ф, и наоборот, т.е. при повышении (понижении) ставки процента цена облигации снижается (повышается).
Соответственно из формулы (5.13)
ДВТ = X zt
t=1
(1 + it)T-t -(1 + io)T-t
(5.15)
 |
|
Рис. 5.14. Изменение ценности облигации при изменении ставки процента |
12(1,085 - 1)/(0,08-1,085) +100/1,085 = 115,97 ден. ед.,
а ее ценность к моменту гашения будет 115,97 ¦ 1,085 = 170,4 ден. ед.
Если сразу после покупки облигации ставка процента возрастет до 12%, то нынешняя цена облигации будет равна номиналу, а в момент гашения владелец получит 176,2 ден. ед. Несмотря на то что из-за повышения ставки процента нынешняя цена облигации снизилась почти на 16 ден. ед., к моменту ее гашения при реинвестировании годовых доходов инвестор получит больше, чем ожидал, на 5,8 ден. ед.
Если бы после приобретения облигации ставка процента, наоборот, снизилась на 4%, то в настоящее время обладатель акции был бы на 20 ден. ед. богаче, но через 5 лет вместо ожидавшихся 170,4 он имел бы лишь 165 ден. ед. |
Обратим внимание на то, что при снижении ставки процента не удается предотвратить снижения накоплений, ожидавшихся к моменту гашения облигации, за счет ее продажи по возросшей цене и предоставления вырученной суммы в ссуду под сложные проценты (135,6 ¦ 1,045 = = 165).
Пересечение кривых, представляющих динамику текущей цены облигации в течение срока ее обращения при различных ставках процента (см. рис. 5.14), свидетельствует о том, что существует определенный момент, в который текущая цена облигации не зависит от изменения ставки процента. В приведенном примере таким моментом является четвертый год. Эту особенность динамики ценности облигации (капитализируемого до- |
|
|
Таблица 5.9
Изменение курса акций 22 февраля 2002 г. |
|
|
|
Эмитент |
Курс акций, руб. |
Изменение курса, % |
|
КамАЗ |
11,47 |
+4,04 |
|
Норильский никель — ГМК |
561,56 |
+3,24 |
|
АвтоВАЗ |
562,92 |
+2,49 |
|
Славнефть — Мегионнефтегаз |
152,06 |
+2,39 |
|
Татнефть |
15,65 |
+ 1,80 |
|
Норильский никель |
524,33 |
-5,05 |
|
Костромская ГРЭС |
1,62 |
-2,40 |
|
Ростелеком |
18,47 |
-1,15 |
|
Сургутнефтегаз |
9,89 |
-0,92 |
|
Мосэнерго |
1,18 |
-0,81 |
хода) в теории финансов используют при выработке рекомендаций по нейтрализации риска от изменения рыночной ставки процента.
Цена акции. В отличие от облигации факторы, определяющие ценность акции, являются вероятностными величинами. Будет ли на простую акцию периодически выплачиваться дивиденд, а если будет, то в каком размере, — эти вопросы руководство фирмы решает в оперативном порядке в зависимости от результатов деятельности фирмы и стратегии ее развития. Эмитент акции не берет на себя обязательство ее выкупа через какое бы то ни было время, поэтому акция не имеет цены гашения. Вместо нее инвестор имеет дело с прогнозируемым на определенный момент рыночным курсом акции, который в силу отмеченных обстоятельств очень изменчив. В табл. 5.9 в качестве примера показаны изменения курса акций ряда российских кампаний за один день 22 февраля 2002 г.
В настоящее время существует несколько концепций определения цены рискового актива. Традиционный способ основан на использовании формулы (5.11), в которой zt представляет ожидаемый доход на акцию в период t. Теория портфеля послужила основой возникновения двух современных концепций ценообразования на рынке рисковых активов — модели рынка и модели ценообразования капитальных активов CAPM (capital asset pricing model).
Модель рынка. В основе модели рынка лежит следующий из теории портфеля постулат: доходность и риск обращающейся на рынке акции определяются только доходностью и риском рыночного портфеля. Доходность рыночного портфеля (rM) исчисляется как средневзвешенная доходность всех обращающихся акций
n In
rM = Е qjrj Е qj, j=1 / j=1
где qj — удельный вес капитализации фирмы j в общей капитализации рынка (j = 1,...,n). Мерой риска финансового рынка служит вариация ожидаемой доходности или стандартное отклонение.
Для представления в явном виде зависимости доходности акции j-го вида от доходности рыночного портфеля используют модель линейной регрессии, уравнение которой имеет вид
rj = aj + PjrM + еj, (5.16)
где aj, в — коэффициенты регрессии; ej — случайная стохастическая переменная с нулевым ожиданием.
Согласно модели рынка доходность акции представляется в виде двух компонентов: aj и PjrM. Первая зависит от свойств данной акции, а вторая пропорциональна доходности рыночного портфеля. Для экономической интерпретации Pj примем во внимание, что в регрессионной модели этот коэффициент вычисляется по формуле
в cov(~j ,~M ) Р]M Gj
Р j = 2 — ,
gM G M
где pjM — коэффициент корреляции между доходностями рыночного портфеля и j-го вида рискового актива; Gm и oj — соответственно их стандартные отклонения.
Коэффициент Pj является степенью риска j-й акции относительно степени риска рыночного портфеля: при Pj > 1 риск данной акции больше, чем рыночного портфеля, при Pj < 1 — наоборот.
Пример 5.5. В табл. 5.10 представлена динамика индексов AK&M и российской энергетической промышленности, а также рассчитанные на их основе изменения доходности с 5 января 1999 г. по 1 февраля 2002 г. |
|
|
 |
Рис. 5.15. Корреляция доходностей акций энергетики и рыночного
портфеля
R2 — коэффициент корреляции |
|
Таблица 5.10 |
|
|
|
Дата |
Энергетика |
AK&M |
|
Индекс |
Доходность |
Индекс |
Доходность |
|
05.01.99 |
82,17 |
— |
43,77 |
— |
|
01.02.99 |
75,63 |
-0,080 |
43,26 |
-0,012 |
|
01.03.99 |
111,26 |
0,354 |
61,47 |
0,404 |
|
01.04.99 |
116,70 |
0,420 |
72,31 |
0,652 |
|
05.05.99 |
126,55 |
0,540 |
85,30 |
0,949 |
|
01.06.99 |
137,48 |
0,673 |
88,69 |
1,026 |
|
01.07.99 |
214,54 |
1,611 |
111,89 |
1,556 |
|
02.08.99 |
195,66 |
1,381 |
103,32 |
1,360 |
|
01.09.99 |
172,52 |
1,100 |
93,40 |
1,134 |
|
01.10.99 |
138,55 |
0,686 |
77,57 |
0,772 |
|
01.11.99 |
149,70 |
0,822 |
92,12 |
1,104 |
|
01.12.99 |
181,82 |
1,213 |
111,05 |
1,537 |
|
05.01.00 |
270,71 |
2,295 |
171,09 |
2,909 |
|
01.02.00 |
329,93 |
3,015 |
178,43 |
3,076 |
|
01.03.00 |
358,01 |
3,357 |
191,40 |
3,372 |
|
03.04.00 |
457,88 |
4,572 |
231,42 |
4,287 |
|
03.05.00 |
437,27 |
4,322 |
220,84 |
4,045 |
|
01.06.00 |
336,82 |
3,099 |
198,78 |
3,541 |
|
01.09.00 |
283,46 |
2,450 |
178,79 |
3,084 |
|
02.10.00 |
333,04 |
3,053 |
196,57 |
3,491 |
|
01.11.00 |
382,19 |
3,651 |
228,60 |
4,222 |
|
01.12.00 |
316,08 |
2,847 |
196,53 |
3,490 |
|
03.01.01 |
303,28 |
2,691 |
190,40 |
3,350 |
|
01.02.01 |
207,98 |
1,531 |
142,78 |
2,262 |
|
01.03.01 |
192,65 |
1,345 |
140,10 |
2,201 |
|
02.04.01 |
254,90 |
2,102 |
167,01 |
2,815 |
|
03.05.01 |
238,10 |
1,898 |
163,78 |
2,741 |
|
01.06.01 |
247,92 |
2,017 |
165,95 |
2,791 |
|
02.07.01 |
273,00 |
2,322 |
184,45 |
3,214 |
|
01.08.01 |
277,15 |
2,373 |
207,95 |
3,751 |
|
03.09.01 |
300,22 |
2,654 |
225,90 |
4,161 |
|
01.10.01 |
286,47 |
2,486 |
215,27 |
3,918 |
|
01.11.01 |
291,08 |
2,543 |
217,19 |
3,962 |
|
03.12.01 |
246,87 |
2,004 |
190,49 |
3,352 |
|
04.01.02 |
271,80 |
2,308 |
209,06 |
3,776 |
|
01.02.02 |
363,83 |
3,428 |
233,99 |
4,345 |
Индекс акций энергетики России и сводный индекс AK&M
На основе этих данных на рис. 5.15 показаны результаты расчетов ожидаемой доходности акций энергетики, имевших, как свидетельствует коэффициент Pj, меньший риск, чем доходность рыночного портфеля акций.
В соответствии с рассматриваемой концепцией доходность не только отдельной акции, но и любого портфеля, составленного из обращающихся на рынке акций, определяется характеристиками рыночного портфеля. Если в приведенных выше рассуждениях на место акции вида j поставить некий портфель, то придем к выводу, что Гр = ap + врГм, где Гр — ожидаемая доходность портфеля. Она зависит как от объема и структуры данного портфеля, так и от доходности рыночного портфеля и соотношения рисков их обоих. По мере приближения структуры данного портфеля к структуре рыночного величина ар будет стремиться к нулю, а величина вр — к единице.
Модель ценообразования капитальных активов. В отличие от модели рынка, постулирующей исключительную роль характеристик рыночного портфеля при определении доходности отдельных рисковых активов, CAPM обосновывает это положение.
Из теоремы сепаратности теории портфеля следует, что у всех покупателей акций структура спроса одинакова; хотя размеры портфелей у инвесторов различны, все они хотят иметь одинаковый ассортимент рисковых активов. Для обеспечения равновесия на рынке рисковых ценных бумаг необходимо, чтобы структура предложения совпадала со структурой портфеля, определяемой на рис. 5.16 точкой M — точкой касания прямой, проходящей через i с линией области эффективного выбора портфеля. Отсюда вытекает исходное по- |
rM - i
oM
rj = + (rM - 0-
(5.18)
|
 |
|
Рис. 5.16. Линия рынка капитала |
ложение CAPM: при равновесии на рынке ценных бумаг рыночный портфель как совокупность всех обращающихся на рынке рисковых активов совпадает с оптимальным для инвесторов портфелем. Поэтому в состоянии равновесия ожидаемая доходность имущества (и), определяемая по формуле (5.8), у любого инвестора равна
rv = i + . (5.17)
o M
Уравнение (5.17) получило название уравнение линии рынка капитала CML (capital market line), которая показана на рис. 5.16. Она представляет множество эффективных структур финансовых вложений при равновесии на рынке рисковых ценных бумаг. Это означает, что при равновесии на финансовых рынках имущество рационального инвестора состоит из рыночного портфеля определенного размера и вложений или задолженности на денежном рынке.
Угол наклона CML отражает цену риска вложений на рынке рисковых активов: он показывает, насколько повышается доходность имущества инвестора при увеличении на единицу их риска, который изменяется прямо пропорционально изменению доли рисковых активов в общей сумме имущества. Иначе говоря, tga — предельная доходность риска имущества при наличии на рынке рисковых и безрисковых активов (drv/dov).
Можно доказать, что приведенное соотношение у рыночного портфеля акций определяется по формуле
drM = rM - rj
_ doM oM -р jMo
где rj, oj, PjM — соответственно ожидаемая доходность, мера риска и коэффициент корреляции некоторого j-го вида рисковых активов.
Поскольку структура рыночного портфеля определяется точкой касания прямой CML с эффективной областью выбора портфеля, то drv / dov = drM / doM. Поэтому
rM - rj oM - pjM°j
Второе слагаемое в формуле (5.18) представляет премию за риск: ожидаемая доходность рискового активаj превышает доходность безрисковой ссуды. Если риск измерять посредством ковариации доходностей j-й акции и рыночного портфеля, то (?m - i) / oM есть цена риска.
В графическом виде зависимость между ожидаемой доходностью рискового актива и величиной присущего ему риска (формула 5.18) представляется линией рынка ценных бумаг SML (security market line), изображенной на рис. 5.17, а. Она показывает, что между доходностью и риском финансового актива существует положительная линейная зависимость. В отличие от линии CML, которая показывает, как растет ожидаемая доходность имущества по мере роста его риска, линия SML представляет связь между ожидаемой доходностью отдельной акции и
ее риском, измеряемым посредством cov( rj, rM).
Обратим теперь внимание на то, что сомножитель, стоящий за скобкой в уравнении (5.18), есть коэффициент Pj, характеризующий в модели линейной регрессии взаимозависимость между rj и rM: Pj = cov|~j,~M)/ctM . Поэтому уравнение линии SML можно записать следующим образом:
rj = + в j (rM - i). (5.19)
Ее график изображен на рис. 5.17, б.
|  |
|
Варианты: а — I, б — II |
Ожидаемую доходность акции за период можно представить в виде
- Rj zj R ,
Ті = —-- =--1,
zj
zj
(5.20)
Прежде чем продолжить расчет равновесной цены данной акции, установим, в каком соотношении находятся значения covR ,~М), необходимое для определения величины Ру, и covRj ,~м), для вычисления которого в рассматриваемом примере имеются следующие данные:
где Rj — сумма ожидаемых дивидендов плюс цена акции на конец периода; Zj — текущая цена акции.
Из формул (5.19) и (5.20) следует, что в модели САРМ
covR,Тм) = X(r -Tj)(тм -Тм)wl =
1=1
Rj
zj
- Rj
1 =«+ Рj(ТМ-0^zj = + . в -Г.
J 1 + г + в j (гм - О
(5.21)
=2
i=1
Rj
R:
- 1--+ 1
z: V j
(ТМ - ТМ )wl =
т.е. цена рискового актива определяется путем дисконтирования ожидаемого от него дохода по рыночной ставке процента, увеличенной на премию за риск.
1 n _
=~2(( -Rj)(ТМ -ТМ)wl zj l=1
cov [Rj, Тм)
где n — число всевозможных исходов; wl — вероятность исхода n. Тогда
Пример 5.6. Определим равновесную цену акции, на которую через год в виде дивидендов и выручки от ее продажи ожидается получить 110 ден. ед. с вероятностью 0,35; 120 ден. ед. с вероятностью 0,45 и 130 ден. ед. с вероятностью 0,2. Предполагается также, что индекс рынка акций, равный в настоящее время 1600, через год с вероятностью 0,35 примет значение 1750, с вероятностью 0,45 - 1700 и с вероятностью 0,2 - 1800. Доходность безрисковых вложений равна 8%.
Рассчитаем ожидаемый доход на данную акцию ( Rj ), ожидаемую доходность и риск рыночного портфеля, а также cov (Rj ,~м):
в j =-
covRj ,~м ZjpM
Подставим данное выражение в формулу (5.21)
zj =
Rj
>vRj ,Тм)
zj оМ
Rj - covRj,тм) • (Тм - г)/оМ
R = 0,35-110 + 0,45-120 + 0,2 • 130 = 118,5;
ТМ
: 0,35-150 + 0,45-100 + 0,2-200
В условиях примера
= 118,5 - 0,05078 • 0,00594/0,0005737 Zj = 1,08 '
109,24.
1600
1600
1600
0,08594;
оМ = 0,35 •
150
1600
0,08594
2 I 100 Л 2
+ 0,45-I -^--0,08594
1600
0,2-I ЮО- 0,08594 1 1600
0,0005737.
cov [Rj, rM) = 0,35 • (110 -118,5) • (0,09375 - 0,08594) +
+ 0,45 • (120 -118,5) • (0,0625 - 0,08594)+
+ 0,2 • (130 -118,5) • (0,125 - 0,08594) = 0,05078.
Теория арбитражного ценообразования APT (arbitrage pricing theory). Она возникла как дальнейшее развитие модели САРМ в конце 1970-х гг.1. Сама теория достаточно сложна и подробно излагается лишь в специальных учебниках по корпоративным финансам. Здесь ограничимся изложением ее сути на числовых примерах.
В основе теории лежат два положения:
• в состоянии общего экономического равновесия на всех конкурентных рынках, включая рынок ценных бумаг, устанавливаются цены, исключающие возможность арбитража;
1 Ross S. The arbitrage theory of capital asset pricing // Economics Theory. 1976. Dec. P. 341—360.
|
• ожидаемая величина и риск дохода ценной бумаги определяются не одним, как в модели САРМ (колебаниями доходности рыночного портфеля), а несколькими факторами (колебаниями ВВП, темпа инфляции, обменного курса национальной валюты и др.). |
Пример 5.8. На рынке обращаются три вида акций — A, B и C. Их ожидаемая доходность и коэффициенты ее реакции на изменения темпа роста ВВП (Р1) и темпа инфляции (Р2) представлены в табл. 5.12. |
Таблица 5.12
Характеристики акций |
|
|
|
Акция |
r |
Р1 |
в2 |
|
А |
11,5 |
1,0 |
0,6 |
|
В |
10,0 |
1,1 |
0,4 |
|
С |
12,0 |
0,5 |
0,8 |
Пример 5.7. Цены обращающихся на рынке акций A, B, Cи D равны 77; 85; 110 и 75 ден. ед. Ожидаемый от них через год доход зависит от того, сохранится ли существующий обменный курс национальной валюты, повысится он или снизится (табл. 5.11).
Таблица 5.11
|
|
|
Ожидаемая доходность акций |
|
|
|
Акция |
Текущая цена, ден. ед. |
Ожидаемый доход, если обменный курс, ден. ед. |
|
понизится |
не изменится |
повысится |
|
A |
77 |
60 |
75 |
90 |
|
B |
85 |
100 |
75 |
75 |
|
C |
110 |
95 |
120 |
105 |
|
D |
75 |
50 |
50 |
105 |
При текущих ценах в рассматриваемом примере возможен арбитраж. Составим портфель из трех первых акций, обеспечивающий такой же ожидаемый доход, какой имеет акция D. В такой портфель нужно включить 2,43 акций A, 0,22 акций B и -1,24 акций C (т.е. продать взятое на время это количество акций C). Структура такого портфеля находится из системы уравнений
60x1 + 100x2 + 95хз = 50
- 75x1 + 75x2 + 120хз = 50 ^ Х1 = 2,43; Х2 = 0,22; Х3 = -1,24.
90x1 + 75x2 + 105хз = 105
Его цена будет: 77-2,43 + 85-0,22 — 110-1,24 = 69,4. Следовательно, продав акцию D и купив указанный портфель, получим 75 - 69,4 = 5,6 ден. ед. дохода. По мере увеличения предложения акций D и спроса на остальные акции на рынке акций установится система цен, исключающая получение арбитражного дохода. Одной из таких систем может быть: za= 77; zb = 85; zc = 110; zd = 69,4.
Ожидаемая доходность отдельной акции в концепции АРТ рассчитывают по формуле
r = А 0 + А, 1Р1 + А2р2 + • • •+ А иРи,
где n — число факторов риска; ві — реакция (чувствительность) ожидаемой доходности акции на изменение значения і-го фактора риска; А0 — доходность безрисковых вложений; А — премия за риск, обусловленный і-м фактором.
В заданных условиях не будет возможности извлечения дохода от арбитража, если А1 = 3,75; А2 = 2,5; А3 = 8,75. Их значения находятся из следующей системы уравнений:
А 0 + А1 + 0,6А 2 = 11,5
- А0 + 1,1А1 + 0,4А2 = 10 ^ А1 = 3,75; А2 = 2,5 А3 = 8,75 А 0 + 0,5А 1 + 0,8А 2 = 12.
Допустим, фирма D решает выйти на рынок капитала, предлагая свои акции с ожидаемой доходностью td = 11 при Pd1 = 0,75 и Pd2 = 0,45. Из акций A, B и C можно составить портфель, имеющий такую же чувствительность к факторам риска, какую имеет акция D. Возьмем, например, 0,4 акции A, 0,257 акции B и 0,134 акции C. Коэффициент чувствительности этого портфеля к изменению темпа роста ВВП равен
0,4-1 + 0,257-1,1 + 0,134-0,5 = 0,75, а к изменению темпа инфляции
0,4-0,6 + 0,257-0,4 + 0,134-0,8 = 0,45, но его ожидаемая доходность ниже, чем у акции фирмы D 0,4-11,5 + 0,257-10 + 0,134-12 = 8,78.
Поэтому имеется возможность арбитража. Осуществим «пустую продажу» составленного портфеля и на вырученные деньги купим акции фирмы D. Результаты этой операции в расчете на 1000 ден. ед. представлены в табл. 5.13.
|
Таблица 5.13
Результаты реструктурирования портфеля |
|
|
|
Вид операции |
t0 |
t1 |
Р1 |
Р2 |
|
Продажа портфеля А,В,С |
+ 1000 |
-1087,8 |
-0,75 |
-0,45 |
|
Покупка акции D |
-1000 |
+ 1100 |
+0,75 |
+0,45 |
|
Итого |
0 |
+122,2 |
0 |
0 |
|
|
|
Ф = угр |  |
^ max,
Использование обнаруженной возможности выигрыша на описанной операции приведет к снижению цен акций, входящих в портфель, и повышению цены акции фирмы D. Когда возможности арбитража будут исчерпаны, на рынке акций снова установится равновесие и цена акции D примет свое равновесное значение.
Сравнивая концепции АРТ и САРМ, можно отметить, что теория арбитражного ценообразования может быть представлена в многопериодном варианте, в ней не предполагается в качестве обязательного условия существование финансового инструмента с безрисковой доходностью и для ее применения не нужно исчислять среднеожидаемое значение дохода от ценных бумаг и его вариацию. С другой стороны, САРМ представляет собой модель определения всей системы равновесных цен обращающихся на рынке ценных бумаг, в то время как АРТ объясняет формирование равновесной цены на отдельную, вновь появляющуюся на рынке акцию.
Краткие выводы
Посредством рынка капитала сбережения переводятся в инвестиции. Структура последних формируется в процессе оптимизации структуры имущества домашних хозяйств, в котором выделяются две составляющие: финансовые средства (деньги и облигации) и вложения в реальный капитал (акции). Совместное выравнивание спроса и предложения на всех кредитных рынках достигается благодаря гибкости взаимосвязанной системы ставок процента, выступающих в роли прокатных цен соответствующих капитальных активов. При одинаковых у всех инвесторов ожиданиях относительно развития конъюнктуры на рынке ценных бумаг структура вложений в реальный капитал (пакета акций) у всех избегающих риск инвесторов будет одинаковой. Различия их предпочтений относительно всевозможных комбинаций доходности и риска проявятся в пропорциях распределения имущества между финансовыми и реальными вложениями. В условиях инфляции рисковыми являются вложения не только в реальный капитал, но и финансовые. В то же время каждая составляющая имущества имеет свой источник риска. Поэтому финансовые и реальные вложения для инвесторов неодинаково взаимозаменяемы. Расхождения в оценке степени взаимозаменяемости исходят из их различного отношения к риску.
Теория портфеля лежит в основе некоторых современных концепций спроса на деньги (в частности, монетаристской концепции) и теорий ценообразования на рынке ценных бумаг. Ценообразование на финансовые инструменты определяет условия, на которых фирмы могут привлекать внешние денежные средства, а инвесторы повышать свое благосостояние. Кроме традиционной концепции ценообразования на рынке ценных бумаг, определяющей цену как сумму дисконтированных ожидаемых доходов, в настоящее время существуют модель САРМ, основанная на теории портфеля, и как дальнейшее ее развитие — модель АРТ.
Математическое приложение 1: Оптимизация структуры портфеля из n разновидностей рисковых ценных бумаг
Для оценки оптимизации введем следующие обозначения: ц — ожидаемая доходность i-й ценной бумаги; i=1, 2, ..., n; gi — доля i-й ценной бумаги в портфеле; Sij — ковариация между i-й и j-й ценными бумагами; rp — ожидаемая доходность портфеля; Стр — стандартное отклонение ожидаемой доходности портфеля.
В соответствии с теорией вероятности
rp = Ёgiri =(ёь -,gn)х i=1
| |
|
|
n n |
' s11- |
¦¦s1n Л |
|
' g1' |
|
р = Ё Ё gigjSij = (v gn ) X
i =1 j =1 |
sn1
V |
s
• nn
J |
X |
vgn 2 |
II
«0 |
|
Дана функция полезности инвестора, характеризующая его отношение к доходности и риску: U = уГр — стр, где у — параметр предпочтения между риском и доходностью. |
Задача. Wp —стр ^ тахпри Ё gt = L
i=1
Решение. Воспользуемся функцией Лагранжа
Ё gi — 1 i=1 где X — сомножитель Лагранжа.
Условия максимизации в матричной форме имеют следующий вид:
C 1 представляет структуру портфеля с минимальным риском. Доходность и риск его будут
|
|
УГ1^ |
|
' 2s11 ”’2s1n1 ^ |
|
' ^ |
|
|
Wn; |
і |
2sn1 •”2snn1
t1 -1 0; |
х |
gn
t 1; |
= 0.
(1) |
=2
(3)
(4)
С;Г;
i=1 nn
in = 22 cicjsij
Jpmm
Обозначим буквой R уменьшаемое в равенстве (1), первый сомножитель вычитаемого (матрицу) — буквой C, а второй сомножитель (вектор) — буквой G. Тогда условие максимизации функции Лагранжа можно записать в виде
R — C х G = 0 ^ G = C-1 х R.
Определим обратную матрицу к матрице C. Для краткости обозначим все ее элементы, кроме последнего столбца и последней строки, aj. Элементы последнего столбца и последней строки получаются одинаковыми, и их обозначим с;.
j=1i=1
Для определения структуры портфеля, отвечающего другим требованиям инвестора, удобно использовать специфический показатель
|
n |
Г a11 • |
¦a1n ^ |
|
/1 |
e=2birin х
i=1 |
4 an1’ |
’annJ |
х |
|
Посредством показателей ?pm;n, Opm;n и в легко можно найти структуру портфеля, соответствующего конкретным требованиям инвестора.
Допустим, нужно сформировать портфель с заданной ожидаемой доходностью Гр. В соответствии с равенствами (2) и (3)
C-1 =
an1 ”’ann cn V c1''' cn cn+1
n n n
В этой матрице 2 aij = 0; 2 a;j = 0; 2 q = L i=1 j=1 i=1
Для определения оптимальной структуры портфеля остается решить систему уравнений
g1 = q + у(апГ1 + • • •+ a1nrn);
Из равенства (5) определим, какому значению у соответствует желание инвестора иметь ожидаемую доходность портфеля, равную Гр,
_* _
ГР — rpmin
(6)
(7)
gn = cn + y(anlr1 + + annrn).
n
Обозначив b; = 2 ajjTj, получим следующую формулу для расчета оптимальной доли каждого вида ценных бумаг в портфеле:
g; = С; + Wbi. (2)
Определим портфель с минимальным риском. Параметр у представляет собой тангенс угла, образованного осью ординат и касательной к области выбора инвестора в точке, соответствующей оптимальному портфелю (см. рис. 5.13). Когда инвестор отдает предпочтение портфелю с минимальным риском, тогда касательная становится параллельной оси ординат, поэтому у = 0. Следовательно, у такого портфеля gi = С;, т.е. последний столбец (строка) обратной матрицы
Подставив значение у, полученное из выражения (6), в уравнение (2), найдем структуру портфеля с заданной ожидаемой доходностью.
Для определения структуры портфеля с заданной степенью риска примем во внимание, что
n n n n
=2 2gigjsij = 2 2(ci + ybi)(cj + ybj)sij = i=1 j=1 i=1 j=1
n n n n n n
=22 cicjsij + у2 22 bibjsij+ру 22 cibjsij. i=1 j=1 i=1 j=1 i=1 j=1
Первое слагаемое в выражении (7) — вариация портфеля с минимальным риском (см. равенство (4)). После преобразований второе слагаемое можно представить в виде |
Для определения структуры портфеля, максимизирующей заданную функцию полезности, вычислим Ь{.
i=1
а третье слагаемое равно нулю. Поэтому
•? =
C p C p min
(8)
|
|
|
"0,00339 - 0,004 0,00062 ' |
|
"10" |
|
"-0,01077" |
|
- 0,004 0,00508 - 0,00107 |
X |
15 |
= |
0,00931 |
|
0,00062 - 0,00107 0,00045 |
|
25 |
|
0,001462 |
^ ЬА
^ Ьв |
|
|
|
Таблица 1 |
|
|
|
Акция |
Г{, % |
Ci, % |
Корреляция pi,- |
Ковариация s, |
|
А |
В |
С |
А |
В |
С |
|
А |
10 |
14 |
1 |
0,5 |
-0,35 |
196 |
98 |
-196 |
|
В |
15 |
14 |
— |
1 |
0,3 |
|
196 |
168 |
|
С |
25 |
40 |
— |
— |
1 |
|
|
1600 |
= 58,84.
Подставив выражение (8) в уравнение (2), найдем структуру портфеля с заданной степенью риска.
Пример. На основе наблюдений за фондовым рынком для трех видов акций установлены характеристики, представленные в табл. 1.
Составим из этих акций портфель: а) с минимальным риском; б) максимизирующий функцию полезности U = 40rp -Cp; в) с ожидаемой доходностью 17%; г) с риском Cp = 18%. В данном примере матрицу системы уравнений (1) можно представить в виде табл. 2, а обратную к ней — в виде табл. 3.
Теперь по формуле (2) найдем искомую структуру портфеля
gA = 0,69882 — 40-0,01077 = 0,268; gB = 0,15469 + 40-0,00931 = 0,527; gC = 0,1465+40-0,001462 = 0,205.
Ожидаемая доходность этого портфеля равна 15,7%, а Cp = 13,35%.
Для нахождения структуры портфеля с заданной ожидаемой доходностью 17% определим значение » в условиях рассматриваемого примера:
» = -0,01077-10 + 0,009308-15 + 0,001462-25 = 0,06848.
По формуле (6) определим значение у, соответствующее желанию инвестора иметь rp = 17%,
17 -12,97 0,06848
И снова по формуле (2) найдем искомую структуру портфеля |
|
Таблица 2 |
|
|
|
|
А |
В |
С |
|
|
А |
392 |
196 |
-392 |
1 |
|
В |
196 |
392 |
336 |
1 |
|
С |
-392 |
336 |
3200 |
1 |
|
|
1 |
1 |
1 |
0 |
gA = 0,69882 — 58,84-0,01077 = 0,0651; gB = 0,15469 + 58,84-0,00931 = 0,7024; gC = 0,1465 + 58,84 • 0,001462 = 0,2325.
Портфель с такой структурой имеет rp = 17%, Cp = 15,55%.
И наконец, определим структуру портфеля с риском Cp = 18%. Такому желанию инвестора соответствует
|
Таблица 3 |
|
|
|
0,00339 |
-0,004 |
0,00062 |
0,69882 |
|
-0,0040 |
0,00508 |
-0,00107 |
0,15469 |
|
0,00062 |
-0,0010 |
0,00045 |
0,1465 |
|
0,69882 |
0,15469 |
0,1465 |
-246,83 |
2(18 -11,11) 0,06848
= 76,54.
Тогда
gA = 0,69882 — 76,54-0,01077 = -0,126; gB = 0,15469 + 76,54-0,00931 = 0,8671; gC = 0,1465 + 76,54-0,001462 = 0,2584.
Такой портфель имеет rp = 18,21%, Cp = 18%.
Последний столбец табл. 3 указывает на то, что в портфеле с минимальным риском должно быть акций, %: А — 69,88, B — 15,47 и С — 14,65. Обратим внимание на то, что акций A в портфеле оказалось значительно больше, чем B, хотя по сочетанию доходности и риска первые уступают вторым. Ожидаемая доходность такого портфеля равна 12,97% при cp= 11,11%.
Математическое приложение 2:
Расчет предельной доходности риска рыночного портфеля
Глава 6
Совместное равновесие на рынках благ, денег и капитала (модель IS—LM)
6.1. Условия совместного равновесия
Предположим, что финансовые средства субъекта состоят из двух частей: рыночного портфеля определенного размера и еще одной акции j-го вида, уже содержащейся в нем в соответствующей пропорции. Доля цены этой акции в общем имуществе инвестора равна п. Тогда в соответствии с равенством (5.1) ожидаемая доходность имущества определяется по формуле
rv = nrj + (1 - n)rM, а стандартное отклонение будет
а^ =^ n2a2j + (1 - n)2 аМ + 2n(1 - n)cov(rj ,гм ).
Найдем предельное соотношение между доходностью и риском имущества субъекта
10,5 [2пст| - 2(1 - п)аМ + 2(1 - 2n)cov( ?j, rM) J
= (rj- rMV
|
 |
|
Рис. 6.1. Совместное равновесие на рынках благ и финансов |
dL=кОи=(у. - yM)
duv dnj dn і I ^n2CTj + (1 - n)2 aM + 2n(1 - 2 n) cov( rj, rM)
' no2 -(1 - n) a2M + (1 -2n)cov(rj, rM)
¦\jn2o? + (1 - n)2 aM + 2 n(1 - 2 n) cov( ?j, rM)
С помощью этого выражения можно установить предельное соотношение между доходностью и риском рыночного портфеля. Для этого нужно принять n = 0, т.е. предположить, что портфель рисковых активов субъекта в точности соответствует структуре рыночного портфеля, тогда
д ?M _ д Гц _rj - rM_= rj - rM
да m (cov(fj,rM ) -a M )/а m а M -р jMa j
В 3.2 и 4.4 были определены множества парных значений уровня национального дохода и ставки процента, соответствующие при заданном уровне цен равновесию на рынках благ (линия IS) и денег (линия LM) в кейнсианской концепции. Однако равновесие на денежном рынке достигается одновременно с установлением равновесия на рынке ценных бумаг (см. 5.6). Поэтому для определения условий достижения совместного равновесия на рынках благ, денег и капитала нужно совместить оба указанных выше множества, как это показано на рис. 6.1. Из него следует, что есть лишь одно сочетание значений величины национального дохода и ставки процента (у , i ), при котором достигается равновесие одновременно на трех рассматриваемых рынках. |
|
|
 |
|
Рис. 6.2. Устойчивость совместного равновесия на рынках благ и финансов |
Величину совокупного спроса на рынке благ, соответствующую совместному равновесию на рынках благ, денег и ценных бумаг, называют эффективным спросом. Вместе с величиной эффективного спроса равновесное сочетание у и i определяется распределением количества находящихся в обращении денег между деньгами для сделок и в качестве имущества.
В предыдущих главах при построении линий IS и LM было установлено, что над ними расположены области избытка, а под ними — области дефицита. Поэтому пересечение этих линий делит все множество сочетаний i и у на четыре области, отличающиеся характером неравновесия на отдельных рынках. Что происходит в случае отклонения фактических значений у и i от их равновесных значений?
Допустим, экономическая конъюнктура характеризуется точкой H, представленной на рис. 6.2.
При yH и iH на рынках благ и денег существует избыток предложения ( yS > yD и M > L). Поскольку планы участников рыночных сделок при значениях yH и iH не совпадают друг с другом, последует корректировка спроса и предложения на обоих рынках. Процесс движения к равновесному состоянию может протекать по-разному в зависимости от характера поведения экономических субъектов. Однако можно предположить, что в большинстве случаев на денежном рынке равновесие установится быстрее, чем на рынке благ, так как для изменения объема производства последних требуется больше времени, чем для изменения количества находящихся в обращении денег. При таком предположении переход из точки H в точку совместного равновесия осуществляется следующим образом (см. рис. 6.2).
Избыток предложения на денежном рынке приводит к снижению ставки процента. Вследствие этого предложение денег будет сокращаться, а спрос на них расти. При ставке процента iF и национальном доходе yH на денежном рынке установится равновесие. На рынке благ в это время все еще будет избыток (точка F лежит выше линии IS), который при фиксированных ценах начнет «рассасываться» под воздействием двух факторов. Во-первых, снижение ставки процента увеличит инвестиционный спрос предпринимателей. Во-вторых, обнаружив сверхнормативные запасы на складах готовой продукции, предприниматели начнут сокращать производство, что приведет к снижению дохода. При ставке процента iF и доходе, меньшем, чем yH, на денежном рынке снова образуется избыток и ставка процента снизится еще больше. Процесс приспособления будет продолжаться до тех пор, пока не установится совместное равновесие при значениях y, i .
Аналогичные процессы возникают при любом другом неравновесном состоянии. Если в качестве исходного состояния взять точку G, то существующий при yG, iG на рынке денег избыток приведет к снижению ставки процента до iE, при которой на денежном рынке установится равновесие. Существовавший в исходном состоянии дефицит на рынке благ в результате снижения ставки процента увеличится из-за приращения спроса на инвестиционные блага. Поскольку на этой стадии анализа предполагается, что при заданном уровне цен предложение благ совершенно эластично, то дефицит благ будет устранен за счет расширения производства. Рост последнего сопровождается ростом дохода. При доходе, превышающем yG, и ставке iE на рынке денег возникает дефицит и ставка процента начнет расти. Дальнейший процесс приспособления представлен на рис. 6.2 стрелками вдоль линии LM. Следовательно, совместное равновесие на рынках благ, денег и капитала при заданном расположении линий IS и LM является устойчивым.
Для алгебраического определения сочетаний величин национального дохода и ставки процента, обеспечивающего при заданном уровне цен совместное равновесие на трех рассматриваемых рынках, нужно решить систему из двух уравнений с двумя неизвестными, которую образуют уравнения линий IS и LM. Вычислим равновесные значения y и i на основе уравнений линий IS и LM, выведенных соответственно в примерах 3.2 и 4.7 при P = 1,
fIS: i = 75 - 0,05y * *
\ ^y = 1100; i = 20.
[LM: y = 100 + 50i
6.2. Взаимодействие рынков благ и финансов при изменении экзогенных параметров
Модель IS—LM позволяет наглядно представить процессы взаимодействия отдельных рынков не только в ходе приспособления к совместному равновесию, но и при переходе от одного равновесного состояния к другому. |
|
|
 |
|
Рис. 6.4. Мультипликативный эффект на различных участках кривой LM |
|
ства сопровождается ее сдвигом. |
|
|
|
А |
|
|
I LM |
|
|
|
-Тчл |
|
|
|
|
іЧ?«; |
\д
\ V |
|
|
У0 |
У1 Уг |
/
У |
|
Рис. 6.3. Ограничение мультипликативного эффекта рынком денег |
Последствия сдвига линии IS. Из построения линии IS (см. 3.2) следует, что она смещается при изменении поведения на рынке благ любого макроэкономического субъекта. Наклон линии IS меняется при изменении предельной склонности к потреблению, эластичности инвестиций по ставкам процента и подоходного налога, а изменение автономного спроса домашних хозяйств, предпринимателей или государ-
Пусть под воздействием технического прогресса предпринимательский сектор увеличивает объем автономных инвестиций на ДІ. Тогда, как следует из формулы (3.15), линия IS сдвигается вправо на расстояние, соответствующее произведению ДІ на значение мультипликатора (рис. 6.3).
При ставке процента ф совокупный спрос на рынке благ возрастет до у2. Следовательно, повысится спрос на деньги для сделок и на рынке денег возникнет дефицит (точка A лежит ниже линии LM). Из-за недостатка денег увеличится предложение ценных бумаг, что приведет к снижению их курса и росту ставки процента. Обнаружив повышение последней, предприниматели сократят намечавшийся при ф прирост инвестиций. Поэтому совокупный спрос на рынке благ возрастет не до у2, а только до у1 и новое совместное равновесие на рынках благ, денег и ценных бумаг установится при значениях ypip Таким образом, денежный рынок снижает мультипликативный эффект изменения автономных расходов.
В какой степени денежный рынок «гасит» мультипликативный эффект, зависит от того, в пределах какого из трех участков линии LM происходит сдвиг линии IS. Если первоначальное совместное равновесие на трех рынках представлено точкой а на рис. 6.4, то мультипликативный эффект дополнительных автономных расходов проявляется в полной мере (прирост дохода практически равен расстоянию сдвига линии IS). Это объясняется тем, что в исходном состоянии равновесие установилось при низком уровне национального дохода и близкой к минимальной ставке процента. В подобной ситуации у людей наблюдается малый спрос на деньги для сделок и большой спрос на них как имущество. Если при таком состоянии экономики начинает расти национальный доход, то возникающая дополнительная потребность в деньгах для сделок удовлетворяется за счет денег, находящихся в составе имущества, не вызывая ощутимого роста ставки процента, и намечавшийся объем дополнительных инвестиций не будет сокращен.
Последствия сдвига линии IS на промежуточном участке кривой LM были проанализированы с помощью рис. 6.3.
И наконец, когда исходное совместное равновесие на рынках благ, денег и ценных бумаг приходится на «классическую» область кривой LM, сдвиг линии IS вообще не изменит совокупный спрос на блага в текущем периоде. Причина заключается в том, что при i > imax в составе имущества домашних хозяйств уже нет денег, поэтому осуществить новые инвестиционные варианты, предельная эффективность которых превышает imax, можно только за счет перераспределения существующего объема кредитных средств от менее эффективных вариантов к более эффективным. (Население будет обменивать менее доходные ценные бумаги на более доходные.) В результате суммарный инвестиционный спрос не изменится, а следовательно, останется прежним и национальный доход текущего периода.
Последствия сдвига линии LM. Как было установлено в гл. 4, сдвиг кривой LM происходит вследствие изменений объемов предложения денег или спроса на деньги. Проведем графический анализ их воздействия на величину эффективного спроса на блага.
Пусть первоначальное совместное равновесие на рынках благ, денег и ценных бумаг представляет точка Ео на рис. 6.5. Если банковская система увеличит предложение денег, то это выразится в сдвиге LMo ^ LM1 и совместное равновесие на трех рынках будет представлять точка Ер которая соответствует более высокому национальному доходу и более низкой ставке процента.
Перемещение равновесия из Е0 в Е1 произошло в результате цепочки событий, последовавших за увеличением количества денег. Домашние хозяйства, заметив в составе своего имущества увеличение доли |
|
|
 |
|
Рис. 6.6. Инвестиционная ловушка |
|
|
|
А |
ьм0 |
ЬМ1 |
|
|
.........\/ Е1 / |
|
|
|
|
|
|
|
/ L*—1 \
1 V
¦'—’*** ^ -*-*****"^ 1 і >?
— 1 1 \
1 1 \
1 1 >
1 1
1 1
1 1
1 1 |
\IS |
|
|
1 1
_!_1_ |
—44 > |
Уо У,
Рис. 6.5. Последствия сдвига кривой LM |
денег, для восстановления его оптимальной структуры увеличат спрос на ценные бумаги. Курс последних возрастет, а ставка процента уменьшится. Ее снижение увеличит число эффективных инвестиционных проектов, и спрос на инвестиции возрастет. При наличии резервных производственных мощностей возникнет мультипликативный эффект и национальный доход возрастет с У0 до ур.
Следовательно, в экономике при неполной занятости увеличение количества находящихся в обращении денег сопровождается ростом реального национального дохода. Это одно из основных теоретических положений Дж.М. Кейнса. Но при этом существуют два исключения.
Если совместное равновесие на трех рассматриваемых рынках достигнуто в «кейнсианской» области кривой LM, то экономика оказывается в ликвидной ловушке: изменение количества денег (ликвидности) не меняет реальный национальный доход.
Аналогичная ситуация возникает, если экономика попадает в инвестиционную ловушку. Она имеет место в том случае, когда спрос на инвестиции совершенно неэластичен по ставке процента, например вследствие пессимистической оценки будущей конъюнктуры инвесторами.
В первом квартале 2000 г. Центральный банк РФ трижды снижал ставку рефинансирования с 55 (в январе) до 33% (в марте). Министр финансов РФ М. Касьянов интерпретировал это как сигнал кредитным институтам осуществлять инвестиции в реальный сектор экономики. Однако господствующее настроение инвесторов в то время выразил в интервью информационно-политическому каналу «Полит. Ру» начальник управления финансовых операций «Росбанка» Николай Ермолаев: «Снижением ставки кредитовать реальный сектор банки не поощришь — этого мало. Надо менять всю систему, создавать нормальный инвестиционный климат».
Когда автономные инвестиции не зависят от ставки процента, линия IS становится перпендикуляром к оси абсцисс. В этом случае сдвиг кривой LM, т.е. изменение количества денег, не меняет величину эффективного спроса (рис. 6.6).
Ликвидная и инвестиционная ловушки в концепции Дж.М. Кейнса возникают потому, что потребление домашними хозяйствами зависит только от величины текущего реального дохода. Если же оно определяется еще и объемом имущества (см. формулу (3.6)), в состав которого входят реальные кассовые остатки, то при увеличении реального количества денег вправо смещается не только линия LM, но и линия IS; в результате объем эффективного спроса растет.
Рассмотренное согласно предпосылкам кейнсианской концепции взаимодействие рынка благ с финансовыми рынками при заданном уровне цен схематически представлено на рис. 6.7.

В процессе производства одновременно создаются предлагаемые на рынке блага и доходы населения. Последние определяют размер потребительского спроса на рынке благ и величину спроса на деньги для сделок и из-за предосторожности. Образующаяся на денежном рынке ставка |
|
|
 |
|
Рис. 6.8. Построение кривой совокупного спроса |
процента является еще одним фактором, определяющим спрос на деньги для сделок как имущество, а также на инвестиционные блага. Нарушения равновесия на рынке благ на рис. 6.7 через треугольник L(y,i) передаются на денежный рынок, а изменения равновесного состояния на денежном рынке через треугольник I(i) воздействуют на рынок благ.
6.3. Функция совокупного спроса
На основе анализа взаимодействия рынка благ с рынком денег можно проследить, как изменение уровня цен влияет на величину совокупного спроса на блага, и построить его функцию, характеризующую зависимость объема эффективного спроса от уровня цен: yD(P).
Проведем сначала графический анализ этой зависимости. На рис.
6.8 исходное совместное равновесие на рынках благ, денег и капитала представлено точкой Eq. Равновесный объем совокупного спроса на рынке благ установился при некотором исходном уровне цен Pq. Отметим его на оси ординат нижней части рис. 6.8. Образующаяся на пересечении значений уо и Pq точка A есть одна из точек графика
yD(P).
Пусть уровень цен поднимается до Pi. Тогда при заданном номинальном количестве денег их реальная величина уменьшится, вследствие чего кривая LM сдвинется влево: LMq ^ LMi. Совместное равновесие на рынках благ и финансовом станет возможным только при значениях yi, ii. Следовательно, при уровне цен Pi эффективный спрос будет равен yi. Поэтому точка B тоже лежит на графике yD(P).
Если уровень цен снизится до P2, реальное количество денег в обращении возрастет и последует сдвиг LMq ^ LM2. Величина эффективного спроса увеличится до y2. Координаты P2, y2 в нижней части рис. 6.8 соответствуют точке C. Соединив все найденные таким образом точки функции совокупного спроса, получим ее график yD(P).
Когда потребление домашних хозяйств зависит не только от реального дохода, но и от реальных кассовых остатков как части имущества, тогда при повышении уровня цен сокращается потребительский спрос при любой ставке процента из-за сокращения реальной кассы. Поэтому в верхней части рис. 6.8 одновременно со сдвигом LMq ^ LMi произойдет сдвиг IS ^ IS', и в результате в нижней части рис. 6.8 вместо точки B получим точку B'.
Соответственно при снижении уровня цен одновременно со сдвигом LMq ^ LM2 происходит сдвиг IS ^ IS'', и тогда на графике совокупного спроса окажется не точка C, а точка C . Следовательно, при наличии эффекта реальных кассовых остатков совокупный спрос становится более эластичным по уровню цен (график yD(P) становится более пологим).
По внешнему виду график функции совокупного спроса похож на график микроэкономической функции спроса на отдельное благо. Однако макроэкономическая функция совокупного спроса не является суммой функций спроса на отдельные блага. Как следует из микроэкономического анализа, объем спроса на конкретное благо при повышении его цены снижается вследствие действия эффектов замены и дохода. Анализ, проведенный в данной главе, показал, что отрицательный наклон графика функции совокупного спроса объясняется эффектами ставки процента и реальных кассовых остатков.
Эффект ставки процента или эффект Кейнса можно представить в виде следующей цепочки последовательных событий: рост уровня цен ^ уменьшение реального количества денег в обращении ^ увеличение предложения на рынке ценных бумаг ^ снижение их курса ^ повышение ставки процента ^ снижение спроса на инвестиционные блага ^ мультипликативный эффект ^ сокращение совокупного спроса на блага. При снижении уровня цен перечисленные события развиваются в обратном направлении.
Эффект реальных кассовых остатков имеет такую последовательность: повышение уровня цен ^ снижение реальных кассовых остатков ^ снижение потребительского спроса ^ снижение совокупного спроса на блага. Снижение уровня цен по этой же цепочке приводит к увеличению эффективного спроса на рынке благ. |
|
|
 |
|
Рис. 6.9. Наклон кривой совокупного спроса на различных участках линии LM |
 |
|
Рис. 6.10. Сдвиг кривой совокупного спроса при изменении номинального количества денег |
Оба эффекта объясняют отрицательный наклон кривой совокупного спроса.
Для последующего анализа взаимодействия макроэкономических рынков важно выявить, чем определяется наклон кривой совокупного спроса и какие факторы сдвигают эту кривую.
Когда сочетания i, y, соответствующие совместному равновесию на рынках благ и денег при различных уровнях цен, находятся в «классической» области кривой LM, тогда кривая совокупного спроса наиболее полога. По мере перемещения равновесных сочетаний i, у влево, в промежуточную область кривой LM, график функции совокупного спроса становится все круче, принимая вертикальное положение на «кейнсианском» участке кривой LM (рис. 6.9).
В 60—70-х гг. ХХ в. велась оживленная дискуссия между фискалис-тами и монетаристами о том, что в большей степени влияет на совокупный спрос — изменение государственных расходов или количества денег. Первые исходили из того, что в коротком периоде эластичность спроса на инвестиции близка к нулю и поэтому линия IS почти перпендикулярна; в этом случае изменение количества денег меняет лишь ставку процента, не влияя на выпуск. Вторые признавали зависимость объема инвестиций от ставки процента и в коротком периоде, а неэластичными по ставке процента считали спрос и предложение на денежном рынке, что выражается в перпендикулярном расположении линии LM; поэтому изменение государственных расходов ведет лишь к изменению ставки процента, а на доход можно повлиять изменением количества денег. Анализ рис. 6.9 помогает понять, что фискалисты правы, когда наступают периоды депрессии, а монетаристы — во время «перегрева» экономики.
Все факторы, вызывающие сдвиг линии совокупного спроса, можно объединить в две группы.
Во-первых, график yD(P) смещается в том же направлении, что и линия IS, т.е. при изменении автономного потребления домашними хозяйствами, предельной эффективности капитала и предельной склонности к инвестированию, а также государственных расходов. Расстояние сдвига графика yD(P) зависит от того, на каком участке кривой LM смещается кривая IS. Сдвиг последней на определенное расстояние в пределах «кейнсианской» области линии LM вызывает сдвиг линии yD(P) точно на такое же расстояние. При сдвиге линии IS в «классической» области кривой LM график yD(P) остается на месте. Следовательно, сдвигу линии IS в пределах промежуточной области кривой LM соответствует меньший по расстоянию сдвиг графика
yD(P).
Во-вторых, график yD(P) сдвигается в том случае, когда кривая LM смещается вследствие изменения номинального предложения денег или спроса на них. Хотя кривая совокупного спроса была построена в результате «скольжения» линии LM по линии IS, это «скольжение» было вызвано изменением уровня цен при фиксированном номинальном предложении денег и заданном спросе на них.
Проиллюстрируем смещение кривой совокупного спроса вслед за сдвигом кривой LM при увеличении номинального количества денег на рис. 6.10. Пусть первоначальная величина эффективного спроса определяется точкой Eq. В результате увеличения номинального предложения денег происходит сдвиг кривой LM вправо (LMq(Pq) ^ LMi(Pq)) и величина эффективного спроса стала определяться точкой Еі. Будем изменять уровень цен. При его повы- |
шении с P0 до р кривая LM0(P0) сместится в положение LM0(P\), а кривая LMi(Po) 1 в положение LMi(Pi). Снижение уровня цен до P2 приведет к следующим перемещениям: LM0(P0) ^ LM0(P2 ) и LM1 (P0) ^ LM1 (P2). В результате «скольжения» кривых LM0 и LMi по линии IS, вызванного изменением уровня цен, образуются две кривые совокупного спроса yD (P^ yf (P).
Чтобы получить алгебраический вид функции совокупного спроса, определим значение ставки процента из уравнения линии LM (см. формулу (4.6а)):
На «классическом» (перпендикулярном оси абсцисс) отрезке кривой LM предельная склонность к предпочтению денег как имущества (li) равна нулю, и в этом случае, как следует из выражения (6.2), изменение автономного спроса не влияет на величину совокупного спроса (см. рис. 6.4). При Ii = 0 линия IS занимает перпендикулярное оси абсцисс положение (инвестиционная ловушка) и изменение реальных кассовых остатков не изменяет величину совокупного спроса (см. рис. 6.6).
ly
i = уУ-
ч
M -
Pk
и подставим его в уравнение линии IS (см. формулу (3.14а)):
У =-
li fly M -
—у--
/• Pl
ъу V Н ± Іг
где ^у — Ту + Sy.
После преобразований функцию совокупного спроса можно представить следующей формулой:
где a —
/і
I yli + lyIi
yD (P) = aA + bM Ii .
^ yli + lyIi
(6.1)
Первое слагаемое функции (6.1) показывает, как меняется совокупный спрос при изменении автономных расходов, а второе — при изменении реальной кассы.
Для получения функции совокупного спроса в явном виде используем уравнения линий IS и LM, выведенные в примерах 3.2 и 4.7:
(6.1а)
Если уравнение (6.1) записать в приращениях, то получим алгебраическую модель взаимодействия рынков благ и денег, рассмотренную в предыдущем разделе:
dy
f
= adA + bd
V
M-
(6.2)
Краткие выводы
В кейнсианской модели условие достижения совместного равновесия на рынках благ, денег и капитала определяется пересечением линий IS и LM. Точка их пересечения указывает реальные значения ставки процента и национального дохода, при которых одновременно на трех названных рынках спрос равен предложению. Совместное равновесие на рынках благ, денег и капитала является устойчивым. Объем спроса на блага, соответствующий совместному равновесию на рынках благ, денег и капитала, назван Дж.М. Кейнсом «эффективным спросом».
Экзогенное нарушение равновесия на рынке благ отражается на состоянии рынка финансов, и наоборот. Прирост автономного спроса на рынке благ при заданном предложении денег порождает дефицит на денежном рынке из-за увеличения спроса на деньги для сделок. В результате повысится ставка процента и снизится инвестиционный спрос, вызывая мультипликативное сокращение совокупного спроса. Так денежный рынок «притормаживает» действие мультипликатора автономных расходов. Увеличение предложения или сокращение спроса на рынке денег, снижая ставку процента, стимулирует совокупный спрос на рынке благ.
Посредством модели IS—LM можно проанализировать последствия экономической активности государства в виде изменения расходов и доходов бюджета или предложения денег в условиях совершенной эластичности предложения благ при заданном уровне цен.
Экзогенные импульсы на рынках благ и денег не влияют на величину эффективного спроса при нахождении экономики в состояниях ликвидной или инвестиционной ловушки, так как в этих случаях эффект Кейнса не действует. Названные ловушки не возникают, если потребление домашних хозяйств зависит не только от реального дохода, но и от реальных кассовых остатков.
В рамках модели IS—LM изменение уровня цен воздействует на величину совокупного спроса через эффекты Кейнса (PT, M/Pi, іТ, ІІ, yi) и Пигу (РТ, M/РІ, Ci, yi). Зависимость совокупного спроса на блага от уровня цен называют функцией совокупного спроса. Действие названных эффектов приводит к тому, что с повышением уровня цен совокупный спрос снижается, и наоборот. Кривая совокупного спроса образуется как проекция смещающейся при изменении уровня цен точки пересечения кривых IS и LM. При смещении кривой IS в том же направлении сдвигается и кривая yD(P); расстояние ее сдвига и изменение ее наклона зависят от того, на каком участке кривой LM находятся равновесные сочетания i, у. В случае смещения кривой LMвследствие изменения номинального предложения денег или реального спроса на них (но не вследствие изменения уровня цен) кривая yD(P) тоже сдвигается в том же направлении.
Алгебраический вид функции совокупного спроса выводится путем подстановки значения ставки процента, определенного из уравнения кривой LM, в уравнение линии IS. Полный дифференциал функции совокупного спроса представляет собой модель взаимодействия рынков благ и денег в кейнсианской модели. |
Глава 7
Рынок труда
На рынке труда в результате взаимодействия спроса на труд с его предложением определяется уровень занятости, а следовательно, и объем предложения благ в коротком периоде, так как при заданном объеме капитала и существующей технологии объем производства благ становится функцией одной переменной у = y(N).
На рынке труда мы встречаемся с таким социально-экономическим феноменом, как безработица, под которой понимают превышение предложения труда над его спросом.
Неоклассики и кейнсианцы неодинаково интерпретируют процесс функционирования рынка труда и приходят к различным выводам относительно причин, порождающих безработицу.
7.1. Равновесие на рынке труда и безработица
7.1.1. Спрос на труд
Неоклассическая функция спроса на труд. Она основывается на предположении, что на всех рынках господствует совершенная конкуренция. В этом случае предприниматели получают максимум прибыли, если ценность предельного продукта труда равняется ставке номинальной (денежной) заработной платы
P^L = w dN
(7.1)
Левая часть уравнения (7.1) показывает, на сколько возрастет выручка фирмы при увеличении использования труда на единицу, а правая — на сколько при этом возрастут затраты фирмы на его оплату. До тех пор пока Pdy/dN > W увеличение занятости сопровождается ростом прибыли. Из равенства (7.1) следует, что прибыль достигает максиму- |
|
|
 |
Ай; |
|
Рис. 7.2. Сдвиги кривой спроса на труд согласно неоклассической концепции |
1/a

1
1-a
ма, когда предельная производительность труда равна ставке реальной заработной платы (w). При снижении ставки реальной зарплаты для получения максимума прибыли потребуется использовать больше труда, и наоборот. Следовательно, спрос предпринимателей на труд представляется функцией Nd = ND(w).
Пусть технология отображается производственной функцией y = KaN1-a. Тогда прибыль
n(N) = PKa N1-а - iKo - WN.
Она достигает максимума при
— = (1 -a)pfK°l - W = 0 ^ ND = K0 ( 1 a dN 1 N ) 0
Графически определение объема спроса на труд в неоклассической концепции представлено на рис. 7.1.
В верхней части изображен график производственной функции y = y(N). Тангенс угла наклона касательной к нему представляет предельную производительность труда при соответствующем числе занятых. На основе изменения величины tga по мере движения вдоль кривой y(N) в нижней части рис. 7.1 строится график предельной производительности труда. (Примет ли он вид прямой линии, выпуклой или вогнутой кривой — зависит от скорости изменения крутизны графика производственной функции.)
Чтобы определить объем спроса на труд, нужно на график предельной производительности труда наложить график ставки реальной заработной платы (w). Точка их пересечения укажет на количество труда, обеспечивающее максимум прибыли. Зная количество используемого труда, по графику производственной функции можно определить объем выпуска.
Рис. 7.1. Определение В коротком периоде спрос на труд
спроса на труд согласно изменяется только в результате измене-неоклассической концепции ния ставки реальной заработной платы:
при ее снижении занятость растет, при ее повышении занятость уменьшается (рис. 7.1).
В длинном периоде количество используемого труда может измениться вследствие технического прогресса или увеличения объема применяемого капитала. В том и другом случаях график производственной функции сдвинется вверх, как это показано в верхней части рис. 7.2. Соответственно, вверх сдвигается и график предельной производительности труда y(N). В этих случаях для прежнего объема производства потребуется меньше труда (N1), который будет оплачиваться по более высокой ставке реальной зарплаты (W2). Использование прежнего количества труда (No) приведет к росту объема производства до y1 при меньшем повышении цены труда (с wo до W1).
Увеличение занятости путем снижения ставки зарплаты ниже естественного уровня равносильно задержке технического прогресса. Так, если ставку реальной зарплаты установить на уровне w3, то для производства yo единиц продукции потребуется N2 единиц труда при технологии y2(N), которая менее эффективна, чем технология y1(N).
Кейнсианская функция спроса на труд. Если в неоклассической концепции объем выпуска определяется фирмами, стремящимися к максимизации прибыли, то в концепции Дж.М. Кейнса он задан величиной эффективного спроса. В результате при заданной технологии спрос на труд является функцией от величины эффективного спроса: Nd = ND(y*). Если технология соответствует производственной функции y = KaN1-a, функция спроса на труд имеет вид
ND =
где Ko — используемый объем капитала, а y рынке благ.
эффективный спрос на |
|
|
 |
|
Рис. 7.3. Определение спроса на труд согласно кейнсианской концепции |
Ценность предельного продукта труда согласно кейнсианской концепции определяет верхний предел ставки номинальной зарплаты: WD < Pdy/dN (рис. 7.3).
С помощью модели IS— LM определяется величина эффективного спроса. По графику производственной функции находим количество труда (N0), необходимое для производства благ в объеме у . По графику ценности предельного продукта труда определяется цена спроса на труд ( W0). Фактическая ставка номинальной заработной платы не обязательно будет равна цене спроса на труд. Если рабочие предлагают труд по цене ниже W0, то объем спроса на него все равно будет равен N0, так как фирмы не будут работать «на склад». Но занятость будет меньше N0, если рабочие потребуют цену выше W0. В этом случае эффективный спрос не будет удовлетворен и на рынке благ образуется дефицит.
Таким образом, графиком кейнсианской функции спроса на труд является не линия ас, а ломаная линия abN0: по мере роста ставки номинальной зарплаты от W0 до а спрос на труд будет сокращаться с N0 до нуля, но при ставке ниже W0 спрос на труд сохранится на уровне N0. Уровень занятости в кейнсианской концепции может измениться только под воздействием факторов, смещающих линии IS и LM.
7.1.2. Предложение труда
Мнения неоклассиков и кейнсианцев совпадают в том, что по мере повышения ставки заработной платы до определенного уровня предложение труда растет. Расхождения их взглядов возникают при выведении функции предложения труда по трем вопросам:
• на какую ставку зарплаты ориентируются домашние хозяйства при предложении труда — реальную или номинальную;
• изменяется ли ставка номинальной зарплаты вверх и вниз или только вверх;
• как влияет ставка процента на объем предложения труда.
В 3.1.1 при построении неоклассической функции потребления мы обнаружили, что в данном случае предложение труда индивида находится в прямой зависимости от ставки реальной заработной платы: NS = NS(w). Индивид сопоставляет полезность свободного времени с полезностью набора благ, который при существующих ценах можно купить на заработную плату. Поэтому при повышении уровня цен объем предложения труда не изменится лишь тогда, когда ставка номинальной зарплаты увеличивается пропорционально уровню цен. Такое представление основывалось на том, что в XIX в. доходы от труда в соответствии с «железным законом заработной платы» обеспечивали лишь минимум средств существования рабочего и его семьи; в этих условиях при повышении уровня цен необходимо было в такой же мере повысить номинальную зарплату.
Ставка процента в неоклассической концепции определяет пропорцию распределения имеющихся у индивида благ между нынешним и будущим потреблением. Ее повышение сопровождается сокращением текущего и увеличением будущего потребления, а снижение ведет к противоположному результату. Одним из благ в общей потребительской корзине индивида, определяющей значение функции полезности, является свободное время. Поэтому при повышении ставки процента индивид сокращает нынешнее свободное время, т.е. увеличивает предложение труда, а при снижении ставки процента — наоборот. Таким образом, согласно неоклассической концепции предложение труда находится в прямо пропорциональной зависимости не только от ставки реальной заработной платы, но и от ставки процента: NS = NS(w, i).
В кейнсианской концепции предложение труда зависит от ставки номинальной зарплаты. Причем до достижения полной занятости предложение труда совершенно эластично по отношению к ставке денежной зарплаты, так как безработные предлагают труд по установившейся цене.
Положение о том, что при принятии решений о предложении труда домашние хозяйства ориентируются не на реальную, а на номинальную заработную плату, кейнсианцы обосновывают боязнью людей потерять работу при наличии безработицы и долгосрочным характером договоров об оплате труда. В таких условиях при росте уровня цен люди предлагают то же количество труда, что и до повышения цен, соглашаясь трудиться за меньшую реальную зарплату. В ХХ в. в развитых странах уровень зарплаты существенно превышает прожиточный минимум. Поэтому «физиологической» необходимости в строго пропорциональном изменении уровня цен и ставки денежной зарплаты нет. С другой стороны, в современной экономике цена тру- |
|
|
 |
|
Рис. 7.4. Реакция предложения труда на рост уровня цен согласно классической и кейнсианской концепциям |
 |
|
Рис. 7.5. Равновесие на рынке труда при полной занятости |
да, как правило, устанавливается не на рынке совершенной конкуренции, а в ходе переговоров профсоюза и работодателя при заключении коллективного договора на ряд лет. В этих условиях при росте уровня цен возможны разные варианты: от полного отсутствия реакции со стороны продавцов труда (рабочие подвержены «денежным иллюзиям») до опережающего роста номинальной цены труда при долговременном экономическом подъеме.
Дж.М. Кейнс полагал, что ставка номинальной зарплаты изменяется только в одну сторону — вверх, так как «попытки предпринимателей понизить денежную заработную плату путем пересмотра соглашений с наемными работниками вызовут гораздо более сильное сопротивление, нежели постепенное и автоматическое снижение реальной заработной платы в результате роста цен». Расхождения между неоклассиками и кейнсианцами о роли ставки номинальной зарплаты при формировании предложения труда можно продемонстрировать на рис. 7.4.
Согласно концепции неоклассиков предложение труда реагирует на изменение уровня цен: по мере его роста (P0 < р < P2) снижается ставка реальной зарплаты (W/P0 ^ W/P1 ^ W/P2) и вследствие этого уменьшается предложение труда (N0 ^ N1 ^ N2). Повышение уровня цен вызывает движение вниз по кривой предложения труда: A ^ B ^ C. В представлении кейнсианцев рост уровня цен не влияет на предложение труда: по мере повышения уровня цен график предложения труда в системе координат w, N превращается в «веер». В этом случае повышение уровня цен сопровождается перемещением из точки A в точки B' и C'.
Изменение ставки процента в кейнсианской концепции на объем предложения труда непосредственно не влияет.
7.1.3. Равновесие и безработица
Равновесие на рынке труда существует тогда, когда количество запрашиваемого труда равняется количеству предлагаемого.
Согласно неоклассической концепции оно достигается за счет мгновенной реакции ставки заработной платы на соотношение спроса и предложения на рынке труда. Благодаря гибкости зарплаты рыночный механизм обеспечивает полную и эффективную занятость. Полная занятость в данном случае означает, что каждый желающий продать определенное количество труда по сложившейся в данный момент цене может осуществить свое желание. Проиллюстрируем понятие полной и эффективной занятости с помощью рис. 7.5.
При ставке реальной заработной платы w0 предложение труда полностью соответствует спросу на него.
Но это не значит, что исчерпаны все имеющиеся в данный момент трудовые ресурсы. Если бы ставка зарплаты поднялась до w1, то предложение труда возросло бы до N1. Тем не менее в ситуации, представленной на рис. 7.5, нет безработицы: трудоспособные, им соответствует отрезок N0N1, не желают наниматься на работу при ставке w0.
Занятость на уровне N0 является эффективной потому, что каждая дополнительная единица труда дает меньший прирост выпуска, чем требуется средств для ее оплаты. Это следует из того, что кривая спроса на труд Nd в условиях совершенной конкуренции одновременно представляет кривую предельной производительности труда. При использовании, например, дополнительно (N1 — N0) единиц труда возникают потери, представленные на рис. 7.5 площадью заштрихованного треугольника.
Когда в стране с низкой производительностью труда (кривая ND сдвинута влево вниз) рабочие предлагают труд по относительно высокой цене (кривая NS сдвинута влево вверх), тогда полная занятость может сочетаться с большими объемами неиспользуемых трудовых ресурсов (отрезок N1N0 будет большим). В современной экономической теории такая ситуация на рынке труда интерпретируется как без- |
|
|
 |
|
Рис. 7.6. Равновесие на рынке труда при безработице |
работица, обусловленная недостатком капитала. Увеличение капиталовооруженности труда повысит его предельную производительность (сместит кривую ND вправо вверх), и уровень полной занятости в неоклассическом понимании возрастет.
Согласно неоклассической концепции равновесие на рынке труда устойчиво. Если ставка реальной зарплаты окажется равной w\, то, во-первых, работу начнут искать трудоспособные, им соответствует отрезок N0N1; во-вторых, спрос на труд сократится до N2. В результате возникает безработица в размере (N1 — N2). Конкуренция за рабочие места заставит ищущих работу согласиться на более низкую оплату труда, и ставка номинальной зарплаты будет снижаться до тех пор, пока ставка реальной зарплаты не примет значение w0.
Согласно кейнсианской концепции рынок труда может стабилизироваться при наличии безработицы. На рис. 7.6 совмещены графики
кейнсианских функций спроса на труд и его предложения.
Спрос предпринимателей на труд в размере N0 определился в соответствии с величиной эффективного спроса, как это было показано на рис. 7.3. Если предприниматели установят ставку номинальной зарплаты на максимально допустимом для них уровне W0, то предложение труда будет равно N2 и на рынке труда образуется избыток в размере (N2 — N0). Несмотря на то что в рассматриваемой ситуации ищущие работу согласны на более низкую оплату труда, уменьшение ставки зарплаты ниже W0 не увеличит спрос на труд.
С позиций классической школы в данном случае цена труда завышена на величину ( W0 — Wi). Но даже при снижении ее до Wi сохранится безработица в размере (N1 — N0), которая не устраняется в ходе стихийного взаимодействия спроса и предложения на рынке труда. В данном случае рынок труда стабилизируется при неэффективном уровне занятости, так как предельная производительность труда превышает предельные издержки на него. Площадь заштрихованного треугольника на рис. 7.6 представляет чистый выигрыш от увеличения производства путем доведения занятости до N1.
7.2. Теория естественной безработицы
Как уже отмечалось, понятие полной занятости не подразумевает, что все люди трудоспособного возраста заняты в общественном производстве. И дело не только в том, что часть людей не желает работать при установившейся ставке заработной платы (добровольная безработица). Кроме этой части трудоспособного населения, представленного на рис. 7.5 отрезком N0N1, в состоянии полной занятости всегда есть определенное число людей, находящихся на стадии выбора наилучшего места работы и подготовки к трудоустройству. Эти люди образуют естественную безработицу, которая является неизбежным следствием свободного выбора места и времени работы.
Представим движение контингента трудоспособного населения в виде схемы (рис. 7.7). В каждый момент времени все трудоспособное население оказывается разделенным на три группы: а) работающие (занятые N); б) неработающие, но активно ищущие работу (безработные U); в) неработающие и не ищущие ее (H).
|  |
|
Рис. 7.7. Перемещения трудоспособного населения |
Люди постоянно переходят из одной группы в другую, и обратно (это движение отображено на схеме стрелками). Часть из них меняет место работы, практически не прерывая своей трудовой деятельности (1). Другие оставляют его, желая трудоустроиться в другом месте, но не имеют возможности осуществить это мгновенно (2). Часть трудоспособных людей не хотят больше трудиться и переходят в группу неработающих, однако они не являются безработными (6).
В то же время у части добровольно неработающих возникает желание устроиться на работу, что может осуществиться сразу (7) или через какое-то время, которое уходит на поиск работы (5). В свою очередь часть безработных в данный момент поступает на работу (3), а другая часть по каким-то причинам прекращает активно искать ее и тем самым переходит в группу добровольно неработающих (4).
|
|
Расчет показателей 8 и g
Таблица 7.1 |
|
|
|
Год |
Работающие, тыс.
человек |
Безработ-
ные,тыс.
человек |
и, % |
Уволено,
тыс.
человек |
Принято,
тыс.
человек |
8 |
g |
|
1991 |
38 454 |
2 145 |
6,31 |
3 660 |
3 713 |
0,095 |
1,73 |
|
1992 |
37 878 |
2 283 |
6,63 |
3 961 |
3 667 |
0,105 |
1,61 |
|
1993 |
37 365 |
2 864 |
8,20 |
4 549 |
4 061 |
0,122 |
1,42 |
|
1994 |
37 304 |
3 354 |
9,20 |
4 514 |
4 483 |
0,121 |
1,34 |
|
1995 |
37 382 |
3 393 |
9,30 |
4 655 |
4 522 |
0,125 |
1,33 |
|
1996 |
37 270 |
3 696 |
10,10 |
4 967 |
4 684 |
0,133 |
1,27 |
|
1997 |
37 208 |
4 078 |
11,00 |
4 926 |
4 823 |
0,132 |
1,18 |
|
1998 |
37 611 |
3 937 |
10,50 |
4 943 |
5 123 |
0,131 |
1,30 |
|
1999 |
38 081 |
3 719 |
9,90 |
4 835 |
5 030 |
0,127 |
1,35 |
|
2000 |
38 706 |
3 413 |
8,70 |
4 650 |
4 882 |
0,120 |
1,43 |
Общий объем трудовых ресурсов (R) в каждый данный период состоит из двух групп: R = N + U. Третья группа (Н) в объем трудовых ресурсов не входит, так как в сложившихся условиях не желает продавать свой труд.
«Занятые в экономике — лица, которые в рассматриваемый период: а) выполняли работу хотя бы один час в неделю по найму за вознаграждение деньгами или натурой, а также не по найму для получения прибыли или семейного дохода независимо от срока получения вознаграждения или дохода за свою деятельность; б) временно отсутствовали на работе из-за болезни или травмы, ухода за больными; ежегодного отпуска или выходных дней; обучения вне своего рабочего места; отпуска без сохранения или с сохранением содержания по инициативе администрации; забастовки; других подобных причин; в) выполняли работу без оплаты на семейном предприятии.
Оценки общей численности занятых в экономике (по месту основной или единственной работы) в текущем периоде производятся на основе ежемесячных сведений о численности наемных работников предприятий и организаций, квартальной информации о численности лиц, работающих по найму у физических лиц, работающих не по найму, получаемой по итогам обследований населения по проблемам занятости.
К безработным (в соответствии со стандартами Международной организации труда (МОТ)) относятся лица в возрасте, установленном для измерения экономической активности населения, которые в рассматриваемый период удовлетворяли одновременно следующим критериям: а) не имели работы (доходного занятия); б) занимались поиском работы, т.е. обращались в государственную или коммерческую службы занятости, использовали или помещали объявления в печати, непосредственно обращались к администрации предприятия или работодателю, использовали личные связи или предпринимали шаги к организации собственного дела (поиск земли, зданий, машин и оборудования, сырья, финансовых ресурсов, обращение за разрешениями, лицензиями и т.п.); в) были готовы приступить к работе в течение определенного периода времени. Учащиеся, студенты, пенсионеры и инвалиды учитываются в качестве безработных, если они занимались поиском работы и были готовы приступить к ней. Информацию об общей численности безработных (применительно к стандартам МОТ) подготавливают по материалам выборочных обследований населения по проблемам занятости (обследований рабочей силы), которые в 1992— 1998 гг. осуществляли статистические органы РФ с периодичностью 1 раз в год (в 1995 г. было проведено два обследования). Начиная с 1999 г. обследование населения по проблемам занятости проводят поквартально.
Численность экономически активного населения — сумма занятых в экономике и безработных».
1 Социально-экономическое положение России. М., 2001. С. 8.
Структура трудовых ресурсов постоянно меняется: в каждом периоде часть работающих увольняется и в это же время часть безработных устраивается на работу. Интенсивность такого перемещения людей зависит от многих обстоятельств, в том числе от состояния экономической конъюнктуры. Но даже когда ситуация в народном хозяйстве соответствует условиям полной занятости, т.е. когда предельная производительность труда равна реальной ставке зарплаты, потоки 2 и 3 на рис. 7.7 не иссякают.
Обозначим долю потерявших работу в общей численности работающих 8, а долю устроившихся на работу безработных g. Параметры 8 и g по своей природе аналогичны таким показателям, как коэффициенты рождаемости и смертности или среднее число транспортных происшествий в крупном городе. В качестве примера в табл. 7.1 приведены расчеты коэффициентов 8 и g по ФРГ за 1991—2000 гг.
Изменение числа работающих в результате встречных потоков между двумя категориями трудовых ресурсов определяют по формуле AN = gU — 8N.
Полная занятость будет достигнута, когда AN= 0, что имеет место при gU = 8N, или gU = ^(R - U). Решим это уравнение относительно U:
8R g + 8 |
|
|
Таблица 7.3
Уровень естественной безработицы, % |
|
|
|
Страна |
|
Годы |
|
|
1966—1975 |
1976—1985 |
1986—1995 |
|
Германия |
1,2 |
4,9 |
7,1 |
|
Италия |
5,9 |
8,3 |
11,3 |
|
Испания |
2,9 |
11,6 |
20,1 |
|
США |
5,2 |
7,5 |
6,3 |
(7.3)
Таблица 7.2
Становление естественного уровня безработицы |
|
|
|
Показатели |
Номе |
р итерации |
|
0 |
1 |
2 |
3 |
4 |
|
|
|
N |
72,0 |
72,56 |
72,96 |
73,26 |
73,48 |
|
74,0 |
|
U |
8,0 |
7,44 |
7,04 |
6,74 |
6,52 |
|
6,0 |
|
SN |
1,44 |
1,45 |
1,46 |
1,465 |
1,47 |
|
1,5 |
|
gU |
2,0 |
1,86 |
1,76 |
1,68 |
1,63 |
|
1,5 |
|
AN |
0,56 |
0,40 |
0,30 |
0,22 |
0,16 |
|
0,0 |
Формула (7.2) определяет общее число безработных в состоянии полной занятости (при AN = 0). Вычислим их долю от общего числа трудовых ресурсов
U SR 8
R ~ (g + S)R ~ g + 8
Формула (7.3) показывает естественную норму безработицы в общем объеме трудовых ресурсов.
Термин «естественная норма безработицы» был введен М. Фридменом для характеристики уровня безработицы в условиях долгосрочного равновесия. «Естественная норма безработицы, — писал он, — это уровень безработицы, не учитываемый вальрасовской системой уравнений общего равновесия; она отражает реальную структуру рынков товаров и труда, их несовершенство, стохастические колебания спроса и предложения, затрат на сбор информации о вакантных рабочих местах и их
1
доступности, по перемещению трудовых ресурсов и т.д.»
Пример 7.1. Пусть общий объем трудовых ресурсов страны составляет 80 млн человек и в данный момент 8 млн человек, т.е. 10%, из них безработные. Установлено, что 8 = 0,02 и g = 0,25. Следовательно, естественная норма безработицы составит 0,02/0,27 = 0,074 = 7,4%, или 5,92 млн человек. Процесс движения от фактической 10%-й безработицы к естественной норме представлен в табл. 7.2.
К числу факторов, определяющих значение параметров 8 и g, относятся уровень социально-экономической защищенности граждан страны (минимальная ставка заработной платы, величина пособий по безработице и бедности и пр.), авторитет профсоюзов, склонность людей к трудовой деятельности и др. Поскольку эти факторы изменчивы, то и величина естественной нормы безработицы со временем меняется.
1 Friedman M. The role of monetary Policy // American Economic. Review. 1968. Vol. 58. P. 8.
Динамика естественной нормы безработицы в ряде западных стран представлена в табл. 7.3.
Рост естественной безработицы связан с тем, что помимо названных факторов на ее уровень влияет динамика фактической безработицы. Увеличение наблюдаемой безработицы в периоды продолжительных спадов производства завершается возвращением ее не к исходному, а к более высокому естественному уровню. Это объясняется, во-первых, частичной утратой квалификации в период высокой безработицы («ржавлением» человеческого капитала) и, во-вторых, разной рыночной властью работающих и безработных. В интересах безработных — сохранить действующие цены труда неизменными, поскольку в этом случае в фазе подъема спрос на труд возрастет. Но безработные не участвуют в переговорах о ставке зарплаты. Работающие заинтересованы в том, чтобы увеличение спроса на труд трансформировалось в повышение ставки зарплаты, а не в росте числа занятых, и они могут добиться своего в ходе переговоров профсоюзов с предпринимателями.
Так же, как безработному требуется время для того, чтобы найти подходящее для себя рабочее место, работодатель не может мгновенно заполнить имеющиеся у него вакансии. Поэтому при полной занятости вместе с естественной безработицей имеются неполные рабочие места. Соотношение между количеством безработных и вакансий называется кривой Бевериджа по имени английского экономиста В. Бевериджа. «Нормальный» вид этой кривой изображен на рис. 7.8, где на оси абсцисс отмечается общая норма безработицы u, %, а на оси ординат — доля вакансий в числе работающих v, % (норма вакансий). Естественно, что с увеличением нормы вакансий норма безработицы снижается, т.е. кривая Бевериджа имеет отрицательный наклон, так как рост вакансий облегчает трудоустройство. Однако статистические исследования подтверждают это не всегда. На рис. 7.9 приведены данные по странам |
|
|
 |
|
Рис. 7.8. Кривая Бевериджа |
ОЭСР за 1968—1989 гг. и по России за 1995—2000 гг. Обнаруживающуюся аномалию объясняют сдвигом кривой Бевериджа, который свидетельствует об увеличении препятствий при согласовании интересов безработного и работодателя.
 |
|
Рис. 7.9. Сдвиг кривой Бевериджа в странах ОЭСР (а) и России (б) по годам |
7.3. Конъюнктурная безработица.
Кривая Оукена
Фактический или наблюдаемый уровень безработицы обычно не равен естественному. В периоды экономического бума спрос на рабочую силу настолько велик, что число людей, оставляющих производство, сокращается по сравнению с обычной нормой 5, а доля безработных, устраивающихся на работу, превышает среднее значение g, в результате безработица оказывается ниже естественного уровня. В таких случаях говорят, что экономика «перегрета». В периоды экономического спада наблюдаются обратные процессы, и фактическая безработица превышает естественный уровень.
Разность между фактическим (u) и естественным (и ) уровнями безработицы называют уровнем конъюнктурной безработицы (щ = и — и*).
При более детальном рассмотрении можно выделить пять состояний рынка труда.
1. Избыточная занятость. Число занятых превышает их количество при нормальной загрузке производственных мощностей; число рабочих часов на одного занятого выше обычного; безработица ниже естественного уровня (N> N; y > y*; u < u*).
2. Нормальная занятость. Число занятых соответствует полному использованию производственных мощностей; объем производства равен национальному доходу полной занятости; безработица соответствует естественному уровню (N = N; y = y*; u = u*).
3. Недостаточная занятость. На рынке труда объем предложения равен объему спроса, но растет естественная норма безработицы; производится национальный доход полной занятости при повышении капиталовооруженности труда (N = N; y = y*; u = u*T).
4. Рецессия. Недостаточная занятость при неполном использовании производственных мощностей; объем выпуска ниже национального дохода полной занятости; фактическая безработица превышает естественный уровень и продолжает расти (N < N; y < y*; u < uT).
5. Оживление. Недостаточная занятость при неполном использовании производственного потенциала; объем производства ниже национального дохода полной занятости, но наблюдается его рост и сокращение конъюнктурной безработицы (N < N; y < y*; u < ui).
Конъюнктурная безработица существует только при двух последних состояниях экономики.
Наличие конъюнктурной безработицы свидетельствует о неполном использовании производственных возможностей страны. Потенциально возможный при данной технике объем производства yF (N*) — национальный доход полной занятости — превышает фактически достигнутый при наличии конъюнктурной безработицы y(N). Разность [yF (N*) — y(N)] образует конъюнктурный разрыв.
Артур Оукен на основе эмпирических исследований обнаружил устойчивую связь между величиной конъюнктурной безработицы и конъюнктурным разрывом. Установленную зависимость он выразил формулой
Ур У = Y(u - u ), (74)
Vf v 7
где у — параметр Оукена.
Эта формула выражает так называемый закон Оукена: если конъюнктурная безработица растет на 1 пункт, то конъюнктурный разрыв увеличивается на у пунктов. |

|
 |
|
Рис. 7.11. Построение неоклассической функции совокупного предложения |
По расчетам Оукена, в США в 1960-е гг., когда естественная норма безработицы составляла 4%, параметр у был равен 3. Это значит, что каждый процент конъюнктурной безработицы уменьшал фактический объем ВНП на 3% по сравнению с ВНП полной занятости. А. Оукен связывал это с тем, что при появлении конъюнктурной безработицы происходит следующее:
— не все уволенные регистрируются в качестве безработных;
— часть оставшихся на работе переводится на сокращенный рабочий день;
— снижается средняя производительность труда из-за наличия скрытой безработицы на производстве.
Коэффициент Оукена отражает тот факт, что выпуск определяется не только технологией производства, но и изменением экономической активности людей в различных фазах функционирования национального хозяйства.
Обозначим 1/yVf = а; тогда уравнение (7.4) можно представить в виде
*
/ \ и и _*ч
y(u) = Vf +-. (7.5)
а
График функции (7.5) называют кривой Оукена (рис. 7.10).
В квадранте II изображен график производственной функции, отражающей наряду с технологией и состояние экономической конъюнктуры (Ж): y(N, Ж). При у > 1 график этой функции, в отличие от технологической производственной функции в коротком периоде, загибается не к оси N, а к оси y, т.е. показывает не снижающуюся, а повышающуюся предельную производительность труда. В квадранте III проведена вспомогательная линия под углом 45° к осям координат, а в квадранте IV представлен график дефиниционной функции конъюнктурной безработицы
Посредством проведенных построений в квадранте I получаем кривую Оукена.
В состоянии полной занятости объем производства равен yF, а норма безработицы — и . Если вследствие неблагоприятной экономической конъюнктуры занятость снизится до N1, то производство снизится до y1 и фактический уровень безработицы составит и\. Следовательно, точка а лежит на кривой Оукена. Аналогично находятся и все другие точки этой кривой.
Из формулы (7.5) и рис. 7.10 следует, что кривая Оукена смещается вправо вверх, если: а) растет величина национального дохода полной занятости из-за увеличения предложения труда или совершенствования технологии производства; б) повышается норма естественной безработицы, например, вследствие отмеченного выше эффекта гистерезиса.
7.4. Функция совокупного предложения
Функция совокупного предложения выражает зависимость объема совокупного предложения благ от определяющих его факторов. Поскольку в коротком периоде при заданной технологии объем выпуска продукции зависит от количества используемого в производстве труда, то факторы, определяющие уровень занятости, определяют и объем совокупного предложения.
Согласно неоклассической концепции функция совокупного предложения является возрастающей от ставки процента (рис. 7.11).
При заданной технологии, представленной производственной функцией y(N) в квадранте IV, спрос предпринимателей на труд задан графиком функции ND(w) =
= dy/dN, изображенном в квадранте III. Предложение труда в неоклассической концепции, как было |
dN
(7.8)

(7.6)
отмечено в 7.1.2, является функцией от двух переменных: NS = NS(w,i). Поэтому каждой ставке процента в квадранте III соответствует своя кривая предложения труда. Ставка процента определяется на рынке капитала в процессе выравнивания объемов сбережений и инвестиций. При ставке реальной заработной платы W0 и ставке процента ф занятость установится на уровне No и объем совокупного предложения составит уо- Рост ставки процента (io ^ ii ^ І2) поворачивает кривую NS против часовой стрелки, так как при каждой ставке реальной зарплаты будет предлагаться больше труда. Это приведет к росту занятости и увеличению объема предложения благ.
Согласно кейнсианской концепции функция совокупного предложения выражает зависимость между уровнем цен и объемом предложения благ: yS = yS(P).
Общее воздействие изменения уровня цен на предложение благ складывается из двух последовательных импульсов, создаваемых эффектом занятости и эффектом производства.
Эффект занятости. Когда на рынке труда существует равновесие, цена спроса на труд равна цене его предложения: WD = WS. Как было установлено в 7.1.1, WD = PyN, где yN — предельная производительность труда.
Цена предложения труда зависит от количества предлагаемого труда и реакции его продавцов на изменение уровня цен (рис. 7.12).
Когда при повышении уровня цен любое количество труда предлагается по прежней цене (график функции предложения труда WS остается на месте), то говорят, что рабочие подвержены денежным иллюзиям. Если в ответ на повышение уровня цен цена предложения каждой порции труда тоже повышается (график WS сдвигается вверх), то рабочие свободны от денежных иллюзий. При этом надо иметь в виду, что Рис. 7.12. Кривая цены темп роста цены предложения тру-
предложения труда да может не равняться темпу роста
уровня цен. В общем виде цена предложения труда представляется функцией WS = WS(N, P).
Равновесия на рынке труда выражается следующим равенством:
PyN = WS (N, P). |
Чтобы определить, как изменится занятость при изменении уровня цен, запишем полный дифференциал уравнения (7.6)
yN^P + PdyN = WpdP + WjqdN, (7.7)
где Wp =3WS / dP;WN = dWS / dN. Принимая во внимание, что
dyN = dyNdN = ^\dN = ymdN, dN dN2
уравнение (7.7) можно записать в виде
(NN - WN)N = (P - yN)
Отсюда
Wp - yNS dp.
PyNN - WN
Равенство (7.8) отражает эффект занятости при изменении уровня цен. Оно показывает, на сколько изменится занятость после восстановления равновесия на рынке труда при изменении уровня цен.
Эффект производства. Размер увеличения производства вследствие приращения занятости зависит от технологии, представленной производственной функцией y = y(N), следовательно, dy = yNdN. С учетом выражения (7.8) получаем
dy = yN WP—dP. (7.9)
PyNN - WN
Равенство (7.9) отражает эффект производства. Оно показывает, насколько изменится объем производства и предложения благ при изменении уровня цен.
Пример 7.2. Предложение труда отображается функцией NS = 2W - 20, когда домашние хозяйства подвержены денежным иллюзиям и функцией NS = 2 W - 20P, когда продавцы труда реагируют на изменение уровня цен; цена предложения труда, соответственно, в первом случае определяется по формуле WS = 0,5N + 10, а во втором — WS = 0,5N + 10P. Производство ведется по технологии, представленной производственной функцией y = 70N - N2; поэтому цена спроса на труд определяется по формуле WD = 70P - 2PN. В исходном со- |
(7.2)
стоянии Р = 1 и занятость находится из равенства 0,5N + 10 = 70 - 2N^ N = 24; тогда у = 70-24 - 242 = 1104.
 |
|
Рис. 7.14. Построение кривой совокупного предложения на рынке благ при наличии денежных иллюзий |
Пусть уровень цен повысится до Р = 1,5; тогда 0,5N + 10 = 105 — 3N ^ N= = 27,1 и у = 70-27,1 — 27,12 = 1874 при наличии денежных иллюзий, а при их отсутствии — 0,5N + 15 = 105- 3N ^ N = 25,7 и у = 70-25,7 - 25,72 = 1775.
Таким образом, при наличии денежных иллюзий эффект занятости равен 27,1 - 24 = 3,1, а эффект производства — 1874 - 1104 = 770; при отсутствии денежных иллюзий — соответственно 25,7 - 24 = 1,7 и 1775 - 1104 = 671.
Эффект занятости, а за ним и эффект производства, может быть нулевым или даже отрицательным. Все зависит от реакции рабочих на повышение уровня цен. Если темп роста ставки номинальной заработной платы равен темпу роста уровня цен, то занятость и объем производства не изменятся. В рассматриваемом примере это будет иметь место, если цена предложения труда определяется по формуле WS = = P(0,5N + 10). Когда ставка номинальной зарплаты растет быстрее уровня цен, тогда занятость и выпуск сокращаются. Три возможных варианта эффекта занятости изображены на рис. 7.13.
|
|
 |
Рис. 7.13. Три варианта эффекта занятости при повышении уровня цен:
а) Pe =P; б) Pe <P; в) Pe >P |
Причину несовпадения темпов роста уровня цен и ставки номинальной зарплаты можно представить как результат ошибочного прогноза будущего уровня цен наемными работниками. Если WD = P(70 — 2N), а WS = Pe(10 + 0,5N), где Pe — ожидаемый уровень цен, то N = (70P — - 10Pe)/(0,5Pe + 2P). Если Pe = P, т.е. прогноз точный, то при изменении уровня цен занятость не меняется; при Pe < P она растет, а при Pe > P сокращается.
Эффекты занятости и производства лежат в основе функции совокупного предложения на рынке благ (рис. 7.14).
В квадранте III изображен рынок труда. В квадранте IV представлен график производственной функции.
В исходном состоянии при уровне цен P0 на рынке труда установилось равновесие со ставкой номинальной зарплаты W0 и занятостью N0. Отсюда следует, что при существующей технологии объем предложения на рынке благ равен у0. Таким образом, при P0 объем предложения равен уд и точка A принадлежит графику функции совокупного предложения. Когда уровень цен повышается до P1, на рынке труда происходит сдвиг ND ^ ND. Если домашние хозяйства на рынке труда подвержены денежным иллюзиям, то кривая WS останется на месте. Тогда занятость возрастет до N1, а объем предложения — до y\. Следовательно, точка B тоже принадлежит графику yS(P). При снижении уровня цен до P2 спрос на труд сократится, что выразится сдвигом WD ^ WD, и занятость уменьшится до N2, а объем предложения благ — до y2 (точка C). Соединив все полученные таким образом точки в квадранте I, получим график функции совокупного предложения yS(P).
Построение этого графика для случая, когда предложение труда реагирует на изменение уровня цен, проводится аналогично и показано на рис. 7.15. |
|
|
 |
|
Рис. 7.15. Построение кривой совокупного предложения на рынке благ при отсутствии денежных иллюзий |
60P
0,5 + 2P'
4200P 0,5 + 2P
yS (P) =
В отличие от предыдущего в данном случае при повышении уровня цен сдвигается не только график спроса на труд, но и график предложения труда. Это приводит к тому, что график функции совокупного предложения при той же технологии производства становится круче (совокупное предложение становится менее эластичным по уровню цен).
Если бы рабочие требовали повышения ставки номинальной зарплаты в той же самой мере, в какой растет уровень цен, т.е. совершенно были бы лишены денежных иллюзий, то пропорциональный сдвиг графиков Nd и NS сохранил бы занятость на исходном уровне N0 и график функции совокупного предложения занял бы положение, перпендикулярное оси абсцисс. Такой вид принимает график совокупного предложения согласно неоклассической концепции в связи с тем, что в ней не только спрос на труд, но и его предложение определяется ставкой реальной, а не номинальной зарплаты. В этом случае объем совокупного предложения не зависит от уровня цен (эффекты занятости и производства равны нулю). Таким образом, угол наклона кривой совокупного предложения зависит от того, в какой степени рост ставки номинальной заработной платы отстает от роста уровня цен.
Алгебраический вид функции совокупного предложения выводится посредством подстановки в производственную функцию значения равновесного уровня занятости, найденного на основе приравнивания функции цены спроса на труд к функции цены предложения труда.
Выведем явный вид функции совокупного предложения в примере 7.2 при отсутствии денежных иллюзий. Из условия равновесия на рынке труда определим занятость:
70P - 2PN = 0,5N + 10P ^ N =
В соответствии с заданной технологией
Г 60P J2 ? 0,5 + 2PJ .
Краткие выводы
Описание механизма функционирования рынка труда существенно отличается в неоклассической и кейнсианской концепциях.
Исходя из предпосылки господства совершенной конкуренции на рынке благ и труда, неоклассики констатируют зависимость спроса на труд от ставки реальной зарплаты, поскольку ее равенство предельной производительности труда является условием максимизации прибыли. При данной технике и фиксированном объеме капитала снижение ставки реальной зарплаты ведет к увеличению спроса на труд, и наоборот. Предложение труда в неоклассической концепции является возрастающей функцией от ставки реальной зарплаты и ставки процента. Повышение любой из этих ставок стимулирует домашние хозяйства заменять свободное время рабочим. Такой характер зависимости спроса и предложения на рынке труда от ставки зарплаты наряду с гибкостью цен обеспечивает на этом рынке устойчивое равновесие при полной и эффективной занятости. Полная занятость не означает вовлечение в общественное производство всего трудоспособного населения: при сложившейся на рынке равновесной цене труда некоторые люди могут не желать наниматься на работу. С другой стороны, при заданном объеме капитала предельная производительность труда этой части трудоспособного населения оказывается ниже ставки реальной заработной платы, поэтому их участие в общественном производстве экономически неэффективно. Уменьшить число людей, не вовлеченных по этой причине в общественное производство, можно за счет увеличения капитала, способствующего росту производительности труда.
В соответствии с кейнсианской концепцией объем спроса на труд определяется величиной эффективного спроса на рынке благ, а объем предложения труда — ставкой номинальной зарплаты. В таких условиях на |
рынке труда может возникнуть специфическое равновесие (квазиравновесие) с избыточным предложением труда. При этом снижение ставки реальной зарплаты не сопровождается увеличением спроса на труд.
В зависимости от причин, обусловливающих существование безработицы, ее делят на естественную и конъюнктурную. Естественная безработица связана с несовершенной мобильностью труда: даже в состоянии полной занятости часть людей находится «в пути» от одного места работы к другому вследствие профессиональной переподготовки и поиска наиболее подходящего места.
Часть III
Общее экономическое
РАВНОВЕСИЕ И КОНЪЮНКТУРНЫЕ
ЦИКЛЫ
За последние 30 лет во многих странах с рыночной экономикой обнаружилась тенденция к росту нормы естественной безработицы, что объясняется эффектом гистерезиса и разной рыночной властью занятых и безработных.
Разность между фактической и естественной безработицей есть конъюнктурная безработица. Ее возникновение связано с отклонением фактического объема производства от потенциально возможного при полной занятости. Характер взаимосвязи между уровнем конъюнктурной безработицы и величиной отклонения фактического национального дохода от национального дохода полной занятости выражается кривой Оукена. Как правило, увеличение конъюнктурной безработицы на 1% вызывает сокращение национального дохода больше чем на 1%. Это объясняется тем, что в периоды кризиса и депрессии не все уволенные регистрируются в качестве безработных и снижается интенсивность использования оставшихся в производстве рабочих.
С повышением цен на блага каждой ставке денежной зарплаты соответствует большая величина спроса на труд. Как в связи с этим изменится занятость и предложение благ, определяется реакцией цены предложения труда на повышение уровня цен. Если цена предложения труда остается неизменной или повышается в меньшей степени, чем растут цены благ, то занятость и объем совокупного предложения увеличиваются. Когда рост цены предложения труда равен или превышает рост цен на блага, тогда занятость остается неизменной или снижается. Поскольку в соответствии с представлениями неоклассиков денежная заработная плата растет с тем же темпом, что и уровень цен, то в их концепции совокупное предложение совершенно неэластично по уровню цен. В неоклассической концепции совокупное предложение является возрастающей функцией от ставки процента. В кейнсианской концепции рост номинальной цены труда отстает от роста уровня цен, поэтому совокупное предложение увеличивается по мере повышения уровня цен. Эластичность совокупного предложения тем меньше, чем меньше рост ставки номинальной зарплаты отстает от роста уровня цен.
Глава 8
Общее экономическое равновесие
Рассмотренные в ч. II явления и процессы, происходящие на отдельных макроэкономических рынках, находятся в тесной взаимозависимости, образуя органичную систему национального хозяйства. Для выявления закономерностей его функционирования нужно от раздельного анализа каждого рынка перейти к исследованию их взаимодействия. Для этой цели служат макроэкономические модели общего экономического равновесия (ОЭР), экономических циклов и экономического роста; первая из них выявляет условия равновесного состояния национальной экономики на определенный момент; вторая объясняет развитие экономической конъюнктуры в коротком, а третья — в длинном периодах.
Естественным следствием существования различных подходов при описании поведения экономических субъектов на отдельных макроэкономических рынках является наличие в современной экономической теории альтернативных моделей функционирования народного хозяйства в целом.
8.1. Неоклассическая модель ОЭР
Посредством данной модели в обобщенном виде реконструируются представления о функционировании рыночной экономики в целом, господствовавшие до появления книги Дж.М. Кейнса «Общая теория занятости, процента и денег», т.е. до второй половины 30-х гг. XX в. Для выявления сути неоклассической концепции достаточно
рассмотреть упрощенную модель национальной экономики без госу-
1
дарства .
1 Представление неоклассиков о последствиях участия государства в экономике рассматривается в 11.1. |
К числу важнейших своих теоретических достижений неоклассики относили вывод о том, что деньги в противоположность товарам не являются богатством. Деньги выполняют лишь роль посредника при обмене товаров и служат масштабом измерения ценности всех благ. Поэтому в неоклассической макроэкономической модели имеются лишь три рынка: труда, капитала (ценных бумаг) и благ. На этих рынках встречаются два макроэкономических субъекта: домашние хозяйства и предприниматели.
Своеобразное толкование сущности и роли денег приводит к тому, что в неоклассической макроэкономической модели существуют два независимых друг от друга сектора: реальный и денежный. В этом и заключается суть классической дихотомии.
Реальный сектор. Ведущая роль в неоклассической модели принадлежит рынкам факторов производства. На рынке капитала (рис. 8.1, а) в результате приравнивания объема предложения капитала (сбережений) к объему спроса на него (инвестициям) устанавливается ставка процента. Как было отмечено в 3.1, по мнению неоклассиков, домашние хозяйства распределяют свои доходы между потреблением и сбережением в зависимости от величины ставки процента: чем больший процент обещают предприниматели за предоставляемые в их распоряжение сбережения, тем больше объем сбережений и меньше текущее потребление домашних хозяйств. Спрос предпринимателей на сбережения домашних хозяйств как источник инвестиционных средств находится в обратной зависимости от ставки процента. Выравнивание спроса и предложения на рынке капитала происходит за счет гибкости ставки процента. Если объем сбережений (предложения капитала) превышает объем планируемых инвестиций (спрос на дополнительный капитал), ставка процента снижается вследствие конкуренции между домашними хозяйствами как продавцами капитала. Снижение ставки процента уменьшает предложение и увеличивает спрос на рынке капитала. Когда объемы спроса и предложения уравняются, на рынке установится равновесная ставка процента.
При заданной ставке процента на рынке труда (квадрант III, рис. 8.1, б) достигается устойчивое равновесие за счет гибкости ставки заработной платы: в ходе взаимодействия спроса и предложения устанавливается такая ставка реальной зарплаты, при которой домашние хозяйства полностью реализуют свои планы по продаже труда, а предприниматели — по его найму. При повышении ставки процента увеличиваются предложение труда (сдвиг кривой NS вправо) и выпуск продукции. Поэтому линия совокупного предложения yS(i) имеет положительный наклон. |
|
|
 |
|
Рис. 8.1. Общее экономическое равновесие согласно неоклассической модели |
* * * .*
¦N ,w ,y ,i .
Произведенный объем продукции (yS) предприниматели продают на рынке благ домашним хозяйствам (С), удовлетворяя их потребительский спрос, и себе, обеспечивая свой инвестиционный спрос (I):
yS = C + I. Доходы, полученные от производства, домашние хозяйства распределяют между рынком благ, приобретая там потребительские товары (С), и рынком капитала, предлагая на нем непотребленную часть дохода, т.е. сбережения (S): yD = C + S. Поэтому, когда объем инвестиций равен объему сбережений, тогда на рынке благ существует равновесие. Таким образом, если домашние хозяйства и предприниматели согласовали свои планы на рынках труда и капитала, то и на рынке благ планируемое предложение совпадает с запланированным спросом. На рис. 8.1, б это отображается тем, что график совокупного спроса yD(i) пересекает график совокупного предложения yS(i) в точке, соответствующей объему выпуска при полной занятости.
Условия общего экономического равновесия в реальном секторе представляет в неоклассической модели следующая система уравнений, из которой определяются равновесные значения занятости, ставки реальной зарплаты, ставки процента и национального дохода:
N = Nd f w 1 = NS\ w, i
Таким образом, равновесие в реальном секторе экономики не зависит ни от уровня цен, ни от количества денег.
Денежный сектор. Количество находящихся в обращении денег и скорость их обращения определяют уровень цен (квадрант I, рис. 8.1, б, верхняя часть), посредством которого исчисляются номинальные значения национального дохода и зарплаты (квадрант II, рис. 8.1, б, верхняя часть).
Для определения уровня цен используют уравнение количественной теории денег: MV = Py, в котором параметры V и у заданы: скорость обращения денег определяется техническими и институциональными условиями, а величина реального национального дохода формируется в процессе установления равновесия в реальном секторе. Поскольку ни V, ни y не зависят от количества денег, уровень цен определяется только количеством находящихся в обращении денег: P = MV/у. На этом основан известный вывод классической школы: «Если бы вся сумма находящихся в обращении денег удвоилась, цены также возросли бы вдвое». |
(8.1)
Пример 8.1. Технология производства национального дохода характеризуется производственной функцией y = 20N - N2; функция сбережений имеет вид S = 2 + 3і; функция инвестиций I = 20 - 3і, а функция предложения труда NS= 2w + i. В обращении находится 10 ден. ед., каждая из которых совершает 12 оборотов за период производства национального дохода. Определим равновесные значения макроэкономических параметров.
Равновесная ставка процента определяется из равенства инвестиций сбережениям: 20 - 3і = 2 + 3i ^ i = 3; S* = I* = 11.
Из условия максимизации прибыли dy/dN = 20 - 2N = w найдем функцию спроса на труд ND = 10 — 0,5w. Следовательно, на рынке труда установится равновесие, если 2w + 3 = 10 — 0,5w ^ w* = 2,8; N* = 8,6. При такой занятости yS = 20-8,6 - 8,62 = 98. Потребление домашних хозяйств составит C = y - S = = 98 - 11 = 87. Тогда yD = C + I = 87 + 11 = 98. Уравнение совокупного предложения yS(i) = 96 + 0,8і - 0,04і2, а совокупного спроса yD(i) = 114 - 5,2і — 0,04і2.
Уровень цен находится из следующего уравнения: 10-12 = 98P ^ P = 1,2. Очевидно, что изменение количества денег не повлияет на показатели реального сектора. Равновесие меняется лишь при изменении технологии или поведения экономических агентов. Так, если предприниматели увеличат спрос на инвестиции: I = 32 — 3і, то вправо сдвинутся кривые I(i) и yD(i) и равновесие установится при y = 99; I = 17; C = 82; N = 9; і = 5.
Итак, из макроэкономической модели, реконструирующей представления экономистов классической школы, следует, что благодаря гибкости ставки номинальной зарплаты и ставки процента рыночный механизм постоянно направляет экономику к состоянию общего экономического равновесия при полной занятости. Превышение предложения над спросом на рынке труда (безработица) или рынке благ (кризис перепроизводства) возможно лишь как временное явление и связано с отклонением относительных цен от своих равновесных значений. Изменение количества находящихся в обращении денег не влияет на равновесные значения реальных параметров экономики, а изменяет только их номинальные значения.
8.2. Кейнсианская модель ОЭР
Если центральным элементом в неоклассической модели являются рынки факторов производства, то в кейнсианской модели ведущая роль принадлежит эффективному спросу, формирующемуся на рынках благ и денег, т.е. в рамках модели IS—LM. Чтобы построить кейнсианскую модель ОЭР, объединим выведенные в предыдущих главах условия равновесия на рынках благ, денег и труда в единую систему и добавим к ним уравнение производственной функции |
T (y) + S(y) = I (i) + G;
l (y, 0;
W = WS (N, P) = PyN;
y = y(N).
В этой системе, описывающей поведение макроэкономических субъектов, экзогенно заданными параметрами являются величина государственных расходов G и номинальное количество находящихся в обращении денег М. Значения пяти эндогенных параметров — y , L , P , i*, W*, при которых равновесие достигается одновременно на всех трех перечисленных рынках, определяют из решения системы уравнений (8.1). Поскольку в соответствии с законом Вальраса при достижении равновесия на трех рынках оно будет существовать и на последнем, четвертом, макроэкономическом рынке, то система (8.1) является системой общего макроэкономического равновесия.
Для конкретизации дальнейшего анализа определим равновесные значения эндогенных параметров при тех значениях экзогенных данных, которые были приняты в примерах 3.2; 4.7 и 7.2:
• поведение домашних хозяйств на рынке благ отображается функцией потребления C = 80 + 0,7y, на рынке денег — функцией спроса на реальную кассу l = 0,04y + 2(50 — і) и на рынке труда — функцией цены предложения труда WS = 0,5N + 10P;
• предпринимательский сектор, стремящийся к максимуму прибыли, использует технологию, представленную производственной функцией y = 70N - N2, а его спрос на инвестиции характеризуется функцией I = 260 - 6і;
• государство планирует расходы на закупку благ в объеме 110, ставка подоходного налога равна 10%, а банковская система постоянно поддерживает в обращении номинальных 104 ден. ед.
Система уравнений (8.1) при таких данных принимает следующий вид:
0,1y - 80 + 0,2y = 260 - 6i +110;
104
— = 0,04y + 2(50- i);
0,519N + 10P = 70P - 2PN; (8.1а)
y = 70N - N2. |
Фиксированная цена труда. Допустим, что в условиях, представленных системой уравнений (8.1а), под давлением профсоюзов правительство законодательно закрепило минимальную ставку денежной зарплаты W = 30. Тогда экономическая ситуация отображается следующей системой уравнений
260 - 6і +110
|
 |
|
Рис. 8.2. Общее экономическое равновесие в кейнсианской модели при гибкой системе цен |
0,1у - 80 + 0,2у:
104
±Y = 0,04у + 2(50- і) 30 = 70P -2PN
(8.1б)
 |
|
Рис. 8.3. Конъюнктурная безработица при фиксированной цене труда |
Из нее находим, что у* = 110; P* = 1; і* = 20; N* = 23,8; W* = 22,6. Следовательно, в состоянии общего экономического равновесия величина реального национального дохода составит 1100 ден. ед. Произведенный объем благ, ден. ед., распределится следующим образом: 850 — потребление домашних хозяйств, 140 — инвестиции предпринимательского сектора и 110 — закупки государства. Из 104 ден. ед., находящихся в обращении, 44 домашние хозяйства будут держать для сделок и 60 — в качестве имущества. Для производства будут использоваться 23,8 ед. труда, а ставка номинальной зарплаты составит 22,6 ед. Налоговые сборы
государства полностью покроют его расходы.
Состояние ОЭР в принятых условиях представлено на рис. 8.2.
Общее экономическое равновесие в рассматриваемом случае, как и в неоклассической модели, достигается в результате действия рыночного механизма; планы всех макроэкономических субъектов оказались взаимно согласованными благодаря гибкости цен на каждом из рынков: (P, i, W). Однако так бывает не всегда.
8.2.1. Конъюнктурная безработица
Дж.М. Кейнс выделял три причины, которые порождают устойчивую конъюнктурную безработицу: жесткость ставки заработной платы, наличие инвестиционной и ликвидной ловушек.
у = 1037;
P * = 1,093; і = 23,2;
[у = 70N - N2 N * = 21,3.
Конъюнктура на рынке труда изменилась: цена предложения труда теперь не функция, а константа. Объем спроса предпринимателей на труд определяется из следующего равенства: 70P - 2PN = 30 ^ N = 35 - 15/P, а функция совокупного предложения принимает вид yS(P) = 1225 - 225/P2.
Приравняв последнюю к функции совокупного спроса yD(P) = 357 + 743/P, обнаружим, что уровень цен возрос до Р = 1,093, а реальный национальный доход уменьшился до у =
= 1037. Из-за сокращения реального количества денег вследствие роста уровня цен ставка процента поднимется до i = 23,2.
Объем спроса на труд будет (35 — 15)/1,093 = 21,3, т.е. произойдет сокращение занятости на (24 -- 21,3)/24 = 0,1125 = 11,25%.
Состояние макроэкономических рынков в рассматриваемом хозяйстве после установления минимальной цены труда показано на рис. 8.3. |
dq
-t~=1;
dy
ЭП,
dw
ЭП„
d(qN) dw dy
-q - w
Q:
(8.2)
|
 |
|
эффективной цены труда wef |
Вследствие изменения поведения домашних хозяйств на рынке труда (WQ ^ W ) влево сместилась кривая совокупного предложения (yS ^ у1 ). Возросший в результате этого уровень цен явился причиной сдвига кривой LM влево (LM q ^ LM1). В итоге на всех трех рынках возникло новое устойчивое состояние при избытке на рынке труда.
Состояние является устойчивым потому, что в сложившейся ситуации не могут измениться ни уровень цен, ни ставка процента. Повышение уровня цен увеличивает спрос на труд, занятость и предложение на рынке благ, но одновременно уменьшает эффективный спрос; образующийся избыток на рынке благ не позволяет ценам подняться. Снижение ставки процента увеличивает сначала инвестиционный и затем потребительский спрос, но на рынке денег возникает дефицит, провоцирующий увеличение предложения облигаций, снижение их курса и рост ставки процента.
Ставка реальной зарплаты может оказаться выше своего равновесного значения не только вследствие законодательного установления минимальной цены труда. Другой причиной может быть монополизация рынка труда путем создания профсоюза.
Поддерживать ставку реальной зарплаты выше равновесной могут быть заинтересованы и предприниматели. Такая заинтересованность возникает тогда, когда между ценой труда и его производительностью существует положительная зависимость.
При наличии положительной зависимости между реальной ценой труда и его производительностью неоклассическая теория не пригодна для определения занятости и ставки зарплаты. Для этого случая в последней четверти ХХ в. была разработана теория эффективной заработной платы. Рассмотрим ее.
Возможность ее существования связана с рядом причин:
• рост ставки зарплаты позволяет полнее восстанавливать способность к труду и создает благоприятный психологический настрой ра-ботника;
1 «В 60-е годы в США и Канаде средний уровень безработицы был приблизительно одинаковым и его изменения подчинялись общим закономерностям. В середине 70-х гг. начали появляться различия. В 1985 г., когда безработица в США составляла 7,2 %, в Канаде он поднялся до 10,5 %. Одно из возможных объяснений этого заключается в изменении роли профсоюзов в этих странах. В 60-е гг. в каждой из них 30 % рабочих были объединены в профсоюзы. К 1985 г. доля рабочих, объединенных в профсоюзы, в Канаде увеличилась примерно до 40 %, а в США упала до 20 %» (Мэнкью Н.Г. Макроэкономика. М., 1994. С. 216).
2 StiglitzJ. The Efficiency Wage Hypothesis, Surplus Labor and the Distribution of Income // Oxford Economic Papers. 1976. N 28. P. 185—207; Bliss C., Stern N. Productivity Wage and Nutrition // Journal of Development Economics. 1978. № 5. P. 363—398.
• повышенная оплата труда стимулирует добросовестность работника, что важно при ассиметричности информации о его способностях;
• посредством повышенной оплаты труда можно привлечь на свою фирму лучших специалистов в каждой профессии.
Если средняя производительность труда (q = y/N) растет с повышением ставки зарплаты, то величина реальной прибыли конкурентной фирмы зависит не только от количества используемого труда, но и от его цены
П/Р = Пr (w,N) = y (q(w)-N) — wN — Cf ,
где Пг — объем реальной прибыли; Cf — фиксированные затраты. Из условия максимизации прибыли
dy
d(qN) dw dy w
dN d (qN) d (qN) q
следует, что прибыль достигает максимума, когда эластичность производительности труда по его цене равна единице,
dq w = 1 dw q
Равенство (8.2) называют условием Солоу. Графическое решение задачи представлено на рис. 8.4.
По мере повышения цены труда его производительность сначала увеличивается растущими темпами (действуют физиологические и психологические стимулы), а затем замедляющимися (действуют только психологические стимулы). Эффективная ставка реальной зарплаты определяется точкой касания кривой производительности труда и луча, исходящего из начала координат. В этой точке dq/dw = q/w, т.е. выполняется условие Солоу. |
|
|
 |
|
Рис. 8.5. Ликвидация конъюнктурной безработицы посредством увеличения количества денег |
Из условия Солоу и графических построений на рис. 8.3 следует, что величина эффективной ставки реальной зарплаты определяется независимо от уровня занятости, а не одновременно с ней, как в неоклассической теории. Кроме того, эффективная ставка реальной зарплаты не зависит от цены продукции фирмы; поэтому она не изменяется при неблагоприятной отраслевой конъюнктуре или при отраслевом буме, если колебания конъюнктуры не затрагивают в той же мере индекс потребительских цен, т.е. эффективная ставка зарплаты относительно устойчива.
Отсутствие классической дихотомии. Существенной особенностью кейнсианской макроэкономической модели является то, что в условиях, представленных системами уравнений (8.1а) и (8.1б), нет классической дихотомии: изменение количества находящихся в обращении денег приводит к изменениям в реальном секторе. Посмотрим, как за счет увеличения предложения денег можно сократить конъюнктурную безработицу при фиксированной цене труда в ситуации, изображенной на рис. 8.3.
Если центральный банк закупит у населения иностранную валюту или государственные облигации на сумму, увеличивающую количество денег с номинальных 104 до 180 ден. ед., то кривая LM сместится вправо до пересечения с кривой IS в точке i = 11,5%; у = 1275 ден. ед, как показано на рис. 8.5.
Поскольку сдвиг линии LM произошел из-за увеличения номинального количества денег, то вправо сдвинется и кривая совокупного спроса. При исходном уровне цен P = = 1,093 на рынке благ возникает дефицит, стимулирующий рост уровня цен. Рост уровня цен сопровождается двумя эффектами: кривая LM начнет движение влево, уменьшая величину эффективного спроса, а кривая цены спроса на труд будет поворачиваться против часовой стрелки, увеличивая занятость и совокупное предложение. Когда эффективный спрос и совокупное предложение на рынке благ достигнут величины 1100, наступит новое равновесное состояние при i = 20, P = 1,345 и N = 24.
Инвестиционная ловушка. При нахождении в инвестиционной ловушке линия IS становится перпендикуляром (см. рис. 6.6) .
Пусть в экономике, представленной системой уравнений (8.1а) и рис. 8.2, объем инвестиций постоянно равен 101 ден. ед. Тогда величина эффективного спроса определится из уравнения линии IS: 0,1у - 80 + 0,2у = 101 + 110 ^ у = 970.
Поскольку предприниматели не хотят работать «на склад», то занятость определяется не в результате взаимодействия спроса и предложения на рынке труда, а величиной эффективного спроса на рынке благ. При заданной технологии для производства 970 ед. достаточно использовать 19 ед. труда (970 = 70N — N 2 ^ N = 19). Поэтому конъюнктурная безработица составляет (24 — 19) / 24 = 0,208 = 20,8%.
При P = 1 в экономике будет устойчивое состояние, представленное на рис. 8.6, а, на рынке труда существует безработица, а на рынке благ — избыток, т.е. возникает инвестиционная ловушка.
|  |
Рис. 8.6. Инвестиционная ловушка при жесткой (а) и гибкой (б) системах цен.
Здесь и на рис. 8.7 точками показаны графики функций, соответствующие исходной конъюнктуре, представленной на рис. 8.2 |
Ситуация не изменится и при согласии рабочих на снижение денежной цены труда: при любой ставке зарплаты ниже 32 ден. ед. фирмы будут использовать 19 ед. труда. Кривой спроса на труд в рассматриваемом случае является не вся кривая WD, а выделенная ломаная линия, включающая лишь часть кривой ценности предельного продукта труда.
При гибкой системе цен в состоянии инвестиционной ловушки эндогенные экономические параметры определят из следующей системы уравнений:
0,1у - 80 + 0,2у = 101 +110 У = 970; у = 70N - N2 N =19;
' 0,5N + 10P = 70P - 2PN ^ P = 0,434; (8.1в)
-104 = 0,04y + 2(50 - і) W =13Д
I P і = 17,4.
Возникающая в этом случае ситуация представлена на рис. 8.6,6: при ставке номинальной зарплаты W = 13,8 конъюнктурной безработицы нет, но занятость и реальный национальный доход остались прежними.
Ликвидная ловушка. Если инвестиционная ловушка возникает вследствие пессимистической оценки перспектив инвесторами, осуществляющими вложения в реальный капитал, и спрос на инвестиции перестает зависеть от ставки процента, то в ликвидной ловушке экономика оказывается из-за того, что домашние хозяйства признают существующую ставку процента слишком низкой и ожидают падения курса облигаций. В таком случае спрос на деньги как имущество резко увеличивается, у домашних хозяйств появляется абсолютное предпочтение ликвидности. В результате изменение величины национального дохода в пределах соответствующих «кейнсианскому» участку линии LM не влияет на суммарный спрос на деньги (он перестает зависеть от величины реального национального дохода), так как дополнительные потребности в деньгах для сделок удовлетворяются за счет денег в составе имущества.
Чтобы перевести экономическую ситуацию, представленную системой уравнений (8.1а) и графиками на рис. 8.2, в состояние ликвидной ловушки, сдвинем линию IS влево за счет снижения инвестиционной активности предпринимателей и государственных расходов (пусть I = = 60 — 6і, a G = 70) и зададим «кейнсианский» участок линии LM следующим уравнением: і = 5 при 0 < у < 800. |
В этом случае величина эффективного спроса будет 0,1у — 80 + 0,2у = 60 — 6-5 + 70 ^ у = 600.
Для выпуска такого количества благ достаточно использовать 10 ед. труда: 70-10 - 102 = 600.
При фиксированном уровне цен Р = 1 в рассматриваемом случае на макроэкономических рынках сложится ситуация ликвидной ловушки (рис. 8.7, а); как и в состоянии инвестиционной ловушки, на рынке труда существует безработица, а на рынке благ — избыток.

При гибких ценах в состоянии ликвидной ловушки на рынках благ и труда установится равновесие. Равновесные значения P и W находятся из следующей системы уравнений:
і = 5 у = 600;
0,1у - 80 + 0,2у = 60 - 6і + 70 N = 10;
'у = 70N - N2 ^ P = 0,125;
0,5N + 10P = 70P - 2PN W = 6,25.
Такое состояние экономики представлено на рис. 8.7, 6.
(8.1г) |
|
Поскольку в состоянии инвестиционной и ликвидной ловушек на рынках благ и труда существует избыток, возникает тенденция к снижению уровня цен и ставки номинальной зарплаты. Однако, как следует из приведенных примеров, это не отражается на реальном секторе. В кейнсианской модели в этих случаях, как и в классической модели, деньги нейтральны. Из-за того, что в состоянии инвестиционной ловушки объем инвестиций не зависит от ставки процента, а в состоянии ликвидной ловушки i = imin = const, то в обоих случаях эффект Кейнса, связывающий денежный сектор с реальным, не возникает. Это проявляется в том, что при сдвиге кривой LM на рис. 8.6 и 8.7 равновесные значения реального национального дохода и занятости не изменяются. |
(см. выражение (4.6)) следует, что в случае нарушения равновесия для его восстановления необходимо обеспечить равенство
Решив равенство (8.4) относительно приращения ставки процента, найдем
Если в выражение (8.3) подставить значение di из равенства (8.5), то получаем условие восстановления равновесия после изменения автономного спроса одновременно на рынках благ и денег
8.2.2. Мультипликатор
1 M ly
tydy = dA - Ii---dP +—dy-
y У Plt P k
dy =
dA -
При выявлении условий равновесия на рынке благ (см. 3.4) мы обратили внимание на характерную особенность макроэкономической концепции Дж.М. Кейнса — возникновение мультипликативных эффектов при изменении автономного спроса. На том этапе анализа величина мультипликатора была определена при двух упрощающих предпосылках: 1) прирост совокупного спроса не сопровождается ростом ставки процента и 2) при сложившемся уровне цен предприниматели могут предложить любой объем благ.
В ходе анализа взаимодействия рынков благ и денег (см. 6.2) мы обнаружили, что денежный рынок притормаживает мультипликативный эффект, так как при заданном предложении денег увеличение автономного спроса повышает ставку процента, сдерживая инвестиционную активность. В дополнение к этому учтем теперь, что прирост предложения благ, необходимый для восстановления равновесия после увеличения автономных расходов, может сопровождаться повышением уровня цен.
Из условия равновесия на рынке благ yty = A - Ці (см. выражение (3.14а)) следует, что при изменении автономного спроса равновесие восстановится, если будет выполняться равенство
t ydy = dA - Iidi. (8.3)
Из условия равновесия на денежном рынке
li ? y + lyIi
(8.6)
dP.
P(li t y + lyIi ) P
Уравнение (8.6) — по-другому записанное уравнение (6.2). Это сделано для того, чтобы учесть рост уровня цен при увеличении эффективного спроса.
Определим, насколько должен возрасти уровень цен, чтобы совокупное предложение благ увеличилось на dy. Для этого воспользуемся уравнением эффекта производства (7.9):
—. p - wN dy
yN WP - yN
Wp - yNS dP ^ dP
PyNN - WN
dy = yN
(8.7)
Произведение перед dy в правой части выражения (8.7) определяет наклон кривой совокупного предложения на рынке благ.
Теперь можно определить условие восстановления общего экономического равновесия после изменения автономного спроса. Для этого нужно в уравнение (8.6) подставить значение dP из уравнения (8.7) и после преобразований получаем
dy
dA .
(8.8)
l-L + . PyNN - WNs
i li Pli P yN Wp - yN
M Pliimax
lyy lii |
AM
li-
|
 |
|
Рис. 8.8. Величина снижения i в случае увеличения M при фиксированной величине эффективного спроса |
Сомножитель, стоящий перед dA в формуле (8.8), есть мультипликатор полной кейнсианской модели. Он показывает, насколько возрастет величина равновесного национального дохода при увеличении автономного спроса на единицу. Второе слагаемое знаменателя определяет меру гашения мультипликативного эффекта рынками денег и труда: повышение уровня цен, необходимое для увеличения предложения благ, сокращает реальные кассовые остатки, повышая ставку процента и снижая спрос на инвестиции; в результате стимулирующее воздействие прироста автономных расходов уменьшается.
Из-за большого числа факторов, определяющих значение мультипликатора полной модели, нельзя однозначно сказать, больше он или меньше единицы. Можно лишь отметить, что прирост автономного спроса тем больше увеличит объем производства и занятость, чем меньше:
— коэффициент «оттоков» (?у),
— объем инвестиций реагирует на изменение ставки процента (/;),
— спрос на деньги зависит от величины реального дохода (ly),
— уровни цен и занятости (Wp и WN ) влияют на цену предложения труда;
и чем больше:
— предпочтение ликвидности в качестве имущества (4),
— предельная производительность труда (ум).
Посредством мультипликатора (см. формулу (8.8)) можно также представить в алгебраической форме последствия увеличения номинального количества денег в кейнсианской модели. Если в состоянии ОЭР возрастет предложение денег, то домашние хозяйства используют их на покупку облигаций, так как при заданной величине дохода спрос на деньги для сделок фиксирован. Увеличение спроса на облигации повысит их курс и снизит текущую ставку процента. Величину ее снижения определим, записав в приращениях условия на денежном рынке при фиксированных значениях уровня цен и национального дохода
ІуУ + li (imax l) =^
Наглядно это представлено на рис. 8.8.
В результате такого снижения ставки процента спрос на инвестиции возрастет на
AI = -Ii Ai = I- AM. l
i
Чтобы узнать, насколько это увеличит равновесный национальный доход, нужно AI умножить на мультипликатор полной модели (р). Поэтому
Ау = AM. (8.9)
li
Из сопоставления выражений (8.8) и (8.9) следует, что «отдача» дополнительного рубля государственных расходов во столько раз превышает «отдачу» дополнительного эмитируемого рубля, во сколько раз предельная склонность к предпочтению ликвидности больше предельной склонности к инвестированию
dy /dA = li dy /dM Ii
8.3. Неоклассический синтез
8.3.1. Сравнение неоклассической и кейнсианской моделей ОЭР
Обе рассмотренные модели функционирования национального хозяйства иллюстрируют способность рыночного механизма обеспечить одновременно на всех макроэкономических рынках устойчивое состояние, при котором беспрепятственно совершается народнохозяйственный кругооборот. Однако в отличие от неоклассической в кейнсианской модели устойчивое состояние не является Парето-оптимальным. Поскольку при существовании конъюнктурной безработицы предельная производительность труда превышает ставку реальной зарплаты, вовлечение безработных в производство повысило бы благосостояние хотя бы некоторых членов общества без снижения благосостояния остальных. |
Расхождения между неоклассиками и Дж.М. Кейнсом в оценке эффективности функционирования рыночного механизма во многом связаны с нетождественностью их объекта исследования.
Во-первых, неоклассики изучали национальное хозяйство, приближенное к условиям совершенной конкуренции, использующее «товарные» деньги (золотой стандарт). Технические условия производства позволяли удовлетворять преимущественно первичные (а потому стабильные) потребности общества. В годы жизни Дж.М. Кейнса все отчетливее стали обнаруживаться отклонения от условий совершенной конкуренции, функция «производства» денег перешла от золотодобытчиков к двухуровневой банковской системе, а вторая промышленная революция содействовала переоценке роли спроса и предложения в национальном хозяйстве.
Во-вторых, выводы неоклассиков относятся к функционированию экономической системы в длинном периоде, под которым подразумевается время, необходимое для завершения процессов приспособления к общему равновесию при полной занятости. Неоклассики не считали, что рыночное хозяйство всегда находится в состоянии общего экономического равновесия; смысл их учения заключается в том, что рыночной экономике присуща тенденция к достижению Парето-оптимальности. Дж.М. Кейнса прежде всего интересовали вопросы: какую экономическую конъюнктуру создаст рыночный механизм в коротком периоде и надо ли воздействовать на нее государству, если она будет признана неблагоприятной? Временное отличие двух рассматриваемых концепций проявляется и в том, что для описания поведения домашних хозяйств в текущем периоде неоклассики применяют модель многопериодной оптимизации, в то время как в кейнсианской модели потребители принимают решения на основе информации о текущем состоянии конъюнктуры.
Однако главное, что различает две сравниваемые концепции, — это инструменты и методы исследования.
Отличия кейнсианского анализа от неоклассического начинаются с агрегирования экономических субъектов и нетрадиционного описания их поведения: спроса на потребительские и инвестиционные блага, а также на деньги. Одним из основных новшеств Дж.М. Кейнса является включение в инструментарий экономического анализа категории «рынок денег». В результате возникло новое понимание сущности и роли процента, что вместе с кейнсианским понятием «предпочтения ликвидности» изменило роль имущества (запасов) в анализе народнохозяйственного кругооборота. |
Из неоклассического понимания сущности и роли денег следует, что совокупный спрос тождественен совокупному предложению, так как в итоге одни товары обмениваются на другие товары (торговая сделка между виноделом и ткачом сводится к тому, что определенное количество вина обменивается на определенное количество ткани). В концепции Дж.М. Кейнса совокупный спрос на блага формируется не только в процессе производства национального дохода, но и в зависимости от объема предложения денег; тем самым устраняется классическая дихотомия.
Специфика кейнсианского анализа функционирования рынка состоит также в том, что описание процесса согласования интересов участников рыночных сделок основывается не только на ценовом механизме, но и на количественном приспособлении в условиях негибких цен1.
В ходе сопоставления двух изложенных версий функционирования рыночного хозяйства предпринимались попытки создать экономическую теорию на основе совместного использования отдельных элементов обеих альтернативных концепций, т.е. осуществить «неоклассический синтез». Рассмотрим основные научные результаты, полученные в ходе этих исследований.
8.3.2. Эффект реальных кассовых остатков
Как было отмечено в 8.1, в соответствии с учением классической школы изменение количества находящихся в обращении денег не отражается на процессах, происходящих в реальном секторе экономики; изменяется только уровень цен в том же направлении и в той же пропорции, в какой изменяется количество денег. В основе логического обоснования этого вывода лежит эффект реальных кассовых остатков.
В состоянии ОЭР экономические субъекты располагают оптимальной величиной реальных кассовых остатков (M0/P0), необходимыми для беспрепятственного осуществления рыночных сделок. В случае увеличения предложения денег при исходном уровне цен реальная касса превысит оптимальный размер и у домашних хозяйств возникнет желание обменять дополнительные деньги на блага, свободное время и ценные бумаги. Из-за увеличения спроса на рынке благ возникнет дефицит. Он будет возрастать под воздействием двух дополнительных факторов: 1) увеличение спроса на свободное время означает сокращение рабочего времени и снижение предложения благ; 2) увеличение спроса на ценные бумаги снизит ставку процента, в результате чего |
увеличивается спрос на блага, так как C = Cl i I, и сократится предло-
S с( \
жение труда, так как N = N I w, i I.
Дефицит на рынке благ приведет к повышению уровня цен и реальная касса начнет уменьшаться. Это приведет к снижению спроса на блага, свободное время и ценные бумаги, а также к повышению ставки процента. Когда отношение M\/P\ станет равно отношению Mq/Pq, тогда все эндогенные параметры, кроме уровня цен, опять примут свои исходные значения и равновесие на всех рынках восстановится.
В приведенных рассуждениях, как можно было заметить, деньги не совсем нейтральны. До тех пор пока уровень цен не поднялся на столько, чтобы обеспечить равенство M\/P\ = Mq/Pq, объем спроса на рынке благ превышает объем их предложения и только поэтому цены повышались. Тем самым предполагается, что спрос на блага зависит от реальных кассовых остатков, а следовательно, и от уровня цен, хотя классическая школа это отрицает.
Противоречия в классической дихотомии. Комплексный анализ этого противоречия в учении классиков провел Д. Патинкин. Он обратил внимание на то, что в учении классиков теория ценности, определяющая пропорции обмена товаров, т.е их относительные цены, не согласуется количественной теорией денег, служащей для определения уровня цен и номинальных цен.
Относительные цены благ в неоклассической концепции выводятся из модели ОЭР Вальраса без привлечения денег. Модель Вальраса состоит из системы уравнений, описывающей равенство спроса и предложения на всех микроэкономических рынках благ. В сжатом виде ее можно представить так.
В экономике есть m потребителей с определенными запасами n видов благ. Обменивая менее полезные для них блага на более полезные, потребители увеличивают свое благосостояние. В процессе такого товарообмена устанавливаются равновесные пропорции обмена одного блага на другое.
Суммарный результат сделок j-го потребителя на рынке i-го блага представляет его избыточный спрос
AQP = Qy -Qfj;і =1 n j =1 ,
D S
где Qij ,Qij — объемы соответственно спроса и предложения j-го потребителя на i-е благо. |
Объемы спроса и предложения являются функциями от вектора цен на блага P
Qd = f (P); Qs =^(p).
Это следствие двух предпосылок: а) благосостояние индивида зависит только от количества потребляемых благ и кассовые остатки не входят в число аргументов функции полезности индивида U = U(Qi,Q2, ..., Qn); б) фирмы функционируют в условиях совершенной конкуренции при неизменной или снижающейся отдаче от масштаба.
Если сумма избыточных спросов всех потребителей i-го блага равна нулю, то на этом рынке достигнуто равновесие. Поэтому признаком достижения общего равновесия является отсутствие избыточного спроса одновременно на всех рынках
m
^AQj(P) = 0; i = 1,..., n. (8.10)
j=1
В системе уравнений (8.10) имеется n неизвестных цен, и только (n - 1) независимых уравнений; это следует из закона Вальраса. Система уравнений (8.10) решается путем приравнивания одной (любой) из цен единице. В результате определяется вектор относительных цен, обеспечивающий совместное равновесие на всех рынках. При этом изменение всех относительных цен в а раз не меняет величину избыточного спроса на i-м рынке:
AQj (P) = AQj (aP). (8.11)
Если к системе уравнений (8.10) добавить условие равновесия на денежном рынке в виде уравнения количественной теории денег, то получится модель из (n + 1) уравнений. Казалось бы, теперь можно определить равновесный вектор денежных цен при заданных значениях M и V. Однако эта модель, как заметил Д. Патинкин, содержит противоречие — неправильную дихотомию, так как в ней не выполняется закон Вальраса. Дело в том, что в соответствии с количественной теорией при удвоении уровня цен для реализации произведенных благ потребуется вдвое больше денег: 2Py = 2MV. Следовательно, если в состоянии ОЭР произойдет удвоение уровня цен, то на всех рынках, кроме рынка денег, равновесие сохранится. На этом рынке спрос превысит |
1 Patinkin D. Money, interest and prices. New York, 1965.
предложение: 2Py/V> M. Возникнет ситуация, противоречащая закону Вальраса: в хозяйстве, состоящем из (п + 1) рынка, на п рынках достигнуто равновесие, а на последнем (денежном) — нет.
Для того чтобы устранить отмеченное в учении неоклассиков противоречие, Д. Патинкин включил реальные кассовые остатки в число аргументов функции полезности индивида: U = U(Q1,Q2, ..., Qn, M/P). В этом случае объемы избыточного спроса на рынках благ и денег тоже зависят от реальных кассовых остатков: AQ— = f(P, M—/P).
В модели Патинкина рост уровня цен (увеличение цен всех благ в одинаковое число раз) уменьшает объем избыточного спроса на рынке благ. Поскольку рост уровня цен сокращает реальную кассу, то на денежном рынке в связи с желанием индивидов восстановить размеры реальной кассы появится избыточный спрос. Таким образом, в модели Патин-кина в отличие от модели Вальраса, дополненной уравнением количественной теории денег, с повышением уровня цен дефициту на денежном рынке соответствует избыток на рынке благ, что соответствует закону Вальраса. В модели Патинкина уравнение (8.11) заменяется следующим:
|
|
|
f Mj > |
|
f aM—') |
|
AQij |
l Pj |
= AQ— |
aP, —
l aP J |
которое показывает, что увеличение денежных цен в а раз только тогда не изменяет соотношение между спросом и предложением благ, когда одновременно в а раз повышается и номинальное количество денег, так как только в этом случае не изменяется величина реальных кассовых остатков.
Посредством включения реальных кассовых остатков в вальрасовскую модель общего равновесия Д. Патинкин объединил теорию ценности (относительных цен) с теорией денег (номинальных). В его модели при заданном количестве денег определяется единственный вектор номинальных цен, обеспечивающий равновесие на всех рынках благ и на денежном рынке.
Из модели Патинкина следует, что закон Сэя действует в хозяйстве с натуральным обменом, использующим деньги только в качестве меры ценности благ. В экономике, где деньги применяют в качестве платежного средства и разновидности имущества, совокупный спрос будет равен совокупному предложению только при определенном, а не любом векторе номинальных цен.
1 Алгебраический вид модели Патинкина представлен в Приложении 2 к данной главе.
С включением в модель ОЭР Вальраса реальных кассовых остатков нейтральность денег в итоге сохраняется: с увеличением денег в а раз новое равновесие отличается от исходного только возросшим в а раз уровнем цен. Но в ходе приспособления к новому равновесию деньги не нейтральны: увеличение их количества приводит к избытку на рынке денег и дефициту на рынке благ. Более того, повышение уровня цен как конечный результат повышения количества денег происходит вследствие изменений в реальной экономике: без возникновения избыточного спроса на блага цены бы не возросли.
Эффект реальных кассовых остатков выступает в качестве необходимого звена в механизме приспособления к общему равновесию как в неоклассической, так и в кейнсианской концепциях. Без него не произойдет выравнивания совокупного спроса и совокупного предложения после экзогенного нарушения равновесия. Однако сущность этого эффекта интерпретируют по-разному.
Неоклассический (кембриджский) эффект. В концепции неоклассиков увеличение реальных кассовых остатков имеет преходящий эффект. Дополнительные деньги домашние хозяйства обменивают на блага; поскольку из-за полной занятости предложение благ увеличится не может, то повышается уровень цен. Если часть дополнительных денег обменивается на ценные бумаги, то повышается их курс и снижается ставка процента, что может уменьшить предложение труда, обостряя дефицит на рынке благ. По мере роста уровня цен снижаются реальные кассовые остатки, уменьшая спрос на блага и ценные бумаги до тех пор, пока в реальном секторе экономики не восстановится исходное равновесие при повышенном уровне цен.
Эффект Кейнса. Поскольку в кейнсианской концепции ставка процента определяется не в реальном, а в монетарном секторе, то увеличение предложения денег является непосредственной причиной ее снижения, если экономика не находится в ликвидной или инвестиционной ловушке. В состоянии неполной занятости это ведет к росту реального национального дохода вследствие увеличения спроса сначала на инвестиционные, а затем и на потребительские блага.
Эффект Пигу. А. Пигу включил реальные кассовые остатки в число аргументов кейнсианских функций сбережения и потребления домашних хозяйств, обосновывая это следующим образом. Когда на рынке денег существует равновесие, тогда экономические субъекты имеют оптимальный размер реальных кассовых остатков. При увеличении предложения денег реальные кассовые остатки превысят оптимальный объем; это приведет к тому, что домашние хозяйства уменьшат сберегаемую часть получаемого дохода и увеличат его потребляемую часть |
5 = S^ y, M/ Pj; C = C^ y, M/ Pj .
Таким способом А. Пигу обосновывал невозможность существования ликвидной и инвестиционной ловушек, объясняющих по Кейнсу конъюнктурную безработицу недостаточным совокупным спросом. Если на рынке благ спрос меньше предложения, то снижается уровень цен, увеличиваются реальные кассовые остатки и растет потребительский спрос, смещая кривую IS вправо, увеличивая эффективный спрос даже при перпендикулярном расположении линии IS.
Эффект Пигу представляет собой элемент неоклассического синтеза, поскольку объединяет кембриджский эффект и модель IS—LM.
Однако возможность возникновения эффекта реальных кассовых остатков при нахождении экономики в ликвидной и инвестиционной ловушках не бесспорна. Так, И. Фишер обратил внимание на то, что снижение уровня цен может сопровождаться уменьшением совокупного спроса (эффект Фишера) по следующим причинам.
Во-первых, при дефляции происходит перераспределение имущества от должников к кредиторам, так как долг возвращается деньгами, повысившими свою покупательную способность. Поскольку у кредиторов предельная склонность к потреблению ниже, чем у дебиторов (именно поэтому первые согласны ссужать, а вторые желают занимать), то с перераспределением имущества в пользу кредиторов совокупное потребление снизится. В алгебраическом изложении это выглядит так. Если предельная склонность к потреблению от имущества у кредиторов равна С^, а у дебиторов — Сdv, причем С^ < С^о, и перераспределенная в результате дефляции часть имущества равна Ди, то потребление сократится на Ди(С^о - С^о).
Во-вторых, некоторая часть дебиторов не сможет возвратить «потяжелевшие» долги и разорится; поэтому совокупный спрос уменьшится.
В-третьих, начавшийся процесс снижения цен может вызвать у потребителей желание отложить по возможности покупки на будущее, снижая тем самым текущее потребление.
1 Fisher I. The debt deflation theory of Great Depressions // Econometrica. 1933. Vol. 1. |
8.3.3. Портфельный подход
В ходе сравнительного анализа неоклассической и кейнсианской концепций в 60-х гг. ХХ в. после создания рассмотренной в гл. 5 теории портфеля широкое распространение получил новый метод исследования макроэкономических явлений, так называемый портфельный подход. Он развивался как монетаристами, так и кейнсианцами.
При портфельном подходе обращается внимание на то, что поведение экономических субъектов определяется не только созданием и использованием текущего дохода (потоком народнохозяйственного кругооборота), но также объемом и структурой имущества (накопленными запасами благ и финансовых средств). Например, объем планируемых сбережений зависит как от размера текущего дохода, так и от разницы между имеющимся и желаемым объемами имущества; соответственно, объем инвестиций, кроме ставки процента определяется разностью между существующим и оптимальным объемом капитала. В ходе оптимизации структуры имущества экономические субъекты принимают решения, предоставлять ли сбережения государству (покупка государственных облигаций), или предпринимателям (покупка акций), формируя тем самым условия создания национального дохода.
В соответствии с портфельным подходом не только реальные кассовые остатки, но и реальный капитал определяет процесс перехода от одного равновесного состояния к другому после экзогенных импульсов. Рассмотрим, как это происходит, на примере последствий изменения количества денег (монетарный импульс) и государственных расходов (фискальный импульс). Экономическая активность центрального банка и государства отражается на имуществе частного сектора двояко: меняется структура имущества (эффект субституции) и его объем (эффект имущества).
Монетарный импульс. Эффект субституции. Если в момент нахождения экономики в состоянии ОЭР центральный банк произведет закупки на открытом рынке ценных бумаг, то у коммерческих банков увеличатся избыточные резервы, а у домашних хозяйств — доля денег в составе имущества. Из-за нарушения оптимальной структуры имущества экономическим субъектам приходится решать: обменять ли определенное количество дополнительных денег на облигации, на акции или на то и другое в определенной пропорции? Ответ на этот вопрос зависит от взаимозаменяемости или взаимодополняемости отдельных разновидностей имущества (см. 5.6). |
Возможно, что домашние хозяйства, стремясь к снижению риска своего портфеля, ограничатся приращением финансовых средств в составе своего имущества: увеличат запасы денег и облигаций, а спрос на реальный капитал не изменится. В этом случае, несмотря на снижение ставки процента вследствие роста курса облигаций, спрос на инвестиции не увеличится. Этот вывод, противоречащий учению Дж.М. Кейнса, вытекает из того, что домашние хозяйства рассматривают облигации и реальный капитал в качестве взаимодополняемых активов. В концепции Дж.М. Кейнса неявно предполагается, что финансовые активы и реальный капитал являются совершенными субститутами, поэтому их можно объединить в один вид актива с общей нормой доходности, представляемой рыночной ставкой процента.
Снижение ставки процента вследствие увеличения предложения денег приведет к повышению спроса на акции (реальный капитал), а следовательно, и к росту инвестиций, лишь в том случае, если для инвестора облигации и акции в определенной мере взаимозаменяемы.
Эффект имущества. Независимо от того, признают ли домашние хозяйства облигации и акции субститутами или нет, увеличение количества денег означает рост объема имущества. Если в функции потребления домашних хозяйств имущество является одним из аргументов, то возрастет потребительский спрос.
Так монетарный импульс, пройдя через сектор имущества, воздействует на текущую конъюнктуру через изменения инвестиционного и потребительского спросов. Если приращение совокупного спроса приведет к повышению уровня цен, то из-за уменьшения реальной кассы описанные эффекты оптимизации структуры имущества и стимулирования совокупного спроса проявятся в меньшей степени.
Фискальный импульс. Эффект субституции. В состоянии ОЭР при наличии конъюнктурной безработицы государство увеличивает закупки благ для стимулирования экономической активности в стране. Чтобы исключить возникновение монетарного импульса, примем, что дополнительные расходы государства финансируются за счет выпуска облигаций. Вследствие увеличения предложения на открытом рынке ценных бумаг курс облигаций понизится, а ставка процента возрастет. |
Тем не менее, как уже отмечалось, спрос на инвестиции может не изменится, если домашние хозяйства рассматривают облигации и акции в качестве невзаимозаменяемых активов.
При взаимозаменяемости финансовых активов и реального капитала последствия фискального импульса будут определяться двумя противоположными по направленности действия факторами. С одной стороны, из-за повышения доходности облигаций инвесторы захотят, чтобы и акции, содержащиеся в их портфеле, имели более высокую, чем ранее, доходность. При заданной технологии производства требование большей доходности от реального капитала равносильно снижению спроса на него и в результате инвестиции в реальном секторе экономики уменьшатся. С другой стороны, увеличение доли облигаций в портфеле снизит степень его риска, и если инвестор предпочитает сохранить прежний уровень риска, то он обменяет часть облигаций на акции, стимулируя тем самым инвестиции в реальный капитал. Таким образом, общий результат эффекта субституции при взаимозаменяемости акций и облигаций однозначно предсказать невозможно.
Эффект имущества, как и при монетарном импульсе, выражается в некотором приращении всех составляющих имущества, что стимулирует инвестиционный и потребительский спросы.
Так портфельный подход подключает сектор имущества в качестве подсистемы к модели ОЭР.
8.3.4. Теория кредитного фонда
Расхождения между неоклассиками и Дж.М. Кейнсом по вопросу об образовании рыночной ставки процента породили теорию кредитного фонда (loanable funds theory). В соответствии с ней ставка процента образуется в результате взаимодействия спроса и предложения на рынке кредита. Предложение кредита есть сумма трех слагаемых: сбережений, приращения предложения денег банковской системой и предложения денег домашними хозяйствами, равное сокращению их запасов наличных денег. Спрос на кредит складывается из спросов на инвестиции и населения на деньги для тезаврации (увеличения запаса наличных денег).
Обозначим разность между объемом спроса на деньги для тезаврации, предъявляемого одной частью населения, и объемом сокращения |
|
|
 |
|
Рис. 8.9. Формирование ставки процента в теории кредитного фонда |
наличных денег у другой его части Ah. Тогда процесс установления рыночной ставки процента можно представить на рис. 8.9.
Объемы инвестиций и тезаврации уменьшаются по мере роста ставки процента; объемы сбережения домашних хозяйств и прироста предложения денег банковской системой увеличиваются при росте ставки процента. Рыночная ставка процента уравновешивает объемы спроса и предложения на кредитном рынке.
В соответствии с неоклассической теорией в ситуации, представленной на рис. 8.9, ставка процента установилась бы на уровне І2. В теории кредитного фонда эту ставку называют «естественной», соответствующей равновесию в длинном периоде. В коротком периоде она установится на уровне ip Если І1 < І2, то объем инвестиций превышает объем сбережений; следовательно, на рынке благ объем спроса превышает объем предложения, т.е. ставка процента І1 не соответствует ОЭР.
Краткосрочная и долгосрочные ставки процента равны друг другу при Ah = AM; в этом случае I = S и установившуюся ставку процента можно объяснить как на основе неоклассической, так и на основе кейнсианской концепций.
Краткие выводы
Статические модели общего экономического равновесия — это модели определения национального дохода в текущем периоде, комплексно описывающие процессы согласования планов экономических субъектов национального хозяйства. При описании этих процессов между неоклассиками и кейнсианцами обнаруживаются существенные расхождения, проистекающие из неодинаковых представлений о предмете исследования и специфических методов анализа.
В неоклассической концепции равновесие в реальном секторе экономики устанавливается без взаимодействия с монетарным сектором. В концепции Дж.М. Кейнса количество находящихся в обращении денег, как правило, влияет не только на номинальную, но и на реальную величину национального дохода; исключения составляют состояния инвестиционной и ликвидной ловушек.
В неоклассической концепции существует только естественная безработица. В кейнсианской концепции наряду с естественной может существовать конъюнктурная безработица; причем жесткая система цен не является единственной и обязательной причиной наличия последней.
Неоклассический синтез как этап развития экономической мысли позволил выявить условия совместимости неоклассической и кейнсианской концепций и устранить некоторые противоречия в их исходных предпосылках. К основным научным результатам неоклассического синтеза относятся: устранение классической дихотомии посредством эффекта реальных кассовых остатков, использование портфельного подхода для отображения воздействия экзогенных импульсов на экономическую конъюнктуру с учетом изменений в секторе имущества, снятие противоречия между неоклассической и кейнсианской теориями процента на основе концепции кредитного фонда.
Приложение 1: Модель ОЭР Вальраса
Для упрощения возьмем экономику без производства (меновое хозяйство; стадия производства завершена и произведенные объемы благ обмениваются на рынках). Хозяйство состоит из трех индивидов, потребляющих три вида благ A, B и H. В исходном состоянии первый потребитель имеет QA0, второй — QB0 и третий — QH0 единиц указанного блага. В связи с этим индивиды совершают обмен при следующих бюджетных ограничениях:
PAQA0 = PAQA\ + PbQbI + PhQh 1;
PbQb 0 = PAQA2 + PBQB 2 + PHQH 2;
PHQH 0 = PAQA3 + PBQB3 + PHQH 3-
Известны функции полезности каждого потребителя
U, =(Qa, - a,f (Qb, - bf (Qh,- hf ,
где Qij - объем потребления j-го блага (j = A, B, H) i-м индивидом.
Функции спроса потребителей на каждое из благ выводятся из максимизации функции полезности при заданном бюджетном ограничении; используем для этого функцию Лагранжа:
ф, = (ОA, - a,f (Qb, - b f (Qh, - h,f -
-^(PaQa, +(bQb, + PhQh, - р°0„) f max - |
Условия ее максимизации следующие:
ai (QBi - bi) = Pa. ai (QHi - hi) = Pa.. ai (MJP - mi) = Pa.
Pi (QAi - ai ) PB ’ Yi (QAi - ai ) PH ’ §i (QAi - ai ) p ’
PAQAi + PBQBi + PHQHi = PjQ0ij ¦
Из них выводятся функции спроса:
QD = 3 + QH1 = 4 + QD2 = 4+
QD = p +
Q.Bi= b +
Q°m = h +
ai (j PAai PBbi PHhi).
Pi (s-PaP, - PA - PhK ).
fi (PjQ0ij - PAai - PBbi - PHhi )
0,25 (30Pa - 2РА - 3Pb - 4Ph ).
0,15(30Pa -2РА -3Pb -4Ph).
QB2 = 2 +
0,2(40Pb -4Pa -2Pb 0,85 Pb

Система цен, обеспечивающая общее экономическое равновесие, должна приравнять объемы спроса на блага имеющимся запасам:
QD2= 1 + QD = 5+¦ QD3 = 3 +
qh 3 = 6 +
X QAi = QA0; X QBi = QB0; X QHi = qh o-
i =1 i =1 i =1
В соответствии с законом Вальраса только два из этих трех уравнений являются независимыми. Приняв цену одного из благ за еденицу, уменьшаем число неизвестных до числа независимых уравнений и из решения системы двух уравнений находим вектор относительных (реальных) равновесных цен (P,Pb ,Ph ). Для определения уровня цен (Р) и вектора денежных (номинальных) цен используется уравнение количественной теории денег
Условие равновесия на рынках благ:
Р--
MV
PAQA0 + PBQB 0 + PHQH 0
Пример. Функции полезности потребителей имеют вид
Ui =(Qai -2)0,4(Qbi -3)25(Qhi -4)15;
U 2 =(Qa2 - 4р25 (Qb 2 - 2)Р (Qh 2 -1)4; U3 = (Qa3 - 5)0,3 (Qb2 - 3)015 (Qh3 - 6)25 ¦
QD1 + QD2 + QD3 = Qa0,
' QB1 + QB2 + QB3 = QB0,
QH1 + QH 2 + QH 3 = QH 0-
Примем РА = 1, и из решения двух (любых) уравнений системы найдем PB = 0,374; PH = 0,313.
Для определения уровня цен примем, что в обращении находятся 50 ден. ед, каждая из которых совершает два оборота ( V = 2). Тогда уровень цен будет равен 2 . 50/(1 . 30 + 0,374.40 + 0,313.50) = 1,65, а вектор денежных цен: Ра = 1,65; Pb = 0,617; Ph = 0,516. При таких ценах на всех рынках устанавливается равновесие (табл. 1).
Таблица 1
Общее экономическое равновесие
Индивиды обладают следующими исходными запасами благ: первый — Qa0 = 30, второй — Qb0 = 40, третий — Qh0 = 50. В этих условиях индивидуальные функции спроса запишутся так:
qD=2+
0,4 (30Pa - 2Pa - 3РВ - 4Рн).
0,8Pa ’
|
Рынок |
Спрос |
Предло
жение |
|
1 |
2 |
3 |
всего |
|
Блага А |
14,81 |
6,91 |
8,28 |
30 |
30 |
|
Блага В |
24,41 |
8,21 |
7,38 |
40 |
40 |
|
Блага H |
19,35 |
15,9 |
14,75 |
50 |
50 |
Спрос на деньги (MD) тоже равен их предложению (MS):
MD = 1,65.30 + 0,617.40 + 0,516.50 = 100; MS = 2.50 = 100.
Если уровень цен возрастет, например, в 2 раза, т.е. Pa = 3,3; Pg = 1,234; Ph = 1,032, то, как следует из функций спроса на блага, равновесие на рынках благ сохранится; но спрос на деньги будет превышать их предложение: MD = 3,3.30 + 1,234.40 + 1,032.50 = 200. Закон Вальраса нарушается.
Удвоение количества денег в обращении удвоит уровень цен, но не отразится на объемах спроса на блага. Наблюдается нейтральность денег.
Приложение 2: Модель ОЭР Патинкина
Меновое хозяйство состоит из трех индивидов, потребляющих три вида благ A, B и H. В исходном состоянии первый потребитель имеет Qao, второй — Qbq и третий — QH0 едениц указанного блага; кроме того, у каждого есть определенная сумма денег (M0i; i = 1, 2, 3). В связи с этим индивиды совершают обмен при следующих бюджетных ограничениях:
M01 + PAQA0 = PaQa1 + PbQb1 + PhQh 1 + M1;
M 02 + PBQB 0 = PAQA2 + PBQB 2 + PHQH 2 + M 2;
M 03 + PHQH 0 = PAQA3 + PBQB3 + PHQH 3 + M 3.
Известны функции полезности каждого потребителя
иi = Q - a )ai (Qb, - b ) (QHi - h )Yi ^M - щ j',
где Qjj - объем потребления j-го блага (j = A, B, H) i-м индивидом; Mi /P - реальные кассовые остатки i-го индивида.
Функции спроса потребителей на каждое из благ и реальные кассовые остатки выводятся из максимизации функции полезности при заданном бюджетном ограничении; используем для этого функцию Лагранжа:
Фі = (QAi - a )ai (Qbi - b ) (QHi - h )Yi [M - щ j' -
- P {PAQAi + PBQBi + PHQHi - M0i - Q0i ) ~^ max.
Условия ее максимизации следующие:
ai (QBi - bi) = Pa. ai (QHi - hi) = Pa.. ai (Mjp - mi) = Pa.
Pi (QAi - ai) Pb’ Yi (QAi - ai) Ph’ §i (QAi - ai) p ’
PAQAi + PBQBi + PHQHi = M0i + Q0i. |
Из них выводятся функции спроса:
qD = . ai (M0i + Q0i - PAai - PBbi - PHhi - Pmi )
QD b . Pi (M0i + Q0i - PAai - PBbi - PHhi - Pmi ) .
( + Pi + Y i + Si )b
QD = h . Yi (M0i + Q0i - PAai - PBbi - PHhi - Pmi ) .
MD = pm + Si (M0i + Q0i - PAai - PBbi - PHhi - Pmi)
Система номинальных (денежных) цен, обеспечивающая общее экономическое равновесие, должна приравнять объемы спроса имеющимся запасам:
iQD = Qa0; iQBDi = Qb0; iQD = Qh0; imD = ?m^ .
В соответствии с законом Вальраса только три из этих четырех уравнений являются независимыми. В связи с этим для нахождения вектора равновесных денежных цен и уровня цен (PA,Pb ,Ph ,P) к условиям равновесия на рынках добавляется уравнение количественной теории денег: MV = PAQA0 + PbQb 0 + PhQh 0.
Пример. Функции полезности потребителей имеют вид
U = (QA1 - 2)4 (QB1 - 3)0,25 (Qh 1 - 4)15 ^Ml -Ц j ' ;
U2 = (Qa2 - 4)0,25 (Qb2 - 2)2 (Qh2 -1) ^~f ~ 14j ;
U3 =Qa3 -1) (Qb 2 - 3)15 (Qh 3 - 6 ) 25 [jt ~ 5 .
Исходные запасы благ и денег следующие: Qa0 = 30; Qb0 = 40; Qh0 = 50; M01 = 14; Mq2 = 18; Mq3 = 18.
В этих условиях индивиды будут иметь следующие функции спроса:
Qd 2 , 0 ,4 (30Pa +14 - 2Pa - 3Pb - 4Ph -11P).
Qd 3 + 0,25(30Pa +14 -2Pa - 3Pb -4Ph - 11P).
Qd 4 + 0,15(30Pa +14 -2Pa -3Pb -4Ph - 11P).
rH
MD = 11P + 0,2(30Pa +14 - 2Pa - 3Pb - 4Ph - 11P); |
QD = 4+
0.B2 = 2 +
QDH2 = 1 +
|
|
Таблица 2 |
|
|
|
Рынок |
Спрос |
Предложение |
|
1 |
2 |
3 |
всего |
|
Блага А |
11,23 |
5,64 |
8,35 |
25,22 |
30 |
|
Блага В |
18,67 |
5,57 |
7,55 |
31,79 |
40 |
|
Блага H |
14,28 |
8,81 |
14,3 |
37,39 |
50 |
|
Денег |
37,0 |
31,2 |
20,89 |
89,09 |
50 |
QD3 = 5 + QD3 = 3 +
Qd3 = 6 +
0,25 (40PB +18 - 4Pa - 2PB - PH - 14P)
0,2(40PB +18 -4PA - 2PB -PH -14P);
0,4(40PB +18 - 4Pa - 2PB -PH - 14P);
MD = 14P + 0,15(40PB +18-4Pa -2PB -PH - 14P);
0,3(50PH +18 -5Pa - 3PB -6PH - 5P);
0,15 (50PH +18 - 5Pa - 3PB - 6PH - 5P);
0,25(50PH +18 - 5Pa - 3PB - 6PH - 5P);
MD = 5P + 0,3(50PH +18 - 5Pa - 3PB - 6PH - 5P).
Для нахождения равновесных денежных цен и уровня цен используем условия равновесия на рынках благ А и В и денежном рынке, а также уравнение количественной теории денег, приняв V = 2:
QD+QD2+QD3 = Qa0,
QB1 + QB 2 + QB3 = QB 0,
mD + mD + mD = m01 + m02 + m03 ,
2 ((01 + M 02 + M03 ) = PAQA0 + PBQB 0 + PHQH 0.
Решение этой системы уравнений дает Pa = 1,624; Pb = 0,598; Ph = 0,547; P = 1. При таких ценах на всех рынках устанавливается равновесие (табл. 1).
Если уровень цен возрастет, например, в два раза, т.е. Pa = 3,248; Pb = 1,196; Ph = 1,094, Р = 2, то проявится эффект реальных кассовых остатков, т.е. на рынке благ будет избыток, а на рынке денег — дефицит (табл. 2).
Нарушение ОЭР при изменении уровня цен
Только в том случае, если одновременно с удвоением уровня цен увеличится количество находящихся в обращении денег, т.е. Мщ = 28; M02 = 36; Моз= 36, общее равновесие не нарушится (табл. 3).
|
Таблица 3
Сохранение ОЭР при повышении уровня цен и количества денег |
|
|
|
Рынок |
Спрос |
Предложение |
|
1 |
2 |
3 |
всего |
|
Блага А |
12,96 |
7,03 |
10,1 |
30 |
30 |
|
Блага В |
21,6 |
8,59 |
9,81 |
40 |
40 |
|
Блага H |
16,2 |
15,39 |
18,41 |
50 |
50 |
|
Денег |
39,8 |
33,9 |
26,3 |
100 |
100 |
Общее экономическое равновесие
|
Таблица 1 |
|
|
|
Рынок |
Спрос |
Предложение |
|
1 |
2 |
3 |
всего |
|
Блага А |
12,96 |
7,03 |
10,1 |
30 |
30 |
|
Блага В |
21,6 |
8,59 |
9,81 |
40 |
40 |
|
Блага H |
16,2 |
15,39 |
18,41 |
50 |
50 |
|
Денег |
19,9 |
16,95 |
13,15 |
50 |
50 |
Глава 9
 |
Рис. 9.1. Годовые темпы прироста ВВП США (1), Великобритании (2), ФРГ (3) и Канады (4) в 1951—1992 гг. |
Теория экономических циклов
9.1. Понятие экономического цикла
В отличие от теории ОЭР, которая объясняет процесс согласования планов экономических субъектов при данных производственных возможностях и потребительских предпочтениях, теория экономического цикла исследует причины, вызывающие изменение экономической активности общества. Обобщающим показателем величины и направления изменения экономической активности служит уровень использования производственного потенциала страны.
Если в центре внимания теории ОЭР находятся условия равенства объемов спроса и предложения на макроэкономических рынках, то теория экономических циклов исследует, почему равенство совокупного предложения совокупному спросу достигается при разной степени использования производственных мощностей и трудовых ресурсов.
Теория экономических циклов наряду с теорией экономического роста объясняет характер развития экономики во времени. Статистические данные свидетельствуют, что изменение показателей, характеризующих результаты национальных хозяйств, изменяются не монотонно, а колебательно (циклически). На рис. 9.1 показаны темпы прироста ВВП в четырех наиболее успешно развивавшихся во второй половине ХХ в. странах.
Направление и степень изменения показателя или совокупности показателей, характеризующих развитие народного хозяйства, определяют как экономическую конъюнктуру. Поэтому теорию экономических циклов называют также теорией конъюнктуры.
Под экономическим циклом подразумевается период развития экономики между двумя одинаковыми состояниями конъюнктуры. В стилизованном виде он изображен на рис. 9.2. Теория цикла призвана
1 Penn World Table by Alan Heston & Robert Summers. Center for International Comparisons University of Pennsylvania, May 2000.
|
|
 |
Рис. 9.2. Стилизованные фазы экономического цикла:
I - подъем; II - экспансия; III - рецессия;
IV - депрессия |
объяснить причины колебаний экономической активности общества во времени (волнообразная кривая), а теория роста исследует факторы и условия устойчивого роста как долговременной тенденции в развитии экономики (трендовая линия).
В структуре цикла выделяют высшую и низшую точки активности и лежащие между ними фазы спада и подъема. Общая длительность цикла измеряется временем между двумя соседними высшими или двумя соседними низшими точками активности. Соответственно продолжительностью спада считается время между высшей и последующей низшей точками активности, а подъема — наоборот. Национальное бюро экономических исследований констатировало, что в развитии экономики США с 1854 по 1991 г. наблюдался 31 цикл; в среднем время между двумя высшими точками составляло 53 мес.; из них 18 мес. приходилось на спад и 35 мес. — 1
на подъем .
При более подробном анализе экономический цикл делят на четыре фазы.
1. Экспансия. Национальный доход растет несмотря на полную занятость. Увеличивается спрос на инвестиции, безработица снижается ниже естественного уровня. Повышаются уровень цен, ставка заработной платы и ставка процента. Неизбежным следствием такого развития событий является переход от роста к спаду.
2. Рецессия (кризис). В этой стадии производство сокращается, (темпы прироста становятся отрицательными), растет безработица и снижается совокупный спрос.
3. Депрессия. Национальный доход продолжает снижаться, но темпы падения замедляются; поэтому кривая темпов прироста «поворачивается» вверх.
4. Оживление. Переход от падения производства к его увеличению; постепенное возвращение экономики к состоянию, соответствующему равновесному росту.
Проблематика теории экономических циклов обусловливает применение сложных динамических моделей с использованием дифференциальных уравнений. Задача данной главы — на основе простых моделей раздельного анализа рассмотреть основные факторы, порождающие колебания экономической конъюнктуры.
9.2. Модель взаимодействия мультипликатора и акселератора
Эта модель основывается на кейнсианской концепции функционирования макроэкономических рынков и описывает процесс перехода от одного равновесного состояния к другому после изменения экзогенных параметров, дополняя тем самым анализ сравнительной статики.
В 3.3 этот процесс был представлен в виде мультипликативного эффекта приращения автономных расходов; при этом предполагалось, что восстановление равновесия происходит мгновенно и существующий объем избыточных производственных мощностей достаточен для полного удовлетворения возросшего в результате действия мультипликатора эффективного спроса. Оба эти ограничения снимаются в модели взаимодействия мультипликатора и акселератора. Она является динамической (содержит переменные, относящиеся к разным периодам) и учитывает необходимость осуществления индуцированных инвестиций при исчерпании наличных производственных мощностей. Индуцированные инвестиции, становясь составляющей совокупного спроса, порождают очередной мультипликативный эффект, который снова увеличивает эффективный спрос и побуждает тем самым к новым индуцированным инвестициям.
Несмотря на то что в модели время учитывается в явном виде, она остается краткосрочной: приращение объема инвестиций, как и в статических моделях, увеличивает только совокупный спрос; воздействие инвестиций на совокупное предложение через вступление в строй новых производственных мощностей не учитывается; это ограничение снимается в моделях экономического роста.
Вернется ли экономика в этих условиях к равновесию после экзогенного импульса или нет, будет ли процесс приспособления к новой обстановке монотонным или колебательным — это предмет исследования рассматриваемой модели. |

9.2.1. Модель Самуэльсона—Хикса
Модель Самуэльсона-Хикса включает в себя только рынок благ, и поэтому уровень цен и ставка процента предполагаются неизменными; объем предложения благ совершенно эластичен.
Объем потребления домашних хозяйств в текущем периоде зависит от величины их дохода в предшествующем периоде
Ct = Ca,t + Cy yt—1,
где Ca — автономное потребление.
Предприниматели осуществляют автономные инвестиции, объем которых при заданной ставке процента фиксирован, и индуцированные инвестиции, зависящие от прироста совокупного спроса в предшествующем периоде
lt = ia,t +n(yt-1 - yt-2).
На рынке благ установится динамическое равновесие, если yt = Ca,t + Cyyt-1 + Ia,t + n(yt-1- yt -2) = (Cy + n)yt-1 - nyt-2 + At, (9.1)
где At = Ca,t + !a,t + Gt.
Уравнение (9.1) является неоднородным конечно-разностным уравнением второго порядка, характеризующим динамику национального дохода во времени.
При фиксированной величине автономных расходов (At = A = const) в экономике достигается динамическое равновесие, когда объем национального дохода стабилизируется на определенном уровне у, т.е. Уі = yt-1 = yt-2 = • • • = yt - n = y, где n — число периодов с неизменной величиной автономных расходов.
Из уравнения (9.1) следует, что y = A/(1-Cy).
Посмотрим, какова будет динамика национального дохода, если в состоянии динамического равновесия изменится величина автономного спроса.
Освободимся от неоднородности в уравнении (9.1). Значения yt и у удовлетворяют равенству (9.1), поэтому можно записать следующее однородное конечно-разностное уравнение второй степени с постоянными коэффициентами:
аУі = (Cy + n)Ayt-1- n^yt-2, (9.2)
где tyt = yt- у.
1 Samuelson P. Interactions between the multiplier analysis and the principle of acceleration // Review Economics Statistik. 1939. Vol. 21. P. 75—78; Hicks J. A contribution to the theory of the trade cycle. Oxford, 1950. Ch. VI. |
Так как yt = у + Ayt, то направление изменения yt определяется направлением изменения Ayt.
Из теории решения дифференциальных и конечно-разностных уравнений следует, что характер изменения Ayt зависит от значения дискриминанта характеристического уравнения. Поскольку в данном случае дискриминант равен (Cy + П)2 - , то динамика национального дохода зависит от предельной склонности к потреблению, определяющей величины мультипликатора и акселератора.
Если (Cy + п)2 -4п> 0, то изменение yt происходит монотонно; при (Cy + п)2 - 4п < 0, оно будет колебательным. Следовательно, график функции Cy = —п + 2^/П, изображенный на рис. 9.3, отделяет множество сочетаний Cy, п, обеспечивающих монотонное изменение yt, от множества комбинаций из значений Cy, п, приводящих к колебаниям yt.
Устремляется ли значение yt к некоторой конечной величине или уходит в бесконечность, зависит от значения последнего слагаемого характеристического уравнения. Если п < 1, то равновесие установится на определенном уровне. Рис. 9.3. Четыре области сочетаний Cy, п При п > 1 нарушенное
1 раз равновесие больше не восстановится. Когда п = 1, тогда значение yt будет колебаться с постоянной амплитудой.
В результате все множество сочетаний Cy и п оказалось разделенным на пять областей, как это показано на рис. 9.3. Если значения Cy и п указывают на область I, то после нарушения равновесия в результате изменения автономного спроса значение yt монотонно устремится к новому равновесному уровню у\= A^/(1-Cy). При значениях Cy и п, находящихся в области II, национальный доход достигнет нового равновесного уровня, пройдя через затухающие колебания. Сочетания значений Cy и п, расположенные справа от перпендикуляра, опущенного из точки B на ось абсцисс, соответствуют нестабильному равновесию. Когда сочетания значений Cy, п указывают на область III, тогда динамика yt приобретает характер взрывных колебаний. Комбинации зна- |
чений Cy, п в области IV приводят к тому, что после нарушения равновесия yt монотонно устремляется в бесконечность. И наконец, если акселератор равен единице, то при любом значении предельной склонности к потреблению в случае нарушения равновесия возникают равномерные незатухающие колебания yt.
Пример 9.1. Заданы функция потребления домашних хозяйств: Ct = 50 + + 0,8yt-1 и функция спроса предпринимателей на автономные и индуцированные инвестиции: It = 250 + n(yt-i - yt-2). В течение некоторого времени до периода to включительно экономика находится в динамическом равновесии при спросе предпринимателей на автономные инвестиции в объеме 250 ден. ед. Это значит, что в каждом периоде производилось 1500 ед. благ, из которых 50 + 0,8-1500 = 1250 потребляют домашние хозяйства. С периода ti предприниматели решили, что объем автономных инвестиций должен равняться 350 ден. ед. Как в результате реализации этого решения будет меняться величина совокупного спроса (следовательно, и национального дохода) при четырех различных сочетаниях Cy, п, представленных на рис. 9.4 точками a (Cy = 0,8; П = 0,25), b (Cy = 0,8; п = 0,75), c (Cy = 0,8; п = 1,2) и d (Cy = 0,8; п = 2,3), показано в табл. 9.1—9.4.
Таблица 9.1
Динамика национального дохода при Cy = 0,8; п = 0,25 |
|
|
|
t |
C |
Ia |
hn |
y |
|
0 |
1250 |
250 |
0 |
1500 |
|
1 |
1250 |
350 |
0 |
1600 |
|
2 |
1330 |
350 |
25 |
1705 |
|
3 |
1414 |
350 |
26,25 |
1790,3 |
|
4 |
1482,2 |
350 |
21,31 |
1853,5 |
|
5 |
1532,8 |
350 |
15,82 |
1898,6 |
|
6 |
1568,9 |
350 |
11,28 |
1930,2 |
|
7 |
1594,1 |
350 |
7,89 |
1952,0 |
|
8 |
1611,6 |
350 |
5,46 |
1967,1 |
|
9 |
1623,7 |
350 |
3,76 |
1977,4 |
|
10 |
1631,9 |
350 |
2,59 |
1984,5 |
|
11 |
1637,6 |
350 |
1,77 |
1989,4 |
|
12 |
1641,5 |
350 |
1,22 |
1992,7 |
|
13 |
1644,2 |
350 |
0,83 |
1995,0 |
|
14 |
1646,0 |
350 |
0,57 |
1996,6 |
|
15 |
1647,3 |
350 |
0,39 |
1997,7 |
|
16 |
1648,1 |
350 |
0,27 |
1998,4 |
|
17 |
1648,7 |
350 |
0,18 |
1998,9 |
|
18 |
1649,1 |
350 |
0,13 |
1999,2 |
|
19 |
1649,4 |
350 |
0,09 |
1999,5 |
|
20 |
1649,6 |
350 |
0,06 |
1999,6 |
Таблица 9.2
Динамика национального дохода при Cy = 0,8; п = 0,75 |
|
|
|
t |
C |
Ia |
Iin |
y |
|
0 |
1250 |
250 |
0 |
1500 |
|
1 |
1250 |
350 |
0 |
1600 |
|
2 |
1330 |
350 |
75 |
1755 |
|
3 |
1454 |
350 |
116,3 |
1920,3 |
|
4 |
1586,2 |
350 |
123,9 |
2060,1 |
|
5 |
1698,1 |
350 |
104,9 |
2153,0 |
|
6 |
1772,4 |
350 |
69,7 |
2192,1 |
|
7 |
1803,7 |
350 |
29,3 |
2183,0 |
|
8 |
1796,4 |
350 |
-6,8 |
2139,5 |
|
9 |
1761,6 |
350 |
-32,6 |
2079,0 |
|
10 |
1713,2 |
350 |
-45,4 |
2017,9 |
|
11 |
1664,3 |
350 |
-45,9 |
1968,4 |
|
12 |
1624,7 |
350 |
-37,1 |
1937,6 |
|
13 |
1600,1 |
350 |
-23,1 |
1927,0 |
|
14 |
1591,6 |
350 |
-8,0 |
1933,7 |
|
15 |
1596,9 |
350 |
5,0 |
1951,9 |
|
16 |
1611,5 |
350 |
13,7 |
1975,2 |
|
17 |
1630,2 |
350 |
17,5 |
1997,6 |
|
18 |
1648,1 |
350 |
16,8 |
2014,9 |
|
19 |
1662,0 |
350 |
13,0 |
2024,9 |
|
20 |
1669,9 |
350 |
7,5 |
2027,4 |
|
21 |
1671,9 |
350 |
1,9 |
2023,8 |
|
22 |
1669,1 |
350 |
-2,7 |
2016,3 |
|
23 |
1663,1 |
350 |
-5,6 |
2007,5 |
|
24 |
1656,0 |
350 |
-6,7 |
1999,3 |
|
25 |
1649,5 |
350 |
-6,1 |
1993,4 |
|
26 |
1644,7 |
350 |
-4,5 |
1990,2 |
|
27 |
1642,2 |
350 |
-2,4 |
1989,8 |
|
28 |
1641,8 |
350 |
-0,3 |
1991,5 |
|
29 |
1643,2 |
350 |
1,3 |
1994,5 |
|
30 |
1645,6 |
350 |
2,2 |
1997,9 |
Таблица 9.3
Динамика национального дохода при Cy = 0,8; п = 1,2 |
|
|
|
t |
C |
Ia |
Iin |
y |
|
0 |
1250 |
250 |
0 |
1500 |
|
1 |
1250 |
350 |
0 |
1600 |
|
2 |
1330 |
350 |
120 |
1800 |
|
3 |
1490 |
350 |
240 |
2080 |
|
4 |
1714 |
350 |
336 |
2400 |
|
5 |
1970 |
350 |
384 |
2704 |
|
6 |
2213,2 |
350 |
364,8 |
2928 |
|
7 |
2392,4 |
350 |
268,8 |
3011,2 |
|
8 |
2459,0 |
350 |
99,8 |
2908,8 |
|
9 |
2377,0 |
350 |
-122,9 |
2604,2 |
|
10 |
2133,3 |
350 |
-365,6 |
2117,8 |
|
11 |
1744,2 |
350 |
-583,7 |
1510,5 |
|
12 |
1258,4 |
350 |
-728,7 |
879,7 |
|
13 |
753,8 |
350 |
-756,9 |
346,9 |
|
14 |
327,5 |
350 |
-639,5 |
38,0 |
|
15 |
80,4 |
350 |
-370,6 |
59,8 |
|
16 |
97,8 |
350 |
26,1 |
474,0 |
|
17 |
429,2 |
350 |
497,0 |
1276,2 |
|
18 |
1071,0 |
350 |
962,7 |
2383,6 |
|
19 |
1956,9 |
350 |
1328,9 |
3635,8 |
|
20 |
2958,7 |
350 |
1502,6 |
4811,3 |
|
21 |
3899,0 |
350 |
1410,5 |
5659,6 |
|
22 |
4577,7 |
350 |
1017,9 |
5945,6 |
|
23 |
4806,5 |
350 |
346,8 |
5509,5 |
|
24 |
4449,8 |
350 |
-535,1 |
4264,7 |
|
25 |
3461,8 |
350 |
-1482,0 |
2329,8 |
Таблица 9.4
Динамика национального дохода при Cy = 0,8; п = 2,3
|
t |
C |
7Г |
Iin |
y |
|
0 |
1250 |
250 |
0 |
1500 |
|
1 |
1250 |
350 |
0 |
1600 |
|
2 |
1330 |
350 |
230 |
1910 |
|
3 |
1578 |
350 |
713 |
2641 |
|
4 |
2162,8 |
350 |
1681,3 |
4194,1 |
|
5 |
3405,3 |
350 |
3572,1 |
7327,4 |
 |
|
Рис. 9.4. Динамика национального дохода после изменения автономного спроса при различных сочетаниях Cy, п |
|
|
|
і |
C |
1a |
1in |
y |
|
6 |
2450 |
350 |
0 |
2800 |
|
7 |
2290 |
350 |
-460 |
2180 |
|
8 |
1794 |
350 |
-500 |
1644 |
|
9 |
1365,2 |
350 |
-500 |
1215,2 |
|
10 |
1022,2 |
350 |
-500 |
872,2 |
|
11 |
747,7 |
350 |
-500 |
597,7 |
|
12 |
528,2 |
350 |
-500 |
378,2 |
|
13 |
352,5 |
350 |
-500 |
202,5 |
|
14 |
212,0 |
350 |
-404,0 |
158,1 |
|
15 |
176,5 |
350 |
-102,3 |
424,2 |
|
16 |
389,3 |
350 |
612,0 |
1351,4 |
|
17 |
1131,1 |
350 |
1518,9 |
3000 |
|
18 |
2450 |
350 |
200 |
3000 |
|
19 |
2450 |
350 |
0 |
2800 |
|
20 |
2290 |
350 |
-460 |
2180 |
|
21 |
1794 |
350 |
-500 |
1644 |
|
22 |
1365,2 |
350 |
-500 |
1215,2 |
|
23 |
1022,2 |
350 |
-500 |
872,2 |
|
24 |
747,7 |
350 |
-500 |
597,7 |
|
25 |
528,2 |
350 |
-500 |
378,2 |
|
26 |
352,5 |
350 |
-500 |
202,5 |
|
27 |
212,0 |
350 |
-404 |
158,1 |
|
28 |
176,5 |
350 |
-102,3 |
424,2 |
|
29 |
389,3 |
350 |
612 |
1351,3 |
|
30 |
1131,1 |
350 |
1518,9 |
3000 |
hn,t = max{-{(Уі-1-yt-2) если yt < Vf и hn,t = yt-Ct -1a,t при Vt ^ Vf.
С учетом этих обстоятельств приращение автономных инвестиций приводит к колебаниям национального дохода даже при нахождении сочетания Cy, п в области IV.
 |
|
Рис. 9.5. Границы амплитуды колебания национального дохода |
В рассматриваемой модели динамика национального дохода в случаях, когда сочетания Cy, п соответствуют областям III и ^(см. рис. 9.3), представляется неправдоподобной: не может в коротком периоде объем производства многократно возрасти или снизится. Это противоречие объясняется тем, что в модели не были учтены два обстоятельства. Во-первых, произведенный национальный доход не может существенно превысить национальный доход полной занятости; этим ограничивается амплитуда колебаний объема национального дохода сверху. Во-вторых, как отмечалось в 3.1.2, объем отрицательных индуцированных инвестиций не может превысить сумму амортизации; это ограничивает амплитуду колебания национального дохода снизу. В результате, когда сочетания Cy, п соответствуют областям III и IV, модель взаимодействия мультипликатора и акселератора принимает вид
yt = min {Ca + Cy + Cyyt-1 + 1a,t + 1in,t), )F,t} ,
причем
Добавим к условиям примера 9.1 ограничения: vf = = 3000 и D = 500. Тогда при значениях Cy = 0,8 и п = 2,3 после увеличения автономных инвестиций на 100 ден. ед. величина национального дохода не устремляется в бесконечность, как представлено на рис. 9.4, точка d, а колеблется в интервале {158; 3000}, как показано в табл. 9.5 и на рис. 9.5.
Окончание табл. 9.5
Включим в модель взаимодействия мультипликатора и акселератора еще один фактор — рост населения. Пусть в результате роста населения автономный спрос ежегодно увеличивается в (1 + n) раз. Тогда уравнение (9.1) принимает вид
Vt = (Cy + п)Уі-1- пУі-2 + 4)(1 + n)t.
В этом случае вследствие мультипликативного эффекта величина равновесного национального дохода ежегодно будет возрастать в (1 + n) раз:
Уі = (Cy+п):У—п .. y 2 + 4(1+n)t
у 1 + n (1+n)2 |
Таблица 9.5
Взаимодействие мультипликатора и акселератора при Cy = 0,8, п = 2,3, yF = 3000, D = 500
_1
Cy+п
1 + n
-4,(1+n)t •
п
(1 + n)2
(9.3)
|
і |
C |
1a |
1in |
y |
|
0 |
1250 |
250 |
0 |
1500 |
|
1 |
1250 |
350 |
0 |
1600 |
|
2 |
1330 |
350 |
230 |
1910 |
|
3 |
1578 |
350 |
713 |
2641 |
|
4 |
2162,8 |
350 |
487,2 |
3000 |
|
5 |
2450 |
350 |
200 |
3000 |
Пример 9.1.1. Если в рассматриваемом примере при Cy = 0,8 и п = 0,75 принять, что с периода t1, кроме увеличения автономных инвестиций на 100, общие автономные расходы (Ca + 1a) возрастают за период в 1,03 раза, то динамика национального дохода будет такой, как показано в табл. 9.6 и на рис. 9.6.
Первый сомножитель в правой части выражения (9.3) называют супермультипликатором Хикса. Он показывает, насколько увеличивается совокупный спрос в году t, если в дополнение к ежегодному росту автономного спроса, обусловленного ростом населения, на единицу возрастут автономные инвестиции.
Таблица 9.6
Взаимодействие мультипликатора и акселератора при Cy = 0,8; п = 0,75 и экзогенном росте автономных расходов с темпом n = 1,03 |
|
|
|
t |
C |
Ia |
hn |
у |
y |
|
0 |
1250 |
250 |
0 |
1500 |
|
|
1 |
1250 |
360,5 |
0 |
1610,5 |
2031,2 |
|
2 |
1338,4 |
371,3 |
82,9 |
1792,6 |
2084,8 |
|
3 |
1484,1 |
382,5 |
136,6 |
2003,1 |
2139,9 |
|
4 |
1652,5 |
393,9 |
157,9 |
2204,3 |
2196,7 |
|
5 |
1813,4 |
405,7 |
150,9 |
2370,1 |
2255,1 |
|
6 |
1946,0 |
417,9 |
124,3 |
2488,3 |
2315,4 |
|
7 |
2040,6 |
430,5 |
88,7 |
2559,8 |
2377,4 |
|
8 |
2097,8 |
443,4 |
53,6 |
2594,8 |
2441,3 |
|
9 |
2125,8 |
456,7 |
26,3 |
2608,8 |
2507,1 |
|
10 |
2137,0 |
470,4 |
10,5 |
2617,9 |
2574,9 |
|
11 |
2144,3 |
484,5 |
6,8 |
2635,6 |
2644,7 |
|
12 |
2158,5 |
499,0 |
13,3 |
2670,8 |
2716,7 |
|
13 |
2186,6 |
514,0 |
26,4 |
2727,0 |
2790,7 |
|
14 |
2231,6 |
529,4 |
42,2 |
2803,2 |
2867,0 |
|
15 |
2292,6 |
545,3 |
57,1 |
2895,0 |
2945,6 |
|
16 |
2366,0 |
561,6 |
68,8 |
2996,5 |
3026,6 |
|
17 |
2447,2 |
578,5 |
76,1 |
3101,8 |
3109,9 |
|
18 |
2531,4 |
595,9 |
79,0 |
3206,3 |
3195,8 |
|
19 |
2615,0 |
613,7 |
78,4 |
3307,1 |
3284,3 |
|
20 |
2695,7 |
632,1 |
75,6 |
3403,5 |
3375,4 |
|
у |
 |
Рис. 9.6. Динамика национального дохода при экзогенном росте автономного спроса
Вследствие ежегодного увеличения населения с тем же темпом будут расти автономные расходы и национальный доход полной занятости — верхний предел возможных колебаний национального дохода
yF,t = У F,0(1+ n)t.
Экзогенный рост автономного спроса повышает и нижнюю границу колебаний национального дохода, даже если допустить рост амортизационных отчислений с тем же темпом, что и автономный спрос
Dt = D0(1 + n)t = -Iin,t min.
Тогда в ситуациях, соответствующих областям III и IV, после увеличения автономного спроса с темпом (1+ n) колебания национального дохода будут происходить в наклонном коридоре.
Пример 9.1.2. Пусть в периоде to установилось равновесие при C = 0,75y; Ia = 200; у = 800; п = 2,2; D = 100. С периода tj темп роста автономных инвестиций и амортизационного фонда составляет 1,03. Колебания национального дохода в этих условиях представлены в табл. 9.7 и на рис. 9.7.
Таблица 9.7
Взаимодействие мультипликатора и акселератора при постоянном росте автономных расходов и фонда амортизации
|
t |
C |
Ia |
hn |
у |
|
0 |
600 |
200 |
0 |
800 |
|
1 |
600 |
206 |
0 |
806 |
|
2 |
604,5 |
212,2 |
13,2 |
829,9 |
|
3 |
622,4 |
218,5 |
52,5 |
893,5 |
|
4 |
670,1 |
225,1 |
139,9 |
1035,2 |
|
5 |
776,4 |
231,9 |
311,7 |
1319,9 |
|
6 |
989,9 |
238,8 |
626,4 |
1791,1 |
|
7 |
1343,3 |
246,0 |
1036,6 |
1844,8 |
|
8 |
1383,6 |
253,4 |
118,2 |
1755,2 |
|
9 |
1316,4 |
261,0 |
-130,5 |
1446,9 |
|
10 |
1085,1 |
268,8 |
-134,4 |
1219,5 |
|
11 |
914,7 |
276,8 |
-138,4 |
1053,1 |
|
12 |
789,8 |
285,2 |
-142,6 |
932,4 |
|
13 |
699,3 |
293,7 |
-146,9 |
846,1 |
|
14 |
634,6 |
302,5 |
-151,3 |
785,9 |
Окончание табл. 9.7
|
t |
C |
Ia |
Iin |
У |
|
15 |
589,4 |
311,6 |
-132,6 |
768,4 |
|
16 |
576,3 |
320,9 |
-38,5 |
858,8 |
|
17 |
644,1 |
330,6 |
198,9 |
1173,5 |
|
18 |
880,1 |
340,5 |
692,4 |
1913,0 |
|
19 |
1434,8 |
350,7 |
1627,0 |
2630,3 |
|
20 |
1972,7 |
361,2 |
1577,9 |
2709,2 |
При заданном уровне цен P = 1 на рынке денег установится динамическое равновесие, если
M = yyt-1 + i (imax — ii )• (9.4)
Решив равенство (9.4) относительно it, получим
Ч = 1 yt-1
M limax
li
¦ h
4-1 fyt-2
M limax
(9.5)
 |
|
Рис. 9.7. Динамика национального дохода при сочитаниях Cy, ц в областях III и IV в случае постоянного роста автономных расходов и амортизационных отчислений |
Из-за того что теперь ставка процента не постоянна, нужно из суммы автономных расходов выделить автономные инвестиции; при этом предполагают, что их объем в текущем периоде зависит от ставки процента предшествующего периода,
At = i (Rmax - it-1) + At •
Тогда уравнение (9.1) принимает вид
Уі = Cyyt-1 + n(yt-1 - yt-2)- 1it-1 + At. (9.6)
Подставив значение it-1 из уравнения (9.5) в уравнение (9.6), после преобразований получим
yt = (Cy + n)yt-1 - (ц + X)yt-2 + Bt , (9.7)
|
|
 |
|
Рис. 9.8. Сдвиг областей, определяющих динамику национального дохода при взаимодействии рынков благ и денег |
9.2.2. Модель Тевеса
Т. Тевес дополнил модель Самуэльсона-Хикса рынком денег, который в соответствии с моделью IS-LM взаимодействует на рынок благ через ставку процента. В используемых нами обозначениях динамическая функция спроса на деньги в модели Тевеса имеет вид
lt = yyt-1 + imax - lit,
т.е. в текущем периоде спрос на деньги для сделок зависит от дохода предшествующего периода, а спрос на них как имущество — от текущей ставки процента, что вытекает из предназначения каждой из частей кассовых остатков. Предложение денег задано экзогенно и равно M.
где X — Iiy/li; Bt — At + Ii(M limax) / i •
Уравнение (9.7) определяет динамику национального дохода после приращения автономных расходов при взаимодействии рынка благ с рынком денег.
График функции Cy = -ц + 2yjц + X отделяет множество сочетаний Су, (р + X), приводящих к монотонному изменению объема эффективного спроса, от множества сочетаний этих же параметров, приводящих к его колебаниям. На рис. 9.8 показана разделительная линия при X = 0,5; для сравнения на нем пунктирной линией воспроизведен график, представленный на рис. 9.3.
Устойчивость или неустойчивость совместного ди- |
ly - a
•t-i =yt - 2
(9.8)
намического равновесия на рынках благ зависит от значения суммы П + Я. Если п + Я < 1, то равновесие устойчиво, при п + Я > 1 после нарушения равновесия оно не восстановится, а при п + Я = 1 экзогенный толчок в виде приращения автономного спроса приведет к равномерным незатухающим колебаниям эффективного спроса около своего равновесного значения.
Поскольку по своей природе Я величина положительная, то теперь разделительная линия проходит выше, чем в модели Самуэльсона-Хикса. Но из-за того, что предельная склонность к потреблению не может превышать единицу, все точки, лежащие выше линии Cy = 1, не имеют экономического смысла.
Как следует из рис. 9.8, с включением в модель рынка денег область устойчивого равновесия сокращается на заштрихованную площадь; это уменьшение тем больше, чем выше Я.
Посредством модели Тевеса можно показать возможности банковской системы в регулировании конъюнктурных колебаний экономической активности. Если центральный банк при определении объема предложения денег будет ориентироваться на величину реального национального дохода предшествующего периода и текущую ставку процента, то функция предложения денег примет вид
Mt - liW = т-1 + bit; 0 < а <1 b > 0, где a, b — параметры регулирования количества денег в обращении. В этом случае равновесие на рынке денег достигается при
ayt-і + bit = lyyt-i - ltit;
отсюда
• ly - a
it = —— yt-1
t L + b t1
Подставив значение it—1 из выражения (9.8) в уравнение (9.6), после преобразований получим
Уг = (Cy + П) yt-1 - (П - h)yt-2 + Ca + liRmax , (9.9)
гДе h = Ji (a - ly )(b + li )• |
Теперь кривая, разделяющая области монотонного и колебательного изменений yt, описывается формулой Cy = -п + 2^Jn~h . Разделительная линия сдвигается вниз, если h > 0, т.е. при а > ly , но в этом случае, как следует из равенства (9.8), ставка процента будет отрицательной.
Следовательно, путем соответствующего подбора параметров а и b центральный банк может влиять на характер развития экономической конъюнктуры после экзогенного импульса.
Пример 9.2. Продемонстрируем это при сочетании Cy = 0,8; п = 0,75, при котором в отсутствие рынка денег увеличение автономных инвестиций сопровождается колебательным переходом к новому динамическому равновесию (см. табл. 9.3 и рис. 9.4 для точки b). Пусть функция спроса домашних хозяйств на реальную кассу имеет вид: lt -liimax = 0,1yt-1 - 2it, а объем автономных инвестиций определяется по формуле: la t = 250 - 32it-1. Определяя в этих условиях количество находящихся в обращении денег по формуле Mt - ljimax = 0,15yt-1 + 8it, банковская система сместит разделительную линию вправо-вниз настолько, что сочетание Cy = 0,8; п = 0,75, бывшее в области II (см. рис. 9.4, точка b), окажется в области I (рис. 9.9). Равновесное значение национального дохода, с учетом того, что it-1 = -0,005yt - 2, определяется из равенства
yt = 50 + 0,8yt-1 + 0,75(yt-1 - yt-2 ) + 250- 32(-0,005yt-2) ^ y* = 7500.
В табл. 9.8 и на рис. 9.10 показано, что теперь приращение автономного спроса с первого периода на 50 сопровождается монотонным переходом к новому динамическому равновесию.
|
 |
|
Рис. 9.10. Монотонный переход к новому равновесию при Cy = 0,8; п = 0,75 |
 |
|
Рис. 9.9. Перевод сочетания Cy = 0,8; п = 0,75 из области II в область I с помощью денежной политики |
|
|
Таблица 9.8
Переход к новому динамическому равновесию при Cy = 0,8; п = 0,75 |
|
|
|
t |
C |
Ia |
hn |
y |
|
0 |
6050 |
1450 |
0 |
7500 |
|
1 |
6050 |
1500 |
0 |
7550 |
|
2 |
6090 |
1508 |
37,5 |
7635,5 |
|
3 |
6158,4 |
1521,7 |
64,1 |
7744,2 |
|
4 |
6245,4 |
1539,1 |
81,5 |
7866,0 |
|
5 |
6342,8 |
1558,6 |
91,3 |
7992,6 |
|
6 |
6444,1 |
1578,8 |
95,0 |
8118,0 |
|
7 |
6544,4 |
1598,9 |
94,0 |
8237,2 |
|
8 |
6639,8 |
1618,0 |
89,4 |
8347,2 |
|
9 |
6727,7 |
1635,5 |
82,5 |
8445,8 |
|
10 |
6806,6 |
1651,3 |
73,9 |
8531,9 |
|
11 |
6875,5 |
1665,1 |
64,6 |
8605,2 |
|
12 |
6934,1 |
1676,8 |
55,0 |
8665,9 |
|
13 |
6982,7 |
1686,5 |
45,6 |
8714,9 |
|
14 |
7021,9 |
1694,4 |
36,7 |
8753,0 |
|
15 |
7052,4 |
1700,5 |
28,6 |
8781,5 |
|
16 |
7075,2 |
1705,0 |
21,3 |
8801,5 |
9.3. Монетарная концепция экономических циклов
Несмотря на то что в модели Тевеса присутствует рынок денег, в ней, как и в модели Хикса-Самуэльсона, причиной конъюнктурных циклов выступают экзогенные изменения спроса на блага. Монетарные концепции экономических циклов связывают колебания экономической активности с изменениями в кредитно-денежном секторе.
Основоположником монетарной концепции экономических циклов считается Р. Хаутри. По его представлению, исходным пунктом экономического цикла является рост предложения кредита со стороны банковской системы. Далее следуют снижение ставки процента, рост инвестиций и совокупного спроса; так возникает фаза подъема, которая сопровождается ростом уровня цен. Со временем экономический подъем прекращается под воздействием двух основных факторов: внутреннего и внешнего. Первый сводится к исчерпанию избыточных резервов коммерческих банков; второй - к сокращению валютных резервов страны вследствие увеличения импорта и сокращения экспорта из-за повышения уровня цен. Оба названных фактора создают дефицит на рынке денег, и ставка процента начинает повышаться, а объем инвестиций — снижаться. Ухудшение инвестиционного климата на этой фазе развития цикла связано также с тем, что к концу фазы подъема разрыв между темпами роста уровня цен и ставки номинальной зарплаты сокращается. В результате начинаются обратные процессы: спад производства и занятости, снижение денежной ставки номинальной зарплаты и уровня цен, рост чистого экспорта, увеличение валютных резервов и денежной базы. Тем самым подготавливается основа для очередной кредитной экспансии банковской системы.
Рассмотрим более детально концепцию монетарного экономического цикла на примере модели Лайдлера. Модель описывает взаимодействие рынков благ и денег в закрытой экономике без экономической активности государства. Для отображения динамики экономических параметров используются степенные функции.
Спрос на реальные кассовые остатки является функцией от реального дохода текущего периода: lt = y^. Предложение денег в каждом периоде задается экзогенно. Поэтому равновесие на денежном рынке выражается следующим равенством: Mt = Ptyf.
В реальном секторе выпуск продукции зависит от степени использования существующих производственных мощностей, представленных национальным доходом полной занятости: yt = uty^t, где и — коэффициент использования производственных мощностей. Тогда условие равновесия на рынке денег будет Mt = Pt(vtyFt)a, а равновесный темп роста предложения денег
Mt = Pt (utyFt )а
Mt-1 Pt-1(ut-1yFt-1)a |
|
1 Hawtrey R. G. The monetary theory of the trade cycle and its statistical test // Quartaly Journal Economics. 1927. Vol. 41. P. 471-486. |
|
Для упрощения записи введем следующие обозначения Pt/Pt-1 - gt; - mt; yFt/yFt-l - kt. Теперь уравнение равновесного темпа роста предложения денег принимает вид
mt
gtk
ut
ut-1
(9.10)
Для определения ожидаемой в текущем периоде величины роста уровня цен Д. Лайдлер использует концепцию адаптивных ожиданий, в соответствии с которой существовавшее в предшествующем периоде предположение о степени роста уровня цен корректируется с учетом ошибки прогноза (разницы между фактическим и ожидавшимся ростом)
где gt — темп ускорения роста уровня цен.
Изменение темпа роста предложения денег не нарушит равновесия на денежном рынке, если выполняется равенство
lngt = lngt + y(lngt-1 - lngt ) get = gf-1
( V
gt-1
gte-1
mt = _g±_(JlIT Ut/ut-1 У
mt-i gt-1 ( kt-i J (ut-1/Ut-2 J
(9.11)
где у — коэффициент корректировки ошибки прогноза. Поэтому ожидаемый темп ускорения роста уровня цен:
Уравнение (9.11) описывает развитие экономической конъюнктуры в модели Лайдлера.
При динамическом равновесии темпы роста денежной массы и производственных мощностей постоянны (mt = mt-1 = m; kt = kt-1 = k) и уравнение (9.11) упрощается:
 |
(
V
gt-1
gte-1 |
Поскольку в соответствии с уравнением (9.13) gt—1 =Ue_1gt-1, то ожидаемый темп ускорения роста уровня цен в итоге определяется только степенью использования производственных мощностей
1 = _g^_
gt-1 VUt-1/Ut-2 J
(9.12)
Как будет изменяться конъюнктура в экономике в случае отклонения от равновесного роста денежной массы, зависит от параметров уравнения (9.12), т.е. от изменений уровня цен (реакции монетарного сектора) и загрузки производственных мощностей (реакции реального сектора).
В рассматриваемой модели предполагается, что темп роста уровня цен определяется двумя факторами: степенью загрузки производственных мощностей (уровнем безработицы) и ожиданиями относительно роста уровня цен^® ). Конкретно эта зависимость тоже выражается степенной функцией
gt=Ueget, (9.13)
где в характеризует реакцию занятости на повышение уровня цен (в > 1).
Соответственно темп ускорения роста уровня цен
gt = _gt_( Ut Je gt-1 gt-1 Ut-1J '
 |
(в t
У-1 gt-1
gt-1 |
eY t-1.
(9.14)
С учетом выражения (9.14) темп фактического ускорения уровня цен (см. уравнение (9.13)) становится функцией от степени использования производственных мощностей в текущем и предшествующем периодах
gt
gt-1
Ut
Ut-1
eY
t-1 .
(9.15)
Теперь уравнение (9.12), определяющее характер развития экономической конъюнктуры в случае превышения равновесного темпа роста предложения денег, можно представить в следующем виде:
1 = Ut vhvU, (9^6)
где a -
ву - a a + в
1;b
> 0; 3)
> 0.
В результате логарифмирования степенного уравнения (9.16) получается однородное дифференциальное уравнение второго порядка, подобное уравнению (9.2) в модели Самуэльсона-Хикса:
ln и t + a ln ut-i + b ln и t-2 = 0. (9.17)
Равенство (9.17) выполняется только при xt = xt-\ = xt-2 = 1. Это значит, что динамическое равновесие достигается при полном использовании производственных мощностей. В этом случае, как следует из формулы (9.14), уровень цен растет с постоянным темпом, который в соответствии с уравнением (9.10) равен gt = mt/kf. Поскольку в состоянии динамического равновесия kt = const, то темп роста уровня цен прямо пропорционален темпу роста денежной массы. Иначе говоря, динамическое равновесие возможно при различных темпах инфляции лишь бы темп роста предложения денег соответствовал уравнению m = gtkt.
Отклонение от равновесного темпа роста предложения денег нарушает динамическое равновесие в экономике. Перейдет ли после этого экономика к новому равновесному состоянию или нет, зависит от свойств дифференциального уравнения (9.17).
Используя же методы анализа, которые были применены в модели Самуэльсона-Хикса, можно установить, что динамическое равновесие является устойчивым при следующих условиях:
Py > 0. 2)4о-2р-Ру + в ’ а + р
Поскольку по своей природе параметры а, в и у положительны, то условия 1 и 3 выполняются. Следовательно, определяющим является условие 2: равновесие устойчиво, если у < 2 + 4а / р.
Вспомним, что у есть коэффициент корректировки прогнозной ошибки при формировании адаптивных ожиданий. Допущение, что на практике он не бывает больше двух, вполне правдоподобно, поэтому динамическое равновесие в модели Лайдлера является устойчивым. В частности, это означает, что в длинном периоде деньги нейтральны: после любого изменения их количества экономика вернется в равновесное состояние, но с другим темпом инфляции. В коротком периоде изменение денежной массы отражается на степени загрузки производственных мощностей, уровне занятости и величине национального дохода. Будет ли в этом периоде экономика переходить к новому равновесному состоянию монотонно или через затухающие колебания, зависит от дискриминанта характеристического уравнения. При |
С Py - а Л 2 < 4а ^ а + р J а + р
после монетарного импульса экономика перейдет к новому динамическому равновесию через затухающие конъюнктурные колебания, а при
2
С Py - а Л 4а
I--11 >--монотонно.
^ а + р J а + р
9.4. Модель Калдора
В модели взаимодействия мультипликатора и акселератора конъюнктурные колебания в экономике возникают вследствие экзогенного импульса - изменения величины автономного спроса или количества денег. В модели Калдора причинами циклического развития экономики являются эндогенные факторы. В основе этой модели лежат специфические функции инвестиций и сбережений.
Н. Калдор исходил из того, что в коротком периоде объем инвестиций зависит от величины реального национального дохода. Причем зависимость эта нелинейна. При низком уровне занятости рост национального дохода почти не увеличивает инвестиции, так как имеются свободные производственные мощности. Малоэластичны инвестиции по доходу и в периоды избыточной занятости и высокого уровня национального дохода, так как в такие периоды инвестирование связано с большими издержками из-за высоких ставок процента и заработной платы. В фазе подъема, т.е. при переходе от низкой к высокой занятости, эластичность инвестиций по доходу больше единицы в связи с ростом реального капитала. Графический вид функции инвестиций в модели Калдора представлен на рис. 9.11.
Сбережения в коротком периоде тоже являются нелинейной возрастающей функцией от дохода. При низком уровне дохода предельная склонность к сбережению относительно велика, так как домашние хозяйства стремятся за счет сбережений поскорее перейти на более высокий уровень благосостояния. Когда уровень дохода стабилизируется на среднем уровне, люди снижают долю сберегаемого дохода. Если |
|
|
 |
Рис. 9.11. Функция инвестиций Рис. 9.12. Функция сбережений
Калдора Калдора |
 |
Рис. 9.13. Неоднозначность Рис. 9.14. Смещение кривых
равновесия I и S в фазе бума |
доходы существенно превышают средний уровень, то предельная склонность к сбережению снова увеличивается. График нелинейной функции сбережений показан на рис. 9.12.
В среднесрочном периоде объемы сбережений и инвестиций зависят также от времени: S = S(y, t), I = I(y, t). Если на протяжении нескольких лет экономика растет, то объем сбережений увеличивается при любом уровне дохода. На графике это отображается сдвигом кривой S = S(y, t) вверх. График функции инвестиций в периоды продолжительного роста экономической активности, наоборот, смещается вниз. Это объясняется тем, что за время продолжительного экономического роста капиталовооруженность труда приближается к своему оптимальному при данной технологии значению.
Специфика функций сбережений и инвестиций в модели Калдо-ра приводит к неоднозначности равновесия на рынке благ: равенство I(y) = S(y) может существовать при трех различных значениях реального национального дохода, как показано на рис. 9.13.
Точки A, B, Cпредставляют различные варианты статического равновесия на определенный момент времени. Причем равновесие в точке B неустойчиво, а в точках A и C устойчиво.
В точке B равновесие неустойчиво, так как при уа < У < Ув сбережения превышают инвестиции и на рынке благ образуется избыток, который ведет к сокращению производства. Когда ув < У < Ус, тогда объем инвестиций превышает объем сбережений и на рынке благ возникает дефицит, который стимулирует расширение производства.
Из аналогичных рассуждений следует, что в точках A и C равновесие устойчиво. Отклонение от A или C вправо приводит к избытку благ и сокращению их производства, а отклонение влево — к дефициту и расширению производства.
Хотя равновесие в точках A и C устойчиво, но это равновесие короткого периода. Состояние экономической конъюнктуры, соответствующее точке A, характеризуется малым объемом инвестиций, который недостаточен даже для полного возмещения изношенного капитала. Сокращение действующего капитала через некоторое время увеличит склонность предпринимателей к инвестициям, и спрос на них возрастет, что отобразится на рис. 9.13 сдвигом графика I(y, t) вверх. В результате равновесие нарушится.
Точка C представляет равновесное состояние при высокой экономической активности. Если оно продлится в течение нескольких периодов, то в результате достижения оптимального размера капитала спрос на инвестиции начнет снижаться, что отобразится на рис. 9.12 сдвигом графика инвестиций вниз, и экономика выйдет из равновесного состояния.
Рассмотрим теперь процесс изменения экономической конъюнктуры. Пусть в исходном моменте национальный доход равен уо (см. рис. 9.13). Поскольку в этом случае инвестиции превышают сбережения, на рынке благ образуется дефицит, который стимулирует рост производства. Когда национальный доход возрастет до yC, тогда установится устойчивое равновесие. Если такое состояние конъюнктуры сохранится надолго, то вследствие длительного роста благосостояния домашние хозяйства увеличат размер сбережений смещая график S вверх. Одновременно кривая инвестиций вследствие приближения объема капитала к оптимальному размеру начнет сдвигаться вниз. Встречное движение графиков функций сбережений и инвестиций приведет к совмещению точек B и C (рис. 9.14).
В результате краткосрочное равновесие из устойчивого превратится в неустойчивое. Как только национальный доход станет меньше ув,о |
|
|
 |
|
Рис. 9.15. Смещение кривых I и S в фазе подъема |
сбережения будут превышать инвестиции и из-за возникшего избытка на рынке благ производство начнет сокращаться, пока экономика не достигнет нового краткосрочного устойчивого равновесия в точке A. На некоторое время установится устойчивое равновесие при низком уровне экономической активности.
При такой экономической конъюнктуре через некоторое время размер сбережений начнет сокращаться, что отразится сдвигом кривой S вниз. Кроме того, если в течение ряда лет объем производства сохранится на низком уровне, то запасы готовой продукции постепенно сократятся. В определенный момент возникнет дефицит благ, и это
послужит сигналом к расширению производства и увеличению спроса на инвестиции; начнется сдвиг кривой I вверх.
Встречное движение кривых S и I совместит точки A и B (рис. 9.15) и установится неустойчивое равновесие. Поэтому, когда при оживлении экономики объем производства будет превышать Уа,в, на рынке благ возникнет дефицит, стимулирующий рост национального дохода до ус.
Так, пройдя через конъюнктурный цикл, экономика снова на некоторое время стабилизируется в условиях высокой экономической активности. Со временем по названным выше причинам кривая S начнет движение вверх при одновременном смещении кривой I вниз, и это знаменует начало очередного экономического 1
цикла .
9.5. Экономический цикл как следствие борьбы за распределение национального дохода
Модель Крафта—Вайзе. В этой модели возникновение конъюнктурных колебаний в экономике объясняется изменением стратегии
1 Развитие модели экономического цикла Н. Калдора (Chang W., Smyth D. The existence of cycles in non linear model // Review Economics Studs. 1971. P. 37—48; Vari-an H.R. Catastrophe theory and business cycle // Economic Inquiry. 1979. Jan. P. 14—27; Gabisch G, Lorenz H.-W. Business cycle theory. Berlin, 1989. P. 161 — 181).
поведения макроэкономических субъектов. Поскольку при определении вариантов поведения субъекты опираются на свои прогнозы ответных реакций контрагента, то в модели используются элементы теории игр.
Пусть общество состоит только из двух макроэкономических субъектов: предпринимателей и домашних хозяйств. Последние на рынке труда представлены профсоюзом.
Изменение экономической стратегии предпринимателей сводится к переходу от большого объема инвестиций (I+) к малому их объему (I-), и обратно. Профсоюз, исходя из текущей конъюнктуры и оценивая перспективы, должен принять решение: требовать ли в данный момент высокую ( W+) или низкую ( W-) ставку заработной платы. В зависимости от выбранной каждым из субъектов стратегии поведения в экономике возникает одна из четырех приведенных в табл. 9.9 хозяйственных ситуаций.
|
Таблица 9.9
Варианты экономической конъюнктуры в зависимости от стратегии поведения предпринимателей и домашних хозяйств |
|
|
|
|
Стратегия домашних хозяйств |
|
W - |
W + |
Стратегия
предпринимателей |
I+ |
I |
II |
|
I - |
III |
IV |
Ситуация I возникает тогда, когда профсоюз согласен на низкую ставку заработной платы, а предприниматели делают большие инвестиции. В таких условиях занятость будет очень высокой (избыточной), поэтому фонд заработной платы будет большим, несмотря на низкую цену труда. Большой фонд оплаты труда и высокая инвестиционная активность создают большой совокупный спрос на рынке благ, что вместе с низкими издержками на единицу труда обеспечивает предпринимателям большую прибыль.
Со временем ситуация I должна перейти в ситуацию II, так как условия благоприятствуют повышению цены труда. Когда ставка зарплаты достигнет максимума, тогда в экономике установится полная занятость. Доля труда в национальном доходе достигает максимума. Из-за возросших затрат на оплату труда прибыль будет небольшой. Поскольку объем инвестиций большой, то объем прибыли, выплачиваемой на дивиденды, будет очень маленьким. Это может послужить причиной перехода экономики в ситуацию III или IV.
|
|
Таблица 9.10
Характеристики состояния конъюнктуры |
|
|
|
Ситуация |
Занятость |
Ставка номинальной зарплаты |
Фонд зарплаты |
Распределяемая
прибыль |
|
I |
Избыточная |
Низкая |
Большой |
Большая |
|
II |
Полная |
Максимальная |
Максимальный |
Минимальная |
|
III |
Неполная |
Минимальная |
Минимальный |
Максимальная |
|
IV |
Минимальная |
Высокая |
Маленький |
Маленькая |
Если при низкой инвестиционной активности предпринимателей профсоюз согласен на низкую ставку заработной платы, то сложится ситуация III, которая характеризуется следующими признаками. Неполная занятость, так как совокупный спрос ниже нормального из-за малого объема инвестиций. Наличие конъюнктурной безработицы вместе с низкой ставкой зарплаты снижает долю труда в национальном доходе до минимума. Прибыль соответственно увеличивается, и большая ее часть распределяется на дивиденды.
Когда при малых объемах инвестиций профсоюз добивается высокой оплаты труда (ситуация IV), то безработица становится очень большой; занятыми останутся лишь наиболее квалифицированные и опытные работники. В этом случае и фонд зарплаты, и прибыль будут небольшими, так как производимый национальный доход невелик.
В систематизированном виде конъюнктурные характеристики четырех перечисленных состояний экономики представлены в табл. 9.10.
Каждый из макроэкономических субъектов ранжирует возможные рыночные ситуации в соответствии со своей функцией полезности.
Предположим, что в данный момент (накануне собрания акционеров) предприниматели первостепенное значение придают размеру распределяемой на дивиденды прибыли, поэтому их предпочтения выразятся следующим образом:
Uf0 : III ^ I ^ IV у II.
Пусть домашние хозяйства в это же время стремятся максимизировать фонд заработной платы и их предпочтения распределяется так:
Uh0 : II у I у IV у III.
Предполагается, что каждой из сторон известны предпочтения другой стороны и после принятия решения о поведении в текущем периоде ни одна из сторон не может его изменить, т.е. условия выбора соответствуют ситуации, известной в теории игр как «дилемма заключенного».
В описанных условиях домашние хозяйства рассуждают так. Если согласиться на низкую ставку зарплаты, то из двух возможных в экономике ситуаций I и III предприниматели выберут III, а при требовании высокой ставки им придется выбирать между ситуациями II и IV и они остановятся на последней. Следовательно, от решения домашних хозяйств зависит, возникнет ли в экономике ситуация III или IV. При сложившихся предпочтениях они выберут ситуацию IV. Состояние экономической конъюнктуры будет характеризоваться большой безработицей и сокращением объема реального капитала из-за недостаточного инвестирования.
Длительное пребывание в такой ситуации может побудить домашние хозяйства изменить систему своих предпочтений. На переговорах с предпринимателями он будет ориентироваться не только на величину зарплаты, но и на уровень занятости. Тогда шкала ценностей домашних хозяйств изменится и примет следующий вид:
Uh1 : I у II у III у IV.
Так как предпочтения предпринимателей не изменились, то домашние хозяйства по-прежнему могут выбирать лишь между ситуациями III и IV. При новой системе предпочтений они выберут ситуацию III, которая и установится в экономике.
Вследствие снижения ставки зарплаты и прироста занятости у предпринимателей возрастут прибыли. В ожидании подъема экономики предприниматели при выборе стратегии поведения будут делать упор на рост инвестиций. Это изменит шкалу их предпочтений таким образом:
Uf1 : I у II у III у IV.
Поскольку предпочтения сторон оказались одинаковыми, то в экономике сложится ситуация I.
Обнаружив высокий уровень занятости, сочетающийся с низкой ставкой зарплаты, домашние хозяйства вернутся к своей первоначальной шкале ценностей Uh0. Оценивая по этой шкале ситуации I и II, которые предприниматели могут реализовать исходя из своих предпочтений Uf1, домашние хозяйства предпочтут ситуацию II, и экономика перейдет в очередную фазу экономического цикла.
При экономической ситуации II вследствие снижения объема прибыли предприниматели со временем станут предпочитать прибыль инвестициям и вернутся к исходной шкале своих предпочтений Uf0. Тогда начнется очередной конъюнктурный цикл наподобие рассмотренного. |
1 -81
п
(9.21)
Kt Kt
Модель Гудвина1. В закрытой экономике без экономической активности государства благодаря гибкой системе цен на рынке благ постоянно существует равновесие; соответственно объем инвестиций равен объему сбережений. Вследствие роста населения и технического прогресса национальный доход страны ежегодно увеличивается. Годовой темп роста населения равен (1 + n), а технический прогресс выражается в ежегодном увеличении средней производительности труда в (1 + а) раз. При таком виде технического прогресса, как будет показано в 14.2, темпы прироста национального дохода и капитала (производственных мощностей) равны друг другу.
В этой модели, как и в модели Крафта—Вайзе, конъюнктурные циклы возникают вследствие изменения распределения национального дохода между трудом и капиталом.
Введем следующие обозначения: wN/y = 8 — доля труда в национальном доходе; y/N = q — средняя производительность труда;1 - щ = 1 -- (N - N)/N = N/N = и — показатель занятости; K/y = п — капиталоемкость национального дохода;^+1 - xt)/ xt = x t — темп прироста показателя x в периоде t.
Долю труда в национальном доходе, являющуюся главным объектом внимания в данной модели, можно представить в виде 8t = wt/qt. Поскольку при непрерывном росте темп прироста дроби равен разности темпов прироста числителя и знаменателя, а производительность труда по предположению растет с постоянным темпом а, то 81 =w-а.
Темп изменения ставки реальной заработной платы (w t) в соответствии с кривой Филлипса2 положительно зависит от уровня занятости и в данной модели определяется по формуле wt = put - у, где р и у — положительные константы.
На основе установленных зависимостей темп прироста доли труда в национальном доходе можно представить в виде
81 =риt -(а + у). (9.18) |
Из дефиниционного уравнения показателя занятости, с учетом того что Nt= n, следует: а из дефиниционного уравнения производительности труда, с учетом того что в условиях модели y t = Kt, получаем
Nt = yt -а = Kt -а. (9.20)
Прирост капитала определяется объемом инвестиций: AKt = It. В соответствии с «золотым правилом» накопления вся прибыль, т.е. доля предпринимателей в национальном доходе, направляется на инвестиции: It = (1 - 8t)yt. Поэтому темп прироста капитала можно представить в виде (1 -81 )yt Kt
Из соотношений (9.19)—(9.21) следует, что
vt =—8-(а + n) = — -(а + n)-8. (9.22)
п п п
Два дифференциальных уравнения — (9.18) и (9.22) — составляют модель Гудвина, описывающую конъюнктурные колебания растущей экономики.
На первый взгляд они противоречат друг другу. Из уравнения (9.18) следует, что доля труда в национальном доходе растет тем быстрее, чем больше занятость, а в соответствии с уравнением (9.22), чем больше доля труда в национальном доходе, тем медленней увеличивается занятость.
Уравнения (9.18) и (9.22) образуют специфическую систему дифференциальных уравнений Лотки—Вольтерра2, представляющую процесс установления динамического равновесия в ходе «борьбы видов»: лисы пожирают зайцев, но когда последних становится мало, тогда уменьшается и поголовье лис, что способствует росту числа зайцев, а затем и лис ит.д.
Для определения равновесия в модели Гудвина нужно выяснить, при каких значениях ^t и ut они больше не будут изменяться, т.е. когда 81 = "61 = 0. Из уравнения (9.18) находим, что 81 = 0 при put = а + у. Следовательно, |
(9.19)
(9.23)
1 Goodwin R.M. A growth cycle // Socialism, capitalism and economic growth. Cam bridge, 1967. P. 54—58.
2 Кривая Филлипса будет рассмотрена в 10.1.1.
|
 |
|
Рис. 9.17. Динамика занятости и доли труда в национальном доходе |
 |
|
Рис. 9.16. Равновесное и неравновесные сочетания 5,? |
Соответственно из уравнения (9.22) находится равновесное значение доли труда в национальном доходе
5* = 1 - n(a + n). (9.24)
Таким образом, если доля труда в национальном доходе будет равна 5 , то оставшейся доли капитала (1 — 5 ) будет достаточно для того, чтобы за счет инвестиций постоянно поддерживать занятость на уровне и , несмотря на рост предложения труда. Это свидетельствует о совпадении интересов труда и капитала в длинном периоде. Но в коротком периоде рабочие и предприниматели могут «перетягивать одеяло на себя», тогда вместе с колебанием доли каждой из сторон в национальном доходе будут изменяться уровень занятости и величина национального дохода.
Все множество сочетаний ut, 5t, при которых одновременно соблюдаются равенства (9.18) и (9.22), образует в пространстве ut, 5t эллипс (интегральную кривую) с центром равновесной комбинации и*, 5* (рис. 9.16).
Только комбинация, представленная точкой E, обеспечивает монотонный рост экономики. Но в таком состоянии экономика может оказаться лишь случайно. Динамическое равновесие в рассматриваемой модели неустойчиво. Отклонение от равновесного сочетания и , 5 приводит к круговому движению по интегральной кривой ABCD, обусловливая циклические колебания экономической конъюнктуры. В цикле выделяются четыре фазы.
Экспансия (А ^ В). В состоянии, представленном точкой A, доля капитала в национальном доходе максимальна при равновесной занятости. Такая ситуация стимулирует рост инвестиций, вследствие которых возрастет спрос на труд. Образуется избыточная занятость, которая в точке B достигает максимума.
Рецессия (В ^ С). Точка В представляет конъюнктуру с максимальной занятостью и равновесной долей труда в национальном доходе.
Вследствие перегрева экономики, происшедшего в предыдущей фазе, возникает спад производства. Несмотря на снижение занятости и цены труда, доля труда в национальном доходе продолжает увеличиваться вследствие опережающего сокращения прибыли.
Депрессия (С ^ D). В точке С доля предпринимателей в национальном доходе достигает минимума при равновесном уровне занятости. Такая ситуация долго продержаться не может и занятость будет снижаться далее до минимального уровня; одновременно начнет расти доля предпринимателей в национальном доходе.
Оживление (D ^ А). Рост прибыли сопровождается ростом инвестиций, увеличением занятости, создавая благоприятные условия для очередного бума.
Происходящие в ходе циклического развития экономики несинхронные колебания уровня занятости и доли труда в национальном доходе представлены на рис. 9.17.
Обратим внимание на то, что изменения экзогенных параметров — роста населения, производительности труда, капиталоемкости национального дохода — не влияют на циклические колебания конъюнктуры; они определяют только линии тренда, около которых колеблются значения 5t и ut.
Рассмотренные в данной главе модели экономического цикла не являются альтернативными. В каждой из них прослеживалось влияние одного из множества факторов, обусловливающих конъюнктурные колебания в рыночном хозяйстве. В реальной экономике экзогенные и эндогенные импульсы возникают одновременно. Для описания последствий их взаимодействия необходимы значительно более сложные экономико-математические модели.
Краткие выводы
Рыночной экономике имманентно присущи циклические колебания конъюнктуры, не сводимые к сезонным перепадам производства. Простые модели экономических циклов позволяют проследить за тем, как под воздействием отдельных конъюнктурообразующих факторов в национальной экономике возникают циклические колебания. |
Модель взаимодействия мультипликатора и акселератора иллюстрирует многообразие возможных вариантов динамики национального дохода при экзогенном нарушении экономического равновесия.
Дополненная рынком денег модель взаимодействия мультипликатора и акселератора показывает, как посредством изменения предложения денег банковская система может влиять на конъюнктурные колебания, возникающие в реальном секторе.
Монетарная концепция экономических циклов объясняет их возникновение периодическими эндогенными и экзогенными нарушениями равновесия на денежном рынке.
Модель Калдора служит примером объяснения экономического цикла на основе действия эндогенных факторов. В ней циклические изменения экономической активности являются следствием изменения спроса и предложения реального капитала в различных фазах конъюнктурного цикла.
Особая роль субъективного фактора в периодической смене подъема спадом и спада подъемом раскрывается посредством моделей, имитирующих соперничество между трудом и капиталом за распределение национального дохода.
Совместное действие экзогенных и эндогенных, объективных и субъективных конъюнктурообразующих факторов объясняет наблюдаемое в действительности непостоянство длительности и структуры экономических циклов.
Математическое приложение 1: Линейные конечно-разностные уравнения второго порядка
Динамика объектов различной природы часто описывается уравнениями вида
xt = F(xt-b Xt-2, xt-n, t), (1)
связывающими состояние объекта xt в любой момент времени t с состояниями в предшествующие моменты времени. Решение уравнения (1) n-го порядка определено однозначно, если заданы n так называемых начальных условий. Обычно в качестве начальных условий рассматриваются значения xt при t = = 0, 1,..., n - 1. |
Подставляя начальные значения xn-1, ..., x1, xo и t = n в качестве аргументов функции в правой части (1), находим xn; используя найденное значение и подставляя теперь xn, xn-1, ..., x2, x1 и t = n +1 в качестве аргументов функции, находим xn+1 и т.д. Процесс может быть продолжен до тех пор, пока не будут исчерпаны все представляющие интерес значения t.
В 9.2 используются конечно-разностные уравнения вида xt = ax^ + 02т-2 + + f(t) — линейные конечно-разностные уравнения второго порядка, являющиеся частным видом уравнения (1). Они называются однородными, если f(t) = 0 при любых t, неоднородными — в противном случае. И для нахождения, и для исследования свойств решения однородного уравнения
используется так называемое характеристическое уравнение
Обозначим его корни М, X2 и запишем

В теории конечно-разностных уравнений доказывается, что при X1 * X2 решение уравнения (2) описывается равенством
где A1 и A2 — постоянные, определяемые начальными условиями.
Если же X1 = X2 = X, то решение имеет вид
Решение уравнения (2) зависит от значения дискриминанта D = aj2 + 4a2 характеристического уравнения (3).
Рассмотрим возникающие при этом случаи.
1. D > 0. Характеристическое уравнение имеет два различных вещественных корня. Решение описывается равенством (4); если оба корня положительны, то обе компоненты решения — монотонные геометрические прогрессии. Если имеются отрицательные корни, то каждому из них отвечает знакочередующаяся составляющая решения (4).
2. D = 0. Характеристическое уравнение имеет совпадающие вещественные корни, и решение имеет вид (5).
3. D < 0. Характеристическое уравнение имеет пару сопряженных комплексных корней: X1,2 = a ± ір. |
1 Автор: д-р экон. наук, проф. П.А. Ватник.
Равенство (4) при этом справедливо, но неудобно для использования, так как вещественный процесс при этом описывается как сумма комплексных составляющих. Более удобную форму решения можно получить, используя тригонометрическое представление корней: 4^2 = g(cosm ± sinrn), где g = |41 =
= |^2| = а2 + р2 = ^/-^2 ; tgffl = в/а. Такое представление позволяет описать решение уравнения (2) равенством
xt = gf(Bi cosfflt ± B2 smrnt), (6)
где Bi и B2 постоянные, определяемые начальными условиями.
Таким образом, при D < 0 решение носит характер колебаний, амплитуда которых возрастает (при g > 1) или убывает (при g < 1); если частота выражена в радианах, то период колебаний T = 2л/ю.
На рисунке парабола A0B, описываемая уравнением а2 + 4^2 = 0 , соответствует случаю D = 0. Левее параболы располагается область, соответствующая случаю D > 0, правее — случаю D < 0.

Области затухающих и взрывных колебаний
Решение уравнения (2) называют равновесным, если значение xt не изменяется во времени. Подстановкой в уравнение (2) можно убедиться, что xt = 0 есть равновесное решение. Равновесное решение называется устойчивым, если xt ^ 0 при t ^ гс; в противном случае оно называется неустойчивым. Равенства (4) и (5) показывают, что решение будет устойчивым в том и только в том случае, если оба корня характеристического уравнения по модулю меньше единицы. В случае D < 0 условию устойчивости соответствует g < 1, так как g = |А,1| = |4 2|; при этом необходимым и достаточным условием устойчивости является а2 > -1. По теореме Виета 4^2 = -а2, так что условие а2 > -1 необходимо и в случае D > 0, но здесь оно не является достаточным. Система неравенств |
0,5^ а + -Jа2 + 4а2 j < 1;
0,5а + -Jа2 + 4а2 j > -1
дает необходимое и достаточное условие устойчивости для данного случая. Для этого требуется, чтобы выполнялось неравенство |а1 < 2.
Систему можно заменить одним неравенством
а2 + 4^2 <-|а1І, или а2 + 4а2 < 4 - 4|«1І+а2 ^ а2 < 1-|а^.
Последнему неравенству отвечают точки внутри угла ACB на рисунке. Объединяя все полученные результаты, условие устойчивости можно представить в виде двойного неравенства
-1 < а2 < 1-|а1|, (7)
которому соответствуют внутренние точки треугольника ACB.
Уравнение (9.2) имеет вид уравнения (2), при этом а1 = Cy + п; а2 = -П.
Заметим, что Cy > 0 и п > 0 в силу экономического содержания этих параметров. Согласно теореме Виета,
41 + 42 = Cy + п; 41^2 =п. (8)
Условие D = 0, разделяющее колебательные и неколебательные решения, теперь имеет вид
(Cy+п)2 - 4п = 0 ^ Cy = -п+2/пГ п< 4.
При Cy > —п + 2^/л характеристическое уравнение имеет вещественные корни. Из неотрицательности параметров Cy и п и равенств (8) следует, что оба корня неотрицательны и обе компоненты решения (4) изменяются монотонно. При Cy < —п + 2^/п решение носит колебательный характер.
Условие устойчивости (7) теперь принимает вид
-1 <- п < 1 - (Cy + п),
т.е. представляет собой систему неравенств
п< 1;
Cy < 1. |
(3)
На рис. 9.2 устойчивому движению соответствуют области I (монотонное движение) и II (колебательное движение). Неустойчивому движению соответствуют области III (колебательное движение) и IV (монотонное). Области V соответствуют синусоидальные колебания с постоянной амплитудой.
Моделям, рассмотренным в 9.1.2, соответствует однородное конечно-разностное уравнение вида
Ayt = (Cy + п)Дум - (- + m)Ayt-2,
где m = l для уравнения (9.8) и m = -h для уравнения (9.9). Вследствие этого
парабола A0B смещается (см. рисунок, правая часть).
* *
Обозначим - = - + m; Cy = Cy - m. Тогда уравнению можно придать вид, аналогичный уравнению (9.2):
Ayt = (C*y + n*)Ayt-1- n*Ayt-2.
Таким образом, все приведенные выше условия относительно параметров Cy и п переносятся на параметры Cy и - . Кривая, разделяющая области монотонного и колебательного решений, теперь описывается уравнением
Cy = -- + 2д/п + m.
Условие устойчивости принимает вид системы неравенств:
Г-<1 -m;
\Cy < 1 + m.
Графически при m > 0 это соответствует сдвигу всех построений на m единиц влево и на такую же величину вверх; значениям m < 0 соответствует сдвиг в противоположном направлении. |
Интеграл уравнения (1) равен
— -a-njj8-d81 -—Jd8t + A = -(a + Y)|—^dut + Jput, (2)
где A — интегральная постоянная. Из уравнения (2) следует
1 --(a + n) 8t
-ln 8t —- + A = -(a + Y )ln ut + put.
пп
Обозначим [1 - -(a + n)] /- = g и - (a + Y) = h; теперь равенство (3) принимает вид
expj^gln81 -8t + a| = exp(hlnut +put),
а после введения обозначений ug exp(put) = Yt; 8g exp(-81/-) = Xt получим
Yt = e AXt. (4)
Уравнение (4) описывает семейство интегральных кривых для системы дифференциальных уравнений (9.18) и (9.22). Каждому значению A соответствует своя кривая.
Для графического построения интегральной кривой исследуем дефиници-онные функции: Yt = ug exp(put) и Xt =8h exp(-81/-). Поскольку ut и 8t больше нуля, то Yt и Xt тоже положительны, а следовательно, их графики целиком располагаются в квадрантах с осями Yt, ut и Xt, 8t.
Для определения экстремума Yt приравняем ее первую производную нулю: |
Математическое приложение 2: Построение интегральной кривой
Запишем уравнения (9.18) и (9.22) в следующем виде:
d81 = [pu t - (y + a)]81;
1 --(a + n) -81
djL = huf 1 exp(put) + puh exp(put) = | — + p| Yt = °. dut \ut j
Следовательно, экстремум Yt достигается при u* = -h/p. Поскольку
\2"
dut =
Разделив левые и правые части этих уравнений друг на друга, получим
1/ --(a + n) - i_ | d8t =_|0±X-p| dut.
(1)
dY
dut
d 2Yt
dut
~huh 2Yt + (hu-1 +p)ddYJ
2
p
= — Yy > 0, hy
-huh 2+
(hu-1 + p)
Yt
то найденный экстремум является минимумом.
Экстремум Xt достигается при
dXt
d8t

81
expl —-
П
5f ( 81
—-expl —-
П ІЛ
g_
81 |  |
= 0,
т.е. при 8 * = gn. Поскольку
d 2 Xt
d82 |
|
|
g8-2 +( g |
1121 |
v _ d 2 X, |
|
gt +u |
nj |
Xt ^ О
d8 2 |

< 0,
Глава 10 Инфляция
то достигнут максимум.
На основе проведенного анализа построена интегральная кривая (см. рисунок). |
 |
10.1. Понятие инфляции и ее отражение в макроэкономической модели
Инфляция (от лат. inflatio — вздутие) — долговременное снижение покупательной способности денег. Различают открытую и скрытую или подавленную инфляцию. Открытая инфляция проявляется в продолжительном росте уровня цен, скрытая — в усилении товарного дефицита. Открытую форму инфляция принимает в условиях свободных, подвижных цен, скрытую — в условиях жесткого государственного контроля за ними. От инфляции как процесса следует отличать скачок уровня цен — однократное его повышение, которое может стать началом развития инфляции, но может и не стать им.
Уровень инфляции при ее открытой форме определяется темпом прироста уровня цен. В практических расчетах для оценки уровня инфляции используют индексы цен (см. 1.3). При скрытой инфляции для косвенной оценки ее уровня можно применять такие показатели, как соотношение контролируемых государством цен и цен свободного (легального или теневого) рынка, затраты времени на поиски товара, вероятность осуществления нужной покупки, объем вынужденных сбережений и т.п. Инфляция относится к числу основных дестабилизирующих факторов рыночной экономики, и чем выше ее уровень, тем более она опасна.
Инфляция в несколько десятков или сотен процентов в год — явный признак начинающегося и усиливающегося кризиса денежной системы. Гиперинфляция означает ее крах, паралич всего рыночного механизма. Формальный критерий гиперинфляции был введен американским экономистом Филиппом Кэганом, предложившим считать началом гиперинфляции месяц, в котором рост цен впервые превышает 50%, а кон-
|
|
|
Годовые темпы прироста ИПЦ, % |
|
|
|
Год |
Австралия |
Канада |
Финляндия |
ФРГ |
Швейцария |
Швеция |
|
1991 |
3,2 |
5,6 |
4,3 |
3,6 |
5,9 |
9,7 |
|
1992 |
1,0 |
1,5 |
2,9 |
5,1 |
4,0 |
2,6 |
|
1993 |
1,8 |
1,9 |
2,2 |
4,4 |
3,3 |
4,7 |
|
1994 |
1,9 |
0,2 |
1,1 |
2,8 |
0,9 |
2,4 |
|
1995 |
4,6 |
2,2 |
0,8 |
1,7 |
1,8 |
2,9 |
|
1996 |
2,6 |
1,6 |
0,6 |
1,4 |
0,8 |
0,8 |
|
1997 |
0,3 |
1,6 |
1,2 |
1,9 |
0,5 |
0,9 |
|
1998 |
0,9 |
1,0 |
1,4 |
0,9 |
0,0 |
0,4 |
|
1999 |
1,5 |
1,7 |
1,2 |
0,6 |
0,8 |
0,3 |
|
2000 |
4,5 |
2,7 |
3,4 |
1,9 |
1,6 |
1,3 |
цом — месяц, предшествующий тому, в котором рост цен падает ниже этой критической отметки и не достигает ее вновь по крайней мере в течение года. Ф. Кэган признавал произвольный характер своего критерия, но считал его удовлетворительным для исследования соотношения между динамикой денежной массы и уровнем цен в случаях крайне высокой инфляции.
Наиболее высокий уровень гиперинфляции наблюдался в Венгрии с августа 1945 г. по июль 1946 г., когда уровень цен за год вырос в 3,8 • 1027 раз при среднемесячном росте в 198 раз.
Россия в 90-х гг. ХХ в. при переходе от плановой к рыночной экономике пережила две инфляционные волны: длинную в 1992—1996 гг. и короткую в 1998—1999 гг. (рис. 10.1).
|
% |
 |
|
Рис. 10.1. Месячные темпы инфляции в России 1992—1999 гг. |
Небольшие темпы инфляции (ползучая инфляция) стали нормой для современных национальных экономик. На рис. 10.2 представлен рост индекса потребительских цен (ИПЦ) США во время самой продолжительной фазы роста их экономики, а в табл. 10.1 приведены годовые темпы прироста ИПЦ в ряде стран с наиболее благоприятной конъюнктурой в последнем десятилетии ХХ в.
|  |
|
Рис. 10.2. Динамика ИПЦ США 1991—2000 гг. (12.90 = 1) |
Таблица 10.1
Долговременное снижение уровня цен называют дефляцией (от лат. deflatio — выдувание), а замедление темпов инфляции — дезинфляцией.
Представления участников национального хозяйства о будущем уровне цен или инфляционные ожидания входят в число важнейших параметров, определяющих их поведение. Поэтому для комплексного анализа причин возникновения инфляции и ее воздействия на экономическую конъюнктуру в макроэкономическую модель нужно включить и инфляционные ожидания.
Поскольку функция совокупного спроса отражает факторы, обеспечивающие совместное равновесие на рынках благ и денег, а функция совокупного предложения характеризует процессы, происходящие на
1 OCED // .

Wt - Wt-1 Wt-1
(10.1)
рынке труда, и технологию производства, то макроэкономическая модель в сжатом виде может быть представлена как модель взаимодействия совокупного спроса и совокупного предложения. Такой вид макроэкономической модели будет использован в данной главе.
Выведенные в 6.3 и 7.4 функции совокупного спроса и совокупного предложения на рынках благ позволяют определить, каковы будут их объемы при различных фиксированных уровнях цен. Так как инфляция означает непрерывный рост цен, то для ее включения в макроэкономическую модель необходимо установить связь между темпом прироста уровня цен (Pt -Pt-\)/Pt-1 = nt, и объемами совокупного спроса и совокупного предложения соответственно yt (пt) и yt (nt), т.е. построить динамические функции этих агрегатов.
10.2. Динамическая функция совокупного предложения
10.2.1. Отсутствие инфляционных ожиданий
В 7.4 было показано, что объем совокупного предложения при заданной технологии производства определяется поведением предпринимателей и домашних хозяйств на рынке труда. При этом специфика поведения домашних хозяйств состоит в том, что в случае повышения уровня цен цена предложения труда (Wt(N, P)) однозначно не определена. Наглядно это проявляется в том, что в ответ на повышение уровня цен график функции предложения труда либо вообще не сдвигается, либо сдвигается на неопределенное расстояние (рис. 7.13).
Что же определяет номинальную цену предложения труда при заданном уровне цен?
Как и любая цена, цена труда зависит от конъюнктуры рынка. Когда на рынке труда существует дефицит, то рабочие могут рассчитывать на большую ставку зарплаты, чем в период существования конъюнктурной безработицы, и наоборот.
В 1958 г. профессор Лондонской школы экономики А. Филлипс опубликовал результаты своих исследований взаимозависимости между уровнем безработицы и изменением ставки денежной зарплаты в Великобритании в период с 1861 по 1957 г. Для первых 52 лет (1861 — 1913 гг.) эта зависимость аппроксимировалась уравнением
W = -0,9 + 9,64м-14, |
где W — годовой темп прироста номинальной ставки заработной платы, %; и — текущий уровень безработицы, %.
Ее график, получивший название кривой Филлипса, представлен на рис. 10.3.
Обобщенно взаимосвязь между изменением ставки зарплаты и уровнем безработицы (теоретическую кривую Филлипса) можно представить формулой
N - Nt Nt - N
-a--— = a--— где a — параметр, характеризующий изменение уровня номинальной зарплаты в периоде t по сравнению с периодом (t — 1) в зависимости от уровня безработицы в периоде t. Преобразуем формулу (10.1) следующим образом:
Wt = Wt-1
Уравнение (10.2) в явном виде представляет зависимость изменения ставки денежной зарплаты от уровня безработицы. Из него следует, что в текущем периоде ставка зарплаты повышается по сравнению с предшествующим только при уменьшении безработицы ниже ее естественного уровня, т.е. когда Nt > N. Если в текущем периоде существует конъюнктурная безработица, то Wt < Wt-1. Графически эта зависимость представлена на рис. 10.4.
Nt - N
(10.2)
|
|
N* |
 |
|
Рис. 10.4. Зависимость ставки зарплаты от уровня занятости |
 |
|
Рис. 10.5. Сдвиги кривой «зарплата-занятость» при неполной и избыточной занятостях |
В условиях полной занятости ставка денежной зарплаты текущего периода равна таковой же в предшествовавшем: пока Nt = N , ставка заработной платы стабильна. Когда появляется конъюнктурная безработица, тогда цена труда снижается по сравнению с предшествовавшим периодом. При избыточной занятости текущая ставка зарплаты превышает уровень предшествующего периода.
Из формулы (10.2) следует также, что кривая, представляющая зависимость между ставкой номинальной зарплаты и уровнем занятости, смещается в периоды неполной или избыточной занятости. Если в текущем периоде есть конъюнктурная безработица, то в следующем периоде каждому уровню занятости будет соответствовать более низкая ставка зарплаты, т.е. линия W(N) сместится вниз. При избыточной занятости линия W(N) в следующем периоде сдвинется вверх (рис. 10.5).
Допустим, что в нулевом периоде существует полная занятость (N0 = N * = 100) и при этом W0 = 10. Пусть далее в первом периоде занятость сократится до 80 и a = 0,5. Тогда по формуле (10.2) определим
W1 = 10(1 + (-0,2)-0,5) = 9.
Если во втором периоде занятость сохранится на том же уровне, что и в первом, то ставка зарплаты снизится еще больше:
W2 = 9[1 + (—0,2) • 0,5] = 8,1.
Если бы во втором периоде в экономике установилась полная занятость N2 = 100, то
Допустим, что полная занятость существует со второго по седьмой период включительно, а в восьмом периоде N8 = 122. Тогда W8 = 9(1 + 0,22-0,5) = 10.
Если в девятом периоде сохранится такая же занятость, то W9 = 10(1 + 0,22-0,5) = 11,1,
а если N9 = 100, то в соответствии с уравнением (10.2) W9 = 10.
В случае сохранения избыточной занятости на том же уровне и в десятом периоде (N10 = 122)
Wi0 =11(1+0,22-0,5)=12,2,
а при N10 = 100, т.е. при возвращении к полной занятости, W10 = 11.
Таким образом, при фиксированном уровне цен денежная ставка зарплаты постоянна только в состоянии полной занятости. Когда фактический уровень безработицы отклоняется от естественного ее уровня, тогда номинальная ставка зарплаты меняется от периода к периоду, увеличиваясь во время избыточной занятости и уменьшаясь во время конъюнктурной безработицы1.
Дополним теперь зависимость (10.2), выражающуюся кривой Филлипса, эмпирически выявленной А. Оукеном зависимостью между объемом производства и уровнем безработицы (см. формулу 7.4 и рис. 7.10). Для этого представим уравнение кривой Оукена следующим образом:
VF - yt
yF |  |
|
yt - yF = Nt - N* YyF N * |
yF - yt
Wf
*
= Ut - u
N * - Nt
*
N
Тогда уравнение теоретической кривой Филлипса (10.2) принимает вид
W+ = Wt-1
yt - yF
1 + aV YyF
''Wt-1І1 + e(yt - yF )],
(10.3)
где в = a/yyF характеризует реакцию ставки денежной зарплаты на отклонение фактического объема производства от национального дохода полной занятости.
W2 = 9(1 + 0) = 9.
На этом уровне ставка заработной платы сохранится до тех пор, пока Nt = N *.
1 «Кривая Филлипса была включена в макроэкономические модели в качестве надежной замены для несуществующей в кейнсианской системе теории номинальной заработной платы» (Блини М. Обзор современной теории // «Панорама экономической мысли конца ХХ столетия. СПб., 2002. Т. 1. С. 175).
|
|
 |
|
Рис. 10.7. Динамическая функция совокупного предложения без инфляционных ожиданий |
 |
|
Рис. 10.6. Функция совокупного предложения при ценообразовании «затраты плюс» |
Для получения функции совокупного предложения, выражающей взаимозависимость между уровнем цен и объемом производства, осталось выразить номинальную ставку заработной платы через цену агрегированного блага, или уровень цен. В условиях несовершенной конкуренции, присущей современной экономике, наиболее распространенным способом установления цен является ценообразование по методу «затраты плюс», который представляется формулой
Pt = (1 + Х)т Wt, (10.4)
где X — коэффициент начисления на выплаченную зарплату в целях получения нормальной прибыли; т = N/y — трудоемкость единицы продукции.
Подставим в равенство (10.4) значение Wt из уравнения (10.3), тогда P, = (1 + X)tW,-1[1 + p(y - yF )]. (10.5)
Из уравнения (10.4) следует, что произведение перед квадратной скобкой в равенстве (10.5) равно Pt_i, т.е. равенство (10.5) можно представить в виде
P, = Pt-,[і + P(yt -yF)]. (10.6)
Уравнение (10.6) представляет функцию совокупного предложения в коротком периоде, характеризующую взаимозависимость между текущим уровнем цен и текущим объемом совокупного предложения. Ее график показан на рис. 10.6.
Так как эта функция основывается на зависимости ставки номинальной зарплаты от уровня занятости (10.2), то графики обеих функций схожи. Положительный наклон графика функции совокупного предложения объясняется тем, что при увеличении производства сокращается безработица, растет денежная ставка зарплаты и вслед за ней повышаются цены благ.
Поскольку в состоянии неполной занятости денежная зарплата снижается от периода к периоду, а цены устанавливаются по методу «затраты плюс», то при yt < yp каждому объему предложения соответствует более низкий уровень цен, т.е. кривая совокупного предложения со временем сдвигается вниз. При избыточной занятости график совокупного предложения периода t проходит выше этого же графика периода (t-1).
Учитывая, что (P, - P,-i)/P,-i = пt, уравнение (10.6) можно записать следующим образом:
S, 1
y (nt) = yF + pnt. (10.7)
Уравнение (10.7) отражает динамическую функцию совокупного предложения без учета инфляционных ожиданий. Графически оно представлено на рис. 10.7.
Совокупное предложение растет по мере повышения темпа инфляции. При стабильном уровне цен объем совокупного предложения равен национальному доходу полной занятости. Дефляция снижает совокупное предложение.
10.2.2. Наличие инфляционных ожиданий
Уравнение теоретической кривой Филлипса (10.1), лежащее в основе динамической функции совокупного предложения (10.7), характеризует зависимость между приростом денежной ставки зарплаты и уровнем занятости при данном уровне цен. В условиях постоянного его роста домашние хозяйства, определяя цену предложения труда, кроме количества труда и текущего уровня цен принимают в расчет и ожидаемый ими темп инфляции , т.е. WS = WS(N,P,ne), где ne — ожидаемый домашними хозяйствами темп прироста уровня цен.
При использовании в экономических моделях ожидаемых значений каких-либо параметров можно исходить из того, что они задаются экзогенно. Однако результаты анализа оказываются более плодотворными, когда ожидаемые значения возникают в самой модели в качестве эндогенных параметров на основе определенных представлений о способе формирования ожиданий экономических субъектов.
Простейшим примером экономической модели с эндогенными ожиданиями является известная из микроэкономики «паутинообразная» модель ценообразования. Цветовод, решая накануне, сколько цветов он завтра повезет на рынок, ориентируется на сложившуюся сегодня цену Pf+^ = Pt. Это значит, что ожидаемая продавцом в текущем периоде цена следующего периода равна сегодняшней. Такой способ формирования ожиданий называют статическим ожиданием. |
Как известно из курса «Микроэкономика», в зависимости от соотношения углов наклона графиков функций спроса и предложения процесс «паутинообразного» ценообразования будет сходящимся, расходящимся или циклическим. При этом возникает естественный вопрос: почему два последних случая не встречаются в реальной жизни? Дело в том, что в реальном хозяйстве индивиды учатся на своих ошибках. Если продавец видит, что избранный им способ оценки будущей цены приносит ему все больше убытков, он скорректирует процедуру формирования своих ожиданий. Этот факт находит отражение в концепции адаптивных ожиданий, в соответствии с которой ожидаемая в периоде t цена в периоде (t +1) определяется по формуле
pte+1=Pte+x( - Pte), 0 <x< 1, (1°.8)
где X — коэффициент адаптации.
В концепции адаптивных ожиданий предполагается, что индивид в периоде t при прогнозировании цены на период (t + 1) учитывает свою ошибку при предшествующем прогнозе цены (выражение в круглых скобках). При отсутствии ошибки ( - Pf = 01они в будущем станет ориентироваться на правильно определенную им в прошлом цену. Если, например, в понедельник продавец ожидал, что во вторник цена будет равна 5, но она оказалась равной 7 и коэффициент адаптации продавца равен 0,5, то во вторник он будет ожидать, что в среду цена установится на уровне 6. Если бы его прогноз оправдался, то и на среду он ожидал бы цену 5.
Когда индивид не реагирует на ошибку предыдущего прогноза, полагая, что знает нормальное значение прогнозируемого показателя, к которому этот показатель тяготеет, тогда X = 0. Если индивид ожидает, что текущее значение показателя сохранится и на ближайшее будущее, т.е. обладает статическим ожиданием, то X = 1.
Ограничение коэффициента адаптации интервалом {0,1} выражает «здоровый» консерватизм экономического субъекта. Если он обнаружил, что в ходе предыдущего прогноза недооценил рост некоторого показателя (xt > xf ), то он увеличит ожидаемое значение этого показателя на следующий период, однако это значение не превысит достигнутый в прошлом периоде уровень: xf < xf+1 < xt. Такое поведение свидетельствует о том, что экономический субъект строит свой прогноз не только на основе информации двух соседних периодов. |
Концепцию адаптивных ожиданий можно рассматривать как частный случай авторегрессивных ожиданий. В соответствии с последней экономические субъекты прогнозируют направление и величину изменения экономических показателей, основываясь на всей динамике этих показателей в прошлом, хотя при этом предполагается, что недавнее прошлое оказывает на будущее большее влияние, чем события давно прошедших лет. Формально это можно представить так:
xf+1 =X 0 xt +X1 xt-1 +X 2 xt -2 + — + X nxt-n, (1°.9)
где n — число периодов, предшествующих прогнозируемому; Xj — весовые коэффициенты.
Чтобы привести концепцию адаптивных ожиданий к концепции авторегрессивных ожиданий, в правой части формулы (10.8) освободимся от прогнозируемых величин
P+1 = Pf + X(Pt - Pf ) = XPt + (1 - X)Pf = XPt + X(1 - X)Pt- + (1 - X)2 Pf- = = XPt + X(1 - X)Pt-1 + X(1 -X)2 Pt-2 + (1 -X)3 Pt -3 — = Jx(1 - X)jPt-j.
i=0
Как и в выражении (10.9), ожидаемое значение есть взвешенная сумма всех фактических значений показателя в прошлом.
Хотя в концепции авторегрессивных ожиданий «ошибки учат», в тех случаях, когда прогнозируемая величина монотонно увеличивается (уменьшается), ожидания субъекта будут постоянно ниже (выше) фактических значений. К числу недостатков концепции авторегрессивных ожиданий относится также и то, что при прогнозировании индивид использует информацию только о прошлом рассматриваемого явления, не пытаясь предвидеть возможные новые факторы его формирования в будущем.
Неудовлетворенность концепцией авторегрессивных ожиданий побудила исследователей к разработке новой концепции — теории рациональных ожиданий. В соответствии с ней индивид прогнозирует ожидаемое значение параметра, используя структурную модель его формирования и всю имеющуюся в данный момент информацию о факторах, влияющих на определяемое значение.
В концепции рациональных ожиданий цена предстает в виде функции от всех ценообразующих факторов
Pf = Pf (Xj ), i = 1, —, n,
где xi — ценообразующие факторы.
Модель рациональных ожиданий не может быть полностью детерминированной, так как является прогнозной, но в отличие от адаптив- |
(10.11)
nt =в( Vt - Vf ) + п
|
 |
|
Рис. 10.8. Динамическая функция совокупного предложения с инфляционными ожиданиями |
ных рациональные ожидания лишь случайно могут оказаться ошибочными. Рассмотрим простейшую модель прогноза значения цены в соответствии с концепцией рациональных ожиданий
1) Q? = a - bPt + Ut;
2) qS = m + nPt + Vt;
3) Pte = Pte (у);
4) QD = QSe.
Параметры Ut и Vt — это стохастические переменные, отражающие случайные ошибки в прогнозировании объемов спроса и предложения. Первое уравнение указывает на то, что текущий спрос на благо определяется его текущей ценой. Второе уравнение свидетельствует о том, что продавцам решение об объеме предложения приходится принимать накануне, т.е. на основе ожидаемой цены. Третье уравнение говорит о том, что продавец строит свой прогноз в соответствии с концепцией рациональных ожиданий. В рассматриваемом примере это означает, что ему известны параметры a, b, m, N, определяющие конкретный вид функций спроса и предложения. Четвертое уравнение констатирует равенство ожидаемых объемов спроса и предложения.
Поскольку ожидается, что прогноз будет точный, то
QD = a - bp(Xi); QS = m + nPte (x);
a - bPf (Xi) = m + nP,e (Xi) ^ P{ = a-+m.
b + n
В реальной экономике действовать в соответствии с гипотезой рациональных ожиданий не просто. Построение адекватной прогнозной модели, сбор и обработка необходимой для прогноза информации, как правило, связаны со значительными затратами. После сопоставления последних с пользой от точного прогноза показателей индивид может решить, что рациональней не вспоминать о гипотезе рациональных ожиданий. Поэтому, несмотря на научную «солидность» гипотезы рациональных ожиданий, она не вытесняет другие варианты эндогенных инфляционных ожиданий в экономических моделях.
Гипотеза рациональных ожиданий является важным элементом концепции «новых классиков» — современных последователей неоклассического направления развития экономической мысли. Исключая возможность систематических ошибок при прогнозировании значений экономических параметров, она, как будто бы, подкрепляет постулат совершенной гибкости цен и вывод о нейтральности денег. Однако гипотеза рациональных ожиданий используется и в неокейнсианских моделях и сама по себе не может служить обоснованием неоклассической экономической идеологии.
Вернемся к построению динамической функции совокупного предложения.
Вследствие того что при определении цены предложения труда домашние хозяйства учитывают и ожидаемый темп инфляции, в правой части равенства (10.1) появится дополнительное слагаемое пt, так что
Nt - N
т.е. темп прироста ставки номинальной зарплаты корректируется на ожидаемый темп инфляции.
Соответственно изменится равенство (10.3):
=ш - yF)+п e. сю-10)
Wt-1
Поскольку установление цен по методу «затраты плюс» обеспечивает пропорциональность цен ставке денежной зарплаты, темп прироста цен равен темпу прироста зарплаты. Поэтому равенство (10.10) можно записать
¦Vt = Vf +e(nt
Уравнение (10.11) есть динамическая функция совокупного предложения с инфляционными ожиданиями в коротком периоде (рис. 10.8.); она выражает связь между фактическим темпом инфляции и объемом производства при заданных инфляционных ожиданиях. Графически это отображается тем, что каждому значению инфляционных ожиданий соответствует своя кривая совокупного предложения (см. рис. 10.7). Чем больше ожидаемый темп инфляции, тем выше расположен график vf (п t). Это означает, что рост инфляционных ожиданий при любом заданном объеме совокупного предложения повышает фактический темп инфляции. Фактический темп инфляции становится функцией от ожидаемого ее темпа: п t = пt (net) . |
(10.12)
P
Ii
li
Ъ yli + lyIi
P-1 (Mt-пt)+ cn<t,
Pt (1 + i) Pt (1 + п)
Если в течение продолжительного времени темп инфляции не меняется, то ожидаемый ее темп становится равным фактическому в соответствии с любой концепцией формирования ожиданий. В этом случае, как следует из равенства (10.11), объем совокупного предложения равен национальному доходу полной занятости при любом темпе инфляции. Иначе говоря, производство на уровне национального дохода полной занятости возможно при любом уровне инфляции. Графически этот вывод изображается в виде перпендикуляра к оси абсцисс в точке ур, который представляет собой линию динамической функции совокупного предложения в длинном периоде.
Поскольку в концепции рациональных ожиданий прогнозируемый темп инфляции лишь случайно может не совпасть с фактическим темпом, то в соответствии с этой концепцией график динамической функции совокупного предложения всегда перпендикулярен оси абсцисс.
10.3. Динамическая функция совокупного спроса
Построенная в 6.3 функция совокупного спроса показывает, каков будет объем эффективного спроса при различных значениях уровня цен. В условиях долговременного роста уровня цен при определении величины совокупного спроса нужно учитывать два дополнительных обстоятельства. Во-первых, при инфляции инвесторы ориентируются не на номинальную ставку процента, а на ожидаемое значение реальной ставки процента. Во-вторых, рост уровня цен снижает величину реальных кассовых остатков и тем самым при заданном предложении денег повышает реальную ставку процента.
Вычислим реальную ставку процента при известных значениях номинальной ставки и темпа инфляции. Если единицу блага, цена которого в текущем периоде равна Pt, отдать в ссуду по номинальной годовой ставке процента i, то через год кредитору возвращается ценность в размере Pt(1 + i). В реальном исчислении это составит [Pt(1 + i)/Pt + 1] ед. благ. Если годовой темп прироста цен равен p, то реальное увеличение предоставленной в ссуду ценности составит
= 1 + iy i — ir + п + niy, где ir — реальная ставка процента.
В нормальных условиях в коротком периоде темпы инфляции невелики и тогда ir ~ i -п. На этом основании в целях упрощения будем полагать, что — i -пe. |
Динамическая функция совокупного спроса выводится также, как и статическая функция совокупного спроса (см. 6.3) с учетом различия между номинальной и реальной ставками процента.
Заменим в уравнении линии IS (см. формулу (3.14а)) i на ^, тогда
A -1(i -пе )
Заменив в выражении (10.12) номинальную ставку процента ее значением в уравнении линии LM (см. формулу (4.6а)), после преобразований получим
у — aA + b-M- + cne, (10.13)
где
Iili
Ъ yli + lyIi Ъ, yli + lyLt
Чтобы учесть воздействие инфляции на совокупный спрос через изменение реальных кассовых остатков, запишем уравнение (10.13) в приращениях
Ayt — aAAt + b
где Mt = (Mt - Mt-1)/Mt-1.
Для упрощения модели примем, что Mt-1/Pt = const, и обозначим bMt_1/Pt = h. Тогда
Ayt — aAAt + h(Mt-п t)+ cn f. (10.14)
В уравнении (10.14) изменение реальной кассы представлено в виде разности темпа прироста номинального количества денег и темпа прироста уровня цен. Если темп прироста количества денег опережает темп прироста уровня цен, то реальное количество денег увеличивается, а при Mt <nt — уменьшается.
Учитывая, что Ayt = yt — yt-1, запишем уравнение (10.14) в таком виде
yt — yt-1 + aAAt + h(Mt-Щ) + cnet. (10.15)
Уравнение (10.15) есть уравнение динамической функции совокупного спроса.
Эта функция выражает зависимость между фактическим темпом инфляции и текущей величиной совокупного спроса, если заданы: 1) объем производства предыдущего периода, 2) приращение автономного спроса в текущем периоде, 3) темп прироста номинального количества денег и 4) ожидаемый темп инфляции. Ее график изображен на рис. 10.9. |
|
|
 |
|
Рис. 10.9. Динамическая функция совокупного спроса |
(10.16)
yt=yt-1
Уі =
yF
Отрицательный наклон линии yD(n) объясняется тем, что при заданном темпе прироста денежной массы повышение темпа инфляции уменьшает реальные кас-совые остатки. В результате растет реальная ставка процента и сокращается объем спроса на инвестиции. График yD(n) сдвигается вверх, если повышается темп прироста денежной массы, увеличивается автономный спрос, растут инфляционные ожидания и в случае увеличения объема производства в предшествующем. Это означает, что с наступлением любого из перечисленных событий каждому объему совокупного спроса будет соответствовать более высокий темп инфляции.
10.4. Модель инфляции
На основе динамических функций совокупного предложения (10.11) и совокупного спроса (10.15) можно построить модель, иллюстрирующую процесс развития инфляции. Динамическое взаимодействие совокупного спроса и совокупного предложения описывается следующей системой уравнений:
+ aAAt + cAne t - nt), в которой экзогенными параметрами выступают yt AAt, M t: известна величина реального национального дохода предшествующего периода, а также определены значения фискальной и денежной политики текущего периода.
Примем, что инфляционные ожидания формируются в соответствии с концепцией статических ожиданий; т.е. п et = п t тогда система (10.16) принимает вид
Ч-1
(10.17)
Уі = I Уі-1 + aAAt + c(n t-1- П t-2) + hM11- hn t.
Пусть в нулевом периоде экономика находится в состоянии динамического равновесия при полной занятости yt = yt-1 = yt-2 = ... = yF и отсутствии инфляции nt = nt-1 = nt-2 = ... = 0. В таком состоянии не меняются ни величина автономных расходов (AAt = 0), ни количество находящихся в обращении денег (AMt = 0)и система уравнений (10.17) упрощается
yS (п) = yF +-П; р
У° (п) = yF - hn .
Графически это состояние экономики представляет точка E0 на рис. 10.10, в которой пересекаются графики трех динамических функций: совокупного спроса — yD(n)0, совокупного предложения короткого — yS(n)0 и длинного — у?(л)0 периодов.
|  |
|
Рис. 10.10. Развитие инфляции после монетарного импульса |
В зависимости от причин возникновения перманентного роста уровня цен различают инфляцию спроса и инфляцию предложения.
|
|
 |
У, У,
Рис. 10.11. Изменение темпа инфляции при различных сочетаниях M, я
Уг У,
Рис. 10.12. Изменение совокупного спроса при различных сочетаниях M, я |
 |
|
Рис. 10.13. Изменение экономической конъюнктуры приразличных сочетаниях M, я и заня- |
10.4.1. Инфляция спроса
Монетарный импульс. Если в первом периоде темп прироста номинального количества денег будет AMt > 0, то в соответствии со вторым уравнением системы (10.17) линия yD (я)0 сдвинется вверх на AM 1 и займет положение yD (я)1 на рис. 10.10; национальный доход возрастет до у1 при темпе инфляции яд, причем n < AM1.
Появление в первом периоде инфляции приведет к тому, что во втором периоде я| = я у, поэтому в соответствии с первым уравнением системы (10.17) график динамической функции совокупного предложения в коротком периоде сдвинется влево так, что будет проходить через точку с координатами yp, яд, т.е. займет положение yS(n)2. График динамической функции совокупного спроса во втором периоде тоже не останется на месте. Хотя во втором периоде темп прироста предложения денег будет таким же, как в первом периоде, линия yD (я) сдвинется вверх из-за прироста в этом периоде национального дохода и инфляционных ожиданий.
На этой фазе приспособления к новому равновесному состоянию темп роста уровня цен превышает темп роста денежной массы: П2 > AM1. Это объясняется тем, что по мере повышения темпа инфляции снижается спрос на реальные кассовые остатки из-за повышения альтернативных затрат держания кассы (см. 4.3.4). Для сохранения равновесия на денежном рынке нужно, чтобы и предложение реальных кассовых остатков уменьшилось; это достигается за счет Я2 > AM1.
В соответствии с системой уравнений (10.17) в третьем периоде график yS(n) поднимется на расстояние (Я2 - Я1), а график совокупного спроса — на (у2 - y\)/h так, что они пересекутся в точке E3. В результате в третьем периоде при дальнейшем ускорении инфляции произойдет снижение объема производства по сравнению со вторым периодом. Такое развитие конъюнктуры называется стагфляцией.
В четвертом периоде линия совокупного спроса сместится вниз на расстояние (у2 - y3)/h из-за снижения национального дохода в третьем периоде.
Дальнейшее наблюдение за развитием процесса инфляции по рис. 10.10 становится затруднительным. Поэтому, прежде чем продолжить анализ, рассмотрим, какие факторы определяют общее направление движения экономической конъюнктуры от одного динамического равновесия к другому после монетарного импульса.
Если первое уравнение системы (10.17) записать в виде Ant = P(yt -- yp), то станет очевидным, что темп инфляции повышается, когда yt > yp, и снижается, если yt < yp, это отображено на рис. 10.11. В основе такой динамики лежит зависимость ставки номинальной зарплаты от уровня занятости.
Из второго уравнения системы (10.17) следует, что совокупный спрос увеличивается, если Mt >nt. В этом случае увеличиваются реальные кассовые остатки и поэтому в соответствии с эффектом Кейнса растет инвестиционный спрос. Наглядно описанная ситуация изображена на рис. 10.12: если Mt =nt, то yt = yp, при Mt >nt совокупный спрос растет от периода к периоду; при Mt < nt снижается.
Совместив рис. 10.11 и 10.12, как это сделано на рис. 10.13, получим схему взаимодействия сил, направляющих развитие экономической конъюнктуры после выведения хозяйства из состояния динамического равновесия монетарным импульсом.
Если, например, состояние экономики соответствует точке C, то одновременно будут проявляться две тенденции: к росту национального дохода вследствие увеличения реальных кассовых остатков из-за M > я и к ускорению инфляции, так как y > yp. В результате из точки C начнется движение конъюнктуры в северо-восточном направлении.
Аналогичным образом выявляется направление движения из других точек.
Если номинальное количество денег растет с темпом M, то только точка E пред- |
|
|
 |
|
Рис. 10.14. Инфляционная спираль после монетарного импульса |
^ П2 = 0,05482; у2 = 1332,9.
|
Таблица 10.2 |
|
|
|
t |
Уг |
nt |
t |
уі |
nt |
t |
уі |
nt |
|
1 |
1443,8 |
0,0521 |
16 |
957,7 |
0,1215 |
31 |
1016,6 |
0,2287 |
|
2 |
1506,2 |
0,1136 |
17 |
1021,9 |
0,1097 |
32 |
1006,1 |
0,2144 |
|
3 |
1523,0 |
0,1777 |
18 |
1087,6 |
0,1078 |
33 |
1005,8 |
0,2002 |
|
4 |
1496,9 |
0,2378 |
19 |
1148,2 |
0,1151 |
34 |
1014,7 |
0,1872 |
|
5 |
1434,5 |
0,2885 |
20 |
1198,3 |
0,1300 |
35 |
1031,1 |
0,1768 |
|
6 |
1345,4 |
0,3257 |
21 |
1234,0 |
0,1503 |
36 |
1052,6 |
0,1696 |
|
7 |
1240,9 |
0,3471 |
22 |
1253,2 |
0,1735 |
37 |
1076,8 |
0,1661 |
|
8 |
1132,6 |
0,3520 |
23 |
1255,6 |
0,1971 |
38 |
1100,8 |
0,1662 |
|
9 |
1031,5 |
0,3416 |
24 |
1242,6 |
0,2187 |
39 |
1122,5 |
0,1696 |
|
10 |
946,8 |
0,3184 |
25 |
1216,9 |
0,2364 |
40 |
1139,9 |
0,1757 |
|
11 |
885,1 |
0,2859 |
26 |
1182,2 |
0,2489 |
41 |
1151,8 |
0,1835 |
|
12 |
850,4 |
0,2480 |
27 |
1142,9 |
0,2554 |
42 |
1157,4 |
0,1922 |
|
13 |
843,3 |
0,2091 |
28 |
1103,1 |
0,2558 |
43 |
1156,9 |
0,2009 |
|
14 |
862,0 |
0,1731 |
29 |
1066,8 |
0,2508 |
44 |
1150,9 |
0,2086 |
|
15 |
902,1 |
0,1431 |
30 |
1037,2 |
0,2413 |
45 |
1140,5 |
0,2147 |
ставляет устойчивое динамическое равновесие, при котором у = ур и M = п.
Используя схему рис. 10.13, продолжим прерванный на рис. 10.10 анализ развития инфляции после изменения темпа прироста денежной массы.
На рис. 10.14 точки ?1, ?2, E3 перенесены с рис. 10.10. Дальнейшее развитие экономической конъюнктуры по спирали в точку с координатами M, ур направляется силами, изображенными на рис. 10.13.
Пример 10.1. Допустим, что ур = 1100 и каждый процент конъюнктурной безработицы снижает национальный доход на 3%, т.е. в формуле (7.5) у = 3; тогда в формуле (7.6) а =1/3300. Пусть каждый процент конъюнктурной безработицы текущего периода снижает текущую ставку денежной зарплаты по сравнению с предыдущим периодом на 0,5%, т.е. в формуле (10.1) a = 0,5; тогда в формуле (10.3) в = 1/6600 и динамическая функция совокупного предложения с инфляционными ожиданиями в соответствии с первым уравнением системы (10.17) имеет вид
yS = 1100 + 6600пt - 6600пt-1.
Для построения динамической функции совокупного спроса воспользуемся уравнениями линий IS из примера 3.2 и LM из примера 4.5, в соответствии с которыми і^у= 0,3, Ii = 6, ly =0,04, li = 2. Предположим, что в среднем Mt-y/Pt = = 100; тогда в формуле (10.15) a = 2,38, h = 714,3, с = 14,29 и динамическая функция совокупного спроса имеет вид
УР = Уі-1 + 2,38даі + 14,29(пt-1 -пt-2) + 714,3Mt - 714,3пt.
Пусть в периоде t0 при заданном фиксированном предложении денег установилось динамическое равновесие при полной занятости. Так как в этом случае ДАд = п_1 = п_2 = Mq = 0 и уд = у_1 = 1100, то система (10.17) состоит из двух уравнений прямых линий, пересекающихся в точке с координатами п = 0, у = 1100:
ySS = 1100 + 6600п0; уР = 1100 - 714,3п0.
Что произойдет, если с периода Д предложение денег будет расти с темпом M t = 0,2 при неизменной фискальной политике (At = 0)?
В первом периоде сдвинется вправо линия совокупного спроса при сохранении на месте линии совокупного предложения:
\уР 1100 + 6600п1 ^ = 0,0195; у = 1228,9.
[уР = 1100 + 714,3 • 0,2 - 714,3п1 1 1
Во втором периоде ур(п) сдвинется еще больше вправо под влиянием двух факторов: прироста дохода на 128,9 ед. и прироста инфляционных ожиданий на 1,95%; кривая совокупного предложения сдвинется влево из-за увеличения инфляционных ожиданий:
\уS = 1100 + 6600п2 - 6600 • 0,0195
|уР = 1228,9 +14,29 • 0,0195 + 714,3 • 0,2 - 714,3п2
Соответственно в третьем периоде
LS = 1100 + 6600п3 - 6600 • 0,05482
1у3р = 1332,9 +14,29(0,05482 - 0,0195) + 714,3 • 0,2 - 714,3п3
^ П3 = 0,10093; у3 = 1404,2.
Дальнейшая динамика инфляции и национального дохода во время перехода к новому динамическому равновесию представлена в табл. 10.2 и на рис. 10.15.
Инфляция при монетарном импульсе |
|
|
 |
|
Рис. 10.16. Развитие инфляции после фискального импульса |

7lt
0,30 ¦
0,25 -0,20 -0,15 -0,10 -0,05 -0 -
700 900 1100 1300 У*
Рис. 10.15. Инфляционная спираль монетарного импульса
Фискальный импульс. Проследим теперь за последствиями нарушения динамического равновесия в результате прироста автономного спроса при неизменном темпе прироста номинального количества денег.
Пусть исходное состояние экономики характеризуется точкой E0 на рис. 10.16. В первом периоде в результате повышения государственных расходов автономный спрос увеличивается на ДЛ\, а в последующие периоды возвращается к исходному объему. Тогда в соответствии со вторым уравнением системы (10.17) линия yD(n) сдвинется вверх так, что равновесие перемещается в точку E1. Темп инфляции становится выше темпа прироста денежной массы из-за ускорения оборота денег (сокращения реальной кассы).
Во втором периоде вследствие ускорения инфляции вверх сдвинется кривая совокупного предложения: yS(n)0 ^ yS(п)2. Сдвиг линии совокупного спроса во втором периоде определяют два обстоятельства: приращение производства в первом периоде направляет ее вверх, а отсутствие дальнейшего роста автономных расходов (ДА2 = 0) сдвигает вниз. В результате yD(n)2 может оказаться как выше, так и ниже yD (п)\ или совпасть с последней. Для обеспечения большей наглядности предположим, что yD(n)2 сливается с yD(n)1. Тогда равновесие во втором периоде будет представлять точка E2.
В третьем периоде линия yS(n) продолжит движение вверх вслед за повышением темпа инфляции, а линия yD(п) сдвинется вниз из-за сокращения национального дохода во втором периоде по сравнению с первым.
Дальнейшее развитие экономической конъюнктуры, как и в случае нарушения равновесия в результате изменения Mt, определят равнодействующие силы, представленные на рис. 10.13, которые возвратят равновесие в точку E0. Следовательно, при фиксированном темпе роста денежной массы разовое приращение автономного спроса изменяет экономическую конъюнктуру в коротком периоде, но не влияет на равновесные значения экономических параметров в длинном периоде. Возвращение величины национального дохода к исходному уровню при увеличившихся государственных расходах объясняется тем, что вследствие снижения реальных кассовых остатков растет ставка процента, поэтому сокращается спрос предпринимателей на инвестиции. В этом суть «эффекта вытеснения» (crowding out), который может сопутствовать росту государственных расходов.
Продолжим пример 10.1. Если после установления динамического равновесия при y = 1100; п = 0,2 в некотором периоде n государство увеличит расходы на ДАп = 100, а в последующие периоды они вернутся к исходному уровню — ДАп +1 = ДАп +2 = ••• = 0, то в периоде n система уравнений (10.17) примет вид
y = 1100 + 6600пn - 6600 • 0,2
\yD = 1100 + 2,38 400 + 714,3 • 0,2 - 714,3п n П
в периоде(n +1)
0,2326; yn = 1314,8; |
|
|
Таблица 10.3
Инфляция при фискальном импульсе |
|
|
|
t |
yt |
nt |
t |
yt |
nt |
t |
yt |
nt |
|
1 |
1314,8 |
0,2326 |
16 |
1138,4 |
0,1544 |
31 |
1054,5 |
0,1904 |
|
2 |
1273,3 |
0,2588 |
17 |
1164,1 |
0,1641 |
32 |
1065,0 |
0,1851 |
|
3 |
1218,8 |
0,2768 |
18 |
1181,1 |
0,1764 |
33 |
1077,9 |
0,1818 |
|
4 |
1157,9 |
0,2856 |
19 |
1188,6 |
0,1898 |
34 |
1091,8 |
0,1805 |
|
5 |
1097,2 |
0,2852 |
20 |
1186,7 |
0,2029 |
35 |
1105,1 |
0,1813 |
|
6 |
1042,6 |
0,2765 |
21 |
1176,5 |
0,2145 |
36 |
1116,6 |
0,1838 |
|
7 |
998,8 |
0,2611 |
22 |
1159,8 |
0,2236 |
37 |
1125,5 |
0,1877 |
|
8 |
969,1 |
0,2413 |
23 |
1138,9 |
0,2295 |
38 |
1131,0 |
0,1924 |
|
9 |
955,0 |
0,2193 |
24 |
1116,2 |
0,2319 |
39 |
1132,9 |
0,1974 |
|
10 |
956,4 |
0,1976 |
25 |
1094,0 |
0,2310 |
40 |
1131,4 |
0,2021 |
|
11 |
971,7 |
0,1781 |
26 |
1074,6 |
0,2272 |
41 |
1127,1 |
0,2062 |
|
12 |
998,1 |
0,1627 |
27 |
1059,5 |
0,2210 |
42 |
1120,4 |
0,2093 |
|
13 |
1031,9 |
0,1524 |
28 |
1049,8 |
0,2134 |
43 |
1112,5 |
0,2112 |
|
14 |
1069,1 |
0,1477 |
29 |
1046,0 |
0,2053 |
44 |
1104,0 |
0,2118 |
|
15 |
1105,8 |
0,1486 |
30 |
1047,8 |
0,1973 |
45 |
1096,0 |
0,2112 |
|
0,30 - |
nt-1 nt -2
yt = yF +
SD
в в
а равенство yt = yD записать
+ a&At + h(Mt - nt) + c(nt-1- nt-2).
nt n t-1 nt-1 n t-2
yF + —--— = yF +
2 + 5c 1 + 5c в л . \
n = -——n--——n + -——\hM t + aAAt)
n = M t +—AAt. h
 |
—1-1-1-1-1-1 yt
900 1000 1100 1200 1300 1400 |
л 2 + Pc л 1 + Pc л о An t = ^TTAn t-1 -^77An t-2 = 0.
(10.19)
ri + PcA
2 + 5c 1 + phy
1 + ph
\yS+1 = 1100 - 6600 • 0,2325 + 6600nn+1 ^
[у^ = 1314,8 +14,29(0,2325 - 0,2) + 714,3 • 0,2 - 714,3п п+1 ^ пп+1 = 0,2588; yn+1 = 1273,3; в периоде(п + 2)
1уП+2 = 1100 - 6600 • 0,2588 + 6600n п+2 ^
"[уП+2 = 1525,1 +14,29(0,2588 - 0,2325) + 714,3 • 0,2 - 714,3п п+2 ^ nп+2 = 0,2768; Уп+2 = 1218,8;
Дальнейшее развитие экономической конъюнктуры представлено в табл. 10.3 и на рис. 10.17.
0,26 ¦
0,22 -
0,18 -
0,14 ¦
0,10 —
800
Рис. 10.17. Инфляционная спираль фискального импульса
Условие устойчивости динамического равновесия. В приведенных примерах как после монетарного, так и после фискального импульса в экономике возникали затухающие циклические колебания национального дохода и темпа инфляции, т.е. динамическое равновесие было устойчивым. Чтобы выяснить, всегда ли в рассматриваемой модели инфляции динамическое равновесие устойчиво, представим ее в виде однородного конечно-разностного уравнения второй степени.
В состоянии динамического равновесия, во-первых,
yS = yS = + n t-1 n t-2
yt = yt-1 = yF + —e---,
S D
и, во-вторых, yt_1 = yt_1 = yt_1; поэтому второе уравнение системы (10.17) можно представить в виде
+ aAAt + h(Mt -пt) + c(nt-1- nt-2), в в в в
Решим его относительно nt, тогда
n t = n t-1 -1+5^ nt -2 +-^(hMt + aAAt). (10.18)
t 1+ph t 1 1+ph t 2 1 + ph\ t 4 v '
Из равенства (10.18) можно определить равновесный темп инфляции
1 + ph 1 + 5h 1 +5h
Для определения характера колебаний темпа инфляции и величины национального дохода после нарушения динамического равновесия запишем уравнение (10.18) в приращениях
1 + ph 6 1 1 + ph
Дискриминант однородного конечно-разностного уравнения второй степени (10.19) равен
Л 2
- 4 |
|
|
|
|
|
А |
У\Р\
У\Р\ |
|
\ \^|\ |
\ 1 V/ ?\і
\!^ |
у\Р\ |
|
|
|
|
|
'у°(Р)2
?(П |
і
1 1 \ |
|
! ! |
\ у\Р\ ^ |
|
Ух yF |
У |
|
Рис. 10.18. «Спираль заработная плата-цены» |
 |
|
Рис. 10.19. Инфляция предложения |
Следовательно, равновесие будет устойчивым, если
1 + Рс
1 + eh
Поскольку
h = ь Mt-1 = . Mt-1. c = hk
Pt ? yk + ly1i Pt ? yk + ly1i
то условием динамического равновесия в модели инфляции является неравенство lj < Mt-1/Pt, которое в реальных условиях всегда выполняется.
10.4.2. Инфляция предложения
Если причина инфляции спроса выступает в виде сдвига вправо линии совокупного спроса, то толчком к инфляции предложения служит сдвиг влево линии совокупного предложения.
Спираль заработная плата-цены. Одна из первых концепций, объясняющих непрерывный рост уровня цен, получила название «спираль заработная плата-цены». Она представляет развитие инфляции следующей цепочкой событий: резкий рост издержек производства (например, из-за ухудшения условий в сельском хозяйстве или в добывающих отраслях) ^ скачок уровня цен ^ снижение реальной заработной платы ^ повышение денежной заработной платы под давлением рабочих, требующих компенсации снижения жизненного уровня ^ снижение прибыльности производства ^ сокращение производства и занятости ^ увеличение предложения денег в качестве стимулирующей политики государства ^ рост эффективного спроса ^ увеличение производства и уровня цен ^ снижение реальной заработной платы и далее по второму кругу.
Наглядно этот процесс показан на рис. 10.18. Исходное состояние представляет сочетание Po, yF. Из-за резкого роста издержек производства кривая yS(P)o смещается в положение yS(P)1, снижая национальный доход до y1 и повышая уровень цен до P1. Для восстановления полной занятости центральный банк увеличивает предложение денег и кривая yD(P)o смещается в положение yD(P)1. Вследствие повышения уровня цен от P1 до P2 рабочие снова потребуют увеличить заработную плату и в случае выполнения этого требования кривая совокупного предложения перейдет в положение yS(P)2, повышая уровень цен до P2. За счет очередного увеличения предложения денег центральный банк переместит кривую совокупного спроса в положение yD(P)2 и восстановит полную занятость при уровне цен P4 и т.д.
Как можно было заметить, данная концепция основана на статической макроэкономической модели взаимодействия совокупного спроса с совокупным предложением и в ней инфляция представлена в виде
последовательных скачков цен. Примечательная особенность этой концепции состоит в том, что посредством постоянного увеличения предложения денег государству удается в длинном периоде поддерживать производство на исходном уровне. Иной вывод следует из модели инфляции со статическими ожиданиями.
Импульс предложения. Пусть в состоянии динамического равновесия при АЛ = M = п = 0, y = yр , представленного на рис. 10.19 точкой yF, из-за резкого увеличения издержек производства в периоде t1 график краткосрочной динамической функции совокупного предложения сдвигается влево в положение y1 ; в целях предотвращения стагфляции центральный банк решает с периода И ежегодно увеличивать предложение денег на M > 0 и вследствие этого график динамической функции совокупного спроса сдвигается в положение y1D. В результате обоих событий в первом году удается сохранить объем производства на исходном уровне при темпе инфляции пд.
Во втором году из-за увеличения инфляционных ожиданий в соответствии с системой уравнений (10.17) график совокупного предложения продолжит сдвиг влево: y1 ^ y2, а график со- |
|
|
Таблица 10.4
Инфляция при отрицательном импульсе предложения |
|
|
|
t |
yt |
nt |
t |
yt |
nt |
t |
yt |
nt |
|
1 |
1135,1 |
0,0508 |
16 |
758,0 |
0,0261 |
31 |
723,7 |
0,1071 |
|
2 |
1134,8 |
0,1015 |
17 |
809,7 |
0,0276 |
32 |
726,5 |
0,0959 |
|
3 |
1101,8 |
0,1472 |
18 |
855,4 |
0,0360 |
33 |
736,1 |
0,0862 |
|
4 |
1042,5 |
0,1840 |
19 |
891,4 |
0,0498 |
34 |
751,1 |
0,0788 |
|
5 |
965,1 |
0,2090 |
20 |
915,0 |
0,0672 |
35 |
769,4 |
0,0742 |
|
6 |
879,1 |
0,2210 |
21 |
925,1 |
0,0862 |
36 |
789,0 |
0,0725 |
|
7 |
793,5 |
0,2200 |
22 |
922,0 |
0,1047 |
37 |
807,7 |
0,0737 |
|
8 |
716,8 |
0,2074 |
23 |
907,3 |
0,1209 |
38 |
823,9 |
0,0773 |
|
9 |
655,6 |
0,1855 |
24 |
883,6 |
0,1336 |
39 |
836,3 |
0,0828 |
|
10 |
614,3 |
0,1574 |
25 |
853,9 |
0,1418 |
40 |
843,9 |
0,0895 |
|
11 |
595,1 |
0,1263 |
26 |
821,8 |
0,1451 |
41 |
846,4 |
0,0965 |
|
12 |
597,7 |
0,0957 |
27 |
790,7 |
0,1437 |
42 |
844,2 |
0,1032 |
|
13 |
619,9 |
0,0684 |
28 |
763,4 |
0,1381 |
43 |
837,9 |
0,1090 |
|
14 |
657,5 |
0,0468 |
29 |
742,3 |
0,1294 |
44 |
828,5 |
0,1133 |
|
15 |
705,4 |
0,0325 |
30 |
728,9 |
0,1186 |
45 |
817,2 |
0,1159 |
 |
500 800 1100 У
Рис. 10. 20. Инфляционная спираль импульса предложения |
= 0,0508; у1 = 1135,1.
вокупного спроса — вправо. Поскольку функция yD (п) менее чувствительна к приросту инфляционных ожиданий, чем функция yS(п), то во втором году возникнет стагфляция.
В третьем году влево сдвинется не только линия совокупного предложения, но и линия совокупного спроса из-за уменьшения национального дохода во втором году.
Дальнейшее движение к новому динамическому равновесию в точке M = п ,у будет происходить под воздействием сил, изображенных на рис. 10.13.
Таким образом, несмотря на ежегодный прирост количества денег, сохранить объем производства на исходном уровне не удается. Для этого в рассматриваемой модели требуется ежегодное увеличение темпа прироста предложения денег.
Введем отрицательный импульс предложения в примере 10.1. Пусть в первом периоде в результате роста цены предложения труда и ежегодного увеличения предложения денег на 10% система уравнений (10.17) принимает вид
\у\ = 800 + 6600п1
lyf = 1100 + 714,3 • 0,1 - 714,3п1
Во втором периоде конъюнктура представляется системой уравнений
\у% = 800 + 6600п2 -6600 • 0,0508
\у2 = 1135,1 +14,29 • 0,0508 + 714,3 • 0,1 - 714,3п2 ^
^п2 = 0,1015; у2 = 1134,8,
а в третьем
у = 800 + 6600п3 - 6600 • 0,1015
\yD = 1134,8 +14,29 • 0,1015 + 714,3 • 0,1 - 714,3п3 ^
^п3 = 0,1472; у3 = 1101,7.
Дальнейшая динамика инфляции и национального дохода во время перехода к новому динамическому равновесию представлена в табл. 10.4 и на рис. 10.20.
Итак, если экономическим субъектам присущи статические или адаптивные ожидания и цены устанавливаются по методу «затраты плюс», то в случае нарушения динамического равновесия экономики экзогенным импульсом спроса или предложения в ней возникнут затухающие колебания национального дохода и темпа инфляции. Инфляция спроса на 1-м этапе характеризуется одновременным ростом темпа инфляции и величины национального дохода. Затем экономика переходит в фазу стагфляции, в которой инфляция продолжает расти при снижении объема производства и занятости. Инфляция предложения, как правило, начинается со стагфляции и новое динамическое равновесие устанавливается при более высоком темпе роста уровня цен и меньшем объеме производства по сравнению с исходным уровнем. |
Если экономические субъекты строят свои прогнозы в соответствии с концепцией рациональных ожиданий (п = ne), то совокупное предложение становится совершенно неэластичным к росту уровня цен (линия yS(n) перпендикулярна оси абсцисс). В этом случае инфляция спроса выражается в скачке темпа инфляции при неизменном объеме производства, а отрицательный импульс предложения приводит к стагфляции.
10.5. Эконометрическое моделирование инфляции
В 10.3 была представлена структурная модель инфляции, основанная на описании поведения каждого макроэкономического субъекта и результата их взаимодействия. Однако очень трудно получить фактические данные для практического использования рассмотренной модели в целях краткосрочного прогноза и выработки денежной политики правительства, так как многие ее параметры не отражаются в экономической статистике. Для практических целей обычно используют простые эконометрические модели инфляции, констатирующие зависимости между небольшим числом макроэкономических показателей реального и монетарного секторов национального хозяйства. Примером может служить следующая зависимость, выявленная сотрудниками ИЭПП С. Архиповым и С. Дробышевским по данным развития инфляции в России в 1996—1997 гг.:
п t = c + a0 п t-2 + «1 Xю imt-i + a2 yt + e t, i=0
где юі = b0 + щі + Й2І + %' — веса полинома;^ — изменение потребительских цен за неделю t; mt — десятичный логарифм месячного темпа изменения денежной массы М2, равномерно распределенного по неделям соответствующего месяца; yt — месячный темп изменения реального ВВП, равномерно распределенного по неделям соответствующего месяца; c — свободный член;^— остатки регрессии; n — глубина лага, равная 47 неделям; i — номер лага.
1 Экономика переходного периода. Очерки экономической политики посткоммунистической России (1991—1997). М., 1998. С. 1065—1066. |
В качестве теоретической основы прогноза инфляции и ответных реакций денежных властей широкую популярность в 90-х гг. ХХ в. получила так называемая модель Р , предложенная сотрудниками ФРС Ю. Холлманом, Р. Портером и Д. Смоллом.
Исходным пунктом этой модели является тождество MV = Py. Из него определяется равновесный уровень цен (Р ) как произведение количества денег, приходящихся в данный момент на единицу реального выпуска при полном использовании производственного потенциала страны (у ) на «нормальную» (среднюю за длительный период) скорость обращения денег (V):
P* = MV*. (10.20)
у*
Равенство (10.20) полностью соответствует неоклассической концепции, в которой утверждается, что уровень цен прямо пропорционален количеству находящихся в обращении денег.
Разность между равновесным и фактическим уровнем цен (price gap — ценовая брешь) определяет направление изменения последнего: если P > Pt, то следует ожидать ускорения инфляции, а при P < Pt ее замедления. Этот вывод основан на предположении, что все факторы, отклоняющие фактический уровень цен от его равновесного значения, проявляются в неравенствах yt Ф у* и Vt Ф V*. Поскольку рыночный механизм и экономическая политика государства направляют национальное хозяйство к полной занятости и оптимальному размеру кассовых остатков (yt ^ у*, Vt ^ V*), то возникает тенденция к закрытию ценовой бреши.
На рис. 10.21 наглядно представлены результаты расчетов поквартальной динамики ценовой бреши и ИПЦ в последнее двадцатилетие ХХ в. в экономическом регионе европейских стран, принявших реше-
2
ние о создании единой валюты .
Несмотря на неоклассическое происхождение и простоту данной модели, в ней наряду с монетарными учитываются и немонетарные факторы инфляции. При заданном количестве денег соотношение между |
|
|
 |
Рис. 10.21. Динамика ИПЦ (1) и ценовой бреши (2) в регионе стран единой
европейской валюты |
 |
|
Рис. 10.22. Прогнозируемые (1) и фактические (2) темпы инфляции в США в 1948-1991 гг. |
равновесным и фактическим уровнями цен можно представить отношением степени использования производственных мощностей к степени «наполнения» кассы домашних хозяйств, имея в виду, что V* соответствует нормальному объему спроса на деньги:
P* = y±/vL
P у / V
Изменения издержек производства, стоимости импорта, налоговых ставок отражаются на степени использования производственного потенциала, а нарушения равновесия в финансовом секторе воздействуют на объем кассовых остатков. Чисто монетарным явлением инфляция выступает только при yt = у и Vt = V .
10.6. Социально-экономические последствия инфляции
Как было отмечено в начале этой главы, в условиях инфляции экономические субъекты при принятии хозяйственных решений наряду с другими факторами учитывают и ожидаемый темп инфляции. Если бы темпы инфляции можно было точно предвидеть, то все участники национального хозяйства попытались бы нейтрализовать воздействие инфляции на реальные экономические параметры: профсоюзы предусмотрели бы необходимое индексирование ставки денежной зарплаты, кредиторы увеличили бы реальную ставку процента на темп инфляции, государство своевременно корректировало бы шкалу налоговых ставок.
В действительности, как уже отмечалось, большинству участников рыночного хозяйства точные прогнозы недоступны. Подтверждением тому могут служить данные американского журналиста Дж. Ливингстона, который с 1946 г. проводил опрос около 50 экономистов об их ожиданиях изменения ИПЦ в США через 6 и 12 месяцев. Результаты шестимесячных (более точных) прогнозов за 1948—1991 гг.1 показаны на рис. 10.22.
Инфляция препятствует реализации планов экономических субъектов и нарушает факториальное распределение доходов, обеспечивающее оптимальное по Парето использование производственных ресурсов общества. Рассмотрим основные негативные последствия инфляции.
1 Сост. по: Barro R., Grilli V. Makrookonomie: Europaische Perspektive. Munchen, 1996. S. 245. |
Перераспределение дохода между частным сектором и государством. Во время инфляции экономическим субъектам для поддержания размера реальных кассовых остатков на неизменном уровне приходится увеличивать свой номинальный денежный фонд пропорционально темпу инфляции. Так, если при постоянном уровне цен P0 оптимальному размеру реальной кассы соответствует M0 ден. ед., то в условиях инфляции с годовым темпом п через год индивид должен держать в кассе M0(1 + п) ден. ед. Пополнить кассу ему придется из текущего дохода. Поэтому его располагаемый доход сократится на [M0(1 + п) — M0] ден. ед. Для индивида это равносильно уплате еще одного, инфляционного, налога. Определим величину инфляционного налога в единицах реальных кассовых остатков базового года:
M0(1 + п)-M0 _п M0
P0 P0 '
Таким образом, величину уплачиваемого инфляционного налога легко вычислить, используя в качестве базы налогообложения размер реальных кассовых остатков на начало периода, а в качестве ставки налога — темп инфляции за период.
Получателем инфляционного налога является эмитент дополнительных денег, т. е. государство. Чистый доход государства от инфляционного налога равен разнице между ценностью дополнительно выпущенных банкнот и издержками их изготовления. Этот доход называется сеньоражем.
Так как доход государства от сеньоража основывается на желании населения поддержать на неизменном уровне уменьшающиеся во время инфляции реальные кассовые остатки, то, увеличивая темп инфляции, государство получает дополнительный источник дохода. По оценке МВФ, во втором полугодии 1992 г. сеньораж в России составил 38% дохода домашних хозяйств или 15% ВНП, что только на 0,9 пункта ниже его уровня в Боливии в период гиперинфляции 1984 г.
Однако по мере повышения темпа инфляции спрос на реальные кассовые остатки сокращается из-за повышения альтернативных издержек их держания. Как и при любом ином налоге, рост налоговой ставки (в данном случае темпа инфляции ) сверх определенного предела ведет к сокращению базы налогообложения (в данном случае реальной кассы) и снижению налоговых поступлений, как это описывается известной кривой Лаффера. |
Снижение доходов от сеньоража из-за сокращения реальных кассовых остатков происходит также по мере развития банковской системы и совершенствования техники расчетных операций.
Инфляционный налог не следует смешивать с другим дополнительным доходом государства, образующимся в периоды инфляции при прогрессивной шкале подоходного налогообложения. По мере роста инфляции налогоплательщики с неизменным реальным доходом могут подпасть под более высокую ставку обложения вследствие увеличения их номинального дохода. Допустим, установлена следующая шкала подоходного налогообложения:
Ставка, %........................... 8 10 15
Доход, тыс. руб................ 9—14 15—19 > 20
Общая сумма подоходного налога с трех индивидов, получающих соответственно 10, 15 и 20 тыс. руб., составит
10-0,08 + 15-0,1 + 20-0,15 = 5,3 тыс. руб.
Если уровень цен и номинальные доходы удвоятся, то сумма подоходного налога будет
0,15(20 + 30 + 40) = 13,5 тыс. руб., т. е. возрастет в 2,5 раза.
Однако в периоды гиперинфляции у государства обычно возникают потери при сборе налогов из-за разрыва во времени между получением дохода и уплатой налога. Так, если 1 апреля налогоплательщик должен уплатить налог с дохода прошлого года, а за три прошедших месяца текущего года инфляция составила 50%, то реальный доход государства от налогов сократится наполовину.
Перераспределение национального дохода между участниками производства и получателями трансфертных выплат. Поскольку номинальные факторные доходы участников производства растут одновременно с повышением уровня цен, а денежные размеры пенсий и пособий корректируются решениями административных инстанций, как правило, с опозданиями, то по мере развития инфляции доля получателей трансфертов в национальном доходе снижается (рис. 10.23). |

|
 |
|
Рис. 10.24. Перераспределение имущества между домашними хозяйствами и предпринимателями при непредвиденной инфляции |
Перераспределение дохода между трудом и капиталом. При определенных условиях инфляция влияет и на функциональное распределение национального дохода. Обозначим долю труда в национальном доходе 8, а среднюю производительность труда — q. Тогда
„ PwN .
8=—— = w /q,
Py
или в темпах прироста
81 = wt - qt. (1a21)
Таким образом, динамика доли труда в национальном доходе зависит от соотношения темпов прироста ставки реальной зарплаты и средней производительности труда.
При ценообразовании по методу «затраты плюс»
Pt = (1+ Хt)PW^qL = 1 + xt t ^wt = qt-Лt. (10.22)
qt wt
Заменив в равенстве (10.21) wt на его значение в равенстве (10.22), получим 81 = -Л t, т. е. при ценообразовании по методу «затраты плюс» доля труда в национальном доходе может измениться только вследствие изменения ценовой накидки Xt. Повышение может послужить причиной инфляции предложения. Одновременно рост Xt перераспределяет доход в пользу капитала, но причиной этого перераспределения является не инфляция.
Инфляция приводит к перераспределению дохода между трудом и капиталом в условиях, когда цены на блага определяются на рынке совершенной конкуренции, а цена труда из-за адаптивных ожиданий с опозданием реагирует на изменение уровня цен. Примем для упрощения, что средняя производительность труда остается неизменной. Тогда уравнение (10.21) примет вид
81 = wt = Wt-п t.
При заключении трудового договора ставка денежной зарплаты корректируется соответственно ожидаемому темпу инфляции Wt =net; при статических ожиданиях пt = пt_1, поэтому 81 = пt—1 -пt.
Таким образом, в рассматриваемых условиях ценообразования на рынках благ и труда при ускорении инфляции (nt > %_1 ) доля труда в национальном доходе снижается, а при дезинфляции — повышается. В состоянии динамического равновесия, когда темп инфляции фиксирован, пропорция распределения дохода между трудом и капиталом в рассматриваемом случае остается неизменной.
Перераспределение имущества. Инфляция перераспределяет имущество от кредиторов к дебиторам, так как долг возвращается подешевевшими деньгами. Предположим, что домашние хозяйства предоставили предпринимателям ссуду в 100 ден. ед. под 10% годовых. Предприниматели в этом же периоде превратили ссуду в реальный капитал с 10%-й годовой нормой прибыли и всю прибыль направляют на увеличение реального капитала.
При отсутствии инфляции через 15 лет домашние хозяйства будут располагать денежной суммой в 418 ед. (100*1,115 = 418), а в распоряжении у предпринимателей будет реальный капитал на такую же сумму.
Если бы в течение этих 15 лет все цены ежегодно повышались бы на 5%, то в соответствии с договором о ссуде домашние хозяйства через 15 лет получили бы те же 418 ден. ед. Денежная оценка реального капитала в текущих ценах равнялась бы 868 ден. ед.
(100*1,115*1,0515 = 868). В реальном исчислении домашние хозяйства получили 418/1,0515 =
= 201 ден. ед., т.е. их потери будут 418 — 201= 217 ден. ед. Реальный выигрыш предпринимателей (868 -- 418)/1,0515 = 217 ден. ед. |
Процесс перераспределения имущества в пользу предпринимателей в рассматриваемом примере показан на рис. 10.24. Заштрихованный треугольник представляет все увеличивающуюся по мере продолжения инфляции перераспределяемую часть имущества.
Аналогичное перераспределение имущества от частного сектора к государству происходит во время инфляции в результате снижения реальной ценности финансовых активов экономических субъектов: обесценение государственных облигаций и номинальных кассовых остатков в портфелях населения есть оборотная сторона обесценения государственного долга.
Кроме того, что непрерывный рост уровня цен деформирует механизм распределения национального дохода и имущества, основанный на оплате производительных услуг факторов производства, и тем самым снижает эффективность их использования, инфляция нежелательна и по другим причинам. Продолжительно развивающаяся инфляция вследствие снижения спроса на реальные кассовые остатки перерастает в гиперинфляцию и грозит крахом национальной денежной системы. Поэтому проблема предотвращения инфляции наряду с проблемами занятости и неустойчивости экономической конъюнктуры относится к числу наиболее злободневных в рыночном хозяйстве.
10.7. Антиинфляционная политика
Когда в стране темп роста уровня цен достигнет таких размеров, что грозит перерасти в гиперинфляцию, тогда первоочередной задачей экономической политики правительства становится подавление инфляции. Как следует из модели инфляции, необходимым условием ее возникновения является ускорение темпа роста количества денег, находящихся в обращении. Этот вывод подтверждается и фактическими данными, приведенными на рис. 10.25. Несмотря на существующие в каждой стране национально-институциональные особенности, между темпами инфляции и роста предложения денег наблюдается тесная корреляционная зависимость. |
|
 |
|
Рис. 10.25. Среднегодовые темпы прироста М2 и темпы инфляции в 1993-1995 гг. |
Поэтому остановить или придержать рост инфляции независимо от того, монетарными или немонетарными факторами она порождена, можно только при снижении темпа предложения денег. Выбор у правительства имеется лишь в отношении того, как сокращать темп роста денежной массы: резко (шоковая терапия) или постепенно (градуирование). Поскольку неизбежным следствием снижения темпа прироста денежной массы, как следует из модели инфляции, является снижение совокупного спроса, уровня производства и занятости, то эта дилемма решается по-разному в зависимости от социально-экономической обстановки в стране.
Достоинство шоковой терапии состоит в том, что при ее последовательном проведении у экономических субъектов возникает доверие относительно намерений правительства и их инфляционные ожидания
снижаются. Поскольку п = nf пе 1, то инфляция пойдет на убыль, снижая, однако, и объем производства.
Постепенное снижение темпа роста денежной массы может восприниматься как свидетельство неуверенности правительства в правильности выбранной цели экономической политики и возможности отказа от борьбы с инфляцией. В такой ситуации инфляционные ожидания не способствуют снижению инфляции.
Примером удачной шоковой терапии может служить Польша, оказавшаяся осенью 1989 г. на грани гиперинфляции (месячный уровень инфляции достигал 55%). После либерализации цен и сокращения тем-
|
|
Таблица 10.5
Последствия шоковой терапии в Польше в 1990—1995 гг.1 |
|
|
|
Год |
Среднемесячный прирост денег, % |
ИПЦ за год, % |
Прирост ВНП, % к предыдущему году |
|
1990 |
6,0 |
585,5 |
-11,6 |
|
1991 |
5,0 |
70,3 |
-7,6 |
|
1992 |
3,0 |
43,0 |
1,0 |
|
1993 |
2,5 |
35,3 |
3,8 |
|
1994 |
2,0 |
32,2 |
5,0 |
|
1995 |
1,7 |
27,8 |
7,0 |
пов роста денежной массы уровень инфляции резко снизился, сопровождаясь на первых порах сокращением ВНП (табл. 10.5).
Среди республик бывшего СССР примерами успешно проведенной шоковой терапии можно считать антиинфляционную политику, проводимую с середины 1992 г. в Эстонии, Латвии, в меньшей степени в Литве. Введя собственную валюту, эти страны защитили себя от влияния инфляционных процессов в странах рублевой зоны. Одновременно была осуществлена либерализация цен, ликвидировано большинство субсидий и дотаций, бюджетный дефицит был сведен к минимуму.
В России (см. рис. 10.1) первую волну инфляции, начавшуюся с 1992 г., удалось погасить только к 1996 г. По своей природе это была инфляция спроса, которая в подавленном виде существовала последние 20 лет существования социализма. Основными средствами ее подавления послужили резкое снижение темпов предложения денег, прекращение финансирования дефицита федерального бюджета за счет кредитов Центрального банка РФ, введение с июля 1995 г. «валютного коридора» для обменного курса рубля к доллару США, директивное ограничение роста цен на продукцию естественных моно-^2
полий .
Год................................................. 1992 1993 1994 1995 1996
Прирост М2, %......................... 668 509 300 226 134
Инфляция второй волны была инфляцией издержек. После обвала российской денежной системы в августе 1998 г. обменный курс рубля
1 Гайдар Е.Т. Наследие социалистической экономики. М., 1999. С. 115.
2 Более подробно антиинфляционная политика, проводимая в России в 1992 — 1997 гг., изложена в Приложении.
совершил скачок с 6,2 руб/дол. в июле до 23 руб/дол. в январе 1999 г. Поскольку в то время около 50% товаров народного потребления были импортными, то ИПЦ возрос к началу 1999 г. на 70,6%. Вместе с резким сокращением импорта повышение цен способствовало оживлению отечественного производства. Производители смогли повысить отпускные цены, и в 1999 г. сводный индекс цен производителей возрос на 47%.
Рост отечественного производства сопровождался увеличением спроса на деньги. Поэтому, несмотря на существенную денежную эмиссию, на которую вынужден был пойти Банк России для финансирования дефицита госбюджета и поддержания коммерческих банков (в 1999 г. предложение денег возросло на 57,2%), инфляция быстро пошла на убыль.
Одним из вариантов шоковой терапии является проведение предваряющей либерализацию цен (или совмещенной с ней) денежной реформы конфискационного типа с последующим проведением жесткой монетарной политики. Реформы такого типа предполагают проведение обмена старых денег на новые в определенном соотношении без изменения номинального уровня доходов и цен. При этом на суммы подлежащих обмену старых денег нередко накладываются определенные ограничения, иногда дифференцированные для различных экономических субъектов. Реформы конфискационного типа могут оказаться полезными при переходе от подавленной к открытой инфляции. Конфискационная денежная реформа выравнивает номинальную массу новых денег по сложившемуся уровню реальных доходов, в то время как простая либерализация цен выравнивает уровень реальных доходов по сокращающемуся из-за роста уровня цен объему реальных кассовых остатков.
Конфискационные денежные реформы разной степени жесткости проводились во многих странах, особенно в послевоенные годы (Венгрия — 1946 г., ФРГ — 1948 г. и др.). К такому типу относится и проведенная в 1947 г. в СССР денежная реформа; правда, она была совмещена не с либерализацией цен, а с отменой карточной системы. Эта реформа позволила, несмотря на отмену карточной системы, снизить розничные цены в среднем на 17%, а по сравнению с коммерческими — в 2,5—3 раза. Однако следует иметь в виду, что такого рода денежная реформа может оказаться эффективной в долгосрочном аспекте лишь |
|
|
Таблица 10.6
Годовые темпы прироста ВВП, инфляции и коэффициент монетизации, %, в ряде стран бывшего СССР, проводящих антиинфляционную политику |
|
|
|
|
Шоковая терапия |
Градуирование |
|
Год |
Латвия |
Эстония |
Белоруссия |
Украина |
|
|
п |
dy/y |
М/y |
п |
dy/y |
М/y |
п |
dy/y |
М/y |
п |
dy/y |
М/y |
|
1991 |
262 |
-10,4 |
- |
304 |
-13,6 |
- |
- |
-1,2 |
- |
161 |
-11,6 |
- |
|
1992 |
959 |
-34,9 |
- |
954 |
-14,2 |
- |
1559 |
-9,6 |
- |
2730 |
-13,7 |
- |
|
1993 |
35 |
-14,9 |
32 |
36 |
-9 |
33 |
1996 |
-7,6 |
58 |
10155 |
-14,2 |
32 |
|
1994 |
26 |
0,6 |
34 |
42 |
-2 |
34 |
1960 |
-12,6 |
39 |
401 |
-23 |
27 |
|
1995 |
23,1 |
-0,8 |
22 |
29 |
4,3 |
33 |
244 |
-10,4 |
15 |
182 |
-12,2 |
13 |
|
1996 |
13,1 |
3,3 |
22 |
15 |
4 |
35 |
39 |
2,8 |
15 |
40 |
-10 |
12 |
|
1997 |
7 |
6 |
26 |
12 |
10,9 |
39 |
63 |
10 |
18 |
10 |
-3,2 |
13 |
при условии одновременного изменения денежно-кредитной политики в сторону ее ужесточения.
По-иному влияет на инфляционные ожидания экономических субъектов политика постепенного снижения темпов роста денежной массы — градуирование. В этом случае возникает инерция инфляции: экономические субъекты привыкают к постоянному росту цен и заключают контракты с учетом продолжения инфляции , тем самым поддерживая ее. Продолжительная инфляция сокращает спрос на отечественные деньги и ведет к «долларизации» экономики.
Сравнительные результаты шоковой терапии и градуирования на примере стран, входивших в СССР и применивших разные варианты антиинфляционной политики, приведены в табл. 10.6.
Одним из факторов, порождающих инфляционную инерцию, является индексация денежных доходов, которая часто ассоциируется с защитой от инфляции , хотя на деле инициирует ускорение роста денежной массы и самой инфляции. Попытки следовать этим путем привели лишь к увеличению инфляции. Так, в Израиле индексация способствовала росту инфляции с 40% в 1974 г. до 130% в 1980 г. и 425% в 1984 г. В середине 1980-х гг. в большинстве стран индексация как средство приспособиться к инфляции или игнорировать ее была либо существенно модифицирована, либо прекращена.
Как свидетельствует опыт, политика градуирования может оказаться успешной, если рост денежной массы и уровня цен не превышает
1 Сост. по: Гайдар Е.Т. Наследие социалистической экономики: Макро- и микроэкономические последствия мягких бюджетных ограничений. М., 1998. С. 3—5; 15—17.
20—30% в годовом исчислении. Примеров успешного проведения этой политики, когда инфляция достигает нескольких сотен или тысяч процентов в год, нет.
Дилемма шоковая терапия — градуирование стимулирует разработку моделей «оптимальной» антиинфляционной политики. Рассмотрим
1
их суть на примере одной из простейших таких моделей .
Представим издержки общества в связи с существованием инфляции и конъюнктурной безработицы следующей функцией:
Ct = цп2 + s(t - и ) , (10.23)
где ц и 8 выражают сравнительную значимость для общества изменения темпа инфляции и уровня безработицы.
Переменные nt и ut находятся в отношении субституции; при ценообразовании по методу «затраты плюс» соотношение их значений представляет модифицированная кривая Филлипса:
пt = пf + au -aut, (10.24)
где a — параметр, характеризующий изменение уровня денежной зарплаты в период t по сравнению с периодом (t-1) в зависимости от уровня безработицы в периоде t.
Задача экономической политики правительства — минимизировать значение функции (10.23) при ограничении (10.24).
Для большей наглядности придадим параметрам модели числовые значения: и = 10; a = 0,8; ц = 0,4; 8 = 0,6; и представим решение задачи графически.
На рис. 10.26 изображено семейство изокост (кривых равных издержек общества), построенных в соответствии с функцией (10.23) по формуле
п t = у)2,5Ct - 1,5(ut -10)2.
Чем ниже расположена изокоста, тем меньшей сумме издержек она соответствует.
Пусть в исходном состоянии экономики существует полная занятость при инфляции п = пе = M = 16%; на рис. 10.26 оно представлено точкой A. Через эту точку проходят изокоста С = 102,4, представляющая множество сочетаний nt и ut, при которых общественные издержки равны 102,4, и кривая Филлипса nt = 24 - 0,8ut, представляющая множество возможных сочетаний nt и ut при пе = 16%. |
|
|
 |
|
Рис.10.26. Оптимальная антиинфляционная политика |
Первый шаг «оптимальной» антиинфляционной политики сводится к тому, чтобы перевести экономику из точки А в точку касания кривой Филлипса F1 с наиболее низкой изокостой. В нашем примере это изокоста С = 71,8. Точка их касания имеет координаты и = 16; п = 11,2. Поэтому правительству нужно уменьшить темп прироста денег, а следовательно, и темп инфляции до 11,2%. В результате этого установится новое динамическое равновесие при темпе инфляции 11,2% и уровне безработицы 16%.
Как и в модели инфляции, примем пе = nt-1 ; тогда в следующем периоде кривая Филлипса сместится вниз (F1 ^ F2), принимая вид nt = = 21,2 - 0,8ut. Она касается изокосты С = 35,2 в точке с координатами и = 14; п = 8. Значит, на втором шаге правительство должно снизить темп прироста денег до 8%. На этом этапе в рассматриваемом примере снижается не только инфляция, но и безработица.
Дальнейшее изменение экономической конъюнктуры в результате «оптимальной» антиинфляционной политики отмечено на рис. 10.26 стрелками.
Иногда в качестве альтернативы чисто монетарным методам борьбы с инфляцией предлагают так называемую политику цен и доходов. Ее суть в том, что правительство в директивном порядке либо замораживает цены и номинальные доходы (вариант шоковой терапии), либо ограничивает рост денежной зарплаты ростом средней (по стране) производительности труда, а рост цен — увеличением расходов на оплату труда (вариант градуирования). Аргументы сторонников политики цен и доходов сводятся к тому, что, во-первых, контроль за ценами и доходами делает несбыточными все инфляционные ожидания (и рабочих, и предпринимателей) и таким образом уничтожает инфляционную инерцию, и, во-вторых, он подрывает способность монополий повышать цены, а профсоюзов — заработную плату.
Оппоненты политики цен и доходов обращают внимание на то, что без сокращения роста денежной массы подобная политика обречена на неудачу. Обычно при этом указывают на опыт введения контроля за ценами в США администрацией президента Р. Никсона. Контроль был введен в августе 1972 г., когда инфляция (в годовом исчислении) составляла 3—5%. Спустя 2 года она достигла 12%, поскольку рост бюджетного дефицита и денежной массы из-за продолжающейся вьетнамской войны перекрыл эффект, который, быть может, и был получен в результате введения контроля за доходами. Поэтому такой контроль может рассматриваться лишь как дополнительный инструмент антиинфляционной политики.
Наиболее жесткие оппоненты политики цен и доходов идут в своей критике дальше. Они указывают, что такая политика не только не снижает инфляционных ожиданий, но, напротив, провоцирует их рост. И предприниматели, и профсоюзы ждут не дождутся отмены контроля, и в это время их аппетиты в отношении роста цен и доходов увеличиваются. Кумулятивный эффект отложенных инфляционных ожиданий может привести к резкому всплеску инфляции после отмены контроля. А накопленные за время контроля отклонения замороженных цен от их рыночного уровня делают такой исход более чем вероятным. Поэтому политика цен и доходов может оказаться успешной лишь при ее продлении на неограниченно долгий срок, что означало бы по существу подавление рынка и перевод открытой инфляции в подавленную.
С этой точки зрения замена рыночного механизма административно-командной системой в бывшем СССР явилась не результатом следования идеологическим установкам, а всего лишь побочным продуктом проводившейся в 1930-е гг. политики цен и доходов. Столкнувшись в первые же годы индустриализации с резким ростом номинальной зарплаты из-за конкуренции отраслей и предприятий на рынке труда и стремясь в то же время сохранить высокие темпы индустриализации, правительство постепенно ввело жесткий контроль за уровнем зарплаты на каждом предприятии. Средства на зарплату выдавались учреждениями Госбанка лишь в меру выполнения предприятиями установленных планов производства и роста производительности труда. Одновременно была резко ограничена мобильность рабочей силы (введение паспортов, прописки, трудовых книжек, замена свободного найма «орг-набором», распределением и перераспределением специалистов, ограничения на право менять место работы). Хотя впоследствии ряд этих мер был отменен или ослаблен, все же их основной костяк позволил в послевоенные годы резко ограничить рост номинальной зарплаты и перевести инфляцию из преимущественно открытой, какой она была в 1930-е гг., в преимущественно подавленную (1955—1991 гг.). |
Политика цен и доходов использовалась для борьбы с инфляцией в ряде развивающихся стран в 1980-е гг. Ее результаты неоднозначны. В Аргентине, Бразилии, Перу она не дала положительного эффекта, тогда как в Мексике и Израиле оказалась успешной. В то же время в Боливии успех в борьбе с инфляцией был достигнут исключительно монетарными методами, без введения какого-либо контроля за уровнем цен и доходов.
На выбор варианта антиинфляционной политики правительства существенно влияет социально-политическая обстановка в стране, поскольку распределение издержек этой политики между различными социальными слоями общества зависит от выбранного варианта. Если сокращение бюджетного дефицита госбюджета будет осуществляться путем сокращения государственных расходов, то издержки такой политики лягут в основном на сферу, финансируемую за счет бюджета (предприятия, имеющие доступ к дешевым кредитам и безвозмездным дотациям, бюджетники, социальная сфера). Если оно будет осуществляться за счет роста налогов на прибыль и экспортных тарифов, издержки лягут в основном на предпринимателей и работников негосударственных предприятий. Распределение бремени повышения личных налогов зависит от того, будет ли это распределение пропорциональным или прогрессивным. Поэтому правительство испытывает постоянное давление «групп интересов» и в случае своей слабости может оказаться вообще не способным к выбору и последовательному осуществлению своего политического курса.
В целом из анализа причин возникновения инфляции следует, что ее предотвращению лучше всего способствуют скоординированные действия правительства и частного сектора. Правительству следует в ходе: а) фискальной политики стабилизировать государственные расходы и систему налогообложения; б) денежной политики стремиться к равенству темпов роста предложения денег темпам роста производственного потенциала страны (национального дохода полной занятости); в) валютной политики (которая рассматривается в гл. 12) не допускать импорта инфляции. В то же время предпринимателям и домашним хозяйствам при определении политики заработной платы следует придерживаться равенства темпов роста ставки заработной платы темпам роста производительности труда. |
Краткие выводы
Комплексный анализ влияния инфляции на экономическую конъюнктуру можно провести, установив характер зависимости размеров совокупного спроса и совокупного предложения от темпа роста уровня цен, т. е. построив динамические функции этих макроэкономических агрегатов. Динамическая функция совокупного предложения основывается на: а) обратной зависимости ставки денежной зарплаты от уровня безработицы; б) прямой зависимости уровня национального дохода от уровня занятости; в) инфляционных ожиданиях продавцов труда; г) ценообразовании по методу «затраты плюс». В системе координат щ, yt график динамической функции совокупного предложения с адаптивными инфляционными ожиданиями имеет положительный наклон в коротком и перпендикулярен оси абсцисс в длинном периоде. При рациональных инфляционных ожиданиях величина реального национального дохода совершенно неэластична по темпу инфляции (график yS(nt) всегда перпендикулярен оси абсцисс).
Для построения динамической функции совокупного спроса необходимо: а) различать номинальную и реальную ставки процента, б) установить зависимость спроса на инвестиции от ожидаемой реальной ставки процента; в) представить в виде приращений зависимость объема совокупного спроса от определяющих его факторов. Ее график в системе координат nt, yt имеет отрицательный наклон, так как при заданном номинальном количестве денег с повышением темпа инфляции уменьшаются реальные кассовые остатки, что ведет к повышению реальной ставки процента и снижению совокупного спроса.
Точка пересечения графиков динамических функций совокупного спроса и совокупного предложения на перпендикуляре, соответствующем национальному доходу полной занятости, отражает динамическое равновесие экономики, при котором темп инфляции постоянен и равен темпу прироста предложения денег.
Равновесный темп инфляции повышается (понижается) вслед за увеличением (уменьшением) темпа прироста предложения денег. При этом в случае адаптивных ожиданий во время перехода от одного равновесного состояния к другому возникает конъюнктурный цикл. В первой фазе этого цикла ускорение инфляции сопровождается ростом национального дохода. Затем наступает фаза стагфляции, характеризующаяся снижением объема реального национального дохода при продолжающемся росте уровня цен; причем повышение последнего опережает увеличение количества находящихся в обращении денег. В случае рациональных инфляционных ожиданий изменение темпа прироста денег сразу, минуя конъюнктурный цикл, изменяет темп инфляции в том же направлении. |
Разовое увеличение государственных расходов (автономного спроса) без повышения темпа прироста денег при адаптивных ожиданиях вызывает конъюнктурный цикл, после которого темп инфляции восстанавливается на прежнем уровне. При рациональных ожиданиях фискальный импульс полностью нейтрализуется «эффектом вытеснения».
Непременным условием возникновения или ускорения инфляции является повышение темпа прироста предложения денег. При экзогенном увеличении темпа роста денежной массы говорят, что инфляция имеет монетарное происхождение. Если ускорение предложения денег явилось следствием изменений в реальном секторе экономики (рост издержек производства, структурные сдвиги спроса), то инфляция имеет немонетарный характер.
Важнейшим социально-экономическим следствием инфляции является перераспределение дохода и имущества между населением и государством, а также между различными слоями населения, снижающее эффективность использования производственных ресурсов страны.
Необходимой составляющей антиинфляционной политики, направленной на предотвращение гиперинфляции, является снижение темпа прироста денежной массы, приводящее к спаду производства и сокращению занятости. История гиперинфляций, разразившихся в первой половине 1990-х гг. в большинстве стран, переходивших от централизованно управляемой к рыночной экономике, подтверждает этот вывод теории инфляции. Выбор между двумя вариантами антиинфляционной политики — шоковой терапии и градуирования — осуществляется в зависимости от конкретной социально-экономической ситуации в стране.
Приложение: Антиинфляционная политика в России в 90-х гг. ХХ в.
До 1992 г. в России, как и в бывшего СССР в целом, из-за централизованного планирования цен в основном была присуща подавленная инфляция. Тем не менее, за 1991 г. ИПЦ в России возрос в 2,6 раза. Открытую форму инфляция в России приобрела с момента либерализации цен в январе 1992 г. С этого же времени правительство начало проводить антиинфляционную политику в присущей рыночной экономике форме. |
Либерализация цен позволила узнать, чего действительно стоили рубли, находившиеся тогда в обращении. Поскольку их объем в то время превышал номинальную величину ВВП (коэффициент монетизации (М2/Ру) в 1991 г. был больше единицы), то естественно, что в такой ситуации цены быстро пошли вверх. В январе они возросли в 2,5 раза.
Так как возникшая инфляция была инфляцией спроса, то подавить ее с помощью денежной политики власти (Министерство финансов и Центральный банк РФ) намеревались за счет сокращения в 1,5 раза государственных расходов в реальном выражении по сравнению с предыдущим годом и замедления темпов роста денежной массы. В первой половине года экономическая ситуация развивалась в следующем порядке: после всплеска в январе ИПЦ монотонно снижался до 12% в мае (рис. 1, где d(M2)/M2, dP/P, de/e — соответственно темпы месячного прироста денежного агрегата М2, ИПЦ и обменного курса рубля к доллару, %).
|
 |
Рис. 1. Конъюнктура денежного рынка России в 1992 г. по месяцам:
1 — dP/P; 2 — dM2/M2; 3 — de/e |
Однако против жесткой денежной политики дружно выступили руководители предприятий, столкнувшиеся с недостатком оборотных средств. Если населению, хотя бы частично, было компенсировано снижение его покупательной способности путем повышения зарплаты и пенсий, то кассовые остатки предприятий не были индексированы. Этим предприятия стали оправдывать стремительный рост взаимной задолженности. Ко второму полугодию общий размер неплатежей достиг 3,2 трлн руб., превысив на 62% величину денежной массы М2 на тот же момент. Взаимная задолженность между российскими предприятиями выросла за первое полугодие в 67 раз. На правительство стало оказываться давление, и после того как Президент РФ поддержал директорский корпус, правительство отступило. За счет средств Центрального банка РФ были предоставлены кредиты на пополнение оборотных средств и инвестиции. Всего за июль — сентябрь 1992 г. различным отраслям народного хозяйства было выделено около 9% годового ВВП таких кредитов. В августе 1992 г. начался зачет взаимной задолженности, который охватывал отношения между предприятиями, а также расчеты предприятий с коммерческими банками и бюджетом. Погашение задолженностей, оставшихся после проведения взаимозачетов между предприятиями в размере 335 млрд руб., или 17% величины М2 на конец первого полугодия 1992 г., производилось в основном Центральным банком РФ.
Второе обстоятельство, не позволившее провести жесткую денежную политику, — это самостоятельность центральных банков стран СНГ, на территории которых еще использовался российский рубль. В то время Россия контролировала эмиссию только наличных рублей. Безналичную рублевую эмиссию до лета 1992 г. осуществляло множество эмиссионных центров бывшего СССР. Более того, на территории ряда из них стали вводиться собственные денежные суррогаты: купоны, «зайчики». Все это способствовало росту денежной массы в России, что привело к росту цен благ и иностранной валюты (рис. 1). За год ИПЦ возрос в 26,1 раза.
Кредитная эмиссия лета 1992 г. не пошла на пользу отечественной промышленности. Дополнительные деньги, в которых якобы нуждались предприятия, быстро перетекли на валютный рынок. Практика подтвердила, что недостаток денег у большинства российских предприятий был связан не с чрезмерно жесткой денежной политикой, ас их неэффективной работой — производством никому не нужной продукции. С другой стороны, эффективно работающие предприятия вкладывали прибыль не в расширение производства, а в операции на валютном рынке. Для населения основной формой сбережений тоже была иностранная валюта. В результате курс доллара возрос с 128 руб/дол. в мае до 484 руб/дол. к концу года.
Вышедший из-под контроля во второй половине 1992 г. денежный рынок продолжал свое стихийное развитие в следующем году. Денежные власти не владели еще инструментами его регулирования. Вплоть до 1994 г. ставка рефинансирования (цена денег Центрального банка РФ для коммерческих банков) была ниже номинальной межбанковской ставки процента, а реальная ставка процента на межбанковском рынке была отрицательной. В результате коммерческие банки получали хорошие прибыли на денежном и валютном рынках. Спекуляция на валюте стала самой доходной финансовой операцией в ущерб вложениям в реальный капитал. |
Для экономики России в целом и ее финансовой системы в частности 1993 г. был самым неблагоприятным. Из-за конфронтации между Верховным Советом и Правительством РФ бюджет был утвержден лишь в конце марта. В нем предусматривался дефицит в размере 18% ВВП. В конце июня 1993 г. Верховным Советом был рассмотрен доработанный Министерством финансов РФ проект республиканского бюджета. В нем предусматривалось сокращение дефицита с 18% ВВП до примерно 10% ВВП. Однако после обсуждения в Верховном Совете РФ проект был скорректирован, дефицит был определен в размере 22,6% ВВП. Президент Б. Ельцин не подписал этот закон, вернув его для рассмотрения во втором чтении. Но парламент повторно утвердил практически тот же вариант бюджета.
|
 |
Рис. 2. Конъюнктура денежного рынка России в 1993 г. по месяцам:
1 — dP/P; 2 — dM2/M2; 3 — de/e |
Летом 1993 г. впервые с 1992 г. появилась тенденция сокращения налоговых поступлений. В результате при практически неизменных расходах федерального бюджета его фактический дефицит по сравнению с плановым более чем удвоился. Финансирование расходов осуществлялось за счет продаж правительством валюты (1,6% ВВП), драгоценных металлов (0,8% ВВП) и кредита МВФ (1,6% ВВП). Начавшийся в 1993 г. процесс снижения налоговых поступлений в государственный бюджет не удалось остановить в последующие годы. Это послужило одной из основных причин кризиса государственных финансов в августе 1998 г. Хотя в 1993 г. ИПЦ вырос лишь в 9,4 раза (в 1992 г. — в 26,1 раза), инфляция была устойчиво высокой (в среднем 20% в месяц) на протяжении всего года (рис. 2).
Однако за первые два года экономических преобразований денежные власти России приобрели полезный опыт и обогатили свой арсенал инструментов регулирования денежного рынка. В течение всего года Центральный банк РФ неуклонно повышал ставку рефинансирования с 50 до 210% годовых. Вслед за ней вверх пошли все другие цены денежного рынка. В результате в ноябре 1993 г. реальная межбанковская ставка впервые, хотя и не надолго, стала положительной; стабильно положительной она стала лишь с конца 1995 г. (рис. 3).
|
|
 |
|
Рис. 3. Динамика реальной межбанковской ставки процента по годам (сроком на 1—30 дн.) |
С сентября 1993 г. все целевые кредиты правительства (сельскому хозяйству, Крайнему Северу, на конверсию), которые до этого времени были практически бесплатны, стали предоставляться по ставке процента не ниже ставки рефинансирования.
В мае 1993 г. на денежном рынке России появился новый инструмент — государственные краткосрочные облигации (ГКО), который был призван отвлечь средства с валютного рынка и постепенно заменить прямое финансирование Центральным банком РФ дефицита федерального бюджета заимствованием государства на денежном рынке. В этом же году завершилось обособление российской национальной валюты от валют стран СНГ (лишь в Таджикистане рубль обращался вплоть до 1995 г.).
Большой вклад в достижение финансовой стабилизации России в последующие годы внесла принятая в конце 1993 г. Конституция РФ. Она затруднила принятие законодателями популистских бюджетных решений, которые порой принимались «с голоса». Процесс законотворчества был введен в режим жесткой процедуры. Решения, касающиеся бюджета, могли приниматься Государственной Думой РФ только при наличии заключения Правительства РФ. Конституция провозгласила Центральный банк РФ независимым от законодателей органом. Начиная с 1993 г. Банк России стал доводить до общественности свои планы путем опубликования Денежной программы, раскрывающей целевые установки денежной политики на предстоящий год.
При составлении своей Программы на 1994 г. Банк России был более осторожен, чем в предыдущие годы. Он взял на себя достаточно скромные задания по снижению инфляции. В результате фактический темп роста цен оказался намного ниже запланированного. Это привело к тому, что поступления в государственный бюджет стали отставать от запланированных. Уменьшилось бюджетное финансирование, начались невыплаты заработной платы работникам бюджетной сферы. Поэтому во втором полугодии пришлось пойти на незапланированную кредитную эмиссию. Последствия ее оказались теми же, что и в предыдущие годы: быстрый рост курса доллара, вылившийся в «черный вторник» (за один день 11 октября 1994 г. курс доллара возрос с 3081 до 3926 руб/дол.). К концу года валютные резервы Центрального банка РФ сократились до минимального уровня 1,5 млрд дол. Кризис валютного рынка оказался столь неожиданным, что за ним усмотрели политическую интригу против правительства. Был заменен председатель Центрального банка РФ, искали виновников кризиса и среди руководителей крупнейших коммерческих банков. Ситуация в финансовом секторе в 1994 г. представлена на рис. 4.
|  |
Рис. 4. Конъюнктура денежного рынка России в 1994 г. по месяцам:
1 — dP/P; 2 — dM2/M2; 3 — de/e |
Денежная программа на 1995 г. предусматривала отказ от использования прямых кредитов Центрального банка РФ для финансирования дефицита федерального бюджета. Дефицит бюджета в рублевой части предполагалось в основном покрывать за счет продажи государственных ценных бумаг и займа МВФ. Были изменены каналы денежного предложения. Если в 1992— 1993 гг. расширение денежной базы происходило в основном за счет кредитов Банка России правительству, отдельным предприятиям и странам СНГ, то в 1995 г. источниками роста денежного предложения стали прирост портфеля государственных бумаг и валютных резервов в активах Центрального банка РФ. Был расширен круг инструментов регулирования денежного рынка. Завершилось создание современной системы обязательного резервирования в Центральном банке РФ вкладов населения в коммерческих банках, существовавшая до 1995 г. в сильно урезанном виде. Этот инструмент стали активно использовать для регулирования денежного обращения в стране. Особенно удачным оказалось введение нормы резервирования депозитов в иностранной валюте. Норма резерва по валютным счетам действует как встроенный стабилизатор. Она делает невыгодным для коммерческих банков чрезмерный рост валютных средств и игру на повышение курса доллара, так как отчисления в резерв ведутся по рублевому эквиваленту. Чем больше иностранной валюты приобретают коммерческие банки, тем больше повышается ее курс и тем больше отечественных денег им приходится отчислять в обязательный резерв. Снижение спроса на иностранную валюту с введением норматива обязательного резервирования инвалютных счетов имело большое значение для Центрального банка РФ, так как после «черного вторника» в октябре 1994 г. его валютные резервы в начале 1995 г. были минимальны.
В течение всего 1995 г. действовала фактически запретительная ставка рефинансирования. Она почти все время существенно превышала ставку на рынке межбанковских кредитов, а с середины марта и до конца года — средневзвешенную доходность ГКО. Из-за недостатка отечественных денег коммерческие банки начали продавать иностранную валюту. Центральному банку РФ пришлось значительно увеличить свои валютные резервы. Это привело к увеличению денежной массы, однако ускорения инфляции не произошло, так как дополнительные деньги поглотил успешно функционировавший рынок ГКО: приобретая ГКО, коммерческие банки сокращают свои избыточные резервы, определяющие их кредитные возможности. В начале 1995 г. соотношение между объемом операций на валютном рынке, рынке ГКО и межбанковским кредитом было 70 : 15 : 15; в середине года — 40 : 30 : 30, а к концу — 15 : 70 : 15. Кроме того, в целях предотвращения чрезмерного роста количества денег в обращении Центральный банк РФ открыл коммерческим банкам специальные депозитные счета с годовой доходностью 10—25%. Еще один инструмент гибкого управления банковской ликвидностью — РЕПО (договор о сделке на покупку ценных бумаг с правом обратного выкупа) — был введен в 1996 г.
Свидетельством уверенности властей в возможности регулирования денежного рынка стало введение 6 июля 1995 г. «валютного коридора» (рис. 5). Валютный коридор стабилизировал обстановку на валютном рынке, которая после событий 1994 г. была очень напряженной. Так, в мае 1995 г. при текущем обменном курсе 5060 руб/дол. фьючерсные сделки на декабрь заключались по 7000 руб/дол. (фактически курс оказался равным 4622 руб/дол.). После введения валютного коридора на правительство ослабло давление, оказываемое в противоположных направлениях лоббистами экспортеров и импортеров.
В первом полугодии 1995 г. в стране сохранялись высокие инфляционные ожидания, подкрепленные большими закупками Центральным банком РФ на валютном рынке в целях увеличения валютных резервов; в начале мая они достигли 3,2 млрд дол. Поэтому введением валютного коридора правительство стремилось обеспечить доверие населения и бизнеса к мероприятиям антиинфляционной политики, что является необходимым условием достижения ее |
|
 |
|
Рис. 5. Валютный коридор (1) и динамика обменного курса (2) рубля к доллару США по годам |
конечной цели. Дело в том, что из двух основных инструментов антиинфляционной политики — регулирование количества находящихся в обращении денег и поддержание финансового обменного курса национальной валюты к устойчивой иностранной валюте — второй представляется публике более доступным для контроля за действиями властей. Колебания обменного курса — более популярный показатель, чем изменения денежной базы или норм минимального резервного покрытия. Однако при определенных условиях названные инструменты оказываются в отношении субституции, что и проявилось на практике в конце 1997 г., когда отток иностранного капитала из России, вызванный кризисом на Гонконгской фондовой бирже, вынуждал Центральный банк РФ продавать иностранную валюту для поддержания обменного курса рубля в коридоре, сокращая тем самым количество находящихся в обращении денег, а для снижения чрезмерно высокой в то время ставки процента на денежном рынке требовалось увеличить их предложение.
Поскольку валютный коридор сначала был установлен лишь на 3 мес., то коммерческие банки стали придерживать валюту, ожидая, что осенью, по завершении срока действия коридора, курс доллара резко возрастет. Недостаток предложения на валютном рынке пришлось пополнить Центральному банку РФ. Это наряду с перечисленными выше мерами по сдерживанию роста денежной массы привело к сокращению денег в обращении. По мере приближения конца срока действия валютного коридора спрос на рынке межбанковского кредита все больше превышал предложение, а 24 августа 1995 г., в «черный четверг», предложения денег вообще не оказалось, несмотря на то что по однодневным кредитам предлагали 2000% годовых.
На этот раз в отличие от прошлогоднего кризиса на валютном рынке власти прореагировали оперативно и профессионально. Для запуска денежного рынка Центральный банк РФ закупил у коммерческих банкиров ГКО на 1,6 трлн руб. и выдал ломбардных кредитов на 0,3 трлн руб. Министерство фи-
|
|
|
Выполнение Денежной программы России в 1996 г. |
|
|
|
Показатель |
План |
Факт |
ВВП, трлн руб.
Среднемесячный рост ИПЦ, % Годовой рост ИПЦ, %
М2, трлн руб. |
2300
1,9
125
283—295 |
2256
1,7
122
195,2 |
нансов РФ отложило размещение очередного выпуска ОФЗ на 0,5 трлн руб. В то же время Центральный банк РФ устоял против сильного давления коммерческих банков, видевших причину кризиса во введении развернутой системы норм минимальных резервных покрытий и требовавших их снижения. По рекомендации руководства Центрального банка РФ коммерческие банки ввели систему обмена данными о своем финансовом состоянии и разработали другие мероприятия для усиления взаимодоверия. В результате принятых мер рынок межбанковского кредита быстро вышел из кризиса без видимых последствий для динамики цен и валютного курса. Можно считать, что в целом кризис межбанковского рынка сыграл положительную роль, так как выявил неэффективные банки и заставил Центральный банк РФ усилить регулирование деятельности коммерческих банков, уделяя гораздо больше внимания выполнению банками нормативных ограничений. Изменения ситуации на финансовом рынке России представлены на рис. 6.
 |
Рис. 6. Конъюнктура денежного рынка России в 1995 г. по месяцам:
1 — dP/P; 2 — dM2/M2; 3 - de/e |
К концу года валютные резервы Банка России составляли 13 млрд дол., что равнялось двухмесячному импорту страны.
1996 г. — год президентских выборов. В начале года кандидат от Коммунистической партии был бесспорным лидером среди кандидатов. Напряженная борьба за президентский пост сопровождалась интенсивной денежной эмиссией и утечкой капиталов за границу (легальной и нелегальной). В реальном секторе усилился спад экономической активности. На одной из первых после завершения выборов пресс-конференции тогдашний министр экономики признался: «Если говорить откровенно, то мы не ожидали такого
1 Примечательно, что в письме Ассоциаций российских банков, написанном после кризиса Президенту РФ, отмечалась необходимость «принять дополнительные меры по совершенствованию контроля за деятельностью коммерческих банков, не допуская создания сомнительных кредитных учреждений, и обеспечить не формальный, а компетентный надзор за их деятельностью, чтобы предотвратить расхищение банковских средств недобросовестными учредителями» // Сегодня, 12.09.1995.
влияния избирательной кампании на экономику». Если добавить к этому тяжелую болезнь Президента РФ сразу после выборов, то станет ясно, что в политическом отношении 1996 г. был очень неблагоприятным. Тем не менее власти, обогащенные опытом и инструментами регулирования денежного рынка, успешно реализовали свою программу на этот год (см. таблицу).
Удалось также выполнить одну из важнейших финансовых задач года — снизить доходность ГКО за счет сокращения заимствования Министерства финансов РФ и допуска нерезидентов на этот сектор финансового рынка. В результате возросла сравнительная выгода инвестиций в реальный капитал и сократились расходы федерального бюджета по обслуживанию государственного долга.
Специфика конъюнктуры денежного рынка России в 1996 и 1997 гг. состоит в том, что в полном соответствии с экономической теорией после затухания инфляции увеличивается спрос населения на деньги (замедляется скорость их обращения). Поэтому темп роста предложения денег значительно опережает темп инфляции при практически неизменном курсе доллара и устойчивом затухании инфляции (рис. 7).
|  |
Рис. 7. Конъюнктура денежного рынка России в 1996—1997 гг. по месяцам:
1 — dP/P; 2 — dM2/M2; 3 — de/e |
Таким образом, к 1997 г. инфляция в России была подавлена: среднемесячный прирост ИПЦ в 1997 г. равнялся 0,875 %. Это было достигнуто в основном за счет жесткого контроля за количеством находящихся в обращении денег, т.е. средствами денежно-кредитной политики. Вклад реального сектора экономики в преодоление инфляции сводился к положительному сальдо торгового баланса, способствовавшему поддержанию обменного курса рубля в валютном коридоре.
 |
Рис. 8. Конъюнктура денежного рынка России в 1998—1999 гг. по месяцам:
1 - dP/P; 2 - dM2/M2; 3 - de/e |
ЧАСТЬ IV
Стабилизационная политика государства
Всплеск уровня цен во второй половине 1998 г. по своей природе был ценовым шоком, порожденным августовским кризисом по следующей цепочке: скачок обменного курса рубля ^ повышение цен на импортные товары, составлявшие около половины всех товаров народного потребления, ^ рост общего уровня цен. Динамика показателей денежного рынка в 1998-1999 гг. представлена на рис. 8.
Рост предложения денег последовал за ростом уровня цен и был вызван необходимостью поддержать банковскую систему и компенсировать потери госбюджета в связи с резким сокращением налоговых поступлений из-за паралича банков и ослабления налоговой дисциплины. Благодаря сдержанной денежной политике, росту отечественной промышленности, основанному на импортозамещении, и высоким мировым ценам на энергоносители в 19992000 гг. темп инфляции достаточно быстро вернулся к предкризисному уровню.
В микроэкономике экономическая роль государства сводится к: а) производству общественных благ; б) перераспределению национального дохода в целях предотвращения чрезмерной дифференциации доходов и имущества граждан, порождающей социальную напряженность в обществе; в) защите конкуренции и регулированию деятельности естественных монополий; г) устранению недостатков рыночного механизма, связанных с отрицательными и положительными внешними эффектами при производстве частных благ и асимметричностью информации при заключении рыночных сделок.
Макроэкономический анализ функционирования рыночной экономики служит основанием для включения в число экономических функций государства проведение стабилизационной экономической политики, целями которой являются: а) поддержание ОЭР при полной занятости; б) устойчивый рост экономики; в) стабильный уровень цен; г) сбалансированный платежный баланс страны.
Совокупность целей стабилизационной политики, представленная в графическом виде, образует так называемый «золотой четырехугольник». Сравнение конфигураций четырехугольников, построенных на основе планируемых и фактических показателей, дает представление о результативности стабилизационной политики. На рисунке изображены планировавшиеся и достигнутые значения четырех перечисленных показателей России в 2000 г.
По отношению друг к другу цели стабилизационной политики могут быть взаимозаменяемы, взаимодополняемы или нейтральны. Так, кривая Филлипса в коротком периоде иллюстрирует отношения субституции между темпом инфляции и уровнем занятости как целями экономической политики. В отношении взаимодополняемости обычно находятся рост национального дохода и занятость. Характер взаимозависимости между отдельными целями стабилизационной политики изменчив и определяется конкретной хозяйственной ситуацией. Так, если в фазе подъема вместе с ростом уровня цен растет национальный доход, то в периоды стагфляции рост уровня цен сопровождается снижением производства. Это наряду с ограниченными возможностями правительства влиять на развитие экономической конъюнктуры за- |
|
 |
|
Фактические (1) и намечавшиеся (2) значения макроэкономических показателей России в 2000 г. |
трудняет построение «золотого четырехугольника», превращая его в «магический».
В данной части будут рассмотрены инструменты стабилизационной политики и их применение в ходе государственного регулирования рыночного хозяйства. На первом этапе абстрагируемся от воздействия заграницы на национальное хозяйство через валютные рынки и международный перелив капиталов, т.е. используем модель закрытой экономики.
демографических и технических факторов. Если к моменту установления равновесия в точке E1 кривая y(u) займет положение y(и)', то конъюнктурная безработица сохранится, хотя и в меньшем размере: U0 - щ.
Глава 11
Стабилизационная политика
В ЗАКРЫТОЙ ЭКОНОМИКЕ
В зависимости от набора инструментов, которые правительство использует для проведения стабилизационной политики, она подразделяется на фискальную, денежно-кредитную и комбинированную.
Из-за расхождения между неоклассиками и кейнсианцами при описании механизма функционирования национального хозяйства (см. 8.1 и 8.2) они по-разному оценивают возможности и последствия стабилизационной политики государства.
|
|
 |
|
Рис. 11.1. Задачи стабилизационной политики в закрытой экономике |
В общем виде суть стабилизационной политики сводится к воздействию государства на совокупный спрос и(или) совокупное предложение с целью поддержания их динамического равновесия при желаемых значениях занятости, уровня цен и роста дохода.
Пусть текущее состояние экономики отображается точкой E0 на рис. 11.1. Совокупный спрос равен совокупному предложению при доходе У0 и уровне цен P0. В то же время, как можно установить по кривой Оукена y(u), существует конъюнктурная безработица в размере U0 -Щ). Задача стабилизационной политики состоит в том, чтобы обеспечить смещение равновесия из положения E0 в положение E1 вдоль линии P0, предотвращая возможное самопроизвольное ее движение по маршруту, отмеченному пунктирной линией. Для этого правительство должно проводить стимулирующую (экспансионистскую) экономическую политику во время спада и сдерживающую (контрактивную) политику во время бума.
При этом надо иметь в виду, что сдвигаться могут не только кривые совокупного спроса и совокупного предложения, но и кривая Оукена, поскольку значение естественного уровня безработицы, как отмечалось в 7.2, изменяется под воздействием
11.1. Фискальная политика
Под фискальной политикой подразумевается воздействие государства на экономическую конъюнктуру посредством изменения объема государственных расходов и налогообложения. Поскольку осуществление государственных расходов означает использование средств государственного бюджета, а налоги являются основным источником его пополнения, фискальная политика сводится к манипулированию государственным бюджетом.
«Основными направлениями бюджетной политики в среднесрочной перспективе являются:
— совершенствование бюджетной политики в области расходов на основе критериев, отражающих эффективность бюджетных средств и определенных исходя из приоритетов социально-экономической политики;
— создание системы управления государственными активами и пассивами, которая позволит значительно повысить устойчивость бюджетной системы, придаст гибкость проводимой бюджетной политике, снизит риски, связанные со структурой государственного долга;
— совершенствование бюджетного процесса, обеспечение прозрачности бюджета и бюджетных процедур на всех уровнях бюджетной системы;
— формирование справедливой, нейтральной и эффективной налоговой системы с целью снижения налоговой нагрузки на субъекты экономической деятельности, формирование благоприятных условий развития предпринимательства, обеспечение сбалансированности государственного бюджета». |
Хотя государственные расходы финансируются из государственного бюджета, это не означает, что они не могут превысить величину поступающих в бюджет средств. В ходе осуществления фискальной политики может возникнуть дефицит или избыток государственного бюджета. Для определения фискальной политики имеет значение, как финансируется бюджетный дефицит и как используется бюджетный избыток. В закрытой экономике финансировать бюджетный дефицит можно из двух источников: заимствовать у населения, продавая ему облигации, и у центрального банка. В последнем случае, как было показано в 4.2, возрастают активы центрального банка и соответственно увеличивается денежная база, т.е. происходит монетизация государственной задолженности. Поэтому бюджетный дефицит можно разложить на два слагаемых: 8 = ДБ + ДМ.
При образовании бюджетного избытка государство может направить его на погашение своего долга населению, досрочно выкупая облигации, или на уменьшение задолженности центральному банку. В первом случае количество денег в стране не изменится: просто со счетов государства они перейдут на счета граждан, а во втором случае объем денежной массы сократится вследствие уменьшения активов центрального банка.
В долгосрочной перспективе (в длинном периоде) дефицит государственного бюджета всегда сопровождается увеличением количества денег в обращении. Если центральный банк будет препятствовать монетизации бюджетного дефицита, то государству придется увеличить предложение облигаций, что приведет к повышению ставки процента. С повышением последней предложение денег возрастает. Кроме того, повышение ставки процента усиливает эффект вытеснения при проведении экспансионистской фискальной политики. Для ослабления эффекта вытеснения придется прибегнуть к экспансионистской денежной политике.
Чтобы проследить за последствиями фискальной политики в «чистом» виде, будем полагать, что Центральному банку РФ запрещено финансировать дефицит государственного бюджета, и поэтому рост государственных расходов непосредственно не ведет к увеличению количества денег. |
Основные задачи бюджетной политики на 2004 г. и среднесрочную перспективу. «Главными задачами бюджетной политики остаются повышение благосостояния населения и обеспечение устойчивого роста экономики страны на основе стабильного функционирования и развития бюджетной системы. В связи с этим бюджетная политика должна способствовать повышению качества и доступности бюджетных услуг, формированию благоприятного предпринимательского климата, повышению конкурентоспособности отечественной экономики, сокращению масштабов бедности, обеспечению социальной стабильности на основе одновременного роста доходов работников как государственного, так и частного сектора экономики.
При этом бюджетная политика должна быть ориентирована на перспективу, исходить из четкого понимания возможностей федерального бюджета и приоритетов в расходах, обеспечивать предсказуемость условий формирования бюджетов всех уровней. Федеральный бюджет на 2004 г. не должен стать заложником предвыборных амбиций, отраслевого лоббизма и заведомо невыполнимых обещаний.
Одобренные Правительством Российской Федерации перспективный финансовый план и бюджет «расширенного правительства» должны быть основой для формирования основных характеристик федерального бюджета на очередной финансовый год. Планы снижения налогового бремени, принятия новых обязательств, проведения структурных реформ в экономике должны быть увязаны с базовым прогнозом параметров бюджетной системы.
В условиях сохраняющейся в среднесрочной перспективе зависимости российской бюджетной системы от внешнеэкономической конъюнктуры требуется создание стабилизационного фонда.
Продолжение работы по совершенствованию налоговой системы и последовательному снижению налогового бремени остается среди приоритетных задач бюджетной политики.
Должен быть продолжен курс на ограничение роста непроцентных расходов бюджетной системы. Цель — обеспечить более низкие темпы их роста по сравнению с темпами роста экономики.
Уменьшение объема перераспределяемых государством финансовых ресурсов должно сопровождаться принятием адекватных мер по оптимизации бюджетных расходов, внедрению современных методов бюджетного планирования, ориентированных на достижение конечных результатов и стимулирующих органы власти разных уровней и бюджетные организации к максимально эффективному использованию бюджетных средств.
Государство должно отказаться от сметного финансирования бюджетной сети и прямого предоставления значительной части бюджетных услуг и перейти к принципу их оплаты в соответствии с получаемыми обществом результатами. Необходимо продолжить разработку предложений в этом направлении.
Приоритетной задачей 2003—2004 гг. является также формирование финансовой основы для реализации начатой реформы федеративных отношений и местного самоуправления, предполагающей расширение бюджетной самостоятельности и ответственности региональных и местных органов власти. |
Основные направления налоговой политики. В 2004 г. сохранится курс на дальнейшее снижение налогового бремени, прежде всего в обрабатывающих отраслях промышленности и в сфере услуг. Это придаст новый импульс инвестиционной активности, усилит мотивацию роста прибыли и отказа от теневой хозяйственной деятельности, будет стимулировать инновационную деятельность и развитие высоких технологий. Тем самым будут созданы необходимые условия для диверсификации структуры экономики и ее дальнейшего роста.
В этих целях в 2004 г. можно было бы снизить с 20 до 18 процентов общую ставку налога на добавленную стоимость. В случае сохранения благоприятной финансовой ситуации начиная с 2006 г. может быть введена единая, унифицированная ставка данного налога в размере 16 процентов.
С 2005 г. одновременно с осуществлением мер в области пенсионного, медицинского и социального страхования может быть заметно снижена эффективная ставка единого социального налога, что станет серьезным стимулом для легализации заработной платы, ныне укрываемой от налогообложения.
В 2003—2004 гг. необходимо коренным образом изменить систему имущественного налогообложения. Имущественные налоги должны стать серьезным источником доходов региональных и местных бюджетов, а принципы их взимания должны стимулировать эффективное использование имущества.
Важным направлением налоговой политики станут меры по повышению уровня налогового администрирования, в том числе на основе внедрения информационных технологий. Совершенствование налогового администрирования не только является потенциальным резервом для дальнейшего снижения налогового бремени, но и необходимо в целях обеспечения равенства конкурентного режима для добросовестных налогоплательщиков.
Период кардинальных изменений налоговой системы подходит к концу. На первый план постепенно выходит задача сохранения стабильности налоговой системы как фактора легализации бизнеса и увеличения массы налоговых платежей. Вносимые в законодательство о налогах и сборах отдельные изменения все в большей степени должны быть направлены на повышение ясности законодательства и на однозначность его применения налогоплательщиками.
Надо более рационально организовать работу налоговых инспекций, свести к минимуму временные затраты налогоплательщиков по ведению налогового учета, подготовке и сдаче налоговой отчетности, особенно в малом предпринимательстве.
Как следствие, должен начаться процесс снижения издержек налогоплательщиков и государства на обеспечение функционирования налоговой системы. |
Положительный эффект от проведения налоговой реформы возможен только в случае ее синхронизации с другими экономическими преобразованиями, включая реформу бюджетной сферы, валютного и технического регулирования, повышение качества антимонопольной политики»
Версия «новых классиков». Современная интерпретация последствий фискального импульса, основанная на исходных постулатах неоклассиков — совершенная гибкость цен и нейтральность денег — разработана в концепции новых классиков, создателями которой признаны Р. Барро, Р. Лукас, Т. Сарджент, Н. Уоллес .
Включим в неоклассическую модель (см. 8.1) государственные расходы, финансируемые за счет налогов
yD = C( i,G| +1( i ) + G;
y = y [+G.
Воздействие государственных расходов на экономическую конъюнктуру проявляется в том, что: а) сокращается располагаемый доход домашних хозяйств, поскольку источником государственных расходов являются налоги; б) уменьшаются потребительские расходы, так как часть потребностей домашних хозяйств удовлетворяется за счет государства: бесплатное образование, медицинское обслуживание и пр.; в) увеличивается результативность производства из-за того, что государство финансирует фундаментальные научные исследования, переподготовку кадров, строительство дорог и пр.
Допустим, что при увеличении государственных расходов на 1 ед. домашние хозяйства экономят на потребительских расходах а ед. и выпуск продукции увеличивается на в ед. Оценка последствий роста государственных расходов зависит от значений а и р. Если (а + в) > 1, то экономически целесообразно увеличивать государственные расходы, так как выигрыш населения от экономии потребительских расходов и увеличения производимого национального дохо- |
|
|
 |
|
Рис. 11.2. Последствия одноразового роста государственных расходов в неоклассической концепции |
да перекрывает потери от налогообложения. Следовательно, население заинтересовано в том, чтобы доля госбюджета в ВВП росла до тех пор, пока не установится равенство (а + в) = 1. Разумно предположить, что вследствие общей заинтересованности эта возможность повысить благосостояние реализована в каждой стране. Поэтому дальнейшее увеличение государственных расходов происходит при (а + в) < 1. С учетом этого обстоятельства проследим за последствиями фискального импульса. Они различаются в зависимости от того, происходит ли одноразовое (временное) или постоянное (длительное) увеличение государственных расходов, т.е. сокращается ли располагаемый доход домашних хозяйств только в одном периоде или на протяжении многих последующих периодов.
Поскольку поведение домашних хозяйств на рынке благ определяется их стремлением составить план потребления на весь срок жизни, то при одноразовом сокращении располагаемого дохода объем потребления практически не меняется, так как потери от прироста налогов компенсируются за счет сокращения сбережений. Тем не менее потребительские расходы сократятся на величину экономии домашних хозяйств в результате потребления дополнительных общественных благ. Поэтому рост государственных расходов на АС увеличит совокупный спрос на блага на Ау-° = = АС - аАС (сдвиг yD ^ ?\ на рис. 11.2). Совокупное предложение благ увеличится на AyS = вАС (сдвиг yq ^ yS и, как следствие, сдвиг ND ^ ND ). Поскольку в реальных условиях а + в < 1, то приращение совокупного спроса превышает приращение совокупного предложения. На рис. 11.2 это отображено тем, что кривая yD сдвигается вправо на большее расстояние, чем кривая yS. Для восстановления равновесия на рынке благ должна возрасти ставка процента. Это произойдет из-за сокращения объема сбережений и возникновения дефицита на рынке капитала.
Вследствие повышения ставки процента сократятся и инвестиционный, и потребительский спрос (движение по кривой yf вверх), а предложение труда увеличится (сдвиг NQ ^ NQ). Из-за увеличения предложения труда кривая совокупного предложения сдвинется вправо еще раз ( yS ^ yQ), в результате несколько снизится ставка процента и возрастут инвестиционный и потребительский спрос.
Общий результат однократного увеличения государственных расходов: увеличение производства и количества используемого труда, сокращение частного потребления и инвестиций из-за повышения ставки процента; производство увеличилось, но вследствие эффекта вытеснения прирост производства меньше прироста государственных расходов, т.е. мультипликатор меньше единицы.
Когда государственные расходы растут постоянно, тогда и располагаемый доход домашних хозяйств становится меньше не только в текущем, но в последующих периодах. В этом случае рост расходов государства сопровождается сокращением потребления, а не сбережения домашних хозяйств; объем сбережений определяется в соответствии со сложившейся ставкой процента и объемом располагаемого дохода. Следовательно, сокращение потребительских расходов равно приращению расходов государства.
Из-за равновеликого, но противоположно направленного изменения расходов государства и домашних хозяйств совокупный спрос на блага не изменится. Но дополнительные расходы государства увеличивают производство национального дохода на AyS = вАС. Так как такое увеличение происходит ежегодно, то домашние хозяйства повышают на эту величину потребление. В результате &yS = вАС = Ау-°, т.е. кривые совокупного спроса и совокупного предложения сдвигаются на одинаковое расстояние и на рынке благ восстанавливается равновесие при возросшем доходе и неизменной ставке процента (рис. 11.3).
Таким образом, при постоянном росте государственных расходов в каждом периоде производство растет на Ау = вАС, потребление домашних хозяйств сокращается на АС = (1 - в) АС, ставка процента, объем инвестиций и занятость не изменяются. Государственные расходы вытесняют частное потребление.
Общая оценка экспансионистской фискальной политики новыми классиками отрицательная: рост государственных расходов уменьша- |
|
|
 |
|
Рис. 11.3. Последствия перманентного роста государственных расходов в неоклассической концепции |
|
Таблица 11.1 |
|
|
|
Показатель |
2002 г. (оценка) |
Прогноз на 2015 г., если доля государственных расходов в ВВП |
|
увеличится |
не изменится |
снизится |
|
Государственные расходы, % к ВВП |
34,9 |
40 |
34,9 |
25 |
|
Среднегодовой темп прироста ВВП, % |
4,0 |
0,2 |
2,9 |
8,9 |
ет частное потребление и инвестиции, что препятствует устойчивому экономическому росту.
Одним из наиболее активных пропагандистов этой концепции среди современных российских экономистов является директор Института экономического анализа (Москва) А. Илларионов. Он пишет: «Нынешнее бремя государственных расходов отечественная экономика выдержать не в состоянии. Для того чтобы вырваться из тисков экономического кризиса, обеспечить начало экономического роста, есть практически единственное средство — сокращение государственных расходов, снижение государственного потребления, сужение сферы деятельности государства. И анализ текущей экономической ситуации в России, и международные сопоставления свидетельствуют, что нынешний объем государственных расходов должен быть сокращен. Критерий здесь простой и ясный — государство призвано финансировать производство действительно общественных благ, т.е. только тех благ, которые потребляются всем обществом, а не его отдельными группами или индивидами. В таком случае за государством остается реализация лишь нескольких важнейших общественных функций — национальная оборона, внешняя политика, внутренний порядок, судопроизводство, обеспечение прав собственности, базовое здравоохранение, среднее образование, сохранение важнейших культурных ценностей, поддержка фундаментальной науки, обслуживание государственного долга. Все остальные государственные обязательства должны быть приватизированы». На основе корреляционного анализа, проведенного в ИЭА по данным МВФ и национальной статистики 88 стран, А. Илларионов обосновывает вывод, что каждая страна в зависимости от уровня развития и численности населения имеет свою оптимальную (соответствующую максимально возможному темпу роста эко-
1 Илларионов А. Бремя государства // Вопросы экономики. 1996. № 9. C. 24—25.
номики) долю государственных расходов в ВВП. Для современной России она составляет 18—21%. В соответствии с этим он предсказывает следующие варианты развития российской экономики до 2015 г. в зависимости от величины государственных расходов (табл. 11.1)
Альтернативные сценарии развития российской экономики
Кейнсианская версия. В кейнсианской концепции конечный результат изменения государственных расходов или суммы налоговых сборов определяется мультипликатором (8.8). Для наглядного представления последовательности событий, возникающих после увеличения государственных расходов, обратимся к рис. 11.4, на котором исходное состояние экономики соответствует кейнсианской безработице в условиях, описываемых системой уравнений (8.1б):
— поведение домашних хозяйств на рынке благ отображается функцией потребления C = 80 + 0,7y, на рынке денег — функцией спроса на реальную кассу l = 0,04y + 2(50 — i) и на рынке труда — фиксированной ставкой денежной зарплаты WS = 30;
— предпринимательский сектор, стремящийся к максимуму прибыли, использует технологию, представленную производственной функцией y = 70N — N, а его спрос на инвестиции характеризуется функцией I = 260 — 6i;
— государство планирует расходы на закупку благ в объеме 110, ставка подоходного налога равна 10%, а банковская система постоянно поддерживает в обращении номинальных 104 ден. ед.
Чтобы ликвидировать безработицу, государство увеличивает свои закупки на рынке благ с 110 до 189,5 ден. ед., финансируя приращение |
|
|
 |
|
Рис. 11.4. Фискальный импульс в кейнсианской концепции |
M _1_
P1 p0li
= 35,45.
= 0,788.
*=—І
0,3 + 6І
расходов за счет продажи облигаций населению. Прирост государственных расходов смещает линию IS вправо до пересечения с линией LM1 в точке с координатами i = = 27; у = 1226. Но эта точка не представляет новое равновесное состояние. Вслед за сдвигом линии IS вправо сместится кривая совокупного спроса: yD ^ yD . При исходном уровне цен Р = 1,093 на рынке благ возникает дефицит и цены начнут расти. Повышение уровня цен вызывает два одновременных эффекта; один изменяет объем совокупного спроса, другой — объем совокупного предложения.
В модели IS—LM из-за сокращения реальных кассовых остатков линия LM сдвигается влево, уменьшая величину эффективного спроса. (Обратим внимание на то, что кривая совокупного спроса остается на месте, так как причиной сдвига линии LM явилось изменение уровня цен, а не номинального количества денег.)
На рынке труда вследствие повышения уровня цен растет ценность предельного продукта труда и кривая спроса на труд поворачивается против часовой стрелки, увеличивая занятость и объем совокупного предложения.
Когда уровень цен поднимется до Р = 1,342, тогда объемы эффективного спроса и совокупного предложения будут равны 1100 и установится новое равновесие при полной занятости.
Таким образом, увеличение государственных расходов на 78,5 привело к увеличению национального дохода с 1037 до 1100, а занятости — с 21,3 до 23,8; уровень цен возрос с 1,093 до 1,342, а ставка процента — с 23,2 до 33,2. При фиксированной ставке денежной зарплаты WS = 30 реальная ставка снизилась с 30/1,093 = 27,4 до 30/1,342 = 22,4. Вследствие роста ставки процента возник «эффект вытеснения»: приращение государственных расходов сопровождается сокращением инвестиций предпринимательского сектора с 260 - 6-23,2 = 120,8 до 260 - 6-33,2 = = 60,8. Возрос дефицит государственного бюджета с 110 - 103,7 = 6,3 до 189,5 - 110 = 79,5.
Рассчитаем конечный результат увеличения государственных расходов в рассмотренных условиях еще раз, используя мультипликатор (см. формулу (8.8)). Для определения его величины примем во внимание, что в заданных условиях ^у = 0,3; I = 6; ly = 0,04; 4 = 2. Кроме того, поскольку приращение национального дохода определяется не в точке, а на отрезке, то величина вертикального сдвига линии LM определяется по формуле
104 1
1,342'2 -1,093
Соответственно
Ум = 0,5(yN 0 + yN 1) = 0,5(27,4 + 22) = 24,7;
P = 0,5(P0 + Pi) = 0,5(1,093 +1,342) = 1,218.
Из-за фиксированной цены предложения труда WN = Wp = 0. С учетом перечисленных обстоятельств
1
0,04 35,45 -2 -1,2185 2 + 24,7 - -24,7 J
Следовательно, dy = 0,788-79,5 = 63.
Обусловленная увеличением государственных расходов цепочка событий возникла бы и после сокращения налогов: снижение Ту смещает линию IS вправо и т.д.
При выборе между увеличением государственных расходов и снижением налогов в качестве инструмента активизации экономической активности, кроме отмеченного в 3.4 различия между мультипликатором автономных расходов и налоговым мультипликатором, нужно иметь в виду, что увеличение государственных расходов |
|
|
 |
|
Рис. 11.5. Линии равных инвестиций (изоинвестиции) |
означает рост участия государства в перераспределении национального дохода, а снижение налогов есть «уход» государства из экономики. Поэтому выбор в пользу того или иного инструмента фискальной политики зависит и от величины государственного бюджета в данный момент.
Теорема эквивалентности Рикардо. Условия проведенного анализа последствий фискального импульса в кейнсианской концепции не совпадают с условиями аналогичного анализа в концепции «новых классиков»: в кейнсианской концепции государственные расходы финансируются за счет займа у населения, а в концепции «новых классиков» — за счет налогов. Дело в том, что по представлению последних заем у населения (выпуск облигаций) воздействует на поведение домашних хозяйств так же, как рост налогов, т.е. в обоих случаях сокращается текущее потребление. Это положение Р. Барро назвал теоремой эквивалентности Рикардо. Доказывается она следующим образом.
Оценивая свое имущественное положение после приобретения дополнительной порции государственных облигаций, домашние хозяйства учтут, что в будущем правительству придется повысить налоги для выплаты процентов по дополнительному займу. Величина необходимых для этого средств равна iAB. Следовательно, на такую величину возрастут ежегодные налоговые сборы (AT = iAB). Чтобы определить, как изменилось имущество домашних хозяйств после выпуска дополнительной порции государственных облигаций, нужно из текущего приращения их имущества (AB) вычесть дисконтированную на текущий момент сумму будущих приращений налогов. Предложим в целях упрощения, что облигации имеют бесконечный срок обращения и дисконтирование осуществляется по текущей ставке процента. Тогда
Поведение домашних хозяйств в кейнсианской концепции не соответствует теореме эквивалентности Рикардо.
Фискальный импульс в расширенной модели. Как было отмечено в
3.2.2, кейнсианскую модель можно расширить за счет включения в нее наряду с автономными индуцированных инвестиций: I = I^ i,yj и учета реакции потребления домашних хозяйств на изменение их реального имущества: C = C^#,yj .
Поскольку увеличение государственных расходов приводит к одновременному росту i и y, то фискальный импульс может не сопровождаться вытеснением инвестиций. Для выявления условий, при которых вместе с ростом государственных расходов увеличивается объем инвестиций, используем линию равных инвестиций (изоинвестицию), каждая точка которой показывает, при каких сочетаниях ставки процента и национального дохода предприниматели осуществляют один и тот же объем инвестиций. Эта линия имеет положительный наклон, так как в случае повышения ставки процента сократятся автономные инвестиции и для сохранения общего объема инвестиций на исходном уровне за счет индуцированных инвестиций требуется увеличить национальный доход. Карта изоинвестиции изображена на рис. 11.5. |
~_Д^ =?_*?. = ab .
Йа+о йа+о
Поэтому приращение государственной задолженности не увеличивает имущества домашних хозяйств.
Иначе говоря, при увеличении налогов потребление домашних хозяйств сокращается из-за уменьшения располагаемого дохода, а при повышении государственного займа — вследствие роста сбережений, вызванного ожидаемым увеличением налогов.
Если в исходном состоянии ОЭР линия равных инвестиций имеет более крутой наклон, чем линия LM, то увеличение государственных расходов вызовет рост инвестиций. Когда линия LM круче линии равных инвестиций, тогда возникает эффект вытеснения (рис. 11.6).
|
 |
|
государственных расходов в расширенной кейнсианской модели |
Учет в функции потребления домашних хозяйств их имущества тоже отражается на сдвиге линии IS после фискального импульса. Рассмотрим рис 11.7, на котором исходное равновесие представлено сочетанием i(, У0, P0, N0, W0.
Дополнительные закупки государства на рынке благ проявляются в сдвиге IS0 ^ IS 1, влекущем за собой сдвиг yD ^ yD. При исходном уровне цен на рынке благ возникает дефицит и уровень цен повышается. Вследствие роста уровня цен: а) сокращается реальное количество денег и линия LM сдвигается влево (LM0 ^ LMj); б) уменьшается реальный объем имущества и из-за сокращения потребительского спроса линия IS сдвигается влево (IS1 ^ IS2); в) повышаются цена спроса на труд (W(P ^ WD ) и с некоторым отставанием из-за адаптивных ожиданий — цена предложения труда (W(S ^ W\ ). В результате увеличиваются занятость и объем предложения на рынке благ. Когда уровень цен поднимется до Р\, тогда установится новое равновесие на всех макроэкономических рынках. В отличие от случая, рассмотренного на рис. 11.4, на рис. 11.7 линия IS совершила возвратное движение IS1 ^ IS2.
Сдвиг линии LM при фискальном импульсе может вызываться не только повышением уровня цен, но и «портфельным» подходом к определению спроса на деньги. Если домашние хозяйства воспринима-
|  |
|
Рис. 11.7. Фискальный импульс в расширенной кейнсианской модели |
ют прирост задолженности государства (DB) как увеличение своего имущества, то в соответствии с теорией портфеля (см. 5.6) они увеличат спрос на деньги. В модели IS—LM это отобразится сдвигом линии LM влево. В результате рост государственных расходов, финансируемых за счет размещения среди населения дополнительных облигаций, может сопровождаться сокращением эффективного спроса, если сдвиг линии LM влево перекроет сдвиг линии IS вправо.
Встроенные стабилизаторы. Стабилизация экономической конъюнктуры посредством усиления «притоков» в народнохозяйственный кругооборот в периоды рецессии и «оттоков» в периоды экспансии экономической активности обеспечивается не только дискреционными (проводимыми по усмотрению властей) решениями правительства, но и автоматическим действием некоторых социальных инструментов, встроенных государством в рыночный механизм, так называемыми встроенными стабилизаторами. В качестве типичного встроенного стабилизатора выступает прогрессивная шкала налогообложения. Благодаря ей в периоды подъема располагаемый доход населения и нераспределенная прибыль фирм растут медленнее, чем национальный доход, и это сдерживает рост эффективного спроса. Во время спада такое налогообложение замедляет сокращение совокупных расходов. Аналогичное воздействие на экономическую конъюнктуру оказывают системы пособий по безработице и помощи малоимущим, а также программы помощи фермерам. В периоды спада государственные расходы на эти цели возрастают, а во время подъема сокращаются без специальных решений правительства. П. Самуэльсон назвал встроенные стабилизаторы «первой линией обороны».
Встроенные стабилизаторы не следует смешивать с такими элементами самоорганизации рыночного механизма, как гибкость цен, перелив капиталов из нерентабельных в прибыльные отрасли, формирование потребительского спроса не только в зависимости от текущего, но и от ожидаемого в будущем дохода.
11.2. Денежно-кредитная политика
Под денежно-кредитной политикой подразумевается воздействие на экономическую конъюнктуру посредством регулирования количества находящихся в обращении денег. Поэтому главным проводником этой политики является центральный банк, ответственный за обеспечение страны необходимым для эффективного функционирования экономики количеством денег. Как было установлено в 4.2, для регулирования количества денег у центрального банка есть три возможности:
— проводить операции на открытом рынке ценных бумаг; покупая последние, банк увеличивает денежную базу, продавая — сокращает ее;
— менять стоимость кредитов коммерческим банкам; при ее снижении объем кредитов, а следовательно, и количество денег возрастает, и наоборот;
— определять норму минимального резервного покрытия: чем норма выше, тем меньше кредитов могут предоставлять коммерческие банки, и это ограничивает количество находящихся в обращении денег. |
Какому из перечисленных способов регулирования количества находящихся в обращении денег отдать предпочтение, зависит от структуры денежной базы страны. Поскольку в США она состоит из государственных ценных бумаг, то ФРС регулярно проводит операции на открытом рынке ценных бумаг. В активе Немецкого банка государственные ценные бумаги практически отсутствовали; поэтому основным методом корректировки денежной массы в ФРГ служили кредиты коммерческим банкам. Такая же ситуация в настоящее время наблюдается в Европейском банке, который в качестве главного инструмента регулирования количества денег использует операцию РЕПО (Repurchase Agreement) — покупку ценных бумаг у коммерческих банков, которые обязуются выкупить их через определенное время (обычно через 2 недели) с процентом.
Изменение норм минимального резервного покрытия является более жестким инструментом, резко меняющим конъюнктуру денежного рынка, поэтому его стараются использовать как можно реже.
Реализация денежно-кредитной политики Центрального банка РФ в 2004 г.
«В качестве цели единой государственной денежно-кредитной политики на 2004 г. было принято ограничение прироста потребительских цен в пределах 8—10%. При этом Банк России исходил из второго сценария прогноза социально-экономического развития Российской Федерации на 2004 г., принятого в качестве базового при разработке проекта федерального бюджета, прогноза платежного баланса, а также денежной программы на 2004 г. В соответствии с условиями указанного сценария предусматривалось, что темп прироста ВВП составит 5,2%, среднегодовая цена на нефть сорта «Юралс» — 22 дол. США за баррель, среднегодовой курс рубля к доллару США — 31,3 руб. за 1 дол. США, годовой прирост валютных резервов органов денежно-кредитного регулирования — 12,8 млрд дол. США. Указанным условиям соответствовал прирост денежной массы М2 за год (25%), который был заложен в основу денежной программы на 2004 г.
Фактически макроэкономическая ситуация в первом полугодии текущего года развивалась по иному сценарию, который по многим параметрам был близок к 2003 г. ВВП в I квартале 2004 г. по отношению к I кварталу 2003 г. увеличился на 7,4%, средняя цена на нефть сорта «Юралс» за январь — июнь текущего года составила 31 дол. США за баррель, средний курс рубля к доллару США за тот же период — 28,8 руб. за 1 дол. США, прирост золотовалютных резервов за первое полугодие 2004 г. достиг 11,3 млрд дол. США. В этих условиях фактический рост денежной массы М2 в первом полугодии текущего года был несколько выше предполагаемого. Увеличение денежного агрегата М2 на 01.07.2004 по сравнению с показателем на ту же дату предыдущего года составило 40,6%. Наиболее существенными факторами, обеспечившими более значительный, чем прогнозировалось, рост спроса на деньги, стали высокие темпы экономического роста и увеличения денежных доходов населения. Указанные тенденции позволили в первом полугодии при высоких темпах роста денежной массы сохранить прогнозируемую динамику замедления инфляции: если в декабре 2003 г. по отношению к декабрю 2002 г. этот показатель составил 12,0%, то в июне 2004 г. по отношению к июню 2003 г. он снизился до 10,1%. Вместе с тем динамика спроса на деньги была неустойчивой, что связано в первую очередь с его высокой зависимостью от курса рубля к доллару США и евро. Так, в условиях номинального укрепления рубля в I квартале 2004 г. увеличился спрос на национальную валюту со стороны экономических агентов. |
|
Во II квартале текущего года рост курса доллара США по отношению к рублю и определенная нестабильность в банковском секторе привели к росту спроса на иностранную валюту со стороны банков и нефинансового сектора экономики. Если за первое полугодие 2003 г. темпы прироста денежного агрегата М2 заметно опережали темпы прироста денежной массы с учетом депозитов в иностранной валюте (23,1% против 17,2%), что свидетельствовало об ускорении роста спроса на национальную валюту, то по предварительным данным за первое полугодие 2004 г. их динамика выровнялась (по 15%). Прирост депозитов юридических лиц в иностранной валюте за январь — июнь 2004 г. в долларовом эквиваленте составил 33,7% (против снижения на 5,2% за тот же период 2003 г.). Кроме того, начиная с марта возобновился рост нетто-поку-пок наличной иностранной валюты физическими лицами — резидентами: за март — июнь 2004 г. их объем составил 2,3 млрд дол. США по сравнению с уменьшением на 0,5 млрд дол. США за тот же период 2003 г. Под влиянием вышеуказанных факторов, начиная с февраля текущего года, возобновился рост иностранных активов кредитных организаций при одновременном сокращении их обязательств перед нерезидентами. В целом за февраль — июнь, по предварительной оценке, прирост чистых иностранных активов кредитных организаций, рассчитанных по методологии денежного обзора, составил около 8 млрд дол. США. Прирост чистых иностранных активов банковского сектора сопровождался существенным снижением свободных денежных средств на счетах кредитных организаций в Банке России. Объем ликвидных активов кредитных организаций, включающий остатки средств кредитных организаций на корреспондентских и депозитных счетах в Банке России и обязательства Банка России по обратному выкупу бумаг, приобретенных через операции обратного модифицированного РЕПО (ОМР), сократился за февраль — июнь 2004 г. с 499,7 до 317,5 млрд руб., или в 1,6 раза. За аналогичный период 2003 г. наблюдалось сокращение чистых иностранных активов банковского сектора в размере 4,4 млрд дол. США и рост рублевой ликвидности с 176,4 млрд руб. до 323,4 млрд руб. |
Ключевыми факторами, влияющими на формирование денежного предложения со стороны органов денежно-кредитного регулирования, в первом полугодии 2004 г. были состояние платежного баланса и накопление средств на счетах расширенного правительства. Изменение показателей платежного баланса, прежде всего существенное изменение движения капитала и валютных резервов Банка России, предопределили динамику денежного предложения со стороны органов денежно-кредитного регулирования. Возросшая в 2004 г. волатильность денежного предложения и формируемого на этой основе уровня ликвидности банковского сектора вызвала соответствующие изменения процентных ставок на денежном рынке и предопределила более интенсивное использование Банком России инструментов денежно-кредитного регулирования. Введенный с 2004 г. механизм формирования Стабилизационного фонда Российской Федерации и увеличение остатков средств на счетах субъектов Российской Федерации и государственных внебюджетных фондов в Банке России способствовали абсорбированию денежной ликвидности. При этом в условиях замедления роста валютных резервов органов денежно-кредитного регулирования по сравнению с 2003 г. объем денежного предложения, сформированный в первом полугодии 2004 г. за счет валютных операций, был практически полностью компенсирован ростом остатков на счетах расширенного правительства в Банке России, поэтому объем денежной базы в широком определении в целом за январь — июнь текущего года остался почти на неизменном уровне (прирост составил 0,3%) по сравнению с увеличением на 24,5% за тот же период 2003 г.»
Версия «новых классиков». Вывод о нейтральности денег отрицает какие-либо последствия денежной политики, кроме изменения уровня цен. Однако многочисленные статистические исследования указывают на то, что в коротком периоде вслед за изменением количества денег, как правило, изменяется не только номинальный, но и реальный национальный доход. Чтобы объяснить это, основываясь на гипотезах рациональных ожиданий и совершенной гибкости цен, в концепцию «новых классиков» была введена функция совокупного предложения Р. Лукаса. В основе ее лежит микроэкономическая функция предложения отдельного блага конкурентной фирмой
Qi = Qi (у) = QS (~),
где pi — денежная цена i-го блага; Р — уровень цен; ~ — относительная (реальная) цена i-го блага.
Воздействие изменения количества денег на выпуск фирмы Р. Лукас обосновывает следующим образом. При повышении относительной цены блага производитель увеличивает объем его предложения. Допустим, что вследствие экспансионистской денежной политики цент- |
|
|
 |
|
в кейнсианской концепции |
рального банка началось непредвиденное повышение уровня цен (всех денежных цен). Обнаружив повышение денежной цены на свою продукцию, производитель должен выяснить, является ли это следствием того, что потребители увеличили спрос только на данное благо, или имеет место общее повышение цен на все блага вследствие роста денежной массы. В первом случае для максимизации прибыли следует расширить производство, во втором — нет. Однако на практике оперативно выяснить это непросто. Поэтому, заметив повышение цены на выпускаемое им благо, производитель чаще всего полагает, что действуют оба рассмотренных фактора, и повышает предложение, хотя и в меньшей степени, чем он увеличил бы выпуск в случае повышения спроса только на его продукцию. Следовательно, при непредвиденном росте уровня цен предложение блага увеличивается.
Информированность потребителей о соотношении динамики номинальных и относительных цен не лучше, чем информированность производителей. Поэтому, обнаружив повышение номинальной цены некоторого блага, потребители воспримут это как повышение его относительной цены и сократят объем спроса на него.
Вследствие увеличения предложения и сокращения спроса на рынке образуется избыток. Поскольку также ведут себя участники сделок на всех микроэкономических рынках, то избыток образуется и на макроэкономическом рынке благ. При этом на рынке благ предприниматели сокращают объем инвестиций. В результате снижается ставка процента и повышается как потребительский, так и инвестиционный спрос. На микроэкономических рынках это выразится сдвигом кривой спроса вправо. Из-за снижения ставки процента сокращается предложение труда (по каждой цене труда можно будет купить меньшее его количество) и кривая предложения отдельного товара сдвигается влево. Если сдвиг кривой спроса вправо превысит сдвиг кривой предложения влево, то производство блага возрастет.
Так в результате увеличения предложения денег, несмотря на рациональные ожидания экономических субъектов, может возрасти реальный национальный доход.
В отличие от динамической функции совокупного предложения с инфляционными ожиданиями (см. формулу (10.10)), основанной на гипотезе статических ожиданий, функция совокупного предложения Р. Лукаса построена при предположении, что экономические субъекты формируют рациональные ожидания в условиях неполной информации. Поэтому на реальном секторе сказывается только непредвиденная (неантиципированная) денежная политика.
Кейнсианская версия. В кейнсианской концепции модель IS—LM иллюстрирует постоянное взаимодействие рынков благ и денег. Благодаря этому через рынок денег можно воздействовать на реальный сектор экономики.
Устраним конъюнктурную безработицу в ситуации, представленной системой уравнений (8.1б), посредством денежной эмиссии. Для этого центральный банк может закупить у населения иностранную валюту или государственные облигации на сумму 35,5 ден. ед., увеличивая номинальной количество денег в обращении с 104 до 139,5 ден. ед. Последующая цепочка событий наглядно представлена на рис. 11.8.
Линия LM\ сместится вправо до пересечения с линией IS в точке i = 11,6; у = 1268. Поскольку сдвиг линии LM произошел из-за увеличения номинального количества денег, то вправо сдвинется и кривая совокупного спроса, вызывая дефицит на рынке благ и рост уровня цен. По мере роста уровня цен кривая LM начнет движение влево, уменьшая величину эффективного спроса, а кривая цены спроса на труд будет поворачиваться против часовой стрелки, увеличивая занятость и совокупное предложение. Когда уровень цен возрастет до 1,342, тогда установится новое равновесие при полной занятости. Обратим внимание на то, что при достижении этой же цели посредством фискального импульса ставка процента была существенно выше.
Чтобы узнать, как дополнительное количество денег распределилось между деньгами для сделок и деньгами в качестве имущества, сравним равновесие на рынке денег до и после монетарного импульса: |
104 = 1,093[0,04-1037 + 2(50 - 23,2)] = 45,3 + 58,7.
139,5 = 1,342[0,04 *1100 + 2(50 - 20)] = 59 + 80,5.
Следовательно, дополнительных 35,5 ден. ед. распределились следующим образом: ДІсд = 13,6; Д!им = 21,9.
В соответствии с кейнсианской концепцией инструменты кредитноденежной политики наиболее эффективны при их использовании для «охлаждения» экономической конъюнктуры во время бума. Это объясняется тремя обстоятельствами.
Во-первых, как было отмечено в 4.2, центральному банку легче сократить количество находящихся в обращении денег, чем увеличить их, так как в последнем случае требуется поддержка со стороны коммерческих банков и населения. Во-вторых, в периоды кризиса и депрессии экономика может оказаться в инвестиционной или ликвидной ловушке, а в таких ситуациях изменение количества денег не влияет на экономическую конъюнктуру (см. 6.2). В-третьих, в периоды роста экономики ставка процента высока, а при высокой ставке процента предельная склонность к предпочтению денег в качестве имущества мала, что усиливает воздействие изменения количества денег на приращение дохода.
В расширенной кейнсианской модели последствия монетарного импульса изображены на рис. 11.9. Исходное состояние представлено сочетанием значений zQ, У0, Po, N0, W0. В целях «охлаждения» экономической конъюнктуры центральный банк принял меры для уменьшения номинального количества денег, что отображается сдвигом линии LM влево (LMo ^ LM|). Вслед за ней влево сдвигается кривая совокупного спроса (уо ^ У1 ). При Po на рынке благ образуется избыток и начнется снижение уровня цен. По мере его снижения линии LM и IS будут смещаться вправо (LM1 ^ LM2, ISo ^ IS 1); первая вследствие увеличения реальных кассовых остатков, а вторая — из-за увеличения реального имущества, стимулирующего рост потребительского спроса. Сдвиг ISo ^ IS1 повлечет за собой движение вправо кривой совокупного спроса (yj0 ^ y2 ).
В то же время на рынке труда понижение уровня цен приведет к уменьшению спроса на труд (поворот линии ND по часовой стрелке), снижая занятость и объем производства благ. Новое состояние ОЭР установится при ip У1, P1, N1, W). |
|
 |
Рис. 11.9. Рестриктивная денежная политика в расширенной кейнсианской
модели |
Дилемма промежуточных целей денежной политики. Поскольку денежно-кредитная политика воздействует на реальный сектор экономики посредством регулирования конъюнктуры денежного рынка, то для достижения конечных целей стабилизационной политики — построение «золотого четырехугольника» — центральному банку приходится реализовывать промежуточные цели в виде поддержания на определенном уровне количества денег, ставки процента или обменного курса национальной валюты. Как и конечные, промежуточные цели денежной политики часто находятся в отношении субституции; отсюда возникает дилемма промежуточных целей. В закрытой экономике она сводится к вопросу, что следует выбирать центральному банку в качестве объекта регулирования — ставку процента или денежную массу? Если при изменении спроса на деньги не изменять их предложение, то будет колебаться ставка процента, а для поддержания ставки процента на неизменном уровне необходимо менять предложение денег вслед за изменением спроса на них.
До 70-х гг. ХХ в. в развитых странах рыночной экономики преобладала практика поддержания стабильной ставки процента для предотвращения колебаний инвестиционного спроса, приводящих, как было показано в гл. 9, к возникновению конъюнктурных циклов. В 1970-х гг. ФРС США и центральные банки западноевропейских стран переориентировались на стабилизацию денежной массы. Этому содействовали две причины: ускоренное развитие инфляции, переросшей в стагфляцию, и широкое распространение учения монетаристов о роли денег.
Переориентация денежной политики на стабилизацию количества находящихся в обращении денег привела к усилению колебания ставки процента (рис. 11.10).
|
 |
Рис. 11.10. Динамика трехмесячной ставки процента в ФРГ (1) и США (2)
по годам |
Кроме того, в 1980-х гг. в связи с существенным обогащением ассортимента финансовых инструментов (финансовых инноваций) и глобализацией валютных операций обнаружилась нестабильность спроса на деньги. Поэтому с 1980-х гг. стала проводиться более свободная денежная политика, в ходе которой выбор промежуточной цели определяется текущей экономической конъюнктурой. Так, благодаря оперативному удовлетворению резко возросшего спроса населения на деньги после крупнейшего обвала цен на Нью-Йоркской фондовой бирже 19 октября 1987 г. удалось избежать серьезных потрясений финансовой системы США. Примечательно, что ФРС пошла на увеличение предложения денег, несмотря на то что экономика страны в то время находилась в состоянии полной занятости.
В 1990-х гг. во многих странах основной целью денежно-кредитной политики стало удержание темпов инфляции в заранее провозглашенных пределах (таргетирование инфляции).
Исследования, проведенные в Европейском валютном институ-те2, показали, что в европейских странах в середине 1990-х гг. использовались различные промежуточные цели денежной политики (табл. 11.2)3.
|
Таблица 11.2
Промежуточные цели денежной политики в середине 1990-х гг. |
|
|
|
Страны |
Промежуточные цели |
|
количество денег |
обменный курс |
уровень цен |
|
Австрия, Бельгия, Дания, Ирландия, Испания, Нидерланды, Португалия |
|
Х |
|
|
Германия, Греция, Италия, Франция |
Х |
|
|
|
Великобритания, Финляндия, Швеция |
|
|
Х |
1 «Пробил час ФРС и она, как кавалерия, пришла на помощь. Председатель совета управляющих А. Гринспен 20 октября перед открытием торгов объявил о «готовности ФРС выступить источником ликвидных средств ради поддержания экономической и финансовой системы». Обещал провести рефинасирование любого банка, готового кредитовать сектор ценных бумаг. Во вторник рынок продолжал работать не прерываясь и индекс Доу Джонса поднялся на 100 пунктов» (Мишкин Ф. Экономическая теория денег, банковского дела и финансовых рынков. М., 1999. С. 490).
2 Европейский валютный институт (European Monetary Institute) создан в 1994 г. во Франкфурте-на-Майне при подготовке к введению единой европейской валюты.
3 Duwendag D, Ketterer K. Geldtheorie und Geldpolitik in Europa. Berlin, 1999. S. 332. |
|
|
 |
|
Рис. 11.12. Выбор промежуточной цели при нестабильном спросе на рынке денег |
 |
|
Рис. 11.11. Выбор промежуточной цели при нестабильном спросе на рынке благ |
Центральный банк РФ в «Основных направлениях единой государственной денежно-кредитной политики на 2002 год» определил свои цели следующим образом: «Денежно-кредитная политика на предстоящий год, как и в текущем году, формируется и будет проводиться на основе двух базовых принципов. Первый — это продолжение применения элементов метода целевой инфляции. Второй — использование денежного агрегата М2 в качестве промежуточного ориентира денежнокредитной политики.
В российских экономических условиях в настоящее время наиболее целесообразно использование именно этих принципов. Несмотря на усиление значения процентных ставок в реализации денежно-кредитной политики, Банк России не может использовать краткосрочные процентные ставки в качестве ориентира при ее проведении в связи с недостаточной развитостью финансовых рынков и ограниченной ролью кредита в финансировании экономики. В дальнейшем в среднесрочной перспективе при сохранении режима плавающего валютного курса возможно повышение роли процентных ставок как в формировании, так
- 1
и в реализации денежно-кредитной политики» .
При выборе промежуточной цели денежной политики кроме характера текущей экономической конъюнктуры большую роль играет прогноз относительно наиболее вероятного источника нарушения стабильного состояния: будет ли таковым колебание совокупного спроса на рынке благ (смещение линии IS) или переменчивость спроса на деньги (смещение кривой LM).
Допустим, что целью стабилизационной политики является поддержание национального дохода на уровне ye (рис. 11.11), т.е. создание конъюнктуры, при которой линии IS и LM пересекаются в точке e. Предположим также, что из-за нестабильности спроса на рынке благ линия IS с одинаковой вероятностью может занять лю- бое положение в интервале между IS' и IS", а спрос на деньги является постоянным, поэтому линия LM неподвижна. Если центральный банк захочет поддерживать ставку процента на уровне ie, то ему придется менять объем предложения денег так, что линия LM будет смещаться в интервале [LM", LM'}, вызывая колебания фактической величины эффективного спроса между значениями yc и у^. Если количество находящихся в обращении денег остается постоянным, то величина эффективного спроса изменяется в более узком интервале [уь, ya}.
В ситуациях, когда поведение макроэкономических субъектов на рынке благ стабильно, но неустойчив спрос на деньги, центральному банку для поддержания величины эффективного спроса на заданном уровне следует сохранять неизменной ставку процента путем изменения предложения денег по мере изменения спроса на них.
Пусть правительство планирует объем производства национального дохода в размере у0 (рис. 11.12) в условиях нестабильного спроса на деньги при стабильном рынке благ (линия IS фиксирована). Если в таких условиях центральный банк будет сохранять предложение денег неизменным, то вслед за изменением спроса на деньги будет смещаться кривая LM в интервале [LMp LM2}, вызывая колебания эффективного спроса в промежутке {у1, У2}. При поддержании ставки процента на уровне i0 посредством изменения предложения денег центральный банк сохранил бы кривую LM в исходном положении и предотвратил бы колебания эффективного спроса.
Денежная политика и система ставок процента. При проведении денежно-кредитной политики необходимо учитывать различие между краткосрочной и долгосрочной ставками процента. Мероприятия денежной политики непосредственно определяют величину краткосрочной ставки, которая устанавливается на денежном рынке. В то же время на конъюнктуру рынка благ влияет долгосрочная ставка процента, определяющая спрос на инвестиции в реальный капитал. Поэтому денежно-кредитная политика лишь в том случае отразится на реальном секторе экономики, если приведет к изменению величины долгосрочной ставки процента. |
|
|
De
yt |  |
С учетом этого обстоятельства модель IS—LM описывается следующей системой уравнений:
Шу)=y 0/);
[M = L(y,i/ - Mi),
где Mi — разность между долгосрочной и краткосрочной ставками процента.
Как было установлено в 5.1, величина этой разности определяется тремя компонентами: а) ожидаемым изменением ставки процента во времени; б) премией за повышенный в длинном периоде риск непредвиденного изменения конъюнктуры; в) премией за более продолжительный отказ от обладания ликвидностью.
Каждому значению Мі соответствует своя линия LM. Величина эффективного спроса на рынке благ определяется точкой пересечения линий IS и LM только при і[ = ic. В тех случаях, когда Мі > 0, проекция точки пересечения линий IS и LM на ось абсцисс окажется правее величины эффективного спроса на блага (рис. 11.13, а).
 |
|
Рис. 11.13. Денежная политика и структура ставок процента |
Допустим, в целях стимулирования эффективного спроса центральный банк закупает на открытом рынке государственные облигации. Тогда вследствие увеличения предложения денег линия LM сместится вправо (сдвиг LMo ^ LM1 на рис. 11.13, б) и краткосрочная ставка процента снизится с ic 0 до ic1. Возрастет ли вслед за этим величина эффективного спроса, зависит от того, будут ли инвесторы, продавшие центральному банку государственные облигации, на полученные деньги приобретать долгосрочные ценные бумаги (являются ли облигации и акции субститутами). При увеличении спроса на долгосрочные ценные бумаги возрастет их курс, снизится долгосрочная ставка процента и эффективный спрос возрастет с yo до у\. Но может случиться, что инвесторы, исходя из оценки перспектив фондового рынка, предпочтут увеличить в своем портфеле реальные кассовые остатки, не меняя объем долгосрочных ценных бумаг. Тогда увеличится Mi, а эффективный спрос на блага не изменится.
На рис. 11.13, в показано, как в результате рестрективной денежной политики может возникнуть инверсия ставок процента. Исходное совместное равновесие на рынках благ и денег представляет сочетание i/, у . Если инвесторы полагают, что сокращение предложения денег не изменит курс долгосрочных ценных бумаг, то в экономике сложится конъюнктура у , i/, ic1.
11.3. Комбинированная экономическая политика
Для регулирования экономической конъюнктуры государство может одновременно применять инструменты и фискальной, и денежной политики.
Версия «новых классиков». Для комплексного представления последствий стабилизационной политики государства в концепции новых классиков используется макроэкономическая модель, состоящая из двух дифференциальных уравнений — динамических функций совокупного спроса и совокупного предложения
yD = At + h(M t-n t)+“ t; (11.1)
yS = yF + g M t-n e) t, (11.2)
где At — независимый от реальной кассы спрос на блага, включая государственные расходы; h и g — коэффициенты согласования размерности; at и ut — стохастические переменные с нулевым ожиданием, представляющие все неучтенные в модели случайные факторы формирования совокупного спроса и предложения.
Благодаря гибкости цен правые части равенств (11.1) и (11.2) всегда равны друг другу.
В соответствии с концепцией рациональных ожиданий (11.3) |
(11.4)
(11.8)
(11. 9)
ySte = yF.
Из системы уравнений (11.3) и (11.4) следует, что ожидаемое значение темпа инфляции формируется на основе намерений правительства:
пe = Met + At yF . (11.5)
Чтобы выделить факторы, отклоняющие фактические значения реального национального дохода и темпа инфляции от ожидаемых их значений, вычтем из равенства (11.1) равенство (11.3) и из равенства (11.2) равенство (11.4):
yD - yDe = (At - Ae)+h (Mt- Me) - h (п t-п e)+o t; (11.6)
yS -ySe = g(nt-пe) +ut. (11.7)
Приравняв правые части равенств (11.6) и (11.7) друг к другу и решив полученное равенство относительно nt, найдем равновесный темп инфляции
п* = п e + At- Ae + h (M t- M e)+ o t-u t
Подставив значение п* в равенство (11.7) и учитывая равенство (11.4), определим равновесную величину национального дохода
yt = yF +
Из равенств (11.8) и (11.9) следует, что при отсутствии непредвиденных обстоятельств (соt =иt = 0)и неожиданных мероприятий стабилизационной политики правительства (At = Ae и Mt = Me) фактический темп инфляции равен ожидаемому, а объем производства — величине национального дохода полной занятости. Любое непредвиденное событие, будь то экзогенные шоки технического прогресса или мероприятия экономической политики, отклоняют фактические значения от ожидаемых. При случайном повышении совокупного спроса (соt > 0) уровень цен повышается; в случае непредвиденного роста совокупного предложения (ut > 0) темп инфляции снижается. |
Когда государство не проводит активной стабилизационной политики ( At = M t = 0, а потому и Aet = Mt = 0 ), тогда величина национального дохода колеблется около значения национального дохода полной занятости, а уровень цен растет или понижается в зависимости от того, возникают ли экзогенные шоки на стороне спроса или предложения, и от того, положительные или отрицательные значения принимают параметры cot и ut.
Таким образом, из модели новых классиков следует, что текущая величина национального дохода отклоняется от своего значения при полной занятости по двум причинам: из-за случайных экзогенных шоков и вследствие непредвиденных мероприятий стабилизационной политики. Но каков бы ни был объем производства, благодаря гибкости цен совокупный спрос всегда равен совокупному предложению. Экономика всегда находится в равновесном состоянии, хотя величина национального дохода подвержена конъюнктурным колебаниям.
Пусть возник непредвиденный отрицательный шок предложения (ut < 0; резкое повышение цен на энергоносители). Тогда в соответствии с равенствами (11.8) и (11.9) темп инфляции возрастет, а реальный национальный доход уменьшится. Если правительство для устранения возникшей стагфляции объявит о проведении экспансионистской стабилизационной политики (At > At-1 и/или Mt > Mt-1) то, как следует из равенств (11.8) и (11.9), эффекта от нее не будет.
При антиципированной денежной политике (M t = M f ) не только увеличение предложения денег, но и постоянное повышение темпа его роста не влияет на значения реальных экономических величин. В этом суть провозглашенной «новыми классиками» супернейтральности денег.
В соответствии с концепцией новых классиков только неантиципированные мероприятия экономической политики оказывают воздействие на реальный сектор. Но такая политика по определению долго продолжаться не может. Если правительство строит свою экономическую политику на «сюрпризах» (неожиданные денежные реформы, непредсказуемые изменения системы налогообложения, непредусмотренные переносы выплат по государственному долгу и пр.), то равновесие в конечном счете устанавливается при менее благоприятных условиях вследствие возникновения дополнительных общественных издержек (недоверие к отечественной валюте, уклонение от уплаты налогов, сужение кредитной сферы и пр.). При непредсказуемой денежной политике даже изменение относительных цен экономические субъекты принимают за изменение уровня цен и в результате парализуется аллокационная функция рынка.
Кейнсианская версия. Как можно было заметить в ходе анализа, проведенного в 11.1 и 11.2, в кейнсианской концепции уровень цен играет активную роль в процессе проведения мероприятий как фискальной, так и денежно-кредитной политики. При этом эффект изменения уровня цен действует в противоположном целям экономической политики направлении. В случае увеличения государственных закупок повышение уровня цен, снижая покупательную способность денег и повышая ставку процента, уменьшает спрос на инвестиционные блага со стороны бизнеса. Когда центральный банк проводит мероприятия по сокращению номинального количества денег, снижение цен увеличивает реальные кассовые остатки. Поэтому для повышения конечной результативности регулирования рыночной экономики целесообразно сочетать мероприятия фискальной и денежно-кредитной политики: расширение государственных закупок на рынке благ согласовывать с мерами центрального банка по увеличению ликвидности, а сокращение номинального количества денег — с ростом налогообложения или сокращением государственных расходов. |
Рассмотрим последствия увеличения государственных закупок на рынке благ, финансируемых за счет увеличения задолженности государства центральному банку при неполной занятости и наличии резервных производственных мощностей. Исходное состояние экономики представлено на рис. 11.14 сочетанием y0, P0, N0, Wo, io-
Увеличение закупок государства сдвигает IS0 в положение IS 1, перемещая одновременно кривую совокупного спроса в положение yD. Поскольку дополнительные государственные расходы финансируются посредством монетизации дополнительной задолженности государства, то увеличивается предложение денег; это отображается сдвигом кривой LM вправо до положения LM2. Так как сдвиг кривой LM произошел вследствие роста номинального количества денег, то кривая совокупного спроса сдвинется еще дальше вправо до положения yD.
В целом дополнительные закупки государства, финансируемые за счет монетизации дефицита государственного бюджета, доводят величину эффективного спроса до уз. При исходном уровне цен P0 на рынке благ образуется дефицит в размере (уз-yo). Уровень цен начнет расти, стимулируя предложение и ограничивая спрос. Спрос сокращается в результате снижения реальных кассовых остатков и повышения ставки процента. В графическом представлении это отобразится сдвигом кривой LM влево до тех пор, пока растущий уровень цен не уравняет на рынке благ предложение с возросшим спросом (LM2 ^ LM1). Ставка процента возрастет до ip а совокупный спрос сократится с уз до У2. |
|
 |
Рис. 11.14. Комбинированная стабилизационная политика в кейнсианской
концепции |
На рынке труда^повышение уровня цен с Po до Р^ увеличивает спрос на труд так, что ND перемещается в положение ND. Если рост денежной зарплаты будет отставать от роста уровня цен, то, несмотря на сдвиг NS ^ NS, занятость возрастет с No до N1, что позволяет довести совокупное предложение до у2. В итоге новое равновесие в экономике восстанавливается при значениях У2, Р2, N1, W1, г'2.
В результате комбинирования фискальной и денежно-кредитной политики удается уменьшить эффект вытеснения, но платой за это является больший рост уровня цен.
|
|
|
|
|
А |
\ /у° |
/ УІ |
|
|
|
|
|
|
|
Уо |
|
|
|
-> |
Уо Ух
У
Рис. 11.15. Сочетание стимулирования совокупного спроса с политикой предложения |
уг
Политика предложения. До сих пор мы рассматривали такие мероприятия экономической политики государства, которые сдвигают кривую совокупного спроса. Однако государство способно воздействовать и на кривую совокупного предложения. Так, снижение налогов может повысить стимулы к интенсификации производства и росту частных инвестиций. Со временем это сместит кривую совокупного предложения вправо. Государство способствует росту совокупного предложения, участвуя в переподготовке рабочей силы и трудоустройстве безработных. В целях повышения эффективности национального хозяйства государство участвует в финансировании научных исследований и разработок. Повышению эффективности использования наличных производственных ресурсов служит государственная политика содействия конкуренции. Все это приводит к сдвигу кривой совокупного предложения вправо. Соответственно ограничения, налагаемые правительством на условия производства в целях охраны труда, защиты окружающей среды и обеспечения безопасности продукции, сдвигают кривую совокупного предложения влево, так как они ведут к повышению затрат производства. Наибольший результат достигается в тех случаях, когда есть возможность сочетать политику предложения со стимулированием эффективного спроса (рис. 11.15). При неизменном уровне цен обеспечен прирост национального дохода за счет политики предложения на (у1 - уо) и за счет стимулирования спроса на (у2 - У1).
Когда стабилизационная политика направлена на достижение одной или нескольких комплементарных целей, тогда и фискальная, и денежная политики могут быть однонаправленными (обе являются либо экспансионистскими, либо рестриктивными), благодаря чему эффективность их проведения взаимно усиливается. Но если требуется реализовать одновременно две цели, находящиеся в отношении субституции, то приходится сочетать экспансионистский вариант одной из политик с рестриктивным вариантом другой. В этом случае возможна взаимная нейтрализация мероприятий стабилизационной политики.
Пусть правительство планирует изменить величину реального национального дохода на Ду , а уровень цен — на ДР в состоянии, когда обе эти цели находятся в отношении субституции. В упрощенном виде зависимость между экзогенными (управляемыми) и эндогенными (целевыми) параметрами можно представить следующими линейными уравнениями:
Ду = аДС + ЬДМ - сДР; (11.10)
ДР = тДС + пДМ + /Ду, (11.11)
где а, b, с, /, т, п — положительные коэффициенты; причем а > b, а п > т.
Уравнение (11.10) констатирует, что эффективный спрос (а следовательно, производимый национальный доход и занятость) растет при увеличении государственных расходов и количества находящихся в обращении денег; причем каждая дополнительная единица государственных расходов дает большее приращение национального дохода, чем каждая единица денежной эмиссии; повышение уровня цен снижает величину эффективного спроса.
Уравнение (11.11) отражает факторы, обусловливающие повышение уровня цен: рост государственных расходов и количества денег увеличивает инфляционные ожидания и, как следствие, повышает уровень цен. При этом каждая дополнительная единица денег сильнее воздействует на уровень цен, чем единица государственных расходов. К повышению уровня цен ведет также рост национального дохода из-за увеличения предельных издержек производства.
Из системы уравнений (11.10)—(11.11) определяют необходимые
для достижения намеченных целей приращения государственных рас-1
ходов и денег :
_ (п + /Ь)Ду - (b - пс)ДР
ДС =-;-;
ап - bm
ДМ * = (а + ст)ДР - (т + а/)Ду ап - bm
Отсюда следует, что искомые величины существуют лишь тогда, когда ап Ф bm, т.е. когда управляемые переменные ДС и ДМ линейно независимы.
Следовательно, для достижения одновременно нескольких экономических целей, находящихся в отношении субституции, необходимо
1 См. Математическое приложение 2 к данной главе. |
|
|
 |
|
a |
(11.10а)
AM =
(11.11а)
использовать столько же независимых инструментов экономической политики, сколько преследуется целей. Этот вывод получил название правило Тинбергена.
Проблема распределения полномочий (Assignment-Problem). На практике, как правило, инструменты фискальной политики находятся в распоряжении одной правительственной инстанции (министерства финансов), а инструменты денежной политики — в распоряжении другой (центрального банка). В этом случае важно правильно распределить ответственность за реализацию каждой из поставленных целей стабилизационной политики.
Если министерство финансов отвечает за поддержание на заданном уровне величины эффективного спроса (занятости), то оно определяет объем государственных расходов в соответствии с уравнением
(11.10):
* *
ao = A» + cAF
a
т.е. при каждом изменении предложения денег соответственно меняются государственные расходы.
Центральный банк для достижения намеченных целей поддерживает количество находящихся в обращении денег в соответствии с уравнением (11.11):
АР - lAy m .
-----АО
n n
Пример 11.1. Посредством комбинированной экономической политики государства планируется увеличить национальный доход на 200 ед. при повышении уровня цен на 8%. Зависимость между управляемыми и целевыми параметрами характеризуется следующими коэффициентами: a = 5; b = 2,5; c = 10; m = 0,06; n = 0,08; l = 0,01, которые соответствуют правилу Тинбергена, т.е. an Ф bm. В этом случае уравнение (11.10а), в соответствии с которым министерство финансов определяет величину государственных расходов, имеет вид: AG = 56 - 0,5AM, а уравнение (11.11а), служащее руководством для денежной политики центрального банка, предстает в виде AM = 75 - 0,75AG.
Допустим, что первый шаг в стимулировании экономической активности делает центральный банк, увеличивая предложение денег на 70 ед. Тогда министерство финансов для достижения намеченного роста национального дохода увеличит расходы бюджета на AG = 56 - 0,5-70 = 21. После этого центральный банк заметит, что уровень цен выше намеченного, и сократит предложение денег: AM = 75 - 0,75-21 = 59,25. В результате эффективный спрос окажется меньше желаемого и министерству финансов придется увеличить объем государственных расходов: AG = 50 - 0,5-59,25 = 26,4. В результате такой последовательности взаимодействия денежных властей установится равновесие при A О* = 29,6; AM* = 52 ,8, что обеспечивает достижение поставленных целей: 5-29,6 + 2,5-52,8 - 10-8 = 200 и 0,06-29,6 + 0,08-52,8 + 0,01-200 = 8.
Посмотрим, как развивались бы события, если бы центральный банк стремился достичь намеченного уровня национального дохода, а министерство финансов взялось за установление желаемого уровня цен. В этом случае центральный банк руководствовался бы уравнением (11.10а), записав его в виде: AM = 112 - 2AG, а министерство финансов — уравнением (11.11а) в виде: AG = 100 - 1,33AM. В ответ на увеличение денег на AM = 70 министерство финансов намечает расходы в объеме (100 - 1,33- 70) = 6,67. При этом уровень цен будет соответствовать намеченному значению, но эффективный спрос ниже запланированного. Поэтому центральный банк еще больше увеличивает денежную массу: AM = 112 - 2-6,67 = 86,67. Уровень цен «перепрыгивает» запланированный уровень, и министерство финансов вынуждено сократить расходы ниже исходного уровня: (100 - 1,33-86,67) = -15,5. При таком взаимодействии центрального банка и министерства финансов экономика уходит все дальше от намеченных целей.
Результаты взаимодействия министерства финансов и центрального банка показаны на рис. 11.16. Уравнение (11.10а) представлено линией у , а уравнение (11.11а)— линией Р ; областям над этими линиями соответствуют сочетания AG и AM, при которых Р > Р и у > у, а ниже — Р < Р и у < у. Точка пересечения линий у и Р указывает на сочетание AM и AG, обеспечивающее одновременное достижение обоих намеченных целей экономической политики.
Пусть исходное состояние экономики характеризуется точкой a на рис. 11.16. Поскольку она находится на линии Р , то центральному банку не нужно воздействовать на экономическую конъюнктуру. Но так как точка a находится ниже линии у (равенство (11.11) не выполняется), то министерство финансов должно увеличить государственные расходы. Приращение государственных закупок на величину ab обеспечит желаемый объем эффективного спроса, но уровень цен оказыва- |
|
|
|
|
|
|
LM0 |
LM1 |
|
|
/ \
/ \ /
і \
—--1 |
\ IS |
|
|
1
1
1
1
1
1 |
|
|
|
У0 Уі |
У |
|
Рис. 11.17. Экспансионистское воздействие монетизации дефицита госбюджета |
ется выше намеченного предела (точка b лежит выше линии P*). Для восстановления желаемого уровня цен центральный банк сократит предложение денег на величину bc. Поскольку в результате этого снизится эффективный спрос (точка c ниже линии у ), то необходимо в очередной раз увеличить государственные расходы на cd. Так в результате стремления каждого из ведомств к достижению поставленной перед ним цели в экономике сложится желаемая конъюнктура, представленная на рис. 11.16 точкой e.
 |
|
Рис. 11.16. Проблема распределения полномочий |
По-другому складывалась бы экономическая конъюнктура, если бы центральный банк отвечал за величину эффективного спроса, а министерство финансов — за рост уровня цен. Чтобы в состоянии экономики, представленной точкой а (уровень цен соответствует намеченному значению, а эффективный спрос меньше желаемого), за счет денежной политики довести доход до у , необходимо увеличить предложение денег на ah. В результате возникнет конъюнктура, представленная точкой h, при которой у = у , но P > P . Для снижения уровня цен нужно сократить государственные расходы, это еще более отдалит экономику от поставленных целей.
Таким образом, каждый инструмент экономической политики должен использоваться для достижения той цели, на которую он сильней действует. Этот вывод называется правилом Манделла. Поскольку в рассматриваемом примере a > b и n > m, то фискальная политика должна использоваться для достижения запланированной величины эффективного спроса, а деятельность центрального банка — на поддержание желаемого уровня цен.
11.4. Стабилизационная политика, дефицит государственного бюджета и государственный долг
Так как стабилизационная политика сводится к манипулированию государственным бюджетом и изменению предложения денег, то ее осуществление непосредственно влияет на размеры бюджетного дефицита и государственного долга.
Дефицит государственного бюджета можно финансировать либо посредством его монетизации, либо за счет займа у населения или у остального мира.
Поскольку монетизация дефицита государственного бюджета означает увеличение предложения денег, способствующее росту национального дохода, то при определенных условиях таким путем можно ликвидировать бюджетный дефицит. Понять это помогает рис.
11.17. Если при национальном доходе yo бюджет имеет дефицит, то для его ликвидации правительство может увеличить задолженность центральному банку на такую сумму, чтобы в результате сдвига линии LM вправо выполнялось равенство 7yy1 = G. |
Это возможно, если совокупное предложение благ совершенно эластично при заданном уровне цен. Однако кривая совокупного предложения редко бывает горизонтальной; обычно для увеличения предложения на рынке благ необходимо повышение уровня цен; поэтому существует и обратная зависимость: P = P(y). Учитывая также, что у = = y(M), представим номинальную величину дефицита бюджета в следующем виде:
ственного долга ^ увеличение затрат на обслуживание долга ^ дефицит государственного бюджета.
PS = J = P [y(M )][G-Tyy(M)].
Тогда
dJ = ^dP dy t dM dy dM y
dy dP dy dM dy dM
Таблица 11.3
Доля основных статей расходов в общих расходах федерального бюджета РФ, % |
|
|
|
Статьи расходов |
Годы |
|
1999 |
2000 |
2001 |
|
Государственное управление |
2,0 |
2,5 |
2,7 |
|
Национальная оборона |
15,2 |
19,6 |
18,3 |
|
Правоохранительная деятельность |
8,0 |
11,0 |
10,6 |
|
Финансирование народного хозяйства |
3,2 |
3,5 |
6,3 |
|
Социальная сфера |
13,0 |
13,9 |
14,4 |
|
Обслуживание государственного долга |
28,7 |
22,9 |
22,2 |
= (G - Tyy)
dP
dy
dy
dM
PTy
dy
dM
(11.12)
Уменьшаемое в выражении (11.12) показывает, насколько увеличивается дефицит госбюджета вследствие повышения уровня цен (из-за подорожания закупаемых государством благ), а вычитаемое — насколько снизится дефицит в результате стимулирующего воздействия на экономику прироста денег. Когда уменьшаемое больше вычитаемого, тогда монетизация дефицита сопровождается его увеличением.
После исчерпания возможностей снижения дефицита госбюджета за счет его монетизации государственный долг ежегодно увеличивается на размер бюджетного дефицита текущего года.
При большом государственном долге затраты на его обслуживание, являющиеся первоочередной статьей расходов государственного бюджета, существенно ограничивают возможности правительства в выполнении основных своих функций и в проведении стабилизационной политики. Об этом свидетельствуют данные о структуре расходов федерального бюджета РФ в 1999—2001 гг. (табл. 11.3).
Выплаты по государственному долгу могут стать главной или даже единственной причиной дефицита государственного бюджета, замыкая порочный круг: дефицит государственного бюджета ^ рост государ
Общий дефицит государственного бюджета, уменьшенный на сумму выплат процентов по государственному долгу, называют первичным дефицитом. В странах, имеющих большой государственный долг, при отсутствии первичного дефицита нередко существует общий дефицит государственного бюджета. Такая ситуация сложилась в России в 1999—2000 гг. (рис. 11.18).
 |
Рис. 11.18. Общий и первичный дефицит (профицит) федерального бюджета РФ в 1999—2001 гг.:
1 — профицит (+), дефицит (-); 2 — первичный профицит (+), дефицит (-) |
|
|
Таблица 11.4
Структура дефицита государственного бюджета семи индустриально развитых стран в 1996—1998 гг.1
Дефицит государственного бюджета , % от ВВП, по годам |
|
|
|
Страна |
структурный |
циклический |
общий |
|
1996 |
1997 |
1998 |
1996 |
1997 |
1998 |
1996 |
1997 |
1998 |
|
США |
1,4 |
1,4 |
1,5 |
0,2 |
-0,3 |
-0,3 |
1,6 |
1,1 |
1,2 |
|
Япония |
3,1 |
1,8 |
1,0 |
1,3 |
1,3 |
1,3 |
4,4 |
3,1 |
2,3 |
|
Германия |
3,1 |
2,6 |
2,3 |
0,7 |
0,6 |
0,4 |
3,8 |
3,2 |
2,7 |
|
Франция |
2,6 |
1,9 |
2,1 |
1,6 |
1,3 |
0,9 |
4,2 |
3,2 |
3,0 |
|
Италия |
6,1 |
2,4 |
3,0 |
0,6 |
0,8 |
0,8 |
6,7 |
3,2 |
3,8 |
|
Англия |
3,6 |
2,4 |
1,7 |
0,8 |
0,4 |
0,1 |
4,4 |
2,8 |
1,8 |
|
Канада |
0,5 |
-0,7 |
-1,1 |
1,3 |
0,9 |
0,6 |
1,8 |
0,2 |
-0,5 |
Поскольку государственный долг есть накопленная сумма бюджетных дефицитов, то образование долга можно предотвратить, запретив правительству превышать расходы бюджета над его доходами. В некоторых странах такой запрет введен законодательно. «Поправка о сбалансированном бюджете» дебатировалась в США в 1980-е гг. и в сентябре 1995 г. для ее утверждения в Сенате не хватило 1 голоса. В принятом в июне 1997 г. в Амстердаме пакте о стабилизации и росте экономик стран Европейского союза предел дефицита государственных бюджетов установлен в размере 3% ВВП, а размер государственного долга — 60% ВВП.
Однако если правительство при проведении экономической политики обязано иметь сбалансированный бюджет на каждый год, то его действия усиливают конъюнктурные колебания. Во время кризиса и депрессии из-за снижения производства и национального дохода поступления в государственный бюджет сокращаются. Снижение в это время государственных расходов ввиду уменьшения бюджетных поступлений сдерживает выход экономики из кризиса. Полное расходование повышенных доходов государственного бюджета в фазе подъема способствует «перегреву» национальной экономики.
Если проведение стабилизационной политики несовместимо с ежегодно сбалансированным бюджетом, то, может быть, целесообразно выравнивать государственные расходы и доходы за весь период экономического цикла так, чтобы избытки бюджета в фазе подъема покрывали прирост государственного долга во время спада?
Сбалансированный за период цикла бюджет был бы совместим со стабилизационной политикой государства только в том случае, когда спады и подъемы в национальном хозяйстве были бы одинаковы как по продолжительности, так и по амплитуде. В действительности, как отмечалось в гл. 9, это не так, поэтому несбалансированность государственного бюджета и наличие государственного долга можно рассматривать в качестве неизбежных последствий стабилизационной политики. В то же время эта политика, способствуя росту национального дохода во время спада и сдерживая рост доходов в фазе подъема, содействует сбалансированности государственного бюджета в длинном периоде.
При анализе взаимозависимости между стабилизационной политикой государства и состоянием его бюджета различают две составляющие бюджетного дефицита: структурный дефицит и циклический дефицит (табл. 11.4).
Под структурным дефицитом (8у) подразумевается разность между текущими государственными расходами и теми доходами государственного бюджета, которые поступили бы в него в условиях полной занятости при существующей системе налогообложения
8s = G — Ty Uf .
Циклический дефицит (8с) есть разность между фактическим и структурным дефицитами
8С = 8-8s = (G-Tyy)-(G-TyUF) = Ty(yF -y).
Во время спада (y < yF) к структурному дефициту добавляется циклический, во время бума (y > yF) структурный дефицит уменьшается на абсолютную величину циклического. Фактический дефицит во время спада больше, а во время бума меньше структурного.
Структурный дефицит является следствием экспансионистской экономической политики государства, а циклический — действия встроенных стабилизаторов. Поэтому по размеру наблюдаемого дефицита государственного бюджета нельзя судить о том, насколько активно государство проводит фискальную политику. В некоторых случаях во время спада дефицит государственного бюджета можно уменьшить не сокращая, а увеличивая расходы государства. Например, если мультипликатор автономных расходов равен 5, а ставка подоходного налога Ty = 0,25, то при увеличении государственных расходов на AG налоговые поступления возрастут на AyTy = 0,25-5AG = 1,25AG. |
(1 + n)T+1 -1 _§У0(1 + n)T С
(1 + n)T j
- g(n + y). (11.13)
DT
yT
yT
Рост реального национального дохода, наряду с избытком государственного бюджета, уменьшает тяжесть обязательств по обслуживанию государственного долга.
Для обоснования этого положения обозначим долю государственного долга в национальном доходе g = D/Py. Тогда
d = PydD - Dd(Py) = dD D d(Py) = dD
ё (Py)2 Py Py Py Py
Приращение государственного долга (dD) за период равно текущему размеру бюджетного дефицита, который разлагается на первичный дефицит и сумму выплат процентов по государственному долгу
dD = P(G - T) + iD.
Поэтому уменьшаемое в правой части равенства (11.13) равно dD P(G - T) iD
Py ~ Py + Py' (1U4)
С учетом равенства (11.14) приращение доли государственного долга в национальном доходе предстает в виде
, P(G-T) . D ( Л? P(G-T) (. Л?
dg = Py + P - g(( + y )= Py + g(i-п-y). (11.15)
Из выражения (11.15) следует, что доля государственного долга в национальном доходе уменьшается в двух случаях: когда образовывается первичный бюджетный избыток (G < T) и когда темп прироста реального национального дохода превышает реальную ставку процента. Ниже это правило проиллюстрировано статистическими данными экономики США:
|
Годы...................................................................
Номинальная ставка процента |
.......... 1996 |
1997 |
1998 |
1999 |
|
(трехмесячная).............................................. |
.......... 5,4 |
5,6 |
5,5 |
5,4 |
|
Инфляция, %.................................................. |
.......... 2,9 |
2,3 |
1,6 |
2,2 |
|
Реальная ставка процента......................... |
........... 2,5 |
3.3 |
3,9 |
3.2 |
|
Прирост ВВП, %........................................... |
.......... 3,7 |
4,5 |
4,3 |
3,9 |
|
Долг, % ВВП................................................... |
.......... 61,3 |
59,1 |
56,3 |
52,5 |
Обозначим годовой темп прироста реального национального дохода n; тогда yt = yo(1 + n)t. При заданной доле бюджетного дефицита в национальном доходе ? = 8/y в году Т сумма государственного долга будет
DT = X8y0(1 + n) -8y0 t-0
а ее доля в национальном доходе
DT
(1 + n)T J
При 8 = 0,03 и g = 0,6 получаем n = 0,0526, т.е. страна с предельными значениями нормативов, принятых в Европейском союзе, должна иметь 5,26% прироста реального национального дохода.
Краткие выводы
Под стабилизационной политикой государства понимается система экономических мероприятий правительства, направленных на сдерживание роста безработицы и инфляции, стимулирование экономического роста, обеспечение сбалансированности платежного баланса страны. В зависимости от состояния экономической конъюнктуры цели стабилизационной политики оказываются в отношениях взаимодополняемости, взаимозаменяемости или нейтральности; это предопределяет тактику стабилизационной политики в конкретной ситуации.
По набору используемых мероприятий стабилизационную политику принято делить на фискальную, денежно-кредитную и комбинированную. Фискальная политика сводится к воздействию на экономическую конъюнктуру посредством манипулирования государственным бюджетом. Как правило, она сопровождается эффектом вытеснения, ведущим к перераспределению прав использования факторов производства от частного сектора к государству. Денежно-кредитной политикой называют регулирование экономической активности посредством изменения количества находящихся в обращении денег. Эффективность как фискальной, так и денежно-кредитной политики снижается в результате противодействия ценового механизма. Для преодоления этого противодействия используют комбинированную политику, основанную на совместном применении фискальных и денежных инструментов регулирования национального хозяйства. Наряду с мероприятиями фискальной и денежной политики, направленными на регулирование совокупного спроса, у правительства имеются возможности воздействовать на объем совокупного предложения, т.е. осуществлять политику предложения. |
Между неоклассиками и кейнсианцами существуют расхождения при оценке возможностей и результатов стабилизационной политики государства.
Отрицательным последствием активной стабилизационной политики может стать увеличение размеров государственного долга. Большая доля государственного долга в национальном доходе ограничивает возможности правительства при проведении стабилизационной политики, определяя нижний предел ставок налога и процента и верхний предел непроцентных расходов государственного бюджета. Условием снижения доли государственного долга в национальном доходе является образование первичного бюджетного избытка и превышение темпа прироста национального дохода над уровнем реальной ставки процента.
Приложение 1: Меры денежной политики Центрального банка РФ
01.01.91. Ставка рефинансирования составляла 20%.
01.06.91. Установлен норматив перечислений средств в фонд обязательных резервов в размере 2% от объема привлеченных коммерческими банками средств.
24.07.91. Госбанк СССР принял решение о введении «туристического» курса рубля на уровне 32 руб/дол., который фактически стал официальным валютным курсом.
02.12.91. «Туристический» курс рубля отменен; коммерческие банки получили право самостоятельно устанавливать курс покупки и продажи валюты при операциях с гражданами.
01.02.92. Установлены нормативы отчислений в фонд обязательных резервов по счетам до востребования и по счетам со сроком погашения до одного года в размере 10%, по обязательствам свыше одного года — 5%.
01.03.92. Установлены нормативы отчислений в фонд обязательных резервов по счетам до востребования и по счетам со сроком погашения до одного года в размере 15%, по обязательствам свыше одного года — 10%.
10.04.92. Ставка рефинансирования повышена до 50%.
01.04.92. Установлены нормативы отчислений в фонд обязательных резервов по счетам до востребования и по счетам со сроком погашения до одного года в размере 20%, по обязательствам свыше одного года — 15%. (Данные нормативы действовали до 01.02.95.)
23.05.92. Ставка рефинансирования повышена до 80%. |
08.06.92. Центральный банк РФ начал еженедельно устанавливать официальный курс рубля к иностранным валютам; помимо официального курса существовал биржевой курс, определявшийся по итогам торгов на ММВБ.
30.03.93. Ставка рефинансирования повышена до 100%
02.06.93. Ставка рефинансирования повышена до 110%.
22.06.93. Ставка рефинансирования повышена до 120%.
29.06.93. Ставка рефинансирования повышена до 140%.
15.07.93. Ставка рефинансирования повышена до 170%.
23.09.93. Ставка рефинансирования повышена до 180%.
15.10.93. Ставка рефинансирования повышена до 210%.
29.04.94. Ставка рефинансирования снижена до 205%.
17.05.94. Ставка рефинансирования снижена до 200%.
02.06.94. Ставка рефинансирования снижена до 185%.
22.06.94. Ставка рефинансирования снижена до 170%.
30.06.94. Ставка рефинансирования снижена до 155%.
01.08.94. Ставка рефинансирования снижена до 150%.
24.08.94. Ставка рефинансирования снижена до 130%.
12.10.94. Ставка рефинансирования повышена до 170%.
17.11.94. Ставка рефинансирования повышена до 180%.
06.01.95. Ставка рефинансирования Банка России повышена до 200%.
01.02.95. Введена дифференциация норм обязательных резервов. Установлены нормы обязательных резервов: по счетам до востребования и срочным обязательствам коммерческих банков до 30 дней включительно — 22%; по срочным обязательствам свыше 30 до 90 дней включительно — 15%, по срочным обязательствам свыше 90 дней — 10%, по текущим счетам в иностранной валюте — 2%.
01.05.95. Нормы обязательных резервов по счетам до востребования и срочным обязательствам коммерческих банков до 30 дней включительно снижены до 20%, по срочным обязательствам свыше 30 до 90 дней включительно понижены до 14%, по срочным обязательствам свыше 90 дней норматив не изменился (10%), по текущим счетам в иностранной валюте норматив снижен до 1,5%.
16.05.95. Ставка рефинансирования Банка России снижена до 195%.
19.06.95. Ставка рефинансирования Банка России снижена до 180%.
06.07.95. Введены пределы колебаний обменного курса рубля и определены границы его изменений на период с 6 июля по 1 октября 1995 г. от 4300 до 4900 руб. за 1 дол. США.
01.10.95. Установлены границы изменений обменного курса рубля на период с 1 октября до 31 декабря 1995 г. от 4300 до 4900 руб. за 1 дол. США.
24.10.95. Ставка рефинансирования Банка России снижена до 170%.
30.11.95. Установлены границы изменений обменного курса рубля на период с 1 января 1996 г. по 30 июня 1996 г. от 4550 до 5150 руб. за 1 дол. США.
01.12.95. Ставка рефинансирования Банка России снижена до 160%.
10.02.96. Ставка рефинансирования Банка России снижена до 120%.
01.05.96. Нормы обязательных резервов по счетам до востребования и срочным обязательствам коммерческих банков до 30 дней включительно снижены до 18%, по срочным обязательствам свыше 30 до 90 дней включительно не изменились (14%), по срочным обязательствам свыше 90 дней не изменились (10%), по текущим счетам в иностранной валюте снижены до 1,25%. |
16.05.96. Установлены границы изменений обменного курса рубля на период с 1 июля 1996 г. по 31 декабря 1996 г. от 5000 до 5600 руб. за 1 дол. США на 1 июля 1996 г. и от 5500 до 6100 руб. за 1 дол. США на 31 декабря 1996 года.
11.06.96. Повышены нормы обязательных резервов: по счетам до востребования и срочным обязательствам коммерческих банков до 30 дней включительно до 20%, по срочным обязательствам свыше 30 до 90 дней включительно до 16%, по срочным обязательствам свыше 90 дней до 12 %, по текущим счетам в иностранной валюте до 2,5%.
24.07.96. Ставка рефинансирования Банка России снижена до 110%.
01.08.96. Нормы обязательных резервов по счетам до востребования и срочным обязательствам коммерческих банков до 30 дней включительно снижены до 18%, по срочным обязательствам свыше 30 до 90 дней включительно снижены до 14%, по срочным обязательствам свыше 90 дней снижены до 10%, по текущим счетам в иностранной валюте повышены до 5%.
19.08.96. Ставка рефинансирования Банка России снижена до 80%.
21.10.96. Ставка рефинансирования Банка России снижена до 60%.
01.11.96. Нормы обязательных резервов по счетам до востребования и срочным обязательствам коммерческих банков до 30 дней включительно снижены до 16%, по срочным обязательствам свыше 30 до 90 дней включительно снижены до 13%, по срочным обязательствам свыше 90 дней не изменились (10%), по текущим счетам в иностранной валюте не изменились (5%).
26.11.96. Установлены границы изменений обменного курса рубля от 5500 и 6100 руб. за 1 дол. США на 1 января 1997 г. до 5750 и 6350 руб. за 1 дол. США на 31 декабря 1997 г.
02.12.96. Ставка рефинансирования Банка России снижена до 48%.
10.02.97. Ставка рефинансирования Банка России снижена до 42%.
28.04.97. Ставка рефинансирования Банка России снижена до 36%.
01.05.97. Нормы обязательных резервов по счетам до востребования и срочным обязательствам коммерческих банков до 30 дней включительно снижены до 14%, по срочным обязательствам свыше 30 до 90 дней включительно снижены до 11%, по срочным обязательствам свыше 90 дней снижены до 8%, по текущим счетам в иностранной валюте повышены до 6%.
16.06.97. Ставка рефинансирования Банка России снижена до 24%.
06.10.97. Ставка рефинансирования Банка России снижена до 21%.
11.11.97. Ставка рефинансирования Банка России повышена до 28%.
11.11.97. Норматив резервирования средств по привлекаемым банками средствам в иностранной валюте повышается до 9%.
11.11.97. С 1 января 1998 г. на трехлетний период устанавливается центральный обменный курс на уровне 6,2 руб. за 1 дол. США (после деноминации), возможные отклонения не могут превышать 15%. |
01.02.98. Установлен единый норматив обязательных резервов по привлекаемым банками средствам в рублях и иностранной валюте в размере 11%.
02.02.98. Ставка рефинансирования Банка России повышена до 42%.
17.02.98. Ставка рефинансирования Банка России снижена до 39%.
02.03.98. Ставка рефинансирования Банка России снижена до 36%.
16.03.98. Ставка рефинансирования Банка России снижена до 30%.
19.05.98. Ставка рефинансирования Банка России повышена до 50%.
27.05.98. Ставка рефинансирования Банка России повышена до 150%.
27.05.98. Возобновляется проведение ломбардных кредитных аукционов с 1 июня по 1 августа 1998 г.
05.06.98. Ставка рефинансирования Банка России снижена до 60%.
29.06.98. Ставка рефинансирования Банка России повышена до 80%.
24.07.98. Ставка рефинансирования Банка России снижена до 60%.
17.08.98. Банк России перешел к проведению политики плавающего курса рубля в рамках новых границ валютного коридора, который установлен на уровне 6—9,5 руб. за 1 дол. США.
24.08.98. Введен единый норматив обязательных резервов по привлеченным средствам в рублях и иностранной валюте в размере 10%; для Сбербанка РФ норматив обязательных резервов по привлеченным средствам в рублях снижен до 7%.
01.09.98. Установлены нормативы обязательных резервов по привлеченным средствам в рублях и иностранной валюте для Сбербанка РФ кредитных организаций, у которых удельный вес вложений в государственные ценные бумаги (ГКО—ОФЗ) в работающих активах составляет 40% и более, в размере 5% для кредитных организаций, у которых удельный вес вложений в государственные ценные бумаги (ГКО—ОФЗ) в работающих активах составляет 20—40% по привлеченным средствам в рублях и иностранной валюте в размере 7,5%.
02.09.98. Банк России объявил об отмене верхней границы изменения официального курса рубля 9,5 руб. за 1 дол. США.
06.10.98. На ММВБ введены две торговые сессии: утренняя специальная торговая сессия, на которой осуществляется обязательная реализация 50% экспортной выручки экспортеров и закупка валюты уполномоченными банками, обусловленная клиентскими заявками, и вечерняя, на которой банки осуществляют покупку и продажу иностранной валюты от своего имени и за свой счет.
01.12.98. Установлен единый норматив обязательных резервов по привлеченным средствам в рублях и иностранной валюте в размере 5%.
19.03.99. Установлен норматив обязательных резервов по привлеченным средствам юридических лиц в размере 7%.
10.06.99. Ставка рефинансирования Банка России снижена до 55%.
10.06.99. Увеличен норматив обязательных резервных требований по депозитам физических лиц в рублях до 5,5%; по привлеченным средствам юридических лиц в валюте РФ и по привлеченным средствам юридических и физических лиц в иностранной валюте — до 8,5%. |
01.01.00. Увеличен норматив обязательных резервов по депозитам физических лиц в рублях до 7%; по привлеченным средствам юридических лиц в рублях и привлеченным средствам юридических и физических лиц в иностранной валюте — до 10%.
24.01.00. Ставка рефинансирования Банка России снижена до 45%.
07.03.00. Ставка рефинансирования Банка России снижена до 38%.
21.03.00. Ставка рефинансирования Банка России снижена до 33%.
10.07.00. Ставка рефинансирования Банка России снижена до 28%.
04.11.00. Ставка рефинансирования Банка России снижена до 25%.
09.04.02. Ставка рефинансирования Банка России снижена до 23%.
07.08.02. Ставка рефинансирования Банка России снижена до 21%.
17.02.03. Ставка рефинансирования Банка России снижена до 18%.
21.06.03. Ставка рефинансирования Банка России снижена до 16%.
15.01.04. Ставка рефинансирования Банка России снижена до 14%.
01.04.04. Снижен норматив обязательных резервов по привлеченным средствам юридических лиц в рублях и привлеченным средствам юридических и физических лиц в иностранной валюте до 9%.
15.06.04. Ставка рефинансирования Банка России снижена до 13%.
15.06.04. Снижен норматив обязательных резервов по привлеченным средствам юридических лиц в рублях и привлеченным средствам юридических и физических лиц в иностранной валюте до 7%.
08.07.04. Снижен норматив обязательных резервов по обязательствам перед физическими лицами в валюте РФ с 7 до 3,5%; снижен норматив обязательных резервов по иным обязательствам кредитных организаций в валюте РФ и обязательствам в иностранной валюте с 7 до 3,5%.
01.08.04. Установлен норматив обязательных резервов по обязательствам кредитных организаций перед банками-нерезидентами в валюте РФ и иностранной валюте в размере 2% и коэффициента усреднения для расчета усредненной величины обязательных резервов в размере 0,2.
Решим равенство (2) относительно AC:
(1 + cl)Ay - (b - cn)AM a - cm
Подставим значение (3) во второе уравнение системы (1)
(3)
AP = lAy + nAM + -
(1 + cl)Ay - (b - cn)AM
* m(1 + cl), * ,,,
= lAy +— --Ay +AM
a - cm
a - cm m - (b - cn)
a - cm
al - clm + m + clm , * an - cmn - bm + cmn , ,, -Ay +-AM =
a - cm
al + m * an - bm -Ay +-
AM ^ AM =
a - cm
* *
(a - cm)AP - (m + al)Ay
a - cm a - cm an - mb
Подставим это значение AM в уравнение (3), тогда
, 1 + cl * b - cn ( a - cm , * al + m
AC =-Ay--\--—AP---—
a - cm a - cm ^ an - bm an - bm
(n + bl)Ay - (b - cn)AP an - bm
Математическое приложение 2: Расчет равновесных параметров комбинированной стабилизационной политики
Дана система уравнений
\Ay = aAC + bAM - cAP ;
AP = mAC + nAM - lAy . (1)
Заменим AP* в первом уравнении этой системы его значением из второго уравнения:
Ay = aAC + bAM - c(mAC + nAM + lAy ).
(2)
12.1. Платежный баланс
407
рои мировое хозяйство состоит из двух стран, где экспорт одной из них является импортом другой, а приращение дефицита платежного баланса в одной из стран приводит к равновеликому приращению избытка платежного баланса в другой.
В макроэкономических моделях открытой экономики в качестве дополнительных факторов, определяющих конъюнктуру национально
Глава 12 го хозяйства, учитывают состояние (сальдо) платежного баланса (ZB),
„ „ уровень цен за границей (PZ), заграничную ставку процента (iZ) и об-
Стабилизационная ПОЛИТИКА В открытой менный курс национальной денежной единицы (e).
ЭКОНОМИКЕ
|
|
Таблица 12.1
Показатели интернационализации экономики (1972 = 100)1 |
|
|
|
Показатели |
Годы |
|
1985 |
1995 |
2000 |
|
Мировое производство |
420 |
649 |
807 |
|
Мировой экспорт |
490 |
1098 |
1643 |
|
Прямые зарубежные инвестиции |
400 |
1800 |
7560 |
|
Выпуск ценных бумаг мирового финансового рынка |
1350 |
4200 |
18900 |
В гл. 11 предполагалось, что на формирование конъюнктуры национального хозяйства остальной мир не оказывает влияния. В действительности в современном мире экономика любой страны активно вовлекается в мировое хозяйство, в котором тесно взаимозависимы национальные рынки благ, финансов и факторов производства.
Усиление глобализации хозяйственной жизни проявляется, в частности, в более быстром росте внешнеэкономических связей стран по сравнению с ростом мирового производства (табл. 12.1).
В данной главе рассмотрим особенности проведения стабилизационной политики в условиях открытой внешнему миру экономики.
Степень влияния остального мира на национальную экономику зависит от удельного веса последней в мировом хозяйстве. В связи с этим для анализа проблем стабилизационной политики в открытой экономике используют две модели: модель маленькой страны, хозяйственная деятельность которой не оказывает заметного влияния на состояние мировой экономики, т.е. импульсы, исходящие из нее в мировое хозяйство, не имеют возвратного действия, и двухстрановую модель, в кото-
12.1. Платежный баланс
Платежный баланс представляет собой составленный в форме бухгалтерских счетов статистический отчет о торговых и финансовых сделках экономических субъектов страны с остальным миром за определенный период (обычно за год). Поэтому закрепившееся за этим документом название не соответствует его сущности: в балансе, как отмечалось в 2.2, отражаются запасы на определенную дату, в то время как в платежном балансе представлены потоки благ и капиталов (имущества) между странами в течение рассматриваемого периода. Показатели в платежном балансе выражаются обычно в единой мировой валюте (долларах США).
В платежном балансе выделяются четыре счета, схематически представленные в табл. 12.2. В кредите каждого из них отражены операции, обеспечивающие в текущем периоде поступление иностранной валюты, а в дебете — операции, сопровождающиеся оттоком иностранной валюты.
|
Таблица 12.2
Схема счетов платежного баланса |
|
|
|
№ |
Счет |
Кредит (+) |
Дебет (-) |
|
1 |
Товары и услуги |
Экспорт благ и услуги нерезидентам |
Импорт благ и услуги от нерезидентов |
|
2 |
Доходы от инвестиций |
Поступления резиден- |
Выплаты нерезидентам |
|
|
и оплаты труда |
там от нерезидентов |
от резидентов |
|
3 |
Переводы безвозмездные |
Из-за границы |
За границу |
|
|
Счет текущих операций (1+2+3) |
E |
Z |
|
4 |
Счет движения капита- |
Увеличение обязательств |
Увеличение требований |
|
|
лов (операции с финан- |
по отношению к нерези- |
к нерезидентам или |
|
|
совыми активами и обя- |
дентам или уменьшение |
уменьшение обяза- |
|
|
зательствами) |
требований к ним (KZ) |
тельств по отношению к ним (КЕ) |
В счете № 1 учитываются ценностные объемы экспорта и импорта за период. Деление благ на товары и услуги в нем связано с особенностями статистического учета международного обмена товарами и услугами. Если объемы экспортируемых и импортируемых товаров оперативно учитываются при их движении через границу таможенными службами, то для подсчета общей суммы ценности услуг, оказанных друг другу двумя странами, применяют специфические способы учета. Международный обмен услугами называют еще невидимым экспортом-импортом.
Доходы от используемых за границей труда и капитала отображаются в счете № 2.
В счете переводов учитываются безвозмездные поставки товаров и услуг по их текущей ценности. Сюда относятся все виды помощи и безвозмездные денежные переводы. Ценность товаров и услуг, предоставленных в качестве помощи, показывается в платежном балансе дважды: в дебете баланса переводов и в кредите счета товаров и услуг. Если предоставляется денежная помощь, то она показывается в дебете баланса переводов и кредите счета валютных резервов.
Три рассмотренных балансовых счета объединяются счетом текущих операций. Сальдо текущих платежей есть чистый экспорт благ страны (E - Z = NE).
Суммарное сальдо сделок, осуществленных в данном периоде по счету текущих операций, лишь случайно может оказаться нулевым. Положительное сальдо по этому счету (NE > 0) означает, что увеличились обязательства заграницы перед страной, а отрицательное (NE < 0) говорит о том, что страна увеличила свои обязательства перед заграницей. Эти изменения учитываются в счете операций с капиталом и финансовыми инструментами.
Кроме предоставления торговых кредитов на этом счету отражаются инвестиции, осуществленные нерезидентами в стране и резидентами за границей, а также капитальные трансферты. При этом инвестиции подразделяют на портфельные (приобретение ценных бумаг), прямые и прочие. Для разграничения портфельных и прямых инвестиций на практике используют следующий критерий: если инвестор имеет более 10 % обыкновенных акций предприятия, то вложенные им средства причисляют к прямым инвестициям. К прочим инвестициям относят покупку населением иностранной валюты для использования в качестве средства сбережений, торговые кредиты, просроченную задолженность.
Сальдо счета операций с капиталом называют чистым экспортом капитала (NKE). При NKE > 0 страна имеет чистый «отток» (вывоз) капитала, а при NKE < 0 — чистый «приток» (ввоз) его. |
Суммарное сальдо счетов текущих операций и операций с капиталом есть сальдо платежного баланса (ZB). Страна имеет активный платежный баланс (избыток), если NE > NKE, и пассивный (дефицит) при NE < NKE.
Дефицит платежного баланса означает, что жители страны в данном периоде заплатили иностранцам больше (оплата импорта благ плюс экспорт капитала), чем получили от них (выручка от экспорта благ плюс импорт капитала). Следовательно, иностранцы имеют сумму денег данной страны, равную величине дефицита ее платежного баланса. Эти деньги будут предъявлены в центральный банк страны для обмена на девизы (иностранные деньги), и валютные резервы его сократятся. При избытке платежного баланса они возрастают на его величину.
Изменение валютных резервов страны по своей сути является составной частью счета операций с капиталом и финансовыми инструментами, но для макроэкономических исследований эту статью важно выделить отдельно.
Теоретически суммы по кредиту и дебету платежного баланса всегда должны совпадать. Однако на практике баланс никогда не достигается. Это объясняется тем, что данные, характеризующие разные стороны одних и тех же операций, берутся из разных источников. Например, сведения об экспорте товаров содержатся в таможенной статистике, в то время как данные о поступлениях иностранной валюты на счета предприятий за экспортные поставки обычно берут из банковской статистики. Расхождения между суммами кредитовых и дебетовых проводок называют чистыми ошибками и пропусками. Даже когда этот показатель составляет относительно небольшую величину, сумма абсолютных величин ошибок и пропусков может быть большой, так как противоположные по знаку цифры погашают друг друга.
В табл. 12.3 в качестве примера представлены платежные балансы России за 1997 и 2000 гг., существенно отличающиеся результатами текущих операций и движения капиталов. В 1997 г. крепкий российский рубль способствовал импорту товаров, а сравнительно низкие мировые цены на энергоносители, составляющие основные статьи российского экспорта, ограничивали доходы экспортеров. В то же время высокая доходность российских государственных ценных бумаг привлекала иностранных инвесторов; в результате приток портфельных инвестиций многократно превысил положительное сальдо по счету |
|
|
Таблица 12.3
Платежные балансы РФ в 1997 и 2000 гг., млн дол.1 |
|
|
|
Счет |
1997 г. |
2000 г. |
|
Приток |
Отток |
Сальдо |
Приток |
Отток |
Сальдо |
|
Товары и услуги |
103088 |
-91980 |
11108 |
115197 |
-62213 |
52984 |
|
Доходы от капитала и труда |
4366 |
-13058 |
-8692 |
4753 |
-11489 |
-6736 |
|
Переводы |
410 |
-766 |
-356 |
807 |
-738 |
69 |
|
Счет текущих операций |
107864 |
-105804 |
2060 |
120757 |
-74440 |
46317 |
|
Капитальные трансферты |
2137 |
-2934 |
-797 |
11822 |
-867 |
10955 |
|
Прямые инвестиции |
4778 |
-3000 |
1778 |
2475 |
-3090 |
-615 |
|
Портфельные инвестиции |
45728 |
-166 |
45562 |
-10453 |
-300 |
-10753 |
|
Прочие инвестиции |
-9225 |
-31795 |
-41020 |
-15225 |
-16357 |
-31582 |
|
Счет операций с капиталом |
43418 |
-37895 |
5523 |
-11381 |
-20614 |
-31995 |
|
Изменение валютных резервов |
Х |
Х |
1936 |
Х |
Х |
16010 |
|
Ошибки и пропуски |
Х |
Х |
-4851 |
Х |
Х |
-9267 |
текущих операций и основным источником прироста валютных резервов Центрального банка РФ в 1997 г. был счет движения капиталов. В 2000 г. ситуация на мировых рынках и в России была противоположной. Высокие мировые цены на нефть и возросший в 5 раз после августа 1998 г. обменный курс рубля обеспечили рекордное положительное сальдо по счету текущих операций, а высокие затраты на обслуживание внешнего долга и непривлекательный инвестиционный климат в стране породили большое отрицательное сальдо по счету движения капиталов.
Сальдо платежного баланса представляется следующим уравнением:
ZB = (E - Z) - (KE - KZ) = NE - NKE = AR. (12.1)
Различные состояния платежного баланса представлены на рис. 12.1. В верхней его части показаны разные варианты состояния платежного баланса при положительном счете текущих операций. Когда объемы чистого экспорта благ и чистого экспорта капитала по абсолютной величине равны друг другу, тогда валютные резервы центрального банка не изменяются (рис. 12.1, а). Если |NE| > |NKE|, то они увеличиваются (рис. 12.1, б), а при |NE| < |NKE| — уменьшаются (рис. 12.1,в) на разность (|NE| — |NKE|). Когда страна имеет положительное сальдо по счету текущих операций и чистый импорт капитала, тогда валютные резервы центрального банка пополняются на сумму того и другого (рис. 12.1, г). В нижней части данного рисунка показаны различные со-
1 Сост. по: Бюлл. банковской статистики. 2001. № 9. С. 9—14.
стояния платежного баланса при пассивном сальдо счета текущих операций. Они представляют собой зеркальное отображение верхней его части.
дол. a |
|
|
Таблица 12.4
Выполнение Денежной программы Правительства РФ и Банка России за 7 мес. 1996 г., трлн руб.1 |
|
|
|
Показатели |
|
Январь |
Февраль |
Март |
Апрель |
Май |
Июнь |
Июль |
|
Денежная база |
план |
104,0 |
108,9 |
113,7 |
117,2 |
120,4 |
124,2 |
127,7 |
|
факт |
100,8 |
106,6 |
113,7 |
120,9 |
118,8 |
129,4 |
130,8 |
Внутренний
кредит |
план |
81,0 |
85,9 |
90,7 |
94,7 |
98,9 |
103,2 |
105,9 |
|
факт |
76,0 |
81,8 |
73,5 |
89,9 |
98,8 |
108,4 |
111,5 |
Дефицит
госбюджета |
план |
13,4 |
21,5 |
31,6 |
40,4 |
49,8 |
59,7 |
68,5 |
|
факт |
6,9 |
19,6 |
29,7 |
53,4 |
67,9 |
81,7 |
106,3 |
та госбюджета тоже оказывается одним из условий предоставления кредита МВФ.
В феврале 1996 г. между Правительством РФ и Центральным банком РФ, с одной стороны, и МВФ — с другой, было заключено соглашение о предоставлении России трехлетнего кредита в размере 10,2 млрд дол. Основанием для предоставления ежемесячных траншей по этому соглашению служила Денежная программа. Поскольку за I полугодие не удалось выдержать основные показатели этой программы (табл. 12.4), то МВФ отложил предоставление очередного транша на 2 мес. По настоянию Правительства РФ с июля рассматриваемого года были установлены менее жесткие нормативы согласованной Денежной программы.
При монетарной интерпретации сальдо платежного баланса предложение денег равно произведению денежного мультипликатора на денежную базу: M = pH. Примем р = 1 и разложим денежную базу на иностранные и внутренние активы (валютные резервы и кредиты правительству и коммерческим банкам): H = R + K. Тогда условие равновесия на рынке денег можно представить в виде: R + K = L. Для сохранения равновесия на денежном рынке необходимо: AR + AK = АН Поскольку приращение валютных резервов равно сальдо платежного баланса, то ZB = AL - AK.
Следовательно, избыток платежного баланса свидетельствует о том, что дополнительно созданных центральным банком денег недостаточно для возросшего спроса на кассовые остатки, а его дефицит означает, что население не желает держать все количество дополнительно созданных центральным банком денег и тратит избыточную кассу на покупку иностранных благ и ценных бумаг.
1 Данные ИЭА (Москва) // Релиз. 1996.
12.2. Валютный курс
В ходе осуществления торговых и финансовых операций между странами возникает валютный (девизный) рынок, на котором в процессе обмена национальных валют устанавливается их курс. Объектами купли-продажи (товарами) на валютном рынке являются иностранные деньги. Их цены, как и цены обычных товаров, измеряются в единицах отечественных денег. Количество последних, уплачиваемое за единицу иностранных денег, называют обменным курсом. Обратную ему величину — количество иностранных денег, уплачиваемое за единицу отечественных, называют девизным курсом. Обменный и девизный курсы являются двумя разновидностями валютного курса.
Как и все цены, валютный курс устанавливается в результате взаимодействия спроса на иностранные деньги с их предложением. Сколько рублей нужно заплатить за доллар США (обменный курс рубля) зависит от соотношения спроса россиян на доллары и предложения долларов на валютном рынке. Спрос на доллар (DD) у россиян возникает в связи с их желаниями покупать американские товары (импорт благ России) и американские ценные бумаги, предприятия, участки земли и прочие активы (экспорт российского капитала): Dd = Z + KE. Американцы предлагают доллары (DS) в обмен на рубли, когда желают приобрести российские товары (российский экспорт благ) и российские активы (российский импорт капитала): DS = E + KZ.
Факторы, формирующие объемы спроса и предложения девизов для международной торговли, отличаются от факторов, определяющих объемы спроса и предложения иностранной валюты в ходе международного перелива капиталов.
12.2.1. Спрос и предложение девизов при международном товарообмене
Выведем функции спроса и предложения девизов, возникающие в ходе международного товарообмена.
Модель маленькой страны. Если объемы импорта и экспорта страны составляют незначительную часть мирового товарооборота, то для нее заграничные цены являются экзогенными параметрами. |
то DH = DH
Поскольку страна прибегает к импорту, когда отечественное предложение блага не полностью удовлетворяет спрос на него, то функция импорта выводится путем вычитания отечественной функции предложения из функции спроса на благо внутри страны (рис. 12.2, а).
При цене P страна полностью обеспечивает потребность в благе за счет собственного производства. Импортные блага данного вида оказываются на внутреннем рынке, если PZ < P*. Чем ниже цена на мировом рынке, тем больше объем импорта. На рис.12.2,а эта зависимость представлена прямой Qim(P), которая получена в результате горизонтального вычитания линии предложения из линии спроса. Каждая точка линии Qim(P) показывает, каков будет объем импорта данного блага при заданной его цене на отечественном рынке.
Если известно количественное соотношение между P и е, то объем импорта можно представить как функцию от обменного курса: Qim = = Qim(P(e)). При свободной мировой торговле выполняется закон единой цены: за вычетом трансакционных издержек цена обращающегося на мировом рынке товара, выраженная в единой валюте, одинакова во всех странах, т.е. P = ePZ. На основе этого соотношения на рис. 12.2,6 представлена зависимость объема импорта от величины обменного курса. (При PZ > 1 кривая Qim(e) располагается ниже кривой Qim(P); при PZ < 1 — выше и при PZ = 1 графики совпадают.)
И наконец, умножив количество импортируемых товаров на их фиксированную мировую цену, получим объем спроса импортеров на девизы. График функции спроса на них для международной торговли DT = DD (е) изображен на рис. 12.2,в. Поскольку с ростом доходов потребителей увеличивается их спрос (кривая спроса смещается вправо), ( \
e, У
|
|
+J |
 |
|
Рис. 12.2. Построение кривой спроса на девизы для международного товарообмена: е = P/PZ |
Аналогично выводится функция экспорта маленькой страны. Так как страна экспортирует не потребленные внутри страны блага, то функция экспорта получается в результате вычитания отечественной функции спроса из отечественной функции предложения. Графически это представлено на рис. 12.3, а; рис. 12.3, 6 и в иллюстрируют переход от функции экспорта к функции предложения на рынке девизов.
|  |
Рис. 12.3. Построение кривой предложения девизов для международного
товарообмена |
Точка пересечения графиков Dd (е) и D^ (е) определяет обменный курс национальной валюты, при котором объемы спроса и предложения девизов, необходимые для международной торговли, одинаковы; сальдо торгового баланса при этом равно нулю. Таким образом, при свободной международной торговле торговый баланс страны в ценностном выражении и равновесный обменный курс национальной валюты устанавливаются одновременно. Это представляет собой свойство режима плавающего валютного курса.
Пример 12.1. Примем в целях упрощения, что страна А импортирует только один вид благ (F) и экспортирует другой вид благ (H). На мировом рынке цена блага F равна 10 дол., а блага H — 11 дол. Известны функции спроса и предложения обоих благ внутри страны А:
qD,a =130 - 5pf,a; qf,a = 4Pf,a - 5; qh,a = 94 - 2Ph,a; qh,a = 12Ph,a - 4.
Выведем функции импорта и экспорта страны А
QimF,A = Qd,A - QF,A =135 - 9PFA;
Q^xH,A = QH,A - QH,A = 14PHA - 98.
|
|
Таблица 12.5
Товарообмен маленькой страны при плавающем и фиксированном обменных
курсах |
|
|
|
Объем блага |
Производство |
Потребление |
|
е = 0,936 |
е = 1 |
е = 0,936 |
е = 1 |
|
QP |
32,4 |
35 |
83,2 |
80 |
|
Од |
119,6 |
128 |
73,4 |
72 |
Поскольку импортируемый объем благ покупается на мировом рынке за доллары, то объем спроса страны А на доллары определяется по формуле
DT = Pp QimF,A = 135Pp - 9PP,APFZ.
Используя соотношение P = ePZ, выразим внутреннюю цену через мировую, тогда
dD = 135PpZ - 9e(PpZ )2.
Поскольку PpZ = 10 дол., то функция спроса на девизы имеет вид: Dd = = 1350 - 900е.
Объем предложения иностранной валюты в обмен на деньги страны А равен валютной выручке этой страны от экспорта
Dj = P§QexH,A = 14Ph,aPh - 98PH = 14e(H) - 98P§.
Так как Ph = 11 дол., то объем предлагаемой стране А иностранной валюты определяется по формуле: Dj = 1694e - 1078.
Равновесный обменный курс денег страны А устанавливается в результате выравнивания объемов спроса и предложения на валютном рынке
1350 - 900е = 1694е - 1078 ^ e* = 0,936.
В графическом виде это представлено на рис. 12.4.
 |
|
Рис. 12.4. Равновесие на валютном рынке в модели маленькой страны |
Как изменилось бы экономическое положение страны А, если бы ее правительство установило фиксированный неравновесный обменный курс своей денежной единицы (например, е = 1), показано в табл. 12.5.
Обесценение национальной валюты (рост е) означает рост внутренних цен, что приводит к увеличению производства и снижению потребления в данной стране. В результате последняя имеет положительное сальдо внешней торговли в размере (11-56 - 10 - 45) = 166 дол.
Модель двух стран. В модели маленькой страны остальной мир покупает все экспортируемые ей товары по цене их предлождения и поставляет в данную страну любое количество импортируемых товаров по цене их спроса. Обменный курс определяется из условия нулевого сальдо торгового баланса
NE = 0 ^ PF QimF (PF ) = PHQexH (PH ) ^
^ PF QimF (ePF ) = PH QexH (ePH ) ^ e ¦
Когда мировое хозяйство состоит только из двух стран А и В, тогда количество каждого экспортируемого товара из одной страны тождественно равно количеству его импорта в другую страну. Поэтому необходимо, чтобы одно и то же количество данного товара одна страна желала экспортировать, а другая импортировать. Такое совпадение желаний достигается только при определенном соотношении цен на данный товар в обеих странах
QexH,A (PH,A ) = QimH,B (PH,B ); QimF,A (PF,A ) = QexF,B (PF,B ) -
Обменный курс определяют из равенства соотношения цен обмениваемых товаров в обоих странах.
Пример 12.2. Пусть мировое хозяйство состоит из экономик двух стран (A и B); в каждой из них производят и потребляют по два вида благ (F и H). Для страны A функции спроса и предложения внутри страны, а также производные от них функции экспорта и импорта возьмем те же, что для рассмотренной выше маленькой страны. Предложение и спрос в стране B характеризуются следующими функциями: |
194 Г 96 8 • 194
130І^ e = 1,09.
DT - pH BQimH, B
265 13 + 9e
13•265 13 + 9e
-130
qDв = ш - 5рр,в; qf,в = 8ррв;
Qh,в = 94 - 2Ph,в; Qh,b = 6Ph,в - 2.
(В обеих странах взяты одинаковые функции спроса на блага при различных функциях их предложения.)
Выведем функции экспорта и импорта для страны B:
QimH,B = Qh,B - QH,B = 96 - 8РН,в;
QexF,B = QF,B - qHB = 19РР,B -130.
Следовательно, условие равновесного товарообмена между странами QexH,A(PH,A) = QimH,B(PH,B) выражается равенством: 14Ph,a - 98 = 96 -8Ph,b .
Выразим P# a через P#в посредством обменного курса денег страны A:
194
14ePH,B + 8PH,B =194 ^ PH,B = 8 + 14e •
Теперь объем импорта страны B, равный объему экспорта страны A, можно представить в виде
QimHB = 96 - 8'194 .
H B 8 + 14e
Умножив это количество продукции H на Р# в, получим объем предложения валюты страны B на валютном рынке как функцию от обменного курса денег страны A:
Г 96-іуШ 8 + 14e i 8 + 14e
Спрос на деньги страны B определяется объемом импорта страны A, который должен равняться объему экспорта страны B: 135 - 9Рр, a = 13Рр, в -130. Выразим Рр, а через Рр, в-
265
13PF,B + 9ePF,B = 265 ^ pF,B = із + 9e •
Теперь объем экспорта страны B, равный объему импорта страны A, можно представить в виде функции от e:
QexFB = 13'265 -130. exF B 13 + 9e
Умножив этот объем на Рр в, получим объем спроса на валюту страны B в виде функции от e:
DH = рр, BQexF, B |
Равновесный обменный курс денег страны A или девизный курс денег страны B находится из уравнения Dj- = Dd
265 Г13•265
8 + 14e i 8 + 14e) 13 + 9e i 13 + 9e
В графическом виде это показано на рис. 12.5.
|
 |
|
Рис. 12.5. Равновесие на валютном рынке в двухстрановой модели |
В состоянии равновесия в стране B установятся следующие цены:
Рр в = 265/(13 + 9-1,09) = 11,62 дол.; Ph,b = 194/(8 + 14-1,09) = 8,34 дол., а в стране A
Рр A = 1,09 • 11,62 = 12,66 руб.; Ph, A = 1,09-8,34 = 9,09 руб.
T
При таких ценах в стране B будет производиться Qp,в = 8 • 11,62 = 92,9 ед. блага F, в том числе QDв = 130 - 5 • 11,62 = 71,9 ед. для собственного потребления и 21 ед. на экспорт. Блага H в стране B собственные производители предложат в объеме qH,в = 6-8,34 - 2 = 48 ед. при спросе Qjjв = 94 - 2-8,34 = 77,3 ед.
T
Страна A произведет Qh,а = 12-9,09 - 4 = 105,1 ед. блага H, в том числе Qd a = 94 -2-9,09 = 75,8 ед. для собственного потребления и 29,3 ед. на экспорт, полностью удовлетворяя потребности страны B. Объем предложения блага F
T
в стране A со стороны собственных производителей равен Qp а =
= 4-12,66 - 5 = 45,6 ед., а объем спроса QDа = 130 - 5-12,66 = 66,7 ед. Разность D S
Qf, A - Qf, A равна импорту из страны B.
|
|
Таблица 12.6
Товарообмен при плавающем и фиксированном обменных курсах в двухстрановой модели |
|
|
Объем
блага |
Производство е = 1,09 |
Потребление е = 1,0 |
Объем
блага |
Производство е = 1,09 |
Потребление е = 1,0 |
|
QH, A |
105,1 |
101,8 |
QH, B |
48,0 |
50,9 |
|
QH, A |
75,8 |
76,4 |
QH, B |
77,3 |
76,4 |
|
qf, A |
45,6 |
43,2 |
QF, b |
92,9 |
96,4 |
|
Qh a |
66,7 |
69,8 |
qHb |
71,9 |
69,8 |
|
QimF, A |
21,1 |
26,6 |
QmH., B |
29,3 |
25,4 |
|
QexH, A |
29,3 |
25,4 |
QexF, B |
21,1 |
26,6 |
|
В стране A потребление возросло при сокращении экспорта и увеличении импорта. В результате возник дефицит торгового баланса при 25,4-8,82 = = 224 дол. дохода, полученного от экспорта, расходы на импорт составили 26,6-12,05 = 320,5 дол. |
Р
?РZ ’
eP Qim ^ e
PQex ~
Если страны договорятся о введении фиксированного валютного курса e = 1, то в обеих странах установятся одинаковые цены блага, хотя и выраженные в разных денежных единицах. Равновесные цены определятся из следующих условий: QexH,Я = QimH,B и QexF,B = QimF,A
14РдA - 98 = 96 - 8Ph,b ^ Ph = 8,82;
135 - 9Pf b = 13Pf,a -130 ^ P* = 12,05.
В стране A цены снизились, а стране B возросли. Структуры производства и потребления в каждой из стран при равновесном и неравновесном валютном курсе представлены в табл. 12.6.
Следует различать реальную и монетарную составляющие валютного курса. Поскольку равновесный обменный курс обеспечивает нулевое сальдо торгового баланса страны, то
PQex
Р Qim где Q = Qim/Qex — показатель «реальных условий обмена» (terms of trade — tot); он показывает, сколько единиц иностранного блага страна получает в обмен на единицу отечественного.
В примере 12.2 страна А обменивает 29,3 ед. своего блага Н на 21,1 ед. импортируемого блага F; следовательно, для нее ? = 21,1/29,3 = 0,72.
Так как Ph, a = 9,09 руб., а Р*,в = 11,62 дол., то обменный курс для валюты страны А равен e = 9,09/(0,72-11,62) = 1,09.
Величина ? представляет реальную компоненту валютного курса; она определяется сравнительными издержками производства обмениваемых товаров в каждой из стран, объемами и ассортиментом имеющихся у них факторов производства, предпочтениями потребителей.
Номинальные цены в каждой из стран прямо пропорциональны количеству находящихся в обращении денег, поэтому отношение P/Pz— монетарная составляющая валютного курса.
12.2.2. Спрос и предложение девизов при международном переливе
капиталов
В открытой экономике сбережения частного сектора направляются не только на увеличение реальных кассовых остатков и пакета отечественных облигаций (ценных бумаг), но и на приобретение иностранных облигаций. Выбирая между возможностями вложения своих сбережений в покупку отечественных или зарубежных облигаций, инвестор принимает решения на основе сопоставления двух условий: 1) (1 + i) — во столько раз за период возрастут его вложения в отечественные облигации; 2) ef (1 + iZ )/e0 — во столько раз за то же время увеличиваются его вложения при покупке иностранных облигаций, так как в текущем (нулевом) периоде за единицу отечественной валюты дают 1/e0 единиц иностранной и эта сумма за период возрастет в (1 + iZ) раз, а после перевода в отечественную валюту по ожидаемому в следующем периоде обменному курсу el получим указанную величину.
Инвестор приобретет отечественные облигации при условии, что (1 + i )> ef (1 + iZ)/e0, и предпочтет зарубежные облигации при обратном неравенстве. Отсюда следует, что капитал будет утекать за границу при i < iZ + ee + eeiZ, где ee = (ef - e^)/e0 — ожидаемый темп прироста обменного курса национальной валюты. Поскольку в нормальных условиях произведение e eiZ мало, то его можно опустить. Поэтому для определения направления перелива капиталов достаточно сравнить отечественную ставку процента с суммой зарубежной ставки процента и ожидаемого прироста обменного курса: при i < iZ + ee капитал утекает за границу, а при i > iZ + ee притекает в страну. В табл. 12.7 показаны различные варианты международного перелива капитала. |
|
|
 |
|
Рис. 12.6. Кривая чистого экспорта капитала |
|
Факторы международного перелива капиталов |
|
|
|
Вариант |
iZ, % |
i, % |
ee |
iZ + ee - i |
Поток |
|
I |
5 |
10 |
0 |
-5 |
В страну |
|
II |
5 |
5 |
10 |
10 |
Из страны |
|
III |
5 |
4 |
-1 |
0 |
Никуда |
|
IV |
5 |
10 |
4 |
-1 |
В страну |
|
V |
5 |
2 |
0 |
3 |
Из страны |
|
VI |
5 |
15 |
10 |
0 |
Никуда |
Таблица 12.7
При свободном международном переливе капиталов в конце концов установится приближенное равенство: i = iZ + ee, т.е. разница между отечественной и заграничной ставками процента приблизительно будет равна ожидаемому темпу прироста обменного курса национальной валюты. В этом суть теоремы непокрытого процентного паритета.
Теорема непокрытого процентного паритета основана на предположении, что доходы на отечественные и иностранные облигации имеют одинаковую меру риска (те и другие являются совершенными субститутами). Чаще всего это не так, потому что прогнозирование ожидаемого значения обменного курса делает зарубежные инвестиции более рискованными (отечественные и иностранные облигации являются несовершенными субститутами). Поэтому долгосрочное равновесие на международном рынке капитала может установиться в соответствии с теоремой покрытого процентного паритета: i = iZ + ee + А, где A — премия за риск заграничных вложений.
Кроме степени взаимозаменяемости отечественных и зарубежных инвестиций, разность (i - iZ ) зависит от степени мобильности перелива капитала между странами; при совершенной мобильности последнего равенство процентного паритета выполняется как в краткосрочном, так и в долгосрочном равновесии рынка капитала, а при несовершенной — только в долгосрочном.
На основании проведенного анализа факторов, определяющих спрос на иностранные облигации, можно вывести функцию чистого экспорта капитала:
NKE = x(iZ + ee - i),
где X — показывает, на сколько долларов изменяется чистый экспорт капитала при изменении величины в скобках на один процентный пункт. График этой функции представлен на рис. 12.6.
Когда i = iZ и e = ee, тогда NKE = 0, так как реальная доходность капитала в отечестве и за границей одинакова.
Отечественный капитал утекает за границу (NKE > 0), если i = iZ, но e < ee (ожидается повышение обменного курса национальной валюты), так как инвесторы надеются в будущем за единицу иностранной валюты получить больше отечественных денег, чем в текущем периоде. Соответственно при i = iZ и e > ee страна получает приток капитала из-за границы, т.е. чистый экспорт капитала — отрицательная величина.
При сочетании e = ee, i < iZ страна будет иметь чистый отток капитала. На рис. 12.6 это отображается сдвигом графика чистого экспорта вверх.
Пример 12.3. Пусть текущий обменный курс рубля к доллару США равен 18 руб/дол., а через год ожидается его рост до 30 руб/дол. Гарантированная доходность отечественных облигаций равна 20 % в год, а заграничных — 2 %. Инвестор решает, какие из этих облигаций приобрести на имеющиеся у него 1800 руб. При покупке отечественных облигаций через год он будет иметь (1800-1,2) = 2160 руб.; при покупке зарубежных — (1800:18)-1,02-30 = = 3060 руб. Сравнительное преимущество вложений в зарубежные облигации увеличит спрос на доллары для покупки этих облигаций, что приведет к повышению обменного курса рубля. Когда он повысится до (30-1,02) :1,2 = 25,5 руб/дол., тогда оба вида облигаций окажутся равновыгодными и отток капитала из России прекратится. Российские облигации в рассматриваемом примере было бы выгодней приобретать и в том случае, если бы ожидаемый через год обменный курс рубля не превышал 21 руб/дол.: (1800:18)-1,02- 21 = 2142 руб.
Для построения в рассматриваемом примере функции чистого экспорта капитала примем X = 50, тогда NKE = 50- (0,02 - 0,2 - 1 + 30/e) = 1500/е - 59.
12.2.3. Равновесие финансового рынка в открытой экономике
В открытой экономике сочетание значений i, e определяет объем спроса домашних хозяйств не только на иностранные, но и на отечественные финансовые активы вследствие их взаимозаменяемости при заданной величине имущества. |
|
|
 |
|
Рис. 12.7. Равновесия рынка финансов в открытой экономике |
Доля кассовых остатков в составе имущества частного сектора увеличивается не только в случае снижения отечественной ставки процента, но и при уменьшении доходности иностранных облигаций, измеряемой суммой s = iZ + ее. При заданных значениях iZ и ее доходность вложений за границей снижается, если текущий обменный курс растет. Поэтому рост е увеличивает спрос на деньги
где а — доля отечественных денег в составе имущества #.
Доля отечественных облигаций в общей сумме финансовых активов (в) повышается при увеличении i и снижении s, т.е. росте е. Следовательно,
B = p^i ,ej$.
Соответственно удельный вес иностранных облигаций в общей ценности портфеля (у) увеличивается, когда отечественная ставка процента и обменный курс снижаются
eBZ = y|^i, eje,
где eBZ — ценность иностранных облигаций (чистый экспорт капитала), выраженная в отечественной валюте посредством обменного курса.
В каждый данный момент в обращении находится определенное количество денег, отечественных (внутренний государственный долг) и иностранных (долг остального мира стране) облигаций. Поэтому равновесие на всех сегментах финансового рынка достигается лишь при таком сочетании значений i и e, которое соответствует следующей системе уравнений:
M = a(i, е)#;
- B = p(i, е)#; (12.2)
eBZ = у (i, е)#.
Так как а + Р + у = 1, то система (12.2) содержит только два независимых уравнения, которые однозначно определяют равновесные значения i и е. На рис. 12.7 приведено графическое решение задачи.
Множество сочетаний i, е, обеспечивающее равновесие на рынке денег, представляет линия ММ. Ее положительный наклон определяют следующие обстоятельства. Повышение обменного курса национальной валюты сопровождается увеличением спроса на деньги, потому что, во-первых, снижается доходность иностранных облигаций (эффект замены); во-вторых, увеличивается общая ценность имущества, так как ценность иностранных облигаций, измеренная в отечественной валюте, возрастает (эффект имущества). Чтобы ликвидировать избыточный спрос на деньги, нужно повысить ставку процента.
Поскольку рост обменного курса увеличивает спрос на деньги, то при сочетании i = i , е > е спрос на деньги превышает их предложение, а при сочетании i = i , е < е спрос на деньги меньше их предложения. Следовательно, все точки, расположенные выше линии ММ, представляют сочетания i, е, при которых на рынке денег существует дефицит, а все точки под линией ММ соответствуют избытку на нем.
Множество сочетаний i, е, при которых домашние хозяйства захотят держать в своем портфеле все количество выпущенных иностранных облигаций, представляет линия BZBZ. Ее отрицательный наклон объясняется следующим образом. Повышение обменного курса порождает избыток на рынке иностранных облигаций, так как спрос на них снижается, а измеренная в отечественных деньгах ценность иностранных облигаций возрастает, что равносильно увеличению их предложения. Избыточное предложение иностранных облигаций можно устранить посредством снижения доходности отечественных.
Так как рост е снижает спрос на иностранные облигации, то все точки, расположенные над линией BZBZ, представляют сочетания i, е, приводящие к избытку, а все точки под линией BZBZ соответствуют дефициту на рынке иностранных облигаций.
Точка пересечения множеств ММ и BZBZ указывает на сочетание i*, е , обеспечивающее совместное равновесие на обоих сегментах финансового рынка. В соответствии с законом Вальраса при i , е равновесие будет и на третьем сегменте финансового рынка. Это значит, что через точку Е проходит и линия BB, являющаяся множеством сочетаний i, е, при которых объем спроса на отечественные облигации равен объему их предложения. Линия BB имеет отрицательный наклон потому, что при повышении е возрастает спрос на отечественные облигации вследствие эффектов замены (подешевевшие деньги заменяются облигациями) и имущества (увеличение ценности иностранных облигаций, выраженной в отечественной валюте). Образовавшийся на рынке отечественных облигаций дефицит устраняется за счет снижения их доходности. |
Соотношение наклонов линий BB и BZBZзависит от реакции спроса на отечественные и зарубежные облигации на изменение i и е. Поскольку изменение отечественной ставки процента сильнее отражается на объеме спроса на отечественные облигации, а изменение обменного курса больше влияет на перелив капитала между странами, то линия BB проходит круче, чем линия BZBZ.
Так как реакция спроса на отечественные облигации на изменение обменного курса национальной валюты совпадает с реакцией спроса на деньги, то, как и в случае с линией ММ, все точки, расположенные выше линии BB, представляют сочетания i, е, при которых на рынке отечественных облигации существует дефицит, а все точки под ней соответствуют избытку на этом рынке.
Из проведенного анализа следует, что все неравновесные сочетания i, е делятся линиями ММ, ВВ и BZBZ на 6 областей (I—VI), отличающихся типами неравновесия на отдельных сегментах финансового рынка.
12.2.4. Равновесный обменный курс
Обменный курс национальной валюты, обеспечивающий нулевое сальдо платежного баланса, устанавливается в результате выравнивания спроса на девизы для импорта благ и экспорта капитала с предложением девизов при экспорте благ и импорте капитала.
Поскольку экспорт капитала порождает спрос на девизы, а его импорт — их предложение, то отрезок линии NKE, расположенный справа от оси ординат, представляет спрос на валютном рынке, а отрезок слева — предложение иностранной валюты. Произведя горизонтальное сложение графиков NKEи DD, получим кривую суммарного спроса на девизыDD (рис. 12.8). Точка ее пересечения с кривой суммарного предложения девизов за экспортируемые страной товары определяет равновесный обменный курс (рис. 12.9). |

Когда i = iZ и е = ее, тогда сбалансированным оказывается и счет текущих операций, и счет движения капиталов. Графически такая ситуация изображена на рис. 12.10. В этом случае графики трех функций: спроса на девизы для текущих операций (dD ), суммарного спроса на них (dD ) и предложения девизов по текущим операциям (S D ) — пересекаются в одной точке.
|
 |
|
движения капитала счету движения капитала |
Допустим, что экспорт страны уменьшился, например, из-за спада в мировой экономике. Сокращение экспорта выразится в сдвиге линии SD влево (рис. 12.11). Теперь для выравнивания счета текущих операций обменный курс должен повыситься до е\. Если инвесторы сочтут, что экономический спад сохранится надолго и поднимут
|
|
 |
|
Рис. 12.12. Валютная интервенция центрального банка |
ожидаемое значение обменного курса до в2, то кривая чистого экспорта сдвинется вправо (вверх), пересекая ось ординат в точке в2- В результате нулевое сальдо по обеим частям платежного баланса сохранится, но при более высоком обменном курсе. Если же инвесторы воспримут ухудшение экономической конъюнктуры как случайную рецессию и не изменят свои ожидания относительно будущей величины валютного курса, то его текущее значение возрастет до ер Повышение обменного курса сохранит нулевое сальдо платежного баланса, но по счету текущих операций оно будет отрицательное (NE < 0), представленное отрезком ab, которое компенсируется притоком капитала (NKE < 0), представленным таким же по длине отрезком сер, по построению ab = сер
Одним из экзогенных параметров, определяющих равновесное значение валютного курса, является его ожидаемое значение (ее). В соответствии с концепцией рациональных ожиданий прогноз этой величины основывается на предположении, что валютный курс, как и любая цена, колеблется около своего равновесного значения, которое определяется рядом фундаментальных факторов, таких как: сравнительные издержки производства в различных странах, состояние их платежных балансов, темпы инфляции в каждой из стран. Под воздействием непредвидимых событий текущий обменный курс временно отклоняется от своего равновесного значения; следовательно, в при е > е нужно ожидать снижения обменного курса, а при е < е — его повышения. Однако определить, как долго и в какой мере происходит начавшееся отклонение текущего курса от равновесного значения, невозможно из-за его стохастического характера. Поэтому, когда текущий обменный курс начинает повышаться, инвесторы могут увеличивать покупки иностранных облигаций в расчете на продолжение его роста. В результате обменный курс действительно будет увеличиваться, убеждая инвесторов в правильности их прогноза и стимулируя дальнейшее увеличение спроса на иностранные активы. Так на валютном рынке возникает «спекулятивный пузырь», который раньше или позже «лопается», вызывая биржевую панику.
Интервенции центрального банка на валютном рынке. На величину рыночного курса отечественных денег может влиять центральный банк посредством операций (интервенций) на валютном рынке. Допустим, что в целях стимулирования экономической активности в стране центральный банк решил добиться увеличения чистого экспорта за счет повышения обменного курса национальной валюты. Для этого он станет покупать иностранную валюту; из-за увеличения спроса на валютном рынке криваяD- сместится вверх (рис. 12.12) и обменный курс возрастет до е1. В результате экспорт товаров и услуг увеличится, а их импорт уменьшится, образуя избыток по счету текущих операций, равный отрезку ab. Кроме того, поскольку е1 > ее (полагаем, что интервенция центрального банка не повлияла на фундаментальные факторы, определяющие рыночный валютный курс), то ожидается укрепление национальной валюты (снижение ее обменного курса), что приведет к чистому притоку капитала в размере отрезка се1. По построению ab + се1 = ga, т.е. объем закупок центрального банка на валютном рынке равен сумме избытка по счету текущих операций и чистого притока капитала из-за границы.
Иногда центральные банки для укрепления доверия к национальным деньгам берут на себя обязательство удерживать обменный курс в определенных пределах (в валютном коридоре): при приближении к нижней границе коридора центральный банк покупает иностранную валюту, а к верхней — продает ее. С июня 1995 г. по август 1998 г. обменный курс рубля успешно удерживался Центральным банком РФ в установленном им коридоре, что свидетельствовало об определенных достижениях в создании российской денежной системы.
С 1947 по 1971 г. в экономически развитых странах Запада действовала система регулируемых связанных валютных курсов, созданная одновременно с Международным валютным фондом по решению Бреттон-Вудской международной конференции 1944 г. В соответствии с этим решением МВФ установил для своих членов фиксированные валютные курсы по отношению к доллару США, а доллар обменивался на золото по цене 35 дол. за тройскую унцию. Когда фактический обменный курс национальной валюты страны — участницы соглашения отклонялся от фиксированного больше чем на 1 %, тогда центральной банк этой страны проводил соответствующие операции на валютном рынке, используя в случае необходимости кредиты МВФ. По мере увеличения долларов в золотовалютных резервах зарубежных центральных банков США становилось все трудней обеспечивать золотое покрытие доллара. 15 августа 1971 г. президент Р. Никсон отменил конвертацию доллара в золото, и система фиксированных валютных курсов, просуществовавшая с переменным успехом почти четверть века, рухнула. |
В настоящее время в большинстве стран, в том числе и в России, действует режим плавающих валютных курсов, при котором цена национальной валюты определяется на валютном рынке. Роль на нем центрального банка определяется тем, что в случае несовпадения объемов спроса и предложения маклер выясняет, согласен ли центральный банк ликвидировать появившуюся разницу. Если да, то курс устанавливается, если нет, то маклер назначает другое значение обменного курса; так продолжается до тех пор, пока объемы спроса и предложения не уравняются.
В некоторых небольших странах (Гонконге, Словении, Эстонии) устанавливается фиксированный обменный курс по отношению к стабильной иностранной валюте или корзине валют и количество находящихся в обращении денег полностью определяется ценностью золотовалютных резервов страны, выраженной в национальной денежной единице. Для поддержания фиксированного валютного курса центральному банку нужно иметь значительные валютные резервы, предотвращающие угрозу спекулятивной атаки на национальную валюту.
Таким образом, в открытой экономике наряду с инструментами стабилизационной политики, рассмотренными в гл. 11, государство использует валютную политику, которая в определенные периоды становится основным средством регулирования количества денег в стране.
Основные направления политики валютного курса Центрального банка РФ в 2005 г. «В 2005 г. будет продолжена реализация курсовой политики Банка России в условиях режима управляемого плавающего валютного курса. Перспективной задачей Банка России будет создание условий для перехода к более гибкому формированию курса российской национальной валюты при минимальном участии Банка России в формировании спроса и предложения на внутреннем валютном рынке. В будущем это позволит перейти к полноценному инфляционному таргетированию в качестве модели проводимой денежно-кредитной политики, в рамках которой количественные обязательства органов денежно-кредитного регулирования по поддержанию ценовой стабильности будут выполняться преимущественно путем воздействия на стоимость денег в экономике с помощью инструментов процентной политики Центрального банка РФ.
Вместе с тем состояние платежного баланса России, уровень и динамика развития российского рынка ценных бумаг, а также финансового рынка в целом предопределяют то, что и в 2005 г. основным фактором изменения денежного предложения останутся операции Банка России по покупке и продаже иностранной валюты на внутреннем валютном рынке. Достаточно гибкая курсовая политика должна будет вносить свой вклад в ограничение роста потребительских цен и сдерживание реального укрепления рубля, обеспечивая адаптацию российской экономики к возможным изменениям внешней и внутренней экономической конъюнктуры и поддержание золотовалютных резервов на достаточном уровне. |
В 2005 г. определенное сдерживание реального укрепления рубля будет осуществляться с учетом необходимости создания условий как для поддержания конкурентоспособности отечественного производства, так и для решения задачи модернизации экономики, осуществляемой в том числе за счет импорта современных технологий и оборудования. Однако в связи с тем, что перспективы развития ситуации на мировом финансовом рынке в 2005 г. отличаются повышенной неопределенностью, а его влияние на состояние внутреннего финансового рынка будет усиливаться, количественные оценки возможного изменения реального эффективного курса рубля за предстоящий год лежат в достаточно широком диапазоне.
Одной из задач курсовой политики на 2005 г. останется предотвращение резких колебаний валютного курса, не обусловленных действием фундаментальных экономических факторов. Исходя из растущего значения евро для российской экономики, в качестве операционного ориентира при реализации политики сглаживания колебаний валютного курса будет использоваться стоимость корзины из двух основных мировых валют евро и доллара США, достаточно хорошо отражающая эффективную стоимость российского рубля по отношению ко всем значимым для российской экономики иностранным валютам.
Исходя из основных прогнозных параметров экономического развития России в 2005 г., учитывающих сохранение благоприятной конъюнктуры на мировых рынках товаров, составляющих основу российского экспорта, и высокой степени неопределенности возможной направленности и масштабов трансграничных потоков капитала, Банк России считает, что повышение реального эффективного курса рубля за год не должно превысить 8%. При менее благоприятной внешнеэкономической конъюнктуре реальный эффективный курс может остаться практически неизменным. Изменения реального эффективного курса в этом диапазоне обеспечат приемлемый баланс между поддержанием текущей конкурентоспособности отечественного производства и созданием условий для модернизации российской экономики в среднесрочной перспективе, а также будут содействовать снижению темпов инфляции».
Обменный курс и паритет покупательной способности. При сопоставлении уровня экономического развития различных стран и благосостояния их граждан ценностные показатели (ВВП, национальный доход на душу населения и др.), выраженные в национальных деньгах, приходится пересчитывать в единой валюте (обычно в долларах США). |
1 См. Приложение 1.
|
|
|
Отношение ППС к обменному курсу и ВВП на душу населения^ |
|
|
|
Страна |
ППС |
e |
e/ППС |
ВВП на душу населения |
|
Швейцария |
2,05 |
1,24 |
0,6 |
24938 |
|
Япония |
166 |
109 |
0,66 |
23980 |
|
Дания |
8,33 |
5,8 |
0,7 |
23140 |
|
Германия |
2,03 |
1,5 |
0,74 |
21330 |
|
Финляндия |
5,89 |
4,59 |
0,78 |
19058 |
|
США |
1 |
1 |
1 |
27831 |
|
Россия |
2209 |
5124 |
2,32 |
6742 |
|
Литва |
1,48 |
4 |
2,71 |
5749 |
|
Украина |
0,48 |
1,83 |
3,82 |
3325 |
|
Бангладеш |
10,57 |
41,8 |
3,95 |
880 |
1 Обзор экономики России. Основные тенденции развития 2000 г. // РЕЦЕПТ. 2000. С. 145.
2 Сост. по: Национальные счета России в 1992—1999 годах. М., 2000. С. 167, 171. |
ePZ
P
Qe
Qv
Для этого используют не обменный курс, а паритет покупательной способности (ППС) национальной денежной единицы. Количественно эти показатели редко равны друг другу; ниже приведена динамика их соотношения для рубля1.
Годы.................. 1993 1994 1995 1996 1997 1998 1999
ППС/е............. 0,198 0,429 0,562 0,746 0,741 0,588 0,395
В отличие от обменного курса, который определяется на валютном рынке, ППС рассчитывают статистики на основе сопоставления ценности стандартной корзины благ, измеренной в национальных деньгах и долларах. В рамках Программы международных сопоставлений ООН для расчета ППС используют корзину, содержащую более 3000 видов товаров и услуг. По своей природе ППС более стабилен, чем обменный курс, так как в ее основе лежит более широкий ассортимент товаров и на нее не влияют спекулятивные операции на валютном рынке.
Расхождения между величинами обменного курса и ППС зависят от многих факторов: уровня развития производительности труда, доли внешнеторгового оборота в ВВП, ассортимента экспорта и импорта, степени открытости отечественных финансовых рынков для нерезидентов и др. Как правило, в высокоразвитых странах величина ППС превышает обменный курс, а в развивающихся наоборот; соответствующие данные за 1996 г. приведены в табл. 12.8.
Таблица 12.8
12.3. Стабилизационная политика
Стратегической целью стабилизационной политики государства в открытой экономике является обеспечение «двойного равновесия» — общего экономического равновесия на уровне полной занятости при запланированном (будем полагать нулевом) сальдо платежного баланса. Для теоретического анализа последствий применения инструментов стабилизационной политики в национальной экономике, вовлеченной в мировое хозяйство, нужно проследить за тем, как изменяются эндогенные параметры модели открытой экономики при изменении подконтрольных государству экзогенных параметров. Поскольку, как было установлено в гл. 11, с позиций «новых классиков» мероприятия стабилизационной политики в лучшем случае нейтральны, а в худшем вредны, так как перераспределяют факторы производства из более эффективного частного сектора в менее эффективный государственный, то теоретической основой анализа будет служить кейнсианская концепция.
12.3.1. Модель маленькой страны
Страна осуществляет свободный товарообмен и перелив капиталов с остальным миром при заданных значениях PZ, yZ, iZ. С приходом на отечественный рынок благ заграницы в структуре совокупного спроса появляется четвертое слагаемое — реальный объем чистого экспорта товаров и услуг:
yD = C + I + G +
где Q^x, Qim — количество соответственно экспортируемых и импортируемых благ.
Посредством сомножителя ePZ/P количество импортируемых благ переводится в эквивалентное количество отечественных: выраженная в отечественных деньгах ценность импорта делится на цену единицы отечественного блага. Выражение ePZ/P является обратной величиной показателя реальных условий обмена и называется реальным обменным курсом; обозначим его er.
Объемы экспорта и импорта благ зависят от величины реального обменного курса: рост er стимулирует экспорт и сдерживает импорт. |
|
|
 |
|
Рис. 12.13. Кривая совокупного спроса в открытой экономике |
Поскольку по мере роста реального национального дохода домашние хозяйства увеличивают спрос не только на отечественные, но и на иностранные товары, то количество импортируемых благ зависит также от величины дохода. Поэтому реальный объем чистого экспорта благ является функцией двух переменных
NE
P |
|
|
f |
|
f |
|
f Л |
|
er, y |
Qex |
er |
erQim |
er, y |
|
V + +J |
|
V +J |
|
V - +) |
Таким образом, в открытой экономике обменный курс национальной валюты — это один из факторов, определяющих совокупный спрос на блага.
Спрос на денежном рынке тоже зависит от обменного курса, поскольку домашние хозяйства в составе имущества наряду с отечественными деньгами и облигациями держат иностранные облигации (финансовые активы). Поэтому в открытой экономике спрос на реальные кассовые остатки является функцией трех переменных
l = ll y, i, e
Отмеченные обстоятельства приводят к тому, что от значения валютного курса зависит расположение точки пересечения линий IS и LM, а следовательно, и расположение кривой совокупного спроса.
Рассмотрим рис. 12.13. В его верхней части построены кривые IS0 и LM0 при заданных значениях P0 и e0. Если при неизменном обменном курсе повысится уровень цен, то влево сместится не только линия LM, отражая уменьшение реального количества денег, но и линия IS вследствие сокращения чистого экспорта благ: рост Р снижает объем экспорта и увеличивает объем импорта. В результате в открытой экономике совокупный спрос становится более эластичным по уровню цен (наклон кривой совокупного спроса уменьшается). Если при заданном уровне цен возрастет номинальный обменный курс, то линия IS сдвинется вправо из-за увеличения чистого экспорта благ, а линия LM — из-за роста спроса на деньги. Будет ли новая точка равновесия в модели IS—LM находиться правее или левее исходной точки, зависит от расстояния сдвигов этих линий; соответственно рост е сдвигает кривую yD(P,e) вправо или влево.
Обменный курс национальной валюты влияет и на конъюнктуру рынка труда. Специфика функционирования рынка труда в открытой экономике состоит в том, что при определении реальной заработной платы предприниматели и рабочие применяют разный уровень цен: первых интересует цена производимой ими продукции, т.е. отечественный уровень цен, а вторых — уровень цен потребительского рынка, который определяется как средневзвешенная величина отечественного и зарубежного уровней цен
P = (1 -a)P + aePZ,
где а — доля импортируемых товаров в общем их количестве. При принятии решений на рынке труда предприниматели ориентируются на Р, а рабочие — на P. Учитывая это обстоятельство, построим кривую совокупного предложения.
На рис. 12.14 при P0 и e0 занятость установится на уровне N0, а объем предложения благ составит y0. Повышение уровня цен до P1 сопровождается пропорциональным увеличением цены спроса на труд, так как WD = PyN. Кривая цены предложения труда тоже сместится влево, но на меньшее расстояние. Это объясняется не только долгосрочностью трудовых контрактов, но и тем, что покупательная способность заработной платы определяется не только возросшим отечественным уровнем цен, но и неизменным мировым уровнем цен. Поэтому эластичность занятости и предложения благ по отечественному уровню цен в открытой экономике больше, чем в закрытой. В открытой экономике маленькой страны повышение уровня цен вызывает эффекты занятости и производства даже в том случае, когда предложение труда определяется ставкой не номинальной, а реальной зарплаты. |
|
|
 |
|
в открытой экономике |
64P - 4e 0,519 + 2P
yS (P,e) = 70
(5)
Если при неизменном уровне цен повысится обменный курс, то из-за подорожания импортируемых благ покупательная способность номинальной зарплаты снизится и кривая цены предложения труда W0 сдвинется влево; вслед за ней влево сместится кривая совокупного предложения (см. пунктирные линии на рис. 12.14).
Таким образом, в открытой экономике совокупное предложение благ, как и совокупный спрос на них, являются функциями двух переменных — уровня цен и обменного курса национальной валюты: yS = yS(p,e). Поэтому приравнивание совокупного спроса к совокупному предложению не дает однозначного решения модели. Каждой точке пересечения кривых yD(P,e) и yS(P,e) соответствует определенное сочетание P, е. Равновесным оно будет лишь в том случае, если при нем чистый экспорт благ, измеренный в отечественных деньгах, равен чистому экспорту капитала, выраженному в тех же деньгах:
P\_Qex(er) — erQim(er,y)]_ ](i + e — 0.
Пример 12.4. Превратим закрытую экономику примера 8.1 в открытую экономику маленькой страны. Экзогенные параметры: PZ = 1; iZ = 11; G = 110; Ту = 0,1; M = 104; ee = 8. Поведение домашних хозяйств характеризуется следующими функциями: потребления отечественных благ C = 80 + 0,7у; потребления импортных благ Qm = 0,2у - 20ePZ/P; спроса на реальные кассовые остатки l = 0,04у + 2(50 - i) + 5e; цены предложения труда WS = 0,519N + 10P;
P = 0,6P + 0,4ePZ; чистого экспорта капитала NKE = 0,5e(iZ + ee - i). Деятельность предпринимательского сектора определяется следующими функциями: производственной y = 70N - N2; инвестиций I = 260 - 6i; экспорта благ Qex = = 60ePZ/P.
Выведем уравнение линии IS
у = 80 + 0,7y + 260 — 6i + 110 + 80e/P — 0,2y ^
^ у = 900 — 12i + 160 e/P. (1)
Уравнение линии LM будет
104/P = 0,04y + 100 — 2i + 5e ^ i = 50 + 0,02y + 2,5e — 52/P. (2)
Обратим внимание на существенное отличие модели открытой экономики от модели закрытой экономики: из модели IS—LM выводится не одна, а две функции. Подставив значение i из выражения (2) в формулу (1), получим функцию совокупного спроса
yD(P,e) = 241,9 +503,2/P + 129e/P - 24,2e. 3)
Подставив значение у из формулы (1) в выражение (2), найдем функцию отечественной ставки процента
i = 54,84 + 2e - 41,94/P +2,58e/P. (4)
Из условия равновесия на рынке труда определим количество используемого труда
70P - 2PN = 0,519N + 6P + 4e ^ N = (64P - 4e)/(0,519 + 2P)
и, подставив его в производственную функцию, получим функцию совокупного предложения 64P - 4e 4 2 0,519 + 2P J
Платежный баланс будет иметь нулевое сальдо, если чистый экспорт благ, измеренный в отечественных деньгах, равен чистому экспорту капитала, выраженному в тех же деньгах,
80e - 0,2Py = 0,5e(11 + 8/e - 1- i). (6)
Подставив в выражение (6) значение ставки процента из выражения (4), после преобразований получим
ZB0 5e2 + 512,1e - 20 6,45e2 -104,85e
y =-P-+-P2-. (7) |
|
|
Результаты стабилизационной политики
Таблица 12.9 |
|
|
|
G |
M |
С |
I |
Qex |
Qim |
у |
P |
i |
e |
N |
W |
|
110 |
104 |
805 |
130,7 |
147,8 |
157,8 |
1035,7 |
0,9454 |
21,54 |
2,33 |
21,24 |
26,0 |
|
130 |
104 |
809,25 |
115,64 |
146,44 |
159,54 |
1041,8 |
0,9851 |
24,06 |
2,4 |
21,46 |
26,67 |
|
110 |
125 |
815,89 |
135,24 |
150,3 |
160,15 |
1051,3 |
1,0948 |
20,79 |
2,74 |
21,82 |
28,8 |
Выражение (7) есть уравнение кривой нулевого сальдо платежного баланса в системе координат P, у.
В результате решения системы уравнений (3), (5) и (7) определяют равновесные значения эндогенных переменных: у = 1035,7; P = 0,9454; i = 21,54; e = 2,33.
Изменяя значения G и M, можно увидеть результаты фискальной и денежной политики государства (табл. 12.9).
Для большей наглядности проследим за последствиями стабилизационной политики государства, используя преимущественно графические построения и метод раздельного анализа, принимая поочередно значения основных конъюнктурообразующих показателей неизменными.
менного курса на объем чистого экспорта благ зависит от соотношения коэффициентов эластичности объемов экспорта и импорта
р _ dQex e ; р _ dQim e
de Qex de Qim
Будем измерять количества экспортируемых и импортируемых благ в таких единицах, чтобы выполнялось равенство P = PZ = 1. Тогда при заданном реальном доходе чистый экспорт благ, измеренный в отечественных деньгах, определяется по формуле:
NE(e) = Qex(e) — e Qm(e),
а его приращение
ANE _ Ae - edQmAe - eQm.
Поскольку
dQ
то
Qe
Qe
p im 1 \
" pimQim Qim \Ae _\ p
ANE_\ p
Постоянный уровень цен
Постоянный уровень цен во время перехода от одного равновесного состояния к другому может сохраняться при наличии конъюнктурной безработицы, обеспечивающей совершенную эластичность предложения на рынке благ. В этих условиях проследить за последствиями стабилизационной политики можно в рамках модели IS—LM. Но в открытой экономике ее нужно дополнить кривой нулевого сальдо платежного баланса.
Кривая нулевого сальдо платежного баланса (ZB0). Эта кривая представляет собой множество сочетаний реального национального дохода и реальной ставки процента, при которых платежный баланс страны выровнен, т.е. NE = NKE.
При неизменных уровнях цен в отечестве и за границей чистый экспорт благ зависит от двух переменных — реального национального дохода и номинального обменного курса денег страны.
По мере роста реального дохода домашние хозяйства увеличивают спрос не только на отечественные, но и на иностранные товары, поэтому чистый экспорт благ уменьшается. Воздействие номинального об-
eQn
Следовательно, повышение обменного курса приводит к росту чистого экспорта благ, если
Ы-^ + Ы > 1. (12.3)
eQim
Выражение (12.3) называют условием Маршалла—Лернера. Эконометрические исследования показывают, что в современной мировой
торговле это условие в среднесрочном периоде, как правило, выполня-
1
ется .
J-кривая. Поскольку международные поставки продукции обычно совершаются на основе среднесрочных контрактов, в которых зафиксированы цены и объемы, то сразу после непредвиденного повышения обменного курса в формуле NE = Qex - eQm увеличивается только вычитаемое, уменьшая реальный объем чистого экспорта благ. При заключении новых контрактов иностранцы обнаружат, что для них импорт-
1 Goldstein M, Khan M. The Supply and Demand for Export: A Simultaneous Approach The Review of Economics and Statistics. 1978. Vol. 60.
// |
|
|
 |
|
Рис. 12.16. Построение кривой нулевого сальдо платежного баланса |
 |
|
Рис. 12.15. J-кривая |
ные товары стали дешевле, а жители страны заметят подорожание иностранных товаров; поэтому при эластичном по цене спросе объем экспорта страны возрастет, а объем импорта сократится. Следовательно, даже при выполнении условия Маршалла—Лернера реальный объем чистого экспорта благ после повышения обменного курса не обязательно будет монотонно увеличиваться; его динамика может предстать в виде кривой, напоминающей латинскую буквуJ, как показано на рис. 12.15.
В дальнейшем будем полагать, что условие Маршалла—Лернера выполняется, тогда уравнение нулевого сальдо платежного баланса принимает вид
е, yj = NKe,i j .
На основе этого уравнения в квадранте I на рис. 12.16 построена кривая нулевого сальдо платежного баланса. В квадранте IV изображен график функции чистого экспорта благ, а в квадранте II — чистого экспорта капитала: при заданном обменном курсе чистый экспорт благ сокращается по мере роста национального дохода, а рост ставки процента уменьшает отток капитала. С учетом этих зависимостей в квадранте I строится кривая нулевого сальдо платежного баланса.
Если в стране установилась ставка процента іо, то чистый экспорт капитала будет равен NKEo. Чтобы при таком оттоке капитала получить нулевое сальдо платежного баланса, нужно иметь чистый экспорт благ в объеме NEo. Чистый экспорт благ достигнет этой величины при yo. Следовательно, точка а принадлежит искомому множеству ZB0. Найдем еще одну точку этого множества, используя обратную последовательность рассуждений. Пусть реальный национальный доход страны равен у\. Тогда ее чистый экспорт благ составит NE1. Чистый экспорт капитала достигнет такого же размера только при ставке процента і\. Таким образом, полученная точка тоже соответствует выровненному платежному балансу. Аналогично находятся остальные точки кривой нулевого сальдо платежного баланса ZB0.
Положительный наклон линии ZB0 объясняется тем, что при увеличении национального дохода растет импорт благ, приводящий к дефициту торгового баланса. Сохранить сбалансированность платежного баланса можно посредством повышения ставки процента, увеличивающего приток иностранного капитала. Поэтому при движении по линии ZB0 вверх-вправо увеличиваются дефицит счета текущих операций и избыток счета движения капитала.
Наклон линии ZB0 зависит от степени мобильности мирового капитала. Чем быстрее реагирует поток капитала даже на небольшую разность (і - iZ), тем более полого проходит линия NKE, а следовательно, и линия ZB0. Если инвесторы мгновенно и без трансакционных затрат могут приобрести право собственности в любой стране, то линия ZB0 проходит параллельно оси абсцисс. Когда международное движение капиталов не зависит от ставки процента (определяется решениями правительств), тогда линия ZB0 перпендикулярна оси абсцисс.
Все точки, лежащие выше линии ZB0, соответствуют избытку платежного баланса. Так, при значениях дохода и ставки процента, соответствующих точке с, имеет место неравенство NE > NKE, т.е. ZB > 0. Все точки под линией ZB0 представляют сочетания i, у, приводящие к отрицательному сальдо платежного баланса. |
|
|
|
|
|
А |
|
|
. ZB0 |
|
|
|
|
LM |
|
|
|
|
С |
|
|
а |
|
d |
|
|
|
|
IS |
|
|
|
|
-> |
?
Уі
У
Рис. 12.19. Сравнительная эффективность фискальной и денежной политики |
При повышении обменного курса национальной валюты кривые NE(y) и NKE(i) смещаются влево, вызывая сдвиг влево линии ZB0. Соответственно снижение обменного курса сдвигает линию ZB0 вправо.
Дополнив модель IS—LM модель линией ZB0, состояние двойного равновесия можно представить рис. 12.17. Точка E соответствует совместному равновесию на рынках благ, денег, ценных бумаг и труда при полной занятости и нулевом сальдо платежного баланса. Все комбинации значений национального дохода и ставки процента, кроме io, yp, представляют различные типы неравновесных состояний (рис. 12.18). В области I безработица сочетается с дефицитом платежного баланса. В области II безработица сохраняется, несмотря на избыток платежного баланса. С другой стороны, избыточная занятость может сопровождаться как избытком (область III), так и дефицитом (область IV) платежного баланса. Постоянному уровню цен соответствуют области I и II.
 |
Рис.12.17. Двойное равновесие Рис.12.18. Типы неравновесных
состояний |
Допустим, страна имеет конъюнктурную безработицу и дефицит платежного баланса. На рис. 12.19 такую ситуацию представляет точка Ео. В сложившейся ситуации цели стабилизационной политики оказываются в отношении субституции: рост национального дохода увеличивает дефицит торгового баланса вследствие увеличения импорта благ. Поэтому для достижения поставленных целей требуется комбинированная политика государства.
Чтобы правильно распределить обязанности между министерством финансов и центральным банком, сравним действенность фискальных и денежных инструментов при их использовании для достижения каждой из целей.
Обеспечить полную занятость можно как посредством фискального импульса (сдвиг линии IS вправо до пересечения ее с линией LM в точке с), так и путем увеличения предложения денег (сдвиг линии LM вправо до пересечения ее с линией IS в точке d). Расположение точки d ниже точки с свидетельствует о том, что использование денежно-кредитной политики для обеспечения полной занятости сопровождается большим дефицитом платежного баланса, чем использование фискальной политики.
Ликвидировать дефицит платежного баланса в ситуации, представленной на рис. 12.19 точкой E0, можно за счет рестриктивной денежной политики (сдвиг линии LM влево до пересечения ее с линией IS в точке b) или контрактивной фискальной политики (сдвиг линии IS влево до пересечения ее с линией LM в точке a). Во втором случае национальный доход сократится на большую величину, чем в первом.
Из проведенного анализа следует, что фискальную политику нужно направить на достижение полной занятости, а денежно-кредитную — на ликвидацию дефицита платежного баланса.
Возможности государства содействовать возникновению ситуации, когда происходит пересечение линий IS, LM и ZB0 в точке, соответствующей национальному доходу полной занятости, не одинаковы при фиксированном и плавающем валютных курсах.
Фиксированный валютный курс. При фиксированном валютном курсе центральный банк не может самостоятельно устанавливать количество находящихся в обращении денег. Поскольку в ситуации, представленной на рис. 12.19 точкой E0, платежный баланс страны дефицитен, то обменный курс национальной денежной единицы будет повышаться и центральному банку приходится сокращать количество денег, находящихся в обращении, т.е. линию LM нужно сдвигать влево до тех пор, пока она не пересечется с линиями IS и ZB0 в одной и той же точке (сдвиг LMo ^ LM1 на рис. 12.20). Никакое другое количество денег не совместимо с поддержанием обменного курса на фиксированном уровне. Поэтому денежно-кредитная политика оказывается парализованной. Когда в условиях фиксированного валютного курса центральный банк увеличивает (сокращает) внутреннюю компоненту денежной |
|
|
 |
|
Рис. 12.21. Фискальный импульс при слабой реакции иностранного капитала на ставку процента |
базы, валютный рынок сокращает (увеличивает) точно в таком же размере внешнюю компоненту денежной базы.
|
і А |
 |
Уі Уо Уі Ут У
Рис. 12.20. Фискальная политика при постоянном уровне цен и фиксированном валютном курсе |
Сократить безработицу в создавшемся положении можно посредством мероприятий фискальной политики. Увеличение государственных закупок, финансируемых за счет займа у населения, приводит к сдвигу линии IS в положение IS 1, повышая национальный доход до у2, а ставку процента до І2. Линия IS1 пересекает линию LM1 в точке, расположенной выше линии ZB0, что свидетельствует об избытке платежного баланса несмотря на увеличение импорта благ вследствие роста национального дохода. Это объясняется тем, что в рассматриваемом случае иностранный капитал сильно реагирует на изменение ставки процента в стране (кривая ZB0 проходит положе кривой LM) и дополнительный приток капитала перекрывает прирост импорта благ. Поскольку при избытке платежного баланса обменный курс национальной валюты снижается, то для его поддержания на фиксированном уровне центральный банк закупает иностранную валюту, увеличивая количество обращающихся в стране денег, при этом линия LM1 смещается вправо. Когда линия LM1 будет пересекать линию IS1 в точке E3, через которую проходит и линия ZB0, тогда установится двойное равновесие при полной занятости.
Если линия ZB0 проходит круче, чем линия LM(рис. 12.21), то сдвиг линии IS вправо приводит к дефициту платежного баланса: точка пересечения IS1 с LM1 оказывается под линией ZB0. Из-за того что импорт капитала мало эластичен по ставке процента, прирост импорта благ превышает дополнительный приток капитала. В этом случае центральный банк покупает девизы и линия LM смещается влево, повышая ставку процента и снижая эффективный спрос.
Таким образом, при фиксированном валютном курсе фискальная политика корректируется внешним миром. В зависимости от эластичности иностранного капитала по отечественной ставке процента фискальный импульс либо усиливается, либо ослабляется.
Плавающий валютный курс. Поскольку плавающий валютный курс постоянно поддерживает нулевое сальдо платежного баланса, то линии IS и LM всегда пересекаются на линии ZB0. Изменение валютного курса ведет к одновременному сдвигу всех трех линий. При повышении обменного курса линии IS и ZB0 смещаются вправо из-за увеличения чистого экспорта благ, а линия LM сдвигается влево вследствие увеличения спроса на деньги. Соответственно при снижении обменного курса линии IS и ZB0 смещаются влево, а линия LM — вправо.
Пусть исходному состоянию экономики соответствует эффективный спрос уо на рис. 12.22. Платежный баланс выровнен, но величина эффективного спроса на блага недостаточна для обеспечения полной занятости.
 |
|
|
 |
|
Рис. 12.24. Последствия роста национального дохода за границей |
|
|
'“-ч
й°
'“-ч
<- |
lm0 |
LMX LM' |
|
|
|
|
|
|
|
^ ZB0i |
|
|
|
|
|
Уо |
Уі |
y |
|
Рис. 12.23. Монетарный импульс при плавающем валютном курсе |
|
|
|
\ |
LM0 |
|
|
/ LMi |
|
|
|
|
|
|
/ 1 \
/ 1 \
/ |
ZBOi |
1
l / 1 / |
J-1_^ |
У2 Уо Ух у
Рис. 12.25. Последствия снижения ставки процента за границей |
|
Валютный курс |
Фискальная политика |
Денежная политика |
|
Фиксированный |
Действенна; эффект усиливается внешним |
Недейственна |
|
Плавающий |
миром
Действенна; величина |
Действенна; эффект |
|
|
эффекта зависит от |
усиливается внешним |
|
|
соотношения наклонов |
миром |
|
|
линий LM и ZB0 |
|
Если для снижения безработицы прибегнуть к экспансионистской фискальной политике (сдвиг IS0 ^ IS'), то в зависимости от соотношения наклонов линий LM и ZB0 образуется либо избыток (рис. 12.22,а), либо дефицит (рис. 12.22,6) платежного баланса. В первом случае обменный курс будет снижаться, а во втором — повышаться. Снижение обменного курса приводит к сдвигу на рис. 12.22,а линий IS' и ZB00 влево, а LM0 — вправо. В ситуации, представленной на рис. 12.22,6, из-за повышения обменного курса линии IS' и ZB00 сместятся вправо, а LM0 — влево. Точка нового взаимного пересечения трех линий показывает, что эффективный спрос возрос до ур
В условиях плавающего валютного курса для стимулирования экономической активности в стране можно использовать и денежно-кредитную политику, так как центральный банк не связан обязательствами по поддержанию курса национальной валюты. На рис. 12.23 исходное состояние экономики представляет точка пересечения линий IS0, LM0 и ZB00. Увеличение предложения денег приводит к смещению линии LM0 вправо и независимо от соотношения наклонов линий LM и ZB0 образуется дефицит платежного баланса, так как из-за снижения ставки процента усилится отток капитала из страны, а из-за увеличения дохода возрастет импорт благ. Начнется повышение обменного курса и линии IS0 и ZB00 сместятся вправо, а LM1 — влево. В результате объем эффективного спроса возрастет до у\.
Итоги проведенного анализа мероприятий стабилизационной политики в открытой экономике маленькой страны при фиксированном уровне цен представлены в табл. 12.10.
Таблица 12.10
Эффективность экспансионистских мероприятий стабилизационной политики в открытой экономике двух стран при фиксированном уровне цен
Импульсы из-за границы. Рассмотрим теперь, как влияет на экономическую конъюнктуру страны, имеющей нулевое сальдо платежного баланса, изменение национального дохода и ставки процента в остальном мире.
Рост национального дохода за границей при прочих неизменных условиях увеличивает спрос на продукцию страны (чистый экспорт благ). В модели IS—LM это отображается одновременным сдвигом линий IS0 и ZB00 вправо, как показано на рис.
12.24. Образовавшийся избыток платежного баланса (точка Е0 находится выше линии ZB01) оказывает понижающее давление на обменный курс национальной валюты и дальнейшее развитие событий зависит от режима валютного курса. При фиксированном валютном курсе в стране увеличивается предложение денег и линия LM смещается вправо до точки пересечения линий IS1 и ZB0p в результате эффективный спрос возрастает до у1. При плавающем валютном курсе национальная денежная единица дорожает. Понижение обменного курса вызовет возвратное движение линий IS1 и ZB01, поэтому национальный доход страны останется неизменным. Плавающий валютный курс гасит воздействие роста заграничного национального дохода на эффективный спрос в стране.
Когда снижается заграничная ставка процента, тогда возрастает приток капитала в страну и линия ZB0 сдвигается вправо (рис. 12.25). Платежный баланс страны становится избыточным.
При фиксированном валютном курсе увеличивается предложение денег в стране и линия LM смещается вправо до точки пересечения линий IS0 и ZB0p |
|
|
 |
|
Рис. 12.26. Двойное равновесие при меняющемся уровне цен |
|
Воздействие импульсов из-за границы на эффективный спрос маленькой страны |
|
|
|
Импульс из остального мира |
Последствия в стране, когда валютный курс |
|
фиксированный |
плавающий |
|
AyZ > 0 |
Ay > 0 |
Ay = 0 |
|
AiZ > 0 |
Ay < 0 |
Ay > 0 |
|
AiZ < 0 |
Ay > 0 |
Ay < 0 |
В этом случае национальный доход страны возрастает. При плавающем валютном курсе из-за снижения обменного курса линии IS0 и ZB0\ одновременно сдвигаются влево до их пересечения на линии LM0; национальный доход страны уменьшается.
Соответственно повышение ставки процента за границей при фиксированном валютном курсе сопровождается сокращением эффективного спроса в стране, а при плавающем валютном курсе — его повышением.
В обобщенном виде результаты анализа представлены в табл. 12.11.
Таблица 12.11
Из них следует, что экспансионистская фискальная политика, проводимая за рубежом (AyZ > 0, AiZ > 0), при фиксированном валютном курсе неоднозначно влияет на эффективный спрос в стране, а при плавающем — увеличивает его; экспансионистская денежная политика за границей (yZ > 0, AiZ < 0) при фиксированном валютном курсе повышает эффективный спрос в стране, а при плавающем — сокращает его.
Меняющийся уровень цен
Чтобы при анализе последствий стабилизационной политики учесть эффект изменения уровня цен, дополним модель IS—LM моделью взаимодействия совокупных спроса и предложения на рынке благ. Для упрощения сохраним предположения о совершенной мобильности международного перелива капиталов и равенстве ожидаемого значения валютного курса его текущему значению. Для этого же примем, что из-за совершенной мобильности мирового капитала отечественная ставка процента всегда равна мировой ставке (i = iZ) и ожидаемое значение обменного курса — его текущему значению (e = ee). В таких условиях реальное количество находящихся в обращении денег зависит только от величины реального национального дохода. Это однозначно определяет расположение линии LM: ордината точки ее пересечения с линией IS равна iZ; через эту же точку проходит горизонтальная линия нулевого сальдо платежного баланса ZB 0.
Состояние двойного равновесия при меняющемся уровне цен представлено на рис. 12.26. В его нижней части, кроме кривых совокупного спроса и совокупного предложения, изображен ранее не использовавшийся инструмент экономического анализа — линия нулевого сальдо торгового баланса (TB0). Каждая точка этой линии представляет определенное сочетание значений y и P, при котором ценность экспорта благ равна ценности их импорта. Отрицательный наклон линии TB0 можно объяснить так. Если при сочетании yF,
P сальдо торгового баланса равно нулю, то в случае увеличения национального дохода при неизменном уровне цен сократится чистый экспорт благ и образуется дефицит торгового баланса. Следовательно, все точки, расположенные выше линии TB0, соответствуют отрицательному сальдо торгового баланса. Ликвидировать его возникший дефицит можно за счет снижения уровня цен, стимулирующего рост чистого экспорта благ. Соответственно все точки под линией TB0 представляют сочетания значений y и P, при которых торговый баланс имеет избыток.
Линия нулевого сальдо торгового баланса имеет меньший наклон к оси абсцисс, чем линия совокупного спроса, что отражает большую эластичность чистого экспорта благ по уровню цен, чем эластичность совокупного спроса на блага.
Повышение обменного курса национальной валюты при любом заданном уровне цен в стране увеличивает чистый экспорт благ. Поэто- |

|
 |
|
Рис. 12.27. Фискальный импульс при меняющемся уровне цен и фиксированном обменном курсе |
му в случае роста обменного курса точка E на рис. 12.26 будет соответствовать избытку торгового баланса; следовательно, при повышении обменного курса линия TB0 смещается вправо, а при его понижении — влево.
Фиксированный валютный курс. Как и прежде, при фиксированном валютном курсе центральный банк не может проводить активную денежно-кредитную политику. Любое изменение количества находящихся в обращении денег (сдвиг линии LM) отклоняет отечественную ставку процента от мировой; возникающий вследствие этого международный перелив капитала нарушает равновесие платежного баланса страны, отклоняя валютный курс от фиксированного уровня. В результате интервенций центрального банка на валютном рынке, необходимых для поддержания цены национальных денег на заданном уровне, предложение денег внутри страны достигнет исходного объема (линия LM займет первоначальное положение), не успев повлиять на уровень цен.
За последствиями фискального импульса проследим по рис. 12.27.
Мероприятия экспансионистской фискальной политики приводят к смещению линии IS вправо (ISq ^ ^ IS1). В результате отечественная ставка процента оказывается выше зарубежной. Последующая цепочка событий в модели IS—LM такова: приток в страну иностранного капитала ^ дефицит платежного баланса ^ покупка иностранной валюты центральным банком ^ рост количества денег в стране ^ сдвиг линии LM вправо до точки пересечения линий IS1 и ZB0. Из-за смещения линий IS и LM вправо в этом же направлении и на такое же расстояние сдвигается линия совокупного спроса (yD ^ yD ). При исходном уровне цен на рынке благ возникает дефицит и уровень цен повышается, сдвигая влево линию LM вследствие снижения реального количества денег (LM1 ^ LM2) и линию IS из-за сокращения чистого экспорта благ (IS1 ^ IS2). Конечный результат фискального импульса — рост уровня цен и реального национального дохода; то и другое сокращает чистый экспорт благ, поэтому образуется дефицит торгового баланса (точка нового равновесия расположена выше линии TB0). Тем не менее платежный баланс выровнен за счет притока иностранного капитала во время превышения отечественной ставки процента над зарубежной.
Плавающий валютный курс. Исходное состояние конъюнктуры в стране на рис. 12.28 и 12.29 представляет сочетание P0, У0 (для упрощения этих рисунков на них опущена линия TB0).

Рис. 12.28. Монетарный импульс Рис. 12.29. Фискальный импульс
при изменении уровня цен и при изменении уровня цен и
обменного курса обменного курса
Проследим за последствиями экспансионистской денежной политики по рис. 12.28. Увеличение предложения денег приводит к сдвигу линии LM вправо (LM0 ^ LM1). Из-за снижения отечественной ставки процента растет спрос на иностранную валюту и повышается обменный курс отечественных денег. Рост обменного курса стимулирует увеличение чистого экспорта благ и линия IS смещается вправо |
|
|
|
|
А
\\ |
LM1 |
lm2
' LM0 |
ZB01 |
|
|
\|\
|\ |
|
|
ZB00 |
|
|
/
1/
/ |
\/.?,
IS0 1 |
|
|
1 |
|
|
|
А |
|
|
У |
|
У?, |
\
\|
|\
\
\
\
\ |
/ ys |
|
|
\ 1 / \ 1 / \ 1 / V / |
|
|
/і\
/ 1 \
1 \
1 \
1 \
_1 |
\Уо |
—> |
У1 Уо
Рис. 12.31. Влияние заграничного фискального импульса при фиксированном валютном курсе |
до точки пересечения линий LM\ и ZB0. Соответственно сдвигу линий IS и LM вправо смещается кривая совокупного спроса (yD ^ yD ). Кривая совокупного предложения вследствие повышения обменного курса сдвигается влево (yS ^ yS ). Противоположные сдвиги кривых совокупного спроса и совокупного предложения приводят к тому, что при исходном уровне цен на рынке благ образуется дефицит, вызывая повышение уровня цен. Реальное количество денег сокращается и линия LM сдвигается влево (LM\ ^ LMq), повышая отечественную ставку процента и снижая обменный курс. Из-за снижения обменного курса сокращается чистый экспорт благ и линия IS сдвигается влево (IS1 ^ IS0). Вслед за линиями IS и LM влево смещается и кривая совокупного спроса(у^ ^ yD ). В то же время снижение обменного курса увеличивает совокупное предложение благ при каждом уровне цен, т.е. кривая совокупного предложения перемещается вправо (yS ^ у2 ). Конечный результат экспансионистского монетарного импульса зависит от соотношения темпов роста уровня цен и обменного курса.
Если P = e, то новое равновесие установится при исходной величине реального национального дохода и возросшем уровне цен; такой случай изображен на рис. 12.28. В этих условиях рестриктивная денежная политика является эффективным инструментом подавления инфляции: снижается уровень цен без изменения занятости.
Когда P > e, тогда экспансионистская денежная политика сопровождается ростом реального национального дохода вследствие того, что повышение ценности потребительской корзины, содержащей в открытой экономике не только отечественные, но и импортные блага, отстает от роста уровня цен.
Отображение экспансионистской фискальной политики на рис. 12.29 начинается с перемещения линий IS и yD вправо (IS0 ^ IS1 и у0 ^ yD ), ведущего к повышению отечественной ставки процента и притоку иностранного капитала. Увеличение предложения девизов снижает обменный курс, вследствие чего кривая совокупного предложения сдвигается вправо (yS ^ yf ), а линии IS и yD из-за сокращения чистого экспорта благ — влево (IS1 ^ IS2 и yD ^ yD ). В результате при первоначальном уровне цен на рынке благ обнаруживается избыток и уровень цен снижается. Уменьшение отечественного уровня цен сопровождается сдвигом линии LMвправо (LM0 ^ LM\). В итоге новое равновесие устанавливается при более низком уровне цен и большем реальном национальном доходе.
Из аналогичных рассуждений следует, что контрактивная фискальная политика при изменяющихся значениях P и e приведет к стагфляции: росту уровня цен и снижению реального дохода.
Воздействие заграничной стабилизационной политики. Стабилизационная политика, проводимая за границей, доходит до маленькой страны в виде изменения экзогенных параметров yZ, iZ и PZ. Ограничимся рассмотрением последствий стимулирующей экономической политики зарубежных государств и предположим сначала, что стабилизационная политика за границей не меняет тамошний уровень цен. Тогда экспансионистская фискальная политика проявляется в виде роста значений yZ и iZ, а экспансионистская денежная политика — в виде повышения yZ и снижения iZ. Поэтому в обоих случаях линия IS маленькой страны сдвигается вправо из-за увеличения экспорта благ, а линия ZB0 — вниз
| |
Рі |
|
і\ ГС
IS 2 ч1
г, . \ ш0
° \\?/ LM1
_\ \_7RO |
|
|
|
|
|
|
|
'ST- |
Ж о
Уо |
|
|
У |
|
|
|
|
|
|
|
\у? |
|
Уо Ух 'У |
|
Рис. 12.30. Влияние заграничного монетарного импульса при фиксированном валютном курсе |
при экспансионистской денежной политике (рис. 12.30) и вверх при экспансионистской фискальной политике (рис. 12.31). Расположение точки пересечения линий IS1 и LM0 свидетельствует о том, что увеличение количества денег за границей создало в стране избыток, а повышение го-

сударственных расходов — дефицит платежного баланса. Поэтому проводимая за границей экспансионистская денежная политика направляет обменный курс отечественных денег вниз, а экспансионистская фискальная политика — вверх.
В условиях фиксированного валютного курса экспансионистская денежная политика за границей вынуждает центральный банк страны покупать девизы, а экспансионистская фискальная политика — продавать их. Операции центрального банка на валютном рынке должны переместить линию LM в точку пересечения линий IS\ и ZB0\.
Покупка девизов сдвигает линию LM вправо (LMq ^ LM\) на рис. 12.30. Линиям IS1 и LM\ соответствует кривая совокупного спроса yD, расположенная правее линии yD. При исходном уровне цен на рынке благ возникает дефицит; повышается уровень цен, смещая линии IS и LMвлево (IS1 ^ IS2; LM1 ^ LM2). Новое равновесное состояние в стране после проведения экспансионистской денежной политики за границей характеризуется возросшим реальным доходом, повышенным уровнем цен и более низкой ставкой процента.
Продажа девизов сдвигает линию LM влево (LMq ^ LM\) на рис. 12.31. Линиям ISi и LMi соответствует кривая совокупного спроса yDі, расположенная левее линии yDQ. На рынке благ обнаруживается избыток и уровень цен снижается, смещая линии IS и LM вправо (IS1 ^ IS2; LM1 ^ LM2). Так экспансионистская фискальная политика, осуществленная за границей, может оказать контрактивное воздействие на экономику маленькой страны. Результат был бы иным, если бы величина сдвига ISq ^ IS1 превысила величину смещения ZB0o ^ ZBO1.
Неопределенность последствий проводимой за границей фискальной политики для экономики маленькой страны объясняется тем, что рост yZ увеличивает экспорт благ страны (приток девизов), а рост iZ — экспорт капитала (отток девизов). В зависимости от того, какой из этих потоков больше, центральному банку приходится либо продавать, либо покупать девизы.
В условиях плавающего валютного курса при проведении стабилизационной политики за границей в маленькой стране сдвигается не
только кривая совокупного спроса yD I P,e I, но и кривая совокупного S (Л V- +J
предложения y I P,e I. Поскольку экспансионистская денежная политика за границей +шижает обменный курс национальной валюты, то кривая совокупного спроса сдвигается вправо, усиливая положительное воздействие роста количества денег за границей на экономическую конъюнктуру страны. Последствия зарубежной фискальной политики для экономики маленькой страны, как и при фиксированном валютном курсе, однозначно не определены по названным выше причинам. |
Импорт инфляции. Импортом инфляции называют рост отечественного уровня цен в результате повышения уровня цен за границей. Рассмотрим основные проводники воздействия роста заграничного уровня цен на уровень цен маленькой страны, используя рис. 12.32.
Первоначальное состояние экономики маленькой страны характеризуется значениями yo, Pq, io = iZ. Повышение уровня цен за границей увеличивает чистый экспорт благ страны, что отображается сдвигом линии IS вправо (ISq ^ IS1). Образовавшийся избыток платежного баланса снижает обменный курс. Дальнейшее развитие событий зависит от режима валютного курса.
При фиксированном валютном курсе центральный банк покупает девизы, увеличивая количество денег в стране и линия LM смещается вправо (LMq ^ LM1). Вслед за сдвигами линий IS и LM вправо перемещается кривая совокупного спроса (yD ^ yD ). Из-за повышения уровня цен за границей в стране дорожают импортные и импортозамещающие блага, что повышает издержки производства и происходит смещение кривой совокупного предложения вправо^о ^ yS). В результате повышается отечественный уровень цен и линии IS и LM сдвигаются влево. Когда уровень цен в стране сравняется с заграничным уровнем, тогда линии IS и LM займут свое первоначальное положение. Таким образом, при фиксированном валютном курсе маленькая страна в полном объеме импортирует заграничное повышение уровня цен при неизменном реальном доходе.
При плавающем валютном курсе центральный банк не меняет количество находящихся в обращении денег и линия LM остается в первоначальном положении. Избыток платежного баланса трансформируется в снижение обменного курса, поэтому сокращается чистый экспорт |
|
|
 |
|
Рис. 12.33. Монетарный импульс на рынке финансов |
благ и линия IS сдвигается в обратном направлении (IS1 ^ ISo). В итоге кривая совокупного спроса остается на месте, сохраняя неизменным уровень цен в стране. Так плавающий валютный курс препятствует импорту инфляции в страну.
Этот вывод верен при принятых предпосылках: совершенная мобильность капитала и ожидание неизменности валютного курса. Когда кривая ZB0 имеет положительный наклон, тогда нулевое сальдо платежного баланса сочетается с неравенством i = iZ. В этом случае рост уровня цен за границей сопровождается одновременным снижением обменного курса и повышением уровня цен в стране.
До тех пор пока в стране и в остальном мире не происходят изменения в реальном секторе экономики, рыночный механизм поддерживает стабильность реального обменного курса: ePZ/P = const. При фиксированном валютном курсе это достигается за счет равенства темпов инфляции: п = nZ, а при плавающем валютном курсе за счет равенства: п - e=п Z.
Учет сектора имущества
Мероприятия стабилизационной политики государства воздействуют на экономическую конъюнктуру не только посредством изменения потоков народнохозяйственного кругооборота, но и через изменение объема и структуры имущества частного сектора. Изменения в секторе имущества, влияя на конъюнктуру финансового рынка, вносят свой вклад в формирование равновесных значений эндогенных параметров макроэкономической модели.
Проследим за последствиями прохождения экзогенных импульсов через сектор имущества посредством модели финансового рынка, представленной системой уравнений (12.2) и рис. 12.7. Рассмотрим, как в этой модели отображается увеличение объема предложения или сокращение объема спроса на каждом из сегментов финансового рынка.
Поскольку точки, расположенные выше линии ММ, соответствуют дефициту на рынке денег, то для восстановления равновесия в этой области сочетаний i, e нужно увеличить предложение денег. При этом линия ММ сдвигается влево-вверх.
Так как сочетания i, e выше линии ВВ обусловливают дефицит на рынке отечественных облигаций, то из аналогичных рассуждений следует, что дополнительный выпуск государственных облигаций сдвигает линию ВВ вправо-вверх.
Вследствие того что дефициту на рынке иностранных облигаций соответствуют сочетания i, e, расположенные под линией BZBZ, увеличение предложения иностранных активов сдвигает эту линию вниз-влево.
При уменьшении объема спроса на каждом из сегментов финансового рынка происходит сдвиг соответствующей линии в обратном направлении.
Монетарный импульс. Если в состоянии ОЭР, представленного на рис. 12.33 точкой Ео, возрастет предложение денег, то линия ММ сдвинется влево. В зависимости от того, увеличит ли центральный банк количество денег за счет операций на открытом рынке ценных бумаг или валютном рынке, новое равновесие на финансовом рынке будет представлять либо точка Ер либо точка Е2. Покупка центральным банком отечественных облигаций сокращает их предложение и это отображается сдвигом кривой ВВ влево, так как для ликвидации дефицита отечественных облигаций требуется снижение ставки процента и (или) повышение обменного курса. Поэтому в случае увеличения предложения денег путем закупки центральным банком отечественных облигаций новое равновесие установится в точке Ер Если прирост денег происходит за счет покупки у населения иностранных облигаций, то линия ВВ остается на месте, а линия BZBZсмещается вправо, так как для ликвидации дефицита иностранных активов нужно повысить обменный курс и (или) ставку процента. В этом случае новое равновесие финансового рынка установится в точке Е2, представляющей более высокий обменный курс, но более низкую ставку процента, чем точка Ер Таким образом, значения обменного курса и ставки процента зависят не только от количества находящихся в обращении денег, но и от структуры баланса центрального банка.
Когда центральный банк хочет повысить обменный курс национальных денег без увеличения их количества, он одновременно покупает иностранную валюту, увеличивая М, и продает отечественные облигации, уменьшая М, — это стерилизованная валютная полити- |
|
|
 |
|
Рис. 12.34. Стерилизованная валютная политика |
 |
|
Рис. 12.37. Импульс из-за границы на рынке финансов |
ка. В результате линия ММ остается на месте, а линии ВВ и BZBZ смещаются вправо (рис. 12.34), так как население согласится обменивать иностранные облигации на отечественные, если i возрастет. Новое равновесие установится при повышенных значениях i и е. Обратим внимание на то, что в условиях совершенной мобильности капитала (i = iZ = const) стерилизованная валютная политика недейственна.
Фискальный импульс. Если дополнительные государственные расходы финансируются за счет займа у населения, то увеличивается предложение отечественных облигаций; это отображается сдвигом линии ВВ вправо (рис. 12.35). Рост задолженности государства частному сектору увеличивает имущество последнего, поэтому растет спрос на деньги и иностранные облигации, возникновение дефицита на этих сегментах финансового рынка отображается сдвигом линий ММ и BZBZ. В результате новое равновесие достигается при более высокой ставке процента, а изменение обменного курса зависит от расстояний сдвига каждой из линий.
Когда прирост государственных расходов финансируется путем монетизации государственного долга, тогда из-за увеличения предложения денег линия ММ смещается влево (рис. 12.36). Возникший вследствие роста кассовых остатков эффект имущества проявляется в виде увеличения спроса на отечественные и заграничные облигации; на рис. 12.36 это отображается сдвигом линии ВВ влево, а линии BZBZ — вправо. Новое равновесие достигается за счет снижения ставки процента и роста обменного курса.
Импульс из-за границы. Пусть в результате экономического роста за границей увеличивается чистый экспорт благ страны и образуется избыток ее платежного баланса. В рассматриваемой модели это проявляется в виде прироста иностранных облигаций и сдвига линии BZBZ влево (рис. 12.37). Пока обменный курс остается неизменным, ценность имущества, выраженная в отечественных деньгах, увеличивается, и возникает эффект имущества, проявляющийся в виде увеличения спроса на деньги и отечественные облигации.
На рынках денег и отечественных облигаций образуется дефицит, что отображается на рис. 12.37 сдвигом линии ММ вправо, а линии ВВ — влево. Ликвидировать дефицит на обоих рынках за счет изменения ставки процента невозможно, так как на рынке денег он повышает, а на рынке отечественных ценных бумаг снижает ставку процента. Когда на рынке иностранных облигаций существует избыток, а на рынках отечественных активов — дефицит, тогда снижается обменный курс (повышается ценность отечественных денег). Уменьшение обменного курса сопровождается снижением ценности имущества, выраженной в отечественных деньгах, и эффект имущества действует в обратном направлении, устраняя неравновесие на всех трех сегментах финансового рынка. Новое равновесие устанавливается при более низком обменном курсе, а изменение ставки процента зависит от расстояний сдвига каждой из линий.
Результаты проведенного анализа воздействия экзогенных импульсов на сектор имущества представлены в табл. 12.12.
|
Таблица 12.12
Воздействия экзогенных импульсов на сектор имущества |
|
|
|
Событие |
Последствия |
|
i |
е |
|
Покупка центральным банком отечественных |
Снижается |
Повышается |
облигаций у населения
Стерилизованная валютная политика |
Повышается |
Повышается |
|
Рост государственных расходов, финансируе- |
Повышается |
Не однозначен |
мых займом у населения
Рост государственных расходов, финансируе- |
Снижается |
Повышается |
мых займом у центрального банка
Рост чистого экспорта благ |
Не однозначен |
Снижается |
Взаимодействие потоков и запасов. Если сочетание значений обменного курса и ставки процента, обеспечивающее равновесие в секторе имущества, не совпадает со значениями этих параметров, определяющих равновесную величину национального дохода, то в длинном периоде будут происходить взаимообусловленные изменения как в процессе производства национального дохода, так и в объеме и структуре имущества до тех пор, пока не установится равновесие не только народнохозяйственных потоков, но и запасов.
Построению динамических моделей открытой экономики с сектором имущества уделялось большое внимание в 1970-х гг. Рассмотрим
- -2
одну из простейших таких моделей .
Чтобы включить сектор имущества в модель ОЭР, примем, что прирост иностранных облигаций в стране равен сальдо торгового баланса и потребление домашних хозяйств находится в положительной зависимости от размера их реального имущества. Допустим также, что, благодаря гибкости цен, объем совокупного предложения благ всегда равен национальному доходу полной занятости. В общем виде модель представляется следующей системой уравнений:
M = a(i,e)I;
B = Р0»й; eBZ = у (i,e)b;
I = M + B + eBZ;
У = с (Ij +1 (i) + G + P (e);
NE=b
eP
Проследим за последствиями монетарного импульса в этой модели, используя рис. 12.38. В левой его части изображен финансовый рынок, в правой — реальный объем чистого экспорта как возрастающая функция от величины обменного курса. |
|
 |
|
Рис. 12.38. Кратко- и долгосрочные последствия покупки отечественных облигаций центральным банком |
В исходном состоянии на финансовом рынке существует равновесие при сочетании i0, e0 и страна имеет нулевое сальдо торгового баланса при сочетании P0, e0. Допустим, что центральный банк закупает отечественные облигации на открытом рынке ценных бумаг, увеличивая количество находящихся в обращении денег. На рис. 12.38 это отобразится сдвигом влево линий ММ и ВВ, так что равновесие на финансовом рынке будет представлять точка Е1. Снижение отечественной ставки процента увеличивает спрос на иностранные активы и тем самым повышает обменный курс. Его рост увеличивает чистый экспорт благ страны и потребление домашних хозяйств вследствие повышения ценности имущества, измеренной в отечественных деньгах. Увеличение спроса остального мира и домашних хозяйств на рынке благ приводит к росту уровня цен; в правой части рис. 12.38 это отображается сдвигом графика чистого экспорта вверх, так как сохранить неизменным его объем при росте уровня отечественных цен можно только при одновременном повышении обменного курса. Насколько повысится уровень цен?
Если его повышение равно росту номинального обменного курса, то реальный обменный курс не изменится, тогда NE = ABZ = 0. Рост уровня цен при ABZ = 0 приведет к снижению реального объема имущества домашних хозяйств, сокращению потребительского спроса и образованию избытка на рынке благ. Поэтому повышение уровня цен будет меньше роста обменного курса и после операций центрального банка на открытом рынке ценных бумаг страна будет иметь положительное сальдо торгового баланса. Сложившаяся в стране экономическая конъюнктура представлена на рис. 12.38 точками E1 и a.
Такое состояние экономики неустойчиво. Увеличение пакета иностранных облигаций у домашних хозяйств породит рассмотренные
Объем имущества на начало периода
К
м в в2
выше эффекты замены и имущества, сопровождающиеся понижением обменного курса. По мере его снижения положительное сальдо торгового баланса будет уменьшаться. Однако равновесие установится не при нулевом, а при отрицательном сальдо счета текущих операций. Это связано с тем, что в результате монетарного импульса увеличился пакет иностранных облигаций и население получает больше процентных платежей от остального мира, чем в исходном состоянии. В свою очередь отрицательное сальдо счета текущих операций возможно лишь при условии, что er1 > er0, т.е. номинальный обменный курс должен снизиться больше, чем уровень цен. Поэтому долгосрочное равновесие в рассматриваемой модели представлено на рис. 12.38 точками E1 и b.
Общий результат увеличения предложения денег за счет покупки центральным банком отечественных облигаций следующий:
— происходит краткосрочное повышение обменного курса, приводящее к долгосрочному изменению в реальном секторе: росту потребления домашних хозяйств;
— в коротком периоде обменный курс превышает свое долгосрочное равновесное значение, несмотря на гибкость цен;
— после установления долгосрочного равновесия страна имеет отрицательный счет текущих операций при нулевом сальдо платежного баланса в результате притока иностранного капитала.
Схематически взаимодействие между запасами и потоками народного хозяйства представлено на рис. 12.39.
|
|
|
|
Экономическая |
|
Изменение объема |
|
активность в периоде |
|
имущества за |
|
1 N, у, \ Р |
|
период |
|
\ С, I, I і |
W |
1= АК |
|
і G, Т, i е |
|
PG - Т = AM + АВ |
|
\ Qexy Qim \ |
|
NE = eABz |
|
Рис. 12.39. Взаимодействие потоков и запасов |
12.3.2. Модель двух стран Постоянный уровень цен
Когда мировое хозяйство состоит лишь из двух стран, тогда экспорт одной страны равен импорту другой и объем увеличения валютных резервов одной страны равен объему их уменьшения в другой.
Посредством модели IS—LM равновесное состояние мировой экономики, состоящей из двух стран, поддерживающих свободный перелив капиталов, представлено на рис. 12.40. Расположение линий IS и LM в каждой из стран определяется отечественными значениями параметров, формирующих равновесие на рынках благ и денег при заданном уровне цен, но точка их пересечения находится на одном уровне по оси ординат. Рассмотрим последствия стабилизационной политики, проводимой одной из стран.

Фискальная политика. Рост государственных расходов в стране А отобразится на рис. 12.41 и 12.42 сдвигом линии ISa вправо
|  |
|
Рис. 12.41. Фискальный импульс при фиксированном валютном курсе |
(IS0A ^ ISja); возрастут ее доход и ставка процента. Из-за высокой чувствительности потока капиталов к разности ставок процента в стране А образуется избыток платежного баланса, несмотря на увеличение импорта благ, возросшего вслед за ростом дохода. В стране В увеличивается экспорт благ (импорт страны А), поэтому линия ISb сместится вправо (IS0в ^ IS\b). Ход дальнейшего приспособления к новому равновесию зависит от режима валютного курса.

При фиксированном валютном курсе избыток платежного баланса страны А увеличивает ее валютные резервы и сокращает их в стране В. Поэтому на рис. 12.41 линия LMa сдвигается вправо (LM0A ^ LM\a), а линия LMb — влево (LM0B ^ LM1b). В результате в стране А национальный доход увеличивается, а в стране В результат зависит от расстояний противоположного смещения линий IS и LM.
При плавающем валютном курсе обменный курс денег страны А понизится, а страны В повысится. Поэтому чистый экспорт благ в стране А сократится, а в стране В возрастет, что отобразится на рис. 12.42 сдвигами IS1A ^ IS2A и IS0B ^ IS1B. Таким образом, при плавающем валютном курсе экспансионистская фискальная политика в одной из стран сопровождается ростом национального дохода и ставки процента в обоих странах.
Денежно-кредитная политика. Увеличение количества денег в стране А отображается на рис. 12.43 и 12.44 сдвигом кривой LMa (LM0A ^ ^ LM1a), в стране А снижается ставка процента и растет эффективный спрос, уменьшая чистый экспорт благ и капитала. Поэтому ее платежный баланс становится дефицитным. Дальнейшее развитие событий зависит от режима валютного курса. |

При фиксированном валютном курсе валютные резервы и денежная база в стране А сократятся, а в стране В возрастут. На рис. 12.43 этому соответствуют сдвиги линии LMa влево (LM1A ^ LM2a), а линии LMв вправо (LM0B ^ LM1b). Вследствие увеличения в обоих странах эффективного спроса на (у' — уо) каждая страна увеличит экспорт благ и линии IS сдвинутся вправо (ISoa ^ IS A ISob ^ IS1B). Конечный результат экспансионистской денежной политики в одной из стран — увеличение эффективного спроса в обеих странах на (у1 — уо).
|
|
|
|
А |
LM0 '
/ ІМі |
|
|
/і\ ч / |
\/ \ |
|
|
|
3° |
|
|
/ і «о
1
1 |
|
|
|
1
-:-> |
-і-1-> |
Страна Л У о У\ у Страна В У\ У а у
Рис. 12.44. Монетарный импульс при плавающем валютном курсе |
При плавающем валютном курсе увеличение предложения денег в стране А сдвигает линию LMa вправо, не изменяя расположение линии LMb (рис. 12.44). Из-за снижения ставки процента и увеличения дохода в стране А растет импорт благ и усиливается отток капитала; то и другое ведет к дефициту платежного баланса. Соответственно в стране В повышается экспорт благ и приток капитала. Поэтому на валютном рынке деньги страны А дешевеют, а страны В дорожают, увеличивая
PAQimA (yA )
QexB =
exA
|
Таблица 12.13
Эффективность экспансионистских мероприятий стабилизационной политики в открытой экономике двух стран при фиксированном
уровне цен |
|
|
|
Валютный курс |
Фискальная политика |
Денежная политика |
Фиксированный
Плавающий |
Увеличивает эффективный спрос в отечестве; последствия для другой страны однозначно не предсказуемы Увеличивает эффективный спрос в обеих странах |
Увеличивает эффективный спрос в обеих странах
Увеличивает эффективный спрос в отечестве и снижает его в другой стране |
чистый экспорт благ страны А и снижая его в стране В. На рис. 12.44 это приводит к сдвигу линии ISa вправо (IS0A ^ і$1а), а линии ISg — влево (IS0B ^ IS1b). Таким образом, при плавающем валютном курсе экспансионистская денежная политика в стране, проводящей ее, увеличивает эффективный спрос, а в другой — его уменьшает; при этом единая ставка процента понижается.
Итоги проведенного анализа действенности мероприятий стабилизационной политики в открытой экономике при фиксированном уровне цен в обобщенном виде представлены в табл. 12.13.
Меняющийся уровень цен
С учетом изменяющихся уровней цен модель экономического взаимодействия двух стран при совершенной мобильности перелива капиталов в общем виде представляется следующей системой уравнений:
УА = CA (yA ) + IA (ІА ) + GA + QexA (PA, PB,e, yB ) - QimA (yA );
MA / PA = lA(yA,iA
ySA = yA (PA’ PB, e);
' yB = CB (yB ) + IB (iB ) + GB + QexB (PA, PB, e,yA ) - QimB (yB );
MB / PB = lB(yB ,iB );
yB = yB (PA, PB, e);
iA = iB,
где е — обменный курс денег страны А, показывающий, сколько денежных единиц этой страны нужно заплатить за 1 ед. денег страны В.
Кроме свободного перелива капиталов, взаимодействие экономик двух стран осуществляется через внешнюю торговлю. В мире двух стран это означает, что ePBQimB (yB )
ePB PA
В условиях плавающего валютного курса экзогенными параметрами модели являются GA, GB, Ma, Mb, а эндогенными — yA, Ув, Pa, Pb, Na, Nb, Wa, Wb, e, i. При фиксированном валютном курсе экзогенные параметры — Ga, Gb, e, (Ra + Rb), эндогенные — уа, ув, pa, рв, Na, Nb, Wa, Wb, Ra, Rb, i, где R — валютные резервы страны.
Последствия стабилизационной политики, проводимой в одной стране, для экономик обоих стран, кроме режима валютного курса, существенно зависят от эластичности совокупного предложения благ по уровню цены в каждой из стран. Для конкретизации дальнейшего анализа в условиях действия большого числа факторов, определяющих конечный результат, возьмем числовой пример.
Пример 12.7. В стране А поведение домашних хозяйств характеризуется следующими функциями: потребления отечественных благ — Са = 80 + 0,7уа; потребления импортных благ — QimA = 0,2уа; спроса на реальные кассовые остатки — іа = 0,04уа + 2(50 - іа); цены предложения труда — Wa = 0,5Nа +1 - Pa ; Pa = 0,6Pa + 0,4ePg. Деятельность предпринимательского сектора определяется следующими функциями: производственной — Уа = 70Nа - N А ; инвестиций — іа = 260 - 6іа; экспорта благ — QexA = 0,1ePByB/PA. Государственные расходы — Ga = 110, номинальное предложение денег — Ма = 104.
В стране В поведение домашних хозяйств задано следующими функциями: потребления отечественных благ — Св = 100 + 0,6ув; потребления импортных благ — QimB = 0,1ув; спроса на реальные кассовые остатки — ів = 0,1ув + 2(40 -- ів); цены предложения труда — WB = 0,8Nb + 10Pg; Pb = 0,8Pg + 0,2Pa/e . Деятельность предпринимателей определяется следующими функциями: производственной — ув = 120Nb - 2NB; инвестиций — ів = 300 — 8ів; экспорта благ — QftjcB = 0,2PAyA/ePB. Государственные расходы — Gb = 90, номинальное предложение денег — Mb = 80.
Между странами существует свободный перелив капиталов и ожидаемое значение валютного курса равно его текущему значению, поэтому іа = B Текущая величина валютного курса определяется в результате взаимодействия спроса и предложения на валютном рынке (режим плавающего валютного курса).
Выведем функции совокупного спроса и предложения для каждой страны.
Страна А. Условие равновесия на рынке блага
УА = 80 + 0,7уа + 260 - 6іа +110 + °’1epByB - 0,2уа. (1)
PA |
Условие равновесия на рынке денег
104 = 0,04Уа +100 - 2іА ^ ^А = 0,02УА + 50 - -52. (2)
РА РА
Из условия равновесия на рынке труда Wa = Wa найдем равновесную занятость
* 64PA — 4еРв
10PA + 2PaN А = 05N А +1 0(0,6Pa + 0.4ePB) ^ N а = А в В •
0,5 + 2Pa
Подставив равновесное значение занятости в производственную функцию, получим функцию совокупного предложения
Подставив в уравнение (4) значение ів из выражения (5) и значение уа из выражения (8), после преобразований получим функцию совокупного спроса благ страны В
yD (Pa,Рв,е) = 188,9 +
355,6
Рв
РА(33,3РА + 69,3 + 4,4еРВ + 17,8е - 23,1еРВ/РА) еРВ(0,62РА - 0,04еРВ)
.(9)
Равновесные значения Pa, Рв, е, определяющие остальные эндогенные параметры, находятся из решения системы уравнений, описывающей условие равновесия на рынках благ и мирового капитала
yA(PA,Pb.е) = 70.64Pa-4еРв -I 64Pa-4еРв
УААВ! 0,5 + 2РА у 0,5 + 2РА
Страна В. Условие равновесия на рынке блага
ув = 100 + 0,6yB + 300 - 8ів + 90 + 0,2РаУа - 0,1yB
(3)
yD (РА, Рв,е) = Уа (Pa , Рв, е)
• УD (Pa ,Рв ,е) = Ув (Pa ,Рв ,е) ^ Ра = 0,766; Рв = 0,361; е = 1,605.
yD (Pa , Рв е)=200 + ^ ^ + 0,4yD (Рл, Рв, е)
РВ РА
еРв
(4)
Условие равновесия на рынке денег
-80 = 0,1Ув + 80 - 2iB ^ iB = 0,05Ув + 40 - -40. Рв РА
D S
Условие равновесия на рынке труда Wb = Wb
(5)
120Рв + 4PbNb = 0,8Nb + 10| 0,8Рв + 0,2^ | ^ nB = ^
У е ) 0,8е + 4еРв
Отсюда функция совокупного предложения
Ув (Pa, Рв, е) = 120 •
112еРв - 2Pa 0,8е + 4еРв
2 [ 112еРв - 2Pa'12
У 0,8е + 4еРв )
(6)
Условие равновесия на мировом рынке капитала
0,02уа +100 - 2Іа = 0,05ув + 40 - ^ ^ Ув = 0,4уа + 200 + 800 - 1040 (7)
РА РВ РА
Подставив в уравнение (1) значение Іа из выражения (2) и значение Ув из выражения (7), после преобразований получим функцию совокупного спроса благ страны А
 |
|
Рис. 12.45. Последствия экспансионистской фискальной политики, проводимой в стране А |
УD(РA, РB, е)
150РА + 312 + 20еРВ + 80е - 104еРВ / РА 0,62РА - 0,04еРВ
(8)
Объем и структура использования национального дохода в каждой из стран показана в табл. 12.14.
|
|
|
Исходное состояние экономик стран А и В |
|
|
|
Страна |
y |
С |
I |
G |
Qex |
Qm |
|
А |
1081 |
836 |
238 |
110 |
113 |
216 |
|
В |
1492 |
995 |
270 |
90 |
286 |
149 |
|
Пусть страна А увеличит государственные расходы на 50 ед. Тогда Ра = 0,824; Рв = 0,376; е =1,445 и экономическая ситуация изменится в обеих странах (табл. 12.15 и рис. 12.45). |
Таблица 12.15
Последствия экспансионистской фискальной политики (AGa = 50), проводимой в стране А |
|
|
|
Страна |
Ay |
АС |
ai |
AG |
AQex |
AQim |
|
А |
13 |
9 |
-30 |
50 |
-14 |
2 |
|
В |
10 |
6 |
-40 |
0 |
45 |
1 |
Таблица 12.16
Последствия экспансионистской денежной политики (AMa = 20), проводимой в стране А |
|
|
|
Страна |
Ay |
АС |
ai |
AG |
AQex |
AQim |
|
А |
19 |
14 |
4 |
0 |
5 |
4 |
|
В |
-1 |
-1 |
7 |
0 |
-7 |
0 |
Таблица 12.14
В результате роста государственных расходов в стране А линия IS сместилась вправо (IS0A ^ IS1A), сдвигая в том же направлении кривую совокупного спроса (yDA ^ yDA ). На рынке благ образовался дефицит и уровень цен возрос; в результате линия LM сдвинулась влево (LM0A ^ ^ LM1A). Повышение ставки процента привлекло в страну А капитал из страны В, что привело к понижению обменного курса денег страны А. Вследствие понижения обменного курса кривая совокупного предложения сместилась вправо (Уол ^ Уіл ), а кривая совокупного спроса и линия IS — влево (y/A ^ y2A ) и (IS1A ^ IS2A). Конечный результат в стране А — рост реального дохода, повышение уровня цен и ставки процента. Из-за повышения отечественного уровня цен в стране А сократился экспорт и возрос импорт благ, а из-за увеличения ставки процента снизился объем инвестиций.
Рост реального дохода в стране А позволил увеличить экспорт страны В, что отобразилось сдвигом кривых IS и yD вправо (IS0B ^ IS1B и y0)B ^ y?B ). Вследствие этих сдвигов возник дефицит благ и повысился уровень цен; поэтому линия LM сдвинулась влево (LM0B ^ LM1B), выравнивая ставки процента в обеих странах. Из-за снижения обменного курса денег страны А (повышения обменного курса денег страны В) кривая совокупного предложения в стране В сдвинулась влево (y0B ^ y1B ) . Конечный результат в стране В — тоже рост реального дохода и уровня цен, но в меньшей степени, чем в стране А. Увеличение реального дохода страны В повысило ее импорт благ, а рост ставки процента сократил объем инвестиций.
Последствия экспансионистской денежной политики, проводимой в стране А, для экономик обеих стран представлены в табл. 12.16 и на рис. 12.46.
|  |
|
Рис. 12.46. Последствия экспансионистской денежной политики, проводимой в стране А |
Увеличение предложения денег в стране А отобразилось сдвигом линии LM вправо (LM0A ^ LM\a), обусловившим смещение вправо кривой совокупного спроса: y0A ^ yDA • Из-за снижения ставки процента капитал из страны А стал утекать в страну В, увеличивая спрос на деньги страны В и повышая обменный курс страны А. Вследствие повышения обменного курса в стране А графики IS и yD сдвинулись вправо (IS0A ^ IS1A и Уоа ^ У іа), а кривая совокупного предложения влево (y0)A ^ У\а). Образовавшийся на рынке благ дефицит повышает уровень цен и смещает линию LM влево (LMia ^ LM2A). Конечный результат в стране А — рост реального дохода, повышение уровня цен и снижение ставки процента; это привело к увеличению объемов инвестиций и импорта благ.
Повышение обменного курса в стране А означает его снижение в стране В. Поэтому экспорт страны В сократился, что отобразилось сдвигом графиков IS и yD влево (ISob ^ ISib и yDB ^ yDg ); по этой же причине кривая совокупного предложения сдвинулась вправо (уов ^ У\в ). В результате на рынке благ образовался избыток и уровень цен снизился, сдвинув линию LM вправо (LMob ^ LMib). В целом экспансионистская денежная политика страны А оказала депрессивное воздействие на экономику страны В.
12.4. Действенность стабилизационной политики
Из содержания предыдущей и данной глав следует, что в соответствии с кейнсианской концепцией государство может целенаправленно воздействовать на экономическую конъюнктуру страны. Стоит ли ему использовать эту возможность? До 1970-х гг. большинство экономистов отвечало на этот вопрос положительно. Под влиянием учения Дж.М. Кейнса стабилизационная политика была причислена к основным задачам правительств.
В 1946 г. Конгресс США принял закон о занятости, по которому «в сферу постоянно возобновляемых политических задач и ответственности федерального правительства входит обеспечение максимальной занятости, производства и покупательной способности». Эти задачи были подтверждены и расширены в законе о полной занятости и сбалансированном росте, принятом в 1978 г. (закон Хэмфри—Хоукинса). В ФРГ 8 июня 1967 г. был принят закон о содействии стабильности и роста экономики, в соответствии с которым правительство ежегодно ставит конкретные цели относительно уровня цен, занятости, внешнеэкономического равновесия и темпа роста и обязуется содействовать их достижению. В какой мере это удавалось, можно судить по рис. 12.47, на котором отражены данные за 30 лет.
|
 |
|
Рис. 12.48. Колебания экономической конъюнктуры при отсутствии и проведении стабилизационной политики |
В России в 2000 г. правительство приняло программу «Основные направления социально-экономической политики Правительства РФ на долгосрочную перспективу (2000—2010 гг.)», которая в отличие от пятилетних планов социалистической экономики, директивно доводившихся до каждого предприятия, должна быть осуществлена посредством мероприятий стабилизационной политики.
Однако в ходе проведения стабилизационной политики правительства встречаются с рядом препятствий, снижающих ее эффективность.
Между моментами отклонения экономической конъюнктуры от намеченного правительством состояния и принятия решения о проведении конкретных стабилизационных мероприятий, как правило, проходит некоторое время. Кроме того, требуются определенные сроки для проведения в жизнь принятого правительством решения. Все это образует так называемый внутренний лаг. Обычно он более продолжителен при осуществлении фискальной политики, чем денежно-кредитной политики. Так, решение о проведении операций на открытом рынке ценных бумаг принимается более оперативно, чем об изменении системы налогообложения. Встроенные стабилизаторы имеют нулевой внутренний лаг. В случае предвидимых (например, сезонных) колебаний экономической конъюнктуры он становится отрицательной величиной. Можно, например, облегчить фирмам, специализирующимся на переработке сельскохозяйственной продукции, доступ к кредитам накануне сбора урожая и предотвратить тем самым резкое колебание ставки процента.
Период времени между началом осуществления мероприятий стабилизационной политики и изменением под их воздействием экономической конъюнктуры образует внешний лаг. Обычно он более продолжителен при проведении денежно-кредитной политики по сравнению с фискальной. Так, увеличение государственных расходов непосредственно повышает совокупный спрос, а покупка ценных бумаг центральным банком сначала снижает ставку процента, и лишь затем, может быть, возрастет спрос на инвестиции.
В связи с наличием временных лагов дискреционная стабилизационная политика может оказать дестабилизирующее воздействие на экономическую конъюнктуру, что показано на рис. 12.48. Здесь сплошной линией отображена динамика национального дохода без государственного регулирования экономики, а пунктирной — при осуществлении экспансионистской стабилизационной политики в момент t0 и контрактивной — в момент ?р Поскольку стабилизационные мероприятия государства могут усилить конъюнктурные колебания экономической активности, то в случае кратковременных (преходящих) нарушений экономического равновесия правительству лучше не использовать свои
возможности регулирования хозяйственной конъюнктуры.
В возможности правительств регулировать текущую экономическую конъюнктуру таится опасность злоупотребления ею в узко партийных интересах. Так, сразу после прихода к власти новое правительство может искусственно ограничивать экономическую активность, оправдываясь «тяжелым наследием» от предшествующего правительства, а ко времени очередных выборов стимулировать экономический рост, порождая таким образом «политические» деловые циклы.
В связи с этим заслуживают внимания рекомендации проводить стабилизационную политику по законодательно установленным правилам, т.е. вместо дискреционной осуществлять регламентированную стабилизационную политику. Так, можно установить правило, по которому предложение денег увеличивается на определенный процент в зависимости от темпа прироста национального дохода или уровня безработицы, переводя тем самым мероприятия дискреционной политики в число встроенных стабилизаторов.
В целом можно отметить, что в последние 30 лет в экономической науке отмечается заметное охлаждение к активным дискреционным мероприятиям денежной и особенно фискальной политики. Признание возможностей государства посредством этих инструментов воздействовать на экономическую конъюнктуру страны сочетается с сомнениями в целесообразности такого воздействия. Наглядным примером изменения взглядов экономистов на роль государства в хозяйственной жизни могут служить следующие две цитаты из популярного учебника П. Самуэльсона «Экономика», одна из которых содержится в вышедшем на английском языке в 1962 г. 6-м издании, а другая — в 15-м издании 1995 г. В первом случае он писал: «Повсюду в свободном мире правительства и центральные банки показали, что они могут преодолеть резкий спад. Они имеют оружие фискальной политики (расходы и налоги) и денежно-кредитной политики (операции на открытом рынке, дисконтная политика, регулирование нормы законных резервов), с помощью которых могут воздействовать на факторы, определяющие национальный доход и занятость. Подобно тому как мы отказались от позиции покорного примирения с болезнями, нам нет необходимости мириться с массовой безработицей». |
Через 33 года этот вывод из раздела, посвященного методам стабилизационной политики государства, звучит по-иному: «После кейнсианской революции капиталистические демократические страны решили, что они в состоянии добиться процветания и высоких темпов экономического роста, избегая в то же время крайностей безработицы и инфляции, нищеты и богатства, привилегированности и отторжения. Многие из этих целей были достигнуты, так как в ту пору страны с рыночной экономикой переживали период невиданного экономического подъема и роста занятости. Все это время марксисты предрекали гибель капитализма в ходе грядущего катастрофического кризиса; экологи предсказывали, что страны с рыночной экономикой задохнутся в своих отходах и выбросах; а сторонники свободного рынка выражали беспокойство о том, что лекарства, применяемые государством, наносят экономике больший вред, чем ее болезни. Однако все эти пессимисты проглядели дух предприимчивости, который обрел свободу благодаря рынку и стал источником непрерывного потока научно-технических достижений. < ... > Роль государства заключается в том, чтобы
создавать свободные конкурентные условия и поддерживать базовые
2
научно-технические исследования».
Приведем также мнение У. Баумоля, высказанное им в его работе, посвященной итогам развития экономической науки в ХХ в.: «Сегодня гораздо больше скептицизма в отношении способности налоговой и денежно-кредитной политики лавировать между безработицей и инфляцией, ее возможности предотвращать их одновременное появление (разве что в относительно краткосрочном периоде). И тем не менее разработчики экономической политики, несомненно, ощущают, что они стали гораздо лучше понимать возможности своего выбора, чем их предшественники в начале века. Они сознают также, что уже накоплен значительный массив аналитических работ как кейнсианских, так и монетаристских, которые они обязаны освоить и которые способны дать если не надежную систему правил поведения, то, по крайней мере, лучшее понимание ситуации». |
Изменению взглядов на возможности и роль государства в поддержании устойчивой экономической конъюнктуры в значительной степени способствовали работы «новых классиков», из которых следует, что вместо «точной настройки» национальной экономики правительству следует содействовать снижению неопределенности и укреплению доверия к экономической политике со стороны населения.
Краткие выводы
В качестве комбинации целей проведения стабилизационной политики в открытой экономике выступает двойное равновесие — совместное равновесие на всех макроэкономических рынках страны при полной занятости и нулевом сальдо ее платежного баланса.
Сальдо платежного баланса страны равно нулю, если чистый экспорт товаров и услуг равен чистому экспорту капитала. От состояния платежного баланса зависит количество денег, обращающихся внутри страны, а следовательно, и общая экономическая конъюнктура. На состояние платежного баланса наряду с уровнем экономической активности внутри страны влияют текущий курс национальной денежной единицы на валютном рынке, разница между уровнем цен в стране и за границей, отличие между ставками процента и соотношением темпов инфляции внутри страны и за границей.
Кроме инструментов фискальной и денежно-кредитной политики, для воздействия на экономическую конъюнктуру в открытой экономике у правительства есть возможность использовать валютную политику в виде регулирования курса национальной валюты и условий перелива мирового капитала. В то же время в условиях фиксированного валютного курса центральный банк не может проводить самостоятельную денежную политику, а при плавающем валютном курсе результативность фискальной политики тем ниже, чем мобильнее перелив капиталов между странами.
1 Баумоль У. Чего не знал А. Маршалл: Вклад XX столетия в экономическую теорию // Вопросы экономики. 2001. № 2. С. 101. |
(2)
Необходимый для достижения двойного равновесия конкретный набор мероприятий стабилизационной политики предопределяется текущим состоянием экономической конъюнктуры; при этом действует правило: используйте одновременно столько разновидностей экономических политик, сколько целей предусматривается достичь.
При оценке эффективности стабилизационной политики государства неоклассики и кейнсианцы кардинально расходятся. По мнению неоклассиков, стабилизационная политика государства в лучшем случае бесполезна. Кейнсианцы рассматривают ее в качестве средства повышения эффективности функционирования национальной экономики в коротком периоде. Действенность стабилизационных мероприятий правительства в значительной степени зависит от того, как решаются проблемы, связанные с временными лагами и распределением полномочий при стремлении к одновременному достижению нескольких находящихся в отношении субституции целей.
Результативность стабилизационной политики возрастает по мере сокращения временного лага между моментом возникновения нежелательного изменения конъюнктуры и началом действия стабилизационных мероприятий. Распределение полномочий между инстанциями, ответственными за достижение намеченных целей, должно быть направлено на предотвращение взаимной нейтрализации совместно используемых инструментов стабилизационной политики.
Одним из условий эффективности стабилизационной политики государства является ее предсказуемость для хозяйственных субъектов. Преподнесение правительством «сюрпризов» при проведении экономической политики с целью получения сиюминутных результатов в итоге повышает общественные издержки ведения национального хозяйства.
Приложение 1: Модель «фундаментального» валютного кризиса Флуда-Гарбера
Модель описывает возможность проведения частными инвесторами безрисковой атаки на валютный рынок при фиксированном валютном курсе, иллюстрируя специфику осуществления денежной политики в открытой экономике. |
Исходные предпосылки. Центральный банк проводит экспансионистскую денежную политику посредством ежегодного увеличения внутреннего кредита на AK = const и поддерживает фиксированный обменный курс национальных денег: e = 1 = const. Инвесторы на валютном рынке располагают полной информацией о денежной политике и конъюнктуре рынка.
Предложение денег равно сумме валютных резервов центрального банка (R) и внутреннего кредита (K), т. е. денежный мультипликатор равен еденице:
M = R + K. (1)
Спрос на реальные кассовые остатки l = lyy + lt (imax - i) при заданных значениях ly, li, y, imax предстает в виде: l = ao - ap. Тогда условие равновесия на рынке денег выражается равенством
= a0 + aji.
Предполагается постоянное соблюдение паритета покупательной способности
и непокрытого процентного паритета
Подставив в равенство (2) условия (3) и (4), получим
При фиксированном обменном курсе условие равновесия на денежном рынке принимает вид: M = 1 (a0PZ - axiZPZ), т.е. количество находящихся в обращении денег, равное сумме валютных резервов и внутреннего кредита, неизменно. Следовательно, приращение внутреннего кредита сопровождается равновеликим сокращением валютных резервов: AK = -AR, а величина необходимых резервов зависит от значения фиксированного валютного курса 1:
R = M - K = 1 (a0PZ - aJPZiZ)- K. (6)
Отношение Ro /AK определяет число лет (Т), в течение которых центральный банк планирует поддерживать фиксированный валютный курс в предположении, что атаки на валютный рынок не будет. После исчерпания валютных резервов придется перейти к плавающему обменному курсу, который превысит его фиксированное значение.
Утверждение. При принятых предпосылках есть момент т < Т , в который частные инвесторы без риска могут осуществить атаку на валютный рынок (спекулятивную покупку иностранной валюты, ликвидирующую валютные резервы центрального банка) с целью выиграть на повышении валютного курса после атаки. |
Доказательство. Сразу после проведения атаки в момент т из-за R = 0 равенство (5)принимает вид
M = K = e [a0PZ - aliZPZ)-alFz Дe. (7)
Теперь количество денег в стране будет ежегодно возрастать на приращение внутреннего кредита ДMt = ДК. Поскольку центральный банк больше не может поддерживать фиксированный обменный курс, последний будет расти с постоянным приращением; динамика обменного курса в этом случае описывается линейным дифференциальным уравнением вида
et = Х0 + x1Mt . (8)
Поскольку после атаки Дet = ~k\AMt = АцДК, то условие равновесия на денежном рынке отображается равенством
Mt = (0 +\Mt )p-a1PZA,1ДK, (9)
где Р = a0Pz - a1iZPZ.
Чтобы определить значения Хо и Ац, перепишем равенство (9) так:
ДК =!%¦ + (рх' - 1)M>.
A^P
Так как ДК = const, то должно выполняться равенство Аі = 1/р; тогда |
т= jp P(gpZ ДК + РК 0 ) = ) р-К 0 a1PZ = ДК ДКР2 = ДК Р .
Числовой пример. За границей Pz = 1; iz = 0,05. Спрос на реальные кассовые остатки l = 12 - 100i. При Ко = 10 центральный банк планирует в течение 40 лет поддерживать фиксированный валютный курс e = 2 при ежегодном увеличении внутреннего кредита на величину ДК = 0,1. Для этого, как следует из равенства (6), в исходном периоде нужно иметь R0 = 4. В этом случае безрисковую атаку на валютный рынок можно осуществить через 25,7 года:
2(12-1 -100 • 0,05-1)-10 100-1
—;-----= 25,7.
0,1 12-1 -100 • 0,05-1
Приложение 2: Модель открытой экономики маленькой страны
Дорнбуша1
Рынок благ. Предложение благ экзогенно задано на уровне национального дохода полной занятости: yS = yF = const. Спрос на отечественные блага характеризуется степенной функцией
yD=Aya
Представленный в логарифмической форме при PZ = 1, он состоит из трех слагаемых
lnyD = lnA + a lnyF + P(ln e - lnP);
(1)
a1PZ ДК
P2
Х>Р:
ДК =
,z ' Х0 =
первое представляет автономный спрос ( G + Ia), второе — зависящий от произведенного дохода спрос на блага и третье — чистый экспорт благ страны.
Упрощением модели является отсутствие зависящей от ставки процента составляющей спроса на блага.
Поскольку совокупное предложение экзогенно задано, то равновесие на рынке благ достигается за счет изменения уровня цен
a1P
Следовательно, динамика рыночного обменного курса определяется по формуле
a1PZ ДК
P2
Mt
P
et
ln A - (1 -a )ln y
P
Учитывая, что после атаки Mt = Kt = K0 + tAK, получаем
ln y = ln A + a ln yF +P(ln e - ln P)
ln P = ln e +
(2)
a1PZ ДК + РК0 tДK
Р2 + Р
Из условия (2) следует, что для сохранения равновесия на рынке блага уровень цен и обменный курс должны изменяться прямо пропорционально. При заданной величине государственных расходов (А = const) равновесию на рынке блага соответствует только одно конкретное значение реального обменного курса.
(10)
et
Выражение (10) описывает динамику рыночного обменного курса после проведения атаки и теневого обменного курса до ее осуществления. Так как атака на валютный рынок осуществляется в период, когда et = e , то момент проведения атаки определяется в результате решения равенства (10) относительно t = т при et = e :
1 Dornbusch R. Expectations and exchange rate dynamics // Journal Pol. Economiks. 1976. № 84. P. 1167—1176. |
(3)
|
 |
|
Рис. 1. Последствия монетарного импульса в модели Дорнбуша |
В модели предполагается, что на рынке благ цены не являются совершенно гибкими, поэтому при нарушении равновесия на нем в коротком периоде yD Ф yp Рынок денег. Предложение денег задается экзогенно банковской системой. Спрос на реальные кассовые остатки выражается функцией
— = —— ^ ln L = ln P + Y ln у -u ln i.
Pi u tat-
Условие равновесия на денежном рынке (M/P = L/P) можно представить в виде
l . = ln P - ln M + у ln у
u
Мировой рынок капитала. Капитал совершенно мобилен, поэтому равновесие на нем устанавливается при i = iZ + e . Переобозначим переменные i и iZ так, чтобы их можно было представить в логарифмическом виде. Тогда условие равновесия на рынке капитала принимает вид
lni = lniZ + lnee - lne. (4)
Рынки денег и мирового капитала постоянно находятся в равновесии благодаря совершенной гибкости отечественной ставки процента и обменного курса денег страны.
Из системы уравнений (2)—(4) определяются равновесные значения эндогенных переменных P, e и i.
В графическом виде совместное равновесие на трех рассматриваемых рынках представлено на рис. 1.
В квадранте I линия IS , проведенная соответственно уравнению (2), представляет множество сочетаний P и e, обеспечивающих равновесие на рынке блага. Из построения этой линии следует, что все точки, расположенные выше нее, соответствуют избыточному предложению, а все точки ниже линии IS представляют конъюнктуру с избыточным спросом.
В квадранте III проведенная в соответствии с равенством (3) линия LM есть множество сочетаний i и P, при которых предложенное количество денег равно объему спроса на них.
В квадранте IV линия KK, построенная по формуле (4), представляет множество значений i и e, соответствующих равновесию на рынке капитала.
Исходное совместное равновесие на трех рынках представляет комбинация эндогенных переменных: Po, eo = ee, io = iZ. Проследим за последствиями изменения экзогенных параметров.
Монетарный импульс. Как следует из условия (3), рост M сместит линию LM влево, так как для обеспечения равновесия на рынке денег теперь каждому значению должно соответствовать большее значение P. При io = iZ спрос и предложение на рынке денег уравновешивает уровень цен Pi. Но чтобы при Pi на рынке блага было равновесие, обменный курс должен возрасти до ei. Сочетание io, ei указывает на точку, через которую будет проходить линия KK после непредвиденного увеличения количества денег.
Следовательно, когда уровень цен поднимется до Pi, тогда установится новое долгосрочное равновесие при сочетании io, Pi, ei.
Вследствие того что цены на рынке благ недостаточно гибки, после непредвиденного увеличения количества денег в коротком периоде сложится иная конъюнктура. Пока уровень цен сохраняет исходное значение, равновесие на рынке денег обеспечит ставка процента i\, а равновесие на рынке капитала — обменный курс e2, который превышает новое долгосрочное равновесное значение. В результате при сохранении равновесия в финансовом секторе на рынке блага сложится конъюнктура, представленная точкой A (см. рис. i), соответствующая избыточному спросу. Дефицит на рынке блага будет повышать уровень цен, что приведет к уменьшению реальных кассовых остатков и увеличению ставки процента на денежном рынке. Вследствие увеличения притока иностранного капитала возрастет спрос на отечественную валюту в обмен на иностранную, что приведет к снижению обменного курса. Перечисленные процессы будут продолжаться до тех пор, пока не установится совместное равновесие на всех рынках при io, Pi, ei. Изменение этих параметров во времени после монетарного импульса представлено на рис. 2.
Путь движения точки А на линию IS при переходе от краткосрочного к долгосрочному равновесию представляет множество сочетаний P, e, при которых на рынках денег и капитала существует одновременное равновесие. Поэтому уравнение линии движения от краткосрочного к долгосрочному равновесию в квадранте I выводится из равенства правых частей выражений (3) и (4) |
 |
Рис. 12.47. Плановые (1) и фактические (2) показатели стабилизационной политики ФРГ в 1968-1998 гг.
a — прирост реального ВВП; б — ИПЦ; в — безработица; г — доля чистого
экспорта благ в ВВП |
(5)
|
 |
|
Рис. 3. Монетарный импульс |
- ln e - ln i) -
^+? ln e,
X
lnP-lnM + Ylny , . , .7 , e ,
--—— = ln i = ln i + ln e - ln e ^
ц
^ lnP = (lnM -y lny + цlniZ + цlnee)- цlne.
 |
|
Puc. 2. Динамика цен на макроэкономических рынках после увеличения количества денег |
Обозначим эту линию МК. Она имеет отрицательный наклон; изменение параметров в круглой скобке выражения (5) приводит к сдвигу линии МК.
Используя линию МК, рассматриваемую модель можно представить в «свернутом» до квадранта I виде (рис. 3).
Из равенств (2) и (5) следует, что увеличение предложения денег не влияет на расположение линии IS, а линию МК смещает вправо. В коротком периоде установится сочетание Po,e2, а в длинном — Pi,ei.
Импульс предложения. Пусть в результате совершенствования технологии или появления более производительных энергоресурсов увеличился национальный доход полной занятости. В соответствии с равенствами (2) и (5) линия IS сдвигается вправо, а линия МК — влево (рис. 4). В коротком периоде при неизменном уровне цен снизится обменный курс (рис. 4, а); при сочетании Po,ei на финансовых рынках существует равновесие, а на рынке блага — избыток. По мере снижения уровня цен обменный курс для сохранения равновесия на финансовых рынках повышается. Новое долгосрочное значение обменного курса может быль меньше, равно или больше исходного значения в зависимости от расстояний сдвигов линий IS и МК (рис. 4, б).

Увеличение национального дохода полной занятости, как правило, сопровождается изменением ожидаемого значения обменного курса, что также влияет на сдвиг линии МК (см. выражение (5)), усиливая неопределенность изменения текущего значения обменного курса.
Ограниченная мобильность рынка капитала. Поскольку совершенная мобильность капитала постоянно поддерживает нулевое сальдо счета движения капиталов, то сальдо платежного баланса может быть нулевым только при нулевом сальдо счета текущих операций. В условиях несовершенной мобильности капитала платежный баланс может быть выровнен при противоположной несбалансированности названных счетов. Поэтому в модели открытой экономики с несовершенной мобильностью капитала вместо уравнения (4), описывающего условие равновесия на рынке капитала, применяют уравнение нулевого сальдо платежного баланса: NE = NKE.
Используя представление чистого экспорта благ в виде третьего слагаемого выражения (1) и доходности отечественных и зарубежных облигаций в виде выражения (4), запишем условие сбалансированности платежного баланса в виде
Р ln e -pin P = X(ln iZ + ln ee
, • , Z 1 e plnP
^ ln i = ln i + ln e +---
X
где X — коэффициент реакции перелива капитала на разность доходностей вложений в стране и за границей.
Теперь уравнение линии МК, представляющей множество сочетаний P, e, обеспечивающих одновременное равновесие на рынках денег и капитала, выводится из равенства
ln P -ln M + y ln y = ln z + ln ee + pln P X + p ц XX
^ ln p = X(ln M -y ln y + ц ln iZ + ц ln ee ) pX + цР ln X - цР X - цР |
|
|
ІпР
Pi
Рп |
|
|
A MKX |
M/'° MK\ |
|
MK0 |
V / /is |
|
|
|
|
ч /! : : \
\y i i ¦
/V ! ! |
|
|
N :
-j—!- |
|
Іпе |
Рис. 5. Монетарный импульс при ограниченной мобильности капитала
Как следует из выражения (6), наклон линии МК и направление ее сдвига при изменении параметров в круглых скобках зависят от знака разности (Л — рР). При большом значении X линия МК имеет отрицательный наклон и рост суммы в круглых скобках сдвигает линию вправо-вверх (при X ^ ~, т.е. при совершенной мобильности капитала, выражение (6) превращается в выражение (5)). Когда X мало, тогда линия МК имеет положительный наклон и рост суммы в круглых скобках сдвигает линию вправо-вниз.
На рис. 5 представлен переход от краткосрочного к долгосрочному состоянию экономики после увеличения предложения денег при различных наклонах линии МК. Следует обратить внимание на то, что, несмотря на различие конъюнктуры в коротком периоде, в длинном равновесие установится при одних и тех же значениях P и e, так как dP/dM не зависит от наклона линии МК.
Глава 13
Неокейнсианство
Как отмечалось в 8.3.1, одним из элементов «кейнсианской революции» в развитии экономической теории является отличное от классического описание поведения первичного экономического агента — домашнего хозяйства. В связи с этим оппоненты кейнсианской концепции указывали на отсутствие «микроэкономического фундирования» исходных положений теории Дж.М. Кейнса. Теоретические разработки, направленные на устранение таких претензий, получили название «неокейнсианство» . Оно объединяет два направления развития экономической теории: микроэкономическое обоснование макроэкономических постулатов Дж.М. Кейнса и исследование количественного (неценового) приравнивания спроса и предложения друг к другу в условиях негибких цен. За последние 20 лет ХХ в. значительные результаты
были получены при исследовании факторов, обусловливающих жест-2
кость рыночных цен . |
13.1. Гипотеза двойного решения
В 3.1 было показано, что кейнсианцы и неоклассики существенно расходятся при описании поведения домашних хозяйств на рынке благ. Если согласно концепции классической школы объем потребления
домашних хозяйств определяется стремлением индивидов извлечь максимум полезности из имеющихся в их распоряжении ресурсов, то в кейнсианской концепции потребление домашних хозяйств пропорционально величине реального дохода. Р. Клауэр, один из основоположников неокейнсианства, показал, как кейнсианскую функцию потребления можно вывести и на основе неоклассической методологии анализа поведения потребителя.
На рис. 13.1 показано, как в соответствии с неоклассической концепцией индивид определяет величину своего дохода и пропорцию его распределения между потреблением и сбережением. В отличие от рис. 3.10 на рис. 13.1 учитывается, что индивид, кроме трудовых доходов (линия WN, наклон которой определяется ставкой зарплаты), может получать доход от имущества (линия П).
|
 |
|
Рис. 13.1. Определение гипотетических объемов предложения труда и потребления благ в текущем периоде |
При заданных значениях дохода от имущества и ставки зарплаты объем предложения труда определяется точкой касания луча WN с кривой безразличия, представляющей максимально возможное благосостояние индивида. В квадранте I показано, как индивид распределяет свой доход между текущим (Со ) и будущим потреблением (С ), определяя тем самым объем сбережений.
Значения эндогенных параметров (N*, y*, Cq , С1 ), максимизирующих функцию полезности индивида, называют гипотетическими. Они определяются системой цен благ и факторов производства, а также величиной имущества индивида. Поскольку гипотетические значения экономических параметров максимизируют функцию полезности субъекта, то его деятельность будет направлена на их достижение.
А как поведет себя индивид, если окажется, что гипотетические значения по каким-либо причинам будут недостижимыми? Допустим, что на рынке труда вместо намеченного N количества труда индивид может продать только N (см. рис. 13.1). Тогда и его доход будет меньше гипотетического (~ < Уо). Из-за уменьшения дохода не удается реализовать гипотетический объем потребления (С < С0).
Итак, в поведении домашнего хозяйства, стремящегося максимизировать свою функцию полезности, выделяются два этапа. На первом индивид планирует свое хозяйство только на основе существующих цен и намечает себе гипотетические значения трудовой деятельности, дохода, текущего потребления и сбережения. Если в ходе осуществления намеченной программы хозяйствования индивид встречается на рынке с дефицитом или избытком, то он корректирует первоначально намеченные значения эндогенных параметров в соответствии с выявившимися количественными ограничениями. Таким образом, поведение домашнего хозяйства определяется не только ценовыми, но и неценовыми (количественными) сигналами рынка. В этом суть гипотезы двойного решения, автором которой является Р. Клауэр.
Значения эндогенных параметров, определенные в соответствии с гипотезой двойного решения, называют эффективными.
Гипотеза двойного решения дает теоретическое обоснование кейнсианской функции потребления посредством понятий и постулатов неоклассической концепции. Домашнее хозяйство формирует план потребления на основе максимизации полезности своей хозяйственной деятельности. Но если при заданных ценах не удается реализовать гипотетическое предложение труда, то доход индивида из эндогенного превращается в экзогенный параметр, определяющий размер текущего потребления.
13.2. Равновесие и квазиравновесие
Чтобы выяснить, как возникают количественные ограничения (рационирование) при осуществлении рыночных сделок, проследим за установлением ОЭР на примере взаимодействия одного представительного домашнего хозяйства с одной представительной фирмой. Для обеих сторон цены на блага и факторы производства экзогенно заданы, так как на всех рынках господствует совершенная конкуренция.
Цель домашнего хозяйства — максимизировать функцию полезности: U =С, где С — объем потребления благ; F — свободное время; |
N = 24 - F — рабочее время. Для упрощения отвлечемся пока от сбережений домашнего хозяйства, тогда его бюджетное уравнение имеет вид: PC = WN + П, где P — цена блага; W — денежная ставка зарплаты; П — прибыль (прокатная цена капитала), которую домашнее хозяйство получает на правах собственника капитала.
Гипотетические значения объема потребления домашнего хозяйства и количества предлагаемого им труда определяются в результате максимизации функции Лагранжа: Ф =V CF-X(PC - WN - П). Условием ее максимизации является следующая система двух уравнений:
Jo,5/F/C _XP; (13.1)
|o,5/C/F=rn. (13.2)
Из нее следует, что
F _ PC/W ^ 24 - N _ PC/W ^ N _ 24 - PC/ W. (13.3)
Подставив значение (13.3) в бюджетное уравнение, получим гипотетические функции спроса домашнего хозяйства на рынках блага и предложения труда
C _ П + 24W; Ns _ 24W - П _ 2P ’ _ 2W '
Перейдем к определению гипотетических значений эндогенных параметров деятельности фирмы. Цель фирмы — использовать имеющийся у домашнего хозяйства труд и капитал так, чтобы прибыль стала максимальной. Допустим, что технологию производства при заданном объеме капитала представляет производственная функция: y = N0,75 Условием максимизации прибыли является равенство предельной производительности труда ставке реальной зарплаты: dy/dN = W/P. Отсюда находится гипотетическая функция спроса предпринимателя на труд
Вычислим гипотетический объем прибыли
П _ Py - WN _ P
0,75P
W
3
-W
0,75P
W
0,25P
0,75P
W
(13.6)
Теперь гипотетические значения объемов потребления и предложения труда домашнего хозяйства можно представить в виде функций от вектора цен:
12W
P
1 ( 0,75P + 81 W
(13.7)
NS _ ,2-1 (075P
61 W
(13.8)
Условием достижения совместного равновесия на рынках блага и труда является система из двух уравнений с двумя неизвестными
\nD(P ,W ) _ NS (P,W);
[c (P,W ) _ y (P,W).
По закону Вальраса они не являются независимыми. Поэтому можно определить только относительную систему равновесных цен. Примем W = 1 и найдем цену блага из условия равновесия на рынке труда
(0,75P)4 _ 12 - 1(0,75P)4 ^ P _ 2,39.
6
Зная систему равновесных цен, по формулам (13.4)—(13.8) определим гепотетические значения эндогенных параметров:
(13.4)
Подставив гипотетическое количество спрашиваемого фирмой труда в производственную функцию, найдем гипотетический объем предложения благ
, -|0,75 3
0,75P ) 4 _( 0,75P ) 3
W J _t W )
(13.5)
C _ 5,74; ys _ 5,74; Ns _ 10,29; ND _ 10,29; П _ 3,43.
Поскольку домашние хозяйства не делают сбережений, то и на рынке благ, и на рынке труда спрос равен предложению. В экономике достигнуто вальрасовское равновесие.
Как уже отмечалось, модель Вальраса, на основе которой в рассматриваемом примере были рассчитаны равновесные цены, не описывает механизм их установления в реальном рыночном хозяйстве. Для иллюстрации принципиальной возможности установления равновесной системы цен Л. Вальрас привлекал в качестве условного персонажа Аукциониста, без разрешения которого участники рыночных сделок не совершают обмен.
|
|
Таблица 13.1
Равновесие и квазиравновесие |
|
|
|
Параметры |
Гипотетические значения |
Квазиравновесие |
|
равновесные цены (W = 1; P = 2,39) |
неравновесные цены (W = 1; P = 2) |
неравновесные цены (W = 1; P = 2) |
|
C |
5,74 |
6,42 |
3,38 |
|
У |
5,74 |
3,38 |
3,38 |
|
NS |
10,29 |
11,15 |
5,06 |
|
Nd |
10,29 |
5,06 |
5,06 |
|
П |
3,43 |
1,69 |
1,69 |
Вначале Аукционист объявляет определенный набор относительных цен, на основе которого все продавцы сообщают ему планируемые объемы продаж, а покупатели — намечаемые объемы покупок. Если при объявленном наборе цен планы покупок и продаж не совпали, то Аукционист корректирует структуру относительных цен. Цены благ, по которым предложение превышает спрос, Аукционист снижает, а цены, по которым спрос больше предложения, повышает. Если новый набор цен не обеспечивает совпадения спроса и предложения на всех рынках, то процедура корректировки повторяется. И только после того, как Аукционист обнаружит, что объявленная им в очередной раз система цен балансирует планы всех продаж и покупок, он разрешает обмен. Так с помощью Аукциониста участники рыночного хозяйства беспрепятственно реализуют свои гипотетические планы.
Однако в реальной экономике нет вальрасовского Аукциониста. Поэтому участники рыночных сделок могут осуществлять обмен и по неравновесным ценам, поскольку не знают равновесных. В этом случае на рынке возникает дефицит или избыток, и участники обмена, обнаружив, что их желания, представленные соответствующими функциями спроса и предложения, оказываются недостижимыми, действуют в соответствии с гипотезой двойного решения.
Допустим, что в рассматриваемом примере установилась неравновесная система цен P = 2; W = 1. Выясним намерения экономических агентов при таких ценах. По формулам (13.4)—(13.8) определим
C* = 6,42; yS* = 3,38; NS* = 11,15; ND* = 5,06; П* = 1,69.
На рынке блага дефицит 2-(3,38 - 6,42) = -6,09, а на рынке труда такой же по абсолютной величине избыток 11,15 - 5,06 = 6,09.
Рассмотрим возможные варианты развития событий при отсутствии Аукциониста.
Обнаружив, что гипотетическое предложение труда не может быть реализовано, домашнее хозяйство в соответствии с гипотезой двойного решения корректирует спрос на блага. Гипотетическая функция потребления C = C (P,W) заменяется функцией эффективного потребления C = C(P,W, N ).
Поскольку бюджетное ограничение домашнего хозяйства теперь выражается уравнением PC = WN + П, то из него следует, что спрос на блага равен
C = (WN + П)/ P = (5,06 +1,69)/2 = 3,38.
Таким образом, несмотря на то что на рынке благ домашнее хозяйство не встречает количественных ограничений, оно переходит от гипотетического спроса к эффективному. Так рационирование на одном рынке изменяет поведение экономических субъектов на других рынках.
Если бы домашнее хозяйство вначале обнаружило ограничение на рынке блага, то бюджетное уравнение предстало бы в виде: PC = WN + Пи гипотетическое предложение труда было бы заменено эффективным предложением, достаточным для покупки эффективного объема благ
NS = (PC - П)/W = 2 • 3,38 -1,69 = 5,06.
Следовательно, когда экономический субъект встречается с количественным ограничением на одном рынке, тогда его гипотетический спрос (предложение) трансформируется в эффективный спрос (предложение) на другом.
В удобной для сравнения форме гипотетические и эффективные планы участников рыночных сделок представлены в табл. 13.1.
Итак, если участники рыночных сделок осуществляют обмен при неравновесных ценах и, встретившись с невозможностью реализовать гипотетические планы, корректируют свои объемы спроса и предложения, то все рынки могут оказаться сбалансированными, что иллюстрирует последний столбец табл. 13.1. При этом нормально осуществляется народнохозяйственный кругооборот: от фирмы к домашнему хозяйству поступает 5,06 + 1,69 = 6,75 ден. ед. в виде оплаты труда и прибыли, а от домашнего хозяйства к фирме — 2-3,375 = 6,75 ден. ед. в виде выручки на рынке блага.
Однако такое состояние не является Парето-оптимальным: при заданных ресурсах и предпочтениях можно повысить благосостояние домашнего хозяйства и прибыль фирмы, о чем свидетельствует сравнение второго и четвертого столбцов табл. 13.1. Поэтому состояние совме- |
|
|
 |
|
Рис. 13.2. Функция полезности с абсорбированным бюджетным ограничением и неокейнсианская функция потребления |
C,(T - N),
стно сбалансированных рынков при неравновесных ценах называют квазиравновесным.
Обратим внимание на то, что в рассмотренных ситуациях неравновесный вектор цен, зафиксировавший экономику в квазиравновесном состоянии, установился не вследствие монополизации производства или директивного ценообразования, а в результате того, что участники рыночного хозяйства, действуя в соответствии с гипотезой двойного решения, посылают на рынок сигналы не на основе гипотетических, а на основе эффективных планов. Более того, квазиравновесное состояние экономики сохраняется и при изменении цен во времени до тех пор, пока они не станут равновесными.
13.3. Неокейнсианские функции потребления и предложения труда
Количественные ограничения на рынках влияют не только на потребление и трудовую активность домашнего хозяйства, но и на его сбережение. Если индивид ожидает, что в будущем встретится с рационированием на рынке труда, то он будет сберегать больше, чем тогда, когда ожидает встретиться с ограничением на рынке благ.
В микроэкономическом анализе объем сбережения индивида выводится из максимизации его двухпериодной (многопериодной) функции полезности: U = U(C0, F0, C\, F\) ^ max. В целях упрощения примем, что индивид трудится только в нулевом периоде, а в следующем живет за счет имущества и сбережений нулевого: С\ = (1 + i)(yo — Со) + По. Сбережения осуществляются в виде спроса на реальные кассовые остатки: S = уо — Со = M/P. Тогда поведение домашнего хозяйства в текущем периоде определяется максимизацией функции полезности: U = U(C, (T - N), M/P), где Т — календарное время; при бюджетном ограничении PC + M = WN + П.
Включив бюджетное ограничение в функцию полезности, получим ее величину с абсорбированным (поглощенным) бюджетным ограничением
WN + П - PC
P
Хотя в явном виде объем сбережений не представлен в числе аргументов функции полезности с абсорбированным бюджетным ограничением, размер сбережений непосредственно определяет ее значение.
Графически вид этой функции представлен на рис. 13.2. Если при данных ценах индивиду удается реализовать гипотетические значения предложения труда, потребления и сбережения, то он извлекает максимум полезности из своей хозяйственной деятельности (точка H).
Любое отклонение от комбинации значений N*,C* сопровождается снижением полезности. Чем дальше сочетание N,C расположено от точки H, тем меньшее значение принимает функция полезности. Все точки, представляющие одинаково полезные для индивида сочетания C и N, образуют кривую безразличия. Особенность кривых безразличия, представляющих функцию полезности с абсорбированным бюджетным ограничением, состоит в том, что они образуют эллипсообразные линии.
Почему точка В представляет меньший уровень благосостояния, чем точка Н? Ведь при одной и той же трудовой активности индивида в ситуации, представленной точкой В, потребление больше, чем в ситуации, соответствующей точке Н.
Это объясняется тем, что в положении, представляемом точкой B, сбережения индивида малы по сравнению с их оптимальным размером. В положении, представленном точкой A, наоборот, сбережения чрезмерны. Поскольку точки A и B лежат на одной и той же кривой безразличия, они соответствуют одинаково полезным для индивида ситуациям.
В ситуациях, представленных точками D и E, объемы текущего потребления индивида одинаковы, хотя точке E соответствует более продолжительная работа, чем точке D. В связи с этим точки D и E могут находиться на одной и той же кривой безразличия лишь при условии, когда в ситуации, представленной точкой E, объем сбережений больше, чем в точке D. |
|
|
|
|
|
А |
Я |
|
|
к |
|
|
|
F / |
|
|
|
/ 1 / 1 |
|
|
|
^ 1
1
1
1 |
-> |
N N N
Рис. 13.4. Поведенческий «клин» домашнего хозяйства
N |
 |
|
Рис. 13.3. Функция полезности с абсорбированным бюджетным ограничением и неокейнсианская функция предложения труда |
Поскольку аргументами функции полезности с абсорбированным бюджетным ограничением являются вектор цен и объем имущества индивида, то при изменении этих параметров точка Н вместе со всем семейством кривых безразличия смещается.
Проследим по рис. 13.2 за поведением домашнего хозяйства при появлении на рынке труда ко личественных ограничений. Если индивид сможет продать только N1 единиц труда, то его функция полезности достигнет максимально возможного значения в ситуации, представленной точкой K. Более близкие к точке H кривые безразличия будут ему недосту пны. Следовательно, при рационировании на рынке труда на уровне N1 объем потребления индивида составит С\. Если рационирование ужесточится до N2, то и потребление снизится до С2. Соединив все точки на кривых безразличия, выбираемые индивидом при различных уровнях рационирования на рынке труда, получим график неокейн-сианской функции потребления: С = С (а, N), где а — вектор (Р, W, П), определяющий расположение точки Н.
Принимая во внимание, что количественное ограничение на рынке тр уда определяет доход индивида: у = y(N) , спрос на блага рационированного на рынке труда домашнего хозяйства можно представить в виде неокейнсианско й функции потребления: С = С (а, у).
Она отражает спрос домашних хозяйств на рынке благ при существовании вынужденной безработицы. При полной занятости потребление домашних хозяйств характеризуется неоклассической функцией потребления: С = С (а).
Поведение домашнего хозяйства на рынке труда в случае возникновения рационирования на рынке благ показано н а рис. 13.3. По мере ужесточения рационирования на рынке благ с С1 до С2 эффективное предложение труда снижается с ^до N2. Соединив все точки на кривых безразличия, соответствующие максимальным значениям функции полезности при различных количественных ограничениях на рынке блага, получим график неокейнсианской функции предложения труда: NS = NS (а,С).
Всевозможные варианты поведения домашнего хозяйства при возникновении рационирования на рынках труда или блага представлены на рис. 13.4 «клином», образованным графиками неокейнсианских функций потребления и предложения труда. Если ни на одном из рынков нет рационирования, то домашнее хозяйство реализует ситуацию, представленную точкой H. При рационировании на рынке труда будет реализована ситуация, представленная точкой K.
Когда рационирован рынок благ, тогда поведение индивида представляет точка F.
На рис. 13.4 показана также одна из характерных особенностей поведения домашнего хозяйства: если рационирование на рынках возрастет на определенную величину, то объем эффективного потребительского спроса или эффективного предложения труда сокращается на меньшую величину (отрезок СС больше отрезка N*N, а отрезок NN больше отрезка С С). Это объясняется тем, что сбережения амортизируют воздействие количественных ограничений на поведение домашних хозяйств: когда на рынке благ возникает рационирование, а на рынке труда его нет, тогда можно не сокращать предложение труда, работая ради увеличения сбережений.
Пример 13.1. Предпочтения индивида с бюджетным ограничением: РС + + M = WN + 10 представлены функцией полезности
U = С0’5(24 - N)°’(M/Р)0’25.
Выведем неоклассические и неокейнсианские функции потребления и предложения труда этого индивида. Соответствующая задаче функция Лагранжа имеет вид
Ф = С0’5(24 - N)0’(M / Р)0’25-X(РС + M - WN -10).
Она достигает максимума при
(24 - N)°’(M/Р)0’25 2С0’5(M/Р)0’25 W С0’5 (24 - N)0’ |
Отсюда
5W(24 - N); 4P ’
M = 5W(24 - N)
8 .
веденческого клина: N*S = 12,17; C* = 7,39, а по формулам (13.12) и (13.13) - кейнсианские функции потребления и предложения труда:
- 20 + 2 N ~ 16C + 40
C =-; N =-.
6 13
Их графики изображены на рис. 13.5.
|
Подставив эти значения в бюджетное уравнение, найдем гипотетические функции предложения труда, потребления благ и спроса на деньги домашнего хозяйства |
|
|
,TS 360W - 80
23W |
(13.9) |
240W +100
C - ;
23P |
(13.10) |
* 120W + 50
M* =-.
h 23 |
(13.11) |
 |
|
Рис. 13.5. Неокейнсианские функции потребления и предложения труда |
Рационирование на рынке труда. Если индивиду не удается продать больше N единиц труда, то его бюджетное уравнение принимает вид: PC+M = WN+10, а функция Лагранжа —
Ф = C°’5 (24 - N)°’4 (M/P)°’25 -X(PC +M -WN -10).
В результате аналогичных приведенным выше расчетов находим:
(13.12)
(13.13)
(20 + 2WN ) 3P
Из формулы (13.12) следует, что в рассматриваемом примере при уменьшении рационирования на рынке труда на единицу (при росте дохода индивида на W) номинальный спрос на блага увеличится на 2 W/3.
Рационирование на рынке благ. Если индивиду не удается купить больше C единиц благ, то его бюджетное уравнение принимает вид: PC + M = WN +10, а функция Лагранжа —
Ф = C°’5 (24 - N)0’4 (M/P)0’25 -X(Cp + M - WN -10).
Теперь в результате расчетов получаем, что максимум полезности индивид получает при:
~ 5 8PC +120W - 80
Nл =-
13W
Для построения поведенческого клина примем, что W = 1; P = 2. Тогда по формулам (13.9) и (13.10) найдем координаты вершины по- |
13.4. Неокейнсианская модель: общее квазиравновесие
Чтобы перейти к анализу макроэкономической конъюнктуры при различных сочетаниях уровня цен и номинальной ставки заработной платы, добавим к поведенческому клину представительного домашнего хозяйства график производственной функции представительной фирмы: y = y(N). Поскольку при заданной технологии гипотетический объем спроса на труд определяется реальной ценой труда Nd*= Nd(W,P), то гипотетический объем предложения блага тоже является функцией от ставки зарплаты и уровня цен: yS*= yS[N( W,P)]. Следовательно, каждому сочетанию W, P на графике производственной функции соответствует своя точка, представляющая гипотетические значения спроса на труд и предложения блага. Учитывая это, общее экономическое равновесие по Вальрасу можно представить так, как изображено на рис. 13.6.
При равновесном по Вальрасу сочетании W, P вершина поведенческого клина домашнего хозяйства (точка Н) и точка на графике произ- |
водственной функции, представляющая гипотетические значения спроса на труд и предложения блага (точка F), совпадают. При любом другом сочетании W, P гипотетические объемы предложения труда и спроса на благо (точка Н) расходятся с гипотетическими объемами спроса на труд и предложения блага (точка F). Четыре возможных варианта неравновесной по Вальрасу конъюнктуры представлены на рис. 13.7.
 |
|
Рис. 13.6. Вальрасовское равновесие |
 |
Рис. 13.7. Квазиравновесные конъюктуры:
а —классическая безработица; б — кейнсианская безработица; в — подавленная инфляция; г — недопотребление |

При несовпадении объемов спроса и предложения реализующиеся объемы определяет «короткая» сторона рынка. В ситуации, представленной на рис. 13.7, а, предприниматели осуществляют свои гипотетические планы на обоих рынках, а домашние хозяйства ни на каком рынке не смогут реализовать свои гипотетические объемы. Встретившись с ограничением на одном рынке, домашние хозяйства перейдут от гипотетического к эффективному объему на другом рынке. Так, имея возможность продать только ND* единиц труда, они сократят спрос на блага до C единиц. С другой стороны, обнаружив, что можно купить только yS* единиц блага, домашние хозяйства уменьшат предложение труда до N единиц. В том и другом случаях на рынке труда существует избыток, а на рынке блага — дефицит. Такая конъюнктура называется классической безработицей. Фактический выпуск и уровень занятости в этом случае представляет точка F.
При сочетании W, P, приводящем к ситуации, показанной на рис.
13.7, б, предприниматели не могут реализовать свой гипотетический объем на рынке блага, а домашние хозяйства — на рынке труда. Продав N единиц труда, домашние хозяйства, как и в предыдущем случае, сократят спрос на блага до C единиц; при таком потреблении эффективное предложение труда равно N единиц. В результате и на рынке блага, и на рынке труда оказывается избыток. Такая конъюнктура называется кейнсианской безработицей.
В состоянии кейнсианской безработицы при фиксированных W и P происходит количественная (неценовая) корректировка объемов спроса и предложения по цепочке, отмеченной на рис. 13.7, б стрелочками: предложение блага сокращается до величины эффективного спроса на него, уменьшение выпуска блага приводит к снижению занятости, вследствие этого эффективный спрос на благо становится еще меньше и т.д., пока не установится квазиравновесие в точке R.
В ситуации, представленной на рис. 13.7, в, сочетание номинальной ставки зарплаты и уровня цен таково, что гипотетические объемы спроса на труд и на благо превышают гипотетические объемы их предложения. Имея возможность купить только NS* единиц труда, фирмы произведут y единиц продукции. При таком объеме потребления (C = y) предложение труда сократится до N единиц. В противоположность кейнсианской безработице в данном случае на обоих рынках существует дефицит. Такая конъюнктура называется подавленной инфляцией.
При фиксированных W и P в рассматриваемой ситуации тоже возникает количественное приспособление объемов спроса и предложения: уменьшение предложения труда до N единиц ведет к сокраще-

|
 |
|
Рис. 13.8. Определение границы между классической и кейнсианской безработицами |


нию выпуска и потребления блага, что вызывает дальнейшее сокращение предложения труда и т.д., пока не установится квазиравновесие в точке S.
Конъюнктура, противоположная классической безработице, показана на рис. 13.7, г. Вершина поведенческого клина располагается на графике производственной функции, но ниже и левее точки F, представляющей гипотетические планы предпринимателей. В этом случае фактические объемы выпуска и занятости соответствуют гипотетическим планам домашних хозяйств при избытке на рынке блага и дефиците на рынке труда. Такая конъюнктура называется недопотреблением.
Итак, установится ли в экономике общее равновесие или одно из квазиравновесных состояний, зависит от величины денежной ставки зарплаты и уровня цен. Но как определить для каждого типа экономической конъюнктуры соответствующие ему множества сочетаний W, P?
Для определения границы, разделяющей две разновидности безработицы, примем во внимание, что при классической безработице конъюнктура характеризуется неравенствами
C(а,N)> y (а); TVS (а,y)> ND (а), (13.14)
а при кейнсианской —
C (а, N )< у (а); NS (а) > TVD (а, у). (13.15)
Следовательно, разделительной линией между классической и кейнсианской безработицами в множестве сочетаний W, P выступают те их них, при которых выполняется равенство
C (а, N ) = у (а), (13.16)
где, N = Nd (а), так как ограничение домашних хозяйств на рынке труда определяется гипотетическим спросом на труд.
Наглядно это представлено на рис. 13.8. Поскольку при расположении линии CH над точкой F (рис. 13.8, а) имеет место классическая безработица, а при кейнсианской безработице линия CH находится ниже точки F (рис. 13.8, б), то границу между ними образуют сочетания W, P, при которых точка F оказывается на линии CH (рис. 13.8, в).
Из сопоставления конъюнктуры классической безработицы (13.14) с конъюнктурой подавленной инфляции
C(а) > y (а,N); NS (а, y) < ND (а) (13.17)
следует, что пограничные сочетания W, P между ними определяются из равенства N
N (а, y ) = ND (а); (13.18)
причем ограничение домашних хозяйств на рынке блага равно гипотетическому предложению фирм: y = yS (а). Графически это представлено на рис. 13.9. Пока точка F находится левее линии NH (рис. 13.9, а) имеет место классическая безработица; при подавленной инфляции точка F оказывается правее линии NH (рис. 13.9, б). Следовательно, пограничному состоянию экономики соответствует ситуация, представленная на рис. 13.9, в.
|  |
|
Рис. 13.9. Определение границы между классической безработицей и подавленной инфляции |
При сравнении кейнсианской безработицы (см. неравенства (13.15)) с подавленной инфляцией (см. неравенства (13.17)) обнаруживается

22P
¦8P
- 5.

противоположное соотношение спроса и предложения на обоих рынках. В связи с этим при нахождении на границе между этими областями одновременно выполняются два равенства:
C = yS (а,N); NS (а) = ND (а,У), (13.19)
т.е. фирмы рационированы на обоих рынках, а домашние хозяйства реализуют гипотетические планы (рис. 13.10). Такая конъюнктура выше была названа недопотреблением. Таким образом, множество сочетаний W, P, приводящих к состоянию недопотребления, совпадает с границей между кейнсианской безработицей и подавленной инфляцией (сравните рис. 13.10, в и 13.7, г).
|
 |
|
Рис. 13.10. Определение границы между кейнсианской безработицей и подавленной инфляцией |
Пример 13.2. Производственная функция представительной фирмы, максимизирующей прибыль, следующая: y = 8N 0,75. Представительное домашнее хозяйство при заданном бюджете максимизирует свою функцию полезности
U = (C - 4)0,5(24 - N)0,4(M/P)0,25.
Доход домашнего хозяйства формируется за счет продажи труда и части (распределяемой) прибыли; доход используется на покупку благ и сбережения в виде наличных денег: WN + 5 = PC + M. Предложение денег поступает от государства в виде оплаты закупаемых благ; спрос государства на блага фиксирован G = 22 и подлежит первоочередному удовлетворению при у > 22. Нераспределенная прибыль представляет собой спрос фирмы на деньги.
Из условия максимизации прибыли п = 8PN0,75 — WN выводятся гипотетические функции спроса фирмы на труд и предложения блага:
Максимизация функции полезности домашнего хозяйства при заданном бюджетном ограничении дает следующие гипотетические функции предложения труда, спроса на блага и деньги:
nS 18W + 1,6P - 2; C 12W + 2,6P + 2,5; mD 6W-P +1,25
1\ — , — , ІУІ rr — .
1,15W 1,15 P H 1,15
Сочетание W, P, обеспечивающее ОЭР по Вальрасу, определяется из решения системы уравнений, представляющих условие совместного равновесия на рынках труда, блага и денег:
&P V = 18W + 1,6P - 2;
W J = 1,15W ’
6P V 12W + 2,6P + 2,5 „„
— I =---— + 22;
W I 1,15 P
6W -P +1,25 1,15
По закону Вальраса при выполнении любых двух уравнений верным будет и третье. Из совместного решения двух первых уравнений находим W = 1,45; P = 0,475. При таких ценах ND = NS = 14,9; yS = C + G = 60,7.
Из максимизации функции полезности домашнего хозяйства при ограничении N = N выводятся следующие функции эффективного предложения труда и спроса на блага: N N
NN = 6W + 0,4PC -2; C = P + 0,5WN + 2,5 = 0,65W ’ = 0,75P '
По этим уравнениям при заданном сочетании W, P вычерчивается поведенческий клин домашнего хозяйства. На рис. 13.11 показано его расположение при различных значениях денежной ставки зарплаты и уровня цен в условиях рассматриваемого примера.
 |
|
|
 |
|
Рис. 13.12. Области квазиравновесных сочетаний W, P |

 |
Рис. 13.13.
Квазиравновесие при равновесной по Вальрасу реальной цене труда |

Рис. 13.11. Квазиравновесия в условиях примера 13.2:
а — классическая безработица (W = 1,5; P = 0,45); б — кейнсианская безработица (W = 1,6; P = 0,7); в — подавленная инфляция (W = 0,75; P = 0,25); г — недопотребление (W = 1,16; P = 0,4)
Определим теперь границы, разделяющие множество сочетаний W, P соответственно четырем квазиравновесным состояниям.
Уравнение (13.16), определяющее границу между классической и кейнсианской безработицами (CK), в условиях рассматриваемого примера принимает вид:
0,75P 0,75P| W ) | W ) С 17,5P + 2,5^?3
Соответственно, уравнение (13.18), с помощью которого определяется граница между классической безработицей и подавленной инфляцией (CI), имеет вид
6W - 2 + 0,4P Гб 6P Y - 22 0,65W 0,65W | W)
И наконец, граница между кейнсианской безработицей и подавленной инфляцией (KI), представляющая одновременно множество сочетаний W, P, порождающих конъюнктуру недопотребления, в соответствии с условиями (13.19) в рассматриваемом примере определяется из равенства
12W + 2,6P + 2,5 J18W + 1,6P - 2 Y’75
--+ 22 — 8І - I .
1,15 P | 1,15 P )
На рис. 13.12 показано, как в условиях данного примера все множество сочетаний W, P распределяется по четырем областям; точки представляют те значения, которые были выбраны для построения рис. 13.11.
Сравнительный анализ свойств четырех квазиравновесных состояний экономики позволяет сделать ряд интересных выводов.
Проведем на рис. 13.12 луч, исходящий из начала координат и пересекающий точку вальрасовского равновесия Е, как показано на рис. 13.13.
Луч 0Е представляет совокупность сочетаний W, P, при которых ставка реальной зарплаты равна равновесному по Вальрасу значению. Обратим внимание на то, что граница, разделяющая классическую и кейнсианскую безработицы, оказывается выше луча 0Е. Следовательно, кейнсианская безработица может существовать при равновесной по Вальрасу реальной цене труда.
Этот неожиданный, на первый взгляд, вывод следует из того, что в неокейнсиан-ской модели функция полезности домашних хозяйств содержит реальные кассовые остатки, благодаря чему устраняется классическая дихотомия и действует эффект Пигу.
Пусть в момент нахождения экономики в равновесном по Вальрасу состоянии (точка Е) денежные цены труда и блага возрастают в одинаковое число раз (переход в точку F). Так как при этом ставка реальной зарплаты не меняется, то предприниматели не изменяют ни спрос на труд, ни предложение благ. В то же время из-за повышения уровня цен сокращаются реальные кассовые остатки, что согласно эффекту Пигу уменьшает спрос на блага. В неокейнсианской модели это проявляется в виде обратной зависимости объема потребления домашних хозяйств от уровня цен (см. выражение (13.10)). Обнаружив избыток на рынке благ, предприниматели сокращают спрос на труд, и возникает конъюнктура кейнсианской безработицы, несмотря на равновесную по Л. Вальрасу ставку реальной зарплаты.
Факт расположения линии СК выше луча 0F говорит о том, что кейнсианская безработица возможна при любой ставке реальной зарплаты: ниже, выше или равной ее равновесному значению. |
Появление кейнсианской безработицы тем вероятней, чем выше ставка номинальной зарплаты и уровень цен (см. рис. 13.13); поэтому политика цен и доходов, сдерживающая движение вверх по отрезку луча EF, может предотвратить появление кейнсианской безработицы.
Если в состоянии общего равновесия по Вальрасу уровень цен и денежная ставка зарплаты снижаются в одно и то же число раз, то при равновесной реальной цене труда возникает подавленная инфляция (точка U) . Это связано с тем, что снижение уровня цен увеличивает реальные кассовые остатки, что и приводит к росту спроса на рынке благ. Предложение благ и спрос на труд не меняются, так как неизменной остается ставка реальной зарплаты. В связи с этим на рынке благ образуется дефицит и, встретившись с ограничением на рынке благ, домашние хозяйства сокращают предложение труда. В результате возникает подавленная инфляция.
И наконец, если ставка реальной зарплаты ниже своего равновесного значения и в экономике существует безработица, то это — кейнсианская безработица. Этот вывод наглядно представлен на рис. 13.13: ниже луча 0F лежат три области, но безработица присуща лишь одной из них.
13.5. Стабилизационная политика
Поскольку каждое квазиравновесное состояние экономики не является Парето-оптимальным, то естественно возникает вопрос: как можно улучшить макроэкономическую конъюнктуру? Согласно неокейн-сианской теории ответ на этот вопрос зависит от того, какой тип квазиравновесия сложился в данный момент.
В состоянии классической безработицы стимулирующие мероприятия фискальной и денежной политики при стабильных ценах не влияют на поведение фирм. Поэтому увеличение государственных расходов ведет лишь к перераспределению произведенных благ между государственным и частным потреблением (полный эффект вытеснения). На рис. 13.7 это проявляется в том, что вверх сдвигается вершина Н, а точка F, определяющая реализованные объемы, остается на месте. Для выхода из состояния классической безработицы необходимо снижение ставки реальной зарплаты и рыночная конъюнктура способствует этому: избыток на рынке труда оказывает понижающее воздействие на ставку зарплаты, а дефицит на рынке благ поднимает их цены. |
В данном случае неокейнсианские рекомендации совпадают с рекомендациями неоклассиков.
Рассмотрим «идею фикс» профсоюзов. Их руководители часто предлагают стимулировать экономику посредством повышения ставки зарплаты, полагая, что с ростом покупательной способности трудящихся увеличится совокупный спрос, а за ним и совокупное предложение. Для определения последствий реализации этой идеи рассмотрим рис. 13.14, на котором исходное состояние экономики представлено сочетанием уо, Ро, No,wo. Вследствие экзогенного увеличения ставки зарплаты до жц кривая совокупного предложения сдвинулась влево (у о ^ у° ) и уровень цен повысился с Ро до Рц В результате снизились национальный доход и занятость соответственно до у1 и N1. Несмотря на снижение последней, общий фонд реальной зарплаты (покупательная способность домашних хозяйств) может оказаться больше исходного. Он сократился из-за уменьшения числа работающих (горизонтальная штриховка), но возрос вследствие повышения ставки зарплаты (вертикальная штриховка). От эластичности спроса на труд по его цене зависит, какая из двух заштрихованных площадей больше.
|
 |
|
Рис. 13.14. Эффекты покупательной способности и издержек при повышении реальной цены труда |
Однако рост реального дохода рабочих при снижении национального дохода означает сокращение доли предпринимателей в нем. В результате могут уменьшиться частные инвестиции и государственные
(13.20)
расходы, если доходы государства от прироста реальной зарплаты окажутся меньше потерь от снижения прибыли. Таким образом, чтобы проявился эффект покупательной способности, нужно, чтобы положительный эффект спроса вследствие роста реальной зарплаты перекрыл отрицательный эффект спроса от перераспределения национального дохода. Когда это условие выполняется, тогда кривая совокупного спроса сдвигается вправо (yD ^ yD ), вызывая дальнейший рост уровня цен до P2 и снижение ставки реальной зарплаты до W2. Новое общее равновесие установится при сочетании у2, P2, N2, W2, т.е. при меньшем национальном доходе и большей безработице по сравнению с исходным состоянием.
При наличии кейнсианской безработицы в результате количественного приспособления спроса и предложения на обоих рынках (точка R на рис. 13.7, б; yD (a,N) = yS (а, N) и ND (а,у) = NS (а,~)) отсутствует тенденция к изменению цен, т.е. механизм рынка парализован. Увеличить выпуск и занятость можно за счет повышения государственных расходов, активизирующих экономику через следующую цепочку событий: рост совокупного спроса ослабляет ограничение фирм на рынке благ и они повышают спрос на труд; из-за ослабления ограничений домашних хозяйств на рынке труда они увеличивают спрос на блага, что еще больше ослабляет ограничение фирм на рынке благ, и так происходит до тех пор, пока не установится новое равенство между объемами эффективного спроса и эффективного предложения. Так в неокейнсианской модели проявляется мультипликативный эффект автономных расходов.
В отличие от мультипликатора Кейнса, который констатирует непосредственное увеличение потребительского спроса при повышении автономных расходов, мультипликативный эффект в неокейнсианской модели имеет промежуточное звено: рост автономных расходов увеличивает спрос на труд и вследствие ослабления ограничения на рынке труда повышается потребительский спрос.
В математическом виде неокейнсианский мультипликатор можно получить следующим образом. Условия сбалансированности рынков блага и труда в состоянии кейнсианской безработицы выражаются равенствами
у = ~(а,N)+G; NS = ND(у).
Обратим внимание на то, что от величины G зависит ограничение предпринимателей на рынке блага (у), а потому и фактический уровень занятости. Поэтому |
dy = dC dN +1
~dG ' ~dG + ^ ddy = 1
dN = dND dy dG dC dND
dG dy dG dN dy
Мультипликатор (13.20) больше единицы. Чтобы в этом убедиться, представим вычитаемое знаменателя в следующем виде:
PdC WdND WdN ' Pdy
Первый сомножитель показывает, насколько повысятся потребительские расходы при увеличении дохода домашних хозяйств вследствие ослабления их рационирования на рынке труда на единицу. Из-за того что домашние хозяйства делают сбережения, этот сомножитель меньше единицы. Второй сомножитель тоже меньше единицы, потому что в состоянии кейнсианской безработицы предельная производительность труда превышает ставку реальной зарплаты
dy W Pdy „ WdN „
dN P WdN Pdy
Следовательно, в состоянии кейнсианской безработицы неокейнси-анский мультипликатор автономных расходов (см. формулу (13.20)) больше единицы.
В состоянии подавленной инфляции механизм цен тоже не действует, так как спрос и предложение на обоих рынках сравнялись в результате количественного приспособления (точка S на рис.
13.7, в). Поскольку домашние хозяйства ограничены на рынке благ, то в случае увеличения государственных расходов ситуация лишь ухудшится. Повысить экономическую активность в стране при подавленной инфляции можно путем сокращения государственных расходов. Тогда активизация хозяйственной жизни будет происходить по следующей цепочке: ослабление ограничений домашних хозяйств на рынке благ ^ увеличение предложения труда ^ рост производства благ ^ еще большее ослабление ограничений потребителей и т.д. |
|
|
 |
|
Рис.13.15. Жесткость цен на рынке несовершенной конкуренции |
13.6. Жесткость цен
Не только отсутствие Аукциониста приводит к тому, что при несбалансированности гипотетических планов агентов рынка вместо ценового может происходить количественное приспособление спроса и предложения. На рынках несовершенной конкуренции, которые преобладают в современной экономике, жесткость цен может быть результатом того, что кривая спроса производителя на его продукцию имеет вид ломанной линии: он ожидает, что в ответ на его снижение цены конкуренты ответят тем же и его объем продаж практически не изменится, а на его повышение цены конкуренты не прореагируют и он потеряет часть рынка.
В качестве одной из причин негибкости цен на рынках несовершенной конкуренции выступают «издержки меню», под которыми подразумевают денежные и неденежные издержки, связанные с изменением цены. Издержки меню могут сопровождаться внешним макроэкономическим эффектом, тогда микро- и макроэкономические оптимумы не совпадают.
Рассмотрим этот эффект на рис. 13.15. Спрос на продукцию монополистического конкурента зависит от ее цены (р) и состояния макроэкономической конъюнктуры, представленной совокупным спросом: D = D(p, yD). При исходном состоянии макроэкономической конъюнктуры фирма, максимизирующая прибыль, выбирает сочетание ро, Qo. Если в результате рецессии кривая спроса сместится влево, то максимум прибыли фирмы обеспечивает сочетание рр Qp Но приращение прибыли в результате перехода от первого сочетания ко второму фирма может посчитать недостаточным для компенсации явных и неявных издержек, связанных с изменением цены. Тогда она будет придерживаться исходной цены и производить Q2 единицы продукции.
Аналогичная реакция всех фирм на ухудшение экономической конъюнктуры создаст макроэкономическое квазиравновесие. Так незначительные потери для каждой фирмы сочетаются с большими социально-экономическими потерями общества в виде увеличения конъюнктурной безработицы.
Краткие выводы
В последние 20 лет ХХ в. теоретические основы кейнсианской концепции функционирования национальной экономики обогатились за счет разработки моделей взаимодействия спроса и предложения при существовании негибких цен и исследования причин, порождающих их жесткость. В результате кейнсианские функции, описывающие поведение домашних хозяйств, получили микроэкономическое обоснование.
В соответствии с гипотезой двойного решения при негибких ценах поведение экономических агентов определяет не только система цен, но и количественные ограничения. В результате их гипотетические планы трансформируются в эффективные (реализуемые) планы покупок и продаж. Количественное приспособление спроса и предложения друг к другу в условиях негибких цен приводит к четырем разновидностям квазиравновесных (не Парето-оптимальных) устойчивых состояний (классической безработице, кейнсианской безработице, подавленной инфляции и недопотребления), отличающихся по тому, какая из сторон рыночных сделок является «длинной» (встречается с количественным ограничением при реализации своих планов).
При классической безработице предприниматели реализуют свои гипотетические планы на обоих рынках, а домашние хозяйства на обоих рынках встречаются с ограничением. Противоположную ситуацию представляет собой конъюнктура недопотребления, при которой предприниматели не могут полностью реализовать свой спрос на труд и в то же время спрос на блага меньше гипотетических планов выпуска. В состоянии кейнсианской безработицы домашние хозяйства не могут реализовать свои гипотетические планы на рынке труда, а предприниматели — на рынке благ. В такой ситуации в результате количественного приспособления спроса и предложения устанавливается квазиравно-весное состояние, при котором ни одна из сторон не реализует свои гипотетические планы. Зеркальным отражением кейнсианской безработицы является подавленная инфляция, при которой дефицит существует на обоих рынка.
Какой вид квазиравновесия установится при неравновесной структуре цен, зависит от величины и направления отклонений от их равновесных значений. |
Состояния кейнсианской безработицы и подавленной инфляции могут существовать при равновесной по Л. Вальрасу ставке реальной заработной платы.
Диагноз типа квазиравновесного состояния необходим для выработки эффективной стабилизационной политики государства. В состояниях классической безработицы и недопотребления к Парето-эффективности ведет корректировка реальной цены труда (ценовой механизм), а в состояниях кейнсианской безработицы и подавленной инфляции — стабилизационные мероприятия государства.
ЧАСТЬ V
Равновесие и экономический
рост
|
|
|
Годовые темпы прироста ВВП |
|
|
|
Экономика |
Темп прироста ВВП, %, по годам |
|
1983—1992* |
1993 |
1994 |
1995 |
1996 |
1997 |
1998 |
1999 |
2000 |
|
Мировая |
3,4 |
2,2 |
3,7 |
3,7 |
4,0 |
4,2 |
2,8 |
3,6 |
4,7 |
|
Развитых стран |
3,3 |
1,4 |
3,4 |
2,7 |
2,9 |
3,5 |
2,7 |
3,4 |
3,8 |
Развивающихся
стран |
4,7 |
6,3 |
6,7 |
6,2 |
6,6 |
5,8 |
3,5 |
3,9 |
5,8 |
|
*Приведен среднегодовой прирост. |
Под экономическим ростом национального хозяйства подразумевают такое его развитие, при котором увеличивается реальный национальный доход. Мерой экономического роста служит темп прироста реального национального дохода в целом или на душу населения.
Экономический рост называют экстенсивным, если он не изменяет среднюю производительность труда в обществе. Когда увеличение национального дохода опережает повышение числа занятых в производстве, имеет место интенсивный рост. Последний является основой повышения благосостояния населения и условием уменьшения дифференциации доходов различных социальных слоев.
Вопрос о том, как повысить национальный доход и занятость, не раз обсуждался в предыдущих главах. Однако до сих пор задача сводилась к выявлению условий, при которых имеющийся в каждый данный момент экономический потенциал страны используется полностью. При рассмотрении данной темы исследуются факторы, обеспечивающие рост экономического потенциала и его воздействие на экономическую конъюнктуру.
Если доминантой краткосрочного состояния экономики является совокупный спрос, то развитие экономики в длинном периоде в преобладающей степени зависит от возможностей производства. В связи с этим в центре внимания при моделировании экономического роста находится реальный сектор.
Экономический потенциал страны растет за счет увеличения количества производственных ресурсов, повышения их качества и совершенствования способов их применения. Все это, как правило, требует инвестиций. Поэтому именно они являются центральным звеном экономического роста. В моделях экономического роста, в отличие от статических моделей ОЭР, учитываются оба эффекта инвестиций: в период их осуществления повышается совокупный спрос, а в последующие периоды по мере прироста производственных мощностей увеличивается совокупное предложение.
Основная цель построения таких моделей — это определение условий, необходимых для равновесного роста (динамического равновесия), под которым подразумевают такое развитие экономики, когда увеличивающиеся от периода к периоду объемы спроса и предложения на макроэкономических рынках всегда равны друг другу при полном использовании труда и капитала.
Статистические данные свидетельствуют, что в мирное время экономический рост является нормой для большинства стран (см. табли-
цу).
При этом обнаруживается, что каждая страна имеет продолжительные периоды, в течение которых:
— темпы роста реального национального дохода, а также объемы используемого труда и капитала изменяются незначительно;
— темпы роста реального национального дохода и используемого капитала близки друг к другу; поэтому производительность последнего (у/К) стабильна;
— темпы роста реального национального дохода превышают темпы роста используемого труда, поэтому его производительность (y/L) повышается;
— темпы роста капитала опережают темпы роста труда; поэтому капиталовооруженность последнего (K/L) повышается;
— рентабельность капитала (п/К) изменяется во времени незначительно; поскольку у = п + wN, то пропорция распределения национального дохода между трудом и капиталом в длинном периоде тоже постоянна.
Модели экономического роста позволяют объяснить отмеченные особенности развития экономики. |
14.1. Посткейнсианские модели
519
Глава 14
Модели экономического роста
Модели экономического роста содержат три основные зависимости реального сектора: производственную функцию, функцию предложения труда и функцию предложения капитала, которые задают тренд роста производственного потенциала страны. При исследовании этих моделей ищется ответ на вопрос: как обеспечить совокупный спрос на уровне тренда экономического роста?
Поскольку объектом исследования являются изменения экономических показателей во времени, то параметры модели оказываются функциями от времени. Формально это отображается записью x = x(t) или x = xt. В тех уравнениях, где все параметры относятся к одному и тому же периоду времени, индекс t может быть опущен. Темп прироста показателя за период будем обозначать x t, тогда
л d ln x(t) 1 dx t dt x(t) dt
В ходе дальнейшего анализа будут использоваться следующие свойства:
• прирост произведения равен сумме приростов сомножителей — xcy = x + у;
• прирост дроби равен разности приростов числителя и знаменателя — x/ у = x - у;
• прирост степени числа равен произведению степени на прирост числа — xа = ax.
14.1. Посткейнсианские модели
Посткейнсианскими называют модели роста, в которых кейнсианские предпосылки и методы анализа экономической конъюнктуры в коротком периоде используются для описания экономических процессов в длинном периоде. |
Характерная особенность посткейнсианских моделей экономического роста состоит в том, что в них технология производства представлена производственной функцией Леонтьева с постоянными технологическими коэффициентами затрат (постоянной средней производительностью факторов производства)
у = min {qN, oK},
где q и o — средняя производительность соответственно труда и капитала.
Если qN< oK, то существуют избыточные производственные мощности, а при qN < oK имеет место безработица. Оба фактора производства будут использованы полностью только при qN = oK.
Использование в посткейнсианских моделях роста технологии с невзаимозаменяемыми факторами производства является следствием предпосылки о негибкости цен.
Модель Харрода—Домара . В ней рассматривается закрытая экономика без государства, в которой динамическое равновесие реального сектора отображается следующим равенством:
min {qNt, oKt} = Cyyt + It.
Рост предложения труда предопределен экзогенно заданным неизменным темпом прироста населения
Nt = (1 + n)tN о = entN о,
где e — основание натурального логарифма; n — темп прироста населения.
Динамика предложения капитала определяется объемом инвестиций так, что AKt = lt—1. В равновесной экономике объем инвестиций равен объему сбережений, который при заданной норме сбережений s = 1- Су пропорционален реальному национальному доходу
AKt = It-1 = t-1 = -Wt-E
Рост капитала на AKt при заданной его производительности увеличивает совокупное предложение на
Ау? = oAKt = о-уі-1 ^ у? = os. |
Таким образом, два экзогенных параметра — производительность капитала и норма сбережений — определяют темп роста совокупного предложения. Если темп роста совокупного спроса тоже будет равен os, то увеличивающиеся во времени производственные мощности будут полностью загружены в каждом периоде. Такой темп роста Р. Харрод назвал «гарантированным», так как он гарантирует полное использование капитала в растущей экономике.
Но будет ли совокупный спрос увеличиваться в таком темпе? Это зависит от мультипликационного эффекта: Ayf = AIt / s. Поскольку У?-і = lt-1/s, то
Таблица 14.1
|
|
Равновесный рост экономики в модели Харрода—Домара |
|
|
|
t |
K |
yS |
S |
I |
C |
yD |
A.y/y |
|
0 |
600 |
150 |
30 |
30 |
120 |
150 |
|
|
1 |
630 |
157,5 |
31,5 |
31,5 |
126 |
157,5 |
0,05 |
|
2 |
661,5 |
165,4 |
33,1 |
33,1 |
132,3 |
165,4 |
0,05 |
|
3 |
694,6 |
173,6 |
34,7 |
34,7 |
138,9 |
173,6 |
0,05 |
|
4 |
729,3 |
182,3 |
36,5 |
36,5 |
145,9 |
182,3 |
0,05 |
|
5 |
765,8 |
191,4 |
38,3 |
38,3 |
153,2 |
191,4 |
0,05 |
Таблица 14.2
Неустойчивость равновесного роста экономики в модели Харрода—Домара |
|
|
|
t |
K |
yS |
S |
I |
C |
yD |
SD
yy-y |
|
0 |
600 |
150 |
30 |
30 |
120 |
150 |
0 |
|
1 |
630 |
157,5 |
31,5 |
30,9 |
126 |
156,9 |
0,6 |
|
2 |
660,9 |
165,2 |
33,0 |
31,8 |
132,2 |
164,0 |
1,22 |
|
3 |
692,7 |
173,2 |
34,6 |
32,8 |
138,5 |
171,3 |
1,85 |
|
4 |
725,5 |
181,4 |
36,3 |
33,8 |
145,1 |
178,9 |
2,51 |
|
5 |
759,3 |
189,8 |
38,0 |
34,8 |
151,9 |
186,6 |
3,19 |
&У? = Al,
=lt
yt-1
lt-1
Следовательно, условием гарантированного роста национального дохода является равенство
lt =os. (14.1)
Если по каким-то причинам предприниматели будут придерживаться другой инвестиционной стратегии и lt ^os, то yf Ф yt . При lt >os в текущем периоде совокупный спрос превышает совокупное предложение, это стимулирует предпринимателей к еще большему расширению производственных мощностей и объем инвестиций растет, увеличивая неравенство lt >os. Когда lt <os, тогда yf > yD , избыток на рынке благ вынуждает предпринимателей сокращать инвестиции, в то время как для восстановления равновесия необходимо их увеличивать. Таким образом, равновесие в модели Харрода—Дома-ра неустойчиво.
Пример 14.1. Пусть в период t0 экономика находится в состоянии равновесия при следующих показателях: K = 600; о = 0,25; yS = 150; s = 0,2; C = 120; l = 30; yD = 150. Если с периода t1 предприниматели будут ежегодно увеличивать инвестиции на 0,2.0,25 = 0,05 = 5%, то национальный доход будет расти с постоянным темпом при полном использовании увеличивающего капитала (табл. 14.1). Если же инвестиции в каждом периоде будут повышаться лишь на 3%, то, насмотря на замедление темпов роста производства, избыток на рынке благ будет возрастать (табл. 14.2), что побудит предпринимателей снизить инвестиционную активность, в то время как для восстановления равновесия необходимо увеличение инвестиций.
Гарантированный темп роста национального дохода обеспечивает полное использование растущего объема капитала. А как обстоит дело с использованием также увеличивающегося предложения труда?
В соответствии с заданной технологией полное использование одновременно обоих факторов производства достигается при K/N = q/o = = const. Следовательно, экономический рост при полном использова-ниитруда и капитала возможен только при одинаковых темпах их роста: Nt = Kt. Темп роста труда экзогенно задан, а капитала равен темпу роста инвестиций, который представляет собой произведение os. Поэтому для поддержания полной занятости и полной загрузки производственных мощностей должно выполняться равенство
os = n. (14.2)
Поскольку в рассматриваемой модели все три параметра этого равенства экзогенно заданы, то экономический рост с полным использованием производственного потенциала страны — явление случайное.
Для построения модели с устойчивым экономическим ростом и полным использованием труда и капитала приходится либо эндогенно определять норму сбережений (модель Калдора), либо применять технологию с взаимозаменяемыми факторами производства (модель Солоу— Свана). |
|
|
|
|
|
A |
|
|
|
s(Q) |
|
S<nK |
S> nK |
|
|
|
|
-> > > |
<< <-» |
|
Рис. 14.1. Устойчивость равновесного роста в модели Калдора |
dN
дК
Модель Калдора1. Н. Калдор превратил норму сбережений в эндогенный параметр на основе следующих допущений:
— получатели прибыли (предприниматели) сберегают большую часть своего дохода, чем получатели заработной платы (рабочие);
— цены на рынках факторов производства гибко реагируют на соотношение спроса и предложения (условие совершенной конкуренции).
Обозначим норму сбережений предпринимателей и рабочих соответственно sb и sw. Так как
dy-N +*Ук и при совершенной конкуренции dy/dN = w; ду/дК = r (где w — ставка реальной зарплаты; r — реальная доходность капитала), то у = wN + rK и общий объем сбережений в стране
S = SbrK + sw(y - rK) ^ s = sb— + Sw - Sw—.
У У
Обозначим долю предпринимателей в национальном доходе rK/у = = &. Тогда народнохозяйственную норму сбережений можно представить в виде функции от доли предпринимателей в национальном доходе
s(& = sw + (sb - sw) &.
Теперь равенство (14.2), выражающее условие роста национального дохода с гарантированным темпом при полном использовании растущих трудовых ресурсов, принимает вид
a[w + (sb - sw)&] = n.
Это условие выполняется, когда доля прибыли в национальном доходе
&* = n/ а — sw sb — sw
На рис. 14.1 показано, как находится равновесная точка на графике
s(&).
Гибкие цены факторов производства и эндогенная норма сбережений обеспечивают в модели Калдора устойчивое равновесие независимо от типа производственной функции. Если & > & , то т.е. объем инвестиций превысит необходимый для оснащения дополнительных работников объем капитала.
Избыток капитала при невзаимозаменяемых факторах производства увеличит спрос на труд и его цену.
Из-за повышения доли труда в национальном доходе снизится норма сбережений. При & < & сбережений недостаточно для оснащения всех дополнительных рабочих капиталом; вследствие появления конъюнктурной безработицы цена труда и его доля в национальном доходе снизятся, что приведет к повышению нормы сбережений.
14.2. Неоклассические модели
Основными характеристиками неоклассических моделей экономического роста являются:
• предположение о функционировании экономики в условиях совершенной конкуренции, обеспечивающей гибкую систему цен и равенство цен факторов производства их предельной производительности;
• отсутствие функции совокупного спроса, поскольку гибкая система цен постоянно приравнивает объем совокупного спроса к объему совокупного предложения;
• отсутствие функции инвестиций, так как при равновесии на рынке благ I = S;
• представление технологии в виде производственной функции с взаимозаменяемыми факторами производства и постоянным эффектом масштаба.
Основоположниками неоклассических моделей роста являются Р. Солоу и Т. Сван. |
1 Kaldor N. A model of economic growth // Economics Journal. 1957. Vol. 67.
1-a
>у =
sy = пу:
(14.3)
Модель Солоу—Свана. В закрытой экономике без государства предложение труда и капитала в каждом периоде определяется так же, как в посткейнсианских моделях
Nt = entN0; dKt = It = St = syt.
Труд увеличивается с экзогенно заданным темпом прироста, а прирост капитала соответствует объему инвестиций; в свою очередь инвестиции равны сбережениям, объем которых определяется кейнсианской функцией сбережений.
Технология производства представлена производственной функцией Кобба-Дугласа: yt = Kf N1-a.
Поскольку технология позволяет производить блага при различных сочетаниях труда и капитала, то существует возможность в каждом периоде полностью использовать оба фактора производства даже в случае их роста с неодинаковой скоростью: избыточное предложение труда можно устранить посредством снижения его капиталовооруженности, а избыток капитала — посредством повышения капиталовооруженности труда. Будет ли изменяться последняя таким образом, зависит от соотношения цен факторов производства.
Проанализируем, как должна изменяться капиталовооруженность труда в рассматриваемой модели, чтобы труд и капитал использовались полностью.
Из дефиниционного уравнения у t = Kt / Nt следует, чтоу t = K t / Nt. В условиях модели темп прироста труда экзогенно задан: N t = n, а темп прироста капитала определяется нормой сбережений
K = K = syL = sVt/ Nt = sqt_
t Kt Kt Kt / Nt ^ t '
Поэтому в заданных условиях темп прироста капиталовооруженности труда определяется по формуле
- sqt
V t = — - n.
V t
При некоторых значениях qt = q и vt = V* капиталовооруженность труда стабилизируется (у t = 0). Следовательно, равенство
sq = пу
соответствует растущей экономике, в которой полностью используются постоянно увеличивающиеся объемы труда и капитала. Раскроем экономический смысл формулы (14.3). |
Так как q есть доход на одного работника, то произведение sq представляет объем его сбережений (предложения капитала). Произведение nV показывает, сколько в среднем каждый работающий должен предложить капитала за период, чтобы оснастить всех вновь вовлекаемых в производство рабочих на уровне у. Поэтому при sq* = пу* объем сбережений равен такому объему инвестиций, который необходим для того, чтобы при растущем с темпом n предложении труда его капиталовооруженность постоянно была равна у*. Вновь вовлекаемые в производство рабочие должны иметь одинаковую с остальными капиталовооруженность труда потому, что у всех одна и та же ставка зарплаты, равная предельной производительности труда; последняя будет одинаковой только при одной и той же капиталовооруженности труда.
Используемую в модели производственную функцию можно представить в виде
y=KaN1-a- N=(f) ^ q=va.
Поэтому равенство (14.3) выполняется при
a
s ] 1-a
Устойчиво ли состояние экономики, когда sq* = пу*? При гибкой системе цен ответ на этот вопрос является утвердительным.
Допустим, что в исходной системе цен оптимальная (максимизирующая прибыль) капиталовооруженность труда равна ух < у*; тогда sq* > пуі, что свидетельствует об избытке предложения капитала, и его цена снизится. В новой системе цен оптимальной для предпринимателей окажется более высокая, чем ур капиталовооруженность труда. Рост у будет продолжаться до у . Соответственно при уі > у* из-за избытка предложения труда будет снижаться его цена и капиталовооруженность.
Таким образом, техническая взаимозаменяемость факторов производства и гибкая система цен приводят экономику к устойчивому экономическому росту при полном использовании труда и капитала даже в том случае, когда исходное состояние не является равновесным.
Для представления движения экономики к равновесному росту на рис. 14.2 построен график q^). |
|
|
 |
|
Рис. 14.2. Производительность труда и капитала при технологии Кобба-Дугласа |
 |
|
Рис. 14.3. Равновесие в модели Солоу-Свана |
Угол наклона прямой, соединяющей любую точку этого графика с началом координат, представляет среднюю производительность капитала, так как
q = y/N = y = а у К/ N K '
Предельная производительность капитала при данной капиталовооруженности труда равна тангенсу наклона касательной в этой же точке; это следует из того, что
= аК “-1N 1-“=af К1“-1 = .
дК {N) dy
Так как в соответствии с неоклассической концепцией ду/дК = r, то отрезок ab как произведение tgy на уо равен прибыли на одного работающего, а отрезок 0а — оплате единицы труда w; поэтому отношение этих отрезков представляет пропорцию распределения национального дохода между трудом и капиталом. Касательная к графику q(y) пересекает ось абсцисс в точке w/r, так как отношение катетов прямоугольного треугольника в квадранте II равно г, а 0a = 0.
Графически условие (14.3) представлено на рис. 14.3. Кривая sq(y) проходит под кривой q(y), так как s < 1. Наклон луча, идущего из начала координат, задан темпом прироста населения. Точка пересечения обеих линий определяет равновесные значения q и у . Луч пу показывает, сколько инвестиций должно приходиться на одного работающего, чтобы при растущей с темпом п занятости капиталовооруженность труда постоянно равнялась соответствующей на оси абсцисс величине. Кривая sq представляет фактические сбережения (а следовательно, и инвестиции) на одного работника при соответствующей капиталовооруженности. Слева от у* фактические сбережения превышают необходимые для постоянной капиталовооруженности труда инвестиции, поэтому у растет, справа от у* - наоборот.
Учитывая, что q/у = а, условие равновесного роста (14.3) можно представить в виде: sa* = п. Внешне оно совпадает с условием экономического роста при полном использовании обоих факторов производства в модели Харрода—Домара. Однако за формальным сходством условия полного использования труда и капитала в обеих моделях экономического роста следует видеть существенное отличие между ними. В модели Хар-рода—Домара постоянство производительности капитала обусловлено технологией производства и состояние экономической конъюнктуры не влияет на значение а. В модели Солоу—Свана производительность капитала постоянна только при равновесном росте и не по техническим, а по экономическим причинам; при неравновесном росте значение а меняется, стремясь к a . Из рис. 14.2 и 14.3 следует, что a > а при у < у , и наоборот.
Определим характеристики экономического роста в модели Солоу— Свана. Поскольку у = const, то Kt = Nt = п. При заданной технологии с неизменным эффектом масштаба и фиксированной норме сбережений это равенство расширяется
Kt = Nt = yt = It = п.
Следовательно, в модели Солоу—Свана экономика выходит на устойчивый рост национального дохода с постоянным темпом, равным темпу роста трудовых ресурсов; с такой же скоростью увеличиваются инвестиции и капитал. Поэтому при равновесном росте не изменяется ни производительность труда, ни производительность капитала.
Проследим теперь за последствиями изменения экзогенных параметров п и s. Увеличение темпа прироста трудовых ресурсов отображено на рис. 14.4 поворотом луча пу против часовой стрелки. При заданной норме сбережений не хватает инвестиций для равновесной капиталовооруженности труда. Увеличение предложения труда снижает его цену и предприниматели переходят к менее капиталоемким способам изготовления продукции. Когда капиталовооруженность труда снизится до у1, тогда установится новое динамическое равновесие при полном использовании труда и капитала с возросшим темпом роста национального дохода при более низкой производительности труда.
Последствия повышения нормы сбережений представлены на рис. 14.5. Рост нормы сбережений сдвигает кривую sq вверх. В резуль- |
тате новое динамическое равновесие устанавливается при более высоких значениях капиталовооруженности и производительности труда, но с исходным темпом роста национального дохода, равным темпу роста населения.
«Золотое правило» накопления. Примем в качестве критерия оптимальности максимум потребления на одного занятого в каждом периоде: C/N = c ^ max и определим ее зависимость от капиталовооруженности труда. С учетом равенств
 |
|
Рис. 14.4. Последствия увеличения темпа роста населения |
 |
|
Рис. 14.5. Последствия роста нормы сбережения |
c = У - Ь ! _ ДК; ^К
N N N К N
среднюю норму потребления можно представить в виде
_ _ у ДК _ у ДК К
с _ N ~ ~ К ’ N
Она достигает максимума при
q(v) - Ку.
В момент повышения нормы сбережений темп роста национального дохода резко увеличивается, так как возрастает не только масштаб
производства, но и производи-
|
dy/y, q, ст |
 |
|
Рис. 14.6. Изменение результативности производства при повышении нормы сбережений |
тельность труда из-за увеличения его капиталовооруженности. В дальнейшем вместе с замедлением роста производительности труда по мере приближения к новому равновесию темп роста национального дохода снижается до темпа роста населения. Динамика показателей результативности производства в переходный период показана на рис. 14.6.
Поскольку в модели Солоу— Свана устойчивый рост при полном использовании обоих
d (с) dq ~ „ dq ду ~
-±-L_-2-- к _ 0 ^-4-_^У_ к .
dy dy dy дК
Таким образом, объем потребления на одного работающего достигает максимума, когда темп прироста капитала равен его предельной производительности.
Для определения нормы сбережений, максимизирующей среднюю норму потребления в динамическом равновесии, продифференцируем с по s. Так как
2а-1 а
а s 1-а 1 s 1-а
1 -а_1 -а
а
п1-а
Следовательно, средняя норма потребления максимальна при
а
с _ (1 -s)q(y*)_ (1 -s{n)1 а, то
а
1 -а
2а-1
s 1-а
а
1 s 1-а
1 -а s
(14.4)
факторов производства достигается при любой норме сбережений и темп прироста национального дохода всегда равен темпу прироста населения, то возникает проблема определения оптимальной нормы сбережения.
Равенство (14.4) представляет «золотое правило» накопления: если норма сбережений равна эластичности выпуска по капиталу, то в растущей с постоянным темпом экономике средняя норма потребления достигает максимума при полном использовании труда и капитала.
Так как в условиях совершенной конкуренции доля прибыли в национальном доходе равна эластичности выпуска по капиталу, то из равенства (14.4) следует, что в соответствии с «золотым правилом» вся прибыль должна инвестироваться в реальный капитал.
Графический способ определения нормы сбережений, соответствующей «золотому правилу», показан на рис. 14.7.
|
|
 |
|
Рис. 14.7. Норма сбережений, соответствующая «золотому правилу» накопления |
+ (sb ¦
При заданной технологии и фиксированном темпе роста трудовых ресурсов каждой норме сбережений соответствует своя устойчивая капиталовооруженность труда. Чтобы определить, какая s обеспечивает максимум c , нужно к графику производственной функции провести касательную, тангенс угла наклона которой равен п, так как в соответствии с «золотым правилом» ду/dK = K, а при равновесном росте K = п. Точка пересечения перпендикуляра, опущенного из точки касания на ось абсцисс, с лучом пу определит оптимальную норму сбережений. Через эту точку должна проходить кривая sq.
Эндогенная норма сбережений. Возможность устойчивого экономического роста с полным использованием факторов производства при различных нормах сбережений указывает на то, что в модели Солоу— Свана норма сбережений может быть эндогенным параметром. Рассмотрим два варианта эндогенной нормы сбережений.
В соответствии с неоклассической концепцией (s = s(r)) норма сбережений повышается по мере роста реальной доходности (предельной производительности) капитала. В этом случае условие равновесного роста принимает вид: s(r)q = пу. Так как с повышением (понижением) капиталовооруженности труда предельная производительность капитала снижается (повышается), то при у Ф у равновесие достигается не только за счет изменения у, но и в результате сдвига кривой sq: при у < у* график sq смещается вниз, а при у > у* — вверх. Поэтому при s = s(r) в динамическом равновесии производительность и капиталовооруженность труда ниже, чем при s = const.
В соответствии с концепцией Н. Калдора (см. 14.1) норма сбережений тоже зависит от производительности капитала:
rK sw )—.
Поэтому условием равновесного роста является
qsw + (sb - sw) = уп ^ vsw + (sb - sw)r = n . (14.5)
у
В том, что и с нормой сбережений Н. Калдора в модели Солоу— Свана существует устойчивое равновесие, можно убедиться на основе следующих рассуждений: при малых значениях у средняя и предельная производительности капитала большие, поэтому левая часть равенства (14.5) больше п; при больших значениях у средняя и предельная производительности капитала низкие, поэтому левая часть равенства (14.5) меньше п. Следовательно, при увеличении у найдется точка равновесия, устойчивость которого обеспечивается гибкостью цен.
«Омут бедности». В соответствии с производственной функцией, используемой в модели Солоу—Свана, рост капиталовооруженности труда сопровождается снижением производительности капитала: кривая q^) выпукла к оси ординат. Такое соотношение затраты—выпуск при заданном уровне развития техники характерно для индустриальных и постиндустриальных экономик в условиях полного использования трудовых ресурсов. Для стран, переходящих от аграрной к индустриальной стадии развития, рост капиталовооруженности труда может сочетаться с повышением производительности капитала. В этом случае график q^) принимает вид кривой, изображенной на рис. 14.8, и равенство (14.3) выполняется при трех различных значениях капиталовооруженности труда, как показано на рис. 14.9, а.
| |
|
|
А |
|
-- |
|
|
|
Индустри- |
|
|
|
альная |
|
|
Пере- |
стадия |
|
/Аграрная 1 стадия |
ходный
период |
-> |
|
Рис. 14.8. Производственная функция при переходе от аграрной к индустриальной стадии развития |
|
|
 |
|
Рис. 14.9. «Омут бедности» |
Динамическое равновесие, устанавливающееся при y2*, является неустойчивым: любое отклонение от него приводит к такому соотношению между спросом и предложением на рынке капитала, которое либо снижает капиталовооруженность труда до y1 , либо повышает ее до Уз . Поэтому, если страна находится в динамическом равновесии со значениями qp , y1 , то для устойчивого повышения производительности труда ей нужны большие единовременные капиталовложения: если не удастся сразу превзойти y2 , то восстановится исходное состояние экономики. Причиной возникновения «омута бедности» может быть зависимость темпа роста населения от капиталовооруженности и производительности труда, как показано на рис. 14.9, б. Сократить разрыв между y1 и у2 можно за счет увеличения нормы сбережения (сдвига кривой sq(y) вверх). Поскольку во время перехода от аграрной стадии развития к индустриальной страна, как правило, не имеет собственных средств для крупных капиталовложений, то выбраться из «омута бедности» без помощи извне ей не удается.
Государственный долг и экономический рост. В разд. 11.4 была показана взаимозависимость между размером государственного долга и темпом экономического роста. Неоклассическая модель роста позволяет углубить анализ отмеченной взаимозависимости. Для этого в модель нужно ввести экономическую активность государства.
Пусть государственные расходы составляют определенную долю (a) национального дохода G = ay и фиксированная их часть (b) направляется на инвестиции (Ig) в дополнение к инвестициям частного сектора: Ig = bG = aby. Налоги взимаются по единой ставке (т) с доходов от хозяйственной деятельности, продажи труда и процентов на государственные облигации (B), представляющие государственный долг:
T = т(у + iB). Общий дефицит государственного бюджета (5) превышает первичный дефицит на величину выплат процентов по государственному долгу: 5 = G - T + iB. Если государственный бюджет дефицитен, то инвестиции частного сектора меньше их сбережений на величину бюджетного дефицита: I = S - 5 = S - G + T - iB. Объем сбережений частного сектора равен норме сбережений (s), умноженной на располагаемый доход, остающийся после уплаты налогов: S = s(1- T)(y + iB). Объем производства в каждом периоде определяется производственной функцией yt = Nlt~aKa или в расчете на одного работника q = ya. Трудовые ресурсы увеличиваются с экзогенно заданным темпом прироста n, а прирост капитала равен объему частных и государственных инвестиций:
dK = I + Ig = S - G + T - iB + aby =
= s (t-T)(y + iB)-ay + T(y + iB)-iB + aby =
= [s + т(1 - s)- a (t - b )] y -(1 - s )(1 — т) iB.
Чтобы уменьшить число переменных, запишем это равенство в расчете на одного работающего, приняв во внимание, что y/N = q = ya и dy = dK/N - ny. Кроме того, примем, что ставка процента равна предельной производительности капитала: i = By/dK = aya-t и обозначим B/N = р. Тогда приращение капиталовооруженности труда можно представить в следующем виде:
dу = [s + т(1 -s)-a(t-b)]ya -(1 -s)(t-T)paya-t -ny. (14.6)
Нелинейное дефферинциальное управление (14.6) описывает динамику капиталовооруженности труда в рассматриваемой модели; обратим внимание на то, что она зависит и от величины государственного долга.
Для получения уравнения, описывающего динамику государственного долга, учтем, что dB = 5 = (a - T)y + (1 - T)iB и dp = dB/N - np; тогда:
d p = (a-T)ya+(t-т)рауа- 1 -pn. (14.7)
В состоянии динамического равновесия dy = dp = 0. В связи с этим, приравняв равенства (14.6) и (14.7) к нулю, получим систему из двух дифференциальных уравнений, решение которой определяет значения y и p, соответствующие равновесному росту:
[s + т(1 -s)-a(t-b)]y“ - ny (t - s )(t -T)aya-t
(14.8) |
1-а
|
|
1-а |
 |
|
Рис. 14.11. Устойчивость роста в модели Солоу-Свана |
 |
Рис. 14.10. Изоклины капиталовооруженности труда и доли государственного долга в национальном доходе на одного работника
Изоклины: 1 — у, 2 — р |
dy
е =-
(а -т)уа
n -(1 -т)ауа-Г (14.9)
Уравнение (14.8) определяет все множество сочетаний у и р, при которых капиталовооруженность труда не меняется во времени, а уравнение (14.9) — сочетания значений у и р, при которых не меняется доля государственного долга в национальном доходе в расчете на одного работника.
Графическое решение системы уравнений (14.8) и (14.9) при значениях а = 0,25; a = 0,22; b = 0,6; т = 0,2; s = 0,3; n = 0,03 представлено на рис. 14.10. Изоклина р имеет разрыв при значении у, превращающем знаменатель выражения (14.9) в нуль.
16 12 8 4 0 -4 -8
Рис. 14.10 показывает, что при наличии государственного долга (р > 0) существует не больше двух состояний динамического равновесия. Изоклины делят все множество неравновесных сочетаний у и р на пять подмножеств, различающихся тем, в каком направлении в соответствии с уравнениями (14.8) и (14.9) будут меняться рассматриваемые показатели. Из этого следует, что в точке X равновесие является неустойчивым, а в точке Y — устойчивым. Лишь случайно равновесная капиталовооруженность труда может соответствовать «золотому правилу» накопления капитала.
Эластичность замещения факторов производства и равновесный рост. Как уже отмечалось, условие устойчивого роста в модели Со-лоу—Свана можно представить в виде уравнения so = n; в нем экзогенно заданы s и n, а о снижается по мере роста капиталовооруженности труда:
y Ка N
Поэтому графически процесс движения к устойчивому экономическому росту можно представить так, как показано на рис. 14.11. Поскольку so- n = у, то расстояние между изображенными на этом рисунке линиями представляет темп прироста капиталовооруженности труда.
Так как n > 0, а о ^ го при у ^ 0 и о ^ 0 при у ^ го, то существует единственная точка устойчивого равновесного роста с неизменными значениями капиталовооруженности труда и производительности капитала. Это свойство технологии, отображающейся производственной функцией Кобба—Дугласа.
Специфика технологии (зависимости затраты—выпуск) характеризуется эластичностью замещения факторов производства yN / yK
d(yN / yK ) y
где е — коэффициент эластичности замещения, показывающий, на сколько процентов должна измениться капиталовооруженность труда при изменении отношения предельных производительностей труда и капитала на 1%, чтобы выпуск не изменился. В технологии Кобба— Дугласа е = 1.
В наиболее общем виде технология производства отображается производственной функцией с постоянной эластичностью замещения
У = |^р + (1 -b)жр]?р ; р< 1; 0<b < 1. |
|
|
Таблица 14.3
Динамическое равновесие при растущих капиталовооруженности и производительности труда |
|
|
|
t |
N |
K |
у |
q |
? |
|
0 |
10 |
80 |
34,8 |
8 |
3,5 |
|
1 |
10,5 |
88,7 |
38,1 |
8,4 |
3,6 |
|
2 |
11,0 |
98,2 |
41,7 |
8,9 |
3,8 |
|
3 |
11,6 |
108,7 |
45,7 |
9,4 |
3,9 |
|
4 |
12,2 |
120,1 |
50,0 |
9,9 |
4,1 |
|
5 |
12,8 |
132,6 |
54,7 |
10,4 |
4,3 |
|
|
|
|
|
|
|
|
96 |
1082 |
268043 |
87215 |
248 |
80,6 |
|
97 |
1136 |
289847 |
94260 |
255 |
83,0 |
|
98 |
1193 |
313412 |
101872 |
263 |
85,4 |
|
99 |
1252 |
338880 |
110095 |
271 |
87,9 |
|
100 |
1315 |
366403 |
118979 |
279 |
90,5 |
|
|
|
|
|
|
|
|
Если бы технология производства национального дохода отображалась производственной функцией |
Эластичность замещения факторов производства при такой технологии определяется по формуле: е = 1/(1 - р). Когда р ^ 0, тогда у ^ ^ у = AKbl}~b если р ^ -го, то у ^ у = min{К,(1 - b)N}.
Средняя производительность капитала при технологии с постоянной эластичностью замещения факторов
|
у = |
bK р+(1 - b)N р |
V р |
L+(1 -b)l |
|
К |
К р |
|
?р |
Если 0 < р < 1 , т.е. е>1, т.е. limо = Ь1р> 0; соответственно
lim so = sb1p >0. В связи с этим при технологии с эластичностью замещения факторов производства больше единицы в растущей экономике установится динамическое равновесие с постоянным темпом прироста капиталовооруженности и производительности труда.
Пример 14.3. В исходном периоде имеем K = 80; N = 10, темп прироста населения n = 0,05, норма сбережений s = 0,25, производственная функция
у = [о,4К08 + 0,6 N08 ]1>25.
Эластичность замещения факторов производства этой функции е =1/(1 - 0,8) = 5.
Динамика экономических показателей в условиях неоклассической модели роста представлена в табл. 14.3 и на рис. 14.12.
 |
|
Рис. 14.12. Равновесный рост с растущей капиталовооруженностью труда |
у = [о,4К °-8 + 0,6 N °-8 ]1,25,
эластичность замещения факторов производства которой е = 1/(1+ 0,8) = = 0,56, то динамическое равновесие установилось бы при стабильных значениях q = 1,636; ? = 8,181 (табл. 14.4 и рис. 14.13).
|  |
|
Рис. 14.13. Динамическое равновесие при СДО-технологии с постоянной капиталовооруженностью труда |
|
|
|
Динамическое равновесие при СЖЗ-технологии с постоянными капиталовооруженностью и производительностью труда |
|
|
|
t |
N |
K |
У |
q |
? |
|
0 |
10 |
80 |
16,3 |
8 |
1,632 |
|
1 |
10,5 |
84,1 |
17,1 |
8,008 |
1,632 |
|
2 |
11,0 |
88,4 |
18,0 |
8,015 |
1,632 |
|
3 |
11,6 |
92,9 |
18,9 |
8,022 |
1,633 |
|
4 |
12,2 |
97,6 |
19,8 |
8,029 |
1,633 |
|
5 |
12,8 |
102,6 |
20,8 |
8,035 |
1,633 |
|
|
|
|
|
|
|
|
96 |
1082 |
8847 |
1770 |
8,18 |
1,636 |
|
97 |
1136 |
9290 |
1859 |
8,18 |
1,636 |
|
98 |
1193 |
9754 |
1951 |
8,18 |
1,636 |
|
99 |
1252 |
10242 |
2049 |
8,18 |
1,636 |
|
100 |
1315 |
10755 |
2151 |
8,18 |
1,636 |
|
|
|
|
|
|
|
Таблица 14.4
14.3. Отражение технического прогресса в моделях экономического роста
Понятие технического прогресса включает все факторы, которые либо увеличивают выпуск при заданных объемах использования труда и капитала, либо позволяют произвести заданный объем благ с меньшими затратами факторов производства. В отличие от традиционных «вещественных» факторов производства технический прогресс предстает «невидимым» фактором.
14.3.1. Экзогенный технический прогресс
В упрощенных моделях экономического роста технический прогресс предполагается экзогенно заданным и его включают в модель двумя способами.
Во-первых, технический прогресс можно рассматривать как третий фактор производства. В этом случае считают, что производительности труда и капитала со временем не изменяются и результат технического прогресса предстает в виде остатка.
Представим зависимость между объемами используемых факторов производства и выпуском продукции функцией: yt = TtKf N1-a . Тогда
y t = Tt + aKt + (1 - a )N ^ Tt = y t - aKt - (1 - a )N.
Пример 14.4. Технология производства отображается функцией: yt = = T t N0,75K0,25. Известны затраты и выпуски двух смежных периодов: Ko = 625; No = 256; у0 = 320; K = 750; N1 = 282; y1 = 400. В этом случае T = 0,25 -- 0,25-0,2 - 0,75-0,1 = 0,125, т.е. 50 % прироста национального дохода за период приходится на технический прогресс.
Во-вторых, экзогенный технический прогресс можно представить в виде условного роста во времени объемов применяемого труда и капитала: yt = f(AtNt, BtKt). Произведения в круглых скобках представляют объемы труда и капитала, измеренные не в реальных физических единицах, а в условных единицах их эффективности. Они показывают, сколько реальных единиц каждого фактора пришлось бы использовать при фиксированной (базовой) его производительности для выпуска yt единиц продукции при отсутствии технического прогресса.
Если сомножители At и Bt растут с постоянными темпами X и р, то
yt = f[(1+X)tNt, (1+p)tKt], или при непрерывном росте
yt = f(eXtNt, eptKt).
Частными случаями такого представления являются вменения результатов технического прогресса только одному из факторов: yt = f(eXtNt, Kt); yt = f(Nt, eptKt).
Представим в условиях примера 14.3 технический прогресс в виде роста производительностей труда и капитала
4 = (0,25 - 0,25 • 0,2)/0,75 - 0,1 = 0,167;
Bt = (0,25 - 0,1)/0,25 + 0,1 - 0,2 = 0,5.
Результат интерпретируется следующим образом: рост национального дохода на 25 % явился следствием либо роста производительности труда на 16,7 %, либо роста производительности капитала на 50 %.
Наглядно технический прогресс отображается сдвигом графика qt (?) вверх: при любом избранном сочетании труда и капитала выпуск продукции и средняя производительность труда увеличиваются.
Изменяя производительность факторов производства, технический прогресс воздействует на функциональное распределение национального дохода, поскольку dy/dN = w и dy/dK = r, а также на условия эконо- |
1-с
мического роста при полном использовании труда и капитала. Поэтому в ходе анализа экономических последствий технического прогресса первоочередными являются два вопроса:
— как технический прогресс влияет на распределение национального дохода;
— возможен ли устойчивый рост национального дохода при полном использовании обоих факторов производства в условиях технического прогресса?
Технический прогресс и распределение национального дохода. Если технический прогресс не изменяет функциональное распределение национального дохода между трудом и капиталом (rK/wN = const), то его называют нейтральным. Постоянство долей труда и капитала в национальном доходе может сохраняться при различных стечениях обстоятельств.
Отношение rtKt/wtNt = const, если Kt/Nt = const и rt/wt = const. Следовательно, если технический прогресс развивается таким образом, что при заданной капиталовооруженности труда с одинаковым темпом растут предельные производительности и труда, и капитала, то из-за того, что dyt/dNt = wt и dyt/dKt = rt, пропорция распределения национального дохода не изменяется. Такой тип технического прогресса называют нейтральным по Хиксу, он отображается производственной функцией: yt = (1 + n)tKtaNf а , где п — темп развития технического прогресса.
Особенности сдвига и деформации кривой qt (у) при нейтральном по Хиксу техническом прогрессе представлен на рис. 14.14 на примере функции: yt = 1,3tKt0,25Nt0’7 ^ qt = 1,3t у°’25.
|
 |
|
Рис. 14.14. Нейтральный технический прогресс по Хиксу |
секают ось абсцисс в значении MPn(Vo)/^^k(Vo); в соответствии с заданной функцией при у = 20 это значение (1,3t-0,75-200,75)/(1,3t-0,25 х х 200’25) = 60.
Пропорция распределения национального дохода между трудом и капиталом не изменяется и в том случае, если yt/Kt = const и dyt/dKt = = const, т.е. если при развитии технического прогресса каждому значению средней производительности капитала соответствует неизменное значение его предельной производительности. Такой вид технического прогресса называею нейтральным по Харроду. Алгебраически он отображается производственной функцией
yt = Kf (1 + X)tNt
где X — темп прироста производительности труда вследствие технического прогресса.
Характер сдвига и деформации графика qt (у) при нейтральном по Харроду техническом прогрессе представлен на рис. 14.15 на примере функции
yt = Kt0’25(1,3t Nt )0’75 ^ qt = 1,30’75t
График qt (у) смещается и деформируется так, что касательные в точках пересечения с лучом, представляющим заданную среднюю производительность капитала, имеют одинаковый наклон.
Соответственно, если yt/Nt =
= const и dyt/dNt = w = const, т.е. при развитии технического прогресса каждому значению средней производительности труда соответствует неизменное значение его предельной производительности. Такой вид технического прогресса называют нейтральным по Солоу и представляется он производственной функцией
|  |
|
Рис. 14.15. Нейтральный технический прогресс по Харроду |
yt = N1-a
График qt (у) смещается и деформируется таким образом, что все касательные в точках, соответствующих заданному значению у0, пере-где ji — темп прироста производительности капитала вследствие технического прогресса.
|
*т-0,75/л ту- \0,25
у, = Nt (1,3 Kt) |
 |
|
Рис. 14.16. Нейтральный технический прогресс по Солоу |
K t =¦
Графически нейтральный по Солоу технический прогресс изображен на рис. 14.16 на примере функции
qt = 1,30,25t у 0’25.
График qt (у) смещается и деформируется так, что все касательные в точках, соответствующих заданному значению q0, пересекают ось ординат в одной и той же точке.
В обобщенном виде направления изменения основных экономических параметров при рассмотренных вариантах нейтрального технического прогресса представлены в табл. 14.5.
жений постоянна, то и производительность капитала не должна изменяться, что имеет место только при нейтральном по Харроду техническом прогрессе. Для включения его в модель Солоу—Свана введем следующие обозначения:
Et = eptNt; q' = y/E; у' = K/E,
где е — основание натурального логарифма; р — темп технического прогресса, выраженный через условное увеличение количества используемого труда за период.
Тогда
уt = Kt -Et = Kt-Р-n
В условиях модели темп прироста капитала можно представить следующей формулой:
dKt _ syt _ syt/ Et _ sqt
Kt Kt Kt/Et yt
Поэтому
у t = У5 - (Р + n). У t |
Следовательно, отношение K/E стабилизируется, когда sq' = ny'. Так как
|
|
Таблица 14.5
Характеристика различных видов нейтрального технического прогресса* |
|
|
|
Нейтральность |
у |
q |
c |
w |
r |
w/r |
|
по Хиксу |
0 |
+ |
+ |
+ |
+ |
0 |
|
по Харроду |
+ |
+ |
0 |
+ |
0 |
+ |
|
по Солоу |
- |
0 |
+ |
0 |
+ |
- |
|
* Параметр не изменяется «0», растет «+», уменьшается «-». |
1-a
qt *
?р + n j
Равновесный рост при техническом прогрессе. Так как для устойчивого экономического роста с полным использованием труда и капитала требуется не только их технологическая взаимозаменяемость, но и определенное соотношение их производительностей, то не при всех разновидностях технического прогресса возможен равновесный рост. Если технический прогресс отображается в виде условного увеличения факторов производства, то устойчивый равновесный рост совместим только с нейтральным по Харроду техническим прогрессом. Это вытекает из того, что при равновесном росте y = I = sc = const. Так как при динамическом равновесии норма сбере-
q' = y'a, то sy'a =(p + n)y',
отсюда
1
1-a
?р + n J
Поскольку q' = y/eptN и у'= K/ePN, то их значения не изменяются соответственно при yt = р + n и Kt = р + n; так как q' = q/ept и у' = y/ept, то в состоянии динамического равновесия q = \р = р. Следовательно, при нейтральном по Харроду техническом прогрессе в экономике устанавливается устойчивое динамическое равновесие, когда темпы роста национального дохода и капитала опережают темп роста труда на величину прироста его производительности вследствие технического прогресса, а производительность и капиталовооруженность реального труда растут с темпом (1+ р). |
|
|
 |
|
Рис. 14.17. Экономический рост при нейтральном по Харроду техническом прогрессе |
1-с
Vt
at
(1 + ц)^ Nt
На основе проведенного анализа на рис. 14.17 изображено графическое представление нейтрального по Харроду технического прогресса: кривые qt(y) смещаются так, что равновесные значения q и у растут с одинаковым темпом.
Если технический прогресс отображается в виде условного увеличения факторов в производственной функции Кобба-
Дугласа, то он является нейтральным по Харроду. Это следует из свойств функции Кобба-Дугласа. Так, нейтральный по Солоу технический прогресс, отображающийся функцией
(1+[)K можно представить в виде нейтрального по Харроду
-і1-а
Vt
Поэтому любой тип технического прогресса, отображающийся посредством производственной функции Кобба-Дугласа, совместим с устойчивым равновесным ростом.
При нейтральном по Харроду техническом прогрессе «золотое правило» накопления остается в силе: при равенстве нормы сбережений эластичности выпуска по капиталу объем потребления на единицу эффективного труда (а следовательно, и на единицу реального труда) достигает максимума.
14.3.2. Эндогенный технический прогресс
Так как технический прогресс чаще всего связан со значительными затратами общества на научные исследования, образование и техническое обновление производства, то он сам зависит от уровня развития экономики. Поэтому более адекватное представление о механизме функционирования растущей экономики дают модели, в которых технический прогресс является эндогенным параметром.
В качестве примера учета технического прогресса в виде эндогенного фактора рассмотрим модель экономического роста с производственной функцией, в число аргументов которой, кроме труда и физического капитала, входит и «человеческий капитал». Под ним в данном случае подразумевают особые способности работника, повышающие результативность его труда и приобретенные вследствие затрат на получение образования и квалификации.
В экономике, имеющей постоянный темп прироста населения и предложения труда (n), технология производства отображается производственной функцией Кобба-Дугласа:
V = NaKeHY; а + в + Y = 1,
где H - объем человеческого капитала, измеряемого в условных единицах «образованности», наподобие того, как физический капитал измеряется в единицах некоторого стандартного вида техники.
Хозяйство ведется в условиях совершенной конкуренции, поэтому факторы производства оплачиваются по ценам, равным их предельным производительностям
dy y dy п y , dy у
w = —^- = a—; r = ^- = р—; h = —^- = у—. dN N dK K dH H
Представительное домашнее хозяйство распределяет все имеющееся у него время (Т), сверх необходимого для отдыха, между работой (N) и учебой (E). Поэтому уравнение бюджета времени i-го домашнего хозяйства имеет вид
Ti = Ni + Ei. (14.10)
Объем приобретаемого за время учебы человеческого капитала зависит не только от выделенного индивидом времени, но и от количества произведенного государством общественного блага (B) — инфраструктуры образования, измеряемого объемом затрат на его производство
Hi = B » e!~^ . (14.11)
Формула (14.11) есть производственная функция создания человеческого капитала. Общественным благом все население может пользоваться бесплатно; его производство финансируется за счет подоходного налога.
Цель домашнего хозяйства — распределить свое время между трудом и учебой так, чтобы максимизировать доход от труда и человечес- |
|
|
w
h |  |
aHi
YNi
(14.17)
(14.24)
aHi Hi
—i = (1 --)-^
YNi Ei
(14.18)
кого капитала. Формально задача состоит в том, чтобы максимизировать сумму (wNi + hHi) при ограничениях (14.10) и (14.11). Для решения задачи составим функцию Лагранжа
Фі = wNi + hHi-Xn(Ni + Ei -Ti)-Xi2(Hi -B-E*--).
Она достигает максимума при
эф1
т
дФг
ЭНг
дФг |
|
|
= w -X ц = 0 ^ w = X ц; |
(14.12) |
|
= h-Xi2 = 0 ^ h = X i2; |
(14.13) |
-=-x я+x i2-->B-= 0.
E- |
(14.14) |
Подставив формулы (14.12) и (14.13) в выражение (14.14), после преобразований получим (14.15)
Из производственной функции (14.7) следует, что
B-=-H—.
E1--
Ei
Поэтому условие максимизации дохода отдельным домашним хозяйством (14.15) можно записать в виде
w .. .Hi
н=(1 _->ET <14-16>
Поскольку при заданной технологии
y . y w aH aXHi
w = a—; h = y —, то — =-=--
N H h yN yXNi
где X — число всех домашних хозяйств.
Из равенств (14.16) и (14.17) следует, что
Ni
Ei Y (1 --)
Таким образом, пропорция, в которой представительное домашнее хозяйство распределяет имеющееся у него время между работой и учебой, постоянна и зависит только от технологии производства национального дохода и общественного блага; так как Ni + Ei = T = const,
то и число часов, уделяемое работе и учебе, не изменяется во времени: Nli = Ei = 0. л ^ ^
Запишем равенство (14.15) в темпах прироста: w - h = -B --Ei; так как Ei = 0, то
w - hi = —B. (14.19)
Соответственно из условия: w = ay/N и h = Yy/H следует, что w = y - N; h = y - H. Отсюда w - h = H - N. Поэтому равенство (14.19) можно записать в виде
H = -B + n. (14.20)
Равенство (14.20) выражает зависимость между темпами роста человеческого капитала и общественного блага. Приращение последнего за период равно собираемым за этот срок налогам
AB = %y. (14.21)
Прирост физического капитала за период равен объему сбережений
AK = s(1 -T)y. (14.22)
Поскольку рост предложения труда экзогенно задан, то зависимости (14.21) и (14.22) определяют возможности стабильного роста национального дохода, производимого по технологии
y = N a K e (B - E1-- )Y.
Можно доказать1, что в рассматриваемой модели устойчивое динамическое равновесие наступает при постоянных коэффициентах капиталоемкости (K/y) и «образованиеемкости» (B/y) национального дохода. С учетом этого определим величину равновесного темпа прироста. Запишем уравнение производственной функции в темпах прироста
y = an + pK + yH . (14.23)
Так как y = K = B, а H = —B + n (см. выражение (14.20)), то
y = an + Py + -Yy + Yn.
Следовательно, равновесный темп прироста национального дохода
= n(1 -p) = g 1 -p- g
Так как y- > 0 , то g > n , т.е. темп роста национального дохода превышает темп роста трудовых ресурсов. Поскольку равновесный темп роста не зависит от нормы сбережений и ставки подоходного налога, то |
cm + $K + y(B + nj
можно определить их значения, максимизирующие фонд потребления при равновесном росте
* R *
s =-*; т =ру.
1 -т
Оптимальная норма сбережений тем меньше, а оптимальная ставка подоходного налога для финансирования производства общественного блага тем больше, чем эластичней производство национального дохода по объему общественного блага.
Краткие выводы
Цель построения теоретических моделей экономического роста — определить условия, обеспечивающие равенство между совокупным спросом и совокупным предложением в растущей экономике и совместимость динамического равновесия с полной занятостью.
Исследования основанных на различных исходных предпосылках посткейнсианских и неоклассических моделей приводят к взаимопро-тивоположным выводам относительно устойчивости равновесного роста и факторов, определяющих его темп.
Неустойчивость экономического роста в модели Харрода—Домара вытекает из трех ее исходных предпосылок: невзаимозаменяемости факторов производства, жесткости их цен и экзогенно заданной нормы сбережений. Из-за отсутствия в модели Калдора двух последних предпосылок в ней достигается устойчивый рост при технологии Леонтьева.
В неоклассических моделях устойчивый рост существует при экзогенной норме сбережений в результате взаимозаменяемости факторов производства и гибкости их цен.
Из посткейнсианских моделей следует, что при данной технике темп экономического роста определяется величиной предельной склонности к сбережению и равновесный рост может сопровождаться неполной занятостью. В неоклассической модели темп экономического роста при отсутствии технического прогресса определяется темпом прироста трудовых ресурсов. Изменение нормы сбережений меняет только капиталовооруженность и производительность труда, оставляя в длинном периоде темп равновесного роста постоянным. Из независимости равновесного темпа роста национального хозяйства от нормы сбережений вытекает проблема ее оптимизации. При отсутствии технического прогресса максимальный рост потребления на душу населения достигается тогда, когда предельная склонность к сбережению равна эластичности выпуска по капиталу. |
Поскольку главным фактором экономического роста является технический прогресс, то процессы, происходящие в растущей экономике, наиболее адекватно отображаются посредством моделей, учитывающих его. Это достигается путем включения в производственную функцию модели дополнительного аргумента, изменяющегося во времени экзогенно или эндогенно. Основными целями изучения последствий технического прогресса в теории экономического роста являются определение условий его совместимости с равновесным ростом и его влияние на функциональное распределение национального дохода.
Экзогенный технический прогресс называют нейтральным, если он не изменяет функциональное распределение национального дохода. Существуют три разновидности нейтрального технического прогресса. Нейтральность, по Хиксу, достигается за счет того, что он не изменяет ни капиталовооруженность труда, ни соотношение предельных производительностей факторов производства. Нейтральность, по Харроду, обеспечивается за счет того, что по мере развития технического прогресса каждому значению средней производительности капитала соответствует неизменная предельная его производительность. При нейтральности, по Солоу, по мере развития технического прогресса каждому значению средней производительности труда соответствует неизменная предельная его производительность.
С равновесным ростом совместим нейтральный, по Харроду, технический прогресс. Он характеризуется тем, что капиталовооруженность и производительность труда растут с постоянным темпом.
Математическое приложение: Определение условий равновесного роста экономики при эндогенном техническом прогрессе
Обозначим K / у = гр B / у = и . Тогда с учетом (14.16) и (14.19) получаем
"Л = K - у = K -
= (1 - e)K - ypB - n(a + у). Учитывая зависимости (14.17) и (14.18), получаем
П = (1 -Р)(1 -T)s-K-уртУ - n(a +Y). (1)
Умножим обе части равенства (1) на п
п
АП = (1 - в)(1 - t)s - YPT--nn(a + Y ).
и |
Из равенств (14.17), (14.18) и (14.19) также следует, что
"6 = В - у = В -
сот +в>К + у(в + П
= т(1 - wyB - sP(1 - t) K - n(a + у ).
(3)
дС_
дК
дС_
дВ
Умножим обе части равенства (3) на и:
и
Ди = т(1 -ym) - 5р(1 -т)--nu(a + Y ). (4)
П ? 7
В состоянии динамического равновесия Дг| = Дн = 0. Поэтому равновесные значения коэффициентов капиталоемкости и «образованиеемкости» национального дохода находятся из следующей системы уравнений:
n
(1 -Р)(1 -t)s -ym-t—- nn(a + Y ) = 0 и и
т(1 - ym) - sP(1 - t) nu(a + y ) = 0
= (1 -P~yM)(1 -t)s ; t(1 -P-ym)
n(a + Y ) n(a + Y )
Поскольку a + P + y = 1 и 0 < т < 1; 0 < ц < 1, то n* > 0 и н* > 0.
Определим значения s и т, максимизирующие фонд потребления. Поскольку при равновесном росте
Ду ДК ДВ
~?=К=~в = g,
то объем потребления можно представить в виде
С = у - gK - gB.
Фонд потребления достигает максимума при
ду г, У n Р
ду У n YM
Подставив в найденные условия максимизации фонда потребления значения n , ни учитывая равенства (14.20) и a + Р + y =1, получим
s(1 - т)(1 - в - ym) 1 - в - YM 1 - т ’
nYM(a + Y) = n(1 -в) ^т* =ym т(1 -в-YM) 1 -в-YM |
Словарь терминов
Акселератор — коэффициент приростной капиталоемкости национального дохода.
Безработица — избыточное предложение труда при заданной его цене.
Безработица естественная — существующий в каждый данный момент контингент незанятых, возникающий из-за того, что, как правило, индивид при смене места и профиля работы некоторое время не участвует в общественном производстве.
Безработица кейнсианская — состояние экономической конъюнктуры, при котором избыток на рынке труда сочетается с избытком на рынке благ.
Безработица классическая — состояние экономической конъюнктуры, при котором избыток на рынке труда сочетается с дефицитом на рынке благ.
Безработица конъюнктурная — разность между фактической и естественной безработицей.
Бюджет — форма образования и расходования фонда денежных средств, предназначенных для финансового обеспечения задач и функций государства и местного самоуправления.
Валовой внутренний продукт (ВВП) — обобщающий показатель экономической деятельности страны. Представляет собой на стадии производства сумму добавленных ценностей, а на стадии использования — ценность товаров и услуг, предназначенных для конечного потребления, накопления и экспорта.
Встроенные (автоматические) стабилизаторы — установленные государством или частным сектором механизмы перераспределения доходов (система налогообложения и пособий, порядок выплаты дивидендов и пр.), ведущие независимо от текущих решений правительства к росту (снижению) совокупного спроса в периоды спада (подъема).
Гипотеза двойного решения — предположение о поведении индивида в условиях существования системы негибких цен, в соответствии с которыми при столкновении с количественными ограничениями на одном рынке экономические субъекты на других ранках заменяют гипотетические значения целевых показателей на их эффективные значения.
Гипотетическое значение параметра — значение экономического параметра, максимизирующее функцию полезности хозяйствующего субъекта при гибкой системе цен. |
Государственные краткосрочные облигации (ГКО) — государственные бескупонные бумаги, представляющие собой долговые обязательства государства и предоставляющие право владельцам на выплату в установленный срок номинальной суммы облигации. ГКО относятся к группе дисконтных ценных бумаг, доходом которых является разница в ценах покупки (ниже номинала) и погашения (по номиналу).
Девальвация — акция центрального банка, официально увеличивающая количество единиц национальной валюты, которые могут быть обменены на единицу одной или нескольких национальных валют. Девальвация проявляется в снижении стоимости национальной валюты по сравнению с иностранными валютами.
Денежная база — объем долговых обязательств центрального банка (банкнот); в каждый данный момент распределена на две части: наличные деньги в обращении и резервы коммерческих банков в центральном банке.
Денежно-кредитная политика — воздействие государства на экономическую конъюнктуру посредством изменения количества находящихся в обращении денег.
Денежные иллюзии — ориентация экономического субъекта при принятии хозяйственных решений на номинальные, а не реальные значения ценностных показателей.
Денежный агрегат М2 — объем наличных денег в обращении (вне банков) и остатков средств в национальной валюте на расчетных, текущих счетах и депозитах нефинансовых предприятий, организаций и физических лиц, являющихся резидентами РФ. В этот агрегат не включаются депозиты в иностранной валюте.
Денежный агрегат квази-деньги — ликвидные депозиты банковской системы, которые непосредственно не используются как средство платежа: срочные и сберегательные депозиты и депозиты в иностранной валюте.
Денежный агрегат широкие деньги — совокупность агрегатов М2 и квазиденьги.
Закон Вальраса — в экономике, состоящей из числа n взаимозависимых рынков, в случае достижения равновесия на (n - 1) рынках и на последнем будет равновесие.
«Золотое правило» накопления — в условиях неоклассической модели экономического роста фонд потребления на душу населения растет с максимальным темпом, если норма сбережений равна эластичности объема выпуска по капиталу.
Инвестиционная ловушка — состояние экономической конъюнктуры, при котором изменение ставки процента не влияет на инвестиционный спрос предпринимателей из-за их пессимистической оценки перспектив.
Инфляция — перманентный рост уровня цен (снижение покупательной способности денег). |
Инфляция издержек — инфляция, первоисточником которой является рост совокупного спроса чаще всего из-за увеличения предложения денег.
Инфляция подавленная — состояние экономической конъюнктуры, при котором дефицит на рынке труда сочетается с дефицитом на рынке благ.
Инфляция спроса — инфляция, первоисточником которой является рост совокупного спроса чаще всего из-за увеличения предложения денег.
Классическая дихотомия — представление национальной экономики в виде двух обособленных друг от друга секторов: реального и денежного; в реальном секторе независимо от денежного определяются объем и структура выпуска, занятость, относительные цены благ, а денежный сектор устанавливает лишь уровень (денежный масштаб) цен.
Кривая IS — совокупность точек, представляющих сочетания значений ставки процента и национального дохода, при которых согласно кейнсианской концепции на рынке благ достигается равновесие.
Кривая LM — совокупность точек, представляющих сочетания значений ставки процента и национального дохода, при которых согласно кейнсианской концепции на рынке денег достигается равновесие.
Кривая Филлипса — графическое изображение зависимости между темпом изменения цены труда и уровнем безработицы.
Кривая Филлипса модифицированная — графическое изображение зависимости между темпом инфляции и уровнем безработицы.
Ликвидная ловушка — состояние экономической конъюнктуры, при котором ставка процента приблизилась к своему минимально возможному значению, поэтому прирост предложения денег не может ее понизить и стимулировать инвестиционный спрос.
Ломбардные кредиты — кредиты, предоставляемые коммерческим банкам под залог ценных бумаг на срок до 30 календарных дней.
Мультипликатор — коэффициент, характеризующий меру приращения национального дохода при увеличении автономных (независимых от величины национального дохода) расходов макроэкономических субъектов.
Недопотребление — состояние экономической конъюнктуры, при котором дефицит на рынке труда сочетается с избытком на рынке благ.
Нейтральность денег — представление о роли денег в национальной экономике, в соответствии с которым изменение их количества не влияет на реальные параметры: объем и структуру выпуска, занятость, относительные цены благ (см. также Классическая дихотомия).
Неоклассический синтез — направление макроэкономических исследований, основывающееся на совместном использовании методологических предпосылок неоклассической и кейнсианской концепций.
Облигации федерального займа (ОФЗ) — долговые обязательства Российской Федерации в форме государственных ценных бумаг, дающие владельцу облигации право на получение по ней суммы основного долга (номинальной стоимости), выплачиваемой при погашении выпуска, а также на получение дохода в виде купонных выплат в соответствии с условиями выпуска. |
Обязательные резервы — один из основных инструментов осуществления денежно-кредитной политики центрального банка, который представляет собой механизм регулирования общей ликвидностью банковской системы. Резервные требования устанавливаются для ограничения кредитных возможностей организаций и поддержания на определенном уровне денежной массы в обращении. Размер обязательных резервов в процентном отношении к обязательствам кредитных организаций и порядок их депонирования устанавливает совет директоров центрального банка. Нормативы обязательных резервов регламентирует также совет директоров центрального банка в зависимости от сроков и видов привлечения кредитными организациями денежных средств.
Операции на открытом рынке ценных бумаг — покупка (продажа) центральным банком государственных ценных бумаг для увеличения (сокращения) количества находящихся в обращении денег.
Парадокс сбережений — снижение производимого национального дохода по мере роста объема сбережений согласно концепции Кейнса.
Паритет покупательной способности — количество единиц валюты, необходимое для покупки некоего стандартного набора товаров и услуг, которые можно приобрести за одну денежную единицу базовой страны (или одну единицу общей валюты группы стран): отражает внутреннюю покупательную способность валюты.
Политика предложения — воздействие государства на экономическую конъюнктуру посредством мероприятий, направленных на повышение эффективности функционирования частного сектора.
Равновесие двойное — достижение общего экономического равновесия национальной экономики на уровне национального дохода полной занятости при нулевом сальдо платежного баланса.
Равновесие общее экономическое — одновременное совместное существование равенства спроса и предложения на всех макроэкономических рынках.
Рациональные ожидания — теоретическая концепция, в соответствии с которой экономические субъекты при принятии решений прогнозируют будущее на основе модели, адекватно отражающей процессы формирования ожидаемых событий, с привлечением всей имеющейся в момент принятия решения информации; значение параметра, определенного на основе рациональных ожиданий, лишь случайно отклоняется от фактического его значения.
Рефинансирование — погашение долгов на основе новых заимствований или изменения условий их предоставления; выпуск новых ценных бумаг для замещения и погашения более старых выпусков. |
Рынок денег — финансовый рынок, на котором торгуют только краткосрочными долговыми обязательствами.
Рынок капитала — это рынок акций долговых обязательств с долгосрочным гашением.
Сеньораж — доход государства, получаемый в результате увеличения находящихся в обращении денег; равен разности между суммой дополнительно выпущенных денег и затратами на их выпуск.
Скорость обращения денег — отношение величины совокупных расходов за период к количеству находящихся в обращении денег.
Стабилизационная политика — система мероприятий правительства, направленная на стимулирование (экспансионистская) или сдерживание (рестриктивная) роста национальной экономики посредством налогов, государственных расходов, объема предложения денег и административного регулирования.
Ставка рефинансирования — инструмент денежно-кредитного регулирования, с помощью которого центральный банк воздействует на ставки межбанковского рынка, а также ставки по кредитам и депозитам, которые предоставляют кредитные организации юридическим и физическим лицам. Ставка рефинансирования является одной из ставок процента, которые использует центральный банк при предоставлении кредитов банкам в порядке рефинансирования.
Стагфляция — состояние экономической конъюнктуры, при котором инфляция сочетается с увеличением уровня безработицы.
Супермультипликатор Хикса — коэффициент, характеризующий меру приращения национального дохода при увеличении автономных (независимых от величины национального дохода) расходов макроэкономических субъектов в условиях экзогенного экономического роста с заданным темпом.
Супернейтральность денег — представление о роли денег в национальной экономике, в соответствии с которым изменение темпа их предложения не влияет на реальные параметры: объем и структуру выпуска, занятость, относительные цены благ.
Теорема Хаавельмо — повышение на некоторую величину государственных расходов, финансируемых за счет прироста подоходного налога, ведет к росту национального дохода на такую же величину.
Теорема эквивалентности Рикардо — повышение на некоторую величину государственных расходов ведет к росту национального дохода на такую же величину независимо от того, финансируются ли государственные расходы на счет паушального налога или прироста государственной задолженности.
Технический прогресс нейтральный, по Солоу, — рост экономической эффективности вследствие совершенствования техники при неизменности средней и предельной производительности труда. |
Технический прогресс нейтральный, по Харроду, — рост экономической эффективности вследствие совершенствования техники при неизменности средней и предельной производительности капитала.
Технический прогресс нейтральный, по Хиксу, — рост экономической эффективности вследствие совершенствования техники, сопровождающийся неизменным распределением национального дохода между трудом и капиталом.
Фазы экономического цикла — периоды функционирования экономики, отличающиеся направлением и степенью развития экономической активности: кризис, депрессия, оживление, подъем.
Типовые задачи
и ИХ РЕШЕНИЯ
Фискальная политика — воздействие государства на экономическую конъюнктуру посредством изменения системы налогообложения и государственных расходов.
Экономический цикл — развитие экономики между двумя одноименными фазами экономического цикла.
Эффект вытеснения - снижение экономической активности частного сектора из-за роста ставки процента, обусловленного увеличением государственных расходов.
Эффект Кейнса — последовательность событий при изменении уровня цен: рост (снижение) уровня цен ^ снижение (увеличение) реальных кассовых остатков ^ повышение (снижение) ставки процента ^ сокращение (увеличение) спроса на инвестиции ^ снижение (рост) национального дохода.
Эффект Пигу — последовательность событий при изменении уровня цен: рост (снижение) уровня цен ^ сокращение (увеличение) реальных кассовых остатков ^ увеличение (уменьшение) предельной склонности к сбережению ^ снижение (рост) потребления домашних хозяйств.
Эффект Фишера — последовательность событий при изменении уровня цен: снижение (рост) уровня цен, сокращение (увеличение) совокупного спроса по двум причинам: 1) сокращение (увеличение) текущего потребления домашних хозяйств из-за ожидания дальнейшего снижения (роста) цен; 2) перераспределение имущества от должников к кредиторам (от кредиторов к должникам); поскольку предельная склонность к потреблению у должников больше, чем у кредиторов, то совокупный спрос уменьшается (растет).
Эффективное значение параметра — значение экономического параметра, к достижению которого стремится хозяйствующий субъект при количественном ограничении на рынках, порожденном негибкостью цен в коротком периоде.
Задачи
Введение в макроэкономику
№ 1. В прошедшем году страна имела следующие показатели, ден. ед.: ВНП — 500; чистые инвестиции частного сектора — 75; государственные закупки — 80; потребление домашних хозяйств — 250; поступление в государственный бюджет прямых налогов — 30; косвенных — 20; субвенции предпринимателям — 25; экспорт — 150; импорт — 110. Определить:
а) располагаемый доход домашних хозяйств;
б) амортизационный фонд (D);
в) состояние государственного бюджета.
№ 2. По данным таблицы рассчитайте индекс цен и дефлятор 2001 г. |
зяйств — 380; дефицит торгового баланса (превышение импорта над экспортом) — 10. Определить:
а) объемы сбережений и чистых инвестиций;
б) государственные расходы;
в) сумму прямых налогов, если дефицит государственного бюджета равен 10.
№ 5. В начале года предприниматели планировали чистые инвестиции в объеме 550 ден. ед., а домашние хозяйства намеревались сделать сбережения в объеме 600 ден. ед. По завершении года оказалось, что чистых инвестиций осуществлено на сумму 580 ден. ед. Каковы были в этом году сбережения?
№ 6. Предпринимательский сектор состоит из двух фирм. Определить на основе представленных ниже счетов производства каждой из фирм созданный в этом секторе:
а) ВНП;
б) ЧНП;
в) НД.
|
|
Счет производства фирмы I |
|
|
|
Дебет |
Кредит |
|
|
Полуфабрикаты, купленные у фирмы II |
250 |
Комплектующие для фирмы II |
60 |
|
Амортизация |
15 |
Оборудование для фирмы II |
100 |
|
Косвенные налоги |
55 |
Товары народного потребления |
520 |
|
Заработная плата |
300 |
|
|
|
Дивиденды |
20 |
|
|
|
Нераспределенная прибыль |
40 |
|
|
|
Всего |
680 |
Всего |
680 |
|
Продукт |
2000 г. |
2001 г. |
|
Цена |
Количество |
Цена |
Количество |
|
Хлеб |
1 |
200 |
1 |
300 |
|
Мясо |
3 |
100 |
4 |
150 |
|
Одежда |
6 |
60 |
8 |
50 |
|
Счет производства фирмы II |
|
|
|
Дебет |
Кредит |
|
|
Комплектующие, купленные у фирмы I |
60 |
Полуфабрикаты для фирмы I |
250 |
|
Амортизация |
25 |
Оборудование для фирмы I |
400 |
|
Косвенные налоги |
70 |
Товары по госзаказу |
160 |
|
Заработная плата |
430 |
|
|
|
Дивиденды |
75 |
|
|
|
Нераспределенная прибыль |
150 |
|
|
|
Всего |
810 |
Всего |
810 |
№ 3. Даны следующие показатели, ден. ед.: ВНП — 480; объем валовых инвестиций — 80; объем чистых инвестиций — 30; объем потребления домашних хозяйств — 300; государственные расходы — 96; избыток государственного бюджета — 3. Определить:
а) ЧНП;
б) чистый экспорт (NE);
в) располагаемый доход домашних хозяйств, их объем сбережений.
№ 4. Даны следующие показатели, ден. ед.: НД — 500; располагаемый доход — 410; превышение косвенных налогов над субсидиями предпринимательскому сектору — 20; потребление домашних хо-
№ 7. По данным представленного счета товаров и услуг системы национального счетоводства России определить величину ВВП за 1999 г. в ценах: а) рыночных; б) факторных.
|
|
|
Счет товаров и услуг в России 1999 г., млрд руб. |
|
|
|
Ресурсы |
|
Использование |
|
|
Выпуск в основных ценах |
7748 |
Промежуточное потребление |
3612 |
|
Импорт товаров и услуг |
1257 |
Конечное потребление |
3210 |
|
Налоги на продукты |
542 |
Валовое накопление |
704 |
|
Субсидии на продукты (-) |
133 |
Экспорт товаров и услуг Статистическое расхождение |
2019
-130 |
|
Всего |
9415 |
Всего |
9415 |
№ 10. В экономике, состоящей из трех отраслей (I, II, III), технология производства характеризуется следующими коэффициентами прямых технологических затрат (аф:
|
Отрасль |
I |
II |
III |
|
I |
0,1 |
0,2 |
0,2 |
|
II |
0,3 |
0,2 |
0,4 |
|
III |
0,3 |
0,4 |
0,1 |
|
Отрасль |
Амортизация |
Зарплата |
|
Рудодобывающая |
10 |
40 |
|
Угледобывающая |
25 |
65 |
|
Электроэнергетика |
15 |
100 |
|
Металлургия |
40 |
170 |
|
Машиностроение |
110 |
340 |
|
ТНП |
50 |
1000 |
|
Поступления от |
Поступления к |
|
|
предпринимателям |
домашним
хозяйствам |
имуществу |
Всего |
|
Предпринимателей Домашних хозяйств Имущества |
|
|
|
|
|
Всего |
|
|
|
|
№ 8. За прошедший год в национальном хозяйстве произошли следующие события (значения приведены в ден. ед.): а) предприниматели выплатили зарплаты 240; начислили амортизацию 20; осуществили валовых инвестиций 130; уплатили налоги на прибыль 8; уплатили косвенных налогов 130; выплатили дивиденды 60; б) домашние хозяйства выплатили зарплату домашним работникам 5; уплатили подоходных налогов 80; в) государство выплатило зарплату служащим 90; закупило потребительских благ 70; осуществило валовых инвестиций 30; трансфертных выплат домашним хозяйствам 20; выплатило субвенции предпринимателям 20; ВНП страны составил 540.
На основе этих данных: 1) составить по каждому из трех макроэкономических субъектов счета, отражающие их участие в производстве ЧНП, использование полученного ими дохода и изменение их имущества; 2) представить народнохозяйственный кругооборот в табличной форме; 3) определить величину НД и его первичное распределение между предпринимателями и домашними хозяйствами.
№ 9. В экономике без государства и заграницы промежуточный продукт равен 100 ед.; потребление домашних хозяйств — 50 ед.; брутто инвестиций — 30 ден. ед.; СОП — 180 ден. ед.; нераспределенная прибыль — 1 ден. ед.; сумма заработной платы — 60 ден. ед.; сумма амортизации — 4 ден. ед.
1. Составить: а — для предпринимательского сектора — счета производства, использования дохода и изменения имущества; б — для домашних хозяйств — два последних счета. 2. Заполнить следующую таблицу кругооборота:
При полном использовании производственных возможностей отрасли могут произвести продукции, ед.: I — 717,51; II — 1338,98; III — 1389,83. Каков должен быть спрос на конечную продукцию этих отраслей, чтобы их производственные мощности использовались полностью?
№ 11. Экономика, состоящая из шести отраслей (рудодобывающей, угледобывающей, электроэнергетики, металлургии, машиностроения и производства ТНП), имела в прошедшем году следующие результаты, ден. ед. Руды было добыто 100; из нее металлурги выплавили 500 металла, который был использован в машиностроении (300) и при производстве ТНП (200). Угля добыто 150; он был поровну распределен между производством электроэнергии, выплавкой металла и потреблением домашних хозяйств. Произведенная электроэнергия в объеме 250 была использована следующим образом: по 30 на добычу руды и угля; 40 в металлургии; по 50 в машиностроении, при производстве ТНП и в быту. Вся продукция машиностроения 1000 была использована для валовых инвестиций, а все ТНП в объеме 2000 потребили домашние хозяйства. Известны также суммы начисленной амортизации и заработной платы в каждой из отраслей:
Задания:
1. Составить на основе приведенных данных межотраслевой баланс.
2. Определить величину ВВП (ВНП) в данной экономике.
3. Представить структуру ВВП: а — по его использованию; б — по его образованию.
4. Вычислить долю прибыли, использованной для инвестиций. |
|
|
|
У |
200 |
350 |
500 |
650 |
|
C |
300 |
375 |
450 |
525 |
|
Проект |
t0 |
t1 |
t2 |
t3 |
t4 |
t5 |
t6 |
t7 |
t8 |
|
I |
-80 |
12 |
12 |
12 |
12 |
12 |
12 |
32 |
— |
|
II |
-90 |
15 |
15 |
12 |
12 |
12 |
12 |
12 |
23 |
|
III |
-120 |
20 |
20 |
20 |
18 |
15 |
15 |
15 |
40 |
|
IV |
-150 |
25 |
25 |
25 |
23 |
20 |
50 |
— |
— |
|
V |
-180 |
25 |
30 |
30 |
30 |
25 |
20 |
15 |
40 |
Рынок благ
№ 12. Дана функция потребления C = 0,7yv + 50. Представить объем сбережений в виде функции от дохода до налогообложения, если ставка подоходного налога равна 13 %.
№ 13. Зависимость между величиной национального дохода и объемом потребления домашних хозяйств задана следующей таблицей:
Определить:
а) алгебраический вид кейнсианской функции потребления;
б) при каком доходе сбережения равны нулю?
№ 14. Функция потребления домашних хозяйств C = 40 + 0,75 уи. Определить объем сбережений, если ставка подоходного налога равна 20 % и общий доход домашних хозяйств равен 300 ед.
№ 15. В инвестиционном портфеле фирмы имеются пять проектов капиталовложений, отличающихся объемами вложений в нулевом году и потоками чистых доходов в последующие годы (см. таблицу).
Определить объем инвестиций фирмы в соответствии с кейнсианской концепцией спроса на инвестиции, если она может занимать и ссужать деньги по годовой ставке, %: а) 5; б) 4.
№ 16. Фирма, имеющая 6,4 ед. капитала, работает в условиях совершенной конкуренции при фиксированных ценах на факторы производства w = 4; r = 10 (где w, r — прокатные цены соответственно труда и капитала). Любое количество своей продукции фирма продает по цене P = 30.
Определить объем спроса фирмы на инвестиции (дополнительный капитал) в соответствии с неоклассической концепцией.
№ 17. В закрытой экономике без экономической активности государства функция потребления домашних хозяйств имеет вид: С = 10 + + 0,8у; предприниматели ежегодно планируют объем автономных инвестиций в размере 17 ед. благ; известны объемы произведенного в течение 5 последних лет национального дохода:
t......... 1 2 3 4 5
у.........100 120 135 140 150
Определить объемы незапланированных инвестиций в каждом году. № 18. Дано: S = 0,25у - 10; I = 30.
Определить: а) при какой величине НД на рынке благ будет равновесие; б) равновесный НД и объем сбережений, если, ожидая снижения дохода в будущем, домашние хозяйства при каждом уровне текущего дохода увеличат сбережения на 10 ед.; в) то же, что и в «б», если предприниматели, ожидая в будущем снижения спроса, сократят инвестиции до 20 ед.
№ 19. Каков должен быть объем производства благ, чтобы при автономном потреблении 30 ед. и предельной склонности к потреблению домашних хозяйств 0,4 был удовлетворен спрос предпринимателей на инвестиции в объеме 80 ед. и государства в объеме 40 ед.?
№ 20. Объем потребления домашних хозяйств определяется по формуле: С = 20 + 0,6у, предприниматели постоянно осуществляют инвестиции в размере 30 ед. Определить, как повлияет на величину равновесного НД прирост автономных сбережений на 5 ед.? Как объяснить такое изменение?
№ 21. Спрос домашних хозяйств на отечественные блага характеризуются функцией С = 0,5у + 50, а спрос предпринимателей на инвестиции задан формулой I = 400 - 50г. Государство закупает 100 ед. Вывести уравнение линии IS.
№ 22. Правительство одновременно сокращает государственные расходы и налоги на одинаковую сумму.
Каково будет чистое воздействие этого мероприятия на совокупный спрос в соответствии с концепцией построения линии IS.
№ 23. В экономике без участия государства и заграницы функции сбережений и инвестиций имели соответственно следующий вид: |
S = 0,5у - 50; I = 175 - 25г. С появлением государства была введена постоянная ставка подоходного налога 10% и все собранные налоги расходовались им на покупку благ. Функция сбережений тогда приобретает вид: S = 0,5у? - 50.
Определить линию IS до и после появления государства: а) аналитически; б) графически.
№ 24. На рынке благ установилось равновесие при у = 1000.
Изменится ли равновесное значение НД и почему в результате следующих мероприятий правительства: а) повышения ставки подоходного налога с 20 до 25 % и одновременного увеличения государственных расходов со 150 до 200 ед.; б) сокращения на 15 ед. субвенции и увеличения на 15 ед. закупки благ.
№ 25. При С = 0,6у?; I = 120; G = 100; Ту = 0,25 на рынке благ установилось равновесие, но существующие производственные мощности позволяют увеличить НД в 1,25 раза.
Как государство должно изменить расходы на покупку благ и (или) ставку подоходного налога, чтобы обеспечить полное использование производственных мощностей при сбалансированности государственного бюджета?
№ 26. В экономике без участия государства и заграницы объем автономных инвестиций равен 50 ед., а функция сбережений имеет вид: S = 0,2у - 100. При полном использовании производственного потенциала величина НД достигает 1000 ед.
1. Как посредством участия государства в экономике обеспечить производство на уровне НД полной занятости при условии, что: а) все государственные расходы должны осуществляться за счет налогов, взимаемых по прямой (единой) ставке подоходного налога; б) предельная склонность к сбережению от располагаемого дохода остается равной 0,2.
2. На сколько при этом возрастет НД?
№ 27. Даны следующие зависимости, определяющие равновесие на рынке благ:
y = C +1 + G; C = Ca + Cyv; Т = Tyy; I = R - Ігі.
Дополнить их уравнением, недостающим для определения равновесия на рынке, и представить равновесное значение национального дохода в алгебраическом виде. |
Рынок денег
№ 28. Центральный банк располагает активами в размере 60 млрд руб.; он установил норму минимального резервного покрытия 20%. Коммерческие банки в качестве избыточных резервов держат 15% депозитов и выдали кредитов на сумму 65 млрд руб. Спрос населения на деньги для сделок и из-за предосторожности составляет 25% получаемого ими реального дохода, а спрос на деньги как имущество определяется по формуле: 36/(і - 1). Уровень цен постоянно равен 1.
1. Какова должна быть величина реального НД, чтобы при ставке процента, равной 5%, все предложенное банковской системой количество денег добровольно держало население?
2. Как изменится эта величина, если при прочих неизменных условиях центральный банк снизит минимальную норму резервного покрытия вдвое, а коммерческие банки все приращение избыточных резервов используют для дополнительных кредитов? Насколько возрастет сумма кредитов?
№ 29. Из получаемых ежемесячно 10 000 ден. ед. дохода домашние хозяйства определенную долю (n) держат в виде наличных денег, а другую (1 - n) в виде облигаций, приносящих 4% годовых. Плата за конвертирование пакета облигаций в деньги (на любую сумму) равна 50 ден. ед.
1. При каком среднем количестве наличных денег затраты на держание реальной кассы будут минимальны?
2. Как изменится скорость обращения денег, если ставка процента возрастет до 9%?
№ 30. Олег, Семен и Илья купили по государственной облигации, имеющей номинальную цену 50 ден. ед., ежегодный гарантированный номинальный доход — 4 ден. ед. и бесконечный срок обращения. Олег ожидает, что через год курс облигации, ден. ед., будет равен 36, Семен — 40, а Илья — 44.
Определить значение критической ставки процента для каждого из покупателей облигации.
№ 31. Предложение денег осуществляется по формуле: М = 150 + 5і; скорость их обращения равна 25 оборотов за период, в течение которого создается реальный доход в размере 2900 ед. Спрос домашних хозяйств на деньги по мотиву предосторожности равен 1% получаемого ими до- |
|
|
|
№ 36. Текущий баланс коммерческого банка, млн руб. |
|
|
|
Актив |
Пассив |
|
Обязательные резервы |
280 |
Бессрочные депозиты |
1000 |
|
Избыточные резервы |
100 |
Срочные депозиты |
800 |
|
Облигации |
620 |
Собственный капитал |
50 |
|
Кредиты |
850 |
|
|
|
Всего |
1850 |
Всего |
1850 |
|
Доходность |
Момент наблюдения |
|
I |
II |
III |
IV |
V |
VI |
|
ГА |
25 |
-10 |
10 |
5 |
35 |
13 |
|
Гв |
0 |
15 |
-5 |
5 |
20 |
25 |
хода, а реальный спрос на деньги как имущество характеризуется формулой: 47 - 27
1. Определить равновесную ставку процента.
2. Построить линию LM.
3. Как изменится расположение линии LM, если: а — скорость обращения денег снизится в 2,5 раза и почему; б — уровень цен снизится на 1/4.
4. За сколько в ситуации «3» можно продать облигацию, купленную в ситуации «1» за 600 ден. ед.?
№ 32. Денежная база страны составляет 5000, а количество находящихся в обращении денег равна 20 000 ден. ед.; при этом минимальная норма резервного покрытия равна 10 %, а доля наличных денег у населения — 1/5 всей суммы кредитов, предоставленных коммерческими банками.
Определить: а) запланированные избыточные резервы коммерческих банков; б) на сколько возросло бы количество денег в обращении при отсутствии избыточных резервов?
№ 33. При реальном НД, равном 1000 ден. ед., в обращении находится 900 ден. ед. и на рынке денег установилось равновесие при ставке процента, составляющей 8%. Функции спроса на деньги для ставок и как имущество соответственно будут /сд = 0,25у и /им = 4800/i.
Какова предельная склонность к предпочтению ликвидности по мотиву предосторожности?
№ 34. В обращении находится 250 ден. ед., каждая из них в среднем совершает 10 оборотов в год. Предельная склонность к предпочтению ликвидности в качестве имущества равна реальным 8 ден. ед. Спрос на деньги из-за предосторожности равен нулю. Когда годовая ставка процента поднимается до 25%, тогда спрос на деньги как имущество тоже становится нулевым. Текущая ставка процента — 12%.
1. При какой величине НД в этих условиях уровень цен будет равен единице?
2. Каковы будут номинальные объемы спроса на деньги для сделок и в качестве имущества, если при тех же значениях ставки процента и реального НД уровень цен возрастет на 25%?
3. Каковы будут номинальные объемы спроса на деньги для сделок и в качестве имущества после восстановления равновесия на денежном рынке?
Рынок ценных бумаг
№ 35. Пассив баланса коммерческого банка содержит следующие статьи, млн руб.: вклады до востребования — 500; срочные вклады — 250; собственный капитал — 100. Норматив минимального резервного покрытия по вкладам до востребования равен 15%, а по срочным вкладам — 10%.
1. На какую сумму банк сможет увеличить кредиты, если половина вкладов до востребования будет переоформлена на срочные вклады?
2. Как изменится эта сумма, если владельцы срочных вкладов на 40% своих возросших депозитных средств купят у банка ценные бумаги?
Для бессрочных вкладов центральный банк установил 20%-ную норму минимального резервного покрытия, а для срочных — 10%-ную.
1. В этот банк обратились за очередной ссудой в размере 350 млн руб. Может ли банк предоставить такую ссуду?
2. В связи с повышением рыночной ставки процента при неизменной депозитной ставке по срочным вкладам владельцы последних приобрели в своем банке облигации на сумму 500 млн руб. Какую максимальную ссуду может теперь предоставить рассматриваемый банк и как будет выглядеть его баланс после предоставления такой ссуды?
№ 37. На основе приведенных данных о взаимонезависимых доходностях двух акций А и В:
1. Определить ожидаемые значения доходности и риска портфелей, содержащих: а — только акции А; б — только акции В; в — половину акций А и В;
2. Составить портфель с минимальным риском. |
|
|
|
Вид облигации |
Годовой доход, руб. |
Срок до гашения, годы |
|
I |
10 |
8 |
|
II |
10 |
2 |
|
III |
8 |
5 |
|
IV |
6 |
2 |
|
V |
6 |
8 |
|
Доходность |
Момент наблюдения |
|
I |
II |
III |
IV |
V |
VI |
VII |
VIII |
IX |
X |
|
ГА |
20 |
-8 |
10 |
5 |
25 |
22 |
-5 |
15 |
0 |
6 |
|
Гв |
-2 |
12 |
-3 |
5 |
15 |
12 |
5 |
0 |
10 |
-4 |
№ 38. Леня намерен за счет сбережений сформировать портфель из двух разновидностей ценных бумаг. Первая из них имеет: Гд = 3%; стД = 3; вторая Гр = 2%; стр = 6. Отношение Лени к риску представлено функцией полезности: U = 3rp - стр (где Гр и стр — соответственно доходность и степень риска портфеля.
Опредилить оптимальную структуру портфеля для Лени.
№ 39. Не склонный к риску индивид желает составить портфель из акций компаний А и В. Акции имеют следующие характеристики: Гд = 10%; стД = 4; Гв = 15%; стр = 20.
Доходности акций не зависят друг от друга.
1. Определить стандартное отклонение портфеля, обладающего минимальным риском.
2. Как индивид, стремящийся к минимизации риска, изменит структуру портфеля, если доходность акции компании А возрастет до 13?
№ 40. Федор формирует портфель ценных бумаг из облигаций с гарантированной доходностью 13% и акций с ожидаемой доходностью 25% при стандартном отклонении 4.
На какую максимальную доходность портфеля Федор может рассчитывать, если он желает, чтобы степень риска его доходности, измеренная стандартным отклонением, не превышала 2? Какова при этом должна быть структура портфеля?
№ 41. 1. За какую цену можно продать облигацию номинальной стоимостью 10 тыс. руб., с годовым купоном 2,5 тыс. руб. за 6 лет до ее погашения, если в данный момент I = 10% и покупатель ожидает, что в течение этих 6 лет рыночная ставка процента будет равна 10%?
2. При каком годовом доходе эта цена равнялась бы до 10 тыс. руб.?
№ 42. На момент понижения дисконтной ставки с 20 до 15% Константин имел пакет облигаций общей номинальной стоимостью 150 тыс. руб., обеспечивающий годовой доход 30 тыс. руб. До момента гашения данных облигаций остается 5 лет.
1. На сколько изменилась текущая ценность имущества Константина в результате снижения дисконтной ставки?
2. На сколько в связи с понижением ставки процента изменится ценность его накоплений к моменту гашения облигации?
3. Влияет ли на величину ожидаемых накоплений снижение ставки процента за год до гашения облигации?
№ 43. Номинальная цена облигации, выпущенной на 8 лет, равна 100 ден. ед. При предположении, что текущая ставка процента, равная 8%, не изменится до момента гашения облигации, определить рыночную цену облигации в момент выпуска (t = 0) и за 3 года до ее погашения (t = 5), если по ней ежегодно выплачиваются дивиденды в размере, ден. ед.: а) 10; б) 8; в) 6.
№ 44. В обращении находится 5 видов облигаций номинальной ценностью 100 руб. каждая, со следующими отличительными характеристиками:
1. Определить рыночные цены каждой из них в текущем году (t = 0) и в периоды t: 1; 2; 5; 8.
2. Изобразить результат вычислений графически в системе координат Bi,t.
№ 45. На основе представленных в таблице данных 10 наблюдений за уровнем доходности акций компаний А и В определить среднеожи-даемую доходность и стандартное отклонение каждой и составленного из них портфеля с минимальным риском.
№ 46. Инвеститор может использовать свои сбережения для покупки акций двух фирм (А и В). Ожидаемые доходности этих акций независимы друг от друга и соответственно равны: Гд = 13%; стД = 10; Гр = 18 %; стр = 36. Наряду с этим существует денежный (кредитный) рынок, на котором можно ссужать и брать взаймы под гарантированный процент i = 5%. Определить структуру имущества данного инвестора, если его функция полезности имеет вид: U = 2ги-стр, где т?, стр — доходность и риск имущества; cov(A,B) = 0. |
|
|
|
Событие |
На каком |
График какой |
Какой из гра- |
Как изменит- |
Как изменится |
|
|
рынке ото- |
функции и |
фиков модели |
ся эффектив- |
ставка процента |
|
|
бразится |
как изменится |
IS—LM и куда |
ный спрос |
|
|
|
|
|
сместится |
|
|
а
б
в
г
д
е |
|
|
|
|
|
№ 47. На денежном рынке можно ссужать или занимать деньги по фиксированной ставке i = 5%. На фондовом рынке обращаются два вида акций: Гд = 18%; а д = 3,2; тв = 8%; а в = 1,25; cov(A,B) = 0. Инвестор желает иметь от своих сбережений 11 % дохода.
Определить: 1) необходимую для достижения поставленной цели структуру вложений; 2) ожидаемую доходность и риск рыночного портфеля акций.
Модель IS—LM
№ 48. Заданы функции, определяющие поведение экономических субъектов на рынках благ и денег: С = 0,6у + 50; I = 200 - 20i; /сд = 0,4у; /им = 500 - 50i. В обращении находится 400 ден. ед.
1. Как они распределятся между /сд и /им при достижении совместного равновесия на рынке благ и финансовых рынках?
2. На рынке благ, кроме спроса домашних хозяйств и предпринимателей, появляется спрос государства в размере 50 ед., который финансируется за счет займов у населения. Как это изменит величину частных инвестиций и потребления при прежнем поведении предпринимателей и домашних хозяйств?
3. Будут ли последствия появления государственных расходов иными, если они финансируются за счет налогов с дохода и предельная склонность к потреблению домашних хозяйств равна 0,6 располагаемого дохода?
№ 49. Потребление домашних хозяйств характеризуется функцией С = 0,75у, а их спрос на деньги уравнением: / = 2у - 2000І. Спрос предпринимателей на инвестиции фиксирован: I = 15; предложение денег равно 400 ед.
1. Определить величину эффективного спроса.
2. Как изменится эффективный спрос, если предложение денег возрастет на 10%?
3. Как изменится величина эффективного спроса, если государственные расходы, финансируемые за счет займа в центральном банке, составят 5 ед.?
№ 50. Как на графике модели IS—LM отражается прирост государственных расходов, финансируемых за счет:
1) продажи облигаций населению (как объяснить происходящее при этом изменение ставки процента);
2) увеличения задолженности центральному банку?
№ 51. В экономике установилось совместное равновесие на рынке благ и финансовых рынках.
В представленной таблице показать последствия наступления следующих событий:
а) снизилась предельная склонность к сбережению;
б) при каждой ставке процента объем инвестиций увеличивается;
в) скорость обращения денег снижается;
г) предложение денег увеличивается;
д) спрос на деньги как имущество снижается;
е) подоходный налог увеличивается.
№ 52. Домашние хозяйства потребляют 80% своего текущего располагаемого дохода. Их спрос на деньги выражается формулой: / = 0,25y -- 125І. В обращении находится 500 ден. ед. Инвестиционный спрос характеризуется формулой: I = 1000 - 90І. В бюджет государства поступает 20% всех доходов домашних хозяйств, а государственные расходы составляют 800 ден. ед.
Определить: 1) дефицит государственного бюджета при совместном равновесии на рынках благ и денег; 2) на сколько денежный рынок сдерживает действия мультипликационного эффекта при увеличении государственных расходов, финансируемых за счет займа у населения, на 360 ден. ед.?
№ 53. Домашние хозяйства 80% текущего располагаемого дохода используют на покупку благ. Инвестиционный спрос предпринимателей характеризуется формулой: I = 900 - 50І. Спрос на реальные кассовые остатки определяется по формуле: / = 0,25y - 62,5i, а их предложение равно 500 ед.
1. Какую ставку подоходного налога должно установить правительство, чтобы при планируемых государственных расходах в размере 800 эффективный спрос равнялся 3500 ед.?
2. Как должно было бы действовать государство, если бы намеченную величину НД можно было достичь при сбалансированном бюджете? |
№ 54. Количество находящихся в обращении денег равно 24 ед., а спрос на них выражается формулой: l = 1,5y - 100г. Кроме того, известны функции потребления С = 0,8у и инвестиций I = 4 - 40г.
1. Составить уравнение функции совокупного спроса.
2. Как изменятся объем совокупного спроса и реальная ставка процента при повышении уровня цен с 1 до 2?
№ 55. Спрос домашних хозяйств на отечественные потребительские блага выражается функцией С = 0,4у, а на деньги L = 0,04 У + P(60 - і). Инвестиционный спрос предпринимателей задан функцией I = 98,2 -- 4,8г. Спрос государства на рынке благ равен 80. Действующая ставка подоходного налога Ту = 0,25.
Определить, на какое расстояние, измеренное по оси абсцисс, сдвинутся линия IS и кривая совокупного спроса, если государственные расходы возрастут на 20 ед.?
№ 56. Номинальное количество денег, находящихся в обращении, равно 81 ед.; скорость их обращения равна 10. Спрос на деньги как имущество характеризуется формулой: 1им = 96/(і - 1). Объем сбережений равен 40% реального дохода, а объем инвестиций определяется по формуле: I = 20 + 12/г.
1. Какой уровень цен обеспечивает совместное равновесие на рынках благ и денег, если величина эффективного спроса равна 60?
2. Как изменится уровень цен, если: а — скорость обращения денег удвоится; б — количество находящихся в обращении денег уменьшится вдвое?
№ 57. Потребительский спрос характеризуется функцией С = 50 + + 0,5у, а инвестиционный I = 200 - 25г. Функция спроса на деньги имеет вид: l = 0,1у + 24 - 2г.
Представить в виде функции зависимость количества находящихся в обращении денег от реальной величины эффективного спроса, если уровень цен постоянно должен быть равен 1,5.
№ 58. В экономике без участия государства и заграницы известны функции: а) потребления С = 0,6у + 50; б) инвестиций I = 200 - 20і; в) спроса на деньги для сделок 1сд = 0,4у; г) спроса на деньги как имущество 1им = 500 - 50г.
1. Каково должно быть предложение денег, чтобы величина эффективного спроса равнялась 375 ед. при Р = 1? |
2. При каком уровне цен объем совокупного спроса будет равен 375 ед., если номинальное количество денег увеличится на 50 ед.?
3. Как в ситуации «2» общее предложение денег распределится между деньгами для сделок с деньгами в качестве имущества?
№ 59. В экономике с совершенно эластичным совокупным предложением благ при постоянном уровне цен Р = 1 спрос домашних хозяйств на блага отображается функцией: С = 80 + 0,7у, а их спрос на реальные кассовые остатки функцией l = 0,04у + 100 - 2г. Спрос предпринимателей на инвестиции определяется функцией I = 260 - 6г. Государство закупает 110 ед. благ и формирует свой бюджет за счет ставки подоходного налога, равной 10 %. Банковская система поддерживает в обращении номинальных 104 ден. ед.
1. Вывести функцию совокупного спроса yD = (у°(Р)).
2. Если банковская система увеличит количество находящихся в обращении денег на 46,2 ед., то как они (дополнительные 46,2 ед.) после восстановления общего равновесия распределятся между деньгами для сделок и деньгами в качестве имущества?
№ 60. Когда ставка процента стала равна 2 %, возникло состояние ликвидной ловушки. При этом множество сочетаний у, і, соответствующее равновесию на рынке благ, описывалось уравнением: г = 10 - 0,02у.
Определить функцию совокупного спроса.
№ 61. Вследствие увеличения государственных расходов линия IS сместилась в пределах промежуточного участка кривой LM.
1. Как это отразится на расположении и угле наклона кривой совокупного спроса?
2. Дайте экономическую интерпретацию этим геометрическим явлениям.
№ 62. При совершенной эластичности совокупного предложения благ модель национальной экономики можно представить системой из двух уравнений, одно из которых представляет условие равновесия на рынке благ, другое — на денежном рынке
у = Са + Су(у - Т) + R - Iii + G;
M = ІуУ + k - ііІ.
Провести алгебраически и графически сравнительный анализ воздействия прироста государственных расходов на величину эффектив-ного спроса и ставку процента в случаях финансирования дополнительных расходов при трех вариантах: 1) займа у населения (выпуска облигаций); 2) займа у центрального банка; 3) увеличения налогов. |
Рынок труда
№ 63. Вывести неоклассическую и кейнсианскую функции спроса на труд при использовании 4 ед. капитала и технологии, представленной производственной функцией у = уіNK.
№ 64. Предприниматели планируют использовать 4 ед. капитала при технологии производства, представляемой производственной функцией у = 5л/NK.
1. Определить функцию совокупного предложения, если функция предложения труда имеет вид: а) NS = 1,6W; б) NS = 1,6w.
2. К какой из концепций принадлежит каждая из найденных функций совокупного предложения?
№ 65. Как повлияют на положения кривой спроса на труд в системе координат W, N следующие события:
а) увеличение используемого капитала при заданной технологии;
б) увеличение численности населения;
в) снижение реальной ставки зарплаты;
г) повышение эффективности технологии;
д) снижение уровня цен;
е) снижение производительности труда;
ж) повышение ставки процента.
№ 66. Как повлияют на положение кривой предложения труда в системе координат W, N следующие события:
а) использование более эффективной технологии;
б) увеличение используемого капитала при заданной технологии;
в) снижение ставки процента;
г) повышение уровня цен. |
№ 67. Трудоспособное население страны составляет 100 млн чел. До конца февраля в стране существовали условия полной занятости, при которых в среднем за месяц 1% занятых по разным причинам оставляли работу, а 15% безработных устраивались на работу. В марте того же года конъюнктура в стране ухудшилась и процент оставляющих (теряющих) работу возрос до 1,5, а работу стали находить только 10% всех безработных. Такое положение сохранялось 5 мес. (по июль включительно). В августе коэффициенты, характеризующие движение трудовых ресурсов, приняли свое исходное значение.
Определить динамику конъюнктурной безработицы, млн чел., с февраля по декабрь.
№ 68. В ходе экономического подъема доля людей, оставляющих в единицу времени работу, в общем числе занятых снизилась с 0,012 до 0,008, а доля безработных, находящих работу, повысилась с 0,1 до 0,112.
На сколько возрос НД в фазе подъема, если коэффициент Оукена равен 3?
№ 69. Отметить в приведенной таблице рынки, на которых существует равновесие при каждом из указанных на рисунке сочетаний у, Р, i.
 |
|
|
|
Сочетания |
Рынок |
|
благ |
денег |
труда |
1) Ph ib y1
2) Pb % y0
3) Pb ^ y2
4) ^ h y1
5) P0, i0, y0 |
|
|
|

№ 70. Технология представлена производственной функцией у = = 9N - 0,5N2, объем предложения труда равен удвоенной величине ставки реальной зарплаты.
Представить графически состояние равновесия на рынке труда при Р = 1 и Р = 2 и полной занятости в системах координат: 1) W, N; 2) w, N.
Общее экономическое равновесие
№ 71. 1. Какой экономической ситуации соответствует рисунок? 2. Как изменятся равновесные значения Р и у, если:
а) возрастет предложение денег?
б) возрастет автономный спрос на блага?
№ 72. Известны следующие функции, описывающие проведение макроэкономических субъектов с неоклассических позиций: сбережений S = 15г, предложения труда NS = 2w + 2,75г, инвестиций I = 100 - 10i и производственная y = 150N0,5. Количество находящихся в обращении денег равно 100 ед., каждая из которых в среднем совершает 20 оборотов за время создания НД.
Определить уровень цен.
№ 73. Известны следующие функции, описывающие поведение макроэкономических субъектов: производственная y = 3N2/3, предложения труда NS = 0,5w, сбережений S = 0,1y, инвестиций I = 1 - 10i. Спрос на реальные кассовые остатки l = 5y - 20i. Предложение денег равно 27,2 ед.
Определить равновесные значения y, P, N, w, i.
№ 74. Используя графики моделей IS—LM и yD(P)—yS(P), объяснить, почему при снижении налогов возникает эффект вытеснения частных инвестиций.
№ 75. Уравнение линии IS следующее: y = 30 - 3i, а функции спроса на реальную кассу l = 0,2y + 16 - 3i. В обращении находится 20 ден. ед. Технология производства представляется уравнением: y = 10N0,5, а функция предложения труда — NS=1,6w.
1. Каковы в данных условиях равновесные значения y, P, w, N, i.
2. Вследствие снижения автономных расходов уравнение линии IS приняло вид: y = 24 - 3i, но ставка номинальной зарплаты сохранилась на прежнем уровне. Определить величину возникшей безработицы.
№ 76. Технология представлена функцией y = 60N - N2. Цена предложения труда определяется по формуле: WS = 4(N + P). На рынке благ достигается равновесие при 0,6y = 78 - 3i. Спрос населения на деньги задан функцией l = 0,04y + 4(20 - i). В обращении находится 373,2 ден. ед. Определить, как изменятся объемы совокупного спроса и совокупного предложения при повышении уровня цен в 1,5 раза.
№ 77. Потребительский спрос домашних хозяйств характеризуется функцией C = 0,6y, а инвестиционный спрос предпринимателей функцией I = 16 - 2i. Спрос населения на деньги для сделок и из-за предосторожности определяется по формуле 1сд,пр = 0,48y, а спрос на деньги в качестве имущества выражается формулой 1им = 18 - 3i. В обращении находятся 24 ден. ед. При данном объеме капитала технология отображается производственной функцией y = 10N0,5. Предложения труда определяются его номинальной ценой NS = 1,6 W.
1. Определить равновесные значения y, N, P, w, i.
2. Вследствие технического прогресса инвестиционный спрос при любой ставке процента увеличился на 4 ед. Как при этом изменятся равновесные значения P и y?
3. Каковы были бы равновесные значения y, N, P, w, i, если бы в исходных условиях в обращении находилось 36 ден. ед.?
Теория экономических циклов
№ 78. До периода О на рынке благ существовало динамическое равновесие. При этом домашние хозяйства осуществляли сбережения согласно формуле: St = -80 + 0,3yt-1, а предприниматели проводили инвестирование, которое можно описать формулой: It = 100 + 0,8(yt-1 - yt-2). В периоде t1 последние увеличили автономные инвестиции до 150 ед., а с периода t2 вернулись к их исходному объему. |
1. Основываясь на модели экономического цикла Самуэльсона-Хикса, определить величину индуцированных инвестиций в периоде t5.
2. Будут ли в каком-либо из периодов после ti отсутствовать индуцированные инвестиции и почему?
№ 79. В экономике без участия государства и заграницы объем сбережений в году t определяется по формуле: St = 0,2yt-1 - 120. При ежегодных автономных инвестициях, равных 400 ед., экономика находится в состоянии динамического равновесия. Объем индуцированных инвестиций отображается формулой: It = 0,25(yt-1 - yt-2).
1. Какова величина равновесного НД?
2. Какова будет величина НД в восьмом году, если в пятом объем автономных инвестиций возрастет на 100 ед.,
а) с шестого года вернется к своему исходному уровню;
б) сохранится на этом уровне все последующие годы?
3. К каким значениям стремится НД в случаях «2а» и «2б»?
4. Какова будет динамика НД в случаях «2а» и «2б»?
5. Ответить на вопросы «1»-«4» при условии, что предельная склонность к сбережению в 2, а объем годовых автономных инвестиций в 2,3 раза больше, чем в исходном состоянии.
6. Ответить на вопрос «3» при условии, что объем индуцированных инвестиций отображается формулой: It = yt-1 - yt-2.
7. В исходном состоянии автономные инвестиции становятся убывающей функцией от ставки процента предшествующего года: It = 400 - 20it-1. Ставка процента устанавливается на денежном рынке, на котором спрос характеризуется формулой: L = 0,15yt-1 + 120 - 6it, а предложение постоянно равно 360 ден. ед. и Р = 1:
а) какова величина равновесного НД;
б) какова будет динамика НД при увеличении объема автономных инвестиций;
в) какова будет динамика НД при увеличении объема автономных инвестиций, если объем индуцированных инвестиций определяется по формуле: It = yt-1 - yt-2';
г) ответить на вопрос «в» при условии, что предложение денег осуществляется по формуле: M- = 0,41yt-1 + 20it, а функция сбережений имеет вид: St = 0,4yt-1 - 120. |
№ 80. Дано: функция потребления домашних хозяйств С = 0,75yt-1' функция спроса населения на деньги L = 0,125yt-1 + 60 - 5it; функция автономных инвестиций Ia = 200 - 4it-1; функция индуцированных инвестиций 0,6(yt-1 - yt-2); объем государственных расходов G= 470.
Определить:
1) равновесную величину национального дохода, если банковская система поддерживает постоянное количество денег в обращении М = 360;
2) установится ли новое равновесное значение национального дохода при увеличении государственных расходов на 80 ед. и какова после этого будет динамика национального дохода;
3) функцию (правило) предложения денег, гарантирующую монотонное (не колебательное) движение величины национального дохода к его новому равновесному значению при увеличении государственных расходов на 80 ед.;
4) подтвердить ответы на вопросы «2» и «3» расчетами и графическим построением.
№ 81. Если в классическую модель Самуэльсона-Хикса, объясняющую характер конъюнктурных колебаний взаимодействием мультипликатора и акселератора, включить регламентированную фискальную политику государства, предписывающую осуществлять государственные расходы по формуле: Gt = Go + 8 (yp -yt-1); 0 < 8 < 1 (при полной занятости объем госрасходов фиксируется объемом Go, а случаях отклонения от национального дохода полной занятости расходы корректируются по указанной формуле), то расширится или сузится область устойчивого равновесия в этой модели?
Представить результат графически.
№ 82. Годовой темп прироста трудовых ресурсов равен 1%. Технический прогресс, являющийся следствием роста капитала, обеспечивает ежегодное увеличение производительности труда на 2%; при этом yt = Kt и K/yt = 4. На инвестиции направляется вся прибыль (вся доля предпринимателей в НД); прирост капитала за период равен объему осуществленных инвестиций: AKt = It. Ставка реальной заработной платы зависит от доли занятых в общей численности трудовых ресурсов (ut = Nt/Nt ) и определяется по формуле: Wt = 1,2% -1.
1. Определить на основе модели Гудвина динамику доли труда в НД и уровня занятости в течение ближайших 25 лет, если в исходном периоде U0 = 0,85, а доля труда в НД 80 = 0,885.
2. При каких значениях и и 8 установится динамическое равновесие в экономике? |
Теория инфляции
№ 83. Число работающих в состоянии полной занятости составляет 64 млн человек; при этом величина НД достигает 360 млрд руб. Динамика фактической занятости (N) в течение 12 лет характеризуется следующими данными:
Год....... 1 2 3 4 5 6 7 8 9 10 11 12
N........... 64 70 68 60 58 58 70 64 64 66 70 64
1. Какова в эти годы была:
а) номинальная ставка зарплаты, если известно, что в 1-ом году она равнялась 15 ден. ед. и ее динамика соответствовала теоретической кривой Филлипса с параметром a = 0,2;
б) величина реального НД, если известно, что каждому проценту конъюнктурной безработицы соответствовало сокращение НД полной занятости на 2,5%;
в) величина номинального НД, если известно, что ценообразование осуществлялось по методу «затраты плюс» с коэффициентом начисления на зарплату, равным 0,25?
2. Каков будет объем совокупного предложения при годовом темпе инфляции, равном 5%, если:
а) отсутствуют инфляционные ожидания;
б) инфляционные ожидания равны 5%;
в) инфляционные ожидания равны 4%?
№ 84. Функция спроса на клубнику имеет вид: Q^ = 9 - Pt, а функция предложения QD = 2P/. Известно, что в нулевом периоде на рынке было равновесие при Р0 = 2,5.
Какова будет цена клубники в периоде t3 при: а) статических ожиданиях; б) адаптивных ожиданиях с коэффициентом адаптации 0,25;
в) рациональных ожиданиях?
№ 85. В апреле 1994 г. в России месячный темп инфляции равнялся 8,5%, а номинальная межбанковская ставка процента по краткосрочным кредитам была 16,7%; в мае соответственно названные показатели имели следующие значения, %: 6,9 и 15.
В каком из этих месяцев реальная межбанковская ставка процента была выше? |
№ 86. Установлено, что национальный доход полной занятости равен 1100; при увеличении конъюнктурной безработицы на 1% разность между национальным доходом полной занятости и фактическим национальным доходом увеличивается на 3%. Воздействие конъюнктурной безработицы на изменение ставки денежной заработной платы характеризуется равенством: ( Wt - Wt-1)/Wt-1 = (Nt - N*)/2N*. Установление цен на блага осуществляется по принципу «затраты плюс». Инфляционные ожидания формируются в соответствии с концепцией статических ожиданий: пf = пt-1.
На основе приведенных данных постройте динамическую функцию совокупного предложения с инфляционными ожиданиями.
№ 87. Построить динамическую функцию совокупного спроса на основе следующих данных о поведении макроэкономических субъектов: функция сбережений S = -60 + 0,35y; функция инвестиций I = 180 - 10г; функция спроса на деньги l = 0,1y + 400 - 8i. Государство закупает 110 ед. благ. Установлена постоянная ставка подоходного налога — 15%. В обращении находится 840 ден. ед.
№ 88. Известны динамические функции совокупного спроса: yt = = yt-1 + 2000Mt - 2000nt + 19Дпf = 1,9A^t и совокупного предложения: yS = yF + 4500пt - 4500пf. В нулевом году в экономике установилось динамическое равновесие при y0 = yF = 360 и Mit = nt = 0,02. Экономические агенты принимают решение на основе статических инфляционных ожиданий: пf = п t-1. C первого года темп прироста предложения денег возрос с 2 до 5%.
Определить темп инфляции и величину реального НД в 4-ом году.
№ 89. Динамическая функция совокупного спроса имеет вид: yt = = yt-1 + 20 (Mt - щ) + 10Дп f + 1,5A4t , а функция совокупного предложения: yS = yF + 25(пt -пП ). В исходном нулевом периоде экономика находится в динамическом равновесии при полной занятости и реальном НД, равном 10 ед. Темп прироста предложения денег постоянно равен 5%.
Полагая, что поведение макроэкономических субъектов основывается на статических инфляционных ожиданиях, определить динамику НД и темпа инфляции до 5-го периода, если: а) с 1-го периода прирост предложения денег постоянно равен 8%; б) при постоянном 5%-ном приросте предложения денег с 1-го периода государственные расходы увеличатся на 2 ед., не изменяясь в последующие периоды;
в) при постоянном 8%-ном приросте предложения денег с 1-го периода государственные расходы увеличатся на 2 ед., не изменяясь в последующие периоды; каков будет равновесный темп инфляции в последнем случае? |
№ 90. В стране действует следующая шкала налогообложения доходов:
Ту, %.................... 12 25 60
Y, ден. ед............ 0 < Y< 180 180 < Y< 500 Y> 500
В прошедшем периоде доходы трех домашних хозяйств составили 170, 400 и 800 руб., а оптимальный размер реальных кассовых остатков каждого хозяйства соответственно равнялся 20, 50 и 80 руб. За текущий период уровень цен удвоился и вдвое возросли номинальные доходы всех хозяйств. Вследствие ожидания дальнейшего роста уровня цен домашние хозяйства сократили спрос на реальные кассовые остатки на 20%.
1. Какова общая сумма инфляционного налога?
2. Как изменилась величина реального располагаемого дохода каждого из трех домашних хозяйств?
Стабилизационная политика в закрытой экономике
№ 91. Дано: производственная функция у = 60N - 3N2; функция инвестиций I = 98,2 - 4,8i; функция спроса домашних хозяйств на блага C = 0,4у; функция спроса на деньги L = 0,04Y+P(60 - i); функция цены предложения труда WS = 2 + 5,6N. Кроме того, известно, что G = 80; Ту = 0,25; в обращении находится 60 ден. ед.
1. Каковы должны быть финансируемые за счет займа у населения государственные расходы, чтобы ОЭР установилось при у = 252? Как при этом изменится уровень занятости?
2. Ответить на вопросы «1» при WS = 2P + 5,6N. Как объяснить такое изменение занятости? В чем выражается в рассмотренных случаях «эффект вытеснения»?
3. На сколько надо изменить количество находящихся в обращении денег, чтобы при прочих исходных условиях реальный НД равнялся 252 ден. ед.? Как изменение объема предложения денег повлияло на ставку процента и почему? Как по сравнению с условиями вопроса «1» изменится номинальное количество денег для сделок и в качестве имущества?
4: а) На сколько надо сократить объем предложения денег, чтобы в исходных условиях для «охлаждения конъюнктуры» снизить занятость на 10 %; б) как надо было бы изменить ставку подоходного налога, чтобы достичь этой же цели? |
№ 92. Функция потребления домашних хозяйств имеет вид С = 0,6у; функция спроса на реальные кассовые остатки l = 0,48у + 18 - 3i; а функция предложения труда NS = 0,675 W; объем инвестиций характеризуется функцией I = 8 - i; а объем выпуска производственной функцией у = 10N0,5. В обращении находится 19,2 ден. ед.
1. При какой занятости в этом хозяйстве установится ОЭР?
2. Определить объем государственных расходов, необходимых для доведения занятости до 4 ед. : а) ограничиваясь моделью рынка благ; б) на основе модели IS—LM; в) на основе модели ОЭР.
3.Чем объяснить, что при переходе от «а» к «в» в задании «2» размер расходов постоянно увеличивается?
№ 93. Дано: производственная функция у = 28N - 2N2; функция инвестиций I = 20 - 3i; функция спроса на реальные кассовые остатки l = 0,4у +120 - 6i; функция цены предложения труда WS = 0,5N + 10; кроме того, M = 128; G = 40; Sy = 0,3; Ту = 0,3.
Как за счет осуществления комбинированной экономической политики обеспечить увеличение реального НД на 5 ед. при сохранении ставки процента на исходном уровне?
№ 94. В текущем году произведен НД у = 40, в то время как ур = 48. Государственные расходы G =15, а действующая ставка подоходного налога Ту = 25%. С учетом исполнения бюджета в текущем году доля государственного долга в НД составила 50%. Текущая ставка процента равнялась 8%.
На основе приведенных данных определить дефицит государственного бюджета: а) общий; б) структурный; в) циклический; г) первичный.
№ 95. Известны следующие данные о национальной экономике: технология производства отображается производственной функцией у = = 28N - N2; спрос фирм на инвестиции I = 20 - 3i; спрос государства на блага равен 55 ед.; спрос домашних хозяйств на блага C = 0,55у, их спрос на деньги как имущество L^ =P(160 - 8i), а предложение на рынке труда WS = 0,5N + 10P; в обращении находится 140 ден. ед. и его скорость составляет 16 оборотов в период; государство установило единую ставку подоходного налога Ту = 0,2.
1. Каковы равновесные значения P, у, N, W, i?
2. Как изменятся значения P и i при сокращении количества денег в обращении до 100 ден. ед.?
3. Построить графики модели IS—LM, модели yS(P)-yD(P) и рынка труда. |


Стабилизационная политика в открытой экономике
№ 96. Обменный курс рубля к доллару в январе 1998 г. равнялся 6 руб/дол., а в январе 2001 г. — 28,4 руб/дол. За это время ИПЦ в США возрос в 1,074 раза, а в России — в 3 раза.
Как за это время изменился реальный обменный курс рубля к доллару?
№ 97. Ожидаемый темп инфляции в стране А — 9%, а в стране В — 5%. В стране А ставка процента равна 12%.
Каковы должна быть ставка процента в стране В, чтобы в соответствии с концепцией непокрытого процентного паритета между этими странами не было перелива капиталов?
№ 98. Годовая номинальная ставка процента по безрисковым вложениям в стране А равна 11%, а за границей — 8%. Ожидается, что годовой прирост уровня цен в стране А составит 15%, а за границей — 10%. Руководствуясь теориями процентного паритета и паритета покупательной способности, определить:
1) каков будет обменный курс страны А к началу следующего года, если к началу текущего он равнялся 55 ден. ед.;
2) каковы будут балансы страны А по счету текущих операций и счету движения капиталов, если страна имеет плавающий валютный курс?
№ 99. При фиксированных значениях обменного курса валюты, заграничной ставки процента, уровней цен в отечестве и за границей спрос домашних хозяйств на отечественные блага характеризуется функцией С = 5 + 0,8y, а на импортные Z = 0,1y; инвестиционный спрос предпринимателей задан функцией I = 6 - 1,5/, а экспорт благ равен 10 ед.
1. Построить линию IS.
2. Как изменится расположение линии IS, если описанная экономика окажется закрытой?
№ 100. Точка Е на рис. а и б представляет исходное состояние экономики при фиксированных значениях P, PZ и e.
1. Чем отличаются исходные условия, представленные на рис. а и б?
2. Вследствие прироста государственных расходов линия IS сдвинулась вправо. Описать последствия прироста государственных расходов в каждом из вариантов. |
№ 101. Текущая экономическая конъюнктура маленькой страны с открытой экономикой при заданных уровнях цен в стране и за границей представлена на рисунке точкой Е.
Описать экономическое состояние страны и предложить мероприятия стабилизационной политики, необходимые для достижения двойного равновесия: а) при фиксированном валютном курсе; б) при плавающем валютном курсе.
№ 102. В маленькой относительно мирового хозяйства стране производятся и потребляются два вида благ (А и В). Известны функции спроса и предложения этих благ внутри страны
QSa =-24 + 2Pa; QD =300-4РЛ; QSB =-20 + PB; qD =240-PB,
где Ра и Рв — соответственно цены благ, руб. На денежном рынке страны установилась ставка процента i = 8%. На мировом рынке цена блага А равна 58 дол., цена блага В — 45 дол.; ставка процента за границей iZ = 4%. Цены благ и ставка процента в мировом хозяйстве не зависят от экономической активности рассматриваемой страны. В стране действует плавающий режим валютного курса национальных денег. Известна функция чистого экспорта капитала этой страны
NKE = [iZ - і + (ее - е)/е] • 10 000 дол.,
где ee — ожидаемое инвесторами значение обменного курса денег данной страны. |
1. Определить текущий обменный курс денег этой страны, если инвесторы ожидают, что он стремится к уровню, обеспечивающему нулевое сальдо торгового баланса.
2. Представить ситуацию графически.
№ 103. При фиксированных значениях обменного курса валюты, заграничной ставки процента, уровней цен в отечестве и за границей спрос домашних хозяйств на отечественные блага характеризуется функцией C = 5 + 0,8у, а импортные — Z = 0,1у. Спрос на деньги отображается функцией l = 0,5у + 40 - 2i; инвестиционный спрос предпринимателей — функцией I = 6 - 1,5i. Функция чистого экспорта капитала имеет вид NKE = 25 - 2,5i, а экспорт благ равен 10 ед. В обращении находятся 42 ден. ед.
1. Определить величину эффективного спроса. Каково состояние платежного баланса при такой величине эффективного спроса?
2. Какова будет величина эффективного спроса, если государственные расходы, финансируемые путем размещения облигаций среди населения, будут равны 5 ден. ед.? Изменится ли при этом состояние платежного баланса и количество находящихся в обращении денег?
3. Представить решение задачи графически.
№ 104. Поведение макроэкономических субъектов в маленькой относительно мирового хозяйства национальной экономике с плавающим обменным курсом характеризуется следующими данными: домашние хозяйства используют 60 и 15% располагаемого дохода на покупку соответственно отечественных и импортных благ; спрос их на деньги для сделок составляет 5% их реального дохода, а на деньги как имущество определяется по формуле: 1им = 48 - 2i.
Функция спроса предпринимателей на инвестиции I = 100 - 5i. Существующая в стране конъюнктура характеризуется избыточными производственными мощностями и конъюнктурной безработицей. Поэтому до достижения национального дохода полной занятости ур = 600 увеличение производства не сопровождается ростом уровня цен. Государство закупает на рынке благ 30 ед. и формирует бюджет за счет 20%-ного подоходного налога. В обращении находится 56 ден. ед. Экономические взаимоотношения страны с заграницей, кроме импорта потребительских благ, характеризуются функцией экспорта благ Е = 250е - 20 и функцией чистого экспорта капитала NKE = 8(iZ + ee - i) при измерении всех показателей в скобке в процентах; iZ =4. |
В соответствии с Денежной программой на текущий год количество денег должно возрасти до 66 ед. На этом основании инвесторы ожидают повышения обменного курса национальной валюты на 20%.
Совпадет ли прогноз относительно обменного курса с фактическим его значением в случае действительного увеличения количества находящихся в обращении денег до 66 ед.?
Неокейнсианство
№ 105. Для полного удовлетворения своих потребностей рабочий желал бы потреблять 15 л молока в месяц. При сложившихся ценах благ и труда он считает целесообразным покупать 10 л молока в месяц и работать 2 ч в день сверхурочно. Поскольку он не смог найти сверхурочную работу, то скорректировал свой спрос на молоко до 9 л. Однако в связи с дефицитом молока фактически он может купить лишь 8 л в месяц.
Каков гипотетический и эффективный спрос рабочего на молоко?
№ 106. При заданной системе цен Р = 2,5; W = 5 индивид принимает решение о своей экономической активности в текущем месяце, учитывая, что в следующем месяце он будет в отпуске и его потребление ограничится непотребленной частью дохода текущего месяца. Функция полезности индивида имеет вид
U = C1C20,5(16 - N)0,25,
где С\, С2 и N — объемы потребления соответственно в первом и втором периодах и количество отработанного времени.
1. Вывести функции: а) потребления индивида в первом периоде при условии, что он встречается с количественным ограничением на рынке труда; б) предложения труда при наличии количественного ограничения на рынке блага в 1-м периоде; в) предложения труда при ожидании количественного ограничения на рынке блага во 2-ом периоде.
2. Построить графики эффективной функции потребления и предложения труда индивида в 1-м периоде и определить гипотетические значения С! и N при заданной системе цен.
№ 107. Функция полезности представительного домашнего хозяйства U = (M/P)0,5(16 - N)C2 при бюджетном ограничении РС + + М = WN + 20. Представительная конкурентная фирма работает по технологии у = 9,45N°,S. |
1. Какая конъюнктура сложится в экономике, если: а) Р = 0,9; W = 1,5; б) Р = 1; W = 1,67; в) Р = 1,1; W = 2,2; г) Р = 1,2; W = 2?
2. Какое сочетание y, N установится в хозяйстве при каждой указанной системе цен?
3. Изобразить в системе координат C, N для квазиравновесных состояний «поведенческий клин» представительного домашнего хозяйства и производственную функцию, отметив на ней гипотетический объем предложения.
4. Построить в пространстве W, P линии, разделяющие различные области квазиравновесных состояний.
Равновесие и экономический рост
№ 108. Производство НД характеризуется производственной функцией yt = min{2Nt, 0,25Kt}. В периоде t0 экономика находится в равновесном состоянии при полной занятости N = 125.
1. При какой норме сбережений по модели роста Харрода—Домара в экономике установится динамическое равновесие с темпом прироста в 4 %?
2. Какой объем инвестиций потребуется осуществить в период t4 для сохранения равновесного роста?
№ 109.В экономике с технологией производства, представляемой производственной функцией yt = min{5Nt, 0,2Kt}, население сберегает 20% реального дохода. В периоде t0 было произведено 40 ед. НД, и при этом совокупный спрос равнялся совокупному предложению. Приращение капитала в текущем периоде соответствует объему инвестиций в предшествующем периоде. Темп прироста трудовых ресурсов за период 5%.
Определить на основе модели Харрода—Домара:
1) объемы инвестиций в 1-ом, 2-ом и 3-ем периодах, обеспечивающие равновесный рост;
2) каким должен быть объем трудовых ресурсов в 3-ем периоде для обеспечения равновесного роста; какова при этом будет абсолютная величина безработицы; при какой норме сбережений установилось бы динамическое равновесие при полной занятости;
3) во сколько раз возрос бы темп прироста НД, если бы в периоде t0 объем потребления был на 25% ниже, а инвестиционный спрос увеличился бы в соответствии с возросшими сбережениями; в каком периоде объем потребления был бы одинаковым при исходной и повышенной нормах сбережений? |
№ 110. Производство НД отображается производственной функцией yt NtKt. В периоде t0 в хозяйстве было 10 ед. труда и 640 ед. капитала. Темп прироста трудовых ресурсов равен 3% за период. Норма сбережений — 50%.
1. В каком направлении будет изменяться темп прироста НД в соответствии с моделью экономического роста Солоу—Свана?
2. Ответьте на вопрос «1» при условии, что s = 0,24.
3. Какой объем капитала необходим в исходных условиях для равновесного роста?
№ 111. В хозяйстве используется 256 ед. капитала и 16 ед. труда; технология отображается производственной функцией yt = (NtKt)0,5; норма сбережений равна 0,2.
Каков должен быть темп прироста предложения труда, чтобы в модели Солоу—Свана сохранилась существующая производительность труда?
№ 112. В периоде t0 в экономике имеется 625 ед. капитала и 16 ед. труда. Условия производства представлены производственной функцией yt = Nt0,75Kt0,25. Темп прироста трудовых ресурсов равен 2% за период; население сберегает 20% национального дохода. Основываясь на модели роста Солоу—Свана определить:
1) как изменится средняя производительность капитала в периоде t6 по сравнению с периодом fy; чем объясняется такое изменение и каков предел, к которому стремится производительность капитала в данных условиях;
2) как изменится средняя производительность труда в периоде t6 относительно периода % если в исходных условиях темп прироста трудовых ресурсов равен 5%; чем объясняется такое изменение и каков предел, к которому стремится производительность труда в этих условиях?
№ 113. В периоде t0 в экономике имеется 237 ед. капитала и 11 ед. труда. Условия производства представлены производственной функцией yt = Nt0,75Kt0,25. Темп прироста трудовых ресурсов равен 2% за период; население сберегает 20% национального дохода. Основываясь на модели роста Солоу—Свана определить:
1) достигнуто ли в экономике динамическое равновесие;
2) соответствуют ли сбережения «золотому правилу» накопления; |
3) динамику потребления на одного работающего до периода
4) какой объем капитала необходим в периоде % чтобы в экономике существовал устойчивый рост с полной занятостью при норме сбережений s = 0,25;
5) сравнить динамику потребления на одного работающего до периода t6 в условиях заданий «3» и «4».
№ 114. Производство национального дохода отображается функцией yt = (1,02 W^)0,6^0,4. Трудоспособное население в стране увеличивается на 3 % за период. Экономика находится в динамическом равновесии при соблюдении «золотого правила» накопления.
На основе модели роста Солоу—Свана определить в периоде t5 среднюю производительность реальной единицы труда, ее капиталовооруженность и среднюю норму потребления. |
Решения задач Введение в макроэкономику
№ 1.
а) Определим величину НД на основе данных о его использовании
у = 250 + 75 + 80 + 150 - 110 = 445.
Поскольку прямые налоги составляют 30 ден. ед., то располагаемый доход:
yv = 445 - 30 = 415.
б) Амортизационный фонд (D) соответствует разности (ВНП — - ЧНП). В свою очередь ЧНП = 445 + 20 - 25 = 440. Следовательно, D = 500 - 440 = 60.
в) Состояние госбюджета характеризуется разностью между государственными расходами и поступлениями в бюджет
8 = (80 + 25) - (30 + 20) = 55.
№2.
1-200 + 4-100 + 8 • 60 1-200 + 3-100 + 6 • 60
ИПЦ
1 • 300 + 4-150 + 8 • 50 1-300 + 3-150 + 6 - 50
Дефлятор
№3.
а) ЧНП отличается от ВНП на величину амортизации. На эту же величину отличаются валовые и чистые инвестиции. Следовательно, D = ]Ьг _ jn = 80 - 30 = 50; тогда ЧНП = 480 - 50 = 430.
Так как в условиях задачи нет косвенных налогов и субвенций, то ЧНП = НД = 430. |
б) Теперь чистый экспорт можно определить как остаточную величину
NE = y - C - Р - G = 430 - 300 - 30 - 96 = 4.
в) Для определения располагаемого дохода домашних хозяйств нужно из НД вычесть прямые налоги. Определим их по формуле 8 = G - T , отсюда (- 3) = 96 - T^ T = 99.
Следовательно, yv = 430 - 99 = 331. Поскольку yv = C + S, то S = = 331 - 300 = 31.
№ 4.
а) В соответствии с СНС Р = S. Так как S = yv - C = 410 - 380 = 30, то и Fn = 30.
б) Теперь чистый экспорт можно определить как остаточную величину статей использования НД
G = y - C - Fn + (E - Z) = 500 - 380 - 30 - 10 = 80.
в) Поскольку чистые косвенные налоги равны 20, а дефицит госбюджета (— 10), то прямые налоги равны T = G - Ткос + 8 = 80 - 20 - 10 = 50.
№5.
В рамках макроэкономического анализа «ex-post» Fn = S. Следовательно, в рассматриваемом году сбережения равнялись 580. По каким-то причинам население изменило свои планы относительно сбережений. Если бы сбережения составили 600, то в данном году предприниматели продали бы на 20 ед. меньше своей продукции. Эти 20 ед. составили бы сверхнормативные запасы, которые включаются в нетто-инвестиции. В этом случае Fn = S = 600.
№6.
а) ВНП = СОП - ПП = (680 + 810) - (250 + 60) = 1180;
б) ЧНП = ВНП - D = 1180 - (15 + 25) = 1140;
в) НД = ЧНП - Ткос = 1140 - (55 + 70) = 1015.
№7.
а) В рыночных ценах: конечное потребление + валовое накопление + экспорт благ - импорт благ + статистическая ошибка: 3210 + 704 + + 2019 - 1257 - 130 = 4546.
б) В факторных ценах: ВВП в рыночных ценах - косвенные налоги (налоги на продукты) + субвенции: 4546 - 542 + 133 = 4137. |
№8.
1.
а) Предпринимательский сектор
|
|
Счет производства |
|
|
|
Дебет |
Кредит |
|
Заработная плата |
240 |
Инвестиции фирм |
130 |
|
Амортизация |
20 |
Инвестиции государства |
30 |
|
Дивиденды |
60 |
Государственные закупки благ |
70 |
|
Чистые косвенные налоги |
110 |
Потребление домашних хозяйств |
215 |
|
Нераспределенная прибыль |
15 |
|
|
|
Всего |
445 |
Всего |
445 |
Нераспределенная прибыль определяется как разность между ВНП, созданным в предпринимательском секторе (ВНП/), и затратами (зарплата, амортизация, дивиденды, косвенные налоги, уменьшенные на субвенции); в свою очередь ВНП/ = ВНП -- ВНЩ - ВНП&
Величина ВНП, созданная домашними хозяйствами (ВНЩ и государством (ВН^), определяется величиной выплаченной ими заработной платы. Поэтому ВНП/ можно найти как остаточную величину: ВНП/ = 540 - 5 - 90 = 445. Тогда нераспределенная прибыль равна: 445 - 240 - 20 - 60 - (130 - 20) = 15.
На потребление домашних хозяйств идет созданная фирмами продукция за вычетом брутто-инвестиций и государственного потребления Ch = ВНП/ - Fbr - G = 445 - 130 - 30 - 70 = 215. |
|
Счет использования дохода |
|
|
|
Дебет |
Кредит |
|
Налоги на прибыль |
8 |
Нераспределенная прибыль |
15 |
|
Сбережения |
7 |
|
|
|
Всего |
15 |
Всего |
15 |
|
Сбережения предпринимательского сектора есть оставшаяся после уплаты налогов и дивидендов прибыль: S/ = 15 - 8 = 7. |
|
Счет изменения имущества |
|
|
|
Дебет |
Кредит |
|
Инвестиции |
130 |
Амортизация |
20 |
|
|
|
Сбережения |
7 |
|
|
|
Финансовое сальдо |
103 |
|
Всего |
130 |
Всего |
130 |
|
Остаточная величина. |
б) Сектор домашних хозяйств
Счет производства
2.
Таблица народнохозяйственного кругооборота
|
Дебет |
Кредит |
|
Зарплата домашним работникам |
5 |
Потребление домашних работников |
5 |
|
Всего |
5 |
Всего |
5 |
Счет использования дохода
|
|
|
Дебет |
Кредит |
Потребление домашних работников
Потребление домашних хозяйств Подоходные налоги
Сбережения |
5
215
80
115 |
Зарплата от предпринимателей Зарплата от домашних хозяйств Зарплата от государства Трансферты
Дивиденды |
240
5
90
20
60 |
|
Всего |
415 |
Всего |
415 |
|
Остаточная величина. |
|
Поступления от |
Поступления к |
Всего |
предприни
мателям |
домашним
хозяйствам |
государству |
имуществу |
|
Предпринимателей |
— |
240 + 60 |
8 + 130 |
7 |
445 |
|
Домашних хозяйств |
215 |
5 |
80 |
115 |
415 |
|
Государства |
20 + 70 + 30 |
20 + 90 |
— |
18 |
248 |
|
Имущества |
110 |
— |
30 |
— |
140 |
|
Всего |
445 |
415 |
248 |
140 |
|
в) Государство
Счет производства
Счет производства
Счет изменения имущества
|
Дебет |
Кредит |
|
Финансовое сальдо |
115 |
Сбережения |
115 |
|
Всего |
115 |
Всего |
115 |
3. Величина НД определяется в результате вычитания из ВНП амортизации и чистых косвенных налогов
НД = ВНП - D - Ткос + и = 540 - 20 - 130 + 20 = 410.
Доля предпринимательского сектора в НД (нераспределенная прибыль) — 15, а доля домашних хозяйств (все доходы, кроме трансфертных выплат; см. их Счет использования дохода) — 395.
№9.
1.
а) Предпринимательский сектор
|
Дебет |
Кредит |
|
Зарплата госслужащих |
90 |
Потребление госслужащих |
90 |
|
Всего |
90 |
Всего |
90 |
Счет использования дохода
|
|
|
Дебет |
Кредит |
|
Промежуточный продукт |
100 |
Промежуточный продукт |
100 |
|
Заработная плата |
60 |
Потребление домашних хозяйств |
50 |
|
Амортизация |
4 |
Брутто-инвестиции |
30 |
|
Нераспределенная прибыль |
1 |
|
|
|
Распределенная прибыль |
15 |
|
|
|
Всего |
180 |
Всего |
180 |
|
Остаточная величина. |
|
|
|
Дебет |
Кредит |
|
Зарплата госслужащих |
90 |
Налоги с прибыли |
8 |
|
Покупка благ |
70 |
Косвенные налоги |
130 |
|
Трансферты |
20 |
Подоходные налоги |
80 |
|
Субвенции |
20 |
|
|
|
Сбережения |
18 |
|
|
|
Всего |
218 |
Всего |
218 |
|
Остаточная величина. |
Счет использования дохода
|
Дебет |
Кредит |
|
Сбережения |
1 |
Нераспределенная прибыль |
1 |
|
Всего |
1 |
Всего |
1 |
Счет изменения имущества
Счет изменения имущества
|
Дебет |
Кредит |
|
Инвестиции |
30 |
Сбережения
Финансовое сальдо |
18
12 |
|
Всего |
30 |
Всего |
30 |
|
Дебет |
Кредит |
|
Брутто-инвестиции |
30 |
Амортизация |
4 |
|
|
|
Сбережения |
1 |
|
|
|
Финансовое сальдо |
25 |
|
Всего |
30 |
Всего |
30 |
|
|
|
Счет использования дохода |
|
|
|
Дебет |
Кредит |
|
Потребление |
50 |
Заработная плата |
60 |
|
Сбережения |
25 |
Дивиденды |
15 |
|
Всего |
75 |
Всего |
75 |
|
Счет изменения имущества |
|
|
|
Дебет |
Кредит |
|
Финансовое сальдо |
25 |
Сбережения |
25 |
|
Всего |
25 |
Всего |
25 |
|
Таблица кругооборота |
|
|
|
Поступления от |
Поступления к |
Всего |
предприни
мателям |
домашним
хозяйствам |
имуществу |
|
Предпринимателей |
100 |
60 + 15 |
4 + 1 |
180 |
|
Домашних хозяйств |
50 |
— |
25 |
75 |
|
Имущества |
30 |
— |
— |
30 |
|
Всего |
180 |
75 |
30 |
|
б) Домашние хозяйства
2.
№10.
Объемы спроса на конечную продукцию^ находятся из решения уравнений межотраслевого баланса Y = Xj - ^aijXj :
Yi = 717,51 - 0,1-717,51 - 0,2-1338,98 - 0,2=11389,83 = 100;
Yii = 1338,98 - 0,3-717,51 - 0,2-1338,98 - 0,4-1389,83 = 300;
Yin = 1389,83 - 0,3-717,51 - 0,4-1338,98 - 0,1-1389,83 = 500.
№ 11.
1. Межотраслевой баланс |
|
|
Отрасль и экономические
показатели |
Потребление |
СОП |
|
промежуточное |
конечное |
|
Руды |
Угля |
Электро
энергии |
Металла |
Машин |
ТНП |
всего |
C |
I |
всего |
|
Рудодобывающая |
— |
— |
— |
100 |
— |
— |
100 |
— |
— |
— |
100 |
|
Угледобывающая |
— |
— |
50 |
50 |
— |
— |
100 |
50 |
— |
50 |
150 |
|
Электроэнергетика |
30 |
30 |
— |
40 |
50 |
50 |
200 |
50 |
— |
50 |
250 |
|
Металлургия |
— |
— |
— |
— |
300 |
200 |
500 |
— |
— |
— |
500 |
|
Машиностроение |
— |
— |
— |
— |
— |
— |
0 |
— |
1000 |
1000 |
1000 |
|
ТНП |
— |
— |
— |
— |
— |
— |
0 |
2000 |
— |
2000 |
2000 |
|
Материальные |
|
|
|
|
|
|
|
|
|
|
|
|
затраты |
30 |
30 |
50 |
190 |
350 |
250 |
900 |
2100 |
1000 |
3100 |
4000 |
|
Амортизация |
10 |
25 |
15 |
40 |
110 |
50 |
250 |
|
|
|
|
|
Зарплата |
40 |
65 |
100 |
170 |
340 |
1000 |
1715 |
|
|
|
|
|
Прибыль |
20 |
30 |
85 |
100 |
200 |
700 |
1135 |
|
|
|
|
|
СОП |
100 |
150 |
250 |
500 |
1000 |
2000 |
4000 |
|
|
|
|
2. ВВП = ВНП = 3100.
3. а) Y = C + I = 2100 + 1000;
б) Y = D + V + Pr = 250 + 1715 + 1135.
4. Прибыль = выручка - материальные затраты - амортизация -- заработная плата = 4000 - 900 - 250 - 1715 = 1135.
По условию валовые инвестиции равны 1000 ден. ед., а амортизация — 250 ден. ед. Следовательно, из прибыли на инвестиции пошло 750 ден. ед. или 66 %.
Рынок благ
№ 12.
По определению Cy = Cy (1 - Ty); в условиях задачи Су = 0,7 ¦ 0,87 = = 0,609. Поэтому S = у - C = у - 50 - 0,609у = -50 + 0,261у.
№ 13.
а) Из таблицы следует, что ДС/Ду = 0,5. Следовательно, С = 200 +
+ 0,5y.
б) Сбережения равны нулю при С = у, т.е. 200 + 0,5у = у ^ у = 400.
№ 14.
Поскольку S = у? - C, а у? = у - Туу = 300 - 0,2 ¦ 300 = 240, то S = 240 -- 40 - 0,75-240 = 20.
№ 15.
Определим предельную эффективность каждого инвестиционного проекта из равенства
10 = ?п (1 + R)-t,
t=1
где І0 — объем вложений в нулевом году; П — чистый доход в году t; R — предельная эффективность проекта. Расчеты дают следующий результат: Ri = 0,06; Rii = 0,05; Rm = 0,07; Riy = 0,03; Ry = 0,04. Поэтому при ставке 5 % объем инвестиций равен 290, а при ставке 4 % возрастет до 470.
№ 16.
Выведем функцию затрат длинного периода на основе условия равновесия фирмы MPn/MPk = w/r. В данной задаче
^ K = 0,2N.
0,2 5N 10 |
С учетом этого при заданной технологии зависимость количества используемого труда от количества производимой продукции имеет вид
0,5
4/3
¦N ¦
'0,5
¦; N:
,0,5
K025 K°’5’ (0,2N)0,5 0,21/3 ’
а зависимость количества используемого капитала от количества производимой продукции
K = ^^/І = 0,22/3 Q4/3.
Поэтому функция затрат длинного периода имеет вид ( , \
LTC =
0,21/3
10 • 0,22/3
Q4/3 = 10,26Q
4/3.
LMC = 13,68Q
1/3
Из условия максимизации прибыли конкурентной фирмы Р = LMC определим количество выпускаемой продукции и необходимого для этого капитала
30 = 13,68Q1/3 ^ Q = 11; K = 0,22/3 • 114/3 = 8,4. Следовательно, спрос фирмы на дополнительный капитал будет 8,4 - 6,4 = 2.
№ 17.
Незапланированные инвестиции равны разности /факт — Іплан. Фактические инвестиции равны фактическим сбережениям. Следовательно,
|
Параметр |
П |
t2 |
t3 |
t4 |
t5 |
|
У |
100 |
120 |
135 |
145 |
150 |
|
С |
90 |
106 |
118 |
126 |
130 |
|
S |
10 |
14 |
17 |
19 |
20 |
|
-^факт |
10 |
14 |
17 |
19 |
20 |
|
^план |
17 |
17 |
17 |
17 |
17 |
|
Д! |
-7 |
-3 |
0 |
2 |
3 |
№20.
В исходных условиях S = у - 20 - 0,6у = -20 + 0,4у. Из условия равновесия на рынке благ определим величину НД: у = 20 + 0,6у + 30 ^ у = 125. При увеличении автономных сбережений на 5 ед. функция сбережений принимает вид S = -15 + 0,4у. Тогда у = 15 + 0,6у + 30 ^ у = 112,5. Таким образом, НД сократится на 12,5 ед. Наблюдается «парадокс сбережений». Он объясняется тем, что с увеличением автономных сбережений на 5 ед. на столько же сократилось автономное потребление. Так как в условиях задачи мультипликатор равен 1/(1 - 0,6) = 2,5, то при снижении автономного потребления на 5 ед. НД сократится на 5-2,5 = 12,5 ед.
№21.
Линия IS — совокупность сочетаний у, i, соответствующих равновесию на рынке благ, выводится из равенства
у = C + I + G; у = 50 + 0,5у + 400 - 50i + 100 ^ у = 1100 - 100i.
№22.
Совокупный спрос снизится на величину сокращения государственных расходов (налогов). Доказательство:
у=су? (у- туу)+1+G; Ду=су? (Ду- ДТуду)+AG;ДІ=°.
В условиях задания ДТуДу = G. Следовательно, Ду = С ? (Ду - AG) + +AG ^Ду = ДG.
№23.
а) Исходное уравнение линии IS определяется из следующего равенства: 0,5у - 50 = 175 - 25i ^ у = 450 - 50i. С появлением государства условие равновесия на рынке благ принимает вид: S + Т = I + G. Согласно условиям задачи
0,5(у - 0,1у) - 50 + 0,1у = 175 - 25i + 0,1у ^ у = 500 - 55,56i.
№18.
а) Из условия равновесия на рынке благ (I = S) следует, что 0,25# - 10 = 30 ^ у = 160.
б) В этих условиях S = 0,25у, поэтому 0,25у = 30 ^ у* = 120; S* = = 0,25-120 = 30.
в) 0,25у = 20 ^ у* = 80; S* = 0,25-80 = 20.
№19.
у = 30 + 0,4у + 80 + 40 ^ у" = 250.

№24.
а) Национальный доход увеличится, так как мультипликатор государственных расходов больше налогового мультипликатора. Поэтому прирост вследствие повышения госрасходов (Ay(AG)) будет больше, чем снижение из-за роста ставки налога (Ay(ATy)).
№27.
Недостает дефиниционного уравнения располагаемого дохода: У? = У - Tyy¦
Равновесное значение национального дохода
Ay(AG) =
50
50
Ay(ATy ) =--
1 - Cy + 0,25Cy 1 - 0,75Cy
0,05(1000 +Ay )C „
(1)
Ca + R + G - Iii
1 - C v + C vTy ' y y y
1 - Cy + 0,25Cy
Рынок денег
Так как Cy = Cy(1 - Ty), то
Ay(ATy )
0,05(1000 +Ay )0,75Cy 1 - 0,75Cy
(2)
По абсолютной величине (1) > (2).
б) Национальный доход возрастет, так как уменьшение субвенций сократит потребительский спрос на 15 C v, а спрос государства увели-
л г У
чится на 15 ед.
№25.
y = 0,6(y - 0,25y) + 120 + 100 a y = 400. Следовательно, yp = 400 х х 1,25 = 500.
Дальнейший ход решения основывается на теории Хаавельмо.
Ур = Cyv (Ур - Tyyp) + I + G; G = Tyyp; 500 = 0,6(500 - 500Ty) + 120 + + 500 Ту A Ty = 0,4; G = 200.
№28.
1. Из балансового уравнения системы коммерческих банков найдем величину депозитов населения
D = 0,2D + 0,15D + 65 a 0,65D = 65 aD = 100.
Из балансового уравнения центрального банка определим долю наличных денег в сумме кредитов, предоставленных коммерческими банками,
60 = 0,2-100 + 0,15-100 + 65y a y = 0,385.
Следовательно, наличными население держит 0,385-65 = 25 ден. ед.
Тогда общее предложение денег равно M = D + MH = 100 + 25 = 125.
Спрос на деньги будет l = /сд + /пр + /им = 0,25y + 36/(i - 1).
На рынке денег будет равновесие, если 125 = 0,25y + 36/(i - 1) или у = 500 - 144/(i - 1);
это есть уравнение линии LM. При i = 5 величина у = 464.
2. По формуле денежного мультипликатора (см. в учебнике формулу (4.4)) определим новое предложение денег
143,5.
№ 26.
1. В исходных условиях равновесная величина НД определяется из следующего равенства: 0,2у - 100 = 50 а у = 750.
С появлением государства, осуществляющего закупку благ в объеме собираемых налогов, равновесие на рынке благ устанавливается при y = Cyv(y - Ty ) +1 + Tyy.
Поскольку C v = 1 - S v, то в условиях задачи полная занятость будет обеспечена при 1000 = 0,8(1000 - 1000Ту) + 50 + 1000Ту а Ту = 0,25, т.е. государство должно ввести 25%-ной подоходный налог и закупить 250 ед. благ.
2. Точно на такую же величину увеличится НД (согласно теореме Хаавельмо). |
1 + 0,385(1- 0,1- 0,15)60 0,1 + 0,15(1 - 0,385) + 0,385(1 - 0,1)
Новое уравнение линии LM будет
143,5 = 0,25y + 36/(i-1) или у = 573,5 - 144/(i-1).
При i = 5 величина у = 537,5. Следовательно, Aу = 537,5 - 464 + 73,5. По формуле (4.3) (см. учебник) найдем, что возросшая сумма кредитов
_(1 - 0,1 - 0,15)60_
0,1 + 0,15(1 - 0,385)+0,385(1 - 0,1)
т.е. AK = 83,5 - 65 = 18,5.
83,5, |
dTC = 200 - 50 = 0:
р = 0,0176.
20000 =
-»min, если и* = 1/3.
№29.
1. Обозначим 1/и — число конвертирований облигаций в наличные деньги. Тогда 50/и — трансакционные издержки за месяц, а 10 000 и/2 — средний запас наличных денег. Альтернативные издержки держания кассы 10 000и -0,04/2 = 200и. Определим оптимальное значение и ТС(и) = 50/и + 200и ^ min.
dи и и
Следовательно, средние кассовые остатки равны МН = 0,5-10 000 х х 0,5 = 2500.
2. При i = 4% деньги совершали 10 000/2500 = 4 оборота в месяц или 48 оборотов в год. При i = 9%
. 50 0,09и-10000
TC (и) = — +----
и2
При этом средняя касса равна 10000/6 = 1666,67, т.е. денежная единица делает 6 оборотов в месяц или 72 в год. Следовательно, скорость оборота денег возросла в 1,5 раза.
№30.
Критическая ставка процента превращает ожидаемый доход, состоящий из купонного дохода и изменения курса облигаций, в нуль. Поэтому она для каждого индивида определяется из следующего равенства: iuBu + Be - iffin/ik = 0. Расчеты по этой формуле дают следующие значения: 0,1 для Олега, 1/11 для Семена и 1/12 для Ильи.
№31.
1. На рынке денег достигается равновесие при
150 + 5i = 0,04-2900 + 0,01-2900 + 47 - 2i ^ i = 6.
2. Множество сочетаний у, i, обеспечивающих равновесие на рынке денег, определяется из равенства: 150 + 5i = 0,05у + 47 - 2i или у = 2060 + 140i (уравнение линии LM).
3. При снижении скорости обращения денег в 2,5 раза равновесие на рынке денег достигается при 150 + 5i = 0,1у + 0,01у + 47 - 2i ^ у = = 936,3 + 63,6i, т.е. линия LM сместится влево и уменьшит угол наклона к оси абсцисс. Это объясняется тем, что более круглым стал график Ісд = 1сд (у).
При снижении 1/4 уровня цен уравнение линии LM определится из равенства (150 + 5i)/0,75 = 0,05у + 47 - 2i ^ у = 3060 + 173,3i, т.е. линия LM сдвинется вправо из-за увеличения реального предложения денег. |
4. Поскольку при i = 6 облигацию можно было купить за 600 ден. ед., то годовой доход на нее составляет 600-0,06 = 36 ден. ед. В ситуации «3» при у = 2900 ставка процента определится из равенства 2900 = 1791 + + 63,63i ^ i = 17,43%. Следовательно, облигацию можно продать за 36/0,1743 = 206,5 ден. ед.
№ 32.
а) Подставим известные в задаче данные в формулу (4.4) (см. учебник) 1 + 0,2(1 - 0,1 -р)5000 0,1 + р(1 - 0,2) + 0,2(1- 0,1)
По формуле (4.2) из учебника найдем величину депозитов D = = 17006,8. Следовательно, плановая величина избыточных резервов коммерческих банков PD = 299,3.
б) При отсутствии избыточных резервов у коммерческих банков (Р = 0) денежный мультипликатор принимает значение (1 + 0,2 х х 0,9)/(0,1 + 0,2-0,9) = 4,2. Тогда М1 = 5000-4,2 = 21071,4, т.е. ДМ = 1071,4.
№33.
Объем спроса на деньги по мотиву предосторожности определяется как остаточная величина из уравнения равновесия на рынке денег: 900 = 0,25-1000 + 4800-8 + /пр ^ /пр = 50. Следовательно, предельная склонность к предпочтению ликвидности по мотиву предосторожности равна 0,05.
№34.
1. Величина НД, обеспечивающая в условиях задачи равновесие на денежном рынке при Р = 1, определяется из следующего уравнения: 250 = 0,1у + 8(25 - 12) ^ у* = 1460.
2. Если уровень цен станет равным 1,25, то номинальная величина НД будет 1,25-1460 = 1825 и спрос на деньги для сделок составит 0,1-1825 = 182,5 ден. ед. Предельная склонность к предпочтению денег в качестве имущества в номинальном выражении будет 1,25-8 = = 10 ден. ед., а общий спрос на деньги как имущество 10-13 = 130 ден. ед.
3. Ставка процента, необходимая для восстановления равновесия на денежном рынке после повышения уровня цен, находится из уравнения 250/1,25 = 0,1 ¦ 1460 + 8(25 - i) ^ i = 18,25. После восстановления равновесия на этом рынке спрос домашних хозяйств на деньги для сделок составит 0,1-1825 = 182,5 ден. ед., а в качестве имущества — 10(25 -- 18,25) = 67,5. |
|
|
|
Актив |
Пассив |
|
Обязательные резервы |
380 |
Бессрочные депозиты |
1750 |
|
Избыточные резервы |
0 |
Срочные депозиты |
300 |
|
Облигации |
120 |
Собственный капитал |
50 |
|
Кредиты |
1600 |
|
|
|
Всего |
2100 |
Всего |
1850 |
Рынок ценных бумаг
№35.
1. Величина минимальных резервов банка в исходном состоянии следующая: 500-0,15 + 250-0,1 = 100. После переоформления она будет 250-0,15 + 500-0,1 = 87,5. Прирост избыточных резервов банка (его кредитных средств) 100 - 87,5 = 12,5 млн руб.
2. Так как срочные депозиты в банке сократятся на 0,4-500 = = 200 млн руб., то прирост избыточных резервов составит 0,1-200 = = 20 млн руб.
№36.
1. Да, так как в условиях задачи избыточные резервы банка позволяют ему предоставить дополнительный кредит в размере 100/0,2 = = 500 млн руб.
2. За счет сокращения депозитов на 500 млн руб. избыточные резервы коммерческого банка возросли до 150 млн руб. и поэтому он может предоставить дополнительный кредит в размере 150/0,2 = 750 млн руб. После этого его баланс примет следующий вид:
2. стр = 246nA +140(1 - nA)2 = 386nA - 280nA +140.
Условие минимизации риска: dap/dnA = 772па - 280 = 0.
Оптимальная доля акций А: па = 280/772 = 0,363, а акций В соответственно — 0,637. Тогда Гр = 13-0,363 + 10-0,637 = 11,1; Стр = (0,363 х х 246 + 0,637-140)0,5 = 9,44.
№38.
где nj — доля первого вида ценных бумаг.
Найдем nj из равенства (1): nj = Гр — 2 и подставим найденное значение в формулу (2)
Подставим значение (3) в функцию полезности
U = 3гр - 9гр + 48гр - 66 = 51гр - 9гр - 66.
Она достигает максимума при dU/dr = 51 — 18гр = 0; отсюда стр = 17/6; nj = 5/6; njj = 1/6.
№39.
1. Дисперсия риска портфеля из двух акций с независимыми ожидаемыми доходностями определяется по следующей формуле: стр = = пАстА + nBстр. Доли акций А и В в портфеле, имеющем минимальный риск, определяется по формулам
№37.
1. Ожидаемые значения
_ 25 -10 + 5 + 35 +13
Га =-6-
= 13;
_ 0 +15 - 5 + 5 + 20 + 25
гв =-5-=10;
22
* ст в * ст а
пА =-2-г'’ пв =“2-Г.
ста + ств ста + ств
Поэтому риск такого портфеля, измеренный стандартным отклонением,
ст2А = 0,2
122 + (-23)2 + (-3)2 + (-8)2 + 222
= 246; 2
СТА = 0,2
(-10)2 + 52 + (-15)2 + (-5)2 +102 +15
= 140.
| |
Следовательно, |
|
|
|
Структура портфеля |
Гр |
ст р |
|
100% акций А |
13,0 |
15,68 |
|
100% акций В |
10,0 |
11,83 |
|
50% А + 50% В |
11,5 |
9,82 |
4 • 20 4 + 20
1,83.
ст
2. Поскольку доля каждой акции в портфеле с минимальным риском не зависит от доходности акций, то инвестор в соответствии со своей функцией полезности не изменит структуру портфеля.
|
|
|
№ 44. 1. |
|
|
|
Цена облигации |
t0 |
t1 |
t2 |
t5 |
t8 |
|
Bi |
111,5 |
110,4 |
109,3 |
105,2 |
100 |
|
Bii |
103,6 |
100 |
- |
- |
- |
|
Biii |
100 |
100 |
100 |
100 |
- |
|
Biv |
96,4 |
100 |
- |
- |
- |
|
Bv |
88,5 |
89,6 |
90,8 |
94,9 |
100 |
+ B.
№40.
Риск портфеля, составленного Федором, op = haOa ; так как op = 2, а о а = 4, то ha = 0,5. Ожидаемая доходность такого портфеля определяется по формуле
rp = i + (rA - i)= 13 + 2(25 -13) = 19.
o A
№41.
1. Текущую ценность облигации можно определить по формуле
Bo=d+(1+i)-T(Bn - d); Bo=25+1.1-6(10 - 25)=16,5.
2. Если бы у облигации был годовой купон 1000 руб., так как рыночная цена купонной облигации совпадает с ее номиналом, когда d/B = i.
№42.
1. При i = 20 % текущая ценность облигации будет 30/0,2 + (150 -
- 30/0,2)/1,25 = 150. При i = 15 % она составит 30/0,15 + (150 -
- 30/0,15)/1,155 = 175, т.е. текущая ценность облигации Константина возросла на 25 тыс. руб.
2. Ценность вложений в облигации к моменту их гашения определяется по формуле
BT = X zt(1 +i)T -.
t=1
В случае купонного дивиденда (z = const)
(1 + i)T -1
При i = 20% Константин имел бы 30/0,2-(1,25 - 1) + 150 = 373,2. При i = 15% он будет иметь (30/0,15) *(1,155 - 1) + 150 = 352,2. Таким образом, накопления Константина к моменту гашения облигации уменьшились на 21 тыс. руб.
3. Нет, так как при любой ставке процента к концу 1-го года Константин будет иметь 180 тыс. руб.: (30/0,2)-(1,2 - 1) + 150 = 180; (30/0,15)* (1,15 - 1) + 150 = 180.
№43.
а) Текущая ценность облигации составит 10/0,08 + (100 -
- 10/0,08)/1,088 = 111,5; за три года до гашения — 10/0,08 + (100 -
- 10/0,08)/1,083 = 105,2.
б) При i = d/Bn рыночный курс облигации всегда равен ее номиналу, т.е. В0 = В5 = 100.
Ценность облигации будет 6/0,08 + (100 - 6/0,08)/1,088 = 88,5; за 3 года до гашения — 6/0,08 + (100 - 6/0,08)/1,083 = 94,8.

№ 45.
Вычислим ожидаемые доходности
ГА = (20 - 8 + 10 + 5 + 25 +22 - 5 + 15 + 6)/10 = 9;
rB = (-2 + 12 - 3 + 5 + 15 + 12 + 5 + 10 - 4)/10 = 5. Стандартные отклонения при n наблюдениях определяются по формуле
I 1 n
o = JX(r -r)2 ^oa =11,42; оb = 7,01
V n 1 i=1
Вычислим ковариацию
cov( rA,rB) = 11(-7) + (-17)7 +1(-8) +16-10 + 13-7 + 6-(-5) + (-9) x x 5 + (-3)(-9)/10 = -0,1.
Соответственно коэффициент корреляции будет 0,1/(11,42-7,01) = = 0,00125. |
Теперь можно определить долю акций фирмы А в портфеле с минимальным риском
пА = (49,11 - 11,42- 7,01 ¦ 0,00125)/(30,44 + 49,11 - 2-11,42-7,01 х х 0,00125) = 0,273.
Тогда пв = 1 - 0,273 = 0,727. Ожидаемая доходность такого портфеля равна Гр = 0,273-9 + 0,727-5 = 6,1; а его стандартное отклонение ар = [0,2732-130,4 + 0,7272-49,1 + 2-0,273-0,727(-0,1)]°,5 = 5,97. |
С учетом выражения (1)
0,737ар 9,09 + 0,737Jaр - 7,826
р =-^ а р = 2,8686.
ар - 7,826 ар
Тогда Гр = 14,56 и пА = 0,6878; пв = 1 - 0,6878 = 0,3122; и уравнение линии CML принимает вид |
№ 46.
Найдем множество всевозможных портфелей из двух акций. Для этого решим уравнение вариации доходности акции А относительно ее доли в портфеле
_ + 14,56 -5 + 00 0
ги = 5 +--а. = 5 + 33,3а
(2а)
\2_2
ар = п\а\ + (1 - Па)2а^2 = 46nA - 72пА + 36 = (6,782па - 5,3)2 + 7,826.
2,8686
Из уравнения (2а) следует а. = (ги - 5/33,3)2; поэтому функцию по лезности инвестора можно представить так
U = 2г. - (г. - 5/33,3)2 = 2,9г. - 0,09r. - 2,254.
пА1,2 =
5,3 ±0-7826
6,782
Определим ожидаемую доходность портфеля:
Она достигает максимума при dU
drи
- = 2,9 - 0,18ru = 0=
-г. = 16,1;
а,. = 3,33.
гр - 5
Гр -1 к
—-ащ = 5 +
а г
Гр = 13па +18(1 - па) = 18 - 5па.
С учетом найденного значения па:
Гр1,2 = 14,09 ± 0,737^ар - 7,826. (1)
Формула (1) описывает множество всевозможных портфелей из двух данных акций. Для инвестора, не склонного к риску, эффективной областью выбора является подмножество, получающееся при сложении обоих слагаемых в выражении (1), так как только в этом случае с ростом риска увеличивается ожидаемая доходность портфеля.
Определим теперь область выбора всевозможных структур имущества, состоящего из рассматриваемого портфеля и ссуды (заимствования) на денежном рынке. Для этого представим ожидаемую доходность имущества в виде функции от доходности и риска портфеля
, u ' (2)
рр
Уравнение (2) описывает линию CML. Найдем точку касания множеств (1) и (2)
dГр dr. 0,737а р Гр 5
йар da. ^ар - 7,826 ар |
Риск имущества определяется долей портфеля а. = ПрОр, поэтому Пр = 3,33/2,8686 = 1,16. Это означает, что инвестор 0,16-ю часть своего имущества взял в кредит и все свое имущество держит в виде портфеля, в котором доля акций фирмы А равна 68,78%, фирмы В — 31,22%.
№47.
1. Обозначим долю сбережений, используемую на покупку акций А и В соответственно па и пв- Тогда доля ссужаемых или занимаемых инвестором денег равна (1 - па - пв). Задачу инвестора в общем виде можно записать следующим образом:
00000 — — —
а. = ПаО а + пв а в ^ min при г. = ПаГа + пвГв + i(1 - па - пв ) = 11.
Или в заданных условиях
а. = 10,24пА + 1,562пв ^ min при 13па + 3пв = 6.
Решим задачу посредством функции Лагранжа
Ф = 10,24пА + 1,5625пв +А(6- 13па -3пв)^min.
Условия минимизации
— = 20,48па - 13Х = 0; (1)
дпА |
|
|
ЭФ
= 3,125пв 3Я = 0; див B |
(2) |
дФ
-= 6- 13па - 3ив = 0.
дЯ A B |
(3) |
|
Событие |
На каком рынке отобразится |
График какой функции и как изменится |
Какой из графиков модели IS—LM и куда сместится |
Как изменится эффективный спрос |
Как изменится ставка процента |
|
а |
Благ |
S, станет положе |
IS ^ |
+ |
+ |
|
б |
|
I, сдвинется вправо |
IS ^ |
+ |
+ |
|
в |
Денег |
/сд, будет круче |
LM ^ |
- |
+ |
|
г |
Благ |
М, сместится вправо |
LM ^ |
+ |
- |
|
д |
|
/им, сдвинется влево |
LM ^ |
+ |
- |
|
е |
|
S, станет круче |
IS ^ |
- |
- |
Из условий (1) и (2) следует, что ид = 0,66ub. Подставим это значение ид в условие (3) и найдем и%
6 = 13-0,66пв + 3пв ^ 6 = 11,58пв ^ ив = 0,518; тогда ид = 0,518 х х 0,66 = 0,342.
Оставшиеся 14% сбережений следует отдать в ссуду на денежном рынке.
2. Для выявления доходности рыночного портфеля определим доли акций А и В в рыночном портфеле на основе следующих рассуждений. В целом в этот портфель вложено 0,86 всех сбережений. Следовательно, доля акций А равна 0,342/0,86 = 0,4, а доля акций В — 0,6. Ожидаемая доходность такого портфеля составит 0,4-18 + 0,6-8 = 12 при вариации 0,42-10,24 + 0,62 ¦ 1,5625 = 2,2.
Модель IS—LM
№48.
1. S = у - C; следовательно, S = 0,4у - 50. Тогда уравнение линии IS: 0,4у - 50 = 200 - 20i или i = 12,5 - 0,02y. На финансовых рынках равновесие достигается при 0,4y + 500 - 50i = 400; уравнение линии LM: i = 0,008y + 2. Условие совместного равновесия следующее: 12,5 -- 0,02y = 0,008y + 2 ^ у* = 375, i*=5; I* =100; C* = 275; /сд*= 150; /им* = 250.
2. Теперь при каждом уровне дохода объем сбережений сокращается на 50 ед., т.е. S = 0,4у - 100, и условие равновесия на рынке благ принимает вид: 0,4у - 100 = 200 - 20i; уравнение линии IS: i = 15 - 0,02у. Условие равновесия на денежном рынке не изменяется. Поэтому условие совместного равновесия следующее: 15 - 0,02у = 0,008у + 2 ^ у = = 464,3; i* = 5,7; I* = 85,7; C* = 328,6. Следовательно, AI = 85,7 - 100 = = -14,3; АС = 328,6 - 275 = 53,6.
3. Поскольку C v = 0,6, а G = Tyy = 50, то на рынке благ достигается равновесие при у = 50 + 0,6(у - 50) + 200 - 20i + 50 ^ i = 13,5 - 0,02у. Подставив это значение i в уравнение линии LM, найдем равновесное сочетание значений i, у: 13,5 - 0,02у = 0,008у + 2 ^ у = 410,7; i = 5,3. Соответственно I = 94,3; C = 266,4. Следовательно, AI = 94,3 - 100 = = -5,7; AC = 266,4 - 275 = -8,6.
№49.
1. Поскольку объем инвестиций не зависит от ставки процента, то экономика находится в инвестиционной ловушке. Величина эффективного спроса определяется из равенства I = S : 0,25у = 15 ^ у = 60 независимо от величины ставки процента.
2. В состоянии инвестиционной ловушки изменение предложения денег не влияет на величину эффективного спроса.
3. В этом случае величина эффективного спроса определяется из равенства 0,25у = 20 ^ у = 80, т.е. Ау = 20.
№50.
1. Покупка облигаций населением не изменяет пропорцию распределения дохода домашних хозяйств между потреблением и сбережением. Следовательно, спрос частного сектора на рынке благ не изменится. В этом случае линия IS сместится вправо. Рост ставки процента объясняется двумя причинами: а) с увеличением предложения облигаций снижается их курс и повышается ставка процента; б) по мере роста НД, вызванного дополнительными государственными расходами, увеличивается спрос на деньги, что при заданном их предложении повысит ставку процента.
2. Если дополнительные государственные расходы финансируются за счет увеличения задолженности центральному банку, то растет денежная база, а затем и количество находящихся в обращении денег. Поэтому в данном случае обе линии сдвинутся вправо.
№51.
№52.
1. В условиях задачи равновесие на рынке благ будет при
у = 0,8(у - 0,2у) + 1000 - 90i + 800 ^ у = 5000 - 250i. (1)
Условие сбалансированности денежного рынка 500 = 0,25у - 125i. |
2,778.
1 -C v + C vTy у у У
(1а)
Из совместного решения уравнений (1) и (2) находятся равновесные значения ставки процента i = 4 и эффективного спроса у = 4000. При установленной ставке процента доходы государства 800 ед., т.е. бюджет полностью сбалансирован.
2. С учетом ставки подоходного налога мультипликатор автономных расходов будет
1
1 - 0,8 + 0,16
Следовательно, если бы денежный рынок не снижал действие мультипликативного эффекта, то при увеличении государственных расходов на 360 ден. ед. эффективный спрос возрос бы на 2,778-360 + 1000 ден. ед.
Определим приращение эффективного спроса при взаимодействии рынков благ и денег
0,36у = 2160-90І ^ у = 6000 - 250i.
При совместном решении уравнений (1а) и (2) получим i = 5,33; у = 4666,7, т.е. Ду = 666,7. Следовательно, эффект торможения равен 1000 - 666,7 = 333,3 ден. ед.
№53.
1. Так как известна желаемая величина НД, то из условия равновесия на денежном рынке можно определить, какова в заданных условиях будет ставка процента
500 = 0,25-3500 - 62,5i ^ І* = 6.
Из условия равновесия на рынке благ при такой ставке процента найдем искомую ставку подоходного налога
3500 = 0,8- 3500(1 - Ty) + 900 - 50-6 + 800 ^ Ty = 0,25.
2. В этом случае G = 3500Ty, тогда условие равновесия на рынке благ приобретает следующий вид: 3500 = 0,8-3500(1 - Ty) + 900 - 50-6 + + 3500Ty, из которого следует, что Ту = 0,5714; G = 2000.
№ 54.
1. Для определения функции совокупного спроса решим уравнение линии IS относительно i: 4 - 40i = 0,2у ^ i = 0,1 - 0,005у и подставим найденное выражение в уравнение линии LM: 24/P = 1,5у - 100(0,1 -- 0,005у)у = 5 + 12/P. |
2. При Р = 1 совокупный спрос равен 12 + 5 = 17; при Р = 2 соответственно 6 + 5 = 11. Следовательно, совокупный спрос снизится на 6 ед.
Найдем ставку процента Р = 1 и Р = 2 из системы уравнений линий IS и LM
24 = 1,5у - 100i
* ^ i = 0,015; у = 20 - 200i
12 = 1,5у - 100i
* ^ i = 0,045. у = 20 - 200i
№ 55.
Определим предельную склонность домашних хозяйств к сбережению Sy = 1 - Cy - Ty = 1 - 0,4 - 0,25 = 0,35.
Из условия равновесия на рынке благ выведем уравнение линии IS S + T = I + G ^ 0,6y = 178,2 - 4,8i ^ у = 297 - 8i.
После увеличения государственных расходов уравнение линии IS примет вид
0,6у = 198,2 - 4,8I ^ у = 330,3 - 8i.
Следовательно, расстояние сдвига линии IS будет 330,3 - 297 = 33,3. Для получения функции совокупного спроса определим уравнение линии LM
60/P = 0,04у + 60 - i.
Выразим i из уравнения линии IS
i = 37,125 - 0,125у
и подставим его в уравнение линии LM
60/P = 0,04у + 60 - 37,125 + 0,125у ^ у0 = 363,6/P - 138,6. Соответственно после увеличения государственных расходов IS1: i = 41,288 - 0,125у;
LM1: 60/P = 0,04у + 60 - 41,288 + 0,125у ^ у1 = 363,6/P - 113,3.
Следовательно, сдвиг кривой совокупного спроса составит 138,6 -- 113,3 = 25,3.
№56.
1. Из условия равновесия на рынке благ определим равновесную ставку процента
0,4-60 = 20 + 12/i ^ i* = 3. |
Тогда условие равновесия на рынке денег примет вид 81/Р = 0,1-60 + 96/(3-1) ^ Р* = 1,5.
2. При удвоении скорости обращения денег
81/Р = 0,2-60 + 96/(3-1) ^ Р* = 1,35.
При сокращении количества находящихся в обращении денег 40,5/Р = 0,1-60 + 96/(3 - 1) ^ Р* = 0,75.
Распределение денег между двумя направлениями до их увеличения 104 = 0,04-1100 + 100 - 2- 20; 1сд = 44; 1им = 60. Распределение денег между двумя направлениями после их увеличения
150,2 = 0,04-1430 + 100 - 2-3,5; 1сд = 57,2; 1им = 93; ДІсд = 13,2;
ДІим = 33.
№57.
Определим функцию сбережений S = у - 50 - 0,5у = -50 + 0,5у.
Из условия равновесия на рынке благ найдем ставку процента 0,5у - 50 = 200 - 25i ^ i = 10 - 0,02у.
Тогда условие равновесия на рынке денег при Р = 1,5 имеет вид M/1,5 = 0,1у + 24 - 2(10 - 0,02у), из которого следует, что М = 6 + 0,21у.
№58.
1. Из условия равновесия на рынке благ выделим ставку процента
0,4у - 50 = 200 - 20i ^ i = 12,5 - 0,02у.
Необходимое количество денег определится из условия равновесия на денежном рынке
M = 0,4-375 + 500 - 50(12,5 - 0,02-375) ^ M = 400.
2. Определим при M= l
450/Р = 0,4-375 + 500 - 50(12,5 - 0,02-375) ^ Р = 1,125.
3. 1сд = 1,125-0,4-375=168,75; так как i = 12,5 - 0,02-375 = 5, то Іим = 1,125(500 - 50-5)= 281,25.
№59.
1.
. nno ,,n 52 ^у = 357 +—.
\ ^ у = 1430; i = 3,5. |
№60.
В состоянии ликвидной ловушки изменение уровня цен не влияет на величину эффективного спроса. При i = 2 величина эффективного спроса будет 500 - 50-2 = 400. Поэтому уD = 400.
№61.
1. Кривая совокупного спроса тоже сместится вправо, но на меньшее расстояние, чем линия IS, и ее наклон к оси абсцисс уменьшится. Увеличение государственных расходов повысит эффективный спрос на блага. В коротком периоде на рынке благ возникнет дефицит и уровень цен повысится. Из-за снижения реального количества денег кривая LM сместится вправо. Этим объясняется относительно меньший сдвиг кривой совокупного спроса. Уменьшение ее наклона объясняется тем, что после сдвига линии IS последняя стала пересекать кривую LM на более крутом ее участке, в результате проекция скольжения кривой LM по линии IS при изменении уровня цен становится более пологой.
2. Это объясняется следующими экономическими явлениями. Увеличение крутизны кривой LM отражает рост предельной ценности денег (ускорение роста ставки процента) по мере сокращения реального количества денег вследствие повышения уровня цен. Рост ставки процента сокращает инвестиции и через мультипликативный эффект в еще большей степени эффективный спрос. Поэтому эластичность совокупного спроса по уровню цен возрастает.
№62.
Для алгебраического анализа запишем условия равновесия на обоих рынках в приращениях
йу = Суйу -СуйТ - I{di + dG; dM = Іуйу - l{di.
1. В случае финансирования дополнительных расходов государства за счет облигаций dM = 0 и dT = 0. Из второго равенства следует, что di = ^уД. Подставив это выражение в первое равенство, получим |
dy = Cydy
i^dy + dG ^ dy
dG
1 — Cy + Iily / li
(1)
Тогда
j. ly dG
1 = l- ' 1 - C + Il /1-’ (2)
H 1 ^y^1 iy/ H
2. При увеличении задолженности центральному банку dT = 0. Поэтому из системы уравнений
Прирост государственных расходов смещает линию IS вправо (ISq ^ IS 1). Когда DG финансируется за счет облигаций, тогда новое равновесие установится в точке ер В случае займа у центрального банка кроме линии IS вправо смещается и линия LM (LMq > LM1); новое равновесие представляет точка е2. При увеличении налогов линия LM остается на месте, а линия IS после первоначального сдвига IS0 > IS1 совершает возвратное движение IS1 > IS2, отражая сокращение потребления домашних хозяйств вследствие уменьшения располагаемого дохода; новое равновесие представляет точка е3.
[dy = Cydy - Iidi + dG;
I dM = lydy - lidi
Рынок труда
находим, что
dy
Ii
1 +
V li J
dG
1 - Cy + Iily/li
di
lu + Iily / ll
1 Cy + Iily /li
-1
dG li '
(3)
(4)
№63.
В соответствии с неоклассической концепцией объем спроса на труд определяется условием максимизации прибыли при совершенной конкуренции
3. При финансировании расходов государства за счет налогов dM = 0, тогда
dy D
~г~ = w ^ w dN
Л=Л=_L ^ nD
2y[N 2vN VN
d. (1 - Cy )dG ;
y 1 - Cy + I,ly /1, ' (5)
y (1 - Cy )dG
' I; ' 1 - Cy + Iily / li • (6)
Из сравнения выражений (1), (3) и (5) следует, что прирост эффективного спроса наибольший в случае займа государства у центрального банка и наименьший при увеличении налогов. Анализ выражений (2), (4) и (6) показывает, что ставка процента повышается больше при выпуске облигаций, чем при увеличении налогов, а при займе у центрального банка может произойти как повышение, так и снижение ставки процента.
По Кейнсу объем спроса на труд определяется величиной эффективного спроса (у). Поэтому объем спроса на труд определяется из уравнения
y = 2N °’5 ^ Nd = 0,25y2.

№ 64.
1а. Из условия максимизации прибыли (dy/dN = W/P) следует, что WD = 5P/ N 0’5.
Приравняв WD к WS, найдем равновесный объем занятости
N 5P * 2/3
— = ^=^ N = 4P2/3.
1,6 VN
Подставив N* в производственную функцию, определим yS(P) yS = 10V4P2/3 = 20P1/3.
1б. Реальная цена спроса на труд wD = 5/N0,5. Из условия равновесия на рынке труда WD = WS, т.е. 5P/N0,5 = N/1,6, определим равновесную занятость N = 4. Тогда yS(P) = 20.
|
|
|
Параметр |
II |
III |
IV |
V |
VI |
VII |
VIII |
IX |
X |
XI |
XII |
|
g |
0,01 |
0,015 |
0,015 |
0,015 |
0,015 |
0,015 |
0,01 |
0,01 |
0,01 |
0,01 |
0,01 |
|
8 |
0,15 |
0,1 |
0,1 |
0,1 |
0,1 |
0,1 |
0,15 |
0,15 |
0,15 |
0,15 |
0,15 |
|
N |
93,75 |
93,75 |
92,97 |
92,28 |
91,67 |
91,12 |
90,64 |
91,14 |
91,56 |
91,91 |
92,20 |
|
U |
6,25 |
6,25 |
7,03 |
7,72 |
8,33 |
8,88 |
9,36 |
8,86 |
8,44 |
8,09 |
7,80 |
|
gN |
0,94 |
1,41 |
1,39 |
1,38 |
1,37 |
1,37 |
0,91 |
0,91 |
0,92 |
0,92 |
0,92 |
|
8U |
0,94 |
0,63 |
0,70 |
0,77 |
0,83 |
0,89 |
1,40 |
1,33 |
1,27 |
1,21 |
1,17 |
|
AN |
0 |
-0,78 |
-0,69 |
-0,61 |
-0,54 |
-0,48 |
0,50 |
0,42 |
0,35 |
0,29 |
0,25 |
|
Uk |
0 |
0 |
0,78 |
1,47 |
2,08 |
2,63 |
3,11 |
2,61 |
2,19 |
1,84 |
1,55 |
2. Поскольку в ситуации «1а» предложение труда является функцией от ставки номинальной зарплаты, то yS = 20Р1/3 — кейнсианская функция совокупного предложения. Соответственно yS = 20 — неоклассическая.
№65.
а) С увеличением объема используемого капитала возрастает капиталовооруженность труда, а следовательно, и производительность труда. Поэтому кривая предельной производительности труда, которая при совершенной конкуренции одновременно является кривой спроса на труд, сдвинется вправо (отдалится от начала координат).
б) Увеличение численности населения само по себе не меняет функцию спроса на труд, поэтому положение кривой ND не изменится.
в) Снижение реальной ставки зарплаты при заданном уровне цен не меняет расположение кривой ND, но уменьшает наклон кривой предложения труда, так как каждый объем последнего предлагается теперь по более низкой ставке номинальной зарплаты. В результате возрастет уровень занятости.
г) Технический прогресс увеличивает предельную производительность труда, поэтому кривая спроса на труд сдвинется вправо.
д) При снижении уровня цен возрастает правая часть уравнения dy/dN = W/P, являющегося условием максимизации прибыли. Поэтому максимум прибыли будет достигаться при более высокой предельной производительности труда, что при заданной технологии возможно только за счет сокращения спроса на труд. Следовательно, кривая ND сместится влево.
е) Снижение производительности труда приводит к сдвигу кривой предельной производительности труда (кривой спроса на труд) влево.
ж) В кейнсианской концепции изменение ставки процента непосредственно не влияет на конъюнктуру рынка труда, а в неоклассической с повышением ставки процента возрастает предложение труда. Поэтому при измененном положении кривой спроса на труд увеличивается занятость.
№66.
В соответствии с кейнсианской концепцией ни одно из перечисленных событий не отразится на расположении кривой NS(W). В неоклассической концепции события «а» и «б» приведут к увеличению занятости из-за повышения предельной производительности труда (сдвигу вправо кривой спроса на труд), но положение кривой предложения труда не изменится. При снижении ставки процента рабочие уменьшат объем предложения труда при любой ставке зарплаты; поэтому график NS(W) сместится влево. В случае повышения уровня цен снизится ставка реальной зарплаты и предложение труда сократится, т.е. кривая NS(W) сместится влево.
№67.
Так как в условиях полной занятости g = 0,01 и 8 = 0,15, то по формуле (7.3) из учебника определим, что естественная норма безработицы равна 0,01/0,16 = 0,0625, или 6,25 млн чел.
Расчет динамики фактической и конъюнктурной безработицы в течение указанного срока приведен в таблице (данные на начало месяца).
№68.
Доля безработных в общем числе трудовых ресурсов до фазы подъема составляла 0,012/(0,1 + 0,012) = 0,107 = 10,7%. В результате экономического подъема эта доля снизилась до 0,008/(0,008 + 0,112) = = 0,0667 = 6,7 %. Коэффициент Оукена показывает, на сколько процентов изменится НД при изменении нормы безработицы на 1%.
Следовательно, в фазе подъема НД увеличится на 3(10,7 - 6,7) = 12%.
№69.
1. Только на рынке денег. Хотя точка І1, y1 лежит на линии IS, на рынке благ нет равновесия. Рынок благ был бы сбалансирован, если бы совокупное предложение при уровне цен P1 было бы совершенно эластичным (график yS(P) был бы параллелен оси абсцисс и проходил бы через точку P1).
2. Нигде.
3. На рынках благ и труда. О равновесии на рынке благ говорит тот факт, что точка І2, y2 лежит на линии IS и в то же время при P2 объем совокупного спроса равен объему совокупного предложения. О равновесии на рынке труда свидетельствует перпендикулярное расположение графика yS(P), что соответствует состоянию полной занятости. |
4. Нигде.
5. Равновесие достигнуто на рынках благ и капитала, а следовательно, в соответствии с законом Вальраса и на рынке труда.
№70.
Из условия максимизации прибыли определим цену спроса на труд WD = PwD = 9 - N. По условию NS = 2wS = 2 WSP ^ WS = 0,5PN.

Общее экономическое равновесие
№71.
1. Вертикальное расположение yD(P) соответствует инвестиционной или ликвидной ловушке. Горизонтальное расположение yS(P) отражает существенную недогрузку производительных мощностей и большую безработицу. Следовательно, рисунок соответствует состоянию устойчивой депрессии. |
2: а — не изменяется; б — у возрастет, Р не изменяется.
№72.
Из условия равновесия на рынке благ найдем ставку процента 15г = = 100 - 10i ^ i* = 4.
Из условия максимизации прибыли при совершенной конкуренции выведем функцию спроса на труд
Из условия равновесия на рынке труда определим занятость и ставку реальной заработной платы при i = 4. Так как wD = 75/VN, a ws = = 0,5(N - 2,75-4) = 0,5N - 5,5, то
wD = 754n = 0,5N - 5,5 ^ N = 36.
При такой занятости выпуск 150л/3в = 900. Из уравнения количественной теории денег найдем уровень цен: 100-20 = 900P ^ P = 2,22.
№73.
Выведем функцию спроса на труд из условия максимизации прибыли
|
dy
dN |  |
N |
Из условия равновесия на рынке труда найдем ставку реальной зарплаты и занятость:
8/w3 = 0,5w ^ w* = 2; N = 1. Тогда у = 3 при любом уровне цен. Из условия равновесия на рынке благ определим ставку процента: 0,1у = = 1 - 10i ^ i = 0,1 - 0,01у. Условие равновесия на денежном рынке будет следующее: 27,2/P = 5у - 20i. Теперь выведем уравнение совокупного спроса: 27,2/P = 5у - 20(0,1 - 0,01у) ^ у = 5,23/P + 0,3846.
Приравняв совокупный спрос к совокупному предложению, найдем уровень цен:
5,23/P + 0,3846 = 3 ^ P* = 2.
№74.
Из-за роста располагаемого дохода домашних хозяйств увеличится их потребление и линия IS сдвинется вправо. Новая точка ее пересече-
= 28,6 + ^Р* = 1; y* = 473.
60•28Р ( 28Р
При повышении уровня цен в 1,5 раза совокупный спрос составит
60 • 28 -1,5 ( 28 -1,5
2 +1,5 У 2 +1,5,
Следовательно, AyD = 324,8 - 472,9 = -148,1; AyS = 576 - 472,9 = 103,1.
4N + 4Р = 60Р - 2NP ^ N = 28Р/(2 + Р). Тогда функция совокупного предложения имеет вид
S/n4 60• 28Р ( 28Р
yS (Р)=-
0,2 y , а 4(26 -
ния с линией LM будет соответствовать увеличенным значениям эффективного спроса и ставки процента. Рост ставки процента сократит спрос на инвестиции. Так проявится первая составляющая эффекта вытеснения.
Вслед за линией IS вправо сместится кривая совокупного спроса. На рынке блага образуется дефицит и уровень цен повысится. Из-за этого кривая LM сместится влево и ее пересечение со сдвинувшейся вправо линией IS отобразит второе повышение ставки процента, порождающее вторую составляющую эффекта вытеснения.
№75.
1. Определим ставку процента из уравнения линии IS и подставим ее в уравнение линии LM
20/Р = 0,2y + 16 - 3(10 - y/3) ^ 20/P = 1,2y - 14 ^ yD(P) = 70/6 + 100/6P.
Найдем функцию цены спроса на труд wD = 5/VN". На рынке труда определяются N* и w*: 0,625N = 5/vN ^ N = 4; w = 2,5. При такой занятости у = 20; i = 10 - 20/3=3,33. На рынке денег будет равновесие, если 20/Р = 1,2-20 - 14 ^ Р* = 2. Тогда W* = 2,5-2 = 5.
2. Из-за сохранения ставки номинальной зарплаты объем спроса на труд определится из равенства 5P/VN = 5 ^ N = Р2. Теперь функция совокупного предложения имеет вид yS(P) = 10Р. Приравняв ее к функции совокупного спроса, определим уровень цен и выпуск: 10Р = 70/6 + + 100/6Р ^ Р* = 1,67; у* = 16,67. При таком уровне цен w = 5/1,67 = 3. Тогда предложение труда составит 1,6-3 = 4,8. Но для производства у* = 16,67 достаточно 2,8 ед. труда, так как 10 ¦ 2,80,5 = 16,67. Поэтому безработица составит 4,8 - 2,8 = 2.
№76.
Определим функцию цены спроса на труд
dy/dN = 60 - 2N = WD / Р ^ WD = 60Р - 2NP.
Из условия равновесия на рынке труда определим занятость:
2 + Р У 2 + Р,
Из условия равновесия на рынке благ следует, что i = 26 из условия равновесия на рынке денег: 373,2/Р = 0,04y + 80 - 0,2у) ^ yD(P) = 28,6 + 444,3/Р. |
Найдем равновесный уровень цен и выпуск в исходных условиях
2 yD(P) = 28,6 + 444,3/1,5 = 324,8, а совокупное предложение —
2
= 576.
№ 77.
1. Условие равновесия на рынке благ y = 0,6y + 16 - 2i ^ i = 8 - 0,2y. Условие равновесия на денежном рынке следующее: 24/Р = 0,48y + 18 -- 3i ^ i = 0,16y + 6 - 8/P.
Условие совместного равновесия на рынках благ и денег 8 - 0,2y = 0,16y + 6 - 8/P ^ yS(P) = 5,5 + 22,2/P.
Определим цену спроса на труд из условия, что dy/dN = W/P; WD = 5P/N0,5, а цену предложения труда при NS = 1,6 W ^ WS = 0,625N. Условие равновесия на рынке труда следующее: 5P/N0,5 = 0,625N ^ N = = 4Р2/3.
Подставив найденное выражение для N в производственную функцию, определим функцию совокупного предложения yS(P) = = 10(4Р2/3)1/2 = 20Р1/3.
Найдем значение уровня цен, при котором совокупный спрос равен совокупному предложению, 5,5 + 22,2/Р = 20Р1/Х3 ^ Р* = 1,34. Тогда y* = 22,07; N* = 4,87; i* = 3,58; W = 3,04.
2. Увеличение спроса на рынке благ сдвигает линию IS вправо
y = 0,64y + 20 - 2i ^ i = 10 - 0,2y.
Линия LM остается на месте, а кривая совокупного спроса вслед за IS сдвинется вправо: 10 - 0,2y = 0,16y + 6 - 8/Р; yD(P) = 11,1 + 22,2/P. Повысившийся в результате этого уровень цен сдвигает от начала координат кривую ND. Кривая NS из-за наличия у рабочих денежных иллюзий остается на месте. Поэтому кривая совокупного предложения тоже не сместится. Равновесный уровень цен и выпуск определим из следующего равенства: 11,1 + 22,2/Р = 20Р1/3 ^ Р* = 1,73; y* = 24.
3. Уравнение линии LM: 36/Р = 0,48y + 18Р - 3i ^ i = 0,16y + 6 - 12/P. |
|
|
|
t |
С |
Іа |
hn |
у |
|
0 |
500 |
100 |
0 |
600 |
|
1 |
500 |
150 |
0 |
650 |
|
2 |
535 |
100 |
40 |
675 |
|
3 |
552,5 |
100 |
20 |
672,5 |
|
4 |
550,8 |
100 |
-2 |
648.8 |
|
5 |
534,1 |
100 |
-19,0 |
615,1 |
|
6 |
510,6 |
100 |
-26,9 |
583,7 |
Уравнение линии IS то же, что и в ситуации «1». Тогда 8 - 0,2у = = 0,16у + 6 - 12/P ^ yD(P) = 5,5 + 33,3/P. Уравнение линии yS(P) то же, что в ситуации «1». Тогда 5,5 + 33,3/P = 20P1/3 ^ P* = 1,78; у* = = 24,25; W = 3,67; N = 5,88; i* = 3,14.
Теория экономических циклов
№78.
1.
2. Да, после восстановления динамического равновесия.
№79.
1. В условиях задачи условие равновесия на рынке благ представляется уравнением
yt =120 + 0,8yt-1 + 400 + 0,25(yt-1 - yt-2 ).
Динамическое равновесие достигается, если yt-2 = yt-1 = yt, т.е. при
у = 120 + 0,8у + 400 ^ у = 2600.
2. С момента изменения автономных инвестиций динамика НД будет следующей:
а)
у5 = 120 + 0,8 • 2600 + 500 = 2700; у6 = 120 + 0,8 • 2700 + 400 + 0,25(2700 - 2600) = 2705; у7 = 120 + 0,8 • 2705 + 400 + 0,25(2705 - 2700) = 2685,25; у8 = 120 + 0,8 • 2685,25 + 400 + 0,25(2685,25 - 2705) = 2663,3;
б)
у5 = 120 + 0,8 • 2600 + 500 = 2700; у6 = 120 + 0,8 • 2700 + 500 + 0,25(2700 - 2600) = 2805;
у7 = 120 + 0,8 • 2805 + 500 + 0,25(2805 - 2700) = 2890,25;
у8 = 120 + 0,8 • 2890,25 + 500 + 0,25(2890,25 - 2805) = 2953,5.
3.
а) у = 120+0,8у+400 ^ у* = 2600;
б) у = 120+0,8у + 500 ^ у* = 3100.
4. Для определения динамики НД, возникающей после экзогенного шока, нужно узнать, в какой из пяти областей на рис. 9.2 из учебника находится сочетание Су,п в условиях задачи. Построив график функции Су = -r\ + 2yfn или представив ее в табличной форме, можно убедиться, что сочетание Су = 0,8, п = 0,25 находится в области I. Поэтому в случае разового увеличения автономных инвестиций в 5-ом году НД после всплеска монотонно возвращается к 2600, а при сохранении автономных инвестиций на уровне 500 НД с 5-го года монотонно увеличивается до 3600.
5:
«1» у = 120 + 0,6у + 920 ^ у = 2600;
«2а»
у5 = 120 + 0,6 • 2600 +1020 = 2700; у6 = 120 + 0,6 • 2700 + 920 + 0,25(2700 - 2600) = 2685; у7 = 120 + 0,6 • 2685 + 920 + 0,25(2685 - 2700) = 2647,25; у8 = 120 + 0,6 • 2647,25 + 920 + 0,25(2647,25 - 2685) = 2618,9;
«2б»
у5 = 120 + 0,6 • 2600 +1020 = 2700; у6 = 120 + 0,6 • 2700 +1020 + 0,25(2700 - 2600) = 2785; у7 = 120 + 0,6 • 2785 +1020 + 0,25(2785 - 2700) = 2832,25; у8 = 120 + 0,6 • 2832,25 +1020 + 0,25(2832,25 - 2785) = 2851,2;
«3а» у = 120 + 0,6у + 920 ^ у = 2600;
«3б» у = 120 + 0,6у + 1020 ^ у* = 2850;
«4» Сочетание Су = 0,6, п = 0,25 находится в области II, поэтому теперь после разового увеличения автономных инвестиций НД возвращается к 2600 через затухающие колебания. Соответственно в случае сохранения автономных инвестиций на уровне 500 после 5-го года НД колебательно увеличивается до 3600. |
6. Поскольку теперь п = 1, то после экзогенного толчка НД приобретает незатухающие колебания в случае «2а» около 2600, в случае «2б» около 3600.
7: а) Из условия равновесия на денежном рынке определим ставку процента
360 = 0,15yt-1 + 120 - 6it ^ it = 0,025yt-1 - 40 ^ it-1 = 0,025yt-2 - 40.
При такой ставке процента на рынке благ будет равновесие, если выполняется следующее равенство:
yt = 120 + 0,8yt-l + 0,25(yt-i - yt-2) + 400 - 20(0,025yt-i - 40) ^
^ y = 1885,7;
б) Определим параметр X, определяющий сдвиг разделительной линии (см. формулу (9.7) из учебника), X = Ijly/lj = 20-0,15/6 = 0,5. Следовательно, уравнение линии, отделяющей монотонную динамику НД от колебаний его величины, теперь имеет вид Cy = _ + 2^/п + 0,5. Сочетание Cy = 0,8, п = 0,25 находится в области II, поэтому при разовом увеличении автономных инвестиций НД после всплеска в 5-ом году через затухающие колебания возвращается к 2600. В случае сохранения автономных инвестиций на уровне 500 НД после затухающих колебаний примет значение 3600;
в) при сочетании Cy = 0,8, п = 1 экономическое состояние соответствует области III, поэтому в случае нарушения динамического равновесия возникнут взрывные колебания НД;
г) найдем параметр h, определяющий сдвиг разделительной линии (см. формулу (9.9) из учебника),
h = Ii (а - ly) = 20(0,41 - 0,15) = 02 “ (b + k) = 20 + 6 = , .
Поэтому уравнение разделительной линии имеет вид Cy = -п +
+ 2V п- 0,2.
Сочетание Cy = 0,6, п = 1, соответствующее заданным условиям, оказалось в области I, поэтому после увеличения автономных инвестиций НД монотонно устремляется к новому равновесному значению.
№80.
1. Условие равновесия на рынке благ
yt = 0,7 5yt-1 + 0,6(yt-1 - yt-2) + 470 + 200 - 4it-1. |
Выразим i через y из условия равновесия на денежном рынке 360 = 0,125yt-1 + 60 - 5it ^ it = 0,025yt-1 - 60 ^ it-1 = 0,025yt- _ 60. Тогда yt = 0,75yt-1 + 0,6(yt-1 - yt-2) + 470 + 200 - 4(0,025yt-2 - 60) ^ ^ y = 2600.

2. Найдем параметр X, определяющий сдвиг разделительной линии (см. формулу (9.7) из учебника): X = Ijly/Ц =4 -0,125/5 = 0,1. Следовательно, уравнение линии, отделяющей монотонную динамику НД от колебаний его величины, теперь имеет вид Cy =- + 2д/Г"+0Д. Заданное в условии задачи сочетание Cy = 0,75, п = 0,6 оказывается в области II, поэтому равновесие восстановится через затухающие колебания.
3. Для перемещения сочетания Cy = 0,75, п = 0,6 в область I достаточно, чтобы параметр h, определяющий сдвиг разделительной линии, был равен 0,2. Для этого параметра a и b функции предложения денег нужно определить из равенства: 0,2 = 4(a - 0,125)/(b + 5). Возьмем a = 0,5; b = 2,5. Тогда ставка процента определяется из условия равновесия на денежном рынке
0,5yt_1 + 2,5it = 0,125yt_1 - 5it ^ it = -0,05yt_1 ^ it_1 = -0,05yt_2.
Равновесное значение НД определится следующим образом:
yt = 0,75yt _1 + 0,6(yt _1 - yt _2 )+470 + 200- 4(-0,05yt _2) ^ y = 13400.
После увеличения государственных расходов величина национального дохода монотонно устремляется к новому равновесному значению. |

|
|
t |
C |
Ia |
Iin |
G |
y |
i |
|
0 |
1950 |
180 |
0 |
470 |
2600 |
5 |
|
1 |
1950 |
180 |
0 |
550 |
2680 |
5 |
|
2 |
2010 |
180 |
48 |
550 |
2788 |
7 |
|
3 |
2091 |
172 |
64,8 |
550 |
2877,8 |
9,7 |
|
4 |
2158,4 |
161,2 |
53,9 |
550 |
2923,4 |
11,9 |
|
5 |
2192,6 |
152,2 |
27,4 |
550 |
2922,2 |
13,1 |
|
6 |
2191,6 |
147,7 |
-0,8 |
550 |
2888,5 |
13,1 |
|
7 |
2166,4 |
147,8 |
-20,2 |
550 |
2844,0 |
12,2 |
|
8 |
2133,0 |
151,1 |
-26,7 |
550 |
2807,4 |
11,1 |
|
9 |
2105,6 |
155,6 |
-21,9 |
550 |
2789,2 |
10,2 |
|
10 |
2091,9 |
159,3 |
-10,9 |
550 |
2790,3 |
9,7 |
|
t |
C |
Ia |
Iin |
G |
y |
|
0 |
10050 |
2880 |
0 |
470 |
13400 |
|
1 |
10050 |
2880 |
0 |
550 |
13480 |
|
2 |
10110 |
2880 |
48 |
550 |
13588 |
|
3 |
10191 |
289,6 |
64,8 |
550 |
13701,8 |
|
4 |
10276,4 |
2917,6 |
68,3 |
550 |
13812,2 |
|
5 |
10359,2 |
2940,4 |
66,3 |
550 |
13915,8 |
|
6 |
10436,8 |
2962,4 |
62,1 |
550 |
14011,4 |
|
7 |
10508,6 |
2983,2 |
57,4 |
550 |
14099,1 |
|
8 |
10574,3 |
3002,3 |
52,6 |
550 |
14179,2 |
|
9 |
10634,4 |
3019,8 |
48,1 |
550 |
14252,3 |
|
10 |
10689,2 |
3035,8 |
43,9 |
550 |
14318,9 |
4.
Динамика экономических параметров после увеличения государственных расходов в условиях задания «2»

Динамика экономических параметров после увеличения государственных расходов в условиях задания «3»
В этом случае уравнение динамики национального дохода имеет вид
yt = Cyyt _i + n(Vt-1 - yt-2) -8yt-1 + At, где At — все независимые от у слагаемые. Тогда 8yt = (Cy + b - 8)Ayt-i + + bAyt-2.
Уравнение разделительной линии Cy = 8 - n + 2n0,5.
Поскольку разделительная линия смещается вверх, сохраняя максимальное значение при n = 1, то область устойчивого равновесия не изменится, так как Cy < 1, но область монотонного (неколебательного) восстановления уменьшится на заштрихованную площадь.

№ 82.
1. Объем годовых инвестиций равен доле капитала в НД It = (1- 8t)yt = AKt. |
|
|
|
t |
8 |
и |
t |
8 |
и |
|
0 |
0,885 |
0,85 |
12 |
0,889 |
0,856 |
|
1 |
0,885 |
0,849 |
13 |
0,896 |
0,854 |
|
2 |
0,884 |
0,848 |
14 |
0,901 |
0,851 |
|
3 |
0,882 |
0,847 |
15 |
0,902 |
0,846 |
|
4 |
0,879 |
0,847 |
16 |
0,898 |
0,842 |
|
5 |
0,875 |
0,847 |
17 |
0,889 |
0,838 |
|
6 |
0,872 |
0,848 |
18 |
0,876 |
0,836 |
|
7 |
0,870 |
0,850 |
19 |
0,862 |
0,837 |
|
8 |
0,870 |
0,852 |
20 |
0,848 |
0,841 |
|
9 |
0,872 |
0,854 |
21 |
0,839 |
0,847 |
|
10 |
0,876 |
0,856 |
22 |
0,837 |
0,856 |
|
11 |
0,882 |
0,857 |
23 |
0,843 |
0,865 |

Доля труда в НД составит 81 = wtNt/yt = wt/at, где at = yt/Nt — производительность труда. Тогда 81 = Wt - at. В условиях задачи ait = = 0,02 и Wt = 1,2ut -1; поэтому
81 = 1,2 -1,02. (1)
Поскольку Nt / Nt =ut, то Ut = Nt - Nt. По условию задачи Nt = = 0,01. Из определения производительности труда следует, что N1 = = yt - ait = yt - 0,02. Так как yt = Kt, то Nt = Kt - 0,02.
В свою очередь Kt = AKt /Kt = (1 - 8t )yt /Kt = 0,25(1 - 8t). Поэтому
и t = 0,25(1-81) - 0,02 - 0,01 = 0,22 - 0,2581. (2)
При 80 = 0,885 и U0 = 0,85 из системы уравнений (1) и (2) определяется динамика искомых показателей (см. таблицу и рисунок).
и, 8
2. Равновесные значения и и 8 определяются на основе приравнивания левых частей уравнений (1) и (2) к нулю. Тогда 1,2ut = 1,02 и 0,258t = 0,22 ^ ut = 0,85; 8t = 0,88.
Теория инфляции
№83.
1: а) В условиях задачи формула теоретической кривой Филлипса (см. формулу (10.2) из учебника) принимает вид Wt = Wt-1[1 + 0,2(Nt -
- 64)/64]. Расчеты по этой формуле дают следующие результаты
t........ 1 2 3 4 5 6 7 8 9 10 11 12
W..... 15 15,3 15,5 15,3 15 14,7 15 15 15 15 15,4 15,4
б) из условий задачи следует, что параметр Оукена в формуле (7.5) из учебника равен 2,5; соответственно а по формуле (7.6) составит 0,00111. Учитывая, что ur = u* + (N* - N)/N*, в условиях задачи имеет место равенство: (64 - Nt)/64 = 0,00111(360 - yt). Отсюда yt = 360 -
- (64 - Nt)/0,071. Расчеты по этой формуле дают следующие результаты:
t........ 1 2 3 4 5 6 7 8 9 10 11 12
y....... 360 444 416 304 275 275 444 360 360 388 444 360
в) в условиях задачи трудоемкость производства НД при полной занятости будет 64/360 = 0,1777. При расчетах уровня цен она полагается неизменной, так как конъюнктурные колебания производительности труда учитываются в величине параметра Оукена. Следовательно, формула (10.4) из учебника принимает вид Pt = 1,25-0,1777 Wt. Она дает следующую динамику уровня цен: P1 = 3,33; P2 = 3,4; P3 = 3,44; P4 = 3,4; Р5 = 3,33; P6 = 3,27; P7 = 3,33; P8 = 3,33; P9 = 3,33; P10 = 3,35; P11 = 3,41; P12 = 3,41.
Так как Yt = Ptyt, то Y1 = 1198,8; Y2 = 1509,6; Y3 = 1431; Y4 = 1033,6; Y5 = 915,7; Y6 = 899,3; Y7 = 1458,5; Y8 = 1198,8; Y9 = 1198,8; Y10 = 1358; Y11 = 1514; Y12 = 1227,6.
2: а) Так как в условиях задачи коэффициент в в формуле (10.3) из учебника равен 0,000222, то динамическая функция совокупного предложения без инфляционных ожиданий имеет вид y^ = 360 + 4500п t. Следовательно, при темпе инфляции, равном 5 %, объем совокупного предложения составит 360 + 4500-0,05 = 585;
б) поскольку фактический темп инфляции совпадает с ожидаемым, то yS = yF = 360;
в) в соответствии с формулой (10.10) из учебника yf = 360 + + 4500(0,05 - 0,04) = 405. |
= - 0,0002,
Air =
№ 84.
а) При статических ожиданиях Р/ = Pt-j. Поэтому динамика цен будет определяться по следующей цепочке: QS=2 -2,5 = 5 ^ QD = 5 ^ ^ Р\ = 9 — 5 = 4 ^ Q2 = 2-4 = 8 ^ q2 =8 ^ Р2 = 9 — 8 = 1 ^ Q3 =2-1 ^ ^ Р3 = 9 - 2 = 7.
б) При адаптивных ожиданиях Р/ = Р/-і + 0,25(Pt-i - РДі). Из данных задачи следует, что
9 - 2,5 = 6,5 = 2Р0е ^ Р0е = 3,25; Р® = 3,25 + 0,25(2,5 - 3,25) = 3,0625;
QS = 2 • 3,0625 = 6,125; 9 - Р1 = 6,125 ^ Р1 = 2,875;
Р2е = 3,0625+0,25(2,875 - 3,0625) = 3,015;
QS = 2 • 3,015 = 6,03; 9 - Р2 = 6,03 ^ Р2 = 2,97;
Р3е = 3,02 + 0,25(2,97 - 3,02) = 3;Q| = 2 • 3 = 6;9 - Р3 = 6 ^ Р3 = 3.
в) При рациональных ожиданиях Р/ = Рі поэтому экономические субъекты определяют будущую цену из следующего равенства: QDe = QSt/9 - Р® = 2Р® ^ Р® = Рг = 3 для любого периода.
№85.
Реальная ставка процента определяется по формуле
ir = (i -п)/(1 + п).
Следовательно,
0,167 - 0,085 0,15 - 0,069
1,085 1,069
т.е. реальная ставка процента практически не изменилась. |
№87.
Определим уравнение линии IS
180 - 10i + 80 + 30 = 20 + 0,1y + 0,15y - 40 + 0,15y ^ y = 775 - 25i;
с учетом инфляционных ожиданий y = 775 _ 25(i _ pe).
Определим уравнение линии LM
840/Р = 0,1y + 400 - 8i ^ i = 0,0125y + 50 - 105/Р.
Определим статическую функцию совокупного спроса
y = 775 - 25(0,0125y + 50 - 105/Р - пe ) ^ y = 2000/Р - 362 + 19ne.
Так как в условиях задачи I{ = 10; 4 = 8; ly = 0,1; ^y = 0,4, то параметры формулы (10.13) из учебника примут следующие значения: a = 1,9, b = 2,38, с = 19.
Учитывая, что А = 310; imax4 = 400, получаем
y = 1,9 • 310 + 2,38(840/Р - 400) + 19п e.
Запишем это уравнение в приращениях по времени
Ayt = 1,9Д + 2,38 • —(M t-п t)+19Ад t.
Р0
Примем Р0 = 1 и Mt_l/Pt = const. Тогда динамическая функция совокупного спроса в условиях задачи имеет вид
yt = yt_1 + 1,9АД + 2000(Mt -пt)+19Апt.
№86.
Кривая Оукена
1100 - y t
№ 88.
J yD = 360 + 2000 • 0,05 - 2000п1 У = 360 + 4500п1 - 0,02 • 4500
N- Nt yt -1100 _ Nt - N
401,5.
^ П1 = 0,0292; y1
(1)
=3
1100 N * 3300 N
Кривая Филлипса с инфляционными ожиданиями
W - Wt-1 N *-Nt
ТТЛ = * +nt-1.
Wt-1 2N Л
Поскольку при ценообразовании «затраты плюс» Wt = nt, то
J yD = 401,5 +100 - 2000п2 +19 • 0,0092 (
У = 360 + 4500п2 - 0,0292 • 4500 \
У = 417,6+100 - 2000п3 +19(0,042 - 0,0292\ lyS = 360 + 4500п3 - 0,042 • 4500 \
>п2 = 0,042; y2 = 417,6.
>п3 = 0,0534; y3 = 411,1.
Nt - N
>2(nt-п t-1) =
(2)
п t пt-1 =
2N N
Приравняв левые части равенств (1) и (2), получим yt = 1100 + + 6600nt - 6600nt_1.
JyD = 411,1 +100 - 2000п4 +19(0,0534 - 0,042 Jy4S = 360 + 4500п4 - 0,0534 • 4500
^ п4 = 0,06; y4 = 4390,8. |
(*)
— 0,0633;
0,13;
п1 —
№89.
а) Из условия динамического равновесия на рынке благ yD (п) = = yf (п) с учетом, что Апe = пe-1 - пе_2, следует
yt-1 _ yF + 20Mt +10(п t-1 _ п t-2) +1,5AAt + 25п t-1
45
Поэтому в первом году
20 • 0,08 + 25 • 0,05
45
y1 —10 + 25(0,0633 - 0,05) —10,33.
Результаты аналогичных расчетов для следующих периодов приведены ниже:
б) Проведем расчеты по формуле (*) для первого года
20 • 0,05 + 25 • 0,05 +1,5-2 пііпп
п —-:-:-:-— 0,1167;
у1 —10 + 25(0,1167 - 0,05) — 11,67.
Результаты аналогичных расчетов для следующих периодов приведены ниже:
в) Проведем расчеты по формуле (*) для первого года
20 • 0,05 + 25-0,08 +1,5 • 2 45
у1 —10 + 25(0,13 - 0,05) —12.
Результаты аналогичных расчетов для следующих периодов приведены ниже:
|
Поскольку равновесный темп инфляции (см. формулы (10.18) и далее из учебника)
- a , . п — Mi1 +—AAt, h
то в условиях задачи п = 0,08 + 1,5-2/20 = 0,23.
№90.
1. Сокращенная величина реальных кассовых остатков трех рассматриваемых хозяйств (1—3) соответственно равна 16; 40 и 64 руб. При удвоении уровня цен номинальная величина кассовых остатков соответственно составляет 32; 80 и 128 руб. Следовательно, для пополнения кассовых остатков первое хозяйство использовало 32 - 20 = 12 руб.; второе — 80 - 50 = 30 руб.; третье — 128 - 80 = 48 руб. Таким образом, общая сумма инфляционного налога составит 12 + 30 + 48 = 90 руб.
2. Вычтем из номинального дохода каждого хозяйства за текущий период величину инфляционного и подоходного налогов, тогда
1) 340 - 12 - 0,25-340 = 243;
2) 800 - 30 - 0,6 - 800 = 290;
3) 1600 - 48 - 0,6-1600 = 592.
С учетом удвоения уровня цен реальные располагаемые доходы рассматриваемых хозяйств соответственно составят 121,5; 145 и 296 руб., т.е. реальный располагаемый доход , %, первого сократился на 28,5, второго — на 63,8 и третьего — на 64.
Стабилизационная политика в закрытой экономике №91.
1. Найдем сначала равновесные значения эндогенных параметров в исходном состоянии. Условие равновесия на рынке благ S + T = I + G, тогда
0,6у — 98,2 - 4,8г + 80 ^ у — 297 - 8i.
Условие равновесия на денежном рынке M = L, тогда 60/Р — 0,04у + 60 - i ^ i — 0,04у + 60 - 60/Р.
Функция совокупного спроса
у — 297 - 8(0,04у + 60 - 60/Р) ^ у — 363,64/Р -138,64.
Функция цены спроса на труд dy/dN = 60 - 6N = wD ^ WD = 60Р -- 6PN. |
/ (P)=60^1 - 3(60P - 2
363,64 -138,64 = 6060P 2 - 3 P
Р = 1.
60P - 2 5,6 + 6P
60P - 2 5,6 + 6P
252 = 60
60Р - 2
-Р1 = 0,824.
209,25 = 60
58P
58 p
yS (P) = 60 ^ „ - 3
58P
58P
252 = 60-^--31
5,6 + 6Р I 5,6 + 6Р
Условие равновесия на рынке труда WS = WD, тогда
2 + 5,6N = 60P - 6PN ^ N = (60Р - 2)/(5,6 + 6Р). Функция совокупного предложения
5,6 + 6P ^ 5,6 + 6P,
Определим равновесный уровень цен из условия yD(P) = yS(P) 60P - 2
5,6 + 6P ^ 5,6 + 6P,
Тогда i = 0,04y, и из условия равновесия на рынке благ найдем у* = 225; i* = 9; N* = 5; w* = W = 30.
Определим, при каком уровне цен объем совокупного предложения составит 252 ед.
2
^ P1 = 1,483.
Из условия равновесия на рынке денег найдем значение ставки процента i = 70,08 - 60/1,483 = 29,6; а из условия равновесия на рынке благ — объем государственных расходов G = 8 + 4,8-29,6 = 150.
Теперь занятость N1 = (60-1,438 - 2)/(5,6 + 6-1,438) = 5,9; AN = 5,9 -- 5 = 0,9.
2. В связи с изменением цены предложения труда меняются условие равновесия на рынке труда и функция совокупного предложения
60P - 6 PN=2P+5,6 N ^ N=58P /(6P+5,6);
2
5,6+6P ^ 5,6+6PJ
Необходимый для предложения 252 ед. благ уровень цен определяется из уравнения
2
^ Р2 = 1,527.
Из условия равновесия на рынке денег найдем ставку процента i = 70,08 - 60/1,527 = 30,8.
Из условия равновесия на рынке благ величина государственных расходов будет
G = 8 + 4,8-30,8 = 155,8. |
Занятость N* = 58-1,527/(6-1,527 + 5,6) = 6.
Несмотря на уменьшение предложения труда (сдвиг NS влево) занятость возросла из-за того, что Р2 > Р1 в условиях, когда темп роста цены предложения труда отстает от темпа роста уровня цен: (2Pt + + 5,6N)/(2Pt-1 + 5,6N) < Pt/Pt-1.
3. Из уравнения линии IS найдем ставку процента i = (297 - 252)/8 = = 5,625. При такой ее величине на денежном рынке будет равновесие, если реальное предложение денег M/P = 0,04 -252 + 60 - 5,625 = 64,455. Как было установлено при решении в задании «1», объем совокупного предложения будет равен 252 ед., если Р = 1,483. Следовательно, M = 64,455-1,483 = 95,6, т.е. AM = 35,6. Несмотря на увеличение предложения денег, ставка процента не изменилась, так как одновременно вследствие роста НД возрос спрос на деньги. Для сделок он не изменился, а количество денег в качестве имущества возросло на 35,6 ден. ед.
4: а) При занятости N = 0,9-5 = 4,5 и заданной технологии можно произвести у = 60-4,5 - 3-4,52 = 209,25 ед. благ. Для обеспечения равновесия на рынке благ необходимо: 0,6-209,25 = 178,2 - 4,8i ^ i = 10,97; а для равновесия на рынке денег —
M/Р = 0,04 • 209,25 + 60 -10,97 = 57,4.
Используя функцию совокупного предложения из решения задания «1», определим, при каком уровне цен будет предлагаться 209,25 ед. благ,
60Р - 2
5,6 + 6Р ^ 5,6 + 6Р j Следовательно, в обращении должно находиться 0,824-57,4 = = 47,3 ден. ед.;
б) из условия равновесия на рынке благ yty = I + G следует 209,25(0,35 + Ty) = 178,2 - 4,8i.
Зная, что заданный объем выпуска предлагается при Р = 0,824, из условия равновесия на рынке благ определим ставку процента
60/0,824 = 0,04 • 209,25 + 60 - i ^ i = -4,45.
(Отрицательное значение ставки процента объясняется тем, что при сократившемся производстве благ прежнее предложение денег оказалось избыточным.)
Подставив найденное значение i в условие равновесия на рынке благ, найдем Ту
209,25(0,35 + Ту) = 178,2 + 4,8-4,45 ^ Ту = 0,6, т.е. ATy = 0,35. |
5Р
VN
|
|
N = |  |
2/3 |
85 =
Р = 1,12.
№92.
1. Определим функции совокупного спроса и совокупного предложения в рассматриваемом хозяйстве. На рынке благ достигается равновесие при
0,4y = 8- i ^ i = 8- 0,4y. (1)
На рынке денег равновесие достигается при 19,2/Р = 0,48y + 18 - 3i или с учетом равенства (1)
19,2/Р = 0,48y +18 - 3(8 - 0,4y) ^ yD (Р) = 11,43/Р + 3,57.
Определим функцию цены спроса на труд
Из условия равновесия на рынке труда выразим занятость как функцию от уровня цен
N
0,625
Из производственной функции получаем функцию совокупного предложения
yS (Р) = 10^ = 15V Р2/3.
Из уравнения yS(Р) = yD(Р) находим равновесный уровень цен 11,43/Р + 3,57 = 15Р1/3 ^ Р* = 1. Тогда і* = 2; N = 2,25; у* = 15.
2: а) Чтобы при заданной технологии довести занятость до 4, необходимо производить у = 10-40,5 = 20 ед. благ. Если і = 2, то на рынке благ достигается равновесие при 20 = 0,6-20 + 8 - 2 + G ^ G = 2;
б) при эндогенном определении ставки процента из модели IS—LM величина государственных расходов определяется из системы уравнений
120 = 0,6 • 20 + 8 - і + G і ^ і = 2,8; G = 2,8;
[19,2 = 0,48 • 20 +18 - 3i
в) на основе функции совокупного предложения определим, при каком уровне цен объем предложения составит 20
20 = 15Р1/3 ^ Р = 2,37.
Из условия равновесия на денежном рынке найдем ставку процента 19,2 / 2,37 = 0,48 • 20 +18 - 3i ^ i = 5,6.
Теперь необходимую величину государственных расходов можно определить из условия равновесия на рынке благ
20 = 0,6• 20 + 8 - 6,5 + G ^ G = 6,5.
3. Размер расходов постоянно увеличивается за счет эффекта вытеснения.
№93.
На основе расчетов, аналогичных проведенным в предыдущей задаче, определим, что исходное состояние ОЭР характеризуется следующими значениями эндогенных параметров: у* = 80; Р* = 1; i* = 4; N = 4; w* = W* = 12. При производстве 85 ед. равновесие на рынке благ установится, если: 85 = 0,4 • 85+20 - 3 • 4 + G+15 ^ G=28. Из условия равновесия на денежном рынке определим М
M/Р = 0,4 • 85 +120 - 6 • 4 = 130 ^ M = 130Р.
Из функции совокупного предложения найдем, при каком уровне цен объем предложения составит 85, 1568Р2 + 392Р - 340 16Р2 + 4Р - 0,25
Тогда M = 130-1,12 = 145,6. Таким образом, для достижения поставленной в задаче цели необходимо увеличить государственные закупки на рынке благ на 3 ед., а количество находящихся в обращении денег на
17,6 ед.
№ 94.
а) Общий дефицит составит G - Tyy = 15 - 0,25-40 = 5; в том числе: б) структурный G - Туур = 15 - 0,25-48 = 3;
в) циклический Ту(ур - у) = 0,25(48 - 40) = 2;
г) первичный G - Tyy - iD = 15 - 0,25-40 - 0,08-20 = 5.
№95.
1. Уравнение линии IS
0,45у = 75 - 3i ^ i = 25 - 0,15у.
Уравнение линии LM
140/Р = 0,0625у +160 - 8i.
Выведем из них уравнение функции совокупного спроса 140/Р = = 0,0625у + 160 - 8(25 - 0,15у) ^ yD = 31,68 + 110,89/Р.
Определим цену спроса на труд из условия максимизации прибыли dy/dN = W/Р, отсюда WD = 28Р - 2РN. Равновесный уровень заня- |
тости будет 0,5N + 10P = 28P - 2PN^ N = 18P/(0,5 + 2P). Тогда функция совокупного предложения
С 1CD Л2
/ (P)=28-18P
0,5 + 2P
а равновесный уровень цен
110,89 28-18P ( 18P
31,68 + -
18P v0,5 + 2P
P = 0,9478.
P 0,5 + 2P ^ 0,5 + 2P х
Вычислим остальные эндогенные параметры
у* = 31,68 + 110,89/0,9478 = 148,7; N* = 18-0,9478/(0,5 + 2-0,9478)= 7,12; W = 0,5-7,12 + 10-0,9478 = 13,04; і* = 25 - 0,15-148,7 = 2,7.
2. Изменение предложения денег отобразится на уравнении линии LM
100/P = 0,0625у +160 - 8і.
Соответственно изменится уравнение функции совокупного спроса 100/P = 0,0625 +160 - 8(25 - 0,15у) ^ yD = 31,68 + 79,21/P и равновесный уровень цен
2
31,68+
79,21 28-18P
18P
0,5 + 2P I 0,5 + 2P
P = 0,716.
Остальные значения эндогенных параметров станут следующими у* = 142,3; N* = 6,67; W = 10,5; і* = 3,7.
 |
|
Рынок труда |
Стабилизационная политика в открытой экономике № 96.
По определению er = eP /P, поэтому в январе 1998 г. er98 = 6P98/P98, а в январе 2001 г. er01 = 6-1,074P98/3Pg8. Отсюда er98/er01 = 2,8, т.е. реальный обменный курс рубля снизился в 2,8 раза.
№ 97.
В соответствии с теорией процентного паритета, для того чтобы не было перелива капитала между странами, должно выполняться следующее равенство: іА = ів + eA. Согласно теории ППС eA = пА -пв = = 0,09 - 0,05 = 0,04. Поэтому необходимо, чтобы ів = 0,12 - 0,04 = 0,08.
№98.
1. В соответствии с теорией ППС ee = пe - пeZ. Поэтому обменный курс возрастет до 55-1,05 = 57,75.
2. Согласно теории процентного паритета капитал уходит за границу, если iZ + ee- і > 0. Поскольку 8 + 5 - 11 > 0, имеет место чистый экспорт капитала. При плавающем валютном курсе отток по счету капиталов сопровождается эквивалентным избытком по счету текущих операций, в результате чего платежный баланс всегда выровнен.
№ 99.
1. Условие равновесия на рынке благ у = C + + I + E - Z , отсюда у = 5 + 0,8у + 6 - 1,5і + 10 -
- 0,1у ^ і = 14 - 0,2у.
2. Условие равновесия на рынке благ у = C + + I. Согласно условиям задачи у = 5 + 0,8у + 6 -
- 1,5і ^ і = 7,33 - 0,133у.

№ 100.
1. Исходные условия, представленные на рис. «а» и «б», отличаются разной мобильностью мирового капитала.
2. В варианте «а» существует избыток платежного баланса (точка В лежит выше линии ZB0). Несмотря на то что из-за роста импорта вследствие увеличения НД чистый экспорт благ сократился, появился избыток платежного баланса из-за повышения ставки процента и хорошей мобильности мирового капитала (пологая ZB0). Избыток платежного баланса увеличил количество денег в стране. До тех пор пока центральному банку удается за счет рестриктивной денежной поли-
|
|
|
e |
 |
M, дол. |
тики сохранять неизменное количество денег, состояние экономики будет характеризовать точка В. При невмешательстве центрального банка линия LM будет сдвигаться вправо до пересечения с линиями IS\ и ZB0 в точке С.
В варианте «б» существует дефицит платежного баланса вследствие сокращения чистого экспорта благ и малого притока капитала из-за плохой мобильности и меньшего, чем в варианте «а», прироста ставки процента (линия LM проходит положе). Для сохранения количества находящихся в обращении денег на неизменном уровне нужна экспансионистская денежная политика. Если она проводиться не будет, то линия LM сдвинется влево до пересечения с линиями IS1 и ZB0 в точке С.
№101.
а) В стране конъюнктурная безработица и дефицит платежного баланса. При фиксированном валютном курсе денежно-кредитная политика парализована в результате экзогенного изменения валютных резервов и денежной базы. Необходимо проводить фискальную политику, которая в указанных условиях усиливается монетарным импульсом. С увеличением госрасходов повышается ставка процента, стимулируя приток капитала и вызывая избыток платежного баланса. Прирост валютных резервов повышает количество денег в стране, что является дополнительным стимулом эффективного спроса.
б) В данном случае фискальная политика малоэффективна (при совершенном переливе капиталов она недейственна). Денежно-кредитная политика, напротив, усиливается внешним воздействием: рост М ^ повышение Р ^ увеличение импорта ^ дефицит платежного баланса ^ обесценение национальной денежной единицы ^ рост чистого экспорта ^ рост национального производства.
№ 102.
1. Определим, какие цены установятся в стране, если ее экономика будет закрытой
-24 + 2Pa = 300 - 4Pa ^ P*A = 54; - 20 + PB = 240 - 3PB ^ P*B = 65.
Z Z
Из соотношения внутренних и мировых цен (Pa дует, что стране выгодно участвовать в мировой торговле: экспортировать благо А и импортировать благо В. Выведем функции экспорта и импорта этой страны
QexA = QA - QA = -324 + 6PA; QimB = QB - QB = 260 - 4PB.
Определим объем предложения долларов в обмен на рубли. Он равен ценности экспорта, измеренного в долларах,
DS = PAQexA = 58(6Pa - 324) = 348Pa -18792.
Поскольку Pa = ePA = 58e, то DS(e) = 20184e -18 792. Объем спроса на доллары в обмен на рубли равен ценности импорта, измеренного в долларах,
Dd = PBQmB = 45(260 - 4Pb ) = 11700 -1 80Pb .
Так как Pb = ePB = 45e, то Dl (e) = 11700 - 8100e.
Обменный курс, обеспечивающий нулевое сальдо торгового баланса, находится из равенства
11700 - 8100e = 20184e -18 792 ^ e* = 1,078.
Следовательно, в условиях ее = 1,078. Тогда
NKE = 10 000[(0,04 - 0,08 + (1,078 - e)/e] = -10400 + 10780/e.
Суммарный спрос на доллары для текущих операций и перелива капитала
Dd + NKE = 1300 - 8100e +10 780/e.
При плавающем валютном курсе его текущее значение устанавливается на уровне, обеспечивающем нулевое сальдо платежного баланса: DS = Dd + NKE;
20184e -18792 = 1300 - 8100e +10 780/e ^ e* = 1,0674.
2.
№ 103.
1. Уравнение линии IS0
i0 = 14 - 0,2^0. |
lyy М + ltimax
h
ZB 0: i =
LM: i =
ZB0:
Уравнение линии LMq
io = 0,25y0 - 1.
Уравнение линии ZB0
10 - 0,1у = 25 - 2,5i ^ io = 0,04yo + 6.
Величина эффективного спроса определяется из уравнения IS0 = LM0:
14 - 0,2^0 = 0,25^0 -1 ^ У0 = 33,3; І0 = 7,3.
Платежный баланс выровнен, так как
NE0 = 10 - 0,1 • 33,3 = 6,7; NKE0 = 25 - 2,5 • 7,3 = 6,7.
2. Уравнение линии IS1:
У1 = 5 + 0,8y1 + 6 - 1,5i1 + 10 - 0,1y 1 + 5 или І1 = 17,33 - 0,2у1.
Линия IS сдвинулась вправо. Определим точку пересечения IS1 c LM0:
17,33 - 0,2y1 = 0,25y1 - 1 ^ y1 = 40,7; г\ = 9,2.
Точка с координатами г'1,^1 находится выше линии ZB0, что свидетельствует об избытке платежного баланса
NE1 = 10 - 0,1-40,7 = 5,9; NKE1 = 25 - 2,5-9,2 = 2, т.е. AR = 3,9.
В результате увеличения денежной базы количество находящихся в обращении денег будет расти до тех пор, пока линия LM не пересечет линию ZB0 в точке пересечения последней с линией IS1. Эта точка определяется из уравнения IS1 = ZB0:
17,3 - 0,2y2 = 0,04y2 + 6 ^ у 2 = 47,1; І2 = 7,9.
Чтобы при у2, І2 на денежном рынке было равновесие, необходимо соблюдение равенства М1 = 0,5-47,1 + 40 - 2-7,9 = 47,8. Таким образом, после увеличения находящихся в обращении денег на 5,8 ед. платежей баланс снова выравнивается
NE2 = 10 - 0,1-47,1 = 5,3; NKE2 = 25 - 2,5-7,9 = 5,3. |
№ 104.
Нужно 2 раза (до и после увеличения денег) решить систему из трех уравнений, описывающую модель Манделла-Флеминга,
IR + G + E - у[1 + (1 - Ту )(Z v - C v)]
IS: i = у у .
Ii
LM: i =
yZ v (1 - Ту ) - E + X(iZ + ee )
1S = 100 + 30 + 250e - 20 - у[1 + (1 - 0,2)(0,15 - 0,6)]
0,05у - 56+48
2
0,15у(1 - 0,2) - 250e + 20 + 8(4 + 20) 8
Решение дает следующие значения: i = 7,065; e = 0,834; у = 442,6. После увеличения денег до 66 ед. в данной системе уравнений изменится только вычитаемое в уравнении линии LM с 56 до 66.
Теперь решение системы дает следующие значения: i = 4; e = 0,97; у = 519,5.
Таким образом, обменный курс повысится только на (0,97 -- 0,834)/0,834 = 0,163 = 16,3%.
Неокейнсианство |

№ 105.
Гипотетические значения объемов спроса и предложения экономический субъект определяет на основе максимизации функции полезности при данных ценах и бюджетном ограничении. Следовательно, гипотетический спрос на молоко равен 10 л (15 л — не экономическая, а физиологическая категория). Эффективный спрос равен 9 л, так как это есть результат изменения планов покупателя на рынке благ в связи с возникшем ограничением на рынке труда; 8 л — ограничение на рынке благ.
№ 106.
1: а) Функция эффективного спроса первого периода выводится из максимизации функции полезности U = C1C°,5(16 - N)0,25 при бюджетном ограничении PC1 + PC2 = WN.
Решим задачу с использованием функции Лангранжа
0,25
Ф = C^5 (16 - N )425 -A(WN - PC1 - PC2) ^ max;
дФ
0,25
ЭС
C0,5 (16 - N)25 +ap=о
дФ = 0,5C1 (16 - N)'
0,25
C2 = 0,5С1.
ЭС
Г0,5
C2
+ AP = 0
Подставив это соотношение в бюджетное уравнение, получим
№ 107.
1. Для ответа на вопрос нужно построить гипотетические функции поведения экономических субъектов.
Задача представительного домашнего хозяйства сводится к максимизации следующей функции Лангранжа
Ф = (М/P)0,5 (16 - N)C2 - A(WN + 20 - PC - M).
Из условий ее максимизации выведем гипотетические функции потребления и предложения труда представительного домашнего хозяйства
1,5PC1 = WN ^ ~ (P,W, N) = WN/1,5P.
В заданной системе цен C1(N ) = 4N/3;
б) функция эффективного предложения труда при количественном ограничении на рынке блага в 1-м периоде выводится из максимизации следующей функции:
Ф = C1C20,5 (16- N)0,25 - A(WN - PC1 - PC2) ^ max;
ЭФ
ЭС2
ЭФ
dN
0,25
0,5С1 (16- N)
70,5
C2
-0,25C'1C20,5
1 2 + AW:
+ AP = 0
C=
2W (16 - N )
P.
ЭФ
dC
ЭФ
ЭФ
ЭМ
2М0,5(16 - N)C2
,0,5
М °,5C 2 05
+ AP = 0
¦AW = 0
N = 16-
P
0,5(16- N )C2
P 0,5 m 0,5
+A = 0
Бюджетное уравнение принимает вид
PC ; 2W;
M=
PC .
4 .
PC PC
PC + — = 16W- —+ 20 42
(16 - N)
0,75
Отсюда
Подставив это соотношение в бюджетное уравнение, получим
C (P ,W ) =
PC1 + 2W(16 - N) = WN N(P,W,Ci) = (PCi + 32W)/3W.
В заданной системе цен N (Q) = 10,67 + 0,167^; в) функция эффективного предложения труда при количественном ограничении на рынке блага во 2-ом
NS (W ):
80 + 64W; 7P ’
80W - 40 7W
(1)
(2)
периоде, выведенная на основе аналогичных расчетов, имеет вид
N(P ,W ,C2) = (PC2 + 64 W )/5W;
при заданных ценах N(C2) = = 12,8 + 0,1C2.
2.
Гипотетические значения С1, N находятся в вершине «поведенческого клина» индивида: С1 = 18,3; N = 13,7.

Функция спроса представительной фирмы на труд выводится из условия максимизации прибыли Pdy/dN = W
9,45P
2jN
w ^ Nd (P ,W)
9,45P 12 2W )
(3)
Подставив функцию спроса на труд в производственную функцию, получим функцию гипотетического предложения конкурентной фирмы
c 945 P P
yS (P,W) = 9,459WP= 44.65W1. (4)
|
|
|
По функциям (1)—(4) заполним таблицу |
|
|
|
Условия |
С |
S
у |
NS |
Nd |
Экономическая конъюнктура |
|
P = 0,9; W = 1,5; |
27,9 |
26,7 |
7,6 |
8,0 |
Подавленная инфляция |
|
P = 1; W = 1,67 |
26,7 |
26,7 |
8,0 |
8,0 |
Равновесие Вальраса |
|
P = 1,1; W = 2,2 |
28,7 |
22,3 |
8,8 |
5,6 |
Классическая безработица |
|
P = 1,2; W = 2 |
24,8 |
26,7 |
8,6 |
8,0 |
Кейнсианская безработица |

W (16 - N) 2
PC +
WN + 20 ^ N(P ,W ,С )
2: а) В состоянии подавленной инфляции домашние хозяйства рационированы на рынке благ, а предприниматели — на рынке труда. В результате взаимного количественного приспособления квазиравновесие установится в точке пересечения графика производственной функции с графиком функции эффективного предложения. Уравнение функции эффективного предложения труда выводится из бюджетного уравнения при рационировании домашнего хозяйства на рынке благ
Ф = (M/P)0,5 (16 - N)C2 - X(WN + 20 - PC - M); ЭФ M °’5С 2
u = ^ -XW = 0
N P 0,5 ^ M = (16 - N)W
дФ = 0,5(16- N )C2 ° 2 .
dM p0,5 M 0,5
Тогда бюджетное уравнение можно представить в виде
PC + 8W - 20 1,5W
При подавленной инфляции P = 0,9; W = 1,5 и N(C) = -3,56 + Q,4C. Поэтому занятость определяется из следующего равенства: 9,45? N = = 8,9 + 2,5N ^ N = 4; тогда у = 18,9;
б) при равновесии по Вальрасу у = 26,7; N = 8;
в) в состоянии классической безработицы при заданных ценах предприниматели реализуют свои гипотетические планы на обоих рынках, а домашние хозяйства не могут воздействовать на количественные ограничения, поэтому у = 22,3; N = 5,6;
г) в состоянии кейнсианской безработицы домашние хозяйства рационированы на рынке труда, а предприниматели — на рынке благ. В результате взаимного количественного приспособления квазиравновесие установится в точке пересечения графика производственной функции с графиком функции эффективного спроса домашних хозяйств. Функция эффективного спроса выводится из бюджетного уравнения при рационировании домашнего хозяйства на рынке труда
PC + 0,25PC = WN + 20 ^ ~(P ,W, N) = т + 20.
При Р = 1,2; W = 2 получаем C (N) = 13,33 + 1,33N. Поэтому занятость определится из следующего равенства: 9,45 VN = 13,33 + 1,33N ^ N = = 3,78; тогда у = 18,4.
При классической безработице N(C) = -0,73 + 0,36C; C(N) = 14,5 +
При кейнсианской безработице N(C) = -1,33 + 0,4C; C(N) = 13,33 + + 1,33N.

|  |
|
Кейнсианская безработица |
9,452 P 2W
|
|
t |
Kt |
yt = 0,2Kt |
It St 0,2yt |
11 |
yt/yt -1 |
|
0 |
200 |
40 |
8 |
32 |
1,04 |
|
1 |
208 |
41,6 |
8,3 |
33,3 |
1,04 |
|
2 |
216,3 |
43,3 |
8,6 |
34,6 |
1,04 |
|
3 |
225 |
45 |
9 |
36 |
1,04 |
C (P ,W ) 9,45
Поэтому
9,45
4. Линия СК определяется с помощью следующего равенства:
C(P,W, N) = yS (P,W) при N = Nd(P,W). В условиях задачи оно имеет вид
20 W (9,45P ^2 1,25P + 1,25P\ 2W )
Линия IC определяется из равенства: ND(P,W) = NS(P,W,C) при C = yS(P,W).
В условиях задачи оно имеет вид
9,45P"12 8W - 20 + P 9,452P _ P ll60W- 64W2
2W ) = 1,5W + 1,5W' 2W ^ \ 9,452
Линия IK определяется из равенства: ND (y) = NS (P,W) при y =
= C(P,W).
Так как y = 9,45 VN", то ND (y):
уравнение разделительной линии имеет вид
|
|
|
" 4(20 + 16W )" |
2 80W - 40 _ P |
|
[ 7 • 9,45P J |
7W ] |
112W (20 + 16W )2 7 • 9,452(80W - 40)’ |
На основе выведенных уравнений на рисунке показаны области квазиравновесных состояний.
Равновесие и экономический рост
№ 108.
1. В модели Харрода—Домара равновесный рост достигается при yt = as. Поскольку в условиях задачиyt = 0,04 и а = 0,25, то s = 0,04/0,25 = = 0,16.
2. В периоде t0 величина НД соответствует у = 2-125 = 250, а объем инвестиций І0 = sy0 = 0,16-250 = 40. Поскольку равновесный рост в модели достигается при yt = It, а yt = 0,04, то I4 = 40-1,044 = 46,8.
№ 109.
1. Из условий задачи следует, что Kj/Nt = 25. Следовательно, в периоде t0 для производства 40 ед. благ было использовано 8 ед. труда и 200 ед. капитала. Поэтому а = 40/200 = 0,2. На основе этих данных динамику основных показателей в первые три периода можно представить в виде следующей таблицы:
2. Поскольку Кз = 225, то N3 = 9. Так как к этому времени трудовые ресурсы возросли до 8 • 1,053 = 9,26, то безработица равна 0,26 ед. Для равновесного роста при полной занятости необходимо as = 0,05; так как а = 0,2, то s = 0,05/0,2 = 0,25.
3. Если С0 = 0,75-32 = 24, то S0 = 40 - 24 = 16; для сохранения равновесия необходимо I0 = 16, т.е. s = 0,4. Тогда темп прироста равнялся бы as = 0,2 -0,4 = 0,08, т.е. возрос бы в 2 раза. Период, в котором объемы потребления в обоих вариантах были бы одинаковы, определяется из уравнения 32 • 1,04t = 24-1,08t ^ t = 7,6.
№ 110.
1. В модели Солоу—Свана динамическое равновесие устанавливается тогда, когда темпы прироста НД и труда совпадают. Следовательно, в условиях задачи равновесный темп роста равен 1,03. В исходном периоде y0 = V640 -10 = 80. В первом периоде N = 10,3; K = 640 + 0,5 х х 80 = 680. Тогда y1 = ^680 • 10,3 = 83,7 т.е. темп роста равен 83,7/80 = = 1,046. По мере приближения к динамическому равновесию этот темп роста будет снижаться до 1,03.
2. В этом случае AK1 = 0,24- 80 = 19,2; y1 = у/659,2-10,3 = 82,4; темп роста будет 82,4/80 = 1,03, т.е. существует постоянный равновесный рост. |
0,2
0,05.
1-0,25
= 1,59.
q=
|
|
Параметры |
t0 |
t1 |
t2 |
t3 |
t4 |
t5 |
t6 |
|
У |
40 |
40,73 |
41,47 |
42,23 |
43,00 |
43,78 |
44,58 |
|
N |
16 |
16,32 |
16,65 |
16,98 |
17,32 |
17,67 |
18,02 |
|
K |
625 |
633 |
641,15 |
649,44 |
657,88 |
666,48 |
675,24 |
|
K/N |
39,06 |
38,79 |
38,52 |
38,25 |
37,99 |
37,73 |
37,47 |
|
У/N |
2,5 |
2,50 |
2,49 |
2,49 |
2,48 |
2,48 |
2,47 |
|
У/K |
0,064 |
0,064 |
0,065 |
0,065 |
0,065 |
0,066 |
0,066 |
|
dy/y |
- |
0,0182 |
0,0182 |
0,0182 |
0,0182 |
0,0183 |
0,0183 |
|
dK/K |
- |
0,0128 |
0,0129 |
0,0129 |
0,0130 |
0,0131 |
0,0131 |
|
0,2q |
0,5 |
0,499 |
0,498 |
0,497 |
0,497 |
0,496 |
0,495 |
|
0,02y |
0,781 |
0,776 |
0,770 |
0,765 |
0,760 |
0,755 |
0,749 |
3. Из условия равновесного роста следует, что 0,5/0,03 = y/q = K/y ^ ^ y = 0,06K.
Тогда по технологии 0,06K = у/ 10K ^ K = 2777,8.
№111.
В заданных условиях производится yo = (16-256)0,5 = 64. Поэтому производительность qo = 64/16 = 4. Она сохранится во времени, если соблюдается равенство sq = ny; в заданных условиях 0,2-4 = = 16n ^ n = 0,05.
№ 112.
1. Изменение основных макроэкономических параметров до периода t6 показано в табл. 1.
Таблица 1
К периоду t6 производительность труда сократится на 5,14% из-за снижения капиталовооруженности труда. Уменьшение производительности труда продолжится до достижения равновесного роста, когда она будет
а 0,25
s 11-а
n J
№ 113.
1. Динамическое равновесие достигнуто, так как выполняется равенство sq = ny. В периоде t0 производится у0 = 110,75-2370,25 = 23,7, поэтому q0 = 23,7/11 = 2,15. С учетом того, что У0 = 21,5, имеет место 0,2-1,15 = 0,02-21,5.
2. «Золотому правилу» накопления сбережения не соответствуют, так как в соответствии с ним норма сбережений должна быть равна 25%.
3. Динамика основных показателей до периода t6 показана в табл. 1.
| |
Таблица 1 |
|
|
|
Параметры |
t0 |
t1 |
t2 |
t3 |
t4 |
t5 |
t6 |
|
У |
23,70 |
24,17 |
24,66 |
25,15 |
25,65 |
26,17 |
26,69 |
|
N |
11 |
11,22 |
11,44 |
11,67 |
11,91 |
12,14 |
12,39 |
|
K |
237 |
241,7 |
246,6 |
251,5 |
256,5 |
261,7 |
266,9 |
|
K/N |
21,55 |
21,55 |
21,55 |
21,55 |
21,55 |
21,55 |
21,55 |
|
У/N |
2,15 |
2,15 |
2,15 |
2,15 |
2,15 |
2,15 |
2,15 |
|
У/K |
0,10 |
0,10 |
0,10 |
0,10 |
0,10 |
0,10 |
0,10 |
|
ЙУ/У |
- |
0,02 |
0,0182 |
0,0182 |
0,0182 |
0,0183 |
0,0183 |
|
dK/K |
- |
0,0128 |
0,0128 |
0,0128 |
0,0128 |
0,0128 |
0,0128 |
|
0,2q |
0,4309 |
0,4309 |
0,4309 |
0,4309 |
0,4309 |
0,4309 |
0,4309 |
|
0,05y |
0,4309 |
0,4309 |
0,4309 |
0,4309 |
0,4309 |
0,4309 |
0,4309 |
|
С/N |
18,96 |
19,34 |
19,73 |
20,12 |
20,52 |
20,93 |
21,35 |
Средняя производительность капитала увеличилась на 3,125% из-за снижения капиталовооруженности труда, так как рост капитала отстает от роста труда. Производительность капитала стремится к равновесному значению, определяемому равенством: a t = qt / y t = n/ s = 0,1.
2. В этом случае параметры будут изменяться так, как показано в табл. 2.
Таблица 2
4. Необходимый объем капитала определяется из равенства
0,2511-0,25
0,02J
|
Параметры |
t0 |
t1 |
t2 |
t3 |
t4 |
t5 |
t6 |
|
У |
40 |
41,62 |
43,32 |
45,08 |
46,92 |
48,84 |
50,85 |
|
N |
16 |
16,8 |
17,64 |
18,522 |
19,4481 |
20,42051 |
21,44153 |
|
K |
625 |
633 |
641,32 |
649,99 |
659,00 |
668,39 |
678,16 |
|
K/N |
39,06 |
37,68 |
36,36 |
35,09 |
33,89 |
32,73 |
31,63 |
|
У/N |
2,5 |
2,48 |
2,46 |
2,43 |
2,41 |
2,39 |
2,37 |
|
У/K |
0,064 |
0,066 |
0,068 |
0,069 |
0,071 |
0,073 |
0,075 |
|
dy/y |
- |
0,0406 |
0,0407 |
0,0408 |
0,0408 |
0,0409 |
0,0410 |
|
dK/K |
- |
0,0128 |
0,0132 |
0,0135 |
0,0139 |
0,0142 |
0,0146 |
|
0,2q |
0,5 |
0,496 |
0,491 |
0,487 |
0,483 |
0,478 |
0,474 |
|
0,05y |
1,953 |
1,884 |
1,818 |
1,755 |
1,694 |
1,637 |
1,581 |
= 319,1.
5. Динамика основных показателей до периода t6 в этом случае представлена в табл. 2.
Таблица 2
|
Параметры |
t0 |
t1 |
t2 |
t3 |
t4 |
t5 |
t6 |
|
У |
25,53 |
26,04 |
26,56 |
27,09 |
27,63 |
28,19 |
28,75 |
|
N |
11 |
11,22 |
11,44 |
11.67 |
11,91 |
12,14 |
12,39 |
|
K |
319,1 |
325,5 |
332,0 |
338,6 |
345,4 |
352,3 |
359,4 |
|
K/N |
29,01 |
29,01 |
29,01 |
29,01 |
29,01 |
29,01 |
29,01 |
Окончание табл. 2
|
Параметры |
t0 |
t1 |
t2 |
t3 |
k |
f5 |
f6 |
|
y/N |
2,32 |
2,32 |
2,32 |
2,32 |
2,32 |
2,32 |
2,32 |
|
y/K |
0,08 |
0,08 |
0,08 |
0,08 |
0,08 |
0,08 |
0,08 |
|
dy/y |
- |
0,02 |
0,0182 |
0,0182 |
0,0182 |
0,0183 |
0,0183 |
|
dK/K |
- |
0,0128 |
0,0128 |
0,0128 |
0,0128 |
0,0128 |
0,0128 |
|
0,2q |
0,5802 |
0,5802 |
0,5802 |
0,5802 |
0,5802 |
0,5802 |
0,5802 |
|
0,05v |
0,5802 |
0,5802 |
0,5802 |
0,5802 |
0,5802 |
0,5802 |
0,5802 |
|
C/N |
19,15 |
19,53 |
19,92 |
20,32 |
20,72 |
21,14 |
21,56 |
№ 114.
В состоянии динамического равновесия
а 1
1-а
S 11-а
Ц+П) ^Ц+П;
а. Тогда
В соответствии с «золотым правилом» накопления s
0,4
0,4 ] 1-0,4 . , „ 0,4 ] 1-0,4 00
? =|^d =4; V? =1 — 1 =32.
0,05
0,05
yt
1,02 tNt Kt =
1,02 tNt
Поэтому
= 4^ qt = 4•1,02t ^ q5 = 4• 1,025 = 4,416; 16 ^vt = 16•1,02t ^v5 = 16• 1,025 = 17,67;
C
= 0,6q5 = 0,6 • 4,416 = 2,65.
N5 5
Учебное издание
Тарасевич Леонид Степанович Гребенников Петр Ильич Леусский Александр Иванович
МАКРОЭКОНОМИКА
Учебник
Подписано к печати 16.09.2005. Формат 60x901/1g. Бумага газетная. Гарнитура «Petersburg». Печать офсетная. Усл. печ. л. 40,75. Тираж 3000 экз. Заказ №
Издательство «Юрайт-Издат»
140004, Московская область, г. Люберцы, 1-й Панковский проезд, дом 1. Тел.: (095) 744-00-12. E-mail: .
Издательство Санкт-Петербургского университета экономики и финансов.
«В последние годы в другие страны путешествовало меньше американцев, чем в начале 80-х гг. Сокращение числа зарубежных поездок произошло не потому, что американцы неожиданно потеряли вкус к приключениям, а потому, что американский доллар несколько подешевел по отношению к другим валютам, и в результате этого поездки за границу стали для американцев более дорогими» (Мишкин Ф. Экономическая теория денег, банковского дела и финансовых рынков. М., 1999. С. 182).
См. Приложение к гл. 2.
См. Приложение к данной главе.
Маркс К., Энгельс Ф. Соч. 2-е изд. Т. 24. С. 447.
Митчелл У. Экономические циклы: Проблема и ее постановка. М. — Л., 1930.
Стоун Р. Метод затраты — выпуск и национальные счета. М., 1966.
Кондратьев Н.Д. Проблемы экономической динамики. М., 1989.
«Институциональная экономика отвергает методы маржинального и равновесного анализа, беря на вооружение эволюционно-социологические методы. Речь идет о таких направлениях, как концепции конвергенции, постиндустриального, постэкономического общества, экономика глобальных проблем» (Нуреев Р. Институционализм: вчера, сегодня, завтра // Олейник А.Н. Институциональная экономика. М., 2000. С. 7).
Сост. по: Российский статистический ежегодник. М., 2002. С. 156.
Cezanne W. Allgemeine Volkswirtschaftslehre. Munchen,1994. S. 292.
Kuznets S. National product since 1869. N.Y., 1946. P. 116—117.
Ando A., Modigliani F. The «Life Cycle» Hypothesis of Saving: Aggregate Implications and Test // American Economic Review, March 1963.
Friedman M. A Theory of the Consumption Function. Princeton, 1957.
Основные фонды и другие нефинансовые активы России: Стат. сб. M., 1999. С. 19—21.
В современной теории финансов эту величину называют внутренней доходностью инвестиционного проекта.
Дж. Тобин — американский экономист, лауреат Нобелевской премии по экономике 1981 г.
«Оценивая ожидаемый размах инвестиций, мы должны поэтому принять во внимание нервы, склонность к истерии, даже пищеварение и реакции на перемену погоды у тех, от чьей стихийной активности в значительной степени и зависят эти инвестиции» (Кейнс Дж. М. Общая теория занятости, процента и денег. М., 1978. С. 227).
Сост. по: Краткосрочные экономические показатели Российской Федерации: Стат. сб. М., 1999.
Макконнелл К, Брю С. Экономикс. М., 1992. С. 241.
Т. Хаавельмо — лауреат Нобелевской премии по экономике 1989 г.
Брегель Э.Я. Политическая экономия капитализма. М., 1968. С. 30.
Бюлл. банковской статистики. 2003. № 7. С. 26, 28.
Источник: www.ecb.int/stats/hist/hist.htm;.
Бюлл. банковской статистики. 2003. № 7. С. 25.
Baumol W. The transactions demand for cash: An inventory approach // Quarterly Journal Economics. 1952. Vol. 66; Tobin J. The interest-elasticity of transactions demand for cash // Review Economics Statistic. 1956. Vol. 38.
+ ie
Если, например, владелец облигации полагает, что в недалеком будущем рыночная ставка процента стабилизируется на уровне 10%, т.е. ie = 10, то ік = 9, и облигация будет им продана при i < 9.
График функции спроса индивида на деньги как имущество изображен на рис. 4.10, а. Каждый хозяйствующий субъект имеет свое представление о величине критической ставки процента. Тем не менее множество этих ставок ограничено сверху и снизу. Существует некоторое imax, при котором облигации становятся настолько привлекательными, что никто не желает в составе имущества иметь деньги. И наоборот, при некотором im;n неудобства хранения имущества в виде облигации (меньшая по сравнению с деньгами ликвидность, нестабильность курса) не компенсируются доходом на нее и никто не будет держать облигации.
Подробнее эта зависимость рассматривается в 5.6.
Сост. по: Barro R., Grilli V. Makrookonomie. Munchen, 1996. S. 275; Обзор Российской экономики. 2002. Янв. Табл. 8 и 13.
Аббревиатура LM — это Liquidity preference — Money (предпочтение ликвидности — деньги).
Отчет Центрального банка РФ за 1997 г. М., 1998. С. 116.
Экономика переходного периода. М., 1998. С. 504.
Мишкин Ф. Экономическая теория денег, банковского дела и финансовых рынков. М., 1999. С. 294.
«В 1999 г. Банк России продолжил работу, направленную на погашение кредитов, выданных банкам в 1992—1994 гг. на основании решений Правительственной комиссии по вопросам финансовой и денежно-кредитной политики для кредитования предприятий отдельных отраслей экономики. Задолженность по этим кредитам и процентам по ним по состоянию на 01.01.99 составила 335 и 1527 млн руб. соответственно. Практически вся эта задолженность просрочена и не имеет источников возврата. В соответствии со ст. 100 Федерального закона от 22.02.99 № 36 ФЗ «О федеральном бюджете на 1999 г.» задолженность предприятий и организаций отдельных отраслей экономики, не обеспеченная источниками возврата, подлежит переоформлению на государственный внутренний долг» (Основные направления денежной политики в 2000 г. М., 1999. С. 11).
По оценкам Центрального банка РФ, к середине 1998 г. в коммерческих банках «застряло» 40 млрд руб. // ЭКО. 1999. № 1. С. 31.
Экономика переходного периода. М., 1998. С. 527.
Геращенко В.В. Актуальные проблемы банковской системы в 1999 году // Деньги и кредит. 1999. № 1. С. 9.
Деньги и кредит. 1999. № 4. С. 9—10.
«К проблемным относятся кредитные организации, недостатки в деятельности
которых создают или могут создать угрозу интересам их кредиторов, клиентов и(или) участников. К ним должны быть отнесены кредитные организации, имеющие как минимум один из перечисленных ниже признаков: а) хотя бы одно из оснований для осуществления мер предупреждению банкротства в соответствии со ст. 4 Федерального закона «О несостоятельности (банкротстве) кредитных организаций», б) имеющие хотя бы один неустраненный факт нарушений Правил ведения бухгалтерского учета и(или) представившие недостоверную отчетность (по данным документального надзора и(или) инспекционных проверок, включая результаты проверок филиалов кредитных организаций, аудиторских проверок); в) не обеспечивающие предоставление предусмотренной действующим законодательством информации о своей деятельности либо финан-
Fischerl. Die Kaufkraft des Geldes. Berlin, 1916.
Коэффициенты корреляции курсов (доходностей) акций, обращающихся на рын
ке ценных бумаг, регулярно публикуются в периодической печати.
Rubinstein M.E. A comparative statics analysis of risk premiums // Journal of Business. 1973. Vol. 46. P. 605—615.
Vock T, Zimmermann H. Risiken und Renditen schweizerischen Aktien // Schweize-rische Zeitschrift fur Volkswirtschaft und Statistik. 1984. Apr. S. 547—576.
Evans J, Archer S. Diversification and the reduction of dispersion: An empirical analysis // Journal of Finance. 1968. Vol. 23. P. 761—767.
Friedman М. Studies in the quantity theory of money. Chicago, 1956.
БД AK&M List.
Sharpe W.F. A simplified model for portfolio analysis // Management Science. 1963. Vol. 9. P. 277—293.
Sharpe W.F. Capital asset prices // Journal Finance. 1964. Vol. 19. P. 425—442; Lintner J. Security prices, risk and maximal gains from diversification // Journal Finance. 1965. Vol. 20. P 587—615; MossinJ. Equilibrium in a capital asset market // Econometrica. 1966. Vol. 34. P. 768—783.
См. Математическое приложение 2 к данной главе.
Модель IS—LM была впервые предложена Дж.Р. Хиксом в качестве наглядного способа изложения сути макроэкономической концепции Кейнса (Hicks J.R. Mr. Keynes and the «Classics»: A suggested interpretation // Econometrica. 1937. Vol. 5) и получила широкое распространение после выхода книги А. Хансена «Monetary theory and fiscal policy». New York, 1949). Поэтому иногда модель IS—LM называют моделью Хикса— Хансена.
Цит. по: Гриценко Г., Грозовский Б. Маневры со ставкой // Полит. Ру. 2000. 26 марта.
Экономисты говорят, что индивид подвержен денежным иллюзиям, если его объемы спроса и предложения на рынках благ и (или) труда зависят от изменения номинальных (денежных) цен при неизменных реальных ценах.
Кейнс Дж.М. Общая теория занятости, процента и денег. М., 1978. С. 334.
Сост. по: Jahresgutachten Sachverstandegenrates 2000/01. Tabl. 15.
Бурда М, Виплош Ч. Макроэкономика. Европейский аспект. СПб., 1998. С. 152.
Jackman R., Pissarides Ch, Savouri S. Labor Market Policies and Unemployment in the OCED// A European Forum 5(2). 1990. P. 449—490.
Рассчитано по: Обзор Российской экономики // РЕЦЕП. 21.01.02. Табл. 5.
Милль Дж.Ст. Основы политической экономики. М., 1980. Т. 2. С. 240.
Shapiro C., Stiglitz J. Equilibrium Underemployment as a Worker Discipline Device // American Economic Review. 1984. № 74. P. 433—444; Rasmusen E. An Income Satiation Model of Efficiency Wages // Economic Inquiry. 1992. № 30. P. 467—478.
Akerlof G., Yellen J. The Fair Wage-Effort Hypothesis and Underemployment // Quarterly Journal of Economics. 1990. № 105. P. 255—283; Palley Th. The Fair Wage-Effort Hypothesis // Journal of Economic Behavior and Organisation. 1994. № 24. P. 195—205.
Числовой пример определения системы равновесных цен в модели Вальраса приведен в Приложении 1 к данной главе.
Pigou A. The Classical Stationary State // Economic Journal. 1943. No 53.
Friedman M. Die Quantitatstheorie des Geldes // Die optimale Geldmenge und andere Essays. Mttnchen, 1973; BrunnerK. Eine Neueformulirung der Quantitatstheorie des Geldes // Kredit und Kapital. 1970. Heft 1.
Tobin J. Money, Capital and other Stores of Value // The American Economic Review. 1961.Vol.51; Tobin J. A General Equilibrium Approach to Monetary Theory // Journal of Money, Credit and Banking. 1969, № 1.
Lerner A.P. Alternative Formulation of the Theory of Interest // Harris S.E. The New Economics. New York, 1948.
US Business Cycle Expansions and Contractions // .
См. Математическое приложение 1 к данной главе.
Tewes T. Ein einfaches Model einer monetaren Konjunkturerechnung // Weltwirtschaft-liche Archiv. 1966. Bd. 96.
Laydler D. An elementary monetarist model of simultaneous fluctuations // Econome-trica. 1975. Vol. 50. P. 1345—1370.
Kaldor N. A model of the trade cycle // Economics Journal. 1940. Vol. 50.
См. 14.2.1.
Lotka A. Elements of mathematical biology. New York, 1956; Volterra V. Theory of functional and of integro-differential equations. New York, 1959.
См. Математическое приложение 2 к данной главе.
Гельфонд А.О. Исчисление конечных разностей. 3-е изд. М., 1967.
Cagan Ph. The monetary dynamics of hyperinflation; Ed. by M. Friedman // Studies in the quantity theory of money. Chicago, 1956. P. 25.
Лэйард Р. Макроэкономика. М., 1994. С. 33.
RET. 2000. № 4.
Bureau of Labor Statistics U.S. Departament of Labor // / Content.
Phillips A. The relation between unemployment and the rate of change of money wage rates in the United Kingdom, 1861-1957 // Economica. 1958. Vol. 25.
С 2001 г. Госкомстат России наряду с показателем индекса потребительских цен рассчитывает показатель базовой инфляции. Последняя представляет собой субиндекс, рассчитанный на основе набора потребительских товаров и услуг, используемого для расчета сводного индекса потребительских цен, за исключением товаров и услуг, цены на которые в основном регулируются на федеральном и региональном уровнях, а также подвержены воздействию неустойчивых, в том числе и сезонных, факторов. Таким образом, базовая инфляция представляет собой ту часть инфляции, которая связана с валютным курсом, денежной политикой и инфляционными ожиданиями. В 2001 г. при общем уровне инфляции, равном 18,6%, базовая составила 13,2%, а в 2002 г. — соответственно - 15,1 и 8,4%. (См. Отчет Центрального банка России за 2002 г. С. 259.)
Hallman J, Porter R, Small D. M2 per Unit of Potential GNP as an Anchor for Price Level // Board of Governors of the Federal Reserve System. 1989. Apr.; Hallman J, Porter R, Small D. Is the Price Level Tied to the M2 Monetary Aggregate in the Long Run? // American Economic Review. 1991. Vol. 81.
Расчеты проведены сотрудниками Института мировой экономики (г. Киль, ФРГ);
см. Gottschalk J., Broeck S. Inflation Forecasts for the Euro Area: How Useful are P*-models? // Quarterly Journal of Economic Research. 2000. № 69. P 69—89.
International monetary fund // World economic outlook. 1993. Oct. P. 95.
Сост. по данным ИЭА // Вопросы экономики. 1997. № 12. С. 49.
Отчет Центрального банка РФ за 1999 г. М. 2000. С. 60.
Малафеев А.Н. История ценообразования в СССР (1917-1963). М., 1964. С. 243-244.
HeubesJ. Inflationstheorie. Munchen, 1989. S. 151-152.
Финансы в Российской Федерации в 1992 году. М., 1994.
С тех пор при составлении федерального бюджета планируемый темп инфляции стал предметом особого внимания при обсуждении в Государственной Думе РФ.
Эксперт. 1996. № 5. С. 32.
Программа социально-экономического развития Российской Федерации на среднесрочную перспективу (2002—2004 гг.). М., 2001. С. 10.
В России такой запрет установлен Федеральным законом от 10 июля 2002 г. № 86-ФЗ «О Центральном банке Российской Федерации (Банке России)», ст. 22.
Из Бюджетного послания Президента РФ Федеральному собранию РФ от 30 мая 2003 г. «О бюджетной политике в 2004 году».
Sargent T. A classical macroeconomic model of the United States // Journal Political
Economic. 1976. Vol. 84.; Sargent T, Wallace N. Rational expectations and the theory of
economic policy // Journal Monetarist Economic. 1976. Vol. 2.; Lucas R. Some international evidence on output-inflation trade-offs // American Economic Review. 1973. Vol. 63.
P 326—338.
Илларионов А. Размеры государства и экономический рост // Вопросы экономи
ки. 2002. № 9. С. 28; 40.
«Насколько серьезно нам следует воспринимать эту теорему? Сомнительно, чтобы избиратели перманентно ошибались в оценках своего налогового бремени; в то же время представляется, что рикардианская теорема эквивалентности требует от избирателей слишком многого. Маловероятно, что люди будут считать, что увеличение будущих налогов, связанное с обслуживанием долга, уменьшит их чистое благосостояние ровно на ту же величину, на которую оно уменьшилось бы, если бы данный проект финансировался за счет непосредственного роста налогообложения в текущий момент. В действительности избиратели могут быть более склонны к одобрению расходов, финансируемых посредством долга, а не посредством текущего налогообложения, даже если реальные издержки обоих вариантов финансирования эквивалентны» (Аронсон Д.Р., Отт Э.Ф. Рост государственного сектора // Понорама экономической мысли конца ХХ столетия. СПб., 2002. С. 651).
Основные направления единой государственной денежно-кредитной политики на
2005 г. Программа Центрального банка РФ.
Вестн. Банка России. 2002. № 1. С. 34.
Tinbergen J. On the Theory of Economic Policy. North-Holland, 1952.
Mundell R.A. The Appropriate Use of Monetary and Fiscal Policy for Internal and External Stability // IMF. Staff Papers. 1962. Vol. 9.
ОЕСD Economic Outlook. 1999. Jun. Annex. Tabl. 30.
Fels G. Globalisierung - nur eine mentale Falle // Informationsdienst des Instituts der deutschen Wirtschaft. 1997. № 1. S. 3; Matthes J. Internationale Kapitalstrome Triebkraft der Globalisirung // IWK. 2002.
Девизы — счет до востребования в иностранном банке.
- дол.
Рис. 12.1. Варианты состояния платежного баланса страны:
— NE; 2 — NKE; 3 — AR
Состояние платежного баланса, изменяя активы центрального банка, воздействует на объем предложения денег в стране. Это учитывается Международным валютным фондом при выработке условий предоставления стране кредита для поддержания устойчивости ее национальной валюты. Обычно среди условий оговаривается верхний предел приращения кредитов центрального банка правительству и коммерческим банкам (внутреннего кредита). Такой предел определяют путем следующих расчетов. На основе ожидаемого изменения спроса на деньги (AL) в рассматриваемом периоде и величины денежного мультипликатора (р) вычисляют необходимое приращение денежной базы: AH = AL/р. Разность между AH и суммой кредита МВФ (AR) соответствует верхнему пределу приращения внутренних кредитов центрального банка: AK = AH — AR. Поскольку объем кредитов центрального банка правительству зависит от размеров дефицита госбюджета и способов его финансирования, то к неудовольствию патриотически настроенных граждан величина дефици-
Обменный курс называют также «британским», а девизный — «европейским» вариантами исчисления валютного курса.
Основные направления единой государственной денежно-кредитной политики на 2005 г. Программа Центрального банка РФ.
См. Приложение 2.
Branson W. The Dual Rules of the Government Budget and the Balance of Payments in the Movement from Short-Run to Long-Run Equilibrium // The Quarterly Journal of Economics. 1976. Vol. 90; GenbergH., Kierzkowski H. Impact and long run effect of economic disturbances in a dynamic model of exchange rate determination // Weltwirtschaftliches Archiv. 1979. Bd. 115; Dornbusch R., Fischer S. Exchange rates and the current account // American Economic Review. 1980. Vol. 70.
Gartner M. Makrookonomik flexibler und fester Wechselkurse. 1997. S. 163—173.
Вектор цен (P, i, e) балансирует макроэкономические рынки в коротком периоде. Долгосрочное статическое равновесие (stationary steady state) наступает тогда, когда объем имущества стабилизируется: ДK = ДМ = ДВ = ABZ = 0; в таком состоянии нет чистых инвестиций, а государственный бюджет и платежный баланс страны имеют нулевое сальдо.
Макконнелл К, Брю С. Экономикс. М., 1992. Т. 1. С. 242.
Сост. по: Chancen auf einen hoeren Wachstumspfad // Jahresgutachten SVR. 2000/01.
«Все 90-е годы, когда периоды ускорения спада, его торможения или подъема (случалось и такое) были краткосрочны, власти почти всегда действовали невпопад: только до них дойдет, что спад резко ускорился и надо что-то предпринимать, как экономика выровняется и все телодвижения правительства уже ни к чему; и наоборот, ситуация вполне приличная, а они думают, что беда, и давай меры принимать» (Фадеев В. Правительство не умеет падать // Эксперт. 2002. № 8. С. 13).
«В настоящее время фактически сложившиеся лаги воздействия мер денежнокредитной политики на уровень инфляции уже выходят за пределы полугодия» (Вестн. Банка России. 2000. № 68. С. 7).
Самуэльсон П. Экономика. М., 1992. Т. 1. С. 307.
Самуэльсон П. Экономика. М., 1997. С. 696—697.
Flood R.P, Garber P.M.: Collapsing Exchange Rate Regimes: Some Linear Examples // Journal of International Economics. 1984. Vol. 17. P. 1 — 14.
Clower R. The Keynesian counterrevolution // The theory of interest rates. Lon-don,1965; Leijonhufud A. On Keynesian Economics and the Economics of Keynes. London, 1968; Barro R., Grossman H. Money, Employment and Inflation. Cambridge, 1976; Hahn F. Keynesian Economics and General Equilibrium Theory // The Microeconomic Foundations of Macroeconomics. New York, 1978; Benassy J. The Economics of Market Disequilibrium. New York, 1982; и др.
Calvo G. Staggered Prices in a Utility-Maximizing Framework // Journal of Monetary Economics. 1983. № 12; Ball L., Cecchetti S. Imperfect Information and Economic Fluctuations // American Economic Review. 1988. Dec.; Taylor J. Staggered Prices and Wage Setting in Macroeconomics // Handbook of Macroeconomics. 1999. Vol.1B.
2С0’5 ’ 5(24 - N)0’6 ’ 4Р0’25M075 .
World Economic Outlook. Oct. 2001 // IWF. .
Р. Харрод и Е. Домар независимо друг от друга построили простейшую модель
экономического роста, соответствующую кейнсианской концепции функционирования
национальной экономики. Harrod R. An essay in dynamic theory // Economics Journal.
1939. Vol. 49; Domar E. Expansion and employment // American Economic Review. 1947.
Vol. 37.
Solow R. A contribution to the theory of Economic Growth // The Quarterly Journal of Economics. 1956. Vol. 70.
Swan T. Economic Growth and Capital Accumulation // Economic Record. 1956. Vol. 32.
Schultz T. Investment in human capital // American Economic Revien, 1987. Vol. 77; Maussner A., Klump R. Wachstumtheorie. Berlin, 1996. S. 72—77.
См. Математическое приложение к данной главе.
Экономика: Знания - Циклы - Макроэкономика