Савиных Н. М. - Макроэкономическое равновесие
Известно, что мечтой любого экономиста является создание теории, которая имела бы на все вопросы четкие и однозначные ответы. Мечтой любого правительства является экономист, который бы создал такую теорию.
К сожалению, проблема макроэкономического равновесия, этого краеугольного камня любой национальной экономики, до сих пор остается актуальной для всего мирового хозяйства. Многие ученые предлагали свои пути решения. Среди них были широко известные люди, такие как Дж.
М. Кейнс, П. Самуэльсон, Милтон Фридмен и др.
Макроэкономическое равновесие являет собой загадку, решение которой оказало бы грандиозный эффект на всё наше понимание экономики как науки. Мы бы обуздали инфляцию и уничтожили безработицу, научились бы бороться с экономическими кризисами и спадами национальных экономик. Мы узнали бы безошибочный рецепт экономического процветания и роста. Мы смогли бы поднять экономики беднейших стран мира. Мы сумели бы правильно распорядиться природными ресурсами и еще много проблем осталось бы в прошлом.
Но пока ведущие экономисты мира бьются над этой задачей и, как видно, они успели много сделать за последнее столетие. США благодаря четкой политике государства и Федерального резервного Банка испытывает экономический рост на протяжении полутора десятка лет.
В Великобритании преодолели кризис середины 80-х гг. и успешно борются с безработицей, ставшей для нее настоящим бичом.
В связи с глобализацией мировой экономики и всё более тесной интеграцией национальных хозяйств вопрос о том, как развиваться наиболее эффективно остается открытым.
В данной работе я предлагаю изложение основных теорий макроэкономического равновесия, которые получили наибольшее признание в мире экономистов. Эта работа не претендует на абсолютную безгрешность, но основываясь на фактах прошлого мы можем предположить что нас ожидает в будущем.
Классическая модель ОЭР Общие постулаты Необходимо отметить, что до Кейнса в экономической теории общее экономическое равновесие как самостоятельная макроэкономическая проблема не рассматривалось. Поэтому классическая модель макроэкономического равновесия представляет собой некоторое синтезированное изложение взглядов экономистов классической школы с использованием современного терминологического аппарата.
Классическая модель общего экономического равновесия (ОЭР) базируется на основных постулатах классической концепции, а именно:
1. Экономика представляется как экономика совершенной конкуренции и является саморегулируемой в силу абсолютной гибкости цен, рационального поведения субъектов и в результате действия автоматических стабилизаторов. На рынке капитала встроенным стабилизатором является гибкая ставка процента, на рынке труда гибкая ставка номинальной зарплаты.
Саморегулируемость экономики означает, что равновесие и каждом из рынков устанавливается автоматически, а любые отклонения от равновесного состояния вызываются случайными факторами и являются временными. Система встроенных стабилизатором позволяет экономике самостоятельно, без вмешательства со стороны государства, восстановить нарушенное равновесие.
2. Деньги служат счетной единицей и посредником в товарных сделках, но не являются богатством, то есть не имеют самостоятельной ценности (принцип нейтральности денег). В результате рынки денег и благ не являются взаимосвязанными и при анализе денежный сектор отделяется от реального, к которому классическая школа относит рынки благ, капитала (ценных бумаг) и труда.
В соответствии с этим утверждается, в реальном секторе определяются реальные переменные и относительные цены, а в денежном секторе номинальные переменные и абсолютные цены.
3. Занятость в силу саморегулирования рынка труда представляется как полная, а безработица может быть только естественной. При этом рынок труда играет ведущую роль в формировании условий ОЭР в реальном секторе экономики.
В простой модели условия общего экономического равновесия
классической концепции могут быть формализованы в виде системы1 из пяти уравнений, в ходе решения которой определяются равновесные значения занятости N*, ставки реальной зарплаты w*, национального дохода y*, ставки процента i* и текущий уровень цен Р:
- P ( y / N) = W
- ND (w, - ) = NS (w, + )
- y = y (N)
- S ( i, + ) = I ( i, - )
- M = k y P
Первые два уравнения выражают условия равновесия на рынке труда, на котором определяются два важнейших параметра: равновесная занятость N* и равновесная ставка реальной зарплаты w*. Рынок труда является определяющим в классической концепции потому что равновесие на нем означает, что фирмы реализовали свои планы относительно объемов производства, а домашние хозяйства относительно уровня дохода, определяемого в соответствии с концепцией эндогенного дохода
Производственная функция в коротком периоде является функцией от одной переменной количества труда, следовательно, равновесный уровень занятости определяет уровень реального производства, что отражено в третьем уравнении. А так как занятость полная (все, кто хотел получить работу при данной зарплаты, получили ее), то объем производства фиксируется на уровне естественного выпуска, и кривая совокупного предложения принимает вертикальный вид
Сформированный объем совокупного предложения представляет собой сумму доходов домашних хозяйств, которые распределяются последними на потребление и сбережения: у = С + S. Чтобы на рынке благ установилось равновесие, необходимо равенство совокупного предложения совокупному спросу. Так как совокупный спрос в простой модели представляет сумму потребительских и инвестиционных расходов: у = С + I, то при соблюдении условия I = S на рынке благ установится равновесие2.
Если же плановые инвестиции не будут соответствовать запланированным сбережениям, то на рынке благ может возникнуть дисбаланс. Однако в классической модели любой подобный дисбаланс устраняется на рынке капитала.
Условия равновесия на рынке капитала отражаются в четвертом уравнении. Параметром, обеспечивающим равновесие на рынке напитала, является гибкая процентная ставка.
Если по каким-либо причинам запланированные объемы сбережений и инвестиций не совпадают при заданной ставке процента, то в экономике начинается процесс изменения текущей ставки процента до ее значения, которое обеспечивает равновесие сбережений и инвестиций.
Например, предположим, что объем запланированных сбережений оказался меньше объема плановых инвестиций. Тогда на рынке капитала начнется конкуренция инвесторов за свободные кредитные ресурсы, что вызовет повышение ставки процента. Повышение ставки процента приведет к пересмотру объемов запланированных сбережений в сторону повышения3 и инвестиций в сторону понижения, до тех пор пока не установится такая процентная ставка, которая и обеспечит равновесие.
При превышении объемов сбережений над объемами инвестиций на рынке капитала образуются свободные кредитные ресурсы, что вызовет понижение ставки процента до ее равновесного значения.
То есть, если на рынке благ возникает дисбаланс, то он находит свое отражение на рынке капитала, а т.к. последний имеет встроенный стабилизатор, позволяющий восстанавливать равновесие, то восстановление равновесия на рынке капитала приводит к восстановлению равновесия и на рынке благ. Таким образом, подтверждается закон Вальраса, согласно которому, если равновесие установилось на двух (труда и капитала) из трех взаимосвязанных рынков, то оно устанавливается и на третьем рынке рынке благ.
Пятое уравнение стоит особняком и необходимо только для определения текущего уровня цен. При заданных параметрах денежной массы и скорости обращения денег уровень цен зависит только от параметра реального национального дохода: Р = (Mv) / y.
С другой стороны, при установленном равновесном значении реального национального дохода изменение параметров денежного рынка в силу нейтральности денег отражается только в изменении уровня цен. Если представить количественное уравнение обмена относительно у и тем самым выразить функцию совокупного спроса: у = (Mv) / P, то очевидно что для обеспечения условия постоянного значения y необходимо изменение денежной массы и уровня цен в одинаковой пропорции.
Нейтральность денег Нейтральность денег наиболее полно иллюстрируется механизмом, получившим наименование Кембриджский эффект. Дело в том, что каждый субъект планирует для себя некоторый оптимальный уровень наличности (реальной кассы) Любое изменение количества денег экономические субъекты воспринимают как отклонение величины реальных кассовых остатков от оптимального значения и предпринимают действия по восстановлению ее оптимальной величины.
В случае роста реальной кассы излишнюю наличность субъекты начинают обменивать на блага, увеличивая потребительские расходы и совокупный спрос, в случае снижения реальной кассы совокупный спрос уменьшается. А так как в условиях полной занятости совокупное предложение жестко фиксировано относительно уровня естественного выпуска, то единственно возможной его реакцией на изменение совокупного спроса будет соответствующее изменение уровня цен Цены же в классической концепции абсолютно гибкие, и поэтому такая реакция совокупною предложения на колебания спроса происходит моментально.
Анализ равновесия инвестиций и сбережений
Поскольку сберегаемое есть та часть дохода, которая не потребляется, то графики сбережения и потребления обратные копии друг друга.
Предельная склонность к потреблению (МРС) отражает размер дополнительного потребления, вызванного дополнительным доходом; на графике это выражается в наклоне кривой потребления. Крутой наклон означает высокую МРС, а плавный наклон низкую МРС.
Анализ равновесия инвестиций и сбережений При наличии в экономике весьма ощутимого фактора сбережений идеальной, с точки зрения соответствия состоянию общего экономического равновесия, будет ситуация, когда все сбережения полностью аккумулируются и мобилизуются существующими финансовыми институтами (институциональными инвесторами), а затем направляются на инвестиции. То есть ситуация, когда инвестиции / равны сбережению S в условиях краткосрочного и долгосрочного периодов.
Из представленных на 4 графиков сбережений и инвестиций фиксирующих связь указанных параметров с изменением национального дохода, хорошо видно, что чем выше спрос на инвестиции (/1 по сравнению с /) и шире возможности институциональных инвесторов в обеспечении равенства I = S, тем выше совокупный спрос на национальный продукт, а следовательно, сильнее стимулы к росту национального дохода (продукта) в последующие воспроизводственные периоды. Точки E и E1 отражают состояния равновесия между этими (I и S) ключевыми параметрами и соответствующие им равновесные величины создаваемого и распределяемого национального дохода Q1,Q2.
В точках, лежащих на оси абсцисс правее указанных равновесных значений этих параметров, будут иметь место превышение предложения (в нашем случае сбережения) над спросом на инвестиции и дефляционный разрыв на инвестиционных рынках. В точках же, лежащих левее равновесных значений, спрос на инвестиции будет превышать предложение и образуется соответствующий инфляционный разрыв. И тот, и другой приводит в движение мотивационные механизмы, стимулирующие экономических агентов предпринимать действия, направленные на достижение равновесия между / и S.
Уровень инвестиций и процентная ставка Уровень инвестиций оказывает существенное воздействие на объем национального дохода общества; от его динамики будет зависеть множество макропропорций в национальной экономике. Кейнсианская теория особо подчеркивает тот факт, что уровень инвестиций и уровень сбережений определяется во многом разными процессами и обстоятельствами.
Инвестиции (капиталовложения) в масштабах страны определяют процесс расширенного воспроизводства. Строительство новых предприятий, возведение жилых домов, прокладка дорог, а, следовательно, и создание новых рабочих мест зависит от процесса инвестирования, или капиталообразования.
Источником инвестиций являются сбережения. Сбережения это располагаемый доход за вычетом расходов на личное потребление. Разумеется, источником инвестиций являются накопления функционирующих в обществе промышленных, сельскохозяйственных и других предприятий.
Здесь сберегатель и инвестор совпадают. Однако роль сбережений домашних хозяйств, не являющихся одновременно и предпринимательскими фирмами, весьма значительна, и несовпадение процессов сбережения и инвестирования вследствие указанных различий может приводить экономику в состояние, отклоняющееся от равновесия.
Факторы, определяющие уровень инвестиций7:
- Процесс инвестирования зависит от ожидаемой нормы прибыли, или рентабельности предполагаемых капиталовложений. Если эта рентабельность, по мнению инвестора, слишком низка, то вложения не будут осуществлены.
- Инвестор при выработке решений всегда учитывает альтернативные возможности капиталовложений и решающим здесь будет уровень процентной ставки. Если норма процента оказывается выше ожидаемой нормы прибыли, то инвестиции не будут осуществлены, и, наоборот, если норма процента ниже ожидаемой нормы прибыли, предприниматели будут осуществлять проекты капиталовложений.
- Инвестиции зависят от уровня налогообложения и вообще налогового климата в данной стране или регионе. Слишком высокий уровень налогообложения не стимулирует инвестиций.
- Инвестиционный процесс реагирует на темпы инфляционного обесценивания денег. В условиях галопирующей инфляции, когда калькуляция издержек представляет значительную неопределенность, процессы реального капиталообразования становятся непривлекательными, скорее будет отдано предпочтение спекулятивным операциям.
Графическое представление Графически взаимосвязь между нормой процента, инвестициями и сбережениями по классикам выглядит следующим образом8:
На графике представлена иллюстрация положения равновесия между сбережениями и инвестициями: кривая II инвестиции, кривая SS сбережения; на оси ординат значения нормы процента (r); на оси абсцисс сбережения и инвестиции.
Очевидно, что инвестиции есть функция нормы процента I = I (r), причем эта функция убывающая: чем выше уровень процентной ставки, тем ниже уровень инвестиций.
Сбережения также есть функция (но уже возрастающая) нормы процента: S = S (r). Уровень процента, равный r0, обеспечивает равенство сбережений и инвестиций в масштабе всей экономики, уровни r1 и r2 отклонение от этого состояния.
Следует отметить, что последнее утверждение не соответствует теории Кейнса у него уровень сбережений является функцией дохода, а не процентной ставки. И этот же график9 будет выглядеть так:
На оси абсцисс уровень национального дохода (НД) , на оси ординат сбережения и инвестиции. Линия II означает неизменный объем инвестиций при любом уровне НД.
Другими словами, II независимы от НД, заданы автономно. В реальной действительности может сложиться и действительно складывается ситуация, когда растущий объем НД приводит к росту инвестиций. В точке Е линии П и SS пересекаются. Проведя мысленную вертикаль до оси абсцисс, мы увидим, что размер национального дохода ON и есть тот уровень, на котором сформировалось равновесие между инвестициями и сбережениями.
Но этот уровень НД не обеспечивает полной занятости линии FF. Эта линия проходит правее точки пересечения SS и II, что является графической интерпретацией положения Дж.М.Кейнса о том, что равновесие НД может быть и при неполной занятости.
Точка N означает то состояние равновесия национального дохода, к которому будет стремиться экономика страны всякий раз, когда равновесие между I и S будет нарушаться.
Разница между классической и кейнсианской моделью равновесия I и S заключаются в невозможности существования длительной безработицы в классической модели10. Гибкое реагирование цен и ставки процента восстанавливало нарушенное равновесие. В кейнсианской модели, равенство I и S может осуществляться и при неполной занятости.
Кейнс подверг сомнению существование гибкого ценового механизма: предприниматели, столкнувшись с падением спроса на свою продукцию, не снижают цены, а сокращали производство и увольняли рабочих.
Итак, равновесие в масштабе общества на всех связанных между собой рынках товаров и услуг, т.е. равенство между совокупным спросом и совокупным предложением требует соблюдения равенства объемов сбережений и инвестиций. То обстоятельство, что инвестиции есть функция процента, а сбережения функция дохода, делает проблему нахождения равенства весьма сложной задачей.
Модель IS Английский экономист Дж.Хикс разработал модель IS (investment-saving) в 30-х годах нашего столетия. Взаимосвязь сбережений, инвестиций, уровня процента и уровня дохода в этой модели графически выглядит таким образом11:
При помощи этой модели можно понять условия равновесия на реальном рынке, т.е. рынке товаров и услуг. В IV квадранте изображена обратно пропорциональная зависимость между инвестициями и нормой процента. Чем выше r, тем ниже I. В данном случае уровню r0 соответствуют инвестиции в размере I0. Далее обращаемся к III квадранту.
Биссектриса, исходящая из начала осей координат равенство I = S. Пунктирная линия помогает найти такое значение сбережений, которое равно инвестициям: Io = So. Затем следует II квадрант.
Изображенная здесь кривая это уже график сбережений, ведь S зависит от национального дохода (Y). Уровню S0 соответствует объем национального дохода Y0.
И, наконец, в I квадранте можно, зная уровень r0 и Y0, найти точку IS0.
Построение кривой IS имеет большое значение для понимания проблем макроэкономического равновесия с учетом тех закономерностей, которые происходят и на денежном рынке. Ведь кривая отражает, как отмечалось выше, равновесие на так называемом реальном рынке.
Модель национальный доход совокупные расходы Национальный доход используется по двум основным каналам: на потребление и инвестиции, т.е. Y = С + I12. Совокупные расходы это расходы на личное потребление (С) и на производительное потребление (I).
В условиях стагнирующей экономики уровень склонности к потреблению невысок, и уровень национального дохода, соответствующий равенству доходов и расходов (на личное потребление), установится в точке So, т.е. на уровне нулевого сбережения. Однако если к расходам на личное потребление добавить инвестиции, то линия СС сдвинется вверх по вертикали и займет положение С + I.
Динамика промышленного производства
- Оценка
- 1998 г. к 1992 г.
Заметно выросли объемы ВВП и промышленного производства, причем за последние два года был преодолен спад 1995-1998 годов (за 1992-1998 гг. совокупный спад был существенно более глубоким). Экономика в целом вышла на уровень 1994 года, но при гораздо лучших качественных характеристиках и дальнейших перспективах роста.
Рост промышленного производства и высокие цены на энергоресурсы наряду с улучшением собираемости налогов способствовали обеспечению высоких доходов федерального бюджета (на уровне 16.2% от ВВП). Финансирование государственных расходов существенно улучшилось.
Заметно повысилась степень монетизации расчетов в экономике.
Высокий объем внешнеторгового положительного сальдо (за 2000 год, по оценке, свыше 61 млрд. долл.) и поддержание профицита федерального бюджета дали возможность обслуживать внешний государственный долг без дополнительных внешних заимствований. Сбалансированность бюджета и адекватное применение денежно-кредитных инструментов Банком России позволили сдержать инфляционное давление на экономику в условиях существенного роста резервных денег.
Ключевым фактором начала экономического оживления явилось происшедшее после августа 1998 г. значительное реальное обесценение рубля, в результате чего импорт сократился против докризисного уровня наполовину и обеспечилось пространство для расширения внутреннего производства; в сочетании со сдерживанием цен на продукцию естественных монополий и более медленным в этот период ростом заработной платы это также снижало издержки производства. Со второй половины 1999 года девальвационный эффект был поддержан значительным ростом цен на товары российского экспорта.
В целом прямой вклад внешних факторов в рост российской экономики в 2000 году составил, по оценке, около 35 процентов.
Высокие темпы роста конечного спроса в 2000 году поддерживались также оживлением внутреннего конечного спроса (инвестиционного, обеспечивавшего около 27% прироста ВВП, и потребительского - примерно 38% прироста).
Вместе с тем позитивные тенденции в экономике не приняли фундаментального, устойчивого характера.
По оценке Минэкономразвития, темпы роста промышленного производства, "очищенные" от сезонных и календарных факторов, в 2000 году по сравнению с 1999 годом в целом замедлились. С сентября практически прекратился рост, а в декабре отмечено снижение "очищенной" помесячной динамики промышленного производства.
Динамика промышленного производства (январь 1995 г. - 100%)
Снижение помесячных темпов роста промышленного производства оказало решающее влияние на приостановку в сентябре-декабре роста "очищенной" помесячной динамики ВВП:
Динамика ВВП, (январь 1995 г. (2) - 100%)
Экономический рост в посткризисный период носил в основном экстенсивный характер и осуществлялся преимущественно за счет загрузки имеющихся продуктивных производственных мощностей. Оживление инвестиционной активности на данном этапе явилось главным образом не источником роста экономики, а его следствием (прежде всего, через улучшение финансового состояния предприятий реального сектора), стимулирующим, в свою очередь, спрос на инвестиционные товары.
По расчетам Минэкономразвития, во второй половине года рост помесячной "очищенной" динамики инвестиций в основной капитал приостановился:
В результате реального укрепления рубля стоимостной объем импорта увеличился к 1999 году, по оценке, более чем на 11%, а физический объем - на 26%, что вытесняло из спроса товары внутреннего производства. Быстрый рост импорта происходил по относительно дешевым товарам, производимым в странах СНГ, при снижении импорта машин и оборудования из стран дальнего зарубежья.
Таким образом, преимущества, полученные российской экономикой в результате высоких цен на нефть, в существенной степени повлияли на ускорение экономической динамики стран СНГ.
Во второй половине 2000 года замедлилась динамика показателей, характеризующих финансовое состояние предприятий, вследствие укрепления рубля и роста издержек производства. При этом отмечалась значительная дифференциация финансового положения ориентированных на экспорт и ориентированных на внутренний рынок отраслей промышленности в пользу первых.
Одновременно, контролируемые государством цены на энергию и транспорт значительно благоприятствовали росту производства на энергоемких предприятиях обрабатывающего сектора в посткризисный период.
Наращиванию выпуска промышленной продукции препятствует также все еще медленное восстановление реального платежеспособного спроса потребителей. Хотя объем оборота розничной торговли достиг докризисного уровня 1997 года, но происходило это во многом за счет снижения накопления и ухудшения структуры потребления населения.
Укрепление финансового положения банков стимулировало их постепенный разворот в сторону кредитования реального сектора экономики. В то же время сумма ресурсов, привлеченных коммерческими банками (без учета Сбербанка) на депозиты и расчетные счета, превысила объем выданных предприятиям кредитов, а избыток вкладывался в зарубежные финансовые активы.
Оставалась недостаточной активность в сфере реформирования естественных монополий и других институциональных реформ.
Разбалансированность посткризисного экономического подъема проявилась в "асимметричности" расширения конечного спроса, производства и доходов. На макроэкономическом уровне сдвиги в распределении доходов выражаются, в частности, в значительном росте нормы валовых сбережений при параллельном снижении их использования на инвестиционные цели (валовые накопления).
Мобилизация валовых сбережений для стимулирования экономического роста требует глубокого реформирования банковской системы и создания условий для сокращения вывоза капитала.
Обозначились неспособность ряда секторов экономики воспользоваться возможностями оживления конечного спроса, асинхронность экономического роста и расширения конечного спроса. На фоне замедления во II полугодии 2000 года роста ряда макроэкономических показателей (ВВП, промышленного производства, инвестиций в основной капитал, экспорта) сохранялись высокие темпы реальных доходов населения и строительных работ, активизируется импорт, который становится основным источником обеспечения роста товарооборота.
Одновременно возрастает импорт сырья для увеличения производства в легкой, пищевой и химической промышленности и происходит вытеснение продукции отечественного производства на внутреннем рынке.
Замедление темпов экономического роста во втором полугодии 2000 года ставит перед экономикой проблему поиска новых стимулов и резервов для продолжения роста производства.
Производство ВВП Рост производства ВВП в 2000 году был обусловлен высокими темпами роста промышленного производства и строительства, которые обеспечили опережающий темп производства товаров по сравнению с производством услуг (8.6% и 6.7% соответственно).
Основными факторами роста промышленного производства и строительства были расширение внутреннего спроса - инвестиционного и потребительского и наращивание объемов экспорта:
Динамика реального объема произведенного ВВП20
(прирост, в % к соответствующему периоду предыдущего года)
|
1998
|
1999
|
2000
|
ВВП
|
-4.9
|
3.5
|
7.7
|
Производство товаров
|
-7.4
|
7.5
|
8.6
|
Промышленность
|
-5.2
|
7.5
|
9.0
|
Сельское хозяйство
|
-18.9
|
10.7
|
5.0
|
Строительство
|
-6.5
|
6.1
|
11.5
|
Производство услуг
|
-2.5
|
0.8
|
6.7
|
Рыночные услуги
|
-3.5
|
0.9
|
8.0
|
Транспорт
|
-4.6
|
5.3
|
5.2
|
Торговля и общ. питание
|
-5.5
|
-3.0
|
10.1
|
Нерыночные услуги
|
0.4
|
0.6
|
1.8
|
Прирост физического объема ВВП в I квартале 2001 г. составил, по оценке Минэкономразвития, 4.2% по сравнению с аналогичным периодом прошлого года. При сохранении сложившихся тенденций по итогам 2001 года прирост физического объема ВВП составит около 4 процентов.
Поступательное развитие экономики в I квартале 2001 г. было обеспечено за счет прироста промышленного производства, строительства и торговли (к I кварталу 2000 года).
Использование ВВП В 1999 году "локомотивом" роста экономики был чистый экспорт. В 2000 году расширение экспорта теряет доминирующее значение как фактор роста ВВП, основной положительный вклад вносят внутренний потребительский и инвестиционный спрос.
Расширение платежеспособного спроса домашних хозяйств было обеспечено за счет роста реальных располагаемых денежных доходов, который носил "догоняющий" характер и компенсировал их стагнацию в 1999 году. При этом к концу 2000 года потребительский спрос начал все в большей мере переключаться на импортные товары вследствие опережающего роста цен на отечественные товары относительно динамики изменения курса доллара.
Структура использования ВВП
(в % к итогу)
|
1998
|
1999
|
2000
|
Валовой внутренний продукт
|
100
|
100
|
100
|
Расходы на конечное потребление
|
76.6
|
67.8
|
63
|
домашних хозяйств
|
54.5
|
50.8
|
46.2
|
государственных учреждений
|
18.8
|
14.7
|
14.7
|
НКО*)
|
3.3
|
2.3
|
2.1
|
Валовое накопление
|
16.2
|
14.8
|
17.2
|
Накопление основного капитала
|
17.8
|
16.0
|
18.4
|
Изменение запасов материальных
|
|
|
|
оборотных средств
|
-1.6
|
-1.2
|
-1.2
|
Внутренний конечный спрос
|
92.8
|
82.6
|
80.2
|
Чистый экспорт
|
7.2
|
17.4
|
19.7
|
Экспорт
|
30.8
|
44.2
|
44.6
|
Импорт
|
-23.6
|
-26.8
|
-24.9
|
Эффект мультипликатора-акселератора
Теперь кривая С + I пересечет линию 45° (линию равенства доходов и расходов) в точке Е. Этой точке будет соответствовать объем НД в размере ON. Точка N приблизилась к точке F, т.е. тому уровню НД, который соответствует полной занятости. Чем больше инвестиции, тем выше поднимается кривая С + I и тем ближе заветный уровень полной занятости.
Если же государство будет не только стимулировать частные инвестиции, но и само осуществлять целый набор различных расходов, то кривая С + I превратится в кривую С + I + G, где G государственные расходы.
Этот рисунок наглядная графическая иллюстрация той благотворной роли государственных расходов и стимулирования инвестиций в частном секторе, которой огромное значение придавал Дж. М. Кейнс.
Итак, совокупные расходы это сумма С, I, G и, с учетом внешнеторговых операций, чистого экспорта (Хn): С + I + G + Хn.
Эффект мультипликатора-акселератора Обратимся вначале к эффекту акселератора, демонстрирующему связь между изменениями реального ВВП и производных инвестиций? Одним из первых, кто обратил серьезное внимание на этот эффект, был американский экономист Джон Морис Кларк, активно изучавший проблемы экономических циклов. Кларк полагал, что возрастание спроса на предметы потребления порождает цепную реакцию, ведущую к многократным увеличениям спроса на оборудование и машины.
Эта закономерность, являвшаяся, по мнению Кларка, ключевым моментом циклического развития, была определена им как принцип акселерации или как эффект акселератора.
Для понимания эффекта акселератора используют коэффициент капиталоемкости. Предприниматели стараются поддерживать на желаемом уровне соотношение капитал / готовая продукция. На макроэкономическом уровне коэффициент капиталоемкости выражается соотношением капитал / доход, т.е. K / Y. Различные отрасли экономики отличаются неодинаковым уровнем капитального коэффициента.
Так, он высок в судостроении, где для выпуска единицы готовой продукции требуются большие затраты основного капитала. Гораздо ниже он в отраслях легкой промышленности.
Изменение в объемах продаж готовой продукции повлечет за собой и необходимость изменений инвестиций в основной капитал, для того, чтобы коэффициент капиталоемкости оставался на желаемом уровне.
При рассмотрении принципа акселерации нас интересуют, прежде всего, чистые инвестиции. Чистые инвестиции не могут быть любой величины.
Поскольку валовые инвестиции в масштабе национальной экономики не могут принимать отрицательных значений, максимальным пределом, которого могут достигнуть отрицательные чистые инвестиции, является величина амортизации.
При создании модели мультипликатора мы предполагаем, что увеличение инвестиций происходит в том же году, что и прирост объема продаж. Однако, экономисты при построении модели акселератора исходят из определенного лага (временного запаздывания) в реакции экономических агентов, осуществляющих инвестиции, на увеличение объема продаж или роста реального ВВП. Действительно, трудно представить, чтобы новые фабрики и заводы строились немедленно в ответ на рост годового объема продаж.
Даже если предприниматель отличается чрезвычайной быстротой реакции, он вначале распродаст запасы готовой продукции, просчитает различные варианты инвестиционных проектов и лишь потом осуществит инвестиции.
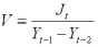
Таким образом, акселератор можно представить математически в виде отношения инвестиций периода t к изменению потребительского спроса или национального дохода в предшествующие годы:
, где V акселератор; J чистые инвестиции в период t год, когда были осуществлены инвестиции; Y потребительский спрос, доход или реальный ВВП; t-1 и t-2 предшествующие годы13.
Кроме того, эффект акселератора в сочетании с известным эффектом мультипликатора порождает эффект мультипликатора-акселератора. Эта модель была разработана Полом Самуэльсоном и Джоном Хиксом.
Эффект мультипликатора-акселератора показывает механизм самоподдерживающихся циклических колебаний экономической системы.
Как известно, рост инвестиций на определенную величину может увеличить национальный доход на многократно большую величину вследствие эффекта мультипликатора. Возросший доход, в свою очередь, вызовет в будущем (с определенным лагом) опережающий рост инвестиций вследствие действия акселератора.
Эти производные инвестиции, являясь элементом совокупного спроса, порождают очередной мультипликационный эффект, который снова увеличит доход, побуждал тем самым предпринимателей к новым инвестициям.
Математически зависимость между приростом дохода и действием мультипликатора и акселератора можно представить следующим образом:
, где В - cумма автономных расходов (автономного потребления и автономных инвестиций)14.
Модель мультипликатора-акселератора предполагает несколько вариантов циклических колебаний. Эти варианты определяются сочетанием различных значений МРС и V. В реальной экономике МРС1 и 0.5 V 1 , при котором значения показателей национального дохода должны были бы за 5-10 лет приобретать огромные размеры. Но практика не демонстрирует колебаний взрывного типа.
Дело в том, что величина дохода или реального ВВП, в действительности ограничена потолком, т.е. значением потенциального ВВП. Это-ограничение амплитуды колебаний со стороны совокупного предложения. С другой стороны, падение национального дохода ограничено полом, т.е. отрицательными чистыми инвестициями, равными величине амортизации. Здесь мы сталкиваемся с ограничением амплитуды колебаний со стороны совокупного спроса, элементом которого являются инвестиции.
Волна растущего национального дохода, ударившись о потолок, приводит к его обратной динамике. Когда же понижательная тенденция деловой активности достигнет пола, то начинается противоположный процесс оживления и подъема.
Парадокс бережливости. Традиционный взгляд классической теории на процессы сбережения и инвестирования подчеркивает благотворность высоких сбережений. Ведь чем выше сбережения, тем глубже резервуар, откуда черпаются инвестиции.
Поэтому высокая склонность к сбережениям, по логике классической школы, должна способствовать процветанию нации.
Современный взгляд на эту проблему, первоначально сформулированный Кейнсом, существенным образом отличается от классической трактовки. Дж.М.Кейнс пришел к выводу, что такие аргументы (т.е. аргументы классиков) совершенно не применимы к странам, достигшим высокой стадии экономического развития. В странах, достигших такого уровня, стремление сберегать будет всегда опережать стремление инвестировать. Это происходит по следующим причинам.
Во-первых, с ростом накопления капитала снижается предельная эффективность его функционирования, так как все более и более сужается круг альтернативных возможностей высоко прибыльных капиталовложений. Во-вторых, с ростом доходов в индустриально развитых странах будет увеличиваться доля сбережений достаточно вспомнить, что S есть функция от Y, и зависимость эта положительна.
Для того, чтобы ответить на этот вопрос, необходимо вновь обратиться к категории инвестиций. Существуют так называемые автономные инвестиции, т.е. капиталовложения, независимые от объема и динамики национального дохода . Эта некое упрощение взаимосвязей, существующих в масштабах национальной экономики.
В реальной действительности наблюдается взаимодействие инвестиций и дохода. Автономные инвестиции, осуществленные в виде первоначальной инъекции, вследствие эффекта мультипликатора приводят к росту национального дохода.
Оживление деловой активности, рост занятости приведут к повышению склонности к инвестированию у различных предпринимателей. Эти инвестиции принято называть производными т.к. они зависят от динамики национального дохода.
Производные инвестиции, будучи наложенными на автономные, усиливают экономический рост, ускоряют его.
Но колесо ускорения может повернуться и в другую сторону. Сокращение дохода будет (вследствие эффектов мультипликации и акселерации) сокращать и производные инвестиции, а это будет вести к стагнации экономики.
Если экономика находится в состоянии неполной занятости, увеличение склонности к сбережению, естественно, означает не что иное, как уменьшение склонности к потреблению. Сокращение потребительского спроса означает невозможность для производителей товаров продавать свою продукцию. Затоваренные склады никак не могут способствовать новым капиталовложениям. Производство начнет сокращаться, последуют массовые увольнения, и, следовательно, падение национального дохода в целом и доходов различных социальных групп. Вот что станет неизбежным результатом стремления больше сберегать!
Добродетель сбережения, о которой говорила классическая школа, оборачивается своей противоположностью нация становится не богаче, а беднее.
Следовательно, протестантская этика, проповедующая бережливость как одно из непременных условий приумножения богатства, не всегда приводит к желаемым результатам. В условиях неполной занятости парадокс бережливости проявляется как незапланированный результат вполне осознанных действий отдельных хозяйствующих субъектов, руководствующихся своими личными представлениями о рациональном поведении.
Особенности взглядов классиков
Гибкость цен распространяется не только на блага, но и на факторы производства. Поэтому изменение уровня цен на блага вызывает соответствующее изменение уровня цен на факторы.
Так изменяется номинальная заработная плата, реальная же остается без изменений. Следовательно, цены на блага, факторы и общий уровень цен изменяются в одинаковой пропорции.
Особенности взглядов классиков Для представителей классической школы был характерен микроэкономический анализ, но их взгляды и выводы достаточно верно отражают функционирование рыночной системы.
Следует отметить, что классики рассматривали общеэкономического равновесия только в краткосрочном периоде для условий совершенной конкуренции. Жан-Батист Сэй впервые сформулировал так называемый закон рынков, сущность которого сводился к следующему утверждению: предложение товаров создает свой собственный спрос, или, другими словами, произведенный объем продукции автоматически обеспечивает доход, равный стоимости всех созданных товаров, а следовательно, сточен для ее полной реализации. Это означает что, во-первых, целью владельца дохода является не получение денег как таковых, а приобретение различных материальных благ, т.е. получаемый доход расходуется целиком.
Деньги при таком подходе играют чисто техническую функцию, упрощающую процесс обмена товарами. Во-вторых, расходуются только собственные денежные средства.
Представители классического направления разработали достаточно стройную теорию общего экономического равновесия, автоматически обеспечивающего равенство доходов и расходов при полной занятости, которая не вступает в противоречие с действием закона Сэя. Исходным моментом этой теории является анализ таких категорий, как процентная ставка заработная плата, уровень цен в стране. Эти ключевые переменные, которые в представлении классиков, являются гибкими величинами, обеспечивают равновесие на рынке капитала, рынке труда и денежном рынке.
Процент уравновешивает спрос и предложение инвестиционных средств; гибкая заработная плата уравновешивает спрос и предложение на рынке труда, так что сколько-нибудь продолжительное существование вынужденной безработицы просто невозможно; гибкие цены обеспечивают очищение рынка от продукции, так что длительное перепроизводство также оказывается невозможным; увеличение денежной массы в обращении ничего не меняет в реальном потоке товаров и услуг, оказывая лишь влияние на номинальные стоимостные величины.
Таким образом, рыночный механизм в теории классиков сам способен исправлять дисбалансы, возникающие в масштабах национальной экономики и вмешательство государства оказывается ненужным. Принцип невмешательства государства это макроэкономическая политика классиков, и рекомендации современных экономистов сторонников неоклассического направления базируются на выводах классической школы.
Графическая интерпретация Графическая интерпретация общего экономического равновесия в классической концепции представлена на 14.
В третьем квадранте нижней части рисунка отображен процесс формирования равновесия на рынке труда, где устанавливаются равновесные значения ставки реальной зарплаты w* и занятости N*.
В четвертом квадранте определяется равновесное значение национального дохода у* путем проецирования равновесного значения N* на производственную функцию.
Равновесное значение у* определяет функцию совокупного предложения. Функция совокупного спроса выводится из количественного уравнения обмена: у = (Mv) / P.
Изменение количества денег влияет только на номинальные переменные, изменяя текущий уровень цен Р. Соответственно графики AD и W сдвигаются от начала координат при росте денежной массы и наоборот при ее уменьшении.
В верхней части рисунка отображен процесс формирования условий равновесия на рынке капитала, где устанавливается равновесная процентная ставка.
Итак, формирование условий ОЭР в классической модели происходит по принципу саморегулирования, без вмешательства государства, что обеспечивается тремя встроенными стабилизаторами: гибкими ценами, гибкой номинальной ставкой зарплаты и гибкой ставкой процента. При этом денежный и реальный сектор независимы друг от друга.
Кейнсианская модель ОЭР Основные постулаты Кейнсианская модель общего экономического равновесия построена на принципах, отличных от постулатов классической школы.
В кейнсианской модели отсутствует гибкость цен, так как, во-первых, в коротком периоде экономические субъекты подвержены денежным иллюзиям, кроме того в экономике в силу институциональных факторов (долгосрочные контракты, монополизация и т. д.) реальная гибкость цен отсутствует.
Особое значение имеет относительная жесткость номинальной зарплаты. Кейнс подчеркивал, что номинальная зарплата в коротком периоде фиксирована, так как определяется долгосрочными трудовыми контрактами, кроме того, если она и меняется, то только в одну сторону повышения в периоды экономического подъема.
Снижению же ее в периоды экономического спада препятствуют профсоюзы, имеющие большое влияние в развитых странах. В силу этого рынок труда несовершенен и равновесие на нем устанавливается, как правило, в условиях неполной занятости
Однако основная особенность кейнсианской модели заключается в том, что реальный и денежный сектор экономики оказываются взаимосвязанными Указанная взаимосвязь обусловливается спецификой кейнсианской трактовки денежного спроса, согласно которой деньги являются богатством и имеют самостоятельную ценность, и выражается через трансмиссионный механизм ставки процента
Важнейшим рынком в кейнсианской модели является рынок благ. В связке совокупный спроссовокупное предложение ведущая роль принадлежит совокупному спросу.
Но так как его величина корректируется в результате взаимодействия с денежным рынком, то определяющим параметром общего равновесия становится эффективный спрос, величина которого устанавливается в модели совместного равновесия.
Кейнсианская модель ОЭР описывает экономику как целостную систему, в которой все рынки являются взаимосвязанными, и изменение условий равновесия на одном из рынков вызывает изменение равновесных параметров на других рынках и условий ОЭР в целом. При этом преодолевается классическая дихотомия (разделение экономики на два сектора: реальный и денежный рынки) , исчезает строгое разделение переменных на реальные и номинальные, а уровень цен становится одним из параметров общего равновесия
Анализ равновесия потреблений и сбережений. Одним из центральных понятий общего экономического равновесия является взаимная связь между планируемыми экономическими агентами, населением и государством расходами и национальным продуктом. При этом в статье расходов обычно выделяют личное потребление, инвестиционные и государственные расходы.
Увеличение каждой из отмечаемых составляющих повышает общие планируемые затраты в целом.
Величина получаемого каждым экономическим агентом дохода далеко не всегда равна величине его личного потребления. Как правило, при низком уровне доходов расходуются сбережения Предыдущих периодов (сбережение отрицательно).
При некотором уровне доходов они полностью расходуются на потребление. Наконец, с ростом доходов у хозяйственных агентов появляются все более широкие возможности увеличивать, как потребление, так и свои сбережения.
По Кейнсу все расходы общества состоят из 4 однотипных компонентов:
- личное потребление
- инвестиционное потребление
- государственные расходы
- чистый экспорт
При анализе личного потребления важно исследовать роль объективных и субъективных факторов, которые оказывают влияние на общее количество ресурсов, расходуемых обществом на потребление. Общий объем потребления, как правило, зависит от общего объема дохода. Соотношение между изменением потребления и вызываемым им изменением дохода называется предельной склонностью к потреблению marginal propensity to consume (MPC)5:
.
Согласно основному психологическому закону, величина предельной склонности к потреблению находится между нулем и единицей, а предельная склонность к сбережению (marginal propensity to save) равна отношению изменения величины сбережений к изменению доходов6:
.
Когда общий доход возрастает, часть прироста будет направлена на потребление, а другая часть на сбережение, т.е. Y = S + C, отсюда следует:
Графическое представление Построим график, отражающий предельную склонность к потреблению. На оси абсцисс откладывается чистый доход (после уплаты налогов). На оси ординат расходы на потребление. Если бы расходы в точности соответствовали доходам, то это отражала бы любая точка, лежащая на прямой, проведенной под углом 45°.
Но в действительности такого совпадения не происходит, и только часть доходов расходуется на потребление.
Поэтому кривая потребления отклоняется от линии 45° вниз. Место пересечения линии 45° и кривой потребления в точке В означает уровень нулевого сбережения.
Слева от этой точки можно наблюдать отрицательное сбережение, а справа сбережение положительное.
Теперь построим график, отражающий предельную склонность к сбережению. График склонности к сбережению (3) показывает отношение прироста сбережения к приросту дохода.
Промышленность
*) Некоммерческие организации, обслуживающие домашние хозяйства
Возросшая экспортная выручка и увеличившийся приток валюты в страну существенно увеличили ресурсный потенциал сектора предприятий и некоммерческих организаций, обслуживающих домашние хозяйства. Доля располагаемых предприятиями доходов возросла в 2000 году на 1.6 процентного пункта и составила 24.9% валового национального располагаемого дохода.
Основной вклад в это увеличение оказал рост валовой прибыли - до 32.9%, и снижение передаваемых предприятиями доходов от собственности - до 6.8% от располагаемых ресурсов экономики.
Несмотря на замедление роста реальных располагаемых денежных
доходов населения в I квартале к соответствующему периоду 2000 года, расходы на конечное потребление домашних хозяйств на товары и услуги увеличились, при замедлении прироста сбережений в условиях устойчивого инфляционного давления на рост потребительских расходов.
В результате более высокими темпами, чем в I квартале 2000 г., рос оборот розничной торговли и объем платных услуг населению. Относительное снижение сбережений домашними хозяйствами при росте расходов на товары и услуги в краткосрочной перспективе стимулирует внутренний спрос и создает предпосылки роста производства.
Однако в долгосрочном периоде снижение нормы сбережений домашними хозяйствами означает сокращение потенциального источника инвестирования, поскольку депозиты населения формируют 40% ресурсов банковской системы.
В I квартале 2001 г. рост инвестиций сдерживался вследствие ухудшения финансового положения предприятий. Одним из значимых факторов является удорожание продукции затратообразующих и инвестиционно ориентированных отраслей, что ведет к неплатежам и ухудшению финансового положения как предприятий этих отраслей, так и предприятий, потребляющих их продукцию.
С начала года повысилось количество убыточных предприятий в экспортоориентированных сырьевых отраслях, где были сконцентрированы основные доходы (нефтеперерабатывающая, газовая, химическая и нефтехимическая промышленность и другие).
В I квартале 2001 г. ситуацию во внешнем секторе определяли достаточно благоприятная внешнеэкономическая конъюнктура (хотя и начавшаяся ухудшаться относительно 2000 года) и укрепление рубля.
Наращивание стоимостных объемов экспорта и импорта товаров и услуг к соответствующему периоду предыдущего года определялось различными факторами.
Относительно высокие объемы экспорта товаров и услуг в долларовой оценке определялись прежде всего достаточно высоким уровнем цен мирового рынка. Номинальная величина экспорта товаров в I квартале 2001 г. составила 25.3 млрд. долл., а услуг - 1.9 млрд. долл., против 24.4 и 1.8 млрд. долл. соответственно в аналогичном периоде прошлого года.
Промышленность На протяжении всего 2000 года индекс промышленного производства превышал соответствующий период предыдущего года и в целом за год составил 109 процентов.
Объемы промышленного производства (помесячно, млрд.руб., в ценах января 1996 года)
Наибольший рост выпуска продукции к уровню предыдущего года достигнут в легкой промышленности, черной и цветной металлургии, машиностроении и металлообработке, химической и нефтехимической промышленности.
1
|
Электроэнергетика
|
6
|
Машиностроение и металлообработка
|
2
|
Топливная промышленность
|
7
|
Лесная, деревообрабатывающая и целлюлозно-бумажная промышленность
|
3
|
Черная металлургия
|
8
|
Промышленность строительных материалов и изделий
|
4
|
Цветная металлургия
|
9
|
Легкая промышленность
|
5
|
Химическая и нефтехимическая промышленность
|
10
|
Пищевая промышленность
|
Вклад отраслей промышленности в прирост выпуска продукции в январе-декабре 2000 года (расчет по сумме отраслей в ценах 1999 г.):
1
|
Машиностроение и металлообработка
|
7
|
Лесная, деревообрабатывающая и целлюлозно-бумажная промышленность
|
2
|
Пищевая промышленность
|
|
|
3
|
Черная металлургия
|
8
|
Легкая промышленность
|
4
|
Цветная металлургия
|
9
|
Другие отрасли промышленности
|
5
|
Химическая и н/химическая промышл.
|
10
|
Промышленность строительных материалов
|
6
|
Топливная промышленность
|
11
|
Электроэнергетика
|
Опережающий рост производства обрабатывающих отраслей в 1999-2000 годах способствовал увеличению доли продукции этих отраслей на 2.3 процентного пункта.
В последние месяцы замедлилось производство в черной металлургии, лесной, деревообрабатывающей и целлюлозно-бумажной промышленности, а в машиностроении и металлообработке спад (с исключением сезонных и календарных факторов) отмечается в течение последних четырех месяцев.
В последние месяцы заметный спад происходил в приборостроении и автомобильной промышленности.
Рост промышленного производства в 2000 году происходил в условиях повышения уровня загрузки производственных мощностей, который, по данным опросов базовых предприятий отрасли, производимых Центром экономической конъюнктуры, в декабре 2000 года возрос до 50% - наиболее высокого для последних лет уровня.
В декабре наиболее высокая загрузка мощностей наблюдалась в топливной промышленности - 77%, электроэнергетике - 69%, черной металлургии и лесной, деревообрабатывающей и целлюлозно-бумажной промышленности - 66%. Самый низкий уровень загрузки мощностей остается в машиностроении и металлообработке и легкой промышленности - 42 процента.
Серьезным ограничителем дальнейшего наращивания выпуска промышленной продукции является высокая степень износа активной части основных фондов.
Наибольший износ машин и оборудования к началу 2000 г. отмечен в химической и нефтехимической промышленности - около 80%, в машиностроении, промышленности строительных материалов и легкой промышленности - более 70 процентов.
В экспортоориентированных отраслях - топливной, металлургической, лесной - наряду с высокой степенью износа оборудования отмечена и наибольшая загрузка мощностей. Это свидетельствует о критических нагрузках на оборудование, при которых дальнейшее наращивание выпуска без ускорения ввода нового оборудования практически невозможно (особенно в нефтепереработке, где износ оборудования - почти 70%).
Наименьший износ машин и оборудования отмечен в пищевой промышленности. Следовательно, при наличии спроса, в пищевой промышленности имеется значительный резерв для наращивания выпуска.
Заключение
В данной работе рассматриваются различные теории макроэкономического равновесия. Общее экономическое равновесие это такое состояние экономики, когда на всех рынках благ, денег, капитала и труда одновременно достигается равновесие. Существуют две основные теории по данной теме: классическая и кейнсианская. Сторонники обеих теорий приводят убедительные доказательства в свою пользу, в т.ч. и из истории.
Последователи Кейнса ссылаются на времена Великой Депрессии 30-х гг. ХХ века в США, когда увеличение государственных расходов помогло вывести страну из кризиса, а классики во главе с Милтоном Фридменом утверждают, что США от Депрессии избавила вторая мировая война.
Классики утверждают, что и инвестиции и сбережения зависят от процентной ставки. Последователи Кейнса заявляют, что на самом деле сбережения остаются постоянными, вне зависимости от процентной ставки, и изменяются соответственно с чистым доходом. Классики выступают за принцип “laissez-faire” невмешательства государства в экономику страны, а последователи Кейнса утверждают, что только таким образом можно бороться с безработицей. У монетаристов есть удачный опыт проведения своих теорий в практику во время энергетического кризиса 70-х, когда экономика большинства развитых стран была поражена стагфляцией, а последователи Кейнса гордятся экономикой США, переживавшей небывалый экономический рост последние два десятилетия и пропагандируют парадокс бережливости, когда стремление накопить денег населением приводит к противоположным результатам. В ответ на это им приводят в пример самого Пола Самуэльсона, автора знаменитейшего Экономикс.
Эта книга переиздавалась более 15 раз и по ней можно отследить как сам Самуэльсон изменил свое отношение к сбережениям. В 13 издании (1989 ) он уже в соавторстве с Нордхаусом пишет о том, что ..Большинство экономистов считают, что текущий уровень сбережений слишком мал, чтобы гарантировать стабильный и здоровый уровень инвестиций в экономике 90-х.., т.е. фактически отходит от истинно кейнсианской теории.
По какому бы пути ни пошла Россия в новом тысячелетии, важно органично и слаженно развивать все отрасли национального хозяйства. Можно только догадываться с чем нам придется столкнуться через несколько десятков лет, но одно известно точно это будет суровый путь не лишенный испытаний, ошибок и разочарований.
Список литературы
- N. Gregory Mankiw. Principles of Economics. McCraw -Hill Higher Education: 1998.
- Paul Baran and Paul Sweezy. Monopoly Capital. NY.: Barnes Nobles, 1993.
- А. Луссе. Краткий курс Макроэкономика. СПб: Изд. Питер, 2001.
- В.Я. Иохин. Экономическая теория. - М.: Юрист, 2000.
- Камаев В.Д. Учебник по основам экономической теории. М.: ВЛАДОС, 1997.
- Кемпбелл Р. Макконел. Стенли Л. Брю. Экономикс.М.: Республика, 1996.
- Курс экономической теории: учебник 4-е дополненное и переработанное издание / Под редакцией Чепурина М.Н., Киселевой Е.А. Киров: АСА, 2000.
- Маршалл А. Принципы экономической науки, Пер. с англ. М., Издательская группа Прогресс, 1993.
- Рыночная экономика: Учебник: В 3 т. М., 1992.
- Столерю Л. Равновесие и экономический рост. М., 1974
- Фишер С., Дорнбуш Р., Шмалензи Р. Экономика / Пер. с англ. М., 1993.
- Экономическая теория / Под редакцией И.А. Николаевой. М.: Проспект, 1998.
- Экономическая энциклопедия / Науч.-ред. совет изд-ва Экономика; Ин-т экон. РАН; Гл.ред. Л.И. Абалкин. М.: ОАО Издательство “Экономика”, 1999.
1 А. Луссе. Краткий курс Макроэкономика.
СПб: Изд. Питер, 2001.
2 То есть, согласно закону Сэя, любое предложение порождает соответствующий спрос
3 В классической концепции сбережения являются функцией от процентной ставки и при распределении дохода на потребление и сбережение домашние хозяйства отталкиваются именно от уровня сбережений.
4 по учебнику Экономическая теория / Под редакцией И.А. Николаевой.
М.: Проспект, 1998.
5 Курс экономической теории: учебник 4-е дополненное и переработанное издание / Под редакцией Чепурина М.Н., Киселевой Е.А. Киров: АСА, 2000.
6 Там же.
7 Кемпбелл Р. Макконел. Стенли Л. Брю.
Экономикс. М.: Республика, 1996.
8 Камаев В.Д. Учебник по основам экономической теории.
М.: ВЛАДОС, 1997.
9 Камаев В.Д. Учебник по основам экономической теории.
М.: ВЛАДОС, 1997.
10 Фишер С., Дорнбуш Р., Шмалензи Р. Экономика / Пер. с англ. М., 1993.
11 Курс экономической теории: учебник 4-е дополненное и переработанное издание / Под редакцией Чепурина М.Н., Киселевой Е.А. Киров: АСА, 2000.
12 Экономическая теория / Под редакцией И.А. Николаевой.
М.: Проспект, 1998.
13 В.Я. Иохин.
Экономическая теория. - М.: Юрист, 2000.
14 В.Я. Иохин.
Экономическая теория. - М.: Юрист, 2000.
15 Курс экономической теории: учебник 4-е дополненное и переработанное издание / Под редакцией Чепурина М.Н., Киселевой Е.А. Киров: АСА, 2000.
16 Paul Anthony Samuelson, William D. Nordhaus. Microeconomics., NY.
1999.
17 Камаев В.Д. Учебник по основам экономической теории.
М.: ВЛАДОС, 1997.
18 "Независимая газета" /В.Кузьмичев "Россия рвется в лидеры"/, 27.10.2000
19 по данным Госкомстата России (www.gks.ru)
20 Здесь и далее приведены данные из ежегодный доклада Госкомстата России за 2000 г.
Совокупный спрос совокупное предложение
Графически парадокс бережливости показан на 915.
На оси абсцисс национальный доход, на оси ординат сбережения и инвестиции; линия F уровень НД при полной занятости.
Линия II (инвестиции) теперь не параллельна оси абсцисс, как это было ранее ведь речь идет о производных инвестициях, а они растут в зависимости от роста национального дохода.
Сдвиг линии SS вверх, в положение S1S1 означает рост сбережений. Если ранее точка равновесия Е показывала на объем национального дохода, равный ON, то теперь ситуация изменилась. Точка E1, образованная в результате пересечения линии II и линии S1S1 показывает, что новому равновесию между сбережениями и инвестициями соответствует национальный доход в размере ON1.
Величина NN1 показывает сокращение НД. Если ранее инвестиции в условиях равновесия НД были в размере EN, то теперь, после сдвига кривой сбережений, инвестиции составляют величину E1N1.
Заштрихованный треугольник показывает, как уменьшаются, сужаются инвестиционные возможности в результате увеличения сбережений; отрезок ЕЕ0 показывает, насколько сократились инвестиции. Парадокс заключается именно в том, что рост сбережений уменьшает, а не увеличивает инвестиции вывод, противоречащий постулату классической школы.
П.Самуэльсон и другие ученые подчеркивают, что парадокс бережливости характерен только для условий неполного использования основных факторов производства в стагнирующей экономике, наиболее устрашающим примером которой была Великая депрессия или, например, энергетический кризис 70-х годов16.
Модель Совокупный спрос совокупное предложение Объем реального национального продукта (стоимость продукта в неизменных ценах) и темп инфляции, обеспечивающие равенство между совокупным спросом и предложением, обычно называют состоянием общего макроэкономического равновесия (сбалансированности) экономики. Это важнейшая составляющая народнохозяйственной сбалансированности.
На 1017 заданы кривые совокупного спроса AD и предложения AS и точка Е, фиксирующая состояние общего экономического равновесия (крест Кейнса).
В любой национальной экономике всегда существует некий объем реального валового национального продукта, превышение которого способствует ускоренному развитию инфляционных процессов (на 10 этому уровню соответствует точка на оси абсцисс Qпотенциальное). Последнее, как известно, в значительной степени стимулирует развитие спекулятивных мотивов у производителей и различного рода посредников в ущерб реальным потребностям экономики. Как показывает практика, этот объем, превышать который не следует, определяется, главным образом, сложившейся структурой национальной экономики.
Причем данной структуре всегда соответствует и определенный уровень вынужденной безработицы. Фактически указанный объем реального валового национального продукта отражает потенциал роста той или иной экономики без угрозы быстрого раскручивания инфляционной спирали.
Если текущее производство реального ВНП ниже обозначенного потенциала (например, в точке Е), то есть возможность заметно снизить уровень безработицы, стимулируя увеличение совокупного спроса. Этого можно добиться, используя три основных рычага государственной экономической политики: снижение налогов, увеличение денежной (в первую очередь кредитной) массы, рост государственных расходов.
Напротив, если фактическое производство реального ВНП в достаточной степени превышает обозначенный потенциал (например, находится в точке Е1 классическим примером является российская экономика), говорят, что экономика находится в перегретом состоянии. Для него характерны сверхзанятость (своего рода безработица на работе), усиленное развитие инфляционных процессов, переходящих в гиперинфляцию, обострение товарного и бюджетного дефицитов.
В такой ситуации общество живет не по средствам, происходит проедание национального дохода, нарастает отставание в техническом уровне развития производства.
Все это диктует необходимость проведения энергичной государственной политики, направленной на сокращение совокупного спроса и перевод экономики в положение, близкое к состоянию Е11. Теоретически и практически последнее достигается за счет ужесточения налогового пресса, сокращения денежной (в первую очередь кредитной) массы, существенного снижения (экономии) государственных расходов.
Однако эффективно использовать все эти три основных рычага государственным органам удается не всегда. Чем сильнее отклонения от параметров состояния общего экономического равновесия, тем меньше соответствующие возможности.
Применительно к нынешней экономике России трудно требовать быстрой трансформации существовавшей ранее банковской системы в классическую систему мирового образца. Это не позволяет в полной мере использовать банковские рычаги сокращения наличной и кредитной денежной массы, хотя сегодня процесс сжатия последней, несомненно, идет.
При существующем тяжелом состоянии государственного бюджета существенное снижение государственных расходов задача также трудновыполнимая. После проведения либерализации цен, в условиях прогрессирующей инфляции не увеличивать социальные расходы нереально.
Структуру национального хозяйства быстро изменить нельзя. Возможности сокращения военных расходов ограничены традиционно сложившимся высоким удельным весом в экономике оборонного комплекса, хотя начиная с 1992 г. правительство Российской Федерации постепенно добивается сокращения военных расходов.
Именно на них сегодня вынужденно перемещен центр тяжести при проведении экономических реформ и в решении сложнейших проблем народнохозяйственной сбалансированности.
В свою очередь, сверхжесткое проведение стабилизационной финансовой политики может привести к тому, что экономические агенты будут вынуждены заметно сократить размеры предложения при том же изменении цен: кривая AS на 10 сместится в положение AS1. В этом случае сокращение совокупного предложения скорее всего вызовет новую волну роста цен, во многом определяемую характеристиками эластичности кривой AD. В результате спад производства может сопровождаться довольно высокой инфляцией. Напротив, рост инфляции, вызванный стимулированием совокупного спроса, может быть в известной степени смягчен, если в результате предпринятых мер одновременно произойдет увеличение совокупного предложения. Приведенный ADAS анализ общего экономического равновесия отличается известным схематизмом.
Вместе с тем, он может быть полезен при оценке логики происходящих изменении и последовательности предпринимаемых шагов в рамках государственной политики достижения экономического равновесия.
Итоги развития экономики России По темпам роста ВВП Россия рвется в лидеры. Международные эксперты очень высоко оценили перспективы России - по итогам прошедшего года наша страна могла бы войти в десятку наиболее динамично развивающихся стран мира, заняв девятое место18.
По данным Министерства экономического развития и торговли РФ темпы роста ВВП в России по-прежнему сохраняются на высоком уровне. В целом за три квартала 2000 года объем валового внутреннего продукта увеличился на 7,3% по сравнению с соответствующим периодом 1999 года.
Если основываться на предварительных оценках темпов роста валового внутреннего продукта в мире, то при сохранении нынешней положительной динамики Россия может занять шестое или седьмое место в рейтинге наиболее интенсивно развивающихся экономик мира.
Не менее динамичной выглядит экономика России на фоне процессов, происходящих в странах СНГ. По данным Международного валютного фонда, который исследовал развитие экономической ситуации в Содружестве с января по август 2000 года, по темпам роста ВВП Россия занимает второе место, уступив первенство лишь Туркмении где национальный доход вырос почти на 16%. Любопытно, что последнюю строчку занимает страна, с которой Россия собирается создать единое государство, - Белоруссия. Объем ВВП в этой стране упал на 6,3%.
Такого снижения национального дохода не было в России с 1994 года. И даже в кризисный 1998 год российский ВВП снизился лишь на 4,6%.
Потенциал позитивных изменений, проявившихся в посткризисный период, благоприятная внешнеэкономическая конъюнктура и внутренняя социально-экономическая стабильность позволили сохранить положительную динамику важнейших макроэкономических показателей на протяжении большей части 2000 года. В целом 2000 год можно назвать самым успешным для российской экономики за последнее десятилетие.
Основные показатели социально-экономического развития Российской Федерации19
|
1998/1991
|
1999
|
2000
|
2000/1998
|
Валовой внутренний продукт
|
60.6
|
103.5
|
107.7 1)
|
107.7
|
Индекс потребительских цен
|
|
|
|
|
прирост за период
|
|
36.5
|
20.2
|
|
прирост в среднем за год
|
232
|
|
|
28.1
|
Продукция промышленности
|
50.0
|
108.1
|
109
|
117.8
|
Продукция сельского хозяйства
|
58.9
|
104.1
|
105
|
109.3
|
Инвестиции в основной капитал
|
24.8
|
105.3
|
117.7 1)
|
123.9 1)
|
Реальные располагаемые денежные доходы населения
|
51.7
|
85.8
|
109.2 1)
|
93.7 1)
|
Оборот розничной торговли
|
95.5
|
92.3
|
108.9
|
100.5
|
Объем платных услуг населению
|
28.7
|
107.5
|
105.7
|
113.6
|
Экспорт товаров
|
138.5 2)
|
101.3
|
138.6 1)
|
140.4 1)
|
Импорт товаров
|
138.9 2)
|
68.3
|
111.6 1)
|
75.2 1)
|
Экономика: Знания - Циклы - Макроэкономика