Васильева - Экономическая теория конспект лекций
Тема 1
Введение в курс экономической теории Экономическая теория: конспект лекций
1.1. Предмет, методы, функции, принципы и законы экономической теории Экономическая теория: конспект лекций
В условиях рыночной экономики субъект, выполняющий экономические функции, называется экономическим субъектом (государство, различные фонды, объединения, ассоциации, фирмы и предприятия, домохозяйства, отдельный человек). В процессе деятельности экономических субъектов возникает экономическое явление. Экономическое явление в динамике называется экономическим процессом. Причинно-следственные связи, возникающие между экономическими явлениями в процессе их развития, называются экономическими механизмами.
Функциональная деятельность экономических субъектов направлена на решение трех основных вопросов воспроизводства:
1) какие из конкурирующих товаров и услуг должны быть произведены, в каком количестве и какого качества;
2) как производить товары в нужном количестве и соответствующего качества, т. е. с привлечением каких ресурсов, имеющихся всегда в ограниченном количестве, и с использованием какой технологии;
3) для кого производить (в процессе решения этой задачи определяется структура социальных и производственных потребителей и формируются первичные отношения между экономическими субъектами в сфере производства, распределения, обмена и потребления).
В процессе решения этих вопросов между экономическими субъектами складываются конкретные отношения по поводу производства, распределения, обмена и потребления произведенных благ и услуг.
Совокупность экономических связей и отношений в их взаимозависимости и взаимообусловленности и законы их развития составляют предмет изучения экономической теории.
Основной метод исследования в экономической теории - метод познания сложных систем - диалектика. Для изучения какого-либо конкретного предмета необходимо разложить его на составные части и исследовать каждую. Изучение каждой части единого целого называется анализом. Соединение всех изученных составных частей предмета в единое целое называется синтезом. Анализ и синтез как части диалектического метода базируются на использовании научных абстракций. Метод научных абстракций позволяет исследовать в процессе анализа лишь часть предмета, не принимая во внимание его составляющие. В процессе синтеза научные абстракции позволяют выделить все существенное, постоянное и обойти единичное, случайное, несущественное. В XX в. методы диалектики дополнились математическими методами. При анализе состояния экономической системы выделяют два ее уровня: микроэкономику и макроэкономику.
Микроэкономика изучает рациональное поведение отдельного экономического субъекта как элемента экономической системы в условиях рыночного хозяйства, макроэкономика — экономическую систему в целом.
"Экономическая теория: конспект лекций"
Выделяют следующие функции экономической теории:
• познавательную, предполагающую изучение сущности экономических явлений, процессов;
• теоретико-методологическую, позволяющую выявить общие принципы поведения экономических субъектов и применить эти принципы при изучении проблем других экономических дисциплин;
• практическую, дающую возможность использовать знания в управлении деятельностью экономических субъектов и национальной экономикой в целом.
Экономическая теория базируется на следующих основных принципах:
• взаимодействия теории и практики;
• единства макро- и микроанализа;
• неоднозначности действий законов экономики в различных исторических условиях.
Основное предназначение и смысл экономической науки состоит в выявлении, учете и использовании в практической деятельности законов хозяйственного развития. Одни экономические законы относятся ко всем сферам хозяйственной жизни, другие - преимущественно к макро- или микроэкономике. Среди законов общехозяйственного значения можно выделить закон стоимости, закон накопления, закон денежного обращения.
Закон стоимости выражает отношение цены к общественно необходимому труду, затрачиваемому на производство товаров.
Закон накопления состоит в том, что часть выручки от хозяйственной деятельности необходимо направлять на расширение ее масштабов, на инвестиции. Накопление необходимо для процесса расширенного производства.
Закон денежного обращения выражает объективную связь между количеством бумажных денег, находящихся в обращении, и уровнем цен. Покупательная способность денег прочна, если их количество соответствует потребностям рынка в определенной массе денег. Эта масса прямо пропорциональна сумме цен на товары и платные услуги и обратно пропорциональна скорости обращения денег.
1.2. Производительные силы и производственные (экономические) отношения
Экономическая теория: конспект лекций
Материальной базой развития экономики служат производительные силы. Это силы природы и общества, факторы производства и ресурсы, способные создавать национальное богатство и обеспечивающие рост производительности труда.
Выделяют производительные силы первого и второго порядка. К первым относятся средства производства, рабочая сила, предпринимательская способность. К производительным силам второго порядка относятся любые факторы производства, которые могут быть включены в процесс производства либо в настоящий момент, либо в следующем периоде развития (природные силы, наука). Они влияют на результат трудового процесса опосредованно, через промежуточные звенья.
Общественной формой реализации производительных сил выступают производственные, или экономические, отношения. Производственные отношения стимулируют или тормозят развитие производительных сил, поскольку либо уничтожают стимул к деятельности у экономических субъектов, либо его усиливают. Совокупность производственных отношений складывается в определенную экономическую систему, в которой основными выступают отношения собственности, имеющие правовое закрепление и институциональное оформление. Именно собственник факторов производства (труда, капитала, земли, предпринимательской способности) вступает в производственный процесс ради реализации своих интересов.
"Экономическая теория: конспект лекций"
1.3. Отношения собственности и формы собственности Экономическая теория: конспект лекций
Объекты собственности выступают в двух видах: средства производства (объекты собственности, участвующие в процессе производства) и предметы потребления (объекты собственности, создающие базу для развития субъекта и удовлетворения его личных потребностей). По поводу средств производства и предметов потребления между субъектами складываются отношения собственности. Отношения собственности — это отношения, складывающиеся между экономическими субъектами в процессе пользования, распоряжения, владения и отчуждения-присвоения материальных и нематериальных ценностей. Отношение пользования — это отношение к объекту пользования, направленное на извлечение из него полезного эффекта. Как и всякое отношение, отношение пользования носит двойственный характер, а именно: субъект отношений пользуется объектом, применяя свой специфический метод пользования; объект пользования требует соответствующего своей природе и предназначению адекватного к себе отношения. Так формируются отношения соответствия.
В рыночной экономике различают государственную и негосударственную собственности. Негосударственная форма собственности представлена частной собственностью (акционерной, кооперативной, корпоративной и пр.). Данная система отношений признает за конкретным субъектом право выбора путей использования объекта собственности, полученного в результате этого полезного эффекта. Государственная собственность как система отношений обеспечивает жизнеспособность всей экономической системы, т. е. при принятии решений учитываются интересы нации в целом.
В зависимости от того, какая форма собственности составляет основу экономической системы, различают определенные типы экономических систем. Экономическая система с централизованным управлением (командно-административная) функционирует в условиях государственной собственности при полном отсутствии частной. Экономическая система, основанная на принципах рынка, функционирует на основе классической формы частной собственности и ее модификаций. В этой системе отсутствует монополия распоряжения, ограничивающая функции производителя. Величина прибыли служит показателем эффективности использования имеющихся у производителя средств производства.
Смешанная экономическая система сочетает преимущества рынка с использованием административноиерархической координации экономической деятельности. Специфическая черта этого типа экономики -ограничение экономических функций государства. Его экономическая активность ограничивается предоставлением благ или производством, которое не может осуществляться на основе конкуренции.
Выводы
Экономическая теория: конспект лекций
1. Предмет изучения экономической теории - совокупность экономических связей и отношений в их взаимозависимости и взаимообусловленности, а также законы их развития.
"Экономическая теория: конспект лекций"
2. Среди законов общехозяйственного значения выделяют закон стоимости, закон накопления, закон денежного обращения.
3. Материальной базой развития экономики служат производительные силы. Выделяют производительные силы первого и второго порядка.
4. Относительно средств производства и предметов потребления между субъектами складываются отношения собств енности.
5. В зависимости от того, какая форма собственности преобладает, выделяют следующие типы экономической системы: экономическую систему с централизованным управлением, экономическую систему, основанную на принципах рынка, смешанную экономическую систему.
Микроэкономика
Экономическая теория: конспект лекций
Тема 2
Товарное производство. Товар и деньги Экономическая теория: конспект лекций
2.1. Сущность и причины возникновения товарного производства Экономическая теория: конспект лекций
Под натуральным хозяйством понимается такая форма общественного производства, при которой все товары производятся внутри хозяйства для собственного потребления. Натуральное хозяйство слабо связано с другими производителями и не участвует в процессе обмена.
При товарном хозяйстве товары производятся специализированными обособленными производителями и поступают в потребление путем обмена на рынке.
Для появления товарного хозяйства и развития товарно-денежных отношений необходимы два условия. Первое -общественное разделение труда, при котором отдельные производители специализируются на выработке определенных продуктов (пошиве одежды, изготовлении мебели, выращивании хлеба и т. д.). Процесс разделения труда привел к тому, что отдельные производители оказались зависимы друг от друга, поскольку производили ограниченное количество продуктов. Для удовлетворения потребностей необходим весь комплекс услуг, поэтому часть произведенной продукции должна быть обменена на другую продукцию. Второе условие - экономическое обособление производителей, при котором продукт труда приобретает товарную форму. Экономическое обособление неразрывно связано с отношениями собственности на средства производства и продукт труда. Это решающее условие возникновения товарного производства.
Важнейшей чертой товарного производства становится обмен товарами как форма экономических связей между производителями. При этом общественное разделение труда объединяет людей, определяет их зависимость друг от друга, а экономическое обособление и частная собственность разъединяют. В подобных условиях экономические связи между людьми могут осуществляться только через рынок посредством обмена произведенными товарами.
Товарное производство в своем развитии прошло два этапа: простое и капиталистическое товарное производство. Их различия проявляются в характере отношений непосредственных производителей к средствам производства, в различном характере труда, целях производства и характере всего производственного процесса. При простом товарном производстве собственник средств производства одновременно выступает и непосредственным производителем. Цель его производства - удовлетворение потребностей семьи. Производство осуществляется разрозненными, мелкими товаропроизводителями, его характеризуют анархичный характер и конкуренция. При капиталистическом товарном производстве собственник и непосредственный производитель разделяются: средства производства принадлежат капиталисту, на него работают наемные работники (труд эксплуатируется). Цель производства - получение прибыли. Производство при капитализме становится крупным, т. е. усиливается его общественный характер. Однако у простого и капиталистического товарного производства существует основная общая черта - наличие частной собственности.
"Экономическая теория: конспект лекций"
2.2. Стоимость, потребительная стоимость, закон стоимости
Экономическая теория: конспект лекций
Товар — это продукт труда, предназначенный для обмена. Чтобы стать товаром, продукт должен обладать двумя свойствами: стоимостью, для того чтобы обменять одну вещь на другую, и потребительной стоимостью (способность товара удовлетворять общественную потребность, быть полезным людям).
Меновая стоимость — это способность товара обмениваться на другой товар в определенных меновых пропорциях, под которыми подразумевается сумма затрат на труд производителей (физические и умственные) по производству товаров. Труд каждого производителя выступает в конкретной форме: труд токаря, пекаря, кузнеца, сапожника и т. п. Конкретные виды труда различаются по трем признакам:
1) предметам труда (т. е. материалам, которые обрабатываются);
2) орудиям труда (при помощи чего обрабатывают предметы труда);
3) приемам обработки (т. е. по технологиям).
В результате каждого конкретного труда получают определенные вещи: портной - одежду, повар - еду, сапожник - обувь и т. д. Иными словами, конкретный труд создает определенную потребительную стоимость. В процессе конкретного труда каждый производитель затрачивает свою силу, физическую и умственную энергию. Эти затраты представляют собой абстрактный труд. Абстрактный труд, характеризуя затраты энергии производителя на изготовление товара, создает стоимость данного товара, значит, стоимость можно определить как овеществленный в товаре абстрактный труд. Двойственность товара выражается не только в том, что он конкретный или абстрактный, но ив том, что он одновременно может быть частным и общественным. Конкретный труд производителя в товарном производстве выступает как частный труд, так как он затрачивается исходя из интересов производителя, который выпускает то, что он может производить, и только то, что приносит ему на рынке выгоду. Но в то же время этот труд считается и общественным, поскольку товар производится для рынка, для удовлетворения потребностей других людей. Следовательно, стоимость товара - это не просто овеществленный абстрактный труд, но еще и общественный труд. Между конкретным и абстрактным, частным и общественным трудом так же, как между стоимостью и потребительной стоимостью, существует противоречие. Стоимость товара определяется затратами труда. Труд в свою очередь может измеряться и временем. Количество труда или рабочего времени, необходимого для производства товара, может быть разным у производителей исходя из неодинаковых условий: технологической оснащенности рабочего места, квалификации опыта работника и т. д. Рабочее время, необходимое для производства товара отдельному производителю, - это индивидуальное рабочее время, и оно определяет индивидуальную стоимость товара. Но на рынке товары обмениваются не по индивидуальным затратам, а по общественно необходимым, т. е. по общественной стоимости. Под общественно необходимым временем понимается время для производства данного товара при общественно нормальных условиях работы и при средней квалификации и интенсивности труда. На величину стоимости товара влияет уровень производительности труда работника. Под производительностью труда понимаются затраты труда на производство единицы товара или количество товаров, производимых в единицу времени. С ростом производительности труда (т. е. с уменьшением затрат труда на единицу товара) стоимость единицы товара уменьшается, а общая масса произведенных стоимостей не меняется.
"Экономическая теория: конспект лекций"
Под интенсивностью труда понимаются затраты труда в единицу времени. Увеличение темпов работы не влияет на количество труда, необходимого для производства одного товара, следовательно, не влияет на стоимость единицы товара, но масса произведенных стоимостей увеличивается.
Труд, создающий товар, может быть простым и сложным. Простой труд — это труд неквалифицированного работника, который можно выполнять без специальной подготовки. Сложный труд требует затрат на обучение, но создает большую стоимость.
Развитие товарного производства и превращение его в современное рыночное хозяйство осуществлялось на основе действия закона стоимости. Суть закона стоимости заключается в том, что все товары производятся и обмениваются на основе общественно необходимого труда. Механизм действия закона стоимости основан на разнице между индивидуальной и общественной стоимостью товара. В простом товарном производстве в условиях развитого рыночного хозяйства закон стоимости выполняет следующие функции:
• регулирует пропорции производства. Цены на рынке зависят от спроса и предложения. Если предложение ниже спроса, а цены на данный товар растут, это означает, что его производители, продавая товар по повышенным ценам, получают большие доходы. Стремясь получать высокие доходы, другие производители направляют свои капиталы в данное производство, что ведет к изменению пропорций между отдельными отраслями и производствами. Когда рынок будет насыщен товарами и цены начнут падать, произойдет отток капиталов в другую отрасль;
• дифференцирует товаропроизводителей. Производители, у которых индивидуальная стоимость выше общественной, разорятся, а те, кто производит товары с затратами ниже общественных затрат, обогатятся;
• стимулирует развитие производительных сил. Производитель внедряет какое-либо новшество, позволяющее повысить производительность труда, производит товары со стоимостью меньшей, чем общественная, а продает их по общественной стоимости и получает дополнительную прибыль. Это будет происходить до тех пор, пока о нововведении не узнают другие производители, поэтому для получения дополнительной прибыли нужно совершенствовать производственный процесс.
2.3. Деньги как развитая форма товарно-денежных отношений
Экономическая теория: конспект лекций
Товарное производство привело к возникновению денег. Обмен возник еще в первобытном обществе, но носил случайный характер. Обменивались в основном излишки продуктов. Тогда возникла первая простая, или случайная, форма стоимости:
Товар Л = Товар В ТА = ТВ.
Товар А выражает свою стоимость в товаре В, и наоборот. Товар А выступает как потребительная стоимость, товар В - как стоимость. Товар А находится в относительной форме стоимости, товар В, через который выражается стоимость товара А, - в эквивалентной. С развитием разделения труда развивается и обмен, а также увеличивается предложение товаров на рынке. Каждый товар может выразить свою стоимость через множество других товаров, каждый из которых может стать эквивалентом. Простая форма стоимости сменяется полной, или развернутой:
"Экономическая теория: конспект лекций"

Чтобы получить желаемый товар, чаще всего нужно было совершать ряд последовательных обменов. Поэтому в результате развития производства на рынке постепенно выделяется определенный товар, всегда пользующийся спросом, при этом полная форма стоимости превращается во всеобщую форму стоимости:

Товар, беспрепятственно обменивающийся на любой другой, получил название всеобщего эквивалента. С течением времени роль всеобщего эквивалента прочно закрепилась за денежным товаром, или деньгами. Это привело к утверждению денежной формы стоимости.

Сущность денег наиболее полно раскрывается в пяти функциях.
1. Мера стоимости. Стоимость товаров измеряется в деньгах. Эту функцию выполняет золото: количество труда, затраченного на производство товара, сравнивается с количеством труда, необходимого для производства золота, т. е. определяется, сколько золота соответствует данному товару. Для облегчения измерения был введен масштаб цен. Масштаб цен - это узаконенное государством количество золота, которое в данной стране принято за единицу. Стоимость товара, выраженная в деньгах, называется ценой товара.
2. Средства платежа. Процесс купли-продажи товаров и услуг может осуществляться с помощью не только наличных денег, но и кредитных. К кредитным деньгам относятся вексель, банкнота, чек, кредитные карточки.
Вексель - письменное долговое обязательство, выдаваемое заемщиком (векселедателем) кредитору (векселедержателю). Данное обязательство предоставляет кредитору право требовать с заемщика уплаты к определенному сроку суммы денег, указанной в векселе.
Банкнота - это вексель в банке. Отличие банкнот от бумажных денег заключается в следующем:
• банкноты имеют двойное обеспечение - кредитное (коммерческим векселем) и металлическое (золотым запасом банка);
• банкноты выпускаются в обращение центральным эмиссионным банком, бумажные деньги - государством;
• банкноты выполняют функцию средства платежа, бумажные деньги - функцию средства обращения.
Чек - это денежный документ строго установленной формы, содержащий приказ владельца счета в кредитном учреждении (чекодателя) о выплате определенному лицу указанной в нем суммы.
Чеки бывают именными (выписаны на определенное лицо и не подлежат передаче); ордерными (выписаны в пользу какого-либо лица); предъявительскими (выписаны на предъявителя).
Кредитная карточка — именной денежный документ, выпущенный специализированным кредитным учреждением и удостоверяющий наличие в данном учреждении счета владельца. Кредитная карточка дает право на приобретение товаров и услуг в розничной торговой сети без уплаты наличными деньгами.
3. Средство обращения. Деньги выступают посредником между продавцом и покупателем. Форма товарного обращения имеет следующий вид: Т - Д - Т. Эта формула распадается на продажу - Т - Ди куплю Д - Т, т. е. товар обменивается на деньги, чтобы на них купить другой товар. В сфере обращения всегда должно находиться определенное количество денег, которое регулируется законом денежного обращения. Суть его заключается в следующем: количество денег, обслуживающих товарооборот, должно находиться в прямой пропорциональной зависимости от суммы цен товарной массы и в обратной пропорциональной зависимости от скорости обращения денег:
"Экономическая теория: конспект лекций"

где К - количество денег, необходимое для товарного обращения; Ц - сумма цен реализуемых товаров; О - число оборотов одноименных денежных единиц.
4. Средство накопления. Накопления необходимы, когда возникает потребность в крупных покупках у населения или капитальных вложениях в производство.
5. Мировые деньги. Перемещаясь из одной страны в другую, деньги используются для расчетов между отдельными государствами на мировом рынке.
Выводы
Экономическая теория: конспект лекций
1. Под натуральным хозяйством понимается такая организация, при которой все товары производятся внутри хозяйства для собственного потребления.
2. Под товарным хозяйством понимается такая организация общественного производства, при которой товары производятся специализированными обособленными производителями и поступают в потребление посредством обмена на рынке.
3. Товарное производство в своем развитии прошло два этапа: простое и капиталистическое товарное производство.
4. При простом товарном производстве собственник средств производства одновременно выступают и непосредственным производителем. Цель его производства - удовлетворение потребностей семьи.
5. При капиталистическом товарном производстве средства производства принадлежат капиталисту, работают на него наемные работники (труд эксплуатируется). Цель производства - получение прибыли.
6. Различают простую (случайную), полную (расширенную), всеобщую и денежную формы стоимости.
7. Деньги выполняют следующие функции: меры стоимости; средств обращения; накопления, сбережения и образования сокровищ; средств платежа; мировых денег.
ТемаЗ
Спрос и предложение Экономическая теория: конспект лекций
3.1. Спрос. Закон спроса Экономическая теория: конспект лекций
Спрос (D — от англ. demand) - это намерение потребителей, обеспеченное платежными средствами, приобрести данный товар.
Спрос характеризуется его величиной. Под величиной спроса (Qd) следует понимать количество товара, которое покупатель желает и способен приобрести по данной цене в данный период времени.
Наличие спроса на какой-либо товар означает согласие покупателя уплатить за него указанную цену.
Цена спроса — это максимальная цена, которую потребитель согласен заплатить, приобретая данный товар.
Различают индивидуальный и совокупный спрос. Индивидуальный спрос - спрос на данном рынке конкретного покупателя на конкретный товар. Совокупный спрос - это общий объем спроса на товары и услуги в стране.
На величину спроса оказывают влияние как ценовые, так и неценовые факторы, которые можно сгруппировать следующим образом:
- цена самого товара X (Рх);
- цены на товары-заменители (Pi);
- денежные доходы потребителей (Y);
- вкусы и предпочтения потребителей (Z);
- ожидания потребителей (Е);
- число потребителей (N).
Тогда функция спроса, характеризующая его зависимость от указанных факторов, будет выглядеть следующим образом:
"Экономическая теория: конспект лекций"

Основной фактор, определяющий спрос, - цена. Высокая цена товара ограничивает величину спроса на данный товар, а уменьшение цены ведет к увеличению величины спроса на него. Из вышесказанного следует вывод, что величина спроса и цена находятся в обратной зависимости.
Таким образом, между ценой и количеством покупаемого товара существует связь, которая отражается в законе спроса: при прочихравных условиях (остальные факторы, влияющие на спрос, неизменны) количество товара, на которое предъявлен спрос, возрастает при падении цены данного товара, и наоборот.
Математически закон спроса имеет следующий вид:

где Qd- величина спроса на какой-либо товар; / - факторы, влияющие на спрос; Р - цена данного товара.
Изменение величины спроса на определенный товар, вызываемое ростом цен на него, можно объяснить следующими причинами:
1. Эффект замещения. Если цена товара возрастет, то потребители стараются заменить его схожим товаром (например, если цена на говядину и свинину поднимется, то увеличивается спрос на мясо птиц, рыбу). Эффект замещения - есть изменение структуры спроса, которое вызвано уменьшением закупок подорожавшего товара и заменой его другими товарами с неизменными ценами, так как они становятся теперь относительно более дешевыми, и наоборот.
2. Эффект дохода, который выражается в следующем: когда цена возрастает, покупатели как бы становятся немного беднее, чем были до того, и наоборот. Например, если цена на бензин увеличится вдвое, то в результате мы будем иметь меньше реального дохода и, естественно, снизим потребление бензина и других товаров. Эффект дохода - изменение структуры покупательского спроса, вызванного изменением дохода от изменения цен.
В некоторых случаях возможны определенные отклонения от жесткой зависимости, сформулированной законом спроса: повышение цены может сопровождаться ростом величины спроса, а ее понижение может привести к уменьшению величины спроса, в то же время возможно сохранение стабильного спроса на дорогостоящие товары.
Данные отклонения от закона спроса не противоречат ему: рост цен может увеличивать спрос на товары, если покупатели ожидают дальнейшего их увеличения; снижение цен может снизить спрос, если ожидается еще большее падение их в будущем; приобретение же устойчиво дорогих товаров связано со стремлением потребителей выгодно вложить свои сбережения.
Спрос можно изобразить в виде таблицы, показывающей количество товара, которое потребители готовы и могут купить в течение определенного периода. Эта зависимость называется шкалой спроса.
Пример. Пусть мы имеем шкалу спроса, отражающую положение дел на рынке картофеля (табл. 3.1).
Экономическая теория: конспект лекций
|
Таблица 3.1. Спрос на картофель |
|
Цена 1 кг, руб. |
Величина спроса в неделю, т |
|
10 |
5 |
|
9 |
б |
|
8 |
7 |
|
7 |
8 |
|
6 |
9 |
|
5 |
10 |
|
По каждой рыночной цене потребители захотят купить определенное количество картофеля. При уменьшении цены на него величина спроса будет возрастать, и наоборот.
"Экономическая теория: конспект лекций"
На основе этих данных можно построить кривую спроса.
По оси X отложим величину спроса (Q), по оси Y — соответствующую цену (Р). На графике размещено несколько вариантов величины спроса на картофель в зависимости от его цены.
Соединив эти точки, мы получаем кривую спроса (D), имеющую отрицательный наклон, что свидетельствует об обратно пропорциональной зависимости между ценой и величиной спроса.
Таким образом, кривая спроса показывает, что при неизменности других факторов, влияющих на спрос, снижение цены ведет к возрастанию величины спроса, и наоборот, иллюстрируя закон спроса.

Рис. 3.1. Кривая спроса.
Закон спроса выявляет и другую особенность - убывающую предельную полезность, поскольку снижение объема покупок товара происходит не только из-за увеличения цен, но и в результате насыщения потребностей покупателей, так как каждая дополнительная единица одноименного товара имеет все меньший полезный потребительский эффект.
3.2. Предложение. Закон предложения
Экономическая теория: конспект лекций
Предложение характеризует готовность продавца продать определенное количество товара.
Различают понятия: предложение и величина предложения.
Предложение (S — sapply) - это готовность производителей (продавцов) поставлять на рынок определенное количество товаров или услуг по данной цене.
Величина предложения — это максимальное количество товаров и услуг, которое производители (продавцы) способны и готовы продать по определенной цене, в определенном месте и в определенное время.
Величина предложения всегда должна определяться за какой-то конкретный промежуток времени (день, месяц, год и т. д.).
Аналогично спросу на величину предложения оказывает влияние множество как ценовых, так и неценовых факторов, среди которых можно выделить следующие:
- цена самого товара X (Px);
- цены ресурсов (Pr), используемых в производстве товара X;
- уровень технологии (L);
- цели фирмы (А);
- величины налогов и субсидий (T);
цены на сопряженные товары (Pi);
ожидания производителей (Е);
- количество производителей товаров (N).
Тогда функция предложения, построенная с учетом указанных факторов, будет иметь следующий вид:

Важнейший фактор, влияющий на величину предложения, - цена данного товара. От уровня рыночных цен зависят доходы продавцов, производителей, таким образом, чем выше цена данного товара, тем больше величина предложения, и наоборот.
Цена предложения - это минимальная цена, по которой продавцы согласны поставлять на рынок данный товар.
Предположив, что все факторы, за исключением первого, остаются неизменными:

получаем упрощенную функцию предложения:

где Q - величина предложения товара; Р - цена данного товара.
Взаимосвязь между предложением и ценой находит выражение в законе предложения, суть которого состоит в том, что величина предложения при прочихраеныхуслоеиях изменяется в прямой зависимости от изменения цены.
"Экономическая теория: конспект лекций"
Прямая реакция предложения на цену объясняется тем, что производство достаточно быстро откликается на любые изменения, происходящие на рынке: при повышении цены товаропроизводители используют резервные мощности или вводят новые, что приводит к увеличению предложения. Кроме того, наличие тенденции к росту цен привлекает в данную отрасль других производителей, что еще более увеличивает производство и предложение.
Следует отметить, что в краткосрочном периоде увеличение предложения не всегда наступает немедленно за повышением цены. Все зависит от имеющихся производственных резервов (наличие и загруженность оборудования, рабочей силы и пр.), поскольку расширение мощностей и перелив капитала из других отраслей обычно не могут быть осуществлены в короткие сроки. Но в долгосрочном периоде увеличение предложения практически всегда следует за повышением цены.
Графическая зависимость между ценой и объемом предложения получила название кривой предложения S.
Шкала предложения и кривая предложения блага показывает зависимость (при прочих равных условиях) между рыночной ценой и количеством этого блага, которое хотят произвести и продать производители.
Пример. Допустим, нам известно, сколько тонн картофеля может быть предложено продавцами на рынке за неделю при различных ценах.
Таблица 3.2. Предложение картофеля
Экономическая теория: конспект лекций
|
Цена 1 кг, руб. |
Величина предложения в неделю, т |
|
10 |
5 |
|
0 |
6 |
|
8 |
7 |
|
7 |
8 |
|
6 |
9 |
|
5 |
10 |
Данная таблица показывает, какое количество товара будет предложено при минимальной и максимальной цене.
Так, при цене в 5 руб. за 1 кг картофеля его будет продано минимальное количество. По такой низкой цене продавцы, возможно, будут торговать другим товаром, более выгодным, чем картофель. С возрастанием цены будет возрастать и предложение картофеля.
По данным таблицы строится кривая предложения S, которая показывает, какое количество товара производители продали бы при различных уровнях цены Р (рис. 3.2).

Рис. 3.2. Кривая предложения.
3.3. Изменения в спросе Экономическая теория: конспект лекций
Изменение спроса на товар происходит не только вследствие изменения цен на него, но и под влиянием других, так называемых «неценовых» факторов. Рассмотрим более подробно эти факторы.
1. Денежные доходы потребителей. Если денежные доходы потребителей возрастают, то возрастает и количество покупаемых товаров, и наоборот, если доходы покупателей снижаются, то при тех же ценах уменьшается и объем производимых покупок. Это правило касается нормальных товаров.
Нормальный товар - это товар, спрос на который растет при росте потребительских доходов.
Низший товар - товар, спрос на который падает при росте доходов покупателей, сюда можно отнести дешевые некачественные вещи, например дешевые колбасные изделия, некачественную одежду и пр.
2. Цены и наличие других товаров и услуг, среди которых выделяют взаимозаменяемые (товары-субституты) и взаимодополняемые товары (товары-комплементы). Для взаимозаменяемых товаров характерно то, что рост цены одного из товаров приводит к росту спроса на другой. Например, рост цен на мясо может вызвать увеличение спроса на рыбу, а спрос на чай может возрасти, если кофе становится доступен не всем слоям населения. Для взаимодополняемых товаров рост цены одного товара приводит к падению спроса на другой. Например, рост цен на бензин вызовет падение спроса на автомобили, а увеличение цен на фотоаппараты приведет к снижению спроса на фотопленку.
"Экономическая теория: конспект лекций"
3. Вкусы и предпочтения потребителей. Развитие производства, мода, культурные и исторические особенности оказывают влияние на вкусы и предпочтения людей. Большую роль играет и конкуренция среди потребителей, покупательская психология (человек стремится купить товар, который покупают все его знакомые) и пр.
4. Ожидания покупателей. Тут различают: ожидания и прогнозы, связанные с возможным изменением цен (если предполагается рост цен на какой-то товар, то это вызывает увеличение спроса на него в данный момент); ожидания и прогнозы, связанные с влиянием неценового фактора (например, ожидание более качественного товара).
5. Число покупателей. Очевидно, что чем больше людей, потребляющих какой-то товар, тем выше спрос на него. Соответственно, рост (уменьшение) количества покупателей вызывает увеличение (уменьшение) спроса.
6. Особые факторы - дожди повышают спрос на зонты, зимой повышается спрос на лыжи и санки и т. п.
При рассмотрении спроса необходимо различать изменение величины спроса и самого спроса.
Изменение величины спроса происходит при изменении цены данного товара и выражается только движением по точкам кривой спроса (вдоль линии спроса).
Неценовые факторы вызывают изменения самого спроса на товары независимо от уровня их цен. Графически это может выглядеть следующим образом: изменение неценовых факторов вызывает смещение кривой спроса влево или вправо, показывая изменение количества приобретаемых товаров по той же цене.
Повышение спроса, вызванное каким-либо неценовым фактором, может быть показано смещением всей кривой спроса вправо и вверх, а снижение потребительского спроса будет проиллюстрировано смещением кривой спроса влево и вниз (рис. 3.3).

Рис. 3.3. Сдвиг кривойспроса.
Чем дальше будут стоять друг от друга старая и новая кривая спроса, тем большие изменения произошли в поведении покупателей.
3.4. Изменения в предложении Экономическая теория: конспект лекций
На изменение предложения так же, как и спроса, оказывают влияние как ценовые, так и неценовые факторы. При изменении цены товара соответствующая точка рыночной конъюнктуры перемещается вдоль кривой предложения, т. е. происходит изменение величины предложения.
Неценовые факторы влияют на изменение всей функции предложения, наглядно это можно представить в виде смещения кривой предложения вправо - при увеличении предложения, и влево - при его снижении (рис. 3.4).

Рис. 3.4. Сдвиг кривойпредложения.
Рассмотрим более подробно некоторые неценовые факторы, воздействующие на предложение.
1. Издержки производства (или производственные затраты). Если производственные затраты низки по сравнению с рыночными ценами, то для производителей выгодно поставлять товары в больших количествах. Если же они высоки по сравнению с ценой, фирмы производят товар в небольших количествах, переключаются на другие продукты или даже покидают рынок.
"Экономическая теория: конспект лекций"
Затраты на производство в первую очередь определяются ценами на экономическиересурсы: сырье, материалы, средства производства, рабочую силу, - и техническим прогрессом. Очевидно, что рост цен на ресурсы оказывает большое влияние на производственные затраты и уровень выпуска. Например, когда в 1 970-х гг. цены на нефть резко возросли, это привело к возрастанию цен на энергию для производителей, увеличению их производственных затрат и понижению их предложения.
2. Технология производства. Это понятие объединяет все, начиная с подлинных технических открытий и лучшего применения существующих технологий и заканчивая обычной реорганизацией рабочего процесса.
Совершенствование технологии позволяет производить большее количество продукции с меньшими затратами ресурсов. Технический прогресс также позволяет снижать количество ресурсов, требующихся для одного итого же объема выпуска. Например, сегодня на производство одного автомобиля производители затрачивают гораздо меньше времени, чем 10 лет назад. Прогресс в технологиях позволяет изготовителям машин получать прибыль от производства большего числа автомобилей по той же цене.
3. Налоги и субсидии. Действие налогов и субсидий проявляется в разных направлениях: повышение налогов приводит к росту издержек производства, увеличивая цену производства и уменьшая его предложение. Снижение налогов приводит к противоположному эффекту. Субсидии и дотации позволяют сокращать издержки производства за счет государства, способствуя тем самым росту предложения.
4. Цены на сопряженные товары. Предложение на рынке во многом зависит от наличия на рынке взаимозаменяемых и взаимодополняемых товаров по приемлемым ценам. Например, применение искусственных, более дешевых по сравнению с натуральными, сырьевых ресурсов позволяет снижать издержки производства, увеличивая тем самым предложение товаров.
5. Ожидания производителей. Ожидания изменений цены продукта в будущем также могут повлиять на желание производителя поставлять продукт на рынок. Например, если производитель ожидает рост цен на свою продукцию, он может начать увеличивать производственные мощности уже сегодня в надежде на последующее получение прибыли и придерживать товар до повышения цен. Информация о предполагаемом снижении цен может привести к росту предложения в настоящий момент и сокращению предложения в дальнейшем.
6. Число товаропроизводителей. Увеличение числа производителей данного товара приведет к росту предложения, и наоборот.
7. Особые факторы. Например, на определенные виды продукции (лыжи, ролики, продукцию сельского хозяйства и пр.) большое влияние оказывает погода.
Выводы
Экономическая теория: конспект лекций
1. Спрос - это намерение потребителей, обеспеченное платежными средствами, приобрести данный товар. Величина спроса - количество товара, которое покупатель желает и способен приобрести по данной цене в данный период времени. Согласно закону спроса снижение цены ведет к возрастанию величины спроса, и наоборот.
"Экономическая теория: конспект лекций"
2. Предложение - это готовность производителей (продавцов) поставлять на рынок определенное количество товаров или услуг по данной цене. Величина предложения - это максимальное количество товаров и услуг, которое производители (продавцы) готовы продать по определенной цене в течение определенного промежутка времени. Согласно закону предложения увеличение цены ведет к росту величины предложения, и наоборот.
3. Изменения в спросе вызывают как ценовые факторы - в этом случае происходит изменение величины спроса, что выражается движением по точкам кривой спроса (вдоль линии спроса), так и неценовые факторы, что приведет к изменению самой функции спроса. На графике это будет выражено смещением кривой спроса вправо, если спрос растет, и влево, если спрос падает.
4. Изменение цены данного товара влияет на изменение величины предложения данного товара. Графически это можно выразить движением вдоль линии предложения. Неценовые факторы влияют на изменение всей функции предложения, наглядно это можно представить в виде смещения кривой предложения вправо - при увеличении предложения, и влево - при его снижении.
Тема 4
Рыночное равновесие Экономическая теория: конспект лекций
4.1. Рыночная цена. Рыночное равновесие
Экономическая теория: конспект лекций
Рассмотренные нами ранее функции спроса и предложения взаимодействуют на рынке товара. Под влиянием конкурентной среды рынка спрос и предложение уравновешиваются, в результате чего устанавливаются рыночная цена и количество покупаемого товара.
Рыночная цена считается ценой равновесия тогда, когда она определяет тот уровень, при котором продавец еще согласен продать, а покупатель уже согласен купить товар.
Графически состояние равновесия на рынке конкретного товара можно представить, совместив кривые спроса и предложения на одном рисунке (рис. 4.1).
 |
|
Рис. 4.1. График рыночного равновесия спроса и предложения. |
Точка пересечения кривых Е — это точка равновесия спроса и предложения. Тогда при данном количестве товара QE максимальная цена, по которой его могут приобрести покупатели (цена спроса PD), совпадет с ценой, минимально приемлемой для продавцов (ценой предложения Ps), что и будет означать установление на данном рынке устойчивой равновесной цены РЕ, по которой и будет продаваться и покупаться равновесное количество товара QE.
В аналитическом виде, используя знакомые нам функции спроса и предложения, равновесное состояние на рынке товара можно записать следующим образом:

Стоит отметить, что при этом и покупателей, и продавцов будет устраивать ситуация, сложившаяся на рынке на данный момент. Снижение цены ниже равновесного уровня будет невыгодно не только продавцам, но и покупателям, так как это сократит количество предлагаемого товара, а рост цены выше равновесной не устроит не только покупателей, но и продавцов, поскольку уменьшит покупаемый объем товара.
"Экономическая теория: конспект лекций"
При прочих равных условиях рыночная цена соответствует тому количеству товара, которое покупатели хотят купить, а продавцы согласны продать, т. е. по каждому конкретному товару нет ни излишков, ни дефицита. Таким образом, равновесие рынка - это такое его состояние, когда выполняется условие Qd = Qs. Отклонение от этого состояния будет приводить в движение силы, стремящиеся вернуть рынок в состояние равновесия, т. е. устранить излишек (когда Qd < Qs) или дефицит товаров на рынке (Qd > Qs).
В аналитической форме для функций спроса и предложения равенство объема спроса QD объему предложения QS при данной равновесной цене РЕ будет выглядеть так:

Чтобы более наглядно представить себе механизм установления рыночной цены под влиянием спроса и предложения, вернемся к нашему примеру, характеризующему ситуацию на рынке картофеля.
Соединим наши две таблицы о потреблении картофеля в одну (табл. 4.1).
Экономическая теория: конспект лекций
|
Таблица 4.1. Спрос на картофель и его предложение |
Величина
предложения
в неделю, т |
Цена
1 кг/руб. |
Величина
спроса
в неделю,
т |
1 Іревышение величины спроса (1) и величины предложения (—) |
|
5 |
5 |
10 |
4 5 |
|
6 |
6 |
9 |
+ 3 |
|
7 |
7 |
8 |
+ 1 |
|
7,5 |
7,5 |
7.5 |
0 |
|
8 |
8 |
7 |
- 1 |
|
9 |
9 |
6 |
-3 |
|
10 |
10 |
5 |
-5 |
|
Из таблицы видно, что только при цене 7,50 руб. за 1 кг картофеля спрос и предложение уравновешиваются. Перенесем эти данные на график (рис. 4.2).

Рис. 4.2. Равновесная цена.
Точка отражает совпадение интересов продавцов и покупателей при цене 7,50 руб. Следовательно, 7,50 руб.
(РЕ) - равновесная рыночная цена. При более высокой цене возникает избыток предложения над спросом. Например, при цене 10 руб. будет куплено только 5 т картофеля, а предложено Ют, следовательно, избыток составит 5 т. Этот избыток в результате конкуренции продавцов будет способствовать снижению цены. При цене ниже уравновешивающей спрос превышает предложение и возникает дефицит товара на рынке. В этом случае излишек спроса и конкуренция покупателей приведут к повышению цены.
4.2. Механизм установления равновесия
Экономическая теория: конспект лекций
Рассмотрим механизм установления рыночного равновесия, когда под воздействием изменения факторов спроса или предложения рынок выходит из этого состояния. Существуют два основных варианта диспропорции между спросом и предложением: избыток и дефицит товара.
Избыток (излишек) товара - это такая ситуация на рынке, когда величина предложения товара по данной цене превышает величину спроса на него. В этом случае между производителями возникает конкуренция, борьба за покупателей. В выигрыше остается тот, кто предлагает более выгодные условия реализации товара. Таким образом рынок стремится вернуться в состояние равновесия.
Дефицит товара - в этом случае величина спроса на товар по данной цене превосходит предлагаемое количество товара. В данной ситуации возникает соревнование уже между покупателями за возможность приобрести дефицитный товар. Побеждает тот, кто предлагает более высокую цену за данный товар. Возросшая цена привлекает к нему внимание производителей, которые начинают расширять производство, увеличивая тем самым предложение товара. В результате система возвращается в состояние равновесия.
"Экономическая теория: конспект лекций"
Таким образом, цена выполняетуравновешивающую функцию, стимулируя расширение производства и предложения товара при дефиците и сдерживая предложение, избавляя рынок от излишков.
Уравновешивающая роль цены проявляется как через спрос, так и через предложение.
Предположим, что равновесие, установившееся на нашем рынке, было нарушено - под воздействием каких-либо факторов (например, рост доходов) произошло увеличение спроса, в результате его кривая сместилась из D1 в D2 (рис. 4.3 а), а предложение осталось неизменным.
Если цена данного товара не изменилась сразу же после смещения кривой спроса, то вслед за ростом спроса возникнет ситуация, когда по прежней цене Р1 количество товара, которое каждый из покупателей теперь может приобрести (QD) превышает тот объем, который могут предложить при данной цене производители данного товара (QS). Величина спроса теперь будет превышать величину предложения данного товара, что означает возникновение дефицита товара в размере Df = QD - Qs на данном рынке.
Дефицит товаров, как мы уже знаем, приводит к конкуренции между покупателями за возможность приобретения данного товара, что приводит к росту рыночных цен. В соответствии с законом предложения реакцией продавцов на повышение цены будет увеличение объема предлагаемого товара. На графике это будет выражено передвижением точки рыночного равновесия Е1 вдоль кривой предложения до ее пересечения с новой кривой спроса D2 где и будет достигнуто новое равновесие данного рынка Е2 с равновесным количеством товаров Q2 и равновесной ценой Р2.
 |
|
Рис. 4.3. Смещение точкиравновеснойцены. |
Рассмотрим ситуацию, когда равновесное состояние будет нарушено со стороны предложения.
Предположим, что под воздействием каких-то факторов произошло увеличение предложения, в результате его кривая сместилась вправо из положения S1 в S2 а спрос остался неизменным (рис. 4.3 б).
При условии сохранения рыночной цены на прежнем уровне (Р1) рост предложения приведет к избытку товара в размере Sp = Qs- QD. В результате возникает конкуренция продавцов, приводящая к снижению рыночной цены (с Р1 до Р2) и росту объема продаваемого товара. На графике это будет отражено перемещением точки рыночного равновесия Е1 вдоль кривой спроса до ее пересечения с новой кривой предложения, что приведет к установлению нового равновесия Е2 с napaMeapaMHQ2HP2.
Аналогично можно выявить влияние на равновесную цену и равновесное количество товаров уменьшения спроса и уменьшения предложения.
В учебной литературе сформулированы четыре правила взаимодействия спроса и предложения.
1. Увеличение спроса вызывает рост равновесной цены и равновесного количества товаров.
2. Уменьшение спроса вызывает падение и равновесной цены, и равновесного количества товаров.
3. Увеличение предложения влечет за собой уменьшение равновесной цены и увеличение равновесного количества товаров.
"Экономическая теория: конспект лекций"
4. Сокращение предложения влечет за собой увеличение равновесной цены и уменьшение равновесного количества товаров.
Пользуясь этими правилами, можно найти равновесную точку при любых изменениях спроса и предложения.
Возвращению цены к рыночному равновесному уровню в основном могут препятствовать следующие обстоятельства:
1) административноерегулирование цен\
2) монополизм производителя или потребителя, позволяющий удерживать монопольную цену, которая может быть как искусственно завышенной, так и заниженной.
4.3. Государственное регулирование рыночных процессов с помощью налогов и субсидий Экономическая теория: конспект лекций
Вмешательство внешних сил в действие закона спроса и предложения может влиять на сформировавшееся рыночное равновесие. Одним из рычагов регулирования рыночной системы, не нарушающим закона спроса и предложения, являются налоги. Они не изменяют условий протекания рыночных процессов и не ограничивают свободы действий рыночных субъектов. Однако как потребители, так и производители товаров воспринимают увеличение налогов крайне отрицательно, поскольку любой налог, прямой или косвенный, непременно включается в цену продаваемого товара. Рост цены, неизбежно следующий за увеличением налога, вызывает снижение как потребительских покупок, так и предложения товаров, облагаемых налогом.
Графически эту ситуацию можно представить следующим образом. В результате введения нового налога или увеличения процентных ставок уже существующих налогов кривая предложения S1 переместится влево и вверх на величину налога T, поскольку для получения прежней выручки продавец теперь вынужден запрашивать большую цену за товар. В ответ на это сокращение предложения точка рыночного равновесия переместится вдоль кривой спроса из положения Е1 вплоть до пересечения с новой кривой предложения S2, т. е. в точку Е2. В результате на рьшке установится новое равновесие, при котором объем товара снизится с Q1 до Q2 а цена возрастет с Р1 до Р2 (рис. 4.4).

Рис. 4.4. Последствия введения налога.
Несмотря на то что формально налог в государственный бюджет вносит непосредственно производитель или продавец товаров, однако большая его часть перекладывается на потребителей, покупающих товары, облагаемые налогом.
Таким образом, отрицательный эффект увеличения налогов - общее снижение производства товаров и уменьшение потребления их покупателями по причине их удорожания.
Противоположный результат достигается при предоставлении субсидии (их можно рассматривать как отрицательные налоги) как покупателю, так и продавцу.
Смещение кривых спроса и предложения на величину субсидии G будет противоположно их смещению при налогообложении.
Например, получение субсидии продавцом будет равнозначно снижению его издержек и на графике приведет к смещению кривой предложения вниз на величину G (рис. 4.5), что приведет к увеличению равновесного количества товара с Q1 до Q2 и одновременно к снижению равновесной цены с Р1 до Р2.
"Экономическая теория: конспект лекций"

Рис. 4.5. Последствия введения субсидий.
Если же субсидию получит покупатель, то на величину G переместится кривая спроса, а не кривая предложения.
4.4. Влияние государства на рыночные процессы с помощью регулирования цен Экономическая теория: конспект лекций
Равновесные цены, установившиеся на рынке на определенный момент, в силу разных обстоятельств не всегда устраивают общество.
В этом случае государство может устанавливать фиксированные цены, которые могут быть как ниже, так и выше равновесных рыночных цен.
Причинами такого вмешательства обычно выступают социальные проблемы - неравенство в доходах, низкий уровень жизни населения, ограниченный доступ к потребительским благам и т. п. Поэтому чаще всего государственное вмешательство в рыночное ценообразование сводится к принудительному установлению цены на уровне ниже рыночного равновесия спроса и предложения.
Последствия контроля над ценами, особенно при длительном их применении, имеют отрицательный эффект как в социальной, так и экономической сфере. Контроль над ценами приводит к сокращению производства, нехватке товаров, товарному дефициту. Покупатели такого «регулируемого» товара сталкиваются с нормированием его распределения теперь уже неценовыми методами: карточки, очереди, списки и др.
Возникают теневые рынки, где дефицитные товары продаются по более высоким ценам и, соответственно, становятся еще более недоступными для социально незащищенных групп населения. Кроме того, теневые структуры, не платя налоги государству, реально сокращают возможности для социальной защиты населения и бюджетных отраслей, таким образом, число неплатежных граждан будет увеличиваться.
С другой стороны, продавцы, не удовлетворенные низкой государственной ценой, готовы пойти на дополнительные издержки по производству дефицитного товара и обеспечить необходимую поддержку властей (подкуп государственных служащих, работников правоохранительных органов и т. д.), что в свою очередь способствует развитию теневой экономики.
Выводы
Экономическая теория: конспект лекций
1. Рыночная цена считается ценой равновесия тогда, когда она определяет тот уровень, при котором продавец еще согласен продать, а покупатель уже согласен купить товар. Графически состояние равновесия на рынке конкретного товара можно представить, совместив кривые спроса и предложения на одном рисунке. Точка пересечения кривых - это точка равновесия спроса и предложения.
2. При отклонении от состояния равновесия, т. е. при наличии дефицита или излишков товаров на рынке, уравновешивающую роль выполняет цена, стимулируя рост предложения при дефиците и сдерживая его при затоваривании.
Возможны следующие варианты изменения равновесной цены:
1) увеличение спроса вызывает рост равновесной цены и равновесного количества товаров;
2) уменьшение спроса вызывает падение и равновесной цены, и равновесного количества товаров; "Экономическая теория: конспект лекций"
3) увеличение предложения влечет за собой уменьшение равновесной цены и увеличение равновесного количества товаров;
4) сокращение предложения влечет за собой увеличение равновесной цены и уменьшение равновесного количества товаров;
5) одним из рычагов регулирования рыночной системы выступают налоги. Такое регулирование не нарушает принципов формирования равновесной цены по законам спроса и предложения, не изменяет условий протекания рыночных процессов и не ограничивает свободы действий рыночных субъектов;
6) вмешательство государства в рыночное ценообразование путем установления фиксированных цен затрагивает само действие рыночных механизмов, изменяя процесс достижения равновесия. Последствия контроля над ценами, особенно при длительном их применении, имеют отрицательный эффект как в социальной, так и экономической сфере.
Тема 5
Эластичность спроса и предложения Экономическая теория: конспект лекций
5.1. Общее понятие эластичности Экономическая теория: конспект лекций
Для определения «скорости изменения» спроса и предложения товаров на рынке экономистами введено понятие «эластичность ».
Концепция эластичности впервые была введена в экономическую науку Альфредом Маршаллом (1842-1924).
Под эластичностью следует понимать процент изменения величины одной переменной в результате изменения на одну единицу величины другой переменной. Таким образом, эластичность показывает, на сколько процентов изменится одна переменная экономическая величина при изменении другой на один процент.
Способность потребления и спроса изменяться в определенных рамках под влиянием экономических факторов носит название эластичности потребления и спроса. Эластичность спроса и предложения необходима для составления проектов экономического развития и экономических прогнозов.
Без этого сейчас не функционирует ни одна рыночная (смешанная) экономическая система.
Под эластичностью спроса следует понимать степень изменения спроса в ответ на изменение цен.
Под эластичностью предложения следует понимать относительные изменения цен товаров и их количества, предлагаемых к продаже.
5.2. Эластичность спроса по цене
Экономическая теория: конспект лекций
Существуют следующие виды эластичности спроса:
1) эластичный спрос считается таковым, если при незначительных повышениях цен существенно возрастает объем продаж;
2) спрос единичной эластичности. Когда 17 %-ное изменение цены вызывает 1 %-ное изменение спроса на товар;
3) неэластичный спрос. Проявляется в том, что при существенных изменениях цены объем продаж изменяется незначительно;
4) бесконечно эластичный спрос. Имеется только одна цена, по которой потребители покупают товар;
5) совершенно неэластичный спрос. Когда потребители приобретают фиксированное количество товаров независимо от их цены.
Эластичность спроса по цене, или ценовая эластичность спроса, показывает, насколько изменится в процентном отношении величина спроса на товар при изменении его цены на 1 %.
"Экономическая теория: конспект лекций"
Эластичность спроса возрастает при наличии товаров-заменителей - чем больше заменителей, тем более эластичным является спрос, и понижается при повышенном спросе потребителя на данный товар, т. е. степень эластичности тем ниже, чем более необходим товар.
Если обозначить цену Р, а величину спроса Q, то показатель (коэффициент) ценовой эластичности спроса Ер равен:
 |
|
Q ' Р Д Р Q |
, О)
где ?Q — изменение величины спроса, %; ?Р - изменение цены, %; «Р» — в индексе означает, что эластичность рассматривается по цене.
Аналогично можно определить показатель эластичности по доходам или какой-то другой экономической величине.
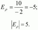
Показатель ценовой эластичности спроса для всех товаров - отрицательная величина. Действительно, если цена товара снижается - величина спроса растет, и наоборот. Однако для оценки эластичности часто используется абсолютная величина показателя (знак «минус» опускается). Например, снижение цены подсолнечного масла на 2 % вызвало увеличение спроса на него на 10 %. Показатель эластичности будет равен:
Если абсолютная величина показателя ценовой эластичности спроса больше 1, то мы имеем дело с относительно эластичным спросом: изменение цены в данном случае приведет к большему количественному изменению величины спроса.
Если абсолютная величина показателя ценовой эластичности спроса меньше 1, то спрос относительно неэластичен: изменение цены повлечет за собой меньшее изменение величины спроса.
Если коэффициент эластичности равен 1 - это единичная эластичность. В таком случае изменение цены приводит к такому же количественному изменению величины спроса.
Существует два крайних случая. В первом возможно существование только одной цены, при которой товар будет приобретаться покупателями. Любое изменение цены приведет либо к полному отказу от приобретения данного товара (если цена повысится), либо к неограниченному увеличению спроса (если цена снизится) - спрос абсолютно эластичный, показатель эластичности бесконечен. Графически этот случай можно изобразить в виде прямой, параллельной горизонтальной оси. Например, спрос на молочнокислую продукцию, продаваемую отдельным торговцем на городском рынке, абсолютно эластичен. Однако рыночный спрос на молочно-кислую продукцию не считается эластичным. Другой крайний случай представляет собой пример абсолютно неэластичного спроса, когда изменение цены не отражается на величине спроса. График абсолютно неэластичного спроса выглядит как прямая, перпендикулярная горизонтальной оси. Примером может служить спрос на отдельные виды лекарств, без которых больной не может обойтись, и т. п.
Таким образом, абсолютная величина показателя ценовой эластичности спроса может изменяться от нуля до бесконечности:

< О0
сирое эластичен;
О < I Е
рI < 0 — спрос неэластичен;
Е^\= 1 — спрос с единичной эластичностью.
Из формулы (1) видно, что показатель эластичности зависит не только от соотношения приростов цены и объема или от наклона кривой спроса, но йот их фактических значений. Даже если наклон кривой спроса постоянен, показатель эластичности будет различным для разных точек на этой кривой.
"Экономическая теория: конспект лекций"
Существует еще одно обстоятельство, которое следует учитывать при определении эластичности. На участках эластичного спроса снижение цены и рост объема продаж приводят к увеличению общей выручки от реализации продукции фирмы, на участке неэластичного спроса - кее уменьшению. Поэтому каждая фирма будет стремиться избегать того участка спроса на свою продукцию, где коэффициентэластичности меньше единицы.
5.3. Эластичность спроса по доходу. Перекрестная эластичность Экономическая теория: конспект лекций
Под эластичностью спроса по доходам понимается изменение спроса на товар в связи с изменением доходов потребителей. Если рост доходов приводит к росту спроса на товар, то данный товар относится к категории «нормальных», при снижении доходов потребителя и росте спроса на товар - товар относится к категории «низших». В основной своей массе потребительские товары относятся к категории нормальных.
Измерения эластичности по доходам показывают, относится ли данный товар к категории «нормальных» или «низших».
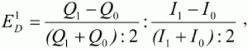
Эластичность спроса по доходам равна отношению процентного изменения величины спроса на товар к процентному изменению дохода и может быть выражена в виде следующей формулы:

где E1D — коэффициент эластичности спроса в зависимости от дохода;
Q0 и Q1 - величина спроса до и после изменения дохода;
I0 и I1 - доход до и после изменения.
На эластичность спроса большое влияние оказывает наличие на рынке товаров, призванных удовлетворить одну и ту же потребность, т. е. товаров-заменителей. Эластичность спроса на товар тем выше, чем больше у покупателя возможностей отказаться от приобретения данного конкретного продукта в случае роста его цены.
С увеличением доходов мы больше покупаем одежды и обуви, высококачественных продуктов питания, бытовой техники. Но существуют товары, спрос на которые обратно пропорционален доходам потребителей: вся продукция «second hand», некоторые виды продовольствия (крупы, сахар, хлеб ит. п.).
На товары первой необходимости, такие, например, как хлеб, спрос относительно неэластичен. В то же время спрос на отдельные сорта хлеба относительно эластичный. Спрос на сигареты, лекарства, мыло и другие подобные продукты относительно неэластичен.
При наличии на рынке значительного количества конкурентов спрос на продукцию фирм, выпускающих аналогичную или близкую по назначению продукцию, будет относительно эластичен. При росте конкурентоспособности фирм, когда много продавцов предлагают одинаковую продукцию, спрос на товар каждой фирмы будет абсолютно эластичным.
Для определения степени влияния изменения цены одного товара на изменение спроса на другой товар используется понятие перекрестной эластичности. Так, подорожание сливочного масла вызоветувеличение спроса на маргарин, снижение цены на бородинский хлеб приведет к сокращению спроса на другие сорта черного хлеба.
"Экономическая теория: конспект лекций"
Перекрестная эластичность - зависимость спроса от товаров-субститутов и товаров, взаимодополняющих друг друга.
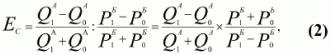
Коэффициент перекрестной эластичности - это отношение процентного изменения спроса на товар А к процентному изменению цены товара Б:

где «с» в индексе означает перекрестную эластичность (от англ. cross).
Значение коэффициента зависит от того, какие товары рассматриваются - взаимозаменяемые или взаимодополняемые. Коэффициент перекрестной эластичности положителен, если товары взаимозаменяемые; отрицателен, если товары взаимодополняемые, как, например, бензин и автомобили, фотоаппараты и фотопленка, величина спроса будет изменяться в направлении, противоположном изменению цен.
Таким образом, определив значение коэффициента перекрестной эластичности, можно узнать, считаются ли выбранные товары взаимодополняемыми или взаимозаменяемыми, и соответственно, как изменение цены на один вид продукции, который производится фирмой, может отразиться на спросе на другие виды продукции той же фирмы. Такие расчеты помогут фирме при принятии решений по ценовой политике на выпускаемую продукцию.
На ценовую эластичность большое влияние оказывает фактор времени. Спрос менее эластичен в коротком промежутке времени и более эластичен в длительном. Такая тенденция изменения эластичности во времени объясняется возможностью потребителя с течением времени изменить свою потребительскую корзину, найти товар-заменитель.
Различия в эластичности спроса объясняются также значимостью того или иного товара для потребителя. Спрос на предметы первой необходимости неэластичен; спрос на товары, не играющие важной роли в жизни потребителя, обычно эластичен.
5.4. Эластичность предложения
Экономическая теория: конспект лекций
Эластичность предложения — чувствительность величины предложения товаров к изменению цен на эти товары.
На эластичность предложения оказывают влияние: наличие или отсутствие резервов производства - если имеются резервы, то в краткосрочном периоде предложение эластично; наличие возможности хранить запасы готовой продукции - предложение эластично.
Существуют следующие виды эластичности предложения:
1) эластичное предложение. 1 %-ное увеличение цены вызывает значительное увеличение предложения товаров;
2) предложение единичной эластичности. 1 %-ное увеличение цены ведет к 1 %-ному увеличению предложения товаров на рынке;
3) неэластичное предложение. Увеличение цены не оказывает влияния на количество товаров, предлагаемых к продаже;
4) эластичность предложения в мгновенный период (т. е. период времени малый, и производители не успевают отреагировать на изменения) - предложение фиксировано;
5) эластичность предложения в долгосрочный период (отрезок времени, достаточный для создания новых производственных мощностей) - предложение наиболее эластично.
"Экономическая теория: конспект лекций"
Для того чтобы определить, как производство той или иной продукции влияет на изменение цены, измеряется эластичность предложения по цене.
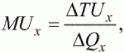
Эластичность предложения измеряется относительным (в процентах или долях) изменением величины предложения при изменении цены на 1 %.
Формула коэффициента ценовой эластичности предложения аналогична расчету коэффициента ценовой эластичности спроса. Различие лишь в том, что вместо величины спроса берется величина предложения:

где Q0 u Q1 — предложение до и после изменения цены; Р0 и Р1 — цены до и после изменения; 5 — в индексе означает эластичность предложения.
В отличие от спроса, предложение менее связано с изменениями производственного процесса и более адаптируется к изменению цены.
На эластичность предложения оказывают влияние: наличие или отсутствие резервов производства - если есть резервы, то в краткосрочном периоде времени предложение эластично; наличие возможности хранить запасы готовой продукции - предложение эластично.
5.5. Эластичность предложения с учетом фактора времени Экономическая теория: конспект лекций
Фактор времени - важнейший показатель в определении эластичности. Существует три временных периода, влияющих на эластичность предложения, - краткосрочный, среднесрочный и долгосрочный.
Краткосрочный период — слишком короткий для осуществления фирмой каких-либо изменений в объеме выпускаемой продукции, и в этом временном периоде предложение неэластично.
Среднесрочный период повышает эластичность предложения, так как дает возможность расширить или сократить производство продукции на существующих производственных мощностях, но он недостаточен для введения новых мощностей.
Долгосрочный период при росте спроса на товары отрасли допускает расширение или сокращение фирмой своих производственных мощностей, а также приток в отрасль новых фирм или, при сокращении спроса на продукцию отрасли, закрытие фирм. Эластичность предложения в данном периоде выше, чем в двух предыдущих периодах.
Следует отметить, что предложение в текущем периоде остается фиксированным, так как производители не успевают отреагировать на изменения на рынке.
5.6. Практическая значимость эластичности спроса и предложения Экономическая теория: конспект лекций
Эластичность спроса - важный фактор, влияющий на ценовую политику фирмы. Если эластично предложение, то в связи с ростом цены на товар и сокращением объема производства налоговое бремя ложится в основном на потребителя, сумма налога снижается по сравнению с суммой налога при неэластичном предложении, потери общества возрастают.
Таким образом, теория эластичности спроса и предложения имеет важное практическое значение. Увеличение издержек производства вынуждает предприятие повышать цены на продукцию. Чтобы знать, каким образом сбыт отреагирует на эти изменения, и правильно выбрать ценовую стратегию предприятия, надо определить эластичность спроса и предложения на данный товар. Следует иметь в виду следующее: эластичность спроса на продукцию фирмы и эластичность рыночного спроса не совпадают. Первая всегда (за исключением абсолютной монополии фирмы на рынке) выше второй. Расчет ценовой эластичности спроса на продукцию фирмы довольно сложен, так как необходимо принимать во внимание и реакцию конкурентов на повышение или понижение фирмой цены, использовать математические модели или опыт руководителей фирмы.
"Экономическая теория: конспект лекций"
Если фирма при принятии решения о цене будет руководствоваться только данными об эластичности рыночного спроса, то потери сбыта от повышения цен могут стать более значительными, чем ожидалось.
Предположим: какая-то фирма построила многоквартирный дом и решает вопрос, по какой цене следует предлагать квартиры съемщикам. Расходы на строительство и эксплуатацию фактически не зависят от того, сколько квартир будет сдано (за исключением расходов на текущий ремонт, что составляет небольшую долю от общих расходов). Когда фирма знает спрос на квартиры и его эластичность, она может определить, по какой цене следует сдавать эти квартиры, чтобы обеспечить максимальную выручку. При этом максимальная выручка может достигаться даже в том случае, если часть квартир останется пустовать.
В зависимости от эластичности спроса и предложения на отдельные виды товаров и услуг налоговое бремя будет распределяться по-разному между производителями и потребителями продукции.
Вводя косвенные налоги, государство преследует цель увеличить объем налоговых поступлений в бюджет для перераспределения ресурсов в экономике, перераспределения доходов населения и поддержки малоимущих, развития социальной сферы, инфраструктуры, обороны и т. п.
Выводы
Экономическая теория: конспект лекций
1. Для определения «скорости изменения» спроса и предложения экономистами используется понятие эластичности спроса и предложения. Эластичность спроса и предложения необходимы для составления проектов экономического развития и экономических прогнозов. Под эластичностью следует понимать процент изменения величины одной переменной в результате изменения на одну единицу величины другой.
2. Эластичность спроса по цене, или ценовая эластичность спроса, показывает, насколько изменится в процентном отношении величина спроса на товар при изменении его цены на 1 %.
3. Если абсолютная величина показателя ценовой эластичности спроса больше 1, то мы имеем дело с относительно эластичным спросом. Если абсолютная величина показателя ценовой эластичности спроса меньше 1, то спрос относительно неэластичен. При эластичном спросе снижение цены и рост объема продаж приводят к увеличению общей выручки от реализации продукции фирмы, на участке неэластичного спроса - к уменьшению выручки. Каждая фирма стремится избежать того участка спроса на свою продукцию, где коэффициент эластичности меньше единицы.
4. При коэффициенте эластичности, равном 1 (единичная эластичность), изменение цены приводит к такому же количественному изменению величины спроса.
5. Эластичность спроса по доходам - отношение изменения спроса на товар к изменению доходов потребителей.
6. Перекрестная эластичность спроса используется для определения степени влияния на величину спроса на данный товар изменения цены другого товара (товара, заменяющего данный товар, или товара, дополняющего его).
"Экономическая теория: конспект лекций"
7. Коэффициент перекрестной эластичности - это отношение процентного изменения спроса на товар А к процентному изменению цены товара Б.
8. Эластичность предложения - чувствительность величины предложения товаров к изменению цен на эти товары. Эластичность предложения измеряется относительным (в процентах или долях) изменением величины предложения при изменении цены на 1 %.
9. На эластичность предложения важное влияние оказывает фактор времени. При оценке эластичности предложения рассматриваются три временных периода: краткосрочный, среднесрочный и долгосрочный.
Тема 6
Теория потребительского поведения Экономическая теория: конспект лекций
6.1. Потребительское поведение Экономическая теория: конспект лекций
Действия, непосредственно связанные с обретением, потреблением и избавлением от продуктов, услуг, идей, включая процессы принятия решений, предшествующих этим и следующим за ними действиями, характеризуют поведение потребителя. Потребность, возникающая из необходимости или желания потреблять различные богатства (как материальные, так и духовные), считается экономическим мотивом человека. Потребности формируют спрос, который во многом зависит от вкусов и предпочтений людей, т. е. от их субъективного восприятия товара или потребительских предпочтений.
В экономической теории под потреблением понимается процесс использования результатов производства для удовлетворения определенных потребностей.
Потребительское поведение методологически исходит из теории предельной полезности. Потребитель покупает товары и услуги для удовлетворения своих потребностей, т. е. он хочет получить определенную полезность от них. Следовательно, полезность есть удовольствие или удовлетворение, которые потребители получают от покупаемых товаров и услуг.
Все люди способны сравнивать удовлетворения, получаемые от различных видов деятельности и продуктов, и предпочитать одни виды другим. Данные предпочтения являются «чистыми», так как не зависят от доходов и цен. «Чистые» предпочтения не представляют еще действительного покупательского выбора. Желание становится выбором, а индивидуум - покупателем, когда его предпочтения ведут к реальным покупкам на рынке. Однако выбор, в отличие от желаний, ограничен доходом и ценами.
Теория потребительского поведения исходит также из того, что имеющие выбор покупатели ведут себя рационально.
Механизм, организующий поведение потребителя, - мотив, а процесс формирования мотива - мотивация.
Сначала определяются причины мотива на основе социально-психологических особенностей потребителя и необходимые требования к качеству и количеству товара. Далее формируется план покупки: выбор цели (количество и качество товара), путей ее достижения (как будет приобретаться товар, представленный на рынке), а также оценка субъективной вероятности достижения успеха и прогноза последствий.
"Экономическая теория: конспект лекций"
Связанные с потреблением расходы складываются из двух компонентов: из денежных затрат на продукт или услугу и затрат времени на собственно потребление. Поскольку потребление требует определенного времени, оно имеет положительное значение для большинства людей. При прочих равных условиях более предпочтительными будут те товары, которые удовлетворяют потребности за более короткое время.
Цены тех или иных одинаковых товаров и услуг бывают обычно равными для всех потребителей. Но оценка времени потребления одинаковых продуктов для любого из них будет далеко не одинаковой, так как альтернативная стоимость времени для каждого будет различной. Готовность платить больше за сберегающие время товары и услуги определяется как раз альтернативной стоимостью времени того или иного потребителя. Потребитель с высокой альтернативной стоимостью времени выберет дорогостоящий, но экономящий время вариант. Потребитель с низкой альтернативной стоимостью времени предпочтет более дешевый. Различия в оценках альтернативных стоимостей времени составляют важную часть анализа проблемы спроса.
Покупатели всегда выбирают товар по своим доходам, который при определенных ограничениях на розничные цены может максимально удовлетворить их потребности. Рациональность означает, что предпочтительным спросом будут пользоваться те товары, которые принесут наибольшее удовлетворение по сравнению с другими наборами, при условии, что доходы покупателей позволяют приобрести эти наборы. Именно данная тенденция и позволяет анализировать поведение потребителей на рынке с учетом предположения о рациональности их поведения.
Рациональность потребительского поведения предполагает, что все покупатели владеют необходимой информацией о цене товаров, количестве и качестве покупаемых товаров, при покупке товаров учитывают уровень своих доходов.
Предпосылки потребительского поведения можно сформулировать следующим образом:
• потребители очень хорошо знают, какие товары для них предпочтительнее;
• потребители действуют рационально;
• потребители совершенно точно знают уровень своих доходов и владеют информацией о ценах товаров;
• выбор потребителей ограничен их доходами и временем.
В основе оценки потребления, потребностей и спроса лежат различные теории мотивации, теории рационального потребления.
6.2. Правило максимизации полезности
Экономическая теория: конспект лекций
Термин «полезность» впервые был введен в научный обиход английским философом И. Бентамом (1748-1832). Необходимо отличать совокупную (общую) полезность и предельную полезность.
Общая полезность — это мера общего удовлетворения, полученного от потребления товара или набора товаров и услуг за данный период времени. Предельная полезность товара - это изменение общей полезности, вызванное изменением в потреблении данного товара или услуги на одну единицу при условии, что потребление других товаров остается неизменным, или, другими словами, полезность, получаемая от потребления каждой дополнительной единицы товара. Предельная полезность имеет свойство уменьшаться, в то время как общая -возрастать.
"Экономическая теория: конспект лекций"
В теории предельной полезности существуют два направления, точнее, два подхода к измерению полезности: кардиналистский и ординалистский. Исторически и методологически кардинализм предшествует ординализму.
Кардиналистский подход к измерению полезности предполагает абсолютно точное, количественное определение величины полезности. Основателями данного направления теории предельной полезности были К. Менгер (1840— 1921), Ф. фон Визер (1851-1926), Е. Бем-Баверк (1881-1953).
Ординалистская теория предельной полезности - более поздняя разработка двух экономистов В. Парето (18481923) и Дж. Хикса (1904-1989), она пришла на смену кардинализму. Сам термин «ординарный» означает ранжирование или выстраивание в определенном порядке. В. Парето и Дж. Хикс допускают определенное ранжирование, построение товара и услуг по принципу предпочтения. Потребитель не может точно судить о количественных размерах порядковых чисел, а может лишь сказать нечто о степени их важности относительно друг друга. То, что называется полезностью, сегодня отражает только ранжирование предпочтений.
Изучение теории полезности следует начать с кардиналистских позиций. К тому же в последнее время некоторые западные экономисты пытаются реанимировать кардиналистский подход.
В экономической литературе принято обозначать предельную полезность MU, общую полезность - TU. Предположим, что мы измеряем предельную полезность какого-то товара - X. При данных обозначениях алгебраическое выражение предельной полезности товара Xбудет выглядеть следующим образом:

где ?TUx- приращение общей полезности; ?Qx — малое (единичное) приращение количества товараX.
Закон убывающей предельной полезности гласит: по мере увеличения количества потребляемого товара его предельная полезность имеет тенденцию к сокращению. Этот закон обычно называют первым законом Госсена.
Согласно второму закону Госсена: при максимизации общей полезности предельная полезность всех потребляемых благ должна быть одной и той же величиной.
При устойчивой тенденции падения предельной полезности увеличение числа покупок не приносит потребителю дополнительного удовлетворения, поэтому покупательский спрос на товар будет уменьшаться.
Для реализации большего количества товара цены на них должны понижаться так, чтобы соответствовать падению прироста удовлетворения потребителя.
Данная тенденция помогает глубже познать закон спроса.
Как известно, покупатель потребляет много продуктов и для каждого из них вышеназванный закон действует. Совершенно очевидно, что потребитель будет приобретать в первую очередь те товары, которые обладают большей полезностью, до тех пор, пока предельные полезности потребляемых им продуктов не сравняются. Если хотя бы у одного товара предельная полезность будет чуть выше предельных полезностей других товаров, потребитель будет отдавать предпочтение ему. Когда же предельные полезности всех потребляемых им товаров сравняются, сложится как раз необходимая ему одному структура расходов. Сам же потребитель будет находиться в состоянии равновесия. Значит, условием равновесия потребителя считается равенство предельных полезностей приобретаемых им продуктов. Правило максимизации полезности в соответствии со сказанным заключается в таком распределении денежного дохода потребителя, при котором последний рубль, затраченный на приобретение каждого вида продуктов, приносит одинаковую добавочную (предельную) полезность. Вывести потребителя из состояния равновесия смогут только изменения потребительских предпочтений, цены на продукты и размеры доходов.
"Экономическая теория: конспект лекций"
Условие равновесия потребителя может быть выражено следующим образом:
MUI _ MU
2 _ MU J _ _ ми„
где MU — предельная полезность отдельных товаров; Р — их цена.
Пример. Покупатель пришел в магазин, имея 350 руб. Предположим, что имеется два товара: Хи 7, цены которых соответственно 50 и 100 руб. Сколько единиц товара X и 7 купит покупатель? Иными словами, как он распределит свой бюджет на покупку этих товаров исходя из их полезности?
Оценим полезность товара X и 7 в баллах исходя из субъективных представлений, занесем данные в соответствующие графы табл. 6.1 и определим, какую полезность каждый из товаров принесет на 1 руб. затрат (табл. 6.1).
Экономическая теория: конспект лекций
|
Таблица 6.1. Выбор сочетания товаров X и Y, максимизирующего полезность |
Коли
честв
шт |
ЛУ |
мо\ |
ми, |
Щ |
миу |
ми, |
|
р. |
|
р? |
|
1 |
5 |
5 |
од |
9 |
9 |
0,09 |
|
2 |
9 |
4 |
0,08 |
15 |
6 |
0,06 |
|
3 |
12 |
3 |
0,06 |
20 |
5 |
0,05 |
|
4 |
14 |
2 |
0,04 |
23 |
3 |
0,03 |
|
5 |
15 |
1 |
0,02 |
24 |
1 |
0,01 |
|
Из данных таблицы вытекает, что максимальную полезность принесет комбинация из трех единиц товара X и двух единиц товара Y. Любая другая комбинация товаров или не отвечает правилу максимизации их полезности, или выходит за рамки наших бюджетных возможностей.
6.3. Эффект дохода и эффект замещения
Экономическая теория: конспект лекций
Реакция потребителя на изменение цен тех или иных товаров неоднозначна и, согласно теории полезности, получила название «эффекта дохода» и «эффекта замещения».
В ответ на изменение реального дохода потребитель изменяет объем потребления различных видов благ в зависимости от их оценки как нормального или низшего качества. Следует помнить, что рост дохода стимулирует спрос на нормальные товары и уменьшает спрос на товары низшего качества. Однако потребитель, если не хочет увеличения потребления подешевевших товаров, может перейти на потребление аналогичных, но более качественных и дорогих товаров. Эффект дохода вызывает в этом случае эффект замещения (субституции).
Эффект дохода — это изменение спроса на товар только как результат колебания покупательной способности денежного дохода, вызванного в свою очередь изменением цен.
Эффект замещения будет иметь место тогда, когда потребитель начнет покупать больше товаров, на которые снизились цены, или заменять их товаром, на который цены постоянны или даже выросли.
Теория полезности помогает установить зависимость между ценой товара и его количеством. При падении цен на товары при неизменной величине номинального дохода потребителя происходит увеличение покупательной способности данной суммы денег. По существу снижение цен приводит к увеличению реального дохода. В данном случае увеличение доходов столь же реально, как и в случае повышения заработной платы.
Как мы знаем, предельная полезность на один рубль продукции при максимизации общей полезности от потребления одинакова для всех продуктов. В этом случае цена продукции отражает ее предельную полезность, т. е. наступает равновесие потребителя при неизменной покупательной способности денег, которое получило название «излишек потребителя». Смысл этого понятия заключается в следующем: потребитель платит за каждую единицу товара одинаковую цену, равную предельной полезности последней, наименее ценной для него единицы. А это значит, что на каждой единице товара, предшествующей последней, потребитель получает некоторую выгоду.
"Экономическая теория: конспект лекций"
Итак, излишек потребителя — это разница между той суммой, которую потребитель был бы согласен уплатить, и той суммой, которую он реально уплатил.
Поясним идею излишка потребителя графически (рис. 6.1 а). Проведем через точки линию, характеризующую спрос потребителя на какой-то товар.
 |
|
Рис. 6.1. Излишекпотребителя. |
Точка P1 — максимальная цена, которую потребитель может и готов заплатить за одну единицу товара. Это предельная цена товара.
Окажись она выше P1 потребитель вообще не стал бы покупать товар.
За вторую единицу товара потребитель готов заплатить Р2 (закон убывающей полезности) и т. д. Реальная же цена товара на рынке Рп. Следовательно, покупая первую единицу товара, потребитель получает потребительский излишек в размере Р1 — Рп, покупая вторую единицу товара, - в размере Р2 — Рп нт. д.
На графике излишек потребителя - это область, ограниченная сверху кривой спроса, а снизу - линией цены. Чем ниже цена, тем больше величина излишка потребителя.
Например (см. рис. 6.1 б), если бы потребитель приобретал только одну единицу товара, то он согласен был бы уплатить 80 руб. За вторую единицу потребитель заплатил бы 60 руб., третью единицу покупатель оценивает в 40 руб., и эта предельная полезность будет определять рыночную цену всех трех единиц. Следовательно, рыночная цена, уплаченная потребителем при покупке трех товаров, составит: 40 + 40 + 40 = 120 руб. Если же суммировать индивидуальные оценки предельной полезности каждой из трех единиц, то получилось бы: 80 + 60 + 40 = 180 руб. Таким образом, при покупке трех единиц товара излишек потребителя составил: 180-120 = 60 руб.
6.4. Бюджетные линии
Экономическая теория: конспект лекций
Мы уже знаем, что потребитель в своих предпочтениях на отдельные товары наталкивается на весьма существенные преграды: цену товара и доходы самого потребителя, т. е. его бюджетные возможности.
Рассмотрим последние более подробно.
Возможности потребителя характеризуют линии бюджетного ограничения (бюджетные линии). Они показывают, какие комбинации двух товаров могут быть приобретены при определенном уровне цен на эти товары и величине денежного дохода. Если покупатель хочет купить товар X по цене Рх и товар Y по цене Ру в определенных количествах, то на покупку этих двух товаров он может выделить денежную сумму, равную I, где / - доход потребителя.
Уравнение бюджетного ограничения имеет вид:

где Рх, Ру, Qx, Qy — соответственно цены и количества товаров X и Y.
Смысл бюджетного ограничения состоит в том, что доход потребителя равен сумме расходов на покупку товаров X и Y. Преобразовав предыдущее равенство, получим:


Если потребитель решит израсходовать весь доход только на покупку товара A, то он купит этого товара на величину I/Px. Если потребитель решит израсходовать весь доход только на покупку товара В, то он купит этого товара на величину I/Py.
'Экономическая теория: конспект лекций'
Проведем через указанные точки линию, которая и будет называться бюджетной линией потребителя (рис. 6.2).
Доступный потребительский ассортимент
Наклон
Рис. 6.2. Бюджетная линия.
Любая точка на этой линии характеризует возможные комбинации товаров X и 7, на которые потребитель может израсходовать свои деньги, и является доступной потребителю. Все наборы, расположенные выше и правее бюджетной линии, недоступны для потребителя (точка В), так как приобрести набор В не позволяет реальный доход потребителя. Точка С для потребителя достижима, но в этом случае из своего дохода потребитель не извлечет максимума полезности, а стало быть, она менее предпочтительна. Наклон бюджетной линии характеризуется отрицательным соотношением цен (-Px/Py), что означает то количество товара Y, от которого следует отказаться, чтобы приобрести дополнительную единицу товарах в рамках затрат реального дохода.
Указанное ценовое соотношение измеряет альтернативную стоимость потребления товара X и определяет норму замещения товара Y товаром X.
Поведение бюджетной линии подчиняется определенным закономерностям. Изменение дохода (при этом цены на товары остаются без изменения) ведет к сдвигу линии бюджетного ограничения параллельно самой себе, поскольку соотношение цен (наклон линии бюджетного ограничения) при этом не изменится.
Если доходы потребителя снизятся, бюджетная линия параллельно смещается влево вниз в сторону начала осей координат (линия I') (рис. 6.3). И наоборот, если доходы потребителя повысятся, его потребительские возможности также повысятся и он сможет покупать больше. Бюджетная линия сместится параллельно вверх вправо от начала осей координат. Расстояние от бюджетной линии до начала осей координат зависит от величины дохода потребителей.

Рис. 6.3. Изменения бюджетнойлинии.
Наклон линии зависит от соотношения цен на товары X и Y.
Первый случай: цены на оба товара пропорционально возросли, т. е. увеличились в одинаковое число раз, при этом величина дохода потребителя не изменилась. Потребительские возможности уменьшились, и бюджетная линия потребителя сместилась параллельно вниз к центру осей координат (соответствует нашему примеру с линией I
1).
Второй случай: цены на оба товара пропорционально уменьшились, что будет означать рост потребительских возможностей (эффект дохода), и бюджетная линия потребителя сместится параллельно вверх от начала осей координат.
Если же цены и доходы потребителя одновременно возрастут или упадут, то положение бюджетной линии потребителя не изменится. Отсюда вывод: смысл индексации доходов в том и состоит, чтобы государство могло обеспечить (как минимум) пропорциональное смещение цен и доходов с целью недопущения снижения уровня жизни населения. Политика социальной защиты состоит прежде всего в том, чтобы рост цен не опережал роста доходов.
"Экономическая теория: конспект лекций"
Третий случай: произошло изменение цен товаров относительно друг друга. Цена товара X осталась прежней, товара Y - снизилась (рис. 6.3). В таком случае потребитель сможет купить больше единиц товара Y без ущерба для приобретения товара X. Здесь работает эффект дохода. Если же цена товара Y возросла, то потребитель без ущерба для приобретения товара X будет покупать меньше единиц товара Y.
6.5. Кривые безразличия
Экономическая теория: конспект лекций
Чтобы ответить на вопрос, как обеспечить максимальное удовлетворение от покупки при ограниченном бюджете, мы должны знать, какой из наборов продуктов предпочтем. Наши предпочтения выражаются через кривые безразличия.
Кривая безразличия — это линия, каждая точка которой представляет комбинацию двух товаров, которые имеют для потребления одинаковую общую полезность, и поэтому потребителю безразлично, какой из этих наборов выбрать (рис. 6.4).
А
t/э |
 |

Рис. 6.4. Кривые безразличия.
Например, два товара X и три товара Y имеют такую же общую полезность, как три товара X и два товара Y, и т. д. Отказ от одного из товаров компенсируется получением другого. К этим комбинациям товаров Xи Y потребитель, следовательно, в равной мере безразличен. Тем не менее любые отмеченные комбинации товаров одинаково хороши для потребителя, так как приносят одинаковую полезность.
Если с точки зрения данного потребителя наборы и равноценны, то точки А и В лежат на одной кривой безразличия. Кривая безразличия, лежащая выше и правее другой кривой, представляет собой более предпочтительные для данного потребителя наборы товаров. Так, набор С содержит такое же количество товара У, что и набор А, но больше количества товараX. Кривые безразличия, более удаленные от начала координат, соответствуют более высокому уровню удовлетворения потребностей. Например, поскольку кривая U2 находится правее кривой U1 то любой набор, лежащий на кривой безразличия U2, предпочтительнее любого набора на кривой безразличия U1. Набор кривых безразличия для отдельного потребителя и двух различных товаров называется картой безразличия.
Движение вдоль кривой безразличия сверху вниз означает, что потребитель отказывается от некоторого количества товара Y для получения дополнительного количества товара X. Выпуклый характер кривой говорит о том, что потребитель имеет дело с товарами, которые не считаются взаимозаменяемыми. Количество одного товара, от которого потребитель готов отказаться, чтобы получить дополнительную единицу другого, оставаясь при этом на данном уровне удовлетворения потребностей (на данной кривой безразличия), называется предельной нормой замещения (MRS). Предельная норма замещения может быть представлена как отношение:

MRSxy

На рис. 6.5 показано, что по мере увеличения потребления товара X на каждую дополнительную единицу (?Х) (движение отточки А к точке D) количество товара Y, от которого потребитель готов отказаться (?Y), сокращается, т. е. предельная норма замещения убывает.
'Экономическая теория: конспект лекций'

Рис. 6.5. Предельнаянормазамещения.
В самом деле, чем менее дефицитным становится товар X, тем меньшим количеством товара Y мы готовы пожертвовать, чтобы и дальше увеличивать его потребление. Иными словами, рост количества товара X приводит к уменьшению его предельной полезности. Наклон кривой безразличия в каждой ее точке определяется предельной нормой замещения, умноженной на 1.
Характер кривой безразличия имеет нисходящий вид - отрицательный наклон, потому что соотношение Y иХ имеет обратную связь (см. кривую спроса).
Кривые безразличия могут иметь различный вид. На рис. 6.6. кривая безразличия U1 показывает, что потребитель имеет дело с товарами, которые не отличаются абсолютной взаимозаменяемостью.

Рис. 6.6. Типы кривых безразличия.
Для двух совершенно взаимозаменяемых товаров кривая безразличия будет иметь вид прямой линии (MRS = const). Обычно такие товары рассматриваются как один.
Кривая U2 — товары вообще не могут заменять друг друга (правый и левый ботинки). Такие товары жестко дополняют друг друга (кривая безразличия - взаимно перпендикулярные отрезки).
Кривая U3 показывает, что чем больше имеет товара потребитель, тем больше хотел бы его иметь. Кривая безразличия вогнута к началу координат.
Если совместить на одном графике карту кривых безразличия и бюджетное ограничение, можно будет определить, какой товарный набор выберет потребитель, чтобы получить максимум удовлетворения (рис. 6.7).

Рис. 6.7. Оптимум потребления.
Потребитель не выберет точку А, в которой бюджетная линия пересекает некоторую кривую безразличия U1 и точку В, поскольку они расположены на более низкой кривой безразличия. Он выберет точку Е, в которой бюджетная линия касается кривой безразличия U2 расположенной выше кривой U1.
Оптимальный для потребителя товарный набор Е содержит QEX единиц товара X и QEY — единиц товара Y.
В точке Е (точка оптимума, или равновесия потребителя) наклоны кривой безразличия и бюджетной линии совпадают, поэтому:

Перегруппировав члены последней пропорции, получаем:
MU
X _ ш
у
Р ~ Р
X у
Итак, в точке оптимума потребителя отношение предельных полезностей равно отношению цен потребляемых благ.
Это условие верно для задачи потребительского выбора с любым числом благ.
В случае двух товаров потребитель максимизирует свою полезность, если одновременно выполняются два условия. Первое заключается в том, что MRS для данных товаров должна равняться отношению их цен. Второе условие - выделенный для приобретения данных товаров доход расходуется полностью.
Выводы
Экономическая теория: конспект лекций
1. Теория потребительского поведения исходит из того, что имеющие выбор покупатели ведут себя рационально. Покупатели всегда выбирают товар по своим доходам, который при определенных ограничениях на розничные цены может максимально удовлетворить их потребности.
2. Теория полезности предполагает, что в основе цен товаров лежит их ценность, определяемая как суждение субъекта о значимости благ, находящихся в его распоряжении. Правило максимизации полезности в соответствии со сказанным заключается в таком распределении денежного дохода потребителя, при котором последний рубль, затраченный на приобретение каждого вида продуктов, приносил бы одинаковую добавочную (предельную) полезность. Вывести потребителя из состояния равновесия смогут теперь только изменения потребительских предпочтений, цены на продукты и размеры доходов.
"Экономическая теория: конспект лекций"
3. Согласно закону убывающей предельной полезности ценность каждого последующего блага при наращивании его запаса падает и достигает нулевого значения в точке полного насыщения (первый закон Госсена).
4. Максимум полезности от потребления заданного набора благ потребитель получит при условии равенства предельных полезностей всех потребленных благ (второй закон Госсена).
5. Эффект дохода - это изменение спроса на товар как результат колебания покупательной способности денежного дохода, вызванного в свою очередь изменением цен. Эффект замещения заключается в сокращении (увеличении) потребления определенного блага при одновременном росте (сокращении) потребления других благ, если цена на него возрастает (уменьшается).
6. Излишек потребителя - это разница между той суммой, которую потребитель был бы согласен уплатить, и той суммой, которую он реально уплатил.
7. Для изображения множества доступных потребителю товарных наборов используется бюджетная линия. Линии бюджетного ограничения показывают, какие комбинации двух товаров могут быть приобретены при определенных уровне цен на эти товары и величине денежного дохода. Смысл бюджетного ограничения состоит в том, что доход потребителя равен сумме расходов на покупку товаров ХиУ.
8. Кривая безразличия - это линия, каждая точка которой представляет комбинацию двух товаров, которые имеют для потребления одинаковую общую полезность, и поэтому потребителю безразлично, какой из этих наборов выбрать. Кривая безразличия обычно выпукла к началу координат.
Оптимум потребителя достигается в точке касания бюджетной линии к кривой безразличия. В точке оптимума потребителя отношение предельных полезностей равно отношению цен потребляемых благ.
Тема 7
Рынок факторов производства Экономическая теория: конспект лекций
7.1. Рынок труда
Экономическая теория: конспект лекций
Отличительная особенность рынка факторов производства состоит в том, что на нем производители, которые ранее были продавцами товаров и услуг, выступают как покупатели, обеспечивая производственный процесс необходимыми ресурсами. Расходы производителей в данном случае становятся доходами для продавцов ресурсов, поэтому уровень доходов в обществе зависит от уровня развития производства, от его потребностей в ресурсах, от их рационального распределения между отдельными производителями.
Формирование спроса и предложения на рынке ресурсов носит вторичный характер. Ресурсы необходимы производителю, чтобы произвести продукт для конечного потребления. Поэтому, чем нужнее данный продукт, тем больше его нужно для удовлетворения потребностей, тем больше спрос на ресурсы, из которых он производится. Соответственно, если спрос на конечный продукт снижается, то снижается и спрос на ресурсы.
Спрос и предложение на рынке рабочей силы зависят в первую очередь от цены на продаваемый товар, так как здесь также действует закон спроса и предложения. Цена, выплачиваемая за использование рабочей силы, называется заработной платой.
"Экономическая теория: конспект лекций"
Размер заработной платы зависит от уровня образования, квалификации, способностей, здоровья. Различия в оплате труда согласно теории человеческого капитала связаны с инвестициями в человеческий капитал. Инвестиции в человеческий капитал — это любые вложения или действия, повышающие и развивающие способности человека, его квалификацию, а в итоге повышающие производительность его труда. Инвестиции в человеческий капитал включают расходы на образование, здравоохранение, мобильность. Расходы на образование закладывают основу будущего развития и совершенствования человека, дают ему определенную специальность и квалификацию, делают рабочую силу более производительной. Затраты на здоровье направлены на профилактику заболеваемости, позволяют увеличить работоспособность человека, удлинить его жизнь, повысить производительность. Расходы на мобильность дают возможность передвигаться по стране в целях обмена опытом, повышения своей квалификации, а также в поисках места работы, более всего отвечающего способностям и возможности проявить себя.
Таким образом, инвестиции в человеческий капитал выгодны как обществу, так и отдельному человеку. С точки зрения общества более квалифицированный производитель дает большую массу произведенного ВНП; с позиции предпринимателя он обеспечивает меньшие издержки производства и большую прибыль; с точки зрения отдельного человека вложения в человеческий капитал дают возможность более полного проявления способностей каждого и в результате приносят более высокие доходы в течение всей жизни.
7.2. Рынок земли
Экономическая теория: конспект лекций
Один из главных ресурсов производства - земля. Под землей как ресурсом понимается не только она сама, но и все природные богатства, находящиеся на земле ивее недрах. Особенностью этого фактора признается его ограниченность, а в большинстве случаев - невозможность воспроизводства. В силу ограниченности количества земли и невозможности без нее ни одного производства собственность на землю считается самым доходным видом собственности. Экономическая реализация этого вида собственности чаще всего производится не путем ее продажи, а посредством сдачи в аренду и получения от этого дохода в виде ренты.
Экономическаярента — это плата за пользование землей и другими ограниченными природными ресурсами. Особенности рынка земли и ренты как своеобразной формы ее реализации можно увидеть на графике (рис. 7.1).

Рис. 7.1. Рынок земли.
Кривая D показывает спрос на землю, a S — предложение земли. Предложение земли абсолютно неэластично, так как ее количество всегда одинаково и не может быть изменено. Поскольку предложение фактически фиксировано, то единственным решающим фактором, определяющим ренту, может выступать только спрос на землю. Он зависит от цены продукции, которую можно производить на конкретной земле, от производительности самой земли. Точки, которые устанавливают размеры ренты, лежат на пересечении кривых спроса с кривой предложения. При средней величине спроса (кривая D) рента устанавливается примерно на уровне трех денежных единиц (точка R). При увеличении спроса и смещении кривой спроса до уровня рента будет равна 3,7 денежных единиц. При уменьшении спроса и сдвиге кривой до уровня D1 рента составит 1,8 денежных единиц. Изменение величины экономической ренты не окажет никакого влияния на количество предлагаемой земли, т. е. цена в данном случае не будет выполнять функцию стимулятора предложения. Продавая землю, ее собственник теряет ежегодно получаемый им доход - экономическую ренту. Поэтому в обычных условиях он согласится продать землю только за такую сумму, которая, будучи положенной в банк, будет приносить ему доход в виде процента, который будет не меньше получаемой ранее ренты.
"Экономическая теория: конспект лекций"
Таким образом, цена земли зависит в основном от двух факторов - величины приносимой ренты и банковского процента.
7.3. Рынок капитала
Экономическая теория: конспект лекций
Нельзя начать ни одно дело без первоначального капитала. При недостаточности собственного капитала можно купить на рынке право пользования денежным капиталом в течение определенного времени. Цена, уплачиваемая за использование взятых в долг денег, называется ссудным процентом. Сами деньги не выступают производительным ресурсом, но, используя их, можно купить оборудование, материалы, труд и другие ресурсы, необходимые для производственного процесса. Поэтому, беря в пользование денежные ресурсы, предприниматель обеспечивает себе условия развития производства. Ставка ссудного процента показывает, какой процент от взятой в кредит суммы будет уплачиваться за пользование ею. По сути это доход, который получает собственник от временно свободных денежных средств, позволяя пользоваться ими другому лицу. Уровень ставки ссудного процента зависит прежде всего от спроса на кредит. Однако под воздействием множества факторов спрос дифференцируется. В этой связи особое значение имеет степень риска: чем риск больше, тем ссудный процент выше. На уровень процента влияют также срок ссуды (долгосрочные ссуды более дорогие), количество ссужаемых денег (как правило, на меньшую сумму выплачивается более высокий процент), конкуренция на рынке капиталов.
Говоря о рынке капиталов, нужно помнить, что на современном этапе он, как правило, существует в условиях большей или меньшей инфляции. Поэтому в ставке процента различают номинальную и реальную ставки. Номинальная — это процентная ставка, определенная при получении кредита, реальная — номинальная ставка с поправкой на инфляцию. Она равна разнице между номинальной ставкой и уровнем инфляции. При принятии решения о взятии ссуды предприниматель ориентируется прежде всего на реальную ставку. При помощи дифференциации ставки ссудного процента можно стимулировать развитие отдельных отраслей и регионов.
Взятый в ссуду капитал вкладывается в производство и должен принести доход в виде прибыли. Это возможно только в том случае, если данный капитал соединяется со специфическим фактором производства -предпринимательской способностью. Доход от своей деятельности предприниматель получает в форме предпринимательского дохода, который выступает как денежная реализация экономического интереса предпринимателя.
Работа предпринимателя приносит ему доход в форме нормальной прибыли. Прибыль предпринимателя -важнейший стимул в развитии и совершенствовании производства. С одной стороны, она стимулирует увеличение объемов производства, так как с ростом объемов реализованной продукции возрастает и масса прибыли. С другой стороны, дополнительные затраты на совершенствование производственного процесса и продукции сулят предпринимателям дополнительные прибыли.
"Экономическая теория: конспект лекций"
Вывод
Экономическая теория: конспект лекций
Рынок факторов производства обеспечивает необходимыми ресурсами функционирующих производителей, а собственники различных факторов производства получают доходы в форме заработной платы, ренты, ссудного процента и прибыли.
Тема 8
Теория производства Экономическая теория: конспект лекций
8.1. Стадии движения общественного продукта Экономическая теория: конспект лекций
Результатом хозяйственной деятельности людей в течение определенного периода выступает общественный продукт. В своем движении он проходит четыре стадии: производство, распределение, обмен и потребление.
Производство — это процесс создания полезного продукта. Распределение — доля каждого человека в произведенном продукте. Обмен — процесс, во время которого одни продукты обмениваются на другие. Распределение и обмен тесно связаны с производством и служат звеньями одной цепи. Распределение и обмен опосредуют связь между производством и потреблением. Потребление — использование созданных благ для удовлетворения человеческих потребностей.
Потребление может быть производственным и непроизводственным. Производственное потребление означает использование в производственном процессе средств производства и рабочей силы. Непроизводственное потребление делится на личное и общественное. Личное потребление - удовлетворение потребностей людей в пище, одежде, образовании, отдыхе и т. п. Общественное потребление - удовлетворение потребностей общества в науке, образовании, культуре, управлении, обороне и т. п.
Как и любой процесс, производство имеет начало и конец. При потреблении количество продуктов уменьшается, поэтому их необходимо вновь и вновь производить, т. е. воспроизводить. Воспроизводство — это повторение процесса производства. Различают простое и расширенное воспроизводство. Под простым воспроизводством понимается повторение процесса производства в прежних масштабах. Под расширенным воспроизводством -возобновление производства во все увеличивающихся масштабах. Все четыре стадии движения общественного продукта тесно связаны между собой и образуют общественное производство, важнейшим показателем функционирования которого выступает его эффективность, определяющаяся отношением результатов производства к его затратам.
8.2. Факторы производства, их взаимодействие и комбинация
Экономическая теория: конспект лекций
Исходный момент экономической деятельности людей - производство, предполагающее взаимодействие различных факторов. В экономике факторы производства - это все то, что, участвуя в процессе производства, дает товары и услуги.
Труд — совокупность знаний, умений и навыков, физических и интеллектуальных способностей человека, т. е. рабочая сила, которую он использует при производстве продукта.
Капитал, или инвестиционные ресурсы, - это все средства производства (предметы и средства труда), произведенные человеком (реальный капитал), и деньги (денежный капитал).
"Экономическая теория: конспект лекций"
Природные ресурсы (земля) - это все естественные ресурсы, блага природы: сельскохозяйственные угодья (пашни, луга), леса, вода, воздух, участки под новое строительство, добываемое сырье и т. д. Земля может использоваться в разных целях, однако особую важность она имеет для сельского хозяйства, поскольку выступает как средство и предмет труда одновременно. Свойства земли можно разделить на естественные, т. е. данные изначально, и созданные искусственно благодаря орошению, мелиорации, внесению удобрений и т. п. Это обстоятельство влияет на доход с земли - земельную ренту.
Предпринимательская способность — способность принятия решений и способность рисковать. Это особый фактор производства, соединяющий в процессе производства все остальные факторы в единую систему.
Таким образом, собственник факторов производства от их использования в производственном процессе хочет получать доход. Собственник труда рассчитывает на доход в виде заработной платы, собственник капитала - на доход в виде процента на вложенный капитал, собственник природных ресурсов - на ренту, собственник предпринимательской способности - на прибыль.
Выводы
Экономическая теория: конспект лекций
1. Общественный продукт в своем движении проходит четыре стадии: производство, распределение, обмен и потребление.
2. В процессе производства происходит взаимодействие факторов производств: земли, капитала, труда, предпринимательской способности и научно-технического прогресса.
Тема 9
Фирма в системе рыночных отношений Экономическая теория: конспект лекций
9.1. Понятие фирмы
Экономическая теория: конспект лекций
Главным объектом исследования в макроэкономическом анализе выступает фирма, поскольку в современной экономике именно фирмы производят основную массу товаров и услуг, которые удовлетворяют потребности людей. Термины «фирма» и «предприятие» тождественны, однако особенность заключается в том, что фирма может состоять из нескольких предприятий. В этой связи можно дать следующее определение: фирма — это объединение однородных или смежных предприятий, использующее ресурсы для производства товаров и услуг с целью поучения прибыли. Достижение этой цели возможно посредством реализации набора целевых установок тактического и стратегического характера:
• увеличение объема продаж;
• достижение более высоких темпов роста;
увеличение доли рынка;
• увеличение прибыли по отношению к вложенному капиталу;
• увеличение дохода на акцию компании (если это акционерная компания);
• увеличение рыночной стоимости акций (если это открытое акционерное общество);
• изменение структуры капитала.
В рыночной экономике фирмы образуют сектор коммерческих организаций, или предпринимательский сектор. Предпринимательство представляет собой инициативную самостоятельную деятельность граждан и объединений, направленную на получение прибыли, осуществляемую на их риск и под имущественную ответственность. Поэтому предпринимательской можно считать лишь ту хозяйственную деятельность, которая связана с инициативой, риском, предприимчивостью, самостоятельностью, ответственностью, активностью. Таким образом, все перечисленные характеристики - признаки предпринимательства.
"Экономическая теория: конспект лекций"
Выделяют субъекты и объекты предпринимательства. К субъектам предпринимательства относятся частные лица, акционерные общества, арендные коллективы, кооперативы и государство. К объектам — любые виды хозяйственной деятельности, коммерческое посредничество, торгово-закупочная, инновационная, консультационная деятельность, операции с ценными бумагами.
Содержание хозяйственной деятельности позволяет выделить виды предпринимательства.
Производственное предпринимательство - деятельность, направленная на осуществление производства товаров и услуг, информации, духовных ценностей. Производство в данном виде предпринимательства выступает основной функцией.
Коммерческое предпринимательство не связано с производством, а основано на операциях и сделках по перепродаже товаров и услуг. Прибыль представляет собой разницу между ценой продажи данного товара и ценой на его приобретение.
Финансовое предпринимательство - разновидность коммерческого предпринимательства, только объектом купли-продажи здесь выступают деньги, валюта, ценные бумаги.
Посредническое предпринимательство состоит в соединении заинтересованных сторон во взаимной сделке. За данную услугу предприниматели-посредники получают доход.
Страховое предпринимательство заключается в том, что предприниматели, оказывающие подобные услуги, получают страховой взнос, который возвращается только при наступлении страхового случая. Данный вид предпринимательства представляет собой особую форму финансового предпринимательства.
Предпринимательство имеет свою организационную структуру. По формам собственности предприятия (фирмы) подразделяются на частные и государственные. Частные фирмы существуют либо как полностью самостоятельные, либо в виде объединений. Частные фирмы свободны в выборе наиболее доходной сферы своей деятельности, не имеют строгих рамок в отношении объемов бизнеса, не ограничены твердой ценой. Государственные предприятия - это такие, на которых государственные органы обладают более 50 % капитала.
По признаку доминирующего фактора производства различают трудоемкие, капиталоемкие, материалоемкие и наукоемкие предприятия.
По правовому статусу (в соответствии с Гражданским кодексом РФ) выделяют хозяйственные товарищества и общества, производственные кооперативы, государственные и муниципальные унитарные предприятия, индивидуальных предпринимателей. Хозяйственные товарищества и общества могут создаваться в формах: полного товарищества, товарищества на вере (коммандитного товарищества), общества с ограниченной ответственностью, общества с дополнительной ответственностью, акционерного (открытого и закрытого) общества, дочернего и зависимого общества, производственного кооператива.
Полным называется товарищество, участники которого (полные товарищи) занимаются предпринимательской деятельностью от имени товарищества в соответствии с заключенными договорами и несут риск ответственности по его обязательствам принадлежащим им имуществом.
"Экономическая теория: конспект лекций"
Товариществом на вере (коммандитным товариществом) называется товарищество, в котором наряду с участниками, осуществляющими от имени товарищества предпринимательскую деятельность и отвечающим по обязательствам товарищества своим имуществом (полными товарищами), имеется один или несколько участников-вкладчиков (коммандитистов).
Коммандитисты несут риск убытков, связанных с деятельностью товарищества, в пределах сумм внесенных ими вкладов и не принимают участия в осуществлении товариществом предпринимательской деятельности.
Обществом с ограниченной ответственностью признается общество, учрежденное одним или несколькими лицами. Уставный капитал такого общества разделен на доли в размерах, определенных учредительными документами. Участники общества с ограниченной ответственностью не отвечают по его обязательствам и несут риск убытков, связанных с деятельностью общества в пределах стоимости внесенных ими вкладов.
Обществом с дополнительной ответственностью называется учрежденное одним или несколькими лицами общество, уставный капитал которого разделен на доли в размерах, определенных учредительными документами. Участники общества солидарно несут субсидиарную ответственность по обязательствам своим имуществом в одинаковом для всех кратном размере к стоимости своих вкладов. При банкротстве одного из участников его ответственность по обязательствам распределяется между остальными участниками пропорционально их вкладам, если иной порядок не предусмотрен учредительными документами.
Акционерное общество — это общество, уставный капитал которого разделен на определенное число акций. Участники акционерного общества (акционеры) не отвечают по его обязательствам и несут риск убытков в пределах стоимости принадлежащих им вкладов. Акционерное общество может быть открытым и закрытым. Участники открытого акционерного общества могут отчуждать принадлежащие им акции без согласия других акционеров. Такое акционерное общество вправе проводить открытую подписку на выпускаемые им акции и их свободную продажу. В закрытом акционерном обществе акции распределяются только среди его учредителей, а открытая подписка на выпускаемые акции проводиться не должна.
Хозяйственное общество признается дочерним, если его капитал не преобладает в уставном капитале всего общества. Такое общество не имеет возможности определять решения, принимаемые основным хозяйственным обществом. Дочернее общество не отвечает по долгам основного товарищества.
Зависимым признается хозяйственное общество, если другое преобладающее общество имеет более 20 % голосующих акций акционерного общества или 20 % уставного капитала общества с ограниченной ответственностью.
Производственный кооператив (артель) - добровольное объединение граждан на основе членства для совместной производственной или иной хозяйственной деятельности, основанной на личном труде и объединении его членами имущественных паевых взносов. Деятельность производственного кооператива может быть связана с производством, переработкой, сбытом промышленной, сельскохозяйственной и иной продукцией, выполнением работ, торговлей, бытовым обслуживанием, оказанием других услуг. Производственный кооператив является коммерческой организацией.
"Экономическая теория: конспект лекций"
Унитарным предприятием называется коммерческая организация, не наделенная правом собственности на закрепленное за ней собственником имущество. Имущество унитарного предприятия неделимо и не может быть распределено по вкладам, в том числе между работниками предприятия.
Индивидуальными предпринимателями признаются отдельные граждане, занимающиеся предпринимательской деятельностью, но без образования юридического лица.
Помимо коммерческих предприятий (фирм), действуют также и некоммерческие фирмы. Они могут создаваться в форме потребительских кооперативов, благотворительных фондов, общественных и религиозных организаций, учреждений.
Потребительский кооператив — это добровольное объединение граждан и юридических лиц на основе членства для удовлетворения материальных и иных потребностей участников, осуществляемое путем объединения его членами имущественных паевых взносов. Доходы, полученные потребительским кооперативом от предпринимательской деятельности, осуществляемой кооперативом, распределяются между его членами.
Фонд — некоммерческая организация, учрежденная гражданами или юридическими лицами на основе добровольных имущественных взносов, преследующая социальные, благотворительные, культурные, образовательные или иные общественно полезные цели.
Общественными ирелигиозными организациями (объединениями) называются добровольные объединения граждан, на основе общности их интересов для удовлетворения духовных или иных нематериальных потребностей. Они вправе осуществлять предпринимательскую деятельность лишь для достижения целей, ради которых они созданы.
Учреждения — это организация, созданная собственником для осуществления управленческих, социальнокультурных и иных функций некоммерческого характера. Учреждение полностью или частично финансируется собственником.
Коммерческие организации в целях координации своей предпринимательской деятельности и защиты общих имущественных интересов могут создавать объединения в форме ассоциаций или союзов, являющихся некоммерческими организациями.
Таким образом, на основании вышесказанного можно сделать следующие выводы:
- фирма - это объединение однородных или смежных предприятий, использующее ресурсы для производства товаров и услуг с целью получения прибыли;
- признаки предпринимательства: риск, инициатива, предприимчивость, самостоятельность, ответственность, активность;
- выделяют следующие виды предпринимательства: производственное, коммерческое, финансовое, посредническое, страховое;
- по правовому статусу выделяют хозяйственные товарищества и общества, производственные кооперативы, государственные и муниципальные унитарные предприятия, индивидуальных предпринимателей.
9.2. Определение рыночной структуры и рыночной власти
"Экономическая теория: конспект лекций"
Экономическая теория: конспект лекций
Рыночную структуру в общем виде можно определить как комбинацию характерных признаков организации конкретных отраслевых рынков.
Рыночная структура представляет собой совокупность отраслевых признаков организации рынка, которые обусловливают способы установления цен и объем выпуска продукции, а также определяют характер взаимодействия фирм конкретной отрасли.
Фирмы постоянно действуют в условиях конкуренции. Решения о цене и объеме производства у различных покупателей будут существенно различаться в условиях различных типов рыночных структур. Термин «конкуренция» используется для обозначения типа рыночной структуры. В зависимости от степени убывания конкуренции выделяют четыре основных типа рыночных структур (или моделей) рынка, а именно: чистую (совершенную) конкуренцию, монополистическую конкуренцию, олигополию, чистую монополию.
Совершенная конкуренция представляет собой экономическую ситуацию, при которой никто не может воздействовать на рыночную цену продаваемого или покупаемого товара, т. е. спрос на продукцию отдельной фирмы абсолютно эластичен. Графически изменение спроса на продукцию в условиях совершенной конкуренции можно представить следующим образом (рис. 9.1).
 |
|
Рис. 9.1. Спрос на продукцию в условиях совершенной конкуренции. |
Если цена за единицу товара А составит P1, то кривая на них будет изображена в виде горизонтальной линии D. Эта кривая показывает, что любое количество предлагаемого товара А будет продаваться по цене Р1. Однако графическое изображение рыночного спроса на товар А будет иметь вид наклонной линии D, которая показывает готовность потребителей приобрести различное количество товара A при всех возможных уровнях цен (рис. 9.2). При цене Р1 товара A будет приобретено в количестве Q1.
 |
|
Рис. 9.2. Отраслевой спрос в условиях совершенной конкуренции. |
Поскольку цена продукции фирмы в условиях совершенной конкуренции не зависит от объема производства, то общий (валовой) доход фирмы TR (от англ. total revenue) будет равен произведению цены на количество продукции Р x Q. Предельный доход MR (англ. marginal revenue) при этом будет равен цене продукции. Средний доход фирмы также будет равен цене. Итак, особенностью совершенной конкуренции считается равенство предельного дохода и цены.
На рынке может сложиться такая экономическая ситуация, в которой фирма будет обладать определенной властью над ценой. Данное явление в экономике носит название несовершенной конкуренции, в которой различают чистую монополию, монополистическую конкуренцию и олигополию.
Несовершенная конкуренция связана с понятием рыночной власти, которая представляет собой возможность для фирмы оказывать на цену влияние и повышать экономическую прибыль, ограничивая при этом объем производства и сбыта. Рыночная власть возрастает при убывании конкуренции.
"Экономическая теория: конспект лекций"
Данную ситуацию можно представить в виде схемы (рис. 9.3).
 |
|
Рис. 9.3. Усиление рыночной власти. |
Типы рыночных структур и степень влияния фирм на цену будут более подробно рассмотрены в следующем параграфе.
Исходя из сказанного можно сделать следующие выводы:
- в зависимости от степени убывания конкуренции выделяют четыре основных типа рыночных структур (или моделей) рынка, а именно: чистую (совершенную) конкуренцию, монополистическую конкуренцию, олигополию, чистую монополию;
- совершенная конкуренция представляет собой экономическую ситуацию, при которой никто не может воздействовать на рыночную цену продаваемого или покупаемого товара, т. е. спрос на продукцию отдельной фирмы абсолютно эластичен;
- особенность совершенной конкуренции - равенство предельного дохода и цены;
- рыночная власть представляет собой возможность для фирмы оказывать на цену влияние и повышать экономическую прибыль, ограничивая при этом объем производства и сбыта.
9.3. Типы рыночных структур
Экономическая теория: конспект лекций
В предыдущем параграфе были выделены четыре типа рыночных структур (или моделей) рынка: чистая (совершенная) конкуренция, монополистическая конкуренция, олигополия, чистая (абсолютная) монополия. Проанализируем данные типы рыночных структур более подробно.
Совершенная конкуренция — это тип рынка, характеризующийся наличием большого количества продавцов, предлагающих однородную продукцию. Каждый отдельный продавец не имеет возможности оказывать влияние на рыночную цену продукции.
Доступ на рынок свободный. Совершенная конкуренция в масштабе всей страны - явление очень редкое, однако черты чистой конкуренции характерны для мелкого сельского хозяйства, фондовой биржи, рынка иностранных валют.
Полной противоположностью совершенной конкуренции выступает чистая (абсолютная) монополия. Для данного типа рынка характерна ситуация, когда единственная фирма выступает продавцом продукции, не имеющей близких заменителей (субститутов), искусственные и естественные барьеры для вступления в отрасль практически непреодолимы.
Монополист диктует цену и обладает рыночной властью - устанавливает и контролирует цены, объемы поставок продукции на рынок, неценовая конкуренция отсутствует.
Фирма-монополист, как и все другие фирмы, стремится к максимальной прибыли.
Принимая решение о цене, она учитывает рыночный спрос и свои издержки. Поскольку же монополист -единственный производитель данного товара, кривая спроса на его продукцию будет совпадать с кривой рыночного спроса.
Если для фирмы в условиях совершенной конкуренции (как было отмечено выше) характерно равенство среднего и предельного доходов, то у монополиста кривая среднего дохода и цены совпадает с кривой рыночного спроса, а кривая предельного дохода находится выше нее (рис. 9.4).
"Экономическая теория: конспект лекций"
 |
|
Рис. 9.4. Цена и предельный доход (MR) фирмы-монополиста. |
Данная ситуация возникает в результате того, что фирма-монополист выступает единственным производителем продукции на рынке и представителем всей отрасли. Снижая цену продукции для увеличения объема продаж, она вынуждена снижать цену на все единицы продаваемого товара, а не только следующей.
Итак, при монополии понятия «фирма» и «отрасль» совпадают. Чистая монополия так же, как и совершенная конкуренция, в масштабе всей страны встречаются крайне редко, хотя черты чистой монополии встречаются в небольших населенных пунктах с одним универмагом, в маленьких городах с единственным аэропортом, одной железной дорогой, одной электростанцией и т. д. Может сложиться ситуация, когда на рынке имеется только один покупатель (монополия на стороне спроса). Данная рыночная структура называется монотонней. Если единственному продавцу противостоит единственный покупатель, то данная рыночная структура называется двусторонней монополией. Если в отрасли функционируют лишь две монополии, то наблюдается дуополия. Структура рынка с несколькими покупателями называется олигопсонией.
Монополистическая конкуренция характеризуется большим количеством производителей и продавцов, выпускающих дифференцированную продукцию. Для данной модели рынка характерна как ценовая, так и неценовая конкуренция. Доступ на рынок относительно свободный, однако некоторые барьеры существуют, например патенты, лицензии и др. Контроль над ценами ограничен.
Спрос на продукцию фирм на рынке монополистической конкуренции имеет высокую степень эластичности. К примеру, к монополистической конкуренции можно отнести рынок косметической продукции. Потребители, предпочитающие косметику «Oriflame», готовы платить за нее цену большую, чем за аналогичную продукцию других фирм. Но если разница в ценах окажется значительной, то покупатели найдут на рынке аналоги других фирм по более низкой цене. Помимо рынка продукции косметической промышленности, монополистическая конкуренция характерна для отраслей, производящих предметы потребления (легкая и пищевая промышленность), лекарства и т. д. Дифференциация продукции может основываться не только на различиях в качестве, но также на услугах, связанных с обслуживанием (неценовая конкуренция), а именно: упаковка, реклама, покупка в рассрочку, наличие или отсутствие гарантийного ремонта и т. п. Олигополия характеризуется существованием на рынке относительно малого количества крупных фирм, продукция которых может быть как однородной, так и дифференцированной. Вступление в отрасль затруднительно, контроль над ценами ограниченный. Особенность олигопольного рынка - взаимозависимость решений фирм относительно цен на продукцию и объема ее производства. Для олигопольного рынка характерна ломаная кривая спроса. Между фирмами существует конкуренция, сговор по поводу цен отсутствует. Результат зависит от поведения конкурентных фирм при изменении цены одним из участников данного рынка. Предположим, на рынке имеются три фирмы. На рис. 9.5 показано ценовое положение одной из этих фирм.
"Экономическая теория: конспект лекций"
 |
|
Рис. 9.5. Ломаная кривая спроса на олигопольном рынке. |
Цена на продукцию фирмы установилась на уровне Р0. Какой вид в этом случае примет кривая спроса на продукцию данной фирмы? Это будет зависеть от того, как отреагируют другие олигополисты на изменение цен первой фирмой. В этом случае возможны две реакции: реакция следования и реакция игнорирования. Реакция следования предполагает согласие олигополистов с установленной ценой и копирование ценового поведения первой фирмы.
Реакция игнорирования предполагает отсутствие какой-либо реакции со стороны других олигопольных фирм на изменение цены первой фирмой.
Рис. 9.5 показывает, если выбрана реакция следования (кривая D1), то любое снижение цены первой фирмой ниже уровня Р0 приведет к незначительному росту ее продаж, поскольку два конкурента последуют примеру этой фирмы и не позволят ей получить какое-нибудь преимущество в цене. Если же первая фирма поднимет цену выше уровня Р0, то другие фирмы также повысят цены, что не позволит первой фирме быть вытесненной с рынка и потерять свою долю продаж.
При выборе реакции игнорирования (кривая D2) любое понижение цены первой фирмой ниже уровня Р0 приведет к значительному приросту продаж за счет двух других конкурентов (они проигнорируют понижение цены первой фирмой). Однако если первая фирма поднимет цену выше уровня Р0, то будет вытеснена с рынка, поскольку ее цены будут выше цен конкурентов. Если сравнить наклон кривых D1 и D2 то можно увидеть, что спрос при реакции игнорирования будет обладать более высокой степенью эластичности, чем при реакции следования. Возникает вопрос, какая реакция будет преобладать на рынке - следование или игнорирование? Если между олигопольными фирмами тайный сговор отсутствует, то в случае понижения цены одной фирмой конкуренты будут следовать ее примеру, не давая таким образом увеличивать ей объем продаж за свой счет. В случае же увеличения цены первой фирмой конкуренты будут игнорировать этот факт, вытесняя конкурента с рынка, увеличивая объем продаж за его счет. Следовательно, кривая спроса олигополиста «ломается» в точке Р. Таким образом, модель изогнутой кривой спроса объясняет, почему фирмы в условиях олигополии стремятся поддерживать стабильные цены, используя неценовую конкуренцию.
Характеристику основных моделей рынка можно представить в виде табл. 9.1.
Таблица 9.1. Особенности основных моделей рынка
Экономическая теория: конспект лекций
Модель
рынки |
Число фирм |
Условия
вступления в отрасль |
Тип
выпускае
мой
продукции |
Контроль над ценами |
Чистая
совершен
ная
конкурен
ция |
Очень
велико |
Отсутствие
ограниче
ний |
Стандар
тизирован
ный |
Отсут
ствует |
Чистая
(абсолют
ная)
монополия |
Одна |
Блокированы различного
рода преградами |
Уникаль
ный.
Близкие
заменители отсутствуют |
Значитель
ный |
Монопо
листическая
конкурен-
пня |
Много,
20—70 |
Достаточно легкие |
Дифферен
цирован
ный |
Незначи
тельный |
|
Олигополия |
От 2—20 |
Ограни
чены
комплексом различного
рода
барьеров |
Стандартизированный или диффсрсн-цирошін-ный |
Значительный при тайном сговоре, ограничен взаимной
зависи
мостью |
На основании сказанного можно сделать следующие вьшоды:
- чистая (совершенная) конкуренция - это тип рынка, характеризующийся наличием большого количества продавцов, предлагающих однородную продукцию;
- чистая (абсолютная) монополия - это тип рынка, на котором единственная фирма выступает продавцом продукции, не имеющей близких заменителей (субститутов);
- монополистическая конкуренция характеризуется большим количеством производителей и продавцов, выпускающих дифференцированную продукцию;
"Экономическая теория: конспект лекций"
- олигополия характеризуется существованием на рынке относительно малого количества крупных фирм, продукция которых может быть как однородной, так и дифференцированной.
9.4. Варианты равновесия фирмы в краткосрочном и долгосрочном периодах
Экономическая теория: конспект лекций
Совершенно конкурентная фирма, как уже отмечалось, в экономике встречается довольно редко. Однако анализ поведения такой фирмы позволяет сравнить «идеальный» рынок с реальным. Поведение совершенно конкурентной фирмы характеризуется как приспособительное, поскольку она приспосабливает издержки и объемы производства к заданной извне рыночной цене. Для анализа поведения совершенно конкурентной фирмы в условиях краткосрочного и долгосрочного периодов времени необходимо определить их различия.
В отличие от долгосрочного в краткосрочном периоде объем производственных мощностей остается неизменным. В течение краткосрочного периода производитель не успевает изменить размер производственных площадей, количество применяемого оборудования. В краткосрочном периоде число фирм на рынке не изменяется, поэтому остается неизменной рыночная цена. Экономическая прибыль не может быть на нулевой отметке. В долгосрочном же периоде производитель может изменить и количество применяемого оборудования, и размер производственных мощностей. Кроме того, в долгосрочном периоде может измениться число фирм на рынке, поскольку отсутствуют какие-либо барьеры экономического или юридического характера для вступления на рынок. В результате процесса свободного входа и выхода на рынок новых фирм возможна нулевая экономическая прибыль.
Каково же будет поведение конкурентной фирмы в краткосрочном периоде, если фирма встанет перед выбором -прекращать производство или производить некоторое количество продукции? В краткосрочном периоде конкурентная фирма может работать с убытками, поскольку рассчитывает получить прибыль в будущем. Каково же условие прекращения производства? Для того чтобы ответить на этот вопрос, необходимо проанализировать соотношение цены (Р) и средних переменных издержек (AVC). Если цена окажется выше средних переменных издержек, то соответственно доход, приносимый каждой единицей выпуска, будет полностью покрывать переменные издержки и частично постоянные. Однако постоянные издержки должны покрываться всегда: и когда продукция выпускается, и когда ее выпуск приостановлен. Поэтому возникает необходимость продолжать производство для их частичной оплаты. В случае если цена окажется ниже средних переменных издержек, то как постоянные, так и переменные издержки не смогут оплачиваться полностью. В данной ситуации производство продукции целесообразнее приостановить. Однако это не означает полного закрытия производства. Но если фирма в состоянии оплачивать постоянные издержки, то она может оставаться на рынке и продолжать производство в случае повышения цен. Конечно, некоторые фирмы, не выдержав столь жесткого положения долго, вынуждены будут покинуть отрасль. Если представить данную ситуацию графически, то точкой ухода фирмы с рынка будет точка А (рис. 9.6).
"Экономическая теория: конспект лекций"
 |
|
Рис. 9.6. Кривая предложения конкурентной фирмы в краткосрочном периоде. |
В долгосрочном периоде экономическая прибыль совершенно конкурентной фирмы может быть равна нулю. Почему? В долгосрочном периоде число фирм на рынке может измениться в результате прихода в отрасль одних фирм и ухода других. Как уже отмечалось, происходит это из-за отсутствия каких-либо барьеров. Однако процесс входа на рынок и выхода из него может прекратиться. Причиной этому может стать отсутствие экономической прибыли (рис. 9.7). Экономическая прибыль будет отсутствовать в том случае, если цена совпадет с минимумом долгосрочных средних издержек (LAC):
 |
|
Рис. 9.7. Равновесие конкурентной фирмы в долгосрочном периоде. |
Выводы
Экономическая теория: конспект лекций
1. Фирма - это объединение однородных или смежных предприятий, использующее ресурсы для производства товаров и услуг с целью получения прибыли.
2. Рыночная структура представляет собой совокупность отраслевых признаков организации рынка, которые обусловливают способы установления цен и объем выпуска продукции, а также определяют характер взаимодействия фирм конкретной отрасли.
3. Рыночная власть представляет возможность для фирмы оказывать на цену влияние и повышать экономическую прибыль, ограничивая при этом объем производства и сбыта.
4. Краткосрочный период деятельности совершенно конкурентной фирмы отличается от долгосрочного неизменностью объема производственных мощностей и количества фирм на рынке.
5. В краткосрочном периоде совершенно конкурентная фирма прекратит свое производство в случае равенства цены минимуму средних переменных издержек.
6. Экономическая прибыль совершенно конкурентной фирмы в долгосрочном периоде равна нулю, поскольку это обеспечивает фирме возможность сохранения своих позиций на рынке и получения в краткосрочном периоде максимальной прибыли.
Тема 10
Издержки производства
Экономическая теория: конспект лекций
10.1. Издержки производства, их сущность и классификация
Экономическая теория: конспект лекций
В основе любого экономического решения лежит ответ на вопрос: как соотнести то, что затрачивается на тот или иной проект (издержки), и то, что в результате осуществления проекта можно получить сверх понесенных затрат (прибыль). Прежде чем принять решение о том, сколько продукции произвести, фирма должна проанализировать издержки.
Издержки — это оплата приобретенных факторов производства. Все издержки можно разделить на две группы: явные и неявные. Явные издержки - это денежные платежи поставщикам факторов производства. Эти издержки полностью отражаются в бухгалтерском учете предприятия, поэтому они еще называются бухгалтерскими издержками. Неявные издержки - альтернативные издержки использования ресурсов, принадлежащих фирме. Альтернативные издержки производства товаров и услуг измеряются стоимостью наибольшей упущенной возможности, использованной на создание факторов производства. Они могут также выступать как разница между прибылью, которую можно было бы получить при наиболее выгодном использовании ресурсов, и реально полученной прибылью. Однако не все затраты (денежные и неденежные) выступают как альтернативные издержки. При любом способе использования ресурсов не считаются альтернативными издержки, которые производитель несет в обязательном порядке (стоимость аренды помещения, затраты, связанные с регистрацией предприятия, и т. д.). Эти неальтернативные издержки не участвуют в процессе экономического выбора. Явные и неявные издержки в сумме дают экономические издержки. Однако не все затраты, которые несет предприятие, включаются в бухгалтерские издержки, поскольку часть затрат осуществляется предприятием за счет прибыли (налог на прибыль, премии, выплачиваемые предприятием за счет прибыли, материальная помощь работникам и т. д.).
"Экономическая теория: конспект лекций"
Аналогично издержкам прибыль также может быть бухгалтерской и экономической.
Бухгалтерская прибыль - это разность между полученной выручкой и бухгалтерскими явными издержками. Экономическая прибыль меньше бухгалтерской на величину неявных издержек.
Между бухгалтерской и экономической прибылью существует следующее соотношение:
Выручка = Явные издержки + Неявные издержки +
+ Экономическая прибыль
Все экономические издержки могут быть также разделены на две группы: постоянные и переменные. Постоянные издержки - это экономические издержки, которые не изменяются при изменении объема производства. Они не зависят от количества выпущенной продукции, и предприятие будет их нести даже в том случае, если вообще ничего не будет производить (например, затраты на обслуживание и управление). Переменные издержки - это экономические издержки, которые зависят от объема производства (например, затраты на переменные ресурсы). Сумма постоянных и переменных издержек дает валовые издержки.
Издержки производства независимо от их вида определяют затраты на элементы производства и затраты на комбинацию элементов производства. Связь между выпуском продукции и минимально необходимыми затратами на его производство описывается функцией издержек, связанной с производственной функцией.
Производственная функция характеризует зависимость между максимально возможным объемом выпуска (Q) и количеством применяемых затрат труда (3ТР) и капитала (К). Традиционно используется двухфакторная производственная функция, имеющая вид:

Графической формой производственной функции служит изокванта, которая показывает различные варианты использования двух каких-либо затрат, сочетание которых будет приносить заданный объем продукции (рис. 10.1). Ряд изоквант, который отражает максимально достижимый выпуск продукции при любом данном наборе факторов производства, может быть представлен в виде карты изоквант.

Рис. 10.1. Картаизоквант.
Суть карты изоквант состоит в том, что угол наклона изокванты соответствует предельной норме технической замены одного ресурса другим. Чем дальше изокванта от начала координат, тем большему объему выпуска она соотв етствует.
10.2. Издержки производства в краткосрочном периоде Экономическая теория: конспект лекций
Для определения степени влияния каждого вида ресурсов на динамику выпуска продукции используется анализ производственной функции во временных периодах. Основной критерий выделения временных периодов -скорость, с которой вовлекаемые в производство ресурсы могут менять свой количественный и качественный состав. Выделяют мгновенный, краткосрочный и долгосрочный периоды.
В мгновенном периоде все издержки постоянны, поскольку продукт выпущен на рынок и поэтому уже нельзя изменить ни объем его производства, ни его издержки.
В краткосрочном периоде наблюдается деление издержек на постоянные и переменные. К переменным издержкам в краткосрочном периоде относятся денежные затраты на покупку сырья, материалов, затраты на оплату труда рабочих ит. п. К постоянным издержкам в краткосрочном периоде относятся: затраты на оплату труда аппарата управления, арендная плата, амортизация основных средств.
"Экономическая теория: конспект лекций"
В долгосрочном периоде фирма имеет возможность закупать не только большее количество сырья, материалов или увеличивать количество рабочих мест на предприятии, но и осуществлять капиталовложения. Поэтому считается, что в длительном периоде все издержки являются переменными.
Рассмотрим более подробно краткосрочный период деятельности предприятия. В краткосрочном периоде постоянные издержки не изменяются в ответ на изменение объема выпуска продукции. Зависимость динамики постоянных и переменных издержек от изменения объема выпуска продукции графически представлена на рис. 10.2 и 10.3.

Рис. 10.2. Постоянные издержки.

Рис. 10.3. Переменные издержки.
Постоянные и переменные издержки в сумме составляют общие, или валовые, издержки производства. Графически зависимость общих издержек от динамики выпуска продукции может быть показана путем наложения графиков постоянных и переменных издержек (рис. 10.4).

Рис. 10.4. Общие издержки.
Для измерения издержек на производство продукции используются категории средних общих, средних постоянных и средних переменных издержек производства.
Средние общие издержки равны частному от деления общих издержек на количество произведенной продукции.
Средние постоянные издержки определяются делением общих постоянных издержек на количество произведенной продукции.
Средние переменные издержки определяются делением общих переменных издержек на количество произведенной продукции.
Средние издержки важны для определения прибыльности фирмы: если цена равна средним издержкам, то прибыль отсутствует. Если цена больше них, то фирма имеет прибыль в размере этой разницы, если меньше -фирма несет убытки и может обанкротиться.
Для определения максимального выпуска продукции, который может осуществлять фирма, рассчитывают предельные издержки. Это дополнительные издержки на производство каждой дополнительной единицы продукции по сравнению с объемом выпуска. Предельные издержки важны для определения стратегии поведения фирмы.
Как можно заметить, все изменения в краткосрочном периоде связаны с переменными затратами. Реакция выпуска продукции на изменение переменных затрат определяется законом убывающей предельной производительности, который гласит: увеличение затрат переменного фактора с определенного момента дает все меньший прирост объема выпуска продукции.
Таким образом, в пределах краткосрочного периода деятельности фирмы ее производственные мощности считаются фиксированными. Она может использовать свои мощности более или менее интенсивно, однако имеющегося в ее распоряжении времени недостаточно, для того чтобы изменить размеры предприятия, поэтому в краткосрочном периоде издержки делятся на постоянные и переменные.
10.3. Издержки производства в долгосрочном периоде
"Экономическая теория: конспектлекций"
Экономическая теория: конспект лекций
В долгосрочном периоде все издержки выступают в качестве переменных, поскольку в течение долгосрочного временного интервала могут изменяться объемы не только постоянных, но и переменных затрат. Анализ долгосрочного временного интервала осуществляется на основе долгосрочных средних и предельных издержек.
Долгосрочные средние издержки — это издержки на единицу объема выпуска, которые можно изменять оптимальным образом. Особенность изменения долгосрочных средних издержек - их первоначальное снижение с расширением производственных мощностей и ростом объема производства. Однако ввод больших мощностей в итоге приводит к росту долгосрочных средних издержек. Кривая долгосрочных средних издержек на графике огибает все возможные кривые краткосрочных издержек, соприкасаясь с каждой из них, но не пересекая их. Данная кривая показывает наименьшие долгосрочные средние издержки производства каждого объема выпуска, когда все факторы являются переменными. Каждая краткосрочная кривая средних издержек соответствует предприятию, размеры которого больше предшествующего. Изменение долгосрочных средних издержек предполагает изменение масштабов производства. С этими изменениями связано понятие «эффекта масштаба». Эффект масштаба может быть положительным, отрицательным и постоянным.
Положительный эффект масштаба (экономия от масштаба) возникает при такой организации производства, когда долговременные средние издержки снижаются по мере увеличения объема выпускаемой продукции. Такая организация производства возможна только при условии специализации производства и управления. Крупные масштабы производства позволяют рациональнее использовать труд специалистов по управлению благодаря более глубокой специализации производства и управления. Другое важное условие экономии, обусловленной масштабом производства, - применение эффективной технологии.
Причиной возникновения отрицательного эффекта масштаба служит нарушение управляемости чрезмерно крупного производства. В этих условиях долговременные средние издержки возрастают по мере увеличения объема выпускаемой продукции.
В условиях, когда долговременные средние издержки не зависят от объемов выпускаемой продукции, возникает постоянный эффект масштаба.
Долгосрочные предельные издержки связаны с производством дополнительной единицы продукции, когда допускается возможность изменения всех факторов производства оптимальным образом. Изменение предельных издержек можно представить графически в виде кривой долгосрочных предельных издержек (рис. 10.5).
 |
|
Рис. 10.5. Кривая средних издержек в долгосрочном периоде. |
Данная кривая показывает прирост издержек, связанных с производством дополнительной единицы продукции, когда все факторы производства являются переменными. Краткосрочные кривые предельных издержек, которые соответствуют любому фиксированному производству, будут ниже долгосрочной кривой предельных издержек для низких объемов производства, но выше - для высоких объемов производства, при которых убывающая отдача существенна. Долгосрочная кривая предельных издержек будет расти медленнее, чем краткосрочные кривые предельных издержек любого отдельно взятого производства. Объясняется это тем, что все виды затрат в долгосрочном периоде являются переменными и убывающая отдача оказывается менее значимой. Кривая долгосрочных предельных издержек пересекается с кривой долгосрочных средних издержек в минимальной точке.
"Экономическая теория: конспект лекций"
Таким образом, долгосрочный период для фирмы является достаточным для того, чтобы фирма могла успеть изменить количество всех используемых ресурсов, включая размеры предприятия. Поэтому все издержки в долгосрочном периоде считаются переменными.
Выводы
Экономическая теория: конспект лекций
1. Издержки производства делятся на явные и неявные (альтернативные). Явные представляют собой денежные платежи поставщикам факторов производства. Эти издержки полностью отражаются в бухгалтерском учете предприятия, поэтому они также называются бухгалтерскими издержками.
Неявные издержки - это альтернативные издержки использования ресурсов, принадлежащих фирме. Альтернативные издержки производства товаров и услуг измеряются стоимостью наибольшей упущенной возможности, использованной на создание их факторов производства.
2. В краткосрочном периоде наблюдается деление издержек на постоянные и переменные. К переменным в краткосрочном периоде относятся денежные затраты на покупку сырья, материалов, затраты на оплату труда рабочих ит. п. К постоянным издержкам в краткосрочном периоде относятся: затраты на оплату труда аппарата управления, арендная плата, амортизация основных средств и др.
3. В долгосрочном периоде все издержки выступают в качестве переменных, поскольку в течение долгосрочного временного интервала могут изменяться объемы не только постоянных, но и переменных затрат.
Макроэкономика
Экономическая теория: конспект лекций
Тема 11
Национальная экономика Экономическая теория: конспект лекций
11.1. Понятие национальной экономики Экономическая теория: конспект лекций
Национальная экономика — это сложная взаимосвязанная система, охватывающая весь социально-экономический комплекс страны на региональном и национальном уровнях. Для характеристики национальной экономики используются функциональные, территориальные и отраслевые признаки.
Характеристика национальной экономики по функциональному принципу включает совокупность трех экономических ресурсов, которыми располагает данное государство, а именно: человек, природа, капитал.
Национальная экономика включает в себя две группы отраслей: отрасли материального производства и отрасли социальной сферы. Это обстоятельство легло в основу деления национальной экономики по отраслевому принципу. К отраслям материального производства относятся промышленность, сельское и лесное хозяйство, транспорт, связь, строительство, транспорт, торговля, общественное питание. Отрасли социальной сферы включают образование, фундаментальную науку, здравоохранение, культуру, жилищно-коммунальное хозяйство, бытовое обслуживание населения, спорт, туризм.
Национальная экономика представляет собой совокупность экономических субъектов, осуществляющих хозяйственную деятельность на определенной территории страны. Это обстоятельство легло в основу деления национальной экономики по территориальному принципу. Российская Федерация территориально состоит из областей и республик. Объектами региональной экономики также могут быть экономические районы, административные округа, территориально-производственные комплексы. В качестве примеров можно рассматривать Волго-Вятский экономический район, Северо-Западный административный округ и ЗападноСибирский нефтегазовый комплекс. Итак:
"Экономическая теория: конспект лекций"
- национальная экономика охватывает весь социально-экономический комплекс страны на региональном и национальном уровнях;
- национальная экономика характеризуется по функциональному, отраслевому и территориальному признакам;
- характеристика национальной экономики по функциональному принципу включает совокупность трех экономических ресурсов, которыми располагает данное государство, а именно: человек, природа, капитал;
- национальная экономика включает в себя две группы отраслей: отрасли материального производства и отрасли социальной сферы (характеристика национальной экономики по отраслевому признаку);
- национальная экономика представляет собой совокупность экономических субъектов, осуществляющих хозяйственную деятельность на определенной территории страны (характеристика национальной экономики по территориальному признаку).
11.2. Цели национального экономического развития
Экономическая теория: конспект лекций
Основная цель национального экономического развития - обеспечение максимальной возможности для создания благоприятных условий жизнедеятельности населения страны на основе экономического роста. Для этого необходимо решить такие задачи, как увеличение заработной платы, выработка мер антиинфляционной политики, снижение уровня безработицы и др.
Для достижения основной цели макроэкономического развития государство разрабатывает систему мер, инструментов и способов, в совокупности представляющих экономическую политику.
К числу основных инструментов экономической политики относятся бюджетная, налоговая, денежно-кредитная и валютная системы.
Экономическая политика может быть реализована при помощи перечисленных инструментов различными способами в зависимости от выбранной в стране модели экономического развития. В условиях рыночной экономики используется монетарный и фискальный виды экономической политики.
Монетарный подход связан с достижением поставленных макроэкономических целей за счет использования инструментов денежно-кредитной и валютной системы.
Фискальный подход осуществляется путем манипуляций в области налоговой и бюджетной систем. Для оценки эффективности проводимой в стране экономической политики используется показатель темпа прироста общественного продукта в целом и на душу населения в частности. Помимо этого, для оценки результатов реализации экономической политики используется ряд других агрегированных экономических показателей, объединенных в систему национальных счетов, о которых речь пойдет в следующем параграфе.
На основании вышесказанного можно сделать следующие выводы:
- основная цель национального экономического развития - обеспечение максимальной возможности для создания благоприятных условий жизнедеятельности населения страны на основе экономического роста;
"Экономическая теория: конспект лекций"
- для достижения основной цели макроэкономического развития государство разрабатывает систему мер, инструментов и способов, в совокупности представляющих экономическую политику;
- основными инструментами экономической политики служат бюджетная, налоговая, денежно-кредитная и валютная системы.
11.3. Основные макроэкономические показатели Экономическая теория: конспект лекций
О результатах деятельности отдельных экономических субъектов в масштабе национальной экономики судят на основе различных показателей системы национальных счетов.
Система национальных счетов представляет собой комплекс взаимосвязанных балансовых таблиц, показатели которых предназначены для определения размера дохода, потребления, накопления и величины капитальных затрат. С помощью СНС рассчитывают важнейшие макроэкономические показатели. Основные показатели СНС -валовой национальный продукт (ВНП), валовой внутренний продукт (ВВП), чистый национальный продукт (ЧНП), национальный доход (НД) и располагаемый доход (РД).
Все основные макроэкономические показатели условно делят на потоковые показатели и показатели запасов.
К потоковым величинам относят валовой выпуск, ВНП, ВВП, ЧНП, НД, РД, а также расходы на потребление, сбережения, инвестиции, государственные закупки, налоги, экспорт, импорт и др.
Показатели запасов в макроэкономике - это имущество, национальное богатство, реальные кассовые остатки. Рассмотрим подробнее потоковые показатели.
Валовой выпуск включает стоимость всех товаров и услуг, созданных экономикой данной страны за определенный временной период, в том числе и промежуточный продукт. Последний представляет собой совокупность товаров, произведенных за определенный период и использованных в течение данного периода для дальнейшей переработки.
ВНП представляет собой совокупную рыночную стоимость конечных товаров и услуг, созданных как внутри страны, так и за ее пределами (как правило, за год). Конечным продуктом являются товары и услуги, предназначенные для конечного потребления, накопления реального капитала, государственных закупок или экспорта. Промежуточное потребление в ВНП исключается с помощью оценки добавленной стоимости, учитывается только стоимость, добавленная на каждой стадии обработки, без учета материальных затрат.
ВВП выражает совокупную стоимость конечной продукции, произведенной на территории данной страны, независимо от того, принадлежат ли факторы производства гражданам страны или иностранным гражданам.
ЧНП выражает рыночную стоимость реально созданных благ и услуг, произведенных страной за определенный период.
НД представляет собой вновь созданную страной стоимость за определенный период. НД является совокупным доходом в рамках экономики определенного государства, получаемым всеми владельцами факторов производства (земли, труда и капитала), используемых в производстве ВНП.
"Экономическая теория: конспект лекций"
РД представляет собой сумму средств, полученную населением в виде доходов и используемую на потребление и сбережения.
Остановимся подробнее на показателях запасов.
Имущество включает в себя реальные активы (реальный капитал) и финансовые активы (акции, облигации).
Национальное богатство — это совокупность материальных благ, созданных трудом предшествующих и нынешних поколений и вовлеченных в процесс воспроизводства природных ресурсов, которыми располагает общество.
Реальные кассовые остатки представляют собой запас платежных средств, которые экономический субъект желает иметь в наличности.
Центральный показатель Системы национальных счетов - ВВП, который исчисляется тремя способами:
1) по потоку доходов;
2) по потоку расходов;
3) по производству.
По потоку доходов ВВП определяется как общая сумма заработной платы работников, всех видов прибыли, рентных доходов, амортизационных отчислений и косвенных налогов.
По потокурасходов ВВП рассчитывается как совокупная стоимость:
• потребительских расходов населения на приобретение благ и услуг, необходимых для удовлетворения его материальных и духовных потребностей, а также предназначенных для развития и совершенствования личности;
• валовых частных инвестиций в национальную экономику, представляющих сумму затрат, направленных фирмами на увеличение основного капитала и материальных запасов;
• закупок товаров и услуг органами власти (как государственными, так и муниципальными) для собственных нужд;
чистого экспорта (экспорт-импорт).
По производству ВВП рассчитывается путем определения суммы вклада в создание национального продукта каждого его производителя. Для этого используется показатель добавленной стоимости, который представляет собой рыночную цену продукции (услуг) фирмы за вычетом внешних факторов, в том числе затрат на сырье, материалы, полуфабрикаты и энергию, купленных и израсходованных на производство продукции и оказание платных услуг.
В макроэкономическом анализе наряду с ВВП используется показатель валового национального продукта (ВНП). Разница между этими показателями состоит в следующем.
1. ВВП представляет собой совокупную стоимость продукции сферы материального производства и сферы услуг независимо от национальной принадлежности предприятий, расположенных на территории данной страны. Другими словами, в основу расчета ВВП положен территориальный принцип.
2. ВНП представляет собой совокупную стоимость всего объема производства продукции и оказания услуг в обеих сферах национальной экономики независимо от местонахождения национальных предприятий (в своей стране или за рубежом). Следовательно, ВНП отличается от ВВП на сумму факторных доходов (доход наемных работников, рентный доход, ссудный процент, прибыль фирм) от использования ресурсов данной страны за рубежом, за минусом аналогичных вывезенных из страны доходов иностранцев. Поэтому для расчета ВНП к показателю ВВП прибавляют разность между прибылями и доходами, полученными предприятиями и физическими лицами данной страны за рубежом, с одной стороны, и прибылями и доходами, полученными иностранными инвесторами и иностранными работниками в данной стране - с другой. Такая разность для стран с развитой рыночной экономикой составляет около 1 %.
"Экономическая теория: конспект лекций"
ВНП определяется в денежном измерении. Однако в условиях рыночной экономики происходит колебание курса денежных единиц, а также изменение цен на товары и услуги. В результате при одном и том же физическом объеме совокупного национального продукта его денежная оценка может быть неоднозначной. Для этого ВНП принято рассчитывать как в текущих или фактических ценах, так и в ценах, учитывающих изменение уровня цен и курса денежной единицы. В этой связи различают номинальный и реальный ВНП. Номинальным называется ВНП, рассчитанный по фактическим (или текущим) ценам. Реальным называется ВНП, рассчитанный с учетом роста цен (т. е. уровня инфляции) и постоянного курса денежной единицы. Сопоставление номинального и реального ВНП возможно с помощью дефлятора ВНП, который более подробно будет рассмотрен в следующем параграфе.
Помимо ВНП и ВВП, в макроэкономическом анализе используют другие показатели Системы национальных счетов.
ЧНП определяется как разница между ВНП и совокупной стоимостью амортизационных отчислений (стоимости износа оборудования, зданий и коммуникаций хозяйственного назначения) за период создания ВНП:
ЧИП = ВНП - Амортизационные отчисления.
Если из ВНП вычесть амортизационные отчисления, представляющие собой утраченные для потребителей издержки, то получится остаток, составляющий годовой объем национальной экономики, который страна может реально потребить (ЧНП).
Для потребления необходимы доходы. Сначала их получают собственники экономических ресурсов, поскольку они непосредственно создают ЧНП. Эти доходы появляются в процессе реализации произведенного чистого продукта в форме ренты, заработной платы, прибыли и процента. Часть таких доходов необходимо отдать государству в виде косвенных налогов на добавленную стоимость, акцизов, налогов на имущество, лицензионных платежей и таможенных пошлин. Общая сумма этих налогов составляет основную часть доходов государства. Эту общую сумму доходов отражает показатель национального дохода:
НД = ЧНП - косвенные налоги + субсидии.
Кроме косвенных налогов, получатели доходов от использования экономических ресурсов платят государству налог на прибыль и взносы на социальное страхование. Оставшаяся сумма представляет собой личный доход.
Личный доход = НД - взносы на социальное страхование -нераспределенная прибыль корпораций -налоги на прибыль корпораций + сумма трансфертных платежей.
Кроме собственников экономических ресурсов, личный доход получают также работники государственного сектора (бюджетной сферы), нетрудоспособные граждане, пенсионеры.
Если из личного дохода вычесть индивидуальные налоги и сборы (подоходный налог, налог на недвижимое имущество), то получится личныйрасполагаемый доход, средства из которого используются для личного потребления и сбережения.
На основании сказанного можно сделать следующие выводы:
- система национальных счетов представляет собой комплекс взаимосвязанных балансовых таблиц, показатели которых предназначены для определения размера дохода, потребления, накопления и величины капитальных затрат. С помощью СНС рассчитывают важнейшие макроэкономические показатели. Основные показатели СНС -валовой национальный продукт (ВНП), валовой внутренний продукт (ВВП), чистый национальный продукт (ЧНП), национальный доход (НД) и располагаемый доход (РД);
"Экономическая теория: конспект лекций"
- все основные макроэкономические показатели можно условно разделить на потоковые показатели и показатели запасов. К потоковым показателям относят валовой выпуск, ВНП, ВВП, ЧНП, НД, РД, а также расходы на потребление, сбережения, инвестиции, государственные закупки, налоги, экспорт, импорт и др. К показателям запасов относят имущество, национальное богатство, реальные кассовые остатки;
- ВНП представляет собой совокупную рыночную стоимость конечных товаров и услуг, созданных как внутри страны, так и за ее пределами (как правило, за год). Модификация ВНП - показатель ВВП;
- на основе ВВП можно определить другие показатели системы национальных счетов: чистый национальный продукт, национальный доход, личный доход, личный располагаемый доход.
11.4. Индексы цен
Экономическая теория: конспект лекций
В макроэкономическом анализе важным показателем (кроме перечисленных в предыдущем параграфе) считается общий уровень цен. В реальной жизни цены меняются непрерывно, одни товары дешевеют, другие дорожают.
Для того чтобы определить, на какую величину возросли или снизились цены, используют индексы цен. Индекс цен - относительный показатель, характеризующий соотношение цен во времени. При исчислении индексов цен обычно цены базового года принимают за 100 %, а цены других лет оценивают по отношению к этим 100 %. В общем виде индекс цен можно определить по формуле:
Индекс цен текущего года = (Цены текущего года / Цены
базового года) X 100 %,
Существует несколько видов индексов. Широкое применение получили индексы оптовых цен, индексы розничных (потребительских) цен, индексы цен - дефляторы ВНП, индексы импортных и экспортных цен и др.
Индекс оптовых цен (индекс цен производителей) включает три группы товаров, а именно: конечные товары, готовые для использования, промежуточные товары, а также сырье, подготовленное для дальнейшей переработки. Этот индекс показывает изменение среднего уровня продажных цен промышленных и строительных предприятий и компаний, сельскохозяйственных предприятий.
Индекс потребительских (розничных) цен рассчитывается для группы товаров и услуг, входящих в потребительскую корзину среднего городского жителя:
ИПЦ = (Потребительская корзина в текущих ценах / Потребительская корзина в ценах базового года) х 100.
Важное место среди индексов цен занимает дефлятор ВНП, в котором «корзина» включает все конечные товары и услуги. Этот индекс отражает изменение в ценах не только на товары широкого потребления, но и на все товары. Он позволяет сравнивать реальный и номинальный ВНП. Величина дефлятора определяется по формуле:
Дефлятор ВНП = (Реальный ВПП /Номинальный ВПП) х
х 100%.
Индексы цен используются также для исчисления уровня инфляции. Уровень инфляции определяется как процентное изменение цен:
Уровень инфляции = (цены текущего периода - цены прошлого периода) X 100%.
На макроуровне для количественной оценки масштабов экспорта и импорта инфляции используется показатель условий торговли. Этот показатель представляет собой отношение индекса средней стоимости единицы экспорта к индексу средней стоимости импорта, выраженное в процентах. Если этот индекс больше 100 %, страна экспортирует инфляцию, если же меньше, то импортирует.
"Экономическая теория: конспект лекций"
Выводы
Экономическая теория: конспект лекций
1. Индексы цен используются, для того чтобы определить, на какую величину возросли или снизились цены за определенный период времени.
2. Индекс оптовых цен показывает изменение среднего уровня продажных цен промышленных и строительных предприятий и компаний, сельскохозяйственных предприятий.
3. Индекс потребительских (розничных) цен рассчитывается для группы товаров и услуг, входящих в потребительскую корзину среднего городского жителя.
4. Дефлятор ВНП отражает изменение в ценах не только на товары широкого потребления, но и на все товары и позволяет сравнивать реальный и номинальный ВНП.
Тема 12
Макроэкономическое равновесие Экономическая теория: конспект лекций
12.1. Совокупный спрос и факторы, его определяющие Экономическая теория: конспект лекций
Совокупный спрос представляет собой сумму всех расходов на конечные товары и услуги, произведенные в экономике.
Он отражает связь между объемом совокупного выпуска, на который предъявлен спрос экономическими агентами, и общим уровнем цен в экономике.
В структуре совокупного спроса можно выделить:
спрос на потребительские товары и услуги;
• спрос на инвестиционные товары;
• спрос на товары и услуги со стороны государства;
• спрос на чистый экспорт - разность между спросом иностранцев на отечественные товары и отечественным спросом на иностранные товары.
Кривая совокупного спроса AD (от англ. aggregate demand) показывает количество товаров и услуг, которое потребители готовы приобрести при каждом возможном уровне цен.
Кривая совокупного спроса внешне напоминает кривую спроса на отдельном рынке, но построена она в иной системе координат (рис. 12.1). На оси абсцисс указываются значения реального объема национального производства, обозначаемого буквой Y. На оси ординат фигурируют не абсолютные показатели цен (например, в млрд руб.), а уровень цен (Р), или дефлятор.

Рис. 12.1. Кривая совокупного спроса.
Движение вдоль кривой AD отражает изменение совокупного спроса в зависимости от динамики общего уровня цен.
Наиболее простое выражение этой зависимости можно получить из уравнения количественной теории денег:

отсюда или гдеМ — количество денег в экономике; V — скорость обращения денег; Р — уровень цен в экономике; Y — реальный объем выпуска, на который предъявлен спрос.

Отрицательный наклон кривой AD объясняется следующим образом: чем выше уровень цен Р, тем меньше реальные запасы денежных средств M/P (кривая АД строится при условии фиксированного предложения денег М и скорости их обращения V), а, следовательно, меньше количество товаров и услуг, на которые предъявлен спрос.
Нисходящую траекторию (отрицательный наклон) кривой совокупного спроса также обусловливают:
• эффект процентной ставки;
• эффект богатства, или эффект кассовых остатков;
• эффект импортных закупок.
Эффект процентной ставки проявляется через воздействие изменяющегося уровня цен на процентную ставку, а, следовательно, на потребительские расходы и инвестиции. Если считать денежную массу постоянной, то повышение уровня цен автоматически повышает спрос на деньги, значит, повышается процентная ставка. В свою очередь, чем выше процентная ставка, тем большая часть потребителей начинают сберегать деньги и совершать меньшее количество покупок. В результате растут частные сбережения. Удорожание кредита вынуждает предпринимателей сокращать инвестиции - производственные закупки. Таким образом сокращается спрос со стороны как частных потребителей, так и предпринимателей, что приводит к уменьшению совокупного спроса на реальный национальный продукт. Кривая AD приобретает нисходящий и приближающийся к оси абсцисс характер.
"Экономическая теория: конспект лекций"
Эффект богатства, или реальных кассовых остатков, проявляется в негативном влиянии инфляции на доходы населения. Богатство людей в виде фиксированных доходов при инфляции уменьшается в обратно пропорциональной зависимости. Это срочные счета, облигации, заработная плата, рента, пенсии, пособия. Остаточная покупательная способность людей, физических и юридических лиц называется реальными кассовыми остатками. Урезая свои потребительские расходы таким образом, они напрямую влияют на совокупный спрос в сторону его понижения.
Эффект импортных закупок означает, что при повышении уровня цен в стране товары и услуги иностранного производства становятся относительно дешевле (при прочих равных условиях). Население будет приобретать меньше отечественных товаров и больше импортных. Иностранцы сократят свой спрос на товары и услуги данной страны из-за их удорожания. Следовательно, произойдет уменьшение экспорта и увеличение импорта и в целом чистый экспорт сократится, уменьшив общий объем совокупного спроса.
Указанные эффекты оказывают свое влияние на совокупный спрос через цены, поэтому происходит перемещение точки вдоль кривой совокупного спроса. Под влиянием всех неценовых факторов кривая AD сдвигается вправо-влево в зависимости от направления действия фактора (рис. 12.2). На графике увеличение совокупного спроса представлено отклонением кривой вправо - от AD1 к AD2. Это смещение показывает, что при различных уровнях цен желаемый объем товаров и услуг возрастет. Уменьшение совокупного спроса представлено отклонением кривой влево - от ADX к ADy Этот сдвиг говорит о том, что люди будут покупать меньший объем продукта, чем прежде, при различных уровнях цен.

Рис. 12.2. Изменение совокупного спроса.
Неценовые факторы, влияющие на совокупный спрос:
• изменения в потребительских расходах:
- благосостояние потребителя;
- ожидания потребителя;
- задолженность потребителя;
- налоги;
• изменения в инвестиционных расходах:
- процентные ставки;
- ожидаемые прибыли от инвестиций;
- налоги с предприятий;
- технология;
- избыточные мощности;
• изменения в государственных расходах;
• изменения в расходах на чистый объем экспорта:
- национальный доход в зарубежных странах;
- валютные курсы.
12.2. Совокупное предложение и факторы, его определяющие
Экономическая теория: конспект лекций
Совокупное предложение - это общее количество конечных товаров и услуг, произведенных в экономике (в стоимостном выражении). Это понятие часто используется как синоним валового национального (или внутреннего) продукта.
Кривая совокупного предложения AS (от англ. aggregate supply) показывает, какой объем совокупного выпуска может быть предложен на рынок производителями при разных значениях общего уровня цен в экономике. Форма кривой AS по-разному интерпретируется в классической и кеинсианскои школах. Классическая школа полагает, что кривая совокупного предложения AS вертикальная, кейнсианская школа - либо горизонтальная, либо имеющая положительный наклон.
"Экономическая теория: конспект лекций"
Современная экономическая наука полагает, что на различных стадиях воспроизводственного процесса могут иметь место три формы кривой совокупного предложения, которые можно объединить в одну кривую. Графически это представлено нарис. 12.3.

Рис. 12.3. Кривая совокупного предложения.
Кривая совокупного предложения AS имеет сложный восходящий характер. Это объясняется тем, что вид данной кривой зависит от изменений издержек производства на единицу продукции, под которыми понимается частное от деления стоимости всех использованных ресурсов на общий объем продукции. Исходя из этого кривая совокупного предложения имеет три участка:
1) горизонтальный, или кейнсианский;
2) восходящий, или промежуточный;
3) вертикальный, или классический.
Первый участок кривой свидетельствует о том, что экономика находится в состоянии спада, кризиса: существует недозагрузка производственных мощностей, фиксированный уровень цен и заработной платы, значительный уровень безработицы, т. е. экономика характеризуется наличием избыточных ресурсов, которые не задействованы. В данной ситуации рост выпуска продукции можно обеспечить за счет приведения в действие неиспользуемых ресурсов и при этом не оказать никакого давления на уровень цен. Так, производители могут приобрести трудовые и другие ресурсы по твердым ценам, издержки на единицу продукции при расширении производства не возрастут, а, следовательно, не будет оснований для повышения цен на товары.
Второй участок характеризуется тем, что изменение реального объема производства соответственно вызывает изменение цен. На этом участке производства вовлекаются дополнительные ресурсы, притом менее эффективные, так как расширение производства предполагает, что некоторым фирмам придется использовать старое и менее эффективное оборудование, нанимать менее квалифицированных рабочих и т. д. Поэтому издержки на единицу продукции увеличиваются и производители должны назначить более высокие цены на товары, чтобы производство было рентабельным.
Третий участок кривой отражает такое состояние экономики, при котором ее производственные возможности практически полностью использованы. Это выражается в полной занятости, максимальной загрузке производственных мощностей и, следовательно, в невозможности дальнейшего роста производства. Так как экономика работает на полную мощность, то любое повышение цен не приведет к увеличению реального объема производства.
Кривая совокупного предложения устанавливает зависимость между уровнем цен и реальным объемом национального производства при прочих равных условиях. Но когда эти условия (их называют неценовыми факторами совокупного предложения) изменяются, происходит смещение кривой совокупного предложения. К неценовым факторам совокупного предложения относят:
"Экономическая теория: конспект лекций"
• изменение цен на ресурсы:
- внутренние ресурсы (труд, земля, капитал, предпринимательские способности);
- внешние (импортные) ресурсы;
- господство на рынке;
• изменения в производительности труда;
• изменения правовых норм:
- налоги с предприятий и субсидии;
- государственное регулирование.
Когда один или несколько факторов изменяются, то меняются и издержки на единицу продукции при данном уровне цен. Уменьшение издержек на единицу продукции смещает кривую совокупного предложения вправо. И наоборот, увеличение издержек на единицу продукции смещает кривую совокупного предложения влево.
Смещение кривой от AS1 к AS2 на рис. 12.4 указывает наувеличение совокупного предложения. На промежуточном и классическом отрезках кривой совокупного предложения она сдвигается вправо, указывая на то, что будет производиться больший реальный объем национального продукта, чем прежде, при данном уровне цен.

Рис. 12.4. Изменения совокупного предложения.
На кейнсианском отрезке кривой увеличение совокупного предложения означает снижение уровня цен при различных уровнях объема национального производства. Смещение кривой от AS1 к AS3 влево указывает на уменьшение совокупного предложения. На промежуточном и классическом отрезках кривой совокупного предложения будет производиться меньший реальный объем национального продукта, чем прежде, при данном уровне цен. На кейнсианском отрезке кривой снижение совокупного предложения означает увеличение уровня цен при различных уровнях объема национального производства.
Совокупное предложение — это общее количество товаров и услуг, которое может быть предложено предпринимательским и государственным секторами при определенном уровне цен. Совокупное предложение может быть приравнено к величине валового национального продукта или к величине национального дохода:
= ВНП = НД.
На величину совокупного предложения также оказывают влияние различные факторы. Изменение цен наресурсы. Их повышение ведет к увеличению издержек производства и в результате к понижению совокупного предложения. Рост производительности труда ведет к увеличению объема производства и соответственно к расширению совокупного предложения. Изменение условий бизнеса (налоги, субсидии). При повышении налогов издержки увеличиваются, совокупное предложение сокращается.
12.3. Макроэкономическое равновесие: модель AD - AS
Экономическая теория: конспект лекций
Состояние национальной экономики, при котором существует совокупная пропорциональность между: ресурсами и их использованием; производством и потреблением; материальными и финансовыми потоками, - характеризует общее (или макроэкономическое) экономическоеравновесие (ОЭР). Другими словами, это оптимальная реализация совокупных экономических интересов в обществе. Идея такого равновесия очевидна и желаема всем обществом, поскольку означает полное удовлетворение потребностей без излишне затраченных ресурсов и нереализованного продукта. Рыночная экономика, построенная на принципах свободной конкуренции, обладает экономическими механизмами саморегуляции и способностью достижения равновесного состояния за счет гибких цен, особенно в условиях, близких к совершенной конкуренции, а также в долгосрочном периоде.
"Экономическая теория: конспект лекций"
Графически макроэкономическое равновесие будет означать совмещение на одном рисунке кривых AD и AS и пересечение их в некоторой точке. Соотношение совокупного спроса и совокупного предложения (AD — AS) дает характеристику величины национального дохода при данном уровне цен, а в целом - равновесие на уровне общества, т. е. когда объем произведенной продукции равен совокупному спросу на нее. Эта модель макроэкономического равновесия базовая. Кривая AD может пересечь кривую AS на разных участках: горизонтальном, промежуточном или вертикальном. Поэтому различают три варианта возможного макроэкономического равновесия (рис. 12.5).
 |
|
Рис. 12.5. Макроэкономическое равновесие: модель AD - AS. |
Точка Е3 — это равновесие при неполной занятости без повышения уровня цен, т. е. без инфляции. Точка Е1 — это равновесие при небольшом повышении уровня цен и состоянии, близком к полной занятости. Точка Е2 — это равновесие в условиях полной занятости, но с инфляцией.
Рассмотрим, как устанавливается равновесие при пересечении кривой совокупного спроса кривой совокупного предложения на промежуточном участке в точке Е (рис. 12.6).

Рис. 12.6. Установление макроэкономического равновесия.
Пересечение кривых определяет равновесный уровень цен РЕ и равновесный уровень национального производства QE. Чтобы показать, почему РЕ представляет собой равновесную цену, a QE — равновесный реальный объем национального производства, предположим, что уровень цен выражен величиной P1, а не PE. По кривой AS определяем, что при уровне цен Р1 реальный объем национального продукта не превысит YAS, тогда как потребители внутри страны и иностранные покупатели готовы потребить его в объеме YAD.
Конкуренция среди покупателей за возможность приобрести данный объем производства окажет повышающее влияние на уровень цен. В сложившейся ситуации вполне естественной реакцией производителей на повышение уровня цен будет увеличение объема производства. Совместными усилиями потребителей и производителей рыночная цена при отмеченном росте объема производства начнет повышаться до величины РЕ, когда реальные объемы покупаемого и производимого национального продукта будут равны и в экономике наступит равновесие.
В действительности происходят постоянные отклонения от желаемого устойчивого равновесия под воздействием различных факторов - как объективного, так и субъективного характера. К их числу относятся в первую очередь инерционность экономических процессов (неспособность экономики мгновенно реагировать на изменение рыночных условий), влияние монополий и излишнее вмешательство государства, деятельность профсоюзов и др. Эти факторы препятствуют свободному перемещению ресурсов, осуществлению законов спроса и предложения и других неотъемлемых условий рынка.
"Экономическая теория: конспект лекций"
Предпосылкой макроэкономического анализа является агрегирование показателей. Совокупное предложение товаров при равновесном состоянии балансируется совокупным спросом и представляет собой валовой национальный продукт общества.
Равновесный национальный продукт обеспечивается установлением равновесной совокупной цены на произведенный продукт, что осуществляется в точке пересечения кривых совокупного спроса и совокупного предложения. Достижение равновесного объема производства в условиях всегда существующей ограниченности ресурсов является целью национальной экономической политики.
Все основные проблемы общества так или иначе связаны с несовпадением совокупного спроса и совокупного предложения.
Согласно классической модели, описывающей функционирование экономики в долгосрочном периоде, количество произведенной продукции зависит только от затрат труда, капитала и имеющейся технологии, но не зависит от уровня цен.
В краткосрочном периоде цены на многие товары негибкие. Они «застывают» на определенном уровне или мало изменяются. Фирмы не понижают немедленно выплачиваемую ими заработную плату, магазины не пересматривают немедленно цены на продаваемые товары. Поэтому кривая совокупного предложения представляет горизонтальную линию.
Рассмотрим изменение равновесного состояния экономики раздельно под воздействием совокупного спроса и совокупного предложения. При неизменном совокупном предложении смещение кривой совокупного спроса вправо приводит к различным последствиям в зависимости от того, на каком участке кривой совокупного предложения оно происходит (рис. 12.7).
 |
|
Рис. 12.7. Последствия увеличения совокупного спроса. |
На кейнсианском отрезке (рис. 12.7 а), отличающемся высоким уровнем безработицы и большим количеством неиспользованных производственных мощностей, расширение совокупного спроса (от AD1 до AD2) приведет к увеличению реального объема национального производства (от Y1 к Y2) и занятости без повышения уровня цен (РГ). На промежуточном отрезке (рис. 12.7 б) расширение совокупного спроса (от AD3 до AD4) приведетк увеличению реального объема национального производства (от Y3 к Y4) и к повышению уровня цен (от Р3 до Р4).
На классическом отрезке (рис. 12.7 в) рабочая сила и капитал используются полностью, и расширение совокупного спроса (от AD5 до AD6) приведет к повышению уровня цен (от Р5 до Р6) а реальный объем производства останется без изменения, т. е. не выйдет за пределы своего уровня при полной занятости.
При обратном смещении кривой совокупного спроса происходит так называемый эффект храповика («храповик» - это механизм, который позволяет крутить колесо вперед, но не назад). Суть его заключается в том, что цены легко повышаются, но не проявляют тенденции к снижению при уменьшении совокупного спроса. Это происходит, во-первых, из-за неэластичности заработной платы, которая не имеет тенденции к понижению по крайней мере в течение какого-то периода времени, и, во-вторых, многие фирмы обладают достаточной монопольной властью, чтобы противостоять снижению цен в период снижения спроса. Действие этого эффекта покажем на рис. 12.8, где для простоты опустим промежуточный отрезок кривой совокупного предложения.
"Экономическая теория: конспект лекций"

Рис. 12.8. Эффект храповика.
При увеличении совокупного спроса от AD1 до AD2 равновесное положение сместится от Е1 до Е2, причем реальный объем производства возрастет от Y1 к Y2, а уровень цен - от Р1 до Р2. Если совокупный спрос будет двигаться в обратном направлении и уменьшится от AD2 до AD1 экономика не возвратится в свое первоначальное равновесное положение в точку Е1 а возникнет новое равновесие (Е3), при котором уровень цен сохранится Р2. Объем производства упадет ниже своего первоначального уровня до Y3. Эффект храповика приводит к смещению кривой совокупного предложения от P1aAS до P2E2AS.
Смещение кривой совокупного предложения также влияет на равновесный уровень цен и реальный объем национального производства (рис. 12.9).
 |
|
Рис. 12.9. Последствияизмененийсовокупного предложения. |
Один или несколько неценовых факторов изменяются, вызываяувеличение совокупного предложения и смещение кривой вправо, от AS1 до AS2. На графике видно, что смещение кривой приведет к увеличению реального объема национального производства от Y1 к Y2 и уменьшению уровня цен от Р1 до Р2. Смещение кривой совокупного спроса вправо свидетельствует об экономическом росте. Смещение кривой совокупного предложения влево от AS1 до AS3 приведет к уменьшению реального объема национального производства от Y1 к Y3 и увеличению уровня цен от P1 до Р3, т. е. к инфляции.
Можно сказать, что в самом общем виде экономическое равновесие - это соответствие между имеющимися ограниченными ресурсами (земля, труд, капитал, деньги), с одной стороны, и возрастающими потребностями общества - с другой. Рост общественных потребностей, как правило, опережает увеличение экономических ресурсов. Поэтому обычно равновесие достигается либо посредством ограничения потребностей (платежеспособного спроса), либо расширением мощностей и оптимизацией использования ресурсов.
Различают частичное и общее равновесие. Частичное равновесие - количественное соответствие двух взаимосвязанных макроэкономических параметров или отдельных сторон экономики. Это, например, равновесие производства и потребления, доходов и расходов бюджета, спроса и предложения ит. п. В отличие от частичного общее экономическое равновесие означает соответствие и согласованное развитие всех сфер экономической системы. Наиболее важные предпосылки ОЭР следующие:
- соответствие общенациональных целей и имеющихся экономических возможностей;
- использование всех экономических ресурсов - рабочей силы, денег, основных фондов, т. е. обеспечение нормального уровня безработицы и оптимальных резервов мощностей без допущения изобилия простаивающих мощностей, массовой безработицы, нереализованных товаров, равно как и чрезмерного напряжения ресурсов;
- приведение структуры производства в соответствие со структурой потребления;
"Экономическая теория: конспект лекций"
- соответствие совокупного спроса и совокупного предложения на всех четырех типах рынков - товаров, труда, капитала и денег.
Следует также отметить, что модели ОЭР будут различаться для закрытой и открытой экономики, в последнем случае учитывая внешние по отношению к данной национальной экономике факторы, - колебание валютных курсов, условия внешней торговли и т. п.
Макроэкономическое равновесие нельзя рассматривать как статичное состояние, оно весьма динамично и вряд ли достижимо в принципе, как любое идеальное состояние. Циклические колебания присущи любой экономической системе. Но общество заинтересовано в том, чтобы отклонения от идеального равновесия (или баланса) экономических интересов были минимальными, ибо слишком большие колебания могут привести к необратимым последствиям - к разрушению системы как таковой. Поэтому соблюдение условий макроэкономического равновесия является основой социально-экономической стабильности того или иного государства.
Выводы
Экономическая теория: конспект лекций
1. Совокупный спрос - это общий объем товаров и услуг в общенациональном масштабе, который потребители, предприятия и государство могут приобрести при сложившемся уровне цен.
2. Совокупное предложение - это общее количество товаров и услуг, которое может быть предложено предпринимательским и государственным секторами при определенном уровне цен.
3. Экономическое развитие всегда связано с нарушением равновесия, с отклонением от средних показателей экономической динамики.
4. Экономическое равновесие - это соответствие между имеющимися ограниченными ресурсами (земля, труд, капитал, деньги), с одной стороны, и возрастающими потребностями общества - с другой.
Тема 13
Проблемы экономического роста Экономическая теория: конспект лекций
13.1. Понятие экономического роста и его измерение Экономическая теория: конспект лекций
Проблемы экономического роста встали перед человеком в последние 200 лет. До XVIII в. эти проблемы перед экономистами не стояли. Впервые об экономическом росте заговорили меркантилисты, и то лишь косвенно. Более или менее предметно эту проблему поставил физиократ Ф. Кенэ (1694-1774).
Под экономическим ростом понимаются изменения реального объема национального производства на основе положительной динамики валового национального продукта. Если все факторы производства используются рационально (экономика находится на границе своих производственных возможностей), то реальный объем производства достигает своего максимального значения. Это так называемый потенциальный экономический рост, который трактуется как движение от одного долгосрочного состояния равновесия к другому. При таком подходе в центре внимания находятся темпы экономического роста и факторы предложения.
Когда производственные ресурсы используются недостаточно эффективно или не полностью, то фактический реальный объем производства будет меньше потенциального. При анализе фактического экономического роста предметом изучения служат не только факторы, определяющие экономическую динамику производственных возможностей, но и изменения отраслевых пропорций, трансформация структуры экономики в процессе роста, государственная политика по стимулированию или сдерживанию темпов роста, причины отставания фактического объема производства от потенциального и т. д.
"Экономическая теория: конспект лекций"
Существует два основных типа экономического роста. Экономический рост может быть экстенсивным или интенсивным. Существуеттакже смешанный тип, сочетающий вышеперечисленные типы.
При экстенсивном типе экономического роста расширение объема материальных благ и услуг достигается за счет увеличения количества экономических факторов и ресурсов: численности работников, средств труда, земли, сырья и т. д. При экстенсивном росте сохраняются постоянные пропорции между темпами роста реального объема производства и реальных совокупных издержек на его создание.
При интенсивном типе экономического роста расширение производства обеспечивается за счет качественного изменения оптимального использования факторов и ресурсов экономики: применение прогрессивных технологий, использование рабочей силы с более высокой квалификацией и производительностью труда ит. д. В этом случае темпы роста реальных объемов производства будут превышать темпы изменения совокупных издержек на его производство.
Сущность экономического роста - разрешение и воспроизведение на новом уровне основного противоречия экономики: между ограниченностью производственных ресурсов и безграничностью общественных потребностей. Разрешаться это противоречие может двумя основными способами: за счет увеличения производственных возможностей, за счет наиболее эффективного использования имеющихся производственных возможностей и развития общественных потребностей. Однако на этом процесс не завершается: на каждом новом этапе развития при расширении производственных возможностей не все общественные потребности удовлетворяются.
Экономика любой страны не только производит национальный продукт, но и воссоздает ту его часть, которая расходуется на производственное и непроизводственное потребление. В современной рыночной экономике воспроизводство национального продукта в долгосрочном плане является расширенным. Это значит, что в текущий период времени произведено продукта больше, чем его использовано в предыдущий период. Динамика расширенного воспроизводства как раз и характеризует такое явление, как экономический рост.
Экономический рост — это такое развитие национального хозяйства, при котором увеличиваются реальный национальный доход, реальный валовой внутренний продукт.
Экономический рост измеряется темпом прироста реального национального дохода или реального ВВП в целом или на душу населения. Темп прироста реального ВВП - это отношение разницы между реальным ВВП в рассматриваемый период и в предыдущие периоды к реальному ВВП в предыдущем периоде:
у - У д у
У = ^-*=L X100% =-X100%,
У У
1І-1
1!-\
где Yt — объем реального ВВП в рассматриваемом периоде; Yt-1 — объем реального ВВП в предыдущий период.
Показатель экономического роста далеко не всегда бывает величиной положительной. Если в рассматриваемый период совокупный продукт воспроизводится в тех же объемах, что и в предыдущем, то мы говорим о нулевом экономическомросте. Если национальный продукт воспроизводится не полностью, а лишь частично, то мы говорим об отрицательном экономическомросте.
"Экономическая теория: конспект лекций"
Во всех странах экономическому росту уделяется большое внимание. Во-первых, он ведет к росту объема реального материального продукта и услуг, а, следовательно, и к повышению реального уровня жизни; во-вторых, экономический рост позволяет более эффективно решать проблемы образования, экологии, бедности; в-третьих, реальный экономический рост означает, что общество снижает издержки производства и повышает производительность труда.
Каждая страна в современный период решает следующие проблемы экономического роста:
• определение тенденции и источников (факторов) роста;
• обеспечение устойчивости экономического роста в долгосрочной перспективе;
• определение последствий, которые может иметь страна, выбирая ту или иную модель технологического развития;
• определение наиболее эффективных темпов роста для установления новой структуры народного хозяйства.
Важно отметить, что для реализации потенциала экономического роста необходимо, чтобы доходы работников росли темпами, равными темпам роста производительности их труда. Мировой опыт свидетельствует, что устойчиво развиваться может экономика лишь тех государств, где растет производительность труда, повышается доля готовой продукции в структуре экспорта и т. п.
13.2. Факторы экономического роста
Экономическая теория: конспект лекций
Экономический рост зависит от ряда факторов. Факторы экономического роста - это те явления и процессы, которые определяют возможности увеличения реального объема производства, повышения эффективности и качества роста.
По способу воздействия на экономический рост различают прямые и косвенные факторы. Прямые факторы непосредственно определяют физическую способность к экономическому росту, косвенные факторы влияют на возможность превращения этой способности в действительность.
Пять основных факторов, относящихся непосредственно к прямым факторам и определяющих динамику совокупного производства и предложения:
1) увеличение численности трудовых ресурсов и повышение их качества;
2) увеличение объема и улучшение качественного состава основного капитала;
3) усовершенствование организации и технологии производства;
4) увеличение количества и повышение качества вовлекаемых в хозяйственный оборот ресурсов;
5) рост предпринимательской активности и предпринимательских способностей в обществе.
К косвенным относятся факторы предложения, спроса и распределения. Косвенные факторы предложения:
1) снижение степени монополизациирынков;
2) уменьшение цен на производственные ресурсы;
3) снижение налогов;
4) расширение возможностей для получения кредитов.
Экономический рост любой страны определяется:
1) наличием природных ресурсов в количественном и качественном аспектах;
2) количеством трудовых ресурсов и их качественным состоянием (образовательный и квалификационный аспекты);
"Экономическая теория: конспект лекций"
3) объемом основных производственных фондов (капитала) и их техническим состоянием (изношенностью, производительностью, надежностью);
4) технологей (ее новизной, внедряемостью, результативностью, окупаемостью). Указанные факторы называются факторами предложения, так как именно их предложение делает экономический рост физически возможным;
5) степенью полноты и эффективности использования природных, производственных и трудовых ресурсов;
6) эффективным и справедливым распределением растущих объема ресурсов и объема реальной продукции.
Если применение косвенных факторов происходит в обратном порядке (увеличивается монополизация, растут налоги и т. п.), то экономический рост будет сдерживаться.
Факторы спроса делают возможным реализацию растущего объема производства, в числе которых можно выделить такие, как рост потребительских, инвестиционных и государственных расходов, расширение экспорта вследствие освоения новых рынков сбыта или повышения конкурентоспособности продукции страны на мировом рынке.
К факторам распределения относятся: фактически сложившаяся структура распределения производственных ресурсов по отраслям, предприятиям и регионам страны, а также действующий в обществе порядок распределения доходов между субъектами хозяйственной деятельности.
Эти факторы влияют и на способность экономической системы к росту, и на ее эффективность.
Экономический рост выступает всегда как результат действия экономических и неэкономических факторов. К последним относятся военно-политические, географические, климатические, национальные, демографические, культурные и т. д. Темп роста национальной экономики в целом - это средневзвешенная величина региональных темпов, которые могут существенно различаться. Пространственный подход к национальной экономике требует совместного анализа общенационального темпа роста и распределения региональных темпов. Влияние тех или иных факторов на экономический рост может быть более или менее заметным, но особенно эффективно они влияют во взаимодействии.
Чтобы представить общее действие факторов экономического роста, можно использовать кривую производственных возможностей (рис. 13.1).
I Іоле невозможного
I оле
ДОСТИГ ну того
I Іредметы потребления
Рис. 13.1. Экономический рости кривая производственных возможностей.
Эта кривая показывает максимальный объем производства двух и более продуктов. Общество определяет предпочитаемую комбинацию продуктов. Ограниченность природных и трудовых ресурсов делает невозможной любую комбинацию в точке, находящейся вне кривой. Точки наиболее оптимального сочетания производства находятся на самой кривой. Любая точка внутри кривой свидетельствует о неэффективном использовании ресурсов. Эта кривая достаточно наглядно показывает наибольшее число вариантов производимой продукции, которая может быть выпущена при данном качестве и количестве природных и трудовых ресурсов, состоянии основного капитала и при данном уровне развития технологии. Как видно на рисунке, усиление положительного влияния любого из факторов роста смещает кривую производственных возможностей вправо. Общество никогда не использует на все 100 % свои возможности, так как всегда приходится решать не только вопрос максимального использования факторов роста, но и порождаемые ими социальные и экономические противоречия.
"Экономическая теория: конспект лекций"
Чтобы представить в целом влияние факторов экономического роста на его динамику, используем понятие производственной функции. Речь идет о макроэкономической функции, представляющей собой функцию равновесного состояния выпуска продукции и определяющих его факторов производства (капитала, земли, труда, технического прогресса).
Математическое изображение производственной макроэкономической функции достаточно просто:
X = F(a^ а
в) — общее
и где Xu Y - объемы продукции; F, f — характер функции; a1, a2...., an — факторы производства и роста; L — труд; N - земля; К - капитал.

Главным показателем экономической динамики на национальном уровне служит темп роста ВВП, а на региональном - темп роста валового регионального продукта (ВРП). Это вытекает из общепризнанной методологии макроэкономических измерений - системы национальных счетов (СНС) и системы региональных счетов (СРС). Для России характерно такое понятие, как диффузия экоиомическогороста.
В неоднородном экономическом пространстве, каким является территория Российской Федерации, переход от одной стадии экономической динамики к другой одновременно и повсеместно - довольно сложный процесс.
13.3. Показатели экономического роста
Экономическая теория: конспект лекций
Производительность общественного труда - важнейший показателъ экономического роста. Измеряется она отношением выпуска продукции (в масштабах страны - национального дохода) к затратам живого труда: Y/L. Производительность труда наиболее комплексно характеризует экономический рост. Обратный ему показатель L/Y (трудоемкость продукции) показывает, сколько необходимо обществу затратить труда, чтобы произвести единицу продукции.
Показатель Y/K характеризует производительность капитала, или более знакомую нам фондоотдачу, показывающую, сколько продукции получено на единицу основных Y фондов. Обратный ему показатель —Y/K (капиталоемкость продукции) определяет, сколько основных средств принимало участие в производстве единицы продукции.
Показатель Y/N- отношение произведенного продукта к затратам природных ресурсов - характеризует отношение человека к природным ресурсам, т. е. насколько производительно, рационально используются ограниченные ресурсы. Показатели экономического роста, основанные на линии «фактор производства - доход», считаются показателями частными, т. е. характеризующими только двухполюсные связи. Есть более синтетические показатели, в которых концентрируются все вышеприведенные показатели и ряд других, например K/L - отношение капитала к затратам труда. В нем отражаются и технический прогресс, и концентрация капитала, и его централизация, и интенсификация производства, и т. д. Этот показатель имеет более традиционное название - органическое строение капитала. Он является наиболее общим выражением и производительности труда.
"Экономическая теория: конспект лекций"
С точки зрения маржинального анализа (предельные показатели) очень важны показатели предельной производительности факторов производства, которые характеризуют размер прироста национального дохода от прироста соответствующего фактора:

Общий вклад факторов производства национального дохода в этом случае будет выглядеть так:

Следовательно, объем произведенного национального дохода равен сумме произведений величины каждого фактора на его предельную производительность.
13.4. Экстенсивный и интенсивный экономический рост
Экономическая теория: конспект лекций
Повысить производство можно только или увеличением затрат факторов производства, или улучшением технологии. С этими направлениями экономического роста тесно увязаны стратегические направления экономического развития в целом: экстенсификация и интенсификация производства.
Экстенсивный экономический рост - увеличение общественного производства за счет наращивания одинаковых в качественном отношении факторов производства:
• числа занятых работников без повышения их квалификации;
• потребления материальных факторов производства: сырья, материалов, топлива, земельных угодий без увеличения эффективности их использования;
• капитальных вложений без соответствующего улучшения технологии.
При экстенсивном экономическом росте сохраняются постоянные пропорции между темпами роста реального объема производства и реальных совокупных издержек на его создание.
Интенсивный экономический рост - увеличение объемов национального производства за счет более эффективного (интенсивного) использования существующих факторов производства:
• расширения производства материальных благ и услуг за счет внедрения новых, более эффективных технологий посредством обновления основных фондов (средств производства), иначе говоря, за счет внедрения в производство достижений научно-технического прогресса;
• улучшения организации производства (новой структуры хозяйственных связей, управления, маркетинга, кооперации) и, как результат, повышения его эффективности;
• совершенствование использования основных и оборотных фондов, ускорения их оборачиваемости, ускоренной амортизации ит. д.;
• постоянного роста квалификации рабочей силы и совершенствования научной организации труда.
При интенсивном экономическом росте темпы роста реальных объемов производства будут превышать темпы изменения совокупных издержек на его производство.
В условиях научно-технического прогресса интенсивный экономический рост может характеризоваться нулевым или незначительным приростом национального продукта, но сопровождаться существенным повышением качественных характеристик выпускаемой продукции.
И экстенсивный, и интенсивный экономический рост существуют одновременно, доминируя друг над другом на разных временных этапах. Преобладание того или иного типа обусловливается существованием различных комбинаций факторов производства.
"Экономическая теория: конспект лекций"
Выводы
Экономическая теория: конспект лекций
1. Под экономическим ростом понимаются долговременные изменения реального объема национального производства на основе положительной динамики валового национального продукта. Его сущность в разрешении и воспроизведении на новом уровне основного противоречия экономики: между ограниченностью производственных ресурсов и безграничностью общественных потребностей. Разрешаться это противоречие может двумя основными способами: за счет увеличения производственных возможностей, за счет наиболее эффективного использования имеющихся производственных возможностей и развития общественных потребностей.
Показатель экономического роста не всегда бывает величиной положительной. Если в рассматриваемый период совокупный продукт воспроизводится в тех же объемах, что и в предыдущем, то можно говорить о нулевом экономическом росте. Если национальный продукт воспроизводится не полностью, а лишь частично - об отрицательном экономическом росте.
2. Факторы экономического роста - это те явления и процессы, которые определяют возможности увеличения реального объема производства, повышения эффективности и качества роста. По способу воздействия на экономический рост различают прямые и косвенные факторы. Макроэкономическая производственная функция представляет собой многофакторную модель экономического роста.
3. Главным показателем экономической динамики на национальном уровне считается темп роста ВВП, а на региональном - темп роста валового регионального продукта (ВРП).
4. Экстенсивный экономический рост - увеличение общественного производства за счет наращивания одних и тех же в качественном отношении факторов производства.
5. Интенсивный экономический рост - увеличение объемов национального производства за счет более эффективного (интенсивного) использования наличных факторов производства.
Тема 14
Макроэкономическая нестабильность: экономические циклы, безработица, инфляция Экономическая теория: конспект лекций
14.1. Экономический цикл и его фазы Экономическая теория: конспект лекций
Особенность рыночной экономики - ее нестабильность. За периодами успешного промышленного развития и всеобщего экономического процветания всегда наступали периоды спадов, сопровождавшиеся падением объемов производства и безработицей.
Первый экономический кризис в рыночной системе имел место в 1825 г. после образования во всех ведущих капиталистических странах национальных рынков с полным господством капиталистических производственных отношений. С тех пор каждые 8 - 12 лет кризисы повторяются с большим или меньшим размахом.
Современные ученые и классики науки по-разному объясняют циклическое развитие экономики. Одни природу экономических циклов объясняют факторами, лежащими вне рамокэкономической системы. Это природные явления (например, У. Джевонс (1835-1882) и А. Л. Чижевский (1897-1964) видели причину кризисов в регулярно появляющихся пятнах на Солнце, которые влияют на урожай сельскохозяйственных культур), политические события, психологическая заданность, войны и т. п. Ведь известно, что мировые и локальные войны, вооруженные конфликты выводят экономику враждующих сторон из состояния равновесия. Такие ученые, как В. Парето (1848-1923) и А. Питу (1877-1959), видели причину экономических циклов в соотношении пессимизма и оптимизма в экономической деятельности людей.
"Экономическая теория: конспект лекций"
Другие экономисты причину макроэкономической нестабильности предлагали искать внутри самой экономики. Среди них особое место отводилось определенным периодам обновления основного капитала, закономерностям, определяющим функционирование кредитно-денежной системы, колебаниям предложений труда и заработной платы, непредсказуемому поведению фондовых рынков и инвестиционным процессам.
Цикличность — это периодичность повторяющихся нарушений равновесия в экономической системе, ведущих к свертыванию хозяйственной деятельности, спаду, кризису. Само слово «цикл» подразумевает возвращение экономической системы к одному и тому же положению. Поэтому экономический цикл — это повторяющееся через определенные промежутки времени состояние экономики, характеризуемое одними и теми же макроэкономическими параметрами. Основные фазы экономического цикла - подъем и спад (кризис), в ходе которых происходит отклонение от средних показателей экономической динамики (рис. 14.1).

Реальный ВВП отклоняется от номинального - эти колебания фиксируются дефлятором ВВП. Колебания фактического объема выпуска вокруг потенциального ВВП (объем производства при полной занятости ресурсов) характеризуется показателем:

где Y - фактический объем производства; Y' — потенциальный объем производства.
Полная занятость ресурсов предполагает поддержание доли незагруженных мощностей на уровне 10-20 % отих общего объема и естественного уровня безработицы в размере 5,5—6,5 % от общей численности рабочей силы.
Экономический цикл состоит из следующих фаз: кризиса, депрессии, оживления, подъема (см. рис. 14.1). Наиболее разрушительная фаза экономического цикла - кризис. Предприниматели, как правило, не бывают готовы к кризису, поэтому протекание этой фазы носит обвальный характер. Нарушается равновесие во всей экономике. До кризиса экономика находится в фазе подъема, когда она процветает во всех отношениях. Рынок в какой-то момент времени оказывается переполненным товарами, однако многие предприятия продолжают работать, выбрасывая на рынок все новые и новые массы товаров. Спрос начинает постепенно уменьшаться, отставать от предложения. Трудности со сбытом приводят к сокращению производства и росту безработицы. Снижение покупательной способности населения еще более осложняет сбыт. Все экономические показатели сокращаются. Происходит падение уровней заработной платы, прибыли, инвестиций, цен, разрушается механизм кругооборота капитала. Возникают кризис неплатежей и гигантский дефицит наличных денег. Курс ценных бумаг падает, они обесцениваются, вексель перестает играть роль ценной бумаги. Начинается период массового банкротства предприятий, а также финансовых и кредитных учреждений, поскольку невозвратность кредитов носит массовый характер. В условиях нехватки ликвидности для расплаты по долгам банки повышают ссудный процент и кредит становится недоступным основной массе предпринимателей.
"Экономическая теория: конспект лекций"
Таким образом, кризис — это механизм приспособления размеров общественного производства к объему платежеспособного спроса хозяйственных субъектов.
За кризисом следует фаза депрессии, которая носит продолжительный характер, иногда бывая самой длительной по времени. Депрессия характеризуется застоем производства, выходом из строя устаревшего основного капитала (прежде всего машин и оборудования), являющегося важной предпосылкой снижения издержек производства с целью приспособления к установившемуся низкому уровню цен. Низкие цены способствуют реализации накопившихся товарных запасов. Слабая хозяйственная активность обусловливает безработицу.
Спрос на денежный капитал, а также уровень процентных ставок и стоимость ценных бумаг падают. Специфика движения процентных ставок и стоимости ценных бумаг заключается в том, что, несмотря на падение процентных ставок, курс ценных бумаг не растет. Это объясняется застоем производства, который не обеспечивает получения дивидендов.
Диалектика экономического развития заключается в том, что факторы кризиса становятся в фазе депрессии факторами перехода экономики в третью фазу - оживления. Низкие цены стимулируют потребление и спрос.
Фаза оживления характеризуется прежде всего активизацией хозяйственной деятельности, частичным обновлением основного капитала, ростом объемов производства, повышением процентных ставок. Начинают расти цены и прибыли предприятий, повышаются курсы акций и других ценных бумаг.
За оживлением следует фаза подъема. Критерием перехода экономики от оживления к подъему служит достижение предкризисного уровня производства. Подъем определяется продолжением экономического роста, начатого на предшествующей фазе, достижением относительно полной занятости, расширением производственных мощностей, их модернизацией, созданием новых предприятий. Процентные ставки продолжают повышаться под воздействием роста инвестиций. Несмотря на повышение уровня процентных ставок, происходит и рост курса ценных бумаг, так как на него оказывает положительное воздействие рост доходности предприятий.
Фаза подъема через некоторое время достигает своего пика, когда экономика оказывается «перегретой», начинает расти разрыв между производством и платежеспособным спросом населения, что с неизбежностью скатывается в новый кризис.
14.2. Формы безработицы и ее естественный уровень Экономическая теория: конспект лекций
Безработица — неотъемлемая часть рыночной системы хозяйствования. Все население можно подразделить на три категории.
Первая категория - это занятые, или работающие. К ним относят людей, которые имеют работу, и тех, кто, имея работу, временно по каким-то причинам (болезнь, отпуск) не работают.
Вторая категория - безработные. К ним относят людей, достигших определенного возраста, принятого в национальном законодательстве в качестве нижней границы трудоспособного возраста, которые в рассматриваемый период не имели работы (доходного занятия), занимались ее поиском с помощью служб занятости или самостоятельно (т. е. помещали объявления в печати, обращались непосредственно к администрации предприятий или предпринимали шаги к организации своего бизнеса) и были готовы приступить к работе незамедлительно или в течение периода, определенного национальным законодательством.
"Экономическая теория: конспект лекций"
Третья категория - это студенты, учащиеся, домохозяйки и те, кто просто не хочет работать по каким бы то ни было причинам. Эту категорию принято считать экономически неактивной частью населения. Если учащиеся, студенты, пенсионеры и инвалиды занимались поиском работы и были готовы приступить к ней, они учитываются в качестве безработных.
Лица, относящиеся к первой и второй категориям (занятые и безработные), представляют собой рабочую силу страны. Уровень безработицы рассчитывается как отношение количества безработных к количеству лиц, представляющих рабочую силу, и выражается в процентах.
Выделяют три вида безработицы: фрикционную, структурную и циклическую.
Фрикционная безработица связана с поисками и ожиданием работы. Она распространена среди лиц, для которых поиск места работы, соответствующего их квалификации и индивидуальным предпочтениям, требует определенного времени. В реальных условиях переходной экономики фрикционная, структурная безработица принимает нерациональные формы, и закрытие предприятий идет гораздо быстрее, чем образование новых рабочих мест в перспективных отраслях, усугубляясь к тому же и опережающим спадом в сферах, которые, напротив, заслуживают наибольшего развития (высоких технологий, наукоемкого производства) и требуют квалифицированной рабочей силы. В результате сегодня в России инженеры и ученые переквалифицируются в продавцов и грузчиков.
Структурная безработица связана с технологическими сдвигами в производстве, изменяющими структуру спроса на рабочую силу. Определенный уровень структурной безработицы неизбежен в связи с постоянно меняющейся ситуацией на рынке. Спрос на различные товары постоянно колеблется, что в свою очередь вызывает колебания спроса на труд специалистов, производящих эти товары. Это безработица среди лиц, профессии которых оказались «устаревшими» или менее необходимыми экономике вследствие научно-технического прогресса. Структурная безработица имеет преимущественно вынужденный и более долговременный характер, так как у этой категории безработных получение рабочих мест связано с профессиональной переподготовкой, нередко сопровождающейся сменой места жительства.
Сочетание фрикционной и структурной безработицы образует естественный уровень безработицы (или уровень безработицы при полной занятости), соответствующий потенциальному ВВП.
Основные причины существования естественного уровня безработицы:
• развитая система страхования по безработице. Выплаты пособий значительно снижают стимулы к быстрому трудоустройству и увеличивают время, которое безработные тратят на поиски нового места работы;
• жесткость заработной платы, которая порождает вынужденную безработицу.
Мы уже знаем, что на рынке труда равновесие между спросом и предложением труда устанавливается при определенных условиях (рис. 14.2).
"Экономическая теория: конспект лекций"
Равновесная ставка
заработной платы
Si (предложение груда)
Естественный уровень безработицы
си ?С-
Dl (спрос па труд)
L (занятость)
Рис. 14.2. Жесткость заработной платы и вынужденная безработица.
Вынужденная безработица возникает в тех случаях, когда уровень реальной заработной платы превышает ее равновесное значение. Негибкость заработной платы приводит к возникновению относительной нехватки рабочих мест. Многие рабочие становятся безработными потому, что при данном уровне заработной платы предложение труда L2 превосходит спрос L1 на него. В таком застывшем неравновесном состоянии рынок труда может находиться довольно продолжительное время, которое определяется:
1) во-первых, законодательным установлением минимума заработной платы, которое ограничивает ее свободные колебания. Ограничивающее воздействие минимума заработной платы оказывается тем более значительным, чем выше удельный вес молодежи, женщин, лиц малоквалифицированного труда в составе рабочей силы, так как для этих категорий занятых равновесная ставка заработной платы ниже законодательно установленного минимума;
2) во-вторых, фиксацией уровня заработной платы в коллективных договорах с профсоюзами и в индивидуальных трудовых соглашениях;
3) в-третьих, незаинтересованностью фирм в снижении уровня заработной платы из-за риска потери квалифицированной рабочей силы, увеличения общей текучести кадров, снижения производительности труда, трудовой дисциплины и объема прибыли.
Уровень безработицы различен в разных демографических группах. Например, уровень безработицы среди молодежи значительно выше, чем в других возрастных группах. Тенденция увеличения естественного уровня безработицы в долгосрочном периоде связана с:
• увеличением доли молодежи в составе рабочей силы;
• увеличением доли женщин в составе рабочей силы;
• более частыми структурными сдвигами в экономике.
Циклическая безработица вызвана спадом производства. Она затрагивает все сферы и отрасли экономики. Безработица, вызванная спадом производства, может существовать в скрытой и открытой формах. Скрытая форма означает сокращение рабочего дня или недели, направление персонала в принудительные отпуска и, соответственно, уменьшение заработной платы. Открытая форма означает увольнение работника, полную потерю работы и, соответственно, дохода.
Циклическая безработица, кроме социальных бедствий, приносит еще и явные потери в объеме реального ВВП. Страна теряет от 2 до 3 % фактического ВВП по отношению к потенциальному ВВП, когда фактический уровень безработицы увеличивается на 1 % по сравнению с ее естественным уровнем. В экономической литературе этот закон известен как закон Оукена:

где Y- фактический ВВП; Y' — потенциальный ВВП; и — фактический уровень безработицы; и' — естественный уровень безработицы; ? — эмпирический коэффициент чувствительности ВВП к изменению циклической безработицы (коэффициент Оукена).
"Экономическая теория: конспект лекций"
Если фактический уровень безработицы не изменился по отношению к показателю предыдущего года, то темп роста реального ВВП составляет 3 % в год. Этот темп обусловлен приростом населения, накоплением капитала и научно-техническим прогрессом.
14.3. Инфляция
Экономическая теория: конспект лекций
Инфляция — это снижение покупательной способности денег в первую очередь из-за быстрого роста цен. Существует два основных типа инфляции: скрытая и открытая. В основе обоих типов лежит нарушение равновесия между стоимостью всей массы товаров и услуг и противостоящей ей денежной массой.
Скрытая инфляция проявляется через товарный дефицит и, как правило, имеет место в нерыночной экономике. Открытая инфляция проявляется главным образом через рост цен на товары и услуги. Бумажные деньги обесцениваются, возникает избыточная денежная масса, не обеспеченная соответствующим количеством товаров и услуг. В то же время нельзя любой рост цен рассматривать как инфляцию. Повышение цен может быть неинфляционным и происходить под воздействием других причин. В основе механизма открытой инфляции лежат адаптивные инфляционные ожидания, инфляция издержек и инфляция спроса.
Адаптивные инфляционные ожидания представляют собой психологический феномен, склонность, образ мыслей, определяющие поведение субъектов хозяйственной жизни.
Адаптивные ожидания формируются экономическими агентами на основе информации о настоящих и предшествующих уровнях инфляции, при этом большее значение придается недавнему опыту.
Инфляция издержек возникает как следствие повышения средних издержек на единицу продукции и снижения совокупного предложения. Этот тип инфляции приводит к стагфляции, т. е. к одновременному росту инфляции и безработицы на фоне спада производства (рис. 14.3). При прежнем уровне совокупного спроса снижение совокупного предложения приводит к росту среднего уровня цен и увеличению темпов инфляции.

Рис. 14.3. Инфляцияиздержек.
Причины повышения средних издержек производства:
• повышение номинальной заработной платы, которое не уравновешивается увеличением производительности труда;
• повышение цен на сырье;
• увеличение налогов.
Инфляция издержек в известной мере самоограничена: спад производства сдерживает дополнительный рост издержек производства, так как при возрастающем уровне безработицы номинальная заработная плата постепенно снижается.
Инфляция спроса возникает, когда спрос на товары и услуги не может быть удовлетворен в результате их предложения не только вообще, но и на уровне отраслей. В самом общем плане инфляция спроса означает нарушение равновесия между совокупным спросом и совокупным предложением со стороны спроса (рис. 14.4).

Рис. 14.4. Инфляция спроса.
Смещение кривой совокупного спроса вправо от AD1 к AD2 ведет к росту цен, если экономика находится на промежуточном или классическом отрезке кривой совокупного предложения. Основные причины избытка совокупного спроса могут быть связаны с повышением:
"Экономическая теория: конспект лекций"
• государственных расходов, с помощью которых финансируются распределение доходов (зарплата) или инвестиции (госзаказы);
• частных расходов на потребление в результате использования сбережений;
• частных расходов на инвестирование, которые финансируются за счет банковского кредита;
• доходов, вызванных положительным сальдо платежного баланса.
Сочетание инфляции спроса и инфляции издержек образуют инфляционную спираль, в которой возросшие инфляционные ожидания экономических агентов выполняют роль передаточного механизма. В макроэкономических моделях уровень инфляции представлен как:

где Р1 - средний уровень цен в текущем году; Р0 — средний уровень цен в прошлом году.
Средний уровень цен измеряется индексами цен. В зависимости от темпов роста показателей инфляции различают следующие ее виды:
• ползучая инфляция - темп роста цен - до 10 % в год;
• галопирующая инфляция - темп роста цен до 300-500 % в год;
• гиперинфляция - темп роста более 50 % в месяц. В годовом исчислении - более 10 000 %.
Существуют и другие критерии, в соответствии с которыми выделяются виды инфляции: сбалансированность и ожидаемость. При сбалансированной инфляции цены различных товаров неизменны друг относительно друга, а
при несбалансированной - постоянно изменяются по отношению друг к другу, причем в разных пропорциях. Под ожидаемой инфляцией понимается инфляция, которая предсказывается и прогнозируется заранее. Неожиданная инфляция характеризуется внезапным скачком цен.
Комбинация сбалансированной и ожидаемой инфляции не наносит экономического вреда, так как экономические субъекты знают, что цены в следующем году возрастут. Гораздо хуже, когда сочетаются несбалансированная и неожиданная инфляция. Примером могут служить события, последовавшие после либерализации цен в нашей стране в 1992 г.
Увеличение занятости и снижение безработицы сопровождаются ростом инфляции спроса, и наоборот. Это означает, что в краткосрочном периоде между уровнями инфляции и безработицы обнаруживается обратная зависимость, называемая кривой Филлипса (рис. 14.5).

Рис. 14.5. Кривая Филлипса.
Эта зависимость выводится на основе следующих рассуждений. Уровень заработной платы определяется положением на рынке труда. Когда безработица низкая, работодателям трудно найти дополнительных работников для расширения производства. Они вынуждены нанимать менее квалифицированных работников за ту же заработную плату или оплачивать сверхурочные часы по более высоким расценкам. В условиях массовой безработицы, наоборот, фирмы могут сравнительно легко найти работников, согласных работать за более низкую заработную плату.
Уравнение краткосрочной кривой Филлипса имеет следующий вид:

где ? и ?е— соответственно фактический и ожидаемый темпы инфляции; мим' — фактический и естестве нный уровни безработицы соответственно; ? - внешний ценовой шок; ? - эмпирический коэффициент.
"Экономическая теория: конспект лекций"
Выводы
Экономическая теория: конспект лекций
1. Под цикличностью понимается периодичность повторяющихся нарушений равновесия в экономической системе, ведущих к свертыванию хозяйственной деятельности, спаду, кризису. Основные фазы экономического цикла - подъем и кризис, в ходе которых происходит отклонение от средних показателей экономической динамики.
2. Одним из характерных проявлений макроэкономической нестабильности считается существование безработных - людей, достигших определенного возраста, принятого в национальном законодательстве в качестве нижней границы трудоспособного возраста, которые в рассматриваемый период не имели работы, занимались ее поиском с помощью служб занятости или самостоятельно и были готовы приступить к работе незамедлительно или в течение периода.
Уровень безработицы рассчитывается как отношение количества безработных к количеству лиц, представляющих рабочую силу, и выражается в процентах. Основные типы безработицы: фрикционная, структурная и циклическая. Сочетание фрикционной и структурной безработицы образует естественный уровень безработицы.
3. Инфляция - это снижение покупательной способности денег, в первую очередь из-за быстрого роста цен. Инфляция может существовать в скрытой форме (проявляется в виде товарного дефицита) и в открытой форме (рост цен на товары и услуги). В основе механизма открытой инфляции лежат адаптивные инфляционные ожидания, инфляция издержек и инфляция спроса.
В зависимости от темпов роста показателей инфляции различают следующие ее виды: ползучую инфляцию; галопирующую инфляцию; гиперинфляцию. Также различают сбалансированную и несбалансированную, ожидаемую и неожидаемую инфляции.
Тема 15
Финансы и финансовая система государства Экономическая теория: конспект лекций
15.1. Финансовая система государства и ее структура Экономическая теория: конспект лекций
В современных экономических условиях под финансами понимаются экономические отношения в процессе создания и использования фондов денежных средств. Эти фонды должны образовываться у каждого субъекта рыночных отношений, включая государство. Отношения, складывающиеся в процессе формирования и использования денежных фондов, называются финансовыми. Совокупность финансовых отношений, складывающихся в рамках государства, образует финансовую систему. Финансовую систему представляют бюджеты различных организаций, главный из которых - государственный. Его дополняют бюджеты субъектов Федерации, местные бюджеты и внебюджетные фонды. Денежные средства в данные бюджеты поступают главным образом за счет отчислений от доходов, полученных от предприятий и населения.
Важнейшая часть финансовых отношений общества - государственные финансы, связанные с формированием и использованием государственных денежных фондов. В качестве источников пополнения казны, помимо средств, полученных от государственных предприятий, используется часть доходов от частного сектора в виде обязательных платежей.
"Экономическая теория: конспект лекций"
Сущность и роль государственных финансов наиболее полно проявляется в их функциях — мобилизационной, распределительной и контрольной. Мобилизационная функция финансов предполагает деятельность полномочных государственных органов в пополнении средств для государственных нужд. Распределительная функция связана с перемещением доходов из сфер, где они создаются, к иным экономическим субъектам. Контрольная функция проявляется в процессе использования субъектами экономических отношений государственных финансов и налогообложении. Главный элемент финансовой системы государства - государственный бюджет. Государственный бюджет — это годовой план государственных расходов и источников их финансового покрытия. Проект бюджета ежегодно обсуждается и принимается законодательным органом - парламентом страны или муниципальным собранием.
Доходная частъ государственного бюджета формируется в основном за счет налогов (в том числе акцизных сборов и таможенных пошлин), а также за счет неналоговых поступлений (доходов от государственной собственности, государственной торговли) и взносов в государственные фонды социального страхования, пенсионный фонд, страхования от безработицы.
Расходная частъ государственного бюджета предполагает затраты на: социальные услуги (здравоохранение, образование, социальные пособия, субсидии бюджетам местных властей на эти цели), хозяйственные нужды (капиталовложения в инфраструктуру, дотации, субсидии, расходы на осуществление государственных программ). Расходы государства направлены также на вооружение, материальное обеспечение внешней политики (включая содержание дипломатических служб и займы иностранным государствам), на содержание правительственных органов. В расходную часть бюджета также входят платежи по государственному долгу. Основная цель использования государственного бюджета в рыночной экономике состоит в создании наилучших условий функционирования рыночной системы. Таким образом, выбор для страны финансовой политики, способной оптимальным образом распределить имеющиеся финансовые ресурсы для решения стоящих перед обществом задач, существенно влияет на экономический рост.
15.2. Сущность налогов и налоговой системы
Экономическая теория: конспект лекций
Главная статья доходной части бюджета - налоги. Под налогом, сбором, пошлиной понимается обязательный платеж, взимаемый государством с физических и юридических лиц. Налоговые изъятия осуществляются безвозмездно.
Объектами налогообложения выступают доходы, стоимость определенных товаров, отдельные виды деятельности налогоплательщиков, операции с ценными бумагами, пользование природными ресурсами, имущество юридических и физических лиц, передача имущества, добавленная стоимость произведенных товаров и услуг, другие объекты, установленные законодательством. Сумма, с которой взимается налог, называется налоговой базой.
"Экономическая теория: конспект лекций"
Совокупность взимаемых в государстве налогов и других платежей, а также форм и методов их построения образует налоговую систему. В России налоги разделены на три группы: федеральные, республиканские и местные.
По методу установления налоги бывают прямыми и косвенными. Прямые налоги взимаются государством непосредственно с доходов и имущества физических и юридических лиц. К основным прямым налогам относятся подоходный налог, налог на прибыль и др. Косвенные налоги - это налоги на товары и услуги, оплачиваемые в цене товара или включенные в тариф. Основные косвенные налоги: налог на добавленную стоимость, акциз.
Сущность налогов проявляется в их функциях:
• финансирование государственных расходов (фискальная функция);
• количественное отражение налоговых поступлений и их сопоставление с потребностями государства в финансовых ресурсах (контрольная функция);
• государственное регулирование экономики (регулирующая функция);
• поддержание социального равновесия путем изменения соотношения между доходами отдельных социальных групп с целью сглаживания неравенства между ними (социальная функция).
К числу первостепенных задач любого государства относится обеспечение экономического роста. Решить эту задачу становится возможным при создании эффективной налоговой системы, обеспечивающей налогоплательщикам возможность выплачивать налоги, не подрывая воспроизводственного процесса. С этим связано понятие тяжести налогового бремени, которое определяется величиной налоговых изъятий, отнесенных к валовому внутреннему продукту. Зависимость налоговых поступлений от величины налоговой ставки на основе анализа статистических данных за длительный период описал американский экономист А. Лаффер. Он доказал, что увеличение государственных доходов за счет роста налоговых ставок не всегда возможно и что чрезмерное налоговое бремя ведет к обратному результату - уменьшению налоговых поступлений в государственный бюджет. Кривая, отображающая эту зависимость, получила название кривой Лаффера, а описанное явление -эффектаЛаффера (рис. 15.1).
|
Доходы |
|
|
|
бюджета |
|
|
|
|
М |
|
|
/ Нормальная |
Запретная \ |
|
|
/ зона |
зона \ |
|
|
|
- |
50 Налоговая ставка, %
Рис. 15.1. КриваяЛаффера.
Кривая Лаффера показывает, что рост налоговых ставок приводит к росту налоговых поступлений лишь до определенного предела (точка М), затем этот рост немного замедляется, и в дальнейшем происходит либо такое же плавное снижение доходов бюджета, либо их резкое падение. В результате, когда налоговая ставка достигает определенного предела, происходит снижение деловой активности, предпринимательской инициативы, сокращаются стимулы к расширению производства. Часть налогоплательщиков переходит из «легального» в «теневой» сектор экономики. По мнению А. Лаффера, предельной ставкой налогового изъятия в бюджет, в границах которой увеличится сумма доходов бюджета, является 30 %. При 40-50 %-ном изъятии доходов, когда ставка налога попадает в «запретную зону» действия, происходит сокращение сбережений населения, что влечет за собой незаинтересованность в инвестировании в те или иные отрасли экономики и сокращение налоговых поступлений.
"Экономическая теория: конспект лекций"
Таким образом, увеличение налогового бремени увеличивает размеры теневой экономики, легальное и нелегальное укрытие от налогов, при котором большая часть имеющегося дохода не декларируется.
15.3. Дефицит государственного бюджета и причины его возникновения
Экономическая теория: конспект лекций
Когда доходы государственного бюджета превышают его расходы, образуется профицит бюджета. Если же складывается обратная ситуация, т. е. расходы госбюджета превышают его доходы, то образуется дефицит. Каковы же причины образования дефицита?
Если государство расходует деньги, надеясь компенсировать их за счет налоговых поступлений, а величина их оказьшается ниже ожидаемой, в стране образуется бюджетный дефицит, или государственный долг. Дефицит может возникнуть и вследствие неэффективного руководства национальным хозяйством.
При образовании дефицита государственного бюджета имеются несколько путей его покрытия с наименьшими потерями для экономики. Среди них выделяют следующие:
1) сокращение расходов бюджета;
2) увеличение налогового бремени;
3) превращение дефицита бюджета в государственный долг;
4) выплату государственного долга за счет увеличения предложения денег на основе эмиссии.
Первый путь предполагает уменьшение дотаций, сокращение социальных программ. Это может привести к усилению спада в экономике, спровоцировать социальную напряженность, что в итоге может привести к снижению совокупного спроса и, как следствие, к снижению стимулов производства.
В случае увеличения налогового бремени снизятся инвестиции и потребление, что в свою очередь снизит возможности роста ВНП.
Превращение дефицита бюджета в государственный долг может произойти за счет:
• обращения государства за кредитом к национальным банкам. Это может привести к увеличению спроса на деньги и, как следствие, к росту процентных ставок. Предприниматели, взявшие более дорогой кредит, попытаются его компенсировать за счет увеличения отпускных цен. Кроме того, дорогой кредит угнетает инвестиции, поскольку для многих он становится недоступным. Поэтому в долгосрочном периоде бюджетный дефицит приведет к инфляции и падению темпов роста ВНП;
• превращения кредита во внешний долг при получении его от иностранных граждан. Если обращение к внешнему долгу происходит по истечении срока кредита, это может привести к утечке национального дохода за границу, поскольку кредит необходимо возвращать и выплачивать по нему проценты;
• выпуска государственных ценных бумаг - облигаций, которые представляют обязательства государства выплатить сумму заимствований денег у населения с процентами. Рынок государственных обязательств, за счет которого правительство осуществляет закупки, уводит свободные деньги из банков. Это уменьшает банковские кредитные ресурсы и ведет к удорожанию кредита и, как следствие, к сокращению возможностей инвестирования.
"Экономическая теория: конспект лекций"
В случае выплаты государственного долга за счет увеличения предложения денег на основе их эмиссии произойдет резкое увеличение уровня цен (инфляции). Эта самая крайняя мера, к которой государство прибегает при невозможности или неумении использовать иные источники. По сути это способ отказа от части долга, так как его выплата происходит обесцененными деньгами. Государственный долг, кроме негативных экономических последствий, имеет также и социальные последствия. Это, прежде всего усиление дифференциации населения, которая происходит вследствие выплаты долга за счет налогов. Доходы населения уменьшаются на величину выплаченных налогов. Эти средства оказываются в руках узкого круга людей, ранее купивших ценные бумаги. В этом случае разрыв в благосостоянии между различными слоями населения увеличивается.
Существует ряд мер по управлению государственным долгом. К их числу можно отнести:
• эффективное использование средств заимствования, предполагающее направление средств в проекты, которые за отведенный срок позволят получить величину дохода, не только значительно превышающую сумму долга, но и выплаты по нему процентов;
• поиск средств для выплаты долга. Эта мера предполагает отказ от долга или его части, использование новых заимствований для выплаты прежних долгов, пролонгирование долга, конверсию долга, продажу безнадежных долгов. В данной ситуации возможны негативные последствия. Во-первых, отказ от долга подрывает репутацию государства. Во-вторых, пролонгирование кредита приведет к увеличению суммы процента, поскольку процент выплачивается по сумме займа и невыплаченного процента. Увеличение внутреннего долга ведет к расходованию резервов банков и привлечению сбережений населения. В этом случае происходит снижение покупательной способности национальной валюты и раскручивается инфляция;
• нейтрализация негативных последствий государственного долга. Эта мера предполагает проведение работы по балансированию бюджета.
Таким образом, государство, обремененное внешним и внутренним долгами, требует грамотной, эффективной стратегии и умелого использования кредитных ресурсов.
Выводы
Экономическая теория: конспект лекций
1. Под финансами понимаются экономические отношения в процессе создания и использования фондов денежных средств.
Совокупность финансовых отношений, складывающихся в рамках государства, образует финансовую систему.
Сущность и роль государственных финансов наиболее полно проявляется в их функциях - мобилизационной, распределительной и контрольной.
2. Под налогом, сбором, пошлиной понимается обязательный платеж, взимаемый государством с физических и юридических лиц. Налоговые изъятия осуществляются безвозмездно.
Сущность налогов проявляется в их функциях: фискальной, контрольной, регулирующей, социальной. "Экономическая теория: конспект лекций"
3. Государственный бюджет - это годовой план государственных расходов и источников их финансового покрытия.
Дефицит бюджета образуется в случае, когда расходы превышают доходы.
Тема 16
Деньги и кредит
Экономическая теория: конспект лекций
16.1. Деньги и денежная система Экономическая теория: конспект лекций
Деньги — это особый товар, служащий всеобщим эквивалентом. Денежная система - это форма организации денежного обращения в стране, т. е. движение денег в наличной и безналичной формах. Она включает следующие элементы:
• денежную единицу (меру денег, принятую в стране за единицу (рубль, доллар и др.);
• масштаб цен (весовое количество денежного металла, принятое в стране в качестве денежной единицы и ее составных частей);
• виды денег в стране, порядок их эмиссии и обращения;
• государственный аппарат, осуществляющий регулирование денежного обращения.
Система обращения металлических денег прошла через биметаллизм и монометаллизм.
Биметаллизм — денежная система, при которой роль всеобщего эквивалента закреплялась за двумя благородными металлами: золотом и серебром. При данной системе предусматривались свободная чеканка монет из обоих металлов и их неограниченное обращение. Биметаллизм имеет две разновидности:
1) систему параллельной валюты, когда законодательство не устанавливает определенного соотношения между золотом и серебром;
2) систему двойной валюты, при которой государство фиксирует определенное соотношение между двумя металлами.
Монометаллизм — это денежная система, при которой один металл служит всеобщим эквивалентом и основой денежного обращения. Функционирующие монеты и знаки стоимости разменны на драгоценные металлы. Монометаллизм бывает серебряным, когда серебро служит всеобщим эквивалентом и основой денежного обращения, и золотым, при котором всеобщим эквивалентом и основой денежного обращения является золото. После кризиса 1929-1933 гг. эпоха монометаллизма закончилась и установилась система неразменных кредитных денег. Основными чертами этой системы являются: уход из обращения золота, отказ от обмена банкнот на золото и отмена их золотого содержания, усиление положения кредитных денег, расширение безналичного оборота, эмиссия денег государством в целях увеличения денежной массы.
Для современного этапа развития денежной системы характерно появление электронных средств платежа. Электронные средства платежа — это платежные пластиковые карточки, имеющие магнитную ленту, содержащую всю необходимую информацию о ее владельце. Данные средства платежа служат денежными документами, удостоверяющими наличие счета ее держателя в кредитном учреждении. Они применяются при оплате товаров и услуг, а также при получении наличности с помощью банковских автоматов-кассиров (банкоматов) и банковских терминалов в торговых точках, на улицах, в банках. В мире наиболее распространены кредитные карточками «ВИЗА», «МАСТЕР КАРД» и др.
"Экономическая теория: конспект лекций"
Функционирование денежной системы невозможно без наличия развитого денежного рынка. Денежныйрынок — это часть рынка ссудных капиталов, где осуществляются в основном краткосрочные депозитно-ссудные операции, обслуживающие главным образом движение оборотного капитала фирм, краткосрочных ресурсов, банков, учреждений, государства и частных лиц. Иными словами, это рынок, на котором в результате взаимодействия спроса на деньги и их предложения устанавливается равновесная ставка процента, представляющая собой «цену» денег. Денежный рынок включает в себя институты, обеспечивающие взаимодействие спроса и предложения денег.
Для нормального функционирования рыночной экономики, поддержания стабильных темпов ее роста, уровня и динамики цен, занятости требуется определенная денежная масса, или совокупность платежеспособных средств, обращающихся в стране в данный момент. Денежная масса в обращении - это предложение денег. Правом эмиссии наличных денег обладает только Центральный банк. Однако в формировании денежной массы, создавая так называемые кредитные деньги, участвуют также и коммерческие банки.
Все коммерческие банки должны иметь установленные законом обязательные резервы. Норма обязательных резервов — это метод прямого воздействия на величину резервов, хранимых коммерческими банками на беспроцентных счетах в Центральном банке РФ.
Таким образом, денежная система - это форма организации денежного обращения в стране, сложившаяся исторически и закрепленная национальным законодательством. Функционирование денег в стране включает чеканку монет, эмиссию денег, монетарные средства, регулирование покупательной способности бумажных денег и монет.
16.2. Кредит и кредитная система Экономическая теория: конспект лекций
Кредитная система - это совокупность кредитных отношений и институтов, организующих такие отношения. Она опосредствует процессы формирования капитала в экономической системе и его движение между субъектами и секторами экономики. В XX в., когда во внутреннем обращении доминирующие позиции заняли кредитные деньги и их производные, денежная система превратилась в денежно-кредитную систему.
Кредитные деньги — это бумажные знаки стоимости, возникшие взамен золота на основе кредита. Различают три вида кредитных денег: вексель, банкноту, чек. К их производным относятся депозитные и электронные деньги. Депозитные деньги — это система специальных расчетов между банками на основе банковских вкладов путем переноса суммы с одного счета на другой.
Функционирование предприятий и организаций невозможно без необходимого количества денег. В процессе производства деньги постоянно находятся в обороте. При этом у одних предприятий в какой-то период имеются свободные денежные средства, а другие испытывают их недостаток. Это противоречие разрешает кредит. Кредит представляет собой ссуду в денежной или товарной форме на условиях возвратности и обычно с уплатой процента и выражает экономические отношения между кредитором и заемщиком. Источники кредита:
"Экономическая теория: конспект лекций"
• средства амортизационного фонда, которые могут быть предоставлены в кредит до приобретения новых средств производства;
• часть оборотного капитала в денежной форме, высвобождающаяся в связи с несовпадением времени продажи изготовленной продукции и покупкой нового сырья;
• деньги на выплату заработной платы, пока не наступил срок их выплаты;
• накопленная для расширенного производства прибыль, которая до использования может быть предоставлена в кредит.
По сроку кредитования различают краткосрочный кредит (до 1 года), среднесрочный (от 2 до 5 лет), долгосрочный (от 6 до 10 лет) и долгосрочный специальный (от 20 до 40 лет).
Различают следующие формы кредита:
• банковский — предоставляется кредитно-финансовыми учреждениями (банками, фондами и др.) хозяйствующим субъектам в виде денежных ссуд. Данная форма кредита представляет собой кредит ссудного капитала, где объектом выступают деньги;
• коммерческий кредит — предоставляется одними хозяйствующими субъектами другим в виде продажи товаров с отсрочкой платежа. Объектом такого кредита является товарный капитал. Такая форма кредита ускоряет процесс товарного обращения, сокращает денежную массу, необходимую для обращения;
• потребительский кредит — предоставляется частным лицам на срок от 1 года до 3 лет. Этот кредит может выступать либо в форме продажи товаров с отсрочкой платежа через розничные магазины, либо в форме банковской ссуды. Плата за такой кредит может достигать 30 %;
• ипотечный кредит — предоставляется в форме денежной ссуды, выдаваемой банками частным лицам под залог недвижимости, главным образом земли, построек, сооружений;
• государственный кредит — предоставляется государством населению и частному бизнесу;
• международный кредит — это движение ссудного капитала в сфере международных экономических отношений. Он может быть представлен или в товарной, или денежной (валютной) форме.
Таким образом, денежно-кредитная система управляет развитием денежных рынков, формирует капитал и организует его переток из одних секторов экономики в другие, создает и определяет инвестиционный климат и влияет на инвестиционную активность.
16.3. Денежно-кредитная политика
Экономическая теория: конспект лекций
Денежно-кредитная политика - совокупность мероприятий в области денежного обращения и кредита, направленных на регулирование экономического роста, сдерживание инфляции, обеспечение занятости и выравнивание платежного баланса. Она служит одним из важнейших методов вмешательства государства в процесс воспроизводства. Методы денежно-кредитной политики делятся на общие и селективные. Общие методы влияют на рынок ссудных капиталов в целом. Селективные методы предназначены для регулирования конкретных видов кредита или кредитования отдельных отраслей, фирм и др.
"Экономическая теория: конспект лекций"
К общим методам денежно-кредитной политики относятся:
• учетная (дисконтная) политика — изменение процентных ставок по кредитам Центрального банка, предоставляемым коммерческим банкам с целью воздействия на их кредитные операции;
• операции на открытомрынке — продажа или покупка Центральным банком РФ у коммерческих банков государственных ценных бумаг, банковских акцептов и других кредитных обязательств по рыночному или заранее объявленному курсу;
установление норм обязательных резервов.
К селективным методам денежно-кредитной политики относятся:
• контролъ по отдельным видам кредитов — применяется в периоды напряжения на рынке ссудных капиталов, когда государство стремится перераспределить ссудные капиталы в пользу отдельных отраслей или ограничить общий объем потребительского спроса;
• регулирование риска и ликвидности банковских операций.
Выводы
Экономическая теория: конспект лекций
1. Деньги - это особый товар, служащий всеобщим эквивалентом. Система обращения металлических денег прошла через биметаллизм и монометаллизм. Денежный оборот складывается из наличных и безналичных денег.
2. Кредит представляет собой ссуду в денежной или товарной форме на условиях возвратности и обычно с уплатой процента и выражает экономические отношения между кредитором и заемщиком.
3. Денежно-кредитная политика - это совокупность мероприятий в области денежного обращения и кредита, направленных на регулирование экономического роста, сдерживание инфляции, обеспечение занятости и выравнивание платежного баланса.
Тема 17
Проблемы переходной экономики Экономическая теория: конспект лекций
17.1. Общее содержание переходной экономики Экономическая теория: конспект лекций
Исторический характер всякой системы (становление, зрелость, умирание) обусловливает то, что в развитии общества возникают особые - переходные — состояния. Отличительными чертами таких состояний служат: сосуществование старой и новой систем; особый характер противоречий - борьба элементов отмирающей и нарождающейся экономики; неустойчивость, обусловленная самой трансформацией общества и проявляющаяся в альтернативности вариантов его будущего.
В определенной степени все страны мирового сообщества находятся в переходном состоянии, однако в силу неодинакового уровня развития различных стран переходность в современном мире сложна и многогранна, что находит свое отражение в следующих тенденциях. Во-первых, это постиндустриальные тенденции. Во-вторых, усилившиеся интеграционные процессы, проявляющиеся во все более разветвленных мировых связях. В-третьих, растущая тенденция к преодолению «разноуровневости» в развитии стран на основе ускоренного индустриального развития «отставших» стран и глобализация рыночных отношений.
Сегодня в рамках стран мирового сообщества можно выделить несколько разнородных групп:
1) страны-лидеры, демонстрирующие тенденции движения к постиндустриальному (информационному) обществу;
"Экономическая теория: конспект лекций"
2) развивающиеся страны;
3) бывшие социалистические страны, переходный процесс которых заключается в уходе от плановой экономики к рыночной.
Таким образом, страновая переходная экономика - частица глобального переходного состояния мирового сообщества. Это означает, что, например, переходная экономика России заключает в себе и черты своей индивидуальной специфики, и черты, общие с однородными процессами в других бывших социалистических странах, и глобальные черты переходности к постиндустриальному обществу.
Отсюда переход от одной системы к другой, охватывающий ограниченный период времени и отличающийся изменчивостью и неустойчивостью, - переходная экономика. Смешанная же экономика - постоянное состояние развитых экономических систем конца XX-XXI вв.
17.2. Направления преобразований и формирование рыночной системы Экономическая теория: конспект лекций
Основные признаки и черты новой экономической системы в процессе преобразований переходной экономики начинают постепенно проявляться и становятся все более устойчивыми. В переходной экономике существуют два основных направления преобразований: формирование рыночной системы и преобразование структуры национальной экономики.
Главное направление преобразований на этапе реформирования - создание основ рыночной экономики. Остальные преобразования, такие как приватизация, создание нового типа государственного регулирования экономики, формирование предпринимательства и даже формирование открытой экономики, могут получить развитие лишь по мере создания рыночной основы экономики. Главная задача, решаемая в переходной экономике, - не усовершенствование уже существующей рыночной экономики, а создание новой рыночной системы в условиях взаимодействия с развитыми рыночными хозяйствами других стран. Это особая историческая задача, не имевшая ранее аналогов в истории. С одной стороны, это облегчает создание рыночной экономики, а с другой - усложняет данный процесс, так как рыночные механизмы предъявляют переходной экономике свои, рыночные критерии эффективности.
Как видно из опыта социалистических государств и структуры рыночной экономики развитых стран, очень важно различать наличие реальной рыночной системы отношений и отдельные принципы рыночной экономики.
Будучи основой всех отношений, рыночная система экономики - продукт длительных преобразований, ее нельзя свести к формальному наличию собственников, принятию законов, созданию банков и т. п.
Существует три основных метода становлениярынка:
1) структурные преобразования;
2) институциональные преобразования;
3) либерализация экономики.
Система мер по освобождению от государственных ограничений экономики, направленная на рыночное обращение товаров и услуг, на создание условий для свободного движения цен, предпринимательства и открытой экономики, называется либерализацией экономики.
"Экономическая теория: конспект лекций"
Изменения экономики путем улучшения отношений собственности через разгосударствление и приватизацию с целью изменения огосударствленной структуры называются структурными преобразованиями.
Создание условий для функционирования рыночной системы путем формирования системы новых организаций и учреждений рыночного типа, системы управления экономикой, преобразования правовых институтов называется институциональным преобразованием.
17.3. Особенности преобразования собственности в российской экономике Экономическая теория: конспект лекций
Прежняя экономическая система, существовавшая в России, характеризовалась наличием государственной и кооперативной форм собственности при господствующей роли государственной собственности и фактическом огосударствлении и контроле государства за развитием кооперативной и личной собственности. Перераспределение прав собственности, которое происходило внутри существовавших форм собственности, не затрагивало перераспределения экономической власти в целом в экономической системе. Лишь во второй половине 1980-х гг. начались интенсивные изменения собственности, затрагивающие не только перераспределение прав, но и изменения форм собственности.
Выбор направлений и форм преобразований после 1991 г. в переходной экономике России осуществлялся в ходе острых дискуссий. Приватизация в России была осуществлена в радикальном варианте по характеру, масштабам, темпам, срокам и методам.
Приватизация происходила в России главным образом в форме акционирования государственных предприятий. Под приватизацией понимают продажу или безвозмездную передачу государственной собственности в руки граждан, трудовых коллективов и юридических лиц. Разгосударствление имело целью перераспределение таких правомочий, как управление, использование части дохода без смены форм собственности.
Приватизация государственной и муниципальной собственности в России начиналась под лозунгами «народной приватизации». Высшими руководителями страны не раз повторялось, что нам нужны не сотни тысяч, а десятки миллионов собственников; было обещано сделать граждан России подлинными хозяевами. Между тем, если на момент окончания ваучерной приватизации около 50 % акций находилось в собственности работников, то к концу 1996 г. таких акций было не более 20 %, которые к тому же не выплачивались, а если и выплачивались, то в чисто символических размерах.
Продать акции большинства предприятий за удовлетворительную цену тоже не представлялось возможным ввиду их неликвидности: их можно было продать (и продавали) по символической цене.
В итоге работники, которые и получили акции, стали, скорее, собственниками номинальными, а не реальными, т. е. произошло не соединение, а еще большее отчуждение работников от капитала.
Основные особенности российской приватизации
Экономическая теория: конспект лекций
Директивность. Решение о приватизации принималось не трудовыми коллективами или руководителями (менеджерами), знавшими специфику финансового и технологического состояния предприятий, а Госкомимущества. Регионам директивно предписывались даже количественные масштабы приватизации с разбивкой по отраслям. Трудовые коллективы государственных предприятий не имели права выбора сроков и механизма преобразования собственности.
"Экономическая теория: конспект лекций"
Приоритетность одной формы. В качестве приоритетного направления выбрано превращение государственной собственности в частную. Недооценивались и даже игнорировались другие формы преобразований госсобственности, связанные с перераспределением прав собственности. В результате российская модель была жестко нацелена на перераспределение экономической власти социальными слоями общества.
Приоритет социально-политических целей над экономическими. Российская модель не учитывала критериев экономической эффективности осуществления приватизации в краткосрочном и среднесрочном аспектах, что неизбежно приводило к расточительности. Имущество государственных предприятий, преобразованных в открытые акционерные общества в порядке приватизации, оценивалось по остаточной стоимости на основе оптовых цен 1980-х гг.
Социальная деформированностъ при быстрой концентрации капитала. Провозглашенная социально-стартовая цель превратить всех граждан в собственников и создать массовый средний класс на практике обернулась отторжением от собственности основной массы населения и сосредоточием государственной собственности и потоков доходов у олигархических групп.
Форсированиеразвития фондовогорынка. Поскольку основная масса средних и крупных предприятий директивно приватизировалась в виде превращения государственных предприятий в открытые акционерные общества, сам процесс приватизации явился основным фактором развития фондового рынка.
Следует отметить, что акции приватизированных российских предприятий и образуемый ими фондовый рынок существенно отличаются от их классических аналогов. Особенность состоит в том, что если классические (обычные) акции являются порождением реального инвестиционного процесса и обмена акций на реальные активы, то акции, вошедшие в фондовый рынок в переходной экономике России, обменивались на фиктивные активы в виде ваучеров, за которыми не стояло реального инвестиционного процесса. Курсовое поведение акций предприятий, акционированных в порядке приватизации, не отражало реальные инвестиционные процессы или экономическую эффективность представляемых ими предприятий.
Если рассматривать приватизацию в динамике, то можно выделить ее основные этапы.
Доваучерная приватизация. Она проводилась в основном в форме выкупа арендованного имущества и охватывала главным образом сферу социальной инфраструктуры: торговлю, бытовое обслуживание, общественное питание и т. д.
Ваучерный (чековый) этап приватизации. Его основным содержанием стало преобразование государственных предприятий в акционерные общества открытого типа и продажа, как правило, малых предприятий по конкурсу и на аукционе. От 50 до 80 % стоимости пакетов акций и выкупаемого имущества оплачивалось приватизационными чеками.
"Экономическая теория: конспект лекций"
Послечековый (денежный) этап приватизации. Его основным содержанием была продажа как самих предприятий (с аукциона и по конкурсу), так и акций акционированных в порядке приватизации предприятий за деньги. На этот этап возлагались не оправдавшиеся пока надежды появления стратегических инвесторов.
Залоговые аукционы. Государство с целью покрытия дефицита государственного бюджета отдает в залог под кредиты коммерческих банков пакеты акций крупнейших предприятий, акционированных в порядке приватизации. Считать залоговые аукционы формой приватизации следует потому, что государство, отдавая в залог пакеты акций, не планирует их возвращения и не резервирует средства на возвращение кредитов.
В последние годы приватизация приобрела постепенный характер, поскольку основной массив государственных и муниципальных предприятий уже приватизирован.
Важное значение в процессе приватизации в настоящее время имеют конкурсные продажи принадлежащих государству пакетов акций крупных компаний.
Процесс перераспределения собственности в России еще не завершен, но уже сложилась новая реальность в виде социально-экономической среды функционирования экономики. Это важнейший итог приватизации.
Выводы
Экономическая теория: конспект лекций
1. Переходная экономика - это переходное состояние от одной экономической системы к другой. Выделяют следующие основные черты переходной экономики: многоукладность, неустойчивость развития, длительность.
2. Существует два основных направления преобразований в переходной экономике: формирование рыночной системы и преобразование структуры национальной экономики. Становление рынка происходит через либерализацию экономики, структурные преобразования, институциональные преобразования.
Либерализация экономики - это система мер, направленная на создание условий для свободного движения цен, рыночного обращения товаров и услуг, предпринимательства, а также открытости экономики.
Структурные преобразования - это преобразования отношений собственности через разгосударствление и приватизацию.
Институциональные преобразования - это создание условий для действия рыночной системы путем преобразования правовых институтов, формирования системы новых организаций и учреждений рыночного типа, создания новой системы управления экономикой и т. д.
3. Под приватизацией понимают продажу или безвозмездную передачу государственной собственности в руки граждан, трудовых коллективов и юридических лиц. Если рассматривать приватизацию в динамике, то можно выделить следующие ее основные этапы: доваучерный, ваучерный (чековый), послечековый (денежный), залоговые аукционы и конкурсные продажи принадлежащих государству пакетов акций крупных компаний.
Тема 18
Предпринимательство Экономическая теория: конспект лекций
18.1. Сущность и роль предпринимательства "Экономическая теория: конспектлекций"
Экономическая теория: конспект лекций
В римском праве «предпринимательство» рассматривалось как занятие, дело, деятельность, особенно коммерческая. В качестве научного термина понятие «предприниматель» появилось в работах известного английского экономиста начала XVIII в. Р. Кантильона (1680-1734). Он разработал первую концепцию предпринимательства, а под предпринимателем понимал человека, действующего в условиях риска, в связи с тем, что торговцы, фермеры, ремесленники и прочие мелкие собственники покупают товар по определенной цене, а продают по неизвестной. Он отмечал, что предприниматель должен обладать определенным интеллектом, т. е. различной информацией и знаниями. Другой французский экономист А. Тюрго считал, что предприниматель должен обладать не только определенной информацией, но и капиталом, что капитал служит основой всей экономики, а цель предпринимательской деятельности - прибыль, которая считается основой развития производства.
Предпринимательская деятельность - это организация и соединение факторов производства для создания материальных благ и услуг, способных удовлетворить общественные потребности, конечной целью реализации которых являются собственные материальные интересы предпринимателя.
На сегодняшний день в мире не существует общепринятого определения предпринимательства. Американский ученый Р. Хизрич характеризует предпринимательство как процесс создания чего-то нового, что обладает стоимостью, а предпринимателя - как человека, который затрачивает на это все необходимое время, силы, вкладывает капитал и при этом берет на себя весь финансовый, психологический и социальный риск. Наградой при достижении успеха становятся полученная в результате предпринимательской деятельности прибыль и чувство удовлетворения, которое испытывает предприниматель от занятия свободным предпринимательством. Но наряду с этим он должен принять на себя весь риск потерь в случае банкротства его предприятия.
Основные условия существования предпринимательской деятельности:
1) наличие рыночного пространства;
2) развитые товарно-денежные отношения;
3) относительная обособленность и экономическая свобода предпринимателя.
Предприниматель - это не только профессия, но и определенная качественная характеристика человека с его наклонностями, привычками, интеллектом, образованием. В современных условиях предприниматель должен быть вооружен знаниями многих отраслей науки и практики, должен быть интеллектуалом. Однако знания экономической науки совершенно недостаточно, чтобы стать предпринимателем. Предпринимателями, конечно, становятся. Вместе с тем в известном смысле предпринимателями рождаются. Поэтому лишь объединение определенных черт характера с полученными знаниями может дать нужный эффект.
Для предпринимательства необходимы основные средства: земельные участки, здания, помещения, машины, оборудование. Они нужны не только непосредственно для производства, но и для хранения, транспортировки, продажи продукции, для управления бизнесом. Без служебных помещений, оборудованных средствами связи, оргтехникой, компьютерами, сегодня невозможно вести какое-нибудь серьезное дело. Для ведения бизнеса необходимы и расходуемые оборотные средства, материальные ресурсы: сырье, материалы, энергия.
"Экономическая теория: конспект лекций"
Нужен для бизнеса и денежный капитал, и не только начальный. Причем деньги для целей предпринимательства нужны не сами по себе, нужен физический капитал: основные и оборотные средства.
К факторам предпринимательства следует отнести и информационные ресурсы, без которых немыслим эффективный бизнес. В понятие «информационные ресурсы», а точнее, «научно-информационные» ресурсы, входят знания о предмете и способах ведения дела, данные о продуктах-аналогах, проекты, технологии, т. е. сведения самого разного характера, без которых бизнес просто нереализуем.
В осуществлении бизнеса участвуют три ведущих действующих лица: непосредственно предприниматель; те, кто снабжает его ресурсами предпринимательской деятельности в виде факторов предпринимательства, т. е. собственники этих факторов; лица, приобретающие продукт предпринимательства в виде товаров и услуг, т. е. покупатели.
Результат предпринимательства состоит в том, что бизнесмену, ведущему дело, удается с определенной для себя выгодой удовлетворить запросы конкретного круга потребителей в товарах, услугах, реализуя им товар G и получая взамен деньги М от покупателей товара. Конечный продукт предпринимательской деятельности, реализуемый в качестве товара, разнообразен. И. Шумпетер (1883-1950) в своей работе «Теория экономического развития» обращает внимание на то, что предприниматель - это тот бизнесмен, который делает не то, что делают остальные, и не так, как делают остальные. В соответствии с данной характеристикой предпринимателей можно разделить на условные группы.
Первую, низшую ступеньку в иерархии предпринимателей занимают те бизнесмены, которые в основном свою деятельность строят на базе элементарных решений и тривиальных способов их реализации. Мотивация их деятельности - однозначно максимизация прибыли. Получение прибыли для них выступает как средство улучшения условий жизни, прежде всего условий материальных.
На второй ступеньке находятся люди достаточно инициативные, но в рамках традиционного мышления, не способные в полной мере критически осмысливать реальную ситуацию. Мотивация деятельности этих предпринимателей схожа с первой группой - получение максимальной прибыли, но также им присущ пусть небольшой, но элемент иной мотивации - обеспечение самовыражения, внутреннее удовлетворение своей деятельностью.
Третью ступень иерархической лестницы занимают предприниматели, для которых органической потребностью является разработка совершенно нетрадиционных решений и реализация их нетрадиционными способами и средствами. Мотивация их деятельности - не только получение максимальной прибыли, но не менее важным для них становится получение удовлетворения от своей деятельности, жажда борьбы, победы над конкурентами, стремление к обладанию властью, зачастую и благотворительность.
"Экономическая теория: конспект лекций"
И, наконец, четвертая, высшая группа предпринимателей, которая является «элитной». Обеспечение максимизации прибыли для них совсем не главное, поскольку это уже пройденный этап. Их предпринимательская деятельность - это постоянное самовыражение: это удовлетворение жажды борьбы с конкурентами за новые идеи, за их реализацию, за общественное признание, борьба за власть, что является основой для формирования пусть небольшой, но собственной частной империи.
В настоящее время в теоретических исследованиях уделяется внимание не только предпринимательству как способу ведения дел на самостоятельной, независимой основе, но и внутрифирменному предпринимательству, или интра-пренерству (интрапредпринимательству). Термин «интра-пренер» был введен в оборот американским исследователем Г. Пиншо. Он же впервые использовал и другой термин, производный от первого, -«интракапитал».
Появление интрапренерства связано с тем фактором, что многие крупные производственные структуры переходят на предпринимательскую форму организации производства. Поскольку предпринимательство предполагает обязательное наличие свободы творчества, то подразделения целостных производственных структур получают право на свободу действий, что подразумевает и наличие интракапитала - капитала, необходимого для реализации идей, лежащих в основе внутрифирменного предпринимательства.
Таким образом, предпринимательство — это особый вид экономической активности (под которой мы понимаем целесообразную деятельность, направленную на извлечение прибыли), которая основана на самостоятельной инициативе, ответственности и инновационной предпринимательской идее.
Предпринимательство выступает в качестве особого вида экономической активности, так как его начальный этап связан, как правило, лишь с идеей - результатом мыслительной деятельности, впоследствии принимающей материализованную форму.
Предпринимательство характеризуется обязательным наличием инновационного момента - будь то производство нового товара, смена профиля деятельности или основание нового предприятия. Новая система управления производством, качеством, внедрение новых методов организации производства или новых технологий - это тоже инновационные моменты.
Предпринимательство как одна из конкретных форм проявления общественных отношений способствует не только повышению материального и духовного потенциала общества, не только создает благоприятную почву для практической реализации способностей и талантов каждого индивида, но и ведет к единению нации, сохранению ее национального духа и национальной гордости.
18.2. Субъекты предпринимательства
Экономическая теория: конспект лекций
Предприниматель — основной субъект предпринимательской активности.
В целях получения прибыли, удовлетворения конкретных потребностей, для производства продукции, выполнения работ и оказания услуг предпринимателем или группой создается предприятие как самостоятельный, хозяйствующий субъект.
"Экономическая теория: конспект лекций"
По условиям, целям и характеру функционирования существуют различные предприятия. Они классифицируются по виду и типу хозяйственной деятельности, формам собственности, принадлежности капитала и контролю над ним, правовому положению и другим признакам.
Предприниматель - не единственный субъект предпринимательства. И потребитель, и государство так же относятся к категории субъектов предпринимательской активности, как и наемныйработник (если предприниматель не работает в одиночку), и партнеры по бизнесу (если производство не носит изолированного от общественных связей характера). Однако основным контрагентом предпринимателя выступает потребитель, а также государство, которое в различных ситуациях может выступать в качестве помощника или противника.
Во взаимоотношениях с потребителем предприниматель относится к категории активного субъекта, а потребителю свойственна прежде всего пассивная роль. При анализе этих взаимоотношений потребитель выполняет своего рода роль индикатора предпринимательского процесса. Поэтому все то, что составляет предмет деятельности предпринимателя, имеет право на реализацию только в случае позитивной (положительной) экспертной оценки потребителя. Такая оценка осуществляется потребителем и выступает как готовность последнего приобрести тот или иной товар. Предприниматель при планировании и организации своей деятельности не может игнорировать настроения, желания, интересы, ожидания, оценки потребителя. Таким образом, целью предпринимателя выступает необходимость «завоевать» потребителя, создать круг собственных потребителей. Основными средствами воздействия предпринимателя на потребителя выступают следующие факторы:
• новизна товара и его соответствие интересу потребителя;
• качество;
• цена, доступность товара;
• степень универсальности товара;
• внешний вид и упаковка;
• позитивные отличительные характеристики товара от товаров других производителей и возможность потребителя ознакомиться с такими отличиями;
• возможность воспользоваться услугами послепродажного сервиса;
• соответствие общепринятым или государственным стандартам;
престижность и привлекательность рекламы товара и т. д.
Можно сделать вывод: если с точки зрения общественного производства именно предприниматель выступает в роли активного субъекта, то с точки зрения самого предпринимательского процесса, его содержания и эффективности активную роль играет потребитель, и предприниматель не может игнорировать этот факт.
Роль государства как субъекта предпринимательского процесса может быть различной в зависимости от общественных условий, ситуации, складывающейся в сфере деловой активности, и тех целей, какие ставит перед собой государство. В зависимости от конкретной ситуации государство может быть:
"Экономическая теория: конспект лекций"
• тормозом развития предпринимательства, когда оно создает крайне неблагоприятную обстановку для развития предпринимательства или даже запрещает его;
• посторонним наблюдателем, когда государство прямо не противодействует развитию предпринимательства, но в то же время и не способствует этому развитию;
• ускорителем предпринимательского процесса, когда государство ведет постоянный и активный поиск мер по вовлечению в предпринимательский процесс новых экономических агентов (нередко такая целенаправленная деятельность государства приводит к «буму» предпринимательства).
Наемный работник как реализатор идей предпринимателя также относится к группе субъектов предпринимательского процесса. Именно от него зависит эффективность и качество реализации предпринимательской идеи.
Известно, что каждому экономическому субъекту свойственны свои собственные интересы. Что касается предпринимателя и наемного работника, то часть их планов совпадает (чем выше прибыль, тем выше заработная плата), а часть носит противоположный характер (предприниматель не заинтересован в высокой оплате труда, а наемный работник заинтересован). В таких случаях стороны вынуждены идти на поиск компромиссных вариантов, что и составляет основу взаимоотношений этих двух субъектов предпринимательского процесса.
В современных условиях хозяйствования каждый предприниматель функционирует в условиях достаточно глубокой специализации производства, возникшей на основе разделения труда.
Любой предприниматель нуждается в эффективных партнерских связях: только в таком случае он может эффективно действовать в рамках того или иного фрагмента целостного производственного процесса. Идеальной представляется ситуация, когда все предприниматели образуют относительно изолированную от общего экономического процесса цепочку партнерских связей. Если взять для анализа целостный процесс производства, то он состоит как бы из множества фрагментов, каждый из которых фокусируется в конкретной деятельности предпринимателя.
В условиях рынка от предпринимателя требуются умение и предрасположенность действовать в союзе с другими предпринимателями и вести постоянный поиск наиболее эффективных партнерских связей, в ходе которого предприниматель осуществляет переориентацию своей деятельности. Таким образом, при планировании своей деятельности предприниматель рассматривает партнера (партнеров) как субъект предпринимательского процесса, от формы взаимоотношений с которым зависит уровень эффективности его деятельности.
Цель предпринимательской активности - производство и предложение рынку такого товара, на который имеется спрос и который приносит предпринимателю прибыль. Прибыль - это излишек доходов над расходами, получаемый в результате реализации принятого предпринимательского решения по производству и поставке на рынок товара, в отношении которого предпринимателем выявлен неудовлетворяемый или скрытый спрос потребителя.
"Экономическая теория: конспект лекций"
Однако получение прибыли свойственно не только предпринимательской, но и любой другой форме деловой активности, поэтому выделяется такая экономическая категория, как предпринимательская прибыль, или предпринимательский доход. Доходы от инновационной деятельности, т. е. от введения новых методов и приемов организации производства, и составляют предпринимательский доход. Под предпринимательским доходом следует понимать прежде всего дополнительный доход, доход от управления, излишек, получаемый предпринимателем благодаря его природным качествам или особому умению анализировать и по-новому комбинировать факторы производства в зависимости от внешних условий.
Другими словами, прибыль предпринимателя (если речь идет действительно о предпринимателе, а не об обычном деловом человеке) складывается как бы из двух элементов:
1) обычная прибыль делового человека;
2) излишек над обычной прибылью делового человека.
Второй элемент и выступает в качестве предпринимательского дохода (прибыли), т. е. формы общественного вознаграждения за проявленный инновационный подход, новаторство в производстве. Всякий предприниматель, таким образом, выступает в качестве делового человека, но не всякий деловой человек может быть отнесен к категории предпринимателей.
18.3. Организационные формы предпринимательства Экономическая теория: конспект лекций
Предприятие — основная хозяйствующая единица в условиях рыночной экономики. Основные черты предприятия:
1) организационное единство;
2) определенный комплекс средств производства;
3) обособленное имущество;
4) экономическая и хозяйственная самостоятельность;
5) имущественная ответственность;
6) участие в хозяйственном обороте от собственного имени.
Предприятие (фирма) — коммерческая организация, нацеленная на получение прибыли, юридическое лицо, которое имеет конкретного собственника (индивидуальный владелец, группа физических лиц, представленная акционерами, совладельцами имущества), а также различные организации (фонды, ассоциации), органы государственного и хозяйственного управления.
В Российской Федерации структура хозяйственно-правовых форм определена Гражданским кодексом РФ, который подразделяет всех участников предпринимательской деятельности по юридическому статусу на физических и юридических лиц, а по цели деятельности - на коммерческие и некоммерческие организации. К физическим лицам отнесены граждане, осуществляющие предпринимательскую деятельность без образования юридического лица под свою имущественную ответственность. Они представлены индивидуальными предпринимателями и крестьянскими хозяйствами.
Юридическими лицами признаются организации, в том числе и создаваемые отдельными гражданами, которые имеют обособленное имущество, самостоятельный баланс, могут приобретать имущественные и неимущественные права и отвечают своим имуществом по возникающим в их отношении обязательствам.
"Экономическая теория: конспект лекций"
Коммерческая организация - предпринимательское образование, основная цель деятельности которого -извлечение прибыли. К коммерческим организациям относятся хозяйственные товарищества и общества, унитарные предприятия, производственные кооперативы.
Некоммерческой организацией считается образование, не имеющее в качестве основной цели деятельности извлечение прибыли и не распределяющее полученную прибыль среди участников. К некоммерческим организациям относятся: потребительский кооператив, общественные и религиозные организации, благотворительные фонды, учреждения, союзы и ассоциации юридических лиц.
Все многообразие предпринимательских структур представляет собой проявление видовых различий трех организационных форм предпринимательства: единоличного предприятия, партнерства, корпорации.
Названные формы условно можно разделить на две группы: частные и общественные. К первой группе относятся единоличные предприятия и партнерства, а ко второй - корпорации.
Для единоличного предприятия и партнерства, во-первых, характерно непосредственное объединение функций владения и управления, в то время как корпорации присуще полное обособление этих функций. Во-вторых, в отношении частных форм хозяйственная ответственность по осуществлению предпринимательской деятельности, как правило, распространяется на самих владельцев. Здесь собственность предприятия не отделена от собственности владельца - в отличие от корпорации, где такое отделение четко зафиксировано и ограничивает ответственность ее владельцев. В-третьих, если корпорации обязаны функционировать в открытой для общества форме, публикуя ежегодно отчет о результатах своей финансовой деятельности, то единоличные предприятия и партнерства вправе сохранять конфиденциальность в этом отношении, предоставляя подобную информацию только уполномоченным органам.
Единоличное предприятие - самая простая и самая распространенная форма бизнеса. Такого рода фирму также называют бизнесом одного человека, или частной собственностью. Владелец имеет материальные ресурсы и капитальное оборудование, необходимые для производственной деятельности, или приобретает их, а также лично контролирует деятельность предприятия. Преимущества и недостатки данной формы предпринимательства приведенывтабл. 18.1.
Таблица 18.1. Преимущества и недостатки единоличного предприятия
Экономическая теория: конспект лекций |
|
Единоличное предприятие |
|
Преимущества |
Недостатки |
L Единичное влияние лег ко учредить, так как
юридическая процедура оформления весьма легка и регистрация фирмы такого рода обычно нс требует больших затрат,
2, Владелец сам себе хозяин и располагает значительной свободой действий для принятия решений о том, что и как производить. 1 [е надо ждать решений никаких собраний,партнеров или директоров.
2, Владелец может предоставлять клиенту персональные услуги.
4. Стимулы эффективной работы — владелец получает вес в случае успеха и теряет
все в случае неудачи |
1 „ Финансовые ресурсы единоличного п ред п ри-
нимателя недостаточны для того, чтобы фирма могла вырасти в крупное предприятие.
2. Коммерческие банки нс очень охотно предоставляют им большие кредит ы.
3. Осуществляя полный контроль над деятельностью предприятия, владелец должен выполнять все основные
решения.
4. Наиболее важный
недостаток заключается в гом, что единоличный владелец является субъектом неограниченной ответственности — предприниматели рискуют не только активами фирмы, но и своими личными активами, Для уплаты долгов в этом случае может бы і ь продано личное имущество владельца |
|
Партнерство — это форма организации бизнеса, которая является естественным развитием единоличного владения.
Закон о партнерстве 1890 г. определил партнерство (товарищество) как добровольную ассоциацию от 2 до 20 человек, объединившихся для совместного бизнеса с целью получения прибыли. Однако в некоторых областях деятельности (юристы, бухгалтера, брокеры) теперь разрешается объединяться в партнерства более чем 20 участникам.
"Экономическая теория: конспект лекций"
По степени участия в деятельности предприятия партнерства бывают разные. В некоторых случаях все партнеры играют активную роль в функционировании предприятия, в других случаях - один или несколько участников могут играть пассивную роль. Это означает, что они вкладывают свои финансовые средства в фирму, но не принимают активного участия в управлении ею. Преимущества и недостатки данной формы предпринимательства приведенывтабл. 18.2.
Экономическая теория: конспект лекций
|
Таблица 18.2. Преимущества и недостатки партнерства |
|
Партнерство |
|
Преимущество |
Недостатки |
1. Подобно единоличному (частному) владению, партнерство легко организовать. 1 [очти во всех случаях заключается письменное соглашение, причем бюрократические процедуры
и coupe мен иге л ы з ы.
2, Поскольку в партнерство (товарнніест но) объединиется много людей, начальный капитал может быть большим, чем із единичном частном предпрняп ни. |
J. Разделение власти, когда несколько человек участвуют в управлении, может привести к несовместимости интересов, к несогласованной политике или бездействию* когда требуются решительные действия. Еще хуже, когда партнеры расходятся но главным вопросам,
2, Финансы компании вес еще ограничены, хотя значительно [ іревосхО дяі¦ нотм ожн ост и
частного владения.
3. 11 р одолжите л ьдость деятельности партнерства непредсказуема. Выход и з партнерства или смерть партнера, как прадило, влекут за собой распад и полную реорганизацию фирмы, потенциальный срыв ее деятельности, |
3, Управление фирмой может быть специализировано. Каждый из партнеров может принять на себя ответственность за
конкретный участок работы, Например, за управление производством И 1. и. |
4, Компаньон отвечает по долгам предприят ин в размере тех средств, кот орые он в него вложили Однако компаньоны в товариществе такого рода не могут принимать участия в ведении бизнеса — по крайней мере один из них вес же должен принять на себя полноту ответственности |
|
Корпорация — это правовая форма бизнеса, основанное на долевом участии в капитале объединение, юридические права и обязательства которого обособлены от прав и обязательств его участников. Главная экономическая особенность корпорации состоит в том, что она выступает законченной формой обособления собственности от управления и экономически и юридически обособлена от ее учредителей и участников. Преимущества и недостатки данной формы предпринимательства приведены в табл. 18.3.
Таблица 18.3 Преимущества и недостатки корпорации
Экономическая теория: конспект лекций |
|
Корпорация |
|
Преимущества |
Недостатки |
1. Наиболее эффективная форма организации бизнеса в вопросах привлечения денежного капитала: череп продажу акций и облигаций,
2. Более легкий доступ
к банковскому кредиту по сравнению с другими формами организации бизнеса из-за их большей надежности, способность обеспечить банкам прибыльность счетов. |
1. Регистрация устава корпорации сопряжена с некоторыми бюрократическими процедурами и расходами на юридические услуги.
2, Двойное налогообложение; та часть дохода корпорации,
которая выплачивается в виде дивидендов держателям акций, облагается налогом дважды первый раз как часть прибыли корпорации, второй — как часть личного дохода владельца акций. |
3. Ограниченная ответственность — владельцы корпораций (держатели акций) рискуют только той суммой, которую они заплатили за покупку акций. Личные активы не ставятся под угрозу, даже если корпорация обанкротится. Кредиторы могут предъявитъ иск корпорации как
юридическому лицу, но не как
частным лицам,
4, Поскольку является юридическим лицом, существует независимо от сс владельцев. Передача собственности корпорации через продажу акций не подрывает ее целостности |
3. При единоличном предприн и матсл ьствс и партнерстве владельцы недвижимости и финансовых активов сами
управляют активами них контролируют.
В крупных корпорациях, акции которых распределены среди
сотен тысяч
владельцев, существует
зі іач htcj і ы юс ра схождение между функциями собственности и контроля |
|
|
Корпоративная форма организации сложилась в конце XIX в. Она как раз явилась той формой, которая, с одной стороны, расширила базу привлечения финансовых средств, обеспечив мобилизацию капиталов, а с другой -ограничила уровень личного риска, чрезвычайно возросшего в связи с масштабными финансовыми вложениями. В современной экономике именно корпорации играют ключевую роль: имея долю в структуре организационных форм не более 20-25 %, корпорации обеспечивают 80-90 % хозяйственного оборота. |
Один и тот же тип организации предпринимательской деятельности может включать в себя неоднородные по своему характеру отношения имущественных правомочий, принципы организации и управления, что требует соответствующего их правового оформления. Поэтому на практике предпринимательская деятельность осуществляется в конкретных хозяйственно-правовых формах, отражающих не только функциональные особенности самих организационных форм, но и национальные особенности правового режима страны.
Условия и порядок ведения различных видов деятельности предусматриваются законом, при этом учитываются характер и особенности видов деятельности. Помимо классификации предприятий по организационно-правовым формам собственности и отраслевой принадлежности, также важную роль играет классификация предприятий по степени концентрации производства. В условиях российской экономики все стоимостные показатели (стоимость производственной продукции и услуг, стоимость уставного капитала) малонадежные, поэтому в большей степени используют признак - численность персонала организации, который характеризует размер фирмы. Как правило, мелкой считается фирма с численностью работающих менее 100 человек, а крупной - фирма с численностью работающих более 500 человек.
"Экономическая теория: конспект лекций"
Выводы
Экономическая теория: конспект лекций
1. Предпринимательство - это особый вид экономической активности, направленный на извлечение прибыли и основанный на самостоятельной инициативе, ответственности и инновационной предпринимательской идее.
2. Основные субъекты предпринимательства: сам предприниматель, потребители, государство, наемные работники.
Существует три организационные формы предпринимательства: единоличное предприятие, партнерство, корпорация, которые условно можно разделить на две группы - частные и общественные. К первой группе относятся единоличные предприятия и партнерства, а ко второй - корпорации. Для единоличного предприятия и партнерства характерно непосредственное объединение функций владения и управления, в то время как корпорации присуще полное обособление этих функций.
3. В отношении частных форм хозяйственная ответственность по осуществлению предпринимательской деятельности, как правило, распространяется на самих владельцев. Здесь собственность предприятия не отделена от собственности владельца - в отличие от корпорации, где такое отделение четко зафиксировано и ограничивает ответственность ее владельцев.
Предпринимательская деятельность осуществляется в конкретных хозяйственно-правовых формах, структура которых определена Гражданским кодексом РФ, который подразделяет всех участников предпринимательской деятельности по юридическому статусу на физических и юридических лиц, а по цели деятельности - на коммерческие и некоммерческие организации.
Список используемой литературы
Экономическая теория: конспект лекций
1. Баликоев В. 3. Общая экономическая теория: Учебное пособие. М.: ПРИОР; Новосибирск: ООО «ЮКЭА», 1999.
2. БугаянИ. Р. Макроэкономика. Ростов-на-Дону: Феникс, 2000.
3. Иохин В. Я. Экономическая теория: Учебник. М.: Юристъ, 2000.
4. КейнсДж. М. Общая теория занятости, процента и денег. М.: Прогресс, 1978.
5. Козырев В. М. Основы современной экономики: Учебник. М.: Финансы и статистика, 1998.
6. Курс экономики. Учебник / Под ред. Б. А. Райсберга М.: ИНФРА-М, 1997.
7. Курс экономической теории: Учебник / Под ред. М. Н. Чепурина, Е. А. Киселевой. Киров: АСА, 1999.
8. МакконнелК. Р., Брю С. Л. Экономикс: В 2 т. М.: Республика, 1992.
9. Менкъю Н. Г. Макроэкономика. М.: Изд-во МГУ, 1994.
10. Меньшиков С. М. Новая экономика: Учебное пособие. М.: Международные отношения, 1999.
11. СамуэлъсонП. Экономика: В 2 т. М.: Алгон, 1992.
12. Фишер С, Дорнбуш Р., Шмалензи Р. Экономика. М.: Дело, 1994.
13. Шахнович Р. М. Основы макроэкономической теории. Новосибирск: НГУ, 1992.
14. Экономика / Под ред. А. И. Архипова, А. Н. Нестеренко, А. К. Большакова, Захарова М. А. М.: ПБОЮЛ, 2001.
15. Экономика / Под ред. А. С. Булатова М.: БЕК, 1994.
16. Экономическаятеория: Учебник / Подред. И. П. Николаевой. М.: Проспект, 2000.
Экономика: Знания - Циклы - Макроэкономика